WO1997011057A1 - Arthropodicidal 1,4-dihydropyridines and 1,4-dihydropyrimidines - Google Patents
Arthropodicidal 1,4-dihydropyridines and 1,4-dihydropyrimidines Download PDFInfo
- Publication number
- WO1997011057A1 WO1997011057A1 PCT/US1996/013092 US9613092W WO9711057A1 WO 1997011057 A1 WO1997011057 A1 WO 1997011057A1 US 9613092 W US9613092 W US 9613092W WO 9711057 A1 WO9711057 A1 WO 9711057A1
- Authority
- WO
- WIPO (PCT)
- Prior art keywords
- alkyl
- optionally substituted
- haloalkyl
- och
- taken together
- Prior art date
- Legal status (The legal status is an assumption and is not a legal conclusion. Google has not performed a legal analysis and makes no representation as to the accuracy of the status listed.)
- Ceased
Links
- 0 CC(*)(*1)C(C#N)=C(N(*)*)N(*)C1=** Chemical compound CC(*)(*1)C(C#N)=C(N(*)*)N(*)C1=** 0.000 description 2
Classifications
-
- C—CHEMISTRY; METALLURGY
- C07—ORGANIC CHEMISTRY
- C07D—HETEROCYCLIC COMPOUNDS
- C07D221/00—Heterocyclic compounds containing six-membered rings having one nitrogen atom as the only ring hetero atom, not provided for by groups C07D211/00 - C07D219/00
- C07D221/02—Heterocyclic compounds containing six-membered rings having one nitrogen atom as the only ring hetero atom, not provided for by groups C07D211/00 - C07D219/00 condensed with carbocyclic rings or ring systems
- C07D221/04—Ortho- or peri-condensed ring systems
-
- A—HUMAN NECESSITIES
- A01—AGRICULTURE; FORESTRY; ANIMAL HUSBANDRY; HUNTING; TRAPPING; FISHING
- A01N—PRESERVATION OF BODIES OF HUMANS OR ANIMALS OR PLANTS OR PARTS THEREOF; BIOCIDES, e.g. AS DISINFECTANTS, AS PESTICIDES OR AS HERBICIDES; PEST REPELLANTS OR ATTRACTANTS; PLANT GROWTH REGULATORS
- A01N43/00—Biocides, pest repellants or attractants, or plant growth regulators containing heterocyclic compounds
- A01N43/34—Biocides, pest repellants or attractants, or plant growth regulators containing heterocyclic compounds having rings with one nitrogen atom as the only ring hetero atom
- A01N43/40—Biocides, pest repellants or attractants, or plant growth regulators containing heterocyclic compounds having rings with one nitrogen atom as the only ring hetero atom six-membered rings
-
- A—HUMAN NECESSITIES
- A01—AGRICULTURE; FORESTRY; ANIMAL HUSBANDRY; HUNTING; TRAPPING; FISHING
- A01N—PRESERVATION OF BODIES OF HUMANS OR ANIMALS OR PLANTS OR PARTS THEREOF; BIOCIDES, e.g. AS DISINFECTANTS, AS PESTICIDES OR AS HERBICIDES; PEST REPELLANTS OR ATTRACTANTS; PLANT GROWTH REGULATORS
- A01N43/00—Biocides, pest repellants or attractants, or plant growth regulators containing heterocyclic compounds
- A01N43/34—Biocides, pest repellants or attractants, or plant growth regulators containing heterocyclic compounds having rings with one nitrogen atom as the only ring hetero atom
- A01N43/40—Biocides, pest repellants or attractants, or plant growth regulators containing heterocyclic compounds having rings with one nitrogen atom as the only ring hetero atom six-membered rings
- A01N43/42—Biocides, pest repellants or attractants, or plant growth regulators containing heterocyclic compounds having rings with one nitrogen atom as the only ring hetero atom six-membered rings condensed with carbocyclic rings
-
- A—HUMAN NECESSITIES
- A01—AGRICULTURE; FORESTRY; ANIMAL HUSBANDRY; HUNTING; TRAPPING; FISHING
- A01N—PRESERVATION OF BODIES OF HUMANS OR ANIMALS OR PLANTS OR PARTS THEREOF; BIOCIDES, e.g. AS DISINFECTANTS, AS PESTICIDES OR AS HERBICIDES; PEST REPELLANTS OR ATTRACTANTS; PLANT GROWTH REGULATORS
- A01N43/00—Biocides, pest repellants or attractants, or plant growth regulators containing heterocyclic compounds
- A01N43/48—Biocides, pest repellants or attractants, or plant growth regulators containing heterocyclic compounds having rings with two nitrogen atoms as the only ring hetero atoms
- A01N43/54—1,3-Diazines; Hydrogenated 1,3-diazines
-
- A—HUMAN NECESSITIES
- A01—AGRICULTURE; FORESTRY; ANIMAL HUSBANDRY; HUNTING; TRAPPING; FISHING
- A01N—PRESERVATION OF BODIES OF HUMANS OR ANIMALS OR PLANTS OR PARTS THEREOF; BIOCIDES, e.g. AS DISINFECTANTS, AS PESTICIDES OR AS HERBICIDES; PEST REPELLANTS OR ATTRACTANTS; PLANT GROWTH REGULATORS
- A01N43/00—Biocides, pest repellants or attractants, or plant growth regulators containing heterocyclic compounds
- A01N43/48—Biocides, pest repellants or attractants, or plant growth regulators containing heterocyclic compounds having rings with two nitrogen atoms as the only ring hetero atoms
- A01N43/56—1,2-Diazoles; Hydrogenated 1,2-diazoles
-
- A—HUMAN NECESSITIES
- A01—AGRICULTURE; FORESTRY; ANIMAL HUSBANDRY; HUNTING; TRAPPING; FISHING
- A01N—PRESERVATION OF BODIES OF HUMANS OR ANIMALS OR PLANTS OR PARTS THEREOF; BIOCIDES, e.g. AS DISINFECTANTS, AS PESTICIDES OR AS HERBICIDES; PEST REPELLANTS OR ATTRACTANTS; PLANT GROWTH REGULATORS
- A01N43/00—Biocides, pest repellants or attractants, or plant growth regulators containing heterocyclic compounds
- A01N43/72—Biocides, pest repellants or attractants, or plant growth regulators containing heterocyclic compounds having rings with nitrogen atoms and oxygen or sulfur atoms as ring hetero atoms
- A01N43/74—Biocides, pest repellants or attractants, or plant growth regulators containing heterocyclic compounds having rings with nitrogen atoms and oxygen or sulfur atoms as ring hetero atoms five-membered rings with one nitrogen atom and either one oxygen atom or one sulfur atom in positions 1,3
- A01N43/76—1,3-Oxazoles; Hydrogenated 1,3-oxazoles
-
- A—HUMAN NECESSITIES
- A01—AGRICULTURE; FORESTRY; ANIMAL HUSBANDRY; HUNTING; TRAPPING; FISHING
- A01N—PRESERVATION OF BODIES OF HUMANS OR ANIMALS OR PLANTS OR PARTS THEREOF; BIOCIDES, e.g. AS DISINFECTANTS, AS PESTICIDES OR AS HERBICIDES; PEST REPELLANTS OR ATTRACTANTS; PLANT GROWTH REGULATORS
- A01N43/00—Biocides, pest repellants or attractants, or plant growth regulators containing heterocyclic compounds
- A01N43/72—Biocides, pest repellants or attractants, or plant growth regulators containing heterocyclic compounds having rings with nitrogen atoms and oxygen or sulfur atoms as ring hetero atoms
- A01N43/80—Biocides, pest repellants or attractants, or plant growth regulators containing heterocyclic compounds having rings with nitrogen atoms and oxygen or sulfur atoms as ring hetero atoms five-membered rings with one nitrogen atom and either one oxygen atom or one sulfur atom in positions 1,2
-
- A—HUMAN NECESSITIES
- A01—AGRICULTURE; FORESTRY; ANIMAL HUSBANDRY; HUNTING; TRAPPING; FISHING
- A01N—PRESERVATION OF BODIES OF HUMANS OR ANIMALS OR PLANTS OR PARTS THEREOF; BIOCIDES, e.g. AS DISINFECTANTS, AS PESTICIDES OR AS HERBICIDES; PEST REPELLANTS OR ATTRACTANTS; PLANT GROWTH REGULATORS
- A01N43/00—Biocides, pest repellants or attractants, or plant growth regulators containing heterocyclic compounds
- A01N43/72—Biocides, pest repellants or attractants, or plant growth regulators containing heterocyclic compounds having rings with nitrogen atoms and oxygen or sulfur atoms as ring hetero atoms
- A01N43/82—Biocides, pest repellants or attractants, or plant growth regulators containing heterocyclic compounds having rings with nitrogen atoms and oxygen or sulfur atoms as ring hetero atoms five-membered rings with three ring hetero atoms
-
- A—HUMAN NECESSITIES
- A01—AGRICULTURE; FORESTRY; ANIMAL HUSBANDRY; HUNTING; TRAPPING; FISHING
- A01N—PRESERVATION OF BODIES OF HUMANS OR ANIMALS OR PLANTS OR PARTS THEREOF; BIOCIDES, e.g. AS DISINFECTANTS, AS PESTICIDES OR AS HERBICIDES; PEST REPELLANTS OR ATTRACTANTS; PLANT GROWTH REGULATORS
- A01N43/00—Biocides, pest repellants or attractants, or plant growth regulators containing heterocyclic compounds
- A01N43/90—Biocides, pest repellants or attractants, or plant growth regulators containing heterocyclic compounds having two or more relevant hetero rings, condensed among themselves or with a common carbocyclic ring system
-
- A—HUMAN NECESSITIES
- A01—AGRICULTURE; FORESTRY; ANIMAL HUSBANDRY; HUNTING; TRAPPING; FISHING
- A01N—PRESERVATION OF BODIES OF HUMANS OR ANIMALS OR PLANTS OR PARTS THEREOF; BIOCIDES, e.g. AS DISINFECTANTS, AS PESTICIDES OR AS HERBICIDES; PEST REPELLANTS OR ATTRACTANTS; PLANT GROWTH REGULATORS
- A01N47/00—Biocides, pest repellants or attractants, or plant growth regulators containing organic compounds containing a carbon atom not being member of a ring and having no bond to a carbon or hydrogen atom, e.g. derivatives of carbonic acid
- A01N47/08—Biocides, pest repellants or attractants, or plant growth regulators containing organic compounds containing a carbon atom not being member of a ring and having no bond to a carbon or hydrogen atom, e.g. derivatives of carbonic acid the carbon atom having one or more single bonds to nitrogen atoms
- A01N47/10—Carbamic acid derivatives, i.e. containing the group —O—CO—N<; Thio analogues thereof
- A01N47/18—Carbamic acid derivatives, i.e. containing the group —O—CO—N<; Thio analogues thereof containing a —O—CO—N< group, or a thio analogue thereof, directly attached to a heterocyclic or cycloaliphatic ring
-
- A—HUMAN NECESSITIES
- A01—AGRICULTURE; FORESTRY; ANIMAL HUSBANDRY; HUNTING; TRAPPING; FISHING
- A01N—PRESERVATION OF BODIES OF HUMANS OR ANIMALS OR PLANTS OR PARTS THEREOF; BIOCIDES, e.g. AS DISINFECTANTS, AS PESTICIDES OR AS HERBICIDES; PEST REPELLANTS OR ATTRACTANTS; PLANT GROWTH REGULATORS
- A01N47/00—Biocides, pest repellants or attractants, or plant growth regulators containing organic compounds containing a carbon atom not being member of a ring and having no bond to a carbon or hydrogen atom, e.g. derivatives of carbonic acid
- A01N47/08—Biocides, pest repellants or attractants, or plant growth regulators containing organic compounds containing a carbon atom not being member of a ring and having no bond to a carbon or hydrogen atom, e.g. derivatives of carbonic acid the carbon atom having one or more single bonds to nitrogen atoms
- A01N47/28—Ureas or thioureas containing the groups >N—CO—N< or >N—CS—N<
- A01N47/36—Ureas or thioureas containing the groups >N—CO—N< or >N—CS—N< containing the group >N—CO—N< directly attached to at least one heterocyclic ring; Thio analogues thereof
-
- C—CHEMISTRY; METALLURGY
- C07—ORGANIC CHEMISTRY
- C07D—HETEROCYCLIC COMPOUNDS
- C07D211/00—Heterocyclic compounds containing hydrogenated pyridine rings, not condensed with other rings
- C07D211/04—Heterocyclic compounds containing hydrogenated pyridine rings, not condensed with other rings with only hydrogen or carbon atoms directly attached to the ring nitrogen atom
- C07D211/80—Heterocyclic compounds containing hydrogenated pyridine rings, not condensed with other rings with only hydrogen or carbon atoms directly attached to the ring nitrogen atom having two double bonds between ring members or between ring members and non-ring members
- C07D211/84—Heterocyclic compounds containing hydrogenated pyridine rings, not condensed with other rings with only hydrogen or carbon atoms directly attached to the ring nitrogen atom having two double bonds between ring members or between ring members and non-ring members with hetero atoms or with carbon atoms having three bonds to hetero atoms, with at the most one bond to halogen directly attached to ring carbon atoms
- C07D211/90—Carbon atoms having three bonds to hetero atoms with at the most one bond to halogen
-
- C—CHEMISTRY; METALLURGY
- C07—ORGANIC CHEMISTRY
- C07D—HETEROCYCLIC COMPOUNDS
- C07D215/00—Heterocyclic compounds containing quinoline or hydrogenated quinoline ring systems
- C07D215/02—Heterocyclic compounds containing quinoline or hydrogenated quinoline ring systems having no bond between the ring nitrogen atom and a non-ring member or having only hydrogen atoms or carbon atoms directly attached to the ring nitrogen atom
- C07D215/16—Heterocyclic compounds containing quinoline or hydrogenated quinoline ring systems having no bond between the ring nitrogen atom and a non-ring member or having only hydrogen atoms or carbon atoms directly attached to the ring nitrogen atom with hetero atoms or with carbon atoms having three bonds to hetero atoms with at the most one bond to halogen, e.g. ester or nitrile radicals, directly attached to ring carbon atoms
- C07D215/48—Carbon atoms having three bonds to hetero atoms with at the most one bond to halogen
- C07D215/54—Carbon atoms having three bonds to hetero atoms with at the most one bond to halogen attached in position 3
-
- C—CHEMISTRY; METALLURGY
- C07—ORGANIC CHEMISTRY
- C07D—HETEROCYCLIC COMPOUNDS
- C07D239/00—Heterocyclic compounds containing 1,3-diazine or hydrogenated 1,3-diazine rings
- C07D239/02—Heterocyclic compounds containing 1,3-diazine or hydrogenated 1,3-diazine rings not condensed with other rings
- C07D239/20—Heterocyclic compounds containing 1,3-diazine or hydrogenated 1,3-diazine rings not condensed with other rings having two double bonds between ring members or between ring members and non-ring members
- C07D239/22—Heterocyclic compounds containing 1,3-diazine or hydrogenated 1,3-diazine rings not condensed with other rings having two double bonds between ring members or between ring members and non-ring members with hetero atoms directly attached to ring carbon atoms
-
- C—CHEMISTRY; METALLURGY
- C07—ORGANIC CHEMISTRY
- C07D—HETEROCYCLIC COMPOUNDS
- C07D401/00—Heterocyclic compounds containing two or more hetero rings, having nitrogen atoms as the only ring hetero atoms, at least one ring being a six-membered ring with only one nitrogen atom
- C07D401/02—Heterocyclic compounds containing two or more hetero rings, having nitrogen atoms as the only ring hetero atoms, at least one ring being a six-membered ring with only one nitrogen atom containing two hetero rings
- C07D401/04—Heterocyclic compounds containing two or more hetero rings, having nitrogen atoms as the only ring hetero atoms, at least one ring being a six-membered ring with only one nitrogen atom containing two hetero rings directly linked by a ring-member-to-ring-member bond
-
- C—CHEMISTRY; METALLURGY
- C07—ORGANIC CHEMISTRY
- C07D—HETEROCYCLIC COMPOUNDS
- C07D405/00—Heterocyclic compounds containing both one or more hetero rings having oxygen atoms as the only ring hetero atoms, and one or more rings having nitrogen as the only ring hetero atom
- C07D405/02—Heterocyclic compounds containing both one or more hetero rings having oxygen atoms as the only ring hetero atoms, and one or more rings having nitrogen as the only ring hetero atom containing two hetero rings
- C07D405/04—Heterocyclic compounds containing both one or more hetero rings having oxygen atoms as the only ring hetero atoms, and one or more rings having nitrogen as the only ring hetero atom containing two hetero rings directly linked by a ring-member-to-ring-member bond
-
- C—CHEMISTRY; METALLURGY
- C07—ORGANIC CHEMISTRY
- C07D—HETEROCYCLIC COMPOUNDS
- C07D409/00—Heterocyclic compounds containing two or more hetero rings, at least one ring having sulfur atoms as the only ring hetero atoms
- C07D409/02—Heterocyclic compounds containing two or more hetero rings, at least one ring having sulfur atoms as the only ring hetero atoms containing two hetero rings
- C07D409/04—Heterocyclic compounds containing two or more hetero rings, at least one ring having sulfur atoms as the only ring hetero atoms containing two hetero rings directly linked by a ring-member-to-ring-member bond
-
- C—CHEMISTRY; METALLURGY
- C07—ORGANIC CHEMISTRY
- C07D—HETEROCYCLIC COMPOUNDS
- C07D487/00—Heterocyclic compounds containing nitrogen atoms as the only ring hetero atoms in the condensed system, not provided for by groups C07D451/00 - C07D477/00
- C07D487/02—Heterocyclic compounds containing nitrogen atoms as the only ring hetero atoms in the condensed system, not provided for by groups C07D451/00 - C07D477/00 in which the condensed system contains two hetero rings
- C07D487/04—Ortho-condensed systems
Definitions
- This invention relates to arthropodicidal 1,4-dihydropyridines and
- 1,4-dihydropyrimidines 1,4-dihydropyrimidines, compositions containing them and methods for controlling arthropods.
