US20240009281A1 - Mrna therapy for pompe disease - Google Patents
Mrna therapy for pompe disease Download PDFInfo
- Publication number
- US20240009281A1 US20240009281A1 US18/207,609 US202318207609A US2024009281A1 US 20240009281 A1 US20240009281 A1 US 20240009281A1 US 202318207609 A US202318207609 A US 202318207609A US 2024009281 A1 US2024009281 A1 US 2024009281A1
- Authority
- US
- United States
- Prior art keywords
- mrna
- level
- gaa
- administering
- lipid
- Prior art date
- Legal status (The legal status is an assumption and is not a legal conclusion. Google has not performed a legal analysis and makes no representation as to the accuracy of the status listed.)
- Pending
Links
Images
Classifications
-
- A—HUMAN NECESSITIES
- A61—MEDICAL OR VETERINARY SCIENCE; HYGIENE
- A61K—PREPARATIONS FOR MEDICAL, DENTAL OR TOILETRY PURPOSES
- A61K38/00—Medicinal preparations containing peptides
- A61K38/16—Peptides having more than 20 amino acids; Gastrins; Somatostatins; Melanotropins; Derivatives thereof
- A61K38/43—Enzymes; Proenzymes; Derivatives thereof
- A61K38/46—Hydrolases (3)
- A61K38/47—Hydrolases (3) acting on glycosyl compounds (3.2), e.g. cellulases, lactases
-
- A—HUMAN NECESSITIES
- A61—MEDICAL OR VETERINARY SCIENCE; HYGIENE
- A61K—PREPARATIONS FOR MEDICAL, DENTAL OR TOILETRY PURPOSES
- A61K31/00—Medicinal preparations containing organic active ingredients
- A61K31/70—Carbohydrates; Sugars; Derivatives thereof
- A61K31/7088—Compounds having three or more nucleosides or nucleotides
- A61K31/7105—Natural ribonucleic acids, i.e. containing only riboses attached to adenine, guanine, cytosine or uracil and having 3'-5' phosphodiester links
-
- A—HUMAN NECESSITIES
- A61—MEDICAL OR VETERINARY SCIENCE; HYGIENE
- A61K—PREPARATIONS FOR MEDICAL, DENTAL OR TOILETRY PURPOSES
- A61K47/00—Medicinal preparations characterised by the non-active ingredients used, e.g. carriers or inert additives; Targeting or modifying agents chemically bound to the active ingredient
- A61K47/06—Organic compounds, e.g. natural or synthetic hydrocarbons, polyolefins, mineral oil, petrolatum or ozokerite
- A61K47/22—Heterocyclic compounds, e.g. ascorbic acid, tocopherol or pyrrolidones
-
- A—HUMAN NECESSITIES
- A61—MEDICAL OR VETERINARY SCIENCE; HYGIENE
- A61K—PREPARATIONS FOR MEDICAL, DENTAL OR TOILETRY PURPOSES
- A61K48/00—Medicinal preparations containing genetic material which is inserted into cells of the living body to treat genetic diseases; Gene therapy
- A61K48/0008—Medicinal preparations containing genetic material which is inserted into cells of the living body to treat genetic diseases; Gene therapy characterised by an aspect of the 'non-active' part of the composition delivered, e.g. wherein such 'non-active' part is not delivered simultaneously with the 'active' part of the composition
- A61K48/0025—Medicinal preparations containing genetic material which is inserted into cells of the living body to treat genetic diseases; Gene therapy characterised by an aspect of the 'non-active' part of the composition delivered, e.g. wherein such 'non-active' part is not delivered simultaneously with the 'active' part of the composition wherein the non-active part clearly interacts with the delivered nucleic acid
- A61K48/0033—Medicinal preparations containing genetic material which is inserted into cells of the living body to treat genetic diseases; Gene therapy characterised by an aspect of the 'non-active' part of the composition delivered, e.g. wherein such 'non-active' part is not delivered simultaneously with the 'active' part of the composition wherein the non-active part clearly interacts with the delivered nucleic acid the non-active part being non-polymeric
-
- A—HUMAN NECESSITIES
- A61—MEDICAL OR VETERINARY SCIENCE; HYGIENE
- A61K—PREPARATIONS FOR MEDICAL, DENTAL OR TOILETRY PURPOSES
- A61K48/00—Medicinal preparations containing genetic material which is inserted into cells of the living body to treat genetic diseases; Gene therapy
- A61K48/005—Medicinal preparations containing genetic material which is inserted into cells of the living body to treat genetic diseases; Gene therapy characterised by an aspect of the 'active' part of the composition delivered, i.e. the nucleic acid delivered
- A61K48/0058—Nucleic acids adapted for tissue specific expression, e.g. having tissue specific promoters as part of a contruct
-
- A—HUMAN NECESSITIES
- A61—MEDICAL OR VETERINARY SCIENCE; HYGIENE
- A61K—PREPARATIONS FOR MEDICAL, DENTAL OR TOILETRY PURPOSES
- A61K9/00—Medicinal preparations characterised by special physical form
- A61K9/0012—Galenical forms characterised by the site of application
- A61K9/0019—Injectable compositions; Intramuscular, intravenous, arterial, subcutaneous administration; Compositions to be administered through the skin in an invasive manner
-
- A—HUMAN NECESSITIES
- A61—MEDICAL OR VETERINARY SCIENCE; HYGIENE
- A61K—PREPARATIONS FOR MEDICAL, DENTAL OR TOILETRY PURPOSES
- A61K9/00—Medicinal preparations characterised by special physical form
- A61K9/10—Dispersions; Emulsions
- A61K9/127—Synthetic bilayered vehicles, e.g. liposomes or liposomes with cholesterol as the only non-phosphatidyl surfactant
-
- A—HUMAN NECESSITIES
- A61—MEDICAL OR VETERINARY SCIENCE; HYGIENE
- A61K—PREPARATIONS FOR MEDICAL, DENTAL OR TOILETRY PURPOSES
- A61K9/00—Medicinal preparations characterised by special physical form
- A61K9/10—Dispersions; Emulsions
- A61K9/127—Synthetic bilayered vehicles, e.g. liposomes or liposomes with cholesterol as the only non-phosphatidyl surfactant
- A61K9/1271—Non-conventional liposomes, e.g. PEGylated liposomes or liposomes coated or grafted with polymers
-
- A—HUMAN NECESSITIES
- A61—MEDICAL OR VETERINARY SCIENCE; HYGIENE
- A61K—PREPARATIONS FOR MEDICAL, DENTAL OR TOILETRY PURPOSES
- A61K9/00—Medicinal preparations characterised by special physical form
- A61K9/10—Dispersions; Emulsions
- A61K9/127—Synthetic bilayered vehicles, e.g. liposomes or liposomes with cholesterol as the only non-phosphatidyl surfactant
- A61K9/1271—Non-conventional liposomes, e.g. PEGylated liposomes or liposomes coated or grafted with polymers
- A61K9/1272—Non-conventional liposomes, e.g. PEGylated liposomes or liposomes coated or grafted with polymers comprising non-phosphatidyl surfactants as bilayer-forming substances, e.g. cationic lipids or non-phosphatidyl liposomes coated or grafted with polymers
-
- A—HUMAN NECESSITIES
- A61—MEDICAL OR VETERINARY SCIENCE; HYGIENE
- A61P—SPECIFIC THERAPEUTIC ACTIVITY OF CHEMICAL COMPOUNDS OR MEDICINAL PREPARATIONS
- A61P1/00—Drugs for disorders of the alimentary tract or the digestive system
- A61P1/16—Drugs for disorders of the alimentary tract or the digestive system for liver or gallbladder disorders, e.g. hepatoprotective agents, cholagogues, litholytics
-
- A—HUMAN NECESSITIES
- A61—MEDICAL OR VETERINARY SCIENCE; HYGIENE
- A61P—SPECIFIC THERAPEUTIC ACTIVITY OF CHEMICAL COMPOUNDS OR MEDICINAL PREPARATIONS
- A61P21/00—Drugs for disorders of the muscular or neuromuscular system
-
- A—HUMAN NECESSITIES
- A61—MEDICAL OR VETERINARY SCIENCE; HYGIENE
- A61P—SPECIFIC THERAPEUTIC ACTIVITY OF CHEMICAL COMPOUNDS OR MEDICINAL PREPARATIONS
- A61P3/00—Drugs for disorders of the metabolism
-
- A—HUMAN NECESSITIES
- A61—MEDICAL OR VETERINARY SCIENCE; HYGIENE
- A61P—SPECIFIC THERAPEUTIC ACTIVITY OF CHEMICAL COMPOUNDS OR MEDICINAL PREPARATIONS
- A61P39/00—General protective or antinoxious agents
- A61P39/02—Antidotes
-
- A—HUMAN NECESSITIES
- A61—MEDICAL OR VETERINARY SCIENCE; HYGIENE
- A61P—SPECIFIC THERAPEUTIC ACTIVITY OF CHEMICAL COMPOUNDS OR MEDICINAL PREPARATIONS
- A61P9/00—Drugs for disorders of the cardiovascular system
-
- C—CHEMISTRY; METALLURGY
- C12—BIOCHEMISTRY; BEER; SPIRITS; WINE; VINEGAR; MICROBIOLOGY; ENZYMOLOGY; MUTATION OR GENETIC ENGINEERING
- C12N—MICROORGANISMS OR ENZYMES; COMPOSITIONS THEREOF; PROPAGATING, PRESERVING, OR MAINTAINING MICROORGANISMS; MUTATION OR GENETIC ENGINEERING; CULTURE MEDIA
- C12N9/00—Enzymes; Proenzymes; Compositions thereof; Processes for preparing, activating, inhibiting, separating or purifying enzymes
- C12N9/14—Hydrolases (3)
- C12N9/24—Hydrolases (3) acting on glycosyl compounds (3.2)
- C12N9/2402—Hydrolases (3) acting on glycosyl compounds (3.2) hydrolysing O- and S- glycosyl compounds (3.2.1)
- C12N9/2465—Hydrolases (3) acting on glycosyl compounds (3.2) hydrolysing O- and S- glycosyl compounds (3.2.1) acting on alpha-galactose-glycoside bonds, e.g. alpha-galactosidase (3.2.1.22)
-
- C—CHEMISTRY; METALLURGY
- C12—BIOCHEMISTRY; BEER; SPIRITS; WINE; VINEGAR; MICROBIOLOGY; ENZYMOLOGY; MUTATION OR GENETIC ENGINEERING
- C12Y—ENZYMES
- C12Y302/00—Hydrolases acting on glycosyl compounds, i.e. glycosylases (3.2)
- C12Y302/01—Glycosidases, i.e. enzymes hydrolysing O- and S-glycosyl compounds (3.2.1)
- C12Y302/0102—Alpha-glucosidase (3.2.1.20)
Definitions
- Pompe disease also known as glycogen storage disease type II; acid alpha-glucosidase deficiency; acid maltase deficiency; GAA deficiency; GSD II; glycogenosis type II; glycogenosis, generalized, cardiac form; cardiomegalia glycogenica diffusa; acid maltase deficiency; AMD; or alpha-1,4-glucosidase deficiency
- GAA acid alpha-glucosidase
- GAA acid alpha-glucosidase
- Mutations in the GAA gene eliminate or reduce the ability of the GAA enzyme to hydrolyze the ⁇ -1,4 and ⁇ -1,6 linkages in glycogen, maltose and isomaltose.
- glycogen accumulates in the lysosomes and cytoplasm of cells throughout the body leading to cell and tissue destruction. Tissues that are particularly affected include skeletal muscle and cardiac muscle. The accumulated glycogen causes progressive muscle weakness leading to cardiomegaly, ambulatory difficulties and respiratory insufficiency.
- the classic infantile-onset form is characterized by muscle weakness, poor muscle tone, hepatomegaly and cardiac defects. The incidence of the disease is approximately 1 in 140,000 individuals. Patients with this form of the disease often die of heart failure in the first year of life.
- the non-classic infantile-onset form of the disease is characterized by delayed motor skills, progressive muscle weakness and in some instances cardiomegaly. Patients with this form of the disease often live only into early childhood due to respiratory failure.
- the late-onset form of the disease may present in late childhood, adolescence or adulthood and is characterized by progressive muscle weakness of the legs and trunk.
- the present invention provides, among other things, improved methods and compositions for the treatment of Pompe disease based on mRNA therapy.
- the invention encompasses the observation that administration of an mRNA encoding a human GAA protein, encapsulated within a liposome, resulted in highly efficient and sustained protein production in vivo and successful reduction of, for example, glycogen levels in the liver and muscle, a clinically-relevant disease marker.
- the present invention provides a method of treating Pompe disease, including administering to a subject in need of treatment a composition comprising an mRNA encoding acid alpha-glucosidase (GAA) at an effective dose and an administration interval such that at least one symptom or feature of Pompe disease is reduced in intensity, severity, or frequency or has delayed onset.
- GAA acid alpha-glucosidase
- the mRNA is encapsulated within a liposome.
- the present invention provides a method of treating Pompe disease, including administering to a subject in need of treatment a therapeutically effective amount of a composition comprising an mRNA encoding acid alpha-glucosidase (GAA) such that hypertrophic cardiomyopathy in the subject is treated.
- GAA acid alpha-glucosidase
- the mRNA is encapsulated within a liposome.
- the present invention provides compositions for treating Pompe disease comprising an mRNA encoding GAA at an effective dose amount encapsulated within a liposome.
- a suitable liposome comprises one or more cationic lipids, one or more non-cationic lipids, one or more cholesterol-based lipids and one or more PEG-modified lipids.
- the one or more cationic lipids are selected from the group consisting of C12-200, MC3, DLinDMA, DLinkC2DMA, cKK-E12, ICE (Imidazol-based), HGT5000, HGT5001, DODAC, DDAB, DMRIE, DOSPA, DOGS, DODAP, DODMA and DMDMA, DODAC, DLenDMA, DMRIE, CLinDMA, CpLinDMA, DMOBA, DOcarbDAP, DLinDAP, DLincarbDAP, DLinCDAP, KLin-K-DMA, DLin-K-XTC2-DMA, HGT4003, and combinations thereof.
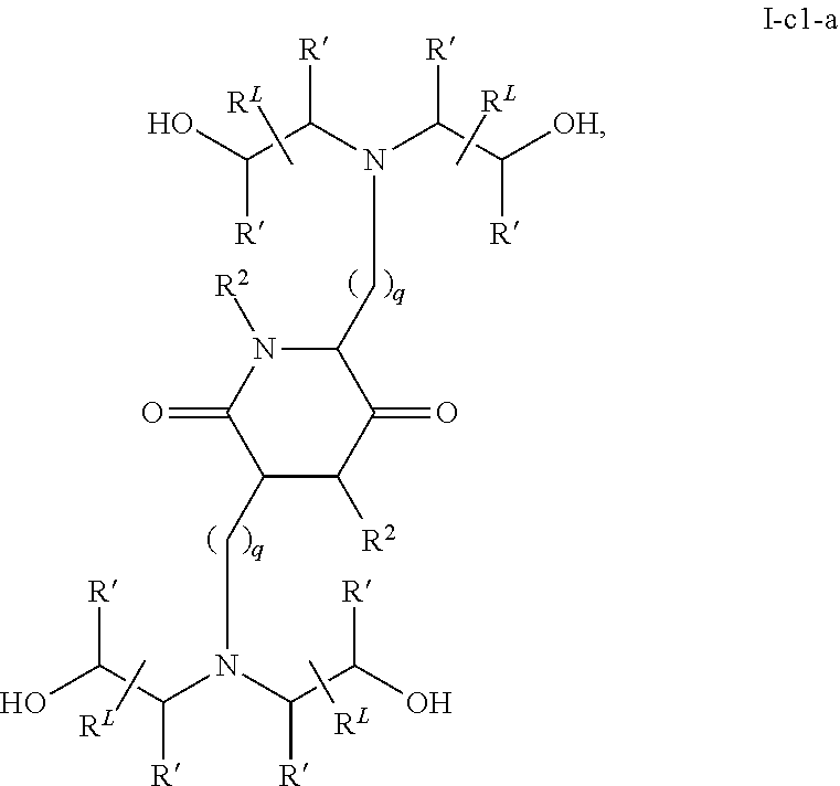
- the one or more cationic lipids comprise a compound of formula I-c1-a:
- the one or more cationic lipids comprise cKK-E12:
- the one or more non-cationic lipids suitable for the invention are selected from DSPC (1,2-distearoyl-sn-glycero-3-phosphocholine), DPPC (1,2-dipalmitoyl-sn-glycero-3-phosphocholine), DOPE (1,2-dioleyl-sn-glycero-3-phosphoethanolamine), DOPC (1,2-dioleyl-sn-glycero-3-phosphotidylcholine) DPPE (1,2-dipalmitoyl-sn-glycero-3-phosphoethanolamine), DMPE (1,2-dimyristoyl-sn-glycero-3-phosphoethanolamine), DOPG (2-dioleoyl-sn-glycero-3-phospho-(1′-rac-glycerol)), and combinations thereof.
- DSPC 1,2-distearoyl-sn-glycero-3-phosphocholine
- DPPC 1,2-dipalmitoyl-
- the one or more cholesterol-based lipids are selected from cholesterol, PEGylated cholesterol and DC-Chol (N,N-dimethyl-N-ethylcarboxamidocholesterol), 1,4-bis(3-N-oleylamino-propyl)piperazine and combinations thereof.
- the liposome further comprises one or more PEG-modified lipids.
- the one or more PEG-modified lipids comprise a poly(ethylene) glycol chain of up to 5 kDa in length covalently attached to a lipid with alkyl chain(s) of C 6 -C 20 length.
- a PEG-modified lipid is a derivatized ceramide such as N-Octanoyl-Sphingosine-1-[Succinyl(Methoxy Polyethylene Glycol)-2000].
- a PEG-modified or PEGylated lipid is PEGylated cholesterol or Dimyristoylglycerol (DMG)-PEG-2K.
- a suitable liposome comprises a combination selected from cKK-E12, DOPE, cholesterol and DMG-PEG2K; C12-200, DOPE, cholesterol and DMG-PEG2K; HGT4003, DOPE, cholesterol and DMG-PEG2K; or ICE, DOPE, cholesterol and DMG-PEG2K.
- cationic lipids (e.g., cKK-E12, C12-200, ICE, and/or HGT4003) constitute about 30-60% (e.g., about 30-55%, about 30-50%, about 30-45%, about 30-40%, about 35-50%, about 35-45%, or about 35-40%) of the liposome by molar ratio.
- cationic lipids (e.g., cKK-E12, C12-200, ICE, and/or HGT4003) constitute about 30%, about 35%, about 40%, about 45%, about 50%, about 55%, or about 60% of the liposome by molar ratio.
- the ratio of cationic lipid(s) (e.g., cKK-E12, C12-200, ICE, and/or HGT4003) to non-cationic lipid(s) (e.g., DOPE) to cholesterol-based lipid(s) (e.g., cholesterol) to PEGylated lipid(s) (e.g., DMG-PEG2K) may be between about 30-60:25-35:20-30:1-15, respectively.
- the ratio of cationic lipid(s) (e.g., cKK-E12, C12-200, ICE, and/or HGT4003) to non-cationic lipid(s) (e.g., DOPE) to cholesterol-based lipid(s) (e.g., cholesterol) to PEGylated lipid(s) (e.g., DMG-PEG2K) is approximately 40:30:20:10, respectively.
- the ratio of cationic lipid(s) (e.g., cKK-E12, C12-200, ICE, and/or HGT4003) to non-cationic lipid(s) (e.g., DOPE) to cholesterol-based lipid(s) (e.g., cholesterol) to PEGylated lipid(s) (e.g., DMG-PEG2K) is approximately 40:30:25:5, respectively.
- the ratio of cationic lipid(s) (e.g., cKK-E12, C12-200, ICE, and/or HGT4003) to non-cationic lipid(s) (e.g., DOPE) to cholesterol-based lipid(s) (e.g., cholesterol) to PEGylated lipid(s) (e.g., DMG-PEG2K) is approximately 40:32:25:3, respectively.
- the ratio of cationic lipid(s) (e.g., cKK-E12, C12-200, ICE, and/or HGT4003) to non-cationic lipid(s) (e.g., DOPE) to cholesterol-based lipid(s) (e.g., cholesterol) to PEGylated lipid(s) (e.g., DMG-PEG2K) is approximately 50:25:20:5.
- the size of a liposome is determined by the length of the largest diameter of the lipososme particle.
- a suitable liposome has a size less than about 500 nm, 400 nm, 300 nm, 250 nm, 200 nm, 150 nm, 100 nm, 75 nm, or 50 nm.
- a suitable liposome has a size less than about 100 nm, 90 nm, 80 nm, 70 nm, or 60 nm. In a particular embodiment, the liposome has a size less than about 100 nm.
- the mRNA is administered at a dose ranging from about 0.1-5.0 mg/kg body weight, for example about 0.1-4.5, 0.1-4.0, 0.1-3.5, 0.1-3.0, 0.1-2.5, 0.1-2.0, 0.1-1.5, 0.1-1.0, 0.1-0.5, 0.1-0.3, 0.3-5.0, 0.3-4.5, 0.3-4.0, 0.3-3.5, 0.3-3.0, 0.3-2.5, 0.3-2.0, 0.3-1.5, 0.3-1.0, 0.3-0.5, 0.5-5.0, 0.5-4.5, 0.5-4.0, 0.5-3.5, 0.5-3.0, 0.5-2.5, 0.5-2.0, 0.5-1.5, or 0.5-1.0 mg/kg body weight.
- the mRNA is administered at a dose of or less than about 5.0, 4.5, 4.0, 3.5, 3.0, 2.5, 2.0, 1.5, 1.0, 0.8, 0.6, 0.5, 0.4, 0.3, 0.2, or 0.1 mg/kg body weight. In a particular embodiment, the mRNA is administered at a dose of about 1.0 mg/kg.
- the provided composition is administered intravenously. In some embodiments, the provided composition is administered intramuscularly. In particular embodiments, the intramuscular administration is to a muscle selected from the group consisting of skeletal muscle, smooth muscle and cardiac muscle. In some embodiments, the provided composition is administered via pulmonary delivery. In certain embodiments, pulmonary delivery is performed by aerosolization, inhalation, nebulization or instillation. In some embodiments, the provided composition is formulated as respirable particles, nebulizable lipid, or inhalable dry powder.
- the provided composition is administered once daily, once a week, twice a week, twice a month, once a month. In some embodiments, provided the composition is administered once every 7 days, once every 10 days, once every 14 days, once every 28 days or once every 30 days.
- a therapeutically effective dose when administered regularly, results in GAA protein expression in the liver.
- a therapeutically effective dose when administered regularly, results in GAA protein expression in a muscle tissue or a muscle cell.
- the muscle tissue may be, for example, skeletal muscle, smooth muscle, cardiac muscle and combinations thereof.
- the muscle cell may be, for example, a myocyte, a myotube, a myoblast, a cardiomyocyte, a cardiomyoblast and combinations thereof.
- a therapeutically effective dose of the provided composition when administered regularly, results in an increased hepatic GAA protein level in a subject as compared to a baseline hepatic GAA protein level before treatment.
- a therapeutically effective dose of the provided composition when administered regularly, results in an increased muscle GAA protein level in a subject as compared to a baseline muscle GAA protein level before treatment.
- the muscle is skeletal muscle (e.g., striated muscle, voluntary muscle), smooth muscle (e.g., visceral muscle, involuntary muscle) or cardiac muscle.
- a therapeutically effective dose of the provided composition when administered regularly, results in a reduced muscle glycogen level in a subject as compared to a baseline muscle glycogen level before treatment. In some embodiments, a therapeutically effective dose of the provided composition, when administered regularly, results in a reduced liver glycogen level in a subject as compared to a baseline liver glycogen level before treatment. In some embodiments, a therapeutically effective dose of the provided composition, when administered regularly, results in a reduced serum creatine kinase level in a subject as compared to a baseline serum creatine kinase level before treatment.
- a therapeutically effective dose of the provided composition when administered regularly, results in a reduced urinary glucose tetrasaccharide, (Glc ⁇ 1-6Glc ⁇ 1-4Glc ⁇ 1-4Glc (Glc4) level in a subject as compared to a baseline Glc 4 level before treatment.
- a therapeutically effective dose of the provided composition when administered regularly, results in a reduced serum aspartate transaminase (e.g., AST, aspartate aminotransferase, serum, glutamic oxaloacetic transaminase) level in a subject as compared to a baseline AST level before treatment.
- serum aspartate transaminase e.g., AST, aspartate aminotransferase, serum, glutamic oxaloacetic transaminase
- a therapeutically effective dose of the provided composition when administered regularly, results in a reduced serum alanine transaminase (e.g., ALT, alanine aminotransferase, serum glutamic-pyruvic transaminase) level in a subject as compared to a baseline ALT level before treatment.
- a therapeutically effective dose of the provided composition when administered regularly, results in a reduced serum lactate dehydrogenase (e.g., LDH, lactic dehydrogenase) level in a subject as compared to a baseline LDH level before treatment.
- a therapeutically effective dose of the provided composition when administered regularly, results in an increased GAA enzyme activity level in biological sample as compared to a baseline GAA enzyme activity level before treatment.
- administering the provided composition results in an increased GAA protein level in the liver of a subject as compared to a baseline level before treatment. Typically, the baseline level is measured immediately before treatment. In some embodiments, administering the provided composition results in an increased GAA protein level in the liver by at least about 10%, 20%, 30%, 40%, 50%, 60%, 70%, 80%, 90%, or 95% as compared to a baseline level before treatment. In some embodiments, administering the provided composition results in an increased GAA protein level in the liver as compared to a GAA protein level in the liver of subjects who are not treated.
- administering the provided composition results in an increased GAA protein level in skeletal muscle of a subject as compared to a baseline level before treatment. Typically, the baseline level is measured immediately before treatment. In some embodiments, administering the provided composition results in an increased GAA protein level in skeletal muscle by at least about 10%, 20%, 30%, 40%, 50%, 60%, 70%, 80%, 90%, or 95% as compared to a baseline level before treatment. In some embodiments, administering the provided composition results in an increased GAA protein level in skeletal muscle as compared to a GAA protein level in skeletal muscle of subjects who are not treated.
- administering the provided composition results in an increased GAA protein level in cardiac muscle of a subject as compared to a baseline level before treatment. Typically, the baseline level is measured immediately before treatment. In some embodiments, administering the provided composition results in an increased GAA protein level in cardiac muscle by at least about 10%, 20%, 30%, 40%, 50%, 60%, 70%, 80%, 90%, or 95% as compared to a baseline level before treatment. In some embodiments, administering the provided composition results in an increased GAA protein level in cardiac muscle as compared to a GAA protein level in cardiac muscle of subjects who are not treated.
- administering the provided composition results in an increased level of GAA protein in smooth muscle of a subject as compared to a baseline level before treatment. Typically, the baseline level is measured immediately before treatment. In some embodiments, administering the provided composition results in an increased GAA protein level in smooth muscle by at least about 10%, 20%, 30%, 40%, 50%, 60%, 70%, 80%, 90%, or 95% as compared to a baseline level before treatment. In some embodiments, administering the provided composition results in an increased GAA protein level in smooth muscle as compared to a GAA protein level in smooth muscle of subjects who are not treated.
- administering the provided composition results in an increased level of GAA protein in a muscle cell of a subject as compared to a baseline level before treatment.
- the baseline level is measured immediately before treatment.
- the muscle cell is a myocyte, a myotube, a myoblast, a cardiomyocyte or a cardiomyoblast.
- administering the provided composition results in an increased GAA protein level in the muscle cell by at least about 10%, 20%, 30%, 40%, 50%, 60%, 70%, 80%, 90%, or 95% as compared to a baseline level before treatment.
- administering the provided composition results in an increased GAA protein level in a muscle cell as compared to a GAA protein level in a muscle cell of subjects who are not treated.
- administering the provided composition results in an increased level of GAA protein in a liver cell (e.g., a hepatocyte, a sinusoid lining cell) of a subject as compared to a baseline level before treatment. Typically, the baseline level is measured immediately before treatment.
- administering the provided composition results in an increased GAA protein level in the liver cell by at least about 10%, 20%, 30%, 40%, 50%, 60%, 70%, 80%, 90%, or 95% as compared to a baseline level before treatment.
- administering the provided composition results in an increased GAA protein level in a liver cell as compared to a GAA protein level in a liver cell of subjects who are not treated.
- administering the provided composition results in an increased GAA protein level in plasma or serum of a subject as compared to a baseline level before treatment. Typically, the baseline level is measured immediately before treatment. In some embodiments, administering the provided composition results in an increased GAA protein level in plasma or serum by at least about 10%, 20%, 30%, 40%, 50%, 60%, 70%, 80%, 90%, or 95% as compared to a baseline level before treatment. In some embodiments, administering the provided composition results in an increased GAA protein level in plasma or serum as compared to a GAA protein level in plasma or serum of subjects who are not treated
- administering the provided composition results in a reduced serum creatine kinase level in a subject as compared to a baseline level before treatment. Typically, the baseline level is measured immediately before treatment. In some embodiments, administering the provided composition results in a reduced serum creatine kinase level by at least about 10%, 20%, 30%, 40%, 50%, 60%, 70%, 80%, 90%, or 95% as compared to the baseline serum creatine kinase level immediately before treatment.
- administering the provided composition results in a reduced serum creatine kinase level to less than about 2000 IU/L, 1500 IU/L, 1000 IU/L, 750 IU/L, 500 IU/L, 250 IU/L, 100 IU/L, 90 IU/L, 80 IU/L, 70 IU/L or 60 IU/L. In some embodiments, administering the provided composition results in a reduced serum creatine kinase level as compared to a serum creatine kinase level in subjects who are not treated.
- administering the provided composition results in a reduced urinary Glc 4 level in a subject as compared to a baseline level before treatment.
- the baseline level is measured immediately before treatment.
- administering the provided composition results in a reduced urinary Glc 4 level by at least about 10%, 20%, 30%, 40%, 50%, 60%, 70%, 80%, 90%, or 95% as compared to a baseline level immediately before treatment.
- administering the provided composition results in a reduced urinary Glc 4 level to less than about 100 mmol Glc 4 /mol creatinine, 90 mmol Glc 4 /mol creatinine, 80 mmol Glc 4 /mol creatinine, 70 mmol Glc4/mol creatinine, 60 mmol Glc4/mol creatinine, 50 mmol Glc4/mol creatinine, 40 mmol Glc 4 /mol creatinine, 30 mmol Glc 4 /mol creatinine or 20 mmol Glc 4 /mol creatinine.
- administering the provided composition results in a reduced urinary Glc4 level as compared to a urinary Glc4 level in subjects who are not treated.
- administering the provided composition results in a reduced muscle glycogen level in a subject as compared to a baseline level before treatment.
- the baseline level is measured immediately before treatment.
- administering the provided composition results in a reduced muscle glycogen level by at least about 10%, 20%, 30%, 40%, 50%, 60%, 70%, 80%, 90%, or 95% as compared to a baseline level immediately before treatment.
- administering the provided composition results in a reduced muscle glycogen level as compared to a muscle glycogen level in subjects who are not treated.
- the muscle is skeletal muscle, smooth muscle or cardiac muscle.
- administering the provided composition results in a reduced liver glycogen level in a subject as compared to a baseline level before treatment. Typically, the baseline level is measured immediately before treatment. In some embodiments, administering the provided composition results in a reduced liver glycogen level by at least about 10%, 20%, 30%, 40%, 50%, 60%, 70%, 80%, 90%, or 95% as compared to a baseline level immediately before treatment. In some embodiments, administering the provided composition results in a reduced liver glycogen level as compared to a liver glycogen level in subjects who are not treated.
- administering the provided composition results in a reduced serum aspartate transaminase (AST) level in a subject as compared to a baseline level before treatment.
- AST serum aspartate transaminase
- the baseline level is measured immediately before treatment.
- administering the provided composition results in a reduced serum AST level by at least about 10%, 20%, 30%, 40%, 50%, 60%, 70%, 80%, 90%, or 95% as compared to a baseline level immediately before treatment.
- administering the provided composition results in a reduced serum AST level to less than about 600 IU/L, 500 IU/L, 400 IU/L, 300 IU/L, 200 IU/L, 100 IU/L, 50 IU/L, 25 IU/L, 20 IU/L or 10 IU/L. In some embodiments, administering the provided composition results in a reduced serum AST level as compared to a serum AST level in subjects who are not treated.
- administering the provided composition results in a reduced serum alanine transaminase (ALT) level in a subject as compared to a baseline level before treatment.
- ALT serum alanine transaminase
- the baseline level is measured immediately before treatment.
- administering the provided composition results in a reduced serum ALT level by at least about 10%, 20%, 30%, 40%, 50%, 60%, 70%, 80%, 90%, or 95% as compared to a baseline level immediately before treatment.
- administering the provided composition results in a reduced serum ALT level to less than about 1000 IU/L, 900 IU/L, 800 IU/L, 700 IU/L, 600 IU/L, 500 IU/L, 400 IU/L, 300 IU/L, 200 IU/L, 100 IU/L, 50 IU/L, 25 IU/L, 20 IU/L or 10 IU/L.
- administering the provided composition results in a reduced serum ALT level as compared to a serum ALT level in subjects who are not treated.
- administering the provided composition results in a reduced serum lactate dehydrogenase (LDH) level in a subject as compared to a baseline level before treatment.
- LDH reduced serum lactate dehydrogenase
- the baseline level is measured immediately before treatment.
- administering the provided composition results in a reduced serum lactate dehydrogenase LDH level by at least about 10%, 20%, 30%, 40%, 50%, 60%, 70%, 80%, 90%, or 95% as compared to a baseline level immediately before treatment.
- administering the provided composition results in a reduced serum LDH level to less than about 2000 IU/L, 1500 IU/L, 1000 IU/L, 900 IU/L, 800 IU/L, 700 IU/L, 600 IU/L, 500 IU/L, 400 IU/L, 300 IU/L, 200 IU/L or 100 IU/L.
- administering the provided composition results in a reduced serum LDH level as compared to a serum LDH levels in subjects who are not treated.
- administering the provided composition results in an increased GAA enzyme activity in a biological sample from a subject as compared to a baseline level before treatment.
- the baseline level is measured immediately before treatment.
- Biological samples include, for example, whole blood, serum, plasma, urine and tissue samples (e.g., muscle, liver, skin fibroblasts).
- administering the provided composition results in an increased GAA enzyme activity by at least about 10%, 20%, 30%, 40%, 50%, 60%, 70%, 80%, 90%, or 95% as compared to a baseline level immediately before treatment.
- administering the provided composition results in an increased GAA enzyme activity as compared to a GAA enzyme activity in subjects who are not treated.
- administering the provided composition results in an increased GAA mRNA expression level in a biological sample from a subject as compared to a baseline expression level before treatment.
- the baseline level is measured immediately before treatment.
- Biological samples include, for example, whole blood, serum, plasma, urine and tissue samples (e.g., muscle, liver, skin fibroblasts).
- administering the provided composition results in an increased GAA mRNA expression level by at least about 10%, 20%, 30%, 40%, 50%, 60%, 70%, 80%, 90%, or 95% as compared to the baseline level immediately before treatment.
- administering the provided composition results in an increased GAA mRNA expression level as compared to a GAA mRNA expression level in subjects who are not treated.
- the mRNA is codon optimized.
- the codon-optimized mRNA comprises SEQ ID NO: 3 (corresponding to codon-optimized human GAA mRNA sequences).
- the mRNA comprises the 5′ UTR sequence of SEQ ID NO: 8 (corresponding to 5′ UTR sequence X).
- the mRNA comprises the 3′ UTR sequence of SEQ ID NO: 9 (corresponding to a 3′ UTR sequence Y).
- the mRNA comprises the 3′ UTR sequence of SEQ ID NO: 10 (corresponding to a 3′ UTR sequence Y).
- the codon-optimized mRNA comprises SEQ ID NO: 11 or SEQ ID NO: 12 (corresponding to codon-optimized human GAA mRNA sequence with 5′ UTR and 3′ UTR sequences).
- the mRNA comprises one or more modified nucleotides.
- the one or more modified nucleotides comprise pseudouridine, N-1-methyl-pseudouridine, 2-aminoadenosine, 2-thiothymidine, inosine, pyrrolo-pyrimidine, 3-methyl adenosine, 5-methylcytidine, C-5 propynyl-cytidine, C-5 propynyl-uridine, 2-aminoadenosine, C5-bromouridine, C5-fluorouridine, C5-iodouridine, C5-propynyl-uridine, C5-propynyl-cytidine, C5-methylcytidine, 2-aminoadenosine, 7-deazaadenosine, 7-deazaguanosine, 8-oxoadenosine, 8-oxoguanosine, 0(6)-methylguanine, and
- the present invention provides a composition for treating Pompe disease, comprising an mRNA encoding acid alpha-glucosidase (GAA) at an effective dose amount encapsulated within a liposome, wherein the liposome comprises a cationic lipid cKK-E12:
- the liposome further comprises one or more non-cationic lipids, one or more cholesterol-based lipids, and one or more PEG-modified lipids.
- the one or more non-cationic lipids are selected from DSPC (1,2-distearoyl-sn-glycero-3-phosphocholine), DPPC (1,2-dipalmitoyl-sn-glycero-3-phosphocholine), DOPE (1,2-dioleyl-sn-glycero-3-phosphoethanolamine), DOPC (1,2-dioleyl-sn-glycero-3-phosphotidylcholine) DPPE (1,2-dipalmitoyl-sn-glycero-3-phosphoethanolamine), DMPE (1,2-dimyristoyl-sn-glycero-3-phosphoethanolamine), DOPG (2-dioleoyl-sn-glycero-3-phospho-(1′-rac-glycerol
- the one or more cholesterol-based lipids are selected from cholesterol and/or PEGylated cholesterol.
- the one or more PEG-modified lipids comprise a poly(ethylene) glycol chain of up to 5 kDa in length covalently attached to a lipid with alkyl chain(s) of C 6 -C 20 length.
- the liposome comprises cKK-E12, DOPE, cholesterol and DMG-PEG2K.
- the cationic lipid constitutes about 30-50% of the liposome by molar ratio. In another embodiment, the cationic lipid constitutes about 40% of the liposome by molar ratio.
- the ratio of cKK-E12:DOPE:cholesterol:DMG-PEG2K is approximately 40:30:20:10 by molar ratio. In a particular embodiment, the ratio of cKK-E12:DOPE:cholesterol:DMG-PEG2K is approximately 40:30:25:5 by molar ratio. In yet another embodiment, the ratio of cKK-E12:DOPE:cholesterol:DMG-PEG2K is approximately 40:32:25:3 by molar ratio. In one embodiment, the liposome has a size less than about 100 nm.
- the composition is formulated for intravenous administration. In another embodiment, the composition is formulated for intramuscular administration. In another embodiment, the mRNA comprises SEQ ID NO: 3. In a further embodiment, the mRNA further comprises the 5′ UTR sequence of SEQ ID NO: 8. In yet another embodiment, the mRNA further comprises the 3′ UTR sequence of SEQ ID NO: 9 or SEQ ID NO: 10. In a particular embodiment, the mRNA comprises SEQ ID NO: 11 or SEQ ID NO: 12.
- the present invention provides a composition for treating Pompe disease comprising an mRNA encoding acid alpha-glucosidase (GAA) at an effective dose amount encapsulated within a liposome, wherein the mRNA comprises SEQ ID NO: 3, and further wherein the liposome comprises cationic or non-cationic lipid, cholesterol-based lipid and PEG-modified lipid.
