US20200405713A1 - Methods and compositions for sleep disorders and other disorders - Google Patents
Methods and compositions for sleep disorders and other disorders Download PDFInfo
- Publication number
- US20200405713A1 US20200405713A1 US16/921,586 US202016921586A US2020405713A1 US 20200405713 A1 US20200405713 A1 US 20200405713A1 US 202016921586 A US202016921586 A US 202016921586A US 2020405713 A1 US2020405713 A1 US 2020405713A1
- Authority
- US
- United States
- Prior art keywords
- formula
- compound
- compounds
- sleep
- receptors
- Prior art date
- Legal status (The legal status is an assumption and is not a legal conclusion. Google has not performed a legal analysis and makes no representation as to the accuracy of the status listed.)
- Abandoned
Links
- 208000019116 sleep disease Diseases 0.000 title claims abstract description 42
- 238000000034 method Methods 0.000 title claims description 171
- 208000037265 diseases, disorders, signs and symptoms Diseases 0.000 title abstract description 32
- 239000000203 mixture Substances 0.000 title description 10
- 150000001875 compounds Chemical class 0.000 claims abstract description 159
- 238000011282 treatment Methods 0.000 claims abstract description 46
- 150000003839 salts Chemical group 0.000 claims description 47
- 239000003814 drug Substances 0.000 abstract description 80
- 208000028017 Psychotic disease Diseases 0.000 abstract description 47
- VYFYYTLLBUKUHU-UHFFFAOYSA-N dopamine Chemical compound NCCC1=CC=C(O)C(O)=C1 VYFYYTLLBUKUHU-UHFFFAOYSA-N 0.000 abstract description 38
- 229940124597 therapeutic agent Drugs 0.000 abstract description 35
- 102100036321 5-hydroxytryptamine receptor 2A Human genes 0.000 abstract description 28
- 101710138091 5-hydroxytryptamine receptor 2A Proteins 0.000 abstract description 27
- 208000018737 Parkinson disease Diseases 0.000 abstract description 27
- 229960003638 dopamine Drugs 0.000 abstract description 19
- 208000012661 Dyskinesia Diseases 0.000 abstract description 18
- 230000037361 pathway Effects 0.000 abstract description 10
- 125000000623 heterocyclic group Chemical group 0.000 abstract description 8
- 239000008194 pharmaceutical composition Substances 0.000 abstract description 8
- RDMFHRSPDKWERA-UHFFFAOYSA-N 5H-Pyrido[4,3-b]indole Chemical class C1=NC=C2C3=CC=CC=C3NC2=C1 RDMFHRSPDKWERA-UHFFFAOYSA-N 0.000 abstract description 2
- 102000005962 receptors Human genes 0.000 description 44
- 108020003175 receptors Proteins 0.000 description 44
- -1 aripiparazole Chemical compound 0.000 description 35
- 230000000694 effects Effects 0.000 description 35
- 201000000980 schizophrenia Diseases 0.000 description 31
- 241000699670 Mus sp. Species 0.000 description 30
- WTDRDQBEARUVNC-LURJTMIESA-N L-DOPA Chemical compound OC(=O)[C@@H](N)CC1=CC=C(O)C(O)=C1 WTDRDQBEARUVNC-LURJTMIESA-N 0.000 description 26
- WTDRDQBEARUVNC-UHFFFAOYSA-N L-Dopa Natural products OC(=O)C(N)CC1=CC=C(O)C(O)=C1 WTDRDQBEARUVNC-UHFFFAOYSA-N 0.000 description 26
- 239000000164 antipsychotic agent Substances 0.000 description 25
- 229940079593 drug Drugs 0.000 description 25
- 230000007958 sleep Effects 0.000 description 24
- 208000035475 disorder Diseases 0.000 description 23
- 238000003556 assay Methods 0.000 description 22
- 239000000935 antidepressant agent Substances 0.000 description 20
- 230000027455 binding Effects 0.000 description 20
- 229940126062 Compound A Drugs 0.000 description 19
- NLDMNSXOCDLTTB-UHFFFAOYSA-N Heterophylliin A Natural products O1C2COC(=O)C3=CC(O)=C(O)C(O)=C3C3=C(O)C(O)=C(O)C=C3C(=O)OC2C(OC(=O)C=2C=C(O)C(O)=C(O)C=2)C(O)C1OC(=O)C1=CC(O)=C(O)C(O)=C1 NLDMNSXOCDLTTB-UHFFFAOYSA-N 0.000 description 19
- 239000000556 agonist Substances 0.000 description 18
- QZAYGJVTTNCVMB-UHFFFAOYSA-N serotonin Chemical compound C1=C(O)C=C2C(CCN)=CNC2=C1 QZAYGJVTTNCVMB-UHFFFAOYSA-N 0.000 description 17
- 102000049773 5-HT2A Serotonin Receptor Human genes 0.000 description 16
- 101150013372 Htr2c gene Proteins 0.000 description 16
- 230000001430 anti-depressive effect Effects 0.000 description 16
- 229960005426 doxepin Drugs 0.000 description 16
- ODQWQRRAPPTVAG-GZTJUZNOSA-N doxepin Chemical compound C1OC2=CC=CC=C2C(=C/CCN(C)C)/C2=CC=CC=C21 ODQWQRRAPPTVAG-GZTJUZNOSA-N 0.000 description 16
- LNEPOXFFQSENCJ-UHFFFAOYSA-N haloperidol Chemical compound C1CC(O)(C=2C=CC(Cl)=CC=2)CCN1CCCC(=O)C1=CC=C(F)C=C1 LNEPOXFFQSENCJ-UHFFFAOYSA-N 0.000 description 16
- 208000020685 sleep-wake disease Diseases 0.000 description 16
- 102000006902 5-HT2C Serotonin Receptor Human genes 0.000 description 14
- 206010027590 Middle insomnia Diseases 0.000 description 14
- 230000006399 behavior Effects 0.000 description 14
- RAPZEAPATHNIPO-UHFFFAOYSA-N risperidone Chemical compound FC1=CC=C2C(C3CCN(CC3)CCC=3C(=O)N4CCCCC4=NC=3C)=NOC2=C1 RAPZEAPATHNIPO-UHFFFAOYSA-N 0.000 description 14
- 229960001534 risperidone Drugs 0.000 description 14
- 239000003693 atypical antipsychotic agent Substances 0.000 description 13
- 210000004027 cell Anatomy 0.000 description 13
- 239000003795 chemical substances by application Substances 0.000 description 13
- 229960004801 imipramine Drugs 0.000 description 13
- 238000000159 protein binding assay Methods 0.000 description 13
- 101150104779 HTR2A gene Proteins 0.000 description 12
- BCGWQEUPMDMJNV-UHFFFAOYSA-N imipramine Chemical compound C1CC2=CC=CC=C2N(CCCN(C)C)C2=CC=CC=C21 BCGWQEUPMDMJNV-UHFFFAOYSA-N 0.000 description 12
- 239000002287 radioligand Substances 0.000 description 12
- 102000003834 Histamine H1 Receptors Human genes 0.000 description 11
- 108090000110 Histamine H1 Receptors Proteins 0.000 description 11
- 229960001653 citalopram Drugs 0.000 description 11
- 229960005017 olanzapine Drugs 0.000 description 11
- KVWDHTXUZHCGIO-UHFFFAOYSA-N olanzapine Chemical compound C1CN(C)CCN1C1=NC2=CC=CC=C2NC2=C1C=C(C)S2 KVWDHTXUZHCGIO-UHFFFAOYSA-N 0.000 description 11
- 239000005557 antagonist Substances 0.000 description 10
- 229960004170 clozapine Drugs 0.000 description 10
- QZUDBNBUXVUHMW-UHFFFAOYSA-N clozapine Chemical compound C1CN(C)CCN1C1=NC2=CC(Cl)=CC=C2NC2=CC=CC=C12 QZUDBNBUXVUHMW-UHFFFAOYSA-N 0.000 description 10
- 239000012528 membrane Substances 0.000 description 10
- 229960004431 quetiapine Drugs 0.000 description 10
- URKOMYMAXPYINW-UHFFFAOYSA-N quetiapine Chemical compound C1CN(CCOCCO)CCN1C1=NC2=CC=CC=C2SC2=CC=CC=C12 URKOMYMAXPYINW-UHFFFAOYSA-N 0.000 description 10
- 102100024959 5-hydroxytryptamine receptor 2C Human genes 0.000 description 9
- 230000001684 chronic effect Effects 0.000 description 9
- BTCSSZJGUNDROE-UHFFFAOYSA-N gamma-aminobutyric acid Chemical compound NCCCC(O)=O BTCSSZJGUNDROE-UHFFFAOYSA-N 0.000 description 9
- 230000003993 interaction Effects 0.000 description 9
- 229960004502 levodopa Drugs 0.000 description 9
- 230000037322 slow-wave sleep Effects 0.000 description 9
- 229960000607 ziprasidone Drugs 0.000 description 9
- MVWVFYHBGMAFLY-UHFFFAOYSA-N ziprasidone Chemical compound C1=CC=C2C(N3CCN(CC3)CCC3=CC=4CC(=O)NC=4C=C3Cl)=NSC2=C1 MVWVFYHBGMAFLY-UHFFFAOYSA-N 0.000 description 9
- RTHCYVBBDHJXIQ-MRXNPFEDSA-N (R)-fluoxetine Chemical compound O([C@H](CCNC)C=1C=CC=CC=1)C1=CC=C(C(F)(F)F)C=C1 RTHCYVBBDHJXIQ-MRXNPFEDSA-N 0.000 description 8
- 208000019022 Mood disease Diseases 0.000 description 8
- 238000002474 experimental method Methods 0.000 description 8
- 229960002464 fluoxetine Drugs 0.000 description 8
- 229960003692 gamma aminobutyric acid Drugs 0.000 description 8
- 229960003878 haloperidol Drugs 0.000 description 8
- 210000002569 neuron Anatomy 0.000 description 8
- 238000009097 single-agent therapy Methods 0.000 description 8
- WSEQXVZVJXJVFP-HXUWFJFHSA-N (R)-citalopram Chemical compound C1([C@@]2(C3=CC=C(C=C3CO2)C#N)CCCN(C)C)=CC=C(F)C=C1 WSEQXVZVJXJVFP-HXUWFJFHSA-N 0.000 description 7
- 101710138093 5-hydroxytryptamine receptor 2C Proteins 0.000 description 7
- YJPIGAIKUZMOQA-UHFFFAOYSA-N Melatonin Natural products COC1=CC=C2N(C(C)=O)C=C(CCN)C2=C1 YJPIGAIKUZMOQA-UHFFFAOYSA-N 0.000 description 7
- 241000699666 Mus <mouse, genus> Species 0.000 description 7
- 201000010099 disease Diseases 0.000 description 7
- 229960003987 melatonin Drugs 0.000 description 7
- DRLFMBDRBRZALE-UHFFFAOYSA-N melatonin Chemical compound COC1=CC=C2NC=C(CCNC(C)=O)C2=C1 DRLFMBDRBRZALE-UHFFFAOYSA-N 0.000 description 7
- VRBKIVRKKCLPHA-UHFFFAOYSA-N nefazodone Chemical compound O=C1N(CCOC=2C=CC=CC=2)C(CC)=NN1CCCN(CC1)CCN1C1=CC=CC(Cl)=C1 VRBKIVRKKCLPHA-UHFFFAOYSA-N 0.000 description 7
- 229960001800 nefazodone Drugs 0.000 description 7
- 208000024891 symptom Diseases 0.000 description 7
- PHLBKPHSAVXXEF-UHFFFAOYSA-N trazodone Chemical compound ClC1=CC=CC(N2CCN(CCCN3C(N4C=CC=CC4=N3)=O)CC2)=C1 PHLBKPHSAVXXEF-UHFFFAOYSA-N 0.000 description 7
- 229960003991 trazodone Drugs 0.000 description 7
- HXTGXYRHXAGCFP-OAQYLSRUSA-N (r)-(2,3-dimethoxyphenyl)-[1-[2-(4-fluorophenyl)ethyl]piperidin-4-yl]methanol Chemical compound COC1=CC=CC([C@H](O)C2CCN(CCC=3C=CC(F)=CC=3)CC2)=C1OC HXTGXYRHXAGCFP-OAQYLSRUSA-N 0.000 description 6
- PMXMIIMHBWHSKN-UHFFFAOYSA-N 3-{2-[4-(6-fluoro-1,2-benzoxazol-3-yl)piperidin-1-yl]ethyl}-9-hydroxy-2-methyl-6,7,8,9-tetrahydropyrido[1,2-a]pyrimidin-4-one Chemical compound FC1=CC=C2C(C3CCN(CC3)CCC=3C(=O)N4CCCC(O)C4=NC=3C)=NOC2=C1 PMXMIIMHBWHSKN-UHFFFAOYSA-N 0.000 description 6
- 108010078791 Carrier Proteins Proteins 0.000 description 6
- GDLIGKIOYRNHDA-UHFFFAOYSA-N Clomipramine Chemical compound C1CC2=CC=C(Cl)C=C2N(CCCN(C)C)C2=CC=CC=C21 GDLIGKIOYRNHDA-UHFFFAOYSA-N 0.000 description 6
- PLDUPXSUYLZYBN-UHFFFAOYSA-N Fluphenazine Chemical compound C1CN(CCO)CCN1CCCN1C2=CC(C(F)(F)F)=CC=C2SC2=CC=CC=C21 PLDUPXSUYLZYBN-UHFFFAOYSA-N 0.000 description 6
- UGJMXCAKCUNAIE-UHFFFAOYSA-N Gabapentin Chemical compound OC(=O)CC1(CN)CCCCC1 UGJMXCAKCUNAIE-UHFFFAOYSA-N 0.000 description 6
- YLXDSYKOBKBWJQ-LBPRGKRZSA-N N-[2-[(8S)-2,6,7,8-tetrahydro-1H-cyclopenta[e]benzofuran-8-yl]ethyl]propanamide Chemical compound C1=C2OCCC2=C2[C@H](CCNC(=O)CC)CCC2=C1 YLXDSYKOBKBWJQ-LBPRGKRZSA-N 0.000 description 6
- RGCVKNLCSQQDEP-UHFFFAOYSA-N Perphenazine Chemical compound C1CN(CCO)CCN1CCCN1C2=CC(Cl)=CC=C2SC2=CC=CC=C21 RGCVKNLCSQQDEP-UHFFFAOYSA-N 0.000 description 6
- ZGUGWUXLJSTTMA-UHFFFAOYSA-N Promazinum Chemical compound C1=CC=C2N(CCCN(C)C)C3=CC=CC=C3SC2=C1 ZGUGWUXLJSTTMA-UHFFFAOYSA-N 0.000 description 6
- 208000013738 Sleep Initiation and Maintenance disease Diseases 0.000 description 6
- KLBQZWRITKRQQV-UHFFFAOYSA-N Thioridazine Chemical compound C12=CC(SC)=CC=C2SC2=CC=CC=C2N1CCC1CCCCN1C KLBQZWRITKRQQV-UHFFFAOYSA-N 0.000 description 6
- GFBKORZTTCHDGY-UWVJOHFNSA-N Thiothixene Chemical compound C12=CC(S(=O)(=O)N(C)C)=CC=C2SC2=CC=CC=C2\C1=C\CCN1CCN(C)CC1 GFBKORZTTCHDGY-UWVJOHFNSA-N 0.000 description 6
- 229940005513 antidepressants Drugs 0.000 description 6
- BNQDCRGUHNALGH-UHFFFAOYSA-N benserazide Chemical compound OCC(N)C(=O)NNCC1=CC=C(O)C(O)=C1O BNQDCRGUHNALGH-UHFFFAOYSA-N 0.000 description 6
- 229960000911 benserazide Drugs 0.000 description 6
- ZPEIMTDSQAKGNT-UHFFFAOYSA-N chlorpromazine Chemical compound C1=C(Cl)C=C2N(CCCN(C)C)C3=CC=CC=C3SC2=C1 ZPEIMTDSQAKGNT-UHFFFAOYSA-N 0.000 description 6
- 229960001076 chlorpromazine Drugs 0.000 description 6
- 229960004606 clomipramine Drugs 0.000 description 6
- RMEDXOLNCUSCGS-UHFFFAOYSA-N droperidol Chemical compound C1=CC(F)=CC=C1C(=O)CCCN1CC=C(N2C(NC3=CC=CC=C32)=O)CC1 RMEDXOLNCUSCGS-UHFFFAOYSA-N 0.000 description 6
- 229960000394 droperidol Drugs 0.000 description 6
- 230000000142 dyskinetic effect Effects 0.000 description 6
- 229960002690 fluphenazine Drugs 0.000 description 6
- 229960000423 loxapine Drugs 0.000 description 6
- XJGVXQDUIWGIRW-UHFFFAOYSA-N loxapine Chemical compound C1CN(C)CCN1C1=NC2=CC=CC=C2OC2=CC=C(Cl)C=C12 XJGVXQDUIWGIRW-UHFFFAOYSA-N 0.000 description 6
- 238000002483 medication Methods 0.000 description 6
- SLVMESMUVMCQIY-UHFFFAOYSA-N mesoridazine Chemical compound CN1CCCCC1CCN1C2=CC(S(C)=O)=CC=C2SC2=CC=CC=C21 SLVMESMUVMCQIY-UHFFFAOYSA-N 0.000 description 6
- 229960000300 mesoridazine Drugs 0.000 description 6
- 229960001057 paliperidone Drugs 0.000 description 6
- 229960000762 perphenazine Drugs 0.000 description 6
- YVUQSNJEYSNKRX-UHFFFAOYSA-N pimozide Chemical compound C1=CC(F)=CC=C1C(C=1C=CC(F)=CC=1)CCCN1CCC(N2C(NC3=CC=CC=C32)=O)CC1 YVUQSNJEYSNKRX-UHFFFAOYSA-N 0.000 description 6
- 229960003634 pimozide Drugs 0.000 description 6
- 229960003111 prochlorperazine Drugs 0.000 description 6
- WIKYUJGCLQQFNW-UHFFFAOYSA-N prochlorperazine Chemical compound C1CN(C)CCN1CCCN1C2=CC(Cl)=CC=C2SC2=CC=CC=C21 WIKYUJGCLQQFNW-UHFFFAOYSA-N 0.000 description 6
- 229960003598 promazine Drugs 0.000 description 6
- 229940076279 serotonin Drugs 0.000 description 6
- 229960002784 thioridazine Drugs 0.000 description 6
- 229960005013 tiotixene Drugs 0.000 description 6
- ZEWQUBUPAILYHI-UHFFFAOYSA-N trifluoperazine Chemical compound C1CN(C)CCN1CCCN1C2=CC(C(F)(F)F)=CC=C2SC2=CC=CC=C21 ZEWQUBUPAILYHI-UHFFFAOYSA-N 0.000 description 6
- 229960002324 trifluoperazine Drugs 0.000 description 6
- AHOUBRCZNHFOSL-YOEHRIQHSA-N (+)-Casbol Chemical compound C1=CC(F)=CC=C1[C@H]1[C@H](COC=2C=C3OCOC3=CC=2)CNCC1 AHOUBRCZNHFOSL-YOEHRIQHSA-N 0.000 description 5
- WYCMFCPHWDZHMR-UHFFFAOYSA-N 1-(4,7-dimethyl-6,6a,8,9,10,10a-hexahydroindolo[4,3-fg]quinoline-9-yl)-n,n-dimethylmethanesulfonamide Chemical compound C1=CC(C2CC(CN(C)C2C2)CS(=O)(=O)N(C)C)=C3C2=CN(C)C3=C1 WYCMFCPHWDZHMR-UHFFFAOYSA-N 0.000 description 5
- 101000831616 Homo sapiens Protachykinin-1 Proteins 0.000 description 5
- AHOUBRCZNHFOSL-UHFFFAOYSA-N Paroxetine hydrochloride Natural products C1=CC(F)=CC=C1C1C(COC=2C=C3OCOC3=CC=2)CNCC1 AHOUBRCZNHFOSL-UHFFFAOYSA-N 0.000 description 5
- 102100024304 Protachykinin-1 Human genes 0.000 description 5
- 230000001154 acute effect Effects 0.000 description 5
- 230000008485 antagonism Effects 0.000 description 5
- 230000007423 decrease Effects 0.000 description 5
- 239000012458 free base Substances 0.000 description 5
- 230000014509 gene expression Effects 0.000 description 5
- 206010022437 insomnia Diseases 0.000 description 5
- 238000012423 maintenance Methods 0.000 description 5
- 229960002296 paroxetine Drugs 0.000 description 5
- 102000004169 proteins and genes Human genes 0.000 description 5
- 108090000623 proteins and genes Proteins 0.000 description 5
- 208000020016 psychiatric disease Diseases 0.000 description 5
- 230000011273 social behavior Effects 0.000 description 5
- ADNPLDHMAVUMIW-CUZNLEPHSA-N substance P Chemical compound C([C@@H](C(=O)NCC(=O)N[C@@H](CC(C)C)C(=O)N[C@@H](CCSC)C(N)=O)NC(=O)[C@H](CC=1C=CC=CC=1)NC(=O)[C@H](CCC(N)=O)NC(=O)[C@H](CCC(N)=O)NC(=O)[C@H]1N(CCC1)C(=O)[C@H](CCCCN)NC(=O)[C@H]1N(CCC1)C(=O)[C@@H](N)CCCN=C(N)N)C1=CC=CC=C1 ADNPLDHMAVUMIW-CUZNLEPHSA-N 0.000 description 5
- 238000012360 testing method Methods 0.000 description 5
- IGLYMJRIWWIQQE-QUOODJBBSA-N (1S,2R)-2-phenylcyclopropan-1-amine (1R,2S)-2-phenylcyclopropan-1-amine Chemical compound N[C@H]1C[C@@H]1C1=CC=CC=C1.N[C@@H]1C[C@H]1C1=CC=CC=C1 IGLYMJRIWWIQQE-QUOODJBBSA-N 0.000 description 4
- DIWRORZWFLOCLC-HNNXBMFYSA-N (3s)-7-chloro-5-(2-chlorophenyl)-3-hydroxy-1,3-dihydro-1,4-benzodiazepin-2-one Chemical compound N([C@H](C(NC1=CC=C(Cl)C=C11)=O)O)=C1C1=CC=CC=C1Cl DIWRORZWFLOCLC-HNNXBMFYSA-N 0.000 description 4
- GBBSUAFBMRNDJC-MRXNPFEDSA-N (5R)-zopiclone Chemical compound C1CN(C)CCN1C(=O)O[C@@H]1C2=NC=CN=C2C(=O)N1C1=CC=C(Cl)C=N1 GBBSUAFBMRNDJC-MRXNPFEDSA-N 0.000 description 4
- ZEUITGRIYCTCEM-KRWDZBQOSA-N (S)-duloxetine Chemical compound C1([C@@H](OC=2C3=CC=CC=C3C=CC=2)CCNC)=CC=CS1 ZEUITGRIYCTCEM-KRWDZBQOSA-N 0.000 description 4
- 108010072564 5-HT2A Serotonin Receptor Proteins 0.000 description 4
- XKFPYPQQHFEXRZ-UHFFFAOYSA-N 5-methyl-N'-(phenylmethyl)-3-isoxazolecarbohydrazide Chemical compound O1C(C)=CC(C(=O)NNCC=2C=CC=CC=2)=N1 XKFPYPQQHFEXRZ-UHFFFAOYSA-N 0.000 description 4
- VMIYHDSEFNYJSL-UHFFFAOYSA-N Bromazepam Chemical compound C12=CC(Br)=CC=C2NC(=O)CN=C1C1=CC=CC=N1 VMIYHDSEFNYJSL-UHFFFAOYSA-N 0.000 description 4
- 208000020401 Depressive disease Diseases 0.000 description 4
- HCYAFALTSJYZDH-UHFFFAOYSA-N Desimpramine Chemical compound C1CC2=CC=CC=C2N(CCCNC)C2=CC=CC=C21 HCYAFALTSJYZDH-UHFFFAOYSA-N 0.000 description 4
- CBIAWPMZSFFRGN-UHFFFAOYSA-N Indiplon Chemical compound CC(=O)N(C)C1=CC=CC(C=2N3N=CC(=C3N=CC=2)C(=O)C=2SC=CC=2)=C1 CBIAWPMZSFFRGN-UHFFFAOYSA-N 0.000 description 4
- 102000004310 Ion Channels Human genes 0.000 description 4
- CSNNHWWHGAXBCP-UHFFFAOYSA-L Magnesium sulfate Chemical compound [Mg+2].[O-][S+2]([O-])([O-])[O-] CSNNHWWHGAXBCP-UHFFFAOYSA-L 0.000 description 4
- 208000012902 Nervous system disease Diseases 0.000 description 4
- PHVGLTMQBUFIQQ-UHFFFAOYSA-N Nortryptiline Chemical compound C1CC2=CC=CC=C2C(=CCCNC)C2=CC=CC=C21 PHVGLTMQBUFIQQ-UHFFFAOYSA-N 0.000 description 4
- 229940123730 Orexin receptor antagonist Drugs 0.000 description 4
- PPTYJKAXVCCBDU-UHFFFAOYSA-N Rohypnol Chemical compound N=1CC(=O)N(C)C2=CC=C([N+]([O-])=O)C=C2C=1C1=CC=CC=C1F PPTYJKAXVCCBDU-UHFFFAOYSA-N 0.000 description 4
- 102000019208 Serotonin Plasma Membrane Transport Proteins Human genes 0.000 description 4
- 108010012996 Serotonin Plasma Membrane Transport Proteins Proteins 0.000 description 4
- QAOWNCQODCNURD-UHFFFAOYSA-L Sulfate Chemical compound [O-]S([O-])(=O)=O QAOWNCQODCNURD-UHFFFAOYSA-L 0.000 description 4
- 239000002253 acid Substances 0.000 description 4
- VREFGVBLTWBCJP-UHFFFAOYSA-N alprazolam Chemical compound C12=CC(Cl)=CC=C2N2C(C)=NN=C2CN=C1C1=CC=CC=C1 VREFGVBLTWBCJP-UHFFFAOYSA-N 0.000 description 4
- 229960004538 alprazolam Drugs 0.000 description 4
- 229960000836 amitriptyline Drugs 0.000 description 4
- KRMDCWKBEZIMAB-UHFFFAOYSA-N amitriptyline Chemical group C1CC2=CC=CC=C2C(=CCCN(C)C)C2=CC=CC=C21 KRMDCWKBEZIMAB-UHFFFAOYSA-N 0.000 description 4
- QWGDMFLQWFTERH-UHFFFAOYSA-N amoxapine Chemical compound C12=CC(Cl)=CC=C2OC2=CC=CC=C2N=C1N1CCNCC1 QWGDMFLQWFTERH-UHFFFAOYSA-N 0.000 description 4
- 229960002519 amoxapine Drugs 0.000 description 4
- 230000008901 benefit Effects 0.000 description 4
- 229960002729 bromazepam Drugs 0.000 description 4
- SNPPWIUOZRMYNY-UHFFFAOYSA-N bupropion Chemical compound CC(C)(C)NC(C)C(=O)C1=CC=CC(Cl)=C1 SNPPWIUOZRMYNY-UHFFFAOYSA-N 0.000 description 4
- 229960001058 bupropion Drugs 0.000 description 4
- CXOXHMZGEKVPMT-UHFFFAOYSA-N clobazam Chemical compound O=C1CC(=O)N(C)C2=CC=C(Cl)C=C2N1C1=CC=CC=C1 CXOXHMZGEKVPMT-UHFFFAOYSA-N 0.000 description 4
- 229960001403 clobazam Drugs 0.000 description 4
- DGBIGWXXNGSACT-UHFFFAOYSA-N clonazepam Chemical compound C12=CC([N+](=O)[O-])=CC=C2NC(=O)CN=C1C1=CC=CC=C1Cl DGBIGWXXNGSACT-UHFFFAOYSA-N 0.000 description 4
- 229960003120 clonazepam Drugs 0.000 description 4
- 229960004362 clorazepate Drugs 0.000 description 4
- XDDJGVMJFWAHJX-UHFFFAOYSA-N clorazepic acid Chemical compound C12=CC(Cl)=CC=C2NC(=O)C(C(=O)O)N=C1C1=CC=CC=C1 XDDJGVMJFWAHJX-UHFFFAOYSA-N 0.000 description 4
- 238000002648 combination therapy Methods 0.000 description 4
- 229960003914 desipramine Drugs 0.000 description 4
- 238000011161 development Methods 0.000 description 4
- AAOVKJBEBIDNHE-UHFFFAOYSA-N diazepam Chemical compound N=1CC(=O)N(C)C2=CC=C(Cl)C=C2C=1C1=CC=CC=C1 AAOVKJBEBIDNHE-UHFFFAOYSA-N 0.000 description 4
- 229960003529 diazepam Drugs 0.000 description 4
- 239000003085 diluting agent Substances 0.000 description 4
- 239000003136 dopamine receptor stimulating agent Substances 0.000 description 4
- 229960002866 duloxetine Drugs 0.000 description 4
- CDCHDCWJMGXXRH-UHFFFAOYSA-N estazolam Chemical compound C=1C(Cl)=CC=C(N2C=NN=C2CN=2)C=1C=2C1=CC=CC=C1 CDCHDCWJMGXXRH-UHFFFAOYSA-N 0.000 description 4
- 229960002336 estazolam Drugs 0.000 description 4
- 229940011871 estrogen Drugs 0.000 description 4
- 239000000262 estrogen Substances 0.000 description 4
- 229960001578 eszopiclone Drugs 0.000 description 4
- GBBSUAFBMRNDJC-INIZCTEOSA-N eszopiclone Chemical compound C1CN(C)CCN1C(=O)O[C@H]1C2=NC=CN=C2C(=O)N1C1=CC=C(Cl)C=N1 GBBSUAFBMRNDJC-INIZCTEOSA-N 0.000 description 4
- 238000011156 evaluation Methods 0.000 description 4
- JCYLWUVDHLVGER-UHFFFAOYSA-N evt-201 Chemical compound O1C(CN(C)C)=NC(C2=C3N(C4=CC=CC(Cl)=C4C(=O)N(C)C3)C=N2)=N1 JCYLWUVDHLVGER-UHFFFAOYSA-N 0.000 description 4
- 229960002200 flunitrazepam Drugs 0.000 description 4
- 229960003528 flurazepam Drugs 0.000 description 4
- SAADBVWGJQAEFS-UHFFFAOYSA-N flurazepam Chemical compound N=1CC(=O)N(CCN(CC)CC)C2=CC=C(Cl)C=C2C=1C1=CC=CC=C1F SAADBVWGJQAEFS-UHFFFAOYSA-N 0.000 description 4
- CJOFXWAVKWHTFT-XSFVSMFZSA-N fluvoxamine Chemical compound COCCCC\C(=N/OCCN)C1=CC=C(C(F)(F)F)C=C1 CJOFXWAVKWHTFT-XSFVSMFZSA-N 0.000 description 4
- 229960004038 fluvoxamine Drugs 0.000 description 4
- 229950003867 indiplon Drugs 0.000 description 4
- 229960002672 isocarboxazid Drugs 0.000 description 4
- FPCCSQOGAWCVBH-UHFFFAOYSA-N ketanserin Chemical compound C1=CC(F)=CC=C1C(=O)C1CCN(CCN2C(C3=CC=CC=C3NC2=O)=O)CC1 FPCCSQOGAWCVBH-UHFFFAOYSA-N 0.000 description 4
- 229960005417 ketanserin Drugs 0.000 description 4
- 229960004391 lorazepam Drugs 0.000 description 4
- 229960004090 maprotiline Drugs 0.000 description 4
- QSLMDECMDJKHMQ-GSXCWMCISA-N maprotiline Chemical compound C12=CC=CC=C2[C@@]2(CCCNC)C3=CC=CC=C3[C@@H]1CC2 QSLMDECMDJKHMQ-GSXCWMCISA-N 0.000 description 4
- 239000002609 medium Substances 0.000 description 4
- DDLIGBOFAVUZHB-UHFFFAOYSA-N midazolam Chemical compound C12=CC(Cl)=CC=C2N2C(C)=NC=C2CN=C1C1=CC=CC=C1F DDLIGBOFAVUZHB-UHFFFAOYSA-N 0.000 description 4
- 229960003793 midazolam Drugs 0.000 description 4
- RONZAEMNMFQXRA-UHFFFAOYSA-N mirtazapine Chemical compound C1C2=CC=CN=C2N2CCN(C)CC2C2=CC=CC=C21 RONZAEMNMFQXRA-UHFFFAOYSA-N 0.000 description 4
- 229960001785 mirtazapine Drugs 0.000 description 4
- KJONHKAYOJNZEC-UHFFFAOYSA-N nitrazepam Chemical compound C12=CC([N+](=O)[O-])=CC=C2NC(=O)CN=C1C1=CC=CC=C1 KJONHKAYOJNZEC-UHFFFAOYSA-N 0.000 description 4
- 229960001454 nitrazepam Drugs 0.000 description 4
- 229960001158 nortriptyline Drugs 0.000 description 4
- ADIMAYPTOBDMTL-UHFFFAOYSA-N oxazepam Chemical compound C12=CC(Cl)=CC=C2NC(=O)C(O)N=C1C1=CC=CC=C1 ADIMAYPTOBDMTL-UHFFFAOYSA-N 0.000 description 4
- 229960004535 oxazepam Drugs 0.000 description 4
- 239000003723 serotonin 1A agonist Substances 0.000 description 4
- 239000002400 serotonin 2A antagonist Substances 0.000 description 4
- 239000003215 serotonin 5-HT2 receptor antagonist Substances 0.000 description 4
- 230000000697 serotonin reuptake Effects 0.000 description 4
- 239000003772 serotonin uptake inhibitor Substances 0.000 description 4
- VGKDLMBJGBXTGI-SJCJKPOMSA-N sertraline Chemical compound C1([C@@H]2CC[C@@H](C3=CC=CC=C32)NC)=CC=C(Cl)C(Cl)=C1 VGKDLMBJGBXTGI-SJCJKPOMSA-N 0.000 description 4
- 229960002073 sertraline Drugs 0.000 description 4
- 210000003523 substantia nigra Anatomy 0.000 description 4
- PBJUNZJWGZTSKL-MRXNPFEDSA-N tiagabine Chemical compound C1=CSC(C(=CCCN2C[C@@H](CCC2)C(O)=O)C2=C(C=CS2)C)=C1C PBJUNZJWGZTSKL-MRXNPFEDSA-N 0.000 description 4
- 229960001918 tiagabine Drugs 0.000 description 4
- 229960003741 tranylcypromine Drugs 0.000 description 4
- JOFWLTCLBGQGBO-UHFFFAOYSA-N triazolam Chemical compound C12=CC(Cl)=CC=C2N2C(C)=NN=C2CN=C1C1=CC=CC=C1Cl JOFWLTCLBGQGBO-UHFFFAOYSA-N 0.000 description 4
- 229960003386 triazolam Drugs 0.000 description 4
- ZSCDBOWYZJWBIY-UHFFFAOYSA-N trimipramine Chemical compound C1CC2=CC=CC=C2N(CC(CN(C)C)C)C2=CC=CC=C21 ZSCDBOWYZJWBIY-UHFFFAOYSA-N 0.000 description 4
