EP0408131A2 - Bleach activation - Google Patents
Bleach activation Download PDFInfo
- Publication number
- EP0408131A2 EP0408131A2 EP19900201821 EP90201821A EP0408131A2 EP 0408131 A2 EP0408131 A2 EP 0408131A2 EP 19900201821 EP19900201821 EP 19900201821 EP 90201821 A EP90201821 A EP 90201821A EP 0408131 A2 EP0408131 A2 EP 0408131A2
- Authority
- EP
- European Patent Office
- Prior art keywords
- bleach
- bleaching
- complex
- composition
- alkyl
- Prior art date
- Legal status (The legal status is an assumption and is not a legal conclusion. Google has not performed a legal analysis and makes no representation as to the accuracy of the status listed.)
- Granted
Links
Classifications
-
- C—CHEMISTRY; METALLURGY
- C11—ANIMAL OR VEGETABLE OILS, FATS, FATTY SUBSTANCES OR WAXES; FATTY ACIDS THEREFROM; DETERGENTS; CANDLES
- C11D—DETERGENT COMPOSITIONS; USE OF SINGLE SUBSTANCES AS DETERGENTS; SOAP OR SOAP-MAKING; RESIN SOAPS; RECOVERY OF GLYCEROL
- C11D3/00—Other compounding ingredients of detergent compositions covered in group C11D1/00
- C11D3/39—Organic or inorganic per-compounds
- C11D3/3902—Organic or inorganic per-compounds combined with specific additives
- C11D3/3905—Bleach activators or bleach catalysts
- C11D3/3932—Inorganic compounds or complexes
Definitions
- This invention relates to activation of bleaches employing peroxy compounds, including hydrogen peroxide or a hydrogen peroxide adduct, which liberate hydrogen peroxide in aqueous solution, as well as peroxy acids; to compounds that activate or catalyse peroxy compounds; to bleach compositions including detergent bleach compositions which contain a catalyst for peroxy compounds; and to processes for bleaching and/or washing of substrates employing the aforementioned types of compositions.
- peroxy compounds including hydrogen peroxide or a hydrogen peroxide adduct, which liberate hydrogen peroxide in aqueous solution, as well as peroxy acids
- bleach compositions including detergent bleach compositions which contain a catalyst for peroxy compounds
- processes for bleaching and/or washing of substrates employing the aforementioned types of compositions employing the aforementioned types of compositions.
- the present invention is concerned with the effective use of transition metal compounds as catalyst for the bleach activation of peroxy compound bleaches.
- Peroxide bleaching agents for use in laundering have been known for many years. Such agents are effective in removing stains, such as tea, fruit and wine stains, from clothing at or near boiling temperatures. The efficacy of peroxide bleaching agents drops off sharply at temperatures below 60 C.
- transition metal ions catalyse the decomposition of H 2 0 2 and H 2 0 2 -liberating percompounds, such as sodium perborate. It has also been suggested that transition metal salts together with a chelating agent can be used to activate peroxide compounds so as to make them usable for satisfactory bleaching at lower temperatures. Not all combinations of transition metals with chelating agents appeared to be suitable for improving the bleaching performance of peroxide compound bleaches. Many combinations indeed show no effect, or even a worsening effect, on the bleaching performance; no proper rule seems to exist by which the effect of metal ion/chelating agent combinations on the bleaching performance of peroxide compound bleaches can be predicted.
- US Patent N° 3,156,654 suggested particularly cobalt and copper salts in conjunction with pyridine-2-carboxylic acid or pyridine-2,6-dicarboxylic acid, preferably as a pre-formed complex, as being a suitable combination.
- Another suggestion is made in US Patent N° 3,532,634 to use a transition metal, especially cobalt, manganese and copper salts, together with a chelating agent in combination with a persalt and an organic bleach activator. It is said here that the chelating agent should have a first complex formation constant with the transition metal ion of log 2 to about log 10 at 20 C.
- Preferred options include (di)-picolinic acid, pyrrolidine-carboxylic acids and 1,10-phenanthroline, whereas well-known chelating agents, such as ethylene diamine tetraacetic acid - found usable according to US Patent N° 3,156,654 - are unsuitable. These catalysts, as shows in the Examples, have very little or no effect on persalts alone.
- transition metal For a transition metal to be useful as a bleach catalyst in a detergent bleach composition, the transition metal compound must not unduly promote peroxide decomposition by non-bleaching pathways and must be hydrolytically and oxidatively stable.
- US Patent N° 4,728,455 discusses the use of Mn(III)-gluconate as peroxide bleach catalyst and EP-A-0272030 discloses the use of cobalt(III)amine complexes, e.g. [Co(NH 3 )- s Ct]Ct 2 , as peroxide bleach catalysts. Still, the performance of these systems is inadequate when used for bleaching in the low-temperature region of about 20-40 C. They are furthermore restricted in their efficacy to remove a wide class of stains.
- Another object of the invention is to provide an improved bleaching composition for use in detergent formulations which are effective at low to medium temperatures of e.g. 20-40 C.
- Still another object of the invention is to provide new, improved detergent bleach formulations.
- Yet another object of the invention is to provide aqueous laundry wash media containing new, improved detergent bleach formulations.
- a further object of the invention is to provide an improved bleaching system comprising a peroxy compound bleach and a transition metal catalyst for the effective use in the textile and paper industries and other related industries.
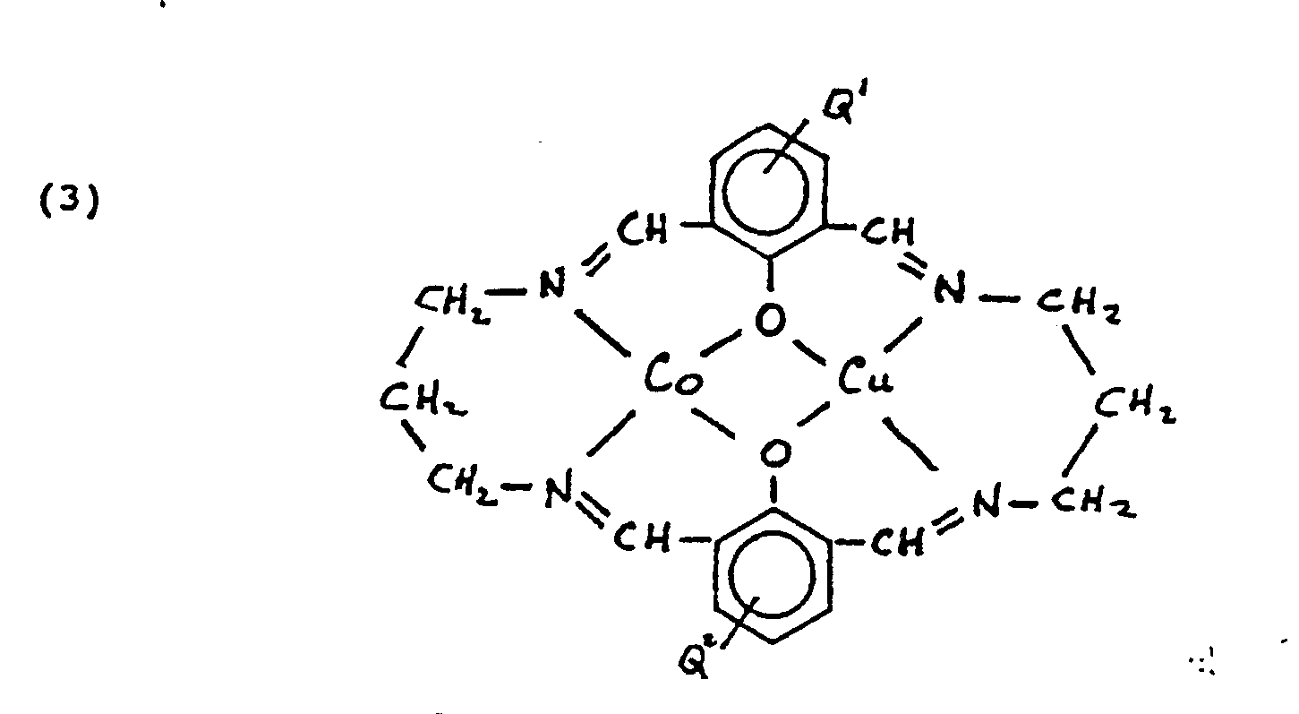
- the improved transition metal bleach catalyst according to the invention is a cobalt complex of the following general formula (A) : wherein M is a metal ion selected from Co and Cu; a is 0 or 1; X can be a common anion such as CI-, Br-, I - , NO 3 - , ClO 4 - , NCS - and OH-, or a small co-ordinating ligand such as H 2 0, NH 3 and pyridine, or a species such as O 2 2- , 0 2 -, HO 2 - and H 5 O 5 ; p is an integer from 0 to 4; Y is a counter ion, the type of which is dependent upon the charge z of the complex; z denotes the charge of the complex and is an integer which can be positive or negative, whereby, if z is positive, Y is a common anion as denoted for X and, if z is negative, Y is a common cation selected from alkal
- R 1 , R 2 can each be a substituent selected from H, alkyl, aryl, optionally substituted;
- ligand (I) Being a Co-complex, ligand (I) will form a mono-nuclear Co-complex and ligand (II) will form a bi- nuclear Co-Co-or Co-Cu-complex.
- catalyst complexes are: which can be, and are normally, written in simplified form :
- complexes are useful catalysts for the bleach activation of peroxy compounds over a wide class of stains at lower temperatures, in a much more effective way than the metal catalysts of the art hitherto known.
