[go: up one dir, main page]

WO2000025789A1 - A method of treating endometriosis - Google Patents

A method of treating endometriosis Download PDF

Info

Publication number
WO2000025789A1
WO2000025789A1 PCT/US1999/025001 US9925001W WO0025789A1 WO 2000025789 A1 WO2000025789 A1 WO 2000025789A1 US 9925001 W US9925001 W US 9925001W WO 0025789 A1 WO0025789 A1 WO 0025789A1
Authority
WO
WIPO (PCT)
Prior art keywords
oxo
imidazo
carbonitrile
substituted
unsubstituted
Prior art date
Legal status (The legal status is an assumption and is not a legal conclusion. Google has not performed a legal analysis and makes no representation as to the accuracy of the status listed.)
Ceased
Application number
PCT/US1999/025001
Other languages
French (fr)
Inventor
Allen I. Oliff
Jackson B. Gibbs
Current Assignee (The listed assignees may be inaccurate. Google has not performed a legal analysis and makes no representation or warranty as to the accuracy of the list.)
Merck and Co Inc
Original Assignee
Merck and Co Inc
Priority date (The priority date is an assumption and is not a legal conclusion. Google has not performed a legal analysis and makes no representation as to the accuracy of the date listed.)
Filing date
Publication date
Priority claimed from GBGB9900160.4A external-priority patent/GB9900160D0/en
Application filed by Merck and Co Inc filed Critical Merck and Co Inc
Priority to AU12301/00A priority Critical patent/AU1230100A/en
Publication of WO2000025789A1 publication Critical patent/WO2000025789A1/en
Anticipated expiration legal-status Critical
Ceased legal-status Critical Current

Links

Classifications

    • AHUMAN NECESSITIES
    • A61MEDICAL OR VETERINARY SCIENCE; HYGIENE
    • A61KPREPARATIONS FOR MEDICAL, DENTAL OR TOILETRY PURPOSES
    • A61K31/00Medicinal preparations containing organic active ingredients

Definitions

  • the present invention relates to methods of preventing and treating endometriosis, uterine fibroids, dysfunctional uterine bleeding and endometrial hype lasiar which comprise.administering to a patient in need thereof an inhibitor of a prenyl-protein transferasel
  • Endometriosis is a disease in which patches of endometrial tissue, which normally is found only in the uterine lining (endometrium), grow outside the uterus.
  • the misplaced endometrial tissue commonly adheres to the ovaries and the ligaments that support the uterus. Because the misplaced endometrial tissue responds to the same hormones that the uterus responds to, it may bleed during the menstrual period, often causing cramps, pain, irritation, and the formation of scar tissue.
  • Endometriosis is estimated to occur in about 10 to 15 percent of menstruating women between the ages of 25 to 44. As many as 25 to 50 percent of infertile women may have endometriosis, which can physically interfere with conception.
  • the aims of treatment of a patient with endometriosis include elimination of the misplaced endometriotic tissue, relief of pain and induction of pregnancy.
  • Current treatments include administration of drugs that suppress the activity of the ovaries and slow the growth of endometrial tissue, surgery to remove the misplaced endometriotic tissue, surgical removal of the uterus, fallopian tubes and/or ovaries, or combinations of those treatments.
  • drugs such as combination estrogen-progestin oral contraceptives, progestins, danazol, and luteinizing hormone-releasing hormone agonist analogs (such as Buserilin, a GnRH agonists) is accompanied by multiple unwanted side-effects associated with hormone modulation, including bleeding between periods, predisposition to osteopoerosis and mood swings.
  • drug treatment doesn't cure endometriosis; the disease usually returns after treatment is stopped.
  • Uterine fibroids which appear in the reproductive years and regress after menopause, are the result of cellular proliferation and differentiation in the uterine tissue regulated by the ovarian steroids.
  • Treatment of a patient suffering from uterine fibroids include surgery and administration of luteinizing hormone-releasing hormone agonist analogs.
  • Prenylation of proteins by intermediates of the isoprenoid biosynthetic pathway represents a class of post-translational modification (Glomset, J. A., Gelb, M. H., and Famsworth, C. C. (1990). Trends Biochem. Sci. 15, 139-142; Maltese, W. A. (1990). FASEB J. 4, 3319-3328). This modification typically is required for the membrane localization and function of these proteins.
  • Prenylated proteins share characteristic C-terminal sequences including CaaX (C, Cys; a, usually aliphatic amino acid; X, another amino acid), XXCC, or XCXC.
  • Some proteins may also have a fourth modification: palmitoylation of one or two Cys residues N-terminal to the farnesylated Cys. While some mammalian cell proteins terminating in XCXC are carboxymethylated, it is not clear whether carboxy methylation follows prenylation of proteins terminating with a XXCC motif (Clarke, S. (1992). Annu. Rev. Biochem. 61, 355-386). For all of the prenylated proteins, addition of the isoprenoid is the first step and is required for the subsequent steps (Cox, A. D. and Der, C. J. (1992a). Critical Rev. Oncogenesis 3:365-400; Cox, A. D. and Der, C. J. (1992b) Current Opinion Cell Biol. 4:1008-1016).
  • FPTase farnesyl-protein transferase
  • GGPTase-I geranylgeranyl-protein transferase type-II
  • GGPTase-LI also called Rab GGPTase
  • prenyl-protein transferase may be used to generally refer to these enzymes, particularly to farnesyl-protein transferase (FPTase) and geranylgeranyl-protein transferase type I (GGPTase-I). These enzymes are found in both yeast and mammalian cells (Clarke, 1992; Schafer, W. R. and Rine, J. (1992) Annu. Rev. Genet. 30:209-237).
  • FPP farnesyl diphosphate
  • geranyl-geranyl diphosphate as the isoprenoid donor and selectively recognizes the protein substrate.
  • FPTase farnesylates CaaX-containing proteins that end with Ser, Met, Cys, Gin or Ala.
  • CaaX tetrapeptides comprise the minimum region required for interaction of the protein substrate with the enzyme.
  • the enzymological characterization of these three enzymes has demonstrated that it is possible to selectively inhibit one with little inhibitory effect on the others (Moores, S. L., Schaber, M. D., Mosser, S. D., Rands, E., O ⁇ ara, M. B., Garsky, V. M., Marshall, M. S., Pompliano, D. L., and Gibbs, J. B., J. Biol. Chem., 266:17438 (1991), U.S. Pat. No. 5,470,832).
  • the Ras protein is part of a signalling pathway that links cell surface growth factor receptors to nuclear signals initiating cellular proliferation.
  • Biological and biochemical studies of Ras action indicate that Ras functions like a G-regulatory protein.
  • Ras In the inactive state, Ras is bound to GDP.
  • Ras Upon growth factor receptor activation, Ras is induced to exchange GDP for GTP and undergoes a conformational change.
  • the GTP-bound form of Ras propagates the growth stimulatory signal until the signal is terminated by the intrinsic GTPase activity of Ras, which returns the protein to its inactive GDP bound form (D.R. Lowy and D.M. Willumsen, Ann. Rev. Biochem. (52:851-891 (1993)).
  • Activation of Ras leads to activation of multiple intracellular signal transduction pathways, including the MAP Kinase pathway and the Rho/Rac pathway (Joneson et al, Science 277:810-812).
  • Inhibitors of farnesyl-protein transferase have been described in two general classes.
  • the first class includes analogs of FPP, while the second is related to protein substrates (e.g., Ras) for the enzyme.
  • the peptide derived inhibitors that have been described are generally cysteine containing molecules that are related to the
  • CAAX motif that is the signal for protein prenylation.
  • Such inhibitors may inhibit protein prenylation while serving as alternate substrates for the farnesyl-protein transferase enzyme, or may be purely competitive inhibitors (U.S. Patent 5,141,851, University of Texas; N.E. Kohl et al, Science, 260:1934-1937 (1993); Graham, et al., J. Med. Chem., 37, 725 (1994)).
  • prenyl pyrophosphates are intermediates in many biosynthetic processes, direct inhibition of a prenyl-protein transferase would be more specific and attended by fewer side effects than would occur with the required dose of a general inhibitor of isoprene biosynthesis.
  • compositions useful in the treatment of abnormalities of the endometrium are provided.
  • a method of preventing and treating endometriosis, uterine fibroids, dysfunctional uterine bleeding and endometrial hyperplasia is disclosed which is comprised of administering to a mammalian patient in need of such treatment an effective amount of a prenyl-protein transferase inhibitor.
  • the present invention relates to a method of preventing and treating endometriosis, uterine fibroids, dysfunctional uterine bleeding and endometrial hype ⁇ lasia, which is comprised of administering to a mammalian patient in need of such treatment an effective amount of a prenyl-protein transferase inhibitor.
  • prenyl-protein transferase inhibitor and inhibitor of prenyl- protein transferase refer to compounds which antagonize, inhibit or counteract the expression of the gene coding a prenyl-protein transferase or the activity of the protein product thereof.
  • Prenyl-protein transferases include farnesyl-protein transferase and geranylgeranyl-protein transferase.
  • farnesyl-protein transferase inhibitor and inhibitor of farnesyl-protein transferase likewise refer to compounds which antagonize, inhibit or counteract the expression of the gene coding farnesyl-protein transferase or the activity of the protein product thereof.
  • the present invention is not limited in any way by the specific prenyl- protein transferase inhibitor. Either a protein substrate-competitive inhibitor and/or a prenyl pyrophosphate-competitive inhibitor now known or subsequently discovered or developed may be utilized. Prenyl-protein transferase inhibitors useful in the instant invention are described hereinbelow.
  • the term selective as used herein refers to the inhibitory activity of the particular compound against prenyl-protein transferase activity.
  • a selective inhibitor of farnesyl-protein transferase exhibits at least 20 times greater activity against farnesyl-protein transferase when comparing its activity against another receptor or enzymatic activity, respectively.
  • the selectivity is at least 100 times or more.
  • the inhibitor of a prenyl-protein transferase is a selective inhibitor of farnesyl-protein transferase and is characterized by: a) an IC50 (a measurement of in vitro inhibitory activity) of less than about 500 nM against transfer of a farnesyl residue to a protein or peptide substrate comprising a CAAXF motif by farnesyl-protein transferase.
  • the selective inhibitor of farnesyl-protein transferase is characterized by: a) an IC50 (a measurement of in vitro inhibitory activity) of less than about 100 nM against transfer of a farnesyl residue to a protein or peptide substrate comprising a CAAXF motif by farnesyl-protein transferase.
  • CAAXF is used to designate a protein or peptide substrate that inco ⁇ orates four amino acid C-terminus motif that is famesylated by farnesyl-protein transferase.
  • CAAXF motifs include (the corresponding human protein is in parentheses): CVLS (H-ras) (SEQ.LD.: 11), CVLM (K4B-Ras) (SEQ.LD.: 1), CVVM (N-Ras) (SEQ.LD.: 3), CKVL (RhoB) (SEQ.LD.: 9), CLLM (PFX) (SEQ.LD.: 10) and CNIQ (Rap2A) (SEQ.LD.: 13). It is understood that certain of the "CAAXF” containing protein or peptide substrates may also be geranylgeranylated by GGTase-I.
  • a method for measuring the activity of the inhibitors of prenyl-protein transferase utilized in the instant methods against transfer of a farnesyl residue to a protein or peptide substrate comprising a CAAXF motif by farnesyl-protein transferase is described in Example 12. It is also preferred that the selective inhibitor of farnesyl-protein transferase is further characterized by: b) an IC50 (a measure of in vitro inhibitory activity) for inhibition of the prenylation of newly synthesized K-Ras protein more than about 100- fold higher than the IC50 f° r the inhibition of the famesylation of hDJ protein. When measuring such IC50S the assays described in Examples 17 and 18 may be utilized.
  • the selective inhibitor of farnesyl-protein transferase is further characterized by: c) an IC50 (a measurement of in vitro inhibitory activity) for inhibition of K4B-
  • Ras dependent activation of MAP kinases in cells at least 100-fold greater than the IC50 for inhibition of the famesylation of the protein hDJ in cells.
  • the selective inhibitor of farnesyl-protein transferase is further characterized by: d) an IC50 (a measurement of in vitro inhibitory activity) against H-Ras dependent activation of MAP kinases in cells at least 1000 fold lower than the inhibitory activity (IC50) against H-ras-CVLL (SEQ.LD.NO.: 2) dependent activation of MAP kinases in cells.
  • IC50 a measurement of in vitro inhibitory activity
  • H-ras-CVLL SEQ.LD.NO.: 2
  • the inhibitors of a prenyl-protein transferase utilized in the instant invention are efficacious in vivo as inhibitors of both farnesyl- protein transferase and geranylgeranyl-protein transferase type I (GGTase-I).
  • such a dual inhibitor of farnesyl-protein transferase and geranylgeranyl- protein transferase type I which may be termed a Class II prenyl-protein transferase inhibitor, is characterized by: a) an IC50 (a measurement of in vitro inhibitory activity) of less than about 1 ⁇ M for inhibiting the transfer of a geranylgeranyl residue to a protein or peptide substrate comprising a CAAXG motif by geranylgeranyl-protein transferase type I in the presence of a modulating anion; and b) an IC50 (a measurement of in vitro inhibitory activity) of less than about 500 nM against transfer of a famesyl residue to a protein or peptide substrate comprising a CAAXF motif by farnesyl-protein transferase.
  • an IC50 a measurement of in vitro inhibitory activity
  • such a Class LI prenyl-protein transferase inhibitor is also characterized by: c) inhibition of the cellular prenylation of greater than (>) about 50% of the newly synthesized K4B-Ras protein after incubation of assay cells with the dual inhibitor of farnesyl-protein transferase and geranylgeranyl-protein transferase type I at a concentration of less than ( ⁇ )10 ⁇ M.
  • such a Class II prenyl-protein transferase inhibitor is also characterized by: c) inhibition of the cellular prenylation of greater than (>) about 50% of the newly synthesized K4B-Ras protein after incubation of assay cells with the dual inhibitor of farnesyl-protein transferase and geranylgeranyl-protein transferase type I at a concentration of less than ( ⁇ )5 ⁇ M.
  • CAAXG will refer to such motifs that may be geranylgeranylated by GGTase-I.
  • CAAXG motifs include (the corresponding human protein is in parentheses): CVIM (K4B-Ras) (SEQ.LD.: 1), CVLL (mutated H-Ras) (SEQ.LD.: 2), CVVM (N-Ras) (SEQ.LD.: 3), CILM (K4A-Ras) (SEQ.LD.: 4), CLLL (Rap-IA) (SEQ.LD.: 5), CQLL (Rap-IB) (SEQ.LD.: 6), CSLM (SEQ.LD.: 7), CALM (SEQ.LD.: 8), CKVL (RhoB) (SEQ.LD.: 9), CLLM (PFX) (SEQ.LD.: 10) and CVIL (Rap2B) (SEQ.LD.: 12).
  • CAAXG motif is CVLM (SEQ.LD.: 1). It is understood that some of the "CAAXG" containing protein or peptide substrates may also be famesylated by farnesyl-protein transferase.
  • the modulating anion may be selected from any type of molecule containing an anion moiety.
  • the modulating anion is selected from a phosphate or sulfate containing anion.
  • modulating anions useful in the instant GGTase-I inhibition assay include adenosine 5'-triphosphate (ATP), 2'-deoxyadenosine 5'-triphosphate (dATP), 2'-deoxycytosine 5'-triphosphate (dCTP), b-glycerol phosphate, pyrophosphate, guanosine 5'-triphosphate (GTP), 2'- deoxyguanosine 5'-triphosphate (dGTP), uridine 5'-triphosphate, dithiophosphate, 3'- deoxythymidine 5'-triphosphate, tripolyphosphate, D-myo-inositol 1,4,5-triphosphate, chloride, guanosine 5'-monophosphate, 2'-deoxygua
  • the modulating anion is selected from adenosine 5'-triphosphate, 2'- deoxyadenosine 5'-triphosphate, 2'-deoxycytosine 5'-triphosphate, b-glycerol phosphate, pyrophosphate, guanosine 5'-triphosphate, 2'-deoxyguanosine 5'- triphosphate, uridine 5'-triphosphate, dithiophosphate, 3'-deoxythymidine 5'- triphosphate, tripolyphosphate, D-myo-inositol 1,4,5-triphosphate and sulfate.
  • the modulating anion is selected from adenosine 5 '-triphosphate, b- glycerol phosphate, pyrophosphate, dithiophosphate and sulfate.
  • Examples of assay cells that may be utilized to determine inhibition of cellular processing of newly synthesized protein that is a substrate of an enzyme that can modify the K4B-Ras protein C-terminus include 3T3, C33a, PSN-1 (a human pancreatic carcinoma cell line) and K-ras-transformed Rat-1 cells.
  • Preferred assay cell line has been found to be PSN-1.
  • the preferred newly synthesized protein, whose percentage of processing is assessed in this assay, is selected from K4B-Ras and Rapl .
  • a method for measuring the activity of the inhibitors of prenyl-protein transferase, as well as the instant combination compositions, utilized in the instant methods against the cellular processing of newly synthesized protein that is a substrate of an enzyme that can modify the K4B-Ras protein C-terminus after incubation of assay cells with the compound of the invention transferase is described in Example 16 and 17.
  • a Class II prenyl-protein transferase inhibitor may also be characterized by: a) an IC50 (a measurement of in vitro inhibitory activity) for inhibiting K4B-Ras dependent activation of MAP kinases in cells of less than 5 ⁇ M.
  • a Class U prenyl-protein transferase inhibitor may also be characterized by: a) an IC50 (a measurement of in vitro inhibitory activity) for inhibiting K4B-Ras dependent activation of MAP kinases in cells between 0.1 and 100 times the IC50 for inhibiting the famesylation of the protein hDJ in cells; b) an IC50 (a measurement of in vitro inhibitory activity) for inhibiting K4B-Ras dependent activation of MAP kinases in cells greater than 5-fold lower than the inhibitory activity (IC50) against expression of the SEAP protein in cells transfected with the pCMV-SEAP plasmid that constitutively expresses the SEAP protein.
  • IC50 a measurement of in vitro inhibitory activity
  • a Class II prenyl-protein transferase inhibitor may also be characterized by: a) an IC50 (a measurement of in vitro inhibitory activity) against H-Ras dependent activation of MAP kinases in cells greater than 2 fold lower but less than 20,000 fold lower than the inhibitory activity (IC50) against H-ras-CVLL
  • a Class II prenyl-protein transferase inhibitor may also be characterized by: a) an IC50 (a measurement of in vitro inhibitory activity) against H-Ras dependent activation of MAP kinases in cells greater than 10-fold lower but less than 2,500 fold lower than the inhibitory activity (IC50) against H-ras-
  • CVLL (SEQ.LD.NO.: 1) dependent activation of MAP kinases in cells; and b) an IC50 (a measurement of in vitro inhibitory activity) against H-ras-CVLL dependent activation of MAP kinases in cells greater than 5 fold lower than the inhibitory activity (IC50) against expression of the SEAP protein in cells transfected with the pCMV-SEAP plasmid that constitutively expresses the
  • the preferred therapeutic effect provided by the instant method of treatment is the treatment or prevention of endometriosis, inhibition of the growth of uterine fibroids, reduction or elimination of dysfunctional uterine bleeding and inhibition of endometrial hype ⁇ lasia.
  • a pharmaceutical composition which is useful for the treatments of the instant invention may comprise the inhibitor of prenyl-protein transferase either alone or, preferably, in combination with pharmaceutically acceptable carriers, excipients or diluents, according to standard pharmaceutical practice.
  • the composition may be administered to mammals, preferably humans.
  • the instant composition can be administered orally or parenterally, including the intravenous, intramuscular, intraperitoneal, subcutaneous, rectal and topical routes of administration.
  • compositions containing the active ingredients may be in a form suitable for oral use, for example, as tablets, troches, lozenges, aqueous or oily suspensions, dispersible powders or granules, emulsions, hard or soft capsules, or syrups or elixirs.
  • Compositions intended for oral use may be prepared according to any method known to the art for the manufacture of pharmaceutical compositions and such compositions may contain one or more agents selected from the group consisting of sweetening agents, flavoring agents, coloring agents and preserving agents in order to provide pharmaceutically elegant and palatable preparations. Tablets contain the active ingredient in admixture with non-toxic pharmaceutically acceptable excipients which are suitable for the manufacture of tablets.
  • excipients may be for example, inert diluents, such as calcium carbonate, sodium carbonate, lactose, calcium phosphate or sodium phosphate; granulating and disintegrating agents, for example, microcrystalline cellulose, sodium crosscarmellose, com starch, or alginic acid; binding agents, for example starch, gelatin, polyvinyl-pyrrolidone or acacia, and lubricating agents, for example, magnesium stearate, stearic acid or talc.
  • the tablets may be uncoated or they may be coated by known techniques to mask the unpleasant taste of the drug or delay disintegration and abso ⁇ tion in the gastrointestinal tract and thereby provide a sustained action over a longer period.
  • a water soluble taste masking material such as hydroxypropylmethylcellulose or hydroxypropylcellulose, or a time delay material such as ethyl cellulose, cellulose acetate buryrate may be employed.
  • Formulations for oral use may also be presented as hard gelatin capsules wherein the active ingredient is mixed with an inert solid diluent, for example, calcium carbonate, calcium phosphate or kaolin, or as soft gelatin capsules wherein the active ingredient is mixed with water soluble carrier such as polyethyleneglycol or an oil medium, for example peanut oil, liquid paraffin, or olive oil.
  • Aqueous suspensions contain the active material in admixture with excipients suitable for the manufacture of aqueous suspensions.
  • excipients are suspending agents, for example sodium carboxymethylcellulose, methylcellulose, hydroxypropylmethyl-cellulose, sodium alginate, polyvinyl-pyrrolidone, gum tragacanth and gum acacia; dispersing or wetting agents may be a naturally-occurring phosphatide, for example lecithin, or condensation products of an alkylene oxide with fatty acids, for example polyoxyethylene stearate, or condensation products of ethylene oxide with long chain aliphatic alcohols, for example heptadecaethylene- oxycetanol, or condensation products of ethylene oxide with partial esters derived from fatty acids and a hexitol such as polyoxyethylene sorbitol monooleate, or condensation products of ethylene oxide with partial esters derived from fatty acids and hexitol anhydrides, for example polyethylene sorbitan
  • the aqueous suspensions may also contain one or more preservatives, for example ethyl, or n- propyl p-hydroxybenzoate, one or more coloring agents, one or more flavoring agents, and one or more sweetening agents, such as sucrose, saccharin or aspartame.
  • Oily suspensions may be formulated by suspending the active ingredient in a vegetable oil, for example arachis oil, olive oil, sesame oil or coconut oil, or in mineral oil such as liquid paraffin.
  • the oily suspensions may contain a thickening agent, for example beeswax, hard paraffin or cetyl alcohol. Sweetening agents such as those set forth above, and flavoring agents may be added to provide a palatable oral preparation. These compositions may be preserved by the addition of an anti-oxidant such as butylated hydroxyanisol or alpha-tocopherol.
  • Dispersible powders and granules suitable for preparation of an aqueous suspension by the addition of water provide the active ingredient in admixture with a dispersing or wetting agent, suspending agent and one or more preservatives. Suitable dispersing or wetting agents and suspending agents are exemplified by those already mentioned above. Additional excipients, for example sweetening, flavoring and coloring agents, may also be present. These compositions may be preserved by the addition of an anti-oxidant such as ascorbic acid.
  • the pharmaceutical compositions useful in the instant methods of treatment may also be in the form of an oil-in-water emulsions.
  • the oily phase may be a vegetable oil, for example olive oil or arachis oil, or a mineral oil, for example liquid paraffin or mixtures of these.
  • Suitable emulsifying agents may be naturally- occurring phosphatides, for example soy bean lecithin, and esters or partial esters derived from fatty acids and hexitol anhydrides, for example sorbitan monooleate, and condensation products of the said partial esters with ethylene oxide, for example polyoxyethylene sorbitan monooleate.
  • the emulsions may also contain sweetening, flavouring agents, preservatives and antioxidants.
  • Syrups .and elixirs may be formulated with sweetening agents, for example glycerol, propylene glycol, sorbitol or sucrose. Such formulations may also contain a demulcent, a preservative, flavoring and coloring agents and antioxidant.
  • sweetening agents for example glycerol, propylene glycol, sorbitol or sucrose.
  • Such formulations may also contain a demulcent, a preservative, flavoring and coloring agents and antioxidant.
  • the pharmaceutical compositions may be in the form of a sterile injectable aqueous solutions.
  • acceptable vehicles and solvents that may be employed are water, Ringer's solution and isotonic sodium chloride solution.
  • the sterile injectable preparation may also be a sterile injectable oil-in- water microemulsion where the active ingredient is dissolved in the oily phase.
  • the active ingredient may be first dissolved in a mixture of soybean oil and lecithin.
  • the oil solution then introduced into a water and glycerol mixture and processed to form a microemulation.
  • the injectable solutions or microemulsions may be introduced into a patient's blood-stream by local bolus injection.
  • a continuous intravenous delivery device may be utilized.
  • An example of such a device is the Deltec C ADD-PLUSTM model 5400 intravenous pump.
  • the pharmaceutical compositions may be in the form of a sterile injectable aqueous or oleagenous suspension for intramuscular and subcutaneous administration.
  • This suspension may be formulated according to the known art using those suitable dispersing or wetting agents and suspending agents which have been mentioned above.
  • the sterile injectable preparation may also be a sterile injectable solution or suspension in a non-toxic parenterally-acceptable diluent or solvent, for example as a solution in 1,3-butane diol.
  • sterile, fixed oils are conventionally employed as a solvent or suspending medium. For this pu ⁇ ose any bland fixed oil may be employed including synthetic mono- or diglycerides.
  • fatty acids such as oleic acid find use in the preparation of injectables.
  • compositions may also be administered in the form of a suppositories for rectal administration of the drug.
  • These compositions can be prepared by mixing the drug with a suitable non-irritating excipient which is solid at ordinary temperatures but liquid at the rectal temperature and will therefore melt in the rectum to release the dmg.
  • suitable non-irritating excipient include cocoa butter, glycerinated gelatin, hydrogenated vegetable oils, mixtures of polyethylene glycols of various molecular weights and fatty acid esters of polyethylene glycol.
  • suitable non-irritating excipient which is solid at ordinary temperatures but liquid at the rectal temperature and will therefore melt in the rectum to release the dmg.
  • Such materials include cocoa butter, glycerinated gelatin, hydrogenated vegetable oils, mixtures of polyethylene glycols of various molecular weights and fatty acid esters of polyethylene glycol.
  • compositions of the present invention can be administered in intranasal form via topical use of suitable intranasal vehicles and delivery devices, or via transdermal routes, using those forms of transdermal skin patches well known to those of ordinary skill in the art.
  • the dosage administration will, of course, be continuous rather than intermittent throughout the dosage regimen.
  • composition is intended to encompass a product comprising the specified ingredients in the specific amounts, as well as any product which results, directly or indirectly, from combination of the specific ingredients in the specified amounts.
  • the prenyl-protein transferase inhibitor useful in the instant methods of treatment may also be co-administered with other well known therapeutic agents that are selected for their particular usefulness against the condition that is being treated.
  • the prenyl-protein transferase inhibitor may be useful in further combination with drugs known to supress the activity of the ovaries and slow the growth of the endometrial tissue.
  • drugs include but are not limited to oral contraceptives, progestins, danazol and GnRH (gonadotropin-releasing hormone) agonists.
  • Administration of the prenyl-protein transferase inhibitor may also be combined with surgical treatment (such as surgical removal of misplaced endometrial tissue) where appropriate.
  • Two or more inhibitors of a prenyl-protein transferase may be administered in combination for the instant methods of treatment.
  • such combination products employ the prenyl-protein transferase inhibitor within the dosage range described below and the other pharmaceutically active agent(s) within its approved dosage range.
  • the prenyl- protein transferase inhibitor may alternatively be used sequentially with known pharmaceutically acceptable agent(s) when a multiple combination formulation is inappropriate.
  • the daily dosage will normally be determined by the prescribing physician with the dosage generally varying according to the age, weight, and response of the individual patient, as well as the severity of the patient's symptoms.
  • a suitable amount of an inhibitor of prenyl-protein transferase is administered to a mammal undergoing treatment for endometriosis.
  • Administration occurs in an amount of inhibitor of between about 0.1 mg/kg of body weight to about 60 mg/kg of body weight per day, preferably of between 0.5 mg/kg of body weight to about 40 mg/kg of body weight per day.
  • a particular daily therapeutic dosage that comprises the instant composition includes from about 10 mg to about 3000mg of an inhibitor of prenyl-protein transferase.
  • the daily dosage comprises from about 10 mg to about lOOOmg of an inhibitor of prenyl-protein transferase.
  • a prenyl-protein transferase inhibitor may also be combined with a compound which inhibits HMG-CoA reductase in the methods of treatment of the instant invention.
  • Compounds which have inhibitory activity for HMG-CoA reductase can be readily identified by using assays well-known in the art. For example, see the assays described or cited in U.S. Patent 4,231,938 at col. 6, and WO 84/02131 at pp. 30-33.
  • the terms "HMG-CoA reductase inhibitor” and "inhibitor of HMG-CoA reductase” have the same meaning when used herein.
  • HMG-CoA reductase inhibitors examples include but are not limited to lovastatin (MEVACOR®; see US Patent No. 4,231 ,938; 4,294,926; 4,319,039), simvastatin (ZOCOR®; see US Patent No. 4,444,784; 4,820,850; 4,916,239), pravastatin (PRAVACHOL®; see US Patent Nos. 4,346,227; 4,537,859; 4,410,629; 5,030,447 and 5,180,589), fluvastatin (LESCOL®; see US Patent Nos.
  • HMG- CoA reductase inhibitor as used herein includes all pharmaceutically acceptable lactone and open-acid forms (i.e., where the lactone ring is opened to form the free acid) as well as salt and ester forms of compounds which have HMG-CoA reductase inhibitory activity, and therefor the use of such salts, esters, open-acid and lactone forms is included within the scope of this invention.
  • An illustration of the lactone portion and its co ⁇ esponding open-acid form is shown below as structures I and II.
  • HMG-CoA reductase inhibitor In HMG-CoA reductase inhibitor's where an open-acid form can exist, salt and ester forms may preferably be formed from the open-acid, and all such forms are included within the meaning of the term "HMG-CoA reductase inhibitor" as used herein.
  • the HMG-CoA reductase inhibitor is selected from lovastatin and simvastatin, and most preferably simvastatin.
  • the term "pharmaceutically acceptable salts" with respect to the HMG-CoA reductase inhibitor shall mean non- toxic salts of the compounds employed in this invention which are generally prepared by reacting the free acid with a suitable organic or inorganic base, particularly those formed from cations such as sodium, potassium, aluminum, calcium, lithium, magnesium, zinc and tetramethylammonium, as well as those salts formed from amines such as ammonia, ethylenediamine, N-methylglucamine, lysine, arginine, ornithine, choline, N,N'-dibenzylethylenediamine, chloroprocaine, diethanolamine, procaine, N-benzylphenethylamine, l-p-chlorobenzyl-2-py ⁇ olidine-l '-yl- methylbenzimidazole, diethylamine, piperazine, and tris(hydroxymethyl)aminomethane.
  • a suitable organic or inorganic base particularly
  • salt forms of HMG-CoA reductase inhibitors may include, but are not limited to, acetate, benzenesulfonate, benzoate, bicarbonate, bisulfate, bitartrate, borate, bromide, calcium edetate, camsylate, carbonate, chloride, clavulanate, citrate, dihydrochloride, edetate, edisylate, estolate, esylate, fumarate, gluceptate, gluconate, glutamate, glycollylarsamlate, hexylresorcinate, hydrabamine, hydrobromide, hydrochloride, hydroxynapthoate, iodide, isothionate, lactate, lactobionate, laurate, malate, maleate, mandelate, mesylate, methylsulfate, mucate, napsylate, nitrate, oleate, oxalate, pamao
  • Ester derivatives of the described HMG-CoA reductase inhibitor compounds may act as prodmgs which, when absorbed into the bloodstream of a warm-blooded animal, may cleave in such a manner as to release the dmg form and permit the dmg to afford improved therapeutic efficacy.
  • Inhibitors of HMG-CoA reductase may also be used alone for the treatment and prevention of endometriosis, uterine fibroids, dysfunctional uterine bleeding and endometrial hype ⁇ lasia. Compositions and dosages useful in such monotherapy treatment are described in the patents listed hereinabove.
  • a prenyl-protein transferase inhibitor may be combined with a compound which inhibits a fibroblast growth factor (FGF) receptor function in the methods of treatment of the instant invention.
  • FGF fibroblast growth factor
  • a prenyl-protein transferase inhibitor may be combined with a compound which inhibits a urokinase in the methods of treatment of the instant invention.
  • a prenyl-protein transferase inhibitor may also be combined with a compound which inhibits angiogenisis, and thereby inhibit the growth and invasiveness of endometriotic cells, in the methods of treatment of the instant invention.
  • Such inhibitors of angiogenisis include, but are not limited to angiostatin and endostatin.
  • a prenyl-protein transferase inhibitor may also be combined with a compound which inhibits a matrix metallo-proteinase in the methods of treatment of the instant invention.
  • Compounds which have inhibitory activity for a matrix metallo- proteinase can be readily identified by using assays well-known in the art. For example, see the assays described or cited in PCT Pat. Publ. WO 98/34915 in particular on pp. 24-26.
  • a prenyl-protein transferase inhibitor may also be combined with an anti-estrogen compound, such as toremifene and the like, in the methods of treatment of the instant invention.
  • a prenyl-protein transferase inhibitor may alternatively be combined with a selective estrogen receptor modulator (SERM), devoid of uterotrophic activity, in the instant methods of treatment.
  • SERM selective estrogen receptor modulator
  • a prenyl-protein transferase inhibitor may also be combined with an anti-progestin compound and/or an anti- hormonal compound in the methods of treatment of the instant invention.
  • a prenyl-protein transferase inhibitor may be combined with an antagonist or agonist of gonadotropin-releasing hormone (GnRH) in the instant methods of treatment.
  • GnRH antagonists include, but are not limited to, those compounds described in European Appl. 0 219 292 and De, B. et al., J. Med. Chem., 32:2036-2038 (1989), PCT Publ. WO 95/28405, PCT Publ. WO 95/29900 and European Appl. EP 0 679 642.
  • GnRH antagonists are also described in U.S. Pat. Nos. 5,756,507; 5,780,437 and 5,849,764, as well as U.S. Ser. No. 09/115,497 (filed July 14, 1998) and PCT Appl. US 99/15581 (filed July 9, 1999).
  • GnRH agonists include, but are not limited to, leuprolide and the like.
  • Prenyl-protein transferase inhibitor compounds that are useful in the methods of the instant invention and are identified by the properties described hereinabove include: (a) a compound represented by formula (I-a) through (I-c):
  • Rla and Rib are independently selected from: a) hydrogen, b) aryl, heterocycle, C3-C10 cycloalkyl, C2-C6 alkenyl, C2-C6 alkynyl, RlOO-, Rl lS(O)m-, Rl C(O)NRl0-, CN, NO2, (R 10 )2N-C(NRlO)-, RlOC(O)-, RlO ⁇ C(O)-, N3, -N(RlO) 2 , or Rl lOC(O)NR 0-, c) C1-C6 alkyl unsubstituted or substituted by aryl, heterocyclyl, C3-C10 cycloalkyl, C2-C6 alkenyl, C2-C6 alkynyl, RlOO-, Rl lS(O)m-,
  • Rl0c(O)NRl0- CN, (RlO) 2 N-C(NRlO)-, RlOC(O)-, RIOOC(O)-, N3, -N(RlO)2, or Rl lOC(O)-NRl0- ;
  • R2 and R3 are independently selected from: H; unsubstituted or substituted C1-8 alkyl, unsubstituted or substituted C2-8 alkenyl, unsubstituted or substituted C2-8 alkynyl, unsubstituted or substituted aryl, unsubstituted or substituted heterocycle,
  • substituted group is substituted with one or more of:
  • R2 and R3 are attached to the same C atom and are combined to form -(CH2)u- wherein one of the carbon atoms is optionally replaced by a moiety selected from: O, S(O) m , -NC(O)-, and -N(CORlO)- ;
  • R4 and R5 are independently selected from H and CH3; and any two of R2, R3, R4 and R5 are optionally attached to the same carbon atom;
  • R6, R7 and R 7a are independently selected from: H; Ci-4 alkyl, C3-6 cycloalkyl, heterocycle, aryl, aroyl, heteroaroyl, arylsulfonyl, heteroarylsulfonyl, unsubstituted or substituted with: a) C 1-4 alkoxy, b) aryl or heterocycle, c) halogen, d) HO, e)
  • R6 and R 7 may be joined in a ring
  • R 7 and R 7 a 1 may be joined in a ring
  • R8 is independently selected from: a) hydrogen, b) aryl, heterocycle, C3-C10 cycloalkyl, C2-C6 alkenyl, C2-C6 alkynyl, perfluoroalkyl, F, Cl, Br, RlOO-, Rl lS(O)m-, Rl0C(O)NRl0-, CN, NO2, Rl 2 N-C(NRlO)-, RlOC(O)-, RlO ⁇ C(O)-, N3, -N(RlO) 2 , or
  • R lOC(O)NRl0- and c) C1-C6 alkyl unsubstituted or substituted by aryl, heterocycle, C3-C10 cycloalkyl, C2-C6 alkenyl, C2-C alkynyl, perfluoroalkyl, F, Cl, Br,
  • R9 is selected from: a) hydrogen, b) C2-C6 alkenyl, C2-C6 alkynyl, perfluoroalkyl, F, Cl, Br, Rl 0 ⁇ -, Rl lS(O)m-, Rl0C(O)NRl0-, CN, NO2, (RlO) 2 N-C-(NRlO)-, RlOC(O)-, RlOOC(O)-, N3, -N(RlO) 2 , or Rl lOC(O)NRl0-, and c) C1-C6 alkyl unsubstituted or substituted by perfluoroalkyl, F, Cl, Br, RlOO-, Rl lS(O) m -, Rl0C(O)NRl0-, CN, (RlO) 2 N-C(NRlO)-,
  • RlO is independently selected from hydrogen, C1-C6 alkyl, benzyl and aryl;
  • Rl 1 is independently selected from Cl -C6 alkyl and aryl;
  • V is selected from: a) hydrogen, b) heterocycle, c) aryl, d) C1-C20 alkyl wherein from 0 to 4 carbon atoms are replaced with a a heteroatom selected from O, S, and N, and e) C2-C20 alkenyl, provided that V is not hydrogen if A is S(O) and V is not hydrogen if Al is a bond, n is 0 and A2 is S(O) m ;
  • W is a heterocycle
  • Ci-4 alkyl unsubstituted or substituted with: a) C 1-4 alkoxy, b) NR6R7, c) C3-6 cycloalkyl,
  • n 0, 1, 2, 3 or 4
  • p 0, 1, 2, 3 or 4
  • Rla Rib, RlO, Rl l, m , R2, R3, R6, R7, p , R7a, u , R8, A , A2, V, W, X, n, p, r, s, t and u are as defined above with respect to formula (I-a);
  • R4 is selected from H and CH3;
  • R2, R3 and R are optionally attached to the same carbon atom;
  • R9 is selected from: a) hydrogen, b) alkenyl, alkynyl, perfluoroalkyl, F, Cl, Br, Rl OO-, Rl 1 S(O) m -,
  • Rl0C(O)NRl0- CN, NO2, (RlO) N-C-(NRlO)-, RlOc(O)-, Rl ⁇ QC(O)-, N3, -N(RlO) 2 , or RH OC(O)NR10-, and c) C1-C6 alkyl unsubstituted or substituted by perfluoroalkyl, F, Cl, Br, RlOO-, R lS(O) m -, Rl0C(O)NRl0-, CN, (RlO) 2 N-C(NRlO)-, RlOC(O)-, RlO ⁇ C(O)-, N3, -N(RlO) 2 , or Rl lOC(O)NRl0- ;
  • G is H2 or O
  • Z is aryl, heteroaryl, arylmethyl, heteroarylmethyl, arylsulfonyl, heteroarylsulfonyl, unsubstituted or substituted with one or more of the following: 1 ) C 1 -4 alkyl, unsubstituted or substituted with: a) Ci-4 alkoxy, b) NR6R7, c) C3-6 cycloalkyl, d) aryl or heterocycle. e) HO, f) -S(O) m R 6 , or g) -C(O)NR6R7,
  • Rla, Rib, RlO, Rl 1, m , R2, R3, R6, R7, p , u , R7a, R8, Al, A2, V, W, X, n, r and t are as defined above with respect to formula (I-a);
  • R4 is selected from H and CH3;
  • R2, R3 and R4 are optionally attached to the same carbon atom;
  • Z is aryl, heteroaryl, arylmethyl, heteroarylmethyl, arylsulfonyl, heteroarylsulfonyl, unsubstituted or substituted with one or more of the following:
  • Ci-4 alkyl unsubstituted or substituted with: a) C 1-4 alkoxy, b) NR6R7, c) C3-6 cycloalkyl, d) aryl or heterocycle, e) HO, f) -S(O) m R6, or g) -C(O)NR6R7,
  • Y is a 5, 6 or 7 membered carbocyclic ring wherein from 0 to 3 carbon atoms are replaced by a heteroatom selected from N, S and O, and wherein Y is attached to Q through a carbon atom;
  • Rl and R2 are independently selected from: a) hydrogen, b) aryl, heterocycle, C3-C10 cycloalkyl, C2-C6 alkenyl, C2-C6 alkynyl, RlOo, Rl lS(O) m -, RIOC(O)NRK)-, R1 lC(O)O-, (RlO) 2 NC(O)-, Rl0 2 N-C(NRlO)-, CN, NO2, RlOC(O)-, N3, -N(RlO) , or Rl lOC(O)NRl0-, c) unsubstituted or substituted C1-C6 alkyl wherein the substituent on the substituted C1-C6 alkyl is selected from unsubstituted or substituted aryl, heterocyclic, C3-C10 cycloalkyl, C2-C6 alkenyl, C2-C6 alkynyl, RlOo, R
  • C alkyl is selected from unsubstituted or substituted aryl, unsubstituted or substituted heterocyclic, C3-C10 cycloalkyl, C2-C6 alkenyl, C2-C6 alkynyl, R12O-, Rl lS(O) m -, Rl°C(O)NRl0-, (RlO) 2 NC(O)-, Rl0 2 N-C(NRlO)-.
  • CN RlOC(O)-, N3, -N(Rl ) 2 , and Rl lOC(O)-NRl0-;
  • R6a, R6b, R6C, Rod and R6e are independently selected from: a) hydrogen, b) unsubstituted or substituted aryl, unsubstituted or substituted heterocycle, C3-C10 cycloalkyl, C2-C alkenyl, C2-C6 alkynyl, halogen, C1-C6 perfluoroalkyl, R12O-, Rl lS(O) m -, Rl°C(O)NRl0-, (RlO) 2 NC(O)-, Rl lS(O) 2 NRlO-, (RlO) 2 NS(O)2-, RHC(O)O-, Rl0 2 N-C(NRlO)-, CN, NO2, RlOC(O)-, N3, -N(RlO) 2 , or Rl lOC(O)NRl0-, c) unsubstituted C1-C alkyl, d) substituted
  • R7 is selected from: H; Ci-4 alkyl, C3- cycloalkyl, heterocycle, aryl, aroyl, heteroaroyl, arylsulfonyl, heteroarylsulfonyl, unsubstituted or substituted with: a) C 1-4 alkoxy, b) aryl or heterocycle,
  • R8 is independently selected from: a) hydrogen, b) aryl, substituted aryl, heterocycle, substituted heterocycle, C3-C10 cycloalkyl, C2-C6 alkenyl, C2-C alkynyl, perfluoroalkyl, F, Cl, Br, RlOo-, Rl lS(O) m -, RIOC(O)NRK)-, (RlO) 2 NC(O)-, Rl lS(O) 2 NRl°-, (Rl°)2NS(O) 2 -, Rl0 2 N-C(NRlO)-, CN, NO2,
  • R9 is independently selected from: a) hydrogen, b) alkenyl, alkynyl, perfluoroalkyl, F, Cl, Br, RlOO-, Rl 1 S(O) m -,
  • Rl0C(O)NRl0- (RlO) 2 NC(O)-, Rl0 2 N-C(NRlO)-, CN, NO 2 , RlOC(O)-, N3, -N(Rl ) 2 , or Rl lOC(O)NRlO-, and c) C1-C6 alkyl unsubstituted or substituted by perfluoroalkyl, F, Cl, Br, RlOo-, Rl lS(O)m-, Rl0C(O)NRl0., (RlO) 2 NC(O)-, Rl0 2 N- C(NRl0)-, CN, Rl C(O)-, N3, -N(RlO) 2 , or Rl lOC(O)NRl0- ; RlO is independently selected from hydrogen, -C alkyl, benzyl, 2,2,2- trifluoroethyl and aryl;
  • R 1 is independently selected from C1-C6 alkyl and aryl
  • Rl2 is independently selected from hydrogen, -C6 alkyl, -C6 aralkyl, C1-C6 substituted aralkyl, -C6 heteroaralkyl, C1-C6 substituted heteroaralkyl, aryl, substituted aryl, heteroaryl, substituted heteraryl, C ⁇ -C6 perfluoroalkyl, 2-aminoethyl and 2,2,2-trifluoroethyl;
  • R! 3 is selected from hydrogen, -C6 alkyl, cyano, C1-C6 alkylsulfonyl and C1-C6 acyl;
  • V is selected from: a) hydrogen, b) heterocycle, c) aryl, d) Cl -C20 alkyl wherein from 0 to 4 carbon atoms are replaced with a heteroatom selected from O, S, and N, and e) C2-C20 alkenyl, provided that V is not hydrogen if A is S(O) m and V is not hydrogen if Al is a bond, n is 0 and A 2 is S(O) m ;
  • W is a heterocycle
  • Y is a 5, 6 or 7 membered carbocyclic ring wherein from 0 to 3 carbon atoms are replaced by a heteroatom selected from N, S and O, and wherein Y is attached to Q through a carbon atom;
  • Rla, Rib, RIC an( ⁇ Rid are independently selected from: a) hydrogen, b) aryl, heterocycle, cycloalkyl, alkenyl, alkynyl, R °O-, Rl 1 S(O) m -,
  • R3a anc ⁇ R3b are independently selected from H; unsubstituted or substituted Ci-8 alkyl, unsubstituted or substituted C2-8 alkenyl, unsubstituted or substituted C2-8 alkynyl, unsubstituted or substituted aryl, unsubstituted or substituted heterocycle,
  • substituted group is substituted with one or more of: 1) aryl or heterocycle, unsubstituted or substituted with: a) Ci-4 alkyl, c) (CH2)pNR 6 R 7 . d) halogen, e) CN,
  • R2 and R ⁇ a are attached to the same C atom and are combined to form -(CH2)u- wherein one of the carbon atoms is optionally replaced by a moiety selected from O, S(O) m , -NC(O)-, and -N(CORl°)-;
  • R2a and R ⁇ a are optionally attached to the same carbon atom
  • R4 is selected from Ci-4 alkyl, C3-6 cycloalkyl, heterocycle, aryl, unsubstituted or substituted with: a) Ci-4 alkoxy, b) aryl or heterocycle, c) halogen, d) HO,
  • R5, R6 and R7 are independently selected from:
  • Ci-C ⁇ alkyl C2-C6 alkenyl, C2-C6 alkynyl, C3-6 cycloalkyl, heterocycle, aryl, aroyl, heteroaroyl, arylsulfonyl, heteroarylsulfonyl,
  • R 6 and R may be joined in a ring; and independently,
  • R5 and R7 may be joined in a ring
  • R8 is independently selected from: a) hydrogen, b) unsubstituted or substituted aryl, unsubstituted or substituted heterocycle, C3-C10 cycloalkyl, C2-C6 alkenyl, C2-C6 alkynyl, perfluoroalkyl, F, Cl, Br, R! 2 O-, RHS(O) m -, R 10 C(O)NRl°-, (Rl°)2NC(O)-, R1°2N-C(NR1°)-, CN, NO2, Rl°C(O)-, Rl°OC(O)-,
  • R9 is selected from: a) hydrogen, b) C2-C6 alkenyl, C2-C6 alkynyl, perfluoroalkyl, F, Cl, Br, Rl °O-,
  • R O is independently selected from hydrogen, C1-C6 alkyl, benzyl, unsubstituted or substituted aryl and unsubstituted or substituted heterocycle;
  • Rl 1 is independently selected from C1-C6 alkyl unsubstituted or substituted aryl and unsubstituted or substituted heterocycle
  • Rl2 is independently selected from hydrogen, C1-C6 alkyl, C1-C3 perfluoroalkyl, unsubstituted or substituted benzyl, unsubstituted or substituted aryl, unsubstituted or substituted heterocycle, and C1-C6 alkyl substituted with unsubstituted or substituted aryl or unsubstituted or substituted heterocycle;
  • Al is selected from a bond, -C(O)-, -C(O)NRl°-, -NR 10 C(O)-, O, -N(R 10 )-, -S(O)2N(RlO)-, -N(RlO)S(O)2-, and S(O) m ;
  • a 2 is selected from a bond, -C(O)-, -C(0)NR1°-, -NR1°C(O)-, O, -N(R1 °)-, -S(O)2N(Rl 0)-, -N(Rl °)S(O)2-, S(O) m and -C(Rl d) 2
  • Gl' G2 and G ⁇ are independently selected from H2 and O;
  • W is heterocycle
  • V is selected from: a) heterocycle, and b) aryl;
  • ⁇ l is selected from unsubstituted or substituted aryl and unsubstituted or substituted heterocycle, wherein the substituted aryl or substituted heterocycle is substituted with one or more of: 1) Ci-8 alkyl, C2-8 alkenyl or C2-8 alkynyl, unsubstituted or substituted with: a) Ci-4 alkoxy, b) NR 6 R 7 5 c) C3-6 cycloalkyl, d) aryl or heterocycle, e) HO, f) -S(O) m R 4 , g) -C(O)NR6R7, h) -Si(Ci- 4 alkyl) 3 , or i) Ci-4 perfluoroalkyl;
  • ⁇ 2 is selected from a bond, unsubstituted or substituted aryl and unsubstituted or substituted heterocycle, wherein the substituted aryl or substituted heterocycle is substituted with one or more of:
  • n 0, 1, 2, 3 or 4
  • p 0, 1, 2, 3 or 4
  • q is 1 or 2
  • r is 0 to 5
  • s is independently 0, 1, 2 or 3
  • t is 2 to 6
  • u is 4 or 5;
  • Rla, Rib, R1C ? Rid anc ⁇ Rle are independently selected from: a) hydrogen, b) unsubstituted or substituted aryl, unsubstituted or substituted heterocycle, cycloalkyl, alkenyl, alkynyl, R ⁇ O-, Rl ⁇ S(O) m -, R!
  • R 4 is selected from C ⁇ _4 alkyl, C3-6 cycloalkyl, heterocycle, aryl, unsubstituted or
  • R 6 and R7 are independently selected from: 25 1) hydrogen,
  • R 6 and R7 may be joined in a ring
  • R8 is independently selected from: a) hydrogen, b) unsubstituted or substituted aryl, unsubstituted or substituted heterocycle, C3-C10 cycloalkyl, C2-C6 alkenyl, C2-C6 alkynyl, perfluoroalkyl, F, Cl, Br, R 2 O-, Rl lS(O) m -, R 10 C(O)NR 10 -, (Rl°) 2 NC(O)-, R 10 2N-C(NRl°)-, CN, NO2, R 10 C(O)-, Rl°OC(O)-, N3, -N(Rl°)2, or RHOC(O)NR 10 -, and c) C 1 -C6 alkyl unsubstituted or substituted by unsubstituted or substituted aryl, unsubstituted or substituted heterocycle, C3-C10 cycloalkyl, C2-C6 alkenyl, C
  • RlO is independently selected from hydrogen, Ci-C ⁇ alkyl, unsubstituted or substituted benzyl, unsubstituted or substituted aryl and unsubstituted or substituted heterocycle;
  • R 1 is independently selected from C1-C6 alkyl unsubstituted or substituted aryl and unsubstituted or substituted heterocycle;
  • R 2 is independently selected from hydrogen, -C6 alkyl, C1-C3 perfluoroalkyl, unsubstituted or substituted benzyl, unsubstituted or substituted aryl, unsubstituted or substituted heterocycle, and C1-C6 alkyl substituted with unsubstituted or substituted aryl or unsubstituted or substituted heterocycle;
  • A is selected from a bond, -C(O)-, -C(O)NRl°-, -NR1°C(0)-, O, -N(R 10 )-, -S(O) 2 N(RlO)-, -N(R 1 () )S(O)2-, and S(O) m ;
  • A is selected from a bond, -C(O)-, -C(0)NR1°-, -NR!OC(O)-, O, -N(R 10 )-, -S(O)2N(RlO)-, -N(Rl n )S(O)2-, S(O) m and -C(Rld) 2 - ;
  • W is heteroaryl
  • V is selected from: a) heteroaryl, and b) aryl;
  • X and Y are independently selected from -C(O)-, -C(O)NRl°-, -NR1 °C(0)-, -NRl°C(O)-O-, -O-C(O)NRl°-, -NRl°C(O)NRl°-, -C(O)NRl°C(O)-, O, -N(R1 °)-, -S(O) 2 N(RlO)-, -N(RlO)S(O)2- and S(O) m ;
  • Zl is selected from unsubstituted or substituted aryl and unsubstituted or substituted heterocycle, wherein the substituted aryl or substituted heterocycle is substituted with one or more of:
  • C3-C6 cycloalkyl is selected from a bond, unsubstituted or substituted aryl and unsubstituted or substituted heteroaryl, wherein the substituted aryl or substituted heteroaryl is substituted with one or more of:
  • n 0, 1, 2, 3 or 4
  • p O, 1, 2, 3 or 4
  • q is 1 or 2
  • r is 0 to 5
  • s is independently 0, 1, 2 or 3
  • t is 1, 2, 3 or 4
  • v is 2 to 6;
  • Rla, R b, RIC a ⁇ Rle are independently selected from: a) hydrogen, b) aryl, heterocycle, cycloalkyl, alkenyl, alkynyl, R °O-, Rl 1 S(O) m -,
  • Rl°C(O)NR 10 - (R 10 )2N-C(O)-, CN, NO2, (R 10 )2N-C(NR 10 )-, R 10 C(O)-, Rl°OC(O)-, N3, -N(Rl°)2, or Rl l ⁇ C(O)NR 10 -, c) unsubstituted or substituted Ci-C ⁇ alkyl wherein the substitutent on the substituted C1-C6 alkyl is selected from unsubstituted or substituted aryl, heterocyclic, cycloalkyl, alkenyl, alkynyl, Rl ⁇ O-,
  • Rl lS(O)m- R 10 C(O)NRl0-, (R 10 )2N-C(O)-, CN, (RlO) 2 N- C(NRl°K R 10 C(O)-, RIOOC(O)-, N3, -N(Rl°)2, and Rl l ⁇ C(O)- NR10-; or two R as, two R ⁇ s, two Rl c s or two R e s, on the same carbon atom may be combined to form -(CH2)vS
  • R 4 is selected from Ci-4 alkyl, C3-6 cycloalkyl, heterocycle, aryl, unsubstituted or substituted with: a) C 1-4 alkoxy, b) aryl or heterocycle, c) halogen, d) HO,
  • R 6 and R7 are independently selected from: 1) hydrogen, 2) Rl °C(O)-, or R 1 °OC(O)-, and
  • Ci-C ⁇ alkyl C2-C6 alkenyl, C2-C6 alkynyl, C3-6 cycloalkyl, heterocycle, aryl, aroyl, heteroaroyl, arylsulfonyl, heteroarylsulfonyl, C6-C10 multicychc alkyl ring, unsubstituted or substituted with one or more substituents selected from: a) RlOO-, b) aryl or heterocycle, c) halogen, d) R 10 C(O)NR 10 -, p10 e)
  • R 6 and R7 may be joined in a ring
  • R8 is independently selected from: a) hydrogen, b) unsubstituted or substituted aryl, unsubstituted or substituted heterocycle, C3-C10 cycloalkyl, C2-C6 alkenyl, C2-C6 alkynyl, perfluoroalkyl, F, Cl, Br, R 2 O-, RHS(O) m -, R 10 C(O)NRl°-, (R 10 )2NC(O)-, Rl°2N-C(NRl°)-, CN, NO2, Rl°C(O)-, R!
  • °OC(O)- c) C1-C6 alkyl unsubstituted or substituted by unsubstituted or substituted aryl, unsubstituted or substituted heterocycle, C3-C10 cycloalkyl, C2-C6 alkenyl, C2-C6 alkynyl, perfluoroalkyl, F, Cl, Br, R 10 O-, Rl lS(O)m-, R 10 C(O)NH-, (Rl°)2NC(O)-, R1 °2N-C(NR1°)-,
  • R9 is selected from: a) hydrogen, b) C2-C6 alkenyl, C2-C6 alkynyl, perfluoroalkyl, F, Cl, Br, R °O-,
  • Rl lS(O)m- R 10 C(O)NR 10 -, (R 10 )2NC(O)-, R 10 2N-C(NRl°)-, CN, NO2, R 10 C(O)-, R 10 OC(O)-, N3, -N(Rl°)2, or Rl iOC ⁇ NRl 0 -, and c) C1-C6 alkyl unsubstituted or substituted by perfluoroalkyl, F, Cl, Br, R OO-, RHS(O) m -, R 10 C(O)NRl0-, (Rl°)2NC(O)-, R 10 2N- C(NR!0)-, CN, R 10 C(O)-, Rl°OC(O)-, N3, -N(R10) 2 , or
  • RlO is independently selected from hydrogen, C1-C6 alkyl, unsubstituted or substituted benzyl, unsubstituted or substituted aryl and unsubstituted or substituted heterocycle;
  • R is independently selected from C1-C6 alkyl unsubstituted or substituted aryl and unsubstituted or substituted heterocycle;
  • Rl2 is independently selected from hydrogen, C1-C6 alkyl, C1-C3 perfluoroalkyl, unsubstituted or substituted benzyl, unsubstituted or substituted aryl, unsubstituted or substituted heterocycle, and C1-C6 alkyl substituted with unsubstituted or substituted aryl or unsubstituted or substituted heterocycle;
  • Al is selected from a bond, -C(O)-, -C(O)NRl°-, -NR1 °C(0)-, O, -N(R1°)-, -S(O)2N(RlO)-, -N(RlO)S(O)2-, and S(O) m ;
  • a 2 is selected from a bond, -C(O)-, -C(O)NRl°-, -NR1 °C(0)-, O, -N(R1°)-, -S(O) 2 N(RlO)-, -N(RlO)S(O)2-, S(O) m and -C(Rld) 2 -;
  • W is heteroaryl
  • V is selected from: a) heteroaryl, and b) aryl;
  • X is independently selected from -C(O)-, -C(0)NR1°-, -NR 10 C(O)-, -NR 10 C(O)-O-, -O-C(O)NR 10 -, - NR1°C(0)NR1°-, -C(0)NR1°C(0)-, O, -N(R i 0 )-, -S(O)2N(R 10 )-, -N(Rl °)S(O)2- and S(O) m ;
  • Zl is selected from unsubstituted or substituted aryl and unsubstituted or substituted heterocycle, wherein the substituted aryl or substituted heterocycle is substituted with one or more of:
  • Z is selected from a bond, unsubstituted or substituted aryl and unsubstituted or substituted heteroaryl, wherein the substituted aryl or substituted heteroaryl is substituted with one or more of:
  • n 0, 1, 2, 3 or 4
  • p 0, 1, 2, 3 or 4
  • q is 1 or 2
  • r is 0 to 5
  • s is independently 0, 1, 2 or 3
  • t is 1, 2, 3 or 4
  • v is 2 to 6;
  • the prenyl-protein transferase inhibitor is a compound represented by formula (IV):
  • Rla, Rib, Rle and Rid are independently selected from: a) hydrogen, b) aryl, heterocycle, C3-C10 cycloalkyl, C2-C6 alkenyl, C2-C6 alkynyl, R10O-, RiiS(O) m -, Rl0C(O)NRl0-, (RlO) 2 N-C(O)-, CN, NO2,
  • R2a, R2b, R3a and R3b are independently selected from: H; unsubstituted or substituted _ alkyl, unsubstituted or substituted C2-8 alkenyl, unsubstituted or substituted C2-8 alkynyl, unsubstituted or substituted aryl, unsubstituted or substituted heterocycle,
  • substituted group is substituted with one or more of:
  • R2 and R3 are attached to the same C atom and are combined to form -(CH2)u- wherein one of the carbon atoms is optionally replaced by a moiety selected from: O, S(O)m, -NC(O)-, and -N(CORlO)-;
  • R2 and R3 are optionally attached to the same carbon atom
  • R4 is selected from: Ci-4 alkyl, C3-6 cycloalkyl, heterocycle, aryl, unsubstituted or substituted with: a) Ci-4 alkoxy, b) aryl or heterocycle, c) halogen, d) HO, e) ⁇
  • R5, R 6 and R7 are independently selected from: H; Ci-4 alkyl, C3-6 cycloalkyl, heterocycle, aryl, aroyl, heteroaroyl, arylsulfonyl, heteroarylsulfonyl, unsubstituted or substituted with: a) C 1-4 alkoxy, b) aryl or heterocycle, c) halogen, d) HO,
  • R 6 and R7 may be joined in a ring; and independently, R5 and R7 may be joined in a ring;
  • R8 is independently selected from: a) hydrogen, b) unsubstituted or substituted aryl, unsubstituted or substituted heterocycle, C3-C10 cycloalkyl, C2-C6 alkenyl, C2-C alkynyl, perfluoroalkyl, F, Cl, Br, Rl0 ⁇ , Rl lS(O) m -, Rl0C(O)NRl0-, (RlO) 2 NC(O)-, Rl0 2 N-C(NRlO)-, CN, NO2, RlOC(O)-, RlO ⁇ C(O)-, N3, -N(RlO) 2 , or Rl lOC(O)NRl0-, and c) C 1 -C6 alkyl unsubstituted or substituted by unsubstituted or substituted aryl, unsubstituted or substituted heterocycle, C3-C10 cycloalkyl, C2-C6 al
  • R9 is selected from: a) hydrogen, b) C2-C6 alkenyl, C2-C6 alkynyl, perfluoroalkyl, F, Cl, Br, Rl OO-,
  • Rl lS(O)m- R 10 C(O)NRl0-, (RlO)2NC(O)-, Rl0 2 N-C(NRlO)-, CN, NO2, RlOC(O)-, RlOOC(O)-, N3, -N(Rl ) 2 , or Rl lOC(O)NRl0-, and c) C 1 -C alkyl unsubstituted or substituted by perfluoroalkyl, F, Cl, Br, RlOo-, Rl lS(O)m-, R 10 C(O)NRl0-, (RlO) 2 NC(O)-, Rl 2 N- C(NRlO)-, CN, RlOC(O)-, RlO ⁇ C(O)-, N3, -N(Rl ) 2 , or Rl lOC(O)NRl0- ;
  • R O is independently selected from hydrogen, C1-C6 alkyl, benzyl, unsubstituted or substituted aryl and unsubstituted or substituted heterocycle;
  • Rl 1 is independently selected from C1-C6 alkyl unsubstituted or substituted aryl and unsubstituted or substituted heterocycle;
  • A is selected from: a bond, -C(O)-, -C(O)NRl0-, -NRIOC(O)-, O, -N(R10)-, -S(O) 2 N(R10)-, -N(RlO)S(O) 2 -, and S(O) m ;
  • A2 is selected from: a bond, -C(O)-, -C(O)NRl0-, -NRlOC(O)-, O, -N(R10)-, -S(O) N(RlO)-, -N(RlO)S(O)2-, S(O) m and -C(Rld) 2 -;
  • Gl, G2 and G3 are independently selected from: H2 and O;
  • W is heterocycle
  • V is selected from: a) heterocycle, and b) aryl;
  • Zl is selected from unsubstituted or substituted aryl and unsubstituted or substituted heterocycle, wherein the substituted aryl or substituted heterocycle is substituted with one or more of:
  • Ci-4 alkyl unsubstituted or substituted with: a) C 1-4 alkoxy, b) NR 6 R 7 , c) C3-6 cycloalkyl, d) aryl or heterocycle, e) HO, f) -S(O) m R 4 or g) -C(O)NR 6 R7,
  • Z2 is selected from a bond, unsubstituted or substituted aryl and unsubstituted or substituted heterocycle, wherein the substituted aryl or substituted heterocycle is substituted with one or more of: 1) C 1-4 alkyl, unsubstituted or substituted with: a) C 1-4 alkoxy, b) NR 6 R 7 , c ) C3- cycloalkyl, d) aryl or heterocycle, e) HO, f) -S(O) m R 4 , or g) -C(O)NR 6 R 7 ,
  • n 0, 1, 2, 3 or 4
  • p is O, 1, 2, 3 or 4
  • q is 1 or 2
  • r is O to 5
  • s is independently 0, 1, 2 or 3
  • u is 4 or 5;
  • Examples of compounds which inhibit prenyl protein transferase include the following: 2(S)-Butyl- 1 -(2,3-diaminoprop- 1 -yl)- 1 -( 1 -naphthoyl)piperazine;
  • prenyl-protein transferase inhibitor examples include:
  • alkyl refers to a monovalent alkane (hydrocarbon) derived radical containing from 1 to 15 carbon atoms unless otherwise defined. It may be straight, branched or cyclic. Preferred straight or branched alkyl groups include methyl, ethyl, propyl, isopropyl, butyl and t-butyl. Preferred cycloalkyl groups include cyclopentyl and cyclohexyl.
  • substituted alkyl refers to a straight, branched or cyclic alkyl group as defined above, substituted with 1-3 groups as defined with respect to each variable.
  • Heteroalkyl refers to an alkyl group having from 2-15 carbon atoms, and interrupted by from 1-4 heteroatoms selected from O, S and N.
  • alkenyl refers to a hydrocarbon radical straight, branched or cyclic containing from 2 to 15 carbon atoms and at least one carbon to carbon double bond. Preferably one carbon to carbon double bond is present, and up to four non-aromatic (non-resonating) carbon-carbon double bonds may be present.
  • alkenyl groups examples include vinyl, allyl, isopropenyl, pentenyl, hexenyl, heptenyl, cyclopropenyl, cyclobutenyl, cyclopentenyl, cyclohexenyl, 1 -propenyl, 2- butenyl, 2-methyl-2-butenyl, isoprenyl, famesyl, geranyl, geranylgeranyl and the like.
  • Preferred alkenyl groups include ethenyl, propenyl, butenyl and cyclohexenyl. As described above with respect to alkyl, the straight, branched or cyclic portion of the alkenyl group may contain double bonds and may be substituted when a substituted alkenyl group is provided.
  • alkynyl refers to a hydrocarbon radical straight, branched or cyclic, containing from 2 to 15 carbon atoms and at least one carbon to carbon triple bond. Up to three carbon-carbon triple bonds may be present.
  • Preferred alkynyl groups include ethynyl, propynyl and butynyl. As described above with respect to alkyl, the straight, branched or cyclic portion of the alkynyl group may contain triple bonds and may be substituted when a substituted alkynyl group is provided.
  • Aryl refers to aromatic rings e.g., phenyl, substituted phenyl and like groups as well as rings which are fused, e.g., naphthyl and the like.
  • Aryl thus contains at least one ring having at least 6 atoms, with up to two such rings being present, containing up to 10 atoms therein, with alternating (resonating) double bonds between adjacent carbon atoms.
  • the preferred aryl groups are phenyl and naphthyl.
  • Aryl groups may likewise be substituted as defined below.
  • Preferred substituted aryls include phenyl and naphthyl substituted with one or two groups.
  • "aryl" is intended to include any stable monocyclic, bicyclic or tricyclic carbon ring(s) of up to 7 members in each ring, wherein at least one ring is aromatic. Examples of aryl groups include phenyl, naphthyl, anthracenyl, biphenyl, tetrahydronaphthyl, indanyl, phenanthrenyl and the like.
  • heteroaryl refers to a monocyclic aromatic hydrocarbon group having 5 or 6 ring atoms, or a bicyclic aromatic group having 8 to 10 atoms, containing at least one heteroatom, O, S or N, in which a carbon or nitrogen atom is the point of attachment, and in which one additional carbon atom is optionally replaced by a heteroatom selected from O or S, and in which from 1 to 3 additional carbon atoms are optionally replaced by nitrogen heteroatoms.
  • the heteroaryl group is optionally substituted with up to three groups.
  • Heteroaryl thus includes aromatic and partially aromatic groups which contain one or more heteroatoms.
  • this type are thiophene, purine, imidazopyridine, pyridine, oxazole, thiazole, oxazine, pyrazole, tetrazole, imidazole, pyridine, pyrimidine, pyrazine and triazine.
  • partially aromatic groups are tetrahydroimidazo[4,5-c]pyridine, phthalidyl and saccharinyl, as defined below.
  • heterocycle or heterocyclic represents a stable 5- to 7-membered monocyclic or stable 8- to 11 -membered bicyclic or stable 11-15 membered tri cyclic heterocycle ring which is either saturated or unsaturated, and which consists of carbon atoms and from one to four heteroatoms selected from the group consisting of N, O, and S, and including any bicyclic group in which any of the above-defined heterocyclic rings is fused to a benzene ring.
  • the heterocyclic ring may be attached at any heteroatom or carbon atom which results in the creation of a stable structure.
  • heterocyclic elements include, but are not limited to, azepinyl, benzimidazolyl, benzisoxazolyl, benzofurazanyl, benzopyranyl, benzothiopyranyl, benzofuryl, benzothiazolyl, benzothienyl, benzoxazolyl, chromanyl, cinnolinyl, dihydrobenzofuryl, dihydro-benzothienyl, dihydrobenzothiopyranyl, dihydrobenzothio-pyranyl sulfone, furyl, imidazolidinyl, imidazolinyl, imidazolyl, indolinyl, indolyl, isochromanyl, isoindolinyl, isoquinolinyl, isothiazolidinyl, isothiazolyl, isothiazolidinyl, morpholinyl, naphthyridinyl, oxadiazoly
  • heterocycle is selected from imidazolyl, 2- oxopyrrolidinyl, piperidyl, pyridyl and pyrrolidinyl.
  • substituted aryl substituted with 1 or 2 substitutents selected from the group which includes but is not limited to F, Cl, Br, CF3, NH2, N(Ci-C6 alkyl)2, NO2, CN, (C1-C6 alkyl)O-, -OH, (Ci-C ⁇ alkyl)S(O) m -, ( -C6 alkyl)C(O)NH-, H2N-C(NH)-, (C1-C6 alkyl)C(O)-, (C1-C6 alkyl)OC(O)-, N3,(
  • the compounds used in the present method may have asymmetric centers and occur as racemates, racemic mixtures, and as individual diastereomers, with all possible isomers, including optical isomers, being included in the present invention.
  • named amino acids are understood to have the natural "L" stereoconfiguration.
  • fused ring moieties may be further substituted by the remaining R 6a , R 6 b, R 6c , R 6 d and/or R 6e as defined hereinabove.
  • Y represents a 5, 6 or 7 membered carbocyclic ring wherein from 0 to 3 carbon atoms are replaced by a heteroatom selected from N, S and O, and wherein Y is attached to Q through a carbon atom and includes the following ring systems:
  • Y represents a 5-, 6- or 7-membered carbocyclic ring wherein from 0 to 3 carbon atoms are replaced by a heteroatom selected from N, S and O, and wherein Y is attached to Q through a carbon atom and includes the following ring systems:
  • fused ring moieties may be further substituted by the remaining R 6a , R 6 b, R 6( R d and/or R 6e as defined hereinabove.
  • cyclic moieties include, but are not limited to:
  • cyclic moieties may optionally include a heteroatom(s).
  • heteroatom-containing cyclic moieties include, but are not limited to:
  • cyclic moieties are formed.
  • cyclic moieties include, but are not limited to:
  • the pharmaceutically acceptable salts of the compounds of this invention include the conventional non-toxic salts of the compounds of this invention as formed, e.g., from non-toxic inorganic or organic acids.
  • such conventional non-toxic salts include those derived from inorganic acids such as hydrochloric, hydrobromic, sulfuric, sulfamic, phosphoric, nitric and the like: and the salts prepared from organic acids such as acetic, propionic, succinic, glycolic, stearic, lactic, malic, tartaric, citric, ascorbic, pamoic, maleic, hydroxymaleic, phenyl-acetic, glutamic, benzoic, salicylic, sulfanilic, 2-acetoxy-benzoic, fumaric, toluenesulfonic, methanesulfonic, ethane disulfonic, oxalic, isethionic, trifluoroacetic and the like.
  • any substituent or variable e.g., RlO, Z, n, etc.
  • -N(RlO)2 represents -NHH, -NHCH3, -NHC2H5, etc. It is understood that substituents and substitution patterns on the compounds of the instant invention can be selected by one of ordinary skill in the art to provide compounds that are chemically stable and that can be readily synthesized by techniques known in the art as well as those methods set forth below.
  • the pharmaceutically acceptable salts of the compounds of this invention can be synthesized from the compounds of this invention which contain a basic moiety by conventional chemical methods. Generally, the salts are prepared by reacting the free base with stoichiometric amounts or with an excess of the desired salt- forming inorganic or organic acid in a suitable solvent or various combinations of solvents.
  • DMAP 4-Dimethylaminopyridine
  • DME 1,2-Dimethoxyethane
  • compositions are useful in various pharmaceutically acceptable salt forms.
  • pharmaceutically acceptable salt refers to those salt forms which would be apparent to the pharmaceutical chemist, i.e., those which are substantially non-toxic and which provide the desired pharmacokinetic properties, palatability, absorption, distribution, metabolism or excretion.
  • Other factors, more practical in nature, which are also important in the selection, are cost of the raw materials, ease of crystallization, yield, stability, hygroscopicity and flowability of the resulting bulk dmg.
  • pharmaceutical compositions may be prepared from the active ingredients in combination with pharmaceutically acceptable carriers.
  • Non-toxic salts include conventional non-toxic salts or quartemary ammonium salts formed, e.g., from non-toxic inorganic or organic acids.
  • Non-toxic salts include those derived from inorganic acids such as hydrochloric, hydrobromic, sulfuric, sulfamic, phosphoric, nitric and the like; and the salts prepared from organic acids such as acetic, propionic, succinic, glycolic, stearic, lactic, malic, tartaric, citric, ascorbic, pamoic, sulfanilic, 2-acetoxybenzoic, fumaric, toluenesulfonic, methanesulfonic, ethane disulfonic, oxalic, isethionic, trifluoroacetic and the like.
  • the pharmaceutically acceptable salts of the present invention can be synthesized by conventional chemical methods. Generally, the salts are prepared by reacting the free base or acid with stoichiometric amounts or with an excess of the desired salt-forming inorganic or organic acid or base, in a suitable solvent or solvent combination.
  • the prenyl protein transferase inhibitors of formula (I-a) through (I-c) can be synthesized in accordance with Schemes 1-22, in addition to other standard manipulations such as ester hydrolysis, cleavage of protecting groups, etc., as may be known in the literature or exemplified in the experimental procedures.
  • Substituents R, R a and Rb, as shown in the Schemes, represent the substituents R2, R3, R4, and R5' however their point of attachment to the ring is illustrative only and is not meant to be limiting.
  • These reactions may be employed in a linear sequence to provide the compounds of the invention or they may be used to synthesize fragments which are subsequently joined by the alkylation reactions described in the Schemes.
  • Boc-protected amino acids I available commercially or by procedures known to those skilled in the art, can be coupled to N- benzyl amino acid esters using a variety of dehydrating agents such as DCC (dicyclohexycarbodiimide) or EDC-HC1 (l-ethyl-3-(3- dimethylaminopropyl)carbodiimide hydrochloride) in a solvent such as methylene chloride , chloroform, dichloroethane, or in dimethylformamide.
  • dehydrating agents such as DCC (dicyclohexycarbodiimide) or EDC-HC1 (l-ethyl-3-(3- dimethylaminopropyl)carbodiimide hydrochloride) in a solvent such as methylene chloride , chloroform, dichloroethane, or in dimethylformamide.
  • the product II is then deprotected with acid, for example hydrogen chloride in chloroform or ethyl acetate, or trifluoroacetic acid in methylene chloride, and cyclized under weakly basic conditions to give the diketopiperazine Ifl.
  • acid for example hydrogen chloride in chloroform or ethyl acetate, or trifluoroacetic acid in methylene chloride, and cyclized under weakly basic conditions to give the diketopiperazine Ifl.
  • Reduction of III with lithium aluminum hydride in refluxing ether gives the piperazine IN, which is protected as the Boc derivative V.
  • the ⁇ -benzyl group can be cleaved under standard conditions of hydrogenation, e.g., 10% palladium on carbon at 60 psi hydrogen on a Pan apparatus for 24-48 h.
  • the product VI can be treated with an acid chloride, or a carboxylic acid under standard dehydrating conditions to furnish the carboxamides VII; a final acid deprotection as previously described gives the intermediate VIJI (Scheme 2).
  • the intermediate VHI can be reductively alkylated with a variety of aldehydes, such as DC
  • the aldehydes can be prepared by standard procedures, such as that described by O. P. Goel, U. Krolls, M. Stier and S. Kesten in Organic Syntheses, 1988, 67, 69-75, from the appropriate amino acid (Scheme 3).
  • the reductive alkylation can be accomplished at pH 5-7 with a variety of reducing agents, such as sodium triacetoxyborohydride or sodium cyanoborohydride in a solvent such as dichloroethane, methanol or dimethylformamide.
  • the product X can be deprotected to give the final compounds XI with trifluoroacetic acid in methylene chloride.
  • the final product XI is isolated in the salt form, for example, as a trifluoroacetate, hydrochloride or acetate salt, among others.
  • the product diamine XI can further be selectively protected to obtain XII, which can subsequently be reductively alkylated with a second aldehyde to obtain XIII. Removal of the protecting group, and conversion to cyclized products such as the dihydroimidazole XV can be accomplished by literature procedures.
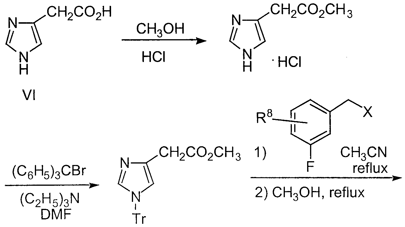
  • the protected piperazine intermediate VII can be reductively alkylated with other aldehydes such as 1 -trityl-4-imidazolyl- carboxaldehyde or 1 -trityl-4-imidazolylacetaldehyde, to give products such as XVI (Scheme 4).
  • the trityl protecting group can be removed from XVI to give XVII, or alternatively, XVI can first be treated with an alkyl halide then subsequently deprotected to give the alkylated imidazole XVffl.
  • the intermediate NIH can be acylated or sulfonylated by standard techniques.
  • the imidazole acetic acid XIX can be converted to the acetate XXI by standard procedures, and XXI can be first reacted with an alkyl halide, then treated with refluxing methanol to provide the regiospecifically alkylated imidazole acetic acid ester XXII.
  • Hydrolysis and reaction with piperazine Vfll in the presence of condensing reagents such as l-(3- dimethylaminopropyl)-3-ethylcarbodiimide (EDC) leads to acylated products such as XXIV.
  • the piperazine VHI is reductively alkylated with an aldehyde which also has a protected hydroxyl group, such as XXV in Scheme 6, the protecting groups can be subsequently removed to unmask the hydroxyl group (Schemes 6, 7).
  • the alcohol can be oxidized under standard conditions to e.g. an aldehyde, which can then be reacted with a variety of organometallic reagents such as Grignard reagents, to obtain secondary alcohols such as XXIX.
  • the fully deprotected amino alcohol XXX can be reductively alkylated (under conditions described previously) with a variety of aldehydes to obtain secondary amines, such as XXXI (Scheme 7), or tertiary amines.
  • the Boc protected amino alcohol XXVII can also be utilized to synthesize 2-aziridinylmethylpiperazines such as XXXII (Scheme 8).
  • the aziridine reacted in the presence of a nucleophile, such as a thiol, in the presence of base to yield the ring- opened product XXXHI.
  • piperazine VIII can be reacted with aldehydes derived from amino acids such as O-alkylated tyrosines, according to standard procedures, to obtain compounds such as XXXIX.
  • R' is an aryl group
  • XXXIX can first be hydrogenated to unmask the phenol, and the amine group deprotected with acid to produce XL.
  • the amine protecting group in XXXIX can be removed, and O-alkylated phenolic amines such as XLI produced.
  • ⁇ -Aryl piperazines can be prepared as described in Scheme 11.
  • An aryl amine XLV is reacted with bis -chloroethyl amine hydrochloride (XL VI) in refluxing n -butanol to furnish compounds XLVII.
  • the resulting piperazines XLVII can then be carried on to final products as described in Schemes 3-9.
  • Piperazin-5-ones can be prepared as shown in Scheme 12. Reductive amination of Boc-protected amino aldehydes XLIX (prepared from I as described previously) gives rise to compound L.
  • the isomeric piperazin-3-ones can be prepared as described in Scheme 13.
  • the imine formed from arylcarboxamides LU and 2-aminoglycinal diethyl acetal (LIU) can be reduced under a variety of conditions, including sodium triacetoxyborohydride in dichloroethane, to give the amine LIV.
  • Amino acids I can be coupled to amines LIN under standard conditions, and the resulting amide LV when treated with aqueous acid in tetrahydrofuran can cyclize to the unsaturated LVI.
  • Catalytic hydrogenation under standard conditions gives the requisite intermediate LVII, which is elaborated to final products as described in Schemes 3-9.
  • Reaction Scheme 15 provides an illustrative example the synthesis of compounds of the instant invention wherein the substituents R ⁇ and R ⁇ are combined to form -(CH2) ⁇ -
  • 1-aminocyclohexane-l -carboxylic acid LXI can be converted to the spiropiperazine LXVI essentially according to the procedures outlined in Schemes 1 and 2.
  • the piperazine intermediate LXIX can be deprotected as before, and carried on to final products as described in Schemes 3-9.
  • the aldehyde XLIX from Scheme 12 can also be reductively alkylated with an aniline as shown in Scheme 16.
  • the product LXXI can be converted to a piperazinone by acylation with chloroacetyl chloride to give LXXII, followed by base- induced cyclization to LXXHI.
  • Deprotection, followed by reductive alkylation with a protected imidazole carboxaldehyde leads to LXXV, which can be alkylation with an arylmethylhalide to give the imidazolium salt LXXVI.
  • Scheme 17 illustrates the use of an optionally substituted homoserine lactone LXXIX to prepare a Boc-protected piperazinone LXXXII.
  • Intermediate LXXXII may be deprotected and reductively alkylated or acylated as illustrated in the previous Schemes.
  • the hydroxyl moiety of intermediate LXXXII may be mesylated and displaced by a suitable nucleophile, such as the sodium salt of ethane thiol, to provide an intermediate LXXXIIL
  • Intermediate LXXXII may also be oxidized to provide the carboxylic acid on intermediate LXXJV, which can be utilized form an ester or amide moiety.
  • Amino acids of the general formula LXXXVI which have a sidechain not found in natural amino acids may be prepared by the reactions illustrated in Scheme 18 starting with the readily prepared imine LXXXV.