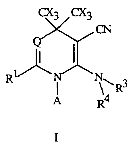
- This invention provides compounds of Formula I or Formula II or mixtures of compounds of Formula I and II including all geometric and stereoisomers, agriculturally suitable salts thereof, agricultural compositions containing them, and methods for using them for the control of arthropods in both agronomic and non-agronomic uses.
- Q is N or CR 2 ;
- Q 1 is N or CH
- Q 2 is NR 2 or CR 2 ; and when Q 2 is NR 2 , then R 2 and R 10 can be taken together as C 2 -C 3 alkylene;
- A is H; C 1 -C 12 alkyl optionally substituted with 1 to 3 substituents selected from halogen, CN or NO 2 ; C 1 -C 4 alkoxy; C 1 -C 2 haloalkoxy; C 1 -C 4 alkylthio; C 1 -C 2 haloalkylthio; C 1 -C 4 alkylsulfinyl; C 1 -C 2 haloalkylsulfinyl; C 1 -C 4 alkylsulfonyl; C 1 -C 2 haloalkylsulfonyl; C 3 -C 6 cycloalkyl optionally substituted with W; or A is selected from the group
- R 1 is selected from the group hydrogen; halogen; C 1 -C 4 alkyl optionally
- R 2 is selected from the group hydrogen; halogen; C 1 -C 4 alkyl optionally
- R 1 and R 2 can be taken together as C 2 -C 4 alkylene, ,
- R 3 and R 4 are each independently hydrogen, C 1 -C 4 alkyl, C 2 -C 5 alkylcarbonyl, C 2 -C 5 alkoxycarbonyl,
- each R 5 is independently selected from the group C 1 -C 10 alkyl, C 1 -C 10 haloalkyl, C 2 -C 10 alkenyl, C 2 -C 10 haloalkenyl, halogen, CN, SCN, NO 2 , OR 6 , SR 6 , S(O)R 6 , S(O) 2 R 6 , OS(O) 2 R 6 , CO 2 R 6 , C(O)R 6 , C(O)N(R 7 ) 2 , SO 2 N(R 7 ) 2 and N(R 7 )SO 2 R 6 ; or when m is 2 or 3, then two adjacent R 5 can be taken together as -OCH 2 O-, -OCH 2 CH 2 O-, -OCH 2 C(CH 3 ) 2 O-, -OCF 2 O-, or -OCF 2 CF 2 O- to form a cyclic bridge between adjacent atoms on the same aromatic ring;
- R 6 is selected from the group C 1 -C 4 alkyl, C 3 -C 4 alkenyl, C 3 -C 4 alkynyl, and C 1 -C 4 haloalkyl;
- R 7 is selected from the group H, C 1 -C 4 alkyl, C 3 -C 4 alkenyl and C 3 -C 4 alkynyl or
- R 6 and R 7 when attached to the same atom, can be taken together as -(CH 2 ) 4 -, -(CH 2 ) 5 -, and -CH 2 CH 2 OCH 2 CH 2 -;
- R 8 is selected from hydrogen; C 1 -C 6 alkyl; C 3 -C 6 alkenyl; C 1 -C 6 haloalkyl; C 3 -C 6 haloalkenyl; and phenyl or benzyl each optionally substituted with W;
- R 9 is selected from hydrogen; C 1 -C 6 alkyl; C 3 -C 6 alkenyl; C 1 -C 6 haloalkyl; C 3 -C 6 haloalkenyl; NR 11 R 12 ; OR 11 ; and phenyl or benzyl each optionally substituted with W; or R 8 and R 9 can be taken together as C 2 -C 5 cycloalkyl, or C 2 -C 5 halocycloalkyl;
- R 10 is selected from the group H; halogen; C 1 -C 3 haloalkyl; C 2 -C 5
- alkoxycarbonyl and C 1 -C 3 alkyl optionally substituted with 1 to 2 substituents selected from Y; or R 10 and R 2 can be taken together as C 2 -C 4 alkylene;
- R 1 1 is C 1 -C 4 alkyl
- R 12 is C 1 -C 4 alkyl
- W is selected from the group halogen, CN, NO 2 , C 1 -C 2 alkyl, C 1 -C 2 haloalkyl, C 1 -C 2 alkoxy, C 1 -C 2 haloalkoxy, C 1 -C 2 alkylthio, C 1 -C 2 haloalkylthio, C 1 -C 2 alkylsulfonyl and C 1 -C 2 haloalkylsulfonyl;
- each X is independently selected from F and Cl;
- Y is C 1 -C 4 alkoxy; C 1 -C 4 alkylthio; C 1 -C 4 alkylsulfinyl; C 1 -C 4 alkylsulfonyl;
- n 0, 1, 2 or 3;
- n 0, 1, or 2.
- the invention also provides novel compounds useful for the control of arthropodsh agronomic and non-agronomic uses; in particular the compounds of Formula I oruding all geometric and stereoisomers as defined above, provided that:
- R 5 is other than 4-CH 3 , 4-Cl, 4-F, 3-NO 2 , 4-CO 2 H or 2-CO 2 H, when m is 2, R 5 is other than 3,4-di-OCH 3 , and when m is 3, R 5 is other than
- R 5 is other than 2-CO 2 CH 3 or 4-OCH 3 , and when m is 2, R 5 is other than 3,4-di-OCH 3 or 2,6-di-CH 3 ;
- R 5 is other than 4-F
- R 5 is other than 4-F.
- alkyl used either alone or in compound words such as “alkylthio” or “haloalkyl”, denotes straight chain or branched alkyl, e.g., methyl, ethyl, n-propyl, isopropyl or the different butyl, pentyl, hexyl isomers.
- Alkylene denotes straight chain saturated groups containing two bonds (e.g., -CH 2 CH 2 CH 2 -).
- Alkoxy denotes methoxy, ethoxy, n-propyloxy, isopropyloxy and the different butoxy isomers.
- Alkenyl denotes straight chain or branched alkenes, e.g., vinyl, 1-propenyl, 2-propenyl, 3-propenyl and the different butenyl, pentenyl and hexenyl isomers.
- Alkynyl denotes straight chain or branched alkynes, e.g., ethynyl, 1-propynyl, 3-propynyl and the different butynyl, pentynyl and hexynyl isomers.
- Alkylthio denotes methylthio, ethylthio and the different propylthio and butylthio isomers.
- Alkylsulfinyl, alkylsulfonyl, etc. are defined analogously to the above examples.
- Cycloalkyl denotes cyclopropyl, cyclobutyl, cyclopentyl and cyclohexyl.
- halogen either alone or in compound words such as “haloalkyl”, denotes fluorine, chlorine, bromine or iodine. Further, when used in compound words such as “haloalkyl” said alkyl may be partially or fully substituted with halogen atoms, which may be the same or different. Examples of haloalkyl include CH 2 CH 2 F, CF 2 CF 3 and CH 2 CHFCl.
- halocycloalkyl “haloalkenyl” and “haloalkynyl” are defined analogously to the term “haloalkyl”.
- C i -C j The total number of carbon atoms in a substituent group is indicated by the "C i -C j " prefix where i and j are numbers from 1 to 8.
- C 1 -C 3 alkylsulfonyl designates methylsulfonyl and the various isomers through propylsulfonyl;
- C 2 alkylcarbonyl designates C(O)CH 3 and C 4 alkylcarbonyl includes C(O)CH 2 CH 2 CH 3 and C(O)CH(CH 3 ) 2 ; and as a final example, C 3 alkoxycarbonylalkyl designates
- CH 2 CO 2 CH 3 and C 4 alkoxycarbonylalkyl includes CH 2 CH 2 CO 2 CH 3 , CH 2 CO 2 CH 2 CH 3 and CH(CH 3 )CO 2 CH 3 .
- Examples of 5 or 6 membered heterocyclic rings of R 1 in the recitation above include:
- Preferred agricultural compositions are those containing compounds of Formula I or II or mixtures of compounds of Formula I and II wherein: ,
- R 3 and R 4 are each H, C 2 -C 5 alkylcarbonyl, C 2 -C 5 alkoxycarbonyl or R 3 and R 4 can be taken together as ;
- R 5 is halogen, C 1 -C 2 alkyl, C 1 -C 2 haloalkyl, OR 6 , SR 6 , S(O)R 6 , S(O) 2 R 6 , or CN;
- R 6 is C 1 -C 2 haloalkyl; or C 1 -C 2 alkyl;
- R 8 is H or CH 3 ;
- R 9 is N(CH 3 ) 2 , OCH 3 or OC 2 H 5 ;
- R 10 is H, C 1 -C 3 alkyl, or C 2 -C 5 alkoxycarbonyl
- each X is F
- n 1, 2 or 3;
- n 0, or 1.
- More Preferred agricultural compositions are those containing compounds of Formula I or II or mixtures of compounds of Formula I and II as in preferred A wherein:
- R 1 is selected from the group H, C 1 -C 4 alkyl optionally substituted with 1-2 substituents independently selected from C 1 -C 2 alkoxy, C 1 -C 2 alkylthio, C 1 -C 2 alkylsulfonyl, F, Cl, or CN; phenyl optionally substituted with 1-3 substituents independently selected from W; ; and
- R 2 is H, CH 3 , C 2 -C 5 alkoxycarbonyl, C 2 -C 5 alkylcarbonyl, C 1 -C 4 alkylsulfonyl.
- C Most preferred agricultural compositions are those containing compounds of
- R 1 is C 1 -C 4 alkyl or phenyl optionally substituted with 1-3 substituents independently selected from W, preferably halogen and most preferably F or Cl.
- R 5 is halogen, C 1 -C 2 alkyl, C 1 -C 2 haloalkyl, OR 6 , SR 6 , S(O)R 6 , S(O) 2 R 6 , or CN and one of R 5 is in the para position.
- compositions are those containing at least one of the following compounds:
- Preferred compounds are those of Formula I or II or mixtures of compounds of
- R 5 when m is 1, R 5 is other than 4-OCH 3 , and when m is 2, R 5 is other than
- R 5 is other than 4-F
- R 5 is other than 4-F.
- More Preferred Compounds are those of Formula I and II or mixtures of compounds of Formula I and II as in more preferred agricultural compositions B above provided that:
- R 5 is other than 4-F
- R 5 is other than 4-F.
- Most preferred compounds are those of Formula I or II or mixtures of compounds of Formula I and II as in most preferred agricultural compositions C above provided that:
- R 5 is other than 4-F
- R 5 is other than 4-F.
- Specifically Preferred compounds are 6-amino-1-(2,4-dichlorophenyl)-1,4-dihydro-2-phenyl-4,4-bis(trifluoromethyl)- 5-pyrimidinecarbonitrile.
- This invention also relates to arthropodicidal compositions comprising
- This invention further relates to methods for controlling arthropods comprising contacting the arthropods or their environment with an arthropodicidally effective amount of the compounds described herein (e.g., as a composition described herein).
- Compounds of Formula I where Q is CR 2 can be prepared by reacting a carbonyl compound of Formula III with an amine of Formula IV in the presence of a
- Compounds of Formula I where Q is N can be prepared by reacting an amidine of Formula VII with a dicyanoethylene of Formula V in a solvent such as acetonitrile as outlined in Scheme II.
- Compounds of Formula II where Q and Q1 are both N can be prepared similarly by reacting a guanidine of Formula VIII with a dicyanoethylene of Formula V in a solvent such as acetonitrile.
- Amidines and guanidines are well known in the art and can be prepared by a variety of methods described in The Chemistry of Amidines and Imidates, Volume 2, ed. by S. Patai and Z. Pappoport, The Chemistry of Functional Groups Series, John Wiley and Sons, New York, (1991).
- the carbonyl compounds of Formula III are well known in the art and can be prepared by a variety of methods described in the Survey of Organic Synthesis Volume I (1970) and II (1977), ed. by G A. Buchler and D. E. Peason, Wiley-Interscience, New York.
- Compounds of Formula V may be prepared as described by the procedures found in W. J. Middleton Journal of Organic Chemistry, 1965, 30, 1702 or obvious modifications thereof.
- R 3 and/or R 4 are alkylcarbonyl or alkoxycarbonyl
- R 3 and R 4 are hydrogen by reaction with the corresponding acyl halide or anhydride and the appropriate base in an appropriate solvent. This method is well known in the art (see for example G A. Buehler and D. E. Pearson, Survey of Organic Syntheses,
- R 3 and/or R 4 are alkyl
- R 3 and/or R 4 are alkyl
- Compounds of Formula I where R 3 and/or R 4 are alkyl may be prepared by a number of methods including direct alkylation with the appropriate electrophile and base (see for example G A. Buehler and D. E. Pearson, Survey of Organic Syntheses, Wiley-Interscience, New York, (1970), pages 413-512 for a discussion of various methods for preparation and modification of the amine group) or other methods apparent to one skilled in the art.
