WO1996019491A1 - Heterocyclic keto arginine peptides as thrombin inhibitors - Google Patents
Heterocyclic keto arginine peptides as thrombin inhibitors Download PDFInfo
- Publication number
- WO1996019491A1 WO1996019491A1 PCT/CA1995/000711 CA9500711W WO9619491A1 WO 1996019491 A1 WO1996019491 A1 WO 1996019491A1 CA 9500711 W CA9500711 W CA 9500711W WO 9619491 A1 WO9619491 A1 WO 9619491A1
- Authority
- WO
- WIPO (PCT)
- Prior art keywords
- alkyl
- aryl
- group
- compound according
- substituted
- Prior art date
- Legal status (The legal status is an assumption and is not a legal conclusion. Google has not performed a legal analysis and makes no representation as to the accuracy of the status listed.)
- Ceased
Links
- 0 C*C(N(CCCC1)C1=O)=N Chemical compound C*C(N(CCCC1)C1=O)=N 0.000 description 3
- LFKDJXLFVYVEFG-UHFFFAOYSA-N CC(C)(C)OC(N)=O Chemical compound CC(C)(C)OC(N)=O LFKDJXLFVYVEFG-UHFFFAOYSA-N 0.000 description 2
- IOJUPLGTWVMSFF-UHFFFAOYSA-N c1nc(cccc2)c2[s]1 Chemical compound c1nc(cccc2)c2[s]1 IOJUPLGTWVMSFF-UHFFFAOYSA-N 0.000 description 1
Classifications
-
- C—CHEMISTRY; METALLURGY
- C07—ORGANIC CHEMISTRY
- C07K—PEPTIDES
- C07K5/00—Peptides containing up to four amino acids in a fully defined sequence; Derivatives thereof
- C07K5/04—Peptides containing up to four amino acids in a fully defined sequence; Derivatives thereof containing only normal peptide links
- C07K5/06—Dipeptides
- C07K5/06008—Dipeptides with the first amino acid being neutral
- C07K5/06078—Dipeptides with the first amino acid being neutral and aromatic or cycloaliphatic
-
- A—HUMAN NECESSITIES
- A61—MEDICAL OR VETERINARY SCIENCE; HYGIENE
- A61P—SPECIFIC THERAPEUTIC ACTIVITY OF CHEMICAL COMPOUNDS OR MEDICINAL PREPARATIONS
- A61P7/00—Drugs for disorders of the blood or the extracellular fluid
- A61P7/02—Antithrombotic agents; Anticoagulants; Platelet aggregation inhibitors
-
- A—HUMAN NECESSITIES
- A61—MEDICAL OR VETERINARY SCIENCE; HYGIENE
- A61K—PREPARATIONS FOR MEDICAL, DENTAL OR TOILETRY PURPOSES
- A61K38/00—Medicinal preparations containing peptides
Definitions
- This invention relates to compounds useful for the treatment of thrombotic disorders, and more particularly to novel heterocyclic inhibitors of the enzyme thrombin.
- Plasma proteins such as fibrinogen, proteases and cellular receptors participating in hemostasis have emerged as important factors that play a role in acute and chronic coronary disease as well as cerebral artery disease by contributing to the formation of thrombus or blood clots that effectively diminish normal blood flow and supply.
- Vascular aberrations stemming from primary pathologic states such as hypertension, rupture of
- Thrombin is a key regulatory enzyme in the coagulation cascade. It serves a pluralistic role as both a positive and negative feedback regulator. However, in pathologic conditions the former is amplified through catalytic activation of cofactors required for thrombin generation as well as activation of factor XIII necessary for fibrin cross-linking and stabilization.
- thrombin In addition to its direct effect on hemostasis, thrombin exerts direct effects on diverse cell types that support and amplify pathogenesis of arterial thrombus disease.
- the enzyme is the strongest activator of platelets causing them to aggregate and release substances (e.g. ADP TXA 2 NE) that further propagate the thrombotic cycle.
- Platelets in a fibrin mesh comprise the principal framework of a white thrombus.
- Thrombin also exerts direct effects on
- thrombin activity constitutes a viable therapeutic approach towards the attenuation of proliferative events associated with thrombosis.
- ATIII antithrombin III
- Heparin exerts clinical efficacy in venous thrombosis by enhancing ATIII/thrombin binding through catalysis. However, heparin also catalyzes inhibition of other proteases in the coagulation cascade and its
- Hirudin derived from the glandular secretions of the leech Hirudo medicinalis is one of the high molecular weight natural anticoagulant protein inhibitors of
- hirudin as a therapeutic agent is its weak antigenicity and lack of an effective method of neutralization, especially in view of its extremely tight binding characteristics toward thrombin.
- the exceedingly high affinity for thrombin is unique and is attributed to a simultaneous interaction with the catalytic site as well as a distal "anion binding exosite" on the enzyme.
- Thrombin activity can also be abrogated by hirudin-like molecules such as hirulog (Maraganore, J.M. et al.,
- Thrombin activity can also be inhibited by low molecular weight compounds that compete with fibrinogen for
- thrombin' s catalytic site thereby inhibiting proteolysis of that protein or other protein substrates such as the thrombin receptor.
- a common strategy for designing enzyme inhibitory compounds relies on mimicking the specificity inherent in the primary and secondary structure of the enzyme's natural substrate.
- Blomback et al. first designed a thrombin inhibitor that was modeled upon the partial sequence of the fibrinogen A ⁇ chain comprising its proteolytically susceptible region (Blomback, et al., J. Clin. Lab. Invest., 24, 59, 1969). This region of
- fibrinogen minimally includes the residues commencing with phenylalanine:
- aldehyde group is presumed to contribute strongly to inhibitory activity in view of its chemical reactivity toward thrombin's catalytic Ser 195 residue, generating a hemiacetal intermediate.
- Maraganore et al. disclose a series of thrombin inhibitors that incorporate the D-Phe-Pro- moiety and hypothesize that this preferred structure fits well within the groove adjacent to the active site of thrombin. Variations on these inhibitors are essentially linear or cyclic peptides built upon the D-Phe-Pro moiety.
