WO1996014307A1 - Certain substituted benzylamine derivatives; a new class of neuropeptide y1 specific ligands - Google Patents
Certain substituted benzylamine derivatives; a new class of neuropeptide y1 specific ligands Download PDFInfo
- Publication number
- WO1996014307A1 WO1996014307A1 PCT/US1995/014472 US9514472W WO9614307A1 WO 1996014307 A1 WO1996014307 A1 WO 1996014307A1 US 9514472 W US9514472 W US 9514472W WO 9614307 A1 WO9614307 A1 WO 9614307A1
- Authority
- WO
- WIPO (PCT)
- Prior art keywords
- compound according
- straight
- cyclohexane
- carbon atoms
- branched chain
- Prior art date
- Legal status (The legal status is an assumption and is not a legal conclusion. Google has not performed a legal analysis and makes no representation as to the accuracy of the status listed.)
- Ceased
Links
Classifications
-
- C—CHEMISTRY; METALLURGY
- C07—ORGANIC CHEMISTRY
- C07D—HETEROCYCLIC COMPOUNDS
- C07D213/00—Heterocyclic compounds containing six-membered rings, not condensed with other rings, with one nitrogen atom as the only ring hetero atom and three or more double bonds between ring members or between ring members and non-ring members
- C07D213/02—Heterocyclic compounds containing six-membered rings, not condensed with other rings, with one nitrogen atom as the only ring hetero atom and three or more double bonds between ring members or between ring members and non-ring members having three double bonds between ring members or between ring members and non-ring members
- C07D213/04—Heterocyclic compounds containing six-membered rings, not condensed with other rings, with one nitrogen atom as the only ring hetero atom and three or more double bonds between ring members or between ring members and non-ring members having three double bonds between ring members or between ring members and non-ring members having no bond between the ring nitrogen atom and a non-ring member or having only hydrogen or carbon atoms directly attached to the ring nitrogen atom
- C07D213/60—Heterocyclic compounds containing six-membered rings, not condensed with other rings, with one nitrogen atom as the only ring hetero atom and three or more double bonds between ring members or between ring members and non-ring members having three double bonds between ring members or between ring members and non-ring members having no bond between the ring nitrogen atom and a non-ring member or having only hydrogen or carbon atoms directly attached to the ring nitrogen atom with hetero atoms or with carbon atoms having three bonds to hetero atoms with at the most one bond to halogen, e.g. ester or nitrile radicals, directly attached to ring carbon atoms
- C07D213/72—Nitrogen atoms
- C07D213/74—Amino or imino radicals substituted by hydrocarbon or substituted hydrocarbon radicals
-
- A—HUMAN NECESSITIES
- A61—MEDICAL OR VETERINARY SCIENCE; HYGIENE
- A61K—PREPARATIONS FOR MEDICAL, DENTAL OR TOILETRY PURPOSES
- A61K31/00—Medicinal preparations containing organic active ingredients
- A61K31/33—Heterocyclic compounds
- A61K31/395—Heterocyclic compounds having nitrogen as a ring hetero atom, e.g. guanethidine or rifamycins
- A61K31/495—Heterocyclic compounds having nitrogen as a ring hetero atom, e.g. guanethidine or rifamycins having six-membered rings with two or more nitrogen atoms as the only ring heteroatoms, e.g. piperazine or tetrazines
- A61K31/505—Pyrimidines; Hydrogenated pyrimidines, e.g. trimethoprim
-
- A—HUMAN NECESSITIES
- A61—MEDICAL OR VETERINARY SCIENCE; HYGIENE
- A61P—SPECIFIC THERAPEUTIC ACTIVITY OF CHEMICAL COMPOUNDS OR MEDICINAL PREPARATIONS
- A61P3/00—Drugs for disorders of the metabolism
- A61P3/04—Anorexiants; Antiobesity agents
-
- A—HUMAN NECESSITIES
- A61—MEDICAL OR VETERINARY SCIENCE; HYGIENE
- A61P—SPECIFIC THERAPEUTIC ACTIVITY OF CHEMICAL COMPOUNDS OR MEDICINAL PREPARATIONS
- A61P43/00—Drugs for specific purposes, not provided for in groups A61P1/00-A61P41/00
-
- A—HUMAN NECESSITIES
- A61—MEDICAL OR VETERINARY SCIENCE; HYGIENE
- A61P—SPECIFIC THERAPEUTIC ACTIVITY OF CHEMICAL COMPOUNDS OR MEDICINAL PREPARATIONS
- A61P9/00—Drugs for disorders of the cardiovascular system
-
- A—HUMAN NECESSITIES
- A61—MEDICAL OR VETERINARY SCIENCE; HYGIENE
- A61P—SPECIFIC THERAPEUTIC ACTIVITY OF CHEMICAL COMPOUNDS OR MEDICINAL PREPARATIONS
- A61P9/00—Drugs for disorders of the cardiovascular system
- A61P9/12—Antihypertensives
-
- C—CHEMISTRY; METALLURGY
- C07—ORGANIC CHEMISTRY
- C07D—HETEROCYCLIC COMPOUNDS
- C07D213/00—Heterocyclic compounds containing six-membered rings, not condensed with other rings, with one nitrogen atom as the only ring hetero atom and three or more double bonds between ring members or between ring members and non-ring members
- C07D213/02—Heterocyclic compounds containing six-membered rings, not condensed with other rings, with one nitrogen atom as the only ring hetero atom and three or more double bonds between ring members or between ring members and non-ring members having three double bonds between ring members or between ring members and non-ring members
- C07D213/04—Heterocyclic compounds containing six-membered rings, not condensed with other rings, with one nitrogen atom as the only ring hetero atom and three or more double bonds between ring members or between ring members and non-ring members having three double bonds between ring members or between ring members and non-ring members having no bond between the ring nitrogen atom and a non-ring member or having only hydrogen or carbon atoms directly attached to the ring nitrogen atom
- C07D213/24—Heterocyclic compounds containing six-membered rings, not condensed with other rings, with one nitrogen atom as the only ring hetero atom and three or more double bonds between ring members or between ring members and non-ring members having three double bonds between ring members or between ring members and non-ring members having no bond between the ring nitrogen atom and a non-ring member or having only hydrogen or carbon atoms directly attached to the ring nitrogen atom with substituted hydrocarbon radicals attached to ring carbon atoms
- C07D213/36—Radicals substituted by singly-bound nitrogen atoms
- C07D213/38—Radicals substituted by singly-bound nitrogen atoms having only hydrogen or hydrocarbon radicals attached to the substituent nitrogen atom
-
- C—CHEMISTRY; METALLURGY
- C07—ORGANIC CHEMISTRY
- C07D—HETEROCYCLIC COMPOUNDS
- C07D239/00—Heterocyclic compounds containing 1,3-diazine or hydrogenated 1,3-diazine rings
- C07D239/02—Heterocyclic compounds containing 1,3-diazine or hydrogenated 1,3-diazine rings not condensed with other rings
- C07D239/24—Heterocyclic compounds containing 1,3-diazine or hydrogenated 1,3-diazine rings not condensed with other rings having three or more double bonds between ring members or between ring members and non-ring members
- C07D239/28—Heterocyclic compounds containing 1,3-diazine or hydrogenated 1,3-diazine rings not condensed with other rings having three or more double bonds between ring members or between ring members and non-ring members with hetero atoms or with carbon atoms having three bonds to hetero atoms with at the most one bond to halogen, directly attached to ring carbon atoms
- C07D239/32—One oxygen, sulfur or nitrogen atom
- C07D239/42—One nitrogen atom
-
- C—CHEMISTRY; METALLURGY
- C07—ORGANIC CHEMISTRY
- C07D—HETEROCYCLIC COMPOUNDS
- C07D295/00—Heterocyclic compounds containing polymethylene-imine rings with at least five ring members, 3-azabicyclo [3.2.2] nonane, piperazine, morpholine or thiomorpholine rings, having only hydrogen atoms directly attached to the ring carbon atoms
- C07D295/02—Heterocyclic compounds containing polymethylene-imine rings with at least five ring members, 3-azabicyclo [3.2.2] nonane, piperazine, morpholine or thiomorpholine rings, having only hydrogen atoms directly attached to the ring carbon atoms containing only hydrogen and carbon atoms in addition to the ring hetero elements
-
- C—CHEMISTRY; METALLURGY
- C07—ORGANIC CHEMISTRY
- C07D—HETEROCYCLIC COMPOUNDS
- C07D295/00—Heterocyclic compounds containing polymethylene-imine rings with at least five ring members, 3-azabicyclo [3.2.2] nonane, piperazine, morpholine or thiomorpholine rings, having only hydrogen atoms directly attached to the ring carbon atoms
- C07D295/02—Heterocyclic compounds containing polymethylene-imine rings with at least five ring members, 3-azabicyclo [3.2.2] nonane, piperazine, morpholine or thiomorpholine rings, having only hydrogen atoms directly attached to the ring carbon atoms containing only hydrogen and carbon atoms in addition to the ring hetero elements
- C07D295/027—Heterocyclic compounds containing polymethylene-imine rings with at least five ring members, 3-azabicyclo [3.2.2] nonane, piperazine, morpholine or thiomorpholine rings, having only hydrogen atoms directly attached to the ring carbon atoms containing only hydrogen and carbon atoms in addition to the ring hetero elements containing only one hetero ring
- C07D295/033—Heterocyclic compounds containing polymethylene-imine rings with at least five ring members, 3-azabicyclo [3.2.2] nonane, piperazine, morpholine or thiomorpholine rings, having only hydrogen atoms directly attached to the ring carbon atoms containing only hydrogen and carbon atoms in addition to the ring hetero elements containing only one hetero ring with the ring nitrogen atoms directly attached to carbocyclic rings
-
- C—CHEMISTRY; METALLURGY
- C07—ORGANIC CHEMISTRY
