WO1999026508A1 - Product applicator - Google Patents
Product applicator Download PDFInfo
- Publication number
- WO1999026508A1 WO1999026508A1 PCT/US1998/024639 US9824639W WO9926508A1 WO 1999026508 A1 WO1999026508 A1 WO 1999026508A1 US 9824639 W US9824639 W US 9824639W WO 9926508 A1 WO9926508 A1 WO 9926508A1
- Authority
- WO
- WIPO (PCT)
- Prior art keywords
- composition
- hair
- container
- acid
- compositions
- Prior art date
- Legal status (The legal status is an assumption and is not a legal conclusion. Google has not performed a legal analysis and makes no representation as to the accuracy of the status listed.)
- Ceased
Links
Classifications
-
- B—PERFORMING OPERATIONS; TRANSPORTING
- B65—CONVEYING; PACKING; STORING; HANDLING THIN OR FILAMENTARY MATERIAL
- B65D—CONTAINERS FOR STORAGE OR TRANSPORT OF ARTICLES OR MATERIALS, e.g. BAGS, BARRELS, BOTTLES, BOXES, CANS, CARTONS, CRATES, DRUMS, JARS, TANKS, HOPPERS, FORWARDING CONTAINERS; ACCESSORIES, CLOSURES, OR FITTINGS THEREFOR; PACKAGING ELEMENTS; PACKAGES
- B65D47/00—Closures with filling and discharging, or with discharging, devices
- B65D47/42—Closures with filling and discharging, or with discharging, devices with pads or like contents-applying means
-
- A—HUMAN NECESSITIES
- A45—HAND OR TRAVELLING ARTICLES
- A45D—HAIRDRESSING OR SHAVING EQUIPMENT; EQUIPMENT FOR COSMETICS OR COSMETIC TREATMENTS, e.g. FOR MANICURING OR PEDICURING
- A45D19/00—Devices for washing the hair or the scalp; Similar devices for colouring the hair
- A45D19/02—Hand-actuated implements, e.g. hand-actuated spray heads
- A45D19/028—Hand-actuated implements, e.g. hand-actuated spray heads having applicators other than brushes or combs, e.g. rollers, balls or sponges
-
- A—HUMAN NECESSITIES
- A45—HAND OR TRAVELLING ARTICLES
- A45D—HAIRDRESSING OR SHAVING EQUIPMENT; EQUIPMENT FOR COSMETICS OR COSMETIC TREATMENTS, e.g. FOR MANICURING OR PEDICURING
- A45D19/00—Devices for washing the hair or the scalp; Similar devices for colouring the hair
- A45D19/0041—Processes for treating the hair of the scalp
- A45D19/0066—Coloring or bleaching
-
- A—HUMAN NECESSITIES
- A45—HAND OR TRAVELLING ARTICLES
- A45D—HAIRDRESSING OR SHAVING EQUIPMENT; EQUIPMENT FOR COSMETICS OR COSMETIC TREATMENTS, e.g. FOR MANICURING OR PEDICURING
- A45D19/00—Devices for washing the hair or the scalp; Similar devices for colouring the hair
- A45D19/0041—Processes for treating the hair of the scalp
- A45D19/0066—Coloring or bleaching
- A45D19/0083—Coloring or bleaching the roots of the hair
-
- A—HUMAN NECESSITIES
- A45—HAND OR TRAVELLING ARTICLES
- A45D—HAIRDRESSING OR SHAVING EQUIPMENT; EQUIPMENT FOR COSMETICS OR COSMETIC TREATMENTS, e.g. FOR MANICURING OR PEDICURING
- A45D19/00—Devices for washing the hair or the scalp; Similar devices for colouring the hair
- A45D19/02—Hand-actuated implements, e.g. hand-actuated spray heads
- A45D19/026—Hand-actuated implements, e.g. hand-actuated spray heads having brush or comb applicators
-
- A—HUMAN NECESSITIES
- A45—HAND OR TRAVELLING ARTICLES
- A45D—HAIRDRESSING OR SHAVING EQUIPMENT; EQUIPMENT FOR COSMETICS OR COSMETIC TREATMENTS, e.g. FOR MANICURING OR PEDICURING
- A45D24/00—Hair combs for care of the hair; Accessories therefor
- A45D24/22—Combs with dispensing devices for liquids, pastes or powders
- A45D24/26—Combs with dispensing devices for liquids, pastes or powders with flexible walls of the liquid, paste, or powder storing device
-
- B—PERFORMING OPERATIONS; TRANSPORTING
- B65—CONVEYING; PACKING; STORING; HANDLING THIN OR FILAMENTARY MATERIAL
- B65D—CONTAINERS FOR STORAGE OR TRANSPORT OF ARTICLES OR MATERIALS, e.g. BAGS, BARRELS, BOTTLES, BOXES, CANS, CARTONS, CRATES, DRUMS, JARS, TANKS, HOPPERS, FORWARDING CONTAINERS; ACCESSORIES, CLOSURES, OR FITTINGS THEREFOR; PACKAGING ELEMENTS; PACKAGES
- B65D83/00—Containers or packages with special means for dispensing contents
- B65D83/771—Containers or packages with special means for dispensing contents for dispensing fluent contents by means of a flexible bag or a deformable membrane or diaphragm
-
- B—PERFORMING OPERATIONS; TRANSPORTING
- B65—CONVEYING; PACKING; STORING; HANDLING THIN OR FILAMENTARY MATERIAL
- B65D—CONTAINERS FOR STORAGE OR TRANSPORT OF ARTICLES OR MATERIALS, e.g. BAGS, BARRELS, BOTTLES, BOXES, CANS, CARTONS, CRATES, DRUMS, JARS, TANKS, HOPPERS, FORWARDING CONTAINERS; ACCESSORIES, CLOSURES, OR FITTINGS THEREFOR; PACKAGING ELEMENTS; PACKAGES
- B65D2231/00—Means for facilitating the complete expelling of the contents
- B65D2231/001—Means for facilitating the complete expelling of the contents the container being a bag
- B65D2231/004—Means for facilitating the complete expelling of the contents the container being a bag comprising rods or tubes provided with radial openings, ribs or the like, e.g. dip-tubes, spiral rods
Definitions
- the present invention relates generally to packaged compositions applicators and s more especially but not exclusively to applicators for use in applying hair and/or scalp compositions to the hair and/or scalp in a time-efficient, controlled and mess- free manner.
- One of the applicators has an elongate tip for use primarily as parting means, and others of the applicators are alternative brushes and combs for use primarily as 5 spreading means, with a valve being provided for enabling the hair treating liquid to be directed to the parting means or the spreading means or both.
- a practical disadvantage of this known hair treatment device is that it can be awkward to handle in a controlled and mess-free manner.
- hair treatment devices have an applicator in the form of an elongate dispensing spout which gradually narrows along its length to a free end provided with a discharge orifice.
- such a hair treatment device can also have an applicator in the form of a comb provided with an internal passage for directing a hair composition from the discharge orifice of the spout to a plurality of small holes in teeth of the comb.
- the comb is a push fit over the spout such that the comb extends beyond the free end of the spout and is retained along part of the length of the spout by friction.
- JP-A-9-118375 discloses how two liquids can be mixed and then delivered through a comb which is detachably securable to a nozzle by any appropriate means.
- the two liquids may form a hair colouring composition.
- Hair treatment devices are typically provided with different types of applicator to suit different hair treatment situations.
- a dispensing spout to allow a line of hair composition to be applied
- a dispensing pervious member such as a cloth to allow hair composition to be wiped over the hair
- a dispensing comb or brush to allow hair composition to be thoroughly worked throughout the length of the hair.
- US-A-4211247 discloses such dispensing applicators and also discloses non-dispensing sponges for use in merely spreading hair composition after the hair composition has been applied by a dispensing applicator.
- the present invention relates to a hand-held packaged composition
- a hand-held packaged composition comprising the combination of a flowable composition and of a package for the composition, the combination of a flowable composition and of a package for the composition, the package comprising an applicator and a container, the container having flexible and resilient walls and comprising a reservoir for the flowable composition, the applicator having a plurality of elongated parting members forming a distribution cross section for distributing the flowable composition in a volume by displacement of the applicator in a direction substantially normal to the cross-section, the distribution cross section comprising a plurality of outlets, the composition distribution through the outlets being actuated by application of a pressure to the flexible and resilient walls of the container, whereby at least 0.1 g and up to 0.5 g of composition are distributed per cm 2 of the cross section and per second when a pressure of 1.5 Pa is applied to the flexible and resilient walls of the container.
- composition is flowable under gravity, such as liquids, paste, gel or even granular compositions for example.
- the container has flexible and resilient walls. It should be noted that such flexibility means that pressure with a hand or with fingers will create a displacement of the wall, the walls recovering their original state when pressure is released as they are resilient.
- the applicator has a plurality of elongated parting members forming a distribution cross section for distributing the flowable composition in a volume by displacement of the applicator in a direction substantially normal to the cross-section.
- the distribution cross section is a surface which is crossed by the plurality of elongated parting members and by the spaces between these elongated members.
- the cross section corresponds to the length of the comb or brush multiplied by the length of the elongated members. This allows to obtain an evaluation of the effective useful cross section for the applicator.
- the volume obtained by multiplying the cross section of the applicator by the displacement of the applicator corresponds in the example of combing through hair, to the volume of hair which passes through the cross section during a given displacement of the cross section.
- the distribution cross section comprising a plurality of outlets, the composition distribution through the outlets being actuated by application of a pressure to the flexible and resilient walls of the container, whereby at least 0.1 g and up to 0.5 g of composition are distributed per cm 2 of the cross section and per second when a pressure of 1.5 Pa is applied to the flexible and resilient walls of the container. It was found that if less weight of composition was distributed at such a pressure, proper dispensing of the composition would require a higher pressure. Further, in case of use for hair treatment, the composition would not be sufficiently thin in texture to be applied evenly along the hair. It was also found that if more weight of composition was delivered, the composition would run down the hair, for example, as it would be too thin in texture, thus meaning messy application or non effective application.
- At least 0.15 g and up to 0.45 g of composition are distributed per cm 2 of the cross section and per second when a pressure of 1.5 Pa is applied to the flexible and resilient walls of the container.
- at least 0.2 g and up to 0.4 g of composition are distributed per cm 2 of the cross section and per second when a pressure of 1.5 Pa is applied to the flexible and resilient walls of the container.
- at least 0.25 g and up to 0.35 g of composition are distributed per cm 2 of the cross section and per second when a pressure of 1.5 Pa is applied to the flexible and resilient walls of the container.
- the outlets have a cumulated surface of at least 2% and of up to 10% of the distribution cross section. It should be noted that the outlets each have a surface, which is the opened surface through which the composition is distributed, the cumulated surface being the sum of each of these. It should also be understood that the surface of each outlet is not necessarily in the plane of the cross section, and not even necessarily in a plane parallel to it.
- the composition is a hair treatment composition. By hair treatment, it should be understood that the composition may be a hair dye for example.
- the composition has a viscosity of no less than 0.01 Pa.s when measured at a shear strain rate of 2000s '1 and no more than 5 Pa.s when measured at a shear strain rate of 10s 1 . This allows further improved distribution of the composition.
- the outlets have a cumulated surface and a cumulated perimeter such that the cumulated surface is of at least 0.05 % and of up to 0.4 % of the square of the cumulated perimeter.
- the cumulated perimeter is the sum of the perimeter of all outlets of the applicator. This cumulated perimeter is squared to obtain a number having the dimension of a surface for being compared to the cumulated surface of the outlets. Indeed, it was found that a ratio comprised in the range above was allowing good distribution of the composition.
- the cumulated surface is of at least 0.075 % and of up to 0.3 % of the square of the cumulated perimeter.
- the cumulated surface is of at least 0.1 % and of up to 0.25 % of the square of the cumulated perimeter. In a most preferred embodiment, the cumulated surface is of at least 0.15 % and of up to 0.2 % of the square of the cumulated perimeter.
- the most preferred execution was comprising 28 outlets having a 1mm 2 square shape (other shapes such as circular or annular may be preferred) and 13 outlets having a 0.5 mm diameter, the 13 outlets with 0.5 mm diameter being placed at the junction of the elongated members with the applicator, one between each elongated members, whereby 14 elongated members are provided, all according to the same direction, each elongated member further comprising two of the 1mm 2 square outlets on its extremity opposed to the base, the outlets facing each other.
- At least 0.1 g and up to 0.5 g of composition are distributed per cm 2 of the cross section and per second when a pressure of 1.5 Pa is applied to the flexible and resilient walls of the container, the pressure being applied for at least 2 seconds.
- at least 0.1 g and up to 0.5 g of composition are distributed per cm 2 of the cross section and per second when a pressure of 1.5 Pa is applied to the flexible and resilient walls of the container, the pressure being applied for at least 5 seconds.
- at least 0.1 g and up to 0.5 g of composition are distributed per cm 2 of the cross section and per second when a pressure of 1.5 Pa is applied to the flexible and resilient walls of the container, the pressure being applied for at least 10 seconds.
- At least 0.1 g and up to 0.5 g of composition are distributed per cm 2 of the cross section and per second when a pressure of 1.5 Pa is applied to the flexible and resilient walls of the container, the pressure being applied for at least 18 seconds.
- a pressure can be applied for example using compressed air when applied continuously. Indeed, during hand use, time for pressure application is an addition of multiple uses.
- each of the elongated parting members is in the form of a substantially rigid tooth, the teeth being arranged in at least one row, with a free end of each of the teeth having at least one of the outlets.
- each of the elongated parting members is in the form of a substantially rigid tooth, the teeth being arranged in at least one row, with the end opposite to the free end of each of the teeth having at least one of the outlets.
- each of the teeth has at least two of the outlets, one on its a free end and the other on the end opposed to the free end. This allows to distribute the composition more evenly in the distribution cross section.
- the container is a bag-in-bottle container such that the flowable composition can be delivered at any orientation of the bag-in-bottle container. This indeed allows use of the packaged product in all orientation.
- the container has a main longitudinal direction, the elongated parting member pointing in a direction which is substantially normal to the main longitudinal direction of the container.
- the foam, flocked or sponge material is in the form of a pad at or near one end of a carrier.
- the carrier may be a detachable push fit or even more preferably screw fit on the spout.
- the pad may extend only partly around the circumference of the carrier.
- each of the elongate parting members is in the form of a substantially rigid tooth.
- the teeth may be arranged in at least one row.
- the teeth may but need not necessarily have generally triangular outlines of different transverse dimensions when viewed from an end of the at least one row.
- the flowable composition may be delivered from the teeth and, for example, a free end of each of the teeth may have at least one of the outlets.
- the elongate parting members and the support are removably detachable from the housing.
- This allows the provision of a plurality of the supports, from which one is to be selected by a user, the elongate parting members of different supports being of different type.
- a comb-like support with substantially rigid teeth may be replaced by a brush-like support with flexible filaments.
- the elongate parting members and the support are formed as a unit which is securable to the housing by securing means including a catch.
- the catch may be resiliently deflectable and engageable with an aperture extending through the housing such that the catch is releasable remotely from the elongate parting members.
- There may be a further catch operable as a pivot.
- the resiliently deflectable catch should be releasable by finger pressure - it may, however, be possible for the elongate parting members and the support to be removed from the housing merely by rolling the housing over a hard surface, thereby releasing the resiliently deflectable catch.