- 229960002431 trimipramine Drugs 0.000 description 4
- PJDFLNIOAUIZSL-UHFFFAOYSA-N vigabatrin Chemical compound C=CC(N)CCC(O)=O PJDFLNIOAUIZSL-UHFFFAOYSA-N 0.000 description 4
- 229960005318 vigabatrin Drugs 0.000 description 4
- HUNXMJYCHXQEGX-UHFFFAOYSA-N zaleplon Chemical compound CCN(C(C)=O)C1=CC=CC(C=2N3N=CC(=C3N=CC=2)C#N)=C1 HUNXMJYCHXQEGX-UHFFFAOYSA-N 0.000 description 4
- 229960004010 zaleplon Drugs 0.000 description 4
- ZAFYATHCZYHLPB-UHFFFAOYSA-N zolpidem Chemical compound N1=C2C=CC(C)=CN2C(CC(=O)N(C)C)=C1C1=CC=C(C)C=C1 ZAFYATHCZYHLPB-UHFFFAOYSA-N 0.000 description 4
- 229960001475 zolpidem Drugs 0.000 description 4
- 229960000820 zopiclone Drugs 0.000 description 4
- QKNYBSVHEMOAJP-UHFFFAOYSA-N 2-amino-2-(hydroxymethyl)propane-1,3-diol;hydron;chloride Chemical compound Cl.OCC(N)(CO)CO QKNYBSVHEMOAJP-UHFFFAOYSA-N 0.000 description 3
- BQBQAWXALAGUIW-GHVWMZMZSA-N 6-[5-[[(2s)-2-(4-fluorophenyl)-4-methylpiperazin-1-yl]methyl]furan-3-yl]-3h-1,3-benzoxazol-2-one;hydrate;hydrochloride Chemical compound O.Cl.C1([C@@H]2N(CC=3OC=C(C=3)C=3C=C4OC(O)=NC4=CC=3)CCN(C2)C)=CC=C(F)C=C1 BQBQAWXALAGUIW-GHVWMZMZSA-N 0.000 description 3
- RPUBHMMISKEXSR-MLCLTIQSSA-N 680993-85-5 Chemical compound OC(=O)\C=C/C(O)=O.C1C2=CC=CN=C2N2CCN(C)C[C@@H]2C2=CC=CC=C21 RPUBHMMISKEXSR-MLCLTIQSSA-N 0.000 description 3
- WEVYAHXRMPXWCK-UHFFFAOYSA-N Acetonitrile Chemical compound CC#N WEVYAHXRMPXWCK-UHFFFAOYSA-N 0.000 description 3
- 102100036279 DNA (cytosine-5)-methyltransferase 1 Human genes 0.000 description 3
- 101150049660 DRD2 gene Proteins 0.000 description 3
- 206010012239 Delusion Diseases 0.000 description 3
- IAZDPXIOMUYVGZ-UHFFFAOYSA-N Dimethylsulphoxide Chemical compound CS(C)=O IAZDPXIOMUYVGZ-UHFFFAOYSA-N 0.000 description 3
- 108050004812 Dopamine receptor Proteins 0.000 description 3
- 102000015554 Dopamine receptor Human genes 0.000 description 3
- NMYAHEULKSYAPP-UHFFFAOYSA-N Eptapirone Chemical compound O=C1N(C)C(=O)C=NN1CCCCN1CCN(C=2N=CC=CN=2)CC1 NMYAHEULKSYAPP-UHFFFAOYSA-N 0.000 description 3
- LFQSCWFLJHTTHZ-UHFFFAOYSA-N Ethanol Chemical compound CCO LFQSCWFLJHTTHZ-UHFFFAOYSA-N 0.000 description 3
- XEKOWRVHYACXOJ-UHFFFAOYSA-N Ethyl acetate Chemical compound CCOC(C)=O XEKOWRVHYACXOJ-UHFFFAOYSA-N 0.000 description 3
- 208000004547 Hallucinations Diseases 0.000 description 3
- 102000010909 Monoamine Oxidase Human genes 0.000 description 3
- 108010062431 Monoamine oxidase Proteins 0.000 description 3
- COSPVUFTLGQDQL-UHFFFAOYSA-N Nelotanserin Chemical compound C1=C(C=2N(N=CC=2Br)C)C(OC)=CC=C1NC(=O)NC1=CC=C(F)C=C1F COSPVUFTLGQDQL-UHFFFAOYSA-N 0.000 description 3
- 208000025966 Neurological disease Diseases 0.000 description 3
- 102000002512 Orexin Human genes 0.000 description 3
- AQRLDDAFYYAIJP-UHFFFAOYSA-N Pruvanserin Chemical compound C1=CC(F)=CC=C1CCN1CCN(C(=O)C=2C=3NC=C(C=3C=CC=2)C#N)CC1 AQRLDDAFYYAIJP-UHFFFAOYSA-N 0.000 description 3
- 206010041349 Somnolence Diseases 0.000 description 3
- 241001516476 Vanda Species 0.000 description 3
- STNCLYLEUOJHBO-LADGQOFBSA-N [H][C@]12CCN(CCCC(=O)C3=CC=C(C)C=C3)C[C@@]1([H])/C1=C/C=C\C3=C1N2CCN3.[H][C@]12CCN(CCCC(=O)C3=CC=C(C)C=C3)C[C@@]1([H])/C1=C/C=C\C3=C1N2CCN3C.[H][C@]12CCN(CCCC(=O)C3=CC=C(C)C=C3)C[C@@]1([H])/C1=C/C=C\C3=C1N2CCO3.[H][C@]12CCN(CCCOC3=CC=C(C)C=C3)C[C@@]1([H])/C1=C/C=C\C3=C1N2CCN3.[H][C@]12CCN(CCCOC3=CC=C(C)C=C3)C[C@@]1([H])/C1=C/C=C\C3=C1N2CCN3C.[H][C@]12CCN(CCCOC3=CC=C(C)C=C3)C[C@@]1([H])/C1=C/C=C\C3=C1N2CCO3 Chemical compound [H][C@]12CCN(CCCC(=O)C3=CC=C(C)C=C3)C[C@@]1([H])/C1=C/C=C\C3=C1N2CCN3.[H][C@]12CCN(CCCC(=O)C3=CC=C(C)C=C3)C[C@@]1([H])/C1=C/C=C\C3=C1N2CCN3C.[H][C@]12CCN(CCCC(=O)C3=CC=C(C)C=C3)C[C@@]1([H])/C1=C/C=C\C3=C1N2CCO3.[H][C@]12CCN(CCCOC3=CC=C(C)C=C3)C[C@@]1([H])/C1=C/C=C\C3=C1N2CCN3.[H][C@]12CCN(CCCOC3=CC=C(C)C=C3)C[C@@]1([H])/C1=C/C=C\C3=C1N2CCN3C.[H][C@]12CCN(CCCOC3=CC=C(C)C=C3)C[C@@]1([H])/C1=C/C=C\C3=C1N2CCO3 STNCLYLEUOJHBO-LADGQOFBSA-N 0.000 description 3
- OZMUWXHOJCWLFJ-SXBSVMRRSA-N [H][C@]12CCN(CCC[Y]C3=CC=C(F)C=C3)C[C@@]1([H])/C1=C/C=C\C3=C1N2CCC3 Chemical compound [H][C@]12CCN(CCC[Y]C3=CC=C(F)C=C3)C[C@@]1([H])/C1=C/C=C\C3=C1N2CCC3 OZMUWXHOJCWLFJ-SXBSVMRRSA-N 0.000 description 3
- 230000002378 acidificating effect Effects 0.000 description 3
- 229960002629 agomelatine Drugs 0.000 description 3
- YJYPHIXNFHFHND-UHFFFAOYSA-N agomelatine Chemical compound C1=CC=C(CCNC(C)=O)C2=CC(OC)=CC=C21 YJYPHIXNFHFHND-UHFFFAOYSA-N 0.000 description 3
- 108020004102 alpha-1 Adrenergic Receptor Proteins 0.000 description 3
- 229940065524 anticholinergics inhalants for obstructive airway diseases Drugs 0.000 description 3
- 239000012131 assay buffer Substances 0.000 description 3
- 150000003936 benzamides Chemical class 0.000 description 3
- 210000004556 brain Anatomy 0.000 description 3
- 239000000872 buffer Substances 0.000 description 3
- QWCRAEMEVRGPNT-UHFFFAOYSA-N buspirone Chemical compound C1C(=O)N(CCCCN2CCN(CC2)C=2N=CC=CN=2)C(=O)CC21CCCC2 QWCRAEMEVRGPNT-UHFFFAOYSA-N 0.000 description 3
- 229960002495 buspirone Drugs 0.000 description 3
- 239000001506 calcium phosphate Substances 0.000 description 3
- 229910000389 calcium phosphate Inorganic materials 0.000 description 3
- 235000011010 calcium phosphates Nutrition 0.000 description 3
- 229960004205 carbidopa Drugs 0.000 description 3
- TZFNLOMSOLWIDK-JTQLQIEISA-N carbidopa (anhydrous) Chemical compound NN[C@@](C(O)=O)(C)CC1=CC=C(O)C(O)=C1 TZFNLOMSOLWIDK-JTQLQIEISA-N 0.000 description 3
- 229960003778 casopitant Drugs 0.000 description 3
- XGGTZCKQRWXCHW-WMTVXVAQSA-N casopitant Chemical compound C1([C@H]2C[C@H](CCN2C(=O)N(C)[C@H](C)C=2C=C(C=C(C=2)C(F)(F)F)C(F)(F)F)N2CCN(CC2)C(C)=O)=CC=C(F)C=C1C XGGTZCKQRWXCHW-WMTVXVAQSA-N 0.000 description 3
- 239000003543 catechol methyltransferase inhibitor Substances 0.000 description 3
- 230000008859 change Effects 0.000 description 3
- 239000000812 cholinergic antagonist Substances 0.000 description 3
- 238000011260 co-administration Methods 0.000 description 3
- 231100000868 delusion Toxicity 0.000 description 3
- 230000000994 depressogenic effect Effects 0.000 description 3
- 238000013461 design Methods 0.000 description 3
- 229940052760 dopamine agonists Drugs 0.000 description 3
- 230000003291 dopaminomimetic effect Effects 0.000 description 3
- 229950000789 eplivanserin Drugs 0.000 description 3
- VAIOZOCLKVMIMN-PRJWTAEASA-N eplivanserin Chemical compound C=1C=CC=C(F)C=1\C(=N/OCCN(C)C)\C=C\C1=CC=C(O)C=C1 VAIOZOCLKVMIMN-PRJWTAEASA-N 0.000 description 3
- 229950002850 eptapirone Drugs 0.000 description 3
- 229960002870 gabapentin Drugs 0.000 description 3
- 239000003112 inhibitor Substances 0.000 description 3
- 238000002347 injection Methods 0.000 description 3
- 239000007924 injection Substances 0.000 description 3
- 229960001848 lamotrigine Drugs 0.000 description 3
- PYZRQGJRPPTADH-UHFFFAOYSA-N lamotrigine Chemical compound NC1=NC(N)=NN=C1C1=CC=CC(Cl)=C1Cl PYZRQGJRPPTADH-UHFFFAOYSA-N 0.000 description 3
- 150000007522 mineralic acids Chemical class 0.000 description 3
- DYCKFEBIOUQECE-UHFFFAOYSA-N nefazodone hydrochloride Chemical compound [H+].[Cl-].O=C1N(CCOC=2C=CC=CC=2)C(CC)=NN1CCCN(CC1)CCN1C1=CC=CC(Cl)=C1 DYCKFEBIOUQECE-UHFFFAOYSA-N 0.000 description 3
- 231100000252 nontoxic Toxicity 0.000 description 3
- 230000003000 nontoxic effect Effects 0.000 description 3
- 108060005714 orexin Proteins 0.000 description 3
- MEEQBDCQPIZMLY-HNNXBMFYSA-N osemozotan Chemical compound C1=C2OCOC2=CC(OCCCNC[C@@H]2OC3=CC=CC=C3OC2)=C1 MEEQBDCQPIZMLY-HNNXBMFYSA-N 0.000 description 3
- 239000008188 pellet Substances 0.000 description 3
- 230000000144 pharmacologic effect Effects 0.000 description 3
- 239000013612 plasmid Substances 0.000 description 3
- AYXYPKUFHZROOJ-ZETCQYMHSA-N pregabalin Chemical compound CC(C)C[C@H](CN)CC(O)=O AYXYPKUFHZROOJ-ZETCQYMHSA-N 0.000 description 3
- 229960001233 pregabalin Drugs 0.000 description 3
- 229950003077 pruvanserin Drugs 0.000 description 3
- 238000003653 radioligand binding assay Methods 0.000 description 3
- 229960001150 ramelteon Drugs 0.000 description 3
- 230000009467 reduction Effects 0.000 description 3
- YGYBFMRFXNDIPO-QGZVFWFLSA-N repinotan Chemical compound O=S1(=O)C2=CC=CC=C2C(=O)N1CCCCNC[C@@H]1OC2=CC=CC=C2CC1 YGYBFMRFXNDIPO-QGZVFWFLSA-N 0.000 description 3
- 229950009693 repinotan Drugs 0.000 description 3
- 229950009626 ritanserin Drugs 0.000 description 3
- JUQLTPCYUFPYKE-UHFFFAOYSA-N ritanserin Chemical compound CC=1N=C2SC=CN2C(=O)C=1CCN(CC1)CCC1=C(C=1C=CC(F)=CC=1)C1=CC=C(F)C=C1 JUQLTPCYUFPYKE-UHFFFAOYSA-N 0.000 description 3
- 229940071773 rozerem Drugs 0.000 description 3
- HKFMQJUJWSFOLY-OAQYLSRUSA-N sarizotan Chemical compound C1=CC(F)=CC=C1C1=CN=CC(CNC[C@@H]2OC3=CC=CC=C3CC2)=C1 HKFMQJUJWSFOLY-OAQYLSRUSA-N 0.000 description 3
- 229950007903 sarizotan Drugs 0.000 description 3
- 229940099190 serzone Drugs 0.000 description 3
- 230000004037 social stress Effects 0.000 description 3
- 229960000660 tasimelteon Drugs 0.000 description 3
- PTOIAAWZLUQTIO-GXFFZTMASA-N tasimelteon Chemical compound CCC(=O)NC[C@@H]1C[C@H]1C1=CC=CC2=C1CCO2 PTOIAAWZLUQTIO-GXFFZTMASA-N 0.000 description 3
- 238000002560 therapeutic procedure Methods 0.000 description 3
- QORWJWZARLRLPR-UHFFFAOYSA-H tricalcium bis(phosphate) Chemical compound [Ca+2].[Ca+2].[Ca+2].[O-]P([O-])([O-])=O.[O-]P([O-])([O-])=O QORWJWZARLRLPR-UHFFFAOYSA-H 0.000 description 3
- 229950002976 volinanserin Drugs 0.000 description 3
- YFGHCGITMMYXAQ-UHFFFAOYSA-N 2-[(diphenylmethyl)sulfinyl]acetamide Chemical compound C=1C=CC=CC=1C(S(=O)CC(=O)N)C1=CC=CC=C1 YFGHCGITMMYXAQ-UHFFFAOYSA-N 0.000 description 2
- CEUORZQYGODEFX-UHFFFAOYSA-N Aripirazole Chemical compound ClC1=CC=CC(N2CCN(CCCCOC=3C=C4NC(=O)CCC4=CC=3)CC2)=C1Cl CEUORZQYGODEFX-UHFFFAOYSA-N 0.000 description 2
- CIWBSHSKHKDKBQ-JLAZNSOCSA-N Ascorbic acid Chemical compound OC[C@H](O)[C@H]1OC(=O)C(O)=C1O CIWBSHSKHKDKBQ-JLAZNSOCSA-N 0.000 description 2
- 208000020925 Bipolar disease Diseases 0.000 description 2
- 108091003079 Bovine Serum Albumin Proteins 0.000 description 2
- 241001573498 Compacta Species 0.000 description 2
- 108020004635 Complementary DNA Proteins 0.000 description 2
- RTZKZFJDLAIYFH-UHFFFAOYSA-N Diethyl ether Chemical compound CCOCC RTZKZFJDLAIYFH-UHFFFAOYSA-N 0.000 description 2
- 206010013142 Disinhibition Diseases 0.000 description 2
- 239000006144 Dulbecco’s modified Eagle's medium Substances 0.000 description 2
- KCXVZYZYPLLWCC-UHFFFAOYSA-N EDTA Chemical compound OC(=O)CN(CC(O)=O)CCN(CC(O)=O)CC(O)=O KCXVZYZYPLLWCC-UHFFFAOYSA-N 0.000 description 2
- 0 Fc1ccc(*CCCN2C[C@]3c(cccc4*CC5)c4N5[C@]3CC2)cc1 Chemical compound Fc1ccc(*CCCN2C[C@]3c(cccc4*CC5)c4N5[C@]3CC2)cc1 0.000 description 2
- 102000019432 Galanin Human genes 0.000 description 2
- 101800002068 Galanin Proteins 0.000 description 2
- 102000018997 Growth Hormone Human genes 0.000 description 2
- 108010051696 Growth Hormone Proteins 0.000 description 2
- NTYJJOPFIAHURM-UHFFFAOYSA-N Histamine Chemical compound NCCC1=CN=CN1 NTYJJOPFIAHURM-UHFFFAOYSA-N 0.000 description 2
- 101000783617 Homo sapiens 5-hydroxytryptamine receptor 2A Proteins 0.000 description 2
- 239000000854 Human Growth Hormone Substances 0.000 description 2
- 102000002265 Human Growth Hormone Human genes 0.000 description 2
- 108010000521 Human Growth Hormone Proteins 0.000 description 2
- KFZMGEQAYNKOFK-UHFFFAOYSA-N Isopropanol Chemical compound CC(C)O KFZMGEQAYNKOFK-UHFFFAOYSA-N 0.000 description 2
- VAYOSLLFUXYJDT-RDTXWAMCSA-N Lysergic acid diethylamide Chemical compound C1=CC(C=2[C@H](N(C)C[C@@H](C=2)C(=O)N(CC)CC)C2)=C3C2=CNC3=C1 VAYOSLLFUXYJDT-RDTXWAMCSA-N 0.000 description 2
- UEQUQVLFIPOEMF-UHFFFAOYSA-N Mianserin Chemical compound C1C2=CC=CC=C2N2CCN(C)CC2C2=CC=CC=C21 UEQUQVLFIPOEMF-UHFFFAOYSA-N 0.000 description 2
- 206010037211 Psychomotor hyperactivity Diseases 0.000 description 2
- 206010039897 Sedation Diseases 0.000 description 2
- 208000032140 Sleepiness Diseases 0.000 description 2
- FAPWRFPIFSIZLT-UHFFFAOYSA-M Sodium chloride Chemical compound [Na+].[Cl-] FAPWRFPIFSIZLT-UHFFFAOYSA-M 0.000 description 2
- 206010043118 Tardive Dyskinesia Diseases 0.000 description 2
- ACBLTQHXQLKBSF-SFTDATJTSA-N [H][C@]12CCN(CCCC(=O)C3=CC=C(C)C=C3)C[C@@]1([H])/C1=C/C=C\C3=C1N2CCO3 Chemical compound [H][C@]12CCN(CCCC(=O)C3=CC=C(C)C=C3)C[C@@]1([H])/C1=C/C=C\C3=C1N2CCO3 ACBLTQHXQLKBSF-SFTDATJTSA-N 0.000 description 2
- JNTNPIYPUWOKPW-UNMCSNQZSA-N [H][C@]12CCN(CCCC(=O)C3=CC=C(C)C=C3)C[C@@]1([H])C1=CC=CC3=C1N2CCN3 Chemical compound [H][C@]12CCN(CCCC(=O)C3=CC=C(C)C=C3)C[C@@]1([H])C1=CC=CC3=C1N2CCN3 JNTNPIYPUWOKPW-UNMCSNQZSA-N 0.000 description 2
- ZKGRDAVYSFBMGU-VXKWHMMOSA-N [H][C@]12CCN(CCCC(=O)C3=CC=C(C)C=C3)C[C@@]1([H])C1=CC=CC3=C1N2CCN3C Chemical compound [H][C@]12CCN(CCCC(=O)C3=CC=C(C)C=C3)C[C@@]1([H])C1=CC=CC3=C1N2CCN3C ZKGRDAVYSFBMGU-VXKWHMMOSA-N 0.000 description 2
- JXOVPCNBQARKFI-UNMCSNQZSA-N [H][C@]12CCN(CCCOC3=CC=C(C)C=C3)C[C@@]1([H])C1=CC=CC3=C1N2CCN3 Chemical compound [H][C@]12CCN(CCCOC3=CC=C(C)C=C3)C[C@@]1([H])C1=CC=CC3=C1N2CCN3 JXOVPCNBQARKFI-UNMCSNQZSA-N 0.000 description 2
- IKBCFLGJFYKBHS-VXKWHMMOSA-N [H][C@]12CCN(CCCOC3=CC=C(C)C=C3)C[C@@]1([H])C1=CC=CC3=C1N2CCN3C Chemical compound [H][C@]12CCN(CCCOC3=CC=C(C)C=C3)C[C@@]1([H])C1=CC=CC3=C1N2CCN3C IKBCFLGJFYKBHS-VXKWHMMOSA-N 0.000 description 2
- LENGVNYCAJPUGJ-SFTDATJTSA-N [H][C@]12CCN(CCCOC3=CC=C(C)C=C3)C[C@@]1([H])C1=CC=CC3=C1N2CCO3 Chemical compound [H][C@]12CCN(CCCOC3=CC=C(C)C=C3)C[C@@]1([H])C1=CC=CC3=C1N2CCO3 LENGVNYCAJPUGJ-SFTDATJTSA-N 0.000 description 2
- 230000004913 activation Effects 0.000 description 2
- 238000004458 analytical method Methods 0.000 description 2
- 230000000561 anti-psychotic effect Effects 0.000 description 2
- 238000013459 approach Methods 0.000 description 2
- 229960004372 aripiprazole Drugs 0.000 description 2
- 229960004823 armodafinil Drugs 0.000 description 2
- YFGHCGITMMYXAQ-LJQANCHMSA-N armodafinil Chemical compound C=1C=CC=CC=1C([S@](=O)CC(=O)N)C1=CC=CC=C1 YFGHCGITMMYXAQ-LJQANCHMSA-N 0.000 description 2
- 229940127236 atypical antipsychotics Drugs 0.000 description 2
- 239000002585 base Substances 0.000 description 2
- 230000005540 biological transmission Effects 0.000 description 2
- 208000015114 central nervous system disease Diseases 0.000 description 2
- 210000004978 chinese hamster ovary cell Anatomy 0.000 description 2
- 230000003920 cognitive function Effects 0.000 description 2
- 238000012937 correction Methods 0.000 description 2
- 231100000673 dose–response relationship Toxicity 0.000 description 2
- 230000001747 exhibiting effect Effects 0.000 description 2
- 239000000122 growth hormone Substances 0.000 description 2
- 229940093915 gynecological organic acid Drugs 0.000 description 2
- 239000003326 hypnotic agent Substances 0.000 description 2
- LHAPOGAFBLSJJQ-GUTACTQSSA-N iti007 Chemical compound CC1=CC=C(S(O)(=O)=O)C=C1.C([C@@H]1N2CCN(C=3C=CC=C(C2=3)[C@@H]1C1)C)CN1CCCC(=O)C1=CC=C(F)C=C1 LHAPOGAFBLSJJQ-GUTACTQSSA-N 0.000 description 2
- 239000003446 ligand Substances 0.000 description 2
- 229910052943 magnesium sulfate Inorganic materials 0.000 description 2
- 235000019341 magnesium sulphate Nutrition 0.000 description 2
- 238000004519 manufacturing process Methods 0.000 description 2
- 230000001404 mediated effect Effects 0.000 description 2
- 229960003955 mianserin Drugs 0.000 description 2
- 229960001165 modafinil Drugs 0.000 description 2
- SLZIZIJTGAYEKK-CIJSCKBQSA-N molport-023-220-247 Chemical compound C([C@@H](C(=O)N[C@@H](C)C(=O)N[C@@H]([C@@H](C)CC)C(=O)N[C@@H](CC(O)=O)C(=O)N[C@@H](CC(N)=O)C(=O)N[C@@H](CC=1N=CNC=1)C(=O)N[C@@H](CCCNC(N)=N)C(=O)N[C@@H](CO)C(=O)N[C@@H](CC=1C=CC=CC=1)C(=O)N[C@@H](CC=1N=CNC=1)C(=O)N[C@@H](CC(O)=O)C(=O)N[C@@H](CCCCN)C(=O)N[C@@H](CC=1C=CC(O)=CC=1)C(=O)NCC(=O)N[C@@H](CC(C)C)C(=O)N[C@@H](C)C(N)=O)NC(=O)[C@H]1N(CCC1)C(=O)CNC(=O)[C@H](CC(C)C)NC(=O)[C@H](CC(C)C)NC(=O)[C@H](CC=1C=CC(O)=CC=1)NC(=O)CNC(=O)[C@H](C)NC(=O)[C@H](CO)NC(=O)[C@H](CC(N)=O)NC(=O)[C@H](CC(C)C)NC(=O)[C@@H](NC(=O)[C@H](CC=1C2=CC=CC=C2NC=1)NC(=O)CN)[C@@H](C)O)C1=CNC=N1 SLZIZIJTGAYEKK-CIJSCKBQSA-N 0.000 description 2
- 230000037023 motor activity Effects 0.000 description 2
- 238000010172 mouse model Methods 0.000 description 2
- 210000003205 muscle Anatomy 0.000 description 2
- 210000001577 neostriatum Anatomy 0.000 description 2
- 230000000926 neurological effect Effects 0.000 description 2
- 230000002474 noradrenergic effect Effects 0.000 description 2
- 150000007524 organic acids Chemical class 0.000 description 2
- 235000005985 organic acids Nutrition 0.000 description 2
- 239000004031 partial agonist Substances 0.000 description 2
- 239000000902 placebo Substances 0.000 description 2
- 229940068196 placebo Drugs 0.000 description 2
- 230000003389 potentiating effect Effects 0.000 description 2
- 238000002360 preparation method Methods 0.000 description 2
- 230000002265 prevention Effects 0.000 description 2
- 210000004129 prosencephalon Anatomy 0.000 description 2
- 230000009822 protein phosphorylation Effects 0.000 description 2
- 230000004461 rapid eye movement Effects 0.000 description 2
- 230000036385 rapid eye movement (rem) sleep Effects 0.000 description 2
- 230000004044 response Effects 0.000 description 2
- 230000036280 sedation Effects 0.000 description 2
- 238000000926 separation method Methods 0.000 description 2
- 230000004622 sleep time Effects 0.000 description 2
- 230000003997 social interaction Effects 0.000 description 2
- 239000000243 solution Substances 0.000 description 2
- 230000009870 specific binding Effects 0.000 description 2
- 239000000126 substance Substances 0.000 description 2
- 239000000725 suspension Substances 0.000 description 2
- 230000003461 thalamocortical effect Effects 0.000 description 2
- 210000001519 tissue Anatomy 0.000 description 2
- 238000001890 transfection Methods 0.000 description 2
- 230000002618 waking effect Effects 0.000 description 2
- XLYOFNOQVPJJNP-UHFFFAOYSA-N water Substances O XLYOFNOQVPJJNP-UHFFFAOYSA-N 0.000 description 2
- OGNSCSPNOLGXSM-UHFFFAOYSA-N (+/-)-DABA Natural products NCCC(N)C(O)=O OGNSCSPNOLGXSM-UHFFFAOYSA-N 0.000 description 1
- WYDUSKDSKCASEF-LJQANCHMSA-N (1s)-1-cyclohexyl-1-phenyl-3-pyrrolidin-1-ylpropan-1-ol Chemical compound C([C@](O)(C1CCCCC1)C=1C=CC=CC=1)CN1CCCC1 WYDUSKDSKCASEF-LJQANCHMSA-N 0.000 description 1
- DXOJUCNAHCVBRU-LURJTMIESA-N (2s)-2-amino-3-(3,4-dihydroxyphenyl)propanamide Chemical compound NC(=O)[C@@H](N)CC1=CC=C(O)C(O)=C1 DXOJUCNAHCVBRU-LURJTMIESA-N 0.000 description 1
- IVTMXOXVAHXCHI-YXLMWLKOSA-N (2s)-2-amino-3-(3,4-dihydroxyphenyl)propanoic acid;(2s)-3-(3,4-dihydroxyphenyl)-2-hydrazinyl-2-methylpropanoic acid Chemical compound OC(=O)[C@@H](N)CC1=CC=C(O)C(O)=C1.NN[C@@](C(O)=O)(C)CC1=CC=C(O)C(O)=C1 IVTMXOXVAHXCHI-YXLMWLKOSA-N 0.000 description 1
- BGMZUEKZENQUJY-UHFFFAOYSA-N 2-(4-iodo-2,5-dimethoxyphenyl)-1-methylethylamine Chemical compound COC1=CC(CC(C)N)=C(OC)C=C1I BGMZUEKZENQUJY-UHFFFAOYSA-N 0.000 description 1
- 125000005273 2-acetoxybenzoic acid group Chemical group 0.000 description 1
- GIJXKZJWITVLHI-UHFFFAOYSA-N 3-(diphenylmethyl)oxy-8-methyl-8-azabicyclo[3.2.1]octane Chemical compound CN1C(C2)CCC1CC2OC(C=1C=CC=CC=1)C1=CC=CC=C1 GIJXKZJWITVLHI-UHFFFAOYSA-N 0.000 description 1
- 239000003185 4 aminobutyric acid B receptor stimulating agent Substances 0.000 description 1
- 102000056834 5-HT2 Serotonin Receptors Human genes 0.000 description 1
- 108091005479 5-HT2 receptors Proteins 0.000 description 1
- 206010001540 Akathisia Diseases 0.000 description 1
- 102100024349 Alpha-1A adrenergic receptor Human genes 0.000 description 1
- 102100024402 Alpha-1B adrenergic receptor Human genes 0.000 description 1
- 208000019901 Anxiety disease Diseases 0.000 description 1
- 208000006820 Arthralgia Diseases 0.000 description 1
- 102100023006 Basic leucine zipper transcriptional factor ATF-like 2 Human genes 0.000 description 1
- 206010006100 Bradykinesia Diseases 0.000 description 1
- COVZYZSDYWQREU-UHFFFAOYSA-N Busulfan Chemical compound CS(=O)(=O)OCCCCOS(C)(=O)=O COVZYZSDYWQREU-UHFFFAOYSA-N 0.000 description 1
- WCVGLIHKZZPFRF-SFTDATJTSA-N CN(CC1)c2c3N1[C@@H](CCN(CCCC(c(cc1)ccc1[FH+])=O)C1)[C@@H]1c3ccc2 Chemical compound CN(CC1)c2c3N1[C@@H](CCN(CCCC(c(cc1)ccc1[FH+])=O)C1)[C@@H]1c3ccc2 WCVGLIHKZZPFRF-SFTDATJTSA-N 0.000 description 1
- UXVMQQNJUSDDNG-UHFFFAOYSA-L Calcium chloride Chemical compound [Cl-].[Cl-].[Ca+2] UXVMQQNJUSDDNG-UHFFFAOYSA-L 0.000 description 1
- 206010008479 Chest Pain Diseases 0.000 description 1
- 206010010904 Convulsion Diseases 0.000 description 1
- 241000699802 Cricetulus griseus Species 0.000 description 1
- 241000701022 Cytomegalovirus Species 0.000 description 1
- 206010012735 Diarrhoea Diseases 0.000 description 1
- 208000007590 Disorders of Excessive Somnolence Diseases 0.000 description 1
- 108090000511 Dopamine D1 Receptors Proteins 0.000 description 1
- 229940121891 Dopamine receptor antagonist Drugs 0.000 description 1
- 241000588724 Escherichia coli Species 0.000 description 1
- OTMSDBZUPAUEDD-UHFFFAOYSA-N Ethane Chemical compound CC OTMSDBZUPAUEDD-UHFFFAOYSA-N 0.000 description 1
- 102000005915 GABA Receptors Human genes 0.000 description 1
- 108010005551 GABA Receptors Proteins 0.000 description 1
- 208000018522 Gastrointestinal disease Diseases 0.000 description 1
- 206010061991 Grimacing Diseases 0.000 description 1
- 102000017911 HTR1A Human genes 0.000 description 1
- 101150015707 HTR1A gene Proteins 0.000 description 1
- 206010019233 Headaches Diseases 0.000 description 1
- 101000761319 Homo sapiens 5-hydroxytryptamine receptor 2B Proteins 0.000 description 1
- 101000761348 Homo sapiens 5-hydroxytryptamine receptor 2C Proteins 0.000 description 1
- 101000903615 Homo sapiens Basic leucine zipper transcriptional factor ATF-like 2 Proteins 0.000 description 1
- VEXZGXHMUGYJMC-UHFFFAOYSA-N Hydrochloric acid Chemical compound Cl VEXZGXHMUGYJMC-UHFFFAOYSA-N 0.000 description 1
- GRRNUXAQVGOGFE-UHFFFAOYSA-N Hygromycin-B Natural products OC1C(NC)CC(N)C(O)C1OC1C2OC3(C(C(O)C(O)C(C(N)CO)O3)O)OC2C(O)C(CO)O1 GRRNUXAQVGOGFE-UHFFFAOYSA-N 0.000 description 1
- 208000006083 Hypokinesia Diseases 0.000 description 1
- 206010026749 Mania Diseases 0.000 description 1
- 241001465754 Metazoa Species 0.000 description 1
- 208000019695 Migraine disease Diseases 0.000 description 1
- 208000016285 Movement disease Diseases 0.000 description 1
- 208000001089 Multiple system atrophy Diseases 0.000 description 1
- 208000007379 Muscle Hypotonia Diseases 0.000 description 1
- 208000002740 Muscle Rigidity Diseases 0.000 description 1
- 206010028813 Nausea Diseases 0.000 description 1
- 206010028980 Neoplasm Diseases 0.000 description 1
- 102000019040 Nuclear Antigens Human genes 0.000 description 1
- 108010051791 Nuclear Antigens Proteins 0.000 description 1
- UDVYYNYYGINYJW-PMACEKPBSA-N O=C(CCCN1C[C@H]2c3cccc(OCC4)c3N4[C@H]2CC1)c(cc1)ccc1[FH+] Chemical compound O=C(CCCN1C[C@H]2c3cccc(OCC4)c3N4[C@H]2CC1)c(cc1)ccc1[FH+] UDVYYNYYGINYJW-PMACEKPBSA-N 0.000 description 1
- 208000008589 Obesity Diseases 0.000 description 1
- 206010031127 Orthostatic hypotension Diseases 0.000 description 1
- 208000002193 Pain Diseases 0.000 description 1
- 206010033799 Paralysis Diseases 0.000 description 1
- DPWPWRLQFGFJFI-UHFFFAOYSA-N Pargyline Chemical compound C#CCN(C)CC1=CC=CC=C1 DPWPWRLQFGFJFI-UHFFFAOYSA-N 0.000 description 1
