US7816326B2 - Sulfur compounds as inhibitors of hepatitis C virus NS3 serine protease - Google Patents
Sulfur compounds as inhibitors of hepatitis C virus NS3 serine protease Download PDFInfo
- Publication number
- US7816326B2 US7816326B2 US11/733,479 US73347907A US7816326B2 US 7816326 B2 US7816326 B2 US 7816326B2 US 73347907 A US73347907 A US 73347907A US 7816326 B2 US7816326 B2 US 7816326B2
- Authority
- US
- United States
- Prior art keywords
- compound
- rotamer
- racemate
- tautomer
- stereoisomer
- Prior art date
- Legal status (The legal status is an assumption and is not a legal conclusion. Google has not performed a legal analysis and makes no representation as to the accuracy of the status listed.)
- Active, expires
Links
- 0 *C1(NC(=O)[C@@H]2C[C@@H](OC3=CC([22*])=[W]C4=C3C=CC([21*])=C4)CN2C(=O)[C@@H]([3*])[2H]CC)CC1.[4*]C Chemical compound *C1(NC(=O)[C@@H]2C[C@@H](OC3=CC([22*])=[W]C4=C3C=CC([21*])=C4)CN2C(=O)[C@@H]([3*])[2H]CC)CC1.[4*]C 0.000 description 7
- NMZATNRMCQFYOK-HOMAGXEVSA-N CCCC[C@H](NC(=O)[C@@H]1[C@@H]2[C@H](CN1C(=O)[C@@H](NC(=O)NC1(CS(=O)(=O)N(C)C)CCCCC1)C(C)(C)C)C2(C)C)C(=O)C(=O)NC1CC1 Chemical compound CCCC[C@H](NC(=O)[C@@H]1[C@@H]2[C@H](CN1C(=O)[C@@H](NC(=O)NC1(CS(=O)(=O)N(C)C)CCCCC1)C(C)(C)C)C2(C)C)C(=O)C(=O)NC1CC1 NMZATNRMCQFYOK-HOMAGXEVSA-N 0.000 description 3
- OONBAHISEFJPMC-HSGWZQNQSA-N CCCC[C@H](NC(=O)[C@@H]1[C@@H]2[C@H](CN1C(=O)[C@@H](NC(=O)NC1(CS(=O)(=O)N(C)C3CC3)CCCCC1)C(C)(C)C)C2(C)C)C(=O)C(=O)NC1CC1 Chemical compound CCCC[C@H](NC(=O)[C@@H]1[C@@H]2[C@H](CN1C(=O)[C@@H](NC(=O)NC1(CS(=O)(=O)N(C)C3CC3)CCCCC1)C(C)(C)C)C2(C)C)C(=O)C(=O)NC1CC1 OONBAHISEFJPMC-HSGWZQNQSA-N 0.000 description 3
- CMUAMDBGUNKKMX-CFQFHINCSA-N C[C@@H](C1(NC(=O)N[C@H](C(=O)N2C[C@H]3[C@@H]([C@H]2C(=O)N[C@@H](CC2CC2)C(=O)C(=O)NC2CC2)C3(C)C)C(C)(C)C)CCCCC1)S(=O)(=O)N(C)C1CC1 Chemical compound C[C@@H](C1(NC(=O)N[C@H](C(=O)N2C[C@H]3[C@@H]([C@H]2C(=O)N[C@@H](CC2CC2)C(=O)C(=O)NC2CC2)C3(C)C)C(C)(C)C)CCCCC1)S(=O)(=O)N(C)C1CC1 CMUAMDBGUNKKMX-CFQFHINCSA-N 0.000 description 3
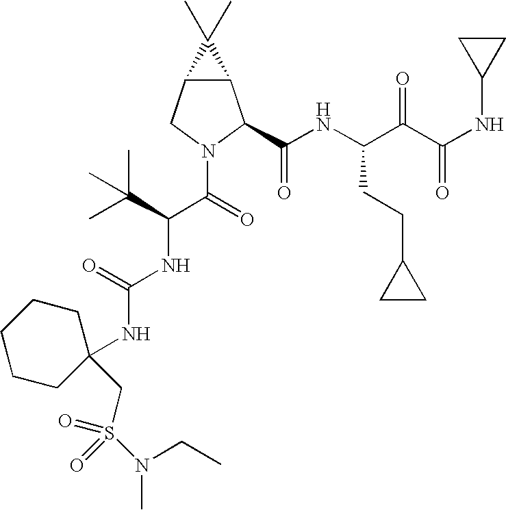
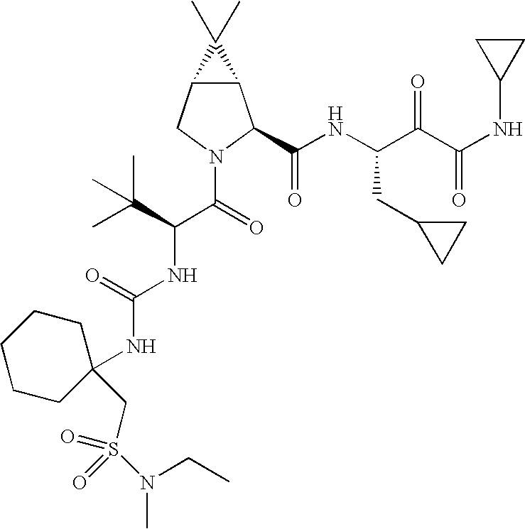
- HVUZBMNTBJWWHG-UMHSJJKUSA-N C#CCC[C@H](NC(=O)[C@@H]1[C@@H]2[C@H](CN1C(=O)[C@@H](NC(=O)NC1(CS(=O)(=O)N(C)C)CCCCC1)C(C)(C)C)C2(C)C)C(=O)C(=O)NC1CC1.CCC[C@H](NC(=O)[C@@H]1[C@@H]2[C@H](CN1C(=O)[C@@H](NC(=O)NC1(CS(=O)(=O)N(C)OC)CCCCC1)C1(C)CCCCC1)C2(C)C)C(=O)C(=O)NC1CC1.CN(C)S(=O)(=O)CC1(NC(=O)N[C@H](C(=O)N2C[C@H]3[C@@H]([C@H]2C(=O)N[C@@H](CCC2CC2)C(=O)C(=O)NC2CC2)C3(C)C)C2(C)CCCCC2)CCCCC1 Chemical compound C#CCC[C@H](NC(=O)[C@@H]1[C@@H]2[C@H](CN1C(=O)[C@@H](NC(=O)NC1(CS(=O)(=O)N(C)C)CCCCC1)C(C)(C)C)C2(C)C)C(=O)C(=O)NC1CC1.CCC[C@H](NC(=O)[C@@H]1[C@@H]2[C@H](CN1C(=O)[C@@H](NC(=O)NC1(CS(=O)(=O)N(C)OC)CCCCC1)C1(C)CCCCC1)C2(C)C)C(=O)C(=O)NC1CC1.CN(C)S(=O)(=O)CC1(NC(=O)N[C@H](C(=O)N2C[C@H]3[C@@H]([C@H]2C(=O)N[C@@H](CCC2CC2)C(=O)C(=O)NC2CC2)C3(C)C)C2(C)CCCCC2)CCCCC1 HVUZBMNTBJWWHG-UMHSJJKUSA-N 0.000 description 2
- GUHAWNSWGMKOIY-LUYYUXILSA-N C#CCC[C@H](NC(=O)[C@@H]1[C@@H]2[C@H](CN1C(=O)[C@@H](NC(=O)NC1(CS(=O)(=O)N(C)C)CCCCC1)C1(C)CCCCC1)C2(C)C)C(=O)C(=O)NC1CC1.CCCC[C@H](NC(=O)[C@@H]1[C@@H]2[C@H](CN1C(=O)[C@@H](NC(=O)NC1(CS(=O)(=O)N(C)C)CCCCC1)C1CCCCC1)C2(C)C)C(=O)C(=O)NC1CC1.CN(C)S(=O)(=O)CC1(NC(=O)N[C@H](C(=O)N2C[C@H]3[C@@H]([C@H]2C(=O)N[C@@H](CCC2CC2)C(=O)C(=O)NC2CC2)C3(C)C)C2CCCCC2)CCCCC1 Chemical compound C#CCC[C@H](NC(=O)[C@@H]1[C@@H]2[C@H](CN1C(=O)[C@@H](NC(=O)NC1(CS(=O)(=O)N(C)C)CCCCC1)C1(C)CCCCC1)C2(C)C)C(=O)C(=O)NC1CC1.CCCC[C@H](NC(=O)[C@@H]1[C@@H]2[C@H](CN1C(=O)[C@@H](NC(=O)NC1(CS(=O)(=O)N(C)C)CCCCC1)C1CCCCC1)C2(C)C)C(=O)C(=O)NC1CC1.CN(C)S(=O)(=O)CC1(NC(=O)N[C@H](C(=O)N2C[C@H]3[C@@H]([C@H]2C(=O)N[C@@H](CCC2CC2)C(=O)C(=O)NC2CC2)C3(C)C)C2CCCCC2)CCCCC1 GUHAWNSWGMKOIY-LUYYUXILSA-N 0.000 description 2
- JKVMWVVTVUEHFQ-PQCXQHFLSA-N C#CCC[C@H](NC(=O)[C@@H]1[C@@H]2[C@H](CN1C(=O)[C@@H](NC(=O)NC1(CS(=O)(=O)N(C)C)CCCCC1)C1CCCCC1)C2(C)C)C(=O)C(=O)NC1CC1.CCC[C@H](NC(=O)[C@@H]1[C@@H]2[C@H](CN1C(=O)[C@@H](NC(=O)NC1(CS(=O)(=O)N(C)C)CCCCC1)C1CCCCC1)C2(C)C)C(=O)C(=O)NC1CC1.CN(C)S(=O)(=O)CC1(NC(=O)N[C@H](C(=O)N2C[C@H]3[C@@H]([C@H]2C(=O)N[C@@H](CC2CC2)C(=O)C(=O)NC2CC2)C3(C)C)C2CCCCC2)CCCCC1 Chemical compound C#CCC[C@H](NC(=O)[C@@H]1[C@@H]2[C@H](CN1C(=O)[C@@H](NC(=O)NC1(CS(=O)(=O)N(C)C)CCCCC1)C1CCCCC1)C2(C)C)C(=O)C(=O)NC1CC1.CCC[C@H](NC(=O)[C@@H]1[C@@H]2[C@H](CN1C(=O)[C@@H](NC(=O)NC1(CS(=O)(=O)N(C)C)CCCCC1)C1CCCCC1)C2(C)C)C(=O)C(=O)NC1CC1.CN(C)S(=O)(=O)CC1(NC(=O)N[C@H](C(=O)N2C[C@H]3[C@@H]([C@H]2C(=O)N[C@@H](CC2CC2)C(=O)C(=O)NC2CC2)C3(C)C)C2CCCCC2)CCCCC1 JKVMWVVTVUEHFQ-PQCXQHFLSA-N 0.000 description 2
- NKPTWLASRUKDOH-SNSYXEIMSA-N C#CCC[C@H](NC(=O)[C@@H]1[C@@H]2[C@H](CN1C(=O)[C@@H](NC(=O)NC1(CS(=O)(=O)N(C)C3CC3)CCCCC1)C(C)(C)C)C2(C)C)C(=O)C(=O)NC1CC1.CC1([C@H](NC(=O)NC2(CS(=O)(=O)N(CC3CC3)C3CC3)CCCCC2)C(=O)N2C[C@H]3[C@@H]([C@H]2C(=O)N[C@@H](CC2CC2)C(=O)C(=O)NC2CC2)C3(C)C)CCCCC1.CCC[C@H](NC(=O)[C@@H]1[C@@H]2[C@H](CN1C(=O)[C@@H](NC(=O)NC1(CS(=O)(=O)N(CC3CC3)C3CC3)CCCCC1)C1(C)CCCCC1)C2(C)C)C(=O)C(=O)NC1CC1 Chemical compound C#CCC[C@H](NC(=O)[C@@H]1[C@@H]2[C@H](CN1C(=O)[C@@H](NC(=O)NC1(CS(=O)(=O)N(C)C3CC3)CCCCC1)C(C)(C)C)C2(C)C)C(=O)C(=O)NC1CC1.CC1([C@H](NC(=O)NC2(CS(=O)(=O)N(CC3CC3)C3CC3)CCCCC2)C(=O)N2C[C@H]3[C@@H]([C@H]2C(=O)N[C@@H](CC2CC2)C(=O)C(=O)NC2CC2)C3(C)C)CCCCC1.CCC[C@H](NC(=O)[C@@H]1[C@@H]2[C@H](CN1C(=O)[C@@H](NC(=O)NC1(CS(=O)(=O)N(CC3CC3)C3CC3)CCCCC1)C1(C)CCCCC1)C2(C)C)C(=O)C(=O)NC1CC1 NKPTWLASRUKDOH-SNSYXEIMSA-N 0.000 description 2
- CFKUYEZEKFXNSA-UKAUZECPSA-N C=CCNC(=O)C(=O)C(CC1CC1)NC(=O)[C@@H]1[C@@H]2[C@H](CN1C(=O)[C@@H](NC(=O)N[C@H]([C@H]1CCN(C)S1(=O)=O)C(C)(C)C)C1(C)CCCCC1)C2(C)C.CCCC[C@H](NC(=O)[C@@H]1[C@@H]2[C@H](CN1C(=O)[C@@H](NC(=O)NC1(CS(=O)(=O)N(C)OC)CCCCC1)C(C)(C)C)C2(C)C)C(=O)C(=O)NC1CC1.CON(C)S(=O)(=O)CC1(NC(=O)N[C@H](C(=O)N2C[C@H]3[C@@H]([C@H]2C(=O)N[C@@H](CCC2CC2)C(=O)C(=O)NC2CC2)C3(C)C)C(C)(C)C)CCCCC1 Chemical compound C=CCNC(=O)C(=O)C(CC1CC1)NC(=O)[C@@H]1[C@@H]2[C@H](CN1C(=O)[C@@H](NC(=O)N[C@H]([C@H]1CCN(C)S1(=O)=O)C(C)(C)C)C1(C)CCCCC1)C2(C)C.CCCC[C@H](NC(=O)[C@@H]1[C@@H]2[C@H](CN1C(=O)[C@@H](NC(=O)NC1(CS(=O)(=O)N(C)OC)CCCCC1)C(C)(C)C)C2(C)C)C(=O)C(=O)NC1CC1.CON(C)S(=O)(=O)CC1(NC(=O)N[C@H](C(=O)N2C[C@H]3[C@@H]([C@H]2C(=O)N[C@@H](CCC2CC2)C(=O)C(=O)NC2CC2)C3(C)C)C(C)(C)C)CCCCC1 CFKUYEZEKFXNSA-UKAUZECPSA-N 0.000 description 2
- UJAWPDWIIRUJNK-OJNXRWLVSA-N C=CCNC(=O)C(=O)C(CCC)NC(=O)[C@@H]1[C@@H]2[C@H](CN1C(=O)[C@@H](NC(=O)N[C@H]([C@H]1CCN(C)S1(=O)=O)C(C)(C)C)C1(C)CCCCC1)C2(C)C.C=CCNC(=O)C(=O)C(CCCC)NC(=O)[C@@H]1[C@@H]2[C@H](CN1C(=O)[C@@H](NC(=O)N[C@H]([C@H]1CCN(C)S1(=O)=O)C(C)(C)C)C1(C)CCCCC1)C2(C)C.CCCC[C@H](NC(=O)[C@@H]1[C@@H]2[C@H](CN1C(=O)[C@@H](NC(=O)N[C@H]([C@H]1CCN(C)S1(=O)=O)C(C)(C)C)C(C)(C)C)C2(C)C)C(=O)C(=O)NC1CC1 Chemical compound C=CCNC(=O)C(=O)C(CCC)NC(=O)[C@@H]1[C@@H]2[C@H](CN1C(=O)[C@@H](NC(=O)N[C@H]([C@H]1CCN(C)S1(=O)=O)C(C)(C)C)C1(C)CCCCC1)C2(C)C.C=CCNC(=O)C(=O)C(CCCC)NC(=O)[C@@H]1[C@@H]2[C@H](CN1C(=O)[C@@H](NC(=O)N[C@H]([C@H]1CCN(C)S1(=O)=O)C(C)(C)C)C1(C)CCCCC1)C2(C)C.CCCC[C@H](NC(=O)[C@@H]1[C@@H]2[C@H](CN1C(=O)[C@@H](NC(=O)N[C@H]([C@H]1CCN(C)S1(=O)=O)C(C)(C)C)C(C)(C)C)C2(C)C)C(=O)C(=O)NC1CC1 UJAWPDWIIRUJNK-OJNXRWLVSA-N 0.000 description 2
- KQOILFKLEVAHLV-BOXSFAOUSA-N CC(C)(C)[C@H](NC(=O)NC1(CS(=O)(=O)N2CCC2)CCCCC1)C(=O)N1C[C@H]2[C@@H]([C@H]1C(=O)N[C@@H](CC1CC1)C(=O)C(=O)NC1CC1)C2(C)C.CCCC[C@H](NC(=O)[C@@H]1[C@@H]2[C@H](CN1C(=O)[C@@H](NC(=O)NC1(CS(=O)(=O)N(C(C)C)C(C)C)CCCCC1)C(C)(C)C)C2(C)C)C(=O)C(=O)NC1CC1.CCC[C@H](NC(=O)[C@@H]1[C@@H]2[C@H](CN1C(=O)[C@@H](NC(=O)NC1(CS(=O)(=O)N3CCC3)CCCCC1)C(C)(C)C)C2(C)C)C(=O)C(=O)NC1CC1 Chemical compound CC(C)(C)[C@H](NC(=O)NC1(CS(=O)(=O)N2CCC2)CCCCC1)C(=O)N1C[C@H]2[C@@H]([C@H]1C(=O)N[C@@H](CC1CC1)C(=O)C(=O)NC1CC1)C2(C)C.CCCC[C@H](NC(=O)[C@@H]1[C@@H]2[C@H](CN1C(=O)[C@@H](NC(=O)NC1(CS(=O)(=O)N(C(C)C)C(C)C)CCCCC1)C(C)(C)C)C2(C)C)C(=O)C(=O)NC1CC1.CCC[C@H](NC(=O)[C@@H]1[C@@H]2[C@H](CN1C(=O)[C@@H](NC(=O)NC1(CS(=O)(=O)N3CCC3)CCCCC1)C(C)(C)C)C2(C)C)C(=O)C(=O)NC1CC1 KQOILFKLEVAHLV-BOXSFAOUSA-N 0.000 description 2
- SWEANDGODPFZSY-AORCNJPJSA-N CC(C)(C)[C@H](NC(=O)NC1(CS(=O)(=O)N2CCC2)CCCCC1)C(=O)N1C[C@H]2[C@@H]([C@H]1C(=O)N[C@@H](CCC1CC1)C(=O)C(=O)NC1CC1)C2(C)C.CC(C)N(C)S(=O)(=O)CC1(NC(=O)N[C@H](C(=O)N2C[C@H]3[C@@H]([C@H]2C(=O)N[C@@H](CC2CC2)C(=O)C(=O)NC2CC2)C3(C)C)C2(C)CCCCC2)CCCCC1.CCCC[C@H](NC(=O)[C@@H]1[C@@H]2[C@H](CN1C(=O)[C@@H](NC(=O)NC1(CS(=O)(=O)N3CCC3)CCCCC1)C(C)(C)C)C2(C)C)C(=O)C(=O)NC1CC1 Chemical compound CC(C)(C)[C@H](NC(=O)NC1(CS(=O)(=O)N2CCC2)CCCCC1)C(=O)N1C[C@H]2[C@@H]([C@H]1C(=O)N[C@@H](CCC1CC1)C(=O)C(=O)NC1CC1)C2(C)C.CC(C)N(C)S(=O)(=O)CC1(NC(=O)N[C@H](C(=O)N2C[C@H]3[C@@H]([C@H]2C(=O)N[C@@H](CC2CC2)C(=O)C(=O)NC2CC2)C3(C)C)C2(C)CCCCC2)CCCCC1.CCCC[C@H](NC(=O)[C@@H]1[C@@H]2[C@H](CN1C(=O)[C@@H](NC(=O)NC1(CS(=O)(=O)N3CCC3)CCCCC1)C(C)(C)C)C2(C)C)C(=O)C(=O)NC1CC1 SWEANDGODPFZSY-AORCNJPJSA-N 0.000 description 2
- LUBREDQLQVQLMZ-OXEGOSNJSA-N CC(C)(C)[C@H](NC(=O)NC1(CS(=O)(=O)N2CCCC2)CCCCC1)C(=O)N1C[C@H]2[C@@H]([C@H]1C(=O)N[C@@H](CCC1CC1)C(=O)C(=O)NC1CC1)C2(C)C.CCCC[C@H](NC(=O)[C@@H]1[C@@H]2[C@H](CN1C(=O)[C@@H](NC(=O)NC1(CS(=O)(=O)N3CCCC3)CCCCC1)C(C)(C)C)C2(C)C)C(=O)C(=O)NC1CC1.CCC[C@H](NC(=O)[C@@H]1[C@@H]2[C@H](CN1C(=O)[C@@H](NC(=O)NC1([C@@H]3CCN(CC)S3(=O)=O)CCCCC1)C(C)(C)C)C2(C)C)C(=O)C(=O)NC1CC1 Chemical compound CC(C)(C)[C@H](NC(=O)NC1(CS(=O)(=O)N2CCCC2)CCCCC1)C(=O)N1C[C@H]2[C@@H]([C@H]1C(=O)N[C@@H](CCC1CC1)C(=O)C(=O)NC1CC1)C2(C)C.CCCC[C@H](NC(=O)[C@@H]1[C@@H]2[C@H](CN1C(=O)[C@@H](NC(=O)NC1(CS(=O)(=O)N3CCCC3)CCCCC1)C(C)(C)C)C2(C)C)C(=O)C(=O)NC1CC1.CCC[C@H](NC(=O)[C@@H]1[C@@H]2[C@H](CN1C(=O)[C@@H](NC(=O)NC1([C@@H]3CCN(CC)S3(=O)=O)CCCCC1)C(C)(C)C)C2(C)C)C(=O)C(=O)NC1CC1 LUBREDQLQVQLMZ-OXEGOSNJSA-N 0.000 description 2
- YFFILUGGZBXIDM-XLDNXAAUSA-N CC(C)(C)[C@H](NC(=O)NC1(CS(=O)(=O)N2CCCCC2)CCCCC1)C(=O)N1C[C@H]2[C@@H]([C@H]1C(=O)N[C@@H](CCC1CC1)C(=O)C(=O)NC1CC1)C2(C)C.CCCC[C@H](NC(=O)[C@@H]1[C@@H]2[C@H](CN1C(=O)[C@@H](NC(=O)NC1(CS(=O)(=O)N3CCCCC3)CCCCC1)C(C)(C)C)C2(C)C)C(=O)C(=O)NC1CC1.[H][C@]1(C2(NC(=O)N[C@H](C(=O)N3C[C@H]4[C@@H]([C@H]3C(=O)N[C@@H](CCC)C(=O)C(=O)NC3CC3)C4(C)C)C(C)(C)C)CCCCC2)CCN(C2CC2)S1(=O)=O Chemical compound CC(C)(C)[C@H](NC(=O)NC1(CS(=O)(=O)N2CCCCC2)CCCCC1)C(=O)N1C[C@H]2[C@@H]([C@H]1C(=O)N[C@@H](CCC1CC1)C(=O)C(=O)NC1CC1)C2(C)C.CCCC[C@H](NC(=O)[C@@H]1[C@@H]2[C@H](CN1C(=O)[C@@H](NC(=O)NC1(CS(=O)(=O)N3CCCCC3)CCCCC1)C(C)(C)C)C2(C)C)C(=O)C(=O)NC1CC1.[H][C@]1(C2(NC(=O)N[C@H](C(=O)N3C[C@H]4[C@@H]([C@H]3C(=O)N[C@@H](CCC)C(=O)C(=O)NC3CC3)C4(C)C)C(C)(C)C)CCCCC2)CCN(C2CC2)S1(=O)=O YFFILUGGZBXIDM-XLDNXAAUSA-N 0.000 description 2
- ZZGCYWJCJWHLEE-AORCNJPJSA-N CC(C)(C)[C@H](NC(=O)NC1(CS(=O)(=O)N2CCOCC2)CCCCC1)C(=O)N1C[C@H]2[C@@H]([C@H]1C(=O)N[C@@H](CC1CC1)C(=O)C(=O)NC1CC1)C2(C)C.CCC[C@H](NC(=O)[C@@H]1[C@@H]2[C@H](CN1C(=O)[C@@H](NC(=O)NC1(CS(=O)(=O)N(C)C3CCC3)CCCCC1)C1(C)CCCCC1)C2(C)C)C(=O)C(=O)NC1CC1.CCC[C@H](NC(=O)[C@@H]1[C@@H]2[C@H](CN1C(=O)[C@@H](NC(=O)NC1(CS(=O)(=O)N3CCOCC3)CCCCC1)C(C)(C)C)C2(C)C)C(=O)C(=O)NC1CC1 Chemical compound CC(C)(C)[C@H](NC(=O)NC1(CS(=O)(=O)N2CCOCC2)CCCCC1)C(=O)N1C[C@H]2[C@@H]([C@H]1C(=O)N[C@@H](CC1CC1)C(=O)C(=O)NC1CC1)C2(C)C.CCC[C@H](NC(=O)[C@@H]1[C@@H]2[C@H](CN1C(=O)[C@@H](NC(=O)NC1(CS(=O)(=O)N(C)C3CCC3)CCCCC1)C1(C)CCCCC1)C2(C)C)C(=O)C(=O)NC1CC1.CCC[C@H](NC(=O)[C@@H]1[C@@H]2[C@H](CN1C(=O)[C@@H](NC(=O)NC1(CS(=O)(=O)N3CCOCC3)CCCCC1)C(C)(C)C)C2(C)C)C(=O)C(=O)NC1CC1 ZZGCYWJCJWHLEE-AORCNJPJSA-N 0.000 description 2
- AIXAWOWUQHKHBN-JMPPWMNISA-N CC(C)(C)[C@H](NC(=O)NC1(CS(=O)(=O)N2CCOCC2)CCCCC1)C(=O)N1C[C@H]2[C@@H]([C@H]1C(=O)N[C@@H](CCC1CC1)C(=O)C(=O)NC1CC1)C2(C)C.CCCC[C@H](NC(=O)[C@@H]1[C@@H]2[C@H](CN1C(=O)[C@@H](NC(=O)NC1(CS(=O)(=O)N(C)C3CCC3)CCCCC1)C(C)(C)C)C2(C)C)C(=O)C(=O)NC1CC1.CN(C1CCC1)S(=O)(=O)CC1(NC(=O)N[C@H](C(=O)N2C[C@H]3[C@@H]([C@H]2C(=O)N[C@@H](CCC2CC2)C(=O)C(=O)NC2CC2)C3(C)C)C(C)(C)C)CCCCC1 Chemical compound CC(C)(C)[C@H](NC(=O)NC1(CS(=O)(=O)N2CCOCC2)CCCCC1)C(=O)N1C[C@H]2[C@@H]([C@H]1C(=O)N[C@@H](CCC1CC1)C(=O)C(=O)NC1CC1)C2(C)C.CCCC[C@H](NC(=O)[C@@H]1[C@@H]2[C@H](CN1C(=O)[C@@H](NC(=O)NC1(CS(=O)(=O)N(C)C3CCC3)CCCCC1)C(C)(C)C)C2(C)C)C(=O)C(=O)NC1CC1.CN(C1CCC1)S(=O)(=O)CC1(NC(=O)N[C@H](C(=O)N2C[C@H]3[C@@H]([C@H]2C(=O)N[C@@H](CCC2CC2)C(=O)C(=O)NC2CC2)C3(C)C)C(C)(C)C)CCCCC1 AIXAWOWUQHKHBN-JMPPWMNISA-N 0.000 description 2
- MYLFAPGILXMEBP-UFASBELDSA-N CC(C)N(C(C)C)S(=O)(=O)CC1(NC(=O)N[C@H](C(=O)N2C[C@H]3[C@@H]([C@H]2C(=O)N[C@@H](CC2CC2)C(=O)C(=O)NC2CC2)C3(C)C)C(C)(C)C)CCCCC1.CC(C)N(C(C)C)S(=O)(=O)CC1(NC(=O)N[C@H](C(=O)N2C[C@H]3[C@@H]([C@H]2C(=O)N[C@@H](CCC2CC2)C(=O)C(=O)NC2CC2)C3(C)C)C(C)(C)C)CCCCC1.CCC[C@H](NC(=O)[C@@H]1[C@@H]2[C@H](CN1C(=O)[C@@H](NC(=O)NC1(CS(=O)(=O)N(C(C)C)C(C)C)CCCCC1)C(C)(C)C)C2(C)C)C(=O)C(=O)NC1CC1 Chemical compound CC(C)N(C(C)C)S(=O)(=O)CC1(NC(=O)N[C@H](C(=O)N2C[C@H]3[C@@H]([C@H]2C(=O)N[C@@H](CC2CC2)C(=O)C(=O)NC2CC2)C3(C)C)C(C)(C)C)CCCCC1.CC(C)N(C(C)C)S(=O)(=O)CC1(NC(=O)N[C@H](C(=O)N2C[C@H]3[C@@H]([C@H]2C(=O)N[C@@H](CCC2CC2)C(=O)C(=O)NC2CC2)C3(C)C)C(C)(C)C)CCCCC1.CCC[C@H](NC(=O)[C@@H]1[C@@H]2[C@H](CN1C(=O)[C@@H](NC(=O)NC1(CS(=O)(=O)N(C(C)C)C(C)C)CCCCC1)C(C)(C)C)C2(C)C)C(=O)C(=O)NC1CC1 MYLFAPGILXMEBP-UFASBELDSA-N 0.000 description 2
- DLIBGNWMXUGCGJ-HZEHYHECSA-N CC(C)N(C(C)C)S(=O)(=O)CC1(NC(=O)N[C@H](C(=O)N2C[C@H]3[C@@H]([C@H]2C(=O)N[C@@H](CC2CC2)C(=O)C(=O)NC2CC2)C3(C)C)C2(C)CCCCC2)CCCCC1.CCN(C1CC1)S(=O)(=O)CC1(NC(=O)N[C@H](C(=O)N2C[C@H]3[C@@H]([C@H]2C(=O)N[C@@H](CC2CC2)C(=O)C(=O)NC2CC2)C3(C)C)C(C)(C)C)CCCCC1.CN(CC1CC1)S(=O)(=O)CC1(NC(=O)N[C@H](C(=O)N2C[C@H]3[C@@H]([C@H]2C(=O)N[C@@H](CC2CC2)C(=O)C(=O)NC2CC2)C3(C)C)C(C)(C)C)CCCCC1 Chemical compound CC(C)N(C(C)C)S(=O)(=O)CC1(NC(=O)N[C@H](C(=O)N2C[C@H]3[C@@H]([C@H]2C(=O)N[C@@H](CC2CC2)C(=O)C(=O)NC2CC2)C3(C)C)C2(C)CCCCC2)CCCCC1.CCN(C1CC1)S(=O)(=O)CC1(NC(=O)N[C@H](C(=O)N2C[C@H]3[C@@H]([C@H]2C(=O)N[C@@H](CC2CC2)C(=O)C(=O)NC2CC2)C3(C)C)C(C)(C)C)CCCCC1.CN(CC1CC1)S(=O)(=O)CC1(NC(=O)N[C@H](C(=O)N2C[C@H]3[C@@H]([C@H]2C(=O)N[C@@H](CC2CC2)C(=O)C(=O)NC2CC2)C3(C)C)C(C)(C)C)CCCCC1 DLIBGNWMXUGCGJ-HZEHYHECSA-N 0.000 description 2
- ZPJZJLHCSVEXNG-HWXKJHJGSA-N CC(C)N(C(C)C)S(=O)(=O)CC1(NC(=O)N[C@H](C(=O)N2C[C@H]3[C@@H]([C@H]2C(=O)N[C@@H](CCC2CC2)C(=O)C(=O)NC2CC2)C3(C)C)C2(C)CCCCC2)CCCCC1.CCCC[C@H](NC(=O)[C@@H]1[C@@H]2[C@H](CN1C(=O)[C@@H](NC(=O)NC1(CS(=O)(=O)N(C(C)C)C(C)C)CCCCC1)C1(C)CCCCC1)C2(C)C)C(=O)C(=O)NC1CC1.CCC[C@H](NC(=O)[C@@H]1[C@@H]2[C@H](CN1C(=O)[C@@H](NC(=O)NC1(CS(=O)(=O)N(C(C)C)C(C)C)CCCCC1)C1(C)CCCCC1)C2(C)C)C(=O)C(=O)NC1CC1 Chemical compound CC(C)N(C(C)C)S(=O)(=O)CC1(NC(=O)N[C@H](C(=O)N2C[C@H]3[C@@H]([C@H]2C(=O)N[C@@H](CCC2CC2)C(=O)C(=O)NC2CC2)C3(C)C)C2(C)CCCCC2)CCCCC1.CCCC[C@H](NC(=O)[C@@H]1[C@@H]2[C@H](CN1C(=O)[C@@H](NC(=O)NC1(CS(=O)(=O)N(C(C)C)C(C)C)CCCCC1)C1(C)CCCCC1)C2(C)C)C(=O)C(=O)NC1CC1.CCC[C@H](NC(=O)[C@@H]1[C@@H]2[C@H](CN1C(=O)[C@@H](NC(=O)NC1(CS(=O)(=O)N(C(C)C)C(C)C)CCCCC1)C1(C)CCCCC1)C2(C)C)C(=O)C(=O)NC1CC1 ZPJZJLHCSVEXNG-HWXKJHJGSA-N 0.000 description 2
- ZEFBDBXOTJOSKC-GXBUDCQWSA-N CC(C)N(C)S(=O)(=O)CC1(NC(=O)N[C@H](C(=O)N2C[C@H]3[C@@H]([C@H]2C(=O)N[C@@H](CC2CC2)C(=O)C(=O)NC2CC2)C3(C)C)C(C)(C)C)CCCCC1.CCCC[C@H](NC(=O)[C@@H]1[C@@H]2[C@H](CN1C(=O)[C@@H](NC(=O)NC1(CS(=O)(=O)N(CC)C(C)(C)C)CCCCC1)C1(C)CCCCC1)C2(C)C)C(=O)C(=O)NC1CC1.CCN(C(C)C)S(=O)(=O)CC1(NC(=O)N[C@H](C(=O)N2C[C@H]3[C@@H]([C@H]2C(=O)N[C@@H](CC2CC2)C(=O)C(=O)NC2CC2)C3(C)C)C(C)(C)C)CCCCC1 Chemical compound CC(C)N(C)S(=O)(=O)CC1(NC(=O)N[C@H](C(=O)N2C[C@H]3[C@@H]([C@H]2C(=O)N[C@@H](CC2CC2)C(=O)C(=O)NC2CC2)C3(C)C)C(C)(C)C)CCCCC1.CCCC[C@H](NC(=O)[C@@H]1[C@@H]2[C@H](CN1C(=O)[C@@H](NC(=O)NC1(CS(=O)(=O)N(CC)C(C)(C)C)CCCCC1)C1(C)CCCCC1)C2(C)C)C(=O)C(=O)NC1CC1.CCN(C(C)C)S(=O)(=O)CC1(NC(=O)N[C@H](C(=O)N2C[C@H]3[C@@H]([C@H]2C(=O)N[C@@H](CC2CC2)C(=O)C(=O)NC2CC2)C3(C)C)C(C)(C)C)CCCCC1 ZEFBDBXOTJOSKC-GXBUDCQWSA-N 0.000 description 2
- NWGOLKZIMUYKJA-NHZITRETSA-N CC(C)N(C)S(=O)(=O)CC1(NC(=O)N[C@H](C(=O)N2C[C@H]3[C@@H]([C@H]2C(=O)N[C@@H](CCC2CC2)C(=O)C(=O)NC2CC2)C3(C)C)C(C)(C)C)CCCCC1.CCCC[C@H](NC(=O)[C@@H]1[C@@H]2[C@H](CN1C(=O)[C@@H](NC(=O)NC1(CS(=O)(=O)N(C)C(C)C)CCCCC1)C(C)(C)C)C2(C)C)C(=O)C(=O)NC1CC1.CCC[C@H](NC(=O)[C@@H]1[C@@H]2[C@H](CN1C(=O)[C@@H](NC(=O)NC1(CS(=O)(=O)N(C)C(C)C)CCCCC1)C(C)(C)C)C2(C)C)C(=O)C(=O)NC1CC1 Chemical compound CC(C)N(C)S(=O)(=O)CC1(NC(=O)N[C@H](C(=O)N2C[C@H]3[C@@H]([C@H]2C(=O)N[C@@H](CCC2CC2)C(=O)C(=O)NC2CC2)C3(C)C)C(C)(C)C)CCCCC1.CCCC[C@H](NC(=O)[C@@H]1[C@@H]2[C@H](CN1C(=O)[C@@H](NC(=O)NC1(CS(=O)(=O)N(C)C(C)C)CCCCC1)C(C)(C)C)C2(C)C)C(=O)C(=O)NC1CC1.CCC[C@H](NC(=O)[C@@H]1[C@@H]2[C@H](CN1C(=O)[C@@H](NC(=O)NC1(CS(=O)(=O)N(C)C(C)C)CCCCC1)C(C)(C)C)C2(C)C)C(=O)C(=O)NC1CC1 NWGOLKZIMUYKJA-NHZITRETSA-N 0.000 description 2
- RFPUKTXYAUHAFY-LJGKFXPOSA-N CC(C)N(C)S(=O)(=O)CC1(NC(=O)N[C@H](C(=O)N2C[C@H]3[C@@H]([C@H]2C(=O)N[C@@H](CCC2CC2)C(=O)C(=O)NC2CC2)C3(C)C)C2(C)CCCCC2)CCCCC1.CCCC[C@H](NC(=O)[C@@H]1[C@@H]2[C@H](CN1C(=O)[C@@H](NC(=O)NC1(CS(=O)(=O)N(CC)CC)CCCCC1)C(C)(C)C)C2(C)C)C(=O)C(=O)NC1CC1.CCC[C@H](NC(=O)[C@@H]1[C@@H]2[C@H](CN1C(=O)[C@@H](NC(=O)NC1(CS(=O)(=O)N(C)C(C)C)CCCCC1)C1(C)CCCCC1)C2(C)C)C(=O)C(=O)NC1CC1 Chemical compound CC(C)N(C)S(=O)(=O)CC1(NC(=O)N[C@H](C(=O)N2C[C@H]3[C@@H]([C@H]2C(=O)N[C@@H](CCC2CC2)C(=O)C(=O)NC2CC2)C3(C)C)C2(C)CCCCC2)CCCCC1.CCCC[C@H](NC(=O)[C@@H]1[C@@H]2[C@H](CN1C(=O)[C@@H](NC(=O)NC1(CS(=O)(=O)N(CC)CC)CCCCC1)C(C)(C)C)C2(C)C)C(=O)C(=O)NC1CC1.CCC[C@H](NC(=O)[C@@H]1[C@@H]2[C@H](CN1C(=O)[C@@H](NC(=O)NC1(CS(=O)(=O)N(C)C(C)C)CCCCC1)C1(C)CCCCC1)C2(C)C)C(=O)C(=O)NC1CC1 RFPUKTXYAUHAFY-LJGKFXPOSA-N 0.000 description 2
- TWIXKOOHFLSXAS-AFOFPVCWSA-N CC(C)N(C1CC1)S(=O)(=O)CC1(NC(=O)N[C@H](C(=O)N2C[C@H]3[C@@H]([C@H]2C(=O)N[C@@H](CC2CC2)C(=O)C(=O)NC2CC2)C3(C)C)C(C)(C)C)CCCCC1.CCCC[C@H](NC(=O)[C@@H]1[C@@H]2[C@H](CN1C(=O)[C@@H](NC(=O)NC1(CS(=O)(=O)N(CC)CC)CCCCC1)C1CCCCC1)C2(C)C)C(=O)C(=O)NC1CC1.CCN(CC)S(=O)(=O)CC1(NC(=O)N[C@H](C(=O)N2C[C@H]3[C@@H]([C@H]2C(=O)N[C@@H](CCC2CC2)C(=O)C(=O)NC2CC2)C3(C)C)C2CCCCC2)CCCCC1 Chemical compound CC(C)N(C1CC1)S(=O)(=O)CC1(NC(=O)N[C@H](C(=O)N2C[C@H]3[C@@H]([C@H]2C(=O)N[C@@H](CC2CC2)C(=O)C(=O)NC2CC2)C3(C)C)C(C)(C)C)CCCCC1.CCCC[C@H](NC(=O)[C@@H]1[C@@H]2[C@H](CN1C(=O)[C@@H](NC(=O)NC1(CS(=O)(=O)N(CC)CC)CCCCC1)C1CCCCC1)C2(C)C)C(=O)C(=O)NC1CC1.CCN(CC)S(=O)(=O)CC1(NC(=O)N[C@H](C(=O)N2C[C@H]3[C@@H]([C@H]2C(=O)N[C@@H](CCC2CC2)C(=O)C(=O)NC2CC2)C3(C)C)C2CCCCC2)CCCCC1 TWIXKOOHFLSXAS-AFOFPVCWSA-N 0.000 description 2
- NZACIEZAAKOSOH-DDMFVIDJSA-N CC(C)N(C1CC1)S(=O)(=O)CC1(NC(=O)N[C@H](C(=O)N2C[C@H]3[C@@H]([C@H]2C(=O)N[C@@H](CC2CC2)C(=O)C(=O)NC2CC2)C3(C)C)C2(C)CCCCC2)CCCCC1.CCC[C@H](NC(=O)[C@@H]1[C@@H]2[C@H](CN1C(=O)[C@@H](NC(=O)NC1(CS(=O)(=O)N(C(C)C)C3CC3)CCCCC1)C1(C)CCCCC1)C2(C)C)C(=O)C(=O)NC1CC1.CCC[C@H](NC(=O)[C@@H]1[C@@H]2[C@H](CN1C(=O)[C@@H](NC(=O)NC1(CS(=O)(=O)N(C)C(C)(C)C(F)(F)F)CCCCC1)C1(C)CCCCC1)C2(C)C)C(=O)C(=O)NC1CC1 Chemical compound CC(C)N(C1CC1)S(=O)(=O)CC1(NC(=O)N[C@H](C(=O)N2C[C@H]3[C@@H]([C@H]2C(=O)N[C@@H](CC2CC2)C(=O)C(=O)NC2CC2)C3(C)C)C2(C)CCCCC2)CCCCC1.CCC[C@H](NC(=O)[C@@H]1[C@@H]2[C@H](CN1C(=O)[C@@H](NC(=O)NC1(CS(=O)(=O)N(C(C)C)C3CC3)CCCCC1)C1(C)CCCCC1)C2(C)C)C(=O)C(=O)NC1CC1.CCC[C@H](NC(=O)[C@@H]1[C@@H]2[C@H](CN1C(=O)[C@@H](NC(=O)NC1(CS(=O)(=O)N(C)C(C)(C)C(F)(F)F)CCCCC1)C1(C)CCCCC1)C2(C)C)C(=O)C(=O)NC1CC1 NZACIEZAAKOSOH-DDMFVIDJSA-N 0.000 description 2
- JYBNXQHWKUUDAX-UFASBELDSA-N CC(C)N(C1CC1)S(=O)(=O)CC1(NC(=O)N[C@H](C(=O)N2C[C@H]3[C@@H]([C@H]2C(=O)N[C@@H](CCC2CC2)C(=O)C(=O)NC2CC2)C3(C)C)C(C)(C)C)CCCCC1.CCCC[C@H](NC(=O)[C@@H]1[C@@H]2[C@H](CN1C(=O)[C@@H](NC(=O)NC1(CS(=O)(=O)N(C(C)C)C3CC3)CCCCC1)C(C)(C)C)C2(C)C)C(=O)C(=O)NC1CC1.CCC[C@H](NC(=O)[C@@H]1[C@@H]2[C@H](CN1C(=O)[C@@H](NC(=O)NC1(CS(=O)(=O)N(C(C)C)C3CC3)CCCCC1)C(C)(C)C)C2(C)C)C(=O)C(=O)NC1CC1 Chemical compound CC(C)N(C1CC1)S(=O)(=O)CC1(NC(=O)N[C@H](C(=O)N2C[C@H]3[C@@H]([C@H]2C(=O)N[C@@H](CCC2CC2)C(=O)C(=O)NC2CC2)C3(C)C)C(C)(C)C)CCCCC1.CCCC[C@H](NC(=O)[C@@H]1[C@@H]2[C@H](CN1C(=O)[C@@H](NC(=O)NC1(CS(=O)(=O)N(C(C)C)C3CC3)CCCCC1)C(C)(C)C)C2(C)C)C(=O)C(=O)NC1CC1.CCC[C@H](NC(=O)[C@@H]1[C@@H]2[C@H](CN1C(=O)[C@@H](NC(=O)NC1(CS(=O)(=O)N(C(C)C)C3CC3)CCCCC1)C(C)(C)C)C2(C)C)C(=O)C(=O)NC1CC1 JYBNXQHWKUUDAX-UFASBELDSA-N 0.000 description 2
- UVOADAIDKXJRAX-HWXKJHJGSA-N CC(C)N(C1CC1)S(=O)(=O)CC1(NC(=O)N[C@H](C(=O)N2C[C@H]3[C@@H]([C@H]2C(=O)N[C@@H](CCC2CC2)C(=O)C(=O)NC2CC2)C3(C)C)C2(C)CCCCC2)CCCCC1.CCCC[C@H](NC(=O)[C@@H]1[C@@H]2[C@H](CN1C(=O)[C@@H](NC(=O)NC1(CS(=O)(=O)N(C(C)C)C3CC3)CCCCC1)C1(C)CCCCC1)C2(C)C)C(=O)C(=O)NC1CC1.CCN(C1CC1)S(=O)(=O)CC1(NC(=O)N[C@H](C(=O)N2C[C@H]3[C@@H]([C@H]2C(=O)N[C@@H](CC2CC2)C(=O)C(=O)NC2CC2)C3(C)C)C2(C)CCCCC2)CCCCC1 Chemical compound CC(C)N(C1CC1)S(=O)(=O)CC1(NC(=O)N[C@H](C(=O)N2C[C@H]3[C@@H]([C@H]2C(=O)N[C@@H](CCC2CC2)C(=O)C(=O)NC2CC2)C3(C)C)C2(C)CCCCC2)CCCCC1.CCCC[C@H](NC(=O)[C@@H]1[C@@H]2[C@H](CN1C(=O)[C@@H](NC(=O)NC1(CS(=O)(=O)N(C(C)C)C3CC3)CCCCC1)C1(C)CCCCC1)C2(C)C)C(=O)C(=O)NC1CC1.CCN(C1CC1)S(=O)(=O)CC1(NC(=O)N[C@H](C(=O)N2C[C@H]3[C@@H]([C@H]2C(=O)N[C@@H](CC2CC2)C(=O)C(=O)NC2CC2)C3(C)C)C2(C)CCCCC2)CCCCC1 UVOADAIDKXJRAX-HWXKJHJGSA-N 0.000 description 2
- ADJFQXQSWGQIPZ-UHFFFAOYSA-N CC(SCC1(CCCCC1)C(OC)=O)=O Chemical compound CC(SCC1(CCCCC1)C(OC)=O)=O ADJFQXQSWGQIPZ-UHFFFAOYSA-N 0.000 description 2
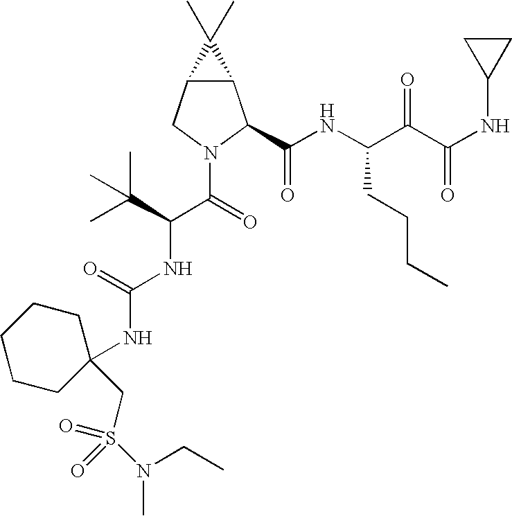
- DDTKIJIKLMYEFB-IOADFFJOSA-N CC1([C@H](NC(=O)NC2(CS(=O)(=O)N3CCC3)CCCCC2)C(=O)N2C[C@H]3[C@@H]([C@H]2C(=O)N[C@@H](CC2CC2)C(=O)C(=O)NC2CC2)C3(C)C)CCCCC1.CCC[C@H](NC(=O)[C@@H]1[C@@H]2[C@H](CN1C(=O)[C@@H](NC(=O)NC1(CS(=O)(=O)N(CC)C3CC3)CCCCC1)C(C)(C)C)C2(C)C)C(=O)C(=O)NC1CC1.CCN(C1CC1)S(=O)(=O)CC1(NC(=O)N[C@H](C(=O)N2C[C@H]3[C@@H]([C@H]2C(=O)N[C@@H](CCC2CC2)C(=O)C(=O)NC2CC2)C3(C)C)C(C)(C)C)CCCCC1 Chemical compound CC1([C@H](NC(=O)NC2(CS(=O)(=O)N3CCC3)CCCCC2)C(=O)N2C[C@H]3[C@@H]([C@H]2C(=O)N[C@@H](CC2CC2)C(=O)C(=O)NC2CC2)C3(C)C)CCCCC1.CCC[C@H](NC(=O)[C@@H]1[C@@H]2[C@H](CN1C(=O)[C@@H](NC(=O)NC1(CS(=O)(=O)N(CC)C3CC3)CCCCC1)C(C)(C)C)C2(C)C)C(=O)C(=O)NC1CC1.CCN(C1CC1)S(=O)(=O)CC1(NC(=O)N[C@H](C(=O)N2C[C@H]3[C@@H]([C@H]2C(=O)N[C@@H](CCC2CC2)C(=O)C(=O)NC2CC2)C3(C)C)C(C)(C)C)CCCCC1 DDTKIJIKLMYEFB-IOADFFJOSA-N 0.000 description 2
- ZHPWVWLQMMFROY-UFASBELDSA-N CC1([C@H](NC(=O)NC2(CS(=O)(=O)N3CCC3)CCCCC2)C(=O)N2C[C@H]3[C@@H]([C@H]2C(=O)N[C@@H](CCC2CC2)C(=O)C(=O)NC2CC2)C3(C)C)CCCCC1.CCCC[C@H](NC(=O)[C@@H]1[C@@H]2[C@H](CN1C(=O)[C@@H](NC(=O)NC1(CS(=O)(=O)N3CCC3)CCCCC1)C1(C)CCCCC1)C2(C)C)C(=O)C(=O)NC1CC1.CCC[C@H](NC(=O)[C@@H]1[C@@H]2[C@H](CN1C(=O)[C@@H](NC(=O)NC1(CS(=O)(=O)N3CCC3)CCCCC1)C1(C)CCCCC1)C2(C)C)C(=O)C(=O)NC1CC1 Chemical compound CC1([C@H](NC(=O)NC2(CS(=O)(=O)N3CCC3)CCCCC2)C(=O)N2C[C@H]3[C@@H]([C@H]2C(=O)N[C@@H](CCC2CC2)C(=O)C(=O)NC2CC2)C3(C)C)CCCCC1.CCCC[C@H](NC(=O)[C@@H]1[C@@H]2[C@H](CN1C(=O)[C@@H](NC(=O)NC1(CS(=O)(=O)N3CCC3)CCCCC1)C1(C)CCCCC1)C2(C)C)C(=O)C(=O)NC1CC1.CCC[C@H](NC(=O)[C@@H]1[C@@H]2[C@H](CN1C(=O)[C@@H](NC(=O)NC1(CS(=O)(=O)N3CCC3)CCCCC1)C1(C)CCCCC1)C2(C)C)C(=O)C(=O)NC1CC1 ZHPWVWLQMMFROY-UFASBELDSA-N 0.000 description 2
- HVOFOTJECYYARM-SZHDZIPLSA-N CC1([C@H](NC(=O)NC2(CS(=O)(=O)N3CCOCC3)CCCCC2)C(=O)N2C[C@H]3[C@@H]([C@H]2C(=O)N[C@@H](CC2CC2)C(=O)C(=O)NC2CC2)C3(C)C)CCCCC1.CC1([C@H](NC(=O)NC2(CS(=O)(=O)N3CCOCC3)CCCCC2)C(=O)N2C[C@H]3[C@@H]([C@H]2C(=O)N[C@@H](CCC2CC2)C(=O)C(=O)NC2CC2)C3(C)C)CCCCC1.CCC[C@H](NC(=O)[C@@H]1[C@@H]2[C@H](CN1C(=O)[C@@H](NC(=O)NC1(CS(=O)(=O)N3CCOCC3)CCCCC1)C1(C)CCCCC1)C2(C)C)C(=O)C(=O)NC1CC1 Chemical compound CC1([C@H](NC(=O)NC2(CS(=O)(=O)N3CCOCC3)CCCCC2)C(=O)N2C[C@H]3[C@@H]([C@H]2C(=O)N[C@@H](CC2CC2)C(=O)C(=O)NC2CC2)C3(C)C)CCCCC1.CC1([C@H](NC(=O)NC2(CS(=O)(=O)N3CCOCC3)CCCCC2)C(=O)N2C[C@H]3[C@@H]([C@H]2C(=O)N[C@@H](CCC2CC2)C(=O)C(=O)NC2CC2)C3(C)C)CCCCC1.CCC[C@H](NC(=O)[C@@H]1[C@@H]2[C@H](CN1C(=O)[C@@H](NC(=O)NC1(CS(=O)(=O)N3CCOCC3)CCCCC1)C1(C)CCCCC1)C2(C)C)C(=O)C(=O)NC1CC1 HVOFOTJECYYARM-SZHDZIPLSA-N 0.000 description 2
- VSZHOYKEOHDCEA-NHZITRETSA-N CCCC[C@H](NC(=O)[C@@H]1[C@@H]2[C@H](CN1C(=O)[C@@H](NC(=O)NC1(CS(=O)(=O)N(C)C(C)(C)C)CCCCC1)C(C)(C)C)C2(C)C)C(=O)C(=O)NC1CC1.CCC[C@H](NC(=O)[C@@H]1[C@@H]2[C@H](CN1C(=O)[C@@H](NC(=O)NC1(CS(=O)(=O)N(C)C(C)(C)C)CCCCC1)C(C)(C)C)C2(C)C)C(=O)C(=O)NC1CC1.CN(C(C)(C)C)S(=O)(=O)CC1(NC(=O)N[C@H](C(=O)N2C[C@H]3[C@@H]([C@H]2C(=O)N[C@@H](CCC2CC2)C(=O)C(=O)NC2CC2)C3(C)C)C(C)(C)C)CCCCC1 Chemical compound CCCC[C@H](NC(=O)[C@@H]1[C@@H]2[C@H](CN1C(=O)[C@@H](NC(=O)NC1(CS(=O)(=O)N(C)C(C)(C)C)CCCCC1)C(C)(C)C)C2(C)C)C(=O)C(=O)NC1CC1.CCC[C@H](NC(=O)[C@@H]1[C@@H]2[C@H](CN1C(=O)[C@@H](NC(=O)NC1(CS(=O)(=O)N(C)C(C)(C)C)CCCCC1)C(C)(C)C)C2(C)C)C(=O)C(=O)NC1CC1.CN(C(C)(C)C)S(=O)(=O)CC1(NC(=O)N[C@H](C(=O)N2C[C@H]3[C@@H]([C@H]2C(=O)N[C@@H](CCC2CC2)C(=O)C(=O)NC2CC2)C3(C)C)C(C)(C)C)CCCCC1 VSZHOYKEOHDCEA-NHZITRETSA-N 0.000 description 2
- RGLKEEILRTZHHW-JEXYUJQLSA-N CCCC[C@H](NC(=O)[C@@H]1[C@@H]2[C@H](CN1C(=O)[C@@H](NC(=O)NC1(CS(=O)(=O)N(C)C(C)(C)C)CCCCC1)C1(C)CCCCC1)C2(C)C)C(=O)C(=O)NC1CC1.CN(C(C)(C)C)S(=O)(=O)CC1(NC(=O)N[C@H](C(=O)N2C[C@H]3[C@@H]([C@H]2C(=O)N[C@@H](CC2CC2)C(=O)C(=O)NC2CC2)C3(C)C)C(C)(C)C)CCCCC1.CN(C(C)(C)C)S(=O)(=O)CC1(NC(=O)N[C@H](C(=O)N2C[C@H]3[C@@H]([C@H]2C(=O)N[C@@H](CCC2CC2)C(=O)C(=O)NC2CC2)C3(C)C)C2(C)CCCCC2)CCCCC1 Chemical compound CCCC[C@H](NC(=O)[C@@H]1[C@@H]2[C@H](CN1C(=O)[C@@H](NC(=O)NC1(CS(=O)(=O)N(C)C(C)(C)C)CCCCC1)C1(C)CCCCC1)C2(C)C)C(=O)C(=O)NC1CC1.CN(C(C)(C)C)S(=O)(=O)CC1(NC(=O)N[C@H](C(=O)N2C[C@H]3[C@@H]([C@H]2C(=O)N[C@@H](CC2CC2)C(=O)C(=O)NC2CC2)C3(C)C)C(C)(C)C)CCCCC1.CN(C(C)(C)C)S(=O)(=O)CC1(NC(=O)N[C@H](C(=O)N2C[C@H]3[C@@H]([C@H]2C(=O)N[C@@H](CCC2CC2)C(=O)C(=O)NC2CC2)C3(C)C)C2(C)CCCCC2)CCCCC1 RGLKEEILRTZHHW-JEXYUJQLSA-N 0.000 description 2
- AYHKOTDBHGYDBV-MRGVTORUSA-N CCCC[C@H](NC(=O)[C@@H]1[C@@H]2[C@H](CN1C(=O)[C@@H](NC(=O)NC1(CS(=O)(=O)N(C)C(C)(C)C3CC3)CCCCC1)C(C)(C)C)C2(C)C)C(=O)C(=O)NC1CC1.CCC[C@H](NC(=O)[C@@H]1[C@@H]2[C@H](CN1C(=O)[C@@H](NC(=O)NC1(CS(=O)(=O)N(C)[C@H](C)C3CC3)CCCCC1)C(C)(C)C)C2(C)C)C(=O)C(=O)NC1CC1.C[C@H](C1CC1)N(C)S(=O)(=O)CC1(NC(=O)N[C@H](C(=O)N2C[C@H]3[C@@H]([C@H]2C(=O)N[C@@H](CC2CC2)C(=O)C(=O)NC2CC2)C3(C)C)C(C)(C)C)CCCCC1 Chemical compound CCCC[C@H](NC(=O)[C@@H]1[C@@H]2[C@H](CN1C(=O)[C@@H](NC(=O)NC1(CS(=O)(=O)N(C)C(C)(C)C3CC3)CCCCC1)C(C)(C)C)C2(C)C)C(=O)C(=O)NC1CC1.CCC[C@H](NC(=O)[C@@H]1[C@@H]2[C@H](CN1C(=O)[C@@H](NC(=O)NC1(CS(=O)(=O)N(C)[C@H](C)C3CC3)CCCCC1)C(C)(C)C)C2(C)C)C(=O)C(=O)NC1CC1.C[C@H](C1CC1)N(C)S(=O)(=O)CC1(NC(=O)N[C@H](C(=O)N2C[C@H]3[C@@H]([C@H]2C(=O)N[C@@H](CC2CC2)C(=O)C(=O)NC2CC2)C3(C)C)C(C)(C)C)CCCCC1 AYHKOTDBHGYDBV-MRGVTORUSA-N 0.000 description 2
- CAFRMCDSQFRKAR-ISDHWCODSA-N CCCC[C@H](NC(=O)[C@@H]1[C@@H]2[C@H](CN1C(=O)[C@@H](NC(=O)NC1(CS(=O)(=O)N(C)C(C)C)CCCCC1)C1(C)CCCCC1)C2(C)C)C(=O)C(=O)NC1CC1.CCC[C@H](NC(=O)[C@@H]1[C@@H]2[C@H](CN1C(=O)[C@@H](NC(=O)NC1(CS(=O)(=O)N(C)C)CCCCC1)C(C)(C)C)C2(C)C)C(=O)C(=O)NC1CC1.CN(C)S(=O)(=O)CC1(NC(=O)N[C@H](C(=O)N2C[C@H]3[C@@H]([C@H]2C(=O)N[C@@H](CC2CC2)C(=O)C(=O)NC2CC2)C3(C)C)C(C)(C)C)CCCCC1 Chemical compound CCCC[C@H](NC(=O)[C@@H]1[C@@H]2[C@H](CN1C(=O)[C@@H](NC(=O)NC1(CS(=O)(=O)N(C)C(C)C)CCCCC1)C1(C)CCCCC1)C2(C)C)C(=O)C(=O)NC1CC1.CCC[C@H](NC(=O)[C@@H]1[C@@H]2[C@H](CN1C(=O)[C@@H](NC(=O)NC1(CS(=O)(=O)N(C)C)CCCCC1)C(C)(C)C)C2(C)C)C(=O)C(=O)NC1CC1.CN(C)S(=O)(=O)CC1(NC(=O)N[C@H](C(=O)N2C[C@H]3[C@@H]([C@H]2C(=O)N[C@@H](CC2CC2)C(=O)C(=O)NC2CC2)C3(C)C)C(C)(C)C)CCCCC1 CAFRMCDSQFRKAR-ISDHWCODSA-N 0.000 description 2