Landscapes

  • Health & Medical Sciences (AREA)
  • Chemical & Material Sciences (AREA)
  • Medicinal Chemistry (AREA)
  • Pharmacology & Pharmacy (AREA)
  • Epidemiology (AREA)
  • Life Sciences & Earth Sciences (AREA)
  • Animal Behavior & Ethology (AREA)
  • General Health & Medical Sciences (AREA)
  • Public Health (AREA)
  • Veterinary Medicine (AREA)
  • Pharmaceuticals Containing Other Organic And Inorganic Compounds (AREA)

Abstract

A method of preventing and treating endometriosis, uterine fibroids, dysfunctional uterine bleeding and endometrial hyperplasia is disclosed which is comprised of administering to a mammalian patient in need of such treatment an effective amount of a prenyl-protein transferase inhibitor.

Description

TITLE OF THE INVENTION
A METHOD OF TREATING ENDOMETRIOSIS
BACKGROUND OF THE INVENTION The present invention relates to methods of preventing and treating endometriosis, uterine fibroids, dysfunctional uterine bleeding and endometrial hype lasiar which comprise.administering to a patient in need thereof an inhibitor of a prenyl-protein transferasel
«., Endometriosis is a disease in which patches of endometrial tissue, which normally is found only in the uterine lining (endometrium), grow outside the uterus. The misplaced endometrial tissue commonly adheres to the ovaries and the ligaments that support the uterus. Because the misplaced endometrial tissue responds to the same hormones that the uterus responds to, it may bleed during the menstrual period, often causing cramps, pain, irritation, and the formation of scar tissue. Endometriosis is estimated to occur in about 10 to 15 percent of menstruating women between the ages of 25 to 44. As many as 25 to 50 percent of infertile women may have endometriosis, which can physically interfere with conception.
In general, the aims of treatment of a patient with endometriosis include elimination of the misplaced endometriotic tissue, relief of pain and induction of pregnancy. Current treatments include administration of drugs that suppress the activity of the ovaries and slow the growth of endometrial tissue, surgery to remove the misplaced endometriotic tissue, surgical removal of the uterus, fallopian tubes and/or ovaries, or combinations of those treatments. While drug treatments are less invasive than surgery, administration of drugs such as combination estrogen-progestin oral contraceptives, progestins, danazol, and luteinizing hormone-releasing hormone agonist analogs (such as Buserilin, a GnRH agonists) is accompanied by multiple unwanted side-effects associated with hormone modulation, including bleeding between periods, predisposition to osteopoerosis and mood swings. Furthermore, drug treatment doesn't cure endometriosis; the disease usually returns after treatment is stopped.
Uterine fibroids, which appear in the reproductive years and regress after menopause, are the result of cellular proliferation and differentiation in the uterine tissue regulated by the ovarian steroids. Treatment of a patient suffering from uterine fibroids include surgery and administration of luteinizing hormone-releasing hormone agonist analogs.
Prenylation of proteins by intermediates of the isoprenoid biosynthetic pathway represents a class of post-translational modification (Glomset, J. A., Gelb, M. H., and Famsworth, C. C. (1990). Trends Biochem. Sci. 15, 139-142; Maltese, W. A. (1990). FASEB J. 4, 3319-3328). This modification typically is required for the membrane localization and function of these proteins. Prenylated proteins share characteristic C-terminal sequences including CaaX (C, Cys; a, usually aliphatic amino acid; X, another amino acid), XXCC, or XCXC. Three post-translational processing steps have been described for proteins having a C-terminal CaaX sequence: addition of either a 15 carbon (farnesyl) or 20 carbon (geranylgeranyl) isoprenoid to the Cys residue, proteolytic cleavage of the last 3 amino acids, and methylation of the new C-terminal carboxylate (Cox, A. D. and Der, C. J. (1992a). Critical Rev. Oncogenesis 3:365-400; Newman, C. M. H. and Magee, A. I. (1993). Biochim. Biophys. Ada 1155:79-96). Some proteins may also have a fourth modification: palmitoylation of one or two Cys residues N-terminal to the farnesylated Cys. While some mammalian cell proteins terminating in XCXC are carboxymethylated, it is not clear whether carboxy methylation follows prenylation of proteins terminating with a XXCC motif (Clarke, S. (1992). Annu. Rev. Biochem. 61, 355-386). For all of the prenylated proteins, addition of the isoprenoid is the first step and is required for the subsequent steps (Cox, A. D. and Der, C. J. (1992a). Critical Rev. Oncogenesis 3:365-400; Cox, A. D. and Der, C. J. (1992b) Current Opinion Cell Biol. 4:1008-1016).
Three enzymes have been described that catalyze protein prenylation: farnesyl-protein transferase (FPTase), geranylgeranyl-protein transferase type I
(GGPTase-I), and geranylgeranyl-protein transferase type-II (GGPTase-LI, also called Rab GGPTase). The term prenyl-protein transferase may be used to generally refer to these enzymes, particularly to farnesyl-protein transferase (FPTase) and geranylgeranyl-protein transferase type I (GGPTase-I). These enzymes are found in both yeast and mammalian cells (Clarke, 1992; Schafer, W. R. and Rine, J. (1992) Annu. Rev. Genet. 30:209-237). Each of these enzymes selectively uses farnesyl diphosphate (FPP) or geranyl-geranyl diphosphate as the isoprenoid donor and selectively recognizes the protein substrate. FPTase farnesylates CaaX-containing proteins that end with Ser, Met, Cys, Gin or Ala. For FPTase, CaaX tetrapeptides comprise the minimum region required for interaction of the protein substrate with the enzyme. The enzymological characterization of these three enzymes has demonstrated that it is possible to selectively inhibit one with little inhibitory effect on the others (Moores, S. L., Schaber, M. D., Mosser, S. D., Rands, E., OΗara, M. B., Garsky, V. M., Marshall, M. S., Pompliano, D. L., and Gibbs, J. B., J. Biol. Chem., 266:17438 (1991), U.S. Pat. No. 5,470,832).
The Ras protein is part of a signalling pathway that links cell surface growth factor receptors to nuclear signals initiating cellular proliferation. Biological and biochemical studies of Ras action indicate that Ras functions like a G-regulatory protein. In the inactive state, Ras is bound to GDP. Upon growth factor receptor activation, Ras is induced to exchange GDP for GTP and undergoes a conformational change. The GTP-bound form of Ras propagates the growth stimulatory signal until the signal is terminated by the intrinsic GTPase activity of Ras, which returns the protein to its inactive GDP bound form (D.R. Lowy and D.M. Willumsen, Ann. Rev. Biochem. (52:851-891 (1993)). Activation of Ras leads to activation of multiple intracellular signal transduction pathways, including the MAP Kinase pathway and the Rho/Rac pathway (Joneson et al, Science 277:810-812).
Inhibitors of farnesyl-protein transferase have been described in two general classes. The first class includes analogs of FPP, while the second is related to protein substrates (e.g., Ras) for the enzyme. The peptide derived inhibitors that have been described are generally cysteine containing molecules that are related to the
CAAX motif that is the signal for protein prenylation. (Schaber et al, ibid; Reiss et. al, ibid; Reiss et al, PNAS, 88:132-136 (1991)). Such inhibitors may inhibit protein prenylation while serving as alternate substrates for the farnesyl-protein transferase enzyme, or may be purely competitive inhibitors (U.S. Patent 5,141,851, University of Texas; N.E. Kohl et al, Science, 260:1934-1937 (1993); Graham, et al., J. Med. Chem., 37, 725 (1994)).
Indirect inhibition of farnesyl-protein transferase in vivo has been demonstrated with lovastatin (Merck & Co., Rahway, NJ) and compactin (Hancock et al, ibid; Casey et al, ibid; Schafer et al, Science 245:319 (1989)). These drugs inhibit HMG-CoA reductase, the rate limiting enzyme for the production of polyisoprenoids including farnesyl pyrophosphate. Inhibition of farnesyl pyrophosphate biosynthesis by inhibiting HMG-CoA reductase blocks Ras membrane localization in cultured cells. Because prenyl pyrophosphates are intermediates in many biosynthetic processes, direct inhibition of a prenyl-protein transferase would be more specific and attended by fewer side effects than would occur with the required dose of a general inhibitor of isoprene biosynthesis.
It is the object of the instant invention to provide a method for preventing and treating endometriosis, uterine fibroids, dysfunctional uterine bleeding and endometrial hyperplasia, said method being not as invasive as surgery and not characterized by the adverse side effects that accompany administration of drugs that suppress the activity of the ovaries.
It is further the object of the instant invention to provide compositions useful in the treatment of abnormalities of the endometrium.
SUMMARY OF THE INVENTION
A method of preventing and treating endometriosis, uterine fibroids, dysfunctional uterine bleeding and endometrial hyperplasia is disclosed which is comprised of administering to a mammalian patient in need of such treatment an effective amount of a prenyl-protein transferase inhibitor.
DETAILED DESCRIPTION OF THE INVENTION
The present invention relates to a method of preventing and treating endometriosis, uterine fibroids, dysfunctional uterine bleeding and endometrial hypeφlasia, which is comprised of administering to a mammalian patient in need of such treatment an effective amount of a prenyl-protein transferase inhibitor.
The terms prenyl-protein transferase inhibitor and inhibitor of prenyl- protein transferase refer to compounds which antagonize, inhibit or counteract the expression of the gene coding a prenyl-protein transferase or the activity of the protein product thereof. Prenyl-protein transferases include farnesyl-protein transferase and geranylgeranyl-protein transferase.
The terms farnesyl-protein transferase inhibitor and inhibitor of farnesyl-protein transferase likewise refer to compounds which antagonize, inhibit or counteract the expression of the gene coding farnesyl-protein transferase or the activity of the protein product thereof.
The present invention is not limited in any way by the specific prenyl- protein transferase inhibitor. Either a protein substrate-competitive inhibitor and/or a prenyl pyrophosphate-competitive inhibitor now known or subsequently discovered or developed may be utilized. Prenyl-protein transferase inhibitors useful in the instant invention are described hereinbelow. The term selective as used herein refers to the inhibitory activity of the particular compound against prenyl-protein transferase activity. For example, a selective inhibitor of farnesyl-protein transferase exhibits at least 20 times greater activity against farnesyl-protein transferase when comparing its activity against another receptor or enzymatic activity, respectively. Preferably, if a selective inhibitor of farnesyl-protein transferase is desired, the selectivity is at least 100 times or more.
In an embodiment of the invention, the inhibitor of a prenyl-protein transferase is a selective inhibitor of farnesyl-protein transferase and is characterized by: a) an IC50 (a measurement of in vitro inhibitory activity) of less than about 500 nM against transfer of a farnesyl residue to a protein or peptide substrate comprising a CAAXF motif by farnesyl-protein transferase.
It is more preferred that the selective inhibitor of farnesyl-protein transferase is characterized by: a) an IC50 (a measurement of in vitro inhibitory activity) of less than about 100 nM against transfer of a farnesyl residue to a protein or peptide substrate comprising a CAAXF motif by farnesyl-protein transferase.
As used herein, the term "CAAXF" is used to designate a protein or peptide substrate that incoφorates four amino acid C-terminus motif that is famesylated by farnesyl-protein transferase. In particular, such "CAAXF" motifs include (the corresponding human protein is in parentheses): CVLS (H-ras) (SEQ.LD.: 11), CVLM (K4B-Ras) (SEQ.LD.: 1), CVVM (N-Ras) (SEQ.LD.: 3), CKVL (RhoB) (SEQ.LD.: 9), CLLM (PFX) (SEQ.LD.: 10) and CNIQ (Rap2A) (SEQ.LD.: 13). It is understood that certain of the "CAAXF" containing protein or peptide substrates may also be geranylgeranylated by GGTase-I.
A method for measuring the activity of the inhibitors of prenyl-protein transferase utilized in the instant methods against transfer of a farnesyl residue to a protein or peptide substrate comprising a CAAXF motif by farnesyl-protein transferase is described in Example 12. It is also preferred that the selective inhibitor of farnesyl-protein transferase is further characterized by: b) an IC50 (a measure of in vitro inhibitory activity) for inhibition of the prenylation of newly synthesized K-Ras protein more than about 100- fold higher than the IC50 f°r the inhibition of the famesylation of hDJ protein. When measuring such IC50S the assays described in Examples 17 and 18 may be utilized.
It is also preferred that the selective inhibitor of farnesyl-protein transferase is further characterized by: c) an IC50 (a measurement of in vitro inhibitory activity) for inhibition of K4B-
Ras dependent activation of MAP kinases in cells at least 100-fold greater than the IC50 for inhibition of the famesylation of the protein hDJ in cells.
It is also preferred that the selective inhibitor of farnesyl-protein transferase is further characterized by: d) an IC50 (a measurement of in vitro inhibitory activity) against H-Ras dependent activation of MAP kinases in cells at least 1000 fold lower than the inhibitory activity (IC50) against H-ras-CVLL (SEQ.LD.NO.: 2) dependent activation of MAP kinases in cells. When measuring Ras dependent activation of MAP kinases in cells the assays described in Example 16 may be utilized.
In another embodiment, the inhibitors of a prenyl-protein transferase utilized in the instant invention are efficacious in vivo as inhibitors of both farnesyl- protein transferase and geranylgeranyl-protein transferase type I (GGTase-I). Preferably, such a dual inhibitor of farnesyl-protein transferase and geranylgeranyl- protein transferase type I, which may be termed a Class II prenyl-protein transferase inhibitor, is characterized by: a) an IC50 (a measurement of in vitro inhibitory activity) of less than about 1 μM for inhibiting the transfer of a geranylgeranyl residue to a protein or peptide substrate comprising a CAAXG motif by geranylgeranyl-protein transferase type I in the presence of a modulating anion; and b) an IC50 (a measurement of in vitro inhibitory activity) of less than about 500 nM against transfer of a famesyl residue to a protein or peptide substrate comprising a CAAXF motif by farnesyl-protein transferase. Preferably, such a Class LI prenyl-protein transferase inhibitor is also characterized by: c) inhibition of the cellular prenylation of greater than (>) about 50% of the newly synthesized K4B-Ras protein after incubation of assay cells with the dual inhibitor of farnesyl-protein transferase and geranylgeranyl-protein transferase type I at a concentration of less than (<)10 μM. More preferably, such a Class II prenyl-protein transferase inhibitor is also characterized by: c) inhibition of the cellular prenylation of greater than (>) about 50% of the newly synthesized K4B-Ras protein after incubation of assay cells with the dual inhibitor of farnesyl-protein transferase and geranylgeranyl-protein transferase type I at a concentration of less than (<)5 μM.
The term "CAAXG" will refer to such motifs that may be geranylgeranylated by GGTase-I. In particular, such "CAAXG" motifs include (the corresponding human protein is in parentheses): CVIM (K4B-Ras) (SEQ.LD.: 1), CVLL (mutated H-Ras) (SEQ.LD.: 2), CVVM (N-Ras) (SEQ.LD.: 3), CILM (K4A-Ras) (SEQ.LD.: 4), CLLL (Rap-IA) (SEQ.LD.: 5), CQLL (Rap-IB) (SEQ.LD.: 6), CSLM (SEQ.LD.: 7), CALM (SEQ.LD.: 8), CKVL (RhoB) (SEQ.LD.: 9), CLLM (PFX) (SEQ.LD.: 10) and CVIL (Rap2B) (SEQ.LD.: 12). Preferably, the CAAXG motif is CVLM (SEQ.LD.: 1). It is understood that some of the "CAAXG" containing protein or peptide substrates may also be famesylated by farnesyl-protein transferase.
The modulating anion may be selected from any type of molecule containing an anion moiety. Preferably the modulating anion is selected from a phosphate or sulfate containing anion. Particular examples of modulating anions useful in the instant GGTase-I inhibition assay include adenosine 5'-triphosphate (ATP), 2'-deoxyadenosine 5'-triphosphate (dATP), 2'-deoxycytosine 5'-triphosphate (dCTP), b-glycerol phosphate, pyrophosphate, guanosine 5'-triphosphate (GTP), 2'- deoxyguanosine 5'-triphosphate (dGTP), uridine 5'-triphosphate, dithiophosphate, 3'- deoxythymidine 5'-triphosphate, tripolyphosphate, D-myo-inositol 1,4,5-triphosphate, chloride, guanosine 5'-monophosphate, 2'-deoxyguanosine 5'-monophosphate, orthophosphate, formycin A, inosine diphosphate, trimetaphosphate, sulfate and the like. Preferably, the modulating anion is selected from adenosine 5'-triphosphate, 2'- deoxyadenosine 5'-triphosphate, 2'-deoxycytosine 5'-triphosphate, b-glycerol phosphate, pyrophosphate, guanosine 5'-triphosphate, 2'-deoxyguanosine 5'- triphosphate, uridine 5'-triphosphate, dithiophosphate, 3'-deoxythymidine 5'- triphosphate, tripolyphosphate, D-myo-inositol 1,4,5-triphosphate and sulfate. Most preferably, the modulating anion is selected from adenosine 5 '-triphosphate, b- glycerol phosphate, pyrophosphate, dithiophosphate and sulfate.
A method for measuring the activity of the inhibitors of prenyl-protein transferase utilized in the instant methods against transfer of a geranylgeranyl residue to protein or peptide substrate comprising a CAAXG motif by geranylgeranyl-protein transferase type I in the presence of a modulating anion is described in Example 13.
Examples of assay cells that may be utilized to determine inhibition of cellular processing of newly synthesized protein that is a substrate of an enzyme that can modify the K4B-Ras protein C-terminus include 3T3, C33a, PSN-1 (a human pancreatic carcinoma cell line) and K-ras-transformed Rat-1 cells. Preferred assay cell line has been found to be PSN-1. The preferred newly synthesized protein, whose percentage of processing is assessed in this assay, is selected from K4B-Ras and Rapl . A method for measuring the activity of the inhibitors of prenyl-protein transferase, as well as the instant combination compositions, utilized in the instant methods against the cellular processing of newly synthesized protein that is a substrate of an enzyme that can modify the K4B-Ras protein C-terminus after incubation of assay cells with the compound of the invention transferase is described in Example 16 and 17.
A Class II prenyl-protein transferase inhibitor may also be characterized by: a) an IC50 (a measurement of in vitro inhibitory activity) for inhibiting K4B-Ras dependent activation of MAP kinases in cells of less than 5 μM. A Class U prenyl-protein transferase inhibitor may also be characterized by: a) an IC50 (a measurement of in vitro inhibitory activity) for inhibiting K4B-Ras dependent activation of MAP kinases in cells between 0.1 and 100 times the IC50 for inhibiting the famesylation of the protein hDJ in cells; b) an IC50 (a measurement of in vitro inhibitory activity) for inhibiting K4B-Ras dependent activation of MAP kinases in cells greater than 5-fold lower than the inhibitory activity (IC50) against expression of the SEAP protein in cells transfected with the pCMV-SEAP plasmid that constitutively expresses the SEAP protein.
A Class II prenyl-protein transferase inhibitor may also be characterized by: a) an IC50 (a measurement of in vitro inhibitory activity) against H-Ras dependent activation of MAP kinases in cells greater than 2 fold lower but less than 20,000 fold lower than the inhibitory activity (IC50) against H-ras-CVLL
(SEQ.LD.NO.: 2) dependent activation of MAP kinases in cells; and b) an IC50 (a measurement of in vitro inhibitory activity) against H-ras-CVLL dependent activation of MAP kinases in cells greater than 5-fold lower than the inhibitory activity (IC50) against expression of the SEAP protein in cells transfected with the pCMV-SEAP plasmid that constitutively expresses the SEAP protein.
A Class II prenyl-protein transferase inhibitor may also be characterized by: a) an IC50 (a measurement of in vitro inhibitory activity) against H-Ras dependent activation of MAP kinases in cells greater than 10-fold lower but less than 2,500 fold lower than the inhibitory activity (IC50) against H-ras-
CVLL (SEQ.LD.NO.: 1) dependent activation of MAP kinases in cells; and b) an IC50 (a measurement of in vitro inhibitory activity) against H-ras-CVLL dependent activation of MAP kinases in cells greater than 5 fold lower than the inhibitory activity (IC50) against expression of the SEAP protein in cells transfected with the pCMV-SEAP plasmid that constitutively expresses the
SEAP protein.
The preferred therapeutic effect provided by the instant method of treatment is the treatment or prevention of endometriosis, inhibition of the growth of uterine fibroids, reduction or elimination of dysfunctional uterine bleeding and inhibition of endometrial hypeφlasia.
A pharmaceutical composition which is useful for the treatments of the instant invention may comprise the inhibitor of prenyl-protein transferase either alone or, preferably, in combination with pharmaceutically acceptable carriers, excipients or diluents, according to standard pharmaceutical practice. The composition may be administered to mammals, preferably humans. The instant composition can be administered orally or parenterally, including the intravenous, intramuscular, intraperitoneal, subcutaneous, rectal and topical routes of administration.
The pharmaceutical compositions containing the active ingredients may be in a form suitable for oral use, for example, as tablets, troches, lozenges, aqueous or oily suspensions, dispersible powders or granules, emulsions, hard or soft capsules, or syrups or elixirs. Compositions intended for oral use may be prepared according to any method known to the art for the manufacture of pharmaceutical compositions and such compositions may contain one or more agents selected from the group consisting of sweetening agents, flavoring agents, coloring agents and preserving agents in order to provide pharmaceutically elegant and palatable preparations. Tablets contain the active ingredient in admixture with non-toxic pharmaceutically acceptable excipients which are suitable for the manufacture of tablets. These excipients may be for example, inert diluents, such as calcium carbonate, sodium carbonate, lactose, calcium phosphate or sodium phosphate; granulating and disintegrating agents, for example, microcrystalline cellulose, sodium crosscarmellose, com starch, or alginic acid; binding agents, for example starch, gelatin, polyvinyl-pyrrolidone or acacia, and lubricating agents, for example, magnesium stearate, stearic acid or talc. The tablets may be uncoated or they may be coated by known techniques to mask the unpleasant taste of the drug or delay disintegration and absoφtion in the gastrointestinal tract and thereby provide a sustained action over a longer period. For example, a water soluble taste masking material such as hydroxypropylmethylcellulose or hydroxypropylcellulose, or a time delay material such as ethyl cellulose, cellulose acetate buryrate may be employed. Formulations for oral use may also be presented as hard gelatin capsules wherein the active ingredient is mixed with an inert solid diluent, for example, calcium carbonate, calcium phosphate or kaolin, or as soft gelatin capsules wherein the active ingredient is mixed with water soluble carrier such as polyethyleneglycol or an oil medium, for example peanut oil, liquid paraffin, or olive oil.
Aqueous suspensions contain the active material in admixture with excipients suitable for the manufacture of aqueous suspensions. Such excipients are suspending agents, for example sodium carboxymethylcellulose, methylcellulose, hydroxypropylmethyl-cellulose, sodium alginate, polyvinyl-pyrrolidone, gum tragacanth and gum acacia; dispersing or wetting agents may be a naturally-occurring phosphatide, for example lecithin, or condensation products of an alkylene oxide with fatty acids, for example polyoxyethylene stearate, or condensation products of ethylene oxide with long chain aliphatic alcohols, for example heptadecaethylene- oxycetanol, or condensation products of ethylene oxide with partial esters derived from fatty acids and a hexitol such as polyoxyethylene sorbitol monooleate, or condensation products of ethylene oxide with partial esters derived from fatty acids and hexitol anhydrides, for example polyethylene sorbitan monooleate. The aqueous suspensions may also contain one or more preservatives, for example ethyl, or n- propyl p-hydroxybenzoate, one or more coloring agents, one or more flavoring agents, and one or more sweetening agents, such as sucrose, saccharin or aspartame. Oily suspensions may be formulated by suspending the active ingredient in a vegetable oil, for example arachis oil, olive oil, sesame oil or coconut oil, or in mineral oil such as liquid paraffin. The oily suspensions may contain a thickening agent, for example beeswax, hard paraffin or cetyl alcohol. Sweetening agents such as those set forth above, and flavoring agents may be added to provide a palatable oral preparation. These compositions may be preserved by the addition of an anti-oxidant such as butylated hydroxyanisol or alpha-tocopherol.
Dispersible powders and granules suitable for preparation of an aqueous suspension by the addition of water provide the active ingredient in admixture with a dispersing or wetting agent, suspending agent and one or more preservatives. Suitable dispersing or wetting agents and suspending agents are exemplified by those already mentioned above. Additional excipients, for example sweetening, flavoring and coloring agents, may also be present. These compositions may be preserved by the addition of an anti-oxidant such as ascorbic acid. The pharmaceutical compositions useful in the instant methods of treatment may also be in the form of an oil-in-water emulsions. The oily phase may be a vegetable oil, for example olive oil or arachis oil, or a mineral oil, for example liquid paraffin or mixtures of these. Suitable emulsifying agents may be naturally- occurring phosphatides, for example soy bean lecithin, and esters or partial esters derived from fatty acids and hexitol anhydrides, for example sorbitan monooleate, and condensation products of the said partial esters with ethylene oxide, for example polyoxyethylene sorbitan monooleate. The emulsions may also contain sweetening, flavouring agents, preservatives and antioxidants.
Syrups .and elixirs may be formulated with sweetening agents, for example glycerol, propylene glycol, sorbitol or sucrose. Such formulations may also contain a demulcent, a preservative, flavoring and coloring agents and antioxidant.
The pharmaceutical compositions may be in the form of a sterile injectable aqueous solutions. Among the acceptable vehicles and solvents that may be employed are water, Ringer's solution and isotonic sodium chloride solution. The sterile injectable preparation may also be a sterile injectable oil-in- water microemulsion where the active ingredient is dissolved in the oily phase. For example, the active ingredient may be first dissolved in a mixture of soybean oil and lecithin. The oil solution then introduced into a water and glycerol mixture and processed to form a microemulation. The injectable solutions or microemulsions may be introduced into a patient's blood-stream by local bolus injection. Alternatively, it may be advantageous to administer the solution or microemulsion in such a way as to maintain a constant circulating concentration of the instant compound. In order to maintain such a constant concentration, a continuous intravenous delivery device may be utilized. An example of such a device is the Deltec C ADD-PLUS™ model 5400 intravenous pump.
The pharmaceutical compositions may be in the form of a sterile injectable aqueous or oleagenous suspension for intramuscular and subcutaneous administration. This suspension may be formulated according to the known art using those suitable dispersing or wetting agents and suspending agents which have been mentioned above. The sterile injectable preparation may also be a sterile injectable solution or suspension in a non-toxic parenterally-acceptable diluent or solvent, for example as a solution in 1,3-butane diol. In addition, sterile, fixed oils are conventionally employed as a solvent or suspending medium. For this puφose any bland fixed oil may be employed including synthetic mono- or diglycerides. In addition, fatty acids such as oleic acid find use in the preparation of injectables.
The instant compositions may also be administered in the form of a suppositories for rectal administration of the drug. These compositions can be prepared by mixing the drug with a suitable non-irritating excipient which is solid at ordinary temperatures but liquid at the rectal temperature and will therefore melt in the rectum to release the dmg. Such materials include cocoa butter, glycerinated gelatin, hydrogenated vegetable oils, mixtures of polyethylene glycols of various molecular weights and fatty acid esters of polyethylene glycol. For topical use, creams, ointments, jellies, solutions or suspensions, etc., containing the inhibitor of prenyl-protein transferase are employed. (For puφoses of this application, topical application shall include mouth washes and gargles.)
The compositions of the present invention can be administered in intranasal form via topical use of suitable intranasal vehicles and delivery devices, or via transdermal routes, using those forms of transdermal skin patches well known to those of ordinary skill in the art. To be administered in the form of a transdermal delivery system, the dosage administration will, of course, be continuous rather than intermittent throughout the dosage regimen. As used herein, the term "composition" is intended to encompass a product comprising the specified ingredients in the specific amounts, as well as any product which results, directly or indirectly, from combination of the specific ingredients in the specified amounts. The prenyl-protein transferase inhibitor useful in the instant methods of treatment may also be co-administered with other well known therapeutic agents that are selected for their particular usefulness against the condition that is being treated. For example, the prenyl-protein transferase inhibitor may be useful in further combination with drugs known to supress the activity of the ovaries and slow the growth of the endometrial tissue. Such drugs include but are not limited to oral contraceptives, progestins, danazol and GnRH (gonadotropin-releasing hormone) agonists.
Administration of the prenyl-protein transferase inhibitor may also be combined with surgical treatment (such as surgical removal of misplaced endometrial tissue) where appropriate.
Two or more inhibitors of a prenyl-protein transferase may be administered in combination for the instant methods of treatment.
If formulated as a fixed dose, such combination products employ the prenyl-protein transferase inhibitor within the dosage range described below and the other pharmaceutically active agent(s) within its approved dosage range. The prenyl- protein transferase inhibitor may alternatively be used sequentially with known pharmaceutically acceptable agent(s) when a multiple combination formulation is inappropriate.
When a composition according to this invention is administered into a human subject, the daily dosage will normally be determined by the prescribing physician with the dosage generally varying according to the age, weight, and response of the individual patient, as well as the severity of the patient's symptoms.
In one exemplary application, a suitable amount of an inhibitor of prenyl-protein transferase is administered to a mammal undergoing treatment for endometriosis. Administration occurs in an amount of inhibitor of between about 0.1 mg/kg of body weight to about 60 mg/kg of body weight per day, preferably of between 0.5 mg/kg of body weight to about 40 mg/kg of body weight per day. A particular daily therapeutic dosage that comprises the instant composition includes from about 10 mg to about 3000mg of an inhibitor of prenyl-protein transferase. Preferably, the daily dosage comprises from about 10 mg to about lOOOmg of an inhibitor of prenyl-protein transferase.
A prenyl-protein transferase inhibitor may also be combined with a compound which inhibits HMG-CoA reductase in the methods of treatment of the instant invention. Compounds which have inhibitory activity for HMG-CoA reductase can be readily identified by using assays well-known in the art. For example, see the assays described or cited in U.S. Patent 4,231,938 at col. 6, and WO 84/02131 at pp. 30-33. The terms "HMG-CoA reductase inhibitor" and "inhibitor of HMG-CoA reductase" have the same meaning when used herein. Examples of HMG-CoA reductase inhibitors that may be used include but are not limited to lovastatin (MEVACOR®; see US Patent No. 4,231 ,938; 4,294,926; 4,319,039), simvastatin (ZOCOR®; see US Patent No. 4,444,784; 4,820,850; 4,916,239), pravastatin (PRAVACHOL®; see US Patent Nos. 4,346,227; 4,537,859; 4,410,629; 5,030,447 and 5,180,589), fluvastatin (LESCOL®; see US Patent Nos. 5,354,772; 4,911,165; 4,929,437; 5,189,164; 5,118,853; 5,290,946; 5,356,896), atorvastatin (LLPITOR®; see US Patent Nos. 5,273,995; 4,681,893; 5,489,691 ; 5,342,952) and cerivastatin (also known as rivastatin and BAYCHOL®; see US Patent No. 5,177,080). The structural formulas of these and additional HMG- CoA reductase inhibitors that may be used in the instant methods are described at page 87 of M. Yalpani, "Cholesterol Lowering Dmgs", Chemistry & Industry, pp. 85- 89 (5 February 1996) and US Patent Nos. 4,782,084 and 4,885,314. The term HMG- CoA reductase inhibitor as used herein includes all pharmaceutically acceptable lactone and open-acid forms (i.e., where the lactone ring is opened to form the free acid) as well as salt and ester forms of compounds which have HMG-CoA reductase inhibitory activity, and therefor the use of such salts, esters, open-acid and lactone forms is included within the scope of this invention. An illustration of the lactone portion and its coπesponding open-acid form is shown below as structures I and II.
Figure imgf000016_0001
L Xactone pen-Acid
I II In HMG-CoA reductase inhibitor's where an open-acid form can exist, salt and ester forms may preferably be formed from the open-acid, and all such forms are included within the meaning of the term "HMG-CoA reductase inhibitor" as used herein. Preferably, the HMG-CoA reductase inhibitor is selected from lovastatin and simvastatin, and most preferably simvastatin. Herein, the term "pharmaceutically acceptable salts" with respect to the HMG-CoA reductase inhibitor shall mean non- toxic salts of the compounds employed in this invention which are generally prepared by reacting the free acid with a suitable organic or inorganic base, particularly those formed from cations such as sodium, potassium, aluminum, calcium, lithium, magnesium, zinc and tetramethylammonium, as well as those salts formed from amines such as ammonia, ethylenediamine, N-methylglucamine, lysine, arginine, ornithine, choline, N,N'-dibenzylethylenediamine, chloroprocaine, diethanolamine, procaine, N-benzylphenethylamine, l-p-chlorobenzyl-2-pyπolidine-l '-yl- methylbenzimidazole, diethylamine, piperazine, and tris(hydroxymethyl)aminomethane. Further examples of salt forms of HMG-CoA reductase inhibitors may include, but are not limited to, acetate, benzenesulfonate, benzoate, bicarbonate, bisulfate, bitartrate, borate, bromide, calcium edetate, camsylate, carbonate, chloride, clavulanate, citrate, dihydrochloride, edetate, edisylate, estolate, esylate, fumarate, gluceptate, gluconate, glutamate, glycollylarsamlate, hexylresorcinate, hydrabamine, hydrobromide, hydrochloride, hydroxynapthoate, iodide, isothionate, lactate, lactobionate, laurate, malate, maleate, mandelate, mesylate, methylsulfate, mucate, napsylate, nitrate, oleate, oxalate, pamaote, palmitate, panthothenate, phosphate/diphosphate, polygalacturonate, salicylate, stearate, subacetate, succinate, tannate, tartrate, teoclate, tosylate, triethiodide, and valerate.
Ester derivatives of the described HMG-CoA reductase inhibitor compounds may act as prodmgs which, when absorbed into the bloodstream of a warm-blooded animal, may cleave in such a manner as to release the dmg form and permit the dmg to afford improved therapeutic efficacy. Inhibitors of HMG-CoA reductase may also be used alone for the treatment and prevention of endometriosis, uterine fibroids, dysfunctional uterine bleeding and endometrial hypeφlasia. Compositions and dosages useful in such monotherapy treatment are described in the patents listed hereinabove.
A prenyl-protein transferase inhibitor may be combined with a compound which inhibits a fibroblast growth factor (FGF) receptor function in the methods of treatment of the instant invention. A prenyl-protein transferase inhibitor may be combined with a compound which inhibits a urokinase in the methods of treatment of the instant invention.
A prenyl-protein transferase inhibitor may also be combined with a compound which inhibits angiogenisis, and thereby inhibit the growth and invasiveness of endometriotic cells, in the methods of treatment of the instant invention. Such inhibitors of angiogenisis include, but are not limited to angiostatin and endostatin.
A prenyl-protein transferase inhibitor may also be combined with a compound which inhibits a matrix metallo-proteinase in the methods of treatment of the instant invention. Compounds which have inhibitory activity for a matrix metallo- proteinase can be readily identified by using assays well-known in the art. For example, see the assays described or cited in PCT Pat. Publ. WO 98/34915 in particular on pp. 24-26. A prenyl-protein transferase inhibitor may also be combined with an anti-estrogen compound, such as toremifene and the like, in the methods of treatment of the instant invention. A prenyl-protein transferase inhibitor may alternatively be combined with a selective estrogen receptor modulator (SERM), devoid of uterotrophic activity, in the instant methods of treatment. A prenyl-protein transferase inhibitor may also be combined with an anti-progestin compound and/or an anti- hormonal compound in the methods of treatment of the instant invention.
A prenyl-protein transferase inhibitor may be combined with an antagonist or agonist of gonadotropin-releasing hormone (GnRH) in the instant methods of treatment. GnRH antagonists include, but are not limited to, those compounds described in European Appl. 0 219 292 and De, B. et al., J. Med. Chem., 32:2036-2038 (1989), PCT Publ. WO 95/28405, PCT Publ. WO 95/29900 and European Appl. EP 0 679 642. GnRH antagonists are also described in U.S. Pat. Nos. 5,756,507; 5,780,437 and 5,849,764, as well as U.S. Ser. No. 09/115,497 (filed July 14, 1998) and PCT Appl. US 99/15581 (filed July 9, 1999). GnRH agonists include, but are not limited to, leuprolide and the like.
Prenyl-protein transferase inhibitor compounds that are useful in the methods of the instant invention and are identified by the properties described hereinabove include: (a) a compound represented by formula (I-a) through (I-c):
Figure imgf000019_0001
Figure imgf000019_0002
A1(CR1 a 2)nA2(CR1a 2)n
Figure imgf000019_0003
Figure imgf000019_0004
wherein with respect to formula (I-a):
Figure imgf000019_0005
- A1(CR1a 2)nA2(CR1a 2)n
Figure imgf000019_0006
(I-a)
or a pharmaceutically acceptable salt thereof,
Rla and Rib are independently selected from: a) hydrogen, b) aryl, heterocycle, C3-C10 cycloalkyl, C2-C6 alkenyl, C2-C6 alkynyl, RlOO-, Rl lS(O)m-, Rl C(O)NRl0-, CN, NO2, (R10)2N-C(NRlO)-, RlOC(O)-, RlOθC(O)-, N3, -N(RlO)2, or Rl lOC(O)NR 0-, c) C1-C6 alkyl unsubstituted or substituted by aryl, heterocyclyl, C3-C10 cycloalkyl, C2-C6 alkenyl, C2-C6 alkynyl, RlOO-, Rl lS(O)m-,
Rl0c(O)NRl0-, CN, (RlO)2N-C(NRlO)-, RlOC(O)-, RIOOC(O)-, N3, -N(RlO)2, or Rl lOC(O)-NRl0-;
R2 and R3 are independently selected from: H; unsubstituted or substituted C1-8 alkyl, unsubstituted or substituted C2-8 alkenyl, unsubstituted or substituted C2-8 alkynyl, unsubstituted or substituted aryl, unsubstituted or substituted heterocycle,
Figure imgf000020_0001
wherein the substituted group is substituted with one or more of:
1) aryl or heterocycle, unsubstituted or substituted with: a) C1-4 alkyl,
Figure imgf000020_0002
c) (CH2)PNR6R7, d) halogen,
2) C3-6 cycloalkyl, 3) OR6,
4) SR6, S(O)R6, SO2R6,
5) — NR6R7
R6
6) o
Figure imgf000020_0003
— O^ .NR6R7
8) T O
9) — O^ ^OR6
T O
10) \ /NR6R7 O
11 ) — SO2 -NR6R7
R6
I
12) — N-SO2-R7
13) or
^r O R6
Figure imgf000021_0001
R2 and R3 are attached to the same C atom and are combined to form -(CH2)u- wherein one of the carbon atoms is optionally replaced by a moiety selected from: O, S(O)m, -NC(O)-, and -N(CORlO)- ;
R4 and R5 are independently selected from H and CH3; and any two of R2, R3, R4 and R5 are optionally attached to the same carbon atom;
R6, R7 and R7a are independently selected from: H; Ci-4 alkyl, C3-6 cycloalkyl, heterocycle, aryl, aroyl, heteroaroyl, arylsulfonyl, heteroarylsulfonyl, unsubstituted or substituted with: a) C 1-4 alkoxy, b) aryl or heterocycle, c) halogen, d) HO, e)
O
f) — SO2R11 or g) N(RlO)2; or
R6 and R7 : may be joined in a ring;
R7 and R7a 1 may be joined in a ring;
R8 is independently selected from: a) hydrogen, b) aryl, heterocycle, C3-C10 cycloalkyl, C2-C6 alkenyl, C2-C6 alkynyl, perfluoroalkyl, F, Cl, Br, RlOO-, Rl lS(O)m-, Rl0C(O)NRl0-, CN, NO2, Rl 2N-C(NRlO)-, RlOC(O)-, RlOθC(O)-, N3, -N(RlO)2, or
R lOC(O)NRl0-, and c) C1-C6 alkyl unsubstituted or substituted by aryl, heterocycle, C3-C10 cycloalkyl, C2-C6 alkenyl, C2-C alkynyl, perfluoroalkyl, F, Cl, Br,
RlOo, Rl lS(O)m-, Rl0c(O)NH-, CN, H2N-C(NH)-, RlOC(O)-, RlOθC(O)-, N3, -N(RlO)2, or Rl0θC(O)NH-;
R9 is selected from: a) hydrogen, b) C2-C6 alkenyl, C2-C6 alkynyl, perfluoroalkyl, F, Cl, Br, Rl 0θ-, Rl lS(O)m-, Rl0C(O)NRl0-, CN, NO2, (RlO)2N-C-(NRlO)-, RlOC(O)-, RlOOC(O)-, N3, -N(RlO)2, or Rl lOC(O)NRl0-, and c) C1-C6 alkyl unsubstituted or substituted by perfluoroalkyl, F, Cl, Br, RlOO-, Rl lS(O)m-, Rl0C(O)NRl0-, CN, (RlO)2N-C(NRlO)-,
RlOC(O)-, RlOθC(O)-, N3, -N(RlO)2, or Rl lOC(O)NRl0-;
RlO is independently selected from hydrogen, C1-C6 alkyl, benzyl and aryl;
Rl 1 is independently selected from Cl -C6 alkyl and aryl; Al and A2 are independently selected from: a bond, -CH=CH-, -C=C-, -C(O)-, -C(O)NRl0-, -NRlOC(O)-, O, -N(RlO)-, -S(O)2N(RlO)-, -N(RlO)S(O)2-, or S(O)m;
V is selected from: a) hydrogen, b) heterocycle, c) aryl, d) C1-C20 alkyl wherein from 0 to 4 carbon atoms are replaced with a a heteroatom selected from O, S, and N, and e) C2-C20 alkenyl, provided that V is not hydrogen if A is S(O) and V is not hydrogen if Al is a bond, n is 0 and A2 is S(O)m;
W is a heterocycle;
X is -CH2-, -C(=O)-, or -S(=O)m-;
is aryl, heterocycle , unsubstituted or substituted with one or more of:
1) Ci-4 alkyl, unsubstituted or substituted with: a) C 1-4 alkoxy, b) NR6R7, c) C3-6 cycloalkyl,
Φ aryl or heterocycle, e) HO, f) -S(O)mR6, or g) -C(O)NR6R7,
2) aryl 01 Γ heterocycle,
3) halog ;n,
4) OR6,
5) NR6R7,
6) CN,
7) NO2,
8) CF3,
9) -S(O)mR6, 10) -C(O)NR6R7, or
11) C3-C6 cycloalkyl;
m is 0, 1 or 2; n is 0, 1, 2, 3 or 4; p is 0, 1, 2, 3 or 4; r is 0 to 5, provided that r is 0 when V is hydrogen; s is O or 1; t is 0 or 1 ; and u is 4 or 5;
with respect to formula (Tb):
Figure imgf000024_0001
V - A1(CR1a 2)nA2(CR1a 2)n
Figure imgf000024_0002
(l-b)
or a pharmaceutically acceptable salt thereof,
Rla Rib, RlO, Rl l, m, R2, R3, R6, R7, p, R7a, u, R8, A , A2, V, W, X, n, p, r, s, t and u are as defined above with respect to formula (I-a);
R4 is selected from H and CH3;
and any two of R2, R3 and R are optionally attached to the same carbon atom;
R9 is selected from: a) hydrogen, b) alkenyl, alkynyl, perfluoroalkyl, F, Cl, Br, Rl OO-, Rl 1 S(O)m-,
Rl0C(O)NRl0-, CN, NO2, (RlO) N-C-(NRlO)-, RlOc(O)-, RlθQC(O)-, N3, -N(RlO)2, or RH OC(O)NR10-, and c) C1-C6 alkyl unsubstituted or substituted by perfluoroalkyl, F, Cl, Br, RlOO-, R lS(O)m-, Rl0C(O)NRl0-, CN, (RlO)2N-C(NRlO)-, RlOC(O)-, RlOθC(O)-, N3, -N(RlO)2, or Rl lOC(O)NRl0-;
G is H2 or O;
Z is aryl, heteroaryl, arylmethyl, heteroarylmethyl, arylsulfonyl, heteroarylsulfonyl, unsubstituted or substituted with one or more of the following: 1 ) C 1 -4 alkyl, unsubstituted or substituted with: a) Ci-4 alkoxy, b) NR6R7, c) C3-6 cycloalkyl, d) aryl or heterocycle. e) HO, f) -S(O)mR6, or g) -C(O)NR6R7,
2) aryl or heterocycle,
3) halogen,
4) OR6,
5) NR6R7,
6) CN,
7) NO2,
8) CF3,
9) -S(O)mR6,
10) -C(O)NR6R7, or
11) C3-C6 cycloalkyl;
with respect to formula (I-c):
Figure imgf000025_0001
- A1(CR1a 2)nA2(CR1a 2)n
Figure imgf000025_0002
(I-c) or a pharmaceutically acceptable salt thereof,
Rla, Rib, RlO, Rl 1, m, R2, R3, R6, R7, p, u, R7a, R8, Al, A2, V, W, X, n, r and t are as defined above with respect to formula (I-a);
R4 is selected from H and CH3;
and any two of R2, R3 and R4 are optionally attached to the same carbon atom;
G is O;
Z is aryl, heteroaryl, arylmethyl, heteroarylmethyl, arylsulfonyl, heteroarylsulfonyl, unsubstituted or substituted with one or more of the following:
1) Ci-4 alkyl, unsubstituted or substituted with: a) C 1-4 alkoxy, b) NR6R7, c) C3-6 cycloalkyl, d) aryl or heterocycle, e) HO, f) -S(O)mR6, or g) -C(O)NR6R7,
2) aryl or heterocycle,
3) halogen,
4) OR6,
5) NR6R7,
6) CN,
7) NO2,
8) CF3,
9) -S(O)mR6,
10) -C(O)NR6R7, or
11) C3-C6 cycloalkyl;
and
s is 1; (b) a compound represented by formula (II):
Figure imgf000027_0001
wherein:
Q is a 4, 5, 6 or 7 membered heterocyclic ring which comprises a nitrogen atom through which Q is attached to Y and 0-2 additional heteroatoms selected from N, S and O, and which also comprises a carbonyl, thiocarbonyl, -C(=NRl3)- or sulfonyl moiety adjacent to the nitrogen atom attached to Y;
Y is a 5, 6 or 7 membered carbocyclic ring wherein from 0 to 3 carbon atoms are replaced by a heteroatom selected from N, S and O, and wherein Y is attached to Q through a carbon atom;
Rl and R2 are independently selected from: a) hydrogen, b) aryl, heterocycle, C3-C10 cycloalkyl, C2-C6 alkenyl, C2-C6 alkynyl, RlOo, Rl lS(O)m-, RIOC(O)NRK)-, R1 lC(O)O-, (RlO)2NC(O)-, Rl02N-C(NRlO)-, CN, NO2, RlOC(O)-, N3, -N(RlO) , or Rl lOC(O)NRl0-, c) unsubstituted or substituted C1-C6 alkyl wherein the substituent on the substituted C1-C6 alkyl is selected from unsubstituted or substituted aryl, heterocyclic, C3-C10 cycloalkyl, C2-C6 alkenyl, C2-C6 alkynyl, RlOo, Rl lS(O)m-, Rl0C(O)NRl0-, (RlO)2NC(O)-, Rl02N- C(NRl0)-, CN, RlOC(O)-, N3, -N(RlO)2, and Rl lOC(O)-NRl0-; R3, R4 and R5 are independently selected from: a) hydrogen, b) unsubstituted or substituted aryl, unsubstituted or substituted heterocycle, C3-C10 cycloalkyl, C2-C6 alkenyl, C2-C6 alkynyl, halogen, C1-C6 perfluoroalkyl, Rl2θ-, Rl lS(O)m-, Rl0C(O)NRl0-, (RlO)2NC(O)-, Rl lC(O)O-, Rl02N-C(NRlO)-, CN, NO2, RlOC(O)-, N3, -N(RlO)2, or Rl lOC(O)NRl0-, c) unsubstituted C1-C6 alkyl, d) substituted C l -C alkyl wherein the substituent on the substituted C 1 -
C alkyl is selected from unsubstituted or substituted aryl, unsubstituted or substituted heterocyclic, C3-C10 cycloalkyl, C2-C6 alkenyl, C2-C6 alkynyl, R12O-, Rl lS(O)m-, Rl°C(O)NRl0-, (RlO)2NC(O)-, Rl02N-C(NRlO)-. CN, RlOC(O)-, N3, -N(Rl )2, and Rl lOC(O)-NRl0-;
R6a, R6b, R6C, Rod and R6e are independently selected from: a) hydrogen, b) unsubstituted or substituted aryl, unsubstituted or substituted heterocycle, C3-C10 cycloalkyl, C2-C alkenyl, C2-C6 alkynyl, halogen, C1-C6 perfluoroalkyl, R12O-, Rl lS(O)m-, Rl°C(O)NRl0-, (RlO)2NC(O)-, Rl lS(O)2NRlO-, (RlO)2NS(O)2-, RHC(O)O-, Rl02N-C(NRlO)-, CN, NO2, RlOC(O)-, N3, -N(RlO)2, or Rl lOC(O)NRl0-, c) unsubstituted C1-C alkyl, d) substituted C1-C6 alkyl wherein the substituent on the substituted Ci- C6 alkyl is selected from unsubstituted or substituted aryl, unsubstituted or substituted heterocyclic, C3-C10 cycloalkyl, C2-C6 alkenyl, C2-C6 alkynyl, R12O-, Rl lS(O)m-, Rl0C(O)NRl0-, (Rl )2NC(O)-, Rl lS(O)2NRlO-, (RlO)2NS(O)2-, Rlθ2N-C(NRlO)-,
CN, RlOC(O)-, N3, -N(RlO)2, and Rl lOC(O)-NRl0-; or
any two of R6a, R6b, R6C, R6d and R6e 0n adjacent carbon atoms are combined to form a diradical selected from -CH=CH-CH=CH-,-CH=CH-CH2-, -(CH2)4- and -(CH2)3S R7 is selected from: H; Ci-4 alkyl, C3- cycloalkyl, heterocycle, aryl, aroyl, heteroaroyl, arylsulfonyl, heteroarylsulfonyl, unsubstituted or substituted with: a) C 1-4 alkoxy, b) aryl or heterocycle,
Figure imgf000029_0001
d) — SO2R11 e) N(R O)2 or f) C 1-4 perfluoroalkyl;
R8 is independently selected from: a) hydrogen, b) aryl, substituted aryl, heterocycle, substituted heterocycle, C3-C10 cycloalkyl, C2-C6 alkenyl, C2-C alkynyl, perfluoroalkyl, F, Cl, Br, RlOo-, Rl lS(O)m-, RIOC(O)NRK)-, (RlO)2NC(O)-, Rl lS(O)2NRl°-, (Rl°)2NS(O)2-, Rl02N-C(NRlO)-, CN, NO2,
RlOC(O)-, N3, -N(RlO)2, or Rl lOC(O)NRl0-, and c) Cl -C6 alkyl unsubstituted or substituted by aryl, cyanophenyl, heterocycle, C3-C10 cycloalkyl, C2-C6 alkenyl, C2-C6 alkynyl, perfluoroalkyl, F, Cl, Br, RlOO-, Rl lS(O)m-, Rl0C(O)NRl0-, (RlO)2NC(O)-, Rl lS(O)2NRlO-, (RlO)2NS(O)2-, R102N-C(NRlO)-,
CN, RlOC(O)-, N3, -N(RlO)2, or Rl0θC(O)NH-;
R9 is independently selected from: a) hydrogen, b) alkenyl, alkynyl, perfluoroalkyl, F, Cl, Br, RlOO-, Rl 1 S(O)m-,
Rl0C(O)NRl0-, (RlO)2NC(O)-, Rl02N-C(NRlO)-, CN, NO2, RlOC(O)-, N3, -N(Rl )2, or Rl lOC(O)NRlO-, and c) C1-C6 alkyl unsubstituted or substituted by perfluoroalkyl, F, Cl, Br, RlOo-, Rl lS(O)m-, Rl0C(O)NRl0., (RlO)2NC(O)-, Rl02N- C(NRl0)-, CN, Rl C(O)-, N3, -N(RlO)2, or Rl lOC(O)NRl0-; RlO is independently selected from hydrogen, -C alkyl, benzyl, 2,2,2- trifluoroethyl and aryl;
R 1 is independently selected from C1-C6 alkyl and aryl;
Rl2 is independently selected from hydrogen, -C6 alkyl, -C6 aralkyl, C1-C6 substituted aralkyl, -C6 heteroaralkyl, C1-C6 substituted heteroaralkyl, aryl, substituted aryl, heteroaryl, substituted heteraryl, Cι-C6 perfluoroalkyl, 2-aminoethyl and 2,2,2-trifluoroethyl;
R! 3 is selected from hydrogen, -C6 alkyl, cyano, C1-C6 alkylsulfonyl and C1-C6 acyl;
Al and A2 are independently selected from: a bond, -CH=CH-, -C≡C-, -C(O)-, -C(O)NRl0-, -NRl°C(O)-, O, -N(R10)-, -S(O)2N(RlO)-, -N(R10)S(O)2-, or S(O)m;
V is selected from: a) hydrogen, b) heterocycle, c) aryl, d) Cl -C20 alkyl wherein from 0 to 4 carbon atoms are replaced with a heteroatom selected from O, S, and N, and e) C2-C20 alkenyl, provided that V is not hydrogen if A is S(O)m and V is not hydrogen if Al is a bond, n is 0 and A2 is S(O)m;
W is a heterocycle;
X is a bond, -CH=CH-, O, -C(=O)-, -C(O)NR7-, -NR7c(O)-, -C(O)O-, -0C(0)-, -C(O)NR7c(O)-, -NR7-, -S(O)2N(R!0)-, -N(R10)S(O)2- or -S(=O)m-;
m is 0, 1 or 2; n is independently 0, 1, 2, 3 or 4; p is independently 0, 1, 2, 3 or 4; q is 0, 1, 2 or 3; r is 0 to 5, provided that r is 0 when V is hydrogen; and t is 0 or 1 ;
(c) a compound represented by formula (III):
Figure imgf000031_0001
wherein:
Rl, R2, R3, R4, R5, R6a-e5 R7? R85 R9? R10J RI I , R12? R13? Al? A2; V, W, m, n, p, q, r and t are as previously defined with respect to formula (IT);
Q is a 4, 5, 6 or 7 membered heterocyclic ring which comprises a nitrogen atom through which Q is attached to Y and 0-2 additional heteroatoms selected from N, S and O, and which also comprises a carbonyl, thiocarbonyl, -C(=NR13)- or sulfonyl moiety adjacent to the nitrogen atom attached to Y, provided that Q is not
Figure imgf000031_0002
Y is a 5, 6 or 7 membered carbocyclic ring wherein from 0 to 3 carbon atoms are replaced by a heteroatom selected from N, S and O, and wherein Y is attached to Q through a carbon atom;
(d) a compound represented by formula (IV):
Figure imgf000032_0001
IV
wherein:
Rla, Rib, RIC an(ι Rid are independently selected from: a) hydrogen, b) aryl, heterocycle, cycloalkyl, alkenyl, alkynyl, R °O-, Rl 1 S(O)m-,
Rl0C(O)NR10-, (RlO)2N-C(O)-, CN, NO2, (R1°)2N-C(NR10)-, R10C(O)-, Rl°OC(O)-, N3, -N(RlO)2, or Rl 1OC(O)NR1°-, c) unsubstituted or substituted C1-C6 alkyl wherein the substitutent on the substituted -C6 alkyl is selected from unsubstituted or substituted aryl, heterocyclic, cycloalkyl, alkenyl, alkynyl, Rl^O-,
Rl lS(O)m-, R10C(O)NRl°-, (R10)2N-C(O)-, CN, (R10)2N- C(NRl°)-, R10C(O)-, Rl°OC(O)-, N3, -N(R10)2, and Rl lθC(O)- NR10-, or two Rlas, two R^s, two R °s or two Rl^s, on the same carbon atom may be combined to form -(CH2)tS R2 , R2b? R3a anc\ R3b are independently selected from H; unsubstituted or substituted Ci-8 alkyl, unsubstituted or substituted C2-8 alkenyl, unsubstituted or substituted C2-8 alkynyl, unsubstituted or substituted aryl, unsubstituted or substituted heterocycle,
Figure imgf000033_0001
wherein the substituted group is substituted with one or more of: 1) aryl or heterocycle, unsubstituted or substituted with: a) Ci-4 alkyl,
Figure imgf000033_0002
c) (CH2)pNR6R7. d) halogen, e) CN,
2) C3-6 cycloalkyl,
3) OR6, 4) SR4, S(O)R4, SO2R4,
5) — NR6R7
Figure imgf000033_0003
-O^/ NR6R7
8) Y O
Figure imgf000034_0001
10) \ . NR6R7 O
11 ) — SO2-NR6R
Figure imgf000034_0002
13)
0
Figure imgf000034_0003
15) N3, or
16) F; or
R2 and R^a are attached to the same C atom and are combined to form -(CH2)u- wherein one of the carbon atoms is optionally replaced by a moiety selected from O, S(O)m, -NC(O)-, and -N(CORl°)-;
and R2a and R^a are optionally attached to the same carbon atom;
R4 is selected from Ci-4 alkyl, C3-6 cycloalkyl, heterocycle, aryl, unsubstituted or substituted with: a) Ci-4 alkoxy, b) aryl or heterocycle, c) halogen, d) HO,
R1 1 β) y
O
f) — SO2R11
Figure imgf000035_0001
h) C i -4 perfluoroalkyl;
R5, R6 and R7 are independently selected from:
1) hydrogen,
2) Rl °C(O)-, or Rl °OC(O)-, and
3) Ci-Cό alkyl, C2-C6 alkenyl, C2-C6 alkynyl, C3-6 cycloalkyl, heterocycle, aryl, aroyl, heteroaroyl, arylsulfonyl, heteroarylsulfonyl,
C6-C10 multicychc alkyl ring, unsubstituted or substituted with one or more substituents selected from: a) R OO-, b) aryl or heterocycle, c) halogen, d) R10C(O)NR10-,
D10 e)
O
f) — SO2R11
Figure imgf000035_0002
h) C3-6 cycloalkyl, i) C -C10 multicychc alkyl ring. j) Ci-Cό perfluoroalkyl,
Figure imgf000035_0003
1) R10OC(O)-, m) R1 10C(0)NR1°-, n) CN, and
0) NO2; or R6 and R may be joined in a ring; and independently,
R5 and R7 may be joined in a ring;
R8 is independently selected from: a) hydrogen, b) unsubstituted or substituted aryl, unsubstituted or substituted heterocycle, C3-C10 cycloalkyl, C2-C6 alkenyl, C2-C6 alkynyl, perfluoroalkyl, F, Cl, Br, R!2O-, RHS(O)m-, R10C(O)NRl°-, (Rl°)2NC(O)-, R1°2N-C(NR1°)-, CN, NO2, Rl°C(O)-, Rl°OC(O)-,
N3, -N(Rl°)2, or RH 0C(0)NR1°-, and c) C 1 -Cβ alkyl unsubstituted or substituted by unsubstituted or substituted aryl, unsubstituted or substituted heterocycle, C3-C10 cycloalkyl, C2-C6 alkenyl, C2-C6 alkynyl, perfluoroalkyl, F, Cl, Br, Rl°O-, Rl lS(O)m-, R10C(O)NH-, (Rl°)2NC(O)-, R1 °2N-C(NR10)-,
CN, RlOC(O)-, R10OC(O)-, N3, -N(RlO)2, or Rl°OC(O)NH-;
R9 is selected from: a) hydrogen, b) C2-C6 alkenyl, C2-C6 alkynyl, perfluoroalkyl, F, Cl, Br, Rl °O-,
RπS(O)m-, R1°C(O)NR1°-, (R10)2NC(O)-, R102N-C(NR10)-, CN, NO2, R10C(O)-, Rl°OC(O)-, N3, -N(Rl°)2, or RHOC^NRI0-, and c) C1-C alkyl unsubstituted or substituted by perfluoroalkyl, F, Cl, Br, RlOO-, R lS(O)m-,
Figure imgf000036_0001
(RlO)2NC(O)-, R!°2N- C(NR10)-, CN, Rl°C(O)-, R!°OC(O)-, N3, -N(R10)2, or
R1 10C(0)NR1°-;
R O is independently selected from hydrogen, C1-C6 alkyl, benzyl, unsubstituted or substituted aryl and unsubstituted or substituted heterocycle;
Rl 1 is independently selected from C1-C6 alkyl unsubstituted or substituted aryl and unsubstituted or substituted heterocycle; Rl2 is independently selected from hydrogen, C1-C6 alkyl, C1-C3 perfluoroalkyl, unsubstituted or substituted benzyl, unsubstituted or substituted aryl, unsubstituted or substituted heterocycle, and C1-C6 alkyl substituted with unsubstituted or substituted aryl or unsubstituted or substituted heterocycle;
Al is selected from a bond, -C(O)-, -C(O)NRl°-, -NR10C(O)-, O, -N(R10)-, -S(O)2N(RlO)-, -N(RlO)S(O)2-, and S(O)m;
A2 is selected from a bond, -C(O)-, -C(0)NR1°-, -NR1°C(O)-, O, -N(R1 °)-, -S(O)2N(Rl 0)-, -N(Rl °)S(O)2-, S(O)m and -C(Rl d)2
Gl' G2 and G^ are independently selected from H2 and O;
W is heterocycle;
V is selected from: a) heterocycle, and b) aryl;
X and Y are independently selected from a bond, -C(=O)- or -S(=O)m;
∑l is selected from unsubstituted or substituted aryl and unsubstituted or substituted heterocycle, wherein the substituted aryl or substituted heterocycle is substituted with one or more of: 1) Ci-8 alkyl, C2-8 alkenyl or C2-8 alkynyl, unsubstituted or substituted with: a) Ci-4 alkoxy, b) NR6R7 5 c) C3-6 cycloalkyl, d) aryl or heterocycle, e) HO, f) -S(O)mR4, g) -C(O)NR6R7, h) -Si(Ci-4 alkyl)3, or i) Ci-4 perfluoroalkyl;
2) substituted or unsubstituted aryl or substituted or unsubstituted heterocycle,
3) halogen,
4) OR6'
5) NR6R7,
6) CN,
7) NO2,
8) CF3;
9) -S(O)mR4,
10) -OS(O)2R4,
11) -C(O)NR6R7,
12) -C(O)OR6, or
13) C3-C6 cycloalkyl;
∑2 is selected from a bond, unsubstituted or substituted aryl and unsubstituted or substituted heterocycle, wherein the substituted aryl or substituted heterocycle is substituted with one or more of:
1) Ci-8 alkyl, C2-8 alkenyl or C2-8 alkynyl, unsubstituted or substituted with: a) C 1-4 alkoxy, b) NR6R7, c) C3-6 cycloalkyl, d) aryl or heterocycle, e) HO, f) -S(O)mR4, g) -C(O)NR6R7, h) -Si(Ci-4 alkyl)3, or i) C 1 -4 perfluoroalkyl; 2) substituted or unsubstituted aryl or substituted or unsubstituted heterocycle,
3) halogen,
4) OR6'
5) NR6R7> 6) CN,
7) NO2,
8) CF3,
9) -S(O)mR4, 10) -OS(O)2R4,
11) -C(O)NR6R7,
12) -C(O)OR6, or
13) C3-C6 cycloalkyl;
m is 0, 1 or 2; n is 0, 1, 2, 3 or 4; p is 0, 1, 2, 3 or 4; q is 1 or 2; r is 0 to 5; s is independently 0, 1, 2 or 3; t is 2 to 6; and u is 4 or 5;
(e) a compound represented by formula (V):
Figure imgf000039_0001
V
wherein:
Rla, Rib, R1C? Rid anc\ Rle are independently selected from: a) hydrogen, b) unsubstituted or substituted aryl, unsubstituted or substituted heterocycle, cycloalkyl, alkenyl, alkynyl, R ^O-, Rl ^S(O)m-, R! 0C(O)NR10-, (Rl°)2N-C(O)-, CN, NO2, (R1 °)2N-C(NR10)., Rl°C(O)-, Rl°OC(O)-, N3, -N(Rl°)2, or Rl 1 OC(O)NR1 °-, 5 c) unsubstituted or substituted C1-C6 alkyl wherein the substitutent on the substituted C1-C6 alkyl is selected from unsubstituted or substituted aryl, heterocyclic, cycloalkyl, alkenyl, alkynyl, perfluoroalkyl, halogen, Rl°O-, R4S(O)m-, R4S(O)2NRl°-, R1°C(O)NR1 °-, (Rl°)2N-C(O)-, CN, (R1 °)2N-C(NR1 °)-, R! °C(O)-, 10 Rl0θC(O)-, N3, -N(R1°)2, and RH0C(0)-NR1 0-; or two R s, two R^s, two R cs, two RI^S or two Rles, on the same carbon atom may be combined to form -(CH2)vS
R4 is selected from Cι_4 alkyl, C3-6 cycloalkyl, heterocycle, aryl, unsubstituted or
15 substituted with: a) Ci-4 alkoxy, b) aryl or heterocycle, c) halogen,
Figure imgf000040_0001
f) — SO2R11 z 2 9υ00 g) N(R10)2, or h) Ci-4 perfluoroalkyl;
R6 and R7 are independently selected from: 25 1) hydrogen,
2) R1 °C(O)-, or R1 °OC(O)-, and
3) C1-C6 alkyl, C2-C6 alkenyl, C2-C6 alkynyl, C3-6 cycloalkyl, heterocycle, aryl, aroyl, heteroaroyl, arylsulfonyl, heteroarylsulfonyl, C6-C10 multicychc alkyl ring, unsubstituted or substituted with one or
30 more substituents selected from: a) RlOO-, b) aryl or heterocycle, c) halogen, d) R! °C(O)NR10-,
R10 e)
O
) — SO2R11 g) N(R10)2, h) C3-6 cycloalkyl, i) 6-C10 multicychc alkyl ring, j) C1-C6 perfluoroalkyl,
Figure imgf000041_0001
1) Rl°OC(O)-, m) R1 0C(0)NR10-, n) CN, and o) NO2; or
R6 and R7 may be joined in a ring;