- GAA acid alpha-glucosidase
- the present invention provides a composition for treating Pompe disease comprising an mRNA encoding acid alpha-glucosidase (GAA) at an effective dose amount encapsulated within a liposome, wherein the mRNA comprises SEQ ID NO: 11 or SEQ ID NO: 12, and further wherein the liposome comprises cationic or non-cationic lipid, cholesterol-based lipid and PEG-modified lipid.
- GAA acid alpha-glucosidase
- FIGS. 1 A- 1 B depict exemplary GAA mRNA detection by in situ hybridization in muscle tissue from mice 6 hours ( FIG. 1 A ) or 12 hours ( FIG. 1 B ) after treatment with a single 1.0 mg/kg intravenous dose of GAA mRNA encapsulated lipid nanoparticles.
- FIG. 2 A depicts exemplary glycogen reduction in livers of GAA knock-out mice 24 hours after treatment with a single 1.0 mg/kg intravenous dose of GAA mRNA encapsulated lipid nanoparticles.
- FIG. 2 B depicts exemplary glycogen accumulation in livers of GAA knock-out mice that were not treated with GAA mRNA encapsulated lipid nanoparticles.
- FIG. 3 depicts exemplary GAA mRNA detection by in situ hybridization in muscle tissue from mice 24 hours after treatment with a single 1.0 mg/kg intramuscular dose of GAA mRNA encapsulated lipid nanoparticles.
- FIGS. 4 A- 4 B depict exemplary glycogen reduction in quadriceps muscle of GAA knock-out mice 24 hours after treatment with a single 1.0 mg/kg intramuscular dose of GAA mRNA encapsulated lipid nanoparticles.
- FIGS. 4 C- 4 D depict exemplary glycogen levels in quadriceps muscle of GAA knock-out mice that were not treated with GAA mRNA encapsulated lipid nanoparticles.
- alkyl refers to a radical of a straight-chain or branched saturated hydrocarbon group having from 1 to 15 carbon atoms (“C 1-15 alkyl”). In some embodiments, an alkyl group has 1 to 3 carbon atoms (“C 1-3 alkyl”). Examples of C 1-3 alkyl groups include methyl (C 1 ), ethyl (C 2 ), n-propyl (C 3 ), and isopropyl (C 3 ). In some embodiments, an alkyl group has 8 to 12 carbon atoms (“C 8-12 alkyl”).
- C 8-12 alkyl groups include, without limitation, n-octyl (C 8 ), n-nonyl (C 9 ), n-decyl (C 10 ), n-undecyl (C 11 ), n-dodecyl (C 12 ) and the like.
- n- normal refers to unbranched alkyl groups.
- n-C 8 alkyl refers to —(CH 2 ) 7 CH 3
- n-C 10 alkyl refers to —(CH 2 ) 9 CH 3 , etc.
- amino acid in its broadest sense, refers to any compound and/or substance that can be incorporated into a polypeptide chain.
- an amino acid has the general structure H 2 N—C(H)(R)—COOH.
- an amino acid is a naturally occurring amino acid.
- an amino acid is a synthetic amino acid; in some embodiments, an amino acid is a d-amino acid; in some embodiments, an amino acid is an 1-amino acid.
- Standard amino acid refers to any of the twenty standard 1-amino acids commonly found in naturally occurring peptides.
- Nonstandard amino acid refers to any amino acid, other than the standard amino acids, regardless of whether it is prepared synthetically or obtained from a natural source.
- synthetic amino acid encompasses chemically modified amino acids, including but not limited to salts, amino acid derivatives (such as amides), and/or substitutions.
- Amino acids, including carboxy- and/or amino-terminal amino acids in peptides, can be modified by methylation, amidation, acetylation, protecting groups, and/or substitution with other chemical groups that can change the peptide's circulating half-life without adversely affecting their activity. Amino acids may participate in a disulfide bond.
- Amino acids may comprise one or posttranslational modifications, such as association with one or more chemical entities (e.g., methyl groups, acetate groups, acetyl groups, phosphate groups, formyl moieties, isoprenoid groups, sulfate groups, polyethylene glycol moieties, lipid moieties, carbohydrate moieties, biotin moieties, etc.).
- chemical entities e.g., methyl groups, acetate groups, acetyl groups, phosphate groups, formyl moieties, isoprenoid groups, sulfate groups, polyethylene glycol moieties, lipid moieties, carbohydrate moieties, biotin moieties, etc.
- amino acid is used interchangeably with “amino acid residue,” and may refer to a free amino acid and/or to an amino acid residue of a peptide. It will be apparent from the context in which the term is used whether it refers to a free amino acid or a residue of a
- animal refers to any member of the animal kingdom. In some embodiments, “animal” refers to humans, at any stage of development. In some embodiments, “animal” refers to non-human animals, at any stage of development. In certain embodiments, the non-human animal is a mammal (e.g., a rodent, a mouse, a rat, a rabbit, a monkey, a dog, a cat, a sheep, cattle, a primate, and/or a pig). In some embodiments, animals include, but are not limited to, mammals, birds, reptiles, amphibians, fish, insects, and/or worms. In some embodiments, an animal may be a transgenic animal, genetically-engineered animal, and/or a clone.
- mammal e.g., a rodent, a mouse, a rat, a rabbit, a monkey, a dog, a cat, a sheep, cattle, a primate, and/or a pig.
- biologically active refers to a characteristic of any agent that has activity in a biological system, and particularly in an organism. For instance, an agent that, when administered to an organism, has a biological effect on that organism, is considered to be biologically active.
- delivery encompasses both local and systemic delivery.
- delivery of mRNA encompasses situations in which an mRNA is delivered to a target tissue and the encoded protein is expressed and retained within the target tissue (also referred to as “local distribution” or “local delivery”), and situations in which an mRNA is delivered to a target tissue and the encoded protein is expressed and secreted into patient's circulation system (e.g., serum) and systematically distributed and taken up by other tissues (also referred to as “systemic distribution” or “systemic delivery).
- patient's circulation system e.g., serum
- expression refers to translation of an mRNA into a polypeptide, assemble multiple polypeptides into an intact protein (e.g., enzyme) and/or post-translational modification of a polypeptide or fully assembled protein (e.g., enzyme).
- intact protein e.g., enzyme
- post-translational modification e.g., enzyme
- a “functional” biological molecule is a biological molecule in a form in which it exhibits a property and/or activity by which it is characterized.
- Half-life is the time required for a quantity such as nucleic acid or protein concentration or activity to fall to half of its value as measured at the beginning of a time period.
- the terms “improve,” “increase” or “reduce,” or grammatical equivalents indicate values that are relative to a baseline measurement, such as a measurement in the same individual prior to initiation of the treatment described herein, or a measurement in a control subject (or multiple control subject) in the absence of the treatment described herein.
- a “control subject” is a subject afflicted with the same form of disease as the subject being treated, who is about the same age as the subject being treated.
- in vitro refers to events that occur in an artificial environment, e.g., in a test tube or reaction vessel, in cell culture, etc., rather than within a multi-cellular organism.
- in vivo refers to events that occur within a multi-cellular organism, such as a human and a non-human animal. In the context of cell-based systems, the term may be used to refer to events that occur within a living cell (as opposed to, for example, in vitro systems).
- Isolated refers to a substance and/or entity that has been (1) separated from at least some of the components with which it was associated when initially produced (whether in nature and/or in an experimental setting), and/or (2) produced, prepared, and/or manufactured by the hand of man. Isolated substances and/or entities may be separated from about 10%, about 20%, about 30%, about 40%, about 50%, about 60%, about 70%, about 80%, about 90%, about 91%, about 92%, about 93%, about 94%, about 95%, about 96%, about 97%, about 98%, about 99%, or more than about 99% of the other components with which they were initially associated.
- isolated agents are about 80%, about 85%, about 90%, about 91%, about 92%, about 93%, about 94%, about 95%, about 96%, about 97%, about 98%, about 99%, or more than about 99% pure.
- a substance is “pure” if it is substantially free of other components.
- calculation of percent purity of isolated substances and/or entities should not include excipients (e.g., buffer, solvent, water, etc.).
- Local distribution or delivery As used herein, the terms “local distribution,” “local delivery,” or grammatical equivalent, refer to tissue specific delivery or distribution. Typically, local distribution or delivery requires a protein (e.g., enzyme) encoded by mRNAs be translated and expressed intracellularly or with limited secretion that avoids entering the patient's circulation system.
- a protein e.g., enzyme
- messenger RNA As used herein, the term “messenger RNA (mRNA)” refers to a polynucleotide that encodes at least one polypeptide. mRNA as used herein encompasses both modified and unmodified RNA. mRNA may contain one or more coding and non-coding regions. mRNA can be purified from natural sources, produced using recombinant expression systems and optionally purified, chemically synthesized, etc. Where appropriate, e.g., in the case of chemically synthesized molecules, mRNA can comprise nucleoside analogs such as analogs having chemically modified bases or sugars, backbone modifications, etc. An mRNA sequence is presented in the 5′ to 3′ direction unless otherwise indicated.
- an mRNA is or comprises natural nucleosides (e.g., adenosine, guanosine, cytidine, uridine); nucleoside analogs (e.g., 2-aminoadenosine, 2-thiothymidine, inosine, pyrrolo-pyrimidine, 3-methyl adenosine, 5-methylcytidine, C-5 propynyl-cytidine, C-5 propynyl-uridine, 2-aminoadenosine, C5-bromouridine, C5-fluorouridine, C5-iodouridine, C5-propynyl-uridine, C5-propynyl-cytidine, C5-methylcytidine, 2-aminoadenosine, 7-deazaadenosine, 7-deazaguanosine, 8-oxoadenosine, 8-oxoguanosine, O(6)-methyl
- Muscle cell or muscle tissue refers to a cell or group of cells derived from muscle, including, but not limited to cells and tissues derived from skeletal muscle (e.g., striated muscle, voluntary muscle); smooth muscle (e.g., visceral muscle, involuntary muscle) from the digestive tract, urinary bladder and blood vessels; and cardiac muscle.
- skeletal muscle e.g., striated muscle, voluntary muscle
- smooth muscle e.g., visceral muscle, involuntary muscle
- the term refers to muscle cells in vivo and in vitro.
- the term also includes differentiated and undifferentiated, or nondifferentiated, muscle cells, such as myocytes, myotubes, myoblasts, cardiomyocytes and cardiomyoblasts.
- nucleic acid refers to any compound and/or substance that is or can be incorporated into a polynucleotide chain.
- a nucleic acid is a compound and/or substance that is or can be incorporated into a polynucleotide chain via a phosphodiester linkage.
- nucleic acid refers to individual nucleic acid residues (e.g., nucleotides and/or nucleosides).
- nucleic acid refers to a polynucleotide chain comprising individual nucleic acid residues.
- nucleic acid encompasses RNA as well as single and/or double-stranded DNA and/or cDNA.
- a patient refers to any organism to which a provided composition may be administered, e.g., for experimental, diagnostic, prophylactic, cosmetic, and/or therapeutic purposes. Typical patients include animals (e.g., mammals such as mice, rats, rabbits, non-human primates, and/or humans). In some embodiments, a patient is a human. A human includes pre and post natal forms.
- pharmaceutically acceptable refers to substances that, within the scope of sound medical judgment, are suitable for use in contact with the tissues of human beings and animals without excessive toxicity, irritation, allergic response, or other problem or complication, commensurate with a reasonable benefit/risk ratio.
- Pharmaceutically acceptable salts are well known in the art. For example, S. M. Berge et al., describes pharmaceutically acceptable salts in detail in J. Pharmaceutical Sciences (1977) 66:1-19.
- Pharmaceutically acceptable salts of the compounds of this invention include those derived from suitable inorganic and organic acids and bases.
- Examples of pharmaceutically acceptable, nontoxic acid addition salts are salts of an amino group formed with inorganic acids such as hydrochloric acid, hydrobromic acid, phosphoric acid, sulfuric acid and perchloric acid or with organic acids such as acetic acid, oxalic acid, maleic acid, tartaric acid, citric acid, succinic acid or rnalonic acid or by using other methods used in the art such as ion exchange.
- salts include adipate, alginate, ascorbate, aspartate, benzenesulfonate, benzoate, bisulfate, borate, butyrate, camphorate, camphorsulfonate, citrate, cyclopentanepropionate, digluconate, dodecylsulfate, ethanesulfonate, formate, fumarate, glucoheptonate, glycerophosphate, gluconate, hemisulfate, heptanoate, hexanoate, hydroiodide, 2-hydroxy-ethanesulfonate, lactobionate, lactate, laurate, lauryl sulfate, malate, maleate, malonate, methanesulfonate, 2-naphthalenesulfonate, nicotinate, nitrate, oleate, oxalate, palmitate, pamoate, pectinate,
- Salts derived from appropriate bases include alkali metal, alkaline earth metal, ammonium and N + (C 1-4 alkyl) 4 salts.
- Representative alkali or alkaline earth metal salts include sodium, lithium, potassium, calcium, magnesium, and the like.
- Further pharmaceutically acceptable salts include, when appropriate, nontoxic ammonium. quaternary ammonium, and amine cations formed using counterions such as halide, hydroxide, carboxylate, sulfate, phosphate, nitrate, sulfonate and aryl sulfonate.
- Further pharmaceutically acceptable salts include salts formed from the quarternization of an amine using an appropriate electrophile, e.g., an alkyl halide, to form a quarternized alkylated amino salt.
- systemic distribution or delivery As used herein, the terms “systemic distribution,” “systemic delivery,” or grammatical equivalent, refer to a delivery or distribution mechanism or approach that affect the entire body or an entire organism. Typically, systemic distribution or delivery is accomplished via body's circulation system, e.g., blood stream. Compared to the definition of “local distribution or delivery.”
- subject refers to a human or any non-human animal (e.g., mouse, rat, rabbit, dog, cat, cattle, swine, sheep, horse or primate).
- a human includes pre- and post-natal forms.
- a subject is a human being.
- a subject can be a patient, which refers to a human presenting to a medical provider for diagnosis or treatment of a disease.
- the term “subject” is used herein interchangeably with “individual” or “patient.”
- a subject can be afflicted with or is susceptible to a disease or disorder but may or may not display symptoms of the disease or disorder.
- the term “substantially” refers to the qualitative condition of exhibiting total or near-total extent or degree of a characteristic or property of interest.
- One of ordinary skill in the biological arts will understand that biological and chemical phenomena rarely, if ever, go to completion and/or proceed to completeness or achieve or avoid an absolute result.
- the term “substantially” is therefore used herein to capture the potential lack of completeness inherent in many biological and chemical phenomena.
- Target tissues refers to any tissue that is affected by a disease to be treated.
- target tissues include those tissues that display disease-associated pathology, symptom, or feature.
- therapeutically effective amount of a therapeutic agent means an amount that is sufficient, when administered to a subject suffering from or susceptible to a disease, disorder, and/or condition, to treat, diagnose, prevent, and/or delay the onset of the symptom(s) of the disease, disorder, and/or condition. It will be appreciated by those of ordinary skill in the art that a therapeutically effective amount is typically administered via a dosing regimen comprising at least one unit dose.
- Treating refers to any method used to partially or completely alleviate, ameliorate, relieve, inhibit, prevent, delay onset of, reduce severity of and/or reduce incidence of one or more symptoms or features of a particular disease, disorder, and/or condition. Treatment may be administered to a subject who does not exhibit signs of a disease and/or exhibits only early signs of the disease for the purpose of decreasing the risk of developing pathology associated with the disease.
- the present invention provides, among other things, methods and compositions for treating Pompe disease based on mRNA therapy.
- the present invention provides methods for treating Pompe disease by administering to a subject in need of treatment a composition comprising an mRNA encoding acid alpha-glucosidase (GAA) at an effective dose and an administration interval such that at least one symptom or feature of Pome disease is reduced in intensity, severity, or frequency or has a delayed onset.
- the present invention further provides, methods of treating Pompe disease, comprising administering to a subject in need of treatment a therapeutically effective amount of a composition comprising an mRNA encoding acid alpha-glucosidase (GAA) such that hypertrophic cardiomyopathy in the subject is treated.
- GAA mRNA encoding acid alpha-glucosidase
- the mRNA is encapsulated within one or more liposomes.
- liposome refers to any lamellar, multilamellar, or solid nanoparticle vesicle.
- a liposome as used herein can be formed by mixing one or more lipids or by mixing one or more lipids and polymer(s).
- liposome as used herein encompasses both lipid and polymer based nanoparticles.
- a liposome suitable for the present invention contains cationic or non-cationic lipid(s), cholesterol-based lipid(s) and PEG-modified lipid(s).
- the present invention may be used to treat a subject who is suffering from or susceptible to Pompe disease.
- Pompe disease is an autosomal recessive metabolic genetic disorder characterized by mutations in the gene for the enzyme acid alpha-glucosidase (GAA).
- GAA enzyme is also known as: acid maltase, maltase, maltase-glucoamylase, gluoinvertase, glucosidosucrase, aglucosidase alfa, alpha-1,4-glucosidase, amyloglucosidase, glucoamylase, LYAG, LYAG_HUMAN, lysosomal alpha-glucosidase and alpha-glucosidase, acid.
- the GAA gene (glucosidase, alpha; acid) is also known as: acid maltase, alpha-1,4-glucosidase and alpha-gluosidase, acid. More than 200 mutations that cause Pompe disease have been identified in the GAA gene. Most of these mutations involve single amino acid substitutions and small insertions or deletions. Many of the mutations in the GAA gene likely affect the structure of the resulting protein and decrease its activity. A few of the mutations in the GAA gene lead to the production of an abnormally short version of the enzyme that cannot effectively play its role in the hydrolysis of glycogen.
- compositions and methods described herein may be used to treat at least one symptom or feature of Pompe disease.
- compositions and methods described herein may be used to treat hypertrophic cardiomyopathy.
- GAA Acid Alpha-Glucosidase
- the present invention provides methods and compositions for delivering mRNA encoding GAA to a subject for the treatment of Pompe disease.
- a suitable GAA mRNA encodes any full length, fragment or portion of an GAA protein which can be substituted for naturally-occurring GAA protein activity and/or reduce the intensity, severity, and/or frequency of one or more symptoms associated with Pompe disease.
- a suitable mRNA sequence is an mRNA sequence encoding a human GAA protein.
- the naturally-occurring human GAA mRNA coding sequence and the corresponding amino acid sequence are shown in Table 1:
- a suitable mRNA is a wild-type human GAA mRNA of sequence (SEQ ID NO: 1).
- a suitable mRNA may be a codon optimized hGAA sequence, such as the sequence shown below:
- SEQ ID NO: 11 and SEQ ID NO: 12 both of which include 5′ and 3′ untranslated regions framing a codon-optimized GAA-encoding mRNA.
- a suitable mRNA sequence may be an mRNA sequence a homolog or an analog of human GAA protein.
- a homologue or an analogue of human GAA protein may be a modified human GAA protein containing one or more amino acid substitutions, deletions, and/or insertions as compared to a wild-type or naturally-occurring human GAA protein while retaining substantial GAA protein activity.
- an mRNA suitable for the present invention encodes an amino acid sequence at least 50%, 55%, 60%, 65%, 70%, 75%, 80%, 85%, 90%, 91%, 92%, 93%, 94%, 95%, 96%, 97%, 98%, 99% or more homologous to SEQ ID NO: 2.
- an mRNA suitable for the present invention encodes a protein substantially identical to human GAA protein. In some embodiments, an mRNA suitable for the present invention encodes an amino acid sequence at least 50%, 55%, 60%, 65%, 70%, 75%, 80%, 85%, 90%, 91%, 92%, 93%, 94%, 95%, 96%, 97%, 98%, 99% or more identical to SEQ ID NO: 2. In some embodiments, an mRNA suitable for the present invention encodes a fragment or a portion of human GAA protein. In some embodiments, an mRNA suitable for the present invention encodes a fragment or a portion of human GAA protein, wherein the fragment or portion of the protein still maintains GAA activity similar to that of the wild-type protein.
- an mRNA suitable for the present invention has a nucleotide sequence at least 50%, 55%, 60%, 65%, 70%, 75%, 80%, 85%, 90%, 91%, 92%, 93%, 94%, 95%, 96%, 97%, 98%, 99% or more identical to SEQ ID NO: 1, SEQ ID NO: 3, SEQ ID NO: 11 or SEQ ID NO: 12.
- a suitable mRNA encodes a fusion protein comprising a full length, fragment or portion of an GAA protein fused to another protein (e.g., an N or C terminal fusion).
- the protein fused to the mRNA encoding a full length, fragment or portion of an GAA protein encodes a signal or a cellular targeting sequence.
- mRNA encoding an GAA protein may be delivered as naked RNA (unpackaged) or via delivery vehicles.
- delivery vehicle delivery vehicle
- transfer vehicle nanoparticle or grammatical equivalent
- mRNAs encoding an GAA protein may be delivered via a single delivery vehicle.
- mRNAs encoding an GAA protein may be delivered via one or more delivery vehicles each of a different composition.
- suitable delivery vehicles include, but are not limited to polymer based carriers, such as polyethyleneimine (PEI), lipid nanoparticles and liposomes, nanoliposomes, ceramide-containing nanoliposomes, proteoliposomes, both natural and synthetically-derived exosomes, natural, synthetic and semi-synthetic lamellar bodies, nanoparticulates, calcium phosphor-silicate nanoparticulates, calcium phosphate nanoparticulates, silicon dioxide nanoparticulates, nanocrystalline particulates, semiconductor nanoparticulates, poly(D-arginine), sol-gels, nanodendrimers, starch-based delivery systems, micelles, emulsions, niosomes, multi-domain-block polymers (vinyl polymers,
- a suitable delivery vehicle is a liposomal delivery vehicle, e.g., a lipid nanoparticle.
- liposomal delivery vehicles e.g., lipid nanoparticles
- lipid nanoparticles are usually characterized as microscopic vesicles having an interior aqua space sequestered from an outer medium by a membrane of one or more bilayers.
- Bilayer membranes of liposomes are typically formed by amphiphilic molecules, such as lipids of synthetic or natural origin that comprise spatially separated hydrophilic and hydrophobic domains (Lasic, Trends Biotechnol., 16: 307-321, 1998).
- Bilayer membranes of the liposomes can also be formed by amphophilic polymers and surfactants (e.g., polymerosomes, niosomes, etc.).
- a liposomal delivery vehicle typically serves to transport a desired mRNA to a target cell or tissue.
- liposomes may comprise one or more cationic lipids.
- cationic lipid refers to any of a number of lipid species that have a net positive charge at a selected pH, such as physiological pH.
- Several cationic lipids have been described in the literature, many of which are commercially available.
- Particularly suitable cationic lipids for use in the compositions and methods of the invention include those described in international patent publications WO 2010/053572 (and particularly, CI 2-200 described at paragraph [00225]) and WO 2012/170930, both of which are incorporated herein by reference.
- compositions and methods of the invention employ a lipid nanoparticles comprising an ionizable cationic lipid described in U.S. provisional patent application 61/617,468, filed Mar. 29, 2012 (incorporated herein by reference), such as, e.g, (15Z, 18Z)—N,N-dimethyl-6-(9Z, 12Z)-octadeca-9, 12-dien-1-yl)tetracosa-15,18-dien-1-amine (HGT5000), (15Z, 18Z)—N,N-dimethyl-6-((9Z, 12Z)-octadeca-9, 12-dien-1-yl)tetracosa-4,15,18-trien-1-amine (HGT5001), and (15Z,18Z)—N,N-dimethyl-6-((9Z, 12Z)-octadeca-9, 12-dien-1-yl)tetracosa-5, 15, 18-trien-1-amine (
- provided liposomes include a cationic lipid described in WO 2013/063468 and in U.S. provisional application entitled “Lipid Formulations for Delivery of Messenger RNA” filed concurrently with the present application on even date, both of which are incorporated by reference herein.
- a cationic lipid comprises a compound of formula I-c1-a:
- each R 2 independently is hydrogen, methyl or ethyl. In some embodiments, each R 2 independently is hydrogen or methyl. In some embodiments, each R 2 is hydrogen.
- each q independently is 3 to 6. In some embodiments, each q independently is 3 to 5. In some embodiments, each q is 4.
- each R′ independently is hydrogen, methyl or ethyl. In some embodiments, each R′ independently is hydrogen or methyl. In some embodiments, each R′ independently is hydrogen.
- each R L independently is C 8-12 alkyl. In some embodiments, each R L independently is n-C 8-12 alkyl. In some embodiments, each R L independently is C 9-11 alkyl. In some embodiments, each R L independently is n-C 9-11 alkyl. In some embodiments, each R L independently is C 10 alkyl. In some embodiments, each R L independently is n-C 10 alkyl.
- each R 2 independently is hydrogen or methyl; each q independently is 3 to 5; each R′ independently is hydrogen or methyl; and each R L independently is C 8-12 alkyl.
- each R 2 is hydrogen; each q independently is 3 to 5; each R′ is hydrogen; and each R L independently is C 8-12 alkyl.
- each R 2 is hydrogen; each q is 4; each R is hydrogen; and each R L independently is C 8-12 alkyl.
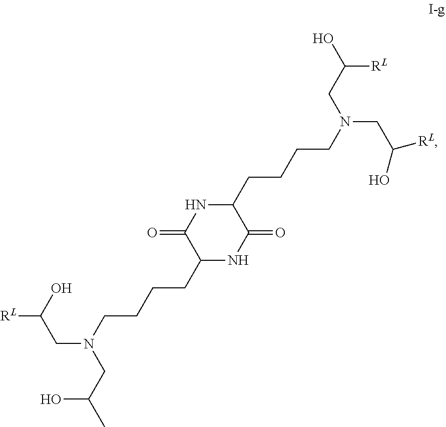
- a cationic lipid comprises a compound of formula I-g:
- each R L independently is C 8-12 alkyl. In some embodiments, each R L independently is n-C 8-12 alkyl. In some embodiments, each R L independently is C 9-11 alkyl. In some embodiments, each R L independently is n-C 9-11 alkyl. In some embodiments, each R L independently is C 10 alkyl. In some embodiments, each R L is n-C 10 alkyl.
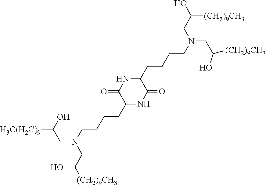
- provided liposomes include a cationic lipid cKK-E12, or (3,6-bis(4-(bis(2-hydroxydodecyl)amino)butyl)piperazine-2,5-dione). Structure of cKK-E12 is shown below:
- the one or more cationic lipids may be N-[1-(2,3-dioleyloxy)propyl]-N,N,N-trimethylammonium chloride or “DOTMA” (Feigner et al. (Proc. Nat'l Acad. Sci. 84, 7413 (1987); U.S. Pat. No. 4,897,355).
- DOTMA N-[1-(2,3-dioleyloxy)propyl]-N,N,N-trimethylammonium chloride
- DOTMA can be formulated alone or can be combined with the neutral lipid, dioleoylphosphatidyl-ethanolamine or “DOPE” or other cationic or non-cationic lipids into a liposomal transfer vehicle or a lipid nanoparticle, and such liposomes can be used to enhance the delivery of nucleic acids into target cells.
- suitable cationic lipids include, for example, 5-carboxyspermylglycinedioctadecylamide or “DOGS,” 2,3-dioleyloxy-N-[2(spermine-carboxamido)ethyl]-N,N-dimethyl-1-propanaminium or “DOSPA” (Behr et al. Proc.
- Additional exemplary cationic lipids also include 1,2-distearyloxy-N,N-dimethyl-3-aminopropane or “DSDMA”, 1,2-dioleyloxy-N,N-dimethyl-3-aminopropane or “DODMA”, 1,2-dilinoleyloxy-N,N-dimethyl-3-aminopropane or “DLinDMA”, 1,2-dilinolenyloxy-N,N-dimethyl-3-aminopropane or “DLenDMA”, N-dioleyl-N,N-dimethylammonium chloride or “DODAC”, N,N-distearyl-N,N-dimethylarnrnonium bromide or “DDAB”, N-(1,2-dimyristyloxyprop-3-yl)-N,N-dimethyl-N-hydroxyethyl ammonium bromide or “DMRIE”, 3-dimethylamino-2-(cholest-5-en
- one or more of the cationic lipids comprise at least one of an imidazole, dialkylamino, or guanidinium moiety.
- the one or more cationic lipids may be chosen from XTC (2,2-Dilinoleyl-4-dimethylaminoethyl-[1,3]-dioxolane), MC3 (((6Z,9Z,28Z,31Z)-heptatriaconta-6,9,28,31-tetraen-19-yl 4-(dimethylamino)butanoate), ALNY-100 ((3aR,5s,6aS)—N,N-dimethyl-2,2-dn(9Z,12Z)-octadeca-9,12-dienyl)tetrahydro-3aH-cyclopenta[d] [1,3]dioxol-5-amine)), NC98-5 (4,7,13-tris(3-oxo-3-(undecylamino)propyl)-N1,N16-diundecyl-4,7,10,13-tetraazahe
- the percentage of cationic lipid in a liposome may be greater than 10%, greater than 20%, greater than 30%, greater than 40%, greater than 50%, greater than 60%, or greater than 70%.
- cationic lipid(s) constitute(s) about 30-50% (e.g., about 30-45%, about 30-40%, about 35-50%, about 35-45%, or about 35-40%) of the liposome by weight.
- the cationic lipid e.g., cKK-E12 constitutes about 30%, about 35%, about 40%, about 45%, or about 50% of the liposome by molar ratio.
- provided liposomes contain one or more non-cationic (“helper”) lipids.
- non-cationic lipid refers to any neutral, zwitterionic or anionic lipid.
- anionic lipid refers to any of a number of lipid species that carry a net negative charge at a selected H, such as physiological pH.
- Non-cationic lipids include, but are not limited to, distearoylphosphatidylcholine (DSPC), dioleoylphosphatidylcholine (DOPC), dipalmitoylphosphatidylcholine (DPPC), dioleoylphosphatidylglycerol (DOPG), dipalmitoylphosphatidylglycerol (DPPG), dioleoylphosphatidylethanolamine (DOPE), palmitoyloleoylphosphatidylcholine (POPC), palmitoyloleoyl-phosphatidylethanolamine (POPE), dioleoyl-phosphatidylethanolamine 4-(N-maleimidomethyl)-cyclohexane-1-carboxylate (DOPE-mal), dipalmitoyl phosphatidyl ethanolamine (DPPE), dimyristoylphosphoethanolamine (DMPE), distearoyl-phosphatidyl-ethanolamine (DSPE
- non-cationic lipids may be used alone, but are preferably used in combination with other excipients, for example, cationic lipids.
- the non-cationic lipid may comprise a molar ratio of about 5% to about 90%, or about 10% to about 70% of the total lipid present in a liposome.
- a non-cationic lipid is a neutral lipid, i.e., a lipid that does not carry a net charge in the conditions under which the composition is formulated and/or administered.
- the percentage of non-cationic lipid in a liposome may be greater than 5%, greater than 10%, greater than 20%, greater than 30%, or greater than 40%.
- provided liposomes comprise one or more cholesterol-based lipids.
- suitable cholesterol-based cationic lipids include, for example, DC-Choi (N,N-dimethyl-N-ethylcarboxamidocholesterol), 1,4-bis (3-N-oleyl amino-propyl)piperazine (Gao, et al. Biochem. Biophys. Res. Comm 179, 280 (1991); Wolf et al. BioTechniques 23, 139 (1997); U.S. Pat. No. 5,744,335), or ICE.
- the cholesterol-based lipid may comprise a molar ration of about 2% to about 30%, or about 5% to about 20% of the total lipid present in a liposome. In some embodiments, The percentage of cholesterol-based lipid in the lipid nanoparticle may be greater than 5, %, 10%, greater than 20%, greater than 30%, or greater than 40%.
- provided liposomes comprise one or more PEGylated lipids.
- PEG polyethylene glycol
- derivatized lipids such as derivatized ceramides (PEG-CER), including N-Octanoyl-Sphingosine-1-1SuccinyhMethoxy Polyethylene Glycol)-20001 (C8 PEG-2000 ceramide) is also contemplated by the present invention in combination with one or more of the cationic and, in some embodiments, other lipids together which comprise the liposome.
- Contemplated PEG-modified lipids include, but are not limited to, a polyethylene glycol chain of up to 5 kDa in length covalently attached to a lipid with alkyl chain(s) of C 6 -C 20 length.
- a PEG-modified or PEGylated lipid is PEGylated cholesterol or PEG-2K.
- the addition of such components may prevent complex aggregation and may also provide a means for increasing circulation lifetime and increasing the delivery of the lipid-nucleic acid composition to the target cell, (Klibanov et al. (1990) FEBS Letters, 268 (1): 235-237), or they may be selected to rapidly exchange out of the formulation in vivo (see U.S. Pat. No.
- particularly useful exchangeable lipids are PEG-ceramides having shorter acyl chains (e.g., C 14 or C 18 ).
- the PEG-modified phospholipid and derivitized lipids of the present invention may comprise a molar ratio from about 0% to about 15%, about 0.5% to about 15%, about 1% to about 15%, about 4% to about 10%, or about 2% of the total lipid present in the liposome.
- the selection of cationic lipids, non-cationic lipids and/or PEG-modified lipids which comprise the lipid nanoparticle, as well as the relative molar ratio of such lipids to each other is based upon the characteristics of the selected lipid(s), the nature of the intended target cells, the characteristics of the mRNA to be delivered. Additional considerations include, for example, the saturation of the alkyl chain, as well as the size, charge, pH, pKa, fusogenicity and toxicity of the selected lipid(s). Thus the molar ratios may be adjusted accordingly.
- a suitable delivery vehicle is formulated using a polymer as a carrier, alone or in combination with other carriers including various lipids described herein.
- liposomal delivery vehicles as used herein, also encompass polymer containing nanoparticles.
- Suitable polymers may include, for example, polyacrylates, polyalkycyanoacrylates, polylactide, polylactide-polyglycolide copolymers, polycaprolactones, dextran, albumin, gelatin, alginate, collagen, chitosan, cyclodextrins, protamine, PEGylated protamine, PLL, PEGylated PLL and polyethylenimine (PEI).
- PEI polyethylenimine
- a suitable liposome for the present invention may include one or more of any of the cationic lipids, non-cationic lipids, cholesterol lipids, PEGylated lipids and/or polymers described herein at various ratios.
- a suitable liposome formulation may include a combination selected from cKK-E12, DOPE, cholesterol and DMG-PEG2K; C12-200, DOPE, cholesterol and DMG-PEG2K; HGT4003, DOPE, cholesterol and DMG-PEG2K; or ICE, DOPE, cholesterol and DMG-PEG2K.
- cationic lipids (e.g., cKK-E12, C12-200, ICE, and/or HGT4003) constitute about 30-60% (e.g., about 30-55%, about 30-50%, about 30-45%, about 30-40%, about 35-50%, about 35-45%, or about 35-40%) of the liposome by molar ratio.
- the percentage of cationic lipids (e.g., cKK-E12, C12-200, ICE, and/or HGT4003) is or greater than about 30%, about 35%, about 40%, about 45%, about 50%, about 55%, or about 60% of the liposome by molar ratio.
- the ratio of cationic lipid(s) to non-cationic lipid(s) to cholesterol-based lipid(s) to PEGylated lipid(s) may be between about 30-60:25-35:20-30:1-respectively. In some embodiments, the ratio of cationic lipid(s) to non-cationic lipid(s) to cholesterol-based lipid(s) to PEGylated lipid(s) is approximately 40:30:20:10, respectively. In some embodiments, the ratio of cationic lipid(s) to non-cationic lipid(s) to cholesterol-based lipid(s) to PEGylated lipid(s) is approximately 40:30:25:5, respectively.
- the ratio of cationic lipid(s) to non-cationic lipid(s) to cholesterol-based lipid(s) to PEGylated lipid(s) is approximately 40:32:25:3, respectively. In some embodiments, the ratio of cationic lipid(s) to non-cationic lipid(s) to cholesterol-based lipid(s) to PEGylated lipid(s) is approximately 50:25:20:5.
- mRNAs according to the present invention may be synthesized according to any of a variety of known methods.
- mRNAs according to the present invention may be synthesized via in vitro transcription (IVT).
- IVT in vitro transcription
- IVT is typically performed with a linear or circular DNA template containing a promoter, a pool of ribonucleotide triphosphates, a buffer system that may include DTT and magnesium ions, and an appropriate RNA polymerase (e.g., T3, T7 or SP6 RNA polymerase), DNAse I, pyrophosphatase, and/or RNAse inhibitor.
- RNA polymerase e.g., T3, T7 or SP6 RNA polymerase
- a DNA template is transcribed in vitro.
- a suitable DNA template typically has a promoter, for example a T3, T7 or SP6 promoter, for in vitro transcription, followed by desired nucleotide sequence for desired mRNA and a termination signal.
- Desired mRNA sequence(s) according to the invention may be determined and incorporated into a DNA template using standard methods. For example, starting from a desired amino acid sequence (e.g., an enzyme sequence), a virtual reverse translation is carried out based on the degenerated genetic code. Optimization algorithms may then be used for selection of suitable codons. Typically, the G/C content can be optimized to achieve the highest possible G/C content on one hand, taking into the best possible account the frequency of the tRNAs according to codon usage on the other hand. The optimized RNA sequence can be established and displayed, for example, with the aid of an appropriate display device and compared with the original (wild-type) sequence. A secondary structure can also be analyzed to calculate stabilizing and destabilizing properties or, respectively, regions of the RNA.
- a desired amino acid sequence e.g., an enzyme sequence
- Optimization algorithms may then be used for selection of suitable codons.
- the G/C content can be optimized to achieve the highest possible G/C content on one hand, taking into the best possible account the frequency
- mRNA according to the present invention may be synthesized as unmodified or modified mRNA.
- mRNAs are modified to enhance stability.
- Modifications of mRNA can include, for example, modifications of the nucleotides of the RNA.
- An modified mRNA according to the invention can thus include, for example, backbone modifications, sugar modifications or base modifications.
- mRNAs may be synthesized from naturally occurring nucleotides and/or nucleotide analogues (modified nucleotides) including, but not limited to, purines (adenine (A), guanine (G)) or pyrimidines (thymine (T), cytosine (C), uracil (U)), and as modified nucleotides analogues or derivatives of purines and pyrimidines, such as e.g.
- purines adenine (A), guanine (G)
- pyrimidines thymine (T), cytosine (C), uracil (U)
- modified nucleotides analogues or derivatives of purines and pyrimidines, such as e.g.
- mRNAs may contain RNA backbone modifications.
- a backbone modification is a modification in which the phosphates of the backbone of the nucleotides contained in the RNA are modified chemically.
- Exemplary backbone modifications typically include, but are not limited to, modifications from the group consisting of methylphosphonates, methylphosphoramidates, phosphoramidates, phosphorothioates (e.g. cytidine 5′-O-(1-thiophosphate)), boranophosphates, positively charged guanidinium groups etc., which means by replacing the phosphodiester linkage by other anionic, cationic or neutral groups.
- mRNAs may contain sugar modifications.