- FEAZGEZIBYGHJC-KCVYLKGXSA-N CCCC[C@H](NC(=O)[C@@H]1[C@@H]2[C@H](CN1C(=O)[C@@H](NC(=O)NC1(CS(=O)(=O)N(C)C)CCCCC1)C(C)(C)C)C2(C)C)C(=O)C(=O)NC1CC1.CN(C)S(=O)(=O)CC1(NC(=O)N[C@H](C(=O)N2C[C@H]3[C@@H]([C@H]2C(=O)N[C@@H](CCC2CC2)C(=O)C(=O)NC2CC2)C3(C)C)C(C)(C)C)CCCCC1.[H][C@]1(C2(NC(=O)N[C@H](C(=O)N3C[C@H]4[C@@H]([C@H]3C(=O)N[C@@H](CCC)C(=O)C(=O)NC3CC3)C4(C)C)C(C)(C)C)CCCCC2)CCN(C)S1(=O)=O Chemical compound CCCC[C@H](NC(=O)[C@@H]1[C@@H]2[C@H](CN1C(=O)[C@@H](NC(=O)NC1(CS(=O)(=O)N(C)C)CCCCC1)C(C)(C)C)C2(C)C)C(=O)C(=O)NC1CC1.CN(C)S(=O)(=O)CC1(NC(=O)N[C@H](C(=O)N2C[C@H]3[C@@H]([C@H]2C(=O)N[C@@H](CCC2CC2)C(=O)C(=O)NC2CC2)C3(C)C)C(C)(C)C)CCCCC1.[H][C@]1(C2(NC(=O)N[C@H](C(=O)N3C[C@H]4[C@@H]([C@H]3C(=O)N[C@@H](CCC)C(=O)C(=O)NC3CC3)C4(C)C)C(C)(C)C)CCCCC2)CCN(C)S1(=O)=O FEAZGEZIBYGHJC-KCVYLKGXSA-N 0.000 description 2
- ZPRGKNPJTKIMBO-YADXPWMCSA-N CCCC[C@H](NC(=O)[C@@H]1[C@@H]2[C@H](CN1C(=O)[C@@H](NC(=O)NC1(CS(=O)(=O)N(C)C)CCCCC1)C1(C)CCCCC1)C2(C)C)C(=O)C(=O)NC1CC1.CCC[C@H](NC(=O)[C@@H]1[C@@H]2[C@H](CN1C(=O)[C@@H](NC(=O)NC1(CS(=O)(=O)N(C)C)CCCCC1)C1(C)CCCCC1)C2(C)C)C(=O)C(=O)NC1CC1.CN(C)S(=O)(=O)CC1(NC(=O)N[C@H](C(=O)N2C[C@H]3[C@@H]([C@H]2C(=O)N[C@@H](CC2CC2)C(=O)C(=O)NC2CC2)C3(C)C)C2(C)CCCCC2)CCCCC1 Chemical compound CCCC[C@H](NC(=O)[C@@H]1[C@@H]2[C@H](CN1C(=O)[C@@H](NC(=O)NC1(CS(=O)(=O)N(C)C)CCCCC1)C1(C)CCCCC1)C2(C)C)C(=O)C(=O)NC1CC1.CCC[C@H](NC(=O)[C@@H]1[C@@H]2[C@H](CN1C(=O)[C@@H](NC(=O)NC1(CS(=O)(=O)N(C)C)CCCCC1)C1(C)CCCCC1)C2(C)C)C(=O)C(=O)NC1CC1.CN(C)S(=O)(=O)CC1(NC(=O)N[C@H](C(=O)N2C[C@H]3[C@@H]([C@H]2C(=O)N[C@@H](CC2CC2)C(=O)C(=O)NC2CC2)C3(C)C)C2(C)CCCCC2)CCCCC1 ZPRGKNPJTKIMBO-YADXPWMCSA-N 0.000 description 2
- RJVRHNRTDVJQHI-UIJNDURRSA-N CCCC[C@H](NC(=O)[C@@H]1[C@@H]2[C@H](CN1C(=O)[C@@H](NC(=O)NC1(CS(=O)(=O)N(C)C3=NC=CC=C3)CCCCC1)C(C)(C)C)C2(C)C)C(=O)C(=O)NC1CC1.CCC[C@@H](NC(=O)[C@@H]1[C@@H]2[C@H](CN1C(=O)[C@@H](NC(=O)NC1(CS(=O)(=O)N(C)C3=NC=CC=C3)CCCCC1)C(C)(C)C)C2(C)C)C(=O)C(=O)NC1CC1.CCC[C@H](NC(=O)[C@@H]1[C@@H]2[C@H](CN1C(=O)[C@@H](NC(=O)NC1(CS(=O)(=O)N(C)C3=NC=CC=C3)CCCCC1)C(C)(C)C)C2(C)C)C(=O)C(=O)NC1CC1 Chemical compound CCCC[C@H](NC(=O)[C@@H]1[C@@H]2[C@H](CN1C(=O)[C@@H](NC(=O)NC1(CS(=O)(=O)N(C)C3=NC=CC=C3)CCCCC1)C(C)(C)C)C2(C)C)C(=O)C(=O)NC1CC1.CCC[C@@H](NC(=O)[C@@H]1[C@@H]2[C@H](CN1C(=O)[C@@H](NC(=O)NC1(CS(=O)(=O)N(C)C3=NC=CC=C3)CCCCC1)C(C)(C)C)C2(C)C)C(=O)C(=O)NC1CC1.CCC[C@H](NC(=O)[C@@H]1[C@@H]2[C@H](CN1C(=O)[C@@H](NC(=O)NC1(CS(=O)(=O)N(C)C3=NC=CC=C3)CCCCC1)C(C)(C)C)C2(C)C)C(=O)C(=O)NC1CC1 RJVRHNRTDVJQHI-UIJNDURRSA-N 0.000 description 2
- RCJQIGCAXKSSKH-GXBUDCQWSA-N CCCC[C@H](NC(=O)[C@@H]1[C@@H]2[C@H](CN1C(=O)[C@@H](NC(=O)NC1(CS(=O)(=O)N(C)C3CC3)CCCCC1)C(C)(C)C)C2(C)C)C(=O)C(=O)NC1CC1.CCCC[C@H](NC(=O)[C@@H]1[C@@H]2[C@H](CN1C(=O)[C@@H](NC(=O)NC1(CS(=O)(=O)N(C)CC3=CC=CC=C3)CCCCC1)C(C)(C)C)C2(C)C)C(=O)C(=O)NC1CC1.CN(C1CC1)S(=O)(=O)CC1(NC(=O)N[C@H](C(=O)N2C[C@H]3[C@@H]([C@H]2C(=O)N[C@@H](CCC2CC2)C(=O)C(=O)NC2CC2)C3(C)C)C(C)(C)C)CCCCC1 Chemical compound CCCC[C@H](NC(=O)[C@@H]1[C@@H]2[C@H](CN1C(=O)[C@@H](NC(=O)NC1(CS(=O)(=O)N(C)C3CC3)CCCCC1)C(C)(C)C)C2(C)C)C(=O)C(=O)NC1CC1.CCCC[C@H](NC(=O)[C@@H]1[C@@H]2[C@H](CN1C(=O)[C@@H](NC(=O)NC1(CS(=O)(=O)N(C)CC3=CC=CC=C3)CCCCC1)C(C)(C)C)C2(C)C)C(=O)C(=O)NC1CC1.CN(C1CC1)S(=O)(=O)CC1(NC(=O)N[C@H](C(=O)N2C[C@H]3[C@@H]([C@H]2C(=O)N[C@@H](CCC2CC2)C(=O)C(=O)NC2CC2)C3(C)C)C(C)(C)C)CCCCC1 RCJQIGCAXKSSKH-GXBUDCQWSA-N 0.000 description 2
- CAYJVXALWCJBEX-STRSEPAHSA-N CCCC[C@H](NC(=O)[C@@H]1[C@@H]2[C@H](CN1C(=O)[C@@H](NC(=O)NC1(CS(=O)(=O)N(C)C3CC3)CCCCC1)C1(C)CCCCC1)C2(C)C)C(=O)C(=O)NC1CC1.CCC[C@H](NC(=O)[C@@H]1[C@@H]2[C@H](CN1C(=O)[C@@H](NC(=O)NC1(CS(=O)(=O)N(CC)CC)CCCCC1)C1(C)CCCCC1)C2(C)C)C(=O)C(=O)NC1CC1.CCN(CC)S(=O)(=O)CC1(NC(=O)N[C@H](C(=O)N2C[C@H]3[C@@H]([C@H]2C(=O)N[C@@H](CC2CC2)C(=O)C(=O)NC2CC2)C3(C)C)C2(C)CCCCC2)CCCCC1 Chemical compound CCCC[C@H](NC(=O)[C@@H]1[C@@H]2[C@H](CN1C(=O)[C@@H](NC(=O)NC1(CS(=O)(=O)N(C)C3CC3)CCCCC1)C1(C)CCCCC1)C2(C)C)C(=O)C(=O)NC1CC1.CCC[C@H](NC(=O)[C@@H]1[C@@H]2[C@H](CN1C(=O)[C@@H](NC(=O)NC1(CS(=O)(=O)N(CC)CC)CCCCC1)C1(C)CCCCC1)C2(C)C)C(=O)C(=O)NC1CC1.CCN(CC)S(=O)(=O)CC1(NC(=O)N[C@H](C(=O)N2C[C@H]3[C@@H]([C@H]2C(=O)N[C@@H](CC2CC2)C(=O)C(=O)NC2CC2)C3(C)C)C2(C)CCCCC2)CCCCC1 CAYJVXALWCJBEX-STRSEPAHSA-N 0.000 description 2
- FDRZVQBXKWPHRG-QTRYACAXSA-N CCCC[C@H](NC(=O)[C@@H]1[C@@H]2[C@H](CN1C(=O)[C@@H](NC(=O)NC1(CS(=O)(=O)N(C)C3CCC3)CCCCC1)C1(C)CCCCC1)C2(C)C)C(=O)C(=O)NC1CC1.CN(C1CCC1)S(=O)(=O)CC1(NC(=O)N[C@H](C(=O)N2C[C@H]3[C@@H]([C@H]2C(=O)N[C@@H](CC2CC2)C(=O)C(=O)NC2CC2)C3(C)C)C2(C)CCCCC2)CCCCC1.CN(C1CCC1)S(=O)(=O)CC1(NC(=O)N[C@H](C(=O)N2C[C@H]3[C@@H]([C@H]2C(=O)N[C@@H](CCC2CC2)C(=O)C(=O)NC2CC2)C3(C)C)C2(C)CCCCC2)CCCCC1 Chemical compound CCCC[C@H](NC(=O)[C@@H]1[C@@H]2[C@H](CN1C(=O)[C@@H](NC(=O)NC1(CS(=O)(=O)N(C)C3CCC3)CCCCC1)C1(C)CCCCC1)C2(C)C)C(=O)C(=O)NC1CC1.CN(C1CCC1)S(=O)(=O)CC1(NC(=O)N[C@H](C(=O)N2C[C@H]3[C@@H]([C@H]2C(=O)N[C@@H](CC2CC2)C(=O)C(=O)NC2CC2)C3(C)C)C2(C)CCCCC2)CCCCC1.CN(C1CCC1)S(=O)(=O)CC1(NC(=O)N[C@H](C(=O)N2C[C@H]3[C@@H]([C@H]2C(=O)N[C@@H](CCC2CC2)C(=O)C(=O)NC2CC2)C3(C)C)C2(C)CCCCC2)CCCCC1 FDRZVQBXKWPHRG-QTRYACAXSA-N 0.000 description 2
- VYYBOLQGGQEELV-ZQYBAICGSA-N CCCC[C@H](NC(=O)[C@@H]1[C@@H]2[C@H](CN1C(=O)[C@@H](NC(=O)NC1(CS(=O)(=O)N(C)CC(F)(F)F)CCCCC1)C(C)(C)C)C2(C)C)C(=O)C(=O)NC1CC1.CCCC[C@H](NC(=O)[C@@H]1[C@@H]2[C@H](CN1C(=O)[C@@H](NC(=O)NC1(CS(=O)(=O)N(CC)C(C)(C)C)CCCCC1)C(C)(C)C)C2(C)C)C(=O)C(=O)NC1CC1.CN(CC(F)(F)F)S(=O)(=O)CC1(NC(=O)N[C@H](C(=O)N2C[C@H]3[C@@H]([C@H]2C(=O)N[C@@H](CCC2CC2)C(=O)C(=O)NC2CC2)C3(C)C)C(C)(C)C)CCCCC1 Chemical compound CCCC[C@H](NC(=O)[C@@H]1[C@@H]2[C@H](CN1C(=O)[C@@H](NC(=O)NC1(CS(=O)(=O)N(C)CC(F)(F)F)CCCCC1)C(C)(C)C)C2(C)C)C(=O)C(=O)NC1CC1.CCCC[C@H](NC(=O)[C@@H]1[C@@H]2[C@H](CN1C(=O)[C@@H](NC(=O)NC1(CS(=O)(=O)N(CC)C(C)(C)C)CCCCC1)C(C)(C)C)C2(C)C)C(=O)C(=O)NC1CC1.CN(CC(F)(F)F)S(=O)(=O)CC1(NC(=O)N[C@H](C(=O)N2C[C@H]3[C@@H]([C@H]2C(=O)N[C@@H](CCC2CC2)C(=O)C(=O)NC2CC2)C3(C)C)C(C)(C)C)CCCCC1 VYYBOLQGGQEELV-ZQYBAICGSA-N 0.000 description 2
- UXYLQUZNEDJNQJ-RANPTUITSA-N CCCC[C@H](NC(=O)[C@@H]1[C@@H]2[C@H](CN1C(=O)[C@@H](NC(=O)NC1(CS(=O)(=O)N(C)CC(F)(F)F)CCCCC1)C1(C)CCCCC1)C2(C)C)C(=O)C(=O)NC1CC1.CCN(C(C)(C)C)S(=O)(=O)CC1(NC(=O)N[C@H](C(=O)N2C[C@H]3[C@@H]([C@H]2C(=O)N[C@@H](CC2CC2)C(=O)C(=O)NC2CC2)C3(C)C)C(C)(C)C)CCCCC1.CN(CC(F)(F)F)S(=O)(=O)CC1(NC(=O)N[C@H](C(=O)N2C[C@H]3[C@@H]([C@H]2C(=O)N[C@@H](CC2CC2)C(=O)C(=O)NC2CC2)C3(C)C)C(C)(C)C)CCCCC1 Chemical compound CCCC[C@H](NC(=O)[C@@H]1[C@@H]2[C@H](CN1C(=O)[C@@H](NC(=O)NC1(CS(=O)(=O)N(C)CC(F)(F)F)CCCCC1)C1(C)CCCCC1)C2(C)C)C(=O)C(=O)NC1CC1.CCN(C(C)(C)C)S(=O)(=O)CC1(NC(=O)N[C@H](C(=O)N2C[C@H]3[C@@H]([C@H]2C(=O)N[C@@H](CC2CC2)C(=O)C(=O)NC2CC2)C3(C)C)C(C)(C)C)CCCCC1.CN(CC(F)(F)F)S(=O)(=O)CC1(NC(=O)N[C@H](C(=O)N2C[C@H]3[C@@H]([C@H]2C(=O)N[C@@H](CC2CC2)C(=O)C(=O)NC2CC2)C3(C)C)C(C)(C)C)CCCCC1 UXYLQUZNEDJNQJ-RANPTUITSA-N 0.000 description 2
- PUNIRGPIBPOLKE-NHZITRETSA-N CCCC[C@H](NC(=O)[C@@H]1[C@@H]2[C@H](CN1C(=O)[C@@H](NC(=O)NC1(CS(=O)(=O)N(C)CC)CCCCC1)C(C)(C)C)C2(C)C)C(=O)C(=O)NC1CC1.CCCC[C@H](NC(=O)[C@@H]1[C@@H]2[C@H](CN1C(=O)[C@@H](NC(=O)NC1(CS(=O)(=O)N(CC)C3CC3)CCCCC1)C(C)(C)C)C2(C)C)C(=O)C(=O)NC1CC1.CCN(C)S(=O)(=O)CC1(NC(=O)N[C@H](C(=O)N2C[C@H]3[C@@H]([C@H]2C(=O)N[C@@H](CCC2CC2)C(=O)C(=O)NC2CC2)C3(C)C)C(C)(C)C)CCCCC1 Chemical compound CCCC[C@H](NC(=O)[C@@H]1[C@@H]2[C@H](CN1C(=O)[C@@H](NC(=O)NC1(CS(=O)(=O)N(C)CC)CCCCC1)C(C)(C)C)C2(C)C)C(=O)C(=O)NC1CC1.CCCC[C@H](NC(=O)[C@@H]1[C@@H]2[C@H](CN1C(=O)[C@@H](NC(=O)NC1(CS(=O)(=O)N(CC)C3CC3)CCCCC1)C(C)(C)C)C2(C)C)C(=O)C(=O)NC1CC1.CCN(C)S(=O)(=O)CC1(NC(=O)N[C@H](C(=O)N2C[C@H]3[C@@H]([C@H]2C(=O)N[C@@H](CCC2CC2)C(=O)C(=O)NC2CC2)C3(C)C)C(C)(C)C)CCCCC1 PUNIRGPIBPOLKE-NHZITRETSA-N 0.000 description 2
- GFMJVSKZAZFDQK-UFASBELDSA-N CCCC[C@H](NC(=O)[C@@H]1[C@@H]2[C@H](CN1C(=O)[C@@H](NC(=O)NC1(CS(=O)(=O)N(C)CC)CCCCC1)C1(C)CCCCC1)C2(C)C)C(=O)C(=O)NC1CC1.CCC[C@H](NC(=O)[C@@H]1[C@@H]2[C@H](CN1C(=O)[C@@H](NC(=O)NC1(CS(=O)(=O)N(C)CC)CCCCC1)C1(C)CCCCC1)C2(C)C)C(=O)C(=O)NC1CC1.CCN(C)S(=O)(=O)CC1(NC(=O)N[C@H](C(=O)N2C[C@H]3[C@@H]([C@H]2C(=O)N[C@@H](CCC2CC2)C(=O)C(=O)NC2CC2)C3(C)C)C2(C)CCCCC2)CCCCC1 Chemical compound CCCC[C@H](NC(=O)[C@@H]1[C@@H]2[C@H](CN1C(=O)[C@@H](NC(=O)NC1(CS(=O)(=O)N(C)CC)CCCCC1)C1(C)CCCCC1)C2(C)C)C(=O)C(=O)NC1CC1.CCC[C@H](NC(=O)[C@@H]1[C@@H]2[C@H](CN1C(=O)[C@@H](NC(=O)NC1(CS(=O)(=O)N(C)CC)CCCCC1)C1(C)CCCCC1)C2(C)C)C(=O)C(=O)NC1CC1.CCN(C)S(=O)(=O)CC1(NC(=O)N[C@H](C(=O)N2C[C@H]3[C@@H]([C@H]2C(=O)N[C@@H](CCC2CC2)C(=O)C(=O)NC2CC2)C3(C)C)C2(C)CCCCC2)CCCCC1 GFMJVSKZAZFDQK-UFASBELDSA-N 0.000 description 2
- QEVWTVINVKNPFQ-HEDAHKCKSA-N CCCC[C@H](NC(=O)[C@@H]1[C@@H]2[C@H](CN1C(=O)[C@@H](NC(=O)NC1(CS(=O)(=O)N(C)CC3CC3)CCCCC1)C(C)(C)C)C2(C)C)C(=O)C(=O)NC1CC1.CN(C1CC1)S(=O)(=O)CC1(NC(=O)N[C@H](C(=O)N2C[C@H]3[C@@H]([C@H]2C(=O)N[C@@H](CCC2CC2)C(=O)C(=O)NC2CC2)C3(C)C)C2(C)CCCCC2)CCCCC1.CN(CC1CC1)S(=O)(=O)CC1(NC(=O)N[C@H](C(=O)N2C[C@H]3[C@@H]([C@H]2C(=O)N[C@@H](CCC2CC2)C(=O)C(=O)NC2CC2)C3(C)C)C(C)(C)C)CCCCC1 Chemical compound CCCC[C@H](NC(=O)[C@@H]1[C@@H]2[C@H](CN1C(=O)[C@@H](NC(=O)NC1(CS(=O)(=O)N(C)CC3CC3)CCCCC1)C(C)(C)C)C2(C)C)C(=O)C(=O)NC1CC1.CN(C1CC1)S(=O)(=O)CC1(NC(=O)N[C@H](C(=O)N2C[C@H]3[C@@H]([C@H]2C(=O)N[C@@H](CCC2CC2)C(=O)C(=O)NC2CC2)C3(C)C)C2(C)CCCCC2)CCCCC1.CN(CC1CC1)S(=O)(=O)CC1(NC(=O)N[C@H](C(=O)N2C[C@H]3[C@@H]([C@H]2C(=O)N[C@@H](CCC2CC2)C(=O)C(=O)NC2CC2)C3(C)C)C(C)(C)C)CCCCC1 QEVWTVINVKNPFQ-HEDAHKCKSA-N 0.000 description 2
- XDCICLYILDMVBE-HMUZWVTHSA-N CCCC[C@H](NC(=O)[C@@H]1[C@@H]2[C@H](CN1C(=O)[C@@H](NC(=O)NC1(CS(=O)(=O)N(C)OC)CCCCC1)C1(C)CCCCC1)C2(C)C)C(=O)C(=O)NC1CC1.CCC[C@H](NC(=O)[C@@H]1[C@@H]2[C@H](CN1C(=O)[C@@H](NC(=O)NC1(CS(=O)(=O)N(C)OC)CCCCC1)C(C)(C)C)C2(C)C)C(=O)C(=O)NCC.CON(C)S(=O)(=O)CC1(NC(=O)N[C@H](C(=O)N2C[C@H]3[C@@H]([C@H]2C(=O)N[C@@H](CCC2CC2)C(=O)C(=O)NC2CC2)C3(C)C)C2(C)CCCCC2)CCCCC1 Chemical compound CCCC[C@H](NC(=O)[C@@H]1[C@@H]2[C@H](CN1C(=O)[C@@H](NC(=O)NC1(CS(=O)(=O)N(C)OC)CCCCC1)C1(C)CCCCC1)C2(C)C)C(=O)C(=O)NC1CC1.CCC[C@H](NC(=O)[C@@H]1[C@@H]2[C@H](CN1C(=O)[C@@H](NC(=O)NC1(CS(=O)(=O)N(C)OC)CCCCC1)C(C)(C)C)C2(C)C)C(=O)C(=O)NCC.CON(C)S(=O)(=O)CC1(NC(=O)N[C@H](C(=O)N2C[C@H]3[C@@H]([C@H]2C(=O)N[C@@H](CCC2CC2)C(=O)C(=O)NC2CC2)C3(C)C)C2(C)CCCCC2)CCCCC1 XDCICLYILDMVBE-HMUZWVTHSA-N 0.000 description 2
- PZGKICVHFQLLLF-UWAOMUSTSA-N CCCC[C@H](NC(=O)[C@@H]1[C@@H]2[C@H](CN1C(=O)[C@@H](NC(=O)NC1(CS(=O)(=O)N(C)[C@@H](C)C3CC3)CCCCC1)C(C)(C)C)C2(C)C)C(=O)C(=O)NC1CC1.CCC[C@H](NC(=O)[C@@H]1[C@@H]2[C@H](CN1C(=O)[C@@H](NC(=O)NC1(CS(=O)(=O)N(C)CC)CCCCC1)C(C)(C)C)C2(C)C)C(=O)C(=O)NC1CC1.CCN(C)S(=O)(=O)CC1(NC(=O)N[C@H](C(=O)N2C[C@H]3[C@@H]([C@H]2C(=O)N[C@@H](CC2CC2)C(=O)C(=O)NC2CC2)C3(C)C)C(C)(C)C)CCCCC1 Chemical compound CCCC[C@H](NC(=O)[C@@H]1[C@@H]2[C@H](CN1C(=O)[C@@H](NC(=O)NC1(CS(=O)(=O)N(C)[C@@H](C)C3CC3)CCCCC1)C(C)(C)C)C2(C)C)C(=O)C(=O)NC1CC1.CCC[C@H](NC(=O)[C@@H]1[C@@H]2[C@H](CN1C(=O)[C@@H](NC(=O)NC1(CS(=O)(=O)N(C)CC)CCCCC1)C(C)(C)C)C2(C)C)C(=O)C(=O)NC1CC1.CCN(C)S(=O)(=O)CC1(NC(=O)N[C@H](C(=O)N2C[C@H]3[C@@H]([C@H]2C(=O)N[C@@H](CC2CC2)C(=O)C(=O)NC2CC2)C3(C)C)C(C)(C)C)CCCCC1 PZGKICVHFQLLLF-UWAOMUSTSA-N 0.000 description 2
- BMNWESIOMXCBCK-QXABSVRHSA-N CCCC[C@H](NC(=O)[C@@H]1[C@@H]2[C@H](CN1C(=O)[C@@H](NC(=O)NC1(CS(=O)(=O)N(C)[C@H](C)C3CC3)CCCCC1)C(C)(C)C)C2(C)C)C(=O)C(=O)NC1CC1.CCN(C)S(=O)(=O)CC1(NC(=O)N[C@H](C(=O)N2C[C@H]3[C@@H]([C@H]2C(=O)N[C@@H](CC2CC2)C(=O)C(=O)NC2CC2)C3(C)C)C2(C)CCCCC2)CCCCC1.C[C@H](C1CC1)N(C)S(=O)(=O)CC1(NC(=O)N[C@H](C(=O)N2C[C@H]3[C@@H]([C@H]2C(=O)N[C@@H](CCC2CC2)C(=O)C(=O)NC2CC2)C3(C)C)C(C)(C)C)CCCCC1 Chemical compound CCCC[C@H](NC(=O)[C@@H]1[C@@H]2[C@H](CN1C(=O)[C@@H](NC(=O)NC1(CS(=O)(=O)N(C)[C@H](C)C3CC3)CCCCC1)C(C)(C)C)C2(C)C)C(=O)C(=O)NC1CC1.CCN(C)S(=O)(=O)CC1(NC(=O)N[C@H](C(=O)N2C[C@H]3[C@@H]([C@H]2C(=O)N[C@@H](CC2CC2)C(=O)C(=O)NC2CC2)C3(C)C)C2(C)CCCCC2)CCCCC1.C[C@H](C1CC1)N(C)S(=O)(=O)CC1(NC(=O)N[C@H](C(=O)N2C[C@H]3[C@@H]([C@H]2C(=O)N[C@@H](CCC2CC2)C(=O)C(=O)NC2CC2)C3(C)C)C(C)(C)C)CCCCC1 BMNWESIOMXCBCK-QXABSVRHSA-N 0.000 description 2
- SWDYKPNJFPAPDY-UFASBELDSA-N CCCC[C@H](NC(=O)[C@@H]1[C@@H]2[C@H](CN1C(=O)[C@@H](NC(=O)NC1(CS(=O)(=O)N(CC)C(C)C)CCCCC1)C(C)(C)C)C2(C)C)C(=O)C(=O)NC1CC1.CCN(C(C)C)S(=O)(=O)CC1(NC(=O)N[C@H](C(=O)N2C[C@H]3[C@@H]([C@H]2C(=O)N[C@@H](CCC2CC2)C(=O)C(=O)NC2CC2)C3(C)C)C(C)(C)C)CCCCC1.CN(C(C)(C)C1CC1)S(=O)(=O)CC1(NC(=O)N[C@H](C(=O)N2C[C@H]3[C@@H]([C@H]2C(=O)N[C@@H](CCC2CC2)C(=O)C(=O)NC2CC2)C3(C)C)C(C)(C)C)CCCCC1 Chemical compound CCCC[C@H](NC(=O)[C@@H]1[C@@H]2[C@H](CN1C(=O)[C@@H](NC(=O)NC1(CS(=O)(=O)N(CC)C(C)C)CCCCC1)C(C)(C)C)C2(C)C)C(=O)C(=O)NC1CC1.CCN(C(C)C)S(=O)(=O)CC1(NC(=O)N[C@H](C(=O)N2C[C@H]3[C@@H]([C@H]2C(=O)N[C@@H](CCC2CC2)C(=O)C(=O)NC2CC2)C3(C)C)C(C)(C)C)CCCCC1.CN(C(C)(C)C1CC1)S(=O)(=O)CC1(NC(=O)N[C@H](C(=O)N2C[C@H]3[C@@H]([C@H]2C(=O)N[C@@H](CCC2CC2)C(=O)C(=O)NC2CC2)C3(C)C)C(C)(C)C)CCCCC1 SWDYKPNJFPAPDY-UFASBELDSA-N 0.000 description 2
- SWUYLTTUGOINAD-RIYSOESNSA-N CCCC[C@H](NC(=O)[C@@H]1[C@@H]2[C@H](CN1C(=O)[C@@H](NC(=O)NC1(CS(=O)(=O)N(CC)C(C)C)CCCCC1)C1(C)CCCCC1)C2(C)C)C(=O)C(=O)NC1CC1.CCC[C@H](NC(=O)[C@@H]1[C@@H]2[C@H](CN1C(=O)[C@@H](NC(=O)NC1(CS(=O)(=O)N(CC)C(C)C)CCCCC1)C(C)(C)C)C2(C)C)C(=O)C(=O)NC1CC1.CCN(C(C)C)S(=O)(=O)CC1(NC(=O)N[C@H](C(=O)N2C[C@H]3[C@@H]([C@H]2C(=O)N[C@@H](CCC2CC2)C(=O)C(=O)NC2CC2)C3(C)C)C2(C)CCCCC2)CCCCC1 Chemical compound CCCC[C@H](NC(=O)[C@@H]1[C@@H]2[C@H](CN1C(=O)[C@@H](NC(=O)NC1(CS(=O)(=O)N(CC)C(C)C)CCCCC1)C1(C)CCCCC1)C2(C)C)C(=O)C(=O)NC1CC1.CCC[C@H](NC(=O)[C@@H]1[C@@H]2[C@H](CN1C(=O)[C@@H](NC(=O)NC1(CS(=O)(=O)N(CC)C(C)C)CCCCC1)C(C)(C)C)C2(C)C)C(=O)C(=O)NC1CC1.CCN(C(C)C)S(=O)(=O)CC1(NC(=O)N[C@H](C(=O)N2C[C@H]3[C@@H]([C@H]2C(=O)N[C@@H](CCC2CC2)C(=O)C(=O)NC2CC2)C3(C)C)C2(C)CCCCC2)CCCCC1 SWUYLTTUGOINAD-RIYSOESNSA-N 0.000 description 2
- FISVAIAOATXKIM-GJESDCFESA-N CCCC[C@H](NC(=O)[C@@H]1[C@@H]2[C@H](CN1C(=O)[C@@H](NC(=O)NC1(CS(=O)(=O)N(CC)C3CC3)CCCCC1)C1(C)CCCCC1)C2(C)C)C(=O)C(=O)NC1CC1.CCC[C@H](NC(=O)[C@@H]1[C@@H]2[C@H](CN1C(=O)[C@@H](NC(=O)NC1(CS(=O)(=O)N(CC)C3CC3)CCCCC1)C1(C)CCCCC1)C2(C)C)C(=O)C(=O)NC1CC1.CCN(C1CC1)S(=O)(=O)CC1(NC(=O)N[C@H](C(=O)N2C[C@H]3[C@@H]([C@H]2C(=O)N[C@@H](CCC2CC2)C(=O)C(=O)NC2CC2)C3(C)C)C2(C)CCCCC2)CCCCC1 Chemical compound CCCC[C@H](NC(=O)[C@@H]1[C@@H]2[C@H](CN1C(=O)[C@@H](NC(=O)NC1(CS(=O)(=O)N(CC)C3CC3)CCCCC1)C1(C)CCCCC1)C2(C)C)C(=O)C(=O)NC1CC1.CCC[C@H](NC(=O)[C@@H]1[C@@H]2[C@H](CN1C(=O)[C@@H](NC(=O)NC1(CS(=O)(=O)N(CC)C3CC3)CCCCC1)C1(C)CCCCC1)C2(C)C)C(=O)C(=O)NC1CC1.CCN(C1CC1)S(=O)(=O)CC1(NC(=O)N[C@H](C(=O)N2C[C@H]3[C@@H]([C@H]2C(=O)N[C@@H](CCC2CC2)C(=O)C(=O)NC2CC2)C3(C)C)C2(C)CCCCC2)CCCCC1 FISVAIAOATXKIM-GJESDCFESA-N 0.000 description 2
- CRBOMATZHGYLLD-GBJYQFOKSA-N CCCC[C@H](NC(=O)[C@@H]1[C@@H]2[C@H](CN1C(=O)[C@@H](NC(=O)NC1(CS(=O)(=O)N(CC)CC)CCCCC1)C1(C)CCCCC1)C2(C)C)C(=O)C(=O)NC1CC1.CCC[C@H](NC(=O)[C@@H]1[C@@H]2[C@H](CN1C(=O)[C@@H](NC(=O)NC1(CS(=O)(=O)N(C)C3CC3)CCCCC1)C(C)(C)C)C2(C)C)C(=O)C(=O)NC1CC1.CCN(CC)S(=O)(=O)CC1(NC(=O)N[C@H](C(=O)N2C[C@H]3[C@@H]([C@H]2C(=O)N[C@@H](CCC2CC2)C(=O)C(=O)NC2CC2)C3(C)C)C2(C)CCCCC2)CCCCC1 Chemical compound CCCC[C@H](NC(=O)[C@@H]1[C@@H]2[C@H](CN1C(=O)[C@@H](NC(=O)NC1(CS(=O)(=O)N(CC)CC)CCCCC1)C1(C)CCCCC1)C2(C)C)C(=O)C(=O)NC1CC1.CCC[C@H](NC(=O)[C@@H]1[C@@H]2[C@H](CN1C(=O)[C@@H](NC(=O)NC1(CS(=O)(=O)N(C)C3CC3)CCCCC1)C(C)(C)C)C2(C)C)C(=O)C(=O)NC1CC1.CCN(CC)S(=O)(=O)CC1(NC(=O)N[C@H](C(=O)N2C[C@H]3[C@@H]([C@H]2C(=O)N[C@@H](CCC2CC2)C(=O)C(=O)NC2CC2)C3(C)C)C2(C)CCCCC2)CCCCC1 CRBOMATZHGYLLD-GBJYQFOKSA-N 0.000 description 2
- CNCFQZXNJGGNFU-JLTIZPQBSA-N CCCC[C@H](NC(=O)[C@@H]1[C@@H]2[C@H](CN1C(=O)[C@@H](NC(=O)NC1(CS(=O)(=O)N3CC(F)(F)C3)CCCCC1)C(C)(C)C)C2(C)C)C(=O)C(=O)NC1CC1.CCC[C@H](NC(=O)[C@@H]1[C@@H]2[C@H](CN1C(=O)[C@@H](NC(=O)NC1(CS(=O)(=O)N3CC(F)(F)C3)CCCCC1)C(C)(C)C)C2(C)C)C(=O)C(=O)NC1CC1.C[C@@H](C1(NC(=O)N[C@H](C(=O)N2C[C@H]3[C@@H]([C@H]2C(=O)N[C@@H](CC2CC2)C(=O)C(=O)NC2CC2)C3(C)C)C(C)(C)C)CCCCC1)S(=O)(=O)N(C)C Chemical compound CCCC[C@H](NC(=O)[C@@H]1[C@@H]2[C@H](CN1C(=O)[C@@H](NC(=O)NC1(CS(=O)(=O)N3CC(F)(F)C3)CCCCC1)C(C)(C)C)C2(C)C)C(=O)C(=O)NC1CC1.CCC[C@H](NC(=O)[C@@H]1[C@@H]2[C@H](CN1C(=O)[C@@H](NC(=O)NC1(CS(=O)(=O)N3CC(F)(F)C3)CCCCC1)C(C)(C)C)C2(C)C)C(=O)C(=O)NC1CC1.C[C@@H](C1(NC(=O)N[C@H](C(=O)N2C[C@H]3[C@@H]([C@H]2C(=O)N[C@@H](CC2CC2)C(=O)C(=O)NC2CC2)C3(C)C)C(C)(C)C)CCCCC1)S(=O)(=O)N(C)C CNCFQZXNJGGNFU-JLTIZPQBSA-N 0.000 description 2
- FWFLWCYXHQVIQP-MRADDWAJSA-N CCCC[C@H](NC(=O)[C@@H]1[C@@H]2[C@H](CN1C(=O)[C@@H](NC(=O)NC1(CS(=O)(=O)N3CCOCC3)CCCCC1)C(C)(C)C)C2(C)C)C(=O)C(=O)NC1CC1.CCC[C@H](NC(=O)[C@@H]1[C@@H]2[C@H](CN1C(=O)[C@@H](NC(=O)NC1(CS(=O)(=O)N(C)C3CCC3)CCCCC1)C(C)(C)C)C2(C)C)C(=O)C(=O)NC1CC1.CN(C1CCC1)S(=O)(=O)CC1(NC(=O)N[C@H](C(=O)N2C[C@H]3[C@@H]([C@H]2C(=O)N[C@@H](CC2CC2)C(=O)C(=O)NC2CC2)C3(C)C)C(C)(C)C)CCCCC1 Chemical compound CCCC[C@H](NC(=O)[C@@H]1[C@@H]2[C@H](CN1C(=O)[C@@H](NC(=O)NC1(CS(=O)(=O)N3CCOCC3)CCCCC1)C(C)(C)C)C2(C)C)C(=O)C(=O)NC1CC1.CCC[C@H](NC(=O)[C@@H]1[C@@H]2[C@H](CN1C(=O)[C@@H](NC(=O)NC1(CS(=O)(=O)N(C)C3CCC3)CCCCC1)C(C)(C)C)C2(C)C)C(=O)C(=O)NC1CC1.CN(C1CCC1)S(=O)(=O)CC1(NC(=O)N[C@H](C(=O)N2C[C@H]3[C@@H]([C@H]2C(=O)N[C@@H](CC2CC2)C(=O)C(=O)NC2CC2)C3(C)C)C(C)(C)C)CCCCC1 FWFLWCYXHQVIQP-MRADDWAJSA-N 0.000 description 2
- FISLHJOEQLNVEU-LIBZPYTJSA-N CCCC[C@H](NC(=O)[C@@H]1[C@@H]2[C@H](CN1C(=O)[C@@H](NC(=O)NC1(CS(=O)(=O)N3CCOCC3)CCCCC1)C1(C)CCCCC1)C2(C)C)C(=O)C(=O)NC1CC1.CCC[C@H](NC(=O)[C@@H]1[C@@H]2[C@H](CN1C(=O)[C@@H](NC(=O)NC1(CS(=O)(=O)N(C)C(C)(C)CF)CCCCC1)C1(C)CCCCC1)C2(C)C)C(=O)C(=O)NC1CC1.CN(C(C)(C)CF)S(=O)(=O)CC1(NC(=O)N[C@H](C(=O)N2C[C@H]3[C@@H]([C@H]2C(=O)N[C@@H](CC2CC2)C(=O)C(=O)NC2CC2)C3(C)C)C2(C)CCCCC2)CCCCC1 Chemical compound CCCC[C@H](NC(=O)[C@@H]1[C@@H]2[C@H](CN1C(=O)[C@@H](NC(=O)NC1(CS(=O)(=O)N3CCOCC3)CCCCC1)C1(C)CCCCC1)C2(C)C)C(=O)C(=O)NC1CC1.CCC[C@H](NC(=O)[C@@H]1[C@@H]2[C@H](CN1C(=O)[C@@H](NC(=O)NC1(CS(=O)(=O)N(C)C(C)(C)CF)CCCCC1)C1(C)CCCCC1)C2(C)C)C(=O)C(=O)NC1CC1.CN(C(C)(C)CF)S(=O)(=O)CC1(NC(=O)N[C@H](C(=O)N2C[C@H]3[C@@H]([C@H]2C(=O)N[C@@H](CC2CC2)C(=O)C(=O)NC2CC2)C3(C)C)C2(C)CCCCC2)CCCCC1 FISLHJOEQLNVEU-LIBZPYTJSA-N 0.000 description 2
- DQKPXTZUOMDFKU-CTFGKSDMSA-N CCCC[C@H](NC(=O)[C@@H]1[C@@H]2[C@H](CN1C(=O)[C@@H](NC(=O)NC1(CS(=O)(=O)NC)CCCCC1)C(C)(C)C)C2(C)C)C(=O)C(=O)NC1CC1.CCC[C@H](NC(=O)[C@@H]1[C@@H]2[C@H](CN1C(=O)[C@@H](NC(=O)NC1(CS(=O)(=O)NC)CCCCC1)C(C)(C)C)C2(C)C)C(=O)C(=O)NC1CC1.CNS(=O)(=O)CC1(NC(=O)N[C@H](C(=O)N2C[C@H]3[C@@H]([C@H]2C(=O)N[C@@H](CCC2CC2)C(=O)C(=O)NC2CC2)C3(C)C)C(C)(C)C)CCCCC1 Chemical compound CCCC[C@H](NC(=O)[C@@H]1[C@@H]2[C@H](CN1C(=O)[C@@H](NC(=O)NC1(CS(=O)(=O)NC)CCCCC1)C(C)(C)C)C2(C)C)C(=O)C(=O)NC1CC1.CCC[C@H](NC(=O)[C@@H]1[C@@H]2[C@H](CN1C(=O)[C@@H](NC(=O)NC1(CS(=O)(=O)NC)CCCCC1)C(C)(C)C)C2(C)C)C(=O)C(=O)NC1CC1.CNS(=O)(=O)CC1(NC(=O)N[C@H](C(=O)N2C[C@H]3[C@@H]([C@H]2C(=O)N[C@@H](CCC2CC2)C(=O)C(=O)NC2CC2)C3(C)C)C(C)(C)C)CCCCC1 DQKPXTZUOMDFKU-CTFGKSDMSA-N 0.000 description 2
- FELGPIMEEVLGGR-QXNGYRIGSA-N CCCC[C@H](NC(=O)[C@@H]1[C@@H]2[C@H](CN1C(=O)[C@@H](NC(=O)NC1([C@@H](C)S(=O)(=O)N(C)C)CCCCC1)C(C)(C)C)C2(C)C)C(=O)C(=O)NC1CC1 Chemical compound CCCC[C@H](NC(=O)[C@@H]1[C@@H]2[C@H](CN1C(=O)[C@@H](NC(=O)NC1([C@@H](C)S(=O)(=O)N(C)C)CCCCC1)C(C)(C)C)C2(C)C)C(=O)C(=O)NC1CC1 FELGPIMEEVLGGR-QXNGYRIGSA-N 0.000 description 2
- OULDFBNHUABZFN-ADBLOOGYSA-N CCCC[C@H](NC(=O)[C@@H]1[C@@H]2[C@H](CN1C(=O)[C@@H](NC(=O)NC1([C@@H](C)S(=O)(=O)N(C)C)CCCCC1)C(C)(C)C)C2(C)C)C(=O)C(=O)NC1CC1.CN(C1=NC=CC=C1)S(=O)(=O)CC1(NC(=O)N[C@H](C(=O)N2C[C@H]3[C@@H]([C@H]2C(=O)N[C@@H](CC2CC2)C(=O)C(=O)NC2CC2)C3(C)C)C(C)(C)C)CCCCC1.CN(C1=NC=CC=C1)S(=O)(=O)CC1(NC(=O)N[C@H](C(=O)N2C[C@H]3[C@@H]([C@H]2C(=O)N[C@H](CC2CC2)C(=O)C(=O)NC2CC2)C3(C)C)C(C)(C)C)CCCCC1 Chemical compound CCCC[C@H](NC(=O)[C@@H]1[C@@H]2[C@H](CN1C(=O)[C@@H](NC(=O)NC1([C@@H](C)S(=O)(=O)N(C)C)CCCCC1)C(C)(C)C)C2(C)C)C(=O)C(=O)NC1CC1.CN(C1=NC=CC=C1)S(=O)(=O)CC1(NC(=O)N[C@H](C(=O)N2C[C@H]3[C@@H]([C@H]2C(=O)N[C@@H](CC2CC2)C(=O)C(=O)NC2CC2)C3(C)C)C(C)(C)C)CCCCC1.CN(C1=NC=CC=C1)S(=O)(=O)CC1(NC(=O)N[C@H](C(=O)N2C[C@H]3[C@@H]([C@H]2C(=O)N[C@H](CC2CC2)C(=O)C(=O)NC2CC2)C3(C)C)C(C)(C)C)CCCCC1 OULDFBNHUABZFN-ADBLOOGYSA-N 0.000 description 2
- XHRLCDOANCUDHS-VNZHQVHLSA-N CCCC[C@H](NC(=O)[C@@H]1[C@@H]2[C@H](CN1C(=O)[C@@H](NC(=O)NC1([C@@H](C)S(=O)(=O)N(C)C)CCCCC1)C1(C)CCCCC1)C2(C)C)C(=O)C(=O)NC1CC1.CCC[C@H](NC(=O)[C@@H]1[C@@H]2[C@H](CN1C(=O)[C@@H](NC(=O)NC1([C@@H](C)S(=O)(=O)N(C)C)CCCCC1)C1(C)CCCCC1)C2(C)C)C(=O)C(=O)NC1CC1.C[C@H](C1(NC(=O)N[C@H](C(=O)N2C[C@H]3[C@@H]([C@H]2C(=O)N[C@@H](CCC2CC2)C(=O)C(=O)NC2CC2)C3(C)C)C2(C)CCCCC2)CCCCC1)S(=O)(=O)N(C)C Chemical compound CCCC[C@H](NC(=O)[C@@H]1[C@@H]2[C@H](CN1C(=O)[C@@H](NC(=O)NC1([C@@H](C)S(=O)(=O)N(C)C)CCCCC1)C1(C)CCCCC1)C2(C)C)C(=O)C(=O)NC1CC1.CCC[C@H](NC(=O)[C@@H]1[C@@H]2[C@H](CN1C(=O)[C@@H](NC(=O)NC1([C@@H](C)S(=O)(=O)N(C)C)CCCCC1)C1(C)CCCCC1)C2(C)C)C(=O)C(=O)NC1CC1.C[C@H](C1(NC(=O)N[C@H](C(=O)N2C[C@H]3[C@@H]([C@H]2C(=O)N[C@@H](CCC2CC2)C(=O)C(=O)NC2CC2)C3(C)C)C2(C)CCCCC2)CCCCC1)S(=O)(=O)N(C)C XHRLCDOANCUDHS-VNZHQVHLSA-N 0.000 description 2
- FFDXLJSYOLAHIO-ARCGKIRZSA-N CCCC[C@H](NC(=O)[C@@H]1[C@@H]2[C@H](CN1C(=O)[C@@H](NC(=O)NC1([C@@H](C)S(=O)(=O)N(C)C3CC3)CCCCC1)C(C)(C)C)C2(C)C)C(=O)C(=O)NC1CC1.CCC[C@H](NC(=O)[C@@H]1[C@@H]2[C@H](CN1C(=O)[C@@H](NC(=O)NC1([C@H](C)S(=O)(=O)N(C)C)CCCCC1)C1(C)CCCCC1)C2(C)C)C(=O)C(=O)NC1CC1.C[C@@H](C1(NC(=O)N[C@H](C(=O)N2C[C@H]3[C@@H]([C@H]2C(=O)N[C@@H](CC2CC2)C(=O)C(=O)NC2CC2)C3(C)C)C2(C)CCCCC2)CCCCC1)S(=O)(=O)N(C)C Chemical compound CCCC[C@H](NC(=O)[C@@H]1[C@@H]2[C@H](CN1C(=O)[C@@H](NC(=O)NC1([C@@H](C)S(=O)(=O)N(C)C3CC3)CCCCC1)C(C)(C)C)C2(C)C)C(=O)C(=O)NC1CC1.CCC[C@H](NC(=O)[C@@H]1[C@@H]2[C@H](CN1C(=O)[C@@H](NC(=O)NC1([C@H](C)S(=O)(=O)N(C)C)CCCCC1)C1(C)CCCCC1)C2(C)C)C(=O)C(=O)NC1CC1.C[C@@H](C1(NC(=O)N[C@H](C(=O)N2C[C@H]3[C@@H]([C@H]2C(=O)N[C@@H](CC2CC2)C(=O)C(=O)NC2CC2)C3(C)C)C2(C)CCCCC2)CCCCC1)S(=O)(=O)N(C)C FFDXLJSYOLAHIO-ARCGKIRZSA-N 0.000 description 2
- MHZOZAVTNXCUFX-FWPMDWBXSA-N CCCC[C@H](NC(=O)[C@@H]1[C@@H]2[C@H](CN1C(=O)[C@@H](NC(=O)NC1([C@@H]3CCN(CC)S3(=O)=O)CCCCC1)C(C)(C)C)C2(C)C)C(=O)C(=O)NC1CC1.CCN1CC[C@@H](C2(NC(=O)N[C@H](C(=O)N3C[C@H]4[C@@H]([C@H]3C(=O)N[C@@H](CCC3CC3)C(=O)C(=O)NC3CC3)C4(C)C)C(C)(C)C)CCCCC2)S1(=O)=O.[H][C@@]1(C2(NC(=O)N[C@H](C(=O)N3C[C@H]4[C@@H]([C@H]3C(=O)N[C@@H](CCC)C(=O)C(=O)NC3CC3)C4(C)C)C(C)(C)C)CCCCC2)CCN(C)S1(=O)=O Chemical compound CCCC[C@H](NC(=O)[C@@H]1[C@@H]2[C@H](CN1C(=O)[C@@H](NC(=O)NC1([C@@H]3CCN(CC)S3(=O)=O)CCCCC1)C(C)(C)C)C2(C)C)C(=O)C(=O)NC1CC1.CCN1CC[C@@H](C2(NC(=O)N[C@H](C(=O)N3C[C@H]4[C@@H]([C@H]3C(=O)N[C@@H](CCC3CC3)C(=O)C(=O)NC3CC3)C4(C)C)C(C)(C)C)CCCCC2)S1(=O)=O.[H][C@@]1(C2(NC(=O)N[C@H](C(=O)N3C[C@H]4[C@@H]([C@H]3C(=O)N[C@@H](CCC)C(=O)C(=O)NC3CC3)C4(C)C)C(C)(C)C)CCCCC2)CCN(C)S1(=O)=O MHZOZAVTNXCUFX-FWPMDWBXSA-N 0.000 description 2
- AORUCKLGWJIXSK-JDJCQVBFSA-N CCCC[C@H](NC(=O)[C@@H]1[C@@H]2[C@H](CN1C(=O)[C@@H](NC(=O)NC1([C@H](C)S(=O)(=O)N(C)C)CCCCC1)C(C)(C)C)C2(C)C)C(=O)C(=O)NC1CC1.CCC[C@H](NC(=O)[C@@H]1[C@@H]2[C@H](CN1C(=O)[C@@H](NC(=O)NC1([C@H](C)S(=O)(=O)N(C)C)CCCCC1)C(C)(C)C)C2(C)C)C(=O)C(=O)NC1CC1.C[C@@H](C1(NC(=O)N[C@H](C(=O)N2C[C@H]3[C@@H]([C@H]2C(=O)N[C@@H](CCC2CC2)C(=O)C(=O)NC2CC2)C3(C)C)C(C)(C)C)CCCCC1)S(=O)(=O)N(C)C Chemical compound CCCC[C@H](NC(=O)[C@@H]1[C@@H]2[C@H](CN1C(=O)[C@@H](NC(=O)NC1([C@H](C)S(=O)(=O)N(C)C)CCCCC1)C(C)(C)C)C2(C)C)C(=O)C(=O)NC1CC1.CCC[C@H](NC(=O)[C@@H]1[C@@H]2[C@H](CN1C(=O)[C@@H](NC(=O)NC1([C@H](C)S(=O)(=O)N(C)C)CCCCC1)C(C)(C)C)C2(C)C)C(=O)C(=O)NC1CC1.C[C@@H](C1(NC(=O)N[C@H](C(=O)N2C[C@H]3[C@@H]([C@H]2C(=O)N[C@@H](CCC2CC2)C(=O)C(=O)NC2CC2)C3(C)C)C(C)(C)C)CCCCC1)S(=O)(=O)N(C)C AORUCKLGWJIXSK-JDJCQVBFSA-N 0.000 description 2
- NYOSWBFTEIOYKY-LDJICXRTSA-N CCCC[C@H](NC(=O)[C@@H]1[C@@H]2[C@H](CN1C(=O)[C@@H](NC(=O)NC1([C@H](C)S(=O)(=O)N(C)C)CCCCC1)C1(C)CCCCC1)C2(C)C)C(=O)C(=O)NC1CC1.C[C@@H](C1(NC(=O)N[C@H](C(=O)N2C[C@H]3[C@@H]([C@H]2C(=O)N[C@@H](CCC2CC2)C(=O)C(=O)NC2CC2)C3(C)C)C2(C)CCCCC2)CCCCC1)S(=O)(=O)N(C)C.C[C@H](C1(NC(=O)N[C@H](C(=O)N2C[C@H]3[C@@H]([C@H]2C(=O)N[C@@H](CC2CC2)C(=O)C(=O)NC2CC2)C3(C)C)C2(C)CCCCC2)CCCCC1)S(=O)(=O)N(C)C Chemical compound CCCC[C@H](NC(=O)[C@@H]1[C@@H]2[C@H](CN1C(=O)[C@@H](NC(=O)NC1([C@H](C)S(=O)(=O)N(C)C)CCCCC1)C1(C)CCCCC1)C2(C)C)C(=O)C(=O)NC1CC1.C[C@@H](C1(NC(=O)N[C@H](C(=O)N2C[C@H]3[C@@H]([C@H]2C(=O)N[C@@H](CCC2CC2)C(=O)C(=O)NC2CC2)C3(C)C)C2(C)CCCCC2)CCCCC1)S(=O)(=O)N(C)C.C[C@H](C1(NC(=O)N[C@H](C(=O)N2C[C@H]3[C@@H]([C@H]2C(=O)N[C@@H](CC2CC2)C(=O)C(=O)NC2CC2)C3(C)C)C2(C)CCCCC2)CCCCC1)S(=O)(=O)N(C)C NYOSWBFTEIOYKY-LDJICXRTSA-N 0.000 description 2
- QKGDGJCYPXYIPS-HQWRLWQGSA-N CCCC[C@H](NC(=O)[C@@H]1[C@@H]2[C@H](CN1C(=O)[C@@H](NC(=O)NC1([C@H](C)S(=O)(=O)N(C)C3CC3)CCCCC1)C(C)(C)C)C2(C)C)C(=O)C(=O)NC1CC1.CCC[C@H](NC(=O)[C@@H]1[C@@H]2[C@H](CN1C(=O)[C@@H](NC(=O)NC1([C@H](C)S(=O)(=O)N(C)C3CC3)CCCCC1)C(C)(C)C)C2(C)C)C(=O)C(=O)NC1CC1.C[C@@H](C1(NC(=O)N[C@H](C(=O)N2C[C@H]3[C@@H]([C@H]2C(=O)N[C@@H](CCC2CC2)C(=O)C(=O)NC2CC2)C3(C)C)C(C)(C)C)CCCCC1)S(=O)(=O)N(C)C1CC1 Chemical compound CCCC[C@H](NC(=O)[C@@H]1[C@@H]2[C@H](CN1C(=O)[C@@H](NC(=O)NC1([C@H](C)S(=O)(=O)N(C)C3CC3)CCCCC1)C(C)(C)C)C2(C)C)C(=O)C(=O)NC1CC1.CCC[C@H](NC(=O)[C@@H]1[C@@H]2[C@H](CN1C(=O)[C@@H](NC(=O)NC1([C@H](C)S(=O)(=O)N(C)C3CC3)CCCCC1)C(C)(C)C)C2(C)C)C(=O)C(=O)NC1CC1.C[C@@H](C1(NC(=O)N[C@H](C(=O)N2C[C@H]3[C@@H]([C@H]2C(=O)N[C@@H](CCC2CC2)C(=O)C(=O)NC2CC2)C3(C)C)C(C)(C)C)CCCCC1)S(=O)(=O)N(C)C1CC1 QKGDGJCYPXYIPS-HQWRLWQGSA-N 0.000 description 2
- GCPZONWFNIGYAX-RMMFNWKESA-N CCCNC(=O)C(=O)[C@H](CC1CC1)NC(=O)[C@@H]1[C@@H]2[C@H](CN1C(=O)[C@@H](NC(=O)NC1(CS(=O)(=O)N(C)OC)CCCCC1)C(C)(C)C)C2(C)C.CCC[C@H](NC(=O)[C@@H]1[C@@H]2[C@H](CN1C(=O)[C@@H](NC(=O)NC1(CS(=O)(=O)N(C)OC)CCCCC1)C(C)(C)C)C2(C)C)C(=O)C(=O)NC1CC1.CON(C)S(=O)(=O)CC1(NC(=O)N[C@H](C(=O)N2C[C@H]3[C@@H]([C@H]2C(=O)N[C@@H](CC2CC2)C(=O)C(=O)NC2CC2)C3(C)C)C(C)(C)C)CCCCC1 Chemical compound CCCNC(=O)C(=O)[C@H](CC1CC1)NC(=O)[C@@H]1[C@@H]2[C@H](CN1C(=O)[C@@H](NC(=O)NC1(CS(=O)(=O)N(C)OC)CCCCC1)C(C)(C)C)C2(C)C.CCC[C@H](NC(=O)[C@@H]1[C@@H]2[C@H](CN1C(=O)[C@@H](NC(=O)NC1(CS(=O)(=O)N(C)OC)CCCCC1)C(C)(C)C)C2(C)C)C(=O)C(=O)NC1CC1.CON(C)S(=O)(=O)CC1(NC(=O)N[C@H](C(=O)N2C[C@H]3[C@@H]([C@H]2C(=O)N[C@@H](CC2CC2)C(=O)C(=O)NC2CC2)C3(C)C)C(C)(C)C)CCCCC1 GCPZONWFNIGYAX-RMMFNWKESA-N 0.000 description 2