R8 is independently selected from: a) hydrogen, b) unsubstituted or substituted aryl, unsubstituted or substituted heterocycle, C3-C10 cycloalkyl, C2-C6 alkenyl, C2-C6 alkynyl, perfluoroalkyl, F, Cl, Br, R 2O-, Rl lS(O)m-, R10C(O)NR10-, (Rl°)2NC(O)-, R102N-C(NRl°)-, CN, NO2, R10C(O)-, Rl°OC(O)-, N3, -N(Rl°)2, or RHOC(O)NR10-, and c) C 1 -C6 alkyl unsubstituted or substituted by unsubstituted or substituted aryl, unsubstituted or substituted heterocycle, C3-C10 cycloalkyl, C2-C6 alkenyl, C2-C6 alkynyl, perfluoroalkyl, F, Cl, Br, RlOO-, RnS(O)m-, R10C(O)NH-, (RlO)2NC(O)-, R102N-C(NR10)-, CN, Rl°C(O)-, R10OC(O)-, N3, -N(Rl°)2, or Rl°OC(O)NH-; R9 is selected from: a) hydrogen, b) C2-C6 alkenyl, C2-C6 alkynyl, perfluoroalkyl, F, Cl, Br, Rl °O-, Rl lS(O)m-, R10C(O)NRl°-, (R1°)2NC(0)-, R! °2N-C(NR10)-, CN, NO2, R10C(O)-, Rl°OC(O)-, N3, -N(R10)2, or Rl lOC(O)NR10-, and c) C1-C6 alkyl unsubstituted or substituted by perfluoroalkyl, F, Cl, Br,
RlOO-, Rl lS(O)m-, R10C(O)NRl°-, (R!°)2NC(O)-, R!°2N- C(NR1°K CN, R10C(O)-, Rl°OC(O)-, N3, -N(Rl°)2, or RH0C(0)NR1 °-;
RlO is independently selected from hydrogen, Ci-Cβ alkyl, unsubstituted or substituted benzyl, unsubstituted or substituted aryl and unsubstituted or substituted heterocycle;
R 1 is independently selected from C1-C6 alkyl unsubstituted or substituted aryl and unsubstituted or substituted heterocycle;
R 2 is independently selected from hydrogen, -C6 alkyl, C1-C3 perfluoroalkyl, unsubstituted or substituted benzyl, unsubstituted or substituted aryl, unsubstituted or substituted heterocycle, and C1-C6 alkyl substituted with unsubstituted or substituted aryl or unsubstituted or substituted heterocycle;
A is selected from a bond, -C(O)-, -C(O)NRl°-, -NR1°C(0)-, O, -N(R10)-, -S(O)2N(RlO)-, -N(R1 ())S(O)2-, and S(O)m;
A is selected from a bond, -C(O)-, -C(0)NR1°-, -NR!OC(O)-, O, -N(R10)-, -S(O)2N(RlO)-, -N(Rln)S(O)2-, S(O)m and -C(Rld)2-;
W is heteroaryl;
V is selected from: a) heteroaryl, and b) aryl; X and Y are independently selected from -C(O)-, -C(O)NRl°-, -NR1 °C(0)-, -NRl°C(O)-O-, -O-C(O)NRl°-, -NRl°C(O)NRl°-, -C(O)NRl°C(O)-, O, -N(R1 °)-, -S(O)2N(RlO)-, -N(RlO)S(O)2- and S(O)m;
Zl is selected from unsubstituted or substituted aryl and unsubstituted or substituted heterocycle, wherein the substituted aryl or substituted heterocycle is substituted with one or more of:
1) Ci-8 alkyl, C2-8 alkenyl or C2-8 alkynyl, unsubstituted or substituted with: a) C 1-4 alkoxy, b) NR6R7, c) C3-6 cycloalkyl, d) aryl or heterocycle, e) HO, f) -S(O)mR4, g) -C(O)NR R7, h) -Si(Cι_4 alkyl)3, or i) C 1 -4 perfluoroalkyl;
2) substituted or unsubstituted aryl or substituted or unsubstituted heterocycle,
3) halogen,
4) OR6'
5) NR6R7,
6) CN,
7) NO2,
8) CF3,
9) -S(O)mR4,
10) -OS(O)2R4,
11) -C(O)NR6R7,
12) -C(O)OR6, or
13) C3-C6 cycloalkyl; z2 is selected from a bond, unsubstituted or substituted aryl and unsubstituted or substituted heteroaryl, wherein the substituted aryl or substituted heteroaryl is substituted with one or more of:
1) Ci- alkyl, C2-8 alkenyl or C2-8 alkynyl, unsubstituted or substituted with: a) Ci-4 alkoxy, b) NR6R7, c) C3-6 cycloalkyl, d) aryl or heterocycle, e) HO, f) -S(O)mR4, g) -C(O)NR6R7, h) -Si(Ci-4 alkyl)3, or i) C 1 -4 perfluoroalkyl;
2) substituted or unsubstituted aryl or substituted or unsubstituted heterocycle,
3) halogen,
4) OR6'
5) NR6R7' ) CN,
7) NO2,
8) CF3,
9) -S(O)mR4,
10) -OS(O)2R4,
11) -C(O)NR6R7,
12) -C(O)OR6, or
13) C3-C6 cycloalkyl;
m is 0, 1 or 2 n is 0, 1, 2, 3 or 4; p is O, 1, 2, 3 or 4; q is 1 or 2; r is 0 to 5; s is independently 0, 1, 2 or 3; t is 1, 2, 3 or 4; and v is 2 to 6;
(f) a compound represented by formula (VI):
Figure imgf000045_0001
VI
wherein:
Rla, R b, RIC a^ Rle are independently selected from: a) hydrogen, b) aryl, heterocycle, cycloalkyl, alkenyl, alkynyl, R °O-, Rl 1 S(O)m-,
Rl°C(O)NR10-, (R10)2N-C(O)-, CN, NO2, (R10)2N-C(NR10)-, R10C(O)-, Rl°OC(O)-, N3, -N(Rl°)2, or Rl lθC(O)NR10-, c) unsubstituted or substituted Ci-Cό alkyl wherein the substitutent on the substituted C1-C6 alkyl is selected from unsubstituted or substituted aryl, heterocyclic, cycloalkyl, alkenyl, alkynyl, Rl^O-,
Rl lS(O)m-, R10C(O)NRl0-, (R10)2N-C(O)-, CN, (RlO)2N- C(NRl°K R10C(O)-, RIOOC(O)-, N3, -N(Rl°)2, and Rl lθC(O)- NR10-; or two R as, two R^s, two Rlcs or two R es, on the same carbon atom may be combined to form -(CH2)vS
R4 is selected from Ci-4 alkyl, C3-6 cycloalkyl, heterocycle, aryl, unsubstituted or substituted with: a) C 1-4 alkoxy, b) aryl or heterocycle, c) halogen, d) HO,
R 11 e)
O
f) — SO2R ) 1 '1
g) N(R O)2, or h) C 1 -4 perfluoroalkyl ;
R6 and R7 are independently selected from: 1) hydrogen, 2) Rl °C(O)-, or R1 °OC(O)-, and
3) Ci-Cό alkyl, C2-C6 alkenyl, C2-C6 alkynyl, C3-6 cycloalkyl, heterocycle, aryl, aroyl, heteroaroyl, arylsulfonyl, heteroarylsulfonyl, C6-C10 multicychc alkyl ring, unsubstituted or substituted with one or more substituents selected from: a) RlOO-, b) aryl or heterocycle, c) halogen, d) R10C(O)NR10-, p10 e)
O
f) — SO2R11
g) N(RlO)2, h) C3-6 cycloalkyl, i) C6-C10 multicychc alkyl ring, j) Ci-Cό perfluoroalkyl, k) (R10)2N-C(NR10)-,
1) R10OC(O)-, m) Rl !OC(O)NRl0-, n) CN, and o) NO2; or
R6 and R7 may be joined in a ring;
R8 is independently selected from: a) hydrogen, b) unsubstituted or substituted aryl, unsubstituted or substituted heterocycle, C3-C10 cycloalkyl, C2-C6 alkenyl, C2-C6 alkynyl, perfluoroalkyl, F, Cl, Br, R 2O-, RHS(O)m-, R10C(O)NRl°-, (R10)2NC(O)-, Rl°2N-C(NRl°)-, CN, NO2, Rl°C(O)-, R! °OC(O)-,
Figure imgf000047_0001
c) C1-C6 alkyl unsubstituted or substituted by unsubstituted or substituted aryl, unsubstituted or substituted heterocycle, C3-C10 cycloalkyl, C2-C6 alkenyl, C2-C6 alkynyl, perfluoroalkyl, F, Cl, Br, R10O-, Rl lS(O)m-, R10C(O)NH-, (Rl°)2NC(O)-, R1 °2N-C(NR1°)-,
CN, Rl°C(O)-, R10OC(O)-, N3, -N(R10)2, or Rl°OC(O)NH-;
R9 is selected from: a) hydrogen, b) C2-C6 alkenyl, C2-C6 alkynyl, perfluoroalkyl, F, Cl, Br, R °O-,
Rl lS(O)m-, R10C(O)NR10-, (R10)2NC(O)-, R102N-C(NRl°)-, CN, NO2, R10C(O)-, R10OC(O)-, N3, -N(Rl°)2, or Rl iOC^NRl0-, and c) C1-C6 alkyl unsubstituted or substituted by perfluoroalkyl, F, Cl, Br, R OO-, RHS(O)m-, R10C(O)NRl0-, (Rl°)2NC(O)-, R102N- C(NR!0)-, CN, R10C(O)-, Rl°OC(O)-, N3, -N(R10)2, or
Rl !OC(O)NR10-;
RlO is independently selected from hydrogen, C1-C6 alkyl, unsubstituted or substituted benzyl, unsubstituted or substituted aryl and unsubstituted or substituted heterocycle;
R is independently selected from C1-C6 alkyl unsubstituted or substituted aryl and unsubstituted or substituted heterocycle; Rl2 is independently selected from hydrogen, C1-C6 alkyl, C1-C3 perfluoroalkyl, unsubstituted or substituted benzyl, unsubstituted or substituted aryl, unsubstituted or substituted heterocycle, and C1-C6 alkyl substituted with unsubstituted or substituted aryl or unsubstituted or substituted heterocycle;
Al is selected from a bond, -C(O)-, -C(O)NRl°-, -NR1 °C(0)-, O, -N(R1°)-, -S(O)2N(RlO)-, -N(RlO)S(O)2-, and S(O)m;
A2 is selected from a bond, -C(O)-, -C(O)NRl°-, -NR1 °C(0)-, O, -N(R1°)-, -S(O)2N(RlO)-, -N(RlO)S(O)2-, S(O)m and -C(Rld)2-;
W is heteroaryl;
V is selected from: a) heteroaryl, and b) aryl;
X is independently selected from -C(O)-, -C(0)NR1°-, -NR10C(O)-, -NR10C(O)-O-, -O-C(O)NR10-, - NR1°C(0)NR1°-, -C(0)NR1°C(0)-, O, -N(Ri 0)-, -S(O)2N(R10)-, -N(Rl °)S(O)2- and S(O)m;
Zl is selected from unsubstituted or substituted aryl and unsubstituted or substituted heterocycle, wherein the substituted aryl or substituted heterocycle is substituted with one or more of:
1) Cl-8 alkyl, C2-8 alkenyl or C2-8 alkynyl, unsubstituted or substituted with: a) C 1-4 alkoxy, b) NR6R7, c) C3-6 cycloalkyl, d) aryl or heterocycle, e) HO, f) -S(O)mR4, g) -C(O)NR6R7, h) -Si(Ci- alkyl)3, or i) C i -4 perfluoroalkyl;
2) substituted or unsubstituted aryl or substituted or unsubstituted heterocycle,
3) halogen,
4) OR6'
5) NR6R7'
6) CN,
7) NO2,
8) CF3,
9) -S(O)mR4,
10) -OS(O)2R4,
11) -C(O)NR6R7,
12) -C(O)OR6, or
13) C3-C6 cycloalkyl;
Z is selected from a bond, unsubstituted or substituted aryl and unsubstituted or substituted heteroaryl, wherein the substituted aryl or substituted heteroaryl is substituted with one or more of:
1) Ci-8 alkyl, C2-8 alkenyl or C2-8 alkynyl, unsubstituted or substituted with: a) C 1-4 alkoxy, b) NR6R7, c) C3-6 cycloalkyl, d) aryl or heterocycle, e) HO, f) -S(O)mR4, g) -C(O)NR6R7, h) -Si(Ci-4 alkyl)3, or i) C 1 -4 perfluoroalkyl;
2) substituted or unsubstituted aryl or substituted or unsubstituted heterocycle,
3) halog en,
4) OR6'
5) NR6R7' ) CN, 7) NO2,
8) CF3,
9) -S(O)mR4,
10) -OS(O)2R4, 11) -C(O)NR6R7,
12) -C(O)OR6, or
13) C3-C6 cycloalkyl;
m is 0, 1 or 2; n is 0, 1, 2, 3 or 4; p is 0, 1, 2, 3 or 4; q is 1 or 2; r is 0 to 5; s is independently 0, 1, 2 or 3; t is 1, 2, 3 or 4; and v is 2 to 6;
or a pharmaceutically acceptable salt or optical isomer thereof.
In an embodiment of the instant invention, the prenyl-protein transferase inhibitor is a compound represented by formula (IV):
Figure imgf000050_0001
IV wherein:
Rla, Rib, Rle and Rid are independently selected from: a) hydrogen, b) aryl, heterocycle, C3-C10 cycloalkyl, C2-C6 alkenyl, C2-C6 alkynyl, R10O-, RiiS(O)m-, Rl0C(O)NRl0-, (RlO)2N-C(O)-, CN, NO2,
(RlO)2N-C(NRlO)-, RlOC(O)-, RlOθC(O)-, N3, -N(RlO)2, or Rl lOC(O)NRl0-, c) unsubstituted or substituted Ci-Cβ alkyl wherein the substitutent on the substituted C1-C alkyl is selected from unsubstituted or substituted aryl, heterocyclic, C3-C10 cycloalkyl, C2-C6 alkenyl, C2-
Cβ alkynyl, RlOO-, Rl lS(O)m-, Rl0C(O)NRl0-, (RlO)2N-C(O)-, CN, (RlO)2N-C(NRlO)-, Rl0c(O)-, RlOOC(O)-, N3, -N(RlO)2, and Rl lOC(O)- Rl0-;
R2a, R2b, R3a and R3b are independently selected from: H; unsubstituted or substituted _ alkyl, unsubstituted or substituted C2-8 alkenyl, unsubstituted or substituted C2-8 alkynyl, unsubstituted or substituted aryl, unsubstituted or substituted heterocycle,
Figure imgf000051_0001
wherein the substituted group is substituted with one or more of:
1) aryl or heterocycle, unsubstituted or substituted with: a) C 1-4 alkyl, b) (CH2)pOR6, c) (CH2)pNR6R7, d) halogen, e) CN,
2) C3-6 cycloalkyl,
3) OR6,
4) SR4, S(O)R4, SO2R4 5) — NR6R7
Figure imgf000052_0001
— O^ .NR6R7
8) Y O
9) — .OR6
T O
10) \ . NR6R7 O
11) — SO2-NR6R7
Figure imgf000052_0002
13)
~Ύ 0-RS
14)
-γ 00R6
15) N3, or
16) F; or R2 and R3 are attached to the same C atom and are combined to form -(CH2)u- wherein one of the carbon atoms is optionally replaced by a moiety selected from: O, S(O)m, -NC(O)-, and -N(CORlO)-;
and R2 and R3 are optionally attached to the same carbon atom;
R4 is selected from: Ci-4 alkyl, C3-6 cycloalkyl, heterocycle, aryl, unsubstituted or substituted with: a) Ci-4 alkoxy, b) aryl or heterocycle, c) halogen, d) HO, e) ^
O
f) — SO2R >1"1 , or g) N(R10)2;
R5, R6 and R7 are independently selected from: H; Ci-4 alkyl, C3-6 cycloalkyl, heterocycle, aryl, aroyl, heteroaroyl, arylsulfonyl, heteroarylsulfonyl, unsubstituted or substituted with: a) C 1-4 alkoxy, b) aryl or heterocycle, c) halogen, d) HO,
R 11
O
f) — SO2R11 , or
Figure imgf000053_0001
R6 and R7 may be joined in a ring; and independently, R5 and R7 may be joined in a ring;
R8 is independently selected from: a) hydrogen, b) unsubstituted or substituted aryl, unsubstituted or substituted heterocycle, C3-C10 cycloalkyl, C2-C6 alkenyl, C2-C alkynyl, perfluoroalkyl, F, Cl, Br, Rl0τ , Rl lS(O)m-, Rl0C(O)NRl0-, (RlO)2NC(O)-, Rl02N-C(NRlO)-, CN, NO2, RlOC(O)-, RlOθC(O)-, N3, -N(RlO)2, or Rl lOC(O)NRl0-, and c) C 1 -C6 alkyl unsubstituted or substituted by unsubstituted or substituted aryl, unsubstituted or substituted heterocycle, C3-C10 cycloalkyl, C2-C6 alkenyl, C2-C6 alkynyl, perfluoroalkyl, F, Cl, Br, RlOo-, Rl lS(O)m-, Rl°C(O)NH-, (RlO)2NC(O)-, R102N-C(NR1 )-, CN, RlOC(O)-, RlOOC(O)-, N3, -N(RlO)2, or Rl0θC(O)NH-;
R9 is selected from: a) hydrogen, b) C2-C6 alkenyl, C2-C6 alkynyl, perfluoroalkyl, F, Cl, Br, Rl OO-,
Rl lS(O)m-, R10C(O)NRl0-, (RlO)2NC(O)-, Rl02N-C(NRlO)-, CN, NO2, RlOC(O)-, RlOOC(O)-, N3, -N(Rl )2, or Rl lOC(O)NRl0-, and c) C 1 -C alkyl unsubstituted or substituted by perfluoroalkyl, F, Cl, Br, RlOo-, Rl lS(O)m-, R10C(O)NRl0-, (RlO)2NC(O)-, Rl 2N- C(NRlO)-, CN, RlOC(O)-, RlOθC(O)-, N3, -N(Rl )2, or Rl lOC(O)NRl0-;
R O is independently selected from hydrogen, C1-C6 alkyl, benzyl, unsubstituted or substituted aryl and unsubstituted or substituted heterocycle;
Rl 1 is independently selected from C1-C6 alkyl unsubstituted or substituted aryl and unsubstituted or substituted heterocycle;
A is selected from: a bond, -C(O)-, -C(O)NRl0-, -NRIOC(O)-, O, -N(R10)-, -S(O)2N(R10)-, -N(RlO)S(O)2-, and S(O)m; A2 is selected from: a bond, -C(O)-, -C(O)NRl0-, -NRlOC(O)-, O, -N(R10)-, -S(O) N(RlO)-, -N(RlO)S(O)2-, S(O)m and -C(Rld)2-;
Gl, G2 and G3 are independently selected from: H2 and O;
W is heterocycle;
V is selected from: a) heterocycle, and b) aryl;
X and Y are independently selected from: a bond, -C(=O)- or -S(=O) nr
Zl is selected from unsubstituted or substituted aryl and unsubstituted or substituted heterocycle, wherein the substituted aryl or substituted heterocycle is substituted with one or more of:
1) Ci-4 alkyl, unsubstituted or substituted with: a) C 1-4 alkoxy, b) NR6R7, c) C3-6 cycloalkyl, d) aryl or heterocycle, e) HO, f) -S(O)mR4 or g) -C(O)NR6R7,
2) aryl or heterocycle,
3) halogen,
4) OR6'
5) NR6R7'
6) CN,
7) NO2,
8) CF3,
9) -S(O)mR4,
10) -C(O)NR6R7, or
11) C3-C6 cycloalkyl; Z2 is selected from a bond, unsubstituted or substituted aryl and unsubstituted or substituted heterocycle, wherein the substituted aryl or substituted heterocycle is substituted with one or more of: 1) C 1-4 alkyl, unsubstituted or substituted with: a) C 1-4 alkoxy, b) NR6R7, c) C3- cycloalkyl, d) aryl or heterocycle, e) HO, f) -S(O)mR4, or g) -C(O)NR6R7,
2) aryl or heterocycle,
3) halogen, 4) OR6'
5) NR6R7>
6) CN,
7) NO2,
8) CF3, 9) -S(O)mR4
10) -C(O)NR6R7, or
11) C3-C6 cycloalkyl;
m is 0, 1 or 2; n is 0, 1, 2, 3 or 4; p is O, 1, 2, 3 or 4; q is 1 or 2; r is O to 5; s is independently 0, 1, 2 or 3; and u is 4 or 5;
or a pharmaceutically acceptable salt or optical isomer thereof. Examples of compounds which inhibit prenyl protein transferase include the following: 2(S)-Butyl- 1 -(2,3-diaminoprop- 1 -yl)- 1 -( 1 -naphthoyl)piperazine;
1 -(3-Amino-2-(2-naphthylmethylamino)prop- 1 -yl)-2(S)-butyl-4-( 1 - naphthoyl)piperazine;
2(S)-Butyl-1 - {5-[ 1 -(2-naphthylmethyl)]-4,5-dihydroimidazol} methyl-4-( 1 - naphthoyl)piperazine;
l-[5-(l-Benzylimidazol)methyl]-2(S)-butyl-4-(l-naphthoyl)piperazine;
1 - {5-[ 1 -(4-nitrobenzyl)]imidazolylmethyl} -2(S)-butyl-4-( 1 -naphthoyl)piperazine;
1 -(3 - Acetamidomethylthio-2(R)-aminoprop- 1 -yl)-2(S)-butyl-4-( 1 - naphthoyl)piperazine;
2(S)-Butyl- 1 -[2-(l -imidazolyl)ethyl]sulfonyl-4-(l -naphthoyl)piperazine;
2(R)-Butyl- 1 -imidazolyl-4-methyl-4-( 1 -naphthoyl)piperazine;
2(S)-Butyl-4-( 1 -naphthoyl)- 1 -(3-pyridylmethyl)piperazine;
1 -2(S)-butyl-(2(R)-(4-nitrobenzyl)amino-3-hydroxypropyl)-4-( 1 - naphthoyl)piperazine;
l-(2(R)-Amino-3-hydroxyheptadecyl)-2(S)-butyl-4-(l-naphthoyl)-piperazine;
2(S)-Benzyl- 1 -imidazolyl-4-methyl-4-( 1 -naphthoyl)piperazine;
l-(2(R)-Amino-3-(3-benzylthio)propyl)-2(S)-butyl-4-(l-naphthoyl)piperazine;
1 -(2(R)- Amino-3-[3-(4-nitrobenzylthio)propyl])-2(S)-butyl-4-( 1 - naphthoyl)piperazine; 2(S)-Butyl-l-[(4-imidazolyl)ethyl]-4-(l-naphthoyl)piperazine;
2(S)-Butyl-l-[(4-imidazolyl)methyl]-4-(l-naphthoyl)piperazine;
2(S)-Butyl-l-[(l-naphth-2-ylmethyl)-lH-imidazol-5-yl)acetyl]-4-(l- naphthoyl)piperazine ;
2(S)-Butyl-l-[(l-naphth-2-ylmethyl)-lH-imidazol-5-yl)ethyl]-4-(l- naphthoyl)piperazine;
l-(2(R)-Amino-3-hydroypropyl)-2(S)-butyl-4-(l-naphthoyl)piperazine;
1 -(2(R)- Amino-4-hydroxybutyl)-2(S)-butyl-4-( 1 -naphthoyl)piperazine;
l-(2-Amino-3-(2-benzyloxyphenyl)propyl)-2(S)-butyl-4-(l-naphthoyl)piperazine;
1 -(2-Amino-3-(2-hydroxyphenyl)propyl)-2(S)-butyl-4-( 1 -naphthoyl)piperazine;
1 -[3-(4-imidazolyl)propyl]-2(S)-butyl-4-( 1 -naphthoyl)-piperazine;
2(S)-«-Butyl-4-(2,3-dimethylphenyl)-l-(4-imidazolylmethyl)-piperazin-5-one;
2(S)-«-Butyl-l -[ 1 -(4-cyanobenzyl)imidazol-5-ylmethyl]-4-(2,3- dimethylphenyl)piperazin-5-one;
l-[l-(4-Cyanobenzyl)imidazol-5-ylmethyl]-4-(2,3-dimethylphenyl)-2(S)-(2- methoxyethyl)piperazin-5-one;
2(S)-«-Butyl-4-(l -naphthoyl)-l -[ 1 -(1 -naphthylmethyl)imidazol-5-ylmethyl]- piperazine;
2(S)-«-Butyl-4-( 1 -naphthoyl)- 1 -[ 1 -(2-naphthylmethyl)imidazol-5-ylmethyl]- piperazine;
2(S)-«-Butyl- 1 -[ 1 -(4-cyanobenzyl)imidazol-5-ylmethyl]-4-(l -naphthoyl)piperazine; 2(S)-«-Butyl-l-[l-(4-methoxybenzyl)imidazol-5-ylmethyl]-4-(l- naphthoyl)piperazine;
2(S)-«-Butyl-l-[l-(3-methyl-2-butenyl)imidazol-5-ylmethyl]-4-(l- naphthoyl)piperazine;
2(S)-n-Butyl-l-[l-(4-fluorobenzyl)imidazol-5-ylmethyl]-4-(l-naphthoyl)piperazine;
2(S)-«-Butyl-l-[l-(4-chlorobenzyl)imidazol-5-ylmethyl]-4-(l-naphthoyl)piperazine;
l-[l-(4-Bromobenzyl)imidazol-5-ylmethyl]-2(S)-«-butyl-4-(l-naphthoyl)piperazine;
2(S)-«-Butyl-4-( 1 -naphthoyl)- 1 -[ 1 -(4-trifluoromethylbenzyl)imidazol-5-ylmethyl]- piperazine;
2(S)-«-Butyl- 1 -[ 1 -(4-methylbenzyl)imidazol-5-ylmethyl]-4-(l -naphthoyl)-piperazine;
2(S)-« -Butyl- 1 -[ 1 -(3-methylbenzyl)imidazol-5-ylmethyl]-4-(l -naphthoyl)-piperazine;
1 -[ 1 -(4-Phenylbenzyl)imidazol-5-ylmethyl]-2(S)-«-butyl-4-( 1 -naphthoyl)-piperazine;
2(S)-n-Butyl-4-(l -naphthoyl)- 1 -[ 1 -(2-phenylethyl)imidazol-5-ylmethyl]-piperazine;
2(S)-«-Butyl-4-( 1 -naphthoyl)- 1 -[ 1 -(4-trifluoromethoxy)imidazol-5- ylmethyljpiperazine;
1 - { [ 1 -(4-cyanobenzyl)- 1 H-imidazol-5-yl] acetyl} -2(S)-«-butyl-4-( 1 - naphthoyl)piperazine;
(S)-l-(3-Chlorophenyl)-4-[l-(4-cyanobenzyl)-5-imidazolylmethyl]-5-[2- (methanesulfonyl)ethyl]-2-piperazinone;
(S)- 1 -(3-Chlorophenyl)-4-[ 1 -(4-cyanobenzyl)-5-imidazolylmethyl]-5-[2- (ethanesulfonyl)ethyl] -2-piperazinone; (R)-l-(3-Chlorophenyl)-4-[l-(4-cyanobenzyl)-5-imidazolylmethyl]-5-[2- (ethanesulfonyl)methyl]-2-piperazinone;
(S)-l-(3-Chlorophenyl)-4-[l-(4-cyanobenzyl)-5-imidazolylmethyl]-5-[N-ethyl-2- acetamido]-2-piperazinone;
(±)-5-(2-Butynyl)-l -(3-chlorophenyl)-4-[ 1 -(4-cyanobenzyl)-5-imidazolylmethyl]-2- piperazinone;
1 -(3-Chlorophenyl)-4-[ 1 -(4-cyanobenzyl)-5-imidazolylmethyl]-2-piperazinone;
5(S)-Butyl-4-[l-(4-cyanobenzyl-2-methyl)-5-imidazolylmethyl]-l-(2,3- dimethylphenyl)-piperazin-2-one;
4-[l-(2-(4-Cyanophenyl)-2-propyl)-5-imidazolylmethyl]-l-(3-chlorophenyl)-5(S)-(2- methylsulfonylethyl)piperazin-2-one;
5(S)-n-Butyl-4-[ 1 -(4-cyanobenzyl)-5-imidazolylmethyl]- 1 -(2-methylphenyι)piperazin- 2-one
4-[l-(4-Cyanobenzyl)-5-imidazolylmethyl]-5(S)-(2-fluoroethyl)-l-(3- chlorophenyl)piperazin-2-one;
4-[3-(4-Cyanobenzyl)pyridin-4-yl]-l-(3-chlorophenyl)-5(S)-(2-methylsulfonylethyl)- piperazin-2-one;
4-[5-(4-Cyanobenzyl)-l-imidazolylethyl]-l-(3-chlorophenyl)piperazin-2-one;
4-{3-[4-(-2-Oxo-2-H-pyridin-l-yl)benzyl]-3-H-imidazol-4-ylmethyl]benzonitrile
4-{3-[4-3-Methyl-2-oxo-2-H-pyridin-l-yl)benzyl]-3-H-imidazol-4- ylmethyl]benzonitrile
4- {3-[4-(-2-Oxo-piperidin-l -yl)benzyl]-3-H-imidazol-4-ylmethyl]benzonitrile 4-{3-[3-Methyl-4-(2-oxopiperidin-l-yl)-benzyl]-3-H-imidizol-4-ylmethyl}- benzonitrile
(4-{3-[4-(2-Oxo-pyrrolidin-l-yl)-benzyl]-3H-imidizol-4-ylmethyl}-benzonitrile
4-{3-[4-(3-Methyl-2-oxo-2-H-pyrazin-l-yl)-benzyl-3-H-imidizol-4-ylmethyl}- benzonitrile
4-{3-[2-Methoxy-4-(2-oxo-2-H-pyridin-l-yl)-benzyl]-3-H-imidizol-4-ylmethyl}- benzonitrile
4- { 1 -[4-(5-Chloro-2-oxo-2H-pyridin-l -yl)-benzyl]- 1 H-pyrrol-2-ylmethyl} - benzonitrile
4-[ 1 -(2-Oxo-2H-[ 1 ,2']bipyridinyl-5'-ylmethyl)- lH-pyrrol-2-ylmethyl]-benzonitrile
4-[ 1 -(5-Chloro-2-oxo-2H-[ 1 ,2']bipyridinyl-5'-ylmethyl)- 1 H-pyrrol-2-ylmethyl]- benzonitrile
4-[3-(2-Oxo-l-phenyl-l,2-dihydropyridin-4-ylmethyl)-3H-imidazol-4- ylmethyljbenzonitrile
4- {3-[ 1 -(3-Chloro-phenyl)-2-oxo-l ,2-dihydropyridin-4-ylmethyl]-3H-imidazol-4- ylmethyl} benzonitrile
19,20-Dihydro- 19-oxo-5H, 17H- 18,21 -ethano-6, 10:12,16-dimetheno-22H- imidazo[3,4-Λ][l,8,l l,14]oxatriazacycloeicosine-9-carbonitrile,
19-Chloro-22,23-dihydro-22-oxo-5H-21 ,24-ethano-6, 10-metheno-25H- dibenzo[b,e]imidazo[4,3-/][l,4,7,10,13]dioxatriaza-cyclononadecine-9-carbonitrile,
22,23-Dihydro-22-oxo-5H-21 ,24-ethano-6, 10-metheno-25H- dibenzo[b,e]imidazo[4,3- ][l,4,7,10,13]dioxatriazacyclononadecine-9-carbonitrile, 20-Chloro-23,24-dihydro-23-oxo-5H-22,25-ethano-6,10:12,16-dimetheno-12H,26H- benzo[b]imidazo[4,3-i'][l,l 7,4,7,10]dioxatriazacyclodocosine-9-carbonitrile,
(S)-20-Chloro-23,24-dihydro-27-[2-(methylsulfonyl)ethyl]-23-oxo-5H-22,25-ethano- 6, 10: 12, 16-dimetheno-12H,26H-benzo[b]imidazo[4,3- i] [ 1 , 17,4,7, 10]dioxatriazacyclodocosine-9-carbonitrile,
(±)- 19,20-Dihydro-l 9-0X0-5H- 18,21 -ethano- 12,14-etheno-6,l 0-metheno-22H- benzo[(7]imidazo[4,3-Λ][l,6,9,12]oxatriaza-cyclooctadecine-9-carbonitrile,
(+)-19,20-Dihydro-19-oxo-5H-18,21-ethano-12,14-etheno-6,10-metheno-22H- benzo[<7]imidazo[4,3-&][l,6,9,12]oxatriazacyclooctadecine-9-carbonitrile,
(-)- 19,20-Dihydro- 19-oxo-5H- 18,21 -ethano- 12, 14-etheno-6, 10-metheno-22H- benzo[ ]imidazo[4,3-A:][l,6,9,12]oxatriazacyclooctadecine-9-carbonitrile,
19,20-dihydro-5H,l 7H- 18,21 -Ethano-6, 10: 12, 16-dimetheno-22H-imidazo[3,4- h] [ 1 ,8, 11 , 14]oxatriazacycloeicosin-20-one,
(±)- 19,20-Dihydro-3 -methyl- 19-oxo-5H- 18,21 -ethano- 12, 14-etheno-6, 10-metheno- 22H-benzo[<i]imidazo[4,3-Λ][l,6,9,12]oxatriazacyclooctadecine-9-carbonitrile,
(+)- 19,20-Dihydro-3-methyl- 19-oxo-5H- 18,21 -ethano- 12, 14-etheno-6, 10-metheno- 22H-benzo[JJimidazo[4,3-Λ][l,6,9,12]oxatriaza-cyclooctadecine-9-carbonitrile,
(-)- 19,20-Dihydro-3-methyl- 19-oxo-5H- 18 ,21 -ethano- 12,14-etheno-6, 10-metheno- 22H-benzo[c ]imidazo[4,3-A:][l,6,9,12]oxatriaza-cyclooctadecine-9-carbonitrile,
(±)- 19,20-Dihydro- 19,22-dioxo-5H- 18 ,21 -ethano- 12,14-etheno-6, 10-metheno-22H- benzo[f]imidazo[4,3-A:][l,6,9,12]oxatriazacyclooctadecine-9-carbonitrile,
(+)- 19,20-Dihydro- 19,22-dioxo-5H- 18,21 -ethano- 12,14-etheno-6, 10-metheno-22H- benzo[ci]imidazo[4,3-A:][l,6,9,12]oxatriazacyclooctadecine-9-carbonitrile, (-)- 19,20-Dihydro- 19,22-dioxo-5H- 18,21 -ethano- 12,14-etheno-6,l 0-metheno-22H- benzo[Jjimidazo[4,3-A:] [ 1 ,6,9, 12]oxatriazacyclooctadecine-9-carbonitrile,
(±)- 1 -Bromo- 19,20-dihydro- 19-oxo-5H- 18 ,21 -ethano- 12,14-etheno-6, 10-metheno- 22H-benzo[J|imidazo[4,3-Λ][l,6,9,12]oxatriazacyclooctadecine-9-carbonitrile,
(+)- 1 -Bromo- 19,20-dihydro-3-methyl-19-oxo-5H- 18,21 -ethano- 12,14-etheno-6, 10- metheno-22H-benzo[(7]imidazo[4,3-^] [ 1 ,6,9, 12]oxatriaza-cyclooctadecine-9- carbonitrile,
(-)-l -Bromo- 19,20-dihydro-3-methyl-19-oxo-5H- 18,21 -ethano- 12,14-etheno-6, 10- metheno-22H-benzo[< ]imidazo[4,3-&] [1,6,9,12]oxatriazacyclo-octadecine-9- carbonitrile,
19,20-Dihydro-5H- 18 ,21 -ethano- 12,14-etheno-6, 10-metheno-22H- benzo[(i]imidazo[4,3-A:][l,6,9,12]oxatriaza-cyclooctadecine-9-carbonitrile,
(±)(5RS)-19,20-Dihydro-5-methyl-19-oxo-5H-18,21-ethano-12,14-etheno-6,10- metheno-22H-benzo[ ]imidazo[4,3-A:] [ 1 ,6,9, 12]oxatriaza-cyclooctadecine-9- carbonitrile,
(5R,R)- 19,20-Dihydro-5 S-methyl- 19-oxo-5H- 18,21 -ethano- 12,14-etheno-6, 10- metheno-22H-benzo[(7]imidazo[4,3-Λ][l,6,9,12]oxatriaza-cyclooctadecine-9- carbonitrile,
(5S,S)-19,20-Dihydro-5S-methyl-19-oxo-5H-18,21-ethano-12,14-etheno-6,10- metheno-22H-benzo[d]imidazo[4,3-&] [ 1 ,6,9, 12]oxatriaza-cyclooctadecine-9- carbonitrile,
(5R,S)-19,20-Dihydro-5R-methyl-19-oxo-5H-18,21-ethano-12,14-etheno-6,10- metheno-22H-benzo[i]imidazo[4,3-^][l,6,9,12]oxatriaza-cyclooctadecine-9- carbonitrile, (5S,R)-19,20-Dihydro-5-methyl-19-oxo-5H-18,21-ethano-12,14-etheno-6,10- metheno-22H-benzo[d]imidazo[4,3-&][l,6,9,12]oxatriaza-cyclooctadecine-9- carbonitrile,
(±)-18,19-Dihydro-18-oxo-5H-6,9:l l,13-dietheno-17,20-ethano-9H,21H- benzo[<i]imidazo[4,3- :][l,6,9,12]oxatriaza-cycloheptadecine-8-carbonitrile,
(R,R)- 18,19-Dihydro- 18-oxo-5H-6,9 : 11 , 13-dietheno- 17,20-ethano-9H,21H- benzo[J]imidazo[4,3-&] [1,6,9,12]oxatriaza-cycloheptadecine-8-carbonitrile
(R,S)- 18,19-Dihydro- 18-oxo-5H-6,9 : 1 1,13-dietheno- 17,20-ethano-9H,21H- benzo[J)imidazo[4,3-Λ][l,6,9,12]oxatriaza-cycloheptadecine-8-carbonitrile
(S,R)-18,19-Dihydro-18-oxo-5H-6,9:l l,13-dietheno-17,20-ethano-9H,21H- benzo[JJimidazo[4,3-^][l,6,9,12]oxatriaza-cycloheptadecine-8-carbonitrile
(S,S)-18,19-Dihydro-18-oxo-5H-6,9:l l,13-dietheno-17,20-ethano-9H,21H- benzo[ ]imidazo[4,3-A:][l,6,9,12]oxatriaza-cycloheptadecine-8-carbonitrile
18-Chloro-21,22-dihydro-21-oxo-5H-20,23-ethano-6,9-etheno-9H,24H- dibenzo[b,eimidazo[4,3-/][l,4,7,10,13]dioxatriaza-cyclooctadecine-8-carbonitrile,
8-Chloro- 19,20-dihydro- 19-oxo-5H- 18,21 -ethano- 12,14-etheno-6, 10-metheno-22H- benzo[ci]imidazo[4,3-A:][l,6,9,12]oxatriaza-cyclooctadecine-9-carbonitrile,
19,20-Dihydro- 19-oxo-8-phenoxy-5H- 18,21 -ethano- 12, 14-etheno-6, 10-metheno-22H- benzo[ύT]imidazo[4,3-^][l,6,9,12]oxatriaza-cyclooctadecine-9-carbonitrile,
18-Oxo- 17, 18,20,21 -tetrahydro-5H- 19,22-ethano-6, 10:12,16-dimetheno-23H- imidazo[3,4-A][l,8,l l,14]oxatriazacycloheneicosine-9-carbonitrile,
Spiro [cyclohexane- 1 ' , 17- 18-oxo- 17,18,20,21 -tetrahydro-5H- 19,22-ethano- 6,10:12,16-dimetheno-23H-imidazo[3,4-/z] [1,8,11,14]oxatriazacycloheneicosine-9- carbonitrile], (±)- 19,20-Dihydro- 19-oxo- 17-proρyl-5H, 17H- 18,21 -ethano-6, 10:12,16-dimetheno- 22H-imidazo[3,4-A][l,8,l l,14]oxatriaza-cycloeicosine-9-carbonitrile,
(+)- 19,20-Dihydro- 19-oxo- 17-propyl-5H, 17H- 18 ,21 -ethano-6, 10:12,16-dimetheno- 22H-imidazo[3,4-A][l,8,l l,14]oxatriaza-cycloeicosine-9-carbonitrile,
(-)- 19,20-Dihydro- 19-oxo- 17-propyl-5H, 17H- 18,21 -ethano-6, 10:12,16-dimetheno- 22H-imidazo[3,4-/z][l,8,l l,14]oxatriaza-cycloeicosine-9-carbonitrile,
15-Bromo-19,20-dihydro-19-oxo-5H,17H-18,21-ethano-6,10:12,16-dimetheno-22H- imidazo[3,4-Λ][l,8,l l,14]oxatriaza-cycloeicosine-9-carbonitrile,
15-Bromo-19,20-dihydro-3-methyl-19-oxo-5H,17H-18,21-ethano-6,10:12,16- dimetheno-22H-imidazo[3,4-Λ][l,8,l l,14]oxatriaza-cycloeicosine-9-carbonitrile,
19,20-Dihydro-15-iodo-3-methyl-19-oxo-5H,17H-18,21-ethano-6,10:12,16- dimetheno-22H-imidazo[3,4-Λ] [1,8,11,14]oxatriaza-cycloeicosine-9-carbonitrile,
19,20-Dihydro-3 -methyl- 19-oxo-5H, 17H- 18,21 -ethano- 12,16-imino-6, 10-metheno- 22H-imidazo[3,4-/2] [1,8,11,14]oxatriaza-cycloeicosine-9-carbonitrile,
15-Bromo-19,20-dihydro-3-methyl-19-oxo-5H,17H-18,21-ethano-12,16-imino-6,10- metheno-22H-imidazo[3,4-/2] [ 1 ,8, 11 , 14]oxatriaza-cycloeicosine-9-carbonitrile,
15-Bromo-19,20-dihydro--3-methyl-17-oxo-5H,17H-18,21-ethano-6,10:12,16- dimetheno-22H-imidazo[3,4-Λ][l,8,l l,14]oxatriaza-cycloeicosine-9-carbonitrile,
15-[(2-Cyclobutyl)ethynyl]-l 9,20-dihydro-3 -methyl- 17-oxo-5H, 17H- 18,21 -ethano- 6,10:12,16-dimetheno-22H-imidazo[3,4-Λ] [1,8,11,14]oxatriazacycloeicosine-9- carbonitrile,
15-[(2-Cyclobutyl)ethyl]- 19,20-dihydro-3 -methyl- 17-oxo-5H, 17H- 18,21 -ethano- 6,10:12,16-dimetheno-22H-imidazo[3,4-Λ] [1,8,11 ,14]oxatriazacycloeicosine-9- carbonitrile, 15-[(2-Cyclopropyl)ethyl]-19,20-dihydro-3-methyl-17-oxo-5H,17H-18,21-ethano-
6,10:12,16-dimetheno-22H-imidazo[3,4-Λ][l,8,l l,14]oxatriazacycloeicosine-9- carbonitrile,
19,20-Dihydro- 15-(3 ,3-dimethyl- 1 -butynyl)- 19-oxo-5H, 17H- 18,21 -ethano- 6, 10: 12, 16-dimetheno-22H-imidazo[3,4-/z] [ 1 ,8,11 , 14]oxatriazacycloeicosine-9- carbonitrile,
19,20-Dihydro-19-oxo-15-(2-phenylethynyl)-5H,17H-18,21-ethano-6,10:12,16- dimetheno-22H-imidazo [3 ,4-h] [1,8,11,14] oxatriaza-cycloeicosine-9-carbonitrile,
15-(Cyclohexylethynyl)- 19,20-dihydro- 19-oxo-5H, 17H- 18,21 -ethano-6, 10:12,16- dimetheno-22H-imidazo [3 ,4-h] [1,8,11,14] oxatriaza-cycloeicosine-9-carbonitrile,
19,20-Dihydro-19-oxo-15-[2-(trimethylsilyl)ethynyl]-5H,17H-18,21-ethano- 6,10:12,16-dimetheno-22H-imidazo[3,4-b][l,8,l l,14]oxatriazacycloeicosine-9- carbonitrile,
19,20-Dihydro- 15-(ethynyl)- 19-oxo-5H, 17H- 18,21 -ethano-6, 10: 12, 16-dimetheno- 22H-imidazo[3,4- ?][l,8,l l,14]oxatriaza-cycloeicosine-9-carbonitrile,
19,20-Dihydro-3-methyl- 19-oxo-5H, 17H- 18,21 -ethano-6, 10:12,16-dimetheno-22H- imidazo[3,4-/z] [1,8,11,14]oxatriaza-cycloeicosine-9-carbonitrile,
15-(Cyclohexylethynyl)- 19,20-dihydro-3-methyl- 19-oxo-5H, 17H- 18,21 -ethano- 6,10:12,16-dimetheno-22H-imidazo[3,4-Λ][l,8,l l,14]oxatriazacycloeicosine-9- carbonitrile,
19,20-Dihydro-3-methyl-15-(l-octynyl)-19-oxo-5H,17H-18,21-ethano-6,10:12,16- dimetheno-22H-imidazo[3,4-A][l,8,l l,14]oxatriaza-cycloeicosine-9-carbonitrile,
15-(3-Cyclohexyl- 1 -propynyl)- 19,20-dihydro-3-methyl- 19-oxo-5H, 17H-18,21 - ethano-6, 10:12,16-dimetheno-22H-imidazo[3,4- ?] [1,8,11,14]oxatriazacycloeicosine- 9-carbonitrile, 15 -(3-Cyclobutylethynyl)- 19,20-dihydro-3-methyl- 19-oxo-5H, 17H- 18 ,21 -ethano-
6,10:12,16-dimetheno-22H-imidazo[3,4-/,,][l,8,l l,14]oxatriazacycloeicosine-9- carbonitrile,
15-(3-Cyclopropylethynyl)-19,20-dihydro-3-methyl-19-oxo-5H,17H-18,21-ethano- 6,10:12,16-dimetheno-22H-imidazo[3,4- ?] [1,8,11,14]oxatriazacycloeicosine-9- carbonitrile,
19,20-Dihydro-3-methyl-19-oxo-15-(5,5,5-trifluoro-l-pentynyl)-5H,17H-18,21- ethano-6, 10: 12, 16-dimetheno-22H-imidazo[3,4-Λ][l, 8, l l,14]oxatriazacycloeicosine- 9-carbonitrile,
19,20-Dihydro-3-methyl-19-oxo-15-(5,5,5-trifluoro-l-pentynyl)-5H,17H-18,21- ethano-12,16-imino-6,10-metheno-22H-imidazo[3,4- Λ][l,8,l l,14]oxatriazacycloeicosine-9-carbonitrile,
19,20-Dihydro-19-oxo-15-(2-propenyl)-5H,17H-18,21-ethano-6,10:12,16-dimetheno- 22H-imidazo[3,4-Λ] [ 1 ,8, 11 ,14]oxatriaza-cycloeicosine-9-carbonitrile
19,20-Dihydro-3-methyl- 19-oxo- 15-(2-propenyl)-5H, 17H- 18,21 -ethano-6, 10:12,16- dimetheno-22H-imidazo[3,4-/z] [1,8,11,14]oxatriazacycloeicosine-9-carbonitrile,
15-(Cyclopropyl)methyl- 19,20-dihydro- 19-oxo-5H, 17H-18,21 -ethano-6, 10:12,16- dimetheno-22H-imidazo[3,4-Λ] [1,8,11,14]oxatriazacycloeicosine-9-carbonitrile,
19,20-Dihydro- 15-methyl- 19-oxo-5H, 17H- 18,21 -ethano-6, 10:12,16-dimetheno-22H- imidazo[3,4- j] [1,8,11 , 14]oxatriaza-cycloeicosine-9-carbonitrile,
19,20-Dihydro-3-methyl-l 9-oxo- 15-pentyl-5H, 17H- 18,21 -ethano- 12,16-imino-6, 10- metheno-22H-imidazo[3,4- ?][l,8,l l,14]oxatriazacycloeicosine-9-carbonitrile,
19,20-Dihydro- 15-(3 ,3-dimethyl- 1 -butyl)- 19-oxo-5H, 17H- 18,21 -ethano-6, 10:12,16- dimetheno-22H-imidazo[3,4-Λ] [ 1 ,8, 11 , 14]oxatriazacycloeicosine-9-carbonitrile, 15 -(2-Cyclohexyl- 1 -ethyl)- 19,20-dihydro- 19-oxo-5H, 17H- 18,21 -ethano-6, 10:12,16- dimetheno-22H-imidazo[3,4-A][l,8,l l,14]oxatriazacycloeicosine-9-carbonitrile,
19,20-Dihydro- 15 -ethyl- 19-oxo-5H, 17H- 18,21 -ethano-6, 10:12,16-dimetheno-22H- imidazo[3,4- 2][l,8,l l,14]oxatriazacycloeicosine-9-carbonitrile,
19,20-Dihydro-19-oxo-15-propyl-5H,17H-18,21-ethano-6,10:12,16-dimetheno-22H- imidazo[3,4-/z][l,8,l l,14]oxatriazacycloeicosine-9-carbonitrile,
19,20-Dihydro-3-methyl-15-octyl-19-oxo-5H,17H-18,21-ethano-6,10:12,16- dimetheno-22H-imidazo[3,4-Λ] [ 1 ,8, 11 , 14]oxatriazacycloeicosine-9-carbonitrile,
15-(2-Cyclohexyl- 1 -ethyl)- 19,20-dihydro-3 -methyl- 19-oxo-5H,l 7H-18,21 -ethano- 6, 10: 12,16-dimetheno-22H-imidazo[3,4-/z] [1,8,11,14]oxatriazacycloeicosine-9- carbonitrile,
cis- 15-(2-Cyclopropyl- 1 -ethenyl)- 19,20-dihydro-3-methyl- 19-oxo-5H, 17H- 18 ,21 - ethano-6, 10: 12,16-dimetheno-22H-imidazo[3,4-/z][l, 8, l l,14]oxatriazacycloeicosine- 9-carbonitrile,
15-(2-Cycloproρyl- 1 -ethyl)- 19,20-dihydro-3-methyl- 19-oxo-5H, 17H- 18,21 -ethano- 6,10:12,16-dimetheno-22H-imidazo[3,4-Λ] [1,8,11,14]oxatriazacycloeicosine-9- carbonitrile,
19,20-Dihydro-3-methyl-19-oxo-15-(5,5,5-trifluoropentyl)-5H,17H-18,21-ethano- 6,10:12,16-dimetheno-22H-imidazo [3 ,4-h] [1,8,11,14]oxatriazacycloeicosine-9- carbonitrile,
19,20-Dihydro-3-methyl-l 9-oxo- 15-(5,5 ,5-trifluoropentyl)-5H, 17H- 18,21 -ethano- 12,16-imino-6, 10-metheno-22H-imidazo[3 ,4-h] [1,8,11,14]oxatriazacycloeicosine-9- carbonitrile,
9-Cyano- 19,20-dihydro- 19-oxo-5H, 17H- 18 ,21 -ethano-6, 10:12,16-dimetheno-22H- imidazo[3,4-Λ][l,8,l l,14]oxatriaza-cycloeicosine-15-carboxylic acid methyl ester, 9-Cyano-19,20-dihydro-19-oxo-5H,17H-18,21-ethano-6,10:12,16-dimetheno-22H- imidazo[3,4- z][l,8,l l,14]oxatriaza-cycloeicosine-15-carboxylate,lithium salt,
N-(2- Adamantyl)-9-cyano- 19,20-dihydro- 19-oxo-5H, 17H- 18 ,21 -ethano-6, 10:12,16- dimetheno-22H-imidazo[3,4-/z] [1,8,11,14]oxatriazacycloeicosine- 15-carboxamide,
(±)-19,20-Dihydro-15-(2,3-dihydroxy-l-propyl)-19-oxo-5H,17H-18,21-ethano- 6,10:12,16-dimetheno-22H-imidazo[3,4-/2][l,8,l l,14]oxatriazacycloeicosine-9- carbonitrile,
(±)-19,20-Dihydro-15-(2,3-dihydroxy-l-propyl)-3-methyl-19-oxo-5H,17H-18,21- ethano-6, 10:12,16-dimetheno-22H-imidazo [ 3 ,4-h] [1,8,11,14] oxatriazacycloeicosine- 9-carbonitrile
(±)-19,20-Dihydro-15-[(2,2-dimethyl-l,3-dioxolano)-4-methyl]-19-oxo-5H,17H- 18 ,21 -ethano-6, 10:12,16-dimetheno-22H-imidazo[3 ,4- Λ][l,8,l l,14]oxatriazacycloeicosine-9-carbonitrile
(±)- 19,20-Dihydro- 15-[(2,2-dimethyl- 1 ,3-dioxolano)-4-methyl]-3-methyl- 19-oxo- 5H, 17H- 18,21 -ethano-6, 10: 12,16-dimetheno-22H-imidazo[3,4- h] [ 1 ,8, 11 , 14]oxatriazacycloeicosine-9-carbonitrile
19,20-Dihydro-3-methyl- 19-oxo-l 5-phenyl-5H, 17H- 18,21 -ethano-6, 10:12,16- dimetheno-22H-imidazo[3,4-Λ] [1,8,11 , 14]oxatriaza-cycloeicosine-9-carbonitrile,
19,20-Dihydro- 15 -(2-methoxyphenyl)-3-methyl- 19-oxo-5H, 17H- 18,21 -ethano- 6,10:12,16-dimetheno-22H-imidazo[3,4- 2] [1,8,11,14]oxatriazacycloeicosine-9- carbonitrile,
19,20-Dihydro- 15-(3-methoxyphenyl)-3-methyl- 19-oxo-5H, 17H- 18,21 -ethano- 6,10:12,16-dimetheno-22H-imidazo[3,4-A] [1,8,11,14]oxatriazacycloeicosine-9- carbonitrile, 19,20-Dihydro- 15 -(4-methoxyphenyl)-3 -methyl- 19-oxo-5H,l 7H- 18,21 -ethano- 6,10:12,16-dimetheno-22H-imidazo[3,4-Λ] [1,8,11,14]oxatriazacycloeicosine-9- carbonitrile,
15-(2-Chlorophenyl)-19,20-dihydro-3-methyl-19-oxo-5H,17H-18,21-ethano- 6, 10: 12, 16-dimetheno-22H-imidazo[3,4-Λ][ 1 ,8,11 , 14]oxatriazacycloeicosine-9- carbonitrile,
15-(3-Chlorophenyl)- 19,20-dihydro-3-methyl- 19-oxo-5H, 17H- 18,21 -ethano- 6,10:12,16-dimetheno-22H-imidazo[3,4- 2] [1,8,11,14]oxatriazacycloeicosine-9- carbonitrile,
15-(4-Chlorophenyl)- 19,20-dihydro-3-methyl- 19-oxo-5H, 17H- 18,21 -ethano- 6,10:12,16-dimetheno-22H-imidazo[3,4-Λ] [1,8,11,14]oxatriazacycloeicosine-9- carbonitrile,
15-(2,4-Dichlorophenyl)- 19,20-dihydro-3-methyl- 19-oxo-5H, 17H- 18,21 -ethano- 6,10:12,16-dimetheno-22H-imidazo[3,4-/z] [1,8,11,14]oxatriazacycloeicosine-9- carbonitrile,
15-(3,5-Dichlorophenyl)- 19,20-dihydro-3-methyl- 19-oxo-5H, 17H- 18,21 -ethano- 6,10:12,16-dimetheno-22H-imidazo[3,4-/?] [1,8,11,14]oxatriazacycloeicosine-9- carbonitrile,
19,20-Dihydro-3-methyl-19-oxo-15-(3-thienyl)-5H,17H-18,21-ethano-6,10:12,16- dimetheno-22H-imidazo[3,4- z][l,8,l l,14]oxatriazacycloeicosine-9-carbonitrile,
15-(Benzo[b]furan-2-yl)- 19,20-dihydro-3-methyl- 19-oxo-5H, 17H- 18,21 -ethano- 6,10:12,16-dimetheno-22H-imidazo[3 ,4-h] [1,8,11,14] oxatriazacycloeicosine-9- carbonitrile,
19,20-Dihydro- 15-[(methanesulfonyl)oxy]- 19-oxo-5H, 17H- 18,21 -ethano-6, 10:12,16- dimetheno-22H-imidazo[3,4-Λ] [1,8,11,14]oxatriazacycloeicosine-9-carbonitrile, 15-Benzyloxy- 19,20-dihydro- 19-oxo-5H, 17H- 18,21 -ethano-6, 10:12,16-dimetheno- 22H-imidazo[3,4-A] [1,8,11 , 14]oxatriazacycloeicosine-9-carbonitrile,
19,20-Dihydro- 15-hydroxy- 19-oxo-5H, 17H- 18,21 -ethano-6, 10:12,16-dimetheno- 22H-imidazo[3,4-A][l,8,l l,14]oxatriaza-cycloeicosine-9-carbonitrile
15-[(Cyclohexylmethyl)oxy]- 19,20-dihydro- 19-oxo-5H, 17H- 18,21 -ethano- 6,10:12,16-dimetheno-22H-imidazo[3,4- ?][l,8,l l,14]oxatriazacycloeicosine-9- carbonitrile,
19,20-Dihydro- 19-oxo- 15-[(4,4,4-trifluoro- 1 -butyl)oxy]-5H,l 7H- 18,21 -ethano- 6,10:12,16-dimetheno-22H-imidazo[3,4-A] [1,8,11,14]oxatriazacycloeicosine-9- carbonitrile,
19,20-Dihydro-19-oxo-15-phenoxy-5H,17H-18,21-ethano-6,10:12,16-dimetheno- 22H-imidazo[3,4- z][l,8,l l,14]oxatriaza-cycloeicosine-9-carbonitrile,
19,20-Dihydro- 14-[(methanesulfonyl)oxy]- 19-oxo-5H, 17H- 18,21 -ethano-6, 10: 12,16- dimetheno-22H-imidazo[3,4-Λ][ 1 ,8,11,14]oxatriazacycloeicosine-9-carbonitrile,
14-[(Cyclohexylmethyl)oxy]- 19,20-dihydro- 19-oxo-5H, 17H- 18,21 -ethano-
6,10:12,16-dimetheno-22H-imidazo[3,4- ?][l,8,l l,14]oxatriazacycloeicosine-9- carbonitrile,
14-[(Cyclopropylmethyl)oxy]- 19,20-dihydro- 19-oxo-5H, 17H-18,21 -ethano-
6,10:12,16-dimetheno-22H-imidazo[3,4-Λ][l,8,l l,14]oxatriazacycloeicosine-9- carbonitrile,
19,20-Dihydro- 19-oxo- 14-[(trifluoromethanesulfonyl)oxy]-5H, 17H- 18,21 -ethano- 6,10:12,16-dimetheno-22H-imidazo[3,4-/2][l,8,l l,14]oxatriazacycloeicosine-9- carbonitrile
14-(3-Cyclopropylethynyl)- 19,20-dihydro-3 -methyl- 19-oxo-5H, 17H- 18 ,21 -ethano- 6,10:12,16-dimetheno-22H-imidazo[3,4-A] [1,8,11,14]oxatriazacycloeicosine-9- carbonitrile, 19-Oxo- 19,20,22,23-tetrahydro-5H- 18,21 -ethano- 12,14-etheno-6, 10-metheno- benzo[J|imidazo[4,3-/][l,6,9,13]oxatriaza-cyclononadecine-9-carbonitrile,
9-Bromo-19,20,22,23-tetrahydro-5H-18,21-ethano-12,14-etheno-6,10-metheno- benzo [J]imidazo [4,3 -/] [ 1 ,6,9, 13 joxatriaza-cyclononadecine- 19-one,
19,20,22,23-Tetrahydro-9-[4-(trifluoromethyl)phenyl]-5H- 18,21 -ethano- 12,14- etheno-6, 10-metheno-benzo[i]imidazo[4,3-/] [ 1 ,6,9, 13]oxatriazacyclononadecine- 19- one,
8-Chloro-19-oxo-19,20,22,23-tetrahydro-5H-18,21-ethano-12,14-etheno-6,10- metheno-benzo[(i]imidazo[4,3-/] [ 1 ,6,9, 13]oxatriaza-cyclononadecine-9-carbonitrile,
3-Methyl-19-oxo-19,20,22,23-tetrahydro-5H-18,21-ethano-12,14-etheno-6,10- metheno-benzo[ ]imidazo[4,3-/] [ 1 ,6,9, 13]oxatriaza-cyclononadecine-9-carbonitrile,
18-Oxo-18,19,20,21,22,23-hexaahydro-5H-19,22-ethano-12,14-etheno-6,10-metheno- benzo[ ]imidazo[4,3-/] [1,7,10, 13]oxatriaza-cyclononadecine-9-carbonitrile,
18-Oxo-l 8, 19,20,21 ,22,23-hexaahydro-5H- 19,22-ethano- 12, 14-etheno-6, 10-metheno- 24H-benzo[ ]imidazo[4,3- ][l,7,10,14]oxatriazacycloeicosine-9-carbonitrile,
15-Bromo- 18-oxo- 18,19,20,21 ,22,23-hexaahydro-5H- 19,22-ethano- 12,14-etheno- 6,10-metheno-24H-benzo[J]imidazo[4,3- ][l,7,10,14]oxatriazacycloeicosine-9- carbonitrile,
5,6,20,21,22,23,24,25-Octahydro-21-Oxo-7H-20,23-ethano-14,16-etheno-8,12- metheno-benzo[ ]imidazo[4,3-/][l,6,9,13]oxatriaza-cycloheneicosine-l l-carbonitrile,
15-Chloro- 19,20-dihydro-3-methyl- 19-oxo-5H, 17H- 18,21 -ethano-6, 10:12,16- dimetheno-22H-imidazo[3,4-Λ][l,8,l l,14]oxatriaza-cycloeicosine-9-carbonitrile,
Figure imgf000073_0001
20-«-Butyl-17,18,19,20-tetrahydro-17-[2,4-dimethoxybenzyl]-18-oxo-5H-6,10:12,16- dimetheno-2 lH-imidazo[4,3-/] [1,7,10, 13]oxatriaza-cyclononadecosine-9-carbonitrile
20-«-Butyl-17,18,19,20-tetrahydro-18-oxo-5H-6,10:12,16-dimetheno-21H- imidazo[4,3-/] [1,7,10, 13]oxatriazacyclononadecosine-9-carbonitrile,
20-/ι-Butyl- 17,18,19,20-tetrahydro- 18-oxo- 17-[3-(trifluoromethyl)phenyl]-5H- 6,10:12,16-dimetheno-21H-imidazo[4,3-/][l,7,10,13]oxatriazacyclononadecosine-9- carbonitrile
19,20,21 ,22-Tetrahydro- 19-oxo-5H- 12, 14-etheno-6, 10-metheno- 18H- benz[ci]imidazo[4,3-£][l,6,9,12]oxatriazacyclooctadecosine-9-carbonitrile
19,20,21,22-Tetrahydro-19-oxo-17H-6,10:12,16-dimetheno-16H-imidazo[3,4- Λ][l,8,l l,14]oxatriazacycloeicosine-9-carbonitrile
(20R)- 19,20,21 ,22-Tetrahydro-20-methyl- 19-oxo-5H- 12,14-etheno-6, 10-metheno- 18H-benz[<i]imidazo[4,3-&] [ 1 ,6,9, 12]oxatriazacyclooctadecosine-9-carbonitrile
(205)- 19,20,21 ,22-Tetrahydro-20-methyl- 19-oxo-5H- 12, 14-etheno-6, 10-metheno- 18H-benz[ci]imidazo[4,3-^] [ 1 ,6,9, 12]oxatriazacyclooctadecosine-9-carbonitrile
(20R)-20-Benzyl- 19,20,21 ,22-tetrahydro- 19-oxo-5H- 12,14-etheno-6, 10-metheno- 18H-benz[ci]imidazo[4,3-A:] [ 1 ,6,9, 12]oxatriazacyclo-octadecosine-9-carbonitrile
(20^-20-Benzyl- 19,20,21 ,22-tetrahydro- 19-oxo-5H- 12,14-etheno-6, 10-metheno- 18H-benz[ci]imidazo[4,3-A:] [ 1 ,6,9, 12]oxatriazacyclo-octadecosine-9-carbonitrile (20R)- 19,20,21 ,22-Tetrahydro- 19-oxo-20-(3 -pyridylmethyl)-5H- 12,14-etheno-6, 10- metheno- 18H-benz[<7]imidazo[4,3-&] [ 1 ,6,9, 12]oxatriaza-cyclooctadecosine-9- carbonitrile
(20R)- 19,20,21 ,22-Tetrahydro- 19-oxo-20-(thiophen-2-ylmethyl)-5H- 12,14-etheno- 6, 10-metheno- 18H-benz[< )imidazo[4,3-A:] [ 1 ,6,9, 12]oxatriazacyclooctadecosine-9- carbonitrile
(20R)- 19,20,22,23-Tetrahydro-20-methyl- 19,22-dioxo-5H,2 IH- 12,14-etheno-6, 10- methenobenz[ci]imidazo[4,3- ] [1,6,9,13] oxatriazacyclononadecosine-9-carbonitrile
(20R)-20-Benzyl-19,20,22,23-tetrahydro-19,22-dioxo-5H,21H-12,14-etheno-6,10- methenobenz[rf]imidazo[4,3-/][l,6,9,13]-oxatriazacyclononadecosine-9-carbonitrile
(20R)- 19,20,21 ,22-Tetrahydro- 18,20-dimethyl- 19-oxo-5H- 12,14-etheno-6, 10- metheno- 18H-benz[</Jimidazo[4,3-&] [ 1 ,6,9, 12]oxatriaza-cyclooctadecosine-9- carbonitrile
(205)- 19,20,21 ,22-Tetrahydro- 18,20-dimethyl- 19-oxo-5H- 12,14-etheno-6, 10- metheno- 18H-benz[<i]imidazo[4,3-&] [ 1 ,6,9, 12]oxatriazacyclooctadecosine-9- carbonitrile
19,20,21 ,22-Tetrahydro- 18-methyl- 19-oxo-5H- 12, 14-etheno-6, 10-metheno- 18H- benz[ ]imidazo[4,3-^][l,6,9,12]oxatriaza-cyclooctadecosine-9-carbonitrile
19,20,21 ,22-Tetrahydro- 18,21 -dimethyl- 19-oxo-5H- 12,14-etheno-6, 10-metheno-l 8H- benz[c ]imidazo[4,3-A:] [ 1 ,6,9, 12]oxatriazacyclooctadecosine-9-carbonitrile
(20R)-19,20,21 ,22-Tetrahydro- 18,20,21 -trimethyl-19-oxo-5H-12, 14-etheno-6,l 0- metheno-18H-benz[<i]imidazo[4,3-&] [ 1 ,6,9, 12]oxatriazacyclooctadecosine-9- carbonitrile (20S)- 19,20,21 ,22-Tetrahydro- 18 ,20,21 -trimethyl- 19-oxo-5H- 12,14-etheno-6, 10- metheno-18H-benz[c7]imidazo[4,3-A:][l,6,9,12]oxatriazacyclooctadecosine-9- carbonitrile
19,20,21 ,22-Tetrahydro-21 -methyl- 19-oxo-5H- 12,14-etheno-6, 10-metheno- 18H- benz[d]imidazo[4,3-&][l,6,9,12]oxatriazacyclooctadecosine-9-carbonitrile
(20R)- 19,20,21 ,22-Tetrahydro-20,21 -dimethyl- 19-oxo-5H- 12, 14-etheno-6, 10- metheno-18H-benz[c7]imidazo[4,3- ][l,6,9,12]oxatriazacyclooctadecosine-9- carbonitrile
{20S)- 19,20,21 ,22-Tetrahydro-20,21 -dimethyl- 19-oxo-5H- 12,14-etheno-6, 10- metheno- 18H-benz[J)imidazo[4,3-&] [1,6,9,12]oxatriazacyclooctadecosine-9- carbonitrile
19,20,21 ,22-Tetrahydro-21 -methyl- 19-oxo- 17H-6, 10:12,16-dimetheno- 16H- imidazo[3,4-/j][l,8,l l,14]oxatriazacycloeicosine-9-carbonitrile
(20R)-20-Benzyl- 19,20,21 ,22-tetrahydro-21 -methyl- 19-oxo-5H- 12,14-etheno-6, 10- metheno-18H-benz[ci]imidazo[4,3-^][ 1,6,9, 12]oxatriazacyclooctadecosine-9- carbonitrile
(20^-20-Benzyl- 19,20,21 ,22-tetrahydro-21 -methyl- 19-oxo-5H- 12,14-etheno-6, 10- metheno- 18H-benz[ ]imidazo[4,3-A:] [ 1 ,6,9, 12]oxatriazacyclooctadecosine-9- carbonitrile
(20R)-20,21 -Dibenzyl- 19,20,21 ,22-tetrahydro- 19-oxo-5H- 12,14-etheno-6, 10- metheno- 18H-benz[cT|imidazo[4,3-A:] [ 1 ,6,9, 12]oxatriazacyclooctadecosine-9- carbonitrile
(20^-20,21 -Dibenzyl- 19,20,21 ,22-tetrahydro- 19-oxo-5H- 12,14-etheno-6, 10- metheno- 18H-benz[J|imidazo[4,3-^] [ 1 ,6,9, 12]oxatriazacyclo-octadecosine-9- carbonitrile 21 -Benzyl- 19,20,21 ,22-tetrahydro- 19-oxo-5H- 12,14-etheno-6, 10-metheno- 18H- benz[J]imidazo[4,3-^][l,6,9,12]oxatriazacyclo-octadecosine-9-carbonitrile
(20R)-21 -Benzyl- 19,20,21 ,22-tetrahydro-20-methyl- 19-oxo-5H- 12,14-etheno-6, 10- metheno-18H-benz[< ]imidazo[4,3-£][l,6,9,12]oxatriaza-cyclooctadecosine-9- carbonitrile
18, 19,20,2 l,22,23-Ηexahydro-18-oxo-5H- 12,14-etheno-6,l 0- methenobenz[ ]imidazo[4,3-/][l,7,10,13]oxatriazacyclononadecosine-9-carbonitrile
18,19,20,21,22,23-Ηexahydro-18,21-dioxo-5H-12,14-etheno-6,10- methenobenz[ ]imidazo[4,3-/][ 1,7, 10,13]oxatriazacyclononadecosine-9-carbonitrile
19,20,21 ,22,23 ,24-Ηexahydro- 18 ,23-dioxo-5H- 12,14-etheno-6, 10- 18H- methenobenz[cJ]imidazo[4,3-m][l,7,10,14]oxatriazacycloeicosine-9-carbonitrile
18,19-dihydro- 19-oxo-5H, 17H-6, 10:12,16-dimetheno- 1 Η-imidazo[4,3 - c] [ 1 , 11 ,4] dioxaazacyclononadecine-9-carbonitrile,
17,18-dihydro-18-oxo-5H-6,10:12,16-dimetheno-12H,20H-imidazo[4,3- c] [ 1 , 11 ,4]dioxaazacyclooctadecine-9-carbonitrile,
(±)-l 7, 18,19,20-tetrahydro-l 9-phenyl-5H-6, 10:12,16-dimetheno-2 lH-imidazo[3,4- h] [ 1 ,8, 11 ]oxadiazacyclononadecine-9-carbonitrile,
21,22-dihydro-5H-6,10:12,16-dimetheno-23H-benzo[g]imidazo[4,3- /] [ 1 ,8, 11 ]oxadiazacyclononadecine-9-carbonitrile,
22,23-dihydro-23-oxo-5H,21H-6,10:12,16-dimetheno-24H-benzo[g]imidazo[4,3- w][l,8,12]oxadiazaeicosine-9-carbonitrile,
22,23-dihydro-5H,21H-6,10:12,16-dimetheno-24H-benzo[g]imidazo[4,3- m] [ 1 ,8, 11 ]oxadiazaeicosine-9-carbonitrile, 22,23-dihydro-5H,21H-6,10:12,16-dimetheno-23-methyl-24H-benzo[g]imidazo[4,3- m][\ ,8,1 l]oxadiazaeicosine-9-carbonitrile,
(±)-5-hydroxy-5-methyl-24-oxo-21,22,23,24-tetrahydro-5H-6,10:12,16-dimetheno- 25H-benzo[o]imidazo[4,3-Λ][l,9,12]oxadiaza-cycloheneicosine-9-carbonitrile,
17-Oxo- 17,18,23 ,24-tetrahydro-5H-6, 10:12,16-dimetheno-25H, 26H- benzo[«]imidazo[3,4-Λ][l,8,12,16]oxatriaza-cyclodocosine-9-carbonitrile
3-Methyl-17-oxo-17,18,23,24-tetrahydro-5H-6,10:12,16-dimetheno-25H, 26H- benzo[«]imidazo[3,4- 2][l,8,12,16]-oxatriazacyclodocosine -9-carbonitrile
24-tert-Butoxycarbonyl-3-methyl- 17-oxo- 17,18,23 ,24-tetrahydro-5H-6, 10: 12, 16- dimetheno-25H, 26H-benzo[«]imidazo[3,4- z][l,8,12,16] oxatriazacyclodocosine -9- carbonitrile
24-tert-Butoxycarbonyl-18-ethyl-3-methyl-17-oxo-17,18,23,24-tetrahydro-5H- 6,10:12,16-dimetheno-25H, 26H-benzo[«]imidazo[3,4-Λ][l,8,12,16] oxatriazacyclodocosine -9-carbonitrile
18-Ethyl-3-methyl- 17-oxo- 17,18,23,24-tetrahydro-5H-6, 10:12,16-dimetheno-25H, 26H-benzo[n]imidazo[3,4- ?][l,8,12,16] oxatriazacyclodocosine -9-carbonitrile
24-Acetyl-3-methyl-17-oxo-17,18,23,24-tetrahydro-5H-6,10:12,16-dimetheno-25H, 26H-benzo[n]imidazo[3,4-A][l, 8, 12, 16]oxatriazacyclodocosine -9-carbonitrile
3-methyl-24-methylsulfonylethyl- 17-oxo- 17,18,23,24-tetrahydro-5H-6, 10:12,16- dimetheno-25H, 26H-benzo[n]imidazo[3,4-h][l,8,12,16] oxatriazacyclodocosine -9- carbonitrile
3,24-Dimethyl- 17-oxo-l 7, 18,23,24-tetrahydro-5H-6, 10:12,16-dimetheno-25H, 26H- benzo[n]imid^o[3,4-h][l,8,12,16] oxatriazacyclodocosine -9-carbonitrile
17, 18-Dihydro- 15-iodo-3-methyl-l 7-oxo-5H-6, 10:12,16-dimetheno- 19H,20H- imidazo[3,4-Λ][l,8,12]oxadiazacyclooctadecine-9-carbonitrile 17,18-Dihydro-3-methyl- 17-oxo- 15-phenyl-5H-6, 10:12,16-dimetheno- 19H,20H- imidazo[3,4-/z][l,8,12]oxadiaza-cyclooctadecine-9-carbonitrile
trα«5-15-[2-(3-Chlorophenyl)ethenyl]-17,18-dihydro-3-methyl-17-oxo-5H-
6,10:12,16-dimetheno- 19H,20H-imidazo[3,4-/?] [1,8,12]oxadiazacyclooctadecine-9- carbonitrile
18-Benzyl- 17,18-dihydro- 15-iodo-3-methyl- 17-oxo-5H-6, 10:12,16-dimetheno- 19H,20H-imidazo[3,4-Λ][l,8,12]oxadiaza-cyclooctadecine-9-carbonitrile
or a pharmaceutically acceptable salt, stereoisomer or optical isomer thereof.
Specific examples of a prenyl-protein transferase inhibitor are
l-(3-Chlorophenyl)-4-[l-(4-cyanobenzyl)-5-imidazolylmethyl]-2-piperazinone;
(R)- 1 -(3-Chlorophenyl)-4-[ 1 -(4-cyanobenzyl)-5-imidazolylmethyl]-5-[2- (ethanesulfonyl)methyl]-2-piperazinone;
4-[l-(5-Chloro-2-oxo-2Η-[l,2']bipyridinyl-5'-ylmethyl)-lΗ-pyrrol-2-ylmethyl]- benzonitrile;
1 -[N-( 1 -(4-cyanobenzyl)-5-imidazolylmethyl)-N-(4-cyanobenzyl)amino]-4- (phenoxy)benzene;
(+)- 19,20-Dihydro- 19-oxo-5H- 18 ,21 -ethano- 12,14-etheno-6, 10-metheno-22H- benzo[<7]imidazo[4,3- :][l,6,9,12]oxatriazacyclo-octadecine-9-carbonitrile,
1 -(3-trifluoromethoxyphenyl)-4-[ 1 -(4-cyano-3-methoxybenzyl)- 5-imidazolyl methyl]-2-piperazinone
15-Bromo- 19,20-dihydro- 19-oxo-5H, 17H- 18,21 -ethano-6, 10:12,16-dimetheno-22H- imidazo[3,4-/z] [1,8,11,14]oxatriaza-cycloeicosine-9-carbonitrile 19-Oxo-19,20,22,23-tetrahydro-5H- 18,21 -ethano- 12,14-etheno-6,l O-metheno- benzo[c7]imidazo[4,3-/][l,6,9,13]oxatriaza-cyclononadecine-9-carbonitrile,
or a pharmaceutically acceptable salt or optical isomer thereof.
Compounds which are described as inhibitors of farnesyl-protein transferase and may therefore useful in the present invention, and methods of synthesis thereof, can be found in the following patents, pending applications and publications, which are herein incorporated by reference: WO 95/32987 published on 7 December 1995;
U. S. Pat. No. 5,420,245;
U. S. Pat. No. 5,523,430
U. S. Pat. No. 5,532,359
U. S. Pat. No. 5,510,510 U. S. Pat. No. 5,589,485
U. S. Pat. No. 5,602,098
European Pat. Publ. 0 618 221
European Pat. Publ. 0 675 112
European Pat. Publ. 0 604 181 European Pat. Publ. 0 696 593;
WO 94/19357;
WO 95/08542;
WO 95/11917;
WO 95/12612; WO 95/12572;
WO 95/10514 and U.S. Pat. No. 5,661,152;
WO 95/10515;
WO 95/10516
WO 95/24612 WO 95/34535
WO 95/25086
WO 96/05529
WO 96/06138
WO 96/06193 WO 96/16443 WO 96/22278;
WO 96/24611; 5 WO 96/24612;
WO 96/05168;
WO 96/05169;
WO 96/00736 and U.S. Pat. No. 5,571,792 granted on November 5, 1996;
WO 96/17861; 10 WO 96/33159
WO 96/34850
WO 96/34851
WO 96/30017
WO 96/30018 15 WO 96/30362
WO 96/30363
WO 96/31111
WO 96/31477
WO 96/31478 20 WO 96/31501
WO 97/00252
WO 97/03047
WO 97/03050
WO 97/04785 25 WO 97/02920
WO 97/17070
WO 97/23478
WO 97/26246
WO 97/30053 30 WO 97/44350
WO 98/02436
WO 98/11091
WO 98/11092
WO 98/11093 35 WO 98/11096 O 98/11097 O 98/11098 O 98/11099 O 98/11100 O 98/11106 O 98/20001 O 98/27109: O 98/32741 O 98/34921 O 98/38162 O 98/40383 O 98/43629 O 98/45266 O 98/43267 O 98/46625 O 98/50029 O 98/50030 O 98/57633 O 98/57944 O 98/57945 O 98/57946 O 98/57947 O 98/57948 WO 98/57949 WO 98/57950 WO 98/57955 WO 98/57958 WO 98/57959 WO 98/57965 WO 98/57968 WO 98/57970 WO 98/57973 WO 99/20612 and U. S. Pat. No. 5,532,359 granted on July 2, 1996 The following compounds which are inhibitors of farnesyl-protein transferase are particularly useful in the methods of treatment described herein:
(+)-6-[amino(4-chlorophenyl)(l-methyl-lH-imidazol-5-yl)methyl]-4-(3- chlorophenyl)-l-methyl-2(lH)-quinolinone (Compound J):
Figure imgf000082_0001
(-)-6-[amino(4-chlorophenyl)(l -methyl- 1 H-imidazol-5-yl)methyl]-4-(3- chlorophenyl)-l-methyl-2(lH)-quinolinone (Compound J-A; designated "comp. 74" in WO 97/21701)
(+)-6-[amino(4-chlorophenyl)(l-methyl-lH-imidazol-5-yl)methyl]-4-(3- chlorophenyl)-l-methyl-2(lH)-quinolinone (Compound J-B; designated "comp. 75" in WO 97/21701)
or a pharmaceutically acceptable salt thereof. The syntheses of these compounds are specifically described in PCT Publication WO 97/21701, in particular on pages 19-28. The preferred compound among these compounds to use in the instant method of treatment is Compound J-B.
The following compound which is an inhibitor of farnesyl-protein transferase is particularly useful in the methods of treatment described herein:
Figure imgf000083_0001
or a pharmaceutically acceptable salt thereof. The synthesis of this compound is specifically described in PCT Publication WO 97/23478, in particular on pages 18-56. In WO 97/23478, the above compound is designated compound "39.0" and is specifically described in Example 10.
Compounds which are inhibitors of farnesyl-protein transferase and are therefore useful in the present invention, and methods of synthesis thereof, can be found in the following patents, pending applications and publications, which are herein incorporated by reference:
U. S. Pat. No. 5,238,922 granted on August 24, 1993;
U. S. Pat. No. 5,340,828 granted on August 23, 1994;
U. S. Pat. No. 5,480,893 granted on January 2, 1996;
U. S. Pat. No. 5,352,705 granted on October 4, 1994;
U. S. Pat. No. 5,504,115 granted on April 2, 1996;
U. S. Pat. No. 5,536,750 granted on July 16, 1996;
U. S. Pat. No. 5,504,212 granted on April 2, 1996;
U. S. Pat. No. 5,439,918 granted on August 8, 1995; U. S. Pat. No. 5,686,472 granted on November 11, 1997;
U. S. Pat. No. 5,736,539 granted on April 4, 1998;
U. S. Pat. No. 5,576,293 granted on November 19, 1996;
U. S. Pat. No. 5,468,733 granted on November 21, 1995;
WO 96/06609 (March 3, 1996) and USSN 08/298,478 filed on August 24, 1994;
U. S. Pat. No. 5,585,359 granted on December 17, 1996
U. S. Pat. No. 5,523,456 granted on June 4, 1996;
U. S. Pat. No. 5,661,161 granted on August 26, 1997;
U. S. Pat. No. 5,571,835 granted on November 5, 1996;
U. S. Pat. No. 5,491,164 granted on Febmary 13, 1996;
U. S. Pat. No. 5,652,257 granted on July 29, 1997;
U. S. Pat. No. 5,631,280 granted on May 20, 1997;
U. S. Pat. No. 5,578,629 granted on November 26, 1996;
U. S. Pat. No. 5,627,202 granted on May 6, 1997;
WO 96/30343 (October 3, 1996); USSN 08/412,829 filed on March 29, 1995; and USSN 08/470,690 filed on June 6, 1995; and USSN 08/600,728 filed on Febmary 28, 1996;
U. S. Pat. No. 5,624,936 granted on April 29, 1997;
U. S. Pat. No. 5,534,537 granted on July 9, 1996; U. S. Pat. No. 5,710,171 granted on April 29, 1997;
WO 96/39137 (December 12, 1996); USSN 08/468,160 filed on June 6, 1995; USSN
08/652,055 filed on May 23, 1996; USSN 08/960,248 filed October 29, 1997;
U. S. Pat. No. 5,703,241 granted on December 30, 1997;
WO 97/18813; USSN 08/749,254 filed on November 15, 1996;
WO 97/27854 (August 7, 1997); USSN 60/010,799 filed on January 30, 1996; USSN 08/786,520 filed on January 21, 1997; USSN 09/015,823 filed on January 29, 1998;
WO 97/27752 (August 7, 1997); USSN 60/010,860 filed on January 30, 1996; USSN 08/784,556 filed on January 21, 1997; USSN 09/030,223 filed on Febmary 25, 1998;
WO 97/27853 (August 7, 1997); USSN 60/011,081 filed on January 30, 1996; USSN 08/786,519 filed on January 21, 1997;
WO 97/27852 (August 7, 1997); USSN 60/010,798 filed on January 30, 1996; USSN 08/786,516 filed on January 21, 1997;
WO 97/36888 (October 9, 1997); USSN 60/014,587 filed on April 3, 1996; USSN 08/823,919 filed on March 25, 1997;
WO 97/36889 (October 9, 1997); USSN 60/014,589 filed on April 3, 1996; USSN 08/823,923 filed on March 25, 1997;
WO 97/36876 (October 9, 1997); USSN 60/014,592 filed on April 3, 1996; USSN 08/834,671 filed on April 1, 1997;
WO 97/36593 (October 9, 1997); USSN 60/014,593 filed on April 3, 1996; USSN 08/827,485, filed on March 27, 1997;
WO 97/36879 (October 9, 1997); USSN 60/014,594 filed on April 3, 1996; USSN 08/823,920 filed on March 25, 1997; WO 97/36583 (October 9, 1997); USSN 60/014,668 filed on April 3, 1996; USSN 08/824,588 filed on March 26, 1997;
WO 97/36592 (October 9, 1997); USSN 60/014,775 filed on April 3, 1996; USSN 08/826,292 filed on March 27, 1997;
WO 97/36584 (October 9, 1997); USSN 60/014,776 filed on April 3, 1996; USSN 08/824,427 filed on March 26, 1997;
USSN 60/014,777 filed on April 3, 1996; USSN 08/826,317 filed on March 27, 1997;
WO 97/38665 (October 23, 1997); USSN 60/014,791 filed on April 3, 1996; USSN 08/831,308 filed on April 1, 1997;
WO 97/36591 (October 9, 1997); USSN 60/014,792 filed on April 3, 1996; USSN 08/827,482, filed on March 27, 1997;
WO 97/36605 (October 9, 1997); USSN 60/014,793 filed on April 3, 1996; USSN 08/823,934 filed on March 25, 1997;
WO 97/37877 (October 9, 1997); USSN 60/014,794 filed on April 3, 1996; USSN 08/834,675 filed on April 1, 1997;
WO 97/37900 (October 9, 1997); USSN 60/014,798 filed on April 3, 1996; USSN 08/823,929 filed on March 25, 1997;
WO 97/36891 (October 9, 1997); USSN 60/014,774 filed on April 3, 1996; USSN 08/826,291 filed on March 27, 1997;
WO 97/36886 (October 9, 1997); USSN 60/022,332 filed on July 24, 1996; USSN 08/823,919, filed on March 27, 1997;
WO 97/36881 (October 9, 1997); USSN 60/022,340 filed on July 24, 1996; USSN 08/827,486, filed on March 27, 1997; O 97/36585 (October 9, 1997); USSN 60/022,341 filed on July 24, 1996; USSN 8/826,251 filed on March 27, 1997;
O 97/36898 (October 9, 1997); USSN 60/022,342 filed on July 24, 1996; USSN 8/825,293 filed on March 27, 1997;
O 97/36897 (October 9, 1997); USSN 60/022,558 filed on July 24, 1996; USSN 8/827,476, filed on March 27, 1997;
O 97/36874 (October 9, 1997);
WO 97/36585 (October 9, 1997); USSN 60/022,586 filed on July 24, 1996; USSN 08/827,484, filed on March 27, 1997;
WO 97/36890 (October 9, 1997); USSN 60/022,587 filed on July 24, 1996; USSN 08/831,105 filed on April 1, 1997;
WO 97/36901 (October 9, 1997); USSN 60/022,647 filed on July 24, 1996; USSN 08/827,483, filed on March 27, 1997;
USSN 60/032,126 filed on December 5, 1996; USSN 08/985,732, filed on December 4, 1997;
USSN 60/032,428 filed on December 5, 1996; USSN 08/985,124, filed on December 4, 1997;
USSN 60/032,578 filed on December 5, 1996; USSN 08/985,337, filed on December 4, 1997;
USSN 60/032,579 filed on December 5, 1996; USSN 08/985,320, filed on December 5, 1997;
USSN 60/033,990, filed on December 30, 1996; USSN 08/995,744, filed on December 22, 1997; USSN 60/033,991, filed on December 30, 1996; USSN 08/985,124, filed on December 5, 1997;
USSN 60/057,097, filed on August 27, 1997; USSN 09/140,919, filed on August 26, 1998;
USSN 60/057,080, filed on August 27, 1997; USSN 09/140,584, filed on August 26, 1998;
USSN 60/062,660, filed on October 8, 1997; USSN 09/167,180, filed on October 6, 1998;
USSN 60/064,342, filed on October 17, 1997; USSN 08/ , filed on October 13, 1998;
USSN 60/091,629, filed on July 2, 1998; USSN 09/342,701, filed on June 29, 1999;
USSN 60/091,596, filed on July 2, 1998; and USSN 09/347,673, filed on June 29, 1999;
USSN 60/091,513, filed on July 2, 1998 and USSN 09/342,577, filed on June 29, 1999;
All patents, publications and pending patent applications identified are hereby incorporated by reference.
With respect to the compounds of formulas I-a through VI the following definitions apply:
The term "alkyl" refers to a monovalent alkane (hydrocarbon) derived radical containing from 1 to 15 carbon atoms unless otherwise defined. It may be straight, branched or cyclic. Preferred straight or branched alkyl groups include methyl, ethyl, propyl, isopropyl, butyl and t-butyl. Preferred cycloalkyl groups include cyclopentyl and cyclohexyl.
When substituted alkyl is present, this refers to a straight, branched or cyclic alkyl group as defined above, substituted with 1-3 groups as defined with respect to each variable. Heteroalkyl refers to an alkyl group having from 2-15 carbon atoms, and interrupted by from 1-4 heteroatoms selected from O, S and N.
The term "alkenyl" refers to a hydrocarbon radical straight, branched or cyclic containing from 2 to 15 carbon atoms and at least one carbon to carbon double bond. Preferably one carbon to carbon double bond is present, and up to four non-aromatic (non-resonating) carbon-carbon double bonds may be present. Examples of alkenyl groups include vinyl, allyl, isopropenyl, pentenyl, hexenyl, heptenyl, cyclopropenyl, cyclobutenyl, cyclopentenyl, cyclohexenyl, 1 -propenyl, 2- butenyl, 2-methyl-2-butenyl, isoprenyl, famesyl, geranyl, geranylgeranyl and the like. Preferred alkenyl groups include ethenyl, propenyl, butenyl and cyclohexenyl. As described above with respect to alkyl, the straight, branched or cyclic portion of the alkenyl group may contain double bonds and may be substituted when a substituted alkenyl group is provided.
The term "alkynyl" refers to a hydrocarbon radical straight, branched or cyclic, containing from 2 to 15 carbon atoms and at least one carbon to carbon triple bond. Up to three carbon-carbon triple bonds may be present. Preferred alkynyl groups include ethynyl, propynyl and butynyl. As described above with respect to alkyl, the straight, branched or cyclic portion of the alkynyl group may contain triple bonds and may be substituted when a substituted alkynyl group is provided. Aryl refers to aromatic rings e.g., phenyl, substituted phenyl and like groups as well as rings which are fused, e.g., naphthyl and the like. Aryl thus contains at least one ring having at least 6 atoms, with up to two such rings being present, containing up to 10 atoms therein, with alternating (resonating) double bonds between adjacent carbon atoms. The preferred aryl groups are phenyl and naphthyl. Aryl groups may likewise be substituted as defined below. Preferred substituted aryls include phenyl and naphthyl substituted with one or two groups. With regard to the famesyl transferase inhibitors, "aryl" is intended to include any stable monocyclic, bicyclic or tricyclic carbon ring(s) of up to 7 members in each ring, wherein at least one ring is aromatic. Examples of aryl groups include phenyl, naphthyl, anthracenyl, biphenyl, tetrahydronaphthyl, indanyl, phenanthrenyl and the like.
The term "heteroaryl" refers to a monocyclic aromatic hydrocarbon group having 5 or 6 ring atoms, or a bicyclic aromatic group having 8 to 10 atoms, containing at least one heteroatom, O, S or N, in which a carbon or nitrogen atom is the point of attachment, and in which one additional carbon atom is optionally replaced by a heteroatom selected from O or S, and in which from 1 to 3 additional carbon atoms are optionally replaced by nitrogen heteroatoms. The heteroaryl group is optionally substituted with up to three groups.
Heteroaryl thus includes aromatic and partially aromatic groups which contain one or more heteroatoms. Examples of this type are thiophene, purine, imidazopyridine, pyridine, oxazole, thiazole, oxazine, pyrazole, tetrazole, imidazole, pyridine, pyrimidine, pyrazine and triazine. Examples of partially aromatic groups are tetrahydroimidazo[4,5-c]pyridine, phthalidyl and saccharinyl, as defined below.
