[go: up one dir, main page]

WO1998009987A1 - Lactam inhibitors of thrombin - Google Patents

Lactam inhibitors of thrombin Download PDF

Info

Publication number
WO1998009987A1
WO1998009987A1 PCT/US1997/015312 US9715312W WO9809987A1 WO 1998009987 A1 WO1998009987 A1 WO 1998009987A1 US 9715312 W US9715312 W US 9715312W WO 9809987 A1 WO9809987 A1 WO 9809987A1
Authority
WO
WIPO (PCT)
Prior art keywords
acetamide
benzyl
ethyl
phenyl
oxo
Prior art date
Legal status (The legal status is an assumption and is not a legal conclusion. Google has not performed a legal analysis and makes no representation as to the accuracy of the status listed.)
Ceased
Application number
PCT/US1997/015312
Other languages
French (fr)
Inventor
Yves St-Denis
M. Arshad Siddiqui
Wayne Livingston Cody
Jeremy John Edmunds
Janet Samartino Plummer
Current Assignee (The listed assignees may be inaccurate. Google has not performed a legal analysis and makes no representation or warranty as to the accuracy of the list.)
Shire Canada Inc
Original Assignee
IAF BioChem International Inc
Biochem Pharma Inc
Priority date (The priority date is an assumption and is not a legal conclusion. Google has not performed a legal analysis and makes no representation as to the accuracy of the date listed.)
Filing date
Publication date
Priority claimed from GBGB9618687.9A external-priority patent/GB9618687D0/en
Application filed by IAF BioChem International Inc, Biochem Pharma Inc filed Critical IAF BioChem International Inc
Priority to AU41723/97A priority Critical patent/AU4172397A/en
Publication of WO1998009987A1 publication Critical patent/WO1998009987A1/en
Anticipated expiration legal-status Critical
Ceased legal-status Critical Current

Links

Classifications

    • CCHEMISTRY; METALLURGY
    • C07ORGANIC CHEMISTRY
    • C07KPEPTIDES
    • C07K5/00Peptides containing up to four amino acids in a fully defined sequence; Derivatives thereof
    • C07K5/04Peptides containing up to four amino acids in a fully defined sequence; Derivatives thereof containing only normal peptide links
    • C07K5/08Tripeptides
    • C07K5/0821Tripeptides with the first amino acid being heterocyclic, e.g. His, Pro, Trp
    • CCHEMISTRY; METALLURGY
    • C07ORGANIC CHEMISTRY
    • C07KPEPTIDES
    • C07K5/00Peptides containing up to four amino acids in a fully defined sequence; Derivatives thereof
    • C07K5/02Peptides containing up to four amino acids in a fully defined sequence; Derivatives thereof containing at least one abnormal peptide link
    • C07K5/0202Peptides containing up to four amino acids in a fully defined sequence; Derivatives thereof containing at least one abnormal peptide link containing the structure -NH-X-X-C(=0)-, X being an optionally substituted carbon atom or a heteroatom, e.g. beta-amino acids
    • CCHEMISTRY; METALLURGY
    • C07ORGANIC CHEMISTRY
    • C07KPEPTIDES
    • C07K5/00Peptides containing up to four amino acids in a fully defined sequence; Derivatives thereof
    • C07K5/04Peptides containing up to four amino acids in a fully defined sequence; Derivatives thereof containing only normal peptide links
    • C07K5/06Dipeptides
    • C07K5/06139Dipeptides with the first amino acid being heterocyclic