- C07D—HETEROCYCLIC COMPOUNDS
- C07D295/00—Heterocyclic compounds containing polymethylene-imine rings with at least five ring members, 3-azabicyclo [3.2.2] nonane, piperazine, morpholine or thiomorpholine rings, having only hydrogen atoms directly attached to the ring carbon atoms
- C07D295/04—Heterocyclic compounds containing polymethylene-imine rings with at least five ring members, 3-azabicyclo [3.2.2] nonane, piperazine, morpholine or thiomorpholine rings, having only hydrogen atoms directly attached to the ring carbon atoms with substituted hydrocarbon radicals attached to ring nitrogen atoms
- C07D295/08—Heterocyclic compounds containing polymethylene-imine rings with at least five ring members, 3-azabicyclo [3.2.2] nonane, piperazine, morpholine or thiomorpholine rings, having only hydrogen atoms directly attached to the ring carbon atoms with substituted hydrocarbon radicals attached to ring nitrogen atoms substituted by singly bound oxygen or sulfur atoms
- C07D295/096—Heterocyclic compounds containing polymethylene-imine rings with at least five ring members, 3-azabicyclo [3.2.2] nonane, piperazine, morpholine or thiomorpholine rings, having only hydrogen atoms directly attached to the ring carbon atoms with substituted hydrocarbon radicals attached to ring nitrogen atoms substituted by singly bound oxygen or sulfur atoms with the ring nitrogen atoms and the oxygen or sulfur atoms separated by carbocyclic rings or by carbon chains interrupted by carbocyclic rings
-
- C—CHEMISTRY; METALLURGY
- C07—ORGANIC CHEMISTRY
- C07D—HETEROCYCLIC COMPOUNDS
- C07D309/00—Heterocyclic compounds containing six-membered rings having one oxygen atom as the only ring hetero atom, not condensed with other rings
- C07D309/02—Heterocyclic compounds containing six-membered rings having one oxygen atom as the only ring hetero atom, not condensed with other rings having no double bonds between ring members or between ring members and non-ring members
- C07D309/08—Heterocyclic compounds containing six-membered rings having one oxygen atom as the only ring hetero atom, not condensed with other rings having no double bonds between ring members or between ring members and non-ring members with hetero atoms or with carbon atoms having three bonds to hetero atoms with at the most one bond to halogen, e.g. ester or nitrile radicals, directly attached to ring carbon atoms
- C07D309/14—Nitrogen atoms not forming part of a nitro radical
-
- C—CHEMISTRY; METALLURGY
- C07—ORGANIC CHEMISTRY
- C07D—HETEROCYCLIC COMPOUNDS
- C07D317/00—Heterocyclic compounds containing five-membered rings having two oxygen atoms as the only ring hetero atoms
- C07D317/08—Heterocyclic compounds containing five-membered rings having two oxygen atoms as the only ring hetero atoms having the hetero atoms in positions 1 and 3
- C07D317/44—Heterocyclic compounds containing five-membered rings having two oxygen atoms as the only ring hetero atoms having the hetero atoms in positions 1 and 3 ortho- or peri-condensed with carbocyclic rings or ring systems
- C07D317/46—Heterocyclic compounds containing five-membered rings having two oxygen atoms as the only ring hetero atoms having the hetero atoms in positions 1 and 3 ortho- or peri-condensed with carbocyclic rings or ring systems condensed with one six-membered ring
- C07D317/48—Methylenedioxybenzenes or hydrogenated methylenedioxybenzenes, unsubstituted on the hetero ring
- C07D317/50—Methylenedioxybenzenes or hydrogenated methylenedioxybenzenes, unsubstituted on the hetero ring with only hydrogen atoms, hydrocarbon or substituted hydrocarbon radicals, directly attached to atoms of the carbocyclic ring
- C07D317/58—Radicals substituted by nitrogen atoms
-
- C—CHEMISTRY; METALLURGY
- C07—ORGANIC CHEMISTRY
- C07D—HETEROCYCLIC COMPOUNDS
- C07D335/00—Heterocyclic compounds containing six-membered rings having one sulfur atom as the only ring hetero atom
- C07D335/02—Heterocyclic compounds containing six-membered rings having one sulfur atom as the only ring hetero atom not condensed with other rings
-
- C—CHEMISTRY; METALLURGY
- C07—ORGANIC CHEMISTRY
- C07C—ACYCLIC OR CARBOCYCLIC COMPOUNDS
- C07C2601/00—Systems containing only non-condensed rings
- C07C2601/12—Systems containing only non-condensed rings with a six-membered ring
- C07C2601/14—The ring being saturated
Definitions
- This invention relates to certain substituted benzylamine derivatives which selectively bind to human Neuropeptide Y1 (NPY1) receptors.
- This invention also relates to pharmaceutical compositions comprising such compounds. It further relates to the use of such compounds and compositions in treating feeding disorders and certain cardiovascular diseases.
- Neuropeptide Y a peptide first isolated in 1982, is widely distributed in the central and peripheral neurons and is responsible for a multitude of biological effects in the brain and the periphery.
- Various animal studies have shown that activation of Neuropeptide Y 1 receptors is related to vasoconstriction, Wahlestedt et al. Regul. Peptides, 13: 307-318 (1986), McCauley and Westfall, J. Pharmacol. Exp. Ther. 261:863-868 (1992). and Grundemar et al., Br. J. Pharmacol. 105: 45-50 (1992); and to stimulation of consummatory behavior.
- Flood and Morley Peptides, 10: 963-966 (1989).
- Leibowitz and Alexander Peptides, 12: 1251-1260 (1991), and Stanley et al., Peptides, 13: 581-587 (1992).
- Neuropeptide Y is a powerful stimuli of food intake, and an inducer of vasoconstriction leading to hypertension. They further point out that low levels of Neuropeptide Y is associated with loss of appetite. These reports clearly indicate that compouds that inhibit the activity of this protein will reduce hypertension and appetite in animals.
- Compounds that interact with NPY1 receptors and inhibit the activity of Neuropeptide Y at those receptors are useful in treating eating disorders such as, for example, obesity and bulimia, and certain cardiovascular diseases, such as, for example, hypertension.
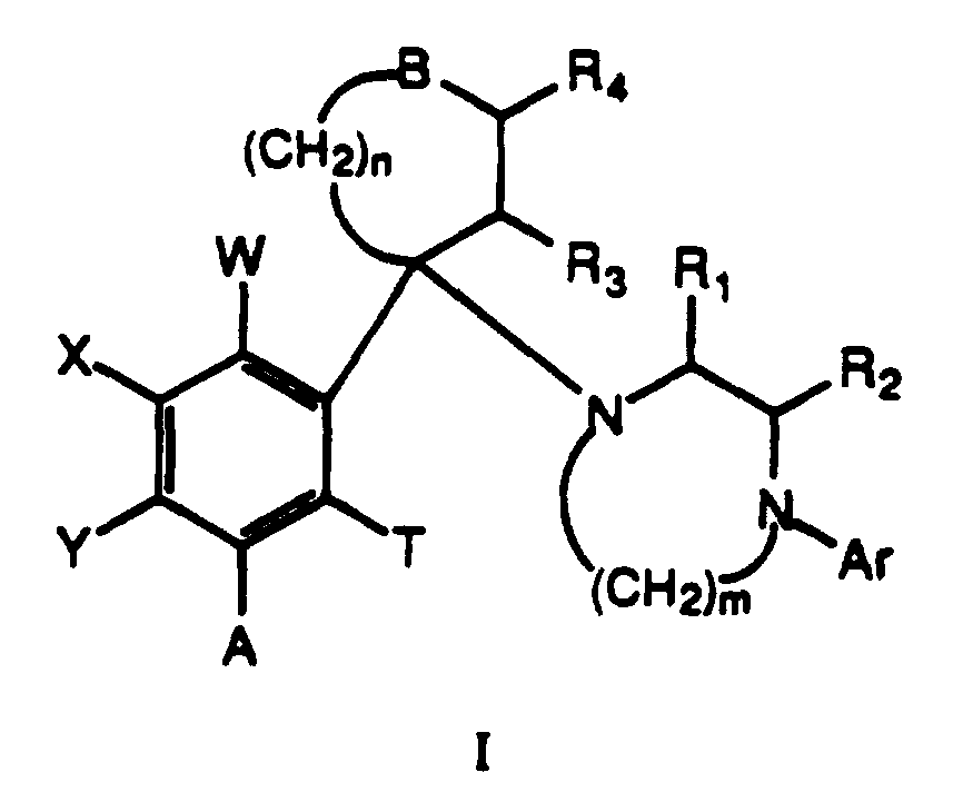
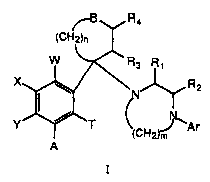
- This invention provides novel compounds of Formula I which selectively bind to
- Neuropeptide Yl (NPY1) receptors Such compounds are useful in treating feeding disorders such as obesity and bulimia as well as certain cardiovascular diseases such as essential hypertension.
- the invention also provides pharmaceutical compositions comprising compounds of Formula I.
- the invention thus further relates to the use of such compounds and compositons in the treatment of eating as well as certain cardiovascular diseases. Accordingly, a broad embodiment of the invention is directed to a compound of Formula I:
- Ar is an aryl group
- B is sulfur, oxygen, a substituted nitrogen atom, or a mono- or disubstituted carbon atom;
- n 1, 2, or 3;
- n 2, 3, or 4;
- W, X, Y, and T are the same or different and represent hydrogen, halogen, hydroxy. straight or branched chain lower alkyl having 1-6 carbon atoms, or straight or branched chain lower alkoxy having 1-6 carbon atoms;
- R 1 and R 2 independently represent hydrogen, or straight or branched chain lower alkyl having 1-6 carbon atoms
- R 3 and R 4 are the same or different and represent hydrogen, straight or branched chain lower alkyl having 1-6 carbon atoms, or straight or branched chain lower alkoxy having 1-6 carbon atoms. These compounds are highly selective partial agonists or antagonists at human NPY1 receptors and are useful in the diagnosis and treatment of feeding disorders such as obesity and bulimia as well as certain cardiovascular diseases such as essential hypertension and congestive heart failure.
- Figure 1 shows representative substituted benzylamines of the present invention.
- Ar is an aryl group preferably selected from the group consisting of phenyl, 2-, 3-, or 4-pyridyl, 2- or 3-thienyl, 2-, 4- or 5-pyrimidyl, each of which is optionally mono- or disubstituted with halogen, hydroxy, or straight or branched chain lower alkyl having 1-6 carbon atoms;
- B is sulfur, oxygen, N(R 5 ) or C(R 5 )(R 6 );
- n 1, 2, or 3;
- n 2, 3, or 4;
- W, X, Y, and T are the same or different and represent hydrogen, halogen, hydroxy, straight or branched chain lower alkyl having 1-6 carbon atoms, or straight or branched chain lower alkoxy having 1 -6 carbon atoms;
- R 1 and R 2 are the same or different and represent hydrogen, or straight or branched chain lower alkyl having 1-6 carbon atoms;
- R 3 and R 4 are the same or different and represent hydrogen, straight or branched chain lower alkyl having 1-6 carbon atoms, or straight or branched chain lower alkoxy having 1-6 carbon atoms;
- R 5 represents straight or branched chain lower alkyl having 1-6 carbon atoms, phenyl. 2-, 3-, or 4-pyridyl, or phenyl, 2-, 3-, or 4-pyridyl straight or branched chain lower alkyl having 1-6 carbon atoms; and
- a and R 6 are the same or different and represent
- p 0-5
- q 1-5
- A' is a direct bond, oxygen or sulfur
- B' is hydrogen, straight or branched chain lower alkyl having 1-6 carbon atoms, straight or branched chain lower alkoxy having 1-6 carbon atoms, phenyl, 2-, 3-, or 4-pyridyl, phenoxy, 2-, 3-, or 4-pyridyloxy, carboxyl, carboalkoxy, carboxamido. mono or dialkylcarboxamido, amino, or mono or dialkylamino.
- Preferred compounds according to Formula I are those where Ar is optionally substituted phenyl, pyrimidinyl or pyridyl, B is carbon optionally substituted with phenyl or alkyl, and W, X, Y, A, T, and R 1 -R 4 are hydrogen.