With regard to the famesyl transferase inhibitors, the term heterocycle or heterocyclic, as used herein, represents a stable 5- to 7-membered monocyclic or stable 8- to 11 -membered bicyclic or stable 11-15 membered tri cyclic heterocycle ring which is either saturated or unsaturated, and which consists of carbon atoms and from one to four heteroatoms selected from the group consisting of N, O, and S, and including any bicyclic group in which any of the above-defined heterocyclic rings is fused to a benzene ring. The heterocyclic ring may be attached at any heteroatom or carbon atom which results in the creation of a stable structure. Examples of such heterocyclic elements include, but are not limited to, azepinyl, benzimidazolyl, benzisoxazolyl, benzofurazanyl, benzopyranyl, benzothiopyranyl, benzofuryl, benzothiazolyl, benzothienyl, benzoxazolyl, chromanyl, cinnolinyl, dihydrobenzofuryl, dihydro-benzothienyl, dihydrobenzothiopyranyl, dihydrobenzothio-pyranyl sulfone, furyl, imidazolidinyl, imidazolinyl, imidazolyl, indolinyl, indolyl, isochromanyl, isoindolinyl, isoquinolinyl, isothiazolidinyl, isothiazolyl, isothiazolidinyl, morpholinyl, naphthyridinyl, oxadiazolyl, 2- oxoazepinyl, 2-oxopiperazinyl, 2-oxopiperidinyl, 2-oxopyrrolidinyl, piperidyl, piperazinyl, pyridyl, pyridyl N-oxide, pyridonyl, pyrazinyl, pyrazolidinyl, pyrazolyl, pyrimidinyl, pyrrolidinyl, pyrrolyl, quinazolinyl, quinolinyl, quinolinyl N-oxide, quinoxalinyl, tetrahydrofuryl, tetrahydroisoquinolinyl, tetrahydro-quinolinyl, thiamorpholinyl, thiamorpholinyl sulfoxide, thiazolyl, thiazolinyl, thienofuryl, thienothienyl, and thienyl. Preferably, heterocycle is selected from imidazolyl, 2- oxopyrrolidinyl, piperidyl, pyridyl and pyrrolidinyl. With regard to the famesyl transferase inhibitors, the terms "substituted aryl", "substituted heterocycle" and "substituted cycloalkyl" are intended to include the cyclic group which is substituted with 1 or 2 substitutents selected from the group which includes but is not limited to F, Cl, Br, CF3, NH2, N(Ci-C6 alkyl)2, NO2, CN, (C1-C6 alkyl)O-, -OH, (Ci-Cό alkyl)S(O)m-, ( -C6 alkyl)C(O)NH-, H2N-C(NH)-, (C1-C6 alkyl)C(O)-, (C1-C6 alkyl)OC(O)-, N3,(Ci-C6 alkyl)OC(O)NH- and C\- C20 alkyl.
The compounds used in the present method may have asymmetric centers and occur as racemates, racemic mixtures, and as individual diastereomers, with all possible isomers, including optical isomers, being included in the present invention. Unless otherwise specified, named amino acids are understood to have the natural "L" stereoconfiguration.
With respect to the farnesyl-protein transferase inhibitors of the formula II, the substituent illustrated by the stmcture:
Figure imgf000091_0001
represents a 4, 5, 6 or 7 membered heterocyclic ring which comprises a nitrogen atom through which Q is attached to Y and 0-2 additional heteroatoms selected from N, S and O, and which also comprises a carbonyl, thiocarbonyl, -C(=NR13)- or sulfonyl moiety adjacent to the nitrogen atom attached to Y and includes the following ring systems:
Figure imgf000091_0002
Figure imgf000091_0003
Figure imgf000091_0004
Figure imgf000092_0001
It is understood that such rings may be substituted by R6a, R6b, 6C ; Rod and/or R6e as defined hereinabove.
With respect to the farnesyl-protein transferase inhibitors of the formula II, the moiety described as
R
where any two of R6a, R6b, R6c, R 06d and R6e on adjacent carbon atoms are combined to form a diradical selected from -CH=CH-CH=CH, -CH=CH-CH-, (CH2)4- and -(CH2)4- includes, but is not limited to, the following stmctures:
Figure imgf000092_0002
Figure imgf000092_0003
Figure imgf000092_0004
It is understood that such fused ring moieties may be further substituted by the remaining R6a, R6b, R6c, R6d and/or R6e as defined hereinabove.
With respect to the farnesyl-protein transferase inhibitors of the formula II, the substituent illustrated by the stmcture:
Figure imgf000093_0001
represents a 5, 6 or 7 membered carbocyclic ring wherein from 0 to 3 carbon atoms are replaced by a heteroatom selected from N, S and O, and wherein Y is attached to Q through a carbon atom and includes the following ring systems:
Figure imgf000093_0002
Figure imgf000094_0001
With respect to the farnesyl-protein transferase inhibitors of the formula III, the substituent illustrated by the stmcture:
Figure imgf000094_0002
represents a 4, 5, 6 or 7 membered heterocyclic ring which comprises a nitrogen atom through which Q is attached to Y and 0-2 additional heteroatoms selected from N, S and O, and which also comprises a carbonyl, thiocarbonyl, -C(=NRl^)- or sulfonyl moiety adjacent to the nitrogen atom attached to Y and includes the following ring systems:
Figure imgf000094_0003
Figure imgf000094_0005
Figure imgf000094_0006
Figure imgf000094_0004
Figure imgf000095_0001
With respect to the farnesyl-protein transferase inhibitors of the formula III, the substituent illustrated by the structure:
Figure imgf000095_0002
represents a 5-, 6- or 7-membered carbocyclic ring wherein from 0 to 3 carbon atoms are replaced by a heteroatom selected from N, S and O, and wherein Y is attached to Q through a carbon atom and includes the following ring systems:
Figure imgf000095_0003
Figure imgf000095_0004
Figure imgf000095_0005
Figure imgf000096_0001
Figure imgf000096_0002
Figure imgf000096_0003
With respect to the farnesyl-protein transferase inhibitors of the formula III, the moiety described as
Figure imgf000096_0004
where any two of R6a, R6b, ROC, Rod anc\ R6e on adjacent carbon atoms are combined to form a diradical selected from -CH=CH-CH=CH, -CH=CH-CH-, (CH2)4- and -(CH2)4- includes, but is not limited to, the following stmctures:
Figure imgf000096_0005
Figure imgf000096_0006
Figure imgf000097_0001
It is understood that such fused ring moieties may be further substituted by the remaining R6a, R6b, R6( R d and/or R6e as defined hereinabove.
When R2 and R^ are combined to form -(CH2)u-> cyclic moieties are formed. Examples of such cyclic moieties include, but are not limited to:
Figure imgf000097_0002
In addition, such cyclic moieties may optionally include a heteroatom(s). Examples of such heteroatom-containing cyclic moieties include, but are not limited to:
Figure imgf000097_0003
When R6 and R?, or R^ and R^a, are combined to form -(CH2)u-, cyclic moieties are formed. Examples of such cyclic moieties include, but are not limited to:
Figure imgf000098_0001
The pharmaceutically acceptable salts of the compounds of this invention include the conventional non-toxic salts of the compounds of this invention as formed, e.g., from non-toxic inorganic or organic acids. For example, such conventional non-toxic salts include those derived from inorganic acids such as hydrochloric, hydrobromic, sulfuric, sulfamic, phosphoric, nitric and the like: and the salts prepared from organic acids such as acetic, propionic, succinic, glycolic, stearic, lactic, malic, tartaric, citric, ascorbic, pamoic, maleic, hydroxymaleic, phenyl-acetic, glutamic, benzoic, salicylic, sulfanilic, 2-acetoxy-benzoic, fumaric, toluenesulfonic, methanesulfonic, ethane disulfonic, oxalic, isethionic, trifluoroacetic and the like.
It is intended that the definition of any substituent or variable (e.g., RlO, Z, n, etc.) at a particular location in a molecule be independent of its definitions elsewhere in that molecule. Thus, -N(RlO)2 represents -NHH, -NHCH3, -NHC2H5, etc. It is understood that substituents and substitution patterns on the compounds of the instant invention can be selected by one of ordinary skill in the art to provide compounds that are chemically stable and that can be readily synthesized by techniques known in the art as well as those methods set forth below.
The pharmaceutically acceptable salts of the compounds of this invention can be synthesized from the compounds of this invention which contain a basic moiety by conventional chemical methods. Generally, the salts are prepared by reacting the free base with stoichiometric amounts or with an excess of the desired salt- forming inorganic or organic acid in a suitable solvent or various combinations of solvents.
Abbreviations used in the description of the chemistry and in the Examples that follow are:
Ac2θ Acetic anhydride;
Boc t-Butoxycarbonyl;
DBU l,8-diazabicyclo[5.4.0]undec-7-ene;
DMAP 4-Dimethylaminopyridine; DME 1,2-Dimethoxyethane;
DMF Dimethylformamide; EDC 1 -(3-dimethylaminopropyl)-3-ethyl-carbodiimide- hydrochloride;
HOBT 1-Hydroxybenzotriazole hydrate;
Et3N Triethylamine;
EtOAc Ethyl acetate;
FAB Fast atom bombardment;
HOOBT 3-Hydroxy-l ,2,2-benzotriazin-4(3H)-one;
ΗPLC High-performance liquid chromatography;
MCPBA m-Chloroperoxybenzoic acid;
MsCl Methanesulfonyl chloride;
NaHMDS Sodium bis(trimethylsilyl)amide;
Py Pyridine;
TFA Trifluoroacetic acid;
THF Tetrahydrofuran.
The compounds are useful in various pharmaceutically acceptable salt forms. The term "pharmaceutically acceptable salt" refers to those salt forms which would be apparent to the pharmaceutical chemist, i.e., those which are substantially non-toxic and which provide the desired pharmacokinetic properties, palatability, absorption, distribution, metabolism or excretion. Other factors, more practical in nature, which are also important in the selection, are cost of the raw materials, ease of crystallization, yield, stability, hygroscopicity and flowability of the resulting bulk dmg. Conveniently, pharmaceutical compositions may be prepared from the active ingredients in combination with pharmaceutically acceptable carriers.
Pharmaceutically acceptable salts include conventional non-toxic salts or quartemary ammonium salts formed, e.g., from non-toxic inorganic or organic acids. Non-toxic salts include those derived from inorganic acids such as hydrochloric, hydrobromic, sulfuric, sulfamic, phosphoric, nitric and the like; and the salts prepared from organic acids such as acetic, propionic, succinic, glycolic, stearic, lactic, malic, tartaric, citric, ascorbic, pamoic, sulfanilic, 2-acetoxybenzoic, fumaric, toluenesulfonic, methanesulfonic, ethane disulfonic, oxalic, isethionic, trifluoroacetic and the like.
The pharmaceutically acceptable salts of the present invention can be synthesized by conventional chemical methods. Generally, the salts are prepared by reacting the free base or acid with stoichiometric amounts or with an excess of the desired salt-forming inorganic or organic acid or base, in a suitable solvent or solvent combination.
The prenyl protein transferase inhibitors of formula (I-a) through (I-c) can be synthesized in accordance with Schemes 1-22, in addition to other standard manipulations such as ester hydrolysis, cleavage of protecting groups, etc., as may be known in the literature or exemplified in the experimental procedures. Substituents R, Ra and Rb, as shown in the Schemes, represent the substituents R2, R3, R4, and R5' however their point of attachment to the ring is illustrative only and is not meant to be limiting. These reactions may be employed in a linear sequence to provide the compounds of the invention or they may be used to synthesize fragments which are subsequently joined by the alkylation reactions described in the Schemes.
Synopsis of Schemes 1-22: The requisite intermediates are in some cases commercially available, or can be prepared according to literature procedures, for the most part. In Scheme 1 , for example, the synthesis of 2-alkyl sub-stituted piperazines is outlined, and is essentially that described by J. S. Kiely and S. R. Priebe in Organic Preparations and Proceedings Int., 1990, 22, 761-768. Boc-protected amino acids I, available commercially or by procedures known to those skilled in the art, can be coupled to N- benzyl amino acid esters using a variety of dehydrating agents such as DCC (dicyclohexycarbodiimide) or EDC-HC1 (l-ethyl-3-(3- dimethylaminopropyl)carbodiimide hydrochloride) in a solvent such as methylene chloride , chloroform, dichloroethane, or in dimethylformamide. The product II is then deprotected with acid, for example hydrogen chloride in chloroform or ethyl acetate, or trifluoroacetic acid in methylene chloride, and cyclized under weakly basic conditions to give the diketopiperazine Ifl. Reduction of III with lithium aluminum hydride in refluxing ether gives the piperazine IN, which is protected as the Boc derivative V. The Ν-benzyl group can be cleaved under standard conditions of hydrogenation, e.g., 10% palladium on carbon at 60 psi hydrogen on a Pan apparatus for 24-48 h. The product VI can be treated with an acid chloride, or a carboxylic acid under standard dehydrating conditions to furnish the carboxamides VII; a final acid deprotection as previously described gives the intermediate VIJI (Scheme 2). The intermediate VHI can be reductively alkylated with a variety of aldehydes, such as DC The aldehydes can be prepared by standard procedures, such as that described by O. P. Goel, U. Krolls, M. Stier and S. Kesten in Organic Syntheses, 1988, 67, 69-75, from the appropriate amino acid (Scheme 3). The reductive alkylation can be accomplished at pH 5-7 with a variety of reducing agents, such as sodium triacetoxyborohydride or sodium cyanoborohydride in a solvent such as dichloroethane, methanol or dimethylformamide. The product X can be deprotected to give the final compounds XI with trifluoroacetic acid in methylene chloride. The final product XI is isolated in the salt form, for example, as a trifluoroacetate, hydrochloride or acetate salt, among others. The product diamine XI can further be selectively protected to obtain XII, which can subsequently be reductively alkylated with a second aldehyde to obtain XIII. Removal of the protecting group, and conversion to cyclized products such as the dihydroimidazole XV can be accomplished by literature procedures.
Alternatively, the protected piperazine intermediate VII can be reductively alkylated with other aldehydes such as 1 -trityl-4-imidazolyl- carboxaldehyde or 1 -trityl-4-imidazolylacetaldehyde, to give products such as XVI (Scheme 4). The trityl protecting group can be removed from XVI to give XVII, or alternatively, XVI can first be treated with an alkyl halide then subsequently deprotected to give the alkylated imidazole XVffl. Alternatively, the intermediate NIH can be acylated or sulfonylated by standard techniques. The imidazole acetic acid XIX can be converted to the acetate XXI by standard procedures, and XXI can be first reacted with an alkyl halide, then treated with refluxing methanol to provide the regiospecifically alkylated imidazole acetic acid ester XXII. Hydrolysis and reaction with piperazine Vfll in the presence of condensing reagents such as l-(3- dimethylaminopropyl)-3-ethylcarbodiimide (EDC) leads to acylated products such as XXIV. If the piperazine VHI is reductively alkylated with an aldehyde which also has a protected hydroxyl group, such as XXV in Scheme 6, the protecting groups can be subsequently removed to unmask the hydroxyl group (Schemes 6, 7). The alcohol can be oxidized under standard conditions to e.g. an aldehyde, which can then be reacted with a variety of organometallic reagents such as Grignard reagents, to obtain secondary alcohols such as XXIX. In addition, the fully deprotected amino alcohol XXX can be reductively alkylated (under conditions described previously) with a variety of aldehydes to obtain secondary amines, such as XXXI (Scheme 7), or tertiary amines. The Boc protected amino alcohol XXVII can also be utilized to synthesize 2-aziridinylmethylpiperazines such as XXXII (Scheme 8). Treating XXVII with 1 , 1 '-sulfonyldiimidazole and sodium hydride in a solvent such as dimethylformamide led to the formation of aziridine XXXII. The aziridine reacted in the presence of a nucleophile, such as a thiol, in the presence of base to yield the ring- opened product XXXHI.
In addition, the piperazine VIII can be reacted with aldehydes derived from amino acids such as O-alkylated tyrosines, according to standard procedures, to obtain compounds such as XXXIX. When R' is an aryl group, XXXIX can first be hydrogenated to unmask the phenol, and the amine group deprotected with acid to produce XL. Alternatively, the amine protecting group in XXXIX can be removed, and O-alkylated phenolic amines such as XLI produced.
Depending on the identity of the amino acid I, various side chains can be incoφorated into the piperazine. For example when I is the Boc-protected b- benzyl ester of aspartic acid, the intermediate diketopiperazine XLII where n=l and R=benzyl is obtained, as shown in Scheme 10. Subsequent lithium aluminum hydride reduction reduces the ester to the alcohol XLIII, which can then be reacted with a variety of alkylating agents such as an alkyl iodide, under basic conditions, for example, sodium hydride in dimethylformamide or tetrahydrofuran. The resulting ether XLJN can then be carried on to final products as described in Schemes 3-9. Ν-Aryl piperazines can be prepared as described in Scheme 11. An aryl amine XLV is reacted with bis -chloroethyl amine hydrochloride (XL VI) in refluxing n -butanol to furnish compounds XLVII. The resulting piperazines XLVII can then be carried on to final products as described in Schemes 3-9. Piperazin-5-ones can be prepared as shown in Scheme 12. Reductive amination of Boc-protected amino aldehydes XLIX (prepared from I as described previously) gives rise to compound L. This is then reacted with bromoacetyl bromide under Schotten-Baumann conditions; ring closure is effected with a base such as sodium hydride in a polar aprotic solvent such as dimethylformamide to give LI. The carbamate protecting group is removed under acidic conditions such as trifluoroacetic acid in methylene chloride, or hydrogen chloride gas in methanol or ethyl acetate, and the resulting piperazine can then be carried on to final products as described in Schemes 3-9.
The isomeric piperazin-3-ones can be prepared as described in Scheme 13. The imine formed from arylcarboxamides LU and 2-aminoglycinal diethyl acetal (LIU) can be reduced under a variety of conditions, including sodium triacetoxyborohydride in dichloroethane, to give the amine LIV. Amino acids I can be coupled to amines LIN under standard conditions, and the resulting amide LV when treated with aqueous acid in tetrahydrofuran can cyclize to the unsaturated LVI. Catalytic hydrogenation under standard conditions gives the requisite intermediate LVII, which is elaborated to final products as described in Schemes 3-9.
Access to alternatively substituted piperazines is described in Scheme 14. Following deprotection with trifluoroacetic acid, the Ν-benzyl piperazine V can be acylated with an aryl carboxylic acid. The resulting Ν-benzyl aryl carboxamide LIX can be hydrogenated in the presence of a catalyst to give the piperazine carboxamide LX which can then be carried on to final products as described in Schemes 3-9.
Reaction Scheme 15 provides an illustrative example the synthesis of compounds of the instant invention wherein the substituents R^ and R^ are combined to form -(CH2)ιτ- For example, 1-aminocyclohexane-l -carboxylic acid LXI can be converted to the spiropiperazine LXVI essentially according to the procedures outlined in Schemes 1 and 2. The piperazine intermediate LXIX can be deprotected as before, and carried on to final products as described in Schemes 3-9. It is understood that reagents utilized to provide the substituent Y which is 2-(naphthyl) and the imidazolylalkyl substituent may be readily replaced by other reagents well known in the art and readily available to provide other Ν-substituents on the piperazine.
The aldehyde XLIX from Scheme 12 can also be reductively alkylated with an aniline as shown in Scheme 16. The product LXXI can be converted to a piperazinone by acylation with chloroacetyl chloride to give LXXII, followed by base- induced cyclization to LXXHI. Deprotection, followed by reductive alkylation with a protected imidazole carboxaldehyde leads to LXXV, which can be alkylation with an arylmethylhalide to give the imidazolium salt LXXVI. Final removal of protecting groups by either solvolysis with a lower alkyl alcohol, such as methanol, or treatment with triethylsilane in methylene chloride in the presence of trifluoroacetic acid gives the final product LXXVH.
Scheme 17 illustrates the use of an optionally substituted homoserine lactone LXXIX to prepare a Boc-protected piperazinone LXXXII. Intermediate LXXXII may be deprotected and reductively alkylated or acylated as illustrated in the previous Schemes. Alternatively, the hydroxyl moiety of intermediate LXXXII may be mesylated and displaced by a suitable nucleophile, such as the sodium salt of ethane thiol, to provide an intermediate LXXXIIL Intermediate LXXXII may also be oxidized to provide the carboxylic acid on intermediate LXXXJV, which can be utilized form an ester or amide moiety. Amino acids of the general formula LXXXVI which have a sidechain not found in natural amino acids may be prepared by the reactions illustrated in Scheme 18 starting with the readily prepared imine LXXXV.
Schemes 19-22 illustrate syntheses of suitably substituted aldehydes useful in the syntheses of the instant compounds wherein the variable W is present as a pyridyl moiety. Similar synthetic strategies for preparing alkanols that incoφorate other heterocyclic moieties for variable W are also well known in the art.
SCHEME 1
Figure imgf000105_0001
Figure imgf000105_0002
III IV
Figure imgf000105_0003
SCHEME 2
EDC-HCI, HOBT
Ra DMF
Figure imgf000106_0001
HCl, EtOAc
Figure imgf000106_0002
VII
Figure imgf000106_0003
SCHEME 3
Figure imgf000107_0001
VIII
Figure imgf000107_0002
XI
Figure imgf000107_0003
SCHEME 3 (continued)
Figure imgf000108_0001
SCHEME 4
Figure imgf000109_0001
SCHEME 5
Figure imgf000110_0001
1 ) ArCH2X CH3CN reflux 2) CH3OH, reflux
Figure imgf000110_0002
XXI
Figure imgf000110_0003
Figure imgf000110_0004
SCHEME 6
Figure imgf000111_0001
XXV
Figure imgf000111_0002
XXVI
Figure imgf000111_0003
XXVII
Figure imgf000111_0004
XXVIII 2. TFA, CH CI SCHEME 7
Figure imgf000112_0001
XXVII CH2CI2
XXX
Figure imgf000112_0002
SCHEME 8
Figure imgf000112_0003
Figure imgf000112_0004
SCHEME 9
Figure imgf000113_0001
XXXIV
XXXV
Figure imgf000113_0002
XXXVI
Figure imgf000113_0003
XXXVII XXXVIII
SCHEME 9 (continued)
Figure imgf000114_0001
XXXVIII
Figure imgf000114_0002
Figure imgf000114_0003
XL SCHEME 10
Figure imgf000115_0001
XLII XLIII
Figure imgf000115_0002
SCHEME 11
XLVI
Figure imgf000115_0004
XLVII SCHEME 12
>U -0H > 0ANMN(CH3)OCH;
0 N T CH3NHOCH3 HCl H A
H A - - ► °
EDC . HCl, HOBT XL II I
1 DMF, Et3N, pH 7
Figure imgf000116_0001
pH6
XLIX
Figure imgf000116_0002
H 2) NaH, THF, DMF
Figure imgf000116_0003
LI
SCHEME 13
ArCHO + NH2CH2CH(OC2H5)2 NaBH(OAc)3
Figure imgf000117_0001
LIV
EDC . HCl, HOBT DMF, Et3N, pH 7
Figure imgf000117_0002
LV
Figure imgf000117_0003
LVI
Figure imgf000117_0004
SCHEME 14
Figure imgf000118_0001
LVI 11
Figure imgf000118_0002
Figure imgf000118_0003
LX
SCHEME 15
M> PhCH2NHCH2CO2C2H5
DCC, CH2CI2
BocN MH CO2H LXI
Figure imgf000119_0001
SCHEME 15 (continued)
Figure imgf000120_0001
NaHCO3 EtOAc
LXVII
Figure imgf000120_0002
LXX SCHEME 16
BocNH
Figure imgf000121_0001
CICH2CH2CI
XLIX LXXI
O R
Cl > Λ
Cl BocNH N-Ar
EtOAc / H2O ./" NaHCO3 Cl O
LXXII
R
NaH / — \ HCl BocN N-Ar
DMF V EtOAc
<
O LXXI 11
SCHEME 16 (continued)
Figure imgf000122_0001
CICH2CH2CI LXXIV pH 5-6
LXXV
Figure imgf000122_0002
LXXVI
Figure imgf000122_0003
LXXVII SCHEME 17
Figure imgf000123_0001
CICH2CH2CI LXXX
Figure imgf000123_0002
LXXXI
Figure imgf000123_0003
LXXXII SCHEME 17 (continued)
1. 2. Na
Figure imgf000124_0001
Figure imgf000124_0002
LXXXII I LXXXIV
SCHEME 18
P
Figure imgf000125_0001
LXXXV
1. Boc2O, NaHCO3 R
CO2H
BocHN
2. LiAIH,, Et O
LXXXVI
REACTION SCHEME 19
Figure imgf000126_0001
Figure imgf000126_0002
NaBH4 (excess)
Figure imgf000126_0003
Figure imgf000126_0004
REACTION SCHEME 20
Figure imgf000127_0001
Figure imgf000127_0002
REACTION SCHEME 21
Figure imgf000128_0001
Figure imgf000128_0002
NaBH4 (excess)
Figure imgf000128_0003
Figure imgf000128_0004
REACTION SCHEME 22
Figure imgf000129_0001
Figure imgf000129_0002
excess NaBH,
Figure imgf000129_0003
Figure imgf000129_0004
The farnesyl transferase inhibitors of formula (II) can be synthesized in accordance with Schemes 23-37, in addition to other standard manipulations such as ester hydrolysis, cleavage of protecting groups, etc., as may be known in the literature or exemplified in the experimental procedures. Substituents R- , R6 and R^, as shown in the Schemes, represent the substituents R3, R4, R5, R6a, R6b, R6c, R6d, R6e and R8 as described for formula II; although only one such R3, R6 or R is present in the intermediates and products of the schemes, it is understood that the reactions shown are also applicable when such aryl or heterocyclic moieties contain multiple substituents.The compounds referred to in the Synopsis of Schemes 23-37 by numerals are numbered starting sequentially with 1 and ending with 45.
These reactions may be employed in a linear sequence to provide the compounds of the invention or they may be used to synthesize fragments which are subsequently joined by the alkylation reactions described in the Schemes. Aryl-aryl coupling is generally described in "Comprehensive Organic Functional Group Transformations," Katritsky et al. eds., pp 472-473, Pergamon Press (1995).
Synopsis of Schemes 23-37:
The requisite intermediates are in some cases commercially available, or can be prepared according to literature procedures. Schemes 23-32 illustrate synthesis of the instant bicyclic compounds which incorporate a preferred benzylimidazolyl side chain. Thus, in Scheme 23, for example, a bicyclic intermediate that is not commercially available may be synthesized by methods known in the art. Thus, a suitably substituted pyridinone 1 may be reacted under coupling conditions with a suitably substituted iodobenzyl alcohol to provide the intermediate alcohol 2. The intermediate alcohol 2 may converted to the corresponding bromide 3. The bromide 3 may be coupled to a suitably substituted benzylimidazolyl 4 to provide, after deprotection, the instant compound 5.
Schemes 24-26 illustrate methods of synthesizing related or analogous key alcohol intermediates, which can then be processed as described in Scheme 23. Thus, Scheme 24 illustrates pyridinonylpyridyl alcohol forming reactions starting with the suitably substituted iodonicotinate 6.
Scheme 25 illustrates preparation of the intermediate alcohol 9 wherein the terminal lactam ring is saturated. Acylation of a suitably substituted 4- aminobenzyl alcohol 7 with a suitably substituted brominated acyl chloride provides the bisacylated intermediate 8. Closure of the lactam ring followed by saponifiaction of the remaining acyl group provides the intermediate alcohol. Preparation of the homologous saturated lactam 10 is illustrated in Scheme 26.
Scheme 27 illustrates the synthesis of the alcohol intermediate 13 which incorporates a terminal pyrazinone moiety. Thus, the amide of a suitably substituted amino acid 11 is formed and reacted with glyoxal to form the pyrazine 12, which then undergoes the Ullmann coupling to form intermediate 13.
Scheme 28 illustrates synthesis of an instant compound wherein a non- hydrogen R9b is incorporated in the instant compound. Thus, a readily available 4- substituted imidazole 14 may be selectively iodinated to provide the 5-iodoimidazole 15. That imidazole may then be protected and coupled to a suitably substituted benzyl moiety to provide intermediate 16. Intermediate 16 can then undergo the alkylation reactions that were described hereinabove.
Scheme 29 illustrates synthesis of instant compounds that incoφorate a preferred imidazolyl moiety connected to the bicyclic moiety via an alkyl amino, sulfonamide or amide linker. Thus, the 4-aminoalkylimidazole 17, wherein the primary amine is protected as the phthalimide, is selectively alkylated then deprotected to provide the amine 18. The amine 18 may then react under conditions well known in the art with various activated bicyclic moieties to provide the instant compounds shown.
Compounds of the instant invention wherein the A^CR^n-A-^CR^m linker is oxygen may be synthesized by methods known in the art, for example as shown in Scheme 30. The suitably substituted phenol 19 maybe reacted with methyl N-(cyano)methanimidate to provide the 4-phenoxyimidazole 20. After selective protection of one of the imidazolyl nitrogens, the intermediate 21 can undergo alkylation reactions as described for the benzylimidazoles hereinabove.
Compounds of the instant invention wherein the A1(CR^2)nN^(CR^2)n linker is a substituted methylene may be synthesized by the methods shown in Scheme 31. Thus, the N-protected imidazolyl iodide 22 is reacted, under Grignard conditions with a suitably protected benzaldehyde to provide the alcohol 23. Acylation, followed by the alkylation procedure illustrated in the Schemes above (in particular, Scheme 23) provides the instant compound 24. If other Rl substituents are desired, the acetyl moiety can be manipulated as illustrated in the Scheme. Scheme 32 illustrates incorporation of an acetyl moiety as the
(CR22)pX(CR22)n linker of the instant compounds. Thus the readily available methylphenone 25 undergoes the Ullmann reaction and the acetyl is brominated to provide intermediate 26. Reaction with the imidazolyl reagent 4 provides, after deprotection, the instant compound 27. Schemes 33-37 illustrate reactions wherein the moiety
Figure imgf000132_0001
incorporated in the compounds of the instant invention is represented by other than a substituted imidazole-containing group. Thus, the intermediates whose synthesis are illustrated in Schemes hereinabove and other arylheteroaryl intermediates obtained commercially or readily synthesized, can be coupled with a variety of aldehydes. The aldehydes can be prepared by standard procedures, such as that described by O. P. Goel, U. Krolls, M. Stier and S. Kesten in Organic Syntheses. 1988, 67, 69-75, from the appropriate amino acid. Knochel chemistry may be utilized, as shown in Scheme 33, to incoφorate the arylpyridinone moiety. Thus, a suitably substituted 4- (bromo)iodobenzene is coupled to a suitably substituted pyridinone 1 as previously described above. The resulting bromide 28 is treated with zinc(0) and the zinc bromide reagent 29 is reacted with an aldehyde to provide the C- alkylated instant compound 30. Compound 30 can be deoxygenated by methods known in the art, such as a catalytic hydrogention, then deprotected with trifluoroacetic acid in methylene chloride to give the final compound 31. The compound 31 maybe isolated in the salt form, for example, as a trifluoroacetate, hydrochloride or acetate salt, among others. The product diamine 31 can further be selectively protected to obtain 32, which can subsequently be reductively alkylated with a second aldehyde to obtain 33. Removal of the protecting group, and conversion to cyclized products such as the dihydroimidazole 34 can be accomplished by literature procedures.
If the arylpyridinone zinc bromide reagent is reacted with an aldehyde which also has a protected hydroxyl group, such as 35 in Scheme 34, the protecting groups can be subsequently removed to unmask the hydroxyl group (Schemes 34, 35). The alcohol can be oxidized under standard conditions to e.g. an aldehyde, which can then be reacted with a variety of organometallic reagents such as alkyl lithium reagents, to obtain secondary alcohols such as 37. In addition, the fully deprotected amino alcohol 38 can be reductively alkylated (under conditions described previously) with a variety of aldehydes to obtain secondary amines, such as 39 (Scheme 35), or tertiary amines.
The Boc protected amino alcohol 36 can also be utilized to synthesize 2-aziridinylmethylarylpyridinone such as 40 (Scheme 36). Treating 36 with 1,1'- sulfonyldiimidazole and sodium hydride in a solvent such as dimethylformamide led to the formation of aziridine 40. The aziridine is reacted with a nucleophile, such as a thiol, in the presence of base to yield the ring-opened product 41.
In addition, the arylpyridinone subunit reagent can be reacted with aldehydes derived from amino acids such as O-alkylated tyrosines, according to standard procedures, to obtain compounds such as 43, as shown in Scheme 37. When R' is an aryl group, 43 can first be hydrogenated to unmask the phenol, and the amine group deprotected with acid to produce 44. Alternatively, the amine protecting group in 43 can be removed, and O-alkylated phenolic amines such as 45 produced.
Other suitably substituted aldehydes such as those described in Schemes 19-22 hereinabove may be utilized in the syntheses of the instant compounds of the formula II. Similar synthetic strategies for preparing alkanols that incoφorate other heterocyclic moieties for variable W are also well known in the art.
SCHEME 23
Figure imgf000134_0001
SCHEME 23 (continued)
Figure imgf000135_0001
Figure imgf000135_0002
SCHEME 24
Figure imgf000136_0001
Figure imgf000136_0002
SCHEME 25
Figure imgf000137_0001
SCHEME 26
Figure imgf000138_0001
10
SCHEME 27
-,O
CO2CH3 NH3(Liq.) CONH2 O'
R°-" "NH2ΗCI EtOH R6 H2ΗCI MeOH/NaOH
11
HCl NaHCO
Figure imgf000139_0001
Figure imgf000139_0002
13
SCHEME 28
H H
Nal, NaHCQ3, 2
Figure imgf000140_0001
14
Figure imgf000140_0002
Figure imgf000140_0003
Figure imgf000140_0004
i. CH3CN/reflux ii. MeOH, reflux
Figure imgf000140_0005
Figure imgf000140_0006
SCHEME 29
Figure imgf000141_0001
17
Figure imgf000141_0002
SCHEME 30
Figure imgf000142_0001
Figure imgf000142_0002
20 21
Figure imgf000142_0003
SCHEME 31
Figure imgf000143_0001
SCHEME 31 (continued)
Figure imgf000144_0001
SCHEME 32
Figure imgf000145_0001
25
CH3CN/reflux
Figure imgf000145_0002
SCHEME 32 (continued)
Figure imgf000146_0001
Figure imgf000146_0002
27
SCHEME 33
Figure imgf000147_0001
Figure imgf000147_0002
SCHEME 33 (continued)
SCHEME 34
Figure imgf000149_0001
36
Figure imgf000149_0002
37 SCHEME 35
Figure imgf000150_0001
38
Figure imgf000150_0002
SCHEME 36
Figure imgf000151_0001
36
Figure imgf000151_0002
40
Figure imgf000151_0003
41
SCHEME 37
Figure imgf000152_0001
Figure imgf000152_0002
Figure imgf000152_0003
SCHEME 37 (continued)
BocNH CHO
Figure imgf000153_0001
Figure imgf000153_0002
The farnesyl transferase inhibitors of formula (HI) can be synthesized in accordance with Schemes 38-46, in addition to other standard manipulations such as ester hydrolysis, cleavage of protecting groups, etc., as may be known in the literature or exemplified in the experimental procedures. Substituents R.3, R.6 and R.8, as shown in the Schemes, represent the substituents R3, R4, R5, R6a, R6b, R6c, R6d, R^e and R^ as described for formula III; although only one such R3, R6 or R& is present in the intermediates and products of the schemes, it is understood that the reactions shown are also applicable when such aryl or heterocyclic moieties contain multiple substituents. The compounds referred to in the Synopsis of Schemes 38-46 by numerals are numbered starting sequentially with 29 and ending with 58.
These reactions may be employed in a linear sequence to provide the compounds of the invention or they may be used to synthesize fragments which are subsequently joined by the alkylation reactions described in the Schemes. The reactions described in the Schemes are illustrative only and are not meant to be limiting. Other reactions useful in the preparation of heteroaryl moieties are described in "Comprehensive Organic Chemistry, Volume 4: Heterocyclic Compounds" ed. P.G. Sammes, Oxford (1979) and references therein.
Synopsis of Schemes 38-46:
The requisite intermediates are in some cases commercially available, or can be prepared according to literature procedures. Schemes 38-46 illustrate synthesis of the instant bicyclic compounds which incoφorate a preferred benzylimidazolyl sidechain. Thus, in Scheme 38, for example, a bicyclic intermediate that is not commercially available may be synthesized by methods known in the art. Thus, a suitably substituted pyridinonyl alcohol 29 may be synthesized starting from the corresponding isonicotinate 28 according to procedures described by Boekelhiede and Lehn (J. Org. Chem., 26:428-430 (1961)). The alcohol is then protected and reacted under Ullmann coupling conditions with a suitably substituted phenyl iodide, to provide the intermediate bicyclic alcohol 30. The intermediate alcohol 30 may converted to the corresponding bromide 31. The bromide 31 may be coupled to a suitably substituted benzylimidazolyl 32 to provide, after deprotection, the instant compound 33. Schemes 39-41 illustrate methods of synthesizing related or alcohol intermediates, which can then be processed as described in Scheme 38. Thus, Scheme 39 illustrates preparation of a pyridylpyridinonyl alcohol and thienylpyridinonyl alcohol starting with the suitably substituted halogenated heterocycles. Scheme 40 illustrates preparation of the intermediate bromide 36 wherein the preferred pyridinone is replced by a saturated lactam. Acylation of a suitably substituted aniline 34 with a suitably substituted brominated acyl chloride provides the acylated intermediate 35. Closure of the lactam ring provides the intermediate alcohol, which is converted to the bromide as described above.
Scheme 41 illustrates synthesis of an instant compound wherein a non- hydrogen R9b is incoφorated in the instant compound. Thus, a readily available 4- substituted imidazole 37 may be selectively iodinated to provide the 5-iodoimidazole 38. That imidazole 38 may then be protected and coupled to a suitably substituted benzyl moiety to provide intermediate 39. Intermediate 39 can then undergo the alkylation reactions that were described hereinabove.
Scheme 42 illustrates synthesis of instant compounds that incoφorate a preferred imidazolyl moiety connected to the biaryl via an alkyl amino, sulfonamide or amide linker. Thus, the 4-aminoalkylimidazole 40, wherein the primary amine is protected as the phthalimide, is selectively alkylated then deprotected to provide the amine 41. The amine 41 may then react under conditions well known in the art with various activated arylheteroaryl moieties to provide the instant compounds shown.
Compounds of the instant invention wherein the
Figure imgf000155_0001
linker is oxygen may be synthesized by methods known in the art, for example as shown in Scheme 43. The suitably substituted phenol 42 may be reacted with methyl N-(cyano)methanimidate to provide the 4-phenoxyimidazole 43. After selective protection of one of the imidazolyl nitrogens, the intermediate 44 can undergo alkylation reactions as described for the benzylimidazoles hereinabove. Compounds of the instant invention wherein the Al(CRl2)nN2(CRl2)n linker is a substituted methylene may be synthesized by the methods shown in Scheme 44. Thus, the N-protected imidazolyl iodide 45 is reacted, under Grignard conditions with a suitably protected benzaldehyde to provide the alcohol 46. Acylation, followed by the alkylation procedure illustrated in the Schemes above (in particular, Scheme 38) provides the instant compound 47. If other Rl substituents are desired, the acetyl moiety can be manipulated as illustrated in the Scheme.
Scheme 45 illustrates incoφoration of an acetyl moiety as the
Figure imgf000155_0002
linker of the instant compounds. Thus, the suitably substituted acetyl pyridine 48 is converted to the corresponding pyridinone and undergoes the Ullmann reaction with a suitably substituted phenyl iodide. The acetyl is then brominated to provide intermediate 49. Reaction with the imidazolyl reagent 32 provides, after deprotection, the instant compound 50.
Scheme 46 illustrate reactions wherein the moiety
Figure imgf000156_0001
incoφorated in the compounds of the instant invention is represented by other than a substituted imidazole-containing group.
Thus, the intermediates whose synthesis are illustrated in the Schemes, and other pyridinonecarbocyclic and pyridinoneheterocyclic intermediates obtained commercially or readily synthesized, can be coupled with a variety of aldehydes. The aldehydes can be prepared by standard procedures, such as that described by O. P. Goel, U. Krolls, M. Stier and S. Kesten in Organic Syntheses, 1988, 67, 69-75, from the appropriate amino acid. Knochel chemistry may be utilized, as shown in Scheme 46, to incoφorate the arylpyridinone moiety. Thus, a suitably substituted 4-(bromo)-pyridine is converted to the corresponding pyridinone 51 as described above and the pyridinone is coupled to a suitably substituted phenyl iodide as previously described above. The resulting bromide 52 is treated with zinc(0) and the resulting zinc bromide reagent 53 is reacted with an aldehyde to provide the C-alkylated instant compound 54. Compound 54 can be deoxygenated by methods known in the art, such as a catalytic hydrogention, then deprotected with trifluoroacetic acid in methylene chloride to give the final compound 55. The compound 55 may be isolated in the salt form, for example, as a trifluoroacetate, hydrochloride or acetate salt, among others. The product diamine 55 can further be selectively protected to obtain 56, which can subsequently be reductively alkylated with a second aldehyde to obtain compound 57. Removal of the protecting group, and conversion to cyclized products such as the dihydroimidazole 58 can be accomplished by literature procedures. SCHEME 38
Figure imgf000157_0001
28
Figure imgf000157_0002
29
Figure imgf000157_0003
OTBDMS
SCHEME 38 (continued)
Figure imgf000158_0001
Figure imgf000158_0002
CH3CN/reflux
Figure imgf000158_0003
Figure imgf000158_0004
SCHEME 39
Figure imgf000159_0001
OTBDMS
Figure imgf000159_0002
OTBDMS
Figure imgf000159_0003
SCHEME 40
Figure imgf000160_0001
35
Figure imgf000160_0002
36
SCHEME 41
H H
Figure imgf000161_0001
SCHEME 42
Figure imgf000162_0001
Figure imgf000162_0002
SCHEME 43
Figure imgf000163_0001
43 44
Figure imgf000163_0002
SCHEME 44
Figure imgf000164_0001
SCHEME 44 (continued)
Figure imgf000165_0001
SCHEME 45
Figure imgf000166_0001
SCHEME 45 (continued)
Figure imgf000167_0001
50
SCHEME 46
Figure imgf000167_0002
SCHEME 46 (continued)
Figure imgf000168_0001
53
n
Figure imgf000168_0002
Figure imgf000168_0003
SCHEME 46 (continued)
Figure imgf000169_0001
The farnesyl transferase inhibitors of formula (IN) can be synthesized dance with Schemes 47-68, in addition to other standard manipulations such as ester hydrolysis, cleavage of protecting groups, etc., as may be known in the literature or exemplified in the experimental procedures. Substituents R, Ra, RD and RSUD, as shown in the Schemes, represent the substituents R^, R3, R4} an(j R5? an(j substituents on Z\ and Z^; however their point of attachment to the ring is illustrative only and is not meant to be limiting. The compounds referred to in the Synopsis of Schemes 47-68 by Roman numerals are numbered starting sequentially with I and ending with XLNI.
These reactions may be employed in a linear sequence to provide the compounds of the invention or they may be used to synthesize fragments which are subsequently joined by the alkylation reactions described in the Schemes.
Synopsis of Schemes 47-68:
The requisite intermediates are in some cases commercially available, or can be prepared according to literature procedures. In Scheme 47, for example, the synthesis of macrocyclic compounds of the instant invention containing suitably substituted piperazines and the preferred benzylimidazolyl moiety is outlined. Preparation of the substituted piperazine intermediate is essentially that described by J. S. Kiely and S. R. Priebe in Organic Preparations and Proceedings Int., 1990, 22, 761-768. Boc-protected amino acids I, available commercially or by procedures known to those skilled in the art, can be coupled to Ν-benzyl amino acid esters using a variety of dehydrating agents such as DCC (dicyclohexycarbodiimide) or EDCΗC1 (l-ethyl-3-(3-dimethylaminopropyl)carbodiimide hydrochloride) in a solvent such as methylene chloride , chloroform, dichloroethane, or in dimethylformamide. The product II is then deprotected with acid, for example hydrogen chloride in chloroform or ethyl acetate, or trifluoroacetic acid in methylene chloride, and cyclized under weakly basic conditions to give the diketopiperazine III. Reduction of m with lithium aluminum hydride in refluxing ether gives the piperazine IV, which may then be deprotected by catalytic reduction to provide intermediate V. Intermediate V may then be coupled to intermediate VII, prepared from 4-imidazolylacetic acid VI in several step as illustrated. Once the amide bond is formed to yield the intermediate Nπi, cesium carbonate nucleophilic aromatic substitution reaction conditions result in an intramolecular cyclization to yield compound IX of the instant invention. This cyclization reaction depends on the presence of an electronic withdrawing moiety (such as nitro, cyano, and the like) either ortho or para to the fluorine atom. Scheme 48 illustrates the synthesis of instant compounds wherein an amido bond is formed between the piperazine nitrogen and the linker to the Y group. Thus, the protected piperazine X is coupled to a naphthoic acid having a suitably positioned benzyloxy moiety. Consecutive removal of the Boc and benzyl protecting groups provided intermediate XI, which may be coupled to a suitably substituted 1- benzylimidazole aldehyde XII to give intermediate XUJ. Intramolecular cyclization takes place as previously described using the cesium carbonate conditions to provide instant compound XIN.
Scheme 49 illustrates the preparation of instant compounds which incorporate a piperazinone moiety in the macrocyclic ring. Thus the suitably substituted benzyloxybenzyl mesylate XV is reacted with a 4-protected 2- piperazinone XVI to provide the l-benzyl-2-piperazinone intermediate XNII. Intermediate XVII is doubly deprotected in the presence of Boc anhydride to provide the Ν-Boc protected piperazinone, which is deprotected to give intermediate XVIII. Reductive Ν-alkylation of intermediate XVIII with a suitably substituted 1- benzylimidazole aldehyde XII provides intermediate XIX, which can undergo intramolecular cyclization under the cesium carbonate conditions to give compound XX of the instant invention.
Synthesis of compounds of the invention characterized by direct attachment of an aryl moiety to the piperazinone moiety and incorporation of a third aromatic carbocyclic moiety into the macrocycle is illustrated in Scheme 50. A benzyloxyphenoxyanaline Xlϋ, prepared in three steps from a suitably substituted 2- benzyloxyphenol XXI and a suitably substituted nitrochlorobenzene XXII, is reacted with chloroacetyl chloride to provide intermediate XXIV. Intermediate XXIV is reacted with a suitably substituted ethanolamine and the resulting amido alcohol cyclized to form the piperazinone moiety of intermediate XXV. Intermediate XXV is reductively alkylated as described in Schemes 48 and 49 to provide intermediate XXVI. Deprotection, followed by intramolecular cyclization provides compound XXVII of the instant invention. Scheme 51 illustrates expansion of the macrocyclic ring to a "18- membered" system by utilizing a suitably substituted 3-benzyloxyphenol XXVEI in the place of the 2-benzyloxyphenol XXI. Scheme 5 also illustrates the use of a reduced amino acid (such as methioninol) to provide substitution specifically at the 5- position of the piperazinone moiety. Scheme 52 illustrates that the synthetic strategy of building the piperazinone onto a alcoholic aromatic amine can also be utilized to prepare compounds of the instant invention wherein a naphthyl group forms part of the macrocyclic backbone. Scheme 53 illustrates the synthetic strategy that is employed when the
R8 substitutent is not an electronic withdrawing moiety either ortho or para to the fluorine atom. In the absence of the electronic withdrawing moiety, the intramolecular cyclization can be accomplished via an Ullmann reaction. Thus, the imidazolylmethylacetate XXXII is treated with a suitably substituted halobenzylbromide to provide the 1 -benzylimidazolyl intermediate XXXIII. The acetate functionality of intermediate XXXIII was converted to an aldehyde which was then reductively coupled to intermediate XVIII, prepared as illustrated in Scheme 49. Coupling under standard Ullmann conditions provided compound XXXIV of the instant invention. Illustrative examples of the preparation of compounds of the instant invention that incorporate a 2,5-diketopiperazine moiety and a 2,3-diketopiperazine moiety are shown in Schemes 54-55 and Schemes 56-57 respectively.
Scheme 58 illustrates the manipulation of a functional group on a side chain of an intermediate 2,5-diketopiperazine. The side chain of intermediate Ula, obtained as illustrated in Scheme 51 from protected aspartic acid, may be comprehensively reduced and reprotected to afford intermediate XXXV, which can deprotected or can be alkylated first followed by deprotection to provide intermediate INa having an ether sidechain. The intermediate IVa can be incorporated into the reaction sequence illustrated in Scheme 47. Scheme 59 illustrates direct preparation of a symmetrically substituted piperazine intermediate from a suitably substituted analine (such as intermediate XXiπ from Scheme 50) and a suitably substituted bts-(chloroethyl)amine XXXVII. The intermediate XXXVHI can be utilized in the reaction sequence illustrated in Scheme 47 to produce compound DCL of the instant invention. Preparation of a substituted piperazinone intermediate XVDIa starting from a readily available Ν-protected amino acid XL is illustrated in Scheme 60.
Scheme 61 illustrates preparation of an intermediate piperazinone compound XLI having a substituent at the 3-position that is derived from the starting protected amino acid XL. Incorporation of a spirocyclic moiety (for example, when R^ and R^ are combined to form a ring) is illustrated in Scheme 62.
Scheme 63 illustrates the use of an optionally substituted homoserine lactone XLII to prepare a Boc-protected piperazinone XLIII. Intermediate XLIII may be deprotected and reductively alkylated or acylated as illustrated in the previous
Schemes. Alternatively, the hydroxyl moiety of intermediate XLHI may be mesylated and displaced by a suitable nucleophile, such as the sodium salt of ethane thiol, to provide an intermediate XLIV. Intermediate XLIII may also be oxidized to provide the carboxylic acid on intermediate XLV, which can be utilized form an ester or amide moiety.
Amino acids of the general formula XL which have a sidechain not found in natural amino acids may be prepared by the reactions illustrated in Scheme 64 starting with the readily prepared imine XLVI.
Other suitably substituted aldehydes such as those described in Schemes 65-68 may be utilized in the syntheses of the instant compounds of the formula IV wherein the moiety "W" is a pyridyl. Similar synthetic strategies for preparing alkanols that incorporate other heterocyclic moieties for variable W are also well known in the art.
SCHEME 47
H5
Figure imgf000174_0001
Figure imgf000174_0002
IV
Figure imgf000174_0003
V SCHEME 47 (continued)
Figure imgf000175_0001
Figure imgf000175_0002
Figure imgf000175_0003
SCHEME 47 (continued)
Figure imgf000176_0001
Cs2CO3
DMSO heat
Figure imgf000176_0002
SCHEME 48
EDC-HCI, HOBT Rav DMF
Figure imgf000177_0001
HCl, EtOAc
Figure imgf000177_0002
Figure imgf000177_0003
SCHEME 48 (continued)
Figure imgf000178_0001
Cs2CO3
DMSO heat
Figure imgf000178_0002
SCHEME 49
Figure imgf000179_0001
R£
Figure imgf000179_0002
SCHEME 49 (continued)
Figure imgf000180_0001
Figure imgf000180_0002
XX
SCHEME 50
Figure imgf000181_0001
Figure imgf000181_0002
Figure imgf000181_0003
SCHEME 50 (continued)
Figure imgf000182_0001
SCHEME 51
Figure imgf000183_0001
Figure imgf000183_0002
Figure imgf000183_0003
SCHEME 51 (continued)
Figure imgf000184_0001
Figure imgf000184_0002
SCHEME 51 (continued)
Figure imgf000185_0001
SCHEME 52
Figure imgf000186_0001
ethanolamine
Figure imgf000186_0002
Figure imgf000186_0003
SCHEME 52 (continued)
Figure imgf000187_0001
Figure imgf000187_0002
Figure imgf000187_0003
SCHEME 53
Figure imgf000188_0001
XXXII 3. triturate
Figure imgf000188_0002
Figure imgf000188_0003
x
Figure imgf000188_0004
Figure imgf000188_0005
SCHEME 54
HoCOoC
Figure imgf000189_0001
SCHEME 54 (continued)
Figure imgf000190_0001
Figure imgf000190_0002
SCHEME 55
Figure imgf000191_0001
SCHEME 55 (continued)
Figure imgf000192_0001
Figure imgf000192_0002
SCHEME 55 (continued)
Figure imgf000193_0001
Figure imgf000193_0002
SCHEME 56
Figure imgf000194_0001
XL
Figure imgf000194_0002
pH6
Figure imgf000194_0003
SCHEME 56 (continued)
Figure imgf000195_0001
Figure imgf000195_0002
SCHEME 57
Figure imgf000196_0001
Figure imgf000196_0002
SCHEME 57 (continued)
Figure imgf000197_0001
Figure imgf000197_0002
SCHEME 57 (continued)
Figure imgf000198_0001
SCHEME 58
Figure imgf000199_0001
SCHEME 59
Figure imgf000200_0001
several steps
Figure imgf000200_0002
SCHEME 60
Figure imgf000201_0001
XL
Figure imgf000201_0002
Figure imgf000201_0003
pH6
Figure imgf000201_0004
SCHEME 60 (CONT'D)
Figure imgf000202_0001
HCl, EtOAc
Figure imgf000202_0002
SCHEME 61
Figure imgf000203_0001
LV
Figure imgf000203_0002
SCHEME 62
PhCH2NHCH2CO2C2H5 eCfe
BocN y DCC, Chf H CO2H LXI
Figure imgf000204_0001
SCHEME 62 (continued)
Figure imgf000205_0001
Figure imgf000205_0002
NaHCQj EtOAc LXVII
Figure imgf000205_0003
LXIX
SCHEME 63
Figure imgf000206_0001
SCHEME 63 (continued)
Figure imgf000207_0001
SCHEME 64
P
Figure imgf000208_0001
LXXXV
1. Boc2O, NaHCO 3 R'
)— CO2H
BocHN
2. LiAIH4, Et20
LXXXVI
SCHEME 65
Figure imgf000208_0002
SCHEME 66
Figure imgf000209_0001
SCHEME 67
Figure imgf000210_0001
SCHEME 68
Figure imgf000211_0001
Figure imgf000211_0002
The farnesyl transferase inhibitors of formula (V) can be synthesized in accordance with Schemes 69-73, in addition to other standard manipulations such as ester hydrolysis, cleavage of protecting groups, etc., as may be known in the literature or exemplified in the experimental procedures. Substituents R, Ra, RD and RSUD, as shown in the Schemes, represent the substituents R^, R3, R4? and R5? an(j substituents on Zl and Z^; however their point of attachment to the ring is illustrative only and is not meant to be limiting. The compounds referred to in the Synopsis of Schemes 69- 73 by Roman numerals are numbered starting sequentially with I and ending with XX. These reactions may be employed in a linear sequence to provide the compounds of the invention or they may be used to synthesize fragments which are subsequently joined by the alkylation reactions described in the Schemes.
Synopsis of Schemes 69-73:
The requisite intermediates are in some cases commercially available, or can be prepared according to literature procedures. In Scheme 69, for example, the synthesis of a key intermediate in the preparation of macrocyclic compounds of the instant invention containing the preferred benzylimidazolyl moiety is outlined. A suitably substituted fluorotoluene I is brominated and reacted with an imidazolylmethyl acetate to form the intermediate II. Reduction, followed by oxidation provided the aldehyde III which is then reductively alkylated with a suitably substituted amine to provide the intermediate IV.
Scheme 70 illustrates the synthesis of a compound of the instant invention which utilizes intermediate IV. Thus, a suitably substituted hydroxyanaline V is N-protected, for example with by reductive alkylation with 2,4- dimethoxybenzaldehyde, and the resulting secondary amine is reacted with a suitably substituted chloroacetyl chloride to provide intermediate VI. Intermediate VI is then reacted with the imidazolylmethylamine IV to provide the protected amide VH. Intermediate VII may then undergo a cesium carbonate nucleophillic aromatic substitution reaction resulting in an intramolecular cyclization to yield compound VHI of the instant invention. This cyclization reaction depends on the presence of an electronic withdrawing moiety (such as nitro, cyano, and the like) either ortho or para to the fluorine atom. Compound VIII may be N-deprotected to provide instant compound IX, which may itself be further elaborated, for example by boronic acid coupling to give compound X of the instant invention.
Syntheses of compounds of the instant invention wherein the linker "X" is an ether linkage are illustrated in Scheme 71. Thus, the protected amide VI is reacted with a suitably substituted sodium benzylimidazolyl methoxide to provide intermediate XI, intramolecular cyclization as previously described, followed by deprotection provides the instant compound Xu, which can be further elaborated as shown.
Scheme 72 illustrates syntheses of instant compounds wherein the linker "X" is an amido linkage. Thus, the primary amine XIII, homologous to intermediate IV is reacted with a suitably substituted bromoacetyl bromide, followed by a reaction with a nucleophile, such as a suitably substituted O-protected hydroxythiophenol. The resulting intermediate XIV is deprotected and intramolecular cyclization as previously described provides compound XV of the instant invention. The sulfur moiety in compound XV also may be oxidized to provide instant compound XVI.
Scheme 73 illustrates the synthetic strategy that is employed when the R8 substitutent is not an electronic withdrawing moiety either ortho or para to the fluorine atom. In the absence of the electronic withdrawing moiety, the intramolecular cyclization can be accomplished via an Ullmann reaction. Thus, the previously described aldehyde III can be converted to the homologous amine XVII. Amine XVII is then reacted with the previously described chloroacetamide VI to provide intermediate XVIII. Intramolecular cyclization may then be affected under Ullmann reaction to provide intermediate XIX, which may be deprotected and reduced to provide the diamino macrocycle of the instant invention XX. Schemes 65-68 hereinabove illustrate syntheses of suitably substituted aldehydes useful in the syntheses of the instant compounds wherein the variable W is present as a pyridyl moiety. Similar synthetic strategies for preparing alkanols that incorporate other heterocyclic moieties for variable W are also well known in the art.
SCHEME 69
Figure imgf000214_0001
Figure imgf000214_0002
Figure imgf000214_0003
Rfc Rfc
IV
SCHEME 70
Figure imgf000215_0001
CICH2CH2CI
V
Figure imgf000215_0002
Figure imgf000215_0003
VII SCHEME 70 (continued)
Figure imgf000216_0001
Figure imgf000216_0002
SCHEME 71
Figure imgf000217_0001
CICH2CH2CI
Figure imgf000217_0002
Figure imgf000217_0003
XI SCHEME 71 (continued)
Figure imgf000218_0001
Figure imgf000218_0002
SCHEME 72
Figure imgf000219_0001
Figure imgf000219_0002
SCHEME 72 (continued)
Figure imgf000220_0001
Figure imgf000220_0002
Figure imgf000220_0003
SCHEME 73
Figure imgf000221_0001
3. triturate
Figure imgf000221_0002
1. NH3, MeOH
2. NaBH4
Figure imgf000221_0003
Figure imgf000221_0004
Figure imgf000221_0005
SCHEME 73 (CONT'D)
Figure imgf000222_0001
Figure imgf000222_0002
Figure imgf000222_0003
The farnesyl transferase inhibitors of formula (VI) can be synthesized in accordance with Schemes 74-79, in addition to other standard manipulations such as ester hydrolysis, cleavage of protecting groups, etc., as may be known in the literature or exemplified in the experimental procedures. Substituents R, Ra, RD and RSUD, as shown in the Schemes, represent the substituents R^, R3, R4, and R^, and substituents on Z^ and 2?-; however their point of attachment to the ring is illustrative only and is not meant to be limiting. The compounds referred to in the Synopsis of Schemes 74-79 by Roman numerals are numbered starting sequentially with I and ending with XVffl.
These reactions may be employed in a linear sequence to provide the compounds of the invention or they may be used to synthesize fragments which are subsequently joined by the alkylation reactions described in the Schemes.
Synopsis of Schemes 74-79:
The requisite intermediates are in some cases commercially available, or can be prepared according to literature procedures. For example, syntheses of instant compounds wherein the linker "X" is an sulfonamido linkage is illustrated in Scheme 74. Thus, a suitably substituted benzylimidazolyl containing amine I is prepared as illustrated. A suitably substituted benzyl alcohol II is converted to the corresponding benzylsulfmylchloride III. Reaction of intermediate III with the primary amine I provides the sulfmamido intermediate IV. That intermediate can be oxidized to the sulfonamide, the alcohol moiety can then be deprotected and previously described intramolecular cyclization provides compound V of the instant invention.
Instant compounds wherein the variable "V is other than a phenyl moiety can be prepared as illustrated in Scheme 75. Thus, a suitably substituted fluoronaphthylmethyl bromide VII may be reacted with an imidazolyl alkylacetate to provide intermediate VIII. The alcohol moiety of intermediate VIII can be deprotected and then reacted with a suitably substituted phenyl isocyanate to provide the carbamate IX, which may then be optionally N-alkylated, followed by deprotection and intramolecular cyclization to provide compound XI of the instant invention.
Synthesis of compounds of the instant invention wherein variables "Z1" and "Z2" are both phenyl moieties and the linker "X" is a amido moiety is illustrated in Scheme 76. Scheme 77 illustrates preparation of the corresponding instant compound wherein linker "X" is a urea moiety by reacting the isocyanate derived from intermediate I and the phenoxyanaline Xm described in Scheme 76. Synthesis of compounds of the instant invention wherein variable "Z " is a naphthyl moiety and the linker "X" is a amido moiety is illustrated in Scheme 78.
Scheme 79 illustrates the synthetic strategy that is employed when the R8 substitutent is not an electronic withdrawing moiety either ortho or para to the fluorine atom. In the absence of the electronic withdrawing moiety, the intramolecular cyclization can be accomplished via an Ullmann reaction. Thus, the aldehyde XIV can be converted to the homologous amine XV. Amine XV is then reacted with the previously described benzyloxybenzoic acid XVI to provide intermediate XVII. Intramolecular cyclization may then be affected under Ullmann reaction conditions to provide the amido macrocycle of the instant invention XVHI.
Other suitably substituted aldehydes such as those described in Schemes 65-68 hereinabove may be utilized in the syntheses of the instant compounds of the formula VI wherein the moiety "W" is pyridyl. Similar synthetic strategies for preparing alkanols that incorporate other heterocyclic moieties for variable W are also well known in the art.
SCHEME 74
Figure imgf000224_0001
SCHEME 74 (continued)
Figure imgf000225_0001
SCHEME 74 (continued)
Figure imgf000226_0001
V SCHEME 75
Figure imgf000227_0001
Figure imgf000227_0002
VIII
SCHEME 75 (continued)
Figure imgf000228_0001
Figure imgf000228_0002
SCHEME 75 (continued)
Figure imgf000229_0001
SCHEME 76
Figure imgf000230_0001
oxidation Tr^ (siMe3)CHN2
Figure imgf000230_0002
Figure imgf000230_0003
SCHEME 76 (continued)
Figure imgf000231_0001
Figure imgf000231_0002
SCHEME 76 (continued)
Figure imgf000232_0001
Figure imgf000232_0002
SCHEME 77
Figure imgf000233_0001
Rt
SCHEME 77 (continued)
Figure imgf000234_0001
Rfc
Figure imgf000234_0002
Rfc
Figure imgf000234_0003
SCHEME 78
Figure imgf000235_0001
Figure imgf000235_0002
Figure imgf000235_0003
Figure imgf000235_0004
SCHEME 79
Figure imgf000236_0001
3. triturate
Figure imgf000236_0002
LiOH-H20 S03*pyridine 1- NH3, MeOH
THF-H20 Et3N, DMS 2. NaBH,
Figure imgf000236_0003
Figure imgf000236_0004
SCHEME 79 (CONT'D)
Figure imgf000237_0001
Figure imgf000237_0002
XVIII
EXAMPLES
Examples provided are intended to assist in a further understanding of the invention. Particular materials employed, species and conditions are intended to be further illustrative of the invention and not limitative of the reasonable scope thereof.
The standard workup referred to in the examples refers to solvent extraction and washing the organic solution with 10% citric acid, 10% sodium bicarbonate and brine as appropriate. Solutions were dried over sodium sulfate and evaporated in vacuo on a rotary evaporator. EXAMPLE 1
(S)-l-(3-chlorophenyl)-4-[l-(4-cyanobenzyl)-imidazolylmethyl]-5-[2-
(methanesulfonyl)ethyl1-2-piperazinone dihydrochloride
Step A: l-triphenylmethyl-4-(hvdroxymethyl)-imidazole
To a solution of 4-(hydroxymethyl)imidazole hydrochloride (35.0 g,
260 mmol) in 250 mL of dry DMF at room temperature was added triethylamine (90.6 mL, 650 mmol). A white solid precipitated from the solution. Chlorotriphenylmethane (76.1 g, 273 mmol) in 500 mL of DMF was added dropwise.
The reaction mixture was stirred for 20 hours, poured over ice, filtered, and washed with ice water. The resulting product was slurried with cold dioxane, filtered, and dried in vacuo to provide the titled product as a white solid, which was sufficiently pure for use in the next step.
Step B: l-triphenylmethyl-4-(acetoxymethyl)-imidazole
Alcohol from Step A (260 mmol, prepared above) was suspended in
500 mL of pyridine. Acetic anhydride (74 mL, 780 mmol) was added dropwise, and the reaction was stirred for 48 hours during which it became homogeneous. The solution was poured into 2 L of EtOAc, washed with water (3 x 1 L), 5% aq. HCl soln. (2 x 1 L), sat. aq. NaHCO3, and brine, then dried (Na2SO4), filtered, and concentrated in vacuo to provide the crude product. The acetate was isolated as a white powder which was sufficiently pure for use in the next reaction.
Step C: 1 -(4-cvanobenzyl)-5-(acetoxymethyl)-imidazole hydrobromide
A solution of the product from Step B (85.8 g, 225 mmol) and a- brorno-/?-tolunitrile (50.1 g, 232 mmol) in 500 mL of EtOAc was stirred at 60°C for 20 hours, during which a pale yellow precipitate formed. The reaction was cooled to room temperature and filtered to provide the solid imidazolium bromide salt. The filtrate was concentrated in vacuo to a volume 200 mL, reheated at 60°C for two hours, cooled to room tempera-ture, and filtered again. The filtrate was concentrated in vacuo to a volume 100 mL, reheated at 60°C for another two hours, cooled to room temperature, and concentrated in vacuo to provide a pale yellow solid. All of the solid material was combined, dissolved in 500 mL of methanol, and warmed to 60°C. After two hours, the solution was reconcentrated in vacuo to provide a white solid which was triturated with hexane to remove soluble materials. Removal of residual solvents in vacuo provided the titled product hydrobromide as a white solid which was used in the next step without further purification.
Step D: l-(4-cyanobenzyl)-5-(hydroxymethyl)-imidazole
To a solution of the acetate from Step C (50.4 g, 150 mmol) in 1.5 L of 3:1 THF/water at 0 °C was added lithium hydroxide monohydrate (18.9 g, 450 mmol). After one hour, the reaction was concentrated in vacuo, diluted with EtOAc (3 L), and washed with water, sat. aq. NaHCO3 and brine. The solution was then dried (Na2SO4), filtered, and concentrated in vacuo to provide the crude product as a pale yellow fluffy solid which was sufficiently pure for use in the next step without further purification.
Step E: l-(4-cyanobenzyl)-5-imidazolecarboxaldehyde To a solution of the alcohol from Step D (21.5 g, 101 mmol) in 500 mL of DMSO at room temperature was added triethylamine (56 mL, 402 mmol), then SO3 -pyridine complex (40.5 g, 254 mmol). After 45 minutes, the reaction was poured into 2.5 L of EtOAc, washed with water (4 x 1 L) and brine, dried (Na2SO4), filtered, and concentrated in vacuo to provide the aldehyde as a white powder which was sufficiently pure for use in the next step without further purification.
Step F: (S)-2-(tert-butoxycarbonylamino)-N-methoxy-N-methyl-4-
(methylthio)butanamide
L-N-Boc-methionine (30.0 g, 0.120 mol), N, O-dimethyl- hydroxylamine hydrochloride (14.1 g, 0.144 mol), EDC hydrochloride (27.7 g, 0.144 mol) and HOBT (19.5 g, 0.144 mol) were stirred in dry DMF (300 mL) at 20°C under nitrogen. More N O-dimethylhydroxylamine hydrochloride (2.3 g, 23 mmol) was added to obtain pH 7-8. The reaction was stirred overnight, the DMF distilled to half the original volume under high vacuum, and the residue partitioned between ethyl acetate and sat. ΝaHC03 soln. The organic phase was washed with saturated sodium bicarbonate, water, 10% citric acid, and brine, and dried with sodium sulfate. The solvent was removed in vacuo to give the title compound.
Step G: (S)-2-(tert-butoxycarbonylamino)-4-(methylthio)butanal A suspension of lithium aluminum hydride (5.02 g, 0.132 mol) in ether (500 mL) was stirred at room temperature for one hour. The solution was cooled to - 50°C under nitrogen, and a solution of the product from Step F (39.8 g, ca. 0.120 mol) in ether (200 mL) was added over 30 min, maintaining the temperature below -40°C. When the addition was complete, the reaction was warmed to 5°C, then recooled to - 45°C. Analysis by tic revealed incomplete reaction. The solution was rewarmed to 5°C, stirred for 30 minutes, then cooled to -50°C. A solution of potassium hydrogen sulfate (72 g, 0.529 mol) in 200 mL water was slowly added, maintaining the temperature below -20°C. The mixture was wasmed to 5°C, filtered through Celite, and concentrated in vacuo to provide the title aldehyde.
Step H: (S)-2-(tert-butoxycarbonylamino)-N-(3-chlorophenyl)-4-
(methylthio)butanamine
To a solution of 3-chloroaniline (10.3 mL, 97.4 mmol), the product from Step G (23.9 g, 97.4 mmol), and acetic acid (27.8 mL, 487 mmol) in dichloroethane (250 mL) under nitrogen was added sodium triacetoxyborohydride (41.3 g, 195 mmol). The reaction was stirred overnight, then quenched with saturated sodium bicarbonate solution. The solution was diluted with CHCI3, and the organic phase was washed with water, 10% citric acid and brine. The solution was dried over sodium sulfate and concentrated in vacuo to provide the crude product (34.8 g) which was chromatographed on silica gel with 20% ethyl acetate in hexane to obtain the title compound .
Step I: (S)-4-(tert-butoxycarbonyl)-l-(3-chlorophenyl)-5-[2- (methylthio)ethyl]piperazin-2-one
A solution of the product from Step H (22.0 g, 63.8 mmol) in ethyl acetate (150 mL) was vigorously stirred at 0°C with saturated sodium bicarbonate (150 mL). Chloroacetyl chloride (5.6 mL, 70.2 mmol) was added dropwise, and the reaction stirred at 0°C for 2h. The layers were separated, and the ethyl acetate phase was washed with 10% citric acid and saturated brine, and dried over sodium sulfate. After concentration in vacuo, the resulting crude product (27.6 g) was dissolved in DMF (300 mL) and cooled to 0°C under argon. Cesium carbonate (63.9 g, 196 mmol) was added, and the reaction was stirred for two days, allowing it to warm to room temperature. Another portion of cesium carbonate (10 g, 30 mmol) was added, and the reaction was stirred for 16 hours. The DMF was distilled in vacuo, and the residue partitioned between ethyl acetate and water. The organic phase was washed with saturated brine, and dried over sodium sulfate. The crude product was chromatographed on silica gel with 20-25% ethyl acetate in hexane to obtain the title compound.
Step J: (S)-4-(tert-butoxycarbonyl)-l -(3-chlorophenyl)-5-[2-
(methanesulfonyl)ethyl]piperazin-2-one
A solution of the product from Step I (14.2 g, 37 mmol) in methanol (300 mL) was cooled to 0°C, and a solution of magnesium monoperoxyphthalate (54.9 g, 111 mmol) in 210 mL MeOH was added over 20 minutes. The ice bath was removed, and the solution was allowed to warm to room temperature. After 45 minutes, the reaction was concentrated in vacuo to half the original volume, then quenched by the addition of 2N Na2S2θ3 soln. The solution was poured into EtOAc and sat NaHCO3 solution, and the organic layer was washed with brine, dried (Na2SO4), filtered, and concentrated in vacuo to provide the crude sulfone. This material was chromatographed on silica gel with 60-100% ethyl acetate in hexane to obtain the titled compound.
Step K: (S)-l-(3-chlorophenyl)-5-r2-(methanesulfonyl)ethyl]piperazin-2-one Through a solution of Boc-protected piperazinone from Step J (1.39 g,
3.33 mmol) in 30 mL of EtOAc at 0°C was bubbled anhydrous HCl gas. The saturated solution was stirred for 35 minutes, then concentrated in vacuo to provide the hydrochloride salt as a white powder. This material was suspended in EtOAc and treated with dilute aqueous NaHCO3 solution. The aqueous phase was extracted with EtOAc, and the combined organic mixture was washed with brine, dried (Na2SO4), filtered, and concentrated in vacuo. The resulting amine was reconcentrated from toluene to provide the titled material suitable for use in the next step.
Step L: (S)-l-(3-chlorophenyl)-4-[l-(4-cyanobenzyl)imidazolyl-methyl]-5-[2- (methanesulfonyl)-ethyl"|-2-piperazinone dihydrochloride
To a solution of the amine from Step K (898 mg, 2.83 mmol) and imidazole carboxaldehyde from Step E (897 mg, 4.25 mmol) in 15 mL of 1,2- dichloroethane was added sodium triacetoxyborohydride (1.21 g, 5.7 mmol). The reaction was stirred for 23 hours, then quenched at 0°C with sat. NaHCO3 solution. The solution was poured into CHCI3, and the aqueous layer was back-extracted with CHCI3. The combined organics were washed with brine, dried (Na2SO4), filtered, and concentrated in vacuo. The resulting product was purified by silica gel chromatography (95:5:0.5-90: 10:0 EtOAc:MeOH:NH4Cl), and the resultant product was taken up in EtOAc/methanol and treated with 2.1 equivalents of 1 M HCl/ether solution. After concentrated in vacuo, the product dihydrochloride was isolated as a white powder.
EXAMPLE 2
l-(3-chlorophenyl)-4-[l-(4-cyanobenzyl)imidazolyl-methyl]-2-piperazinone dihydrochloride
Step A: N-(3-chlorophenyl)ethylenediamine hydrochloride
To a solution of 3-chloroaniline (30.0 mL, 284 mmol) in 500 mL of dichloromethane at 0°C was added dropwise a solution of 4 N HCl in 1 ,4-dioxane (80 mL, 320 mmol HCl). The solution was warmed to room temperature, then concentrated to dryness in vacuo to provide a white powder. A mixture of this powder with 2-oxazolidinone (24.6 g, 282 mmol) was heated under nitrogen atmosphere at 160°C for 10 hours, during which the solids melted, and gas evolution was observed. The reaction was allowed to cool, forming the crude diamine hydrochloride salt as a pale brown solid.
Step B: N-(tert-butoxycarbonyl)-N-(3-chlorophenyl)ethylenediamine
The amine hydrochloride from Step A {ca. 282 mmol, crude material prepared above) was taken up in 500 mL of THF and 500 mL of sat. aq. ΝaHC03 soln., cooled to 0°C, and di-tert-butylpyrocarbonate (61.6 g, 282 mmol) was added. After 30 h, the reaction was poured into EtOAc, washed with water and brine, dried (Na2SO4), filtered, and concentrated in vacuo to provide the titled carbamate as a brown oil which was used in the next step without further purification.
Step C: N-[2-(tert-butoxycarbamoyl)ethyl]-N-(3-chlorophenyl)-2- chloroacetamide
A solution of the product from Step B (77 g, ca. 282 mmol) and triethylamine (67 mL, 480 mmol) in 500 mL of CH2CI2 was cooled to 0°C. Chloroacetyl chloride (25.5 mL, 320 mmol) was added dropwise, and the reaction was maintained at 0°C with stirring. After 3 h, another portion of chloroacetyl chloride (3.0 mL) was added dropwise. After 30 min, the reaction was poured into EtOAc (2 L) and washed with water, sat. aq. NH4CI soln, sat. aq. NaHCO3 soln., and brine. The solution was dried (Na2SO4), filtered, and concentrated in vacuo to provide the chloro-acetamide as a brown oil which was used in the next step without further purification.
Step D: 4-(tert-butoxycarbonyl)-l-(3-chlorophenyl)-2 -piperazinone To a solution of the chloroacetamide from Step C (ca. 282 mmol) in
700 mL of dry DMF was added K2CO3 (88 g, 0.64 mol). The solution was heated in an oil bath at 70-75 °C for 20 hours, cooled to room temperature, and concentrated in vacuo to remove ca. 500 mL of DMF. The remaining material was poured into 33% EtOAc/hexane, washed with water and brine, dried (Na2SO4), filtered, and concentrated in vacuo to provide the product as a brown oil. This material was purified by silica gel chromatography (25-50% EtOAc/hexane) to yield pure product, along with a sample of product (ca. 65% pure by HPLC) containing a less polar impurity.
Step E: l-(3-chlorophenyl)-2-piperazinone
Through a solution of Boc-protected piperazinone from Step D (17.19 g, 55.4 mmol) in 500 mL of EtOAc at -78°C was bubbled anhydrous HCl gas. The saturated solution was warmed to 0°C, and stirred for 12 hours. Nitrogen gas was bubbled through the reaction to remove excess HCl, and the mixture was warmed to room temperature. The solution was concentrated in vacuo to provide the hydrochloride as a white powder. This material was taken up in 300 mL of CH2CI2 and treated with dilute aqueous NaHCO3 solution. The aqueous phase was extracted with CH2CI2 (8 x 300 mL) until tic analysis indicated complete extraction. The combined organic mixture was dried (Na2SO4), filtered, and concentrated in vacuo to provide the titled free amine as a pale brown oil.
Step F: l-(3-chlorophenyl)-4-[l-(4-cyanobenzyl)imidazolyl-methyl]-2- piperazinone dihydrochloride
To a solution of the amine from Step E (55.4 mmol, prepared above) in 200 mL of 1 ,2-dichloroethane at 0°C was added 4 A powdered molecular sieves (10 g), followed by sodium triacetoxyborohydride (17.7 g, 83.3 mmol). The imidazole carboxaldehyde from Step E of Example 1 (11.9 g, 56.4 mmol) was added, and the reaction was stirred at 0°C. After 26 hours, the reaction was poured into EtOAc, washed with dilute aq. NaHCO3, and the aqueous layer was back-extracted with EtOAc. The combined organics were washed with brine, dried (Na2SO4), filtered, and concentrated in vacuo. The resulting product was taken up in 500 mL of 5:1 benzene:CH2Cl2, and propyl-amine (20 mL) was added. The mixture was stirred for
12 hours, then concentrated in vacuo to afford a pale yellow foam. This material was purified by silica gel chromatography (2-7% MeOH/CH2d2), and the resultant white foam was taken up in CH2CI2 and treated with 2.1 equivalents of 1 M HCl/ether solution. After concentrated in vacuo, the product dihydrochloride was isolated as a white powder.
EXAMPLE 2A
1 -(3-chlorophenyl)-4-[ 1 -(4-cyanobenzyl)imidazolvl-methyll-2-piperazinone hydrochloride
Step 1 : Preparation of p-Cyanobenzylamine • H3PO4 salt
Figure imgf000244_0001
CN
A slurry of HMTA in 2.5 L EtOH was added gradually over about 30 min to about 60 min to a stirred slurry of cyanobenzyl-bromide in 3.5 L EtOH and maintained at about 48-53 °C with heating & cooling in a 22L neck flask (small exotherm). Then the transfer of HMTA to the reaction mixture was completed with the use of 1.0 L EtOH. The reaction mixture was heated to about 68-73 °C and aged at about 68-73 °C for about 90 min. The reaction mixture was a slurry containing a granular precipitate which quickly settled when stirring stopped.
The mixture was cooled to a temperature of about 50 °C to about 55 °C. Propionic acid was added to the mixture and the mixture was heated and maintained at a temperature of about 50 °C to about 55 °C. Phosphoric acid was gradually added over about 5 min to about 10 min, maintaining the reaction mixture below about 65 °C to form a precipitate-containing mixture. Then the mixture was gradually warmed to about 65 °C to about 70 °C over about 30 min and aged at about 65 °C to about 70 °C for about 30 min. The mixture was then gradually cooled to about 20-25 °C over about 1 hour and aged at about 20-25 °C for about 1 hour.
The reaction slurry was then filtered. The filter cake was washed four times with EtOH, using the following sequence, 2.5 L each time. The filter cake was then washed with water five times, using 300 mL each time. Finally, the filter cake was washed twice with MeCN (1.0 L each time) and the above titled compound was obtained.
Step 2: Preparation of l-(4-Cyanobenzyl)-2-Mercapto-5-
Hydroxymethylimidazole
Figure imgf000245_0001
7% water in acetonitrile (50 mL) was added to a 250 mL roundbottom flask. Next, an amine phosphate salt (12.49 g), prepared as described in Step 1, was added to the flask. Next potassium thiocyanate (6.04 g) and dihydroxyacetone (5.61 g) was added. Lastly, propionic acid (10.0 mL) was added. Acetonitrile/water 93:7 (25 mL) was used to rinse down the sides of the flask. This mixture was then heated to 60 °C, aged for about 30 minutes and seeded with 1% thioimidazole. The mixture was then aged for about 1.5 to about 2 hours at 60 °C. Next, the mixture was heated to 70 °C, and aged for 2 hours. The temperature of the mixture was then cooled to room temperature and was aged overnight. The thioimidazole product was obtained by vacuum filtration. The filter cake was washed four times acetonitrile (25 mL each time) until the filtrates became nearly colorless. Then the filter cake was washed three times with water (approximately 25-50 mL each time) and dried in vacuo to obtain the above-identified compound. Step 3: Preparation of l-(4-Cyanobenzyl)-5-Hydroxymethylimidazole
Figure imgf000246_0001
A IL flask with cooling heating jacket and glass stirrer (Lab-Max) was charged with water (200 mL) at 25 °C. The thioimidazole (90.27 g), prepared as described in Step 2, was added, followed by acetic acid (120 mL) and water (50 mL) to form a pale pink slurry. The reaction was warmed to 40 °C over 10 minutes. Hydrogen peroxide (90.0 g) was added slowly over 2 hours by automatic pump maintaining a temperature of 35-45 °C. The temperature was lowered to 25 °C and the solution aged for 1 hour. The solution was cooled to 20 °C and quenched by slowly adding 20% aqueous Na2SO3 (25 mL) maintaining the temperature at less than 25 °C. The solution was filtered through a bed of DARCO G-60 (9.0 g) over a bed of SolkaFlok (1.9 g) in a sintered glass funnel. The bed was washed with 25 mL of 10% acetic acid in water. The combined filtrates were cooled to 15 °C and a 25% aqueous ammonia was added over a 30 minute period, maintaining the temperature below 25 °C, to a pH of 9.3. The yellowish slurry was aged overnight at 23 °C (room temperature). The solids were isolated via vacuum filtration. The cake (100 mL wet volume) was washed with 2 x 250 mL 5% ammonia (25%) in water, followed by 100 mL of ethyl acetate. The wet cake was dried with vacuum/N2 flow and the above- titled compound was obtained. !H NMR (250 MHz, CDCI3): δ 7.84-7.72 (d, 2H), 7.31-7.28 (d, 2H), 6.85 (s, IH),
5.34 (s, 2H), 5.14-5.11 (t, IH), 4.30-4.28 (d, 2H), 3.35 (s, IH). Step 4: Preparation of l-(4-cyanobenzyl)-5-chloromethyl imidazole HCl salt
Figure imgf000247_0001
l-(4-Cyanobenzyl)-5-hydroxymethylimidazole (1.0 kg), prepared as described in above in Step 3, was slurried with DMF (4.8 L) at 22 °C and then cooled to -5 °C. Thionyl chloride (390 mL) was added dropwise over 60 min during which time the reaction temperature rose to a maximum of 9 °C. The solution became nearly homogeneous before the product began to precipitate from solution. The slurry was warmed to 26 °C and aged for 1 h.
The slurry was then cooled to 5 °C and 2-propanol (120 mL) was added dropwise, followed by the addition of ethyl acetate (4.8 L). The slurry was aged at 5 °C for 1 h before the solids were isolated and washed with chilled ethyl acetate (3 x 1 L). The product was dried in vacuo at 40 °C overnight to provide the above-titled compound. lH NMR (250 MHz DMSO-d6): δ 9.44 (s, IH), 7.89 (d, 2H, 8.3 Hz), 7.89 (s, IH), 7.55 (d, 2H, 8.3 Hz), 5.70 (s, 2H), 4.93 (s, 2H). 13C NMR (75.5 MHz DMSO-dό): δc 139.7, 137.7, 132.7, 130.1, 128.8, 120.7, 118.4, 111.2, 48.9, 33.1.
Step 5 : Preparation of l-(4-Cyanobenzyl)-5-Chloromethyl Imidazole HCl salt via addition of Hydroxymethylimidazole to Vilsmeier Reagent
Figure imgf000247_0002
To an ice cold solution of dry acetonitrile (3.2 L, 15 L/Kg hydroxymethylimidazole) was added 99% oxalyl chloride (101 mL, 1.15 mol, 1.15 equiv.), followed by dry DMF (178 mL, 2.30 mol, 2.30 equiv.), at which time vigorous evolution of gas was observed. After stirring for about 5 to 10 min following the addition of DMF, solid hydroxymethylimidazole (213 g, 1.00 mol), as described above in Example 7, was added gradually. After the addition, the internal temperature was allowed to warm to a temperature of about 23 °C to about 25 °C and stirred for about 1 to 3 hours. The mixture was filtered, then washed with dry acetonitrile (400 mL displacement wash, 550 mL slurry wash, and a 400 mL displacement wash). The solid was maintained under a N2 atmosphere during the filtration and washing to prevent hydrolysis of the chloride by adventitious H2O. This yielded approximately 93 to about 96% crystalline form of the chloromethylimidazole hydrochloride. lH NMR (250 MHz DMSO-d6): δ 9.44 (s, IH), 7.89 (d, 2H, 8.3 Hz), 7.89 (s, IH), 7.55 (d, 2H, 8.3 Hz), 5.70 (s, 2H), 4.93 (s, 2H). 13C NMR (75.5 MHz DMSO-dό): δc 139.7, 137.7, 132.7, 130.1, 128.8, 120.7, 118.4, 111.2, 48.9, 33.1.
Step 6: Synthesis of the Amide Alcohol (1)
Figure imgf000248_0001
(1 )
At 22 °C, 3-chloroaniline (50.0 g) was combined with 460 ml isopropyl acetate and 20% aqueous potassium bicarbonate (72.5 g dissolved in 290 ml water). The biphasic mixture was cooled to 5 °C and chloroacetyl chloride (42 ml) was added dropwise over 30 minutes, keeping the internal temperature below 10 °C. The reaction mixture was warmed to 22 °C over 30 min. The aqueous layer was removed at 22°C and ethanolamine (92 ml) was added rapidly. The reaction mixture was warmed to 55°C over 30 minutes and aged for 1 hour. At 55 °C, 140 ml water was added with 30 ml isopropyl acetate to the reaction mixture. The biphasic reaction mixture was agitated for 15 minutes at 55°C. The layers were allowed to settle and the aqueous layer was removed. The organic layer was cooled to 45 °C and seed was added. The mixture was cooled to 0 °C over 1 hour and aged for 1 hour. The solids were filtered and washed with chilled isopropyl acetate (2 x 75 ml). The solids were dried in vacuo at 40 °C for 18 hours to provide about an 83.5% yield of the amide alcohol (1). lH NMR (300 MHz; DMSO-d6) δ 7.85 (t, IH 2.0 Hz), 7.52 (m, IH), 7.32 (t, IH, 8.0 Hz), 4.5-4.8 (br s, IH), 3.47 (t, IH, 5.5 Hz), 3.30 (s, IH), 2.60 (t, IH 5.0 Hz). 13C NMR (75.4 MHz; DMSO-d6) δc 170.9, 140.1, 133.0, 130.3, 122.8 118.5, 117.5, 60.3, 52.7, 51.5.
Step 7: Synthesis of l-(3-Chlorophenyl)-2-Piperazinone Hydrochloride with DIAD
Figure imgf000249_0001
58 mL of EtOAc was charged to an N2-purged flask.
Tributylphosphine (28.3 mL, 113.8 mmol) was added, via syringe, and the solution was cooled to about -10°C. DIAD (22.4 mL, 113.8 mmol) was added dropwise over 30 minutes, maintaining the temperature at < 0 °C. The above mixture was cannulated into a slurry of an amide alcohol (20.0 g, 87.5 mmol), prepared as described above in Step 6, in 117 mL EtOAc over 20 minutes, maintaining the temperature at < 0 °C. The reaction was warmed to room temperature over 25 minutes. 99% conversion was observed by LC assay. Water (0.55 mL) was then added, and the reaction was warmed to 40 °C. The solution was seeded with 200 mg of authentic material, and 1.0 eq. HCl (4.0 N in abs. EtOH) was added dropwise over 2 hours. The slurry was cooled to 0 °C over 2 hours and aged at 0 °C for 1 hour. The mixture was filtered, and the cake was washed with chilled EtOAc (3x16 mL). The cake was dried in vacuo overnight at 40 °C to afford about a 77% yield of the above- titled compound. Step 8: Preparation of l-(3-chlorophenyl)-4-[l-(4-cyanobenzyl)-5- imidazolylmethyl"|-2-piperazinone *H?O
Figure imgf000250_0001
A 50 L four-neck flask, equipped with a mechanical stirrer, cooling bath, teflon-coated thermocouple, and nitrogen inlet was charged with 4.0 L of acetonitrile. Then 4-cyanobenzyl-chloromethylimidazole hydrochloride (958 g, 3.36 mol), prepared as described in Step 4, piperazinone hydrochloride (883 g, 3.54 mol), prepared as described in Step 7, and the remaining 1.25 L of acetonitrile were added to the flask at room temperature. Diisopropylethylamine (1.99 L, 1 1.4 mol) was added to the mixture. The bulk of the solid dissolved immediately upon addition of diisopropylethylamine, leaving a slightly turbid solution.
After stirring 30 min, the solution was cooled to 0 °C over 60 min. The solution was stirred 26 h at 0 °C, then warmed to 20 °C over 20 min. Water (2 L) was added to the slightly turbid solution over 20 min. Authentic seed was added to 8 L of water, which was subsequently added to the solution over 70 min. Additional water (17 L) was added over 90 min, and the mixture was aged 60 min thereafter. The temperature throughout the addition and aging was from about 20°C to about 22 °C. The mixture was filtered through a polypropylene filter pot. The crystals were washed with 1 :5 acetonitrile/water. The crystalline solid was dried by passage of nitrogen through the filter cake (36 h) to provide the above-titled compound.
13C NMR (62.9 MHz, CDCI3): δ 165.2, 142.7, 142.1, 139.4, 134.8, 133.0, 131.0,
130.2, 127.3, 127.1, 126.3, 126.0, 123.9, 118.1, 112.0, 57.7, 50.6, 49.9, 148.8, 148.3.
Step 9: Preparation of 1 -(3-chlorophenyl)-4-[ 1 -(4-cyanobenzyl)-5- imidazolylmethyll-2-piperazinoneΗCl
Figure imgf000250_0002
An IP A/toluene mixture (7 L) is made up as a 69:31 wt% ratio by mixing IPA (3.90 Kg, 4.97 L) and toluene(1.76 Kg, 2.03 L).
A pre-weighed 1 L graduated cylinder was charged with IPA (500 mL, 392 g). The cylinder was cooled to 0 °C. Gaseous HCl was bubbled into the IPA until a volume change of roughly +80 mL was observed. The new weight of the cylinder and its contents indicated that 140 g HCl (3.84 moles) had been charged, making up a 6.62 M solution (or 7.22 molal solution). An aliquot (500 mL, 458 g) was transferred to a 5 L flask. To this solution was added toluene (192 mL, 166 g) and the 69:31 IP A/toluene mixture (2.07 Liters, 1.7 Kg). A 22 L flask was charged with the free base form of l-(3- chlorophenyl)-4-[l-(4-cyanobenzyl)-5-imidazolylmethyl]-2-piperazinone, prepared as described above in Step 8. The 69:31 IP A toluene mixture (1 1.0 L) was added to this flask, which resulted in dissolution of the solid. The solution was heated to 40 °C. The hot solution was filtered through an in-line filter into a pre-heated (40 °C) 22 L flask. The dissolution flask was further washed with the 69:31 IP A/toluene solution (0.5 L), which was transferred to the crystallization flask through the in-line filter. The in-line filter was replaced with a 4 L addition funnel.
The 1.21 M HCl solution (1.93 L, 1.63 Kg, 2.34 moles, 0.99 equiv.) was charged to the addition funnel. A fraction of the HCl solution (0.19 Liters, 0.23 moles, 0.10 equiv.) was added to the solution of free base over 10 min, whereupon the solution was seeded. After aging the thin slurry for 10-15 min, the remaining HCl solution was added over 2 h. The thick mixture was cooled to -10 °C over 2 h, aged for 30 min, then filtered. The crystals were washed with ice-cold 69:31 IP A/toluene and was then washed three times with ice-cold IPA. The crystals were dried under vacuum with a nitrogen stream and the above-titled compound was obtained.
EXAMPLE 3
4-[l-(5-Chloro-2-oxo-2H-[l,2']bipyridinyl-5'-ylmethyl)- lH-imidazol-5-ylmethyl]- benzonitrile
Step 1 : 5-Chloro-5'-methyl-[ 1 ,2']bipyridinyl-2-one
5-Chloro-2-pyridinol (2.26g, 17.4 mmol), 2-bromo-5-methylpyridine (3.00g, 17.4 mmol), copper (0.022g, 0.35 mmol) and K2CO3 (2.66g, 19.2 mmol) were heated at 180°C for 16 hrs. The brown reaction mixture was cooled, diluted with EtOAc and washed with saturated NaHCO3. The aqueous layer was extracted with
EtOAc (2x) and the combined organic extracts were washed with brine, dried (Na2SO4) and evaporated in vacuo. The residue was chromatographed (silica gel, EtOAc: CH2CI2 20:80 to 50:50 gradient elution) to afford the title compound as a white solid. H NMR (400 MHz, CDCI3) δ 8.37 (s, IH), 7.96(d, J=3.0Hz, IH), 7.83 (d, J=8.4Hz, IH), 7.65(dd, J=2.4 and 8.2Hz, IH), 7.32(dd, J=2.9 and 9.7 Hz, IH), 6.61(d, J=9.7Hz, lH) and 2.39(s,3H)ppm.
Step 2: 5'-Bromomethyl-5-chloro-[ 1 ,2'lbipyridinyl-2-one
A solution of the pyridine from Step 1(1. OOg, 4.53 mmol), N- bromosuccinimide (0.81g, 4.53 mmol) and AIBN (0.030g, 0.18 mmol) in CCI4
(40mL) was heated at reflux for 2 hrs. The solids were filtered and the filtrate collected. The solvent was evaporated in vacuo and the residue chromatographed (silica gel, EtOAc: CH2CI2 25:75 to 50:50 gradient elution) to afford the title bromide. H NMR (400 MHz, CDCI3) δ 8.55 (s, IH), 8.04 (d, J= 2.9 Hz, IH), 8.01 (d, J=8.4Hz, IH), 7.88 (dd, J=2.4 and 8.6Hz, IH), 7.34(dd, J= 2.9 and 9.8Hz, IH), 6.61(d, J=9.9Hz, IH) and 4.51 (s,2H) ppm.
Step 3: 4-( 1 -Trityl- 1 H-imidazol-4-ylmethyl)-benzonitrile
To a suspension of activated zinc dust (3.57g, 54.98 mmol) in THF (50 mL) was added dibromoethane (0.315 mL, 3.60 mmol) and the reaction stirred under argon for 45 minutes, at 20°C. The suspension was cooled to 0°C and α-bromo- p-tolunitrile (9.33g, 47.6 mmol) in THF (100 mL) was added dropwise over a period of 10 minutes. The reaction was then allowed to stir at 20°C for 6 hours and bis(triphenylphosphine)Nickel II chloride (2.40g, 3.64 mmol) and 5-iodotrityl imidazole (15.95g, 36.6 mmol) were added in one portion. The resulting mixture was stirred 16 hours at 20°C and then quenched by addition of saturated NH4CI solution (100 mL) and the mixture stirred for 2 hours. Saturated aq. NaHCO3 solution was added to give a pH of 8 and the solution was extracted with EtOAc (2 x 250 mL), dried (MgSO4) and the solvent evaporated in vacuo. The residue was chromatographed (silica gel, 0-20% EtOAc in CH2 2) to afford the title compound as a white solid. lH NMR (CDCI3, 400Mz) δ (7.54 (2H, d, J=7.9Hz), 7.38(1H, s), 7.36-7.29 (1 IH, m), 7.15-7.09(6H, m), 6.58(1H, s) and 3.93(2H, s) ppm.
Step 4: 4-[l-(5-Chloro-2-oxo-2H-[l,2']bipyridmyl-5"-ylmethyl)- lH-imidazol- 5 -ylmethyll -benzonitrile hydrochloride
The bromide from Step 2 (0.750g, 2.50 mmol) and the 4-(l-trityl-lH- imidazol-4-ylmethyl)-benzonitrile (prepared as described in Step 3) (1.06g, 2.50 mmol) in CH3CN (10 mL) were heated at 60°C. The reaction was cooled to room temperature and the solids collected by filtration and washed with EtOAc (lOmL). The solid was suspended in methanol (50 mL) and heated at reflux for 1 hr, cooled and the solvent evaporated in vacuo. The sticky residue was stirred in EtOAc (40mL) for 4 hrs and the resulting solid hydrobromide salt collected by filtration and washed with EtOAc (40mL) and dried in vacuo. The hydrobromide salt was partitioned between sat. NaHCO3 and CH2CI2 and extracted with CH2CI2. The organic extracts were dried (Na2SO4) and evaporated in vacuo. The residue was chromatographed (silica gel, MeOH: CH2CI2 4:96 to 5:95 gradient elution) to afford the free base which was converted to the hydrochloride salt to afford the title compound as a white solid. !H NMR (400 MHz, CD3OD) δ 9.11 (s, IH), 8.35 (s, IH), 8.03(d, J=2.9Hz, IH), 7.83 (d, J=8.4 Hz, IH), 7.76 (dd, J=2.4 and 9.6Hz, IH), 7.68-7.58 (m, 3H), 7.48 (s, IH), 7.31(d, J=8.6Hz, 2H), 6.68 (d, J=9.3Hz, IH), 5.53 (s, 2H) and 4.24 (s, 2H) ppm. Analysis: Calc for C22H16N5OCI: 1.75 HCl, 0.15 EtOAc
C 56.69, H 3.99, N 14.62 Found: C 56.72, H 4.05, N 14.54
EXAMPLE 4
Preparation of (R)-l-(3-chlorophenyl)-4-[l-(4-cyanobenzyl)-5-imidazolylmethyl]-5- r2-(ethanesulfonyl)methyl1-2-piperazinone dihydrochloride
Step A: Preparation of (R)-2-(tert-butoxycarbonylamino)-N-(3-chlorophenyl)-
3- (triphenylmethyl)thio1- 1 -propanamine
To a solution of 3-chloroaniline (0.709 mL. 6.70 mmol) in 30 mL of dichloromethane at room temperature was added 1.2 g of crushed 4A molecular sieves. Sodium triacetoxyborohydride (3.55 g, 16.7 mmol) was added, followed by dropwise addition of N-methylmorpholine to achieve a pH of 6.5. L-5-Trityl-N-Boc- cysteinal (3.15 g, 7.04 mmol) (prepared according to S.L. Graham et al. J. Med. Chem., (1994) Vol. 37, 725-732) was added, and the solution was stirred for 48 hours. The reaction was quenched with sat. aq. ΝaHCθ3, diluted with EtOAc, and the layers were separated. The organic material was washed with brine, dried (Na2SO4), filtered, and concentrated in vacuo to provide an oil which was purified by silica gel chromatography (15% EtOAc/hexane) to give the title amine.
Step B: Preparation of (R)-N-[2-(tert-butoxycarbonylamino)-3-
((triphenylmethyl)thio)propyn-2-chloro-N-(3-chlorophenyl)acetamide The aniline derivative from Step A (2.77 g, 4.95 mmol) was dissolved in 73 mL of EtOAc and 73 mL of sat. ΝaHCθ3 soln., then cooled to 0 °C. With vigorous stirring, chloroacetyl chloride (0.533 mL. 6.69 mmol) was added dropwise. After 3 hours, the reaction was diluted with water and EtOAc, and the organic layer was washed with brine, dried (Na2SO4), filtered, and concentrated in vacuo to provide crude titled chloroacetamide which was used without further purification.
Step C: Preparation of (R)-4-(tert-butoxycarbonyl)-l-(3-chlorophenyl)-5-[5- (triphenylmethyl)thiomethyllpiperazin-2-one
To a solution of chloroacetamide from Step B (3.29 g crude, theoretically 4.95 mmol) in 53 mL of DMF at 0°C was added cesium carbonate (4.84 g, 14.85 mmol). The solution was stirred for 48 hours, allowing it to warm to room temperature. The solution was poured into EtOAc, washed with water and brine, dried (Na2SO4), filtered, and concentrated in vacuo to provide the crude product as an oil. This material was purified by silica gel chromatography (20% EtOAc/hexane) to yield the product as a white solid.
Step D: Preparation of (R)-4-(tert-butoxycarbonyl)-l-(3-chlorophenyl)-5- (thiomethyl)piperazin-2-one
A solution of piperazinone from Step C (625 mg, 1.04 mmol) in degassed EtOAc (38 mL) and EtOH (12 mL) was warmed to 30°C. A solution of AgNO3 (177 mg, 1.04 mmol) and pyridine (0.084 mL, 1.04 mmol) in 8 mL of EtOH was added, and the solution was heated to reflux. After 45 minutes, the reaction was concentrated in vacuo, then redissolved in 26 mL of degassed EtOAc. Through this solution was bubbled H2S gas for 2.5 minutes, then activated charcoal was added after 4 minutes. The material was filtered through celite and rinsed with degassed EtOAc, concentrated in vacuo, then reconcentrated from degassed CH2CI2 to provide the crude product which was used without further purification.
Step E: Preparation of (R)-4-(tert-butoxycarbonyl)-l-(3-chlorophenyl)-5- (ethylthio)methyl1piperazin-2-one
A solution of the thiol from Step D (ca. 1.04 mmol) in 3 mL of THF was added via cannula to a suspension of NaH (51.4 mg, 60% disp. in mineral oil, 1.28 mmol) in 2 mL THF at 0°C. After 10 minutes, iodoethane was added (0.079 mL, 0.988 mmol), and the solution was stirred for 1.5 hours. The reaction was poured into EtOAc, washed with sat. NaHCO3 and brine, dried (Na2SO4), filtered, and concentrated in vacuo to provide the crude product. This material was purified by silica gel chromatography (1% MeOH/CH2θ2) to yield the titled product.
Step F: Preparation of (R)-4-(tert-butoxycarbonyl)-l -(3-chlorophenyl)-5-
[(ethanesulfonyl)methyllpiperazin-2-one
To a solution of the sulfide from Step E (217 mg, 0.563 mmol) in 3 mL of MeOH at 0 °C was added a solution of magnesium monoperoxyphthalate (835 mg, 1.69 mmol) in 2 mL MeOH. The reaction was stirred overnight, allowing it to warm to room temperature. The solution was cooled to 0 °C, quenched by the addition of 4 mL 2N Na2S2θ3 soln., then concentrated in vacuo. The residue was partitioned between EtOAc and sat NaHCO3 solution, and the organic layer was washed with brine, dried (Na2SO4), filtered, and concentrated in vacuo to provide the crude sulfone as a white waxy solid.
Step G: Preparation of (R)-l-(3-chlorophenyl)-4-[l-(4-cyanobenzyl)-5- imidazolylmethyl]-5-[2-(ethanesulfonyl)methyl]-2-piperazinone dihydrochloride To a solution of the Boc-protected piperazinone from Step F (224 mg,
0.538 mmol) in 5 mL of dichloromethane at 0°C was added 2.5 mL of trifluoroacetic acid (TFA). After 45 minutes, the reaction was concentrated in vacuo, then azeotroped with benzene to remove the excess TFA. The residue was taken up in 4 mL of 1 ,2-dichloroethane and cooled to 0°C. To this solution was added 4A powdered molecular sieves (340 mg), followed by sodium triacetoxyborohydride (285 mg, 1.34 mmol) and several drops of triethylamine to achieve pH = 6. The imidazole carboxaldehyde from Step E of Example 1 (125 mg, 0.592 mmol) was added, and the reaction was stirred at 0°C. After 2 days, the reaction was poured into EtOAc, washed with dilute aq. NaHCO3, and brine, dried (Na2SO4), filtered, and concentrated in vacuo. The crude product was taken up in methanol and injected onto a preparative HPLC column and purified with a mixed gradient of 15%-50% acetonitrile/0.1% TFA; 85%-50% 0.1% aqueous TFA over 60 minutes. After concentration in vacuo, the resultant product was partitioned between dichloromethane and aq. NaHCO3 soln., and the aqueous phase was extracted with CH2CI2. The organic solution was washed with brine, dried (Na2SO4), filtered, and concentrated to dryness to provide the product free base, which was taken up in CH2CI2 and treated with 2.1 equivalents of 1 M HCl/ether solution. After concentrated in vacuo, the product dihydrochloride was isolated as a white powder.
EXAMPLE 5
Preparation of (±)- 19,20-Dihydro- 19-oxo-5H- 18,21 -ethano- 12,14-etheno-6, 10- metheno-22H-benzo[ ]imidazo[4,3-A:] [1,6,9, 12]oxatri aza-cyclooctadecine-9- carbonitrile. dihydrochloride
Figure imgf000256_0001
Step A: Preparation of l-triphenylmethyl-4-(hvdroxymethyl)-imidazole
To a solution of 4-(hydroxyrnefhyl)imidazole hydrochloride (35.0 g, 260 mmol) in 250 mL of dry DMF at room temperature was added triethylamine (90.6 mL, 650 mmol). A white solid precipitated from the solution.
Chlorotriphenylmethane (76.1 g, 273 mmol) in 500 mL of DMF was added dropwise. The reaction mixture was stirred for 20 hours, poured over ice, filtered, and washed with ice water. The resulting product was slurried with cold dioxane, filtered, and dried in vacuo to provide the titled product as a white solid which was sufficiently pure for use in the next step.
Step B: Preparation of 1 -triphenylmethyl-4-(acetoxymethyl)-imidazole
Alcohol from Step A (260 mmol, prepared above) was suspended in 500 mL of pyridine. Acetic anhydride (74 mL, 780 mmol) was added dropwise, and the reaction was stirred for 48 hours during which it became homogeneous. The solution was poured into 2 L of EtOAc, washed with water (3 x 1 L), 5% aq. HCl soln. (2 x 1 L), sat. aq. NaHCO3, and brine, then dried (Na2SO4), filtered, and concentrated in vacuo to provide the crude product. The acetate was isolated as a white powder which was sufficiently pure for use in the next reaction.
Step C: Preparation of 4-cvano-3-fluorotoluene To a degassed solution of 4-bromo-3-fluorotoluene (50.0 g, 264 mmol) in 500 mL of DMF was added Zn(CN)2 (18.6 g, 159 mmol) and Pd(PPh3)4 (6.1 g, 5.3 mmol). The reaction was stirred at 80°C for 6 hours, then cooled to room temperature. The solution was poured into EtOAc, washed with water, sat. aq. NaHCO3, and brine, then dried (Na2SO4), filtered, and concentrated in vacuo to provide the crude product. Purification by silica gel chromatography (0-5% EtOAc/hexane) provided the titled product.
Step D: Preparation of 4-cvano-3-fluorobenzylbromide
To a solution of the product from Step C (22.2 g, 165 mmol) in 220 mL of carbontetrachloride was added N-bromosuccinimide (29.2 g, 164 mmol) and benzoylperoxide (l.lg). The reaction was heated to reflux for 30 minutes, then cooled to room temperature. The solution was concentrated in vacuo to one-third the original volume, poured into EtOAc, washed with water, sat. aq. NaHCO3, and brine, then dried (Na2SO4), filtered, and concentrated in vacuo to provide the crude product. Analysis by 1H NMR indicated only partial conversion, so the crude material was resubjected to the same reaction conditions for 2.5 hours, using 18 g (102 mmol) of N-bromosuccinimide. After workup, the crude material was purified by silica gel chromatography (0-10% EtOAc/hexane) to provide the desired product. Step E: Preparation of 1 -(4-cyano-3-fluorobenzyl)-5-(acetoxymethyl)- imidazole hydrobromide
A solution of the product from Step B (36.72 g, 96.14 mmol) and the product from Step D (20.67 g, 96.14 mmol) in 250 mL of EtOAc was stirred at 60°C for 20 hours, during which a white precipitate formed. The reaction was cooled to room temperature and filtered to provide the solid imidazolium bromide salt. The filtrate was concentrated in vacuo to a volume of 100 mL, reheated at 60°C for two hours, cooled to room temperature, and filtered again. The filtrate was concentrated in vacuo to a volume 40 mL, reheated at 60°C for another two hours, cooled to room temperature, and concentrated in vacuo to provide a pale yellow solid. All of the solid material was combined, dissolved in 300 mL of methanol, and warmed to 60°C. After two hours, the solution was reconcentrated in vacuo to provide a white solid which was triturated with hexane to remove soluble materials. Removal of residual solvents in vacuo provided the titled product hydrobromide as a white solid which was used in the next step without further purification.
Step F: Preparation of 1 -(4-cyano-3-fluorobenzyl)-5-
(hvdroxymethyl)imidazole
To a solution of the product from Step E (31.87 g, 89.77 mmol) in 300 mL of 2:1 THF/water at 0°C was added lithium hydroxide monohydrate (7.53 g, 179 mmol). After two hours, the reaction was concentrated in vacuo to a 100 mL volume, stored at 0°C for 30 minutes, then filtered and washed with 700 mL of cold water to provide a brown solid. This material was dried in vacuo next to P2O5 to provide the titled product as a pale brown powder which was sufficiently pure for use in the next step without further purification.
Step G: Preparation of 1 -(4-cyano-3-fluorobenzyl)-5-imidazolecarboxaldehyde
To a solution of the alcohol from Step F (2.31 g, 10.0 mmol) in 20 mL of DMSO at 0°C was added triethylamine (5.6 mL, 40 mmol), then Sθ3-pyridine complex (3.89 g, 25 mmol). After 30 minutes, the reaction was poured into EtOAc, washed with water and brine, dried (Na2SO4), filtered, and concentrated in vacuo to provide the aldehyde as a pale yellow powder which was sufficiently pure for use in the next step without further purification. Step H: Preparation of N-(7-hydroxy-l-naphthyl)-2-[(2- (hydroxy)ethyl)amino1acetamide
To a solution of 8-amino-2-naphthol (15.00 g, 94.2 mmol) in 300 mL of isopropyl acetate and 250 mL of saturated NaHCO3 solution at 0°C was added chloroacetyl chloride (18.75 mL, 235 mmol). 30 minutes, the layers were separated, and the organic layer was filtered through a glass frit to remove insolubles. Ethanolamine was added (20.9 mL, 377 mmol), and the reaction was warmed to 50°C for 2 hours, then cooled to room temperature. The solution was poured into EtOAc, washed with water and brine, dried (Na2SO4), filtered, and concentrated in vacuo. The titled product was obtained as a dark brown solid which was used in the next reaction without further purification.
Step I: Preparation of N-(7-hydroxy-l-naphthyl)-2-[(2-(hydroxy)ethyl)tert- butoxycarbonyl amino] acetamide To a solution of the product from Step H (7.50 g, 28.8 mmol) in 100 mL of tetrahydrofuran at 0°C was added di-tert-butyldicarbonate (6.29 g, 28.8 mmol). After 1.5 hours, the solution was concentrated in vacuo to provide the titled product as a dark brown foam which was used in the next reaction without further purification.
Step J: Preparation of 4-tert-butoxycarbonyl-l-(7-hydroxy-l-naphthyl)-2- piperazinone
To a solution of di-tert-butylazodicarboxylate (10.81 g, 43.2 mmol) in 60 mL of tetrahydrofuran at 0°C was added tributylphosphine (10.76 mL, 43.2 mmol) dropwise. After 10 minutes, a solution of the crude product from Step I (ca. 28.8 mmol) in 30 mL of tetrahydrofuran was added dropwise, and the reaction was allowed to warm to room temperature. After two hours, HPLC analysis showed partial conversion. The solution was cooled to 0°C, and additional portions of tributylphosphine (3.0 mL, 18 mmol) and di-tert-butylazodicarboxylate (4.6 g, 18 mmol) were added. The reaction was warmed to room temperature, and stirred for 16 hours. The solution was concentrated in vacuo, and the resulting product was purified by silica gel chromatography (0-5% MeOH/CH2Cl2) to provide the titled product as a dark brown foam, contaminated with tributylphosphine oxide impurity. This material was used in the next reaction without further purification. Step K: Preparation of 1 -(7-benzyloxy- 1 -naphthyl)-4-tert-butoxycarbonyl-2- piperazinone
To a solution of the product from Step J (ca. 28.8 mmol) in 150 mL of acetone was added potassium carbonate (20.0 g, 145 mmol), followed by benzyl bromide (3.45 mL, 29 mmol). The reaction was heated to reflux, and stirred for 18 hours. After cooling to room temperature, the solution was concentrated in vacuo to a 50 mL volume, poured into EtOAc, washed with sat. aq. NaHCO3 and brine, dried (Na2SO4), filtered, and concentrated in vacuo. The crude product mixture was purified by silica gel chromatography (40-50% EtOAc/hexane) to provide the titled compound as a pale brown foam.
Step L: Preparation of 1 -(7-benzyloxy- l-naphthyl)-2-piperazinone hydrochloride
Through a solution of the product from Step K (1.244 g, 2.88 mmol) in 50 mL of ethyl acetate at 0°C was bubbled anhydrous HCl gas for 5 minutes. After 30 minutes, the solution was concentrated in vacuo to provide the titled salt as a brown powder (1.064 g) which was used in the next reaction without further purification.
Step M: Preparation of 1 -(7-benzyloxy- l-naphthyl)-4-[ l-(4-cyano-3- fluorobenzyl)-5-imidazolylmethyl"]-2-piperazinone
To a solution of the crude amine hydrochloride from Step L (2.88 mmol) in 15 mL of 1 ,2-dichloroethane was added 4A powdered molecular sieves (2.0 g), followed by sodium triacetoxyborohydride (911 mg, 4.32 mmol). The aldehyde from Step G was added (659 mg, 2.88 mmol), and the reaction was stirred for 40 minutes. The reaction was poured into EtOAc, washed with sat. aq. NaHCO3 and brine, dried (Na2SO4), filtered, and concentrated in vacuo. The titled product was obtained as a brown foam which was used in the next reaction without further purification.
Step N: Preparation of l-(7-hydroxy-l -naphthyl)-4-[l-(4-cyano-3- fluorobenzyl)-5-imidazolylmethyl]-2-piperazinone trifluoroacetate To a solution of the benzyl ether from Step M (1.563 g, 2.85 mmol) in 25 mL of 1 :1 MeOH/EtOAc was added trifluoroacetic acid (1.0 mL) and 10% palladium on carbon (900 mg). The solution was stirred under a balloon atmosphere of hydrogen at room temperature. After 8 hours, the solution was filtered through celite, and the filter pad was rinsed with 1 : 1 MeOH/THF. Concentration in vacuo provided the titled product as a white foam which was used in the next reaction without further purification.
Step O: Preparation of (±)-19,20-Dihydro-19-oxo-5H-18,21-ethano-12,14- etheno-6, 10-metheno-22H-benzo[< jimidazo[4,3- ] [ 1 ,6,9, 12]oxatriaza- cyclooctadecine-9-carbonitrile, dihydrochloride
To a solution of the product from Step N (ca. 2.85 mmol) in 50 mL of DMSO was added cesium carbonate (2.815 g, 8.64 mmol). The reaction was warmed to 55 °C under argon for 45 minutes, then cooled to room temperature. The solution was poured into EtOAc and washed with water and brine, dried (Na2SO4), filtered, and concentrated in vacuo. The resulting product was purified by silica gel chromatography (5-8% MeOΗ/CΗ2Cl2) to provide the product as a pale yellow foam. A portion of this was taken up in CH2CI2, treated with excess 1 M HCl/ether solution, and concentrated in vacuo to provide the titled product dihydrochloride as a pale yellow powder. FAB mass spectrum m/e 436.3 (M+l). Analysis calculated for C26H2lN5θ2'2.10 HCl-1.10 H2O:
C, 58.77; H, 4.80; N, 13.18; Found: C, 58.82; H, 4.79; N, 12.67.
EXAMPLE 6
(+)- 19,20-Dihydro- 19-oxo-5H- 18,21 -ethano- 12,14-etheno-6, 10-metheno-22H- benzo[J]imidazo[4,3-^][l,6,9,12]oxatriazacyclo-octadecine-9-carbonitrile,
Enantiomer A dihydrochloride
A sample of free base of the compound described in Example 5, Step O (96 mg in 3 mL of MeOΗ) was resolved by preparative chiral ΗPLC at 310 nm using a Chiralcel OD 250 x 4.6 mm column, and eluting with a 80% ethanol/0.1% diethylamine-hexane at a flow rate of 1.0 mL/min. The faster eluting product was taken up in CΗ2CI2, treated with excess 1 M HCl/ether solution, and concentrated in vacuo to provide the titled product dihydrochloride as a pale white powder. Assay for enantiomeric purity (retention time = 8.04 min; Chiralcel OD 25 x 2 mm; 80-100% gradient: ethanol/0.1% diethylamine-hexane over 45 min; flow rate 8.0 mL/min; 310 nm) indicated 96.4% enantiomeric excess.
Analysis calculated for C_6H2lN5θ2*2.15 HC1-2.45 H2O:
C, 55.97; H, 5.07; N, 12.55; Found: C, 56.00; H, 5.11 ; N, 12.34.
EXAMPLE 7
(-)- 19,20-Dihydro- 19-oxo-5H- 18,21 -ethano- 12,14-etheno-6, 10-metheno-22H- benzo[J]imidazo[4,3-^][l,6,9,12]oxatriazacyclo-octadecine-9-carbonitrile,Enantiomer B dihydrochloride
The titled product was produced under the same conditions described in Example 6. Assay of the slower-eluting product for enantiomeric purity (retention time = 13.96 min; Chiralcel OD 25 x 2 mm; 80- 100% gradient: ethanol/0.1 % diethylamine-hexane over 45 min; flow rate 8.0 mL/min; 310 nm) indicated >99% enantiomeric excess.
Analysis calculated for C_6Η2lN5θ2'2.00 HC1'2.30 H2O:
C, 56.79; H, 5.06; N, 12.74; Found: C, 56.80; H, 5.38; N, 12.58.
EXAMPLE 8
1 -(3-chlorophenyl)-4-[ 1 -(4-cyano-3-methoxybenzyl)-5-imidazolylmethyl]-2- piperazinone dihydrochloride
Step A: Preparation of Methyl 4-Amino-3-hvdroxybenzoate
Through a solution of 4-amino-3-hydroxybenzoic acid (75 g, 0.49 mol) in 2.0 L of dry methanol at room temperature was bubbled anhydrous HCl gas until the solution was saturated. The solution was stirred for 48 hours, then concentrated in vacuo. The product was partitioned between EtOAc and saturated aq. NaHCO3 solution, and the organic layer was washed with brine, dried (Na2SO4), and concentrated in vacuo to provide the titled compound. Step B: Preparation of Methyl 3-Hydroxy-4-iodobenzoate
A cloudy, dark solution of the product from Step A (79 g, 0.47 mol), 3N HCl (750 mL), and THF (250 mL) was cooled to 0°C. A solution of Na >2 (35.9 g, 0.52 mol) in 115 mL of water was added over ca. 5 minutes, and the solution was stirred for another 25 minutes. A solution of potassium iodide (312 g, 1.88 mol) in
235 mL of water was added all at once, and the reaction was stirred for an additional
15 minutes. The mixture was poured into EtOAc, shaken, and the layers were separated. The organic phase was washed with water and brine, dried (Na2SO4), and concentrated in vacuo to provide the crude product (148 g). Purification by column chromatography through silica gel (0%-50% EtOAc/hexane) provided the titled product.
Step C: Preparation of Methyl 4-Cyano-3-hydroxybenzoate
A mixture of the iodide product from Step B (101 g, 0.36 mol) and zinc(II)cyanide (30 g, 0.25 mol) in 400 mL of dry DMF was degassed by bubbling argon through the solution for 20 minutes. Tetrakis(triphenylphosphine)palladium (8.5 g, 7.2 mmol) was added, and the solution was heated to 80°C for 4 hours. The solution was cooled to room temperature, then stirred for an additional 36 hours. The reaction was poured into EtO Ac/water, and the organic layer was washed with brine (4x), dried (Na2SO4), and concentrated in vacuo to provide the crude product.
Purification by column chromatography through silica gel (30%-50% EtOAc/hexane) provided the titled product.
Step D: Preparation of Methyl 4-Cyano-3-methoxybenzoate Sodium hydride (9 g, 0.24 mol as 60% wt. disp. mineral oil) was aded to a solution of the phenol from Step C (36.1 g, 204 mmol) in 400 mL of dry DMF at room temperature. Iodomethane was added (14 mL. 0.22 mol) was added, and the reaction was stirred for 2 hours. The mixture was poured into EtO Ac/water, and the organic layer was washed with water and brine (4x), dried (Na2SO4), and concentrated in vacuo to provide the titled.
Step E: Preparation of 4-Cyano-3-methoxybenzyl Alcohol
To a solution of the ester from Step D (48.8 g, 255 mmol) in 400 mL of dry THF under argon at room temperature was added lithium borohydride (255 mL, 510 mmol, 2M THF) over 5 minutes. After 1.5 hours, the reaction was warmed to reflux for 0.5 hours, then cooled to room temperature. The solution was poured into
EtOAc/lN HCl soln. [CAUTION], and the layers were separated. The organic layer was washed with water, sat Na2CO3 soln. and brine (4x), dried (Na2SO4), and concentrated in vacuo to provide the titled product.
Step F: Preparation of 4-Cyano-3-methoxybenzyl Bromide
A solution of the alcohol from Step E (35.5 g, 218 mmol) in 500 mL of dry THF was cooled to 0°C. Triphenylphosphine was added (85.7 g, 327 mmol), followed by carbontetrabromide (108.5 g, 327 mmol). The reaction was stirred at 0°C for 30 minutes, then at room temperature for 21 hours. Silica gel was added (ca. 300 g), and the suspension was concentrated in vacuo. The resulting solid was loaded onto a silica gel chromatography column. Purification by flash chromatography (30%-50% EtOAc/hexane) provided the titled.
Step G: Preparation of l-(4-cyano-3-methoxybenzyl)-5-(acetoxymethyl)- imidazole hydrobromide
The titled product was prepared by reacting the bromide from Step F (21.7 g, 96 mmol) with the imidazole product from Step B of Example 1 (34.9 g, 91 mmol) using the procedure outlined in Step C of Example 1. The crude product was triturated with hexane to provide the titled product hydrobromide.
Step H: Preparation of 1 -(4-cyano-3-methoxybenzyl)-5-(hydroxymethyl)- imidazole
The titled product was prepared by hydrolysis of the acetate from Step G (19.43 g, 68.1 mmol) using the procedure outlined in Step D of Example 1. The crude titled product was isolated both directly from extraction or through concentration of the aqueous extracts which provided solid material (ca. 100 g) which contained a significant quantity of the titled product, as judged by H NMR spectroscopy.
Step I: Preparation of 1 -(4-cyano-3-methoxybenzyl)-5- imidazolecarboxaldehyde
The titled product was prepared by oxidizing the alcohol from Step H (11 g, 45 mmol) using the procedure outlined in Step E of Example 1. The titled aldehyde was isolated as a white powder which was sufficiently pure for use in the next step without further purification.
Step J: Preparation of l-(3-chlorophenyl)-4-[l-(4-cyano-3-methoxybenzyl)-5- imidazolylmethyl]-2-piperazinone dihydrochloride
The titled product was prepared by reductive alkylation of the aldehyde from Step I (859 mg, 3.56 mmol) and the amine (hydrochloride) from Step 7 of
Example 2 A (800 mg, 3.24 mmol) using the procedure outlined in Step F of Example
2. Purification by flash column chromatography through silica gel (50%-75% acetone CH2CI2) and conversion of the resulting white foam to its dihydrochloride salt provided the titled product as a white powder. FAB ms (m+l) 437. Anal. Calc. for C23H23ClN5θ2'2.0HCl«0.35CH2C-2:
C, 51.97; H, 4.80; N, 12.98. Found: C, 52.11 ; H, 4.80; N, 12.21.
EXAMPLE 9
1 -(3-trifluoromethoxyphenyl)-4-[ 1 -(4-cyano-3-methoxybenzyl)- 5-imidazolyl methyll-2-piperazinone dihydrochloride
l-(3-trifluoromethoxy-phenyl)-2-piperazinone hydrochloride was prepared from 3-trifluoromethoxyaniline using Steps A-E of Example 2. This amine (1.75 g, 5.93 mmol) was coupled to the aldehyde from Step I of Example 8 (1.57 g, 6.52 mmol) using the procedure outlined in Step F of Example 2. Purification by flash column chromatography through silica gel (60%- 100% acetone CH2CI2) and conversion of the resulting white foam to its dihydrochloride salt provided the titled product as a white powder. FAB ms (m+l) 486. Anal. Calc. for C24H23F3N5θ3«2.0HCl«0.60H2θ:
C, 50.64; H, 4.46; N, 12.30. Found: C, 50.69; H, 4.52; N, 12.13. EXAMPLE 10
Preparation of 15-Bromo- 19,20-dihydro- 19-oxo-5H, 17H- 18,21 -ethano-6, 10:12,16- dimetheno-22H-imidazo[3,4-Λ][l,8,l l,14]oxatriaza-cycloeicosine-9- carbonitrile.hydrochloride
Figure imgf000266_0001
Step A: Preparation of 4-Bromo- 1 -[methanesulfonyloxy]-3-methylbenzene
