WO2000051614A1 - Inhibitors of prenyl-protein transferases - Google Patents
Inhibitors of prenyl-protein transferases Download PDFInfo
- Publication number
- WO2000051614A1 WO2000051614A1 PCT/US2000/005354 US0005354W WO0051614A1 WO 2000051614 A1 WO2000051614 A1 WO 2000051614A1 US 0005354 W US0005354 W US 0005354W WO 0051614 A1 WO0051614 A1 WO 0051614A1
- Authority
- WO
- WIPO (PCT)
- Prior art keywords
- alkyl
- substituted
- aryl
- unsubstituted
- hydrogen
- Prior art date
- Legal status (The legal status is an assumption and is not a legal conclusion. Google has not performed a legal analysis and makes no representation as to the accuracy of the status listed.)
- Ceased
Links
- 0 C*1*(C)CN(*)CCN(C)C1 Chemical compound C*1*(C)CN(*)CCN(C)C1 0.000 description 6
- FWDQJERYNUJBTG-UHFFFAOYSA-N CCCC#Cc(ccc(OC)c1)c1C(N1CCN(Cc2cnc[n]2Cc(cc2)ccc2C#N)CC1)=O Chemical compound CCCC#Cc(ccc(OC)c1)c1C(N1CCN(Cc2cnc[n]2Cc(cc2)ccc2C#N)CC1)=O FWDQJERYNUJBTG-UHFFFAOYSA-N 0.000 description 1
- WAKKPQYIGUIQQW-UHFFFAOYSA-N COc(cc1)cc(C(N2CCN(Cc3cnc[n]3Cc(cc3)ccc3C#N)CC2)=O)c1C#CC1CC1 Chemical compound COc(cc1)cc(C(N2CCN(Cc3cnc[n]3Cc(cc3)ccc3C#N)CC2)=O)c1C#CC1CC1 WAKKPQYIGUIQQW-UHFFFAOYSA-N 0.000 description 1
- JIKPEXQUXQHJFY-UHFFFAOYSA-N Cc1cc(C(N2CCN(Cc3cnc[n]3Cc(cc3)ccc3C#N)CC2)=O)ccc1Br Chemical compound Cc1cc(C(N2CCN(Cc3cnc[n]3Cc(cc3)ccc3C#N)CC2)=O)ccc1Br JIKPEXQUXQHJFY-UHFFFAOYSA-N 0.000 description 1
- ZHBSGVQAYRORHH-UHFFFAOYSA-N N#Cc1ccc(C[n]2c(CN(CC3)CCN3C(c3cccc4c3cccc4)=O)cnc2)cc1 Chemical compound N#Cc1ccc(C[n]2c(CN(CC3)CCN3C(c3cccc4c3cccc4)=O)cnc2)cc1 ZHBSGVQAYRORHH-UHFFFAOYSA-N 0.000 description 1
- CTOUWUYDDUSBQE-UHFFFAOYSA-N O=C(N1CCNCC1)OCc1ccccc1 Chemical compound O=C(N1CCNCC1)OCc1ccccc1 CTOUWUYDDUSBQE-UHFFFAOYSA-N 0.000 description 1
- ZLKNPIVTWNMMMH-UHFFFAOYSA-N O=S([n]1cncc1)([n]1cncc1)=O Chemical compound O=S([n]1cncc1)([n]1cncc1)=O ZLKNPIVTWNMMMH-UHFFFAOYSA-N 0.000 description 1
Classifications
-
- C—CHEMISTRY; METALLURGY
- C07—ORGANIC CHEMISTRY
- C07D—HETEROCYCLIC COMPOUNDS
- C07D233/00—Heterocyclic compounds containing 1,3-diazole or hydrogenated 1,3-diazole rings, not condensed with other rings
- C07D233/54—Heterocyclic compounds containing 1,3-diazole or hydrogenated 1,3-diazole rings, not condensed with other rings having two double bonds between ring members or between ring members and non-ring members
- C07D233/64—Heterocyclic compounds containing 1,3-diazole or hydrogenated 1,3-diazole rings, not condensed with other rings having two double bonds between ring members or between ring members and non-ring members with substituted hydrocarbon radicals attached to ring carbon atoms, e.g. histidine
-
- A—HUMAN NECESSITIES
- A61—MEDICAL OR VETERINARY SCIENCE; HYGIENE
- A61P—SPECIFIC THERAPEUTIC ACTIVITY OF CHEMICAL COMPOUNDS OR MEDICINAL PREPARATIONS
- A61P13/00—Drugs for disorders of the urinary system
- A61P13/12—Drugs for disorders of the urinary system of the kidneys
-
- A—HUMAN NECESSITIES
- A61—MEDICAL OR VETERINARY SCIENCE; HYGIENE
- A61P—SPECIFIC THERAPEUTIC ACTIVITY OF CHEMICAL COMPOUNDS OR MEDICINAL PREPARATIONS
- A61P27/00—Drugs for disorders of the senses
- A61P27/02—Ophthalmic agents
-
- A—HUMAN NECESSITIES
- A61—MEDICAL OR VETERINARY SCIENCE; HYGIENE
- A61P—SPECIFIC THERAPEUTIC ACTIVITY OF CHEMICAL COMPOUNDS OR MEDICINAL PREPARATIONS
- A61P31/00—Antiinfectives, i.e. antibiotics, antiseptics, chemotherapeutics
- A61P31/12—Antivirals
-
- A—HUMAN NECESSITIES
- A61—MEDICAL OR VETERINARY SCIENCE; HYGIENE
- A61P—SPECIFIC THERAPEUTIC ACTIVITY OF CHEMICAL COMPOUNDS OR MEDICINAL PREPARATIONS
- A61P31/00—Antiinfectives, i.e. antibiotics, antiseptics, chemotherapeutics
- A61P31/12—Antivirals
- A61P31/14—Antivirals for RNA viruses
-
- A—HUMAN NECESSITIES
- A61—MEDICAL OR VETERINARY SCIENCE; HYGIENE
- A61P—SPECIFIC THERAPEUTIC ACTIVITY OF CHEMICAL COMPOUNDS OR MEDICINAL PREPARATIONS
- A61P35/00—Antineoplastic agents
-
- A—HUMAN NECESSITIES
- A61—MEDICAL OR VETERINARY SCIENCE; HYGIENE
- A61P—SPECIFIC THERAPEUTIC ACTIVITY OF CHEMICAL COMPOUNDS OR MEDICINAL PREPARATIONS
- A61P43/00—Drugs for specific purposes, not provided for in groups A61P1/00-A61P41/00
-
- A—HUMAN NECESSITIES
- A61—MEDICAL OR VETERINARY SCIENCE; HYGIENE
- A61P—SPECIFIC THERAPEUTIC ACTIVITY OF CHEMICAL COMPOUNDS OR MEDICINAL PREPARATIONS
- A61P9/00—Drugs for disorders of the cardiovascular system
- A61P9/10—Drugs for disorders of the cardiovascular system for treating ischaemic or atherosclerotic diseases, e.g. antianginal drugs, coronary vasodilators, drugs for myocardial infarction, retinopathy, cerebrovascula insufficiency, renal arteriosclerosis
-
- C—CHEMISTRY; METALLURGY
- C07—ORGANIC CHEMISTRY
- C07D—HETEROCYCLIC COMPOUNDS
- C07D401/00—Heterocyclic compounds containing two or more hetero rings, having nitrogen atoms as the only ring hetero atoms, at least one ring being a six-membered ring with only one nitrogen atom
- C07D401/02—Heterocyclic compounds containing two or more hetero rings, having nitrogen atoms as the only ring hetero atoms, at least one ring being a six-membered ring with only one nitrogen atom containing two hetero rings
- C07D401/12—Heterocyclic compounds containing two or more hetero rings, having nitrogen atoms as the only ring hetero atoms, at least one ring being a six-membered ring with only one nitrogen atom containing two hetero rings linked by a chain containing hetero atoms as chain links
-
- C—CHEMISTRY; METALLURGY
- C07—ORGANIC CHEMISTRY
- C07D—HETEROCYCLIC COMPOUNDS
- C07D405/00—Heterocyclic compounds containing both one or more hetero rings having oxygen atoms as the only ring hetero atoms, and one or more rings having nitrogen as the only ring hetero atom
- C07D405/02—Heterocyclic compounds containing both one or more hetero rings having oxygen atoms as the only ring hetero atoms, and one or more rings having nitrogen as the only ring hetero atom containing two hetero rings
- C07D405/12—Heterocyclic compounds containing both one or more hetero rings having oxygen atoms as the only ring hetero atoms, and one or more rings having nitrogen as the only ring hetero atom containing two hetero rings linked by a chain containing hetero atoms as chain links
Definitions
- the present invention relates to certain compounds that are useful for the inhibition of prenyl-protein transferases and the treatment of cancer.
- the invention relates to prenyl-protein transferase inhibitors which are efficacious in vivo as inhibitors of geranylgeranyl-protein transferase type I (GGTase-I) and that inhibit the cellular processing of both the H-Ras protein and the K4B-Ras protein.
- GTTase-I geranylgeranyl-protein transferase type I
- Prenylation of proteins by prenyl-protein transferases represents a class of post-translational modification (Glomset, J. A., Gelb, M. H, and Farnsworth, C. C. (1990). Trends Biochem. Sci.
- Prenylated proteins share characteristic C-terminal sequences including CAAX (C, Cys; A, an aliphatic amino acid; X, another amino acid), XXCC, or XCXC.
- CAAX C, Cys; A, an aliphatic amino acid; X, another amino acid
- XXCC XCXC.
- Three post-translational processing steps have been described for proteins having a C-terminal CAAX sequence: addition of either a 15 carbon (farnesyl) or 20 carbon (geranylgeranyl) isoprenoid to the Cys residue, proteolytic cleavage of the last 3 amino acids, and methylation of the new C-terminal carboxylate (Cox, A.
- Some proteins may also have a fourth modification: palmitoylation of one or two Cys residues N-terminal to the farnesylated Cys. While some mammalian cell proteins terminating in XCXC are carboxymethylated, it is not clear whether carboxy methylation follows prenylation of proteins terminating with a XXCC motif (Clarke, S. (1992). Annu. Rev. Biochem. 61, 355-386).
- FPTase farnesylates CaaX-containing proteins that end with Ser, Met, Cys, Gin or Ala.
- CaaX tetrapeptides comprise the minimum region required for interaction of the protein substrate with the enzyme.
- the prenylation reactions have been shown genetically to be essential for the function of a variety of proteins (Clarke, 1992; Cox and Der, 1992a; Gibbs, J. B. (1991). Cell 65: 1-4; Newman and Magee, 1993; Schafer and Rine, 1992). This requirement often is demonstrated by mutating the CaaX Cys acceptors so that the proteins can no longer be prenylated. The resulting proteins are devoid of their central biological activity. These studies provide a genetic "proof of principle" indicating that inhibitors of prenylation can alter the physiological responses regulated by prenylated proteins.
- the Ras protein is part of a signaling pathway that links cell surface growth factor receptors to nuclear signals initiating cellular proliferation. Biological and biochemical studies of Ras action indicate that Ras functions like a G-regulatory protein. In the inactive state,
- Ras is bound to GDP.
- Ras Upon growth factor receptor activation, Ras is induced to exchange GDP for GTP and undergoes a conformational change.
- the GTP-bound form of Ras propagates the growth stimulatory signal until the signal is terminated by the intrinsic GTPase activity of Ras, which returns the protein to its inactive GDP bound form (D.R. Lowy and D.M. Willumsen, Ann. Rev. Biochem. 62:851-891 (1993)).
- Activation of Ras leads to activation of multiple intracellular signal transduction pathways, including the MAP Kinase pathway and the Rho/Rac pathway (Joneson et al., Science 271:810-812).
- Ras protein is one of several proteins that are known to undergo post-translational modification.
- Farnesyl-protein transferase utilizes farnesyl pyrophosphate to covalently modify the Cys thiol group of the Ras CAAX box with a farnesyl group (Reiss et al., Cell, 62:81-88 (1990); Schaber et al., J. Biol.
- Ras must be localized to the plasma membrane for both normal and oncogenic functions. At least 3 post-translational modifications are involved with Ras membrane localization, and all 3 modifications occur at the C-terminus of Ras.
- the Ras C-terminus contains a sequence motif termed a "CAAX" or "Cys-Aaa -
- Aaa -Xaa box (Cys is cysteine, Aaa is an aliphatic amino acid, the Xaa is any amino acid) (Willumsen et al., Nature 310:583-586 (1984)).
- this motif serves as a signal sequence for the enzymes farnesyl-protein transferase or geranylgeranyl-protein transferase, which catalyze the alkylation of the cysteine residue of the CAAX motif with a C15 or C20 isoprenoid, respectively.
- farnesyl-protein transferase Direct inhibition of farnesyl-protein transferase would be more specific and attended by fewer side effects than would occur with the required dose of a general inhibitor of isoprene biosynthesis.
- Other farnesylated proteins include the Ras-related GTP-binding proteins such as RhoB, fungal mating factors, the nuclear lamins, and the gamma subunit of transducin. James, et al., J. Biol. Chem. 269, 14182 (1994) have identified a peroxisome associated protein Pxf which is also farnesylated. James, et al., have also suggested that there are farnesylated proteins of unknown structure and function in addition to those listed above.
- FPTase farnesyl-protein transferase
- the first class includes analogs of farnesyl diphosphate (FPP), while the second is related to protein substrates (e.g., Ras) for the enzyme.
- FPP farnesyl diphosphate
- the peptide derived inhibitors that have been described are generally cysteine containing molecules that are related to the CAAX motif that is the signal for protein prenylation. (Schaber et al., ibid; Reiss et. al., ibid; Reiss et al., PNAS, 88:732-736 (1991)).
- Such inhibitors may inhibit protein prenylation while serving as alternate substrates for the farnesyl-protein transferase enzyme, or may be purely competitive inhibitors (U.S. Patent 5,141,851, University of Texas; N.E. Kohl et al., Science, 260:1934-1937 (1993); Graham, et al., J. Med. Chem., 37, 725 (1994)).
- Mammalian cells express four types of Ras proteins (H-, N-, K4A-, and K4B-Ras) among which K4B-Ras is the most frequently mutated form of Ras in human cancers.
- H-ras The genes that encode these proteins are abbreviated H-ras, N-ras , K4A-ras and K4B-ras respectively.
- H-ras is an abbreviation for Harvey-ras.
- K4A-ras and K4B-ras are abbreviations for the Kirsten splice variants of ras that contain the 4A and 4B exons, respectively.
- Inhibition of farnesyl-protein transferase has been shown to block the growth of H-ras-transformed cells in soft agar and to modify other aspects of their transformed phenotype.
- GGTase-I geranylgeranyl- protein transferase type I
- a composition which comprises such an inhibitor compound is used in the present invention to treat cancer.
- the present invention comprises piperazine-containing compounds which inhibit prenyl-protein transferases, particularly geranylgeranyl-protein transferase type I. Further contained in this invention are chemotherapeutic compositions containing these prenyl transferase inhibitors and methods for their production.
- the compounds of this invention are useful in the inhibition of prenyl- protein transferases and the prenylation of the oncogene protein Ras.