- the housing may be a removable screw fit with the container, both the housing and the container being formed with lug means which snap passed one another when the housing has been fully screwed onto the container, at a predetermined alignment.
- the spout may be a push fit with the container, or even more preferably a screw fit.
- the housing may have a guide tube which receives a free end of the spout when the housing is located over the spout.
- the container is a bag-in-bottle container such that the flowable composition can be delivered at any orientation of the bag-in-bottle container.
- valve means is operable to control entry of air into the buffer zone (bottle) and exit of flowable composition from the reservoir (bag).
- the valve means may comprise a valve member of unitary construction.
- valve member may comprise an annular flapper valve for controlling the opening of one or more air inlets in the spout, the annular flapper valve surrounding a central quadrolobe valve for controlling the opening of the single elongate passageway in the spout, and the central quadrolobe valve being a push fit within the single elongate passageway in the spout.
- the valve being preferably retained in the spout by a preferably annular device.
- the flowable composition may be a hair and/or scalp composition.
- Figure 1 is an exploded perspective view of a cap, a bottle, a flexible bag, a support tube, an insert, a valve, a spout, a sponge or flocked pad, a comb housing and a comb - all being components in a hair colouring kit embodying the present invention
- Figure 2 is a fragmentary enlarged cross-sectional view showing the cap when secured to the bottle;
- Figure 3 is a plan view of the insert
- Figure 4 is a schematic cross-sectional view, taken perpendicularly to the cross- sectional view of Figure 2, showing a dye container when docked with the insert to allow dye in the dye containerto be added to the flexible bag;
- Figure 5 is a perspective view showing the spout when secured to the bottle
- Figure 6 is a fragmentary enlarged cross-sectional view of Figure 5;
- Figure 7 is a perspective view similar to Figure 5 but showing the sponge or flocked pad when secured to the spout;
- Figure 8 is a cross-sectional view of Figure 7;
- Figure 9 is a perspective view showing the comb housing when secured to the bottle with the comb secured to the comb housing;
- Figure 10 is a cross-sectional view of Figure 9.
- Figures 11 and 12 are, respectively, cross-sectional views of the comb and the comb housing before being secured together.
- the flowable composition is preferably a hair colouring composition
- no aspect of the present invention is restricted to such a specific flowable composition.
- flowable compositions are: medicaments e.g. for petcare; foodstuffs e.g. cake mixes; cleaning fluids e.g. for garmentcare or carpetcare; cosmetics e.g. body lotions or moisturisers; adhesives or lubricants.
- the hair colouring composition may need to be prepared from two or more component materials just prior to use. This means that the component materials need to be stored separately in a manner allowing a user to mix the component materials when required.
- one of the component materials is hydrogen peroxide and another of the component materials is a dye. The user must not, however, be exposed to any danger or any risk of staining when adding the dye to the hydrogen peroxide.
- the hair colouring composition may need to be applied to the hair through an applicator at any angle. If the applicator is fed from a simple squeeze bottle, the applicator will be ready for use in any orientation when the squeeze bottle is full. However, as the squeeze bottle is progressively emptied, it is found that the applicator is not ready for immediate use in any orientation, but may first need to be primed to offset the effect of any suckback of the hair colouring composition. This makes it difficult to control the application of the hair colouring composition, particularly to the hairline whilst avoiding staining of the skin.
- the present hair colouring kit may allow the hair colouring composition to be prepared just prior to use, and may have applicators fed by a user-controlled delivery system in which the hair colouring composition is discharged by a mechanically generated pressure differential (not an aerosol) in such a way that the hair colouring composition is always ready to be discharged at any orientation of the delivery system.
- All orientation delivery is preferably possible for all of the hair colouring composition which is discharged - which can be over 90% or even 95% of the hair colouring composition which has been prepared.
- the present hair colouring kit can also allow the hair colouring composition to be delivered in user-regulated amounts through applicators to specific areas to achieve an even colour distribution with minimal mess.
- No one applicator is equally suitable, even if carefully manipulated, for applying hair colouring composition to the roots, the hairline and the main body of a head of hair. It is therefore usual to provide applicators of different types selected from a line applicator, a surface applicator and a brush/comb-like applicator.
- the line applicator can be a spout with a single outlet and the surface applicator can be of porous material with a plurality of outlets.
- the brush/comb-like applicator can have a plurality of outlets for dispensing hair colouring composition which is then dispersed by a plurality of elongate parting members. As might be expected, the elongate parting members might resemble the bristles of a brush or the teeth of a comb. All of the different applicator types are to be brought into fluid communication with a container for the hair colouring composition.
- a surface applicator from three applicators of different type is of foam or sponge or flocked material having a resiliently compressible porous structure to provide improved spreading of the hair colouring composition
- a brush/comb-like applicator from three applicators of different type has at least two of its outlets formed in respective ones of its elongate parting members to provide improved dispersal of the hair colouring composition.
- a one-piece valve simultaneously performs the dual functions of controlling entry of air and exit of hair colouring composition
- a support for elongate parting members is secured to a housing by at least one catch which is releasable from a position remote from the hair colouring composition and, with a line applicator attached to a container, a brush/comb-like applicator is beatable over the line applicator yet is still attachable directly to the container.
- a bottle 10 may be formed with a hollow body 12 which is of generally oval section and is closed at a lower end but has an open neck 14 at an upper end.
- the neck may be formed with an external thread 16.
- the neck 14 may also be formed with a pair of opposed lug means 18 of which only one is shown in Figure 1.
- Each of the lug means 18 preferably includes a gap 20 approached by a ramp 22 for a purpose to be described hereinafter.
- At least the body 12 may be formed of a resiliently deformable plastics material such that the bottle 10 can quickly reform in shape when released from having been squeezed.
- the plastics material may be low density polyethylene, linear low density polyethylene (LLDPE) or polypropylene and may be transparent. If not transparent, the plastics material is preferably translucent and may or may not be coloured.
- a flexible bag 24 may be formed of two overlapping sheets 26 of the same shape which are sealed together around most of their common periphery to form a side sealed sachet having an upper opening 28 and a lower V-shaped edge 30.
- the bag 24 defines a reservoir for a first material, such as hydrogen peroxide, and should therefore provide a good moisture barrier.
- Each of the sheets 26 may be of laminated metallised material, and preferably includes the following three layers: LLDPE sealant/adhesive/metallised PET (polyethylterphalate).
- the bag 24 is insertable into the bottle 10 through the neck 14 to form a container with an outer deformable layer (body 12) and an inner collapsible layer (sheets 26) separated from one another by a buffer zone 32, as shown in Figure 4.
- a support tube 34 may be insertable into the bag 24 through the opening 28.
- the tube 34 may have a plurality of holes 36 along its length and provide an at least partially rigid channel which is open in cross-section.
- a lower end 38 of the tube 34 may be open or closed. The lower end 38 of the tube 34 can be in contact with the bag 24 - alternatively, the lower end 38 of the tube 34 may be close to but not in contact with the V-shaped edge 30 of the bag
- An upper end of the tube 34 may be secured to an insert 40 by any suitable method or means, and may be a simple push fit in the insert 40.
- the insert 40 is partially insertable into the bag 24 through the opening 28 and is also partially insertable into the bottle 10 through the neck 14.
- the insert is permanently fixed in a fluid tight manner to the sheets 26 around the opening 28, for example by heat or ultrasonic welding.
- the insert 40 and the bag 24 could alternatively be of unitary construction.
- the insert 40 is preferably irremovably fixed to the neck 14 by a simple push fit or any other suitable method or means but could alternatively be removable by a user to achieve a refillable system.
- the insert 40 may be a one-piece plastics moulding having a tubular member 42 which defines an orifice and extends centrally of a side wall 44, a transverse wall 46 and a pair of opposed lower sections 48.
- the side wall 44 is shown with an outwardly extending flange 50 at its upper end, for limiting insertion of the insert 40 into the bottle 10, and an inwardly directed rib 52 at a position generally mid-way between the flange 50 and the transverse wall 46.
- the transverse wall 46 is shown with a plurality of holes 54 therethrough for joining the buffer zone 32 to an annular channel 56 defined between the tubular member 42 and the side wall 44 and thus surrounding the tubular member 42.
- the opposed lower sections 48 are shown as hollow, to prevent sinkage in moulding, and thereby facilitate the fluid tight fixing of the insert 40 to the bag 24.
- a lower end of the tubular member 42 may be inwardly recessed for receiving the upper end of the tube 34 and an upper end of the tubular member 42 may be inwardly chamfered.
- the bag 24 will be supplied to a user when already partially filled with a first material, such as hydrogen peroxide. It will therefore be necessary to prevent the first material escaping through the tube 34 and the tubular member 42.
- a removable flip top cap could be provided for closing the upper end of the tubular member 42.
- the upper end of the tubular member 42 could be closed by a rupturable film seal.
- a removable cap 58 is provided, as shown in Figure 2.
- the cap 58 which may again be a one-piece plastics moulding, may have a plug seal 60 for sealingly closing the upper end of the tubular member 42.
- a securing part 62 of the cap 58 could be an airtight fit with the neck 14 of the bottle 10.
- One advantage is that, if hydrogen peroxide in the bag 24 became unstable and s produced oxygen, the bag 24 could expand with air in the buffer zone 32 escaping through the holes 54 in the insert 40 and then between the threads 16 and 64.
- Another advantage is that, if the buffer zone 32 were to be subjected to an unwanted pressure change, for example as a result of air travel, air could again o either escape from or enter the buffer zone 32 by the above-indicated route.
- the hair colouring kit as so far described allows a user to prepare a hair colouring composition or other flowable composition just prior to use.
- At least a second material is added to the first material in the reservoir. If the reservoir had been supplied in an empty state, or had been emptied in a previous use, it would of course first be necessary to add some first material to the reservoir. In any event, the initially separated materials need to be allowed to mix.
- the second material may be stored in an entirely independent container 66.
- the first material is hydrogen peroxide
- the second material is likely to be a dye.
- the container 66 may need to provide an excellent oxygen barrier.
- the dye is in the form of a gel, cream or paste, for example, the container 66 could need to 5 be plastically deformable to allow a user to squeeze the dye therefrom.
- the dye is in the form of a liquid, the dye might be able to exit the container 66 under the influence of gravity.
- the bag 24 is preferably inflated with air above the first material - if the container 66 is not resiliently deformable, the bag 24 is preferably deflated.
- each of the containers 66 may contain a different material such as a different shade of hair colorant with the intention that one or more of the containers 66 are to be emptied into the reservoir to form a particular flowable composition such as a hair colouring composition of specifically selected shade.
- the container 66 or each of the containers 66, to include a long nozzle 68 which can extend completely through the tubular member 42 into the tube 34. This can give good docking in that the container 66 is less likely to come apart from the bottle 10 even when the user is using both hands to squeeze the container 66. It can also promote good mixing in that the contents of the container 66 might be squirted from close range directly into the contents of the bag 24. Clearly, it will be necessary for the container 66 to be opened before insertion of the long nozzle 68 into the tubular member 42, and opening may be effected by breaking off, cutting off or twisting off the nozzle's tip 70 (shown in broken outline in Figure 4).
- the compressed air will escape through that loose fit.
- one or more splines could be formed along the length of the nozzle 68 and/or one or more air escape castellations could be formed on the dye container adjacent a base of the nozzle 68.
- the compressed air might inject upwards through the second material to form an air pocket in the container 66 which expands as the air pocket in the bag 24 contracts. Even if the bag 24 does expand, air in the buffer zone 32 would escape through the holes 54 in the transverse wall 46 of the insert 40, as previously described.
- the 5 container 66 is removed from the bottle 10 and is either discarded, or resealed and saved for future use.
- the second material may be contained in a container which is formed with or located o within the bag 24 and which is rupturable, for example by squeezing the body 12 of the bottle 10, or which is otherwise capable of allowing the second material to be added to the first material.
- the second material When the second material has been added to the first material, they are preferably s mixed at this stage by shaking the bottle 10. It would be possible for the user to prevent escape of the contents of the bag 24 by placing a gloved finger over the upper end of the tubular member 42 whilst shaking. It may be more convenient, however, for the user to replace the cap 58 so that the plug seal 60 closes the upper end of the tubular member 42. In either case, the tube 34 acts to restrain o the bag 24, while shaking and/or inverting the bottle 10, and thereby aids mixing by allowing the contents of the bag 24 to move more freely than the bag 24. It is believed that optimum mixing by shaking occurs if around 10% of the volume of the bag 24 is left as headspace. If the bag 24 and the body 12 of the bottle 10 are both translucent, it is possible to check visually whether or not mixing has been 5 completed.
- the insert 40 is again exposed to allow a spout 72 0 to be attached to the insert 40, as shown in Figures 5 and 6.
- the spout 72 may once again be a one-piece plastics moulding, here comprising a cylindrical portion 74 leading to a domed portion 76 which itself leads to a tapered portion 78.
- a bottom end of the cylindrical portion 74 is formed with an outwardly 5 directed rib 80.
- a top end of the cylindrical portion 74 is formed adjacent a shoulder 82 presented by the domed portion 76.
- One or more, such as three, air inlets 84 extend through the domed portion 76 and may be equally circumferentially spaced around the domed portion 76.
- the tapered portion 78 is formed with an elongate passageway 86 which gradually narrows along its length from a larger lower end to a single outlet 88 at a smaller upper end.
- An annular recess 90 is formed in an inner surface of the tapered portion 78 near the larger lower end of the passageway 86.
- An annular rib 92 is formed on an outer surface of the tapered portion 78 near the smaller upper end of the passageway 86.
- a valve member 94 which may be formed of a silicone polymer and may be of unitary construction, is attachable to the spout 72.
- valve member 94 includes an inlet part in the form of an annular flapper valve 96 which acts as a one-way check valve to control entry of air through the air inlets 84.
- the valve member 94 also includes an outlet part in the form of a central quadrolobe valve 98 which acts as a one-way check valve to control exit of hair colouring composition through the passageway 86.
- a quadrolobe valve 98 is preferred because it opens from the centre not the side and thus gives a smoother flow of hair colouring composition therethrough.
- the outlet part of the valve member 94 could be a flapper valve, an umbrella valve or a duckbill valve.
- the flapper valve 96 and the quadrolobe valve 98 may be joined by an intermediate part including a transverse sealing wall 100 and a frusto-conical locating wall 102 whose outer surface has an annular rib 104.
- valve member 94 is easily attached to the spout 72 by pushing the quadrolobe valve 98 into the passageway 86 until the annular rib 104 on the valve member 94 engages with the annular recess 90 in the spout 72.
- the spout 72 is then itself easily attached to the insert 40 by pushing the cylindrical portion 74 of the spout 72 into the annular channel 56 of the insert 40 until the rib 80 on the cylindrical portion 74 snaps passed the rib 52 on the insert 40, with an audible or at least tangible click, at which time the shoulder 82 of the spout 72 is brought into abutment with the flange 50 of the insert 40 and the sealing wall 100 of the valve member 94 is brought into sealing engagement with the upper end of the tubular member 42 of the insert 40.
- the spout 72 can be attached to the insert 40 by a screw fit rather than the above-noted push fit.
- the bottle 10 could be shaken after the spout 72 has been attached to the insert 40 in order to mix or re-mix the flowable composition.
