WO1992017215A1 - Contrast media - Google Patents
Contrast media Download PDFInfo
- Publication number
- WO1992017215A1 WO1992017215A1 PCT/EP1992/000698 EP9200698W WO9217215A1 WO 1992017215 A1 WO1992017215 A1 WO 1992017215A1 EP 9200698 W EP9200698 W EP 9200698W WO 9217215 A1 WO9217215 A1 WO 9217215A1
- Authority
- WO
- WIPO (PCT)
- Prior art keywords
- medium
- multinuclear
- cooh
- complexes
- chem
- Prior art date
- Legal status (The legal status is an assumption and is not a legal conclusion. Google has not performed a legal analysis and makes no representation as to the accuracy of the status listed.)
- Ceased
Links
- 0 CCC(N(*)*)=O Chemical compound CCC(N(*)*)=O 0.000 description 4
Classifications
-
- A—HUMAN NECESSITIES
- A61—MEDICAL OR VETERINARY SCIENCE; HYGIENE
- A61K—PREPARATIONS FOR MEDICAL, DENTAL OR TOILETRY PURPOSES
- A61K49/00—Preparations for testing in vivo
- A61K49/0002—General or multifunctional contrast agents, e.g. chelated agents
-
- A—HUMAN NECESSITIES
- A61—MEDICAL OR VETERINARY SCIENCE; HYGIENE
- A61K—PREPARATIONS FOR MEDICAL, DENTAL OR TOILETRY PURPOSES
- A61K49/00—Preparations for testing in vivo
- A61K49/06—Nuclear magnetic resonance [NMR] contrast preparations; Magnetic resonance imaging [MRI] contrast preparations
-
- A—HUMAN NECESSITIES
- A61—MEDICAL OR VETERINARY SCIENCE; HYGIENE
- A61K—PREPARATIONS FOR MEDICAL, DENTAL OR TOILETRY PURPOSES
- A61K51/00—Preparations containing radioactive substances for use in therapy or testing in vivo
- A61K51/02—Preparations containing radioactive substances for use in therapy or testing in vivo characterised by the carrier, i.e. characterised by the agent or material covalently linked or complexing the radioactive nucleus
-
- A—HUMAN NECESSITIES
- A61—MEDICAL OR VETERINARY SCIENCE; HYGIENE
- A61K—PREPARATIONS FOR MEDICAL, DENTAL OR TOILETRY PURPOSES
- A61K51/00—Preparations containing radioactive substances for use in therapy or testing in vivo
- A61K51/02—Preparations containing radioactive substances for use in therapy or testing in vivo characterised by the carrier, i.e. characterised by the agent or material covalently linked or complexing the radioactive nucleus
- A61K51/04—Organic compounds
- A61K51/0474—Organic compounds complexes or complex-forming compounds, i.e. wherein a radioactive metal (e.g. 111In3+) is complexed or chelated by, e.g. a N2S2, N3S, NS3, N4 chelating group
- A61K51/0482—Organic compounds complexes or complex-forming compounds, i.e. wherein a radioactive metal (e.g. 111In3+) is complexed or chelated by, e.g. a N2S2, N3S, NS3, N4 chelating group chelates from cyclic ligands, e.g. DOTA
-
- C—CHEMISTRY; METALLURGY
- C07—ORGANIC CHEMISTRY
- C07F—ACYCLIC, CARBOCYCLIC OR HETEROCYCLIC COMPOUNDS CONTAINING ELEMENTS OTHER THAN CARBON, HYDROGEN, HALOGEN, OXYGEN, NITROGEN, SULFUR, SELENIUM OR TELLURIUM
- C07F11/00—Compounds containing elements of Groups 6 or 16 of the Periodic Table
- C07F11/005—Compounds containing elements of Groups 6 or 16 of the Periodic Table compounds without a metal-carbon linkage
-
- C—CHEMISTRY; METALLURGY
- C07—ORGANIC CHEMISTRY
- C07F—ACYCLIC, CARBOCYCLIC OR HETEROCYCLIC COMPOUNDS CONTAINING ELEMENTS OTHER THAN CARBON, HYDROGEN, HALOGEN, OXYGEN, NITROGEN, SULFUR, SELENIUM OR TELLURIUM
- C07F15/00—Compounds containing elements of Groups 8, 9, 10 or 18 of the Periodic Table
- C07F15/02—Iron compounds
- C07F15/025—Iron compounds without a metal-carbon linkage
-
- A—HUMAN NECESSITIES
- A61—MEDICAL OR VETERINARY SCIENCE; HYGIENE
- A61K—PREPARATIONS FOR MEDICAL, DENTAL OR TOILETRY PURPOSES
- A61K2123/00—Preparations for testing in vivo
Definitions
- the present invention relates to the use in
- diagnostic imaging in particular X-ray, ultrasound and scintigraphy of contrast agents comprising complexes of multinuclear moieties, and to contrast media containing such complexes.
- All diagnostic imaging is based on the achievement of different signal levels from different structures within the body.
- X-ray imaging for example, for a given body structure to be visible in the image, the X-ray attenuation by that structure must differ from that of the surrounding tissues.
- the difference in signal between the body structure and its surroundings is frequently termed contrast and much effort has been devoted to means of enhancing contrast in diagnostic imaging since the greater the contrast between a body structure and its surroundings the higher the quality of the images and the greater their value to the physician performing the diagnosis.
- the greater the contrast the smaller the body structures that may be visualized in the imaging procedure i.e. increased contrast can lead to increased spatial resolution.
- the diagnostic quality of images is strongly dependent on the inherent noise level in the imaging procedure - and the ratio of the contrast level to the noise level can thus be seen to represent an effective diagnostic quality factor for diagnostic images.
- contrast agents were insoluble inorganic barium salts which enhanced X-ray attenuation in the body zones into which they distributed. More recently the field of X- ray contrast agents has been dominated by soluble iodine containing compounds such as those marketed by Nycomed AS under the trade names Omnipaque and Amipaque.
- APCA aminopolycarboxylic acid
- contrast enhancement may be achieved particularly effectively by the use of multinuclear complexes, that is complexes wherein the complexed moiety itself comprises two or more contrast enhancing atoms.
- the complex would comprise two or more heavy metal atoms and for MRI the complex would contain two or more metal atoms with paramagnetic properties.
- the word "atom” is used to refer to ionic and covalently bonded forms and not simply to isolated uncharged atoms.
- the complexed moiety while it is polynuclear, will not generally be so large as to be considered to be a particle itself. Thus it will generally have maximum dimensions 500 ⁇ or less, e.g. of 80 ⁇ or less, especially 40 ⁇ or less. More particularly, the multinuclear entity will have a distinct,
- the invention provides a diagnostic imaging contrast medium comprising a physiologically tolerable multinuclear complex of formula I
- M n B u A v is a multinuclear entity; each M which may be the same or different is a contrast enhancing metal atom covalently bonded to at least one atom B where u is non-zero; each B which may be the same or different is a non-metal bridging atom covalently bonded to at least two metal atoms M and optionally to further atoms; each A which may be the same or different is a non-metal non-bridging atom covalently bonded to a metal atom M; each L which may be the same or different is a ligand co-ordinately bonded to at least one metal atom M; n is a positive integer of value 2 or greater at least one metal atom M being tungsten or a lanthanide where n represents 2; u is zero or a positive integer, u being at least 2 unless n is at least 5 or at least one M is a lanthanide; x is a positive integer; and v and v
- physiologically tolerable salt thereof together with at least one pharmaceutical carrier or excipient.
- the invention provides the use of a multinuclear complex for the manufacture of a contrast medium as defined above for use in imaging of the human or non-human animal body.
- the invention provides a method of generating an image of a human or non-human animal, preferably mammalian, body which method comprises administering to said body a
- physiologically tolerable contrast enhancing amount of a multinuclear complex as defined above and generating an image of at least part of said body into which said agent distributes, e.g. by X-ray, MRI, ultrasound, or scintigraphy.
- the invention also provides a multinuclear complex, especially a complex of group Ib, IIb, IIIb, IVb, Vb, VIb, VIIb or VIII (CAS) metals, or lanthanides or actinides more especially group Vb, VIb, VIIb or VIII metals, particularly
- the invention also provides a diagnostic imaging contrast medium comprising a multinuclear complex as defined above together with at least one sterile pharmaceutical carrier or excipient.
- Multinuclear complexes have particular potential as contrast agents since, relative to mononuclear complexes such as the paramagnetic metal ion APCA chelates and polychelates conventionally proposed for use as X-ray contrast agents, the increase in the contrast enhancing atom content of the molecule is achieved with relatively little increase in the volume occupied by the contrast agent complexes, that is to say the use of multinuclear complexes enables a high ratio of contrast enhancing atom to overall complex volume to be achieved.
- the total quantity of the contrast agent necessary in order to achieve the same contrast effect may be reduced and thus problems associated with contrast agent solubility or toxicity or with contrast medium viscosity may also be reduced.
- the complexed moiety should comprise two or more contrast enhancing metal atoms (preferably in the form of a molecular ion).
- the multinuclear moiety also contains further atoms which may have little or no contrast enhancing effect but which may for example function as bridging atoms bonding the contrast
- bridging atoms and groups include the atoms of groups IVa, Va, VIa and VIIa (CAS), e.g. oxygen, sulphur, selenium, tellurium, halogen atoms, nitrides, and bridging groups such as hydroxyl, carboxylates, alkoxy, aryloxy, phosphorus containing compounds and substituted nitrogen and phosphorus atoms, e.g. alkyl substituted nitrogen, phosphorus or P-oxide phosphorus atoms.
- groups IVa, Va, VIa and VIIa e.g. oxygen, sulphur, selenium, tellurium, halogen atoms, nitrides
- bridging groups such as hydroxyl, carboxylates, alkoxy, aryloxy, phosphorus containing compounds and substituted nitrogen and phosphorus atoms, e.g. alkyl substituted nitrogen, phosphorus or P-oxide phosphorus atoms.
- Carbonyl bridging groups are not favourable due to their inherent toxic effect in vivo and, advantageously the multinuclear complex will not contain such groups.
- the complexed multinuclear moiety will contain at least 2, for example up to 100 (or even greater), especially up to 60, especially up to 50, for example up to 30, such as 2-15, especially 2 to 6, preferably 3 to 5 contrast enhancing metal atoms, particularly preferably 2, 3 or 4.
- the appropriate nature, e.g. the element, the isotope or the oxidation state, of the contrast enhancing metal atoms is of course dependent on the imaging technique in which the multinuclear complex is intended to function as a contrast agent. While generally speaking the
- multinuclear moiety will preferably contain at least two group Vb, VIb, VIIb or VIII atoms it may additionally contain other metal, especially transition metal, atoms and for X-ray imaging the multinuclear moiety will conveniently contain two or preferably three or more contrast enhancing atoms having atomic numbers of at least 37, preferably at least 50, while for scintigraphy the moiety will conveniently contain contrast enhancing atoms which are radioactive isotopes, e.g. radioactive metal ions, and for MRI the complex preferably contains paramagnetic metal atoms, especially lannhanide or first or second row transition metal atoms.