- a typical sugar modification is a chemical modification of the sugar of the nucleotides it contains including, but not limited to, sugar modifications chosen from the group consisting of 2′-deoxy-2′-fluoro-oligoribonucleotide (2′-fluoro-2′-deoxycytidine 5′-triphosphate, 2′-fluoro-2′-deoxyuridine 5′-triphosphate), 2′-deoxy-2′-deamine-oligoribonucleotide (2′-amino-2′-deoxycytidine 5′-triphosphate, 2′-amino-2′-deoxyuridine 5′-triphosphate), 2′-O-alkyloligoribonucleotide, 2′-deoxy-2′-C-alkyloligoribonucleotide (2′-O-methylcytidine 5′-triphosphate, 2′-methyluridine 5′-triphosphat
- mRNAs may contain modifications of the bases of the nucleotides (base modifications).
- base modifications A modified nucleotide which contains a base modification is also called a base-modified nucleotide.
- base-modified nucleotides include, but are not limited to, 2-amino-6-chloropurine riboside 5′-triphosphate, 2-aminoadenosine 5′-triphosphate, 2-thiocytidine 5′-triphosphate, 2-thiouridine 5′-triphosphate, 4-thiouridine 5′-triphosphate, 5-aminoallylcytidine 5′-triphosphate, 5-aminoallyluridine 5′-triphosphate, 5-bromocytidine 5′-triphosphate, 5-bromouridine 5′-triphosphate, 5-iodocytidine 5′-triphosphate, 5-iodouridine 5′-triphosphate, 5′-triphosphate, 5-methyluridine 5′-triphosphate, 6-azacytidine 5′-triphosphate, 6-azauridine 5′-triphosphate, 6-chloropurine riboside 5′-triphosphate, 7-deazaadenosine 5′-triphosphate,
- mRNA synthesis includes the addition of a “cap” on the N-terminal (5′) end, and a “tail” on the C-terminal (3′) end.
- the presence of the cap is important in providing resistance to nucleases found in most eukaryotic cells.
- the presence of a “tail” serves to protect the mRNA from exonuclease degradation.
- mRNAs include a 5′ cap structure.
- a 5′ cap is typically added as follows: first, an RNA terminal phosphatase removes one of the terminal phosphate groups from the 5′ nucleotide, leaving two terminal phosphates; guanosine triphosphate (GTP) is then added to the terminal phosphates via a guanylyl transferase, producing a 5′5′5 triphosphate linkage; and the 7-nitrogen of guanine is then methylated by a methyltransferase.
- GTP guanosine triphosphate
- cap structures include, but are not limited to, m7G(5′)ppp (5′(A,G(5′)ppp(5′)A and G(5′)ppp(5′)G.
- mRNAs include a 3′ poly(A) tail structure.
- a poly-A tail on the 3′ terminus of mRNA typically includes about 10 to 300 adenosine nucleotides (SEQ ID NO: 4) (e.g., about 10 to 200 adenosine nucleotides, about 10 to 150 adenosine nucleotides, about 10 to 100 adenosine nucleotides, about 20 to 70 adenosine nucleotides, or about 20 to 60 adenosine nucleotides).
- mRNAs include a 3′ poly(C) tail structure.
- a suitable poly-C tail on the 3′ terminus of mRNA typically include about 10 to 200 cytosine nucleotides (SEQ ID NO: 5) (e.g., about 10 to 150 cytosine nucleotides, about 10 to 100 cytosine nucleotides, about 20 to 70 cytosine nucleotides, about 20 to 60 cytosine nucleotides, or about 10 to 40 cytosine nucleotides).
- the poly-C tail may be added to the poly-A tail or may substitute the poly-A tail.
- mRNAs include a 5′ and/or 3′ untranslated region.
- a 5′ untranslated region includes one or more elements that affect an mRNA's stability or translation, for example, an iron responsive element.
- a 5′ untranslated region may be between about 50 and 500 nucleotides in length.
- a 3′ untranslated region includes one or more of a polyadenylation signal, a binding site for proteins that affect an mRNA's stability of location in a cell, or one or more binding sites for miRNAs. In some embodiments, a 3′ untranslated region may be between 50 and 500 nucleotides in length or longer.
- mRNAs include a 5′ cap structure.
- a 5′ cap is typically added as follows: first, an RNA terminal phosphatase removes one of the terminal phosphate groups from the 5′ nucleotide, leaving two terminal phosphates; guanosine triphosphate (GTP) is then added to the terminal phosphates via a guanylyl transferase, producing a 5′5′5 triphosphate linkage; and the 7-nitrogen of guanine is then methylated by a methyltransferase.
- GTP guanosine triphosphate
- cap structures include, but are not limited to, m7G(5′)ppp (5′(A,G(5′)ppp(5′)A and G(5′)ppp(5′)G.
- Naturally occurring cap structures comprise a 7-methyl guanosine that is linked via a triphosphate bridge to the 5′-end of the first transcribed nucleotide, resulting in a dinucleotide cap of m 7 G(5′)ppp(5′)N, where N is any nucleoside.
- the cap is added enzymatically.
- the cap is added in the nucleus and is catalyzed by the enzyme guanylyl transferase.
- the addition of the cap to the 5′ terminal end of RNA occurs immediately after initiation of transcription.
- the terminal nucleoside is typically a guanosine, and is in the reverse orientation to all the other nucleotides, i.e., G(5′)ppp(5′)GpNpNp.
- a common cap for mRNA produced by in vitro transcription is m 7 G(5′)ppp(5′)G, which has been used as the dinucleotide cap in transcription with T7 or SP6 RNA polymerase in vitro to obtain RNAs having a cap structure in their 5′-termini.
- the prevailing method for the in vitro synthesis of capped mRNA employs a pre-formed dinucleotide of the form m 7 G(5′)ppp(5′)G (“m 7 GpppG”) as an initiator of transcription.
- ARCA Anti-Reverse Cap Analog
- modified ARCA which is generally a modified cap analog in which the 2′ or 3′ OH group is replaced with —OCH 3 .
- Additional cap analogs include, but are not limited to, a chemical structures selected from the group consisting of m 7 GpppG, m 7 GpppA, m 7 GpppC; unmethylated cap analogs (e.g., GpppG); dimethylated cap analog (e.g., m 2,7 GpppG), trimethylated cap analog (e.g., m 2,2,7 GpppG),dimethylated symmetrical cap analogs (e.g., m 7 Gpppm 7 G), or anti reverse cap analogs (e.g., ARCA; m 7,2′Ome GpppG, m 72′d GpppG, m 7,3′Ome GpppG, m 7,3′d GpppG and their tetraphosphate derivatives) (see, e.g., Jemielity, J. et al., “ Novel ‘anti - reverse’ cap analogs with superior translational properties ”, RNA, 9: 1108-1122 (2003)).
- a suitable cap is a 7-methyl guanylate (“m 7 G”) linked via a triphosphate bridge to the 5′-end of the first transcribed nucleotide, resulting in m 7 G(5′)ppp(5′)N, where N is any nucleoside.
- m 7 G 7-methyl guanylate
- a preferred embodiment of a m 7 G cap utilized in embodiments of the invention is m 7 G(5′)ppp(5′)G.
- the cap is a Cap0 structure.
- Cap0 structures lack a 2′-O-methyl residue of the ribose attached to bases 1 and 2.
- the cap is a Cap1 structure.
- Cap1 structures have a 2′-O-methyl residue at base 2.
- the cap is a Cap2 structure.
- Cap2 structures have a 2′-O-methyl residue attached to both bases 2 and 3.
- m 7 G cap analogs are known in the art, many of which are commercially available. These include the m 7 GpppG described above, as well as the ARCA 3′-OCH 3 and 2′-OCH 3 cap analogs (Jemielity, J. et al., RNA, 9: 1108-1122 (2003)). Additional cap analogs for use in embodiments of the invention include N7-benzylated dinucleoside tetraphosphate analogs (described in Grudzien, E.
- a tail serves to protect the mRNA from exonuclease degradation.
- the poly A tail is thought to stabilize natural messengers and synthetic sense RNA. Therefore, in certain embodiments a long poly A tail can be added to an mRNA molecule thus rendering the RNA more stable.
- Poly A tails can be added using a variety of art-recognized techniques. For example, long poly A tails can be added to synthetic or in vitro transcribed RNA using poly A polymerase (Yokoe, et al. Nature Biotechnology. 1996; 14: 1252-1256). A transcription vector can also encode long poly A tails. In addition, poly A tails can be added by transcription directly from PCR products.
- Poly A may also be ligated to the 3′ end of a sense RNA with RNA ligase (see, e.g., Molecular Cloning A Laboratory Manual, 2nd Ed., ed. by Sambrook, Fritsch and Maniatis (Cold Spring Harbor Laboratory Press: 1991 edition)).
- mRNAs include a 3′ poly(A) tail structure.
- the length of the poly A tail can be at least about 10, 50, 100, 200, 300, 400 at least 500 nucleotides (SEQ ID NO: 6).
- a poly-A tail on the 3′ terminus of mRNA typically includes about 10 to 300 adenosine nucleotides (SEQ ID NO: 4) (e.g., about to 200 adenosine nucleotides, about 10 to 150 adenosine nucleotides, about 10 to 100 adenosine nucleotides, about 20 to 70 adenosine nucleotides, or about 20 to 60 adenosine nucleotides).
- mRNAs include a 3′ poly(C) tail structure.
- a suitable poly-C tail on the 3′ terminus of mRNA typically include about 10 to 200 cytosine nucleotides (SEQ ID NO: 5) (e.g., about 10 to 150 cytosine nucleotides, about 10 to 100 cytosine nucleotides, about 20 to 70 cytosine nucleotides, about 20 to 60 cytosine nucleotides, or about 10 to 40 cytosine nucleotides).
- the poly-C tail may be added to the poly-A tail or may substitute the poly-A tail.
- the length of the poly A or poly C tail is adjusted to control the stability of a modified sense mRNA molecule of the invention and, thus, the transcription of protein.
- the length of the poly A tail can influence the half-life of a sense mRNA molecule, the length of the poly A tail can be adjusted to modify the level of resistance of the mRNA to nucleases and thereby control the time course of polynucleotide expression and/or polypeptide production in a target cell.
- mRNAs include a 5′ and/or 3′ untranslated region.
- a 5′ untranslated region includes one or more elements that affect an mRNA's stability or translation, for example, an iron responsive element.
- a 5′ untranslated region may be between about 50 and 500 nucleotides in length.
- a 3′ untranslated region includes one or more of a polyadenylation signal, a binding site for proteins that affect an mRNA's stability of location in a cell, or one or more binding sites for miRNAs. In some embodiments, a 3′ untranslated region may be between 50 and 500 nucleotides in length or longer.
- Exemplary 3′ and/or 5′ UTR sequences can be derived from mRNA molecules which are stable (e.g., globin, actin, GAPDH, tubulin, histone, or citric acid cycle enzymes) to increase the stability of the sense mRNA molecule.
- a 5′ UTR sequence may include a partial sequence of a CMV immediate-early 1 (IE1) gene, or a fragment thereof to improve the nuclease resistance and/or improve the half-life of the polynucleotide.
- IE1 immediate-early 1
- hGH human growth hormone
- modifications improve the stability and/or pharmacokinetic properties (e.g., half-life) of the polynucleotide relative to their unmodified counterparts, and include, for example modifications made to improve such polynucleotides' resistance to in vivo nuclease digestion.
- the liposomal transfer vehicles for use in the compositions of the invention can be prepared by various techniques which are presently known in the art.
- the liposomes for use in provided compositions can be prepared by various techniques which are presently known in the art.
- multilamellar vesicles may be prepared according to conventional techniques, such as by depositing a selected lipid on the inside wall of a suitable container or vessel by dissolving the lipid in an appropriate solvent, and then evaporating the solvent to leave a thin film on the inside of the vessel or by spray drying. An aqueous phase may then added to the vessel with a vortexing motion which results in the formation of MLVs.
- Unilamellar vesicles can then be formed by homogenization, sonication or extrusion of the multilamellar vesicles.
- unilamellar vesicles can be formed by detergent removal techniques.
- compositions comprise a liposome wherein the mRNA is associated on both the surface of the liposome and encapsulated within the same liposome.
- cationic liposomes may associate with the mRNA through electrostatic interactions.
- cationic liposomes may associate with the mRNA through electrostatic interactions.
- the compositions and methods of the invention comprise mRNA encapsulated in a liposome.
- the one or more mRNA species may be encapsulated in the same liposome.
- the one or more mRNA species may be encapsulated in different liposomes.
- the mRNA is encapsulated in one or more liposomes, which differ in their lipid composition, molar ratio of lipid components, size, charge (Zeta potential), targeting ligands and/or combinations thereof.
- the one or more liposome may have a different composition of cationic lipids, neutral lipid, PEG-modified lipid and/or combinations thereof.
- the one or more liposomes may have a different molar ratio of cationic lipid, neutral lipid, cholesterol and PEG-modified lipid used to create the liposome.
- the process of incorporation of a desired mRNA into a liposome is often referred to as “loading”. Exemplary methods are described in Lasic, et al., FEBS Lett., 312: 255-258, 1992, which is incorporated herein by reference.
- the liposome-incorporated nucleic acids may be completely or partially located in the interior space of the liposome, within the bilayer membrane of the liposome, or associated with the exterior surface of the liposome membrane.
- the incorporation of a nucleic acid into liposomes is also referred to herein as “encapsulation” wherein the nucleic acid is entirely contained within the interior space of the liposome.
- a suitable delivery vehicle is capable of enhancing the stability of the mRNA contained therein and/or facilitate the delivery of mRNA to the target cell or tissue.
- Suitable liposomes in accordance with the present invention may be made in various sizes.
- provided liposomes may be made smaller than previously known mRNA encapsulating liposomes.
- decreased size of liposomes is associated with more efficient delivery of mRNA. Selection of an appropriate liposome size may take into consideration the site of the target cell or tissue and to some extent the application for which the liposome is being made.
- an appropriate size of liposome is selected to facilitate systemic distribution of antibody encoded by the mRNA.
- a liposome may be sized such that its dimensions are smaller than the fenestrations of the endothelial layer lining hepatic sinusoids in the liver; in such cases the liposome could readily penetrate such endothelial fenestrations to reach the target hepatocytes.
- a liposome may be sized such that the dimensions of the liposome are of a sufficient diameter to limit or expressly avoid distribution into certain cells or tissues.
- a liposome may be sized such that its dimensions are larger than the fenestrations of the endothelial layer lining hepatic sinusoids to thereby limit distribution of the liposomes to hepatocytes.
- the size of a liposome is determined by the length of the largest diameter of the liposome particle.
- a suitable liposome has a size no greater than about 250 nm (e.g., no greater than about 225 nm, 200 nm, 175 nm, 150 nm, 125 nm, 100 nm, 75 nm, or 50 nm).
- a suitable liposome has a size ranging from about 10-250 nm (e.g., ranging from about 10-225 nm, 10-200 nm, 10-175 nm, 10-150 nm, 10-125 nm, 10-100 nm, 10-75 nm, or 10-50 nm).
- a suitable liposome has a size ranging from about 100-250 nm (e.g., ranging from about 100-225 nm, 100-200 nm, 100-175 nm, 100-150 nm). In some embodiments, a suitable liposome has a size ranging from about 10-100 nm (e.g., ranging from about 10-90 nm, 10-80 nm, 10-70 nm, 10-60 nm, or 10-50 nm). In a particular embodiment, a suitable liposome has a size less than about 100 nm.
- the size of the liposomes may be determined by quasi-electric light scattering (QELS) as described in Bloomfield, Ann. Rev. Biophys. Bioeng., 10:421-150 (1981), incorporated herein by reference. Average liposome diameter may be reduced by sonication of formed liposomes. Intermittent sonication cycles may be alternated with QELS assessment to guide efficient liposome synthesis.
- QELS quasi-electric light scattering
- delivery vehicles such as liposomes can be formulated in combination with one or more additional nucleic acids, carriers, targeting ligands or stabilizing reagents, or in pharmacological compositions where it is mixed with suitable excipients.
- Provided liposomally-encapsulated or associated mRNAs, and compositions containing the same, may be administered and dosed in accordance with current medical practice, taking into account the clinical condition of the subject, the site and method of administration, the scheduling of administration, the subject's age, sex, body weight and other factors relevant to clinicians of ordinary skill in the art.
- the “effective amount” for the purposes herein may be determined by such relevant considerations as are known to those of ordinary skill in experimental clinical research, pharmacological, clinical and medical arts.
- the amount administered is effective to achieve at least some stabilization, improvement or elimination of symptoms and other indicators as are selected as appropriate measures of disease progress, regression or improvement by those of skill in the art.
- a suitable amount and dosing regimen is one that causes at least transient protein (e.g., enzyme) production.
- Suitable routes of administration include, for example, oral, rectal, vaginal, transmucosal, pulmonary including intratracheal or inhaled, or intestinal administration; parenteral delivery, including intradermal, transdermal (topical), intramuscular, subcutaneous, intramedullary injections, as well as intrathecal, direct intraventricular, intravenous, intraperitoneal, or intranasal.
- the intramuscular administration is to a muscle selected from the group consisting of skeletal muscle, smooth muscle and cardiac muscle.
- the administration results in delivery of the mRNA to a muscle cell.
- the administration results in delivery of the mRNA to a hepatocyte (i.e., liver cell).
- the intramuscular administration results in delivery of the mRNA to a muscle cell.
- liposomally encapsulated mRNAs and compositions of the invention may be administered in a local rather than systemic manner, for example, via injection of the pharmaceutical composition directly into a targeted tissue, preferably in a sustained release formulation. Local delivery can be affected in various ways, depending on the tissue to be targeted.
- compositions of the present invention can be inhaled (for nasal, tracheal, or bronchial delivery); compositions of the present invention can be injected into the site of injury, disease manifestation, or pain, for example; compositions can be provided in lozenges for oral, tracheal, or esophageal application; can be supplied in liquid, tablet or capsule form for administration to the stomach or intestines, can be supplied in suppository form for rectal or vaginal application; or can even be delivered to the eye by use of creams, drops, or even injection.
- Formulations containing provided compositions complexed with therapeutic molecules or ligands can even be surgically administered, for example in association with a polymer or other structure or substance that can allow the compositions to diffuse from the site of implantation to surrounding cells. Alternatively, they can be applied surgically without the use of polymers or supports.
- Therapeutic agents e.g., mRNA encoding a GAA protein
- Therapeutic agents can be administered at regular intervals, depending on the nature, severity and extent of the subject's condition (e.g., Pompe disease).
- a therapeutically effective amount of the therapeutic agents (e.g., mRNA encoding a GAA protein) of the present invention may be administered intrathecally periodically at regular intervals (e.g., once every year, once every six months, once every five months, once every three months, bimonthly (once every two months), monthly (once every month), biweekly (once every two weeks), twice a month, once every 30 days, once every 28 days, once every 14 days, once every 10 days, once every 7 days, weekly, twice a week, daily or continuously).
- regular intervals e.g., once every year, once every six months, once every five months, once every three months, bimonthly (once every two months), monthly (once every month), biweekly (once every two weeks), twice a month, once every 30 days, once every 28 days, once every 14 days, once every 10 days, once every 7 days, weekly, twice a week, daily or continuously).
- provided liposomes and/or compositions are formulated such that they are suitable for extended-release of the mRNA contained therein.
- extended-release compositions may be conveniently administered to a subject at extended dosing intervals.
- the compositions of the present invention are administered to a subject twice a day, daily or every other day.
- compositions of the present invention are administered to a subject twice a week, once a week, once every 7 days, once every 10 days, once every 14 days, once every 28 days, once every 30 days, once every two weeks, once every three weeks, or more preferably once every four weeks, once a month, twice a month, once every six weeks, once every eight weeks, once every other month, once every three months, once every four months, once every six months, once every eight months, once every nine months or annually.
- compositions and liposomes which are formulated for depot administration (e.g., intramuscularly, subcutaneously, intravitreally) to either deliver or release a mRNA over extended periods of time.
- the extended-release means employed are combined with modifications made to the mRNA to enhance stability.
- a therapeutically effective amount is largely determined based on the total amount of the therapeutic agent contained in the pharmaceutical compositions of the present invention. Generally, a therapeutically effective amount is sufficient to achieve a meaningful benefit to the subject (e.g., treating, modulating, curing, preventing and/or ameliorating Pompe disease). For example, a therapeutically effective amount may be an amount sufficient to achieve a desired therapeutic and/or prophylactic effect.
- the amount of a therapeutic agent e.g., mRNA encoding a GAA protein
- administered to a subject in need thereof will depend upon the characteristics of the subject. Such characteristics include the condition, disease severity, general health, age, sex and body weight of the subject.
- characteristics include the condition, disease severity, general health, age, sex and body weight of the subject.
- objective and subjective assays may optionally be employed to identify optimal dosage ranges.
- a therapeutically effective amount is commonly administered in a dosing regimen that may comprise multiple unit doses.
- a therapeutically effective amount (and/or an appropriate unit dose within an effective dosing regimen) may vary, for example, depending on route of administration, on combination with other pharmaceutical agents.
- the specific therapeutically effective amount (and/or unit dose) for any particular patient may depend upon a variety of factors including the disorder being treated and the severity of the disorder; the activity of the specific pharmaceutical agent employed; the specific composition employed; the age, body weight, general health, sex and diet of the patient; the time of administration, route of administration, and/or rate of excretion or metabolism of the specific protein employed; the duration of the treatment; and like factors as is well known in the medical arts.
- the therapeutically effective dose ranges from about mg/kg body weight to 500 mg/kg body weight, e.g., from about 0.005 mg/kg body weight to 400 mg/kg body weight, from about 0.005 mg/kg body weight to 300 mg/kg body weight, from about 0.005 mg/kg body weight to 200 mg/kg body weight, from about 0.005 mg/kg body weight to 100 mg/kg body weight, from about 0.005 mg/kg body weight to 90 mg/kg body weight, from about 0.005 mg/kg body weight to 80 mg/kg body weight, from about 0.005 mg/kg body weight to 70 mg/kg body weight, from about 0.005 mg/kg body weight to 60 mg/kg body weight, from about 0.005 mg/kg body weight to 50 mg/kg body weight, from about 0.005 mg/kg body weight to 40 mg/kg body weight, from about 0.005 mg/kg body weight to 30 mg/kg body weight, from about 0.005 mg/kg body weight to 25 mg/kg body weight, from about 0.005 mg
- the therapeutically effective dose is greater than about mg/kg body weight, greater than about 0.5 mg/kg body weight, greater than about 1.0 mg/kg body weight, greater than about 3 mg/kg body weight, greater than about 5 mg/kg body weight, greater than about 10 mg/kg body weight, greater than about 15 mg/kg body weight, greater than about 20 mg/kg body weight, greater than about 30 mg/kg body weight, greater than about 40 mg/kg body weight, greater than about 50 mg/kg body weight, greater than about 60 mg/kg body weight, greater than about 70 mg/kg body weight, greater than about 80 mg/kg body weight, greater than about 90 mg/kg body weight, greater than about 100 mg/kg body weight, greater than about 150 mg/kg body weight, greater than about 200 mg/kg body weight, greater than about 250 mg/kg body weight, greater than about 300 mg/kg body weight, greater than about 350 mg/kg body weight, greater than about 400 mg/kg body weight, greater than about 450 mg/kg body weight, greater than about 500 mg/kg body weight.
- lyophilized pharmaceutical compositions comprising one or more of the liposomes disclosed herein and related methods for the use of such compositions as disclosed for example, in U.S. Provisional Application No. 61/494,882, filed Jun. 8, 2011, the teachings of which are incorporated herein by reference in their entirety.
- lyophilized pharmaceutical compositions according to the invention may be reconstituted prior to administration or can be reconstituted in vivo.
- a lyophilized pharmaceutical composition can be formulated in an appropriate dosage form (e.g., an intradermal dosage form such as a disk, rod or membrane) and administered such that the dosage form is rehydrated over time in vivo by the individual's bodily fluids.
- Provided liposomes and compositions may be administered to any desired tissue.
- the GAA mRNA delivered by provided liposomes or compositions is expressed in the tissue in which the liposomes and/or compositions were administered.
- the mRNA delivered is expressed in a tissue different from the tissue in which the liposomes and/or compositions were administered.
- Exemplary tissues in which delivered mRNA may be delivered and/or expressed include, but are not limited to the liver, kidney, heart, spleen, serum, brain, skeletal muscle, lymph nodes, skin, and/or cerebrospinal fluid.
- administering the provided composition results in an increased GAA mRNA expression level in a biological sample from a subject as compared to a baseline expression level before treatment.
- the baseline level is measured immediately before treatment.
- Biological samples include, for example, whole blood, serum, plasma, urine and tissue samples (e.g., muscle, liver, skin fibroblasts).
- administering the provided composition results in an increased GAA mRNA expression level by at least about 10%, 20%, 30%, 40%, 50%, 60%, 70%, 80%, 90%, or 95% as compared to the baseline level immediately before treatment.
- administering the provided composition results in an increased GAA mRNA expression level as compared to a GAA mRNA expression level in subjects who are not treated
- a therapeutically effective dose of the provided composition when administered regularly, results in an increased hepatic GAA protein level in a subject as compared to a baseline hepatic GAA protein level before treatment.
- a therapeutically effective dose of the provided composition when administered regularly, results in an increased muscle GAA protein level in a subject as compared to a baseline muscle GAA protein level before treatment.
- the muscle is skeletal muscle (e.g., striated muscle, voluntary muscle), smooth muscle (e.g., visceral muscle, involuntary muscle) or cardiac muscle.
- a therapeutically effective dose of the provided composition when administered regularly, results in a reduced serum creatine kinase level in a subject as compared to a baseline creatine kinase level before treatment. In some embodiments, a therapeutically effective dose of the provided composition, when administered regularly, results in a reduced urinary glucose tetrasaccharide, (Glc ⁇ 1-6Glc ⁇ 1-4Glc ⁇ 1-4Glc or Glc 4 ) level in a subject as compared to a baseline Glc 4 level before treatment.
- a therapeutically effective dose of the provided composition when administered regularly, results in a reduced serum aspartate transaminase (e.g., AST, aspartate aminotransferase, serum, glutamic oxaloacetic transaminase) level in as subject as compared to a baseline AST level before treatment.
- a therapeutically effective dose of the provided composition when administered regularly, results in a reduced serum alanine transaminase (e.g., ALT, alanine aminotransferase, serum glutamic-pyruvic transaminase) level in a subject as compared to a baseline ALT level before treatment.
- a therapeutically effective dose of the provided composition when administered regularly, results in a reduced serum lactate dehydrogenase (e.g., LDH, lactic dehydrogenase) level in a subject as compared to a baseline LDH level before treatment.
- a therapeutically effective dose of the provided composition when administered regularly, results in an increased GAA enzyme activity level in a biological sample from a subject as compared to a baseline GAA enzyme activity level before treatment.
- administering the provided composition results in an increased GAA protein level in the liver of a subject as compared to a baseline level before treatment. Typically, the baseline level is measured immediately before treatment. In some embodiments, administering the provided composition results in an increased GAA protein level in the liver by at least about 10%, 20%, 30%, 40%, 50%, 60%, 70%, 80%, 90%, or 95% as compared to a baseline level before treatment. In some embodiments, administering the provided composition results in an increased GAA protein level in the liver as compared to a GAA protein level in the liver of subjects who are not treated.
- administering the provided composition results in an increased GAA protein level in skeletal muscle of a subject as compared to a baseline level before treatment. Typically, the baseline level is measured immediately before treatment. In some embodiments, administering the provided composition results in an increased GAA protein level in skeletal muscle by at least about 10%, 20%, 30%, 40%, 50%, 60%, 70%, 80%, 90%, or 95% as compared to a baseline level before treatment. In some embodiments, administering the provided composition results in an increased GAA protein level in skeletal muscle as compared to the GAA protein level in skeletal muscle of subjects who are not treated.
- administering the provided composition results in an increased GAA protein level in cardiac muscle of a subject as compared to a baseline level before treatment. Typically, the baseline level is measured immediately before treatment. In some embodiments, administering the provided composition results in an increased GAA protein level in cardiac muscle by at least about 10%, 20%, 30%, 40%, 50%, 60%, 70%, 80%, 90%, or 95% as compared to a baseline level before treatment. In some embodiments, administering the provided composition results in an increased GAA protein level in cardiac muscle as compared to a GAA protein level in cardiac muscle of subjects who are not treated.
- administering the provided composition results in an increased level of GAA protein in smooth muscle of a subject as compared to a baseline level before treatment. Typically, the baseline level is measured immediately before treatment. In some embodiments, administering the provided composition results in an increased GAA protein level in smooth muscle by at least about 10%, 20%, 30%, 40%, 50%, 60%, 70%, 80%, 90%, or 95% as compared to a baseline level before treatment. In some embodiments, administering the provided composition results in an increased GAA protein level in smooth muscle as compared to a GAA protein level in smooth muscle of subjects who are not treated.
- administering the provided composition results in an increased level of GAA protein in a muscle cell of a subject as compared to a baseline level before treatment.
- the baseline level is measured immediately before treatment.
- the muscle cell is a myocyte, a myotube, a myoblast, a cardiomyocyte or a cardiomyoblast.
- administering the provided composition results in an increased GAA protein level in the muscle cell by at least about 10%, 20%, 30%, 40%, 50%, 60%, 70%, 80%, 90%, or 95% as compared to a baseline level before treatment.
- administering the provided composition results in an increased GAA protein level in a muscle cell as compared to the GAA protein level a muscle cell of subjects who are not treated.
- administering the provided composition results in an increased level of GAA protein in a liver cell (e.g., a hepatocyte) of a subject as compared to a baseline level before treatment. Typically, the baseline level is measured immediately before treatment. In some embodiments, administering the provided composition results in an increased GAA protein level in the liver cell by at least about 10%, 20%, 30%, 40%, 50%, 60%, 70%, 80%, 90%, or 95% as compared to a baseline level before treatment. In some embodiments, administering the provided composition results in an increased GAA protein level in a liver cell as compared to the GAA protein level a liver cell of subjects who are not treated.
- a liver cell e.g., a hepatocyte
- administering the provided composition results in an increased GAA protein level in plasma or serum of subject as compared to a baseline level before treatment. Typically, the baseline level is measured immediately before treatment. In some embodiments, administering the provided composition results in an increased GAA protein level in plasma or serum by at least about 10%, 20%, 30%, 40%, 50%, 60%, 70%, 80%, 90%, or 95% as compared to a baseline level before treatment. In some embodiments, administering the provided composition results in an increased GAA protein level in plasma or serum as compared to a GAA protein level in plasma or serum of subjects who are not treated.
- administering the provided composition results in reduced a serum creatine kinase level in a subject as compared to a baseline level before treatment. Typically, the baseline level is measured immediately before treatment. In some embodiments, administering the provided composition results in a reduced serum creatine kinase level by at least about 10%, 20%, 30%, 40%, 50%, 60%, 70%, 80%, 90%, or 95% as compared to a baseline serum creatine kinase level immediately before treatment.
- administering of the provided composition results in a reduced serum creatine kinase level to less than about 2000 IU/L, 1500 IU/L, 1000 IU/L, 750 IU/L, 500 IU/L, 250 IU/L, 100 IU/L, 90 IU/L, 80 IU/L, 70 IU/L or 60 IU/L.
- administering the provided composition results in a reduced serum creatine kinase level as compared to a serum creatine kinase level in subjects who are not treated.
- administering the provided composition results in a reduced urinary Glc 4 level in a subject as compared to a baseline level before treatment.
- the baseline level is measured immediately before treatment.
- administering the provided composition results in a reduced urinary Glc 4 level by at least about 10%, 20%, 30%, 40%, 50%, 60%, 70%, 80%, 90%, or 95% as compared to a baseline level immediately before treatment.
- administering the provided composition results in a reduced urinary Glc 4 level to less than about 100 mmol Glc 4 /mol creatinine, 90 mmol Glc 4 /mol creatinine, 80 mmol Glc 4 /mol creatinine, 70 mmol Glc4/mol creatinine, 60 mmol Glc4/mol creatinine, 50 mmol Glc4/mol creatinine, 40 mmol Glc 4 /mol creatinine, 30 mmol Glc 4 /mol creatinine or 20 mmol Glc 4 /mol creatinine.
- administering the provided composition results in a reduced urinary Glc4 level as compared to a urinary Glc 4 level in subjects who are not treated.
- administering the provided composition results in a reduced muscle glycogen level in a subject as compared to a baseline level before treatment. Typically, a baseline level is measured immediately before treatment. In some embodiments, administering the provided composition results in a reduced muscle glycogen level by at least about 10%, 20%, 30%, 40%, 50%, 60%, 70%, 80%, 90%, or 95% as compared to a baseline level immediately before treatment. In some embodiments, administering the provided composition results in a reduced muscle glycogen level as compared to a muscle glycogen level in subjects who are not treated. In particular embodiments, the muscle is skeletal muscle, smooth muscle or cardiac muscle.
- administering the provided composition results in a reduced liver glycogen level in a subject as compared to a baseline level before treatment. Typically, the baseline level is measured immediately before treatment. In some embodiments, administering the provided composition results in a reduced liver glycogen level by at least about 10%, 20%, 30%, 40%, 50%, 60%, 70%, 80%, 90%, or 95% as compared to a baseline level immediately before treatment. In some embodiments, administering the provided composition results in a reduced liver glycogen level as compared to a liver glycogen level in subjects who are not treated.
- administering the provided composition results in a reduced serum aspartate transaminase (AST) level in a subject as compared to a baseline level before treatment.
- AST serum aspartate transaminase
- the baseline level is measured immediately before treatment.
- administering the provided composition results in a reduced serum AST level by at least about 10%, 20%, 30%, 40%, 50%, 60%, 70%, 80%, 90%, or 95% as compared to a baseline level immediately before treatment.
- administering the provided composition results in a reduced serum AST level to less than about 600 IU/L, 500 IU/L, 400 IU/L, 300 IU/L, 200 IU/L, 100 IU/L, 50 IU/L, 25 IU/L, 20 IU/L or 10 IU/L. In some embodiments, administering the provided composition results in a reduced serum AST level as compared to a serum AST level in subjects who are not treated.
- administering the provided composition results in a reduced serum alanine transaminase (ALT) level in a subject as compared to a baseline level before treatment.
- ALT serum alanine transaminase
- the baseline level is measured immediately before treatment.
- administering the provided composition results in a reduced serum ALT level by at least about 10%, 20%, 30%, 40%, 50%, 60%, 70%, 80%, 90%, or 95% as compared to a baseline level immediately before treatment.
- administering the provided composition results in a reduced serum ALT level to less than about 1000 IU/L, 900 IU/L, 800 IU/L, 700 IU/L, 600 IU/L, 500 IU/L, 400 IU/L, 300 IU/L, 200 IU/L, 100 IU/L, 50 IU/L, 25 IU/L, 20 IU/L or 10 IU/L.
- administering the provided composition results in a reduced serum ALT level as compared to a serum ALT level in subjects who are not treated.
- administering the provided composition results in a reduced serum lactate dehydrogenase (LDH) level in a subject as compared to a baseline level before treatment.
- LDH reduced serum lactate dehydrogenase
- the baseline level is measured immediately before treatment.
- administering the provided composition results in a reduced serum lactate dehydrogenase LDH level by at least about 10%, 20%, 30%, 40%, 50%, 60%, 70%, 80%, 90%, or 95% as compared to a baseline level immediately before treatment.
- administering the provided composition results in a reduced serum LDH level to less than about 2000 IU/L, 1500 IU/L, 1000 IU/L, 900 IU/L, 800 IU/L, 700 IU/L, 600 IU/L, 500 IU/L, 400 IU/L, 300 IU/L, 200 IU/L or 100 IU/L.
- administering the provided composition results in a reduced serum LDH level as compared to a serum LDH level in subjects who are not treated.
- administering the provided composition results in increased GAA enzyme activity in a biological sample from a subject as compared to the baseline level before treatment.
- the baseline level is measured immediately before treatment.
- Biological samples include, for example, whole blood, serum, plasma, urine and tissue samples (e.g., muscle, liver, skin fibroblasts).
- administering the provided composition results in an increased GAA enzyme activity by at least about 10%, 20%, 30%, 40%, 50%, 60%, 70%, 80%, 90%, or 95% as compared to a baseline level immediately before treatment.
- administering the provided composition results in an increased GAA enzyme activity as compared to GAA enzyme activity in subjects who are not treated.
- the timing of expression of delivered mRNAs can be tuned to suit a particular medical need.
- the expression of the protein encoded by delivered mRNA is detectable 1, 2, 3, 6, 12, 24, 48, 72, and/or 96 hours after administration of provided liposomes and/or compositions.
- the expression of the protein encoded by delivered mRNA is detectable 1 week, two weeks, and/or 1 month after administration.
- Example 1 Exemplary Liposome Formulations for GAA mRNA Delivery and Expression
- This example provides exemplary liposome formulations for effective delivery and expression of GAA mRNA in vivo.
- the formulations described herein include a multi-component lipid mixture of varying ratios employing one or more cationic lipids, helper lipids (e.g., non-cationic lipids and/or cholesterol-based lipids) and PEGylated lipids designed to encapsulate mRNA encoding GAA protein.
- helper lipids e.g., non-cationic lipids and/or cholesterol-based lipids
- PEGylated lipids designed to encapsulate mRNA encoding GAA protein.
- Cationic lipids can include (but not exclusively) DOTAP (1,2-dioleyl-3-trimethylammonium propane), DODAP (1,2-dioleyl-3-dimethylammonium propane), DOTMA (1,2-di-O-octadecenyl-3-trimethylammonium propane), DLinDMA (Heyes, J.; Palmer, L.; Bremner, K.; MacLachlan, I. “Cationic lipid saturation influences intracellular delivery of encapsulated nucleic acids” J. Contr. Rel. 2005, 107, 276-287), DLin-KC2-DMA (Semple, S. C. et al.
- Helper lipids can include (but not exclusively) DSPC (1,2-distearoyl-sn-glycero-3-phosphocholine), DPPC (1,2-dipalmitoyl-sn-glycero-3-phosphocholine), DOPE (1,2-dioleyl-sn-glycero-3-phosphoethanolamine), DOPC (1,2-dioleyl-sn-glycero-3-phosphotidylcholine) DPPE (1,2-dipalmitoyl-sn-glycero-3-phosphoethanolamine), DMPE (1,2-dimyristoyl-sn-glycero-3-phosphoethanolamine), DOPG (2-dioleoyl-sn-glycero-3-phospho-(1′-rac-glycerol)), cholesterol, etc.
- the PEGylated lipids can include (but not exclusively) a poly(ethylene) glycol chain of up to 5 kDa in length covalently attached to a lipid
- Codon-optimized human acid alpha-glucosidase (GAA) messenger RNA was synthesized by in vitro transcription from a plasmid DNA template encoding the gene, which was followed by the addition of a 5′ cap structure (Cap 1) (Fechter, P.; Brownlee, G. G. “Recognition of mRNA cap structures by viral and cellular proteins” J. Gen. Virology 2005, 86, 1239-1249) and a 3′ poly(A) tail of approximately 250 nucleotides in length (SEQ ID NO: 7) as determined by gel electrophoresis. 5′ and 3′ untranslated regions present in each mRNA product are represented as X and Y, respectively and defined as stated (vide infra).
- GAA Codon-Optimized Human Acid Alpha-Glucosidase
- An exemplary codon-optimized human GAA mRNA sequence includes SEQ ID NO: 3 described in the detailed description section.
- GAA human acid alpha-glucosidase
- GAA human acid alpha-glucosidase
- aqueous buffered solution (10 mM citrate/150 mM NaCl, pH 4.5) of GAA mRNA is prepared from a 1 mg/mL stock.