- the [Co.M a L]-core complex is the determining factor of its catalytic action and that the presence of X and Y in the formula, which may be inherent to the methods of preparation, has hardly any effect on the catalytic action of the instant complexes. It is also essential that the catalyst complex of the invention should contain at least one cobalt atom, since otherwise no, or hardly any, catalyzing effect is observed, e.g. Cu-SALEN or a bi-nuclear Cu-Cu-complex is hardly catalytically active. These non-cobalt-containing complexes are thus outside the purview of the present invention.
- bleach catalysts of the invention are hydrolytically and oxidatively stable, and that the complexes themselves are catalytically active, insensitive to builder variations in the composition. Another advantage is that the instant catalysts appear to be better than similar complexes proposed in the art.
- the instant ' bleach catalysts have furthermore the surprising feature in that they activate not only hydrogen peroxide or hydrogen peroxide-liberating compounds but also peroxyacids and peroxyacid bleach systems, such as a persalt/peroxyacid precursor mixture.
- a further surprising feature of the bleach systems according to the invention is that they are effective on a wide range of stains including both hydrophilic and hydrophobic stains, which is very unusual for hydrogen peroxide-based bleach systems.
- the invention provides a bleaching or cleaning process employing a peroxy compound bleaching agent selected from the group of hydrogen peroxide, hydrogen peroxide-liberating compounds, peroxyacids and their salts, and peroxyacid bleach precursors and mixtures thereof, which process is characterized in that said bleaching agent is activated by a catalytic amount of a cobalt complex of general formula (A) as defined hereinbefore.
- a peroxy compound bleaching agent selected from the group of hydrogen peroxide, hydrogen peroxide-liberating compounds, peroxyacids and their salts, and peroxyacid bleach precursors and mixtures thereof, which process is characterized in that said bleaching agent is activated by a catalytic amount of a cobalt complex of general formula (A) as defined hereinbefore.
- the catalytic component is a novel feature of the invention.
- the effective level of the cobalt complex catalyst expressed in terms of parts per million (ppm) of transition metal in the aqueous bleaching solution, will normally range from 0.01 ppm to 1000 ppm, preferably from 0.1 ppm to 100 ppm, most preferably from 0.1 ppm to 10 ppm. Higher levels may be desired and applied in industrial bleaching processes, such as textile and paper pulp-bleaching. The lower range levels are primarily destined and preferably used in domestic laundry operations.
- the invention provides an improved bleaching composition
- the improved bleaching composition has particular application in detergent formulations to form a new and improved detergent bleach composition within the purview of the invention, comprising said peroxy compound bleach, the aforesaid cobalt complex catalyst, a surface-active material, and usually also detergency builders and other known ingredients of such formulations, as well as in the industrial bleaching of yarns, textiles, paper and the like.
- compositions comprising a peroxy compound bleach and the aforesaid bleach catalyst are effective over a wide pH range of between 7 and 13, with optimal pH range lying between 8 and 11.
- the peroxy compound bleaches which can be utilized in the present invention include hydrogen peroxide, hydrogen peroxide-liberating compounds, peroxyacids and their salts, and peroxyacid bleach precursors and mixtures thereof.
- Hydrogen peroxide sources are well known in the art. They include the alkali metal peroxides, organic peroxide bleaching compounds such as urea peroxide, and inorganic persalt bleaching compounds, such as the alkali metal perborates, percarbonates, perphosphates and persulphates. Mixtures of two or more such compounds may also be suitable. Particularly preferred are sodium percarbonate and sodium perborate and, especially, sodium perborate monohydrate. Sodium perborate monohydrate is preferred to tetrahydrate because of its excellent storage stability while also dissolving very quickly in aqueous bleaching solutions.
- Peroxyacid compounds include the organic peroxyacids and their salts and the inorganic peroxyacid salts.
- One suitable class of organic peroxyacids can be represented by compounds of the general formula : 0 HO-0- C -(O) n -R-Y , wherein R is an alkylene or substituted alkylene group containing 1 to 20 carbon atoms or an arylene group containing from 6 to 8 carbon atoms, n is 0 or 1, and Y is hydrogen, halogen, alkyl, aryl or any group which provides an anionic or cationic moiety in aqueous solution.
- Such groups can include, for example, wherein M is H or a water-soluble, salt-forming cation.
- the organic peroxyacids and salts thereof can contain either one, two or more peroxy groups and can be either aliphatic or aromatic.
- the organic peroxyacid is aliphatic
- the unsubstituted acid may have the general formula : wherein Y can be H, and m can be an integer from 1 to 20.
- the unsubstituted acid may have the general formula: wherein Y is, for example, hydrogen, halogen, alkyl,
- the percarboxy or percarbonic and Y groupings can be in any relative position around the aromatic ring.
- the ring and/or Y group (if alkyl) can contain any non-interfering substituents, such as halogen or sulphonate groups.
- aromatic peroxyacids and salts thereof include peroxybenzoic acid, m-chloro-peroxybenzoic acid, p-nitro-peroxybenzoic acid, p-sulphonato-peroxybenzoic acid, diperoxyisoph- thalic acid, peroxy-alpha-naphthoic acid, and 4,4'-suiphonyi-diperoxybenzoic acid and magnesium salts thereof.
- inorganic peroxyacid salts is potassium monopersulphate.
- a product comprising this compound is the triple salt, K 2 SO 4 .KHSO 4 .2KHSO 5 , available commercially under the trade-name Oxone@ from E.I. Dupont de Nemours and Company and Caroat @ from Degussa.
- Preferred peroxyacids are peracetic acid and potassium monopersulphate.
- Peroxyacid bleach precursors are known and amply described in literature, such as in the GB-Patents 836,988; 864,798; 907,356; 1,003,310 and 1,519,351; German Patent 3,337,921; EP-A-0185522; EP-A-0174132; EP-A-0120591; and U.S. Patents 1,246,339; 3,332,882; 4,128,494; 4,412,934 and 4,675,393.
- peroxyacid bleach precursors Another useful class of peroxyacid bleach precursors is that of the quaternary ammonium substituted peroxyacid precursors as disclosed in U.S. Patents 4,751,015 and 4,397,757, in EP-A-284292 and in our pending unpublished European Patent Application 89200385.6. Examples of peroxyacid bleach precursors of this class are:
- the preferred classes are the esters, including acyl phenol sulphonates and acyl alkyl phenol sulphonates; amides, including TAED; and the quaternary ammonium substituted peroxyacid precursors.
- Highly preferred activators include sodium-4-benzoyloxy benzene sulphonate; N,N,N N -tetraacetyl ethylene diamine; sodium-1-methyl-2-benzoyloxy benzene-4-sulphonate; sodium-4-methyl-3-benzoyloxy benzoate; SPCC and trimethyl ammonium toluyloxy benzene sulphonate.
- a detergent bleach composition of the invention can be formulated by combining effective amounts of the components.
- effective amounts means that the ingredients are present in quantities such that each of them is operative for its intended purpose when the resulting mixture is combined with water to form an aqueous medium which can be used to wash clothes, fabrics and other articles.
- the detergent bleach composition can be formulated to contain, for example, about 5% to 30% by weight, preferably from 10 to 25% by weight, of a peroxide compound.
- Peroxyacids may be utilized in somewhat lower amounts, for example from 1% to about 15% by weight, preferably from 2% to 10% by weight.
- Peroxyacid precursors may be utilized in combination with a peroxide compound in approximately the same level as peroxyacids, i.e. 2% to 15%, preferably from 2% to 10% by weight.
- the cobalt complex catalyst will be present in such formulations in amounts so as to provide the required level of cobalt in the wash liquor. Normally, an amount of cobalt complex catalyst is incorporated in the formulation which corresponds to a transition metal content of from 0.0002% to about 10.0% by weight, preferably 0.002% to 1.0% by weight.
- the bleach catalyst of the invention is compatible with substantially any known and common surface-active agents and detergency builder materials.
- the surface-active material may be naturally derived or a synthetic material selected from anionic, nonionic, amphoteric, zwitterionic, cationic actives and mixtures thereof. Many suitable actives are commercially available and are fully described in literature, for example in "Surface Active Agents and Detergents", Volumes I and II, by Schwartz, Perry and Berch.
- the total level of the surface-active material may range up to 50% by weight, preferably being from about 1% to 40% by weight of the composition, most preferably 4 to 25%.
- Synthetic anionic surface-actives are usually water-soluble alkali metal salts of organic sulphates and sulphonates having alkyl groups containing from about 8 to about 22 carbon atoms, the term alkyl being used to include the alkyl portion of higher aryl radicals.
- Suitable synthetic anionic detergent compounds are sodium and ammonium alkyl sulphates, especially those obtained by sulphating higher (C s -C, s ) alcohols produced, for example, from tallow or coconut oil; sodium and ammonium alkyl (C s -C 2 o) benzene sulphonates, particularly sodium linear secondary alkyl, (ClO-Cl5) benzene sulphonates; sodium alkyl glyceryl ether sulphates, especially those esters of the higher alcohols derived from tallow or coconut oil and synthetic alcohols derived from petroleum; sodium coconut oil fatty acid monoglyceride sulphates and sulphonates; sodium and ammonium salts of sulphuric acid esters of higher (C s -C, s ) fatty alcohol alkylene oxides particularly ethylene oxide, reaction products; the reaction products of fatty acids such as coconut fatty acids esterified with isethionic acid and neutralized with sodium hydroxide;
- the preferred anionic detergent compounds are sodium (C 11 -C 15 ) alkylbenzene sulphonates, sodium (C 16 -C 18 ) alkyl sulphates and sodium (C I 6 -C, s) alkyl ether sulphates.
