US20200055883A1 - Cyclic di-nucleotides derivative for the treatment of cancer - Google Patents
Cyclic di-nucleotides derivative for the treatment of cancer Download PDFInfo
- Publication number
- US20200055883A1 US20200055883A1 US16/486,954 US201816486954A US2020055883A1 US 20200055883 A1 US20200055883 A1 US 20200055883A1 US 201816486954 A US201816486954 A US 201816486954A US 2020055883 A1 US2020055883 A1 US 2020055883A1
- Authority
- US
- United States
- Prior art keywords
- compound
- mmol
- mixture
- added
- vol
- Prior art date
- Legal status (The legal status is an assumption and is not a legal conclusion. Google has not performed a legal analysis and makes no representation as to the accuracy of the status listed.)
- Abandoned
Links
- 206010028980 Neoplasm Diseases 0.000 title abstract description 90
- 201000011510 cancer Diseases 0.000 title abstract description 42
- 125000004122 cyclic group Chemical group 0.000 title description 6
- 150000001875 compounds Chemical class 0.000 claims abstract description 374
- 239000000203 mixture Substances 0.000 description 237
- IMNFDUFMRHMDMM-UHFFFAOYSA-N N-Heptane Chemical compound CCCCCCC IMNFDUFMRHMDMM-UHFFFAOYSA-N 0.000 description 200
- 239000000243 solution Substances 0.000 description 175
- YXFVVABEGXRONW-UHFFFAOYSA-N Toluene Chemical compound CC1=CC=CC=C1 YXFVVABEGXRONW-UHFFFAOYSA-N 0.000 description 174
- WEVYAHXRMPXWCK-UHFFFAOYSA-N Acetonitrile Chemical compound CC#N WEVYAHXRMPXWCK-UHFFFAOYSA-N 0.000 description 156
- XLYOFNOQVPJJNP-UHFFFAOYSA-N water Substances O XLYOFNOQVPJJNP-UHFFFAOYSA-N 0.000 description 156
- ZMANZCXQSJIPKH-UHFFFAOYSA-N Triethylamine Chemical class CCN(CC)CC ZMANZCXQSJIPKH-UHFFFAOYSA-N 0.000 description 153
- OKKJLVBELUTLKV-UHFFFAOYSA-N Methanol Chemical compound OC OKKJLVBELUTLKV-UHFFFAOYSA-N 0.000 description 150
- 229910001868 water Inorganic materials 0.000 description 150
- 101000643024 Homo sapiens Stimulator of interferon genes protein Proteins 0.000 description 127
- 238000004895 liquid chromatography mass spectrometry Methods 0.000 description 117
- YMWUJEATGCHHMB-UHFFFAOYSA-N Dichloromethane Chemical compound ClCCl YMWUJEATGCHHMB-UHFFFAOYSA-N 0.000 description 114
- 102100035533 Stimulator of interferon genes protein Human genes 0.000 description 105
- 238000005160 1H NMR spectroscopy Methods 0.000 description 93
- 238000006243 chemical reaction Methods 0.000 description 91
- 239000007787 solid Substances 0.000 description 82
- 125000006273 (C1-C3) alkyl group Chemical group 0.000 description 72
- 239000011541 reaction mixture Substances 0.000 description 67
- HEDRZPFGACZZDS-MICDWDOJSA-N Trichloro(2H)methane Chemical compound [2H]C(Cl)(Cl)Cl HEDRZPFGACZZDS-MICDWDOJSA-N 0.000 description 63
- FAPWRFPIFSIZLT-UHFFFAOYSA-M Sodium chloride Chemical compound [Na+].[Cl-] FAPWRFPIFSIZLT-UHFFFAOYSA-M 0.000 description 62
- 150000003839 salts Chemical class 0.000 description 62
- GVOISEJVFFIGQE-YCZSINBZSA-N n-[(1r,2s,5r)-5-[methyl(propan-2-yl)amino]-2-[(3s)-2-oxo-3-[[6-(trifluoromethyl)quinazolin-4-yl]amino]pyrrolidin-1-yl]cyclohexyl]acetamide Chemical compound CC(=O)N[C@@H]1C[C@H](N(C)C(C)C)CC[C@@H]1N1C(=O)[C@@H](NC=2C3=CC(=CC=C3N=CN=2)C(F)(F)F)CC1 GVOISEJVFFIGQE-YCZSINBZSA-N 0.000 description 61
- JUJWROOIHBZHMG-UHFFFAOYSA-N Pyridine Chemical compound C1=CC=NC=C1 JUJWROOIHBZHMG-UHFFFAOYSA-N 0.000 description 58
- 125000000956 methoxy group Chemical group [H]C([H])([H])O* 0.000 description 58
- 239000000126 substance Substances 0.000 description 52
- UIIMBOGNXHQVGW-UHFFFAOYSA-M Sodium bicarbonate Chemical compound [Na+].OC([O-])=O UIIMBOGNXHQVGW-UHFFFAOYSA-M 0.000 description 51
- 229910052736 halogen Inorganic materials 0.000 description 49
- 150000002367 halogens Chemical class 0.000 description 49
- 239000010410 layer Substances 0.000 description 49
- 238000000034 method Methods 0.000 description 48
- XEKOWRVHYACXOJ-UHFFFAOYSA-N Ethyl acetate Chemical compound CCOC(C)=O XEKOWRVHYACXOJ-UHFFFAOYSA-N 0.000 description 45
- BZLVMXJERCGZMT-UHFFFAOYSA-N Methyl tert-butyl ether Chemical compound COC(C)(C)C BZLVMXJERCGZMT-UHFFFAOYSA-N 0.000 description 44
- 238000010898 silica gel chromatography Methods 0.000 description 44
- 210000004027 cell Anatomy 0.000 description 43
- OKKJLVBELUTLKV-MZCSYVLQSA-N Deuterated methanol Chemical compound [2H]OC([2H])([2H])[2H] OKKJLVBELUTLKV-MZCSYVLQSA-N 0.000 description 42
- -1 —OH Chemical group 0.000 description 41
- CSNNHWWHGAXBCP-UHFFFAOYSA-L Magnesium sulfate Chemical compound [Mg+2].[O-][S+2]([O-])([O-])[O-] CSNNHWWHGAXBCP-UHFFFAOYSA-L 0.000 description 40
- LFQSCWFLJHTTHZ-UHFFFAOYSA-N Ethanol Chemical compound CCO LFQSCWFLJHTTHZ-UHFFFAOYSA-N 0.000 description 38
- 229940125904 compound 1 Drugs 0.000 description 38
- 230000001419 dependent effect Effects 0.000 description 38
- WYURNTSHIVDZCO-UHFFFAOYSA-N Tetrahydrofuran Chemical compound C1CCOC1 WYURNTSHIVDZCO-UHFFFAOYSA-N 0.000 description 36
- 239000000047 product Substances 0.000 description 36
- 239000012044 organic layer Substances 0.000 description 34
- 239000008187 granular material Substances 0.000 description 30
- 239000011780 sodium chloride Substances 0.000 description 30
- 230000000694 effects Effects 0.000 description 29
- 238000000746 purification Methods 0.000 description 29
- UMJSCPRVCHMLSP-UHFFFAOYSA-N pyridine Natural products COC1=CC=CN=C1 UMJSCPRVCHMLSP-UHFFFAOYSA-N 0.000 description 29
- 238000013268 sustained release Methods 0.000 description 29
- 239000012730 sustained-release form Substances 0.000 description 29
- 241000282414 Homo sapiens Species 0.000 description 28
- 238000003556 assay Methods 0.000 description 27
- 238000003756 stirring Methods 0.000 description 27
- 239000003814 drug Substances 0.000 description 26
- 239000000706 filtrate Substances 0.000 description 26
- 238000003786 synthesis reaction Methods 0.000 description 26
- 239000013078 crystal Substances 0.000 description 25
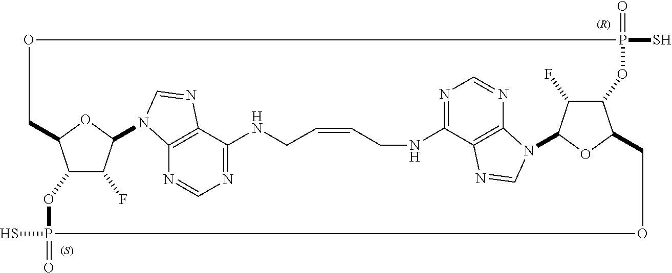
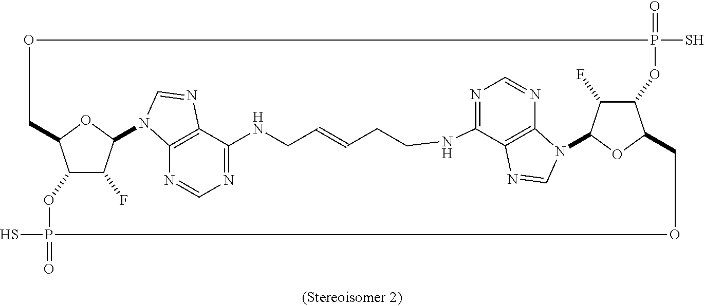
- 0 *[C@@]1([H])[C@H]2O[C@@H]3COP(O)(=S)O[C@@]4([H])[C@@H](O[C@H](COP(=O)(#P)(S)O[C@]31[H])[C@@]4([H])O)N1C=NC3=C(CCC=CCNC4=C5/N=C\N2C5=NC=N4)N=CN=C31 Chemical compound *[C@@]1([H])[C@H]2O[C@@H]3COP(O)(=S)O[C@@]4([H])[C@@H](O[C@H](COP(=O)(#P)(S)O[C@]31[H])[C@@]4([H])O)N1C=NC3=C(CCC=CCNC4=C5/N=C\N2C5=NC=N4)N=CN=C31 0.000 description 24
- IAZDPXIOMUYVGZ-UHFFFAOYSA-N Dimethylsulphoxide Chemical compound CS(C)=O IAZDPXIOMUYVGZ-UHFFFAOYSA-N 0.000 description 24
- 229910000030 sodium bicarbonate Inorganic materials 0.000 description 24
- RMVRSNDYEFQCLF-UHFFFAOYSA-N thiophenol Chemical compound SC1=CC=CC=C1 RMVRSNDYEFQCLF-UHFFFAOYSA-N 0.000 description 24
- RIOQSEWOXXDEQQ-UHFFFAOYSA-N triphenylphosphine Chemical compound C1=CC=CC=C1P(C=1C=CC=CC=1)C1=CC=CC=C1 RIOQSEWOXXDEQQ-UHFFFAOYSA-N 0.000 description 24
- 229940079593 drug Drugs 0.000 description 22
- 102000050022 human STING1 Human genes 0.000 description 22
- 239000012043 crude product Substances 0.000 description 21
- 229910052943 magnesium sulfate Inorganic materials 0.000 description 20
- 239000006260 foam Substances 0.000 description 19
- 238000005469 granulation Methods 0.000 description 19
- 230000003179 granulation Effects 0.000 description 19
- 239000012729 immediate-release (IR) formulation Substances 0.000 description 19
- 239000008194 pharmaceutical composition Substances 0.000 description 19
- QGZKDVFQNNGYKY-UHFFFAOYSA-N Ammonia Chemical class N QGZKDVFQNNGYKY-UHFFFAOYSA-N 0.000 description 18
- 229920006395 saturated elastomer Polymers 0.000 description 18
- 239000007858 starting material Substances 0.000 description 18
- VHUUQVKOLVNVRT-UHFFFAOYSA-N Ammonium hydroxide Chemical compound [NH4+].[OH-] VHUUQVKOLVNVRT-UHFFFAOYSA-N 0.000 description 17
- 238000004128 high performance liquid chromatography Methods 0.000 description 17
- 230000014759 maintenance of location Effects 0.000 description 17
- 239000002904 solvent Substances 0.000 description 17
- 125000005913 (C3-C6) cycloalkyl group Chemical group 0.000 description 16
- ZRPFJAPZDXQHSM-UHFFFAOYSA-L 1,3-bis(2,4,6-trimethylphenyl)-4,5-dihydroimidazole;dichloro-[(2-propan-2-yloxyphenyl)methylidene]ruthenium Chemical compound CC(C)OC1=CC=CC=C1C=[Ru](Cl)(Cl)=C1N(C=2C(=CC(C)=CC=2C)C)CCN1C1=C(C)C=C(C)C=C1C ZRPFJAPZDXQHSM-UHFFFAOYSA-L 0.000 description 16
- JXTHNDFMNIQAHM-UHFFFAOYSA-N dichloroacetic acid Chemical compound OC(=O)C(Cl)Cl JXTHNDFMNIQAHM-UHFFFAOYSA-N 0.000 description 16
- 108090000623 proteins and genes Proteins 0.000 description 15
- 102000004169 proteins and genes Human genes 0.000 description 15
- 238000009472 formulation Methods 0.000 description 14
- 235000018102 proteins Nutrition 0.000 description 14
- 239000003981 vehicle Substances 0.000 description 14
- 241000699666 Mus <mouse, genus> Species 0.000 description 13
- 239000002775 capsule Substances 0.000 description 13
- 238000002347 injection Methods 0.000 description 13
- 239000007924 injection Substances 0.000 description 13
- 238000002953 preparative HPLC Methods 0.000 description 13
- 238000010992 reflux Methods 0.000 description 13
- 239000003826 tablet Substances 0.000 description 13
- 125000004169 (C1-C6) alkyl group Chemical group 0.000 description 12
- HXBMIQJOSHZCFX-UHFFFAOYSA-N 1-(bromomethyl)-2-nitrobenzene Chemical compound [O-][N+](=O)C1=CC=CC=C1CBr HXBMIQJOSHZCFX-UHFFFAOYSA-N 0.000 description 12
- 230000015572 biosynthetic process Effects 0.000 description 12
- 210000003494 hepatocyte Anatomy 0.000 description 12
- 239000003921 oil Substances 0.000 description 12
- 235000019198 oils Nutrition 0.000 description 12
- VVWRJUBEIPHGQF-MDZDMXLPSA-N propan-2-yl (ne)-n-propan-2-yloxycarbonyliminocarbamate Chemical compound CC(C)OC(=O)\N=N\C(=O)OC(C)C VVWRJUBEIPHGQF-MDZDMXLPSA-N 0.000 description 12
- NRTYMEPCRDJMPZ-UHFFFAOYSA-N pyridine;2,2,2-trifluoroacetic acid Chemical compound C1=CC=NC=C1.OC(=O)C(F)(F)F NRTYMEPCRDJMPZ-UHFFFAOYSA-N 0.000 description 12
- AZQWKYJCGOJGHM-UHFFFAOYSA-N 1,4-benzoquinone Chemical compound O=C1C=CC(=O)C=C1 AZQWKYJCGOJGHM-UHFFFAOYSA-N 0.000 description 11
- 239000002253 acid Substances 0.000 description 11
- 239000003795 chemical substances by application Substances 0.000 description 11
- LOKCTEFSRHRXRJ-UHFFFAOYSA-I dipotassium trisodium dihydrogen phosphate hydrogen phosphate dichloride Chemical compound P(=O)(O)(O)[O-].[K+].P(=O)(O)([O-])[O-].[Na+].[Na+].[Cl-].[K+].[Cl-].[Na+] LOKCTEFSRHRXRJ-UHFFFAOYSA-I 0.000 description 11
- 125000005647 linker group Chemical group 0.000 description 11
- 238000004519 manufacturing process Methods 0.000 description 11
- 239000002953 phosphate buffered saline Substances 0.000 description 11
- 239000006228 supernatant Substances 0.000 description 11
- RKVHNYJPIXOHRW-UHFFFAOYSA-N 3-bis[di(propan-2-yl)amino]phosphanyloxypropanenitrile Chemical compound CC(C)N(C(C)C)P(N(C(C)C)C(C)C)OCCC#N RKVHNYJPIXOHRW-UHFFFAOYSA-N 0.000 description 10
- 241001465754 Metazoa Species 0.000 description 10
- 125000004432 carbon atom Chemical group C* 0.000 description 10
- 229920002678 cellulose Polymers 0.000 description 10
- 239000011248 coating agent Substances 0.000 description 10
- 239000000499 gel Substances 0.000 description 10
- BHEPBYXIRTUNPN-UHFFFAOYSA-N hydridophosphorus(.) (triplet) Chemical compound [PH] BHEPBYXIRTUNPN-UHFFFAOYSA-N 0.000 description 10
- BDAGIHXWWSANSR-UHFFFAOYSA-N methanoic acid Natural products OC=O BDAGIHXWWSANSR-UHFFFAOYSA-N 0.000 description 10