- 208000027089 Parkinsonian disease Diseases 0.000 description 1
- 206010034010 Parkinsonism Diseases 0.000 description 1
- 229920002565 Polyethylene Glycol 400 Polymers 0.000 description 1
- 229920002873 Polyethylenimine Polymers 0.000 description 1
- 239000004743 Polypropylene Substances 0.000 description 1
- 229920001213 Polysorbate 20 Polymers 0.000 description 1
- 108010029485 Protein Isoforms Proteins 0.000 description 1
- 102000001708 Protein Isoforms Human genes 0.000 description 1
- 206010037180 Psychiatric symptoms Diseases 0.000 description 1
- 208000001431 Psychomotor Agitation Diseases 0.000 description 1
- 241000283984 Rodentia Species 0.000 description 1
- 201000001880 Sexual dysfunction Diseases 0.000 description 1
- 206010041243 Social avoidant behaviour Diseases 0.000 description 1
- 206010041250 Social phobia Diseases 0.000 description 1
- 206010044074 Torticollis Diseases 0.000 description 1
- 208000012886 Vertigo Diseases 0.000 description 1
- 241000700605 Viruses Species 0.000 description 1
- 206010047513 Vision blurred Diseases 0.000 description 1
- 206010047700 Vomiting Diseases 0.000 description 1
- 208000021017 Weight Gain Diseases 0.000 description 1
- 230000001594 aberrant effect Effects 0.000 description 1
- 230000002159 abnormal effect Effects 0.000 description 1
- 208000024453 abnormal involuntary movement Diseases 0.000 description 1
- 239000013543 active substance Substances 0.000 description 1
- 238000004115 adherent culture Methods 0.000 description 1
- 230000001464 adherent effect Effects 0.000 description 1
- CGNMLOKEMNBUAI-UHFFFAOYSA-N adrafinil Chemical compound C=1C=CC=CC=1C(S(=O)CC(=O)NO)C1=CC=CC=C1 CGNMLOKEMNBUAI-UHFFFAOYSA-N 0.000 description 1
- 229960002820 adrafinil Drugs 0.000 description 1
- 230000001800 adrenalinergic effect Effects 0.000 description 1
- 230000002411 adverse Effects 0.000 description 1
- 239000003513 alkali Substances 0.000 description 1
- 102000030619 alpha-1 Adrenergic Receptor Human genes 0.000 description 1
- 230000004075 alteration Effects 0.000 description 1
- WOLHOYHSEKDWQH-UHFFFAOYSA-N amantadine hydrochloride Chemical compound [Cl-].C1C(C2)CC3CC2CC1([NH3+])C3 WOLHOYHSEKDWQH-UHFFFAOYSA-N 0.000 description 1
- 150000001412 amines Chemical class 0.000 description 1
- 238000010171 animal model Methods 0.000 description 1
- 230000003466 anti-cipated effect Effects 0.000 description 1
- 239000000939 antiparkinson agent Substances 0.000 description 1
- 229940125688 antiparkinson agent Drugs 0.000 description 1
- 239000003420 antiserotonin agent Substances 0.000 description 1
- 230000036506 anxiety Effects 0.000 description 1
- 229960005070 ascorbic acid Drugs 0.000 description 1
- 235000010323 ascorbic acid Nutrition 0.000 description 1
- 239000011668 ascorbic acid Substances 0.000 description 1
- 230000003542 behavioural effect Effects 0.000 description 1
- 230000009286 beneficial effect Effects 0.000 description 1
- 229940049706 benzodiazepine Drugs 0.000 description 1
- 150000001557 benzodiazepines Chemical class 0.000 description 1
- WPYMKLBDIGXBTP-UHFFFAOYSA-N benzoic acid group Chemical group C(C1=CC=CC=C1)(=O)O WPYMKLBDIGXBTP-UHFFFAOYSA-N 0.000 description 1
- 239000000090 biomarker Substances 0.000 description 1
- 230000015572 biosynthetic process Effects 0.000 description 1
- YSXKPIUOCJLQIE-UHFFFAOYSA-N biperiden Chemical compound C1C(C=C2)CC2C1C(C=1C=CC=CC=1)(O)CCN1CCCCC1 YSXKPIUOCJLQIE-UHFFFAOYSA-N 0.000 description 1
- 229960003003 biperiden Drugs 0.000 description 1
- 208000028683 bipolar I disease Diseases 0.000 description 1
- 208000025307 bipolar depression Diseases 0.000 description 1
- 210000001185 bone marrow Anatomy 0.000 description 1
- 229940098773 bovine serum albumin Drugs 0.000 description 1
- 239000001110 calcium chloride Substances 0.000 description 1
- 229910001628 calcium chloride Inorganic materials 0.000 description 1
- 238000004364 calculation method Methods 0.000 description 1
- 201000011510 cancer Diseases 0.000 description 1
- 239000002775 capsule Substances 0.000 description 1
- 150000001735 carboxylic acids Chemical class 0.000 description 1
- 238000005119 centrifugation Methods 0.000 description 1
- 238000006243 chemical reaction Methods 0.000 description 1
- 239000003153 chemical reaction reagent Substances 0.000 description 1
- 230000019771 cognition Effects 0.000 description 1
- 239000002299 complementary DNA Substances 0.000 description 1
- 230000008602 contraction Effects 0.000 description 1
- 230000002089 crippling effect Effects 0.000 description 1
- 239000013078 crystal Substances 0.000 description 1
- 238000007405 data analysis Methods 0.000 description 1
- 230000006735 deficit Effects 0.000 description 1
- 230000003001 depressive effect Effects 0.000 description 1
- LOKCTEFSRHRXRJ-UHFFFAOYSA-I dipotassium trisodium dihydrogen phosphate hydrogen phosphate dichloride Chemical compound P(=O)(O)(O)[O-].[K+].P(=O)(O)([O-])[O-].[Na+].[Na+].[Cl-].[K+].[Cl-].[Na+] LOKCTEFSRHRXRJ-UHFFFAOYSA-I 0.000 description 1
- 238000010494 dissociation reaction Methods 0.000 description 1
- 230000005593 dissociations Effects 0.000 description 1
- 239000003210 dopamine receptor blocking agent Substances 0.000 description 1
- 206010013781 dry mouth Diseases 0.000 description 1
- 230000004064 dysfunction Effects 0.000 description 1
- 201000006549 dyspepsia Diseases 0.000 description 1
- 208000010118 dystonia Diseases 0.000 description 1
- 230000002996 emotional effect Effects 0.000 description 1
- 229960003337 entacapone Drugs 0.000 description 1
- JRURYQJSLYLRLN-BJMVGYQFSA-N entacapone Chemical compound CCN(CC)C(=O)C(\C#N)=C\C1=CC(O)=C(O)C([N+]([O-])=O)=C1 JRURYQJSLYLRLN-BJMVGYQFSA-N 0.000 description 1
- 230000007717 exclusion Effects 0.000 description 1
- 238000013401 experimental design Methods 0.000 description 1
- 230000001815 facial effect Effects 0.000 description 1
- 239000012091 fetal bovine serum Substances 0.000 description 1
- 238000001914 filtration Methods 0.000 description 1
- 210000005153 frontal cortex Anatomy 0.000 description 1
- 230000006870 function Effects 0.000 description 1
- 210000001035 gastrointestinal tract Anatomy 0.000 description 1
- 239000011521 glass Substances 0.000 description 1
- 238000003306 harvesting Methods 0.000 description 1
- 231100000869 headache Toxicity 0.000 description 1
- 229960001340 histamine Drugs 0.000 description 1
- 239000003395 histamine H3 receptor antagonist Substances 0.000 description 1
- 238000000265 homogenisation Methods 0.000 description 1
- 101150029559 hph gene Proteins 0.000 description 1
- 102000053799 human HTR2B Human genes 0.000 description 1
- UWYVPFMHMJIBHE-OWOJBTEDSA-N hydroxymaleic acid group Chemical group O/C(/C(=O)O)=C/C(=O)O UWYVPFMHMJIBHE-OWOJBTEDSA-N 0.000 description 1
- GRRNUXAQVGOGFE-NZSRVPFOSA-N hygromycin B Chemical compound O[C@@H]1[C@@H](NC)C[C@@H](N)[C@H](O)[C@H]1O[C@H]1[C@H]2O[C@@]3([C@@H]([C@@H](O)[C@@H](O)[C@@H](C(N)CO)O3)O)O[C@H]2[C@@H](O)[C@@H](CO)O1 GRRNUXAQVGOGFE-NZSRVPFOSA-N 0.000 description 1
- 229940097277 hygromycin b Drugs 0.000 description 1
- 230000000147 hypnotic effect Effects 0.000 description 1
- 239000005554 hypnotics and sedatives Substances 0.000 description 1
- 208000018197 inherited torticollis Diseases 0.000 description 1
- 230000005764 inhibitory process Effects 0.000 description 1
- 229910052500 inorganic mineral Inorganic materials 0.000 description 1
- 229940125425 inverse agonist Drugs 0.000 description 1
- 238000002955 isolation Methods 0.000 description 1
- 210000003734 kidney Anatomy 0.000 description 1
- 239000007788 liquid Substances 0.000 description 1
- 210000004185 liver Anatomy 0.000 description 1
- 230000003137 locomotive effect Effects 0.000 description 1
- 230000006742 locomotor activity Effects 0.000 description 1
- 230000005923 long-lasting effect Effects 0.000 description 1
- 230000007774 longterm Effects 0.000 description 1
- 229950002454 lysergide Drugs 0.000 description 1
- 238000005259 measurement Methods 0.000 description 1
- 102000006240 membrane receptors Human genes 0.000 description 1
- 108020004084 membrane receptors Proteins 0.000 description 1
- 230000003340 mental effect Effects 0.000 description 1
- 206010027599 migraine Diseases 0.000 description 1
- 239000011707 mineral Substances 0.000 description 1
- 235000010755 mineral Nutrition 0.000 description 1
- 230000004899 motility Effects 0.000 description 1
- 230000008450 motivation Effects 0.000 description 1
- 230000008693 nausea Effects 0.000 description 1
- 231100001079 no serious adverse effect Toxicity 0.000 description 1
- 230000008452 non REM sleep Effects 0.000 description 1
- 239000012457 nonaqueous media Substances 0.000 description 1
- 230000009871 nonspecific binding Effects 0.000 description 1
- 235000020824 obesity Nutrition 0.000 description 1
- 206010030071 oculogyric crisis Diseases 0.000 description 1
- 239000006186 oral dosage form Substances 0.000 description 1
- 239000003960 organic solvent Substances 0.000 description 1
- 210000001672 ovary Anatomy 0.000 description 1
- 230000036407 pain Effects 0.000 description 1
- 229960001779 pargyline Drugs 0.000 description 1
- JLFNLZLINWHATN-UHFFFAOYSA-N pentaethylene glycol Chemical compound OCCOCCOCCOCCOCCO JLFNLZLINWHATN-UHFFFAOYSA-N 0.000 description 1
- 229960004851 pergolide Drugs 0.000 description 1
- YEHCICAEULNIGD-MZMPZRCHSA-N pergolide Chemical compound C1=CC([C@H]2C[C@@H](CSC)CN([C@@H]2C2)CCC)=C3C2=CNC3=C1 YEHCICAEULNIGD-MZMPZRCHSA-N 0.000 description 1
- 239000000546 pharmaceutical excipient Substances 0.000 description 1
- VXTWEDPZMSVFEF-UHFFFAOYSA-N pheniprazine Chemical compound NNC(C)CC1=CC=CC=C1 VXTWEDPZMSVFEF-UHFFFAOYSA-N 0.000 description 1
- 229950005573 pheniprazine Drugs 0.000 description 1
- WLJVXDMOQOGPHL-UHFFFAOYSA-N phenylacetic acid Chemical compound OC(=O)CC1=CC=CC=C1 WLJVXDMOQOGPHL-UHFFFAOYSA-N 0.000 description 1
- 239000002953 phosphate buffered saline Substances 0.000 description 1
- 239000000256 polyoxyethylene sorbitan monolaurate Substances 0.000 description 1
- 235000010486 polyoxyethylene sorbitan monolaurate Nutrition 0.000 description 1
- 229920001155 polypropylene Polymers 0.000 description 1
- 238000002600 positron emission tomography Methods 0.000 description 1
- 230000001242 postsynaptic effect Effects 0.000 description 1
- 229960003089 pramipexole Drugs 0.000 description 1
- FASDKYOPVNHBLU-ZETCQYMHSA-N pramipexole Chemical compound C1[C@@H](NCCC)CCC2=C1SC(N)=N2 FASDKYOPVNHBLU-ZETCQYMHSA-N 0.000 description 1
- IENZQIKPVFGBNW-UHFFFAOYSA-N prazosin Chemical compound N=1C(N)=C2C=C(OC)C(OC)=CC2=NC=1N(CC1)CCN1C(=O)C1=CC=CO1 IENZQIKPVFGBNW-UHFFFAOYSA-N 0.000 description 1
- 210000002442 prefrontal cortex Anatomy 0.000 description 1
- 230000003518 presynaptic effect Effects 0.000 description 1
- 230000008569 process Effects 0.000 description 1
- 238000012545 processing Methods 0.000 description 1
- 229960005253 procyclidine Drugs 0.000 description 1
- 238000011321 prophylaxis Methods 0.000 description 1
- 230000010346 psychosocial stress Effects 0.000 description 1
- 238000000746 purification Methods 0.000 description 1
- 150000003242 quaternary ammonium salts Chemical class 0.000 description 1
- 239000011541 reaction mixture Substances 0.000 description 1
- 238000011160 research Methods 0.000 description 1
- 230000029058 respiratory gaseous exchange Effects 0.000 description 1
- 229960001879 ropinirole Drugs 0.000 description 1
- UHSKFQJFRQCDBE-UHFFFAOYSA-N ropinirole Chemical compound CCCN(CCC)CCC1=CC=CC2=C1CC(=O)N2 UHSKFQJFRQCDBE-UHFFFAOYSA-N 0.000 description 1
- 229960003946 selegiline Drugs 0.000 description 1
- MEZLKOACVSPNER-GFCCVEGCSA-N selegiline Chemical compound C#CCN(C)[C@H](C)CC1=CC=CC=C1 MEZLKOACVSPNER-GFCCVEGCSA-N 0.000 description 1
- 239000000952 serotonin receptor agonist Substances 0.000 description 1
- 208000012201 sexual and gender identity disease Diseases 0.000 description 1
- 208000015891 sexual disease Diseases 0.000 description 1
- 231100000872 sexual dysfunction Toxicity 0.000 description 1
- 230000037321 sleepiness Effects 0.000 description 1
- 239000011780 sodium chloride Substances 0.000 description 1
- 238000004611 spectroscopical analysis Methods 0.000 description 1
- 230000010473 stable expression Effects 0.000 description 1
- 239000007858 starting material Substances 0.000 description 1
- 230000035882 stress Effects 0.000 description 1
- 125000001424 substituent group Chemical group 0.000 description 1
- 238000006467 substitution reaction Methods 0.000 description 1
- 230000001629 suppression Effects 0.000 description 1
- 238000003786 synthesis reaction Methods 0.000 description 1
- 239000003826 tablet Substances 0.000 description 1
- 230000001225 therapeutic effect Effects 0.000 description 1
- 229960004603 tolcapone Drugs 0.000 description 1
- MIQPIUSUKVNLNT-UHFFFAOYSA-N tolcapone Chemical compound C1=CC(C)=CC=C1C(=O)C1=CC(O)=C(O)C([N+]([O-])=O)=C1 MIQPIUSUKVNLNT-UHFFFAOYSA-N 0.000 description 1
- 125000005490 tosylate group Chemical class 0.000 description 1
- 238000012549 training Methods 0.000 description 1
- 231100000889 vertigo Toxicity 0.000 description 1
- 230000008673 vomiting Effects 0.000 description 1
- 230000004584 weight gain Effects 0.000 description 1
- 235000019786 weight gain Nutrition 0.000 description 1
- 229960002791 zimeldine Drugs 0.000 description 1
- OYPPVKRFBIWMSX-SXGWCWSVSA-N zimeldine Chemical compound C=1C=CN=CC=1C(=C/CN(C)C)\C1=CC=C(Br)C=C1 OYPPVKRFBIWMSX-SXGWCWSVSA-N 0.000 description 1
Classifications
-
- A—HUMAN NECESSITIES
- A61—MEDICAL OR VETERINARY SCIENCE; HYGIENE
- A61K—PREPARATIONS FOR MEDICAL, DENTAL OR TOILETRY PURPOSES
- A61K31/00—Medicinal preparations containing organic active ingredients
- A61K31/33—Heterocyclic compounds
- A61K31/395—Heterocyclic compounds having nitrogen as a ring hetero atom, e.g. guanethidine or rifamycins
- A61K31/435—Heterocyclic compounds having nitrogen as a ring hetero atom, e.g. guanethidine or rifamycins having six-membered rings with one nitrogen as the only ring hetero atom
- A61K31/4353—Heterocyclic compounds having nitrogen as a ring hetero atom, e.g. guanethidine or rifamycins having six-membered rings with one nitrogen as the only ring hetero atom ortho- or peri-condensed with heterocyclic ring systems
- A61K31/437—Heterocyclic compounds having nitrogen as a ring hetero atom, e.g. guanethidine or rifamycins having six-membered rings with one nitrogen as the only ring hetero atom ortho- or peri-condensed with heterocyclic ring systems the heterocyclic ring system containing a five-membered ring having nitrogen as a ring hetero atom, e.g. indolizine, beta-carboline
-
- A—HUMAN NECESSITIES
- A61—MEDICAL OR VETERINARY SCIENCE; HYGIENE
- A61K—PREPARATIONS FOR MEDICAL, DENTAL OR TOILETRY PURPOSES
- A61K31/00—Medicinal preparations containing organic active ingredients
- A61K31/33—Heterocyclic compounds
- A61K31/395—Heterocyclic compounds having nitrogen as a ring hetero atom, e.g. guanethidine or rifamycins
- A61K31/495—Heterocyclic compounds having nitrogen as a ring hetero atom, e.g. guanethidine or rifamycins having six-membered rings with two or more nitrogen atoms as the only ring heteroatoms, e.g. piperazine or tetrazines
- A61K31/4985—Pyrazines or piperazines ortho- or peri-condensed with heterocyclic ring systems
-
- A—HUMAN NECESSITIES
- A01—AGRICULTURE; FORESTRY; ANIMAL HUSBANDRY; HUNTING; TRAPPING; FISHING
- A01N—PRESERVATION OF BODIES OF HUMANS OR ANIMALS OR PLANTS OR PARTS THEREOF; BIOCIDES, e.g. AS DISINFECTANTS, AS PESTICIDES OR AS HERBICIDES; PEST REPELLANTS OR ATTRACTANTS; PLANT GROWTH REGULATORS
- A01N43/00—Biocides, pest repellants or attractants, or plant growth regulators containing heterocyclic compounds
- A01N43/34—Biocides, pest repellants or attractants, or plant growth regulators containing heterocyclic compounds having rings with one nitrogen atom as the only ring hetero atom
- A01N43/40—Biocides, pest repellants or attractants, or plant growth regulators containing heterocyclic compounds having rings with one nitrogen atom as the only ring hetero atom six-membered rings
- A01N43/42—Biocides, pest repellants or attractants, or plant growth regulators containing heterocyclic compounds having rings with one nitrogen atom as the only ring hetero atom six-membered rings condensed with carbocyclic rings
-
- A—HUMAN NECESSITIES
- A61—MEDICAL OR VETERINARY SCIENCE; HYGIENE
- A61K—PREPARATIONS FOR MEDICAL, DENTAL OR TOILETRY PURPOSES
- A61K31/00—Medicinal preparations containing organic active ingredients
- A61K31/185—Acids; Anhydrides, halides or salts thereof, e.g. sulfur acids, imidic, hydrazonic or hydroximic acids
- A61K31/19—Carboxylic acids, e.g. valproic acid
- A61K31/195—Carboxylic acids, e.g. valproic acid having an amino group
- A61K31/197—Carboxylic acids, e.g. valproic acid having an amino group the amino and the carboxyl groups being attached to the same acyclic carbon chain, e.g. gamma-aminobutyric acid [GABA], beta-alanine, epsilon-aminocaproic acid or pantothenic acid
- A61K31/198—Alpha-amino acids, e.g. alanine or edetic acid [EDTA]
-
- A—HUMAN NECESSITIES
- A61—MEDICAL OR VETERINARY SCIENCE; HYGIENE
- A61K—PREPARATIONS FOR MEDICAL, DENTAL OR TOILETRY PURPOSES
- A61K31/00—Medicinal preparations containing organic active ingredients
- A61K31/33—Heterocyclic compounds
- A61K31/395—Heterocyclic compounds having nitrogen as a ring hetero atom, e.g. guanethidine or rifamycins
- A61K31/435—Heterocyclic compounds having nitrogen as a ring hetero atom, e.g. guanethidine or rifamycins having six-membered rings with one nitrogen as the only ring hetero atom
- A61K31/44—Non condensed pyridines; Hydrogenated derivatives thereof
-
- A—HUMAN NECESSITIES
- A61—MEDICAL OR VETERINARY SCIENCE; HYGIENE
- A61K—PREPARATIONS FOR MEDICAL, DENTAL OR TOILETRY PURPOSES
- A61K31/00—Medicinal preparations containing organic active ingredients
- A61K31/33—Heterocyclic compounds
- A61K31/395—Heterocyclic compounds having nitrogen as a ring hetero atom, e.g. guanethidine or rifamycins
- A61K31/535—Heterocyclic compounds having nitrogen as a ring hetero atom, e.g. guanethidine or rifamycins having six-membered rings with at least one nitrogen and one oxygen as the ring hetero atoms, e.g. 1,2-oxazines
- A61K31/5375—1,4-Oxazines, e.g. morpholine
- A61K31/5383—1,4-Oxazines, e.g. morpholine ortho- or peri-condensed with heterocyclic ring systems
-
- A—HUMAN NECESSITIES
- A61—MEDICAL OR VETERINARY SCIENCE; HYGIENE
- A61K—PREPARATIONS FOR MEDICAL, DENTAL OR TOILETRY PURPOSES
- A61K45/00—Medicinal preparations containing active ingredients not provided for in groups A61K31/00 - A61K41/00
- A61K45/06—Mixtures of active ingredients without chemical characterisation, e.g. antiphlogistics and cardiaca
-
- A—HUMAN NECESSITIES
- A61—MEDICAL OR VETERINARY SCIENCE; HYGIENE
- A61K—PREPARATIONS FOR MEDICAL, DENTAL OR TOILETRY PURPOSES
- A61K9/00—Medicinal preparations characterised by special physical form
- A61K9/0012—Galenical forms characterised by the site of application
- A61K9/0053—Mouth and digestive tract, i.e. intraoral and peroral administration
-
- A—HUMAN NECESSITIES
- A61—MEDICAL OR VETERINARY SCIENCE; HYGIENE
- A61P—SPECIFIC THERAPEUTIC ACTIVITY OF CHEMICAL COMPOUNDS OR MEDICINAL PREPARATIONS
- A61P25/00—Drugs for disorders of the nervous system
-
- A—HUMAN NECESSITIES
- A61—MEDICAL OR VETERINARY SCIENCE; HYGIENE
- A61P—SPECIFIC THERAPEUTIC ACTIVITY OF CHEMICAL COMPOUNDS OR MEDICINAL PREPARATIONS
- A61P25/00—Drugs for disorders of the nervous system
- A61P25/14—Drugs for disorders of the nervous system for treating abnormal movements, e.g. chorea, dyskinesia
-
- A—HUMAN NECESSITIES
- A61—MEDICAL OR VETERINARY SCIENCE; HYGIENE
- A61P—SPECIFIC THERAPEUTIC ACTIVITY OF CHEMICAL COMPOUNDS OR MEDICINAL PREPARATIONS
- A61P25/00—Drugs for disorders of the nervous system
- A61P25/14—Drugs for disorders of the nervous system for treating abnormal movements, e.g. chorea, dyskinesia
- A61P25/16—Anti-Parkinson drugs
-
- A—HUMAN NECESSITIES
- A61—MEDICAL OR VETERINARY SCIENCE; HYGIENE
- A61P—SPECIFIC THERAPEUTIC ACTIVITY OF CHEMICAL COMPOUNDS OR MEDICINAL PREPARATIONS
- A61P25/00—Drugs for disorders of the nervous system
- A61P25/18—Antipsychotics, i.e. neuroleptics; Drugs for mania or schizophrenia
-
- A—HUMAN NECESSITIES
- A61—MEDICAL OR VETERINARY SCIENCE; HYGIENE
- A61P—SPECIFIC THERAPEUTIC ACTIVITY OF CHEMICAL COMPOUNDS OR MEDICINAL PREPARATIONS
- A61P25/00—Drugs for disorders of the nervous system
- A61P25/20—Hypnotics; Sedatives
-
- A—HUMAN NECESSITIES
- A61—MEDICAL OR VETERINARY SCIENCE; HYGIENE
- A61P—SPECIFIC THERAPEUTIC ACTIVITY OF CHEMICAL COMPOUNDS OR MEDICINAL PREPARATIONS
- A61P25/00—Drugs for disorders of the nervous system
- A61P25/24—Antidepressants
-
- A—HUMAN NECESSITIES
- A61—MEDICAL OR VETERINARY SCIENCE; HYGIENE
- A61P—SPECIFIC THERAPEUTIC ACTIVITY OF CHEMICAL COMPOUNDS OR MEDICINAL PREPARATIONS
- A61P43/00—Drugs for specific purposes, not provided for in groups A61P1/00-A61P41/00
-
- A—HUMAN NECESSITIES
- A61—MEDICAL OR VETERINARY SCIENCE; HYGIENE
- A61P—SPECIFIC THERAPEUTIC ACTIVITY OF CHEMICAL COMPOUNDS OR MEDICINAL PREPARATIONS
- A61P5/00—Drugs for disorders of the endocrine system
- A61P5/06—Drugs for disorders of the endocrine system of the anterior pituitary hormones, e.g. TSH, ACTH, FSH, LH, PRL, GH
-
- C—CHEMISTRY; METALLURGY
- C07—ORGANIC CHEMISTRY
- C07D—HETEROCYCLIC COMPOUNDS
- C07D471/00—Heterocyclic compounds containing nitrogen atoms as the only ring hetero atoms in the condensed system, at least one ring being a six-membered ring with one nitrogen atom, not provided for by groups C07D451/00 - C07D463/00
- C07D471/12—Heterocyclic compounds containing nitrogen atoms as the only ring hetero atoms in the condensed system, at least one ring being a six-membered ring with one nitrogen atom, not provided for by groups C07D451/00 - C07D463/00 in which the condensed system contains three hetero rings
- C07D471/14—Ortho-condensed systems
-
- C—CHEMISTRY; METALLURGY
- C07—ORGANIC CHEMISTRY
- C07D—HETEROCYCLIC COMPOUNDS
- C07D498/00—Heterocyclic compounds containing in the condensed system at least one hetero ring having nitrogen and oxygen atoms as the only ring hetero atoms
- C07D498/12—Heterocyclic compounds containing in the condensed system at least one hetero ring having nitrogen and oxygen atoms as the only ring hetero atoms in which the condensed system contains three hetero rings
- C07D498/14—Ortho-condensed systems
Definitions
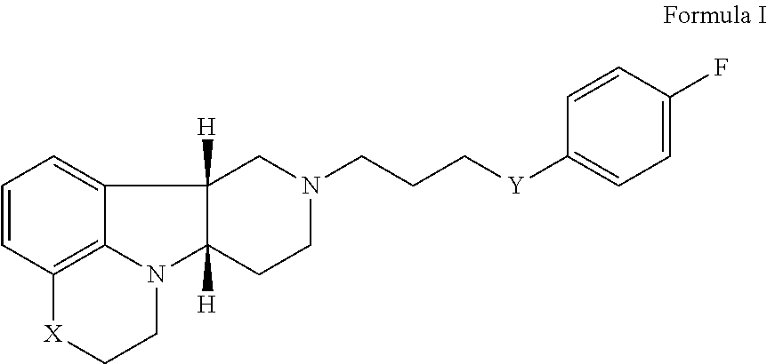
- the present invention relates to use of particular substituted heterocycle fused gamma-carbolines as described herein, in free or pharmaceutically acceptable salt forms, as pharmaceuticals and pharmaceutical compositions, e.g., in the treatment of diseases involving 5-HT2A receptor, serotonin transporter (SERT) and/or dopamine D 2 receptor protein phosphorylation pathways, such as depression, sleep disorders, and mood disorders associated with psychosis or Parkinson's disease; psychosis such as schizophrenia associated with depression; bipolar disorder; and other psychiatric and neurological conditions such as sleep disorders, as well as to combinations with other agents.