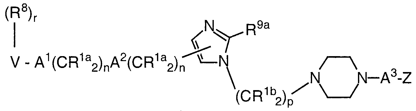
- the inhibitors of prenyl-protein transferases are illustrated by the formula A:
- Rl a and Rl° are independently selected from: a) hydrogen, b) aryl, heterocycle, C3-C10 cycloalkyl, C2-C6 alkenyl, C2-C6 alkynyl, R 10 O-, Rl lS(O) m -, R 10 C(O)NR 10 -, (R 10 )2NC(O)-, R 10 2N-
- R8 is independently selected from: a) hydrogen, b) unsubstituted or substituted aryl, unsubstituted or substituted heterocycle, unsubstituted or substituted C3-C10 cycloalkyl, C2-C6 alkenyl, C2-C6 alkynyl, perfluoroalkyl, F, CI, Br, R 10 O-, RHsCOJm-, R 10 C(O)NR 10 -, (R 10 )2NC(O)-, R 10 2N-C(NR 10 )-, CN, NO2, R 10 C(O)-, N3, -N(R 10 )2, or R OC(O)NR 10 -, -C(O)OR 10 and c) C1 -C6 alkyl unsubstituted or substituted by aryl, cyanophenyl, heterocycle, C3-C10 cycloalkyl, C2-C6 alkenyl, C2-C6 alkyny
- R9 is selected from: a) hydrogen, b) alkenyl, alkynyl, perfluoroalkyl, F, CI, Br, R 10 O-, R 1 ⁇ (O)TM-, R 10 C(O)NR 10 -, (R 10 )2NC(O)-, R 10 2N-C(NR 10 )-, CN, NO2, R 10 C(O)-, N3, -N(R 10 )2, or RHoC ⁇ NR 10 -, and c) C1-C6 alkyl unsubstituted or substituted by perfluoroalkyl, F, CI, Br, RiOO-, R 1 is m-, R 10 C(O)NR 10 -, (R 10 )2NC(O)-, R 10 2N-
- RIO is independently selected from hydrogen, Ci-C ⁇ alkyl, benzyl and aryl;
- Rl 1 is independently selected from Ci-C ⁇ alkyl and aryl
- a 3 is selected from: -C(O)- or S(O) m ;
- V is selected from: a) hydrogen, b) heterocycle, c) aryl, d) C1-C20 alkyl wherein from 0 to 4 carbon atoms are replaced with a heteroatom selected from O, S, and N, and e) C2-C20 alkenyl, provided that V is not hydrogen if A* is S(O) m and V is not hydrogen if A is a bond, n is 0 and A ⁇ is S(O) ;
- W is a heterocycle
- Z is unsubstituted or substituted aryl or unsubstituted or substituted heteroaryl; m is 0, 1 or 2; n is 0, 1, 2, 3 or 4; p is 0, 1, 2, 3 or 4; q is 1 or 2; r is 0 to 5, provided that r is 0 when V is hydrogen; and s is O or 1,
- inhibitors of prenyl- protein transferase are illustrated by the formula A:
- Rl is independently selected from: hydrogen or Ci -C6 alkyl
- Rib is independently selected from: a) hydrogen, b) aryl, heterocycle, cycloalkyl, R 10 O-, -N(R 10 )2 or C2-C6 alkenyl, c) unsubstituted or substituted Ci-C ⁇ alkyl wherein the substituent on the substituted C1-C6 alkyl is selected from unsubstituted or substituted aryl, heterocycle, cycloalkyl, alkenyl, RlOO- and -N(RlO)2;
- R8 is independently selected from: a) hydrogen, b) unsubstituted or substituted aryl, C1-C6 alkyl, C2-C6 alkenyl, C2-C6 alkynyl, C1-C6 perfluoroalkyl, F, CI, R 10 O-, R 10 C(O)NR 10 -, CN, NO2, (R 10 )2N-C(NR 10 )-, R 10 C(O)-, -N(R 10 )2, or RHoC(O)NR 10 -,
- R 10 C(O)NR 10 -, (R 10 )2N-C(NR 10 )-, R 10 C(O)-, -N(R 10 )2, or R ⁇ OC(O)NR 10 -;
- R9 is selected from: a) hydrogen, b) C2-C6 alkenyl, C2-C6 alkynyl, C1-C6 perfluoroalkyl, F, CI, R 10 O-, R n S(O) m -, R 10 C(O)NR 10 -, CN, NO2, (R 10 )2N-C(NR 10 )-, R 10 C(O)-, -N(R 10 )2, or RHOC(O)NR1°-, and c) C1-C6 alkyl unsubstituted or substituted by C1-C6 perfluoroalkyl, F, CI, R 10 O-, Rl lS(O)m-, R 10 C(O)NR 10 -, CN, (RlO)2N-C(NR 10 )-,
- RIO is independently selected from hydrogen, C1-C6 alkyl, benzyl and aryl;
- Rl 1 is independently selected from C1-C6 alkyl and aryl
- a 3 is selected from: -C(O)- or S(O) m ;
- V is selected from: a) hydrogen, b) heterocycle selected from pyrrolidinyl, imidazolyl, pyridinyl, thiazolyl, pyridonyl, 2-oxopiperidinyl, indolyl, quinolinyl, isoquinolinyl, and thienyl, c) aryl, d) C1-C20 alkyl wherein from 0 to 4 carbon atoms are replaced with a heteroatom selected from O, S, and N, and e) C2-C2O alkenyl, and provided that V is not hydrogen if Al is S(O) m and V is not hydrogen if Al is a bond, n is 0 and A 2 is S(O) m ;
- W is a heterocycle selected from pyrrolidinyl, imidazolyl, pyridinyl, thiazolyl, pyridonyl, 2-oxopiperidinyl, indolyl, quinolinyl, or isoquinolinyl;
- Z is unsubstituted or substituted aryl or unsubstituted or substituted heteroaryl
- n 0, 1, 2, 3 or 4
- p 0, 1, 2, 3 or 4
- q is l or 2
- r is 0 to 5, provided that r is 0 when V is hydrogen; and s is O or 1,
- Rla and Rib are independently selected from: a) hydrogen, b) aryl, heterocycle, cycloalkyl, Rl°O-, -N(R1°)2 or C2-C6 alkenyl, c) C1-C6 alkyl unsubstituted or substituted by aryl, heterocycle, cycloalkyl, alkenyl, Rl°O-, or -N(R 10 )2 .
- R° is independently selected from: a) hydrogen, b) unsubstituted or substituted aryl, C1-C6 alkyl, C2-C6 alkenyl, C2-C6 alkynyl, C1-C6 perfluoroalkyl, F, CI, R 10 O-, R 10 C(O)NRl°-, CN, NO2, (Rl°)2N-C(NRl°)-, Rl°C(O)-, -N(Rl°)2, or RHOC(O)NR1°-,
- R ⁇ a is hydrogen, C1-C6 alkyl or chloro
- RIO is independently selected from hydrogen, C1-C6 alkyl, benzyl and aryl;
- Rl is independently selected from C1-C6 alkyl and aryl
- a 3 is selected from: -C(O)- or S(O) m ;
- V is selected from: a) hydrogen, b) heterocycle selected from pyrrolidinyl, imidazolyl, pyridinyl, thiazolyl, pyridonyl, 2-oxopiperidinyl, indolyl, quinolinyl, isoquinolinyl, and thienyl, c) aryl, d) C1-C20 alkyl wherein from 0 to 4 carbon atoms are replaced with a heteroatom selected from O, S, and N, and e) C2-C20 alkenyl, and provided that V is not hydrogen if A is S(O) m and V is not hydrogen if A is a bond, n is 0 and A ⁇ is S(O) m ;
- Z is unsubstituted or substituted aryl or unsubstituted or substituted heteroaryl; m is 0, 1 or 2; n is 0, 1, 2, 3 or 4; p is 0, 1, 2, 3 or 4; and r is 0 to 5, provided that r is 0 when V is hydrogen;
- R a and Rib are independently selected from: a) hydrogen, b) aryl, heterocycle, cycloalkyl, Rl ⁇ O-, -N(R10)2 or C2-C6 alkenyl, c) C1-C6 alkyl unsubstituted or substituted by aryl, heterocycle, cycloalkyl, alkenyl, R 10 O-, or -N(R 10 )2;
- R° is independently selected from: a) hydrogen, b) unsubstituted or substituted aryl, Ci-C alkyl, C2-C6 alkenyl, C2-C6 alkynyl, C1-C6 perfluoroalkyl, F, CI, Rl°O-, R1°C(O)NR1°-, CN, NO2, (Rl°)2N-C(NRl°)-, Rl°C(O)-, -N(R1°)2, or RUOC(O)NR 10 -, -C(O)OR 10 and c) C1-C6 alkyl substituted by C1-C6 perfluoroalkyl, Rl°O-, R1°C(O)NR1°-, (R1°)2N-C(NR1°)-, Rl°C(O)-, -N(Rl°)2, or RU0C(0)NR 10 -; R9a 1S hydrogen, Ci-C ⁇ alkyl
- RIO is independently selected from hydrogen, C1-C6 alkyl, benzyl and aryl;
- RU is independently selected from Ci-C ⁇ alkyl and aryl
- a 3 is selected from: -C(O)- or S(O) m ;
- V is selected from: a) hydrogen, b) heterocycle selected from pyrrolidinyl, imidazolyl, pyridinyl, thiazolyl, pyridonyl, 2-oxopiperidinyl, indolyl, quinolinyl, isoquinolinyl, and thienyl, c) aryl, d) C1-C20 alkyl wherein from 0 to 4 carbon atoms are replaced with a heteroatom selected from O, S, and N, and e) C2-C20 alkenyl, and provided that V is not hydrogen if Al is S(O) m and V is not hydrogen if Al is a bond, n is 0 and A 2 is S(O) m ;
- Z is unsubstituted or substituted aryl or unsubstituted or substituted heteroaryl
- n 0, 1, 2, 3 or 4
- p 2, 3 or 4
- r 0 to 5, provided that r is 0 when V is hydrogen
- Rla and Rib are independently selected from: a) hydrogen, b) aryl, heterocycle, cycloalkyl, R ⁇ O-, -N(R10)2 or C2-C6 alkenyl, c) Ci-C alkyl unsubstituted or substituted by aryl, heterocycle, cycloalkyl, alkenyl, Rl°O-, or -N(R 10 )2;
- R ⁇ is independently selected from: a) hydrogen, b) unsubstituted or substituted aryl, C1-C6 alkyl, C2-C6 alkenyl, C2-C6 alkynyl, C1-C6 perfluoroalkyl, F, CI, Rl°O-. R1°C(O)NR1°-, CN,
- R ⁇ a is hydrogen, Ci-C ⁇ alkyl or chloro
- RIO is independently selected from hydrogen, Ci-C ⁇ alkyl, benzyl and aryl;
- RU is independently selected from C1-C6 alkyl and aryl;
- a 3 is selected from: -C(O)- or S(O) m ;
- V is selected from: a) heterocycle selected from pyridinyl and quinolinyl, and b) aryl;
- Z is unsubstituted or substituted aryl or unsubstituted or substituted heteroaryl
- n 0, 1, 2, 3 or 4
- p 0, 1, 2, 3 or 4
- r 0 to 5
- Rla and Rib are independently selected from: a) hydrogen, b) aryl, heterocycle, cycloalkyl, RIOQ-, -N(R10)2 or C2-C6 alkenyl, c) C1-C6 alkyl unsubstituted or substituted by aryl, heterocycle, cycloalkyl, alkenyl, Rl°O-, or -N(R 10 )2.
- R° is independently selected from: a) hydrogen, b) unsubstituted or substituted aryl, C1-C6 alkyl, C2-C6 alkenyl, C2-C6 alkynyl, Ci -C6 perfluoroalkyl, F, CI, Rl°O-, R1°C(O)NR1°-, CN,
- R ⁇ is hydrogen, Ci-C ⁇ alkyl or chloro
- RIO is independently selected from hydrogen, C1 -C6 alkyl, benzyl and aryl;
- RU is independently selected from C1-C6 alkyl and aryl
- a 3 is selected from: -C(O)- or S(O) m ;
- V is selected from: a) heterocycle selected from pyridinyl and quinolinyl, and b) aryl;
- Z is unsubstituted or substituted aryl or unsubstituted or substituted heteroaryl
- n 0, 1, 2, 3 or 4
- p 2, 3 or 4
- r 0 to 5, or the pharmaceutically acceptable salts thereof.
- Rib is independently selected from: a) hydrogen, b) aryl, heterocycle, cycloalkyl, Rl ⁇ O-, -N(RlO)2 or C2-C6 alkenyl, c) Ci-C alkyl unsubstituted or substituted by aryl, heterocycle, cycloalkyl, alkenyl, Rl°O-, or -N(Rl°)2;
- R8 is independently selected from: a) hydrogen, b) unsubstituted or substituted aryl, C1-C6 alkyl, C2-C6 alkenyl, C2-C6 alkynyl, C1-C6 perfluoroalkyl, F, CI, Rl°O-, R1°C(O)NR1°-, CN, NO2, (Rl°)2N-C(NR 10 )-, Rl°C(O)-, -N(R1°)2, or Rl 1OC(O)NR1°-
- R9a is hydrogen, Ci-C ⁇ alkyl or chloro
- RIO is independently selected from hydrogen, C1-C6 alkyl, benzyl and aryl; RU is independently selected from C1-C6 alkyl and aryl;
- a 3 is -C(O)-
- Z is unsubstituted or substituted phenyl, unsubstituted or substituted napthyl, unsubstituted or substituted pyridyl, unsubstituted or substituted 2,3- dihydrobenzofuran, unsubstituted or substituted quinoline or unsubstituted or substituted isoquinoline;
- Rib is independently selected from: a) hydrogen, b) aryl, heterocycle, cycloalkyl, Rl°O-, -N(R1°)2 or C2-C6 alkenyl, c) C1-C6 alkyl unsubstituted or substituted by aryl, heterocycle, cycloalkyl, alkenyl, Rl°O-, or -N(Rl°)2;
- R° is independently selected from: a) hydrogen, b) unsubstituted or substituted aryl, -C6 alkyl, C2-C6 alkenyl, C2-C6 alkynyl, C1 -C6 perfluoroalkyl, F, CI, Rl°O-, R1°C(O)NR1°-, CN, NO2, (Rl°)2N-C(NR 10 )-, Rl°C(O)-, -N(R1°)2, or RU0C(0)NR1°-, -C(O)ORl° and c) C1-C6 alkyl substituted by C1-C6 perfluoroalkyl, Rl°O-, Rl°C(O)NRl°-, (Rl°)2N-C(NRl°)-, Rl°C(O)-, -N(Rl°)2, or RHOC(O)NR1°-;
- R a is hydrogen, Ci-C ⁇ alkyl or chloro
- RlO is independently selected from hydrogen, C1-C6 alkyl, benzyl and aryl;
- RU is independently selected from Ci-C ⁇ alkyl and aryl
- a 3 is -C(O)-
- Z is unsubstituted or substituted phenyl, unsubstituted or substituted napthyl, unsubstituted or substituted pyridyl, unsubstituted or substituted 2,3- dihydrobenzofuran, unsubstituted or substituted quinoline or unsubstituted or substituted isoquinoline;
- the compounds of the instant invention differ from previously disclosed piperazinone-containing and piperazine-containing compounds, (PCT Publ. No. WO 96/30343 - October 3, 1996; PCT Publ. No. WO 96/31501 - October 10,
- FPTase farnesyl-protein transferase
- the instant compounds are dual inhibitors of farnesyl-protein transferase and geranylgeranyl-protein transferase type I (GGTase-I).
- the compounds are further characterized in that the inhibitory activity of the compounds against GGTase-I is greater than the inhibitory activity against FPTase.
- the compounds of the instant invention inhibit FPTase in vitro (Example 28) at an IC 50 of less than 1 ⁇ M and inhibit GGTase-I in vitro (Example 29) at an IC 50 of less than 50 nM
- the ratio of the IC 50 of the compounds of the instant invention for in vitro inhibition of FPTase to the IC 50 of the compounds of the instant invention for in vitro inhibition of GGTase type I is greater than 5
- the compounds of the instant invention inhibit the cellular processing of the Rapl protein (Example 34) at an EC 50 of less than about 1 ⁇ M
- the compounds of the instant invention inhibit the cellular processing of the Rapl protein (Example 34) at an EC 50 of less than about 50 nM
- the compounds of the present invention may have asymmet ⁇ c centers and occur as racemates, racemic mixtures, and as individual diastereomers, with all possible isomers, including optical isomers, being included the present invention
- any va ⁇ able e.g aryl, heterocycle, Rl, R 2 etc
- its definition on each occurrence is independent at every other occurrence
- combinations of substituents/or va ⁇ ables are permissible only if such combinations result in stable compounds
- alkyl is intended to include both branched and straight-chain saturated aliphatic hydrocarbon groups having the specified number of carbon atoms
- alkoxy represents an alkyl group of indicated number of carbon atoms attached through an oxygen b ⁇ dge "Halogen” or “halo” as used herein means fluoro, chloro, bromo and lodo
- cycloalkyl is intended to include monocyclic saturated aliphatic hydrocarbon groups having the specified number of carbon atoms
- Examples of such cycloalkyl groups includes, but are not limited to, cyclopropyl, cyclobutyl, cyclohexyl, cycloheptyl and cyclooctyl
- aryl is intended to mean any stable monocyclic or bicychc carbon ⁇ ng of up to 7 members in each ⁇ ng, wherein at least one ⁇ ng is aromatic Examples of such aryl elements include phenyl, naphthyl, tetrahydronaphthyl, mdanyl, biphenyl, phenanthryl, anthryl or acenaphthyl
- heterocycle or heterocyclic represents a stable 5- to 7-membered monocyclic or stable 8- to 11-membered bicyc c heterocyclic ring which is either saturated or unsaturated, and which consists of carbon atoms and from one to four heteroatoms selected from the group consisting of N, O, and S, and including any bicychc group in which any of the above-defined heterocyclic ⁇ ngs are fused to a benzene ⁇ ng
- heterocycle or heterocyclic includes heteroaryl moieties The heterocyclic
- heteroaryl is intended to mean any stable monocyclic or bicychc carbon ⁇ ng of up to 7 members in each ⁇ ng, wherein at least one ⁇ ng is aromatic and wherein from one to four carbon atoms are replaced by heteroatoms selected from the group consisting of N, O, and S
- heterocyclic elements include, but are not limited to, benzimidazolyl, benzisoxazolyl, benzofurazanyl, benzopyranyl, benzothiopyranyl, benzofuryl, benzothiazolyl, benzothienyl, benzoxazolyl, chromanyl, cmnohnyl, dihydrobenzofuryl, dihydrobenzothienyl, dihydrobenzothiopyranyl, dihydrobenzothiopyranyl sulfone, furyl, imidazolyl, mdohnyl, mdolyl, isochromanyl, isoindoliny
- the substituted aryl and substituted heteroaryl include moieties containing from 1 to 3 substituents in addition to the point of attachment to the rest of the compound
- substituents are selected from the group which includes but is not limited to F, CI, Br, CF3, OCF3, NH2, N(C ⁇ -C6 alkyl)2 .
- cyclic moieties include, but are not limited to:
- cyclic moieties may optionally include a heteroatom(s).
- heteroatom-containing cyclic moieties include, but are not limited to:
- Lines drawn into the ⁇ ng systems from substituents indicate that the indicated bond may be attached to any of the substitutable ring carbon atoms.
- Rla and Rib are independently selected from: hydrogen, - N(R1°)2, R1°C(O)NR1°- or unsubstituted or substituted C1 -C6 alkyl wherein the substituent on the substituted Ci-C ⁇ alkyl is selected from unsubstituted or substituted phenyl, -N(R 10 )2, R 10 O- and R1°C(O)NR1°-.