- ASTPBOCBYGHAKF-DLFCZICQSA-N CCC[C@H](NC(=O)[C@@H]1[C@@H]2[C@H](CN1C(=O)[C@@H](NC(=O)NC1(CS(=O)(=O)N(C)C(C)(C)C)CCCCC1)C1(C)CCCCC1)C2(C)C)C(=O)C(=O)NC1CC1.CCC[C@H](NC(=O)[C@@H]1[C@@H]2[C@H](CN1C(=O)[C@@H](NC(=O)NC1(CS(=O)(=O)N(C)CC3CC3)CCCCC1)C(C)(C)C)C2(C)C)C(=O)C(=O)NC1CC1.CN(C(C)(C)C)S(=O)(=O)CC1(NC(=O)N[C@H](C(=O)N2C[C@H]3[C@@H]([C@H]2C(=O)N[C@@H](CC2CC2)C(=O)C(=O)NC2CC2)C3(C)C)C2(C)CCCCC2)CCCCC1 Chemical compound CCC[C@H](NC(=O)[C@@H]1[C@@H]2[C@H](CN1C(=O)[C@@H](NC(=O)NC1(CS(=O)(=O)N(C)C(C)(C)C)CCCCC1)C1(C)CCCCC1)C2(C)C)C(=O)C(=O)NC1CC1.CCC[C@H](NC(=O)[C@@H]1[C@@H]2[C@H](CN1C(=O)[C@@H](NC(=O)NC1(CS(=O)(=O)N(C)CC3CC3)CCCCC1)C(C)(C)C)C2(C)C)C(=O)C(=O)NC1CC1.CN(C(C)(C)C)S(=O)(=O)CC1(NC(=O)N[C@H](C(=O)N2C[C@H]3[C@@H]([C@H]2C(=O)N[C@@H](CC2CC2)C(=O)C(=O)NC2CC2)C3(C)C)C2(C)CCCCC2)CCCCC1 ASTPBOCBYGHAKF-DLFCZICQSA-N 0.000 description 2
- FHGYMYUXEIFDEI-UFASBELDSA-N CCC[C@H](NC(=O)[C@@H]1[C@@H]2[C@H](CN1C(=O)[C@@H](NC(=O)NC1(CS(=O)(=O)N(C)C(C)(C)C3CC3)CCCCC1)C(C)(C)C)C2(C)C)C(=O)C(=O)NC1CC1.CN(C(C)(C)C1CC1)S(=O)(=O)CC1(NC(=O)N[C@H](C(=O)N2C[C@H]3[C@@H]([C@H]2C(=O)N[C@@H](CC2CC2)C(=O)C(=O)NC2CC2)C3(C)C)C(C)(C)C)CCCCC1.CN(C1CC1)S(=O)(=O)CC1(NC(=O)N[C@H](C(=O)N2C[C@H]3[C@@H]([C@H]2C(=O)N[C@@H](CC2CC2)C(=O)C(=O)NC2CC2)C3(C)C)C2(C)CCCCC2)CCCCC1 Chemical compound CCC[C@H](NC(=O)[C@@H]1[C@@H]2[C@H](CN1C(=O)[C@@H](NC(=O)NC1(CS(=O)(=O)N(C)C(C)(C)C3CC3)CCCCC1)C(C)(C)C)C2(C)C)C(=O)C(=O)NC1CC1.CN(C(C)(C)C1CC1)S(=O)(=O)CC1(NC(=O)N[C@H](C(=O)N2C[C@H]3[C@@H]([C@H]2C(=O)N[C@@H](CC2CC2)C(=O)C(=O)NC2CC2)C3(C)C)C(C)(C)C)CCCCC1.CN(C1CC1)S(=O)(=O)CC1(NC(=O)N[C@H](C(=O)N2C[C@H]3[C@@H]([C@H]2C(=O)N[C@@H](CC2CC2)C(=O)C(=O)NC2CC2)C3(C)C)C2(C)CCCCC2)CCCCC1 FHGYMYUXEIFDEI-UFASBELDSA-N 0.000 description 2
- JMYSRMXVNXABEE-XUIPSICTSA-N CCC[C@H](NC(=O)[C@@H]1[C@@H]2[C@H](CN1C(=O)[C@@H](NC(=O)NC1(CS(=O)(=O)N(C)C(C)(C)CF)CCCCC1)C(C)(C)C)C2(C)C)C(=O)C(=O)NC1CC1.CN(C(C)(C)C(F)(F)F)S(=O)(=O)CC1(NC(=O)N[C@H](C(=O)N2C[C@H]3[C@@H]([C@H]2C(=O)N[C@@H](CC2CC2)C(=O)C(=O)NC2CC2)C3(C)C)C2(C)CCCCC2)CCCCC1.CN(C(C)(C)CF)S(=O)(=O)CC1(NC(=O)N[C@H](C(=O)N2C[C@H]3[C@@H]([C@H]2C(=O)N[C@@H](CC2CC2)C(=O)C(=O)NC2CC2)C3(C)C)C(C)(C)C)CCCCC1 Chemical compound CCC[C@H](NC(=O)[C@@H]1[C@@H]2[C@H](CN1C(=O)[C@@H](NC(=O)NC1(CS(=O)(=O)N(C)C(C)(C)CF)CCCCC1)C(C)(C)C)C2(C)C)C(=O)C(=O)NC1CC1.CN(C(C)(C)C(F)(F)F)S(=O)(=O)CC1(NC(=O)N[C@H](C(=O)N2C[C@H]3[C@@H]([C@H]2C(=O)N[C@@H](CC2CC2)C(=O)C(=O)NC2CC2)C3(C)C)C2(C)CCCCC2)CCCCC1.CN(C(C)(C)CF)S(=O)(=O)CC1(NC(=O)N[C@H](C(=O)N2C[C@H]3[C@@H]([C@H]2C(=O)N[C@@H](CC2CC2)C(=O)C(=O)NC2CC2)C3(C)C)C(C)(C)C)CCCCC1 JMYSRMXVNXABEE-XUIPSICTSA-N 0.000 description 2
- UBXDPUFPIVIPBJ-MDLKPKIOSA-N CCC[C@H](NC(=O)[C@@H]1[C@@H]2[C@H](CN1C(=O)[C@@H](NC(=O)NC1(CS(=O)(=O)N(C)C)CCCCC1)C(C)(C)C)C2(C)C)C(=O)C(=O)NC1CC1 Chemical compound CCC[C@H](NC(=O)[C@@H]1[C@@H]2[C@H](CN1C(=O)[C@@H](NC(=O)NC1(CS(=O)(=O)N(C)C)CCCCC1)C(C)(C)C)C2(C)C)C(=O)C(=O)NC1CC1 UBXDPUFPIVIPBJ-MDLKPKIOSA-N 0.000 description 2
- QDPSOEIKINMOFY-LFGITCQGSA-N CCC[C@H](NC(=O)[C@@H]1[C@@H]2[C@H](CN1C(=O)[C@@H](NC(=O)NC1(CS(=O)(=O)N(C)C3CC3)CCCCC1)C(C)(C)C)C2(C)C)C(=O)C(=O)NC1CC1 Chemical compound CCC[C@H](NC(=O)[C@@H]1[C@@H]2[C@H](CN1C(=O)[C@@H](NC(=O)NC1(CS(=O)(=O)N(C)C3CC3)CCCCC1)C(C)(C)C)C2(C)C)C(=O)C(=O)NC1CC1 QDPSOEIKINMOFY-LFGITCQGSA-N 0.000 description 2
- VZSFODJMEVGZBA-SZHDZIPLSA-N CCC[C@H](NC(=O)[C@@H]1[C@@H]2[C@H](CN1C(=O)[C@@H](NC(=O)NC1(CS(=O)(=O)N(C)C3CC3)CCCCC1)C1(C)CCCCC1)C2(C)C)C(=O)C(=O)NC1CC1.CCC[C@H](NC(=O)[C@@H]1[C@@H]2[C@H](CN1C(=O)[C@@H](NC(=O)NC1(CS(=O)(=O)N(CC)C(C)C)CCCCC1)C1(C)CCCCC1)C2(C)C)C(=O)C(=O)NC1CC1.CCN(C(C)C)S(=O)(=O)CC1(NC(=O)N[C@H](C(=O)N2C[C@H]3[C@@H]([C@H]2C(=O)N[C@@H](CC2CC2)C(=O)C(=O)NC2CC2)C3(C)C)C2(C)CCCCC2)CCCCC1 Chemical compound CCC[C@H](NC(=O)[C@@H]1[C@@H]2[C@H](CN1C(=O)[C@@H](NC(=O)NC1(CS(=O)(=O)N(C)C3CC3)CCCCC1)C1(C)CCCCC1)C2(C)C)C(=O)C(=O)NC1CC1.CCC[C@H](NC(=O)[C@@H]1[C@@H]2[C@H](CN1C(=O)[C@@H](NC(=O)NC1(CS(=O)(=O)N(CC)C(C)C)CCCCC1)C1(C)CCCCC1)C2(C)C)C(=O)C(=O)NC1CC1.CCN(C(C)C)S(=O)(=O)CC1(NC(=O)N[C@H](C(=O)N2C[C@H]3[C@@H]([C@H]2C(=O)N[C@@H](CC2CC2)C(=O)C(=O)NC2CC2)C3(C)C)C2(C)CCCCC2)CCCCC1 VZSFODJMEVGZBA-SZHDZIPLSA-N 0.000 description 2
- VXCNHSMNUABYKX-YAHWSCSRSA-N CCC[C@H](NC(=O)[C@@H]1[C@@H]2[C@H](CN1C(=O)[C@@H](NC(=O)NC1(CS(=O)(=O)N(C)CC(F)(F)F)CCCCC1)C1(C)CCCCC1)C2(C)C)C(=O)C(=O)NC1CC1.CN(C1CC1)S(=O)(=O)CC1(NC(=O)N[C@H](C(=O)N2C[C@H]3[C@@H]([C@H]2C(=O)N[C@@H](CC2CC2)C(=O)C(=O)NC2CC2)C3(C)C)C(C)(C)C)CCCCC1.CN(CC(F)(F)F)S(=O)(=O)CC1(NC(=O)N[C@H](C(=O)N2C[C@H]3[C@@H]([C@H]2C(=O)N[C@@H](CCC2CC2)C(=O)C(=O)NC2CC2)C3(C)C)C2(C)CCCCC2)CCCCC1 Chemical compound CCC[C@H](NC(=O)[C@@H]1[C@@H]2[C@H](CN1C(=O)[C@@H](NC(=O)NC1(CS(=O)(=O)N(C)CC(F)(F)F)CCCCC1)C1(C)CCCCC1)C2(C)C)C(=O)C(=O)NC1CC1.CN(C1CC1)S(=O)(=O)CC1(NC(=O)N[C@H](C(=O)N2C[C@H]3[C@@H]([C@H]2C(=O)N[C@@H](CC2CC2)C(=O)C(=O)NC2CC2)C3(C)C)C(C)(C)C)CCCCC1.CN(CC(F)(F)F)S(=O)(=O)CC1(NC(=O)N[C@H](C(=O)N2C[C@H]3[C@@H]([C@H]2C(=O)N[C@@H](CCC2CC2)C(=O)C(=O)NC2CC2)C3(C)C)C2(C)CCCCC2)CCCCC1 VXCNHSMNUABYKX-YAHWSCSRSA-N 0.000 description 2
- WNISAAJBSWGCFU-FWJRHNONSA-N CCC[C@H](NC(=O)[C@@H]1[C@@H]2[C@H](CN1C(=O)[C@@H](NC(=O)NC1(CS(=O)(=O)N(C)[C@@H](C)C3CC3)CCCCC1)C(C)(C)C)C2(C)C)C(=O)C(=O)NC1CC1.C[C@@H](C1CC1)N(C)S(=O)(=O)CC1(NC(=O)N[C@H](C(=O)N2C[C@H]3[C@@H]([C@H]2C(=O)N[C@@H](CC2CC2)C(=O)C(=O)NC2CC2)C3(C)C)C(C)(C)C)CCCCC1.C[C@@H](C1CC1)N(C)S(=O)(=O)CC1(NC(=O)N[C@H](C(=O)N2C[C@H]3[C@@H]([C@H]2C(=O)N[C@@H](CCC2CC2)C(=O)C(=O)NC2CC2)C3(C)C)C(C)(C)C)CCCCC1 Chemical compound CCC[C@H](NC(=O)[C@@H]1[C@@H]2[C@H](CN1C(=O)[C@@H](NC(=O)NC1(CS(=O)(=O)N(C)[C@@H](C)C3CC3)CCCCC1)C(C)(C)C)C2(C)C)C(=O)C(=O)NC1CC1.C[C@@H](C1CC1)N(C)S(=O)(=O)CC1(NC(=O)N[C@H](C(=O)N2C[C@H]3[C@@H]([C@H]2C(=O)N[C@@H](CC2CC2)C(=O)C(=O)NC2CC2)C3(C)C)C(C)(C)C)CCCCC1.C[C@@H](C1CC1)N(C)S(=O)(=O)CC1(NC(=O)N[C@H](C(=O)N2C[C@H]3[C@@H]([C@H]2C(=O)N[C@@H](CCC2CC2)C(=O)C(=O)NC2CC2)C3(C)C)C(C)(C)C)CCCCC1 WNISAAJBSWGCFU-FWJRHNONSA-N 0.000 description 2
- LUNRCXBSGVFBII-VSKWDCRRSA-N CCC[C@H](NC(=O)[C@@H]1[C@@H]2[C@H](CN1C(=O)[C@@H](NC(=O)NC1(CS(=O)(=O)N(CC)C(C)(C)C)CCCCC1)C1(C)CCCCC1)C2(C)C)C(=O)C(=O)NC1CC1.CCN(C(C)(C)C)S(=O)(=O)CC1(NC(=O)N[C@H](C(=O)N2C[C@H]3[C@@H]([C@H]2C(=O)N[C@@H](CCC2CC2)C(=O)C(=O)NC2CC2)C3(C)C)C2(C)CCCCC2)CCCCC1.CN(CC(F)(F)F)S(=O)(=O)CC1(NC(=O)N[C@H](C(=O)N2C[C@H]3[C@@H]([C@H]2C(=O)N[C@@H](CC2CC2)C(=O)C(=O)NC2CC2)C3(C)C)C2(C)CCCCC2)CCCCC1 Chemical compound CCC[C@H](NC(=O)[C@@H]1[C@@H]2[C@H](CN1C(=O)[C@@H](NC(=O)NC1(CS(=O)(=O)N(CC)C(C)(C)C)CCCCC1)C1(C)CCCCC1)C2(C)C)C(=O)C(=O)NC1CC1.CCN(C(C)(C)C)S(=O)(=O)CC1(NC(=O)N[C@H](C(=O)N2C[C@H]3[C@@H]([C@H]2C(=O)N[C@@H](CCC2CC2)C(=O)C(=O)NC2CC2)C3(C)C)C2(C)CCCCC2)CCCCC1.CN(CC(F)(F)F)S(=O)(=O)CC1(NC(=O)N[C@H](C(=O)N2C[C@H]3[C@@H]([C@H]2C(=O)N[C@@H](CC2CC2)C(=O)C(=O)NC2CC2)C3(C)C)C2(C)CCCCC2)CCCCC1 LUNRCXBSGVFBII-VSKWDCRRSA-N 0.000 description 2
- IVVOUVOFJSHUOJ-LFGITCQGSA-N CCC[C@H](NC(=O)[C@@H]1[C@@H]2[C@H](CN1C(=O)[C@@H](NC(=O)NC1(CS(=O)(=O)N(CC)CC)CCCCC1)C(C)(C)C)C2(C)C)C(=O)C(=O)NC1CC1 Chemical compound CCC[C@H](NC(=O)[C@@H]1[C@@H]2[C@H](CN1C(=O)[C@@H](NC(=O)NC1(CS(=O)(=O)N(CC)CC)CCCCC1)C(C)(C)C)C2(C)C)C(=O)C(=O)NC1CC1 IVVOUVOFJSHUOJ-LFGITCQGSA-N 0.000 description 2
- LTYQUFLVFLXFNH-NHZITRETSA-N CCC[C@H](NC(=O)[C@@H]1[C@@H]2[C@H](CN1C(=O)[C@@H](NC(=O)NC1(CS(=O)(=O)N(CC)CC)CCCCC1)C(C)(C)C)C2(C)C)C(=O)C(=O)NC1CC1.CCN(CC)S(=O)(=O)CC1(NC(=O)N[C@H](C(=O)N2C[C@H]3[C@@H]([C@H]2C(=O)N[C@@H](CC2CC2)C(=O)C(=O)NC2CC2)C3(C)C)C(C)(C)C)CCCCC1.CCN(CC)S(=O)(=O)CC1(NC(=O)N[C@H](C(=O)N2C[C@H]3[C@@H]([C@H]2C(=O)N[C@@H](CCC2CC2)C(=O)C(=O)NC2CC2)C3(C)C)C(C)(C)C)CCCCC1 Chemical compound CCC[C@H](NC(=O)[C@@H]1[C@@H]2[C@H](CN1C(=O)[C@@H](NC(=O)NC1(CS(=O)(=O)N(CC)CC)CCCCC1)C(C)(C)C)C2(C)C)C(=O)C(=O)NC1CC1.CCN(CC)S(=O)(=O)CC1(NC(=O)N[C@H](C(=O)N2C[C@H]3[C@@H]([C@H]2C(=O)N[C@@H](CC2CC2)C(=O)C(=O)NC2CC2)C3(C)C)C(C)(C)C)CCCCC1.CCN(CC)S(=O)(=O)CC1(NC(=O)N[C@H](C(=O)N2C[C@H]3[C@@H]([C@H]2C(=O)N[C@@H](CCC2CC2)C(=O)C(=O)NC2CC2)C3(C)C)C(C)(C)C)CCCCC1 LTYQUFLVFLXFNH-NHZITRETSA-N 0.000 description 2
- ZYFFMUMGRZHCFJ-KRDKZTGNSA-N CCC[C@H](NC(=O)[C@@H]1[C@@H]2[C@H](CN1C(=O)[C@@H](NC(=O)NC1(CS(=O)(=O)N(CC)CC)CCCCC1)C1CCCCC1)C2(C)C)C(=O)C(=O)NC1CC1.CCN(C(C)(C)C)S(=O)(=O)CC1(NC(=O)N[C@H](C(=O)N2C[C@H]3[C@@H]([C@H]2C(=O)N[C@@H](CC2CC2)C(=O)C(=O)NC2CC2)C3(C)C)C2(C)CCCCC2)CCCCC1.CCN(CC)S(=O)(=O)CC1(NC(=O)N[C@H](C(=O)N2C[C@H]3[C@@H]([C@H]2C(=O)N[C@@H](CC2CC2)C(=O)C(=O)NC2CC2)C3(C)C)C2CCCCC2)CCCCC1 Chemical compound CCC[C@H](NC(=O)[C@@H]1[C@@H]2[C@H](CN1C(=O)[C@@H](NC(=O)NC1(CS(=O)(=O)N(CC)CC)CCCCC1)C1CCCCC1)C2(C)C)C(=O)C(=O)NC1CC1.CCN(C(C)(C)C)S(=O)(=O)CC1(NC(=O)N[C@H](C(=O)N2C[C@H]3[C@@H]([C@H]2C(=O)N[C@@H](CC2CC2)C(=O)C(=O)NC2CC2)C3(C)C)C2(C)CCCCC2)CCCCC1.CCN(CC)S(=O)(=O)CC1(NC(=O)N[C@H](C(=O)N2C[C@H]3[C@@H]([C@H]2C(=O)N[C@@H](CC2CC2)C(=O)C(=O)NC2CC2)C3(C)C)C2CCCCC2)CCCCC1 ZYFFMUMGRZHCFJ-KRDKZTGNSA-N 0.000 description 2
- APVLVTDDIVAJHE-ILOYJKSQSA-N CCC[C@H](NC(=O)[C@@H]1[C@@H]2[C@H](CN1C(=O)[C@@H](NC(=O)NC1(CS(=O)(=O)N3CCCC3)CCCCC1)C(C)(C)C)C2(C)C)C(=O)C(=O)NC1CC1.[H][C@@]1(C2(NC(=O)N[C@H](C(=O)N3C[C@H]4[C@@H]([C@H]3C(=O)N[C@@H](CCCC)C(=O)C(=O)NC3CC3)C4(C)C)C(C)(C)C)CCCCC2)CCN(C2CC2)S1(=O)=O.[H][C@]1(C2(NC(=O)N[C@H](C(=O)N3C[C@H]4[C@@H]([C@H]3C(=O)N[C@@H](CCCC)C(=O)C(=O)NC3CC3)C4(C)C)C(C)(C)C)CCCCC2)CCN(C2CC2)S1(=O)=O Chemical compound CCC[C@H](NC(=O)[C@@H]1[C@@H]2[C@H](CN1C(=O)[C@@H](NC(=O)NC1(CS(=O)(=O)N3CCCC3)CCCCC1)C(C)(C)C)C2(C)C)C(=O)C(=O)NC1CC1.[H][C@@]1(C2(NC(=O)N[C@H](C(=O)N3C[C@H]4[C@@H]([C@H]3C(=O)N[C@@H](CCCC)C(=O)C(=O)NC3CC3)C4(C)C)C(C)(C)C)CCCCC2)CCN(C2CC2)S1(=O)=O.[H][C@]1(C2(NC(=O)N[C@H](C(=O)N3C[C@H]4[C@@H]([C@H]3C(=O)N[C@@H](CCCC)C(=O)C(=O)NC3CC3)C4(C)C)C(C)(C)C)CCCCC2)CCN(C2CC2)S1(=O)=O APVLVTDDIVAJHE-ILOYJKSQSA-N 0.000 description 2
- OFQBJTFBCPSCMJ-PKOZSAOASA-N CCC[C@H](NC(=O)[C@@H]1[C@@H]2[C@H](CN1C(=O)[C@@H](NC(=O)NC1([C@@H](C)S(=O)(=O)N(C)C)CCCCC1)C(C)(C)C)C2(C)C)C(=O)C(=O)NC1CC1.C[C@H](C1(NC(=O)N[C@H](C(=O)N2C[C@H]3[C@@H]([C@H]2C(=O)N[C@@H](CC2CC2)C(=O)C(=O)NC2CC2)C3(C)C)C(C)(C)C)CCCCC1)S(=O)(=O)N(C)C.C[C@H](C1(NC(=O)N[C@H](C(=O)N2C[C@H]3[C@@H]([C@H]2C(=O)N[C@@H](CCC2CC2)C(=O)C(=O)NC2CC2)C3(C)C)C(C)(C)C)CCCCC1)S(=O)(=O)N(C)C Chemical compound CCC[C@H](NC(=O)[C@@H]1[C@@H]2[C@H](CN1C(=O)[C@@H](NC(=O)NC1([C@@H](C)S(=O)(=O)N(C)C)CCCCC1)C(C)(C)C)C2(C)C)C(=O)C(=O)NC1CC1.C[C@H](C1(NC(=O)N[C@H](C(=O)N2C[C@H]3[C@@H]([C@H]2C(=O)N[C@@H](CC2CC2)C(=O)C(=O)NC2CC2)C3(C)C)C(C)(C)C)CCCCC1)S(=O)(=O)N(C)C.C[C@H](C1(NC(=O)N[C@H](C(=O)N2C[C@H]3[C@@H]([C@H]2C(=O)N[C@@H](CCC2CC2)C(=O)C(=O)NC2CC2)C3(C)C)C(C)(C)C)CCCCC1)S(=O)(=O)N(C)C OFQBJTFBCPSCMJ-PKOZSAOASA-N 0.000 description 2
- HASYGABQLDVVFD-RUZODHORSA-N CCC[C@H](NC(=O)[C@@H]1[C@@H]2[C@H](CN1C(=O)[C@@H](NC(=O)NC1([C@@H](C)S(=O)(=O)N(C)C3CC3)CCCCC1)C(C)(C)C)C2(C)C)C(=O)C(=O)NC1CC1.C[C@H](C1(NC(=O)N[C@H](C(=O)N2C[C@H]3[C@@H]([C@H]2C(=O)N[C@@H](CC2CC2)C(=O)C(=O)NC2CC2)C3(C)C)C(C)(C)C)CCCCC1)S(=O)(=O)N(C)C1CC1.C[C@H](C1(NC(=O)N[C@H](C(=O)N2C[C@H]3[C@@H]([C@H]2C(=O)N[C@@H](CCC2CC2)C(=O)C(=O)NC2CC2)C3(C)C)C(C)(C)C)CCCCC1)S(=O)(=O)N(C)C1CC1 Chemical compound CCC[C@H](NC(=O)[C@@H]1[C@@H]2[C@H](CN1C(=O)[C@@H](NC(=O)NC1([C@@H](C)S(=O)(=O)N(C)C3CC3)CCCCC1)C(C)(C)C)C2(C)C)C(=O)C(=O)NC1CC1.C[C@H](C1(NC(=O)N[C@H](C(=O)N2C[C@H]3[C@@H]([C@H]2C(=O)N[C@@H](CC2CC2)C(=O)C(=O)NC2CC2)C3(C)C)C(C)(C)C)CCCCC1)S(=O)(=O)N(C)C1CC1.C[C@H](C1(NC(=O)N[C@H](C(=O)N2C[C@H]3[C@@H]([C@H]2C(=O)N[C@@H](CCC2CC2)C(=O)C(=O)NC2CC2)C3(C)C)C(C)(C)C)CCCCC1)S(=O)(=O)N(C)C1CC1 HASYGABQLDVVFD-RUZODHORSA-N 0.000 description 2
- ULVMTUNSGMJLBP-LOLMJFKOSA-N CCN(C(C)(C)C)S(=O)(=O)CC1(NC(=O)N[C@H](C(=O)N2C[C@H]3[C@@H]([C@H]2C(=O)N[C@@H](CC2CC2)C(=O)C(=O)NC2CC2)C3(C)C)C(C)(C)C)CCCCC1 Chemical compound CCN(C(C)(C)C)S(=O)(=O)CC1(NC(=O)N[C@H](C(=O)N2C[C@H]3[C@@H]([C@H]2C(=O)N[C@@H](CC2CC2)C(=O)C(=O)NC2CC2)C3(C)C)C(C)(C)C)CCCCC1 ULVMTUNSGMJLBP-LOLMJFKOSA-N 0.000 description 2
- WUBHGDGGCUSMPN-FETZBIHMSA-N CCN(C(C)(C)C)S(=O)(=O)CC1(NC(=O)N[C@H](C(=O)N2C[C@H]3[C@@H]([C@H]2C(=O)N[C@@H](CC2CC2)C(=O)C(=O)NC2CC2)C3(C)C)C(C)(C)C)CCCCC1.CCN(C(C)(C)C)S(=O)(=O)CC1(NC(=O)N[C@H](C(=O)N2C[C@H]3[C@@H]([C@H]2C(=O)N[C@@H](CCC2CC2)C(=O)C(=O)NC2CC2)C3(C)C)C(C)(C)C)CCCCC1.CCN(C(C)(C)C)S(=O)(=O)CC1(NC(=O)N[C@H](C(=O)N2C[C@H]3[C@@H]([C@H]2C(=O)N[C@@H](CCC2CC2)C(=O)C(=O)NC2CC2)C3(C)C)C(C)(C)C)CCCCC1 Chemical compound CCN(C(C)(C)C)S(=O)(=O)CC1(NC(=O)N[C@H](C(=O)N2C[C@H]3[C@@H]([C@H]2C(=O)N[C@@H](CC2CC2)C(=O)C(=O)NC2CC2)C3(C)C)C(C)(C)C)CCCCC1.CCN(C(C)(C)C)S(=O)(=O)CC1(NC(=O)N[C@H](C(=O)N2C[C@H]3[C@@H]([C@H]2C(=O)N[C@@H](CCC2CC2)C(=O)C(=O)NC2CC2)C3(C)C)C(C)(C)C)CCCCC1.CCN(C(C)(C)C)S(=O)(=O)CC1(NC(=O)N[C@H](C(=O)N2C[C@H]3[C@@H]([C@H]2C(=O)N[C@@H](CCC2CC2)C(=O)C(=O)NC2CC2)C3(C)C)C(C)(C)C)CCCCC1 WUBHGDGGCUSMPN-FETZBIHMSA-N 0.000 description 2
- WOCRLLREAKGZBH-NWBQTEKMSA-N CCN(C(C)(C)C)S(=O)(=O)CC1(NC(=O)N[C@H](C(=O)N2C[C@H]3[C@@H]([C@H]2C(=O)N[C@@H](CCC2CC2)C(=O)C(=O)NC2CC2)C3(C)C)C(C)(C)C)CCCCC1 Chemical compound CCN(C(C)(C)C)S(=O)(=O)CC1(NC(=O)N[C@H](C(=O)N2C[C@H]3[C@@H]([C@H]2C(=O)N[C@@H](CCC2CC2)C(=O)C(=O)NC2CC2)C3(C)C)C(C)(C)C)CCCCC1 WOCRLLREAKGZBH-NWBQTEKMSA-N 0.000 description 2
- KNUBMPGBZFKFKF-LOLMJFKOSA-N CN(C1CC1)S(=O)(=O)CC1(NC(=O)N[C@H](C(=O)N2C[C@H]3[C@@H]([C@H]2C(=O)N[C@@H](CCC2CC2)C(=O)C(=O)NC2CC2)C3(C)C)C(C)(C)C)CCCCC1 Chemical compound CN(C1CC1)S(=O)(=O)CC1(NC(=O)N[C@H](C(=O)N2C[C@H]3[C@@H]([C@H]2C(=O)N[C@@H](CCC2CC2)C(=O)C(=O)NC2CC2)C3(C)C)C(C)(C)C)CCCCC1 KNUBMPGBZFKFKF-LOLMJFKOSA-N 0.000 description 2
- GOJXGCXPVYWKFE-KJLQSWPESA-N C[C@H](C1(NC(=O)N[C@H](C(=O)N2C[C@H]3[C@@H]([C@H]2C(=O)N[C@@H](CC2CC2)C(=O)C(=O)NC2CC2)C3(C)C)C2(C)CCCCC2)CCCCC1)S(=O)(=O)N(C)C Chemical compound C[C@H](C1(NC(=O)N[C@H](C(=O)N2C[C@H]3[C@@H]([C@H]2C(=O)N[C@@H](CC2CC2)C(=O)C(=O)NC2CC2)C3(C)C)C2(C)CCCCC2)CCCCC1)S(=O)(=O)N(C)C GOJXGCXPVYWKFE-KJLQSWPESA-N 0.000 description 2
- PDRPBNDRQJPPLZ-VQVAZSGKSA-N [H][C@@]1(C2(NC(=O)N[C@H](C(=O)N3C[C@H]4[C@@H]([C@H]3C(=O)N[C@@H](CCC)C(=O)C(=O)NC3CC3)C4(C)C)C(C)(C)C)CCCCC2)CCN(C2CC2)S1(=O)=O.[H][C@@]1(C2(NC(=O)N[C@H](C(=O)N3C[C@H]4[C@@H]([C@H]3C(=O)N[C@@H](CCC3CC3)C(=O)C(=O)NC3CC3)C4(C)C)C(C)(C)C)CCCCC2)CCN(C2CC2)S1(=O)=O.[H][C@]1(C2(NC(=O)N[C@H](C(=O)N3C[C@H]4[C@@H]([C@H]3C(=O)N[C@@H](CCC3CC3)C(=O)C(=O)NC3CC3)C4(C)C)C(C)(C)C)CCCCC2)CCN(C2CC2)S1(=O)=O Chemical compound [H][C@@]1(C2(NC(=O)N[C@H](C(=O)N3C[C@H]4[C@@H]([C@H]3C(=O)N[C@@H](CCC)C(=O)C(=O)NC3CC3)C4(C)C)C(C)(C)C)CCCCC2)CCN(C2CC2)S1(=O)=O.[H][C@@]1(C2(NC(=O)N[C@H](C(=O)N3C[C@H]4[C@@H]([C@H]3C(=O)N[C@@H](CCC3CC3)C(=O)C(=O)NC3CC3)C4(C)C)C(C)(C)C)CCCCC2)CCN(C2CC2)S1(=O)=O.[H][C@]1(C2(NC(=O)N[C@H](C(=O)N3C[C@H]4[C@@H]([C@H]3C(=O)N[C@@H](CCC3CC3)C(=O)C(=O)NC3CC3)C4(C)C)C(C)(C)C)CCCCC2)CCN(C2CC2)S1(=O)=O PDRPBNDRQJPPLZ-VQVAZSGKSA-N 0.000 description 2
- BVXZDTOCBXMYIT-WUYLZYACSA-N [H][C@@]1(C2(NC(=O)N[C@H](C(=O)N3C[C@H]4[C@@H]([C@H]3C(=O)N[C@@H](CCCC)C(=O)C(=O)NC3CC3)C4(C)C)C(C)(C)C)CCCCC2)CCN(C)S1(=O)=O.[H][C@]1(C2(NC(=O)N[C@H](C(=O)N3C[C@H]4[C@@H]([C@H]3C(=O)N[C@@H](CCC3CC3)C(=O)C(=O)NC3CC3)C4(C)C)C(C)(C)C)CCCCC2)CCN(C)S1(=O)=O.[H][C@]1(C2(NC(=O)N[C@H](C(=O)N3C[C@H]4[C@@H]([C@H]3C(=O)N[C@@H](CCCC)C(=O)C(=O)NC3CC3)C4(C)C)C(C)(C)C)CCCCC2)CCN(C)S1(=O)=O Chemical compound [H][C@@]1(C2(NC(=O)N[C@H](C(=O)N3C[C@H]4[C@@H]([C@H]3C(=O)N[C@@H](CCCC)C(=O)C(=O)NC3CC3)C4(C)C)C(C)(C)C)CCCCC2)CCN(C)S1(=O)=O.[H][C@]1(C2(NC(=O)N[C@H](C(=O)N3C[C@H]4[C@@H]([C@H]3C(=O)N[C@@H](CCC3CC3)C(=O)C(=O)NC3CC3)C4(C)C)C(C)(C)C)CCCCC2)CCN(C)S1(=O)=O.[H][C@]1(C2(NC(=O)N[C@H](C(=O)N3C[C@H]4[C@@H]([C@H]3C(=O)N[C@@H](CCCC)C(=O)C(=O)NC3CC3)C4(C)C)C(C)(C)C)CCCCC2)CCN(C)S1(=O)=O BVXZDTOCBXMYIT-WUYLZYACSA-N 0.000 description 2
- CXRQKJJIJJSAHU-HOMAGXEVSA-N C#CCC[C@H](NC(=O)[C@@H]1[C@@H]2[C@H](CN1C(=O)[C@@H](NC(=O)NC1(CS(=O)(=O)N(C)C)CCCCC1)C(C)(C)C)C2(C)C)C(=O)C(=O)NC1CC1 Chemical compound C#CCC[C@H](NC(=O)[C@@H]1[C@@H]2[C@H](CN1C(=O)[C@@H](NC(=O)NC1(CS(=O)(=O)N(C)C)CCCCC1)C(C)(C)C)C2(C)C)C(=O)C(=O)NC1CC1 CXRQKJJIJJSAHU-HOMAGXEVSA-N 0.000 description 1
- DQUKADMKPCNHIK-LOLMJFKOSA-N C#CCC[C@H](NC(=O)[C@@H]1[C@@H]2[C@H](CN1C(=O)[C@@H](NC(=O)NC1(CS(=O)(=O)N(C)C)CCCCC1)C1(C)CCCCC1)C2(C)C)C(=O)C(=O)NC1CC1 Chemical compound C#CCC[C@H](NC(=O)[C@@H]1[C@@H]2[C@H](CN1C(=O)[C@@H](NC(=O)NC1(CS(=O)(=O)N(C)C)CCCCC1)C1(C)CCCCC1)C2(C)C)C(=O)C(=O)NC1CC1 DQUKADMKPCNHIK-LOLMJFKOSA-N 0.000 description 1
- SOIIFYDVFBQFJH-ZIUUJSQJSA-N C#CCC[C@H](NC(=O)[C@@H]1[C@@H]2[C@H](CN1C(=O)[C@@H](NC(=O)NC1(CS(=O)(=O)N(C)C)CCCCC1)C1CCCCC1)C2(C)C)C(=O)C(=O)NC1CC1 Chemical compound C#CCC[C@H](NC(=O)[C@@H]1[C@@H]2[C@H](CN1C(=O)[C@@H](NC(=O)NC1(CS(=O)(=O)N(C)C)CCCCC1)C1CCCCC1)C2(C)C)C(=O)C(=O)NC1CC1 SOIIFYDVFBQFJH-ZIUUJSQJSA-N 0.000 description 1
- NNQFYHVVSPOFMB-HSGWZQNQSA-N C#CCC[C@H](NC(=O)[C@@H]1[C@@H]2[C@H](CN1C(=O)[C@@H](NC(=O)NC1(CS(=O)(=O)N(C)C3CC3)CCCCC1)C(C)(C)C)C2(C)C)C(=O)C(=O)NC1CC1 Chemical compound C#CCC[C@H](NC(=O)[C@@H]1[C@@H]2[C@H](CN1C(=O)[C@@H](NC(=O)NC1(CS(=O)(=O)N(C)C3CC3)CCCCC1)C(C)(C)C)C2(C)C)C(=O)C(=O)NC1CC1 NNQFYHVVSPOFMB-HSGWZQNQSA-N 0.000 description 1
- GGPCRBONVVPKPB-SIEOEZKSSA-N C=CCNC(=O)C(=O)C(CC1CC1)NC(=O)[C@@H]1[C@@H]2[C@H](CN1C(=O)[C@@H](NC(=O)N[C@H]([C@H]1CCN(C)S1(=O)=O)C(C)(C)C)C1(C)CCCCC1)C2(C)C Chemical compound C=CCNC(=O)C(=O)C(CC1CC1)NC(=O)[C@@H]1[C@@H]2[C@H](CN1C(=O)[C@@H](NC(=O)N[C@H]([C@H]1CCN(C)S1(=O)=O)C(C)(C)C)C1(C)CCCCC1)C2(C)C GGPCRBONVVPKPB-SIEOEZKSSA-N 0.000 description 1
- VGJSBZXAOMSOMD-IGHZZYNGSA-N C=CCNC(=O)C(=O)C(CCC)NC(=O)[C@@H]1[C@@H]2[C@H](CN1C(=O)[C@@H](NC(=O)N[C@H]([C@H]1CCN(C)S1(=O)=O)C(C)(C)C)C1(C)CCCCC1)C2(C)C Chemical compound C=CCNC(=O)C(=O)C(CCC)NC(=O)[C@@H]1[C@@H]2[C@H](CN1C(=O)[C@@H](NC(=O)N[C@H]([C@H]1CCN(C)S1(=O)=O)C(C)(C)C)C1(C)CCCCC1)C2(C)C VGJSBZXAOMSOMD-IGHZZYNGSA-N 0.000 description 1
- UWBLHYQCDOKIDS-SIEOEZKSSA-N C=CCNC(=O)C(=O)C(CCCC)NC(=O)[C@@H]1[C@@H]2[C@H](CN1C(=O)[C@@H](NC(=O)N[C@H]([C@H]1CCN(C)S1(=O)=O)C(C)(C)C)C1(C)CCCCC1)C2(C)C Chemical compound C=CCNC(=O)C(=O)C(CCCC)NC(=O)[C@@H]1[C@@H]2[C@H](CN1C(=O)[C@@H](NC(=O)N[C@H]([C@H]1CCN(C)S1(=O)=O)C(C)(C)C)C1(C)CCCCC1)C2(C)C UWBLHYQCDOKIDS-SIEOEZKSSA-N 0.000 description 1
- XBNVEYNBFBGWSO-LFGITCQGSA-N CC(C)(C)[C@H](NC(=O)NC1(CS(=O)(=O)N2CCC2)CCCCC1)C(=O)N1C[C@H]2[C@@H]([C@H]1C(=O)N[C@@H](CC1CC1)C(=O)C(=O)NC1CC1)C2(C)C Chemical compound CC(C)(C)[C@H](NC(=O)NC1(CS(=O)(=O)N2CCC2)CCCCC1)C(=O)N1C[C@H]2[C@@H]([C@H]1C(=O)N[C@@H](CC1CC1)C(=O)C(=O)NC1CC1)C2(C)C XBNVEYNBFBGWSO-LFGITCQGSA-N 0.000 description 1
- WLIOJUAHDGPBQR-HSGWZQNQSA-N CC(C)(C)[C@H](NC(=O)NC1(CS(=O)(=O)N2CCC2)CCCCC1)C(=O)N1C[C@H]2[C@@H]([C@H]1C(=O)N[C@@H](CCC1CC1)C(=O)C(=O)NC1CC1)C2(C)C Chemical compound CC(C)(C)[C@H](NC(=O)NC1(CS(=O)(=O)N2CCC2)CCCCC1)C(=O)N1C[C@H]2[C@@H]([C@H]1C(=O)N[C@@H](CCC1CC1)C(=O)C(=O)NC1CC1)C2(C)C WLIOJUAHDGPBQR-HSGWZQNQSA-N 0.000 description 1
- AYEDPBMQZPKBJK-LOLMJFKOSA-N CC(C)(C)[C@H](NC(=O)NC1(CS(=O)(=O)N2CCCC2)CCCCC1)C(=O)N1C[C@H]2[C@@H]([C@H]1C(=O)N[C@@H](CCC1CC1)C(=O)C(=O)NC1CC1)C2(C)C Chemical compound CC(C)(C)[C@H](NC(=O)NC1(CS(=O)(=O)N2CCCC2)CCCCC1)C(=O)N1C[C@H]2[C@@H]([C@H]1C(=O)N[C@@H](CCC1CC1)C(=O)C(=O)NC1CC1)C2(C)C AYEDPBMQZPKBJK-LOLMJFKOSA-N 0.000 description 1
- VKEWKIIABRNPBG-NWBQTEKMSA-N CC(C)(C)[C@H](NC(=O)NC1(CS(=O)(=O)N2CCCCC2)CCCCC1)C(=O)N1C[C@H]2[C@@H]([C@H]1C(=O)N[C@@H](CCC1CC1)C(=O)C(=O)NC1CC1)C2(C)C Chemical compound CC(C)(C)[C@H](NC(=O)NC1(CS(=O)(=O)N2CCCCC2)CCCCC1)C(=O)N1C[C@H]2[C@@H]([C@H]1C(=O)N[C@@H](CCC1CC1)C(=O)C(=O)NC1CC1)C2(C)C VKEWKIIABRNPBG-NWBQTEKMSA-N 0.000 description 1
- OHMOPGGLYYYAMM-HSGWZQNQSA-N CC(C)(C)[C@H](NC(=O)NC1(CS(=O)(=O)N2CCOCC2)CCCCC1)C(=O)N1C[C@H]2[C@@H]([C@H]1C(=O)N[C@@H](CC1CC1)C(=O)C(=O)NC1CC1)C2(C)C Chemical compound CC(C)(C)[C@H](NC(=O)NC1(CS(=O)(=O)N2CCOCC2)CCCCC1)C(=O)N1C[C@H]2[C@@H]([C@H]1C(=O)N[C@@H](CC1CC1)C(=O)C(=O)NC1CC1)C2(C)C OHMOPGGLYYYAMM-HSGWZQNQSA-N 0.000 description 1
- SCPBTMUXWPPEEG-LOLMJFKOSA-N CC(C)(C)[C@H](NC(=O)NC1(CS(=O)(=O)N2CCOCC2)CCCCC1)C(=O)N1C[C@H]2[C@@H]([C@H]1C(=O)N[C@@H](CCC1CC1)C(=O)C(=O)NC1CC1)C2(C)C Chemical compound CC(C)(C)[C@H](NC(=O)NC1(CS(=O)(=O)N2CCOCC2)CCCCC1)C(=O)N1C[C@H]2[C@@H]([C@H]1C(=O)N[C@@H](CCC1CC1)C(=O)C(=O)NC1CC1)C2(C)C SCPBTMUXWPPEEG-LOLMJFKOSA-N 0.000 description 1
- ATVRNMNRDNJZNF-UFMULPCNSA-N CC(C)(C)[S@@](N)=O.CC(C)(C)[S@](=O)N=C1CCCCC1 Chemical compound CC(C)(C)[S@@](N)=O.CC(C)(C)[S@](=O)N=C1CCCCC1 ATVRNMNRDNJZNF-UFMULPCNSA-N 0.000 description 1
- GQFJAHNYFYVFFV-JPDOWVDRSA-N CC(C)(C)[S@](=O)N=C1CCCCC1.CN(C)S(=O)(=O)CC1(N[S@@](=O)C(C)(C)C)CCCCC1 Chemical compound CC(C)(C)[S@](=O)N=C1CCCCC1.CN(C)S(=O)(=O)CC1(N[S@@](=O)C(C)(C)C)CCCCC1 GQFJAHNYFYVFFV-JPDOWVDRSA-N 0.000 description 1
- DELUBRHLPUTXTN-CYBMUJFWSA-N CC(C)(C)[S@](N=C1CCCCC1)=O Chemical compound CC(C)(C)[S@](N=C1CCCCC1)=O DELUBRHLPUTXTN-CYBMUJFWSA-N 0.000 description 1
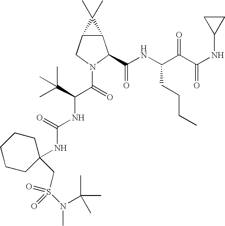
- RGUWWQCLTIJAIW-LJQANCHMSA-N CC(C)(C)[S@](NC1(CS(N(C)C)(=O)=O)CCCCC1)=O Chemical compound CC(C)(C)[S@](NC1(CS(N(C)C)(=O)=O)CCCCC1)=O RGUWWQCLTIJAIW-LJQANCHMSA-N 0.000 description 1
- BHLGAPHYUMXGAX-IVVPZZPJSA-N CC(C)C[C@@H](CC1)[C@@H](C(NC(CC2CC2)C(C(NCC=C)=O)=O)=O)N1C([C@H](C1(C)CCCCC1)NC(N[C@H]([C@@H](CCN1C)S1(=O)=O)C(C)(C)C)=O)=O Chemical compound CC(C)C[C@@H](CC1)[C@@H](C(NC(CC2CC2)C(C(NCC=C)=O)=O)=O)N1C([C@H](C1(C)CCCCC1)NC(N[C@H]([C@@H](CCN1C)S1(=O)=O)C(C)(C)C)=O)=O BHLGAPHYUMXGAX-IVVPZZPJSA-N 0.000 description 1
- YCEDEPDQXDGWLY-NWBQTEKMSA-N CC(C)N(C(C)C)S(=O)(=O)CC1(NC(=O)N[C@H](C(=O)N2C[C@H]3[C@@H]([C@H]2C(=O)N[C@@H](CC2CC2)C(=O)C(=O)NC2CC2)C3(C)C)C(C)(C)C)CCCCC1 Chemical compound CC(C)N(C(C)C)S(=O)(=O)CC1(NC(=O)N[C@H](C(=O)N2C[C@H]3[C@@H]([C@H]2C(=O)N[C@@H](CC2CC2)C(=O)C(=O)NC2CC2)C3(C)C)C(C)(C)C)CCCCC1 YCEDEPDQXDGWLY-NWBQTEKMSA-N 0.000 description 1
- QLISSTPHEFLUCM-DLRNAMLRSA-N CC(C)N(C(C)C)S(=O)(=O)CC1(NC(=O)N[C@H](C(=O)N2C[C@H]3[C@@H]([C@H]2C(=O)N[C@@H](CC2CC2)C(=O)C(=O)NC2CC2)C3(C)C)C2(C)CCCCC2)CCCCC1 Chemical compound CC(C)N(C(C)C)S(=O)(=O)CC1(NC(=O)N[C@H](C(=O)N2C[C@H]3[C@@H]([C@H]2C(=O)N[C@@H](CC2CC2)C(=O)C(=O)NC2CC2)C3(C)C)C2(C)CCCCC2)CCCCC1 QLISSTPHEFLUCM-DLRNAMLRSA-N 0.000 description 1
- YXUDFPQEWSCMGS-WRPDIKACSA-N CC(C)N(C(C)C)S(=O)(=O)CC1(NC(=O)N[C@H](C(=O)N2C[C@H]3[C@@H]([C@H]2C(=O)N[C@@H](CCC2CC2)C(=O)C(=O)NC2CC2)C3(C)C)C(C)(C)C)CCCCC1 Chemical compound CC(C)N(C(C)C)S(=O)(=O)CC1(NC(=O)N[C@H](C(=O)N2C[C@H]3[C@@H]([C@H]2C(=O)N[C@@H](CCC2CC2)C(=O)C(=O)NC2CC2)C3(C)C)C(C)(C)C)CCCCC1 YXUDFPQEWSCMGS-WRPDIKACSA-N 0.000 description 1
- RNPNNYGMTSAEJO-XVUJOJRVSA-N CC(C)N(C(C)C)S(=O)(=O)CC1(NC(=O)N[C@H](C(=O)N2C[C@H]3[C@@H]([C@H]2C(=O)N[C@@H](CCC2CC2)C(=O)C(=O)NC2CC2)C3(C)C)C2(C)CCCCC2)CCCCC1 Chemical compound CC(C)N(C(C)C)S(=O)(=O)CC1(NC(=O)N[C@H](C(=O)N2C[C@H]3[C@@H]([C@H]2C(=O)N[C@@H](CCC2CC2)C(=O)C(=O)NC2CC2)C3(C)C)C2(C)CCCCC2)CCCCC1 RNPNNYGMTSAEJO-XVUJOJRVSA-N 0.000 description 1
- HBBSGOVMKGBCQP-HSGWZQNQSA-N CC(C)N(C)S(=O)(=O)CC1(NC(=O)N[C@H](C(=O)N2C[C@H]3[C@@H]([C@H]2C(=O)N[C@@H](CC2CC2)C(=O)C(=O)NC2CC2)C3(C)C)C(C)(C)C)CCCCC1 Chemical compound CC(C)N(C)S(=O)(=O)CC1(NC(=O)N[C@H](C(=O)N2C[C@H]3[C@@H]([C@H]2C(=O)N[C@@H](CC2CC2)C(=O)C(=O)NC2CC2)C3(C)C)C(C)(C)C)CCCCC1 HBBSGOVMKGBCQP-HSGWZQNQSA-N 0.000 description 1
- BRRMHQUVTABKQS-WRPDIKACSA-N CC(C)N(C)S(=O)(=O)CC1(NC(=O)N[C@H](C(=O)N2C[C@H]3[C@@H]([C@H]2C(=O)N[C@@H](CC2CC2)C(=O)C(=O)NC2CC2)C3(C)C)C2(C)CCCCC2)CCCCC1 Chemical compound CC(C)N(C)S(=O)(=O)CC1(NC(=O)N[C@H](C(=O)N2C[C@H]3[C@@H]([C@H]2C(=O)N[C@@H](CC2CC2)C(=O)C(=O)NC2CC2)C3(C)C)C2(C)CCCCC2)CCCCC1 BRRMHQUVTABKQS-WRPDIKACSA-N 0.000 description 1
- BUQOYNLGZZYSLV-LOLMJFKOSA-N CC(C)N(C)S(=O)(=O)CC1(NC(=O)N[C@H](C(=O)N2C[C@H]3[C@@H]([C@H]2C(=O)N[C@@H](CCC2CC2)C(=O)C(=O)NC2CC2)C3(C)C)C(C)(C)C)CCCCC1 Chemical compound CC(C)N(C)S(=O)(=O)CC1(NC(=O)N[C@H](C(=O)N2C[C@H]3[C@@H]([C@H]2C(=O)N[C@@H](CCC2CC2)C(=O)C(=O)NC2CC2)C3(C)C)C(C)(C)C)CCCCC1 BUQOYNLGZZYSLV-LOLMJFKOSA-N 0.000 description 1
- PCQPBIHBOAFDSM-VDYFTJCESA-N CC(C)N(C)S(=O)(=O)CC1(NC(=O)N[C@H](C(=O)N2C[C@H]3[C@@H]([C@H]2C(=O)N[C@@H](CCC2CC2)C(=O)C(=O)NC2CC2)C3(C)C)C2(C)CCCCC2)CCCCC1 Chemical compound CC(C)N(C)S(=O)(=O)CC1(NC(=O)N[C@H](C(=O)N2C[C@H]3[C@@H]([C@H]2C(=O)N[C@@H](CCC2CC2)C(=O)C(=O)NC2CC2)C3(C)C)C2(C)CCCCC2)CCCCC1 PCQPBIHBOAFDSM-VDYFTJCESA-N 0.000 description 1
- PQGPMKBPKNIXBJ-NWBQTEKMSA-N CC(C)N(C1CC1)S(=O)(=O)CC1(NC(=O)N[C@H](C(=O)N2C[C@H]3[C@@H]([C@H]2C(=O)N[C@@H](CC2CC2)C(=O)C(=O)NC2CC2)C3(C)C)C(C)(C)C)CCCCC1 Chemical compound CC(C)N(C1CC1)S(=O)(=O)CC1(NC(=O)N[C@H](C(=O)N2C[C@H]3[C@@H]([C@H]2C(=O)N[C@@H](CC2CC2)C(=O)C(=O)NC2CC2)C3(C)C)C(C)(C)C)CCCCC1 PQGPMKBPKNIXBJ-NWBQTEKMSA-N 0.000 description 1
- VXNCPHFYKPUMJW-DLRNAMLRSA-N CC(C)N(C1CC1)S(=O)(=O)CC1(NC(=O)N[C@H](C(=O)N2C[C@H]3[C@@H]([C@H]2C(=O)N[C@@H](CC2CC2)C(=O)C(=O)NC2CC2)C3(C)C)C2(C)CCCCC2)CCCCC1 Chemical compound CC(C)N(C1CC1)S(=O)(=O)CC1(NC(=O)N[C@H](C(=O)N2C[C@H]3[C@@H]([C@H]2C(=O)N[C@@H](CC2CC2)C(=O)C(=O)NC2CC2)C3(C)C)C2(C)CCCCC2)CCCCC1 VXNCPHFYKPUMJW-DLRNAMLRSA-N 0.000 description 1
- BIKVENPTWBRWPG-WRPDIKACSA-N CC(C)N(C1CC1)S(=O)(=O)CC1(NC(=O)N[C@H](C(=O)N2C[C@H]3[C@@H]([C@H]2C(=O)N[C@@H](CCC2CC2)C(=O)C(=O)NC2CC2)C3(C)C)C(C)(C)C)CCCCC1 Chemical compound CC(C)N(C1CC1)S(=O)(=O)CC1(NC(=O)N[C@H](C(=O)N2C[C@H]3[C@@H]([C@H]2C(=O)N[C@@H](CCC2CC2)C(=O)C(=O)NC2CC2)C3(C)C)C(C)(C)C)CCCCC1 BIKVENPTWBRWPG-WRPDIKACSA-N 0.000 description 1
- AJXBAQIKAYMYMV-XVUJOJRVSA-N CC(C)N(C1CC1)S(=O)(=O)CC1(NC(=O)N[C@H](C(=O)N2C[C@H]3[C@@H]([C@H]2C(=O)N[C@@H](CCC2CC2)C(=O)C(=O)NC2CC2)C3(C)C)C2(C)CCCCC2)CCCCC1 Chemical compound CC(C)N(C1CC1)S(=O)(=O)CC1(NC(=O)N[C@H](C(=O)N2C[C@H]3[C@@H]([C@H]2C(=O)N[C@@H](CCC2CC2)C(=O)C(=O)NC2CC2)C3(C)C)C2(C)CCCCC2)CCCCC1 AJXBAQIKAYMYMV-XVUJOJRVSA-N 0.000 description 1
- OUBADKBGEKZQNA-JZKWCRAKSA-N CC(C)[C@@H](CC1)[C@@H](C(N[C@@H](CC2CC2)C(C(NC2CC2)=O)=O)=O)N1C([C@H](C1(C)CCCCC1)NC(NC1(CCCCC1)[C@H](C)S(N(C)C)(=O)=O)=O)=O Chemical compound CC(C)[C@@H](CC1)[C@@H](C(N[C@@H](CC2CC2)C(C(NC2CC2)=O)=O)=O)N1C([C@H](C1(C)CCCCC1)NC(NC1(CCCCC1)[C@H](C)S(N(C)C)(=O)=O)=O)=O OUBADKBGEKZQNA-JZKWCRAKSA-N 0.000 description 1
- ZGRDHJOLEHBSRY-RRSJULPQSA-N CC(C)[C@@H](CC1)[C@@H](C(N[C@@H](CCC2CC2)C(C(NC2CC2)=O)=O)=O)N1C([C@H](C(C)(C)C)NC(NC1(CCCCC1)[C@H](C)S(N(C)C1CC1)(=O)=O)=O)=O Chemical compound CC(C)[C@@H](CC1)[C@@H](C(N[C@@H](CCC2CC2)C(C(NC2CC2)=O)=O)=O)N1C([C@H](C(C)(C)C)NC(NC1(CCCCC1)[C@H](C)S(N(C)C1CC1)(=O)=O)=O)=O ZGRDHJOLEHBSRY-RRSJULPQSA-N 0.000 description 1
- FMMGCCDQYRTZRJ-HCEBPPTQSA-N CC(C)[C@@H](CC1)[C@@H](C(N[C@@H](CCC2CC2)C(C(NC2CC2)=O)=O)=O)N1C([C@H](C(C)(C)C)NC(NC1(CS(N(C)C2CC2)(=O)=O)CCCCC1)=O)=O Chemical compound CC(C)[C@@H](CC1)[C@@H](C(N[C@@H](CCC2CC2)C(C(NC2CC2)=O)=O)=O)N1C([C@H](C(C)(C)C)NC(NC1(CS(N(C)C2CC2)(=O)=O)CCCCC1)=O)=O FMMGCCDQYRTZRJ-HCEBPPTQSA-N 0.000 description 1
- IWXBXCAUGWIKCW-SLWOLIQUSA-N CC(C)[C@@H](CC1)[C@@H](C(N[C@@H](CCC2CC2)C(C(NC2CC2)=O)=O)=O)N1C([C@H](C(C)(C)C)NC(NC1(CS(N(C)CC2CC2)(=O)=O)CCCCC1)=O)=O Chemical compound CC(C)[C@@H](CC1)[C@@H](C(N[C@@H](CCC2CC2)C(C(NC2CC2)=O)=O)=O)N1C([C@H](C(C)(C)C)NC(NC1(CS(N(C)CC2CC2)(=O)=O)CCCCC1)=O)=O IWXBXCAUGWIKCW-SLWOLIQUSA-N 0.000 description 1
- ZTHGKGFQRQRMCO-SLWOLIQUSA-N CC(C)[C@@H](CC1)[C@@H](C(N[C@@H](CCC2CC2)C(C(NC2CC2)=O)=O)=O)N1C([C@H](C(C)(C)C)NC(NC1(CS(N2CCCCC2)(=O)=O)CCCCC1)=O)=O Chemical compound CC(C)[C@@H](CC1)[C@@H](C(N[C@@H](CCC2CC2)C(C(NC2CC2)=O)=O)=O)N1C([C@H](C(C)(C)C)NC(NC1(CS(N2CCCCC2)(=O)=O)CCCCC1)=O)=O ZTHGKGFQRQRMCO-SLWOLIQUSA-N 0.000 description 1