- 238000005987 sulfurization reaction Methods 0.000 description 10
- 239000000725 suspension Substances 0.000 description 10
- 238000001946 ultra-performance liquid chromatography-mass spectrometry Methods 0.000 description 10
- RYHBNJHYFVUHQT-UHFFFAOYSA-N 1,4-Dioxane Chemical compound C1COCCO1 RYHBNJHYFVUHQT-UHFFFAOYSA-N 0.000 description 9
- CSCPPACGZOOCGX-UHFFFAOYSA-N Acetone Chemical compound CC(C)=O CSCPPACGZOOCGX-UHFFFAOYSA-N 0.000 description 9
- NLXLAEXVIDQMFP-UHFFFAOYSA-N Ammonia chloride Chemical class [NH4+].[Cl-] NLXLAEXVIDQMFP-UHFFFAOYSA-N 0.000 description 9
- VEXZGXHMUGYJMC-UHFFFAOYSA-N Hydrochloric acid Chemical compound Cl VEXZGXHMUGYJMC-UHFFFAOYSA-N 0.000 description 9
- VYPSYNLAJGMNEJ-UHFFFAOYSA-N Silicium dioxide Chemical compound O=[Si]=O VYPSYNLAJGMNEJ-UHFFFAOYSA-N 0.000 description 9
- 238000004458 analytical method Methods 0.000 description 9
- 125000004429 atom Chemical group 0.000 description 9
- 239000001913 cellulose Substances 0.000 description 9
- 239000002552 dosage form Substances 0.000 description 9
- RAXXELZNTBOGNW-UHFFFAOYSA-N imidazole Natural products C1=CNC=N1 RAXXELZNTBOGNW-UHFFFAOYSA-N 0.000 description 9
- 238000011534 incubation Methods 0.000 description 9
- 230000003993 interaction Effects 0.000 description 9
- 239000007788 liquid Substances 0.000 description 9
- 239000002245 particle Substances 0.000 description 9
- 210000003819 peripheral blood mononuclear cell Anatomy 0.000 description 9
- 238000002360 preparation method Methods 0.000 description 9
- 238000003828 vacuum filtration Methods 0.000 description 9
- KDCGOANMDULRCW-UHFFFAOYSA-N 7H-purine Chemical compound N1=CNC2=NC=NC2=C1 KDCGOANMDULRCW-UHFFFAOYSA-N 0.000 description 8
- QTBSBXVTEAMEQO-UHFFFAOYSA-N Acetic acid Chemical compound CC(O)=O QTBSBXVTEAMEQO-UHFFFAOYSA-N 0.000 description 8
- 125000003601 C2-C6 alkynyl group Chemical group 0.000 description 8
- 206010009944 Colon cancer Diseases 0.000 description 8
- ZZSNKZQZMQGXPY-UHFFFAOYSA-N Ethyl cellulose Chemical compound CCOCC1OC(OC)C(OCC)C(OCC)C1OC1C(O)C(O)C(OC)C(CO)O1 ZZSNKZQZMQGXPY-UHFFFAOYSA-N 0.000 description 8
- 239000001856 Ethyl cellulose Substances 0.000 description 8
- 241000699670 Mus sp. Species 0.000 description 8
- 125000001931 aliphatic group Chemical group 0.000 description 8
- XXROGKLTLUQVRX-UHFFFAOYSA-N allyl alcohol Chemical compound OCC=C XXROGKLTLUQVRX-UHFFFAOYSA-N 0.000 description 8
- 235000011114 ammonium hydroxide Nutrition 0.000 description 8
- 230000001093 anti-cancer Effects 0.000 description 8
- 239000011230 binding agent Substances 0.000 description 8
- 239000012267 brine Substances 0.000 description 8
- 235000010980 cellulose Nutrition 0.000 description 8
- 239000003153 chemical reaction reagent Substances 0.000 description 8
- 238000000576 coating method Methods 0.000 description 8
- 229920001577 copolymer Polymers 0.000 description 8
- 238000010511 deprotection reaction Methods 0.000 description 8
- 238000001514 detection method Methods 0.000 description 8
- 229960005215 dichloroacetic acid Drugs 0.000 description 8
- 239000003085 diluting agent Substances 0.000 description 8
- 208000037265 diseases, disorders, signs and symptoms Diseases 0.000 description 8
- 235000019325 ethyl cellulose Nutrition 0.000 description 8
- 229920001249 ethyl cellulose Polymers 0.000 description 8
- 125000000524 functional group Chemical group 0.000 description 8
- 239000000546 pharmaceutical excipient Substances 0.000 description 8
- 230000003389 potentiating effect Effects 0.000 description 8
- HPALAKNZSZLMCH-UHFFFAOYSA-M sodium;chloride;hydrate Chemical compound O.[Na+].[Cl-] HPALAKNZSZLMCH-UHFFFAOYSA-M 0.000 description 8
- 230000009885 systemic effect Effects 0.000 description 8
- 229940086542 triethylamine Drugs 0.000 description 8
- 239000003643 water by type Substances 0.000 description 8
- BQDFHACIOUBBDF-UHFFFAOYSA-N 3-(8-chloro-2,3-dimethoxy-10-phenothiazinyl)-N,N-dimethyl-1-propanamine Chemical compound S1C2=CC=C(Cl)C=C2N(CCCN(C)C)C2=C1C=C(OC)C(OC)=C2 BQDFHACIOUBBDF-UHFFFAOYSA-N 0.000 description 7
- JGFZNNIVVJXRND-UHFFFAOYSA-N N,N-Diisopropylethylamine (DIPEA) Chemical compound CCN(C(C)C)C(C)C JGFZNNIVVJXRND-UHFFFAOYSA-N 0.000 description 7
- 229940044665 STING agonist Drugs 0.000 description 7
- 239000000908 ammonium hydroxide Substances 0.000 description 7
- 239000000539 dimer Substances 0.000 description 7
- 239000003480 eluent Substances 0.000 description 7
- 230000014509 gene expression Effects 0.000 description 7
- 239000000463 material Substances 0.000 description 7
- 238000002156 mixing Methods 0.000 description 7
- 229920000642 polymer Polymers 0.000 description 7
- KSAVQLQVUXSOCR-UHFFFAOYSA-M sodium lauroyl sarcosinate Chemical compound [Na+].CCCCCCCCCCCC(=O)N(C)CC([O-])=O KSAVQLQVUXSOCR-UHFFFAOYSA-M 0.000 description 7
- 229920003176 water-insoluble polymer Polymers 0.000 description 7
- ASGMFNBUXDJWJJ-JLCFBVMHSA-N (1R,3R)-3-[[3-bromo-1-[4-(5-methyl-1,3,4-thiadiazol-2-yl)phenyl]pyrazolo[3,4-d]pyrimidin-6-yl]amino]-N,1-dimethylcyclopentane-1-carboxamide Chemical compound BrC1=NN(C2=NC(=NC=C21)N[C@H]1C[C@@](CC1)(C(=O)NC)C)C1=CC=C(C=C1)C=1SC(=NN=1)C ASGMFNBUXDJWJJ-JLCFBVMHSA-N 0.000 description 6
- STBLNCCBQMHSRC-BATDWUPUSA-N (2s)-n-[(3s,4s)-5-acetyl-7-cyano-4-methyl-1-[(2-methylnaphthalen-1-yl)methyl]-2-oxo-3,4-dihydro-1,5-benzodiazepin-3-yl]-2-(methylamino)propanamide Chemical compound O=C1[C@@H](NC(=O)[C@H](C)NC)[C@H](C)N(C(C)=O)C2=CC(C#N)=CC=C2N1CC1=C(C)C=CC2=CC=CC=C12 STBLNCCBQMHSRC-BATDWUPUSA-N 0.000 description 6
- ZYZCALPXKGUGJI-DDVDASKDSA-M (e,3r,5s)-7-[3-(4-fluorophenyl)-2-phenyl-5-propan-2-ylimidazol-4-yl]-3,5-dihydroxyhept-6-enoate Chemical compound C=1C=C(F)C=CC=1N1C(\C=C\[C@@H](O)C[C@@H](O)CC([O-])=O)=C(C(C)C)N=C1C1=CC=CC=C1 ZYZCALPXKGUGJI-DDVDASKDSA-M 0.000 description 6
- 108700028369 Alleles Proteins 0.000 description 6
- IJGRMHOSHXDMSA-UHFFFAOYSA-N Atomic nitrogen Chemical compound N#N IJGRMHOSHXDMSA-UHFFFAOYSA-N 0.000 description 6
- 229940127007 Compound 39 Drugs 0.000 description 6
- 239000007832 Na2SO4 Substances 0.000 description 6
- DNIAPMSPPWPWGF-UHFFFAOYSA-N Propylene glycol Chemical compound CC(O)CO DNIAPMSPPWPWGF-UHFFFAOYSA-N 0.000 description 6
- PMZURENOXWZQFD-UHFFFAOYSA-L Sodium Sulfate Chemical compound [Na+].[Na+].[O-]S([O-])(=O)=O PMZURENOXWZQFD-UHFFFAOYSA-L 0.000 description 6
- 230000004913 activation Effects 0.000 description 6
- 239000004480 active ingredient Substances 0.000 description 6
- 239000001768 carboxy methyl cellulose Substances 0.000 description 6
- 239000003054 catalyst Substances 0.000 description 6
- 229940125782 compound 2 Drugs 0.000 description 6
- 229940125878 compound 36 Drugs 0.000 description 6
- 238000002425 crystallisation Methods 0.000 description 6
- 230000008025 crystallization Effects 0.000 description 6
- 238000001035 drying Methods 0.000 description 6
- 238000002474 experimental method Methods 0.000 description 6
- 239000012065 filter cake Substances 0.000 description 6
- 238000001914 filtration Methods 0.000 description 6
- 235000010979 hydroxypropyl methyl cellulose Nutrition 0.000 description 6
- 229920003088 hydroxypropyl methyl cellulose Polymers 0.000 description 6
- 230000036039 immunity Effects 0.000 description 6
- 150000002500 ions Chemical class 0.000 description 6
- HQKMJHAJHXVSDF-UHFFFAOYSA-L magnesium stearate Chemical compound [Mg+2].CCCCCCCCCCCCCCCCCC([O-])=O.CCCCCCCCCCCCCCCCCC([O-])=O HQKMJHAJHXVSDF-UHFFFAOYSA-L 0.000 description 6
- 108020004999 messenger RNA Proteins 0.000 description 6
- 125000002496 methyl group Chemical group [H]C([H])([H])* 0.000 description 6
- YRDSDHFBUHFDPG-ZZXKWVIFSA-N n,n-dimethyl-n'-(5-sulfanylidene-1,2,4-dithiazol-3-yl)methanimidamide Chemical compound CN(C)\C=N\C1=NC(=S)SS1 YRDSDHFBUHFDPG-ZZXKWVIFSA-N 0.000 description 6
- 229910052757 nitrogen Inorganic materials 0.000 description 6
- 239000002773 nucleotide Substances 0.000 description 6
- 125000003729 nucleotide group Chemical group 0.000 description 6
- JRZJOMJEPLMPRA-UHFFFAOYSA-N olefin Natural products CCCCCCCC=C JRZJOMJEPLMPRA-UHFFFAOYSA-N 0.000 description 6
- AICOOMRHRUFYCM-ZRRPKQBOSA-N oxazine, 1 Chemical compound C([C@@H]1[C@H](C(C[C@]2(C)[C@@H]([C@H](C)N(C)C)[C@H](O)C[C@]21C)=O)CC1=CC2)C[C@H]1[C@@]1(C)[C@H]2N=C(C(C)C)OC1 AICOOMRHRUFYCM-ZRRPKQBOSA-N 0.000 description 6
- 239000000843 powder Substances 0.000 description 6
- 239000011369 resultant mixture Substances 0.000 description 6
- 229910052938 sodium sulfate Inorganic materials 0.000 description 6
- 125000001424 substituent group Chemical group 0.000 description 6
- 229910052717 sulfur Inorganic materials 0.000 description 6
- YBRBMKDOPFTVDT-UHFFFAOYSA-N tert-butylamine Chemical compound CC(C)(C)N YBRBMKDOPFTVDT-UHFFFAOYSA-N 0.000 description 6
- AQRLNPVMDITEJU-UHFFFAOYSA-N triethylsilane Chemical compound CC[SiH](CC)CC AQRLNPVMDITEJU-UHFFFAOYSA-N 0.000 description 6
- KQZLRWGGWXJPOS-NLFPWZOASA-N 1-[(1R)-1-(2,4-dichlorophenyl)ethyl]-6-[(4S,5R)-4-[(2S)-2-(hydroxymethyl)pyrrolidin-1-yl]-5-methylcyclohexen-1-yl]pyrazolo[3,4-b]pyrazine-3-carbonitrile Chemical compound ClC1=C(C=CC(=C1)Cl)[C@@H](C)N1N=C(C=2C1=NC(=CN=2)C1=CC[C@@H]([C@@H](C1)C)N1[C@@H](CCC1)CO)C#N KQZLRWGGWXJPOS-NLFPWZOASA-N 0.000 description 5
- XRILCFTWUCUKJR-INFSMZHSSA-N 2'-3'-cGAMP Chemical compound C([C@H]([C@H]1O)O2)OP(O)(=O)O[C@H]3[C@@H](O)[C@H](N4C5=NC=NC(N)=C5N=C4)O[C@@H]3COP(O)(=O)O[C@H]1[C@@H]2N1C=NC2=C1NC(N)=NC2=O XRILCFTWUCUKJR-INFSMZHSSA-N 0.000 description 5
- VZMUCIBBVMLEKC-UHFFFAOYSA-N 2-chloro-5,5-dimethyl-1,3,2$l^{5}-dioxaphosphinane 2-oxide Chemical compound CC1(C)COP(Cl)(=O)OC1 VZMUCIBBVMLEKC-UHFFFAOYSA-N 0.000 description 5
- 125000003903 2-propenyl group Chemical group [H]C([*])([H])C([H])=C([H])[H] 0.000 description 5
- WFOVEDJTASPCIR-UHFFFAOYSA-N 3-[(4-methyl-5-pyridin-4-yl-1,2,4-triazol-3-yl)methylamino]-n-[[2-(trifluoromethyl)phenyl]methyl]benzamide Chemical compound N=1N=C(C=2C=CN=CC=2)N(C)C=1CNC(C=1)=CC=CC=1C(=O)NCC1=CC=CC=C1C(F)(F)F WFOVEDJTASPCIR-UHFFFAOYSA-N 0.000 description 5
- OSWFIVFLDKOXQC-UHFFFAOYSA-N 4-(3-methoxyphenyl)aniline Chemical compound COC1=CC=CC(C=2C=CC(N)=CC=2)=C1 OSWFIVFLDKOXQC-UHFFFAOYSA-N 0.000 description 5
- OKTJSMMVPCPJKN-UHFFFAOYSA-N Carbon Chemical compound [C] OKTJSMMVPCPJKN-UHFFFAOYSA-N 0.000 description 5
- 241000206601 Carnobacterium mobile Species 0.000 description 5
- 229940126639 Compound 33 Drugs 0.000 description 5
- 208000032612 Glial tumor Diseases 0.000 description 5
- 206010018338 Glioma Diseases 0.000 description 5
- PEDCQBHIVMGVHV-UHFFFAOYSA-N Glycerol Natural products OCC(O)CO PEDCQBHIVMGVHV-UHFFFAOYSA-N 0.000 description 5
- 229920002153 Hydroxypropyl cellulose Polymers 0.000 description 5
- 238000005481 NMR spectroscopy Methods 0.000 description 5
- PNUZDKCDAWUEGK-CYZMBNFOSA-N Sitafloxacin Chemical compound C([C@H]1N)N(C=2C(=C3C(C(C(C(O)=O)=CN3[C@H]3[C@H](C3)F)=O)=CC=2F)Cl)CC11CC1 PNUZDKCDAWUEGK-CYZMBNFOSA-N 0.000 description 5
- SMNRFWMNPDABKZ-WVALLCKVSA-N [[(2R,3S,4R,5S)-5-(2,6-dioxo-3H-pyridin-3-yl)-3,4-dihydroxyoxolan-2-yl]methoxy-hydroxyphosphoryl] [[[(2R,3S,4S,5R,6R)-4-fluoro-3,5-dihydroxy-6-(hydroxymethyl)oxan-2-yl]oxy-hydroxyphosphoryl]oxy-hydroxyphosphoryl] hydrogen phosphate Chemical compound OC[C@H]1O[C@H](OP(O)(=O)OP(O)(=O)OP(O)(=O)OP(O)(=O)OC[C@H]2O[C@H]([C@H](O)[C@@H]2O)C2C=CC(=O)NC2=O)[C@H](O)[C@@H](F)[C@@H]1O SMNRFWMNPDABKZ-WVALLCKVSA-N 0.000 description 5