To a solution of 4-bromo-3-methylphenol (10.2 g, 54.5 mmol) in 100 mL of dichloromethane at 0 °C was added triethylamine (15.2 mL, 109 mmol), followed by methanesulfonyl chloride (6.33 mL, 81.8 mmol). The reaction was stirred overnight, allowing it to warm to room temperature. The solution was poured into EtOAc, washed with water, saturated NΗ4CI solution, saturated aq. NaHCO3 and brine, dried (Na2SO4), filtered, and concentrated in vacuo. The resulting product was isolated as a white solid which required no further purification.
Step B: Preparation of 4-Bromo-3-bromomethyl-l- [methanesulfonyloxy]benzene
To a solution of the product from Step A (10.38 g, 39.2 mmol) and N- bromosuccinimide (8.61 g, 48.4 mmol) in 80 mL of carbontetrachloride was added 2,2'-azobisisobutyronitrile (0.89 g, 5.4 mmol), and the reaction was heated at reflux overnight under argon. The solution was cooled to room temperature, concentrated in vacuo, slurried with 30% EtOAc/hexane solution, and filtered. The filtrate was washed with saturated aq. NaHCO3 and brine, dried (Na2SO4), filtered, and concentrated in vacuo to provide a 2:1 mixture of the titled product and a tribromide as a yellow oil. Step C: Preparation of 4-tert-butoxycarbonyl -2-piperazinone
To a solution of 4-benzyloxycarbonyl-2-piperazinone (9.44 g, 40.3 mmol) and di-tert-butyldicarbonate (8.80 g, 40.3 mmol) in 100 mL of ethanol was added 10% palladium on carbon (1.5 g). The solution was stirred at room temperature under an atmosphere of hydrogen for 3 days, then purged with argon. The mixture was filtered through celite, the filter pad was washed with ethanol/THF, and the filtrate was concentrated in vacuo to produce the titled product as a white solid.
Step D: Preparation of l-[2-Bromo-5-((methanesulfonyl)oxy)benzyl]-4-tert- butoxycarbonyl-2-piperazinone
Sodium hydride (0.89 g, 22.2 mmol, 60% mineral oil dispersion) was triturated with hexane. The flask was charged with 30 mL of dimethylformamide and cooled to 0°C. The product from Step C was added (3.65 g, 18.2 mmol), and the reaction was stirred for 15 minutes at 0°C. A solution of the crude product from Step B (14.7 g, ca. 24 mmol) in 40 mL of dimethylformamide was added slowly, and the reaction was allowed to warm to room temperature. After 24 hours, the solution was concentrated in vacuo, and partitioned between EtOAc and saturated NaHCO3 solution. The aqueous phase was extracted with EtOAc, and the combined organics were washed with saturated NaHCO3 soln and brine, dried (Na2SO4), filtered, and concentrated in vacuo. The resulting product was purified by silica gel chromatography (50-75% EtOAc/hexane) to provide the titled product as a yellow solid.
Step E: Preparation of l-[2-Bromo-5-((methanesulfonyl)oxy)benzyl]-2- piperazinone hydrochloride
Through a solution of the product from Step D (7.71 g, 16.6 mmol) in 100 mL of ethyl acetate at 0°C was bubbled anhydrous HCl gas for 10 minutes. After 30 minutes, the solution was concentrated in vacuo to provide the titled salt as a white foam which was used in the next reaction without further purification.
Step F: Preparation of 4-[l-(4-cyano-3-fluorobenzyl)-5-imidazolylmethyl]-l-
[2-Bromo-5-((methanesulfonyl)-oxy)benzyl]-2-piperazinone
To a solution of the amine hydrochloride from Step E (6.53 g, 16.3 mmol) and the aldehyde from Step G of Example 5 (4.62 g, 20.2 mmol) in 70 mL of 1 ,2-dichloroethane was added 4A powdered molecular sieves (4.6 g), followed by sodium triacetoxyborohydride (6.30 g, 29.7 mmol). After 3 hours, the reaction was poured into EtOAc, washed with sat. aq. NaHCO3 and brine, dried (Na2SO4), filtered, and concentrated in vacuo. The resulting product was purified by silica gel chromatography (1-6% MeOH/CH2θ2) to provide the titled product as a white solid.
Step G: Preparation of 15-Bromo-19,20-dihydro-19-oxo-5H,17H-18,21- ethano-6, 10:12,16-dimetheno-22H-imidazo[3,4- h] \ 1 ,8, 1 14]oxatriaza-cvcloeicosine-9-carbonitrile, hydrochloride To a solution of the product from Step F (6.26 g, 10.9 mmol) in 220 mL of DMSO was added cesium carbonate (17.8 g, 54.7 mmol). The reaction was warmed to 80°C under argon for 3 hours, then cooled to room temperature. The solution was poured into EtOAc and washed with water and brine, dried (Na2SO4), filtered, and concentrated in vacuo. The resulting product was purified by silica gel chromatography (2-6% MeOΗ/CΗ2Cl2) to provide the desired product as a white powder. A portion of this was taken up in CH2CI2 and treated with excess 1 M HCl/ether solution, and concentrated in vacuo to provide the titled product dihydrochloride as a white powder.
HRMS(ES) calculated for M+H+: 478.6873. Found 478.6890. Analysis calculated for C23H2θBrN5θ2'1.55 HCM.75 H2O: C, 48.77; H, 4.46; N, 12.37;
Found: C, 48.82; H, 4.46; N, 11.74.
EXAMPLE 11
Preparation of 19-Oxo-19,20,22,23-tetrahydro-5H-l 8,21-ethano-12,14-etheno-6,10- metheno-benzo[ ]imidazo[4,3-/][l,6,9,13]oxatriaza-cyclononadecine-9-carbonitrile, dihydrochloride
Figure imgf000269_0001
Step A: Preparation of 1 -(triphenylmethyl)-4-[2-(trifluoroacetamido)-l - ethyllimidazole
To a solution of histamine dihydrochloride (20 g, 109 mmol) in 300 mL of dichloromethane at 0°C was added triethylamine (52.8 mL, 380 mmol), followed by trifluoroacetic anhydride (15.4 mL, 109 mmol). After 30 minutes, 700 mL of dimethylformamide was added, followed by an additional portion of triethylamine (18 mL, 129 mmol) and triphenylmethyl chloride (30.3 g, 109 mmol). The reaction was warmed to room tempeature, stirred for 2 hours, then quenched by the addition of 200 mL of water. The white precipitate was filtered, washed with water, and dried in vacuo to provide the titled product.
Step B: Preparation of l-(triphenylmethyl)-4-(2-amino-l-ethyl)imidazole
To a solution of the product from Step A (48.8 g, 109 mmol) in 1 L of methanol was added IM sodium hydroxide solution (325 mL, 325 mmol). Over the course of four days, additional methanol (3 L) and sodium hydroxide solution (325 mL, 325 mmol) were added. The solution was concentrated in vacuo, and partitioned between EtOAc and water. The organic layer was washed with brine, dried (Na2SO4), filtered, and concentrated in vacuo to provide the titled product. Step C: Preparation of l-(chloroacetamido)-7-hydroxynaphthalene
To a solution of 8-amino-2-naphthol (10.0 g, 62.8 mmol) in 240 mL of 1 :1 EtO Ac/saturated NaHCO3 solution was added chloroacetyl chloride dropwise (5.5 mL, 69.1 mmol). After one hour, the solution was filtered, the layers were separated, and the aqueous layer was extracted with EtOAc. The combined organic layers were washed with brine, dried (Na2SO4), filtered, and concentrated in vacuo to provide the titled product.
Step D: Preparation of l-(chloroacetamido)-7-[(methanesulfonyl)- oxy naphthalene
To a solution of the product from Step C (14.0 g, 59.4 mmol) in 180 mL of dimethylformamide at 0°C was added triethylamine (26.3 mL, 190 mmol), followed by methanesulfonyl chloride (10.5 mL, 137 mmol). The reaction was stirred overnight, allowing it to warm to room temperature. The solution was poured into EtOAc, washed with saturated NH4CI solution, saturated aq. NaHCO3 and brine, dried (Na2SO4), filtered, and concentrated in vacuo. The resulting product was used without further purification.
Step E: Preparation of N-[7-((methanesulfonyl)oxy)naphthyl]-2-[N'-(2___ triphenylmethyl-4-imidazolyl)ethyl)amino]acetamide
To a solution of the product from Step B (25.6 g, 72.7 mmol) in 200 mL of acetonitrile was added diisopropylethylamine (50 mL, 303 mmol), followed by the product from Step D (19.0 g, 60.5 mmol). The reaction was stirred at room temperature overnight, then concentrated in vacuo. The resulting material was partitioned between EtOAc and water, washed with brine, dried (MgSO4), filtered, and concentrated in vacuo to provide the titled product.
Step F: Preparation of N-[7-((methanesulfonyl)oxy)naphthyl]-2-[N'-(2- hydroxyethyl)-N ' -(2-( 1 -triphenylmethyl-4- imidazolyl)ethyl)amino]acetamide
To a solution of the crude product from Step E (60.5 mmol) in 400 mL of methanol was added glycol aldehyde (8.34 g, 69.7 mmol), and sodium cyanoborohydride (6.0 g, 95.1 mmol). The reaction was stirred at room temperature overnight, then concentrated in vacuo. The resulting material was partitioned between EtOAc and water, washed with brine, dried (MgSO4), filtered, and concentrated in vacuo to provide the titled product.
Step G: Preparation of 1 -[7-((methanesulfonyl)oxy)naphthyl]-4-[2-( 1 - triphenylmethyl-4-imidazolyl)-ethyl]-2-piperazinone
To a solution of the product from Step F (60.5 mmol) in 500 mL of tetrahydrofuran was added tributylphosphine (25 mL, 100 mmol). After cooling to 0°C, di-tert-butylazodicarboxylate (23 g, 100 mmol) was added, and the reaction was allowed to come to room temperature for 2 hours. The solution was concentrated in vacuo, partitioned between EtOAc and water, washed with brine, dried (MgSO4), filtered, and concentrated in vacuo to provide the titled product (45.0 g). The crude product was purified by silica gel chromatography (5% MeOH/CHCl3) to provide the pure titled product along with impure fractions.
Step H: Preparation of 4-bromo-3-fluorobenzoic acid
To a solution of 4-bromo-3-fluorotoluene (25.0 g, 132 mmol) in 230 mL of 1 :1 pyridine/water in a 3-necked flask equipped with a mechanical stirrer was added potassium permanganate (46 g, 289 mmol), and the reaction was heated to 70°C. After 1.5 hours, another portion of potassium permanganate (46 g, 289 mmol) was added. After 1.5 hours at 80°C. another portion of potassium permanganate (10 g, 62 mmol) was added. After several hours, the reaction was cooled to room temperature, filtered, and the precipitate was washed with water and ethanol. The filtrate was concentrated in vacuo, taken up in 3N sodium hydroxide solution, acidified with concentrated HCl solution, and filtered. The precipitate was washed with water and dried in vacuo to provide the titled product as a white solid.
Step I: Preparation of 4-bromo-3-fluorobenzyl alcohol
To a solution of the product from Step H (14.69 g, 67.0 mmol) in 40 mL of tetrahydrofuran at 0°C was added borane in THF (141 mL, 141 mmol, IM) dropwise, keeping the reaction temperature below 5 °C. The solution was allowed to warm to room temperature, then stirred for one hour. The reaction was cautiously quenched at 0°C with 50 mL of water, concentrated in vacuo, and partitioned between EtOAc and water. The aqueous layer was extracted twice with EtOAc, and the combined organic layers were washed with brine, dried (Na2SO4), filtered, and concentrated in vacuo to provide the titled product.
Step J: Preparation of 4-cvano-3-fluorobenzyl alcohol
To a degassed solution of the product from Step I (1 1.4 g, 55.6 mmol) in 100 mL of DMF was added Zn(CN)2 (3.92 g, 33.4 mmol) and Pd(PPh3)4 (5.1 g,
4.45 mmol). The reaction was stirred at 90°C overnight, cooled to room temperature, and concentrated in vacuo. Purification of this material by silica gel chromatography (50% EtOAc/hexane) provided the titled product as a light yellow solid.
Step K: Preparation of 1 -[7-((methanesulfonyl)oxy)naphthyl]-4-[2-(l-(4-cyano-
3-fluorobenzyl)-5-imidazolyl)-ethyl]-2-piperazinone
To a solution of the product from Step J (115 mg, 0.75 mmol) in 3 mL of dichloromethane at -78°C was diisopropylethylamine (0.40 mL, 2.28 mmol), followed by triflic anhydride (0.128 mL, 0.76 mmol). After 20 minutes, a solution of the product from Step G (500 mg, 0.762 mmol) in 2 mL of dichloromethane was added, and the reaction was stirred at -78°C for 30 minutes, and at room temperature for 1.5 hours. After concentrating the reaction in vacuo, 5 mL of methanol was added and the solution was heated at reflux for 30 minutes. The solution was concentrated in vacuo, acidified with 5% HCl solution, triturated with hexane, and partitioned between EtOAc and 20% NaOH solution. The organic layer was washed with brine, dried (MgSO4), filtered, and concentrated in vacuo to provide the titled product.
Step L: Preparation of 19-Oxo-19,20,22,23-tetrahydro-5H- 18,21 -ethano- 12,14- etheno-6, 10-metheno-benzo[J]imidazo[4,3-/] [1,6,9,13]oxatriaza- cyclononadecine-9-carbonitriIe, dihydrochloride
The titled compound was prepared from the product of Step K (0.75 mmol) using the procedure described in Step G of Example 10. After purification by silica gel chromatography (8-10% MeOΗ/CΗCl3), the product was taken up in CH2CI2 and treated with excess 1 M HCl/ether solution, and concentrated in vacuo to provide the titled product dihydrochloride as a white powder.
FAB mass spectrum m/e 450.2 (M+l).
Analysis calculated for C27H23N5θ2'2.00 HCl'2.35 H2O:
C, 57.42; H, 5.30; N, 12.40; Found: C, 57.40; H, 5.33; N, 12.04.
BIOLOGICAL ASSAYS.
The ability of compounds of the present invention to treat endometriosis can be demonstrated using the following assays.
EXAMPLE 12
In vitro inhibition of ras farnesyl transferase
Transferase Assays. Isoprenyl-protein transferase activity assays are carried out at 30°C unless noted otherwise. A typical reaction contains (in a final volume of 50 μL): [^Hjfarnesyl diphosphate, Ras protein , 50 mM HEPES, pH 7.5, 5 mM MgCl2, 5 mM dithiothreitol, 10 μM ZnCl2, 0.1% polyethyleneglycol (PEG) (15,000-20,000 mw) and isoprenyl-protein transferase. The FPTase employed in the assay is prepared by recombinant expression as described in Omer, C.A., Krai, A.M., Diehl, R.E., Prendergast, G.C., Powers, S., Allen, CM., Gibbs, J.B. and Kohl, N.E. (1993) Biochemistry 32:5167-5176. After thermally pre-equilibrating the assay mixture in the absence of enzyme, reactions are initiated by the addition of isoprenyl- protein transferase and stopped at timed intervals (typically 15 min) by the addition of 1 M HCl in ethanol (1 mL). The quenched reactions are allowed to stand for 15 m (to complete the precipitation process). After adding 2 mL of 100% ethanol, the reactions are vacuum-filtered through Whatman GF/C filters. Filters are washed four times with 2 mL aliquots of 100% ethanol, mixed with scintillation fluid (10 mL) and then counted in a Beckman LS3801 scintillation counter.
For inhibition studies, assays are run as described above, except test compounds or compositions are prepared as concentrated solutions in 100% dimethyl sulfoxide and then diluted 20-fold into the enzyme assay mixture. Substrate concentrations for inhibitor IC50 determinations are as follows: FTase, 650 nM Ras- CVLS (SEQ.ID.NO. : 1 ), 100 nM farnesyl diphosphate.
The compounds useful in the methods of the instant invention described in the above Examples 1-11 were tested for inhibitory activity against human FPTase by the assay described above and were found to have an IC50 of <1 μM. EXAMPLE 13
Modified/?; vitro GGTase inhibition assay
The modified geranylgeranyl-protein transferase inhibition assay is carried out at room temperature. A typical reaction contains (in a final volume of 50 μL): [^Hjgeranylgeranyl diphosphate, biotinylated Ras peptide, 50 mM HEPES, pH
7.5, a modulating anion (for example 10 mM glycerophosphate or 5mM ATP), 5 mM MgCl2, 10 μM ZnCl2, 0.1% PEG (15,000-20,000 mw), 2 mM dithiothreitol, and geranylgeranylprotein transferase type I(GGTase). The GGTase-type I enzyme employed in the assay is prepared as described in U.S. Pat. No. 5,470,832, incoφorated by reference. The Ras peptide is derived from the K4B-Ras protein and has the following sequence: biotinyl-GKKKKKKSKTKCVIM (single amino acid code) (SEQ.ID.NO.: 14). Reactions are initiated by the addition of GGTase and stopped at timed intervals (typically 15 min) by the addition of 200 μL of a 3 mg/mL suspension of streptavidin SPA beads (Scintillation Proximity Assay beads, Amersham) in 0.2 M sodium phosphate, pH 4, containing 50 mM EDTA, and 0.5% BSA. The quenched reactions are allowed to stand for 2 hours before analysis on a Packard TopCount scintillation counter.
For inhibition studies, assays are run as described above, except test compounds or compositions are prepared as concentrated solutions in 100% dimethyl sulfoxide and then diluted 25-fold into the enzyme assay mixture. IC50 values are determined with Ras peptide near K i concentrations. Enzyme and substrate concentrations for inhibitor IC50 determinations are as follows: 75 pM GGTase-I, 1.6 μM Ras peptide, 100 nM geranylgeranyl diphosphate.
EXAMPLE 14
Cell-based//? vitro ras farnesylation assay
The cell line used in this assay is a v-ras line derived from either Ratl or NIH3T3 cells, which expressed viral Ha-ras p21. The assay is performed essentially as described in DeClue, J.E. et al., Cancer Research 51 :712- 717, (1991). Cells in 10 cm dishes at 50-75% confluency are treated with the test compound or composition (final concentration of solvent, methanol or dimethyl sulfoxide, is 0.1%). After 4 hours at 37°C, the cells are labeled in 3 ml methionine- free DMEM supple-mented with 10% regular DMEM, 2% fetal bovine serum and 400 μCi[35S]methionine (1000 Ci/mmol). After an additional 20 hours, the cells are lysed in 1 ml lysis buffer (1% NP40/20 mM HEPES, pH 7.5/5 mM MgCl2/lmM
DTT/10 mg/ml aprotinen/2 mg/ml leupeptin/2 mg/ml antipain/0.5 mM PMSF) and the lysates cleared by centrifugation at 100,000 x g for 45 min. Aliquots of lysates containing equal numbers of acid-precipitable counts are bought to 1 ml with IP buffer (lysis buffer lacking DTT) and immunoprecipitated with the ras-specific monoclonal antibody Yl 3-259 (Furth, M.E. et al., J. Virol. 43:294-304, (1982)).
Following a 2 hour antibody incubation at 4°C, 200 μl of a 25% suspension of protein A-Sepharose coated with rabbit anti rat IgG is added for 45 min. The immunoprecipitates are washed four times with IP buffer (20 nM HEPES, pH 7.5/1 mM EDTA/1% Triton X-l 00.0.5% deoxycholate/0.1%/SDS/0.1 M NaCl) boiled in SDS-PAGE sample buffer and loaded on 13% acrylamide gels. When the dye front reached the bottom, the gel is fixed, soaked in Enlightening, dried and autoradio- graphed. The intensities of the bands corresponding to famesylated and nonfaraesylated ras proteins are compared to determine the percent inhibition of farnesyl transfer to protein.
EXAMPLE 15
Cell-based vitro growth inhibition assay
To determine the biological consequences of FPTase inhibition, the effect of the instant compositions and the compounds useful in the instant invention on the anchorage-independent growth of Rat 1 cells transformed with either a
Figure imgf000275_0001
v- raf, or v-mos oncogene is tested. Cells transformed by v-Raf and v-Mos maybe included in the analysis to evaluate the specificity of instant compounds for Ras- induced cell transformation.
Rat 1 cells transformed with either v-ras, v-raf, or v-mos are seeded at a density of 1 x 10^ cells per plate (35 mm in diameter) in a 0.3% top agarose layer in medium A (Dulbecco's modified Eagle's medium supplemented with 10% fetal bovine serum) over a bottom agarose layer (0.6%). Both layers contain 0.1% methanol or an appropriate concentration of the test compound or composition (dissolved in methanol at 1000 times the final concentration used in the assay). The cells are fed twice weekly with 0.5 ml of medium A containing 0.1% methanol or the concentration of the instant compound. Photomicrographs are taken 16 days after the cultures are seeded and comparisons are made.
EXAMPLE 16
Construction of SEAP reporter plasmid pDSElOO
The SEAP reporter plasmid, pDSElOO was constructed by ligating a restriction fragment containing the SEAP coding sequence into the plasmid pCMV- RE-AKI. The SEAP gene is derived from the plasmid pSEAP2-Basic (Clontech, Palo Alto, CA). The plasmid pCMV-RE-AKI contains 5 sequential copies of the 'dyad symmetry response element' cloned upstream of a 'CAT-TATA' sequence derived from the cytomegalovirus immediate early promoter. The plasmid also contains a bovine growth hormone poly-A sequence.
The plasmid, pDSElOO was constructed as follows. A restriction fragment encoding the SEAP coding sequence was cut out of the plasmid pSEAP2- Basic using the restriction enzymes EcoRI and Hpal. The ends of the linear DNA fragments were filled in with the Klenow fragment of E. coli DNA Polymerase I. The 'blunt ended' DNA containing the SEAP gene was isolated by electrophoresing the digest in an agarose gel and cutting out the 1694 base pair fragment. The vector plasmid pCMV-RE-AKI was linearized with the restriction enzyme Bgl-II and the ends filled in with Klenow DNA Polymerase I. The SEAP DNA fragment was blunt end ligated into the pCMV-RE-AKI vector and the ligation products were transformed into DH5-alpha E. coli cells (Gibco-BRL). Transformants were screened for the proper insert and then mapped for restriction fragment orientation. Properly oriented recombinant constructs were sequenced across the cloning junctions to verify the correct sequence. The resulting plasmid contains the SEAP coding sequence downstream of the DSE and CAT-TATA promoter elements and upstream of the BGH poly-A sequence. Alternative Construction of SEAP reporter plasmid. pDSElOl
The SEAP repotrer plasmid, pDSElOl is also constructed by ligating a restriction fragment containing the SEAP coding sequence into the plasmid pCMV- RE-AKI. The SEAP gene is derived from plasmid pGEM7zf(-)/SEAP.
The plasmid pDSElOl was constructed as follows: A restriction fragment containing part of the SEAP gene coding sequence was cut out of the plasmid pGEM7zf(-)/SEAP using the restriction enzymes Apa I and Kpnl. The ends of the linear DNA fragments were chewed back with the Klenow fragment of E. coli DNA Polymerase I. The "blunt ended" DNA containing the truncated SEAP gene was isolated by electrophoresing the digest in an agarose gel and cutting out the 1910 base pair fragment. This 1910 base pair fragment was ligated into the plasmid pCMV-RE-AKI which had been cut with Bgl-II and filled in with E. coli Klenow fragment DNA polymerase. Recombinant plasmids were screened for insert orientation and sequenced through the ligated junctions. The plasmid pCMV-RE-AKI is derived from plasmid pCMVIE-AKI-DHFR (Whang , Y., Silberklang, M., Morgan, A., Munshi, S., Lenny, A.B., Ellis, R.W., and Kieff, E. (1987) J. Virol., 61, 1796- 1807) by removing an EcoRI fragment containing the DHFR and Neomycin markers. Five copies of the fos promoter serum response element were inserted as described previously (Jones, R.E., Defeo-Jones, D., McAvoy, E.M., Vuocolo, G.A., Wegrzyn, R.J., Haskell, K.M. and Oliff, A. (1991) Oncogene, 6, 745-751) to create plasmid pCMV-RE-AKI.
The plasmid pGEM7zf(-)/SEAP was constructed as follows. The SEAP gene was PCRed, in two segments from a human placenta cDNA library (Clontech) using the following oligos.
Sense strand N-terminal SEAP : 5' GAGAGGGAATTCGGGCCCTTCCTGCAT GCTGCTGCTGCTGCTGCTGCTGGGC 3' (SEQ.ID.NO.:15)
Antisense strand N-terminal SEAP: 5' GAGAGAGCTCGAGGTTAACCCGGGT GCGCGGCGTCGGTGGT 3' (SEQ.ID.NO.:16)
Sense strand C-terminal SEAP: 5' GAGAGAGTCTAGAGTTAACCCGTGGTCC CCGCGTTGCTTCCT 3' (SEQ.ID.NO.:17) Antisense strand C-terminal SEAP: 5' GAAGAGGAAGCTTGGTACCGCCACTG GGCTGTAGGTGGTGGCT 3' (SEQ.ID.NO.:18)
The N-terminal oligos (SEQ.ID.NO.: 15 and SEQ.ID .NO.: 16) were used to generate a 1560 bp N-terminal PCR product that contained EcoRI and Hpal restriction sites at the ends. The Antisense N-terminal oligo (SEQ.ID.NO.: 16) introduces an internal translation STOP codon within the SEAP gene along with the Hpal site. The C-terminal oligos (SEQ.ID.NO.: 17 and SEQ.ID.NO.: 18) were used to amplify a 412 bp C-terminal PCR product containing Hpal and Hindlll restriction sites. The sense strand C-terminal oligo (SEQ.ID.NO.: 17) introduces the internal STOP codon as well as the Hpal site. Next, the N-terminal amplicon was digested with EcoRI and Hpal while the C-terminal amplicon was digested with Hpal and Hindlll. The two fragments comprising each end of the SEAP gene were isolated by electrophoresing the digest in an agarose gel and isolating the 1560 and 412 base pair fragments. These two fragments were then co-ligated into the vector pGEM7zf(-) (Promega) which had been restriction digested with EcoRI and Hindlll and isolated on an agarose gel. The resulting clone, pGEM7zf(-)/SEAP contains the coding sequence for the SEAP gene from amino acids.
Construction of a constitutively expressing SEAP plasmid pCMV-SEAP
An expression plasmid constitutively expressing the SEAP protein was created by placing the sequence encoding a truncated SEAP gene downstream of the cytomegalovirus (CMV) IE-1 promoter. The expression plasmid also includes the CMV intron A region 5' to the SEAP gene as well as the 3' untranslated region of the bovine growth hormone gene 3' to the SEAP gene.
The plasmid pCMVIE-AKI-DHFR (Whang et al, 1987) containing the CMV immediate early promoter was cut with EcoRI generating two fragments. The vector fragment was isolated by agarose electrophoresis and religated. The resulting plasmid is named pCMV-AKI. Next, the cytomegalovirus intron A nucleotide sequence was inserted downstream of the CMV IE1 promter in pCMV-AKI. The intron A sequence was isolated from a genomic clone bank and subcloned into pBR322 to generate plasmid pl6T-286. The intron A sequence was mutated at nucleotide 1856 (nucleotide numbering as in Chapman, B.S., Thayer, R.M., Vincent, K.A. and Haigwood, N.L., Nuc.Acids Res. 19, 3979-3986) to remove a Sad restriction site using site directed mutagenesis. The mutated intron A sequence was PCRed from the plasmid pl6T-287 using the following oligos.
Sense strand: 5' GGCAGAGCTCGTTTAGTGAACCGTCAG 3' (SEQ.ID.NO.: 19)
Antisense strand: 5' GAGAGATCTCAAGGACGGTGACTGCAG 3' (SEQ.ID.NO.: 20)
These two oligos generate a 991 base pair fragment with a Sa site incoφorated by the sense oligo and a Bgl-II fragment incoφorated by the antisense oligo. The PCR fragment is trimmed with Sad and Bgl-II and isolated on an agarose gel. The vector pCMV-AKI is cut with Sad and Bgl-II and the larger vector fragment isolated by agarose gel electrophoresis. The two gel isolated fragments are ligated at their respective Sad and Bgl-II sites to create plasmid pCMV-AKI-InA.
The DNA sequence encoding the truncated SEAP gene is inserted into the pCMV-AKI-InA plasmid at the Bgl-II site of the vector. The SEAP gene is cut out of plasmid pGEM7zf(-)/SEAP (described above) using EcoRI and Hindlll. The fragment is filled in with Klenow DNA polymerase and the 1970 base pair fragment isolated from the vector fragment by agarose gel electrophoresis. The pCMV-AKI- InA vector is prepared by digesting with Bgl-II and filling in the ends with Klenow DNA polymerase. The final construct is generated by blunt end ligating the SEAP fragment into the pCMV-AKI-InA vector. Transformants were screened for the proper insert and then mapped for restriction fragment orientation. Properly oriented recombinant constructs were sequenced across the cloning junctions to verify the correct sequence. The resulting plasmid, named pCMV-SEAP, contains a modified SEAP sequence downstream of the cytomegalovirus immediately early promoter IE-1 and intron A sequence and upstream of the bovine growth hormone poly-A sequence. The plasmid expresses SEAP in a constitutive manner when transfected into mammalian cells.
Cloning of a Myristylated viral-H-ras expression plasmid
A DNA fragment containing viral-H-røs can be PCRed from plasmid "H-l" (Ellis R. et al. J. Virol. 36, 408, 1980) or "HB-11 (deposited in the ATCC under Budapest Treaty on August 27, 1997, and designated ATCC 209,218) using the following oligos.
Sense strand: 5 'TCTCCTCGAGGCCACCATGGGGAGTAGCAAGAGCAAGCCTAAGGACCC CAGCCAGCGCCGGATGACAGAATACAAGCTTGTGGTGG 3 ' . (SEQ.ID.NO.: 21)
Antisense: 5'CACATCTAGATCAGGACAGCACAGACTTGCAGC 3'. (SEQ.ID.NO.: 22)
A sequence encoding the first 15 aminoacids of the v-src gene, containing a myristylation site, is incoφorated into the sense strand oligo. The sense strand oligo also optimizes the 'Kozak' translation initiation sequence immediately 5' to the ATG start site. To prevent prenylation at the viral-ras C-terminus, cysteine 186 would be mutated to a serine by substituting a G residue for a C residue in the C- terminal antisense oligo. The PCR primer oligos introduce an Xhol site at the 5' end and a Xbal site at the 3 'end. The Xhol-Xbal fragment can be ligated into the mammalian expression plasmid pCI (Promega) cut with Xhol and Xbal. This results in a plasmid in which the recombinant myr-viral-H-ras gene is constitutively transcribed from the CMV promoter of the pCI vector.
Cloning of a viral-H- s-CVLL expression plasmid
A viral-H-ras clone with a C-terminal sequence encoding the amino acids CVLL can be cloned from the plasmid "H-l" (Ellis R. et al. J. Virol. 36, 408, 1980) or "HB-11 (deposited in the ATCC under Budapest Treaty on August 27, 1997, and designated ATCC 209,218) by PCR using the following oligos.
Sense strand:
5 'TCTCCTCGAGGCCACCATGACAGAATACAAGCTTGTGGTGG-3 '
(SEQ.ID.NO.: 23) Antisense strand:
5 'C ACTCTAGACTGGTGTCAGAGCAGCACACACTTGCAGC-3 ' (SEQ.ID.NO. :
24)
The sense strand oligo optimizes the 'Kozak' sequence and adds an
Xhol site. The antisense strand mutates serine 189 to leucine and adds an Xbal site. The PCR fragment can be trimmed with Xhol and Xbal and ligated into the Xhol- Xbal cut vector pCI (Promega). This results in a plasmid in which the mutated viral- H-rβs-CVLL gene is constitutively transcribed from the CMV promoter of the pCI vector.
Cloning of c-H-rø -Leu61 expression plasmid
The human c-H-rαs gene can be PCRed from a human cerebral cortex cDNA library (Clontech) using the following oligonucleotide primers.
Sense strand:
5'-GAGAGAATTCGCCACCATGACGGAATATAAGCTGGTGG-3' (SEQ.ID.NO.: 25)
Antisense strand:
5'-GAGAGTCGACGCGTCAGGAGAGCACACACTTGC-3' (SEQ.ID.NO.: 26)
The primers will amplify a c-H-ras encoding DNA fragment with the primers contributing an optimized 'Kozak' translation start sequence, an EcoRI site at the N-terminus and a Sal I stite at the C-terminal end. After trimming the ends of the PCR product with EcoRI and Sal I, the c-H-ras fragment can be ligated ligated into an EcoRI -Sal I cut mutagenesis vector pAlter-1 (Promega). Mutation of glutamine-61 to a leucine can be accomplished using the manufacturer's protocols and the following oligonucleotide:
5'-CCGCCGGCCTGGAGGAGTACAG-3' (SEQ.ID.NO.: 27)
After selection and sequencing for the correct nucleotide substitution, the mutated c-H-ras-Leu61 can be excised from the pAlter-1 vector, using EcoRI and Sal I, and be directly ligated into the vector pCI (Promega) which has been digested with EcoRI and Sal I. The new recombinant plasmid will constitutively transcribe c- H-ras-Leu61 from the CMV promoter of the pCI vector.
Cloning of a c-N-ras-Val-12 expression plasmid
The human c-N-ras gene can be PCRed from a human cerebral cortex cDNA library (Clontech) using the following oligonucleotide primers.
Sense strand:
5 ' -GAGAGAATTCGCC ACCATGACTGAGTAC AAACTGGTGG-3 ' (SEQ.ID.NO.: 28)
Antisense strand: 5'-GAGAGTCGACTTGTTACATCACCACACATGGC-3' (SEQ.ID.NO.: 29)
The primers will amplify a c-N-ras encoding DNA fragment with the primers contributing an optimized 'Kozak' translation start sequence, an EcoRI site at the N-terminus and a Sal I stite at the C-terminal end. After trimming the ends of the PCR product with EcoRI and Sal I, the c-N-ras fragment can be ligated into an EcoRI -Sal I cut mutagenesis vector pAlter-1 (Promega). Mutation of glycine-12 to a valine can be accomplished using the manufacturer's protocols and the following oligonucleotide:
5'-GTTGGAGCAGTTGGTGTTGGG-3' (SEQ.ID.NO.: 30)
After selection and sequencing for the correct nucleotide substitution, the mutated c-N-ras-Val-12 can be excised from the p Alter- 1 vector, using EcoRI and Sal I, and be directly ligated into the vector pCI (Promega) which has been digested with EcoRI and Sal I. The new recombinant plasmid will constitutively transcribe c- N-rαs-Val-12 from the CMV promoter of the pCI vector. Cloning of a c-K-ras-Val-12 expression plasmid
The human c-K-ras gene can be PCRed from a human cerebral cortex cDNA library (Clontech) using the following oligonucleotide primers.
Sense strand:
5 '-GAGAGGTACCGCCACCATGACTGAATATAAACTTGTGG-3 '
(SEQ.ID.NO.: 31)
Antisense strand:
5'-CTCTGTCGACGTATTTACATAATTACACACTTTGTC-3' (SEQ.ID.NO.: 32)
The primers will amplify a c-K-ras encoding DNA fragment with the primers contributing an optimized 'Kozak' translation start sequence, a Kpnl site at the N-terminus and a Sal I stite at the C-terminal end. After trimming the ends of the PCR product with Kpn I and Sal I, the c-K-ras fragment can be ligated into a Kpnl - Sal I cut mutagenesis vector pAlter-1 (Promega). Mutation of cysteine-12 to a valine can be accomplished using the manufacturer's protocols and the following oligonucleotide:
5'-GTAGTTGGAGCTGTTGGCGTAGGC-3' (SEQ.ID.NO.: 33)
After selection and sequencing for the correct nucleotide substitution, the mutated c-K-ras-Val-12 can be excised from the pAlter-1 vector, using Kpnl and Sal I, and be directly ligated into the vector pCI (Promega) which has been digested with Kpnl and Sal I. The new recombinant plasmid will constitutively transcribe c-K- ras-Val-12 from the CMV promoter of the pCI vector.
SEAP assay Human C33A cells (human epitheial carcenoma - ATTC collection) are seeded in 10cm tissue culture plates in DMEM + 10% fetal calf serum + IX Pen Strep + IX glutamine + IX NEAA. Cells are grown at 37°C in a 5% CO2 atmosphere until they reach 50 -80% of confluency. The transient transfection is performed by the CaPO4 method (Sambrook et al., 1989). Thus, expression plasmids for H-ras, N-ras, K-ras, Myr-ras or H-ras-CVLL are co-precipitated with the DSE-SEAP reporter construct. For 10cm plates 600μl of CaCl2 -DNA solution is added dropwise while vortexing to 600μl of 2X HBS buffer to give 1.2ml of precipitate solution (see recipes below). This is allowed to sit at room temperature for 20 to 30 minutes. While the precipitate is forming, the media on the C33A cells is replaced with DMEM (minus phenol red; Gibco cat. # 31053-028)+ 0.5% charcoal stripped calf serum + IX (Pen Strep, Glutamine and nonessential aminoacids). The CaPO4-DNA precipitate is added dropwise to the cells and the plate rocked gently to distribute. DNA uptake is allowed to proceed for 5-6 hrs at 37°C under a 5% CO2 atmosphere.
Following the DNA incubation period, the cells are washed with PBS and trypsinized with 1ml of 0.05% trypsin. The 1 ml of trypsinized cells is diluted into 10ml of phenol red free DMEM + 0.2% charcoal stripped calf serum + IX (Pen/Strep, Glutamine and NEAA ). Transfected cells are plated in a 96 well microtiter plate (lOOμl/well) to which drug, diluted in media, has already been added in a volume of lOOμl. The final volume per well is 200μl with each drug concentration repeated in triplicate over a range of half-log steps.
Incubation of cells and test compounds or compositions is for 36 hrs at 37°C under CO2- At the end of the incubation period, cells are examined microscopically for evidence of cell distress. Next, lOOμl of media containing the secreted alkaline phosphatase is removed from each well and transferred to a micro tube array for heat treatment at 65 °C for 1 hr to inactivate endogenous alkaline phosphatases (but not the heat stable secreted phosphatase). The heat treated media is assayed for alkaline phosphatase by a luminescence assay using the luminescence reagent CSPD® (Tropix, Bedford, Mass.). A volume of 50 μl media is combined with 200 μl of CSPD cocktail and incubated for 60 minutes at room temperature. Luminesence is monitored using an ML2200 microplate luminometer (Dynatech). Luminescence reflects the level of activation of the fos reporter construct stimulated by the transiently expressed protein.
DNA-CaPO4 precipitate for 10cm. plate of cells
Ras expression plasmid (1 μg/ml) lOμl
DSE-SEAP Plasmid (1 μg/ml) 2μl Sheared Calf Thymus DNA (1 μg/ml) 8μl
2M CaCl2 74μl dH2θ 506μl
2X HBS Buffer
280mM NaCl lOmM KCl
1.5mM Na2HPθ4 2H2θ
12mM dextrose
50mM HEPES
Final pH = 7.05
Luminesence Buffer (26ml)
Assay Buffer 20ml
Emerald Reagent™ (Tropix) 2.5ml
1 OOmM homoarginine 2.5ml
CSPD Reagent® (Tropix) 1.Oml
Assay Buffer Add 0.05M Na2CO3 to 0.05M NaHCO3 to obtain pH 9.5.
Make ImM in MgCl2
EXAMPLE 17
The processing assays employed in this example and in Example 16 are modifications of that described by DeClue et al [Cancer Research 51. 712-717. 19911.
K4B-Ras processing inhibition assay
PSN-1 (human pancreatic carcinoma) are used for analysis of protein processing. Subconfluent cells in 100 mm dishes are fed with 3.5 ml of media (methionine-free RPMI supplemented with 2% fetal bovine serum or cysteine- free/methionine-free DMEM supplemented with 0.035 ml of 200 mM glutamine (Gibco), 2% fetal bovine serum, respectively) containing the desired concentration of farnesyl-protein transferase inhibitor, HMG-CoA reductase inhibitor, instant combination composition or solvent alone. Test compounds or compositions are prepared as lOOOx concentrated solutions in DMSO to yield a final solvent concentration of 0.1%. Following incubation at 37°C for two hours 204 μCi/ml [35s]Pro-Mix (Amersham, cell labeling grade) is added. After introducing the label amino acid mixture, the cells are incubated at 37°C for an additional period of time (typically 6 to 24 hours). The media is then removed and the cells are washed once with cold PBS. The cells are scraped into 1 ml of cold PBS, collected by centrifugation (10,000 x g for 10 sec at room temperature), and lysed by vortexing in 1 ml of lysis buffer (1% Nonidet P-40, 20 mM HEPES, pH 7.5, 150 mM NaCl, 1 mM EDTA, 0.5% deoxycholate, 0.1% SDS, 1 mM DTT, 10 μg/ml AEBSF, 10 μg/ml aprotinin, 2 μg/ml leupeptin and 2 μg/ml antipain). The lysate is then centrifuged at 15,000 x g for 10 min at 4°C and the supernatant saved.
For immunoprecipitation of Ki4B-Ras, samples of lysate supernatant containing equal amounts of protein are utilized. Protein concentration is determined by the bradford method utilizing bovine serum albumin as a standard. The appropriate volume of lysate is brought to 1 ml with lysis buffer lacking DTT and 8 μg of the pan Ras monoclonal antibody, Y13-259, added. The protein/antibody mixture is incubated on ice at 4°C for 24 hours. The immune complex is collected on pansorbin (Calbiochem) coated with rabbit antiserum to rat IgG (Cappel) by tumbling at 4°C for 45 minutes. The pellet is washed 3 times with 1 ml of lysis buffer lacking DTT and protease inhibitors and resuspended in 100 ml elution buffer (10 mM Tris pH 7.4, 1% SDS). The Ras is eluted from the beads by heating at 95°C for 5 minutes, after which the beads are pelleted by brief centrifugation (15,000 x g for 30 sec. at room temperature).
The supernatant is added to 1 ml of Dilution Buffer 0.1% Triton X- 100, 5 mM EDTA, 50 mM NaCl, 10 mM Tris pH 7.4) with 2 mg Kirsten-ras specific monoclonal antibody, c-K-ras Ab-1 (Calbiochem). The second protein/antibody mixture is incubated on ice at 4°C for 1-2 hours. The immune complex is collected on pansorbin (Calbiochem) coated with rabbit antiserum to rat IgG (Cappel) by tumbling at 4°C for 45 minutes. The pellet is washed 3 times with 1 ml of lysis buffer lacking DTT and protease inhibitors and resuspended in Laemmli sample buffer. The Ras is eluted from the beads by heating at 95°C for 5 minutes, after which the beads are pelleted by brief centrifugation. The supernatant is subjected to SDS- PAGE on a 12% acrylamide gel (bis-acrylamide:acrylamide, 1 : 100), and the Ras visualized by fluorography.
hDJ processing inhibition assay
PSN-1 cells are seeded in 24-well assay plates. For each compoundor composition to be tested, the cells are treated with a minimum of seven concentrations in half-log steps. The final solvent (DMSO) concentration is 0.1%. A vehicle-only control is included on each assay plate. The cells are treated for 24 hours at 37°C / 5% CO2-
The growth media is then aspirated and the samples are washed with PBS. The cells are lysed with SDS-PAGE sample buffer containing 5% 2- mercaptoethanol and heated to 95°C for 5 minutes. After cooling on ice for 10 minutes, a mixture of nucleases is added to reduce viscosity of the samples. The plates are incubated on ice for another 10 minutes. The samples are loaded onto pre-cast 8% acrylamide gels and electrophoresed at 15 mA/gel for 3-4 hours. The samples are then transferred from the gels to PVDF membranes by Western blotting.
The membranes are blocked for at least 1 hour in buffer containing 2% nonfat dry milk. The membranes are then treated with a monoclonal antibody to HDJ-2 (Neomarkers Cat. # MS-225), washed, and treated with an alkaline phosphatase-conjugated secondary antibody. The membranes are then treated with a fluorescent detection reagent and scanned on a phosphorimager.
For each sample, the percent of total signal corresponding to the unprenylated species of HDJ (the slower-migrating species) is calculated by densitometry. Dose-response curves and EC50 values are generated using 4- parameter curve fits in SigmaPlot software.
EXAMPLE 18
K4B-Ras processing inhibition assay
PSN-1 (human pancreatic carcinoma) cells are used for analysis of protein processing. Subconfluent cells in 150 mm dishes are fed with 20 ml of media (RPMI supplemented with 15% fetal bovine serum) containing the desired concentration of test composition, compound, lovastatin or solvent alone. Cells treated with lovastatin (5-10 μM), a compound that blocks Ras processing in cells by inhibiting a rate-limiting step in the isoprenoid biosynthetic pathway, serve as a positive control. Test compounds and compositions are prepared as lOOOx conc- entrated solutions in DMSO to yield a final solvent concentration of 0.1%.
The cells are incubated at 37°C for 24 hours, the media is then removed and the cells are washed twice with cold PBS. The cells are scraped into 2 ml of cold PBS, collected by centrifugation (10,000 x g for 5 min at 4°C) and frozen at -70°C. Cells are lysed by thawing and addition of lysis buffer (50 mM HEPES, pH 7.2, 50 mM NaCl, 1% CHAPS, 0.7 μg/ml aprotinin, 0.7 μg/ml leupeptm 300 μg/ml pefabloc, and 0.3 mM EDTA). The lysate is then centrifuged at 100,000 x g for 60 min at 4°C and the supernatant saved. The supernatant may be subjected to SDS- PAGE, HPLC analysis, and/or chemical cleavage techniques.
The lysate is applied to a HiTrap-SP (Pharmacia Biotech) column in buffer A (50 mM HEPES pH 7.2) and resolved by gradient in buffer A plus 1 M
NaCl. Peak fractions containing Ki4B-Ras are pooled, diluted with an equal volume of water and immunoprecipitated with the pan Ras monoclonal antibody, Y13-259 linked to agarose or Kirsten-ras specific monoclonal antibody, c-K-ras Ab-1 (Calbiochem). The protein/antibody mixture is incubated at 4°C for 12 hours. The immune complex is washed 3 times with PBS , followed by 3 times with water. The Ras is eluted from the beads by either high pH conditions (pH>10) or by heating at 95°C for 5 minutes, after which the beads are pelleted by brief centrifugation. The supernatant may be subjected to SDS-PAGE, HPLC analysis, and/or chemical cleavage techniques.
EXAMPLE 19
Rapl processing inhibition assay
Protocol A:
Cells are labeled, incubated and lysed as described in Example 15. For immunoprecipitation of Rapl, samples of lysate supernatant containing equal amounts of protein are utilized. Protein concentration is determined by the bradford method utilizing bovine serum albumin as a standard. The appropriate volume of lysate is brought to 1 ml with lysis buffer lacking DTT and 2 μg of the Rapl antibody, Rapl/Krevl (121) (Santa Cruz Biotech), is added. The protein antibody mixture is incubated on ice at 4°C for 1 hour. The immune complex is collected on pansorbin (Calbiochem) by tumbling at 4°C for 45 minutes. The pellet is washed 3 times with 1 ml of lysis buffer lacking DTT and protease inhibitors and resuspended in 100 ml elution buffer (10 mM Tris pH 7.4, 1% SDS). The Rapl is eluted from the beads by heating at 95 °C for 5 minutes, after which the beads are pelleted by brief centrifugation (15,000 x g for 30 sec. at room temperature).
The supernatant is added to 1 ml of Dilution Buffer (0.1% Triton X- 100, 5 mM EDTA, 50 mM NaCl, 10 mM Tris pH 7.4) with 2 mg Rapl antibody, Rapl/Krevl (121) (Santa Cruz Biotech). The second protein/antibody mixture is incubated on ice at 4°C for 1-2 hours. The immune complex is collected on pansorbin (Calbiochem) by tumbling at 4°C for 45 minutes. The pellet is washed 3 times with 1 ml of lysis buffer lacking DTT and protease inhibitors and resuspended in Laemmli sample buffer. The Rapl is eluted from the beads by heating at 95°C for 5 minutes, after which the beads are pelleted by brief centrifugation. The supernatant is subjected to SDS-PAGE on a 12% acrylamide gel (bis-acrylamide:acrylamide, 1 :100), and the Rapl visualized by fluorography.
Protocol B: PSN-1 cells are passaged every 3-4 days in 10cm plates, splitting near- confluent plates 1 :20 and 1 :40. The day before the assay is set up, 5x 10^ cells are plated on 15cm plates to ensure the same stage of confluency in each assay. The media for these cells is RPMI 1640 (Gibco), with 15% fetal bovine serum and lx Pen/Strep antibiotic mix. The day of the assay, cells are collected from the 15cm plates by trypsinization and diluted to 400,000 cells/ml in media. 0.5ml of these diluted cells are added to each well of 24-well plates, for a final cell number of 200,000 per well. The cells are then grown at 37°C overnight.
The compounds or compositionsto be assayed are diluted in DMSO in 1/2-log dilutions. The range of final concentrations to be assayed is generally 0.1- lOOμM. Four concentrations per compound is typical. The compounds are diluted so that each concentration is lOOOx of the final concentration (i.e., for a lOμM data point, a lOmM stock of the compound is needed). 2μL of each lOOOx compound stock is diluted into 1ml media to produce a 2X stock of compound. A vehicle control solution (2μL DMSO to 1ml media), is utilized. 0.5 ml of the 2X stocks of compound are added to the cells.
After 24 hours, the media is aspirated from the assayplates. Each well is rinsed with 1ml PBS, and the PBS is aspirated. 180μL SDS-PAGE sample buffer (Novex) containing 5% 2-mercaptoethanol is added to each well. The plates are heated to 100°C for 5 minutes using a heat block containing an adapter for assay plates. The plates are placed on ice. After 10 minutes, 20μL of an RNAse/DNase mix is added per well. This mix is 1 mg/ml DNasel (Worthington Enzymes), 0.25mg/ml Rnase A (Worthington Enzymes), 0.5M Tris-HCl pH8.0 and 50mM
MgCl2. The plate is left on ice for 10 minutes. Samples are then either loaded on the gel, or stored at -70°C until use.
Each assay plate (usually 3 compounds, each in 4-point titrations, plus controls) requires one 15-well 14% Novex gel. 25μl of each sample is loaded onto the gel. The gel is run at 15mA for about 3.5 hours. It is important to run the gel far enough so that there will be adequate separation between 21kd (Rapl) and 29kd (Rab6).
The gels .are then transferred to Novex pre-cut PVDF membranes for 1.5 hours at 30V (constant voltage). Immediately after transferring, the membranes are blocked overnight in 20ml Western blocking buffer (2% nonfat dry milk in
Western wash buffer (PBS + 0.1% Tween-20). If blocked over the weekend, 0.02% sodium azide is added. The membranes are blocked at 4°C with slow rocking.
The blocking solution is discarded and 20ml fresh blocking solution containing the anti Rapla antibody (Santa Cruz Biochemical SC1482) at 1 :1000 (diluted in Western blocking buffer) and the anti Rab6 antibody (Santa Cruz
Biochemical SC310) at 1:5000 (diluted in Western blocking buffer) are added. The membranes are incubated at room temperature for 1 hour with mild rocking. The blocking solution is then discarded and the membrane is washed 3 times with Western wash buffer for 15 minutes per wash. 20ml blocking solution containing 1:1000 (diluted in Western blocking buffer) each of two alkaline phosphatase conjugated antibodies (Alkaline phosphatase conjugated Anti-goat IgG and Alkaline phosphatase conjugated anti-rabbit IgG [Santa Cruz Biochemical]) is then added. The membrane is incubated for one hour and washed 3x as above.
About 2ml per gel of the Amersham ECF detection reagent is placed on an overhead transparency (ECF) and the PVDF membranes are placed face-down onto the detection reagent. This is incubated for one minute, then the membrane is placed onto a fresh transparency sheet.
The developed transparency sheet is scanned on a phosphorimager and the Rap la Minimum Inhibitory Concentration is determined from the lowest concentration of compound that produces a detectable Rap la Western signal. The Rap la antibody used recognizes only unprenylated/unprocessed Rap la, so that the precence of a detectable Rap la Western signal is indicative of inhibition of Rap la prenylation.
Protocol C
This protocol allows the determination of an EC50 for inhibition of processing of Rap la. The assay is run as described in Protocol B with the following modifications. 20 μl of sample is run on pre-cast 10-20% gradient acrylamide mini gels (Novex Inc.) at 15 mA/gel for 2.5-3 hours. Prenylated and unprenylated forms of Rap la are detected by blotting with a polyclonal antibody (Rapl/Krev-1 Ab#121 ;
Santa Cruz Research Products #sc-65), followed by an alkaline phosphatase- conjugated anti -rabbit IgG antibody. The percentage of unprenylated Rap la relative to the total amount of Rap la is determined by peak integration using Imagequantό software (Molecular Dynamics). Unprenylated Rap la is distinguished from prenylated protein by virtue of the greater apparent molecular weight of the prenylated protein. Dose-response curves and EC50 values are generated using 4-parameter curve fits in
SigmaPlot software.
EXAMPLE 20
In vivo endometriosis inhibition assay
The cell culture model utilized in the assay is essentially as described by K. L. Shaφe et al. in Fertil Steril, 58:1220-1229 (1992). Other in vitro models of endometriosis are described by K. L. Shaφe-Timms (Endometrium and
Endometriosis, eds. Diamond and Osteen (1997 Blackwell Science, Inc.) Chapt. 14, 98-113).
Cell cultures are developed from tissues obtained from mature female Sprague Dawley rates exhibiting regular 4-day estrous cycles in these studies. Mesenteric peritoneum surrounding the arterial cascades of the small intestine and uteri obtained from the rats are collected aseptically, weighed, and pooled in sterile, warmed DMEM/Ham's F-12 medium. The uteri are dissected free from adnexa and each cornu opened to expose the luminal epithelial surface.
Human endometrial epiothelial and stromal cells from healthy women and epiothelial, stromal and peritoneal cells from endometriotic lesions in women with endometriosis were also obtained and utilized both in mixed cell type culture proliferation experiments and in proliferation assays on specific cell types that were isolated as described below.
Cell Isolation and Purification
Rat and human eutopic and ectopic endometrial epithelial and stromal cells or peritoneal, mesothelial and subserosal cells are isolated and purified by enzymatic dissociation and a series of filtrations and sedimentations. The purification protocol is a modification of Osteen's procedure for endometrial biopsy specimens (Fertil Steril, 52:965-72 (1989)). Eutopic and ectopic uterine tissues and peritoneal tissues are placed in DMEM/Ham's F-12 containing 0.5% collagenase (final concentration 790 units of activity/mL), 0.02% DNase, and 2% horse serum in a shaking incubator at 37° C. All DMEM/Ham's F-12 media is supplemented with 100 U penicillin/mL and 100 mg streptomycin mL. Cells are dispersed every 15 minutes by aspiration with a siliconized Pasteur pipette. After 1 hour, the solutions containing the dissociated cells are filtered through an 88 mm nylon mesh filter.
The endometrialstromal cells and peritoneal subserosal cells that passed through the 88 mm filter are pelleted by centrifugation (400 X g for 5 minutes), washed with DMEM/Ham's F-12 containing 10% heat- inactivated FBS (DMEM/Ham's F-12 FBS) and repelleted. The stromal cells and subserosal cells are further purified by gravity sedimentation by suspending the pellets in 2 mL DMEM/Ham's F12/FBS and layering the cells over 10 mL of DMEM/Ham's F- 12/FBS in sterile 15-mL polypropylene centrifuge tubes. The tubes are loosely capped and placed upright in the incubator (37°C; 5% CO2). After 30 minutes, stromal cells and subserosal cells remaining in the upper two thirds of the sedimentation media are removed and pelleted by centrifugation. The cell pellets are resuspended in 2 mL of fresh DMEM/Ham's F-12/FBS, and the cells are passed through a 37 mm nylon mesh filter to remove remaining epithelial cells and mesothelial cells. Cell viability (0.04% Trypan Blue exclusion test) and number (Makler Counting Chamber; T.S. Scientific, Perkasie, PA) are evaluated in aliquots of the cells. All purity is validated by immunochemistry (as described below) displaying a positive reaction with anti-vimentin and negative reaction with anti-cytokeratine antibody. Stromal cells and subserosal cells are plated in double-well organ culture dishes. Epithelial cells and peritoneal mesothelial cells retained by the filters in the initial filtration step are washed from the filters with 3 mL of DMEM/Ham's F- 12/FBS, pelleted, and subjected to a second enzymatic digestion in 2 mL of DMEM/ Ham's F-12/FBS with 0.5% collagenase, 0.02% DNase, and 2% horse serum in a 37°C shaking water bath for 30 to 45 minutes or until cell clumps are dispersed. The enzyme solutions containing the epithelial cells and mesothelial cells are then centrifuged and the pellets resuspended in 1 mL of DMEM/Ham's F-12/FBS. The cell suspensions are layered over 10 mL of DMEM/Ham's F-12/ FBS to separate the epithelial cells and mesothelial cells from the remaining stromal and subserosal cells, respectively, by gravity sedimentation. After 30 minutes, the top 10 mL of sedimentation media are removed and the bottom 2 mL of media containing the epithelial cells and mesothelial cells are placed in a plastic T25 tissue culture flask at 37°C, 5% CO2- After 30 minutes, the nonattached epithelial cells and mesothelial cells are removed and pelleted by centrifugation. The pellets are resuspended in 1 mL DMEM/Ham's F-12/FBS for determination of cell number and viability. Epithelial cells and mesothelial cells are plated in Millicelle CM culture inserts coated with 0.2 mL of the extra-cellular matrix Matrigel (nondiluted). Purity validated by immunocytochemistry: (+) cytokeratin; (-) vimentin.
Cell Culture Using Bicameral Chambers All cell suspensions are diluted to a final concentration of 1.0 X 106 viable cells/mL. Isolated uterine epithelial cells and peritoneal mesothelial cell suspensions (0.4 mL each) are plated in apical chambers (culture inserts) for a total of 4 X 105 viable cells in a surface area of 78.50 mm. Stromal and peritoneal subserosal cell suspensions (0.8 mL each) are plated in the basal chambers (organ culture dishes) for a total of 8 X 10$ viable cells in a surface area of 176.25 mm2. All cultures are kept in a humidified incubator at 37°C with 5% CO2-
Cells in the apical and basal components of the chambers are kept separate from each other until day 6 of culture. Culture medium (DMEM/ Ham's F- 12) is supplemented with 10% heat-inactivated FBS for the first 6 days. The cells received fresh medium on days 1, 3, and 5 (day 0 = plating). On day 7 (90% to 95% confluence), the cell cultures are combined and the culture medium is replaced with DMEM/Ham's F-12/ ITS+. On day 8, fresh DMEM/Ham's F-12/ITS+ is placed on the cultures, and experiments are initiated.
Evaluation of Cell Purification
Cell purification is evaluated immunocytochemically using the Vectastain avidi biotin complex peroxidase procedure (Vector Laboratories). Cell cultures are rinsed with phosphate-buffered saline (PBS) and fixed with methanol. Endogenous peroxidase is blocked with hydrogen peroxidase, and nonspecific staining is reduced by pretreatment with heat- inactivated horse sera before staining. Cells are sequentially incubated with anticytokeratin or antivimentin, biotinylated horse antimouse immunoglobulin G, and preformed avidimbiotin complex. Peroxidase activity is demonstrated by incubation with 3,3'-diaminobenzidine substrate. A brown intracellular precipitate confirms peroxidase staining. Cells are then counterstained with hematoxylin. Immunoreactivity of each antibody is evaluated in at least four different cell cultures in which multiple fields (200X, mean of 327 cells per field) are examined for the percent of reactive cells. The mean percent of reactive cells is calculated by dividing the number of reactive cells by the total number of cells counted for each of the four cultures. Specificity of antisera is evaluated by substitution of the primary antibody with PBS.
Cell Moφhology
Cell moφhology is assessed and photomicrographed at plating, day 6, and day 8 at 200 and X400 magnification using an inverted phase-contrast microscope with Hoffman Modulation Contract (Modulation Optics, Inc., Greenvale, NY). Cells are evaluated before and after immunostaining and with a hematoxylin counterstain.
Inhibition of Cell Proliferation
Cell Proliferation, as reflected by DNA synthesis, is measured in both the apical and basal chambers by the incoφoration of H-thymidine as previously described (M. Klagsburn et al. Exp. Cell. Res, 105:99-108 (1977)).
The test cells are plated at approximately 80% confluence in fresh DMEM/Ham's F-12/ITS+ and incubated for 24 hours. The media is then replaced with fresh DMEM/Ham's F-12/ITS+ containing a test concentration of a prenyl- protein transferase inhibitor. After incubating the cells in the presence of the inhibitor for various lengths of time, the media is removed, the cells are washed and the cell cultures are incubated for an additional 24 hours with DMEM/Ham's F-12/ITS+ containing 4 mCi/mL 3H-thymidine. The radioactive media is then removed and discarded. The cells are washed with PBS, harvested with a trypsin-ethylenediaminetetraacetic acid solution, fixed with methanol, lysed with sodium hydroxide, and counted in a scintillation counter.
Cell viability may alternatively be measured using the Cell Titer 96 ® Aqueous Cell Proliferation Assay (Promega, Madison, WI), a colometric non- radioactive assay method.
Mixed cell type cultures are initially tested and individual cell types from mixed cultures that are inhibited by the test prenyl-protein transferase inhibitor are then individually tested.
EXAMPLE 21
In vivo endometriosis inhibition assay (rat)
Female Sprague-Dawley rats are prepared essentially as described by Vernon and Wilson (Fertility and Sterility, 44:684-694 (1985)). Anesthesia is induced and maintained in mature female rats with isoflurane. The anesthetized rats are placed in dorsal recumbency, and the abdominal surface is shaved and rinsed with betadine scrub. With the use of the aseptic technique, the abdominal cavity is entered through a 2- to 3-cm midline incision that originates 1 cm cephalad to the public symphysis. The reproductive tract is examined to determine the stage of the estrous cycle, and the following surgical technique is performed: The distal 2 cm of the right uterine horn with its associated ovary is ablated and placed in warm phosphate buffered saline. The uterine segment is trimmed of excess fat and bisected along its longitudinal axis. The uterine tissue is then cut into 1- to 2-mm squares; six of these endometriotic implants are attached to the arterial cascades of the small intestine. All the implants are sutured with a single tie of non-absorbable nylon suture with the endometrial layer of the uterine square placed in direct apposition to the surface of the peritoneum. Four weeks post-surgical induction of endometriosis, the mean implant size (diameter) is 5.83 mm (Fertility and Sterility, 44:684-694 (1985) and K.L. Shaφe et al. Biol. ofRepro. 48:1334-1340 (1993)).
Rats with experimental endometriosis are divided into vehicle and treatment groups. The treatment group animals are treated with a test concentration (for example 5 mg/kg/day to 160 mg/kg/day) of an inhibitor of prenyl-protein transferase for 1-5 days. At the end of treatment, the dimensions of the endometrial implants are measure as described above. The implants are also excised and fixed with 10% phosphate-buffered formalin for histologic evaluation.