- R9 is hydrogen, chloro or C1-C6 alkyl.
- RlO is selected from H, C1-C6 alkyl, benzyl and aryl.
- Al and A 2 are independently selected from: a bond, -C(O)NRl0-, -NR1°C(O)-, O, -N(R 10 )-, -S(O)2N(R!0)- and -N(R1°)S(O)2-.
- a 1 and A 2 are a bond.
- a 3 is -C(O)-.
- V is selected from heteroaryl and aryl. More preferably, V is phenyl.
- W is selected from imidazolyl, pyridinyl, thiazolyl, indolyl, quinolinyl, and isoquinolinyl. More preferably W is selected from imidazolyl and pyridinyl.
- Z is selected from unsubstituted or substituted phenyl, unsubstituted or substituted napthyl, unsubstituted or substituted pyridyl, unsubstituted or substituted quinoline, unsubstituted or substituted isoquinoline and unsubstituted or substituted 2,3-dihydrobenzofuran, wherein the substituted phenyl, substituted napthyl, substituted pyridyl, substituted quinoline, substituted isoquinoline and substituted 2,3-dihydrobenzofuran, are substituted with one or more of the following: a) OH, b) alkoxy, c) aryloxy, d) Ci-C 6 alkyl, e) NO 2 , f) halogen, g) C2-C6 alkenyl, h) OCF3, i) SO2CH3, or j) (C ⁇ -C6 alkyl)C(O)NH-
- n and r are independently 0, 1, or 2.
- p is 1, 2 or 3.
- s is 0.
- any substituent or va ⁇ able e g , Rla, R , n, etc
- -N(RlO)2 represents -NHH, -NHCH3, -NHC2H5, etc. It is understood that substituents and substitution patterns on the compounds of the instant invention can be selected by one of ordinary skill m the art to provide compounds that are chemically stable and that can be readily synthesized by techniques known the art, as well as those methods set forth below, from readily available starting mate ⁇ als.
- the pharmaceutically acceptable salts of the compounds of this invention include the conventional non-toxic salts of the compounds of this invention as formed, e.g , from non-toxic inorganic or organic acids.
- such conventional non-toxic salts include those denved from inorganic acids such as hydrochlo ⁇ c, hydrobromic, sulfu ⁇ c, sulfamic, phospho ⁇ c, nit ⁇ c and the like: and the salts prepared from organic acids such as acetic, propiomc, succimc, glyco c, stea ⁇ c, lactic, malic, tarta ⁇ c, cit ⁇ c, ascorbic, pamoic, maleic, hydroxymaleic, phenylacetic, glutamic, benzoic, salicylic, sulfam c, 2-acetoxy-benzo ⁇ c, fuma ⁇ c, toluenesulfonic, methanesulfonic, ethane disulfonic, oxalic, lsethionic,
- the pharmaceutically acceptable salts of the compounds of this invention can be synthesized from the compounds of this invention which contain a basic moiety by conventional chemical methods. Generally, the salts are prepared either by ion exchange chromatography or by reacting the free base with stoichiomet ⁇ c amounts or with an excess of the desired salt-forming inorganic or organic acid in a suitable solvent or va ⁇ ous combinations of solvents
- Reactions used to generate the compounds of this invention are prepared by employing reactions as shown in the Schemes 1-14, in addition to other standard manipulations such as ester hydrolysis, cleavage of protecting groups, etc , as may be known in the literature or exemplified m the expe ⁇ mental procedures
- the point of attachment to the ⁇ ng of substituents (i.e., R ), as shown in the Schemes, is illustrative only and is not meant to be limiting
- Substituent Z' represents the substituent Z as defined hereinabove or a protected piecursor thereof
- Intermediate VIII can itself be reductively alkylated with a va ⁇ ety of aldehydes, such as IX
- the aldehydes can be prepared by standard procedures, such as that desc ⁇ bed by O P. Goel, U. Krolls, M.
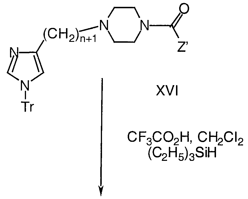
- XV can be accomplished by literature procedures As shown Scheme 3, the piperazine intermediate VIII can be reductively alkylated with other aldehydes such as l-t ⁇ tyl-4- ⁇ m ⁇ dazolyl- carboxaldehyde or l-t ⁇ tyl-4- ⁇ m ⁇ dazolylacetaldehyde, to give products such as XVI
- the t ⁇ tyl protecting group can be removed from XVI to give XVII, or alternatively,
- XVI can first be treated with an alkyl halide then subsequently deprotected to give the alkylated imidazole XVIII
- the intermediate VIII can be acylated or sulfonylated by standard techniques
- Scheme 4 illustrates the incorporation of an indole moiety for the substituent W in place of the preferred benzy midazolyl moiety
- Scheme 5 illustrates synthesis of an instant compound wherein a non-hydrogen R D IS incorporated in the instant compound
- a readily available 4-subst ⁇ tuted imidazole XXVI may be selectively lodmated to provide the 5- ⁇ odo ⁇ m ⁇ dazole XXVII That imidazole may then be protected and coupled to a suitably substituted benzyl moiety to provide intermediate XXVIII Attachment of the imidazolyl nitrogen via an ethyl linker to the piperazine nitrogen of intermediate VIII, desc ⁇ bed above, provides the instant compound XXIX
- the piperazine VIII is reductively alkylated with an aldehyde which also has a protected hydroxyl group, such as XXXIII in Scheme 7, the protecting groups can be subsequently removed to unmask the hydroxyl group
- the Boc protected ammo alcohol XXXIV can then be utilized to synthesize 2- azi ⁇ dmylmethylpiperaz es such as XXXV
- Schemes 8-12 illustrate syntheses of suitably substituted aldehydes useful in the syntheses of the instant compounds wherein the va ⁇ able W is present as a py ⁇ dyl moiety
- Similar synthetic strategies for prepa ⁇ ng alkanols that incorporate other heterocyclic moieties for va ⁇ able W are also well known in the art
- Scheme 12 illustrates the preparation of the corresponding quinoline aldehyde
- Scheme 13 depicts a general method for synthesizing a key intermediate useful in the preparation of preferred embodiments of the instant invention wherein V is phenyl and W is imidazole
- a piperazine moiety can be readily added to this benzyl-imidazole intermediate as set forth in Scheme 14 SCHEME 1
- TrCI TrCI, NEt.
- the instant compounds are useful as pharmaceutical agents for mammals, especially for humans. These compounds may be administered to patients for use in the treatment of cancer.
- Examples of the type of cancer which may be treated with the compounds of this invention include, but are not limited to, colorectal carcinoma, exocrine pancreatic carcinoma, myeloid leukemias and neurological tumors. Such tumors may arise by mutations in the ras genes themselves, mutations in the proteins that can regulate Ras activity (i.e., neurofibromin (NF-1), neu, src, abl, lck, fyn) or by other mechanisms.
- NF-1 neurofibromin
- neu src
- abl abl
- lck lck
- the compounds of the instant invention inhibit prenyl-protein transferase and the prenylation of the oncogene protein Ras.
- the instant compounds may also inhibit tumor angiogenesis, thereby affecting the growth of tumors (J. Rak et al. Cancer Research, 55:4575-4580 (1995)).
- Such anti-angiogenesis properties of the instant compounds may also be useful in the treatment of certain forms of vision deficit related to retinal vascularization.
- the compounds of this invention are also useful for inhibiting other proliferative diseases, both benign and malignant, wherein Ras proteins are aberrantly activated as a result of oncogenic mutation in other genes (i.e., the Ras gene itself is not activated by mutation to an oncogenic form) with said inhibition being accomplished by the administration of an effective amount of the compounds of the invention to a mammal in need of such treatment.
- a component of NF-1 is a benign proliferative disorder.
- the instant compounds may also be useful in the treatment of certain viral infections, in particular in the treatment of hepatitis delta and related viruses (J.S. Glenn et al. Science, 256:1331-1333 (1992).
- the compounds of the instant invention are also useful in the prevention of restenosis after percutaneous transluminal coronary angioplasty by inhibiting neointimal formation (C. Indolfi et al. Nature medicine, 1:541-545(1995).
- the instant compounds may also be useful in the treatment and prevention of polycystic kidney disease (D.L. Schaffner et al. American Journal of Pathology, 142:1051-1060 (1993) and B. Cowley, Jr. et al.FASEB Journal, 2:A3160 (1988)).
- the instant compounds may also be useful for the treatment of fungal infections.
- the instant compounds may also be useful as inhibitors of proliferation of vascular smooth muscle cells and therefore useful in the prevention and therapy of arteriosclerosis and diabetic vascular pathologies.
- the compounds of this invention may be administered to mammals, preferably humans, either alone or, preferably, in combination with pharmaceutically acceptable carriers, excipients or diluents, in a pharmaceutical composition, according to standard pharmaceutical practice.
- the compounds can be administered orally or parenterally, including the intravenous, intramuscular, intraperitoneal, subcutaneous, rectal and topical routes of administration.
- the pharmaceutical compositions containing the active ingredient may be in a form suitable for oral use, for example, as tablets, troches, lozenges, aqueous or oily suspensions, dispersible powders or granules, emulsions, hard or soft capsules, or syrups or elixirs.
- compositions intended for oral use may be prepared according to any method known to the art for the manufacture of pharmaceutical compositions and such compositions may contain one or more agents selected from the group consisting of sweetening agents, flavoring agents, coloring agents and preserving agents in order to provide pharmaceutically elegant and palatable preparations.
- Tablets contain the active ingredient in admixture with non-toxic pharmaceutically acceptable excipients which are suitable for the manufacture of tablets.
- excipients may be for example, inert diluents, such as calcium carbonate, sodium carbonate, lactose, calcium phosphate or sodium phosphate; granulating and disintegrating agents, for example, microcrystalline cellulose, sodium crosscarmellose, corn starch, or alginic acid; binding agents, for example starch, gelatin, polyvinyl-pyrrolidone or acacia, and lubricating agents, for example, magnesium stearate, stearic acid or talc.
- the tablets may be uncoated or they may be coated by known techniques to mask the unpleasant taste of the drug or delay disintegration and absorption in the gastrointestinal tract and thereby provide a sustained action over a longer period.
- a water soluble taste masking material such as hydroxypropylmethyl-cellulose or hydroxypropylcellulose, or a time delay material such as ethyl cellulose, cellulose acetate buryrate may be employed.
- Formulations for oral use may also be presented as hard gelatin capsules wherein the active ingredient is mixed with an inert solid diluent, for example, calcium carbonate, calcium phosphate or kaolin, or as soft gelatin capsules wherein the active ingredient is mixed with water soluble carrier such as polyethyleneglycol or an oil medium, for example peanut oil, liquid paraffin, or olive oil.
- an inert solid diluent for example, calcium carbonate, calcium phosphate or kaolin
- water soluble carrier such as polyethyleneglycol or an oil medium, for example peanut oil, liquid paraffin, or olive oil.
- Aqueous suspensions contain the active material in admixture with excipients suitable for the manufacture of aqueous suspensions.
- excipients are suspending agents, for example sodium carboxymethylcellulose, methylcellulose, hydroxypropylmethyl-cellulose, sodium alginate, polyvinyl-pyrrolidone, gum tragacanth and gum acacia; dispersing or wetting agents may be a naturally-occurring phosphatide, for example lecithin, or condensation products of an alkylene oxide with fatty acids, for example polyoxyethylene stearate, or condensation products of ethylene oxide with long chain aliphatic alcohols, for example heptadecaethylene- oxycetanol, or condensation products of ethylene oxide with partial esters derived from fatty acids and a hexitol such as polyoxyethylene sorbitol monooleate, or condensation products of ethylene oxide with partial esters derived from fatty acids and hexitol anhydrides, for example polyethylene sorbitan
- the aqueous suspensions may also contain one or more preservatives, for example ethyl, or n- propyl p-hydroxybenzoate, one or more coloring agents, one or more flavoring agents, and one or more sweetening agents, such as sucrose, saccharin or aspartame.
- Oily suspensions may be formulated by suspending the active ingredient in a vegetable oil, for example arachis oil, olive oil, sesame oil or coconut oil, or in mineral oil such as liquid paraffin.
- the oily suspensions may contain a thickening agent, for example beeswax, hard paraffin or cetyl alcohol. Sweetening agents such as those set forth above, and flavoring agents may be added to provide a palatable oral preparation.
- compositions may be preserved by the addition of an anti-oxidant such as butylated hydroxyanisol or alpha-tocopherol.
- Dispersible powders and granules suitable for preparation of an aqueous suspension by the addition of water provide the active ingredient in admixture with a dispersing or wetting agent, suspending agent and one or more preservatives. Suitable dispersing or wetting agents and suspending agents are exemplified by those already mentioned above. Additional excipients, for example sweetening, flavoring and coloring agents, may also be present.
- an anti-oxidant such as ascorbic acid.
- the pharmaceutical compositions of the invention may also be in the form of an oil-in-water emulsions.
- the oily phase may be a vegetable oil, for example olive oil or arachis oil, or a mineral oil, for example liquid paraffin or mixtures of these.
- Suitable emulsifying agents may be naturally-occurring phosphatides, for example soy bean lecithin, and esters or partial esters derived from fatty acids and hexitol anhydrides, for example sorbitan monooleate, and condensation products of the said partial esters with ethylene oxide, for example polyoxyethylene sorbitan monooleate.
- the emulsions may also contain sweetening, flavoring agents, preservatives and antioxidants.
- Syrups and elixirs may be formulated with sweetening agents, for example glycerol, propylene glycol, sorbitol or sucrose. Such formulations may also contain a demulcent, a preservative, flavoring and coloring agents and antioxidant.
- the pharmaceutical compositions may be in the form of a sterile injectable aqueous solutions. Among the acceptable vehicles and solvents that may be employed are water, Ringer's solution and isotonic sodium chloride solution.
- the sterile injectable preparation may also be a sterile injectable oil-in- water microemulsion where the active ingredient is dissolved in the oily phase.
- the active ingredient may be first dissolved in a mixture of soybean oil and lecithin. The oil solution then introduced into a water and glycerol mixture and processed to form a microemulation.
- the injectable solutions or microemulsions may be introduced into a patient's blood-stream by local bolus injection.
- a continuous intravenous delivery device may be utilized.
- An example of such a device is the Deltec CADD-PLUSTM model 5400 intravenous pump.
- the pharmaceutical compositions may be in the form of a sterile injectable aqueous or oleagenous suspension for intramuscular and subcutaneous administration.
- This suspension may be formulated according to the known art using those suitable dispersing or wetting agents and suspending agents which have been mentioned above.
- the sterile injectable preparation may also be a sterile injectable solution or suspension in a non-toxic parenterally-acceptable diluent or solvent, for example as a solution in 1,3-butane diol.
- sterile, fixed oils are conventionally employed as a solvent or suspending medium.
- any bland fixed oil may be employed including synthetic mono- or diglycerides.
- fatty acids such as oleic acid find use in the preparation of injectables.
- Compounds of Formula A may also be administered in the form of suppositories for rectal administration of the drug.
- These compositions can be prepared by mixing the drug with a suitable non-irritating excipient which is solid at ordinary temperatures but liquid at the rectal temperature and will therefore melt in the rectum to release the drug.
- suitable non-irritating excipient include cocoa butter, glycerinated gelatin, hydrogenated vegetable oils, mixtures of polyethylene glycols of various molecular weights and fatty acid esters of polyethylene glycol.
- topical use creams, ointments, jellies, solutions or suspensions, etc., containing the compound of Formula A are employed. (For purposes of this application, topical application shall include mouth washes and gargles.)
- the compounds for the present invention can be administered in intranasal form via topical use of suitable intranasal vehicles and delivery devices, or via transdermal routes, using those forms of transdermal skin patches well known to those of ordinary skill in the art.
- the dosage administration will, of course, be continuous rather than intermittent throughout the dosage regimen.
- composition is intended to encompass a product comprising the specified ingredients in the specific amounts, as well as any product which results, directly or indirectly, from combination of the specific ingredients in the specified amounts.
- the daily dosage will normally be determined by the prescribing physician with the dosage generally varying according to the age, weight, sex and response of the individual patient, as well as the severity of the patient's symptoms.
- a suitable amount of compound is administered to a mammal undergoing treatment for cancer.
- Administration occurs in an amount between about 0.1 mg/kg of body weight to about 60 mg/kg of body weight per day, preferably of between 0.5 mg/kg of body weight to about 40 mg/kg of body weight per day.
- the compounds of the instant invention may also be co-administered with other well known therapeutic agents that are selected for their particular usefulness against the condition that is being treated.
- the compounds of the instant invention may also be co-administered with other well known cancer therapeutic agents that are selected for their particular usefulness against the condition that is being treated. Included in such combinations of therapeutic agents are combinations of the instant prenyl-protein transferase inhibitors and an antineoplastic agent. It is also understood that such a combination of antineoplastic agent and inhibitor of prenyl-protein transferase may be used in conjunction with other methods of treating cancer and/or tumors, including radiation therapy and surgery.
- antineoplastic agent examples include, in general, microtubule- stabilizing agents (such as paclitaxel (also known as Taxol®), docetaxel (also known as Taxotere®), epothilone A, epothilone B, desoxyepothilone A, desoxyepothilone B or their derivatives); microtubule-disruptor agents; alkylating agents, anti-metabolites; epidophyllotoxin; an antineoplastic enzyme; a topoisomerase inhibitor; procarbazine; mitoxantrone; platinum coordination complexes; biological response modifiers and growth inhibitors; hormonal/anti-hormonal therapeutic agents and haematopoietic growth factors.