- diseases involving 5-HT2A receptor, serotonin transporter (SERT) and/or dopamine D 2 receptor protein phosphorylation pathways such as depression, sleep disorders, and mood disorders associated with psychosis or Parkinson's disease
- psychosis such as schizophrenia associated with depression
- bipolar disorder and other psychiatric and neurological conditions
- sleep disorders as well as to combinations with other agents.
- Psychosis such as schizophrenia is a severe and crippling mental disorder that affects about 1% of the population. It is a mental disorder that is characterized by gross impairment in reality, major disturbances in reasoning, often evidenced by delusions and hallucinations, incoherent speech, and/or disorganized and agitated behavior.
- anti-psychotic drugs are available for treatment of schizophrenia, including the prototypical antipsychotic drugs such as chlorpromazine and haloperidol as well as many others such as droperidol, fluphenazine, loxapine, mesoridazine molidone, perphenazine, pimozide, prochlorperazine promazine, thioridazine, thiothixene, and trifluoperazine.
- acute dystonia e.g., facial grimacing, torticollis, oculogyric crisis, abnormal contraction of spinal muscles and of muscles involved in breathing
- atypical antipsychotic agents which include clozapine, aripiparazole, olanzapine, quetiapine, risperidone and ziprasidone (atypical antipsychotic agents) are effective in treating positive and negative symptoms of schizophrenia with fewer extrapyramidal side effects, these agents can nevertheless cause other serious and at times fatal side effects, including bone marrow suppression, seizure, orthostatic hypotension, insomnia, sedation, somnolence, weight gain, and if administered at higher doses, may again cause extrapyramidal side effects. Therefore, atypical antipsychotic agents, though have improved clinical profiles, are nevertheless undesirable.
- Substituted heterocycle fused gamma-carbolines are known to be agonists or antagonists of 5-HT2 receptors, particularly 5-HT2A and 5-HT2C receptors, in treating central nervous system disorders.
- 5-HT2A and 5-HT2C receptors are known to be agonists or antagonists of 5-HT2 receptors, particularly 5-HT2A and 5-HT2C receptors, in treating central nervous system disorders.
- These compounds have been disclosed in U.S. Pat. Nos. 6,548,493; 7,238,690; 6,552,017; 6,713,471; RE39680, and RE39679, as novel compounds useful for the treatment of disorders associated with 5-HT2A receptor modulation such as obesity, anxiety, depression, psychosis, schizophrenia, sleep disorders, sexual disorders migraine, conditions associated with cephalic pain, social phobias, and gastrointestinal disorders such as dysfunction of the gastrointestinal tract motility.
- 10/786,935 also disclose methods of making substituted heterocycle fused gamma-carbolines and uses of these gamma-carbolines as serotonin agonists and antagonists useful for the control and prevention of central nervous system disorders such as addictive behavior and sleep disorders.
- substituted heterocycle fused gamma-carbolines to independently treat disorders associated with serotonin pathways such as sleep disorder, depression, psychosis, and schizophrenia associated with the 5-HT 2A pathways
- specific compounds of substituted heterocycle fused gamma-carbolines also exhibit nanomolar binding affinity to serotonin reuptake transporter (SERT) and dopamine D 2 receptors and therefore may be used to treat a combination of psychosis and depressive disorders as well as sleep, depressive and/or mood disorders in patients with psychosis or Parkinson's disease.
- SERT serotonin reuptake transporter
- these references do not disclose use of particular substituted heterocycle fused gamma-carbolines at a low dose to selectively antagonize 5-HT 2A receptors without affecting or minimally affecting dopamine D 2 receptors, thereby useful for the treatment of sleep disorders without the side effects of the dopamine D 2 pathways or side effects of other pathways (e.g., GABA A receptors) associated with convention sedative-hypnotic agents (e.g., benzodiazepines) including but not limited to the development of drug dependency, muscle hypotonia, weakness, headache, blurred vision, vertigo, nausea, vomiting, epigastric distress, diarrhea, joint pains, and chest pains.
- convention sedative-hypnotic agents e.g., benzodiazepines
- Compounds of Formula I selectively antagonize 5-HT2A receptors and increases rapid eye movement (REM) and non-REM sleep in animals. Therefore, at low doses, these compounds may be used to improve sleep maintenance insomnia and insomnia associated with neuropsychiatric and neurologic disorders.
- low doses e.g., 1, 5, and 10 mg
- Compounds of Formula I e.g. Compound A
- Dopamine receptor modulation and SERT inhibition improve psychiatric symptoms co-morbid with insomnia.
- Compounds of Formula I represent a new approach for treating sleep maintenance insomnia and sleep disorders associated with neuropsychiatric and neurological diseases, as well as for the treatment of sleep disorders, schizophrenia, and other neuropsychiatric and neurological indications.
- Compounds of Formula I modulate dopamine receptor protein phosphorylation. Therefore, Compounds of Formula I are particularly useful for the treatment of sleep disorders in patients suffering from psychosis such as schizophrenia, Parkinson's disease and/or depression.
- Compounds of Formula I normalize brain dopamine activity, particularly in the prefrontal cortex. In addition, Compounds of Formula I also moderately bind to SERT. Therefore, Compounds of Formula I are particularly useful for the treatment of psychosis in patients suffering from depression. Unlike many traditional antipsychotic drugs, Compounds of Formula I show an improved selectivity profile with respect to off-target interactions such as adrenergic alpha-1a, serotonin 5-HT2C, and histamine H1 associated with many side effects compared to other antipsychotic drugs.
- Compounds of Formula I are therefore also useful as antipsychotic agents in patients who are unable to tolerate the side effects of convention antipsychotic drugs.
- Compounds of Formula I In addition to binding to 5-HT2A and dopamine D 2 receptors, Compounds of Formula I also exhibit nanomolar binding affinity for SERT compared to known antidepressants. Therefore, Compounds of Formula I are useful for the treatment of depression in patients suffering from psychosis.
- Compounds of Formula I have a wider separation between 5-HT 2A and D 2 receptor affinities than other atypical antipsychotic drugs ( ⁇ 60 fold), they are additionally useful in reduction of dyskinesia. For example, they reduce L-DOPA-induced dyskinetic behavior in a mouse model. Without intending to be bound by theory, it is hypothesized that this is accomplished by virtue of the potent 5-HT 2A antagonism with minimal interference with L-DOPA-induced motor correction, by virtue of the low relative D 2 receptor activity. Parkinson's disease results from loss of DA neurons in the substantia nigra pars compacta. The primary motor symptoms of PD are treated by L-DOPA.
- 5-HT 2A receptors are localized in striatal medium spiny neurons. Compounds of Formula I are thus believed to block dyskinesias by blockade of 5-HT 2A receptors.
- a method for the treatment of one or more disorders involving serotonine 5-HT 2A , dopamine D2 and/or serotonin reuptake transporter (SERT) pathway comprising administering to a patient in need thereof a Compound of Formula I:
- the invention further provides Method I as follows:
- a method for the treatment of one or more sleep disorders comprising administering to a patient in need thereof a Compound of Formula I:
- the invention further provides Method II as follows:
- Compounds of the Invention may exist in free or salt form, e.g., as acid addition salts.
- language such as Compounds of the Invention is to be understood as embracing the compounds in any form, for example free or acid addition salt form, or where the compounds contain acidic substituents, in base addition salt form.
- the Compounds of the Invention are intended for use as pharmaceuticals, therefore pharmaceutically acceptable salts are preferred. Salts which are unsuitable for pharmaceutical uses may be useful, for example, for the isolation or purification of free Compounds of the Invention or their pharmaceutically acceptable salts, are therefore also included.
- Pharmaceutically acceptable salts include, for example, the hydrochloride and tosylate salts. Where dosage amounts of salts are given by weight, e.g., milligrams per day or milligrams per unit dose, the dosage amount of the salt is given as the weight of the corresponding free base, unless otherwise indicated.
- the invention also provides the foregoing methods, e.g., Method I, e.g., any of 1.1-1.39, or Method II, e.g., any of 2.1-2.19, wherein the Compound of Formula I, in free or pharmaceutically acceptable salt form is administered in a composition, wherein said Compound of Formula I in free or pharmaceutically acceptable salt form in admixture with a pharmaceutically acceptable diluent or carrier.
- composition I a Pharmaceutical Composition comprising a Compound of Formula I in free or pharmaceutically acceptable salt form, e.g., as described in any of Methods I or 1.1-1.37, in admixture with a pharmaceutically acceptable diluent or carrier for use in any of Methods I or 1.1-1.37.
- composition II comprising a Compound of Formula I in free or pharmaceutically acceptable salt form, e.g., as described in any of Method II, e.g., any of 2.1-2.19, in admixture with a pharmaceutically acceptable diluent or carrier for use in any of Method II, e.g., any of 2.1-2.19.
- the invention provides use of a Compound of Formula I or a pharmaceutical composition comprising a Compound of formula I in free or pharmaceutically acceptable salt form as described in Methods 1 or 1.1-1.37, in the manufacture of a medicament for the treatment of one or more disorders involving serotonin 5-HT2A, dopamine D 2 and/or serotonin reuptake transporter (SERT) pathway as described in any of Methods I or 1.1-1.37.
- SERT serotonin reuptake transporter
- the invention provides use of a Compound of Formula I or a pharmaceutical composition comprising a Compound of formula I in free or pharmaceutically acceptable salt form as described in Methods II or 2.1-2.19, in the manufacture of a medicament for the treatment of one or more sleep disorders as described in any of Methods II or 2.1-2.19.
- Methods I-A or II-A for the treatment of sleep disorders, depression, pyschosis, or any combinations thereof, in patients suffering from the listed diseases and/or Parkinson's disease, as described in any of Methods I-A or II-A, or 3.1-3.34.
- the compounds of the formula I and their pharmaceutically acceptable salts may be made using the methods as described and exemplified in any of the following patents or applications: U.S. Pat. Nos. 6,548,493; 7,238,690; 6,552,017; 6,713,471; RE39680; RE39679; PCT/US08/03340; U.S. application Ser. No. 10/786,935; and U.S. Provisional Application No. 61/036,069. If not commercially available, starting materials for these processes may be made by procedures, which are selected from the chemical art using techniques which are similar or analogous to the synthesis of known compounds. All references cited herein are hereby incorporated in their entirety by reference.
- treatment and “treating” are to be understood accordingly as embracing prophylaxis and treatment or amelioration of symptoms of disease as well as treatment of the cause of the disease.
- patient may include a human or non-human patient.
- Compounds of the Invention refer to Compounds of Formula I, which include:
- Compounds of the invention are useful in any of Method I, or 1.1-1.37, particularly useful for the treatment of (1) sleep disorder, e.g., sleep maintenance insomnia; (2) depression in patients suffering from psychosis or Parkinson's disease; (3) psychosis, e.g., schizophrenia, in a patient suffering from depression; or (4) mood disorder associated with psychosis, e.g., schizophrenia, or Parkinson's disease.
- sleep disorder e.g., sleep maintenance insomnia
- depression in patients suffering from psychosis or Parkinson's disease e.g., schizophrenia, in a patient suffering from depression
- mood disorder associated with psychosis e.g., schizophrenia, or Parkinson's disease.
- Compounds of the invention are also useful for any of Method II or 2.1-2.19, particularly for the treatment of sleep disorder, e.g., sleep maintenance insomnia.
- depression in a patient suffering from psychosis may include depressed patients suffering from a co-morbid psychotic disorder such as schizophrenia or it may include psychotic depressed patients wherein such patients suffer from severe depression wherein such depression accompanies hallucinations and/or delusions.
- insomnia refers to the inability to stay asleep or to resume sleep after waking in the middle of the sleep cycle.
- Compounds of Formula I and “Compounds of the Invention” may be used interchangeably and may be used as a sole therapeutic agent, or they may also be used in combination or for co-administration with other active agents.
- the discovery of the selective receptor profiles of the Compounds of Formula I not only provides effective treatment of 5-HT2A, SERT and/or D 2 receptor related disorders without or with minimal extrapyramidal side effects as claimed in the current invention, but also provides insight for the design of a combination therapy for the treatment of related disorders, wherein a Compound of Formula I may be used in combination with second therapeutic agents, particularly at lower dosages than when the individual agents are used as a monotherapy so as to enhance the therapeutic activities of the combined agents without causing the undesirable side effects commonly occur in conventional monotherapy.
- Compounds of the Invention bind to 5-HT2A, D 2 and/or SERT and are useful for treating patients with a combination of disorders, e.g., (a) psychosis with a co-morbid disorder of depression and/or sleep disorder; (b) depression with a co-morbid disorder of psychosis; (c) sleep disorder in patients suffering from psychosis, Parkinson disease, and/or depression; or (d) any combinations thereof, Compounds of Formula I may be simultaneously, sequentially, or contemporaneously administered with other anti-depressant, anti-psychotic, other hypnotic agents, and/or agents use to treat Parkinson's disease or mood disorders.
- a combination of disorders e.g., (a) psychosis with a co-morbid disorder of depression and/or sleep disorder; (b) depression with a co-morbid disorder of psychosis; (c) sleep disorder in patients suffering from psychosis, Parkinson disease, and/or depression; or (d) any combinations thereof.
- Compounds of Formula I may be simultaneously
- side effects may be reduced or minimized by administering a Compound of Formula I in combination with one or more second therapeutic agents in free or salt form, wherein the dosages of the second therapeutic agent(s) or both Compound of Formula I and the second therapeutic agents are lower than if the agents/compounds are administered as a monotherapy.
- the Compounds of Formula I are useful to treat dyskinesia in a patient receiving dopaminergic medications, e.g., selected from levodopa and levodopa adjuncts (carbidopa, COMT inhibitors, MAO-B inhibitors), dopamine agonists, and anticholinergics, e.g., such as are used in the treatment of Parkinson's disease.
- dopaminergic medications e.g., selected from levodopa and levodopa adjuncts (carbidopa, COMT inhibitors, MAO-B inhibitors), dopamine agonists, and anticholinergics, e.g., such as are used in the treatment of Parkinson's disease.
- Compounds of Formula I have a wide separation between 5-HT 2A and D 2 receptor affinities than other atypical antipsychotic drugs ( ⁇ 60 fold). They reduce L-DOPA-induced dyskinetic behavior. Without intending to be bound by theory, it is hypothesized that this is accomplished by virtue of the potent 5-HT 2A antagonism with minimal interference with L-DOPA-induced motor correction, by virtue of the low relative D 2 receptor activity. Parkinson's disease results from loss of DA neurons in the substantia nigra pars compacta. The primary motor symptoms of PD are treated by L-DOPA.
- 5-HT 2A receptors are localized in striatal medium spiny neurons. Compounds of Formula I are thus believed to block dyskinesias by blockade of 5-HT 2A receptors.
- Method I e.g., any of 1.1-1.37, or Method II, e.g., any of 2.1-2.19, further comprises one or more therapeutic agents selected from compounds that modulate GABA activity (e.g., enhances the activity and facilitates GABA transmission), a GABA-B agonist, a 5-HT modulator (e.g., a 5-HT1a agonist, a 5-HT2a antagonist, a 5-HT2a inverse agonist, etc.), a melatonin agonist, an ion channel modulator (e.g., blocker), a serotonin-2 antagonist/reuptake inhibitor (SARIs), an orexin receptor antagonist, an H3 agonist, a noradrenergic antagonist, a galanin agonist, a CRH antagonist, human growth hormone, a growth hormone agonist, estrogen, an estrogen agonist, a neurokinin-1 drug, an anti-depressant, and an antipsychotic agent, e.g., an antipsychotic agent, e.
- the invention provides Method I-A or II-A as follows, further comprising one or more therapeutic agents.
- the combination of a Compound of Formula I and one or more second therapeutic agents as described in Methods I-A, II-A or any of 3.1-3.23 may be administered as a composition.
- the combination compositions can include mixtures of the combined drugs, as well as two or more separate compositions of the drugs, which individual compositions can be, for example, co-administered together to a patient.
- Method I-A and Method II-A comprises administering to a patient in need thereof, a Compound of Formula I in combination with an atypical antipsychotic agent, e.g., a compound selected from clozapine, aripiparazole, olanzapine, quetiapine, risperidone, ziprasidone, or paliperidone, in free or pharmaceutically acceptable salt form, for example wherein the dosage of the atypical antipsychotic agent is reduced and/or side effects are reduced.
- an atypical antipsychotic agent e.g., a compound selected from clozapine, aripiparazole, olanzapine, quetiapine, risperidone, ziprasidone, or paliperidone
- Method I-A and Method II-A comprises administering to a patient in need thereof, a Compound of Formula I in combination with an anti-depressant, e.g., amitriptyline, amoxapine, bupropion, citalopram, clomipramine, desipramine, doxepin, duloxetine, escitaloprame, fluoxetine, fluvoxamine, imipramine, isocarboxazid, maprotiline, mirtazapine, nefazodone, nortriptyline, paroxetine, phenizine sulfate, protiptyline, sertraline, tranylcypromine, trazodone, trimipramine, or velafaxine, in free or pharmaceutically acceptable salt form.
- an anti-depressant e.g., amitriptyline, amoxapine, bupropion, citalopram, clomipramine, desipramine, doxe
- the anti-depressant may be used as an adjunct medication in addition to the compound of Formula I.
- Method I-A or II-A comprises administering to a patient in need thereof, a Compound of Formula I in combination with a compound that modulates GABA activity, e.g., a compound selected from doxepin, alprazolam, bromazepam, clobazam, clonazepam, clorazepate, diazepam, flunitrazepam, flurazepam, lorazepam, midazolam, nitrazepam, oxazepam, temazapam, triazolam, indiplon, zopiclone, eszopiclone, zaleplon, Zolpidem, gabaxadol, vigabatrin, tiagabine, EVT 201 (Evotec Pharmaceuticals), estazolam or any combinations thereof, in free or pharmaceutically acceptable salt form.
- a compound that modulates GABA activity e.g., a compound selected from doxepin,
- Method I-A or II-A comprises administering to a patient in need thereof, a Compound of Formula I in combination with doxepin in free or pharmaceutically acceptable salt form.
- Dosages of doxepin can vary in any range known to a person of ordinary skill in the art. In one example, a 10 mg dose of doxepin may be combined with any dosage of a compound of Formula I.
- Method I-A or II-A comprises administering to a patient in need thereof, a Compound of Formula I in combination (including as part of a daily dosage regimen) with an atypical stimulant, e.g., a modafinil, adrafinil, or armodafinil.
- an atypical stimulant e.g., a modafinil, adrafinil, or armodafinil.
- a regimen incorporating a Compound of Formula I with such drugs promotes more regular sleep, and avoids side effects such as psychosis or mania associated with higher levels of such drugs, e.g., in the treatment of bipolar depression, cognition associated with schizophrenia, and excessive sleepiness and fatigue in conditions such as Parkinson's disease and cancer.
- the dosages of a Compound of Formula I and/or the second therapeutic agents of Method I-A and II-A can be the same as or lower than the approved dosage for the drug, the clinical or literature test dosage or the dosage used for the drug as a monotherapy.
- the dosages of a Compound of Formula I and/or the second therapeutic agents of Method I-A and II-A are lower than when used in a monotherapy. Therefore, in a particular embodiment, the dosage of a Compound of Formula I is lower than 100 mg once daily, preferably less than 50 mg, more preferably less than 40 mg, still more preferably less than 30 mg, still more preferably less than 20 mg, still more preferably less than 10 mg, still more preferably less than 5 mg, most preferably less than 2.5 mg.
- the second therapeutic agent of Method I-A and II-A is doxepin and the dosage of doxepin is between about 0.001 mg and 49 mg.
- the amount of doxepin is between about 0.0001 mg and 20 mg, between about 0.001 mg and 10 mg, more preferably between about 0.01 mg and 9 mg, and still more preferably between about 0.01 mg and 6 mg.
- Method I-A or II-A comprises administering (1) a Compound of Formula I at a dosage lower than 100 mg once daily, preferably less than 50 mg, more preferably less than 40 mg, still more preferably less than 30 mg, still more preferably less than 20 mg, still more preferably less than 10 mg, still more preferably less than 5 mg, most preferably less than 2.5 mg; and (2) doxepin at a dosage of less than 50 mg, more preferably, less than 20 mg, still more preferably, less than 10 mg, most preferably less than 6 mg, in free or pharmaceutically acceptable salt form.
- Method I-A or II-A comprises administering to a patient in need thereof (1) a Compound of Formula I at a dosage of less than 5 mg, more preferably less than 2.5 mg; and (2) doxepin at a dosage of less than 10 mg, preferably less than 6 mg, in free or pharmaceutically acceptable salt form.
- Method I-A or II-A is a method for the treatment of sleep disorders associated with psychosis, e.g., sleep disorders associated with schizophrenia or Parkinson's disease.
- Method I-A or II-A is a method for the treatment of psychosis, e.g., schizophrenia or Parkinson's disease in patients suffering from insomnia.
- Method I-A or II-A is a method for the treatment of one or more sleep disorders.
- conventional antipsychotic agents or “conventional antipsychotic drugs” or “antipsychotic agents” include, but are not limited to droperidol, fluphenazine, loxapine, mesoridazine molidone, perphenazine, pimozide, prochlorperazine promazine, thioridazine, thiothixene, trifluoperazine, clozapine, aripiparazole, olanzapine, quetiapine, risperidone and ziprasidone.
- Other conventional antipsychotic agents also include chlorpromazine, haloperidol and paliperidone.
- Conventional antipsychotic agents are divided into typical and atypical antipsychotic agents.
- Typical antipsychotic agents include but are not limited to chlorpromazine, droperidol, fluphenazine, haloperidol, loxapine, mesoridazine molidone, perphenazine, pimozide, prochlorperazine promazine, thioridazine, thiothixene and trifluoperazine.
- Atypical antipsychotic agents include but are not limited to clozapine, aripiparazole, olanzapine, quetiapine, risperidone, ziprasidone, and paliperidone.
- patients who are unable to tolerate the side effects of conventional antipsychotic agents refer to patients who are unable to tolerate the side effects of the agents as described above. Consequently, such patients would benefit from a monotherapy of a Compound of Formula I (e.g., Method I), wherein Compound of Formula I targets 5HT2A receptors without or with minimal interaction with D 2 receptors.
- these patients would also benefit from a combination therapy comprising a Compound of Formula I and one or more second therapeutic agents (e.g., Method I-A or II-A) wherein the dosages of the second agent(s) or both the second agents and the Compound of Formula I are lower than when they are administered as a monotherapy.
- undesirable side effects may be reduced or minimized.
- GABA refers to gamma-aminobutyric acid.
- the GABA compounds of Method I-A or II-A are compounds which bind to the GABA receptor, and include, but are not limited to one or more of doxepin, alprazolam, bromazepam, clobazam, clonazepam, clorazepate, diazepam, flunitrazepam, flurazepam, lorazepam, midazolam, nitrazepam, oxazepam, temazapam, triazolam, indiplon, zopiclone, eszopiclone, zaleplon, Zolpidem, gabaxadol, vigabatrin, tiagabine, EVT 201 (Evotec Pharmaceuticals) or estazolam.
- Additional 5HT2a antagonist of Method I-A or II-A include, but are not limited to, one or more of ketanserin, risperidone, eplivanserin, volinanserin (Sanofi-Aventis, France), pruvanserin, MDL 100907 (Sanofi-Aventis, France), HY10275 (Eli Lilly), APD125 (Arena Pharmaceuticals, San Diego, Calif.), or AVE8488 (Sanofi-Aventis, France).
- the 5HT1a agonist may be, for example, one or more of repinotan, sarizotan, eptapirone, buspirone or MN-305 (MediciNova, San Diego, Calif.).
- the melatonin agonist of Method I-A or II-A include, but are not limited to, one or more of melatonin, ramelteon (ROZEREM®, Takeda Pharmaceuticals, Japan), VEC-162 (Vanda Pharmaceuticals, Rockville, Md.), PD-6735 (Phase II Discovery) or agomelatine.
- the ion channel blocker of Method I-A or II-A include, but are not limited to, one or more of lamotrigine, gabapentin or pregabalin.
- the orexin receptor antagonist of Method I-A or II-A include, but are not limited to, one or more of orexin, a 1,3-biarylurea, SB-334867-a (GlaxoSmithKline, UK), GW649868 (GlaxoSmithKline) or a benzamide derivative, for example.
- the serotonin-2 antagonist/reuptake inhibitor (SARI) of Method I-A or II-A include, but are not limited to, one or more of Org 50081 (Organon—Netherlands), ritanserin, nefazodone, serzone or trazodone.
- the neurokinin-1 drug of Method I-A or II-A includes, but are not limited to, Casopitant (GlaxoSmithKline).
- antidepressant or “other antidepressant” may include amitriptyline, amoxapine, bupropion, citalopram, clomipramine, desipramine, doxepin, duloxetine, escitaloprame, fluoxetine, fluvoxamine, imipramine, isocarboxazid, maprotiline, mirtazapine, nefazodone, nortriptyline, paroxetine, phenlzine sulfate, protiptyline, sertraline, tranylcypromine, trazodone, trimipramine, velafaxine, in free or pharmaceutically acceptable salt forms.
- an amount of the Compound of the Invention for administration refers to or is based on the amount of the Compound of the Invention in free base form (i.e., the calculation of the amount is based on the free base amount).
- Compounds of the Invention may be administered by any suitable route, including orally, parenterally or transdermally, but are preferably administered orally. In general, satisfactory results for Method I or any of 1.1-1.37, e.g.
- a combination of diseases such as a combination of at least depression, psychosis, e.g., (1) psychosis, e.g., schizophrenia, in a patient suffering from depression; (2) depression in a patient suffering from psychosis, e.g., schizophrenia; (3) mood disorders associated with psychosis, e.g., schizophrenia, or Parkinson's disease; and (4) sleep disorders associated with psychosis, e.g., schizophrenia, or Parkinson's disease, as set forth above are indicated to be obtained on oral administration at dosages of the order from about 1 mg to 100 mg once daily, preferably 2.5 mg-50 mg, e.g., 2.5 mg, 5 mg, 10 mg, 20 mg, 30 mg, 40 mg or 50 mg, once daily, preferably via oral administration.