Claims

WHAT IS CLAIMED IS:
1. A method for achieving a therapeutic effect in a mammal in need thereof which comprises administering to said mammal an inhibitor of prenyl- protein transferase wherein the therapeutic effect is selected from: a) treatment and prevention of endometriosis; b) treatment and prevention of uterine fibroids; c) treatment and prevention of dysfunctional uterine bleeding; and d) treatment and prevention of endometrial hypeφlasia.
2. The method according to Claim 1 wherein therapeutic effect is treatment and prevention of endometriosis.
3. The method according to Claim 1 wherein therapeutic effect is treatment and prevention of uterine fibroids.
4. The method according to Claim 1 wherein therapeutic effect is treatment and prevention of dysfunctional uterine bleeding.
5. The method according to Claim 1 wherein therapeutic effect is treatment and prevention of endometrial hypeφlasia.
6. The method according to Claim 1 wherein the prenyl-protein transferase inhibitor is a selective inhibitor of farnesyl-protein transferase.
7. The method according to Claim 1 wherein the prenyl-protein transferase inhibitor is a dual inhibitor of farnesyl-protein transferase and geranylgeranyl-protein transferase type I.
8. The method according to Claim 1 wherein the prenyl-protein transferase inhibitor is selected from: (a) a compound represented by formula (I-a) through (I-c):
Figure imgf000298_0001
(I-a)
Figure imgf000298_0002
Figure imgf000298_0003
wherein with respect to formula (I-a):
Figure imgf000298_0004
(I-a)
or a pharmaceutically acceptable salt thereof, Ri a and R1 D are independently selected from: a) hydrogen, b) aryl, heterocycle, C3-C10 cycloalkyl, C2-C6 alkenyl, C2-C alkynyl, R10O-, Rl lS(O)m-, R10C(O)NR10-, CN, NO2, (R10)2N-C(NR10)-, R10C(O)-, R10OC(O)-, N3, -N(R10)2, or RHOC^NR10-, c) C1-C6 alkyl unsubstituted or substituted by aryl, heterocyclyl, C3-C10 cycloalkyl, C2-C6 alkenyl, C2-C6 alkynyl, R10O-, RπS(O)m-, R10C(O)NR10-, CN, (R10)2N-C(NR10)-, R10C(O)-, R10OC(O)-, N3, -N(R10)2, or R^OC^-NR10-;
R2 and R^ are independently selected from: H; unsubstituted or substituted Cl-8 alkyl, unsubstituted or substituted C2-8 alkenyl, unsubstituted or substituted C2-8 alkynyl, unsubstituted or substituted aryl, unsubstituted or substituted heterocycle,
Figure imgf000299_0001
wherein the substituted group is substituted with one or more of:
1) aryl or heterocycle, unsubstituted or substituted with: a) Ci-4 alkyl, b) (CH2)pOR6, c) (CH2)PNR6RV, d) halogen,
2) C3-6 cycloalkyl,
3) OR6,
4) SR6, S(O)R6, SO2R6,
5) — NRbR'
Figure imgf000300_0001
— O^ .NR6R7
8) T O
Figure imgf000300_0002
10) \ ^NR6R7 O
11 ) — SO2-NR6R7
R6
I
12) — N-SO2— R7
13) or
^ R6
O
Figure imgf000300_0003
R2 and R^ are attached to the same C atom and are combined to form -(CH2)vr wherein one of the carbon atoms is optionally replaced by a moiety selected from: O, S(O)m, -NC(O)-, and -N(COR10)- ;
R4 and R^ are independently selected from H and CH3; and any two of R^, R3, R4 and R5 are optionally attached to the same carbon atom; R6, R7 and R7a are independently selected from: H; Cι_4 alkyl, C3- cycloalkyl, heterocycle, , aryl, aroyl, heteroaroyl, arylsulfonyl, heteroarylsulfonyl, unsubstituted or substituted with: a) Ci-4 alkoxy, b) aryl or heterocycle, c) halogen, d) HO,
Figure imgf000301_0001
f) — SO2R11 , or g) N(R10)2; or
R6 and R7 may be joined in a ring;
R7 and R a may be joined in a ring;
R8 is independently selected from: a) hydrogen, b) aryl, heterocycle, C3-C10 cycloalkyl, C2-C6 alkenyl, C2-C6 alkynyl, perfluoroalkyl, F, Cl, Br, R10O-, R1 ^(O)™-, R10C(O)NR10-, CN, NO2, R102N-C(NR10)-, R10C(O)-, R10OC(O)-, N3, -N(R10)2, or
RϋOC^NRiO^ and c) C1-C6 alkyl unsubstituted or substituted by aryl, heterocycle, C3-C10 cycloalkyl, C2-C6 alkenyl, C2-C6 alkynyl, perfluoroalkyl, F, Cl, Br, Rl°O-, RnS(0)m-, R10C(O)NH-, CN, H2N-C(NH)-, R!°C(O)-, R10OC(O)-, N3, -N(R10)2, or R10OC(O)NH-;
R9 is selected from: a) hydrogen, b) C2-C6 alkenyl, C2-C6 alkynyl, perfluoroalkyl, F, Cl, Br, R1 °O-, Rl lS(O)m-, R10C(O)NR10-, CN, NO2, (R10)2N-C-(NRlO)-,
R10C(O)-, R10OC(O)-, N3, -N(R10)2, or R1 1OC(O)NR10-, and c) C1-C6 alkyl unsubstituted or substituted by perfluoroalkyl, F, Cl, Br, R10O-, R1 !S(0)m-, R10C(O)NR10-, CN, (R10)2N-C(NR10)-, R10C(O)-, R10OC(O)-, N3, -N(R10)2, or R1 ^C^NR10-;
RlO is independently selected from hydrogen, Ci-Cg alkyl, benzyl and aryl;
Rl 1 is independently selected from C1-C6 alkyl and aryl;
Al and A2 are independently selected from: a bond, -CH=CH-, -CΞC-, -C(O)-, -C(O)NR10-, -NR10C(O)-, O, -N(R10)-, -S(O)2N(R10)-, -N(R10)S(O)2-, or S(O)m;
V is selected from: a) hydrogen, b) heterocycle, c) aryl, d) C -C20 alkyl wherein from 0 to 4 carbon atoms are replaced with a a heteroatom selected from O, S, and N, and e) C2-C20 alkenyl, provided that V is not hydrogen if A^ is S(O)m and V is not hydrogen if A^ is a bond, n is 0 and A2 is S(O)m;
W is a heterocycle;
X is -CH2-, -C(=O)-, or -S(=O)m-;
Y is aryl, heterocycle, unsubstituted or substituted with one or more of:
1 ) C 1 -4 alkyl, unsubstituted or substituted with: a) C 1-4 alkoxy, b) NR6R7, c) C3-6 cycloalkyl, d) aryl or heterocycle, e) HO, f) -S(O)mR6, or g) -C(O)NR6R7, 2) aryl or heterocycle.
3) halogen,
4) OR6'
5) NR6R7>
6) CN,
7) NO ,
8) CF3;
9) -S(O)mR6,
10) -C(O)NR6R7, or
11) C3-C6 cycloalkyl;
m is 0, 1 or 2; n is 0, 1, 2, 3 or 4; p is O, 1, 2, 3 or 4; r is 0 to 5, provided that r is 0 when V is hydrogen; s is 0 or 1 ; t is 0 or 1 ; and u is 4 or 5;
with respect to formula (l-b):
Figure imgf000303_0001
or a pharmaceutically acceptable salt thereof,
Rla, Rib, RlO, R1 1, m, R2, R3, R6, R7, p, R7a u, R8, A1 , A2, V, W, X, n, p, r, s, t and u are as defined above with respect to formula (I-a);
R4 is selected from H and CH3; and any two of R2, R3 and R are optionally attached to the same carbon atom;
R9 is selected from: a) hydrogen, b) alkenyl, alkynyl, perfluoroalkyl, F, Cl, Br,Rl °O-, Rl 1 S(O)m-,
Rl°C(O)NRl°-, CN, NO2, (R1 °)2N-C-(NR1 °)-, R!°C(O)-, Rl°OC(O)-, N3, -N(R1°)2, or Rl lOC(O)NRl°-, and c) C1-C6 alkyl unsubstituted or substituted by perfluoroalkyl, F, Cl, Br,
Rl°O-, Rl lS(O)m-, R1°C(O)NR1 °-, CN, (R1 °)2N-C(NR1 °)-, Rl°C(O)-, Rl°OC(O)-, N3, -N(Rl°)2, or RHθC(O)NR10-;
G is H2 or O;
Z is aryl, heteroaryl, arylmethyl, heteroarylmethyl, arylsulfonyl, heteroarylsulfonyl, unsubstituted or substituted with one or more of the following:
1) Cι_4 alkyl, unsubstituted or substituted with: a) C 1-4 alkoxy, b) NR6R7, c) C3-6 cycloalkyl, d) aryl or heterocycle, e) HO, f) -S(O)mR6, or g) -C(O)NR6R7,
2) aryl or heterocycle,
3) halogen,
4) OR6'
5) NR6R7'
6) CN,
7) NO2,
8) CF3,
9) -S(O)mR6,
10) -C(O)NR6R7, or
11) C3-C6 cycloalkyl; with respect to formula (I-c):
Figure imgf000305_0001
V - A1(CR1a 2)nA2(CR a 2)n
Figure imgf000305_0002
or a pharmaceutically acceptable salt thereof,
Rla Rlb; R Rl 1, m, R2, R3^ R6? R7; P; u, R a R85 A1 , A2, V, W, X, n, r and t are as defined above with respect to formula (I-a);
R4 is selected from H and CH3;
and any two of R2, R3 and R4 are optionally attached to the same carbon atom;
G is O;
Z is aryl, heteroaryl, arylmethyl, heteroarylmethyl, arylsulfonyl, heteroarylsulfonyl, unsubstituted or substituted with one or more of the following:
1) Cl-4 alkyl, unsubstituted or substituted with: a) C 1 -4 alkoxy, b) NR6R7, c) C3-6 cycloalkyl, d) aryl or heterocycle, e) HO, f) -S(O)mR6, or g) -C(O)NR6R7,
2) aryl or heterocycle,
3) halog en,
4) OR6'
5) NR6R7'
6) CN, 7) NO2,
8) CF3,
9) -S(O)mR6,
10) -C(O)NR6R7, or
11) 3-C6 cycloalkyl
and
s is 1 ;
(b) a compound represented by formula (II):
Figure imgf000306_0001
wherein:
Q is a 4, 5, 6 or 7 membered heterocyclic ring which comprises a nitrogen atom through which Q is attached to Y and 0-2 additional heteroatoms selected from N, S and O, and which also comprises a carbonyl, thiocarbonyl, -C(=NR13)- or sulfonyl moiety adjacent to the nitrogen atom attached to Y;
Y is a 5, 6 or 7 membered carbocyclic ring wherein from 0 to 3 carbon atoms are replaced by a heteroatom selected from N, S and O, and wherein Y is attached to Q through a carbon atom;
Rl and R2 are independently selected from: a) hydrogen, b) aryl, heterocycle, C3-C10 cycloalkyl, C2-C6 alkenyl, C2-C alkynyl, Rl°O-, Rl lS(O)m-, R1 °C(O)NR1 °-, RH C(O)O-, (R! °)2NC(O)-, R1 °2N-C(NR1 °)-, CN, NO2, Rl°C(O)-, N3, -N(R10)2, or RH 0C(0)NR1°-, c) unsubstituted or substituted C1-C6 alkyl wherein the substituent on the substituted C1-C6 alkyl is selected from unsubstituted or substituted aryl, heterocyclic, C3-C10 cycloalkyl, C2-C6 alkenyl, C2-C6 alkynyl, Rl°O-, Rl lS(O)m-, R10C(O)NR10-, (R10)2NC(O)-, Rl°2N- C(NRl°)-, CN, Rl °C(O)-, N3, -N(Rl°)2, and Rl 1 OC(O)-NR1°-;
R3, R4 and R^ are independently selected from: a) hydrogen, b) unsubstituted or substituted aryl, unsubstituted or substituted heterocycle, C3-C10 cycloalkyl, C2-C6 alkenyl, C2-C6 alkynyl, halogen, Q-C6 perfluoroalkyl, Rl O-, Rl lS(O)m-, Rl°C(O)NR10-, (Rl°)2NC(O)-, RHC(O)O-, R! °2N-C(NR10)-, CN, NO2, Rl°C(O)-, N3, -N(Rl°)2, or R OC(O)NRl0-, c) unsubstituted C -C6 alkyl, d) substituted -C6 alkyl wherein the substituent on the substituted Ci-
Cβ alkyl is selected from unsubstituted or substituted aryl, unsubstituted or substituted heterocyclic, C3-C10 cycloalkyl, C2-C6 alkenyl, C2-C6 alkynyl, R12O-, RHS(O)m-, R1 °C(O)NR1°-, (R! °)2NC(O)-, Rl°2N-C(NRl°)-, CN, Rl°C(O)-, N3, -N(Rl°)2, and Rl lOC(O)-NR10-;
R6a 6b 6C5 Rod an(ι R6e are independently selected from: a) hydrogen, b) unsubstituted or substituted aryl, unsubstituted or substituted heterocycle, C3-C10 cycloalkyl, C2-C6 alkenyl, C2-C6 alkynyl, halogen, C1-C6 perfluoroalkyl, Rl2O-, RUS(O)m-, R10C(O)NRl°-, (RlO)2NC(O)-, RH S(O)2NR 0-, (R10)2NS(O)2~, RnC(O)O-, Rl°2N-C(NRl°)-, CN, NO2, Rl°C(O)-, N3, -N(Rl°)2, or
RHOC(O)NR1°-, c) unsubstituted C1-C6 alkyl, d) substituted C1-C6 alkyl wherein the substituent on the substituted Ci- C6 alkyl is selected from unsubstituted or substituted aryl, unsubstituted or substituted heterocyclic, C3-C10 cycloalkyl, C2-C6 alkenyl, C2-C6 alkynyl, Rl2O-, Rl lS(O)m-, R1 °C(O)NR1 °-,
(Rl°)2NC(O)-, RH S(O)2NR1 °-, (R10)2NS(O)2-, R1 02N-C(NR1°)- CN, Rl°C(O)-, N3, -N(Rl°)2, and Rl 1 OC(O)-NR1 °-; or
any two of R a, R , R c, R d and R6e on adjacent carbon atoms are combined to form a diradical selected from -CH=CH-CH=CH-, -CH=CH-CH2-, -(CH2)4- and
-(CH2)3S
R7 is selected from: H; Cj-4 alkyl, C3-6 cycloalkyl, heterocycle, aryl, aroyl, heteroaroyl, arylsulfonyl, heteroarylsulfonyl, unsubstituted or substituted with: a) 1-4 alkoxy, b) ryl or heterocycle,
Figure imgf000308_0001
d) — SO2R1 1 e) (R10)2 or f) 1-4 perfluoroalkyl-
R8 is independently selected from: a) hydrogen, b) aryl, substituted aryl, heterocycle, substituted heterocycle, C3-C10 cycloalkyl, C2-C6 alkenyl, C2-C alkynyl, perfluoroalkyl, F, Cl, Br, RlOO-, Rl lS(O)m-, R!°C(O)NR10-, (R! 0)2NC(O)-,
R1 1 S(O)2NR1 °-, (Rl°)2NS(O)2-, R102N-C(NR10)-, CN, NO2, Rl°C(O)-, N3, -N(Rl°)2, or Rl lOC(O)NRl°-, and c) C1-C6 alkyl unsubstituted or substituted by aryl, cyanophenyl, heterocycle, C3-C10 cycloalkyl, C2-C6 alkenyl, C2-C6 alkynyl, perfluoroalkyl, F, Cl, Br, Rl°O-, Rl lS(O)m-, R1 °C(O)NR1 °-, (Rl°)2NC(O)-, Rl S(0)2NR1 °-, (R1 °)2NS(0)2-, R1 °2N-C(NR1 °)- CN, Rl°C(O)-, N3, -N(R1 °)2, or R!°OC(O)NH-;
R9 is independently selected from: a) hydrogen, b) alkenyl, alkynyl, perfluoroalkyl, F, Cl, Br, Rl°O-, Rl lS(O)m-, Rl°C(O)NRl°-, (R! °)2NC(O)-, R102N-C(NRl°)-, CN, NO2, Rl°C(O)-, N3, -N(Rl°)2, or RU0C(0)NR1°-, and c) Cl -C6 alkyl unsubstituted or substituted by perfluoroalkyl, F, Cl, Br, Rl°O-, Rl lS(O)m-, R10C(O)NR10-, (Rl°)2NC(O)-, R102N-
C(NR1°)-, CN, R10C(O)-, N3, -N(Rl°)2, or RH0C(0)NR1°-;
RlO is independently selected from hydrogen, C1-C6 alkyl, benzyl, 2,2,2- trifluoroethyl and aryl;
R 1 is independently selected from Ci-Cό alkyl and aryl;
R 2 is independently selected from hydrogen, Cι-C6 alkyl, C1-C aralkyl, -C6 substituted aralkyl, Ci-C6 heteroaralkyl, C1-C6 substituted heteroaralkyl, aryl, substituted aryl, heteroaryl, substituted heteraryl, Ci-Cβ perfluoroalkyl, 2-aminoethyl and 2,2,2-trifluoroethyl;
Rl3 is selected from hydrogen, C}-C6 alkyl, cyano, C1-C6 alkylsulfonyl and C1-C acyl;
Al and A2 are independently selected from: a bond, -CH=CH-, -C≡C-, -C(O)-, -C(O)NRl°-, -NRl°C(O)-, O, -N(R1 °)-, -S(O)2N(Rl°)-, -N(Rl°)S(O)2-, or S(O)m;
V is selected from: a) hydrogen, b) heterocycle, c) aryl, d) C1-C2O alkyl wherein from 0 to 4 carbon atoms are replaced with a heteroatom selected from O, S, and N, and e) C2-C20 alkenyl, provided that V is not hydrogen if A is S(O)m and V is not hydrogen if Al is a bond, n is 0 and A2 is S(O) ;
W is a heterocycle;
X is a bond, -CH=CH-, O, -C(=O)-, -C(O)NR7-, -NR7C(O)-, -C(O)O-, -OC(O)-, -C(O)NR7C(O)-, -NR7-, -S(O)2N(Rl°)-, -N(R10)S(O)2- or -S(=O)m-;
m is 0, 1 or 2; n is independently 0, 1, 2, 3 or 4; p is independently 0, 1 , 2, 3 or 4; q is 0, 1, 2 or 3; r is 0 to 5, provided that r is 0 when V is hydrogen; and t is O or l;
(c) a compound represented by formula (III):
Figure imgf000310_0001
wherein:
Rl, R2, R3, R , R5, R6a-e5 R7? R8? R9? RI O, R11? R12; 135 Al, A2, V, W, m, n, p, q, r and t are as previously defined with respect to formula (II); Q is a 4, 5, 6 or 7 membered heterocyclic ring which comprises a nitrogen atom through which Q is attached to Y and 0-2 additional heteroatoms selected from N, S and O, and which also comprises a carbonyl, thiocarbonyl, -C(=NR13)- or sulfonyl moiety adjacent to the nitrogen atom attached to Y, provided that Q is not
Figure imgf000311_0001
Y is a 5, 6 or 7 membered carbocyclic ring wherein from 0 to 3 carbon atoms are replaced by a heteroatom selected from N, S and O, and wherein Y is attached to Q through a carbon atom;
(d) a compound represented by formula (IN):
Figure imgf000311_0002
IV
wherein:
Rla, Rlb ^lc ancj Rid are independently selected from: a) hydrogen, b) aryl, heterocycle, cycloalkyl, alkenyl, alkynyl, Rl^O-, R lS(O) -, Rl°C(O)NRl°-, (Rl°)2N-C(O)-, CN, NO2, (R1 °)2N-C(NR1 °)-, Rl°C(O)-, Rl°OC(O)-, N3, -NCR1 °)2, or R1 lθC(O)NR10-, c) unsubstituted or substituted Cl -C6 alkyl wherein the substitutent on the substituted C1-C6 alkyl is selected from unsubstituted or substituted aryl, heterocyclic, cycloalkyl, alkenyl, alkynyl, Rl^O-, Rl lS(O)m-, R1 °C(O)NR1 °-, (R! °)2N-C(O)-, CN, (R10)2N- C(NRl°)-, Rl°C(O)-, Rl°OC(O)-, N3, -N(Rl°)2, and Rl lθC(O)- NR10-, or two Rlas, two R^s, two Rlcs or two RI^S, on the same carbon atom may be combined to form -(CH2)tS
R2a, R2b, R3a arκι R3b are independently selected from H; unsubstituted or substituted C -8 alkyl, unsubstituted or substituted C2-8 alkenyl, unsubstituted or substituted C2-8 alkynyl, unsubstituted or substituted aryl, unsubstituted or substituted heterocycle,
Figure imgf000312_0001
wherein the substituted group is substituted with one or more of:
1) aryl or heterocycle, unsubstituted or substituted with: a) Ci-4 alkyl, b) (CH2)pOR6, c) (CH2)pNR R7, d) halogen, e) CN,
2) C3-6 cycloalkyl, 3) OR6,
4) SR4, S(O)R4, SO2R4, 5) — NR6R7
Figure imgf000313_0001
— 0^. NR6R7
8) Y O
Figure imgf000313_0002
10) \ . NR6R7 O
11) — SO2-NR6R
Figure imgf000313_0003
13)
^R6
O
14)
^0Rδ
O
15) N3, or
16) F; or R a and R3a are attached to the same C atom and are combined to form -(CH2)ιr wherein one of the carbon atoms is optionally replaced by a moiety selected from O, S(O)m, -NC(O)-, and -N(C0R1°)-;
and R a and R3a are optionally attached to the same carbon atom;
R4 is selected from Cl-4 alkyl, C3-6 cycloalkyl, heterocycle, aryl, unsubstituted or substituted with: a) Ci_4 alkoxy, b) aryl or heterocycle, c) halogen, d) HO,
R1 1
O
f) — SO2R11 g) N(RlO) , or h) Cl-4 perfluoroalkyl;
R , R6 and R7 are independently selected from:
1) hydrogen,
2) Rl°C(O)-, or Rl°OC(O)-, and 3) C1-C6 alkyl, C2-C6 alkenyl, C2-C6 alkynyl, C3-6 cycloalkyl, heterocycle, aryl, aroyl, heteroaroyl, arylsulfonyl, heteroarylsulfonyl, C6-C10 multicychc alkyl ring, unsubstituted or substituted with one or more substituents selected from: a) Rl°O-, b) aryl or heterocycle, c) halogen, d) R1 °C(O)NR1°-, R10 e)
O
f) — SO2R1 1 g) N(RlO)2, h) C3-6 cycloalkyl, i) C6-C10 multicychc alkyl ring, j) Cl-Cό perfluoroalkyl,
Figure imgf000315_0001
1) Rl°OC(O)-, m) RHOC(O)NR1°-, n) CN, and o) NO2; or
R6 and R7 may be joined in a ring; and independently,
R5 and R7 may be joined in a ring;
R8 is independently selected from: a) hydrogen, b) unsubstituted or substituted aryl, unsubstituted or substituted heterocycle, C3-C10 cycloalkyl, C2-C6 alkenyl, C2-C6 alkynyl, perfluoroalkyl, F, Cl, Br, Rl2O-, Rl lS(O)m-, R10C(O)NR1 0-,
(Rl°)2NC(O)-, Rl°2N-C(NRl°)-, CN, NO2, R10C(O)-, R10OC(O)-,
N3, -N(Rl°)2, or RH OC(O)NR1 °-, and c) C1-C6 alkyl unsubstituted or substituted by unsubstituted or substituted aryl, unsubstituted or substituted heterocycle, C3-C10 cycloalkyl, C2-C6 alkenyl, C2-C6 alkynyl, perfluoroalkyl, F, Cl, Br,
Rl°O-, Rl lS(O)m-, Rl°C(O)NH-, (R1 °)2NC(0)-, R1 °2N-C(NR1°)-, CN, Rl°C(O)-, Rl°OC(O)-, N3, -N(Rl°)2, or Rl°OC(O)NH-;
R is selected from: a) hydrogen, b) C2-C6 alkenyl, C2-C6 alkynyl, perfluoroalkyl, F, Cl, Br, Rl °O-,
RnS(O)m-, Rl°C(O)NR10-, (Rl°)2NC(O)-, R1 °2N-C(NR1 °)-, CN,
NO2, R10C(O)-, Rl°OC(O)-, N3, -N(Rl°)2, or Rl 1 OC(O)NR1 °-, and c) C1-C6 alkyl unsubstituted or substituted by perfluoroalkyl, F, Cl, Br,
Rl°O-, RHS(O)m-, Rl°C(O)NRl°-, (R! °)2NC(O)-, Rl°2N-
C(NRl°)-, CN, Rl°C(O)-, Rl°OC(O)-, N3, -N(Rl°)2, or
R1 1OC(O)NR1 °-;
RlO is independently selected from hydrogen, C1-C6 alkyl, benzyl, unsubstituted or substituted aryl and unsubstituted or substituted heterocycle;
Rl 1 is independently selected from Ci-Cβ alkyl unsubstituted or substituted aryl and unsubstituted or substituted heterocycle;
R is independently selected from hydrogen, C1-C6 alkyl, C1-C3 perfluoroalkyl, unsubstituted or substituted benzyl, unsubstituted or substituted aryl, unsubstituted or substituted heterocycle, and C1-C6 alkyl substituted with unsubstituted or substituted aryl or unsubstituted or substituted heterocycle;
Al is selected from a bond, -C(O)-, -C(O)NRl°-, -NR1 °C(0)-, O, -N(R10)-, -S(O)2N(RlO)-, -N(RlO)S(O)2-, and S(O)m;
A2 is selected from a bond, -C(O)-, -C(O)NRl°-, -NR1 °C(0)-, O, -N(R1°)-, -S(O)2N(RlO)-, -N(RlO)S(O)2-, S(O)m and -C(Rld)2-;
Gl' G2 and G^ are independently selected from H2 and O;
W is heterocycle;
V is selected from: a) heterocycle, and b) aryl; X and Y are independently selected from a bond, -C(=O)- or -S(=O) ;
Zl is selected from unsubstituted or substituted aryl and unsubstituted or substituted heterocycle, wherein the substituted aryl or substituted heterocycle is substituted with one or more of:
1) Cl-8 alkyl, C2-8 alkenyl or C2-8 alkynyl, unsubstituted or substituted with: a) Ci-4 alkoxy, b) NR6R7, c) C3-6 cycloalkyl, d) aryl or heterocycle, e) HO, f) -S(O)mR4, g) -C(O)NR6R7, h) -Si(Ci-4 alkyl)3, or i) C 1_4 perfluoroalkyl;
2) substituted or unsubstituted aryl or substituted or unsubstituted heterocycle,
3) halogen,
4) OR6'
5) NR6R7,
6) CN,
7) NO2,
8) CF3,
9) -S(O)mR4,
10) -OS(O) R4,
11) -C(O)NR6R7,
12) -C(O)OR6, or
13) C3-C6 cycloalkyl;
Z2 is selected from a bond, unsubstituted or substituted aryl and unsubstituted or substituted heterocycle, wherein the substituted aryl or substituted heterocycle is substituted with one or more of: 1) Cl-8 alkyl, C2-8 alkenyl or C2-8 alkynyl, unsubstituted or substituted with: a) Cl-4 alkoxy, b) NR6R7, c) C3-6 cycloalkyl, d) aryl or heterocycle, e) HO, f) -S(O)mR4, g) . -C(O)NR6R7, h) -Si(Cι_4 alkyl)3, or i) Ci-4 perfluoroalkyl;
2) substituted or unsubstituted aryl or substituted or unsubstituted heterocycle,
3) halogen, 4) OR6'
5) NR6R7,
6) CN,
7) NO2,
8) CF3, 9) -S(O)mR4,
10) -OS(O)2R4,
11) -C(O)NR6R7,
12) -C(O)OR6, or
13) C3-C6 cycloalkyl;
m is 0, 1 or 2; n is 0, 1, 2, 3 or 4; p is O, 1, 2, 3 or 4; q is 1 or 2; r is 0 to 5; s is independently 0, 1, 2 or 3; t is 2 to 6; and u is 4 or 5; (e) a compound represented by formula (V):
Figure imgf000319_0001
V
wherein:
Rla, Rlb^ R1C5 Rid and Rle are independently selected from: a) hydrogen, b) unsubstituted or substituted aryl, unsubstituted or substituted heterocycle, cycloalkyl, alkenyl, alkynyl, Rl^O-, RHS(O)m-, R1°C(O)NR1°-, (Rl°)2N-C(O)-, CN, NO2, (R1°)2N-C(NR1°)-, Rl°C(O)-, Rl°OC(O)-, N3, -N(Rl°)2, or Rl lOC(O)NR10-, c) unsubstituted or substituted C -Cβ alkyl wherein the substitutent on the substituted C1-C6 alkyl is selected from unsubstituted or substituted aryl, heterocyclic, cycloalkyl, alkenyl, alkynyl, perfluoroalkyl, halogen, Rl°O-, R4S(O)m-, R4S(O)2NRl°-, Rl°C(O)NRl°-, (Rl°)2N-C(O)-, CN, (R1 °)2N-C(NR1 °)-, R! °C(O)-
Rl°OC(O)-, N3, -N(Rl°)2, and RH0C(0)-NRl°-; or two R as, two R^s, two Rl°s, two Rl^s or two Rles, on the same carbon atom may be combined to form -(CH2)vS
R4 is selected from Ci-4 alkyl, C3-6 cycloalkyl, heterocycle, aryl, unsubstituted or substituted with: a) Ci-4 alkoxy, b) aryl or heterocycle, c) halogen, d) HO, R 11 e)
O
f) — SO2R > 1 '1
g) N(RlO)2, or h) Cl-4 perfluoroalkyl ;
R6 and R7 are independently selected from:
1 ) hydrogen,
2) Rl°C(O)-, or Rl°OC(O)-, and
3) C1-C6 alkyl, C2-C6 alkenyl, C2-C6 alkynyl, C3-6 cycloalkyl, heterocycle, aryl, aroyl, heteroaroyl, arylsulfonyl, heteroarylsulfonyl, C6-C 10 multicychc alkyl ring, unsubstituted or substituted with one or more substituents selected from: a) Rl°O-, b) aryl or heterocycle, c) halogen, d) Rl°C(O)NR10-,
R10 e)
O
f) — SO2R1 1
Figure imgf000320_0001
h) C3-6 cycloalkyl, i) Cβ-Cio multicychc alkyl ring.
J) C1-C6 perfluoroalkyl,
Figure imgf000320_0002
1) Rl°OC(O)-, m) R1 10C(0)NR1 °-, n) CN, and
0) NO2; or
R6 and R7 may be joined in a ring; R8 is independently selected from: a) hydrogen, b) unsubstituted or substituted aryl, unsubstituted or substituted heterocycle, C3-C10 cycloalkyl, C2-C6 alkenyl, C2-C6 alkynyl, perfluoroalkyl, F, Cl, Br, Rl O-, Rl lS(O)m-, R1 °C(O)NR1 °-, (Rl°)2NC(O)-, Rl°2N-C(NRl°)-, CN, NO2, R10C(O)-, Rl°OC(O)-, N3, -N(Rl°)2, or RH0C(0)NR1 °-, and c) C1-C6 alkyl unsubstituted or substituted by unsubstituted or substituted aryl, unsubstituted or substituted heterocycle, C3-C10 cycloalkyl, C2-C6 alkenyl, C2-C6 alkynyl, perfluoroalkyl, F, Cl, Br, Rl°O-, Rl lS(O)m-, Rl°C(O)NH-, (RlO)2NC(O)-, R1 °2N-C(NR1 °)-, CN, Rl°C(O)-, Rl°OC(O)-, N3, -N(Rl°)2, or R1 °OC(O)NH-;
R9 is selected from: a) hydrogen, b) C2-C6 alkenyl, C2-C6 alkynyl, perfluoroalkyl, F, Cl, Br, R10O-, Rl lS(O)m-, Rl°C(O)NRl°-, (R! °)2NC(O)-, R1°2N-C(NR1°)-, CN, NO2, Rl°C(O)-, Rl°OC(O)-, N3, -N(Rl°)2, or Rl 1OC(O)NR1°-, and c) C1-C6 alkyl unsubstituted or substituted by perfluoroalkyl, F, Cl, Br,
Rl°O-, Rl lS(O)m-, R10C(O)NR10-, (R10)2NC(O)-, Rl°2N- C(NRl°)-, CN, Rl°C(O)-, Rl°OC(O)-, N3, -N(Rl°)2, or R1 1 OC(O)NR10-;
RlO is independently selected from hydrogen, C1-C6 alkyl, unsubstituted or substituted benzyl, unsubstituted or substituted aryl and unsubstituted or substituted heterocycle;
Rl 1 is independently selected from C1-C6 alkyl unsubstituted or substituted aryl and unsubstituted or substituted heterocycle;
Rl2 is independently selected from hydrogen, Ci-Cg alkyl, C1-C3 perfluoroalkyl, unsubstituted or substituted benzyl, unsubstituted or substituted aryl, unsubstituted or substituted heterocycle, and C1-C6 alkyl substituted with unsubstituted or substituted aryl or unsubstituted or substituted heterocycle;
A is selected from a bond, -C(O)-, -C(O)NR10-, -NR10C(O)-, O, -N(R10)-, -S(O)2N(RlO)-, -N(RlO)S(O)2-, and S(O)m;
A2 is selected from a bond, -C(O)-, -C(O)NR10-, -NRl°C(O)-, O, -N(R10)-, -S(O) N(RlO)-, -N(RlO)S(O)2-, S(O)m and -C(Rld)2-;
W is heteroaryl;
V is selected from: a) heteroaryl, and b) aryl;
X and Y are independently selected from -C(O)-, -C(O)NR1 °-, -NR1 °C(0)-, -NRl°C(O)-O-, -O-C(O)NRl°-, -NRl°C(O)NRl°-, -C(O)NRl°C(O)-, O, -N(R10)-, -S(O)2N(RlO)-, -N(RlO)S(O)2- and S(O)m;
Zl is selected from unsubstituted or substituted aryl and unsubstituted or substituted heterocycle, wherein the substituted aryl or substituted heterocycle is substituted with one or more of:
1) Ci-8 alkyl, C2-8 alkenyl or C2-8 alkynyl, unsubstituted or substituted with: a) Ci-4 alkoxy, b) NR6R7, c) C3-6 cycloalkyl, d) aryl or heterocycle, e) HO, f) -S(O)mR4, g) -C(O)NR6R7, h) -Si(Cι_4 alkyl)3, or i) Cl-4 perfluoroalkyl; 2) substituted or unsubstituted aryl or substituted or unsubstituted heterocycle,
3) halogen,
4) OR6'
5) NR6R7,
6) CN,
7) NO2,
8) CF3,
9) -S(O)mR4,
10) -OS(O)2R4,
11) -C(O)NR6R7,
12) -C(O)OR6, or
13) C3-C6 cycloalkyl;
Z2 is selected from a bond, unsubstituted or substituted aryl and unsubstituted or substituted ] heteroaryl, wherein the substituted aryl or substituted heteroaryl is substituted with one or more of:
1) Cl-8 alkyl, C2-8 alkenyl or C2-8 alkynyl, unsubstituted or substituted with: a) Cl-4 alkoxy, b) NR6R7, c) C3-6 cycloalkyl, d) aryl or heterocycle, e) HO, f) -S(O)mR4, g) -C(O)NR6R7, h) -Si(Cl_4 alkyl)3, or i) Cl-4 perfluoroalkyl;
2) substituted or unsubstituted aryl or substituted or unsubstituted heterocycle,
3) halogen,
4) OR6'
5) NR6R7'
6) CN, 7) NO2,
8) CF3,
9) -S(O)mR4,
10) -OS(O)2R4, 11) -C(O)NR6R7,
12) -C(O)OR6, or
13) C3-C6 cycloalkyl;
m is 0, 1 or 2; n is 0, 1, 2, 3 or 4; p is 0, 1, 2, 3 or 4; q is 1 or 2; r is 0 to 5; s is independently 0, 1, 2 or 3; t is 1, 2, 3 or 4; and v is 2 to 6;
(f) a compound represented by formula (VI):
Figure imgf000324_0001
VI
wherein:
Rla, Rlb^ RIC an(ι Rle are independently selected from: a) hydrogen, b) aryl, heterocycle, cycloalkyl, alkenyl, alkynyl, R ^O-, Rl lS(O) -, R1 °C(O)NR1 °-, (Rl°)2N-C(O)-, CN, NO2, (R1 °)2N-C(NR1 °)-, Rl°C(O)-, Rl°OC(O)-, N3, -N(R1 °)2, or R iOC^NRl0-, c) unsubstituted or substituted C -C6 alkyl wherein the substitutent on the substituted C1-C6 alkyl is selected from unsubstituted or substituted aryl, heterocyclic, cycloalkyl, alkenyl, alkynyl, R ^O-, RπS(O)m-, Rl°C(O)NRl°-, (R1°)2N-C(0)-, CN, (R10)2N- C(NRl°)-, Rl°C(O)-, Rl°OC(O)-, N3, -N(Rl°)2, and R! lθC(O)- NR10-; or two Rlas, two Ribs, two Rlcs or two Rles, on the same carbon atom may be combined to form -(CH2)vS
R4 is selected from Cl-4 alkyl, C3-6 cycloalkyl, heterocycle, aryl, unsubstituted or substituted with: a) Ci-4 alkoxy, b) aryl or heterocycle, c) halogen,
Figure imgf000325_0001
f) — SO2R11 g) N(R O)2, or h) Ci-4 perfluoroalkyl;
R6 and R7 are independently selected from: 1 ) hydrogen, 2) Rl°C(O)-, or Rl°OC(O)-, and
3) C 1 -C6 alkyl, C2-C6 alkenyl, C2-C6 alkynyl, C3-6 cycloalkyl, heterocycle, aryl, aroyl, heteroaroyl, arylsulfonyl, heteroarylsulfonyl, Cό-ClO multicychc alkyl ring, unsubstituted or substituted with one or more substituents selected from: a) Rl°O-, b) aryl or heterocycle, c) halogen,
Figure imgf000326_0001
f) — SO2R1 1
Figure imgf000326_0002
h) C3-6 cycloalkyl, i) C6-C10 multicychc alkyl ring. j) Cl-Cό perfluoroalkyl,
Figure imgf000326_0003
1) Rl°OC(O)-, m) R110C(0)NR10-, n) CN, and o) NO2; or
R6 and R7 may be joined in a ring;
R8 is independently selected from: a) hydrogen, b) unsubstituted or substituted aryl, unsubstituted or substituted heterocycle, C3-C10 cycloalkyl, C2-C6 alkenyl, C2-C alkynyl, perfluoroalkyl, F, Cl, Br, R 2O-, R1 lS(O)m-, R1 °C(O)NR1 °-,
(Rl°)2NC(O)-, Rl°2N-C(NRl°)-, CN, NO2, Rl°C(O)-, R! °OC(O)-,
N3, -N(Rl°)2, or Rl lOC(O)NRl0-, and c) C1-C6 alkyl unsubstituted or substituted by unsubstituted or substituted aryl, unsubstituted or substituted heterocycle, C3-C10 cycloalkyl, C2-C6 alkenyl, C2-C6 alkynyl, perfluoroalkyl, F, Cl, Br, Rl°O-, Rl lS(O)m-, R10C(O)NH-, (Rl°)2NC(O)-, R1 °2N-C(NR1°)-, CN, Rl°C(O)-, Rl°OC(O)-, N3, -N(RlO)2, or Rl°OC(O)NH-;
R9 is selected from: a) hydrogen, b) C2-C6 alkenyl, C2-C6 alkynyl, perfluoroalkyl, F, Cl, Br, R °O-, Rl lS(O)m-, Rl°C(O)NRl°-, (R! °)2NC(O)-, R1 °2N-C(NR1 °)-, CN, NO2, Rl°C(O)-, Rl°OC(O)-, N3, -N(Rl°)2, or Rl 1 OC(O)NR1 °-, and c) C1-C alkyl unsubstituted or substituted by perfluoroalkyl, F, Cl, Br,
R10O-, Rl lS(O)m-, R1 °C(O)NR1 °-, (R1 °)2NC(0)-, R! °2N- C(NRl°)-, CN, RlOC(O)-, R OOC(O)-, N3, -N(Rl°)2, or R11OC(O)NR1°-;
R O is independently selected from hydrogen, C1-C6 alkyl, unsubstituted or substituted benzyl, unsubstituted or substituted aryl and unsubstituted or substituted heterocycle;
Rl 1 is independently selected from C1-C6 alkyl unsubstituted or substituted aryl and unsubstituted or substituted heterocycle;
R 2 is independently selected from hydrogen, C1-C6 alkyl, C1-C3 perfluoroalkyl, unsubstituted or substituted benzyl, unsubstituted or substituted aryl, unsubstituted or substituted heterocycle, and C1-C6 alkyl substituted with unsubstituted or substituted aryl or unsubstituted or substituted heterocycle;
Al is selected from a bond, -C(O)-, -C(O)NRl°-, -NR1 °C(O)-, O, -N(R1°)-, -S(O)2N(RlO)-, -N(RlO)S(O)2-, and S(O)m;
A2 is selected from a bond, -C(O)-, -C(0)NR1°-, -NR1 °C(0)-, O, -N(R1°)-, -S(O) N(RlO)-, -N(RlO)S(O)2-, S(O)m and -C(Rld)2-;
W is heteroaryl;
V is selected from: a) heteroaryl, and b) aryl; X is independently selected from -C(O)-, -C(O)NR10-, -NR10C(O)-, -NR10C(O)-O-, -O-C(O)NR10-, - NRl°C(O)NRl°-, -C(O)NR10C(O)-, O, -N(R10)-, -S(O)2N(Rl°)-, -N(Rl )S(O)2- and S(O)m;
Zl is selected from unsubstituted or substituted aryl and unsubstituted or substituted heterocycle, wherein the substituted aryl or substituted heterocycle is substituted with one or more of:
1) Cl-8 alkyl, C2-8 alkenyl or C2-8 alkynyl, unsubstituted or substituted with: a) Ci-4 alkoxy, b) NR6R7, c) C3-6 cycloalkyl, d) aryl or heterocycle, e) HO, f) -S(O)mR4, g) -C(O)NR6R7, h) -Si(Cι_4 alkyl)3, or i) Cl-4 perfluoroalkyl ;
2) substituted or unsubstituted aryl or substituted or unsubstituted heterocycle,
3) halogen,
4) OR6'
5) NR6R7'
6) CN, 7) NO2,
8) CF3,
9) -S(O)mR4,
10) -OS(O)2R4
1 1) -C(O)NR6R7, 12) -C(O)OR6, or
13) C3-C6 cycloalkyl; Z2 is selected from a bond, unsubstituted or substituted aryl and unsubstituted or substituted heteroaryl, wherein the substituted aryl or substituted heteroaryl is substituted with one or more of:
1) Cl-8 alkyl, C2-8 alkenyl or C2-8 alkynyl, unsubstituted or substituted with: a) Ci-4 alkoxy, b) NR6R7, c) C3-6 cycloalkyl, d) aryl or heterocycle, e) HO, f) -S(O)mR4, g) -C(O)NR6R7, h) -Si(Ci-4 alkyl)3, or i) Ci-4 perfluoroalkyl;
2) substituted or unsubstituted aryl or substituted or unsubstituted heterocycle,
3) halogen,
4) OR6'
5) NR6R7> ) CN,
7) NO2,
8) CF3,
9) -S(O)mR4,
10) -OS(O)2R4,
11) -C(O)NR6R7,
12) -C(O)OR6, or
13) C3-C6 cycloalkyl;
m is 0, 1 or 2 n is O, 1, 2, 3 or 4; p is O, 1, 2, 3 or 4; q is 1 or 2; r is O to 5; s is independently 0, 1, 2 or 3; t is 1 , 2, 3 or 4; and v is 2 to 6;
or a pharmaceutically acceptable salt or optical isomer thereof.
9. The method according to Claim 1 wherein the prenyl-protein transferase inhibitor is selected from:
2(S)-Butyl-l-(2,3-diaminoprop-l-yl)-l-(l-naphthoyl)piperazine;
l-(3-Amino-2-(2-naphthylmethylamino)prop-l-yl)-2(S)-butyl-4-(l- naphthoyl)piperazine;
2(S)-Butyl- 1 - { 5-[ 1 -(2-naphthylmethyl)]-4,5-dihydroimidazol } methyl-4-(l - naphthoyl)piperazine;
1 -[5-( 1 -Benzylimidazol)methyl]-2(S)-butyl-4-(l -naphthoyl)piperazine;
1 - { 5-[ 1 -(4-nitrobenzyl)]imidazolylmethyl} -2(S)-butyl-4-( 1 -naphthoyl)piperazine;
l-(3-Acetamidomethylthio-2(R)-aminoprop-l-yl)-2(S)-butyl-4-(l- naphthoyl)piperazine;
2(S)-Butyl-l-[2-(l-imidazolyl)ethyl]sulfonyl-4-(l-naphthoyl)piperazine;
2(R)-Butyl-l-imidazolyl-4-methyl-4-(l-naphthoyl)piperazine;
2(S)-Butyl-4-(l-naphthoyl)-l-(3-pyridylmethyl)piperazine;
1 -2(S)-butyl-(2(R)-(4-nitrobenzyl)amino-3-hydroxypropyl)-4-( 1 - naphthoyl)piperazine ;
l-(2(R)-Amino-3-hydroxyheptadecyl)-2(S)-butyl-4-(l-naphthoyl)-piperazine;
2(S)-Benzyl- 1 -imidazolyl -4-methyl-4-( 1 -naphthoyl)piperazine ; l-(2(R)-Amino-3-(3-benzylthio)propyl)-2(S)-butyl-4-(l-naphthoyl)piperazine;
l-(2(R)-Amino-3-[3-(4-nitrobenzylthio)propyl])-2(S)-butyl-4-(l- naphthoyl)piperazine;
2(S)-Butyl- 1 -[(4-imidazolyl)ethyl]-4-( 1 -naphthoyl)piperazine;
2(S)-Butyl-l-[(4-imidazolyl)methyl]-4-(l-naphthoyl)piperazine;
2(S)-Butyl-l-[(l-naphth-2-ylmethyl)-lH-imidazol-5-yl)acetyl]-4-(l- naphthoyl)piperazine;
2(S)-Butyl-l-[(l-naphth-2-ylmethyl)-lH-imidazol-5-yl)ethyl]-4-(l- naphthoyl)piperazine;
1 -(2(R)-Amino-3-hydroypropyl)-2(S)-butyl-4-( 1 -naphthoyl)piperazine;
1 -(2(R)-Amino-4-hydroxybutyl)-2(S)-butyl-4-( 1 -naphthoyl)piperazine;
l-(2-Amino-3-(2-benzyloxyphenyl)propyl)-2(S)-butyl-4-(l-naphthoyl)piperazine;
l-(2-Amino-3-(2-hydroxyphenyl)propyl)-2(S)-butyl-4-(l-naphthoyl)piperazine;
l-[3-(4-imidazolyl)propyl]-2(S)-butyl-4-(l-naphthoyl)-piperazine;
2(S)-«-Butyl-4-(2,3-dimethylphenyl)-l-(4-imidazolylmethyl)-piperazin-5-one;
2(S)-«-Butyl-l-[l-(4-cyanobenzyl)imidazol-5-ylmethyl]-4-(2,3- dimethylphenyl)piperazin-5-one;
l-[l-(4-Cyanobenzyl)imidazol-5-ylmethyl]-4-(2,3-dimethylphenyl)-2(S)-(2- methoxyethyl)piperazin-5-one; 2(S)-n-Butyl-4-( 1 -naphthoyl)- 1 -[ 1 -( 1 -naphthylmethyl)imidazol-5-ylmethyl]- piperazine;
2(S)-«-Butyl-4-(l -naphthoyl)- 1-[1 -(2-naphthylmethyl)imidazol-5-ylmethyl]- piperazine;
2(S)-«-Butyl- 1 -[ 1 -(4-cyanobenzyl)imidazol-5-ylmethyl]-4-( 1 -naphthoyl)piperazine;
2(S)-«-Butyl-l-[l-(4-methoxybenzyl)imidazol-5-ylmethyl]-4-(l- naphthoyl)piperazine;
2(S)-«-Butyl-l-[l-(3-methyl-2-butenyl)imidazol-5-ylmethyl]-4-(l- naphthoyl)piperazine;
2(S)-«-Butyl- 1 -[ 1 -(4-fluorobenzyl)imidazol-5-ylmethyl]-4-( 1 -naphthoyl)piperazine;
2(S)-«-Butyl- 1 - [ 1 -(4-chlorobenzyl)imidazol-5 -ylmethyl] -4-( 1 -naphthoyl)piperazine;
l-[l-(4-Bromobenzyl)imidazol-5-ylmethyl]-2(S)-«-butyl-4-(l-naphthoyl)piperazine;
2(S)-n-Butyl-4-( 1 -naphthoyl)- 1 -[ 1 -(4-trifluoromethylbenzyl)imidazol-5-ylmethyl]- piperazine;
2(S)-«-Butyl- 1 -[ 1 -(4-methylbenzyl)imidazol-5-ylmethyl]-4-( 1 -naphthoyl)-piperazine;
2(S)-«-Butyl-l-[l-(3-methylbenzyl)imidazol-5-ylmethyl]-4-(l-naphthoyl)-piperazine;
1 -[ 1 -(4-Phenylbenzyl)imidazol-5-ylmethyl]-2(S)-«-butyl-4-( 1 -naphthoyl)-piperazine;
2(S)-«-Butyl-4-(l -naphthoyl)-! -[ 1 -(2-phenylethyl)imidazol-5-ylmethyl]-piperazine;
2(S)-«-Butyl-4-(l -naphthoyl)- 1 -[ 1 -(4-trifluoromethoxy)imidazol-5- ylmethyljpiperazine; 1 - { [ 1 -(4-cyanobenzyl)- 1 H-imidazol-5-yl] acetyl } -2(S)-w-butyl-4-( 1 - naphthoyl)piperazine;
(S)-l-(3-Chlorophenyl)-4-[l-(4-cyanobenzyl)-5-imidazolylmethyl]-5-[2- (methanesulfonyl)ethyl]-2-piperazinone;
(S)-l-(3-Chlorophenyl)-4-[l-(4-cyanobenzyl)-5-imidazolylmethyl]-5-[2- (ethanesulfonyl)ethyl]-2-piperazinone;
(R)-l-(3-Chlorophenyl)-4-[l-(4-cyanobenzyl)-5-imidazolylmethyl]-5-[2- (ethanesulfonyl)methyl]-2-piperazinone;
(S)-l-(3-Chlorophenyl)-4-[l-(4-cyanobenzyl)-5-imidazolylmethyl]-5-[N-ethyl-2- acetamido]-2-piperazinone;
(±)-5-(2-Butynyl)-l-(3-chlorophenyl)-4-[l-(4-cyanobenzyl)-5-imidazolylmethyl]-2- piperazinone;
1 -(3-Chlorophenyl)-4-[ 1 -(4-cyanobenzyl)-5-imidazolylmethyl]-2-piperazinone;
5(S)-Butyl-4-[l-(4-cyanobenzyl-2-methyl)-5-imidazolylmethyl]-l-(2,3- dimethylphenyl)-piperazin-2-one;
4-[l-(2-(4-Cyanophenyl)-2-propyl)-5-imidazolylmethyl]-l-(3-chlorophenyl)-5(S)-(2- methylsulfonylethyl)piperazin-2-one;
5(S)-n-Butyl-4-[ 1 -(4-cyanobenzyl)-5-imidazolylmethyl]-l -(2-methylphenyl)piperazin- 2-one;
4-[l-(4-Cyanobenzyl)-5-imidazolylmethyl]-5(S)-(2-fluoroethyl)-l-(3- chlorophenyl)piperazin-2-one;
4-[3-(4-Cyanobenzyl)pyridin-4-yl]-l-(3-chlorophenyl)-5(S)-(2-methylsulfonylethyl)- piperazin-2-one; 4-[5-(4-Cyanobenzyl)-l-imidazolylethyl]-l-(3-chlorophenyl)piperazin-2-one;
4-{3-[4-(-2-Oxo-2-H-pyridin-l-yl)benzyl]-3-H-imidazol-4-ylmethyl]benzonitrile (L- 799,126)
4- { 3 - [4-3 -Methyl-2-oxo-2-H-pyridin- 1 -yl)benzyl] -3 -H-imidazol-4- ylmethyljbenzonitrile
4-{3-[4-(-2-Oxo-piperidin-l-yl)benzyl]-3-H-imidazol-4-ylmethyl]benzonitrile
4-{3-[3-Methyl-4-(2-oxopiperidin-l-yl)-benzyl]-3-H-imidizol-4-ylmethyl}- benzonitrile
(4-{3-[4-(2-Oxo-pyrrolidin-l-yl)-benzyl]-3H-imidizol-4-ylmethyl}-benzonitrile
4- { 3 -[4-(3 -Methyl-2-oxo-2-H-pyrazin- 1 -yl)-benzyl-3-H-imidizol-4-ylmethyl } - benzonitrile
4-{3-[2-Methoxy-4-(2-oxo-2-H-pyridin-l-yl)-benzyl]-3-H-imidizol-4-ylmethyl}- benzonitrile
4-{l-[4-(5-Chloro-2-oxo-2H-pyridin-l-yl)-benzyl]-lH-pyrrol-2-ylmethyl}- benzonitrile
4-[l-(2-Oxo-2H-[l,2']bipyridinyl-5'-ylmethyl)-lH-pyrrol-2-ylmethyl]-benzonitrile
4-[l-(5-Chloro-2-oxo-2H-[l,2']bipyridinyl-5'-ylmethyl)-lH-pyrrol-2-ylmethyl]- benzonitrile
4-[3-(2-Oxo-l -phenyl-1 ,2-dihydropyridin-4-ylmethyl)-3H-imidazol-4- ylmethyljbenzonitrile
4- {3-[ 1 -(3-Chloro-phenyl)-2-oxo-l ,2-dihydropyridin-4-ylmethyl]-3H-imidazol-4- ylmethyl } benzonitrile 19,20-Dihydro- 19-oxo-5H,17H- 18,21 -ethano-6, 10: 12,16-dimetheno-22H- imidazo[3,4-/z][ 1 ,8,1 1,14]oxatriazacycloeicosine-9-carbonitrile,
19-Chloro-22,23-dihydro-22-oxo-5H-21,24-ethano-6,10-metheno-25H- dibenzo[b,e]imidazo[4,3-/][l,4,7,10,13]dioxatriaza-cyclononadecine-9-carbonitrile,
22,23-Dihydro-22-oxo-5H-21 ,24-ethano-6, 10-metheno-25H- dibenzo[b,e]imidazo[4,3-/][l,4,7,10,13]dioxatriazacyclononadecine-9-carbonitrile,
20-Chloro-23,24-dihydro-23-oxo-5H-22,25-ethano-6,10:12,16-dimetheno-12H,26H- benzo[b]imidazo[4,3-z][ 1,17,4,7, 10]dioxatriazacyclodocosine-9-carbonitrile,
(S)-20-Chloro-23,24-dihydro-27-[2-(methylsulfonyl)ethyl]-23-oxo-5H-22,25-ethano- 6,10:12,16-dimetheno- 12H,26H-benzo[b]imidazo[4,3- /] [ 1 ,17,4,7,10]dioxatriazacyclodocosine-9-carbonitrile,
(±)- 19,20-Dihydro- 19-oxo-5H- 18,21 -ethano- 12,14-etheno-6, 10-metheno-22H- benzo[J]imidazo[4,3-&] [ 1 ,6,9, 12]oxatriaza-cyclooctadecine-9-carbonitrile,
(+)- 19,20-Dihydro- 19-oxo-5H- 18,21 -ethano- 12,14-etheno-6, 10-metheno-22H- benzo[( ]imidazo[4,3- :][l,6,9,12]oxatriazacyclooctadecine-9-carbonitrile,
(-)-19,20-Dihydro-19-oxo-5H-18,21-ethano-12,14-etheno-6,10-metheno-22H- benzo[d]imidazo[4,3-&][l,6,9,12]oxatriazacyclooctadecine-9-carbonitrile,
19,20-dihydro-5H,17H-18,21-Ethano-6,10:12,16-dimetheno-22H-imidazo[3,4- /z][l,8,l l,14]oxatriazacycloeicosin-20-one,
(±)- 19,20-Dihydro-3-methyl- 19-oxo-5H- 18,21 -ethano- 12,14-etheno-6, 10-metheno- 22H-benzo[J)imidazo[4,3-^][l,6,9,12]oxatriazacyclooctadecine-9-carbonitrile,
(+)- 19,20-Dihydro-3-methyl- 19-oxo-5H- 18,21 -ethano- 12,14-etheno-6, 10-metheno- 22H-benzo[ύ?]imidazo[4,3- :] [ 1 ,6,9, 12]oxatriaza-cyclooctadecine-9-carbonitrile, (-)- 19,20-Dihydro-3-methyl- 19-oxo-5H- 18,21 -ethano- 12,14-etheno-6, 10-metheno- 22H-benzo[<fjimidazo[4,3-^][l,6,9,12]oxatriaza-cyclooctadecine-9-carbonitrile,