- microtubule- stabilizing agents such as paclitaxel (also known as Taxol®), docetaxel (also known as Taxotere®), epothilone A, epothilone B, desoxyepothilone A, desoxyepothil
- Example classes of antineoplastic agents include, for example, the anthracycline family of drugs, the vinca drugs, the mitomycins, the bleomycins, the cytotoxic nucleosides, the taxanes, the epothilones, discodermolide, the pteridine family of drugs, diynenes and the podophyllotoxins.
- Particularly useful members of those classes include, for example, doxorubicin, carminomycin, daunorubicin, aminopterin, methotrexate, methopterin, dichloro-methotrexate, mitomycin C, porfiromycin, 5-fluorouracil, 6-mercaptopurine, gemcitabine, cytosine arabinoside, podophyllotoxin or podo-phyllotoxin derivatives such as etoposide, etoposide phosphate or teniposide, melphalan, vinblastine, vincristine, leurosidine, vindesine, leurosine, paclitaxel and the like.
- antineoplastic agents include estramustine, cisplatin, carboplatin, cyclophosphamide, bleomycin, tamoxifen, ifosamide, melphalan, hexamethyl melamine, thiotepa, cytarabin, idatrexate, trimetrexate, dacarbazine, L-asparaginase, camptothecin, CPT-11, topotecan, ara-C, bicalutamide, flutamide, leuprolide, pyridobenzoindole derivatives, interferons and interleukins.
- the preferred class of antineoplastic agents is the taxanes and the preferred antineoplastic agent is paclitaxel.
- Radiation therapy including x-rays or gamma rays which are delivered from either an externally applied beam or by implantation of tiny radioactive sources, may also be used in combination with the instant inhibitor of prenyl-protein transferase alone to treat cancer.
- compounds of the instant invention may also be useful as radiation sensitizers, as described in WO 97/38697, published on October 23, 1997, and herein incorporated by reference.
- the instant compounds may also be useful in combination with other inhibitors of parts of the signaling pathway that links cell surface growth factor receptors to nuclear signals initiating cellular proliferation.
- the instant compounds may be utilized in combination with a compound which has Raf antagonist activity.
- the instant compounds may also be co-administered with compounds that are selective inhibitors of farnesyl-protein transferase and or compounds that are dual inhibitors of farnesyl-protein transferase and geranylgeranylprotein transferase type I.
- Such a selective inhibitor or dual inhibitor may be an inhibitor that is competitive with the binding of the CAAX-containing protein substrate of farnesyl-protein transferase or may be farnesyl pyrophosphate competitive inhibitors.
- such administration can be orally or parenterally, including intravenous, intramuscular, intraperitoneal, subcutaneous, rectal and topical routes of administration. It is preferred that such administration be orally. It is more preferred that such administration be orally and simultaneously.
- the protein substrate-competitive inhibitor and a prenyl pyrophosphate-competitive inhibitor are administered sequentially, the administration of each can be by the same method or by different methods.
- the instant compounds may also be useful in combination with an integrin antagonist for the treatment of cancer, as described in U.S. Ser. No. 09/055,487, filed April 6, 1998, which is incorporated herein by reference.
- an integrin antagonist refers to compounds which selectively antagonize, inhibit or counteract binding of a physiological ligand to an integrin(s) that is involved in the regulation of angiogenisis, or in the growth and invasiveness of tumor cells.
- the term refers to compounds which selectively antagonize, inhibit or counteract binding of a physiological ligand to the ⁇ v ⁇ 3 integrin, which selectively antagonize, inhibit or counteract binding of a physiological ligand to the o.v ⁇ 5 integrin, which antagonize, inhibit or counteract binding of a physiological ligand to both the v ⁇ 3 integrin and the ⁇ v ⁇ 5 integrin, or which antagonize, inhibit or counteract the activity of the particular integrin(s) expressed on capillary endothelial cells.
- the term also refers to antagonists of the ⁇ v ⁇ , ⁇ v ⁇ 8, ⁇ l ⁇ l, ⁇ 2 ⁇ l, ⁇ 5 ⁇ l, ⁇ 6 ⁇ l and ⁇ 6 ⁇ 4 integrins.
- the term also refers to antagonists of any combination of ⁇ v ⁇ 3, ⁇ v ⁇ 5, ⁇ v ⁇ , ⁇ v ⁇ 8, ⁇ l ⁇ l, ⁇ 2 ⁇ l, ⁇ 5 ⁇ l, ⁇ 6 ⁇ l and ⁇ 6 ⁇ 4 integrins.
- the instant compounds may also be useful with other agents that inhibit angiogenisis and thereby inhibit the growth and invasiveness of tumor cells, including, but not limited to angiostatin and endostatin.
- the instant compounds may be useful in combination with agents that are effective in the treatment and prevention of NF-1, restenosis, polycystic kidney disease, infections of hepatitis delta and related viruses and fungal infections.
- combination products employ the combinations of this invention within the dosage range described below and the other pharmaceutically active agent(s) within its approved dosage range.
- Combinations of the instant invention may alternatively be used sequentially with known pharmaceutically acceptable agent(s) when a multiple combination formulation is inappropriate.
- Method 1 (Hydrochloride salt): A 72 liter vessel was charged with 190 proof ethanol (14.4 L) followed by the addition of 4-cyanobenzylbromide (2.98 kg) and HMTA (2.18 kg) at ambient temperature. The mixture was heated to about 72- 75°C over about 60 min. On warming, the solution thickens and additional ethanol (1.0 liter) was added to facilitate stirring. The batch was aged at about 72-75°C for about 30 min.
- the mixture was allowed to cool to about 20°C over about 60 min, and HCI gas (2.20 kg) was sparged into the slurry over about 4 hours during which time the temperature rose to about 65 °C.
- the mixture was heated to about 70-72°C and aged for about 1 hour.
- the slurry was cooled to about 30°C and ethyl acetate (22.3 L) added over about 30 min.
- the slurry was cooled to about -5°C over about 40 min and aged at about -3 to about -5°C for about 30 min.
- the mixture was filtered and the crystalline solid was washed with chilled ethyl acetate (3 x 3 L).
- the solid was dried under a N2 stream for about 1 hour before charging to a 50 liter vessel containing water (5.5 L).
- the pH was adjusted to about 10-10.5 with 50% NaOH (4.0 kg) maintaining the internal temperature below about 30°C.
- methylene chloride 2.8 L was added and stirring continued for about 15 min.
- the layers were allowed to settle and the lower organic layer was removed.
- the aqueous layer was extracted with methylene chloride (2 x 2.2 L).
- the combined organic layers were dried over potassium carbonate (650 g). The carbonate was removed via filtration and the filtrate concentrated in vacuo at about 25°C to give a free base as a yellow oil.
- the oil was transferred to a 50 liter vessel with the aid of ethanol (1.8 L). Ethyl acetate (4.1 L) was added at about 25°C. The solution was cooled to about 15°C and HCI gas (600 g) was sparged in over about 3 hours, while keeping batch temperature below about 40°C. At about 20-25 °C, ethyl acetate (5.8 L) was added to the slurry, followed by cooling to about -5°C over about 1 hour. The slurry was aged at about -5°C for about 1 hour and the solids isolated via filtration.
- Method 2 (phosphate salt): A slurry of HMTA in 2.5 L EtOH was added gradually over about 30 min to about 60 min to a stirred slurry of cyanobenzyl- bromide in 3.5 L EtOH and maintained at about 48-53°C with heating & cooling in a 22L neck flask (small exotherm). Then the transfer of HMTA to the reaction mixture was completed with the use of 1.0 L EtOH. The reaction mixture was heated to about 68-73 °C and aged at about 68-73 °C for about 90 min. The reaction mixture was a slurry containing a granular precipitate which quickly settled when stirring stopped. The mixture was cooled to a temperature of about 50°C to about 55°C.
- Propionic acid was added to the mixture and the mixture was heated and maintained at a temperature of about 50°C to about 55°C.
- Phosphoric acid was gradually added over about 5 min to about 10 min, maintaining the reaction mixture below about 65 °C to form a precipitate-containing mixture.
- the mixture was gradually warmed to about 65°C to about 70°C over about 30 min and aged at about 65°C to about 70°C for about 30 min.
- the mixture was then gradually cooled to about 20-25°C over about 1 hour and aged at about 20-25 °C for about 1 hour.
- the reaction slurry was then filtered.
- the filter cake was washed four times with EtOH, using the following sequence, 2.5 L each time.
- the filter cake was then washed with water five times, using 300 mL each time.
- the filter cake was washed twice with MeCN (1.0 L each time) and the above identified compound was obtained.
- Step 3 Preparation of l-(4-Cyanobenzyl)-5-Hydroxymethylimidazole
- a IL flask with cooling/heating jacket and glass stirrer (Lab-Max) was charged with water (200 mL) at 25°C.
- the thioimidazole (90.27 g), prepared as described in Step 2 was added, followed by acetic acid (120 mL) and water (50 mL) to form a pale pink slurry.
- the reaction was warmed to 40°C over 10 minutes.
- Hydrogen peroxide (90.0 g) was added slowly over 2 hours by automatic pump maintaining a temperature of 35-45°C. The temperature was lowered to 25°C and the solution aged for 1 hour.
- the solution was cooled to 20°C and quenched by slowly adding 20% aqueous Na 9 SO 3 (25 mL) maintaining the temperature at less than 25°C.
- the solution was filtered through a bed of DARCO G-60 (9.0 g) over a bed of SolkaFlok (1.9 g) in a sintered glass funnel. The bed was washed with 25 mL of 10% acetic acid in water.
- the combined filtrates were cooled to 15°C and a 25% aqueous ammonia was added over a 30 minute period, maintaining the temperature below 25°C, to a pH of 9.3.
- the yellowish slurry was aged overnight at 23°C (room temperature).
- the solids were isolated via vacuum filtration.
- the cake (100 mL wet volume) was washed with 2 x 250 mL 5% ammonia (25%) in water, followed by 100 mL of ethyl acetate.
- the wet cake was dried with vacuum/N 2 flow and the above- titled compound was obtained.
- Step 4 Preparation of l-(4-cyanobenzyl)-5-chloromethyl imidazole HCI salt
- Method 1 l-(4-Cyanobenzyl)-5-hydroxymethylimidazole (1.0 kg), prepared as described above in Step 3, was slurried with DMF (4.8 L) at 22°C and then cooled to -5°C. Thionyl chloride (390 mL) was added dropwise over 60 min during which time the reaction temperature rose to a maximum of 9°C. The solution became nearly homogeneous before the product began to precipitate from solution. The slurry was warmed to 26°C and aged for 1 h.
- Method 2 To an ice cold solution of dry acetonitrile (3.2 L, 15 L/Kg hydroxymethylimidazole) was added 99% oxalyl chloride (101 mL, 1.15 mol, 1.15 equiv.), followed by dry DMF (178 mL, 2.30 mol, 2.30 equiv.), at which time vigorous evolution of gas was observed. After stirring for about 5 to 10 min following the addition of DMF, solid hydroxymethylimidazole (213 g, 1.00 mol), prepared as described above in Step 3, was added gradually. After the addition, the internal temperature was allowed to warm to a temperature of about 23°C to about 25°C and stirred for about 1 to 3 hours.
- the mixture was filtered, then washed with dry acetonitrile (400 mL displacement wash, 550 mL slurry wash, and a 400 mL displacement wash).
- the solid was maintained under a N2 atmosphere during the filtration and washing to prevent hydrolysis of the chloride by adventitious H2O. This yielded the crystalline form of the chloromethylimidazole hydrochloride.
- Step 1 Preparation of l-(4'-Cyanobenzyl) imidazol-5-ylmethyl piperazine-4- carboxylic acid benzyl ester
- Step 3 Preparation of 4-[l-(4-Cyanobenzyl)imidazol-5-ylmethyl]-l-(2- methoxyquinoIin-4-oyl)piperazine trihydrochloride l-[l-(4-Cyanobenzyl)imidazol-5-ylmethyl]piperazine trihydrochloride (Example 2, Step 2, 21.7 mg, 0.0556 mmol), the acid from Step 2 (13.6 mg, 0.0667 mmol), EDC hydrochloride (11.7 mg, 0.0612 mmol), HOBT (8.27 mg, 0.0612 mmol), and N,N-diisopropylethylamine (48.4 ⁇ L, 0.278 mmol) were stirred in dry, degassed DMF (500 ⁇ L) at 20°C under nitrogen.
- the reaction was stirred overnight and then injected onto a C18 preparative HPLC column and purified with a mixed gradient of 5%-95% acetonitrile/0.1% TFA; 95%-5%/0.1% aqueous TFA over 15 min.
- the title compound was isolated after conversion to the hydrochloride salt.
- Step 2 Preparation of 6-chloro-5-ethoxy nicotinic acid
- a solution of product from Step 1 (188 mg, 1.00 mmol) and potassium hydroxide (112 mg, 2.00 mmol) in DMSO (2 mL) was added ethyl iodide (71.5 ⁇ L, 1.20 mmol).
- the solution was stirred for 16 hours, poured onto 10% HCI (10 mL), and extracted with methylene chloride (3 x 10 mL). The combined organic layers were dried (Na 2 SO 4 ), filtered, and concentrated in vacuo to yield the titled product as a white solid.
- Step 3 Preparation of 6-diethylamino-5-ethoxy nicotinic acid
- a solution of the product from Step 2 (100 mg, 0.496 mmol) in diethylamine (2.5 mL)/ ethanol (2.5 mL) was heated in a sealed pressure tube at 145°C for 72 hours.
- the rection slurry was filtered and concentrated in vacuo.
- the crude product was purified on a C18 preparative HPLC column using a mixed gradient of 5%-95% acetonitrile/0.1% TFA; 95%-5%/0.1% aqueous TFA over 15 min to provide the titled product as a white solid.
- Step 4 Preparation of 4-[l-(4-Cyanobenzyl)imidazol-5-ylmethyl]-l-(2- diethylamino-3-ethoxypyrid-5-oyl)piperazine trihydrochloride l-[l-(4-Cyanobenzyl)imidazol-5-ylmethyl]piperazine trihydrochloride (Example 2, Step 2, 21.6 mg, 0.0554 mmol), the acid from Step 2 (15.0 mg, 0.0426 mmol), EDC hydrochloride (12.2 mg, 0.0639 mmol), HOBT (8.63 mg, 0.0639 mmol), and N,N-diisopropylethylamine (37.1 ⁇ L, 0.213 mmol) were stirred in dry, degassed DMF (500 ⁇ L) at 20°C under nitrogen.
- the reaction was stirred overnight and then injected onto a C18 preparative HPLC column and purified with a mixed gradient of 5%-95% acetonitrile/0.1% TFA; 95%-5%/0.1% aqueous TFA over 15 min.
- the title compound was isolated after conversion to the hydrochloride salt.
- Step 1 Preparation of 3-(ethylamino)isoquinoline-4-carboxylic acid ethyl ester To a solution of 3-aminoisoquinoline-4-carboxylic acid ethyl ester
- the crude product was purified on a C18 preparative HPLC column using a mixed gradient of 5%-95% acetonitrile/0.1% TFA; 95%-5%/0.1% aqueous TFA over 15 min to yield the titled product as a white solid.
- Step 3 Preparation of 4-[l-(4-Cyanobenzyl)imidazol-5-ylmethyl]-l-(3- ethylamino-4-isoquinolinoyl)piperazine trihydrochloride l-[l-(4-Cyanobenzyl)imidazol-5-ylmethyl]piperazine trihydrochloride (Example 2, Step 2, 51.0 mg, 0.131 mmol), the acid from Step 2 (49.5 mg, 0.196 mmol), EDC hydrochloride (27.5 mg, 0.144 mmol), HOBT (19.4 mg, 0.144 mmol), and N,N-diisopropylethylamine (114 ⁇ L, 0.653 mmol) were stirred in dry, degassed DMF (1 mL) at 20°C under nitrogen.
- the reaction was stirred overnight and then injected onto a C18 preparative HPLC column and purified with a mixed gradient of 5%-95% acetonitrile/0.1% TFA; 95%-5%/0.1% aqueous TFA over 15 min.
- the title compound was isolated after conversion to the hydrochloride salt.
- the reaction was stirred overnight and then injected onto a C18 preparative HPLC column and purified with a mixed gradient of 5%-95% acetonitrile/0.1% TFA; 95%-5%/0.1% aqueous TFA over 15 min.
- the title compound was isolated after conversion to the hydrochloride salt.
- the reaction was heated overnight, filtered, and then injected onto a C18 preparative HPLC column and purified with a mixed gradient of 5%-95% acetonitrile/0.1% TFA; 95%-5%/0.1% aqueous TFA over 15 min.
- the title compound was isolated after conversion to the hydrochloride salt.
- Step 1 Preparation of 4-[l-(4-Cyanobenzyl)imidazol-5-ylmethyl]-l-[3- methyl-4-(pent-l-ynyl)benzoyl]piperazine bishydrochloride Bromide from Example 10 (34.9 mg, 0.0615 mmol), 1-pentyne (30.3 ⁇ L, 0.308 mmol), dichlorobis(triphenylphosphine)palladium (4.30 mg, 0.00615 mmol), copper (I) iodide (2.30 mg, 0.0123 mmol), and triethylamine (42.9 ⁇ L, 0.308 mmol) were heated in dry, degassed DMF (1 mL) at 100°C in a sealed tube.