- hydrophobic groups provide additional binding through favorable Van der Waals interactions within a contiguous hydrophobic cleft on the enzyme surface designated the P 3 -P, site.
- An object of the present invention is to provide compounds that display inhibitory activity towards thrombin.
- An aspect of the present invention relates to peptide derivatives represented by formula (I), and
- X is one or more aromatic or non-aromatic heterocycle unsubstituted or substituted with one or more amino, oxygen, alkyl, aralkyl, or aryl;
- AS is an active site inhibitor of thrombin having an argininyl residue or an analogue thereof connected to X.
- a compound of formula (I) in the manufacture of a medicament for the treatment of vascular diseases in a mammal including human.
- a method for the treatment of vascular diseases in a mammal including humans comprising administering to said mammal an amount of a compound of formula (I) effective to treat vascular diseases.
- X includes aromatic or non-aromatic heterocyclic rings. X also includes one or more
- X is selected from the group consisting of:
- X 5 , X 10 , X 11 , and X 12 are each independently selected from the group consisting of N, or C-X 7 where X 7 is hydrogen, C 1-4 alkyl, or C 5-8 aryl.
- X 6 , and X 13 are each independently selected from the group consisting of C, O, N, S, N-X 7 , or CH-X 7 where X 7 is as defined above.
- R 5 is hydrogen, C 1-16 alkyl optionally carboxyl substituted, carboxyl, -C 0-16 alkyl-CO 2 -C 1-16 alkyl, C 6-20 aralkyl, C 3-7 cycloalkyl, aryl or an aromatic heterocycle. More preferably X is selected from the group consisting of:
- R 5 is as defined above.
- X is selected from the group consisting of:
- R 5 is as defined above.
- X is selected from the group consisting of: wherein R 5 is as defined above.
- X is a 1,2 thiazole optionally substituted with R 5 and ⁇ or is attached to J at the 2, 3, 4 or 5 position of the ring.
- R 5 is hydrogen, or C 1-4 alkyl.
- R 5 is hydrogen or CH 3
- R 5 is hydrogen
- Preferred compounds of formula (I) include those wherein the
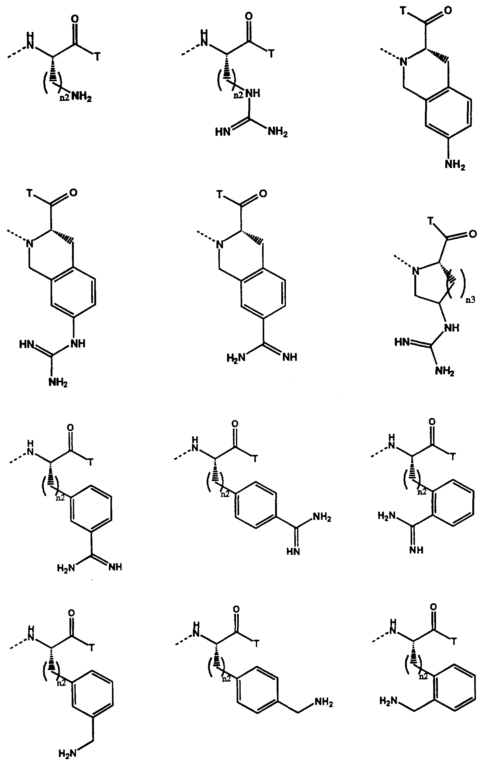
- G 1 is one or more amino acid, alkyl, aryl, aralkyl, or cycloalkyl.
- G 2 is arginyl radical or an analogue thereof
- G 2 is selected from the following amino acid derivatives prepared
- Suitable AS portions include amino acids 45-47 of hirudin and analogues thereof, and inhibitors of thrombin based on the D-Phe-Pro-Arg sequence and its analogues such as D-Cha-Pro-Arg, D-Phe-Pip-Arg, and D-Cha-Pip-Arg.
- Other inhibitors of the active site of thrombin which include an argininyl or an analogue thereof at the C-terminus may also be incorporated into formula (I) as AS. More preferrably, compounds of the present invention include those compounds where AS is -Phe-Pro-Arg- or an analogue thereof.
- compounds of the present invention include those compounds where AS is (D-Phe)-Pro-Arg- or an
- R 1 is selected from the group consisting of one or more aryl or cycloalkyl which is unsubstituted or substituted with hydroxy, C 1-6 alkyl, C 4-8 aralkyl, C 3-8 aryl, or C 3-8 cycloalkyl.
- R 2 is selected from the group consisting of hydrogen, hydroxy, C 1-6 alkyl, C 4-8 aralkyl, and unsubstituted or substituted amino group.
- R 3 is selected from the group consisting of hydrogen, hydroxy, SH, C 1-6 alkyl, C 3-8 aryl and C 4-8 aralkyl.
- n is an integer from 0 to 2.
- Q is a bond or -NH-
- Z is C 1-4 alkoxy; cyano; -NH 2 ; -CH 2 -NH 2 ; -C(NH)-NH 2 ; -NH- C(NH)-NH 2 ; -CH 2 -NH-C(NH)-MEL 2 ; a C 6 cycloalkyl or aryl substituted with cyano, -NH 2 , -CH 2 -NH 2 , -C(NH)-NH 2 , -NH- C(NH)-NH 2 or -CH 2 -NH-C(NH)-NH 2 ; or a 5 or 6 member,
- X is as defined above.
- Preferred embodiments of the present invention include compounds of formula (III) wherein R 1 is selected from the group consisting of one or more 5 or 6 membered aromatic or non-aromatic ring which may be unsubstituted or
- R 1 is a 6 membered aromatic or non-aromatic ring unsubstituted or substituted with C 1-4 alkyl. Most preferably R 1 is phenyl unsubstituted or substituted with C 1-4 alkyl.
- R 1 is phenyl.
- R 2 is hydrogen, hydroxy, C 1-6 alkyl, or amino unsubstituted or substituted with hydroxy, or C 1-6 alkyl. More preferably R 2 is hydroxy or NH 2 .