- nonionic surface-active compounds examples include in particular the reaction products of alkylene oxides, usually ethylene oxide, with alkyl (C 6 -C 22 ) phenols, generally 5-25 EO, i.e. 5-25 units of ethylene oxides per molecule; the condensation products of aliphatic (C 8 -C 18 ) primary or secondary linear or branched alcohols with ethylene oxide, generally 3-30 EO, and products made by condensation of ethylene oxide with the reaction products of propylene oxide and ethylene diamine.
- alkyl polyglycosides long chain tertiary amine oxides, long chain tertiary phosphine oxides and dialkyl sulphoxides.
- Amounts of amphoteric or zwitterionic surface-active compounds can also be used in the compositions of the invention but this is not normally desired owing to their relatively high cost. If any amphoteric or zwitterionic detergent compounds are used, it is generally in small amounts in compositions based on the much more commonly used synthetic anionic and nonionic actives.
- the detergent compositions of the invention will normally also contain a detergency builder.
- Builder materials may be selected from 1) calcium sequestrant materials, 2) precipitating materials, 3) calcium ion-exchange materials and 4) mixtures thereof.
- Examples of calcium sequestrant builder materials include alkali metal polyphosphates, such as sodium tripolyphosphate; nitrilotriacetic acid and its water-soluble salts; the akali metal salts of carboxymethyloxy succinic acid, ethylene diamine tetraacetic acid, oxydisuccinic acid, mellitic acid, benzene polycarboxylic acids, citric acid; and polyacetal carboxylates as disclosed in US patents 4,144,226 and 4,146,495.
- alkali metal polyphosphates such as sodium tripolyphosphate
- nitrilotriacetic acid and its water-soluble salts the akali metal salts of carboxymethyloxy succinic acid, ethylene diamine tetraacetic acid, oxydisuccinic acid, mellitic acid, benzene polycarboxylic acids, citric acid
- polyacetal carboxylates as disclosed in US patents 4,144,226 and 4,146,495.
- precipitating builder materials examples include sodium orthophosphate, sodium carbonate and sodium carbonate/calcite.
- Examples of calcium ion-exchange builder materials include the various types of water-insoluble crystalline or amorphous aluminosilicates, of which zeolites are the best known representatives.
- compositions of the invention may contain any one of the organic or inorganic builder materials, such as sodium or potassium tripolyphosphate, sodium or potassium pyrophosphate, sodium or potassium orthophosphate, sodium carbonate or sodium carbonate/calcite mixtures, the sodium salt of nitrilotriacetic acid, sodium citrate, carboxymethyl malonate, carboxymethyloxy succinate and the water-insoluble crystalline or amorphous aluminosilicate builder materials, or mixtures thereof.
- the organic or inorganic builder materials such as sodium or potassium tripolyphosphate, sodium or potassium pyrophosphate, sodium or potassium orthophosphate, sodium carbonate or sodium carbonate/calcite mixtures, the sodium salt of nitrilotriacetic acid, sodium citrate, carboxymethyl malonate, carboxymethyloxy succinate and the water-insoluble crystalline or amorphous aluminosilicate builder materials, or mixtures thereof.
- These builder materials may be present at a level of, for example, from 5 to 80% by weight, preferably from 10 to 60% by weight.
- the detergent compositions of the invention can contain any of the conventional additives in the amounts in which such materials are normally employed in fabric washing detergent compositions.
- these additives include lather boosters, such as alkanolamides, particularly the monoethanol amides derived from palmkernel fatty acids and coconut fatty acids, lather depressants, such as alkyl phosphates and silicones, anti-redeposition agents, such as sodium carboxymethyl cellulose and alkyl or substituted alkyl cellulose ethers, other stabilizers, such as ethylene diamine tetraacetic acid and the phosphonic acid derivatives (i.e.
- Dequest 0 types fabric softening agents, inorganic salts, such as sodium sulphate, and, usually present in very small amounts, fluorescent agents, perfumes, enzymes, such as proteases, cellulases, lipases and amylases, germicides and colourants.
- Another optional but highly desirable additive ingredient with multi-functional characteristics in detergent compositions is from 0.1% to about 3% by weight of a polymeric material having a molecular weight of from 1,000 to 2,000,000 and which can be a homo- or co-polymer of acrylic acid, maleic acid, or salt or anhydride thereof, vinyl pyrrolidone, methyl- or ethyl-vinyl ethers, and other polymerizable vinyl monomers.
- polyacrylic acid or polyacrylate are polyacrylic acid or polyacrylate; polymaleic acid/acrylic acid copolymer; 70:30 acrylic acid/hydroxyethyl maleate copolymer; 1:1 styrene/maleic acid copolymer; isobutylene/maleic acid and diisobutylene/maleic acid copolymers; methyl- and ethyl-vinylether/maleic acid copolymers; ethylene/maleic acid copolymer; polyvinyl pyrrolidone; and vinyl pyrrolidone/maleic acid copolymer.
- Detergent bleach compositions of the invention formulated as free-flowing particles can be produced by any of the conventional techniques employed in the manufacture of detergent compositions, but preferably by slurry-making and spray-drying processes to form a detergent base powder to which the heat-sensitive ingredients including the peroxy compound bleach and optionally some other ingredients as desired, and the bleach catalyst, can be added as dry substances.
- the bleach catalyst can be added separately to a wash/bleach water containing the peroxy compound bleaching agent.
- the instant bleach catalyst can also be formulated in detergent bleach compositions of other product forms, such as flakes, tablets, bars and liquids, particularly non-aqueous liquid detergent compositions.
- Such non-aqueous liquid detergent compositions in which the instant bleach catalyst can be incorporated are known in the art and various formulations have been proposed, e.g. in US Patents 2,864,770; 3,368,977; 4,772,412; GB Patents 1,205,711; 1,370,377; 2,194,536; DE-A-2,233,771 and EP-A-0,028,849.
- This compound was prepared by a procedure analogous to that described for Cu-Cu L.C1 2 .6H 2 0, except that the reaction was carried out under an atmosphere of oxygen-free nitrogen to avoid possible aerial oxidation and the crude product was obtained simply by cooling the reaction mixture. The precaution of excluding oxygen during the reaction was probably unnecessary, for the solid product was stable to air.
- the crude solid was recrystallized from hot methanol and dried under vacuum over calcium chloride at room temperature.
- the ligand L in these complexes is that of formula II(a) having a CH 3 substituent on each aromatic ring and the Co-Co-complex is that of formula (2) as hereinbefore described with Q being methyl.
- Bleaching experiments were conducted with Co-SALEN's and Co-SALPD's as bleach catalyst having different Q-substituents.
- the conditions for the bleach experiments were :
Landscapes
- Chemical & Material Sciences (AREA)
- Inorganic Chemistry (AREA)
- Life Sciences & Earth Sciences (AREA)
- Engineering & Computer Science (AREA)
- Chemical Kinetics & Catalysis (AREA)
- Oil, Petroleum & Natural Gas (AREA)
- Wood Science & Technology (AREA)
- Organic Chemistry (AREA)
- Detergent Compositions (AREA)
Abstract
Description
- This invention relates to activation of bleaches employing peroxy compounds, including hydrogen peroxide or a hydrogen peroxide adduct, which liberate hydrogen peroxide in aqueous solution, as well as peroxy acids; to compounds that activate or catalyse peroxy compounds; to bleach compositions including detergent bleach compositions which contain a catalyst for peroxy compounds; and to processes for bleaching and/or washing of substrates employing the aforementioned types of compositions.
- In particular, the present invention is concerned with the effective use of transition metal compounds as catalyst for the bleach activation of peroxy compound bleaches.
- Peroxide bleaching agents for use in laundering have been known for many years. Such agents are effective in removing stains, such as tea, fruit and wine stains, from clothing at or near boiling temperatures. The efficacy of peroxide bleaching agents drops off sharply at temperatures below 60 C.
- It is known that many transition metal ions catalyse the decomposition of H202 and H202-liberating percompounds, such as sodium perborate. It has also been suggested that transition metal salts together with a chelating agent can be used to activate peroxide compounds so as to make them usable for satisfactory bleaching at lower temperatures. Not all combinations of transition metals with chelating agents appeared to be suitable for improving the bleaching performance of peroxide compound bleaches. Many combinations indeed show no effect, or even a worsening effect, on the bleaching performance; no proper rule seems to exist by which the effect of metal ion/chelating agent combinations on the bleaching performance of peroxide compound bleaches can be predicted.
- Various attempts have been made to select suitable metal/chelating agent combinations for said purpose and to correlate bleach-catalysing effect with some physical constants of the combination; so far without much success and of no practical value.
- US Patent N° 3,156,654 suggested particularly cobalt and copper salts in conjunction with pyridine-2-carboxylic acid or pyridine-2,6-dicarboxylic acid, preferably as a pre-formed complex, as being a suitable combination. Another suggestion is made in US Patent N° 3,532,634 to use a transition metal, especially cobalt, manganese and copper salts, together with a chelating agent in combination with a persalt and an organic bleach activator. It is said here that the chelating agent should have a first complex formation constant with the transition metal ion of log 2 to about log 10 at 20 C. Preferred options include (di)-picolinic acid, pyrrolidine-carboxylic acids and 1,10-phenanthroline, whereas well-known chelating agents, such as ethylene diamine tetraacetic acid - found usable according to US Patent N° 3,156,654 - are unsuitable. These catalysts, as shows in the Examples, have very little or no effect on persalts alone.