- 125000000304 alkynyl group Chemical group 0.000 description 5
- 229920003144 amino alkyl methacrylate copolymer Polymers 0.000 description 5
- 150000003863 ammonium salts Chemical group 0.000 description 5
- 229910052799 carbon Inorganic materials 0.000 description 5
- 208000029742 colonic neoplasm Diseases 0.000 description 5
- 229940125877 compound 31 Drugs 0.000 description 5
- 229940127573 compound 38 Drugs 0.000 description 5
- KUMNEOGIHFCNQW-UHFFFAOYSA-N diphenyl phosphite Chemical compound C=1C=CC=CC=1OP([O-])OC1=CC=CC=C1 KUMNEOGIHFCNQW-UHFFFAOYSA-N 0.000 description 5
- 201000010099 disease Diseases 0.000 description 5
- 239000002270 dispersing agent Substances 0.000 description 5
- 239000003937 drug carrier Substances 0.000 description 5
- 235000019253 formic acid Nutrition 0.000 description 5
- ZRALSGWEFCBTJO-UHFFFAOYSA-N guanidine group Chemical group NC(=N)N ZRALSGWEFCBTJO-UHFFFAOYSA-N 0.000 description 5
- 239000001866 hydroxypropyl methyl cellulose Substances 0.000 description 5
- UFVKGYZPFZQRLF-UHFFFAOYSA-N hydroxypropyl methyl cellulose Chemical compound OC1C(O)C(OC)OC(CO)C1OC1C(O)C(O)C(OC2C(C(O)C(OC3C(C(O)C(O)C(CO)O3)O)C(CO)O2)O)C(CO)O1 UFVKGYZPFZQRLF-UHFFFAOYSA-N 0.000 description 5
- 238000000111 isothermal titration calorimetry Methods 0.000 description 5
- 210000004185 liver Anatomy 0.000 description 5
- 239000000314 lubricant Substances 0.000 description 5
- 238000005259 measurement Methods 0.000 description 5
- POPACFLNWGUDSR-UHFFFAOYSA-N methoxy(trimethyl)silane Chemical compound CO[Si](C)(C)C POPACFLNWGUDSR-UHFFFAOYSA-N 0.000 description 5
- PIDFDZJZLOTZTM-KHVQSSSXSA-N ombitasvir Chemical compound COC(=O)N[C@@H](C(C)C)C(=O)N1CCC[C@H]1C(=O)NC1=CC=C([C@H]2N([C@@H](CC2)C=2C=CC(NC(=O)[C@H]3N(CCC3)C(=O)[C@@H](NC(=O)OC)C(C)C)=CC=2)C=2C=CC(=CC=2)C(C)(C)C)C=C1 PIDFDZJZLOTZTM-KHVQSSSXSA-N 0.000 description 5
- 125000004437 phosphorous atom Chemical group 0.000 description 5
- 239000003755 preservative agent Substances 0.000 description 5
- 239000002002 slurry Substances 0.000 description 5
- 239000011734 sodium Substances 0.000 description 5
- 239000003765 sweetening agent Substances 0.000 description 5
- 210000004881 tumor cell Anatomy 0.000 description 5
- VIMMECPCYZXUCI-MIMFYIINSA-N (4s,6r)-6-[(1e)-4,4-bis(4-fluorophenyl)-3-(1-methyltetrazol-5-yl)buta-1,3-dienyl]-4-hydroxyoxan-2-one Chemical compound CN1N=NN=C1C(\C=C\[C@@H]1OC(=O)C[C@@H](O)C1)=C(C=1C=CC(F)=CC=1)C1=CC=C(F)C=C1 VIMMECPCYZXUCI-MIMFYIINSA-N 0.000 description 4
- DYLIWHYUXAJDOJ-OWOJBTEDSA-N (e)-4-(6-aminopurin-9-yl)but-2-en-1-ol Chemical compound NC1=NC=NC2=C1N=CN2C\C=C\CO DYLIWHYUXAJDOJ-OWOJBTEDSA-N 0.000 description 4
- GZTYTTPPCAXUHB-UHFFFAOYSA-N 1,2-benzodithiol-3-one Chemical compound C1=CC=C2C(=O)SSC2=C1 GZTYTTPPCAXUHB-UHFFFAOYSA-N 0.000 description 4
- QKNYBSVHEMOAJP-UHFFFAOYSA-N 2-amino-2-(hydroxymethyl)propane-1,3-diol;hydron;chloride Chemical compound Cl.OCC(N)(CO)CO QKNYBSVHEMOAJP-UHFFFAOYSA-N 0.000 description 4
- YSUIQYOGTINQIN-UZFYAQMZSA-N 2-amino-9-[(1S,6R,8R,9S,10R,15R,17R,18R)-8-(6-aminopurin-9-yl)-9,18-difluoro-3,12-dihydroxy-3,12-bis(sulfanylidene)-2,4,7,11,13,16-hexaoxa-3lambda5,12lambda5-diphosphatricyclo[13.2.1.06,10]octadecan-17-yl]-1H-purin-6-one Chemical compound NC1=NC2=C(N=CN2[C@@H]2O[C@@H]3COP(S)(=O)O[C@@H]4[C@@H](COP(S)(=O)O[C@@H]2[C@@H]3F)O[C@H]([C@H]4F)N2C=NC3=C2N=CN=C3N)C(=O)N1 YSUIQYOGTINQIN-UZFYAQMZSA-N 0.000 description 4
- TVTJUIAKQFIXCE-HUKYDQBMSA-N 2-amino-9-[(2R,3S,4S,5R)-4-fluoro-3-hydroxy-5-(hydroxymethyl)oxolan-2-yl]-7-prop-2-ynyl-1H-purine-6,8-dione Chemical compound NC=1NC(C=2N(C(N(C=2N=1)[C@@H]1O[C@@H]([C@H]([C@H]1O)F)CO)=O)CC#C)=O TVTJUIAKQFIXCE-HUKYDQBMSA-N 0.000 description 4
- NPRYCHLHHVWLQZ-TURQNECASA-N 2-amino-9-[(2R,3S,4S,5R)-4-fluoro-3-hydroxy-5-(hydroxymethyl)oxolan-2-yl]-7-prop-2-ynylpurin-8-one Chemical compound NC1=NC=C2N(C(N(C2=N1)[C@@H]1O[C@@H]([C@H]([C@H]1O)F)CO)=O)CC#C NPRYCHLHHVWLQZ-TURQNECASA-N 0.000 description 4
- 238000004679 31P NMR spectroscopy Methods 0.000 description 4
- IJRKLHTZAIFUTB-UHFFFAOYSA-N 5-nitro-2-(2-phenylethylamino)benzoic acid Chemical compound OC(=O)C1=CC([N+]([O-])=O)=CC=C1NCCC1=CC=CC=C1 IJRKLHTZAIFUTB-UHFFFAOYSA-N 0.000 description 4
- GFFGJBXGBJISGV-UHFFFAOYSA-N Adenine Chemical compound NC1=NC=NC2=C1N=CN2 GFFGJBXGBJISGV-UHFFFAOYSA-N 0.000 description 4
- GUBGYTABKSRVRQ-XLOQQCSPSA-N Alpha-Lactose Chemical compound O[C@@H]1[C@@H](O)[C@@H](O)[C@@H](CO)O[C@H]1O[C@@H]1[C@@H](CO)O[C@H](O)[C@H](O)[C@H]1O GUBGYTABKSRVRQ-XLOQQCSPSA-N 0.000 description 4
- 229920002134 Carboxymethyl cellulose Polymers 0.000 description 4
- 102100025698 Cytosolic carboxypeptidase 4 Human genes 0.000 description 4
- IAZDPXIOMUYVGZ-WFGJKAKNSA-N Dimethyl sulfoxide Chemical compound [2H]C([2H])([2H])S(=O)C([2H])([2H])[2H] IAZDPXIOMUYVGZ-WFGJKAKNSA-N 0.000 description 4
- GUBGYTABKSRVRQ-QKKXKWKRSA-N Lactose Natural products OC[C@H]1O[C@@H](O[C@H]2[C@H](O)[C@@H](O)C(O)O[C@@H]2CO)[C@H](O)[C@@H](O)[C@H]1O GUBGYTABKSRVRQ-QKKXKWKRSA-N 0.000 description 4
- ORDOBFMZUAKNJG-JKIATMNBSA-N O=P1(S)OC[C@H]2O[C@@H]3[C@H](F)[C@@H]2OP(=O)(S)OC[C@H]2OC([C@H](F)[C@@H]2O1)[N@@]1/C=N\C2=C1N=CN=C2NCC/C=C/CCC1=NC=NC2=C1N=CN23 Chemical compound O=P1(S)OC[C@H]2O[C@@H]3[C@H](F)[C@@H]2OP(=O)(S)OC[C@H]2OC([C@H](F)[C@@H]2O1)[N@@]1/C=N\C2=C1N=CN=C2NCC/C=C/CCC1=NC=NC2=C1N=CN23 ORDOBFMZUAKNJG-JKIATMNBSA-N 0.000 description 4
- NINIDFKCEFEMDL-UHFFFAOYSA-N Sulfur Chemical compound [S] NINIDFKCEFEMDL-UHFFFAOYSA-N 0.000 description 4
- 238000002441 X-ray diffraction Methods 0.000 description 4
- YQVISGXICTVSDQ-UHFFFAOYSA-O [c-]1nn[nH]n1.CC(C)[NH2+]C(C)C Chemical compound [c-]1nn[nH]n1.CC(C)[NH2+]C(C)C YQVISGXICTVSDQ-UHFFFAOYSA-O 0.000 description 4
- DPXJVFZANSGRMM-UHFFFAOYSA-N acetic acid;2,3,4,5,6-pentahydroxyhexanal;sodium Chemical compound [Na].CC(O)=O.OCC(O)C(O)C(O)C(O)C=O DPXJVFZANSGRMM-UHFFFAOYSA-N 0.000 description 4
- 239000013543 active substance Substances 0.000 description 4
- 101150063416 add gene Proteins 0.000 description 4
- 125000003342 alkenyl group Chemical group 0.000 description 4
- 235000001014 amino acid Nutrition 0.000 description 4
- 150000001413 amino acids Chemical class 0.000 description 4
- 229910021529 ammonia Inorganic materials 0.000 description 4
- 230000000259 anti-tumor effect Effects 0.000 description 4
- 239000007864 aqueous solution Substances 0.000 description 4
- 230000008901 benefit Effects 0.000 description 4
- 210000004556 brain Anatomy 0.000 description 4
- 210000004899 c-terminal region Anatomy 0.000 description 4
- 235000010948 carboxy methyl cellulose Nutrition 0.000 description 4
- 239000008112 carboxymethyl-cellulose Substances 0.000 description 4
- OSASVXMJTNOKOY-UHFFFAOYSA-N chlorobutanol Chemical compound CC(C)(O)C(Cl)(Cl)Cl OSASVXMJTNOKOY-UHFFFAOYSA-N 0.000 description 4
- 239000003086 colorant Substances 0.000 description 4
- 229940126086 compound 21 Drugs 0.000 description 4
- 229940125851 compound 27 Drugs 0.000 description 4
- 238000007796 conventional method Methods 0.000 description 4
- 238000002022 differential scanning fluorescence spectroscopy Methods 0.000 description 4
- 239000007884 disintegrant Substances 0.000 description 4
- 230000009977 dual effect Effects 0.000 description 4
- 239000013604 expression vector Substances 0.000 description 4
- 235000003599 food sweetener Nutrition 0.000 description 4
- 125000005842 heteroatom Chemical group 0.000 description 4
- 235000010977 hydroxypropyl cellulose Nutrition 0.000 description 4
- 238000000338 in vitro Methods 0.000 description 4
- UQSXHKLRYXJYBZ-UHFFFAOYSA-N iron oxide Inorganic materials [Fe]=O UQSXHKLRYXJYBZ-UHFFFAOYSA-N 0.000 description 4
- BPHPUYQFMNQIOC-NXRLNHOXSA-N isopropyl beta-D-thiogalactopyranoside Chemical compound CC(C)S[C@@H]1O[C@H](CO)[C@H](O)[C@H](O)[C@H]1O BPHPUYQFMNQIOC-NXRLNHOXSA-N 0.000 description 4
- 239000008101 lactose Substances 0.000 description 4
- 239000003446 ligand Substances 0.000 description 4
- 238000001294 liquid chromatography-tandem mass spectrometry Methods 0.000 description 4
- 239000002609 medium Substances 0.000 description 4
- 201000001441 melanoma Diseases 0.000 description 4
- 239000002207 metabolite Substances 0.000 description 4
- 229920003145 methacrylic acid copolymer Polymers 0.000 description 4
- 229940117841 methacrylic acid copolymer Drugs 0.000 description 4
- 239000003960 organic solvent Substances 0.000 description 4
- NDLPOXTZKUMGOV-UHFFFAOYSA-N oxo(oxoferriooxy)iron hydrate Chemical compound O.O=[Fe]O[Fe]=O NDLPOXTZKUMGOV-UHFFFAOYSA-N 0.000 description 4
- 229910052760 oxygen Inorganic materials 0.000 description 4
- 230000037361 pathway Effects 0.000 description 4
- 239000006187 pill Substances 0.000 description 4
- 230000001376 precipitating effect Effects 0.000 description 4
- 230000011664 signaling Effects 0.000 description 4
- 230000000638 stimulation Effects 0.000 description 4
- 239000011593 sulfur Substances 0.000 description 4
- 230000004083 survival effect Effects 0.000 description 4
- 208000024891 symptom Diseases 0.000 description 4
- 238000004885 tandem mass spectrometry Methods 0.000 description 4
- BCNZYOJHNLTNEZ-UHFFFAOYSA-N tert-butyldimethylsilyl chloride Chemical compound CC(C)(C)[Si](C)(C)Cl BCNZYOJHNLTNEZ-UHFFFAOYSA-N 0.000 description 4
- VZGDMQKNWNREIO-UHFFFAOYSA-N tetrachloromethane Chemical compound ClC(Cl)(Cl)Cl VZGDMQKNWNREIO-UHFFFAOYSA-N 0.000 description 4
- 230000001225 therapeutic effect Effects 0.000 description 4
- 238000004704 ultra performance liquid chromatography Methods 0.000 description 4
- 239000013598 vector Substances 0.000 description 4
- 125000000391 vinyl group Chemical group [H]C([*])=C([H])[H] 0.000 description 4
- 229920002554 vinyl polymer Polymers 0.000 description 4
- 238000002424 x-ray crystallography Methods 0.000 description 4
- WWTBZEKOSBFBEM-SPWPXUSOSA-N (2s)-2-[[2-benzyl-3-[hydroxy-[(1r)-2-phenyl-1-(phenylmethoxycarbonylamino)ethyl]phosphoryl]propanoyl]amino]-3-(1h-indol-3-yl)propanoic acid Chemical compound N([C@@H](CC=1C2=CC=CC=C2NC=1)C(=O)O)C(=O)C(CP(O)(=O)[C@H](CC=1C=CC=CC=1)NC(=O)OCC=1C=CC=CC=1)CC1=CC=CC=C1 WWTBZEKOSBFBEM-SPWPXUSOSA-N 0.000 description 3
- LJIOTBMDLVHTBO-CUYJMHBOSA-N (2s)-2-amino-n-[(1r,2r)-1-cyano-2-[4-[4-(4-methylpiperazin-1-yl)sulfonylphenyl]phenyl]cyclopropyl]butanamide Chemical compound CC[C@H](N)C(=O)N[C@]1(C#N)C[C@@H]1C1=CC=C(C=2C=CC(=CC=2)S(=O)(=O)N2CCN(C)CC2)C=C1 LJIOTBMDLVHTBO-CUYJMHBOSA-N 0.000 description 3
- IWZSHWBGHQBIML-ZGGLMWTQSA-N (3S,8S,10R,13S,14S,17S)-17-isoquinolin-7-yl-N,N,10,13-tetramethyl-2,3,4,7,8,9,11,12,14,15,16,17-dodecahydro-1H-cyclopenta[a]phenanthren-3-amine Chemical compound CN(C)[C@H]1CC[C@]2(C)C3CC[C@@]4(C)[C@@H](CC[C@@H]4c4ccc5ccncc5c4)[C@@H]3CC=C2C1 IWZSHWBGHQBIML-ZGGLMWTQSA-N 0.000 description 3
- 108091032973 (ribonucleotides)n+m Proteins 0.000 description 3
- JBWYRBLDOOOJEU-UHFFFAOYSA-N 1-[chloro-(4-methoxyphenyl)-phenylmethyl]-4-methoxybenzene Chemical compound C1=CC(OC)=CC=C1C(Cl)(C=1C=CC(OC)=CC=1)C1=CC=CC=C1 JBWYRBLDOOOJEU-UHFFFAOYSA-N 0.000 description 3
- GVZJRBAUSGYWJI-UHFFFAOYSA-N 2,5-bis(3-dodecylthiophen-2-yl)thiophene Chemical compound C1=CSC(C=2SC(=CC=2)C2=C(C=CS2)CCCCCCCCCCCC)=C1CCCCCCCCCCCC GVZJRBAUSGYWJI-UHFFFAOYSA-N 0.000 description 3
- ZWEHNKRNPOVVGH-UHFFFAOYSA-N 2-Butanone Chemical compound CCC(C)=O ZWEHNKRNPOVVGH-UHFFFAOYSA-N 0.000 description 3