- QCVLFUNSAUAVEC-GVEQOBJLSA-N CC(C)[C@@H](CC1)[C@@H](C(N[C@@H](CCC2CC2)C(C(NC2CC2)=O)=O)=O)N1C([C@H](C1(C)CCCCC1)NC(NC1(CS(N(C(C)C)C2CC2)(=O)=O)CCCCC1)=O)=O Chemical compound CC(C)[C@@H](CC1)[C@@H](C(N[C@@H](CCC2CC2)C(C(NC2CC2)=O)=O)=O)N1C([C@H](C1(C)CCCCC1)NC(NC1(CS(N(C(C)C)C2CC2)(=O)=O)CCCCC1)=O)=O QCVLFUNSAUAVEC-GVEQOBJLSA-N 0.000 description 1
- PPPTURPZXPGVMS-VXCQRBPESA-N CC(C)[C@@H](CC1)[C@@H](C(N[C@@H](CCC2CC2)C(C(NC2CC2)=O)=O)=O)N1C([C@H](C1(C)CCCCC1)NC(NC1(CS(N(C)C(C)C)(=O)=O)CCCCC1)=O)=O Chemical compound CC(C)[C@@H](CC1)[C@@H](C(N[C@@H](CCC2CC2)C(C(NC2CC2)=O)=O)=O)N1C([C@H](C1(C)CCCCC1)NC(NC1(CS(N(C)C(C)C)(=O)=O)CCCCC1)=O)=O PPPTURPZXPGVMS-VXCQRBPESA-N 0.000 description 1
- GRXKIGLSUONSAS-XVUJOJRVSA-N CC1([C@H](NC(=O)NC2(CS(=O)(=O)N(CC3CC3)C3CC3)CCCCC2)C(=O)N2C[C@H]3[C@@H]([C@H]2C(=O)N[C@@H](CC2CC2)C(=O)C(=O)NC2CC2)C3(C)C)CCCCC1 Chemical compound CC1([C@H](NC(=O)NC2(CS(=O)(=O)N(CC3CC3)C3CC3)CCCCC2)C(=O)N2C[C@H]3[C@@H]([C@H]2C(=O)N[C@@H](CC2CC2)C(=O)C(=O)NC2CC2)C3(C)C)CCCCC1 GRXKIGLSUONSAS-XVUJOJRVSA-N 0.000 description 1
- DZMUEOORJDXBET-NWBQTEKMSA-N CC1([C@H](NC(=O)NC2(CS(=O)(=O)N3CCC3)CCCCC2)C(=O)N2C[C@H]3[C@@H]([C@H]2C(=O)N[C@@H](CC2CC2)C(=O)C(=O)NC2CC2)C3(C)C)CCCCC1 Chemical compound CC1([C@H](NC(=O)NC2(CS(=O)(=O)N3CCC3)CCCCC2)C(=O)N2C[C@H]3[C@@H]([C@H]2C(=O)N[C@@H](CC2CC2)C(=O)C(=O)NC2CC2)C3(C)C)CCCCC1 DZMUEOORJDXBET-NWBQTEKMSA-N 0.000 description 1
- ULNPWSOXWSWPEO-WRPDIKACSA-N CC1([C@H](NC(=O)NC2(CS(=O)(=O)N3CCC3)CCCCC2)C(=O)N2C[C@H]3[C@@H]([C@H]2C(=O)N[C@@H](CCC2CC2)C(=O)C(=O)NC2CC2)C3(C)C)CCCCC1 Chemical compound CC1([C@H](NC(=O)NC2(CS(=O)(=O)N3CCC3)CCCCC2)C(=O)N2C[C@H]3[C@@H]([C@H]2C(=O)N[C@@H](CCC2CC2)C(=O)C(=O)NC2CC2)C3(C)C)CCCCC1 ULNPWSOXWSWPEO-WRPDIKACSA-N 0.000 description 1
- VZPHJYGQEOLOFJ-WRPDIKACSA-N CC1([C@H](NC(=O)NC2(CS(=O)(=O)N3CCOCC3)CCCCC2)C(=O)N2C[C@H]3[C@@H]([C@H]2C(=O)N[C@@H](CC2CC2)C(=O)C(=O)NC2CC2)C3(C)C)CCCCC1 Chemical compound CC1([C@H](NC(=O)NC2(CS(=O)(=O)N3CCOCC3)CCCCC2)C(=O)N2C[C@H]3[C@@H]([C@H]2C(=O)N[C@@H](CC2CC2)C(=O)C(=O)NC2CC2)C3(C)C)CCCCC1 VZPHJYGQEOLOFJ-WRPDIKACSA-N 0.000 description 1
- YKVJTTHRRVACRU-VDYFTJCESA-N CC1([C@H](NC(=O)NC2(CS(=O)(=O)N3CCOCC3)CCCCC2)C(=O)N2C[C@H]3[C@@H]([C@H]2C(=O)N[C@@H](CCC2CC2)C(=O)C(=O)NC2CC2)C3(C)C)CCCCC1 Chemical compound CC1([C@H](NC(=O)NC2(CS(=O)(=O)N3CCOCC3)CCCCC2)C(=O)N2C[C@H]3[C@@H]([C@H]2C(=O)N[C@@H](CCC2CC2)C(=O)C(=O)NC2CC2)C3(C)C)CCCCC1 YKVJTTHRRVACRU-VDYFTJCESA-N 0.000 description 1
- OCGWBCGRDHYRLZ-GPRIDDLASA-N CCCC[C@@H](C(C(NC1CC1)=O)=O)NC([C@H]([C@H](CC1)C(C)C)N1C([C@H](C(C)(C)C)NC(NC1(CS(N(C)C2CC2)(=O)=O)CCCCC1)=O)=O)=O Chemical compound CCCC[C@@H](C(C(NC1CC1)=O)=O)NC([C@H]([C@H](CC1)C(C)C)N1C([C@H](C(C)(C)C)NC(NC1(CS(N(C)C2CC2)(=O)=O)CCCCC1)=O)=O)=O OCGWBCGRDHYRLZ-GPRIDDLASA-N 0.000 description 1
- RUYYYPDCKCOJNM-HCEBPPTQSA-N CCCC[C@@H](C(C(NC1CC1)=O)=O)NC([C@H]([C@H](CC1)C(C)C)N1C([C@H](C(C)(C)C)NC(NC1(CS(N(CC)C2CC2)(=O)=O)CCCCC1)=O)=O)=O Chemical compound CCCC[C@@H](C(C(NC1CC1)=O)=O)NC([C@H]([C@H](CC1)C(C)C)N1C([C@H](C(C)(C)C)NC(NC1(CS(N(CC)C2CC2)(=O)=O)CCCCC1)=O)=O)=O RUYYYPDCKCOJNM-HCEBPPTQSA-N 0.000 description 1
- DCRQPOADGGCFID-BSIRGLNZSA-N CCCC[C@@H](C(C(NC1CC1)=O)=O)NC([C@H]([C@H](CC1)C(C)C)N1C([C@H](C1(C)CCCCC1)NC(NC1(CS(N(CC)CC)(=O)=O)CCCCC1)=O)=O)=O Chemical compound CCCC[C@@H](C(C(NC1CC1)=O)=O)NC([C@H]([C@H](CC1)C(C)C)N1C([C@H](C1(C)CCCCC1)NC(NC1(CS(N(CC)CC)(=O)=O)CCCCC1)=O)=O)=O DCRQPOADGGCFID-BSIRGLNZSA-N 0.000 description 1
- JMWSFGCEUZMLBZ-SLWOLIQUSA-N CCCC[C@@H](C(C(NC1CC1)=O)=O)NC([C@H]([C@H](CC1)C(C)C)N1C([C@H](C1(C)CCCCC1)NC(NC1(CS(N2CCC2)(=O)=O)CCCCC1)=O)=O)=O Chemical compound CCCC[C@@H](C(C(NC1CC1)=O)=O)NC([C@H]([C@H](CC1)C(C)C)N1C([C@H](C1(C)CCCCC1)NC(NC1(CS(N2CCC2)(=O)=O)CCCCC1)=O)=O)=O JMWSFGCEUZMLBZ-SLWOLIQUSA-N 0.000 description 1
- IUYRATIBELJVRK-NWBQTEKMSA-N CCCC[C@H](NC(=O)[C@@H]1[C@@H]2[C@H](CN1C(=O)[C@@H](NC(=O)NC1(CS(=O)(=O)N(C(C)C)C(C)C)CCCCC1)C(C)(C)C)C2(C)C)C(=O)C(=O)NC1CC1 Chemical compound CCCC[C@H](NC(=O)[C@@H]1[C@@H]2[C@H](CN1C(=O)[C@@H](NC(=O)NC1(CS(=O)(=O)N(C(C)C)C(C)C)CCCCC1)C(C)(C)C)C2(C)C)C(=O)C(=O)NC1CC1 IUYRATIBELJVRK-NWBQTEKMSA-N 0.000 description 1
- WFKPWKJHTNHYHM-DLRNAMLRSA-N CCCC[C@H](NC(=O)[C@@H]1[C@@H]2[C@H](CN1C(=O)[C@@H](NC(=O)NC1(CS(=O)(=O)N(C(C)C)C(C)C)CCCCC1)C1(C)CCCCC1)C2(C)C)C(=O)C(=O)NC1CC1 Chemical compound CCCC[C@H](NC(=O)[C@@H]1[C@@H]2[C@H](CN1C(=O)[C@@H](NC(=O)NC1(CS(=O)(=O)N(C(C)C)C(C)C)CCCCC1)C1(C)CCCCC1)C2(C)C)C(=O)C(=O)NC1CC1 WFKPWKJHTNHYHM-DLRNAMLRSA-N 0.000 description 1
- INFSFVGABFMSCM-NWBQTEKMSA-N CCCC[C@H](NC(=O)[C@@H]1[C@@H]2[C@H](CN1C(=O)[C@@H](NC(=O)NC1(CS(=O)(=O)N(C(C)C)C3CC3)CCCCC1)C(C)(C)C)C2(C)C)C(=O)C(=O)NC1CC1 Chemical compound CCCC[C@H](NC(=O)[C@@H]1[C@@H]2[C@H](CN1C(=O)[C@@H](NC(=O)NC1(CS(=O)(=O)N(C(C)C)C3CC3)CCCCC1)C(C)(C)C)C2(C)C)C(=O)C(=O)NC1CC1 INFSFVGABFMSCM-NWBQTEKMSA-N 0.000 description 1
- RRMJNAVYQLYLOE-DLRNAMLRSA-N CCCC[C@H](NC(=O)[C@@H]1[C@@H]2[C@H](CN1C(=O)[C@@H](NC(=O)NC1(CS(=O)(=O)N(C(C)C)C3CC3)CCCCC1)C1(C)CCCCC1)C2(C)C)C(=O)C(=O)NC1CC1 Chemical compound CCCC[C@H](NC(=O)[C@@H]1[C@@H]2[C@H](CN1C(=O)[C@@H](NC(=O)NC1(CS(=O)(=O)N(C(C)C)C3CC3)CCCCC1)C1(C)CCCCC1)C2(C)C)C(=O)C(=O)NC1CC1 RRMJNAVYQLYLOE-DLRNAMLRSA-N 0.000 description 1
- CXEGRIRKSXZKGB-HSGWZQNQSA-N CCCC[C@H](NC(=O)[C@@H]1[C@@H]2[C@H](CN1C(=O)[C@@H](NC(=O)NC1(CS(=O)(=O)N(C)C(C)(C)C)CCCCC1)C(C)(C)C)C2(C)C)C(=O)C(=O)NC1CC1 Chemical compound CCCC[C@H](NC(=O)[C@@H]1[C@@H]2[C@H](CN1C(=O)[C@@H](NC(=O)NC1(CS(=O)(=O)N(C)C(C)(C)C)CCCCC1)C(C)(C)C)C2(C)C)C(=O)C(=O)NC1CC1 CXEGRIRKSXZKGB-HSGWZQNQSA-N 0.000 description 1
- HUUYSHAVVZFSIR-WRPDIKACSA-N CCCC[C@H](NC(=O)[C@@H]1[C@@H]2[C@H](CN1C(=O)[C@@H](NC(=O)NC1(CS(=O)(=O)N(C)C(C)(C)C)CCCCC1)C1(C)CCCCC1)C2(C)C)C(=O)C(=O)NC1CC1 Chemical compound CCCC[C@H](NC(=O)[C@@H]1[C@@H]2[C@H](CN1C(=O)[C@@H](NC(=O)NC1(CS(=O)(=O)N(C)C(C)(C)C)CCCCC1)C1(C)CCCCC1)C2(C)C)C(=O)C(=O)NC1CC1 HUUYSHAVVZFSIR-WRPDIKACSA-N 0.000 description 1
- QMTYOKJMDNXQFM-NWBQTEKMSA-N CCCC[C@H](NC(=O)[C@@H]1[C@@H]2[C@H](CN1C(=O)[C@@H](NC(=O)NC1(CS(=O)(=O)N(C)C(C)(C)C3CC3)CCCCC1)C(C)(C)C)C2(C)C)C(=O)C(=O)NC1CC1 Chemical compound CCCC[C@H](NC(=O)[C@@H]1[C@@H]2[C@H](CN1C(=O)[C@@H](NC(=O)NC1(CS(=O)(=O)N(C)C(C)(C)C3CC3)CCCCC1)C(C)(C)C)C2(C)C)C(=O)C(=O)NC1CC1 QMTYOKJMDNXQFM-NWBQTEKMSA-N 0.000 description 1
- PXDHKCXKJGJYGV-HSGWZQNQSA-N CCCC[C@H](NC(=O)[C@@H]1[C@@H]2[C@H](CN1C(=O)[C@@H](NC(=O)NC1(CS(=O)(=O)N(C)C(C)C)CCCCC1)C(C)(C)C)C2(C)C)C(=O)C(=O)NC1CC1 Chemical compound CCCC[C@H](NC(=O)[C@@H]1[C@@H]2[C@H](CN1C(=O)[C@@H](NC(=O)NC1(CS(=O)(=O)N(C)C(C)C)CCCCC1)C(C)(C)C)C2(C)C)C(=O)C(=O)NC1CC1 PXDHKCXKJGJYGV-HSGWZQNQSA-N 0.000 description 1
- RFMZBNXMGFMUJD-WRPDIKACSA-N CCCC[C@H](NC(=O)[C@@H]1[C@@H]2[C@H](CN1C(=O)[C@@H](NC(=O)NC1(CS(=O)(=O)N(C)C(C)C)CCCCC1)C1(C)CCCCC1)C2(C)C)C(=O)C(=O)NC1CC1 Chemical compound CCCC[C@H](NC(=O)[C@@H]1[C@@H]2[C@H](CN1C(=O)[C@@H](NC(=O)NC1(CS(=O)(=O)N(C)C(C)C)CCCCC1)C1(C)CCCCC1)C2(C)C)C(=O)C(=O)NC1CC1 RFMZBNXMGFMUJD-WRPDIKACSA-N 0.000 description 1
- FQZPIUGLRWQZFN-AWYNDWOTSA-N CCCC[C@H](NC(=O)[C@@H]1[C@@H]2[C@H](CN1C(=O)[C@@H](NC(=O)NC1(CS(=O)(=O)N(C)C)CCCCC1)C(C)(C)C)C2(C)C)C(=O)C(=O)NC1CC1.CCCC[C@H](NC(=O)[C@@H]1[C@@H]2[C@H](CN1C(=O)[C@@H](NC(=O)NC1(CS(=O)(=O)N(C)C)CCCCC1)C(C)(C)C)C2(C)C)C(O)C(=O)NC1CC1 Chemical compound CCCC[C@H](NC(=O)[C@@H]1[C@@H]2[C@H](CN1C(=O)[C@@H](NC(=O)NC1(CS(=O)(=O)N(C)C)CCCCC1)C(C)(C)C)C2(C)C)C(=O)C(=O)NC1CC1.CCCC[C@H](NC(=O)[C@@H]1[C@@H]2[C@H](CN1C(=O)[C@@H](NC(=O)NC1(CS(=O)(=O)N(C)C)CCCCC1)C(C)(C)C)C2(C)C)C(O)C(=O)NC1CC1 FQZPIUGLRWQZFN-AWYNDWOTSA-N 0.000 description 1
- CLBQKLWYKNDYLP-ZFRHENPLSA-N CCCC[C@H](NC(=O)[C@@H]1[C@@H]2[C@H](CN1C(=O)[C@@H](NC(=O)NC1(CS(=O)(=O)N(C)C)CCCCC1)C(C)(C)C)C2(C)C)C(O)C(=O)NC1CC1.CN(C)S(=O)(=O)CC1(NC(=O)N[C@H](C(=O)N2C[C@H]3[C@@H]([C@H]2C(=O)O)C3(C)C)C(C)(C)C)CCCCC1 Chemical compound CCCC[C@H](NC(=O)[C@@H]1[C@@H]2[C@H](CN1C(=O)[C@@H](NC(=O)NC1(CS(=O)(=O)N(C)C)CCCCC1)C(C)(C)C)C2(C)C)C(O)C(=O)NC1CC1.CN(C)S(=O)(=O)CC1(NC(=O)N[C@H](C(=O)N2C[C@H]3[C@@H]([C@H]2C(=O)O)C3(C)C)C(C)(C)C)CCCCC1 CLBQKLWYKNDYLP-ZFRHENPLSA-N 0.000 description 1
- VPWNFIJMROMJSO-LOLMJFKOSA-N CCCC[C@H](NC(=O)[C@@H]1[C@@H]2[C@H](CN1C(=O)[C@@H](NC(=O)NC1(CS(=O)(=O)N(C)C)CCCCC1)C1(C)CCCCC1)C2(C)C)C(=O)C(=O)NC1CC1 Chemical compound CCCC[C@H](NC(=O)[C@@H]1[C@@H]2[C@H](CN1C(=O)[C@@H](NC(=O)NC1(CS(=O)(=O)N(C)C)CCCCC1)C1(C)CCCCC1)C2(C)C)C(=O)C(=O)NC1CC1 VPWNFIJMROMJSO-LOLMJFKOSA-N 0.000 description 1
- QWJYMVWTBKVGTA-ZIUUJSQJSA-N CCCC[C@H](NC(=O)[C@@H]1[C@@H]2[C@H](CN1C(=O)[C@@H](NC(=O)NC1(CS(=O)(=O)N(C)C)CCCCC1)C1CCCCC1)C2(C)C)C(=O)C(=O)NC1CC1 Chemical compound CCCC[C@H](NC(=O)[C@@H]1[C@@H]2[C@H](CN1C(=O)[C@@H](NC(=O)NC1(CS(=O)(=O)N(C)C)CCCCC1)C1CCCCC1)C2(C)C)C(=O)C(=O)NC1CC1 QWJYMVWTBKVGTA-ZIUUJSQJSA-N 0.000 description 1
- DTJFNLIERGBTQH-NZFNEECCSA-N CCCC[C@H](NC(=O)[C@@H]1[C@@H]2[C@H](CN1C(=O)[C@@H](NC(=O)NC1(CS(=O)(=O)N(C)C3=NC=CC=C3)CCCCC1)C(C)(C)C)C2(C)C)C(=O)C(=O)NC1CC1 Chemical compound CCCC[C@H](NC(=O)[C@@H]1[C@@H]2[C@H](CN1C(=O)[C@@H](NC(=O)NC1(CS(=O)(=O)N(C)C3=NC=CC=C3)CCCCC1)C(C)(C)C)C2(C)C)C(=O)C(=O)NC1CC1 DTJFNLIERGBTQH-NZFNEECCSA-N 0.000 description 1
- BCKCHUZKLWLQPA-KJGMWTAWSA-N CCCC[C@H](NC(=O)[C@@H]1[C@@H]2[C@H](CN1C(=O)[C@@H](NC(=O)NC1(CS(=O)(=O)N(C)C3CC3)CCCCC1)C(C)(C)C)C2(C)C)C(=O)C(=O)NC1CC1.CN(C1CC1)S(=O)(=O)CC1(N=C=O)CCCCC1 Chemical compound CCCC[C@H](NC(=O)[C@@H]1[C@@H]2[C@H](CN1C(=O)[C@@H](NC(=O)NC1(CS(=O)(=O)N(C)C3CC3)CCCCC1)C(C)(C)C)C2(C)C)C(=O)C(=O)NC1CC1.CN(C1CC1)S(=O)(=O)CC1(N=C=O)CCCCC1 BCKCHUZKLWLQPA-KJGMWTAWSA-N 0.000 description 1
- YDVLABMSYFLAEC-WRPDIKACSA-N CCCC[C@H](NC(=O)[C@@H]1[C@@H]2[C@H](CN1C(=O)[C@@H](NC(=O)NC1(CS(=O)(=O)N(C)C3CC3)CCCCC1)C1(C)CCCCC1)C2(C)C)C(=O)C(=O)NC1CC1 Chemical compound CCCC[C@H](NC(=O)[C@@H]1[C@@H]2[C@H](CN1C(=O)[C@@H](NC(=O)NC1(CS(=O)(=O)N(C)C3CC3)CCCCC1)C1(C)CCCCC1)C2(C)C)C(=O)C(=O)NC1CC1 YDVLABMSYFLAEC-WRPDIKACSA-N 0.000 description 1
- MAWXPDJQBQNCAX-LOLMJFKOSA-N CCCC[C@H](NC(=O)[C@@H]1[C@@H]2[C@H](CN1C(=O)[C@@H](NC(=O)NC1(CS(=O)(=O)N(C)C3CCC3)CCCCC1)C(C)(C)C)C2(C)C)C(=O)C(=O)NC1CC1 Chemical compound CCCC[C@H](NC(=O)[C@@H]1[C@@H]2[C@H](CN1C(=O)[C@@H](NC(=O)NC1(CS(=O)(=O)N(C)C3CCC3)CCCCC1)C(C)(C)C)C2(C)C)C(=O)C(=O)NC1CC1 MAWXPDJQBQNCAX-LOLMJFKOSA-N 0.000 description 1
- SHCVGBYRABYZCU-VDYFTJCESA-N CCCC[C@H](NC(=O)[C@@H]1[C@@H]2[C@H](CN1C(=O)[C@@H](NC(=O)NC1(CS(=O)(=O)N(C)C3CCC3)CCCCC1)C1(C)CCCCC1)C2(C)C)C(=O)C(=O)NC1CC1 Chemical compound CCCC[C@H](NC(=O)[C@@H]1[C@@H]2[C@H](CN1C(=O)[C@@H](NC(=O)NC1(CS(=O)(=O)N(C)C3CCC3)CCCCC1)C1(C)CCCCC1)C2(C)C)C(=O)C(=O)NC1CC1 SHCVGBYRABYZCU-VDYFTJCESA-N 0.000 description 1
- YEGQEKCBDKTLOR-HOMAGXEVSA-N CCCC[C@H](NC(=O)[C@@H]1[C@@H]2[C@H](CN1C(=O)[C@@H](NC(=O)NC1(CS(=O)(=O)N(C)CC(F)(F)F)CCCCC1)C(C)(C)C)C2(C)C)C(=O)C(=O)NC1CC1 Chemical compound CCCC[C@H](NC(=O)[C@@H]1[C@@H]2[C@H](CN1C(=O)[C@@H](NC(=O)NC1(CS(=O)(=O)N(C)CC(F)(F)F)CCCCC1)C(C)(C)C)C2(C)C)C(=O)C(=O)NC1CC1 YEGQEKCBDKTLOR-HOMAGXEVSA-N 0.000 description 1
- JJLYQVSQIVMYLQ-LOLMJFKOSA-N CCCC[C@H](NC(=O)[C@@H]1[C@@H]2[C@H](CN1C(=O)[C@@H](NC(=O)NC1(CS(=O)(=O)N(C)CC(F)(F)F)CCCCC1)C1(C)CCCCC1)C2(C)C)C(=O)C(=O)NC1CC1 Chemical compound CCCC[C@H](NC(=O)[C@@H]1[C@@H]2[C@H](CN1C(=O)[C@@H](NC(=O)NC1(CS(=O)(=O)N(C)CC(F)(F)F)CCCCC1)C1(C)CCCCC1)C2(C)C)C(=O)C(=O)NC1CC1 JJLYQVSQIVMYLQ-LOLMJFKOSA-N 0.000 description 1
- ICMQELQZALUNHM-LFGITCQGSA-N CCCC[C@H](NC(=O)[C@@H]1[C@@H]2[C@H](CN1C(=O)[C@@H](NC(=O)NC1(CS(=O)(=O)N(C)CC)CCCCC1)C(C)(C)C)C2(C)C)C(=O)C(=O)NC1CC1 Chemical compound CCCC[C@H](NC(=O)[C@@H]1[C@@H]2[C@H](CN1C(=O)[C@@H](NC(=O)NC1(CS(=O)(=O)N(C)CC)CCCCC1)C(C)(C)C)C2(C)C)C(=O)C(=O)NC1CC1 ICMQELQZALUNHM-LFGITCQGSA-N 0.000 description 1
- JKDCMUWYJGBNIK-NWBQTEKMSA-N CCCC[C@H](NC(=O)[C@@H]1[C@@H]2[C@H](CN1C(=O)[C@@H](NC(=O)NC1(CS(=O)(=O)N(C)CC)CCCCC1)C1(C)CCCCC1)C2(C)C)C(=O)C(=O)NC1CC1 Chemical compound CCCC[C@H](NC(=O)[C@@H]1[C@@H]2[C@H](CN1C(=O)[C@@H](NC(=O)NC1(CS(=O)(=O)N(C)CC)CCCCC1)C1(C)CCCCC1)C2(C)C)C(=O)C(=O)NC1CC1 JKDCMUWYJGBNIK-NWBQTEKMSA-N 0.000 description 1
- WQHMNZDGYLGBQA-VDYFTJCESA-N CCCC[C@H](NC(=O)[C@@H]1[C@@H]2[C@H](CN1C(=O)[C@@H](NC(=O)NC1(CS(=O)(=O)N(C)CC3=CC=CC=C3)CCCCC1)C(C)(C)C)C2(C)C)C(=O)C(=O)NC1CC1 Chemical compound CCCC[C@H](NC(=O)[C@@H]1[C@@H]2[C@H](CN1C(=O)[C@@H](NC(=O)NC1(CS(=O)(=O)N(C)CC3=CC=CC=C3)CCCCC1)C(C)(C)C)C2(C)C)C(=O)C(=O)NC1CC1 WQHMNZDGYLGBQA-VDYFTJCESA-N 0.000 description 1
- NQWPUBZWEVGDTA-LOLMJFKOSA-N CCCC[C@H](NC(=O)[C@@H]1[C@@H]2[C@H](CN1C(=O)[C@@H](NC(=O)NC1(CS(=O)(=O)N(C)CC3CC3)CCCCC1)C(C)(C)C)C2(C)C)C(=O)C(=O)NC1CC1 Chemical compound CCCC[C@H](NC(=O)[C@@H]1[C@@H]2[C@H](CN1C(=O)[C@@H](NC(=O)NC1(CS(=O)(=O)N(C)CC3CC3)CCCCC1)C(C)(C)C)C2(C)C)C(=O)C(=O)NC1CC1 NQWPUBZWEVGDTA-LOLMJFKOSA-N 0.000 description 1
- RJNNIFCSKNGBGV-HOMAGXEVSA-N CCCC[C@H](NC(=O)[C@@H]1[C@@H]2[C@H](CN1C(=O)[C@@H](NC(=O)NC1(CS(=O)(=O)N(C)OC)CCCCC1)C(C)(C)C)C2(C)C)C(=O)C(=O)NC1CC1 Chemical compound CCCC[C@H](NC(=O)[C@@H]1[C@@H]2[C@H](CN1C(=O)[C@@H](NC(=O)NC1(CS(=O)(=O)N(C)OC)CCCCC1)C(C)(C)C)C2(C)C)C(=O)C(=O)NC1CC1 RJNNIFCSKNGBGV-HOMAGXEVSA-N 0.000 description 1
- HBRXZCSHIKRIQL-LOLMJFKOSA-N CCCC[C@H](NC(=O)[C@@H]1[C@@H]2[C@H](CN1C(=O)[C@@H](NC(=O)NC1(CS(=O)(=O)N(C)OC)CCCCC1)C1(C)CCCCC1)C2(C)C)C(=O)C(=O)NC1CC1 Chemical compound CCCC[C@H](NC(=O)[C@@H]1[C@@H]2[C@H](CN1C(=O)[C@@H](NC(=O)NC1(CS(=O)(=O)N(C)OC)CCCCC1)C1(C)CCCCC1)C2(C)C)C(=O)C(=O)NC1CC1 HBRXZCSHIKRIQL-LOLMJFKOSA-N 0.000 description 1
- RQGOFKGCMCWMAA-LYLHADSCSA-N CCCC[C@H](NC(=O)[C@@H]1[C@@H]2[C@H](CN1C(=O)[C@@H](NC(=O)NC1(CS(=O)(=O)N(C)[C@@H](C)C3CC3)CCCCC1)C(C)(C)C)C2(C)C)C(=O)C(=O)NC1CC1 Chemical compound CCCC[C@H](NC(=O)[C@@H]1[C@@H]2[C@H](CN1C(=O)[C@@H](NC(=O)NC1(CS(=O)(=O)N(C)[C@@H](C)C3CC3)CCCCC1)C(C)(C)C)C2(C)C)C(=O)C(=O)NC1CC1 RQGOFKGCMCWMAA-LYLHADSCSA-N 0.000 description 1
- RQGOFKGCMCWMAA-KJLQSWPESA-N CCCC[C@H](NC(=O)[C@@H]1[C@@H]2[C@H](CN1C(=O)[C@@H](NC(=O)NC1(CS(=O)(=O)N(C)[C@H](C)C3CC3)CCCCC1)C(C)(C)C)C2(C)C)C(=O)C(=O)NC1CC1 Chemical compound CCCC[C@H](NC(=O)[C@@H]1[C@@H]2[C@H](CN1C(=O)[C@@H](NC(=O)NC1(CS(=O)(=O)N(C)[C@H](C)C3CC3)CCCCC1)C(C)(C)C)C2(C)C)C(=O)C(=O)NC1CC1 RQGOFKGCMCWMAA-KJLQSWPESA-N 0.000 description 1
- ICWLAIXEZGHLAL-LOLMJFKOSA-N CCCC[C@H](NC(=O)[C@@H]1[C@@H]2[C@H](CN1C(=O)[C@@H](NC(=O)NC1(CS(=O)(=O)N(CC)C(C)(C)C)CCCCC1)C(C)(C)C)C2(C)C)C(=O)C(=O)NC1CC1 Chemical compound CCCC[C@H](NC(=O)[C@@H]1[C@@H]2[C@H](CN1C(=O)[C@@H](NC(=O)NC1(CS(=O)(=O)N(CC)C(C)(C)C)CCCCC1)C(C)(C)C)C2(C)C)C(=O)C(=O)NC1CC1 ICWLAIXEZGHLAL-LOLMJFKOSA-N 0.000 description 1
- RHUSWEKKUVLCAG-VDYFTJCESA-N CCCC[C@H](NC(=O)[C@@H]1[C@@H]2[C@H](CN1C(=O)[C@@H](NC(=O)NC1(CS(=O)(=O)N(CC)C(C)(C)C)CCCCC1)C1(C)CCCCC1)C2(C)C)C(=O)C(=O)NC1CC1 Chemical compound CCCC[C@H](NC(=O)[C@@H]1[C@@H]2[C@H](CN1C(=O)[C@@H](NC(=O)NC1(CS(=O)(=O)N(CC)C(C)(C)C)CCCCC1)C1(C)CCCCC1)C2(C)C)C(=O)C(=O)NC1CC1 RHUSWEKKUVLCAG-VDYFTJCESA-N 0.000 description 1
- RTPYPDOVRFGENJ-LOLMJFKOSA-N CCCC[C@H](NC(=O)[C@@H]1[C@@H]2[C@H](CN1C(=O)[C@@H](NC(=O)NC1(CS(=O)(=O)N(CC)C(C)C)CCCCC1)C(C)(C)C)C2(C)C)C(=O)C(=O)NC1CC1 Chemical compound CCCC[C@H](NC(=O)[C@@H]1[C@@H]2[C@H](CN1C(=O)[C@@H](NC(=O)NC1(CS(=O)(=O)N(CC)C(C)C)CCCCC1)C(C)(C)C)C2(C)C)C(=O)C(=O)NC1CC1 RTPYPDOVRFGENJ-LOLMJFKOSA-N 0.000 description 1
- QMZBXTZWBNOLBX-VDYFTJCESA-N CCCC[C@H](NC(=O)[C@@H]1[C@@H]2[C@H](CN1C(=O)[C@@H](NC(=O)NC1(CS(=O)(=O)N(CC)C(C)C)CCCCC1)C1(C)CCCCC1)C2(C)C)C(=O)C(=O)NC1CC1 Chemical compound CCCC[C@H](NC(=O)[C@@H]1[C@@H]2[C@H](CN1C(=O)[C@@H](NC(=O)NC1(CS(=O)(=O)N(CC)C(C)C)CCCCC1)C1(C)CCCCC1)C2(C)C)C(=O)C(=O)NC1CC1 QMZBXTZWBNOLBX-VDYFTJCESA-N 0.000 description 1
- BPUBLNUWODCOTK-LOLMJFKOSA-N CCCC[C@H](NC(=O)[C@@H]1[C@@H]2[C@H](CN1C(=O)[C@@H](NC(=O)NC1(CS(=O)(=O)N(CC)C3CC3)CCCCC1)C(C)(C)C)C2(C)C)C(=O)C(=O)NC1CC1 Chemical compound CCCC[C@H](NC(=O)[C@@H]1[C@@H]2[C@H](CN1C(=O)[C@@H](NC(=O)NC1(CS(=O)(=O)N(CC)C3CC3)CCCCC1)C(C)(C)C)C2(C)C)C(=O)C(=O)NC1CC1 BPUBLNUWODCOTK-LOLMJFKOSA-N 0.000 description 1
- AADUNEPNEOOUKI-VDYFTJCESA-N CCCC[C@H](NC(=O)[C@@H]1[C@@H]2[C@H](CN1C(=O)[C@@H](NC(=O)NC1(CS(=O)(=O)N(CC)C3CC3)CCCCC1)C1(C)CCCCC1)C2(C)C)C(=O)C(=O)NC1CC1 Chemical compound CCCC[C@H](NC(=O)[C@@H]1[C@@H]2[C@H](CN1C(=O)[C@@H](NC(=O)NC1(CS(=O)(=O)N(CC)C3CC3)CCCCC1)C1(C)CCCCC1)C2(C)C)C(=O)C(=O)NC1CC1 AADUNEPNEOOUKI-VDYFTJCESA-N 0.000 description 1
- AQZDKJKAYSICDM-HSGWZQNQSA-N CCCC[C@H](NC(=O)[C@@H]1[C@@H]2[C@H](CN1C(=O)[C@@H](NC(=O)NC1(CS(=O)(=O)N(CC)CC)CCCCC1)C(C)(C)C)C2(C)C)C(=O)C(=O)NC1CC1 Chemical compound CCCC[C@H](NC(=O)[C@@H]1[C@@H]2[C@H](CN1C(=O)[C@@H](NC(=O)NC1(CS(=O)(=O)N(CC)CC)CCCCC1)C(C)(C)C)C2(C)C)C(=O)C(=O)NC1CC1 AQZDKJKAYSICDM-HSGWZQNQSA-N 0.000 description 1
- NGPHLOYJGQSNJW-WRPDIKACSA-N CCCC[C@H](NC(=O)[C@@H]1[C@@H]2[C@H](CN1C(=O)[C@@H](NC(=O)NC1(CS(=O)(=O)N(CC)CC)CCCCC1)C1(C)CCCCC1)C2(C)C)C(=O)C(=O)NC1CC1 Chemical compound CCCC[C@H](NC(=O)[C@@H]1[C@@H]2[C@H](CN1C(=O)[C@@H](NC(=O)NC1(CS(=O)(=O)N(CC)CC)CCCCC1)C1(C)CCCCC1)C2(C)C)C(=O)C(=O)NC1CC1 NGPHLOYJGQSNJW-WRPDIKACSA-N 0.000 description 1
- FSLLZXNZAIKECW-QKUYTOGTSA-N CCCC[C@H](NC(=O)[C@@H]1[C@@H]2[C@H](CN1C(=O)[C@@H](NC(=O)NC1(CS(=O)(=O)N(CC)CC)CCCCC1)C1CCCCC1)C2(C)C)C(=O)C(=O)NC1CC1 Chemical compound CCCC[C@H](NC(=O)[C@@H]1[C@@H]2[C@H](CN1C(=O)[C@@H](NC(=O)NC1(CS(=O)(=O)N(CC)CC)CCCCC1)C1CCCCC1)C2(C)C)C(=O)C(=O)NC1CC1 FSLLZXNZAIKECW-QKUYTOGTSA-N 0.000 description 1
- GPTUNEKMKPEMDA-HOMAGXEVSA-N CCCC[C@H](NC(=O)[C@@H]1[C@@H]2[C@H](CN1C(=O)[C@@H](NC(=O)NC1(CS(=O)(=O)N3CC(F)(F)C3)CCCCC1)C(C)(C)C)C2(C)C)C(=O)C(=O)NC1CC1 Chemical compound CCCC[C@H](NC(=O)[C@@H]1[C@@H]2[C@H](CN1C(=O)[C@@H](NC(=O)NC1(CS(=O)(=O)N3CC(F)(F)C3)CCCCC1)C(C)(C)C)C2(C)C)C(=O)C(=O)NC1CC1 GPTUNEKMKPEMDA-HOMAGXEVSA-N 0.000 description 1
- YLTMCFLUXICKCZ-LFGITCQGSA-N CCCC[C@H](NC(=O)[C@@H]1[C@@H]2[C@H](CN1C(=O)[C@@H](NC(=O)NC1(CS(=O)(=O)N3CCC3)CCCCC1)C(C)(C)C)C2(C)C)C(=O)C(=O)NC1CC1 Chemical compound CCCC[C@H](NC(=O)[C@@H]1[C@@H]2[C@H](CN1C(=O)[C@@H](NC(=O)NC1(CS(=O)(=O)N3CCC3)CCCCC1)C(C)(C)C)C2(C)C)C(=O)C(=O)NC1CC1 YLTMCFLUXICKCZ-LFGITCQGSA-N 0.000 description 1
- HRGJIIWVWXYSRU-NWBQTEKMSA-N CCCC[C@H](NC(=O)[C@@H]1[C@@H]2[C@H](CN1C(=O)[C@@H](NC(=O)NC1(CS(=O)(=O)N3CCC3)CCCCC1)C1(C)CCCCC1)C2(C)C)C(=O)C(=O)NC1CC1 Chemical compound CCCC[C@H](NC(=O)[C@@H]1[C@@H]2[C@H](CN1C(=O)[C@@H](NC(=O)NC1(CS(=O)(=O)N3CCC3)CCCCC1)C1(C)CCCCC1)C2(C)C)C(=O)C(=O)NC1CC1 HRGJIIWVWXYSRU-NWBQTEKMSA-N 0.000 description 1
- JGSJPXYKOQOQFQ-HSGWZQNQSA-N CCCC[C@H](NC(=O)[C@@H]1[C@@H]2[C@H](CN1C(=O)[C@@H](NC(=O)NC1(CS(=O)(=O)N3CCCC3)CCCCC1)C(C)(C)C)C2(C)C)C(=O)C(=O)NC1CC1 Chemical compound CCCC[C@H](NC(=O)[C@@H]1[C@@H]2[C@H](CN1C(=O)[C@@H](NC(=O)NC1(CS(=O)(=O)N3CCCC3)CCCCC1)C(C)(C)C)C2(C)C)C(=O)C(=O)NC1CC1 JGSJPXYKOQOQFQ-HSGWZQNQSA-N 0.000 description 1
- GJDOJMYVLMXGFR-LOLMJFKOSA-N CCCC[C@H](NC(=O)[C@@H]1[C@@H]2[C@H](CN1C(=O)[C@@H](NC(=O)NC1(CS(=O)(=O)N3CCCCC3)CCCCC1)C(C)(C)C)C2(C)C)C(=O)C(=O)NC1CC1 Chemical compound CCCC[C@H](NC(=O)[C@@H]1[C@@H]2[C@H](CN1C(=O)[C@@H](NC(=O)NC1(CS(=O)(=O)N3CCCCC3)CCCCC1)C(C)(C)C)C2(C)C)C(=O)C(=O)NC1CC1 GJDOJMYVLMXGFR-LOLMJFKOSA-N 0.000 description 1
- QYNYJPJYEHHHPL-HSGWZQNQSA-N CCCC[C@H](NC(=O)[C@@H]1[C@@H]2[C@H](CN1C(=O)[C@@H](NC(=O)NC1(CS(=O)(=O)N3CCOCC3)CCCCC1)C(C)(C)C)C2(C)C)C(=O)C(=O)NC1CC1 Chemical compound CCCC[C@H](NC(=O)[C@@H]1[C@@H]2[C@H](CN1C(=O)[C@@H](NC(=O)NC1(CS(=O)(=O)N3CCOCC3)CCCCC1)C(C)(C)C)C2(C)C)C(=O)C(=O)NC1CC1 QYNYJPJYEHHHPL-HSGWZQNQSA-N 0.000 description 1
- MOKSCNXIAKUFGS-WRPDIKACSA-N CCCC[C@H](NC(=O)[C@@H]1[C@@H]2[C@H](CN1C(=O)[C@@H](NC(=O)NC1(CS(=O)(=O)N3CCOCC3)CCCCC1)C1(C)CCCCC1)C2(C)C)C(=O)C(=O)NC1CC1 Chemical compound CCCC[C@H](NC(=O)[C@@H]1[C@@H]2[C@H](CN1C(=O)[C@@H](NC(=O)NC1(CS(=O)(=O)N3CCOCC3)CCCCC1)C1(C)CCCCC1)C2(C)C)C(=O)C(=O)NC1CC1 MOKSCNXIAKUFGS-WRPDIKACSA-N 0.000 description 1
- QVQSUWHEXNOMGA-MDLKPKIOSA-N CCCC[C@H](NC(=O)[C@@H]1[C@@H]2[C@H](CN1C(=O)[C@@H](NC(=O)NC1(CS(=O)(=O)NC)CCCCC1)C(C)(C)C)C2(C)C)C(=O)C(=O)NC1CC1 Chemical compound CCCC[C@H](NC(=O)[C@@H]1[C@@H]2[C@H](CN1C(=O)[C@@H](NC(=O)NC1(CS(=O)(=O)NC)CCCCC1)C(C)(C)C)C2(C)C)C(=O)C(=O)NC1CC1 QVQSUWHEXNOMGA-MDLKPKIOSA-N 0.000 description 1
- ZFQCQHSRNVLQIR-QIPQZWFOSA-N CCCC[C@H](NC(=O)[C@@H]1[C@@H]2[C@H](CN1C(=O)[C@@H](NC(=O)NC1([C@@H](C)S(=O)(=O)N(C)C)CCCCC1)C1(C)CCCCC1)C2(C)C)C(=O)C(=O)NC1CC1 Chemical compound CCCC[C@H](NC(=O)[C@@H]1[C@@H]2[C@H](CN1C(=O)[C@@H](NC(=O)NC1([C@@H](C)S(=O)(=O)N(C)C)CCCCC1)C1(C)CCCCC1)C2(C)C)C(=O)C(=O)NC1CC1 ZFQCQHSRNVLQIR-QIPQZWFOSA-N 0.000 description 1
- PJAZWSDAVCTQJT-KOKBMYFLSA-N CCCC[C@H](NC(=O)[C@@H]1[C@@H]2[C@H](CN1C(=O)[C@@H](NC(=O)NC1([C@@H](C)S(=O)(=O)N(C)C3CC3)CCCCC1)C(C)(C)C)C2(C)C)C(=O)C(=O)NC1CC1 Chemical compound CCCC[C@H](NC(=O)[C@@H]1[C@@H]2[C@H](CN1C(=O)[C@@H](NC(=O)NC1([C@@H](C)S(=O)(=O)N(C)C3CC3)CCCCC1)C(C)(C)C)C2(C)C)C(=O)C(=O)NC1CC1 PJAZWSDAVCTQJT-KOKBMYFLSA-N 0.000 description 1
- UBBCSAPFVCIWCL-XOXYJGNXSA-N CCCC[C@H](NC(=O)[C@@H]1[C@@H]2[C@H](CN1C(=O)[C@@H](NC(=O)NC1([C@@H]3CCN(CC)S3(=O)=O)CCCCC1)C(C)(C)C)C2(C)C)C(=O)C(=O)NC1CC1 Chemical compound CCCC[C@H](NC(=O)[C@@H]1[C@@H]2[C@H](CN1C(=O)[C@@H](NC(=O)NC1([C@@H]3CCN(CC)S3(=O)=O)CCCCC1)C(C)(C)C)C2(C)C)C(=O)C(=O)NC1CC1 UBBCSAPFVCIWCL-XOXYJGNXSA-N 0.000 description 1
- FELGPIMEEVLGGR-NLLAKFIHSA-N CCCC[C@H](NC(=O)[C@@H]1[C@@H]2[C@H](CN1C(=O)[C@@H](NC(=O)NC1([C@H](C)S(=O)(=O)N(C)C)CCCCC1)C(C)(C)C)C2(C)C)C(=O)C(=O)NC1CC1 Chemical compound CCCC[C@H](NC(=O)[C@@H]1[C@@H]2[C@H](CN1C(=O)[C@@H](NC(=O)NC1([C@H](C)S(=O)(=O)N(C)C)CCCCC1)C(C)(C)C)C2(C)C)C(=O)C(=O)NC1CC1 FELGPIMEEVLGGR-NLLAKFIHSA-N 0.000 description 1
- ZFQCQHSRNVLQIR-VGDDSONJSA-N CCCC[C@H](NC(=O)[C@@H]1[C@@H]2[C@H](CN1C(=O)[C@@H](NC(=O)NC1([C@H](C)S(=O)(=O)N(C)C)CCCCC1)C1(C)CCCCC1)C2(C)C)C(=O)C(=O)NC1CC1 Chemical compound CCCC[C@H](NC(=O)[C@@H]1[C@@H]2[C@H](CN1C(=O)[C@@H](NC(=O)NC1([C@H](C)S(=O)(=O)N(C)C)CCCCC1)C1(C)CCCCC1)C2(C)C)C(=O)C(=O)NC1CC1 ZFQCQHSRNVLQIR-VGDDSONJSA-N 0.000 description 1
- PJAZWSDAVCTQJT-WHZKYOCYSA-N CCCC[C@H](NC(=O)[C@@H]1[C@@H]2[C@H](CN1C(=O)[C@@H](NC(=O)NC1([C@H](C)S(=O)(=O)N(C)C3CC3)CCCCC1)C(C)(C)C)C2(C)C)C(=O)C(=O)NC1CC1 Chemical compound CCCC[C@H](NC(=O)[C@@H]1[C@@H]2[C@H](CN1C(=O)[C@@H](NC(=O)NC1([C@H](C)S(=O)(=O)N(C)C3CC3)CCCCC1)C(C)(C)C)C2(C)C)C(=O)C(=O)NC1CC1 PJAZWSDAVCTQJT-WHZKYOCYSA-N 0.000 description 1
- PWTWQYJWEMMDIT-OECVWMAGSA-N CCCC[C@H](NC(=O)[C@@H]1[C@@H]2[C@H](CN1C(=O)[C@@H](NC(=O)N[C@H]([C@H]1CCN(C)S1(=O)=O)C(C)(C)C)C(C)(C)C)C2(C)C)C(=O)C(=O)NC1CC1 Chemical compound CCCC[C@H](NC(=O)[C@@H]1[C@@H]2[C@H](CN1C(=O)[C@@H](NC(=O)N[C@H]([C@H]1CCN(C)S1(=O)=O)C(C)(C)C)C(C)(C)C)C2(C)C)C(=O)C(=O)NC1CC1 PWTWQYJWEMMDIT-OECVWMAGSA-N 0.000 description 1
- HUZOJDUNKAGDQY-HOMAGXEVSA-N CCCNC(=O)C(=O)[C@H](CC1CC1)NC(=O)[C@@H]1[C@@H]2[C@H](CN1C(=O)[C@@H](NC(=O)NC1(CS(=O)(=O)N(C)OC)CCCCC1)C(C)(C)C)C2(C)C Chemical compound CCCNC(=O)C(=O)[C@H](CC1CC1)NC(=O)[C@@H]1[C@@H]2[C@H](CN1C(=O)[C@@H](NC(=O)NC1(CS(=O)(=O)N(C)OC)CCCCC1)C(C)(C)C)C2(C)C HUZOJDUNKAGDQY-HOMAGXEVSA-N 0.000 description 1
- MGAYVOXFKNJSGN-QYYLSPICSA-N CCC[C@@H](C(C(N(C1)C1C(OC)=O)=O)=O)NC([C@H](C[C@H](C1)OC(N(CC2)Cc3c2cccc3)=O)N1C([C@H](C(C)=C)NC([C@H](C(C)C)NC(c1nccnc1)=O)=O)=O)=O Chemical compound CCC[C@@H](C(C(N(C1)C1C(OC)=O)=O)=O)NC([C@H](C[C@H](C1)OC(N(CC2)Cc3c2cccc3)=O)N1C([C@H](C(C)=C)NC([C@H](C(C)C)NC(c1nccnc1)=O)=O)=O)=O MGAYVOXFKNJSGN-QYYLSPICSA-N 0.000 description 1
- CLERKXCAAAWUAR-DPRQWMOBSA-N CCC[C@@H](C(C(NC1CC1)=O)=O)NC([C@H]([C@H](CC1)C(C)C)N1C([C@H](C(C)(C)C)NC(NC1(CS(N(C)OC)(=O)=O)CCCCC1)=O)=O)=O Chemical compound CCC[C@@H](C(C(NC1CC1)=O)=O)NC([C@H]([C@H](CC1)C(C)C)N1C([C@H](C(C)(C)C)NC(NC1(CS(N(C)OC)(=O)=O)CCCCC1)=O)=O)=O CLERKXCAAAWUAR-DPRQWMOBSA-N 0.000 description 1
- OWBXJHNCVLQTGU-DDRRAVBJSA-N CCC[C@@H](C(C(NCC)=O)=O)NC([C@H]([C@H](CC1)C(C)C)N1C([C@H](C(C)(C)C)NC(NC1(CS(N(C)OC)(=O)=O)CCCCC1)=O)=O)=O Chemical compound CCC[C@@H](C(C(NCC)=O)=O)NC([C@H]([C@H](CC1)C(C)C)N1C([C@H](C(C)(C)C)NC(NC1(CS(N(C)OC)(=O)=O)CCCCC1)=O)=O)=O OWBXJHNCVLQTGU-DDRRAVBJSA-N 0.000 description 1
- CLBUNYRQHWFMSJ-UPZHSWQNSA-N CCC[C@@H](NC(=O)[C@@H]1[C@@H]2[C@H](CN1C(=O)[C@@H](NC(=O)NC1(CS(=O)(=O)N(C)C3=NC=CC=C3)CCCCC1)C(C)(C)C)C2(C)C)C(=O)C(=O)NC1CC1 Chemical compound CCC[C@@H](NC(=O)[C@@H]1[C@@H]2[C@H](CN1C(=O)[C@@H](NC(=O)NC1(CS(=O)(=O)N(C)C3=NC=CC=C3)CCCCC1)C(C)(C)C)C2(C)C)C(=O)C(=O)NC1CC1 CLBUNYRQHWFMSJ-UPZHSWQNSA-N 0.000 description 1
- JESQBHKMDKEFAV-LOLMJFKOSA-N CCC[C@H](NC(=O)[C@@H]1[C@@H]2[C@H](CN1C(=O)[C@@H](NC(=O)NC1(CS(=O)(=O)N(C(C)C)C(C)C)CCCCC1)C(C)(C)C)C2(C)C)C(=O)C(=O)NC1CC1 Chemical compound CCC[C@H](NC(=O)[C@@H]1[C@@H]2[C@H](CN1C(=O)[C@@H](NC(=O)NC1(CS(=O)(=O)N(C(C)C)C(C)C)CCCCC1)C(C)(C)C)C2(C)C)C(=O)C(=O)NC1CC1 JESQBHKMDKEFAV-LOLMJFKOSA-N 0.000 description 1
- CVYKMYJYKXWPDG-VDYFTJCESA-N CCC[C@H](NC(=O)[C@@H]1[C@@H]2[C@H](CN1C(=O)[C@@H](NC(=O)NC1(CS(=O)(=O)N(C(C)C)C(C)C)CCCCC1)C1(C)CCCCC1)C2(C)C)C(=O)C(=O)NC1CC1 Chemical compound CCC[C@H](NC(=O)[C@@H]1[C@@H]2[C@H](CN1C(=O)[C@@H](NC(=O)NC1(CS(=O)(=O)N(C(C)C)C(C)C)CCCCC1)C1(C)CCCCC1)C2(C)C)C(=O)C(=O)NC1CC1 CVYKMYJYKXWPDG-VDYFTJCESA-N 0.000 description 1
- GFSQOLBAWJZUFU-LOLMJFKOSA-N CCC[C@H](NC(=O)[C@@H]1[C@@H]2[C@H](CN1C(=O)[C@@H](NC(=O)NC1(CS(=O)(=O)N(C(C)C)C3CC3)CCCCC1)C(C)(C)C)C2(C)C)C(=O)C(=O)NC1CC1 Chemical compound CCC[C@H](NC(=O)[C@@H]1[C@@H]2[C@H](CN1C(=O)[C@@H](NC(=O)NC1(CS(=O)(=O)N(C(C)C)C3CC3)CCCCC1)C(C)(C)C)C2(C)C)C(=O)C(=O)NC1CC1 GFSQOLBAWJZUFU-LOLMJFKOSA-N 0.000 description 1
- VSXQHKLFVQEYCL-VDYFTJCESA-N CCC[C@H](NC(=O)[C@@H]1[C@@H]2[C@H](CN1C(=O)[C@@H](NC(=O)NC1(CS(=O)(=O)N(C(C)C)C3CC3)CCCCC1)C1(C)CCCCC1)C2(C)C)C(=O)C(=O)NC1CC1 Chemical compound CCC[C@H](NC(=O)[C@@H]1[C@@H]2[C@H](CN1C(=O)[C@@H](NC(=O)NC1(CS(=O)(=O)N(C(C)C)C3CC3)CCCCC1)C1(C)CCCCC1)C2(C)C)C(=O)C(=O)NC1CC1 VSXQHKLFVQEYCL-VDYFTJCESA-N 0.000 description 1
- OGBXYPIQMPSVQD-LOLMJFKOSA-N CCC[C@H](NC(=O)[C@@H]1[C@@H]2[C@H](CN1C(=O)[C@@H](NC(=O)NC1(CS(=O)(=O)N(C)C(C)(C)C(F)(F)F)CCCCC1)C1(C)CCCCC1)C2(C)C)C(=O)C(=O)NC1CC1 Chemical compound CCC[C@H](NC(=O)[C@@H]1[C@@H]2[C@H](CN1C(=O)[C@@H](NC(=O)NC1(CS(=O)(=O)N(C)C(C)(C)C(F)(F)F)CCCCC1)C1(C)CCCCC1)C2(C)C)C(=O)C(=O)NC1CC1 OGBXYPIQMPSVQD-LOLMJFKOSA-N 0.000 description 1
- SJVKITYMAURJMH-LFGITCQGSA-N CCC[C@H](NC(=O)[C@@H]1[C@@H]2[C@H](CN1C(=O)[C@@H](NC(=O)NC1(CS(=O)(=O)N(C)C(C)(C)C)CCCCC1)C(C)(C)C)C2(C)C)C(=O)C(=O)NC1CC1 Chemical compound CCC[C@H](NC(=O)[C@@H]1[C@@H]2[C@H](CN1C(=O)[C@@H](NC(=O)NC1(CS(=O)(=O)N(C)C(C)(C)C)CCCCC1)C(C)(C)C)C2(C)C)C(=O)C(=O)NC1CC1 SJVKITYMAURJMH-LFGITCQGSA-N 0.000 description 1
- VAYGEPYTNGTNEN-NWBQTEKMSA-N CCC[C@H](NC(=O)[C@@H]1[C@@H]2[C@H](CN1C(=O)[C@@H](NC(=O)NC1(CS(=O)(=O)N(C)C(C)(C)C)CCCCC1)C1(C)CCCCC1)C2(C)C)C(=O)C(=O)NC1CC1 Chemical compound CCC[C@H](NC(=O)[C@@H]1[C@@H]2[C@H](CN1C(=O)[C@@H](NC(=O)NC1(CS(=O)(=O)N(C)C(C)(C)C)CCCCC1)C1(C)CCCCC1)C2(C)C)C(=O)C(=O)NC1CC1 VAYGEPYTNGTNEN-NWBQTEKMSA-N 0.000 description 1