- the body 12 of the bottle 10 is squeezed by the user. This compresses the air in the buffer zone 32 but the compressed air cannot escape through the fluid passageway including the holes 54, the annular channel 56 and the air inlets 84 because the flapper valve 96 acts to close the air inlets 84.
- the compressed air acts to partly collapse the bag 24 so that some hair colouring composition is forced out through the fluid passageway including the tube 34, the tubular member 42, the frusto-conical locating wall 102 and the quadrolobe valve 98, which opens to let the hair colouring composition therethrough.
- the bottle 10 quickly reforms in shape so that the buffer zone 32 expands.
- the quadrolobe valve 98 closes to prevent suckback of the hair colouring composition beyond the quadrolobe valve 98 and the bag 24 maintains its partly collapsed state. Instead, air is sucked into the buffer zone 32 past the flapper valve 96 which opens to let air in through the air inlets 84.
- the holes 36 in the tube 34 can prevent the hair colouring composition becoming trapped, as the bag 24 is progressively collapsed to bring the sheets 26 of the bag 24 into contact with one another, and the tube 34 might itself collapse to allow flowable composition in the tube 34 to be discharged.
- the user may see through the at least translucent body 12 that the bag 24 is collapsing. This should reassure a user who feared that the hair colouring composition could run out without warning.
- the reservoir for the first material may be a side sealed sachet, as hereinbefore described, the reservoir could take other forms - for example, an inner collapsible layer distinct from an outer deformable layer would also be provided by an inverting-half-bag bottle or a delaminating bottle, the latter preferably peeling progressively away from a neck thereof, or by a compression blown bag integrally moulded with the insert.
- valve member may be of unitary construction but dual function, as hereinbefore described, the valve member could take other forms - for example, separate valves could be provided for controlling exit of hair colouring composition and entry of air, the latter possibly being a simple air hole in the body of the bottle which a user closes with a finger.
- a surface applicator 106 is shown removably secured over the outlet 88 of the spout 72.
- the surface applicator 106 may include a pad 108 of foam, sponge or flocked material having a resiliently compressible porous structure.
- a structure not only has a plurality of outlets, but allows hair colouring composition emerging from the outlet 88 to pass through the pad 108 and by careful manipulation be evenly spread along the hairline.
- the pad 108 may be located at or near an upper end of a carrier 110 with a lower half of the carrier 110 being frusto-conical in the direction leading from a smaller upper end to a larger lower end.
- An inner surface of the lower half of the carrier 110 may be formed with an annular recess 112 for detachably engaging with the annular rib 92 on the spout 72 when the carrier 110 is pushed onto the spout 72.
- the carrier 110 and the spout 72 may be mutually configured to avoid relative rotation.
- the pad 108 may present a curved face, to facilitate accurate application, with the curved face extending only partly around the circumference of an upper half of the carrier 110. If the pad 108 is formed of a plastics material, and the carrier 110 is also formed of a plastics material, the pad 108 may be fixed to the carrier 110 by use of an adhesive.
- a range of surface applicators 106 could be provided which are either similar if intended to be disposable or different if intended to be interchangeable.
- a brush/comb-like applicator 114 could be removably secured over the outlet 88 of the spout 72 instead of the surface applicator 106, the brush/comb-like applicator 114 including a housing 116 and a releasable unit 118.
- the brush/comb-likeapplicator 114 could be a screw fit or a snap fit to the neck 14.
- the housing 116 is yet another one-piece plastics moulding here defining, considered from the top, an aperture 120, a tapered open chamber 122 having a series of slotted webs 124 on its opposed major side walls, a guide tube 126 ensuring open communication into the chamber 122 from a chamber 128, a slot 130 at an upper end of the chamber 128, an internal thread 132 near a lower end of the chamber 128, and a pair of opposed lug means 134 at the lower end of the chamber 128.
- the internal thread 132 is preferably strippable from a mould without screwing.
- the housing 116 is a removable screw fit with the bottle 10 by virtue of the internal thread 132 in the chamber 128 engaging the external thread 16 on the neck 14. As the housing 116 is progressively screwed on, the outlet 88 of the spout 72 enters the guide tube 126. Finally, the lug means 134 cam along the ramps 22 of the lug means 18 and then snap into the gaps 20 of the lug means 18. The snap may give an audible or at least tangible click to indicate that the housing 116 has been fully screwed onto the bottle 10. In this final position, with the lug means 18 and 132 interengaged. the chamber 122 opens in the direction of the major axis of the body 12, which it will be recalled is of generally oval section.
- the releasable unit 118 which is the final component of the present hair colouring kit, may again be formed as a one-piece moulding of a plastics material such as polypropylene, with an additive such as silicone to give a low coefficient of friction.
- the releasable unit 118 can be at least in part translucent to signal to a user that the flowable composition is about to be delivered.
- the unit 118 comprises a support 136 which is generally planar and gradually tapers from a narrower upper end to a wider lower end.
- the narrower upper end has a resiliently deflectable catch 138 extending therefrom with a barb-like leading end 138a.
- the wider lower end has a rigid catch 140 extending therefrom with a barb-like leading end 140a.
- the periphery of the support 136 is formed with a skirt 142 which is of complementary outline to the opening of the chamber 122.
- a 5 plurality of elongate parting members, such as substantially rigid teeth 144, project from the support 136 in a direction opposed to the resiliently deflectable catch 138, the rigid catch 140 and the skirt 142.
- a plurality of outlets 146 for the flowable composition can extend through the support 136.
- the teeth 144 may be arranged in two rows.
- the teeth 144 may but need not necessarily have generally triangular outlines of different transverse dimensions when viewed from the ends of the two rows.
- the transverse dimensions of the teeth 144 may progressively increase from the narrower upper end of the support 136 to the wider lower end of the support 136.
- the teeth 144 of the different rows may be staggered with respect to one another, and may again have generally triangular outlines but now of generally similar thicknesses when viewed from the sides of the two rows.
- At least two but possibly all of the outlets 146 o further extend through respective ones of the teeth 144. However, it may be desirable for one or more of the outlets 146 not to extend through the teeth 144.
- at least one outlet 146 may be positioned in the support 136 between adjacent ones of the teeth 144. At least two but possibly all of the outlets 146 which extend through the teeth 144 may emerge through orifices 148 at the free 5 ends of the teeth 144.
- the orifices 148 may be slightly set back from the free ends of the teeth 144, partly to avoid direct coating of the scalp, and partly as a result of a 0 preferred moulding technique known as the passing face shut off technique, which allows the orifices 148 to be formed by a simple two-part mould without need of side pins.
- the unit 118 To assemble the unit 118 with the housing 116, it is merely necessary to locate the 5 barb-like leading end 140a of the rigid catch 140 in the slot 130 and then pivot. This brings the free edge of the skirt 142 into engagement with the slotted webs 124 and also deflects the barb-like leading end 138a of the catch 138 to allow entry of the catch 138 into the aperture 120.
- the unit 118 is fully secured to the housing 116 when the barb-like leading end 138a of the catch 138 emerges from the aperture 120 to snap engage with the material of the housing 116 around the aperture 120.
- the catch 138 is releasable by finger pressure.
- One reason for removing the unit 118 from the housing 116 may be to facilitate cleaning of any residual hair colouring composition.
- Another reason for removing the unit 118 from the housing 116 may be to allow replacement by another unit 118 of different type.
- the dimensions, positions and shapes of the orifices 148 may be changed, in different units 118, dependent on the rheology of the hair colouring composition, or on the need for different colouring results such as root coverage, streaking or highlighting.
- Different elements may be added separately or in combination to modify the rheology of the composition or to allow for easier detangling of hair. Such elements include the following, which are listed together with the preferred maximum proportion by weight of the element in the composition:
- all applicators for the packaged composition are screwed onto the container, thus allowing a better seal.
- a propeller design may also be integrated to the nozzle, thus preventing rotation of the comb in relation to the nozzle during use.
- Other improvements include a break off tip onto the nozzle, and retaining the valve with the nozzle itself.
- the comb may have a sculpted design which reduces towards its extremity to allow for reduction of the waste in the comb after use and contributes to avoid pressure loss towards the extremity of the comb.
- the filing orifice for the container is preferred to have the shape of an eye so that venting during filling readily occurs.
- An other improvement includes having the tube made in a double "C” section instead of a closed “O” section, thus allowing better ingress of the product in the tube, This combines advantageously with the bag-in- box container type.
- the first container in which the first material is to be held can be construed as including the bottle when fitted with any one or combination of the different applicators.
- the flowable composition can be capable of demonstrating pseudo-plastic flow behaviour, here meaning that the flowable composition decreases in viscosity as it is sheared and, once the shearing has stopped, the internal structure of the flowable composition (which was responsible for the original viscosity) rebuilds very quickly causing an increase in viscosity approaching that of the original viscosity.
- the flowable composition should be capable of the above-noted pseudo-plastic flow behaviour within a shear strain rate range of 0.01s 1 to 10,000s "1 , which is the most probable shear strain rate range to be encountered when the flowable composition is a hair colouring composition.
- An example of a suitable flowable composition could have a viscosity of no less than 0.01 Pa.s (preferably no less than 0.15 Pa.s) when measured at a shear strain rate of 2000s "1 and no more than 5 Pa.s (preferably no more than 1.4 Pa.s) when measured at a shear strain rate of 10s 1 .
- the packaged composition according to the invention is preferably comprising a hair treatment composition, and even more preferably a hair coloring composition.
- a hair coloring composition is used in the broad sense in that it is intended to encompass compositions containing the combinations herein of a low pH (from about 1 to about 4.5) mixture of inorganic peroxygen based dye oxidising agent and an oxidative coloring agent.
- a low pH from about 1 to about 4.5
- complex compositions which contain other components which may or may not be active ingredients.
- the term 'hair coloring composition' is intended to apply to compositions which contain, in addition to a mixture of active oxidising agents and oxidative coloring agents, such things as, by way of example, oxidising aids, sequestrants, stabilisers, thickeners, buffers, carriers, surfactants, solvents, antioxidants, polymers, non-oxidative dyes and conditioners.
- active oxidising agents and oxidative coloring agents such things as, by way of example, oxidising aids, sequestrants, stabilisers, thickeners, buffers, carriers, surfactants, solvents, antioxidants, polymers, non-oxidative dyes and conditioners.
- hair coloring compositions comprise an inorganic peroxygen based oxidising agent (a), in combination with an oxidative hair coloring agent (b) wherein the pH of each of (a) and (b) is in the range of from about 1 to about 4.5 and wherein the pH of the combined mixture of (a) and (b) is in the range of from about 1 to about 4.5.
- the pH of either (a) and/or (b) is in the range of from about 1.5 to about 4.5, more preferably from about 2 to about 4.4, most preferably from about 3.6 to about 4.3 and especially from about 3.8 to about 4.2 and wherein the preferred pH of the combined mixture of (a) and (b) is in the range of from about 1.5 to about 4.5, more preferably from about 2 to about 4.4, most preferably from about 3.6 to about 4.3 and especially from about 3.8 to about 4.2.
- the compositions may optionally comprise (among other ingredients) a preformed organic peroxyacid oxidising agent.
- Organic peroxyacid as used herein is intended to cover any organic peroxy acid material which can act either alone or in combination with a peroxygen oxidising agent to oxidise dye precursors.
- Hydrogen peroxide has a pKa in the range of from about 11.2 to about 11.6, and, as such is generally used as a dye oxidising agent at pHs in the range of from about 9 to about 12. Improved color development is observed in combination with improved color washfastness at pHs in the range of from about pH 1 to about pH 4.5, preferably from about pH 3.8 to about pH 4.3, more preferably from pH 3.8 to about pH 4.2.
- the composition preferably comprises at least one inorganic oxidising agent (hereinafter called 'inorganic peroxygen oxidising agent').
- the inorganic peroxygen oxidising agent should be safe and effective for use in the compositions herein.
- the inorganic peroxygen oxidising agents suitable for use herein will be soluble in the compositions when in liquid form and/or in the form intended to be used.
- inorganic peroxygen oxidising agents suitable for use herein will be water-soluble.
- Water soluble oxidising agents as defined herein means agents which have a solubility to the extent of about 10g in 1000ml of deionised water at 25°C ("Chemistry" C. E. Mortimer. 5th Edn. p277).
- the inorganic peroxygen oxidising agents useful herein are generally inorganic peroxygen materials capable of yielding peroxide in an aqueous solution.
- Inorganic peroxygen oxidising agents are well known in the art and include hydrogen peroxide, inorganic alkali metal peroxides such as sodium periodate, sodium perbromate and sodium peroxide, and inorganic perhydrate salt oxidising compounds, such as the alkali metal salts of perborates, percarbonates, perphosphates, persilicates, persulphates and the like. These inorganic perhydrate salts may be incorporated as monohydrates, tetrahydrates etc. Mixtures of two or more of such inorganic peroxygen oxidising agents can be used if desired. While alkali metal bromates and iodates are suitable for use herein the bromates are preferred. Highly preferred for use in the compositions is hydrogen peroxide.
- low pH hair coloring compositions can be formulated to reduce the level of damage to the hair and levels of skin irritation and staining. Furthermore, as low pH hair coloring compositions can be formulated without ammonia there are no ammonia related odor or skin irritation negatives associated with these compositions.
- the inorganic peroxygen oxidising agent is preferably present in the compositions at a molar level of from about 0.0003 moles (per 100g of composition) to less than about 0.09 moles (per 100g of composition), preferably, the inorganic peroxygen oxidising agent is present at a molar level of from about 0.0003 moles to about 0.08 moles, more preferably from about 0.0003 moles to about 0.06 moles, even more preferably from about 0.0003 moles to about 0.04 moles, most preferably from about 0.0003 mole to about 0.03 moles, especially from about 0.0003 moles to about 0.02 moles and most especially from about 0.0003 moles to about 0.015 moles (per 100g of composition).
- the inorganic peroxygen oxidising agent is present at a level of from about 0.01% to less than about 3%, preferably from about 0.01% to about 2.5%, more preferably from about 0.01% to about 2%, even more preferably from about 0.01% to about 1 %, most preferably from about 0.01 % to about 0.8%, especially from about 0.01% to about 0.55% and especially from about 0.01% to about 0.5% by weight of composition.
- compositions may, optionally, contain, in addition to the inorganic peroxygen 5 oxidising agent(s), one or more preformed organic peroxyacid oxidising agents.
- Suitable additional, optional, organic peroxyacid oxidising agents for use in the coloring compositions have the general formula:
- R - C (O) OOH 0 wherein R is selected from saturated or unsaturated, substituted or unsubstituted, straight or branched chain, alkyl, aryl or alkaryl groups with from 1 to 14 carbon atoms.
- a class of organic peroxyacid compounds suitable for use herein are the amide substituted compounds of the following general formulae:
- R1 is, a saturated or unsaturated alkyl or alkaryl group, or an aryl group, having from 1 to 14 carbon atoms
- R 2 is, a saturated or unsaturated alkyl or alkaryl group, or an aryl group, having from 1 to 14 carbon atoms
- R5 is H or, a saturated or unsaturated alkyl or alkaryl group, or an aryl group, having from 1 to 10 carbon atoms.
- Amide substituted organic peroxyacid compounds of this 5 type are described in EP-A-0, 170,386.