- the reaction was heated for 48 hours, filtered, and then injected onto a C18 preparative HPLC column and purified with a mixed gradient of 5%-95% acetonitrile/0.1% TFA; 95%-5%/0.1% aqueous TFA over 15 min.
- the title compound was isolated after conversion to the hydrochloride salt.
- Step 2 Preparation of 4-[l-(4-Cyanobenzyl)imidazol-5-ylmethyl]-l-(3- methyl-4-pentylbenzoyl)piperazine bishydrochloride
- Step 2 Preparation of 4-[l-(4-Cyanobenzyl)imidazol-5-ylmethyl]-l-(2- cyclopropylethynyl-5-methoxybenzoyl)piperazine bishydrochloride
- 5-methoxy-2-bromobenzoic acid methyl ester (528 mg, 2.15 mmol), 1- pentyne (424 ⁇ L, 4.31 mmol), triphenylphosphine (141 mg, 0.538 mmol), dichlorobis(triphenylphosphine)palladium (75.5 mg, 0.108 mmol), and copper (I) iodide (102 mg, 0.538 mmol) were heated in triethylamine (10 mL) at 100°C in a sealed tube. The reaction was heated for 24 hours, poured onto sat. aq. NaHCO 3 (50 mL), and extracted with methylene chloride (3 x 50 mL).
- Step 3 Preparation of 4-[l-(4-Cyanobenzyl)imidazol-5-ylmethyl]-l-[5- methoxy-2-(pent- 1 -ynyDbenzoyllpiperazine bishydrochloride l-[l-(4-Cyanobenzyl)imidazol-5-ylmethyl]piperazine trihydrochloride (Example 2, Step 2, 81.1 mg, 0.208 mmol), the acid from Step 2 (45.3 mg, 0.208 mmol), EDC hydrochloride (43.8 mg, 0.228 mmol), HOBT (30.9 mg, 0.228 mmol), and N,N-diisopropylethylamine (181 ⁇ L, 1.04 mmol) were stirred in dry, degassed DMF (2 mL) at 20°C under nitrogen.
- the reaction was stirred overnight and then injected onto a C18 preparative HPLC column and purified with a mixed gradient of 5%-95% acetonitrile/0.1% TFA; 95%-5%/0.1% aqueous TFA over 15 min.
- the title compound was isolated after conversion to the hydrochloride salt.
- Step 1 Preparation of 4-[l-(4-Cyanobenzyl)imidazol-5-ylmethyl]-l-(5-chloro-
- 2-iodobenzoyl)piperazine bishydrochloride l-[l-(4-Cyanobenzyl)imidazol-5-ylmethyl]piperazine trihydrochloride (Example 2, Step 2, 716 mg, 1.83 mmol), 5-chloro-2-iodobenzoic acid (518 mg, 1.83 mmol), EDC hydrochloride (386 mg, 2.02 mmol), HOBT (272 mg, 2.02 mmol), and N,N-diisopropylethylamine (1.60 mL, 9.16 mmol) were stirred in dry, degassed DMF (10 mL) at 20 °C under nitrogen. The solution was stirred for 16 hours, poured onto sat.
- the reaction was heated for 4 hours, filtered, injected on a C18 preparative HPLC column and purified with a mixed gradient of 5%-95% acetonitrile/0.1% TFA; 95%-5%/0.1% aqueous TFA over 15 min.
- the title compound was isolated after conversion to the hydrochloride salt.
- the reaction was stirred overnight and then injected onto a C18 preparative HPLC column and purified with a mixed gradient of 5%-95% acetonitrile/0.1% TFA; 95%-5%/0.1% aqueous TFA over 15 min.
- the title compound was isolated after conversion to the hydrochloride salt.
- the reaction was stirred overnight and then injected onto a C18 preparative HPLC column and purified with a mixed gradient of 5%-95% acetonitrile/0.1% TFA; 95%-5%/0.1% aqueous TFA over 15 min.
- the title compound was isolated after conversion to the hydrochloride salt.
- the reaction was stirred overnight and then injected onto a C18 preparative HPLC column and purified with a mixed gradient of 5%-95% acetonitrile/0.1% TFA; 95%-5%/0.1% aqueous TFA over 15 min.
- the title compound was isolated after conversion to the hydrochloride salt.
- Example 2 (Example 2, Step 2, 21.5 mg, 0.0550 mmol), 2-quinoline carboxylic acid (9.52 mg, 0.0550 mmol), EDC hydrochloride (11.6 mg, 0.0605 mmol), HOBT (8.17 mg, 0.0605 mmol), and N,N-diisopropylethylamine (47.9 ⁇ L, 0.275 mmol) were stirred in dry, degassed DMF (0.5 mL) at 20°C under nitrogen. The reaction was stirred overnight and then injected onto a C18 preparative HPLC column and purified with a mixed gradient of 5%-95% acetonitrile/0.1% TFA; 95%-5%/0.1% aqueous TFA over 15 min. The title compound was isolated after conversion to the hydrochloride salt.
- the reaction was stirred overnight and then injected onto a C18 preparative HPLC column and purified with a mixed gradient of 5%-95% acetonitrile/0.1% TFA; 95%-5%/0.1% aqueous TFA over 15 min.
- the title compound was isolated after conversion to the hydrochloride salt.
- Step 2 Preparation of 6-diethylaminopyridine-2-carboxylic acid
- the ester from step 1 (2g, 9.0 mmol) and NaOH (IM, 50ml) were stirred in MeOH (50ml) at reflux for 3hrs. The reaction was concentrated in vacuo.
- Step 3 Preparation of 4-[l-(4-Cyanobenzyl)imidazol-5-ylmethyl]-l-(6- diethylamino-pyrid-2-oyl)piperazine trihydrochloride l-[l-(4-Cyanobenzyl)imidazol-5-ylmethyl]piperazine trihydrochloride (Example 2, Step 2, 150 mg, 0.38 mmol), the acid from Step 2 (200 mg, 0.769 mmol), EDC hydrochloride (150 mg, 0.0.769 mmol), HOBT (0.350 mg, 0.38 mmol), and triethyl amine (264 ⁇ L, 1.9 mmol) were stirred in dry DMF (4 ml) at 20°C under Argon.
- the reaction was stirred overnight and then injected onto a C18 preparative HPLC column and purified with a mixed gradient of 5%-95% acetonitrile/0.1% TFA; 95%-5%/0.1% aqueous TFA over 15 min.
- the title compound was isolated after conversion to the hydrochloride salt.
- the reaction was stirred overnight and then injected onto a C18 preparative HPLC column and purified with a mixed gradient of 5%-95% acetonitrile/0.1% TFA; 95%-5%/0.1% aqueous TFA over 15 min.
- the title compound was isolated after conversion to the hydrochloride salt.
- the reaction was stirred overnight and then injected onto a C18 preparative HPLC column and purified with a mixed gradient of 5%-95% acetonitrile/0.1% TFA; 95%- 5 %/0.1% aqueous TFA over 15 min.
- the title compound was isolated after conversion to the hydrochloride salt.
- the reaction was stirred overnight and then injected onto a C18 preparative HPLC column and purified with a mixed gradient of 5%-95% acetonitrile/0.1% TFA; 95%-5%/0.1% aqueous TFA over 15 min.
- the title compound was isolated after conversion to the hydrochloride salt.
- Isoprenyl-protein transferase activity assays are carried out at 30°C unless noted otherwise.
- a typical reaction contains (in a final volume of 50 ⁇ L): [ ⁇ Hjfarnesyl diphosphate, Ras protein , 50 mM HEPES, pH 7.5, 5 mM MgCl2, 5 mM dithiothreitol, 10 ⁇ M ZnCl2, 0.1% polyethyleneglycol (PEG)
- the FPTase employed in the assay is prepared by recombinant expression as described in Omer, C.A., Krai, A.M., Diehl, R.E., Prendergast, G.C., Powers, S sharp Allen, CM., Gibbs, J.B. and Kohl, N.E. (1993) Biochemistry 32:5167-5176. After thermally pre-equilibrating the assay mixture in the absence of enzyme, reactions are initiated by the addition of isoprenyl- protein transferase and stopped at timed intervals (typically 15 min) by the addition of 1 M HCI in ethanol (1 mL).
- the quenched reactions are allowed to stand for 15 m (to complete the precipitation process). After adding 2 mL of 100% ethanol, the reactions are vacuum-filtered through Whatman GF/C filters. Filters are washed four times with 2 mL aliquots of 100% ethanol, mixed with scintillation fluid (10 mL) and then counted in a Beckman LS3801 scintillation counter.
- inhibitors are prepared as concentrated solutions in 100% dimethyl sulfoxide and then diluted 20-fold into the enzyme assay mixture.
- Substrate concentrations for inhibitor IC50 determinations are as follows: FTase, 650 nM Ras-CVLS (SEQ.ID.NO.: 1), 100 nM farnesyl diphosphate.
- the modified geranylgeranyl-protein transferase inhibition assay is carried out at room temperature.
- a typical reaction contains (in a final volume of 50 ⁇ L): [ ⁇ Hjgeranylgeranyl diphosphate, biotinylated Ras peptide, 50 mM HEPES, pH
- a modulating anion for example 10 mM glycerophosphate or 5mM ATP
- 5 mM MgCl 2 5 mM MgCl 2
- 10 ⁇ M ZnCl2 0.1% PEG (15,000-20,000 mw)
- 2 mM dithiothreitol 2 mM dithiothreitol
- geranylgeranyl-protein transferase type I (GGTase).
- the GGTase-type I enzyme employed in the assay is prepared as described in U.S. Pat. No. 5,470,832, incorporated by reference.
- the Ras peptide is derived from the K4B-Ras protein and has the following sequence: biotinyl-GKKKKKKSKTKCVIM (single amino acid code) (SEQ.ID.NO.: 2). Reactions are initiated by the addition of GGTase and stopped at timed intervals (typically 15 min) by the addition of 200 ⁇ L of a 3 mg/mL suspension of streptavidin SPA beads (Scintillation Proximity Assay beads,
- the cell line used in this assay is a v-ras line derived from either Ratl or NIH3T3 cells, which expressed viral Ha-ras p21.
- the assay is performed essentially as described in DeClue, J.E. et al.. Cancer Research 51:712-717, (1991). Cells in 10 cm dishes at 50-75% confluency are treated with the test compound (final concentration of solvent, methanol or dimethyl sulfoxide, is 0.1%). After 4 hours at 37°C, the cells are labeled in 3 ml methionine-free DMEM supple-mented with 10% regular DMEM, 2% fetal bovine serum and 400 ⁇ Ci[35s]methionine (1000
- the cells are lysed in 1 ml lysis buffer (1% NP40/20 mM HEPES, pH 7.5/5 mM MgCl2/lmM DTT/10 mg/ml aprotinen/2 mg/ml leupeptin/2 mg/ml antipain/0.5 mM PMSF) and the lysates cleared by centrifugation at 100,000 x g for 45 min. Aliquots of lysates containing equal numbers of acid- precipitable counts are bought to 1 ml with IP buffer (lysis buffer lacking DTT) and immunoprecipitated with the ras-specific monoclonal antibody Y13-259 (Furth, M.E. et al., J. Virol.
- Rat 1 cells transformed with either v-ras, v-raf, or v-mos are seeded at a density of 1 x 10 ⁇ cells per plate (35 mm in diameter) in a 0.3% top agarose layer in medium A (Dulbecco's modified Eagle's medium supplemented with 10% fetal bovine serum) over a bottom agarose layer (0.6%). Both layers contain 0.1% methanol or an appropriate concentration of the instant compound (dissolved in methanol at 1000 times the final concentration used in the assay).
- the cells are fed twice weekly with 0.5 ml of medium A containing 0.1% methanol or the concentration of the instant compound. Photomicrographs are taken 16 days after the cultures are seeded and comparisons are made.
- the SEAP reporter plasmid, pDSElOO was constructed by ligating a restriction fragment containing the SEAP coding sequence into the plasmid pCMV- RE-AKI.
- the SEAP gene is derived from the plasmid pSEAP2-Basic (Clontech, Palo Alto, CA).
- the plasmid pCMV-RE-AKI was constructed by Deborah Jones (Merck) and contains 5 sequential copies of the 'dyad symmetry response element' cloned upstream of a 'CAT-TATA' sequence derived from the cytomegalovirus immediate early promoter.
- the plasmid also contains a bovine growth hormone poly- A sequence.
- the plasmid, pDSElOO was constructed as follows. A restriction fragment encoding the SEAP coding sequence was cut out of the plasmid pSEAP2- Basic using the restriction enzymes EcoRl and Hpal. The ends of the linear DNA fragments were filled in with the Klenow fragment of E. coli DNA Polymerase I. The 'blunt ended' DNA containing the SEAP gene was isolated by electrophoresing the digest in an agarose gel and cutting out the 1694 base pair fragment. The vector plasmid pCMV-RE-AKI was linearized with the restriction enzyme Bgl-II and the ends filled in with Klenow DNA Polymerase I.
- the SEAP DNA fragment was blunt end ligated into the pCMV-RE-AKI vector and the ligation products were transformed into DH5-alpha E. coli cells (Gibco-BRL). Transformants were screened for the proper insert and then mapped for restriction fragment orientation. Properly oriented recombinant constructs were sequenced across the cloning junctions to verify the correct sequence. The resulting plasmid contains the SEAP coding sequence downstream of the DSE and CAT-TATA promoter elements and upstream of the BGH poly-A sequence.
- the SEAP repotrer plasmid, pDSElOl is also constructed by ligating a restriction fragment containing the SEAP coding sequence into the plasmid pCMV- RE-AKI.
- the SEAP gene is derived from plasmid pGEM7zf(-)/SEAP.
- the plasmid pDSElOl was constructed as follows: A restriction fragment containing part of the SEAP gene coding sequence was cut out of the plasmid pGEM7zf(-)/SEAP using the restriction enzymes Apa I and Kpnl. The ends of the linear DNA fragments were chewed back with the Klenow fragment of E. coli DNA Polymerase I. The "blunt ended" DNA containing the truncated SEAP gene was isolated by electrophoresing the digest in an agarose gel and cutting out the 1910 base pair fragment. This 1910 base pair fragment was ligated into the plasmid pCMV-RE-AKI which had been cut with Bgl-II and filled in with E. coli Klenow fragment DNA polymerase.
- the plasmid pCMV-RE-AKI is derived from plasmid pCMVIE-AKI-DHFR (Whang , Y., Silberklang, M., Morgan, A., Munshi, S., Lenny, A.B., Ellis, R.W., and Kieff, E. (1987) J. Virol., 61, 1796- 1807) by removing an EcoRI fragment containing the DHFR and Neomycin markers.
- the plasmid pGEM7zf(-)/SEAP was constructed as follows. The SEAP gene was PCRed, in two segments from a human placenta cDNA library (Clontech) using the following oligos.
- Sense strand N-terminal SEAP 5' GAGAGGGAATTCGGGCCCTTCCTGCAT GCTGCTGCTGCTGCTGCTGCTGGGC 3' (SEQ.ID.NO. :3)
- Antisense strand N-terminal SEAP 5' GAGAGAGCTCGAGGTTAACCCGGGT GCGCGGCGTCGGTGGT 3' (SEQ.ID.NO.:4)
- Sense strand C-terminal SEAP 5' GAGAGAGTCTAGAGTTAACCCGTGGTCC CCGCGTTGCTTCCT 3' (SEQ.ID.NO.:5)
- Antisense strand C-terminal SEAP 5' GAAGAGGAAGCTTGGTACCGCCACTG GGCTGTAGGTGGTGGCT 3' (SEQ.ID.NO. :6)
- the N-terminal oligos (SEQ.ID.NO.: 4 and SEQ.ID.NO.: 5) were used to generate a 1560 bp N-terminal PCR product that contained EcoRI and Hpal restriction sites at the ends.
- the Antisense N-terminal oligo (SEQ.ID.NO.: 4) introduces an internal translation STOP codon within the SEAP gene along with the Hpal site.
- the C- terminal oligos (SEQ.ID.NO.: 5 and SEQ.ID.NO.: 6) were used to amplify a 412 bp C-terminal PCR product containing Hpal and Hindlll restriction sites.
- the sense strand C-terminal oligo introduces the internal STOP codon as well as the Hpal site.
- the N-terminal amplicon was digested with EcoRI and Hpal while the C-terminal amplicon was digested with Hpal and Hindlll.
- the two fragments comprising each end of the SEAP gene were isolated by electrophoresing the digest in an agarose gel and isolating the 1560 and 412 base pair fragments. These two fragments were then co-ligated into the vector pGEM7zf(-) (Promega) which had been restriction digested with EcoRI and Hindlll and isolated on an agarose gel.
- the resulting clone, pGEM7zf(-)/SEAP contains the coding sequence for the SEAP gene from amino acids.
- a constitutive! y expressing SEAP plasmid pCMV-SEAP An expression plasmid constitutively expressing the SEAP protein was created by placing the sequence encoding a truncated SEAP gene downstream of the cytomegalovirus (CMV) IE-1 promoter.
- the expression plasmid also includes the CMV intron A region 5' to the SEAP gene as well as the 3' untranslated region of the bovine growth hormone gene 3' to the SEAP gene.
- the plasmid pCMVIE-AKI-DHFR (Whang et al, 1987) containing the CMV immediate early promoter was cut with EcoRI generating two fragments. The vector fragment was isolated by agarose electrophoresis and religated. The resulting plasmid is named pCMV-AKI.
- the cytomegalovirus intron A nucleotide sequence was inserted downstream of the CMV IE1 promter in pCMV-AKI.