- the lipid solution is injected rapidly into the aqueous mRNA solution and shaken to yield a final suspension in 20% ethanol.
- the resulting nanoparticle suspension is filtered, diafiltrated with 1 ⁇ PBS (pH 7.4), concentrated and stored at 2-8° C.
- the final concentration, Z ave , D v(50) and D v(90) of the GAA encapsulated mRNA are determined.
- aqueous buffered solution (10 mM citrate/150 mM NaCl, pH 4.5) of GAA mRNA is prepared from a 1 mg/mL stock.
- the lipid solution is injected rapidly into the aqueous mRNA solution and shaken to yield a final suspension in 20% ethanol.
- the resulting nanoparticle suspension is filtered, diafiltrated with 1 ⁇ PBS (pH 7.4), concentrated and stored at 2-8° C.
- the final concentration, Z ave , D v(50) and D v(90) of the GAA encapsulated mRNA are determined.
- aqueous buffered solution (10 mM citrate/150 mM NaCl, pH 4.5) of GAA mRNA is prepared from a 1 mg/mL stock.
- the lipid solution is injected rapidly into the aqueous mRNA solution and shaken to yield a final suspension in 20% ethanol.
- the resulting nanoparticle suspension is filtered, diafiltrated with 1 ⁇ PBS (pH 7.4), concentrated and stored at 2-8° C.
- the final concentration, Z ave , D v(50) and D v(90) of the GAA encapsulated mRNA are determined.
- This example illustrates exemplary methods of administering GAA mRNA-loaded liposome nanoparticles and methods for analyzing GAA mRNA and glycogen in various target tissues in vivo.
- mice All studies were performed using GAA knock out mice. Mice were treated with human GAA mRNA-loaded cKK-E12-based lipid nanoparticles by a single bolus tail-vein injection of a 1.0 mg/kg dose. Mice were sacrificed and perfused with saline at 30 minutes, 3 hours, 6 hours, 12 hours, 24 hours, 48 hours, 72 hours and 7 days.
- Tissues such as liver and muscle, of each mouse were harvested, apportioned into separate parts, and stored in either 10% neutral buffered formalin or snap-frozen and stored at ⁇ 80° C. for analysis.
- ISH in situ hybridization
- Liver glycogen levels were reduced following administration of the GAA mRNA lipid nanoparticle ( FIG. 2 A ) as compared to liver glycogen levels in untreated GAA knock out mice ( FIG. 2 B ).
- This example illustrates exemplary methods of administering GAA mRNA-loaded liposome nanoparticles and methods for analyzing GAA mRNA and glycogen in various target tissues in vivo.
- mice All studies were performed using GAA knock out mice. Mice were treated with human GAA mRNA-loaded cKK-E12-based lipid nanoparticles by a single intramuscular injection of a 1.0 mg/kg dose. Mice were sacrificed and perfused with saline at 24 hours.
- Tissues such as liver and muscle, of each mouse were harvested, apportioned into separate parts, and stored in either 10% neutral buffered formalin or snap-frozen and stored at ⁇ 80° C. for analysis.
- ISH in situ hybridization
- Quadriceps muscle glycogen levels were reduced following administration of the GAA mRNA lipid nanoparticle ( FIGS. 4 A and 4 B ) as compared to quadriceps muscle glycogen levels in untreated GAA knock out mice ( FIGS. 4 C and 4 D ).
Landscapes
- Health & Medical Sciences (AREA)
- Chemical & Material Sciences (AREA)
- Life Sciences & Earth Sciences (AREA)
- General Health & Medical Sciences (AREA)
- Medicinal Chemistry (AREA)
- Pharmacology & Pharmacy (AREA)
- Veterinary Medicine (AREA)
- Public Health (AREA)
- Animal Behavior & Ethology (AREA)
- Engineering & Computer Science (AREA)
- Epidemiology (AREA)
- Organic Chemistry (AREA)
- Bioinformatics & Cheminformatics (AREA)
- Genetics & Genomics (AREA)
- Biochemistry (AREA)
- Molecular Biology (AREA)
- Chemical Kinetics & Catalysis (AREA)
- General Chemical & Material Sciences (AREA)
- Zoology (AREA)
- Dispersion Chemistry (AREA)
- Wood Science & Technology (AREA)
- Nuclear Medicine, Radiotherapy & Molecular Imaging (AREA)
- Biotechnology (AREA)
- General Engineering & Computer Science (AREA)
- Biomedical Technology (AREA)
- Gastroenterology & Hepatology (AREA)
- Proteomics, Peptides & Aminoacids (AREA)
- Dermatology (AREA)
- Immunology (AREA)
- Oil, Petroleum & Natural Gas (AREA)
- Biophysics (AREA)
- Microbiology (AREA)
- Toxicology (AREA)
- Hematology (AREA)
- Obesity (AREA)
- Neurology (AREA)
- Orthopedic Medicine & Surgery (AREA)
- Physical Education & Sports Medicine (AREA)
- Diabetes (AREA)
- Heart & Thoracic Surgery (AREA)
Abstract
Description
- This patent application is a continuation application of U.S. patent Ser. No. 17/369,783, filed Jul. 7, 2021, which is a continuation application of U.S. patent Ser. No. 16/191,017, filed Nov. 14, 2018, now U.S. Pat. No. 11,090,368, issued Aug. 17, 2021, which is a continuation application of U.S. patent Ser. No. 15/073,163, filed Mar. 17, 2016, now U.S. Pat. No. 10,172,924, issued Jan. 8, 2019, which claims benefit to Provisional Application Ser. No. 62/135,338, filed Mar. 19, 2015, the disclosure of which is hereby incorporated by reference.
- Pompe disease (also known as glycogen storage disease type II; acid alpha-glucosidase deficiency; acid maltase deficiency; GAA deficiency; GSD II; glycogenosis type II; glycogenosis, generalized, cardiac form; cardiomegalia glycogenica diffusa; acid maltase deficiency; AMD; or alpha-1,4-glucosidase deficiency) is an autosomal recessive metabolic genetic disorder characterized by mutations in the gene for the lysomsomal enzyme acid alpha-glucosidase (GAA) (also known as acid maltase). Mutations in the GAA gene eliminate or reduce the ability of the GAA enzyme to hydrolyze the α-1,4 and α-1,6 linkages in glycogen, maltose and isomaltose. As a result, glycogen accumulates in the lysosomes and cytoplasm of cells throughout the body leading to cell and tissue destruction. Tissues that are particularly affected include skeletal muscle and cardiac muscle. The accumulated glycogen causes progressive muscle weakness leading to cardiomegaly, ambulatory difficulties and respiratory insufficiency.
- Three forms of Pompe disease have been identified, including the classic infantile-onset disease, non-classic infantile-onset disease and late onset disease. The classic infantile-onset form is characterized by muscle weakness, poor muscle tone, hepatomegaly and cardiac defects. The incidence of the disease is approximately 1 in 140,000 individuals. Patients with this form of the disease often die of heart failure in the first year of life. The non-classic infantile-onset form of the disease is characterized by delayed motor skills, progressive muscle weakness and in some instances cardiomegaly. Patients with this form of the disease often live only into early childhood due to respiratory failure. The late-onset form of the disease may present in late childhood, adolescence or adulthood and is characterized by progressive muscle weakness of the legs and trunk.
- Currently, there is no cure for Pompe disease and the standard of care is enzyme replacement therapy (ERT) with supportive care for cardiomyopathy and physical therapy for muscle weakness and respiratory symptoms.
- The present invention provides, among other things, improved methods and compositions for the treatment of Pompe disease based on mRNA therapy. The invention encompasses the observation that administration of an mRNA encoding a human GAA protein, encapsulated within a liposome, resulted in highly efficient and sustained protein production in vivo and successful reduction of, for example, glycogen levels in the liver and muscle, a clinically-relevant disease marker.
- In one aspect, the present invention provides a method of treating Pompe disease, including administering to a subject in need of treatment a composition comprising an mRNA encoding acid alpha-glucosidase (GAA) at an effective dose and an administration interval such that at least one symptom or feature of Pompe disease is reduced in intensity, severity, or frequency or has delayed onset. In some embodiments, the mRNA is encapsulated within a liposome.
- In another aspect, the present invention provides a method of treating Pompe disease, including administering to a subject in need of treatment a therapeutically effective amount of a composition comprising an mRNA encoding acid alpha-glucosidase (GAA) such that hypertrophic cardiomyopathy in the subject is treated. In some embodiments, the mRNA is encapsulated within a liposome.
- In another aspect, the present invention provides compositions for treating Pompe disease comprising an mRNA encoding GAA at an effective dose amount encapsulated within a liposome.
- In some embodiments, a suitable liposome comprises one or more cationic lipids, one or more non-cationic lipids, one or more cholesterol-based lipids and one or more PEG-modified lipids.
- In some embodiments, the one or more cationic lipids are selected from the group consisting of C12-200, MC3, DLinDMA, DLinkC2DMA, cKK-E12, ICE (Imidazol-based), HGT5000, HGT5001, DODAC, DDAB, DMRIE, DOSPA, DOGS, DODAP, DODMA and DMDMA, DODAC, DLenDMA, DMRIE, CLinDMA, CpLinDMA, DMOBA, DOcarbDAP, DLinDAP, DLincarbDAP, DLinCDAP, KLin-K-DMA, DLin-K-XTC2-DMA, HGT4003, and combinations thereof.
- In some embodiments, the one or more cationic lipids comprise a compound of formula I-c1-a:
-
- or a pharmaceutically acceptable salt thereof, wherein:
- each R2 independently is hydrogen or C1-3 alkyl;
- each q independently is 2 to 6;
- each R′ independently is hydrogen or C1-3 alkyl;
- and each RL independently is C8-12 alkyl.
- or a pharmaceutically acceptable salt thereof, wherein:
- In some embodiments, the one or more cationic lipids comprise cKK-E12:
- In some embodiments, the one or more non-cationic lipids suitable for the invention are selected from DSPC (1,2-distearoyl-sn-glycero-3-phosphocholine), DPPC (1,2-dipalmitoyl-sn-glycero-3-phosphocholine), DOPE (1,2-dioleyl-sn-glycero-3-phosphoethanolamine), DOPC (1,2-dioleyl-sn-glycero-3-phosphotidylcholine) DPPE (1,2-dipalmitoyl-sn-glycero-3-phosphoethanolamine), DMPE (1,2-dimyristoyl-sn-glycero-3-phosphoethanolamine), DOPG (2-dioleoyl-sn-glycero-3-phospho-(1′-rac-glycerol)), and combinations thereof.
- In some embodiments, the one or more cholesterol-based lipids are selected from cholesterol, PEGylated cholesterol and DC-Chol (N,N-dimethyl-N-ethylcarboxamidocholesterol), 1,4-bis(3-N-oleylamino-propyl)piperazine and combinations thereof.
- In some embodiments, the liposome further comprises one or more PEG-modified lipids. In some embodiments, the one or more PEG-modified lipids comprise a poly(ethylene) glycol chain of up to 5 kDa in length covalently attached to a lipid with alkyl chain(s) of C6-C20 length. In some embodiments, a PEG-modified lipid is a derivatized ceramide such as N-Octanoyl-Sphingosine-1-[Succinyl(Methoxy Polyethylene Glycol)-2000]. In some embodiments, a PEG-modified or PEGylated lipid is PEGylated cholesterol or Dimyristoylglycerol (DMG)-PEG-2K.
- In some embodiments, a suitable liposome comprises a combination selected from cKK-E12, DOPE, cholesterol and DMG-PEG2K; C12-200, DOPE, cholesterol and DMG-PEG2K; HGT4003, DOPE, cholesterol and DMG-PEG2K; or ICE, DOPE, cholesterol and DMG-PEG2K.
- In some embodiments, cationic lipids (e.g., cKK-E12, C12-200, ICE, and/or HGT4003) constitute about 30-60% (e.g., about 30-55%, about 30-50%, about 30-45%, about 30-40%, about 35-50%, about 35-45%, or about 35-40%) of the liposome by molar ratio. In some embodiments, cationic lipids (e.g., cKK-E12, C12-200, ICE, and/or HGT4003) constitute about 30%, about 35%, about 40%, about 45%, about 50%, about 55%, or about 60% of the liposome by molar ratio.
- In some embodiments, the ratio of cationic lipid(s) (e.g., cKK-E12, C12-200, ICE, and/or HGT4003) to non-cationic lipid(s) (e.g., DOPE) to cholesterol-based lipid(s) (e.g., cholesterol) to PEGylated lipid(s) (e.g., DMG-PEG2K) may be between about 30-60:25-35:20-30:1-15, respectively. In some embodiments, the ratio of cationic lipid(s) (e.g., cKK-E12, C12-200, ICE, and/or HGT4003) to non-cationic lipid(s) (e.g., DOPE) to cholesterol-based lipid(s) (e.g., cholesterol) to PEGylated lipid(s) (e.g., DMG-PEG2K) is approximately 40:30:20:10, respectively. In some embodiments, the ratio of cationic lipid(s) (e.g., cKK-E12, C12-200, ICE, and/or HGT4003) to non-cationic lipid(s) (e.g., DOPE) to cholesterol-based lipid(s) (e.g., cholesterol) to PEGylated lipid(s) (e.g., DMG-PEG2K) is approximately 40:30:25:5, respectively. In some embodiments, the ratio of cationic lipid(s) (e.g., cKK-E12, C12-200, ICE, and/or HGT4003) to non-cationic lipid(s) (e.g., DOPE) to cholesterol-based lipid(s) (e.g., cholesterol) to PEGylated lipid(s) (e.g., DMG-PEG2K) is approximately 40:32:25:3, respectively. In some embodiments, the ratio of cationic lipid(s) (e.g., cKK-E12, C12-200, ICE, and/or HGT4003) to non-cationic lipid(s) (e.g., DOPE) to cholesterol-based lipid(s) (e.g., cholesterol) to PEGylated lipid(s) (e.g., DMG-PEG2K) is approximately 50:25:20:5.
- In some embodiments, the size of a liposome is determined by the length of the largest diameter of the lipososme particle. In some embodiments, a suitable liposome has a size less than about 500 nm, 400 nm, 300 nm, 250 nm, 200 nm, 150 nm, 100 nm, 75 nm, or 50 nm. In some embodiments, a suitable liposome has a size less than about 100 nm, 90 nm, 80 nm, 70 nm, or 60 nm. In a particular embodiment, the liposome has a size less than about 100 nm.
- In some embodiments, the mRNA is administered at a dose ranging from about 0.1-5.0 mg/kg body weight, for example about 0.1-4.5, 0.1-4.0, 0.1-3.5, 0.1-3.0, 0.1-2.5, 0.1-2.0, 0.1-1.5, 0.1-1.0, 0.1-0.5, 0.1-0.3, 0.3-5.0, 0.3-4.5, 0.3-4.0, 0.3-3.5, 0.3-3.0, 0.3-2.5, 0.3-2.0, 0.3-1.5, 0.3-1.0, 0.3-0.5, 0.5-5.0, 0.5-4.5, 0.5-4.0, 0.5-3.5, 0.5-3.0, 0.5-2.5, 0.5-2.0, 0.5-1.5, or 0.5-1.0 mg/kg body weight. In some embodiments, the mRNA is administered at a dose of or less than about 5.0, 4.5, 4.0, 3.5, 3.0, 2.5, 2.0, 1.5, 1.0, 0.8, 0.6, 0.5, 0.4, 0.3, 0.2, or 0.1 mg/kg body weight. In a particular embodiment, the mRNA is administered at a dose of about 1.0 mg/kg.
- In some embodiments, the provided composition is administered intravenously. In some embodiments, the provided composition is administered intramuscularly. In particular embodiments, the intramuscular administration is to a muscle selected from the group consisting of skeletal muscle, smooth muscle and cardiac muscle. In some embodiments, the provided composition is administered via pulmonary delivery. In certain embodiments, pulmonary delivery is performed by aerosolization, inhalation, nebulization or instillation. In some embodiments, the provided composition is formulated as respirable particles, nebulizable lipid, or inhalable dry powder.
- In some embodiments, the provided composition is administered once daily, once a week, twice a week, twice a month, once a month. In some embodiments, provided the composition is administered once every 7 days, once every 10 days, once every 14 days, once every 28 days or once every 30 days.
- In some embodiments, a therapeutically effective dose, when administered regularly, results in GAA protein expression in the liver. In some embodiments, a therapeutically effective dose, when administered regularly, results in GAA protein expression in a muscle tissue or a muscle cell. The muscle tissue may be, for example, skeletal muscle, smooth muscle, cardiac muscle and combinations thereof. The muscle cell may be, for example, a myocyte, a myotube, a myoblast, a cardiomyocyte, a cardiomyoblast and combinations thereof. In some embodiments, a therapeutically effective dose, when administered regularly, results in GAA protein detection in serum.
- In some embodiments, a therapeutically effective dose of the provided composition, when administered regularly, results in an increased hepatic GAA protein level in a subject as compared to a baseline hepatic GAA protein level before treatment. In some embodiments, a therapeutically effective dose of the provided composition, when administered regularly, results in an increased muscle GAA protein level in a subject as compared to a baseline muscle GAA protein level before treatment. In some embodiments, the muscle is skeletal muscle (e.g., striated muscle, voluntary muscle), smooth muscle (e.g., visceral muscle, involuntary muscle) or cardiac muscle. In some embodiments, a therapeutically effective dose of the provided composition, when administered regularly, results in a reduced muscle glycogen level in a subject as compared to a baseline muscle glycogen level before treatment. In some embodiments, a therapeutically effective dose of the provided composition, when administered regularly, results in a reduced liver glycogen level in a subject as compared to a baseline liver glycogen level before treatment. In some embodiments, a therapeutically effective dose of the provided composition, when administered regularly, results in a reduced serum creatine kinase level in a subject as compared to a baseline serum creatine kinase level before treatment. In some embodiments, a therapeutically effective dose of the provided composition, when administered regularly, results in a reduced urinary glucose tetrasaccharide, (Glcα1-6Glcα1-4Glcα1-4Glc (Glc4) level in a subject as compared to a baseline Glc4 level before treatment. In some embodiments, a therapeutically effective dose of the provided composition, when administered regularly, results in a reduced serum aspartate transaminase (e.g., AST, aspartate aminotransferase, serum, glutamic oxaloacetic transaminase) level in a subject as compared to a baseline AST level before treatment. In some embodiments, a therapeutically effective dose of the provided composition, when administered regularly, results in a reduced serum alanine transaminase (e.g., ALT, alanine aminotransferase, serum glutamic-pyruvic transaminase) level in a subject as compared to a baseline ALT level before treatment. In some embodiments, a therapeutically effective dose of the provided composition, when administered regularly, results in a reduced serum lactate dehydrogenase (e.g., LDH, lactic dehydrogenase) level in a subject as compared to a baseline LDH level before treatment. In some embodiments, a therapeutically effective dose of the provided composition, when administered regularly, results in an increased GAA enzyme activity level in biological sample as compared to a baseline GAA enzyme activity level before treatment.
- In some embodiments, administering the provided composition results in an increased GAA protein level in the liver of a subject as compared to a baseline level before treatment. Typically, the baseline level is measured immediately before treatment. In some embodiments, administering the provided composition results in an increased GAA protein level in the liver by at least about 10%, 20%, 30%, 40%, 50%, 60%, 70%, 80%, 90%, or 95% as compared to a baseline level before treatment. In some embodiments, administering the provided composition results in an increased GAA protein level in the liver as compared to a GAA protein level in the liver of subjects who are not treated.
- In some embodiments, administering the provided composition results in an increased GAA protein level in skeletal muscle of a subject as compared to a baseline level before treatment. Typically, the baseline level is measured immediately before treatment. In some embodiments, administering the provided composition results in an increased GAA protein level in skeletal muscle by at least about 10%, 20%, 30%, 40%, 50%, 60%, 70%, 80%, 90%, or 95% as compared to a baseline level before treatment. In some embodiments, administering the provided composition results in an increased GAA protein level in skeletal muscle as compared to a GAA protein level in skeletal muscle of subjects who are not treated.
- In some embodiments, administering the provided composition results in an increased GAA protein level in cardiac muscle of a subject as compared to a baseline level before treatment. Typically, the baseline level is measured immediately before treatment. In some embodiments, administering the provided composition results in an increased GAA protein level in cardiac muscle by at least about 10%, 20%, 30%, 40%, 50%, 60%, 70%, 80%, 90%, or 95% as compared to a baseline level before treatment. In some embodiments, administering the provided composition results in an increased GAA protein level in cardiac muscle as compared to a GAA protein level in cardiac muscle of subjects who are not treated.
- In some embodiments, administering the provided composition results in an increased level of GAA protein in smooth muscle of a subject as compared to a baseline level before treatment. Typically, the baseline level is measured immediately before treatment. In some embodiments, administering the provided composition results in an increased GAA protein level in smooth muscle by at least about 10%, 20%, 30%, 40%, 50%, 60%, 70%, 80%, 90%, or 95% as compared to a baseline level before treatment. In some embodiments, administering the provided composition results in an increased GAA protein level in smooth muscle as compared to a GAA protein level in smooth muscle of subjects who are not treated.
- In some embodiments, administering the provided composition results in an increased level of GAA protein in a muscle cell of a subject as compared to a baseline level before treatment. Typically, the baseline level is measured immediately before treatment. In some embodiments the muscle cell is a myocyte, a myotube, a myoblast, a cardiomyocyte or a cardiomyoblast. In some embodiments, administering the provided composition results in an increased GAA protein level in the muscle cell by at least about 10%, 20%, 30%, 40%, 50%, 60%, 70%, 80%, 90%, or 95% as compared to a baseline level before treatment. In some embodiments, administering the provided composition results in an increased GAA protein level in a muscle cell as compared to a GAA protein level in a muscle cell of subjects who are not treated.
- In some embodiments, administering the provided composition results in an increased level of GAA protein in a liver cell (e.g., a hepatocyte, a sinusoid lining cell) of a subject as compared to a baseline level before treatment. Typically, the baseline level is measured immediately before treatment. In some embodiments, administering the provided composition results in an increased GAA protein level in the liver cell by at least about 10%, 20%, 30%, 40%, 50%, 60%, 70%, 80%, 90%, or 95% as compared to a baseline level before treatment. In some embodiments, administering the provided composition results in an increased GAA protein level in a liver cell as compared to a GAA protein level in a liver cell of subjects who are not treated.
- In some embodiments, administering the provided composition results in an increased GAA protein level in plasma or serum of a subject as compared to a baseline level before treatment. Typically, the baseline level is measured immediately before treatment. In some embodiments, administering the provided composition results in an increased GAA protein level in plasma or serum by at least about 10%, 20%, 30%, 40%, 50%, 60%, 70%, 80%, 90%, or 95% as compared to a baseline level before treatment. In some embodiments, administering the provided composition results in an increased GAA protein level in plasma or serum as compared to a GAA protein level in plasma or serum of subjects who are not treated
- In some embodiments, administering the provided composition results in a reduced serum creatine kinase level in a subject as compared to a baseline level before treatment. Typically, the baseline level is measured immediately before treatment. In some embodiments, administering the provided composition results in a reduced serum creatine kinase level by at least about 10%, 20%, 30%, 40%, 50%, 60%, 70%, 80%, 90%, or 95% as compared to the baseline serum creatine kinase level immediately before treatment. In some embodiments, administering the provided composition results in a reduced serum creatine kinase level to less than about 2000 IU/L, 1500 IU/L, 1000 IU/L, 750 IU/L, 500 IU/L, 250 IU/L, 100 IU/L, 90 IU/L, 80 IU/L, 70 IU/L or 60 IU/L. In some embodiments, administering the provided composition results in a reduced serum creatine kinase level as compared to a serum creatine kinase level in subjects who are not treated.
- In some embodiments, administering the provided composition results in a reduced urinary Glc4 level in a subject as compared to a baseline level before treatment. Typically, the baseline level is measured immediately before treatment. In some embodiments, administering the provided composition results in a reduced urinary Glc4 level by at least about 10%, 20%, 30%, 40%, 50%, 60%, 70%, 80%, 90%, or 95% as compared to a baseline level immediately before treatment. In some embodiments, administering the provided composition results in a reduced urinary Glc4 level to less than about 100 mmol Glc4/mol creatinine, 90 mmol Glc4/mol creatinine, 80 mmol Glc4/mol creatinine, 70 mmol Glc4/mol creatinine, 60 mmol Glc4/mol creatinine, 50 mmol Glc4/mol creatinine, 40 mmol Glc4/mol creatinine, 30 mmol Glc4/mol creatinine or 20 mmol Glc4/mol creatinine. In some embodiments, administering the provided composition results in a reduced urinary Glc4 level as compared to a urinary Glc4 level in subjects who are not treated.
- In some embodiments, administering the provided composition results in a reduced muscle glycogen level in a subject as compared to a baseline level before treatment. Typically, the baseline level is measured immediately before treatment. In some embodiments, administering the provided composition results in a reduced muscle glycogen level by at least about 10%, 20%, 30%, 40%, 50%, 60%, 70%, 80%, 90%, or 95% as compared to a baseline level immediately before treatment. In some embodiments, administering the provided composition results in a reduced muscle glycogen level as compared to a muscle glycogen level in subjects who are not treated. In particular embodiments, the muscle is skeletal muscle, smooth muscle or cardiac muscle.
- In some embodiments, administering the provided composition results in a reduced liver glycogen level in a subject as compared to a baseline level before treatment. Typically, the baseline level is measured immediately before treatment. In some embodiments, administering the provided composition results in a reduced liver glycogen level by at least about 10%, 20%, 30%, 40%, 50%, 60%, 70%, 80%, 90%, or 95% as compared to a baseline level immediately before treatment. In some embodiments, administering the provided composition results in a reduced liver glycogen level as compared to a liver glycogen level in subjects who are not treated.
- In some embodiments, administering the provided composition results in a reduced serum aspartate transaminase (AST) level in a subject as compared to a baseline level before treatment. Typically, the baseline level is measured immediately before treatment. In some embodiments, administering the provided composition results in a reduced serum AST level by at least about 10%, 20%, 30%, 40%, 50%, 60%, 70%, 80%, 90%, or 95% as compared to a baseline level immediately before treatment. In some embodiments, administering the provided composition results in a reduced serum AST level to less than about 600 IU/L, 500 IU/L, 400 IU/L, 300 IU/L, 200 IU/L, 100 IU/L, 50 IU/L, 25 IU/L, 20 IU/L or 10 IU/L. In some embodiments, administering the provided composition results in a reduced serum AST level as compared to a serum AST level in subjects who are not treated.
- In some embodiments, administering the provided composition results in a reduced serum alanine transaminase (ALT) level in a subject as compared to a baseline level before treatment. Typically, the baseline level is measured immediately before treatment. In some embodiments, administering the provided composition results in a reduced serum ALT level by at least about 10%, 20%, 30%, 40%, 50%, 60%, 70%, 80%, 90%, or 95% as compared to a baseline level immediately before treatment. In some embodiments, administering the provided composition results in a reduced serum ALT level to less than about 1000 IU/L, 900 IU/L, 800 IU/L, 700 IU/L, 600 IU/L, 500 IU/L, 400 IU/L, 300 IU/L, 200 IU/L, 100 IU/L, 50 IU/L, 25 IU/L, 20 IU/L or 10 IU/L. In some embodiments, administering the provided composition results in a reduced serum ALT level as compared to a serum ALT level in subjects who are not treated.
- In some embodiments, administering the provided composition results in a reduced serum lactate dehydrogenase (LDH) level in a subject as compared to a baseline level before treatment. Typically, the baseline level is measured immediately before treatment. In some embodiments, administering the provided composition results in a reduced serum lactate dehydrogenase LDH level by at least about 10%, 20%, 30%, 40%, 50%, 60%, 70%, 80%, 90%, or 95% as compared to a baseline level immediately before treatment. In some embodiments, administering the provided composition results in a reduced serum LDH level to less than about 2000 IU/L, 1500 IU/L, 1000 IU/L, 900 IU/L, 800 IU/L, 700 IU/L, 600 IU/L, 500 IU/L, 400 IU/L, 300 IU/L, 200 IU/L or 100 IU/L. In some embodiments, administering the provided composition results in a reduced serum LDH level as compared to a serum LDH levels in subjects who are not treated.
- In some embodiments, administering the provided composition results in an increased GAA enzyme activity in a biological sample from a subject as compared to a baseline level before treatment. Typically, the baseline level is measured immediately before treatment. Biological samples include, for example, whole blood, serum, plasma, urine and tissue samples (e.g., muscle, liver, skin fibroblasts). In some embodiments, administering the provided composition results in an increased GAA enzyme activity by at least about 10%, 20%, 30%, 40%, 50%, 60%, 70%, 80%, 90%, or 95% as compared to a baseline level immediately before treatment. In some embodiments, administering the provided composition results in an increased GAA enzyme activity as compared to a GAA enzyme activity in subjects who are not treated.
- In some embodiments, administering the provided composition results in an increased GAA mRNA expression level in a biological sample from a subject as compared to a baseline expression level before treatment. Typically, the baseline level is measured immediately before treatment. Biological samples include, for example, whole blood, serum, plasma, urine and tissue samples (e.g., muscle, liver, skin fibroblasts). In some embodiments, administering the provided composition results in an increased GAA mRNA expression level by at least about 10%, 20%, 30%, 40%, 50%, 60%, 70%, 80%, 90%, or 95% as compared to the baseline level immediately before treatment. In some embodiments, administering the provided composition results in an increased GAA mRNA expression level as compared to a GAA mRNA expression level in subjects who are not treated.
- In some embodiments, the mRNA is codon optimized. In some embodiments, the codon-optimized mRNA comprises SEQ ID NO: 3 (corresponding to codon-optimized human GAA mRNA sequences). In some embodiments, the mRNA comprises the 5′ UTR sequence of SEQ ID NO: 8 (corresponding to 5′ UTR sequence X). In some embodiments, the mRNA comprises the 3′ UTR sequence of SEQ ID NO: 9 (corresponding to a 3′ UTR sequence Y). In some embodiments, the mRNA comprises the 3′ UTR sequence of SEQ ID NO: 10 (corresponding to a 3′ UTR sequence Y). In some embodiments, the codon-optimized mRNA comprises SEQ ID NO: 11 or SEQ ID NO: 12 (corresponding to codon-optimized human GAA mRNA sequence with 5′ UTR and 3′ UTR sequences).
- In some embodiments, the mRNA comprises one or more modified nucleotides. In some embodiments, the one or more modified nucleotides comprise pseudouridine, N-1-methyl-pseudouridine, 2-aminoadenosine, 2-thiothymidine, inosine, pyrrolo-pyrimidine, 3-methyl adenosine, 5-methylcytidine, C-5 propynyl-cytidine, C-5 propynyl-uridine, 2-aminoadenosine, C5-bromouridine, C5-fluorouridine, C5-iodouridine, C5-propynyl-uridine, C5-propynyl-cytidine, C5-methylcytidine, 2-aminoadenosine, 7-deazaadenosine, 7-deazaguanosine, 8-oxoadenosine, 8-oxoguanosine, 0(6)-methylguanine, and/or 2-thiocytidine. In some embodiments, the mRNA is unmodified.
- In one aspect, the present invention provides a composition for treating Pompe disease, comprising an mRNA encoding acid alpha-glucosidase (GAA) at an effective dose amount encapsulated within a liposome, wherein the liposome comprises a cationic lipid cKK-E12:
- In a one embodiment, the liposome further comprises one or more non-cationic lipids, one or more cholesterol-based lipids, and one or more PEG-modified lipids. In some embodiments, the one or more non-cationic lipids are selected from DSPC (1,2-distearoyl-sn-glycero-3-phosphocholine), DPPC (1,2-dipalmitoyl-sn-glycero-3-phosphocholine), DOPE (1,2-dioleyl-sn-glycero-3-phosphoethanolamine), DOPC (1,2-dioleyl-sn-glycero-3-phosphotidylcholine) DPPE (1,2-dipalmitoyl-sn-glycero-3-phosphoethanolamine), DMPE (1,2-dimyristoyl-sn-glycero-3-phosphoethanolamine), DOPG (2-dioleoyl-sn-glycero-3-phospho-(1′-rac-glycerol)).
- In another embodiment, the one or more cholesterol-based lipids are selected from cholesterol and/or PEGylated cholesterol. In a further embodiment, the one or more PEG-modified lipids comprise a poly(ethylene) glycol chain of up to 5 kDa in length covalently attached to a lipid with alkyl chain(s) of C6-C20 length.
- In another embodiment, the liposome comprises cKK-E12, DOPE, cholesterol and DMG-PEG2K. In a particular embodiment, the cationic lipid constitutes about 30-50% of the liposome by molar ratio. In another embodiment, the cationic lipid constitutes about 40% of the liposome by molar ratio.
- In another embodiment, the ratio of cKK-E12:DOPE:cholesterol:DMG-PEG2K is approximately 40:30:20:10 by molar ratio. In a particular embodiment, the ratio of cKK-E12:DOPE:cholesterol:DMG-PEG2K is approximately 40:30:25:5 by molar ratio. In yet another embodiment, the ratio of cKK-E12:DOPE:cholesterol:DMG-PEG2K is approximately 40:32:25:3 by molar ratio. In one embodiment, the liposome has a size less than about 100 nm.
- In one embodiment, the composition is formulated for intravenous administration. In another embodiment, the composition is formulated for intramuscular administration. In another embodiment, the mRNA comprises SEQ ID NO: 3. In a further embodiment, the mRNA further comprises the 5′ UTR sequence of SEQ ID NO: 8. In yet another embodiment, the mRNA further comprises the 3′ UTR sequence of SEQ ID NO: 9 or SEQ ID NO: 10. In a particular embodiment, the mRNA comprises SEQ ID NO: 11 or SEQ ID NO: 12.
- In one aspect, the present invention provides a composition for treating Pompe disease comprising an mRNA encoding acid alpha-glucosidase (GAA) at an effective dose amount encapsulated within a liposome, wherein the mRNA comprises SEQ ID NO: 3, and further wherein the liposome comprises cationic or non-cationic lipid, cholesterol-based lipid and PEG-modified lipid.
- In in one aspect, the present invention provides a composition for treating Pompe disease comprising an mRNA encoding acid alpha-glucosidase (GAA) at an effective dose amount encapsulated within a liposome, wherein the mRNA comprises SEQ ID NO: 11 or SEQ ID NO: 12, and further wherein the liposome comprises cationic or non-cationic lipid, cholesterol-based lipid and PEG-modified lipid.
- Other features, objects, and advantages of the present invention are apparent in the detailed description, drawings and claims that follow. It should be understood, however, that the detailed description, the drawings, and the claims, while indicating embodiments of the present invention, are given by way of illustration only, not limitation. Various changes and modifications within the scope of the invention will become apparent to those skilled in the art.
- The drawings are for illustration purposes only not for limitation.
-
FIGS. 1A-1B depict exemplary GAA mRNA detection by in situ hybridization in muscle tissue from mice 6 hours (FIG. 1A ) or 12 hours (FIG. 1B ) after treatment with a single 1.0 mg/kg intravenous dose of GAA mRNA encapsulated lipid nanoparticles. -
FIG. 2A depicts exemplary glycogen reduction in livers of GAA knock-out mice 24 hours after treatment with a single 1.0 mg/kg intravenous dose of GAA mRNA encapsulated lipid nanoparticles. -
FIG. 2B depicts exemplary glycogen accumulation in livers of GAA knock-out mice that were not treated with GAA mRNA encapsulated lipid nanoparticles. -
FIG. 3 depicts exemplary GAA mRNA detection by in situ hybridization in muscle tissue from mice 24 hours after treatment with a single 1.0 mg/kg intramuscular dose of GAA mRNA encapsulated lipid nanoparticles. -
FIGS. 4A-4B depict exemplary glycogen reduction in quadriceps muscle of GAA knock-out mice 24 hours after treatment with a single 1.0 mg/kg intramuscular dose of GAA mRNA encapsulated lipid nanoparticles. -
FIGS. 4C-4D depict exemplary glycogen levels in quadriceps muscle of GAA knock-out mice that were not treated with GAA mRNA encapsulated lipid nanoparticles. - In order for the present invention to be more readily understood, certain terms are first defined below. Additional definitions for the following terms and other terms are set forth throughout the specification. The publications and other reference materials referenced herein to describe the background of the invention and to provide additional detail regarding its practice are hereby incorporated by reference.
- Alkyl: As used herein, “alkyl” refers to a radical of a straight-chain or branched saturated hydrocarbon group having from 1 to 15 carbon atoms (“C1-15 alkyl”). In some embodiments, an alkyl group has 1 to 3 carbon atoms (“C1-3 alkyl”). Examples of C1-3 alkyl groups include methyl (C1), ethyl (C2), n-propyl (C3), and isopropyl (C3). In some embodiments, an alkyl group has 8 to 12 carbon atoms (“C8-12 alkyl”). Examples of C8-12 alkyl groups include, without limitation, n-octyl (C8), n-nonyl (C9), n-decyl (C10), n-undecyl (C11), n-dodecyl (C12) and the like. The prefix “n-” (normal) refers to unbranched alkyl groups. For example, n-C8 alkyl refers to —(CH2)7CH3, n-C10 alkyl refers to —(CH2)9CH3, etc.
- Amino acid: As used herein, term “amino acid,” in its broadest sense, refers to any compound and/or substance that can be incorporated into a polypeptide chain. In some embodiments, an amino acid has the general structure H2N—C(H)(R)—COOH. In some embodiments, an amino acid is a naturally occurring amino acid. In some embodiments, an amino acid is a synthetic amino acid; in some embodiments, an amino acid is a d-amino acid; in some embodiments, an amino acid is an 1-amino acid. “Standard amino acid” refers to any of the twenty standard 1-amino acids commonly found in naturally occurring peptides. “Nonstandard amino acid” refers to any amino acid, other than the standard amino acids, regardless of whether it is prepared synthetically or obtained from a natural source. As used herein, “synthetic amino acid” encompasses chemically modified amino acids, including but not limited to salts, amino acid derivatives (such as amides), and/or substitutions. Amino acids, including carboxy- and/or amino-terminal amino acids in peptides, can be modified by methylation, amidation, acetylation, protecting groups, and/or substitution with other chemical groups that can change the peptide's circulating half-life without adversely affecting their activity. Amino acids may participate in a disulfide bond. Amino acids may comprise one or posttranslational modifications, such as association with one or more chemical entities (e.g., methyl groups, acetate groups, acetyl groups, phosphate groups, formyl moieties, isoprenoid groups, sulfate groups, polyethylene glycol moieties, lipid moieties, carbohydrate moieties, biotin moieties, etc.). The term “amino acid” is used interchangeably with “amino acid residue,” and may refer to a free amino acid and/or to an amino acid residue of a peptide. It will be apparent from the context in which the term is used whether it refers to a free amino acid or a residue of a peptide.
- Animal: As used herein, the term “animal” refers to any member of the animal kingdom. In some embodiments, “animal” refers to humans, at any stage of development. In some embodiments, “animal” refers to non-human animals, at any stage of development. In certain embodiments, the non-human animal is a mammal (e.g., a rodent, a mouse, a rat, a rabbit, a monkey, a dog, a cat, a sheep, cattle, a primate, and/or a pig). In some embodiments, animals include, but are not limited to, mammals, birds, reptiles, amphibians, fish, insects, and/or worms. In some embodiments, an animal may be a transgenic animal, genetically-engineered animal, and/or a clone.