Definitions

  • This invention relates to compounds useful for the treatment of thrombotic disorders, and more particularly to novel lactam inhibitors of serine proteases such as factor Vila, Xa and thrombin.
  • This application is a continuation- in-part of USSN 60/025,599 and GB 9618687.9 filed 6 September 1996 incorporated herein by reference.
  • thrombus formation on blood vessel walls precipitates acute cardiovascular disease states that are the chief cause of death in economically developed societies .
  • Plasma proteins such as fibrinogen, proteases and cellular receptors participating in hemostasis have emerged as important factors that play a role in acute and chronic coronary disease as well as cerebral artery disease by contributing to the formation of thrombus or blood clots that effectively diminish normal blood flow and supply.
  • Vascular aberrations stemming from primary pathologic states such as hypertension, rupture of atherosclerotic plaques or denuded endothelium, activate biochemical cascades that serve to respond and repair the injury site.
  • Thrombin is a key regulatory enzyme in the coagulation cascade; it serves a pluralistic role as both a positive and negative feedback regulator. However, in pathologic conditions the former is amplified through catalytic activation of cofactors required for thrombin generation as well as activation of factor XIII necessary for fibrin cross-linking and stabilization.
  • thrombin In addition to its direct effect on hemostasis, thrombin exerts direct effects on diverse cell types that support and amplify pathogenesis of arterial thrombus disease.
  • the enzyme is the strongest activator of platelets causing them to aggregate and release substances (e.g. ADP TXA 2 NE) that urt er propagate t e t rom otic cyc e.
  • Platelets in a fibrin mesh comprise the principal framework of a white thrombus.
  • Thrombin also exerts direct effects on endothelial cells causing release of vasoconstrictor substances and translocation of adhesion molecules that become sites for attachment of immune cells.
  • the enzyme causes mitogenesis of smooth muscle cells and proliferation of fibroblasts .
  • ATIII antithrombin III
  • heparin has shown clinical efficacy in alleviating venous thrombosis by enhancing ATIII/thrombin binding through catalysis. However, heparin also catalyzes inhibition of other proteases in the coagulation cascade and its efficacy m platelet -dependent thrombosis is largely reduced or abrogated due to inaccessibility of thrombus -bound enzyme. Also, adverse side effects such as thrombocytopema, osteoporosis and triglyceridemia have been observed following prolonged treatment with heparin.
  • thrombin activity can be inhibited by compounds that compete with fibrinogen for thrombi 's catalytic site, thereby inhibiting proteolysis of that protein or other protein substrates such as the thrombin receptor.
  • a common strategy for designing enzyme inhibitory compounds relies on mimicking the specificity inherent m the primary and secondary structure of the enzyme's natural substrate.
  • Thrombin inhibitors have been modeled upon the partial sequence of the fibrinogen A chain comprising its proteolyt cally susceptible region (Blomback, et al . , J. Clin. Lab. Invest., 24_, 59, 1969).
  • This region of fibrinogen minimally includes the residues commencing with phenylalanine: a- sp- er- y- u- y- sp- e - eu- a- u- y -Gly-Gly-Val -Arg-Gly- Pro-Arg t scissile bond
  • the present invention provides novel compounds that are useful for inhibiting thrombin activity, represented by formula (I):
  • W and X are independently selected from CH-R 4 , C-R 4 , N-R 4 , N,
  • R ⁇ is a polar amino acid residue or derivative or analogue thereof optionally substituted with an amino acid, a peptide or a heterocycle
  • R 2 and R 2 ' are independently selected from H, halogen, C 1 - 16 alkyl optionally substituted with C 6 _ 16 aryl, heterocycle or a 3 - 7 cycloalkyi group
  • R 3 and R 4 are independently selected from H; NR S R 6 ; carboxyl; c e-i 6 aryl or C 3 , 7 cycloalkyi optionally substituted with C ⁇ g alkyl; C ⁇ _ 16 alkyl optionally interrupted by one or more heteroatom or carbonyl group and optionally substituted with OH, SH, NR 5 R 6 or a C 6 _ 16 aryl, heterocycle or C 3 .
  • R 7 cycloalkyi group optionally substituted with halogen, hydroxyl, carboxyl, C . - alkyl; an amino acid side chain; and a hydrophobic group; or when Y is CH-R 4 or C-R 4 then R 3 and R 4 together with Y form a 5 or 6 member saturated or unsaturated carbocyclic ring; R 5 and R 6 are independently selected from H and C x _ 4 alkyl.
  • compositions comprising compounds of the formula (I) in combination with pharmaceutically acceptable carriers, diluents or adjuvants.
  • a method for the treatment or prophylaxis of thrombotic disorders in a mammal comprising administering to said mammal an effective amount of a compound according to formula (I) .
  • the present invention relates to compounds which inhibit the enzyme, thrombin. These molecules are characterized by a lactam moiety as illustrated in formula (I) :
  • hydrophobic group refers to any group which lacks affinity for, or displaces water.
  • Hydrophobic groups include but are not limited to C ⁇ Q alkyl, C 2 _ 20 alkenyl (e.g. vinyl, allyl) or C 2 - 20 alkynyl (e.g. propargyl) optionally interrupted by a carbonyl group, (e.g. forming an acyl group); C 6 . ⁇ e aryl, C 3 _ 7 cycloalkyi, C 6 .
  • aralkyl C 6 _ 20 cycloalkyi substituted C 1 _ 2Q alkyl, wherein the aliphatic portion is optionally interrupted by a carbonyl group (e.g. forming an acyl group) and the ring portion is optionally substituted with C ⁇ g alkyl such as methyl ethyl or t-butyl; or a hydrophobic amino acid side chain.
  • Preferred hydrophobic groups include cyclohexyl, benzyl, benzoyl , phenylmethyl , phenethyl and para-t-butyl-phenylmethyl .
  • an analogue or derivative of the natural residue may incorporate a longer or shorter methylene chain from the alpha carbon (i.e. ethylene or butylene chain); replacement of the guanidino group with a hydrogen bond donating or accepting group (i.e. ammo, amid o or methoxy) ; replacement of the methylene chain with a constrained group (i.e. an aryl, cycloalkyi or heterocyclic ring) ; elimination of the terminal carboxyl (i.e. des-carboxy) or hydroxyl (i.e. an aldehyde) ; or a combination thereof.
  • alkyl represents a straight or branched, saturated or unsaturated chain having a specified total number of carbon atoms .
  • aromatic or aryl represents an unsaturated carbocyclic rmg(s) of 6 to 16 carbon atoms which is optionally mono- or di-substituted with OH, SH, ammo (i.e. NR 5 R 6 ) halogen or C-_ 6 alkyl.
  • Aromatic rings include benzene, biphenyl, napththalene, phenanthrene and anthracene. Preferred aromatic rings are benzene and naphthalene . -
  • cycloalkyi represents a mono- or poly- (including bridged) carbocyclic ring of 3 to 7 carbon atoms which is optionally mono- or di-substituted with OH, SH, ammo (i.e. NR 5 R 6 ) , halogen, carboxy (and esters thereof) or C 2 6 alkyl.
  • Cycloalkyi groups are generally saturated but may be partially unsaturated and include cyclo-propyl, butyl, pentyl, hexyl and heptyl .
  • a preferred cycloalkyi group is cyclohexyl .
  • aralkyl represents a substituent comprising an aryl moiety attached via an alkylene chain (e.g. benzyl, phenethyl) wherem the sum total of carbon atoms for the aryl moiety and the alkylene chain is as specified.
  • the aryl or chain portion of the group is optionally mono- or di-substituted with OH, SH, ammo (i.e. NR 5 R 6 ) halogen or C-. 6 alkyl
  • heteroatom represents oxygen, nitrogen or sulfur (0, N or S) as well as sulfoxyl or sulfonyl (SO or S0 2 ) unless otherwise indicated.
  • alkyl chains interrupted by one or more heteroatoms means that a carbon atom of the chain is replaced with a heteroatom having the appropriate valency.
  • an alkyl chain is interrupted by 0 to 4 heteroatoms.
  • two adjacent carbon atoms are not both replaced with a heteroatom except for example to form a sulfona ide group.
  • heterocycle represents a saturated or unsaturated mono- or polycyclic (i.e. bicyclic, bridged) ring incorporating 1 or more (i.e. 1-4) heteroatoms selected from N, O and S. It is understood that a heterocycle is optionally mono- or di-substituted with OH, SH, amino (i.e. NR S R 6 ) , halogen, CF 3 , oxo or C ⁇ _ 6 alkyl.
  • Suitable monocyclic heterocycles include but are not limited to pyridine, piperidine, pyrazine, piperazine, pyrimidine, imidazole, thiazole, oxazole, furan, pyran and thiophene .
  • suitable bicyclic heterocycles include but are not limited to indole, quinoline, isoquinoline, purine, and carbazole .
  • hydrophobic amino acid represents an amino acid residue that bears an alkyl or aryl group attached to the ⁇ - carbon atom.
  • the alkyl or aryl group can be substituted, provided that the substituent or substituents do not detract from the overall hydrophobic character of the amino acid.
  • hydrophobic amino acids include natural amino acid residues such as alanine; isoleucine; leucine; phenylalanine; and non-naturally occurring amino acids such as those described in "The Peptides", vol. 5, 1983, Academic Press, Chapter 6 by D.C. Roberts and F. Vellaccio. Suitable non- naturally occurring amino acids include cyclohexylalanme and l-aminocyclohexane-carboxylic .
  • amino acid side chain is meant the substituent attached to the carbon which is ⁇ to the amino group.
  • side chain of the amino acid alanine is a methyl group while benzyl is the side chain for phenylalanine.
  • W is CH-R 4 or C-R 4 while X is N-R 4 , N, O, S, SO or S0 2 , wherein R 4 is as previously defined. More preferably, W is CH-R 4 or C-R 4 while X is N-R 4 or N. More preferably, W is CH-R 4 while X is N-R 4 .
  • W is CH 2 while X is N-R 4 .
  • Y is CH-R 4 wherein R 4 is as previously defined.
  • Y is CH-R 4 wherein R 4 is H.
  • R 2 and R 2 ' are independently H; halogen such as F or
  • R 2 and R 2 ' are H. Most preferably, both R 2 and R 2 ' are both H.
  • R 3 and R 4 are independently a carboxyl group or a hydrophobic group such as a saturated or unsaturated carbocycle of 5 or 6 members optionally fused to another carbocyclic group.
  • the carboxyl group or hydrophobic group may be linked via a spacer such as a C ⁇ alkyl chain optionally interrupted with 1 or more (i.e. 1-4) heteroatoms, carbonyl or sulfonyl (S0 2 ) groups.
  • R 4 substituent is an optionally substituted aromatic ring such as phenyl , biphenyl , cyclohexyl, indole, thienyl, quinoline, tetrahydroisoquinoline, naphthyl or benzodioxolane linked via c ⁇ -i 6 alkyl optionally interrupted with a heteroatom or sulfonyl or carbonyl; while R 3 is selected from H, C 1 - 16 alkyl, and an optionally substituted aromatic ring linked via alkyl.
  • Optional aromatic ring substituents include OH, carboxyl (and esters thereof), C- ⁇ alkyl and halogen.
  • R 3 is other than 3 , 5-bis (trifluoromethyl) benzoyl when R 4 is 3-indolyl- methyl .
  • Y is -CH 2 - or carbonyl and R 3 is H, saturated or unsaturated carbocycle or heterocycle of 5 or 6 members optionally fused to another carbocyclic group.
  • the carbocycle or heterocycle group is optionally linked via a spacer such as a C ⁇ _. 16 alkyl chain optionally interrupted with 1 or more (i.e. 1-4) heteroatoms, carbonyl or sulfonyl (S0 2 ) groups.
  • Particularly preferred R 3 groups include H, methyl, isopropyl, butyl, 2°butyl, benzyl (optionally substituted i.e.
  • R 3 is-H or optionally substituted benzyl and most preferably is benzyl optionally substituted i.e. 2-Cl, 3-C1, 4-C1, 3,4-diCl, 4-methyl, 4-methoxy.
  • R 3 and R 4 are independently an optionally substituted phenyl or cyclohexyl ring linked via C ⁇ _ 4 alkyl optionally interrupted with carbonyl or sulfonyl.
  • one of the R 4 substituents is phenylpropionyl , phenylpropyl , benzylsulfonyl , 2 , 3-dichlorophenylpropionyl , phenylethyl or cyclohexyl -methyl while R 3 is H, isopropyl or benzyl.
  • R 3 and the R 4 from Y together form a 5 or 6 member saturated or unsaturated carbocyclic ring.
  • said ring is a phenyl or cyclohexyl ring and more preferably a phenyl ring fused to the ring containing W, X and Y.
  • R- and R 6 are independently hydrogen, methyl or ethyl . More preferably R 5 and R 6 are independently hydrogen or methyl and most preferably are both hydrogen.
  • R x is represented by one of formula Ha to He: wherein :
  • R 7 is hydrogen or C x - 6 alkyl
  • K is a bond or -NR 7 -;
  • G is C x _ 4 alkoxy; cyano; -NHR 8 ; -CH 2 -NHR 8 ; -C(NH)-NHR 8 ;
  • G is other than unsubstituted indole and when G is C 6 _ 12 cycloalkyi or aryl then G is substituted with at least one group selected from -NHR 8 , -CH 2 -NHR 8 , -C(NH)-NHR 8 , -NH-C(NH) -NHR 8 or -CH 2 -NH-C (NH) -NHR 8 ;
  • U is cyano, -NHR 8 , -C(NH)-NHR 8 or -NH-C (NH) -NHR 8 ;
  • R 8 is H, OH or NH 2 ;
  • P is a bond, -C(O)-, - C (S ) - or a bivalent group:
  • J is alkylene optionally substituted with OH, NH 2 and C-__ - alkyl and optionally interrupted by a heteroatom selected from O, S and N; n is 0 or 1; and
  • T is H, OH, 0-R 4 , carboxyl, amino, a peptide chain, C ⁇ g alkyl, c ⁇ -i 6 alkoxy, Cg. 20 aralkyl , or heterocycle optionally substituted; provided that R x is other than -NHNH 2 .
  • R x incorporates an amino acid or derivative of the formula Ha (wherein P is a carbonyl)
  • the carbon atom alpha to the nitrogen may adopt one of two stereo configurations.
  • the alpha carbon will be oriented such that the amino acid or derivative will be in the L configuration.
  • R 7 is H or methyl and most preferably H.
  • K is a bond
  • G is -NH-C (NH) -NH 2 attached via a methylene chain of
  • a phenyl or piperidine attached via a methylene chain of 0 to 3 carbons wherein the phenyl or piperidine is substituted with -C(NH)-NH 2 ; or cyclohexyl attached via a methylene chain of 0 to 3 carbons wherein the cyclohexyl is substituted with -NH 2 .
  • G is -NH-C (NH) -NH 2 attached via a methylene chain of 3 atoms.
  • More preferably G is piperdin-3-yl N-substituted with -C(N)-NH 2 .
  • G is a piperidine ring attached via a methylene chain of 0-3 carbons wherein the piperidine ring is substituted with one or two of the groups selected from cyano, -NH 2 , -C(NH)-NH 2 , -C(NH) -NH-NH 2 , -C (NH) -NH-OH and -NH-C (NH) -NH 2 .
  • the piperidine ring is attached via one methylene group at the 3 position of the ring.
  • the ring is mono-substituted at the 1 position (the nitrogen atom) and is one of -C(NH)-NH 2 , -C (NH) -NH-NH 2 or -C (NH) -NH-NH-OH . More preferably the substituent is -C(NH)-NH 2 .
  • P is -C(0)-.
  • J is selected from: -CH 2 -S-CH ? -CH 2 - ; -CH 2 -0-CH 2 -CH 2 - ;
  • R- is selected from the following amino acid derivatives prepared according to the procedures described in Bioorg. Med. Chem., 1995, 3:1145 and PCT application WO 96/19483 (published 27 June 1996) incorporated herein by reference .
  • R x may be selected from include :
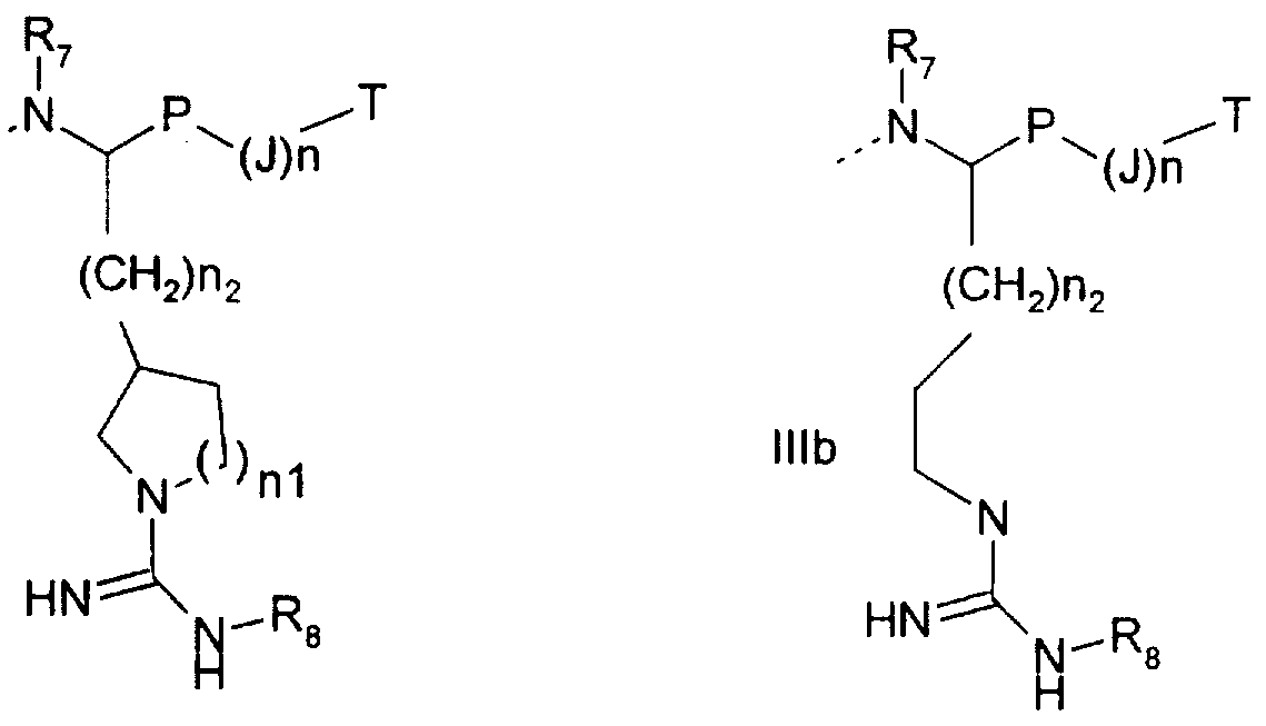
  • R- is a group represented by formula Ilia or Illb:
  • R 7 , R B , P, J, n, n 2 and T are as previously defined.
  • P is a bond n is 0 and T is H.
  • P is C(O) and n is 0. More preferably nl is 2. More preferably n2 is 0-3 and most preferably 1. More preferably R 7 is H. More preferably R 8 is H. More preferably R 8 is NH 2 . More preferably R 8 is OH.
  • T is a peptide of 1 to 4 amino acid residues in length and preferably fibrinogen' s A or B chain or fragment or derivative thereof.
  • T is H while P is a bond and n is 0.
  • T is selected from H, and amino such as N(R 9 ) (R 10 ) , N(R 9 ) (OR 10 ) wherein R 9 and R l0 are independently H or C- L -g alkyl .
  • R 9 and R 10 together with the N from which they depend form a 3-8 member heterocyclic ring (preferably 5 or 6 member) such as piperidine.
  • T is a heterocycle selected from the group consisting of :
  • X 5 , X 10 , X X1 and X 12 are each independently selected from N, and
  • X 6 and X 13 are each independently selected from the group consisting of C, O, N, S, N-X 7 , and CH-X 7 ;
  • R' is hydrogen, C 1 . 16 alkyl optionally carboxyl substituted, carboxyl, -C 0 . 16 alkyl-C0 2 -C 1 . 16 alkyl , C 6 _ 20 aralkyl , C 3 _ 7 cycloalkyi, aryl or an aromatic heterocycle. Preparation of heterocycles according to the definition of T is described in PCT application WO 96/19483.
  • T is selected from the group consisting of:
  • R' is as defined above.
  • T is selected from the group consisting of : wherein R' is as defined above
  • T is selected from the group consisting of
  • R * is as defined above.
  • R' is H or C 1 .
  • t alkyl such as methyl, ethyl, propyl or butyl and most preferably wherein R * is hydrogen, .
  • T is a 1,2 thiazole optionally substituted with R * and/or is attached to J at the 2, 3, 4 or 5 position of the ring.
  • Preferred compounds of the invention include: (1)
  • R 3 and R 4 from substituent Y together form a 5 or 6 member saturated or unsaturated carbocyclic ring include:
  • Particularly preferred compounds of the present invention include : (3 ⁇ 2- [2 -Benzyl -3 , 6-dioxo-4- (3 -phenyl -propyl) -piperazin-1- yl] -N- [4-guanidino-l- (thiazole-2-carbonyl ) -butyl] - acetamide ;
  • Compounds of the invention may be used the treatment and/or prophylaxis of disorders mediated by serme proteases such as viral serine proteases i.e. HSV, CMV, HCV; those serine proteases involved in coagulatioin pathways i.e. thrombin, protein C / activated protein C, factor Vila, IXa and Xa .
  • serme proteases such as viral serine proteases i.e. HSV, CMV, HCV; those serine proteases involved in coagulatioin pathways i.e. thrombin, protein C / activated protein C, factor Vila, IXa and Xa .
  • Compounds of the invention may also be used in the treatment and prophylaxis of angiogenesis and tumour metastasis.
  • the compounds are used in the prophylaxis and/or treatment of thrombotic disorders mediated by the activity of thrombin.
  • Such thrombotic disorders include venous thrombosis, pulmonary embolism, arterial thrombosis, myocardial infarction and cerebral infarction.
  • Methods of treatment or prophylaxis according to the invention comprise administering to a mammal, more particularly human, an effective amount of compounds of the present invention.
  • effective is meant an amount of the compound sufficient to alleviate or reduce the severity of the disorder as measured by parameters established for the particular indication i.e. blood flow (patency) , clot size or density.
  • the compounds of the present invention may be used as anticoagulants in vi tro or ex vivo as in the case of contact activation with foreign thrombogenic surfaces such as is found in tubing used in extracorporeal shunts.
  • the compounds of the invention may also be used to coat the surface of such conduits.
  • the compounds of the invention are obtained as lyophilized powders, redissolved in isotonic saline and added in an amount sufficient to maintain blood in an anticoagulated state.
  • the therapeutic agents of the present invention may be administered alone or in combination with pharmaceutically acceptable carriers, diluents or adjuvants.
  • the proportion of each carrier, diluent or adjuvant is determined by the solubility and chemical nature of the compound, the route of administration, and standard pharmaceutical practice.
  • the compounds may be injected parenterally; this being intramuscularly, intravenously, or subcutaneously.
  • the compound may be used in the form of sterile solutions containing other solutes, for example, sufficient saline or glucose to make the solution isotonic.
  • the compounds may be administered orally in the form of tablets, capsules, or granules containing suitable excipients such as starch, lactose, white sugar and the like.
  • the compounds may also be administered sublingually in the form of troches or .lozenges in which each active ingredient is mixed with sugar or corn syrups, flavouring agents and dyes, and then dehydrated sufficiently to make the mixture suitable for pressing into solid form.
  • the compounds may be administered orally in the form of solutions which may contain colouring and/or flavouring agents.
  • Dosages may vary with the mode of administration and the particular compound chosen.
  • the dosage may vary with the particular patient under treatment .
  • typical dosage is about 0.01 to 500 mg/kg body weight per day, and preferably about 0.5 to 10 mg/kg body weight per day.
  • composition When the composition is administered orally, a larger quantity of the active agent will typically be required to produce the same effect as caused with a smaller quantity given parenterally .
  • Prodrugs of the present invention are prepared according to established organic synthetic techniques and include for example esters of carboxyl groups . Prodrug selection and preparation are described in detail in "The
  • salts of the compounds of the invention particularly pharmaceutically acceptable salts such as inorganic salts i.e. chloride, bromide, sodium, calcium, and potassium; and organic salts i.e. acetate, citrate, maleate, tartrate and mesylate.
  • inorganic salts i.e. chloride, bromide, sodium, calcium, and potassium
  • organic salts i.e. acetate, citrate, maleate, tartrate and mesylate.
  • Pharmaceutically acceptable salts and their preparation are described in detail in Wermuth (supra) incorporated herein by reference.
  • lactam portion of the molecule is 1) reacted with t-Bu bromoacetate followed by 2) ester hydrogenolysis to give monocyclic acid intermediate which is in turn 3) coupled by routine amidation to the polar amino acid residue R x to achieve the final compound.
  • Various substituents may be introduced on the lactam or the polar amino acid residue R 1 either prior or subsequent to coupling.
  • monoprotected diaminopropane may be substituted with a group according to R 4 , for example alkylated (reductive animation: J. Org. Chem., 1996, 61:3849) with hydrocinnamaldehyde .
  • the protecting group of the primary amine is removed and the di-am e is cyclized into a urea using t ⁇ phosgene.
  • the urea is alkylated with benzyl bromoacetate, followed by ester hydrogenolysis to give an acid intermediate which may then be coupled by amidation to an R x substituent.
  • substituents may also be introduced on the cyclic urea prior to coupling with R ⁇ using conventional techniques in the art.