- Particularly, preferred compounds or Formula I are those where Ar is phenyl, pyrimidinyl or pyridyl, B is carbon optionally substituted with phenyl or alkyl, and W, X, Y, A, T, and R 1 -R 4 are hydrogen.
- the invention also relates to compounds of formula IA:
- Ar is phenyl, 2-, 3-, or 4-pyridyl, 2- or 3-thienyl, 2-, 4- or 5-pyrimidyl, each of which is optionally mono- or disubstituted with halogen, hydroxy, or straight or branched chain lower alkyl having 1-6 carbon atoms;
- A, W, X, Y, and T are the same or different and represent hydrogen, halogen, hydroxy, straight or branched chain lower alkyl having 1-6 carbon atoms, or straight or branched chain lower alkoxy having 1-6 carbon atoms;
- R 1 and R 2 are the same or different and represent hydrogen, or straight or branched chain lower alkyl having 1-6 carbon atoms;
- R 3 and R 4 are the same or different and represent hydrogen, straight or branched chain lower alkyl having 1-6 carbon atoms, or straight or branched chain lower alkoxy having 1-6 carbon atoms;
- R 9 represents hydrogen, straight or branched chain lower alkyl having 1-6 carbon atoms, phenyl.
- the invention further encompasses compounds of Formula II:
- a and X independently represent alkoxy and Ar represents phenyl, pyrimidinyl, or pyridyl.
- Preferred compounds of Formula II are those where X and A are methoxy, ethoxy, isopropoxy, or butoxy, and Ar represents phenyl, pyrimidinyl, or pyridyl.
- the invention further includes compounds of Formula III
- X and A independently represent alkoxy and R 7 and R 8 are different and represent hydrogen or fluorine.
- the invention further encompasses compounds of Formula IV
- X represents alkoxy and Ar represents phenyl, pyrimidinyl, or pyridyl.
- Preferred compounds of Formula V are those where X is methoxy, ethoxy, isopropoxy, or butoxy, and Ar represents phenyl. Particularly preferred compounds of Formula V are those where X is methoxymethoxy or ethoxymethoxy.
- the invention also includ xes compounds of Formula VI:
- X represents alkoxy
- R 9 is alkyl
- Ar represents phenyl, pyrimidinyl, or pyridyl.
- Preferred compounds of Formula VI are those where X is methoxy, ethoxy, isopropoxy, or butoxy, R 9 is alkyl, and Ar represents phenyl.
- Particularly preferred compounds of Formula VI are those where X is methoxy, ethoxy, isopropoxy, or butoxy, R 9 is methyl, and Ar represents phenyl.
- Other particularly preferred compounds of Formula VI are those where X is methoxymethoxy or ethoxymethoxy, R 9 is methyl, and Ar represents phenyl.
- the invention also encompasses compounds of Formula VII:
- Ar represents optionally substituted phenyl, pyrimidinyl, or pyridyl.
- Preferred compounds of Formula Ar represents phenyl, pyrimidinyl, or pyridyl.
- Non-toxic pharmaceutically acceptable salts include salts of acids such as hydrochloric, phosphoric, hydrobromic, sulfuric, sulfinic, formic, toluene sulfonic, hydroiodic, acetic and the like. Those skilled in the art will recognize a wide variety of non-toxic pharmaceutically acceptable addition salts.
- the invention also relates to compounds of formula VIII:
- Ar is phenyl, 2-, 3-, or 4-pyridyl.
- A, X, Y, and T are the same or different and represent hydrogen, halogen, hydroxy, straight or branched chain lower alkyl having 1-6 carbon atoms, or straight or branched chain lower alkoxy having 1-6 carbon atoms;
- R 9 represents hydrogen, straight or branched chain lower alkyl having 1-6 carbon atoms, or phenyl.
- the present invention also encompasses the acylated prodrugs of the compounds of
- the invention encompasses both diasteriomers of the compounds having 1,4-substitution on the cyclohexane ring. I.e, the invention encompasses both cis-, and trans- 1,4-cyclohexanes.
- Preferred compounds of the invention having 1,4-substitution on the cyclohexane ring are those where the nitrogen atom forming the piperazine ring and the alkyl or phenyl group in the 4-position of the cyclohexane ring are "cis" with respect to each other.
- preferred compounds of the invention having such substitution are those that are cis-1-piperazinyl-4-alkyl or phenyl- cyclohexanes.
- aryl and “Ar” is meant an aromatic carbocyclic group having a single ring (e.g., phenyl), multiple rings (e.g., biphenyl), or multiple condensed rings in which at least one is aromatic, (e.g., 1,2-3,4-tetrahydronaphthyl, naphthyl, anthryl, or phenanthryl), which can optionally be unsubstituted or substituted with e.g., halogen, lower alkyl, lower alkoxy, lower alkylthio, trifluoromethyl, lower acyloxy, aryl, heteroaryl, and hydroxy.
- alkyl and “lower alkyl” is meant s ⁇ aight and branched chain alkyl groups having from 1-6 carbon atoms.
- lower alkoxy and “alkoxy” is meant straight and branched chain alkoxy groups having from 1-6 carbon atoms.
- halogen is meant fluorine, chlorine, bromine and iodine.
- SK-N-MC cells were purchased from ATCC (Rockville, MD). Cells were maintained at 37°C and 5% CO 2 in Dulbecco's modified essential media (DMEM) with L-glutamine and 110 mg/L sodium pyruvate, which was supplemented with 10% fetal bovine serum and 25 mM HEPES (pH 7.3). The binding assay was performed in 24-well plates (Falcon) when the cells were confluent.
- DMEM Dulbecco's modified essential media
- HEPES 25 mM HEPES
- DPBS Dulbecco's phosphate buffered saline
- binding buffer consisting of serum-free DMEM containing 0.5% bovine serum albumin, 0.1% bacitracin and 0.1 mM phenylmethylsulfonylfluoride was added to each well.
- Nonspecific binding was defined with 1 mM NPY (porcine or human, Bachem California).
- the plates were then put on ice and the wells were aspirated, The cells were washed 4-6 times with 0.5 ml of ice-cold DPBS. A dilute solution of Triton X-100 (1%) was then added to each well.
- Compounds 13, 18, 20 and 29 are particularly preferred embodiments of the present invention because of their potency in binding to human NPY1 receptors.
- the compounds of general formula I may be administered orally, topically, parenterally, by inhalation or spray or rectally in dosage unit formulations containing conventional non-toxic pharmaceutically acceptable carriers, adjuvants and vehicles.
- parenteral as used herein includes subcutaneous injections, intravenous, intramuscular, intrasternal injection or infusion techniques.
- a pharmaceutical formulation comprising a compound of general formula I and a pharmaceutically acceptable carrier.
- One or more compounds of general formula I may be present in association with one or more non-toxic pharmaceutically acceptable carriers and/or diluents and/or adjuvants and if desired other active ingredients.
- compositions containing compounds of general formula I may be in a form suitable for oral use, for example, as tablets, troches, lozenges, aqueous or oily suspensions, dispersible powders or granules, emulsion, hard or soft capsules, or syrups or elixirs.
- compositions intended for oral use may be prepared according to any method known to the art for the manufacture of pharmaceutical compositions and such compositions may contain one or more agents selected from the group consisting of sweetening agents, flavoring agents, coloring agents and preserving agents in order to provide pharmaceutically elegant and palatable preparations.
- Tablets contain the active ingredient in admixture with non-toxic phaxmaceutically acceptable excipients which are suitable for the manufacture of tablets.
- excipients may be for example, inert diluents, such as calcium carbonate, sodium carbonate, lactose, calcium phosphate or sodium phosphate; granulating and disintegrating agents, for example, com starch, or alginic acid; binding agents, for example starch, gelatin or acacia, and lubricating agents, for example magnesium stearate, stearic acid or talc.
- the tablets may be uncoated or they may be coated by known techniques to delay disintegration and absorption in the gastrointestinal tract and thereby provide a sustained action over a longer period.
- a time delay material such as glyceryl monosterate or glyceryl distearate may be employed
- Formulations for oral use may also be presented as hard gelatin capsules wherein the active ingredient is mixed with an inert solid diluent, for example, calcium carbonate, calcium phosphate or kaolin, or as soft gelatin capsules wherein the active ingredient is mixed with water or an oil medium, for example peanut oil, liquid paraffin or olive oil.
- an inert solid diluent for example, calcium carbonate, calcium phosphate or kaolin
- water or an oil medium for example peanut oil, liquid paraffin or olive oil.
- Aqueous suspensions contain the active materials in admixture with excipients suitable for the manufacture of aqueous suspensions.
- excipients are suspending agents, for example sodium carboxymethylcellulose, methylcellulose, hydropropylmethylcellulose, sodium alginate, polyvinylpyrrolidone, gum tragacanth and gum acacia; dispersing or wetting agents may be a naturally-occurring phosphatide, for example, lecithin, or condensation products of an alkylene oxide with fatty acids, for example polyoxyethylene stearate, or condensation products of ethylene oxide with long chain aliphatic alcohols, for example heptadecaethyleneoxycetanol, or condensation products of ethylene oxide with partial esters derived from fatty acids and a hexitol such as polyoxyethylene sorbitol monooleate, or condensation products of ethylene oxide with partial esters derived from fatty acids and hexitol anhydrides, for example polyethylene sorbitan monooleate
- the aqueous suspensions may also contain one or more preservatives, for example ethyl, or n-propyl p-hydroxybenzoate, one or more coloring agents, one or more flavoring agents, and one or more sweetening agents, such as sucrose or saccharin.
- preservatives for example ethyl, or n-propyl p-hydroxybenzoate
- coloring agents for example ethyl, or n-propyl p-hydroxybenzoate
- flavoring agents for example ethyl, or n-propyl p-hydroxybenzoate
- sweetening agents such as sucrose or saccharin.
- Oily suspensions may be formulated by suspending the active ingredients in a vegetable oil, for example arachis oil, olive oil, sesame oil or coconut oil, or in a mineral oil such as liquid paraffin.
- the oily suspensions may contain a thickening agent, for example beeswax, hard paraffin or cetyl alcohol. Sweetening agents such as those set forth above, and flavoring agents may be added to provide palatable oral preparations. These compositions may be preserved by the addition of an anti-oxidant such as ascorbic acid.
- Dispersible powders and granules suitable for preparation of an aqueous suspension by the addition of water provide the active ingredient in admixture with a dispersing or wetting agent, suspending agent and one or more preservatives.
- a dispersing or wetting agent e.g., glycerol, glycerol, glycerol, glycerol, glycerol, glycerol, glycerin, glycerin, glycerin, glycerin, glycerin, sorbitol, sorbitol, sorbitol, sorbitol, sorbitol, sorbitol, sorbitol, sorbitol, sorbitol, sorbitol, glycerol, glycerol, glycerol, glycerol, glycerol, glycerol, glycerol, glycerol, glycerol
- compositions of the invention may also be in the form of oil-in-water emulsions.