- BHOIYVARRJBNAZ-LOLMJFKOSA-N CCC[C@H](NC(=O)[C@@H]1[C@@H]2[C@H](CN1C(=O)[C@@H](NC(=O)NC1(CS(=O)(=O)N(C)C(C)(C)C3CC3)CCCCC1)C(C)(C)C)C2(C)C)C(=O)C(=O)NC1CC1 Chemical compound CCC[C@H](NC(=O)[C@@H]1[C@@H]2[C@H](CN1C(=O)[C@@H](NC(=O)NC1(CS(=O)(=O)N(C)C(C)(C)C3CC3)CCCCC1)C(C)(C)C)C2(C)C)C(=O)C(=O)NC1CC1 BHOIYVARRJBNAZ-LOLMJFKOSA-N 0.000 description 1
- WQZFKZKYQPMKEE-LFGITCQGSA-N CCC[C@H](NC(=O)[C@@H]1[C@@H]2[C@H](CN1C(=O)[C@@H](NC(=O)NC1(CS(=O)(=O)N(C)C(C)(C)CF)CCCCC1)C(C)(C)C)C2(C)C)C(=O)C(=O)NC1CC1 Chemical compound CCC[C@H](NC(=O)[C@@H]1[C@@H]2[C@H](CN1C(=O)[C@@H](NC(=O)NC1(CS(=O)(=O)N(C)C(C)(C)CF)CCCCC1)C(C)(C)C)C2(C)C)C(=O)C(=O)NC1CC1 WQZFKZKYQPMKEE-LFGITCQGSA-N 0.000 description 1
- CFXBZKUGQCXRAX-NWBQTEKMSA-N CCC[C@H](NC(=O)[C@@H]1[C@@H]2[C@H](CN1C(=O)[C@@H](NC(=O)NC1(CS(=O)(=O)N(C)C(C)(C)CF)CCCCC1)C1(C)CCCCC1)C2(C)C)C(=O)C(=O)NC1CC1 Chemical compound CCC[C@H](NC(=O)[C@@H]1[C@@H]2[C@H](CN1C(=O)[C@@H](NC(=O)NC1(CS(=O)(=O)N(C)C(C)(C)CF)CCCCC1)C1(C)CCCCC1)C2(C)C)C(=O)C(=O)NC1CC1 CFXBZKUGQCXRAX-NWBQTEKMSA-N 0.000 description 1
- OBNXIKIBKYNSFL-LFGITCQGSA-N CCC[C@H](NC(=O)[C@@H]1[C@@H]2[C@H](CN1C(=O)[C@@H](NC(=O)NC1(CS(=O)(=O)N(C)C(C)C)CCCCC1)C(C)(C)C)C2(C)C)C(=O)C(=O)NC1CC1 Chemical compound CCC[C@H](NC(=O)[C@@H]1[C@@H]2[C@H](CN1C(=O)[C@@H](NC(=O)NC1(CS(=O)(=O)N(C)C(C)C)CCCCC1)C(C)(C)C)C2(C)C)C(=O)C(=O)NC1CC1 OBNXIKIBKYNSFL-LFGITCQGSA-N 0.000 description 1
- GDSWJABVMPKLKP-NWBQTEKMSA-N CCC[C@H](NC(=O)[C@@H]1[C@@H]2[C@H](CN1C(=O)[C@@H](NC(=O)NC1(CS(=O)(=O)N(C)C(C)C)CCCCC1)C1(C)CCCCC1)C2(C)C)C(=O)C(=O)NC1CC1 Chemical compound CCC[C@H](NC(=O)[C@@H]1[C@@H]2[C@H](CN1C(=O)[C@@H](NC(=O)NC1(CS(=O)(=O)N(C)C(C)C)CCCCC1)C1(C)CCCCC1)C2(C)C)C(=O)C(=O)NC1CC1 GDSWJABVMPKLKP-NWBQTEKMSA-N 0.000 description 1
- BUZUDPPTFUOEPD-HSGWZQNQSA-N CCC[C@H](NC(=O)[C@@H]1[C@@H]2[C@H](CN1C(=O)[C@@H](NC(=O)NC1(CS(=O)(=O)N(C)C)CCCCC1)C1(C)CCCCC1)C2(C)C)C(=O)C(=O)NC1CC1 Chemical compound CCC[C@H](NC(=O)[C@@H]1[C@@H]2[C@H](CN1C(=O)[C@@H](NC(=O)NC1(CS(=O)(=O)N(C)C)CCCCC1)C1(C)CCCCC1)C2(C)C)C(=O)C(=O)NC1CC1 BUZUDPPTFUOEPD-HSGWZQNQSA-N 0.000 description 1
- WUIWLSROVGAMCV-XLIKFSOKSA-N CCC[C@H](NC(=O)[C@@H]1[C@@H]2[C@H](CN1C(=O)[C@@H](NC(=O)NC1(CS(=O)(=O)N(C)C)CCCCC1)C1CCCCC1)C2(C)C)C(=O)C(=O)NC1CC1 Chemical compound CCC[C@H](NC(=O)[C@@H]1[C@@H]2[C@H](CN1C(=O)[C@@H](NC(=O)NC1(CS(=O)(=O)N(C)C)CCCCC1)C1CCCCC1)C2(C)C)C(=O)C(=O)NC1CC1 WUIWLSROVGAMCV-XLIKFSOKSA-N 0.000 description 1
- CLBUNYRQHWFMSJ-MBFGAFETSA-N CCC[C@H](NC(=O)[C@@H]1[C@@H]2[C@H](CN1C(=O)[C@@H](NC(=O)NC1(CS(=O)(=O)N(C)C3=NC=CC=C3)CCCCC1)C(C)(C)C)C2(C)C)C(=O)C(=O)NC1CC1 Chemical compound CCC[C@H](NC(=O)[C@@H]1[C@@H]2[C@H](CN1C(=O)[C@@H](NC(=O)NC1(CS(=O)(=O)N(C)C3=NC=CC=C3)CCCCC1)C(C)(C)C)C2(C)C)C(=O)C(=O)NC1CC1 CLBUNYRQHWFMSJ-MBFGAFETSA-N 0.000 description 1
- IITIPMWFVPDEES-NWBQTEKMSA-N CCC[C@H](NC(=O)[C@@H]1[C@@H]2[C@H](CN1C(=O)[C@@H](NC(=O)NC1(CS(=O)(=O)N(C)C3CC3)CCCCC1)C1(C)CCCCC1)C2(C)C)C(=O)C(=O)NC1CC1 Chemical compound CCC[C@H](NC(=O)[C@@H]1[C@@H]2[C@H](CN1C(=O)[C@@H](NC(=O)NC1(CS(=O)(=O)N(C)C3CC3)CCCCC1)C1(C)CCCCC1)C2(C)C)C(=O)C(=O)NC1CC1 IITIPMWFVPDEES-NWBQTEKMSA-N 0.000 description 1
- GHMDIAKOTMEXFI-HSGWZQNQSA-N CCC[C@H](NC(=O)[C@@H]1[C@@H]2[C@H](CN1C(=O)[C@@H](NC(=O)NC1(CS(=O)(=O)N(C)C3CCC3)CCCCC1)C(C)(C)C)C2(C)C)C(=O)C(=O)NC1CC1 Chemical compound CCC[C@H](NC(=O)[C@@H]1[C@@H]2[C@H](CN1C(=O)[C@@H](NC(=O)NC1(CS(=O)(=O)N(C)C3CCC3)CCCCC1)C(C)(C)C)C2(C)C)C(=O)C(=O)NC1CC1 GHMDIAKOTMEXFI-HSGWZQNQSA-N 0.000 description 1
- JDQPBSKYTXIQCW-WRPDIKACSA-N CCC[C@H](NC(=O)[C@@H]1[C@@H]2[C@H](CN1C(=O)[C@@H](NC(=O)NC1(CS(=O)(=O)N(C)C3CCC3)CCCCC1)C1(C)CCCCC1)C2(C)C)C(=O)C(=O)NC1CC1 Chemical compound CCC[C@H](NC(=O)[C@@H]1[C@@H]2[C@H](CN1C(=O)[C@@H](NC(=O)NC1(CS(=O)(=O)N(C)C3CCC3)CCCCC1)C1(C)CCCCC1)C2(C)C)C(=O)C(=O)NC1CC1 JDQPBSKYTXIQCW-WRPDIKACSA-N 0.000 description 1
- JAJIRXMRGYKERT-HSGWZQNQSA-N CCC[C@H](NC(=O)[C@@H]1[C@@H]2[C@H](CN1C(=O)[C@@H](NC(=O)NC1(CS(=O)(=O)N(C)CC(F)(F)F)CCCCC1)C1(C)CCCCC1)C2(C)C)C(=O)C(=O)NC1CC1 Chemical compound CCC[C@H](NC(=O)[C@@H]1[C@@H]2[C@H](CN1C(=O)[C@@H](NC(=O)NC1(CS(=O)(=O)N(C)CC(F)(F)F)CCCCC1)C1(C)CCCCC1)C2(C)C)C(=O)C(=O)NC1CC1 JAJIRXMRGYKERT-HSGWZQNQSA-N 0.000 description 1
- DNLDTGIZQIQFLW-HOMAGXEVSA-N CCC[C@H](NC(=O)[C@@H]1[C@@H]2[C@H](CN1C(=O)[C@@H](NC(=O)NC1(CS(=O)(=O)N(C)CC)CCCCC1)C(C)(C)C)C2(C)C)C(=O)C(=O)NC1CC1 Chemical compound CCC[C@H](NC(=O)[C@@H]1[C@@H]2[C@H](CN1C(=O)[C@@H](NC(=O)NC1(CS(=O)(=O)N(C)CC)CCCCC1)C(C)(C)C)C2(C)C)C(=O)C(=O)NC1CC1 DNLDTGIZQIQFLW-HOMAGXEVSA-N 0.000 description 1
- UNAVHWDGHMOSJQ-LOLMJFKOSA-N CCC[C@H](NC(=O)[C@@H]1[C@@H]2[C@H](CN1C(=O)[C@@H](NC(=O)NC1(CS(=O)(=O)N(C)CC)CCCCC1)C1(C)CCCCC1)C2(C)C)C(=O)C(=O)NC1CC1 Chemical compound CCC[C@H](NC(=O)[C@@H]1[C@@H]2[C@H](CN1C(=O)[C@@H](NC(=O)NC1(CS(=O)(=O)N(C)CC)CCCCC1)C1(C)CCCCC1)C2(C)C)C(=O)C(=O)NC1CC1 UNAVHWDGHMOSJQ-LOLMJFKOSA-N 0.000 description 1
- ITNWJAKVNYCGML-HSGWZQNQSA-N CCC[C@H](NC(=O)[C@@H]1[C@@H]2[C@H](CN1C(=O)[C@@H](NC(=O)NC1(CS(=O)(=O)N(C)CC3CC3)CCCCC1)C(C)(C)C)C2(C)C)C(=O)C(=O)NC1CC1 Chemical compound CCC[C@H](NC(=O)[C@@H]1[C@@H]2[C@H](CN1C(=O)[C@@H](NC(=O)NC1(CS(=O)(=O)N(C)CC3CC3)CCCCC1)C(C)(C)C)C2(C)C)C(=O)C(=O)NC1CC1 ITNWJAKVNYCGML-HSGWZQNQSA-N 0.000 description 1
- OVVZYYVHUNFVKW-MDLKPKIOSA-N CCC[C@H](NC(=O)[C@@H]1[C@@H]2[C@H](CN1C(=O)[C@@H](NC(=O)NC1(CS(=O)(=O)N(C)OC)CCCCC1)C(C)(C)C)C2(C)C)C(=O)C(=O)NC1CC1 Chemical compound CCC[C@H](NC(=O)[C@@H]1[C@@H]2[C@H](CN1C(=O)[C@@H](NC(=O)NC1(CS(=O)(=O)N(C)OC)CCCCC1)C(C)(C)C)C2(C)C)C(=O)C(=O)NC1CC1 OVVZYYVHUNFVKW-MDLKPKIOSA-N 0.000 description 1
- AFXRFIHMYZGTBK-IJELJUKBSA-N CCC[C@H](NC(=O)[C@@H]1[C@@H]2[C@H](CN1C(=O)[C@@H](NC(=O)NC1(CS(=O)(=O)N(C)OC)CCCCC1)C(C)(C)C)C2(C)C)C(=O)C(=O)NCC Chemical compound CCC[C@H](NC(=O)[C@@H]1[C@@H]2[C@H](CN1C(=O)[C@@H](NC(=O)NC1(CS(=O)(=O)N(C)OC)CCCCC1)C(C)(C)C)C2(C)C)C(=O)C(=O)NCC AFXRFIHMYZGTBK-IJELJUKBSA-N 0.000 description 1
- BCOIBVKAVQZICS-HSGWZQNQSA-N CCC[C@H](NC(=O)[C@@H]1[C@@H]2[C@H](CN1C(=O)[C@@H](NC(=O)NC1(CS(=O)(=O)N(C)OC)CCCCC1)C1(C)CCCCC1)C2(C)C)C(=O)C(=O)NC1CC1 Chemical compound CCC[C@H](NC(=O)[C@@H]1[C@@H]2[C@H](CN1C(=O)[C@@H](NC(=O)NC1(CS(=O)(=O)N(C)OC)CCCCC1)C1(C)CCCCC1)C2(C)C)C(=O)C(=O)NC1CC1 BCOIBVKAVQZICS-HSGWZQNQSA-N 0.000 description 1
- RXTRBTYXFSYVSG-WHZKYOCYSA-N CCC[C@H](NC(=O)[C@@H]1[C@@H]2[C@H](CN1C(=O)[C@@H](NC(=O)NC1(CS(=O)(=O)N(C)[C@@H](C)C3CC3)CCCCC1)C(C)(C)C)C2(C)C)C(=O)C(=O)NC1CC1 Chemical compound CCC[C@H](NC(=O)[C@@H]1[C@@H]2[C@H](CN1C(=O)[C@@H](NC(=O)NC1(CS(=O)(=O)N(C)[C@@H](C)C3CC3)CCCCC1)C(C)(C)C)C2(C)C)C(=O)C(=O)NC1CC1 RXTRBTYXFSYVSG-WHZKYOCYSA-N 0.000 description 1
- RXTRBTYXFSYVSG-KOKBMYFLSA-N CCC[C@H](NC(=O)[C@@H]1[C@@H]2[C@H](CN1C(=O)[C@@H](NC(=O)NC1(CS(=O)(=O)N(C)[C@H](C)C3CC3)CCCCC1)C(C)(C)C)C2(C)C)C(=O)C(=O)NC1CC1 Chemical compound CCC[C@H](NC(=O)[C@@H]1[C@@H]2[C@H](CN1C(=O)[C@@H](NC(=O)NC1(CS(=O)(=O)N(C)[C@H](C)C3CC3)CCCCC1)C(C)(C)C)C2(C)C)C(=O)C(=O)NC1CC1 RXTRBTYXFSYVSG-KOKBMYFLSA-N 0.000 description 1
- GTLZTAJWLYLRQS-WRPDIKACSA-N CCC[C@H](NC(=O)[C@@H]1[C@@H]2[C@H](CN1C(=O)[C@@H](NC(=O)NC1(CS(=O)(=O)N(CC)C(C)(C)C)CCCCC1)C1(C)CCCCC1)C2(C)C)C(=O)C(=O)NC1CC1 Chemical compound CCC[C@H](NC(=O)[C@@H]1[C@@H]2[C@H](CN1C(=O)[C@@H](NC(=O)NC1(CS(=O)(=O)N(CC)C(C)(C)C)CCCCC1)C1(C)CCCCC1)C2(C)C)C(=O)C(=O)NC1CC1 GTLZTAJWLYLRQS-WRPDIKACSA-N 0.000 description 1
- KNKPQUAKTZYMRL-HSGWZQNQSA-N CCC[C@H](NC(=O)[C@@H]1[C@@H]2[C@H](CN1C(=O)[C@@H](NC(=O)NC1(CS(=O)(=O)N(CC)C(C)C)CCCCC1)C(C)(C)C)C2(C)C)C(=O)C(=O)NC1CC1 Chemical compound CCC[C@H](NC(=O)[C@@H]1[C@@H]2[C@H](CN1C(=O)[C@@H](NC(=O)NC1(CS(=O)(=O)N(CC)C(C)C)CCCCC1)C(C)(C)C)C2(C)C)C(=O)C(=O)NC1CC1 KNKPQUAKTZYMRL-HSGWZQNQSA-N 0.000 description 1
- SIFIQNBEFYYQFI-WRPDIKACSA-N CCC[C@H](NC(=O)[C@@H]1[C@@H]2[C@H](CN1C(=O)[C@@H](NC(=O)NC1(CS(=O)(=O)N(CC)C(C)C)CCCCC1)C1(C)CCCCC1)C2(C)C)C(=O)C(=O)NC1CC1 Chemical compound CCC[C@H](NC(=O)[C@@H]1[C@@H]2[C@H](CN1C(=O)[C@@H](NC(=O)NC1(CS(=O)(=O)N(CC)C(C)C)CCCCC1)C1(C)CCCCC1)C2(C)C)C(=O)C(=O)NC1CC1 SIFIQNBEFYYQFI-WRPDIKACSA-N 0.000 description 1
- MUJMEXYSOQWIGR-HSGWZQNQSA-N CCC[C@H](NC(=O)[C@@H]1[C@@H]2[C@H](CN1C(=O)[C@@H](NC(=O)NC1(CS(=O)(=O)N(CC)C3CC3)CCCCC1)C(C)(C)C)C2(C)C)C(=O)C(=O)NC1CC1 Chemical compound CCC[C@H](NC(=O)[C@@H]1[C@@H]2[C@H](CN1C(=O)[C@@H](NC(=O)NC1(CS(=O)(=O)N(CC)C3CC3)CCCCC1)C(C)(C)C)C2(C)C)C(=O)C(=O)NC1CC1 MUJMEXYSOQWIGR-HSGWZQNQSA-N 0.000 description 1
- JBJWYKPJVGDOIY-WRPDIKACSA-N CCC[C@H](NC(=O)[C@@H]1[C@@H]2[C@H](CN1C(=O)[C@@H](NC(=O)NC1(CS(=O)(=O)N(CC)C3CC3)CCCCC1)C1(C)CCCCC1)C2(C)C)C(=O)C(=O)NC1CC1 Chemical compound CCC[C@H](NC(=O)[C@@H]1[C@@H]2[C@H](CN1C(=O)[C@@H](NC(=O)NC1(CS(=O)(=O)N(CC)C3CC3)CCCCC1)C1(C)CCCCC1)C2(C)C)C(=O)C(=O)NC1CC1 JBJWYKPJVGDOIY-WRPDIKACSA-N 0.000 description 1
- FQIJITVBRDTDOG-NWBQTEKMSA-N CCC[C@H](NC(=O)[C@@H]1[C@@H]2[C@H](CN1C(=O)[C@@H](NC(=O)NC1(CS(=O)(=O)N(CC)CC)CCCCC1)C1(C)CCCCC1)C2(C)C)C(=O)C(=O)NC1CC1 Chemical compound CCC[C@H](NC(=O)[C@@H]1[C@@H]2[C@H](CN1C(=O)[C@@H](NC(=O)NC1(CS(=O)(=O)N(CC)CC)CCCCC1)C1(C)CCCCC1)C2(C)C)C(=O)C(=O)NC1CC1 FQIJITVBRDTDOG-NWBQTEKMSA-N 0.000 description 1
- LMNJBXVHSGMMTG-IIZANFQQSA-N CCC[C@H](NC(=O)[C@@H]1[C@@H]2[C@H](CN1C(=O)[C@@H](NC(=O)NC1(CS(=O)(=O)N(CC)CC)CCCCC1)C1CCCCC1)C2(C)C)C(=O)C(=O)NC1CC1 Chemical compound CCC[C@H](NC(=O)[C@@H]1[C@@H]2[C@H](CN1C(=O)[C@@H](NC(=O)NC1(CS(=O)(=O)N(CC)CC)CCCCC1)C1CCCCC1)C2(C)C)C(=O)C(=O)NC1CC1 LMNJBXVHSGMMTG-IIZANFQQSA-N 0.000 description 1
- YNQADFZDNHWUIH-DLRNAMLRSA-N CCC[C@H](NC(=O)[C@@H]1[C@@H]2[C@H](CN1C(=O)[C@@H](NC(=O)NC1(CS(=O)(=O)N(CC3CC3)C3CC3)CCCCC1)C1(C)CCCCC1)C2(C)C)C(=O)C(=O)NC1CC1 Chemical compound CCC[C@H](NC(=O)[C@@H]1[C@@H]2[C@H](CN1C(=O)[C@@H](NC(=O)NC1(CS(=O)(=O)N(CC3CC3)C3CC3)CCCCC1)C1(C)CCCCC1)C2(C)C)C(=O)C(=O)NC1CC1 YNQADFZDNHWUIH-DLRNAMLRSA-N 0.000 description 1
- JTKLMYMSMJLINP-MDLKPKIOSA-N CCC[C@H](NC(=O)[C@@H]1[C@@H]2[C@H](CN1C(=O)[C@@H](NC(=O)NC1(CS(=O)(=O)N3CC(F)(F)C3)CCCCC1)C(C)(C)C)C2(C)C)C(=O)C(=O)NC1CC1 Chemical compound CCC[C@H](NC(=O)[C@@H]1[C@@H]2[C@H](CN1C(=O)[C@@H](NC(=O)NC1(CS(=O)(=O)N3CC(F)(F)C3)CCCCC1)C(C)(C)C)C2(C)C)C(=O)C(=O)NC1CC1 JTKLMYMSMJLINP-MDLKPKIOSA-N 0.000 description 1
- ZRGMFHPZCGVWDV-HOMAGXEVSA-N CCC[C@H](NC(=O)[C@@H]1[C@@H]2[C@H](CN1C(=O)[C@@H](NC(=O)NC1(CS(=O)(=O)N3CCC3)CCCCC1)C(C)(C)C)C2(C)C)C(=O)C(=O)NC1CC1 Chemical compound CCC[C@H](NC(=O)[C@@H]1[C@@H]2[C@H](CN1C(=O)[C@@H](NC(=O)NC1(CS(=O)(=O)N3CCC3)CCCCC1)C(C)(C)C)C2(C)C)C(=O)C(=O)NC1CC1 ZRGMFHPZCGVWDV-HOMAGXEVSA-N 0.000 description 1
- PYHRFIYMQXFHQD-LOLMJFKOSA-N CCC[C@H](NC(=O)[C@@H]1[C@@H]2[C@H](CN1C(=O)[C@@H](NC(=O)NC1(CS(=O)(=O)N3CCC3)CCCCC1)C1(C)CCCCC1)C2(C)C)C(=O)C(=O)NC1CC1 Chemical compound CCC[C@H](NC(=O)[C@@H]1[C@@H]2[C@H](CN1C(=O)[C@@H](NC(=O)NC1(CS(=O)(=O)N3CCC3)CCCCC1)C1(C)CCCCC1)C2(C)C)C(=O)C(=O)NC1CC1 PYHRFIYMQXFHQD-LOLMJFKOSA-N 0.000 description 1
- FXXLQKQPFXLRQI-LFGITCQGSA-N CCC[C@H](NC(=O)[C@@H]1[C@@H]2[C@H](CN1C(=O)[C@@H](NC(=O)NC1(CS(=O)(=O)N3CCCC3)CCCCC1)C(C)(C)C)C2(C)C)C(=O)C(=O)NC1CC1 Chemical compound CCC[C@H](NC(=O)[C@@H]1[C@@H]2[C@H](CN1C(=O)[C@@H](NC(=O)NC1(CS(=O)(=O)N3CCCC3)CCCCC1)C(C)(C)C)C2(C)C)C(=O)C(=O)NC1CC1 FXXLQKQPFXLRQI-LFGITCQGSA-N 0.000 description 1
- DBXPRDWWHQGYKT-LFGITCQGSA-N CCC[C@H](NC(=O)[C@@H]1[C@@H]2[C@H](CN1C(=O)[C@@H](NC(=O)NC1(CS(=O)(=O)N3CCOCC3)CCCCC1)C(C)(C)C)C2(C)C)C(=O)C(=O)NC1CC1 Chemical compound CCC[C@H](NC(=O)[C@@H]1[C@@H]2[C@H](CN1C(=O)[C@@H](NC(=O)NC1(CS(=O)(=O)N3CCOCC3)CCCCC1)C(C)(C)C)C2(C)C)C(=O)C(=O)NC1CC1 DBXPRDWWHQGYKT-LFGITCQGSA-N 0.000 description 1
- UILXVSZSTKKHDO-NWBQTEKMSA-N CCC[C@H](NC(=O)[C@@H]1[C@@H]2[C@H](CN1C(=O)[C@@H](NC(=O)NC1(CS(=O)(=O)N3CCOCC3)CCCCC1)C1(C)CCCCC1)C2(C)C)C(=O)C(=O)NC1CC1 Chemical compound CCC[C@H](NC(=O)[C@@H]1[C@@H]2[C@H](CN1C(=O)[C@@H](NC(=O)NC1(CS(=O)(=O)N3CCOCC3)CCCCC1)C1(C)CCCCC1)C2(C)C)C(=O)C(=O)NC1CC1 UILXVSZSTKKHDO-NWBQTEKMSA-N 0.000 description 1
- SRASUNHGNJJLOE-IJELJUKBSA-N CCC[C@H](NC(=O)[C@@H]1[C@@H]2[C@H](CN1C(=O)[C@@H](NC(=O)NC1(CS(=O)(=O)NC)CCCCC1)C(C)(C)C)C2(C)C)C(=O)C(=O)NC1CC1 Chemical compound CCC[C@H](NC(=O)[C@@H]1[C@@H]2[C@H](CN1C(=O)[C@@H](NC(=O)NC1(CS(=O)(=O)NC)CCCCC1)C(C)(C)C)C2(C)C)C(=O)C(=O)NC1CC1 SRASUNHGNJJLOE-IJELJUKBSA-N 0.000 description 1
- XGNIHKNTRQARTB-VRKCYLIMSA-N CCC[C@H](NC(=O)[C@@H]1[C@@H]2[C@H](CN1C(=O)[C@@H](NC(=O)NC1([C@@H](C)S(=O)(=O)N(C)C)CCCCC1)C(C)(C)C)C2(C)C)C(=O)C(=O)NC1CC1 Chemical compound CCC[C@H](NC(=O)[C@@H]1[C@@H]2[C@H](CN1C(=O)[C@@H](NC(=O)NC1([C@@H](C)S(=O)(=O)N(C)C)CCCCC1)C(C)(C)C)C2(C)C)C(=O)C(=O)NC1CC1 XGNIHKNTRQARTB-VRKCYLIMSA-N 0.000 description 1
- NFYWATZHZBZMKU-DHXFBPOHSA-N CCC[C@H](NC(=O)[C@@H]1[C@@H]2[C@H](CN1C(=O)[C@@H](NC(=O)NC1([C@@H](C)S(=O)(=O)N(C)C)CCCCC1)C1(C)CCCCC1)C2(C)C)C(=O)C(=O)NC1CC1 Chemical compound CCC[C@H](NC(=O)[C@@H]1[C@@H]2[C@H](CN1C(=O)[C@@H](NC(=O)NC1([C@@H](C)S(=O)(=O)N(C)C)CCCCC1)C1(C)CCCCC1)C2(C)C)C(=O)C(=O)NC1CC1 NFYWATZHZBZMKU-DHXFBPOHSA-N 0.000 description 1
- JLGZCFOEQCLTTN-LNYCBDHDSA-N CCC[C@H](NC(=O)[C@@H]1[C@@H]2[C@H](CN1C(=O)[C@@H](NC(=O)NC1([C@@H](C)S(=O)(=O)N(C)C3CC3)CCCCC1)C(C)(C)C)C2(C)C)C(=O)C(=O)NC1CC1 Chemical compound CCC[C@H](NC(=O)[C@@H]1[C@@H]2[C@H](CN1C(=O)[C@@H](NC(=O)NC1([C@@H](C)S(=O)(=O)N(C)C3CC3)CCCCC1)C(C)(C)C)C2(C)C)C(=O)C(=O)NC1CC1 JLGZCFOEQCLTTN-LNYCBDHDSA-N 0.000 description 1
- WRMNFUWAHCCCBP-QFLXWJJHSA-N CCC[C@H](NC(=O)[C@@H]1[C@@H]2[C@H](CN1C(=O)[C@@H](NC(=O)NC1([C@@H]3CCN(CC)S3(=O)=O)CCCCC1)C(C)(C)C)C2(C)C)C(=O)C(=O)NC1CC1 Chemical compound CCC[C@H](NC(=O)[C@@H]1[C@@H]2[C@H](CN1C(=O)[C@@H](NC(=O)NC1([C@@H]3CCN(CC)S3(=O)=O)CCCCC1)C(C)(C)C)C2(C)C)C(=O)C(=O)NC1CC1 WRMNFUWAHCCCBP-QFLXWJJHSA-N 0.000 description 1
- XGNIHKNTRQARTB-JJDISPEOSA-N CCC[C@H](NC(=O)[C@@H]1[C@@H]2[C@H](CN1C(=O)[C@@H](NC(=O)NC1([C@H](C)S(=O)(=O)N(C)C)CCCCC1)C(C)(C)C)C2(C)C)C(=O)C(=O)NC1CC1 Chemical compound CCC[C@H](NC(=O)[C@@H]1[C@@H]2[C@H](CN1C(=O)[C@@H](NC(=O)NC1([C@H](C)S(=O)(=O)N(C)C)CCCCC1)C(C)(C)C)C2(C)C)C(=O)C(=O)NC1CC1 XGNIHKNTRQARTB-JJDISPEOSA-N 0.000 description 1
- NFYWATZHZBZMKU-MXFPNWFMSA-N CCC[C@H](NC(=O)[C@@H]1[C@@H]2[C@H](CN1C(=O)[C@@H](NC(=O)NC1([C@H](C)S(=O)(=O)N(C)C)CCCCC1)C1(C)CCCCC1)C2(C)C)C(=O)C(=O)NC1CC1 Chemical compound CCC[C@H](NC(=O)[C@@H]1[C@@H]2[C@H](CN1C(=O)[C@@H](NC(=O)NC1([C@H](C)S(=O)(=O)N(C)C)CCCCC1)C1(C)CCCCC1)C2(C)C)C(=O)C(=O)NC1CC1 NFYWATZHZBZMKU-MXFPNWFMSA-N 0.000 description 1
- JLGZCFOEQCLTTN-YDAJXZHRSA-N CCC[C@H](NC(=O)[C@@H]1[C@@H]2[C@H](CN1C(=O)[C@@H](NC(=O)NC1([C@H](C)S(=O)(=O)N(C)C3CC3)CCCCC1)C(C)(C)C)C2(C)C)C(=O)C(=O)NC1CC1 Chemical compound CCC[C@H](NC(=O)[C@@H]1[C@@H]2[C@H](CN1C(=O)[C@@H](NC(=O)NC1([C@H](C)S(=O)(=O)N(C)C3CC3)CCCCC1)C(C)(C)C)C2(C)C)C(=O)C(=O)NC1CC1 JLGZCFOEQCLTTN-YDAJXZHRSA-N 0.000 description 1
- WBLFNVLKEAVIOE-VDYFTJCESA-N CCN(C(C)(C)C)S(=O)(=O)CC1(NC(=O)N[C@H](C(=O)N2C[C@H]3[C@@H]([C@H]2C(=O)N[C@@H](CC2CC2)C(=O)C(=O)NC2CC2)C3(C)C)C2(C)CCCCC2)CCCCC1 Chemical compound CCN(C(C)(C)C)S(=O)(=O)CC1(NC(=O)N[C@H](C(=O)N2C[C@H]3[C@@H]([C@H]2C(=O)N[C@@H](CC2CC2)C(=O)C(=O)NC2CC2)C3(C)C)C2(C)CCCCC2)CCCCC1 WBLFNVLKEAVIOE-VDYFTJCESA-N 0.000 description 1
- HSTMZCFSEIPZRV-DLRNAMLRSA-N CCN(C(C)(C)C)S(=O)(=O)CC1(NC(=O)N[C@H](C(=O)N2C[C@H]3[C@@H]([C@H]2C(=O)N[C@@H](CCC2CC2)C(=O)C(=O)NC2CC2)C3(C)C)C2(C)CCCCC2)CCCCC1 Chemical compound CCN(C(C)(C)C)S(=O)(=O)CC1(NC(=O)N[C@H](C(=O)N2C[C@H]3[C@@H]([C@H]2C(=O)N[C@@H](CCC2CC2)C(=O)C(=O)NC2CC2)C3(C)C)C2(C)CCCCC2)CCCCC1 HSTMZCFSEIPZRV-DLRNAMLRSA-N 0.000 description 1
- XIWMNNUOPPEXEF-LOLMJFKOSA-N CCN(C(C)C)S(=O)(=O)CC1(NC(=O)N[C@H](C(=O)N2C[C@H]3[C@@H]([C@H]2C(=O)N[C@@H](CC2CC2)C(=O)C(=O)NC2CC2)C3(C)C)C(C)(C)C)CCCCC1 Chemical compound CCN(C(C)C)S(=O)(=O)CC1(NC(=O)N[C@H](C(=O)N2C[C@H]3[C@@H]([C@H]2C(=O)N[C@@H](CC2CC2)C(=O)C(=O)NC2CC2)C3(C)C)C(C)(C)C)CCCCC1 XIWMNNUOPPEXEF-LOLMJFKOSA-N 0.000 description 1
- NVHTYJIKEVVWRT-VDYFTJCESA-N CCN(C(C)C)S(=O)(=O)CC1(NC(=O)N[C@H](C(=O)N2C[C@H]3[C@@H]([C@H]2C(=O)N[C@@H](CC2CC2)C(=O)C(=O)NC2CC2)C3(C)C)C2(C)CCCCC2)CCCCC1 Chemical compound CCN(C(C)C)S(=O)(=O)CC1(NC(=O)N[C@H](C(=O)N2C[C@H]3[C@@H]([C@H]2C(=O)N[C@@H](CC2CC2)C(=O)C(=O)NC2CC2)C3(C)C)C2(C)CCCCC2)CCCCC1 NVHTYJIKEVVWRT-VDYFTJCESA-N 0.000 description 1
- PSNKLFPGQQTOIW-NWBQTEKMSA-N CCN(C(C)C)S(=O)(=O)CC1(NC(=O)N[C@H](C(=O)N2C[C@H]3[C@@H]([C@H]2C(=O)N[C@@H](CCC2CC2)C(=O)C(=O)NC2CC2)C3(C)C)C(C)(C)C)CCCCC1 Chemical compound CCN(C(C)C)S(=O)(=O)CC1(NC(=O)N[C@H](C(=O)N2C[C@H]3[C@@H]([C@H]2C(=O)N[C@@H](CCC2CC2)C(=O)C(=O)NC2CC2)C3(C)C)C(C)(C)C)CCCCC1 PSNKLFPGQQTOIW-NWBQTEKMSA-N 0.000 description 1
- OMCCUTSPMVUBLJ-DLRNAMLRSA-N CCN(C(C)C)S(=O)(=O)CC1(NC(=O)N[C@H](C(=O)N2C[C@H]3[C@@H]([C@H]2C(=O)N[C@@H](CCC2CC2)C(=O)C(=O)NC2CC2)C3(C)C)C2(C)CCCCC2)CCCCC1 Chemical compound CCN(C(C)C)S(=O)(=O)CC1(NC(=O)N[C@H](C(=O)N2C[C@H]3[C@@H]([C@H]2C(=O)N[C@@H](CCC2CC2)C(=O)C(=O)NC2CC2)C3(C)C)C2(C)CCCCC2)CCCCC1 OMCCUTSPMVUBLJ-DLRNAMLRSA-N 0.000 description 1
- XAPGOPSUIZSRQS-LFGITCQGSA-N CCN(C)S(=O)(=O)CC1(NC(=O)N[C@H](C(=O)N2C[C@H]3[C@@H]([C@H]2C(=O)N[C@@H](CC2CC2)C(=O)C(=O)NC2CC2)C3(C)C)C(C)(C)C)CCCCC1 Chemical compound CCN(C)S(=O)(=O)CC1(NC(=O)N[C@H](C(=O)N2C[C@H]3[C@@H]([C@H]2C(=O)N[C@@H](CC2CC2)C(=O)C(=O)NC2CC2)C3(C)C)C(C)(C)C)CCCCC1 XAPGOPSUIZSRQS-LFGITCQGSA-N 0.000 description 1
- VNTLTCNGWMWZKF-NWBQTEKMSA-N CCN(C)S(=O)(=O)CC1(NC(=O)N[C@H](C(=O)N2C[C@H]3[C@@H]([C@H]2C(=O)N[C@@H](CC2CC2)C(=O)C(=O)NC2CC2)C3(C)C)C2(C)CCCCC2)CCCCC1 Chemical compound CCN(C)S(=O)(=O)CC1(NC(=O)N[C@H](C(=O)N2C[C@H]3[C@@H]([C@H]2C(=O)N[C@@H](CC2CC2)C(=O)C(=O)NC2CC2)C3(C)C)C2(C)CCCCC2)CCCCC1 VNTLTCNGWMWZKF-NWBQTEKMSA-N 0.000 description 1
- CVXUZCAQPXPIPL-HSGWZQNQSA-N CCN(C)S(=O)(=O)CC1(NC(=O)N[C@H](C(=O)N2C[C@H]3[C@@H]([C@H]2C(=O)N[C@@H](CCC2CC2)C(=O)C(=O)NC2CC2)C3(C)C)C(C)(C)C)CCCCC1 Chemical compound CCN(C)S(=O)(=O)CC1(NC(=O)N[C@H](C(=O)N2C[C@H]3[C@@H]([C@H]2C(=O)N[C@@H](CCC2CC2)C(=O)C(=O)NC2CC2)C3(C)C)C(C)(C)C)CCCCC1 CVXUZCAQPXPIPL-HSGWZQNQSA-N 0.000 description 1
- OBYMNTDNOGSYEO-WRPDIKACSA-N CCN(C)S(=O)(=O)CC1(NC(=O)N[C@H](C(=O)N2C[C@H]3[C@@H]([C@H]2C(=O)N[C@@H](CCC2CC2)C(=O)C(=O)NC2CC2)C3(C)C)C2(C)CCCCC2)CCCCC1 Chemical compound CCN(C)S(=O)(=O)CC1(NC(=O)N[C@H](C(=O)N2C[C@H]3[C@@H]([C@H]2C(=O)N[C@@H](CCC2CC2)C(=O)C(=O)NC2CC2)C3(C)C)C2(C)CCCCC2)CCCCC1 OBYMNTDNOGSYEO-WRPDIKACSA-N 0.000 description 1
- UHFHLGQEJROTLL-LOLMJFKOSA-N CCN(C1CC1)S(=O)(=O)CC1(NC(=O)N[C@H](C(=O)N2C[C@H]3[C@@H]([C@H]2C(=O)N[C@@H](CC2CC2)C(=O)C(=O)NC2CC2)C3(C)C)C(C)(C)C)CCCCC1 Chemical compound CCN(C1CC1)S(=O)(=O)CC1(NC(=O)N[C@H](C(=O)N2C[C@H]3[C@@H]([C@H]2C(=O)N[C@@H](CC2CC2)C(=O)C(=O)NC2CC2)C3(C)C)C(C)(C)C)CCCCC1 UHFHLGQEJROTLL-LOLMJFKOSA-N 0.000 description 1
- YNIVVFZAGCJVHW-VDYFTJCESA-N CCN(C1CC1)S(=O)(=O)CC1(NC(=O)N[C@H](C(=O)N2C[C@H]3[C@@H]([C@H]2C(=O)N[C@@H](CC2CC2)C(=O)C(=O)NC2CC2)C3(C)C)C2(C)CCCCC2)CCCCC1 Chemical compound CCN(C1CC1)S(=O)(=O)CC1(NC(=O)N[C@H](C(=O)N2C[C@H]3[C@@H]([C@H]2C(=O)N[C@@H](CC2CC2)C(=O)C(=O)NC2CC2)C3(C)C)C2(C)CCCCC2)CCCCC1 YNIVVFZAGCJVHW-VDYFTJCESA-N 0.000 description 1
- RHULWZBXHSESMJ-NWBQTEKMSA-N CCN(C1CC1)S(=O)(=O)CC1(NC(=O)N[C@H](C(=O)N2C[C@H]3[C@@H]([C@H]2C(=O)N[C@@H](CCC2CC2)C(=O)C(=O)NC2CC2)C3(C)C)C(C)(C)C)CCCCC1 Chemical compound CCN(C1CC1)S(=O)(=O)CC1(NC(=O)N[C@H](C(=O)N2C[C@H]3[C@@H]([C@H]2C(=O)N[C@@H](CCC2CC2)C(=O)C(=O)NC2CC2)C3(C)C)C(C)(C)C)CCCCC1 RHULWZBXHSESMJ-NWBQTEKMSA-N 0.000 description 1
- CGCQPJJHILRSHG-DLRNAMLRSA-N CCN(C1CC1)S(=O)(=O)CC1(NC(=O)N[C@H](C(=O)N2C[C@H]3[C@@H]([C@H]2C(=O)N[C@@H](CCC2CC2)C(=O)C(=O)NC2CC2)C3(C)C)C2(C)CCCCC2)CCCCC1 Chemical compound CCN(C1CC1)S(=O)(=O)CC1(NC(=O)N[C@H](C(=O)N2C[C@H]3[C@@H]([C@H]2C(=O)N[C@@H](CCC2CC2)C(=O)C(=O)NC2CC2)C3(C)C)C2(C)CCCCC2)CCCCC1 CGCQPJJHILRSHG-DLRNAMLRSA-N 0.000 description 1
- UNCICASRZBGPCH-HSGWZQNQSA-N CCN(CC)S(=O)(=O)CC1(NC(=O)N[C@H](C(=O)N2C[C@H]3[C@@H]([C@H]2C(=O)N[C@@H](CC2CC2)C(=O)C(=O)NC2CC2)C3(C)C)C(C)(C)C)CCCCC1 Chemical compound CCN(CC)S(=O)(=O)CC1(NC(=O)N[C@H](C(=O)N2C[C@H]3[C@@H]([C@H]2C(=O)N[C@@H](CC2CC2)C(=O)C(=O)NC2CC2)C3(C)C)C(C)(C)C)CCCCC1 UNCICASRZBGPCH-HSGWZQNQSA-N 0.000 description 1
- LPLKDXMQQNCMRH-WRPDIKACSA-N CCN(CC)S(=O)(=O)CC1(NC(=O)N[C@H](C(=O)N2C[C@H]3[C@@H]([C@H]2C(=O)N[C@@H](CC2CC2)C(=O)C(=O)NC2CC2)C3(C)C)C2(C)CCCCC2)CCCCC1 Chemical compound CCN(CC)S(=O)(=O)CC1(NC(=O)N[C@H](C(=O)N2C[C@H]3[C@@H]([C@H]2C(=O)N[C@@H](CC2CC2)C(=O)C(=O)NC2CC2)C3(C)C)C2(C)CCCCC2)CCCCC1 LPLKDXMQQNCMRH-WRPDIKACSA-N 0.000 description 1
- BEGSEEMMPARGBJ-QKUYTOGTSA-N CCN(CC)S(=O)(=O)CC1(NC(=O)N[C@H](C(=O)N2C[C@H]3[C@@H]([C@H]2C(=O)N[C@@H](CC2CC2)C(=O)C(=O)NC2CC2)C3(C)C)C2CCCCC2)CCCCC1 Chemical compound CCN(CC)S(=O)(=O)CC1(NC(=O)N[C@H](C(=O)N2C[C@H]3[C@@H]([C@H]2C(=O)N[C@@H](CC2CC2)C(=O)C(=O)NC2CC2)C3(C)C)C2CCCCC2)CCCCC1 BEGSEEMMPARGBJ-QKUYTOGTSA-N 0.000 description 1
- GPOWERBYNHRVOL-LOLMJFKOSA-N CCN(CC)S(=O)(=O)CC1(NC(=O)N[C@H](C(=O)N2C[C@H]3[C@@H]([C@H]2C(=O)N[C@@H](CCC2CC2)C(=O)C(=O)NC2CC2)C3(C)C)C(C)(C)C)CCCCC1 Chemical compound CCN(CC)S(=O)(=O)CC1(NC(=O)N[C@H](C(=O)N2C[C@H]3[C@@H]([C@H]2C(=O)N[C@@H](CCC2CC2)C(=O)C(=O)NC2CC2)C3(C)C)C(C)(C)C)CCCCC1 GPOWERBYNHRVOL-LOLMJFKOSA-N 0.000 description 1
- PIWAIFRELILPCZ-VDYFTJCESA-N CCN(CC)S(=O)(=O)CC1(NC(=O)N[C@H](C(=O)N2C[C@H]3[C@@H]([C@H]2C(=O)N[C@@H](CCC2CC2)C(=O)C(=O)NC2CC2)C3(C)C)C2(C)CCCCC2)CCCCC1 Chemical compound CCN(CC)S(=O)(=O)CC1(NC(=O)N[C@H](C(=O)N2C[C@H]3[C@@H]([C@H]2C(=O)N[C@@H](CCC2CC2)C(=O)C(=O)NC2CC2)C3(C)C)C2(C)CCCCC2)CCCCC1 PIWAIFRELILPCZ-VDYFTJCESA-N 0.000 description 1
- ZAPLVQJCELABLV-XDIGFQIYSA-N CCN(CC)S(=O)(=O)CC1(NC(=O)N[C@H](C(=O)N2C[C@H]3[C@@H]([C@H]2C(=O)N[C@@H](CCC2CC2)C(=O)C(=O)NC2CC2)C3(C)C)C2CCCCC2)CCCCC1 Chemical compound CCN(CC)S(=O)(=O)CC1(NC(=O)N[C@H](C(=O)N2C[C@H]3[C@@H]([C@H]2C(=O)N[C@@H](CCC2CC2)C(=O)C(=O)NC2CC2)C3(C)C)C2CCCCC2)CCCCC1 ZAPLVQJCELABLV-XDIGFQIYSA-N 0.000 description 1
- RZUIHAUSZDFIHY-RIXJBJNRSA-N CCN1CC[C@@H](C2(NC(=O)N[C@H](C(=O)N3C[C@H]4[C@@H]([C@H]3C(=O)N[C@@H](CCC3CC3)C(=O)C(=O)NC3CC3)C4(C)C)C(C)(C)C)CCCCC2)S1(=O)=O Chemical compound CCN1CC[C@@H](C2(NC(=O)N[C@H](C(=O)N3C[C@H]4[C@@H]([C@H]3C(=O)N[C@@H](CCC3CC3)C(=O)C(=O)NC3CC3)C4(C)C)C(C)(C)C)CCCCC2)S1(=O)=O RZUIHAUSZDFIHY-RIXJBJNRSA-N 0.000 description 1
- OOIJSHINSGTKEY-NWBQTEKMSA-N CN(C(C)(C)C(F)(F)F)S(=O)(=O)CC1(NC(=O)N[C@H](C(=O)N2C[C@H]3[C@@H]([C@H]2C(=O)N[C@@H](CC2CC2)C(=O)C(=O)NC2CC2)C3(C)C)C2(C)CCCCC2)CCCCC1 Chemical compound CN(C(C)(C)C(F)(F)F)S(=O)(=O)CC1(NC(=O)N[C@H](C(=O)N2C[C@H]3[C@@H]([C@H]2C(=O)N[C@@H](CC2CC2)C(=O)C(=O)NC2CC2)C3(C)C)C2(C)CCCCC2)CCCCC1 OOIJSHINSGTKEY-NWBQTEKMSA-N 0.000 description 1
- XOQFRWAGTFVRNJ-HSGWZQNQSA-N CN(C(C)(C)C)S(=O)(=O)CC1(NC(=O)N[C@H](C(=O)N2C[C@H]3[C@@H]([C@H]2C(=O)N[C@@H](CC2CC2)C(=O)C(=O)NC2CC2)C3(C)C)C(C)(C)C)CCCCC1 Chemical compound CN(C(C)(C)C)S(=O)(=O)CC1(NC(=O)N[C@H](C(=O)N2C[C@H]3[C@@H]([C@H]2C(=O)N[C@@H](CC2CC2)C(=O)C(=O)NC2CC2)C3(C)C)C(C)(C)C)CCCCC1 XOQFRWAGTFVRNJ-HSGWZQNQSA-N 0.000 description 1
- SXYJAYDFKNTGBL-WRPDIKACSA-N CN(C(C)(C)C)S(=O)(=O)CC1(NC(=O)N[C@H](C(=O)N2C[C@H]3[C@@H]([C@H]2C(=O)N[C@@H](CC2CC2)C(=O)C(=O)NC2CC2)C3(C)C)C2(C)CCCCC2)CCCCC1 Chemical compound CN(C(C)(C)C)S(=O)(=O)CC1(NC(=O)N[C@H](C(=O)N2C[C@H]3[C@@H]([C@H]2C(=O)N[C@@H](CC2CC2)C(=O)C(=O)NC2CC2)C3(C)C)C2(C)CCCCC2)CCCCC1 SXYJAYDFKNTGBL-WRPDIKACSA-N 0.000 description 1
- ISMQBMPYPGUYNR-LOLMJFKOSA-N CN(C(C)(C)C)S(=O)(=O)CC1(NC(=O)N[C@H](C(=O)N2C[C@H]3[C@@H]([C@H]2C(=O)N[C@@H](CCC2CC2)C(=O)C(=O)NC2CC2)C3(C)C)C(C)(C)C)CCCCC1 Chemical compound CN(C(C)(C)C)S(=O)(=O)CC1(NC(=O)N[C@H](C(=O)N2C[C@H]3[C@@H]([C@H]2C(=O)N[C@@H](CCC2CC2)C(=O)C(=O)NC2CC2)C3(C)C)C(C)(C)C)CCCCC1 ISMQBMPYPGUYNR-LOLMJFKOSA-N 0.000 description 1
- RETJBEXYDIRBTA-VDYFTJCESA-N CN(C(C)(C)C)S(=O)(=O)CC1(NC(=O)N[C@H](C(=O)N2C[C@H]3[C@@H]([C@H]2C(=O)N[C@@H](CCC2CC2)C(=O)C(=O)NC2CC2)C3(C)C)C2(C)CCCCC2)CCCCC1 Chemical compound CN(C(C)(C)C)S(=O)(=O)CC1(NC(=O)N[C@H](C(=O)N2C[C@H]3[C@@H]([C@H]2C(=O)N[C@@H](CCC2CC2)C(=O)C(=O)NC2CC2)C3(C)C)C2(C)CCCCC2)CCCCC1 RETJBEXYDIRBTA-VDYFTJCESA-N 0.000 description 1
- IMWFWZZPCWVDIO-NWBQTEKMSA-N CN(C(C)(C)C1CC1)S(=O)(=O)CC1(NC(=O)N[C@H](C(=O)N2C[C@H]3[C@@H]([C@H]2C(=O)N[C@@H](CC2CC2)C(=O)C(=O)NC2CC2)C3(C)C)C(C)(C)C)CCCCC1 Chemical compound CN(C(C)(C)C1CC1)S(=O)(=O)CC1(NC(=O)N[C@H](C(=O)N2C[C@H]3[C@@H]([C@H]2C(=O)N[C@@H](CC2CC2)C(=O)C(=O)NC2CC2)C3(C)C)C(C)(C)C)CCCCC1 IMWFWZZPCWVDIO-NWBQTEKMSA-N 0.000 description 1
- GJIGHHZXRHPIQH-WRPDIKACSA-N CN(C(C)(C)C1CC1)S(=O)(=O)CC1(NC(=O)N[C@H](C(=O)N2C[C@H]3[C@@H]([C@H]2C(=O)N[C@@H](CCC2CC2)C(=O)C(=O)NC2CC2)C3(C)C)C(C)(C)C)CCCCC1 Chemical compound CN(C(C)(C)C1CC1)S(=O)(=O)CC1(NC(=O)N[C@H](C(=O)N2C[C@H]3[C@@H]([C@H]2C(=O)N[C@@H](CCC2CC2)C(=O)C(=O)NC2CC2)C3(C)C)C(C)(C)C)CCCCC1 GJIGHHZXRHPIQH-WRPDIKACSA-N 0.000 description 1
- GDGHUPHHDCYREV-HSGWZQNQSA-N CN(C(C)(C)CF)S(=O)(=O)CC1(NC(=O)N[C@H](C(=O)N2C[C@H]3[C@@H]([C@H]2C(=O)N[C@@H](CC2CC2)C(=O)C(=O)NC2CC2)C3(C)C)C(C)(C)C)CCCCC1 Chemical compound CN(C(C)(C)CF)S(=O)(=O)CC1(NC(=O)N[C@H](C(=O)N2C[C@H]3[C@@H]([C@H]2C(=O)N[C@@H](CC2CC2)C(=O)C(=O)NC2CC2)C3(C)C)C(C)(C)C)CCCCC1 GDGHUPHHDCYREV-HSGWZQNQSA-N 0.000 description 1
- NCCIFKYTPRMJCR-WRPDIKACSA-N CN(C(C)(C)CF)S(=O)(=O)CC1(NC(=O)N[C@H](C(=O)N2C[C@H]3[C@@H]([C@H]2C(=O)N[C@@H](CC2CC2)C(=O)C(=O)NC2CC2)C3(C)C)C2(C)CCCCC2)CCCCC1 Chemical compound CN(C(C)(C)CF)S(=O)(=O)CC1(NC(=O)N[C@H](C(=O)N2C[C@H]3[C@@H]([C@H]2C(=O)N[C@@H](CC2CC2)C(=O)C(=O)NC2CC2)C3(C)C)C2(C)CCCCC2)CCCCC1 NCCIFKYTPRMJCR-WRPDIKACSA-N 0.000 description 1
- HYLXUUXHMHOANN-UHFFFAOYSA-N CN(C)S(=O)(=O)CC1(N)CCCCC1.CN(C)S(=O)(=O)CC1(N=C=O)CCCCC1.Cl Chemical compound CN(C)S(=O)(=O)CC1(N)CCCCC1.CN(C)S(=O)(=O)CC1(N=C=O)CCCCC1.Cl HYLXUUXHMHOANN-UHFFFAOYSA-N 0.000 description 1
- LJWXOKDFHFKDRD-FYZYNONXSA-N CN(C)S(=O)(=O)CC1(N)CCCCC1.CN(C)S(=O)(=O)CC1(N[S@@](=O)C(C)(C)C)CCCCC1.Cl Chemical compound CN(C)S(=O)(=O)CC1(N)CCCCC1.CN(C)S(=O)(=O)CC1(N[S@@](=O)C(C)(C)C)CCCCC1.Cl LJWXOKDFHFKDRD-FYZYNONXSA-N 0.000 description 1
- LPOIWBABKWSJEV-PJVLVBBPSA-N CN(C)S(=O)(=O)CC1(N=C=O)CCCCC1.COC(=O)[C@@H]1[C@@H]2[C@H](CN1C(=O)[C@@H](NC(=O)NC1(CS(=O)(=O)N(C)C)CCCCC1)C(C)(C)C)C2(C)C Chemical compound CN(C)S(=O)(=O)CC1(N=C=O)CCCCC1.COC(=O)[C@@H]1[C@@H]2[C@H](CN1C(=O)[C@@H](NC(=O)NC1(CS(=O)(=O)N(C)C)CCCCC1)C(C)(C)C)C2(C)C LPOIWBABKWSJEV-PJVLVBBPSA-N 0.000 description 1
- RXZGFMXKZQVIIA-HOMAGXEVSA-N CN(C)S(=O)(=O)CC1(NC(=O)N[C@H](C(=O)N2C[C@H]3[C@@H]([C@H]2C(=O)N[C@@H](CC2CC2)C(=O)C(=O)NC2CC2)C3(C)C)C(C)(C)C)CCCCC1 Chemical compound CN(C)S(=O)(=O)CC1(NC(=O)N[C@H](C(=O)N2C[C@H]3[C@@H]([C@H]2C(=O)N[C@@H](CC2CC2)C(=O)C(=O)NC2CC2)C3(C)C)C(C)(C)C)CCCCC1 RXZGFMXKZQVIIA-HOMAGXEVSA-N 0.000 description 1
- ZKOUBQVIMVKQMD-LOLMJFKOSA-N CN(C)S(=O)(=O)CC1(NC(=O)N[C@H](C(=O)N2C[C@H]3[C@@H]([C@H]2C(=O)N[C@@H](CC2CC2)C(=O)C(=O)NC2CC2)C3(C)C)C2(C)CCCCC2)CCCCC1 Chemical compound CN(C)S(=O)(=O)CC1(NC(=O)N[C@H](C(=O)N2C[C@H]3[C@@H]([C@H]2C(=O)N[C@@H](CC2CC2)C(=O)C(=O)NC2CC2)C3(C)C)C2(C)CCCCC2)CCCCC1 ZKOUBQVIMVKQMD-LOLMJFKOSA-N 0.000 description 1