- Approximately or about: As used herein, the term “approximately” or “about,” as applied to one or more values of interest, refers to a value that is similar to a stated reference value. In certain embodiments, the term “approximately” or “about” refers to a range of values that fall within 25%, 20%, 19%, 18%, 17%, 16%, 15%, 14%, 13%, 12%, 11%, 10%, 9%, 8%, 7%, 6%, 5%, 4%, 3%, 2%, 1%, or less in either direction (greater than or less than) of the stated reference value unless otherwise stated or otherwise evident from the context (except where such number would exceed 100% of a possible value).
- Biologically active: As used herein, the phrase “biologically active” refers to a characteristic of any agent that has activity in a biological system, and particularly in an organism. For instance, an agent that, when administered to an organism, has a biological effect on that organism, is considered to be biologically active.
- Delivery: As used herein, the term “delivery” encompasses both local and systemic delivery. For example, delivery of mRNA encompasses situations in which an mRNA is delivered to a target tissue and the encoded protein is expressed and retained within the target tissue (also referred to as “local distribution” or “local delivery”), and situations in which an mRNA is delivered to a target tissue and the encoded protein is expressed and secreted into patient's circulation system (e.g., serum) and systematically distributed and taken up by other tissues (also referred to as “systemic distribution” or “systemic delivery).
- Expression: As used herein, “expression” of a nucleic acid sequence refers to translation of an mRNA into a polypeptide, assemble multiple polypeptides into an intact protein (e.g., enzyme) and/or post-translational modification of a polypeptide or fully assembled protein (e.g., enzyme). In this application, the terms “expression” and “production,” and grammatical equivalent, are used inter-changeably.
- Functional: As used herein, a “functional” biological molecule is a biological molecule in a form in which it exhibits a property and/or activity by which it is characterized.
- Half-life: As used herein, the term “half-life” is the time required for a quantity such as nucleic acid or protein concentration or activity to fall to half of its value as measured at the beginning of a time period.
- Improve, increase, or reduce: As used herein, the terms “improve,” “increase” or “reduce,” or grammatical equivalents, indicate values that are relative to a baseline measurement, such as a measurement in the same individual prior to initiation of the treatment described herein, or a measurement in a control subject (or multiple control subject) in the absence of the treatment described herein. A “control subject” is a subject afflicted with the same form of disease as the subject being treated, who is about the same age as the subject being treated.
- In Vitro: As used herein, the term “in vitro” refers to events that occur in an artificial environment, e.g., in a test tube or reaction vessel, in cell culture, etc., rather than within a multi-cellular organism.
- In Vivo: As used herein, the term “in vivo” refers to events that occur within a multi-cellular organism, such as a human and a non-human animal. In the context of cell-based systems, the term may be used to refer to events that occur within a living cell (as opposed to, for example, in vitro systems).
- Isolated: As used herein, the term “isolated” refers to a substance and/or entity that has been (1) separated from at least some of the components with which it was associated when initially produced (whether in nature and/or in an experimental setting), and/or (2) produced, prepared, and/or manufactured by the hand of man. Isolated substances and/or entities may be separated from about 10%, about 20%, about 30%, about 40%, about 50%, about 60%, about 70%, about 80%, about 90%, about 91%, about 92%, about 93%, about 94%, about 95%, about 96%, about 97%, about 98%, about 99%, or more than about 99% of the other components with which they were initially associated. In some embodiments, isolated agents are about 80%, about 85%, about 90%, about 91%, about 92%, about 93%, about 94%, about 95%, about 96%, about 97%, about 98%, about 99%, or more than about 99% pure. As used herein, a substance is “pure” if it is substantially free of other components. As used herein, calculation of percent purity of isolated substances and/or entities should not include excipients (e.g., buffer, solvent, water, etc.).
- Local distribution or delivery: As used herein, the terms “local distribution,” “local delivery,” or grammatical equivalent, refer to tissue specific delivery or distribution. Typically, local distribution or delivery requires a protein (e.g., enzyme) encoded by mRNAs be translated and expressed intracellularly or with limited secretion that avoids entering the patient's circulation system.
- messenger RNA (mRNA): As used herein, the term “messenger RNA (mRNA)” refers to a polynucleotide that encodes at least one polypeptide. mRNA as used herein encompasses both modified and unmodified RNA. mRNA may contain one or more coding and non-coding regions. mRNA can be purified from natural sources, produced using recombinant expression systems and optionally purified, chemically synthesized, etc. Where appropriate, e.g., in the case of chemically synthesized molecules, mRNA can comprise nucleoside analogs such as analogs having chemically modified bases or sugars, backbone modifications, etc. An mRNA sequence is presented in the 5′ to 3′ direction unless otherwise indicated. In some embodiments, an mRNA is or comprises natural nucleosides (e.g., adenosine, guanosine, cytidine, uridine); nucleoside analogs (e.g., 2-aminoadenosine, 2-thiothymidine, inosine, pyrrolo-pyrimidine, 3-methyl adenosine, 5-methylcytidine, C-5 propynyl-cytidine, C-5 propynyl-uridine, 2-aminoadenosine, C5-bromouridine, C5-fluorouridine, C5-iodouridine, C5-propynyl-uridine, C5-propynyl-cytidine, C5-methylcytidine, 2-aminoadenosine, 7-deazaadenosine, 7-deazaguanosine, 8-oxoadenosine, 8-oxoguanosine, O(6)-methylguanine, and 2-thiocytidine); chemically modified bases; biologically modified bases (e.g., methylated bases); intercalated bases; modified sugars (e.g., 2′-fluororibose, ribose, 2′-deoxyribose, arabinose, and hexose); and/or modified phosphate groups (e.g., phosphorothioates and 5′-N-phosphoramidite linkages).
- Muscle cell or muscle tissue: As used herein, the term “muscle cell” or “muscle tissue” in its broadest sense, refers to a cell or group of cells derived from muscle, including, but not limited to cells and tissues derived from skeletal muscle (e.g., striated muscle, voluntary muscle); smooth muscle (e.g., visceral muscle, involuntary muscle) from the digestive tract, urinary bladder and blood vessels; and cardiac muscle. The term refers to muscle cells in vivo and in vitro. The term also includes differentiated and undifferentiated, or nondifferentiated, muscle cells, such as myocytes, myotubes, myoblasts, cardiomyocytes and cardiomyoblasts.
- Nucleic acid: As used herein, the term “nucleic acid,” in its broadest sense, refers to any compound and/or substance that is or can be incorporated into a polynucleotide chain. In some embodiments, a nucleic acid is a compound and/or substance that is or can be incorporated into a polynucleotide chain via a phosphodiester linkage. In some embodiments, “nucleic acid” refers to individual nucleic acid residues (e.g., nucleotides and/or nucleosides). In some embodiments, “nucleic acid” refers to a polynucleotide chain comprising individual nucleic acid residues. In some embodiments, “nucleic acid” encompasses RNA as well as single and/or double-stranded DNA and/or cDNA.
- Patient: As used herein, the term “patient” or “subject” refers to any organism to which a provided composition may be administered, e.g., for experimental, diagnostic, prophylactic, cosmetic, and/or therapeutic purposes. Typical patients include animals (e.g., mammals such as mice, rats, rabbits, non-human primates, and/or humans). In some embodiments, a patient is a human. A human includes pre and post natal forms.
- Pharmaceutically acceptable: The term “pharmaceutically acceptable” as used herein, refers to substances that, within the scope of sound medical judgment, are suitable for use in contact with the tissues of human beings and animals without excessive toxicity, irritation, allergic response, or other problem or complication, commensurate with a reasonable benefit/risk ratio.
- Pharmaceutically acceptable salt: Pharmaceutically acceptable salts are well known in the art. For example, S. M. Berge et al., describes pharmaceutically acceptable salts in detail in J. Pharmaceutical Sciences (1977) 66:1-19. Pharmaceutically acceptable salts of the compounds of this invention include those derived from suitable inorganic and organic acids and bases. Examples of pharmaceutically acceptable, nontoxic acid addition salts are salts of an amino group formed with inorganic acids such as hydrochloric acid, hydrobromic acid, phosphoric acid, sulfuric acid and perchloric acid or with organic acids such as acetic acid, oxalic acid, maleic acid, tartaric acid, citric acid, succinic acid or rnalonic acid or by using other methods used in the art such as ion exchange. Other pharmaceutically acceptable salts include adipate, alginate, ascorbate, aspartate, benzenesulfonate, benzoate, bisulfate, borate, butyrate, camphorate, camphorsulfonate, citrate, cyclopentanepropionate, digluconate, dodecylsulfate, ethanesulfonate, formate, fumarate, glucoheptonate, glycerophosphate, gluconate, hemisulfate, heptanoate, hexanoate, hydroiodide, 2-hydroxy-ethanesulfonate, lactobionate, lactate, laurate, lauryl sulfate, malate, maleate, malonate, methanesulfonate, 2-naphthalenesulfonate, nicotinate, nitrate, oleate, oxalate, palmitate, pamoate, pectinate, persulfate, 3-phenylpropionate, phosphate, picrate, pivalate, propionate, stearate, succinate, sulfate, tartrate, thiocyanate, p-toluenesulfonate, undecanoate, valerate salts, and the like. Salts derived from appropriate bases include alkali metal, alkaline earth metal, ammonium and N+(C1-4 alkyl)4 salts. Representative alkali or alkaline earth metal salts include sodium, lithium, potassium, calcium, magnesium, and the like. Further pharmaceutically acceptable salts include, when appropriate, nontoxic ammonium. quaternary ammonium, and amine cations formed using counterions such as halide, hydroxide, carboxylate, sulfate, phosphate, nitrate, sulfonate and aryl sulfonate. Further pharmaceutically acceptable salts include salts formed from the quarternization of an amine using an appropriate electrophile, e.g., an alkyl halide, to form a quarternized alkylated amino salt.
- Systemic distribution or delivery: As used herein, the terms “systemic distribution,” “systemic delivery,” or grammatical equivalent, refer to a delivery or distribution mechanism or approach that affect the entire body or an entire organism. Typically, systemic distribution or delivery is accomplished via body's circulation system, e.g., blood stream. Compared to the definition of “local distribution or delivery.”
- Subject: As used herein, the term “subject” refers to a human or any non-human animal (e.g., mouse, rat, rabbit, dog, cat, cattle, swine, sheep, horse or primate). A human includes pre- and post-natal forms. In many embodiments, a subject is a human being. A subject can be a patient, which refers to a human presenting to a medical provider for diagnosis or treatment of a disease. The term “subject” is used herein interchangeably with “individual” or “patient.” A subject can be afflicted with or is susceptible to a disease or disorder but may or may not display symptoms of the disease or disorder.
- Substantially: As used herein, the term “substantially” refers to the qualitative condition of exhibiting total or near-total extent or degree of a characteristic or property of interest. One of ordinary skill in the biological arts will understand that biological and chemical phenomena rarely, if ever, go to completion and/or proceed to completeness or achieve or avoid an absolute result. The term “substantially” is therefore used herein to capture the potential lack of completeness inherent in many biological and chemical phenomena.
- Target tissues: As used herein, the term “target tissues” refers to any tissue that is affected by a disease to be treated. In some embodiments, target tissues include those tissues that display disease-associated pathology, symptom, or feature.
- Therapeutically effective amount: As used herein, the term “therapeutically effective amount” of a therapeutic agent means an amount that is sufficient, when administered to a subject suffering from or susceptible to a disease, disorder, and/or condition, to treat, diagnose, prevent, and/or delay the onset of the symptom(s) of the disease, disorder, and/or condition. It will be appreciated by those of ordinary skill in the art that a therapeutically effective amount is typically administered via a dosing regimen comprising at least one unit dose.
- Treating: As used herein, the term “treat,” “treatment,” or “treating” refers to any method used to partially or completely alleviate, ameliorate, relieve, inhibit, prevent, delay onset of, reduce severity of and/or reduce incidence of one or more symptoms or features of a particular disease, disorder, and/or condition. Treatment may be administered to a subject who does not exhibit signs of a disease and/or exhibits only early signs of the disease for the purpose of decreasing the risk of developing pathology associated with the disease.
- The present invention provides, among other things, methods and compositions for treating Pompe disease based on mRNA therapy. In particular, the present invention provides methods for treating Pompe disease by administering to a subject in need of treatment a composition comprising an mRNA encoding acid alpha-glucosidase (GAA) at an effective dose and an administration interval such that at least one symptom or feature of Pome disease is reduced in intensity, severity, or frequency or has a delayed onset. The present invention further provides, methods of treating Pompe disease, comprising administering to a subject in need of treatment a therapeutically effective amount of a composition comprising an mRNA encoding acid alpha-glucosidase (GAA) such that hypertrophic cardiomyopathy in the subject is treated. In some embodiments, the mRNA is encapsulated within one or more liposomes. As used herein, the term “liposome” refers to any lamellar, multilamellar, or solid nanoparticle vesicle. Typically, a liposome as used herein can be formed by mixing one or more lipids or by mixing one or more lipids and polymer(s). Thus, the term “liposome” as used herein encompasses both lipid and polymer based nanoparticles. In some embodiments, a liposome suitable for the present invention contains cationic or non-cationic lipid(s), cholesterol-based lipid(s) and PEG-modified lipid(s).
- The present invention may be used to treat a subject who is suffering from or susceptible to Pompe disease. Pompe disease is an autosomal recessive metabolic genetic disorder characterized by mutations in the gene for the enzyme acid alpha-glucosidase (GAA). The GAA enzyme is also known as: acid maltase, maltase, maltase-glucoamylase, gluoinvertase, glucosidosucrase, aglucosidase alfa, alpha-1,4-glucosidase, amyloglucosidase, glucoamylase, LYAG, LYAG_HUMAN, lysosomal alpha-glucosidase and alpha-glucosidase, acid. The GAA gene (glucosidase, alpha; acid) is also known as: acid maltase, alpha-1,4-glucosidase and alpha-gluosidase, acid. More than 200 mutations that cause Pompe disease have been identified in the GAA gene. Most of these mutations involve single amino acid substitutions and small insertions or deletions. Many of the mutations in the GAA gene likely affect the structure of the resulting protein and decrease its activity. A few of the mutations in the GAA gene lead to the production of an abnormally short version of the enzyme that cannot effectively play its role in the hydrolysis of glycogen.
- Defects in the acid alpha-glucosidase enzyme reduce the ability of the cell to hydrolyze glycogen resulting in the accumulation of glycogen in cells and tissues, and in particular in the liver and muscle. The accumulation of glycogen results in cell death which manifests as progressive muscle weakness, cardiomyopathy and respiratory insufficiency.
- Compositions and methods described herein may be used to treat at least one symptom or feature of Pompe disease. In particular, the compositions and methods described herein may be used to treat hypertrophic cardiomyopathy.
- In some embodiments, the present invention provides methods and compositions for delivering mRNA encoding GAA to a subject for the treatment of Pompe disease. A suitable GAA mRNA encodes any full length, fragment or portion of an GAA protein which can be substituted for naturally-occurring GAA protein activity and/or reduce the intensity, severity, and/or frequency of one or more symptoms associated with Pompe disease.
- In some embodiments, a suitable mRNA sequence is an mRNA sequence encoding a human GAA protein. The naturally-occurring human GAA mRNA coding sequence and the corresponding amino acid sequence are shown in Table 1:
-
TABLE 1 Human GAA Human (SEQ ID NO: 1) GAA AUGGGAGUGAGGCACCCGCCCUGCUCCCACCGGCUCCUGGCCGUCUGC (mRNA GCCCUCGUGUCCUUGGCAACCGCUGCACUCCUGGGGCACAUCCUACUC coding CAUGAUUUCCUGCUGGUUCCCCGAGAGCUGAGUGGCUCCUCCCCAGU sequence) CCUGGAGGAGACUCACCCAGCUCACCAGCAGGGAGCCAGCAGACCAG GGCCCCGGGAUGCCCAGGCACACCCCGGCCGUCCCAGAGCAGUGCCCA CACAGUGCGACGUCCCCCCCAACAGCCGCUUCGAUUGCGCCCCUGACA AGGCCAUCACCCAGGAACAGUGCGAGGCCCGCGGCUGUUGCUACAUC CCUGCAAAGCAGGGGCUGCAGGGAGCCCAGAUGGGGCAGCCCUGGUG CUUCUUCCCACCCAGCUACCCCAGCUACAAGCUGGAGAACCUGAGCUC CUCUGAAAUGGGCUACACGGCCACCCUGACCCGUACCACCCCCACCUU CUUCCCCAAGGACAUCCUGACCCUGCGGCUGGACGUGAUGAUGGAGA CUGAGAACCGCCUCCACUUCACGAUCAAAGAUCCAGCUAACAGGCGC UACGAGGUGCCCUUGGAGACCCCGCAUGUCCACAGCCGGGCACCGUCC CCACUCUACAGCGUGGAGUUCUCCGAGGAGCCCUUCGGGGUGAUCGU GCGCCGGCAGCUGGACGGCCGCGUGCUGCUGAACACGACGGUGGCGC CCCUGUUCUUUGCGGACCAGUUCCUUCAGCUGUCCACCUCGCUGCCCU CGCAGUAUAUCACAGGCCUCGCCGAGCACCUCAGUCCCCUGAUGCUCA GCACCAGCUGGACCAGGAUCACCCUGUGGAACCGGGACCUUGCGCCCA CGCCCGGUGCGAACCUCUACGGGUCUCACCCUUUCUACCUGGCGCUGG AGGACGGCGGGUCGGCACACGGGGUGUUCCUGCUAAACAGCAAUGCC AUGGAUGUGGUCCUGCAGCCGAGCCCUGCCCUUAGCUGGAGGUCGAC AGGUGGGAUCCUGGAUGUCUACAUCUUCCUGGGCCCAGAGCCCAAGA GCGUGGUGCAGCAGUACCUGGACGUUGUGGGAUACCCGUUCAUGCCG CCAUACUGGGGCCUGGGCUUCCACCUGUGCCGCUGGGGCUACUCCUCC ACCGCUAUCACCCGCCAGGUGGUGGAGAACAUGACCAGGGCCCACUU CCCCCUGGACGUCCAGUGGAACGACCUGGACUACAUGGACUCCCGGA GGGACUUCACGUUCAACAAGGAUGGCUUCCGGGACUUCCCGGCCAUG GUGCAGGAGCUGCACCAGGGCGGCCGGCGCUACAUGAUGAUCGUGGA UCCUGCCAUCAGCAGCUCGGGCCCUGCCGGGAGCUACAGGCCCUACGA CGAGGGUCUGCGGAGGGGGGUUUUCAUCACCAACGAGACCGGCCAGC CGCUGAUUGGGAAGGUAUGGCCCGGGUCCACUGCCUUCCCCGACUUC ACCAACCCCACAGCCCUGGCCUGGUGGGAGGACAUGGUGGCUGAGUU CCAUGACCAGGUGCCCUUCGACGGCAUGUGGAUUGACAUGAACGAGC CUUCCAACUUCAUCAGGGGCUCUGAGGACGGCUGCCCCAACAAUGAG CUGGAGAACCCACCCUACGUGCCUGGGGUGGUUGGGGGGACCCUCCA GGCGGCCACCAUCUGUGCCUCCAGCCACCAGUUUCUCUCCACACACUA CAACCUGCACAACCUCUACGGCCUGACCGAAGCCAUCGCCUCCCACAG GGCGCUGGUGAAGGCUCGGGGGACACGCCCAUUUGUGAUCUCCCGCU CGACCUUUGCUGGCCACGGCCGAUACGCCGGCCACUGGACGGGGGAC GUGUGGAGCUCCUGGGAGCAGCUCGCCUCCUCCGUGCCAGAAAUCCU GCAGUUUAACCUGCUGGGGGUGCCUCUGGUCGGGGCCGACGUCUGCG GCUUCCUGGGCAACACCUCAGAGGAGCUGUGUGUGCGCUGGACCCAG CUGGGGGCCUUCUACCCCUUCAUGCGGAACCACAACAGCCUGCUCAGU CUGCCCCAGGAGCCGUACAGCUUCAGCGAGCCGGCCCAGCAGGCCAUG AGGAAGGCCCUCACCCUGCGCUACGCACUCCUCCCCCACCUCUACACA CUGUUCCACCAGGCCCACGUCGCGGGGGAGACCGUGGCCCGGCCCCUC UUCCUGGAGUUCCCCAAGGACUCUAGCACCUGGACUGUGGACCACCA GCUCCUGUGGGGGGAGGCCCUGCUCAUCACCCCAGUGCUCCAGGCCGG GAAGGCCGAAGUGACUGGCUACUUCCCCUUGGGCACAUGGUACGACC UGCAGACGGUGCCAGUAGAGGCCCUUGGCAGCCUCCCACCCCCACCUG CAGCUCCCCGUGAGCCAGCCAUCCACAGCGAGGGGCAGUGGGUGACG CUGCCGGCCCCCCUGGACACCAUCAACGUCCACCUCCGGGCUGGGUAC AUCAUCCCCCUGCAGGGCCCUGGCCUCACAACCACAGAGUCCCGCCAG CAGCCCAUGGCCCUGGCUGUGGCCCUGACCAAGGGUGGGGAGGCCCG AGGGGAGCUGUUCUGGGACGAUGGAGAGAGCCUGGAAGUGCUGGAGC GAGGGGCCUACACACAGGUCAUCUUCCUGGCCAGGAAUAACACGAUC GUGAAUGAGCUGGUACGUGUGACCAGUGAGGGAGCUGGCCUGCAGCU GCAGAAGGUGACUGUCCUGGGCGUGGCCACGGCGCCCCAGCAGGUCC UCUCCAACGGUGUCCCUGUCUCCAACUUCACCUACAGCCCCGACACCA AGGUCCUGGACAUCUGUGUCUCGCUGUUGAUGGGAGAGCAGUUUCUC GUCAGCUGGUGUUAG Human (SEQ ID NO: 2) GAA MGVRHPPCSHRLLAVCALVSLATAALLGHILLHDFLLVPRELSGSSPVLEET (Amino HPAHQQGASRPGPRDAQAHPGRPRAVPTQCDVPPNSRFDCAPDKAITQEQC Acid EARGCCYIPAKQGLQGAQMGQPWCFFPPSYPSYKLENLSSSEMGYTATLTR Sequence) TTPTFFPKDILTLRLDVMMETENRLHFTIKDPANRRYEVPLETPHVHSRAPS PLYSVEFSEEPFGVIVRRQLDGRVLLNTTVAPLFFADQFLQLSTSLPSQYITG LAEHLSPLMLSTSWTRITLWNRDLAPTPGANLYGSHPFYLALEDGGSAHGV FLLNSNAMDVVLQPSPALSWRSTGGILDVYIFLGPEPKSVVQQYLDVVGYP FMPPYWGLGFHLCRWGYSSTAITRQVVENMTRAHFPLDVQWNDLDYMDS RRDFTFNKDGFRDFPAMVQELHQGGRRYMMIVDPAISSSGPAGSYRPYDE GLRRGVFITNETGQPLIGKVWPGSTAFPDFTNPTALAWWEDMVAEFHDQV PFDGMWIDMNEPSNFIRGSEDGCPNNELENPPYVPGVVGGTLQAATICASS HQFLSTHYNLHNLYGLTEAIASHRALVKARGTRPFVISRSTFAGHGRYAGH WTGDVWSSWEQLASSVPEILQFNLLGVPLVGADVCGFLGNTSEELCVRWT QLGAFYPFMRNHNSLLSLPQEPYSFSEPAQQAMRKALTLRYALLPHLYTLF HQAHVAGETVARPLFLEFPKDSSTWTVDHQLLWGEALLITPVLQAGKAEV TGYFPLGTWYDLQTVPVEALGSLPPPPAAPREPAIHSEGQWVTLPAPLDTIN VHLRAGYIIPLQGPGLTTTESRQQPMALAVALTKGGEARGELFWDDGESLE VLERGAYTQVIFLARNNTIVNELVRVTSEGAGLQLQKVTVLGVATAPQQV LSNGVPVSNFTYSPDTKVLDICVSLLMGEQFLVSWC - In some embodiments, a suitable mRNA is a wild-type human GAA mRNA of sequence (SEQ ID NO: 1). In some embodiments, a suitable mRNA may be a codon optimized hGAA sequence, such as the sequence shown below:
-
Codon-Optimized human GAA Coding Sequence (SEQ ID NO: 3): AUGGGAGUCAGACACCCGCCGUGCUCGCACAGGCUUCUGGCCGUGUGCG CACUCGUGAGUCUGGCGACUGCUGCGUUGCUGGGGCACAUUCUUCUCCA CGACUUUCUCUUGGUGCCCCGAGAAUUGUCGGGCUCGUCGCCGGUACUG GAAGAAACCCACCCCGCACAUCAGCAGGGCGCGUCGCGGCCUGGUCCGA GGGAUGCCCAGGCACAUCCCGGAAGGCCACGAGCCGUCCCGACUCAAUG UGACGUACCUCCCAAUUCCCGGUUCGACUGUGCGCCAGACAAGGCAAUC ACGCAAGAGCAGUGCGAAGCCCGUGGAUGCUGCUAUAUUCCGGCGAAGC AGGGACUUCAGGGAGCCCAGAUGGGGCAGCCCUGGUGUUUCUUCCCGCC UUCCUAUCCCUCAUAUAAGCUGGAGAAUUUGUCGUCCUCGGAAAUGGGG UAUACCGCUACUCUUACGAGAACCACCCCCACAUUCUUUCCGAAGGACA UCCUUACUCUGCGGCUCGACGUGAUGAUGGAGACAGAAAAUAGGCUGCA UUUCACGAUCAAAGACCCGGCGAACCGGAGAUAUGAGGUUCCGCUUGAG ACUCCCCACGUUCACUCUCGUGCGCCUUCACCCUUGUACUCCGUGGAGU UCUCGGAAGAACCGUUCGGGGUGAUCGUCAGACGUCAACUUGAUGGUAG GGUAUUGCUGAACACAACGGUCGCCCCCUUGUUUUUCGCCGACCAGUUU CUGCAGCUUUCGACAUCGCUGCCGUCCCAGUAUAUCACAGGGCUCGCGG AGCAUCUUUCACCCCUCAUGCUGAGCACGAGCUGGACACGGAUUACGCU CUGGAACAGGGAUCUCGCGCCGACGCCCGGAGCGAAUUUGUAUGGGUCG CAUCCCUUCUACCUCGCAUUGGAAGACGGGGGUUCCGCGCACGGAGUAU UCCUGCUUAAUUCUAAUGCGAUGGACGUUGUCUUGCAGCCCUCCCCUGC UUUGUCGUGGCGUUCCACGGGGGGCAUUUUGGACGUUUACAUCUUUUUG GGACCCGAGCCAAAGAGCGUAGUGCAGCAGUAUUUGGAUGUAGUGGGCU ACCCCUUCAUGCCGCCUUAUUGGGGACUGGGGUUCCAUCUCUGCCGCUG GGGGUACUCUUCGACCGCGAUCACCCGCCAGGUGGUCGAGAACAUGACC AGAGCACAUUUCCCUUUGGACGUGCAGUGGAAUGAUUUGGAUUACAUGG AUAGCCGAAGAGACUUCACGUUCAAUAAGGACGGGUUUAGAGAUUUUCC CGCGAUGGUGCAAGAAUUGCACCAGGGUGGGCGCAGAUACAUGAUGAUC GUCGAUCCCGCCAUCAGCAGCUCGGGACCAGCGGGGAGUUACCGGCCUU ACGAUGAGGGACUUAGGAGAGGCGUCUUUAUCACGAACGAAACAGGUCA GCCGCUCAUUGGUAAAGUGUGGCCUGGAUCAACGGCCUUUCCCGACUUC ACGAAUCCCACAGCCCUCGCCUGGUGGGAAGACAUGGUGGCGGAGUUUC ACGACCAAGUACCGUUUGAUGGGAUGUGGAUUGAUAUGAACGAACCCUC AAACUUUAUUCGCGGCUCGGAAGAUGGAUGCCCGAAUAAUGAGCUUGAG AAUCCCCCGUAUGUGCCAGGGGUGGUAGGUGGGACGCUCCAGGCCGCUA CGAUCUGUGCGUCAUCACAUCAGUUCUUGUCAACGCACUACAACUUGCA CAAUCUUUACGGUUUGACUGAAGCCAUCGCUUCGCAUCGCGCGCUGGUC AAAGCGCGUGGUACGCGACCCUUCGUUAUUUCUCGGUCCACAUUUGCCG GGCACGGUCGGUAUGCCGGACACUGGACGGGAGAUGUCUGGUCUAGCUG GGAGCAGCUCGCGUCGAGCGUACCGGAGAUCCUCCAGUUCAAUCUUUUG GGAGUUCCGCUCGUCGGCGCUGACGUGUGCGGUUUUCUCGGAAACACAU CAGAAGAGCUUUGCGUACGCUGGACACAGCUCGGUGCGUUUUACCCCUU UAUGAGAAACCAUAACUCGUUGCUCUCACUCCCUCAAGAGCCGUACAGU UUUUCGGAGCCUGCGCAACAGGCGAUGCGGAAGGCAUUGACACUUCGCU AUGCACUGCUCCCGCAUCUCUAUACUCUGUUCCAUCAGGCCCAUGUGGC UGGAGAAACGGUGGCGAGGCCCCUGUUCUUGGAGUUCCCCAAAGAUAGU UCCACAUGGACCGUGGAUCACCAGUUGCUGUGGGGAGAGGCGCUUCUGA UCACUCCGGUACUUCAGGCGGGUAAAGCGGAAGUCACUGGGUAUUUCCC GCUUGGGACCUGGUACGACCUUCAGACUGUCCCAGUAGAAGCCCUCGGA AGCCUGCCACCUCCCCCUGCUGCACCCCGCGAGCCUGCAAUCCAUAGCG AGGGCCAGUGGGUAACGUUGCCAGCCCCACUGGAUACCAUCAAUGUCCA CCUCAGGGCGGGUUACAUUAUCCCUCUCCAAGGCCCUGGGUUGACCACC ACAGAGUCGCGCCAGCAGCCAAUGGCACUUGCGGUCGCAUUGACGAAAG GGGGUGAAGCCCGAGGGGAACUGUUUUGGGAUGACGGGGAAAGCCUUGA GGUGCUGGAACGGGGAGCGUACACACAAGUCAUUUUCUUGGCCAGGAAC AACACUAUUGUCAACGAGUUGGUGCGCGUGACCUCUGAGGGUGCCGGAC UGCAACUGCAGAAGGUCACGGUCCUCGGAGUGGCGACAGCACCCCAACA GGUCCUUAGUAACGGAGUACCUGUCUCGAACUUUACAUACUCCCCGGAC ACGAAGGUGCUCGACAUCUGUGUGUCGCUGCUUAUGGGGGAACAGUUUC UCGUGAGCUGGUGCUAG - Additional exemplary mRNA sequences are described in the Examples section below, for example, SEQ ID NO: 11 and SEQ ID NO: 12, both of which include 5′ and 3′ untranslated regions framing a codon-optimized GAA-encoding mRNA.
- In some embodiments, a suitable mRNA sequence may be an mRNA sequence a homolog or an analog of human GAA protein. For example, a homologue or an analogue of human GAA protein may be a modified human GAA protein containing one or more amino acid substitutions, deletions, and/or insertions as compared to a wild-type or naturally-occurring human GAA protein while retaining substantial GAA protein activity. In some embodiments, an mRNA suitable for the present invention encodes an amino acid sequence at least 50%, 55%, 60%, 65%, 70%, 75%, 80%, 85%, 90%, 91%, 92%, 93%, 94%, 95%, 96%, 97%, 98%, 99% or more homologous to SEQ ID NO: 2. In some embodiments, an mRNA suitable for the present invention encodes a protein substantially identical to human GAA protein. In some embodiments, an mRNA suitable for the present invention encodes an amino acid sequence at least 50%, 55%, 60%, 65%, 70%, 75%, 80%, 85%, 90%, 91%, 92%, 93%, 94%, 95%, 96%, 97%, 98%, 99% or more identical to SEQ ID NO: 2. In some embodiments, an mRNA suitable for the present invention encodes a fragment or a portion of human GAA protein. In some embodiments, an mRNA suitable for the present invention encodes a fragment or a portion of human GAA protein, wherein the fragment or portion of the protein still maintains GAA activity similar to that of the wild-type protein. In some embodiments, an mRNA suitable for the present invention has a nucleotide sequence at least 50%, 55%, 60%, 65%, 70%, 75%, 80%, 85%, 90%, 91%, 92%, 93%, 94%, 95%, 96%, 97%, 98%, 99% or more identical to SEQ ID NO: 1, SEQ ID NO: 3, SEQ ID NO: 11 or SEQ ID NO: 12.
- In some embodiments, a suitable mRNA encodes a fusion protein comprising a full length, fragment or portion of an GAA protein fused to another protein (e.g., an N or C terminal fusion). In some embodiments, the protein fused to the mRNA encoding a full length, fragment or portion of an GAA protein encodes a signal or a cellular targeting sequence.
- According to the present invention, mRNA encoding an GAA protein (e.g., a full length, fragment or portion of an GAA protein) as described herein may be delivered as naked RNA (unpackaged) or via delivery vehicles. As used herein, the terms “delivery vehicle,” “transfer vehicle,” “nanoparticle” or grammatical equivalent, are used interchangeably.
- In some embodiments, mRNAs encoding an GAA protein may be delivered via a single delivery vehicle. In some embodiments, mRNAs encoding an GAA protein may be delivered via one or more delivery vehicles each of a different composition. According to various embodiments, suitable delivery vehicles include, but are not limited to polymer based carriers, such as polyethyleneimine (PEI), lipid nanoparticles and liposomes, nanoliposomes, ceramide-containing nanoliposomes, proteoliposomes, both natural and synthetically-derived exosomes, natural, synthetic and semi-synthetic lamellar bodies, nanoparticulates, calcium phosphor-silicate nanoparticulates, calcium phosphate nanoparticulates, silicon dioxide nanoparticulates, nanocrystalline particulates, semiconductor nanoparticulates, poly(D-arginine), sol-gels, nanodendrimers, starch-based delivery systems, micelles, emulsions, niosomes, multi-domain-block polymers (vinyl polymers, polypropyl acrylic acid polymers, dynamic polyconjugates), dry powder formulations, plasmids, viruses, calcium phosphate nucleotides, aptamers, peptides and other vectorial tags.
- Liposomal Delivery Vehicles
- In some embodiments, a suitable delivery vehicle is a liposomal delivery vehicle, e.g., a lipid nanoparticle. As used herein, liposomal delivery vehicles, e.g., lipid nanoparticles, are usually characterized as microscopic vesicles having an interior aqua space sequestered from an outer medium by a membrane of one or more bilayers. Bilayer membranes of liposomes are typically formed by amphiphilic molecules, such as lipids of synthetic or natural origin that comprise spatially separated hydrophilic and hydrophobic domains (Lasic, Trends Biotechnol., 16: 307-321, 1998). Bilayer membranes of the liposomes can also be formed by amphophilic polymers and surfactants (e.g., polymerosomes, niosomes, etc.). In the context of the present invention, a liposomal delivery vehicle typically serves to transport a desired mRNA to a target cell or tissue.
- Cationic Lipids
- In some embodiments, liposomes may comprise one or more cationic lipids. As used herein, the phrase “cationic lipid” refers to any of a number of lipid species that have a net positive charge at a selected pH, such as physiological pH. Several cationic lipids have been described in the literature, many of which are commercially available. Particularly suitable cationic lipids for use in the compositions and methods of the invention include those described in international patent publications WO 2010/053572 (and particularly, CI 2-200 described at paragraph [00225]) and WO 2012/170930, both of which are incorporated herein by reference. In certain embodiments, the compositions and methods of the invention employ a lipid nanoparticles comprising an ionizable cationic lipid described in U.S. provisional patent application 61/617,468, filed Mar. 29, 2012 (incorporated herein by reference), such as, e.g, (15Z, 18Z)—N,N-dimethyl-6-(9Z, 12Z)-octadeca-9, 12-dien-1-yl)tetracosa-15,18-dien-1-amine (HGT5000), (15Z, 18Z)—N,N-dimethyl-6-((9Z, 12Z)-octadeca-9, 12-dien-1-yl)tetracosa-4,15,18-trien-1-amine (HGT5001), and (15Z,18Z)—N,N-dimethyl-6-((9Z, 12Z)-octadeca-9, 12-dien-1-yl)tetracosa-5, 15, 18-trien-1-amine (HGT5002).
- In some embodiments, provided liposomes include a cationic lipid described in WO 2013/063468 and in U.S. provisional application entitled “Lipid Formulations for Delivery of Messenger RNA” filed concurrently with the present application on even date, both of which are incorporated by reference herein.
- In some embodiments, a cationic lipid comprises a compound of formula I-c1-a:
-
- or a pharmaceutically acceptable salt thereof, wherein:
- each R2 independently is hydrogen or C1-3 alkyl;
- each q independently is 2 to 6;
- each R′ independently is hydrogen or C1-3 alkyl;
- and each RL independently is C8-12 alkyl.
- or a pharmaceutically acceptable salt thereof, wherein:
- In some embodiments, each R2 independently is hydrogen, methyl or ethyl. In some embodiments, each R2 independently is hydrogen or methyl. In some embodiments, each R2 is hydrogen.
- In some embodiments, each q independently is 3 to 6. In some embodiments, each q independently is 3 to 5. In some embodiments, each q is 4.
- In some embodiments, each R′ independently is hydrogen, methyl or ethyl. In some embodiments, each R′ independently is hydrogen or methyl. In some embodiments, each R′ independently is hydrogen.
- In some embodiments, each RL independently is C8-12 alkyl. In some embodiments, each RL independently is n-C8-12 alkyl. In some embodiments, each RL independently is C9-11 alkyl. In some embodiments, each RL independently is n-C9-11 alkyl. In some embodiments, each RL independently is C10 alkyl. In some embodiments, each RL independently is n-C10 alkyl.
- In some embodiments, each R2 independently is hydrogen or methyl; each q independently is 3 to 5; each R′ independently is hydrogen or methyl; and each RL independently is C8-12 alkyl.
- In some embodiments, each R2 is hydrogen; each q independently is 3 to 5; each R′ is hydrogen; and each RL independently is C8-12 alkyl.
- In some embodiments, each R2 is hydrogen; each q is 4; each R is hydrogen; and each RL independently is C8-12 alkyl.
- In some embodiments, a cationic lipid comprises a compound of formula I-g:
- or a pharmaceutically acceptable salt thereof, wherein each RL independently is C8-12 alkyl. In some embodiments, each RL independently is n-C8-12 alkyl. In some embodiments, each RL independently is C9-11 alkyl. In some embodiments, each RL independently is n-C9-11 alkyl. In some embodiments, each RL independently is C10 alkyl. In some embodiments, each RL is n-C10 alkyl.