- organic peroxyacid oxidising agents include peracetic, pernanoic, nonylamidoperoxycaproic acid (NAPCA), perbenzoic, m-chloroperbenzoic, di- peroxy-isophthalic, mono-peroxyphthalic, peroxylauric, hexanesulphonyl peroxy o propionic, N,N-phthaloylamino peroxycaproic, monoper succinic, nonanoyloxybenzoic, dodecanedioyl-monoperoxybenzoic, nonylamide of peroxyadipic acid, diacyl and tetraacylperoxides, especially diperoxydodecanedioic acid, diperoxytetradecanedioic acid and diperoxyhexadecanedioic acid and derivatives thereof. Mono- and diperazelaic acid, mono- and diperbrassylic acid and N-phthaloylaminoperoxicaproic acid
- the preformed organic peroxyacid oxidising agents should be safe and effective for use in the compositions herein.
- the preformed organic peroxyacid oxidising agents suitable for use herein will be soluble in the compositions when in liquid form and in the form intended to be used.
- preformed organic peroxyacid oxidising agents suitable for use herein will be water-soluble.
- Water soluble organic peroxyacid oxidising agents as defined herein means agents which have a solubility to the extent of about 10g in 1000ml of deionised water at 25°C ("Chemistry" C. E. Mortimer. 5th Edn. p277).
- the preferred peroxyacid materials suitable for use herein are selected from peracetic and pemanoic acids and mixtures thereof.
- the preformed organic peroxyacid oxidising agent where present, is present at a molar level of from about 0.0001 moles to about 0.1 moles (per 100g of composition), more preferably from about 0.001 moles to about 0.05 moles, most preferably from about 0.003 moles to about 0.04 moles and especially from about 0.004 moles to about 0.03 moles per 100g of the hair coloring composition.
- the preformed organic peroxyacid oxidising agent is preferably present at a level of from about 0.01% to about 8%, more preferably from about 0.1% to about 6%, most preferably from about 0.2% to about 4%, and especially from about 0.3% to about 3% by weight of the hair coloring composition.
- the weight ratio of the inorganic peroxygen oxidising agent to the preformed organic peroxy acid is preferably in the range of from about 0.0125:1 to about 500:1 , more preferably from about 0.0125:1 to about 50:1.
- compositions may optionally comprise additional organic peroxides such as urea peroxide, melamine peroxide and mixtures thereof.
- additional organic peroxides such as urea peroxide, melamine peroxide and mixtures thereof.
- the level of organic peroxide, where present, is from about 0.01% to about 3%, preferably from about 0.01% to about 2%, more preferably from about 0.1% to about 1.5% and most preferably from about 0.2% to about 1% by weight of composition.
- Low pH hair coloring compositions may include an oxidative hair coloring agent.
- oxidative hair coloring agents are preferably used in combination with a peroxide based oxidising systems to formulate permanent, demi-permanent, semi-permanent or temporary hair dye compositions at low pH.
- Permanent hair dye compositions as defined herein are compositions which once applied to the hair are substantially resistant to wash-out.
- Demi-permanent hair dye compositions as defined herein are compositions which are substantially removed from the hair after up to 24 washes.
- Semi-permanent hair dye compositions as defined herein are compositions which once applied to the hair are substantially removed from the hair after up to 10 washes.
- Temporary hair dye compositions as defined herein are compositions which once applied to the hair are substantially removed from the hair after up to 2 washes.
- These different types of hair coloring compositions can be formulated via the specific combination of oxidant and/or dyes at different levels and ratios.
- Wash out as defined herein is the process by which hair color is removed from the hair over time during normal hair cleansing regimen.
- Washfastness as defined herein means, the resistance of the dyed hair to wash out. Washfastness, as defined herein, can be measured in terms of the relative color change in the dyed hair over several washes.
- the concentration of each oxidative hair coloring agent in a low pH coloring compositions is from about 0.001% to about 3% by weight and is preferably from about 0.01% to about 2% by weight.
- the total combined level of oxidative hair coloring agents in a compositions is usually from about 0.001% to about 5%, preferably from about 0.01% to about 4%, more preferably from about 0.1% to about 3%, most preferably from about 0.1% to about 1% by weight.
- the total level of oxidative hair coloring agents present in the composition is in the range of from about 0.2% to about 3.5% by weight. Accordingly, low pH compositions can display improved hair coloring attributes, such as initial color development and initial color consistency in combination with improved washfastness over time, when compared to conventional, high pH, systems having similar levels of dye. Color consistency, as used herein, means, both the relative predictability of the initial color development and improved color retention over time across different hair types. It should be noted that the packaged composition according to the invention may relate to either of high or low pH compositions, although low pH compositions are preferred.
- the efficacy of the oxidative dyes is improved at low pH such that a compositions is typically valuable for the delivery of good high intensity colors (dark colors) with reduced levels of dye.
- good hair coloring results in combination with equivalent color development (versus high pH systems) can be achieved using the inorganic peroxygen oxidising agents and substantially less dye versus conventional, high pH, hair coloring compositions.
- a hair coloring composition comprising:
- each of (a) and (b) is in the range of from about 1 to about 4.5 and wherein the pH of the composition is in the range of from about 1 to about 4.5 .
- the combination of inorganic peroxygen oxidising agents with oxidative hair coloring agent at low pH is valuable for the delivery of excellent hair coloring attributes in combination with reduced levels of hair damage, skin irritation and skin staining in combination with an improved odor profile (versus conventional high pH compositions).
- a further benefit of the low pH coloring compositions is that reduced levels of skin staining can be observed from such compositions, versus conventional, high pH, compositions.
- a hair coloring composition capable of delivering a light auburn colour to light brown hair having 40% grey comprising:
- components (a) and (b) are each in the range of from about 1 to about 4.5 and wherein the pH of the composition is in the range of from about 1 to about 4.5.
- reduced skin irritation and/ or staining result from the combination of (a) reduced levels of dyes and low pH systems; (b) the reduction of paraphenylene diamine (PPD) contact sensitisation at low pH (high levels of PPD have been shown to display contact sensitisation at high pH, but not at low pH); (c) the elimination of the formation of nitrobenzene contact sensitisers (which can occur in high pH compositions); (d) reduced levels of skin staining at low pH versus high pH, and; (e) the reduction in skin irritation and odor negatives as a result of the elimination of ammonia and the use of alternative oxidising agents in low pH dyeing compositions.
- PPD paraphenylene diamine
- oxidative hair coloring agents can be used in the compositions.
- oxidative hair coloring agents consist essentially of at least two components, which are collectively referred to as dye forming intermediates (or precursors).
- Dye forming intermediates can react in the presence of a suitable oxidant to form a colored molecule.
- the dye forming intermediates used in oxidative hair colorants include: aromatic diamines, aminophenols, various heterocycles, phenols, napthols and their various derivatives. These dye forming intermediates can be broadly classified as; primary intermediates and secondary intermediates.
- Primary intermediates which are also known as oxidative dye precursors, are chemical compounds which become activated upon oxidation and can then react with each other and/or with couplers to form colored dye complexes.
- the secondary intermediates also known as color modifiers or couplers, are generally colorless molecules which can form colors in the presence of activated precursors/primary intermediates, and are used with other intermediates to generate specific color effects or to stabilise the color.
- Primary intermediates suitable for use in the compositions and processes herein include: aromatic diamines, polyhydric phenols, amino phenols and derivatives of these aromatic compounds (e.g., N-substituted derivatives of the amines, and ethers of the phenols). Such primary intermediates are generally colorless molecules prior to oxidation.
- the process by which color is generated from these primary intermediates and secondary coupler compounds generally includes a stepwise sequence whereby the primary intermediate can become activated (by oxidation), and then enjoins with a coupler to give a dimeric, conjugated colored species, which in turn can enjoin with another 'activated' primary intermediate to produce a trimeric conjugated colored molecule.
- oxidative dyeing typically occurs between oxidative precursor molecules, oxidative coupler molecules and a peroxygen oxidising agent at high pH (8 - 10).
- Typical precursors include 1 ,4-disubstituted benzene derivatives and typical couplers include 1 ,2- or 1 ,3-disubstituted benzene derivatives.
- Oxidative hair coloration at pH 1 to 4.5 with oxidising agents and oxidative hair coloring agent is valuable for the delivery of excellent initial hair color in combination with improved color and wash fastness of the hair color over time, desirable color saturation and vividness attributes, reduced hair damage, reduced skin irritation, reduced skin staining and more efficient dyeing.
- the efficiency of color development (i.e., increased color change) from the inorganic peroxygen oxidising agents and the oxidative hair coloring agents is improved under low pH conditions.
- low pH hair coloring compositions can deliver these excellent hair coloring attributes results with minimal hair damage.
- oxidative dye primary intermediates include those monomeric materials which, on oxidation, form oligomers or polymers having extended conjugated systems of electrons in their molecular structure. Because of the new electronic structure, the resultant oligomers and polymers exhibit a shift in their electronic spectra to the visible range and appear colored.
- oxidative primary intermediates capable of forming colored polymers include materials such as aniline, which has a single functional group and which, on oxidation, forms a series of conjugated imines and quinoid dimers, trimers, etc. ranging in color from green to black.
- the typical aromatic diamines, polyhydric phenols, amino phenols, and derivatives thereof, described above as primary intermediates can also have additional substituents on the aromatic ring, e.g. halogen, aldehyde, carboxylic acid, nitro, sulfonic acid and substituted and unsubstituted hydrocarbon groups, as well as additional substituents on the amino nitrogen and on the phenolic oxygen, e.g. substituted and unsubstituted alkyl and aryl groups.
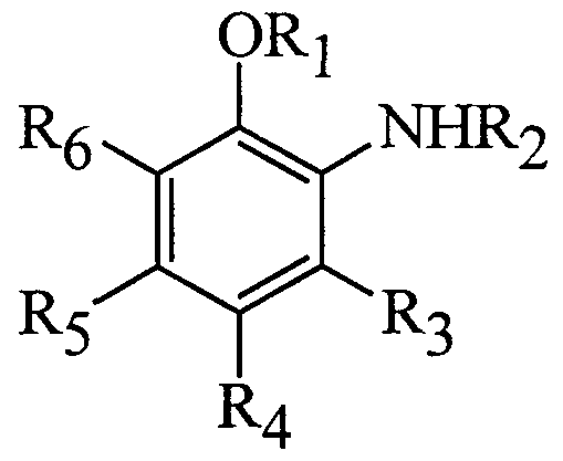
- Suitable aromatic diamines amino phenols, polyhydric phenols and derivatives thereof, respectively, are compounds having the general formulas (I), (II) and (III) below:
- Y is hydrogen, halogen, (e.g. fluorine, chlorine, bromine or iodine), nitro, amino, hydroxyl, O
- -COOM or -SO3M where M is hydrogen or an alkali or alkaline earth metal, ammonium, or substituted ammonium wherein one or more hydrogens on the ammonium ion is replaced with a 1 to 3 carbon atom alkyl or hydroxyalkyl radical
- , R2, R3 and R4 are the same or different from each other and are selected from the group consisting of hydrogen, C ⁇
- R5 is hydrogen, C1 to C4 unsubstituted or substituted alkyl or alkenyl wherein the substituents are selected from those designated as Y, above, or CQ to Cg unsubstituted or substituted aryl, alkaryl or aralkyl wherein the substituents are selected from those defined as Y, above.
- the precursors of formula (I) are amines, they can be used herein in the form of peroxide-compatible salts, as noted, wherein X represents peroxide-compatible anions of the type herein before detailed.
- the general formula of the salt indicated is to be understood to encompass those salts having mono-, di-, and tri-negative anions.
- formula (I) compounds are: o-phenylenediamine, m- phenylenediamine, p-phenylenediamine, 2-chloro-p-phenylenediamine, 2-iodo-p- phenylenediamine, 4-nitro-o-phenylenediamine, 2-nitro-p-phenylenediamine, 1 ,3,5-triaminobenzene, 2-hydroxy-p-phenylenediamine, 2,4-diaminobenzoic acid, sodium 2,4-diaminobenzoate, calcium di-2,4-diaminobenzoate, ammonium 2,4- diaminobenzoate, trimethylammonium 2,4-, diaminobenzoate, tri-(2- hydroxyethyl)ammonium 2,4-diaminobenzoate, 2,4-diaminobenzaldehyde carbonate, 2,4-diaminobenzensulfonic acid, potassium 2,4
- compositions having general formulae (la) and (lb) are preferred.
- Y is hydrogen, halogen, (e.g. fluorine, chlorine, bromine or iodine), nitro, amino, hydroxyl,
- -COOM or -SO3M where M is hydrogen or an alkali or alkaline earth metal, ammonium, or substituted ammonium wherein one or more hydrogens on the ammonium ion is replaced with a 1 to 3 carbon atom alkyl or hydroxyalkyi radical
- , R2, R3 and R4 are the same or different from each other and are selected from the group consisting of hydrogen, C-
- R5 is hydrogen, C-
- the precursors of formula (I) are amines, they can be used herein in the form of peroxide-compatible salts, as noted, wherein X represents peroxide-compatible anions of the type herein before detailed.
- the general formula of the salt indicated is to be understood to encompass those salts having mono-, di-, and tri-negative anions.
- Ri and R2 can be the same or different from each other and are the same as in formula (I)
- R5 is the same as in formula (I)
- RQ is hydrogen or C-
- formula (II) compounds are: o-aminophenol, m-aminophenol, p-aminophenol, 2-iodo-p-aminophenol, 2-nitro- p-aminophenol, 3,4-dihydroxyaniline, 3,4-diaminophenol, chloroacetate, 2- hydroxy-4-aminobenzoic acid, 2-hydroxy-4-aminobenzaldehyde, 3-amino-4- hydroxybenzenesulfonic acid, N,N-diisopropyl-p-aminophenol, N-methyl-N-(1- propenyl)-p-aminophenol, N-phenyl-N-benzyl-p-aminophenol sulphate, N-methyl- N-(3-ethylphenyl)-p-aminophenol, 2-nitro-5-ethyl-p-aminophenol, 2-nitro-5-(2- bromoethyl)-p-aminophenol, (2
- is alkyl, hydroxy alkyl, carboxyalkyi or aminoalkyi
- R2 is hydrogen, alkyl or hydroxyalkyi groups
- R3 and R5 are H or -OR where R is an alkyl or hydroxyalkyi substituents
- R4 is H, alkyl or NHR'
- RQ is H, alkyl, -OR or NHR'
- R' is H, alkyl, hydroxyalkyi : with the proviso that a) only one of R4 and RQ are NHR': b) R3 and -OR-] are not both methoxy when when R2, R5 and RQ are H and R4 is NH2; c) either R3, or R4, or R5 or RQ is H; d) R3, R4 and R5 are not all H when RQ is NH2, R2 is H and R-
- formula (III) compounds are: o-hydroxyphenol (catechol), m-hydroxyphenol (resorcinol), p-hydroxyphenol
- Color modifiers such as those detailed hereinafter, are preferably used in conjunction with the primary intermediates herein and are thought to interpose themselves in the colored polymers during their formation and to cause shifts in the electronic spectra thereof, thereby resulting in slight color changes.
- Secondary coupling compounds which are suitable for inclusion in the coloring compositions and processes herein before described include certain aromatic amines and phenols and derivatives thereof which do not produce color singly, but which modify the color, shade or intensity of the colors developed by the primary oxidized dye intermediates.