- QBWKPGNFQQJGFY-QLFBSQMISA-N 3-[(1r)-1-[(2r,6s)-2,6-dimethylmorpholin-4-yl]ethyl]-n-[6-methyl-3-(1h-pyrazol-4-yl)imidazo[1,2-a]pyrazin-8-yl]-1,2-thiazol-5-amine Chemical compound N1([C@H](C)C2=NSC(NC=3C4=NC=C(N4C=C(C)N=3)C3=CNN=C3)=C2)C[C@H](C)O[C@H](C)C1 QBWKPGNFQQJGFY-QLFBSQMISA-N 0.000 description 3
- 125000002103 4,4'-dimethoxytriphenylmethyl group Chemical group [H]C1=C([H])C([H])=C(C([H])=C1[H])C(*)(C1=C([H])C([H])=C(OC([H])([H])[H])C([H])=C1[H])C1=C([H])C([H])=C(OC([H])([H])[H])C([H])=C1[H] 0.000 description 3
- FWMNVWWHGCHHJJ-SKKKGAJSSA-N 4-amino-1-[(2r)-6-amino-2-[[(2r)-2-[[(2r)-2-[[(2r)-2-amino-3-phenylpropanoyl]amino]-3-phenylpropanoyl]amino]-4-methylpentanoyl]amino]hexanoyl]piperidine-4-carboxylic acid Chemical compound C([C@H](C(=O)N[C@H](CC(C)C)C(=O)N[C@H](CCCCN)C(=O)N1CCC(N)(CC1)C(O)=O)NC(=O)[C@H](N)CC=1C=CC=CC=1)C1=CC=CC=C1 FWMNVWWHGCHHJJ-SKKKGAJSSA-N 0.000 description 3
- MITGKKFYIJJQGL-UHFFFAOYSA-N 9-(4-chlorobenzoyl)-6-methylsulfonyl-2,3-dihydro-1H-carbazol-4-one Chemical compound ClC1=CC=C(C(=O)N2C3=CC=C(C=C3C=3C(CCCC2=3)=O)S(=O)(=O)C)C=C1 MITGKKFYIJJQGL-UHFFFAOYSA-N 0.000 description 3
- 230000035495 ADMET Effects 0.000 description 3
- 208000031261 Acute myeloid leukaemia Diseases 0.000 description 3
- 229930024421 Adenine Natural products 0.000 description 3
- BGGALFIXXQOTPY-NRFANRHFSA-N C1(=C(C2=C(C=C1)N(C(C#N)=C2)C[C@@H](N1CCN(CC1)S(=O)(=O)C)C)C)CN1CCC(CC1)NC1=NC(=NC2=C1C=C(S2)CC(F)(F)F)NC Chemical compound C1(=C(C2=C(C=C1)N(C(C#N)=C2)C[C@@H](N1CCN(CC1)S(=O)(=O)C)C)C)CN1CCC(CC1)NC1=NC(=NC2=C1C=C(S2)CC(F)(F)F)NC BGGALFIXXQOTPY-NRFANRHFSA-N 0.000 description 3
- 125000000882 C2-C6 alkenyl group Chemical group 0.000 description 3
- KOWXKIHEBFTVRU-UHFFFAOYSA-N CC.CC Chemical compound CC.CC KOWXKIHEBFTVRU-UHFFFAOYSA-N 0.000 description 3
- ACZVDLNGAPRJPR-AATRIKPKSA-N CCC/C=C/CNC Chemical compound CCC/C=C/CNC ACZVDLNGAPRJPR-AATRIKPKSA-N 0.000 description 3
- OYPRJOBELJOOCE-UHFFFAOYSA-N Calcium Chemical compound [Ca] OYPRJOBELJOOCE-UHFFFAOYSA-N 0.000 description 3
- 241000282472 Canis lupus familiaris Species 0.000 description 3
- 229920000623 Cellulose acetate phthalate Polymers 0.000 description 3
- 208000001333 Colorectal Neoplasms Diseases 0.000 description 3
- UFHFLCQGNIYNRP-UHFFFAOYSA-N Hydrogen Chemical compound [H][H] UFHFLCQGNIYNRP-UHFFFAOYSA-N 0.000 description 3
- 208000033776 Myeloid Acute Leukemia Diseases 0.000 description 3
- HPKJGHVHQWJOOT-ZJOUEHCJSA-N N-[(2S)-3-cyclohexyl-1-oxo-1-({(2S)-1-oxo-3-[(3S)-2-oxopyrrolidin-3-yl]propan-2-yl}amino)propan-2-yl]-1H-indole-2-carboxamide Chemical compound C1C(CCCC1)C[C@H](NC(=O)C=1NC2=CC=CC=C2C=1)C(=O)N[C@@H](C[C@H]1C(=O)NCC1)C=O HPKJGHVHQWJOOT-ZJOUEHCJSA-N 0.000 description 3
- OPFJDXRVMFKJJO-ZHHKINOHSA-N N-{[3-(2-benzamido-4-methyl-1,3-thiazol-5-yl)-pyrazol-5-yl]carbonyl}-G-dR-G-dD-dD-dD-NH2 Chemical compound S1C(C=2NN=C(C=2)C(=O)NCC(=O)N[C@H](CCCN=C(N)N)C(=O)NCC(=O)N[C@H](CC(O)=O)C(=O)N[C@H](CC(O)=O)C(=O)N[C@H](CC(O)=O)C(N)=O)=C(C)N=C1NC(=O)C1=CC=CC=C1 OPFJDXRVMFKJJO-ZHHKINOHSA-N 0.000 description 3
- 108091028043 Nucleic acid sequence Proteins 0.000 description 3
- MGIWHZZPQLEMIK-KRJQRTKBSA-N O=P1(S)OC[C@H]2O[C@@H]3[C@H](F)[C@@H]2OP(=O)(S)OC[C@H]2O[C@H]([C@H](F)[C@@H]2O1)N1C=NC2=C(CC/C=C/COC4=C5/N=C\N3C5=NC=N4)N=CN=C21 Chemical compound O=P1(S)OC[C@H]2O[C@@H]3[C@H](F)[C@@H]2OP(=O)(S)OC[C@H]2O[C@H]([C@H](F)[C@@H]2O1)N1C=NC2=C(CC/C=C/COC4=C5/N=C\N3C5=NC=N4)N=CN=C21 MGIWHZZPQLEMIK-KRJQRTKBSA-N 0.000 description 3
- 239000002202 Polyethylene glycol Substances 0.000 description 3
- 229920001800 Shellac Polymers 0.000 description 3
- HEMHJVSKTPXQMS-UHFFFAOYSA-M Sodium hydroxide Chemical compound [OH-].[Na+] HEMHJVSKTPXQMS-UHFFFAOYSA-M 0.000 description 3
- RYYWUUFWQRZTIU-UHFFFAOYSA-N Thiophosphoric acid Chemical group OP(O)(S)=O RYYWUUFWQRZTIU-UHFFFAOYSA-N 0.000 description 3
- LJOOWESTVASNOG-UFJKPHDISA-N [(1s,3r,4ar,7s,8s,8as)-3-hydroxy-8-[2-[(4r)-4-hydroxy-6-oxooxan-2-yl]ethyl]-7-methyl-1,2,3,4,4a,7,8,8a-octahydronaphthalen-1-yl] (2s)-2-methylbutanoate Chemical compound C([C@H]1[C@@H](C)C=C[C@H]2C[C@@H](O)C[C@@H]([C@H]12)OC(=O)[C@@H](C)CC)CC1C[C@@H](O)CC(=O)O1 LJOOWESTVASNOG-UFJKPHDISA-N 0.000 description 3
- LNUFLCYMSVYYNW-ZPJMAFJPSA-N [(2r,3r,4s,5r,6r)-2-[(2r,3r,4s,5r,6r)-6-[(2r,3r,4s,5r,6r)-6-[(2r,3r,4s,5r,6r)-6-[[(3s,5s,8r,9s,10s,13r,14s,17r)-10,13-dimethyl-17-[(2r)-6-methylheptan-2-yl]-2,3,4,5,6,7,8,9,11,12,14,15,16,17-tetradecahydro-1h-cyclopenta[a]phenanthren-3-yl]oxy]-4,5-disulfo Chemical compound O([C@@H]1[C@@H](COS(O)(=O)=O)O[C@@H]([C@@H]([C@H]1OS(O)(=O)=O)OS(O)(=O)=O)O[C@@H]1[C@@H](COS(O)(=O)=O)O[C@@H]([C@@H]([C@H]1OS(O)(=O)=O)OS(O)(=O)=O)O[C@@H]1[C@@H](COS(O)(=O)=O)O[C@H]([C@@H]([C@H]1OS(O)(=O)=O)OS(O)(=O)=O)O[C@@H]1C[C@@H]2CC[C@H]3[C@@H]4CC[C@@H]([C@]4(CC[C@@H]3[C@@]2(C)CC1)C)[C@H](C)CCCC(C)C)[C@H]1O[C@H](COS(O)(=O)=O)[C@@H](OS(O)(=O)=O)[C@H](OS(O)(=O)=O)[C@H]1OS(O)(=O)=O LNUFLCYMSVYYNW-ZPJMAFJPSA-N 0.000 description 3
- IDSZKMFHUMAFRH-NABVMFTLSA-N [H][C@]1(F)[C@H]2O[C@@H]3COP(O)(=S)O[C@]4([H])[C@@H](COP(O)(=S)O[C@]31[H])O[C@@H](N1/C=N\C3=C(N=C(N)N=C31)OC/C=C/CCC1=C3N=CN2C3=NC=N1)[C@]4([H])F Chemical compound [H][C@]1(F)[C@H]2O[C@@H]3COP(O)(=S)O[C@]4([H])[C@@H](COP(O)(=S)O[C@]31[H])O[C@@H](N1/C=N\C3=C(N=C(N)N=C31)OC/C=C/CCC1=C3N=CN2C3=NC=N1)[C@]4([H])F IDSZKMFHUMAFRH-NABVMFTLSA-N 0.000 description 3
- YLEIFZAVNWDOBM-ZTNXSLBXSA-N ac1l9hc7 Chemical compound C([C@H]12)C[C@@H](C([C@@H](O)CC3)(C)C)[C@@]43C[C@@]14CC[C@@]1(C)[C@@]2(C)C[C@@H]2O[C@]3(O)[C@H](O)C(C)(C)O[C@@H]3[C@@H](C)[C@H]12 YLEIFZAVNWDOBM-ZTNXSLBXSA-N 0.000 description 3
- 230000002378 acidificating effect Effects 0.000 description 3
- 238000010535 acyclic diene metathesis reaction Methods 0.000 description 3
- 229960000643 adenine Drugs 0.000 description 3
- 125000000217 alkyl group Chemical group 0.000 description 3
- KGNDCEVUMONOKF-UGPLYTSKSA-N benzyl n-[(2r)-1-[(2s,4r)-2-[[(2s)-6-amino-1-(1,3-benzoxazol-2-yl)-1,1-dihydroxyhexan-2-yl]carbamoyl]-4-[(4-methylphenyl)methoxy]pyrrolidin-1-yl]-1-oxo-4-phenylbutan-2-yl]carbamate Chemical compound C1=CC(C)=CC=C1CO[C@H]1CN(C(=O)[C@@H](CCC=2C=CC=CC=2)NC(=O)OCC=2C=CC=CC=2)[C@H](C(=O)N[C@@H](CCCCN)C(O)(O)C=2OC3=CC=CC=C3N=2)C1 KGNDCEVUMONOKF-UGPLYTSKSA-N 0.000 description 3
- IAQRGUVFOMOMEM-UHFFFAOYSA-N butene Natural products CC=CC IAQRGUVFOMOMEM-UHFFFAOYSA-N 0.000 description 3
- 239000011575 calcium Substances 0.000 description 3
- 229910052791 calcium Inorganic materials 0.000 description 3
- 125000002843 carboxylic acid group Chemical group 0.000 description 3
- 239000000969 carrier Substances 0.000 description 3
- 229940081734 cellulose acetate phthalate Drugs 0.000 description 3
- 150000001793 charged compounds Chemical class 0.000 description 3
- 229940125810 compound 20 Drugs 0.000 description 3
- 229940126208 compound 22 Drugs 0.000 description 3
- 229940125833 compound 23 Drugs 0.000 description 3
- 229940125846 compound 25 Drugs 0.000 description 3
- 229940127204 compound 29 Drugs 0.000 description 3
- JNGZXGGOCLZBFB-IVCQMTBJSA-N compound E Chemical compound N([C@@H](C)C(=O)N[C@@H]1C(N(C)C2=CC=CC=C2C(C=2C=CC=CC=2)=N1)=O)C(=O)CC1=CC(F)=CC(F)=C1 JNGZXGGOCLZBFB-IVCQMTBJSA-N 0.000 description 3
- 238000007906 compression Methods 0.000 description 3
- 230000006835 compression Effects 0.000 description 3
- 238000000748 compression moulding Methods 0.000 description 3
- 238000011161 development Methods 0.000 description 3
- 230000018109 developmental process Effects 0.000 description 3
- 235000014113 dietary fatty acids Nutrition 0.000 description 3
- FAMRKDQNMBBFBR-BQYQJAHWSA-N diethyl azodicarboxylate Substances CCOC(=O)\N=N\C(=O)OCC FAMRKDQNMBBFBR-BQYQJAHWSA-N 0.000 description 3
- 238000009792 diffusion process Methods 0.000 description 3
- 238000010790 dilution Methods 0.000 description 3
- 239000012895 dilution Substances 0.000 description 3
- 208000035475 disorder Diseases 0.000 description 3
- 239000003995 emulsifying agent Substances 0.000 description 3
- 238000005516 engineering process Methods 0.000 description 3
- GDCRSXZBSIRSFR-UHFFFAOYSA-N ethyl prop-2-enoate;2-methylprop-2-enoic acid Chemical compound CC(=C)C(O)=O.CCOC(=O)C=C GDCRSXZBSIRSFR-UHFFFAOYSA-N 0.000 description 3
- 239000000194 fatty acid Substances 0.000 description 3
- 229930195729 fatty acid Natural products 0.000 description 3
- 238000011049 filling Methods 0.000 description 3
- 239000007888 film coating Substances 0.000 description 3
- 238000009501 film coating Methods 0.000 description 3
- 239000000796 flavoring agent Substances 0.000 description 3
- 239000007789 gas Substances 0.000 description 3
- 210000001035 gastrointestinal tract Anatomy 0.000 description 3
- JAXFJECJQZDFJS-XHEPKHHKSA-N gtpl8555 Chemical compound OC(=O)C[C@H](N)C(=O)N[C@@H](CCC(O)=O)C(=O)N[C@@H](C(C)C)C(=O)N[C@@H](C(C)C)C(=O)N1CCC[C@@H]1C(=O)N[C@H](B1O[C@@]2(C)[C@H]3C[C@H](C3(C)C)C[C@H]2O1)CCC1=CC=C(F)C=C1 JAXFJECJQZDFJS-XHEPKHHKSA-N 0.000 description 3
- 229910052739 hydrogen Inorganic materials 0.000 description 3
- 239000001257 hydrogen Substances 0.000 description 3
- 239000001863 hydroxypropyl cellulose Substances 0.000 description 3
- 229920003132 hydroxypropyl methylcellulose phthalate Polymers 0.000 description 3
- 229940031704 hydroxypropyl methylcellulose phthalate Drugs 0.000 description 3
- 229920000639 hydroxypropylmethylcellulose acetate succinate Polymers 0.000 description 3
- 238000002513 implantation Methods 0.000 description 3
- 125000001449 isopropyl group Chemical group [H]C([H])([H])C([H])(*)C([H])([H])[H] 0.000 description 3
- 235000015110 jellies Nutrition 0.000 description 3
- 239000008274 jelly Substances 0.000 description 3
- 230000003902 lesion Effects 0.000 description 3
- 239000011777 magnesium Substances 0.000 description 3
- 235000019359 magnesium stearate Nutrition 0.000 description 3
- 239000011159 matrix material Substances 0.000 description 3
- 230000001394 metastastic effect Effects 0.000 description 3
- 206010061289 metastatic neoplasm Diseases 0.000 description 3
- 229920000609 methyl cellulose Polymers 0.000 description 3
- 239000001923 methylcellulose Substances 0.000 description 3
- 235000010981 methylcellulose Nutrition 0.000 description 3
- 125000002950 monocyclic group Chemical group 0.000 description 3
- VLKZOEOYAKHREP-UHFFFAOYSA-N n-Hexane Chemical compound CCCCCC VLKZOEOYAKHREP-UHFFFAOYSA-N 0.000 description 3
- 229910000069 nitrogen hydride Inorganic materials 0.000 description 3
- 230000010399 physical interaction Effects 0.000 description 3
- 239000004014 plasticizer Substances 0.000 description 3
- 229920001223 polyethylene glycol Polymers 0.000 description 3
- 235000013855 polyvinylpyrrolidone Nutrition 0.000 description 3
- 239000001267 polyvinylpyrrolidone Substances 0.000 description 3
- 229920000036 polyvinylpyrrolidone Polymers 0.000 description 3
- 239000002244 precipitate Substances 0.000 description 3
- 238000001556 precipitation Methods 0.000 description 3
- 230000002062 proliferating effect Effects 0.000 description 3
- LVTJOONKWUXEFR-FZRMHRINSA-N protoneodioscin Natural products O(C[C@@H](CC[C@]1(O)[C@H](C)[C@@H]2[C@]3(C)[C@H]([C@H]4[C@@H]([C@]5(C)C(=CC4)C[C@@H](O[C@@H]4[C@H](O[C@H]6[C@@H](O)[C@@H](O)[C@@H](O)[C@H](C)O6)[C@@H](O)[C@H](O[C@H]6[C@@H](O)[C@@H](O)[C@@H](O)[C@H](C)O6)[C@H](CO)O4)CC5)CC3)C[C@@H]2O1)C)[C@H]1[C@H](O)[C@H](O)[C@H](O)[C@@H](CO)O1 LVTJOONKWUXEFR-FZRMHRINSA-N 0.000 description 3
- 238000004007 reversed phase HPLC Methods 0.000 description 3
- 238000000926 separation method Methods 0.000 description 3