- a ferromagnetically coupled paramagnetic complex useful for MRI contrast enhancement may thus take the form of a multinuclear complex containing two or more paramagnetic metal atoms selected from chromium, iron, nickel, manganese, cobalt, vanadium, molybdenum,
- the metal ions include chromium, manganese, gadolinium, and iron, and the preferred external complexing substances includes organosulfates and their derivatives,
- the ferromagnetically coupled, paramagnetic complex preferably has a net nuclear spin of greater than about 1/2 and has more than about 5 unpaired electrons. It should also preferably contain labile water groups.
- the multinuclear moiety should contain two or more heavy metal atoms, e.g.
- the multinuclear complex comprises at least one metal ion selected from W, Mo, Re, Rh, Tc, V, Nb, Ru and Re, however Mo. and W are particularly preferred.
- the choice of heavy metal used in the multinuclear complexes will be determined by a variety of factors including the toxicity of the overall complex and the X-ray absorption characteristics of the heavy atom. In this regard it should be noted that while the X-ray absorption cross section for atoms generally increases with increasing atomic number, the absorption cross section is itself dependent on the X-ray
- the multinuclear complexes according to the invention will each have optimum photon energy ranges making them particularly suitable for operation with X-ray imaging apparatus utilizing X-rays having such photon energy ranges.
- multinuclear complexes containing atoms of more than one heavy element one may create X-ray contrast agents having optimal performance in more than one photon energy band or over a broader band.
- the complexes used according to the present invention are thus particularly attractive since they can be selected so as to match their X-ray attenuation profiles with the X-ray emission profiles of particular X-ray sources - in effect the invention provides "tunable" X-ray contrast media.
- n, u and v are preferably 2 to
- n and also preferably u are at least 3 , particularly at least 4;
- x is preferably 1 to 20, especially 1 to 10, and
- w depends on the size and identity of the ligand - nonetheless w is preferably 1 or 2, especially 1.
- Non-chelant complexing agents such as amines and mono carboxylic acids, e.g. acetic acid and amino acids, optionally substituted aromatic amines (such as pyrazole or pyridine), phosphines (e.g. alkyl and/or aryl
- phosphines phosphites, phosphates, phosphonates and phosphinates are known and may be used in the formation of the multinuclear complexes of the invention.
- multinuclear complexes should be as high as possible and accordingly it is particularly preferred that the multinuclear moiety should be bound in a chelate
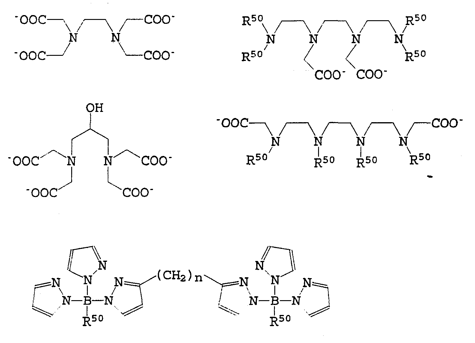
- L may conveniently represent a linear, branched or cyclic polyamino, polyaminocarboxylic or polycarboxylic acid.
- L may be represented by the formula
- R 1 which may be the same or different represents
- R 2 C 1-4 hydroxyalkyl, carboxy-C 1-4 alkyl or amino-C 1-4 alkyl groups or together both R 1 groups represent a group
- R 3 is an R 2 group or a C 1-4 alkyl group optionally substituted by hydroxyl, carboxyl, aryl or amino groups,
- each R 2 independently represents a hydrogen atom or an optionally amidated or esterified carboxy C 1-4 alkyl group, wherein any amine nitrogen is substituted by group selected from hydrogen atoms and optionally hydroxylated C 1-4 alkyl groups.
- L may be selected from
- the multinuclear complex used according to the invention may be ionic or, more preferably, may carry no net charge; most preferably the complex is non-ionic. Moreover it may be water-soluble or, less preferably, water-insoluble. Any necessary counterions should of course most preferably also be physiologically
- Suitable countercations include for example
- protons alkali and alkaline earth metal ions, e.g.
- ammonium and organic cations e.g. organic amine cations, quaternary ammonium, pyridinium, meglumine, alkylammonium,
- Suitable counteranions include for example halide (e.g. chloride, bromide, iodide, I 3 Other suitable chelant moieties will be discussed in greater detail later.
- JACS 112 7402-7403 (1990); JACS 110:
- each L' which may be the same or different is a ligand, either a molecule, an ion or one liganding moiety of a multidentate ligand; and W are each zero or positive integers).
- L' groups can of course be provided by one chelant (L) and the metal atoms may be covalently bound to further atoms (generally designated by the letter A in the formulae referred to herein) not indicated by L, L or B and which function neither as ligands nor as bridges.
- the M-B bonds to the bridging atoms B of formula II may be dative rather than covalent bonds.
- Examples of such complexes thus include the macrocyclic binuclear chelates such as those of formula III
- each R which may be same or different is hydrogen or an organic group and each M is as defined above, for example a metal atom or ion, e.g. Ni, Pb(II) or Cu(II).
- multinuclear complexes wherein the metal atoms M are not linked by covalent bonds does fall within the scope of the invention, it is particularly preferred that the multinuclear complexes be of the bridged type wherein the metal atoms M are covalently linked via bridging atoms or atom pairs (e.g. S 2 bridges) or bridging ligands (eg. acetate, hydroxo etc).
- bridging atoms or atom pairs e.g. S 2 bridges
- bridging ligands eg. acetate, hydroxo etc.
- analogues are known and they and complexes thereof are useful according to the invention, especially as X-ray contrast agents.
- Many such complexes are known and typical exemplary structures include the bi-, tri-, tetra- and hexa- nuclear structures of formulae II, IIIa, IV and V
- each B, M, L' and W' are defined above and where other non-bridging atoms covalently bonded to metals M are omitted for the sake of clarity).
- M may represent Mo, W, Re, Tc, V, Nb, Ta, Ru or Fe, but it is also possible for one (or more) of the metals M to be replaced by a transition or other metal, e.g. Hg, besides those metals specifically listed above in such a case however the substitute metal should be in a minority.
- a transition or other metal e.g. Hg
- M 2-50 clusters e.g. M 2 , M 3 , M 4 , M 5 , M 6 , M 7 , M 8 , M 9 , M 10 , M 11 , M 12 , M 17 , M 18 , M 36 and M 48 clusters, are known from the
- the complexes above may be electrically charged or neutral - for administration as contrast agents they may preferably be complexed with ligands/chelating agents which serve to improve water solubility and to reduce toxicity and to leave unaffected, to only slightly increase or, most preferably, to reduce the magnitude of the overall electronic charge carried by the complex and stabilize redox sites of clusters.
- the structural formulae can conveniently be written M 2 L q ( ⁇ 2 B) 2 and M 3 L r ( ⁇ 3 B) ( ⁇ 2 B) 3 ,M 4 L s ( ⁇ 3 B) 4 and M 6 L 1 ( ⁇ 3 B) 8 respectively ( ⁇ 3 B indicating that the B is a bridging atom bonded to 3 metals, and q, r, s and t respectively being integers identifying the total number of
- the multinuclear complexes be chelate complexes and it is especially preferred that a single multidentate chelant be used to coordinate at least two and preferably all of the liganded centres.
- a multidentate chelant L coordinating for example three metals would be referred to in these formulae as ( ⁇ 3 L).
- a multinuclear entity of formula I can comprise a unit of formula M 3 ( ⁇ 3 B) ( ⁇ 2 B) 3 , M 4 ( ⁇ 3 B) 4 or M 6 ( ⁇ 3 B) 8 (wherein M and B are defined above, but
- each M may indpendently represent Mo or W, and each B may independently represent O, S, Se or Te or a nitrogen or phosphorus atom covalently bonded to a proton or an organic group).
- molybdenum and/or tungsten e.g. APCA chelates of multinuclear entities of formula
- M 2 Z 2 ( ⁇ 2 Z) 2 i.e. M 2 Z 2 ( ⁇ 2 Z) 2
- each M is independently W or Mo and each Z is independently O, S, Se, Te, CI, Br or I, e.g.
- Mo 4 ( ⁇ 3 Se) 4 Mo 2 O 2 ( ⁇ 2 Se) 2 , Mo 3 ( ⁇ 3 O) ( ⁇ ,O) 3 , W 6 ( ⁇ 3 S) 8 ,
- Particularly preferred multinuclear clusters of type M 2 B 2 include those of formula:
- M preferably represents Mo, W or Re, whilst B and A preferably each represent O, S, Se or Te.
- multinuclear cluster of this type include:
- each R 50 may represent a hydrogen atom or a straight chained or branched alkyl group optionally substituted by hydroxy, thiol, alkylthiol groups or by a carbonyl group which may itself be optionally alkyl substituted on the amide nitrogen.
- R 50 represents a C 1-6 alkyl, optionally substituted as
- R 50 may represent an alkyl group of formula
- M preferably represents Mo, W or Re
- a and B each preferably represent O, S, Se or Te.
- multinuclear clusters of this formula include
- the multinuclear clusters described above are preferably chelated by ligands which are carbohydrates, for example sugar alcohols, especially those with a backbone chain containing of from 4 to 7 carbon atoms.
- ligands which are carbohydrates, for example sugar alcohols, especially those with a backbone chain containing of from 4 to 7 carbon atoms.
- sugar alcohols include perseitol, galactitol, D-mannitol, erythritol, D-threitol, p-arabinatol, xylitol, ribitol and D-glucitol.
- Preferred M 3 B 4 multinuclear clusters may be any suitable M 3 B 4 multinuclear clusters.
- each M is preferably Mo, W or Re and each B is preferably O, S, Se or Te.
- Examples of such clusters include
- Preferred ligands for the M 3 B 4 clusters include those of formula
- each Z may represent a nitrogen or phosphorous atom
- each Y may represent a nitrogen, phosphorous, oxygen or sulphur atom or a group NR 50 or PR 50 (where R 50 is as defined above) and each group R 51 may represent a group
- the multinuclear entities useful according to the invention thus include many known polynuclear inorganic molecules and ions and complexes thereof (including complexes with organic species), including those known under the general term polyoxoanions.
- Such multinuclear entities can be described by the following general formula:
- each D which may be the same or different represents a non-metal atom, molecule or ion within the multinuclear entity that is bonded to one or more metals M,
- each G which may be the same or different represents an atom, molecule, ion or metal complex coordinatively bound to the M ⁇ D ⁇ entity to yield the charged or
- each J which may be the same or different, is a physiologicaly tolerable counterion (e.g. an alkali metal, alkaline earth metal, ammonium, quaternary ammonium, organic amine etc cation where the cluster is anionic),
- a physiologicaly tolerable counterion e.g. an alkali metal, alkaline earth metal, ammonium, quaternary ammonium, organic amine etc cation where the cluster is anionic
- ⁇ and ⁇ are numbers having a value of at least 2, e.g. 2-100, ⁇ is a positive number, and 5 and k are each zero or postive numbers.