- psychosis e.g., (1) psychosis, e.g., schizophrenia, in a patient suffering from depression; (2) depression in a patient suffering from psychosis, e.g., schizophrenia; (3) mood disorders associated with psychosis, e.g., schizophrenia,
- Satisfactory results for Method II or any of 2.1-2.19, e.g. for the treatment of sleep disorder alone are indicated to be obtained on oral administration at dosages of the order from about 2.5 mg-5 mg, e.g., 2.5 mg, 3 mg, 4 mg or 5 mg, of a Compound of Formula I, in free or pharmaceutically acceptable salt form, once daily, preferably via oral administration.
- Satisfactory results for Method I-A are indicated to be obtained at less than 100 mg, preferably less than 50 mg, e.g., less than 40 mg, less than 30 mg, less than 20 mg, less than 10 mg, less than 5 mg, less than 2.5 mg, once daily.
- Satisfactory results for Method II-A are indicated to be obtained at less than 5 mg, preferably less than 2.5 mg ⁇ ss
- pharmaceutically acceptable salts refers to derivatives of the above disclosed compounds wherein the parent compound is modified by making acid or base salts thereof.
- pharmaceutically acceptable salts include, but are not limited to, mineral or organic acid salts of basic residues such as amines; alkali or organic salts of acidic residues such as carboxylic acids; and the like.
- the pharmaceutically acceptable salts include the conventional non-toxic salts or the quaternary ammonium salts of the parent compound formed, for example, from non-toxic inorganic or organic acids.
- such conventional non-toxic salts include those derived from inorganic acids such as hydrochloric, hydrobromic, sulfuric, sulfamic, phosphoric, nitric and the like; and the salts prepared from organic acids such as acetic, propionic, succinic, glycolic, stearic, lactic, malic, tartaric, citric, ascorbic, pamoic, maleic, hydroxymaleic, phenylacetic, glutamic, benzoic, salicylic, sulfanilic, 2-acetoxybenzoic, fumaric, toluenesulfonic, methanesulfonic, ethane disulfonic, oxalic, isethionic, and the like.
- inorganic acids such as hydrochloric, hydrobromic, sulfuric, sulfamic, phosphoric, nitric and the like
- organic acids such as acetic, propionic, succinic, glycolic, stearic, lactic,
- the pharmaceutically acceptable salts of the Compounds of the Invention can be synthesized from the parent compound which contains a basic or acidic moiety by conventional chemical methods. Generally, such salts can be prepared by reacting the free base forms of these compounds with a stoichiometric amount of the appropriate acid in water or in an organic solvent, or in a mixture of the two; generally, nonaqueous media like ether, ethyl acetate, ethanol, isopropanol, or acetonitrile are preferred. Further details for the preparation of these salts, e.g., toluenesulfonic salt in amorphous or crystal form, may be found in PCT/US08/03340 and/or U.S. Provisional Appl. No. 61/036,069.
- compositions comprising Compounds of the Invention may be prepared using conventional diluents or excipients and techniques known in the galenic art.
- oral dosage forms may include tablets, capsules, solutions, suspensions and the like.
- Example 1 Binding Assay for 5-HT2A, Dopamine D 2 , SERT, ⁇ A1, 5-HT2C and H1 Receptors
- a Compound of Formula I 1-(4-Fluoro-phenyl)-4-((6bR,10aS)-3-methyl-2,3,6b,9,10,10a-hexahydro-1H,7H-pyrido[3′,4′, 4,5]pyrrolo[1,2,3-de]quinoxalin-8-yl)-butan-1-one (Compound A) is selected for detailed evaluation.
- the compound exhibits binding affinity profiles for 5-HT2A, D2, SERT, ⁇ A1, 5-HT2C and H1 as disclosed in Table 1 and Table 2 compared to known antipsychotic agents.
- Membrane receptors Cell lines stably expressing recombinant human 5-HT2A receptors were generated by calcium phosphate mediated transfection with plamids containing receptor cDNAs (Fitzgerald et al., 1999)
- Stable expression of 5-HT2A and 5-HT2C receptors in human embryonic kidney 293 Epstein-Barr nuclear antigen (HEK293E) cells were generated by transfecting HEK293E cells with plasmids containing human 5-HT2A or 5-HT2C (VNV edited isoform cDNA using calcium phosphate. These plasmids also contained the cytomegalovirus intermediate early promoter to drive receptor expression, Epstein-Bar virus oriP for their maintenance as an extrachromosomal element, and the hph gene from Escherichia coli to yield hygromycin B resistance (Horlick et al, 1997; Rominger et al., 1998).
- Transfected cells were maintained in Dulbecco's modified Eagle's medium (DMEM) containing dialyzed 10% fetal bovine serum at 37 degrees Celsius in a humid environment (5% CO2) for 10 days.
- DMEM Dulbecco's modified Eagle's medium
- the 5-HT2A cells were adapted to spinner culture for bulk processing, whereas it was necessary to maintain the 5-HT2C line as adherent cultures.
- HEK293 cells expressing human 5-HT2B and 5-HT1A receptors provided membrane source for these assays.
- Cell lines expressing rat D2-short and human D4 receptors were generated by calcium phosphate mediated transfection of Chinese hamster ovary (CHO) cells with plasmids containing receptor cDNAs.
- Membranes prepared from rat frontal cortex and frozen liver were used for alpha-1A and alpha-1B adrenergic receptor binding.
- N-[3H] Methylspiperone and [3H] mesulergine were used as the antagonist radioligands for the 5HT2A and 5HT2C receptors, respectively, whereas [125]DOI was used as the agonist radioligand for both receptors.
- the high efficacy partial agonist [125]DOI was chosen over the full agonist [3H]-5HT because [3H]-5HT gave inadequate levels of specific binding with the lower density 5-HT2C line.
- the relatively weak binding affinity of 5-HT for the 5-HT2A receptor precluded its use as a radioligand. Equilibrium binding conditions for each radioligand at each receptor were established and optimized with respect to time, temperature, and protein concentration before saturation and competition experiments were conducted.
- assays were conducted in disposable polypropylene 96-well plates (Costar Corporation, Cambridge, M.A., U.S.A.) and were initiated by addition of membrane homogenate in tissue buffer (10-30 micrograms per well.) to assay buffer (50 mM Tris-HCL, 0.5 mM EDTA, 10 mM pargyline, 10 mM MgSO4, and 0.05% ascorbic acid, pH 7.5) containing [125]DOI (final concentration, 0.3-0.5 nM with or without competing ligand.
- reaction mixture was incubated to equilibrium for 45 min at 37 degrees Celsius and terminated by rapid filtration (cell harvester, Inotech Biosystems, Lansing, Mich., U.S.A.) over GFF glass filter membranes that had been presoaked in 0.3% polyethylenimine. Filters were washed in ice-cold 50 mM Tris-HCL buffer (ph 7.5) and then counted for radioactivity in a gamma counter at 80% efficiency. For saturation studies, 14 concentrations of [125I]DOI up to a maximal concentration of 6 nM were used. Specific binding at each concentration was determined in the presence of 10 micromolar mianserin. For competition experiments, a fixed concentration of [125]DOI (0.3-5 nM) was competed with duplicate concentrations of ligand (12 concentrations ranging from 10 picomolar to 10 micromolar).
- 5-HT2C membrane homogenate (40 micrograms of protein per well) was incubated with 14 concentrations of [3H]mesulergine (up to a final concentration of 20 nM for 45 minutes at 37 degrees Celsius.
- membrane homogenate (40 micrograms of protein per well) was incubated with 14 concentrations of N-[3H] methylspiperone for 30 minutes at 37 degrees Celsius.
- Excess (10 micromolar) mianserin or ketanserin was used to define nonspecific binding in the 5-HT2C and the 5-HT2A assays, respectively. Assays were conducted and terminated as described for the agonist radioligand assays except that the filters were counted for radioactivity by liquid scintillation spectroscopy.
- Transporter SERT was a radioligand binding assay in human platelets using [3H]—N-Methyl-Citalopram as a radioligand at a concentration of 0.7 nM.
- the Kd for [3H]—N-Methyl-Citalopram was 2.5 nM with a Bmax of 425 fmol/mg protein.
- the third assay was conducted at Cerep (Celle L'Evescault, France).
- the third assay was a radioligand binding assay in human recombinant serotonin transporter in CHO cells using [3H]-imipramine as the radioligand at a concentration of 2 nM.
- Anti-depressant activity of a Compound of Formula I is measured using the social defeat (resident-intruder) mouse model for depression in which induced social withdrawal in rodents has been shown to be responsive to chronic, but not acute, anti-depressant drug treatment.
- the social defeat paradigm is based on the observation that psychosocial stress produces long-lasting alterations in the motivation of mice for social contact. Mice are subjected to a 10 day training period in which they are exposed to daily bouts of social stress, i.e., exposure to a different aggressive mouse (‘aggressor’) each day.
- mice are then observed for their social behavior by measuring their tendency to approach an unfamiliar mouse, i.e., to spend time in the “Interaction Zone” which is in close proximity to the unfamiliar intruder.
- Mice are recorded by videotape and scored for social behavior (i.e., time in the Interaction Zone) and aversive behavior (i.e., time in the Corner Zones).
- social behavior i.e., time in the Interaction Zone
- aversive behavior i.e., time in the Corner Zones.
- those mice exposed to repeated social defeat conditions display aversive reactions (i.e., spend more time in the Corner Zones) and spend less time than normal mice in contact with the unfamiliar test mouse (i.e., resident intruder or TARGET).
- mice The aversive responses of ‘socially defeated’ mice are resilient; aversive behavior persists for weeks and can be elicited even 4 weeks after the end of the 10 day social stress exposure.
- the aberrant behavior of ‘socially defeated’ mice is responsive to chronic anti-depressant medications.
- Mice treated daily for 30 days with the anti-depressant drugs, fluoxetine or imipramine display improved social interaction behavior (i.e., spend more time in the Interaction Zone versus the Corner Zones) when once again exposed to an unfamiliar mouse.
- chronic, but not acute, fluoxetine treatment improves social behavior.
- this paradigm may more accurately reflect beneficial actions of novel anti-depressant therapies, providing an advantage over traditional models (such as, Forced Swim and Tail Suspension models) that respond to acute pharmacological effects of drugs that are not necessarily predictive of chronic antidepressant efficacy.
- a representative compound of the present invention is tested in the social defeat paradigm.
- vehicle solution 5% DMSO/5% Tween-20/15% PEG400/75% water
- mice that are subjected to 10d of social stress showed profound social defeat behavior, spending less than half the amount of time in the vicinity of an unfamiliar mouse than normal un-stressed mice.
- Socially-defeated mice treated chronically with Compound A exhibited a significant increase in social behavior, spending almost twice as much time in the Interaction Zone when exposed to an unfamiliar mouse compared with socially-defeated mice receiving vehicle injections.
- the amount of time spent in the Interaction Zone by socially-defeated mice receiving Compound A is indistinguishable from normal mice receiving vehicle injections.
- socially-defeated mice spend significantly more time in the distant Control Zone(s) compared with normal (non-stressed) mice.
- the administration of a compound of the present invention significantly reverses this behavioral preference.
- AIMS Abnormal Involuntary Movement Scale
- Compound A reduces dyskinetic behaviors after chronic co-administration with levodopa (10 mg/kg IP) to unilateral 6-OHDA-lesioned mice.
- the compound effectively reduces (by ⁇ 50%) the development of dyskinetic behaviors in PD mice (i.e., Chronic treatment group). It has a less robust but still significant effect (by ⁇ 25% reduction) on established dyskinetic behaviors (i.e., Acute treatment group).
- Compounds of Formula I have utility for the prevention and treatment of L-DOPA-induced dyskinesias in PD.
- the Compounds of Formula I will also reduce PD psychosis and depression, improve poor night time sleep and reduce excessive daytime sleepiness.
- Compounds of Formula I are primarily serotonin 5-HT2A antagonists. At higher doses, the compounds also act as a pre-synaptic partial agonist, post-synaptic antagonist at D2 dopamine receptors and inhibits the serotonin transporter.
- the present study evaluates a range of doses of a Compound of Formula (Compound A) in patients with sleep maintenance insomnia (SMI). The main objectives of this study are to determine if the compound decreases wake time after sleep onset (WASO) as a measure of sleep maintenance efficacy and if the compound increases slow wave sleep (SWS) as a biomarker for 5-HT2A brain receptor occupancy.
- WASO wake time after sleep onset
- SWS slow wave sleep
- the study is a randomized, double-blind, complete cross-over design. Eighteen patients experiencing SMI, aged 18 to 65, are included in the efficacy analysis. All subjects receive three single doses of Compound A and placebo, administered in the evening before overnight PSG recordings with one week washout between doses. SWS, WASO, other PSG measures, and safety are analyzed.
- the compound is safe and well-tolerated in patients with sleep maintenance insomnia. There are no serious adverse events. There are no dose-related adverse events or changes in safety parameters.
- the compound does not impair cognitive function as measured in the morning after PSG by the Digit Symbol Substitution Test (DSST), the Word Pair Associates Test (WPAT), or the Leeds Psychomotor Test.
- Striatal D2 receptor occupancy in healthy volunteers using positron emission tomography is dose dependent.
- the doses evaluated for sleep disorder are shown to be below doses where there is high striatal D2 occupancy.
Landscapes
- Health & Medical Sciences (AREA)
- Chemical & Material Sciences (AREA)
- Life Sciences & Earth Sciences (AREA)
- General Health & Medical Sciences (AREA)
- Animal Behavior & Ethology (AREA)
- Public Health (AREA)
- Medicinal Chemistry (AREA)
- Pharmacology & Pharmacy (AREA)
- Veterinary Medicine (AREA)
- Organic Chemistry (AREA)
- Epidemiology (AREA)
- Engineering & Computer Science (AREA)
- Bioinformatics & Cheminformatics (AREA)
- Chemical Kinetics & Catalysis (AREA)
- Nuclear Medicine, Radiotherapy & Molecular Imaging (AREA)
- General Chemical & Material Sciences (AREA)
- Neurology (AREA)
- Biomedical Technology (AREA)
- Neurosurgery (AREA)
- Psychology (AREA)
- Psychiatry (AREA)
- Physiology (AREA)
- Nutrition Science (AREA)
- Plant Pathology (AREA)
- Zoology (AREA)
- Agronomy & Crop Science (AREA)
- Pest Control & Pesticides (AREA)
- Environmental Sciences (AREA)
- Dentistry (AREA)
- Wood Science & Technology (AREA)
- Anesthesiology (AREA)
- Pain & Pain Management (AREA)
- Diabetes (AREA)
- Endocrinology (AREA)
- Pharmaceuticals Containing Other Organic And Inorganic Compounds (AREA)
- Medicines That Contain Protein Lipid Enzymes And Other Medicines (AREA)
- Nitrogen Condensed Heterocyclic Rings (AREA)
- Medicinal Preparation (AREA)
- Nitrogen And Oxygen Or Sulfur-Condensed Heterocyclic Ring Systems (AREA)
- Acyclic And Carbocyclic Compounds In Medicinal Compositions (AREA)
Abstract
Use of particular substituted heterocycle fused gamma-carboline compounds as pharmaceuticals and pharmaceutical compositions comprising them for the treatment of one or more disorders involving the 5-HT2A, SERT and/or dopamine D2 pathways are disclosed. In addition, the compounds may be combined with other therapeutic agents for the treatment of one or more sleep disorders, depression, psychosis, dyskinesias, and/or Parkinson's disease or any combinations.
Description
- This application claims the benefit of U.S. Provisional Application No. 61/056,433 filed on May 27, 2008 and 61/155,032 filed on Feb. 24, 2009, both of which applications are hereby incorporated by reference.
- The present invention relates to use of particular substituted heterocycle fused gamma-carbolines as described herein, in free or pharmaceutically acceptable salt forms, as pharmaceuticals and pharmaceutical compositions, e.g., in the treatment of diseases involving 5-HT2A receptor, serotonin transporter (SERT) and/or dopamine D2 receptor protein phosphorylation pathways, such as depression, sleep disorders, and mood disorders associated with psychosis or Parkinson's disease; psychosis such as schizophrenia associated with depression; bipolar disorder; and other psychiatric and neurological conditions such as sleep disorders, as well as to combinations with other agents.
- Psychosis such as schizophrenia is a severe and crippling mental disorder that affects about 1% of the population. It is a mental disorder that is characterized by gross impairment in reality, major disturbances in reasoning, often evidenced by delusions and hallucinations, incoherent speech, and/or disorganized and agitated behavior. Several classes of anti-psychotic drugs are available for treatment of schizophrenia, including the prototypical antipsychotic drugs such as chlorpromazine and haloperidol as well as many others such as droperidol, fluphenazine, loxapine, mesoridazine molidone, perphenazine, pimozide, prochlorperazine promazine, thioridazine, thiothixene, and trifluoperazine. While these agents are effective in treating positive symptoms of psychosis such as symptoms of hallucination and delusions, e.g., in schizophrenia, these drugs often cause both short-term and long-term movement disorders and other side effects including acute dystonia (e.g., facial grimacing, torticollis, oculogyric crisis, abnormal contraction of spinal muscles and of muscles involved in breathing), akathisia, bradykinesia, rigidity or short term paralysis, parkinsonism, sedation, dry mouth, sexual dysfunction and sometimes tardive dyskinesia. Tardive dyskinesia may persist after discontinuation of the use of typical antipsychotic agents and there is no effective treatment of such side effects. Because of the severity of the side effects, typical antipsychotic drugs, though effective in treating the mental and emotional aspect of the disorder, do not help patients to function normally in society.
- Although another class of antipsychotic agents called atypical antipsychotic agents, which include clozapine, aripiparazole, olanzapine, quetiapine, risperidone and ziprasidone (atypical antipsychotic agents) are effective in treating positive and negative symptoms of schizophrenia with fewer extrapyramidal side effects, these agents can nevertheless cause other serious and at times fatal side effects, including bone marrow suppression, seizure, orthostatic hypotension, insomnia, sedation, somnolence, weight gain, and if administered at higher doses, may again cause extrapyramidal side effects. Therefore, atypical antipsychotic agents, though have improved clinical profiles, are nevertheless undesirable.
- In addition to the positive and negative symptoms of psychosis (e.g., schizophrenia), many psychotic patients often times also suffer from depression. While both typical and atypical antipsychotic agents are effective in treating psychosis, depression is often times neglected or left under-treated. The combination of psychosis and depression poses a particular challenge in their treatment as studies revealed that up to 10% of the patients suffering from schizophrenia end their own lives. Therefore, there is a need for agents that are useful for the treatment of psychosis in depressed patients, and for the treatment of depression as well as other disorders such as sleep and mood disorders in psychotic patients and patients suffering from Parkinson's disease without exhibiting or exhibiting minimal extrapyramidal and other side effects compared to conventional antipsychotic, hypnotic and anti-depressive agents.
- Substituted heterocycle fused gamma-carbolines are known to be agonists or antagonists of 5-HT2 receptors, particularly 5-HT2A and 5-HT2C receptors, in treating central nervous system disorders. These compounds have been disclosed in U.S. Pat. Nos. 6,548,493; 7,238,690; 6,552,017; 6,713,471; RE39680, and RE39679, as novel compounds useful for the treatment of disorders associated with 5-HT2A receptor modulation such as obesity, anxiety, depression, psychosis, schizophrenia, sleep disorders, sexual disorders migraine, conditions associated with cephalic pain, social phobias, and gastrointestinal disorders such as dysfunction of the gastrointestinal tract motility. PCT/US08/03340 and U.S. application Ser. No. 10/786,935 also disclose methods of making substituted heterocycle fused gamma-carbolines and uses of these gamma-carbolines as serotonin agonists and antagonists useful for the control and prevention of central nervous system disorders such as addictive behavior and sleep disorders. Although these references disclose use of substituted heterocycle fused gamma-carbolines to independently treat disorders associated with serotonin pathways such as sleep disorder, depression, psychosis, and schizophrenia associated with the 5-HT2A pathways, there is no teaching that specific compounds of substituted heterocycle fused gamma-carbolines also exhibit nanomolar binding affinity to serotonin reuptake transporter (SERT) and dopamine D2 receptors and therefore may be used to treat a combination of psychosis and depressive disorders as well as sleep, depressive and/or mood disorders in patients with psychosis or Parkinson's disease.
- In addition to disorders associated with psychosis and/or depression, these references do not disclose use of particular substituted heterocycle fused gamma-carbolines at a low dose to selectively antagonize 5-HT2A receptors without affecting or minimally affecting dopamine D2 receptors, thereby useful for the treatment of sleep disorders without the side effects of the dopamine D2 pathways or side effects of other pathways (e.g., GABAA receptors) associated with convention sedative-hypnotic agents (e.g., benzodiazepines) including but not limited to the development of drug dependency, muscle hypotonia, weakness, headache, blurred vision, vertigo, nausea, vomiting, epigastric distress, diarrhea, joint pains, and chest pains.
- It has been discovered that particular substituted heterocycle fused gamma-carboline compounds (Compounds of Formula I, described hereinbelow) exhibit unique pharmacological characteristics wherein they possess high affinity for serotonin 5-HT2A receptors and moderate, yet nanomolar affinity for dopamine receptors and serotonin reuptake transporter (SERT). The compounds moreover demonstrate selectivity between dopamine D1 and D2 receptors. This is a new and unexpected binding profile, which gives the compounds particular utility in certain indications as described below, and in combination therapies.
- At low doses, Compounds of Formula I selectively antagonize 5-HT2A receptors and increases rapid eye movement (REM) and non-REM sleep in animals. Therefore, at low doses, these compounds may be used to improve sleep maintenance insomnia and insomnia associated with neuropsychiatric and neurologic disorders.
- In a clinical trial, low doses (e.g., 1, 5, and 10 mg) of Compounds of Formula I, e.g. Compound A, dose-dependently increase slow wave sleep, consistent with 5-HT2A receptor antagonism, they dose-dependently decreases wake after sleep onset, consistent with improving sleep maintenance, they increase total sleep time and restore normal sleep architecture to patients with insomnia by increasing slow wave sleep early in the night and increasing stage 2 sleep late in the night, toward morning, they show no early-morning rebound insomnia and did not suppress REM sleep. They do not impair next-day cognitive function. The magnitude of WASO decrease and total sleep time increase at 10 mg suggests the modest D2 (and possibly SERT and D1) occupancy at this dose contributes favorably to the sleep profile beyond simple 5-HT2A receptor antagonism. Dopamine receptor modulation and SERT inhibition improve psychiatric symptoms co-morbid with insomnia. Compounds of Formula I represent a new approach for treating sleep maintenance insomnia and sleep disorders associated with neuropsychiatric and neurological diseases, as well as for the treatment of sleep disorders, schizophrenia, and other neuropsychiatric and neurological indications.
- At higher doses, when 5-HT2A receptors are fully occupied, Compounds of Formula I modulate dopamine receptor protein phosphorylation. Therefore, Compounds of Formula I are particularly useful for the treatment of sleep disorders in patients suffering from psychosis such as schizophrenia, Parkinson's disease and/or depression.
- Unlike dopamine receptor antagonists, Compounds of Formula I normalize brain dopamine activity, particularly in the prefrontal cortex. In addition, Compounds of Formula I also moderately bind to SERT. Therefore, Compounds of Formula I are particularly useful for the treatment of psychosis in patients suffering from depression. Unlike many traditional antipsychotic drugs, Compounds of Formula I show an improved selectivity profile with respect to off-target interactions such as adrenergic alpha-1a, serotonin 5-HT2C, and histamine H1 associated with many side effects compared to other antipsychotic drugs.
- Compounds of Formula I are therefore also useful as antipsychotic agents in patients who are unable to tolerate the side effects of convention antipsychotic drugs.
- In addition to binding to 5-HT2A and dopamine D2 receptors, Compounds of Formula I also exhibit nanomolar binding affinity for SERT compared to known antidepressants. Therefore, Compounds of Formula I are useful for the treatment of depression in patients suffering from psychosis.
- Because Compounds of Formula I have a wider separation between 5-HT2A and D2 receptor affinities than other atypical antipsychotic drugs (˜60 fold), they are additionally useful in reduction of dyskinesia. For example, they reduce L-DOPA-induced dyskinetic behavior in a mouse model. Without intending to be bound by theory, it is hypothesized that this is accomplished by virtue of the potent 5-HT2A antagonism with minimal interference with L-DOPA-induced motor correction, by virtue of the low relative D2 receptor activity. Parkinson's disease results from loss of DA neurons in the substantia nigra pars compacta. The primary motor symptoms of PD are treated by L-DOPA. Activation of medium spiny neurons in the dorsolateral striatum that project to the substantia nigra pars reticulata results in disinhibition of thalamocortical neurons and increased motor activity. Overactivity of this “direct” striatal pathway may contribute to the expression of dyskinesias, such as are commonly seen in PD patients being treated with dopaminergic drugs such as L-dopa. 5-HT2A receptors are localized in striatal medium spiny neurons. Compounds of Formula I are thus believed to block dyskinesias by blockade of 5-HT2A receptors.
- Therefore, the invention provides methods as follows:
- A method (Method I) for the treatment of one or more disorders involving serotonine 5-HT2A, dopamine D2 and/or serotonin reuptake transporter (SERT) pathway, comprising administering to a patient in need thereof a Compound of Formula I:
-
- wherein X is O, —NH or —N(CH3); and Y is —O— or —C(O)—, in free or pharmaceutically acceptable salt form, at a dose which selectively blocks 5-HT2Areceptors.
- The invention further provides Method I as follows:
-
- 1.1 Method I comprising a compound of Formula I, wherein X is —N(CH3);
- 1.2 Method I comprising a compound of Formula I, wherein X is —NH;
- 1.3 Method I comprising a compound of Formula I, wherein X is O;
- 1.4 Method I or any of 1.1-1.3, comprising a compound of Formula I, wherein Y is —C(O)—;
- 1.5 Method I or any of 1.1-1.3, comprising a compound of Formula I, wherein Y is —O—;
- 1.6 any of the preceding methods wherein the Compound of Formula I is selected from a group consisting of:
-
- 1.7 any of the preceding methods wherein the Compound of Formula I is:
-
- 1.8 any of the preceding methods wherein the Compound of Formula I is:
-
- 1.9 any of the preceding methods wherein the Compound of Formula I is:
-
- 1.10 any of the preceding methods wherein the Compound of Formula I is:
-
- 1.11 any of the preceding methods wherein the Compound of Formula I is:
-
- 1.12 any of the preceding methods wherein the Compound of Formula I is:
-
- 1.13 any of the preceding methods wherein the Compounds of Formula I (i) bind to 5-HT2A receptors, e.g., with a Ki of less than 50 nM, more preferably less 10 nM, still more preferably less than 5 nM, most preferably less than 1 nM; and (ii) also bind to dopamine D2 receptors and SERT, e.g., with a Ki of less than 100 nM, preferably less than 75 nM, more preferably less 50 nM, in a binding assay as described in Example 1 below;
- 1.14 any of the preceding methods wherein the Compounds of Formula I (i) bind to 5-HT2A, e.g., with a Ki of less than 5 nM, preferably less than 1 nM, and (ii) also bind to dopamine D2 receptors and SERT, e.g., with a Ki of less than 100 nM, preferably less than 75 nM, more preferably less than 50 nM in a binding assay as described in Example 1 below;
- 1.15 any of the preceding methods wherein the Compounds of Formula I (i) bind to 5-HT2A, e.g., with a Ki of less than 1 nM and (ii) bind to dopaimine D2 receptors, e.g., with a Ki of about 25-75 nM; and (iii) also bind to SERT, e.g., with a Ki of less than 100 nM, preferably less than 75 nM, more preferably less 50 nM, in a binding assay as described in Example 1 below;
- 1.16 any of the preceding methods wherein the Compounds of Formula I does not bind to adrenergic alpha-1a receptors (α1A) or bind to α1A receptors, e.g., with a Ki of greater than 75 nM, preferably greater than 100 nM in a binding assay as described in Example 1 below;
- 1.17 any of the preceding methods wherein the Compounds of Formula I does not bind to 5-HT2C receptors, or bind to 5-HT2C receptors e.g., with a Ki of greater than 75 nM, preferably greater than 100 nM, more preferably greater than 150 nM in a binding assay as described in Example 1 below;
- 1.18 any of the preceding methods wherein the Compounds of Formula I does not bind to H1 receptors, or bind to H1 receptors, e.g., with a Ki of greater than 500 nM, preferably greater than 750 nM, more preferably greater than 1000 nM in a binding assay as described in Example 1 below;
- 1.19 any of the preceding methods wherein the Compounds of Formula I (i) bind to 5-HT2A, e.g., with a Ki of less than 5 nM, preferably less than 1 nM, (ii) bind to dopamine D2 receptors, e.g., with a Ki of 25-75 nM; (iii) bind to SERT, e.g., with a Ki of less than 100 nM, preferably less than 75 nM, more preferably less 50 nM; and (iv) does not bind to α1A, 5-HT2C and/or H1 receptors, or bind to α1A, 5-HT2C and/or H1 receptors e.g., with a Ki of greater than 75 nM in a binding assay as described in Example 1 below;
- 1.20 any of the preceding methods wherein said one or more disorders are selected from (1) psychosis, e.g., schizophrenia, in a patient suffering from depression; (2) depression in a patient suffering from psychosis, e.g., schizophrenia; (3) mood disorders associated with psychosis, e.g., schizophrenia, or Parkinson's disease; and (4) sleep disorders associated with psychosis, e.g., schizophrenia, or Parkinson's disease;
- 1.21 Method I or any of 1.1-1.20, wherein said disorder is psychosis, e.g., schizophrenia and said patient is a patient suffering from depression;
- 1.22 Method I or any of 1.1-1.21, wherein said patient is unable to tolerate the side effects of convention antipsychotic drugs, e.g., chlorpromazine, haloperidol droperidol, fluphenazine, loxapine, mesoridazine molidone, perphenazine, pimozide, prochlorperazine promazine, thioridazine, thiothixene, trifluoperazine, clozapine, aripiparazole, olanzapine, quetiapine, risperidone and ziprasidone;
- 1.23 Method I or any of 1.1-1.21, wherein said patient is unable to tolerate the side effects of convention antipsychotic drugs, e.g., haloperidol, aripiparazole, clozapine, olanzapine, quetiapine, risperidone, and zipasidone;
- 1.24 Method I or any of 1.1-1.20, wherein said disorder is depression and said patient is a patient suffering from psychosis, e.g., schizophrenia, or Parkinson's disease;
- 1.25 Method I or any of 1.1-1.20, wherein said one or more disorders is sleep disorder and said patient is suffering from depression;
- 1.26 Method I or any of 1.1-1.20, wherein said one or more disorders is sleep disorder and said patient is suffering from psychosis, e.g., schizophrenia;
- 1.27 Method I or any of 1.1-1.20, wherein said one or more disorders is sleep disorder and said patient is suffering from Parkinson's disease;
- 1.28 Method I or any of 1.1-1.20 or 1.25-1.27, wherein said one or more disorders is sleep disorder and said patient is suffering from depression and psychosis, e.g., schizophrenia, or Parkinson's disease;
- 1.29 Any of the foregoing methods, wherein the effective amount is an amount sufficient to bind to SERT, 5-HT2A and D2 receptors, e.g., with a Ki of less than 100 nM, preferably less than 75 nM, more preferably less than 50 nM in an assay as described in Example 1 below;
- 1.30 Any of the foregoing methods, wherein the effective amount is an amount sufficient to (i) bind to SERT, 5-HT2A and D2 receptors, e.g., with a Ki of less than 100 nM, preferably less than 75 nM, more preferably less than 50 nM, and (ii) does not bind to α1A, 5-HT2C and/or H1 receptors or bind to α1A, 5-HT2C and/or H1 receptors, e.g., with a Ki of greater than 50 nM, preferably greater than 75 nM in a binding assay as described in Example 1 below;
- 1.31 Any of the foregoing methods, wherein the effective amount is an amount sufficient to bind to 5-HT2A, e.g., with a Ki of less than 5 nM, preferably less than 1 nM, and also bind to dopamine D2 receptors and SERT, e.g., with a Ki of less than 100 nM, preferably less than 75 nM, more preferably less than 50 nM in a binding assay as described in Examples 1 below;
- 1.32 Any of the foregoing methods, wherein the effective amount is an amount sufficient to (i) bind to 5-HT2A, e.g., with a Ki of less than 5 nM, preferably less than 1 nM; (ii) bind to dopamine D2 receptors, e.g., with a Ki of 25-75 nM; (iii) bind to SERT, e.g., with a Ki of less than 100 nM, preferably less than 75 nM, more preferably less than 50 nM; and (iv) does not bind to al A, 5-HT2C and/or H1 receptors, or bind to α1A, 5-HT2C and/or H1 receptors, e.g., with a Ki of greater than 50 nM, preferably greater than 75 nM in a binding assay as described in Examples 1 below;
- 1.33 Any of the foregoing methods, wherein the ratio of the Ki of dopamine D2 to the Ki of 5-HT2A is greater than 25, preferably greater than 50;
- 1.34 Any of the foregoing methods, wherein ratio of the Ki of α1A to the Ki of 5-HT2A is greater than 25, preferably greater than 50, more preferably greater than 100, most preferably greater than 125;
- 1.35 Any of the foregoing methods, wherein ratio of the Ki of 5HT2C to the Ki of 5-HT2A is greater than 150, more preferably greater than 300;
- 1.36 Any of the foregoing methods, wherein ratio of the Ki of H1 to the Ki of 5-HT2A is greater than 100, more preferably greater than 200;
- 1.37 Any of the foregoing methods, wherein the effective amount is 1 mg-100 mg, preferably 2.5-50 mg.