- IDQDFWZWNHKCBG-ZIUUJSQJSA-N CN(C)S(=O)(=O)CC1(NC(=O)N[C@H](C(=O)N2C[C@H]3[C@@H]([C@H]2C(=O)N[C@@H](CC2CC2)C(=O)C(=O)NC2CC2)C3(C)C)C2CCCCC2)CCCCC1 Chemical compound CN(C)S(=O)(=O)CC1(NC(=O)N[C@H](C(=O)N2C[C@H]3[C@@H]([C@H]2C(=O)N[C@@H](CC2CC2)C(=O)C(=O)NC2CC2)C3(C)C)C2CCCCC2)CCCCC1 IDQDFWZWNHKCBG-ZIUUJSQJSA-N 0.000 description 1
- WDCADNYLXXAHSD-LFGITCQGSA-N CN(C)S(=O)(=O)CC1(NC(=O)N[C@H](C(=O)N2C[C@H]3[C@@H]([C@H]2C(=O)N[C@@H](CCC2CC2)C(=O)C(=O)NC2CC2)C3(C)C)C(C)(C)C)CCCCC1 Chemical compound CN(C)S(=O)(=O)CC1(NC(=O)N[C@H](C(=O)N2C[C@H]3[C@@H]([C@H]2C(=O)N[C@@H](CCC2CC2)C(=O)C(=O)NC2CC2)C3(C)C)C(C)(C)C)CCCCC1 WDCADNYLXXAHSD-LFGITCQGSA-N 0.000 description 1
- HYQLHIORQCPRET-NWBQTEKMSA-N CN(C)S(=O)(=O)CC1(NC(=O)N[C@H](C(=O)N2C[C@H]3[C@@H]([C@H]2C(=O)N[C@@H](CCC2CC2)C(=O)C(=O)NC2CC2)C3(C)C)C2(C)CCCCC2)CCCCC1 Chemical compound CN(C)S(=O)(=O)CC1(NC(=O)N[C@H](C(=O)N2C[C@H]3[C@@H]([C@H]2C(=O)N[C@@H](CCC2CC2)C(=O)C(=O)NC2CC2)C3(C)C)C2(C)CCCCC2)CCCCC1 HYQLHIORQCPRET-NWBQTEKMSA-N 0.000 description 1
- DWLKQYFULBAPMK-IIZANFQQSA-N CN(C)S(=O)(=O)CC1(NC(=O)N[C@H](C(=O)N2C[C@H]3[C@@H]([C@H]2C(=O)N[C@@H](CCC2CC2)C(=O)C(=O)NC2CC2)C3(C)C)C2CCCCC2)CCCCC1 Chemical compound CN(C)S(=O)(=O)CC1(NC(=O)N[C@H](C(=O)N2C[C@H]3[C@@H]([C@H]2C(=O)N[C@@H](CCC2CC2)C(=O)C(=O)NC2CC2)C3(C)C)C2CCCCC2)CCCCC1 DWLKQYFULBAPMK-IIZANFQQSA-N 0.000 description 1
- HMBWXYPLNAZARE-JCDUJHOJSA-N CN(C)S(=O)(=O)CC1(NC(=O)N[C@H](C(=O)N2C[C@H]3[C@@H]([C@H]2C(=O)O)C3(C)C)C(C)(C)C)CCCCC1.COC(=O)[C@@H]1[C@@H]2[C@H](CN1C(=O)[C@@H](NC(=O)NC1(CS(=O)(=O)N(C)C)CCCCC1)C(C)(C)C)C2(C)C Chemical compound CN(C)S(=O)(=O)CC1(NC(=O)N[C@H](C(=O)N2C[C@H]3[C@@H]([C@H]2C(=O)O)C3(C)C)C(C)(C)C)CCCCC1.COC(=O)[C@@H]1[C@@H]2[C@H](CN1C(=O)[C@@H](NC(=O)NC1(CS(=O)(=O)N(C)C)CCCCC1)C(C)(C)C)C2(C)C HMBWXYPLNAZARE-JCDUJHOJSA-N 0.000 description 1
- JOHMPYMLQFGZLW-UHFFFAOYSA-N CN(C)S(CC1(CCCCC1)N=C=O)(=O)=O Chemical compound CN(C)S(CC1(CCCCC1)N=C=O)(=O)=O JOHMPYMLQFGZLW-UHFFFAOYSA-N 0.000 description 1
- NARBZXXFGBGBFO-NZFNEECCSA-N CN(C1=NC=CC=C1)S(=O)(=O)CC1(NC(=O)N[C@H](C(=O)N2C[C@H]3[C@@H]([C@H]2C(=O)N[C@@H](CC2CC2)C(=O)C(=O)NC2CC2)C3(C)C)C(C)(C)C)CCCCC1 Chemical compound CN(C1=NC=CC=C1)S(=O)(=O)CC1(NC(=O)N[C@H](C(=O)N2C[C@H]3[C@@H]([C@H]2C(=O)N[C@@H](CC2CC2)C(=O)C(=O)NC2CC2)C3(C)C)C(C)(C)C)CCCCC1 NARBZXXFGBGBFO-NZFNEECCSA-N 0.000 description 1
- NARBZXXFGBGBFO-ONVQVZLESA-N CN(C1=NC=CC=C1)S(=O)(=O)CC1(NC(=O)N[C@H](C(=O)N2C[C@H]3[C@@H]([C@H]2C(=O)N[C@H](CC2CC2)C(=O)C(=O)NC2CC2)C3(C)C)C(C)(C)C)CCCCC1 Chemical compound CN(C1=NC=CC=C1)S(=O)(=O)CC1(NC(=O)N[C@H](C(=O)N2C[C@H]3[C@@H]([C@H]2C(=O)N[C@H](CC2CC2)C(=O)C(=O)NC2CC2)C3(C)C)C(C)(C)C)CCCCC1 NARBZXXFGBGBFO-ONVQVZLESA-N 0.000 description 1
- UGPUQMZAUWCDPF-UHFFFAOYSA-N CN(C1CC1)S(=O)(=O)CC1(C(=O)O)CCCCC1.CN(C1CC1)S(=O)(=O)CC1(N=C=O)CCCCC1 Chemical compound CN(C1CC1)S(=O)(=O)CC1(C(=O)O)CCCCC1.CN(C1CC1)S(=O)(=O)CC1(N=C=O)CCCCC1 UGPUQMZAUWCDPF-UHFFFAOYSA-N 0.000 description 1
- XOBTZBONWJPCIE-UHFFFAOYSA-N CN(C1CC1)S(=O)(=O)CC1(C(=O)O)CCCCC1.COC(=O)C1(CS(=O)(=O)N(C)C2CC2)CCCCC1 Chemical compound CN(C1CC1)S(=O)(=O)CC1(C(=O)O)CCCCC1.COC(=O)C1(CS(=O)(=O)N(C)C2CC2)CCCCC1 XOBTZBONWJPCIE-UHFFFAOYSA-N 0.000 description 1
- VEARABGUHAOTFC-HSGWZQNQSA-N CN(C1CC1)S(=O)(=O)CC1(NC(=O)N[C@H](C(=O)N2C[C@H]3[C@@H]([C@H]2C(=O)N[C@@H](CC2CC2)C(=O)C(=O)NC2CC2)C3(C)C)C(C)(C)C)CCCCC1 Chemical compound CN(C1CC1)S(=O)(=O)CC1(NC(=O)N[C@H](C(=O)N2C[C@H]3[C@@H]([C@H]2C(=O)N[C@@H](CC2CC2)C(=O)C(=O)NC2CC2)C3(C)C)C(C)(C)C)CCCCC1 VEARABGUHAOTFC-HSGWZQNQSA-N 0.000 description 1
- KKNOPYGPFZWLNX-WRPDIKACSA-N CN(C1CC1)S(=O)(=O)CC1(NC(=O)N[C@H](C(=O)N2C[C@H]3[C@@H]([C@H]2C(=O)N[C@@H](CC2CC2)C(=O)C(=O)NC2CC2)C3(C)C)C2(C)CCCCC2)CCCCC1 Chemical compound CN(C1CC1)S(=O)(=O)CC1(NC(=O)N[C@H](C(=O)N2C[C@H]3[C@@H]([C@H]2C(=O)N[C@@H](CC2CC2)C(=O)C(=O)NC2CC2)C3(C)C)C2(C)CCCCC2)CCCCC1 KKNOPYGPFZWLNX-WRPDIKACSA-N 0.000 description 1
- HVOBTXVFYXUVLN-VDYFTJCESA-N CN(C1CC1)S(=O)(=O)CC1(NC(=O)N[C@H](C(=O)N2C[C@H]3[C@@H]([C@H]2C(=O)N[C@@H](CCC2CC2)C(=O)C(=O)NC2CC2)C3(C)C)C2(C)CCCCC2)CCCCC1 Chemical compound CN(C1CC1)S(=O)(=O)CC1(NC(=O)N[C@H](C(=O)N2C[C@H]3[C@@H]([C@H]2C(=O)N[C@@H](CCC2CC2)C(=O)C(=O)NC2CC2)C3(C)C)C2(C)CCCCC2)CCCCC1 HVOBTXVFYXUVLN-VDYFTJCESA-N 0.000 description 1
- MVWQCBBDQYYNRQ-LOLMJFKOSA-N CN(C1CCC1)S(=O)(=O)CC1(NC(=O)N[C@H](C(=O)N2C[C@H]3[C@@H]([C@H]2C(=O)N[C@@H](CC2CC2)C(=O)C(=O)NC2CC2)C3(C)C)C(C)(C)C)CCCCC1 Chemical compound CN(C1CCC1)S(=O)(=O)CC1(NC(=O)N[C@H](C(=O)N2C[C@H]3[C@@H]([C@H]2C(=O)N[C@@H](CC2CC2)C(=O)C(=O)NC2CC2)C3(C)C)C(C)(C)C)CCCCC1 MVWQCBBDQYYNRQ-LOLMJFKOSA-N 0.000 description 1
- BGOJNKVQROHELK-VDYFTJCESA-N CN(C1CCC1)S(=O)(=O)CC1(NC(=O)N[C@H](C(=O)N2C[C@H]3[C@@H]([C@H]2C(=O)N[C@@H](CC2CC2)C(=O)C(=O)NC2CC2)C3(C)C)C2(C)CCCCC2)CCCCC1 Chemical compound CN(C1CCC1)S(=O)(=O)CC1(NC(=O)N[C@H](C(=O)N2C[C@H]3[C@@H]([C@H]2C(=O)N[C@@H](CC2CC2)C(=O)C(=O)NC2CC2)C3(C)C)C2(C)CCCCC2)CCCCC1 BGOJNKVQROHELK-VDYFTJCESA-N 0.000 description 1
- VYRVXWKINIAOQD-NWBQTEKMSA-N CN(C1CCC1)S(=O)(=O)CC1(NC(=O)N[C@H](C(=O)N2C[C@H]3[C@@H]([C@H]2C(=O)N[C@@H](CCC2CC2)C(=O)C(=O)NC2CC2)C3(C)C)C(C)(C)C)CCCCC1 Chemical compound CN(C1CCC1)S(=O)(=O)CC1(NC(=O)N[C@H](C(=O)N2C[C@H]3[C@@H]([C@H]2C(=O)N[C@@H](CCC2CC2)C(=O)C(=O)NC2CC2)C3(C)C)C(C)(C)C)CCCCC1 VYRVXWKINIAOQD-NWBQTEKMSA-N 0.000 description 1
- DCUMHLVNKJBXBJ-DLRNAMLRSA-N CN(C1CCC1)S(=O)(=O)CC1(NC(=O)N[C@H](C(=O)N2C[C@H]3[C@@H]([C@H]2C(=O)N[C@@H](CCC2CC2)C(=O)C(=O)NC2CC2)C3(C)C)C2(C)CCCCC2)CCCCC1 Chemical compound CN(C1CCC1)S(=O)(=O)CC1(NC(=O)N[C@H](C(=O)N2C[C@H]3[C@@H]([C@H]2C(=O)N[C@@H](CCC2CC2)C(=O)C(=O)NC2CC2)C3(C)C)C2(C)CCCCC2)CCCCC1 DCUMHLVNKJBXBJ-DLRNAMLRSA-N 0.000 description 1
- KHTWGLBSPPBKGL-HOMAGXEVSA-N CN(CC(F)(F)F)S(=O)(=O)CC1(NC(=O)N[C@H](C(=O)N2C[C@H]3[C@@H]([C@H]2C(=O)N[C@@H](CC2CC2)C(=O)C(=O)NC2CC2)C3(C)C)C(C)(C)C)CCCCC1 Chemical compound CN(CC(F)(F)F)S(=O)(=O)CC1(NC(=O)N[C@H](C(=O)N2C[C@H]3[C@@H]([C@H]2C(=O)N[C@@H](CC2CC2)C(=O)C(=O)NC2CC2)C3(C)C)C(C)(C)C)CCCCC1 KHTWGLBSPPBKGL-HOMAGXEVSA-N 0.000 description 1
- ZOLBWQMXXJPELN-LOLMJFKOSA-N CN(CC(F)(F)F)S(=O)(=O)CC1(NC(=O)N[C@H](C(=O)N2C[C@H]3[C@@H]([C@H]2C(=O)N[C@@H](CC2CC2)C(=O)C(=O)NC2CC2)C3(C)C)C2(C)CCCCC2)CCCCC1 Chemical compound CN(CC(F)(F)F)S(=O)(=O)CC1(NC(=O)N[C@H](C(=O)N2C[C@H]3[C@@H]([C@H]2C(=O)N[C@@H](CC2CC2)C(=O)C(=O)NC2CC2)C3(C)C)C2(C)CCCCC2)CCCCC1 ZOLBWQMXXJPELN-LOLMJFKOSA-N 0.000 description 1
- LTNNEKMNJHYWNZ-LFGITCQGSA-N CN(CC(F)(F)F)S(=O)(=O)CC1(NC(=O)N[C@H](C(=O)N2C[C@H]3[C@@H]([C@H]2C(=O)N[C@@H](CCC2CC2)C(=O)C(=O)NC2CC2)C3(C)C)C(C)(C)C)CCCCC1 Chemical compound CN(CC(F)(F)F)S(=O)(=O)CC1(NC(=O)N[C@H](C(=O)N2C[C@H]3[C@@H]([C@H]2C(=O)N[C@@H](CCC2CC2)C(=O)C(=O)NC2CC2)C3(C)C)C(C)(C)C)CCCCC1 LTNNEKMNJHYWNZ-LFGITCQGSA-N 0.000 description 1
- BTXZUJWVEMUGAB-NWBQTEKMSA-N CN(CC(F)(F)F)S(=O)(=O)CC1(NC(=O)N[C@H](C(=O)N2C[C@H]3[C@@H]([C@H]2C(=O)N[C@@H](CCC2CC2)C(=O)C(=O)NC2CC2)C3(C)C)C2(C)CCCCC2)CCCCC1 Chemical compound CN(CC(F)(F)F)S(=O)(=O)CC1(NC(=O)N[C@H](C(=O)N2C[C@H]3[C@@H]([C@H]2C(=O)N[C@@H](CCC2CC2)C(=O)C(=O)NC2CC2)C3(C)C)C2(C)CCCCC2)CCCCC1 BTXZUJWVEMUGAB-NWBQTEKMSA-N 0.000 description 1
- HVLWOTAGRLJZKF-LOLMJFKOSA-N CN(CC1CC1)S(=O)(=O)CC1(NC(=O)N[C@H](C(=O)N2C[C@H]3[C@@H]([C@H]2C(=O)N[C@@H](CC2CC2)C(=O)C(=O)NC2CC2)C3(C)C)C(C)(C)C)CCCCC1 Chemical compound CN(CC1CC1)S(=O)(=O)CC1(NC(=O)N[C@H](C(=O)N2C[C@H]3[C@@H]([C@H]2C(=O)N[C@@H](CC2CC2)C(=O)C(=O)NC2CC2)C3(C)C)C(C)(C)C)CCCCC1 HVLWOTAGRLJZKF-LOLMJFKOSA-N 0.000 description 1
- XECPZNUZZVIRCZ-NWBQTEKMSA-N CN(CC1CC1)S(=O)(=O)CC1(NC(=O)N[C@H](C(=O)N2C[C@H]3[C@@H]([C@H]2C(=O)N[C@@H](CCC2CC2)C(=O)C(=O)NC2CC2)C3(C)C)C(C)(C)C)CCCCC1 Chemical compound CN(CC1CC1)S(=O)(=O)CC1(NC(=O)N[C@H](C(=O)N2C[C@H]3[C@@H]([C@H]2C(=O)N[C@@H](CCC2CC2)C(=O)C(=O)NC2CC2)C3(C)C)C(C)(C)C)CCCCC1 XECPZNUZZVIRCZ-NWBQTEKMSA-N 0.000 description 1
- KSZQJMQQOFFBCS-HOMAGXEVSA-N CNS(=O)(=O)CC1(NC(=O)N[C@H](C(=O)N2C[C@H]3[C@@H]([C@H]2C(=O)N[C@@H](CCC2CC2)C(=O)C(=O)NC2CC2)C3(C)C)C(C)(C)C)CCCCC1 Chemical compound CNS(=O)(=O)CC1(NC(=O)N[C@H](C(=O)N2C[C@H]3[C@@H]([C@H]2C(=O)N[C@@H](CCC2CC2)C(=O)C(=O)NC2CC2)C3(C)C)C(C)(C)C)CCCCC1 KSZQJMQQOFFBCS-HOMAGXEVSA-N 0.000 description 1
- SIEGWHGPKYHGIN-UHFFFAOYSA-N COC(=O)C1(CI)CCCCC1.COC(=O)C1(CSC(C)=O)CCCCC1 Chemical compound COC(=O)C1(CI)CCCCC1.COC(=O)C1(CSC(C)=O)CCCCC1 SIEGWHGPKYHGIN-UHFFFAOYSA-N 0.000 description 1
- WHLZHKLRMHPGME-UHFFFAOYSA-N COC(=O)C1(CI)CCCCC1.COC(=O)C1CCCCC1 Chemical compound COC(=O)C1(CI)CCCCC1.COC(=O)C1CCCCC1 WHLZHKLRMHPGME-UHFFFAOYSA-N 0.000 description 1
- NPPCCHRUYGNKCW-UHFFFAOYSA-N COC(=O)C1(CS(=O)(=O)Cl)CCCCC1.COC(=O)C1(CS(=O)(=O)N(C)C2CC2)CCCCC1 Chemical compound COC(=O)C1(CS(=O)(=O)Cl)CCCCC1.COC(=O)C1(CS(=O)(=O)N(C)C2CC2)CCCCC1 NPPCCHRUYGNKCW-UHFFFAOYSA-N 0.000 description 1
- CRXVVVLGQXPSFM-UHFFFAOYSA-N COC(=O)C1(CS(=O)(=O)Cl)CCCCC1.COC(=O)C1(CSC(C)=O)CCCCC1 Chemical compound COC(=O)C1(CS(=O)(=O)Cl)CCCCC1.COC(=O)C1(CSC(C)=O)CCCCC1 CRXVVVLGQXPSFM-UHFFFAOYSA-N 0.000 description 1
- TYNCRRCGIUIVJX-UHFFFAOYSA-N COC(C1(CI)CCCCC1)=O Chemical compound COC(C1(CI)CCCCC1)=O TYNCRRCGIUIVJX-UHFFFAOYSA-N 0.000 description 1
- BLTNEUAGFFPFCV-UHFFFAOYSA-N COC(C1(CS(Cl)(=O)=O)CCCCC1)=O Chemical compound COC(C1(CS(Cl)(=O)=O)CCCCC1)=O BLTNEUAGFFPFCV-UHFFFAOYSA-N 0.000 description 1
- CDWXZHKPURZJQB-HOMAGXEVSA-N CON(C)S(=O)(=O)CC1(NC(=O)N[C@H](C(=O)N2C[C@H]3[C@@H]([C@H]2C(=O)N[C@@H](CC2CC2)C(=O)C(=O)NC2CC2)C3(C)C)C(C)(C)C)CCCCC1 Chemical compound CON(C)S(=O)(=O)CC1(NC(=O)N[C@H](C(=O)N2C[C@H]3[C@@H]([C@H]2C(=O)N[C@@H](CC2CC2)C(=O)C(=O)NC2CC2)C3(C)C)C(C)(C)C)CCCCC1 CDWXZHKPURZJQB-HOMAGXEVSA-N 0.000 description 1
- WPMPMXAWKGYGBD-LFGITCQGSA-N CON(C)S(=O)(=O)CC1(NC(=O)N[C@H](C(=O)N2C[C@H]3[C@@H]([C@H]2C(=O)N[C@@H](CCC2CC2)C(=O)C(=O)NC2CC2)C3(C)C)C(C)(C)C)CCCCC1 Chemical compound CON(C)S(=O)(=O)CC1(NC(=O)N[C@H](C(=O)N2C[C@H]3[C@@H]([C@H]2C(=O)N[C@@H](CCC2CC2)C(=O)C(=O)NC2CC2)C3(C)C)C(C)(C)C)CCCCC1 WPMPMXAWKGYGBD-LFGITCQGSA-N 0.000 description 1
- YCKDEJAZRUVOIC-NWBQTEKMSA-N CON(C)S(=O)(=O)CC1(NC(=O)N[C@H](C(=O)N2C[C@H]3[C@@H]([C@H]2C(=O)N[C@@H](CCC2CC2)C(=O)C(=O)NC2CC2)C3(C)C)C2(C)CCCCC2)CCCCC1 Chemical compound CON(C)S(=O)(=O)CC1(NC(=O)N[C@H](C(=O)N2C[C@H]3[C@@H]([C@H]2C(=O)N[C@@H](CCC2CC2)C(=O)C(=O)NC2CC2)C3(C)C)C2(C)CCCCC2)CCCCC1 YCKDEJAZRUVOIC-NWBQTEKMSA-N 0.000 description 1
- DMTSBRQVSUIZBP-IFDWEVFWSA-N C[C@@H](C1(NC(=O)N[C@H](C(=O)N2C[C@H]3[C@@H]([C@H]2C(=O)N[C@@H](CC2CC2)C(=O)C(=O)NC2CC2)C3(C)C)C(C)(C)C)CCCCC1)S(=O)(=O)N(C)C Chemical compound C[C@@H](C1(NC(=O)N[C@H](C(=O)N2C[C@H]3[C@@H]([C@H]2C(=O)N[C@@H](CC2CC2)C(=O)C(=O)NC2CC2)C3(C)C)C(C)(C)C)CCCCC1)S(=O)(=O)N(C)C DMTSBRQVSUIZBP-IFDWEVFWSA-N 0.000 description 1
- GOJXGCXPVYWKFE-LYLHADSCSA-N C[C@@H](C1(NC(=O)N[C@H](C(=O)N2C[C@H]3[C@@H]([C@H]2C(=O)N[C@@H](CC2CC2)C(=O)C(=O)NC2CC2)C3(C)C)C2(C)CCCCC2)CCCCC1)S(=O)(=O)N(C)C Chemical compound C[C@@H](C1(NC(=O)N[C@H](C(=O)N2C[C@H]3[C@@H]([C@H]2C(=O)N[C@@H](CC2CC2)C(=O)C(=O)NC2CC2)C3(C)C)C2(C)CCCCC2)CCCCC1)S(=O)(=O)N(C)C GOJXGCXPVYWKFE-LYLHADSCSA-N 0.000 description 1
- KFRNPGZNSSXHQK-YDAJXZHRSA-N C[C@@H](C1(NC(=O)N[C@H](C(=O)N2C[C@H]3[C@@H]([C@H]2C(=O)N[C@@H](CCC2CC2)C(=O)C(=O)NC2CC2)C3(C)C)C(C)(C)C)CCCCC1)S(=O)(=O)N(C)C Chemical compound C[C@@H](C1(NC(=O)N[C@H](C(=O)N2C[C@H]3[C@@H]([C@H]2C(=O)N[C@@H](CCC2CC2)C(=O)C(=O)NC2CC2)C3(C)C)C(C)(C)C)CCCCC1)S(=O)(=O)N(C)C KFRNPGZNSSXHQK-YDAJXZHRSA-N 0.000 description 1
- SLURZPJMPOEQKS-XRKVIQMLSA-N C[C@@H](C1(NC(=O)N[C@H](C(=O)N2C[C@H]3[C@@H]([C@H]2C(=O)N[C@@H](CCC2CC2)C(=O)C(=O)NC2CC2)C3(C)C)C(C)(C)C)CCCCC1)S(=O)(=O)N(C)C1CC1 Chemical compound C[C@@H](C1(NC(=O)N[C@H](C(=O)N2C[C@H]3[C@@H]([C@H]2C(=O)N[C@@H](CCC2CC2)C(=O)C(=O)NC2CC2)C3(C)C)C(C)(C)C)CCCCC1)S(=O)(=O)N(C)C1CC1 SLURZPJMPOEQKS-XRKVIQMLSA-N 0.000 description 1
- GDURBSFXVQWCQZ-CVSFOATASA-N C[C@@H](C1(NC(=O)N[C@H](C(=O)N2C[C@H]3[C@@H]([C@H]2C(=O)N[C@@H](CCC2CC2)C(=O)C(=O)NC2CC2)C3(C)C)C2(C)CCCCC2)CCCCC1)S(=O)(=O)N(C)C Chemical compound C[C@@H](C1(NC(=O)N[C@H](C(=O)N2C[C@H]3[C@@H]([C@H]2C(=O)N[C@@H](CCC2CC2)C(=O)C(=O)NC2CC2)C3(C)C)C2(C)CCCCC2)CCCCC1)S(=O)(=O)N(C)C GDURBSFXVQWCQZ-CVSFOATASA-N 0.000 description 1
- DDSOPSQLWIPVOJ-XRKVIQMLSA-N C[C@@H](C1CC1)N(C)S(=O)(=O)CC1(NC(=O)N[C@H](C(=O)N2C[C@H]3[C@@H]([C@H]2C(=O)N[C@@H](CC2CC2)C(=O)C(=O)NC2CC2)C3(C)C)C(C)(C)C)CCCCC1 Chemical compound C[C@@H](C1CC1)N(C)S(=O)(=O)CC1(NC(=O)N[C@H](C(=O)N2C[C@H]3[C@@H]([C@H]2C(=O)N[C@@H](CC2CC2)C(=O)C(=O)NC2CC2)C3(C)C)C(C)(C)C)CCCCC1 DDSOPSQLWIPVOJ-XRKVIQMLSA-N 0.000 description 1
- UCJDPMIZEPLZLZ-BOWNZWJTSA-N C[C@@H](C1CC1)N(C)S(=O)(=O)CC1(NC(=O)N[C@H](C(=O)N2C[C@H]3[C@@H]([C@H]2C(=O)N[C@@H](CCC2CC2)C(=O)C(=O)NC2CC2)C3(C)C)C(C)(C)C)CCCCC1 Chemical compound C[C@@H](C1CC1)N(C)S(=O)(=O)CC1(NC(=O)N[C@H](C(=O)N2C[C@H]3[C@@H]([C@H]2C(=O)N[C@@H](CCC2CC2)C(=O)C(=O)NC2CC2)C3(C)C)C(C)(C)C)CCCCC1 UCJDPMIZEPLZLZ-BOWNZWJTSA-N 0.000 description 1
- DMTSBRQVSUIZBP-ZPLBDKTMSA-N C[C@H](C1(NC(=O)N[C@H](C(=O)N2C[C@H]3[C@@H]([C@H]2C(=O)N[C@@H](CC2CC2)C(=O)C(=O)NC2CC2)C3(C)C)C(C)(C)C)CCCCC1)S(=O)(=O)N(C)C Chemical compound C[C@H](C1(NC(=O)N[C@H](C(=O)N2C[C@H]3[C@@H]([C@H]2C(=O)N[C@@H](CC2CC2)C(=O)C(=O)NC2CC2)C3(C)C)C(C)(C)C)CCCCC1)S(=O)(=O)N(C)C DMTSBRQVSUIZBP-ZPLBDKTMSA-N 0.000 description 1
- CMUAMDBGUNKKMX-XZDFQSFVSA-N C[C@H](C1(NC(=O)N[C@H](C(=O)N2C[C@H]3[C@@H]([C@H]2C(=O)N[C@@H](CC2CC2)C(=O)C(=O)NC2CC2)C3(C)C)C(C)(C)C)CCCCC1)S(=O)(=O)N(C)C1CC1 Chemical compound C[C@H](C1(NC(=O)N[C@H](C(=O)N2C[C@H]3[C@@H]([C@H]2C(=O)N[C@@H](CC2CC2)C(=O)C(=O)NC2CC2)C3(C)C)C(C)(C)C)CCCCC1)S(=O)(=O)N(C)C1CC1 CMUAMDBGUNKKMX-XZDFQSFVSA-N 0.000 description 1
- KFRNPGZNSSXHQK-LNYCBDHDSA-N C[C@H](C1(NC(=O)N[C@H](C(=O)N2C[C@H]3[C@@H]([C@H]2C(=O)N[C@@H](CCC2CC2)C(=O)C(=O)NC2CC2)C3(C)C)C(C)(C)C)CCCCC1)S(=O)(=O)N(C)C Chemical compound C[C@H](C1(NC(=O)N[C@H](C(=O)N2C[C@H]3[C@@H]([C@H]2C(=O)N[C@@H](CCC2CC2)C(=O)C(=O)NC2CC2)C3(C)C)C(C)(C)C)CCCCC1)S(=O)(=O)N(C)C KFRNPGZNSSXHQK-LNYCBDHDSA-N 0.000 description 1
- SLURZPJMPOEQKS-XQOKKZIDSA-N C[C@H](C1(NC(=O)N[C@H](C(=O)N2C[C@H]3[C@@H]([C@H]2C(=O)N[C@@H](CCC2CC2)C(=O)C(=O)NC2CC2)C3(C)C)C(C)(C)C)CCCCC1)S(=O)(=O)N(C)C1CC1 Chemical compound C[C@H](C1(NC(=O)N[C@H](C(=O)N2C[C@H]3[C@@H]([C@H]2C(=O)N[C@@H](CCC2CC2)C(=O)C(=O)NC2CC2)C3(C)C)C(C)(C)C)CCCCC1)S(=O)(=O)N(C)C1CC1 SLURZPJMPOEQKS-XQOKKZIDSA-N 0.000 description 1
- GDURBSFXVQWCQZ-OFMXCJHVSA-N C[C@H](C1(NC(=O)N[C@H](C(=O)N2C[C@H]3[C@@H]([C@H]2C(=O)N[C@@H](CCC2CC2)C(=O)C(=O)NC2CC2)C3(C)C)C2(C)CCCCC2)CCCCC1)S(=O)(=O)N(C)C Chemical compound C[C@H](C1(NC(=O)N[C@H](C(=O)N2C[C@H]3[C@@H]([C@H]2C(=O)N[C@@H](CCC2CC2)C(=O)C(=O)NC2CC2)C3(C)C)C2(C)CCCCC2)CCCCC1)S(=O)(=O)N(C)C GDURBSFXVQWCQZ-OFMXCJHVSA-N 0.000 description 1
- DDSOPSQLWIPVOJ-XQOKKZIDSA-N C[C@H](C1CC1)N(C)S(=O)(=O)CC1(NC(=O)N[C@H](C(=O)N2C[C@H]3[C@@H]([C@H]2C(=O)N[C@@H](CC2CC2)C(=O)C(=O)NC2CC2)C3(C)C)C(C)(C)C)CCCCC1 Chemical compound C[C@H](C1CC1)N(C)S(=O)(=O)CC1(NC(=O)N[C@H](C(=O)N2C[C@H]3[C@@H]([C@H]2C(=O)N[C@@H](CC2CC2)C(=O)C(=O)NC2CC2)C3(C)C)C(C)(C)C)CCCCC1 DDSOPSQLWIPVOJ-XQOKKZIDSA-N 0.000 description 1
- UCJDPMIZEPLZLZ-ZQJJIUKLSA-N C[C@H](C1CC1)N(C)S(=O)(=O)CC1(NC(=O)N[C@H](C(=O)N2C[C@H]3[C@@H]([C@H]2C(=O)N[C@@H](CCC2CC2)C(=O)C(=O)NC2CC2)C3(C)C)C(C)(C)C)CCCCC1 Chemical compound C[C@H](C1CC1)N(C)S(=O)(=O)CC1(NC(=O)N[C@H](C(=O)N2C[C@H]3[C@@H]([C@H]2C(=O)N[C@@H](CCC2CC2)C(=O)C(=O)NC2CC2)C3(C)C)C(C)(C)C)CCCCC1 UCJDPMIZEPLZLZ-ZQJJIUKLSA-N 0.000 description 1
- ZHYIBLPXVDGEGT-NCEXEODOSA-N O=C(O)CC[C@@H]1NC(=O)[C@@H](N=[Ac])CC2=CC=C(C=C2)OC2=CC(=CC=C2)C[C@@H](C(=O)N[C@@H](CS)C(=O)O)NC1=O Chemical compound O=C(O)CC[C@@H]1NC(=O)[C@@H](N=[Ac])CC2=CC=C(C=C2)OC2=CC(=CC=C2)C[C@@H](C(=O)N[C@@H](CS)C(=O)O)NC1=O ZHYIBLPXVDGEGT-NCEXEODOSA-N 0.000 description 1
- HPZORXYOBHHQEK-BVFGSBBKSA-N [H][C@@]1(C(=O)NC2(C(=O)O)CC2C=C)C[C@@H](OC2=C3C=CC(OC)=CC3=NC(C3=CC=CC=C3)=C2)CN1C(=O)C(NC(=O)C(NC(C)=O)C1CCCCC1)C(C)(C)C Chemical compound [H][C@@]1(C(=O)NC2(C(=O)O)CC2C=C)C[C@@H](OC2=C3C=CC(OC)=CC3=NC(C3=CC=CC=C3)=C2)CN1C(=O)C(NC(=O)C(NC(C)=O)C1CCCCC1)C(C)(C)C HPZORXYOBHHQEK-BVFGSBBKSA-N 0.000 description 1
- LWIRHLBCIJVXPB-RRRZCESPSA-N [H][C@@]1(C(=O)NC2(C(=O)O)CC2C=C)C[C@@H](OC2=C3C=CC(OC)=CC3=NC(C3=CC=CC=C3)=C2)CN1C(=O)[C@@H](NC(=O)OC(C)(C)C)C(C)C Chemical compound [H][C@@]1(C(=O)NC2(C(=O)O)CC2C=C)C[C@@H](OC2=C3C=CC(OC)=CC3=NC(C3=CC=CC=C3)=C2)CN1C(=O)[C@@H](NC(=O)OC(C)(C)C)C(C)C LWIRHLBCIJVXPB-RRRZCESPSA-N 0.000 description 1
- MDXZESINJMHDRB-QYYLSPICSA-N [H][C@@]1(C(=O)N[C@@H](CCC)C(=O)C(=O)N2CC2C(=O)OC)C[C@@H](OC(=O)N2CCC3=C(C=CC=C3)C2)CN1C(=O)[C@@H](NC(=O)[C@@H](NC(=O)C1=NC=CN=C1)C(C)C)C(C)C Chemical compound [H][C@@]1(C(=O)N[C@@H](CCC)C(=O)C(=O)N2CC2C(=O)OC)C[C@@H](OC(=O)N2CCC3=C(C=CC=C3)C2)CN1C(=O)[C@@H](NC(=O)[C@@H](NC(=O)C1=NC=CN=C1)C(C)C)C(C)C MDXZESINJMHDRB-QYYLSPICSA-N 0.000 description 1
- GXECREHIJQJOQX-KREIVDRMSA-N [H][C@@]1(C2(NC(=O)N[C@H](C(=O)N3C[C@H]4[C@@H]([C@H]3C(=O)N[C@@H](CCC)C(=O)C(=O)NC3CC3)C4(C)C)C(C)(C)C)CCCCC2)CCN(C)S1(=O)=O Chemical compound [H][C@@]1(C2(NC(=O)N[C@H](C(=O)N3C[C@H]4[C@@H]([C@H]3C(=O)N[C@@H](CCC)C(=O)C(=O)NC3CC3)C4(C)C)C(C)(C)C)CCCCC2)CCN(C)S1(=O)=O GXECREHIJQJOQX-KREIVDRMSA-N 0.000 description 1
- VZHPTHFRNBNZST-XOXYJGNXSA-N [H][C@@]1(C2(NC(=O)N[C@H](C(=O)N3C[C@H]4[C@@H]([C@H]3C(=O)N[C@@H](CCC)C(=O)C(=O)NC3CC3)C4(C)C)C(C)(C)C)CCCCC2)CCN(C2CC2)S1(=O)=O Chemical compound [H][C@@]1(C2(NC(=O)N[C@H](C(=O)N3C[C@H]4[C@@H]([C@H]3C(=O)N[C@@H](CCC)C(=O)C(=O)NC3CC3)C4(C)C)C(C)(C)C)CCCCC2)CCN(C2CC2)S1(=O)=O VZHPTHFRNBNZST-XOXYJGNXSA-N 0.000 description 1
- DQGCCMFQFCEOHK-UCNAKBSSSA-N [H][C@@]1(C2(NC(=O)N[C@H](C(=O)N3C[C@H]4[C@@H]([C@H]3C(=O)N[C@@H](CCC3CC3)C(=O)C(=O)NC3CC3)C4(C)C)C(C)(C)C)CCCCC2)CCN(C2CC2)S1(=O)=O Chemical compound [H][C@@]1(C2(NC(=O)N[C@H](C(=O)N3C[C@H]4[C@@H]([C@H]3C(=O)N[C@@H](CCC3CC3)C(=O)C(=O)NC3CC3)C4(C)C)C(C)(C)C)CCCCC2)CCN(C2CC2)S1(=O)=O DQGCCMFQFCEOHK-UCNAKBSSSA-N 0.000 description 1
- ZGWCHKMCZRRGPY-QFLXWJJHSA-N [H][C@@]1(C2(NC(=O)N[C@H](C(=O)N3C[C@H]4[C@@H]([C@H]3C(=O)N[C@@H](CCCC)C(=O)C(=O)NC3CC3)C4(C)C)C(C)(C)C)CCCCC2)CCN(C)S1(=O)=O Chemical compound [H][C@@]1(C2(NC(=O)N[C@H](C(=O)N3C[C@H]4[C@@H]([C@H]3C(=O)N[C@@H](CCCC)C(=O)C(=O)NC3CC3)C4(C)C)C(C)(C)C)CCCCC2)CCN(C)S1(=O)=O ZGWCHKMCZRRGPY-QFLXWJJHSA-N 0.000 description 1
- RDRVCAFCRJMCBF-RIXJBJNRSA-N [H][C@@]1(C2(NC(=O)N[C@H](C(=O)N3C[C@H]4[C@@H]([C@H]3C(=O)N[C@@H](CCCC)C(=O)C(=O)NC3CC3)C4(C)C)C(C)(C)C)CCCCC2)CCN(C2CC2)S1(=O)=O Chemical compound [H][C@@]1(C2(NC(=O)N[C@H](C(=O)N3C[C@H]4[C@@H]([C@H]3C(=O)N[C@@H](CCCC)C(=O)C(=O)NC3CC3)C4(C)C)C(C)(C)C)CCCCC2)CCN(C2CC2)S1(=O)=O RDRVCAFCRJMCBF-RIXJBJNRSA-N 0.000 description 1
- GXECREHIJQJOQX-GMLYCMGRSA-N [H][C@]1(C2(NC(=O)N[C@H](C(=O)N3C[C@H]4[C@@H]([C@H]3C(=O)N[C@@H](CCC)C(=O)C(=O)NC3CC3)C4(C)C)C(C)(C)C)CCCCC2)CCN(C)S1(=O)=O Chemical compound [H][C@]1(C2(NC(=O)N[C@H](C(=O)N3C[C@H]4[C@@H]([C@H]3C(=O)N[C@@H](CCC)C(=O)C(=O)NC3CC3)C4(C)C)C(C)(C)C)CCCCC2)CCN(C)S1(=O)=O GXECREHIJQJOQX-GMLYCMGRSA-N 0.000 description 1
- VZHPTHFRNBNZST-ZKCUPQDXSA-N [H][C@]1(C2(NC(=O)N[C@H](C(=O)N3C[C@H]4[C@@H]([C@H]3C(=O)N[C@@H](CCC)C(=O)C(=O)NC3CC3)C4(C)C)C(C)(C)C)CCCCC2)CCN(C2CC2)S1(=O)=O Chemical compound [H][C@]1(C2(NC(=O)N[C@H](C(=O)N3C[C@H]4[C@@H]([C@H]3C(=O)N[C@@H](CCC)C(=O)C(=O)NC3CC3)C4(C)C)C(C)(C)C)CCCCC2)CCN(C2CC2)S1(=O)=O VZHPTHFRNBNZST-ZKCUPQDXSA-N 0.000 description 1
- SLDXUUCDIMXJOJ-ZKCUPQDXSA-N [H][C@]1(C2(NC(=O)N[C@H](C(=O)N3C[C@H]4[C@@H]([C@H]3C(=O)N[C@@H](CCC3CC3)C(=O)C(=O)NC3CC3)C4(C)C)C(C)(C)C)CCCCC2)CCN(C)S1(=O)=O Chemical compound [H][C@]1(C2(NC(=O)N[C@H](C(=O)N3C[C@H]4[C@@H]([C@H]3C(=O)N[C@@H](CCC3CC3)C(=O)C(=O)NC3CC3)C4(C)C)C(C)(C)C)CCCCC2)CCN(C)S1(=O)=O SLDXUUCDIMXJOJ-ZKCUPQDXSA-N 0.000 description 1
- DQGCCMFQFCEOHK-MPJPHXCBSA-N [H][C@]1(C2(NC(=O)N[C@H](C(=O)N3C[C@H]4[C@@H]([C@H]3C(=O)N[C@@H](CCC3CC3)C(=O)C(=O)NC3CC3)C4(C)C)C(C)(C)C)CCCCC2)CCN(C2CC2)S1(=O)=O Chemical compound [H][C@]1(C2(NC(=O)N[C@H](C(=O)N3C[C@H]4[C@@H]([C@H]3C(=O)N[C@@H](CCC3CC3)C(=O)C(=O)NC3CC3)C4(C)C)C(C)(C)C)CCCCC2)CCN(C2CC2)S1(=O)=O DQGCCMFQFCEOHK-MPJPHXCBSA-N 0.000 description 1
- ZGWCHKMCZRRGPY-AMLBDFEJSA-N [H][C@]1(C2(NC(=O)N[C@H](C(=O)N3C[C@H]4[C@@H]([C@H]3C(=O)N[C@@H](CCCC)C(=O)C(=O)NC3CC3)C4(C)C)C(C)(C)C)CCCCC2)CCN(C)S1(=O)=O Chemical compound [H][C@]1(C2(NC(=O)N[C@H](C(=O)N3C[C@H]4[C@@H]([C@H]3C(=O)N[C@@H](CCCC)C(=O)C(=O)NC3CC3)C4(C)C)C(C)(C)C)CCCCC2)CCN(C)S1(=O)=O ZGWCHKMCZRRGPY-AMLBDFEJSA-N 0.000 description 1
- RDRVCAFCRJMCBF-CRVJYTOSSA-N [H][C@]1(C2(NC(=O)N[C@H](C(=O)N3C[C@H]4[C@@H]([C@H]3C(=O)N[C@@H](CCCC)C(=O)C(=O)NC3CC3)C4(C)C)C(C)(C)C)CCCCC2)CCN(C2CC2)S1(=O)=O Chemical compound [H][C@]1(C2(NC(=O)N[C@H](C(=O)N3C[C@H]4[C@@H]([C@H]3C(=O)N[C@@H](CCCC)C(=O)C(=O)NC3CC3)C4(C)C)C(C)(C)C)CCCCC2)CCN(C2CC2)S1(=O)=O RDRVCAFCRJMCBF-CRVJYTOSSA-N 0.000 description 1
Classifications
-
- C—CHEMISTRY; METALLURGY
- C07—ORGANIC CHEMISTRY
- C07K—PEPTIDES
- C07K5/00—Peptides containing up to four amino acids in a fully defined sequence; Derivatives thereof
- C07K5/02—Peptides containing up to four amino acids in a fully defined sequence; Derivatives thereof containing at least one abnormal peptide link
- C07K5/0202—Peptides containing up to four amino acids in a fully defined sequence; Derivatives thereof containing at least one abnormal peptide link containing the structure -NH-X-X-C(=0)-, X being an optionally substituted carbon atom or a heteroatom, e.g. beta-amino acids
-
- C—CHEMISTRY; METALLURGY
- C07—ORGANIC CHEMISTRY
- C07D—HETEROCYCLIC COMPOUNDS
- C07D275/00—Heterocyclic compounds containing 1,2-thiazole or hydrogenated 1,2-thiazole rings
- C07D275/04—Heterocyclic compounds containing 1,2-thiazole or hydrogenated 1,2-thiazole rings condensed with carbocyclic rings or ring systems
- C07D275/06—Heterocyclic compounds containing 1,2-thiazole or hydrogenated 1,2-thiazole rings condensed with carbocyclic rings or ring systems with hetero atoms directly attached to the ring sulfur atom
-
- A—HUMAN NECESSITIES
- A61—MEDICAL OR VETERINARY SCIENCE; HYGIENE
- A61K—PREPARATIONS FOR MEDICAL, DENTAL OR TOILETRY PURPOSES
- A61K38/00—Medicinal preparations containing peptides
- A61K38/04—Peptides having up to 20 amino acids in a fully defined sequence; Derivatives thereof
- A61K38/05—Dipeptides
-
- A—HUMAN NECESSITIES
- A61—MEDICAL OR VETERINARY SCIENCE; HYGIENE
- A61K—PREPARATIONS FOR MEDICAL, DENTAL OR TOILETRY PURPOSES
- A61K38/00—Medicinal preparations containing peptides
- A61K38/04—Peptides having up to 20 amino acids in a fully defined sequence; Derivatives thereof
- A61K38/06—Tripeptides
-
- A—HUMAN NECESSITIES
- A61—MEDICAL OR VETERINARY SCIENCE; HYGIENE
- A61P—SPECIFIC THERAPEUTIC ACTIVITY OF CHEMICAL COMPOUNDS OR MEDICINAL PREPARATIONS
- A61P31/00—Antiinfectives, i.e. antibiotics, antiseptics, chemotherapeutics
-
- A—HUMAN NECESSITIES
- A61—MEDICAL OR VETERINARY SCIENCE; HYGIENE
- A61P—SPECIFIC THERAPEUTIC ACTIVITY OF CHEMICAL COMPOUNDS OR MEDICINAL PREPARATIONS
- A61P31/00—Antiinfectives, i.e. antibiotics, antiseptics, chemotherapeutics
- A61P31/12—Antivirals
-
- A—HUMAN NECESSITIES
- A61—MEDICAL OR VETERINARY SCIENCE; HYGIENE
- A61P—SPECIFIC THERAPEUTIC ACTIVITY OF CHEMICAL COMPOUNDS OR MEDICINAL PREPARATIONS
- A61P31/00—Antiinfectives, i.e. antibiotics, antiseptics, chemotherapeutics
- A61P31/12—Antivirals
- A61P31/14—Antivirals for RNA viruses
-
- A—HUMAN NECESSITIES
- A61—MEDICAL OR VETERINARY SCIENCE; HYGIENE
- A61P—SPECIFIC THERAPEUTIC ACTIVITY OF CHEMICAL COMPOUNDS OR MEDICINAL PREPARATIONS
- A61P43/00—Drugs for specific purposes, not provided for in groups A61P1/00-A61P41/00
-
- C—CHEMISTRY; METALLURGY
- C07—ORGANIC CHEMISTRY
- C07D—HETEROCYCLIC COMPOUNDS
- C07D209/00—Heterocyclic compounds containing five-membered rings, condensed with other rings, with one nitrogen atom as the only ring hetero atom
- C07D209/02—Heterocyclic compounds containing five-membered rings, condensed with other rings, with one nitrogen atom as the only ring hetero atom condensed with one carbocyclic ring
- C07D209/52—Heterocyclic compounds containing five-membered rings, condensed with other rings, with one nitrogen atom as the only ring hetero atom condensed with one carbocyclic ring condensed with a ring other than six-membered
-
- C—CHEMISTRY; METALLURGY
- C07—ORGANIC CHEMISTRY
- C07D—HETEROCYCLIC COMPOUNDS
- C07D401/00—Heterocyclic compounds containing two or more hetero rings, having nitrogen atoms as the only ring hetero atoms, at least one ring being a six-membered ring with only one nitrogen atom
- C07D401/02—Heterocyclic compounds containing two or more hetero rings, having nitrogen atoms as the only ring hetero atoms, at least one ring being a six-membered ring with only one nitrogen atom containing two hetero rings
- C07D401/12—Heterocyclic compounds containing two or more hetero rings, having nitrogen atoms as the only ring hetero atoms, at least one ring being a six-membered ring with only one nitrogen atom containing two hetero rings linked by a chain containing hetero atoms as chain links
-
- C—CHEMISTRY; METALLURGY
- C07—ORGANIC CHEMISTRY
- C07D—HETEROCYCLIC COMPOUNDS
- C07D403/00—Heterocyclic compounds containing two or more hetero rings, having nitrogen atoms as the only ring hetero atoms, not provided for by group C07D401/00
- C07D403/02—Heterocyclic compounds containing two or more hetero rings, having nitrogen atoms as the only ring hetero atoms, not provided for by group C07D401/00 containing two hetero rings
- C07D403/12—Heterocyclic compounds containing two or more hetero rings, having nitrogen atoms as the only ring hetero atoms, not provided for by group C07D401/00 containing two hetero rings linked by a chain containing hetero atoms as chain links
-
- C—CHEMISTRY; METALLURGY
- C07—ORGANIC CHEMISTRY
- C07D—HETEROCYCLIC COMPOUNDS
- C07D417/00—Heterocyclic compounds containing two or more hetero rings, at least one ring having nitrogen and sulfur atoms as the only ring hetero atoms, not provided for by group C07D415/00
- C07D417/02—Heterocyclic compounds containing two or more hetero rings, at least one ring having nitrogen and sulfur atoms as the only ring hetero atoms, not provided for by group C07D415/00 containing two hetero rings
- C07D417/12—Heterocyclic compounds containing two or more hetero rings, at least one ring having nitrogen and sulfur atoms as the only ring hetero atoms, not provided for by group C07D415/00 containing two hetero rings linked by a chain containing hetero atoms as chain links
-
- C—CHEMISTRY; METALLURGY
- C07—ORGANIC CHEMISTRY
- C07K—PEPTIDES
- C07K5/00—Peptides containing up to four amino acids in a fully defined sequence; Derivatives thereof
- C07K5/04—Peptides containing up to four amino acids in a fully defined sequence; Derivatives thereof containing only normal peptide links
- C07K5/06—Dipeptides