- R 2 is NH 2 .
- R 3 is hydrogen, hydroxy, SH, or C 1-6 alkyl.
- R. is hydrogen, or C 1-4 alkyl.
- R 3 is hydrogen.
- n 1 or 2.
- n 1
- Q is a bond
- Z is linked via a methylene chain or 2-5 carbon atoms and is selected from the group consisting of -NH 2 ; -C(NH)-NH 2 ; -NH-C(NH)-NH 2 ; a C 6 cycloalkyl or aryl
- Z is -NH-C(NH)-NH 2 , -NH 2 , and -C(NH)-NH 2 linked via a methylene chain of 3-5 carbon atoms. Most preferably, Z is -NH-C(NH)-NH 2 linked via a trimethylene chain.
- Preferred compounds of the invention include:
- More preferred compounds of formula (I) include:
- alkyl represents a saturated or unsaturated, substituted (for example, by a halogen, hydroxyl, amino, oxygen, sulfur, or C 6-20 aryl) or unsubstituted, straight chain, branched chain hydrocarbon moiety having 1 to 10 carbon atoms and preferably from 1 to 6 carbon atoms. This chain may be interrupted by one or more heteroatom such as N, O, or S.
- amino protecting groups are well known in the field of peptide synthesis. Such protecting groups may be found in T. Greene, Protective Groups In Organic
- aryl represents a carbocyclic moiety which may be substituted by one or more heteroatom (for example N, O, or S) and containing one benzenoid-type ring preferably containing from 6 to 15 carbon atoms (for example phenyl and naphthyl).
- This carbocyclic moiety may be interrupted by one or more heteroatom such as N, O, or S.
- alkyl represents an alkyl group being
- aryl substituent for example benzyl; preferably containing from 6 to 30 carbon atoms.
- amino acid used herein includes naturally-occurring amino acids as well as non natural analogs commonly used by those skilled in the art of chemical synthesis and peptide chemistry.
- a list of non natural amino acids may be found in "The Peptides", vol. 5, 1983, Academic Press, Chapter 6 by D.C. Roberts and F. Vellaccio. It is to be noted that unless indicated otherwise, the amino acids used in the context of the present invention are those in the L-configuration.
- cycloalkyl represents cyclic hydrocarbon groups containing 3 to 12 carbon, preferably 3 to 8 carbon, which includes for example cyclopropyl, cyclobutyl, cyclohexyl, and cyclodecyl, any of which may be substituted with substituents such as halogen, amino, alkyl, and/or
- heterocycle and “heterocyclic rings” represents one or more aromatic or non-aromatic ring which includes one or more heteroatom such as nitrogen, oxygen, and sulfur and which may be substituted with substituents such as halogen, amino, alkyl, and/or hydroxy.
- the ring is 5, 6, or 7 membered.
- a compound of the invention may be administered as the raw chemical, it is preferable to present the active
- the invention thus further provides a pharmaceutical formulation comprising a compound of formula (I) and pharmaceutically acceptable acid addition salt thereof together with one or more pharmaceutically acceptable carriers therefor and, optionally, other therapeutic and/or prophylactic ingredients.
- the carrier (s) must be "acceptable” in the sense of being compatible with the other ingredients of the formulation and not deleterious to the recipient thereof.
- vascular diseases in a mammal including human, comprising the administration of an effective amount of a compound of formula (I) .
- the compounds of the present invention are useful in combinations, formulations and methods for the treatment and prophylaxis of vascular diseases. These diseases include myocardial infarction, stroke, pulmonary embolism, deep vein thrombosis, peripheral arterial occlusion, restenosis following arterial injury or invasive
- combination includes a single dosage form containing at least one compound of this invention and at least one thrombolytic agent, a multiple dosage form, wherein the thrombin inhibitor and the thrombolytic agent are administered separately, but concurrently, or a multiple dosage form wherein the two components are administered separately, but sequentially.
- the thrombin inhibitor may be given to the patient during the time period ranging from about 5 hours prior to about 5 hours after
- the thrombolytic agent is administered to the patient during the period ranging from 2 hours prior to 2 hours following administration of the thrombolytic agent.
- Thrombolytic agents which may be employed in the
- agents include, but are not limited to, tissue plasminogen activator purified from natural
- streptokinase streptokinase, urokinase, purokinase, anisolated
- ASPAC streptokinase plasminogen activator complex
- animal salivary gland plasminogen activators animal salivary gland plasminogen activators and known, biologically active derivatives of any of the above.
- composition used the object of the treatment, i.e., therapy or prophylaxis, the nature of the thrombotic disease to be treated, and the judgment of the treating physician.
- object of the treatment i.e., therapy or prophylaxis
- nature of the thrombotic disease to be treated i.e., therapy or prophylaxis
- judgment of the treating physician i.e., a preferred physician
- pharmaceutically effective daily dose of the compounds of this invention is between about l ⁇ g/kg body weight of the patient to be treated ("body weight”) and about 5 mg/kg body weight.
- compositions of the present invention comprise a dosage of between about 10 ⁇ g/kg body weight and about 500 ⁇ g/kg body weight of the compounds of this invention. It should also be understood that a daily pharmaceutically effective dose of either the compounds of this invention or the thrombolytic agent present in combinations of the
- compounds may be used in compositions and methods for coating the surfaces of invasive devices, resulting in a lower risk of clot formation or platelet activation in patients receiving such devices.
- Surfaces that may be coated with the compositions of this invention include, for example, prostheses, artificial valves, vascular grafts, stents and catheters. Methods and compositions for coating these devices are known to those of skill in the art. These include chemical cross-linking or physical adsorption of the compounds of this invention-containing compositions to the surfaces of the devices.
- compounds may be used for ex vivo thrombus imaging in a patient.
- the compounds of this invention are labeled with a radioisotope.
- the choice of radioisotope is based upon a number of well-known factors, for example, toxicity, biological 'half-life and detectability.