- Compounds of Formula I may be prepared by a number of methods including triarylbismuth arylation as described in Tetrahedron hetters, 1987, 28, 887, D. H. R. Barton, J. -P. Finet and J. Khamsi or modifications thereof.
- the following examples are representative of the preparation of 1,4-dihydropyridines and 1,4-dihydropyrimidines.
- N-(2,4-dichlorophenyl) benzamidine (0.13 g) was dissolved in 2 mL of dry acetonitrile with stirring.
- 2,2,2-Trifluoro-1-(trifluoromethyl) ethylidinepropanedinitrile (0.12 g) was added dropwise.
- the mixture was stirred at room temperature for 24 h, poured into ice water and the gummy precipitate dissolved in ethylacetate, dried over Na 2 SO 4 and concentrated to give a clear thick oil which crystallized from hot butylchloride/hexanes to give 0.22 g of a white solid, m.p. 194-196°C. 1 H NMR
- the compounds of this invention are useful as arthropodicides and especially useful as miticides in both agronomic and non-agronomic environments.
- An agriculturally suitable carrier generally comprises a liquid or solid diluent and/or a surfactant wherein the formulation is consistent with the physical properties of the active ingredient, mode of application and environmental factors such as soil type, moisture and temperature.
- Useful formulations include liquids such as solutions (including emulsifiable concentrates), suspensions, emulsions (including microemulsions and/or suspoemulsions) and the like which optionally can be thickened into gels.
- Useful formulations further include solids such as dusts, powders, granules, pellets, tablets, films, and the like which can be water-dispersible (“wettable”) or water- soluble.
- Active ingredient can be (micro)encapsulated and further formed into a suspension or solid formulation; alternatively the entire formulation of active ingredient can be encapsulated (or "overcoated”). Encapsulation can control or delay release of the active ingredient.
- Sprayable formulations can be extended in suitable media and used at spray volumes from about one to several hundred liters per hectare. High-strength compositions are primarily used as intermediates for further formulation.
- the formulations will typically contain effective amounts of active ingredient, diluent and surfactant within the following approximate ranges which add up to 100 percent by weight.
- Typical solid diluents are described in Watkins, et al., Handbook of Insecticide Dust Diluents and Carriers, 2nd Ed., Dorland Books, Caldwell, New Jersey. Typical liquid diluents are described in Marsden, Solvents Guide, 2nd Ed., Interscience, New York, 1950. McCutcheon 's Detergents and Emulsifiers Annual, Allured Publ. Corp., Ridgewood, New Jersey, as well as Sisely and Wood, Encyclopedia of Surface Active Agents, Chemical Publ. Co., Inc., New York, 1964, list surfactants and recommended uses. All formulations can contain minor amounts of additives to reduce foam, caking, corrosion, microbiological growth and the like, or thickeners to increase viscosity.
- Surfactants include, for example, polyethoxylated alcohols, polyethoxylated alkylphenols, polyethoxylated sorbitan fatty acid esters, dialkyl sulfosuccinates, alkyl sulfates, alkylbenzene sulfonates, organosilicones, N,N-dialkyltaurates, lignin sulfonates, naphthalene sulfonate formaldehyde condensates, polycarboxylates, and
- Solid diluents include, for example, clays such as bentonite, montmorillinite, attapulgite and kaolin, starch, sugar, silica, talc, diatomaceous earth, urea, calcium carbonate, sodium carbonate and bicarbonate, and sodium sulfate.
- Liquid diluents include, for example, water,
- Solutions can be prepared by simply mixing the ingredients. Dusts and powders can be prepared by blending and, usually, grinding as in a hammer mill or fluid-energy mill. Suspensions are usually prepared by wet-milling; see, for example, U.S. 3,060,0 8 4. Granules and pellets can be prepared by spraying the active material upon performed granular carriers or by agglomeration techniques. See Browning, "Agglomeration", Chemical Engineering, December 4, 1967, pp 147-48, Perry's Chemical Engineer's Handbook, 4th Ed., McGraw-Hill, New York, 1963, pages 8-57 and following, and WO 91/13546. Pellets can be prepared as described in
- the compounds of this invention exhibit activity against a wide spectrum of foliar-feeding, fruit-feeding, stem or root feeding, seed-feeding, aquatic and
- arthropods includes insects, mites and nematodes which are pests of growing and stored agronomic crops, forestry, greenhouse crops, ornamentals, nursery crops, stored food and fiber products, livestock, household, and public and animal health. Those skilled in the art will appreciate that not all compounds are equally effective against all growth stages of all pests.
- all of the compounds of this invention display activity against pests that include: eggs, larvae and adults of the Order Lepidoptera; eggs, foliar-feeding, fruit-feeding, root-feeding, seed-feeding larvae and adults of the Order Coleoptera; eggs, immatures and adults of the Orders Hemiptera and Homoptera; eggs, larvae, nymphs and adults of the Order Acari; eggs, immatures and adults of the Orders Thysanoptera, Orthoptera and
- the compounds of this invention are also active against pests of the Orders Hymenoptera, Isoptera, Siphonaptera, Blattaria, Thysanura and Psocoptera; pests belonging to the Class Arachnida and Phylum Platyhelminthes.
- the compounds are active against southern corn rootworm (Diabrotica undecimpunctata howardi), aster leafhopper (Mascrosteles fascifrons), boll weevil (Anthonomus grandis), two-spotted spider mite (Tetranychus urticae), fall armyworm (Spodoptera frugiperda), black bean aphid (Aphis fabae), green peach aphid (Myzus persica), cotton aphid (Aphis gossypii), Russian wheat aphid (Diuraphis noxia), English grain aphid (Sitobion avenae), tobacco budworm (Heliothis virescens), rice water weevil (Lissorhoptrus oryzophilus), rice leaf beetle (Oulema oryzae), whitebacked planthopper (Sogatella furcifera), green leafhopper (Nephotettix cincticeps), brown planthopper (
- the compounds are active on mites, demonstrating ovicidal, larvicidal and chemosterilant activity against such families as Tetranychidae including Tetranychus urticae, Tetranychus cinnabarinus, Tetranychus mcdanieli, Tetranychus pacificus, Tetranychus turkestani, Byrobia rubrioculus, Panonychus ulmi, Panonychus citri,
- Tenuipalpidae including Brevipalpus lewisi, Brevipalpus phoenicis, Brevipalpus californicus and Brevipalpus obovatus; Eriophyidae including Phyllocoptruta oleivora, Eriophyes sheldoni, Aculus cornutus, Epitrimerus pyri and Eriophyes mangiferae. See WO 90/10623 and WO 92/00673 for more detailed pest descriptions.
- insecticides fungicides, nematocides, bactericides, acaricides, growth regulators, chemosterilants, semiochemicals, repellents, attractants, pheromones, feeding stimulants or other biologically active compounds to form a multi-component pesticide giving an even broader spectrum of agricultural protection.
- insecticides such as avermectin B, monocrotophos, carbofuran, tetrachlorvinphos, malathion, parathion-methyl, methomyl, chlordimeform, diazinon, deltamethrin, oxamyl, fenvalerate, esfenvalerate, permethrin, profenofos, sulprofos, triflumuron, diflubenzuron,
- insecticides such as avermectin B, monocrotophos, carbofuran, tetrachlorvinphos, malathion, parathion-methyl, methomyl, chlordimeform, diazinon, deltamethrin, oxamyl, fenvalerate, esfenvalerate, permethrin, profenofos, sulprofos, triflumuron, diflubenzuron,
- methoprene buprofezin, thiodicarb, acephate, azinphosmethyl, chlorpyrifos, dimethoate, fipronil, flufenprox, fonophos, isofenphos, methidathion, metha-midophos, phosmet, phosphamidon, phosalone, pirimicarb, phorate, terbufos, trichlorfon, methoxychlor, bifenthrin, biphenate, cyfluthrin, tefluthrin, fenpropathrin, fluvalinate, flucythrinate, tralomethrin, imidacloprid, metaldehyde and rotenone; fungicides such as carbendazim, thiuram, dodine, maneb, chloroneb, benomyl, cymoxanil, fenpropidine, fenpropi
- nematocides such as aldoxycarb, fenamiphos and fosthietan
- bactericides such as oxytetracyline, streptomycin and tribasic copper sulfate
- acaricides such as binapacryl, oxythioquinox, chlorobenzilate, dicofol, dienochlor, cyhexatin, hexythiazox, amitraz, propargite, tebufenpyrad and fenbutatin oxide
- biological agents such as
- Arthropod pests are controlled and protection of agronomic, horticultural and specialty crops, animal and human health is achieved by applying one or more of the compounds of this invention, in an effective amount, to the environment of the pests including the agronomic and/or nonagronomic locus of infestation, to the area to be protected, or directly on the pests to be controlled.
- the present invention further comprises a method for the control of foliar and soil inhabiting arthropods and nematode pests and protection of agronomic and/or nonagronomic crops, comprising applying one or more of the compounds of Formula I, or compositions containing at least one such compound, in an effective amount, to the environment of the pests including the agronomic and/or nonagronomic locus of infestation, to the area to be protected, or directly on the pests to be controlled.
- a preferred method of application is by spraying.
- granular formulations of these compounds can be applied to the plant foliage or the soil.
- the compounds of this invention can be applied in their pure state, but most often application will be of a formulation comprising one or more compounds with suitable carriers, diluents, and surfactants and possibly in combination with a food depending on the contemplated end use.
- a preferred method of application involves spraying a water dispersion or refined oil solution of the compounds. Combinations with spray oils, spray oil concentrations, spreader stickers, adjuvants, and synergists and other solvents such as piperonyl butoxide often enhance compound efficacy.
- the rate of application required for effective control will depend on such factors as the species of arthropod to be controlled, the pest's life cycle, life stage, its size, location, time of year, host crop or animal, feeding behavior, mating behavior, ambient moisture, temperature, and the like. Under normal circumstances, application rates of about 0.01 to 2 kg of active ingredient per hectare are sufficient to control pests in agronomic ecosystems, but as little as 0.001 kg/hectare may be sufficient or as much as 8 kg hectare may be required. For nonagronomic applications, effective use rates will range from about 1.0 to 50 mg/square meter but as little as 0.1 mg/square meter may be sufficient or as much as 150 mg/square meter may be required.
- Control efficacy represents inhibition of arthropod development (including mortality) that causes significantly reduced feeding.
- the pest control protection afforded by the compounds is not limited, however, to this species. See Index Tables A-E for compound descriptions.
- Pieces of kidney bean leaves each approximately 6.5 cm 2 (1 square inch) in area, that had been infested on the undersides with 25 to 30 adult mites (Tetranychus urticae), were sprayed with their undersides facing up on a hydraulic sprayer with a solution of the test compound in 75:25 acetone-distilled water solvent. Spraying was accomplished by passing the leaves, on a conveyor belt, directly beneath a flat fan hydraulic nozzle which discharged the spray at a rate of 0.138 kilograms of active ingredient per hectare (about 0.13 pounds per acre) at 207 kPa (30 p.s.i.).
- the leaf squares were then placed underside-up on a square of wet cotton in a petri dish and the perimeter of the leaf square was tamped down onto the cotton with forceps so that the mites could not escape onto the untreated leaf surface.
- the test units were held at 27°C and 50% relative humidity for 48 h, 72 h or seven days after which time mortality readings were taken.
- Test compounds are diluted in 75:25 acetone: H 2 O to produce a 250 ppm concentration. Spraying was accomplished by passing the leaves, on a conveyor belt, directly beneath a flat fan hydraulic nozzle which discharged the spray at a rate of 0.138 kilograms of active ingredient per hectare (about 0.13 pounds per acre) at 207 kPa (30 p.s.i.). Test units are allowed to air dry for approximately 15 min.
- Test units are capped and placed into an environmental chamber with the following conditions: 27 degrees C, 70% RH and 16:8 photoperiod. Corn plants are evaluated 7 days later for percent emergence. Plants are considered emerged if they are at least 2 cm tall and alive. Of the compounds tested, the following had at least 50% corn emergence: 3, 4, 7, 16, 22, 24, 30
- Test Unit The test unit consists of a plastic cup containing 126 +/- 4 grams of sterilized, non-fertilized sassafras (sandy loam) soil. One pre-germinated Pioneer variety 3394 corn seed is placed in a 1 inch depression in the soil and covered. The test unit is watered with 15ml of distilled water and placed in a closed plexiglas box inside a greenhouse operating at 24 degrees centigrade and 36% relative humidity for 4 days at which time it is ready for test. A snug fitting test unit lid with a small opening at the top is placed on all test units prior to test.
- Test compounds are formulated at 200ppm in 20% acetone: 80% water containing 500ppm Ortho X-77 surfactant. Compounds are applied through the opening in the test unit lid with an atomizer sprayer fitted with a Model 17690- 1/8JJAU nozzle and a spray set-up consisting of a J2850 Fluid Cap and J70 Air Cap (Spray Sytems, Inc.). The sprayer was operated at 12-13psi. For each compound, 2 test units are sprayed with a total of 2ml each of test solution. After spraying, test units are placed in a ventilated enclosure for 10-15 minutes to dry.
- Insect Infesting/Evaluation After drying, a thin layer of white quartz sand is poured onto the soil of each test unit to aid in the evaluation of live and dead insects at the conclusion of the test. Each unit is infested with a minimum of 15 nymphs of the corn planthopper, Peregrinus maidis, which are approximately 21 days old Infested test units are held in a growth chamber operating at 22 degrees centigrade and 50% relative humidity with a 16:8 light: dark photoperiod. Insect mortality is evaluated at 6 days post- infestation. Moribund insects are counted as dead Of the compounds tested, the following gave mortality of 80% or greater: 9, 24, 31, 42
- a turnip plant infested with Green Peach Aphid serves as a test unit for this bioassay. All plants have between 15 and 25 aphids (all life stages) on them The turnip plants are sprayed with a single rate of 0.25 lbs. A.I./A of each compound at 30 p.s.i. on a moving belt sprayer. All test compounds are formulated using 75/25 acetone/distilled water solvent. All treatments are replicated once. A soil drench of the compound is also applied to each test unit. The drench consists of 2 mls the compound at 0.25 lbs. Al/A. Mortality is assessed at 7 days post compound application by counting live and dead insects under a microscope. Of the compounds tested, the following gave mortality of 80 % or greater: 1, 18, 175, 451, 454
Landscapes
- Life Sciences & Earth Sciences (AREA)
- Chemical & Material Sciences (AREA)
- Organic Chemistry (AREA)
- Health & Medical Sciences (AREA)
- Pest Control & Pesticides (AREA)
- Plant Pathology (AREA)
- Agronomy & Crop Science (AREA)
- Engineering & Computer Science (AREA)
- Dentistry (AREA)
- General Health & Medical Sciences (AREA)
- Wood Science & Technology (AREA)
- Zoology (AREA)
- Environmental Sciences (AREA)
- Agricultural Chemicals And Associated Chemicals (AREA)
Abstract
Arthropodicidal compounds, compositions and method of use of compounds of Formula (I) or Formula (II) or mixtures of compounds of Formula (I) and Formula (II) are disclosed, wherein each X is F or C1 and Q, Q1, Q2, A, R?1, R3, R4 and R10¿ are as defined in the specification.
Description
TITLE
ARTHROPODICIDAL 1,4-DIHYDROPYRIDINES AND 1,4- DIHYDROPYRIMIDINES
BACKGROUND OF THE INVENTION
This invention relates to arthropodicidal 1,4-dihydropyridines and
1,4-dihydropyrimidines, compositions containing them and methods for controlling arthropods.