- C07K5/06008—Dipeptides with the first amino acid being neutral
-
- C—CHEMISTRY; METALLURGY
- C07—ORGANIC CHEMISTRY
- C07K—PEPTIDES
- C07K5/00—Peptides containing up to four amino acids in a fully defined sequence; Derivatives thereof
- C07K5/04—Peptides containing up to four amino acids in a fully defined sequence; Derivatives thereof containing only normal peptide links
- C07K5/08—Tripeptides
- C07K5/0802—Tripeptides with the first amino acid being neutral
- C07K5/0804—Tripeptides with the first amino acid being neutral and aliphatic
Definitions
- the present invention relates to novel hepatitis C virus (“HCV”) protease inhibitors, pharmaceutical compositions containing one or more such inhibitors, methods of preparing such inhibitors and methods of using such inhibitors to treat hepatitis C and related disorders.
- HCV hepatitis C virus
- This invention additionally discloses novel compounds as inhibitors of the HCV NS3/NS4a serine protease.
- Hepatitis C virus is a (+)-sense single-stranded RNA virus that has been implicated as the major causative agent in non-A, non-B hepatitis (NANBH), particularly in blood-associated NANBH (BB-NANBH) (see, International Patent Application Publication No. WO 89/04669 and European Patent Application Publication No. EP 381 216).
- NANBH is to be distinguished from other types of viral-induced liver disease, such as hepatitis A virus (HAV), hepatitis B virus (HBV), delta hepatitis virus (HDV), cytomegalovirus (CMV) and Epstein-Barr virus (EBV), as well as from other forms of liver disease such as alcoholism and primary biliar cirrhosis.
- HAV hepatitis A virus
- HBV hepatitis B virus
- HDV delta hepatitis virus
- CMV cytomegalovirus
- EBV Epstein-Barr virus
- HCV protease necessary for polypeptide processing and viral replication has been identified, cloned and expressed.
- This approximately 3000 amino acid polyprotein contains, from the amino terminus to the carboxy terminus, a nucleocapsid protein (C), envelope proteins (E1 and E2) and several non-structural proteins (NS1, 2, 3, 4a, 5a and 5b).
- NS3 is an approximately 68 kda protein, encoded by approximately 1893 nucleotides of the HCV genome, and has two distinct domains: (a) a serine protease domain consisting of approximately 200 of the N-terminal amino acids; and (b) an RNA-dependent ATPase domain at the C-terminus of the protein.
- the NS3 protease is considered a member of the chymotrypsin family because of similarities in protein sequence, overall three-dimensional structure and mechanism of catalysis.
- Other chymotrypsin-like enzymes are elastase, factor Xa, thrombin, trypsin, plasmin, urokinase, tPA and PSA.
- the HCV NS3 serine protease is responsible for proteolysis of the polypeptide (polyprotein) at the NS3/NS4a, NS4a/NS4b, NS4b/NS5a and NS5a/NS5b junctions and is thus responsible for generating four viral proteins during viral replication. This has made the HCV NS3 serine protease an attractive target for antiviral chemotherapy.
- the inventive compounds can inhibit such protease. They also can modulate the processing of hepatitis C virus (HCV) polypeptide.
- HCV hepatitis C virus
- NS4a protein an approximately 6 kda polypeptide
- NS3/NS4a serine protease activity of NS3 It has been determined that the NS4a protein, an approximately 6 kda polypeptide, is a co-factor for the serine protease activity of NS3.
- Autocleavage of the NS3/NS4a junction by the NS3/NS4a serine protease occurs intramolecularly (i.e., cis) while the other cleavage sites are processed intermolecularly (i.e., trans).
- NS3/NS4a junction contains a threonine at P1 and a serine at P1′.
- the Cys ⁇ Thr substitution at NS3/NS4a is postulated to account for the requirement of cis rather than trans processing at this junction. See, e.g., Pizzi et al. (1994) Proc. Natl. Acad. Sci ( USA ) 91:888-892, Failla et al.
- the NS3/NS4a cleavage site is also more tolerant of mutagenesis than the other sites. See, e.g., Kollykhalov et al. (1994) J. Virol. 68:7525-7533. It has also been found that acidic residues in the region upstream of the cleavage site are required for efficient cleavage. See, e.g., Komoda et al. (1994) J. Virol. 68:7351-7357.
- Inhibitors of HCV protease include antioxidants (see, International Patent Application Publication No. WO 98/14181), certain peptides and peptide analogs (see, International Patent Application Publication No. WO 98/17679, Landro et al. (1997) Biochem. 36:9340-9348, Ingallinella et al. (1998) Biochem. 37:8906-8914, Llinàs-Brunet et al. (1998) Bioorg. Med. Chem. Lett. 8:1713-1718), inhibitors based on the 70-amino acid polypeptide eglin c (Martin et al. (1998) Biochem.
- HCV has been implicated in cirrhosis of the liver and in induction of hepatocellular carcinoma.
- the prognosis for patients suffering from HCV infection is currently poor.
- HCV infection is more difficult to treat than other forms of hepatitis due to the lack of immunity or remission associated with HCV infection.
- Current data indicates a less than 50% survival rate at four years post cirrhosis diagnosis.
- Patients diagnosed with localized resectable hepatocellular carcinoma have a five-year survival rate of 10-30%, whereas those with localized unresectable hepatocellular carcinoma have a five-year survival rate of less than 1%.
- the present invention provides novel compounds as inhibitors of the HCV protease, pharmaceutical compositions containing one or more of the compounds, methods of preparing pharmaceutical formulations comprising one or more of such compounds, methods of treatment or prevention of HCV or amelioration of one or more of the symptoms of hepatitis C using one or more of such compounds or one or more of such formulations, and methods of modulating the interaction of an HCV polypeptide with HCV protease using one or more of such compounds or one or more of such formulations.
- the present invention discloses compounds, as well as pharmaceutically acceptable salts, solvates or esters of said compounds, said compound being selected from the compounds of structures listed below:
- An embodiment of the invention discloses compounds listed above and shown later in Table 1 or a pharmaceutically acceptable salt or solvate or ester thereof.
- Patient includes both human and animals.
- “Mammal” means humans and other mammalian animals.
- isolated or “in isolated form” for a compound refers to the physical state of said compound after being isolated from a synthetic process or natural source or combination thereof.
- purified or “in purified form” for a compound refers to the physical state of said compound after being obtained from a purification process or processes described herein or well known to the skilled artisan, in sufficient purity to be characterizable by standard analytical techniques described herein or well known to the skilled artisan.
- composition is intended to encompass a product comprising the specified ingredients in the specified amounts, as well as any product which results, directly or indirectly, from combination of the specified ingredients in the specified amounts.
- Prodrugs and solvates of the compounds of the invention are also contemplated herein,
- the term “prodrug”, as employed herein, denotes a compound that is a drug precursor which, upon administration to a subject, undergoes chemical conversion by metabolic or chemical processes to yield a compound of Formula I or a salt and/or solvate thereof.
- a discussion of prodrugs is provided in T. Higuchi and V. Stella, Pro - drugs as Novel Delivery Systems (1987) 14 of the A.C.S. Symposium Series, and in Bioreversible Carriers in Drug Design , (1987) Edward B. Roche, ed., American Pharmaceutical Association and Pergamon Press, both of which are incorporated herein by reference thereto.
- Solvate means a physical association of a compound of this invention with one or more solvent molecules. This physical association involves varying degrees of ionic and covalent bonding, including hydrogen bonding. In certain instances the solvate will be capable of isolation, for example when one or more solvent molecules are incorporated in the crystal lattice of the crystalline solid. “Solvate” encompasses both solution-phase and isolatable solvates. Non-limiting examples of suitable solvates include ethanolates, methanolates, and the like. “Hydrate” is a solvate wherein the solvent molecule is H 2 O.
- Effective amount or “therapeutically effective amount” is meant to describe an amount of compound or a composition of the present invention effective in inhibiting the HCV NS3/NS4a serine protease and thus producing the desired therapeutic, ameliorative, inhibitory or preventative effect.
- salts can form salts which are also within the scope of this invention.
- Reference to a compound of the present invention herein is understood to include reference to salts thereof, unless otherwise indicated.
- salts when a compound of the present invention contains both a basic moiety, such as, but not limited to a pyridine or imidazole, and an acidic moiety, such as, but not limited to a carboxylic acid, zwitterions (“inner salts”) may be formed and are included within the term “salt(s)” as used herein Pharmaceutically acceptable (i.e., non-toxic, physiologically acceptable) salts are preferred, although other salts are also useful. Salts of the compounds of the present invention may be formed, for example, by reacting a compound of the present invention with an amount of acid or base, such as an equivalent amount, in a medium such as one in which the salt precipitates or in an aqueous medium followed by lyophilization.
- an amount of acid or base such as an equivalent amount
- Exemplary acid addition salts include acetates, ascorbates, benzoates, benzenesulfonates, bisulfates, borates, butyrates, citrates, camphorates, camphorsulfonates, fumarates, hydrochlorides, hydrobromides, hydroiodides, lactates, maleates, methanesulfonates, naphthalenesulfonates, nitrates, oxalates, phosphates, propionates, salicylates, succinates, sulfates, tartarates, thiocyanates, toluenesulfonates (also known as tosylates) and the like.
- Exemplary basic salts include ammonium salts, alkali metal salts such as sodium, lithium, and potassium salts, alkaline earth metal salts such as calcium and magnesium salts, salts with organic bases (for example, organic amines) such as dicyclohexylamines, t-butyl amines, and salts with amino acids such as arginine, lysine and the like.
- Basic nitrogen-containing groups may be quarternized with agents such as lower alkyl halides (e.g. methyl, ethyl, and butyl chlorides, bromides and iodides), dialkyl sulfates (e.g.
- dimethyl, diethyl, and dibutyl sulfates dimethyl, diethyl, and dibutyl sulfates
- long chain halides e.g. decyl, lauryl, and stearyl chlorides, bromides and iodides
- aralkyl halides e.g. benzyl and phenethyl bromides
- esters of the present compounds include the following groups: (1) carboxylic acid esters obtained by esterification of the hydroxy groups, in which the non-carbonyl moiety of the carboxylic acid portion of the ester grouping is selected from straight or branched chain alkyl (for example, acetyl, n-propyl, t-butyl, or n-butyl), alkoxyalkyl (for example, methoxymethyl), aralkyl (for example, benzyl), aryloxyalkyl (for example, phenoxymethyl), aryl (for example, phenyl optionally substituted with, for example, halogen, C 1-4 alkyl, or C 1-4 alkoxy or amino); (2) sulfonate esters, such as alkyl- or aralkylsulfonyl (for example, methanesulfonyl); (3) amino acid esters (for example, L-valyl or L-isoleucyl); (4) phosphoric acid
- All stereoisomers for example, geometric isomers, optical isomers and the like
- of the present compounds including those of the salts, solvates, esters and prodrugs of the compounds as well as the salts and solvates of the prodrugs
- those which may exist due to asymmetric carbons on various substituents including enantiomeric forms (which may exist even in the absence of asymmetric carbons), rotameric forms, atropisomers, and diastereomeric forms, are contemplated within the scope of this invention, as are positional isomers (such as, for example, 4-pyridyl and 3-pyridyl).
- Individual stereoisomers of the compounds of the invention may, for example, be substantially free of other isomers, or may be admixed, for example, as racemates or with all other, or other selected, stereoisomers.
- the chiral centers of the present invention can have the S or R configuration as defined by the IUPAC 1974 Recommendations.
- the use of the terms “salt”, “solvate” “prodrug” and the like, is intended to equally apply to the salt, solvate and prodrug of enantiomers, stereoisomers, rotamers, tautomers, positional isomers, racemates or prodrugs of the inventive compounds.
- the compounds according to the invention can have pharmacological properties; in particular, the compounds of the invention can be inhibitors of HCV protease, each compound by itself or combined with one or more compounds selected from the compounds of the invention listed above.
- the compound(s) can be useful for treating diseases such as, for example, HCV, HIV, (AIDS, Acquired Immune Deficiency Syndrome), and related disorders, as well as for modulating the activity of hepatitis C virus (HCV) protease, preventing HCV, or ameliorating one or more symptoms of hepatitis C.
- diseases such as, for example, HCV, HIV, (AIDS, Acquired Immune Deficiency Syndrome)
- HCV hepatitis C virus
- the compounds of the present invention may be used for the manufacture of a medicament to treat disorders associated with the HCV protease, for example, the method comprising bringing into intimate contact a compound of the present invention and a pharmaceutically acceptable carrier.
- this invention provides pharmaceutical compositions comprising the inventive compound or compounds as an active ingredient.
- the pharmaceutical compositions generally additionally comprise at least one pharmaceutically acceptable carrier diluent, excipient or carrier (collectively referred to herein as carrier materials). Because of their HCV inhibitory activity, such pharmaceutical compositions possess utility in treating hepatitis C and related disorders.
- the present invention discloses methods for preparing pharmaceutical compositions comprising the inventive compounds as an active ingredient.
- the active ingredients will typically be administered in admixture with suitable carrier materials suitably selected with respect to the intended form of administration, i.e. oral tablets, capsules (either solid-filled, semi-solid filled or liquid filled), powders for constitution, oral gels, elixirs, dispersible granules, syrups, suspensions, and the like, and consistent with conventional pharmaceutical practices.
- the active drug component may be combined with any oral non-toxic pharmaceutically acceptable inert carrier, such as lactose, starch, sucrose, cellulose, magnesium stearate, dicalcium phosphate, calcium sulfate, talc, mannitol, ethyl alcohol (liquid forms) and the like.
- suitable binders, lubricants, disintegrating agents and coloring agents may also be incorporated in the mixture.
- Powders and tablets may be comprised of from about 5 to about 95 percent inventive composition.
- Suitable binders include starch, gelatin, natural sugars, corn sweeteners, natural and synthetic gums such as acacia, sodium alginate, carboxymethylcellulose, polyethylene glycol and waxes.
- lubricants there may be mentioned for use in these dosage forms, boric acid, sodium benzoate, sodium acetate, sodium chloride, and the like.
- Disintegrants include starch, methylcellulose, guar gum and the like.
- Sweetening and flavoring agents and preservatives may also be included where appropriate.
- disintegrants namely disintegrants, diluents, lubricants, binders and the like, are discussed in more detail below.
- compositions of the present invention may be formulated in sustained release form to provide the rate controlled release of any one or more of the components or active ingredients to optimize the therapeutic effects, i.e. HCV inhibitory activity and the like.
- Suitable dosage forms for sustained release include layered tablets containing layers of varying disintegration rates or controlled release polymeric matrices impregnated with the active components and shaped in tablet form or capsules containing such impregnated or encapsulated porous polymeric matrices.
- Liquid form preparations include solutions, suspensions and emulsions. As an example may be mentioned water or water-propylene glycol solutions for parenteral injections or addition of sweeteners and pacifiers for oral solutions, suspensions and emulsions. Liquid form preparations may also include solutions for intranasal administration.
- Aerosol preparations suitable for inhalation may include solutions and solids in powder form, which may be in combination with a pharmaceutically acceptable carrier such as inert compressed gas, e.g. nitrogen.
- a pharmaceutically acceptable carrier such as inert compressed gas, e.g. nitrogen.
- a low melting wax such as a mixture of fatty acid glycerides such as cocoa butter is first melted, and the active ingredient is dispersed homogeneously therein by stirring or similar mixing. The molten homogeneous mixture is then poured into convenient sized molds, allowed to cool and thereby solidify.
- solid form preparations which are intended to be converted, shortly before use, to liquid form preparations for either oral or parenteral administration.
- liquid forms include solutions, suspensions and emulsions.
- the compounds of the invention may also be deliverable transdermally.
- the transdermal compositions may take the form of creams, lotions, aerosols and/or emulsions and can be included in a transdermal patch of the matrix or reservoir type as are conventional in the art for this purpose.
- the compounds of the invention may also be administered orally, intravenously, intranasally or subcutaneously.
- the compounds of the invention may also comprise preparations which are in a unit dosage form.
- the preparation is subdivided into suitably sized unit doses containing appropriate quantities of the active components, e.g., an effective amount to achieve the desired purpose.
- the quantity of the inventive active composition in a unit dose of preparation may be generally varied or adjusted from about 1.0 milligram to about 1,000 milligrams, preferably from about 1.0 to about 950 milligrams, more preferably from about 1.0 to about 500 milligrams, and typically from about 1 to about 250 milligrams, according to the particular application.
- the actual dosage employed may be varied depending upon the patients age, sex, weight and severity of the condition being treated. Such techniques are well known to those skilled in the art.
- the human oral dosage form containing the active ingredients can be administered 1 or 2 times per day.
- the amount and frequency of the administration will be regulated according to the judgment of the attending clinician.
- a generally recommended daily dosage regimen for oral administration may range from about 1.0 milligram to about 1,000 milligrams per day, in single or divided doses.
- Capsule refers to a special container or enclosure made of methyl cellulose, polyvinyl alcohols, or denatured gelatins or starch for holding or containing compositions comprising the active ingredients.
- Hard shell capsules are typically made of blends of relatively high gel strength bone and pork skin gelatins. The capsule itself may contain small amounts of dyes, opaquing agents, plasticizers and preservatives.
- Tablet refers to a compressed or molded solid dosage form containing the active ingredients with suitable diluents.
- the tablet can be prepared by compression of mixtures or granulations obtained by wet granulation, dry granulation or by compaction.
- Oral gel refers to the active ingredients dispersed or solubilized in a hydrophillic semi-solid matrix.
- Powder for constitution refers to powder blends containing the active ingredients and suitable diluents which can be suspended in water or juices.
- Diluent refers to substances that usually make up the major portion of the composition or dosage form. Suitable diluents include sugars such as lactose, sucrose, mannitol and sorbitol; starches derived from wheat, corn, rice and potato; and celluloses such as microcrystalline cellulose.
- the amount of diluent in the composition can range from about 10 to about 90% by weight of the total composition, preferably from about 25 to about 75%, more preferably from about 30 to about 60% by weight, even more preferably from about 12 to about 60%.
- Disintegrant refers to materials added to the composition to help it break apart (disintegrate) and release the medicaments.
- Suitable disintegrants include starches; “cold water soluble” modified starches such as sodium carboxymethyl starch; natural and synthetic gums such as locust bean, karaya, guar, tragacanth and agar; cellulose derivatives such as methylcellulose and sodium carboxymethylcellulose; microcrystalline celluloses and cross-linked microcrystalline celluloses such as sodium croscarmellose; alginates such as alginic acid and sodium alginate; clays such as bentonites; and effervescent mixtures.
- the amount of disintegrant in the composition can range from about 2 to about 15% by weight of the composition, more preferably from about 4 to about 10% by weight.
- Binder refers to substances that bind or “glue” powders together and make them cohesive by forming granules, thus serving as the “adhesive” in the formulation. Binders add cohesive strength already available in the diluent or bulking agent. Suitable binders include sugars such as sucrose; starches derived from wheat, corn rice and potato; natural gums such as acacia, gelatin and tragacanth; derivatives of seaweed such as alginic acid, sodium alginate and ammonium calcium alginate; cellulosic materials such as methylcellulose and sodium carboxymethylcellulose and hydroxypropylmethylcellulose; polyvinylpyrrolidone; and inorganics such as magnesium aluminum silicate.
- the amount of binder in the composition can range from about 2 to about 20% by weight of the composition, more preferably from about 3 to about 10% by weight, even more preferably from about 3 to about 6% by weight.
- Lubricant refers to a substance added to the dosage form to enable the tablet, granules, etc. after it has been compressed, to release from the mold or die by reducing friction or wear.
- Suitable lubricants include metallic stearates such as magnesium stearate, calcium stearate or potassium stearate; stearic acid; high melting point waxes; and water soluble lubricants such as sodium chloride, sodium benzoate, sodium acetate, sodium oleate, polyethylene glycols and d'l-leucine. Lubricants are usually added at the very last step before compression, since they must be present on the surfaces of the granules and in between them and the parts of the tablet press.
- the amount of lubricant in the composition can range from about 0.2 to about 5% by weight of the composition, preferably from about 0.5 to about 2%, more preferably from about 0.3 to about 1.5% by weight.
- Glident material that prevents caking and improve the flow characteristics of granulations, so that flow is smooth and uniform.
- Suitable glidents include silicon dioxide and talc.
- the amount of glident in the composition can range from about 0.1% to about 5% by weight of the total composition, preferably from about 0.5 to about 2% by weight.
- Coloring agents that provide coloration to the composition or the dosage form.
- excipients can include food grade dyes and food grade dyes adsorbed onto a suitable adsorbent such as clay or aluminum oxide.
- the amount of the coloring agent can vary from about 0.1 to about 5% by weight of the composition, preferably from about 0.1 to about 1%.
- Bioavailability refers to the rate and extent to which the active drug ingredient or therapeutic moiety is absorbed into the systemic circulation from an administered dosage form as compared to a standard or control.
- Conventional methods for preparing tablets are known. Such methods include dry methods such as direct compression and compression of granulation produced by compaction, or wet methods or other special procedures. Conventional methods for making other forms for administration such as, for example, capsules, suppositories and the like are also well known.
- Another embodiment of the invention discloses the use of the inventive compounds or pharmaceutical compositions disclosed above for treatment of diseases such as, for example, hepatitis C and the like.
- the method comprises administering a therapeutically effective amount of the inventive compound or pharmaceutical composition to a patient having such a disease or diseases and in need of such a treatment.
- the compounds of the invention may be used for the treatment of HCV in humans in monotherapy mode or in a combination therapy (e.g., dual combination, triple combination etc.) mode such as, for example, in combination with antiviral and/or immunomodulatory agents.
- a combination therapy e.g., dual combination, triple combination etc.
- antiviral and/or immunomodulatory agents examples include Ribavirin (from Schering-Plough Corporation, Madison, N.J.) and LevovirinTM (from ICN Pharmaceuticals, Costa Mesa, Calif.), VP 50406TM (from Viropharma, Incorporated, Exton, Pa.), ISIS 14803TM (from ISIS Pharmaceuticals, Carlsbad, Calif.), HeptazymeTM (from Ribozyme Pharmaceuticals, Boulder, Colo.), VX 497TM (from Vertex Pharmaceuticals, Cambridge, Mass.), ThymosinTM (from SciClone Pharmaceuticals, San Mateo, Calif.), MaxamineTM (Maxim Pharmaceuticals, San Diego, Calif.), mycophenolate mofetil (from Hoffman-LaRoche, Nutley, N.J.), interferon (such as, for example, interferon-alpha, PEG-interferon alpha conjugates) and the like.
- Ribavirin from Schering-Plough Corporation, Madison, N.J.
- PEG-interferon alpha conjugates are interferon alpha molecules covalently attached to a PEG molecule.