- Preferred radioisotopes include, but are not limited to 126 I, 123 I and 111 I. Techniques for labeling the compounds of this invention are well known in the art. Most preferably, the radioisotope is l23 I and the labeling is achieved using 123 I-Bolton-Hunter Reagent.
- the labeled thrombin inhibitor is administered to a patient and allowed to bind to the thrombin contained in a clot.
- the clot is then observed by utilizing well-known detecting means, such as a camera capable of detecting radioactivity coupled to a computer imaging system. This technique also yields images of platelet-bound thrombin and
- This invention also relates to compositions containing the compounds of this invention and methods for using such compositions in the treatment of tumor metastases .
- the efficacy of the compounds of this invention for the treatment of tumor metastases is manifested by the
- PAF platelet activation factor
- extracorporeal blood includes blood removed in line from a patient, subjected to extracorporeal
- the term also includes blood products which are stored extracorporeally for eventual administration to a patient and blood collected from a patient to be used for various assays.
- blood products include whole blood, plasma, or any blood fraction in which inhibition of coagulation is desired.
- the amount or concentration of compounds of this invention in these types of compositions is based on the volume of blood to be treated or, more preferably, its thrombin content.
- coagulation in extracorporeal blood is from about 1 ⁇ g/60 ml of extracorporeal blood to about 5 mg/60 ml of
- the compounds of this invention may also be used to inhibit clot-bound thrombin, which is believed to
- anti-thrombin agents such as heparin and low molecular weight heparin
- compositions and methods for treating neurodegenerative diseases are known to cause neurite retraction, a process suggestive of the rounding in shape changes of brain cells and implicated in neurodegenerative diseases, such as Alzheimer's disease and Parkinson's disease.
- Thrombin is known to cause neurite retraction, a process suggestive of the rounding in shape changes of brain cells and implicated in neurodegenerative diseases, such as Alzheimer's disease and Parkinson's disease.
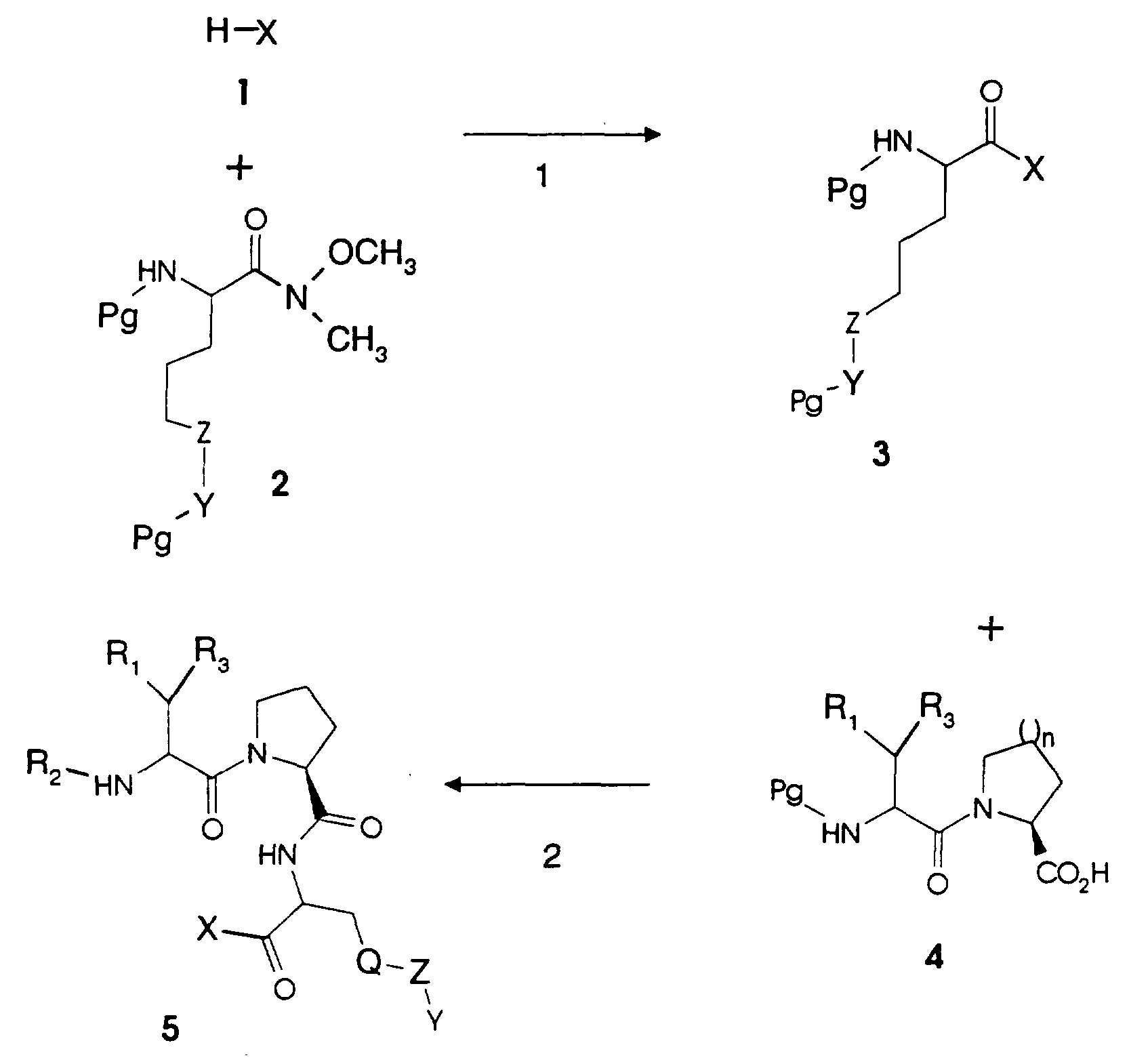
- Compounds of the present invention may be synthesized by various methods well known in the art. Suitable methods of synthesis will vary depending upon the AS and X
- the heterocyle 1 in solution was metalated with an
- Compound 2 was prepared according to procedures known in the literature and described in, for example, R.T. Shuman, et al . , "Highly Selective Tripeptide Thrombin Inhibitors", J.Med. Chem, 1993, 36, 314. The compound yielded was heterocyclic ketoarginine 3.