- ZLGIYFNHBLSMPS-ATJNOEHPSA-N shellac Chemical compound OCCCCCC(O)C(O)CCCCCCCC(O)=O.C1C23[C@H](C(O)=O)CCC2[C@](C)(CO)[C@@H]1C(C(O)=O)=C[C@@H]3O ZLGIYFNHBLSMPS-ATJNOEHPSA-N 0.000 description 3
- 239000004208 shellac Substances 0.000 description 3
- 229940113147 shellac Drugs 0.000 description 3
- 235000013874 shellac Nutrition 0.000 description 3
- 238000007873 sieving Methods 0.000 description 3
- 238000000935 solvent evaporation Methods 0.000 description 3
- 238000005507 spraying Methods 0.000 description 3
- 239000011550 stock solution Substances 0.000 description 3
- 238000009495 sugar coating Methods 0.000 description 3
- 239000000454 talc Substances 0.000 description 3
- 229910052623 talc Inorganic materials 0.000 description 3
- 235000012222 talc Nutrition 0.000 description 3
- 238000012360 testing method Methods 0.000 description 3
- 238000002560 therapeutic procedure Methods 0.000 description 3
- FIQMHBFVRAXMOP-UHFFFAOYSA-N triphenylphosphane oxide Chemical compound C=1C=CC=CC=1P(C=1C=CC=CC=1)(=O)C1=CC=CC=C1 FIQMHBFVRAXMOP-UHFFFAOYSA-N 0.000 description 3
- 239000003039 volatile agent Substances 0.000 description 3
- UAOUIVVJBYDFKD-XKCDOFEDSA-N (1R,9R,10S,11R,12R,15S,18S,21R)-10,11,21-trihydroxy-8,8-dimethyl-14-methylidene-4-(prop-2-enylamino)-20-oxa-5-thia-3-azahexacyclo[9.7.2.112,15.01,9.02,6.012,18]henicosa-2(6),3-dien-13-one Chemical compound C([C@@H]1[C@@H](O)[C@@]23C(C1=C)=O)C[C@H]2[C@]12C(N=C(NCC=C)S4)=C4CC(C)(C)[C@H]1[C@H](O)[C@]3(O)OC2 UAOUIVVJBYDFKD-XKCDOFEDSA-N 0.000 description 2
- FANCTJAFZSYTIS-IQUVVAJASA-N (1r,3s,5z)-5-[(2e)-2-[(1r,3as,7ar)-7a-methyl-1-[(2r)-4-(phenylsulfonimidoyl)butan-2-yl]-2,3,3a,5,6,7-hexahydro-1h-inden-4-ylidene]ethylidene]-4-methylidenecyclohexane-1,3-diol Chemical compound C([C@@H](C)[C@@H]1[C@]2(CCCC(/[C@@H]2CC1)=C\C=C\1C([C@@H](O)C[C@H](O)C/1)=C)C)CS(=N)(=O)C1=CC=CC=C1 FANCTJAFZSYTIS-IQUVVAJASA-N 0.000 description 2
- GLGNXYJARSMNGJ-VKTIVEEGSA-N (1s,2s,3r,4r)-3-[[5-chloro-2-[(1-ethyl-6-methoxy-2-oxo-4,5-dihydro-3h-1-benzazepin-7-yl)amino]pyrimidin-4-yl]amino]bicyclo[2.2.1]hept-5-ene-2-carboxamide Chemical compound CCN1C(=O)CCCC2=C(OC)C(NC=3N=C(C(=CN=3)Cl)N[C@H]3[C@H]([C@@]4([H])C[C@@]3(C=C4)[H])C(N)=O)=CC=C21 GLGNXYJARSMNGJ-VKTIVEEGSA-N 0.000 description 2
- SHAHPWSYJFYMRX-GDLCADMTSA-N (2S)-2-(4-{[(1R,2S)-2-hydroxycyclopentyl]methyl}phenyl)propanoic acid Chemical compound C1=CC([C@@H](C(O)=O)C)=CC=C1C[C@@H]1[C@@H](O)CCC1 SHAHPWSYJFYMRX-GDLCADMTSA-N 0.000 description 2
- GHYOCDFICYLMRF-UTIIJYGPSA-N (2S,3R)-N-[(2S)-3-(cyclopenten-1-yl)-1-[(2R)-2-methyloxiran-2-yl]-1-oxopropan-2-yl]-3-hydroxy-3-(4-methoxyphenyl)-2-[[(2S)-2-[(2-morpholin-4-ylacetyl)amino]propanoyl]amino]propanamide Chemical compound C1(=CCCC1)C[C@@H](C(=O)[C@@]1(OC1)C)NC([C@H]([C@@H](C1=CC=C(C=C1)OC)O)NC([C@H](C)NC(CN1CCOCC1)=O)=O)=O GHYOCDFICYLMRF-UTIIJYGPSA-N 0.000 description 2
- LNAZSHAWQACDHT-XIYTZBAFSA-N (2r,3r,4s,5r,6s)-4,5-dimethoxy-2-(methoxymethyl)-3-[(2s,3r,4s,5r,6r)-3,4,5-trimethoxy-6-(methoxymethyl)oxan-2-yl]oxy-6-[(2r,3r,4s,5r,6r)-4,5,6-trimethoxy-2-(methoxymethyl)oxan-3-yl]oxyoxane Chemical compound CO[C@@H]1[C@@H](OC)[C@H](OC)[C@@H](COC)O[C@H]1O[C@H]1[C@H](OC)[C@@H](OC)[C@H](O[C@H]2[C@@H]([C@@H](OC)[C@H](OC)O[C@@H]2COC)OC)O[C@@H]1COC LNAZSHAWQACDHT-XIYTZBAFSA-N 0.000 description 2
- QFLWZFQWSBQYPS-AWRAUJHKSA-N (3S)-3-[[(2S)-2-[[(2S)-2-[5-[(3aS,6aR)-2-oxo-1,3,3a,4,6,6a-hexahydrothieno[3,4-d]imidazol-4-yl]pentanoylamino]-3-methylbutanoyl]amino]-3-(4-hydroxyphenyl)propanoyl]amino]-4-[1-bis(4-chlorophenoxy)phosphorylbutylamino]-4-oxobutanoic acid Chemical compound CCCC(NC(=O)[C@H](CC(O)=O)NC(=O)[C@H](Cc1ccc(O)cc1)NC(=O)[C@@H](NC(=O)CCCCC1SC[C@@H]2NC(=O)N[C@H]12)C(C)C)P(=O)(Oc1ccc(Cl)cc1)Oc1ccc(Cl)cc1 QFLWZFQWSBQYPS-AWRAUJHKSA-N 0.000 description 2
- HUWSZNZAROKDRZ-RRLWZMAJSA-N (3r,4r)-3-azaniumyl-5-[[(2s,3r)-1-[(2s)-2,3-dicarboxypyrrolidin-1-yl]-3-methyl-1-oxopentan-2-yl]amino]-5-oxo-4-sulfanylpentane-1-sulfonate Chemical compound OS(=O)(=O)CC[C@@H](N)[C@@H](S)C(=O)N[C@@H]([C@H](C)CC)C(=O)N1CCC(C(O)=O)[C@H]1C(O)=O HUWSZNZAROKDRZ-RRLWZMAJSA-N 0.000 description 2
- OIIOPWHTJZYKIL-PMACEKPBSA-N (5S)-5-[[[5-[2-chloro-3-[2-chloro-3-[6-methoxy-5-[[[(2S)-5-oxopyrrolidin-2-yl]methylamino]methyl]pyrazin-2-yl]phenyl]phenyl]-3-methoxypyrazin-2-yl]methylamino]methyl]pyrrolidin-2-one Chemical compound C1(=C(N=C(C2=C(C(C3=CC=CC(=C3Cl)C3=NC(OC)=C(N=C3)CNC[C@H]3NC(=O)CC3)=CC=C2)Cl)C=N1)OC)CNC[C@H]1NC(=O)CC1 OIIOPWHTJZYKIL-PMACEKPBSA-N 0.000 description 2
- ORTVZLZNOYNASJ-OWOJBTEDSA-N (e)-but-2-ene-1,4-diol Chemical compound OC\C=C\CO ORTVZLZNOYNASJ-OWOJBTEDSA-N 0.000 description 2
- IGVKWAAPMVVTFX-BUHFOSPRSA-N (e)-octadec-5-en-7,9-diynoic acid Chemical compound CCCCCCCCC#CC#C\C=C\CCCC(O)=O IGVKWAAPMVVTFX-BUHFOSPRSA-N 0.000 description 2
- NGDOAEXXWUERKW-QOKJLGJVSA-N *.*.CC1(C)O[C@H]2CCC3=NC=NC4=C3N=CN4[C@@H]3O[C@@H]4CO[P@@](=O)(SCC5=CC=CC=C5[N+](=O)[O-])O[C@@H]5[C@@H](COP(=O)(SCC6=CC=CC=C6[N+](=O)[O-])O[C@H]4[C@H]3F)O[C@H]([C@@H]5F)N3/C=N\C4=C3N=CN=C4N(C(=O)C3=CC=CC=C3)C[C@@H]2O1.N.N.O=P1(S)OC[C@H]2O[C@@H]3[C@H](F)[C@@H]2O[P@](=O)(S)OC[C@H]2O[C@H]([C@H](F)[C@@H]2O1)N1C=NC2=C1N=CN=C2CC[C@H](O)[C@@H](O)CNC1=NC=NC2=C1/N=C\N23.S.S.S.S Chemical compound *.*.CC1(C)O[C@H]2CCC3=NC=NC4=C3N=CN4[C@@H]3O[C@@H]4CO[P@@](=O)(SCC5=CC=CC=C5[N+](=O)[O-])O[C@@H]5[C@@H](COP(=O)(SCC6=CC=CC=C6[N+](=O)[O-])O[C@H]4[C@H]3F)O[C@H]([C@@H]5F)N3/C=N\C4=C3N=CN=C4N(C(=O)C3=CC=CC=C3)C[C@@H]2O1.N.N.O=P1(S)OC[C@H]2O[C@@H]3[C@H](F)[C@@H]2O[P@](=O)(S)OC[C@H]2O[C@H]([C@H](F)[C@@H]2O1)N1C=NC2=C1N=CN=C2CC[C@H](O)[C@@H](O)CNC1=NC=NC2=C1/N=C\N23.S.S.S.S NGDOAEXXWUERKW-QOKJLGJVSA-N 0.000 description 2
- SEIXMFQPCOLMKH-PMKMOFMNSA-N *.O=[P@]1(S)OC[C@H]2OC3[C@H](F)[C@@H]2O[P@](=O)(S)OC[C@H]2O[C@H]([C@H](F)[C@@H]2O1)N1C=NC2=C1/N=C\N=C/2CCC1CC1CNC1=NC=NC2=C1/N=C\[N@@]23.S Chemical compound *.O=[P@]1(S)OC[C@H]2OC3[C@H](F)[C@@H]2O[P@](=O)(S)OC[C@H]2O[C@H]([C@H](F)[C@@H]2O1)N1C=NC2=C1/N=C\N=C/2CCC1CC1CNC1=NC=NC2=C1/N=C\[N@@]23.S SEIXMFQPCOLMKH-PMKMOFMNSA-N 0.000 description 2
- VXNZUUAINFGPBY-UHFFFAOYSA-N 1-Butene Chemical compound CCC=C VXNZUUAINFGPBY-UHFFFAOYSA-N 0.000 description 2
- WZZBNLYBHUDSHF-DHLKQENFSA-N 1-[(3s,4s)-4-[8-(2-chloro-4-pyrimidin-2-yloxyphenyl)-7-fluoro-2-methylimidazo[4,5-c]quinolin-1-yl]-3-fluoropiperidin-1-yl]-2-hydroxyethanone Chemical compound CC1=NC2=CN=C3C=C(F)C(C=4C(=CC(OC=5N=CC=CN=5)=CC=4)Cl)=CC3=C2N1[C@H]1CCN(C(=O)CO)C[C@@H]1F WZZBNLYBHUDSHF-DHLKQENFSA-N 0.000 description 2
- ONBQEOIKXPHGMB-VBSBHUPXSA-N 1-[2-[(2s,3r,4s,5r)-3,4-dihydroxy-5-(hydroxymethyl)oxolan-2-yl]oxy-4,6-dihydroxyphenyl]-3-(4-hydroxyphenyl)propan-1-one Chemical compound O[C@@H]1[C@H](O)[C@@H](CO)O[C@H]1OC1=CC(O)=CC(O)=C1C(=O)CCC1=CC=C(O)C=C1 ONBQEOIKXPHGMB-VBSBHUPXSA-N 0.000 description 2
- XGDRLCRGKUCBQL-UHFFFAOYSA-N 1h-imidazole-4,5-dicarbonitrile Chemical compound N#CC=1N=CNC=1C#N XGDRLCRGKUCBQL-UHFFFAOYSA-N 0.000 description 2
- JKMHFZQWWAIEOD-UHFFFAOYSA-N 2-[4-(2-hydroxyethyl)piperazin-1-yl]ethanesulfonic acid Chemical compound OCC[NH+]1CCN(CCS([O-])(=O)=O)CC1 JKMHFZQWWAIEOD-UHFFFAOYSA-N 0.000 description 2
- 125000001731 2-cyanoethyl group Chemical group [H]C([H])(*)C([H])([H])C#N 0.000 description 2
- WRMNZCZEMHIOCP-UHFFFAOYSA-N 2-phenylethanol Chemical compound OCCC1=CC=CC=C1 WRMNZCZEMHIOCP-UHFFFAOYSA-N 0.000 description 2
- VHYFNPMBLIVWCW-UHFFFAOYSA-N 4-Dimethylaminopyridine Chemical compound CN(C)C1=CC=NC=C1 VHYFNPMBLIVWCW-UHFFFAOYSA-N 0.000 description 2
- WCDLCPLAAKUJNY-UHFFFAOYSA-N 4-[4-[3-(1h-pyrazol-4-yl)pyrazolo[1,5-a]pyrimidin-6-yl]phenyl]morpholine Chemical compound C1COCCN1C1=CC=C(C2=CN3N=CC(=C3N=C2)C2=CNN=C2)C=C1 WCDLCPLAAKUJNY-UHFFFAOYSA-N 0.000 description 2
- GSDQYSSLIKJJOG-UHFFFAOYSA-N 4-chloro-2-(3-chloroanilino)benzoic acid Chemical compound OC(=O)C1=CC=C(Cl)C=C1NC1=CC=CC(Cl)=C1 GSDQYSSLIKJJOG-UHFFFAOYSA-N 0.000 description 2
- NRVOTDBYJXFINS-QYYRPYCUSA-N 9-[(2r,3r,4r,5r)-3-fluoro-4-hydroxy-5-(hydroxymethyl)oxolan-2-yl]-3h-purin-6-one Chemical compound F[C@@H]1[C@H](O)[C@@H](CO)O[C@H]1N1C(NC=NC2=O)=C2N=C1 NRVOTDBYJXFINS-QYYRPYCUSA-N 0.000 description 2
- WFDIJRYMOXRFFG-UHFFFAOYSA-N Acetic anhydride Chemical compound CC(=O)OC(C)=O WFDIJRYMOXRFFG-UHFFFAOYSA-N 0.000 description 2
- USFZMSVCRYTOJT-UHFFFAOYSA-N Ammonium acetate Chemical compound N.CC(O)=O USFZMSVCRYTOJT-UHFFFAOYSA-N 0.000 description 2
- 239000005695 Ammonium acetate Substances 0.000 description 2
- 108091003079 Bovine Serum Albumin Proteins 0.000 description 2
- 206010006187 Breast cancer Diseases 0.000 description 2
- 208000026310 Breast neoplasm Diseases 0.000 description 2
- 101000708016 Caenorhabditis elegans Sentrin-specific protease Proteins 0.000 description 2
- UXVMQQNJUSDDNG-UHFFFAOYSA-L Calcium chloride Chemical compound [Cl-].[Cl-].[Ca+2] UXVMQQNJUSDDNG-UHFFFAOYSA-L 0.000 description 2
- 208000005623 Carcinogenesis Diseases 0.000 description 2
- 108020004705 Codon Proteins 0.000 description 2
- 229940126062 Compound A Drugs 0.000 description 2
- 229920002261 Corn starch Polymers 0.000 description 2
- FBPFZTCFMRRESA-KVTDHHQDSA-N D-Mannitol Chemical compound OC[C@@H](O)[C@@H](O)[C@H](O)[C@H](O)CO FBPFZTCFMRRESA-KVTDHHQDSA-N 0.000 description 2
- 108020004414 DNA Proteins 0.000 description 2
- RTZKZFJDLAIYFH-UHFFFAOYSA-N Diethyl ether Chemical compound CCOCC RTZKZFJDLAIYFH-UHFFFAOYSA-N 0.000 description 2
- RWSOTUBLDIXVET-UHFFFAOYSA-N Dihydrogen sulfide Chemical compound S RWSOTUBLDIXVET-UHFFFAOYSA-N 0.000 description 2
- 241000588724 Escherichia coli Species 0.000 description 2
- 241001198387 Escherichia coli BL21(DE3) Species 0.000 description 2
- 229920003135 Eudragit® L 100-55 Polymers 0.000 description 2
- 229920003153 Eudragit® NE polymer Polymers 0.000 description 2
- 229920003151 Eudragit® RL polymer Polymers 0.000 description 2
- 229920003152 Eudragit® RS polymer Polymers 0.000 description 2
- 239000007995 HEPES buffer Substances 0.000 description 2
- NLDMNSXOCDLTTB-UHFFFAOYSA-N Heterophylliin A Natural products O1C2COC(=O)C3=CC(O)=C(O)C(O)=C3C3=C(O)C(O)=C(O)C=C3C(=O)OC2C(OC(=O)C=2C=C(O)C(O)=C(O)C=2)C(O)C1OC(=O)C1=CC(O)=C(O)C(O)=C1 NLDMNSXOCDLTTB-UHFFFAOYSA-N 0.000 description 2
- 101001054334 Homo sapiens Interferon beta Proteins 0.000 description 2
- 108091054729 IRF family Proteins 0.000 description 2
- 102000016854 Interferon Regulatory Factors Human genes 0.000 description 2
- 102100026720 Interferon beta Human genes 0.000 description 2
- XEEYBQQBJWHFJM-UHFFFAOYSA-N Iron Chemical compound [Fe] XEEYBQQBJWHFJM-UHFFFAOYSA-N 0.000 description 2
- ZDXPYRJPNDTMRX-VKHMYHEASA-N L-glutamine Chemical compound OC(=O)[C@@H](N)CCC(N)=O ZDXPYRJPNDTMRX-VKHMYHEASA-N 0.000 description 2
- 229930182816 L-glutamine Natural products 0.000 description 2
- 108060001084 Luciferase Proteins 0.000 description 2
- 239000005089 Luciferase Substances 0.000 description 2
- FYYHWMGAXLPEAU-UHFFFAOYSA-N Magnesium Chemical compound [Mg] FYYHWMGAXLPEAU-UHFFFAOYSA-N 0.000 description 2
- 229930195725 Mannitol Natural products 0.000 description 2
- 238000007476 Maximum Likelihood Methods 0.000 description 2
- UEZVMMHDMIWARA-UHFFFAOYSA-N Metaphosphoric acid Chemical compound OP(=O)=O UEZVMMHDMIWARA-UHFFFAOYSA-N 0.000 description 2
- BAVYZALUXZFZLV-UHFFFAOYSA-N Methylamine Chemical compound NC BAVYZALUXZFZLV-UHFFFAOYSA-N 0.000 description 2
- VCCMVPDSLHFCBB-MSIRFHFKSA-N N-[9-[(2R,3R,4R,5R)-5-[[bis(4-methoxyphenyl)-phenylmethoxy]methyl]-4-[2-cyanoethoxy-[di(propan-2-yl)amino]phosphanyl]oxy-3-fluorooxolan-2-yl]purin-6-yl]benzamide Chemical compound C(C)(C)N(P(O[C@@H]1[C@H](O[C@H]([C@@H]1F)N1C2=NC=NC(=C2N=C1)NC(C1=CC=CC=C1)=O)COC(C1=CC=CC=C1)(C1=CC=C(C=C1)OC)C1=CC=C(C=C1)OC)OCCC#N)C(C)C VCCMVPDSLHFCBB-MSIRFHFKSA-N 0.000 description 2