- the intron A sequence was isolated from a genomic clone bank and subcloned into pBR322 to generate plasmid pl6T-286.
- the intron A sequence was mutated at nucleotide 1856 (nucleotide numbering as in Chapman, B.S., Thayer, R.M., Vincent, K.A. and Haigwood, N.L., Nuc.Acids Res. 19, 3979-3986) to remove a Sad restriction site using site directed mutagenesis.
- the mutated intron A sequence was PCRed from the plasmid pl6T-287 using the following oligos.
- Sense strand 5' GGCAGAGCTCGTTTAGTGAACCGTCAG 3' (SEQ.ID.NO.: 7)
- Antisense strand 5' GAGAGATCTCAAGGACGGTGACTGCAG 3' (SEQ.ID.NO.: 8)
- oligos generate a 991 base pair fragment with a Sad site incorporated by the sense oligo and a Bgl-II fragment incorporated by the antisense oligo.
- the PCR fragment is trimmed with Sad and Bgl-II and isolated on an agarose gel.
- the vector pCMV-AKI is cut with Sad and Bgl-II and the larger vector fragment isolated by agarose gel electrophoresis.
- the two gel isolated fragments are ligated at their respective Sad and Bgl-II sites to create plasmid pCMV-AKI-InA.
- the DNA sequence encoding the truncated SEAP gene is inserted into the pCMV-AKI-InA plasmid at the Bgl-II site of the vector.
- the SEAP gene is cut out of plasmid pGEM7zf(-)/SEAP (described above) using EcoRI and Hindlll.
- the fragment is filled in with Klenow DNA polymerase and the 1970 base pair fragment isolated from the vector fragment by agarose gel electrophoresis
- the pCMV-AKI- InA vector is prepared by digesting with Bgl-II and filling in the ends with Klenow DNA polymerase
- the final construct is generated by blunt end gating the SEAP fragment into the pCMV-AKI-InA vector Transformants were screened for the proper insert and then mapped for rest ⁇ ction fragment o ⁇ entation Properly o ⁇ ented recombinant constructs were sequenced across the cloning junctions to ve ⁇ fy the correct sequence.
- the resulting plasmid contains a modified SEAP sequence downstream of the cytomegalovirus immediately early promoter IE-1 and mtron A sequence and upstream of the bovine growth hormone poly-A sequence.
- the plasmid expresses SEAP in a constitutive manner when transfected into mammalian cells.
- a DNA fragment containing viral -H-ras can be PCRed from plasmid
- the sense strand oligo also optimizes the 'Kozak' translation initiation sequence immediately 5' to the ATG start site.
- cysteine 186 would be mutated to a se ⁇ ne by substituting a G residue for a C residue in the C- terminal antisense oligo.
- the PCR primer oligos introduce an Xhol site at the 5' end and a Xbal site at the 3 'end.
- the Xhol-Xbal fragment can be ligated into the mammalian expression plasmid pCI (Promega) cut with Xhol and Xbal. This results in a plasmid in which the recombinant myr-viral-H-ras gene is constitutively transcribed from the CMV promoter of the pCI vector.
- a viral-H-ras clone with a C-terminal sequence encoding the amino acids CVLL can be cloned from the plasmid "H-1" (Ellis R. et al. J. Virol. 36, 408,
- Antisense strand
- the sense strand oligo optimizes the 'Kozak' sequence and adds an Xhol site.
- the antisense strand mutates serine 189 to leucine and adds an Xbal site.
- the PCR fragment can be trimmed with Xhol and Xbal and ligated into the Xhol- Xbal cut vector pCI (Promega). This results in a plasmid in which the mutated viral- H-ras-CVLL gene is constitutively transcribed from the CMV promoter of the pCI vector.
- the human c-H-ras gene can be PCRed from a human cerebral cortex cDNA library (Clontech) using the following oligonucleotide primers.
- Sense strand a human cerebral cortex cDNA library (Clontech) using the following oligonucleotide primers.
- Antisense strand
- the primers will amplify a c-H-ras encoding DNA fragment with the primers contributing an optimized 'Kozak' translation start sequence, an EcoRI site at the N-terminus and a Sal I stite at the C-terminal end.
- the c-H-ras fragment can be ligated ligated into an EcoRI -Sal I cut mutagenesis vector pAlter-1 (Promega). Mutation of glutamine-61 to a leucine can be accomplished using the manufacturer's protocols and the following oligonucleotide:
- the mutated c-H-ras-Leu61 can be excised from the pAlter-1 vector, using EcoRI and Sal I, and be directly ligated into the vector pCI (Promega) which has been digested with EcoRI and Sal I.
- the new recombinant plasmid will constitutively transcribe c- H-ras-Leu61 from the CMV promoter of the pCI vector.
- the human c-N-ras gene can be PCRed from a human cerebral cortex cDNA library (Clontech) using the following oligonucleotide primers.
- Sense strand 5 ' -GAGAGA ATTCGCC ACC ATG ACTGAGTAC A A ACTGGTGG-3 ' (SEQ.ID.NO.: 16)
- Antisense strand 5 ' -GAGAGA ATTCGCC ACC ATG ACTGAGTAC A A ACTGGTGG-3 ' (SEQ.ID.NO.: 16)
- Antisense strand 5 ' -GAGAGA ATTCGCC ACC ATG ACTGAGTAC A A ACTGGTGG-3 ' (SEQ.ID.NO.: 16)
- Antisense strand 5 ' -GAGAGA ATTCGCC ACC ATG ACTGAGTAC A A ACTGGTGG-3 ' (SEQ.ID.NO.: 16)
- Antisense strand 5 ' -GAGAGA ATTCGCC ACC ATG ACTGAGTAC A A ACTGGTGG-3 ' (SEQ.ID.NO.: 16)
- Antisense strand 5 ' -
- the primers will amplify a c-N-ras encoding DNA fragment with the primers contributing an optimized 'Kozak' translation start sequence, an EcoRI site at the N-terminus and a Sal I stite at the C-terminal end.
- the c-N-ras fragment can be ligated into an EcoRI -Sal I cut mutagenesis vector pAlter-1 (Promega). Mutation of glycine- 12 to a valine can be accomplished using the manufacturer's protocols and the following oligonucleotide:
- the mutated c-N-ras-Val-12 can be excised from the pAlter-1 vector, using EcoRI and Sal I, and be directly ligated into the vector pCI (Promega) which has been digested with EcoRI and Sal I.
- the new recombinant plasmid will constitutively transcribe c- N-ras-Val-12 from the CMV promoter of the pCI vector.
- the human c-K-ras gene can be PCRed from a human cerebral cortex cDNA library (Clontech) using the following oligonucleotide primers.
- Antisense strand 5'-CTCTGTCGACGTATTTACATAATTACACACTTTGTC-3' (SEQ.ID.NO.: 20)
- the primers will amplify a c-K-ras encoding DNA fragment with the primers contributing an optimized 'Kozak' translation start sequence, a Kpnl site at the N-terminus and a Sal I stite at the C-terminal end.
- the c-K-ras fragment can be ligated into a Kpnl - Sal I cut mutagenesis vector pAlter-1 (Promega). Mutation of cysteine-12 to a valine can be accomplished using the manufacturer's protocols and the following oligonucleotide:
- the mutated c-K-ras-Val-12 can be excised from the pAlter-1 vector, using Kpnl and Sal I, and be directly ligated into the vector pCI (Promega) which has been digested with Kpnl and Sal I.
- the new recombinant plasmid will constitutively transcribe c-K- ras-Val-12 from the CMV promoter of the pCI vector.
- Human C33A cells (human epitheial carcenoma - ATTC collection) are seeded in 10cm tissue culture plates in DMEM + 10% fetal calf serum + IX Pen/Strep + IX glutamine + IX NEAA. Cells are grown at 37°C in a 5% CO2 atmosphere until they reach 50 -80% of confluency.
- the transient transfection is performed by the CaPO4 method
- the cells are washed with PBS and trypsinized with 1ml of 0.05% trypsin.
- the 1 ml of trypsinized cells is diluted into 10ml of phenol red free DMEM + 0.2% charcoal stripped calf serum + IX (Pen/Strep, Glutamine and NEAA ).
- Transfected cells are plated in a 96 well microtiter plate (lOO ⁇ l/well) to which drug, diluted in media, has already been added in a volume of lOO ⁇ l. The final volume per well is 200 ⁇ l with each drug concentration repeated in triplicate over a range of half-log steps.
- the heat treated media is assayed for alkaline phosphatase by a luminescence assay using the luminescence reagent CSPD®(Tropix, Bedford, Mass.).
- a volume of 50 ⁇ l media is combined with 200 ⁇ l of CSPD cocktail and incubated for 60 minutes at room temperature.
- Luminesence is monitored using an ML2200 microplate luminometer (Dynatech). Luminescence reflects the level of activation of the fos reporter construct stimulated by the transiently expressed protein.
- PSN-1 human pancreatic carcinoma
- viral -K4B-ras-transformed Ratl cells are used for analysis of protein processing.
- Subconfluent cells in 100 mm dishes are fed with 3.5 ml of media (methionine-free RPMI supplemented with 2% fetal bovine serum or cysteine-free/methionine-free DMEM supplemented with 0.035 ml of 200 mM glutamine (Gibco), 2% fetal bovine serum, respectively) containing the desired concentration of test compound, lovastatin or solvent alone.
- media methionine-free RPMI supplemented with 2% fetal bovine serum or cysteine-free/methionine-free DMEM supplemented with 0.035 ml of 200 mM glutamine (Gibco), 2% fetal bovine serum, respectively
- Test compounds are prepared as lOOOx concentrated solutions in DMSO to yield a final solvent concentration of 0.1%. Following incubation at 37°C for two hours 204 ⁇ Ci/ml [35s]Pro-Mix (Amersham, cell labeling grade) is added.
- the cells are incubated at 37°C for an additional period of time (typically 6 to 24 hours). The media is then removed and the cells are washed once with cold PBS. The cells are scraped into 1 ml of cold PBS, collected by centrifugation (10,000 x g for 10 sec at room temperature), and lysed by vortexing in 1 ml of lysis buffer (1% Nonidet P-40, 20 mM HEPES, pH 7.5, 150 mM NaCl, 1 mM EDTA, 0.5% deoxycholate, 0.1% SDS, 1 mM DTT, 10 ⁇ g/ml AEBSF, 10 ⁇ g/ml aprotinin, 2 ⁇ g/ml leupeptin and 2 ⁇ g/ml antipain). The lysate is then centrifuged at 15,000 x g for 10 min at 4°C and the supernatant saved.
- lysis buffer 1% Nonidet P-40, 20 mM HEPES, pH 7.5
- Ki4B-Ras For immunoprecipitation of Ki4B-Ras, samples of lysate supernatant containing equal amounts of protein are utilized. Protein concentration is determined by the bradford method utilizing bovine serum albumin as a standard. The appropriate volume of lysate is brought to 1 ml with lysis buffer lacking DTT and 8 ⁇ g of the pan Ras monoclonal antibody, Y 13-259, added. The protein/antibody mixture is incubated on ice at 4°C for 24 hours. The immune complex is collected on pansorbin (Calbiochem) coated with rabbit antiserum to rat IgG (Cappel) by tumbling at 4°C for 45 minutes.
- pansorbin Calbiochem
- the pellet is washed 3 times with 1 ml of lysis buffer lacking DTT and protease inhibitors and resuspended in 100 ⁇ l elution buffer (10 mM Tris pH 7.4, 1% SDS).
- the Ras is eluted from the beads by heating at 95°C for 5 minutes, after which the beads are pelleted by brief centrifugation (15,000 x g for 30 sec. at room temperature). The supernatant is added to 1 ml of Dilution Buffer 0.1% Triton X-
- the Ras is eluted from the beads by heating at 95°C for 5 minutes, after which the beads are pelleted by brief centrifugation. The supernatant is subjected to SDS- PAGE on a 12% acrylamide gel (bis-acrylamide:acrylamide, 1:100), and the Ras visualized by fluorography.
- PSN-1 cells are seeded in 24-well assay plates. For each compound to be tested, the cells are treated with a minimum of seven concentrations in half-log steps. The final solvent (DMSO) concentration is 0.1%. A vehicle-only control is included on each assay plate. The cells are treated for 24 hours at 37-C / 5% CO 2 .
- the growth media is then aspirated and the samples are washed with PBS.
- the cells are lysed with SDS-PAGE sample buffer containing 5% 2- mercaptoethanol and heated to 95 -C for 5 minutes. After cooling on ice for 10 minutes, a mixture of nucleases is added to reduce viscosity of the samples.
- the plates are incubated on ice for another 10 minutes.
- the samples are loaded onto pre-cast 8% acrylamide gels and electrophoresed at 15 mA/gel for 3-4 hours.
- the samples are then transferred from the gels to PVDF membranes by Western blotting.
- the membranes are blocked for at least 1 hour in buffer containing 2% nonfat dry milk.
- the membranes are then treated with a monoclonal antibody to hDJ- 2 (Neomarkers Cat. # MS-225), washed, and treated with an alkaline phosphatase- conjugated secondary antibody.
- the membranes are then treated with a fluorescent detection reagent and scanned on a phosphorimager.
- the percent of total signal corresponding to the unprenylated species of hDJ is calculated by densitometry.
- Dose-response curves and EC 50 values are generated using 4-parameter curve fits in SigmaPlot software.
- Cells are labeled, incubated and lysed as described in Example 33.
- samples of lysate supernatant containing equal amounts of protein are utilized. Protein concentration is determined by the bradford method utilizing bovine serum albumin as a standard. The appropriate volume of lysate is brought to 1 ml with lysis buffer lacking DTT and 2 ⁇ g of the Rapl antibody, Rapl/Krevl (121) (Santa Cruz Biotech) is added. The protein/antibody mixture is incubated on ice at 4°C for 1 hour. The immune complex is collected on pansorbin (Calbiochem) by tumbling at 4°C for 45 minutes.
- the pellet is washed 3 times with 1 ml of lysis buffer lacking DTT and protease inhibitors and resuspended in 100 ⁇ l elution buffer (10 mM Tris pH 7.4, 1% SDS).
- the Rapl is eluted from the beads by heating at 95°C for 5 minutes, after which the beads are pelleted by brief centrifugation (15,000 x g for 30 sec. at room temperature).
- the supernatant is added to 1 ml of Dilution Buffer (0.1% Triton X- 100, 5 mM EDTA, 50 mM NaCl, 10 mM Tris pH 7.4) with 2 ⁇ g Rapl antibody, Rapl/Krevl (121) (Santa Cruz Biotech).
- the second protein/antibody mixture is incubated on ice at 4°C for 1-2 hours.
- the immune complex is collected on pansorbin (Calbiochem) by tumbling at 4°C for 45 minutes.
- the pellet is washed 3 times with 1 ml of lysis buffer lacking DTT and protease inhibitors and resuspended in Laemmli sample buffer.
- Rapl is eluted from the beads by heating at 95°C for 5 minutes, after which the beads are pelleted by brief centrifugation. The supernatant is subjected to SDS-PAGE on a 12% acrylamide gel (bis-acrylamide:acrylamide, 1: 100), and the Rapl visualized by fluorography.
- PSN-1 cells are passaged every 3-4 days in 10cm plates, splitting near- confluent plates 1:20 and 1:40. The day before the assay is set up, 5x 10 cells are plated on 15cm plates to ensure the same stage of confluency in each assay.
- the media for these cells is RPMI 1640 (Gibco), with 15% fetal bovine serum and lx Pen/Strep antibiotic mix.
- the day of the assay cells are collected from the 15cm plates by trypsinization and diluted to 400,000 cells/ml in media. 0.5ml of these diluted cells are added to each well of 24-well plates, for a final cell number of 200,000 per well. The cells are then grown at 37°C overnight.
- the compounds to be assayed are diluted in DMSO in 1/2-log dilutions. The range of final concentrations to be assayed is generally 0.1-lOO ⁇ M. Four concentrations per compound is typical. The compounds are diluted so that each concentration is lOOOx of the final concentration (i.e., for a lO ⁇ M data point, a lOmM stock of the compound is needed).
- each lOOOx compound stock is diluted into 1ml media to produce a 2X stock of compound.
- a vehicle control solution (2 ⁇ L DMSO to 1ml media), is utilized.
- 0.5 ml of the 2X stocks of compound are added to the cells.
- the media is aspirated from the assay plates. Each well is rinsed with 1ml PBS, and the PBS is aspirated. 180 ⁇ L SDS-PAGE sample buffer (Novex) containing 5% 2-mercapto-ethanol is added to each well. The plates are heated to 100-C for 5 minutes using a heat block containing an adapter for assay plates. The plates are placed on ice. After 10 minutes, 20 ⁇ L of an RNAse/DNase mix is added per well. This mix is lmg/ml DNasel (Worthington Enzymes), 0.25mg/ml Rnase A (Worthington Enzymes), 0.5M Tris-HCl pH8.0 and 50mM MgCl 2 . The plate is left on ice for 10 minutes. Samples are then either loaded on the gel, or stored at -70-C until use.
- Each assay plate (usually 3 compounds, each in 4-point titrations, plus controls) requires one 15-well 14% Novex gel. 25 ⁇ l of each sample is loaded onto the gel. The gel is run at 15mA for about 3.5 hours. It is important to run the gel far enough so that there will be adequate separation between 21kd (Rapl) and 29kd (Rab6).