- At least two (and preferably the majority) of the M atoms will generally be group Vb, VIb, VIIb or VIII elements (e.g. V, Fe, Nb, Mo, Tc, Ru, Rh, Ta, W and Re, especially Nb, Ta, Re, Mo, V, W, particularly Mo and W) while other (minority) M atoms or M atom complex may be selected for example from a secondary group comprising other transition metals, group Ila elements and
- lanthanides as well as other diverse metals such as Be, Al, Si, Ge, Sn, etc. for example as mentioned by
- X a is selected from B, Al, Si, Ge, P, As, Se, Te, S, I, Co, Mn, Cu, alkylphosphonate, arylphosphonate
- M a , M b , M c are independently selected from W, Mo, V, Nb, Ta and Re; ⁇ , ⁇ , ⁇ , ⁇ , and ⁇ are zero or positive numbers; ⁇ is zero for isopolyoxoanions and mixed isopolyoxoanions or is a positive integer for
- the counter-cations for polyoxoanions can be protons, organic cations (e.g. Ph + , CH 3 + , as in AR Seidle et al, JACS 108: 6430-6431 (1986)), alkali metal
- Quaternary ammonium salts of polyoxoanions can be developed which display remarkable hydrolytic stability and are highly soluble in organic media.
- Organo-soluble salts i.e. lipophilic
- Organo-soluble salts exist as an ion pair whereby the polyoxoanion is effectively coated with the greasy quaternary ammonium salt.
- Lipophilic polyoxoanions and chelant complexes can be dissolved in suitable oils, placed inside
- cyclodextrins incorporated into liposomes or micelles.
- An oil solution can be combined with water and emulsion stabilizers to form an emulsion which can be utilized as a GI x-ray contrast agent.
- Liposomal formulations are interesting as liver agents. Cyclodextrin formulations are potential intravascular agents.
- reaction may be used as an analytical method for the separation and identification of sugars. Recently, there has been interest in understanding the structural and physical inorganic aspects of these complexes.
- polyalcohol ligand provides hydroxide coordinating groups attached to four adjacent carbon atoms in the ligand backbone as shown here for a generic polyalcohol ligand: (where R 52 is a straight chained or branched alkyl group)
- the complex is formed by a condensation process involving acid:
- complexes are colorless. Due to both the fact that the complex is a salt and the polyhydroxy nature of the ligand, these metal-ligand complexes exhibit very high water solubility.
- coordinating ligands are biocompatible. Higher cluster complexes may also be formed.
- modified polyoxoanions may be formed for example by the reaction of a reactive metal-organic complex with "defect" (substitutionally active)
- polyoxoanions such that the charge of the polyoxoanion, its solubility, or other desired physical/chemical properties can be systematically varied. Such complexes may obviate the need for separate counter-cations.
- M' Proper choice of M' can lead to stable substituted polyoxometalates while proper choice of R can lead to changes in overall complex charge (osmolality), solubility, etc
- R when R is a monoquarternary ammonium, then an electrically neutral polyoxoanion [SiW 11 O 4 ⁇ (Si (CH 2 ) n (NR 3 ) ) 2 ]° can be prepared.
- modified polyoxyanions may be attached to polychelants, for example the polychelants disclosed in WO-A-90/12050, WO-A-91/05762 and in Angew. Chem. Int. Ed. Engl. 29, pages 138-175 (1990) of Tomalia et al.
- a modified polyoxoanion may comprise one or more heteroatoms which displace the original metal atoms in the cluster so altering the characteristics of the heteropolyanions as discussed above.
- heteroatoms include Be, Y, La, Ti, Zr, Hi, V, Nb, Ta, Cr, Mo, W, Mn, Re, Co, Rh, Ni, Pt, Cu, Zn, B, Al, Ga, In, Tl, C, Si, Ge, Sn, P, As, Sb, S, Se, Te, I, Ce, Pr, Nd, Sm, Eu, Gd, Ho, Er, Yb, Th, U, Np and Am.
- Preferred heteroatoms include W, Mo, V, Ti, Sn, Nb, Rh, Ge, Re, Sb, V, Cr, Mn, Fe, Co, Ni, Cu, Zn, Al, Ga, In, Tl, Rh, Ru, Os, Ce, Pr, Nd, Sm, Eu, Ho, Th, U, Pr, Tb, Pu, Np, Am, Cm, Cf, La, Sr, Ba and Si.
- Metal clusters especially HPA's, which contain a mixture of heavy metals (which are contrast enhancing in X-ray imaging) and paramagnetic metals (which are
- contrast enhancing in MRI are especially attractive.
- Clusters containing for example 10 to 20 heavy metals (such as Mo or W) and 1 to 4 paramagnetic metals (such as Gd, Mn, Fe or Dy) are especially interesting.
- EDTA EDTA
- other chelants are suitable for the preparation of the multinuclear chelate complexes used according to the invention.
- bifunctional chelants and chelate-based contrast agents e.g. those described in WO-A-89/00557 (Berg) and the documents mentioned therein and in the search report appended thereto, US-A-4647447 (Gries), US-A-4826673 (Dean), EP-A-230893 (Felder), EP-A-217577 (Frincke), US-A-4652519 (Warshawsky), US-A-4687659 (Quay), and numerous other recent patent publications of Nycomed AS, Salutar Inc, Schering AG, Squibb, Bracco, Mallinckrodt, Dow and Guerbet.
- the chelants useful for complexing the multinuclear moiety and which form coordinate bonds directly with the metals of the multinuclear moiety can be selected from a wide range of structures. Many of the most useful chelants are of general formula XII
- a is an integer of from 2 to 12, preferably 2 to 10, e.g. 2, 3, or 4;
- b is an integer of from 1 to 8, preferably 2, 3 or 4;
- each R independently is hydrogen, a hydrophilic or linking group (e.g. a hydroxyalkyl group) or two groups R 1 , or one R 1 and one group Z 3 , together represent a saturated or unsaturated heterocyclic or carbocyclic ring, preferably with 5-7 ring atoms;
- a hydrophilic or linking group e.g. a hydroxyalkyl group
- two groups R 1 , or one R 1 and one group Z 3 together represent a saturated or unsaturated heterocyclic or carbocyclic ring, preferably with 5-7 ring atoms
- each X independently is O, S, NZ 3 or PZ 3 ,
- each Z 3 indpendently is hydrogen, hydroxyalkyl
- mercaptoalkyl carboxyalkyl (or an amide or ester derivative thereof e.g. -CH 2 CONHCH 3 ) or optionally hydroxy or mercapto substituted acyl, or is a side chain ((CHR 1 ) a X * ) c Z * (where c is 1 to 4 and X * and Z * are as defined for X and Z 3 but do not represent any group containing a X* or Z * group) or two groups Z 3 together form a briding group ((CHR 1 ) a X * ) c (CHR 1 ) a ) or are salts thereof).
- polyamines and polyethers especially linear or cyclic polyamines and polyethers, such as
- ethylenediamine, 1,4,7-triazacyclononane and cyclen can be used as chelants, in general APCAs and starburst dendrimers (see e.g. Tomalia, Angew. Chem. Engl. Ed. 29: 138-175 (1990)) are preferred, particularly DTPA, EDTA, TTHA and derivatives thereof and other cyclic and non-cyclic APCAs as defined in WO-A-89/00557 and APCAs of formula XIII
- each R 1 is independently hydrogen or an optionally hydroxylated and/or alkoxylated alkyl group or an organic side chain adapted for the attachment of or attached to a macromolecule;
- d and e each is an integer having a value of 1, 2 or 3; each X 10 is independently a carboxyl (ie COOH) or
- each Y is independently a group X 10 , SR 1 , OR, or N(R 3 ) 2 ;
- E is a group (CHR 2 ) f (X" (CHR 2 ) f ) g
- f is an integer of from 2 to 5, preferably 2 or 3 , g is zero, 1 or 2, preferably zero or 1, each f
- X" is O, S or N(CHR 1 ) d Y, preferably O or S,
- each R 2 is independently R 1 or, when the carbon to which it is attached is not bonded to a nitrogen, hydroxyl, or two R 2 groups, especially where f is 2, may together with the intervening carbons form a cycloalkyl group
- R 3 is independently a group R 1 or N(R 3 ) 2 represents a preferably saturated heterocyclic group preferably having 5 or 6 ring members, optionally containing as a further heteroatom a nitrogen or oxygen and optionally substituted by R 1 groups. It is also possible for the multinuclear moiety to be chelated by a chelant which is then itself attached to form part of an oligomer or polymer, such as a starburst dendrimer.
- any alkyl moiety preferably has a carbon atom content of up to 8
- any cycloalkyl group preferably is a C 3-8 , especially C 5-7
- any carboxyl derivative is preferably a CON(R 3 ) 2 or CON(OH) R 1 group.
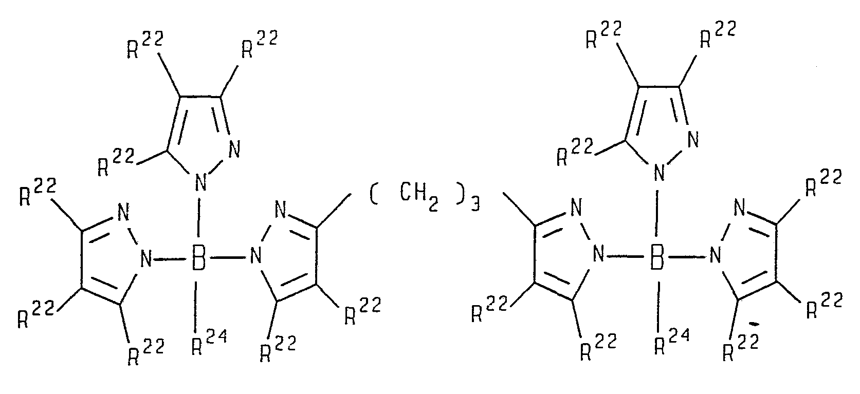
- Suitable chelants include the pyrazole for example Prog. I1.
- R 20 and R 21 which may be the same different, represent hydrogen atoms or an optionally hydroxylated, optionally alkoxylated alkyl group (e.g. C 1-8 alkyl), or a pyrazolyl group PZ of formula MtR 24 3 or
- R 22 and R 23 are groups as defined for R 20 and R 21 respectively but do not represent PZ groups, or one may represent bond or an alkylene chain (e.g. C 1-10 n-alkylene) linked to a group R 22 or R 23 of a further group of formula XIV (i.e. to form a dimer).
- Mt is B, Al or Ge
- R 24 is hydrogen, alkyl, amine, APCA or aryl (e.g. 5 to 8 ring membered homo or heteroaryl such as phenyl or pyrazolyl (e.g. PZ) group.
- Z is zero or a positive integer, e.g. 1-10.
- oligomers such as trimers, tetramers or polymers may also be formed in a similar fashion.
- the trispyrazolylborate ligands have several features to recommend them for metal-ion cluster
- the molecule functions as a tridentate coordinating ligand that presents aromatic amine
- cluster/ligand complex This may be especially useful where use of the carboxylate ion is undesirable.
- the poly(tris-pyrazolylborate) ligands moreover can form a single coordinating molecule capable of binding to more than one metal ion:
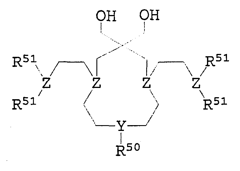
- Suitable chelants include compounds of formulae:
- X 2 O, S or NR 41
- R 40 CH 2 COOH, CH 2 CH 2 SH, CH 2 CH 2 OH, CH 2 PO 3 H 2 ,
- R 41 CH(CH 2 X 4 ) 2 CH 2 CHX 4 CH 2 X 4 , CH 2 CHX 4 CHX 4 CH 2 X 4 ,
- R 42 alkyl, eg. C 1-6 alkyl, or substituted C 4-12 homo or heteroaryls
- substituted aryl means subsituted by one or more groups selected from carboxyl (and derivatives thereof e.g. salts, amides and esters), hydroxyl, mercapto, phosphates, amines and phosphines).