- 1.38 Any of the foregoing methods wherein a condition to be treated is dyskinesia, e.g. in a patient receiving dopaminergic medications, e.g., medications selected from levodopa and levodopa adjuncts (carbidopa, COMT inhibitors, MAO-B inhibitors), dopamine agonists, and anticholinergics, e.g., levodopa.
- 1.39 Any of the foregoing methods wherein the patient suffers from Parkinson's disease.
- A method (Method II) for the treatment of one or more sleep disorders comprising administering to a patient in need thereof a Compound of Formula I:
-
- wherein X is O, —NH or —N(CH3); and Y is —O— or —C(O)—, in free or pharmaceutically acceptable salt form, at a dose selective for 5-HT2A receptor blockade, e.g a daily dose of 0.1-20 mg, e.g., 0.5-10 mg.
- The invention further provides Method II as follows:
-
- 2.1 Method II comprising a compound of Formula I, wherein X is —N(CH3);
- 2.2 Method II comprising a compound of Formula I, wherein X is —NH;
- 2.3 Method II comprising a compound of Formula I, wherein X is O;
- 2.4 Method II or any of 2.1-2.3, comprising a compound of Formula I, wherein Y is —C(O)—;
- 2.5 Method II or any of 2.1-2.3, comprising a compound of Formula I, wherein Y is —O—;
- 2.6 any of the preceding methods wherein the Compound of Formula I is selected from a group consisting of:
-
- 2.7 any of the preceding methods wherein the Compound of Formula I is:
-
- 2.8 any of the preceding methods wherein the Compound of Formula I is:
-
- 2.9 any of the preceding methods wherein the Compound of Formula I is:
-
- 2.10 any of the preceding methods wherein the Compound of Formula I is:
-
- 2.11 any of the preceding methods wherein the Compound of Formula I is:
-
- 2.12 any of the preceding methods wherein the Compound of Formula I is:
-
- 2.13 any of the preceding methods wherein the Compounds of Formula I (i) bind to 5-HT2A, e.g., with a Ki of less than 25 nM, preferably less than 10 nM, more preferably 1 nM; and (ii) does not bind to D2 receptors and/or SERT or bind to dopamine D2 receptors and/or SERT, e.g., with a Ki of greater than 50 nM, preferably greater than 75 nM, more preferably greater than 100 nM, in a binding assay as described in the Example 1 below;
- 2.14 any of the preceding methods wherein the Compounds of Formula I (i) bind to 5-HT2A, e.g., with a Ki of less than 5 nM, preferably less than 1 nM, and does not bind or only bind to dopamine D2 receptors, SERT, α1A, 5-HT2C or H1 receptors, e.g., with a Ki of greater than 50 nM, preferably greater than 75 nM, more preferably greater than 100 nM, in a binding assay as described in example 1 below;
- 2.15 Any of the foregoing methods, wherein the effective amount to treat one or more sleep disorders is an amount sufficient to bind to 5-HT2A receptors, e.g., with a Ki of less than 25 nM, preferably less than 10 nM, more preferably 1 nM, but does not bind to D2 receptors and/or SERT or bind to D2 receptors and/or SERT, e.g., with a Ki of greater than 50 nM, preferably greater than 75 nM, more preferably greater than 100 nM in an assay as described in Example 1 below;
- 2.16 Any of the foregoing methods, wherein the sleep disorder include sleep maintenance insomnia, frequent awakenings, and waking up feeling unrefreshed;
- 2.17 Any of the foregoing methods, wherein the sleep disorder is sleep maintenance insomnia;
- 2.18 Any of the foregoing methods, wherein the effective amount is 1 mg-5 mg, preferably 2.5-5 mg;
- 2.19 Any of the foregoing methods, wherein the effective amount is 2.5 or 5 mg. 2.20 Any of the foregoing methods wherein the sleep disorder is in a patient suffering from or at risk of dyskinesia, e.g., a patient receiving dopaminergic medications, e.g., selected from levodopa and levodopa adjuncts (carbidopa, COMT inhibitors, MAO-B inhibitors), dopamine agonists, and anticholinergics, e.g., receiving levodopa.
- 2.21 Any of the foregoing methods wherein the patient suffers from Parkinson's disease.
- Compounds of the Invention may exist in free or salt form, e.g., as acid addition salts. In this specification unless otherwise indicated language such as Compounds of the Invention is to be understood as embracing the compounds in any form, for example free or acid addition salt form, or where the compounds contain acidic substituents, in base addition salt form. The Compounds of the Invention are intended for use as pharmaceuticals, therefore pharmaceutically acceptable salts are preferred. Salts which are unsuitable for pharmaceutical uses may be useful, for example, for the isolation or purification of free Compounds of the Invention or their pharmaceutically acceptable salts, are therefore also included. Pharmaceutically acceptable salts include, for example, the hydrochloride and tosylate salts. Where dosage amounts of salts are given by weight, e.g., milligrams per day or milligrams per unit dose, the dosage amount of the salt is given as the weight of the corresponding free base, unless otherwise indicated.
- The invention also provides the foregoing methods, e.g., Method I, e.g., any of 1.1-1.39, or Method II, e.g., any of 2.1-2.19, wherein the Compound of Formula I, in free or pharmaceutically acceptable salt form is administered in a composition, wherein said Compound of Formula I in free or pharmaceutically acceptable salt form in admixture with a pharmaceutically acceptable diluent or carrier.
- The invention further provides a Pharmaceutical Composition (Composition I) comprising a Compound of Formula I in free or pharmaceutically acceptable salt form, e.g., as described in any of Methods I or 1.1-1.37, in admixture with a pharmaceutically acceptable diluent or carrier for use in any of Methods I or 1.1-1.37.
- The invention further provides a Pharmaceutical Composition (Composition II) comprising a Compound of Formula I in free or pharmaceutically acceptable salt form, e.g., as described in any of Method II, e.g., any of 2.1-2.19, in admixture with a pharmaceutically acceptable diluent or carrier for use in any of Method II, e.g., any of 2.1-2.19.
- In another aspect, the invention provides use of a Compound of Formula I or a pharmaceutical composition comprising a Compound of formula I in free or pharmaceutically acceptable salt form as described in Methods 1 or 1.1-1.37, in the manufacture of a medicament for the treatment of one or more disorders involving serotonin 5-HT2A, dopamine D2 and/or serotonin reuptake transporter (SERT) pathway as described in any of Methods I or 1.1-1.37.
- In another aspect, the invention provides use of a Compound of Formula I or a pharmaceutical composition comprising a Compound of formula I in free or pharmaceutically acceptable salt form as described in Methods II or 2.1-2.19, in the manufacture of a medicament for the treatment of one or more sleep disorders as described in any of Methods II or 2.1-2.19.
- In another aspect, methods which involve use of a Compound of Formula I or a pharmaceutical composition comprising a Compound of Formula I in free or pharmaceutically acceptable salt form as described in Methods I-A or II-A, for the treatment of sleep disorders, depression, pyschosis, or any combinations thereof, in patients suffering from the listed diseases and/or Parkinson's disease, as described in any of Methods I-A or II-A, or 3.1-3.34.
- The compounds of the formula I and their pharmaceutically acceptable salts may be made using the methods as described and exemplified in any of the following patents or applications: U.S. Pat. Nos. 6,548,493; 7,238,690; 6,552,017; 6,713,471; RE39680; RE39679; PCT/US08/03340; U.S. application Ser. No. 10/786,935; and U.S. Provisional Application No. 61/036,069. If not commercially available, starting materials for these processes may be made by procedures, which are selected from the chemical art using techniques which are similar or analogous to the synthesis of known compounds. All references cited herein are hereby incorporated in their entirety by reference.
- The words “treatment” and “treating” are to be understood accordingly as embracing prophylaxis and treatment or amelioration of symptoms of disease as well as treatment of the cause of the disease.
- The term “patient” may include a human or non-human patient.
- Compounds of the Invention refer to Compounds of Formula I, which include:
- in free or pharmaceutically acceptable salt form. Compounds of the invention are useful in any of Method I, or 1.1-1.37, particularly useful for the treatment of (1) sleep disorder, e.g., sleep maintenance insomnia; (2) depression in patients suffering from psychosis or Parkinson's disease; (3) psychosis, e.g., schizophrenia, in a patient suffering from depression; or (4) mood disorder associated with psychosis, e.g., schizophrenia, or Parkinson's disease. Compounds of the invention are also useful for any of Method II or 2.1-2.19, particularly for the treatment of sleep disorder, e.g., sleep maintenance insomnia.
- The phrase “depression in a patient suffering from psychosis” may include depressed patients suffering from a co-morbid psychotic disorder such as schizophrenia or it may include psychotic depressed patients wherein such patients suffer from severe depression wherein such depression accompanies hallucinations and/or delusions.
- The term “sleep maintenance insomnia” refers to the inability to stay asleep or to resume sleep after waking in the middle of the sleep cycle.
- The terms “Compounds of Formula I” and “Compounds of the Invention” may be used interchangeably and may be used as a sole therapeutic agent, or they may also be used in combination or for co-administration with other active agents.
- The discovery of the selective receptor profiles of the Compounds of Formula I not only provides effective treatment of 5-HT2A, SERT and/or D2 receptor related disorders without or with minimal extrapyramidal side effects as claimed in the current invention, but also provides insight for the design of a combination therapy for the treatment of related disorders, wherein a Compound of Formula I may be used in combination with second therapeutic agents, particularly at lower dosages than when the individual agents are used as a monotherapy so as to enhance the therapeutic activities of the combined agents without causing the undesirable side effects commonly occur in conventional monotherapy. For example, as Compounds of the Invention bind to 5-HT2A, D2 and/or SERT and are useful for treating patients with a combination of disorders, e.g., (a) psychosis with a co-morbid disorder of depression and/or sleep disorder; (b) depression with a co-morbid disorder of psychosis; (c) sleep disorder in patients suffering from psychosis, Parkinson disease, and/or depression; or (d) any combinations thereof, Compounds of Formula I may be simultaneously, sequentially, or contemporaneously administered with other anti-depressant, anti-psychotic, other hypnotic agents, and/or agents use to treat Parkinson's disease or mood disorders. In another example, side effects may be reduced or minimized by administering a Compound of Formula I in combination with one or more second therapeutic agents in free or salt form, wherein the dosages of the second therapeutic agent(s) or both Compound of Formula I and the second therapeutic agents are lower than if the agents/compounds are administered as a monotherapy.
- In a particular embodiment, the Compounds of Formula I are useful to treat dyskinesia in a patient receiving dopaminergic medications, e.g., selected from levodopa and levodopa adjuncts (carbidopa, COMT inhibitors, MAO-B inhibitors), dopamine agonists, and anticholinergics, e.g., such as are used in the treatment of Parkinson's disease.
- As demonstrated above, Compounds of Formula I have a wide separation between 5-HT2A and D2 receptor affinities than other atypical antipsychotic drugs (˜60 fold). They reduce L-DOPA-induced dyskinetic behavior. Without intending to be bound by theory, it is hypothesized that this is accomplished by virtue of the potent 5-HT2A antagonism with minimal interference with L-DOPA-induced motor correction, by virtue of the low relative D2 receptor activity. Parkinson's disease results from loss of DA neurons in the substantia nigra pars compacta. The primary motor symptoms of PD are treated by L-DOPA. Activation of medium spiny neurons in the dorsolateral striatum that project to the substantia nigra pars reticulata results in disinhibition of thalamocortical neurons and increased motor activity. Overactivity of this “direct” striatal pathway may contribute to the expression of dyskinesias. 5-HT2A receptors are localized in striatal medium spiny neurons. Compounds of Formula I are thus believed to block dyskinesias by blockade of 5-HT2A receptors.
- In another aspect of the current invention, Method I, e.g., any of 1.1-1.37, or Method II, e.g., any of 2.1-2.19, further comprises one or more therapeutic agents selected from compounds that modulate GABA activity (e.g., enhances the activity and facilitates GABA transmission), a GABA-B agonist, a 5-HT modulator (e.g., a 5-HT1a agonist, a 5-HT2a antagonist, a 5-HT2a inverse agonist, etc.), a melatonin agonist, an ion channel modulator (e.g., blocker), a serotonin-2 antagonist/reuptake inhibitor (SARIs), an orexin receptor antagonist, an H3 agonist, a noradrenergic antagonist, a galanin agonist, a CRH antagonist, human growth hormone, a growth hormone agonist, estrogen, an estrogen agonist, a neurokinin-1 drug, an anti-depressant, and an antipsychotic agent, e.g., an atypical antipsychotic agent, in free or pharmaceutically acceptable salt form (Method I-A and II-A respectively).
- In a further embodiment of this aspect, the invention provides Method I-A or II-A as follows, further comprising one or more therapeutic agents.
-
- 3.1 Method I-A or II-A, wherein the therapeutic agent(s) is compounds that modulate GABA activity (e.g., enhances the activity and facilitates GABA transmission);
- 3.2 Method I-A or II-A or 3.1, wherein the GABA compound is selected from a group consisting of one or more of doxepin, alprazolam, bromazepam, clobazam, clonazepam, clorazepate, diazepam, flunitrazepam, flurazepam, lorazepam, midazolam, nitrazepam, oxazepam, temazapam, triazolam, indiplon, zopiclone, eszopiclone, zaleplon, Zolpidem, gabaxadol, vigabatrin, tiagabine, EVT 201 (Evotec Pharmaceuticals) and estazolam;
- 3.3 Method I-A or II-A, wherein the therapeutic agent is an additional 5HT2a antagonist;
- 3.4 Method I-A or II-A or 3.3, wherein said additional 5HT2a antagonist is selected from one or more of ketanserin, risperidone, eplivanserin, volinanserin (Sanofi-Aventis, France), pruvanserin, MDL 100907 (Sanofi-Aventis, France), HY10275 (Eli Lilly), APD125 (Arena Pharmaceuticals, San Diego, Calif.), and AVE8488 (Sanofi-Aventis, France);
- 3.5 Method I-A or II-A, wherein the therapeutic agent is a melatonin agonist;
- 3.6 Method I-A or II-A or 3.5, wherein the melatonin agonist is selected from a group consisting of one or more of melatonin, ramelteon (ROZEREM®, Takeda Pharmaceuticals, Japan), VEC-162 (Vanda Pharmaceuticals, Rockville, Md.), PD-6735 (Phase II Discovery) and agomelatine;
- 3.7 Method I-A or II-A, wherein the therapeutic agent is an ion channel blocker;
- 3.8 Method I-A or II-A or 3.7, wherein said ion channel blocker is one or more of lamotrigine, gabapentin and pregabalin. 3.9 Method I-A or II-A, wherein the therapeutic agent is an orexin receptor antagonist;
- 3.10 Method I-A or II-A or 3.9, wherein the orexin receptor antagonist is selected from a group consisting of orexin, a 1,3-biarylurea, SB-334867-a (GlaxoSmithKline, UK), GW649868 (GlaxoSmithKline) and a benzamide derivative;
- 3.11 Method I-A or II-A, wherein the therapeutic agent is the serotonin-2 antagonist/reuptake inhibitor (SARI);
- 3.12 Method I-A or II-A or 3.11, wherein the serotonin-2 antagonist/reuptake inhibitor (SARI) is selected from a group consisting of one or more Org 50081 (Organon—Netherlands), ritanserin, nefazodone, serzone and trazodone;
- 3.13 Method I-A or II-A, wherein the therapeutic agent is the 5HT1a agonist;
- 3.14 Method I-A or II-A or 3.13, wherein the 5HT1a agonist is selected from a group consisting of one or more of repinotan, sarizotan, eptapirone, buspirone and MN-305 (MediciNova, San Diego, Calif.);
- 3.15 Method I-A or II-A, wherein the therapeutic agent is the neurokinin-1 drug;
- 3.16 Method I-A or II-A or 3.15, wherein the neurokinin-1 drug is Casopitant (GlaxoSmithKline);
- 3.17 Method I-A or II-A, wherein the therapeutic agent is an antipsychotic agent;
- 3.18 Method I-A or II-A or 3.17, wherein the antipsychotic agent is selected from a group consisting of chlorpromazine, haloperidol, droperidol, fluphenazine, loxapine, mesoridazine molidone, perphenazine, pimozide, prochlorperazine promazine, thioridazine, thiothixene, trifluoperazine, clozapine, aripiparazole, olanzapine, quetiapine, risperidone, ziprasidone and paliperidone;
- 3.19 Method I-A or II-A, wherein the therapeutic agent is an anti-depressant;
- 3.20 Method I-A or H-A or 3.19, wherein the anti-depressant is selected from amitriptyline, amoxapine, bupropion, citalopram, clomipramine, desipramine, doxepin, duloxetine, escitaloprame, fluoxetine, fluvoxamine, imipramine, isocarboxazid, maprotiline, mirtazapine, nefazodone, nortriptyline, paroxetine, phenlzine sulfate, protiptyline, sertraline, tranylcypromine, trazodone, trimipramine, and velafaxine;
- 3.21 Method I-A or II-A, 3.17 or 3.18, wherein the antipsychotic agent is an atypical antipsychotic agent;
- 3.22 Method I-A or II-A, or any of 3.17-3.21, wherein the atypical antipsychotic agent is selected from a group consisting of clozapine, aripiparazole, olanzapine, quetiapine, risperidone, ziprasidone, and paliperidone;
- 3.23 Method I-A or II-A, wherein the therapeutic agent is selected from any of methods 3.1-3.22, e.g., selected from a group consisting of modafinil, armodafinil, doxepin, alprazolam, bromazepam, clobazam, clonazepam, clorazepate, diazepam, flunitrazepam, flurazepam, lorazepam, midazolam, nitrazepam, oxazepam, temazapam, triazolam, indiplon, zopiclone, eszopiclone, zaleplon, Zolpidem, gabaxadol, vigabatrin, tiagabine, EVT 201 (Evotec Pharmaceuticals), estazolam, ketanserin, risperidone, eplivanserin, volinanserin (Sanofi-Aventis, France), pruvanserin, MDL 100907 (Sanofi-Aventis, France), HY10275 (Eli Lilly), APD125 (Arena Pharmaceuticals, San Diego, Calif.), AVE8488 (Sanofi-Aventis, France), repinotan, sarizotan, eptapirone, buspirone, MN-305 (MediciNova, San Diego, Calif.), melatonin, ramelteon (ROZEREM®, Takeda Pharmaceuticals, Japan), VEC-162 (Vanda Pharmaceuticals, Rockville, Md.), PD-6735 (Phase II Discovery), agomelatine, lamotrigine, gabapentin, pregabalin, orexin, a 1,3-biarylurea, SB-334867-a (GlaxoSmithKline, UK), GW649868 (GlaxoSmithKline), a benzamide derivative, Org 50081 (Organon—Netherlands), ritanserin, nefazodone, serzone, trazodone, Casopitant (GlaxoSmithKline), amitriptyline, amoxapine, bupropion, citalopram, clomipramine, desipramine, doxepin, duloxetine, escitaloprame, fluoxetine, fluvoxamine, imipramine, isocarboxazid, maprotiline, mirtazapine, nefazodone, nortriptyline, paroxetine, phenlzine sulfate, protiptyline, sertraline, tranylcypromine, trazodone, trimipramine, velafaxine, chlorpromazine, haloperidol, droperidol, fluphenazine, loxapine, mesoridazine molidone, perphenazine, pimozide, prochlorperazine promazine, thioridazine, thiothixene, trifluoperazine, clozapine, aripiparazole, olanzapine, quetiapine, risperidone, ziprasidone and paliperidone;
- 3.24 Method I-A or II-A, wherein the therapeutic agent is an H3 agonist;
- 3.25 Method 1-A or II A, wherein the therapeutic agent is an H3 antagonist;
- 3.26 Method I-A or II-A, wherein the therapeutic agent is a noradrenergic antagonist;
- 3.27 Method I-A or II-A, wherein the therapeutic agent is a galanin agonist;
- 3.28 Method I-A or II-A, wherein the therapeutic agent is a CRH antagonist;
- 3.29 Method I-A or II-A, wherein the therapeutic agent is a human growth hormone;
- 3.30 Method I-A or II-A, wherein the therapeutic agent is a growth hormone agonist;
- 3.31 Method I-A or II-A, wherein the therapeutic agent is estrogen;
- 3.32 Method I-A or II-A, wherein the therapeutic agent is an estrogen agonist;
- 3.33 Method I-A or II-A, wherein the therapeutic agent is a neurokinin-1 drug;
- 3.34 Method I-A or II-A, wherein a therapeutic agent is combined with compounds of Formula (I) and the therapeutic agent is an anti-Parkinson agent such as L-dopa, co-careldopa, duodopa, stalova, symmetrel, benzotropine, biperiden, bromocryiptine, entacapone, pergolide, pramipexole, procyclidine, ropinirole, selegiline and tolcapone.
- 3.35 Method I-A or II-A, wherein compounds of Formula (I) may be used to treat sleep disorders, depression, pyschosis, or any combinations thereof, in patients suffering from the listed diseases and/or Parkinson's disease.
- 3.36 Method I-A or II-A, wherein the disorder is selected from at least one or more of psychosis, e.g., schizophrenia, depression, mood disorders, sleep disorders (e.g., sleep maintenance and/or sleep onset) or any combination of disorders thereof;
- 3.37 Any of the foregoing methods wherein the disorder is sleep disorder;
- 3.38 Any of the foregoing methods, wherein the disorder is sleep disorder associated with psychosis, e.g., schizophrenia or Parkinson's disease;
- in free or pharmaceutically acceptable salt form.
- In another aspect of the invention, the combination of a Compound of Formula I and one or more second therapeutic agents as described in Methods I-A, II-A or any of 3.1-3.23, may be administered as a composition. The combination compositions can include mixtures of the combined drugs, as well as two or more separate compositions of the drugs, which individual compositions can be, for example, co-administered together to a patient.
- The person of skill in the art, in possession at the receptor binding profile of the Compounds of Formula I together with those of other drugs, can design combination therapies having optimal receptor activity to enhance efficacy and reduce side effects.
- In a particular embodiment, Method I-A and Method II-A comprises administering to a patient in need thereof, a Compound of Formula I in combination with an atypical antipsychotic agent, e.g., a compound selected from clozapine, aripiparazole, olanzapine, quetiapine, risperidone, ziprasidone, or paliperidone, in free or pharmaceutically acceptable salt form, for example wherein the dosage of the atypical antipsychotic agent is reduced and/or side effects are reduced.
- In another embodiment, Method I-A and Method II-A comprises administering to a patient in need thereof, a Compound of Formula I in combination with an anti-depressant, e.g., amitriptyline, amoxapine, bupropion, citalopram, clomipramine, desipramine, doxepin, duloxetine, escitaloprame, fluoxetine, fluvoxamine, imipramine, isocarboxazid, maprotiline, mirtazapine, nefazodone, nortriptyline, paroxetine, phenizine sulfate, protiptyline, sertraline, tranylcypromine, trazodone, trimipramine, or velafaxine, in free or pharmaceutically acceptable salt form.
- Alternatively, the anti-depressant may be used as an adjunct medication in addition to the compound of Formula I.
- In still another embodiment, Method I-A or II-A comprises administering to a patient in need thereof, a Compound of Formula I in combination with a compound that modulates GABA activity, e.g., a compound selected from doxepin, alprazolam, bromazepam, clobazam, clonazepam, clorazepate, diazepam, flunitrazepam, flurazepam, lorazepam, midazolam, nitrazepam, oxazepam, temazapam, triazolam, indiplon, zopiclone, eszopiclone, zaleplon, Zolpidem, gabaxadol, vigabatrin, tiagabine, EVT 201 (Evotec Pharmaceuticals), estazolam or any combinations thereof, in free or pharmaceutically acceptable salt form. In another preferred embodiment, Method I-A or II-A comprises administering to a patient in need thereof, a Compound of Formula I in combination with doxepin in free or pharmaceutically acceptable salt form. Dosages of doxepin can vary in any range known to a person of ordinary skill in the art. In one example, a 10 mg dose of doxepin may be combined with any dosage of a compound of Formula I.
- In another embodiment, Method I-A or II-A comprises administering to a patient in need thereof, a Compound of Formula I in combination (including as part of a daily dosage regimen) with an atypical stimulant, e.g., a modafinil, adrafinil, or armodafinil. A regimin incorporating a Compound of Formula I with such drugs promotes more regular sleep, and avoids side effects such as psychosis or mania associated with higher levels of such drugs, e.g., in the treatment of bipolar depression, cognition associated with schizophrenia, and excessive sleepiness and fatigue in conditions such as Parkinson's disease and cancer.
- The dosages of a Compound of Formula I and/or the second therapeutic agents of Method I-A and II-A can be the same as or lower than the approved dosage for the drug, the clinical or literature test dosage or the dosage used for the drug as a monotherapy. In a preferred embodiment, the dosages of a Compound of Formula I and/or the second therapeutic agents of Method I-A and II-A are lower than when used in a monotherapy. Therefore, in a particular embodiment, the dosage of a Compound of Formula I is lower than 100 mg once daily, preferably less than 50 mg, more preferably less than 40 mg, still more preferably less than 30 mg, still more preferably less than 20 mg, still more preferably less than 10 mg, still more preferably less than 5 mg, most preferably less than 2.5 mg. In particular embodiments, the second therapeutic agent of Method I-A and II-A is doxepin and the dosage of doxepin is between about 0.001 mg and 49 mg. Preferably, the amount of doxepin is between about 0.0001 mg and 20 mg, between about 0.001 mg and 10 mg, more preferably between about 0.01 mg and 9 mg, and still more preferably between about 0.01 mg and 6 mg.
- In another preferred embodiment, the dosages of both the Compound of Formula I and the second therapeutic agent of Method I-A and II-A are lower than the dosages used for the individual drug as a monotherapy. Therefore, in a particular embodiment, for example, Method I-A or II-A comprises administering (1) a Compound of Formula I at a dosage lower than 100 mg once daily, preferably less than 50 mg, more preferably less than 40 mg, still more preferably less than 30 mg, still more preferably less than 20 mg, still more preferably less than 10 mg, still more preferably less than 5 mg, most preferably less than 2.5 mg; and (2) doxepin at a dosage of less than 50 mg, more preferably, less than 20 mg, still more preferably, less than 10 mg, most preferably less than 6 mg, in free or pharmaceutically acceptable salt form. In an especially embodiment, Method I-A or II-A comprises administering to a patient in need thereof (1) a Compound of Formula I at a dosage of less than 5 mg, more preferably less than 2.5 mg; and (2) doxepin at a dosage of less than 10 mg, preferably less than 6 mg, in free or pharmaceutically acceptable salt form.
- In some preferred embodiments, Method I-A or II-A is a method for the treatment of sleep disorders associated with psychosis, e.g., sleep disorders associated with schizophrenia or Parkinson's disease. In another preferred embodiment, Method I-A or II-A is a method for the treatment of psychosis, e.g., schizophrenia or Parkinson's disease in patients suffering from insomnia. In still another preferred embodiments, Method I-A or II-A is a method for the treatment of one or more sleep disorders.
- The term “conventional antipsychotic agents” or “conventional antipsychotic drugs” or “antipsychotic agents” include, but are not limited to droperidol, fluphenazine, loxapine, mesoridazine molidone, perphenazine, pimozide, prochlorperazine promazine, thioridazine, thiothixene, trifluoperazine, clozapine, aripiparazole, olanzapine, quetiapine, risperidone and ziprasidone. Other conventional antipsychotic agents also include chlorpromazine, haloperidol and paliperidone. Conventional antipsychotic agents are divided into typical and atypical antipsychotic agents. Typical antipsychotic agents include but are not limited to chlorpromazine, droperidol, fluphenazine, haloperidol, loxapine, mesoridazine molidone, perphenazine, pimozide, prochlorperazine promazine, thioridazine, thiothixene and trifluoperazine. Atypical antipsychotic agents include but are not limited to clozapine, aripiparazole, olanzapine, quetiapine, risperidone, ziprasidone, and paliperidone. Therefore, patients who are unable to tolerate the side effects of conventional antipsychotic agents refer to patients who are unable to tolerate the side effects of the agents as described above. Consequently, such patients would benefit from a monotherapy of a Compound of Formula I (e.g., Method I), wherein Compound of Formula I targets 5HT2A receptors without or with minimal interaction with D2 receptors. In addition, these patients would also benefit from a combination therapy comprising a Compound of Formula I and one or more second therapeutic agents (e.g., Method I-A or II-A) wherein the dosages of the second agent(s) or both the second agents and the Compound of Formula I are lower than when they are administered as a monotherapy. As such, undesirable side effects may be reduced or minimized.