- the gels are then transferred to Novex pre-cut PVDF membranes for 1.5 hours at 30V (constant voltage). Immediately after transferring, the membranes are blocked overnight in 20ml Western blocking buffer (2% nonfat dry milk in Western wash buffer (PBS + 0.1% Tween-20). If blocked over the weekend, 0.02% sodium azide is added. The membranes are blocked at 4-C with slow rocking.
- the blocking solution is discarded and 20ml fresh blocking solution containing the anti Rapla antibody (Santa Cruz Biochemical SC1482) at 1:1000 (diluted in Western blocking buffer) and the anti Rab6 antibody (Santa Cruz Biochemical SC310) at 1:5000 (diluted in Western blocking buffer) are added.
- the membranes are incubated at room temperature for 1 hour with mild rocking.
- the blocking solution is then discarded and the membrane is washed 3 times with Western wash buffer for 15 minutes per wash.
- the developed transparency sheet is scanned on a phosphorimager and the Rapla Minimum Inhibitory Concentration is determined from the lowest concentration of compound that produces a detectable Rapla Western signal.
- the Rapla antibody used recognizes only unprenylated/unprocessed Rapla, so that the precence of a detectable Rapla Western signal is indicative of inhibition of Rapla prenylation. Protocol C
- This protocol allows the determination of an EC 50 for inhibition of processing of Rapla.
- the assay is run as described in Protocol B with the following modifications. 20 ⁇ l of sample is run on pre-cast 10-20% gradient acrylamide mini gels (Novex Inc.) at 15 mA/gel for 2.5-3 hours. Prenylated and unprenylated forms of Rapla are detected by blotting with a polyclonal antibody (Rapl/Krev-1 b#121;Santa Cruz Research Products #sc-65), followed by an alkaline phosphatase-conjugated anti-rabbit IgG antibody. The percentage of unprenylated Rapla relative to the total amount of Rapla is determined by peak integration using Imagequant7 software
- Rodent fibroblasts transformed with oncogenically mutated human Haras or Ki-ras (10 cells/animal in 1 ml of DMEM salts) are injected subcutaneously into the left flank of 8-12 week old female nude mice (Harlan) on day 0.
- the mice in each oncogene group are randomly assigned to a vehicle, compound or combination treatment group. Animals are dosed subcutaneously starting on day 1 and daily for the duration of the experiment.
- the farnesyl-protein transferase inhibitor may be administered by a continuous infusion pump.
- Compound, compound combination or vehicle is delivered in a total volume of 0.1 ml. Tumors are excised and weighed when all of the vehicle-treated animals exhibited lesions of 0.5 - 1.0 cm in diameter, typically 11-15 days after the cells were injected. The average weight of the tumors in each treatment group for each cell line is calculated.
Landscapes
- Health & Medical Sciences (AREA)
- Chemical & Material Sciences (AREA)
- Organic Chemistry (AREA)
- Life Sciences & Earth Sciences (AREA)
- Animal Behavior & Ethology (AREA)
- Chemical Kinetics & Catalysis (AREA)
- General Chemical & Material Sciences (AREA)
- Medicinal Chemistry (AREA)
- Nuclear Medicine, Radiotherapy & Molecular Imaging (AREA)
- Pharmacology & Pharmacy (AREA)
- General Health & Medical Sciences (AREA)
- Public Health (AREA)
- Veterinary Medicine (AREA)
- Engineering & Computer Science (AREA)
- Bioinformatics & Cheminformatics (AREA)
- Virology (AREA)
- Communicable Diseases (AREA)
- Oncology (AREA)
- Urology & Nephrology (AREA)
- Molecular Biology (AREA)
- Vascular Medicine (AREA)
- Cardiology (AREA)
- Heart & Thoracic Surgery (AREA)
- Ophthalmology & Optometry (AREA)
- Pharmaceuticals Containing Other Organic And Inorganic Compounds (AREA)
- Plural Heterocyclic Compounds (AREA)
Abstract
Description
Claims
Priority Applications (4)
| Application Number | Priority Date | Filing Date | Title |
|---|---|---|---|
| CA002362495A CA2362495A1 (en) | 1999-03-03 | 2000-03-01 | Inhibitors of prenyl-protein transferases |
| EP00910386A EP1165084A4 (en) | 1999-03-03 | 2000-03-01 | PRENYL PROTEIN TRANSFERASES INHIBITORS |
| JP2000602082A JP2002538121A (en) | 1999-03-03 | 2000-03-01 | Inhibitors of prenyl protein transferase |
| AU32486/00A AU3248600A (en) | 1999-03-03 | 2000-03-01 | Inhibitors of prenyl-protein transferases |
Applications Claiming Priority (4)
| Application Number | Priority Date | Filing Date | Title |
|---|---|---|---|
| US12297199P | 1999-03-03 | 1999-03-03 | |
| US60/122,971 | 1999-03-03 | ||
| US12725299P | 1999-03-31 | 1999-03-31 | |
| US60/127,252 | 1999-03-31 |
Publications (1)
| Publication Number | Publication Date |
|---|---|
| WO2000051614A1 true WO2000051614A1 (en) | 2000-09-08 |
Family
ID=26821069
Family Applications (1)
| Application Number | Title | Priority Date | Filing Date |
|---|---|---|---|
| PCT/US2000/005354 Ceased WO2000051614A1 (en) | 1999-03-03 | 2000-03-01 | Inhibitors of prenyl-protein transferases |
Country Status (5)
| Country | Link |
|---|---|
| EP (1) | EP1165084A4 (en) |
| JP (1) | JP2002538121A (en) |
| AU (1) | AU3248600A (en) |
| CA (1) | CA2362495A1 (en) |
| WO (1) | WO2000051614A1 (en) |
Cited By (32)
| Publication number | Priority date | Publication date | Assignee | Title |
|---|---|---|---|---|
| US6706722B2 (en) | 2000-07-21 | 2004-03-16 | Zentaris Ag | Heteroaryl derivatives and their use as medicaments |
| US6890926B2 (en) | 2000-07-21 | 2005-05-10 | Zentaris Ag | Heteroaryl derivatives and their use as medicaments |
| JP2005538968A (en) * | 2002-06-29 | 2005-12-22 | ツェンタリス ゲゼルシャフト ミット ベシュレンクテル ハフツング | Aryl- and heteroarylcarbonylpiperazines and their use to treat benign and malignant tumor diseases |
| EP2272509A1 (en) | 2006-09-11 | 2011-01-12 | Novartis AG | New Uses of metabotropic glutamate receptors |
| US8431575B2 (en) | 2010-02-18 | 2013-04-30 | Transtech Pharma, Inc. | Phenyl-heteroaryl derivatives and methods of use thereof |
| US8691807B2 (en) | 2011-06-20 | 2014-04-08 | Incyte Corporation | Azetidinyl phenyl, pyridyl or pyrazinyl carboxamide derivatives as JAK inhibitors |
| US8722693B2 (en) | 2007-06-13 | 2014-05-13 | Incyte Corporation | Salts of the Janus kinase inhibitor (R)-3-(4-(7H-pyrrolo[2,3-d]pyrimidin-4-yl)-1H-pyrazol-1-yl)-3-cyclopentylpropanenitrile |
| US8921533B2 (en) | 2011-07-25 | 2014-12-30 | Chromatin Technologies | Glycosylated valproic acid analogs and uses thereof |
| US8933086B2 (en) | 2005-12-13 | 2015-01-13 | Incyte Corporation | Heteroaryl substituted pyrrolo[2,3-B]pyridines and pyrrolo[2,3-B]pyrimidines as Janus kinase inhibitors |
| US8933085B2 (en) | 2010-11-19 | 2015-01-13 | Incyte Corporation | Cyclobutyl substituted pyrrolopyridine and pyrrolopyrimidine derivatives as JAK inhibitors |
| US8987443B2 (en) | 2013-03-06 | 2015-03-24 | Incyte Corporation | Processes and intermediates for making a JAK inhibitor |
| US9034884B2 (en) | 2010-11-19 | 2015-05-19 | Incyte Corporation | Heterocyclic-substituted pyrrolopyridines and pyrrolopyrimidines as JAK inhibitors |
| US9045445B2 (en) | 2010-06-04 | 2015-06-02 | Albany Molecular Research, Inc. | Glycine transporter-1 inhibitors, methods of making them, and uses thereof |
| US9193733B2 (en) | 2012-05-18 | 2015-11-24 | Incyte Holdings Corporation | Piperidinylcyclobutyl substituted pyrrolopyridine and pyrrolopyrimidine derivatives as JAK inhibitors |
| US9216984B2 (en) | 2009-05-22 | 2015-12-22 | Incyte Corporation | 3-[4-(7H-pyrrolo[2,3-D]pyrimidin-4-yl)-1H-pyrazol-1-yl]octane—or heptane-nitrile as JAK inhibitors |
| US9249145B2 (en) | 2009-09-01 | 2016-02-02 | Incyte Holdings Corporation | Heterocyclic derivatives of pyrazol-4-yl-pyrrolo[2,3-d]pyrimidines as janus kinase inhibitors |
| US9334274B2 (en) | 2009-05-22 | 2016-05-10 | Incyte Holdings Corporation | N-(hetero)aryl-pyrrolidine derivatives of pyrazol-4-yl-pyrrolo[2,3-d]pyrimidines and pyrrol-3-yl-pyrrolo[2,3-d]pyrimidines as janus kinase inhibitors |
| US9359358B2 (en) | 2011-08-18 | 2016-06-07 | Incyte Holdings Corporation | Cyclohexyl azetidine derivatives as JAK inhibitors |
| US9464088B2 (en) | 2010-03-10 | 2016-10-11 | Incyte Holdings Corporation | Piperidin-4-yl azetidine derivatives as JAK1 inhibitors |
| US20160297792A1 (en) * | 2013-11-12 | 2016-10-13 | Merck Sharp & Dohme Corp. | Piperidine or piperazine linked imidazole and triazole derivatives and methods of use thereof for improving the pharmacokinetics of a drug |
| US9487521B2 (en) | 2011-09-07 | 2016-11-08 | Incyte Holdings Corporation | Processes and intermediates for making a JAK inhibitor |
| US9498467B2 (en) | 2014-05-30 | 2016-11-22 | Incyte Corporation | Treatment of chronic neutrophilic leukemia (CNL) and atypical chronic myeloid leukemia (aCML) by inhibitors of JAK1 |
| US9655854B2 (en) | 2013-08-07 | 2017-05-23 | Incyte Corporation | Sustained release dosage forms for a JAK1 inhibitor |
| US10166191B2 (en) | 2012-11-15 | 2019-01-01 | Incyte Corporation | Sustained-release dosage forms of ruxolitinib |
| US10196383B2 (en) | 2015-07-17 | 2019-02-05 | Sunshine Lake Pharma Co., Ltd. | Substituted quinazoline compounds and preparation and uses thereof |
| WO2019076269A1 (en) | 2017-10-16 | 2019-04-25 | 清华大学 | Mevalonic acid pathway inhibitor and pharmaceutical composition thereof |
| US10596161B2 (en) | 2017-12-08 | 2020-03-24 | Incyte Corporation | Low dose combination therapy for treatment of myeloproliferative neoplasms |
| US10758543B2 (en) | 2010-05-21 | 2020-09-01 | Incyte Corporation | Topical formulation for a JAK inhibitor |
| US10899736B2 (en) | 2018-01-30 | 2021-01-26 | Incyte Corporation | Processes and intermediates for making a JAK inhibitor |
| US11304949B2 (en) | 2018-03-30 | 2022-04-19 | Incyte Corporation | Treatment of hidradenitis suppurativa using JAK inhibitors |
| US11833155B2 (en) | 2020-06-03 | 2023-12-05 | Incyte Corporation | Combination therapy for treatment of myeloproliferative neoplasms |
| US12544381B2 (en) | 2025-04-05 | 2026-02-10 | Incyte Corporation | Topical formulation for JAK inhibitor |
Citations (2)
| Publication number | Priority date | Publication date | Assignee | Title |
|---|---|---|---|---|
| BE891580A (en) * | 1980-12-23 | 1982-04-16 | Kyorin Seiyaku Kk | 1,4-DISUBSTITUTED PIPERAZINE DERIVATIVES AND THEIR PREPARATION PROCESS |
| US5856326A (en) * | 1995-03-29 | 1999-01-05 | Merck & Co., Inc. | Inhibitors of farnesyl-protein transferase |
Family Cites Families (7)
| Publication number | Priority date | Publication date | Assignee | Title |
|---|---|---|---|---|
| US4093726A (en) * | 1976-12-02 | 1978-06-06 | Abbott Laboratories | N-(2-benzimidazolyl)-piperazines |
| US4159331A (en) * | 1978-05-05 | 1979-06-26 | The Upjohn Company | Antihypertensive 4-aminoquinolines |
| IT1176613B (en) * | 1984-08-14 | 1987-08-18 | Ravizza Spa | PHARMACOLOGICALLY ACTIVE PIPERAZINIC DERIVATIVES AND PROCESS FOR THEIR PREPARATION |
| JPH0696555B2 (en) * | 1986-07-31 | 1994-11-30 | 大塚製薬株式会社 | Carbostyril derivative |
| JPS63183565A (en) * | 1986-09-24 | 1988-07-28 | Ss Pharmaceut Co Ltd | Imidazole derivative |
| JPH01132579A (en) * | 1987-11-19 | 1989-05-25 | Ss Pharmaceut Co Ltd | Indole derivative |
| GB9013750D0 (en) * | 1990-06-20 | 1990-08-08 | Pfizer Ltd | Therapeutic agents |
-
2000
- 2000-03-01 JP JP2000602082A patent/JP2002538121A/en not_active Withdrawn
- 2000-03-01 EP EP00910386A patent/EP1165084A4/en not_active Withdrawn
- 2000-03-01 AU AU32486/00A patent/AU3248600A/en not_active Abandoned
- 2000-03-01 CA CA002362495A patent/CA2362495A1/en not_active Abandoned
- 2000-03-01 WO PCT/US2000/005354 patent/WO2000051614A1/en not_active Ceased
Patent Citations (2)
| Publication number | Priority date | Publication date | Assignee | Title |
|---|---|---|---|---|
| BE891580A (en) * | 1980-12-23 | 1982-04-16 | Kyorin Seiyaku Kk | 1,4-DISUBSTITUTED PIPERAZINE DERIVATIVES AND THEIR PREPARATION PROCESS |
| US5856326A (en) * | 1995-03-29 | 1999-01-05 | Merck & Co., Inc. | Inhibitors of farnesyl-protein transferase |
Non-Patent Citations (2)
| Title |
|---|
| OLSON, R. E. ET. AL.: "Balanced angiotensin II receptor antagonists II. 4-aminomethyl and acylaminomethylimidazoles", BIOORG. MED. CHEM. LETT., vol. 4, no. 18, 1994, pages 2229 - 2234, XP002928693 * |
| See also references of EP1165084A4 * |
Cited By (82)
| Publication number | Priority date | Publication date | Assignee | Title |
|---|---|---|---|---|
| US6706722B2 (en) | 2000-07-21 | 2004-03-16 | Zentaris Ag | Heteroaryl derivatives and their use as medicaments |
| US6890926B2 (en) | 2000-07-21 | 2005-05-10 | Zentaris Ag | Heteroaryl derivatives and their use as medicaments |
| US6936615B2 (en) | 2000-07-21 | 2005-08-30 | Zentaris Gmbh | Heteroaryl derivatives and their use as medicaments |
| US7026310B2 (en) | 2000-07-21 | 2006-04-11 | Zentaris Gmbh | Heteroaryl derivatives and their use as medicaments |
| US7056912B2 (en) | 2000-07-21 | 2006-06-06 | Zentaris Gmbh | Heteroaryl derivatives and their use as medicaments |
| JP2005538968A (en) * | 2002-06-29 | 2005-12-22 | ツェンタリス ゲゼルシャフト ミット ベシュレンクテル ハフツング | Aryl- and heteroarylcarbonylpiperazines and their use to treat benign and malignant tumor diseases |
| US9974790B2 (en) | 2005-12-13 | 2018-05-22 | Incyte Corporation | Heteroaryl substituted pyrrolo[2,3-B] pyridines and pyrrolo[2,3-B] pyrimidines as janus kinase inhibitors |
| US10398699B2 (en) | 2005-12-13 | 2019-09-03 | Incyte Holdings Corporation | Heteroaryl substituted pyrrolo[2,3-b]pyridines and pyrrolo[2,3-b]pyrimidines as janus kinase inhibitors |
| US9079912B2 (en) | 2005-12-13 | 2015-07-14 | Incyte Corporation | Heteroaryl substituted pyrrolo[2,3-B] pyridines and pyrrolo[2,3-B] pyrimidines as Janus kinase inhibitors |
| US9814722B2 (en) | 2005-12-13 | 2017-11-14 | Incyte Holdings Corporation | Heteroaryl substituted pyrrolo[2,3-B] pyridines and pyrrolo[2,3-B] pyrimidines as janus kinase inhibitors |