- the oily phase may be a vegetable oil, for example olive oil or arachis oil, or a mineral oil, for example liquid paraffin or mixtures of these.
- Suitable emulsifying agents may be naturally-occurring gums, for example gum acacia or gum tragacanth, naturally-occurring phosphatides, for example soy bean, lecithin, and esters or partial esters derived from fatty acids and hexitol, anhydrides, for example sorbitan monoleate, and condensation products of the said partial esters with ethylene oxide, for example polyoxyethylene sorbitan monoleate.
- the emulsions may also contain sweetening and flavoring agents.
- Syrups and elixirs may be formulated with sweetening agents, for example glycerol, propylene glycol, sorbitol or sucrose. Such formulations may also contain a demulcent, a preservative and flavoring and coloring agents.
- the pharmaceutical compositions may be in the form of a sterile injectable aqueous or oleaginous suspension. This suspension may be formulated according to the known an using those suitable dispersing or wetting agents and suspending agents which have been mentioned above.
- the sterile injectable preparation may also be sterile injectable solution or suspension in a non-toxic parentally acceptable diluent or solvent, for example as a solution in 1,3-butanediol.
- Suitable vehicles and solvents that may be employed are water. Ringer's solution and isotonic sodium chloride solution.
- sterile, fixed oils are conventionally employed as a solvent or suspending medium.
- any bland fixed oil may be employed including synthetic mono-or diglycerides.
- fatty acids such as oleic acid find use in the preparation of injectables.
- the compounds of general formula I may also be administered in the form of suppositories for rectal administration of the drug.
- These compositions can be prepared by mixing the drug with a suitable non-irritating excipient which is solid at ordinary temperatures but liquid at the rectal temperature and will therefore melt in the rectum to release the drug.
- suitable non-irritating excipient which is solid at ordinary temperatures but liquid at the rectal temperature and will therefore melt in the rectum to release the drug.
- Such materials are cocoa butter and polyethylene glycols.
- Compounds of general formula I may be administered parenterally in a sterile medium.
- the drug depending on the vehicle and concentration used, can either be suspended or dissolved in the vehicle.
- adjuvants such as local anaesthetics, preservatives and buffering agents can be dissolved in the vehicle.
- Dosage levels of the order of from about 0.1 mg to about 140 mg per kilogram of body weight per day are useful in the treatment of the above-indicated conditions (about 0.5 mg to about 7 g per patient per day).
- the amount of active ingredient that may be combined with the carrier materials to produce a single dosage form will vary depending upon the host treated and the particular mode of administration. Dosage unit forms will generally contain between from about 1 mg to about 500 mg of an active ingredient.
- the specific dose level for any particular patient will depend upon a variety of factors including the activity of the specific compound employed, the age, body weight, general health, sex, diet, time of administration, route of administration, and rate of excretion, drug combination and the severity of the particular disease undergoing therapy.
- A is ArN or ArCH where Ar is phenyl, 2, 3, or 4 pyridyl, 2 or 3 thienyI, 2, 4 or 5 pyrimidyl either unsubstituted or mono or disubstituted with halogen, hydroxy, or straight or branched chain lower alkyl having 1-6 carbon atoms;
- B is sulfur, oxygen NR 5 or CR 5 R 6
- n 1, 2, or 3;
- n 2, 3, or 4;
- W, X, Y, Z, T are the same or different and represent hydrogen, halogen, hydroxy, straight or branched chain lower alkyl having 1-6 carbon atoms, or straight or branched chain lower alkoxy having 1-6 carbon atoms;
- R 1 and R 2 are the same or different and represent hydrogen, or straight or branched chain lower alkyl having 1-6 carbon atoms;
- R 3 and R 4 are the same or different and represent hydrogen, straight or branched chain lower alkyl having 1-6 carbon atoms, or straight or branched chain lower alkoxy having 1-6 carbon atoms;
- R 5 represents straight or branched chain lower alkyl having 1-6 carbon atoms, phenyl, 2, 3, or 4 pyridyl, or phenyl, 2, 3, or 4 pyridyl straight or branched chain lower alkyl having 1-6 carbon atoms;
- E and R 6 are the same or different and represent hydrogen, hydroxyl, amino, straight or branched chain lower alkyl having 1-6 carbon atoms, straight or branched chain lower alkoxy having
Landscapes
- Chemical & Material Sciences (AREA)
- Organic Chemistry (AREA)
- Health & Medical Sciences (AREA)
- Life Sciences & Earth Sciences (AREA)
- Veterinary Medicine (AREA)
- Public Health (AREA)
- General Health & Medical Sciences (AREA)
- Medicinal Chemistry (AREA)
- Animal Behavior & Ethology (AREA)
- Pharmacology & Pharmacy (AREA)
- Nuclear Medicine, Radiotherapy & Molecular Imaging (AREA)
- Engineering & Computer Science (AREA)
- General Chemical & Material Sciences (AREA)
- Chemical Kinetics & Catalysis (AREA)
- Bioinformatics & Cheminformatics (AREA)
- Cardiology (AREA)
- Heart & Thoracic Surgery (AREA)
- Epidemiology (AREA)
- Diabetes (AREA)
- Hematology (AREA)
- Obesity (AREA)
- Child & Adolescent Psychology (AREA)
- Pharmaceuticals Containing Other Organic And Inorganic Compounds (AREA)
- Pyridine Compounds (AREA)
- Organic Low-Molecular-Weight Compounds And Preparation Thereof (AREA)
- Peptides Or Proteins (AREA)
- Pyrane Compounds (AREA)
- Heterocyclic Compounds That Contain Two Or More Ring Oxygen Atoms (AREA)
- Heterocyclic Compounds Containing Sulfur Atoms (AREA)
- Medicines That Contain Protein Lipid Enzymes And Other Medicines (AREA)
- Acyclic And Carbocyclic Compounds In Medicinal Compositions (AREA)
Abstract
Description
Claims
Priority Applications (26)
| Application Number | Priority Date | Filing Date | Title |
|---|---|---|---|
| SK570-97A SK57097A3 (en) | 1994-11-07 | 1995-11-07 | Certain substituted benzylamine derivatives; a new class of neuropeptide y1 specific ligands |
| DE69529419T DE69529419T2 (en) | 1994-11-07 | 1995-11-07 | CERTAIN SUBSTITUTED BENZYLAMINE DERIVATIVES: A NEW CLASS OF NEUROPEPTIDE Y1-SPECIFIC LIGANDS |
| JP51549896A JP3386814B2 (en) | 1994-11-07 | 1995-11-07 | Certain substituted benzylamine derivatives: a new class of neuropeptide Y1-specific ligands |
| KR1019970702989A KR970707101A (en) | 1994-11-07 | 1995-11-07 | Substituted benzylamine derivatives; A new class of neuropeptide Y1 specific ligands (CERTAIN SUBSTITUTED BENZYLAMINE DERIVATIVES; A NEW CLASS OF NEUROPEPTIDE Y1 SPECIFIC LIGANDS) |
| BR9509610A BR9509610A (en) | 1994-11-07 | 1995-11-07 | Y1-specific neuropeptide ligands |
| US08/817,641 US5900415A (en) | 1994-11-07 | 1995-11-07 | Certain substituted benzylamine derivatives; a new class of neuropeptide Y1 specific ligands |
| EP95940639A EP0790989B1 (en) | 1994-11-07 | 1995-11-07 | Certain substituted benzylamine derivatives; a new class of neuropeptide y1 specific ligands |
| DK95940639T DK0790989T3 (en) | 1994-11-07 | 1995-11-07 | Certain substituted benzylamine derivatives; a new class of neuropeptide Y1 specific ligands |
| AT95940639T ATE231138T1 (en) | 1994-11-07 | 1995-11-07 | CERTAIN SUBSTITUTED BENZYLAMINE DERIVATIVES: A NEW CLASS OF NEUROPEPTIDE Y1 SPECIFIC LIGANDS |
| FI971931A FI971931A0 (en) | 1994-11-07 | 1995-11-07 | Certain substituted benzylamine derivatives; a new class of ligands specific for neuropeptide Y1 |
| CA002203878A CA2203878C (en) | 1994-11-07 | 1995-11-07 | Certain substituted benzylamine derivatives; a new class of neuropeptide y1 specific ligands |
| AU42319/96A AU692977B2 (en) | 1994-11-07 | 1995-11-07 | Certain substituted benzylamine derivatives; a new class of neuropeptide Y1 specific ligands |
| MXPA/A/1997/003349A MXPA97003349A (en) | 1994-11-07 | 1995-11-07 | Specific ligands of the neuropeptide |
| IL11799796A IL117997A0 (en) | 1995-06-07 | 1996-04-22 | Neuropeptide Y1 specific ligands |
| PCT/US1996/005843 WO1996040660A1 (en) | 1995-06-07 | 1996-04-26 | Certain substituted benzylamine derivatives: a new class of neuropeptide y1 specific ligands |
| EP96913198A EP0833823A1 (en) | 1995-06-07 | 1996-04-26 | Certain substituted benzylamine derivatives: a new class of neuropeptide y1 specific ligands |
| CA002220958A CA2220958A1 (en) | 1995-06-07 | 1996-04-26 | Certain substituted benzylamine derivatives: a new class of neuropeptide y1 specific ligands |
| AU55787/96A AU5578796A (en) | 1995-06-07 | 1996-04-26 | Certain substituted benzylamine derivatives: a new class of neuropeptide y1 specific ligands |
| BR9609334A BR9609334A (en) | 1995-06-07 | 1996-04-26 | Certain benzylamine derivatives replaced a new class of specific Y1 neuropeptide linkers |