- X 6 NR 40 , PR 40 , N(CH 2 ) 2 X 3 or one X 6 may provide an
- alkylene chain (eg. CH 2 CH 2 ) linking the macrocycle to a similar macrocycle
- M 6 B 8 complexes e.g. W 6 ( ⁇ 3 S) 8
- chelants such as (xvi) to (xx) are of particular interest.
- M 2 B 2 complexes e.g.
- W 2 O 2 ( ⁇ 2 O) 2 2+ chelants such as NTA, IDA, EDTA, HEDTA, DTPA, DTPA-BMA, HEDDA, TTDA, EDTA-BMA, TBEDDA, MEEDDA, TTHA, EDDA, EHPG, PDTA, CHDTA, HPDTA, TACN, TTHA, CMPA-BMPA, DTPA-BMPA and triazacyclononane monoacetic acid,
- TTHA are of particular interest.
- Particularly preferred chelants include cyclen, TTHA, EDTA, DTPA, DOTA, D03A, HP-D03A, the 6-oxa and 6-thia analogues of DTPA and amides thereof, e.g. DTPA-BMA and DTPA-BMO (6-carboxymethyl-3,9-bis(morpholinocarbonyl-methyl)-3,6,9-triazaundecanedioic acid - the Gd(III) chelate whereof is sometimes referred to as gadopenamide).
- DTPA-BMA and DTPA-BMO 6-carboxymethyl-3,9-bis(morpholinocarbonyl-methyl)-3,6,9-triazaundecanedioic acid - the Gd(III) chelate whereof is sometimes referred to as gadopenamide.
- polyoxa/polyaza cycloalkane macrocyclic chelants e.g. such as are described in US-A-3860611, US-A-3952015 and JOC 22: 1029 (1957), JOC 39: 2351
- a macromolecule conveniently be any tissue, organ or cell targeting macromolecule, for example a
- biomolecule such as a protein, an antibody or antibody fragment, or alternatively a biologically relatively inert material such as a polysaccharide or poly-sugar alcohol, e.g. dextran, starch, cyclodextrin etc).
- a biologically relatively inert material such as a polysaccharide or poly-sugar alcohol, e.g. dextran, starch, cyclodextrin etc.
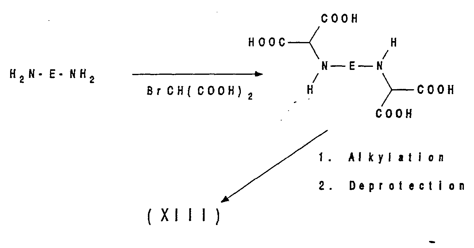
- introduced may, in intermediate or final stages, be subject to reduction or deprotection steps.
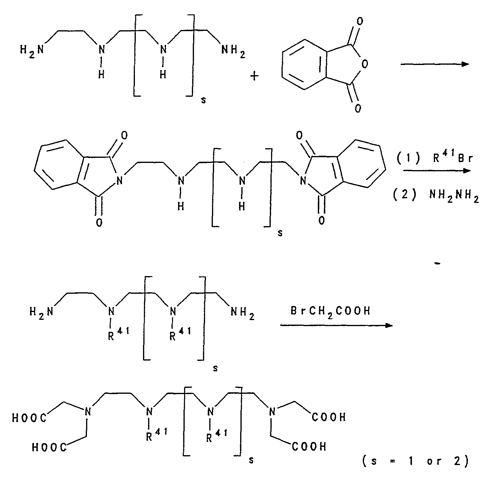
- LCO.E.CO.L (XIX) may be aminated with or without a subsequent reduction step according to the following schemes:
- the polyamine starting materials are either
- polyamines include NH 2 (CH 2 ) 2-5 NH 2 , NH 2 (CH 2 ) 2 O(CH 2 ) 2 NH 2 ,
- substituted polyamines may also be prepared by methods described in or analogous to those of EP-A-287465
- Derivatization of the polyamines may be effected using alkylation agents such as those described by EP-A-230893 (Felder), e.g. HalCH 2 COL", HalCH(COOH) CH 2 O Benzyl, or HalCH(COOH) 2 (where Hal is CI or Br and L" is OH, NHAlkyl or NAlkyl 2 (e.g NHCH 3 or N(CH 3 ) 2 ) or HalCH 2 NAlkyl 2 (e.g. ClCH 2 N(CH 3 ) 2 ), followed where necessary by
- reaction may be of many of the same or similar
- thioesters could equally be produced by reaction of an aminocarboxylic acid reagent with a chloroalkylsulphide, e.g.
- the chelants of formula (XIII) can also be produced by amination of polyfunctional reagents.
- One example of this procedure is given by Huber et al. J. Chem. Soc. Chem. Comm. (1989) 879, i.e.
- Amine intermediates can also be produced by
- the resulting polyamine can then be converted to a compound of formula XIII by reaction with X 9 CH 2 CN (where X 9 is OH or, prferably, a halogen) followed by
- polyfunctional acids may be reacted with appropriate amines if necessary after activation of the acid groups, reduction of the amide and alkylation will yield chelants of formula XIII.
- E 3 is -CHOHCH 2 CH 2 - , -(CHOH) 2 -,
- the chelant may be provided with a reactive side chain (e.g. described by Meares et al. Anal. Biochem. 142: 68(1984), etc).
- a reactive side chain e.g. described by Meares et al. Anal. Biochem. 142: 68(1984), etc.
- attachment can be resumed for example using the methods developed by Salutar Inc. (See for example WO-A-90/12050 and Sieving et al., Bioconjugate Chem. 1: 65-71 (1990)) or the mixed anhydride or cyclic anhydride methods of Krejcarek et al Biochemical and Biophysical Research Comm. 77 : 881 (1977) or Hnatowich et al. Science 220: 613 (1983) etc.
- Attachment of the chelant may be either directly to the macromolecule or, preferably, to an intermediate polymer, e.g. poly-L-lysine or polyethylene-imine, onto which a plurality of chelants may be loaded, e.g. as discussed in EP-A-331616 (Deutsch).
- multinuclear complexes used according to the invention may be prepared by the methods suggested in the literature or by analogous methods.
- novel complexes may be prepared from known complexes by ligand interchange.
- oxalatotungstate(V) may be used as a starting material and ligand exchange
- [M 3 ( ⁇ 3 B) ( ⁇ 2 B) 3 (H 2 O) 9 ] 4+ (where M is Mo or W and B is O or S) can be prepared by methods known from the literature. The co-ordinated waters in these complexes can readily be replaced by chelants xvi to xxiii to reduce toxicity. Single or mixed ligand combinations may be used to produce ionic or non-ionic complexes.
- the chelated molybdenum and tungsten M 3 complexes can also be prepared by reaction of chelants (xvi) to
- M Mo or W) or [M 3 ( ⁇ 3 -S) ( ⁇ 2 -S 2 ) (S 2 ) 3 ] 2-
- the coordinated water in the tetranuclear aqua complexes may be substituted by ligands such as chelants i to vii to reduce toxicity. Selected examples are shown below.
- M 1 is hydrogen, alkali metal (e.g. Na, Li, K), ammonium, quaternary ammonium, etc,
- This reaction is conveniently performed in a solvent such as THF, THT, DMF etc under an inert atmosphere.
- the product (XXV) is then treated with water to produce W 3 S 4 Cl 4 (H 2 O) 9 (compound (XXVI)) which can be used to produce larger clusters.
- reaction is effected using photolysis in solvents and under an inert atmosphere as discussed under (M) above.
- the oxidizing agent ([o]) is conveniently hydrogen peroxide, OCl-, TBHP, O 2 , O 3 or a peracid.
- the oxidation is suitably carried out in a solvent such as described under (M) above and can be performed to yield a family of W(VI) mixed sulfur/oxygen clusters.
- the clusters produced according to processes (M) - (Q) may be reacted to replace L 3 ligands by water-soluble chelaring agents, e.g. such as those discussed above, to produce more soluble products.
- the multinuclear complexes of the lanthanides, of iron and of manganese are particularly attractive.
- Gd or Dy or La complexes such as Ln 4 Cu 4 , Ln 2 Cu 4 , Ln 8 Cu 12 , Ln 2 Cu 2 and Ln 3 Cu and also of the
- the multinuclear complexes will conveniently be formulated together with pharmaceutical or veterinary carriers or excipient.
- the contrast media of the invention may conveniently contain pharmaceutical or veterinary formulation aids, for example stabilizers, antioxidants, osmolality adjusting agents, buffers, pH adjusting agents, colorants, flavours, viscosity adjusting agents and the like. They may be in forms suitable for
- parenteral or enteral administration for example, injection or infusion or administration directly into a body cavity having an external voidance duct, for example the gastrointestinal tract, the bladder and the uterus.
- the media of the invention may be in conventional pharmaceutical adminstration forms such as tablets, coated tablets, capsules, powders, solutions, suspensions, dispersions, syrups, suppositories,
- emulsions emulsions, liposomes, etc; solutions, suspensions and dispersions in physiologically acceptable carrier media, e.g. water for injections, will however generally be preferred.
- physiologically acceptable carrier media e.g. water for injections
- media for parenteral administration will preferably contain small quantities, e.g. 0.01 to 10 mole percent relative to the multinuclear complex of free chelants or of weak chelate complexes with physiologically tolerable chelated species (e.g. Ca 2+ ); small additions of sodium or calcium salts may also advantageously be made.
- physiologically tolerable chelated species e.g. Ca 2+
- small additions of sodium or calcium salts may also advantageously be made.
- the media of the invention should generally have a heavy atom content of 1 millimole/l to 5 mole/1, preferably 0.1 to 2 mole/l. Dosages of from 0.05 to 2.0 mmoles/Kg, e.g. 0.5 to 1.5 mmoles/kg will generally be sufficient to provide adequate contrast although dosages of 0.8 to 1.2
- mmoles/kg will normally be preferred.
- M n clusters (where M is a therapeutically or contrast effective metal and n is 2 or greater) complexed by a chelating ligand L (such as APCA, PZ etc), may be administered therapeutically.
- the medium to be administered will contain a
- therapeutically required metal which may be the same as or replace an image enhancing metal in the multi-nuclear complexes of the present invention.
- therapeutic metals include Sb, Ti, Mo, Pd, W.
- polyoxyanions - especially HPA's (heteropolyoxyanions) - are preferred ligands.
- the clusters of the present invention may be used advantageously in bioanalytical applications.
- a further aspect of the present invention includes therapeutic and bioanalytical uses of multi-nuclear complexes of formula I.
- the present invention provides a particularly effective means by which contrast media efficiency may be enhanced by increasing the relative proportion of molecular volume that is occupied by the contrast enhancing heavy or paramagnetic metal atom.
- contrast media efficiency may be enhanced by increasing the relative proportion of molecular volume that is occupied by the contrast enhancing heavy or paramagnetic metal atom.