- The term “GABA” refers to gamma-aminobutyric acid. The GABA compounds of Method I-A or II-A are compounds which bind to the GABA receptor, and include, but are not limited to one or more of doxepin, alprazolam, bromazepam, clobazam, clonazepam, clorazepate, diazepam, flunitrazepam, flurazepam, lorazepam, midazolam, nitrazepam, oxazepam, temazapam, triazolam, indiplon, zopiclone, eszopiclone, zaleplon, Zolpidem, gabaxadol, vigabatrin, tiagabine, EVT 201 (Evotec Pharmaceuticals) or estazolam.
- Additional 5HT2a antagonist of Method I-A or II-A include, but are not limited to, one or more of ketanserin, risperidone, eplivanserin, volinanserin (Sanofi-Aventis, France), pruvanserin, MDL 100907 (Sanofi-Aventis, France), HY10275 (Eli Lilly), APD125 (Arena Pharmaceuticals, San Diego, Calif.), or AVE8488 (Sanofi-Aventis, France).
- The 5HT1a agonist may be, for example, one or more of repinotan, sarizotan, eptapirone, buspirone or MN-305 (MediciNova, San Diego, Calif.).
- The melatonin agonist of Method I-A or II-A include, but are not limited to, one or more of melatonin, ramelteon (ROZEREM®, Takeda Pharmaceuticals, Japan), VEC-162 (Vanda Pharmaceuticals, Rockville, Md.), PD-6735 (Phase II Discovery) or agomelatine.
- The ion channel blocker of Method I-A or II-A include, but are not limited to, one or more of lamotrigine, gabapentin or pregabalin.
- The orexin receptor antagonist of Method I-A or II-A include, but are not limited to, one or more of orexin, a 1,3-biarylurea, SB-334867-a (GlaxoSmithKline, UK), GW649868 (GlaxoSmithKline) or a benzamide derivative, for example.
- The serotonin-2 antagonist/reuptake inhibitor (SARI) of Method I-A or II-A include, but are not limited to, one or more of Org 50081 (Organon—Netherlands), ritanserin, nefazodone, serzone or trazodone.
- The neurokinin-1 drug of Method I-A or II-A includes, but are not limited to, Casopitant (GlaxoSmithKline).
- The term “antidepressant” or “other antidepressant” may include amitriptyline, amoxapine, bupropion, citalopram, clomipramine, desipramine, doxepin, duloxetine, escitaloprame, fluoxetine, fluvoxamine, imipramine, isocarboxazid, maprotiline, mirtazapine, nefazodone, nortriptyline, paroxetine, phenlzine sulfate, protiptyline, sertraline, tranylcypromine, trazodone, trimipramine, velafaxine, in free or pharmaceutically acceptable salt forms.
- Dosages employed in practicing the present invention will of course vary depending, e.g. on the particular disease or condition to be treated, the particular Compound of the Invention used, the mode of administration, and the therapy desired. Unless otherwise indicated, an amount of the Compound of the Invention for administration (whether administered as a free base or as a salt form) refers to or is based on the amount of the Compound of the Invention in free base form (i.e., the calculation of the amount is based on the free base amount). Compounds of the Invention may be administered by any suitable route, including orally, parenterally or transdermally, but are preferably administered orally. In general, satisfactory results for Method I or any of 1.1-1.37, e.g. for the treatment of a combination of diseases such as a combination of at least depression, psychosis, e.g., (1) psychosis, e.g., schizophrenia, in a patient suffering from depression; (2) depression in a patient suffering from psychosis, e.g., schizophrenia; (3) mood disorders associated with psychosis, e.g., schizophrenia, or Parkinson's disease; and (4) sleep disorders associated with psychosis, e.g., schizophrenia, or Parkinson's disease, as set forth above are indicated to be obtained on oral administration at dosages of the order from about 1 mg to 100 mg once daily, preferably 2.5 mg-50 mg, e.g., 2.5 mg, 5 mg, 10 mg, 20 mg, 30 mg, 40 mg or 50 mg, once daily, preferably via oral administration. Satisfactory results for Method II or any of 2.1-2.19, e.g. for the treatment of sleep disorder alone are indicated to be obtained on oral administration at dosages of the order from about 2.5 mg-5 mg, e.g., 2.5 mg, 3 mg, 4 mg or 5 mg, of a Compound of Formula I, in free or pharmaceutically acceptable salt form, once daily, preferably via oral administration. Satisfactory results for Method I-A are indicated to be obtained at less than 100 mg, preferably less than 50 mg, e.g., less than 40 mg, less than 30 mg, less than 20 mg, less than 10 mg, less than 5 mg, less than 2.5 mg, once daily. Satisfactory results for Method II-A are indicated to be obtained at less than 5 mg, preferably less than 2.5 mg·ss
- The phrase “pharmaceutically acceptable salts” refers to derivatives of the above disclosed compounds wherein the parent compound is modified by making acid or base salts thereof. Examples of pharmaceutically acceptable salts include, but are not limited to, mineral or organic acid salts of basic residues such as amines; alkali or organic salts of acidic residues such as carboxylic acids; and the like. The pharmaceutically acceptable salts include the conventional non-toxic salts or the quaternary ammonium salts of the parent compound formed, for example, from non-toxic inorganic or organic acids. For example, such conventional non-toxic salts include those derived from inorganic acids such as hydrochloric, hydrobromic, sulfuric, sulfamic, phosphoric, nitric and the like; and the salts prepared from organic acids such as acetic, propionic, succinic, glycolic, stearic, lactic, malic, tartaric, citric, ascorbic, pamoic, maleic, hydroxymaleic, phenylacetic, glutamic, benzoic, salicylic, sulfanilic, 2-acetoxybenzoic, fumaric, toluenesulfonic, methanesulfonic, ethane disulfonic, oxalic, isethionic, and the like.
- The pharmaceutically acceptable salts of the Compounds of the Invention can be synthesized from the parent compound which contains a basic or acidic moiety by conventional chemical methods. Generally, such salts can be prepared by reacting the free base forms of these compounds with a stoichiometric amount of the appropriate acid in water or in an organic solvent, or in a mixture of the two; generally, nonaqueous media like ether, ethyl acetate, ethanol, isopropanol, or acetonitrile are preferred. Further details for the preparation of these salts, e.g., toluenesulfonic salt in amorphous or crystal form, may be found in PCT/US08/03340 and/or U.S. Provisional Appl. No. 61/036,069.
- Pharmaceutical compositions comprising Compounds of the Invention may be prepared using conventional diluents or excipients and techniques known in the galenic art. Thus oral dosage forms may include tablets, capsules, solutions, suspensions and the like.
- Binding studies for 5-HT2A, dopamine D2, SERT, αA1, 5-HT2C and H1 receptors are well known in the art and may be used to determine the binding affinities of the Compounds of the Invention. A Compound of Formula I, 1-(4-Fluoro-phenyl)-4-((6bR,10aS)-3-methyl-2,3,6b,9,10,10a-hexahydro-1H,7H-pyrido[3′,4′, 4,5]pyrrolo[1,2,3-de]quinoxalin-8-yl)-butan-1-one (Compound A) is selected for detailed evaluation. The compound exhibits binding affinity profiles for 5-HT2A, D2, SERT, αA1, 5-HT2C and H1 as disclosed in Table 1 and Table 2 compared to known antipsychotic agents.
- A representative method for performing the binding studies may be found in Fitzgerald et al., J. Neurochem. 1999 May; 72(5): 2127-34, the disclosure of which is incorporated by reference.
- 1-(4-[125I]iodo-2,5-dimethxoyphenyl)-2-aminopropane ([125]DOI; 2, 200 Ci/mmol), N-[3H]methylspiperone (50 Ci/mmol), [3H]Prazosin (77 Ci/mmol), and lysergic acid diethylamide(N-methyl-[3H]([3H]-LSD; 73 Ci/mmol) were purchased from New England Nuclear (Boston, Mass., U.S.A.) [3H] 8-hydoxy-DPAT (217 Ci/mmol) and [3H]Mesulergine (50 Ci/mmol) were purchased from Pharmacia Amersham (Arlington Heights, Ill., U.S.A.). All other reagents were purchased from Research Biochemical International (Natick, Mass., U.S.A.), Sigma Chemical Co. (St. Louis, Mo., U.S.A.) or GibcoBRL unless otherwise noted.
- Membrane receptors: Cell lines stably expressing recombinant human 5-HT2A receptors were generated by calcium phosphate mediated transfection with plamids containing receptor cDNAs (Fitzgerald et al., 1999)
- Stable expression of 5-HT2A and 5-HT2C receptors in human embryonic kidney 293 Epstein-Barr nuclear antigen (HEK293E) cells. Stable cell lines were generated by transfecting HEK293E cells with plasmids containing human 5-HT2A or 5-HT2C (VNV edited isoform cDNA using calcium phosphate. These plasmids also contained the cytomegalovirus intermediate early promoter to drive receptor expression, Epstein-Bar virus oriP for their maintenance as an extrachromosomal element, and the hph gene from Escherichia coli to yield hygromycin B resistance (Horlick et al, 1997; Rominger et al., 1998). Transfected cells were maintained in Dulbecco's modified Eagle's medium (DMEM) containing dialyzed 10% fetal bovine serum at 37 degrees Celsius in a humid environment (5% CO2) for 10 days. The 5-HT2A cells were adapted to spinner culture for bulk processing, whereas it was necessary to maintain the 5-HT2C line as adherent cultures. On the day of harvest, cells were washed in phosphate-buffered saline, counted and stored at −80 degrees Celsius.
- Membrane preparations On the day of assay, pellets of whole cells (containing 1×108 cells expressing the receptor of interest were thawed on ice and homogenized in 50 mM Tris-HCL (ph 7.7) containing 1.0 mM EDTA using a Brinkmann Polytron (PT-10; setting of 6 for 10s). The homogenate was centrifuged at 48,000 g for 10 minutes, and the resulting pellet was washed twice by repeated homogenization and centrifugation steps. The final pellet was resuspended in tissue buffer, and protein content was determined by the method of Bradford (1976) using bovine serum albumin as the standard.
- Tranfected HEK293 cells (adherent) expressing human 5-HT2B and 5-HT1A receptors provided membrane source for these assays. Cell lines expressing rat D2-short and human D4 receptors were generated by calcium phosphate mediated transfection of Chinese hamster ovary (CHO) cells with plasmids containing receptor cDNAs. Membranes prepared from rat frontal cortex and frozen liver were used for alpha-1A and alpha-1B adrenergic receptor binding.
- Measurement of Agonist and Antagonist Radioligand Binding to 5-HT2A and 5-HT2C Receptors
- N-[3H] Methylspiperone and [3H] mesulergine were used as the antagonist radioligands for the 5HT2A and 5HT2C receptors, respectively, whereas [125]DOI was used as the agonist radioligand for both receptors. The high efficacy partial agonist [125]DOI was chosen over the full agonist [3H]-5HT because [3H]-5HT gave inadequate levels of specific binding with the lower density 5-HT2C line. In addition, the relatively weak binding affinity of 5-HT for the 5-HT2A receptor precluded its use as a radioligand. Equilibrium binding conditions for each radioligand at each receptor were established and optimized with respect to time, temperature, and protein concentration before saturation and competition experiments were conducted.
- For the agonist radioligand binding studies, assays were conducted in disposable polypropylene 96-well plates (Costar Corporation, Cambridge, M.A., U.S.A.) and were initiated by addition of membrane homogenate in tissue buffer (10-30 micrograms per well.) to assay buffer (50 mM Tris-HCL, 0.5 mM EDTA, 10 mM pargyline, 10 mM MgSO4, and 0.05% ascorbic acid, pH 7.5) containing [125]DOI (final concentration, 0.3-0.5 nM with or without competing ligand. The reaction mixture was incubated to equilibrium for 45 min at 37 degrees Celsius and terminated by rapid filtration (cell harvester, Inotech Biosystems, Lansing, Mich., U.S.A.) over GFF glass filter membranes that had been presoaked in 0.3% polyethylenimine. Filters were washed in ice-cold 50 mM Tris-HCL buffer (ph 7.5) and then counted for radioactivity in a gamma counter at 80% efficiency. For saturation studies, 14 concentrations of [125I]DOI up to a maximal concentration of 6 nM were used. Specific binding at each concentration was determined in the presence of 10 micromolar mianserin. For competition experiments, a fixed concentration of [125]DOI (0.3-5 nM) was competed with duplicate concentrations of ligand (12 concentrations ranging from 10 picomolar to 10 micromolar).
- For the antagonist radioligands, saturation experiments for [3H] mesulergine and N-[3H]methylspiperone were conducted to establish the equilibrium binding parameters of these radio-ligands for the 5-HT2C and 5-HT2A receptors, respectively. The assay buffer used in the [3H] mesulergine assays was identical to that used in the [125I] DOI assay except for the addition of 10 mM CaCl2) for 10 mM MgSO4. The assay buffer used for the N-[3H]methylspiperone assays was identical to that in the [125I] DOI assay except for the exclusion of 20 mM NaCl. 5-HT2C membrane homogenate (40 micrograms of protein per well) was incubated with 14 concentrations of [3H]mesulergine (up to a final concentration of 20 nM for 45 minutes at 37 degrees Celsius. For the 5-HT2A assay, membrane homogenate (40 micrograms of protein per well) was incubated with 14 concentrations of N-[3H] methylspiperone for 30 minutes at 37 degrees Celsius. Excess (10 micromolar) mianserin or ketanserin was used to define nonspecific binding in the 5-HT2C and the 5-HT2A assays, respectively. Assays were conducted and terminated as described for the agonist radioligand assays except that the filters were counted for radioactivity by liquid scintillation spectroscopy.
- Data Analysis
- The equilibrium disassociation constants (Kd values) and maximal number of binding sites (Bmax values) from the saturation experiments and apparent dissociation constants (Ki values) from the competition experiments were calculated using an iterative nonlinear regression curve-fitting program (GraphPad Prism, San Diego, C.A., U.S.A.)
-
TABLE 1 Receptors Compound A* Haloperidol Aripiprazole Clozapine Olanzapine Quetiapine Risperidone Ziprasidone Ki (nM) 5-HT2A 0.54 100 9 9.6 2.5 202 0.5 0.28 D2 31.9 0.7 1.6 190 31 400 5.9 5 SERT 33-72 >1,000 240-405 >1,000 >10,000 >1,000 ~1,000 112 (cloned) >1,000 (platelet) α1A 73 11 26 19 60 20 2.3 6 5-HT2C 173 3949 130 13 7.1 2000 63 10 H1 >100 780 28 1 2 10 14 15 -
TABLE 2 SERT Activities of selected Compounds of the Invention compared to other Antipsychotic agents Human platelet Rat forebrain Recombinant membrane synaptosomal human binding membrane SERT in using 3H-N- binding with CHO cell methyl- 3H-N-methyl- membranes binding Citalopram Citalopram 3H-IMI Ki (nM) Compound A 72 46 33 Aripiprazole 405 207 240 Risperidone 10,000 10,000 Olanzapine 10,000 >10,000 Reference IMI IMI IMI Reference Value 10.6 44 2.7 Reference Value 7.1 41 Repeated - Experimental Procedure for Table II:
- Two different assays used to characterize affinity for the serotonin transporter were conducted at Caliper Life Sciences (Hopkinton, Mass.), a company that acquired NovaScreen. One assay (#100-0056), Transporter SERT, was a radioligand binding assay in rat forebrain using [3H]—N-Methyl-Citalopram as the radioligand at a concentration of 0.7 nM. [3H]—N-Methyl-Citalopram has a Kd (binding affinity) of 1.7 n and a Bmax of 33.1 fmol/mg protein, The assay was validated using the following reference agent, imipramine (IMI) (Ki=40.9 nM). Other reference agents which may be used include paroxetine (Ki=0.1 nM); fluoxetine (Ki=1.4 nM); clomipramine (Ki=2.8 nM), serotonin (Ki=55.6 nM), and zimeldine (Ki=68.3 nM).
- The other assay, Transporter SERT (h) was a radioligand binding assay in human platelets using [3H]—N-Methyl-Citalopram as a radioligand at a concentration of 0.7 nM. In this assay, the Kd for [3H]—N-Methyl-Citalopram was 2.5 nM with a Bmax of 425 fmol/mg protein. The assay was validated using clomipramine (Ki=0.2 nM), citalopram (Ki=3.0 nM), and imipramine (Ki=4.0 nM).
- The third assay was conducted at Cerep (Celle L'Evescault, France). The third assay was a radioligand binding assay in human recombinant serotonin transporter in CHO cells using [3H]-imipramine as the radioligand at a concentration of 2 nM. The assay was validated with unlabeled imipramine. (Ki=2.7 nM).
- EXPERIMENTAL DESIGN: Anti-depressant activity of a Compound of Formula I (Compound A) is measured using the social defeat (resident-intruder) mouse model for depression in which induced social withdrawal in rodents has been shown to be responsive to chronic, but not acute, anti-depressant drug treatment. The social defeat paradigm is based on the observation that psychosocial stress produces long-lasting alterations in the motivation of mice for social contact. Mice are subjected to a 10 day training period in which they are exposed to daily bouts of social stress, i.e., exposure to a different aggressive mouse (‘aggressor’) each day. They are then observed for their social behavior by measuring their tendency to approach an unfamiliar mouse, i.e., to spend time in the “Interaction Zone” which is in close proximity to the unfamiliar intruder. Mice are recorded by videotape and scored for social behavior (i.e., time in the Interaction Zone) and aversive behavior (i.e., time in the Corner Zones). Whereas normal mice display social interactions with unfamiliar mice (i.e., spend more time in the Interaction Zone), those mice exposed to repeated social defeat conditions display aversive reactions (i.e., spend more time in the Corner Zones) and spend less time than normal mice in contact with the unfamiliar test mouse (i.e., resident intruder or TARGET).
- The aversive responses of ‘socially defeated’ mice are resilient; aversive behavior persists for weeks and can be elicited even 4 weeks after the end of the 10 day social stress exposure. The aberrant behavior of ‘socially defeated’ mice is responsive to chronic anti-depressant medications. Mice treated daily for 30 days with the anti-depressant drugs, fluoxetine or imipramine, display improved social interaction behavior (i.e., spend more time in the Interaction Zone versus the Corner Zones) when once again exposed to an unfamiliar mouse. Notably, chronic, but not acute, fluoxetine treatment improves social behavior. Since social behaviors measured by the social defeat paradigm, like human depression, are differentially responsive to chronic anti-depressant therapy, this paradigm may more accurately reflect beneficial actions of novel anti-depressant therapies, providing an advantage over traditional models (such as, Forced Swim and Tail Suspension models) that respond to acute pharmacological effects of drugs that are not necessarily predictive of chronic antidepressant efficacy.
- A representative compound of the present invention, Compound A, is tested in the social defeat paradigm. Normal male mice or mice subjected to social defeat stress once daily for 10d (N=8-12 C57Bl/6 mice/group) are injected once daily for 29d Compound A (1 mg/kg, IP) or vehicle solution (5% DMSO/5% Tween-20/15% PEG400/75% water). On day 30, all mice are tested for their social response to an unfamiliar mouse. Normal mice treated with Compound A once daily for 30d are healthy and normal-appearing and gained weight normally. These mice spend comparable time in the Interaction Zone as mice receiving the vehicle injection. As anticipated, mice that are subjected to 10d of social stress showed profound social defeat behavior, spending less than half the amount of time in the vicinity of an unfamiliar mouse than normal un-stressed mice. Socially-defeated mice treated chronically with Compound A, however, exhibited a significant increase in social behavior, spending almost twice as much time in the Interaction Zone when exposed to an unfamiliar mouse compared with socially-defeated mice receiving vehicle injections. Thus, the amount of time spent in the Interaction Zone by socially-defeated mice receiving Compound A is indistinguishable from normal mice receiving vehicle injections. Thus, socially-defeated mice spend significantly more time in the distant Control Zone(s) compared with normal (non-stressed) mice. The administration of a compound of the present invention significantly reverses this behavioral preference.
- Taken together, these data demonstrate that daily administration of Compound A induce a behavioral response in socially-stressed mice consistent with antidepressant efficacy and comparable to that elicited by anti-depressant medications such as fluoxetine.
- Reduction in axial, orolingual and limb abnormal involuntary movements using standard Abnormal Involuntary Movement Scale (AIMS) in dyskinesic mice injected daily with the compound in combination with L-DOPA indicates that co-administration of Compounds of Formula I reduces development and expression of AIMS associated with dyskinetic behavior (orolingual, axial, and limb) and locomotor activity (locomotive AIMS). Unilateral 6-OHDA-lesioned mice are administered a Compound of Formula I (Compound A) in accordance with the following schedule:
- Control:
- Day 1-Day 9: Treatment with L-DOPA/benserazide
- Day 10: Treatment with L-DOPA/benserazide+Evaluation of AIMs (dyskinesia)
- EXPERIMENT 1 (Chronic): Development of dyskinesia
- Day 1-Day 10: Treatment with L-DOPA/benserazide plus ITI-007 ITI-007PD.
- Day 11: Treatment with L-DOPA/benserazide+Evaluation of AIMs (dyskinesia)
- EXPERIMENT 2 (Acute): Expression of dyskinesia
- Day 1-Day 10: Treatment with L-DOPA/benserazide
- Day 11: Treatment with L-DOPA/benserazide plus ITI-007+Evaluation of AIMs (dyskinesia)
- Compound A (0.3 mg/kg IP) reduces dyskinetic behaviors after chronic co-administration with levodopa (10 mg/kg IP) to unilateral 6-OHDA-lesioned mice. The compound effectively reduces (by ˜50%) the development of dyskinetic behaviors in PD mice (i.e., Chronic treatment group). It has a less robust but still significant effect (by ˜25% reduction) on established dyskinetic behaviors (i.e., Acute treatment group). Taken together, these data suggest that Compounds of Formula I have utility for the prevention and treatment of L-DOPA-induced dyskinesias in PD. In addition to reducing L-DOPA-Induced Dyskinesias, as described above, the Compounds of Formula I will also reduce PD psychosis and depression, improve poor night time sleep and reduce excessive daytime sleepiness.
- As described above, at low doses, Compounds of Formula I are primarily serotonin 5-HT2A antagonists. At higher doses, the compounds also act as a pre-synaptic partial agonist, post-synaptic antagonist at D2 dopamine receptors and inhibits the serotonin transporter. The present study evaluates a range of doses of a Compound of Formula (Compound A) in patients with sleep maintenance insomnia (SMI). The main objectives of this study are to determine if the compound decreases wake time after sleep onset (WASO) as a measure of sleep maintenance efficacy and if the compound increases slow wave sleep (SWS) as a biomarker for 5-HT2A brain receptor occupancy.
- The study is a randomized, double-blind, complete cross-over design. Eighteen patients experiencing SMI, aged 18 to 65, are included in the efficacy analysis. All subjects receive three single doses of Compound A and placebo, administered in the evening before overnight PSG recordings with one week washout between doses. SWS, WASO, other PSG measures, and safety are analyzed.
- Compound A dose-dependently decreases WASO (p=0.032) and increases SWS (p=0.002). Compound A preserves normal sleep architecture over the course of the night. Compound A is safe and well tolerated. Compound A dose-dependently and robustly decreases WASO in patients with SMI, suggesting efficacy for improved sleep maintenance. The magnitude of effect on WASO at the highest tested dose suggests that the unique pharmacological profile of Compounds of Formula I is useful in maintaining sleep above and beyond that provided by 5-HT2A antagonism. In addition, increases in SWS sleep suggest that significant occupancy of brain 5-HT2A receptors is occurring. Compounds of Formula I are useful for patients with SMI and for the treatment of sleep disorders associated with psychiatric and neurological diseases.
-
Improved Sleep as Measured by PSG (Sleep Efficiency defined as time asleep/time in bed) Dose- Response Outcome Trend Measure Mean Change from Baseline (min) Analysis (n = 18) Placebo 1 mg 5 mg 10 mg p-value SWS −3.75 0.47 5.53 8.94 p = 0.002 WASO −1.86 −12.69 −14.31 −33.22 p = 0.001 Total Sleep −9.22 4.17 0.56 27.61 p < 0.001 Time Total Time 9 −4.08 −1.42 −28.31 p < 0.001 Awake Sleep −1.94 0.82 0.14 5.80 p < 0.001 Efficiency - The compound causes no change on latency to REM (p=0.143) and no change in duration of REM (p=0.124). The compound does not impair latency to fall asleep (p=0.455). The compound increases slow wave sleep during the first half of the night (first quarter p=0.022; second quarter p=0.029) and increases stage 2 sleep during the second half of the night (third quarter p=0.048, fourth quarter p=0.004). The compound is safe and well-tolerated in patients with sleep maintenance insomnia. There are no serious adverse events. There are no dose-related adverse events or changes in safety parameters. The compound does not impair cognitive function as measured in the morning after PSG by the Digit Symbol Substitution Test (DSST), the Word Pair Associates Test (WPAT), or the Leeds Psychomotor Test.
- Striatal D2 receptor occupancy in healthy volunteers using positron emission tomography is dose dependent. The doses evaluated for sleep disorder are shown to be below doses where there is high striatal D2 occupancy.