- Illustrative PEG-interferon alpha conjugates include interferon alpha-2a (RoferonTM, from Hoffman La-Roche, Nutley, N.J.) in the form of pegylated interferon alpha-2a (e.g., as sold under the trade name PegasysTM), interferon alpha-2b (IntronTM, from Schering-Plough Corporation) in the form of pegylated interferon alpha-2b (e.g., as sold under the trade name PEG-IntronTM), interferon alpha-2c (Berofor AlphaTM, from Boehringer Ingelheim, Ingelheim, Germany) or consensus interferon as defined by determination of a consensus sequence of naturally occurring interferon alphas (InfergenTM, from Amgen, Thousand Oaks, Calif.).
- the invention includes tautomers, rotamers, enantiomers and other stereoisomers of the inventive compounds also.
- inventive compounds may exist in suitable isomeric forms. Such variations are contemplated to be within the scope of the invention.
- Another embodiment of the invention discloses a method of making the compounds disclosed herein.
- the compounds may be prepared by several techniques known in the art. Illustrative procedures are outlined in the following reaction schemes. The illustrations should not be construed to limit the scope of the invention which is defined in the appended claims. Alternative mechanistic pathways and analogous structures will be apparent to those skilled in the art.
- 2-Methyl-propane-2-sulfinic acid cyclohexylideneamide (1200-B): Titanium tetraethoxide (2 eq, 3.56 mL, d 1.088) was added to a solution of cyclohexanone (1.2 eq, 1.0 g, 1.05 mL, d 0.947) in 20 mL of dry THF under nitrogen atmosphere. After 5 min, (S)-t-butanesulfinamide (1200-A, 1.028 g) in 10 mL of THF was added dropwise. The mixture was heated to 60° C. overnight.
- the reaction mixture was poured into an equal volume of aqueous saturated sodium bicarbonate solution with rapid stirring and immediately filtered through celite.
- the filter cake was washed with ethyl acetate (50 mL).
- the layers in the filtrate were separated and the aqueous layer was extracted with ethyl acetate (30 mL).
- the combined organic layers were dried over magnesium sulfate, filtered and concentrated.
- the residue was chromatographed on silica gel (gradient:ether/hexanes; 1:9 to 1.1) to afford the product 1200-B (1.3 g; 76%) as a colorless oil.
- the product was kept under inert atmosphere at ⁇ 20° C.
- N,N-Dimethyl-C-[1-(2-methyl-propane-2-sulfinylamino)-cyclohexyl]-methanesulfonamide (1200-C): n-Butyllithium (1.3 eq, 8.07 mL of a 1.6M soln in hexanes) was added dropwise to a cooled ( ⁇ 78° C.) solution of N,N-dimethyl methanesulfonamide (1.35 eq, 1.65 g) in 100 mL of dry THF under anhydrous atmosphere.
- the mixture was stirred for 30 min at that temperature and then transferred via cannula to a solution of sulfinyl imine 1200-B (2.0 g) in 100 mL of dry THF at ⁇ 78° C. After addition was completed, the reaction mixture was stirred for 1 h. The reaction was quenched at ⁇ 78° C. by addition of 20 mL of aqueous saturated ammonium chloride solution. The mixture was allowed to reach room temp and then partitioned between dichloromethane (300 mL) and aqueous saturated sodium bicarbonate solution (300 mL). The aqueous layer was back extracted with dichloromethane (2 ⁇ 200 mL). The combined organic layers were dried over magnesium sulfate, filtered and concentrated.
- the mixture was diluted with 100 mL of dichloromethane and layers were separated.
- the organic layer was washed with 50 mL of cold aqueous saturated sodium bicarbonate solution and dried over magnesium sulfate.
- the organic layer was filtered and diluted with 15 mL of toluene.
- the resulting solution was concentrated under reduced pressure and the product 1200-E was maintained as a 0.2M solution.
- the required product 1261 was obtained from isocyanate 1261-G using procedures described above (similar to Prep Example 1200). All compounds (Preparative Examples) shown in Table 1 were prepared using essentially procedures described above (Prep Examples 1200 and 1261) using appropriate modifications.
- Table 1 lists the inventive compounds and their HCV serine protease inhibitory activity ranges, as determined by the assay described later. The activity is shown as Ki* ranges (nanoMolar), which are:
- the present invention relates to novel HCV protease inhibitors. This utility can be manifested in their ability to inhibit the HCV NS2/NS4a serine protease. A general procedure for such demonstration is illustrated by the following in vitro assay.
- Spectrophotometric assay for the HCV serine protease can be performed on the inventive compounds by following the procedure described by R. Zhang et al, Analytical Biochemistry, 270 (1999) 268-275, the disclosure of which is incorporated herein by reference.
- the assay based on the proteolysis of chromogenic ester substrates is suitable for the continuous monitoring of HCV NS3 protease activity.
- Reagents for peptide synthesis were from Aldrich Chemicals, Novabiochem (San Diego, Calif.), Applied Biosystems (Foster City, Calif.) and Perseptive Biosystems (Framingham, Mass.). Peptides are synthesized manually or on an automated ABI model 431A synthesizer (from Applied Biosystems).
- UV/VIS Spectrometer model LAMBDA 12 was from Perkin Elmer (Norwalk, Conn.) and 96-well UV plates were obtained from Corning (Corning, N.Y.). The prewarming block can be from USA Scientific (Ocala, Fla.) and the 96-well plate vortexer is from Labline Instruments (Melrose Park, Ill.).
- Spectramax Plus microtiter plate reader with monochrometer is obtained from Molecular Devices (Sunnyvale, Calif.).
- Enzyme Preparation Recombinant heterodimeric HCV NS3/NS4A protease (strain 1a) is prepared by using the procedures published previously (D. L. Sali et al, Biochemistry, 37 (1998) 3392-3401). Protein concentrations are determined by the Biorad dye method using recombinant HCV protease standards previously quantified by amino acid analysis.
- the enzyme storage buffer 50 mM sodium phosphate pH 8.0, 300 mM NaCl, 10% glycerol, 0.05% lauryl maltoside and 10 mM DTT
- the assay buffer 25 mM MOPS pH 6.5, 300 mM NaCl, 10% glycerol, 0.05% lauryl maltoside, 5 ⁇ M EDTA and 5 ⁇ M DTT
- the assay buffer 25 mM MOPS pH 6.5, 300 mM NaCl, 10% glycerol, 0.05% lauryl maltoside, 5 ⁇ M EDTA and 5 ⁇ M DTT
- N-acetylated and fully protected peptide fragments are cleaved from the resin either by 10% acetic acid (HOAc) and 10% trifluoroethanol (TFE) in dichloromethane (DCM) for 30 min, or by 2% trifluoroacetic acid (TFA) in DCM for 10 min.
- HOAc acetic acid
- TFE trifluoroethanol
- TFE trifluoroacetic acid
- ester substrates are assembled using standard acid-alcohol coupling procedures (K. Holmber et al, Acta Chem. Scand ., B33 (1979) 410-412). Peptide fragments are dissolved in anhydrous pyridine (30-60 mg/ml) to which 10 molar equivalents of chromophore and a catalytic amount (0.1 eq.) of para-toluenesulfonic acid (pTSA) were added. Dicyclohexylcarbodiimide (DCC, 3 eq.) is added to initiate the coupling reactions. Product formation is monitored by HPLC and can be found to be complete following 12-72 hour reaction at room temperature.
- DCC dicyclohexylcarbodiimide
- Spectra of Substrates and Products Spectra of substrates and the corresponding chromophore products are obtained in the pH 6.5 assay buffer, Extinction coefficients are determined at the optimal off-peak wavelength in 1-cm cuvettes (340 nm for 3-Np and HMC, 370 nm for PAP and 400 nm for 4-Np) using multiple dilutions.
- the optimal off-peak wavelength is defined as that wavelength yielding the maximum fractional difference in absorbance between substrate and product (product OD ⁇ substrate OD)/substrate OD).
- Protease Assay HCV protease assays are performed at 30° C. using a 200 ⁇ l reaction mix in a 96-well microtiter plate.
- Assay buffer conditions 25 mM MOPS pH 6.5, 300 mM NaCl, 10% glycerol, 0.05% lauryl maltoside, 5 ⁇ M EDTA and 5 ⁇ M DTT are optimized for the NS3/NS4A heterodimer (D. L. Sali et al, ibid .)).
- 150 ⁇ l mixtures of buffer, substrate and inhibitor are placed in wells (final concentration of DMSO ⁇ 4% v/v) and allowed to preincubate at 30° C. for approximately 3 minutes.
- Fifty ⁇ ls of prewarmed protease (12 nM, 30° C.) in assay buffer, is then used to initiate the reaction (final volume 200 ⁇ l).
- the plates are monitored over the length of the assay (60 minutes) for change in absorbance at the appropriate wavelength (340 nm for 3-Np and HMC, 370 nm for PAP, and 400 nm for 4-Np) using a Spectromax Plus microtiter plate reader equipped with a monochrometer (acceptable results can be obtained with plate readers that utilize cutoff filters).
- Proteolytic cleavage of the ester linkage between the Nva and the chromophore is monitored at the appropriate wavelength against a no enzyme blank as a control for non-enzymatic hydrolysis.
- the evaluation of substrate kinetic parameters is performed over a 30-fold substrate concentration range ( ⁇ 6-200 ⁇ M).
Landscapes
- Chemical & Material Sciences (AREA)
- Organic Chemistry (AREA)
- Health & Medical Sciences (AREA)
- Life Sciences & Earth Sciences (AREA)
- General Health & Medical Sciences (AREA)
- Medicinal Chemistry (AREA)
- Proteomics, Peptides & Aminoacids (AREA)
- Molecular Biology (AREA)
- Veterinary Medicine (AREA)
- Public Health (AREA)
- Pharmacology & Pharmacy (AREA)
- Animal Behavior & Ethology (AREA)
- Genetics & Genomics (AREA)
- Biophysics (AREA)
- Biochemistry (AREA)
- General Chemical & Material Sciences (AREA)
- Engineering & Computer Science (AREA)
- Bioinformatics & Cheminformatics (AREA)
- Nuclear Medicine, Radiotherapy & Molecular Imaging (AREA)
- Chemical Kinetics & Catalysis (AREA)
- Oncology (AREA)
- Virology (AREA)
- Communicable Diseases (AREA)
- Gastroenterology & Hepatology (AREA)
- Immunology (AREA)
- Epidemiology (AREA)
- Crystallography & Structural Chemistry (AREA)
- Medicines That Contain Protein Lipid Enzymes And Other Medicines (AREA)
- Peptides Or Proteins (AREA)
- Pharmaceuticals Containing Other Organic And Inorganic Compounds (AREA)
Abstract
Description
| TABLE 1 | ||
| Preparative | Ki* | |
| Example | Compound | Range |
| 1200 |
|
A |
| 1201 |
|
A |
| 1202 |
|
A |
| 1203 |
|
A |
| 1204 |
|
A |
| 1205 |
|
A |
| 1206 |
|
A |
| 1207 |
|
A |
| 1208 |
|
A |
| 1209 |
|
A |
| 1210 |
|
A |
| 1211 |
|
A |
| 1212 |
|
A |
| 1213 |
|
A |
| 1214 |
|
A |
| 1215 |
|
A |
| 1216 |
|
A |
| 1217 |
|
A |
| 1218 |
|
A |
| 1219 |
|
A |
| 1220 |
|
A |
| 1221 |
|
A |
| 1222 |
|
A |
| 1223 |
|
C |
| 1224 |
|
B |
| 1225 |
|
C |
| 1226 |
|
C |
| 1227 |
|
A |
| 1228 |
|
A |
| 1229 |
|
A |
| 1230 |
|
A |
| 1231 |
|
A |
| 1232 |
|
A |
| 1233 |
|
A |
| 1234 |
|
A |
| 1235 |
|
A |
| 1236 |
|
A |
| 1237 |
|
A |
| 1238 |
|
A |
| 1239 |
|
A |
| 1240 |
|
A |
| 1241 |
|
A |
| 1242 |
|
A |
| 1243 |
|
A |
| 1244 |
|
A |
| 1245 |
|
A |
| 1246 |
|
A |
| 1247 |
|
A |
| 1248 |
|
A |
| 1249 |
|
A |
| 1250 |
|
A |
| 1251 |
|
A |
| 1252 |
|
A |
| 1253 |
|
A |
| 1254 |
|
A |
| 1255 |
|
A |
| 1256 |
|
A |
| 1257 |
|
A |
| 1258 |
|
A |
| 1259 |
|
A |
| 1260 |
|
A |
| 1261 |
|
A |
| 1262 |
|
A |
| 1263 |
|
A |
| 1264 |
|
A |
| 1265 |
|
A |
| 1266 |
|
A |
| 1267 |
|
A |
| 1268 |
|
A |
| 1269 |
|
A |
| 1270 |
|
A |
| 1271 |
|
A |
| 1272 |
|
A |
| 1273 |
|
A |
| 1274 |
|
A |
| 1275 |
|
A |
| 1276 |
|
A |
| 1277 |
|
A |
| 1278 |
|
A |
| 1279 |
|
A |
| 1280 |
|
A |
| 1281 |
|
A |
| 1282 |
|
A |
| 1283 |
|
A |
| 1284 |
|
A |
| 1285 |
|
A |
| 1286 |
|
A |
| 1287 |
|
A |
| 1288 |
|
A |
| 1289 |
|
A |
| 1290 |
|
A |
| 1291 |
|
A |
| 1292 |
|
A |
| 1293 |
|
A |
| 1294 |
|
A |
| 1295 |
|
A |
| 1296 |
|
A |
| 1297 |
|
A |
| 1298 |
|
A |
| 1299 |
|
A |
| 1300 |
|
A |
| 1301 |
|
A |
| 1302 |
|
A |
| 1303 |
|
A |
| 1304 |
|
A |
| 1305 |
|
A |
| 1306 |
|
A |
| 1307 |
|
A |
| 1308 |
|
A |
| 1309 |
|
A |
| 1310 |
|
A |
| 1311 |
|
A |
| 1312 |
|
A |
| 1313 |
|
A |
| 1314 |
|
A |
| 1315 |
|
A |
| 1316 |
|
A |
| 1317 |
|
A |
| 1318 |
|
A |
| 1319 |
|
A |
| 1320 |
|
A |
| 1321 |
|
A |
| 1322 |
|
A |
| 1323 |
|
A |
| 1324 |
|
A |
| 1325 |
|
A |
| 1326 |
|
A |
| 1327 |
|
A |
| 1328 |
|
A |
| 1329 |
|
A |
| 1330 |
|
A |
| 1331 |
|
A |
| 1332 |
|
A |
| 1333 |
|
A |
| 1334 |
|
A |
| 1335 |
|
A |
| 1336 |
|
A |
| 1337 |
|
A |
| 1338 |
|
A |
| 1339 |
|
A |
| 1340 |
|
A |
| 1341 |
|
A |
| 1342 |
|
A |
| 1343 |
|
A |
| 1344 |
|
A |
| 1345 |
|
A |
| 1346 |
|
A |
| 1347 |
|
A |
| 1348 |
|
A |
| 1349 |
|
A |
| 1350 |
|
A |
| 1351 |
|
A |
| 1352 |
|
A |
| 1353 |
|
A |
| 1354 |
|
A |
| 1355 |
|
A |
| 1356 |
|
A |
| 1357 |
|
A |
| 1358 |
|
A |
| 1359 |
|
A |
| 1360 |
|
A |
| 1361 |
|
A |
| 1362 |
|
A |
| 1363 |
|
A |
| 1364 |
|
A |
| 1365 |
|
A |
| 1366 |
|
A |
| 1367 |
|
A |
| 1368 |
|
A |
| 1369 |
|
A |
| 1370 |
|
A |
| 1371 |
|
A |
| 1372 |
|
A |
| 1373 |
|
A |
| 1374 |
|
A |
| 1375 |
|
A |
| 1376 |
|
A |
| 1377 |
|
A |
| 1378 |
|
A |
| 1379 |
|
A |
| 1380 |
|
A |
| 1381 |
|
A |
| 1382 |
|
A |
| 1383 |
|
A |
| 1384 |
|
A |
| 1385 |
|
A |
| 1386 |
|
A |
| 1387 |
|
A |
| 1388 |
|
A |
| 1389 |
|
A |
| 1390 |
|
A |
| 1391 |
|
A |
| 1392 |
|
A |
| 1393 |
|
A |
| 1394 |
|
A |
| 1395 |
|
A |
| 1396 |
|
A |
| 1397 |
|
A |
| 1398 |
|
A |
| 1399 |
|
A |
| 1400 |
|
A |
| 1401 |
|
A |
| 1402 |
|
A |
| 1403 |
|
A |
| 1404 |
|
A |
| 1405 |
|
A |
| 1406 |
|
A |
| 1407 |
|
A |
| 1408 |
|
A |
| 1409 |
|
A |
| 1410 |
|
A |
| 1411 |
|
A |
| 1412 |
|
A |
| 1413 |
|
A |
| 1414 |
|
A |
| 1415 |
|
A |
| 1416 |
|
A |
| 1417 |
|
A |
| 1418 |
|
A |
| 1419 |
|
A |
| 1420 |
|
A |
| 1421 |
|
A |
| 1422 |
|
A |
Materials and Methods:
Materials: Chemical reagents for assay related buffers are obtained from Sigma Chemical Company (St. Louis, Mo.). Reagents for peptide synthesis were from Aldrich Chemicals, Novabiochem (San Diego, Calif.), Applied Biosystems (Foster City, Calif.) and Perseptive Biosystems (Framingham, Mass.). Peptides are synthesized manually or on an automated ABI model 431A synthesizer (from Applied Biosystems). UV/VIS Spectrometer model LAMBDA 12 was from Perkin Elmer (Norwalk, Conn.) and 96-well UV plates were obtained from Corning (Corning, N.Y.). The prewarming block can be from USA Scientific (Ocala, Fla.) and the 96-well plate vortexer is from Labline Instruments (Melrose Park, Ill.). A Spectramax Plus microtiter plate reader with monochrometer is obtained from Molecular Devices (Sunnyvale, Calif.).
Enzyme Preparation: Recombinant heterodimeric HCV NS3/NS4A protease (strain 1a) is prepared by using the procedures published previously (D. L. Sali et al, Biochemistry, 37 (1998) 3392-3401). Protein concentrations are determined by the Biorad dye method using recombinant HCV protease standards previously quantified by amino acid analysis. Prior to assay initiation, the enzyme storage buffer (50 mM sodium phosphate pH 8.0, 300 mM NaCl, 10% glycerol, 0.05% lauryl maltoside and 10 mM DTT) is exchanged for the assay buffer (25 mM MOPS pH 6.5, 300 mM NaCl, 10% glycerol, 0.05% lauryl maltoside, 5 μM EDTA and 5 μM DTT) utilizing a Biorad Bio-Spin P-6 prepacked column.
Substrate Synthesis and Purification: The synthesis of the substrates is done as reported by R. Zhang et al, (ibid.) and is initiated by anchoring Fmoc-Nva-OH to 2-chlorotrityl chloride resin using a standard protocol (K. Barlos et al, Int. J. Pept. Protein Res., 37 (1991), 513-520). The peptides are subsequently assembled, using Fmoc chemistry, either manually or on an automatic ABI model 431 peptide synthesizer. The N-acetylated and fully protected peptide fragments are cleaved from the resin either by 10% acetic acid (HOAc) and 10% trifluoroethanol (TFE) in dichloromethane (DCM) for 30 min, or by 2% trifluoroacetic acid (TFA) in DCM for 10 min. The combined filtrate and DCM wash is evaporated azeotropically (or repeatedly extracted by aqueous Na2CO3 solution) to remove the acid used in cleavage. The DCM phase is dried over Na2SO4 and evaporated.
Protease Assay: HCV protease assays are performed at 30° C. using a 200 μl reaction mix in a 96-well microtiter plate. Assay buffer conditions (25 mM MOPS pH 6.5, 300 mM NaCl, 10% glycerol, 0.05% lauryl maltoside, 5 μM EDTA and 5 μM DTT) are optimized for the NS3/NS4A heterodimer (D. L. Sali et al, ibid.)). Typically, 150 μl mixtures of buffer, substrate and inhibitor are placed in wells (final concentration of DMSO≦4% v/v) and allowed to preincubate at 30° C. for approximately 3 minutes. Fifty μls of prewarmed protease (12 nM, 30° C.) in assay buffer, is then used to initiate the reaction (final volume 200 μl). The plates are monitored over the length of the assay (60 minutes) for change in absorbance at the appropriate wavelength (340 nm for 3-Np and HMC, 370 nm for PAP, and 400 nm for 4-Np) using a Spectromax Plus microtiter plate reader equipped with a monochrometer (acceptable results can be obtained with plate readers that utilize cutoff filters). Proteolytic cleavage of the ester linkage between the Nva and the chromophore is monitored at the appropriate wavelength against a no enzyme blank as a control for non-enzymatic hydrolysis. The evaluation of substrate kinetic parameters is performed over a 30-fold substrate concentration range (˜6-200 μM). Initial velocities are determined using linear regression and kinetic constants are obtained by fitting the data to the Michaelis-Menten equation using non-linear regression analysis (Mac Curve Fit 1.1, K. Raner). Turnover numbers (kcat) are calculated assuming the enzyme is fully active.
Evaluation of Inhibitors and Inactivators: The inhibition constants (Ki) for the competitive inhibitors Ac-D-(D-Gla)-L-I-(Cha)-C—OH (27), Ac-DTEDVVA(Nva)-OH and Ac-DTEDVVP(Nva)-OH are determined experimentally at fixed concentrations of enzyme and substrate by plotting vo/vi vs. inhibitor concentration ([I]o) according to the rearranged Michaelis-Menten equation for competitive inhibition kinetics: vo/vi=1+[I]o/(Ki(1+[S]o/Km)), where vO in the uninhibited initial velocity, vi is the initial velocity in the presence of inhibitor at any given inhibitor concentration ([I]o) and [S]o is the substrate concentration used. The resulting data are fitted using linear regression and the resulting slope, 1/(Ki(1+[S]o/Km), is used to calculate the Ki value. The following Table 2 lists the Ki* values (in micromolar) for some of the inventive compounds.
| TABLE 2 | |||
| Preparative Example | Ki* (μM) | ||
| 1200 | 0.012 | ||
| 1261 | 0.011 | ||
| 1252 | 0.005 | ||
| 1258 | 0.008 | ||
| 1262 | 0.006 | ||
| 1263 | 0.008 | ||
| 1397 | 0.002 | ||
| 1410 | 0.0012 | ||
Claims (18)
Priority Applications (22)
| Application Number | Priority Date | Filing Date | Title |
|---|---|---|---|
| US11/733,479 US7816326B2 (en) | 2004-02-27 | 2007-04-10 | Sulfur compounds as inhibitors of hepatitis C virus NS3 serine protease |
| KR1020097022983A KR20100016185A (en) | 2007-04-10 | 2008-04-08 | Sulfur compounds as inhibitors of hepatitis c virus ns3 serine protease |
| CA002683639A CA2683639A1 (en) | 2007-04-10 | 2008-04-08 | Sulfur compounds as inhiibitors of hepatitis c virus ns3 serine protease |
| MX2009011064A MX2009011064A (en) | 2007-04-10 | 2008-04-08 | Sulfur compounds as inhiibitors of hepatitis c virus ns3 serine protease. |
| ARP080101450A AR065984A1 (en) | 2007-04-10 | 2008-04-08 | SULFUR COMPOUNDS AS INHIBITORS OF THE SERINA PROTEASA NS3 OF THE HEPATITIS VIRUS C. PHARMACEUTICAL COMPOSITIONS. |
| ES08742663T ES2355015T3 (en) | 2007-04-10 | 2008-04-08 | SULFUR COMPOUNDS AS INHIBITORS OF THE SERINA PROTEASA NS3 OF THE VIRUS OF HEPATITIS C. |
| PCT/US2008/004549 WO2008124148A2 (en) | 2007-04-10 | 2008-04-08 | Sulfur compounds as inhiibitors of hepatitis c virus ns3 serine protease |
| RU2009141187/04A RU2009141187A (en) | 2007-04-10 | 2008-04-08 | Sulfur-containing compounds as inhibitors of the NS3 seroprotease of the hepatitis C virus |
| CN200880019227A CN101679484A (en) | 2007-04-10 | 2008-04-08 | Sulfur compounds as inhiibitors of hepatitis c virus NS3 serine protease |
| AU2008236644A AU2008236644A1 (en) | 2007-04-10 | 2008-04-08 | Sulfur compounds as inhiibitors of hepatitis C virus NS3 serine protease |
| PE2008000629A PE20090228A1 (en) | 2007-04-10 | 2008-04-08 | SULFUR COMPOUNDS AS INHIBITORS OF HEPATITIS C VIRUS SERINE PROTEASE NS3 |
| JP2010503039A JP2010523666A (en) | 2007-04-10 | 2008-04-08 | Sulfur compounds as hepatitis C virus NS3 serine protease inhibitors |
| AT08742663T ATE490265T1 (en) | 2007-04-10 | 2008-04-08 | SULFUR COMPOUNDS AS INHIBITORS OF THE NS3 SERINE PROTEASE OF THE HEPATITIS C VIRUS |
| BRPI0810851-0A2A BRPI0810851A2 (en) | 2007-04-10 | 2008-04-08 | SULFUR COMPOUNDS WITH HEPATITE C VIRUS SERINE PROTEASE NS3 INHIBITORS |
| EP08742663A EP2134739B1 (en) | 2007-04-10 | 2008-04-08 | Sulfur compounds as inhiibitors of hepatitis c virus ns3 serine protease |
| DE602008003777T DE602008003777D1 (en) | 2007-04-10 | 2008-04-08 | SULFUR COMPOUNDS AS INHIBITORS OF THE NS3 SERIN PROTEASE OF HEPATITIS C VIRUS |
| CL200801005A CL2008001005A1 (en) | 2007-04-10 | 2008-04-09 | COMPOUNDS DERIVED FROM SULFUR, INHIBITORS OF THE SERINA PROTEASA NS3 OF THE VIRUS OF HEPATITIS C; PHARMACEUTICAL COMPOSITION THAT INCLUDES SUCH COMPOUND; AND USE OF THE COMPOUND FOR THE TREATMENT OF ASSOCIATED DISORDERS TO HCV PROTEASE. |
| TW097112895A TW200902044A (en) | 2007-04-10 | 2008-04-09 | Sulfur compounds as inhibitors of hepatitis C virus NS3 serine protease |
| EC2009009685A ECSP099685A (en) | 2007-04-10 | 2009-10-08 | SULFUR COMPOUNDS AS INHIBITORS OF THE SERINA PROTEASA NS3 OF THE HEPATITIS C VIRUS |
| CO09112538A CO6231036A2 (en) | 2007-04-10 | 2009-10-09 | SULFUR COMPOUNDS AS INHIBITORS OF THE SERINA PROTEASA NS3 OF THE HEPATITIS C VIRUS |
| IL201427A IL201427A0 (en) | 2007-04-10 | 2009-10-11 | Sulfur compounds as inhibitors of hepatitis c virus ns3 serine protease |
| ZA200907353A ZA200907353B (en) | 2007-04-10 | 2009-10-20 | Sulfur compounds as inhibitors of Hepatitis C Virus NS3 serine protease |
Applications Claiming Priority (3)
| Application Number | Priority Date | Filing Date | Title |
|---|---|---|---|
| US54867004P | 2004-02-27 | 2004-02-27 | |
| US11/064,673 US8067379B2 (en) | 2004-02-27 | 2005-02-24 | Sulfur compounds as inhibitors of hepatitis C virus NS3 serine protease |
| US11/733,479 US7816326B2 (en) | 2004-02-27 | 2007-04-10 | Sulfur compounds as inhibitors of hepatitis C virus NS3 serine protease |
Related Parent Applications (1)
| Application Number | Title | Priority Date | Filing Date |
|---|---|---|---|
| US11/064,673 Continuation-In-Part US8067379B2 (en) | 2004-02-27 | 2005-02-24 | Sulfur compounds as inhibitors of hepatitis C virus NS3 serine protease |
Publications (2)
| Publication Number | Publication Date |
|---|---|
| US20070197448A1 US20070197448A1 (en) | 2007-08-23 |
| US7816326B2 true US7816326B2 (en) | 2010-10-19 |
Family
ID=39743035
Family Applications (1)
| Application Number | Title | Priority Date | Filing Date |
|---|---|---|---|
| US11/733,479 Active 2026-09-11 US7816326B2 (en) | 2004-02-27 | 2007-04-10 | Sulfur compounds as inhibitors of hepatitis C virus NS3 serine protease |
Country Status (22)
| Country | Link |
|---|---|
| US (1) | US7816326B2 (en) |
| EP (1) | EP2134739B1 (en) |
| JP (1) | JP2010523666A (en) |
| KR (1) | KR20100016185A (en) |
| CN (1) | CN101679484A (en) |
| AR (1) | AR065984A1 (en) |
| AT (1) | ATE490265T1 (en) |
| AU (1) | AU2008236644A1 (en) |
| BR (1) | BRPI0810851A2 (en) |
| CA (1) | CA2683639A1 (en) |
| CL (1) | CL2008001005A1 (en) |
| CO (1) | CO6231036A2 (en) |
| DE (1) | DE602008003777D1 (en) |
| EC (1) | ECSP099685A (en) |
| ES (1) | ES2355015T3 (en) |
| IL (1) | IL201427A0 (en) |
| MX (1) | MX2009011064A (en) |
| PE (1) | PE20090228A1 (en) |
| RU (1) | RU2009141187A (en) |
| TW (1) | TW200902044A (en) |
| WO (1) | WO2008124148A2 (en) |
| ZA (1) | ZA200907353B (en) |
Cited By (5)
| Publication number | Priority date | Publication date | Assignee | Title |
|---|---|---|---|---|
| US20070042968A1 (en) * | 2004-02-27 | 2007-02-22 | Schering Corporation | Sulfur compounds as inhibitors of Hepatitis C virus NS3 serine protease |
| US20180273573A1 (en) * | 2015-10-01 | 2018-09-27 | Memorial Sloan-Kettering Cancer Center | Inhibitors of menaquinone biosynthesis |
| US10874686B2 (en) | 2015-10-01 | 2020-12-29 | Memorial Sloan-Kettering Cancer Center | Anthranilyl-adenosinemonosulfamate analogs and uses thereof |
| US11351149B2 (en) | 2020-09-03 | 2022-06-07 | Pfizer Inc. | Nitrile-containing antiviral compounds |
| US12435088B2 (en) | 2018-12-21 | 2025-10-07 | Memorial Sloan-Kettering Cancer Center | Salicyl-adenosinemonosulfamate analogs and uses thereof |
Families Citing this family (23)
| Publication number | Priority date | Publication date | Assignee | Title |
|---|---|---|---|---|
| US7491794B2 (en) * | 2003-10-14 | 2009-02-17 | Intermune, Inc. | Macrocyclic compounds as inhibitors of viral replication |
| US7816326B2 (en) | 2004-02-27 | 2010-10-19 | Schering Corporation | Sulfur compounds as inhibitors of hepatitis C virus NS3 serine protease |
| GEP20105124B (en) | 2005-07-25 | 2010-11-25 | Array Biopharma Inc | Novel macrocyclic inhibitors of hepatitis c virus replication |
| CN101415705B (en) * | 2005-10-11 | 2011-10-26 | 因特蒙公司 | Compounds and methods for inhibiting hepatitis c viral replication |
| WO2009142842A2 (en) * | 2008-04-15 | 2009-11-26 | Intermune, Inc. | Novel macrocyclic inhibitors of hepatitis c virus replication |
| AP2011005695A0 (en) * | 2008-10-15 | 2011-06-30 | Intermune Inc | Therapeutic antiviral poptides. |
| AR075584A1 (en) | 2009-02-27 | 2011-04-20 | Intermune Inc | THERAPEUTIC COMPOSITIONS THAT INCLUDE beta-D-2'-DESOXI-2'-FLUORO-2'-C-METHYLYCTIDINE AND A CARDIEX ISOINDOL ACID DERIVATIVE AND ITS USES. COMPOUND. |
| US8980920B2 (en) | 2009-05-29 | 2015-03-17 | Merck Sharp & Dohme Corp. | Antiviral compounds of three linked aryl moieties to treat diseases such as hepatitis C |
| US20120276047A1 (en) | 2009-11-25 | 2012-11-01 | Rosenblum Stuart B | Fused tricyclic compounds and derivatives thereof useful for the treatment of viral diseases |
| WO2011087740A1 (en) | 2009-12-22 | 2011-07-21 | Schering Corporation | Fused tricyclic compounds and methods of use thereof for the treatment of viral diseases |
| EP2545060B1 (en) | 2010-03-09 | 2015-11-25 | Merck Sharp & Dohme Corp. | Fused tricyclic silyl compounds and methods of use thereof for the treatment of viral diseases |
| EP2598149A4 (en) | 2010-07-26 | 2014-09-10 | Merck Sharp & Dohme | SUBSTITUTED BIPHENYLENE COMPOUNDS AND METHODS OF USING SAID COMPOUNDS FOR TREATING VIRAL DISEASES |
| JP2013540122A (en) | 2010-09-29 | 2013-10-31 | メルク・シャープ・エンド・ドーム・コーポレイション | Fused tetracyclic compound derivatives and methods of use thereof for the treatment of viral diseases |
| EP2697242B1 (en) | 2011-04-13 | 2018-10-03 | Merck Sharp & Dohme Corp. | 2'-azido substituted nucleoside derivatives and methods of use thereof for the treatment of viral diseases |
| EP2696681B1 (en) | 2011-04-13 | 2018-10-03 | Merck Sharp & Dohme Corp. | 2'-substituted nucleoside derivatives and methods of use thereof for the treatment of viral diseases |
| WO2013033901A1 (en) | 2011-09-08 | 2013-03-14 | Merck Sharp & Dohme Corp. | Heterocyclic-substituted benzofuran derivatives and methods of use thereof for the treatment of viral diseases |
| WO2013033899A1 (en) | 2011-09-08 | 2013-03-14 | Merck Sharp & Dohme Corp. | Substituted benzofuran compounds and methods of use thereof for the treatment of viral diseases |
| WO2013033900A1 (en) | 2011-09-08 | 2013-03-14 | Merck Sharp & Dohme Corp. | Tetracyclic heterocycle compounds and methods of use thereof for the treatment of viral diseases |
| WO2013039876A1 (en) | 2011-09-14 | 2013-03-21 | Merck Sharp & Dohme Corp. | Silyl-containing heterocyclic compounds and methods of use thereof for the treatment of viral diseases |
| CA2856529C (en) * | 2011-11-29 | 2018-03-06 | Gilead Pharmasset Llc | Compositions and methods for treating hepatitis c virus |
| US8889159B2 (en) | 2011-11-29 | 2014-11-18 | Gilead Pharmasset Llc | Compositions and methods for treating hepatitis C virus |
| WO2015065817A1 (en) | 2013-10-30 | 2015-05-07 | Merck Sharp & Dohme Corp. | Pseudopolymorphs of an hcv ns5a inhibitor and uses thereof |
| US12083099B2 (en) | 2020-10-28 | 2024-09-10 | Accencio LLC | Methods of treating symptoms of coronavirus infection with viral protease inhibitors |
Citations (20)
| Publication number | Priority date | Publication date | Assignee | Title |
|---|---|---|---|---|
| US5712145A (en) | 1990-04-04 | 1998-01-27 | Chiron Corporation | Hepatitis C virus protease |
| WO1998014181A1 (en) | 1996-09-30 | 1998-04-09 | Regents Of The University Of California | Treatment and prevention of hepatic disorders |
| WO1998017679A1 (en) | 1996-10-18 | 1998-04-30 | Vertex Pharmaceuticals Incorporated | Inhibitors of serine proteases, particularly hepatitis c virus ns3 protease |
| WO1998022496A2 (en) | 1996-11-18 | 1998-05-28 | F. Hoffmann-La Roche Ag | Antiviral peptide derivatives |
| WO1999007734A2 (en) | 1997-08-11 | 1999-02-18 | Boehringer Ingelheim (Canada) Ltd. | Hepatitis c inhibitor peptide analogues |
| WO2000009543A2 (en) | 1998-08-10 | 2000-02-24 | Boehringer Ingelheim (Canada) Ltd. | Hepatitis c inhibitor tri-peptides |
| WO2000009558A1 (en) | 1998-08-10 | 2000-02-24 | Boehringer Ingelheim (Canada) Ltd. | Hepatitis c inhibitor peptides |
| WO2001074768A2 (en) | 2000-04-03 | 2001-10-11 | Vertex Pharmaceuticals Incorporated | Inhibitors of serine proteases, particularly hepatitis c virus ns3 protease |
| WO2001077113A2 (en) | 2000-04-05 | 2001-10-18 | Schering Corporation | Macrocyclic ns3-serine protease inhibitors of hepatitis c virus comprising n-cyclic p2 moieties |
| WO2001081325A2 (en) | 2000-04-19 | 2001-11-01 | Schering Corporation | Macrocyclic ns3-serine protease inhibitors of hepatitis c virus comprising alkyl and aryl alanine p2 moieties |
| WO2002008187A1 (en) | 2000-07-21 | 2002-01-31 | Schering Corporation | Novel peptides as ns3-serine protease inhibitors of hepatitis c virus |
| WO2002008251A2 (en) | 2000-07-21 | 2002-01-31 | Corvas International, Inc. | Peptides as ns3-serine protease inhibitors of hepatitis c virus |
| WO2002008256A2 (en) | 2000-07-21 | 2002-01-31 | Schering Corporation | Peptides as ns3-serine protease inhibitors of hepatitis c virus |
| WO2002008244A2 (en) | 2000-07-21 | 2002-01-31 | Schering Corporation | Peptides as ns3-serine protease inhibitors of hepatitis c virus |
| WO2002048172A2 (en) | 2000-12-12 | 2002-06-20 | Schering Corporation | Diaryl peptides as ns3-serine protease inhibitors of hepatits c virus |
| US6608027B1 (en) | 1999-04-06 | 2003-08-19 | Boehringer Ingelheim (Canada) Ltd | Macrocyclic peptides active against the hepatitis C virus |
| WO2005087731A1 (en) | 2004-02-27 | 2005-09-22 | Schering Corporation | Sulfur compounds as inhibitors of hepatitis c virus ns3 serine protease |
| WO2006130628A2 (en) | 2005-06-02 | 2006-12-07 | Schering Corporation | Combination of hcv protease inhibitors with a surfactant |
| US7244721B2 (en) * | 2000-07-21 | 2007-07-17 | Schering Corporation | Peptides as NS3-serine protease inhibitors of hepatitis C virus |
| US20070197448A1 (en) | 2004-02-27 | 2007-08-23 | Schering Corporation | Sulfur compounds as inhibitors of hepatitis c virus ns3 serine protease |
-
2007
- 2007-04-10 US US11/733,479 patent/US7816326B2/en active Active
-
2008
- 2008-04-08 JP JP2010503039A patent/JP2010523666A/en not_active Withdrawn
- 2008-04-08 RU RU2009141187/04A patent/RU2009141187A/en not_active Application Discontinuation
- 2008-04-08 AU AU2008236644A patent/AU2008236644A1/en not_active Abandoned
- 2008-04-08 MX MX2009011064A patent/MX2009011064A/en active IP Right Grant
- 2008-04-08 PE PE2008000629A patent/PE20090228A1/en not_active Application Discontinuation
- 2008-04-08 AR ARP080101450A patent/AR065984A1/en unknown
- 2008-04-08 ES ES08742663T patent/ES2355015T3/en active Active
- 2008-04-08 WO PCT/US2008/004549 patent/WO2008124148A2/en not_active Ceased
- 2008-04-08 DE DE602008003777T patent/DE602008003777D1/en active Active
- 2008-04-08 BR BRPI0810851-0A2A patent/BRPI0810851A2/en not_active Application Discontinuation
- 2008-04-08 EP EP08742663A patent/EP2134739B1/en not_active Not-in-force
- 2008-04-08 AT AT08742663T patent/ATE490265T1/en not_active IP Right Cessation
- 2008-04-08 CN CN200880019227A patent/CN101679484A/en active Pending
- 2008-04-08 KR KR1020097022983A patent/KR20100016185A/en not_active Withdrawn
- 2008-04-08 CA CA002683639A patent/CA2683639A1/en not_active Abandoned
- 2008-04-09 CL CL200801005A patent/CL2008001005A1/en unknown
- 2008-04-09 TW TW097112895A patent/TW200902044A/en unknown
-
2009
- 2009-10-08 EC EC2009009685A patent/ECSP099685A/en unknown
- 2009-10-09 CO CO09112538A patent/CO6231036A2/en not_active Application Discontinuation
- 2009-10-11 IL IL201427A patent/IL201427A0/en unknown
- 2009-10-20 ZA ZA200907353A patent/ZA200907353B/en unknown
Patent Citations (22)
| Publication number | Priority date | Publication date | Assignee | Title |
|---|---|---|---|---|
| US5712145A (en) | 1990-04-04 | 1998-01-27 | Chiron Corporation | Hepatitis C virus protease |
| WO1998014181A1 (en) | 1996-09-30 | 1998-04-09 | Regents Of The University Of California | Treatment and prevention of hepatic disorders |
| WO1998017679A1 (en) | 1996-10-18 | 1998-04-30 | Vertex Pharmaceuticals Incorporated | Inhibitors of serine proteases, particularly hepatitis c virus ns3 protease |
| WO1998022496A2 (en) | 1996-11-18 | 1998-05-28 | F. Hoffmann-La Roche Ag | Antiviral peptide derivatives |
| WO1999007734A2 (en) | 1997-08-11 | 1999-02-18 | Boehringer Ingelheim (Canada) Ltd. | Hepatitis c inhibitor peptide analogues |
| WO2000009543A2 (en) | 1998-08-10 | 2000-02-24 | Boehringer Ingelheim (Canada) Ltd. | Hepatitis c inhibitor tri-peptides |
| WO2000009558A1 (en) | 1998-08-10 | 2000-02-24 | Boehringer Ingelheim (Canada) Ltd. | Hepatitis c inhibitor peptides |
| US6608027B1 (en) | 1999-04-06 | 2003-08-19 | Boehringer Ingelheim (Canada) Ltd | Macrocyclic peptides active against the hepatitis C virus |
| WO2001074768A2 (en) | 2000-04-03 | 2001-10-11 | Vertex Pharmaceuticals Incorporated | Inhibitors of serine proteases, particularly hepatitis c virus ns3 protease |
| WO2001077113A2 (en) | 2000-04-05 | 2001-10-18 | Schering Corporation | Macrocyclic ns3-serine protease inhibitors of hepatitis c virus comprising n-cyclic p2 moieties |
| WO2001081325A2 (en) | 2000-04-19 | 2001-11-01 | Schering Corporation | Macrocyclic ns3-serine protease inhibitors of hepatitis c virus comprising alkyl and aryl alanine p2 moieties |
| US7012066B2 (en) * | 2000-07-21 | 2006-03-14 | Schering Corporation | Peptides as NS3-serine protease inhibitors of hepatitis C virus |
| WO2002008187A1 (en) | 2000-07-21 | 2002-01-31 | Schering Corporation | Novel peptides as ns3-serine protease inhibitors of hepatitis c virus |
| WO2002008251A2 (en) | 2000-07-21 | 2002-01-31 | Corvas International, Inc. | Peptides as ns3-serine protease inhibitors of hepatitis c virus |
| WO2002008256A2 (en) | 2000-07-21 | 2002-01-31 | Schering Corporation | Peptides as ns3-serine protease inhibitors of hepatitis c virus |
| WO2002008244A2 (en) | 2000-07-21 | 2002-01-31 | Schering Corporation | Peptides as ns3-serine protease inhibitors of hepatitis c virus |
| US7244721B2 (en) * | 2000-07-21 | 2007-07-17 | Schering Corporation | Peptides as NS3-serine protease inhibitors of hepatitis C virus |
| WO2002048172A2 (en) | 2000-12-12 | 2002-06-20 | Schering Corporation | Diaryl peptides as ns3-serine protease inhibitors of hepatits c virus |
| US6911428B2 (en) * | 2000-12-12 | 2005-06-28 | Schering Corporation | Diaryl peptides as NS3-serine protease inhibitors of hepatitis C virus |
| WO2005087731A1 (en) | 2004-02-27 | 2005-09-22 | Schering Corporation | Sulfur compounds as inhibitors of hepatitis c virus ns3 serine protease |
| US20070197448A1 (en) | 2004-02-27 | 2007-08-23 | Schering Corporation | Sulfur compounds as inhibitors of hepatitis c virus ns3 serine protease |
| WO2006130628A2 (en) | 2005-06-02 | 2006-12-07 | Schering Corporation | Combination of hcv protease inhibitors with a surfactant |
Non-Patent Citations (19)
Cited By (8)
| Publication number | Priority date | Publication date | Assignee | Title |
|---|---|---|---|---|
| US20070042968A1 (en) * | 2004-02-27 | 2007-02-22 | Schering Corporation | Sulfur compounds as inhibitors of Hepatitis C virus NS3 serine protease |
| US8067379B2 (en) | 2004-02-27 | 2011-11-29 | Schering Corporation | Sulfur compounds as inhibitors of hepatitis C virus NS3 serine protease |
| US20180273573A1 (en) * | 2015-10-01 | 2018-09-27 | Memorial Sloan-Kettering Cancer Center | Inhibitors of menaquinone biosynthesis |
| US10874686B2 (en) | 2015-10-01 | 2020-12-29 | Memorial Sloan-Kettering Cancer Center | Anthranilyl-adenosinemonosulfamate analogs and uses thereof |
| US12435088B2 (en) | 2018-12-21 | 2025-10-07 | Memorial Sloan-Kettering Cancer Center | Salicyl-adenosinemonosulfamate analogs and uses thereof |
| US11351149B2 (en) | 2020-09-03 | 2022-06-07 | Pfizer Inc. | Nitrile-containing antiviral compounds |
| US11452711B2 (en) | 2020-09-03 | 2022-09-27 | Pfizer Inc. | Nitrile-containing antiviral compounds |
| US11541034B2 (en) | 2020-09-03 | 2023-01-03 | Pfizer Inc. | Nitrile-containing antiviral compounds |
Also Published As
| Publication number | Publication date |
|---|---|
| CO6231036A2 (en) | 2010-12-20 |
| ATE490265T1 (en) | 2010-12-15 |
| ECSP099685A (en) | 2009-11-30 |
| CL2008001005A1 (en) | 2008-10-17 |
| US20070197448A1 (en) | 2007-08-23 |
| MX2009011064A (en) | 2009-10-29 |
| ES2355015T3 (en) | 2011-03-22 |
| CN101679484A (en) | 2010-03-24 |
| WO2008124148A3 (en) | 2009-05-07 |
| ZA200907353B (en) | 2010-07-28 |
| PE20090228A1 (en) | 2009-03-28 |
| IL201427A0 (en) | 2010-05-31 |
| DE602008003777D1 (en) | 2011-01-13 |
| TW200902044A (en) | 2009-01-16 |
| AR065984A1 (en) | 2009-07-15 |
| AU2008236644A1 (en) | 2008-10-16 |
| KR20100016185A (en) | 2010-02-12 |
| JP2010523666A (en) | 2010-07-15 |
| EP2134739A2 (en) | 2009-12-23 |
| CA2683639A1 (en) | 2008-10-16 |
| EP2134739B1 (en) | 2010-12-01 |
| BRPI0810851A2 (en) | 2014-10-29 |
| WO2008124148A2 (en) | 2008-10-16 |
| RU2009141187A (en) | 2011-05-20 |
Similar Documents
| Publication | Publication Date | Title |
|---|---|---|
| US7816326B2 (en) | Sulfur compounds as inhibitors of hepatitis C virus NS3 serine protease | |
| US7485625B2 (en) | Inhibitors of hepatitis C virus NS3/NS4a serine protease | |
| US7342041B2 (en) | 3,4-(cyclopentyl)-fused proline compounds as inhibitors of hepatitis C virus NS3 serine protease | |
| US7718691B2 (en) | Compounds as inhibitors of hepatitis C virus NS3 serine protease | |
| US7399749B2 (en) | Substituted prolines as inhibitors of hepatitis C virus NS3 serine protease | |
| US7619094B2 (en) | Ketoamides with cyclic P4's as inhibitors of NS3 serine protease of hepatitis C virus | |
| US7253160B2 (en) | Depeptidized inhibitors of hepatitis C virus NS3 protease | |
| US7425576B2 (en) | Compounds as inhibitors of hepatitis C virus NS3 serine protease | |
| US7205330B2 (en) | Inhibitors of hepatitis C virus NS3 protease | |
| US7635694B2 (en) | Cyclobutenedione-containing compounds as inhibitors of hepatitis C virus NS3 serine protease | |
| US20050249702A1 (en) | (1R,2S,5S)-N-[(1S)-3-amino-1-(cyclobutylmethyl)-2,3-dioxopropyl]-3-[(2S)-2-[[[(1,1-dimethylethyl)amino]carbonyl]amino]-3,3-dimethyl-1-oxobutyl]-6,6-dimethyl-3-azabicyclo[3.1.0]hexane-2-carboxamide as inhibitor of hepatitis C virus NS3/NS4a serine protease | |
| US20070042968A1 (en) | Sulfur compounds as inhibitors of Hepatitis C virus NS3 serine protease | |
| US20100104534A1 (en) | Hydrazido-peptides as inhibitors of hcv ns3-protease | |
| US20110286969A1 (en) | Deuterated compounds as hepatitis c virus (hcv) inhibitors | |
| HK1095820B (en) | 3,4-(cyclopentyl)-fused proline compounds as inhibitors of hepatitis c virus ns3 serine protease |
Legal Events
| Date | Code | Title | Description |
|---|---|---|---|
| AS | Assignment |
Owner name: SCHERING CORPORATION, NEW JERSEY Free format text: ASSIGNMENT OF ASSIGNORS INTEREST;ASSIGNORS:VELAZQUEZ, FRANCISCO;BOGEN, STEPHANE L.;ARASAPPAN, ASHOK;AND OTHERS;REEL/FRAME:019276/0251 Effective date: 20070503 |
|
| STCF | Information on status: patent grant |
Free format text: PATENTED CASE |
|
| AS | Assignment |
Owner name: MERCK SHARP & DOHME CORP., NEW JERSEY Free format text: CHANGE OF NAME;ASSIGNOR:SCHERING CORPORATION;REEL/FRAME:028884/0151 Effective date: 20120502 |
|
| FPAY | Fee payment |
Year of fee payment: 4 |
|
| MAFP | Maintenance fee payment |
Free format text: PAYMENT OF MAINTENANCE FEE, 8TH YEAR, LARGE ENTITY (ORIGINAL EVENT CODE: M1552) Year of fee payment: 8 |
|
| MAFP | Maintenance fee payment |
Free format text: PAYMENT OF MAINTENANCE FEE, 12TH YEAR, LARGE ENTITY (ORIGINAL EVENT CODE: M1553); ENTITY STATUS OF PATENT OWNER: LARGE ENTITY Year of fee payment: 12 |
|
| AS | Assignment |
Owner name: MERCK SHARP & DOHME LLC, NEW JERSEY Free format text: MERGER;ASSIGNOR:MERCK SHARP & DOHME CORP.;REEL/FRAME:061102/0145 Effective date: 20220407 |






















































































































































































































































































































































































