  • the compound of formula (I) is desired as a single isomer, it may be obtained either by resolution of the final product or by stereospecific synthesis from isomerically pure starting material or any convenient intermediate. Resolution of the final product, or an intermediate or starting material therefor, may be effected by any suitable method known in the art: see for example, “Stereochemistry of Carbon Compounds”, by E.L. Eliel (McGraw Hill, 1962), and “Tables of Resolving Agents", by S.H. Wilen. Resolution of the final compound can also be achieved using established chiral HPLC techniques as described in “Chiral Separations", Eds. D. Stevenson and I.D. Wilson; "Chromatographic
  • Step 1 To Boc-Arg(MTR) -OH (6.61g, 13.6mmol, Bache ) in dichloro ethane (33mL) at 0°C was added N-methyl morpholine (1.65mL, 15.0mmol) then isobutyl chlorofornate (1.95mL, 15.0mmol) and stirred at 0°C for 30 minutes. N,0-dimethyl amine HCl (1.5g, 15.4mmol) and N-methyl morpholine (1.65mL, 15.0mmol) was added and stirred at 0°C for 45 minutes.
  • Step 2 To thiazole (1.95mL, 27.5mmol) and TMEDA (3.8mL, 25.2mmol, distilled from sodium) in THF (65mL, freshly distilled from potassium) at -78°C was added nBuLi in hexane (13.7mL, 24.7mmol, 1.8M) at a rate that raised the internal temperature to -50°C. Reaction flask was placed in dry ice/acetonitrile bath to give an internal temperature of 41°C. The solution was stirred for 25 minutes, cooled to
  • Step 3 To BOC-Arg-CO-thiazol-2-yl was added ethyl methyl sulfide (2.3mL, 25.4mmol) then 4M HCl in dioxane (20mL) and stirred at room temperature for 40 minutes. A yellow, gummy precipitate formed and the supernatant was decanted. Ethyl acetate (40mL) was added and the gummy precipitate was stirred to change it to a fine granular precipitate. Precipitate was isolated by filtration and washed thoroughly with ethyl acetate (150mL) to give 3.
  • the intermediate benzothiazolo-Arg (MTR) .HCl may be prepared by incorporating benzothiazole instead of thiazole in step 2.
  • Step 1 To N ⁇ Boc-3 -pyridylalanine (I) (10.5g, 39.5mmol) in methylene chloride (106mL) was added BOP reagent [ (benzotriazol-1-yloxy tris- (dimethylamino) phosphonium hexafluorophosphate), 18.3g, 41.48mmol] and DIEA (7.56mL, 43.45mmol) . The reaction mixture was stirred at room temperature for twenty minutes and then was added N,0- dimethylhydroxylamine hydrochloride (3.85g, 39.5mmol) followed by DIEA (7.56mL). The reaction mixture stirred four hours and the solvents removed in vacuo.
  • Step 2 To (II) (4.4g, 14.2mmol)in acetic acid (lOOmL) was added Pt0 2 (0.44g) and hydrogen gas in a Parr reactor. The reation was complete in twenty three hours. The catalyst was filtered and the reaction mixture concentrated in vacuo. The product was dissolved in water and lyophylized to yield 5.9g of the desired product as a sticky oil (III) .
  • Step 3 To (III) (6.75g, 17.9mmol) in DMF ( 9mL) was added [ (lH-pyrazole-1-carboxamidine hydrochloride) 2.6g, 17.9mmol] followed by DIEA (6.25mL, 35mmol). The reaction mixture was stirred four hours at room temp, then the sovents removed in vacuo. The product was triturated with ether several times and the ether layer decanted. The product (IV) was used unpurified in the subsequent reaction.
  • Step 4 To (IV) (0.56g, 1.56mmol) in acetone (6.8mL) at 0°C was added 4N NaOH (1.7mL) and PmcCl [ (4methyloxy-2 , 3 , 6 - trimethylbenzenesulfonyl chloride, 0.679g, 2.73mmol] in acetone (1.7mL) .
  • the reaction mixture was stirred at 0°C for 2.5 hours. 10% citric acid was added until pH 6.0.
  • the solvents were removed in vacuo.
  • the residue was extracted with ethyl acetate several times and the combined organic phases were washed with brine, dried over magnesium sulfate, filtered and the solvents removed in vacuo.
  • the product was purified on silica gel eluted with ethyl acetate to yield 396mg (V) R-isomer and 211mg (V) S-isomer.
  • Step 5 To a solution of (V) (l.OOg, 1.6mmol) in THF (5mL) at -78°C, was added IM lithium aluminum hydride in THF (6.4mL, 6.4mmol) drop wise over 10 minutes. The reaction was stirred at -78°C for an additioinal 30 minutes. IM KHS0 4 (5.0mL) was added. The resulting solution was poured into a separatory funnel containing ethyl acetate and water (50mL each) . The organic layer was separated, washed with brine (50mL) and dried with sodium sulfate. Evaporation to dryness gave 0.93g of (VI) as a white solid.
  • Step 6 To a solution of (VI) (0.90g, 1.58mmol) in methanol/acetonitrile at 0°C, was added NaCl0 2 (0.40g, 3.53mmol), KHP0 4 (0.066g, 0.48mmol) and 30% aqueous H 2 0 2 . The reaction was then warmed to room temperature and stirred for an additional 4 hours. The reaction mixture was evaporated, the residue was taken up in H 2 0, acidified with 10% HCl to pH 2.5 and extracted with ethyl acetate (2X50mL) . The organic layer was washed with brine (50mL) and dried with sodium sulfate. After removal of solvent under reduced pressure, (VII) was obtained after crystallization with ethyl acetate/hexane (0.83g).
  • Step 7 A solution of (VII) (0.13g, 0.224mmol) , HATU [(0-(7- azabenzotriazol-1-yl) -1,1,3, 3-tetramethyluronium hexafluorophosphate), 0.085g, 0.225mmol], methylamine hydrochloride (0.020g, 0.31mmol) and DIEA (0.080mL, 0.46mmol) in DMF (2.0mL) was stirred at room temperature for 2 hours. The reaction mixture was poured into a separatory funnel containing ethyl acetate and saturated NaHC0 3 (20mL each) . The organic layer was separated, washed with brine (50mL) and dried with sodium sulfate. After removal of solvent under reduced pressure, the residue was purified by silica gel column chromatography (ethyl acetate) to give 0.130g of (VIII) .
  • Step 1 To a suspension of NaH 60%/oil (256 mg, 1.5 eq) in dry THF (43 ml), at 0°C, under N 2 , was added the oxo-piperazine carbamate (1.0 g, 4.27 mmols, Maybridge) in small portions. The reaction mixture was stirred at 0°C for 30 min and t-Bu bromoacetate (693 ⁇ L, 1.1 eq) was added. The ice bath was removed and the solution was stirred for 15 hr . Water (2 mL) was added carefully (to destroy the excess of NaH) and the solution was poured in EtOAc/H 2 0. The phases were separated and the aqueous layer was extracted with EtOAc (2x) .
  • Step 2 To a solution of the carbamate from step 1 (1.43 g, 4.12 mmols n dry MeOH 41 mL , at r.t., under N 2 , was added Pd/C 10% (357 mg, 25% wt) . The reaction mixture was placed under an H 2 atmosphere and stirred at r.t. for 60 min. The catalyst was filtered through Celite and the solvent was evaporated to give the amine (880 mg, 4.12 mmols, 100%) as a white solid.
  • Step 3 To a solution of the amine of step 2 (880 mg, 4.12 mmols) in dry DMF (41 mL) , at r.t., under N 2 , were added successively iPr 2 NEt (1.43 mL, 2 eq) , 3-phenylpropionic acid (648 mg, 1.05 eq) and BOP (2.72 g, 1.5 eq) . The solution was stirred at r.t. for 15 hr and was poured in EtOAc/H 2 0. The phases were separated and the aqueous layer was extracted with EtOAc (2x) . The combined organic extracts were washed with 10% citric acid (lx) , sat.aq.
  • Step 4 To a solution of the amidolactam t-butyl ester from step 3 (1.27 g, 3.65 mmols) in dry CH 2 C1 2 (18 mL) , at 0°C, under N 2 , was added CF 3 COOH (18 mL) .
  • MTR l-methoxy-2 , 3 , 6- trimethylbenylsulfonyl
  • Step 6 To a solution of the guanidino-protected product from step 5 (211 mg, 0.29 mmol) in CF 3 C00H (4 mL) , at 0°C, under N 2 , was added MeSPh (10% vol of TFA) . The solution was stirred at 0°C for 30 min, then at r.t. for 4 hr . The TFA was evaporated down to a minimum volume and Et 2 0 (20 mL) was added. The suspension was stirred vigorously for 10 min. The solids were filtered, rinsed with Et 2 0 and dried in vaccuo . The crude product was purified by HPLC (15% CH 3 CN/H 2 0 -> 50% CH 3 CN/H 2 0, 180 min) . The salt of compound (1) was obtained as a white solid (70 mg, 0.094 mmol, 24%).
  • Step 1 2-OXO-4- (3 -phenyl -propionyl) -piperazin-1-yl] -acetic acid was coupled with benzothiazoloarginine-MTR-HCl according to the procedures described in step 5 of example 2 to give the guanidino-protected final compound.
  • Step 2 The guanidino-protected product of step 1 was deprotected according to the procedures described in step 6 of example 2 (omitting addition of MeSPh) to give the final compound (2) .
  • Step 1 To a solution of the glycine-OEt-HCl (499 mg, 3.58 mmol) in anh. EtOH (36 mL) , at r.t., under N 2 , were added hydrocynnamaldehyde (471 ⁇ L, 1 eq) and NaBH 3 CN (225 mg, 1 eq)
  • Step 3 To a solution of the BOC-carbamate from step 2 (776 mg, 1.66 mmol) in anh. dioxanne (8 mL) , at r.t., under N 2 , was added 4N HCl/dioxanne (0.1 M: 16 mL) . The solution was stirred at r.t. for 4 hr. The solvent was evaporated and the oil dried under reduced pressure. The oil obtained was dissolved in H 2 0 (15 mL) and NaHC0 3 (700 mg, 5 eq) was added. The solution was heated at 60°C for 15 hr. A white precipitate was formed. The suspension was cooled to r.t. and the solid was filtered and then dried under vacuum to get 437 mg (82%) of the pure bi-lactam.
  • 4N HCl/dioxanne 0.1 M: 16 mL
  • Step 4 To a suspension of 60% NaH/oil (81 mg, 1.5 eq) in anh. THF (13.5 mL) , at 0°C, under N 2 , was added the bi-lactam of step 3 (437 mg, 1.36 mmol), in small portions. The suspension was stirred at 0°C for 10 min, then at r.t. for 20 min. BrCH 2 C0 2 Bn (236 ⁇ L, 1.1 eq) was added and the reaction mixture was stirred at r.t. for 18 hr. Water (10 mL) was added carefully to destroy the excess NaH and the reaction mixture was poured in EtOAc/H 2 0. The layers were separated and the aqueous phase was extracted with EtOAc (2x) .
  • Step 5 To a solution of the ester from step 4 (427 mg, 0.91 mmol) in anh. MeOH (9.0 L) , at r.t., under N 2 , was added Pd/C 10% (100 mg, 25% wt . ) . The black suspension was placed under an atmosphere of H 2 and was stirred for 60 min. The catalyst was filtered through Celite and was rinsed with MeOH. The solvent was evaporated and the resulting white solid was dried under vacuum: 338 mg (98%) .
  • Step 6 The acid from step 5 was coupled with thiazolo- arginine-MTR-HCl according to the procedures described in step 5 of example 2 to give the guanidino-protected final compound.
  • Step 7 The guanidino-protected final compound of step 6 was deprotected using standard HF cleavage to give final compound (3) as a crude oil. The brown oil obtained was dissolved in 10% AcOH/H 2 0. The. aqueous phase was washed with Et 2 0 (2x) and evaporated to drynes ⁇ .
  • Step 1 To a NaH suspension (0.24g, 5.9mmol ) in THF (50mL) at 0°C was added compound a (l.Og, 3.96mmol, Maybridge) in small portions. The reaction was stirred for 30 minutes followed by addition of tert-butyl -2-bromoacetate (0.7mL, 4.0mmol) . The reaction was allowed to stir overnight at ambient termperature followed by standard workup to give compound b.
  • Step 2 To compound b (0.67mg, l,83mmol) was added EtSMe (0.3mL) followed by TFA (lOmL) at ambient temperature. The reaction was allowed to stir for 3h. The solvent was removed then added 10% aq.NaOH. The mixture was extracted with EtOAc and the aqueous layer acidified with powdered KHS0 4 , followed by extraction with DCM. Drying the organic layer with MgS0 4 followed by evaporation of solvent yeilded the acid c.
  • Step 3 A mixture of c_ (0.235g, 0.758mmol) and thiazoloarginine-MTR.HCl (0.4g, 0.755mmol) was dissolved in DMF (20mL) .
  • Step 4 A mixture of e (0.14g, 0.19mmol) was dissolved in TFA (2mL) and thioanisole (0.2mL) was added. The reaction stirred at room temperature for 6 hours then ether was added to precipitate the white powder which was purified by RP-TLC (0.5mm, Sigma; H2)/MeOH/TFA 80/80/5mL, v/v) to give 30mg of final compound (17) .
  • Step 1' To starting compound a (l.Og, 6.75mmol, Maybridge) at 0 C was added hydrocinnamoyl chloride (l.lmL, 3.96mmol) slowly then stirred at RT for 2h then added brine (50mL) to precipitate the light brown solid which was filtered and washed repeatedly with ether and hexane to give compound b. Subsequent step were performed in the same manner as steps 1-4 of example 5 to yield final compound (18) .
  • Step 1 To a mixture of the alcohol (21.7 g; 0.686 mol) and powdered molecular sieves 4A (40 g) in methylene chloride (500 mL) was added NMO (N-methyl morpholine oxide 17 g; 0.14 mol) followed by TPAP (tetrapropyl ammonium perruthenate 2.0 g) .
  • NMO N-methyl morpholine oxide 17 g; 0.14 mol
  • TPAP tetrapropyl ammonium perruthenate 2.0 g
  • Step 2 To a solution of the amide (1.16 g, 2.21 mmols) in THF (30 mL) was added at -40 °C a 1.0 M solution of LAH in ether (2.9 mL) . The solution was warmed to -5 °C - 10 °C and stirred for 50 minutes. The solution was cooled to ⁇ -25 °C and quenched with 1 M aqueous solution of KHS0 4 (10 mL) . The mixture was stirred at 0 °C for 40 minutes then brine was added (30 mL) . The organic phase was separated and the aqueous layer extracted with ether (2 x 30 mL) .
  • Step 3 To a solution of ethyl orthothioformate (2.7 mL; 14 mmols) in THF (30 mL) was added at - 60 °C - 55 °C n-BuLi in hexanes (1.3 M, 9.0 mL, 12 mmols) . The solution was stirred at - 60 °C - 55 °C for 30 minutes then a solution of the aldehyde (932 g; 2.00 mmols) in THF (10 mL) was added so that the temperature was maintained at - 60 °C - 55 °C.
  • Step 4 To a solution of the orthothioformate (2.56 g; 3.85 mmols) in methanol (69 mL) and water (4 mL) was added HgO (732 mg) and mercuric chloride (2.69 g) . The mixture was stirred at room temperature for 2 hours then at 60 °C for 30 minutes. The mixture was filtered on a celite pad and washed with methanol (2 x 4 mL) , and dichloromethane (3 x 20 mL) . Water (80 L) and dichloromethane (40 mL) was added to the filtrate and the organic layer was separated. The aqueous phase was extracted with dichloromethane (2 x 80 mL) .
  • Step 5 To a solution of the alcohol (812 mg; 1.54 mmols) in dichloromethane ( 100 mL) was added Dess-Martm reagent (3.0 g, 7.0 mmols) . The resulting mixture was stirred at room temperature for 30 minutes then quenched with solution of sodium thiosulphate (15 g) in a saturated aqueous solution of NaHC0 3 (150 mL) . The mixture was stirred for about 10 minutes and the organic layer was separated. The aqueous layer was extracted with ethyl acetate (3 x 100 mL) and the combined organic layers were washed with a saturated aqueous solution of NaHC0 3 then dried (MgS0 4 ) .
  • Step 6 To a solution of the acid (200 mg, 0.640 mmol) in dry DMF (7 mL) was added the amine (380 mg, 0.819 mmols) followed by collidine (0.8 mL) and by HATU (320 mg, 0.842 mmols). The solution was stirred at room temperature for 23 hours, poured into a 10% citric acid solution, extracted with ethyl acetate (3 times) . The combined organic layers were washed successsively with a saturated solution of NaHC0 3 , a 10 % citric acid solution, brine then fried (MgS0 4 ) . The residue was purified on silica gel (EtOAC 100%) to afford the coupled product (265 mg, 57%) .
  • EtOAC silica gel
  • Step 7 To a solution of the ester (265 mg, 0.367 mmols) in THF (10 mL) was added LiOH-H 2 0 (35 mg; 0.833 mmols) in water (10 mL) . The solution was stirred at room temperature for one hour then poured into 5 % HCl (50 L) and extracted with dichloromethane (3 x 50 mL) . The combined organic layers were dried (MgS0 4 ) and evaporated to afford the acid (215 mg, 83 which was used in the next step without further purification.
  • Step 11 To a solution of the protected compound (207 mg, 0.292 mmols) in TFA (10 mL) was added thioanisole (1 mL) and methanesulfonic acid (30 ml. 0.46 mmols) . The solution was stirred overnight and TFA was evaporated. Ether was added to the residue and the resulting solid was filtered and washed several times with ether. This solid was purified by preparative HPLC to afford, after lyophilization, compound
  • Step 1 To a solution of the amine (2.04 g, 16.24 mmol) in anh. MeOH (81 mL) , at 0°C, under N 2 , was added butyraldehyde (732 ⁇ L, 0.5 eq) and NaBH 3 CN (561 mg, 0.55 eq) . The solution was stirred at 0°C for 30 min, then at r.t. for 18 hr . The MeOH was evaporated and the residue was poured in sat.aq. NaHC0 3 /CH 2 Cl 2 . The phases were separated and the aqueous layer was extracted with CH 2 C1 2 (2x) .
  • Step 2 To a solution of the amine (512 mg, 3.53 mmol) in anh. DMF (35 L) , at r.t., under N 2 , was added the were added the acid (2.20 g, 1.2 eq) , the NMM (776 ⁇ L, 2 eq) and HATU (1.61 g, 1.2 eq) . The yellow solution was stirred at r.t. for 18 hr. The solvent was evaporated and the residue poured in EtOAc/H 2 0. The phases were separated and the aqueous layer was extracted with EtOAc (2x) . The combined organic extracts were washed with 10% citric acid (lx) , sat.aq.
  • Step 3 1) The ester-dicarbamate (1.21 g, 2.61 mmol) was dissolved in 4N HCl/dioxane. The solution was stirred at r.t for 3 hr. The solvent was evaporated and the residue was dried in vaccuo. 2 ) The amine salt was dissolved in H 2 0 (26 mL) and NaHC0 3 (1.1 g, 5 eq) was added. A white solid precipitated im ediatly. The suspension was heated at 60°C for 18 hr. It was brought down to r.t. and extracted with CH 2 CL 2 (3x) .
  • Step 4 To a suspension of NaH 60%/oil (64 mg . 1.1 eq) , in dry THF (10.6 mL) , at 0°C, under N2 , was added a solution of the dioxopiperazine (486 mg, 1.46 mmol, in 2 mL of anh. THF). The flask was rinced with another 2 mL of anh. THF. The suspension was stirred at 0°C for 30 min, and then at r.t. for 30 min. BrCH2C02tBu (30 ⁇ L, 1.1 eq) was then added and the solution/suspension was stirred at r.t. for 2 hr .
  • Step 5 To a solution of the carbamate (463 mg, 1.04 mmol) in anh. MeOH (10 mL) , at r.t., under N 2 , was added Pd/C 10% (115 mg, 25% wt) . The black suspension was placed under an H 2 atmosphere and stirred at t.p. for 60 min. The catalyst was filtered through Celite and the Celite cake was rinced with MeOH. The solvent was evaporated and the residue was dried under vacuum to give the amine as a clear oil (333 mg, 0.96 mmol, 93%) .
  • Step 6 To a solution of the am e (333 mg, 0.96 mmol) in anh. CH 2 C1 2 (9.6 mL) , at t.p., under N 2 , were added NMM (159 ⁇ L, 1.5 eq) and BnS0 2 Cl (193 mg, 1.05 eq) . The solution was stirred at r.t. for 2 hr . It was then poured m 10% citric acid/CH 2 Cl 2 . The phases were separated and the aqueous layer was extracted with CH 2 C1 2 (2x) .
  • Step 7 To a solution of the ester (396 mg, 0.85 mmol) in anh. CH2C12 (4.25 mL) , at 0°C, under N2 , was added trifluoroacetic acid (4.25 mL) . The solution was stirred at 0°C for 15 min, and then at r.t. for 2 hr. The solvents were evaporated and the residue dried under vacuum. The acid was obtainded in 100% yield as a yellow solid (349 mg, 0.85 mmol) ,
  • Step 8 To a solution of the acid (270 mg, 0.66 mmol) in anh. DMF (6.5 mL) , at r.t., under N2 , were added successively the arginine-mimic-HCl (382 mg, 1.1 eq) , 2 , 4 , 6-collidine (347 ⁇ L, 4 eq) and HATU (299 mg, 1.2 eq) .
  • the solution was stirred at r.t. for 15 hr and was then poured in EtOAc/H20. The phases were separated and the aqueous layer was extracted with EtOAc (2x) . The combined organic extracts were washed with 10% citric acid (lx), sat.aq.
  • Step 9 To a solution of the protected guanidine (349 mg, 0.39 mmol) in trifluoroacetic acid (10 mL) , at r.t., under N 2 , was added thioanisole (1 mL, 10% vol of TFA) . The solution was stirred at r.t. for 3 hr. The TFA was evaporated and Et 2 0 (20 mL) was added to precipitate the guanidine salt. The solid was scraped off the wall of the flask and the suspension was stirred vigorously for 10 min. The solids were then filtered and dried under vacuum.
  • the reaction reached a steady-state within 3 minutes after mixing thrombin with the substrate and an inhibitor. The steady-state velocity was then measured for a few minutes.
  • the compounds of this invention were also pre-incubated with thrombin for 20 minutes at room temperature before adding the substrate. The steady-state was achieved within 3 min and measured for a few min.
  • the kinetic data (the steady-state velocity at various concentrations of the substrate and the inhibitors) of the competitive inhibition was analyzed using the methods described by Segel (1975) .
  • a non-linear regression program, RNLIN in the IMSL library (IMSL, 1987), LMDER in MINPACK library (More et al., 1980) or MicrosoftTM ExcellTM was used to estimate the kinetic parameters (K_, V max and K .
  • the FeCl 3 induced injury to the carotid artery in rats was induced according to the method described by Kurz , K.D., Main, R.W., Sandusky, G.E., Thrombosis Research 60; 269-280, 1990 and Schumacher, W.A. et al . J. Pharmacology and Experimental Therapeutics 267; 1237-1242, 1993.
  • Vessel temperature changes were recorded on a thermister (Cole-Palmer * Model 08533-41) .
  • Inhibitor compounds were given as an i.v. bolus (0.75 mg/kg) followed immediately by an i.v. infusion (50 ⁇ g/kg/min. via femoral vein) .
  • Blood (ImL) was collected in to sodium citrate (1:9; 3.8%) as an anticoagulant prior to treatment, 30 and 90 min. after the start of the infusion. All anticoagulated blood samples were centrifuged (12,000 x g for 3 min.) to obtain plasma for same day analysis.
  • Activated partial thromboplastin time (aPTT) and thrombin time (TT) were measured at 37°C using a coagulometer (ST4 from Diagnostica Stago, Asnieres, France; American Bioproducts Company, Parsipanny, NJ) .
  • citrated plasma 50uL was incubated with reagent 1 (PTTAutomate; 00480, ST4 BIO; Diagnostica Stago) at 37°C for 180 sec. Clotting was initiated by adding 25mM CaCl 2 (50uL) .
  • citrated plasma 200uL was incubated at 37°C for 2 min. and the clotting time was initiated by adding Thrombin Prest (titrated calcium thrombin; 200uL; Diagnostica Stago) . The time taken for the plasma to clot was then determined. Table 1

Landscapes

  • Chemical & Material Sciences (AREA)
  • Organic Chemistry (AREA)
  • Genetics & Genomics (AREA)
  • Biochemistry (AREA)
  • Biophysics (AREA)
  • General Health & Medical Sciences (AREA)
  • Health & Medical Sciences (AREA)
  • Medicinal Chemistry (AREA)
  • Molecular Biology (AREA)
  • Proteomics, Peptides & Aminoacids (AREA)
  • Life Sciences & Earth Sciences (AREA)
  • Crystallography & Structural Chemistry (AREA)
  • Pharmaceuticals Containing Other Organic And Inorganic Compounds (AREA)

Abstract

This invention relates to heterocyclic inhibitors of the enzyme thrombin, their preparation, and pharmaceutical compositions thereof having general formula (I), wherein W, X, Y R1 to R3 are as defined herein. Also, the invention relates to the use of such compounds and compositions as anticoagulants and as agents for the treatment and prophylaxis of thrombotic disorders such as venous thrombosis, pulmonary embolism and arterial thrombosis resulting in acute ischemic events such as myocardial infarction or cerebral infarction.