- Other patent documents discussing the use of chelating agents are, for example, GB Patents 984,459 and 1,192,524, which suggested the use of copper salts in combination with other specific chelating agents of the class of amino acetic acids, and US Patent N° 4,119,557, which suggested the use of pre-formed ferric ion complexes with a polycarboxy amine-type chelating agent. All these prior art suggestions are based on systems in which free metal ion is the catalytically active species and consequently produce results in practice that are often very inconsistent and/or unsatisfactory, especially when used for washing at low temperatures. The ferric ion complexes of US Patent N° 4,119,557 are furthermore not effective at low temperatures.
- For a transition metal to be useful as a bleach catalyst in a detergent bleach composition, the transition metal compound must not unduly promote peroxide decomposition by non-bleaching pathways and must be hydrolytically and oxidatively stable. US Patent N° 4,728,455 discusses the use of Mn(III)-gluconate as peroxide bleach catalyst and EP-A-0272030 discloses the use of cobalt(III)amine complexes, e.g. [Co(NH3)-sCt]Ct2, as peroxide bleach catalysts. Still, the performance of these systems is inadequate when used for bleaching in the low-temperature region of about 20-40 C. They are furthermore restricted in their efficacy to remove a wide class of stains.
- It is an object of the present invention to provide an improved transition metal catalyst for the bleach activation of hydrogen peroxide and hydrogen peroxide-liberating compounds, as well as peroxyacid compounds, including peroxyacid precursors, over a wide class of stains at lower temperatures.
- Another object of the invention is to provide an improved bleaching composition for use in detergent formulations which are effective at low to medium temperatures of e.g. 20-40 C.
- Still another object of the invention is to provide new, improved detergent bleach formulations.
- Yet another object of the invention is to provide aqueous laundry wash media containing new, improved detergent bleach formulations.
- A further object of the invention is to provide an improved bleaching system comprising a peroxy compound bleach and a transition metal catalyst for the effective use in the textile and paper industries and other related industries.
- These and other objects of the invention, as well as further understandings of the features and advantages thereof, can be had from the following description and claims.
- The improved transition metal bleach catalyst according to the invention is a cobalt complex of the following general formula (A) :
wherein M is a metal ion selected from Co and Cu; a is 0 or 1; X can be a common anion such as CI-, Br-, I-, NO3 -, ClO4 -, NCS- and OH-, or a small co-ordinating ligand such as H20, NH3 and pyridine, or a species such as O2 2-, 02-, HO2- and H5O5; p is an integer from 0 to 4; Y is a counter ion, the type of which is dependent upon the charge z of the complex; z denotes the charge of the complex and is an integer which can be positive or negative, whereby, if z is positive, Y is a common anion as denoted for X and, if z is negative, Y is a common cation selected from alkali metal, alkaline earth metal or an alkyl ammonium cation; n = z/[charge Y]; and L is a ligand being an organic molecule of the general formula I if a = 0, and of the general formula II if a = 1. wherein m is 2-6, preferably 2-3; R1, R2 can each be a substituent selected from H, alkyl, aryl, optionally substituted; Q1 and Q2 can each be a substituent selected from H, optionally substituted alkyl or aryl, N02, NR2, NR3 +, O-alkyl, O-aryl, halogen, SO3-, alkyl SO3- and aryl SO3-, T is either NR, 0, PR or S, wherein R = R1 or R2 and b is 0-1. -
-
- In the further description of the invention, the mono-nuclear Co-complexes are denoted as Co-SALEN's (m=2) or Co-SALPD's (m=3) and the bi-nuclear complexes are denoted as bi-nuclear Co-Co- or Co-Cu- complexes. They can be present as simple complexes or with substituents and containing further co- ordinating ligands, anions and cations.
-
-
- Any of these complexes are useful catalysts for the bleach activation of peroxy compounds over a wide class of stains at lower temperatures, in a much more effective way than the metal catalysts of the art hitherto known. Preferred complexes are those of formulae (2) and (3), wherein Q1 and Q2 = -CH3. These compounds will be referred to in the further description of the invention as "Co-Co", and "Co-Cu", respectively.
- Several of the complexes usable herein have been prepared previously as scientific and laboratory curiosities without any practical function being in mind. Preparative routes for some complexes and the ligands are described in scientific literature such as Bull. Chem. Soc. of Japan, 1938 , 13, 252: Journ. Am. Chem. Soc. 1947 , 69, 1886; J. Chem. Soc., 1985 , 107, 2903 and Austr. Journ. Chemistry 1970 , 23, 2225/36.
- It should be appreciated that the [Co.MaL]-core complex is the determining factor of its catalytic action and that the presence of X and Y in the formula, which may be inherent to the methods of preparation, has hardly any effect on the catalytic action of the instant complexes. It is also essential that the catalyst complex of the invention should contain at least one cobalt atom, since otherwise no, or hardly any, catalyzing effect is observed, e.g. Cu-SALEN or a bi-nuclear Cu-Cu-complex is hardly catalytically active. These non-cobalt-containing complexes are thus outside the purview of the present invention.
- An advantage of the bleach catalysts of the invention is that they are hydrolytically and oxidatively stable, and that the complexes themselves are catalytically active, insensitive to builder variations in the composition. Another advantage is that the instant catalysts appear to be better than similar complexes proposed in the art.
- The instant 'bleach catalysts have furthermore the surprising feature in that they activate not only hydrogen peroxide or hydrogen peroxide-liberating compounds but also peroxyacids and peroxyacid bleach systems, such as a persalt/peroxyacid precursor mixture.
- A further surprising feature of the bleach systems according to the invention is that they are effective on a wide range of stains including both hydrophilic and hydrophobic stains, which is very unusual for hydrogen peroxide-based bleach systems.
- Accordingly, in one aspect, the invention provides a bleaching or cleaning process employing a peroxy compound bleaching agent selected from the group of hydrogen peroxide, hydrogen peroxide-liberating compounds, peroxyacids and their salts, and peroxyacid bleach precursors and mixtures thereof, which process is characterized in that said bleaching agent is activated by a catalytic amount of a cobalt complex of general formula (A) as defined hereinbefore.
- The catalytic component is a novel feature of the invention. The effective level of the cobalt complex catalyst, expressed in terms of parts per million (ppm) of transition metal in the aqueous bleaching solution, will normally range from 0.01 ppm to 1000 ppm, preferably from 0.1 ppm to 100 ppm, most preferably from 0.1 ppm to 10 ppm. Higher levels may be desired and applied in industrial bleaching processes, such as textile and paper pulp-bleaching. The lower range levels are primarily destined and preferably used in domestic laundry operations.
- In another aspect, the invention provides an improved bleaching composition comprising a peroxy compound bleach as defined above and a catalyst for the bleaching action of the peroxy compound bleach, said catalyst comprising the aforesaid Co-complex of general formulae (A). As indicated above, the improved bleaching composition has particular application in detergent formulations to form a new and improved detergent bleach composition within the purview of the invention, comprising said peroxy compound bleach, the aforesaid cobalt complex catalyst, a surface-active material, and usually also detergency builders and other known ingredients of such formulations, as well as in the industrial bleaching of yarns, textiles, paper and the like.
- Compositions comprising a peroxy compound bleach and the aforesaid bleach catalyst are effective over a wide pH range of between 7 and 13, with optimal pH range lying between 8 and 11.
- The peroxy compound bleaches which can be utilized in the present invention include hydrogen peroxide, hydrogen peroxide-liberating compounds, peroxyacids and their salts, and peroxyacid bleach precursors and mixtures thereof.
- Hydrogen peroxide sources are well known in the art. They include the alkali metal peroxides, organic peroxide bleaching compounds such as urea peroxide, and inorganic persalt bleaching compounds, such as the alkali metal perborates, percarbonates, perphosphates and persulphates. Mixtures of two or more such compounds may also be suitable. Particularly preferred are sodium percarbonate and sodium perborate and, especially, sodium perborate monohydrate. Sodium perborate monohydrate is preferred to tetrahydrate because of its excellent storage stability while also dissolving very quickly in aqueous bleaching solutions.
- Peroxyacid compounds include the organic peroxyacids and their salts and the inorganic peroxyacid salts. One suitable class of organic peroxyacids can be represented by compounds of the general formula : 0 HO-0- C -(O)n-R-Y , wherein R is an alkylene or substituted alkylene group containing 1 to 20 carbon atoms or an arylene group containing from 6 to 8 carbon atoms, n is 0 or 1, and Y is hydrogen, halogen, alkyl, aryl or any group which provides an anionic or cationic moiety in aqueous solution. Such groups can include, for example,
wherein M is H or a water-soluble, salt-forming cation. -
- Specific examples of compounds of this type are diperoxyazelaic acid, peroxylauric acid and diperox- ydodecanedioic acid, and the magnesium salts thereof.
-
- The percarboxy or percarbonic and Y groupings can be in any relative position around the aromatic ring. The ring and/or Y group (if alkyl) can contain any non-interfering substituents, such as halogen or sulphonate groups.
- Specific examples of such aromatic peroxyacids and salts thereof include peroxybenzoic acid, m-chloro-peroxybenzoic acid, p-nitro-peroxybenzoic acid, p-sulphonato-peroxybenzoic acid, diperoxyisoph- thalic acid, peroxy-alpha-naphthoic acid, and 4,4'-suiphonyi-diperoxybenzoic acid and magnesium salts thereof.
- A specific example of inorganic peroxyacid salts is potassium monopersulphate. A product comprising this compound is the triple salt, K2SO4.KHSO4.2KHSO5, available commercially under the trade-name Oxone@ from E.I. Dupont de Nemours and Company and Caroat @ from Degussa.