| US9662335B2 (en) | 2005-12-13 | 2017-05-30 | Incyte Holdings Corporation | Heteroaryl substituted pyrrolo[2,3-B] pyridines and pyrrolo[2,3-B] pyrimidines as janus kinase inhibitors |
| US10639310B2 (en) | 2005-12-13 | 2020-05-05 | Incyte Corporation | Heteroaryl substituted pyrrolo[2,3-b]pyridines and pyrrolo[2,3-b]pyrimidines as Janus kinase inhibitors |
| US11331320B2 (en) | 2005-12-13 | 2022-05-17 | Incyte Holdings Corporation | Heteroaryl substituted pyrrolo[2,3-b]pyridines and pyrrolo[2,3-b]pyrimidines as Janus kinase inhibitors |
| US8933086B2 (en) | 2005-12-13 | 2015-01-13 | Incyte Corporation | Heteroaryl substituted pyrrolo[2,3-B]pyridines and pyrrolo[2,3-B]pyrimidines as Janus kinase inhibitors |
| US9206187B2 (en) | 2005-12-13 | 2015-12-08 | Incyte Holdings Corporation | Heteroaryl substituted pyrrolo[2,3-B] pyridines and pyrrolo[2,3-B] pyrimidines as Janus kinase |
| US8946245B2 (en) | 2005-12-13 | 2015-02-03 | Incyte Corporation | Heteroaryl substituted pyrrolo[2,3-b]pyridines and pyrrolo[2,3-b]pyrimidines as Janus kinase inhibitors |
| US11744832B2 (en) | 2005-12-13 | 2023-09-05 | Incyte Corporation | Heteroaryl substituted pyrrolo[2,3-b]pyridines and pyrrolo[2,3-b]pyrimidines as Janus kinase inhibitors |
| EP2272509A1 (en) | 2006-09-11 | 2011-01-12 | Novartis AG | New Uses of metabotropic glutamate receptors |
| US8829013B1 (en) | 2007-06-13 | 2014-09-09 | Incyte Corporation | Salts of the Janus kinase inhibitor (R)-3-(4-(7H-pyrrolo[2,3-D]pyrimidin-4-yl)-1H-pyrazol-1-yl)-3-cyclopentylpropanenitrile |
| US8722693B2 (en) | 2007-06-13 | 2014-05-13 | Incyte Corporation | Salts of the Janus kinase inhibitor (R)-3-(4-(7H-pyrrolo[2,3-d]pyrimidin-4-yl)-1H-pyrazol-1-yl)-3-cyclopentylpropanenitrile |
| US10610530B2 (en) | 2007-06-13 | 2020-04-07 | Incyte Corporation | Salts of the Janus kinase inhibitor (R)-3-(4-(7H-pyrrolo[2,3-d]pyrimidin-4-yl)-1H-pyrazol-1-yl)-3-cyclopentylpropanenitrile |
| US8822481B1 (en) | 2007-06-13 | 2014-09-02 | Incyte Corporation | Salts of the janus kinase inhibitor (R)-3-(4-(7H-pyrrolo[2,3-d] pyrimidin-4-yl)-1H-pyrazol-1-yl)-3-cyclopentylpropanenitrile |
| US9376439B2 (en) | 2007-06-13 | 2016-06-28 | Incyte Corporation | Salts of the janus kinase inhibitor (R)-3(4-(7H-pyrrolo[2,3-d]pyrimidin-4-yl)-1H-pyrazol-1-yl)-3-cyclopentylpropanenitrile |
| US11213528B2 (en) | 2007-06-13 | 2022-01-04 | Incyte Holdings Corporation | Salts of the janus kinase inhibitor (R)-3-(4-(7H-pyrrolo[2,3-d]pyrimidin-4-yl)-1H-pyrazol-1-yl)-3-cyclopentylpropanenitrile |
| US10016429B2 (en) | 2007-06-13 | 2018-07-10 | Incyte Corporation | Salts of the janus kinase inhibitor (R)-3-(4-(7H-pyrrolo[2,3-D]pyrimidin-4-yl)-1H-pyrazol-1-yl)-3-cyclopentylpropanenitrile |
| US9334274B2 (en) | 2009-05-22 | 2016-05-10 | Incyte Holdings Corporation | N-(hetero)aryl-pyrrolidine derivatives of pyrazol-4-yl-pyrrolo[2,3-d]pyrimidines and pyrrol-3-yl-pyrrolo[2,3-d]pyrimidines as janus kinase inhibitors |
| US9216984B2 (en) | 2009-05-22 | 2015-12-22 | Incyte Corporation | 3-[4-(7H-pyrrolo[2,3-D]pyrimidin-4-yl)-1H-pyrazol-1-yl]octane—or heptane-nitrile as JAK inhibitors |
| US9623029B2 (en) | 2009-05-22 | 2017-04-18 | Incyte Holdings Corporation | 3-[4-(7H-pyrrolo[2,3-d]pyrimidin-4-yl)-1H-pyrazol-1-yl]octane- or heptane-nitrile as JAK inhibitors |
| US9249145B2 (en) | 2009-09-01 | 2016-02-02 | Incyte Holdings Corporation | Heterocyclic derivatives of pyrazol-4-yl-pyrrolo[2,3-d]pyrimidines as janus kinase inhibitors |
| US8741900B2 (en) | 2010-02-18 | 2014-06-03 | Transtech Pharma, Llc | Phenyl-heteroaryl derivatives and methods of use thereof |
| US8431575B2 (en) | 2010-02-18 | 2013-04-30 | Transtech Pharma, Inc. | Phenyl-heteroaryl derivatives and methods of use thereof |
| US9045461B2 (en) | 2010-02-18 | 2015-06-02 | Transtech Pharma, Llc | Phenyl-heteroaryl derivatives and methods of use thereof |
| US9999619B2 (en) | 2010-03-10 | 2018-06-19 | Incyte Holdings Corporation | Piperidin-4-yl azetidine derivatives as JAK1 inhibitors |
| US11285140B2 (en) | 2010-03-10 | 2022-03-29 | Incyte Corporation | Piperidin-4-yl azetidine derivatives as JAK1 inhibitors |
| US9464088B2 (en) | 2010-03-10 | 2016-10-11 | Incyte Holdings Corporation | Piperidin-4-yl azetidine derivatives as JAK1 inhibitors |
| US10695337B2 (en) | 2010-03-10 | 2020-06-30 | Incyte Holdings Corporation | Piperidin-4-yl azetidine derivatives as JAK1 inhibitors |
| US12226419B2 (en) | 2010-05-21 | 2025-02-18 | Incyte Corporation | Topical formulation for a JAK inhibitor |
| US11571425B2 (en) | 2010-05-21 | 2023-02-07 | Incyte Corporation | Topical formulation for a JAK inhibitor |
| US11219624B2 (en) | 2010-05-21 | 2022-01-11 | Incyte Holdings Corporation | Topical formulation for a JAK inhibitor |
| US10758543B2 (en) | 2010-05-21 | 2020-09-01 | Incyte Corporation | Topical formulation for a JAK inhibitor |
| US11590136B2 (en) | 2010-05-21 | 2023-02-28 | Incyte Corporation | Topical formulation for a JAK inhibitor |
| US10869870B2 (en) | 2010-05-21 | 2020-12-22 | Incyte Corporation | Topical formulation for a JAK inhibitor |
| US9045445B2 (en) | 2010-06-04 | 2015-06-02 | Albany Molecular Research, Inc. | Glycine transporter-1 inhibitors, methods of making them, and uses thereof |
| US9034884B2 (en) | 2010-11-19 | 2015-05-19 | Incyte Corporation | Heterocyclic-substituted pyrrolopyridines and pyrrolopyrimidines as JAK inhibitors |
| US8933085B2 (en) | 2010-11-19 | 2015-01-13 | Incyte Corporation | Cyclobutyl substituted pyrrolopyridine and pyrrolopyrimidine derivatives as JAK inhibitors |
| US10640506B2 (en) | 2010-11-19 | 2020-05-05 | Incyte Holdings Corporation | Cyclobutyl substituted pyrrolopyridine and pyrrolopyrimidines derivatives as JAK inhibitors |
| US8691807B2 (en) | 2011-06-20 | 2014-04-08 | Incyte Corporation | Azetidinyl phenyl, pyridyl or pyrazinyl carboxamide derivatives as JAK inhibitors |
| US9023840B2 (en) | 2011-06-20 | 2015-05-05 | Incyte Corporation | Azetidinyl phenyl, pyridyl or pyrazinyl carboxamide derivatives as JAK inhibitors |
| US10513522B2 (en) | 2011-06-20 | 2019-12-24 | Incyte Corporation | Azetidinyl phenyl, pyridyl or pyrazinyl carboxamide derivatives as JAK inhibitors |
| US11214573B2 (en) | 2011-06-20 | 2022-01-04 | Incyte Holdings Corporation | Azetidinyl phenyl, pyridyl or pyrazinyl carboxamide derivatives as JAK inhibitors |
| US9611269B2 (en) | 2011-06-20 | 2017-04-04 | Incyte Corporation | Azetidinyl phenyl, pyridyl or pyrazinyl carboxamide derivatives as JAK inhibitors |
| US8921533B2 (en) | 2011-07-25 | 2014-12-30 | Chromatin Technologies | Glycosylated valproic acid analogs and uses thereof |
| US9359358B2 (en) | 2011-08-18 | 2016-06-07 | Incyte Holdings Corporation | Cyclohexyl azetidine derivatives as JAK inhibitors |
| US9718834B2 (en) | 2011-09-07 | 2017-08-01 | Incyte Corporation | Processes and intermediates for making a JAK inhibitor |
| US9487521B2 (en) | 2011-09-07 | 2016-11-08 | Incyte Holdings Corporation | Processes and intermediates for making a JAK inhibitor |
| US9193733B2 (en) | 2012-05-18 | 2015-11-24 | Incyte Holdings Corporation | Piperidinylcyclobutyl substituted pyrrolopyridine and pyrrolopyrimidine derivatives as JAK inhibitors |
| US11896717B2 (en) | 2012-11-15 | 2024-02-13 | Incyte Holdings Corporation | Sustained-release dosage forms of ruxolitinib |
| US10874616B2 (en) | 2012-11-15 | 2020-12-29 | Incyte Corporation | Sustained-release dosage forms of ruxolitinib |
| US11576865B2 (en) | 2012-11-15 | 2023-02-14 | Incyte Corporation | Sustained-release dosage forms of ruxolitinib |
| US11576864B2 (en) | 2012-11-15 | 2023-02-14 | Incyte Corporation | Sustained-release dosage forms of ruxolitinib |
| US10166191B2 (en) | 2012-11-15 | 2019-01-01 | Incyte Corporation | Sustained-release dosage forms of ruxolitinib |
| US11337927B2 (en) | 2012-11-15 | 2022-05-24 | Incyte Holdings Corporation | Sustained-release dosage forms of ruxolitinib |
| US8987443B2 (en) | 2013-03-06 | 2015-03-24 | Incyte Corporation | Processes and intermediates for making a JAK inhibitor |
| US9221845B2 (en) | 2013-03-06 | 2015-12-29 | Incyte Holdings Corporation | Processes and intermediates for making a JAK inhibitor |
| US9714233B2 (en) | 2013-03-06 | 2017-07-25 | Incyte Corporation | Processes and intermediates for making a JAK inhibitor |
| US11045421B2 (en) | 2013-08-07 | 2021-06-29 | Incyte Corporation | Sustained release dosage forms for a JAK1 inhibitor |
| US9655854B2 (en) | 2013-08-07 | 2017-05-23 | Incyte Corporation | Sustained release dosage forms for a JAK1 inhibitor |
| US10561616B2 (en) | 2013-08-07 | 2020-02-18 | Incyte Corporation | Sustained release dosage forms for a JAK1 inhibitor |
| US12151026B2 (en) | 2013-08-07 | 2024-11-26 | Incyte Corporation | Sustained release dosage forms for a JAK1 inhibitor |
| US20160297792A1 (en) * | 2013-11-12 | 2016-10-13 | Merck Sharp & Dohme Corp. | Piperidine or piperazine linked imidazole and triazole derivatives and methods of use thereof for improving the pharmacokinetics of a drug |
| US10745377B2 (en) * | 2013-11-12 | 2020-08-18 | Merck Sharp & Dohme Corp. | Piperidine or piperazine linked imidazole and triazole derivatives and methods of use |
| US9498467B2 (en) | 2014-05-30 | 2016-11-22 | Incyte Corporation | Treatment of chronic neutrophilic leukemia (CNL) and atypical chronic myeloid leukemia (aCML) by inhibitors of JAK1 |
| US10196383B2 (en) | 2015-07-17 | 2019-02-05 | Sunshine Lake Pharma Co., Ltd. | Substituted quinazoline compounds and preparation and uses thereof |
| WO2019076269A1 (en) | 2017-10-16 | 2019-04-25 | 清华大学 | Mevalonic acid pathway inhibitor and pharmaceutical composition thereof |
| US10596161B2 (en) | 2017-12-08 | 2020-03-24 | Incyte Corporation | Low dose combination therapy for treatment of myeloproliferative neoplasms |
| US11278541B2 (en) | 2017-12-08 | 2022-03-22 | Incyte Corporation | Low dose combination therapy for treatment of myeloproliferative neoplasms |
| US10899736B2 (en) | 2018-01-30 | 2021-01-26 | Incyte Corporation | Processes and intermediates for making a JAK inhibitor |
| US11304949B2 (en) | 2018-03-30 | 2022-04-19 | Incyte Corporation | Treatment of hidradenitis suppurativa using JAK inhibitors |
| US12280054B2 (en) | 2018-03-30 | 2025-04-22 | Incyte Corporation | Treatment of hidradenitis suppurativa using JAK inhibitors |
| US11833155B2 (en) | 2020-06-03 | 2023-12-05 | Incyte Corporation | Combination therapy for treatment of myeloproliferative neoplasms |
| US12440495B2 (en) | 2020-06-03 | 2025-10-14 | Incyte Corporation | Combination therapy for treatment of myeloproliferative neoplasms |
| US12544381B2 (en) | 2025-04-05 | 2026-02-10 | Incyte Corporation | Topical formulation for JAK inhibitor |
Also Published As
| Publication number | Publication date |
|---|---|
| CA2362495A1 (en) | 2000-09-08 |
| JP2002538121A (en) | 2002-11-12 |
| EP1165084A4 (en) | 2002-05-15 |
| AU3248600A (en) | 2000-09-21 |
| EP1165084A1 (en) | 2002-01-02 |
Similar Documents
| Publication | Publication Date | Title |
|---|---|---|
| WO2000051614A1 (en) | Inhibitors of prenyl-protein transferases | |
| US6387903B1 (en) | Inhibitors of prenyl-protein transferase | |
| US6358956B1 (en) | Inhibitors of prenyl-protein transferase | |
| US20020052363A1 (en) | Inhibitors of prenyl-protein transferase | |
| US6358985B1 (en) | Inhibitors of prenyl-protein transferase | |
| WO1999009985A1 (en) | Inhibitors of prenyl-protein transferase | |
| US6376496B1 (en) | Inhibitors of prenyl-protein transferase | |
| WO2001060815A1 (en) | Inhibitors of prenyl-protein transferase | |
| WO2001060368A1 (en) | Inhibitors of prenyl-protein transferase | |
| US20020193283A1 (en) | Inhibitors of prenyl-protein transferase | |
| US6335343B1 (en) | Inhibitors of prenyl-protein transferase | |
| US6355643B1 (en) | Inhibitors of prenyl-protein transferase | |
| WO2000034239A2 (en) | Inhibitors of prenyl-protein transferase | |
| WO1999010329A1 (en) | Inhibitors of prenyl-protein transferase | |
| WO2000025788A1 (en) | Inhibitors of prenyl-protein transferase | |
| WO2000075135A1 (en) | Biaryl inhibitors of prenyl-protein transferase | |
| WO2001007051A1 (en) | Prenyl-protein transferase inhibitors | |
| EP1019529A1 (en) | A method of treating cancer |
Legal Events
| Date | Code | Title | Description |
|---|---|---|---|
| AK | Designated states |
Kind code of ref document: A1 Designated state(s): AE AL AM AT AU AZ BA BB BG BR BY CA CH CN CR CU CZ DE DK DM EE ES FI GB GD GE GH GM HR HU ID IL IN IS JP KE KG KR KZ LC LK LR LS LT LU LV MA MD MG MK MN MW MX NO NZ PL PT RO RU SD SE SG SI SK SL TJ TM TR TT TZ UA UG US UZ VN YU ZA ZW |
|
| AL | Designated countries for regional patents |
Kind code of ref document: A1 Designated state(s): GH GM KE LS MW SD SL SZ TZ UG ZW AM AZ BY KG KZ MD RU TJ TM AT BE CH CY DE DK ES FI FR GB GR IE IT LU MC NL PT SE BF BJ CF CG CI CM GA GN GW ML MR NE SN TD TG |
|
| 121 | Ep: the epo has been informed by wipo that ep was designated in this application | ||
| DFPE | Request for preliminary examination filed prior to expiration of 19th month from priority date (pct application filed before 20040101) | ||
| WWE | Wipo information: entry into national phase |
Ref document number: 2000910386 Country of ref document: EP Ref document number: 32486/00 Country of ref document: AU |
|
| ENP | Entry into the national phase |
Ref document number: 2000 602082 Country of ref document: JP Kind code of ref document: A Ref document number: 2362495 Country of ref document: CA Kind code of ref document: A Ref document number: 2362495 Country of ref document: CA |
|
| WWP | Wipo information: published in national office |
Ref document number: 2000910386 Country of ref document: EP |
|
| REG | Reference to national code |
Ref country code: DE Ref legal event code: 8642 |
|
| WWW | Wipo information: withdrawn in national office |
Ref document number: 2000910386 Country of ref document: EP |









































































