SUMMARY OF THE INVENTION
This invention provides compounds of Formula I or Formula II or mixtures of compounds of Formula I and II including all geometric and stereoisomers, agriculturally suitable salts thereof, agricultural compositions containing them, and methods for using them for the control of arthropods in both agronomic and non-agronomic uses.
wherein
Q is N or CR2;
Q1 is N or CH;
Q2 is NR2 or CR2; and when Q2 is NR2, then R2 and R10 can be taken together as C2-C3 alkylene;
A is H; C1-C 12 alkyl optionally substituted with 1 to 3 substituents selected from halogen, CN or NO2; C1-C4 alkoxy; C1-C2 haloalkoxy; C1-C4alkylthio; C1-C2 haloalkylthio; C1-C4 alkylsulfinyl; C1-C2 haloalkylsulfinyl; C1-C4 alkylsulfonyl; C1-C2 haloalkylsulfonyl; C3-C6 cycloalkyl optionally substituted with W; or A is selected from the group
R1 is selected from the group hydrogen; halogen; C1-C4 alkyl optionally
substituted with 1-2 substituents independently selected from Y; C1-C4 haloalkyl; phenyl, benzyl or naphthyl optionally substituted with 1 to 3 substituents independently selected from W; benzoyl optionally substituted with 1 to 3 substituents independently selected from W; C2-C5
alkoxycarbonyl; C2-C5 alkylcarbonyl; C2-C4 alkenyl; C2-C4 haloalkenyl; C2-C4 alkynyl; C2-C4 haloalkynyl; C2-C5 dialkylamino; C3-C6 cycloalkyl optionally substituted with W; and a 5 or 6 membered aromatic heterocyclic ring containing 1 to 4 heteroatoms independently selected from 0 to 4 nitrogen, 0 to 2 oxygen and 0 to 2 sulfur each aromatic heterocycle ring optionally substituted with 1 to 2 substituents selected from W; C1-C4 alkoxy; C1-C4 alkylthio; C1-C4 haloalkylthio; C1-C4 alkylsulfinyl; C1-C4 haloalkylsulfinyl; C1-C4 alkylsulfonyl; C1-C4 haloalkylsulfonyl;
R2 is selected from the group hydrogen; halogen; C1-C4 alkyl optionally
substituted with CN; C1-C4 haloalkyl; benzoyl optionally substituted with 1 to 3 substituents independently selected from W; CN; C1-C4 alkylsulfonyl; C2-C5 alkoxycarbonyl; C2-C5 alkylcarbonyl; C3-C5 alkenyloxy carbonyl; and C3-C5 alkoxycarbonylalkyl; or when Q is CR2; then R1and R2 can be taken together as C2-C4 alkylene, ,
or CH2OCH2 optionally substituted with 1 to 2 methyl groups;
R3 and R4 can be taken together as =-CR8R9 or C2-C6 alkylene;
each R5 is independently selected from the group C1-C10 alkyl, C1-C10 haloalkyl, C2-C10 alkenyl, C2-C10 haloalkenyl, halogen, CN, SCN, NO2, OR6, SR6, S(O)R6, S(O)2R6, OS(O)2R6, CO2R6, C(O)R6, C(O)N(R7)2, SO2N(R7)2 and N(R7)SO2R6; or when m is 2 or 3, then two adjacent R5 can be taken together as -OCH2O-, -OCH2CH2O-, -OCH2C(CH3)2O-, -OCF2O-, or -OCF2CF2O- to form a cyclic bridge between adjacent atoms on the same aromatic ring;
R6 is selected from the group C1-C4 alkyl, C3-C4 alkenyl, C3-C4 alkynyl, and C1-C4 haloalkyl;
R7 is selected from the group H, C1-C4 alkyl, C3-C4 alkenyl and C3-C4 alkynyl or
R6 and R7, when attached to the same atom, can be taken together as -(CH2)4-, -(CH2)5-, and -CH2CH2OCH2CH2-;
R8 is selected from hydrogen; C1-C6 alkyl; C3-C6 alkenyl; C1-C6 haloalkyl; C3-C6 haloalkenyl; and phenyl or benzyl each optionally substituted with W;
R9 is selected from hydrogen; C1-C6 alkyl; C3-C6 alkenyl; C1-C6 haloalkyl; C3-C6 haloalkenyl; NR11R12; OR11 ; and phenyl or benzyl each optionally substituted with W; or R8 and R9 can be taken together as C2-C5 cycloalkyl, or C2-C5 halocycloalkyl;
R10 is selected from the group H; halogen; C1-C3 haloalkyl; C2-C5
alkoxycarbonyl; and C1-C3 alkyl optionally substituted with 1 to 2 substituents selected from Y; or R10 and R2 can be taken together as C2-C4 alkylene;
R1 1 is C1-C4 alkyl;
R12 is C1-C4 alkyl;
W is selected from the group halogen, CN, NO2, C1-C2 alkyl, C1-C2 haloalkyl, C1-C2 alkoxy, C1-C2 haloalkoxy, C1-C2 alkylthio, C1-C2 haloalkylthio, C1-C2 alkylsulfonyl and C1-C2 haloalkylsulfonyl;
each X is independently selected from F and Cl;
Y is C1-C4 alkoxy; C1-C4 alkylthio; C1-C4 alkylsulfinyl; C1-C4 alkylsulfonyl;
C2-C5 alkoxycarbonyl; C1-C4 haloalkoxy; CN; hydroxy; C2-C5
alkylcarbonyloxy; C1-C4 alkylcarbonyl; or phenoxy optionally substituted with W;
m is 0, 1, 2 or 3; and
n is 0, 1, or 2.
The invention also provides novel compounds useful for the control of arthropodsh agronomic and non-agronomic uses; in particular the compounds of Formula I oruding all geometric and stereoisomers as defined above, provided that:
(a) when Q is CR2 and all Xs are F, R1 is CH3, R2 is H, R3 and R4 are each H,
, and
m is 1, then R5 is other than 4-CH3, 4-Cl, 4-F, 3-NO2, 4-CO2H or 2-CO2H, when m is 2, R5 is other than 3,4-di-OCH3, and when m is 3, R5 is other than
2,3,4-tri-CH3; and
(b) when Q is CR2, all Xs are F, R1 and R2 are taken together as C3 alkylene, R3 and R4 are each H, , and
m is 1, then R5 is other than 2-CO2CH3 or 4-OCH3, and when m is 2, R5 is other than 3,4-di-OCH3 or 2,6-di-CH3; and
(c) when Q is CR2, all Xs are F, R1 and R2 are each CH3, R3 and R4 are each H, and m is 1 , and
,
then R5 is other than 4-F; and
(d) when Q is CR2, all Xs are F, R1 is CH2CH3, R2 is H, R3 and R4 are each H, m is 1 and
,
then R5 is other than 4-F.
In the above recitations, the term "alkyl", used either alone or in compound words such as "alkylthio" or "haloalkyl", denotes straight chain or branched alkyl, e.g., methyl, ethyl, n-propyl, isopropyl or the different butyl, pentyl, hexyl isomers.
Alkylene denotes straight chain saturated groups containing two bonds (e.g., -CH2CH2CH2-).
Alkoxy denotes methoxy, ethoxy, n-propyloxy, isopropyloxy and the different butoxy isomers.
Alkenyl denotes straight chain or branched alkenes, e.g., vinyl, 1-propenyl, 2-propenyl, 3-propenyl and the different butenyl, pentenyl and hexenyl isomers.
Alkynyl denotes straight chain or branched alkynes, e.g., ethynyl, 1-propynyl, 3-propynyl and the different butynyl, pentynyl and hexynyl isomers.
Alkylthio denotes methylthio, ethylthio and the different propylthio and butylthio isomers.
Alkylsulfinyl, alkylsulfonyl, etc., are defined analogously to the above examples. Cycloalkyl denotes cyclopropyl, cyclobutyl, cyclopentyl and cyclohexyl.
The term "halogen", either alone or in compound words such as "haloalkyl", denotes fluorine, chlorine, bromine or iodine. Further, when used in compound words such as "haloalkyl" said alkyl may be partially or fully substituted with halogen atoms, which may be the same or different. Examples of haloalkyl include CH2CH2F, CF2CF3 and CH2CHFCl. The terms "halocycloalkyl", "haloalkenyl" and "haloalkynyl" are defined analogously to the term "haloalkyl".
The total number of carbon atoms in a substituent group is indicated by the "Ci-Cj" prefix where i and j are numbers from 1 to 8. For example, C1-C3 alkylsulfonyl designates methylsulfonyl and the various isomers through propylsulfonyl;
C2 alkylcarbonyl designates C(O)CH3 and C4 alkylcarbonyl includes C(O)CH2CH2CH3 and C(O)CH(CH3)2; and as a final example, C3 alkoxycarbonylalkyl designates
CH2CO2CH3 and C4 alkoxycarbonylalkyl includes CH2CH2CO2CH3, CH2CO2CH2CH3 and CH(CH3)CO2CH3.
A. Preferred agricultural compositions are those containing compounds of Formula I or II or mixtures of compounds of Formula I and II wherein: ,
R3 and R4 are each H, C2-C5 alkylcarbonyl, C2-C5 alkoxycarbonyl or R3 and R4 can be taken together as ;
R5 is halogen, C1-C2 alkyl, C1-C2 haloalkyl, OR6, SR6, S(O)R6, S(O)2R6, or CN;
R6 is C1-C2 haloalkyl; or C1-C2 alkyl;
R8 is H or CH3;
R9 is N(CH3)2, OCH3 or OC2H5;
R10 is H, C1-C3 alkyl, or C2-C5 alkoxycarbonyl;
each X is F;
m is 1, 2 or 3; and
n is 0, or 1.
B. More Preferred agricultural compositions are those containing compounds of Formula I or II or mixtures of compounds of Formula I and II as in preferred A wherein:
R1 is selected from the group H, C1-C4 alkyl optionally substituted with 1-2 substituents independently selected from C1-C2 alkoxy, C 1-C2 alkylthio, C1-C2 alkylsulfonyl, F, Cl, or CN; phenyl optionally substituted with 1-3 substituents independently selected from W;
; and
R2 is H, CH3, C2-C5 alkoxycarbonyl, C2-C5 alkylcarbonyl, C1-C4 alkylsulfonyl. C. Most preferred agricultural compositions are those containing compounds of
Formula I or II or mixtures of compounds of Formula I and II as in more preferred B wherein: , and
R1 is C1-C4 alkyl or phenyl optionally substituted with 1-3 substituents independently selected from W, preferably halogen and most preferably F or Cl. R5 is halogen, C1-C2 alkyl, C1-C2 haloalkyl, OR6, SR6, S(O)R6, S(O)2R6, or CN and one of R5 is in the para position.
Specifically Preferred agricultural compositions are those containing at least one of the following compounds:
6-amino-1-(2,4-dichlorophenyl)-1,4-dihydro-2-phenyl-4,4-bis(trifluoromethyl)- 5-pyrimidinecarbonitrile.
2-amino-1-(4-chlorophenyl)-1,4-dihydro-6-(1-methylethyl)-4,4- bis(trifluoromethyl)-3-pyridinecarbonitrile. N'-[1-(4-cMorophenyl)-3-cyano-1,4-dihydro-6-methyl-4,4-=
bis(tιifluoromethyl)-2-pyridinyl]-N,N-dimethyl-methanimidamide.
2-amino-1-[2-chloro-4-(trifluoromethyl)phenyl]-1,4-dihydro-6-methyl-4,4-= bis(trifluoromethyl)-3-pyridinecarbonitrile.
Preferred compounds are those of Formula I or II or mixtures of compounds of
Formula I and II as in preferred agricultural compositions A above including all geometric and stereoisomers provided that:
(a) when Q is CR2, all Xs are F, R1 is CH3, R2 is H, R3 and R4 are each H,
, and
when m is 1 , then R5 is other then 4-Cl or 4-F, and when m is 2, then R5 is other than 3, 4-di-OCH3;
(b) when Q is CR2, all Xs are F, R1 and R2 are taken together as C3 alkylene, R3 and R4 are each H, , and
when m is 1, R5 is other than 4-OCH3, and when m is 2, R5 is other than
3, 4-di-OCH3;
then R5 is other than 4-F; and
(d) when Q is CR2, all Xs are F, R1 is CH2CH3, R2 is H, R3 and R4 are each H, m is 1 and ,
then R5 is other than 4-F.
More Preferred Compounds are those of Formula I and II or mixtures of compounds of Formula I and II as in more preferred agricultural compositions B above provided that:
(a) when Q is CR2, all Xs are F, R1 is CH3, R2 is H, R3 and R4 are each H, , and
when m is 1, then R5 is other then 4-Cl or 4-F, and when m is 2, then R5 is other than 3, 4-di-OCH3;
then R5 is other than 4-F; and
(c) when Q is CR2, all Xs are F, R1 is CH2CH3, R2 is H, R3 and R4 are each H, m is 1 and ,
Most preferred compounds are those of Formula I or II or mixtures of compounds of Formula I and II as in most preferred agricultural compositions C above provided that:
(a) when Q is CR2, all Xs are F, R1 is CH3, R2 is H, R3 and R4 are each H, , and
when m is 1, then R5 is other then 4-Cl or 4-F, and when m is 2, then R5 is other than 3, 4-di-OCH3;
then R5 is other than 4-F; and
(c) when Q is CR2, all Xs are F, R1 is CH2CH3, R2 is H, R3 and R4 are each H, m is 1 and
,
then R5 is other than 4-F.
Specifically Preferred compounds are
6-amino-1-(2,4-dichlorophenyl)-1,4-dihydro-2-phenyl-4,4-bis(trifluoromethyl)- 5-pyrimidinecarbonitrile.
2-amino-1-(4-chlorophenyl)-1,4-dihydro-6-(1-methylethyl)-4,4- bis(trifluoromethyl)-3-pyridinecarbonitrile.
N'-[1-(4-chlorophenyl)-3-cyano-1,4-dihydro-6-methyl-4,4-=
bis(trifluoromethyl)-2-pyridinyl]-N,N-dimethyl-methanimidamide. 2-amino-1-[2-chloro-4-(trifluoromethyl)phenyl]-1,4-dihydro-6-methyl-4,4- =bis(trifluoromethyl)-3-pyridinecarbonitrile.
This invention also relates to arthropodicidal compositions comprising
arthropodicidally effective amounts of the compounds described herein and at least one of a surfactant, a solid diluent or a liquid diluent.
This invention further relates to methods for controlling arthropods comprising contacting the arthropods or their environment with an arthropodicidally effective amount of the compounds described herein (e.g., as a composition described herein).
DETAILED DESCRIPTION OF THE INVENTION
Compounds of Formula I where Q is CR2 can be prepared by reacting a carbonyl compound of Formula III with an amine of Formula IV in the presence of a
dicyanoethylene of Formula V or by reacting the imine of Formula VI which may be formed by reaction between carbonyl compound of Formula III and amine of Formula IV with a dicyanoethylene of Formula V as outlined in Scheme I and as described by the general procedure found in V. Yu Tyutin, N. D. Chkanikov, V. N. Nestenov, M. Yu,
Antipin, Yu. T. Struchkov, A. F. Kolomiets and A. V. Fokin, Russian Chemical Bulletin (English), 1993, 42, 512 or obvious modifications thereof. Compounds of Formula II are prepared similarly, sometimes as mixtures with the corresponding compounds of Formula I.