- Preferred peroxyacids are peracetic acid and potassium monopersulphate.
- Peroxyacid bleach precursors are known and amply described in literature, such as in the GB-Patents 836,988; 864,798; 907,356; 1,003,310 and 1,519,351; German Patent 3,337,921; EP-A-0185522; EP-A-0174132; EP-A-0120591; and U.S. Patents 1,246,339; 3,332,882; 4,128,494; 4,412,934 and 4,675,393.
- Another useful class of peroxyacid bleach precursors is that of the quaternary ammonium substituted peroxyacid precursors as disclosed in U.S. Patents 4,751,015 and 4,397,757, in EP-A-284292 and in our pending unpublished European Patent Application 89200385.6. Examples of peroxyacid bleach precursors of this class are:
- 2-(N,N,N-trimethyl ammonium) ethyl sodium-4-sulphophenyl carbonate chloride - (SPCC); N-octyi,N,N-dimethy)-N10-carbophenoxy decyl ammonium chloride - (ODC); 3-(N,N,N-trimethyl ammonium) propyl sodium-4-sulphophenyl carboxylate; and N,N,N-trimethyl ammonium toluyloxy benzene sulphonate.
- Of the above classes of bleach precurssors, the preferred classes are the esters, including acyl phenol sulphonates and acyl alkyl phenol sulphonates; amides, including TAED; and the quaternary ammonium substituted peroxyacid precursors.
- Highly preferred activators include sodium-4-benzoyloxy benzene sulphonate; N,N,N N -tetraacetyl ethylene diamine; sodium-1-methyl-2-benzoyloxy benzene-4-sulphonate; sodium-4-methyl-3-benzoyloxy benzoate; SPCC and trimethyl ammonium toluyloxy benzene sulphonate.
- A detergent bleach composition of the invention can be formulated by combining effective amounts of the components. The term "effective amounts" as used herein means that the ingredients are present in quantities such that each of them is operative for its intended purpose when the resulting mixture is combined with water to form an aqueous medium which can be used to wash clothes, fabrics and other articles.
- In particular, the detergent bleach composition can be formulated to contain, for example, about 5% to 30% by weight, preferably from 10 to 25% by weight, of a peroxide compound. Peroxyacids may be utilized in somewhat lower amounts, for example from 1% to about 15% by weight, preferably from 2% to 10% by weight.
- Peroxyacid precursors may be utilized in combination with a peroxide compound in approximately the same level as peroxyacids, i.e. 2% to 15%, preferably from 2% to 10% by weight.
- The cobalt complex catalyst will be present in such formulations in amounts so as to provide the required level of cobalt in the wash liquor. Normally, an amount of cobalt complex catalyst is incorporated in the formulation which corresponds to a transition metal content of from 0.0002% to about 10.0% by weight, preferably 0.002% to 1.0% by weight.
- The bleach catalyst of the invention is compatible with substantially any known and common surface-active agents and detergency builder materials.
- The surface-active material may be naturally derived or a synthetic material selected from anionic, nonionic, amphoteric, zwitterionic, cationic actives and mixtures thereof. Many suitable actives are commercially available and are fully described in literature, for example in "Surface Active Agents and Detergents", Volumes I and II, by Schwartz, Perry and Berch. The total level of the surface-active material may range up to 50% by weight, preferably being from about 1% to 40% by weight of the composition, most preferably 4 to 25%.
- Synthetic anionic surface-actives are usually water-soluble alkali metal salts of organic sulphates and sulphonates having alkyl groups containing from about 8 to about 22 carbon atoms, the term alkyl being used to include the alkyl portion of higher aryl radicals.
- Examples of suitable synthetic anionic detergent compounds are sodium and ammonium alkyl sulphates, especially those obtained by sulphating higher (Cs-C,s) alcohols produced, for example, from tallow or coconut oil; sodium and ammonium alkyl (Cs-C2o) benzene sulphonates, particularly sodium linear secondary alkyl, (ClO-Cl5) benzene sulphonates; sodium alkyl glyceryl ether sulphates, especially those esters of the higher alcohols derived from tallow or coconut oil and synthetic alcohols derived from petroleum; sodium coconut oil fatty acid monoglyceride sulphates and sulphonates; sodium and ammonium salts of sulphuric acid esters of higher (Cs-C,s) fatty alcohol alkylene oxides particularly ethylene oxide, reaction products; the reaction products of fatty acids such as coconut fatty acids esterified with isethionic acid and neutralized with sodium hydroxide; sodium and ammonium salts of fatty acid amides of methyl taurine; alkane monosulphonates such as those derived by reacting alpha-olefins (CS-C20) with sodium bisulphite and those derived by reacting paraffins with S02 and CI2 and then hydrolyzing with a base to produce a random sulphonate; sodium and ammonium C7-C12 dialkyl sulfosuccinates; and olefin sulphonates, which term is used to describe the material made by reacting olefins, particularly G10-C20 alpha-olefins, with S03 and then neutralizing and hydrolyzing the reaction product. The preferred anionic detergent compounds are sodium (C11-C15) alkylbenzene sulphonates, sodium (C16-C18) alkyl sulphates and sodium (CI 6-C, s) alkyl ether sulphates.
- Examples of suitable nonionic surface-active compounds which may be used, include in particular the reaction products of alkylene oxides, usually ethylene oxide, with alkyl (C6-C22) phenols, generally 5-25 EO, i.e. 5-25 units of ethylene oxides per molecule; the condensation products of aliphatic (C8-C18) primary or secondary linear or branched alcohols with ethylene oxide, generally 3-30 EO, and products made by condensation of ethylene oxide with the reaction products of propylene oxide and ethylene diamine. Other so-called nonionic surface-actives include alkyl polyglycosides, long chain tertiary amine oxides, long chain tertiary phosphine oxides and dialkyl sulphoxides.
- Amounts of amphoteric or zwitterionic surface-active compounds can also be used in the compositions of the invention but this is not normally desired owing to their relatively high cost. If any amphoteric or zwitterionic detergent compounds are used, it is generally in small amounts in compositions based on the much more commonly used synthetic anionic and nonionic actives.
- The detergent compositions of the invention will normally also contain a detergency builder. Builder materials may be selected from 1) calcium sequestrant materials, 2) precipitating materials, 3) calcium ion-exchange materials and 4) mixtures thereof.
- Examples of calcium sequestrant builder materials include alkali metal polyphosphates, such as sodium tripolyphosphate; nitrilotriacetic acid and its water-soluble salts; the akali metal salts of carboxymethyloxy succinic acid, ethylene diamine tetraacetic acid, oxydisuccinic acid, mellitic acid, benzene polycarboxylic acids, citric acid; and polyacetal carboxylates as disclosed in US patents 4,144,226 and 4,146,495.
- Examples of precipitating builder materials include sodium orthophosphate, sodium carbonate and sodium carbonate/calcite.
- Examples of calcium ion-exchange builder materials include the various types of water-insoluble crystalline or amorphous aluminosilicates, of which zeolites are the best known representatives.
- In particular, the compositions of the invention may contain any one of the organic or inorganic builder materials, such as sodium or potassium tripolyphosphate, sodium or potassium pyrophosphate, sodium or potassium orthophosphate, sodium carbonate or sodium carbonate/calcite mixtures, the sodium salt of nitrilotriacetic acid, sodium citrate, carboxymethyl malonate, carboxymethyloxy succinate and the water-insoluble crystalline or amorphous aluminosilicate builder materials, or mixtures thereof.
- These builder materials may be present at a level of, for example, from 5 to 80% by weight, preferably from 10 to 60% by weight.
- Apart from the components already mentioned, the detergent compositions of the invention can contain any of the conventional additives in the amounts in which such materials are normally employed in fabric washing detergent compositions. Examples of these additives include lather boosters, such as alkanolamides, particularly the monoethanol amides derived from palmkernel fatty acids and coconut fatty acids, lather depressants, such as alkyl phosphates and silicones, anti-redeposition agents, such as sodium carboxymethyl cellulose and alkyl or substituted alkyl cellulose ethers, other stabilizers, such as ethylene diamine tetraacetic acid and the phosphonic acid derivatives (i.e. Dequest 0 types), fabric softening agents, inorganic salts, such as sodium sulphate, and, usually present in very small amounts, fluorescent agents, perfumes, enzymes, such as proteases, cellulases, lipases and amylases, germicides and colourants.
- Another optional but highly desirable additive ingredient with multi-functional characteristics in detergent compositions is from 0.1% to about 3% by weight of a polymeric material having a molecular weight of from 1,000 to 2,000,000 and which can be a homo- or co-polymer of acrylic acid, maleic acid, or salt or anhydride thereof, vinyl pyrrolidone, methyl- or ethyl-vinyl ethers, and other polymerizable vinyl monomers. Preferred examples of such polymeric materials are polyacrylic acid or polyacrylate; polymaleic acid/acrylic acid copolymer; 70:30 acrylic acid/hydroxyethyl maleate copolymer; 1:1 styrene/maleic acid copolymer; isobutylene/maleic acid and diisobutylene/maleic acid copolymers; methyl- and ethyl-vinylether/maleic acid copolymers; ethylene/maleic acid copolymer; polyvinyl pyrrolidone; and vinyl pyrrolidone/maleic acid copolymer.
- Detergent bleach compositions of the invention formulated as free-flowing particles, e.g. in powdered or granulated form, can be produced by any of the conventional techniques employed in the manufacture of detergent compositions, but preferably by slurry-making and spray-drying processes to form a detergent base powder to which the heat-sensitive ingredients including the peroxy compound bleach and optionally some other ingredients as desired, and the bleach catalyst, can be added as dry substances. Alternatively, the bleach catalyst can be added separately to a wash/bleach water containing the peroxy compound bleaching agent.