- Polyhydric alcohols are also suitable for use as couplers herein.
- aromatic amines and phenols and derivatives described above as couplers can also have additional substituents on the aromatic ring, e.g., halogen, aldehyde, carboxylic acid, nitro, sulfonyl and substituted and unsubstituted by hydrocarbon groups, as well as additional substituents on the amino nitrogen, or phenolic oxygen, e.g. substituted and unsubstituted alkyl and aryl groups.
- peroxide-compatible salts thereof are suitable for use herein.
- aromatic amines examples include phenols and derivatives thereof.
- aromatic amines examples include phenols and derivatives thereof.
- Z is hydrogen, C-
- R-j and R2 are the same or different and are selected from the group consisting of hydrogen, C-
- formula (IV) compounds are: aniline, p-chloroaniline, p-fluoroaniline, p-nitroaniline, p-aminobenzaldehyde, p- aminobenzoic acid, sodium-p-aminobenzoate, lithium-p-aminobenzoate, calcium di-p-aminobenzoate, ammonium-p-aminobenzoate, trimethylammonium-p- aminobenzoate, tri(2-hydroxyethyl)-p-aminobenzoate, p-aminobenzenesulfonic acid, potassium p-aminobenzenesulfonate, N-methylaniline, N-propyl-N- phenylaniline, N-methyl-N-2-propenylaniline, N-benzylaniline, N-(2- ethylphenyl)aniline, 4-methylaniline, 4-(2-bromoethyl)aniline, 2-(2- nitroethyl
- Z and R7 are defined as in formula (IV) and Rs is hydrogen or C1 to C4 substituted or unsubstituted alkyl or alkenyl wherein the substituents are selected from those defined as Z in formula (IV).
- formula (V) compounds are: phenol, p-chlorophenol, p-nitrophenol, p-hydroxybenzaldehyde, p- hydroxybenzoic acid, p-hydroxybenzenesulfonic acid, ethylphenyl ether, 2- chloroethylphenyl ether, 2-nitroethylphenyl ether, phenoxyacetaldehyde, phenoxyacetic acid, 3-phenoxy-1-propene, 3-phenoxy-2-nitro-1-propene, 3- phenoxy-2-bromo-1-propene, 4-propylphenol, 4-(3-bromopropyl)phenol, 2-(2- nitroethyl)phenol, (4-hydroxyphenyl)acetaldehyde, (4-hydroxyphenyl)acetic acid, 4-(2-propenyl)phenol, 4-phenylphenol, 4-benzylphenol, 4-(3-fluoro-2- propenyl)phenol, 4-(4-chlorobenzyl)
- Additional primary intermediates suitable for use herein include catechol species and in particular catechol "dopa” species which includes dopa itself as well as homologs, analogs and derivatives of DOPA.
- suitable cachetol species include cysteinyl dopa, alpha alkyl dopa having 1 to 4 , preferably 1 to 2 carbon atoms in the alkyl group, epinephrine and dopa alkyl esters having 1 to 6 , preferably 1 to 2 carbon atoms in the alkyl group.
- , R2 and R3, which may be the same or different, are electron donor or acceptor substutuents selected from H, lower (Ci-C ⁇ ) alkyl, OH, OR, COOR, NHCOR, CN, COOH, Halogen, NO2, CF3, SO3H or NR4R5, with the proviso that only one of the R-
- NHCOR 6 NHCONH 2 , NHCO 2 R6, NHCSNH 2 , CN, COOH, SO3H, SO 2 NR 6 ,
- R6 is io er ( c 1" c 6) alk y'. lower ( c 1 _c 6) hydroxyalkyi phenyl linked to the nitrogen by an alkylene chain, phenyl or substituted phenyl with the substituent defined as R-
- Ri substituted or unsubstituted benzene ring, tertiary-butyl, etc.; R substituted or unsubstituted benzene ring and the formula:
- the primary intermediates can be used herein alone or in combination with other primary intermediates, and one or more can be used in combination with one or more couplers.
- the choice of primary intermediates and couplers will be determined by the color, shade and intensity of coloration which is desired.
- the primary intermediates and coupling compounds as aforementioned herein may be combined to deliver a wide variety of colors to the hair.
- the hair colors can vary by both depth of color and intensity of color.
- compositions are preferably valuable for the provision of high intensity colors.
- Intensity of color as defined herein means the quantity of color compound formed on and retained in the hair.
- high intensity as defined herein means dark or deep colors such as dark red, dark brown or black etc.
- low intensity colors such as natural blond to light brown hair shades generally comprise from about 0.001 % to about 5%, preferably from about 0.1% to about 2%, more preferably from about 0.2% to about 1% by weight of coloring composition of total oxidative dyeing agents and may be achieved by the combination of primary intermediates such as 1 ,4-diamino-benzene, 2,5-diamino toluene, 2,5-diamino-anisole, 4-aminophenol, 2,5-diamino-benzyl alcohol and 2- (2',5'-diamino)phenyl-ethanol with couplers such as resorcinol, 2-methyl resorcinol or 4-chloro resorcinol.
- primary intermediates such as 1 ,4-diamino-benzene, 2,5-diamino toluene, 2,5-diamino-anisole, 4-aminophenol, 2,5-diamino-benzyl
- oxidative hair coloring compositions which have an improved safety profile and in particular oxidative hair compositions for the delivery of dark colors i.e. high color intensity dyes, which have an improved safety profile.
- low pH compositions provide excellent hair coloring attributes in combination with reduced levels of hair damage and skin staining and/or irritation.
- compositions are valuable for the delivery of improved hair condition attributes in combination with good initial color development and consistency and improved wash fastness over time in addition to having reduced levels of hair damage and skin irritation and/or staining, particularly when used in the hand-held packaged composition of the invention.
- the hair coloring compositions may, in addition to the essential oxidative hair coloring agents, optionally include non-oxidative and other dye materials.
- Optional non-oxidative and other dyes suitable for use in the hair coloring compositions and processes include both semi-permanent, temporary and other dyes.
- Non-oxidative dyes as defined herein include the so-called 'direct action dyes', metallic dyes, metal chelate dyes, fibre reactive dyes and other synthetic and natural dyes.
- Various types of non-oxidative dyes are detailed in: 'Chemical and Physical Behaviour of Human Hair' 3rd Ed. by Clarence Robbins (pp250- 259); The Chemistry and Manufacture of Cosmetics'. Volume IV. 2nd Ed. Maison G.
- Direct action dyes which do not require an oxidative effect in order to develop the color, are also designated hair tints and have long been known in the art. They are usually applied to the hair in a base matrix which includes surfactant material.
- Direct action dyes include nitro dyes such as the derivatives of nitroamino benzene or nitroaminophenol; disperse dyes such as nitroaryl amines, aminoanthraquinones or azo dyes; anthraquinone dyes, naphthoquinone dyes; basic dyes such as Acridine Orange C.I. 46005.
- Nitrodyes are added to dyeing compositions to enhance colour of colorant and to add suitable aesthetic colour to the dye mixture prior to application.
- direct action dyes include the Arianor dyes basic brown 17, C.I. (color index) - no. 12,251 ; basic red 76, C.I. - 12,245; basic brown 16, C.I. - 12,250; basic yellow 57, C.I. - 12,719 and basic blue 99, C.I. - 56,059 and further direct action dyes such as acid yellow 1 , C.I. - 10,316 (D&C yellow no.7); acid yellow 9, C.I. - 13,015; basic violet C.I. - 45,170; disperse yellow 3, C.I. - 11 ,855; basic yellow 57, C.I. - 12,719; disperse yellow 1 , C.I.
- Fibre reactive dyes include the Procion (RTM), Drimarene (RTM), Cibacron (RTM), Levafix (RTM) and Remazol (RTM) dyes available from ICI, Sandoz, Ciba-Geigy, Bayer and Hoechst respectively.
- Natural dyes and vegetable dyes as defined herein include henna (Lawsonia alba), camomile (Matricaria chamomila or Anthemis nobilis), indigo, logwood and walnut hull extract.
- Temporary hair dyes, or hair coloring rinses are generally comprised of dye molecules which are too large to diffuse into the hair shaft and which act on the exterior of the hair. They are usually applied via a leave-in procedure in which the dye solution is allowed to dry on the hair surface. As such these dyes are typically less resistant to the effects of washing and cleaning the hair with surface active agents and are washed off of the hair with relative ease. Any temporary hair dye may suitably be used and examples of preferred temporary hair dyes are illustrated below.
- Semi-permanent hair dyes are dyes which are generally smaller in size and effect to temporary hair rinses but are generally larger than permanent (oxidative) dyes.
- semi-permanent dyes act in a similar manner to oxidative dyes in that they have the potential to diffuse into the hair shaft.
- semi- permanent dyes are generally smaller in size than the aforementioned conjugated oxidative dye molecules and as such are pre-disposed to gradual diffusion out of the hair again. Simple hair washing and cleaning action will encourage this process and in general semi-permanent dyes are largely washed out of the hair after about 5 to 8 washes. Any semi-permanent dye system may be suitably used.
- Suitable semi-permanent dyes for use in the compositions are HC Blue 2, HC Yellow 4, HC Red 3, Disperse Violet 4, Disperse Black 9, HC Blue 7, HC Yellow 2, Disperse Blue 3, Disperse violet 1 and mixtures thereof. Examples of semi-permanent dyes are illustrated below:
- Red Typical semi-permanent dye systems incorporate mixtures of both large and small color molecules. As the size of the hair is not uniform from root to tip the small molecules will diffuse both at the root and tip, but will not be retained within the tip, while the larger molecules will be generally only be able to diffuse into the ends of the hair. This combination of dye molecule size is used to help give consistent color results from the root to the tip of the hair both during the initial dyeing process and during subsequent washing.
- coloring compositions have a pH in the range of from about 1 to about 4.5, preferably from about 1.5 to about 4.5, more preferably from about 2 to about 4.4, most preferably from about 3.6 to about 4.3 and especially from about 3.8 to about 4.2.
- compositions are maintained within the desired pH range via the action of the inorganic peroxygen oxidising agent.
- the compositions may contain one or more optional buffering agents and/or hair swelling agents (HSAs).
- HSAs hair swelling agents
- This pH adjustment can be effected by using well known acidifying agents in the field of treating keratinous fibres, and in particular human hair, such as inorganic and organic acids such as hydrochloric acid, tartaric acid, citric acid, succinic acid, phosphoric acid and carboxylic or sulphonic acids such as ascorbic acid, acetic acid, lactic acid, sulphuric acid, formic acid, ammonium sulphate and sodium dihydrogenphosphate /phosphoric acid, disodium hydrogenphosphate /phosphoric acid, potassium chloride /hydrochloric acid, potassium dihydrogen phthalate/ hydrochloric acid, sodium citrate / hydrochloric acid, potassium dihydrogen citrate /hydrochloric acid, potassium dihydrogencitrate/ citric acid, sodium citrate / citric acid, sodium tartarate/ tartaric acid, sodium lactate/ lactic acid, sodium acetate/ acetic acid, disodium hydrogenphosphate/ citric acid and sodium chloride/ glycine
- alkaline buffering agents are ammonium hydroxide, ethylamine, dipropylamine, triethylamine and alkanediamines such as 1 ,3-diaminopropane, anhydrous alkaline alkanolamines such as, mono or di- ethanolamine, preferably those which are completely substituted on the amine group such as dimethylaminoethanol, polyalkylene polyamines such as diethyienetriamine or a heterocyclic amine such as morpholine as well as the hydroxides of alkali metals, such as sodium and potassium hydroxide, hydroxides of alkali earth metals, such as magnesium and calcium hydroxide, basic amino acids such as L-argenine, lysine, alanine, leucine, iso-leucine, oxylysine and histidine and alkanolamines such as dimethylaminoethanol and aminoalkylpropanediol and mixtures thereof.
- ion forming compounds compounds that form HCO3 " by dissociation in water
- suitable ion forming compounds are Na2CO3, NaHCO3, K2CO3, (NH4)2CO3, NH4HCO3, CaCO3 and Ca(HCO3) and mixtures thereof.
- Preferred for use herein as buffering agents are organic and inorganic acids having a first pKa below pH 6, and their conjugate bases.
- first pKa means, the negative logarithm (to the base 10) of the equilibrium constant, K, where K is the acid dissociation constant.
- Suitable organic and inorganic acids for use herein are: aspartic, maleic, tartaric, glutamic, glycolic, acetic, succinic, salycilic, formic, benzoic, malic, lactic, malonic, oxalic, citric, phosphoric acid and mixtures thereof.
- Particularly preferred are acetic, succinic, salycilic and phosphoric acids and mixtures thereof.
- Low pH coloring compositions may be comprised of a final solution containing both peroxide and a oxidative hair coloring agents which have been admixed prior to application to the hair or a single component system.
- the compositions may comprise coloring kits of a number of separate components.
- oxidising and coloring kits comprising a portion of inorganic peroxygen oxidising agent, such as hydrogen peroxide, which may be present in either solid or liquid form
- a buffering agent solution can be used to stabilise hydrogen peroxide. Since hydrogen peroxide is stable in the pH range from 2 to 4, it is necessary to use a buffering agent having a pH within this range. Dilute acids are suitable hydrogen peroxide buffering agents.
- oxidising and coloring kits comprising an oxidising agent (which may be in solid or liquid form) in combination with one or more coloring agents, a buffering agent capable of maintaining a solution pH in the range of from about 1 to about 4.5, preferably from about 1.5 to about 4.5, more preferably from about 2 to about 4.4, most preferably from about 3.6 to about 4.3 and especially from about 3.8 to about 4.2. As such it is necessary to use a buffering agent having a pH within this range.
- the coloring compositions herein may optionally contain a transition metal containing catalyst for the inorganic peroxygen oxidising agents and the, optional, preformed peroxy acid oxidising agent(s).
- One suitable type of catalyst is a catalyst system comprising a heavy metal cation of defined bleach catalytic activity, such as copper, iron or manganese cations, an auxiliary metal cation having little or no bleach catalytic activity, such as zinc or aluminium cations, and a sequestrant having defined stability constants for the catalytic and auxiliary metal cations, particularly ethylenediaminetetraacefic acid, ethylenediaminetetra (methylenephosphonic acid) and water-soluble salts thereof.
- Such catalysts are disclosed in US-A-4,430,243.
- Suitable catalysts include the manganese-based complexes disclosed in US-A-5,246,621 and US-A-5,244,594. Preferred examples of these catalysts include Mn IV 2(u-O)3(1 ,4,7-trimethyl-1 ,4,7-triazacyclononane)2-(PF6)2, Mn lli 2(u-O) ⁇ (u-OAc)2(1 ,4,7-trimethyl-1 ,4,7-triazacyclononane)2-(Ci ⁇ 4)2,
- ligands suitable for use herein include 1 ,5,9-trimethyl-1 ,5,9-triazacyclododecane, 2-methyl-1 ,4,7-triazacyclononane, 2- methyl-1 ,4,7-triazacyclononane, 1 ,2,4,7-tetramethyl-1 ,4,7-triazacyclononane, and mixtures thereof.
- binuclear Mn complexed with tetra-N-dentate and bi-N-dentate ligands including N4Mn ll, (u-O)2Mn lv N4) + and [Bipy2Mn l,l (u-
- Coloring compositions may contain as an optional component a heavy metal ion sequestrant.