| JP9500490A JPH10507203A (en) | 1995-06-07 | 1996-04-26 | Certain substituted benzylamine derivatives; a new class of neuropeptide Y1-specific ligands |
| PE1996000325A PE34297A1 (en) | 1995-06-07 | 1996-05-08 | SPECIFIC LEAGUES OF NEUROPEPTIDE Y1 |
| CO96022963A CO4700426A1 (en) | 1995-06-07 | 1996-05-08 | SPECIFIC LEAGUES OF NEUROPEPTIDE Y1 |
| MA24226A MA23860A1 (en) | 1995-06-07 | 1996-05-08 | SUBSTITUTED BENZYLAMINE DERIVATIVES SPECIFICALLY BINDING TO NEUROPEPTIDE Y1 RECEPTORS AND COMPOSITIONS CONTAINING THEM |
| TR96/00382A TR199600382A2 (en) | 1995-06-07 | 1996-05-10 | Binds specific to neuropeptide Y1. |
| NO972091A NO972091L (en) | 1994-11-07 | 1997-05-06 | Certain substituted benzylamine derivatives; a new class of nouropeptide yl-specific ligands |
| MXPA/A/1997/009980A MXPA97009980A (en) | 1995-06-07 | 1997-12-08 | Certain substitute bencilamine derivatives: unanueva class of neuropeptide specific ligands |
Applications Claiming Priority (6)
| Application Number | Priority Date | Filing Date | Title |
|---|---|---|---|
| US33547594A | 1994-11-07 | 1994-11-07 | |
| US08/335,475 | 1994-11-07 | ||
| US48497495A | 1995-06-07 | 1995-06-07 | |
| US47438395A | 1995-06-07 | 1995-06-07 | |
| US08/474,383 | 1995-06-07 | ||
| US08/484,974 | 1995-06-07 |
Publications (1)
| Publication Number | Publication Date |
|---|---|
| WO1996014307A1 true WO1996014307A1 (en) | 1996-05-17 |
Family
ID=27407057
Family Applications (1)
| Application Number | Title | Priority Date | Filing Date |
|---|---|---|---|
| PCT/US1995/014472 Ceased WO1996014307A1 (en) | 1994-11-07 | 1995-11-07 | Certain substituted benzylamine derivatives; a new class of neuropeptide y1 specific ligands |
Country Status (12)
| Country | Link |
|---|---|
| JP (1) | JP3386814B2 (en) |
| KR (1) | KR970707101A (en) |
| AU (1) | AU692977B2 (en) |
| BR (1) | BR9509610A (en) |
| CA (1) | CA2203878C (en) |
| CZ (1) | CZ137297A3 (en) |
| HU (1) | HUT78089A (en) |
| NO (1) | NO972091L (en) |
| NZ (1) | NZ297211A (en) |
| PL (1) | PL321136A1 (en) |
| SK (1) | SK57097A3 (en) |
| WO (1) | WO1996014307A1 (en) |
Cited By (77)
| Publication number | Priority date | Publication date | Assignee | Title |
|---|---|---|---|---|
| FR2754709A1 (en) * | 1996-10-23 | 1998-04-24 | Sanofi Sa | COSMETIC COMPOSITION CONTAINING AN ANTAGONIST OF GAMMA NEUROPEPTIDE RECEPTORS AND ALPHA 2 ANTAGONISTS LIKELY TO BE INCORPORATED IN SUCH A COMPOSITION |
| WO1998023603A1 (en) * | 1996-11-26 | 1998-06-04 | Pfizer Inc. | Dimesylate salts of neuropeptide y ligands |
| US5889016A (en) * | 1997-06-26 | 1999-03-30 | Bristol-Myers Squibb Company | Dihydropyrimidone derivatives as NPY antagonists |
| US5939462A (en) * | 1997-02-14 | 1999-08-17 | Bayer Corporation | NPY5 receptor antagonists and methods for using same |
| US5962455A (en) * | 1996-07-23 | 1999-10-05 | Neurogen Corporation | Certain substituted benzylamine derivatives a new class of neuropeptide Y1 specific ligands |
| US5989920A (en) * | 1994-12-02 | 1999-11-23 | Synaptic Pharmaceutical Corporation | Methods of modifying feeding behavior compounds useful in such methods and DNA encoding a hypothalmic atypical neuropeptide Y/peptide YY receptor Y5 |
| US6040310A (en) * | 1997-08-05 | 2000-03-21 | Pfizer Inc. | 4-aminopyrrole (3,2-d) pyrimidines as neuropeptide Y receptor antagonists |
| US6048900A (en) * | 1998-02-13 | 2000-04-11 | Bayer Corporation | Amide derivatives and methods for using the same as selective neuropeptide Y receptor antagonists |
| US6177429B1 (en) | 1999-06-21 | 2001-01-23 | Bristol-Myers Squibb Company | Dihydropyrazine derivatives as NPY antagonists |
| US6187777B1 (en) | 1998-02-06 | 2001-02-13 | Amgen Inc. | Compounds and methods which modulate feeding behavior and related diseases |
| US6187778B1 (en) | 1997-08-05 | 2001-02-13 | Pfizer Inc. | 4-aminopyrrole (3, 2-D) pyrimidines as neuropeptide Y receptor antagonists |
| US6197822B1 (en) | 1999-01-27 | 2001-03-06 | Pfizer Inc. | Neuropeptide antagonists |
| US6245817B1 (en) | 1997-02-14 | 2001-06-12 | Bayer Corporation | NPY5 receptor antagonists and methods for using same |
| US6291476B1 (en) | 1999-05-12 | 2001-09-18 | Ortho-Mcneil Pharmaceutical, Inc. | Pyrazole carboxamides useful for the treatment of obesity and other disorders |
| US6316203B1 (en) | 1994-12-02 | 2001-11-13 | Synaptic Pharmaceutical Corporation | Methods of screening and preparing a composition using DNA encoding a hypothalamic atypical neuropeptide Y/peptide YY receptor (Y5) |
| US6355635B1 (en) | 1999-04-30 | 2002-03-12 | Pfizer Inc. | Compounds for the treatment of obesity |
| US6531478B2 (en) | 2000-02-24 | 2003-03-11 | Cheryl P. Kordik | Amino pyrazole derivatives useful for the treatment of obesity and other disorders |
| WO2002004433A3 (en) * | 2000-07-06 | 2003-09-25 | Neurogen Corp | Melanin concentrating hormone receptor ligands |
| WO2003080557A1 (en) | 2002-03-23 | 2003-10-02 | Grünenthal GmbH | Substituted 4-aminocyclohexanols |
| WO2002094799A3 (en) * | 2001-05-22 | 2003-11-06 | Neurogen Corp | Melanin concentrating hormone receptor ligands: substituted 1-benzyl-4-aryl piperazine analogues |
| WO2004002986A2 (en) | 2002-06-28 | 2004-01-08 | Banyu Pharmaceutical Co., Ltd. | Novel benzimidazole derivatives |
| US6713265B1 (en) | 1997-06-04 | 2004-03-30 | Synaptic Pharmaceutical Corporation | Methods of modifying feeding behavior, compounds useful in such methods, and DNA encoding a hypothalamic atypical neuropeptide Y/peptide YY receptor (Y5) |
| US6849733B1 (en) | 1996-08-23 | 2005-02-01 | Agouron Pharmaceuticals, Inc. | Neuropeptide-Y ligands |
| WO2005028438A1 (en) | 2003-09-22 | 2005-03-31 | Banyu Pharmaceutical Co., Ltd. | Novel piperidine derivative |
| WO2006129826A1 (en) | 2005-05-30 | 2006-12-07 | Banyu Pharmaceutical Co., Ltd. | Novel piperidine derivative |
| WO2007018248A1 (en) | 2005-08-10 | 2007-02-15 | Banyu Pharmaceutical Co., Ltd. | Pyridone compound |
| WO2007024004A1 (en) | 2005-08-24 | 2007-03-01 | Banyu Pharmaceutical Co., Ltd. | Phenylpyridone derivative |
| WO2007029847A1 (en) | 2005-09-07 | 2007-03-15 | Banyu Pharmaceutical Co., Ltd. | Bicyclic aromatic substituted pyridone derivative |
| WO2007041052A2 (en) | 2005-09-29 | 2007-04-12 | Merck & Co., Inc. | Acylated spiropiperidine derivatives as melanocortin-4 receptor modulators |
| WO2007049798A1 (en) | 2005-10-27 | 2007-05-03 | Banyu Pharmaceutical Co., Ltd. | Novel benzoxathiin derivative |
| WO2007055418A1 (en) | 2005-11-10 | 2007-05-18 | Banyu Pharmaceutical Co., Ltd. | Aza-substituted spiro derivative |
| WO2008038692A1 (en) | 2006-09-28 | 2008-04-03 | Banyu Pharmaceutical Co., Ltd. | Diaryl ketimine derivative |
| WO2008060476A2 (en) | 2006-11-15 | 2008-05-22 | Schering Corporation | Nitrogen-containing heterocyclic compounds and methods of use thereof |
| WO2008120653A1 (en) | 2007-04-02 | 2008-10-09 | Banyu Pharmaceutical Co., Ltd. | Indoledione derivative |
| EP1935885A3 (en) * | 2001-05-22 | 2008-10-15 | Neurogen Corporation | Melanin concentrating hormone receptor ligands : substituted 1-benzyl-4-aryl piperazine analogues. |
| US7514438B2 (en) | 2003-08-13 | 2009-04-07 | Amgen, Inc. | Melanin concentrating hormone receptor antagonist |
| EP2088154A1 (en) | 2004-03-09 | 2009-08-12 | Ironwood Pharmaceuticals, Inc. | Methods and compositions for the treatment of gastrointestinal disorders |
| WO2009110510A1 (en) | 2008-03-06 | 2009-09-11 | 萬有製薬株式会社 | Alkylaminopyridine derivative |
| WO2009119726A1 (en) | 2008-03-28 | 2009-10-01 | 萬有製薬株式会社 | Diarylmethylamide derivative having antagonistic activity on melanin-concentrating hormone receptor |
| EP2127676A2 (en) | 2004-11-01 | 2009-12-02 | Amylin Pharmaceuticals, Inc. | Treatment of obesity and related disorders |
| WO2009154132A1 (en) | 2008-06-19 | 2009-12-23 | 萬有製薬株式会社 | Spirodiamine-diarylketoxime derivative |
| WO2010013595A1 (en) | 2008-07-30 | 2010-02-04 | 萬有製薬株式会社 | (5-membered)-(5-membered) or (5-membered)-(6-membered) fused ring cycloalkylamine derivative |
| WO2010047982A1 (en) | 2008-10-22 | 2010-04-29 | Merck Sharp & Dohme Corp. | Novel cyclic benzimidazole derivatives useful anti-diabetic agents |
| WO2010051236A1 (en) | 2008-10-30 | 2010-05-06 | Merck Sharp & Dohme Corp. | Isonicotinamide orexin receptor antagonists |
| WO2010051206A1 (en) | 2008-10-31 | 2010-05-06 | Merck Sharp & Dohme Corp. | Novel cyclic benzimidazole derivatives useful anti-diabetic agents |
| WO2010075069A1 (en) | 2008-12-16 | 2010-07-01 | Schering Corporation | Bicyclic pyranone derivatives as nicotinic acid receptor agonists |
| WO2010075068A1 (en) | 2008-12-16 | 2010-07-01 | Schering Corporation | Pyridopyrimidine derivatives and methods of use thereof |
| EP2305352A1 (en) | 2004-04-02 | 2011-04-06 | Merck Sharp & Dohme Corp. | 5-alpha-reductase inhibitors for use in the treatment of men with metabolic and anthropometric disorders |