- this also enables higher K-edge value atoms than the iodine of the now conventional X-ray contrast media to be utilized
- the title compound was prepared by a slightly modified version of the procedure described in Cotton, F.A., et. al., Polyhedron 5; 907 (1986).
- 1.0 g W(CO) 6 was refluxed with 0.8 g anhydrous Na 2 S in 100 mL of acetate anhydride for 12 hours under N 2 .
- the product was dissolved in 0.3 M HCl.
- the solution was loaded onto a AG50W-X8 cationexchange column. Elution with 0.3M HCl yielded an orange band (1st band), peak at 458 nm, identified as W 3 O 3 S(H 2 O) 9 CL 4 (e 349 M -1 cm -1 ).
- the isolated band was purified on a second cation-exchange column and
- the reagent K 3 [W 2 Cl 9 ] can be prepared as described by Shibahara et al., Inorg. Chim Acta 127: L39 (1987).
- the reagent K 2 [WCl 6 ] can be prepared as described by Kennedy, et. al., J. Chem. Soc. (1963) 3392.
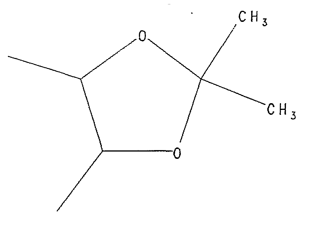
- TTHA-BDHA Ligand a Triethylenetetramine hexaceticacid (5.0 g, 10.1 mmol) and acetic anhydride (9.55 mL, 101 mmol) were dissolved in dry pyridine and heated to 65°C with stirring for 18 hours. To the resulting dark brown slurry was added diethyl ether, the solution was
- N,N,N"',N"'-tetra(t-butyloxycarbonylmethyl)-N',N"-ditrifluoroacetylaminomethyl-triethylenetetramine N,N,N"',N"'-tetra(t-butyloxycarbonylmethyl)-N',N"-ditrifluoroacetylaminomethyl-triethylenetetramine is dissolved in a methanol/water solution of potassium carbonate (20 equivalents) and heated to 60°C with stirring for 6 hours. The solution is evaporated to dryness and extracted several times with chloroform.
- N,N,N"',N"'-tetra(t-butyloxycarbonylmethyl)-N',N"-di(2-aminoethyl)-triethylenetetramine is evaporated to give N,N,N"',N"'-tetra(t-butyloxycarbonylmethyl)-N',N"-di(2-aminoethyl)-triethylenetetramine.
- N,N,N"',N"'-tetra(t-butyloxycarbonylmethyl)-N',N"-di(2-aminoethyl)-triethylenetetramine is dissolved in acetonitrile with an excess of potassium carbonate, and a solution of bromoethanol (3 equivalents) in
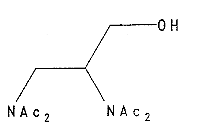
- N,N,N"',N"'-tetra(t-butyloxycarbonylmethyl)-N',N"-di(N,N-bis(2-hydroxyethyl)-2-aminoethyl)-triethylenetetramine is dissolved in methylene chloride and trifluoroacetic acid is added dropwise. The solution is stirred for one hour and evaporated to dryness, and the hydrloysis is repeated three core times, to give the title compound.
- N,N'-di(N,N-di- acetyl)aminoethyl TACN is dissolved in aqueous NaOH at pH 11 and bromoethanol is added dropwise with stirring. The solution is then heated to 40°C for 18 hours and the resulting solution is passed through an ion exchange column to give the title
- TACN (0.129 g, 0.001 mol) in water containing a trace of sodium iodide was treated with N-(2-chloroethyl)iminodiacetic acid hydrochloride (0.765 g, 0.0033 mol) at 40°C and pH 11.5-12 (NaOH). After 3 hours, the solution was passed through a column of Amberlite IR 120 ion exchange resin (acid form) and evaporated to dryness. The solid residue was recrystallized from
- step (e) The oil obtained in step (e) was used without any further purification.
- the oil was dissolved in 20 mL of methylene chloride and 20 mL of trifluoroacetic acid were added dropwise. The reaction was stirred for 24 hours at 25°C. The solvent was then stripped off and the resulting oil taken up in 30 mL of methanol. A catalytic amount of palladium was added and the reaction allowed to stir at 25°C for 24 hours under a hydrogen atmosphere. The reaction mixture was then filtered through charcoal to remove the catalyst and concentrated to yield the title compound as a yellow solid. The title compound was further purified by ion-exchange chromatography.
- the ligands of Intermediate Examples 6 to 11 may be used in the subsequent Examples in place of the ligands actually specified, eg. DTPA, EGTA, EDTA, etc.
- Example 1
- the potassium salt (1.61 g, 1 mmol) of the oxalato complex of tungsten (V) (prepared according to Baba et al., Mem. Fac. Tech. Tokyo Metropolitan Univ. 32: 3207-3220 (1982)) and 1 ,2-diaminopropane-N,N,N',N'-tetraacetic acid (0.612 g, 2 mmol) were dissolved under nitrogen in a mixture of 50 ml oxygen-free water and sodium acetate-solution (1M, 8 ml) and heated to 100°C. Calcium acetate-solution (1M, 10 ml) was added with stirring and the mixture allowed to cool. After
- the title compound is prepared by dissolving the barium salt of Example 1 in warm water. After addition of a stoichiometric amount of a 1M sodium sulfate solution the mixture is allowed to cool, filtered and the
- the dimethylammonium salt of W 3 ( ⁇ 3 -S) ( ⁇ 2 -S) 3 (TTHA) was dissolved in a minimum amount of water and loaded onto a column containing BioRad AG50W-X8 resin in the proton form.
- the dimethyl ammonium cation remains on the column and the product is eluted from the column with water as H 2 [W 3 ( ⁇ 3 -S) ( ⁇ 2 -S) 3 (TTHA)].
- the purple effluent is reduced in volume by rotary evaporation and carefully neutralized with 1N NaOH.
- the purple solution at pH 7 is loaded onto a column containing Sephadex G-15 resin.
- the second band containing Na 2 [W 3 ( ⁇ 3 -S) ( ⁇ 2 - S) 3 (TTHA)] is eluted with water.
- the yield was 7.3 g.
- Positive ion FAB-MS spectral data showed a molecular ion at 1216, corresponding to the mass of Na 2 [W 3 ( ⁇ 3 -S) ( ⁇ 2 - S) 3 (TTHA)]+H + .
- HPLC chromatography indicates a single tungsten containing peak (monitored at 570 nm).
- Example 4A The salt from Example 4A (3.00 g, 2.469 mmol) was dissolved in water (24 mL). The pH was adjusted to 6.9 by careful addition of 1 M hydrochloric acid. Water was added to 24.60 mL. The osmolality (254 mOsm/Kg) was adjusted to 337 mOsm/Kg by the addition of 73 mg of NaCl. The solution was passed through a 0.22 ⁇ M sterile filter and placed in one 30 mL vial. The solution contained 0.10 mmol of the disodium salt of Example 4A per mL. The LD 50 in mice was found to be greater than 5 mmol/Kg.
- the resulting orange solution is concentrated to 25 ml under reduced pressure to precipitate the excess salts.
- the orange filtrate is placed on a sephadex G-15 column.
- the orange eluant with water is treated with Na 2 SO 4 to convert the barium complex into the sodium one.
- the insoluble BaSO 4 is filtered off and the orange filtrate is reduced to a small volume, 15 ml.
- the concentrated orange filtrate is mixed with ethanol to precipitate the title product.
- the orange precipitate is collected by filtration, washed with acetone, and dried in the air.
- the title compound was prepared by refluxing the mixture of W 3 ( ⁇ 3 -5) ( ⁇ 2 -S) 3 (H 2 O) 9 Cl 4 (Intermediate Example 1) and W(CO) 6 in pyridine. 50 mg of W 3 ( ⁇ 3 -S) ( ⁇ 2 -S) 3 (H 2 O) 9 Cl 4 were dissolved in 3 mL of N 2 saturated pyridine giving a dark green solution, followed by the addition of 20 mg of W(CO) 6 . The resulting green suspension was refluxed under N 2 for an hour. During the reflux, the W(CO) 6 was dissolved into the green solution, which eventually became a brown suspension. The brown suspension was mixed with 2-3 ml of ether to precipitate more product.
- Cetomacrogal Emulsifying Wax A non-ionic emulsifying agent which contains cetostearyl alcohol and
- cetomacrogol considered non-toxic; forms a pourable product using 5% wax; recommended for use with salts of polyvalent metals and medicaments based on nitrogenous compounds.
- Cetyl Alchohol CH 3 (CH 2 ) 14 CH 2 OH; used as an emulsifier in 2-5% concentrations; commonly used for suppositories.
- Cholesterol C 24 H 46 O; can be used as an emulsifying agent; some reported complicity of cholesterol in
- Corn oil Composed of 44% oleic acid; 39% linoleic acid; 7% palmitic acid; 3% stearic acid, and other components; used as an oral nutritional supplement 67% as an
- Cottonseed oil Composed of 39% linoleic acid; 33% oleic acid; 19% palmitic acid; 2% stearic acid, and other components; used as an IV emulsifying agent in 10-15% w/v concentration; some side effects of IV use reported; Reference: J. Am. Med. Assoc., 166, 1042 (1958).
- Glycerol monostearate C 24 H 40 O 4 ; non-toxic and edible; used as an emulsifying aid; useful with quat salts;
- Sesame seed oil Composed of 45% oleic acid; 40%
- Emulsion stabilizers Bentonite; Calcium Stearate;
- Magnesium aluminum silicate mineral oil; lanolin oil; polacrilin potassium; propylene glycol; poloxamer.