Compounds of Formula I where Q is N can be prepared by reacting an amidine of Formula VII with a dicyanoethylene of Formula V in a solvent such as acetonitrile as outlined in Scheme II. Compounds of Formula II where Q and Q1 are both N can be prepared similarly by reacting a guanidine of Formula VIII with a dicyanoethylene of Formula V in a solvent such as acetonitrile. Amidines and guanidines are well known in the art and can be prepared by a variety of methods described in The Chemistry of Amidines and Imidates, Volume 2, ed. by S. Patai and Z. Pappoport, The Chemistry of Functional Groups Series, John Wiley and Sons, New York, (1991).
The carbonyl compounds of Formula III are well known in the art and can be prepared by a variety of methods described in the Survey of Organic Synthesis Volume I (1970) and II (1977), ed. by G A. Buchler and D. E. Peason, Wiley-Interscience, New York.
Compounds of Formula V may be prepared as described by the procedures found in W. J. Middleton Journal of Organic Chemistry, 1965, 30, 1702 or obvious modifications thereof.
The compounds of Tables 1-15 and Index Tables A-E can be prepared in accordance with procedures described herein together with methods known in the art.
Compounds of Formula I where R3 and/or R4 are alkylcarbonyl or alkoxycarbonyl may be prepared from the corresponding compounds of Formula I where one or both R3 and R4 are hydrogen by reaction with the corresponding acyl halide or anhydride and the appropriate base in an appropriate solvent.. This method is well known in the art (see for example G A. Buehler and D. E. Pearson, Survey of Organic Syntheses,
Wiley-Interscience, New York, (1970), pages 894-936). Compounds of Formula I where R3 and/or R4 are alkyl may be prepared by a number of methods including direct alkylation with the appropriate electrophile and base (see for example G A. Buehler and D. E. Pearson, Survey of Organic Syntheses, Wiley-Interscience, New York, (1970), pages 413-512 for a discussion of various methods for preparation and modification of the amine group) or other methods apparent to one skilled in the art. Compounds of Formula I may be prepared by a number of methods including triarylbismuth arylation as described in Tetrahedron hetters, 1987, 28, 887, D. H. R. Barton, J. -P. Finet and J. Khamsi or modifications thereof. The following examples are representative of the preparation of 1,4-dihydropyridines and 1,4-dihydropyrimidines.
EXAMPLE 1
Preparation of 2-amino-1-(4-chlorophenyl)-1,4-dihydro-6-methyl-4,4- bis(trifluoromethyl)-3-pyridinecarbonitrile
4-Chloroaniline (0.64 g) was dissolved in 2.5 mL acetone under nitrogen with stirring. 2,2,2-Trifluoro-1-(trifluoromethyl) ethylidinepropanedinitrile (2.14 g) was added dropwise with external cooling as necessary to maintain temperature below 30°C The reaction mixture was stirred 2 hr, 20 mL water was added, then the reaction mixture was filtered and the product dried. Yield 1.5 g tan solid. 1H NMR (CDCl3): δ
1.62 (s,3H), 4.55 (brs,2H), 4.78 (s,1H), 7.22 (d,2H), 7.52 (d,2H); m.p. 153-6°C/hexane-acetone recrystallization.
EXAMPLE 2
Preparation of 2-amino-1-(2,4-dichlorophenyl)-1,4-dihydro-6-methyl- 4,4-bis(trifluoromethyl)-3-pyridinecarbonitrile.
2,4-Dichloroaniline (0.81 g) was dissolved in 2.5 mL acetone under nitrogen with stirring. 2,2,2-Trifluoro-1-(trifluoromethyl) ethylidinepropanedinitrile (2.14 g) was added dropwise with external cooling as necessary to maintain temperature below 50°C. The reaction mixture was stirred 90 minutes, 20 mL water was added, then the reaction mixture was filtered and the product dried. Yield 1.81 g solid. 1H NMR (CDCl3): δ 1.59 (d,3H), 4.53 (broad s,2H), 4.81 (s,1H), 7.27-7.70 (m,3H); m.p.
156-60°C/hexane-acetone recrystallization.
EXAMPLE 3
Preparation of 2-amino-1-(4-chlorophenyl)-4,5,6,7tetrahydro-4,4- bis(trifluoromethyl)-1H-1-pyridine-3-carbonitrile.
4-Chloroaniline (0.64 g) was dissolved in 2.5mL cyclopentanone under nitrogen with stirring. 2,2,2-Trifluoro-1-(trifluoromethyl) ethylidinepropanedinitrile (2.14 g) was added dropwise with external cooling as necessary to maintain temperature below 35°C. The reaction mixture was stirred 3 days, 20 mL water was added, then the reaction mixture is filtered and the product dried. Yield 2.27 g yellow solid. 1H NMR (CDCl3): δ 1.88 (m,2H), 2.13 (t,2H), 2.63 (narrow m, 2H), 4.56 (broad s,2H), 4.78 (s,1H), 7.23 (d,2H), 7.51 (d,2H); m.p. 163-4°C/hexane-acetone recrystallization.
EXAMPLE 4
Preparation of 6-amino-1-(4-chlorophenyl)-1,4-dihydro-2-methyl-4,4-bis
(trifluoromethyl)-5-pyrimidinecarbonitrile.
N-(4-chlorophenyl) acetamidine (0.34 g) was dissolved in 5 mL dry acetonitrile with stirring. 2,2,2-Trifluoro-1-(trifluoromethyl) ethylidinepropanedinitrile (0.47 g) was added dropwise. The mixture was stirred at room temperature for 24 h, poured into ice water and the resulting precipitate filtered and dried to give 0.72 g of a white solid. 1H NMR (CDCl3) δ 1.88 (s,3H), 4.75 (broad s,2H), 7.25 (d, 2H), 7.58 (d,2H);
m.p. 184-186°C/chlorobutane recrystallization.
EXAMPLE 5
Preparation of 6-amino-1-(2,4-dichlorophenyl)-1,4-dihydro-2-phenyl-4,4-bis
(trifluoromethyl)-5-pyrimidinecarbonitrile.
N-(2,4-dichlorophenyl) benzamidine (0.13 g) was dissolved in 2 mL of dry acetonitrile with stirring. 2,2,2-Trifluoro-1-(trifluoromethyl) ethylidinepropanedinitrile (0.12 g) was added dropwise. The mixture was stirred at room temperature for 24 h, poured into ice water and the gummy precipitate dissolved in ethylacetate, dried over Na2SO4 and concentrated to give a clear thick oil which crystallized from hot butylchloride/hexanes to give 0.22 g of a white solid, m.p. 194-196°C. 1H NMR
(CDCI3) δ 4.85 (broad s,2H), 7.15-7.3 (m,7H), 7.42 (d, 1H).
The compounds of Index Tables A-D were prepared according to similar procedures. In the Tables Ph = phenyl, Me = methyl, Bu = butyl.
EXAMPLE 6
Preparation of 2-amino-1-(4-chlorophenyl)-6-(2,5-difluorophenyl)-1,4-dihydro- 4,4-bisftrifluoromethyl)-3-pyridinecarbonitrile
4-chloroaniline (6.3 g) and 2',5'-difluoroacetophenone (9.36 g) were added to a slurry of 50 g activated 4 A° molecular sieves in 50 mL anhydrous acetonitrile. After 4 days the solids were filtered off and rinsed twice with 30 mL anhydrous acetonitrile. To the resultant filtrate was added 2,2,2-trifluoro-1-(trifluoromethyl)
ethylidinepropanedinitrile (10.7 g). The solution was refluxed 8 hr and stirred at ambient temperature for 16 hr. Additional 2,2,2-trifluoro-1-(trifluoromethyl)
ethylidinepropanedinitrile (5.35 g) was added and the reaction refluxed 4 hr. After cooling, the product was filtered and dried in vacuo. Yield 12.35 g. 1H NMR (CDCI3) δ 4.63 (broad s,2H), δ 5.01 (s,1H), δ 6.8-6.9 (m,2H), δ 6.9-7.0(m,1H), δ 7.1 l(d,2H), δ 7.30(d,2H); m.p. 234°C (recrystallized from hexane/acetone).
EXAMPLE 7
Preparation of N'-[1-(4-chlorophenyl)-3-cyano-1,4-dihydro- 6-methyl-4,4-bis(trifluoromethyl)-2-pyridinyl]-N,N-dimethyl-methanimidamide 2-Amino-1-(4-chlorophenyl)-1,4-dihydro-6-methyl-4,4-bis(trifluoromethyl)-3-pyridinecarbonitrile ( 1.90 g) was added to a solution of N,N-dimethylformamide dimethyl acetal (0.72 g) in 20 mL benzene. The reaction mixture was stirred 2 hr at ambient temperature then refluxed overnight. The solvent was removed on a rotary evaporator and the resulting 2.12 g crude solid was recrystallized from chlorobutane giving a yellow solid. Yield 1.58 g. 1H NMR (CDCl3) δ 1.63 (3H,s), δ 2.66 (3H,s), δ 3.00 (3H,s), δ 4.74 (1H,s), δ 7.02 (2H,d), δ 7.33 (2H,d), δ 7.63 (1H,s);
m.p. 182-184°G
LU
ft ft ft ft ft ft ft ft ft ft ft ft ft ft ft ft ft
Formulation/Utility
The compounds of this invention are useful as arthropodicides and especially useful as miticides in both agronomic and non-agronomic environments.
Compounds of this invention will generally be used in formulation with an agriculturally suitable carrier. An agriculturally suitable carrier generally comprises a liquid or solid diluent and/or a surfactant wherein the formulation is consistent with the physical properties of the active ingredient, mode of application and environmental factors such as soil type, moisture and temperature. Useful formulations include liquids such as solutions (including emulsifiable concentrates), suspensions, emulsions (including microemulsions and/or suspoemulsions) and the like which optionally can be thickened into gels. Useful formulations further include solids such as dusts, powders, granules, pellets, tablets, films, and the like which can be water-dispersible ("wettable") or water- soluble. Active ingredient can be (micro)encapsulated and further formed into a suspension or solid formulation; alternatively the entire formulation of active ingredient can be encapsulated (or "overcoated"). Encapsulation can control or delay release of the active ingredient. Sprayable formulations can be extended in suitable media and used
at spray volumes from about one to several hundred liters per hectare. High-strength compositions are primarily used as intermediates for further formulation.
The formulations will typically contain effective amounts of active ingredient, diluent and surfactant within the following approximate ranges which add up to 100 percent by weight.
Typical solid diluents are described in Watkins, et al., Handbook of Insecticide Dust Diluents and Carriers, 2nd Ed., Dorland Books, Caldwell, New Jersey. Typical liquid diluents are described in Marsden, Solvents Guide, 2nd Ed., Interscience, New York, 1950. McCutcheon 's Detergents and Emulsifiers Annual, Allured Publ. Corp., Ridgewood, New Jersey, as well as Sisely and Wood, Encyclopedia of Surface Active Agents, Chemical Publ. Co., Inc., New York, 1964, list surfactants and recommended uses. All formulations can contain minor amounts of additives to reduce foam, caking, corrosion, microbiological growth and the like, or thickeners to increase viscosity.
Surfactants include, for example, polyethoxylated alcohols, polyethoxylated alkylphenols, polyethoxylated sorbitan fatty acid esters, dialkyl sulfosuccinates, alkyl sulfates, alkylbenzene sulfonates, organosilicones, N,N-dialkyltaurates, lignin sulfonates, naphthalene sulfonate formaldehyde condensates, polycarboxylates, and
polyoxyethylene/polyoxypropylene block copolymers. Solid diluents include, for example, clays such as bentonite, montmorillinite, attapulgite and kaolin, starch, sugar, silica, talc, diatomaceous earth, urea, calcium carbonate, sodium carbonate and bicarbonate, and sodium sulfate. Liquid diluents include, for example, water,
N,N-dimethylformamide, dimethyl sulfoxide, N-alkylpyrrolidone, ethylene glycol, polypropylene glycol, paraffins, alkylbenzenes, alkylnaphthalenes, oils of olive, castor, linseed, tung, sesame, corn, peanut, cotton-seed, soybean, rape-seed and coconut, fatty acid esters, ketones such as cyclohexanone, 2-heptanone, isophorone and 4-hydroxy-4-
methyl-2-pentanone, and alcohols such as methanol, cyclohexanol, decanol and tetrahydrofurfuryl alcohol.
Solutions, including emulsifiable concentrates, can be prepared by simply mixing the ingredients. Dusts and powders can be prepared by blending and, usually, grinding as in a hammer mill or fluid-energy mill. Suspensions are usually prepared by wet-milling; see, for example, U.S. 3,060,084. Granules and pellets can be prepared by spraying the active material upon performed granular carriers or by agglomeration techniques. See Browning, "Agglomeration", Chemical Engineering, December 4, 1967, pp 147-48, Perry's Chemical Engineer's Handbook, 4th Ed., McGraw-Hill, New York, 1963, pages 8-57 and following, and WO 91/13546. Pellets can be prepared as described in
U.S. 4,172,714. Water-dispersible and water-soluble granules can be prepared as taught in U.S. 4,144,050, U.S. 3,920,442 and DE 3,246,493. Tablets can be prepared as taught in U.S. 5, 180,587, U.S. 5,232,701 and U.S. 5,208,030. Films can be prepared as taught in GB 2,095,558 and U.S. 3,299,566.
For further information regarding the art of formulation, see U.S. 3,235,361 ,
Col. 6, line 16 through Col. 7, line 19 and Examples 10-41; U.S. 3,309,192, Col. 5, line 43 through Col. 7, line 62 and Examples 8, 12, 15, 39, 41, 52, 53, 58, 132, 138-140, 162-164, 166, 167 and 169-182; U.S. 2,891,855, Col. 3, line 66 through Col. 5, line 17 and Examples 1-4; Klingman, Weed Control as a Science, John Wiley and Sons, Inc., New York, 1961 , pp 81-96; and Hance et al., Weed Control Handbook, 8th Ed., Blackwell Scientific Publications, Oxford, 1989.
In the following Examples, all percentages are by weight and all formulations are prepared in conventional ways. Compound numbers refer to compounds in Index Table A.
Example A
Example B
Example D
The compounds of this invention exhibit activity against a wide spectrum of foliar-feeding, fruit-feeding, stem or root feeding, seed-feeding, aquatic and
soil-inhabiting arthropods (term "arthropods" includes insects, mites and nematodes) which are pests of growing and stored agronomic crops, forestry, greenhouse crops, ornamentals, nursery crops, stored food and fiber products, livestock, household, and public and animal health. Those skilled in the art will appreciate that not all compounds are equally effective against all growth stages of all pests. Nevertheless, all of the compounds of this invention display activity against pests that include: eggs, larvae and adults of the Order Lepidoptera; eggs, foliar-feeding, fruit-feeding, root-feeding, seed-feeding larvae and adults of the Order Coleoptera; eggs, immatures and adults of the Orders Hemiptera and Homoptera; eggs, larvae, nymphs and adults of the Order Acari; eggs, immatures and adults of the Orders Thysanoptera, Orthoptera and
Dermaptera; eggs, immatures and adults of the Order Diptera; and eggs, juveniles and adults of the Phylum Nematoda. The compounds of this invention are also active against pests of the Orders Hymenoptera, Isoptera, Siphonaptera, Blattaria, Thysanura and Psocoptera; pests belonging to the Class Arachnida and Phylum Platyhelminthes.