- POFVJRKJJBFPII-UHFFFAOYSA-N N-cyclopentyl-5-[2-[[5-[(4-ethylpiperazin-1-yl)methyl]pyridin-2-yl]amino]-5-fluoropyrimidin-4-yl]-4-methyl-1,3-thiazol-2-amine Chemical compound C1(CCCC1)NC=1SC(=C(N=1)C)C1=NC(=NC=C1F)NC1=NC=C(C=C1)CN1CCN(CC1)CC POFVJRKJJBFPII-UHFFFAOYSA-N 0.000 description 2
- ZNSPHKJFQDEABI-NZQKXSOJSA-N Nc1nc(O[C@H](c2ccc(Cl)cc2-c2ccccc2)C(F)(F)F)cc(n1)N1CCC2(CN[C@@H](C2)C(O)=O)CC1 Chemical compound Nc1nc(O[C@H](c2ccc(Cl)cc2-c2ccccc2)C(F)(F)F)cc(n1)N1CCC2(CN[C@@H](C2)C(O)=O)CC1 ZNSPHKJFQDEABI-NZQKXSOJSA-N 0.000 description 2
- PXXCNVKXSWFGLB-HQRYXZKTSA-N O=P1(S)OC[C@H]2O[C@@H]3[C@H](OP(=O)(S)OC[C@H]4OC([C@H](O1)[C@@H]4O)[N@@]1/C=N\C4=C1N=CN=C4NC/C=C/CC/C1=N/C=N\C4=C1N=CN43)[C@@H]2O Chemical compound O=P1(S)OC[C@H]2O[C@@H]3[C@H](OP(=O)(S)OC[C@H]4OC([C@H](O1)[C@@H]4O)[N@@]1/C=N\C4=C1N=CN=C4NC/C=C/CC/C1=N/C=N\C4=C1N=CN43)[C@@H]2O PXXCNVKXSWFGLB-HQRYXZKTSA-N 0.000 description 2
- OAICVXFJPJFONN-UHFFFAOYSA-N Phosphorus Chemical compound [P] OAICVXFJPJFONN-UHFFFAOYSA-N 0.000 description 2
- 229920002565 Polyethylene Glycol 400 Polymers 0.000 description 2
- 229920002594 Polyethylene Glycol 8000 Polymers 0.000 description 2
- CZPWVGJYEJSRLH-UHFFFAOYSA-N Pyrimidine Chemical compound C1=CN=CN=C1 CZPWVGJYEJSRLH-UHFFFAOYSA-N 0.000 description 2
- 238000011529 RT qPCR Methods 0.000 description 2
- 241000700159 Rattus Species 0.000 description 2
- 102000007056 Recombinant Fusion Proteins Human genes 0.000 description 2
- 108010008281 Recombinant Fusion Proteins Proteins 0.000 description 2
- 229920002472 Starch Polymers 0.000 description 2
- DOOTYTYQINUNNV-UHFFFAOYSA-N Triethyl citrate Chemical compound CCOC(=O)CC(O)(C(=O)OCC)CC(=O)OCC DOOTYTYQINUNNV-UHFFFAOYSA-N 0.000 description 2
- INVRLGIKFANLFP-WDSKDSINSA-N [(4s,5s)-5-(hydroxymethyl)-2,2-dimethyl-1,3-dioxolan-4-yl]methanol Chemical compound CC1(C)O[C@@H](CO)[C@H](CO)O1 INVRLGIKFANLFP-WDSKDSINSA-N 0.000 description 2
- 238000010521 absorption reaction Methods 0.000 description 2
- 239000000654 additive Substances 0.000 description 2
- 239000002671 adjuvant Substances 0.000 description 2
- 238000001042 affinity chromatography Methods 0.000 description 2
- 239000000556 agonist Substances 0.000 description 2
- 235000010443 alginic acid Nutrition 0.000 description 2
- 229920000615 alginic acid Polymers 0.000 description 2
- 230000029936 alkylation Effects 0.000 description 2
- 238000005804 alkylation reaction Methods 0.000 description 2
- 125000003277 amino group Chemical group 0.000 description 2
- 235000019257 ammonium acetate Nutrition 0.000 description 2
- 229940043376 ammonium acetate Drugs 0.000 description 2
- 239000012491 analyte Substances 0.000 description 2
- 238000005571 anion exchange chromatography Methods 0.000 description 2
- 239000007900 aqueous suspension Substances 0.000 description 2
- XRWSZZJLZRKHHD-WVWIJVSJSA-N asunaprevir Chemical compound O=C([C@@H]1C[C@H](CN1C(=O)[C@@H](NC(=O)OC(C)(C)C)C(C)(C)C)OC1=NC=C(C2=CC=C(Cl)C=C21)OC)N[C@]1(C(=O)NS(=O)(=O)C2CC2)C[C@H]1C=C XRWSZZJLZRKHHD-WVWIJVSJSA-N 0.000 description 2
- 125000003236 benzoyl group Chemical group [H]C1=C([H])C([H])=C(C([H])=C1[H])C(*)=O 0.000 description 2
- 239000000872 buffer Substances 0.000 description 2
- 239000001110 calcium chloride Substances 0.000 description 2
- 235000011148 calcium chloride Nutrition 0.000 description 2
- 229910001628 calcium chloride Inorganic materials 0.000 description 2
- 230000036952 cancer formation Effects 0.000 description 2
- 231100000504 carcinogenesis Toxicity 0.000 description 2
- 239000013592 cell lysate Substances 0.000 description 2
- 229960000541 cetyl alcohol Drugs 0.000 description 2
- 229960004926 chlorobutanol Drugs 0.000 description 2
- 238000003776 cleavage reaction Methods 0.000 description 2
- 229910052681 coesite Inorganic materials 0.000 description 2
- 229940125797 compound 12 Drugs 0.000 description 2
- 229940125758 compound 15 Drugs 0.000 description 2
- 229940125876 compound 15a Drugs 0.000 description 2
- 229940126142 compound 16 Drugs 0.000 description 2
- 229940125961 compound 24 Drugs 0.000 description 2
- 238000012790 confirmation Methods 0.000 description 2
- 230000001276 controlling effect Effects 0.000 description 2
- 238000001816 cooling Methods 0.000 description 2
- 239000008120 corn starch Substances 0.000 description 2
- 229940099112 cornstarch Drugs 0.000 description 2
- 238000005336 cracking Methods 0.000 description 2
- 229910052906 cristobalite Inorganic materials 0.000 description 2
- 239000002577 cryoprotective agent Substances 0.000 description 2
- 239000011549 crystallization solution Substances 0.000 description 2
- 238000002447 crystallographic data Methods 0.000 description 2
- 230000001086 cytosolic effect Effects 0.000 description 2
- 230000003831 deregulation Effects 0.000 description 2
- 230000001627 detrimental effect Effects 0.000 description 2
- 238000004090 dissolution Methods 0.000 description 2
- 231100000673 dose–response relationship Toxicity 0.000 description 2
- BEFDCLMNVWHSGT-UHFFFAOYSA-N ethenylcyclopentane Chemical compound C=CC1CCCC1 BEFDCLMNVWHSGT-UHFFFAOYSA-N 0.000 description 2
- DEQYTNZJHKPYEZ-UHFFFAOYSA-N ethyl acetate;heptane Chemical compound CCOC(C)=O.CCCCCCC DEQYTNZJHKPYEZ-UHFFFAOYSA-N 0.000 description 2
- 125000001495 ethyl group Chemical group [H]C([H])([H])C([H])([H])* 0.000 description 2
- FSXVSUSRJXIJHB-UHFFFAOYSA-M ethyl prop-2-enoate;methyl 2-methylprop-2-enoate;trimethyl-[2-(2-methylprop-2-enoyloxy)ethyl]azanium;chloride Chemical compound [Cl-].CCOC(=O)C=C.COC(=O)C(C)=C.CC(=C)C(=O)OCC[N+](C)(C)C FSXVSUSRJXIJHB-UHFFFAOYSA-M 0.000 description 2
- 150000004665 fatty acids Chemical class 0.000 description 2
- 239000012091 fetal bovine serum Substances 0.000 description 2
- 125000001153 fluoro group Chemical group F* 0.000 description 2
- 210000003194 forelimb Anatomy 0.000 description 2
- 210000002196 fr. b Anatomy 0.000 description 2
- 210000003918 fraction a Anatomy 0.000 description 2
- 108020004445 glyceraldehyde-3-phosphate dehydrogenase Proteins 0.000 description 2
- 125000005456 glyceride group Chemical group 0.000 description 2
- 238000010438 heat treatment Methods 0.000 description 2
- 125000000592 heterocycloalkyl group Chemical group 0.000 description 2
- BXWNKGSJHAJOGX-UHFFFAOYSA-N hexadecan-1-ol Chemical compound CCCCCCCCCCCCCCCCO BXWNKGSJHAJOGX-UHFFFAOYSA-N 0.000 description 2
- 150000002430 hydrocarbons Chemical group 0.000 description 2
- 229910000037 hydrogen sulfide Inorganic materials 0.000 description 2
- 230000007062 hydrolysis Effects 0.000 description 2
- 238000006460 hydrolysis reaction Methods 0.000 description 2
- IKGLACJFEHSFNN-UHFFFAOYSA-N hydron;triethylazanium;trifluoride Chemical compound F.F.F.CCN(CC)CC IKGLACJFEHSFNN-UHFFFAOYSA-N 0.000 description 2
- 230000002209 hydrophobic effect Effects 0.000 description 2
- 125000002632 imidazolidinyl group Chemical group 0.000 description 2
- 125000002883 imidazolyl group Chemical group 0.000 description 2
- 125000003387 indolinyl group Chemical group N1(CCC2=CC=CC=C12)* 0.000 description 2
- 230000006698 induction Effects 0.000 description 2
- 230000015788 innate immune response Effects 0.000 description 2
- 238000007917 intracranial administration Methods 0.000 description 2
- 238000007918 intramuscular administration Methods 0.000 description 2
- 230000002601 intratumoral effect Effects 0.000 description 2
- 125000004594 isoindolinyl group Chemical group C1(NCC2=CC=CC=C12)* 0.000 description 2
- 150000002576 ketones Chemical class 0.000 description 2
- 230000000670 limiting effect Effects 0.000 description 2
- 201000007270 liver cancer Diseases 0.000 description 2
- 208000014018 liver neoplasm Diseases 0.000 description 2
- 238000011068 loading method Methods 0.000 description 2
- 229940031703 low substituted hydroxypropyl cellulose Drugs 0.000 description 2
- 229910052749 magnesium Inorganic materials 0.000 description 2
- 239000000594 mannitol Substances 0.000 description 2
- 235000010355 mannitol Nutrition 0.000 description 2
- 229910052751 metal Inorganic materials 0.000 description 2
- 239000002184 metal Substances 0.000 description 2
- LXCFILQKKLGQFO-UHFFFAOYSA-N methylparaben Chemical compound COC(=O)C1=CC=C(O)C=C1 LXCFILQKKLGQFO-UHFFFAOYSA-N 0.000 description 2
- 238000012986 modification Methods 0.000 description 2
- 230000004048 modification Effects 0.000 description 2
- 239000002808 molecular sieve Substances 0.000 description 2
- 125000002757 morpholinyl group Chemical group 0.000 description 2
- DNKKLDKIFMDAPT-UHFFFAOYSA-N n,n-dimethylmethanamine;2-methylprop-2-enoic acid Chemical compound CN(C)C.CC(=C)C(O)=O.CC(=C)C(O)=O DNKKLDKIFMDAPT-UHFFFAOYSA-N 0.000 description 2
- 231100000252 nontoxic Toxicity 0.000 description 2
- 230000003000 nontoxic effect Effects 0.000 description 2
- 239000000346 nonvolatile oil Substances 0.000 description 2
- 230000010355 oscillation Effects 0.000 description 2
- 125000000160 oxazolidinyl group Chemical group 0.000 description 2
- YWAKXRMUMFPDSH-UHFFFAOYSA-N pentene Chemical compound CCCC=C YWAKXRMUMFPDSH-UHFFFAOYSA-N 0.000 description 2
- WVDDGKGOMKODPV-ZQBYOMGUSA-N phenyl(114C)methanol Chemical compound O[14CH2]C1=CC=CC=C1 WVDDGKGOMKODPV-ZQBYOMGUSA-N 0.000 description 2
- 229910052698 phosphorus Inorganic materials 0.000 description 2
- 239000011574 phosphorus Substances 0.000 description 2
- 239000000049 pigment Substances 0.000 description 2
- 125000004193 piperazinyl group Chemical group 0.000 description 2
- 125000003386 piperidinyl group Chemical group 0.000 description 2
- 230000036470 plasma concentration Effects 0.000 description 2
- 239000013612 plasmid Substances 0.000 description 2
- 238000007747 plating Methods 0.000 description 2
- BWHMMNNQKKPAPP-UHFFFAOYSA-L potassium carbonate Chemical compound [K+].[K+].[O-]C([O-])=O BWHMMNNQKKPAPP-UHFFFAOYSA-L 0.000 description 2
- QELSKZZBTMNZEB-UHFFFAOYSA-N propylparaben Chemical compound CCCOC(=O)C1=CC=C(O)C=C1 QELSKZZBTMNZEB-UHFFFAOYSA-N 0.000 description 2
- 125000004309 pyranyl group Chemical group O1C(C=CC=C1)* 0.000 description 2
- 125000003072 pyrazolidinyl group Chemical group 0.000 description 2
- 125000004076 pyridyl group Chemical group 0.000 description 2
- 125000000714 pyrimidinyl group Chemical group 0.000 description 2
- 125000000719 pyrrolidinyl group Chemical group 0.000 description 2
- 230000005855 radiation Effects 0.000 description 2
- 238000003753 real-time PCR Methods 0.000 description 2
- 230000004044 response Effects 0.000 description 2
- 125000000548 ribosyl group Chemical group C1([C@H](O)[C@H](O)[C@H](O1)CO)* 0.000 description 2
- 230000007017 scission Effects 0.000 description 2
- 239000000377 silicon dioxide Substances 0.000 description 2
- 238000001542 size-exclusion chromatography Methods 0.000 description 2
- URGAHOPLAPQHLN-UHFFFAOYSA-N sodium aluminosilicate Chemical compound [Na+].[Al+3].[O-][Si]([O-])=O.[O-][Si]([O-])=O URGAHOPLAPQHLN-UHFFFAOYSA-N 0.000 description 2
- 235000019812 sodium carboxymethyl cellulose Nutrition 0.000 description 2
- 229920001027 sodium carboxymethylcellulose Polymers 0.000 description 2
- 239000008259 solid foam Substances 0.000 description 2
- 239000004334 sorbic acid Substances 0.000 description 2