- The instant bleach catalyst can also be formulated in detergent bleach compositions of other product forms, such as flakes, tablets, bars and liquids, particularly non-aqueous liquid detergent compositions.
- Such non-aqueous liquid detergent compositions in which the instant bleach catalyst can be incorporated are known in the art and various formulations have been proposed, e.g. in US Patents 2,864,770; 3,368,977; 4,772,412; GB Patents 1,205,711; 1,370,377; 2,194,536; DE-A-2,233,771 and EP-A-0,028,849.
- The following Examples are given to further illustrate the invention.
- A solution of 5-methyl isophthalaldehyde (5.3 g) in the minimum volume of boiling methanol was added to the pale-blue suspension formed by mixing 1,3-diaminopropane (2.4 g) with a saturated solution of cupric chloride dihydrate (5.5 g) in methanol. The mixture was heated under reflux, whereupon the initial pale-blue suspended solid first turned pea-green and then eventually dissolved. Methanol was removed by boiling at atmospheric pressure until precipitation had just commenced and the dark-green precipitate was collected, dried at the pump, and then recrystallized from hot water, yielding L CU2CI.6 H20 as dark-green platilets, which were dried over calcium chloride at room temperature and atmospheric pressure. Drying at 80 C under vacuum over phosphorus pentoxide yielded Cu-Cu L.C12.H20 and pale-green powder. Prolonged heating in vacuo at 160° C was required for removal of the final molecule of water.
- This compound was prepared by a procedure analogous to that described for Cu-Cu L.C12.6H20, except that the reaction was carried out under an atmosphere of oxygen-free nitrogen to avoid possible aerial oxidation and the crude product was obtained simply by cooling the reaction mixture. The precaution of excluding oxygen during the reaction was probably unnecessary, for the solid product was stable to air. The crude solid was recrystallized from hot methanol and dried under vacuum over calcium chloride at room temperature. The ligand L in these complexes is that of formula II(a) having a CH3 substituent on each aromatic ring and the Co-Co-complex is that of formula (2) as hereinbefore described with Q being methyl.
- This Example shows that "Co-Co" is a superior catalyst for H202 on tea-stained test cloths compared with Mn2+, Co2+ or cobalt-bipyridine complex. (Co-bipy)3.
- Test conditions :
- Isothermal wash at 40° C and pH 10.5 for one hour, H202 concentration : 8.6.10-3 Mol/I, using demineralized water.
- and results :
- [Co-Co] = 10-5 Mol/I. ΔR460 = 26.3
- [Mn] = 10-5 Mol/I. ΔR460 = 21.4
- [Co] = 10-5 Mol/I. ΔR460 = 6.1
- [Co-(bipy)3] = 10-5 Mol/I. A460 = 17.3.
- In this Example the bleach performances of H202 catalyzed with "Co-Co", "Co-Cu" and Co-(bipy)3 on tea-stained test cloths were compared.
- Conditions :
- Heat up wash 20° C → 40 °C in 13 minutes; 37 minutes at 40° C. 6 g/I conventional STP built detergent composition using 27° FH water.
-
- These Examples show that "Co-Co" is also very effective on catalyzing the bleach performance of peracetic acid (both preformed and prepared in situ from a TAED/sodium perborate system). On tea-stained test cloths the experiments were carried out in an isothermal washing process at 40° C, using a zeolite built Dutch "All" base powder.
- This Example shows that Co-Co is also effective in catalyzing the bleach performance of potassium monopersulphate. The experiments were carried out in an isothermal washing process at 40 C, using a conventional detergent powder composition in the presence of a polyphosphonate sequestrant (Dequest ® 2041 ex Monsanto).
- The results are :
- without catalyst ΔR = 12.5
- with "Co-Co" ΔR = 16.0
-
- These results clearly demonstrate that only the Co-complexes of the invention are really effective.
- Bleaching experiments were conducted with Co-SALEN's and Co-SALPD's as bleach catalyst having different Q-substituents. The conditions for the bleach experiments were :
- Demineralized water;
- Temperature 40° C, isothermal; 60 minutes' washing time; pH 10.5;
- H202 concentration : 8.6 mMol/l;
- Catalyst concentration : 2.5 x 10-6 to 2.5 x 10-5 Mol/I.
- Bleach monitor : tea-stained test cloths;
-
- These results demonstrate that the catalytical effect is maintained with different substituents.
- A series of bleaching experiments was carried out in a 20 to 40°C heat-up washing machine cycle, using a conventional detergent base powder + 15% sodium perborate monohydrate, with and without a Co-Co-complex catalyst, wherein the effect on various stains was examined.
- Washing conditions :
- 6 g/I dosage of perborated powder;
- 0.25 mg/I cobalt;
- 27° F tap water;
- 20° initial temperature, pH 10.5 --> 40° C (pH 9.9) in 13 minutes and kept at 40° C for 37 minutes.
-
Claims (9)
Applications Claiming Priority (2)
| Application Number | Priority Date | Filing Date | Title |
|---|---|---|---|
| GB8915781 | 1989-07-10 | ||
| GB898915781A GB8915781D0 (en) | 1989-07-10 | 1989-07-10 | Bleach activation |
Publications (3)
| Publication Number | Publication Date |
|---|---|
| EP0408131A2 true EP0408131A2 (en) | 1991-01-16 |
| EP0408131A3 EP0408131A3 (en) | 1991-04-10 |
| EP0408131B1 EP0408131B1 (en) | 1995-05-24 |
Family
ID=10659811
Family Applications (1)
| Application Number | Title | Priority Date | Filing Date |
|---|---|---|---|
| EP19900201821 Expired - Lifetime EP0408131B1 (en) | 1989-07-10 | 1990-07-09 | Bleach activation |
Country Status (3)
| Country | Link |
|---|---|
| EP (1) | EP0408131B1 (en) |
| DE (1) | DE69019617T2 (en) |
| GB (1) | GB8915781D0 (en) |
Cited By (36)
| Publication number | Priority date | Publication date | Assignee | Title |
|---|---|---|---|---|
| EP0690122A2 (en) | 1994-06-30 | 1996-01-03 | The Procter & Gamble Company | Detergent compositions |
| EP0699745A2 (en) | 1994-08-31 | 1996-03-06 | The Procter & Gamble Company | Automatic dishwashing compositions comprising quaternary ammonium compounds bleach activators and quaternary ammonium |
| WO1996023860A1 (en) * | 1995-02-02 | 1996-08-08 | The Procter & Gamble Company | Automatic dishwashing compositions comprising cobalt chelated catalysts |
| WO1996023859A1 (en) * | 1995-02-02 | 1996-08-08 | The Procter & Gamble Company | Automatic dishwashing compositions comprising cobalt catalysts |
| WO1996023861A1 (en) * | 1995-02-02 | 1996-08-08 | The Procter & Gamble Company | Automatic dishwashing compositions comprising cobalt (iii) catalysts |
| WO1997000311A1 (en) * | 1995-06-16 | 1997-01-03 | The Procter & Gamble Company | Bleach compositions comprising cobalt catalysts |
| WO1997007192A1 (en) * | 1995-08-15 | 1997-02-27 | Henkel Kommanditgesellschaft Auf Aktien | Catalytic activator complexes for peroxygen compounds |
| WO1997007191A1 (en) * | 1995-08-15 | 1997-02-27 | Henkel Kommanditgesellschaft Auf Aktien | Detergents with activator complexes for peroxy compounds |
| WO1997014779A1 (en) * | 1995-10-19 | 1997-04-24 | Ciba Specialty Chemicals Holding Inc. | Bleaching or washing composition |
| EP0778342A1 (en) | 1995-12-06 | 1997-06-11 | The Procter & Gamble Company | Detergent compositions |
| WO1997022681A1 (en) * | 1995-12-20 | 1997-06-26 | The Procter & Gamble Company | Phosphate built automatic dishwashing compositions comprising catalysts |
| EP0783035A2 (en) | 1996-01-04 | 1997-07-09 | Hoechst Aktiengesellschaft | Bleaching system containing Bis-and-Tris-(mu-oxo)-di-manganese complex salts |
| WO1997029174A1 (en) * | 1996-02-08 | 1997-08-14 | The Procter & Gamble Company | Detergent particles comprising metal-containing bleach catalysts |
| EP0791647A2 (en) | 1996-02-21 | 1997-08-27 | Hoechst Aktiengesellschaft | Bleaching agent |
| WO1999026508A1 (en) | 1997-11-21 | 1999-06-03 | The Procter & Gamble Company | Product applicator |
| US5998645A (en) * | 1997-05-07 | 1999-12-07 | Clariant Gmbh | Bleaching-active metal complexes |
| WO2001048137A1 (en) * | 1999-12-23 | 2001-07-05 | Unilever N.V. | Bleaching composition |
| US6479450B1 (en) | 1997-05-26 | 2002-11-12 | Henkel Kommanditgesellschaft Auf Aktien | Bleaching system |
| WO2004069979A2 (en) | 2003-02-03 | 2004-08-19 | Unilever Plc | Laundry cleansing and conditioning compositions |
| US7201856B2 (en) | 2001-08-01 | 2007-04-10 | Pur Water Purification Products, Inc. | Water treatment compositions |
| EP2545988A2 (en) | 2005-12-15 | 2013-01-16 | International Flavors & Fragrances, Inc. | Encapsulated active material with reduced formaldehyde potential |