| EP2330124A2 (en) | 2005-08-11 | 2011-06-08 | Amylin Pharmaceuticals Inc. | Hybrid polypeptides with selectable properties |
| EP2330125A2 (en) | 2005-08-11 | 2011-06-08 | Amylin Pharmaceuticals, Inc. | Hybrid polypeptides with selectable properties |
| WO2011069038A2 (en) | 2009-12-03 | 2011-06-09 | Synergy Pharmaceuticals, Inc. | Agonists of guanylate cyclase useful for the treatment of hypercholesterolemia, atherosclerosis, coronary heart disease, gallstone, obesity and other cardiovascular diseases |
| EP2332526A2 (en) | 2005-10-21 | 2011-06-15 | Novartis AG | Combination of a renin-inhibitor and an anti-dyslipidemic agent and/or an antiobesity agent |
| WO2011106273A1 (en) | 2010-02-25 | 2011-09-01 | Merck Sharp & Dohme Corp. | Novel cyclic benzimidazole derivatives useful anti-diabetic agents |
| WO2012116145A1 (en) | 2011-02-25 | 2012-08-30 | Merck Sharp & Dohme Corp. | Novel cyclic azabenzimidazole derivatives useful as anti-diabetic agents |
| WO2013059222A1 (en) | 2011-10-19 | 2013-04-25 | Merck Sharp & Dohme Corp. | 2-pyridyloxy-4-nitrile orexin receptor antagonists |
| WO2013138352A1 (en) | 2012-03-15 | 2013-09-19 | Synergy Pharmaceuticals Inc. | Formulations of guanylate cyclase c agonists and methods of use |
| WO2014022528A1 (en) | 2012-08-02 | 2014-02-06 | Merck Sharp & Dohme Corp. | Antidiabetic tricyclic compounds |
| EP2698157A1 (en) | 2006-09-22 | 2014-02-19 | Merck Sharp & Dohme Corp. | Method of treatment using fatty acid synthesis inhibitors |
| WO2014130608A1 (en) | 2013-02-22 | 2014-08-28 | Merck Sharp & Dohme Corp. | Antidiabetic bicyclic compounds |
| WO2014139388A1 (en) | 2013-03-14 | 2014-09-18 | Merck Sharp & Dohme Corp. | Novel indole derivatives useful as anti-diabetic agents |
| WO2014151200A2 (en) | 2013-03-15 | 2014-09-25 | Synergy Pharmaceuticals Inc. | Compositions useful for the treatment of gastrointestinal disorders |
| WO2014151206A1 (en) | 2013-03-15 | 2014-09-25 | Synergy Pharmaceuticals Inc. | Agonists of guanylate cyclase and their uses |
| EP2810951A2 (en) | 2008-06-04 | 2014-12-10 | Synergy Pharmaceuticals Inc. | Agonists of guanylate cyclase useful for the treatment of gastrointestinal disorders, inflammation, cancer and other disorders |
| WO2014197720A2 (en) | 2013-06-05 | 2014-12-11 | Synergy Pharmaceuticals, Inc. | Ultra-pure agonists of guanylate cyclase c, method of making and using same |
| WO2015051725A1 (en) | 2013-10-08 | 2015-04-16 | Merck Sharp & Dohme Corp. | Antidiabetic tricyclic compounds |
| WO2016030534A1 (en) | 2014-08-29 | 2016-03-03 | Tes Pharma S.R.L. | INHIBITORS OF α-AMINO-β-CARBOXYMUCONIC ACID SEMIALDEHYDE DECARBOXYLASE |
| EP2998314A1 (en) | 2007-06-04 | 2016-03-23 | Synergy Pharmaceuticals Inc. | Agonists of guanylate cyclase useful for the treatment of gastrointestinal disorders, inflammation, cancer and other disorders |
| EP3241839A1 (en) | 2008-07-16 | 2017-11-08 | Synergy Pharmaceuticals Inc. | Agonists of guanylate cyclase useful for the treatment of gastrointestinal, inflammation, cancer and other disorders |
| WO2018069532A1 (en) | 2016-10-14 | 2018-04-19 | Tes Pharma S.R.L. | Inhibitors of alpha-amino-beta-carboxymuconic acid semialdehyde decarboxylase |
| WO2018106518A1 (en) | 2016-12-06 | 2018-06-14 | Merck Sharp & Dohme Corp. | Antidiabetic heterocyclic compounds |
| WO2018118670A1 (en) | 2016-12-20 | 2018-06-28 | Merck Sharp & Dohme Corp. | Antidiabetic spirochroman compounds |
| WO2020104456A1 (en) | 2018-11-20 | 2020-05-28 | Tes Pharma S.R.L | INHIBITORS OF α-AMINO-β-CARBOXYMUCONIC ACID SEMIALDEHYDE DECARBOXYLASE |
| WO2020167706A1 (en) | 2019-02-13 | 2020-08-20 | Merck Sharp & Dohme Corp. | 5-alkyl pyrrolidine orexin receptor agonists |
| WO2021026047A1 (en) | 2019-08-08 | 2021-02-11 | Merck Sharp & Dohme Corp. | Heteroaryl pyrrolidine and piperidine orexin receptor agonists |
| US11198699B2 (en) | 2019-04-02 | 2021-12-14 | Aligos Therapeutics, Inc. | Compounds targeting PRMT5 |
| EP3923933A1 (en) | 2019-02-13 | 2021-12-22 | Merck Sharp & Dohme Corp. | Pyrrolidine orexin receptor agonists |
| WO2022040070A1 (en) | 2020-08-18 | 2022-02-24 | Merck Sharp & Dohme Corp. | Bicycloheptane pyrrolidine orexin receptor agonists |
Citations (2)
| Publication number | Priority date | Publication date | Assignee | Title |
|---|---|---|---|---|
| US4845221A (en) * | 1988-04-15 | 1989-07-04 | American Home Products Corporation | Serotonergic substituted piperazinyl tetralins |
| EP0395312A2 (en) * | 1989-04-22 | 1990-10-31 | JOHN WYETH & BROTHER LIMITED | Piperazine derivatives |
-
1995
- 1995-11-07 BR BR9509610A patent/BR9509610A/en not_active Application Discontinuation
- 1995-11-07 JP JP51549896A patent/JP3386814B2/en not_active Expired - Fee Related
- 1995-11-07 SK SK570-97A patent/SK57097A3/en unknown
- 1995-11-07 HU HU9901090A patent/HUT78089A/en unknown
- 1995-11-07 PL PL95321136A patent/PL321136A1/en unknown
- 1995-11-07 CA CA002203878A patent/CA2203878C/en not_active Expired - Fee Related
- 1995-11-07 WO PCT/US1995/014472 patent/WO1996014307A1/en not_active Ceased
- 1995-11-07 AU AU42319/96A patent/AU692977B2/en not_active Ceased
- 1995-11-07 CZ CZ971372A patent/CZ137297A3/en unknown
- 1995-11-07 KR KR1019970702989A patent/KR970707101A/en not_active Ceased
-
1997
- 1997-04-15 NZ NZ297211A patent/NZ297211A/en unknown
- 1997-05-06 NO NO972091A patent/NO972091L/en unknown
Patent Citations (2)
| Publication number | Priority date | Publication date | Assignee | Title |
|---|---|---|---|---|
| US4845221A (en) * | 1988-04-15 | 1989-07-04 | American Home Products Corporation | Serotonergic substituted piperazinyl tetralins |
| EP0395312A2 (en) * | 1989-04-22 | 1990-10-31 | JOHN WYETH & BROTHER LIMITED | Piperazine derivatives |
Non-Patent Citations (3)
| Title |
|---|
| AL-DEEB, O., A. ET AL., BULL. FAC. PHARM. (CAIRO UNIV.), vol. 31, no. 3, pages 475 - 479 * |
| CHEMICAL ABSTRACTS, vol. 123, no. 7, 14 August 1995, Columbus, Ohio, US; abstract no. 83312, AL-DEEB, O., A. ET AL.: "Synthesis of new (1-phenylcyclohexyl)piperazine derivatives as potential analgesics" * |
| GRUNDEMAR, L. AND HAKANSON, R., TIPS, vol. 15, pages 153 - 159 * |
Cited By (107)
| Publication number | Priority date | Publication date | Assignee | Title |
|---|---|---|---|---|
| US6818445B2 (en) | 1994-12-02 | 2004-11-16 | Synaptic Pharmaceutical Corporation | Methods of modifying feeding behavior, compounds useful in such methods, and DNA encoding a hypothalamic atypical neuropeptide Y/peptide YY receptor (Y5) |
| US6316203B1 (en) | 1994-12-02 | 2001-11-13 | Synaptic Pharmaceutical Corporation | Methods of screening and preparing a composition using DNA encoding a hypothalamic atypical neuropeptide Y/peptide YY receptor (Y5) |
| US5989920A (en) * | 1994-12-02 | 1999-11-23 | Synaptic Pharmaceutical Corporation | Methods of modifying feeding behavior compounds useful in such methods and DNA encoding a hypothalmic atypical neuropeptide Y/peptide YY receptor Y5 |
| US6645774B1 (en) | 1994-12-02 | 2003-11-11 | Synaptic Pharmaceutical Corporation | Methods of modifying feeding behavior using compounds with afinity for the human hypothalamic atypical neuropeptide Y/peptide YY receptor (Y5) |
| US5962455A (en) * | 1996-07-23 | 1999-10-05 | Neurogen Corporation | Certain substituted benzylamine derivatives a new class of neuropeptide Y1 specific ligands |
| US6849733B1 (en) | 1996-08-23 | 2005-02-01 | Agouron Pharmaceuticals, Inc. | Neuropeptide-Y ligands |
| EP0838217A3 (en) * | 1996-10-23 | 1998-10-14 | Sanofi | Cosmetic composition containing neuropeptide Y receptor antagonist |
| US6313128B1 (en) | 1996-10-23 | 2001-11-06 | Sanofi-Synthelabo | Cosmetic composition containing a neuropeptide Y receptor antagonist |
| FR2754709A1 (en) * | 1996-10-23 | 1998-04-24 | Sanofi Sa | COSMETIC COMPOSITION CONTAINING AN ANTAGONIST OF GAMMA NEUROPEPTIDE RECEPTORS AND ALPHA 2 ANTAGONISTS LIKELY TO BE INCORPORATED IN SUCH A COMPOSITION |
| US6114336A (en) * | 1996-10-23 | 2000-09-05 | Sanofi | Cosmetic composition containing a neuropeptide Y receptor antagonist |
| EP0838217A2 (en) | 1996-10-23 | 1998-04-29 | Sanofi | Cosmetic composition containing neuropeptide Y receptor antagonist |
| US5914329A (en) * | 1996-11-26 | 1999-06-22 | Pfizer Inc. | Dimesylate salts of neuropeptide Y ligands |
| WO1998023603A1 (en) * | 1996-11-26 | 1998-06-04 | Pfizer Inc. | Dimesylate salts of neuropeptide y ligands |
| US6410792B1 (en) | 1997-02-14 | 2002-06-25 | Bayer Corporation | Amide derivatives and methods for using the same as selective neuropeptide Y receptor antagonists |
| US6245817B1 (en) | 1997-02-14 | 2001-06-12 | Bayer Corporation | NPY5 receptor antagonists and methods for using same |
| US5939462A (en) * | 1997-02-14 | 1999-08-17 | Bayer Corporation | NPY5 receptor antagonists and methods for using same |