-
Dose 10 mg 20 mg 30 mg % Striatal D2 Occupancy ~12% ~20% ~32%
Claims (3)
Priority Applications (4)
| Application Number | Priority Date | Filing Date | Title |
|---|---|---|---|
| US16/921,586 US20200405713A1 (en) | 2008-05-27 | 2020-07-06 | Methods and compositions for sleep disorders and other disorders |
| US18/169,466 US20230355616A1 (en) | 2008-05-27 | 2023-02-15 | Methods and compositions for sleep disorders and other disorders |
| US18/481,170 US20240041871A1 (en) | 2008-05-27 | 2023-10-04 | Methods and compositions for sleep disorders and other disorders |
| US18/975,550 US20250332164A1 (en) | 2008-05-27 | 2024-12-10 | Methods and compositions for sleep disorders and other disorders |
Applications Claiming Priority (9)
| Application Number | Priority Date | Filing Date | Title |
|---|---|---|---|
| US5643308P | 2008-05-27 | 2008-05-27 | |
| US15503209P | 2009-02-24 | 2009-02-24 | |
| PCT/US2009/003261 WO2009145900A1 (en) | 2008-05-27 | 2009-05-27 | Methods and compositions for sleep disorders and other disorders |
| US99456010A | 2010-11-24 | 2010-11-24 | |
| US14/066,987 US9168258B2 (en) | 2008-05-27 | 2013-10-30 | Methods and compositions for sleep disorders and other disorders |
| US14/885,813 US9616061B2 (en) | 2008-05-27 | 2015-10-16 | Methods and compositions for sleep disorders and other disorders |
| US15/467,867 US10117867B2 (en) | 2008-05-27 | 2017-03-23 | Methods and compositions for sleep disorders and other disorders |
| US16/165,832 US10702522B2 (en) | 2008-05-27 | 2018-10-19 | Methods and compositions for sleep disorders and other disorders |
| US16/921,586 US20200405713A1 (en) | 2008-05-27 | 2020-07-06 | Methods and compositions for sleep disorders and other disorders |
Related Parent Applications (1)
| Application Number | Title | Priority Date | Filing Date |
|---|---|---|---|
| US16/165,832 Continuation US10702522B2 (en) | 2008-05-27 | 2018-10-19 | Methods and compositions for sleep disorders and other disorders |
Related Child Applications (1)
| Application Number | Title | Priority Date | Filing Date |
|---|---|---|---|
| US18/169,466 Continuation US20230355616A1 (en) | 2008-05-27 | 2023-02-15 | Methods and compositions for sleep disorders and other disorders |
Publications (1)
| Publication Number | Publication Date |
|---|---|
| US20200405713A1 true US20200405713A1 (en) | 2020-12-31 |
Family
ID=41377435
Family Applications (10)
| Application Number | Title | Priority Date | Filing Date |
|---|---|---|---|
| US12/994,560 Ceased US8598119B2 (en) | 2008-05-27 | 2009-05-27 | Methods and compositions for sleep disorders and other disorders |
| US16/784,112 Active 2029-12-28 USRE48839E1 (en) | 2008-05-27 | 2009-05-27 | Methods and compositions for sleep disorders and other disorders |
| US14/066,987 Active US9168258B2 (en) | 2008-05-27 | 2013-10-30 | Methods and compositions for sleep disorders and other disorders |
| US14/885,813 Active US9616061B2 (en) | 2008-05-27 | 2015-10-16 | Methods and compositions for sleep disorders and other disorders |
| US15/467,867 Active US10117867B2 (en) | 2008-05-27 | 2017-03-23 | Methods and compositions for sleep disorders and other disorders |
| US16/165,832 Active US10702522B2 (en) | 2008-05-27 | 2018-10-19 | Methods and compositions for sleep disorders and other disorders |
| US16/921,586 Abandoned US20200405713A1 (en) | 2008-05-27 | 2020-07-06 | Methods and compositions for sleep disorders and other disorders |
| US18/169,466 Abandoned US20230355616A1 (en) | 2008-05-27 | 2023-02-15 | Methods and compositions for sleep disorders and other disorders |
| US18/481,170 Abandoned US20240041871A1 (en) | 2008-05-27 | 2023-10-04 | Methods and compositions for sleep disorders and other disorders |
| US18/975,550 Pending US20250332164A1 (en) | 2008-05-27 | 2024-12-10 | Methods and compositions for sleep disorders and other disorders |
Family Applications Before (6)
| Application Number | Title | Priority Date | Filing Date |
|---|---|---|---|
| US12/994,560 Ceased US8598119B2 (en) | 2008-05-27 | 2009-05-27 | Methods and compositions for sleep disorders and other disorders |
| US16/784,112 Active 2029-12-28 USRE48839E1 (en) | 2008-05-27 | 2009-05-27 | Methods and compositions for sleep disorders and other disorders |
| US14/066,987 Active US9168258B2 (en) | 2008-05-27 | 2013-10-30 | Methods and compositions for sleep disorders and other disorders |
| US14/885,813 Active US9616061B2 (en) | 2008-05-27 | 2015-10-16 | Methods and compositions for sleep disorders and other disorders |
| US15/467,867 Active US10117867B2 (en) | 2008-05-27 | 2017-03-23 | Methods and compositions for sleep disorders and other disorders |
| US16/165,832 Active US10702522B2 (en) | 2008-05-27 | 2018-10-19 | Methods and compositions for sleep disorders and other disorders |
Family Applications After (3)
| Application Number | Title | Priority Date | Filing Date |
|---|---|---|---|
| US18/169,466 Abandoned US20230355616A1 (en) | 2008-05-27 | 2023-02-15 | Methods and compositions for sleep disorders and other disorders |
| US18/481,170 Abandoned US20240041871A1 (en) | 2008-05-27 | 2023-10-04 | Methods and compositions for sleep disorders and other disorders |
| US18/975,550 Pending US20250332164A1 (en) | 2008-05-27 | 2024-12-10 | Methods and compositions for sleep disorders and other disorders |
Country Status (9)
| Country | Link |
|---|---|
| US (10) | US8598119B2 (en) |
| EP (2) | EP2320731A4 (en) |
| JP (2) | JP6106361B2 (en) |
| KR (4) | KR102133073B1 (en) |
| CN (2) | CN105168219B (en) |
| AU (1) | AU2009251816B2 (en) |
| CA (1) | CA2725342C (en) |
| MX (3) | MX2010013020A (en) |
| WO (1) | WO2009145900A1 (en) |
Cited By (4)
| Publication number | Priority date | Publication date | Assignee | Title |
|---|---|---|---|---|
| US11753419B2 (en) | 2019-12-11 | 2023-09-12 | Intra-Cellular Therapies, Inc. | 4-((6bR,10aS)-3-methyl-2,3,6b,9,10,10a-hexahydro-1H-pyrido[3′,4′:4,5]pyrrolo[1,2,3-de]quinoxalin-8(7H)-yl)-1-(4-((6bR,10aS)-3-methyl-2,3,6b,9,10,10a-hexahydro-1H-pyrido[3′4′:4,5]pyrrolo[1,2,3-de]quinoxalin-8(7H)-yl)phenyl)butan-1-one for treating conditions of the central nervous system and cardiac disorders |
| US11957791B2 (en) | 2018-08-31 | 2024-04-16 | Intra-Cellular Therapies, Inc. | Methods |
| US12090155B2 (en) | 2019-07-07 | 2024-09-17 | Intra-Cellular Therapies, Inc. | Methods |
| US12414948B2 (en) | 2022-05-18 | 2025-09-16 | Intra-Cellular Therapies, Inc. | Methods |
Families Citing this family (70)
| Publication number | Priority date | Publication date | Assignee | Title |
|---|---|---|---|---|
| US20100105614A1 (en) | 2006-10-25 | 2010-04-29 | Somaxon Pharmaceuticals, Inc. | Ultra low dose doxepin and methods of using the same to treat sleep disorders |
| US20110077200A1 (en) * | 2006-12-06 | 2011-03-31 | Somaxon Pharmaceuticals, Inc. | Combination therapy using low-dose doxepin for the improvement of sleep |
| EP3663294A1 (en) | 2007-03-12 | 2020-06-10 | Intra-Cellular Therapies, Inc. | Substituted heterocycle fused gamma-carbolines synthesis |
| ES2530090T3 (en) | 2008-03-12 | 2015-02-26 | Intra-Cellular Therapies, Inc. | Gamma-carboline solid fused with substituted heterocycle |
| WO2009145900A1 (en) | 2008-05-27 | 2009-12-03 | Intra-Cellular Therapies, Inc. | Methods and compositions for sleep disorders and other disorders |
| SI2491038T1 (en) | 2009-10-23 | 2016-08-31 | Janssen Pharmaceutica N.V. | Disubstituted octahy - dropyrrolo (3,4-c)pyrroles as orexin receptor modulators |
| JP5894574B2 (en) * | 2010-04-22 | 2016-03-30 | イントラ−セルラー・セラピーズ・インコーポレイテッドIntra−Cellular Therapies, Inc. | Organic compounds |
| WO2012064349A1 (en) * | 2010-11-09 | 2012-05-18 | Forest Carl A | Sleep aid composition and method |
| AU2012283035B2 (en) * | 2011-07-08 | 2015-07-30 | Eli Lilly & Company | (thieno[2,3-b][1,5]benzoxazepin-4-yl)piperazin-1-yl compounds as dual activity H1 inverse agonists/5-HT2A antagonists |
| WO2013155505A1 (en) * | 2012-04-14 | 2013-10-17 | Intra-Cellular Therapies, Inc | Organic compounds |
| CN103175973B (en) * | 2013-02-26 | 2015-05-13 | 首都医科大学 | Application of galanin in preparation of female depression detection tool |
| WO2014159720A1 (en) * | 2013-03-13 | 2014-10-02 | The University Of Chicago | Methods and compositions for inhibiting glyoxalase 1 (glo1) |
| WO2014152804A1 (en) * | 2013-03-14 | 2014-09-25 | Hyperion Biotechnology | Methods and compositions for biomarkers of fatigue, fitness and physical performance capacity |
| US9708322B2 (en) | 2013-03-15 | 2017-07-18 | Intra-Cellular Therapies, Inc. | Substituted pyrido[3',4':4,5]pyrrolo[1,2,3-de]quinoxalines for inhibiting serotonin reuptake transporter activity |
| KR102373288B1 (en) * | 2013-12-03 | 2022-03-10 | 인트라-셀룰라 써래피스, 인코퍼레이티드. | Novel methods |
| JP2017509686A (en) * | 2014-04-04 | 2017-04-06 | イントラ−セルラー・セラピーズ・インコーポレイテッドIntra−Cellular Therapies, Inc. | Organic compounds |
| AU2015240526A1 (en) | 2014-04-04 | 2016-11-24 | Intra-Cellular Therapies, Inc. | Organic compounds |
| KR101994596B1 (en) * | 2015-01-28 | 2019-06-28 | 주식회사 제네리스코리아 | Compositions and methods for treatment for neuropsychiatric disorders |
| WO2017117514A1 (en) * | 2015-12-31 | 2017-07-06 | Tung Roger D | Deuterated iti-007 |
| MX385678B (en) | 2016-01-26 | 2025-03-18 | Intra Cellular Therapies Inc | SUBSTITUTED FUSED HETEROCYCLIC GAMMA-CARBOLINES, PHARMACEUTICAL COMPOSITIONS AND METHODS OF USE. |
| PH12018501903B1 (en) | 2016-03-10 | 2023-03-17 | Janssen Pharmaceutica Nv | Methods of treating depression using orexin-2 receptor antagonists |
| IL297676B2 (en) * | 2016-03-25 | 2023-12-01 | Intra Cellular Therapies Inc | A sustained-release or delayed-release pharmaceutical composition comprising a deuterated compound |
| WO2017172811A1 (en) * | 2016-03-28 | 2017-10-05 | Intra-Cellular Therapies, Inc. | Novel co-crystals |
| US10682354B2 (en) | 2016-03-28 | 2020-06-16 | Intra-Cellular Therapies, Inc. | Compositions and methods |
| JP2019513143A (en) * | 2016-03-28 | 2019-05-23 | イントラ−セルラー・セラピーズ・インコーポレイテッドIntra−Cellular Therapies, Inc. | Novel salts and crystals |
| EP3525763B1 (en) | 2016-10-12 | 2025-03-05 | Intra-Cellular Therapies, Inc. | Amorphous solid dispersions |
| US10961245B2 (en) | 2016-12-29 | 2021-03-30 | Intra-Cellular Therapies, Inc. | Substituted heterocycle fused gamma-carbolines for treatment of central nervous system disorders |
| US10906906B2 (en) | 2016-12-29 | 2021-02-02 | Intra-Cellular Therapies, Inc. | Organic compounds |
| IL304026B2 (en) | 2017-03-24 | 2024-11-01 | Intra Cellular Therapies Inc | A PHARMACEUTICAL FORMULATION COMPRISING 1-(4-FLUORO-PHENYL)-4-((6bR,10aS)-2,2-D2-3-METHYL-2,3,6b,9,10,10a-HEXAHYDRO-1H,7H-PYRIDO[3',4':4,5]PYRROLO[1,2,3-de]QUINOXALIN-8-YL)-BUTAN-1-ONE AND USES THEREOF |
| WO2018189646A1 (en) | 2017-04-10 | 2018-10-18 | Dr. Reddy's Laboratories Limited | AMORPHOUS FORM AND SOLID DISPERSIONS OF LUMATEPERONE p-TOSYLATE |
| US9993486B1 (en) | 2017-06-19 | 2018-06-12 | Tlc Therapeutics, Llc | Oral quetiapine suspension formulations with extended shelf life and enhanced bioavailability |
| JP7223742B2 (en) | 2017-07-26 | 2023-02-16 | イントラ-セルラー・セラピーズ・インコーポレイテッド | organic compound |
| MX2020000967A (en) | 2017-07-26 | 2020-09-28 | Intra Cellular Therapies Inc | Organic compounds. |
| CN111107847A (en) * | 2017-09-26 | 2020-05-05 | 细胞内治疗公司 | Novel salts and crystals |
| KR102036909B1 (en) * | 2017-11-28 | 2019-10-25 | 한국과학기술원 | A novel pharmaceutical composition for treating dystonia |
| EP3765021A4 (en) * | 2018-03-16 | 2022-03-09 | Intra-Cellular Therapies, Inc. | NEW PROCESSES |
| JP7462568B2 (en) | 2018-03-23 | 2024-04-05 | イントラ-セルラー・セラピーズ・インコーポレイテッド | Organic Compounds |
| BR112020019181A2 (en) | 2018-03-23 | 2021-01-05 | Intra-Cellular Therapies, Inc. | ORGANIC COMPOUNDS |
| AU2019280850C1 (en) | 2018-06-06 | 2025-02-13 | Intra-Cellular Therapies, Inc. | Novel salts and crystals |
| EP3801527B1 (en) | 2018-06-08 | 2025-02-19 | Intra-Cellular Therapies, Inc. | Fused gamma-carbolines for acute treatment of anxiety or depression |
| CA3240552A1 (en) | 2018-06-11 | 2019-12-19 | Intra-Cellular Therapies, Inc. | Substituted heterocycle fused gamma-carbolines synthesis |
| BR112021001738A2 (en) | 2018-06-21 | 2021-06-29 | Aquestive Therapeutics, Inc. | system and method for manufacturing personalized individual unit doses containing pharmaceutical actives |
| WO2020047241A1 (en) * | 2018-08-29 | 2020-03-05 | Intra-Cellular Therapies, Inc. | Novel compositions and methods |
| CN118873536A (en) | 2018-08-31 | 2024-11-01 | 细胞内治疗公司 | New approach |
| CA3110997A1 (en) | 2018-09-07 | 2020-03-12 | Aquestive Therapeutics, Inc. | Oral film compositions and dosage forms having precise active dissolution profiles |
| WO2020087031A1 (en) | 2018-10-26 | 2020-04-30 | The Research Foundation For The State University Of New York | Combination serotonin specific reuptake inhibitor and serotonin 1a receptor partial agonist for reducing l-dopa-induced dyskinesia |
| WO2020131911A1 (en) | 2018-12-17 | 2020-06-25 | Intra-Cellular Therapies, Inc. | Substituted heterocycle fused gamma-carbolines synthesis |
| WO2020131895A1 (en) | 2018-12-17 | 2020-06-25 | Intra-Cellular Therapies, Inc. | Substituted heterocycle fused gamma-carbolines synthesis |
| WO2020131899A1 (en) | 2018-12-17 | 2020-06-25 | Intra-Cellular Therapies, Inc. | Organic compound |
| US12195463B2 (en) | 2018-12-21 | 2025-01-14 | Intra-Cellular Therapies, Inc. | Organic compounds |
| WO2020132605A1 (en) | 2018-12-21 | 2020-06-25 | Intra-Cellular Therapies, Inc. | Organic compounds |
| EP4034119A4 (en) | 2019-09-25 | 2023-10-18 | Intra-Cellular Therapies, Inc. | Novel methods |
| KR102227268B1 (en) * | 2019-10-07 | 2021-03-12 | 한국과학기술원 | A novel method for screening drug candidate for treating dystonia |
| KR20220126286A (en) | 2019-11-01 | 2022-09-15 | 어퀘스티브 테라퓨틱스, 아이엔씨. | Prodrug compositions and methods of treatment |
| CA3159389A1 (en) | 2019-11-14 | 2021-05-20 | Aquestive Therapeutics, Inc. | Multimodal compositions comprising diazepam and methods of treatment |
| WO2021127572A1 (en) | 2019-12-19 | 2021-06-24 | Intra-Cellular Therapies, Inc. | Methods of schizophrenia treatment |
| KR102894755B1 (en) * | 2020-10-09 | 2025-12-02 | 슈징 바이오파마 컴퍼니 리미티드 | Heterocyclo substituted fused γ-carboline derivatives, preparation method thereof, intermediates and uses thereof |
| CN116940351A (en) | 2021-01-15 | 2023-10-24 | 阿奎斯蒂弗医疗股份有限公司 | Prodrug compositions and methods of treatment |
| WO2022192476A1 (en) | 2021-03-09 | 2022-09-15 | Aquestive Therapeutics, Inc. | Dosage forms having equivalent biocomparable profiles |
| WO2023097316A1 (en) * | 2021-11-29 | 2023-06-01 | Editas Medicine, Inc. | Engineered crispr/cas12a effector proteins, and uses thereof |
| JP2025521115A (en) | 2022-05-18 | 2025-07-08 | イントラ-セルラー・セラピーズ・インコーポレイテッド | New Method |
| CN115067220B (en) * | 2022-06-16 | 2023-04-25 | 中国人民解放军军事科学院军事医学研究院 | Dual-channel small animal fear co-emotion behavior detection system |
| WO2024088285A1 (en) * | 2022-10-26 | 2024-05-02 | 上海枢境生物科技有限公司 | MESYLATE OF HETEROCYCLIC SUBSTITUTED FUSED γ-CARBOLINE DERIVATIVE, CRYSTAL FORM AND PREPARATION METHOD THEREFOR AND USE THEREOF |
| KR20250123225A (en) | 2022-12-30 | 2025-08-14 | 인트라-셀룰라 써래피스, 인코퍼레이티드. | organic compounds |
| WO2024173901A1 (en) * | 2023-02-17 | 2024-08-22 | Intra-Cellular Therapies, Inc. | Lumateperone and derivatives thereof for modulating the nervous system |
| WO2025111568A1 (en) | 2023-11-22 | 2025-05-30 | Intra-Cellular Therapies, Inc. | Lumateperone and analogues, as 5-ht2a or 5-ht2a/d2 receptor modulators, for use in the treatment of psychiatric disorders caused by viral, bacterial, or autoimmune encephalitis, and of psychiatric symptoms thereof |
| KR20250129554A (en) | 2024-02-22 | 2025-08-29 | 단국대학교 천안캠퍼스 산학협력단 | Pharmaceutical composition for preventing or treating neurological diseases comprising droperidol as an active ingredient |
| WO2025240804A1 (en) | 2024-05-16 | 2025-11-20 | Intra-Cellular Therapies, Inc. | Novel compositions, devices and methods |
| WO2026011136A1 (en) | 2024-07-03 | 2026-01-08 | Intra-Cellular Therapies, Inc. | Organic compounds |
| WO2026011166A1 (en) | 2024-07-03 | 2026-01-08 | Intra-Cellular Therapies, Inc. | Substituted heterocycles for use in the treatment of diseases involving the 5-ht2a receptor |
Citations (11)
| Publication number | Priority date | Publication date | Assignee | Title |
|---|---|---|---|---|
| US9168258B2 (en) * | 2008-05-27 | 2015-10-27 | Intra-Cellular Therapries, Inc. | Methods and compositions for sleep disorders and other disorders |
| US9371324B2 (en) * | 2010-04-22 | 2016-06-21 | Intra-Cellular Therapies, Inc. | Substituted pyrido[3′,4′:4,5]pyrrolo[1,2,3-de]quinoxalines for the treatment of nervous system disorders |
| US9428506B2 (en) * | 2012-04-14 | 2016-08-30 | Intra-Cellular Therapies, Inc. | Substituted pyrido[3′,4′:4,5]pyrrolo[1,2,3-de]quinoxalines for the treatment of nervous system disorders |
| US9708322B2 (en) * | 2013-03-15 | 2017-07-18 | Intra-Cellular Therapies, Inc. | Substituted pyrido[3',4':4,5]pyrrolo[1,2,3-de]quinoxalines for inhibiting serotonin reuptake transporter activity |
| US9745300B2 (en) * | 2014-04-04 | 2017-08-29 | Intra-Cellular Therapies, Inc. | Organic compounds |
| US9956227B2 (en) * | 2013-12-03 | 2018-05-01 | Intra-Cellular Therapies, Inc. | Method for the treatment of residual symptoms of schizophrenia |
| US10077267B2 (en) * | 2014-04-04 | 2018-09-18 | Intra-Cellular Therapies, Inc. | Organic compounds |
| US10654854B2 (en) * | 2016-03-28 | 2020-05-19 | Intra-Cellular Therapies, Inc. | Salts and crystals of ITI-007 |
| US10799500B2 (en) * | 2016-01-26 | 2020-10-13 | Intra-Cellular Therapies, Inc. | Organic compounds |
| US11014925B2 (en) * | 2016-03-28 | 2021-05-25 | Intra-Cellular Therapies, Inc. | Co-crystals of 1-(4-fluoro-phenyl)-4-((6bR,1OaS)-3-methyl-2,3,6b,9,10,10a-hexahydro-1H,7H- pyrido[3′,4′:4,51_pyrrolo [1,2,3-delqcuinoxalin-8-yl)-butan-1-one with nicotinamide or isonicotinamide |
| US11427587B2 (en) * | 2017-07-26 | 2022-08-30 | Intra-Cellular Therapies, Inc. | Organic compounds |
Family Cites Families (17)
| Publication number | Priority date | Publication date | Assignee | Title |
|---|---|---|---|---|
| US4162318A (en) * | 1976-05-05 | 1979-07-24 | Aziende Chimiche Riunite Angelini Francesco A.C.R.A.F. S.P.A. | Use of trazodone and etoperidone in Parkinsonism and in other extrapyramidal syndromes characterized by tremors |
| HU208484B (en) | 1988-08-17 | 1993-11-29 | Chinoin Gyogyszer Es Vegyeszet | Process for producing pharmaceutical composition containing acid additional salt of selegilin as active component for treating schisofrenia |
| US5114976A (en) | 1989-01-06 | 1992-05-19 | Norden Michael J | Method for treating certain psychiatric disorders and certain psychiatric symptoms |
| US7071186B2 (en) * | 1999-06-15 | 2006-07-04 | Bristol-Myers Squibb Pharma Co. | Substituted heterocycle fused gamma-carbolines |
| ES2228549T3 (en) * | 1999-06-15 | 2005-04-16 | Bristol-Myers Squibb Pharma Company | GAMMA-CARBOLINS CONDENSED WITH REPLACED HETEROCICLE. |
| US6713471B1 (en) | 1999-06-15 | 2004-03-30 | Bristol-Myers Squibb Pharma Company | Substituted heterocycle fused gamma-carbolines |
| US20050222209A1 (en) * | 2004-04-01 | 2005-10-06 | Zeldis Jerome B | Methods and compositions for the treatment, prevention or management of dysfunctional sleep and dysfunctional sleep associated with disease |
| AU2006208201A1 (en) * | 2005-01-25 | 2006-08-03 | Celgene Corporation | Methods and compositions using 4-amino-2-(3-methyl-2,6-dioxopiperidin-3-yl)-isoindole-1-3-dione |
| EP1919287A4 (en) | 2005-08-23 | 2010-04-28 | Intra Cellular Therapies Inc | ORGANIC COMPOUNDS FOR TREATING A REDUCED DOPAMINE RECEPTOR ACTIVITY SIGNAL |
| MX2008009022A (en) * | 2006-01-13 | 2008-09-24 | Wyeth Corp | Sulfonyl substituted 1h-indoles as ligands for the 5-hydroxytryptamine receptors. |
| WO2008030651A1 (en) | 2006-09-08 | 2008-03-13 | Braincells, Inc. | Combinations containing a 4-acylaminopyridine derivative |
| EP3663294A1 (en) | 2007-03-12 | 2020-06-10 | Intra-Cellular Therapies, Inc. | Substituted heterocycle fused gamma-carbolines synthesis |
| WO2009017836A1 (en) | 2007-08-01 | 2009-02-05 | Medivation Neurology, Inc. | Methods and compositions for treating schizophrenia using antipsychotic combination therapy |
| EP2250199B1 (en) * | 2008-02-07 | 2015-09-02 | Merck Sharp & Dohme Corp. | Engineered anti-tslpr antibodies |
| ES2530090T3 (en) | 2008-03-12 | 2015-02-26 | Intra-Cellular Therapies, Inc. | Gamma-carboline solid fused with substituted heterocycle |
| EP3525763B1 (en) * | 2016-10-12 | 2025-03-05 | Intra-Cellular Therapies, Inc. | Amorphous solid dispersions |
| CN118873536A (en) * | 2018-08-31 | 2024-11-01 | 细胞内治疗公司 | New approach |
-
2009
- 2009-05-27 WO PCT/US2009/003261 patent/WO2009145900A1/en not_active Ceased
- 2009-05-27 CA CA2725342A patent/CA2725342C/en active Active
- 2009-05-27 KR KR1020167032085A patent/KR102133073B1/en active Active
- 2009-05-27 JP JP2011511638A patent/JP6106361B2/en active Active
- 2009-05-27 CN CN201510553160.3A patent/CN105168219B/en active Active
- 2009-05-27 KR KR1020107029327A patent/KR20110022631A/en not_active Ceased
- 2009-05-27 MX MX2010013020A patent/MX2010013020A/en active IP Right Grant
- 2009-05-27 EP EP09755263A patent/EP2320731A4/en not_active Ceased
- 2009-05-27 KR KR1020197000911A patent/KR102184038B1/en active Active
- 2009-05-27 US US12/994,560 patent/US8598119B2/en not_active Ceased
- 2009-05-27 KR KR1020207033595A patent/KR102317698B1/en active Active
- 2009-05-27 US US16/784,112 patent/USRE48839E1/en active Active
- 2009-05-27 EP EP16151760.2A patent/EP3085231A1/en not_active Withdrawn
- 2009-05-27 CN CN200980128888.4A patent/CN102105059B/en active Active
- 2009-05-27 AU AU2009251816A patent/AU2009251816B2/en active Active
- 2009-05-27 MX MX2015004044A patent/MX377802B/en unknown
-
2010
- 2010-11-26 MX MX2020012868A patent/MX2020012868A/en unknown
-
2013
- 2013-10-30 US US14/066,987 patent/US9168258B2/en active Active
-
2015
- 2015-04-02 JP JP2015076230A patent/JP2015157828A/en active Pending
- 2015-10-16 US US14/885,813 patent/US9616061B2/en active Active
-
2017
- 2017-03-23 US US15/467,867 patent/US10117867B2/en active Active
-
2018
- 2018-10-19 US US16/165,832 patent/US10702522B2/en active Active
-
2020
- 2020-07-06 US US16/921,586 patent/US20200405713A1/en not_active Abandoned
-
2023
- 2023-02-15 US US18/169,466 patent/US20230355616A1/en not_active Abandoned
- 2023-10-04 US US18/481,170 patent/US20240041871A1/en not_active Abandoned
-
2024
- 2024-12-10 US US18/975,550 patent/US20250332164A1/en active Pending
Patent Citations (21)
| Publication number | Priority date | Publication date | Assignee | Title |
|---|---|---|---|---|
| US10702522B2 (en) * | 2008-05-27 | 2020-07-07 | Intra-Cellular Therapies, Inc. | Methods and compositions for sleep disorders and other disorders |
| US9168258B2 (en) * | 2008-05-27 | 2015-10-27 | Intra-Cellular Therapries, Inc. | Methods and compositions for sleep disorders and other disorders |
| US10117867B2 (en) * | 2008-05-27 | 2018-11-06 | Intra-Cellular Therapies, Inc. | Methods and compositions for sleep disorders and other disorders |
| US9371324B2 (en) * | 2010-04-22 | 2016-06-21 | Intra-Cellular Therapies, Inc. | Substituted pyrido[3′,4′:4,5]pyrrolo[1,2,3-de]quinoxalines for the treatment of nervous system disorders |
| US9428506B2 (en) * | 2012-04-14 | 2016-08-30 | Intra-Cellular Therapies, Inc. | Substituted pyrido[3′,4′:4,5]pyrrolo[1,2,3-de]quinoxalines for the treatment of nervous system disorders |
| US11124514B2 (en) * | 2012-04-14 | 2021-09-21 | Intra-Cellular Therapies, Inc. | Compositions and methods |
| US11053245B2 (en) * | 2012-04-14 | 2021-07-06 | Intra-Cellular Therapies, Inc. | Methods |
| US9708322B2 (en) * | 2013-03-15 | 2017-07-18 | Intra-Cellular Therapies, Inc. | Substituted pyrido[3',4':4,5]pyrrolo[1,2,3-de]quinoxalines for inhibiting serotonin reuptake transporter activity |
| US10844061B2 (en) * | 2013-03-15 | 2020-11-24 | Intra-Cellular Therapies, Inc. | Pharmaceutical compositions comprising 4-(6BR,10AS)-3-methyl-2,3,6B,9,10,10A-hexahydro-1h, 7H-pyrido[3′,4′:4,5]pyrrolo[1,2,3-de]quinoxalin-8-yl)-1-(4-fluorophenyl)butan-1-one and methods of treating conditions of the central nervous system |
| US10472359B2 (en) * | 2013-03-15 | 2019-11-12 | Intra-Cellular Therapies, Inc. | Pharmaceutical compositions comprising 4-((6bR,10aS)-3-methyl-2,3,6b,9,10,10a-hexahydro-1H,7H-pyrido[3',4':4,5]pyrrolo[1,2,3-de]quinoxalin-8-yl)-1-(4-fluorophenyl) butan-1-one for inhibiting serotonin reuptake transporter activity |
| US10960009B2 (en) * | 2013-12-03 | 2021-03-30 | Intra-Cellular Therapies, Inc. | Methods of treating schizophrenia and depression |
| US10322134B2 (en) * | 2013-12-03 | 2019-06-18 | Intra-Cellular Therapies, Inc. | Methods |
| US10960010B2 (en) * | 2013-12-03 | 2021-03-30 | Intra-Cellular Therapies, Inc. | Pharmaceutical compositions for sustained or delayed release |
| US9956227B2 (en) * | 2013-12-03 | 2018-05-01 | Intra-Cellular Therapies, Inc. | Method for the treatment of residual symptoms of schizophrenia |
| US10899762B2 (en) * | 2014-04-04 | 2021-01-26 | Intra-Cellular Therapies, Inc. | Organic compounds |
| US10077267B2 (en) * | 2014-04-04 | 2018-09-18 | Intra-Cellular Therapies, Inc. | Organic compounds |
| US9745300B2 (en) * | 2014-04-04 | 2017-08-29 | Intra-Cellular Therapies, Inc. | Organic compounds |
| US10799500B2 (en) * | 2016-01-26 | 2020-10-13 | Intra-Cellular Therapies, Inc. | Organic compounds |
| US10654854B2 (en) * | 2016-03-28 | 2020-05-19 | Intra-Cellular Therapies, Inc. | Salts and crystals of ITI-007 |
| US11014925B2 (en) * | 2016-03-28 | 2021-05-25 | Intra-Cellular Therapies, Inc. | Co-crystals of 1-(4-fluoro-phenyl)-4-((6bR,1OaS)-3-methyl-2,3,6b,9,10,10a-hexahydro-1H,7H- pyrido[3′,4′:4,51_pyrrolo [1,2,3-delqcuinoxalin-8-yl)-butan-1-one with nicotinamide or isonicotinamide |
| US11427587B2 (en) * | 2017-07-26 | 2022-08-30 | Intra-Cellular Therapies, Inc. | Organic compounds |
Cited By (7)
| Publication number | Priority date | Publication date | Assignee | Title |
|---|---|---|---|---|
| US11957791B2 (en) | 2018-08-31 | 2024-04-16 | Intra-Cellular Therapies, Inc. | Methods |
| US12465570B2 (en) | 2018-08-31 | 2025-11-11 | Intra-Cellular Therapies, Inc. | Methods |
| US12090155B2 (en) | 2019-07-07 | 2024-09-17 | Intra-Cellular Therapies, Inc. | Methods |
| US11753419B2 (en) | 2019-12-11 | 2023-09-12 | Intra-Cellular Therapies, Inc. | 4-((6bR,10aS)-3-methyl-2,3,6b,9,10,10a-hexahydro-1H-pyrido[3′,4′:4,5]pyrrolo[1,2,3-de]quinoxalin-8(7H)-yl)-1-(4-((6bR,10aS)-3-methyl-2,3,6b,9,10,10a-hexahydro-1H-pyrido[3′4′:4,5]pyrrolo[1,2,3-de]quinoxalin-8(7H)-yl)phenyl)butan-1-one for treating conditions of the central nervous system and cardiac disorders |
| US12122792B2 (en) | 2019-12-11 | 2024-10-22 | Intra-Cellular Therapies, Inc. | Pharmaceutical compositions comprising 4-((6bR,10aS)-3-methyl2,3,6b,9,10,10a-hexahydro-1H-pyrido[3′,4′:4,5]pyrrolo[1,2,3-de]quinoxalin8(7H)-yl)-1-(4-((6bR,10aS)-3-methyl-2,3,6b,9,10,10a-hexahydro-1H-pyrido[3′,4′:4,5]pyrrolo[1,2,3-de]quinoxalin-8(7H)-yl)phenyl)butan-1-one for treating conditions of the central nervous system and cardiac disorders |
| US12410195B2 (en) | 2019-12-11 | 2025-09-09 | Intra-Cellular Therapies, Inc. | Pharmaceutical compositions comprising 4-((6bR,10aS)-3-methyl-2,3,6b,9,10,10a-hexahydro-1H-pyrido[3′,4′:4,5]pyrrolo[1,2,3-de]quinoxalin-8(7H)-yl)-1-(4-((6bR,10aS)-3-methyl-2,3,6b,9,10,10a-hexahydro-1H-pyrido[3′,4′:4,5]pyrrolo[1,2,3-de]quinoxalin-8(7H)-yl)phenyl)butan-1-one for treating conditions of the central nervous system and cardiac disorders |
| US12414948B2 (en) | 2022-05-18 | 2025-09-16 | Intra-Cellular Therapies, Inc. | Methods |
Also Published As
Similar Documents
| Publication | Publication Date | Title |
|---|---|---|
| US10702522B2 (en) | Methods and compositions for sleep disorders and other disorders | |
| US11142529B2 (en) | Benzodiazepine derivatives, compositions, and methods for treating cognitive impairment | |
| AU2017393082B2 (en) | Benzodiazepine derivatives, compositions, and methods for treating cognitive impairment | |
| AU2021236532A1 (en) | Methods and compositions for treating aging-associated impairments using CCR3-inhibitors | |
| AU2008329072A1 (en) | Aryl and heteroaryl fused imidazo (1,5-A) pyrazines as inhibitors of phosphodiesterase 10 | |
| AU2015218433B2 (en) | Methods and compositions for sleep disorders and other disorders | |
| HK1230864A1 (en) | Method and compositions for sleep disorders and other disorders | |
| HK1219306B (en) | Methods and compositions for sleep disorders and other disorders | |
| TW200413380A (en) | Pyrrolo[1, 2-B]pyridazine compounds and their uses |
Legal Events
| Date | Code | Title | Description |
|---|---|---|---|
| STPP | Information on status: patent application and granting procedure in general |
Free format text: DOCKETED NEW CASE - READY FOR EXAMINATION |
|
| AS | Assignment |
Owner name: INTRA-CELLULAR THERAPIES, INC., NEW YORK Free format text: ASSIGNMENT OF ASSIGNORS INTEREST;ASSIGNORS:MATES, SHARON;FIENBERG, ALLEN A.;WENNOGLE, LAWRENCE P.;REEL/FRAME:059652/0386 Effective date: 20101123 |
|
| STPP | Information on status: patent application and granting procedure in general |
Free format text: NON FINAL ACTION MAILED |
|
| STCB | Information on status: application discontinuation |
Free format text: ABANDONED -- FAILURE TO RESPOND TO AN OFFICE ACTION |

