Landscapes
- Health & Medical Sciences (AREA)
- Chemical & Material Sciences (AREA)
- Life Sciences & Earth Sciences (AREA)
- General Health & Medical Sciences (AREA)
- Organic Chemistry (AREA)
- Veterinary Medicine (AREA)
- Public Health (AREA)
- Epidemiology (AREA)
- Animal Behavior & Ethology (AREA)
- Optics & Photonics (AREA)
- Pharmacology & Pharmacy (AREA)
- Physics & Mathematics (AREA)
- Medicinal Chemistry (AREA)
- Nuclear Medicine, Radiotherapy & Molecular Imaging (AREA)
- Radiology & Medical Imaging (AREA)
- Proteomics, Peptides & Aminoacids (AREA)
- Medicines Containing Antibodies Or Antigens For Use As Internal Diagnostic Agents (AREA)
Abstract
Description
Claims
Priority Applications (7)
| Application Number | Priority Date | Filing Date | Title |
|---|---|---|---|
| EP92907484A EP0577675B1 (en) | 1991-03-27 | 1992-03-27 | Contrast media |
| US08/122,461 US5482699A (en) | 1991-03-27 | 1992-03-27 | Multinuclear complexes for x-ray imaging |
| AU14338/92A AU660013B2 (en) | 1991-03-27 | 1992-03-27 | Contrast media |
| JP4506847A JPH06506449A (en) | 1991-03-27 | 1992-03-27 | contrast medium |
| FI934194A FI934194L (en) | 1991-03-27 | 1992-03-27 | CONTRAST MEDICINE |
| DE69230400T DE69230400T2 (en) | 1991-03-27 | 1992-03-27 | Contrast medium |
| NO933421A NO933421L (en) | 1991-03-27 | 1993-09-24 | The contrast agent |
Applications Claiming Priority (5)
| Application Number | Priority Date | Filing Date | Title |
|---|---|---|---|
| GB909006977A GB9006977D0 (en) | 1990-03-28 | 1990-03-28 | Compositions |
| GB919106579A GB9106579D0 (en) | 1991-03-27 | 1991-03-27 | Contrast media |
| GB9106579.7 | 1991-03-27 | ||
| GB919120507A GB9120507D0 (en) | 1991-03-27 | 1991-09-26 | Contrast media |
| GB9120507.0 | 1991-09-26 |
Publications (1)
| Publication Number | Publication Date |
|---|---|
| WO1992017215A1 true WO1992017215A1 (en) | 1992-10-15 |
Family
ID=27265012
Family Applications (1)
| Application Number | Title | Priority Date | Filing Date |
|---|---|---|---|
| PCT/EP1992/000698 Ceased WO1992017215A1 (en) | 1990-03-28 | 1992-03-27 | Contrast media |
Country Status (1)
| Country | Link |
|---|---|
| WO (1) | WO1992017215A1 (en) |
Cited By (37)
| Publication number | Priority date | Publication date | Assignee | Title |
|---|---|---|---|---|
| WO1993019788A1 (en) * | 1992-04-03 | 1993-10-14 | Mallinckrodt Medical, Inc. | Methods and compositions for magnetic resonance imaging |
| US5364953A (en) * | 1992-11-05 | 1994-11-15 | Mallinckrodt Medical, Inc. | High relaxivity, paramagnetic, metal clusters for magnetic resonance imaging |
| WO1996040287A3 (en) * | 1995-06-07 | 1997-02-27 | Nycomed Salutar Inc | Preparation and use of contrast agents |
| EP0739337A4 (en) * | 1994-01-14 | 1997-03-26 | Mallinckrodt Medical Inc | Functionalized macrocyclic ligands for imaging applications |
| WO1997026921A3 (en) * | 1996-01-23 | 1997-10-23 | Nycomed Salutar Inc | Contrast media |
| US5817289A (en) * | 1995-01-26 | 1998-10-06 | Nycomed Imaging As | Non-cluster type bismuth compounds |
| EP0871637A4 (en) * | 1995-07-20 | 2000-01-05 | Mallinckrodt Medical Inc | TUNGSTENE CLUSTER |
| US6056939A (en) * | 1998-08-28 | 2000-05-02 | Desreux; Jean F. | Self-assembling heteropolymetallic chelates as imaging agents and radiopharmaceuticals |
| US6117412A (en) * | 1995-01-26 | 2000-09-12 | Nycomed Imaging As | Non-cluster type bismuth compounds |
| US6511648B2 (en) | 1998-12-18 | 2003-01-28 | Bristol-Myers Squibb Pharma Company | Vitronectin receptor antagonist pharmaceuticals |
| US6511649B1 (en) | 1998-12-18 | 2003-01-28 | Thomas D. Harris | Vitronectin receptor antagonist pharmaceuticals |
| US6524553B2 (en) | 1998-03-31 | 2003-02-25 | Bristol-Myers Squibb Pharma Company | Quinolone vitronectin receptor antagonist pharmaceuticals |
| US6537520B1 (en) | 1998-03-31 | 2003-03-25 | Bristol-Myers Squibb Pharma Company | Pharmaceuticals for the imaging of angiogenic disorders |
| US6548663B1 (en) | 1998-03-31 | 2003-04-15 | Bristol-Myers Squibb Pharma Company | Benzodiazepine vitronectin receptor antagonist pharmaceuticals |
| US6558649B1 (en) | 1998-12-18 | 2003-05-06 | Bristol-Myers Squibb Pharma Company | Vitronectin receptor antagonist pharmaceuticals |
| US6569402B1 (en) | 1998-12-18 | 2003-05-27 | Bristol-Myers Squibb Pharma Company | Vitronectin receptor antagonist pharmaceuticals |
| US6770259B2 (en) | 2000-11-03 | 2004-08-03 | Bristol-Myers Squibb Pharma Company | Simultaneous dual isotope imaging of cardiac perfusion and cardiac inflammation |
| US6794518B1 (en) | 1998-12-18 | 2004-09-21 | Bristol-Myers Squibb Pharma Company | Vitronectin receptor antagonist pharmaceuticals |
| US6838074B2 (en) | 2001-08-08 | 2005-01-04 | Bristol-Myers Squibb Company | Simultaneous imaging of cardiac perfusion and a vitronectin receptor targeted imaging agent |
| US6878363B2 (en) | 2000-05-17 | 2005-04-12 | Bristol-Myers Squibb Pharma Company | Use of small molecule radioligands to discover inhibitors of amyloid-beta peptide production and for diagnostic imaging |
| US7060248B2 (en) | 2000-02-15 | 2006-06-13 | Bristol-Myers Squibb Pharma Company | Matrix metalloproteinase inhibitors |
| US7138104B2 (en) | 2001-08-08 | 2006-11-21 | Bristol-Myers Squibb Company | Simultaneous imaging of cardiac perfusion and a vitronectin receptor targeted imaging agent |
| WO2006064451A3 (en) * | 2004-12-17 | 2007-03-01 | Koninkl Philips Electronics Nv | Targeting contrast agents or targeting therapeutic agents for molecular imaging and therapy |
| WO2007088051A2 (en) | 2006-01-31 | 2007-08-09 | Bayer Schering Pharma Aktiengesellschaft | Modulation of mdl-1 activity for treatment of inflammatory disease |
| US7344702B2 (en) | 2004-02-13 | 2008-03-18 | Bristol-Myers Squibb Pharma Company | Contrast agents for myocardial perfusion imaging |
| US7354914B2 (en) | 2000-06-01 | 2008-04-08 | Bristol-Myers Squibb Pharma Company | Lactams substituted by cyclic succinates as inhibitors of Aβ protein production |
| US7485283B2 (en) | 2004-04-28 | 2009-02-03 | Lantheus Medical Imaging | Contrast agents for myocardial perfusion imaging |
| US7824659B2 (en) | 2005-08-10 | 2010-11-02 | Lantheus Medical Imaging, Inc. | Methods of making radiolabeled tracers and precursors thereof |
| WO2011035140A1 (en) | 2009-09-18 | 2011-03-24 | Paka Pulmonary Pharmaceuticals, Inc. | Methods and compositions for delivery of contrast moieties to the lungs |
| EP2733148A1 (en) * | 2012-11-15 | 2014-05-21 | Bayer Pharma Aktiengesellschaft | Tungsten complexes with di-dentate ligands |
| WO2014122225A1 (en) * | 2013-02-06 | 2014-08-14 | Iticon Gmbh | Heteropolyoxometalates |
| WO2014144708A1 (en) | 2013-03-15 | 2014-09-18 | The Regents Of The University Of California | Peptides having reduced toxicity that stimulate cholesterol efflux |
| US8936777B2 (en) | 2010-02-08 | 2015-01-20 | Lantheus Medical Imaging, Inc. | Methods and apparatus for synthesizing imaging agents, and intermediates thereof |
| US9408927B2 (en) | 2008-02-29 | 2016-08-09 | Lantheus Medical Imaging, Inc. | Contrast agents for applications including perfusion imaging |
| CN106631996A (en) * | 2016-12-20 | 2017-05-10 | 新疆大学 | Preparation method of organic-inorganic hybrid polyoxometallate nanorod |
| US9687571B2 (en) | 2009-04-15 | 2017-06-27 | Lantheus Medical Imaging, Inc. | Stabilization of radiopharmaceutical compositions using ascorbic acid |
| US9713651B2 (en) | 2012-08-10 | 2017-07-25 | Lantheus Medical Imaging, Inc. | Compositions, methods, and systems for the synthesis and use of imaging agents |
Citations (19)
| Publication number | Priority date | Publication date | Assignee | Title |
|---|---|---|---|---|
| US3952015A (en) | 1973-11-12 | 1976-04-20 | Carl George Krespan | Macrocyclic compounds having oxa and aza linkages in the ring and containing spirooxetane groups |
| FR2348699A1 (en) * | 1976-04-21 | 1977-11-18 | Hoffmann La Roche | X-RAY CONTRAST SUBSTANCE |
| WO1986002352A1 (en) * | 1984-10-18 | 1986-04-24 | Board Of Regents, The University Of Texas System | Gadolinium chelates as nmr contrast agents |
| US4647447A (en) | 1981-07-24 | 1987-03-03 | Schering Aktiengesellschaft | Diagnostic media |
| US4652519A (en) | 1983-02-03 | 1987-03-24 | Yeda Research And Development Company Limited | Bifunctional chelating agents and process for their production |
| EP0217577A2 (en) | 1985-09-12 | 1987-04-08 | Hybritech Incorporated | Antibody complexes of hapten-modified diagnostic or therapeutic agents |
| EP0230893A2 (en) | 1986-01-30 | 1987-08-05 | BRACCO INDUSTRIA CHIMICA Società per Azioni | Paramagnetic chelates |
| EP0130934B1 (en) * | 1983-07-01 | 1987-08-05 | Schering Aktiengesellschaft | Complexing agents, complexes and complex salts |
| US4687659A (en) | 1984-11-13 | 1987-08-18 | Salutar, Inc. | Diamide-DTPA-paramagnetic contrast agents for MR imaging |
| EP0263059A2 (en) * | 1986-09-26 | 1988-04-06 | Schering Aktiengesellschaft | Complexes amides |
| EP0287465A1 (en) | 1987-04-14 | 1988-10-19 | Guerbet S.A. | Cyclic ligands containing nitrogen, metal complexes formed by these ligands, diagnostic compositions containing them and process for their preparation |
| WO1989000557A1 (en) | 1987-07-16 | 1989-01-26 | Cockbain, Julian, Roderick, Michaelson | Aminopolycarboxylic acids and derivatives thereof |
| US4826673A (en) | 1985-01-09 | 1989-05-02 | Mallinckrodt, Inc. | Methods and compositions for enhancing magnetic resonance imaging |
| EP0331616A2 (en) | 1988-02-29 | 1989-09-06 | Schering Aktiengesellschaft | Polymer-bonded complexe builders, their complexes, process for their preparation and pharmaceutical agents containing the same |