- Step 2
- the heterocyclic ketoarginine 3 is deprotected and coupled to the dipeptide 4 in the presence of a suitable coupling agent, solvent, and base.
- the dipeptide 4 can be
- Suitable coupling agents include BOP and isopropylchloroformate.
- Suitable solvents include DCM and DMF.
- Suitable bases include iPr2NEt and n-methyl morpholine.
- ketoargininyl 5 Suitable deprotecting agents include BBr 3 , HBr in acetic acid, and TMSI . Methods to remove the protecting groups are well known to people skilled in the art.
- Scheme I is used where Z is N.
- Scheme II is used when Z is carbon, linear carbon chain, or forms a ring with Q.
- the compounds of this invention and their intermediates may be purified during their synthesis and/or after their preparation by standard techniques well known to the skilled artisan.
- One preferred purification technique is HPLC.
- other chromatographic methods such as column chromatography may be used for purification of the compounds.
- Crystallization may also be used to purify the products as may washing with appropriate organic solvents. It is well known in the art that the amino protecting groups are not necessary for the reaction to occur. The process may be carried out without protecting groups.
- R 1 , R 2 , and R 3 groups may be substituted onto the dipeptide 4 before it is coupled to heterocyclic
- ketoarginine 3 using techniques well known in the art of peptide chemistry. Also, preferred analogues of each of the peptides or the dipeptide may be purchased with the desired R 1 , R 2 , or R 3 groups substituents already present.
- This assay was performed with a Perkin Elmer fluorometer model #LS 50B using a fluorogenix thrombin substrate (Tos- Gly-Pro-Arg-AMC.HCl) purchased from Calbiochem. Human thrombin was also obtained from Calbiochem. Measurements were determined at excitation and emission wavelengths of 383 and 455nm respectively.
- the assay was carried out in running buffer consisting of 50mM Tris, 100mM NaCl, 0.1% and Peg pH 7.8 at 24°C. Buffer, substrate and inhibitor were mixed and the reaction was initiated by adding the enzyme solution.
- Binding is the establishment of the equilibria between enzyme, inhibitor, and enzyme-inhibitor complexes. In slow binding inhibition, this equilibrium is established slowly. Equilibrium dissociation constant for compound 5 is shown in Table 1. The result is compared with known reported tripeptidyl based thrombin inhibitors.
- Fibrinogen, and buffer solution were transferred to disposable tubes and placed in a water bath for about 15 to 30 minutes before the assay to allow equilibration to 37°C.
- the cuvette-strips were incubated for 3 minutes at 37°C. A ball was dispensed to each cuvette. To the prewarmed cuvettes was added 75 ⁇ l buffer, 50 ⁇ l inhibitor solution, and 50 ⁇ l fibrinogen solution. The timer was started corresponding to the incubation column for an incubation of 60 seconds. The cuvettes were transferred to the test column area. The multipette was primed once with the start reagent (thrombin solution). The multipette was activated and 25 ⁇ l of thrombin solution was dispensed. When the clotting times were determined, they were
- the IC 50 is defined as the dose required to double the coagulation time compared to control.
Landscapes
- Chemical & Material Sciences (AREA)
- Health & Medical Sciences (AREA)
- Organic Chemistry (AREA)
- Medicinal Chemistry (AREA)
- Life Sciences & Earth Sciences (AREA)
- General Health & Medical Sciences (AREA)
- Bioinformatics & Cheminformatics (AREA)
- Chemical Kinetics & Catalysis (AREA)
- Molecular Biology (AREA)
- Proteomics, Peptides & Aminoacids (AREA)
- Biophysics (AREA)
- Engineering & Computer Science (AREA)
- Biochemistry (AREA)
- Diabetes (AREA)
- Hematology (AREA)
- Genetics & Genomics (AREA)
- General Chemical & Material Sciences (AREA)
- Nuclear Medicine, Radiotherapy & Molecular Imaging (AREA)
- Pharmacology & Pharmacy (AREA)
- Animal Behavior & Ethology (AREA)
- Public Health (AREA)
- Veterinary Medicine (AREA)
- Pharmaceuticals Containing Other Organic And Inorganic Compounds (AREA)
- Medicines That Contain Protein Lipid Enzymes And Other Medicines (AREA)
- Peptides Or Proteins (AREA)
- Plural Heterocyclic Compounds (AREA)
Abstract
Description
Claims
Priority Applications (3)
| Application Number | Priority Date | Filing Date | Title |
|---|---|---|---|
| AU42508/96A AU4250896A (en) | 1994-12-22 | 1995-12-21 | Heterocyclic keto arginine peptides as thrombin inhibitors |
| EP95940926A EP0799240A1 (en) | 1994-12-22 | 1995-12-21 | Heterocyclic keto arginine peptides as thrombin inhibitors |
| JP8519385A JPH10513151A (en) | 1994-12-22 | 1995-12-21 | Heterocyclic ketoarginine peptides as thrombin inhibitors |
Applications Claiming Priority (8)