| US6713265B1 (en) | 1997-06-04 | 2004-03-30 | Synaptic Pharmaceutical Corporation | Methods of modifying feeding behavior, compounds useful in such methods, and DNA encoding a hypothalamic atypical neuropeptide Y/peptide YY receptor (Y5) |
| US5889016A (en) * | 1997-06-26 | 1999-03-30 | Bristol-Myers Squibb Company | Dihydropyrimidone derivatives as NPY antagonists |
| US6040310A (en) * | 1997-08-05 | 2000-03-21 | Pfizer Inc. | 4-aminopyrrole (3,2-d) pyrimidines as neuropeptide Y receptor antagonists |
| US6187778B1 (en) | 1997-08-05 | 2001-02-13 | Pfizer Inc. | 4-aminopyrrole (3, 2-D) pyrimidines as neuropeptide Y receptor antagonists |
| US6583154B1 (en) | 1998-02-06 | 2003-06-24 | Amgen Inc. | Compounds and methods which modulate feeding behavior and related diseases |
| US6187777B1 (en) | 1998-02-06 | 2001-02-13 | Amgen Inc. | Compounds and methods which modulate feeding behavior and related diseases |
| US6048900A (en) * | 1998-02-13 | 2000-04-11 | Bayer Corporation | Amide derivatives and methods for using the same as selective neuropeptide Y receptor antagonists |
| EP1027891A3 (en) * | 1999-01-27 | 2002-07-17 | Pfizer Products Inc. | Neuropeptide y antagonists |
| US6197822B1 (en) | 1999-01-27 | 2001-03-06 | Pfizer Inc. | Neuropeptide antagonists |
| US6355635B1 (en) | 1999-04-30 | 2002-03-12 | Pfizer Inc. | Compounds for the treatment of obesity |
| US6514966B2 (en) | 1999-04-30 | 2003-02-04 | Pfizer Inc. | Compounds for the treatment of obesity |
| US6511998B2 (en) | 1999-05-12 | 2003-01-28 | Cheryl P. Kordik | Pyrazole carboxamides useful for the treatment of obesity and other disorders |
| US6291476B1 (en) | 1999-05-12 | 2001-09-18 | Ortho-Mcneil Pharmaceutical, Inc. | Pyrazole carboxamides useful for the treatment of obesity and other disorders |
| US6177429B1 (en) | 1999-06-21 | 2001-01-23 | Bristol-Myers Squibb Company | Dihydropyrazine derivatives as NPY antagonists |
| US6531478B2 (en) | 2000-02-24 | 2003-03-11 | Cheryl P. Kordik | Amino pyrazole derivatives useful for the treatment of obesity and other disorders |
| US6753336B2 (en) | 2000-07-06 | 2004-06-22 | Neurogen Corporation | Melanin concentrating hormone receptor ligands |
| US7323478B2 (en) | 2000-07-06 | 2008-01-29 | Neurogen Corporation | Melanin concentrating hormone receptor ligands |
| WO2002004433A3 (en) * | 2000-07-06 | 2003-09-25 | Neurogen Corp | Melanin concentrating hormone receptor ligands |
| EP1935885A3 (en) * | 2001-05-22 | 2008-10-15 | Neurogen Corporation | Melanin concentrating hormone receptor ligands : substituted 1-benzyl-4-aryl piperazine analogues. |
| WO2002094799A3 (en) * | 2001-05-22 | 2003-11-06 | Neurogen Corp | Melanin concentrating hormone receptor ligands: substituted 1-benzyl-4-aryl piperazine analogues |
| US7211694B2 (en) | 2002-03-23 | 2007-05-01 | Gruenenthal Gmbh | Substituted 4-aminocyclohexanols |
| WO2003080557A1 (en) | 2002-03-23 | 2003-10-02 | Grünenthal GmbH | Substituted 4-aminocyclohexanols |
| WO2004002986A2 (en) | 2002-06-28 | 2004-01-08 | Banyu Pharmaceutical Co., Ltd. | Novel benzimidazole derivatives |
| US7659276B2 (en) | 2003-08-13 | 2010-02-09 | Amgen, Inc. | Melanin concentrating hormone receptor antagonist |
| US7514438B2 (en) | 2003-08-13 | 2009-04-07 | Amgen, Inc. | Melanin concentrating hormone receptor antagonist |
| WO2005028438A1 (en) | 2003-09-22 | 2005-03-31 | Banyu Pharmaceutical Co., Ltd. | Novel piperidine derivative |
| EP2088154A1 (en) | 2004-03-09 | 2009-08-12 | Ironwood Pharmaceuticals, Inc. | Methods and compositions for the treatment of gastrointestinal disorders |
| EP2305352A1 (en) | 2004-04-02 | 2011-04-06 | Merck Sharp & Dohme Corp. | 5-alpha-reductase inhibitors for use in the treatment of men with metabolic and anthropometric disorders |
| EP2127676A2 (en) | 2004-11-01 | 2009-12-02 | Amylin Pharmaceuticals, Inc. | Treatment of obesity and related disorders |
| EP2286840A2 (en) | 2004-11-01 | 2011-02-23 | Amylin Pharmaceuticals, Inc. | Treatment of obesity and related diseases |
| EP2286839A2 (en) | 2004-11-01 | 2011-02-23 | Amylin Pharmaceuticals, Inc. | Treatment of obesity and related diseases |
| EP2286838A2 (en) | 2004-11-01 | 2011-02-23 | Amylin Pharmaceuticals, Inc. | Treatment of obesity and related disorders |
| EP2286837A2 (en) | 2004-11-01 | 2011-02-23 | Amylin Pharmaceuticals, Inc. | Treatment of obesity and obesity related diseases |
| WO2006129826A1 (en) | 2005-05-30 | 2006-12-07 | Banyu Pharmaceutical Co., Ltd. | Novel piperidine derivative |
| WO2007018248A1 (en) | 2005-08-10 | 2007-02-15 | Banyu Pharmaceutical Co., Ltd. | Pyridone compound |
| EP2330124A2 (en) | 2005-08-11 | 2011-06-08 | Amylin Pharmaceuticals Inc. | Hybrid polypeptides with selectable properties |
| EP2330125A2 (en) | 2005-08-11 | 2011-06-08 | Amylin Pharmaceuticals, Inc. | Hybrid polypeptides with selectable properties |
| WO2007024004A1 (en) | 2005-08-24 | 2007-03-01 | Banyu Pharmaceutical Co., Ltd. | Phenylpyridone derivative |
| WO2007029847A1 (en) | 2005-09-07 | 2007-03-15 | Banyu Pharmaceutical Co., Ltd. | Bicyclic aromatic substituted pyridone derivative |
| WO2007041052A2 (en) | 2005-09-29 | 2007-04-12 | Merck & Co., Inc. | Acylated spiropiperidine derivatives as melanocortin-4 receptor modulators |
| EP2332526A2 (en) | 2005-10-21 | 2011-06-15 | Novartis AG | Combination of a renin-inhibitor and an anti-dyslipidemic agent and/or an antiobesity agent |
| WO2007049798A1 (en) | 2005-10-27 | 2007-05-03 | Banyu Pharmaceutical Co., Ltd. | Novel benzoxathiin derivative |
| WO2007055418A1 (en) | 2005-11-10 | 2007-05-18 | Banyu Pharmaceutical Co., Ltd. | Aza-substituted spiro derivative |
| EP2698157A1 (en) | 2006-09-22 | 2014-02-19 | Merck Sharp & Dohme Corp. | Method of treatment using fatty acid synthesis inhibitors |
| EP2946778A1 (en) | 2006-09-22 | 2015-11-25 | Merck Sharp & Dohme Corp. | Method of treatment using fatty acid synthesis inhibitors |
| WO2008038692A1 (en) | 2006-09-28 | 2008-04-03 | Banyu Pharmaceutical Co., Ltd. | Diaryl ketimine derivative |
| WO2008060476A2 (en) | 2006-11-15 | 2008-05-22 | Schering Corporation | Nitrogen-containing heterocyclic compounds and methods of use thereof |
| WO2008120653A1 (en) | 2007-04-02 | 2008-10-09 | Banyu Pharmaceutical Co., Ltd. | Indoledione derivative |
| EP2998314A1 (en) | 2007-06-04 | 2016-03-23 | Synergy Pharmaceuticals Inc. | Agonists of guanylate cyclase useful for the treatment of gastrointestinal disorders, inflammation, cancer and other disorders |
| WO2009110510A1 (en) | 2008-03-06 | 2009-09-11 | 萬有製薬株式会社 | Alkylaminopyridine derivative |
| WO2009119726A1 (en) | 2008-03-28 | 2009-10-01 | 萬有製薬株式会社 | Diarylmethylamide derivative having antagonistic activity on melanin-concentrating hormone receptor |
| EP2810951A2 (en) | 2008-06-04 | 2014-12-10 | Synergy Pharmaceuticals Inc. | Agonists of guanylate cyclase useful for the treatment of gastrointestinal disorders, inflammation, cancer and other disorders |
| WO2009154132A1 (en) | 2008-06-19 | 2009-12-23 | 萬有製薬株式会社 | Spirodiamine-diarylketoxime derivative |
| EP3241839A1 (en) | 2008-07-16 | 2017-11-08 | Synergy Pharmaceuticals Inc. | Agonists of guanylate cyclase useful for the treatment of gastrointestinal, inflammation, cancer and other disorders |
| WO2010013595A1 (en) | 2008-07-30 | 2010-02-04 | 萬有製薬株式会社 | (5-membered)-(5-membered) or (5-membered)-(6-membered) fused ring cycloalkylamine derivative |
| WO2010047982A1 (en) | 2008-10-22 | 2010-04-29 | Merck Sharp & Dohme Corp. | Novel cyclic benzimidazole derivatives useful anti-diabetic agents |
| WO2010051236A1 (en) | 2008-10-30 | 2010-05-06 | Merck Sharp & Dohme Corp. | Isonicotinamide orexin receptor antagonists |
| WO2010051206A1 (en) | 2008-10-31 | 2010-05-06 | Merck Sharp & Dohme Corp. | Novel cyclic benzimidazole derivatives useful anti-diabetic agents |
| WO2010075068A1 (en) | 2008-12-16 | 2010-07-01 | Schering Corporation | Pyridopyrimidine derivatives and methods of use thereof |
| WO2010075069A1 (en) | 2008-12-16 | 2010-07-01 | Schering Corporation | Bicyclic pyranone derivatives as nicotinic acid receptor agonists |
| EP2923706A1 (en) | 2009-12-03 | 2015-09-30 | Synergy Pharmaceuticals Inc. | Agonists of guanylate cyclase useful for the treatment of hypercholesterolemia |
| WO2011069038A2 (en) | 2009-12-03 | 2011-06-09 | Synergy Pharmaceuticals, Inc. | Agonists of guanylate cyclase useful for the treatment of hypercholesterolemia, atherosclerosis, coronary heart disease, gallstone, obesity and other cardiovascular diseases |
| WO2011106273A1 (en) | 2010-02-25 | 2011-09-01 | Merck Sharp & Dohme Corp. | Novel cyclic benzimidazole derivatives useful anti-diabetic agents |
| WO2012116145A1 (en) | 2011-02-25 | 2012-08-30 | Merck Sharp & Dohme Corp. | Novel cyclic azabenzimidazole derivatives useful as anti-diabetic agents |
| EP3243385A1 (en) | 2011-02-25 | 2017-11-15 | Merck Sharp & Dohme Corp. | Novel cyclic azabenzimidazole derivatives useful as anti-diabetic agents |