- In particular embodiments, provided liposomes include a cationic lipid cKK-E12, or (3,6-bis(4-(bis(2-hydroxydodecyl)amino)butyl)piperazine-2,5-dione). Structure of cKK-E12 is shown below:
- In some embodiments, the one or more cationic lipids may be N-[1-(2,3-dioleyloxy)propyl]-N,N,N-trimethylammonium chloride or “DOTMA” (Feigner et al. (Proc. Nat'l Acad. Sci. 84, 7413 (1987); U.S. Pat. No. 4,897,355). DOTMA can be formulated alone or can be combined with the neutral lipid, dioleoylphosphatidyl-ethanolamine or “DOPE” or other cationic or non-cationic lipids into a liposomal transfer vehicle or a lipid nanoparticle, and such liposomes can be used to enhance the delivery of nucleic acids into target cells. Other suitable cationic lipids include, for example, 5-carboxyspermylglycinedioctadecylamide or “DOGS,” 2,3-dioleyloxy-N-[2(spermine-carboxamido)ethyl]-N,N-dimethyl-1-propanaminium or “DOSPA” (Behr et al. Proc. Nat.'l Acad. Sci. 86, 6982 (1989); U.S. Pat. Nos. 5,171,678; 5,334,761), 1,2-Dioleoyl-3-Dimethylammonium-Propane or “DODAP”, 1,2-Dioleoyl-3-Trimethylammonium-Propane or “DOTAP”.
- Additional exemplary cationic lipids also include 1,2-distearyloxy-N,N-dimethyl-3-aminopropane or “DSDMA”, 1,2-dioleyloxy-N,N-dimethyl-3-aminopropane or “DODMA”, 1,2-dilinoleyloxy-N,N-dimethyl-3-aminopropane or “DLinDMA”, 1,2-dilinolenyloxy-N,N-dimethyl-3-aminopropane or “DLenDMA”, N-dioleyl-N,N-dimethylammonium chloride or “DODAC”, N,N-distearyl-N,N-dimethylarnrnonium bromide or “DDAB”, N-(1,2-dimyristyloxyprop-3-yl)-N,N-dimethyl-N-hydroxyethyl ammonium bromide or “DMRIE”, 3-dimethylamino-2-(cholest-5-en-3-beta-oxybutan-4-oxy)-1-(cis,cis-9,12-octadecadienoxy)propane or “CLinDMA”, 2-[5′-(cholest-5-en-3-beta-oxy)-3′-oxapentoxy)-3-dimethyl-1-(cis,cis-9′,1-2′-octadecadienoxy)propane or “CpLinDMA”, N,N-dimethyl-3,4-dioleyloxybenzylamine or “DMOBA”, 1,2-N,N′-dioleylcarbamyl-3-dimethylaminopropane or “DOcarbDAP”, 2,3-Dilinoleoyloxy-N,N-dimethylpropylamine or “DLinDAP”, 1,2-N,N′-Dilinoleylcarbamyl-3-dimethylaminopropane or “DLincarbDAP”, 1,2-Dilinoleoylcarbamyl-3-dimethylaminopropane or “DLinCDAP”, 2,2-dilinoleyl-4-dimethylaminomethyl-[1,3]-dioxolane or “DLin- -DMA”, 2,2-dilinoleyl-4-dimethylaminoethyl-[1,3]-dioxolane or “DLin-K-XTC2-DMA”, and 2-(2,2-di((9Z,12Z)-octadeca-9,12-dien-1-yl)-1,3-dioxolan-4-yl)-N,N-dimethylethanamine (DLin-KC2-DMA)) (See, WO 2010/042877; Semple et al., Nature Biotech. 28: 172-176 (2010)), or mixtures thereof. (Heyes, J., et al., J Controlled Release 107: 276-287 (2005); Morrissey, D V., et al., Nat. Biotechnol. 23(8): 1003-1007 (2005); PCT Publication WO2005/121348A1). In some embodiments, one or more of the cationic lipids comprise at least one of an imidazole, dialkylamino, or guanidinium moiety.
- In some embodiments, the one or more cationic lipids may be chosen from XTC (2,2-Dilinoleyl-4-dimethylaminoethyl-[1,3]-dioxolane), MC3 (((6Z,9Z,28Z,31Z)-heptatriaconta-6,9,28,31-tetraen-19-yl 4-(dimethylamino)butanoate), ALNY-100 ((3aR,5s,6aS)—N,N-dimethyl-2,2-dn(9Z,12Z)-octadeca-9,12-dienyl)tetrahydro-3aH-cyclopenta[d] [1,3]dioxol-5-amine)), NC98-5 (4,7,13-tris(3-oxo-3-(undecylamino)propyl)-N1,N16-diundecyl-4,7,10,13-tetraazahexadecane-1,16-diamide), DODAP (1,2-dioleyl-3-dimethylammonium propane), HGT4003 (WO 2012/170889, the teachings of which are incorporated herein by reference in their entirety), ICE (WO 2011/068810, the teachings of which are incorporated herein by reference in their entirety), HGT5000 (U.S. Provisional Patent Application No. 61/617,468, the teachings of which are incorporated herein by reference in their entirety) or HGT5001 (cis or trans) (Provisional Patent Application No. 61/617,468), aminoalcohol lipidoids such as those disclosed in WO2010/053572, DOTAP (1,2-dioleyl-3-trimethylammonium propane), DOTMA (1,2-di-O-octadecenyl-3-trimethylammonium propane), DLinDMA (Heyes, J.; Palmer, L.; Bremner, K.; MacLachlan, I. “Cationic lipid saturation influences intracellular delivery of encapsulated nucleic acids” J. Contr. Ra. 2005, 107, 276-287), DLin-KC2-DMA (Semple, S. C. et al. “Rational Design of Cationic Lipids for siRNA Delivery” Nature Biotech. 2010, 28, 172-176), C12-200 (Love, K. T. et al. “Lipid-like materials for low-dose in vivo gene silencing” PNAS 2010, 107, 1864-1869).
- In some embodiments, the percentage of cationic lipid in a liposome may be greater than 10%, greater than 20%, greater than 30%, greater than 40%, greater than 50%, greater than 60%, or greater than 70%. In some embodiments, cationic lipid(s) constitute(s) about 30-50% (e.g., about 30-45%, about 30-40%, about 35-50%, about 35-45%, or about 35-40%) of the liposome by weight. In some embodiments, the cationic lipid (e.g., cKK-E12) constitutes about 30%, about 35%, about 40%, about 45%, or about 50% of the liposome by molar ratio.
- Non-Cationic/Helper Lipids
- In some embodiments, provided liposomes contain one or more non-cationic (“helper”) lipids. As used herein, the phrase “non-cationic lipid” refers to any neutral, zwitterionic or anionic lipid. As used herein, the phrase “anionic lipid” refers to any of a number of lipid species that carry a net negative charge at a selected H, such as physiological pH. Non-cationic lipids include, but are not limited to, distearoylphosphatidylcholine (DSPC), dioleoylphosphatidylcholine (DOPC), dipalmitoylphosphatidylcholine (DPPC), dioleoylphosphatidylglycerol (DOPG), dipalmitoylphosphatidylglycerol (DPPG), dioleoylphosphatidylethanolamine (DOPE), palmitoyloleoylphosphatidylcholine (POPC), palmitoyloleoyl-phosphatidylethanolamine (POPE), dioleoyl-phosphatidylethanolamine 4-(N-maleimidomethyl)-cyclohexane-1-carboxylate (DOPE-mal), dipalmitoyl phosphatidyl ethanolamine (DPPE), dimyristoylphosphoethanolamine (DMPE), distearoyl-phosphatidyl-ethanolamine (DSPE), 16-O-monomethyl PE, 16-O-dimethyl PE, 18-1-trans PE, 1-stearoyl-2-oleoyl-phosphatidyethanolamine (SOPE), or a mixture thereof.
- In some embodiments, such non-cationic lipids may be used alone, but are preferably used in combination with other excipients, for example, cationic lipids. In some embodiments, the non-cationic lipid may comprise a molar ratio of about 5% to about 90%, or about 10% to about 70% of the total lipid present in a liposome. In some embodiments, a non-cationic lipid is a neutral lipid, i.e., a lipid that does not carry a net charge in the conditions under which the composition is formulated and/or administered. In some embodiments, the percentage of non-cationic lipid in a liposome may be greater than 5%, greater than 10%, greater than 20%, greater than 30%, or greater than 40%.
- Cholesterol-Based Lipids
- In some embodiments, provided liposomes comprise one or more cholesterol-based lipids. For example, suitable cholesterol-based cationic lipids include, for example, DC-Choi (N,N-dimethyl-N-ethylcarboxamidocholesterol), 1,4-bis (3-N-oleyl amino-propyl)piperazine (Gao, et al. Biochem. Biophys. Res. Comm 179, 280 (1991); Wolf et al. BioTechniques 23, 139 (1997); U.S. Pat. No. 5,744,335), or ICE. In some embodiments, the cholesterol-based lipid may comprise a molar ration of about 2% to about 30%, or about 5% to about 20% of the total lipid present in a liposome. In some embodiments, The percentage of cholesterol-based lipid in the lipid nanoparticle may be greater than 5, %, 10%, greater than 20%, greater than 30%, or greater than 40%.
- PEGylated Lipids
- In some embodiments, provided liposomes comprise one or more PEGylated lipids. For example, the use of polyethylene glycol (PEG)-modified phospholipids and derivatized lipids such as derivatized ceramides (PEG-CER), including N-Octanoyl-Sphingosine-1-1SuccinyhMethoxy Polyethylene Glycol)-20001 (C8 PEG-2000 ceramide) is also contemplated by the present invention in combination with one or more of the cationic and, in some embodiments, other lipids together which comprise the liposome. Contemplated PEG-modified lipids include, but are not limited to, a polyethylene glycol chain of up to 5 kDa in length covalently attached to a lipid with alkyl chain(s) of C6-C20 length. In some embodiments, a PEG-modified or PEGylated lipid is PEGylated cholesterol or PEG-2K. The addition of such components may prevent complex aggregation and may also provide a means for increasing circulation lifetime and increasing the delivery of the lipid-nucleic acid composition to the target cell, (Klibanov et al. (1990) FEBS Letters, 268 (1): 235-237), or they may be selected to rapidly exchange out of the formulation in vivo (see U.S. Pat. No.
- In some embodiments, particularly useful exchangeable lipids are PEG-ceramides having shorter acyl chains (e.g., C14 or C18). The PEG-modified phospholipid and derivitized lipids of the present invention may comprise a molar ratio from about 0% to about 15%, about 0.5% to about 15%, about 1% to about 15%, about 4% to about 10%, or about 2% of the total lipid present in the liposome.
- According to various embodiments, the selection of cationic lipids, non-cationic lipids and/or PEG-modified lipids which comprise the lipid nanoparticle, as well as the relative molar ratio of such lipids to each other, is based upon the characteristics of the selected lipid(s), the nature of the intended target cells, the characteristics of the mRNA to be delivered. Additional considerations include, for example, the saturation of the alkyl chain, as well as the size, charge, pH, pKa, fusogenicity and toxicity of the selected lipid(s). Thus the molar ratios may be adjusted accordingly.
- Polymers
- In some embodiments, a suitable delivery vehicle is formulated using a polymer as a carrier, alone or in combination with other carriers including various lipids described herein. Thus, in some embodiments, liposomal delivery vehicles, as used herein, also encompass polymer containing nanoparticles. Suitable polymers may include, for example, polyacrylates, polyalkycyanoacrylates, polylactide, polylactide-polyglycolide copolymers, polycaprolactones, dextran, albumin, gelatin, alginate, collagen, chitosan, cyclodextrins, protamine, PEGylated protamine, PLL, PEGylated PLL and polyethylenimine (PEI). When PEI is present, it may be branched PEI of a molecular weight ranging from 10 to 40 kDa, e.g., 25 kDa branched PEI (Sigma #408727).
- A suitable liposome for the present invention may include one or more of any of the cationic lipids, non-cationic lipids, cholesterol lipids, PEGylated lipids and/or polymers described herein at various ratios. As non-limiting examples, a suitable liposome formulation may include a combination selected from cKK-E12, DOPE, cholesterol and DMG-PEG2K; C12-200, DOPE, cholesterol and DMG-PEG2K; HGT4003, DOPE, cholesterol and DMG-PEG2K; or ICE, DOPE, cholesterol and DMG-PEG2K.
- In various embodiments, cationic lipids (e.g., cKK-E12, C12-200, ICE, and/or HGT4003) constitute about 30-60% (e.g., about 30-55%, about 30-50%, about 30-45%, about 30-40%, about 35-50%, about 35-45%, or about 35-40%) of the liposome by molar ratio. In some embodiments, the percentage of cationic lipids (e.g., cKK-E12, C12-200, ICE, and/or HGT4003) is or greater than about 30%, about 35%, about 40%, about 45%, about 50%, about 55%, or about 60% of the liposome by molar ratio.
- In some embodiments, the ratio of cationic lipid(s) to non-cationic lipid(s) to cholesterol-based lipid(s) to PEGylated lipid(s) may be between about 30-60:25-35:20-30:1-respectively. In some embodiments, the ratio of cationic lipid(s) to non-cationic lipid(s) to cholesterol-based lipid(s) to PEGylated lipid(s) is approximately 40:30:20:10, respectively. In some embodiments, the ratio of cationic lipid(s) to non-cationic lipid(s) to cholesterol-based lipid(s) to PEGylated lipid(s) is approximately 40:30:25:5, respectively. In some embodiments, the ratio of cationic lipid(s) to non-cationic lipid(s) to cholesterol-based lipid(s) to PEGylated lipid(s) is approximately 40:32:25:3, respectively. In some embodiments, the ratio of cationic lipid(s) to non-cationic lipid(s) to cholesterol-based lipid(s) to PEGylated lipid(s) is approximately 50:25:20:5.
- mRNAs according to the present invention may be synthesized according to any of a variety of known methods. For example, mRNAs according to the present invention may be synthesized via in vitro transcription (IVT). Briefly, IVT is typically performed with a linear or circular DNA template containing a promoter, a pool of ribonucleotide triphosphates, a buffer system that may include DTT and magnesium ions, and an appropriate RNA polymerase (e.g., T3, T7 or SP6 RNA polymerase), DNAse I, pyrophosphatase, and/or RNAse inhibitor. The exact conditions will vary according to the specific application.
- In some embodiments, for the preparation of mRNA according to the invention, a DNA template is transcribed in vitro. A suitable DNA template typically has a promoter, for example a T3, T7 or SP6 promoter, for in vitro transcription, followed by desired nucleotide sequence for desired mRNA and a termination signal.
- Desired mRNA sequence(s) according to the invention may be determined and incorporated into a DNA template using standard methods. For example, starting from a desired amino acid sequence (e.g., an enzyme sequence), a virtual reverse translation is carried out based on the degenerated genetic code. Optimization algorithms may then be used for selection of suitable codons. Typically, the G/C content can be optimized to achieve the highest possible G/C content on one hand, taking into the best possible account the frequency of the tRNAs according to codon usage on the other hand. The optimized RNA sequence can be established and displayed, for example, with the aid of an appropriate display device and compared with the original (wild-type) sequence. A secondary structure can also be analyzed to calculate stabilizing and destabilizing properties or, respectively, regions of the RNA.
- Modified mRNA
- In some embodiments, mRNA according to the present invention may be synthesized as unmodified or modified mRNA. Typically, mRNAs are modified to enhance stability. Modifications of mRNA can include, for example, modifications of the nucleotides of the RNA. An modified mRNA according to the invention can thus include, for example, backbone modifications, sugar modifications or base modifications. In some embodiments, mRNAs may be synthesized from naturally occurring nucleotides and/or nucleotide analogues (modified nucleotides) including, but not limited to, purines (adenine (A), guanine (G)) or pyrimidines (thymine (T), cytosine (C), uracil (U)), and as modified nucleotides analogues or derivatives of purines and pyrimidines, such as e.g. 1-methyl-adenine, 2-methyl-adenine, 2-methylthio-N-6-isopentenyl-adenine, N6-methyl-adenine, N6-isopentenyl-adenine, 2-thio-cytosine, 3-methyl-cytosine, 4-acetyl-cytosine, 5-methyl-cytosine, 2,6-diaminopurine, 1-methyl-guanine, 2-methyl-guanine, 2,2-dimethyl-guanine, 7-methyl-guanine, inosine, 1-methyl-inosine, pseudouracil (5-uracil), dihydro-uracil, 2-thio-uracil, 4-thio-uracil, 5-carboxymethylaminomethyl-2-thio-uracil, 5-(carboxyhydroxymethyl)-uracil, 5-fluoro-uracil, 5-bromo-uracil, 5-carboxymethylaminomethyl-uracil, 5-methyl-2-thio-uracil, 5-methyl-uracil, N-uracil-5-oxyacetic acid methyl ester, 5-methylaminomethyl-uracil, 5-methoxyaminomethyl-2-thio-uracil, 5′-methoxycarbonylmethyl-uracil, 5-methoxy-uracil, uracil-5-oxyacetic acid methyl ester, uracil-5-oxyacetic acid (v), 1-methyl-pseudouracil, queosine, .beta.-D-mannosyl-queosine, wybutoxosine, and phosphoramidates, phosphorothioates, peptide nucleotides, methylphosphonates, 7-deazaguanosine, 5-methylcytosine and inosine. The preparation of such analogues is known to a person skilled in the art e.g., from the U.S. Pat. Nos. 4,373,071, 4,401,796, 4,415,732, 4,458,066, 4,500,707, 4,668,777, 4,973,679, 5,047,524, 5,132,418, 5,153,319, 5,262,530 and 5,700,642, the disclosures of which are incorporated by reference in their entirety.
- In some embodiments, mRNAs (e.g., GAA-encoding mRNAs) may contain RNA backbone modifications. Typically, a backbone modification is a modification in which the phosphates of the backbone of the nucleotides contained in the RNA are modified chemically. Exemplary backbone modifications typically include, but are not limited to, modifications from the group consisting of methylphosphonates, methylphosphoramidates, phosphoramidates, phosphorothioates (e.g. cytidine 5′-O-(1-thiophosphate)), boranophosphates, positively charged guanidinium groups etc., which means by replacing the phosphodiester linkage by other anionic, cationic or neutral groups.
- In some embodiments, mRNAs (e.g., GAA-encoding mRNAs) may contain sugar modifications. A typical sugar modification is a chemical modification of the sugar of the nucleotides it contains including, but not limited to, sugar modifications chosen from the group consisting of 2′-deoxy-2′-fluoro-oligoribonucleotide (2′-fluoro-2′-deoxycytidine 5′-triphosphate, 2′-fluoro-2′-deoxyuridine 5′-triphosphate), 2′-deoxy-2′-deamine-oligoribonucleotide (2′-amino-2′-deoxycytidine 5′-triphosphate, 2′-amino-2′-deoxyuridine 5′-triphosphate), 2′-O-alkyloligoribonucleotide, 2′-deoxy-2′-C-alkyloligoribonucleotide (2′-O-methylcytidine 5′-triphosphate, 2′-methyluridine 5′-triphosphate), 2′-C-alkyloligoribonucleotide, and isomers thereof (2′-aracytidine 5′-triphosphate, 2′-arauridine 5′-triphosphate), or azidotriphosphates (2′-azido-2′-deoxycytidine 5′-triphosphate, 2′-azido-2′-deoxyuridine 5′-triphosphate).
- In some embodiments, mRNAs (e.g., GAA-encoding mRNAs) may contain modifications of the bases of the nucleotides (base modifications). A modified nucleotide which contains a base modification is also called a base-modified nucleotide. Examples of such base-modified nucleotides include, but are not limited to, 2-amino-6-chloropurine riboside 5′-triphosphate, 2-aminoadenosine 5′-triphosphate, 2-thiocytidine 5′-triphosphate, 2-thiouridine 5′-triphosphate, 4-thiouridine 5′-triphosphate, 5-aminoallylcytidine 5′-triphosphate, 5-aminoallyluridine 5′-triphosphate, 5-bromocytidine 5′-triphosphate, 5-bromouridine 5′-triphosphate, 5-iodocytidine 5′-triphosphate, 5-iodouridine 5′-triphosphate, 5′-triphosphate, 5-methyluridine 5′-triphosphate, 6-azacytidine 5′-triphosphate, 6-azauridine 5′-triphosphate, 6-chloropurine riboside 5′-triphosphate, 7-deazaadenosine 5′-triphosphate, 7-deazaguanosine 5′-triphosphate, 8-azaadenosine 5′-triphosphate, 8-azidoadenosine 5′-triphosphate, benzimidazole riboside 5′-triphosphate, N1-methyladenosine 5′-triphosphate, N1-methylguanosine 5′-triphosphate, N6-methyladenosine O6-methylguanosine 5′-triphosphate, pseudouridine 5′-triphosphate, puromycin 5′-triphosphate or xanthosine 5′-triphosphate.
- Typically, mRNA synthesis includes the addition of a “cap” on the N-terminal (5′) end, and a “tail” on the C-terminal (3′) end. The presence of the cap is important in providing resistance to nucleases found in most eukaryotic cells. The presence of a “tail” serves to protect the mRNA from exonuclease degradation.
- Thus, in some embodiments, mRNAs (e.g., GAA-encoding mRNAs) include a 5′ cap structure. A 5′ cap is typically added as follows: first, an RNA terminal phosphatase removes one of the terminal phosphate groups from the 5′ nucleotide, leaving two terminal phosphates; guanosine triphosphate (GTP) is then added to the terminal phosphates via a guanylyl transferase, producing a 5′5′5 triphosphate linkage; and the 7-nitrogen of guanine is then methylated by a methyltransferase. Examples of cap structures include, but are not limited to, m7G(5′)ppp (5′(A,G(5′)ppp(5′)A and G(5′)ppp(5′)G.
- In some embodiments, mRNAs (e.g., GAA-encoding mRNAs) include a 3′ poly(A) tail structure. A poly-A tail on the 3′ terminus of mRNA typically includes about 10 to 300 adenosine nucleotides (SEQ ID NO: 4) (e.g., about 10 to 200 adenosine nucleotides, about 10 to 150 adenosine nucleotides, about 10 to 100 adenosine nucleotides, about 20 to 70 adenosine nucleotides, or about 20 to 60 adenosine nucleotides). In some embodiments, mRNAs include a 3′ poly(C) tail structure. A suitable poly-C tail on the 3′ terminus of mRNA typically include about 10 to 200 cytosine nucleotides (SEQ ID NO: 5) (e.g., about 10 to 150 cytosine nucleotides, about 10 to 100 cytosine nucleotides, about 20 to 70 cytosine nucleotides, about 20 to 60 cytosine nucleotides, or about 10 to 40 cytosine nucleotides). The poly-C tail may be added to the poly-A tail or may substitute the poly-A tail.
- In some embodiments, mRNAs include a 5′ and/or 3′ untranslated region. In some embodiments, a 5′ untranslated region includes one or more elements that affect an mRNA's stability or translation, for example, an iron responsive element. In some embodiments, a 5′ untranslated region may be between about 50 and 500 nucleotides in length.
- In some embodiments, a 3′ untranslated region includes one or more of a polyadenylation signal, a binding site for proteins that affect an mRNA's stability of location in a cell, or one or more binding sites for miRNAs. In some embodiments, a 3′ untranslated region may be between 50 and 500 nucleotides in length or longer.
- Cap Structure
- In some embodiments, mRNAs include a 5′ cap structure. A 5′ cap is typically added as follows: first, an RNA terminal phosphatase removes one of the terminal phosphate groups from the 5′ nucleotide, leaving two terminal phosphates; guanosine triphosphate (GTP) is then added to the terminal phosphates via a guanylyl transferase, producing a 5′5′5 triphosphate linkage; and the 7-nitrogen of guanine is then methylated by a methyltransferase. Examples of cap structures include, but are not limited to, m7G(5′)ppp (5′(A,G(5′)ppp(5′)A and G(5′)ppp(5′)G.
- Naturally occurring cap structures comprise a 7-methyl guanosine that is linked via a triphosphate bridge to the 5′-end of the first transcribed nucleotide, resulting in a dinucleotide cap of m7G(5′)ppp(5′)N, where N is any nucleoside. In vivo, the cap is added enzymatically. The cap is added in the nucleus and is catalyzed by the enzyme guanylyl transferase. The addition of the cap to the 5′ terminal end of RNA occurs immediately after initiation of transcription. The terminal nucleoside is typically a guanosine, and is in the reverse orientation to all the other nucleotides, i.e., G(5′)ppp(5′)GpNpNp.
- A common cap for mRNA produced by in vitro transcription is m7G(5′)ppp(5′)G, which has been used as the dinucleotide cap in transcription with T7 or SP6 RNA polymerase in vitro to obtain RNAs having a cap structure in their 5′-termini. The prevailing method for the in vitro synthesis of capped mRNA employs a pre-formed dinucleotide of the form m7G(5′)ppp(5′)G (“m7GpppG”) as an initiator of transcription.
- To date, a usual form of a synthetic dinucleotide cap used in in vitro translation experiments is the Anti-Reverse Cap Analog (“ARCA”) or modified ARCA, which is generally a modified cap analog in which the 2′ or 3′ OH group is replaced with —OCH3.
- Additional cap analogs include, but are not limited to, a chemical structures selected from the group consisting of m7GpppG, m7GpppA, m7GpppC; unmethylated cap analogs (e.g., GpppG); dimethylated cap analog (e.g., m2,7GpppG), trimethylated cap analog (e.g., m2,2,7GpppG),dimethylated symmetrical cap analogs (e.g., m7Gpppm7G), or anti reverse cap analogs (e.g., ARCA; m7,2′OmeGpppG, m72′dGpppG, m7,3′OmeGpppG, m7,3′dGpppG and their tetraphosphate derivatives) (see, e.g., Jemielity, J. et al., “Novel ‘anti-reverse’ cap analogs with superior translational properties”, RNA, 9: 1108-1122 (2003)).
- In some embodiments, a suitable cap is a 7-methyl guanylate (“m7G”) linked via a triphosphate bridge to the 5′-end of the first transcribed nucleotide, resulting in m7G(5′)ppp(5′)N, where N is any nucleoside. A preferred embodiment of a m7G cap utilized in embodiments of the invention is m7G(5′)ppp(5′)G.
- In some embodiments, the cap is a Cap0 structure. Cap0 structures lack a 2′-O-methyl residue of the ribose attached to bases 1 and 2. In some embodiments, the cap is a Cap1 structure. Cap1 structures have a 2′-O-methyl residue at base 2. In some embodiments, the cap is a Cap2 structure. Cap2 structures have a 2′-O-methyl residue attached to both bases 2 and 3.
- A variety of m7G cap analogs are known in the art, many of which are commercially available. These include the m7GpppG described above, as well as the ARCA 3′-OCH3 and 2′-OCH3 cap analogs (Jemielity, J. et al., RNA, 9: 1108-1122 (2003)). Additional cap analogs for use in embodiments of the invention include N7-benzylated dinucleoside tetraphosphate analogs (described in Grudzien, E. et al., RNA, 10: 1479-1487 (2004)), phosphorothioate cap analogs (described in Grudzien-Nogalska, E., et al., RNA, 13: 1745-1755 (2007)), and cap analogs (including biotinylated cap analogs) described in U.S. Pat. Nos. 8,093,367 and 8,304,529, incorporated by reference herein.
- Tail Structure
- Typically, the presence of a “tail” serves to protect the mRNA from exonuclease degradation. The poly A tail is thought to stabilize natural messengers and synthetic sense RNA. Therefore, in certain embodiments a long poly A tail can be added to an mRNA molecule thus rendering the RNA more stable. Poly A tails can be added using a variety of art-recognized techniques. For example, long poly A tails can be added to synthetic or in vitro transcribed RNA using poly A polymerase (Yokoe, et al. Nature Biotechnology. 1996; 14: 1252-1256). A transcription vector can also encode long poly A tails. In addition, poly A tails can be added by transcription directly from PCR products. Poly A may also be ligated to the 3′ end of a sense RNA with RNA ligase (see, e.g., Molecular Cloning A Laboratory Manual, 2nd Ed., ed. by Sambrook, Fritsch and Maniatis (Cold Spring Harbor Laboratory Press: 1991 edition)).
- In some embodiments, mRNAs include a 3′ poly(A) tail structure. Typically, the length of the poly A tail can be at least about 10, 50, 100, 200, 300, 400 at least 500 nucleotides (SEQ ID NO: 6). In some embodiments, a poly-A tail on the 3′ terminus of mRNA typically includes about 10 to 300 adenosine nucleotides (SEQ ID NO: 4) (e.g., about to 200 adenosine nucleotides, about 10 to 150 adenosine nucleotides, about 10 to 100 adenosine nucleotides, about 20 to 70 adenosine nucleotides, or about 20 to 60 adenosine nucleotides). In some embodiments, mRNAs include a 3′ poly(C) tail structure. A suitable poly-C tail on the 3′ terminus of mRNA typically include about 10 to 200 cytosine nucleotides (SEQ ID NO: 5) (e.g., about 10 to 150 cytosine nucleotides, about 10 to 100 cytosine nucleotides, about 20 to 70 cytosine nucleotides, about 20 to 60 cytosine nucleotides, or about 10 to 40 cytosine nucleotides). The poly-C tail may be added to the poly-A tail or may substitute the poly-A tail.
- In some embodiments, the length of the poly A or poly C tail is adjusted to control the stability of a modified sense mRNA molecule of the invention and, thus, the transcription of protein. For example, since the length of the poly A tail can influence the half-life of a sense mRNA molecule, the length of the poly A tail can be adjusted to modify the level of resistance of the mRNA to nucleases and thereby control the time course of polynucleotide expression and/or polypeptide production in a target cell.
- And 3′ Untranslated Region
- In some embodiments, mRNAs include a 5′ and/or 3′ untranslated region. In some embodiments, a 5′ untranslated region includes one or more elements that affect an mRNA's stability or translation, for example, an iron responsive element. In some embodiments, a 5′ untranslated region may be between about 50 and 500 nucleotides in length.
- In some embodiments, a 3′ untranslated region includes one or more of a polyadenylation signal, a binding site for proteins that affect an mRNA's stability of location in a cell, or one or more binding sites for miRNAs. In some embodiments, a 3′ untranslated region may be between 50 and 500 nucleotides in length or longer.
- Exemplary 3′ and/or 5′ UTR sequences can be derived from mRNA molecules which are stable (e.g., globin, actin, GAPDH, tubulin, histone, or citric acid cycle enzymes) to increase the stability of the sense mRNA molecule. For example, a 5′ UTR sequence may include a partial sequence of a CMV immediate-early 1 (IE1) gene, or a fragment thereof to improve the nuclease resistance and/or improve the half-life of the polynucleotide. Also contemplated is the inclusion of a sequence encoding human growth hormone (hGH), or a fragment thereof to the 3′ end or untranslated region of the polynucleotide (e.g., mRNA) to further stabilize the polynucleotide. Generally, these modifications improve the stability and/or pharmacokinetic properties (e.g., half-life) of the polynucleotide relative to their unmodified counterparts, and include, for example modifications made to improve such polynucleotides' resistance to in vivo nuclease digestion.
- Formation of Liposomes
- The liposomal transfer vehicles for use in the compositions of the invention can be prepared by various techniques which are presently known in the art. The liposomes for use in provided compositions can be prepared by various techniques which are presently known in the art. For example, multilamellar vesicles (MLV) may be prepared according to conventional techniques, such as by depositing a selected lipid on the inside wall of a suitable container or vessel by dissolving the lipid in an appropriate solvent, and then evaporating the solvent to leave a thin film on the inside of the vessel or by spray drying. An aqueous phase may then added to the vessel with a vortexing motion which results in the formation of MLVs. Unilamellar vesicles (ULV) can then be formed by homogenization, sonication or extrusion of the multilamellar vesicles. In addition, unilamellar vesicles can be formed by detergent removal techniques.
- In certain embodiments, provided compositions comprise a liposome wherein the mRNA is associated on both the surface of the liposome and encapsulated within the same liposome. For example, during preparation of the compositions of the present invention, cationic liposomes may associate with the mRNA through electrostatic interactions. For example, during preparation of the compositions of the present invention, cationic liposomes may associate with the mRNA through electrostatic interactions.
- In some embodiments, the compositions and methods of the invention comprise mRNA encapsulated in a liposome. In some embodiments, the one or more mRNA species may be encapsulated in the same liposome. In some embodiments, the one or more mRNA species may be encapsulated in different liposomes. In some embodiments, the mRNA is encapsulated in one or more liposomes, which differ in their lipid composition, molar ratio of lipid components, size, charge (Zeta potential), targeting ligands and/or combinations thereof. In some embodiments, the one or more liposome may have a different composition of cationic lipids, neutral lipid, PEG-modified lipid and/or combinations thereof. In some embodiments the one or more liposomes may have a different molar ratio of cationic lipid, neutral lipid, cholesterol and PEG-modified lipid used to create the liposome.
- The process of incorporation of a desired mRNA into a liposome is often referred to as “loading”. Exemplary methods are described in Lasic, et al., FEBS Lett., 312: 255-258, 1992, which is incorporated herein by reference. The liposome-incorporated nucleic acids may be completely or partially located in the interior space of the liposome, within the bilayer membrane of the liposome, or associated with the exterior surface of the liposome membrane. The incorporation of a nucleic acid into liposomes is also referred to herein as “encapsulation” wherein the nucleic acid is entirely contained within the interior space of the liposome. The purpose of incorporating a mRNA into a transfer vehicle, such as a liposome, is often to protect the nucleic acid from an environment which may contain enzymes or chemicals that degrade nucleic acids and/or systems or receptors that cause the rapid excretion of the nucleic acids. Accordingly, in some embodiments, a suitable delivery vehicle is capable of enhancing the stability of the mRNA contained therein and/or facilitate the delivery of mRNA to the target cell or tissue.
- Liposome Size
- Suitable liposomes in accordance with the present invention may be made in various sizes. In some embodiments, provided liposomes may be made smaller than previously known mRNA encapsulating liposomes. In some embodiments, decreased size of liposomes is associated with more efficient delivery of mRNA. Selection of an appropriate liposome size may take into consideration the site of the target cell or tissue and to some extent the application for which the liposome is being made.
- In some embodiments, an appropriate size of liposome is selected to facilitate systemic distribution of antibody encoded by the mRNA. In some embodiments, it may be desirable to limit transfection of the mRNA to certain cells or tissues. For example, to target hepatocytes a liposome may be sized such that its dimensions are smaller than the fenestrations of the endothelial layer lining hepatic sinusoids in the liver; in such cases the liposome could readily penetrate such endothelial fenestrations to reach the target hepatocytes.
- Alternatively or additionally, a liposome may be sized such that the dimensions of the liposome are of a sufficient diameter to limit or expressly avoid distribution into certain cells or tissues. For example, a liposome may be sized such that its dimensions are larger than the fenestrations of the endothelial layer lining hepatic sinusoids to thereby limit distribution of the liposomes to hepatocytes.
- In some embodiments, the size of a liposome is determined by the length of the largest diameter of the liposome particle. In some embodiments, a suitable liposome has a size no greater than about 250 nm (e.g., no greater than about 225 nm, 200 nm, 175 nm, 150 nm, 125 nm, 100 nm, 75 nm, or 50 nm). In some embodiments, a suitable liposome has a size ranging from about 10-250 nm (e.g., ranging from about 10-225 nm, 10-200 nm, 10-175 nm, 10-150 nm, 10-125 nm, 10-100 nm, 10-75 nm, or 10-50 nm). In some embodiments, a suitable liposome has a size ranging from about 100-250 nm (e.g., ranging from about 100-225 nm, 100-200 nm, 100-175 nm, 100-150 nm). In some embodiments, a suitable liposome has a size ranging from about 10-100 nm (e.g., ranging from about 10-90 nm, 10-80 nm, 10-70 nm, 10-60 nm, or 10-50 nm). In a particular embodiment, a suitable liposome has a size less than about 100 nm.
- A variety of alternative methods known in the art are available for sizing of a population of liposomes. One such sizing method is described in U.S. Pat. No. 4,737,323, incorporated herein by reference. Sonicating a liposome suspension either by bath or probe sonication produces a progressive size reduction down to small ULV less than about 0.05 microns in diameter. Homogenization is another method that relies on shearing energy to fragment large liposomes into smaller ones. In a typical homogenization procedure, MLV are recirculated through a standard emulsion homogenizer until selected liposome sizes, typically between about 0.1 and 0.5 microns, are observed. The size of the liposomes may be determined by quasi-electric light scattering (QELS) as described in Bloomfield, Ann. Rev. Biophys. Bioeng., 10:421-150 (1981), incorporated herein by reference. Average liposome diameter may be reduced by sonication of formed liposomes. Intermittent sonication cycles may be alternated with QELS assessment to guide efficient liposome synthesis.
- To facilitate expression of mRNA in vivo, delivery vehicles such as liposomes can be formulated in combination with one or more additional nucleic acids, carriers, targeting ligands or stabilizing reagents, or in pharmacological compositions where it is mixed with suitable excipients. Techniques for formulation and administration of drugs may be found in “Remington's Pharmaceutical Sciences,” Mack Publishing Co., Easton, Pa., latest edition.
- Provided liposomally-encapsulated or associated mRNAs, and compositions containing the same, may be administered and dosed in accordance with current medical practice, taking into account the clinical condition of the subject, the site and method of administration, the scheduling of administration, the subject's age, sex, body weight and other factors relevant to clinicians of ordinary skill in the art. The “effective amount” for the purposes herein may be determined by such relevant considerations as are known to those of ordinary skill in experimental clinical research, pharmacological, clinical and medical arts. In some embodiments, the amount administered is effective to achieve at least some stabilization, improvement or elimination of symptoms and other indicators as are selected as appropriate measures of disease progress, regression or improvement by those of skill in the art. For example, a suitable amount and dosing regimen is one that causes at least transient protein (e.g., enzyme) production.
- Suitable routes of administration include, for example, oral, rectal, vaginal, transmucosal, pulmonary including intratracheal or inhaled, or intestinal administration; parenteral delivery, including intradermal, transdermal (topical), intramuscular, subcutaneous, intramedullary injections, as well as intrathecal, direct intraventricular, intravenous, intraperitoneal, or intranasal. In particular embodiments, the intramuscular administration is to a muscle selected from the group consisting of skeletal muscle, smooth muscle and cardiac muscle. In some embodiments the administration results in delivery of the mRNA to a muscle cell. In some embodiments the administration results in delivery of the mRNA to a hepatocyte (i.e., liver cell). In a particular embodiment, the intramuscular administration results in delivery of the mRNA to a muscle cell.
- Alternatively or additionally, liposomally encapsulated mRNAs and compositions of the invention may be administered in a local rather than systemic manner, for example, via injection of the pharmaceutical composition directly into a targeted tissue, preferably in a sustained release formulation. Local delivery can be affected in various ways, depending on the tissue to be targeted. For example, aerosols containing compositions of the present invention can be inhaled (for nasal, tracheal, or bronchial delivery); compositions of the present invention can be injected into the site of injury, disease manifestation, or pain, for example; compositions can be provided in lozenges for oral, tracheal, or esophageal application; can be supplied in liquid, tablet or capsule form for administration to the stomach or intestines, can be supplied in suppository form for rectal or vaginal application; or can even be delivered to the eye by use of creams, drops, or even injection. Formulations containing provided compositions complexed with therapeutic molecules or ligands can even be surgically administered, for example in association with a polymer or other structure or substance that can allow the compositions to diffuse from the site of implantation to surrounding cells. Alternatively, they can be applied surgically without the use of polymers or supports.
- Provided methods of the present invention contemplate single as well as multiple administrations of a therapeutically effective amount of the therapeutic agents (e.g., mRNA encoding a GAA protein) described herein. Therapeutic agents can be administered at regular intervals, depending on the nature, severity and extent of the subject's condition (e.g., Pompe disease). In some embodiments, a therapeutically effective amount of the therapeutic agents (e.g., mRNA encoding a GAA protein) of the present invention may be administered intrathecally periodically at regular intervals (e.g., once every year, once every six months, once every five months, once every three months, bimonthly (once every two months), monthly (once every month), biweekly (once every two weeks), twice a month, once every 30 days, once every 28 days, once every 14 days, once every 10 days, once every 7 days, weekly, twice a week, daily or continuously).