| Application Number | Priority Date | Filing Date | Title |
|---|---|---|---|
| GBGB9426038.7A GB9426038D0 (en) | 1994-12-22 | 1994-12-22 | Low molecular weight bicyclic thrombin inhibitors |
| GB9426038.7 | 1994-12-22 | ||
| GBGB9503136.5A GB9503136D0 (en) | 1994-12-22 | 1995-02-17 | Low molecular weight bicyclic thrombin inhibitors |
| GB9503136.5 | 1995-02-17 | ||
| GB9504403.8 | 1995-03-06 | ||
| GBGB9504403.8A GB9504403D0 (en) | 1995-03-06 | 1995-03-06 | Heterocyclic keto arginine peptides as thrombin inhibitors |
| GB9504404.6 | 1995-03-06 | ||
| GBGB9504404.6A GB9504404D0 (en) | 1995-03-06 | 1995-03-06 | Heterocyclic keto arginine peptides as thrombin inhibitors |
Publications (1)
| Publication Number | Publication Date |
|---|---|
| WO1996019491A1 true WO1996019491A1 (en) | 1996-06-27 |
Family
ID=27451243
Family Applications (1)
| Application Number | Title | Priority Date | Filing Date |
|---|---|---|---|
| PCT/CA1995/000711 Ceased WO1996019491A1 (en) | 1994-12-22 | 1995-12-21 | Heterocyclic keto arginine peptides as thrombin inhibitors |
Country Status (6)
| Country | Link |
|---|---|
| EP (1) | EP0799240A1 (en) |
| JP (1) | JPH10513151A (en) |
| AU (2) | AU4250896A (en) |
| CA (1) | CA2208773A1 (en) |
| IL (1) | IL116502A0 (en) |
| WO (1) | WO1996019491A1 (en) |
Cited By (29)
| Publication number | Priority date | Publication date | Assignee | Title |
|---|---|---|---|---|
| WO1996040744A1 (en) * | 1995-06-07 | 1996-12-19 | Cor Therapeutics, Inc. | KETOHETEROCYCLIC INHIBITORS OF FACTOR Xa |
| WO1998009987A1 (en) * | 1996-09-06 | 1998-03-12 | Biochem Pharma, Inc. | Lactam inhibitors of thrombin |
| WO1998016547A1 (en) * | 1996-10-11 | 1998-04-23 | Cor Therapeutics, Inc. | SELECTIVE FACTOR Xa INHIBITORS |
| WO1998016524A1 (en) * | 1996-10-11 | 1998-04-23 | Cor Therapeutics, Inc. | HETEROCYCLIC DERIVATIVES AS FACTOR Xa INHIBITORS |
| WO1998016525A1 (en) * | 1996-10-11 | 1998-04-23 | Cor Therapeutics, Inc. | SELECTIVE FACTOR Xa INHIBITORS |
| WO1998028326A1 (en) * | 1996-12-23 | 1998-07-02 | Biochem Pharma Inc. | Bicyclic thrombin inhibitors |
| WO1998046627A1 (en) * | 1997-04-14 | 1998-10-22 | Cor Therapeutics, Inc. | SELECTIVE FACTOR Xa INHIBITORS |
| WO1998046628A1 (en) * | 1997-04-14 | 1998-10-22 | Cor Therapeutics, Inc. | SELECTIVE FACTOR Xa INHIBITORS |
| WO1998046626A1 (en) * | 1997-04-14 | 1998-10-22 | Cor Therapeutics, Inc. | SELECTIVE FACTOR Xa INHIBITORS |
| WO1999007732A1 (en) * | 1997-08-11 | 1999-02-18 | Cor Therapeutics, Inc. | SELECTIVE FACTOR Xa INHIBITORS |
| WO1999007731A1 (en) * | 1997-08-11 | 1999-02-18 | Cor Therapeutics, Inc. | SELECTIVE FACTOR Xa INHIBITORS |
| US6063794A (en) * | 1996-10-11 | 2000-05-16 | Cor Therapeutics Inc. | Selective factor Xa inhibitors |
| WO1998007308A3 (en) * | 1996-08-23 | 2000-08-24 | Akzo Nobel Nv | Thrombin inhibitors |
| US6194435B1 (en) | 1996-10-11 | 2001-02-27 | Cor Therapeutics, Inc. | Lactams as selective factor Xa inhibitors |
| US6218382B1 (en) | 1997-08-11 | 2001-04-17 | Cor Therapeutics, Inc | Selective factor Xa inhibitors |
| US6228854B1 (en) | 1997-08-11 | 2001-05-08 | Cor Therapeutics, Inc. | Selective factor Xa inhibitors |
| US6262047B1 (en) | 1996-10-11 | 2001-07-17 | Cor Therapeutics, Inc. | Selective factor Xa inhibitors |
| US6323219B1 (en) | 1998-04-02 | 2001-11-27 | Ortho-Mcneil Pharmaceutical, Inc. | Methods for treating immunomediated inflammatory disorders |
| US6333321B1 (en) | 1997-08-11 | 2001-12-25 | Cor Therapeutics, Inc. | Selective factor Xa inhibitors |
| US6369080B2 (en) | 1996-10-11 | 2002-04-09 | Cor Therapeutics, Inc. | Selective factor Xa inhibitors |
| US6469036B1 (en) | 1999-01-27 | 2002-10-22 | Ortho-Mcneil Pharmaceutical, Inc. | Peptidyl heterocyclic ketones useful as tryptase inhibitors |
| AU753842B2 (en) * | 1997-08-11 | 2002-10-31 | Millennium Pharmaceuticals, Inc. | Selective factor Xa inhibitors |
| US7192615B2 (en) | 2001-02-28 | 2007-03-20 | J&J Consumer Companies, Inc. | Compositions containing legume products |
| US7309688B2 (en) | 2000-10-27 | 2007-12-18 | Johnson & Johnson Consumer Companies | Topical anti-cancer compositions and methods of use thereof |
| US8093293B2 (en) | 1998-07-06 | 2012-01-10 | Johnson & Johnson Consumer Companies, Inc. | Methods for treating skin conditions |
| US8106094B2 (en) | 1998-07-06 | 2012-01-31 | Johnson & Johnson Consumer Companies, Inc. | Compositions and methods for treating skin conditions |
| US8263630B2 (en) | 2008-02-12 | 2012-09-11 | Bristol-Myers Squibb Company | 1,2,3-triazoles as 11-beta hydroxysteroid dehydrogenase type I inhibitors |
| US8431550B2 (en) | 2000-10-27 | 2013-04-30 | Johnson & Johnson Consumer Companies, Inc. | Topical anti-cancer compositions and methods of use thereof |