- heavy metal ion sequestrant it is meant herein components 5 which act to sequester (chelate or scavenge) heavy metal ions. These components may also have calcium and magnesium chelation capacity, but preferentially they show selectivity to binding heavy metal ions such as iron, manganese and copper.
- sequestering agents are valuable in hair coloring compositions as herein described for the delivery of controlled oxidising action as o well as for the provision of good storage stability of the hair coloring products.
- Heavy metal ion sequestrants are generally present at a level of from about 0.005% to about 20%, preferably from about 0.01% to about 10%, more preferably from about 0.05% to about 2% by weight of the compositions. 5
- Suitable heavy metal ion sequestrants for use herein include organic phosphonates, such as the amino alkylene poly (alkylene phosphonates), alkali metal ethane 1 -hydroxy disphosphonates and nitrilo trimethylene phosphonates.
- Preferred among the above species are diethylene triamine penta (methylene phosphonate), ethylene diamine tri (methylene phosphonate) hexamethylene diamine tetra (methylene phosphonate) and hydroxy-ethylene 1 ,1 diphosphonate.
- Preferred biodegradable non-phosphorous heavy metal ion sequestrants suitable for use herein include nitrilotriacetic acid and polyaminocarboxylic acids such as ethylenediaminotetracetic acid, ethylenetriamine pentaacetic acid, ethylenediamine disuccinic acid, ethylenediamine diglutaric acid, 2- hydroxypropylenediamine disuccinic acid or any salts thereof.
- ethylenediamine-N,N'-disuccinic acid see US-A-4, 704,233, or the alkali metal, alkaline earth metal, ammonium, or substituted ammonium salts thereof, or mixtures thereof.
- Suitable heavy metal ion sequestrants for use herein are iminodiacetic acid derivatives such as 2-hydroxyethyl diacetic acid or glyceryl imino diacetic acid, described in EP-A-317,542 and EP-A-399,133.
- iminodiacetic acid-N-2- hydroxypropyl sulfonic acid and aspartic acid N-carboxymethyl N-2- hydroxypropyl-3-sulfonic acid sequestrants described in EP-A-516,102 are also suitable herein.
- EP-A-476,257 describes suitable amino based sequestrants.
- EP-A-510,331 describes suitable sequestrants derived from collagen, keratin or casein.
- EP-A- 528,859 describes a suitable alkyl iminodiacetic acid sequestrant. Dipicolinic acid and 2-phosphonobutane-1 ,2,4-tricarboxylic acid are also suitable.
- Glycinamide- N,N'-disuccinic acid (GADS), ethylenediamine-N-N'-diglutaric acid (EDDG) and 2- hydroxypropylenediamine-N-N'-disuccinic acid (HPDDS) are also suitable.
- the heavy metal ion sequestering agents may be used in their alkali or alkaline earth metal salts.
- the coloring compositions may additionally include a thickener at a level of from about 0.05% to about 20%, preferably from about 0.1% to about 10%, more preferably from about 0.5% to about 5% by weight.
- Thickening agents suitable ⁇ o for use in the compositions herein are selected from oleic acid, cetyl alcohol, oleyl alcohol, sodium chloride, cetearyl alcohol, stearyl alcohol, synthetic thickeners such as Carbopol, Aculyn and Acrosyl and mixtures thereof.
- Preferred thickeners for use herein are Aculyn 22 (RTM), steareth-20 methacrylate copolymer; Aculyn 44 (RTM) .polyurethane resin and Acusol 830 i s (RTM), acrylates copolymer which are available from Rohm and Haas, Philadelphia, PA, USA.
- Additional thickening agents suitable for use herein include sodium alginate or gum arabic, or cellulose derivatives, such as methyl cellulose or the sodium salt of carboxymethylcellulose or acrylic polymers.
- Water is the preferred diluent for the compositions.
- the compositions may include one or more solvents as additional diluent materials.
- 25 solvents suitable for use in the coloring compositions are selected to be miscible with water and innocuous to the skin.
- Solvents suitable for use as additional diluents herein include C1-C20 mono- or polyhydric alcohols and their ethers, glycerine, with monohydric and dihydric alcohols and their ethers preferred.
- alcoholic residues containing 2 to 10 carbon atoms are 30 preferred.
- a preferred group includes ethanol, isopropanol, n-propanol, butanol, propylene glycol, ethylene glycol monoethyl ether, and mixtures thereof.
- Water is the preferred principal diluent in the compositions.
- Principal diluent as defined herein, means, that the level of water present is higher than the total level of any other diluents. 35
- the diluent is present at a level preferably of from about 5% to about 99.98%, preferably from about 15% to about 99.5%, more preferably at least from about 30% to about 99%, and especially from about 50% to about 98% by weight of the compositions herein.
- a further additional material useful in the hair coloring compositions is one or more enzymes.
- Suitable enzymatic materials include the commercially available lipases, cutinases, amylases, neutral and alkaline proteases, esterases, cellulases, pectinases, lactases and peroxidases conventionally incorporated into detergent compositions. Suitable enzymes are discussed in US Patents 3,519,570 and 3,533,139 incorporated herein by reference.
- Peroxidases are haemoproteins specific for peroxide, but using a wide range of substances as donors. Catalase which decomposes peroxide, is included here in view of the fact that it is generally similar in structure and properties and is able to bring about certain oxidations by H2O2.
- the decomposition of H2O2 can be regarded as the oxidation of one molecule by the other. It is widespread in aerobic cells and may have some more important function.
- the coenzyme peroxidases are not haemoproteins and one at least is a flavoprotein.
- Suitable peroxidases for the compositions include horseradish peroxidase, Japanese radish peroxidase, cow's milk peroxidase, rat liver peroxidase, linginase and haioperoxidase such as chloro- and bromo-peroxidase.
- Enzymes are optionally incorporated at levels sufficient to provide up to about 50 mg by weight, more typically about 0.01 mg to about 10 mg of active enzyme per gramm of the hair treatment composition. Stated otherwise the peroxidase enzyme may be incorporated into the compositions at a level of from about 0.0001% to about 5%, preferably from about 0.001% to about 1%, more preferably from about 0.01 % to about 1% active enzyme by weight of the composition.
- protease enzymes include those sold under the trade names Alcalase, Savinase, Primase, Durazym, and Esperase by Novo Industries A/S (Denmark), those sold under the tradename Maxatase, Maxacal and Maxapem by Gist-Brocades, those sold by Genencor International, and those sold under the tradename Opticlean and Optimase by Solvay Enzymes.
- Protease enzyme may be incorporated into the compositions at a level of from 0.0001% to 4% active enzyme by weight of the composition.
- Amylases include, for example, ⁇ -amylases obtained from a special strain of B licheniformis, described in more detail in GB-1 ,269,839 (Novo).
- Preferred commercially available amylases include for example, those sold under the tradename Rapidase by Gist-Brocades, and those sold under the tradename Termamyl and BAN by Novo Industries A/S.
- Amylase enzyme may be incorporated into the composition at a level of from 0.0001 % to 2% active enzyme by weight of the composition.
- Lipolytic enzyme may be present at levels of active lipolytic enzyme of from 0.0001% to 2% by weight, preferably 0.001 % to 1% by weight, most preferably from 0.001% to 0.5% by weight of the compositions.
- the lipase may be fungal or bacterial in origin being obtained, for example, from a lipase producing strain of Humicola sp., Thermomvces sp. or Pseudomonas sp. including Pseudomonas pseudoalcaligenes or Pseudomas fluorescens. Lipase from chemically or genetically modified mutants of these strains are also useful herein.
- a preferred lipase is derived from Pseudomonas pseudoalcaligenes. which is described in Granted European Patent, EP-B-0218272.
- Another preferred lipase herein is obtained by cloning the gene from Humicola lanuginosa and expressing the gene in Aspergillus oryza. as host, as described in European Patent Application, EP-A-0258 068, which is commercially available from Novo Industri A S, Bagsvaerd, Denmark, under the trade name Lipolase. This lipase is also described in U.S. Patent 4,810,414, Huge-Jensen et al, issued March 7, 1989.
- compositions can additionally contain a surfactant system.
- Suitable surfactants for inclusion in the compositions generally have a lipophilic chain length of from about 8 to about 22 carbon atoms and can be selected from anionic, cationic, nonionic, amphoteric, zwitterionic surfactants and mixtures thereof.
- Anionic surfactants suitable for inclusion in the compositions include alkyl sulphates, ethoxylated alkyl sulphates, alkyl glyceryl ether sulfonates, methyl acyl taurates, fatty acyl glycinates, N-acyl glutamates, acyl isethionates, alkyl sulfosuccinates, alkyl ethoxysulphosuccinates, alpha-sulfonated fatty acids, their salts and/or their esters, alkyl ethoxy carboxylates, alkyl phosphate esters, ethoxylated alkyl phosphate esters, alkyl sulphates, acyl sarcosinates and fatty acid/protein condensates, and mixtures thereof.
- Alkyl and/or acyl chain lengths for these surfactants are C12-C22. preferably C12- 18 more preferably C-12- C-14-
- compositions can also comprise water-soluble nonionic surfactant(s).
- surfactants of this class include C12-C14 fatty acid mono-and diethanolamides, sucrose polyester surfactants and polyhydroxy fatty acid amide surfactants having the general formula below.
- N-alkyl, N-alkoxy or N-aryloxy, polyhydroxy fatty acid amide surfactants according to the above formula are those in which Re is C5-C31 hydrocarbyl, preferably C ⁇ -Cig hydrocarbyl, including straight-chain and branched chain alkyl and alkenyl, or mixtures thereof and Rg is typically hydrogen, C-i-Cs alkyl or hydroxyalkyi, preferably methyl, or a group of formula - R1_0-R2 wherein R 1 is C2-C8 hydrocarbyl including straight-chain, branched- chain and cyclic (including aryl), and is preferably C2-C4 alkylene, R 2 is C-j-Cs straight-chain, branched-chain and cyclic hydrocarbyl including aryl and oxyhydrocarbyl, and is preferably C1-C4 alkyl, especially methyl, or phenyl.
- Z2 is a polyhydroxyhydrocarbyl moiety having a linear hydro
- Z2 preferably will be derived from a reducing sugar in a reductive amination reaction, most preferably Z2 is a glycityl moiety.
- Suitable reducing sugars include glucose, fructose, maltose, lactose, galactose, mannose, and xylose, as well as glyceraldehyde.
- Z2 preferably will be selected from the group consisting of -CH2-
- n is an integer from 1 to 5, inclusive, and R' is H or a cyclic mono- or polysaccharide, and alkoxylated derivatives thereof.
- R' is H or a cyclic mono- or polysaccharide, and alkoxylated derivatives thereof.
- glycityls wherein n is 4, particularly -CH2-(CHOH) -CH 2 OH.
- the most preferred polyhydroxy fatty acid amide has the formula R8(CO)N(CH3)CH2(CHOH) 4 CH 2 OH wherein R is a C6-C19 straight chain alkyl or alkenyl group.
- R8-CO-N ⁇ can be, for example, cocoamide, stearamide, oleamide, lauramide, myristamide, capricamide, palmiamide, tallowamide, etc.
- Suitable oil derived nonionic surfactants for use herein include water soluble vegetable and animal-derived emollients such as triglycerides with a polyethyleneglycol chain inserted; ethoxylated mono and di-glycerides, polyethoxylated lanolins and ethoxylated butter derivatives.
- water soluble vegetable and animal-derived emollients such as triglycerides with a polyethyleneglycol chain inserted
- ethoxylated mono and di-glycerides ethoxylated mono and di-glycerides
- polyethoxylated lanolins polyethoxylated lanolins
- ethoxylated butter derivatives ethoxylated butter derivatives.
- One preferred class of oil-derived nonionic surfactants for use herein have the general formula below:
- Suitable ethoxylated oils and fats of this class include polyethyleneglycol derivatives of glyceryl cocoate, glyceryl caproate, glyceryl caprylate, glyceryl tallowate, glyceryl palmate, glyceryl stearate, glyceryl laurate, glyceryl oleate, glyceryl ricinoleate, and glyceryl fatty esters derived from triglycerides, such as palm oil, almond oil, and corn oil, preferably glyceryl tallowate and glyceryl cocoate.
- Preferred for use herein are polyethyleneglycol based polyethoxylated Cg-C-15 fatty alcohol nonionic surfactants containing an average of from about 5 to about 50 ethyleneoxy moieties per mole of surfactant.
- Suitable polyethylene glycol based polyethoxylated Cg-C-15 f attv alcohols suitable for use herein include Cg-C «
- PEG 40 hydrogenated castor oil is commercially available under the tradename Cremophor (RTM) from BASF.
- RTM Cremophor
- PEG 7 glyceryl cocoate and PEG 20 glyceryl laurate are commercially available from Henkel under the tradenames Cetiol (RTM) HE and Lamacit (RTM) GML 20 respectively.
- Cg-C-11 Pareth-8 is commercially available from Shell Ltd under the tradename Dobanol (RTM) 91-8.
- Particulary preferred for use herein are polyethylene glycol ethers of ceteryl alcohol such as Ceteareth 25 which is available from BASF under the trade name Cremaphor A25.
- nonionic surfactants derived from composite vegetable fats extracted from the fruit of the Shea Tree (Butyrospermum Karkii Kotschy) and derivatives thereof. Similarly, ethoxylated derivatives of Mango,
- Cocoa and lliipe butter may be used in compositions. Although these are classified as ethoxylated nonionic surfactants it is understood that a certain proportion may remain as non-ethoxylated vegetable oil or fat.
- suitable oil-derived nonionic surfactants include ethoxylated derivatives of almond oil, peanut oil, rice bran oil, wheat germ oil, linseed oil, jojoba oil, oil of apricot pits, walnuts, palm nuts, pistachio nuts, sesame seeds, rapeseed, cade oil, corn oil, peach pit oil, poppyseed oil, pine oil, castor oil, soybean oil, avocado oil, safflower oil, coconut oil, hazelnut oil, olive oil, grapeseed oil, and sunflower seed oil.
- Amphoteric surfactants suitable for use in the compositions include:
- is C7-C22 alkyl or alkenyl
- R2 is hydrogen or CH2Z
- each Z is independently CO2M or CH2CO2M
- M is H, alkali metal, alkaline earth metal, ammonium or alkanolammonium; and/or ammonium derivatives of formula (VIII)
- n, m, p, and q are numbers from 1 to 4, and R-j and M are independently selected from the groups specified above;
- Suitable amphoteric surfactants of type (a) are marketed under the trade name
- Miranol and Empigen are understood to comprise a complex mixture of species.
- the Miranols have been described as having the general formula (VII), although the CTFA Cosmetic Ingredient Dictionary, 3rd Edition indicates the non-cyclic structure (VIII) while the 4th Edition indicates yet another structural isomer in which R2 is O-linked rather than N-linked.
- CTFA Cosmetic Ingredient Dictionary, 3rd Edition indicates the non-cyclic structure (VIII) while the 4th Edition indicates yet another structural isomer in which R2 is O-linked rather than N-linked.
- CTFA Cosmetic Ingredient Dictionary, 3rd Edition indicates the non-cyclic structure (VIII) while the 4th Edition indicates yet another structural isomer in which R2 is O-linked rather than N-linked.