Description

LACTAM INHIBITORS OF THROMBIN
FIELD OF THE INVENTION
This invention relates to compounds useful for the treatment of thrombotic disorders, and more particularly to novel lactam inhibitors of serine proteases such as factor Vila, Xa and thrombin. This application is a continuation- in-part of USSN 60/025,599 and GB 9618687.9 filed 6 September 1996 incorporated herein by reference.
BACKGROUND
Inordinate thrombus formation on blood vessel walls precipitates acute cardiovascular disease states that are the chief cause of death in economically developed societies . Plasma proteins such as fibrinogen, proteases and cellular receptors participating in hemostasis have emerged as important factors that play a role in acute and chronic coronary disease as well as cerebral artery disease by contributing to the formation of thrombus or blood clots that effectively diminish normal blood flow and supply. Vascular aberrations stemming from primary pathologic states such as hypertension, rupture of atherosclerotic plaques or denuded endothelium, activate biochemical cascades that serve to respond and repair the injury site. Thrombin is a key regulatory enzyme in the coagulation cascade; it serves a pluralistic role as both a positive and negative feedback regulator. However, in pathologic conditions the former is amplified through catalytic activation of cofactors required for thrombin generation as well as activation of factor XIII necessary for fibrin cross-linking and stabilization.
In addition to its direct effect on hemostasis, thrombin exerts direct effects on diverse cell types that support and amplify pathogenesis of arterial thrombus disease. The enzyme is the strongest activator of platelets causing them to aggregate and release substances (e.g. ADP TXA2 NE) that urt er propagate t e t rom otic cyc e.
Platelets in a fibrin mesh comprise the principal framework of a white thrombus. Thrombin also exerts direct effects on endothelial cells causing release of vasoconstrictor substances and translocation of adhesion molecules that become sites for attachment of immune cells. In addition, the enzyme causes mitogenesis of smooth muscle cells and proliferation of fibroblasts .
The principal endogenous neutralizing factor for thrombin activity in mammals is antithrombin III (ATIII), a circulating plasma macroglobulm having low affinity for the enzyme. Heparin has shown clinical efficacy in alleviating venous thrombosis by enhancing ATIII/thrombin binding through catalysis. However, heparin also catalyzes inhibition of other proteases in the coagulation cascade and its efficacy m platelet -dependent thrombosis is largely reduced or abrogated due to inaccessibility of thrombus -bound enzyme. Also, adverse side effects such as thrombocytopema, osteoporosis and triglyceridemia have been observed following prolonged treatment with heparin.
It has been proposed that thrombin activity can be inhibited by compounds that compete with fibrinogen for thrombi 's catalytic site, thereby inhibiting proteolysis of that protein or other protein substrates such as the thrombin receptor. A common strategy for designing enzyme inhibitory compounds relies on mimicking the specificity inherent m the primary and secondary structure of the enzyme's natural substrate. Thrombin inhibitors have been modeled upon the partial sequence of the fibrinogen A chain comprising its proteolyt cally susceptible region (Blomback, et al . , J. Clin. Lab. Invest., 24_, 59, 1969). This region of fibrinogen minimally includes the residues commencing with phenylalanine: a- sp- er- y- u- y- sp- e - eu- a- u- y -Gly-Gly-Val -Arg-Gly- Pro-Arg t scissile bond
Systematic replacement of amino acids within this region has led to optimization of the tripeptidyl inhibitory sequence exemplified by the peptide (D) -Phe-Pro-Arg which corresponds to interactions within the P3-P2-P-L local binding sites on thrombin (Bajusz S. et al . in Peptides: Chemistry Structure and Biology: Proceedings of the Fourth American Peptide
Symposium, Walter R. , Meienhofer J. Eds. Ann Arbor Science Publishers Inc., Ann Arbor MI, 1975, pp. 603).
It is an object of the present invention to provide thrombin inhibitors that display inhibitory activity towards serine proteases such as factor Vila, factor Xa and thrombin which may be used in the treatment or prophylaxis of thrombotic disorders .
SUMMARY OF THE INVENTION
The present invention provides novel compounds that are useful for inhibiting thrombin activity, represented by formula (I):
Figure imgf000005_0001
(I) wherein: W and X are independently selected from CH-R4, C-R4, N-R4, N,
O, S, SO and S02, provided that at least one of W and X is selected from N-R4, N, 0, S, SO and S02 ; Y is selected from CH-R4, C-R4 and C=0;
Q is selected from carbonyl , C=S and CH-R4;
Rλ is a polar amino acid residue or derivative or analogue thereof optionally substituted with an amino acid, a peptide or a heterocycle; R2 and R2' are independently selected from H, halogen, C1-16 alkyl optionally substituted with C6_16 aryl, heterocycle or a 3-7 cycloalkyi group; and R3 and R4 are independently selected from H; NRSR6 ; carboxyl; ce-i6 aryl or C3,7 cycloalkyi optionally substituted with C^g alkyl; Cλ_16 alkyl optionally interrupted by one or more heteroatom or carbonyl group and optionally substituted with OH, SH, NR5R6 or a C6_16 aryl, heterocycle or C3.7 cycloalkyi group optionally substituted with halogen, hydroxyl, carboxyl, C . - alkyl; an amino acid side chain; and a hydrophobic group; or when Y is CH-R4 or C-R4 then R3 and R4 together with Y form a 5 or 6 member saturated or unsaturated carbocyclic ring; R5 and R6 are independently selected from H and Cx_4 alkyl.
According to another aspect of the invention, there is provided pharmaceutical compositions comprising compounds of the formula (I) in combination with pharmaceutically acceptable carriers, diluents or adjuvants.
In yet another aspect, there is provided a method for the treatment or prophylaxis of thrombotic disorders in a mammal, comprising administering to said mammal an effective amount of a compound according to formula (I) .
DETAILED DESCRIPTION OF THE INVENTION
The present invention relates to compounds which inhibit the enzyme, thrombin. These molecules are characterized by a lactam moiety as illustrated in formula (I) :
Figure imgf000007_0001
( I )
wherein W, X, Y, Q and R to R6 are as previously defined.
In a preferred embodiment, compounds of the invention are represented by formula (la) :
Figure imgf000007_0002
wherein Y, Rl t R3 and R4 are as previously defined.
The term "hydrophobic group" (HG) as used hereinafter, refers to any group which lacks affinity for, or displaces water. Hydrophobic groups include but are not limited to C^Q alkyl, C2_20 alkenyl (e.g. vinyl, allyl) or C2-20 alkynyl (e.g. propargyl) optionally interrupted by a carbonyl group, (e.g. forming an acyl group); C6.ιe aryl, C3_7 cycloalkyi, C6.20 aralkyl, C6_20 cycloalkyi substituted C1_2Q alkyl, wherein the aliphatic portion is optionally interrupted by a carbonyl group (e.g. forming an acyl group) and the ring portion is optionally substituted with C^g alkyl such as methyl ethyl or t-butyl; or a hydrophobic amino acid side chain. Preferred hydrophobic groups include cyclohexyl, benzyl, benzoyl , phenylmethyl , phenethyl and para-t-butyl-phenylmethyl .
The term "arginyl moiety" represents an arginine amino acid residue or an analogue or derivative thereof. For example, an analogue or derivative of the natural residue may incorporate a longer or shorter methylene chain from the alpha carbon (i.e. ethylene or butylene chain); replacement of the guanidino group with a hydrogen bond donating or accepting group (i.e. ammo, amid o or methoxy) ; replacement of the methylene chain with a constrained group (i.e. an aryl, cycloalkyi or heterocyclic ring) ; elimination of the terminal carboxyl (i.e. des-carboxy) or hydroxyl (i.e. an aldehyde) ; or a combination thereof.
The term "alkyl" represents a straight or branched, saturated or unsaturated chain having a specified total number of carbon atoms .
The term "aromatic" or "aryl" represents an unsaturated carbocyclic rmg(s) of 6 to 16 carbon atoms which is optionally mono- or di-substituted with OH, SH, ammo (i.e. NR5R6) halogen or C-_ 6 alkyl. Aromatic rings include benzene, biphenyl, napththalene, phenanthrene and anthracene. Preferred aromatic rings are benzene and naphthalene . -
The term "cycloalkyi" represents a mono- or poly- (including bridged) carbocyclic ring of 3 to 7 carbon atoms which is optionally mono- or di-substituted with OH, SH, ammo (i.e. NR5R6) , halogen, carboxy (and esters thereof) or C2 6 alkyl. Cycloalkyi groups are generally saturated but may be partially unsaturated and include cyclo-propyl, butyl, pentyl, hexyl and heptyl . A preferred cycloalkyi group is cyclohexyl .
The term "aralkyl" represents a substituent comprising an aryl moiety attached via an alkylene chain (e.g. benzyl, phenethyl) wherem the sum total of carbon atoms for the aryl moiety and the alkylene chain is as specified. The aryl or chain portion of the group is optionally mono- or di-substituted with OH, SH, ammo (i.e. NR5R6) halogen or C-. 6 alkyl
The term "heteroatom" as used herein represents oxygen, nitrogen or sulfur (0, N or S) as well as sulfoxyl or sulfonyl (SO or S02) unless otherwise indicated. It is understood that alkyl chains interrupted by one or more heteroatoms means that a carbon atom of the chain is replaced with a heteroatom having the appropriate valency. Preferably, an alkyl chain is interrupted by 0 to 4 heteroatoms. Generally two adjacent carbon atoms are not both replaced with a heteroatom except for example to form a sulfona ide group.
The term "heterocycle" represents a saturated or unsaturated mono- or polycyclic (i.e. bicyclic, bridged) ring incorporating 1 or more (i.e. 1-4) heteroatoms selected from N, O and S. It is understood that a heterocycle is optionally mono- or di-substituted with OH, SH, amino (i.e. NRSR6) , halogen, CF3 , oxo or Cλ_6 alkyl. Examples of suitable monocyclic heterocycles include but are not limited to pyridine, piperidine, pyrazine, piperazine, pyrimidine, imidazole, thiazole, oxazole, furan, pyran and thiophene . Examples of suitable bicyclic heterocycles include but are not limited to indole, quinoline, isoquinoline, purine, and carbazole .
The term "hydrophobic amino acid" represents an amino acid residue that bears an alkyl or aryl group attached to the α- carbon atom. The alkyl or aryl group can be substituted, provided that the substituent or substituents do not detract from the overall hydrophobic character of the amino acid. Examples of hydrophobic amino acids include natural amino acid residues such as alanine; isoleucine; leucine; phenylalanine; and non-naturally occurring amino acids such as those described in "The Peptides", vol. 5, 1983, Academic Press, Chapter 6 by D.C. Roberts and F. Vellaccio. Suitable non- naturally occurring amino acids include cyclohexylalanme and l-aminocyclohexane-carboxylic .
By "amino acid side chain" is meant the substituent attached to the carbon which is α to the amino group. For example, the side chain of the amino acid alanine is a methyl group while benzyl is the side chain for phenylalanine.
In a preferred embodiment of the invention, W is CH-R4 or C-R4 while X is N-R4, N, O, S, SO or S02 , wherein R4 is as previously defined. More preferably, W is CH-R4 or C-R4 while X is N-R4 or N. More preferably, W is CH-R4 while X is N-R4.
In an even more preferred embodiment, W is CH2 while X is N-R4.
Preferably, Y is CH-R4 wherein R4 is as previously defined.
More preferably, Y is CH-R4 wherein R4 is H. In another preferred embodiment, Y is a carbonyl (C=0) group and more preferably Y is a C=0 group when X is N-R4 or N and most preferably when X is N-R4 and W is CH2.
Preferably Q is carbonyl (C=0) .
Preferably R2 and R2' are independently H; halogen such as F or
Cl ; or C-... alkyl such as methyl or ethyl. More preferably, one of R2 and R2 ' is H. Most preferably, both R2 and R2 ' are both H.
Preferably, R3 and R4 are independently a carboxyl group or a hydrophobic group such as a saturated or unsaturated carbocycle of 5 or 6 members optionally fused to another carbocyclic group. The carboxyl group or hydrophobic group may be linked via a spacer such as a C^^ alkyl chain optionally interrupted with 1 or more (i.e. 1-4) heteroatoms, carbonyl or sulfonyl (S02) groups. More preferably, only one R4 substituent is an optionally substituted aromatic ring such as phenyl , biphenyl , cyclohexyl, indole, thienyl, quinoline, tetrahydroisoquinoline, naphthyl or benzodioxolane linked via c ι-i6 alkyl optionally interrupted with a heteroatom or sulfonyl or carbonyl; while R3 is selected from H, C1-16 alkyl, and an optionally substituted aromatic ring linked via
Figure imgf000010_0001
alkyl. Optional aromatic ring substituents include OH, carboxyl (and esters thereof), C-^ alkyl and halogen. Preferably R3 is other than 3 , 5-bis (trifluoromethyl) benzoyl when R4 is 3-indolyl- methyl .
In another preferred embodiment, Y is -CH2- or carbonyl and R3 is H, saturated or unsaturated carbocycle or heterocycle of 5 or 6 members optionally fused to another carbocyclic group. The carbocycle or heterocycle group is optionally linked via a spacer such as a Cι_.16 alkyl chain optionally interrupted with 1 or more (i.e. 1-4) heteroatoms, carbonyl or sulfonyl (S02) groups. Particularly preferred R3 groups include H, methyl, isopropyl, butyl, 2°butyl, benzyl (optionally substituted i.e. 2-Cl, 3-C1, 4-C1, 3,4-diCl, 4-methyl, 4-methoxy), cyclohexylmethyl, pyridinylmethyl , 2-naphthylmethyl, biphenylmethyl, phenethyl and -CH2-NH-S02-benzyl . More preferably R3 is-H or optionally substituted benzyl and most preferably is benzyl optionally substituted i.e. 2-Cl, 3-C1, 4-C1, 3,4-diCl, 4-methyl, 4-methoxy.
In another more preferred embodiment, R3 and R4 are independently an optionally substituted phenyl or cyclohexyl ring linked via Cλ_4 alkyl optionally interrupted with carbonyl or sulfonyl. In an even more preferred embodiment, one of the R4 substituents is phenylpropionyl , phenylpropyl , benzylsulfonyl , 2 , 3-dichlorophenylpropionyl , phenylethyl or cyclohexyl -methyl while R3 is H, isopropyl or benzyl.
In an alternative embodiment, when Y is CH-R4 or C-R4 then R3 and the R4 from Y together form a 5 or 6 member saturated or unsaturated carbocyclic ring. Preferably said ring is a phenyl or cyclohexyl ring and more preferably a phenyl ring fused to the ring containing W, X and Y.
Preferably R- and R6 are independently hydrogen, methyl or ethyl . More preferably R5 and R6 are independently hydrogen or methyl and most preferably are both hydrogen.
In a preferred embodiment, Rx is represented by one of formula Ha to He:
Figure imgf000012_0001
wherein :
R7 is hydrogen or Cx-6 alkyl;
K is a bond or -NR7-;
G is Cx_4 alkoxy; cyano; -NHR8; -CH2-NHR8; -C(NH)-NHR8;
-NH-C(NH) -NHR8; -CH2-NH-C (NH) -NHR8 ; a C6.12 cycloalkyi or aryl substituted with cyano, -NHR8, -CH2-NHR8, -C(NH)-NHR8, -NH-C(NH) -NHR8, -CH2-NH-C (NH) -NHR8 , halogen Cx_4 alkyl, aryl or heterocycle; or a 5 or 6 member, saturated or unsaturated heterocycle or heterobicycle optionally substituted with cyano, -NHR8, -CH2-NHR8, -C(NH)-NHR8, -NH-C (NH) -NH2 -CH2-NH-C(NH) -NHR8, halogen Cx.4 alkyl, aryl or heterocycle; provided that G is other than unsubstituted indole and when G is C6_12 cycloalkyi or aryl then G is substituted with at least one group selected from -NHR8, -CH2-NHR8, -C(NH)-NHR8, -NH-C(NH) -NHR8 or -CH2-NH-C (NH) -NHR8 ; U is cyano, -NHR8, -C(NH)-NHR8 or -NH-C (NH) -NHR8 ;
R8 is H, OH or NH2;
P is a bond, -C(O)-, - C (S ) - or a bivalent group:
J is alkylene optionally substituted with OH, NH2 and C-__ - alkyl and optionally interrupted by a heteroatom selected from O, S and N; n is 0 or 1; and
T is H, OH, 0-R4, carboxyl, amino, a peptide chain, C^g alkyl, cι-i6 alkoxy, Cg.20 aralkyl , or heterocycle optionally substituted; provided that Rx is other than -NHNH2.
When Rx incorporates an amino acid or derivative of the formula Ha (wherein P is a carbonyl) , the carbon atom alpha to the nitrogen may adopt one of two stereo configurations. In a prefered embodiment the alpha carbon will be oriented such that the amino acid or derivative will be in the L configuration.
Preferably R7 is H or methyl and most preferably H.
Preferably K is a bond.
Preferably G is -NH-C (NH) -NH2 attached via a methylene chain of
3-7 carbons; a phenyl or piperidine attached via a methylene chain of 0 to 3 carbons wherein the phenyl or piperidine is substituted with -C(NH)-NH2; or cyclohexyl attached via a methylene chain of 0 to 3 carbons wherein the cyclohexyl is substituted with -NH2. More preferably G is -NH-C (NH) -NH2 attached via a methylene chain of 3 atoms. More preferably G is piperdin-3-yl N-substituted with -C(N)-NH2.
In another embodiment G is a piperidine ring attached via a methylene chain of 0-3 carbons wherein the piperidine ring is substituted with one or two of the groups selected from cyano, -NH2, -C(NH)-NH2, -C(NH) -NH-NH2, -C (NH) -NH-OH and -NH-C (NH) -NH2. Preferably, the piperidine ring is attached via one methylene group at the 3 position of the ring. Preferably the ring is mono-substituted at the 1 position (the nitrogen atom) and is one of -C(NH)-NH2, -C (NH) -NH-NH2 or -C (NH) -NH-NH-OH . More preferably the substituent is -C(NH)-NH2.
Preferably P is -C(0)-.
Preferably J is selected from: -CH2-S-CH?-CH2- ; -CH2-0-CH2-CH2- ;
-CH2-NH-CH2-CH2- ; and a bond when n is 0. More preferably, J is a bond while n is 0. In particular embodiments of the invention, R-, is selected from the following amino acid derivatives prepared according to the procedures described in Bioorg. Med. Chem., 1995, 3:1145 and PCT application WO 96/19483 (published 27 June 1996) incorporated herein by reference .
Figure imgf000014_0001
Figure imgf000015_0001
Figure imgf000015_0002
Figure imgf000015_0003
Figure imgf000016_0001
Figure imgf000016_0002
Figure imgf000017_0001
wherein n=l-6, nl=l-2, n2=0-7 and T are as previously defined.
Other amino acid derivatives which Rx may be selected from include :
Figure imgf000017_0002
Figure imgf000018_0001
Figure imgf000019_0001
Figure imgf000020_0001
Figure imgf000021_0001
(CH2)n2 (CH2)n2 (CH2)n2
Figure imgf000021_0002
Figure imgf000021_0003
Figure imgf000021_0004
Figure imgf000021_0005
wherein R8 is H, OH or NH2; n=l-6, nl=l-2, n2=0-7 and T are as previously defined.
In a preferred embodiment R-, is a group represented by formula Ilia or Illb:
Figure imgf000022_0001
wherein R7, RB, P, J, n, n2 and T are as previously defined. In a particularly preferred embodiment P is a bond n is 0 and T is H. In another particularly preferred embodiment P is C(O) and n is 0. More preferably nl is 2. More preferably n2 is 0-3 and most preferably 1. More preferably R7 is H. More preferably R8 is H. More preferably R8 is NH2. More preferably R8 is OH.
In a preferred embodiment, T is a peptide of 1 to 4 amino acid residues in length and preferably fibrinogen' s A or B chain or fragment or derivative thereof. In another preferred embodiment, T is H while P is a bond and n is 0. In another preferred embodiment, T is selected from H, and amino such as N(R9) (R10) , N(R9) (OR10) wherein R9 and Rl0 are independently H or C-L-g alkyl . Alternatively R9 and R10 together with the N from which they depend form a 3-8 member heterocyclic ring (preferably 5 or 6 member) such as piperidine. In another preferred embodiment, T is a heterocycle selected from the group consisting of :
Figure imgf000022_0002
wherein X5, X10, XX1 and X12 are each independently selected from N, and
C-X7 where X7 is hydrogen, Cx_. alkyl, or C6_16 aryl;
X6 and X13 are each independently selected from the group consisting of C, O, N, S, N-X7, and CH-X7;
R' is hydrogen, C1.16 alkyl optionally carboxyl substituted, carboxyl, -C0.16 alkyl-C02-C1.16 alkyl , C6_20 aralkyl , C3_7 cycloalkyi, aryl or an aromatic heterocycle. Preparation of heterocycles according to the definition of T is described in PCT application WO 96/19483.
More preferably, T is selected from the group consisting of:
Figure imgf000023_0001
Figure imgf000023_0002
wherein R' is as defined above.
More preferably T is selected from the group consisting of :
Figure imgf000024_0001
wherein R' is as defined above
More preferably T is selected from the group consisting of
Figure imgf000024_0002
wherein R* is as defined above.
Most preferably T is
Figure imgf000024_0003
wherein R' is H or C1.t alkyl such as methyl, ethyl, propyl or butyl and most preferably wherein R* is hydrogen, . In another embodiment, T is a 1,2 thiazole optionally substituted with R* and/or is attached to J at the 2, 3, 4 or 5 position of the ring.
It will be appreciated by those skilled in the art that compounds of formulae (I), depending of the substituents, may contain one or more chiral centers and thus exist in the form of many different isomers, optical isomers (i.e. enantiomers) and mixtures thereof including racemic mixtures. All such isomers, enantiomers and mixtures thereof including racemic mixtures are included within the scope of the invention.
Preferred compounds of the invention include: (1)
(2)
(3)
(4)
Figure imgf000025_0001
(6) N- [1- (1-carbamimidoyl-
(7)
Figure imgf000026_0001
(8) N- [1- (3-carbamimidoyl- benzyl) -2-oxo-thiazol-2-yl- ethyl] -2- (2-OXO-4- phenylmethanesulfonyl - piperazin-1-yl } -acetamide
(9) N- [1- (l-carbamimidoyl- piperidin-3 -ylmethyl) -2- oxo-2-thiazol-2-yl-ethyl] - 2- [2 -isopropyl -6 -oxo-4- (3- phenyl -propyl) -piperazin-1* yl } -acetamide
(10) 2- (2-benzyl-6-oxo-4- phenylmethanesulfonyl - piperazin-1-yl) -N- [1- (1- carbamimidoyl-piperidin-3- yl ethyl) -2-oxo-2-thiazol- 2-ylethyl] acetamide
Figure imgf000026_0002
(11) N- [1- (1-carbamimidoyl- piperidin-3-ylmethyl) -2- oxo-2-thiazol-2-yl-ethyl] - 2- [2-isopropyl-6-oxo-4- phenylmethanesulfonyl - piperazin-1-yl } -acetamide
(12) N- [1- (4-aminocyclohexyl) -2- thiazol-2-ylethyl] - 2 - (2- isopropyl-6-oxo-4- phenylmethanesulfonyl - piperazin-1-yl } -acetamide
(13) N- [1- (4-aminocyclohexyl) - 2 - oxo-2-thiazol-2-ylethyl] -2*
(2-benzyl-6-oxo-4- phenylmethanesulfonyl- piperazin-1-yl } -acetamide
(14) N- [1- (4-aminocyclohexyl) -2* oxo-2-thiazol-2-ylethyl] -2- (2-benzyl-4- [3- (3,4- dichloro-phenyl) -propyl] -
3 , 6 -dioxo-piperazin-1-yl} - acetamide
(15) 2-{2-benzyl-4- [3,4- dichloro-phenyl) -propyl] - 3 , 6-dioxo-piperazin-l-yl} - N- [1- (1-carbamimidoyl- piperidin-3-ylmethyl) -2- oxo-2-thiazol-2-ylethyl] - acetamide
Figure imgf000027_0001
[16) 2- (4-benzenesulfonyl-2-oxo- piperazin-1-yl) -N- [4- guanidino-1- (thiazole-2- carbonyl) -butyl] -acetamide
(20) 2-[2-Benzyl-3,6-dioxo-4-(3- phenyl-propyl ) -piperazin-1- yl] -N- [ 4-guanidi o-l- ( thiazole-2-carbonyl) - butyl] -acetamide
Figure imgf000028_0001
;21) N- [1- (1-Carbamimidoyl- piperidin-3-ylmethyl ) -2- oxo-2-thiazol-2-yl-ethyl] - 2- [2-methyl-3, 6-dioxo-4- ( 3-
Figure imgf000028_0002
phenyl-propyl) -piperazin-1- yl] -acetamide
!22) N-[2- (1-Carbamimidoyl- piperidin-3-yl ) -1- ( thiazole-2-carbonyl) - ethyl] -2- [2-isopropyl-3 , 6-
Figure imgf000028_0003
dioxo-4- ( 3-phenyl-propyl ) - piperazin-1-yl ] -acetamide
!23) N- [2- (1-Carbamimidoyl- piperidin-3-yl ) -1- ( thiazole-2-carbonyl ) - ethyl]-2-[2-isobutyl-3, 6- dioxo-4- (3-phenyl-propyl) -
Figure imgf000028_0004
piperazin-1-yl] -acetamide - -sec- uty - , - oxo- -
( 3-phenyl-propyl ) - piperazin-l-yl]-N-[l-(l- carbamimidoyl-piperidin-3- ylmethyl) -2-oxo-2-thiazol-
Figure imgf000029_0001
2-yl-ethyl] -acetamide
(25) 2-[2-Butyl-3, 6-dioxo-4- (3- phenyl-propyl ) -piperazin-1- yl] -N- [2- (1-carbamimidoyl- piperidin-3-yl ) -1- ( thiazole-2-carbonyl) - ethyl] -acetamide
Figure imgf000029_0002
!26) 2-{2-Benzyl-4-[3- (3,4- dichloro-phenyl ) -propyl] - 3, 6-dioxo-piperazin-l-yl } - N- [2- ( 1-carbamimidoyl-
Figure imgf000029_0003
piperidin-3-yl) -1- ( thiazole-2-carbonyl ) - ethyl] -acetamide
127) N- [2- (1-Carbamimidoyl- piperidin-3-yl ) -1- ( thiazole-2-carbonyl) - ethyl] -2- [3, 6-dioxo-4- (3- phenyl-propyl) -2-pyridin-3-
Figure imgf000029_0004
ylmethyl-piperazin-1-yl] - acetamide
(28) 2-[2-Benzyl-3, 6-dioxo-4- ( 3- phenyl-propyl ) -piperazin-1- yl ] -N- [2- (1-carbamimidoyl- piperidin-3-yl) -1- ( thiazole-2-carbonyl) -
Figure imgf000029_0005
ethyl] -acetamide ;29) N-[l- (1-Carbamimidoyl- piperidin-3-ylmethyl) -2- oxo-2-thiazol-2-yl-ethyl] - 2- [3- (4-chloro-benzyl) -2,5- dioxo-1- (3-phenyl-propyl ) - piperidin-4-yl] -acetamide
30) N-[2- (1-Carbamimidoyl- piperidin-3-yl) -1- ( thiazole-2-carbonyl) - ethyl] -2- [2-naphthalen-2- ylmethyl-3, 6-dιoxo-4- (3- phenyl-propyl) -piperazin-1-
Figure imgf000030_0001
yl] -acetamide
(31) N- [2- (1-Carbamιmidoyl- pιperidin-3-yl) -1-
( thiazole-2-carbonyl) - ethyl]-2-[2- cyclohexylmethyl-3, 6-dιoxo- 4- ( 3-phenyl-propyl ) - pιperazιn-1-yl] -acetamide
(32) N-[l- (1-Carbamιmιdoyl- pιperidin-3-ylmethyl ) -2- oxo-2-thιazol-2-yl-ethyl] - 2- [2- (4-methoxy-benzyl) - 3, 6-dioxo-4- (3-phenyl- propyl ) -pιperazin-1-yl] -
Figure imgf000030_0002
acetamide - - - ar am mι oy - piperidm-3-yl) -1- ( thiazole-2-carbonyl) - ethyl] -2- (_ -me thy 1-2- naphthalen-2-ylmethyl-3, 6- dioxo-pιperazin-1-yl) - acetamide
(34) N-[2-Benzothiazol-2-yl-l-
(3-carbamιmιdoyl-benzyl) -2- oxo-ethyl] -2- [2-benzyl-3, 6- dιoxo-4- (3-phenyl-propyl) - piperazm-1-yl ] -acetamide
[35) 2-{2-[2-Benzyl-3, 6-dιoxo-4-
(3-phenyl-propyl) - piperazin-1-yl] - acetylamino} -3- (1- carbamιmιdoyl-pιperιdm-3-
Figure imgf000031_0001
yl ) -N-methoxy-N-methyl- propionamide
;36) 2- [2-Benzhydryl-3, 6-dιoxo-
4- ( 3-phenyl-propyl ) - pιperazm-l-yl]-N-[2- (1- carbamιmιdoyl-pιperidm-3- yl) -1- (thιazole-2- carbonyl) -ethyl] -acetamide
!37) N- [2- (1-Carbamιmιdoyl- pιperιdm-3-yl) -1- ( thιazole-2-carbonyl) - ethyl] -2- [3, 6-dιoxo-2- phenethyl-4- ( 3 -phenyl- propyl ) -pιperaz -1-yl] -
Figure imgf000031_0002
acetamide
138) 2-[2-Benzyl-3, 6-dιoxo-4- (3- phenyl-propyl ) -pιperazm-1- yl ] -N- [2- ( 1-carbamιmιdoyl- pιperιdm-3-yl ) -1- ( thιazole-2-carbonyl) -
Figure imgf000032_0001
ethyl] -acetamide
(39) N- ( l-Formyl-4-guanιdιno- butyl) -2- [2- (4-methoxy- benzyl) -3, 6-dιoxo-4- (3- phenyl-propyl) -pιperazm-1- yl] -acetamide
(40) N-[2- (1-Carbamιmιdoyl- pιperιdιn-3-yl) -1-
( thιazole-2-carbonyl ) - ethyl] -2- [2- (4-chloro- benzyl) -4-methyl-3, 6-dιoxo- pιperazιn-1-yl] -acetamide
(41) N- [2-Benzothιazol-2-yl-l-
( 1 -carbamimidoyl-piperldin- 3-ylmethyl) -2-oxo-ethyl] -2-
(4-methyl-2-naphthalen-2- ylmethyl-3, 6-dιoxo- pιperazm-1-yl) -acetamide
(42) 2- [2-Benzyl-3, 6-d oxo-4- (3- phenyl-propyl ) -pιperazm-1- yl ] -N- [1- ( 1-carbamιmιdoyl- pιpeπdιn-3-ylmethyl ) -2- oxo-2-pιperιdm-l-yl-
Figure imgf000032_0002
ethyl] -acetamide 43) 2-{2-[2-Benzyl-3,6-dioxo-4-
( 3-phenyl-propyl ) - piperazin-1-yl] - acetylamino} -3- (1- carbamimidoyl-piperidin-3-
Figure imgf000033_0001
yl) -N-methyl-propionamide
(44) 2-{2-[2-Benzyl-3, 6-dioxo-4- (3-phenyl-propyl ) - piperazin-1-yl] - acetylamino} -3- ( 1- carbamimidoyl-pipe idin-3-
Figure imgf000033_0002
yl) -N-cyclopentyl- propionamide
!45) N- [2- (1-Carbamimidoyl- piperidin-3-yl) -1- (hydroxy- thιazol-2-yl-methyl) - ethyl] -2- [2-naphthalen-2- ylmethyl-3, 6-dioxo-4- (3- phenyl-propyl ) -piperazin-1-
Figure imgf000033_0003
yl] -acetamide
46) 2-{2-Benzyl-4-[3-(3,4- dichloro-phenyl ) -propyl] - 3, 6-dioxo-piperazin-l-yl } - N- [2- ( 1-carbamimidoyl-
Figure imgf000033_0004
piperidin-3-yl) -1- (thiazole-2-carbonyl) - ethyl] -acetamide
47) 2- (2-Benzyl-4-butyl-3,6- dioxo-piperazin-1-yl) -N- [2- ( 1-carbamimidoyl-piperidin- 3-yl) -1- (thiazole-2- carbonyl) -ethyl] -acetamide
Figure imgf000033_0005
148) 2-(2-Benzyl-3,6-dιoxo-4- phenethyl-pιperazιn-1-yl ) - N- [2- ( 1-carbamιmιdoyl- pιpeπdιn-3-yl ) -1- ( thιazole-2-carbonyl) -
Figure imgf000034_0001