| WO1989010372A1 (en) * | 1988-04-22 | 1989-11-02 | Centre National De La Recherche Scientifique (Cnrs | Cold marking of molecules of peptidic or proteinic nature |
| EP0361960A2 (en) * | 1988-09-29 | 1990-04-04 | RANNEY, David F. | Methods and compositions for magnetic resonance imaging |
| WO1990012050A1 (en) | 1989-04-07 | 1990-10-18 | Salutar, Inc. | Chelants |
| WO1991014460A1 (en) | 1990-03-28 | 1991-10-03 | Cockbain, Julian, Roderick, Michaelson | Contrast media |
| WO1991015467A1 (en) * | 1990-04-09 | 1991-10-17 | Cockbain, Julian, Roderick, Michaelson | Aminopolycarboxylic acid chelating agents |
-
1992
- 1992-03-27 WO PCT/EP1992/000698 patent/WO1992017215A1/en not_active Ceased
Patent Citations (19)
| Publication number | Priority date | Publication date | Assignee | Title |
|---|---|---|---|---|
| US3952015A (en) | 1973-11-12 | 1976-04-20 | Carl George Krespan | Macrocyclic compounds having oxa and aza linkages in the ring and containing spirooxetane groups |
| FR2348699A1 (en) * | 1976-04-21 | 1977-11-18 | Hoffmann La Roche | X-RAY CONTRAST SUBSTANCE |
| US4647447A (en) | 1981-07-24 | 1987-03-03 | Schering Aktiengesellschaft | Diagnostic media |
| US4652519A (en) | 1983-02-03 | 1987-03-24 | Yeda Research And Development Company Limited | Bifunctional chelating agents and process for their production |
| EP0130934B1 (en) * | 1983-07-01 | 1987-08-05 | Schering Aktiengesellschaft | Complexing agents, complexes and complex salts |
| WO1986002352A1 (en) * | 1984-10-18 | 1986-04-24 | Board Of Regents, The University Of Texas System | Gadolinium chelates as nmr contrast agents |
| US4687659A (en) | 1984-11-13 | 1987-08-18 | Salutar, Inc. | Diamide-DTPA-paramagnetic contrast agents for MR imaging |
| US4826673A (en) | 1985-01-09 | 1989-05-02 | Mallinckrodt, Inc. | Methods and compositions for enhancing magnetic resonance imaging |
| EP0217577A2 (en) | 1985-09-12 | 1987-04-08 | Hybritech Incorporated | Antibody complexes of hapten-modified diagnostic or therapeutic agents |
| EP0230893A2 (en) | 1986-01-30 | 1987-08-05 | BRACCO INDUSTRIA CHIMICA Società per Azioni | Paramagnetic chelates |
| EP0263059A2 (en) * | 1986-09-26 | 1988-04-06 | Schering Aktiengesellschaft | Complexes amides |
| EP0287465A1 (en) | 1987-04-14 | 1988-10-19 | Guerbet S.A. | Cyclic ligands containing nitrogen, metal complexes formed by these ligands, diagnostic compositions containing them and process for their preparation |
| WO1989000557A1 (en) | 1987-07-16 | 1989-01-26 | Cockbain, Julian, Roderick, Michaelson | Aminopolycarboxylic acids and derivatives thereof |
| EP0331616A2 (en) | 1988-02-29 | 1989-09-06 | Schering Aktiengesellschaft | Polymer-bonded complexe builders, their complexes, process for their preparation and pharmaceutical agents containing the same |
| WO1989010372A1 (en) * | 1988-04-22 | 1989-11-02 | Centre National De La Recherche Scientifique (Cnrs | Cold marking of molecules of peptidic or proteinic nature |
| EP0361960A2 (en) * | 1988-09-29 | 1990-04-04 | RANNEY, David F. | Methods and compositions for magnetic resonance imaging |
| WO1990012050A1 (en) | 1989-04-07 | 1990-10-18 | Salutar, Inc. | Chelants |
| WO1991014460A1 (en) | 1990-03-28 | 1991-10-03 | Cockbain, Julian, Roderick, Michaelson | Contrast media |
| WO1991015467A1 (en) * | 1990-04-09 | 1991-10-17 | Cockbain, Julian, Roderick, Michaelson | Aminopolycarboxylic acid chelating agents |
Non-Patent Citations (30)
| Title |
|---|
| AM. J HOSP. PHARM., vol. 24, 1967, pages 143 |
| AM. PROF. PHARMACY, vol. 16, 1950, pages 874 |
| ASPINALL ET AL., JACS, vol. 63, 1941, pages 852 |
| BABA ET AL., MEM. FAC. TECH. TOKYO METROPOLITAN UNIV., vol. 32, 1982, pages 3207 |
| BABA ET AL., MEM. FAC. TECH. TOKYO METROPOLITAN UNIV., vol. 32, 1982, pages 3207 - 3220 |
| BEDELL ET AL., INORG. CHEM., vol. 21, 1982, pages 874 |
| BRECHBIEL ET AL., INORG. CHEM., vol. 25, 1986, pages 2772 |
| COLLENBERG, Z. ANORG. ALLG. CHEM., vol. 102, 1918, pages 247 - 276 |
| HOLM ET AL., JACS, vol. 112, 1990, pages 8015 - 8023 |
| HUBER ET AL., J. CHEM. SOC. CHEM. COMM., 1989, pages 879 |
| Inorganic Chemistry, vol. 16, no. 10, 1977, (Washington, DC, US), V.R. OTT et al.: "Di-mu-oxo, mu-oxo-mu-sulfido, and di-mu-sulfido complexes of molybdenum(V) with EDTA, cysteine, and cysteine ester ligands. Preparation and electrochemical and spectral properties", pages 2538-2545, see the whole article (cited in the application) * |
| J. Am. Chem. Soc., vol. 108, 1986, (Washington, DC, US), T. SHIBAHARA et al.: "Preparation of triangular tungsten(IV) aqua ion, W3S44+, and X-ray structure of (bpyH)5[W3S4(NCS)9]3H2O", pages 2757-2758, see the whole article (cited in the application) * |
| J. Am. Chem. Soc., vol. 110, 1988, (Washington, DC, US), T. SAITO et al.: "Synthesis of [Mo6S8(PEt3)6] by reductive dimerization of a trinuclear molybdenum chloro sulfido cluster complex coordinated with triethylphosphine and methanol: a molecular model for superconducting Chevrel phases", pages 1646-1647, see the whole article (cited in the application) * |
| J. AM. MED. ASSOC., vol. 166, 1958, pages 1042 |
| J. Inorg. Nucl. Chem., vol. 36, 1974, (Oxford, GB), J. NOVAK et al.: "Tungsten(V) complexes of ethylenediaminetetraacetic acid", pages 1061-1065, see the whole article (cited in the application) * |
| J. ORG. CHEM., vol. 49, 1984, pages 133 |
| J. PHARM SCI., vol. 71, no. 2, 1982, pages 182 |
| J. PHARM SCI., vol. 71, no. 3, 1982, pages 370 |
| J. PHARM SCI., vol. 71, no. 5, 1982, pages 495 |
| JACS, vol. 108, 1986, pages 2757 - 2758 |
| JOC, vol. 39, 1974, pages 2351 |
| JOC, vol. 45, 1980, pages 1177 |
| KASINA ET AL., J. MED. CHEM., vol. 29, 1986, pages 1933 |
| KREJCAREK ET AL., BIOCHEMICAL AND BIOPHYSICAL RESEARCH COMM., vol. 77, 1977, pages 881 |
| MEARES ET AL., ANAL. BIOCHEM., vol. 142, 1984, pages 68 |
| NORDLANDER ET AL., TETR. LETT., 1978, pages 4987 |
| SHIBAHARA ET AL., 37TH NAT. CONF. COORD. CHEM., TOKYO |
| TOMALIA, ANGEW. CHEM. ENGL. ED., vol. 29, 1990, pages 138 - 175 |
| V6GTLE ET AL., LIEBIGS ANN. CHEM., 1977, pages 1344 |
| YEH ET AL., ANALYTICAL BIOCHEM., vol. 100, 1979, pages 152 |
Cited By (66)
| Publication number | Priority date | Publication date | Assignee | Title |
|---|---|---|---|---|
| WO1993019788A1 (en) * | 1992-04-03 | 1993-10-14 | Mallinckrodt Medical, Inc. | Methods and compositions for magnetic resonance imaging |
| US5364953A (en) * | 1992-11-05 | 1994-11-15 | Mallinckrodt Medical, Inc. | High relaxivity, paramagnetic, metal clusters for magnetic resonance imaging |
| EP0739337A4 (en) * | 1994-01-14 | 1997-03-26 | Mallinckrodt Medical Inc | Functionalized macrocyclic ligands for imaging applications |
| US6117412A (en) * | 1995-01-26 | 2000-09-12 | Nycomed Imaging As | Non-cluster type bismuth compounds |
| US6303101B1 (en) | 1995-01-26 | 2001-10-16 | Nycomed Imaging As | Bismuth compounds |
| US5817289A (en) * | 1995-01-26 | 1998-10-06 | Nycomed Imaging As | Non-cluster type bismuth compounds |
| RU2162713C2 (en) * | 1995-06-07 | 2001-02-10 | Найкомед Сейлутар, Инк. | Preparing and use of contrasting agents |
| WO1996040287A3 (en) * | 1995-06-07 | 1997-02-27 | Nycomed Salutar Inc | Preparation and use of contrast agents |
| EP0871637A4 (en) * | 1995-07-20 | 2000-01-05 | Mallinckrodt Medical Inc | TUNGSTENE CLUSTER |
| WO1997026921A3 (en) * | 1996-01-23 | 1997-10-23 | Nycomed Salutar Inc | Contrast media |
| US6548663B1 (en) | 1998-03-31 | 2003-04-15 | Bristol-Myers Squibb Pharma Company | Benzodiazepine vitronectin receptor antagonist pharmaceuticals |
| US7052673B2 (en) | 1998-03-31 | 2006-05-30 | Bristol-Myers Squibb Pharma Company | Pharmaceuticals for the imaging of angiogenic disorders |
| US6524553B2 (en) | 1998-03-31 | 2003-02-25 | Bristol-Myers Squibb Pharma Company | Quinolone vitronectin receptor antagonist pharmaceuticals |
| US6537520B1 (en) | 1998-03-31 | 2003-03-25 | Bristol-Myers Squibb Pharma Company | Pharmaceuticals for the imaging of angiogenic disorders |
| US6056939A (en) * | 1998-08-28 | 2000-05-02 | Desreux; Jean F. | Self-assembling heteropolymetallic chelates as imaging agents and radiopharmaceuticals |
| US6794518B1 (en) | 1998-12-18 | 2004-09-21 | Bristol-Myers Squibb Pharma Company | Vitronectin receptor antagonist pharmaceuticals |
| US7332149B1 (en) | 1998-12-18 | 2008-02-19 | Bristol-Myers Squibb Pharma Company | Vitronectin receptor antagonist pharmaceuticals |
| US6569402B1 (en) | 1998-12-18 | 2003-05-27 | Bristol-Myers Squibb Pharma Company | Vitronectin receptor antagonist pharmaceuticals |
| US6683163B2 (en) | 1998-12-18 | 2004-01-27 | Bristol-Myers Squibb Pharma Company | Vitronectin receptor antagonist pharmaceuticals |
| US6689337B2 (en) | 1998-12-18 | 2004-02-10 | Bristol-Myers Squibb Pharma Company | Vitronectin receptor antagonist pharmaceuticals |
| US6743412B2 (en) | 1998-12-18 | 2004-06-01 | Bristol-Myers Squibb Pharma Company | Vitronectin receptor antagonist pharmaceuticals |
| US6558649B1 (en) | 1998-12-18 | 2003-05-06 | Bristol-Myers Squibb Pharma Company | Vitronectin receptor antagonist pharmaceuticals |
| US6511648B2 (en) | 1998-12-18 | 2003-01-28 | Bristol-Myers Squibb Pharma Company | Vitronectin receptor antagonist pharmaceuticals |
| US6818201B2 (en) | 1998-12-18 | 2004-11-16 | Bristol-Myers Squibb Pharma Company | Vitronectin receptor antagonist pharmaceuticals |
| US7321045B2 (en) | 1998-12-18 | 2008-01-22 | Bristol-Myers Squibb Pharma Company | Vitronectin receptor antagonist pharmaceuticals |
| US7090828B2 (en) | 1998-12-18 | 2006-08-15 | Bristol-Myers Squibb Pharma Company | Vitronectin receptor antagonist pharmaceuticals |