(±)- 19,20-Dihydro- 19,22-dioxo-5H- 18,21 -ethano- 12,14-etheno-6, 10-metheno-22H- benzo[<£] imidazo[4,3- :] [1,6,9,12]oxatriazacyclooctadecine-9-carbonitrile,
(+)- 19,20-Dihydro- 19,22-dioxo-5H- 18,21 -ethano- 12,14-etheno-6, 10-metheno-22H- benzo[J]imidazo[4,3-&] [1,6,9,12]oxatriazacyclooctadecine-9-carbonitrile,
(-)- 19,20-Dihydro- 19,22-dioxo-5H- 18,21 -ethano- 12,14-etheno-6, 10-metheno-22H- benzo[<i]imidazo[4,3-^][l,6,9,12]oxatriazacyclooctadecine-9-carbonitrile,
(±)- 1 -Bromo- 19,20-dihydro- 19-oxo-5H- 18,21 -ethano- 12,14-etheno-6, 10-metheno- 22H-benzo[d]imidazo[4,3-&][l,6,9,12]oxatriazacyclooctadecine-9-carbonitrile,
(+)- 1 -Bromo- 19,20-dihydro-3-methyl- 19-oxo-5H- 18,21 -ethano- 12,14-etheno-6, 10- metheno-22H-benzo[ ]imidazo[4,3-^][l,6,9,12]oxatriaza-cyclooctadecine-9- carbonitrile,
(-)- 1 -Bromo- 19,20-dihydro-3-methyl- 19-oxo-5H- 18 ,21 -ethano- 12,14-etheno-6, 10- metheno-22H-benzo[<^imidazo[4,3-&] [ 1 ,6,9, 12]oxatriazacyclo-octadecine-9- carbonitrile,
19,20-Dihydro-5H- 18,21 -ethano- 12,14-etheno-6, 10-metheno-22H- benzo[J]imidazo[4,3-&][l,6,9,12]oxatriaza-cyclooctadecine-9-carbonitrile
(±)(5RS)- 19,20-Dihydro-5-methyl- 19-oxo-5H- 18,21 -ethano- 12,14-etheno-6, 10- metheno-22H-benzo[JJimidazo[4,3-^][l,6,9,12]oxatriaza-cyclooctadecine-9- carbonitrile,
(5R,R)-19,20-Dihydro-5S-methyl-19-oxo-5H-18,21-ethano-12,14-etheno-6,10- metheno-22H-benzo[J]imidazo[4,3-^][ 1,6,9, 12]oxatriaza-cyclooctadecine-9- carbonitrile, (5 S,S)- 19,20-Dihydro-5 S-methyl- 19-oxo-5H- 18,21 -ethano- 12,14-etheno-6, 10- metheno-22H-benzo[(7]imidazo[4,3-^][l,6,9,12]oxatriaza-cyclooctadecine-9- carbonitrile,
(5R,S)- 19,20-Dihydro-5R-methyl- 19-oxo-5H- 18,21 -ethano- 12,14-etheno-6, 10- metheno-22H-benzo[<f]imidazo[4,3- :][ 1,6,9, 12]oxatriaza-cyclooctadecine-9- carbonitrile,
(5S,R)-19,20-Dihydro-5-methyl-19-oxo-5H-18,21-ethano-12,14-etheno-6,10- metheno-22H-benzo[<J]imidazo[4,3-£][l,6,9,12]oxatriaza-cyclooctadecine-9- carbonitrile,
(±)-18,19-Dihydro-18-oxo-5H-6,9:l l,13-dietheno-17,20-ethano-9H,21H- benzo[c/]imidazo[4,3- :][l,6,9,12]oxatriaza-cycloheptadecine-8-carbonitrile,
(R,R)-18,19-Dihydro-18-oxo-5H-6,9:l l,13-dietheno-17,20-ethano-9H,21H- benzo[ ]imidazo[4,3-A:][l,6,9,12]oxatriaza-cycloheptadecine-8-carbonitrile
(R,S)- 18 , 19-Dihydro- 18-oxo-5H-6,9 : 11,13-dietheno- 17,20-ethano-9H,21 H- benzo[^imidazo[4,3-A][l,6,9,12]oxatriaza-cycloheptadecine-8-carbonitrile
(S,R)- 18,19-Dihydro- 18-oxo-5H-6,9: 11,13-dietheno- 17,20-ethano-9H,21H- benzo[d]imidazo[4,3-&][l,6,9,12]oxatriaza-cycloheptadecine-8-carbonitrile
(S,S)- 18, 19-Dihydro- 18-oxo-5H-6,9: 11 , 13-dietheno- 17,20-ethano-9H,21H- benzo[JJimidazo[4,3-^][l,6,9,12]oxatriaza-cycloheptadecine-8-carbonitrile
18-Chloro-21 ,22-dihydro-21 -oxo-5H-20,23-ethano-6,9-etheno-9H,24H- dibenzofb, eimidazo[4,3-/] [1,4,7,10, 13]dioxatriaza-cyclooctadecine-8-carbonitrile,
8-Chloro- 19,20-dihydro- 19-oxo-5H- 18 ,21 -ethano- 12,14-etheno-6, 10-metheno-22H- benzo[ ]imidazo[4,3- ] [ 1 ,6,9, 12]oxatriaza-cyclooctadecine-9-carbonitrile,
19,20-Dihydro- 19-oxo-8-phenoxy-5H- 18,21 -ethano- 12,14-etheno-6, 10-metheno-22H- benzo[ ]imidazo[4,3-&][l,6,9,12]oxatriaza-cyclooctadecine-9-carbonitrile, 18-Oxo- 17,18,20,21 -tetrahydro-5H- 19,22-ethano-6, 10:12,16-dimetheno-23H- imidazo[3,4- ?][l,8,l l,14]oxatriazacydoheneicosine-9-carbonitrile,
Spiro [cyclohexane- 1 ' , 17- 18-oxo- 17, 18,20,21 -tetrahydro-5H-l 9,22-ethano-
6,10:12,16-dimetheno-23H-imidazo[3,4-/,'][l,8,l l,14]oxatriazacycloheneicosine-9- carbonitrile],
(±)- 19,20-Dihydro- 19-oxo- 17-propyl-5H, 17H- 18,21 -ethano-6, 10:12,16-dimetheno- 22H-imidazo[3,4-/!][l,8,l l,14]oxatriaza-cycloeicosine-9-carbonitrile,
(+)-19,20-Dihydro-19-oxo-17-propyl-5H,17H-18,21-ethano-6,10:12,16-dimetheno- 22H-imidazo[3,4-Λ][l,8,l l,14]oxatriaza-cycloeicosine-9-carbonitrile,
(-)-19,20-Dihydro-19-oxo-17-propyl-5H,17H-18,21-ethano-6,10:12,16-dimetheno- 22H-imidazo[3,4-Λ][l,8,l l,14]oxatriaza-cycloeicosine-9-carbonitrile,
15-Bromo-19,20-dihydro-19-oxo-5H,17H-18,21-ethano-6,10:12,16-dimetheno-22H- imidazo[3,4- z][l,8,l l,14]oxatriaza-cycloeicosine-9-carbonitrile,
15-Bromo-19,20-dihydro-3-methyl-19-oxo-5H,17H-18,21-ethano-6,10:12,16- dimetheno-22H-imidazo[3,4-Λ] [1,8,11,14]oxatriaza-cycloeicosine-9-carbonitrile,
19,20-Dihydro- 15-iodo-3-methyl- 19-oxo-5H, 17H- 18,21 -ethano-6, 10:12,16- dimetheno-22H-imidazo[3,4-Λ][l,8,l l,14]oxatriaza-cycloeicosine-9-carbonitrile,
19,20-Dihydro-3-methyl-19-oxo-5H,17H-18,21-ethano-12,16-imino-6,10-metheno- 22H-imidazo[3,4-/z][l,8,l l,14]oxatriaza-cycloeicosine-9-carbonitrile,
15-Bromo-19,20-dihydro-3-methyl-19-oxo-5H,17H-18,21-ethano-12,16-imino-6,10- metheno-22H-imidazo[3,4- /] [ 1 ,8, 11 ,14]oxatriaza-cycloeicosine-9-carbonitrile,
15-Bromo-19,20-dihydro-3-methyl-17-oxo-5H,17H-18,21-ethano-6,10:12,16- dimetheno-22H-imidazo[3,4-t7][l,8,l l,14]oxatriaza-cycloeicosine-9-carbonitrile, 15-[(2-Cyclobutyl)ethynyl]-19,20-dihydro-3-methyl-17-oxo-5H,17H-18,21-ethano-
6,10:12,16-dimetheno-22H-imidazo[3,4-/?][l,8,l l,14]oxatriazacycloeicosine-9- carbonitrile,
15-[(2-Cyclobutyl)ethyl]-19,20-dihydro-3-methyl-17-oxo-5H,17H-18,21-ethano- 6,10:12,16-dimetheno-22H-imidazo[3 ,4-h] [1,8,11,14]oxatriazacycloeicosine-9- carbonitrile,
15-[(2-Cyclopropyl)ethyl]-19,20-dihydro-3-methyl-17-oxo-5H,17H-18,21-ethano- 6,10:12,16-dimetheno-22H-imidazo[3,4-Λ][l,8,l l,14]oxatriazacycloeicosine-9- carbonitrile,
19,20-Dihydro- 15 -(3 ,3-dimethyl- 1 -butynyl)- 19-oxo-5H, 17H- 18 ,21 -ethano- 6,10:12,16-dimetheno-22H-imidazo[3,4-Λ] [1,8,11,14]oxatriazacycloeicosine-9- carbonitrile,
19,20-Dihydro- 19-oxo- 15-(2-phenylethynyl)-5H,l 7H-18,21 -ethano-6,10: 12,16- dimetheno-22H-imidazo[3,4-Λ] [1,8,11,14]oxatriaza-cycloeicosine-9-carbonitrile,
15 -(Cyclohexylethynyl)- 19,20-dihydro- 19-oxo-5H, 17H- 18 ,21 -ethano-6, 10:12,16- dimetheno-22H-imidazo[3,4-/z] [1,8,11,14]oxatriaza-cycloeicosine-9-carbonitrile,
19,20-Dihydro- 19-oxo- 15-[2-(trimethylsilyl)ethynyl]-5H, 17H- 18,21 -ethano- 6,10:12,16-dimetheno-22H-imidazo[3 ,4-h] [1,8,11,14]oxatriazacycloeicosine-9- carbonitrile,
19,20-Dihydro- 15-(ethynyl)- 19-oxo-5H, 17H- 18,21 -ethano-6, 10: 12, 16-dimetheno- 22H-imidazo[3,4-/z] [1,8,11,14]oxatriaza-cycloeicosine-9-carbonitrile,
19,20-Dihydro-3-methyl- 19-oxo-5H, 17H- 18,21 -ethano-6, 10:12,16-dimetheno-22H- imidazo[3,4- j][l,8,l l,14]oxatriaza-cycloeicosine-9-carbonitrile,
15-(Cyclohexylethynyl)- 19,20-dihydro-3-methyl- 19-oxo-5H, 17H- 18,21 -ethano- 6,10:12,16-dimetheno-22H-imidazo[3 ,4-h] [1,8,11,14]oxatriazacycloeicosine-9- carbonitrile, 19,20-Dihydro-3-methyl-15-(l-octynyl)-19-oxo-5H,17H- 18,21 -ethano-6, 10: 12,16- dimetheno-22H-imidazo[3,4-/z] [1,8,11,14]oxatriaza-cycloeicosine-9-carbonitrile,
15-(3-Cyclohexyl- 1 -propynyl)- 19,20-dihydro-3-methyl- 19-oxo-5H, 17H- 18,21 - ethano-6, 10: 12,16-dimetheno-22H-imidazo[3,4-/?][ 1,8, 11,14]oxatriazacycloeicosine- 9-carbonitrile,
15-(3-Cyclobutylethynyl)- 19,20-dihydro-3-methyl- 19-oxo-5H, 17H- 18,21 -ethano- 6,10:12,16-dimetheno-22H-imidazo[3,4-/z] [1,8,11,14]oxatriazacycloeicosine-9- carbonitrile,
15-(3-Cyclopropylethynyl)-l 9,20-dihydro-3 -methyl- 19-oxo-5H,l 7H-18,21 -ethano- 6,10:12,16-dimetheno-22H-imidazo[3,4- ?][l,8,l l,14]oxatriazacycloeicosine-9- carbonitrile,
19,20-Dihydro-3 -methyl- 19-oxo- 15-(5,5,5-trifluoro-l -pentynyl)-5H,l 7H-18,21 - ethano-6, 10: 12, 16-dimetheno-22H-imidazo[3,4-/z][l, 8, l l,14]oxatriazacycloeicosine-' 9-carbonitrile,
19,20-Dihydro-3-methyl- 19-oxo- 15-(5,5,5-trifluoro- 1 -pentynyl)-5H, 17H- 18,21 - ethano- 12 , 16-imino-6, 10-metheno-22H-imidazo [3 ,4- h] [ 1 ,8, 11 , 14]oxatriazacycloeicosine-9-carbonitrile,
19,20-Dihydro- 19-oxo- 15-(2-propenyl)-5H, 17H- 18,21 -ethano-6, 10:12,16-dimetheno- 22H-imidazo[3,4-Λ] [1,8,11,14]oxatriaza-cycloeicosine-9-carbonitrile
19,20-Dihydro-3-methyl-19-oxo-15-(2-propenyl)-5H,17H-18,21-ethano-6,10:12,16- dimetheno-22H-imidazo[3,4- ?][l,8,l l,14]oxatriazacycloeicosine-9-carbonitrile,
15-(Cyclopropyl)methyl-19,20-dihydro-19-oxo-5H,17H-18,21-ethano-6,10:12,16- dimetheno-22H-imidazo[3,4-Λ][l,8,l l,14]oxatriazacycloeicosine-9-carbonitrile,
19,20-Dihydro- 15 -methyl- 19-oxo-5H, 17H- 18,21 -ethano-6, 10:12,16-dimetheno-22H- imidazo[3,4- 2][l,8,l l ,14]oxatriaza-cycloeicosine-9-carbonitrile, 19,20-Dihydro-3-methyl- 19-oxo- 15-pentyl-5H, 1 IH- 18,21 -ethano- 12,16-imino-6, 10- metheno-22H-imidazo[3,4-Λ] [1,8,1 1 ,14]oxatriazacycloeicosine-9-carbonitrile,
19,20-Dihydro-15-(3,3-dimethyl-l-butyl)-19-oxo-5H,17H-18,21-ethano-6,10:12,16- dimetheno-22H-imidazo[3,4-Λ][l ,8,11 ,14]oxatriazacycloeicosine-9-carbonitrile,
15-(2-Cyclohexyl-l-ethyl)-19,20-dihydro-19-oxo-5H,17H-18,21-ethano-6,10:12,16- dimetheno-22H-imidazo[3,4-/?][l,8,l l,14]oxatriazacycloeicosine-9-carbonitrile,
19,20-Dihydro-15-ethyl-19-oxo-5H,17H-18,21-ethano-6,10:12,16-dimetheno-22H- imidazo[3,4-Λ][l,8,l l,14]oxatriazacycloeicosine-9-carbonitrile,
19,20-Dihydro- 19-oxo- 15-propyl-5H,l 7H- 18,21 -ethano-6, 10: 12,16-dimetheno-22H- imidazo[3,4-/2][l,8,l l,14]oxatriazacycloeicosine-9-carbonitrile,
19,20-Dihydro-3-methyl-15-octyl-19-oxo-5H,17H- 18,21 -ethano-6, 10: 12,16- dimetheno-22H-imidazo[3,4-Λ] [1,8,11,14]oxatriazacycloeicosine-9-carbonitrile,
15-(2-Cyclohexyl-l-ethyl)-19,20-dihydro-3-methyl-19-oxo-5H,17H-18,21-ethano- 6,10:12,16-dimetheno-22H-imidazo [3 ,4-h] [1,8,11,14] oxatriazacycloeicosine-9- carbonitrile,
cis-l 5-(2-Cyclopropyl-l -ethenyl)- 19,20-dihydro-3-methyl-l 9-oxo-5H,l 7H-18,21 - ethano-6, 10: 12, 16-dimetheno-22H-imidazo[3,4-Λ][l, 8, l l,14]oxatriazacycloeicosine- 9-carbonitrile,
15 -(2-Cyclopropyl- 1 -ethyl)- 19,20-dihydro-3 -methyl- 19-oxo-5H, 17H- 18,21 -ethano- 6,10:12,16-dimetheno-22H-imidazo[3,4-Λ] [1,8,11,14]oxatriazacycloeicosine-9- carbonitrile,
19,20-Dihydro-3 -methyl- 19-oxo- 15-(5,5,5-trifluoropentyl)-5H, 17H-18,21 -ethano- 6,10:12,16-dimetheno-22H-imidazo[3,4-/ι] [1,8,11 , 14]oxatriazacycloeicosine-9- carbonitrile, 19,20-Dihydro-3-methyl-19-oxo-15-(5,5,5-trifluoropentyl)-5H,17H-18,21-ethano-
12,16-imino-6,10-metheno-22H-imidazo[3,4-A][l,8,l l,14]oxatriazacycloeicosine-9- carbonitrile,
9-Cyano- 19,20-dihydro- 19-oxo-5H, 17H- 18,21 -ethano-6, 10:12,16-dimetheno-22H- imidazo[3,4- 2][l,8,l 1,14] oxatriaza-cycloeicosine- 15 -carboxylic acid methyl ester,
9-Cyano- 19,20-dihydro- 19-oxo-5H, 17H- 18,21 -ethano-6, 10:12,16-dimetheno-22H- imidazo[3,4-Λ][l,8,l l,14]oxatriaza-cycloeicosine-15-carboxylate,lithium salt,
N-(2- Adamantyl)-9-cyano- 19,20-dihydro- 19-oxo-5H, 17H- 18,21 -ethano-6, 10:12,16- dimetheno-22H-imidazo[3,4- i][ 1, 8, l l,14]oxatriazacycloeicosine-l 5-carboxamide,
(±)-l 9,20-Dihydro- 15-(2,3-dihydroxy-l -propyl)-l 9-oxo-5H,l 7H-18,21 -ethano- 6,10:12,16-dimetheno-22H-imidazo[3,4-/2][l,8,l l,14]oxatriazacycloeicosine-9- carbonitrile,
(±)- 19,20-Dihydro- 15-(2,3-dihydroxy- 1 -propyl)-3 -methyl- 19-oxo-5H, 17H- 18,21 - ethano-6,10:12,16-dimetheno-22H-imidazo[3,4-Λ][l,8,l l,14]oxatriazacycloeicosine- 9-carbonitrile
(±)-19,20-Dihydro-15-[(2,2-dimethyl-l,3-dioxolano)-4-methyl]-19-oxo-5H,17H- 18,21 -ethano-6, 10: 12,16-dimetheno-22H-imidazo[3 ,4- h] [ 1 ,8, 11 , 14]oxatriazacycloeicosine-9-carbonitrile
(±)-19,20-Dihydro-15-[(2,2-dimethyl-l,3-dioxolano)-4-methyl]-3-methyl-19-oxo-
5H,17H-18,21-ethano-6,10:12,16-dimetheno-22H-imidazo[3,4-
Λ] [ 1 , 8, 11 , 14] oxatriazacycloeicosine-9-carbonitrile
19,20-Dihydro-3-methyl-19-oxo-15-phenyl-5H,17H-18,21-ethano-6,10:12,16- dimetheno-22H-imidazo[3,4- ?][l,8,l l,14]oxatriaza-cycloeicosine-9-carbonitrile,
19,20-Dihydro- 15-(2-methoxyphenyl)-3-methyl- 19-oxo-5H, 17H- 18,21 -ethano- 6,10:12,16-dimetheno-22H-imidazo[3,4-Λ][l,8,l l,14]oxatriazacycloeicosine-9- carbonitrile, 19,20-Dihydro- 15-(3-methoxyphenyl)-3-methyl- 19-oxo-5H, 17H- 18,21 -ethano- 6,10:12,16-dimetheno-22H-imidazo[3,4-/7][l,8,l l,14]oxatriazacycloeicosine-9- carbonitrile,
19,20-Dihydro- 15-(4-methoxyphenyl)-3-methyl- 19-oxo-5H, 17H- 18,21 -ethano- 6,10:12,16-dimetheno-22H-imidazo[3,4- 2][l,8,l l,14]oxatriazacycloeicosine-9- carbonitrile,
15-(2-Chlorophenyl)- 19,20-dihydro-3-methyl- 19-oxo-5H, 17H- 18,21 -ethano- 6,10:12,16-dimetheno-22H-imidazo[3,4-/7][l,8,l l,14]oxatriazacycloeicosine-9- carbonitrile,
15-(3-Chlorophenyl)-19,20-dihydro-3-methyl-19-oxo-5H,17H-18,21-ethano- 6,10:12,16-dimetheno-22H-imidazo[3,4-Λ] [1,8,11,14]oxatriazacycloeicosine-9- carbonitrile,
15-(4-Chlorophenyl)- 19,20-dihydro-3-methyl- 19-oxo-5H, 17H- 18,21 -ethano- 6,10:12,16-dimetheno-22H-imidazo[3,4-b][l,8,l l,14]oxatriazacycloeicosine-9- carbonitrile,
15-(2,4-Dichlorophenyl)- 19,20-dihydro-3-methyl- 19-oxo-5H, 17H- 18,21 -ethano- 6,10:12,16-dimetheno-22H-imidazo[3 ,4-h] [1,8,11,14]oxatriazacycloeicosine-9- carbonitrile,
15-(3,5-Dichlorophenyl)-19,20-dihydro-3-methyl-19-oxo-5H,17H-18,21-ethano- 6,10:12,16-dimetheno-22H-imidazo [3 ,4-h] [1,8,11,14] oxatriazacycloeicosine-9- carbonitrile,
19,20-Dihydro-3-methyl-19-oxo-15-(3-thienyl)-5H,17H-18,21-ethano-6,10:12,16- dimetheno-22H-imidazo[3,4- z] [ 1 ,8, 11 , 14]oxatriazacycloeicosine-9-carbonitrile,
15-(Benzo[b]furan-2-yl)-19,20-dihydro-3-methyl-19-oxo-5H,17H-18,21-ethano- 6, 10: 12,16-dimetheno-22H-imidazo[3,4-/z] [1,8,11,14]oxatriazacycloeicosine-9- carbonitrile, 19,20-Dihydro-15-[(methanesulfonyl)oxy]-19-oxo-5H,17H-18,21-ethano-6,10:12,16- dimetheno-22H-imidazo[3,4-Λ][l,8,l l,14]oxatriazacycloeicosine-9-carbonitrile,
15-Benzyloxy- 19,20-dihydro- 19-oxo-5H, 17H- 18,21 -ethano-6, 10:12,16-dimetheno- 22H-imidazo[3,4-Λ][l,8,l l,14]oxatriazacycloeicosine-9-carbonitrile,
19,20-Dihydro- 15-hydroxy- 19-oxo-5H, 17H- 18,21 -ethano-6, 10:12,16-dimetheno- 22H-imidazo[3,4- z][l,8,l l,14]oxatriaza-cycloeicosine-9-carbonitrile
15-[(Cyclohexylmethyl)oxy]-19,20-dihydro-19-oxo-5H,17H-18,21-ethano- 6,10:12,16-dimetheno-22H-imidazo[3 ,4-h] [ 1,8,11,14]oxatriazacycloeicosine-9- carbonitrile,
19,20-Dihydro-l 9-oxo-l 5-[(4,4,4-trifluoro-l -butyl)oxy]-5H, 17H- 18,21 -ethano- 6,10:12,16-dimetheno-22H-imidazo[3,4-/z] [1,8,11,14]oxatriazacycloeicosine-9- carbonitrile,
19,20-Dihydro- 19-oxo- 15-phenoxy-5H, 17H-18,21 -ethano-6, 10:12,16-dimetheno- 22H-imidazo[3,4- ?][l,8,l l,14]oxatriaza-cycloeicosine-9-carbonitrile,
19,20-Dihydro-14-[(methanesulfonyl)oxy]-19-oxo-5H,17H-18,21-ethano-6,10:12,16- dimetheno-22H-imidazo[3,4-Λ][l,8,l l,14]oxatriazacycloeicosine-9-carbonitrile,
14-[(Cyclohexylmethyl)oxy]- 19,20-dihydro- 19-oxo-5H, 17H- 18,21 -ethano-
6,10:12,16-dimetheno-22H-imidazo[3 ,4-h] [ 1,8,11,14]oxatriazacycloeicosine-9- carbonitrile,
14-[(Cyclopropylmethyl)oxy]- 19,20-dihydro- 19-oxo-5H, 17H- 18,21 -ethano- 6,10:12,16-dimetheno-22H-imidazo[3,4-b][l,8,l l,14]oxatriazacycloeicosine-9- carbonitrile,
19,20-Dihydro-19-oxo-14-[(trifluoromethanesulfonyl)oxy]-5H,17H-18,21-ethano- 6,10:12,16-dimetheno-22H-imidazo[3,4- 2][l,8,l l,14]oxatriazacycloeicosine-9- carbonitrile 14-(3 -Cyclopropylethynyl)- 19,20-dihydro-3 -methyl- 19-oxo-5H, 17H- 18 ,21 -ethano- 6,10:12,16-dimetheno-22H-imidazo[3 ,4-h] [1,8,11,14]oxatriazacycloeicosine-9- carbonitrile,
19-Oxo- 19,20,22,23-tetrahydro-5H- 18,21 -ethano- 12,14-etheno-6, 10-metheno- benzo[J]imidazo[4,3-/][l,6,9,13]oxatriaza-cyclononadecine-9-carbonitrile,
9-Bromo- 19,20,22,23-tetrahydro-5H- 18,21 -ethano- 12,14-etheno-6, 10-metheno- benzo[<i]imidazo[4,3-/][l,6,9,13]oxatriaza-cyclononadecine-19-one,
19,20,22,23-Tetrahydro-9-[4-(trifluoromethyl)phenyl]-5H-18,21-ethano-12,14- etheno-6,10-metheno-benzo[J]imidazo[4,3-/][l,6,9,13]oxatriazacyclononadecine-19- one,
8-Chloro-19-oxo-19,20,22,23-tetrahydro-5H-18,21-ethano-12,14-etheno-6,10- metheno-benzo[J]imidazo[4,3-/] [ 1 ,6,9, 13]oxatriaza-cyclononadecine-9-carbonitrile,
3-Methyl-19-oxo-19,20,22,23-tetrahydro-5H-18,21-ethano-12,14-etheno-6,10- metheno-benzo[J]imidazo[4,3-/][l,6,9,13]oxatriaza-cyclononadecine-9-carbonitrile,
18-Oxo-l 8, 19,20,21 ,22,23-hexaahydro-5H- 19,22-ethano- 12,14-etheno-6, 10-metheno- benzo[J]imidazo[4,3-/] [1,7,10,13]oxatriaza-cyclononadecine-9-carbonitrile,
18-Oxo-18,19,20,21,22,23-hexaahydro-5H-19,22-ethano-12,14-etheno-6,10-metheno- 24H-benzo [d] imidazo [4,3 -m] [1,7,10,14] oxatriazacycloeicosine-9-carbonitrile,
15-Bromo- 18-oxo- 18,19,20,21 ,22,23-hexaahydro-5H- 19,22-ethano- 12,14-etheno- 6, 10-metheno-24H-benzo[J]imidazo[4,3-m] [ 1,7,10,14]oxatriazacycloeicosine-9- carbonitrile,
5 ,6,20,21 ,22,23 ,24,25-Octahydro-21 -Oxo~7H-20,23-ethano- 14, 16-etheno-8, 12- metheno-benzo[( ]imidazo[4,3-/][ 1, 6,9, 13]oxatriaza-cycloheneicosine-l l -carbonitrile, 15-Chloro-19,20-dihydro-3-methyl-19-oxo-5H,17H-18,21-ethano-6,10:12,16- dimetheno-22H-imidazo[3,4-/z] [1,8,11 ,14]oxatriaza-cycloeicosine-9-carbonitrile,
Figure imgf000346_0001
20-/ι-Butyl- 17,18,19,20-tetrahydro- 17-[2,4-dimethoxybenzyl]- 18-oxo-5H-6, 10:12,16- dimetheno-21H-imidazo[4,3-/][l,7,10,13]oxatriaza-cyclononadecosine-9-carbonitrile
20-«-Butyl-17,18,19,20-tetrahydro-18-oxo-5H-6,10:12,16-dimetheno-21H- imidazo[4,3-/] [1,7,10,13]oxatriazacyclononadecosine-9-carbonitrile,
20-n-Butyl- 17,18,19,20-tetrahydro- 18-oxo- 17-[3-(trifluoromethyl)phenyl]-5H-
6, 10: 12,16-dimetheno-21H-imidazo[4,3-/][l, 7,10,13]oxatriazacyclononadecosine-9- carbonitrile
19,20,21 ,22-Tetrahydro- 19-oxo-5H- 12 , 14-etheno-6, 10-metheno- 18H- benz[<f]imidazo[4,3-&][ 1 ,6,9, 12]oxatriazacyclooctadecosine-9-carbonitrile
19,20,21,22-Tetrahydro-19-oxo-17H-6,10:12,16-dimetheno-16H-imidazo[3,4- h] [ 1 ,8, 11 , 14]oxatriazacycloeicosine-9-carbonitrile
(20R)- 19,20,21 ,22-Tetrahydro-20-methyl- 19-oxo-5H- 12,14-etheno-6, 10-metheno- 18H-benz[ ]imidazo[4,3-^][l,6,9,12]oxatriazacyclooctadecosine-9-carbonitrile
(205)- 19,20,21 ,22-Tetrahydro-20-methyl- 19-oxo-5H- 12,14-etheno-6, 10-metheno- 18H-benz[J]imidazo[4,3-^][l,6,9,12]oxatriazacyclooctadecosine-9-carbonitrile
(20R)-20-Benzyl- 19,20,21 ,22-tetrahydro- 19-oxo-5H- 12,14-etheno-6, 10-metheno- 18H-benz[<i]imidazo[4,3-^] [ 1 ,6,9, 12]oxatriazacyclo-octadecosine-9-carbonitrile (20,y)-20-Benzyl- 19,20,21 ,22-tetrahydro- 19-oxo-5H- 12,14-etheno-6, 10-metheno- 18H-benz[J]imidazo[4,3- :] [1,6,9,12]oxatriazacyclo-octadecosine-9-carbonitrile
(20R)-19,20,21,22-Tetrahydro-19-oxo-20-(3-pyridylmethyl)-5H-12,14-etheno-6,10- metheno- 18H-benz[<i]imidazo[4,3-&] [1,6,9,12]oxatriaza-cyclooctadecosine-9- carbonitrile
(20R)- 19,20,21 ,22-Tetrahydro- 19-oxo-20-(thiophen-2-ylmethyl)-5H- 12,14-etheno- 6,10-metheno-18H-benz[< ]imidazo[4,3-Λ][l,6,9,12]oxatriazacyclooctadecosine-9- carbonitrile
(20R)-19,20,22,23-Tetrahydro-20-methyl-19,22-dioxo-5H,21H-12,14-etheno-6,10- methenobenz[J]imidazo[4,3-/] [1,6,9,13]oxatriazacyclononadecosine-9-carbonitrile
(20R)-20-Benzyl-19,20,22,23-tetrahydro-19,22-dioxo-5H,21H-12,14-etheno-6,10- methenobenz[J]imidazo[4,3-/] [ 1 ,6,9, 13]-oxatriazacyclononadecosine-9-carbonitrile
(20R)- 19,20,21 ,22-Tetrahydro- 18,20-dimethyl- 19-oxo-5H- 12,14-etheno-6, 10- metheno- 18H-benz[J]imidazo[4,3-&] [ 1 ,6,9, 12]oxatriaza-cyclooctadecosine-9- carbonitrile
(20^- 19,20,21,22-Tetrahydro-l 8,20-dimethyl- 19-oxo-5H- 12,14-etheno-6,l 0- metheno-18H-benz[<i]imidazo[4,3-A:][ 1,6,9, 12]oxatriazacyclooctadecosine-9- carbonitrile
19,20,21 ,22-Tetrahydro- 18-methyl- 19-oxo-5H- 12,14-etheno-6, 10-metheno- 18H- benz[J]imidazo[4,3-^][l,6,9,12]oxatriaza-cyclooctadecosine-9-carbonitrile
19,20,21 ,22-Tetrahydro- 18,21 -dimethyl- 19-oxo-5H- 12,14-etheno-6, 10-metheno- 18H- benz[c ]imidazo[4,3-^][l,6,9,12]oxatriazacyclooctadecosine-9-carbonitrile
(20R)- 19,20,21,22-Tetrahydro- 18,20,21-trimethyl-l 9-OXO-5H- 12,14-etheno-6,l 0- metheno-18H-benz[ ]imidazo[4,3-^][ 1,6,9, 12]oxatriazacyclooctadecosine-9- carbonitrile (205)- 19,20,21 ,22-Tetrahydro- 18,20,21 -trimethyl- 19-oxo-5H- 12,14-etheno-6, 10- metheno-18H-benz[ ]imidazo[4,3-λ][ 1,6,9, 12]oxatriazacyclooctadecosine-9- carbonitrile
19,20,21 ,22-Tetrahydro-21 -methyl- 19-oxo-5H- 12,14-etheno-6, 10-metheno- 18H- benz[J]imidazo[4,3-A:][l,6,9,12]oxatriazacyclooctadecosine-9-carbonitrile
(20R)- 19,20,21 ,22-Tetrahydro-20,21 -dimethyl- 19-oxo-5H- 12,14-etheno-6, 10- metheno- 18H-benz[<i]imidazo[4,3-&] [1,6,9,12]oxatriazacyclooctadecosine-9- carbonitrile
(205)- 19,20,21 ,22-Tetrahydro-20,21 -dimethyl- 19-oxo-5H- 12,14-etheno-6, 10- metheno-18H-benz[d]imidazo[4,3-&][ 1,6,9, 12]oxatriazacyclooctadecosine-9- carbonitrile
19,20,21 ,22-Tetrahydro-21 -methyl- 19-oxo- 17H-6, 10:12,16-dimetheno- 16H- imidazo[3,4-/!][l,8,l l,14]oxatriazacycloeicosine-9-carbonitrile
(20R)-20-Benzyl- 19,20,21 ,22-tetrahydro-21 -methyl- 19-oxo-5H- 12,14-etheno-6, 10- metheno-18H-benz[ ]imidazo[4,3-&][l,6,9,12]oxatriazacyclooctadecosine-9- carbonitrile
(2θ4S)-20-Benzyl- 19,20,21 ,22-tetrahydro-21 -methyl- 19-oxo-5H- 12,14-etheno-6, 10- metheno-18H-benz[rf]imidazo[4,3-£][l,6,9,12]oxatriazacyclooctadecosine-9- carbonitrile
(20R)-20,21 -Dibenzyl- 19,20,21 ,22-tetrahydro- 19-oxo-5H- 12 , 14-etheno-6, 10- metheno-18H-benz[(i]imidazo[4,3-^][l,6,9,12]oxatriazacyclooctadecosine-9- carbonitrile
(205)-20,21 -Dibenzyl- 19,20,21 ,22-tetrahydro- 19-oxo-5H- 12, 14-etheno-6, 10- metheno-18H-benz[ ]imidazo[4,3-^][ 1,6,9, 12]oxatriazacyclo-octadecosine-9- carbonitrile 21 -Benzyl- 19,20,21 ,22-tetrahydro- 19-oxo-5H- 12,14-etheno-6, 10-metheno- 18H- benz[J]imidazo[4,3-&][l,6,9,12]oxatriazacyclo-octadecosine-9-carbonitrile
(20R)-21 -Benzyl- 19,20,21 ,22-tetrahydro-20-methyl- 19-oxo-5H- 12,14-etheno-6, 10- metheno-18H-benz[J]imidazo[4,3- :][l,6,9,12]oxatriaza-cyclooctadecosine-9- carbonitrile
18, 19,20,21 ,22,23-Ηexahydro- 18-oxo-5H- 12,14-etheno-6, 10- methenobenz[<f]imidazo[4,3-/][l,7,10,13]oxatriazacyclononadecosine-9-carbonitrile
18,19,20,21 ,22,23-Ηexahydro- 18,21 -dioxo-5H- 12,14-etheno-6, 10- methenobenz[<f]imidazo[4,3- ][l,7,10,13]oxatriazacyclononadecosine-9-carbonitrile
19,20,21,22,23,24-Ηexahydro-18,23-dioxo-5H-12,14-etheno-6,10-18H- methenobenz[<i]imidazo[4,3- ][l,7,10,14]oxatriazacycloeicosine-9-carbonitrile
18,19-dihydro-19-oxo-5H,17H-6,10:12,16-dimetheno-lΗ-imidazo[4,3- c][l,l l,4]dioxaazacyclononadecine-9-carbonitrile,
17,18-dihydro-l 8-oxo-5H-6, 10:12,16-dimetheno- 12H,20H-imidazo[4,3- c][l,l l,4]dioxaazacyclooctadecine-9-carbonitrile,
(±)- 17,18,19,20-tetrahydro- 19-phenyl-5H-6, 10:12,16-dimetheno-21 H-imidazo[3,4- h] [ 1 ,8, 11 ]oxadiazacyclononadecine-9-carbonitrile,
21,22-dihydro-5H-6,10:12,16-dimetheno-23H-benzo[g]imidazo[4,3- /] [ 1 ,8, 11 ]oxadiazacyclononadecine-9-carbonitrile,
22,23-dihydro-23-oxo-5H,21H-6,10:12,16-dimetheno-24H-benzo[g]imidazo[4,3- ][l,8,12]oxadiazaeicosine-9-carbonitrile,
22,23-dihydro-5H,21H-6,10:12,16-dimetheno-24H-benzo[g]imidazo[4,3- m][l,8,l l]oxadiazaeicosine-9-carbonitrile, 22,23-dihydro-5H,21H-6,10:12,16-dimetheno-23-methyl-24H-benzo[g]imidazo[4,3- m] [ 1 ,8, 11 ]oxadiazaeicosine-9-carbonitrile,
(±)-5-hydroxy-5-methyl-24-oxo-21 ,22,23 ,24-tetrahydro-5H-6, 10:12,16-dimetheno- 25H-benzo[o]imidazo[4,3-Λ][l,9,12]oxadiaza-cycloheneicosine-9-carbonitrile,
17-Oxo-17,18,23,24-tetrahydro-5H-6,10:12,16-dimetheno-25H, 26H- benzo[/7]imidazo[3,4-Λ][l,8,12,16]oxatriaza-cyclodocosine-9-carbonitrile
3-Methyl- 17-oxo- 17,18,23, 24-tetrahydro-5H-6, 10:12, 16-dimetheno-25H, 26H- benzo[n]imidazo[3,4-A][l,8,12,16]-oxatriazacyclodocosine -9-carbonitrile
24-tert-Butoxycarbonyl-3-methyl- 17-oxo- 17,18,23 ,24-tetrahydro-5H-6, 10:12,16- dimetheno-25H, 26H-benzo[«]imidazo[3,4-/2][l,8,12,16] oxatriazacyclodocosine -9- carbonitrile
24-tert-Butoxycarbonyl- 18-ethyl-3-methyl- 17-oxo- 17, 18,23,24-tetrahydro-5H- 6,10:12,16-dimetheno-25H, 26H-benzo[«]imidazo[3,4-Λ][l,8,12,16] oxatriazacyclodocosine -9-carbonitrile
18-Ethyl-3-methyl- 17-oxo-l 7, 18,23,24-tetrahydro-5H-6, 10:12,16-dimetheno-25H, 26H-benzo[n]imidazo[3,4- ?][l,8,12,16] oxatriazacyclodocosine -9-carbonitrile
24-Acetyl-3-methyl-17-oxo-17,18,23,24-tetrahydro-5H-6,10:12,16-dimetheno-25H, 26H-benzo[«]imidazo[3,4-/z][l,8,12,16]oxatriazacyclodocosine -9-carbonitrile
3-methyl-24-methylsulfonylethyl-17-oxo-17,18,23,24-tetrahydro-5H-6,10:12,16- dimetheno-25H, 26H-benzo[«]imidazo[3,4-h][l,8,12,16] oxatriazacyclodocosine -9- carbonitrile
3,24-Dimethyl-l 7-oxo-l 7, 18,23,24-tetrahydro-5H-6, 10:12,16-dimetheno-25H, 26H- benzo[«]imidazo[3,4-h][l,8,12,16] oxatriazacyclodocosine -9-carbonitrile
17,18-Dihydro-15-iodo-3-methyl-17-oxo-5H-6,10:12,16-dimetheno-19H,20H- imidazo[3 ,4-h] [1,8,12]oxadiazacyclooctadecine-9-carbonitrile 17,18-Dihydro-3-methyl-17-oxo-15-phenyl-5H-6,10:12,16-dimetheno-19H,20H- imidazo[3,4-/?][l,8,12]oxadiaza-cyclooctadecine-9-carbonitrile
tra«5-15-[2-(3-Chlorophenyl)ethenyl]-17,18-dihydro-3-methyl-17-oxo-5H-
6,10:12,16-dimetheno- 19H,20H-imidazo[3,4-Λ] [1,8,12]oxadiazacyclooctadecine-9- carbonitrile
18-Benzyl- 17,18-dihydro- 15-iodo-3-methyl- 17-oxo-5H-6, 10:12,16-dimetheno- 19H,20H-imidazo[3,4-/?][l,8,12]oxadiaza-cyclooctadecine-9-carbonitrile
or a pharmaceutically acceptable salt, stereoisomer or optical isomer thereof.
10. The method according to Claim 1 wherein the prenyl-protein transferase inhibitor is selected from:
1 -(3-Chlorophenyl)-4-[ 1 -(4-cyanobenzyl)-5-imidazolylmethyl]-2-piperazinone;
(R)-l-(3-Chlorophenyl)-4-[l-(4-cyanobenzyl)-5-imidazolylmethyl]-5-[2- (ethanesulfonyl)methyl]-2-piperazinone;
4-[l-(5-Chloro-2-oxo-2Η-[l,2']bipyridinyl-5'-ylmethyl)-lΗ-pyrrol-2-ylmethyl]- benzonitrile and
l-[N-(l-(4-cyanobenzyl)-5-imidazolylmethyl)-N-(4-cyanobenzyl)amino]-4- (phenoxy)benzene;
(+)- 19,20-Dihydro-l 9-OXO-5H- 18,21 -ethano- 12,14-etheno-6, 10-metheno-22H- benzo[J]imidazo[4,3-&][l,6,9,12]oxatriazacyclo-octadecine-9-carbonitrile,
1 -(3-trifluoromethoxyphenyl)-4-[l -(4-cyano-3-methoxybenzyl)- 5-imidazolyl methyl] -2-piperazinone
15-Bromo- 19,20-dihydro- 19-oxo-5H, 17H- 18,21 -ethano-6, 10:12,16-dimetheno-22H- imidazo[3,4-/z][l,8,l l,14]oxatriaza-cycloeicosine-9-carbonitrile 19-Oxo- 19,20,22,23-tetrahydro-5H- 18,21 -ethano-12, 14-etheno-6, 10-metheno- benzo[J]imidazo[4,3-/][l,6,9,13]oxatriaza-cyclononadecine-9-carbonitrile,
or a pharmaceutically acceptable salt or optical isomer thereof.
11. The method according to Claim 1 wherein the prenyl-protein transferase inhibitor is:
l-(3-trifluoromethoxyphenyl)-4-[l-(4-cyano-3-methoxybenzyl)- 5-imidazolyl methyl]-2-piperazinone
or the pharmaceutically acceptable salt thereof.
12. The method according to Claim 1 wherein the prenyl-protein transferase inhibitor is:
(+)-6-[amino(4-chlorophenyl)(l-methyl-lΗ-imidazol-5-yl)methyl]-4-(3- chlorophenyl)- 1 -methyl-2( 1 H)-quinolinone
or the pharmaceutically acceptable salt thereof.
13. The method according to Claim 1 wherein the prenyl-protein transferase inhibitor is:
Figure imgf000352_0001
or the pharmaceutically acceptable salt thereof.
14. A method for achieving a therapeutic effect in a mammal in need thereof which comprises administering to said mammal an amount of a first compound which is an inhibitor of HMG-CoA reductase and an amount of a second compound which is an inhibitor of prenyl-protein transferase wherein the therapeutic effect is selected from: a) treatment and prevention of endometriosis; b) treatment and prevention of uterine fibroids; c) treatment and prevention of dysfunctional uterine bleeding; and d) treatment and prevention of endometrial hyperplasia.
15. The method according to Claim 14 wherein therapeutic effect is treatment and prevention of endometriosis.
16. The method according to Claim 14 wherein therapeutic effect is treatment and prevention of uterine fibroids.
17. The method according to Claim 14 wherein therapeutic effect is treatment and prevention of dysfunctional uterine bleeding.
18. The method according to Claim 14 wherein therapeutic effect is treatment and prevention of endometrial hyperplasia.
19. A pharmaceutical composition useful for achieving a therapeutic effect in a mammal in need thereof which comprises an inhibitor of prenyl-protein transferase wherein the therapeutic effect is selected from: a) treatment and prevention of endometriosis; b) treatment and prevention of uterine fibroids; c) treatment and prevention of dysfunctional uterine bleeding; and d) treatment and prevention of endometrial hypeφlasia.
20. The pharmaceutical composition according to Claim 20 wherein therapeutic effect is treatment and prevention of endometriosis.
21. The pharmaceutical composition according to Claim 20 wherein therapeutic effect is treatment and prevention of uterine fibroids.
22. The pharmaceutical composition according to Claim 20 wherein therapeutic effect is treatment and prevention of dysfunctional uterine bleeding.
23. The pharmaceutical composition according to Claim 20 wherein therapeutic effect is treatment and prevention of endometrial hyperplasia.
24. A method for achieving a therapeutic effect in a mammal in need thereof which comprises administering to said mammal an amount of a first compound which is selected from: a) an anti-hormonal compound; b) a GnRH antagonist compound; c) a GnRH agonist compound; d) an anti-estrogen compound; e) an anti-progeston compound; and f) a selective estrogen receptor modulator (SERM);
and an amount of a second compound which is an inhibitor of prenyl-protein transferase wherein the therapeutic effect is selected from: a) treatment and prevention of endometriosis; b) treatment and prevention of uterine fibroids; c) treatment and prevention of dysfunctional uterine bleeding; and d) treatment and prevention of endometrial hyperplasia.
25. The method according to Claim 24 wherein therapeutic effect is treatment and prevention of endometriosis.
PCT/US1999/025001 1998-10-29 1999-10-25 A method of treating endometriosis Ceased WO2000025789A1 (en)

Priority Applications (1)

Application Number Priority Date Filing Date Title
AU12301/00A AU1230100A (en) 1998-10-29 1999-10-25 A method of treating endometriosis

Applications Claiming Priority (4)

Application Number Priority Date Filing Date Title
US10617998P 1998-10-29 1998-10-29
US60/106,179 1998-10-29
GBGB9900160.4A GB9900160D0 (en) 1999-01-05 1999-01-05 A method of treating endometriosis
GB9900160.4 1999-01-05

Publications (1)

Publication Number Publication Date
WO2000025789A1 true WO2000025789A1 (en) 2000-05-11

Family

ID=26314956

Family Applications (1)

Application Number Title Priority Date Filing Date
PCT/US1999/025001 Ceased WO2000025789A1 (en) 1998-10-29 1999-10-25 A method of treating endometriosis

Country Status (2)

Country Link
AU (1) AU1230100A (en)
WO (1) WO2000025789A1 (en)

Cited By (11)

* Cited by examiner, † Cited by third party
Publication number Priority date Publication date Assignee Title
WO2001045740A3 (en) * 1999-12-22 2002-04-25 Geoffrey Clark Compositions and methods for treatment of breast cancer
WO2002064142A1 (en) * 2001-02-15 2002-08-22 Janssen Pharmaceutica N.V. Farnesyl protein transferase inhibitor combinations with antiestrogen agents
WO2006006610A1 (en) * 2004-07-09 2006-01-19 Banyu Pharmaceutical Co., Ltd Oxopiperazine derivative
US7632838B2 (en) 2006-02-07 2009-12-15 Wyeth 11-beta HSD1 inhibitors
US8969347B2 (en) 2008-06-03 2015-03-03 Intermune, Inc. Compounds and methods for treating inflammatory and fibrotic disorders
US9359379B2 (en) 2012-10-02 2016-06-07 Intermune, Inc. Anti-fibrotic pyridinones
US9527816B2 (en) 2005-05-10 2016-12-27 Intermune, Inc. Method of modulating stress-activated protein kinase system
US10233195B2 (en) 2014-04-02 2019-03-19 Intermune, Inc. Anti-fibrotic pyridinones
US11034669B2 (en) 2018-11-30 2021-06-15 Nuvation Bio Inc. Pyrrole and pyrazole compounds and methods of use thereof
US11827627B2 (en) 2021-06-04 2023-11-28 Vertex Pharmaceuticals Incorporated N-(hydroxyalkyl (hetero)aryl) tetrahydrofuran carboxamides as modulators of sodium channels
US11834441B2 (en) 2019-12-06 2023-12-05 Vertex Pharmaceuticals Incorporated Substituted tetrahydrofurans as modulators of sodium channels

Citations (4)

* Cited by examiner, † Cited by third party
Publication number Priority date Publication date Assignee Title
EP0760239A2 (en) * 1995-09-01 1997-03-05 Pfizer Inc. Therapeutic agents for use in cancer therapy
EP0810223A1 (en) * 1996-05-28 1997-12-03 Pfizer Inc. Adamantyl substituted oxindoles as pharmaceutical agents
EP0928788A1 (en) * 1997-12-30 1999-07-14 Pfizer Products Inc. Imidazolidin-4-one derivatives useful as anticancer agents
US5948781A (en) * 1997-05-27 1999-09-07 Pfizer Inc Adamantyl substituted oxindoles as pharmaceutical agents

Patent Citations (4)

* Cited by examiner, † Cited by third party
Publication number Priority date Publication date Assignee Title
EP0760239A2 (en) * 1995-09-01 1997-03-05 Pfizer Inc. Therapeutic agents for use in cancer therapy
EP0810223A1 (en) * 1996-05-28 1997-12-03 Pfizer Inc. Adamantyl substituted oxindoles as pharmaceutical agents
US5948781A (en) * 1997-05-27 1999-09-07 Pfizer Inc Adamantyl substituted oxindoles as pharmaceutical agents
EP0928788A1 (en) * 1997-12-30 1999-07-14 Pfizer Products Inc. Imidazolidin-4-one derivatives useful as anticancer agents

Cited By (22)

* Cited by examiner, † Cited by third party
Publication number Priority date Publication date Assignee Title
WO2001045740A3 (en) * 1999-12-22 2002-04-25 Geoffrey Clark Compositions and methods for treatment of breast cancer
WO2002064142A1 (en) * 2001-02-15 2002-08-22 Janssen Pharmaceutica N.V. Farnesyl protein transferase inhibitor combinations with antiestrogen agents
JP2004517960A (en) * 2001-02-15 2004-06-17 ジヤンセン・フアーマシユーチカ・ナームローゼ・フエンノートシヤツプ Combination of antiestrogens and farnesyl protein transferase inhibitors
WO2006006610A1 (en) * 2004-07-09 2006-01-19 Banyu Pharmaceutical Co., Ltd Oxopiperazine derivative
US9527816B2 (en) 2005-05-10 2016-12-27 Intermune, Inc. Method of modulating stress-activated protein kinase system
US10010536B2 (en) 2005-05-10 2018-07-03 Intermune, Inc. Method of modulating stress-activated protein kinase system
US7632838B2 (en) 2006-02-07 2009-12-15 Wyeth 11-beta HSD1 inhibitors
US8969347B2 (en) 2008-06-03 2015-03-03 Intermune, Inc. Compounds and methods for treating inflammatory and fibrotic disorders
US9290450B2 (en) 2008-06-03 2016-03-22 Intermune, Inc. Compounds and methods for treating inflammatory and fibrotic disorders
USRE47142E1 (en) 2008-06-03 2018-11-27 Intermune, Inc. Compounds and methods for treating inflammatory and fibrotic disorders
US9359379B2 (en) 2012-10-02 2016-06-07 Intermune, Inc. Anti-fibrotic pyridinones
US9675593B2 (en) 2012-10-02 2017-06-13 Intermune, Inc. Anti-fibrotic pyridinones
US10898474B2 (en) 2012-10-02 2021-01-26 Intermune, Inc. Anti-fibrotic pyridinones
US10376497B2 (en) 2012-10-02 2019-08-13 Intermune, Inc. Anti-fibrotic pyridinones
US10544161B2 (en) 2014-04-02 2020-01-28 Intermune, Inc. Anti-fibrotic pyridinones
US10233195B2 (en) 2014-04-02 2019-03-19 Intermune, Inc. Anti-fibrotic pyridinones
US11034669B2 (en) 2018-11-30 2021-06-15 Nuvation Bio Inc. Pyrrole and pyrazole compounds and methods of use thereof
US11834441B2 (en) 2019-12-06 2023-12-05 Vertex Pharmaceuticals Incorporated Substituted tetrahydrofurans as modulators of sodium channels
US11919887B2 (en) 2019-12-06 2024-03-05 Vertex Pharmaceuticals Incorporated Substituted tetrahydrofurans as modulators of sodium channels
US12247021B2 (en) 2019-12-06 2025-03-11 Vertex Pharmaceuticals Incorporated Substituted tetrahydrofurans as modulators of sodium channels
US11827627B2 (en) 2021-06-04 2023-11-28 Vertex Pharmaceuticals Incorporated N-(hydroxyalkyl (hetero)aryl) tetrahydrofuran carboxamides as modulators of sodium channels
US12258333B2 (en) 2021-06-04 2025-03-25 Vertex Pharmaceuticals Incorporated N-(hydroxyalkyl (hetero)aryl) tetrahydrofuran carboxamides as modulators of sodium channels

Also Published As

Publication number Publication date
AU1230100A (en) 2000-05-22

Similar Documents

Publication Publication Date Title
WO2000059930A1 (en) A method of treating cancer
EP1165082A1 (en) Inhibitors of prenyl-protein transferase
WO2000051614A1 (en) Inhibitors of prenyl-protein transferases
WO2001060369A1 (en) Inhibitors of prenyl-protein transferase
AU4845099A (en) Inhibitors of prenyl-protein transferase
EP1091736A1 (en) Inhibitors of prenyl-protein transferase
WO2000025789A1 (en) A method of treating endometriosis
AU9121398A (en) Inhibitors of prenyl-protein transferase
WO2001060368A1 (en) Inhibitors of prenyl-protein transferase
AU3386600A (en) Inhibitors of prenyl-protein transferase
WO2000001701A1 (en) Inhibitors of prenyl-protein transferase
WO2001060458A2 (en) Inhibitors of prenyl-protein transferase
EP1165013A2 (en) Inhibitors of prenyl-protein transferase
WO2000016778A1 (en) A method of treating cancer
US6355643B1 (en) Inhibitors of prenyl-protein transferase
WO2001077114A1 (en) Inhibitors of prenyl-protein transferase
WO2001076693A1 (en) Inhibitors of prenyl-protein transferase
WO2001051125A1 (en) Inhibitors of prenyl-protein transferase
WO1999010329A1 (en) Inhibitors of prenyl-protein transferase
WO2000016626A1 (en) A method of treating cancer
WO2000075135A1 (en) Biaryl inhibitors of prenyl-protein transferase
AU8921398A (en) A method of treating cancer
WO2001077116A1 (en) Inhibitors of prenyl-protein transferase
WO2001007051A1 (en) Prenyl-protein transferase inhibitors
AU9205998A (en) A method of treating cancer

Legal Events

Date Code Title Description
ENP Entry into the national phase

Ref country code: AU

Ref document number: 2000 12301

Kind code of ref document: A

Format of ref document f/p: F

AK Designated states

Kind code of ref document: A1

Designated state(s): AE AL AM AT AU AZ BA BB BG BR BY CA CH CN CR CU CZ DE DK DM EE ES FI GB GD GE GH GM HR HU ID IL IN IS JP KE KG KR KZ LC LK LR LS LT LU LV MA MD MG MK MN MW MX NO NZ PL PT RO RU SD SE SG SI SK SL TJ TM TR TT TZ UA UG US UZ VN YU ZA ZW

AL Designated countries for regional patents

Kind code of ref document: A1

Designated state(s): GH GM KE LS MW SD SL SZ TZ UG ZW AM AZ BY KG KZ MD RU TJ TM AT BE CH CY DE DK ES FI FR GB GR IE IT LU MC NL PT SE BF BJ CF CG CI CM GA GN GW ML MR NE SN TD TG

121 Ep: the epo has been informed by wipo that ep was designated in this application
DFPE Request for preliminary examination filed prior to expiration of 19th month from priority date (pct application filed before 20040101)
REG Reference to national code

Ref country code: DE

Ref legal event code: 8642

122 Ep: pct application non-entry in european phase