- a complex mixture of cyclic and non-cyclic species is likely to exist and both definitions are given here for sake of completeness.
- Preferred for use herein, however, are the non-cyclic species.
- amphoteric surfactants of type (a) include compounds of formula XII and/or XIII in which R-
- is CgHig, Z is CO2M and R2 is H; the compounds in which R-
- materials suitable for use include cocoamphocarboxypropionate, cocoamphocarboxy propionic acid, and especially cocoamphoacetate and cocoamphodiacetate (otherwise referred to as cocoamphocarboxyglycinate).
- Specific commercial products include those sold under the trade names of Ampholak 7TX (sodium carboxy methyl tallow polypropyl amine), Empigen CDL60 and CDR 60 (Albright & Wilson), Miranol H2M Cone. Miranol C2M Cone. N.P., Miranol C2M Cone.
- Miranol C2M SF Miranol CM Special (Rh ⁇ ne-Poulenc); Alkateric 2CIB (Alkaril Chemicals); Amphoterge W-2 (Lonza, Inc.); Monateric CDX-38, Monateric CSH-32 (Mona Industries); Rewoteric AM-2C (Rewo Chemical Group); and Schercotic MS-2 (Scher Chemicals).
- amphoteric surfactants suitable for use herein include Octoxynol-1 (RTM), polyoxethylene (1) octylphenyl ether; Nonoxynol-4 (RTM), polyoxyethylene (4) nonylphenyl ether and Nonoxynol-9, polyoxyethylene (9) nonylphenyl ether.
- amphoteric surfactants of this type are manufactured and sold in the form of electroneutral complexes with, for example, hydroxide counterions or with anionic sulfate or sulfonate surfactants, especially those of the sulfated Cs-Cis alcohol, C -C «
- concentrations and weight ratios of the amphoteric surfactants are based herein on the uncomplexed forms of the surfactants, any anionic surfactant counterions being considered as part of the overall anionic surfactant component content.
- amphoteric surfactants of type (b) include N-alkyl polytrimethylene poly-, carboxymethylamines sold under the trade names Ampholak X07 and Ampholak 7CX by Berol Nobel and also salts, especially the triethanolammonium salts and salts of N-lauryl-beta-amino propionic acid and N- lauryl-imino-dipropionic acid.
- Such materials are sold under the trade name Deriphat by Henkel and Mirataine by Rh ⁇ ne-Poulenc.
- Water-soluble auxiliary zwitterionic surfactants suitable for inclusion in the compositions include alkyl betaines of the formula RsR6R7N + (CH2) n CO2M and amido betaines of the formula (XII) below:
- R 7 wherein R5 is C11-C22 alkyl or alkenyl, RQ and R7 are independently C1-C3 alkyl, M is H, alkali metal, alkaline earth metal, ammonium or alkanolammonium, and n, m are each numbers from 1 to 4.
- Preferred betaines include cocoamidopropyldimethylcarboxymethyl betaine, laurylamidopropyldimethylcarboxymethyl betaine and Tego betaine (RTM).
- auxiliary sultaine surfactants suitable for inclusion in the compositions include alkyl sultaines of the formula (XIII) below:
- Ri is C7 to C22 alkyl or alkenyl
- R2 and R3 are independently C-
- M is H, alkali metal, alkaline earth metal, ammonium or alkanolammonium
- m and n are numbers from 1 to 4.
- Preferred for use herein is coco amido propylhydroxy sultaine.
- Water-soluble auxiliary amine oxide surfactants suitable for inclusion in the compositions include alkyl amine oxide R5R6R7NO and amido amine oxides of the formula (XIV) below:
- R5 is C11 to C22 alkyl or alkenyl
- RQ and R7 are independently C1 to C3 alkyl
- M is H, alkali metal, alkaline earth metal, ammonium or alkanolammonium
- m is a number from 1 to 4.
- Preferred amine oxides include cocoamidopropylamine oxide, lauryl dimethyl amine oxide and myristyl dimethyl amine oxide.
- a number of additional optional materials can be added to the coloring compositions herein described each at a level of from about 0.001% to about 5%, preferably from about 0.01% to about 3%, more preferably from about 0.05% to about 2% by weight of composition.
- Such materials include proteins and polypeptides and derivatives thereof; water-soluble or solubilizable preservatives such as DMDM Hydantoin, Germall 115, methyl, ethyl, propyl and butyl esters of hydroxybenzoic acid, EDTA, Euxyl (RTM) K400, natural preservatives such as benzyl alcohol, potassium sorbate and bisabalol, benzoic acid, sodium benzoate and 2-phenoxyethanol; antioxidants such as sodium sulphite, hydroquinone, sodium bisulphite, sodium metabisulphite and thyoglycolic acid, sodium dithionite, erythrobic acid and other mercaptans; dye removers such as oxalic acid
- viscosity control agents such as magnesium sulfate and other electrolytes
- viscosity control agents such as magnesium sulfate and other electrolytes
- quaternary amine compounds such as distearyl-, dilauryl-, di-hydrogenated beef tallow-, dimethyl ammonium chloride, dicetyldiethyl ammoniumethylsulphate, ditallowdimethyl ammonium methylsulphate, disoya dimethyl ammonium chloride and dicoco dimethyl ammonium chloride
- hair conditioning agents such as silicones, higher alcohols, cationic polymers and the like
- enzyme stabilisers such as water soluble sources of calcium or borate species
- colouring agents Ti ⁇ 2 and Ti ⁇ 2 ⁇ coated mica
- perfumes and perfume solubilizers and zeolites such as Valfour BV400 and derivatives thereof and Ca 2+ /Mg + sequestrants
- polycarboxylates amino polycarboxylates, polyphosphonates, amino
- composition is represented by the following non-limiting examples. In the examples, all concentrations are on a 100% active basis and all percentages are by weight unless otherwise stated and the abbreviations have the following designations:
- hair treatment compositions in the form of hair coloring compositions which are representative.
- Oxidative Dye 1 0.24 0.14 0.24 0.24 0.24 0.24 0.24 0.3
- Oxidative Dye 2 0.09 0.05 0.009 0.09 - - 0.1
- Oxidative Dye 3 0.006 0.004 0.006 0.006 0.006 0.006 -
- water is used as the diluent.
- water can be replaced, in part, by from about 0.5% to about 50% by weight of the total water content of the examples by diluents such as lower alcohols, e.g., ethylene glycol, ethylene glycol monoethyl ether, diethylene glycol, diethylene glycol monoethyl ether, propylene glycol, 1 ,3-propane diol, ethanol, isopropyl alcohol, glycerine, butoxyethanol, ethoxydiglycol, hexylene glycol, polyglyceryl-2-oleyl ether and mixtures thereof.
- lower alcohols e.g., ethylene glycol, ethylene glycol monoethyl ether, diethylene glycol, diethylene glycol monoethyl ether, propylene glycol, 1 ,3-propane diol, ethanol, isopropyl alcohol, glycerine, butoxyethanol, ethoxydiglycol,
Landscapes
- Engineering & Computer Science (AREA)
- Mechanical Engineering (AREA)
- Health & Medical Sciences (AREA)
- Dermatology (AREA)
- General Health & Medical Sciences (AREA)
- Containers And Packaging Bodies Having A Special Means To Remove Contents (AREA)
- Cleaning And Drying Hair (AREA)
Abstract
Description
Claims
Priority Applications (5)
| Application Number | Priority Date | Filing Date | Title |
|---|---|---|---|
| AU14637/99A AU1463799A (en) | 1997-11-21 | 1998-11-18 | Product applicator |
| HU0101233A HUP0101233A2 (en) | 1997-11-21 | 1998-11-18 | Product applicator |
| EP98958638A EP1030572A1 (en) | 1997-11-21 | 1998-11-18 | Product applicator |
| JP2000521725A JP2001523500A (en) | 1997-11-21 | 1998-11-18 | Product applicator |
| CA002310457A CA2310457A1 (en) | 1997-11-21 | 1998-11-18 | Product applicator |
Applications Claiming Priority (8)
| Application Number | Priority Date | Filing Date | Title |
|---|---|---|---|
| GB9724713.4 | 1997-11-21 | ||
| GBGB9724713.4A GB9724713D0 (en) | 1997-11-21 | 1997-11-21 | Delivery systems |
| GB9724716.7 | 1997-11-21 | ||
| GB9724715.9 | 1997-11-21 | ||
| GB9724714.2 | 1997-11-21 | ||
| GBGB9724715.9A GB9724715D0 (en) | 1997-11-21 | 1997-11-21 | Applicators |
| GBGB9724714.2A GB9724714D0 (en) | 1997-11-21 | 1997-11-21 | Applicators |
| GBGB9724716.7A GB9724716D0 (en) | 1997-11-21 | 1997-11-21 | Applicator systems |
Publications (1)
| Publication Number | Publication Date |
|---|---|
| WO1999026508A1 true WO1999026508A1 (en) | 1999-06-03 |
Family
ID=27451724
Family Applications (1)
| Application Number | Title | Priority Date | Filing Date |
|---|---|---|---|
| PCT/US1998/024639 Ceased WO1999026508A1 (en) | 1997-11-21 | 1998-11-18 | Product applicator |
Country Status (7)
| Country | Link |
|---|---|
| EP (1) | EP1030572A1 (en) |
| JP (1) | JP2001523500A (en) |
| CN (1) | CN1283968A (en) |
| AU (1) | AU1463799A (en) |
| CA (1) | CA2310457A1 (en) |
| HU (1) | HUP0101233A2 (en) |
| WO (1) | WO1999026508A1 (en) |
Cited By (4)
| Publication number | Priority date | Publication date | Assignee | Title |
|---|---|---|---|---|
| USD537981S1 (en) * | 2003-06-16 | 2007-03-06 | The Procter & Gamble Company | Dispenser head for cosmetics |
| WO2007051867A1 (en) * | 2006-02-03 | 2007-05-10 | Henkel Ag & Co. Kgaa | Application device for using a cosmetic preparation |
| WO2013074605A1 (en) * | 2011-11-14 | 2013-05-23 | Taylor Ruhamah Judith | Aerosol dispensing attachment |
| WO2020231931A1 (en) * | 2019-05-10 | 2020-11-19 | L'oreal | Cartridge having an internal capsule, method of using such a cartridge and hair treatment system |
Families Citing this family (12)
| Publication number | Priority date | Publication date | Assignee | Title |
|---|---|---|---|---|
| US8573232B2 (en) | 2006-10-09 | 2013-11-05 | The Procter & Gamble Company | Hair treatment application system comprising an absorbent substrate |
| EP1911368A1 (en) * | 2006-10-09 | 2008-04-16 | The Procter and Gamble Company | Hair treatment application system comprising an absorbent substrate |
| EP2332437B1 (en) | 2007-03-13 | 2013-05-01 | The Procter and Gamble Company | A tool for separating a hair bundle |
| AU2008266263A1 (en) | 2007-06-15 | 2008-12-24 | The Procter & Gamble Company | Applicator for applying a hair treatment composition to a bundle of hair strands |
| CA2691365C (en) | 2007-06-15 | 2012-10-16 | The Procter & Gamble Company | Device for the application of a hair treatment composition to a hair bundle |
| US10064471B2 (en) | 2007-11-02 | 2018-09-04 | Combe Incorporated | Air oxidation hair dye application system and method for coloring hair using the same |
| EP2196104B1 (en) | 2008-12-10 | 2018-10-17 | Noxell Corporation | Applicator of a hair treatment composition for improved hair strand effects |
| FR2984089B1 (en) * | 2011-12-20 | 2014-01-10 | Oreal | APPLICATION DEVICE COMPRISING A COMPOSITION BASED ON HYDROPHOBIC FILMOGENIC POLYMER AND A VOLATILE SOLVENT, PROCESS FOR TREATING KERATINOUS FIBERS USING THE SAME |
| CA2870034A1 (en) * | 2012-04-27 | 2013-10-31 | The Procter & Gamble Company | Applicator assembly for applying a composition |
| KR200480110Y1 (en) | 2014-07-15 | 2016-04-15 | (주)아모레퍼시픽 | A Hair Dye Container Having Pumping Unit |
| FR3031023B1 (en) * | 2014-12-30 | 2018-03-30 | L'oreal | RECHARGE FOR INSERTION IN HAIR TREATMENT DEVICE BY TILTING |
| FR3043531B1 (en) * | 2015-11-17 | 2019-05-24 | L'oreal | APPLICATOR FOR THE APPLICATION OF A COSMETIC PRODUCT |
Citations (38)
| Publication number | Priority date | Publication date | Assignee | Title |
|---|---|---|---|---|
| US3519570A (en) | 1966-04-25 | 1970-07-07 | Procter & Gamble | Enzyme - containing detergent compositions and a process for conglutination of enzymes and detergent compositions |
| US3533139A (en) | 1968-12-19 | 1970-10-13 | Roy A Gomes | Connector for glass crystals and like members |
| CA866191A (en) | 1971-03-16 | G. Van Senden Karel | Catalysts | |
| DE2054019A1 (en) | 1970-03-24 | 1971-10-07 | Unilever N V , Rotterdam (Nieder lande) | Bleaching detergent |
| GB1269839A (en) | 1968-07-29 | 1972-04-06 | Agfa Gevaert Ag | Take-up spool for film cassettes |
| US4076663A (en) | 1975-03-27 | 1978-02-28 | Sanyo Chemical Industries, Ltd. | Water absorbing starch resins |
| US4119557A (en) | 1975-12-18 | 1978-10-10 | Lever Brothers Company | Bleaching compositions and process for cleaning fabrics |
| US4209027A (en) | 1974-06-21 | 1980-06-24 | Shila Morganroth | Hair treatment devices and packaging therefor |
| US4211247A (en) | 1974-06-21 | 1980-07-08 | Shila Morganroth | Devices for use in selectively altering hair color |
| US4246612A (en) | 1979-02-28 | 1981-01-20 | Barr & Stroud Limited | Optical raster scanning system |
| US4430243A (en) | 1981-08-08 | 1984-02-07 | The Procter & Gamble Company | Bleach catalyst compositions and use thereof in laundry bleaching and detergent compositions |
| US4601845A (en) | 1985-04-02 | 1986-07-22 | Lever Brothers Company | Bleaching compositions containing mixed metal cations adsorbed onto aluminosilicate support materials |
| US4626373A (en) | 1983-11-08 | 1986-12-02 | Lever Brothers Company | Manganese adjuncts, their preparation and use |
| EP0224952A2 (en) | 1985-12-06 | 1987-06-10 | Unilever N.V. | Bleach catalyst aggregates of manganese cation impregnated aluminosilicates |
| US4704233A (en) | 1986-11-10 | 1987-11-03 | The Procter & Gamble Company | Detergent compositions containing ethylenediamine-N,N'-disuccinic acid |
| US4711748A (en) | 1985-12-06 | 1987-12-08 | Lever Brothers Company | Preparation of bleach catalyst aggregates of manganese cation impregnated aluminosilicates by high velocity granulation |
| US4728455A (en) | 1986-03-07 | 1988-03-01 | Lever Brothers Company | Detergent bleach compositions, bleaching agents and bleach activators |