Specifically, the compounds are active against southern corn rootworm (Diabrotica undecimpunctata howardi), aster leafhopper (Mascrosteles fascifrons), boll weevil (Anthonomus grandis), two-spotted spider mite (Tetranychus urticae), fall armyworm (Spodoptera frugiperda), black bean aphid (Aphis fabae), green peach aphid (Myzus persica), cotton aphid (Aphis gossypii), Russian wheat aphid (Diuraphis noxia), English grain aphid (Sitobion avenae), tobacco budworm (Heliothis virescens), rice water weevil
(Lissorhoptrus oryzophilus), rice leaf beetle (Oulema oryzae), whitebacked planthopper (Sogatella furcifera), green leafhopper (Nephotettix cincticeps), brown planthopper (Nilaparvata lugens), small brown planthopper (Laodelphax striatellus), rice stem borer (Chilo suppressalis), rice leafroller (Cnaphalocrocis medinalis), black rice stink bug (Scotinophara lurida), rice stink bug (Oebalus pugnax), rice bug (Leptocorisa chinensis), slender rice bug (Cletus puntiger), and southern green stink bug (Nezara viridula). The compounds are active on mites, demonstrating ovicidal, larvicidal and chemosterilant activity against such families as Tetranychidae including Tetranychus urticae, Tetranychus cinnabarinus, Tetranychus mcdanieli, Tetranychus pacificus, Tetranychus turkestani, Byrobia rubrioculus, Panonychus ulmi, Panonychus citri,
Eotetranychus carpini borealis, Eotetranychus, hicoriae, Eotetranychus sexmaculatus, Eotetranychus yumensis, Eotetranychus banksi and Oligonychus pratensis;
Tenuipalpidae including Brevipalpus lewisi, Brevipalpus phoenicis, Brevipalpus californicus and Brevipalpus obovatus; Eriophyidae including Phyllocoptruta oleivora, Eriophyes sheldoni, Aculus cornutus, Epitrimerus pyri and Eriophyes mangiferae. See WO 90/10623 and WO 92/00673 for more detailed pest descriptions.
Compounds of this invention can also be mixed with one or more other
insecticides, fungicides, nematocides, bactericides, acaricides, growth regulators, chemosterilants, semiochemicals, repellents, attractants, pheromones, feeding stimulants or other biologically active compounds to form a multi-component pesticide giving an even broader spectrum of agricultural protection. Examples of other agricultural protectants with which compounds of this invention can be formulated are: insecticides such as avermectin B, monocrotophos, carbofuran, tetrachlorvinphos, malathion, parathion-methyl, methomyl, chlordimeform, diazinon, deltamethrin, oxamyl, fenvalerate, esfenvalerate, permethrin, profenofos, sulprofos, triflumuron, diflubenzuron,
methoprene, buprofezin, thiodicarb, acephate, azinphosmethyl, chlorpyrifos, dimethoate, fipronil, flufenprox, fonophos, isofenphos, methidathion, metha-midophos, phosmet, phosphamidon, phosalone, pirimicarb, phorate, terbufos, trichlorfon, methoxychlor, bifenthrin, biphenate, cyfluthrin, tefluthrin, fenpropathrin, fluvalinate, flucythrinate, tralomethrin, imidacloprid, metaldehyde and rotenone; fungicides such as carbendazim, thiuram, dodine, maneb, chloroneb, benomyl, cymoxanil, fenpropidine, fenpropimorph, triadimefon, captan, thiophanate-methyl, thiabendazole, phosethyl-Al, chlorothalonil, dichloran, metalaxyl, captafol, iprodione, oxadixyl, vinclozolin, kasugamycin, myclobutanil, tebuconazole, difenoconazole, diniconazole, fluquinconazole, ipconazole, metconazole, penconazole, propiconazole, uniconzole, flutriafol, prochloraz, pyrifenox, fenarimol, triadimenol, diclobutrazol, copper oxychloride, furalaxyl, folpet, flusilazol,
blasucidin S, diclomezine, edifenphos, isoprothiolane, iprobenfos, mepronil, neo-asozin, pencycuron, probenazole, pyroquilon, tricyclazole, validamycin, and flutolanil;
nematocides such as aldoxycarb, fenamiphos and fosthietan; bactericides such as oxytetracyline, streptomycin and tribasic copper sulfate; acaricides such as binapacryl, oxythioquinox, chlorobenzilate, dicofol, dienochlor, cyhexatin, hexythiazox, amitraz, propargite, tebufenpyrad and fenbutatin oxide; and biological agents such as
entomopathogenic bacteria, virus and fungi.
In certain instances, combinations with other arthropodicides having a similar spectrum of control but a different mode of action will be particularly advantageous for resistance management.
Arthropod pests are controlled and protection of agronomic, horticultural and specialty crops, animal and human health is achieved by applying one or more of the compounds of this invention, in an effective amount, to the environment of the pests including the agronomic and/or nonagronomic locus of infestation, to the area to be protected, or directly on the pests to be controlled. Thus, the present invention further comprises a method for the control of foliar and soil inhabiting arthropods and nematode pests and protection of agronomic and/or nonagronomic crops, comprising applying one or more of the compounds of Formula I, or compositions containing at least one such compound, in an effective amount, to the environment of the pests including the agronomic and/or nonagronomic locus of infestation, to the area to be protected, or directly on the pests to be controlled. A preferred method of application is by spraying. Alternatively, granular formulations of these compounds can be applied to the plant foliage or the soil. Other methods of application include direct and residual sprays, aerial sprays, seed coats, microencapsulations, systemic uptake, baits, eartags, boluses, foggers, fumigants, aerosols, dusts and many others. The compounds can be
incorporated into baits that are consumed by the arthropods or in devices such as traps and the like.
The compounds of this invention can be applied in their pure state, but most often application will be of a formulation comprising one or more compounds with suitable carriers, diluents, and surfactants and possibly in combination with a food depending on the contemplated end use. A preferred method of application involves spraying a water dispersion or refined oil solution of the compounds. Combinations with spray oils, spray oil concentrations, spreader stickers, adjuvants, and synergists and other solvents such as piperonyl butoxide often enhance compound efficacy.
The rate of application required for effective control will depend on such factors as the species of arthropod to be controlled, the pest's life cycle, life stage, its size, location,
time of year, host crop or animal, feeding behavior, mating behavior, ambient moisture, temperature, and the like. Under normal circumstances, application rates of about 0.01 to 2 kg of active ingredient per hectare are sufficient to control pests in agronomic ecosystems, but as little as 0.001 kg/hectare may be sufficient or as much as 8 kg hectare may be required. For nonagronomic applications, effective use rates will range from about 1.0 to 50 mg/square meter but as little as 0.1 mg/square meter may be sufficient or as much as 150 mg/square meter may be required.
The following TEST demonstrates the control efficacy of compounds of this invention on specific pests. "Control efficacy" represents inhibition of arthropod development (including mortality) that causes significantly reduced feeding. The pest control protection afforded by the compounds is not limited, however, to this species. See Index Tables A-E for compound descriptions.
TEST A
Two-Spotted Spider Mites
Pieces of kidney bean leaves, each approximately 6.5 cm2 (1 square inch) in area, that had been infested on the undersides with 25 to 30 adult mites (Tetranychus urticae), were sprayed with their undersides facing up on a hydraulic sprayer with a solution of the test compound in 75:25 acetone-distilled water solvent. Spraying was accomplished by passing the leaves, on a conveyor belt, directly beneath a flat fan hydraulic nozzle which discharged the spray at a rate of 0.138 kilograms of active ingredient per hectare (about 0.13 pounds per acre) at 207 kPa (30 p.s.i.). The leaf squares were then placed underside-up on a square of wet cotton in a petri dish and the perimeter of the leaf square was tamped down onto the cotton with forceps so that the mites could not escape onto the untreated leaf surface. The test units were held at 27°C and 50% relative humidity for 48 h, 72 h or seven days after which time mortality readings were taken. Of the compounds tested, the following gave mortality levels of 80% or higher: 1, 4, 10, 1 1, 14, 15, 16, 17, 18, 19, 22, 24, 25, 27, 31, 33, 35, 36, 38, 40, 44, 49, 52, 53, 54, 75, 79, 81, 82, 84, 85, 86, 92, 96, 112, 118, 120, 132, 134, 139, 142, 145, 150, 151, 160, 170, 175, 183, 185, 192, 196, 197, 198, 201, 202, 211, 212, 215, 216, 217, 218, 229, 230, 234, 235, 239, 240, 242, 243, 244, 246, 247, 248, 251, 252, 253, 254, 255, 261, 264, 265, 266, 267, 268, 269, 270, 272, 273, 275, 276, 277, 278, 279, 280, 281, 284, 285, 286, 287, 288, 298, 300, 302, 303, 304, 305, 308, 309, 31 1, 312, 314, 316, 317, 320, 321, 322, 323, 324, 328, 329, 331, 333, 334, 340, 342, 343, 344, 346, 353, 354, 358, 359, 374, 419, 420, 421, 422, 423
TEST B
Southern Corn Rootworm Soil Assay
Two Pioneer 3394 germinated corn seeds are placed into the bottom of a SoloTP9 9 oz. clear plastic cup and covered with approximately 55g sassafras sandy loam soil. Soil moisture is approximately 10%. Two cups are used as replicates for each compound tested. Test compounds are diluted in 75:25 acetone: H2O to produce a 250 ppm concentration. Spraying was accomplished by passing the leaves, on a conveyor belt, directly beneath a flat fan hydraulic nozzle which discharged the spray at a rate of 0.138 kilograms of active ingredient per hectare (about 0.13 pounds per acre) at 207 kPa (30 p.s.i.). Test units are allowed to air dry for approximately 15 min. after they are passed beneath the overhead boom spray and then they are each infested with five second instar Southern corn rootworm larvae (Diabrotica undecimpunctata Howardii). Test units are capped and placed into an environmental chamber with the following conditions: 27 degrees C, 70% RH and 16:8 photoperiod. Corn plants are evaluated 7 days later for percent emergence. Plants are considered emerged if they are at least 2 cm tall and alive. Of the compounds tested, the following had at least 50% corn emergence: 3, 4, 7, 16, 22, 24, 30
TEST C
Corn Planthopper Test
Test Unit: The test unit consists of a plastic cup containing 126 +/- 4 grams of sterilized, non-fertilized sassafras (sandy loam) soil. One pre-germinated Pioneer variety 3394 corn seed is placed in a 1 inch depression in the soil and covered. The test unit is watered with 15ml of distilled water and placed in a closed plexiglas box inside a greenhouse operating at 24 degrees centigrade and 36% relative humidity for 4 days at which time it is ready for test. A snug fitting test unit lid with a small opening at the top is placed on all test units prior to test.
Compound Application: Test compounds are formulated at 200ppm in 20% acetone: 80% water containing 500ppm Ortho X-77 surfactant. Compounds are applied through the opening in the test unit lid with an atomizer sprayer fitted with a Model 17690- 1/8JJAU nozzle and a spray set-up consisting of a J2850 Fluid Cap and J70 Air Cap (Spray Sytems, Inc.). The sprayer was operated at 12-13psi. For each compound, 2 test units are sprayed with a total of 2ml each of test solution. After spraying, test units are placed in a ventilated enclosure for 10-15 minutes to dry.
Insect Infesting/Evaluation: After drying, a thin layer of white quartz sand is poured onto the soil of each test unit to aid in the evaluation of live and dead insects at the conclusion of the test. Each unit is infested with a minimum of 15 nymphs of the
corn planthopper, Peregrinus maidis, which are approximately 21 days old Infested test units are held in a growth chamber operating at 22 degrees centigrade and 50% relative humidity with a 16:8 light: dark photoperiod. Insect mortality is evaluated at 6 days post- infestation. Moribund insects are counted as dead Of the compounds tested, the following gave mortality of 80% or greater: 9, 24, 31, 42
TEST D
Green Peach Aphid Test
A turnip plant infested with Green Peach Aphid (Myzus persicae) serves as a test unit for this bioassay. All plants have between 15 and 25 aphids (all life stages) on them The turnip plants are sprayed with a single rate of 0.25 lbs. A.I./A of each compound at 30 p.s.i. on a moving belt sprayer. All test compounds are formulated using 75/25 acetone/distilled water solvent. All treatments are replicated once. A soil drench of the compound is also applied to each test unit. The drench consists of 2 mls the compound at 0.25 lbs. Al/A. Mortality is assessed at 7 days post compound application by counting live and dead insects under a microscope. Of the compounds tested, the following gave mortality of 80 % or greater: 1, 18, 175, 451, 454
Claims
What claimed is:
1. An arthropodicidal composition comprising (a) an arthropodicidally effective amount of a compound of the Formula I, II, or a mixture thereof
wherein
Q is N or CR2;
Q1 is N or CH;
Q2 is NR2 or CR2; and when Q2 is NR2, then R2 and R10 can be taken together as C2-C3 alkylene;
A is H; C1-C12 alkyl optionally substituted with 1 to 3 substituents selected from halogen, CN or NO2; C1-C4 alkoxy; C1-C2 haloalkoxy; C1-C4 alkylthio; C1-C2 haloalkylthio; C1-C4 alkylsulfinyl; C1-C2 haloalkylsulfinyl; C1-C4 alkylsulfonyl; C1-C2 haloalkylsulfonyl; C3-C6 cycloalkyl optionally substituted with W; or A is selected from the group ,
R1 is selected from the group hydrogen; halogen; C 1-C4 alkyl optionally
substituted with 1-2 substituents independently selected from Y; C1-C4 haloalkyl; phenyl, benzyl or naphthyl optionally substituted with 1 to 3 substituents independently selected from W; benzoyl optionally substituted with 1-3 substituents independently selected from W; C2-C5 alkoxycarbonyl;
C2-C5 alkylcarbonyl; C2-C4 alkenyl; C2-C4 haloalkenyl; C2-C4 alkynyl; C2-C4 haloalkynyl; C2-C5 dialkylamino; C3-C6 cycloalkyl optionally substituted with W; and a 5 or 6 membered aromatic heterocyclic ring containing 1 to 4 heteroatoms independently selected from 0-4 nitrogen, 0-2 oxy n and 0-2 sulfur each aromatic heterocycle ring optionally substituted with 1-2 substituents selected from W; C1-C4 alkoxy; C1-C4 alkylthio; C1-C4 haloalkylthio; C1-C4 alkylsulfinyl; C1-C4 haloalkylsulfinyl; C1-C4
alkylsulfonyl; C1-C4 haloalkylsulfonyl;
R2 is selected from the group hydrogen; halogen; C1-C4 alkyl optionally
substituted with CN; C1-C4 haloalkyl; benzoyl optionally substituted with
1-3 substituents independently selected from W; CN; C1-C4 alkylsulfonyl; C2-C5 alkoxycarbonyl; C2-C5 alkylcarbonyl; C3-C5 alkenyloxycarbonyl; and C3-C5 alkoxycarbonylalkyl; or when Q is CR2; then R1and R2 can be taken together as C2-C4 alkylene,
, ,
or CH2OCH2 optionally substituted with 1-2 methyl groups;
R3 and R4 are each independently hydrogen, C1-C4 alkyl, C2-C5 alkylcarbonyl, C2-C5 alkoxycarbonyl,
R3 and R4 can be taken together as =CR8R9 or C2-C6 alkylene;
each R5 is independently selected from the group C1-C10 alkyl, C1-C10 haloalkyl, C2-C10 alkenyl, C2-C10 haloalkenyl, halogen, CN, SCN, NO2, OR6, SR6, S(O)R6, S(O)2R6, OS(O)2R6, CO2R6, C(O)R6, C(O)N(R7)2, SO2N(R7)2 and N(R7)SO2R6; or when m is 2 or 3, then two adjacent R5 can be taken together as -OCH2O-, -CH2CH2O-, -OCH2C(CH3)2O-, -OCF2O-, or
-OCF2CF2O- to form a cyclic bridge between adjacent atoms on the same aromatic ring;
R6 is selected from the group C1-C4 alkyl, C3-C4 alkenyl, C3-C4 alkynyl, and C1-C4 haloalkyl;
R7 is selected from the group H, C1-C4 alkyl, C3-C4 alkenyl and C3-C4 alkynyl or R6 and R7, when attached to the same atom, can be taken together as -(CH2)4-, -(CH2)5-, and -CH2CH2OCH2CH2-;
R8 is selected from hydrogen; C1-C6 alkyl; C3-C6 alkenyl; C1-C6 haloalkyl; C3-C6 haloalkenyl; and phenyl or benzyl each optionally substituted with W;
R9 is selected from hydrogen; C1-C6 alkyl; C3-C6 alkenyl; C1-C6 haloalkyl; C3-C6 haloalkenyl; NR1 1R12; OR1 1 ; and phenyl or benzyl each optionally substituted with W; or R8 and R9 can be taken together as C2-C5 cycloalkyl, or C2-C5 halocycloalkyl;
R10 is selected from the group H; halogen; C1-C3 haloalkyl; C2-C5
alkoxycarbonyl; and C1-C3 alkyl optionally substituted with 1 to 2 substituents selected from Y; or R10 and R2 can be taken together as C2-C4 alkylene;
R1 1 is C1-C4 alkyl;
R12 is C1-C4 alkyl;
W is selected from the group halogen, CN, NO2, C1-C2 alkyl, C1-C2 haloalkyl, C1-C2 alkoxy, C1-C2 haloalkoxy, C1-C2 alkylthio, C1-C2 haloalkylthio, C1-C2 alkylsulfonyl and C 1-C2 haloalkylsulfonyl;
each X is independently selected from F and Cl;
Y is C1-C4 alkoxy; C1-C4 alkylthio; C1-C4 alkylsulfinyl; C1-C4 alkylsulfonyl;
C2-C5 alkoxycarbonyl; C1-C4 haloalkoxy; CN; hydroxy; C2-C5
alkylcarbonyloxy; C 1-C4 alkylcarbonyl; or phenoxy optionally substituted with W;
m is 0, 1, 2 or 3; and
n is 0, 1, or 2; and
(b) at least one of a surfactant, a solid diluent, or a liquid diluent.