- In some embodiments, provided liposomes and/or compositions are formulated such that they are suitable for extended-release of the mRNA contained therein. Such extended-release compositions may be conveniently administered to a subject at extended dosing intervals. For example, in one embodiment, the compositions of the present invention are administered to a subject twice a day, daily or every other day. In a preferred embodiment, the compositions of the present invention are administered to a subject twice a week, once a week, once every 7 days, once every 10 days, once every 14 days, once every 28 days, once every 30 days, once every two weeks, once every three weeks, or more preferably once every four weeks, once a month, twice a month, once every six weeks, once every eight weeks, once every other month, once every three months, once every four months, once every six months, once every eight months, once every nine months or annually. Also contemplated are compositions and liposomes which are formulated for depot administration (e.g., intramuscularly, subcutaneously, intravitreally) to either deliver or release a mRNA over extended periods of time. Preferably, the extended-release means employed are combined with modifications made to the mRNA to enhance stability.
- As used herein, the term “therapeutically effective amount” is largely determined based on the total amount of the therapeutic agent contained in the pharmaceutical compositions of the present invention. Generally, a therapeutically effective amount is sufficient to achieve a meaningful benefit to the subject (e.g., treating, modulating, curing, preventing and/or ameliorating Pompe disease). For example, a therapeutically effective amount may be an amount sufficient to achieve a desired therapeutic and/or prophylactic effect. Generally, the amount of a therapeutic agent (e.g., mRNA encoding a GAA protein) administered to a subject in need thereof will depend upon the characteristics of the subject. Such characteristics include the condition, disease severity, general health, age, sex and body weight of the subject. One of ordinary skill in the art will be readily able to determine appropriate dosages depending on these and other related factors. In addition, both objective and subjective assays may optionally be employed to identify optimal dosage ranges.
- A therapeutically effective amount is commonly administered in a dosing regimen that may comprise multiple unit doses. For any particular therapeutic protein, a therapeutically effective amount (and/or an appropriate unit dose within an effective dosing regimen) may vary, for example, depending on route of administration, on combination with other pharmaceutical agents. Also, the specific therapeutically effective amount (and/or unit dose) for any particular patient may depend upon a variety of factors including the disorder being treated and the severity of the disorder; the activity of the specific pharmaceutical agent employed; the specific composition employed; the age, body weight, general health, sex and diet of the patient; the time of administration, route of administration, and/or rate of excretion or metabolism of the specific protein employed; the duration of the treatment; and like factors as is well known in the medical arts.
- In some embodiments, the therapeutically effective dose ranges from about mg/kg body weight to 500 mg/kg body weight, e.g., from about 0.005 mg/kg body weight to 400 mg/kg body weight, from about 0.005 mg/kg body weight to 300 mg/kg body weight, from about 0.005 mg/kg body weight to 200 mg/kg body weight, from about 0.005 mg/kg body weight to 100 mg/kg body weight, from about 0.005 mg/kg body weight to 90 mg/kg body weight, from about 0.005 mg/kg body weight to 80 mg/kg body weight, from about 0.005 mg/kg body weight to 70 mg/kg body weight, from about 0.005 mg/kg body weight to 60 mg/kg body weight, from about 0.005 mg/kg body weight to 50 mg/kg body weight, from about 0.005 mg/kg body weight to 40 mg/kg body weight, from about 0.005 mg/kg body weight to 30 mg/kg body weight, from about 0.005 mg/kg body weight to 25 mg/kg body weight, from about 0.005 mg/kg body weight to 20 mg/kg body weight, from about 0.005 mg/kg body weight to 15 mg/kg body weight, from about 0.005 mg/kg body weight to 10 mg/kg body weight.
- In some embodiments, the therapeutically effective dose is greater than about mg/kg body weight, greater than about 0.5 mg/kg body weight, greater than about 1.0 mg/kg body weight, greater than about 3 mg/kg body weight, greater than about 5 mg/kg body weight, greater than about 10 mg/kg body weight, greater than about 15 mg/kg body weight, greater than about 20 mg/kg body weight, greater than about 30 mg/kg body weight, greater than about 40 mg/kg body weight, greater than about 50 mg/kg body weight, greater than about 60 mg/kg body weight, greater than about 70 mg/kg body weight, greater than about 80 mg/kg body weight, greater than about 90 mg/kg body weight, greater than about 100 mg/kg body weight, greater than about 150 mg/kg body weight, greater than about 200 mg/kg body weight, greater than about 250 mg/kg body weight, greater than about 300 mg/kg body weight, greater than about 350 mg/kg body weight, greater than about 400 mg/kg body weight, greater than about 450 mg/kg body weight, greater than about 500 mg/kg body weight. In a particular embodiment, the therapeutically effective dose is 1.0 mg/kg. In some embodiments, the therapeutically effective dose of 1.0 mg/kg is administered intramuscularly or intravenously.
- Also contemplated herein are lyophilized pharmaceutical compositions comprising one or more of the liposomes disclosed herein and related methods for the use of such compositions as disclosed for example, in U.S. Provisional Application No. 61/494,882, filed Jun. 8, 2011, the teachings of which are incorporated herein by reference in their entirety. For example, lyophilized pharmaceutical compositions according to the invention may be reconstituted prior to administration or can be reconstituted in vivo. For example, a lyophilized pharmaceutical composition can be formulated in an appropriate dosage form (e.g., an intradermal dosage form such as a disk, rod or membrane) and administered such that the dosage form is rehydrated over time in vivo by the individual's bodily fluids.
- Provided liposomes and compositions may be administered to any desired tissue. In some embodiments, the GAA mRNA delivered by provided liposomes or compositions is expressed in the tissue in which the liposomes and/or compositions were administered. In some embodiments, the mRNA delivered is expressed in a tissue different from the tissue in which the liposomes and/or compositions were administered. Exemplary tissues in which delivered mRNA may be delivered and/or expressed include, but are not limited to the liver, kidney, heart, spleen, serum, brain, skeletal muscle, lymph nodes, skin, and/or cerebrospinal fluid.
- In some embodiments, administering the provided composition results in an increased GAA mRNA expression level in a biological sample from a subject as compared to a baseline expression level before treatment. Typically, the baseline level is measured immediately before treatment. Biological samples include, for example, whole blood, serum, plasma, urine and tissue samples (e.g., muscle, liver, skin fibroblasts). In some embodiments, administering the provided composition results in an increased GAA mRNA expression level by at least about 10%, 20%, 30%, 40%, 50%, 60%, 70%, 80%, 90%, or 95% as compared to the baseline level immediately before treatment. In some embodiments, administering the provided composition results in an increased GAA mRNA expression level as compared to a GAA mRNA expression level in subjects who are not treated
- According to the present invention, a therapeutically effective dose of the provided composition, when administered regularly, results in an increased hepatic GAA protein level in a subject as compared to a baseline hepatic GAA protein level before treatment. In some embodiments, a therapeutically effective dose of the provided composition, when administered regularly, results in an increased muscle GAA protein level in a subject as compared to a baseline muscle GAA protein level before treatment. In some embodiments, the muscle is skeletal muscle (e.g., striated muscle, voluntary muscle), smooth muscle (e.g., visceral muscle, involuntary muscle) or cardiac muscle. In some embodiments, a therapeutically effective dose of the provided composition, when administered regularly, results in a reduced serum creatine kinase level in a subject as compared to a baseline creatine kinase level before treatment. In some embodiments, a therapeutically effective dose of the provided composition, when administered regularly, results in a reduced urinary glucose tetrasaccharide, (Glcα1-6Glcα1-4Glcα1-4Glc or Glc4) level in a subject as compared to a baseline Glc4 level before treatment. In some embodiments, a therapeutically effective dose of the provided composition, when administered regularly, results in a reduced serum aspartate transaminase (e.g., AST, aspartate aminotransferase, serum, glutamic oxaloacetic transaminase) level in as subject as compared to a baseline AST level before treatment. In some embodiments, a therapeutically effective dose of the provided composition, when administered regularly, results in a reduced serum alanine transaminase (e.g., ALT, alanine aminotransferase, serum glutamic-pyruvic transaminase) level in a subject as compared to a baseline ALT level before treatment. In some embodiments, a therapeutically effective dose of the provided composition, when administered regularly, results in a reduced serum lactate dehydrogenase (e.g., LDH, lactic dehydrogenase) level in a subject as compared to a baseline LDH level before treatment. In some embodiments, a therapeutically effective dose of the provided composition, when administered regularly, results in an increased GAA enzyme activity level in a biological sample from a subject as compared to a baseline GAA enzyme activity level before treatment.
- In some embodiments, administering the provided composition results in an increased GAA protein level in the liver of a subject as compared to a baseline level before treatment. Typically, the baseline level is measured immediately before treatment. In some embodiments, administering the provided composition results in an increased GAA protein level in the liver by at least about 10%, 20%, 30%, 40%, 50%, 60%, 70%, 80%, 90%, or 95% as compared to a baseline level before treatment. In some embodiments, administering the provided composition results in an increased GAA protein level in the liver as compared to a GAA protein level in the liver of subjects who are not treated.
- In some embodiments, administering the provided composition results in an increased GAA protein level in skeletal muscle of a subject as compared to a baseline level before treatment. Typically, the baseline level is measured immediately before treatment. In some embodiments, administering the provided composition results in an increased GAA protein level in skeletal muscle by at least about 10%, 20%, 30%, 40%, 50%, 60%, 70%, 80%, 90%, or 95% as compared to a baseline level before treatment. In some embodiments, administering the provided composition results in an increased GAA protein level in skeletal muscle as compared to the GAA protein level in skeletal muscle of subjects who are not treated.
- In some embodiments, administering the provided composition results in an increased GAA protein level in cardiac muscle of a subject as compared to a baseline level before treatment. Typically, the baseline level is measured immediately before treatment. In some embodiments, administering the provided composition results in an increased GAA protein level in cardiac muscle by at least about 10%, 20%, 30%, 40%, 50%, 60%, 70%, 80%, 90%, or 95% as compared to a baseline level before treatment. In some embodiments, administering the provided composition results in an increased GAA protein level in cardiac muscle as compared to a GAA protein level in cardiac muscle of subjects who are not treated.
- In some embodiments, administering the provided composition results in an increased level of GAA protein in smooth muscle of a subject as compared to a baseline level before treatment. Typically, the baseline level is measured immediately before treatment. In some embodiments, administering the provided composition results in an increased GAA protein level in smooth muscle by at least about 10%, 20%, 30%, 40%, 50%, 60%, 70%, 80%, 90%, or 95% as compared to a baseline level before treatment. In some embodiments, administering the provided composition results in an increased GAA protein level in smooth muscle as compared to a GAA protein level in smooth muscle of subjects who are not treated.
- In some embodiments, administering the provided composition results in an increased level of GAA protein in a muscle cell of a subject as compared to a baseline level before treatment. Typically, the baseline level is measured immediately before treatment. In some embodiments the muscle cell is a myocyte, a myotube, a myoblast, a cardiomyocyte or a cardiomyoblast. In some embodiments, administering the provided composition results in an increased GAA protein level in the muscle cell by at least about 10%, 20%, 30%, 40%, 50%, 60%, 70%, 80%, 90%, or 95% as compared to a baseline level before treatment. In some embodiments, administering the provided composition results in an increased GAA protein level in a muscle cell as compared to the GAA protein level a muscle cell of subjects who are not treated.
- In some embodiments, administering the provided composition results in an increased level of GAA protein in a liver cell (e.g., a hepatocyte) of a subject as compared to a baseline level before treatment. Typically, the baseline level is measured immediately before treatment. In some embodiments, administering the provided composition results in an increased GAA protein level in the liver cell by at least about 10%, 20%, 30%, 40%, 50%, 60%, 70%, 80%, 90%, or 95% as compared to a baseline level before treatment. In some embodiments, administering the provided composition results in an increased GAA protein level in a liver cell as compared to the GAA protein level a liver cell of subjects who are not treated.
- In some embodiments, administering the provided composition results in an increased GAA protein level in plasma or serum of subject as compared to a baseline level before treatment. Typically, the baseline level is measured immediately before treatment. In some embodiments, administering the provided composition results in an increased GAA protein level in plasma or serum by at least about 10%, 20%, 30%, 40%, 50%, 60%, 70%, 80%, 90%, or 95% as compared to a baseline level before treatment. In some embodiments, administering the provided composition results in an increased GAA protein level in plasma or serum as compared to a GAA protein level in plasma or serum of subjects who are not treated.
- In some embodiments, administering the provided composition results in reduced a serum creatine kinase level in a subject as compared to a baseline level before treatment. Typically, the baseline level is measured immediately before treatment. In some embodiments, administering the provided composition results in a reduced serum creatine kinase level by at least about 10%, 20%, 30%, 40%, 50%, 60%, 70%, 80%, 90%, or 95% as compared to a baseline serum creatine kinase level immediately before treatment. In some embodiments, administering of the provided composition results in a reduced serum creatine kinase level to less than about 2000 IU/L, 1500 IU/L, 1000 IU/L, 750 IU/L, 500 IU/L, 250 IU/L, 100 IU/L, 90 IU/L, 80 IU/L, 70 IU/L or 60 IU/L. In some embodiments, administering the provided composition results in a reduced serum creatine kinase level as compared to a serum creatine kinase level in subjects who are not treated.
- In some embodiments, administering the provided composition results in a reduced urinary Glc4 level in a subject as compared to a baseline level before treatment. Typically, the baseline level is measured immediately before treatment. In some embodiments, administering the provided composition results in a reduced urinary Glc4 level by at least about 10%, 20%, 30%, 40%, 50%, 60%, 70%, 80%, 90%, or 95% as compared to a baseline level immediately before treatment. In some embodiments, administering the provided composition results in a reduced urinary Glc4 level to less than about 100 mmol Glc4/mol creatinine, 90 mmol Glc4/mol creatinine, 80 mmol Glc4/mol creatinine, 70 mmol Glc4/mol creatinine, 60 mmol Glc4/mol creatinine, 50 mmol Glc4/mol creatinine, 40 mmol Glc4/mol creatinine, 30 mmol Glc4/mol creatinine or 20 mmol Glc4/mol creatinine. In some embodiments, administering the provided composition results in a reduced urinary Glc4 level as compared to a urinary Glc4 level in subjects who are not treated.
- In some embodiments, administering the provided composition results in a reduced muscle glycogen level in a subject as compared to a baseline level before treatment. Typically, a baseline level is measured immediately before treatment. In some embodiments, administering the provided composition results in a reduced muscle glycogen level by at least about 10%, 20%, 30%, 40%, 50%, 60%, 70%, 80%, 90%, or 95% as compared to a baseline level immediately before treatment. In some embodiments, administering the provided composition results in a reduced muscle glycogen level as compared to a muscle glycogen level in subjects who are not treated. In particular embodiments, the muscle is skeletal muscle, smooth muscle or cardiac muscle.
- In some embodiments, administering the provided composition results in a reduced liver glycogen level in a subject as compared to a baseline level before treatment. Typically, the baseline level is measured immediately before treatment. In some embodiments, administering the provided composition results in a reduced liver glycogen level by at least about 10%, 20%, 30%, 40%, 50%, 60%, 70%, 80%, 90%, or 95% as compared to a baseline level immediately before treatment. In some embodiments, administering the provided composition results in a reduced liver glycogen level as compared to a liver glycogen level in subjects who are not treated.
- In some embodiments, administering the provided composition results in a reduced serum aspartate transaminase (AST) level in a subject as compared to a baseline level before treatment. Typically, the baseline level is measured immediately before treatment. In some embodiments, administering the provided composition results in a reduced serum AST level by at least about 10%, 20%, 30%, 40%, 50%, 60%, 70%, 80%, 90%, or 95% as compared to a baseline level immediately before treatment. In some embodiments, administering the provided composition results in a reduced serum AST level to less than about 600 IU/L, 500 IU/L, 400 IU/L, 300 IU/L, 200 IU/L, 100 IU/L, 50 IU/L, 25 IU/L, 20 IU/L or 10 IU/L. In some embodiments, administering the provided composition results in a reduced serum AST level as compared to a serum AST level in subjects who are not treated.
- In some embodiments, administering the provided composition results in a reduced serum alanine transaminase (ALT) level in a subject as compared to a baseline level before treatment. Typically, the baseline level is measured immediately before treatment. In some embodiments, administering the provided composition results in a reduced serum ALT level by at least about 10%, 20%, 30%, 40%, 50%, 60%, 70%, 80%, 90%, or 95% as compared to a baseline level immediately before treatment. In some embodiments, administering the provided composition results in a reduced serum ALT level to less than about 1000 IU/L, 900 IU/L, 800 IU/L, 700 IU/L, 600 IU/L, 500 IU/L, 400 IU/L, 300 IU/L, 200 IU/L, 100 IU/L, 50 IU/L, 25 IU/L, 20 IU/L or 10 IU/L. In some embodiments, administering the provided composition results in a reduced serum ALT level as compared to a serum ALT level in subjects who are not treated.
- In some embodiments, administering the provided composition results in a reduced serum lactate dehydrogenase (LDH) level in a subject as compared to a baseline level before treatment. Typically, the baseline level is measured immediately before treatment. In some embodiments, administering the provided composition results in a reduced serum lactate dehydrogenase LDH level by at least about 10%, 20%, 30%, 40%, 50%, 60%, 70%, 80%, 90%, or 95% as compared to a baseline level immediately before treatment. In some embodiments, administering the provided composition results in a reduced serum LDH level to less than about 2000 IU/L, 1500 IU/L, 1000 IU/L, 900 IU/L, 800 IU/L, 700 IU/L, 600 IU/L, 500 IU/L, 400 IU/L, 300 IU/L, 200 IU/L or 100 IU/L. In some embodiments, administering the provided composition results in a reduced serum LDH level as compared to a serum LDH level in subjects who are not treated.
- In some embodiments, administering the provided composition results in increased GAA enzyme activity in a biological sample from a subject as compared to the baseline level before treatment. Typically, the baseline level is measured immediately before treatment. Biological samples include, for example, whole blood, serum, plasma, urine and tissue samples (e.g., muscle, liver, skin fibroblasts). In some embodiments, administering the provided composition results in an increased GAA enzyme activity by at least about 10%, 20%, 30%, 40%, 50%, 60%, 70%, 80%, 90%, or 95% as compared to a baseline level immediately before treatment. In some embodiments, administering the provided composition results in an increased GAA enzyme activity as compared to GAA enzyme activity in subjects who are not treated.
- According to various embodiments, the timing of expression of delivered mRNAs can be tuned to suit a particular medical need. In some embodiments, the expression of the protein encoded by delivered mRNA is detectable 1, 2, 3, 6, 12, 24, 48, 72, and/or 96 hours after administration of provided liposomes and/or compositions. In some embodiments, the expression of the protein encoded by delivered mRNA is detectable 1 week, two weeks, and/or 1 month after administration.
- While certain compounds, compositions and methods of the present invention have been described with specificity in accordance with certain embodiments, the following examples serve only to illustrate the compounds of the invention and are not intended to limit the same.
- This example provides exemplary liposome formulations for effective delivery and expression of GAA mRNA in vivo.
- The formulations described herein include a multi-component lipid mixture of varying ratios employing one or more cationic lipids, helper lipids (e.g., non-cationic lipids and/or cholesterol-based lipids) and PEGylated lipids designed to encapsulate mRNA encoding GAA protein. Cationic lipids can include (but not exclusively) DOTAP (1,2-dioleyl-3-trimethylammonium propane), DODAP (1,2-dioleyl-3-dimethylammonium propane), DOTMA (1,2-di-O-octadecenyl-3-trimethylammonium propane), DLinDMA (Heyes, J.; Palmer, L.; Bremner, K.; MacLachlan, I. “Cationic lipid saturation influences intracellular delivery of encapsulated nucleic acids” J. Contr. Rel. 2005, 107, 276-287), DLin-KC2-DMA (Semple, S. C. et al. “Rational Design of Cationic Lipids for siRNA Delivery” Nature Biotech. 2010, 28, 172-176), C12-200 (Love, K. T. et al. “Lipid-like materials for low-dose in vivo gene silencing” PNAS 2010, 107, 1864-1869), cKK-E12 (3,6-bis(4-(bis(2-hydroxydodecyl)amino)butyl)piperazine-2,5-dione), HGT5000, HGT5001, HGT4003, ICE, dialkylamino-based, imidazole-based, guanidinium-based, etc. Helper lipids can include (but not exclusively) DSPC (1,2-distearoyl-sn-glycero-3-phosphocholine), DPPC (1,2-dipalmitoyl-sn-glycero-3-phosphocholine), DOPE (1,2-dioleyl-sn-glycero-3-phosphoethanolamine), DOPC (1,2-dioleyl-sn-glycero-3-phosphotidylcholine) DPPE (1,2-dipalmitoyl-sn-glycero-3-phosphoethanolamine), DMPE (1,2-dimyristoyl-sn-glycero-3-phosphoethanolamine), DOPG (2-dioleoyl-sn-glycero-3-phospho-(1′-rac-glycerol)), cholesterol, etc. The PEGylated lipids can include (but not exclusively) a poly(ethylene) glycol chain of up to 5 kDa in length covalently attached to a lipid with alkyl chain(s) of C6-C20 length.
- Codon-optimized human acid alpha-glucosidase (GAA) messenger RNA was synthesized by in vitro transcription from a plasmid DNA template encoding the gene, which was followed by the addition of a 5′ cap structure (Cap 1) (Fechter, P.; Brownlee, G. G. “Recognition of mRNA cap structures by viral and cellular proteins” J. Gen. Virology 2005, 86, 1239-1249) and a 3′ poly(A) tail of approximately 250 nucleotides in length (SEQ ID NO: 7) as determined by gel electrophoresis. 5′ and 3′ untranslated regions present in each mRNA product are represented as X and Y, respectively and defined as stated (vide infra).
- Construct Design:
-
- X-SEQ ID NO: 3-Y.
- 5′ and 3′ UTR Sequences
-
X (5′ UTR Sequence) = [SEQ ID NO: 8] GGACAGAUCGCCUGGAGACGCCAUCCACGCUGUUUUGACCUCCAUAGAAG ACACCGGGACCGAUCCAGCCUCCGCGGCCGGGAACGGUGCAUUGGAACGC GGAUUCCCCGUGCCAAGAGUGACUCACCGUCCUUGACACG Y (3′ UTR Sequence) = [SEQ ID NO: 9] CGGGUGGCAUCCCUGUGACCCCUCCCCAGUGCCUCUCCUGGCCCUGGAAG UUGCCACUCCAGUGCCCACCAGCCUUGUCCUAAUAAAAUUAAGUUGCAUC AAGCU OR [SEQ ID NO: 10] GGGUGGCAUCCCUGUGACCCCUCCCCAGUGCCUCUCCUGGCCCUGGAAGU UGCCACUCCAGUGCCCACCAGCCUUGUCCUAAUAAAAUUAAGUUGCAUCA AAGCU - An exemplary codon-optimized human GAA mRNA sequence includes SEQ ID NO: 3 described in the detailed description section.
- An exemplary full-length codon-optimized human acid alpha-glucosidase (GAA) messenger RNA sequence is shown below:
-
[SEQ ID NO: 11] GGACAGAUCGCCUGGAGACGCCAUCCACGCUGUUUUGACCUCCAUAGAAG ACACCGGGACCGAUCCAGCCUCCGCGGCCGGGAACGGUGCAUUGGAACGC GGAUUCCCCGUGCCAAGAGUGACUCACCGUCCUUGACACGAUGGGAGUCA GACACCCGCCGUGCUCGCACAGGCUUCUGGCCGUGUGCGCACUCGUGAGU CUGGCGACUGCUGCGUUGCUGGGGCACAUUCUUCUCCACGACUUUCUCUU GGUGCCCCGAGAAUUGUCGGGCUCGUCGCCGGUACUGGAAGAAACCCACC CCGCACAUCAGCAGGGCGCGUCGCGGCCUGGUCCGAGGGAUGCCCAGGCA CAUCCCGGAAGGCCACGAGCCGUCCCGACUCAAUGUGACGUACCUCCCAA UUCCCGGUUCGACUGUGCGCCAGACAAGGCAAUCACGCAAGAGCAGUGCG AAGCCCGUGGAUGCUGCUAUAUUCCGGCGAAGCAGGGACUUCAGGGAGCC CAGAUGGGGCAGCCCUGGUGUUUCUUCCCGCCUUCCUAUCCCUCAUAUAA GCUGGAGAAUUUGUCGUCCUCGGAAAUGGGGUAUACCGCUACUCUUACGA GAACCACCCCCACAUUCUUUCCGAAGGACAUCCUUACUCUGCGGCUCGAC GUGAUGAUGGAGACAGAAAAUAGGCUGCAUUUCACGAUCAAAGACCCGGC GAACCGGAGAUAUGAGGUUCCGCUUGAGACUCCCCACGUUCACUCUCGUG CGCCUUCACCCUUGUACUCCGUGGAGUUCUCGGAAGAACCGUUCGGGGUG AUCGUCAGACGUCAACUUGAUGGUAGGGUAUUGCUGAACACAACGGUCGC CCCCUUGUUUUUCGCCGACCAGUUUCUGCAGCUUUCGACAUCGCUGCCGU CCCAGUAUAUCACAGGGCUCGCGGAGCAUCUUUCACCCCUCAUGCUGAGC ACGAGCUGGACACGGAUUACGCUCUGGAACAGGGAUCUCGCGCCGACGCC CGGAGCGAAUUUGUAUGGGUCGCAUCCCUUCUACCUCGCAUUGGAAGACG GGGGUUCCGCGCACGGAGUAUUCCUGCUUAAUUCUAAUGCGAUGGACGUU GUCUUGCAGCCCUCCCCUGCUUUGUCGUGGCGUUCCACGGGGGGCAUUUU GGACGUUUACAUCUUUUUGGGACCCGAGCCAAAGAGCGUAGUGCAGCAGU AUUUGGAUGUAGUGGGCUACCCCUUCAUGCCGCCUUAUUGGGGACUGGGG UUCCAUCUCUGCCGCUGGGGGUACUCUUCGACCGCGAUCACCCGCCAGGU GGUCGAGAACAUGACCAGAGCACAUUUCCCUUUGGACGUGCAGUGGAAUG AUUUGGAUUACAUGGAUAGCCGAAGAGACUUCACGUUCAAUAAGGACGGG UUUAGAGAUUUUCCCGCGAUGGUGCAAGAAUUGCACCAGGGUGGGCGCAG AUACAUGAUGAUCGUCGAUCCCGCCAUCAGCAGCUCGGGACCAGCGGGGA GUUACCGGCCUUACGAUGAGGGACUUAGGAGAGGCGUCUUUAUCACGAAC GAAACAGGUCAGCCGCUCAUUGGUAAAGUGUGGCCUGGAUCAACGGCCUU UCCCGACUUCACGAAUCCCACAGCCCUCGCCUGGUGGGAAGACAUGGUGG CGGAGUUUCACGACCAAGUACCGUUUGAUGGGAUGUGGAUUGAUAUGAAC GAACCCUCAAACUUUAUUCGCGGCUCGGAAGAUGGAUGCCCGAAUAAUGA GCUUGAGAAUCCCCCGUAUGUGCCAGGGGUGGUAGGUGGGACGCUCCAGG CCGCUACGAUCUGUGCGUCAUCACAUCAGUUCUUGUCAACGCACUACAAC UUGCACAAUCUUUACGGUUUGACUGAAGCCAUCGCUUCGCAUCGCGCGCU GGUCAAAGCGCGUGGUACGCGACCCUUCGUUAUUUCUCGGUCCACAUUUG CCGGGCACGGUCGGUAUGCCGGACACUGGACGGGAGAUGUCUGGUCUAGC UGGGAGCAGCUCGCGUCGAGCGUACCGGAGAUCCUCCAGUUCAAUCUUUU GGGAGUUCCGCUCGUCGGCGCUGACGUGUGCGGUUUUCUCGGAAACACAU CAGAAGAGCUUUGCGUACGCUGGACACAGCUCGGUGCGUUUUACCCCUUU AUGAGAAACCAUAACUCGUUGCUCUCACUCCCUCAAGAGCCGUACAGUUU UUCGGAGCCUGCGCAACAGGCGAUGCGGAAGGCAUUGACACUUCGCUAUG CACUGCUCCCGCAUCUCUAUACUCUGUUCCAUCAGGCCCAUGUGGCUGGA GAAACGGUGGCGAGGCCCCUGUUCUUGGAGUUCCCCAAAGAUAGUUCCAC AUGGACCGUGGAUCACCAGUUGCUGUGGGGAGAGGCGCUUCUGAUCACUC CGGUACUUCAGGCGGGUAAAGCGGAAGUCACUGGGUAUUUCCCGCUUGGG ACCUGGUACGACCUUCAGACUGUCCCAGUAGAAGCCCUCGGAAGCCUGCC ACCUCCCCCUGCUGCACCCCGCGAGCCUGCAAUCCAUAGCGAGGGCCAGU GGGUAACGUUGCCAGCCCCACUGGAUACCAUCAAUGUCCACCUCAGGGCG GGUUACAUUAUCCCUCUCCAAGGCCCUGGGUUGACCACCACAGAGUCGCG CCAGCAGCCAAUGGCACUUGCGGUCGCAUUGACGAAAGGGGGUGAAGCCC GAGGGGAACUGUUUUGGGAUGACGGGGAAAGCCUUGAGGUGCUGGAACGG GGAGCGUACACACAAGUCAUUUUCUUGGCCAGGAACAACACUAUUGUCAA CGAGUUGGUGCGCGUGACCUCUGAGGGUGCCGGACUGCAACUGCAGAAGG UCACGGUCCUCGGAGUGGCGACAGCACCCCAACAGGUCCUUAGUAACGGA GUACCUGUCUCGAACUUUACAUACUCCCCGGACACGAAGGUGCUCGACAU CUGUGUGUCGCUGCUUAUGGGGGAACAGUUUCUCGUGAGCUGGUGCUAGC GGGUGGCAUCCCUGUGACCCCUCCCCAGUGCCUCUCCUGGCCCUGGAAGU UGCCACUCCAGUGCCCACCAGCCUUGUCCUAAUAAAAUUAAGUUGCAUCA AGCU. - In another example, a full length codon-optimized human acid alpha-glucosidase (GAA) messenger RNA sequence is shown below:
-
[SEQ ID NO: 12] GGACAGAUCGCCUGGAGACGCCAUCCACGCUGUUUUGACCUCCAUAGAAG ACACCGGGACCGAUCCAGCCUCCGCGGCCGGGAACGGUGCAUUGGAACGC GGAUUCCCCGUGCCAAGAGUGACUCACCGUCCUUGACACGAUGGGAGUCA GACACCCGCCGUGCUCGCACAGGCUUCUGGCCGUGUGCGCACUCGUGAGU CUGGCGACUGCUGCGUUGCUGGGGCACAUUCUUCUCCACGACUUUCUCUU GGUGCCCCGAGAAUUGUCGGGCUCGUCGCCGGUACUGGAAGAAACCCACC CCGCACAUCAGCAGGGCGCGUCGCGGCCUGGUCCGAGGGAUGCCCAGGCA CAUCCCGGAAGGCCACGAGCCGUCCCGACUCAAUGUGACGUACCUCCCAA UUCCCGGUUCGACUGUGCGCCAGACAAGGCAAUCACGCAAGAGCAGUGCG AAGCCCGUGGAUGCUGCUAUAUUCCGGCGAAGCAGGGACUUCAGGGAGCC CAGAUGGGGCAGCCCUGGUGUUUCUUCCCGCCUUCCUAUCCCUCAUAUAA GCUGGAGAAUUUGUCGUCCUCGGAAAUGGGGUAUACCGCUACUCUUACGA GAACCACCCCCACAUUCUUUCCGAAGGACAUCCUUACUCUGCGGCUCGAC GUGAUGAUGGAGACAGAAAAUAGGCUGCAUUUCACGAUCAAAGACCCGGC GAACCGGAGAUAUGAGGUUCCGCUUGAGACUCCCCACGUUCACUCUCGUG CGCCUUCACCCUUGUACUCCGUGGAGUUCUCGGAAGAACCGUUCGGGGUG AUCGUCAGACGUCAACUUGAUGGUAGGGUAUUGCUGAACACAACGGUCGC CCCCUUGUUUUUCGCCGACCAGUUUCUGCAGCUUUCGACAUCGCUGCCGU CCCAGUAUAUCACAGGGCUCGCGGAGCAUCUUUCACCCCUCAUGCUGAGC ACGAGCUGGACACGGAUUACGCUCUGGAACAGGGAUCUCGCGCCGACGCC CGGAGCGAAUUUGUAUGGGUCGCAUCCCUUCUACCUCGCAUUGGAAGACG GGGGUUCCGCGCACGGAGUAUUCCUGCUUAAUUCUAAUGCGAUGGACGUU GUCUUGCAGCCCUCCCCUGCUUUGUCGUGGCGUUCCACGGGGGGCAUUUU GGACGUUUACAUCUUUUUGGGACCCGAGCCAAAGAGCGUAGUGCAGCAGU AUUUGGAUGUAGUGGGCUACCCCUUCAUGCCGCCUUAUUGGGGACUGGGG UUCCAUCUCUGCCGCUGGGGGUACUCUUCGACCGCGAUCACCCGCCAGGU GGUCGAGAACAUGACCAGAGCACAUUUCCCUUUGGACGUGCAGUGGAAUG AUUUGGAUUACAUGGAUAGCCGAAGAGACUUCACGUUCAAUAAGGACGGG UUUAGAGAUUUUCCCGCGAUGGUGCAAGAAUUGCACCAGGGUGGGCGCAG AUACAUGAUGAUCGUCGAUCCCGCCAUCAGCAGCUCGGGACCAGCGGGGA GUUACCGGCCUUACGAUGAGGGACUUAGGAGAGGCGUCUUUAUCACGAAC GAAACAGGUCAGCCGCUCAUUGGUAAAGUGUGGCCUGGAUCAACGGCCUU UCCCGACUUCACGAAUCCCACAGCCCUCGCCUGGUGGGAAGACAUGGUGG CGGAGUUUCACGACCAAGUACCGUUUGAUGGGAUGUGGAUUGAUAUGAAC GAACCCUCAAACUUUAUUCGCGGCUCGGAAGAUGGAUGCCCGAAUAAUGA GCUUGAGAAUCCCCCGUAUGUGCCAGGGGUGGUAGGUGGGACGCUCCAGG CCGCUACGAUCUGUGCGUCAUCACAUCAGUUCUUGUCAACGCACUACAAC UUGCACAAUCUUUACGGUUUGACUGAAGCCAUCGCUUCGCAUCGCGCGCU GGUCAAAGCGCGUGGUACGCGACCCUUCGUUAUUUCUCGGUCCACAUUUG CCGGGCACGGUCGGUAUGCCGGACACUGGACGGGAGAUGUCUGGUCUAGC UGGGAGCAGCUCGCGUCGAGCGUACCGGAGAUCCUCCAGUUCAAUCUUUU GGGAGUUCCGCUCGUCGGCGCUGACGUGUGCGGUUUUCUCGGAAACACAU CAGAAGAGCUUUGCGUACGCUGGACACAGCUCGGUGCGUUUUACCCCUUU AUGAGAAACCAUAACUCGUUGCUCUCACUCCCUCAAGAGCCGUACAGUUU UUCGGAGCCUGCGCAACAGGCGAUGCGGAAGGCAUUGACACUUCGCUAUG CACUGCUCCCGCAUCUCUAUACUCUGUUCCAUCAGGCCCAUGUGGCUGGA GAAACGGUGGCGAGGCCCCUGUUCUUGGAGUUCCCCAAAGAUAGUUCCAC AUGGACCGUGGAUCACCAGUUGCUGUGGGGAGAGGCGCUUCUGAUCACUC CGGUACUUCAGGCGGGUAAAGCGGAAGUCACUGGGUAUUUCCCGCUUGGG ACCUGGUACGACCUUCAGACUGUCCCAGUAGAAGCCCUCGGAAGCCUGCC ACCUCCCCCUGCUGCACCCCGCGAGCCUGCAAUCCAUAGCGAGGGCCAGU GGGUAACGUUGCCAGCCCCACUGGAUACCAUCAAUGUCCACCUCAGGGGG GUUACAUUAUCCCUCUCCAAGGCCCUGGGUUGACCACCACAGAGUCGCGC CAGCAGCCAAUGGCACUUGCGGUCGCAUUGACGAAAGGGGGUGAAGCCCG AGGGGAACUGUUUUGGGAUGACGGGGAAAGCCUUGAGGUGCUGGAACGGG GAGCGUACACACAAGUCAUUUUCUUGGCCAGGAACAACACUAUUGUCAAC GAGUUGGUGCGCGUGACCUCUGAGGGUGCCGGACUGCAACUGCAGAAGGU CACGGUCCUCGGAGUGGCGACAGCACCCCAACAGGUCCUUAGUAACGGAG UACCUGUCUCGAACUUUACAUACUCCCCGGACACGAAGGUGCUCGACAUC UGUGUGUCGCUGCUUAUGGGGGAACAGUUUCUCGUGAGCUGGUGCUAGGG GUGGCAUCCCUGUGACCCCUCCCCAGUGCCUCUCCUGGCCCUGGAAGUUG CCACUCCAGUGCCCACCAGCCUUGUCCUAAUAAAAUUAAGUUGCAUCAAA GCU. - A. cKK-E12
- Aliquots of 50 mg/mL ethanolic solutions of cKK-E12, DOPE, cholesterol and DMG-PEG2K were mixed and diluted with ethanol to 3 mL final volume. Separately, an aqueous buffered solution (10 mM citrate/150 mM NaCl, pH 4.5) of GAA mRNA was prepared from a 1 mg/mL stock. The lipid solution was injected rapidly into the aqueous mRNA solution and shaken to yield a final suspension in 20% ethanol. The resulting nanoparticle suspension was filtered, diafiltrated with 1×PBS (pH 7.4), concentrated and stored at 2-8° C. Final concentration=0.64 mg/mL GAA mRNA (encapsulated). Zave=80 nm; PDI=0.17. % Encapsulation=85%; Yield=89%.
- B. C12-200
- Aliquots of 50 mg/mL ethanolic solutions of C12-200, DOPE, cholesterol and DMG-PEG2K are mixed and diluted with ethanol to 3 mL final volume. Separately, an aqueous buffered solution (10 mM citrate/150 mM NaCl, pH 4.5) of GAA mRNA is prepared from a 1 mg/mL stock. The lipid solution is injected rapidly into the aqueous mRNA solution and shaken to yield a final suspension in 20% ethanol. The resulting nanoparticle suspension is filtered, diafiltrated with 1×PBS (pH 7.4), concentrated and stored at 2-8° C. The final concentration, Zave, Dv(50) and Dv(90) of the GAA encapsulated mRNA are determined.