- 235000010199 sorbic acid Nutrition 0.000 description 2
- 229940075582 sorbic acid Drugs 0.000 description 2
- 238000001228 spectrum Methods 0.000 description 2
- 239000007921 spray Substances 0.000 description 2
- 239000012192 staining solution Substances 0.000 description 2
- 239000008107 starch Substances 0.000 description 2
- 235000019698 starch Nutrition 0.000 description 2
- 229910052682 stishovite Inorganic materials 0.000 description 2
- 239000012536 storage buffer Substances 0.000 description 2
- 238000007920 subcutaneous administration Methods 0.000 description 2
- 239000000375 suspending agent Substances 0.000 description 2
- 239000006188 syrup Substances 0.000 description 2
- 235000020357 syrup Nutrition 0.000 description 2
- 125000003718 tetrahydrofuranyl group Chemical group 0.000 description 2
- 229940124597 therapeutic agent Drugs 0.000 description 2
- 238000001757 thermogravimetry curve Methods 0.000 description 2
- 239000002562 thickening agent Substances 0.000 description 2
- 125000001544 thienyl group Chemical group 0.000 description 2
- FYSNRJHAOHDILO-UHFFFAOYSA-N thionyl chloride Chemical compound ClS(Cl)=O FYSNRJHAOHDILO-UHFFFAOYSA-N 0.000 description 2
- 210000001519 tissue Anatomy 0.000 description 2
- URAYPUMNDPQOKB-UHFFFAOYSA-N triacetin Chemical compound CC(=O)OCC(OC(C)=O)COC(C)=O URAYPUMNDPQOKB-UHFFFAOYSA-N 0.000 description 2
- 229910052905 tridymite Inorganic materials 0.000 description 2
- 239000001069 triethyl citrate Substances 0.000 description 2
- VMYFZRTXGLUXMZ-UHFFFAOYSA-N triethyl citrate Natural products CCOC(=O)C(O)(C(=O)OCC)C(=O)OCC VMYFZRTXGLUXMZ-UHFFFAOYSA-N 0.000 description 2
- 235000013769 triethyl citrate Nutrition 0.000 description 2
- JQSHBVHOMNKWFT-DTORHVGOSA-N varenicline Chemical compound C12=CC3=NC=CN=C3C=C2[C@H]2C[C@@H]1CNC2 JQSHBVHOMNKWFT-DTORHVGOSA-N 0.000 description 2
- KAATUXNTWXVJKI-NSHGMRRFSA-N (1R)-cis-(alphaS)-cypermethrin Chemical compound CC1(C)[C@@H](C=C(Cl)Cl)[C@H]1C(=O)O[C@H](C#N)C1=CC=CC(OC=2C=CC=CC=2)=C1 KAATUXNTWXVJKI-NSHGMRRFSA-N 0.000 description 1
- SZUVGFMDDVSKSI-WIFOCOSTSA-N (1s,2s,3s,5r)-1-(carboxymethyl)-3,5-bis[(4-phenoxyphenyl)methyl-propylcarbamoyl]cyclopentane-1,2-dicarboxylic acid Chemical compound O=C([C@@H]1[C@@H]([C@](CC(O)=O)([C@H](C(=O)N(CCC)CC=2C=CC(OC=3C=CC=CC=3)=CC=2)C1)C(O)=O)C(O)=O)N(CCC)CC(C=C1)=CC=C1OC1=CC=CC=C1 SZUVGFMDDVSKSI-WIFOCOSTSA-N 0.000 description 1
- KLKSMYVKSATHFV-QQHRNGFRSA-N (2R,3R,4R,5R)-5-[6-(benzotriazol-1-yloxy)purin-9-yl]-4-fluoro-2-(hydroxymethyl)oxolan-3-ol Chemical compound OC[C@H]1O[C@H]([C@H](F)[C@@H]1O)N1C=NC2=C(ON3N=NC4=CC=CC=C34)N=CN=C12 KLKSMYVKSATHFV-QQHRNGFRSA-N 0.000 description 1
- TWYYFYNJOJGNFP-CUXYNZQBSA-N (2s,4r,5s,6s)-2-[(4s,5r)-4-acetyloxy-5-methyl-3-methylidene-6-phenylhexyl]-2-carbamoyl-4-[[(e,4s,6s)-4,6-dimethyloct-2-enoyl]oxymethyl]-5-hydroxy-1,3-dioxane-4,5,6-tricarboxylic acid Chemical compound O1[C@H](C(O)=O)[C@](C(O)=O)(O)[C@](COC(=O)/C=C/[C@@H](C)C[C@@H](C)CC)(C(O)=O)O[C@]1(C(N)=O)CCC(=C)[C@@H](OC(C)=O)[C@H](C)CC1=CC=CC=C1 TWYYFYNJOJGNFP-CUXYNZQBSA-N 0.000 description 1
- 125000006704 (C5-C6) cycloalkyl group Chemical group 0.000 description 1
- AQHHHDLHHXJYJD-CQSZACIVSA-N (R)-(+)-propranolol Chemical compound C1=CC=C2C(OC[C@H](O)CNC(C)C)=CC=CC2=C1 AQHHHDLHHXJYJD-CQSZACIVSA-N 0.000 description 1
- ADYKPOHDFJNTEK-RABHFDPCSA-L *.*.*.*.*.*.C=CCN(C(=O)C1=CC=CC=C1)C1=C2/N=C\N(C3O[C@@H]4CCO[P@@](=O)(SCC5=C([N+](=O)[O-])C=CC=C5)O[C@@H]5[C@@H](COC[P@@](=O)(SCC6=CC=CC=C6[N+](=O)[O-])O[C@H]4[C@H]3F)OC(N3/C=N\C4=C(N(CC=C)C(=O)C6=CC=CC=C6)N=CN=C43)[C@@H]5F)C2=NC=N1.O=C(C1=CC=CC=C1)N1C/C=C/CN(C(=O)C2=CC=CC=C2)C2=C3/N=C\[N@@](C3=NC=N2)C2O[C@@H]3COC[P@@](=O)(SCC4=CC=CC=C4[N+](=O)[O-])O[C@@H]4[C@@H](CCO[P@@](=O)(SCC5=C([N+](=O)[O-])C=CC=C5)O[C@H]3[C@H]2F)OC([C@@H]4F)[N@@]2C=NC3=C1N=CN=C32.O=[P@@]1([S-])COC[C@H]2OC3[C@H](F)[C@@H]2O[P@](=O)([S-])OCC[C@H]2OC([C@H](F)[C@@H]2O1)[N@@]1C=NC2=C(CC/C=C/CNC4=C5/N=C\[N@@]3C5=NC=N4)N=CN=C21.[NH4+].[NH4+] Chemical compound *.*.*.*.*.*.C=CCN(C(=O)C1=CC=CC=C1)C1=C2/N=C\N(C3O[C@@H]4CCO[P@@](=O)(SCC5=C([N+](=O)[O-])C=CC=C5)O[C@@H]5[C@@H](COC[P@@](=O)(SCC6=CC=CC=C6[N+](=O)[O-])O[C@H]4[C@H]3F)OC(N3/C=N\C4=C(N(CC=C)C(=O)C6=CC=CC=C6)N=CN=C43)[C@@H]5F)C2=NC=N1.O=C(C1=CC=CC=C1)N1C/C=C/CN(C(=O)C2=CC=CC=C2)C2=C3/N=C\[N@@](C3=NC=N2)C2O[C@@H]3COC[P@@](=O)(SCC4=CC=CC=C4[N+](=O)[O-])O[C@@H]4[C@@H](CCO[P@@](=O)(SCC5=C([N+](=O)[O-])C=CC=C5)O[C@H]3[C@H]2F)OC([C@@H]4F)[N@@]2C=NC3=C1N=CN=C32.O=[P@@]1([S-])COC[C@H]2OC3[C@H](F)[C@@H]2O[P@](=O)([S-])OCC[C@H]2OC([C@H](F)[C@@H]2O1)[N@@]1C=NC2=C(CC/C=C/CNC4=C5/N=C\[N@@]3C5=NC=N4)N=CN=C21.[NH4+].[NH4+] ADYKPOHDFJNTEK-RABHFDPCSA-L 0.000 description 1
- BZEPFXWWKBSQBJ-ARCWTRBBSA-N *.*.*.*.*.*.C=CCOC1=NC=NC2=C1/N=C\N2C1O[C@@H]2CO[P@@](=S)(SCC3=CC=CC=C3[N+](=O)[O-])O[C@@H]3[C@@H](CO[P@@](=O)(SCC4=C([N+](=O)[O-])C=CC=C4)O[C@H]2[C@H]1F)O[C@@H](N1/C=N\C2=C1N=CN=C2OCC=C)[C@@H]3F.C[P@]1(=O)OC[C@H]2O[C@@H]3[C@H](F)[C@@H]2O[P@](=O)(S)OC[C@H]2OC([C@H](F)[C@@H]2O1)[N@@]1/C=N\C2=C1N=CN=C2OC/C=C/COC1=NC=NC2=C1N=CN23.O=[N+]([O-])C1=CC=CC=C1CS[P@]1(=S)OC[C@H]2OC3[C@H](F)[C@@H]2O[P@](=O)(SCC2=C([N+](=O)[O-])C=CC=C2)OC[C@H]2O[C@H]([C@H](F)[C@@H]2O1)N1C=NC2=C1N=CN=C2OC/C=C/COC1=NC=NC2=C1/N=C\[N@@]23 Chemical compound *.*.*.*.*.*.C=CCOC1=NC=NC2=C1/N=C\N2C1O[C@@H]2CO[P@@](=S)(SCC3=CC=CC=C3[N+](=O)[O-])O[C@@H]3[C@@H](CO[P@@](=O)(SCC4=C([N+](=O)[O-])C=CC=C4)O[C@H]2[C@H]1F)O[C@@H](N1/C=N\C2=C1N=CN=C2OCC=C)[C@@H]3F.C[P@]1(=O)OC[C@H]2O[C@@H]3[C@H](F)[C@@H]2O[P@](=O)(S)OC[C@H]2OC([C@H](F)[C@@H]2O1)[N@@]1/C=N\C2=C1N=CN=C2OC/C=C/COC1=NC=NC2=C1N=CN23.O=[N+]([O-])C1=CC=CC=C1CS[P@]1(=S)OC[C@H]2OC3[C@H](F)[C@@H]2O[P@](=O)(SCC2=C([N+](=O)[O-])C=CC=C2)OC[C@H]2O[C@H]([C@H](F)[C@@H]2O1)N1C=NC2=C1N=CN=C2OC/C=C/COC1=NC=NC2=C1/N=C\[N@@]23 BZEPFXWWKBSQBJ-ARCWTRBBSA-N 0.000 description 1
- SRMKXGSQUYSQTB-ICYOIGDVSA-L *.*.*.*.*.CC1=NC=NC2=C1N=CN2C1O[C@@H]2CO[P@@](=O)(S)OC3C(CO[P@](=S)(OCCC#N)O[C@@H]1[C@@H]2O[Si](C)(C)C(C)(C)C)O[C@@H](N1C=NC2=C1N=CN=C2NC(=O)C1=CC=CC=C1)[C@@H]3F.C[C@H]1C2OP(=O)(SCC3=CC=CC=C3[N+](=O)[O-])OC[C@H]3OC4[C@H](F)[C@@H]3O[P@](=O)(SCC3=C([N+](=O)[O-])C=CC=C3)OC[C@H]1O[C@H]2N1C=NC2=C(/N=C/N=C/21)N(C(=O)C1=CC=CC=C1)C/C=C/CN(C(=O)C1=CC=CC=C1)C1=C2/N=C\[N@@]4C2=NC=N1.O=P1([S-])OC[C@H]2OC3[C@H](F)[C@@H]2O[P@](=O)([S-])OC[C@H]2O[C@H](C(O1)[C@@H]2O)N1C=NC2=C(CC/C=C/CNC4=C5/N=C\[N@@]3C5=NC=N4)/N=C\N=C\21.[NH4+].[NH4+] Chemical compound *.*.*.*.*.CC1=NC=NC2=C1N=CN2C1O[C@@H]2CO[P@@](=O)(S)OC3C(CO[P@](=S)(OCCC#N)O[C@@H]1[C@@H]2O[Si](C)(C)C(C)(C)C)O[C@@H](N1C=NC2=C1N=CN=C2NC(=O)C1=CC=CC=C1)[C@@H]3F.C[C@H]1C2OP(=O)(SCC3=CC=CC=C3[N+](=O)[O-])OC[C@H]3OC4[C@H](F)[C@@H]3O[P@](=O)(SCC3=C([N+](=O)[O-])C=CC=C3)OC[C@H]1O[C@H]2N1C=NC2=C(/N=C/N=C/21)N(C(=O)C1=CC=CC=C1)C/C=C/CN(C(=O)C1=CC=CC=C1)C1=C2/N=C\[N@@]4C2=NC=N1.O=P1([S-])OC[C@H]2OC3[C@H](F)[C@@H]2O[P@](=O)([S-])OC[C@H]2O[C@H](C(O1)[C@@H]2O)N1C=NC2=C(CC/C=C/CNC4=C5/N=C\[N@@]3C5=NC=N4)/N=C\N=C\21.[NH4+].[NH4+] SRMKXGSQUYSQTB-ICYOIGDVSA-L 0.000 description 1
- SMPHLECCYARCFY-FXXUZNPWSA-N *.*.*.*.C=CCOC1=NC=NC2=C1/N=C\N2[C@@H]1O[C@@H]2CO[P@@](=O)(SCC3=C([N+](=O)[O-])C=CC=C3)O[C@@H]3[C@@H](CO[P@@](=O)(SCC4=CC=CC=C4[N+](=O)[O-])O[C@H]2[C@H]1F)O[C@@H](N1/C=N\C2=C1N=CN=C2OCC=C)[C@@H]3F.O=[N+]([O-])C1=CC=CC=C1CS[P@]1(=O)OC[C@H]2O[C@@H]3[C@H](F)[C@@H]2O[P@](=O)(SCC2=C([N+](=O)[O-])C=CC=C2)OC[C@H]2O[C@H]([C@H](F)[C@@H]2O1)N1C=NC2=C1N=CN=C2OC/C=C/COC1=NC=NC2=C1/N=C\N23 Chemical compound *.*.*.*.C=CCOC1=NC=NC2=C1/N=C\N2[C@@H]1O[C@@H]2CO[P@@](=O)(SCC3=C([N+](=O)[O-])C=CC=C3)O[C@@H]3[C@@H](CO[P@@](=O)(SCC4=CC=CC=C4[N+](=O)[O-])O[C@H]2[C@H]1F)O[C@@H](N1/C=N\C2=C1N=CN=C2OCC=C)[C@@H]3F.O=[N+]([O-])C1=CC=CC=C1CS[P@]1(=O)OC[C@H]2O[C@@H]3[C@H](F)[C@@H]2O[P@](=O)(SCC2=C([N+](=O)[O-])C=CC=C2)OC[C@H]2O[C@H]([C@H](F)[C@@H]2O1)N1C=NC2=C1N=CN=C2OC/C=C/COC1=NC=NC2=C1/N=C\N23 SMPHLECCYARCFY-FXXUZNPWSA-N 0.000 description 1
- BRVSNOCBNZDGBQ-ATPAQVGXSA-L *.*.*.*.CC(C)OC(=O)OCI.CC(C)OC(=O)OCS[P@]1(=O)OC[C@H]2O[C@@H]3[C@H](F)[C@@H]2O[P@](=O)(SCOC(=O)OC(C)C)OC[C@H]2OC([C@H](F)[C@@H]2O1)[N@@]1/C=N\C2=C(N=CN=C21)NC/C=C/CCC1=C2N=CN3C2=NC=N1.O=[P@@]1([S-])OC[C@H]2O[C@@H]3[C@H](F)[C@@H]2O[P@](=O)([S-])OC[C@H]2OC([C@H](F)[C@@H]2O1)[N@@]1/C=N\C2=C(N=CN=C21)NC/C=C/CCC1=C2N=CN3C2=NC=N1.[NH4+].[NH4+] Chemical compound *.*.*.*.CC(C)OC(=O)OCI.CC(C)OC(=O)OCS[P@]1(=O)OC[C@H]2O[C@@H]3[C@H](F)[C@@H]2O[P@](=O)(SCOC(=O)OC(C)C)OC[C@H]2OC([C@H](F)[C@@H]2O1)[N@@]1/C=N\C2=C(N=CN=C21)NC/C=C/CCC1=C2N=CN3C2=NC=N1.O=[P@@]1([S-])OC[C@H]2O[C@@H]3[C@H](F)[C@@H]2O[P@](=O)([S-])OC[C@H]2OC([C@H](F)[C@@H]2O1)[N@@]1/C=N\C2=C(N=CN=C21)NC/C=C/CCC1=C2N=CN3C2=NC=N1.[NH4+].[NH4+] BRVSNOCBNZDGBQ-ATPAQVGXSA-L 0.000 description 1
- HTRQRUSCMIFJRP-RCQISWQISA-N *.*.*.*.CCN(CC)CC.CCN(CC)CC.O=[N+]([O-])C1=CC=CC=C1CS[P@]1(=O)OC[C@H]2O[C@@H]3[C@H](F)[C@@H]2O[P@](=O)(SCC2=C([N+](=O)[O-])C=CC=C2)OC[C@H]2OC([C@H](F)[C@@H]2O1)[N@@]1/C=N\C2=C(CC/C=C/CCC4=C5\N=CN3\C5=N/C=N\4)N=CN=C21.O=[P@]1(S)OC[C@H]2OC3[C@H](F)[C@@H]2O[P@](=O)(S)OC[C@H]2O[C@H]([C@H](F)[C@@H]2O1)N1C=NC2=C(CC/C=C/CCC4=C5/N=C\[N@@]3C5=NC=N4)/N=C\N=C\21 Chemical compound *.*.*.*.CCN(CC)CC.CCN(CC)CC.O=[N+]([O-])C1=CC=CC=C1CS[P@]1(=O)OC[C@H]2O[C@@H]3[C@H](F)[C@@H]2O[P@](=O)(SCC2=C([N+](=O)[O-])C=CC=C2)OC[C@H]2OC([C@H](F)[C@@H]2O1)[N@@]1/C=N\C2=C(CC/C=C/CCC4=C5\N=CN3\C5=N/C=N\4)N=CN=C21.O=[P@]1(S)OC[C@H]2OC3[C@H](F)[C@@H]2O[P@](=O)(S)OC[C@H]2O[C@H]([C@H](F)[C@@H]2O1)N1C=NC2=C(CC/C=C/CCC4=C5/N=C\[N@@]3C5=NC=N4)/N=C\N=C\21 HTRQRUSCMIFJRP-RCQISWQISA-N 0.000 description 1
- ADFGTQQUWYBQOV-UQPZHONASA-L *.*.*.*.O=C(C1=CC=CC=C1)N1C/C=C\CN(C(=O)C2=CC=CC=C2)C2=C3/N=C\[N@@](C3=NC=N2)C2O[C@@H]3COC[P@@](=O)(SCC4=CC=CC=C4[N+](=O)[O-])O[C@@H]4[C@@H](CCO[P@@](=O)(SCC5=C([N+](=O)[O-])C=CC=C5)O[C@H]3[C@H]2F)OC([C@@H]4F)[N@@]2C=NC3=C1N=CN=C32.O=[P@@]1([S-])COC[C@H]2OC3[C@H](F)[C@@H]2O[P@](=O)([S-])OCC[C@H]2OC([C@H](F)[C@@H]2O1)[N@@]1C=NC2=C1N=CN=C2CC/C=C\CNC1=C2/N=C\[N@@]3C2=NC=N1.[NH4+].[NH4+] Chemical compound *.*.*.*.O=C(C1=CC=CC=C1)N1C/C=C\CN(C(=O)C2=CC=CC=C2)C2=C3/N=C\[N@@](C3=NC=N2)C2O[C@@H]3COC[P@@](=O)(SCC4=CC=CC=C4[N+](=O)[O-])O[C@@H]4[C@@H](CCO[P@@](=O)(SCC5=C([N+](=O)[O-])C=CC=C5)O[C@H]3[C@H]2F)OC([C@@H]4F)[N@@]2C=NC3=C1N=CN=C32.O=[P@@]1([S-])COC[C@H]2OC3[C@H](F)[C@@H]2O[P@](=O)([S-])OCC[C@H]2OC([C@H](F)[C@@H]2O1)[N@@]1C=NC2=C1N=CN=C2CC/C=C\CNC1=C2/N=C\[N@@]3C2=NC=N1.[NH4+].[NH4+] ADFGTQQUWYBQOV-UQPZHONASA-L 0.000 description 1
- RMBHAJSLXJXVKZ-FCTLMHRUSA-N *.*.*.*.O=[N+]([O-])C1=CC=CC=C1CS[P@]1(=O)OC[C@H]2O[C@@H]3[C@H](F)[C@@H]2O[P@](=O)(SCC2=C([N+](=O)[O-])C=CC=C2)OC[C@H]2O[C@H]([C@H](F)[C@@H]2O1)N1C=NC2=C1N=CN=C2OC/C=C/COC1=NC=NC2=C1/N=C\N23.O=[P@@]1(S)OC[C@H]2O[C@@H]3[C@H](F)[C@@H]2O[P@](=O)(S)OC[C@H]2O[C@H]([C@H](F)[C@@H]2O1)N1C=NC2=C1N=CN=C2OC/C=C/COC1=NC=NC2=C1/N=C\N23 Chemical compound *.*.*.*.O=[N+]([O-])C1=CC=CC=C1CS[P@]1(=O)OC[C@H]2O[C@@H]3[C@H](F)[C@@H]2O[P@](=O)(SCC2=C([N+](=O)[O-])C=CC=C2)OC[C@H]2O[C@H]([C@H](F)[C@@H]2O1)N1C=NC2=C1N=CN=C2OC/C=C/COC1=NC=NC2=C1/N=C\N23.O=[P@@]1(S)OC[C@H]2O[C@@H]3[C@H](F)[C@@H]2O[P@](=O)(S)OC[C@H]2O[C@H]([C@H](F)[C@@H]2O1)N1C=NC2=C1N=CN=C2OC/C=C/COC1=NC=NC2=C1/N=C\N23 RMBHAJSLXJXVKZ-FCTLMHRUSA-N 0.000 description 1