| US7018611B2 (en) | 1998-12-18 | 2006-03-28 | Bristol-Myers Squibb Pharma Company | Vitronectin receptor antagonist pharmaceuticals |
| US6511649B1 (en) | 1998-12-18 | 2003-01-28 | Thomas D. Harris | Vitronectin receptor antagonist pharmaceuticals |
| US7060248B2 (en) | 2000-02-15 | 2006-06-13 | Bristol-Myers Squibb Pharma Company | Matrix metalloproteinase inhibitors |
| US6878363B2 (en) | 2000-05-17 | 2005-04-12 | Bristol-Myers Squibb Pharma Company | Use of small molecule radioligands to discover inhibitors of amyloid-beta peptide production and for diagnostic imaging |
| US7456278B2 (en) | 2000-06-01 | 2008-11-25 | Bristol-Myers Squibb Pharma Corporation | Lactams substituted by cyclic succinates as inhibitors of Aβ protein production |
| US7354914B2 (en) | 2000-06-01 | 2008-04-08 | Bristol-Myers Squibb Pharma Company | Lactams substituted by cyclic succinates as inhibitors of Aβ protein production |
| US6770259B2 (en) | 2000-11-03 | 2004-08-03 | Bristol-Myers Squibb Pharma Company | Simultaneous dual isotope imaging of cardiac perfusion and cardiac inflammation |
| US6838074B2 (en) | 2001-08-08 | 2005-01-04 | Bristol-Myers Squibb Company | Simultaneous imaging of cardiac perfusion and a vitronectin receptor targeted imaging agent |
| US7138104B2 (en) | 2001-08-08 | 2006-11-21 | Bristol-Myers Squibb Company | Simultaneous imaging of cardiac perfusion and a vitronectin receptor targeted imaging agent |
| US9161997B2 (en) | 2001-08-16 | 2015-10-20 | David S. Casebier | Contrast agents for myocardial perfusion imaging |
| US7344702B2 (en) | 2004-02-13 | 2008-03-18 | Bristol-Myers Squibb Pharma Company | Contrast agents for myocardial perfusion imaging |
| US10889550B2 (en) | 2004-02-13 | 2021-01-12 | Lantheus Medical Imaging, Inc. | Contrast agents for myocardial perfusion imaging |
| US10125106B2 (en) | 2004-02-13 | 2018-11-13 | Lantheus Medical Imaging, Inc. | Contrast agents for myocardial perfusion imaging |
| EP3385253A1 (en) | 2004-02-13 | 2018-10-10 | Lantheus Medical Imaging, Inc. | Contrast agents for myocardial perfusion imaging |
| US8226929B2 (en) | 2004-02-13 | 2012-07-24 | Lantheus Medical Imaging, Inc. | Contrast agents for myocardial perfusion imaging |
| US9718786B2 (en) | 2004-02-13 | 2017-08-01 | Lantheus Medical Imaging, Inc. | Contrast agents for myocardial perfusion imaging |
| US7485283B2 (en) | 2004-04-28 | 2009-02-03 | Lantheus Medical Imaging | Contrast agents for myocardial perfusion imaging |
| EP2253333A2 (en) | 2004-04-28 | 2010-11-24 | Lantheus Medical Imaging, Inc. | Contrast Agents for Myocardial Perfusion Imaging |
| US8263042B2 (en) | 2004-04-28 | 2012-09-11 | Lantheus Medical Imaging, Inc. | Contrast agents for myocardial perfusion imaging |
| WO2006064451A3 (en) * | 2004-12-17 | 2007-03-01 | Koninkl Philips Electronics Nv | Targeting contrast agents or targeting therapeutic agents for molecular imaging and therapy |
| US7824659B2 (en) | 2005-08-10 | 2010-11-02 | Lantheus Medical Imaging, Inc. | Methods of making radiolabeled tracers and precursors thereof |
| WO2007088051A2 (en) | 2006-01-31 | 2007-08-09 | Bayer Schering Pharma Aktiengesellschaft | Modulation of mdl-1 activity for treatment of inflammatory disease |
| US9408927B2 (en) | 2008-02-29 | 2016-08-09 | Lantheus Medical Imaging, Inc. | Contrast agents for applications including perfusion imaging |
| US10245332B2 (en) | 2008-02-29 | 2019-04-02 | Lantheus Medical Imaging, Inc. | Contrast agents for applications including perfusion imaging |
| US9687571B2 (en) | 2009-04-15 | 2017-06-27 | Lantheus Medical Imaging, Inc. | Stabilization of radiopharmaceutical compositions using ascorbic acid |
| WO2011035140A1 (en) | 2009-09-18 | 2011-03-24 | Paka Pulmonary Pharmaceuticals, Inc. | Methods and compositions for delivery of contrast moieties to the lungs |
| US10022462B2 (en) | 2010-02-08 | 2018-07-17 | Lantheus Medical Imaging, Inc. | Methods and apparatus for synthesizing imaging agents, and intermediates thereof |
| US8936777B2 (en) | 2010-02-08 | 2015-01-20 | Lantheus Medical Imaging, Inc. | Methods and apparatus for synthesizing imaging agents, and intermediates thereof |
| US9603951B2 (en) | 2010-02-08 | 2017-03-28 | Lantheus Medical Imaging, Inc. | Methods and apparatus for synthesizing imaging agents, and intermediates thereof |
| US10842892B2 (en) | 2010-02-08 | 2020-11-24 | Lantheus Medical Imaging, Inc. | Methods and apparatus for synthesizing imaging agents, and intermediates thereof |
| US10500293B2 (en) | 2012-08-10 | 2019-12-10 | Lantheus Medical Imaging, Inc. | Compositions, methods, and systems for the synthesis and use of imaging agents |
| US9919064B2 (en) | 2012-08-10 | 2018-03-20 | Lantheus Medical Imaging, Inc. | Compositions, methods, and systems for the synthesis and use of imaging agents |
| US9713651B2 (en) | 2012-08-10 | 2017-07-25 | Lantheus Medical Imaging, Inc. | Compositions, methods, and systems for the synthesis and use of imaging agents |
| US11744906B2 (en) | 2012-08-10 | 2023-09-05 | Lantheus Medical Imaging, Inc. | Compositions, methods, and systems for the synthesis and use of imaging agents |
| EP2733148A1 (en) * | 2012-11-15 | 2014-05-21 | Bayer Pharma Aktiengesellschaft | Tungsten complexes with di-dentate ligands |
| RU2667894C2 (en) * | 2013-02-06 | 2018-09-25 | Пом Патентфервальтгунгс Гбр | Heteropolyoxometalates |
| US10531665B2 (en) | 2013-02-06 | 2020-01-14 | Pom Patentverwaltungs Gbr | Heteropolyoxometalates |
| WO2014122225A1 (en) * | 2013-02-06 | 2014-08-14 | Iticon Gmbh | Heteropolyoxometalates |
| WO2014144708A1 (en) | 2013-03-15 | 2014-09-18 | The Regents Of The University Of California | Peptides having reduced toxicity that stimulate cholesterol efflux |
| CN106631996A (en) * | 2016-12-20 | 2017-05-10 | 新疆大学 | Preparation method of organic-inorganic hybrid polyoxometallate nanorod |
Similar Documents
| Publication | Publication Date | Title |
|---|---|---|
| WO1992017215A1 (en) | Contrast media | |
| US5482699A (en) | Multinuclear complexes for x-ray imaging | |
| US5458869A (en) | Multinuclear complexes for X-ray imaging | |
| US5804161A (en) | Contrast agents | |
| US5804163A (en) | Contrast agents for magnetic resonance imaging aminosaccharide | |
| US4957939A (en) | Sterile pharmaceutical compositions of gadolinium chelates useful enhancing NMR imaging | |
| US5560903A (en) | Method of enhancing paramagnetism in chelates for MRI | |
| WO1995019185A1 (en) | Functionalized aza-macrobicyclic ligands for imaging applications | |
| NZ236267A (en) | 10-(2'-hydroxy-3'-polyoxaalkyl)-1,4,7-triscarboxymethyl-1,4,7,10-tetraazacyclododecane | |
| CA1230342A (en) | Tc99m-phenida, radioscintigraphic agent for diagnosis of hepatobiliary disease | |
| EP0876161B1 (en) | Contrast media | |
| US5717121A (en) | Preparation and use of contrast agents | |
| HK1006364A (en) | Contrast media | |
| MXPA98009385A (en) | Agents against |
Legal Events
| Date | Code | Title | Description |
|---|---|---|---|
| AK | Designated states |
Kind code of ref document: A1 Designated state(s): AU CA FI HU JP KR NO PL RO RU US |
|
| AL | Designated countries for regional patents |
Kind code of ref document: A1 Designated state(s): AT BE CH DE DK ES FR GB GR IT LU MC NL SE |
|
| DFPE | Request for preliminary examination filed prior to expiration of 19th month from priority date (pct application filed before 20040101) | ||
| EX32 | Extension under rule 32 effected after completion of technical preparation for international publication | ||
| LE32 | Later election for international application filed prior to expiration of 19th month from priority date or according to rule 32.2 (b) | ||
| WWE | Wipo information: entry into national phase |
Ref document number: 2106976 Country of ref document: CA Ref document number: 1992907484 Country of ref document: EP Ref document number: 08122461 Country of ref document: US Ref document number: 934194 Country of ref document: FI |
|
| WWP | Wipo information: published in national office |
Ref document number: 1992907484 Country of ref document: EP |
|
| LE32 | Later election for international application filed prior to expiration of 19th month from priority date or according to rule 32.2 (b) | ||
| EX32 | Extension under rule 32 effected after completion of technical preparation for international publication | ||
| LE32 | Later election for international application filed prior to expiration of 19th month from priority date or according to rule 32.2 (b) | ||
| LE32 | Later election for international application filed prior to expiration of 19th month from priority date or according to rule 32.2 (b) | ||
| LE32 | Later election for international application filed prior to expiration of 19th month from priority date or according to rule 32.2 (b) | ||
| LE32 | Later election for international application filed prior to expiration of 19th month from priority date or according to rule 32.2 (b) | ||
| EX32 | Extension under rule 32 effected after completion of technical preparation for international publication | ||
| LE32 | Later election for international application filed prior to expiration of 19th month from priority date or according to rule 32.2 (b) | ||
| ENP | Entry into the national phase |
Ref document number: 1995 473574 Country of ref document: US Date of ref document: 19950607 Kind code of ref document: A |
|
| WWG | Wipo information: grant in national office |
Ref document number: 1992907484 Country of ref document: EP |
























































