ethyl] -acetamide
;49) N- [2-(l-Carbamιmιdoyl- pιperιdιn-3-yl) -1- (thιazole-2-carbonyl) - ethyl] -2- (2, 4-dιbenzyl-3, 6- dιoxo-pιperazm-1-yl ) -
Figure imgf000034_0002
acetamide
[50) N-[2- (1-Carbamιmιdoyl- pιperιdιn-3-yl) -1- ( thιazole-2-carbonyl ) - ethyl] -2- (2 , -dιbenzyl-3, 6- dιoxo-pιperazιn-1-yl ) - acetamide
!51) 2- [2-Benzyl-3, 6-dιoxo-4-(3- phenyl-propyl ) -pιperazιn-1- yl ] -N- [2- ( 1-carbamιmιdoyl- pιperιdιn-3-yl) -1-
Figure imgf000034_0003
hydroxymethyl-ethyl] - acetamide
(52) N- [1- (1-Carbamimidoyl- piperidin-4-yl ) -2-oxo-2- thiazol-2-yl-ethyl] -2- (4- methyl-2-naphthalen-2- ylmethyl-3, 6-dioxo- piperazin-1-yl ) -acetamide
(53) N-[2- (1-Carbamimidoyl- piperidin-3-yl ) -1-
( thiazole-2-carbonyl) - ethyl] -2- (4-methyl-2- naphthalen-l-ylmethyl-3, 6- dioxo-piperazin-1-yl) - acetamide
(54) N- [2- (1-Carbamimidoyl- piperidin-3-yl) -1-
( thiazole-2-carbonyl) - ethyl] -2- [2- ( 3 , 4-dichloro- benzyl) -3, 6-dioxo-4- (3- phenyl-propyl ) -piperazin-1-
Figure imgf000035_0001
yl] -acetamide
;55) 2-(2-Benzyl-4-[3-(4- methoxy-phenyl ) -propyl] - 3, 6-dioxo-piperazin-l-yl ' H,c N- [2- ( 1-carbamimidoyl- piperidin-3-yl) -1-
Figure imgf000035_0002
(thiazole-2-carbonyl) - ethyl ] -acetamide ( 56 )
Figure imgf000036_0001
carbonyl ) -ethyl ] -acetamide
57) 2-{2-Benzyl-4-[3- (4-chloro- phenyl) -propyl] -3, 6-dioxo- piperazin-1-yl } -N- [2- (1- carbamimidoyl-piperidin-3- yl) -1- (thiazole-2-
Figure imgf000036_0002
carbonyl) -ethyl] -acetamide
158) 2-[2-Benzyl-3, 6-dioxo-4- (3- phenyl-propyl) -piperazin-1- yl] -N- [1- (1-carbamimidoyl- piperidin-4-yl) -2-oxo-2- thiazol-2-yl-ethyl] - H, acetamide
Figure imgf000036_0003
(59) N- [l-Benzoyl-2- flearbamimidoyl-piperidin-3- yl) -ethyl] -2- (2-benzyl-4- butyl-3, 6-dioxo-piperazin- 1-yl) -acetamide
(60) 2- [2-Benzyl-3, 6-dioxo-4- (3- phenyl-propyl) -piperazin-1- yl] -N- [ 1- ( 1-carbamimidoyl- piperidin-3-ylmethyl ) -2- oxo-2-phenyl-ethyl] -
Figure imgf000036_0004
acetamide 61) 2-[2-Benzyl-3, 6-dιoxo-4- (3- phenyl-propyl) -pιperazιn-1- yl] -N- [1- ( 1-carbamιmιdoyl- pιperιdm-3-ylmethyl ) -2- oxo-propyl] -acetamide
!62) 2-(2-Benzyl-4-butyl-3,6- dιoxo-pιperazm-1-yl) -N- [1- ( 1-carbamιmιdoyl-pιperιdm- 3-ylmethyl) -2-oxo-propyl] - acetamide
63) 2-(2-Benzyl-4-butyl-3, 6- dioxo-piperazιn-l-yl)-N-[l- ( 1 -carbamimidoyl-piperidin- 3-ylmethyl) -2-oxo-propyl ] - acetamide
64) 2- [2-Benzyl-3, 6-dιoxo-4- (3- phenyl-propyl ) -pιperazιn-1- yl ] -N- [ 1- ( 1-carbamιmιdoyl- pιperιdm-3-ylmethyl) -2- oxo-propyl] -acetamide
65) 2-(2-Benzyl-4-[3- (4-nιtro- phenyl) -propyl] -3, 6-dιoxo- pιperazιn-l-yl}-N- [2- ( 1- carbamιmιdoyl-pιperιdιn-3- yl) -1- (thιazole-2- carbonyl) -ethyl] -acetamide
Figure imgf000037_0001
66) 2-[2-Benzyl-3, 6-dιoxo-4- ( 3- phenyl-propyl ) -pιperazm-1- yl] -N- [1- ( 1-carbamιmιdoyl- pιperιdm-3-ylmethyl ) -2- oxo-propyl] -acetamide
(67) 2-(2-Benzyl-4-butyl-3,6- dιoxo-pιperaz -1-yl) -N- [ 1-
( 1-carbamιmιdoyl-pιperιdm- 3-ylmethyl) -2-oxo-propyl] - acetamide
(68) N- [2- (1-Carbamιmιdoyl- pιperιdm-3-yl ) -1-
( thιazole-2-carbonyl ) - ethylj -2- [2- (4-methoxy- benzyl) -4-methyl-3, 6-dιoxo- pιperazm-1-yl] -acetamide
(69) 2- (4-Benzyl-2-naphthalen-2- ylmethyl-3, 6-dιoxo- pιperazιn-1-yl ) -N- [2- ( 1- carbamιmιdoyl-pιperιdιn-3- yl) -1- (th azole-2- carbonyl) -ethylj -acetamide
;70) 2- [2-Benzhydryl-3, 6-dιoxo- 4- (3-phenyl-propyl) - pιperazιn-1-yl] -N- [2- ( 1- carbamιmιdoyl-pιperιdιn-3- yl) -1- (thιazole-2- carbonyl) -ethyl] -acetamide
Figure imgf000038_0001
;71) 2-{2-Benzyl-4-[3- (4- lsopropyl-phenyl ) -propyl] 3, 6-dιoxo-pιperazm-l-yl } N- [2- ( 1-carbamιmιdoyl- pιperιdm-3-yl) -1-
Figure imgf000039_0001
(thιazole-2-carbonyl) - ethyl] -acetamide
!72) 2-{2-Benzyl-4-[3-(4- hydroxy-phenyl ) -propyl ] - 3, 6-dιoxo-pιperazm-l-yl N- [2- ( 1-carbamιmιdoyl-
Figure imgf000039_0002
pιperιdm-3-yl) -1- ( thιazole-2-carbonyl } - ethyl] -acetamide
(73) N- [2- (1-Carbamιmιdoyl- pιperιdm-3-yl) -1- (thιazole-2-carbonyl)- ethyl]-2-[2- (2-chloro- benzyl) -3, 6-dιoxo-4- (3-
Figure imgf000039_0003
phenyl-propyl ) -pιperazm-1- yl ] -acetamide
74) N- [2- (1-Carbamιmιdoyl- pιperιdm-3-yl ) -1- ( thιazole-2-carbonyl ) - ethyl] -2- [2- (3, -dιchloro- benzyl) -4-methyl-3, 6-dιoxo-
Figure imgf000039_0004
pιperazm-1-yl] -acetamide (75) N- [4- (N-Methyl-guamdino) -
1- ( thιazole-2-carbonyl ) - butyl]-2- (4-methyl-2- naphthalen-2-ylmethyl-3, 6- dioxo-pιperazm-1-yl ) - acetamide
(76) 2-[4-Butyl-2- (3, -dichloro- benzyl) -3, 6-dιoxo- piperazιn-1-yl] -N- [2- (1- carbamιmιdoyl-pιperιdm-3- yl) -1- (thιazole-2- carbonyl ) -ethyl] -acetamide
(77) 2- (2-Benzyl-4-butyl-3, 6- dιoxo-pιperazm-1-yl ) -N- [2-
( 1 -carbamimidoyl- piper l dm - 3-yl) -1- (pyrιdme-2- carbonyl ) -ethyl] -acetamide
(78) N-[2- (1-Carbamιmιdoyl- pιpeπdιn-3-yl ) -1-
(pyrιdιne-2-carbonyl ) - ethyl] -2- [2- (3, -dιchloro- benzyl) -3, 6-dιoxo-4- (3- phenyl-propyl ) -pιperazm-1-
Figure imgf000040_0001
yl] -acetamide
;79) N- [1- (1-Carbamιmιdoyl- pιperιdιn-3-ylmethyl) -2- oxo-2-thιazol-2-yl-ethyl] - 2- [2- (4-chloro-benzyl) -3,6- dιoxo-4- ( 3-phenyl-propyl ) - pιperazιn-1-yl] -acetamide
Figure imgf000040_0002
) - -Butyl- , - oxo- -
( phenylmethanesulf onyl ammo
-methyl) -piperazin-1-yl] -N- [2- ( 1-carbamimιdoyl- pιpeπdιn-3-yl) -1- ( thιazole-2-carbonyl) - ethyl ] -acetamide
Figure imgf000041_0001
N- [1- ( 1 -carbamimidoyl - piperidin-3-ylmethyl) -2- oxo-2-thiazol-2-yl-ethyl] - 2- [2 , 5-dioxo-4- (3 -phenyl- propyl) -piperazin-1-yl] - acetamide
82' 2- [2 -benzyl -3, 6-dioxo-4- (3- phenyl-propyl) -piperazin-1- yl] -N- [4-guanidine-l- ( thiazole-2-carbonyl) - butyl] -acetamide
Figure imgf000041_0002
;83) N- [2-benzothiazol-2-yl-l-
( 1 -carbamimidoyl -piperidin-
3-ylmethyl) -2-oxo-ethyl] -2- [2 -benzyl - , 6-dioxo-4- (3- phenyl -propyl ) -piperazin-1- yl] -acetamide
84) N- [2 - ( 1 -carbamimidoyl - piperidin-3 -yl) -1- (th azole-2-carbonyl) - ethyl] -2- [2-naphthalen-2- ylmethyl-3 , 6-dioxo-4- (3- phenyl -propyl) -piperazin-1* yl] -acetamide
Figure imgf000041_0003
(85) N- [ 1 - ( 1 - carbamimidoyl - piperidin-3-ylmethyl) -2- thiazol-2-yl-ethyl] -2- [2- methyl-3 , 6-dioxo-4- (3- phenyl -propyl) -piperazin-1
Figure imgf000042_0001
yl] -acetamide
;86) 2- [2-benzyl-3, 6-dioxo-4- (3- phenyl -propyl) -piperazin-1- yl] -N- [2- (3 -carbamimidoyl - phenyl) -1- (thiazole-2- carbonyl) -ethyl] -acetamide
(87) N- [1- ( 1 -carbamimidoyl - piperidin-3-ylmethyl) -2- oxo-2-thiazol-2-yl-ethyl] - 2- [2- ( 3 -chloro-benzyl) -3,6* dioxo-4- (3 -phenyl -propyl) - piperazin-1-yl] -acetamide
(88) 2 [4-butyl-2- (3 , 4-dichloro- benzyl) -3 , 6-dioxo- piperazin-1-yl] -N- [1- (1- carbamimidoyl -piperidin- 3 - yl ethyl) -2-oxo-2 -thiazol- 2yl-ethyl] acetamide
(89) N- [1- (1 -carbamimidoyl - piperidin-3-ylmethyl) -2- oxo-2-thiazol-2-yl-ethyl] 2- [2- (3 , 4 -dichloro-benzyl! 3 , 6-dioxo-4 - (3 -phenyl- propyl) -piperzin-l-yl] - acetamide
Figure imgf000042_0002
,90) 2- [4-butyl-2- (2-chloro- benzyl) -3 , 6-dioxo- piperazin-1-yl] -N- [1- (1- carbamimidoyl -piperidin-3 ■ ylmethyl) -2-oxo-2-thiazol* 2-yl-ethyl] -acetamide
(91) 2{2- [4-butyl-2- (2-chloro- benzyl) -3 , 6-dioxo- piperazin-1- yl] acetylamino} -3 - (1- carbamimidoyl-piperidin-4* ylmethyl) -2-oxo-2-thiazol* 2-yl-ethyl] -acetamide
(92) 2- [4-benzyl-2- (4-methoxy- benzyl ) -3 , 6-dioxo- piperazin-1-yl] -N- [1- (1- carbamimidoyl-piperidin-4- ylmethyl) -2-oxo-2 - thiazol- 2-yl-ethyl] -acetamide
(93) 3- (1 -carbamimidoyl - piperidine-3-yl) -2- [2- [2-
( 2 -chloro-benzyl) -3,6- dioxo-4- (3 -phenyl -propyl) - piperazin-l-yl] - acetylamino] -N-methyl- propionamide
(94) (3S) -N- [1- ( 1 -carbamimidoyl piperidin-3-ylmethyl) -2- oxo-2-thiazol-2-yl-ethyl] - 2- {4- [3- (3,4-dichloro- phenyl) -propionyl] -2-oxo- piperazin-1-yl } -acetamide
Figure imgf000043_0001
95) 2- ( 4-Benzenesulfonyl-2-oxo piperazin-1-yl ) -N- [ 1- (benzothiazole-2 -carbonyl ) guanidino-butyl ] -acetamide
(96! 4- (2-Carboxy-2-oxo-l- [2- (2* oxo-4-phenylmethane- sulfonyl-piperazin-1-yl ) - acetylamino] -ethyl } - cyclohexylamine
(97) N- [4 -guanidino-1- (thiazole- 2 -carbonyl) -butyl] -2- (2- oxo-piperazin-1-yl ) - acetamide
98) 5- [ (2R) -2-benzyl-3, 6-dioxo- 4 - ( 3 -phenylpropyl ) -1,4- diazinan-1 -ylmethyl- carboxamido] pentylamine
!99; 4- (2S) -2 -benzyl -3 , 6-dioxo- 4 - ( 3 -phenylpropyl ) -1,4- diazan-1 -ylmethyl - carboxamido] butylamine
Figure imgf000044_0001
- - - enzy - , - oxo- 4 - ( 3 -phenylpropyl ) -1,4- diazinan- 1 -ylmethyl - carboxamido] guanidinobutane
: ιoi ) N- (4 -carbamimidoyl -phenyl) 2- [2-cyclohexa-2 , 4 - dienylmethyl-3 , 6-dioxo-4- (3 -phenyl -propyl) - piperazin-1-yl] acetamide
; ιo2 ) N- (4 -amino-cyclohexyl- methyl) -2- [2-benzyl-3, 6- dioxo-4- (3 -phenyl -propyl) - piperazin-1-yl] -acetamide
!103' 2- [2 -benzyl -3, 6-dioxo-4- (3* phenyl-propyl) -piperazin-1- yl] -N- (1-carbozmimdoyl- piperidin-4 -ylmethyl) - acetamide
104' N- ( 4-Ammo-cyclohexyl- methyl) -2- [4- (diphenyl- methanesulfonyl ) -2-oxo- piperazin-1-yl] -acetamide
Figure imgf000045_0001
(105) N- (4-Carbamιmιdoyl-benzyi; 2- [4- (diphenyl- methanesulfonyl ) -2-oxo- pιperazm-1-yl ] -acetamide
(106) 2- [4-Butyl-3, 6-dιoxo-2- (phenylme thane sulfonyl ammo -methyl) -pιperazm-1-yl] -N- [1- ( 1-carbamιmιdoyl- pιperιdιn-3-ylmethyl ) -2- oxo-2-thιazol-2-yl-ethyl] - acetamide
(107) 2-{4-Benzyl-2- [ (diphenyl- methanesulf onylammo) - methyl] -3, 6-dιoxo- pιperazm-1-yl } -N- flea rbamimidoyl -piper ld - 4- ylmethyl) -acetamide
Figure imgf000046_0001
(108) 2- [4-Benzyl-2- (4-methoxy- benzyl) -3, 6-dioxo- piperazin-1-yl] -N- ( 1- carbamimidoyl-piperidin-4- ylmethyl) -acetamide
(109) 2- [4-Benzyl-2- (4-methoxy- benzyl) -3, 6-dioxo- piperazin-1-yl] -N- (4- carbamimidoyl-2-chloro- benzyl) -acetamide
(no: N- ( 6-Amino-2-chloro- pyridin-3-ylmethyl) -2- [4- benzyl-2- (4-methoxy- benzyl) -3, 6-dioxo- piperazin-1-yl ] -acetamide
Figure imgf000047_0001
(111) { [A- ({2-[4-Benzyl-2-(4- methoxy-benzyl ) -3, 6-dioxo- piperazin-1-yl] - acetylamino} -methyl) -2,5- dichloro-phenyl ] -imino- methyl} -carbamic acid ethyl ester .
Figure imgf000048_0001
Other preferred compounds of the invention, wherein R3 and R4 from substituent Y together form a 5 or 6 member saturated or unsaturated carbocyclic ring, include:
(17) 2- (4-benzoyl-2-oxo-3,4- dihydro-2H-quinoxalin-l-yl) - N- [4-guanidino-l- (thiazole- 2 -carbonyl) -butyl] -acetamide
(18) N- [4 -guanidino-l- (thiazole- 2-carbonyl) -butyl] -2- [2-oxo- 4 - ( 3 -phenyl-propionyl ) -3,4- dihydro-2H-quinoxalin-l-yl] - acetamide
Figure imgf000048_0002
19 - 4-guan no- - t azo e- 2-carbonyl) -butyl] -2- (2-oxo- 4 -phenylmethanesulfonyl -3 , 4- dihyero-2H-quinoxalin-l- yl) acetamide
(112; N- [4-guanidino-l- (thiazole- 2 -carbonyl) -butyl] -2- (2-oxo- 3 , 4-dihydro-2H-quinoxalin-l- yl) -acetamide
: ιi3 N- (4-Guanidino-butyl) -2- (2- oxo-4 -phenylmethanesulfonyl- 3, 4-dihydro-2H-quinoxalin-l- yl ) -acetamide
114) iv- (1-Carbamimidoyl- piperidin-4-ylmethyl ) -2- (2- oxo-4 -phenylmethanesulfonyl- 3, 4-dihydro-2H-quinoxalin-l-
Figure imgf000049_0001
yl ) -acetamide
Particularly preferred compounds of the present invention include : (3 } 2- [2 -Benzyl -3 , 6-dioxo-4- (3 -phenyl -propyl) -piperazin-1- yl] -N- [4-guanidino-l- (thiazole-2-carbonyl ) -butyl] - acetamide ;
(14) N- [1- (4-aminocyclohexyl) -2-oxo-2-thiazol-2-ylethyl] -2-
{2 -benzyl -4- [3- (3 , 4 -dichloro-phenyl) -propyl] -3 , 6-dioxo- piperazin-1-yl } -acetamide;
(15 ) 2- { 2 -benzyl -4- [3,4 -dichloro-phenyl ) -propyl] -3 , 6-dioxo- piperazin-1-yl } -N- [1- (l-carbamimidoyl-piperidin-3 - ylmethyl) -2-oxo-2-thiazol-2-ylethyl] -acetamide ; (28) 2- [2-Benzyl-3, 6-dιoxo-4- (3-phenyl-propyl ) -pιperazm-1- yl] -N- [2- ( 1-carbamimidoyl-pιperιdm-3-yl) -1- (thiazole-
2-carbonyl) -ethyl] -acetamide; (43) 2- {2- [2-Benzyl-3, 6-dιoxo-4- ( 3-phenyl -propyl ) -piperaz -
1-yl] -acetylamιno}-3- ( l-carbamιmιdoyl-pιperιdm-3-yl ) -
N-methyl-propionamide; (47) 2- (2-Benzyl-4-butyl-3, 6-dιoxo-pιperazin-l-yl ) -N- [2- (1- carbamιmιdoyl-pιperιdin-3-yl ) -1- ( thιazole-2-carbonyl ) - ethyl] -acetamide;
(49) N- [2- (l-Carbamιmιdoyl-pιpeπdιn-3-yl) -1- (thιazole-2- carbonyl) -ethyl] -2- (2, 4-dιbenzyl-3 , 6-dιoxo-pιperazm-l- yl ) -acetamide; (54) N- [2- ( 1-Carbamimidoyl-piperidin-3-yl) -1- (thιazole-2- carbonyl) -ethyl] -2- [2- (3, -dιchloro-benzyl ) -3 , 6-dιoxo-
4- (3-phenyl-propyl) -pιperazm-1-yl ] -acetamide; (73) N- [2- (1 -Carbamimidoyl-piperidin- -yl) -1- (thiazole-2- carbonyl) -ethyl] -2- [2- (2-chloro-benzyl ) -3, 6-dιoxo-4- (3- phenyl-propyl ) -pιperazιn-1-yl] -acetamide; (88) 2 [4 -butyl -2- (3 , 4 -dichloro-benzyl ) -3 , 6-dιoxo-pιperazm-l- yl] -N- [1- (l-carbamimidoyl-piperidm-3 -ylmethyl) -2-oxo-
2- thiazol-2yl-ethyl] acetamide
(90) 2- [4-butyl-2- (2-chloro-benzyl) -3 , 6 -dioxo-piperazm-l - yl] -N- [1- (l-carbamιmidoyl-piperidm-3 -ylmethyl) -2-oxo- 2- thιazol-2-yl-ethyl] -acetamide
(91) 2 {2- [4-butyl-2- ( 2 -chloro-benzyl) -3 , 6 -dioxo-piperazm-l - yl] acetylamino} -3- (1 -carbamimidoyl -piperidin-4 - ylmethyl) -2-oxo-2-thiazol-2-yl-ethyl] -acetamide; and (93) 3- (l-carbamιmιdoyl-piperidine-3-yl) -2- [2- [2- (2-chloro- benzyl ) -3 , 6 -dioxo-4 - (3 -phenyl-propyl) -pιperazin-1-yl] - acetylamino] -N-methyl-propionamide .
Compounds of the invention may be used the treatment and/or prophylaxis of disorders mediated by serme proteases such as viral serine proteases i.e. HSV, CMV, HCV; those serine proteases involved in coagulatioin pathways i.e. thrombin, protein C / activated protein C, factor Vila, IXa and Xa . Compounds of the invention may also be used in the treatment and prophylaxis of angiogenesis and tumour metastasis. In a particular embodiment, the compounds are used in the prophylaxis and/or treatment of thrombotic disorders mediated by the activity of thrombin. Such thrombotic disorders include venous thrombosis, pulmonary embolism, arterial thrombosis, myocardial infarction and cerebral infarction. Methods of treatment or prophylaxis according to the invention comprise administering to a mammal, more particularly human, an effective amount of compounds of the present invention. By "effective" is meant an amount of the compound sufficient to alleviate or reduce the severity of the disorder as measured by parameters established for the particular indication i.e. blood flow (patency) , clot size or density.
The compounds of the present invention may be used as anticoagulants in vi tro or ex vivo as in the case of contact activation with foreign thrombogenic surfaces such as is found in tubing used in extracorporeal shunts. The compounds of the invention may also be used to coat the surface of such conduits. To this end, the compounds of the invention are obtained as lyophilized powders, redissolved in isotonic saline and added in an amount sufficient to maintain blood in an anticoagulated state.
The therapeutic agents of the present invention may be administered alone or in combination with pharmaceutically acceptable carriers, diluents or adjuvants. The proportion of each carrier, diluent or adjuvant is determined by the solubility and chemical nature of the compound, the route of administration, and standard pharmaceutical practice. For example, the compounds may be injected parenterally; this being intramuscularly, intravenously, or subcutaneously. For parenteral administration, the compound may be used in the form of sterile solutions containing other solutes, for example, sufficient saline or glucose to make the solution isotonic. The compounds may be administered orally in the form of tablets, capsules, or granules containing suitable excipients such as starch, lactose, white sugar and the like. The compounds may also be administered sublingually in the form of troches or .lozenges in which each active ingredient is mixed with sugar or corn syrups, flavouring agents and dyes, and then dehydrated sufficiently to make the mixture suitable for pressing into solid form. The compounds may be administered orally in the form of solutions which may contain colouring and/or flavouring agents.
Physicians will determine the dosage of the present therapeutic agents which will be most suitable. Dosages may vary with the mode of administration and the particular compound chosen. In addition, the dosage may vary with the particular patient under treatment . For parenteral administration, typical dosage is about 0.01 to 500 mg/kg body weight per day, and preferably about 0.5 to 10 mg/kg body weight per day.
When the composition is administered orally, a larger quantity of the active agent will typically be required to produce the same effect as caused with a smaller quantity given parenterally .
Compounds of the invention may be provided in "prodrug" form which are derivatives of said compounds that are converted to the active compound either prior to administration or in vivo upon administration and are encompassed by the present invention. Prodrugs of the present invention are prepared according to established organic synthetic techniques and include for example esters of carboxyl groups . Prodrug selection and preparation are described in detail in "The
Practice of Medicinal Chemistry", Ed. C. G. ermuth, Academic Press, New York, 1996 (in particular chapters 31 and 32) which is incorporated herein by reference. Also encompassed are salts of the compounds of the invention, particularly pharmaceutically acceptable salts such as inorganic salts i.e. chloride, bromide, sodium, calcium, and potassium; and organic salts i.e. acetate, citrate, maleate, tartrate and mesylate. Pharmaceutically acceptable salts and their preparation are described in detail in Wermuth (supra) incorporated herein by reference.
Compounds of the present invention may be prepared according to established organic chemistry techniques from starting materials that are commercially available or themselves are readily prepared. According to one general method, the lactam portion of the molecule is 1) reacted with t-Bu bromoacetate followed by 2) ester hydrogenolysis to give monocyclic acid intermediate which is in turn 3) coupled by routine amidation to the polar amino acid residue Rx to achieve the final compound. Various substituents may be introduced on the lactam or the polar amino acid residue R1 either prior or subsequent to coupling.
In a particular embodiment, when W is N-R4, the following general synthetic scheme may be employed.
Scheme 1
NH, NHBoc N rH NH,1
Figure imgf000054_0001
Figure imgf000054_0002
Figure imgf000054_0003
Briefly, monoprotected diaminopropane (Aldrich) may be substituted with a group according to R4, for example alkylated (reductive animation: J. Org. Chem., 1996, 61:3849) with hydrocinnamaldehyde . The protecting group of the primary amine is removed and the di-am e is cyclized into a urea using tπphosgene. The urea is alkylated with benzyl bromoacetate, followed by ester hydrogenolysis to give an acid intermediate which may then be coupled by amidation to an Rx substituent. It will be appreciated that substituents may also be introduced on the cyclic urea prior to coupling with Rλ using conventional techniques in the art.
Where the compound of formula (I) is desired as a single isomer, it may be obtained either by resolution of the final product or by stereospecific synthesis from isomerically pure starting material or any convenient intermediate. Resolution of the final product, or an intermediate or starting material therefor, may be effected by any suitable method known in the art: see for example, "Stereochemistry of Carbon Compounds", by E.L. Eliel (McGraw Hill, 1962), and "Tables of Resolving Agents", by S.H. Wilen. Resolution of the final compound can also be achieved using established chiral HPLC techniques as described in "Chiral Separations", Eds. D. Stevenson and I.D. Wilson; "Chromatographic
Enantioseparation" , Ed. Stig G. Alenmark; and "Chromatographic Separations of Stereoisomers", Ed. Rex W. Souter, each of which is incorporated herein by reference .
To further assist in understanding the present invention, the following non-limiting examples of such thrombin inhibitory compounds are provided.
EXAMPLE la Synthesis of intermediate thiazoloarginine-
MTR-HC1
BOC
BOCNH-Arg(MTR)-CO0H
Figure imgf000055_0001
Figure imgf000055_0002
Step 1: To Boc-Arg(MTR) -OH (6.61g, 13.6mmol, Bache ) in dichloro ethane (33mL) at 0°C was added N-methyl morpholine (1.65mL, 15.0mmol) then isobutyl chlorofornate (1.95mL, 15.0mmol) and stirred at 0°C for 30 minutes. N,0-dimethyl amine HCl (1.5g, 15.4mmol) and N-methyl morpholine (1.65mL, 15.0mmol) was added and stirred at 0°C for 45 minutes. The solution was diluted with ethyl acetate (150mL) ; washed with IN HCl (2X80mL) , brine (80mL) , dried with sodium sulfate, filtered, and then removed solvent in vacuo, and purified with silica gel column (80% ethyl acetate in hexane to 100% ethyl acetate). BOC-Arg (MTR) -CO-N (Me) OMe was isolated 4,85g (67.5%) of product (1) as a white foam.
Step 2: To thiazole (1.95mL, 27.5mmol) and TMEDA (3.8mL, 25.2mmol, distilled from sodium) in THF (65mL, freshly distilled from potassium) at -78°C was added nBuLi in hexane (13.7mL, 24.7mmol, 1.8M) at a rate that raised the internal temperature to -50°C. Reaction flask was placed in dry ice/acetonitrile bath to give an internal temperature of 41°C. The solution was stirred for 25 minutes, cooled to
78°C and then BOC-Arg (MTR) -CO-N (Me) OMe (3.18g, 6.0mmol) in THF (33mL) was added and stirred for 45 minutes. Reaction was poured over a saturated ammonium chloride solution (200mL aq) and shook vigorously and then extracted with ethyl acetate (2X200mL) . Organic phases were combined and washed with brine (150mL) , dried with sodium sulfate, filtered, and then the solvent was removed in vacuo, purified with silica gel column (70% ethyl acetate in hexane to 100% ethyl acetate) . BOC-Arg- CO-thiazol-2-yl was isolated (3.1g, 93%) as a white foam. Step 3: To BOC-Arg-CO-thiazol-2-yl was added ethyl methyl sulfide (2.3mL, 25.4mmol) then 4M HCl in dioxane (20mL) and stirred at room temperature for 40 minutes. A yellow, gummy precipitate formed and the supernatant was decanted. Ethyl acetate (40mL) was added and the gummy precipitate was stirred to change it to a fine granular precipitate. Precipitate was isolated by filtration and washed thoroughly with ethyl acetate (150mL) to give 3. Og of the intermediate thiazolo- Arg(MTR) .HCl In a like manner, the intermediate benzothiazolo-Arg (MTR) .HCl may be prepared by incorporating benzothiazole instead of thiazole in step 2.
EXAMPLE lb synthesis of intermediate 1-carbamimidoyl - piperidin-3-ylalanine
ιne
Figure imgf000057_0001
(V) S-isomer (V) R-isomer
LJAIH4
(5)
THF
Pmc-
Figure imgf000057_0002
) (VII) (VIII)
(VI
Step 1: To NαBoc-3 -pyridylalanine (I) (10.5g, 39.5mmol) in methylene chloride (106mL) was added BOP reagent [ (benzotriazol-1-yloxy tris- (dimethylamino) phosphonium hexafluorophosphate), 18.3g, 41.48mmol] and DIEA (7.56mL, 43.45mmol) . The reaction mixture was stirred at room temperature for twenty minutes and then was added N,0- dimethylhydroxylamine hydrochloride (3.85g, 39.5mmol) followed by DIEA (7.56mL). The reaction mixture stirred four hours and the solvents removed in vacuo. The residue was dissolved in ethyl acetate and washed with IN NaOH (3X25mL) , water (2X25mL) and brine (lX50mL), dried over sodium sulfate, filtered and the solvents removed in vacuo. The product was crystallized from ethyl acetate/hexane to yield 5.67 g of produt . The filtrate was chromatographed on silica gel eluted with 80% ethyl acetate/hexane to 100% ethyl acetate to yield 4.4g of product. Total yield 10.07g (82%) of the desired product (ID .
Step 2: To (II) (4.4g, 14.2mmol)in acetic acid (lOOmL) was added Pt02 (0.44g) and hydrogen gas in a Parr reactor. The reation was complete in twenty three hours. The catalyst was filtered and the reaction mixture concentrated in vacuo. The product was dissolved in water and lyophylized to yield 5.9g of the desired product as a sticky oil (III) . Step 3: To (III) (6.75g, 17.9mmol) in DMF ( 9mL) was added [ (lH-pyrazole-1-carboxamidine hydrochloride) 2.6g, 17.9mmol] followed by DIEA (6.25mL, 35mmol). The reaction mixture was stirred four hours at room temp, then the sovents removed in vacuo. The product was triturated with ether several times and the ether layer decanted. The product (IV) was used unpurified in the subsequent reaction.
Step 4: To (IV) (0.56g, 1.56mmol) in acetone (6.8mL) at 0°C was added 4N NaOH (1.7mL) and PmcCl [ (4methyloxy-2 , 3 , 6 - trimethylbenzenesulfonyl chloride, 0.679g, 2.73mmol] in acetone (1.7mL) . The reaction mixture was stirred at 0°C for 2.5 hours. 10% citric acid was added until pH 6.0. The solvents were removed in vacuo. The residue was extracted with ethyl acetate several times and the combined organic phases were washed with brine, dried over magnesium sulfate, filtered and the solvents removed in vacuo. The product was purified on silica gel eluted with ethyl acetate to yield 396mg (V) R-isomer and 211mg (V) S-isomer.
Step 5: To a solution of (V) (l.OOg, 1.6mmol) in THF (5mL) at -78°C, was added IM lithium aluminum hydride in THF (6.4mL, 6.4mmol) drop wise over 10 minutes. The reaction was stirred at -78°C for an additioinal 30 minutes. IM KHS04 (5.0mL) was added. The resulting solution was poured into a separatory funnel containing ethyl acetate and water (50mL each) . The organic layer was separated, washed with brine (50mL) and dried with sodium sulfate. Evaporation to dryness gave 0.93g of (VI) as a white solid.
Step 6: To a solution of (VI) (0.90g, 1.58mmol) in methanol/acetonitrile at 0°C, was added NaCl02 (0.40g, 3.53mmol), KHP04 (0.066g, 0.48mmol) and 30% aqueous H202. The reaction was then warmed to room temperature and stirred for an additional 4 hours. The reaction mixture was evaporated, the residue was taken up in H20, acidified with 10% HCl to pH 2.5 and extracted with ethyl acetate (2X50mL) . The organic layer was washed with brine (50mL) and dried with sodium sulfate. After removal of solvent under reduced pressure, (VII) was obtained after crystallization with ethyl acetate/hexane (0.83g).
Step 7: A solution of (VII) (0.13g, 0.224mmol) , HATU [(0-(7- azabenzotriazol-1-yl) -1,1,3, 3-tetramethyluronium hexafluorophosphate), 0.085g, 0.225mmol], methylamine hydrochloride (0.020g, 0.31mmol) and DIEA (0.080mL, 0.46mmol) in DMF (2.0mL) was stirred at room temperature for 2 hours. The reaction mixture was poured into a separatory funnel containing ethyl acetate and saturated NaHC03 (20mL each) . The organic layer was separated, washed with brine (50mL) and dried with sodium sulfate. After removal of solvent under reduced pressure, the residue was purified by silica gel column chromatography (ethyl acetate) to give 0.130g of (VIII) .
EXAMPLE 2 synthesis of compound (1) N- [4-guanidino-l-
(thiazole-2-carbonyl) -butyl] -2- [2-oxo-4- (3-phenyl- propionyl) -piperazin-1-yl] -acetamide ditrifluoroacetate salt (1:1 mixture of isomers)
Figure imgf000060_0001
Step 1: To a suspension of NaH 60%/oil (256 mg, 1.5 eq) in dry THF (43 ml), at 0°C, under N2 , was added the oxo-piperazine carbamate (1.0 g, 4.27 mmols, Maybridge) in small portions. The reaction mixture was stirred at 0°C for 30 min and t-Bu bromoacetate (693 μL, 1.1 eq) was added. The ice bath was removed and the solution was stirred for 15 hr . Water (2 mL) was added carefully (to destroy the excess of NaH) and the solution was poured in EtOAc/H20. The phases were separated and the aqueous layer was extracted with EtOAc (2x) . The combined organic layers were washed with sat.aq. NaCI and dried over Na2S04. The solids were filtered and the solvents evaporated. The crude product was purified by flash chromatography (silica gel, 1:1 hex/EtOAc) to give 1.43 g (4.12 mmols, 96%) of a white solid. Step 2: To a solution of the carbamate from step 1 (1.43 g, 4.12 mmols n dry MeOH 41 mL , at r.t., under N2 , was added Pd/C 10% (357 mg, 25% wt) . The reaction mixture was placed under an H2 atmosphere and stirred at r.t. for 60 min. The catalyst was filtered through Celite and the solvent was evaporated to give the amine (880 mg, 4.12 mmols, 100%) as a white solid.