R3 and R4 are each H, C2-C5 alkylcarbonyl, C2-C5 alkoxycarbonyl or, R3 and R4 can be taken together as ;
R5 is halogen, C1-C2 alkyl, C1-C2 haloalkyl, OR6, SR6, S(O)R6, S(O)2R6, or CN,
R6 is C1-C2 haloalkyl, C1-C2 alkyl;
R8 is H or CH3;
R9 is N(CH3)2, OCH3 or OC2H5;
R10 is H, C 1-C3 alkyl, C2-C5 alkoxycarbonyl;
each X is F,
m is 1, 2 or 3; and
n is 0 or 1.
R1 is selected from the group H, C1-C4 alkyl optionally substituted with 1-2 substituents independently selected from C1-C2 alkoxy, C1-C2 alkylthio, C1-C2 alkylsulfonyl, F, Cl, or CN; phenyl optionally substituted with 1-3 substituents independently selected from W; ; and
R2 is H, CH3, C2-C5 alkoxycarbonyl, C2-C5 alkylcarbonyl, C1-C4 alkylsulfonyl
4. A composition of Claim 3 wherein: , and
R1 is C1-C4 alkyl or phenyl optionally substitiuted with 1-3 substituents independently selected from W.
5. A composition of Claim 4 wherein W is halogen.
6. A composition of Claim 1 wherein the compound is selected from: 6-amino-1-(2,4-dichlorophenyl)-1,4-dihydro-2-phenyl-4,4-bis(trifluoromethyl)- 5-pyrimidinecarbonitrile;
2-amino-1-(4-chlorophenyl)-1,4-dihydro-6-(1-methylethyl)-4,4- bis(trifluoromethyl)-3-pyridinecarbonitrile;
N'-[1-(4-chlorophenyl)-3-cyano-1,4-dihydro-6-methyl-4,4-=
bis(trifluoromethyl)-2-pyridinyl]-N,N-dimethyl-methanimidamide; and
2-amino-1-[2-chloro-4-(trifluoromethyl)phenyl]-1,4-dihydro-6-methyl-4,4-= bis(trifluoromethyl)-3-pyridinecarbonitrile.
7. A compound of Formula I, Formula II or a mixture thereof
wherein
Q is N or CR2;
Q1 is N or CH;
Q2 is NR2 or CR2; and when Q2 is NR2, then R2 and R10 can be taken together as
C2-C3 alkylene;
A is H; C1-C12 alkyl optionally substituted with 1 to 3 substituents selected from halogen, CN or NO2; C1-C4 alkoxy; C1-C2 haloalkoxy; C1 -C4 alkylthio; C 1-C2 haloalkylthio; C1-C4 alkylsulfinyl; C1-C2 haloalkylsulfinyl; C1-C4 alkylsulfonyl; C1-C2 haloalkylsulfonyl; C3-C6 cycloalkyl optionally substituted with W; or A is selected from the group ,
R1 is selected from the group hydrogen; halogen; C1-C4 alkyl optionally
substituted with 1-2 substituents independently selected from Y; C1-C4 haloalkyl; phenyl, benzyl or naphthyl optionally substituted with 1 to 3 substituents independently selected from W; benzoyl optionally substituted with 1-3 substituents independently selected from W; C2-C5 alkoxycarbonyl; C2-C5 alkylcarbonyl; C2-C4 alkenyl; C2-C4 haloalkenyl; C2-C4 alkynyl; C2-C4 haloalkynyl; C2-C5 dialkylamino; C3-C6 cycloalkyl optionally substituted with W; and a 5 or 6 membered aromatic heterocyclic ring containing 1 to 4 heteroatoms independently selected from 0-4 nitrogen, 0-2 oxygen and 0-2 sulfur each aromatic heterocycle ring optionally substituted with 1-2 substituents selected from W; C1-C4 alkoxy; C1-C4 alkylthio; C1-C4 haloalkylthio; C1-C4 alkylsulfinyl; C1 -C4 haloalkylsulfinyl; C1-C4 alkylsulfonyl; C1-C4 haloalkylsulfonyl;
R2 is selected from the group hydrogen; halogen; C1-C4 alkyl optionally
substituted with CN; C1-C4 haloalkyl; benzoyl optionally substituted with 1-3 substituents independently selected from W; CN; C1-C4 alkylsulfonyl; C2-C5 alkoxycarbonyl; C2-C5 alkylcarbonyl ; C3-C5 alkenyloxy carbonyl; and C3-C5 alkoxycarbonylalkyl; or when Q is CR2; then R1and R2 can be taken together as C2-C4 alkylene,
, ,
or CH2OCH2 optionally substituted with 1-2 methyl groups;
R3 and R4 are each independently hydrogen, C1-C4 alkyl, C2-C5 alkylcarbonyl, C2-C5 alkoxycarbonyl,
R3 and R4 can be taken together as =CR8R9 or C2-C6 alkylene;
each R5 is independently selected from the group C1-C10 alkyl, C1-C10 haloalkyl,
C2-C10 alkenyl, C2-C10 haloalkenyl, halogen, CN, SCN, NO2, OR6, SR6.
S(O)R6, S(O)2R6, OS(O)2R6, CO2R6, C(O)R6, C(O)N(R7)2, SO2N(R7)2 and N(R7)SO2R6; or when m is 2 or 3, then two adjacent R5 can be taken together as -OCH2O-, -OCH2CH2O-, -OCH2C(CH3)2O-, -OCF2O-, or
-OCF2CF2O- to form a cyclic bridge between adjacent atoms on the same aromatic ring;
R6 is selected from the group C1-C4 alkyl, C3-C4 alkenyl, C3-C4 alkynyl, and C1-C4 haloalkyl;
R7 is selected from the group H, C1-C4 alkyl, C3-C4 alkenyl and C3-C4 alkynyl or R6 and R7, when attached to the same atom, can be taken together as -(CH2)4-,
-(CH2)5-, and -CH2CH2OCH2CH2-;
R8 is selected from hydrogen; C1-C6 alkyl; C3-C6 alkenyl; C1-C6 haloalkyl; C3-C6 haloalkenyl; and phenyl or benzyl each optionally substituted with W;
R9 is selected from hydrogen; C1-C6 alkyl; C3-C6 alkenyl; C1-C6 haloalkyl; C3-C6 haloalkenyl; NR11R12; OR11 ; and phenyl or benzyl each optionally substituted with W; or R8 and R9 can be taken together as C2-C5 cycloalkyl, or C2-C5 halocycloalkyl;
R10 is selected from the group H; halogen; C1-C3 haloalkyl; C2-C5
alkoxycarbonyl; and C1-C3 alkyl optionally substituted with 1 to 2 substituents selected from Y; or R10 and R2 can be taken together as C2-C4 alkylene;
R1 1 is C1-C4 alkyl;
R12 is C1-C4 alkyl;
W is selected from the group halogen, CN, NO2, C1-C2 alkyl, C1-C2 haloalkyl, C1-C2 alkoxy, C1-C2 haloalkoxy, C1-C2 alkylthio, C1-C2 haloalkylthio, C1-C2 alkylsulfonyl and C1-C2 haloalkylsulfonyl;
each X is independently selected from F and Cl;
Y is C1-C4 alkoxy; C1-C4 alkylthio; C1-C4 alkylsulfinyl; C1-C4 alkylsulfonyl;
C2-C5 alkoxycarbonyl; C1-C4 haloalkoxy; CN hydroxy; C2-C5
alkylcarbonyloxy; C1-C4 alkylcarbonyl; or phenoxy optionally substituted with W;
m is 0, 1, 2 or 3; and
n is 0, 1 , or 2; provided that:
(a) when Q is CR2, and all Xs are F, R1 is CH3, R2 is H, R3 and R4 are each H, , and
m is 1, then R5 is other than 4-CH3, 4-Cl, 4-F, 3-NO2, 4-CO2H or 2-CO2H, when m is 2, R5 is other than 3,4-di-OCH3, and when m is 3, R5 is other than 2,3,4-tri-CH3; and
(b) when Q is CR2, and all Xs are F, R1 and R2 are taken together as C3 alkylene,
m is 1, then R5 is other than 2-CO2CH3 and 4-OCH3, and when m is 2, R5 is other than 3,4-di-OCH3 or 2,6-di-CH3; and
(c) when Q is CR2, and all Xs are F, R1 and R2 are each CH3, R3 and R4 are each H, m is 1, and
,
then R5 is other than 4-F; and
(d) when Q is CR2 and all X's are F, R1 is CH2CH3, R2 is H, R3 and R4 are each H, m is 1 and
,
then R5 is other than 4-F.
8. A compound of Claim 7 wherein: ,
R3 and R4 are each H, C2-C5 alkylcarbonyl, C2-C5 alkoxycarbonyl or, R3 and R4 can be taken together as ;
R5 is halogen, C1-C2 alkyl, C1-C2 haloalkyl, OR6, SR6, S(O)R6, S(O)2R6, or CN; R6 is C1-C2 haloalkyl ; or C1-C2 alkyl;
R8 is H or CH3;
R9 is N(CH3)2, OCH3 or OC2H5;
R10 is H, C1-C3 alkyl, or C2-C5 alkoxycarbonyl;
each X is F;
m is 1, 2 or 3; and
n is 0 or 1 ; provided that:
(a) when Q is CR2, all Xs are F, R1 is CH3, R2 is H, R3 and R4 are each H, , and
when m is 1 , then R5 is other then 4-Cl or 4-F, and when m is 2, then R5 is other than 3, 4-di-OCH3;
(b) when Q is CR2, all Xs are F, R1 and R2 are taken together as C3 alkylene, R3 and R4 are each H,
, and
when m is 1, R5 is other than 4-OCH3, and when m is 2, R5 is other than
3, 4-di-OCH3;
(c) when Q is CR2, all Xs are F, R1 and R2 are each CH3, R3 and R4 are each H, and m is 1, and
,
then R5 is other than 4-F; and
(d) when Q is CR2, all Xs are F, R1 is CH2CH3, R2 is H, R3 and R4 are each H, m is 1 and
,
then R5 is other than 4-F.
9. A compound of Claim 8 wherein: ;
R1 is selected from the group H, C1-C4 alkyl optionally substituted with 1-2 substituents independently selected from C1-C2 alkoxy, C1-C2 alkylthio, C1-C2 alkylsulfonyl, F, Cl, or CN; phenyl optionally substituted with 1-3 substituents independently selected from W; ; and
R2 is H, CH3, C2-C5 alkoxycarbonyl, C2-C5 alkylcarbonyl, C1-C4 alkylsulfonyl; provided that:
(a) when Q is CR2, all Xs are F, R1 is CH3, R2 is H, R3 and R4 are each H,
, and
when m is 1, then R5 is other then 4-Cl or 4-F, and when m is 2, then R5 is other than 3, 4-di-OCH3;
(b) when Q is CR2, all Xs are F, R1 and R2 are each CH3, R3 and R4 are each H, and m is 1 , and
,
then R5 is other than 4-F; and
(c) when Q is CR2, all Xs are F, R1 is CH2CH3, R2 is H, R3 and R4 are each H, m is 1 and
,
then R5 is other than 4-F.
10. A compound of Claim 9 wherein: , and
R1 is C1-C4 alkyl or phenyl optionally substituted with 1-3 substituents independently selected from W; provided that:
(a) when Q is CR2, all Xs are F, R1 is CH3, R2 is H, R3 and R4 are each H, , and
when m is 1, then R5 is other then 4-Cl or 4-F, and when m is 2, then R5 is other than 3, 4-di-OCH3;
then R5 is other than 4-F; and
(c) when Q is CR2, all Xs are F, R1 is CH2CH3, R2 is H, R3 and R4 are each H, m is 1 and
,
then R5 is other than 4-F; and 1 1. A compound of Claim 7 selected from:
6-amino-1-(2,4-dichlorophenyl)-1,4-dihydro-2-phenyl-4,4-bis(trifluoromethyl)- 5-pyrimidinecarbonitrile;
2-amino-1-(4-chlorophenyl)-1,4-dihydro-6-(1-methylethyl)-4,4- bis(trifluoromethyl)-3-pyridinecarbonitrile;
N'-[1-(4-chlorophenyl)-3-cyano-1,4-dihydro-6-methyl-4,4-=
bis(trifluoromethyl)-2-pyridinyl]-N,N-dimethyl-methanimidamide; and 2-amino-1-[2-chloro-4-(trifluoromethyl)phenyl]-1,4-dihydro-6-methy1-4,4- bis(trifluoromethyl)-3-pyridinecarbonitrile.