| US9173887B2 (en) | 2010-12-22 | 2015-11-03 | Abbvie Inc. | Hepatitis C inhibitors and uses thereof |
Citations (2)
| Publication number | Priority date | Publication date | Assignee | Title |
|---|---|---|---|---|
| US4191753A (en) * | 1978-11-06 | 1980-03-04 | University Of Miami | Anti-hypertensive peptide analogs |
| EP0462884A1 (en) * | 1990-06-18 | 1991-12-27 | Adir Et Compagnie | TRH derivatives, their preparations and pharmaceutical compositions containing them |
-
1995
- 1995-12-21 JP JP8519385A patent/JPH10513151A/en active Pending
- 1995-12-21 EP EP95940926A patent/EP0799240A1/en not_active Withdrawn
- 1995-12-21 CA CA002208773A patent/CA2208773A1/en not_active Abandoned
- 1995-12-21 WO PCT/CA1995/000711 patent/WO1996019491A1/en not_active Ceased
- 1995-12-21 AU AU42508/96A patent/AU4250896A/en not_active Abandoned
- 1995-12-22 AU AU40627/95A patent/AU699679B2/en not_active Ceased
- 1995-12-22 IL IL11650295A patent/IL116502A0/en unknown
Patent Citations (2)
| Publication number | Priority date | Publication date | Assignee | Title |
|---|---|---|---|---|
| US4191753A (en) * | 1978-11-06 | 1980-03-04 | University Of Miami | Anti-hypertensive peptide analogs |
| EP0462884A1 (en) * | 1990-06-18 | 1991-12-27 | Adir Et Compagnie | TRH derivatives, their preparations and pharmaceutical compositions containing them |
Cited By (38)
| Publication number | Priority date | Publication date | Assignee | Title |
|---|---|---|---|---|
| WO1996040744A1 (en) * | 1995-06-07 | 1996-12-19 | Cor Therapeutics, Inc. | KETOHETEROCYCLIC INHIBITORS OF FACTOR Xa |
| US6197748B1 (en) | 1995-06-07 | 2001-03-06 | Cor Therapeutics, Inc. | Ketoheterocyclic inhibitors of factor Xa |
| WO1998007308A3 (en) * | 1996-08-23 | 2000-08-24 | Akzo Nobel Nv | Thrombin inhibitors |
| WO1998009987A1 (en) * | 1996-09-06 | 1998-03-12 | Biochem Pharma, Inc. | Lactam inhibitors of thrombin |
| WO1998016525A1 (en) * | 1996-10-11 | 1998-04-23 | Cor Therapeutics, Inc. | SELECTIVE FACTOR Xa INHIBITORS |
| US6194435B1 (en) | 1996-10-11 | 2001-02-27 | Cor Therapeutics, Inc. | Lactams as selective factor Xa inhibitors |
| WO1998016547A1 (en) * | 1996-10-11 | 1998-04-23 | Cor Therapeutics, Inc. | SELECTIVE FACTOR Xa INHIBITORS |
| US6369080B2 (en) | 1996-10-11 | 2002-04-09 | Cor Therapeutics, Inc. | Selective factor Xa inhibitors |
| WO1998016524A1 (en) * | 1996-10-11 | 1998-04-23 | Cor Therapeutics, Inc. | HETEROCYCLIC DERIVATIVES AS FACTOR Xa INHIBITORS |
| US6525076B1 (en) | 1996-10-11 | 2003-02-25 | Millennium Pharmaceuticals, Inc. | Selective factor Xa inhibitors |
| US6262047B1 (en) | 1996-10-11 | 2001-07-17 | Cor Therapeutics, Inc. | Selective factor Xa inhibitors |
| US6063794A (en) * | 1996-10-11 | 2000-05-16 | Cor Therapeutics Inc. | Selective factor Xa inhibitors |
| WO1998028326A1 (en) * | 1996-12-23 | 1998-07-02 | Biochem Pharma Inc. | Bicyclic thrombin inhibitors |
| US6369063B1 (en) | 1997-04-14 | 2002-04-09 | Cor Therapeutics, Inc. | Selective factor Xa inhibitors |
| US6133256A (en) * | 1997-04-14 | 2000-10-17 | Cor Therapeutics Inc | Selective factor Xa inhibitors |
| WO1998046626A1 (en) * | 1997-04-14 | 1998-10-22 | Cor Therapeutics, Inc. | SELECTIVE FACTOR Xa INHIBITORS |
| US6204268B1 (en) | 1997-04-14 | 2001-03-20 | Cor Therapeutics, Inc | Selective factor Xa inhibitors |
| WO1998046628A1 (en) * | 1997-04-14 | 1998-10-22 | Cor Therapeutics, Inc. | SELECTIVE FACTOR Xa INHIBITORS |
| WO1998046627A1 (en) * | 1997-04-14 | 1998-10-22 | Cor Therapeutics, Inc. | SELECTIVE FACTOR Xa INHIBITORS |
| US6228854B1 (en) | 1997-08-11 | 2001-05-08 | Cor Therapeutics, Inc. | Selective factor Xa inhibitors |
| US6333321B1 (en) | 1997-08-11 | 2001-12-25 | Cor Therapeutics, Inc. | Selective factor Xa inhibitors |
| US6218382B1 (en) | 1997-08-11 | 2001-04-17 | Cor Therapeutics, Inc | Selective factor Xa inhibitors |
| WO1999007731A1 (en) * | 1997-08-11 | 1999-02-18 | Cor Therapeutics, Inc. | SELECTIVE FACTOR Xa INHIBITORS |
| AU753842B2 (en) * | 1997-08-11 | 2002-10-31 | Millennium Pharmaceuticals, Inc. | Selective factor Xa inhibitors |
| WO1999007732A1 (en) * | 1997-08-11 | 1999-02-18 | Cor Therapeutics, Inc. | SELECTIVE FACTOR Xa INHIBITORS |
| US6323219B1 (en) | 1998-04-02 | 2001-11-27 | Ortho-Mcneil Pharmaceutical, Inc. | Methods for treating immunomediated inflammatory disorders |
| US8093293B2 (en) | 1998-07-06 | 2012-01-10 | Johnson & Johnson Consumer Companies, Inc. | Methods for treating skin conditions |
| US8106094B2 (en) | 1998-07-06 | 2012-01-31 | Johnson & Johnson Consumer Companies, Inc. | Compositions and methods for treating skin conditions |
| US6469036B1 (en) | 1999-01-27 | 2002-10-22 | Ortho-Mcneil Pharmaceutical, Inc. | Peptidyl heterocyclic ketones useful as tryptase inhibitors |
| US7132418B2 (en) | 1999-01-27 | 2006-11-07 | Ortho-Mcneil Pharmaceutical, Inc. | Peptidyl heterocyclic ketones useful as tryptase inhibitors |