| EP3075832A1 (en) | 2015-03-30 | 2016-10-05 | Dalli-Werke GmbH & Co. KG | Manganese-amino acid compounds in cleaning compositions |
| WO2018085300A1 (en) | 2016-11-01 | 2018-05-11 | The Procter & Gamble Company | Methods of using leuco colorants as bluing agents in laundry care compositions |
| WO2018085315A1 (en) | 2016-11-01 | 2018-05-11 | The Procter & Gamble Company | Leuco colorants as bluing agents in laundry care compositions, packaging, kits and methods thereof |
| WO2018140472A1 (en) | 2017-01-27 | 2018-08-02 | The Procter & Gamble Company | Active agent-containing articles that exhibit consumer acceptable article in-use properties |
| WO2018140432A1 (en) | 2017-01-27 | 2018-08-02 | The Procter & Gamble Company | Active agent-containing articles that exhibit consumer acceptable article in-use properties |
| WO2018140431A1 (en) | 2017-01-27 | 2018-08-02 | The Procter & Gamble Company | Active agent-containing articles that exhibit consumer acceptable article in-use properties |
| WO2018140454A1 (en) | 2017-01-27 | 2018-08-02 | The Procter & Gamble Company | Active agent-containing articles and product-shipping assemblies for containing the same |
| EP3444328A1 (en) | 2017-08-18 | 2019-02-20 | The Procter & Gamble Company | Cleaning agent |
| KR102101140B1 (en) * | 2019-01-04 | 2020-04-16 | 헨켈 아게 운트 코. 카게아아 | Non-enzymatic removal of proteinaceous soils |
| WO2020123889A1 (en) | 2018-12-14 | 2020-06-18 | The Procter & Gamble Company | Foaming fibrous structures comprising particles and methods for making same |
| KR102126646B1 (en) * | 2019-01-04 | 2020-06-24 | 헨켈 아게 운트 코. 카게아아 | Detergents, especially dishwashing detergents |
| EP3719192A1 (en) | 2012-01-04 | 2020-10-07 | The Procter & Gamble Company | Fibrous structures comprising particles and methods for making same |
| WO2021026556A1 (en) | 2019-08-02 | 2021-02-11 | The Procter & Gamble Company | Foaming compositions for producing a stable foam and methods for making same |
| WO2021097004A1 (en) | 2019-11-15 | 2021-05-20 | The Procter & Gamble Company | Graphic-containing soluble articles and methods for making same |
| WO2022251838A1 (en) | 2021-05-28 | 2022-12-01 | The Procter & Gamble Company | Natural polymer-based fibrous elements comprising a surfactant and methods for making same |
Families Citing this family (15)
| Publication number | Priority date | Publication date | Assignee | Title |
|---|---|---|---|---|
| US5279816A (en) * | 1991-11-22 | 1994-01-18 | Colgate-Palmolive Co. | Oral composition having improved tooth whitening effect |
| EP0754218B1 (en) * | 1994-04-07 | 1998-09-02 | The Procter & Gamble Company | Bleach compositions comprising metal-containing bleach catalysts and antioxidants |
| US5686014A (en) * | 1994-04-07 | 1997-11-11 | The Procter & Gamble Company | Bleach compositions comprising manganese-containing bleach catalysts |
| US5520835A (en) * | 1994-08-31 | 1996-05-28 | The Procter & Gamble Company | Automatic dishwashing compositions comprising multiquaternary bleach activators |
| US5534180A (en) * | 1995-02-03 | 1996-07-09 | Miracle; Gregory S. | Automatic dishwashing compositions comprising multiperacid-forming bleach activators |
| US5534179A (en) * | 1995-02-03 | 1996-07-09 | Procter & Gamble | Detergent compositions comprising multiperacid-forming bleach activators |
| US5597936A (en) * | 1995-06-16 | 1997-01-28 | The Procter & Gamble Company | Method for manufacturing cobalt catalysts |
| BR9609284A (en) * | 1995-06-16 | 1999-05-11 | Procter & Gamble | Automatic dishwashing compositions comprising cobalt catalysts |
| US5581005A (en) * | 1995-06-16 | 1996-12-03 | The Procter & Gamble Company | Method for manufacturing cobalt catalysts |
| US5559261A (en) * | 1995-07-27 | 1996-09-24 | The Procter & Gamble Company | Method for manufacturing cobalt catalysts |
| US5703034A (en) * | 1995-10-30 | 1997-12-30 | The Procter & Gamble Company | Bleach catalyst particles |
| US6093343A (en) * | 1996-02-08 | 2000-07-25 | The Procter & Gamble Company | Detergent particles comprising metal-containing bleach catalysts |
| US5967157A (en) * | 1996-09-11 | 1999-10-19 | The Procter & Gamble Company | Automatic dishwashing compositions containing low foaming nonionic surfactants in conjunction with enzymes |
| DE19728021A1 (en) * | 1997-07-01 | 1999-01-07 | Clariant Gmbh | Metal complexes as bleach activators |
| DE10163331A1 (en) | 2001-12-21 | 2003-07-10 | Henkel Kgaa | Support-fixed bleach catalyst complex compounds are suitable as catalysts for peroxygen compounds |
Family Cites Families (4)
| Publication number | Priority date | Publication date | Assignee | Title |
|---|---|---|---|---|
| GB1182143A (en) * | 1966-03-01 | 1970-02-25 | United States Borax Chem | Bleaching Compositions and Methods. |
| LU60582A1 (en) * | 1970-03-24 | 1971-10-06 | ||
| DE3002271A1 (en) * | 1980-01-23 | 1981-07-30 | VEB Waschmittelwerk Genthin, Stammbetrieb, DDR 3280 Genthin | Bleaching mixt. for detergent compsns. - contg. (in)organic peroxy cpd. opt. activator and water-soluble metal chelate complex |
| GB8629837D0 (en) * | 1986-12-13 | 1987-01-21 | Interox Chemicals Ltd | Bleach activation |
-
1989
- 1989-07-10 GB GB898915781A patent/GB8915781D0/en active Pending
-
1990
- 1990-07-09 DE DE1990619617 patent/DE69019617T2/en not_active Expired - Fee Related
- 1990-07-09 EP EP19900201821 patent/EP0408131B1/en not_active Expired - Lifetime
Cited By (45)
| Publication number | Priority date | Publication date | Assignee | Title |
|---|---|---|---|---|
| EP0690122A2 (en) | 1994-06-30 | 1996-01-03 | The Procter & Gamble Company | Detergent compositions |
| EP0699745A2 (en) | 1994-08-31 | 1996-03-06 | The Procter & Gamble Company | Automatic dishwashing compositions comprising quaternary ammonium compounds bleach activators and quaternary ammonium |
| US5968881A (en) * | 1995-02-02 | 1999-10-19 | The Procter & Gamble Company | Phosphate built automatic dishwashing compositions comprising catalysts |
| WO1996023860A1 (en) * | 1995-02-02 | 1996-08-08 | The Procter & Gamble Company | Automatic dishwashing compositions comprising cobalt chelated catalysts |
| WO1996023859A1 (en) * | 1995-02-02 | 1996-08-08 | The Procter & Gamble Company | Automatic dishwashing compositions comprising cobalt catalysts |
| WO1996023861A1 (en) * | 1995-02-02 | 1996-08-08 | The Procter & Gamble Company | Automatic dishwashing compositions comprising cobalt (iii) catalysts |
| WO1997000311A1 (en) * | 1995-06-16 | 1997-01-03 | The Procter & Gamble Company | Bleach compositions comprising cobalt catalysts |
| WO1997007192A1 (en) * | 1995-08-15 | 1997-02-27 | Henkel Kommanditgesellschaft Auf Aktien | Catalytic activator complexes for peroxygen compounds |
| WO1997007191A1 (en) * | 1995-08-15 | 1997-02-27 | Henkel Kommanditgesellschaft Auf Aktien | Detergents with activator complexes for peroxy compounds |
| WO1997014779A1 (en) * | 1995-10-19 | 1997-04-24 | Ciba Specialty Chemicals Holding Inc. | Bleaching or washing composition |
| US6228127B1 (en) * | 1995-10-19 | 2001-05-08 | Ciba Specialty Chemicals Corporation | Bleaching or washing composition |
| EP0778342A1 (en) | 1995-12-06 | 1997-06-11 | The Procter & Gamble Company | Detergent compositions |
| WO1997022681A1 (en) * | 1995-12-20 | 1997-06-26 | The Procter & Gamble Company | Phosphate built automatic dishwashing compositions comprising catalysts |
| US5939373A (en) * | 1995-12-20 | 1999-08-17 | The Procter & Gamble Company | Phosphate-built automatic dishwashing composition comprising catalysts |
| EP0783035A2 (en) | 1996-01-04 | 1997-07-09 | Hoechst Aktiengesellschaft | Bleaching system containing Bis-and-Tris-(mu-oxo)-di-manganese complex salts |
| WO1997029174A1 (en) * | 1996-02-08 | 1997-08-14 | The Procter & Gamble Company | Detergent particles comprising metal-containing bleach catalysts |
| EP0791647A2 (en) | 1996-02-21 | 1997-08-27 | Hoechst Aktiengesellschaft | Bleaching agent |
| US5998645A (en) * | 1997-05-07 | 1999-12-07 | Clariant Gmbh | Bleaching-active metal complexes |
| US6479450B1 (en) | 1997-05-26 | 2002-11-12 | Henkel Kommanditgesellschaft Auf Aktien | Bleaching system |
| WO1999026508A1 (en) | 1997-11-21 | 1999-06-03 | The Procter & Gamble Company | Product applicator |
| WO2001048137A1 (en) * | 1999-12-23 | 2001-07-05 | Unilever N.V. | Bleaching composition |
| WO2001048138A3 (en) * | 1999-12-23 | 2001-11-15 | Unilever Nv | Bleaching composition |
| US7201856B2 (en) | 2001-08-01 | 2007-04-10 | Pur Water Purification Products, Inc. | Water treatment compositions |