12. A method for controlling arthropods comprising contacting the arthropods or their environment with an arthropodicidally effective amount of a compound according to Formula I, Formula II or a mixture thereof
Q is N or CR2;
Q1 is N or CH;
Q2 is NR2 or CR2; and when Q2 is NR2, then R2 and R10 can be taken together as C2-C3 alkylene:
A is H; C1-C12 alkyl optionally substituted with 1 to 3 substituents selected from halogen, CN or NO2; C1-C4 alkoxy; C1-C2 haloalkoxy; C1-C4 alkylthio; C1-C2 haloalkylthio; C1-C4 alkylsulfinyl; C1-C2 haloalkylsulfinyl; C1 -C4 alkylsulfonyl; C1-C2 haloalkylsulfonyl; C3-C6 cycloalkyl optionally substituted with W; or A is selected from the group
R1 is selected from the group hydrogen; halogen; C1-C4 alkyl optionally
substituted with 1-2 substituents independently selected from Y; C1-C4 haloalkyl; phenyl, benzyl or naphthyl optionally substituted with 1 to 3 substituents independently selected from W; benzoyl optionally substituted with 1-3 substituents independently selected from W; C2-C5 alkoxycarbonyl; C2-C5 alkylcarbonyl; C2-C4 alkenyl; C2-C4 haloalkenyl; C2-C4 alkynyl; C2-C4 haloalkynyl; C2-C5 dialkylamino; C3-C6 cycloalkyl optionally substituted with W; and a 5 or 6 membered aromatic heterocyclic ring containing 1 to 4 heteroatoms independently selected from 0-4 nitrogen, 0-2 oxygen and 0-2 sulfur each aromatic heterocycle ring optionally substituted with 1-2 substituents selected from W; C1-C4 alkoxy; C1-C4 alkylthio; C1-C4 haloalkylthio; C1-C4 alkylsulfinyl; C1-C4 haloalkylsulfinyl; C1-C4
alkylsulfonyl; C1-C4 haloalkylsulfonyl;
R2 is selected from the group hydrogen; halogen; C1-C4 alkyl; C1-C4 haloalkyl; benzoyl optionally substituted with 1-3 substituents independently selected from W; CN; C1-C4 alkylsulfonyl; C2-C5 alkoxycarbonyl; C2-C5
alkylcarbonyl; and C3-C5 alkoxycarbonylalkyl; or when Q is CR2; then R1and R2 can be taken together as C2-C4 alkylene, , ,
or CH2OCH2 optionally substituted with 1-2 methyl groups;
R3 and R4 are each independently hydrogen, C1-C4 alkyl, C2-C5 alkylcarbonyl, C2-C5 alkoxycarbonyl,
R3 and R4 can be taken together as =CR8R9 or C2-C6 alkylene;
each R5 is independently selected from the group C1-C10 alkyl, C1-C10 haloalkyl, C2-C10 alkenyl, C2-C10 haloalkenyl, halogen, CN, SCN, NO2, OR6, SR6, S(O)R6, S(O)2R6, OS(O)2R6, CO2R6, C(O)R6, C(O)N(R7)2, SO2N(R7)2 and N(R7)SO2R6; or when m is 2 or 3, then two adjacent R5 can be taken together as -OCH2O-, -OCH2CH2O-, -OCH2C(CH3)2O-, -OCF2O-, or -OCF2CF2O- to form a cyclic bridge between adjacent atoms on the same aromatic ring;
R6 is selected from the group C 1-C4 alkyl, C3-C4 alkenyl, C3-C4 alkynyl, and C1-C4 haloalkyl;
R7 is selected from the group H, C1-C4 alkyl, C3-C4 alkenyl and C3-C4 alkynyl or
R6 and R7, when attached to the same atom, can be taken together as -(CH2)4-, -(CH2)5-, and -CH2CH2OCH2CH2-;
R8 is selected from hydrogen; C1-C6 alkyl; C3-C6 alkenyl; C1-C6 haloalkyl; C3-C6 haloalkenyl; and phenyl or benzyl each optionally substituted with W;
R9 is selected from hydrogen; C1-C6 alkyl; C3-C6 alkenyl; C1-C6 haloalkyl; C3-C6 haloalkenyl; NR1 1R12; OR1 1; and phenyl or benzyl each optionally substituted with W; or R8 and R9 can be taken together as C2-C5 cycloalkyl, or C2-C5 halocycloalkyl;
R10 is selected from the group H; halogen; C1-C3 haloalkyl; C2-C5
alkoxycarbonyl; and C 1-C3 alkyl optionally substituted with 1 to 2
substituents selected from Y; or R10 and R2 can be taken together as C2-C4 alkylene;
R 11 is C1-C4 alkyl;
R12 is C1-C4 alkyl;
W is selected from the group halogen, CN, NO2, C1-C2 alkyl, C1-C2 haloalkyl, C1-C2 alkoxy, C1-C2 haloalkoxy, C1-C2 alkylthio, C1-C2 haloalkylthio,
C1-C2 alkylsulfonyl and C1-C 2 haloalkylsulfonyl;
each X is independently selected from F and Cl;
Y is C1-C4 alkoxy; C1-C4 alkylthio; C1-C4 alkylsulfinyl; C1-C4 alkylsulfonyl;
C2-C5 alkoxycarbonyl; C1 -C4 haloalkoxy; CN hydroxy; C2-C5
alkylcarbonyloxy; C1-C4 alkylcarbonyl; or phenoxy optionally substituted with W;
m is 0, 1, 2 or 3; and
n is 0, 1, or 2.
Priority Applications (1)
| Application Number | Priority Date | Filing Date | Title |
|---|---|---|---|
| AU70076/96A AU7007696A (en) | 1995-09-22 | 1996-08-12 | Arthropodicidal 1,4-dihydropyridines and 1,4-dihydropyrimidines |
Applications Claiming Priority (4)
| Application Number | Priority Date | Filing Date | Title |
|---|---|---|---|
| US418295P | 1995-09-22 | 1995-09-22 | |
| US60/004,182 | 1995-09-22 | ||
| US727795P | 1995-11-06 | 1995-11-06 | |
| US60/007,277 | 1995-11-06 |
Publications (1)
| Publication Number | Publication Date |
|---|---|
| WO1997011057A1 true WO1997011057A1 (en) | 1997-03-27 |
Family
ID=26672719
Family Applications (1)
| Application Number | Title | Priority Date | Filing Date |
|---|---|---|---|
| PCT/US1996/013092 Ceased WO1997011057A1 (en) | 1995-09-22 | 1996-08-12 | Arthropodicidal 1,4-dihydropyridines and 1,4-dihydropyrimidines |
Country Status (2)
| Country | Link |
|---|---|
| AU (1) | AU7007696A (en) |
| WO (1) | WO1997011057A1 (en) |
Cited By (11)
| Publication number | Priority date | Publication date | Assignee | Title |
|---|---|---|---|---|
| JP2012514615A (en) * | 2009-01-09 | 2012-06-28 | バイエル・ファルマ・アクチェンゲゼルシャフト | Triazolo and tetrazolopyrimidine derivatives as HNE inhibitors for the treatment of COPD |
| WO2019034686A1 (en) * | 2017-08-15 | 2019-02-21 | Inflazome Limited | Novel sulfonamide carboxamide compounds |
| US11130731B2 (en) | 2015-02-16 | 2021-09-28 | The Provost, Fellows, Foundation Scholars, And The Other Members Of Board, Of The College Of The Holy And Undivided Trinity Of Queen Elizabeth Near Dublin | Sulfonylureas and related compounds and use of same |
| US11370776B2 (en) | 2017-07-07 | 2022-06-28 | Inflazome Limited | Sulfonylureas and sulfonylthioureas as NLRP3 inhibitors |
| US11465992B2 (en) | 2017-07-07 | 2022-10-11 | Inflazome Limited | Sulfonamide carboxamide compounds |
| US11542255B2 (en) | 2017-08-15 | 2023-01-03 | Inflazome Limited | Sulfonylureas and sulfonylthioureas as NLRP3 inhibitors |
| US11613542B2 (en) | 2017-08-15 | 2023-03-28 | Inflazome Limited | Sulfonylureas and sulfonylthioureas as NLRP3 inhibitors |
| US11905252B2 (en) | 2018-03-02 | 2024-02-20 | Inflazome Limited | Compounds |
| US11926600B2 (en) | 2017-08-15 | 2024-03-12 | Inflazome Limited | Sulfonylureas and sulfonylthioureas as NLRP3 inhibitors |
| US12012392B2 (en) | 2017-11-09 | 2024-06-18 | Inflazome Limited | Sulfonamide carboxamide compounds |
| US12221434B2 (en) | 2017-11-09 | 2025-02-11 | Inflazome Limited | Sulfonamide carboxamide compounds |
-
1996
- 1996-08-12 AU AU70076/96A patent/AU7007696A/en not_active Abandoned
- 1996-08-12 WO PCT/US1996/013092 patent/WO1997011057A1/en not_active Ceased
Non-Patent Citations (1)
| Title |
|---|
| V.YU. TYUTIN ET AL.: "Anovel three-component reaction of 1,1-dicyano-2-(trifluoromethyl)ethylenes, primary arylamines, and ketones", RUSSIAN CHEMICAL BULLETIN, vol. 42, no. 3, March 1993 (1993-03-01), pages 512 - 521, XP002019426 * |
Cited By (15)
| Publication number | Priority date | Publication date | Assignee | Title |
|---|---|---|---|---|
| JP2012514615A (en) * | 2009-01-09 | 2012-06-28 | バイエル・ファルマ・アクチェンゲゼルシャフト | Triazolo and tetrazolopyrimidine derivatives as HNE inhibitors for the treatment of COPD |
| US11130731B2 (en) | 2015-02-16 | 2021-09-28 | The Provost, Fellows, Foundation Scholars, And The Other Members Of Board, Of The College Of The Holy And Undivided Trinity Of Queen Elizabeth Near Dublin | Sulfonylureas and related compounds and use of same |
| US11465992B2 (en) | 2017-07-07 | 2022-10-11 | Inflazome Limited | Sulfonamide carboxamide compounds |
| US11981667B2 (en) | 2017-07-07 | 2024-05-14 | Inflazome Limited | Sulfonamide carboxamide compounds |
| US11370776B2 (en) | 2017-07-07 | 2022-06-28 | Inflazome Limited | Sulfonylureas and sulfonylthioureas as NLRP3 inhibitors |
| US11542255B2 (en) | 2017-08-15 | 2023-01-03 | Inflazome Limited | Sulfonylureas and sulfonylthioureas as NLRP3 inhibitors |
| CN111132974A (en) * | 2017-08-15 | 2020-05-08 | 英夫拉索姆有限公司 | Novel sulfonamide carboxamide compounds |
| US11613542B2 (en) | 2017-08-15 | 2023-03-28 | Inflazome Limited | Sulfonylureas and sulfonylthioureas as NLRP3 inhibitors |
| JP2023055855A (en) * | 2017-08-15 | 2023-04-18 | インフレイゾーム リミテッド | Novel sulfonamide carboxamide compound |
| CN111132974B (en) * | 2017-08-15 | 2023-11-21 | 英夫拉索姆有限公司 | Sulfonamide carboxamide compounds |
| US11926600B2 (en) | 2017-08-15 | 2024-03-12 | Inflazome Limited | Sulfonylureas and sulfonylthioureas as NLRP3 inhibitors |
| WO2019034686A1 (en) * | 2017-08-15 | 2019-02-21 | Inflazome Limited | Novel sulfonamide carboxamide compounds |
| US12012392B2 (en) | 2017-11-09 | 2024-06-18 | Inflazome Limited | Sulfonamide carboxamide compounds |
| US12221434B2 (en) | 2017-11-09 | 2025-02-11 | Inflazome Limited | Sulfonamide carboxamide compounds |
| US11905252B2 (en) | 2018-03-02 | 2024-02-20 | Inflazome Limited | Compounds |
Also Published As
| Publication number | Publication date |
|---|---|
| AU7007696A (en) | 1997-04-09 |
Similar Documents
| Publication | Publication Date | Title |
|---|---|---|
| WO1995003306A1 (en) | Arthropodicidal azacyclic heterocycles | |
| WO1995007278A1 (en) | Fungicidal, miticidal and arthropodicidal aminopyrimidines | |
| EP0712394B1 (en) | Arthropodicidal oxazolines and thiazolines | |
| EP0737188B1 (en) | Arthropodicidal oxadiazine carboxanilides | |
| WO1993022291A1 (en) | Arthropodicidal and fungicidal aminopyrimidines | |
| US5328915A (en) | Arthropodicidal amidrazone ureas | |
| EP0632803B1 (en) | Arthropodicidal amides | |
| WO1997011057A1 (en) | Arthropodicidal 1,4-dihydropyridines and 1,4-dihydropyrimidines | |
| EP0869963A1 (en) | Arthropodicidal and fungicidal organosilanes and organogermanes | |
| WO1995019972A1 (en) | Arthropodicidal 2-oxa and thia-zolines | |
| US5444079A (en) | Arthropodicidal oxazolines | |
| WO1994008954A1 (en) | Arthropodicidal semicarbazones | |
| WO1993021160A1 (en) | Arthropodicidal pyrazole sulfonates | |
| US5538967A (en) | Arthropodicidal oxazines and thiazines | |
| WO1995000491A1 (en) | Arthropodicidal sulfonates | |
| WO1994008976A1 (en) | Fungicidal and miticidal aminopyrimidines | |
| WO1995016676A1 (en) | Arthropodicidal pentafluorothio substituted anilides | |
| WO1993021150A2 (en) | Arthropodicidal aryl sulfonates | |
| WO1993022289A1 (en) | Arthropodicidal imidazolidines | |
| WO1996033180A1 (en) | Oxazoline and thiazoline arthropodicides | |
| WO1993010096A1 (en) | Arthropodicidal and nematicidal sulfonates | |
| US5514678A (en) | Arthropodicidal 1,2,4-triazinyl amides | |
| HUT76814A (en) | Arthropodicidal tetrahydropyrimidines, compositions containing these compounds as active ingredients and use thereof | |
| EP0629201A1 (en) | Arthropodicidal amides | |
| WO1994012491A1 (en) | Arthropodicidal nitroethylene diamines |
Legal Events
| Date | Code | Title | Description |
|---|---|---|---|
| AK | Designated states |
Kind code of ref document: A1 Designated state(s): AL AM AU AZ BB BG BR BY CA CN CZ EE GE HU IL IS JP KG KP KR KZ LK LR LT LV MD MG MK MN MX NO NZ PL RO RU SG SI SK TJ TM TR TT UA US US UZ VN AM AZ BY KG KZ MD RU TJ TM |
|
| AL | Designated countries for regional patents |
Kind code of ref document: A1 Designated state(s): KE LS MW SD SZ UG AT BE CH DE DK ES FI FR GB GR IE IT LU MC NL PT SE BF BJ CF CG CI CM GA GN ML MR NE SN TD TG |
|
| DFPE | Request for preliminary examination filed prior to expiration of 19th month from priority date (pct application filed before 20040101) | ||
| 121 | Ep: the epo has been informed by wipo that ep was designated in this application | ||
| 122 | Ep: pct application non-entry in european phase | ||
| NENP | Non-entry into the national phase |
Ref country code: CA |





















































































































