| EP0258068A2 (en) | 1986-08-29 | 1988-03-02 | Novo Nordisk A/S | Enzymatic detergent additive |
| EP0306089A2 (en) | 1987-09-04 | 1989-03-08 | Unilever N.V. | Metallo-porphirins as bleach catalyst and process for cleaning fabrics |
| EP0317542A2 (en) | 1987-11-13 | 1989-05-24 | The Procter & Gamble Company | Hard-surface cleaning compositions containing iminodiacetic acid derivatives |
| EP0384503A1 (en) | 1989-02-22 | 1990-08-29 | Unilever N.V. | Metallo-porphyrins for use as bleach catalyst |
| EP0399133A1 (en) | 1989-05-23 | 1990-11-28 | The Procter & Gamble Company | Detergent and cleaning compositions containing chelating agents |
| EP0408131A2 (en) | 1989-07-10 | 1991-01-16 | Unilever N.V. | Bleach activation |
| EP0218272B1 (en) | 1985-08-09 | 1992-03-18 | Gist-Brocades N.V. | Novel lipolytic enzymes and their use in detergent compositions |
| EP0476257A1 (en) | 1990-09-15 | 1992-03-25 | Hüls Aktiengesellschaft | Aminodicarboxylic acids and their derivatives as stabilizers for the oxygen bleaching of fabric during washing |
| US5114606A (en) | 1990-02-19 | 1992-05-19 | Lever Brothers Company, Division Of Conopco, Inc. | Bleaching composition comprising as a bleaching catalyst a complex of manganese with a non-carboxylate polyhydroxy ligand |
| EP0509382A2 (en) | 1991-04-17 | 1992-10-21 | Hampshire Chemical Corporation | Biodegradable bleach stabilizers for detergents |
| EP0510331A1 (en) | 1991-04-20 | 1992-10-28 | Hüls Aktiengesellschaft | Protein as biodegradable stabiliser for oxygen bleaching in textile laundering |
| EP0516102A1 (en) | 1991-05-31 | 1992-12-02 | The Dow Chemical Company | Degradable chelants having sulfonate groups, uses and compositions thereof |
| EP0528859A1 (en) | 1990-04-24 | 1993-03-03 | Flustat Pty. Ltd. | Oral vaccine comprising antigen surface-associated with red blood cells |
| US5194416A (en) | 1991-11-26 | 1993-03-16 | Lever Brothers Company, Division Of Conopco, Inc. | Manganese catalyst for activating hydrogen peroxide bleaching |
| EP0549272A1 (en) | 1991-12-20 | 1993-06-30 | Unilever Plc | Bleach activation |
| US5227084A (en) | 1991-04-17 | 1993-07-13 | Lever Brothers Company, Division Of Conopco, Inc. | Concentrated detergent powder compositions |
| US5244594A (en) | 1990-05-21 | 1993-09-14 | Lever Brothers Company, Division Of Conopco, Inc. | Bleach activation multinuclear manganese-based coordination complexes |
| JPH0722951U (en) | 1993-09-29 | 1995-04-25 | 花王株式会社 | Pouring container |
| EP0715821A2 (en) * | 1994-12-06 | 1996-06-12 | L'oreal | Liquid or pasty product dispenser with an applicator head |
| US5551454A (en) * | 1993-06-07 | 1996-09-03 | L'oreal | Assembly for packaging of products for lightening the hair, and corresponding method for lightening the hair |
| JPH09118375A (en) | 1995-10-26 | 1997-05-06 | Shiseido Co Ltd | Container two-liquid mixing |
-
1998
- 1998-11-18 AU AU14637/99A patent/AU1463799A/en not_active Abandoned
- 1998-11-18 EP EP98958638A patent/EP1030572A1/en not_active Withdrawn
- 1998-11-18 CA CA002310457A patent/CA2310457A1/en not_active Abandoned
- 1998-11-18 HU HU0101233A patent/HUP0101233A2/en unknown
- 1998-11-18 WO PCT/US1998/024639 patent/WO1999026508A1/en not_active Ceased
- 1998-11-18 CN CN98813252A patent/CN1283968A/en active Pending
- 1998-11-18 JP JP2000521725A patent/JP2001523500A/en not_active Withdrawn
Patent Citations (40)
| Publication number | Priority date | Publication date | Assignee | Title |
|---|---|---|---|---|
| CA866191A (en) | 1971-03-16 | G. Van Senden Karel | Catalysts | |
| US3519570A (en) | 1966-04-25 | 1970-07-07 | Procter & Gamble | Enzyme - containing detergent compositions and a process for conglutination of enzymes and detergent compositions |
| GB1269839A (en) | 1968-07-29 | 1972-04-06 | Agfa Gevaert Ag | Take-up spool for film cassettes |
| US3533139A (en) | 1968-12-19 | 1970-10-13 | Roy A Gomes | Connector for glass crystals and like members |
| DE2054019A1 (en) | 1970-03-24 | 1971-10-07 | Unilever N V , Rotterdam (Nieder lande) | Bleaching detergent |
| US4209027A (en) | 1974-06-21 | 1980-06-24 | Shila Morganroth | Hair treatment devices and packaging therefor |
| US4211247A (en) | 1974-06-21 | 1980-07-08 | Shila Morganroth | Devices for use in selectively altering hair color |
| US4076663A (en) | 1975-03-27 | 1978-02-28 | Sanyo Chemical Industries, Ltd. | Water absorbing starch resins |
| US4119557A (en) | 1975-12-18 | 1978-10-10 | Lever Brothers Company | Bleaching compositions and process for cleaning fabrics |
| US4246612A (en) | 1979-02-28 | 1981-01-20 | Barr & Stroud Limited | Optical raster scanning system |
| US4430243A (en) | 1981-08-08 | 1984-02-07 | The Procter & Gamble Company | Bleach catalyst compositions and use thereof in laundry bleaching and detergent compositions |
| US4626373A (en) | 1983-11-08 | 1986-12-02 | Lever Brothers Company | Manganese adjuncts, their preparation and use |
| US4601845A (en) | 1985-04-02 | 1986-07-22 | Lever Brothers Company | Bleaching compositions containing mixed metal cations adsorbed onto aluminosilicate support materials |
| EP0218272B1 (en) | 1985-08-09 | 1992-03-18 | Gist-Brocades N.V. | Novel lipolytic enzymes and their use in detergent compositions |
| EP0224952A2 (en) | 1985-12-06 | 1987-06-10 | Unilever N.V. | Bleach catalyst aggregates of manganese cation impregnated aluminosilicates |
| US4711748A (en) | 1985-12-06 | 1987-12-08 | Lever Brothers Company | Preparation of bleach catalyst aggregates of manganese cation impregnated aluminosilicates by high velocity granulation |
| US4728455A (en) | 1986-03-07 | 1988-03-01 | Lever Brothers Company | Detergent bleach compositions, bleaching agents and bleach activators |
| EP0258068A2 (en) | 1986-08-29 | 1988-03-02 | Novo Nordisk A/S | Enzymatic detergent additive |
| US4810414A (en) | 1986-08-29 | 1989-03-07 | Novo Industri A/S | Enzymatic detergent additive |
| US4704233A (en) | 1986-11-10 | 1987-11-03 | The Procter & Gamble Company | Detergent compositions containing ethylenediamine-N,N'-disuccinic acid |
| EP0306089A2 (en) | 1987-09-04 | 1989-03-08 | Unilever N.V. | Metallo-porphirins as bleach catalyst and process for cleaning fabrics |
| EP0317542A2 (en) | 1987-11-13 | 1989-05-24 | The Procter & Gamble Company | Hard-surface cleaning compositions containing iminodiacetic acid derivatives |
| EP0384503A1 (en) | 1989-02-22 | 1990-08-29 | Unilever N.V. | Metallo-porphyrins for use as bleach catalyst |
| EP0399133A1 (en) | 1989-05-23 | 1990-11-28 | The Procter & Gamble Company | Detergent and cleaning compositions containing chelating agents |
| EP0408131A2 (en) | 1989-07-10 | 1991-01-16 | Unilever N.V. | Bleach activation |
| US5114606A (en) | 1990-02-19 | 1992-05-19 | Lever Brothers Company, Division Of Conopco, Inc. | Bleaching composition comprising as a bleaching catalyst a complex of manganese with a non-carboxylate polyhydroxy ligand |
| EP0528859A1 (en) | 1990-04-24 | 1993-03-03 | Flustat Pty. Ltd. | Oral vaccine comprising antigen surface-associated with red blood cells |
| US5246621A (en) | 1990-05-21 | 1993-09-21 | Lever Brothers Company, Division Of Conopco, Inc. | Bleach activation by manganese-based coordination complexes |
| US5244594A (en) | 1990-05-21 | 1993-09-14 | Lever Brothers Company, Division Of Conopco, Inc. | Bleach activation multinuclear manganese-based coordination complexes |
| EP0476257A1 (en) | 1990-09-15 | 1992-03-25 | Hüls Aktiengesellschaft | Aminodicarboxylic acids and their derivatives as stabilizers for the oxygen bleaching of fabric during washing |
| US5227084A (en) | 1991-04-17 | 1993-07-13 | Lever Brothers Company, Division Of Conopco, Inc. | Concentrated detergent powder compositions |
| EP0509382A2 (en) | 1991-04-17 | 1992-10-21 | Hampshire Chemical Corporation | Biodegradable bleach stabilizers for detergents |
| EP0510331A1 (en) | 1991-04-20 | 1992-10-28 | Hüls Aktiengesellschaft | Protein as biodegradable stabiliser for oxygen bleaching in textile laundering |
| EP0516102A1 (en) | 1991-05-31 | 1992-12-02 | The Dow Chemical Company | Degradable chelants having sulfonate groups, uses and compositions thereof |
| US5194416A (en) | 1991-11-26 | 1993-03-16 | Lever Brothers Company, Division Of Conopco, Inc. | Manganese catalyst for activating hydrogen peroxide bleaching |
| EP0549272A1 (en) | 1991-12-20 | 1993-06-30 | Unilever Plc | Bleach activation |
| US5551454A (en) * | 1993-06-07 | 1996-09-03 | L'oreal | Assembly for packaging of products for lightening the hair, and corresponding method for lightening the hair |
| JPH0722951U (en) | 1993-09-29 | 1995-04-25 | 花王株式会社 | Pouring container |
| EP0715821A2 (en) * | 1994-12-06 | 1996-06-12 | L'oreal | Liquid or pasty product dispenser with an applicator head |
| JPH09118375A (en) | 1995-10-26 | 1997-05-06 | Shiseido Co Ltd | Container two-liquid mixing |
Non-Patent Citations (1)
| Title |
|---|
| DATABASE WPI Derwent World Patents Index; AN 97306383 * |
Cited By (4)
| Publication number | Priority date | Publication date | Assignee | Title |
|---|---|---|---|---|
| USD537981S1 (en) * | 2003-06-16 | 2007-03-06 | The Procter & Gamble Company | Dispenser head for cosmetics |
| WO2007051867A1 (en) * | 2006-02-03 | 2007-05-10 | Henkel Ag & Co. Kgaa | Application device for using a cosmetic preparation |
| WO2013074605A1 (en) * | 2011-11-14 | 2013-05-23 | Taylor Ruhamah Judith | Aerosol dispensing attachment |
| WO2020231931A1 (en) * | 2019-05-10 | 2020-11-19 | L'oreal | Cartridge having an internal capsule, method of using such a cartridge and hair treatment system |
Also Published As
| Publication number | Publication date |
|---|---|
| EP1030572A1 (en) | 2000-08-30 |
| CA2310457A1 (en) | 1999-06-03 |
| AU1463799A (en) | 1999-06-15 |
| HUP0101233A2 (en) | 2001-08-28 |
| CN1283968A (en) | 2001-02-14 |
| JP2001523500A (en) | 2001-11-27 |
Similar Documents
| Publication | Publication Date | Title |
|---|---|---|
| US6398821B1 (en) | Hair coloring compositions | |
| US6309426B1 (en) | Hair coloring compositions | |
| US20020053110A1 (en) | Hair coloring compositions | |
| US6432147B1 (en) | Hair coloring compositions | |
| EP1221932A1 (en) | Hair coloring compositions and methods | |
| CA2274948A1 (en) | Hair coloring compositions | |
| EP1030572A1 (en) | Product applicator | |
| EP0876134B1 (en) | Hair coloring compositions | |
| CA2274860A1 (en) | Hair coloring compositions | |
| WO2001062221A1 (en) | Pretreatment for hair coloring compositions and methods | |
| CA2274841A1 (en) | Hair coloring compositions | |
| AU734671B2 (en) | Hair coloring compositions | |
| CZ20001862A3 (en) | Product Applicator | |
| MXPA99005974A (en) | Hair coloring compositions | |
| MXPA99005972A (en) | Hair coloring compositions | |
| MXPA99005973A (en) | Hair coloring compositions | |
| MXPA99005976A (en) | Hair coloring compositions | |
| MXPA99005975A (en) | Hair coloring compositions |
Legal Events
| Date | Code | Title | Description |
|---|---|---|---|
| WWE | Wipo information: entry into national phase |
Ref document number: 98813252.4 Country of ref document: CN |
|
| AK | Designated states |
Kind code of ref document: A1 Designated state(s): AL AM AT AT AU AZ BA BB BG BR BY CA CH CN CU CZ CZ DE DE DK DK EE EE ES FI FI GB GE GH GM HR HU ID IL IS JP KE KG KP KR KZ LC LK LR LS LT LU LV MD MG MK MN MW MX NO NZ PL PT RO RU SD SE SG SI SK SK SL TJ TM TR TT UA UG US UZ VN YU ZW |
|
| AL | Designated countries for regional patents |
Kind code of ref document: A1 Designated state(s): GH GM KE LS MW SD SZ UG ZW AM AZ BY KG KZ MD RU TJ TM AT BE CH CY DE DK ES FI FR GB GR IE IT LU MC NL PT SE BF BJ CF CG CI CM GA GN GW ML MR NE SN TD TG |
|
| 121 | Ep: the epo has been informed by wipo that ep was designated in this application | ||
| DFPE | Request for preliminary examination filed prior to expiration of 19th month from priority date (pct application filed before 20040101) | ||
| ENP | Entry into the national phase |
Ref document number: 2310457 Country of ref document: CA Ref document number: 2310457 Country of ref document: CA Kind code of ref document: A |
|
| WWE | Wipo information: entry into national phase |
Ref document number: 09554697 Country of ref document: US |
|
| WWE | Wipo information: entry into national phase |
Ref document number: PV2000-1862 Country of ref document: CZ Ref document number: 14637/99 Country of ref document: AU |
|
| NENP | Non-entry into the national phase |
Ref country code: KR |
|
| ENP | Entry into the national phase |
Ref document number: 2000 521725 Country of ref document: JP Kind code of ref document: A |
|
| WWE | Wipo information: entry into national phase |
Ref document number: 1998958638 Country of ref document: EP |
|
| WWP | Wipo information: published in national office |
Ref document number: 1998958638 Country of ref document: EP |
|
| REG | Reference to national code |
Ref country code: DE Ref legal event code: 8642 |
|
| WWP | Wipo information: published in national office |
Ref document number: PV2000-1862 Country of ref document: CZ |
|
| WWW | Wipo information: withdrawn in national office |
Ref document number: 1998958638 Country of ref document: EP |
|
| WWR | Wipo information: refused in national office |
Ref document number: PV2000-1862 Country of ref document: CZ |