| US7309688B2 (en) | 2000-10-27 | 2007-12-18 | Johnson & Johnson Consumer Companies | Topical anti-cancer compositions and methods of use thereof |
| US8431550B2 (en) | 2000-10-27 | 2013-04-30 | Johnson & Johnson Consumer Companies, Inc. | Topical anti-cancer compositions and methods of use thereof |
| US7897144B2 (en) | 2001-02-28 | 2011-03-01 | Johnson & Johnson Comsumer Companies, Inc. | Compositions containing legume products |
| US7192615B2 (en) | 2001-02-28 | 2007-03-20 | J&J Consumer Companies, Inc. | Compositions containing legume products |
| US8263630B2 (en) | 2008-02-12 | 2012-09-11 | Bristol-Myers Squibb Company | 1,2,3-triazoles as 11-beta hydroxysteroid dehydrogenase type I inhibitors |
| US9173887B2 (en) | 2010-12-22 | 2015-11-03 | Abbvie Inc. | Hepatitis C inhibitors and uses thereof |
| US9453007B2 (en) | 2010-12-22 | 2016-09-27 | Abbvie Inc. | Hepatitis C inhibitors and uses thereof |
| US9567355B2 (en) | 2010-12-22 | 2017-02-14 | Abbvie Inc. | Hepatitis C inhibitors and uses thereof |
Also Published As
| Publication number | Publication date |
|---|---|
| JPH10513151A (en) | 1998-12-15 |
| EP0799240A1 (en) | 1997-10-08 |
| AU4250896A (en) | 1996-07-10 |
| CA2208773A1 (en) | 1996-06-27 |
| MX9704594A (en) | 1998-07-31 |
| IL116502A0 (en) | 1996-03-31 |
| AU699679B2 (en) | 1998-12-10 |
| AU4062795A (en) | 1996-06-27 |
Similar Documents
| Publication | Publication Date | Title |
|---|---|---|
| AU699679B2 (en) | Heterocyclic keto arginine peptides as thrombin inhibitors | |
| US6060451A (en) | Thrombin inhibitors based on the amino acid sequence of hirudin | |
| JP4537581B2 (en) | Factor VIIa inhibitor | |
| US5371072A (en) | Asp-Pro-Arg α-keto-amide enzyme inhibitors | |
| CZ189997A3 (en) | Bicyclic compounds, process of their preparation and pharmaceutical composition based thereon | |
| WO1991001331A1 (en) | Small cyclic platelet aggregation inhibitors | |
| WO1996032110A1 (en) | Thrombin inhibitors | |
| JP2000505437A (en) | Serine protease inhibitor | |
| Markwardt | Historical perspective of the development of thrombin inhibitors | |
| Wiley et al. | D-Phe-Pro-p-amidinobenzylamine: A potent and highly selective thrombin inhibitor | |
| US5612369A (en) | Thrombin inhibitors | |
| HRP20010912A2 (en) | FACTOR VIIa INHIBITORS | |
| EP0846120A1 (en) | Low molecular weight bicyclic-area type thrombin inhibitors | |
| WO1998028326A1 (en) | Bicyclic thrombin inhibitors | |
| WO1998028326A9 (en) | Bicyclic thrombin inhibitors | |
| MXPA97004594A (en) | Heterociclic peptides of the ceto-arginine, asinhibitors of the tromb | |
| US6057314A (en) | Low molecular weight bicyclic thrombin inhibitors | |
| JP3580535B2 (en) | Prodrugs of thrombin inhibitors | |
| WO1996030407A1 (en) | Bifunctional thrombin inhibitors bearing highly truncated fibrinogen recognition exosite binding component | |
| LT4368B (en) | Low molecular weight bicyclic thrombin inhibitors | |
| HK1005511B (en) | Thrombin inhibitors based on the amino acid sequence of hirudin |
Legal Events
| Date | Code | Title | Description |
|---|---|---|---|
| AK | Designated states |
Kind code of ref document: A1 Designated state(s): AL AM AT AU BB BG BR BY CA CH CN CZ DE DK EE ES FI GB GE HU IS JP KE KG KP KR KZ LK LR LS LT LU LV MD MG MK MN MW MX NO NZ PL PT RO RU SD SE SG SI SK TJ TM TT UA UG US UZ VN |
|
| AL | Designated countries for regional patents |
Kind code of ref document: A1 Designated state(s): KE LS MW SD SZ UG AT BE CH DE DK ES FR GB GR IE IT LU MC NL PT SE BF BJ CF CG CI CM GA GN ML MR NE SN TD TG |
|
| DFPE | Request for preliminary examination filed prior to expiration of 19th month from priority date (pct application filed before 20040101) | ||
| 121 | Ep: the epo has been informed by wipo that ep was designated in this application | ||
| WWE | Wipo information: entry into national phase |
Ref document number: PA/a/1997/004594 Country of ref document: MX |
|
| ENP | Entry into the national phase |
Ref document number: 2208773 Country of ref document: CA Kind code of ref document: A Ref document number: 2208773 Country of ref document: CA |
|
| ENP | Entry into the national phase |
Ref document number: 1996 519385 Country of ref document: JP Kind code of ref document: A |
|
| WWE | Wipo information: entry into national phase |
Ref document number: 1995940926 Country of ref document: EP |
|
| WWP | Wipo information: published in national office |
Ref document number: 1995940926 Country of ref document: EP |
|
| REG | Reference to national code |
Ref country code: DE Ref legal event code: 8642 |
|
| WWW | Wipo information: withdrawn in national office |
Ref document number: 1995940926 Country of ref document: EP |