Step 3: To a solution of the amine of step 2 (880 mg, 4.12 mmols) in dry DMF (41 mL) , at r.t., under N2, were added successively iPr2NEt (1.43 mL, 2 eq) , 3-phenylpropionic acid (648 mg, 1.05 eq) and BOP (2.72 g, 1.5 eq) . The solution was stirred at r.t. for 15 hr and was poured in EtOAc/H20. The phases were separated and the aqueous layer was extracted with EtOAc (2x) . The combined organic extracts were washed with 10% citric acid (lx) , sat.aq. NaHC03 (lx) , sat . aq . NaCI (lx) and were dried over Na2S04. The solids were filtered and the solvents evaporated. The crude oil was purified by flash chromatography (silica gel, 100% EtOAc) to give the amido- lactam t-butyl ester (1.27 g, 3.65 mmols, 89%) as a beige oil. Step 4: To a solution of the amidolactam t-butyl ester from step 3 (1.27 g, 3.65 mmols) in dry CH2C12 (18 mL) , at 0°C, under N2 , was added CF3COOH (18 mL) . The solution was stirred at 0°C for 15 min, and then at r.t. for 3hr. The solvents were evaporated and the residue was co-distilled with benzene (2x) to remove the excess CF3COOH. The resulting yellow oil was dried in vaccuo (1.06 g, 3.65 mmols, 100%) . Step 5: To a solution of the acid from step 4 (134 mg, 0.46 mmol) in dry DMF (4.6 mL) , at r.t., under N2, were added successively thiazoloarginine-MTR-HCl (MTR = l-methoxy-2 , 3 , 6- trimethylbenylsulfonyl) (273 mg, 1.2 eq) , iPr2NEt (241 μL, 3 eq) , and BOP (307 mg, 1.5 eq) . The solution was stirred at r.t. for 15 hr, after which it was poured in EtOAc/H20. The phases were separated and the aqueous layer was extracted with EtOAc (2x) . The combined organic extracts were washed with 10% citric acid (lx) , sat.aq. NaHC03 (lx), sat.aq. NaCI (lx) and were dried over Na2S04. The solids were filtered and the solvent evaporated. The crude product was purified by flash chromatography (silica gel, 90:8:2 EtOAc/MeOH/NH4OH cone.) to give the guanidino-protected product (217 mg, 0.299 mmol, 65%) as a yellow solid.
Step 6 : To a solution of the guanidino-protected product from step 5 (211 mg, 0.29 mmol) in CF3C00H (4 mL) , at 0°C, under N2, was added MeSPh (10% vol of TFA) . The solution was stirred at 0°C for 30 min, then at r.t. for 4 hr . The TFA was evaporated down to a minimum volume and Et20 (20 mL) was added. The suspension was stirred vigorously for 10 min. The solids were filtered, rinsed with Et20 and dried in vaccuo . The crude product was purified by HPLC (15% CH3CN/H20 -> 50% CH3CN/H20, 180 min) . The salt of compound (1) was obtained as a white solid (70 mg, 0.094 mmol, 24%).
XH NMR (DMSO-d6, 400 Mhz): δ 8.60 (d, 1H, J= 7.0), 8.28 (d, 1H, J= 2.9), 8.19 (d, 1H, J= 2.9), 7.60 (t, 1H, J= 5.5), 7.27-7.16 (m, 5H) , 7.40-6.80 (bs, 4H) , 5.42 (m, 1H) , 4.16-3.96 (m, 4H) , 3.65 (m, 2H) , 3.32 (m, 1H) , 3.27 (m, 1H) , 3.11 (q, 2H, J= 6.6), 2.80 (t, 2H, J= 7.6), 2.65 (m, 2H) , 1.90 (m, 1H) , 1.64- 1.55 (m, 3H) .
EXAMPLE 3 synthesis of compound (2) N- [1- (Benzothiazole-2 carbonyl) -4-guanidino-butyl] -2- [2-oxo-4- (3-phenyl- propionyl) -piperazin-1-yl] -acetamide trifluoroacetate salt (1:1 mixture of isomers)
Figure imgf000063_0001
Step 1: 2-OXO-4- (3 -phenyl -propionyl) -piperazin-1-yl] -acetic acid was coupled with benzothiazoloarginine-MTR-HCl according to the procedures described in step 5 of example 2 to give the guanidino-protected final compound.
Step 2: The guanidino-protected product of step 1 was deprotected according to the procedures described in step 6 of example 2 (omitting addition of MeSPh) to give the final compound (2) .
Purification: HPLC (20% CH3CN/H20 - 50% CH3CN/H20, 240 min.) λ}i NMR (DMSO-d6, 400 MHz): δ 8.71 (d, 1H, J= 6.7), 8.26 (m, 2H) , 7.67 (m, 2H) , 7.44 ( , 1H) , 7.27-7.13 (m, 5H) , 5.52 (m, 1H) , 4.17-3.97 ( , 4H) , 3.63 (m, 2H) , 3.31 ( , 2H) , 3.13 (q, 2H, J= 6.1), 2.79 (t, 2H, J= 7.5), 2.64 (t, 2H, J= 8.5), 1.95 (m, 1H) , 1.71 (m, 1H) , 1.58 (m, 2H) .
EX/AMPLE 4 synthesis of compound (3) 2- [2-Benzyl-3 , 6-dioxo-4- (3 -phenyl -propyl) -piperazin-l-yl] -N- [4-guanidino-l- (thiazole-2-carbonyl) -butyl] -acetamide (1:1 mixture of isomers)
Figure imgf000064_0001
Step 1: To a solution of the glycine-OEt-HCl (499 mg, 3.58 mmol) in anh. EtOH (36 mL) , at r.t., under N2 , were added hydrocynnamaldehyde (471 μL, 1 eq) and NaBH3CN (225 mg, 1 eq)
The solution was stirred at r.t. for 18 hr. The EtOH was evaporated and the residue was poured in CH2C12/H20. The phases were separated and aqueous layer was extracted with CH2C12 (2x) . The combined organic extracts were dried over Na2S04, the solids were filtered and the solvent evaporated. The crude oil was purified by flash chromatography (silica gel, 1:1 Hex/EtOAc) to give 377 mg (48%) of the pure amine. Step 2: ( 3 -phenyl -propylamine) -acetic acid ethyl ester was coupled with Boc-phenylalanine according to the procedure described in step 3 of example 2. Purification: flash chromatography (silica gel, 8:2 Hex/EtOAc) .
Step 3: To a solution of the BOC-carbamate from step 2 (776 mg, 1.66 mmol) in anh. dioxanne (8 mL) , at r.t., under N2, was added 4N HCl/dioxanne (0.1 M: 16 mL) . The solution was stirred at r.t. for 4 hr. The solvent was evaporated and the oil dried under reduced pressure. The oil obtained was dissolved in H20 (15 mL) and NaHC03 (700 mg, 5 eq) was added. The solution was heated at 60°C for 15 hr. A white precipitate was formed. The suspension was cooled to r.t. and the solid was filtered and then dried under vacuum to get 437 mg (82%) of the pure bi-lactam.
Step 4: To a suspension of 60% NaH/oil (81 mg, 1.5 eq) in anh. THF (13.5 mL) , at 0°C, under N2, was added the bi-lactam of step 3 (437 mg, 1.36 mmol), in small portions. The suspension was stirred at 0°C for 10 min, then at r.t. for 20 min. BrCH2C02Bn (236 μL, 1.1 eq) was added and the reaction mixture was stirred at r.t. for 18 hr. Water (10 mL) was added carefully to destroy the excess NaH and the reaction mixture was poured in EtOAc/H20. The layers were separated and the aqueous phase was extracted with EtOAc (2x) . The combined organic extracts were washed with sat.aq. NaCI and dried over MgS04. The solids were filtered and the solvent evaporated. The crude product was purified by flash chromatography (silica gel, 6:4 Hex/EtOAc) and the final bi-lactam was obtained as a white solid (427 mg, 67%) .
Step 5: To a solution of the ester from step 4 (427 mg, 0.91 mmol) in anh. MeOH (9.0 L) , at r.t., under N2, was added Pd/C 10% (100 mg, 25% wt . ) . The black suspension was placed under an atmosphere of H2 and was stirred for 60 min. The catalyst was filtered through Celite and was rinsed with MeOH. The solvent was evaporated and the resulting white solid was dried under vacuum: 338 mg (98%) .
Step 6 : The acid from step 5 was coupled with thiazolo- arginine-MTR-HCl according to the procedures described in step 5 of example 2 to give the guanidino-protected final compound. Purification: flash chromatography (silica gel, 2% MeOH/EtOAc) Step 7: The guanidino-protected final compound of step 6 was deprotected using standard HF cleavage to give final compound (3) as a crude oil. The brown oil obtained was dissolved in 10% AcOH/H20. The. aqueous phase was washed with Et20 (2x) and evaporated to drynesε .
Purification: HPLC (20% CH3CN/H20, 20 min; 20% CH3CN/H20 → 50% CH3CN/H20, 180 min, 5 ml/min) 68 mg of final compound was obtained as a white powder (0.095 mmol: 70%) .
XH NMR (DMSO-d6, 400 MHz): δ 8.68 (d, IH, J= 7.1), 8.29 (t, IH, J= 3.0), 8.19 (t, IH, J= 3.0), 7.46 ( , IH) , 7.29-7.07 (m, 10H) , 5.42 (q, IH, J=7.3), 4.47 (dd, IH, J= 16.1), 4.17 (dt, IH, J= 4.3, 16.1), 3.79-3.27 (m + H20) , 3.15-2.97 (m, 4H) , 2.63
(dd, IH, J= 9.8, 17.1), 2.50-2.43 (m + DMSO), 1.89 (m, IH) , 1.67-1.53 (m, 5H) .
EXAMPLE 5 synt es s o compound (17) 2- (4-benzoyl-2-oxo-3 , 4- dihydro-2H-quinoxalin-l-yl) -N- [4-guanidino-l- (thiazole-2-carbonyl) -butyl] -acetamide
Figure imgf000067_0001
thiazoloargmine
- -MMTTRR HHΩCIl „,
Figure imgf000067_0002
Figure imgf000067_0003
Step 1: To a NaH suspension (0.24g, 5.9mmol ) in THF (50mL) at 0°C was added compound a (l.Og, 3.96mmol, Maybridge) in small portions. The reaction was stirred for 30 minutes followed by addition of tert-butyl -2-bromoacetate (0.7mL, 4.0mmol) . The reaction was allowed to stir overnight at ambient termperature followed by standard workup to give compound b.
Step 2: To compound b (0.67mg, l,83mmol) was added EtSMe (0.3mL) followed by TFA (lOmL) at ambient temperature. The reaction was allowed to stir for 3h. The solvent was removed then added 10% aq.NaOH. The mixture was extracted with EtOAc and the aqueous layer acidified with powdered KHS04 , followed by extraction with DCM. Drying the organic layer with MgS04 followed by evaporation of solvent yeilded the acid c. Step 3: A mixture of c_ (0.235g, 0.758mmol) and thiazoloarginine-MTR.HCl (0.4g, 0.755mmol) was dissolved in DMF (20mL) . The reaction was made basic using NMM then BOP- reagent (0.37g, O.δmmol) was added. Reaction mixture was then stirred over night. Standard workup followed by column chromatography (l/l EtOAc/Hex, v/v) yielded the product e . Step 4: A mixture of e (0.14g, 0.19mmol) was dissolved in TFA (2mL) and thioanisole (0.2mL) was added. The reaction stirred at room temperature for 6 hours then ether was added to precipitate the white powder which was purified by RP-TLC (0.5mm, Sigma; H2)/MeOH/TFA 80/80/5mL, v/v) to give 30mg of final compound (17) .
EXAMPLE 6 synthesis of compound (17) N- [4-guanidino-l-
(thiazole-2-carbonyl) -butyl] -2- [2-oxo-4- (3-phenyl- propionyl) -3 , 4-dihydro-2H-quinoxalin-l-yl] -acetamide
Figure imgf000069_0001
Figure imgf000069_0002
Step 1': To starting compound a (l.Og, 6.75mmol, Maybridge) at 0 C was added hydrocinnamoyl chloride (l.lmL, 3.96mmol) slowly then stirred at RT for 2h then added brine (50mL) to precipitate the light brown solid which was filtered and washed repeatedly with ether and hexane to give compound b. Subsequent step were performed in the same manner as steps 1-4 of example 5 to yield final compound (18) .
EXAMPLE 7 synthesis of compound (96) 4- { 2-Carboxy-2-oxo-l- [2- (2-oxo-4-phenylmethane-sulfonyl-pιperazιn-1-yl) - acetylamino] -ethyl } -am o-cyclohexane
BOCN
Figure imgf000070_0001
Step 1: To a mixture of the alcohol (21.7 g; 0.686 mol) and powdered molecular sieves 4A (40 g) in methylene chloride (500 mL) was added NMO (N-methyl morpholine oxide 17 g; 0.14 mol) followed by TPAP (tetrapropyl ammonium perruthenate 2.0 g) .
The mixture was stirred at room temperature for 40 minutes and then filtered on celite pad and washed thoroughly with dichloromethane . Silica gel was added to the filtrate and solvent was evaporated in vacuo . The adsorbed product was purified on silica gel (EtOAc 60 %, hexanes 40 %) to yield the pure ketone (15.7 g; 73 %) as a white solid.
Figure imgf000070_0002
Step 2: To a solution of the amide (1.16 g, 2.21 mmols) in THF (30 mL) was added at -40 °C a 1.0 M solution of LAH in ether (2.9 mL) . The solution was warmed to -5 °C - 10 °C and stirred for 50 minutes. The solution was cooled to ~ -25 °C and quenched with 1 M aqueous solution of KHS04 (10 mL) . The mixture was stirred at 0 °C for 40 minutes then brine was added (30 mL) . The organic phase was separated and the aqueous layer extracted with ether (2 x 30 mL) . The combined organic layers were washed successively with cold 1.0 M aqueous HCl (20 mL) , cold NaHC03 (s) (20 mL) , cold brine (20 L) then dried (MgS04) . Evaporation of the solvent left a white foamy solid (952 mg; 92 %) that was used in the next step without further purification .
BOCN
Figure imgf000071_0001
Step 3: To a solution of ethyl orthothioformate (2.7 mL; 14 mmols) in THF (30 mL) was added at - 60 °C - 55 °C n-BuLi in hexanes (1.3 M, 9.0 mL, 12 mmols) . The solution was stirred at - 60 °C - 55 °C for 30 minutes then a solution of the aldehyde (932 g; 2.00 mmols) in THF (10 mL) was added so that the temperature was maintained at - 60 °C - 55 °C. The solution was then stirred at - 40 °C for 1.5 hours then quenched at this temperature with a saturated solution of ammonium chloride in water (25 mL) and ether (30 mL) was added. The organic layer was separated and the aqueous phase was extracted with ether (2 x 30 mL) . The combined organic layers were washed with brine and dried (Na2S04) . Purification on silica gel (EtOAc 25 % to 30 % in hexanes) afforded the desired product (975 mg, 73 %) as a mixture of isomers.
Figure imgf000071_0002
Step 4: To a solution of the orthothioformate (2.56 g; 3.85 mmols) in methanol (69 mL) and water (4 mL) was added HgO (732 mg) and mercuric chloride (2.69 g) . The mixture was stirred at room temperature for 2 hours then at 60 °C for 30 minutes. The mixture was filtered on a celite pad and washed with methanol (2 x 4 mL) , and dichloromethane (3 x 20 mL) . Water (80 L) and dichloromethane (40 mL) was added to the filtrate and the organic layer was separated. The aqueous phase was extracted with dichloromethane (2 x 80 mL) . The combined organic layers were washed with a 70 % aqueous ammonium acetate solution (200 mL) and the aqueous layer extracted with dichloromethane (2 x 200 mL) . The combined organic layers were washed a saturated aqueous solution of ammonium chloride and dried (MgS04) . Purification on silica gel (EtOAc 50%, hexanes 50%) afforded the hydroxy ester (1.33 g; 65 %) as a mixture of isomers.
1) Dess- Martin
2) 4.0 M HCl, dioxane EtSMe
Figure imgf000072_0001
Figure imgf000072_0002
Step 5: To a solution of the alcohol (812 mg; 1.54 mmols) in dichloromethane ( 100 mL) was added Dess-Martm reagent (3.0 g, 7.0 mmols) . The resulting mixture was stirred at room temperature for 30 minutes then quenched with solution of sodium thiosulphate (15 g) in a saturated aqueous solution of NaHC03 (150 mL) . The mixture was stirred for about 10 minutes and the organic layer was separated. The aqueous layer was extracted with ethyl acetate (3 x 100 mL) and the combined organic layers were washed with a saturated aqueous solution of NaHC03 then dried (MgS04) . Purification on silica gel (EtOAc 50%, hexanes 50%) afforded the keto ester (772 g; 95 %) pure as a white solid. This keto ester (772 mg) was dissolved m ethyl methyl sulfide (2 mL) and treated with 4.0 M HCl m dioxane ( 20 mL) . The solution was stirred at room temperature for 30 minutes then volatiles were evaporated in vacuo to yield the crude deprotected amine (854 mg) which was used m the next step without further purification.
Figure imgf000073_0001
Step 6: To a solution of the acid (200 mg, 0.640 mmol) in dry DMF (7 mL) was added the amine (380 mg, 0.819 mmols) followed by collidine (0.8 mL) and by HATU (320 mg, 0.842 mmols). The solution was stirred at room temperature for 23 hours, poured into a 10% citric acid solution, extracted with ethyl acetate (3 times) . The combined organic layers were washed successsively with a saturated solution of NaHC03 , a 10 % citric acid solution, brine then fried (MgS04) . The residue was purified on silica gel (EtOAC 100%) to afford the coupled product (265 mg, 57%) .
Figure imgf000073_0002
Step 7: To a solution of the ester (265 mg, 0.367 mmols) in THF (10 mL) was added LiOH-H20 (35 mg; 0.833 mmols) in water (10 mL) . The solution was stirred at room temperature for one hour then poured into 5 % HCl (50 L) and extracted with dichloromethane (3 x 50 mL) . The combined organic layers were dried (MgS04) and evaporated to afford the acid (215 mg, 83 which was used in the next step without further purification.
Figure imgf000074_0001
Step 11: To a solution of the protected compound (207 mg, 0.292 mmols) in TFA (10 mL) was added thioanisole (1 mL) and methanesulfonic acid (30 ml. 0.46 mmols) . The solution was stirred overnight and TFA was evaporated. Ether was added to the residue and the resulting solid was filtered and washed several times with ether. This solid was purified by preparative HPLC to afford, after lyophilization, compound
(98) (65 mg, 37%) as a mixture of diastereoisomers at the cyclohehyl moiety.
1 NMR (D20, 400 MHz) δ 7.38 (s, 5H) , 4.96 (d, J = 4.7 Hz, IH) , 4.69 (s, 2H) , 4.18 (d, J = 16.5 Hz, 0.5H) ,
4.14-4.06 (d, m, 0.5H), 3.97-3.91 ( , 0.5H), 3.95 (d, J = 16.5 Hz, 0.5H), 3.78 (s, 2H) , 3.47-3.39 (m, 2H) , 3.36-3.32 (m, 2H) , 3.04-2.95 ( , IH) , 2.00-1.90 (m, 3H) , 1.80-1.50 (m , 2H) , 1.40- 0.97 (m, 4H) .
EXAMPLE 8 synthesis of compound (106) 2- [4-Butyl-3, 6- dioxo-2- (phenylmethanesulfonylamino-methyl ) - piperazin-1-yl] -N- [ 1- ( 1-carbamimidoyl- piperidin-3-ylmethyl ) -2-oxo-2-thiazol-2-yl- ethyl] -acetamide
Figure imgf000075_0001
Step 1: To a solution of the amine (2.04 g, 16.24 mmol) in anh. MeOH (81 mL) , at 0°C, under N2, was added butyraldehyde (732 μL, 0.5 eq) and NaBH3CN (561 mg, 0.55 eq) . The solution was stirred at 0°C for 30 min, then at r.t. for 18 hr . The MeOH was evaporated and the residue was poured in sat.aq. NaHC03/CH2Cl2. The phases were separated and the aqueous layer was extracted with CH2C12 (2x) . The combined organic extracts were dried over MgS04, the solid were filtered and the solvent evaporated. The crude oil obtained was purified by flash chromatography (silica gel, 4:6 Hex/EtOAc) to give the secondary amine as a clear oil (0.51 g, 3.53 mmol) in 43 % yield.
Figure imgf000075_0002
Step 2: To a solution of the amine (512 mg, 3.53 mmol) in anh. DMF (35 L) , at r.t., under N2, was added the were added the acid (2.20 g, 1.2 eq) , the NMM (776 μL, 2 eq) and HATU (1.61 g, 1.2 eq) . The yellow solution was stirred at r.t. for 18 hr. The solvent was evaporated and the residue poured in EtOAc/H20. The phases were separated and the aqueous layer was extracted with EtOAc (2x) . The combined organic extracts were washed with 10% citric acid (lx) , sat.aq. NaHC03 (lx) , sat.aq. NaCI (lx) and dried over MgS04. The solids were filtered and the solvent evaporated. The crude oil obtained was purified by flash chromatography (silica gel, 6:4 Hex/EtOAc) to give the amide as a clear oil (1.21 g, 2.61 mmol, 74%) .
Figure imgf000076_0001
Step 3: 1) The ester-dicarbamate (1.21 g, 2.61 mmol) was dissolved in 4N HCl/dioxane. The solution was stirred at r.t for 3 hr. The solvent was evaporated and the residue was dried in vaccuo. 2 ) The amine salt was dissolved in H20 (26 mL) and NaHC03 (1.1 g, 5 eq) was added. A white solid precipitated im ediatly. The suspension was heated at 60°C for 18 hr. It was brought down to r.t. and extracted with CH2CL2 (3x) . The combined organic extracts were dried over MgS04 , the solids were filtered and the solvent evaporated to give a crude oil which was purified by flash chromatography (silica gel, 3% MeOH/EtOAc) . The final dioxopiperazine was obtained in 68% yield as a white solid (0.59 g, 1.78 mmol) .
Figure imgf000076_0002
Step 4: To a suspension of NaH 60%/oil (64 mg . 1.1 eq) , in dry THF (10.6 mL) , at 0°C, under N2 , was added a solution of the dioxopiperazine (486 mg, 1.46 mmol, in 2 mL of anh. THF). The flask was rinced with another 2 mL of anh. THF. The suspension was stirred at 0°C for 30 min, and then at r.t. for 30 min. BrCH2C02tBu (30 μL, 1.1 eq) was then added and the solution/suspension was stirred at r.t. for 2 hr . Water (2 mL) was then carefully added in order to destroy the excess NaH. The THF was evaporated and the aqueous residue was poured in CH2C12/H20. The phases were separated and the aqueous layer was exctracted with CH2C12 (2x) . The combined organ c extracts were r e over MgS04, the solid filtered and the solvent evaporated. The crude oil obtained was purified by flash chromatography (silica gel, 4:6 Hex/EtOAc) to give the ester as a white solid (463 mg, 1.04 mmol) in 71% yield.
Figure imgf000077_0001
Step 5: To a solution of the carbamate (463 mg, 1.04 mmol) in anh. MeOH (10 mL) , at r.t., under N2, was added Pd/C 10% (115 mg, 25% wt) . The black suspension was placed under an H2 atmosphere and stirred at t.p. for 60 min. The catalyst was filtered through Celite and the Celite cake was rinced with MeOH. The solvent was evaporated and the residue was dried under vacuum to give the amine as a clear oil (333 mg, 0.96 mmol, 93%) .
Figure imgf000077_0002
Step 6: To a solution of the am e (333 mg, 0.96 mmol) in anh. CH2C12 (9.6 mL) , at t.p., under N2, were added NMM (159 μL, 1.5 eq) and BnS02Cl (193 mg, 1.05 eq) . The solution was stirred at r.t. for 2 hr . It was then poured m 10% citric acid/CH2Cl2. The phases were separated and the aqueous layer was extracted with CH2C12 (2x) . The combined organic extracts were dried over MgS04, the solids were filtered and the solvent evaporated to give a crude oil that was purified by flash chromatography (silica gel, 4:6 Hex/EtOAc). The benzylsulfonamide was obtained as a clear oil in 88% yield (396 mg, 0.85 mmol) .
Figure imgf000078_0001
Step 7: To a solution of the ester (396 mg, 0.85 mmol) in anh. CH2C12 (4.25 mL) , at 0°C, under N2 , was added trifluoroacetic acid (4.25 mL) . The solution was stirred at 0°C for 15 min, and then at r.t. for 2 hr. The solvents were evaporated and the residue dried under vacuum. The acid was obtainded in 100% yield as a yellow solid (349 mg, 0.85 mmol) ,
Figure imgf000078_0002
Step 8: To a solution of the acid (270 mg, 0.66 mmol) in anh. DMF (6.5 mL) , at r.t., under N2 , were added successively the arginine-mimic-HCl (382 mg, 1.1 eq) , 2 , 4 , 6-collidine (347 μL, 4 eq) and HATU (299 mg, 1.2 eq) . The solution was stirred at r.t. for 15 hr and was then poured in EtOAc/H20. The phases were separated and the aqueous layer was extracted with EtOAc (2x) . The combined organic extracts were washed with 10% citric acid (lx), sat.aq. NaHC03 (lx), sat.aq. NaCI (lx) and dried over MgS04. The solids were filtered and the solvent evaporated to give a crude oil that was purified by flash chromatography (silica gel, 3% MeOH/EtOAc) . The product was obtained as a yellow solid (349 mg, 0.39 mmol) in 60% yield .
Figure imgf000079_0001
Step 9: To a solution of the protected guanidine (349 mg, 0.39 mmol) in trifluoroacetic acid (10 mL) , at r.t., under N2, was added thioanisole (1 mL, 10% vol of TFA) . The solution was stirred at r.t. for 3 hr. The TFA was evaporated and Et20 (20 mL) was added to precipitate the guanidine salt. The solid was scraped off the wall of the flask and the suspension was stirred vigorously for 10 min. The solids were then filtered and dried under vacuum. The crude compound was purified by HPLC (20% CH3CN/H20, 20 min ; 20% CH3CN/H20 → 50% CH3CN/H20, 180 min ; 5 mL/min) to obtain 108 mg of the pure compound as a white solid (108 mg, 0.14 mmol, 35%) . H NMR (DMSO-d6, 400 MHz) : δ
EXAMPLE 9 Biological Assays
Thrombin Affinity
The affinity of inhibitors for thrombin was measured according to the procedures described in (DiMaio et al , J. Bio. Chem., 1990, 265:21698) Inhibition of amidolytic activity of human thrombin was measured fluorometrically using Tos-Gly-Pro-Arg- AMC as a fluorogenic substrate in 50 mM Tris-HCl buffer (pH 7.52 at 37°C) containing 0.1 M NaCI and 0.1% poly (ethylene glycol) 8000 at room temperature (Szewczuk et al . , Biochemistry, 1992 31:9132).
The hydrolysis of the substrate by thrombin was monitored on a Varian-Cary 2000™ spectrophotometer in the fluorescence mode (λeX = 383 nm, λe = 455 nm) or on a Hitachi F2000™ fluorescence spectrophotometer (λeX = 383 nm, λem = 455 nm) , and the fluorescent intensity was calibrated using AMC. The reaction reached a steady-state within 3 minutes after mixing thrombin with the substrate and an inhibitor. The steady-state velocity was then measured for a few minutes. The compounds of this invention were also pre-incubated with thrombin for 20 minutes at room temperature before adding the substrate. The steady-state was achieved within 3 min and measured for a few min. The kinetic data (the steady-state velocity at various concentrations of the substrate and the inhibitors) of the competitive inhibition was analyzed using the methods described by Segel (1975) . A non-linear regression program, RNLIN in the IMSL library (IMSL, 1987), LMDER in MINPACK library (More et al., 1980) or Microsoft™ Excell™ , was used to estimate the kinetic parameters (K_, Vmax and K .
Arterial Thrombosis Model
The FeCl3 induced injury to the carotid artery in rats was induced according to the method described by Kurz , K.D., Main, R.W., Sandusky, G.E., Thrombosis Research 60; 269-280, 1990 and Schumacher, W.A. et al . J. Pharmacology and Experimental Therapeutics 267; 1237-1242, 1993.
Male, Sprague-Dawley rats ( 375-410 g) were anesthetized with urethane ( 1500 mg\kg ip) . Animals were laid on a 37°C heating pad. The carotid artery was exposed through a midline cervical incision. Careful blunt dissection was used to isolate the vessel from the carotid sheath. Using forceps, the artery was lifted to provide sufficient clearance to insert two small pieces of polyethylene tubing (PE-205*) underneath it. A temperature probe (Physitemp* MT23/3) was placed between one of the pieces of tubing and the artery. Injury was induced by topical application on the carotid artery above the temperature probe of a small disc (3 mm dia.) of Whatman* No .1 filter paper previously dipped in a 35% solution of FeCl3. The incision area was covered with aluminum foil in order to protect the FeCl3 from degradation by light. The vessel temperature was monitored for 60 minutes after application of FeCl3 as an indication of blood flow.
Vessel temperature changes were recorded on a thermister (Cole-Palmer* Model 08533-41) .
The time between the FeCl3 application and the time at which the vessel temperature decreased abruptly (>2.4°C) was recorded and the mean occlusion time (MOT) of the vessel calculated. Inhibitor compounds were given as an i.v. bolus (0.75 mg/kg) followed immediately by an i.v. infusion (50 μg/kg/min. via femoral vein) .
aPTT and TT
Blood (ImL) was collected in to sodium citrate (1:9; 3.8%) as an anticoagulant prior to treatment, 30 and 90 min. after the start of the infusion. All anticoagulated blood samples were centrifuged (12,000 x g for 3 min.) to obtain plasma for same day analysis. Activated partial thromboplastin time (aPTT) and thrombin time (TT) were measured at 37°C using a coagulometer (ST4 from Diagnostica Stago, Asnieres, France; American Bioproducts Company, Parsipanny, NJ) . For aPTT measurements, citrated plasma (50uL) was incubated with reagent 1 (PTTAutomate; 00480, ST4 BIO; Diagnostica Stago) at 37°C for 180 sec. Clotting was initiated by adding 25mM CaCl2 (50uL) . For TT measurements, citrated plasma (200uL) was incubated at 37°C for 2 min. and the clotting time was initiated by adding Thrombin Prest (titrated calcium thrombin; 200uL; Diagnostica Stago) . The time taken for the plasma to clot was then determined. Table 1
Compound Ki MOT aPTT TT tιc50] (min) (sec) !sec)
(nM)
35 24.3 + 3.2 32.9 ± 2.54 175.5 ± 10.5
(2) 12 31.2 ± 5 31.7 ± 1.5 288 ± 30.8
(3! 10 23.83 ± 3.8 44 ± 0.92 298 ± 8.3
1220
(6a) 580
!6b) 7420
a fast moving isomer on HPLC
b slow moving isomer on HPLC
1 baseline = 17.22 ± 0.6 minutes baseline aPTT = 18.1 ± 4 sec baseline TT = 46.7 ± 1.1 sec
Compound Ki [IC50] Compound Ki [IC50]
(nM) (nM)
(17) 240 (33) 140
(18) 1000 (34) 325
(20) [130] (35) 180
(21) 65 (36) [750]
(22) 190 (37) 105
(23) 165 (38) 18
(24) 200 (39) [1420]
(25) 98 (40) 195
(26) [400] (41) [830]
(27) 74 (42) 825
(28) 55 (43) 55
(29) 40 (44) 130
(30) 30 (45) [587]
(31) 75 (46) [250]
(32) 43 (47) [262]
Figure imgf000084_0001
Compound Ki [IC50] Compound Kl [ICS0]
(nM) (nM)
(76) [88.7] (93) [229]
(77) [984] (94) [1610]
(78) [457] (94a) [610]
(79) [283] (94b) [5130]
(80) [1260] (95) [113]
(81) 495 (100) 25000
(82) [3420] (101) 50000
(83) 80 (102) 3000
(84) 55 (103) 2600
(85) [880] (104) 2500
(86) 140
a fast moving isomer on HPLC b slow moving isomer on HPLC