- C. HGT4003
- Aliquots of 50 mg/mL ethanolic solutions of HGT4003, DOPE, cholesterol and DMG-PEG2K are mixed and diluted with ethanol to 3 mL final volume. Separately, an aqueous buffered solution (10 mM citrate/150 mM NaCl, pH 4.5) of GAA mRNA is prepared from a 1 mg/mL stock. The lipid solution is injected rapidly into the aqueous mRNA solution and shaken to yield a final suspension in 20% ethanol. The resulting nanoparticle suspension is filtered, diafiltrated with 1×PBS (pH 7.4), concentrated and stored at 2-8° C. The final concentration, Zave, Dv(50) and Dv(90) of the GAA encapsulated mRNA are determined.
- D. ICE
- Aliquots of 50 mg/mL ethanolic solutions of ICE, DOPE, cholesterol and DMG-PEG2K are mixed and diluted with ethanol to 3 mL final volume. Separately, an aqueous buffered solution (10 mM citrate/150 mM NaCl, pH 4.5) of GAA mRNA is prepared from a 1 mg/mL stock. The lipid solution is injected rapidly into the aqueous mRNA solution and shaken to yield a final suspension in 20% ethanol. The resulting nanoparticle suspension is filtered, diafiltrated with 1×PBS (pH 7.4), concentrated and stored at 2-8° C. The final concentration, Zave, Dv(50) and Dv(90) of the GAA encapsulated mRNA are determined.
- E. HGT5001
- Aliquots of 50 mg/mL ethanolic solutions of HGT5001, DOPE, cholesterol and DMG-PEG2K are mixed and diluted with ethanol to 3 mL final volume. Separately, an aqueous buffered solution (10 mM citrate/150 mM NaCl, pH 4.5) of GAA mRNA is prepared from a 1 mg/mL stock. The lipid solution is injected rapidly into the aqueous mRNA solution and shaken to yield a final suspension in 20% ethanol. The resulting nanoparticle suspension is filtered, diafiltrated with 1×PBS (pH 7.4), concentrated and stored at 2-8° C. The final concentration, Zave, Dv(50) and Dv(90) of the GAA encapsulated mRNA are determined.
- F. HGT5000
- Aliquots of 50 mg/mL ethanolic solutions of HGT5000, DOPE, cholesterol and DMG-PEG2K are mixed and diluted with ethanol to 3 mL final volume. Separately, an aqueous buffered solution (10 mM citrate/150 mM NaCl, pH 4.5) of GAA mRNA is prepared from a 1 mg/mL stock. The lipid solution is injected rapidly into the aqueous mRNA solution and shaken to yield a final suspension in 20% ethanol. The resulting nanoparticle suspension is filtered, diafiltrated with 1×PBS (pH 7.4), concentrated and stored at 2-8° C. The final concentration, Zave, Dv(50) and Dv(90) of the GAA encapsulated mRNA are determined.
- G. DLinKC2DMA
- Aliquots of 50 mg/mL ethanolic solutions of DLinKC2DMA, DOPE, cholesterol and DMG-PEG2K are mixed and diluted with ethanol to 3 mL final volume. Separately, an aqueous buffered solution (10 mM citrate/150 mM NaCl, pH 4.5) of GAA mRNA is prepared from a 1 mg/mL stock. The lipid solution is injected rapidly into the aqueous mRNA solution and shaken to yield a final suspension in 20% ethanol. The resulting nanoparticle suspension is filtered, diafiltrated with 1×PBS (pH 7.4), concentrated and stored at 2-8° C. The final concentration, Zave, Dv(50) and Dv(90) of the GAA encapsulated mRNA are determined.
- H. DODAP
- Aliquots of 50 mg/mL ethanolic solutions of DODAP, DOPE, cholesterol and DMG-PEG2K are mixed and diluted with ethanol to 3 mL final volume. Separately, an aqueous buffered solution (10 mM citrate/150 mM NaCl, pH 4.5) of GAA mRNA is prepared from a 1 mg/mL stock. The lipid solution is injected rapidly into the aqueous mRNA solution and shaken to yield a final suspension in 20% ethanol. The resulting nanoparticle suspension is filtered, diafiltrated with 1×PBS (pH 7.4), concentrated and stored at 2-8° C. The final concentration, Zave, Dv(50) and Dv(90) of the GAA encapsulated mRNA are determined.
- I. DODMA
- Aliquots of 50 mg/mL ethanolic solutions of DODMA, DOPE, cholesterol and DMG-PEG2K are mixed and diluted with ethanol to 3 mL final volume. Separately, an aqueous buffered solution (10 mM citrate/150 mM NaCl, pH 4.5) of GAA mRNA is prepared from a 1 mg/mL stock. The lipid solution is injected rapidly into the aqueous mRNA solution and shaken to yield a final suspension in 20% ethanol. The resulting nanoparticle suspension is filtered, diafiltrated with 1×PBS (pH 7.4), concentrated and stored at 2-8° C. The final concentration, Zave, Dv(50) and Dv(90) of the GAA encapsulated mRNA are determined.
- This example illustrates exemplary methods of administering GAA mRNA-loaded liposome nanoparticles and methods for analyzing GAA mRNA and glycogen in various target tissues in vivo.
- All studies were performed using GAA knock out mice. Mice were treated with human GAA mRNA-loaded cKK-E12-based lipid nanoparticles by a single bolus tail-vein injection of a 1.0 mg/kg dose. Mice were sacrificed and perfused with saline at 30 minutes, 3 hours, 6 hours, 12 hours, 24 hours, 48 hours, 72 hours and 7 days.
- Tissues, such as liver and muscle, of each mouse were harvested, apportioned into separate parts, and stored in either 10% neutral buffered formalin or snap-frozen and stored at −80° C. for analysis.
- Direct detection of the active pharmaceutical ingredient (GAA mRNA) in the muscle of the treated mice was achieved using in situ hybridization (ISH) based methods. As demonstrated in
FIGS. 1A and 1B , the exogenous human GAA messenger RNA was detected at 6 hours and 12 hours. - Liver glycogen levels were reduced following administration of the GAA mRNA lipid nanoparticle (
FIG. 2A ) as compared to liver glycogen levels in untreated GAA knock out mice (FIG. 2B ). - This example illustrates exemplary methods of administering GAA mRNA-loaded liposome nanoparticles and methods for analyzing GAA mRNA and glycogen in various target tissues in vivo.
- All studies were performed using GAA knock out mice. Mice were treated with human GAA mRNA-loaded cKK-E12-based lipid nanoparticles by a single intramuscular injection of a 1.0 mg/kg dose. Mice were sacrificed and perfused with saline at 24 hours.
- Tissues, such as liver and muscle, of each mouse were harvested, apportioned into separate parts, and stored in either 10% neutral buffered formalin or snap-frozen and stored at −80° C. for analysis.
- Direct detection of the active pharmaceutical ingredient (GAA mRNA) in the muscle of the treated mice was achieved using in situ hybridization (ISH) based methods. As demonstrated in
FIG. 3 , the exogenous human GAA messenger RNA was detected at high levels at 24 hours. - Quadriceps muscle glycogen levels were reduced following administration of the GAA mRNA lipid nanoparticle (
FIGS. 4A and 4B ) as compared to quadriceps muscle glycogen levels in untreated GAA knock out mice (FIGS. 4C and 4D ). - Those skilled in the art will recognize, or be able to ascertain using no more than routine experimentation, many equivalents to the specific embodiments of the invention described herein. The scope of the present invention is not intended to be limited to the above Description, but rather is as set forth in the following claims:
Claims (35)
Priority Applications (1)
| Application Number | Priority Date | Filing Date | Title |
|---|---|---|---|
| US18/207,609 US20240009281A1 (en) | 2015-03-19 | 2023-06-08 | Mrna therapy for pompe disease |
Applications Claiming Priority (5)
| Application Number | Priority Date | Filing Date | Title |
|---|---|---|---|
| US201562135338P | 2015-03-19 | 2015-03-19 | |
| US15/073,163 US10172924B2 (en) | 2015-03-19 | 2016-03-17 | MRNA therapy for pompe disease |
| US16/191,017 US11090368B2 (en) | 2015-03-19 | 2018-11-14 | MRNA therapy for Pompe disease |
| US17/369,783 US11712463B2 (en) | 2015-03-19 | 2021-07-07 | MRNA therapy for pompe disease |
| US18/207,609 US20240009281A1 (en) | 2015-03-19 | 2023-06-08 | Mrna therapy for pompe disease |
Related Parent Applications (1)
| Application Number | Title | Priority Date | Filing Date |
|---|---|---|---|
| US17/369,783 Continuation US11712463B2 (en) | 2015-03-19 | 2021-07-07 | MRNA therapy for pompe disease |
Publications (1)
| Publication Number | Publication Date |
|---|---|
| US20240009281A1 true US20240009281A1 (en) | 2024-01-11 |
Family
ID=55755676
Family Applications (4)
| Application Number | Title | Priority Date | Filing Date |
|---|---|---|---|
| US15/073,163 Active US10172924B2 (en) | 2015-03-19 | 2016-03-17 | MRNA therapy for pompe disease |
| US16/191,017 Active 2036-08-07 US11090368B2 (en) | 2015-03-19 | 2018-11-14 | MRNA therapy for Pompe disease |
| US17/369,783 Active US11712463B2 (en) | 2015-03-19 | 2021-07-07 | MRNA therapy for pompe disease |
| US18/207,609 Pending US20240009281A1 (en) | 2015-03-19 | 2023-06-08 | Mrna therapy for pompe disease |
Family Applications Before (3)
| Application Number | Title | Priority Date | Filing Date |
|---|---|---|---|
| US15/073,163 Active US10172924B2 (en) | 2015-03-19 | 2016-03-17 | MRNA therapy for pompe disease |
| US16/191,017 Active 2036-08-07 US11090368B2 (en) | 2015-03-19 | 2018-11-14 | MRNA therapy for Pompe disease |
| US17/369,783 Active US11712463B2 (en) | 2015-03-19 | 2021-07-07 | MRNA therapy for pompe disease |
Country Status (6)
| Country | Link |
|---|---|
| US (4) | US10172924B2 (en) |
| EP (2) | EP3900702A1 (en) |
| JP (3) | JP6895892B2 (en) |
| AU (3) | AU2016233135B2 (en) |
| CA (1) | CA2979695C (en) |
| WO (1) | WO2016149508A1 (en) |
Families Citing this family (15)
| Publication number | Priority date | Publication date | Assignee | Title |
|---|---|---|---|---|
| ES2663360T3 (en) | 2011-06-08 | 2018-04-12 | Translate Bio, Inc. | Cleavable lipids |
| HUE059594T2 (en) | 2017-02-27 | 2022-11-28 | Translate Bio Inc | Methods for purification of messenger RNA |
| EP3971291A1 (en) | 2017-02-27 | 2022-03-23 | Translate Bio, Inc. | Methods for purification of messenger rna |
| EP3585886B1 (en) * | 2017-02-27 | 2023-11-22 | Translate Bio, Inc. | Large scale synthesis of messenger rna |
| US20220184185A1 (en) * | 2018-07-25 | 2022-06-16 | Modernatx, Inc. | Mrna based enzyme replacement therapy combined with a pharmacological chaperone for the treatment of lysosomal storage disorders |
| KR20210060480A (en) | 2018-08-24 | 2021-05-26 | 트랜슬레이트 바이오 인코포레이티드 | Method for purifying messenger RNA |
| WO2020072996A1 (en) | 2018-10-05 | 2020-04-09 | Seattle Children's Hospital (D/B/A Seattle Children's Research Institute) | Newborn screening for primary immunodeficiencies, cystinosis, and wilson disease |
| KR20210093232A (en) * | 2018-10-09 | 2021-07-27 | 더 유니버시티 오브 브리티시 콜롬비아 | Compositions and systems and related methods comprising transfection competent vesicles free of organic solvent and detergent |
| WO2020097509A1 (en) | 2018-11-08 | 2020-05-14 | Translate Bio, Inc. | Methods and compositions for messenger rna purification |
| US10974851B2 (en) | 2018-11-09 | 2021-04-13 | Textron Innovations Inc. | System and method for maintaining and configuring rotorcraft |
| US11559561B2 (en) * | 2019-01-07 | 2023-01-24 | Translate Bio, Inc. | Composition and methods for treatment of primary ciliary dyskinesia |
| CN115715218A (en) * | 2020-02-08 | 2023-02-24 | 建新公司 | Compositions and methods for treating pompe disease |
| WO2021202807A1 (en) * | 2020-03-31 | 2021-10-07 | Seattle Children's Hospital D/B/A Seattle Children's Research Institute | Proteomic screening for lysosomal storage diseases |
| EP4126939A4 (en) | 2020-04-02 | 2024-08-21 | Seattle Children's Hospital d/b/a Seattle Children's Research Institute | ANTIBODIES THAT SPECIFICALLY BIND PEPTIDES ASSOCIATED WITH PRIMARY IMMUNE DEFICIENCIES: WISKOTT-CYSTEINE SYNDROME AND X-LINKED AGAMMAGLOBULINEMIA |
| US12458604B2 (en) | 2020-10-14 | 2025-11-04 | The Trustees Of The University Of Pennsylvania | Methods of lipid nanoparticle manufacture and compositions derived therefrom |
Citations (1)
| Publication number | Priority date | Publication date | Assignee | Title |
|---|---|---|---|---|
| US20120322861A1 (en) * | 2007-02-23 | 2012-12-20 | Barry John Byrne | Compositions and Methods for Treating Diseases |
Family Cites Families (116)
| Publication number | Priority date | Publication date | Assignee | Title |
|---|---|---|---|---|
| US4458066A (en) | 1980-02-29 | 1984-07-03 | University Patents, Inc. | Process for preparing polynucleotides |
| US5132418A (en) | 1980-02-29 | 1992-07-21 | University Patents, Inc. | Process for preparing polynucleotides |
| US4500707A (en) | 1980-02-29 | 1985-02-19 | University Patents, Inc. | Nucleosides useful in the preparation of polynucleotides |
| US4668777A (en) | 1981-03-27 | 1987-05-26 | University Patents, Inc. | Phosphoramidite nucleoside compounds |
| US4415732A (en) | 1981-03-27 | 1983-11-15 | University Patents, Inc. | Phosphoramidite compounds and processes |
| US4973679A (en) | 1981-03-27 | 1990-11-27 | University Patents, Inc. | Process for oligonucleo tide synthesis using phosphormidite intermediates |
| US4401796A (en) | 1981-04-30 | 1983-08-30 | City Of Hope Research Institute | Solid-phase synthesis of polynucleotides |
| US4373071A (en) | 1981-04-30 | 1983-02-08 | City Of Hope Research Institute | Solid-phase synthesis of polynucleotides |
| US4897355A (en) | 1985-01-07 | 1990-01-30 | Syntex (U.S.A.) Inc. | N[ω,(ω-1)-dialkyloxy]- and N-[ω,(ω-1)-dialkenyloxy]-alk-1-yl-N,N,N-tetrasubstituted ammonium lipids and uses therefor |
| US4737323A (en) | 1986-02-13 | 1988-04-12 | Liposome Technology, Inc. | Liposome extrusion method |
| US5153319A (en) | 1986-03-31 | 1992-10-06 | University Patents, Inc. | Process for preparing polynucleotides |
| US5262530A (en) | 1988-12-21 | 1993-11-16 | Applied Biosystems, Inc. | Automated system for polynucleotide synthesis and purification |
| US5047524A (en) | 1988-12-21 | 1991-09-10 | Applied Biosystems, Inc. | Automated system for polynucleotide synthesis and purification |
| FR2645866B1 (en) | 1989-04-17 | 1991-07-05 | Centre Nat Rech Scient | NEW LIPOPOLYAMINES, THEIR PREPARATION AND THEIR USE |
| US5334761A (en) | 1992-08-28 | 1994-08-02 | Life Technologies, Inc. | Cationic lipids |
| US5885613A (en) | 1994-09-30 | 1999-03-23 | The University Of British Columbia | Bilayer stabilizing components and their use in forming programmable fusogenic liposomes |
| US5700642A (en) | 1995-05-22 | 1997-12-23 | Sri International | Oligonucleotide sizing using immobilized cleavable primers |
| JP4335310B2 (en) | 1995-06-07 | 2009-09-30 | ザ ユニバーシティ オブ ブリティッシュ コロンビア | Lipid-nucleic acid particles prepared through hydrophobic lipid-nucleic acid complex intermediates and use for gene transfer |
| US7422902B1 (en) | 1995-06-07 | 2008-09-09 | The University Of British Columbia | Lipid-nucleic acid particles prepared via a hydrophobic lipid-nucleic acid complex intermediate and use for gene transfer |
| US5705385A (en) | 1995-06-07 | 1998-01-06 | Inex Pharmaceuticals Corporation | Lipid-nucleic acid particles prepared via a hydrophobic lipid-nucleic acid complex intermediate and use for gene transfer |
| US5981501A (en) | 1995-06-07 | 1999-11-09 | Inex Pharmaceuticals Corp. | Methods for encapsulating plasmids in lipid bilayers |
| US5744335A (en) | 1995-09-19 | 1998-04-28 | Mirus Corporation | Process of transfecting a cell with a polynucleotide mixed with an amphipathic compound and a DNA-binding protein |
| US20030223966A1 (en) * | 2002-04-30 | 2003-12-04 | Fraites Thomas J. | Treatment for pompe disease |
| EP2338478B1 (en) | 2002-06-28 | 2014-07-23 | Protiva Biotherapeutics Inc. | Method for producing liposomes |
| JP4709545B2 (en) | 2002-07-26 | 2011-06-22 | ノバルティス バクシンズ アンド ダイアグノスティックス,インコーポレーテッド | Modified small interfering RNA molecules and methods of use |
| EP1587923B1 (en) * | 2003-01-22 | 2011-08-24 | Duke University | Improved constructs for expressing lysosomal polypeptides |
| US7803397B2 (en) | 2003-09-15 | 2010-09-28 | Protiva Biotherapeutics, Inc. | Polyethyleneglycol-modified lipid compounds and uses thereof |
| US20060078542A1 (en) | 2004-02-10 | 2006-04-13 | Mah Cathryn S | Gel-based delivery of recombinant adeno-associated virus vectors |
| US7928217B2 (en) | 2004-05-27 | 2011-04-19 | Alnylam Pharmaceuticals, Inc. | Nuclease resistant double-stranded ribonucleic acid |
| WO2005120152A2 (en) | 2004-06-07 | 2005-12-22 | Protiva Biotherapeutics, Inc. | Cationic lipids and methods of use |
| EP1766035B1 (en) | 2004-06-07 | 2011-12-07 | Protiva Biotherapeutics Inc. | Lipid encapsulated interfering rna |
| US7314164B2 (en) | 2004-07-01 | 2008-01-01 | American Express Travel Related Services Company, Inc. | System for biometric security using a smartcard |
| CN101346393B (en) | 2005-11-02 | 2015-07-22 | 普洛体维生物治疗公司 | Modified siRNA molecules and uses thereof |
| EP2049665A2 (en) | 2006-07-28 | 2009-04-22 | Applera Corporation | Dinucleotide mrna cap analogs |
| WO2009058911A2 (en) | 2007-10-31 | 2009-05-07 | Applied Biosystems Inc. | Preparation and isolation of 5' capped mrna |
| JP5635412B2 (en) | 2007-12-04 | 2014-12-03 | アルニラム ファーマスーティカルズ インコーポレイテッドAlnylam Pharmaceuticals, Inc. | Targeted lipid |
| EP2238251B1 (en) | 2007-12-27 | 2015-02-11 | Protiva Biotherapeutics Inc. | Silencing of polo-like kinase expression using interfering rna |
| DK2252313T3 (en) * | 2008-02-12 | 2015-07-13 | Amicus Therapeutics Inc | METHOD TO PREDICT response to Pharmacological chaperone TREATMENT OF DISEASES |
| EP2274425A2 (en) | 2008-04-11 | 2011-01-19 | Alnylam Pharmaceuticals Inc. | Site-specific delivery of nucleic acids by combining targeting ligands with endosomolytic components |
| AU2009238175C1 (en) | 2008-04-15 | 2023-11-30 | Arbutus Biopharma Corporation | Novel lipid formulations for nucleic acid delivery |
| EP2350043B9 (en) | 2008-10-09 | 2014-08-20 | TEKMIRA Pharmaceuticals Corporation | Improved amino lipids and methods for the delivery of nucleic acids |
| MX353900B (en) | 2008-11-07 | 2018-02-01 | Massachusetts Inst Technology | Aminoalcohol lipidoids and uses thereof. |
| CN111909020A (en) | 2008-11-10 | 2020-11-10 | 阿布特斯生物制药公司 | Lipids and compositions for delivery of therapeutic agents |
| CA2750561C (en) | 2009-01-26 | 2017-10-10 | Protiva Biotherapeutics, Inc. | Compositions and methods for silencing apolipoprotein c-iii expression |
| KR20240015723A (en) | 2009-05-05 | 2024-02-05 | 알닐람 파마슈티칼스 인코포레이티드 | Lipid compositions |
| CA2764609C (en) | 2009-06-10 | 2018-10-02 | Alnylam Pharmaceuticals, Inc. | Improved cationic lipid of formula i |
| WO2010147992A1 (en) | 2009-06-15 | 2010-12-23 | Alnylam Pharmaceuticals, Inc. | Methods for increasing efficacy of lipid formulated sirna |
| EP2449106B1 (en) | 2009-07-01 | 2015-04-08 | Protiva Biotherapeutics Inc. | Compositions and methods for silencing apolipoprotein b |
| WO2011000106A1 (en) | 2009-07-01 | 2011-01-06 | Protiva Biotherapeutics, Inc. | Improved cationic lipids and methods for the delivery of therapeutic agents |
| US9018187B2 (en) | 2009-07-01 | 2015-04-28 | Protiva Biotherapeutics, Inc. | Cationic lipids and methods for the delivery of therapeutic agents |
| US8716464B2 (en) | 2009-07-20 | 2014-05-06 | Thomas W. Geisbert | Compositions and methods for silencing Ebola virus gene expression |
| ES2666559T3 (en) | 2009-12-01 | 2018-05-07 | Translate Bio, Inc. | Delivery of mrna for the augmentation of proteins and enzymes in human genetic diseases |
| WO2011141705A1 (en) | 2010-05-12 | 2011-11-17 | Protiva Biotherapeutics, Inc. | Novel cationic lipids and methods of use thereof |
| EP2600901B1 (en) | 2010-08-06 | 2019-03-27 | ModernaTX, Inc. | A pharmaceutical formulation comprising engineered nucleic acids and medical use thereof |
| CN104531812A (en) | 2010-10-01 | 2015-04-22 | 现代治疗公司 | Engineered nucleic acids and methods of use thereof |
| WO2012075040A2 (en) | 2010-11-30 | 2012-06-07 | Shire Human Genetic Therapies, Inc. | mRNA FOR USE IN TREATMENT OF HUMAN GENETIC DISEASES |
| US8710200B2 (en) | 2011-03-31 | 2014-04-29 | Moderna Therapeutics, Inc. | Engineered nucleic acids encoding a modified erythropoietin and their expression |
| WO2012158736A1 (en) | 2011-05-17 | 2012-11-22 | modeRNA Therapeutics | Engineered nucleic acids and methods of use thereof for non-human vertebrates |
| ES2663360T3 (en) | 2011-06-08 | 2018-04-12 | Translate Bio, Inc. | Cleavable lipids |
| BR112013031553A2 (en) | 2011-06-08 | 2020-11-10 | Shire Human Genetic Therapies, Inc. | compositions, mrna encoding a gland and its use, use of at least one mrna molecule and a vehicle for transfer and use of an mrna encoding for exogenous protein |
| EP2755986A4 (en) | 2011-09-12 | 2015-05-20 | Moderna Therapeutics Inc | MODIFIED NUCLEIC ACIDS AND METHODS OF USE |
| WO2013039861A2 (en) | 2011-09-12 | 2013-03-21 | modeRNA Therapeutics | Engineered nucleic acids and methods of use thereof |
| US9464124B2 (en) | 2011-09-12 | 2016-10-11 | Moderna Therapeutics, Inc. | Engineered nucleic acids and methods of use thereof |
| CN104114571A (en) | 2011-10-05 | 2014-10-22 | 普洛体维生物治疗公司 | Compositions and methods for silencing aldehyde dehydrogenase |
| NZ747501A (en) | 2011-10-27 | 2020-05-29 | Massachusetts Inst Technology | Amino acid derivatives functionalized on the n-terminal capable of forming drug encapsulating microspheres |
| EP2791364A4 (en) | 2011-12-14 | 2015-11-11 | Moderna Therapeutics Inc | METHODS OF RESPONSE TO A BIOLOGICAL THREAT |
| US20140343129A1 (en) | 2011-12-14 | 2014-11-20 | Moderna Therapeutics, Inc. | Modified nucleic acids, and acute care uses thereof |
| PL2791160T3 (en) | 2011-12-16 | 2022-06-20 | Modernatx, Inc. | Modified mrna compositions |
| JP2015510495A (en) | 2011-12-21 | 2015-04-09 | モデルナ セラピューティクス インコーポレイテッドModerna Therapeutics,Inc. | Methods for extending the viability or longevity of an organ or organ graft |
| EP2797634A4 (en) | 2011-12-29 | 2015-08-05 | Moderna Therapeutics Inc | MODIFIED mRNA ENCODING POLYPEPTIDES PENETRATING IN CELLS |
| RS58077B1 (en) | 2012-02-24 | 2019-02-28 | Arbutus Biopharma Corp | Trialkyl cationic lipids and methods of use thereof |
| WO2013134530A1 (en) * | 2012-03-07 | 2013-09-12 | Amicus Therapeutics, Inc. | High concentration alpha-glucosidase compositions for the treatment of pompe disease |
| HK1206779A1 (en) | 2012-04-02 | 2016-01-15 | Modernatx, Inc. | Modified polynucleotides for the production of nuclear proteins |
| US20140275229A1 (en) | 2012-04-02 | 2014-09-18 | Moderna Therapeutics, Inc. | Modified polynucleotides encoding udp glucuronosyltransferase 1 family, polypeptide a1 |
| AU2013243949A1 (en) | 2012-04-02 | 2014-10-30 | Moderna Therapeutics, Inc. | Modified polynucleotides for the production of biologics and proteins associated with human disease |
| US10501512B2 (en) | 2012-04-02 | 2019-12-10 | Modernatx, Inc. | Modified polynucleotides |
| US20150050354A1 (en) | 2012-04-02 | 2015-02-19 | Moderna Therapeutics, Inc. | Modified polynucleotides for the treatment of otic diseases and conditions |
| US9283287B2 (en) | 2012-04-02 | 2016-03-15 | Moderna Therapeutics, Inc. | Modified polynucleotides for the production of nuclear proteins |
| US9572897B2 (en) | 2012-04-02 | 2017-02-21 | Modernatx, Inc. | Modified polynucleotides for the production of cytoplasmic and cytoskeletal proteins |
| US10648001B2 (en) * | 2012-07-11 | 2020-05-12 | Sangamo Therapeutics, Inc. | Method of treating mucopolysaccharidosis type I or II |
| NL2009659C2 (en) * | 2012-10-18 | 2014-04-22 | Avantium Technologies B V | System and method for operating parallel reactors. |
| DK2922554T3 (en) | 2012-11-26 | 2022-05-23 | Modernatx Inc | Terminalt modificeret rna |
| EP2929035A1 (en) * | 2012-12-07 | 2015-10-14 | Shire Human Genetic Therapies, Inc. | Lipidic nanoparticles for mrna delivering |
| US20150315541A1 (en) | 2012-12-13 | 2015-11-05 | Moderna Therapeutics, Inc. | Modified polynucleotides for altering cell phenotype |
| AU2013374345A1 (en) | 2013-01-17 | 2015-08-06 | Moderna Therapeutics, Inc. | Signal-sensor polynucleotides for the alteration of cellular phenotypes |
| JP2016514096A (en) * | 2013-02-20 | 2016-05-19 | バレリオン セラピューティクス, エルエルシー | Methods and compositions for the treatment of Pompe disease |
| EP2968397A4 (en) | 2013-03-12 | 2016-12-28 | Moderna Therapeutics Inc | DIAGNOSIS AND TREATMENT OF FIBROSIS |
| EP2968391A1 (en) | 2013-03-13 | 2016-01-20 | Moderna Therapeutics, Inc. | Long-lived polynucleotide molecules |
| EP2971010B1 (en) | 2013-03-14 | 2020-06-10 | ModernaTX, Inc. | Formulation and delivery of modified nucleoside, nucleotide, and nucleic acid compositions |
| WO2014153052A2 (en) * | 2013-03-14 | 2014-09-25 | Shire Human Genetic Therapies, Inc. | Cftr mrna compositions and related methods and uses |
| HUE055044T2 (en) * | 2013-03-14 | 2021-10-28 | Translate Bio Inc | Methods and compositions for delivering mrna coded antibodies |
| US8980864B2 (en) | 2013-03-15 | 2015-03-17 | Moderna Therapeutics, Inc. | Compositions and methods of altering cholesterol levels |
| US10138507B2 (en) | 2013-03-15 | 2018-11-27 | Modernatx, Inc. | Manufacturing methods for production of RNA transcripts |
| WO2014144711A1 (en) | 2013-03-15 | 2014-09-18 | Moderna Therapeutics, Inc. | Analysis of mrna heterogeneity and stability |
| WO2014144767A1 (en) | 2013-03-15 | 2014-09-18 | Moderna Therapeutics, Inc. | Ion exchange purification of mrna |
| US10077439B2 (en) | 2013-03-15 | 2018-09-18 | Modernatx, Inc. | Removal of DNA fragments in mRNA production process |
| US11377470B2 (en) | 2013-03-15 | 2022-07-05 | Modernatx, Inc. | Ribonucleic acid purification |
| US20160032273A1 (en) | 2013-03-15 | 2016-02-04 | Moderna Therapeutics, Inc. | Characterization of mrna molecules |
| PT3019619T (en) | 2013-07-11 | 2021-11-11 | Modernatx Inc | COMPOSITIONS COMPRISING SYNTHETIC POLYNUCLEOTIDES ENCODING SYNTHETIC CRISPR AND SGARN-RELATED PROTEINS AND METHODS OF USE |
| CA2917377A1 (en) * | 2013-07-15 | 2015-01-22 | New York University | Methods and oral formulations for enzyme replacement therapy of human lysosomal and metabolic diseases |
| CN105555757A (en) | 2013-07-23 | 2016-05-04 | 普洛体维生物治疗公司 | Compositions and methods for delivering messenger RNA |
| EP3041938A1 (en) | 2013-09-03 | 2016-07-13 | Moderna Therapeutics, Inc. | Circular polynucleotides |
| US20160194625A1 (en) | 2013-09-03 | 2016-07-07 | Moderna Therapeutics, Inc. | Chimeric polynucleotides |
| WO2015036451A1 (en) * | 2013-09-11 | 2015-03-19 | Synthena Ag | Nucleic acids and methods for the treatment of pompe disease |
| US10023626B2 (en) | 2013-09-30 | 2018-07-17 | Modernatx, Inc. | Polynucleotides encoding immune modulating polypeptides |
| EP3052511A4 (en) | 2013-10-02 | 2017-05-31 | Moderna Therapeutics, Inc. | Polynucleotide molecules and uses thereof |
| EP3052479A4 (en) | 2013-10-02 | 2017-10-25 | Moderna Therapeutics, Inc. | Polynucleotide molecules and uses thereof |
| CA2927393A1 (en) | 2013-10-18 | 2015-04-23 | Moderna Therapeutics, Inc. | Compositions and methods for tolerizing cellular systems |
| CN105658242A (en) * | 2013-10-22 | 2016-06-08 | 夏尔人类遗传性治疗公司 | MRNA therapy for phenylketonuria |
| JP6851201B2 (en) * | 2014-06-10 | 2021-03-31 | エラスムス ユニバーシティ メディカルセンター ロッテルダムErasmus University Medical Center Rotterdam | Antisense oligonucleotides useful in the treatment of Pompe disease |
| JP2017536092A (en) | 2014-10-02 | 2017-12-07 | プロティバ バイオセラピューティクス インコーポレイテッド | Compositions and methods for silencing gene expression of hepatitis B virus |
| WO2016071857A1 (en) | 2014-11-07 | 2016-05-12 | Protiva Biotherapeutics, Inc. | Compositions and methods for silencing ebola virus expression |
| WO2016077123A1 (en) | 2014-11-10 | 2016-05-19 | Moderna Therapeutics, Inc. | Multiparametric nucleic acid optimization |
| EP3461904A1 (en) | 2014-11-10 | 2019-04-03 | ModernaTX, Inc. | Alternative nucleic acid molecules containing reduced uracil content and uses thereof |
| WO2016100812A1 (en) | 2014-12-19 | 2016-06-23 | Moderna Therapeutics, Inc. | Terminal modifications of polynucleotides |
| CA3010205A1 (en) * | 2015-12-30 | 2017-07-06 | Amicus Therapeutics, Inc. | Augmented acid alpha-glucosidase for the treatment of pompe disease |
-
2016
- 2016-03-17 JP JP2017548300A patent/JP6895892B2/en active Active
- 2016-03-17 CA CA2979695A patent/CA2979695C/en active Active
- 2016-03-17 WO PCT/US2016/022895 patent/WO2016149508A1/en not_active Ceased
- 2016-03-17 EP EP21158791.0A patent/EP3900702A1/en not_active Withdrawn
- 2016-03-17 EP EP16716965.5A patent/EP3270894B1/en active Active
- 2016-03-17 US US15/073,163 patent/US10172924B2/en active Active
- 2016-03-17 AU AU2016233135A patent/AU2016233135B2/en active Active
-
2018
- 2018-11-14 US US16/191,017 patent/US11090368B2/en active Active
-
2021
- 2021-06-08 JP JP2021095880A patent/JP2021127347A/en not_active Withdrawn
- 2021-07-07 US US17/369,783 patent/US11712463B2/en active Active
- 2021-09-17 AU AU2021232818A patent/AU2021232818B2/en active Active
-
2023
- 2023-06-08 US US18/207,609 patent/US20240009281A1/en active Pending
- 2023-07-10 JP JP2023113052A patent/JP7758708B2/en active Active
-
2024
- 2024-04-26 AU AU2024202731A patent/AU2024202731A1/en active Pending
Patent Citations (1)
| Publication number | Priority date | Publication date | Assignee | Title |
|---|---|---|---|---|
| US20120322861A1 (en) * | 2007-02-23 | 2012-12-20 | Barry John Byrne | Compositions and Methods for Treating Diseases |
Non-Patent Citations (1)
| Title |
|---|
| An et al., Molecular Genetics and Metabolism Vol.85:247-254, 2005. * |
Also Published As
| Publication number | Publication date |
|---|---|
| US20190134164A1 (en) | 2019-05-09 |
| AU2021232818B2 (en) | 2024-02-01 |
| AU2016233135B2 (en) | 2021-07-08 |
| JP6895892B2 (en) | 2021-06-30 |
| US11090368B2 (en) | 2021-08-17 |
| WO2016149508A1 (en) | 2016-09-22 |
| EP3270894B1 (en) | 2021-02-24 |
| US10172924B2 (en) | 2019-01-08 |
| EP3270894A1 (en) | 2018-01-24 |
| US20210401951A1 (en) | 2021-12-30 |
| CA2979695C (en) | 2025-02-06 |
| AU2024202731A1 (en) | 2024-05-16 |
| EP3900702A1 (en) | 2021-10-27 |
| JP2023126977A (en) | 2023-09-12 |
| JP2018511588A (en) | 2018-04-26 |
| CA2979695A1 (en) | 2016-09-22 |
| US20160324940A1 (en) | 2016-11-10 |
| JP7758708B2 (en) | 2025-10-22 |
| AU2021232818A1 (en) | 2021-10-14 |
| JP2021127347A (en) | 2021-09-02 |
| AU2016233135A1 (en) | 2017-09-28 |
| US11712463B2 (en) | 2023-08-01 |
Similar Documents
| Publication | Publication Date | Title |
|---|---|---|
| US20240009281A1 (en) | Mrna therapy for pompe disease | |
| US12533402B2 (en) | MRNA therapy for argininosuccinate synthetase deficiency | |
| US12509666B2 (en) | MRNA therapy for phenylketonuria | |
| US12201677B2 (en) | Messenger RNA therapy for the treatment of ornithine transcarbamylase deficiency | |
| US11400109B2 (en) | Subcutaneous delivery of messenger RNA | |
| US20230145188A1 (en) | Composition and methods for treatment of methylmalonic acidemia | |
| US20220087935A1 (en) | Composition and Methods for Treatment of Primary Ciliary Dyskinesia | |
| HK40103984A (en) | Mrna therapy for argininosuccinate synthetase deficiency |
Legal Events
| Date | Code | Title | Description |
|---|---|---|---|
| AS | Assignment |
Owner name: TRANSLATE BIO, INC, MASSACHUSETTS Free format text: CHANGE OF NAME;ASSIGNOR:RANA THERAPEUTICS, INC.;REEL/FRAME:063956/0235 Effective date: 20170626 Owner name: SHIRE HUMAN GENETIC THERAPIES, INC., MASSACHUSETTS Free format text: ASSIGNMENT OF ASSIGNORS INTEREST;ASSIGNORS:DEROSA, FRANK;HEARTLEIN, MICHAEL;REEL/FRAME:063912/0284 Effective date: 20160715 Owner name: RANA THERAPEUTICS, INC., MASSACHUSETTS Free format text: ASSIGNMENT OF ASSIGNORS INTEREST;ASSIGNOR:SHIRE HUMAN GENETIC THERAPIES, INC.;REEL/FRAME:063955/0486 Effective date: 20161219 Owner name: SHIRE HUMAN GENETIC THERAPIES, INC., MASSACHUSETTS Free format text: ASSIGNMENT OF ASSIGNOR'S INTEREST;ASSIGNORS:DEROSA, FRANK;HEARTLEIN, MICHAEL;REEL/FRAME:063912/0284 Effective date: 20160715 Owner name: RANA THERAPEUTICS, INC., MASSACHUSETTS Free format text: ASSIGNMENT OF ASSIGNOR'S INTEREST;ASSIGNOR:SHIRE HUMAN GENETIC THERAPIES, INC.;REEL/FRAME:063955/0486 Effective date: 20161219 |
|
| STPP | Information on status: patent application and granting procedure in general |
Free format text: DOCKETED NEW CASE - READY FOR EXAMINATION |
|
| STPP | Information on status: patent application and granting procedure in general |
Free format text: NON FINAL ACTION MAILED |
|
| STPP | Information on status: patent application and granting procedure in general |
Free format text: RESPONSE TO NON-FINAL OFFICE ACTION ENTERED AND FORWARDED TO EXAMINER |
|
| STPP | Information on status: patent application and granting procedure in general |
Free format text: NON FINAL ACTION MAILED |
|
| STPP | Information on status: patent application and granting procedure in general |
Free format text: RESPONSE TO NON-FINAL OFFICE ACTION ENTERED AND FORWARDED TO EXAMINER |
|
| STPP | Information on status: patent application and granting procedure in general |
Free format text: NON FINAL ACTION MAILED |
|
| STPP | Information on status: patent application and granting procedure in general |
Free format text: NON FINAL ACTION MAILED |
|
| STPP | Information on status: patent application and granting procedure in general |
Free format text: RESPONSE TO NON-FINAL OFFICE ACTION ENTERED AND FORWARDED TO EXAMINER |
|
| STPP | Information on status: patent application and granting procedure in general |
Free format text: FINAL REJECTION COUNTED, NOT YET MAILED |
|
| STPP | Information on status: patent application and granting procedure in general |
Free format text: FINAL REJECTION MAILED |