| WO2004069979A2 (en) | 2003-02-03 | 2004-08-19 | Unilever Plc | Laundry cleansing and conditioning compositions |
| EP2545988A2 (en) | 2005-12-15 | 2013-01-16 | International Flavors & Fragrances, Inc. | Encapsulated active material with reduced formaldehyde potential |
| EP3719192A1 (en) | 2012-01-04 | 2020-10-07 | The Procter & Gamble Company | Fibrous structures comprising particles and methods for making same |
| EP4592449A2 (en) | 2012-01-04 | 2025-07-30 | The Procter & Gamble Company | Fibrous structures comprising particles and methods for making same |
| EP3075832A1 (en) | 2015-03-30 | 2016-10-05 | Dalli-Werke GmbH & Co. KG | Manganese-amino acid compounds in cleaning compositions |
| WO2018085300A1 (en) | 2016-11-01 | 2018-05-11 | The Procter & Gamble Company | Methods of using leuco colorants as bluing agents in laundry care compositions |
| WO2018085315A1 (en) | 2016-11-01 | 2018-05-11 | The Procter & Gamble Company | Leuco colorants as bluing agents in laundry care compositions, packaging, kits and methods thereof |
| EP3881900A1 (en) | 2017-01-27 | 2021-09-22 | The Procter & Gamble Company | Active agent-containing articles that exhibit consumer acceptable article in-use properties |
| WO2018140432A1 (en) | 2017-01-27 | 2018-08-02 | The Procter & Gamble Company | Active agent-containing articles that exhibit consumer acceptable article in-use properties |
| WO2018140472A1 (en) | 2017-01-27 | 2018-08-02 | The Procter & Gamble Company | Active agent-containing articles that exhibit consumer acceptable article in-use properties |
| WO2018140454A1 (en) | 2017-01-27 | 2018-08-02 | The Procter & Gamble Company | Active agent-containing articles and product-shipping assemblies for containing the same |
| EP4197598A1 (en) | 2017-01-27 | 2023-06-21 | The Procter & Gamble Company | Active agent-containing articles that exhibit consumer acceptable article in-use properties |
| WO2018140431A1 (en) | 2017-01-27 | 2018-08-02 | The Procter & Gamble Company | Active agent-containing articles that exhibit consumer acceptable article in-use properties |
| EP3991962A1 (en) | 2017-01-27 | 2022-05-04 | The Procter & Gamble Company | Active agent-containing articles that exhibit consumer acceptable article in-use properties |
| EP3915643A1 (en) | 2017-01-27 | 2021-12-01 | The Procter & Gamble Company | Active agent-containing articles that exhibit consumer acceptable article in-use properties |
| EP3444328A1 (en) | 2017-08-18 | 2019-02-20 | The Procter & Gamble Company | Cleaning agent |
| WO2020123889A1 (en) | 2018-12-14 | 2020-06-18 | The Procter & Gamble Company | Foaming fibrous structures comprising particles and methods for making same |
| KR102126646B1 (en) * | 2019-01-04 | 2020-06-24 | 헨켈 아게 운트 코. 카게아아 | Detergents, especially dishwashing detergents |
| KR102101140B1 (en) * | 2019-01-04 | 2020-04-16 | 헨켈 아게 운트 코. 카게아아 | Non-enzymatic removal of proteinaceous soils |
| WO2021026556A1 (en) | 2019-08-02 | 2021-02-11 | The Procter & Gamble Company | Foaming compositions for producing a stable foam and methods for making same |
| WO2021097004A1 (en) | 2019-11-15 | 2021-05-20 | The Procter & Gamble Company | Graphic-containing soluble articles and methods for making same |
| WO2022251838A1 (en) | 2021-05-28 | 2022-12-01 | The Procter & Gamble Company | Natural polymer-based fibrous elements comprising a surfactant and methods for making same |
Also Published As
| Publication number | Publication date |
|---|---|
| EP0408131A3 (en) | 1991-04-10 |
| GB8915781D0 (en) | 1989-08-31 |
| EP0408131B1 (en) | 1995-05-24 |
| DE69019617T2 (en) | 1995-09-28 |
| DE69019617D1 (en) | 1995-06-29 |
Similar Documents
| Publication | Publication Date | Title |
|---|---|---|
| EP0408131B1 (en) | Bleach activation | |
| US5114611A (en) | Bleach activation | |
| EP0443651B1 (en) | Bleach activation | |
| CA2083658C (en) | Manganese catalyst | |
| EP0458398B1 (en) | Bleach activation | |
| AU662577B2 (en) | Bleach activation | |
| KR960000205B1 (en) | Detergent bleach compositions | |
| EP0549272A1 (en) | Bleach activation | |
| EP0906402A1 (en) | Bleach activation | |
| US5021187A (en) | Copper diamine complexes and their use as bleach activating catalysts | |
| US6432901B2 (en) | Bleach catalysts | |
| US5041142A (en) | Peroxymetallates and their use as bleach activating catalysts |
Legal Events
| Date | Code | Title | Description |
|---|---|---|---|
| PUAI | Public reference made under article 153(3) epc to a published international application that has entered the european phase |
Free format text: ORIGINAL CODE: 0009012 |
|
| AK | Designated contracting states |
Kind code of ref document: A2 Designated state(s): CH DE ES FR GB IT LI NL SE |
|
| PUAL | Search report despatched |
Free format text: ORIGINAL CODE: 0009013 |
|
| AK | Designated contracting states |
Kind code of ref document: A3 Designated state(s): CH DE ES FR GB IT LI NL SE |
|
| 17P | Request for examination filed |
Effective date: 19910927 |
|
| RAP3 | Party data changed (applicant data changed or rights of an application transferred) |
Owner name: UNILEVER PLC Owner name: UNILEVER N.V. |
|
| 17Q | First examination report despatched |
Effective date: 19940926 |
|
| GRAA | (expected) grant |
Free format text: ORIGINAL CODE: 0009210 |
|
| AK | Designated contracting states |
Kind code of ref document: B1 Designated state(s): CH DE ES FR GB IT LI NL SE |
|
| PG25 | Lapsed in a contracting state [announced via postgrant information from national office to epo] |
Ref country code: LI Effective date: 19950524 Ref country code: ES Free format text: THE PATENT HAS BEEN ANNULLED BY A DECISION OF A NATIONAL AUTHORITY Effective date: 19950524 Ref country code: CH Effective date: 19950524 |
|
| PGFP | Annual fee paid to national office [announced via postgrant information from national office to epo] |
Ref country code: FR Payment date: 19950612 Year of fee payment: 6 |
|
| PGFP | Annual fee paid to national office [announced via postgrant information from national office to epo] |
Ref country code: DE Payment date: 19950620 Year of fee payment: 6 |
|
| REF | Corresponds to: |
Ref document number: 69019617 Country of ref document: DE Date of ref document: 19950629 |
|
| PGFP | Annual fee paid to national office [announced via postgrant information from national office to epo] |
Ref country code: GB Payment date: 19950630 Year of fee payment: 6 |
|
| PGFP | Annual fee paid to national office [announced via postgrant information from national office to epo] |
Ref country code: NL Payment date: 19950705 Year of fee payment: 6 |
|
| ITF | It: translation for a ep patent filed | ||
| ET | Fr: translation filed | ||
| PG25 | Lapsed in a contracting state [announced via postgrant information from national office to epo] |
Ref country code: SE Effective date: 19950824 |
|
| REG | Reference to a national code |
Ref country code: CH Ref legal event code: PL |
|
| PLBE | No opposition filed within time limit |
Free format text: ORIGINAL CODE: 0009261 |
|
| STAA | Information on the status of an ep patent application or granted ep patent |
Free format text: STATUS: NO OPPOSITION FILED WITHIN TIME LIMIT |
|
| 26N | No opposition filed | ||
| PG25 | Lapsed in a contracting state [announced via postgrant information from national office to epo] |
Ref country code: GB Effective date: 19960709 |
|
| PG25 | Lapsed in a contracting state [announced via postgrant information from national office to epo] |
Ref country code: NL Effective date: 19970201 |
|
| GBPC | Gb: european patent ceased through non-payment of renewal fee |
Effective date: 19960709 |
|
| PG25 | Lapsed in a contracting state [announced via postgrant information from national office to epo] |
Ref country code: FR Effective date: 19970328 |
|
| NLV4 | Nl: lapsed or anulled due to non-payment of the annual fee |
Effective date: 19970201 |
|
| PG25 | Lapsed in a contracting state [announced via postgrant information from national office to epo] |
Ref country code: DE Effective date: 19970402 |
|
| REG | Reference to a national code |
Ref country code: FR Ref legal event code: ST |
|
| PG25 | Lapsed in a contracting state [announced via postgrant information from national office to epo] |
Ref country code: IT Free format text: LAPSE BECAUSE OF NON-PAYMENT OF DUE FEES;WARNING: LAPSES OF ITALIAN PATENTS WITH EFFECTIVE DATE BEFORE 2007 MAY HAVE OCCURRED AT ANY TIME BEFORE 2007. THE CORRECT EFFECTIVE DATE MAY BE DIFFERENT FROM THE ONE RECORDED. Effective date: 20050709 |





