Claims

LAIM :
A compound of formula (I) :
Figure imgf000086_0001
(i) wherein:
W and X are independently selected from CH-R4, C-R4, N-R4,
N, 0, S, SO and S02, provided that at least one of W and X is selected from N-R4, N, O, S, SO and S02 ; Y is selected from CH-R4, C-R4 and C=0;
Q is selected from carbonyl, C=S and CH-R4;
Rx is a polar amino acid residue or derivative or analogue thereof optionally substituted with an amino acid, a peptide or a heterocycle; R2 and R2' are independently selected from H, halogen, Cx_
16 alkyl optionally substituted with C6.16 aryl, heterocycle or a C3_7 cycloalkyi group; and R3 and R4 are independently selected from H; NR5R6 ,- carboxyl; C6_16 aryl or C3.7 cycloalkyi optionally substituted with C1_6 alkyl; C^-^ alkyl optionally interrupted by one or more heteroatom or carbonyl group and optionally substituted with OH, SH, NR5R6 or a C6_16 aryl, heterocycle or C3_7 cycloalkyi group optionally substituted with halogen, hydroxyl, carboxyl, C^g alkyl; an amino acid side chain; and a hydrophobic group ; or when Y is CH-R4 or C-R4 then R3 and R4 together with Y form a 5 or 6 member saturated or unsaturated carbocyclic ring; R5 and R6 are independently selected from H and C1_4 alkyl .
2. A compound according to claim 1, wherein R-, is one of formula Ha to lid:
Figure imgf000087_0001
wherein :
R7 is hydrogen or CX-6 alkyl; ~~
K is a bond or -NR7-;
G is Cx-4 alkoxy; cyano; -NHR8; -CH2-NHR8; -C(NH)-NHR8; -NH-C(NH) -NHR8; -CH2-NH-C (NH) -NHR8 ; a C6.12 cycloalkyi or aryl substituted with cyano, -NHR8, -CH2-NHR8, -C(NH)- NHR8, -NH-C(NH) -NHR8, -CH2-NH-C (NH) -NHR8 , halogen -.-_. . alkyl, aryl or heterocycle; or a 5 or 6 member, saturated or unsaturated heterocycle or heterobicycle optionally substituted with cyano, -NHR8, -CH2-NHR8, - C(NH)-NHR8, -NH-C(NH) -NH2 -CH2-NH-C (NH) -NHR8 , halogen C-^ alkyl, aryl or heterocycle; provided that G is other than unsubstituted indole and when G is C6_12 cycloalkyi or aryl then G is substituted with at least one group selected from -NHR8, -CH2-NHR8, -C(NH)-NHR8,
-NH-C(NH) -NHR8 or -CH2-NH-C (NH) -NHR8; U is cyano, -NHR8, -C(NH)-NHR8 or -NH-C (NH) -NHR8;
R8 is H, OH or NH2 ;
P is a bond, -C(0)~, -C(S)- or a bivalent group:
Figure imgf000087_0002
J is C-^g alkylene optionally substituted with OH, NH2 and Cx.6 alkyl and optionally interrupted by a heteroatom selected from 0, S and N; ι_ is 0 or 1; and
T is H, OH, 0-R4, carboxyl, amino, a peptide chain, C^g alkyl, C-^g alkoxy, C6.20 aralkyl, or heterocycle optionally substituted; provided that R-^ is other than -NHNH2.
3. A compound according to claim 2, wherein R-, is selected from :
Figure imgf000088_0001
wherein:
R7 is hydrogen or C-^g alkyl;
R8 is H, OH or NH2
P is a bond, -C(0)-, -C(S)- or a bivalent group:
OH
,0H
'CH 'CH, s _ _ s
CH,
J is Cλ_6 alkylene optionally substituted with OH, NH2 and
C^g alkyl and optionally interrupted by a heteroatom selected from O, S and N; n is 0 or 1; and
T is H, OH, 0-R4, carboxyl, amino, a peptide chain, C^g alkyl, C1,16 alkoxy, C6-20 aralkyl, or heterocycle optionally substituted.
4. A compound according to claim 3, wherein P is C(O), n is
0 and T is a heterocycle selected from the group consisting of:
Figure imgf000089_0001
wherein
X5, Xio, XX1 and X12 are each independently selected from the group consisting of N, or C-X7 where X7 is hydrogen,
C-L-4 alkyl, or C5.8 aryl ;
10 X6 and X13 are each independently selected from the group consisting of C, O, N, S, N-X7, or CH-X7; and R' is hydrogen, C^g alkyl optionally carboxyl substituted, carboxyl, -C0.16 alkyl-C02-C1_16 alkyl, C6_20 aralkyl, C3.7 cycloalkyi, aryl or an aromatic heterocycle.
20
•30
5. A compound according to claim 4, wherein T is selected from the group consisting of:
Figure imgf000090_0001
wherein R* is hydrogen, C^g alkyl optionally carboxyl substituted, carboxyl, -C0_16 alkyl-C02-C1-16 alkyl , C6.20 aralkyl, C3_7 cycloalkyi, aryl or an aromatic heterocycle
6. A compound according to claim 5, wherein T is selected from:
Figure imgf000090_0002
wherein R' is hydrogen, λ-16 alkyl optionally carboxyl substituted, carboxyl, -C0_16 alkyl-C02-C1_16 alkyl , C6-20 aralkyl, C3.7 cycloalkyi, aryl or an aromatic heterocycle
7. A compound according to claim 1, wherein one of W and X is N-R4; and
R4 is a hydrophobic group selected from C^o alkyl, C2.20 alkenyl or C2.20 alkynyl optionally interrupted by a carbonyl group, C6.16 aryl, C3_7 cycloalkyi, C6_20 aralkyl, C6-2o cycloalkyi substituted
Figure imgf000091_0001
alkyl, wherein the aliphatic portion is optionally interrupted by a carbonyl group and the ring portion is optionally substituted with Cχ-6 alkyl; and a hydrophobic amino acid side chain.
8. A compound according to claim 7, wherein one of W and X is CH2.
9. A compound according to claim 8, wherein W is CH2 ; X is N- R4 and Y is C=0 or CH2.
10. A compound according to claim 1, wherein R2 and R2 ' are both H.
11. A compound according to claim 1, wherein Q is C=0.
12. A compound according to claim 1, wherein Y is CH-R4 or C- R4 and R3 and R4 together with Y form a 5 or 6 member saturated or unsaturated carbocyclic ring.
13. A compound according to claim 12, wherein said carbocyclic ring is a phenyl ring.
14. A compound according to claim 1, selected from: (1) N- [4-guanidino-l- (thiazole-2 -carbonyl ) -butyl] -2- [2- oxo-4- (3 -phenyl -propionyl) -piperazin-1-yl] - acetamide;
(2) N- [1- (benzothiazole-2 carbonyl) -4 -guanidino-butyl] -2
[2-OXO-4- (3 -phenyl -propionyl) -piperazin-1-yl] - acetamide ;
(3) 2- [2 -Benzyl -3 , 6-dioxo-4- (3 -phenyl-propyl ) -piperazin-
1-yl] -N- [4-guanidino-l- (thiazole-2 -carbonyl ) -butyl] acetamide; (4) N- [4-guanidino-l- ( thiazole-2- carbonyl) -butyl] -2- (2 -oxo-4 -phenylmethanesulfonyl- piperazin- 1 -yl ) acetamide ;
(5) N- [l-carbamimidoyl-piperidin-3-ylmethyl) -2-oxo-2- thiazol- 2-yl-ethyl] -2- {4- [ (3 , 4 -dichloro-phenyl) - propionyl] -2-oxo-piperazin-l-yl } -acetamide ;
(6) N- [1- (1 -carbamimidoyl -piperidin-3 -ylmethyl) -2-oxo-2- thiazol-2-yl-ethyl] -2- (2-oxo-4 -phenylmethanesulfonyl -piperazin-1-yl } -acetamide;
(7) N- [1- (4-amino-cyclohexyl) -2-oxo-2-thiazol-2-yl- ethyl] -2- (2-oxo-4-phenylmethane-sulfonyl-piperazin- 1-yl } -acetamide;
(8) N- [1- (3 -carbamimidoyl -benzyl) -2-oxo~thiazol-2-yl- ethyl] -2- { 2 -oxo-4 -phenylmethanesulfonyl -piperazin- 1- yl } - acetamide ;
(9) N- [1- (1 -carbamimidoyl -piperidin- 3 -ylmethyl) -2-oxo-2- thiazol-2-yl-ethyl] -2- [2-isopropyl-6-oxo-4- (3- phenyl -propyl) -piperazin- 1-yl } -ace amide;
(10) 2- (2-benzyl-6-oxo-4-phenylmethanesulfonyl-piperazin- 1-yl) -N- [1- (l-carbamimidoyl-piperidin-3-ylmethyl) -2- oxo-2-thiazol-2-ylethyl] acetamide; (11) N- [1- (l-carbamimidoyl-piperidin-3-ylmethyl) -2-OXO-2- thiazol-2-yl-ethyl] -2- [2-isopropyl-6-oxo-4 - phenylmethanesulfonyl-piperazin- 1-yl } -acetamide ;
(12) N- [1- (4-aminocyclohexyl) -2-thiazol-2-ylethyl] -2- (2- isopropy1 -6 -oxo- 4 -phenylmethanesulfonyl -piperazin- 1- yl } -acetamide ;
(13) N- [1- (4-aminocyclohexyl) -2-oxo-2-thiazol-2-ylethyl] - 2- ( 2 -benzyl -6 -oxo- 4 -phenylmethanesulfonyl -piperaz in- 1-yl } -acetamide ;
(14) N- [1- (4-aminocyclohexyl) -2-oxo-2-thiazol-2-ylethyl] - 2- {2 -benzyl -4- [3- (3 , 4 -dichloro-phenyl) -propyl] -3,6- dioxo-piperazin- 1-yl } -acetamide;
(15) 2- (2-benzyl-4- [3 , 4 -dichloro-phenyl) -propyl] -3,6- dioxo-piperazin-1-yl} -N- [1- (1-carbamimidoyl- piperidin-3-ylmethyl) -2-oxo-2- thiazol-2-ylethyl] - acetamide ;
(16) 2- (4-benzenesulfonyl-2-oxo-piperazin-l-yl) -N- [4- guanidino-1- ( thiazole-2-carbonyl) -butyl] -acetamide;
(20) 2- [2-Benzyl-3, 6-dioxo-4- ( 3-phenyl-propyl ) -piperazin- 1-yl] -N- [4-guanidino-l- ( thiazole- 2 -carbonyl ) -butyl] - acetamide;
(21 ) N- [1- ( 1 -Carbamimidoyl -piper idin- 3 -ylmethyl ) -2 -oxo- 2- thιazol-2-yl-ethyl] -2- [2-methyl-3, 6-dιoxo-4- (3- phenyl-propyl) -pιperazm-1-yl] -acetamide;
(22) N- [2- (l-Carbamιmιdoyl-pιperιdm-3-yl) -1- (thιazole-2- carbonyl) -ethyl] -2- [2-ιsopropyl-3, 6-dιoxo-4- (3- phenyl -propyl) -piperazin- 1 -yl ] -acetamide;
(23) N- [2- (l-Carbamιmιdoyl-pιpendm-3-yl) -1- (thιazole-2- carbonyl) -ethyl] -2- [2-ιsobutyl-3, 6-dιoxo-4- (3- phenyl-propyl) -pιperazm-1-yl] -acetamide;
(2 ) 2- [2-sec-Butyl-3, 6 -dioxo- - (3 -phenyl -propyl) - pιperazιn-l-yl]-N-[l- ( 1 -carbamimidoyl -piper l dm- 3 - ylmethyl )-2-oxo-2-thιazol-2-yl-ethyl] -acetamide;
(25) 2-[2-Butyl-3, 6 -dioxo- 4- (3 -phenyl -propyl ) -piperazin- l-yl]-N-[2-( 1 -carbamimidoyl -pi per idin- -yl ) -1- (thιazole-2-carbonyl) -ethyl] -acetamide;
(26) 2- {2-Benzyl-4-[ 3- (3, -dichloro-phenyl) -propyl] -3,6- dιoxo-pιperazm-l-yl}-N- [2- ( 1 -carbamimidoyl - pιperιdm-3-yl ) -1- (thιazole-2-carbonyl ) -ethyl] - acetamide;
(27 ) N- [2- (l-Carbamιmιdoyl-pιperιdm-3-yl) -1- (thιazole-2- carbonyl) -ethyl] -2- [3, 6-dιoxo-4- (3 -phenyl -propyl ) -2- pyridm-3-ylmethyl-piperaz -l-yl] -acetamide;
(28) 2- [2-Benzyl-3, 6-dιoxo-4- (3-phenyl-propyl ) -piperazm- 1-yl] -N- [2- ( 1 -carbamimidoyl -pi peri din- 3 -yl ) -1-
( thιazole-2-carbonyl) -ethyl] -acetamide;
(29) N- [ 1- (1 -Carbamimidoyl -pipe rιdιn-3 -ylmethyl) - 2 -oxo- 2- thιazol-2-yl-ethyl] -2- [3- ( 4-chloro-benzyl ) -2, 5- dιoxo-1- (3-phenyl-propyl ) -pιpeπdm-4-yl ] -acetamide; (30) N- [2- ( l-Carbamιmιdoyl-pιperιdm-3-yl ) -_ - ( thιazole-2- carbonyl ) -ethyl] -2- [2-naphthalen-2 -ylmethyl -3, 6- dιoxo-4- (3 -phenyl -propyl ) -pιperazm-1-yl] -acetamide;
(31 ) N- [2- ( 1 -Carbamimidoyl -pi perιdιn-3-yl ) -1- (thιazole-2- carbonyl) -ethyl] -2- [2-cyclohexylmethyl-3, 6-dιoxo-4-
( 3 -phenyl -propyl ) -pιperazm-1-yl] -acetamide;
(32) N- [1- ( l-Carbamιmιdoyl-pιperιdm-3-ylmethyl) -2-oxo-2- thιazol-2-yl-ethyl] -2- [2- (4-methoxy-benzyl) -3, 6- dιoxo-4- (3-phenyl-propyl) -pιperazm-1-yl] -acetamide;
(33) N- [2- (l-Carbamιmιdoyl-pιperιdm-3-yl) -1- (thιazole-2- carbonyl) -ethyl] -2- (4-methyl-2-naphthalen-2- ylmethyl-3, 6-dιoxo-pιperazιn-l-yl ) -acetamide;
(34 ) N- [2-Benzothιazol-2-yl-l- (3-carbamimidoyl-ben yl ) -2- oxo-ethyl] -2- [2-benzyl-3, 6-dιoxo-4- (3-phenyl- propyl) -pιperazιn-1-yl] -acetamide;
(35) 2-{2- [2-Benzyl-3, 6-dιoxo-4- ( 3-phenyl-propyl) - piperazin-1-yl ] -acetylamino} -3- ( 1-carbamimidoyl- pιpeπdιn-3-yl) -N-methoxy-N-methy1-propionamide ;
(36) 2- [2-Benzhydryl-3, 6-dιoxo-4- ( 3-phenyl-propyl ) - pιperazm-1-yl] -N- [2- ( l-carbamιmιdoyl-pιpendιn-3- yl) -1- ( thιazole-2-carbonyl) -ethyl] -acetamide;
(37) N- [2- (l-Carbamιmιdoyl-pιperιdm-3-yl) -1- (thιazole-2- carbonyl) -ethyl] -2- [3, 6-dιoxo-2-phenethyl-4- (3- phenyl-propyl ) -pιperazm-1-yl] -acetamide;
(38) 2-[2-Benzyl-3, 6 -dioxo- 4- ( 3 -phenyl -propyl ) -piperaz - l-yl]-N-[2- (l-carbamιmιdoyl-pιperιdm-3-yl ) -1- ( th azole-2-carbonyl) -ethyl] -acetamide;
(39) N- (l-Formyl-4-guanιdmo-butyl) -2- [2- (4-methoxy- benzyl) -3, 6-dιoxo-4- (3-phenyl-propyl) -pιperazm-1- yl ] -acetamide;
(40) N- [2- (l-Carbamιmιdoyl-pιperιdm-3-yl) -1- (thιazole-2- carbonyl) -ethyl] -2- [2- (4-chloro-benzyl ) -4-methyl-
3, 6-dιoxo-pιperazιn-l-yl] -acetamide;
(41) N-[2-Benzothιazol-2-yl-l-( 1 -carbamimidoyl -piper ldin- 3-ylmethyl) -2-oxo-ethyl] -2- ( 4-methyl-2-naphthalen-2- ylmethyl-3, 6-dιoxo-pιperazιn-l-yl) -acetamide; (42) 2- [2-Benzyl-3, 6-dιoxo-4- ( 3-phenyl-propyl ) -piperaz - l-yl]-N-[l-( l-carbamιmιdoyl-pιperιdm-3-ylmethyl) -2- oxo-2-pιperιdm-l-yl-ethyl] -acetamide;
(43) 2-(2-[2-Benzyl-3, 6-dιoxo-4- ( 3-phenyl -propyl) - pιperazιn-1-yl] -acetylamino } -3- ( 1 -carbamimidoyl - pιperιdm-3-yl) -N-me thy 1 -propionamide ;
(44) 2- (2- [2-Benzyl-3, 6-dιoxo-4- ( 3-phenyl -propyl ) - pιperazιn-1-yl] -acetylamino} -3- (1-carbamιmιdoyl- pιperιdm-3-yl) -N- eye lopentyl -propionamide ; (45 ) N- [2- (1 -Carbamimidoyl -piperidm- 3 -yl) -1- (hydroxy- thιazol-2-yl-methyl) -ethyl] -2- [2-naphthalen-2- ylmethyl-3, 6-dιoxo-4- (3-phenyl-propyl) -pιperazm-1- yl] -acetamide;
(46) 2-{2-Benzyl-4- [3- (3, -dιchloro-phenyl ) -propyl] -3, 6- dιoxo-pιperazιn-l-yl}-N- [2- ( 1-carbamιmιdoyl- pιperιdιn-3-yl) -1- ( thιazole-2-carbonyl ) -ethyl] - acetamide;
(47) 2- (2-Benzyl-4-butyl-3, 6-dιoxo-pιperazm-l-yl ) -N- [2- ( l-carbamιmιdoyl-pιperιdm-3-yl) -1- (thιazole-2- carbonyl) -ethyl] -acetamide;
(48) 2- (2 -Benzyl -3, 6-dιoxo-4-phenethyl-pιperazιn-l-yl ) -N- [2- ( l-carbamιmιdoyl-pιperιdm-3-yl) -1- (thιazole-2- carbonyl) -ethyl] -acetamide;
(49) N- [2- (l-Carbamιmιdoyl-pιperιdm-3-yl) -1- (thιazole-2- carbonyl) -ethyl] -2- (2, 4-dιbenzyl-3, 6-dιoxo- p perazm-1-yl) -acetamide; (50) N- [2- (l-Carbamιmιdoyl-pιperιdm-3-yl) -1- (thιazole-2- carbonyl) -ethyl] -2- (2, 4-dιbenzyl-3, 6-dιoxo- pιperazιn-1-yl) -acetamide;
(51) 2- [2-Benzyl-3, 6-dιoxo-4- ( 3-phenyl-propyl ) -piperazin- l-yl]-N-[2-( 1 -carbamimidoyl -piperidm- 3 -yl ) -1- hydroxymethyl -ethyl] -acetamide;
(52 ) N- [ 1- ( l-Carbamιmιdoyl-pιperιdm-4-yl) -2-oxo-2- thιazol-2-yl-ethyl] -2- (4-methyl-2-naphthalen-2- ylmethyl-3, 6-dιoxo-pιperazιn-l-yl) -acetamide;
(53) N- [2- ( l-Carbamιmιdoyl-pιperιdm-3-yl ) -1- (thιazole-2- carbonyl) -ethyl] -2- ( 4-methyl-2-naphthalen-l- ylmethyl-3, 6-dιoxo-pιperazm-l-yl ) -acetamide; ( 54 ) N- [2- ( 1 -Carbamimidoyl -pipe ri dm- 3 -yl ) -1- (thιazole-2- carbonyl) -ethyl] -2- [2- (3, 4-dιchloro-benzyl ) -3, 6- dιoxo-4- (3-phenyl-propyl) -pιperazm-1-yl] -acetamide; (55) 2-{2-Benzyl-4- [3- ( -methoxy-phenyl ) -propyl] -3,6- dιoxo-pιperazιn-l-yl}-N- [2- ( 1-carbamimidoyl- pιperιdm-3-yl) -1- ( thιazole-2-carbonyl ) -ethyl] - acetamide;
(56) 2- [2-Benzyl-3, 6-dιoxo-4- (3-p-tolyl-propyl) - piperazm-1-yl] -N- [2- ( l-carbamιmιdoyl-pιpendιn-3- yl) -1- (thιazole-2-carbonyl) -ethyl] -acetamide;
(57) 2-{2-Benzyl-4-[3- (4-chloro-phenyl) -propyl] -3, 6- dιoxo-pιperazm-1-yl } -N- [2- (1-carbamimidoyl- pιperιdιn-3-yl) -1- (thιazole-2-carbonyl) -ethyl] - acetamide; (58) 2- [2-Benzyl-3, 6-dιoxo-4- ( 3-phenyl-propyl ) -piperazm-
1-yl] -N- [1- ( 1-carbamimidoyl-piperidm- -yl ) -2-oxo-2- thιazol-2-yl-ethyl] -acetamide;
(59) N- [ l-Benzoyl-2- ( l-carbamιmιdoyl-pιperιdm-3-yl ) - ethyl] -2- (2-benzyl-4-butyl-3, 6-dιoxo-pιperazιn-l- yl ) -acetamide;
(60) 2- [2-Benzyl-3, 6-dιoxo-4- ( 3-phenyl-propyl ) -piperazm- l-yl]-N-[l- (1-carbamιmιdoyl-pιperιdm-3-ylmethyl ) -2- oxo-2-phenyl-ethyl ] -acetamide;
(61) 2- [2-Benzyl-3, 6-dιoxo-4- ( 3-phenyl-propyl ) -piperazm- l-yl]-N-[l-( 1-carbamimidoyl-piperidm-3 -ylmethyl ) -2- oxo-propyl] -acetamide;
(62) 2- (2-Benzyl-4-butyl-3, 6-dιoxo-pιperazm-l-yl ) -N- [1- ( 1-carbamimidoyl-piperidm-3-ylmethyl ) -2-oxo- propyl] -acetamide;
(63) 2- (2-Benzyl-4-butyl-3, 6-dιoxo-pιperazm-l-yl ) -N- [1- ( 1-carbamimidoyl-piperidm- 3- ylmethyl ) -2-oxo- propyl] -acetamide; (64 ) 2- [2 -Benzyl -3, 6-dιoxo-4- ( 3-phenyl -propyl) -piperazm- l-yl]-N-[l-( 1 -carbamimidoyl -piperidm- 3 -ylmethyl ) -2- oxo-propyl] -acetamide;
(65) 2- (2-Benzyl-4- [3- (4-nιtro-phenyl ) -propyl] -3, 6-dιoxo- pιperazιn-l-yl}-N- [2- ( 1-carbamimidoyl -piperidm-3- yl) -1- (thιazole-2-carbonyl) -ethyl] -acetamide;
(66) 2- [2-Benzyl-3, 6-dιoxo-4- ( 3-phenyl-propyl ) -piperazin* l-yl]-N-[l-( 1-carbamimidoyl-piperidm-3-ylmethyl) -2- oxo-propyl] -acetamide; (67) 2- (2-Benzyl-4-butyl-3, 6-dιoxo-pιperazιn-l-yl ) -N- [1- ( l-carbamιmιdoyl-pιperιdm-3-ylmethyl ) -2-oxo- propyl] -acetamide;
(68) N- [2- (1 -Carbamimidoyl -piper l dm- 3 -yl) -l-(thιazole-2- carbonyl) -ethyl] -2- [2- (4-methoxy-benzyl) -4-methyl- 3, 6-dιoxo-pιperazιn-l-yl] -acetamide;
(69) 2- ( -Benzyl-2-naphthalen-2-ylmethyl-3, 6-dιoxo- pιperazm-1-yl ) -N- [2- (l-carbamιmιdoyl-pιperιdιn-3- yl ) -1- (thiazole -2 -carbonyl ) -ethyl] -acetamide; (70) 2- [2-Benzhydryl-3, 6-dιoxo-4- (3-phenyl-propyl) - piperazin- 1-yl] -N- [2- ( 1 -carbamimidoyl -pi peri dm- 3- yl) -1- (thιazole-2 -carbonyl) -ethyl ] - acetami e ;
(71) 2- {2-Benzyl-4- [3- ( -ιsopropyl-phenyl ) -propyl] -3,6- dιoxo-pιperazm-1-yl } -N- [2- ( 1 -carbamimidoyl - pιperιdm-3-yl) -1- (thιazole-2-carbonyl ) -ethyl] - acetamide;
(72) 2-(2-Benzyl-4- [3- ( 4-hydroxy-phenyl) -propyl] -3,6- dιoxo-pιperazm-1-yl } -N- [2- ( 1 -carbamimidoyl - p perιdm-3-yl ) -1- (thιazole-2-carbonyl ) -ethyl] - acetamide;
(73) N- [2- (l-Carbamιmιdoyl-pιperιdm-3-yl) -1- (thιazole-2- carbonyl ) -ethyl] -2- [2- ( 2 -chloro -benzyl ) -3, 6-dιoxo-4- (3-phenyl-propyl ) -pιperazm-1-yl] -acetamide;
(74 ) N- [2- (1 -Carbamimidoyl -pιperιdm-3-yl) -1- (thιazole-2- carbonyl) -ethyl] -2- [2- (3, -dιchloro-benzyl) -4- methyl-3, 6-dιoxo-pιperazm-l-yl] -acetamide;
(75) N- [4- (N-Methyl-guanidmo) -1- ( thιazole-2-carbonyl ) - butyl] -2- (4-methyl-2-naphthalen-2-ylmethyl-3, 6- dιoxo-pιperazm-1-yl) -acetamide; (76) 2-[4-Butyl-2- ( 3, -dιchloro-benzyl ) -3, 6-dιoxo- pιperazm-1-yl] -N- [2- ( l-carbamιmιdoyl-pιperιdιn-3- yl) -1- ( thιazole-2-carbonyl ) -ethyl] -acetamide;
(77) 2- (2-Benzyl-4-butyl-3, 6-dιoxo-pιperazm-l-yl) -N- [2- ( 1-carbamimidoyl-piperidin-3-yl ) -1- (pyrιdme-2- carbonyl ) -ethyl] -acetamide;
(78 ) N- [2- ( 1-Carbamimidoyl-piperidm-3-yl ) -1- (pyrιdme-2- carbonyl) -ethyl] -2- [2- (3, 4-dichloro-benzyl ) -3, 6- dioxo-4- (3-phenyl-propyl) -piperazin-1-yl] -acetamide;
(79) N- [1- ( 1-Carbamimidoyl-piperidin-3-ylmethyl) -2-oxo-2- thiazol-2-yl-ethyl] -2- [2- ( 4-chloro-benzyl ) -3, 6- dioxo-4- (3-phenyl-propyl ) -piperazin-1-yl] -acetamide;
(80) 2- [4-Butyl-3, 6-dioxo-2- (phenylmethanesulfonylamino- methyl) -piperazin-1-yl] -N- [2- ( 1-carbamimidoyl- piperidin-3-yl) -1- ( thiazole-2-carbonyl ) -ethyl] - acetamide; (81) N- [1- (l-carbamimidoyl-piperidin-3-ylmethyl) -2-OXO-2- thiazol-2-yl-ethyl] -2- [2, 5-dioxo-4- (3-phenyl- propyl) -piperazin-1-yl] -acetamide;
(82) 2- [2-benzyl-3 , 6-dioxo-4- (3 -phenyl -propyl) -piperazin- 1-yl] -N- [4-guanidine-l- (thiazole-2-carbonyl ) -butyl] - acetamide;
(83) N- [2-benzothiazol-2-yl-l- (1-carbamimidoyl-piperidin- 3 -ylmethyl) -2 -oxo-ethyl] -2- [2 -benzyl -3 , 6-dioxo-4- (3- phenyl -propyl) -piperazin-1-yl] -acetamide;
(84) N- [2- (l-carbamimidoyl-piperidin-3-yl) -1- (thiazole-2- carbonyl) -ethyl] -2- [2-naphthalen-2-ylmethyl-3 , 6 - dioxo-4- ( 3 -phenyl -propyl ) -piperazin-1-yl] -acetamide;
(85) N- [1- (1-carbamimidoyl-piperidin- 3 -ylmethyl) -2- thiazol- 2-yl-ethyl] -2- [2 -methyl -3, 6 -dioxo- 4- (3- phenyl -propyl) -piperazin-1-yl] -acetamide;
(86) 2- [2 -benzyl -3 , 6 -dioxo- 4- (3 -phenyl-propyl) -piperazin- l-yl] -N- [2- (3 -carbamimidoyl -phenyl) -1- (thiazole-2- carbonyl) -ethyl] -acetamide;
(87) N- [1- (1 -carbamimidoyl -piperidin- 3 -ylmethyl) -2-oxo-2- thiazol-2-yl-ethyl] -2- [2- (3 -chloro-benzyl) -3, 6- dioxo-4- (3 -phenyl -propyl) -piperazin-1-yl] -acetamide;
(88) 2 [4-butyl-2- (3, 4 -dichloro-benzyl) -3 , 6 -dioxo- piperazin-1-yl] -N- [1- ( 1 -carbamimidoyl -piperidin- 3 - ylmethyl) -2-oxo-2-thiazol-2yl-ethyl] acetamide;
(89) N- [1- (l-carbamimidoyl-piperidin-3-ylmethyl) -2-oxo-2- thiazol- 2-yl-ethyl] -2- [2- (3 , 4 -dichloro-benzyl ) -3,6- dioxo-4- (3 -phenyl -propyl) -piperzin-1-yl] -acetamide;
(90) 2- [4-butyl-2- (2-chloro-benzyl) -3 , 6-dioxo-piperazin- 1-yl] -N- [1- (1 -carbamimidoyl -piperidm- 3 -ylmethyl) -2- oxo- 2 -t azo - 2-y -et y -acetam e;
(91) 2 {2- [4 -butyl -2- (2-chloro-benzyl) -3, 6-dioxo- piperazin-1-yl] acetylamino} -3- ( 1 -carbamimidoyl - piperidin-4 -ylmethyl) -2-oxo-2-thiazol-2-yl-ethyl] - acetamide;
(92) 2- [4-benzyl-2- (4 -methoxy-benzyl) -3 , 6 -dioxo- piperazin-1-yl] -N- [1- (1 -carbamimidoyl -piperidin-4- ylmethyl) -2-oxo-2-thiazol-2-yl-ethyl] -acetamide;
(93) 3- (l-carbamimidoyl-piperidine-3-yl) -2- [2- [2- (2- chloro-benzyl) -3 , 6-dioxo-4- (3 -phenyl -propyl) - piperazin-1-yl] -acetylamino] -N-methyl-propionamide;
(94) (3S) -N- [1- (1 -carbamimidoyl -piperidin- 3 -ylmethyl) -2- oxo-2-thiazol-2-yl-ethyl] -2-{4- [3- (3 , 4-dichloro- phenyl) -propionyl] -2-oxo-piperazin-l-yl } -acetamide;
(95) 2- (4-Benzenesulfonyl-2-oxo-piperazin-l-yl ) -N- [1-
( benzothiazole-2 -carbonyl ) -4-guanidino-butyl] -acetamide;
(96) 4- (2-Carboxy-2-oxo-l- [2- (2-oxo-4-phenylmethane- sulfonyl-piperazin-1-yl ) -acetylamino] -ethyl } - cyclohexylaπiine ; (97) Ν- [4-guanidino-l- (thiazole-2 -carbonyl) -butyl] -2- (2-oxo- piperazin-1-yl) -acetamide; (98) 5- [ (2R) -2-benzyl-3 , 6- dioxo-4- (3 -phenylpropyl) -1, 4 -diazinan-1 -ylmethyl - carboxamido] pentylamine; (99) 4- (2S) -2-benzyl-3 , 6-dioxo- 4- (3 -phenylpropyl) -1, 4 -diazan-1 -ylmethyl - carboxamido] butylamine;
(100) 4- [ (2R) -2 -benzyl -3, 6-dioxo-4- (3 -phenylpropyl) -1,4- diazinan-1 -ylmethyl -carboxamido] guanidinobutane;
(101) Ν- ( -carbamimidoyl -phenyl) -2- [2-cyclohexa-2 , 4- dienylmethyl-3 , 6-dioxo-4- (3 -phenyl-propyl) -piperazin- 1- yl] acetamide ;
(102) Ν- (4 -amino- cyclohexyl -methyl) -2- [2 -benzyl -3 , 6 -dioxo- 4- (3 -phenyl-propyl) -piperazin-1-yl] -acetamide;
(103) 2- [2 -benzyl -3, 6 -dioxo-4- (3 -phenyl-propyl) -piperazin- 1- yl] -Ν- (l-carbozmimdoyl-piperidin-4 -ylmethyl) -acetamide;
(104) N- (4-Amino-cyclohexyl-methyl) -2- [4- (diphenyl- ethanesulfonyl) -2-oxo-piperazin-l-yl] -acetamide; and
(105) N- (4-Carbamimidoyl-benzyl) -2- [4- (diphenyl- methanesulfonyl) -2-oxo-piperazin-l-yl ] -acetamide; (106) 2- [4-Butyl-3, 6-dioxo-2- (phenylmethanesulf onyla ino- methyl) -piperazm -1-yl] -N- [ 1- ( 1- carbamimidoyl - pιpeπdιn-3-ylmethyl) -2-oxo-2-thιazol-2-yl-ethyl] - acetamide
(107) 2-{4-Benzyl-2- [ (diphenyl-methanesulf onylamino) - methyl] -3, 6-dioxo-pιperazin-l-yl } -N- ( 1- carbamιmιdoyl-pιperιdιn-4-ylmethyl ) -acetamide;
(108) 2- [4-Benzyl-2- (4-methoxy-benzyl ) -3, 6-dιoxo- pιperazιn-1-yl] -N- ( l-carbamιmιdoyl-pιperιdιn-4- ylmethyl) -acetamide;
(109) 2-[4-Benzyl-2- ( 4-methoxy-benzyl) -3, 6-dioxo- piperazm-1-yl] -N- ( 4-carbamιmιdoyl-2-chloro-benzyl) - acetamide;
(110) N- (6-Ammo-2-chloro-pyrιdm-3-ylmethyl) -2- [4- benzyl-2- (4-methoxy-benzyl ) -3, 6-dιoxo-pιperazm-l- yl] -acetamide; and
(111) { [4- ( (2-[4-Benzyl-2- ( 4-methoxy-benzyl ) -3, 6-dιoxo- pιperazιn-1-yl] -acetylamino} -methyl) -2, 5-dichloro- phenyl ] -lmmo-methyl } -carbamic acid ethyl ester.
15. A compound according to claim 12, selected from:
(17) 2- (4-benzoyl-2-oxo-3,4-dihydro-2H-quinoxalin-l-yl) - N- [4-guanidino-l- (thιazole-2-carbonyl) -butyl] - acetamide;
(18) N- [4-guanidino-l- (thiazole-2-carbonyl) -butyl] -2- [2- oxo-4- (3 -phenyl -propionyl) -3 , 4 -dihydro-2H- qumoxalin- 1-yl] -acetamide ; and
(19) N- [4-guanidino-l- (thiazole-2-carbonyl) -butyl] -2- (2- oxo-4-phenylmethanesulfonyl-3 , 4-dihyero-2H- quinoxalin- 1-yl) acetamide
(112) N- [4-guanidino-l- (thiazole-2-carbonyl) -butyl] -2- (2- oxo-3 , 4-dihydro-2H-quinoxalin-l-yl) -acetamide;
(113) N- (4-Guanidmo-butyl) -2- (2-oxo-4- phenylmethanesulfonyl-3, 4-dιhydro-2f.-quιnoxalm-l- yl ) -acetamide; and
(114) N- ( l-Carbamιmιdoyl-pιperιdm-4-ylmethyl ) -2- (2-oxo- 4 -phenylmethanesulf onyl- 3, 4-dιhydro-2J If-quιnoxalm-l- yl ) -acetamide .
16. A method for the treatment or prophylaxis of thrombotic disorders in a mammal, comprising administering to said mammal an effective amount of a compound according to claim 1.
17. A method according to claim 16, wherein said thrombotic disorder is venous thrombosis.
18. A method according to claim 16, wherein said thrombotic disorder is a pulmonary embolism.
19. A method according to claim 16, wherein said thrombotic disorder is arterial thrombosis .
20. A method according to claim 16, wherein said thrombotic disorder is myocardial infarction.
21. A method according to claim 16, wherein said thrombotic disorder is cerebral infarction.
PCT/US1997/015312 1996-09-06 1997-09-05 Lactam inhibitors of thrombin Ceased WO1998009987A1 (en)