| WO2013059222A1 (en) | 2011-10-19 | 2013-04-25 | Merck Sharp & Dohme Corp. | 2-pyridyloxy-4-nitrile orexin receptor antagonists |
| EP3708179A1 (en) | 2012-03-15 | 2020-09-16 | Bausch Health Ireland Limited | Formulations of guanylate cyclase c agonists and methods of use |
| EP4309673A2 (en) | 2012-03-15 | 2024-01-24 | Bausch Health Ireland Limited | Formulations of guanylate cyclase c agonists and methods of use |
| WO2013138352A1 (en) | 2012-03-15 | 2013-09-19 | Synergy Pharmaceuticals Inc. | Formulations of guanylate cyclase c agonists and methods of use |
| WO2014022528A1 (en) | 2012-08-02 | 2014-02-06 | Merck Sharp & Dohme Corp. | Antidiabetic tricyclic compounds |
| WO2014130608A1 (en) | 2013-02-22 | 2014-08-28 | Merck Sharp & Dohme Corp. | Antidiabetic bicyclic compounds |
| WO2014139388A1 (en) | 2013-03-14 | 2014-09-18 | Merck Sharp & Dohme Corp. | Novel indole derivatives useful as anti-diabetic agents |
| WO2014151206A1 (en) | 2013-03-15 | 2014-09-25 | Synergy Pharmaceuticals Inc. | Agonists of guanylate cyclase and their uses |
| WO2014151200A2 (en) | 2013-03-15 | 2014-09-25 | Synergy Pharmaceuticals Inc. | Compositions useful for the treatment of gastrointestinal disorders |
| WO2014197720A2 (en) | 2013-06-05 | 2014-12-11 | Synergy Pharmaceuticals, Inc. | Ultra-pure agonists of guanylate cyclase c, method of making and using same |
| EP4424697A2 (en) | 2013-06-05 | 2024-09-04 | Bausch Health Ireland Limited | Ultra-pure agonists of guanylate cyclase c, method of making and using same |
| WO2015051725A1 (en) | 2013-10-08 | 2015-04-16 | Merck Sharp & Dohme Corp. | Antidiabetic tricyclic compounds |
| US10513499B2 (en) | 2014-08-29 | 2019-12-24 | Tes Pharma S.R.L. | Inhibitors of alpha-amino-beta-carboxymuconic acid semialdehyde decarboxylase |
| US11254644B2 (en) | 2014-08-29 | 2022-02-22 | Tes Pharma S.R.L. | Inhibitors of alpha-amino-beta-carboxymuconic acid semialdehyde decarboxylase |
| US9708272B2 (en) | 2014-08-29 | 2017-07-18 | Tes Pharma S.R.L. | Inhibitors of α-amino-β-carboxymuconic acid semialdehyde decarboxylase |
| WO2016030534A1 (en) | 2014-08-29 | 2016-03-03 | Tes Pharma S.R.L. | INHIBITORS OF α-AMINO-β-CARBOXYMUCONIC ACID SEMIALDEHYDE DECARBOXYLASE |
| WO2018069532A1 (en) | 2016-10-14 | 2018-04-19 | Tes Pharma S.R.L. | Inhibitors of alpha-amino-beta-carboxymuconic acid semialdehyde decarboxylase |
| WO2018106518A1 (en) | 2016-12-06 | 2018-06-14 | Merck Sharp & Dohme Corp. | Antidiabetic heterocyclic compounds |
| WO2018118670A1 (en) | 2016-12-20 | 2018-06-28 | Merck Sharp & Dohme Corp. | Antidiabetic spirochroman compounds |
| WO2020104456A1 (en) | 2018-11-20 | 2020-05-28 | Tes Pharma S.R.L | INHIBITORS OF α-AMINO-β-CARBOXYMUCONIC ACID SEMIALDEHYDE DECARBOXYLASE |
| US12186317B2 (en) | 2018-11-20 | 2025-01-07 | Tes Pharma S.R.L. | Inhibitors of alpha-amino-beta-carboxymuconic acid semialdehyde decarboxylase |
| EP3923933A1 (en) | 2019-02-13 | 2021-12-22 | Merck Sharp & Dohme Corp. | Pyrrolidine orexin receptor agonists |
| WO2020167706A1 (en) | 2019-02-13 | 2020-08-20 | Merck Sharp & Dohme Corp. | 5-alkyl pyrrolidine orexin receptor agonists |
| US11198699B2 (en) | 2019-04-02 | 2021-12-14 | Aligos Therapeutics, Inc. | Compounds targeting PRMT5 |
| WO2021026047A1 (en) | 2019-08-08 | 2021-02-11 | Merck Sharp & Dohme Corp. | Heteroaryl pyrrolidine and piperidine orexin receptor agonists |
| WO2022040070A1 (en) | 2020-08-18 | 2022-02-24 | Merck Sharp & Dohme Corp. | Bicycloheptane pyrrolidine orexin receptor agonists |
Also Published As
| Publication number | Publication date |
|---|---|
| PL321136A1 (en) | 1997-11-24 |
| KR970707101A (en) | 1997-12-01 |
| JP3386814B2 (en) | 2003-03-17 |
| NO972091D0 (en) | 1997-05-06 |
| NO972091L (en) | 1997-07-02 |
| JP2001520625A (en) | 2001-10-30 |
| AU4231996A (en) | 1996-05-31 |
| AU692977B2 (en) | 1998-06-18 |
| SK57097A3 (en) | 1998-10-07 |
| MX9703349A (en) | 1997-07-31 |
| HUT78089A (en) | 1999-08-30 |
| CA2203878A1 (en) | 1996-05-17 |
| CA2203878C (en) | 2002-06-25 |
| NZ297211A (en) | 1999-01-28 |
| BR9509610A (en) | 1997-10-28 |
| CZ137297A3 (en) | 1998-04-15 |
Similar Documents
| Publication | Publication Date | Title |
|---|---|---|
| WO1996014307A1 (en) | Certain substituted benzylamine derivatives; a new class of neuropeptide y1 specific ligands | |
| EP0915859B1 (en) | Certain substituted benzylamine derivatives; a new class of neuropeptide y1 specific ligands | |
| US6316617B1 (en) | Certain amido-and amino-substituted benzylamine derivatives; a new class of Neuropeptide Y1 specific ligands | |
| WO1996040660A1 (en) | Certain substituted benzylamine derivatives: a new class of neuropeptide y1 specific ligands | |
| US5985873A (en) | Certain substituted benzylamine derivatives a new class of Neuropeptide-Y1 specific ligands | |
| US6187778B1 (en) | 4-aminopyrrole (3, 2-D) pyrimidines as neuropeptide Y receptor antagonists | |
| EP0431580B1 (en) | Substituted cyclohexanols as central nervous system agents | |
| DE19637237A1 (en) | Piperazine derivatives | |
| US5900415A (en) | Certain substituted benzylamine derivatives; a new class of neuropeptide Y1 specific ligands | |
| US6407120B1 (en) | Neuropeptide Y antagonists | |
| CA2299013C (en) | Neuropeptide y antagonists | |
| EP0790989B1 (en) | Certain substituted benzylamine derivatives; a new class of neuropeptide y1 specific ligands | |
| US5166157A (en) | Naphthyl piperazines useful as 5-HT1A receptor ligands | |
| EP0944611A1 (en) | Dimesylate salts of neuropeptide y ligands | |
| MXPA97009980A (en) | Certain substitute bencilamine derivatives: unanueva class of neuropeptide specific ligands | |
| MXPA99000870A (en) | Certain substituteed benzylamine derivatives: a new class of neuropeptide specific ligands | |
| MXPA97003349A (en) | Specific ligands of the neuropeptide | |
| MXPA00001707A (en) | Amide derivatives useful as neuropeptide y (npy) antagonists |
Legal Events
| Date | Code | Title | Description |
|---|---|---|---|
| WWE | Wipo information: entry into national phase |
Ref document number: PA/a/1997/003349 Country of ref document: MX Ref document number: 95196081.4 Country of ref document: CN |
|
| AK | Designated states |
Kind code of ref document: A2 Designated state(s): AM AT AU BB BG BR BY CA CH CN CZ DE DK EE ES FI GB GE HU IS JP KE KG KP KR KZ LK LR LT LU LV MD MG MN MW MX NO NZ PL PT RO RU SD SE SG SI SK TJ TM TT UA UG US US US UZ VN |
|
| AL | Designated countries for regional patents |
Kind code of ref document: A2 Designated state(s): KE LS MW SD SZ UG AT BE CH DE DK ES FR GB GR IE IT LU MC NL PT SE BF BJ CF CG CI CM GA GN ML MR NE SN TD TG |
|
| DFPE | Request for preliminary examination filed prior to expiration of 19th month from priority date (pct application filed before 20040101) | ||
| CFP | Corrected version of a pamphlet front page | ||
| CR1 | Correction of entry in section i |
Free format text: PAT.BUL.22/96 UNDER"PUBLISHED",REPLACE THE EXISTING TEXT BY"WITH INTERNATIONAL SEARCH REPORT.BEFORE THE EXPIRATION OF THE TIME LIMIT FOR AMENDING THE CLAIMS AND TO BE REPUBLISHED IN THE EVENT OF THE RECEIPT OF AMENDMENTS".AND REPLACE"A2"BY"A1" |
|
| 121 | Ep: the epo has been informed by wipo that ep was designated in this application | ||
| WWE | Wipo information: entry into national phase |
Ref document number: 297211 Country of ref document: NZ |
|
| ENP | Entry into the national phase |
Ref document number: 2203878 Country of ref document: CA Ref document number: 2203878 Country of ref document: CA Kind code of ref document: A |
|
| WWE | Wipo information: entry into national phase |
Ref document number: 08817641 Country of ref document: US |
|
| WWE | Wipo information: entry into national phase |
Ref document number: 1995940639 Country of ref document: EP Ref document number: PV1997-1372 Country of ref document: CZ Ref document number: 1019970702989 Country of ref document: KR Ref document number: 971931 Country of ref document: FI Ref document number: 57097 Country of ref document: SK |
|
| REG | Reference to national code |
Ref country code: DE Ref legal event code: 8642 |
|
| WWP | Wipo information: published in national office |
Ref document number: 1995940639 Country of ref document: EP |
|
| WWP | Wipo information: published in national office |
Ref document number: 1019970702989 Country of ref document: KR |
|
| WWP | Wipo information: published in national office |
Ref document number: PV1997-1372 Country of ref document: CZ |
|
| WWR | Wipo information: refused in national office |
Ref document number: PV1997-1372 Country of ref document: CZ |
|
| WWR | Wipo information: refused in national office |
Ref document number: 1019970702989 Country of ref document: KR |
|
| WWG | Wipo information: grant in national office |
Ref document number: 1995940639 Country of ref document: EP |
