Priority Applications (1)

Application Number Priority Date Filing Date Title
AU41723/97A AU4172397A (en) 1996-09-06 1997-09-05 Lactam inhibitors of thrombin

Applications Claiming Priority (4)

Application Number Priority Date Filing Date Title
US2559996P 1996-09-06 1996-09-06
GB9618687.9 1996-09-06
US60/025,599 1996-09-06
GBGB9618687.9A GB9618687D0 (en) 1996-09-06 1996-09-06 Lactam inhibitors of thrombin

Publications (1)

Publication Number Publication Date
WO1998009987A1 true WO1998009987A1 (en) 1998-03-12

Family

ID=26309992

Family Applications (1)

Application Number Title Priority Date Filing Date
PCT/US1997/015312 Ceased WO1998009987A1 (en) 1996-09-06 1997-09-05 Lactam inhibitors of thrombin

Country Status (3)

Country Link
AU (1) AU4172397A (en)
WO (1) WO1998009987A1 (en)
ZA (1) ZA978049B (en)

Cited By (51)

* Cited by examiner, † Cited by third party
Publication number Priority date Publication date Assignee Title
WO1998046627A1 (en) * 1997-04-14 1998-10-22 Cor Therapeutics, Inc. SELECTIVE FACTOR Xa INHIBITORS
WO1998046626A1 (en) * 1997-04-14 1998-10-22 Cor Therapeutics, Inc. SELECTIVE FACTOR Xa INHIBITORS
WO1999064446A1 (en) * 1998-06-11 1999-12-16 3-Dimensional Pharmaceuticals, Inc. Pyrazinone protease inhibitors
WO2000008005A3 (en) * 1998-08-08 2000-05-18 Merck Patent Gmbh Piperazinone derivatives
US6133256A (en) * 1997-04-14 2000-10-17 Cor Therapeutics Inc Selective factor Xa inhibitors
FR2795072A1 (en) * 1999-06-15 2000-12-22 Adir New bicyclic amino-pyrazinone derivatives and their isomers and salts, useful as thrombin inhibitors for treating cardiovascular diseases such as angina pectoris, thrombosis, atherosclerosis, arteritis and venous disease
US6180627B1 (en) 1998-08-14 2001-01-30 Pfizer Inc. Antithrombotic agents
US6194435B1 (en) 1996-10-11 2001-02-27 Cor Therapeutics, Inc. Lactams as selective factor Xa inhibitors
US6218382B1 (en) 1997-08-11 2001-04-17 Cor Therapeutics, Inc Selective factor Xa inhibitors
US6228854B1 (en) 1997-08-11 2001-05-08 Cor Therapeutics, Inc. Selective factor Xa inhibitors
US6262047B1 (en) 1996-10-11 2001-07-17 Cor Therapeutics, Inc. Selective factor Xa inhibitors
US6323219B1 (en) 1998-04-02 2001-11-27 Ortho-Mcneil Pharmaceutical, Inc. Methods for treating immunomediated inflammatory disorders
US6333321B1 (en) 1997-08-11 2001-12-25 Cor Therapeutics, Inc. Selective factor Xa inhibitors
US6369080B2 (en) 1996-10-11 2002-04-09 Cor Therapeutics, Inc. Selective factor Xa inhibitors
US6403583B1 (en) * 1998-12-23 2002-06-11 Patrick Y. S. Lam Thrombin or factor Xa inhibitors
EP1051176A4 (en) * 1998-01-27 2002-06-12 Aventis Pharm Prod Inc SUBSTITUTED OXOAZAHETEROCYCLYL FACTOR Xa INHIBITORS
US6469036B1 (en) 1999-01-27 2002-10-22 Ortho-Mcneil Pharmaceutical, Inc. Peptidyl heterocyclic ketones useful as tryptase inhibitors
US6476016B2 (en) 2000-07-17 2002-11-05 3-Dimensional Pharmaceuticals, Inc. Cyclic oxyguanidine pyrazinones as protease inhibitors
US6525076B1 (en) 1996-10-11 2003-02-25 Millennium Pharmaceuticals, Inc. Selective factor Xa inhibitors
US6534495B1 (en) * 1997-05-02 2003-03-18 Akzo Nebel Serine protease inhibitors
WO2002042272A3 (en) * 2000-11-20 2003-07-24 Pharmacia Corp Substituted polycyclic aryl and heteroaryl pyridines useful for selective inhibition of the coagulation cascade
US6642225B2 (en) 2000-10-02 2003-11-04 Novartis Ag Diazacycloalkanedione derivatives
US6653316B1 (en) 1999-05-19 2003-11-25 Pharmacia Corporation Substituted polycyclic aryl and heteroaryl pyrimidinones useful for selective inhibition of the coagulation cascade
US6660885B2 (en) 2000-03-13 2003-12-09 Pharmacia Corporation Polycyclic aryl and heteroaryl substituted benzenes useful for selective inhibition of the coagulation cascade
US6664255B1 (en) 1999-05-19 2003-12-16 Pharmacia Corporation Substituted polycyclic aryl and heteroaryl pyrazinones useful for selective inhibition of the coagulation cascade
US6686484B2 (en) 2000-04-17 2004-02-03 Pharmacia Corporation Polycyclic aryl and heteroaryl substituted 1,4-quinones useful for selective inhibition of the coagulation cascade
US6693121B2 (en) 2000-04-05 2004-02-17 Pharmacia Corporation Polycyclic aryl and heteroaryl substituted 4-pyridones useful for selective inhibition of the coagulation cascade
US6710058B2 (en) 2000-11-06 2004-03-23 Bristol-Myers Squibb Pharma Company Monocyclic or bicyclic carbocycles and heterocycles as factor Xa inhibitors
US6716838B1 (en) 1999-05-19 2004-04-06 Pharmacia Corporation Substituted polycyclic aryl and heteroaryl uracils as anticoagulative agents
US6750342B1 (en) 1999-05-19 2004-06-15 Pharmacia Corporation Substituted polycyclic aryl and heteroaryl pyrimidinones useful for selective inhibition of the coagulation cascade
US6867217B1 (en) 1999-05-19 2005-03-15 Pharmacia Corporation Substituted polycyclic aryl and heteroaryl pyridones useful for selective inhibition of the coagulation cascade
US6875791B2 (en) 2000-04-05 2005-04-05 Pharmacia Corporation Polycyclic aryl and heteroaryl substituted 4-pyrones useful for selective inhibition of the coagulation cascade
US6906068B1 (en) 1999-05-19 2005-06-14 Pharmacia Corporation Substituted polycyclic aryl and heteroaryl 1,2,4 - triazinones useful as anticoagulants
US6908919B2 (en) * 1999-05-19 2005-06-21 Pharmacia Corporation Substituted polycyclic aryl and heteroaryl pyrazinones useful for selective inhibition of the coagulation cascade
US6969715B2 (en) 2001-10-03 2005-11-29 Pharmacia Corporation 6-membered heterocyclic compounds useful for selective inhibition of the coagulation cascade
US7015223B1 (en) 2000-11-20 2006-03-21 Pharmacia Corporation Substituted polycyclic aryl and heteroaryl 1,2,4-triazinones useful for selective inhibition of the coagulation cascade
US7015230B1 (en) 1999-05-19 2006-03-21 Pharmacia Corporation Substituted polycyclic aryl and heteroaryl uracils useful for selective inhibition of the coagulation cascade
US7105559B2 (en) 2001-10-03 2006-09-12 Pharmacia Corporation Substituted 5-membered polycyclic compounds useful for selective inhibition of the coagulation cascade
US7119094B1 (en) 2000-11-20 2006-10-10 Warner-Lambert Company Substituted polycyclic aryl and heteroarpyl pyrazinones useful for selective inhibition of the coagulation cascade
US7192615B2 (en) 2001-02-28 2007-03-20 J&J Consumer Companies, Inc. Compositions containing legume products
US7309688B2 (en) 2000-10-27 2007-12-18 Johnson & Johnson Consumer Companies Topical anti-cancer compositions and methods of use thereof
US7629318B2 (en) 2002-03-22 2009-12-08 Gpc Biotech Ag Immunosuppressant compounds, methods and uses related thereto
US8093293B2 (en) 1998-07-06 2012-01-10 Johnson & Johnson Consumer Companies, Inc. Methods for treating skin conditions
US8106094B2 (en) 1998-07-06 2012-01-31 Johnson & Johnson Consumer Companies, Inc. Compositions and methods for treating skin conditions
US8431550B2 (en) 2000-10-27 2013-04-30 Johnson & Johnson Consumer Companies, Inc. Topical anti-cancer compositions and methods of use thereof
EP2982668A2 (en) 2002-12-03 2016-02-10 Pharmacyclics LLC 2-(2-hydroxybiphenyl-3-yl)-1h-benzoimidazole-5-carboxamidine derivatives as factor viia inhibitors for the treatment of thromboembolic disorders
US9758473B2 (en) 2014-10-06 2017-09-12 Cortexyme, Inc. Inhibitors of lysine gingipain
US10730826B2 (en) 2016-09-16 2020-08-04 Cortexyme, Inc. Ketone inhibitors of lysine gingipain
US10751417B2 (en) 2017-04-20 2020-08-25 Novartis Ag Sustained release delivery systems comprising traceless linkers
US10906881B2 (en) 2015-11-09 2021-02-02 Cortexyme, Inc. Inhibitors of arginine gingipain
US11389541B2 (en) 2018-10-03 2022-07-19 Novartis Ag Sustained delivery of angiopoetin-like 3 polypeptides

Citations (6)

* Cited by examiner, † Cited by third party
Publication number Priority date Publication date Assignee Title
US5120718A (en) * 1991-06-13 1992-06-09 Abbott Laboratories Candida acid protease inhibiting compounds
WO1995035311A1 (en) * 1994-06-17 1995-12-28 Corvas International, Inc. 3-amino-2-oxo-1-piperidineacetic derivatives as enzyme inhibitors
WO1995035313A1 (en) * 1994-06-17 1995-12-28 Corvas International, Inc. 3-amino-2-oxo-1-piperidineacetic derivatives containing an arginine mimic as enzyme inhibitors
WO1996018644A1 (en) * 1994-12-13 1996-06-20 Corvas International, Inc. Aromatic heterocyclic derivatives as enzyme inhibitors
WO1996019483A1 (en) * 1994-12-22 1996-06-27 Biochem Pharma Inc. Low molecular weight bicyclic thrombin inhibitors
WO1996019491A1 (en) * 1994-12-22 1996-06-27 Biochem Pharma Inc. Heterocyclic keto arginine peptides as thrombin inhibitors

Patent Citations (6)

* Cited by examiner, † Cited by third party
Publication number Priority date Publication date Assignee Title
US5120718A (en) * 1991-06-13 1992-06-09 Abbott Laboratories Candida acid protease inhibiting compounds
WO1995035311A1 (en) * 1994-06-17 1995-12-28 Corvas International, Inc. 3-amino-2-oxo-1-piperidineacetic derivatives as enzyme inhibitors
WO1995035313A1 (en) * 1994-06-17 1995-12-28 Corvas International, Inc. 3-amino-2-oxo-1-piperidineacetic derivatives containing an arginine mimic as enzyme inhibitors
WO1996018644A1 (en) * 1994-12-13 1996-06-20 Corvas International, Inc. Aromatic heterocyclic derivatives as enzyme inhibitors
WO1996019483A1 (en) * 1994-12-22 1996-06-27 Biochem Pharma Inc. Low molecular weight bicyclic thrombin inhibitors
WO1996019491A1 (en) * 1994-12-22 1996-06-27 Biochem Pharma Inc. Heterocyclic keto arginine peptides as thrombin inhibitors

Cited By (74)

* Cited by examiner, † Cited by third party
Publication number Priority date Publication date Assignee Title
US6525076B1 (en) 1996-10-11 2003-02-25 Millennium Pharmaceuticals, Inc. Selective factor Xa inhibitors
US6262047B1 (en) 1996-10-11 2001-07-17 Cor Therapeutics, Inc. Selective factor Xa inhibitors
US6194435B1 (en) 1996-10-11 2001-02-27 Cor Therapeutics, Inc. Lactams as selective factor Xa inhibitors
US6369080B2 (en) 1996-10-11 2002-04-09 Cor Therapeutics, Inc. Selective factor Xa inhibitors
US6204268B1 (en) 1997-04-14 2001-03-20 Cor Therapeutics, Inc Selective factor Xa inhibitors
US6133256A (en) * 1997-04-14 2000-10-17 Cor Therapeutics Inc Selective factor Xa inhibitors
US6369063B1 (en) 1997-04-14 2002-04-09 Cor Therapeutics, Inc. Selective factor Xa inhibitors
WO1998046627A1 (en) * 1997-04-14 1998-10-22 Cor Therapeutics, Inc. SELECTIVE FACTOR Xa INHIBITORS
WO1998046626A1 (en) * 1997-04-14 1998-10-22 Cor Therapeutics, Inc. SELECTIVE FACTOR Xa INHIBITORS
US6534495B1 (en) * 1997-05-02 2003-03-18 Akzo Nebel Serine protease inhibitors
US6333321B1 (en) 1997-08-11 2001-12-25 Cor Therapeutics, Inc. Selective factor Xa inhibitors
US6218382B1 (en) 1997-08-11 2001-04-17 Cor Therapeutics, Inc Selective factor Xa inhibitors
US6228854B1 (en) 1997-08-11 2001-05-08 Cor Therapeutics, Inc. Selective factor Xa inhibitors
US7612075B2 (en) 1998-01-27 2009-11-03 Aventis Pharmaceuticals Inc. Substituted oxoazaheterocyclyl compounds
EP1051176A4 (en) * 1998-01-27 2002-06-12 Aventis Pharm Prod Inc SUBSTITUTED OXOAZAHETEROCYCLYL FACTOR Xa INHIBITORS
US6323219B1 (en) 1998-04-02 2001-11-27 Ortho-Mcneil Pharmaceutical, Inc. Methods for treating immunomediated inflammatory disorders
US6204263B1 (en) 1998-06-11 2001-03-20 3-Dimensional Pharmaceuticals, Inc. Pyrazinone protease inhibitors
WO1999064446A1 (en) * 1998-06-11 1999-12-16 3-Dimensional Pharmaceuticals, Inc. Pyrazinone protease inhibitors
EP1589029A3 (en) * 1998-06-11 2006-01-18 Johnson & Johnson Pharmaceutical Research & Development L.L.C. Pyrazinone protease inhibitors
US6514978B2 (en) 1998-06-11 2003-02-04 3-Dimensional Pharmaceuticals, Inc. Thromboresistant materials incorporating pyrazinone protease inhibitors
US8106094B2 (en) 1998-07-06 2012-01-31 Johnson & Johnson Consumer Companies, Inc. Compositions and methods for treating skin conditions
US8093293B2 (en) 1998-07-06 2012-01-10 Johnson & Johnson Consumer Companies, Inc. Methods for treating skin conditions
WO2000008005A3 (en) * 1998-08-08 2000-05-18 Merck Patent Gmbh Piperazinone derivatives
US6180627B1 (en) 1998-08-14 2001-01-30 Pfizer Inc. Antithrombotic agents
US6602871B2 (en) 1998-12-23 2003-08-05 Bristol-Myers Squibb Pharma Company Thrombin or factor Xa inhibitors
US6403583B1 (en) * 1998-12-23 2002-06-11 Patrick Y. S. Lam Thrombin or factor Xa inhibitors
US7132418B2 (en) 1999-01-27 2006-11-07 Ortho-Mcneil Pharmaceutical, Inc. Peptidyl heterocyclic ketones useful as tryptase inhibitors
US6469036B1 (en) 1999-01-27 2002-10-22 Ortho-Mcneil Pharmaceutical, Inc. Peptidyl heterocyclic ketones useful as tryptase inhibitors
US7015230B1 (en) 1999-05-19 2006-03-21 Pharmacia Corporation Substituted polycyclic aryl and heteroaryl uracils useful for selective inhibition of the coagulation cascade
US6653316B1 (en) 1999-05-19 2003-11-25 Pharmacia Corporation Substituted polycyclic aryl and heteroaryl pyrimidinones useful for selective inhibition of the coagulation cascade
US6664255B1 (en) 1999-05-19 2003-12-16 Pharmacia Corporation Substituted polycyclic aryl and heteroaryl pyrazinones useful for selective inhibition of the coagulation cascade
US6870056B1 (en) 1999-05-19 2005-03-22 Pharmacia Corporation Substitituted polycyclic aryl and heteroaryl pyridones useful for selective inhibition of the coagulation cascade
US6908919B2 (en) * 1999-05-19 2005-06-21 Pharmacia Corporation Substituted polycyclic aryl and heteroaryl pyrazinones useful for selective inhibition of the coagulation cascade
US6716838B1 (en) 1999-05-19 2004-04-06 Pharmacia Corporation Substituted polycyclic aryl and heteroaryl uracils as anticoagulative agents
US6750342B1 (en) 1999-05-19 2004-06-15 Pharmacia Corporation Substituted polycyclic aryl and heteroaryl pyrimidinones useful for selective inhibition of the coagulation cascade
US6906068B1 (en) 1999-05-19 2005-06-14 Pharmacia Corporation Substituted polycyclic aryl and heteroaryl 1,2,4 - triazinones useful as anticoagulants
US6867217B1 (en) 1999-05-19 2005-03-15 Pharmacia Corporation Substituted polycyclic aryl and heteroaryl pyridones useful for selective inhibition of the coagulation cascade
FR2795072A1 (en) * 1999-06-15 2000-12-22 Adir New bicyclic amino-pyrazinone derivatives and their isomers and salts, useful as thrombin inhibitors for treating cardiovascular diseases such as angina pectoris, thrombosis, atherosclerosis, arteritis and venous disease
EP1069132A1 (en) * 1999-06-15 2001-01-17 Adir Et Compagnie Bicyclic derivatives of amino-pyrazinones, process of preparation and pharmaceutical compositions comprising them
US6852761B2 (en) 2000-03-13 2005-02-08 Pharmacia Corporation Polycyclic aryl and heteroaryl substituted benzenes useful for selective inhibition of the coagulation cascade
US6660885B2 (en) 2000-03-13 2003-12-09 Pharmacia Corporation Polycyclic aryl and heteroaryl substituted benzenes useful for selective inhibition of the coagulation cascade
US6693121B2 (en) 2000-04-05 2004-02-17 Pharmacia Corporation Polycyclic aryl and heteroaryl substituted 4-pyridones useful for selective inhibition of the coagulation cascade
US6875791B2 (en) 2000-04-05 2005-04-05 Pharmacia Corporation Polycyclic aryl and heteroaryl substituted 4-pyrones useful for selective inhibition of the coagulation cascade
US6916847B2 (en) 2000-04-05 2005-07-12 Pharmacia Corporation Polycyclic aryl and heteroaryl substituted 4-pyrones useful for selective inhibition of the coagulation cascade
US6686484B2 (en) 2000-04-17 2004-02-03 Pharmacia Corporation Polycyclic aryl and heteroaryl substituted 1,4-quinones useful for selective inhibition of the coagulation cascade
US7030110B2 (en) 2000-07-17 2006-04-18 Ortho-Mcneil Pharmaceuticals, Inc. Cyclic oxyguanidine pyrazinones as protease inhibitors
US6476016B2 (en) 2000-07-17 2002-11-05 3-Dimensional Pharmaceuticals, Inc. Cyclic oxyguanidine pyrazinones as protease inhibitors
US6642225B2 (en) 2000-10-02 2003-11-04 Novartis Ag Diazacycloalkanedione derivatives
US8431550B2 (en) 2000-10-27 2013-04-30 Johnson & Johnson Consumer Companies, Inc. Topical anti-cancer compositions and methods of use thereof
US7309688B2 (en) 2000-10-27 2007-12-18 Johnson & Johnson Consumer Companies Topical anti-cancer compositions and methods of use thereof
US6710058B2 (en) 2000-11-06 2004-03-23 Bristol-Myers Squibb Pharma Company Monocyclic or bicyclic carbocycles and heterocycles as factor Xa inhibitors
US6951872B2 (en) 2000-11-06 2005-10-04 Bristol-Myers Squibb Pharma Company Monocyclic or bicyclic carbocycles and heterocycles as factor Xa inhibitors
WO2002042272A3 (en) * 2000-11-20 2003-07-24 Pharmacia Corp Substituted polycyclic aryl and heteroaryl pyridines useful for selective inhibition of the coagulation cascade
US7119094B1 (en) 2000-11-20 2006-10-10 Warner-Lambert Company Substituted polycyclic aryl and heteroarpyl pyrazinones useful for selective inhibition of the coagulation cascade
US7015223B1 (en) 2000-11-20 2006-03-21 Pharmacia Corporation Substituted polycyclic aryl and heteroaryl 1,2,4-triazinones useful for selective inhibition of the coagulation cascade
US6828338B2 (en) 2000-11-20 2004-12-07 Pharmacia Corporation Substituted polycyclic aryl and heteroaryl pyridines useful for selective inhibition of the coagulation cascade
US7192615B2 (en) 2001-02-28 2007-03-20 J&J Consumer Companies, Inc. Compositions containing legume products
US7897144B2 (en) 2001-02-28 2011-03-01 Johnson & Johnson Comsumer Companies, Inc. Compositions containing legume products
US6969715B2 (en) 2001-10-03 2005-11-29 Pharmacia Corporation 6-membered heterocyclic compounds useful for selective inhibition of the coagulation cascade
US7105559B2 (en) 2001-10-03 2006-09-12 Pharmacia Corporation Substituted 5-membered polycyclic compounds useful for selective inhibition of the coagulation cascade
US7629318B2 (en) 2002-03-22 2009-12-08 Gpc Biotech Ag Immunosuppressant compounds, methods and uses related thereto
EP2982668A2 (en) 2002-12-03 2016-02-10 Pharmacyclics LLC 2-(2-hydroxybiphenyl-3-yl)-1h-benzoimidazole-5-carboxamidine derivatives as factor viia inhibitors for the treatment of thromboembolic disorders
US11332464B2 (en) 2014-10-06 2022-05-17 Cortexyme, Inc. Inhibitors of lysine gingipain
US9988375B2 (en) 2014-10-06 2018-06-05 Cortexyme, Inc. Inhibitors of lysine gingipain
US10301301B2 (en) 2014-10-06 2019-05-28 Cortexyme, Inc. Inhibitors of lysine gingipain
US10676470B2 (en) 2014-10-06 2020-06-09 Cortexyme, Inc. Inhibitors of lysine gingipain
US9758473B2 (en) 2014-10-06 2017-09-12 Cortexyme, Inc. Inhibitors of lysine gingipain
US10906881B2 (en) 2015-11-09 2021-02-02 Cortexyme, Inc. Inhibitors of arginine gingipain
US10730826B2 (en) 2016-09-16 2020-08-04 Cortexyme, Inc. Ketone inhibitors of lysine gingipain
US11325884B2 (en) 2016-09-16 2022-05-10 Cortexyme, Inc. Ketone inhibitors of lysine gingipain
US12110263B2 (en) 2016-09-16 2024-10-08 Lighthouse Pharmaceuticals, Inc. Ketone inhibitors of lysine gingipain
US10751417B2 (en) 2017-04-20 2020-08-25 Novartis Ag Sustained release delivery systems comprising traceless linkers
US12433949B2 (en) 2017-04-20 2025-10-07 Novartis Ag Sustained release delivery systems comprising traceless linkers
US11389541B2 (en) 2018-10-03 2022-07-19 Novartis Ag Sustained delivery of angiopoetin-like 3 polypeptides

Also Published As

Publication number Publication date
AU4172397A (en) 1998-03-26
ZA978049B (en) 1998-09-10

Similar Documents

Publication Publication Date Title
WO1998009987A1 (en) Lactam inhibitors of thrombin
AU715378B2 (en) Low molecular weight bicyclic thrombin inhibitors
KR100337271B1 (en) Antithrombotic agents
US5550131A (en) 2-piperazinone compounds and their use
EP0994892A1 (en) SELECTIVE FACTOR Xa INHIBITORS
NZ509400A (en) Inhibitors of urokinase and blood vessel formation
KR20150065718A (en) Indolines
WO1996037497A1 (en) Low molecular weight bicyclic-urea type thrombin inhibitors
US5798377A (en) Thrombin inhibitors
US6211183B1 (en) Selective factor Xa inhibitors
US5599793A (en) Antithromobotic agents
EP1635816B1 (en) Enalapril-nitroxyderivatives derivatives and related compounds as ace inhibitors for the treatment of cardiovascular diseases
CA2285705A1 (en) Selective factor xa inhibitors
JPH07278092A (en) Antithrombotic agent
WO1998046627A1 (en) SELECTIVE FACTOR Xa INHIBITORS
WO1998028326A9 (en) Bicyclic thrombin inhibitors
WO1998028326A1 (en) Bicyclic thrombin inhibitors
US5610308A (en) Process for preparing intermediates for thrombin inhibitors
US6057314A (en) Low molecular weight bicyclic thrombin inhibitors
KR100565008B1 (en) 4-hydrazino-3-cyclobutene-1,2-dione derivatives and methods for their preparation
US6218382B1 (en) Selective factor Xa inhibitors
AU753842B2 (en) Selective factor Xa inhibitors
EP1110968B1 (en) Intermediate for the preparation of Thrombininhibitors as anticoagulant agents
JPH06503316A (en) Renin-inhibitory peptides containing dithiolanos and dithianoglycines, processes for their preparation and their use in medicines
LT4368B (en) Low molecular weight bicyclic thrombin inhibitors

Legal Events

Date Code Title Description
AK Designated states

Kind code of ref document: A1

Designated state(s): AL AM AT AU AZ BA BB BG BR BY CA CH CN CU CZ DE DK EE ES FI GB GE GH HU ID IL IS JP KE KG KP KR KZ LC LK LR LS LT LU LV MD MG MK MN MW MX NO NZ PL PT RO RU SD SE SG SI SK SL TJ TM TR TT UA UG US UZ VN YU ZW AM AZ BY KG KZ MD RU TJ TM

AL Designated countries for regional patents

Kind code of ref document: A1

Designated state(s): GH KE LS MW SD SZ UG ZW AT BE CH DE DK ES FI FR GB GR IE IT LU MC

DFPE Request for preliminary examination filed prior to expiration of 19th month from priority date (pct application filed before 20040101)
DFPE Request for preliminary examination filed prior to expiration of 19th month from priority date (pct application filed before 20040101)
121 Ep: the epo has been informed by wipo that ep was designated in this application
CFP Corrected version of a pamphlet front page
CR1 Correction of entry in section i

Free format text: PAT. BUL. 10/98 UNDER (60) REPLACE THE EXISTING TEXT BY "(63) RELATED BY CONTINUATION US 60/025599 (CIP) FILED ON 06.09.96 GB 9618687.9 (CIP) FILED ON 06.09.96"

NENP Non-entry into the national phase

Ref country code: JP

Ref document number: 1998512771

Format of ref document f/p: F

REG Reference to national code

Ref country code: DE

Ref legal event code: 8642

122 Ep: pct application non-entry in european phase
NENP Non-entry into the national phase

Ref country code: CA