- PJZIKBCRSQECIF-AXGDVDTBSA-N *.*.*.C=CCN(C(=O)C1=CC=CC=C1)C1=C2/N=C\N([C@@H]3O[C@@H]4COP(C)(=S)O[C@@H]5[C@@H](COP(=O)(S)O[C@H]4[C@H]3F)O[C@@H](N3/C=N\C4=C(N(CC=C)C(=O)C6=CC=CC=C6)N=CN=C43)[C@@H]5F)C2=NC=N1.C=CCN(C(=O)C1=CC=CC=C1)C1=C2/N=C\N([C@@H]3O[C@@H]4CO[P@@](=O)(SCC5=C([N+](=O)[O-])C=CC=C5)O[C@@H]5[C@@H](CO[P@@](=O)(SCC6=CC=CC=C6[N+](=O)[O-])O[C@H]4[C@H]3F)O[C@@H](N3/C=N\C4=C(N(CC=C)C(=O)C6=CC=CC=C6)N=CN=C43)[C@@H]5F)C2=NC=N1.C=CCN(C(=O)C1=CC=CC=C1)C1=C2/N=C\N([C@@H]3O[C@@H]4CO[P@@](=O)(SCC5=C([N+](=O)[O-])C=CC=C5)O[C@@H]5[C@@H](CO[P@](=O)(SCC6=CC=CC=C6[N+](=O)[O-])O[C@H]4[C@H]3F)O[C@@H](N3/C=N\C4=C(N(CC=C)C(=O)C6=CC=CC=C6)N=CN=C43)[C@@H]5F)C2=NC=N1.S Chemical compound *.*.*.C=CCN(C(=O)C1=CC=CC=C1)C1=C2/N=C\N([C@@H]3O[C@@H]4COP(C)(=S)O[C@@H]5[C@@H](COP(=O)(S)O[C@H]4[C@H]3F)O[C@@H](N3/C=N\C4=C(N(CC=C)C(=O)C6=CC=CC=C6)N=CN=C43)[C@@H]5F)C2=NC=N1.C=CCN(C(=O)C1=CC=CC=C1)C1=C2/N=C\N([C@@H]3O[C@@H]4CO[P@@](=O)(SCC5=C([N+](=O)[O-])C=CC=C5)O[C@@H]5[C@@H](CO[P@@](=O)(SCC6=CC=CC=C6[N+](=O)[O-])O[C@H]4[C@H]3F)O[C@@H](N3/C=N\C4=C(N(CC=C)C(=O)C6=CC=CC=C6)N=CN=C43)[C@@H]5F)C2=NC=N1.C=CCN(C(=O)C1=CC=CC=C1)C1=C2/N=C\N([C@@H]3O[C@@H]4CO[P@@](=O)(SCC5=C([N+](=O)[O-])C=CC=C5)O[C@@H]5[C@@H](CO[P@](=O)(SCC6=CC=CC=C6[N+](=O)[O-])O[C@H]4[C@H]3F)O[C@@H](N3/C=N\C4=C(N(CC=C)C(=O)C6=CC=CC=C6)N=CN=C43)[C@@H]5F)C2=NC=N1.S PJZIKBCRSQECIF-AXGDVDTBSA-N 0.000 description 1
- JKEKLIIHHMXEDT-VGPIGJCYSA-L *.*.*.CC1=NC=NC2=C1N=CN2C1O[C@@H]2CO[P@@](=O)(S)O[C@@H]3C(CO[P@@](=S)(OCCC#N)O[C@@H]1[C@@H]2O[Si](C)(C)C(C)(C)C)O[C@@H](N1C=NC2=C1N=CN=C2NC(=O)C1=CC=CC=C1)[C@@H]3F.C[C@H]1C2OP(=O)(SCC3=CC=CC=C3[N+](=O)[O-])OC[C@H]3OC(N4/C=N\C5=C(NC(=O)C6=CC=CC=C6)N=CN=C54)[C@H](F)[C@@H]3O[P@](=O)(SCC3=C([N+](=O)[O-])C=CC=C3)OC[C@H]1O[C@H]2N1C=NC2=C(NC(=O)C3=CC=CC=C3)N=CN=C21.C[C@H]1C2O[P@@](=O)(SCC3=CC=CC=C3[N+](=O)[O-])OC[C@H]3OC4[C@H](F)[C@@H]3O[P@](=O)(SCC3=C([N+](=O)[O-])C=CC=C3)OC[C@H]1O[C@H]2N1C=NC2=C(/N=C/N=C/21)N(C(=O)C1=CC=CC=C1)C/C=C/CN(C(=O)C1=CC=CC=C1)C1=C2/N=C\[N@@]4C2=NC=N1.O=[N+]([O-])C1=CC=CC=C1CBr.O=[P@]1([S-])OC[C@H]2OC3[C@H](F)[C@@H]2O[P@](=O)([S-])OC[C@H]2O[C@H](C(O1)[C@@H]2O)N1C=NC2=C(CC/C=C/CNC4=C5/N=C\[N@@]3C5=NC=N4)/N=C\N=C\21.S.S.S.S.[NH4+].[NH4+] Chemical compound *.*.*.CC1=NC=NC2=C1N=CN2C1O[C@@H]2CO[P@@](=O)(S)O[C@@H]3C(CO[P@@](=S)(OCCC#N)O[C@@H]1[C@@H]2O[Si](C)(C)C(C)(C)C)O[C@@H](N1C=NC2=C1N=CN=C2NC(=O)C1=CC=CC=C1)[C@@H]3F.C[C@H]1C2OP(=O)(SCC3=CC=CC=C3[N+](=O)[O-])OC[C@H]3OC(N4/C=N\C5=C(NC(=O)C6=CC=CC=C6)N=CN=C54)[C@H](F)[C@@H]3O[P@](=O)(SCC3=C([N+](=O)[O-])C=CC=C3)OC[C@H]1O[C@H]2N1C=NC2=C(NC(=O)C3=CC=CC=C3)N=CN=C21.C[C@H]1C2O[P@@](=O)(SCC3=CC=CC=C3[N+](=O)[O-])OC[C@H]3OC4[C@H](F)[C@@H]3O[P@](=O)(SCC3=C([N+](=O)[O-])C=CC=C3)OC[C@H]1O[C@H]2N1C=NC2=C(/N=C/N=C/21)N(C(=O)C1=CC=CC=C1)C/C=C/CN(C(=O)C1=CC=CC=C1)C1=C2/N=C\[N@@]4C2=NC=N1.O=[N+]([O-])C1=CC=CC=C1CBr.O=[P@]1([S-])OC[C@H]2OC3[C@H](F)[C@@H]2O[P@](=O)([S-])OC[C@H]2O[C@H](C(O1)[C@@H]2O)N1C=NC2=C(CC/C=C/CNC4=C5/N=C\[N@@]3C5=NC=N4)/N=C\N=C\21.S.S.S.S.[NH4+].[NH4+] JKEKLIIHHMXEDT-VGPIGJCYSA-L 0.000 description 1
- NNBDPVNPBSAHBQ-DROSMBDESA-N *.*.*.CCCN(C(=O)C1=CC=CC=C1)C1=C2/N=C\N(C3O[C@@H]4CO[P@](C)(=S)N[C@@H]5[C@@H](CO[P@@](C)(=S)N[C@H]4[C@H]3C)O[C@@H](N3/C=N\C4=C(N(CCC)C(=O)C6=CC=CC=C6)N=CN=C43)[C@@H]5O[Si](C)(C)C(C)(C)C)C2=NC=N1.N.N.N.N.O=[P@@]1(S)N[C@@H]2[C@H]3CO[P@@](=O)(S)N[C@@H]4[C@@H](CO1)OC([C@@H]4O)[N@@]1/C=N\C4=C(N=CN=C41)NC/C=C/CCC1=C4N=CN(C4=NC=N1)[C@H](O3)[C@@H]2O.O=[P@@]1(S)N[C@@H]2[C@H]3CO[P@@](=O)(S)N[C@@H]4[C@@H](CO1)OC([C@@H]4O)[N@@]1/C=N\C4=C(N=CN=C41)NC/C=C\CCC1=C4N=CN(C4=NC=N1)[C@H](O3)[C@@H]2O.S.S.S Chemical compound *.*.*.CCCN(C(=O)C1=CC=CC=C1)C1=C2/N=C\N(C3O[C@@H]4CO[P@](C)(=S)N[C@@H]5[C@@H](CO[P@@](C)(=S)N[C@H]4[C@H]3C)O[C@@H](N3/C=N\C4=C(N(CCC)C(=O)C6=CC=CC=C6)N=CN=C43)[C@@H]5O[Si](C)(C)C(C)(C)C)C2=NC=N1.N.N.N.N.O=[P@@]1(S)N[C@@H]2[C@H]3CO[P@@](=O)(S)N[C@@H]4[C@@H](CO1)OC([C@@H]4O)[N@@]1/C=N\C4=C(N=CN=C41)NC/C=C/CCC1=C4N=CN(C4=NC=N1)[C@H](O3)[C@@H]2O.O=[P@@]1(S)N[C@@H]2[C@H]3CO[P@@](=O)(S)N[C@@H]4[C@@H](CO1)OC([C@@H]4O)[N@@]1/C=N\C4=C(N=CN=C41)NC/C=C\CCC1=C4N=CN(C4=NC=N1)[C@H](O3)[C@@H]2O.S.S.S NNBDPVNPBSAHBQ-DROSMBDESA-N 0.000 description 1
- ZZWBPPAIGJJBGU-QLGIMUACSA-L *.*.*.C[P@@]1(=S)OCC[C@H]2OC3[C@H](F)[C@@H]2O[P@@](=O)(SCC2=CC=CC=C2[N+](=O)[O-])COC[C@H]2OC([C@H](F)[C@@H]2O1)[N@@]1/C=N\C2=C1N=CN=C2N(C(=O)C1=CC=CC=C1)C/C=C/CCC1=NC=NC2=C1N=C[N@@]23.O=C(C1=CC=CC=C1)N1C/C=C/CCC2=NC=NC3=C2N=C[N@]3C2O[C@@H]3CCO[P@@](=O)(S)O[C@@H]4[C@@H](COC[P@](=O)(S)O[C@H]3[C@H]2F)OC([C@@H]4F)[N@@]2/C=N\C3=C2N=CN=C31.O=C(C1=CC=CC=C1)N1C/C=C/CCC2=NC=NC3=C2N=C[N@]3C2O[C@@H]3CCO[P@@](=O)([S-])O[C@@H]4[C@@H](COC[P@](=O)([S-])O[C@H]3[C@H]2F)OC([C@@H]4F)[N@@]2/C=N\C3=C2N=CN=C31.S.S.S Chemical compound *.*.*.C[P@@]1(=S)OCC[C@H]2OC3[C@H](F)[C@@H]2O[P@@](=O)(SCC2=CC=CC=C2[N+](=O)[O-])COC[C@H]2OC([C@H](F)[C@@H]2O1)[N@@]1/C=N\C2=C1N=CN=C2N(C(=O)C1=CC=CC=C1)C/C=C/CCC1=NC=NC2=C1N=C[N@@]23.O=C(C1=CC=CC=C1)N1C/C=C/CCC2=NC=NC3=C2N=C[N@]3C2O[C@@H]3CCO[P@@](=O)(S)O[C@@H]4[C@@H](COC[P@](=O)(S)O[C@H]3[C@H]2F)OC([C@@H]4F)[N@@]2/C=N\C3=C2N=CN=C31.O=C(C1=CC=CC=C1)N1C/C=C/CCC2=NC=NC3=C2N=C[N@]3C2O[C@@H]3CCO[P@@](=O)([S-])O[C@@H]4[C@@H](COC[P@](=O)([S-])O[C@H]3[C@H]2F)OC([C@@H]4F)[N@@]2/C=N\C3=C2N=CN=C31.S.S.S ZZWBPPAIGJJBGU-QLGIMUACSA-L 0.000 description 1
- SFZZNSSAPDVDHO-OHNBJMCWSA-L *.*.*.O=C(C1=CC=CC=C1)N1C/C=C\CN(C(=O)C2=CC=CC=C2)C2=C3/N=C\[N@@](C3=NC=N2)C2O[C@@H]3COC[P@](=O)(SCC4=CC=CC=C4[N+](=O)[O-])O[C@@H]4[C@@H](CCO[P@@](=O)(SCC5=C([N+](=O)[O-])C=CC=C5)O[C@H]3[C@H]2F)OC([C@@H]4F)[N@@]2C=NC3=C1N=CN=C32.O=[P@]1([S-])COC[C@H]2OC3[C@H](F)[C@@H]2O[P@](=O)([S-])OCC[C@H]2OC([C@H](F)[C@@H]2O1)[N@@]1C=NC2=C1N=CN=C2CC/C=C\CNC1=C2/N=C\[N@@]3C2=NC=N1.S.[NH4+].[NH4+] Chemical compound *.*.*.O=C(C1=CC=CC=C1)N1C/C=C\CN(C(=O)C2=CC=CC=C2)C2=C3/N=C\[N@@](C3=NC=N2)C2O[C@@H]3COC[P@](=O)(SCC4=CC=CC=C4[N+](=O)[O-])O[C@@H]4[C@@H](CCO[P@@](=O)(SCC5=C([N+](=O)[O-])C=CC=C5)O[C@H]3[C@H]2F)OC([C@@H]4F)[N@@]2C=NC3=C1N=CN=C32.O=[P@]1([S-])COC[C@H]2OC3[C@H](F)[C@@H]2O[P@](=O)([S-])OCC[C@H]2OC([C@H](F)[C@@H]2O1)[N@@]1C=NC2=C1N=CN=C2CC/C=C\CNC1=C2/N=C\[N@@]3C2=NC=N1.S.[NH4+].[NH4+] SFZZNSSAPDVDHO-OHNBJMCWSA-L 0.000 description 1
- JFACSRGZVXKGGD-SGIXSAINSA-N *.*.C=CCN(C(=O)C1=CC=CC=C1)C1=C2/N=C\N([C@@H]3O[C@@H]4CO[P@@](=O)(SCC5=C([N+](=O)[O-])C=CC=C5)O[C@@H]5[C@@H](CO[P@](=O)(SCC6=CC=CC=C6[N+](=O)[O-])O[C@H]4[C@H]3F)O[C@@H](N3/C=N\C4=C(N(CC=C)C(=O)C6=CC=CC=C6)N=CN=C43)[C@@H]5F)C2=NC=N1.O=C(C1=CC=CC=C1)N1C/C=C/CN(C(=O)C2=CC=CC=C2)C2=C3/N=C\N(C3=NC=N2)[C@@H]2O[C@@H]3CO[P@](=O)(SCC4=CC=CC=C4[N+](=O)[O-])O[C@@H]4[C@@H](CO[P@@](=O)(SCC5=C([N+](=O)[O-])C=CC=C5)O[C@H]3[C@H]2F)O[C@H]([C@@H]4F)N2C=NC3=C1N=CN=C32.S.S Chemical compound *.*.C=CCN(C(=O)C1=CC=CC=C1)C1=C2/N=C\N([C@@H]3O[C@@H]4CO[P@@](=O)(SCC5=C([N+](=O)[O-])C=CC=C5)O[C@@H]5[C@@H](CO[P@](=O)(SCC6=CC=CC=C6[N+](=O)[O-])O[C@H]4[C@H]3F)O[C@@H](N3/C=N\C4=C(N(CC=C)C(=O)C6=CC=CC=C6)N=CN=C43)[C@@H]5F)C2=NC=N1.O=C(C1=CC=CC=C1)N1C/C=C/CN(C(=O)C2=CC=CC=C2)C2=C3/N=C\N(C3=NC=N2)[C@@H]2O[C@@H]3CO[P@](=O)(SCC4=CC=CC=C4[N+](=O)[O-])O[C@@H]4[C@@H](CO[P@@](=O)(SCC5=C([N+](=O)[O-])C=CC=C5)O[C@H]3[C@H]2F)O[C@H]([C@@H]4F)N2C=NC3=C1N=CN=C32.S.S JFACSRGZVXKGGD-SGIXSAINSA-N 0.000 description 1
- HHFJAPQKEVXQCK-NVEZPQTJSA-N *.*.C=CCOC1=NC=NC2=C1/N=C\N2[C@@H]1O[C@@H]2COP(O)(=S)O[C@@H]3[C@@H](COP(C)(=S)O[C@H]2[C@H]1F)O[C@@H](N1/C=N\C2=C1N=CN=C2OCC=C)[C@@H]3F.C=CCOC1=NC=NC2=C1/N=C\N2[C@@H]1O[C@@H]2CO[P@@](=O)(SCC3=C([N+](=O)[O-])C=CC=C3)O[C@@H]3[C@@H](CO[P@@](=O)(SCC4=CC=CC=C4[N+](=O)[O-])O[C@H]2[C@H]1F)O[C@@H](N1/C=N\C2=C1N=CN=C2OCC=C)[C@@H]3F Chemical compound *.*.C=CCOC1=NC=NC2=C1/N=C\N2[C@@H]1O[C@@H]2COP(O)(=S)O[C@@H]3[C@@H](COP(C)(=S)O[C@H]2[C@H]1F)O[C@@H](N1/C=N\C2=C1N=CN=C2OCC=C)[C@@H]3F.C=CCOC1=NC=NC2=C1/N=C\N2[C@@H]1O[C@@H]2CO[P@@](=O)(SCC3=C([N+](=O)[O-])C=CC=C3)O[C@@H]3[C@@H](CO[P@@](=O)(SCC4=CC=CC=C4[N+](=O)[O-])O[C@H]2[C@H]1F)O[C@@H](N1/C=N\C2=C1N=CN=C2OCC=C)[C@@H]3F HHFJAPQKEVXQCK-NVEZPQTJSA-N 0.000 description 1
- VKECATUAXKENLN-RBIRRDSMSA-L *.*.CC#N.O=[N+]([O-])C1=C(CS[P@@]2(=O)OC[C@H]3OC4[C@H](F)[C@@H]3O[P@](=O)(SCC3=C([N+](=O)[O-])C=CC=C3)OC[C@H]3O[C@H]([C@H](F)[C@@H]3O2)N2C=NC3=C2N=CN=C3CC/C=C/CNC2=NC=NC3=C2/N=C\[N@@]34)C=CC=C1.O=[P@]1([S-])OC[C@H]2OC3[C@H](F)[C@@H]2O[P@](=O)([S-])OC[C@H]2O[C@H]([C@H](F)[C@@H]2O1)N1C=NC2=C1N=CN=C2CC/C=C/CNC1=NC=NC2=C1/N=C\[N@@]23.S.S.[Na+].[Na+] Chemical compound *.*.CC#N.O=[N+]([O-])C1=C(CS[P@@]2(=O)OC[C@H]3OC4[C@H](F)[C@@H]3O[P@](=O)(SCC3=C([N+](=O)[O-])C=CC=C3)OC[C@H]3O[C@H]([C@H](F)[C@@H]3O2)N2C=NC3=C2N=CN=C3CC/C=C/CNC2=NC=NC3=C2/N=C\[N@@]34)C=CC=C1.O=[P@]1([S-])OC[C@H]2OC3[C@H](F)[C@@H]2O[P@](=O)([S-])OC[C@H]2O[C@H]([C@H](F)[C@@H]2O1)N1C=NC2=C1N=CN=C2CC/C=C/CNC1=NC=NC2=C1/N=C\[N@@]23.S.S.[Na+].[Na+] VKECATUAXKENLN-RBIRRDSMSA-L 0.000 description 1
- KPYXNGLNNVQZPJ-ITVHXIPKSA-N *.*.CC(C)OC(=O)OCS[P@@]1(=O)OC[C@H]2OC3[C@H](F)[C@@H]2O[P@](=O)(SCOC(=O)OC(C)C)OC[C@H]2O[C@H]([C@H](F)[C@@H]2O1)N1C=NC2=C(CC/C=C/CNC4=C5/N=C\[N@@]3C5=NC=N4)N=CN=C21 Chemical compound *.*.CC(C)OC(=O)OCS[P@@]1(=O)OC[C@H]2OC3[C@H](F)[C@@H]2O[P@](=O)(SCOC(=O)OC(C)C)OC[C@H]2O[C@H]([C@H](F)[C@@H]2O1)N1C=NC2=C(CC/C=C/CNC4=C5/N=C\[N@@]3C5=NC=N4)N=CN=C21 KPYXNGLNNVQZPJ-ITVHXIPKSA-N 0.000 description 1
- SIHQGZHJLVVXRV-GSEADSJTSA-L *.*.CC.N.O=C(C1=CC=CC=C1)N1C/C=C/CCC2=NC=NC3=C2N=C[N@]3C2O[C@@H]3CCO[P@@](=O)(S)O[C@@H]4[C@@H](COC[P@](=O)(S)B[C@H]3[C@H]2F)OC([C@@H]4F)[N@@]2/C=N\C3=C2N=CN=C31.O=C(C1=CC=CC=C1)N1C/C=C/CCC2=NC=NC3=C2N=C[N@]3C2O[C@@H]3CCO[P@@](=O)([S-])O[C@@H]4[C@@H](COC[P@](=O)([S-])O[C@H]3[C@H]2F)OC([C@@H]4F)[N@@]2/C=N\C3=C2N=CN=C31.S.S.[NH4+].[NH4+] Chemical compound *.*.CC.N.O=C(C1=CC=CC=C1)N1C/C=C/CCC2=NC=NC3=C2N=C[N@]3C2O[C@@H]3CCO[P@@](=O)(S)O[C@@H]4[C@@H](COC[P@](=O)(S)B[C@H]3[C@H]2F)OC([C@@H]4F)[N@@]2/C=N\C3=C2N=CN=C31.O=C(C1=CC=CC=C1)N1C/C=C/CCC2=NC=NC3=C2N=C[N@]3C2O[C@@H]3CCO[P@@](=O)([S-])O[C@@H]4[C@@H](COC[P@](=O)([S-])O[C@H]3[C@H]2F)OC([C@@H]4F)[N@@]2/C=N\C3=C2N=CN=C31.S.S.[NH4+].[NH4+] SIHQGZHJLVVXRV-GSEADSJTSA-L 0.000 description 1
- JCFFTXNOLAEHDX-XNTIFKORSA-N *.*.CC1(C)O[C@H]2CCC3=NC=NC4=C3N=CN4[C@@H]3O[C@@H]4CO[P@@](=O)(SCC5=CC=CC=C5[N+](=O)[O-])O[C@@H]5[C@@H](COP(=O)(SCC6=CC=CC=C6[N+](=O)[O-])O[C@H]4[C@H]3F)O[C@H]([C@@H]5F)N3/C=N\C4=C3N=CN=C4N(C(=O)C3=CC=CC=C3)C[C@@H]2O1.CC1(C)O[C@H]2CCC3=NC=NC4=C3N=CN4[C@@H]3O[C@@H]4CO[P@](=S)(OCCC#N)O[C@@H]5[C@@H](CO[P@](=O)(SCC6=CC=CC=C6[N+](=O)[O-])O[C@H]4[C@H]3F)O[C@H]([C@@H]5F)N3/C=N\C4=C3N=CN=C4N(C(=O)C3=CC=CC=C3)C[C@@H]2O1.S.S Chemical compound *.*.CC1(C)O[C@H]2CCC3=NC=NC4=C3N=CN4[C@@H]3O[C@@H]4CO[P@@](=O)(SCC5=CC=CC=C5[N+](=O)[O-])O[C@@H]5[C@@H](COP(=O)(SCC6=CC=CC=C6[N+](=O)[O-])O[C@H]4[C@H]3F)O[C@H]([C@@H]5F)N3/C=N\C4=C3N=CN=C4N(C(=O)C3=CC=CC=C3)C[C@@H]2O1.CC1(C)O[C@H]2CCC3=NC=NC4=C3N=CN4[C@@H]3O[C@@H]4CO[P@](=S)(OCCC#N)O[C@@H]5[C@@H](CO[P@](=O)(SCC6=CC=CC=C6[N+](=O)[O-])O[C@H]4[C@H]3F)O[C@H]([C@@H]5F)N3/C=N\C4=C3N=CN=C4N(C(=O)C3=CC=CC=C3)C[C@@H]2O1.S.S JCFFTXNOLAEHDX-XNTIFKORSA-N 0.000 description 1
- KCFIQQRHVYRWOS-XCTSOLNYSA-N *.*.CCN(CC)CC.CCN(CC)CC.O=[N+]([O-])C1=CC=CC=C1CS[P@@]1(=O)OC[C@H]2OC3[C@H](F)[C@@H]2O[P@](=O)(SCC2=C([N+](=O)[O-])C=CC=C2)OC[C@H]2O[C@H]([C@H](F)[C@@H]2O1)N1C=NC2=C(CC/C=C/CCC4=C5/N=C\[N@@]3C5=NC=N4)/N=C\N=C\21.O=[P@]1(S)OC[C@H]2OC3[C@H](F)[C@@H]2O[P@](=O)(S)OC[C@H]2O[C@H]([C@H](F)[C@@H]2O1)N1C=NC2=C(CC/C=C/CCC4=C5/N=C\[N@@]3C5=NC=N4)/N=C\N=C\21.S.S Chemical compound *.*.CCN(CC)CC.CCN(CC)CC.O=[N+]([O-])C1=CC=CC=C1CS[P@@]1(=O)OC[C@H]2OC3[C@H](F)[C@@H]2O[P@](=O)(SCC2=C([N+](=O)[O-])C=CC=C2)OC[C@H]2O[C@H]([C@H](F)[C@@H]2O1)N1C=NC2=C(CC/C=C/CCC4=C5/N=C\[N@@]3C5=NC=N4)/N=C\N=C\21.O=[P@]1(S)OC[C@H]2OC3[C@H](F)[C@@H]2O[P@](=O)(S)OC[C@H]2O[C@H]([C@H](F)[C@@H]2O1)N1C=NC2=C(CC/C=C/CCC4=C5/N=C\[N@@]3C5=NC=N4)/N=C\N=C\21.S.S KCFIQQRHVYRWOS-XCTSOLNYSA-N 0.000 description 1
- RBNSIUXVEHDRAN-UFRROUMRSA-N *.*.CO[P@@]1(=S)OC[C@H]2OC3[C@H](F)[C@@H]2O[P@@](=O)(SCC2=C([N+](=O)[O-])C=CC=C2)OC[C@H]2OC([C@H](F)[C@@H]2O1)[N@@]1/C=N\C2=C(N=CN=C21)N(C(=O)C1=CC=CC=C1)CC#CCCC1=NC=NC2=C1N=C[N@@]23.N.N.O=[P@@]1(O)OC[C@H]2OC3[C@H](F)[C@@H]2O[P@](O)(=S)OC[C@H]2OC([C@H](F)[C@@H]2O1)[N@@]1C=NC2=C1N=CN=C2CCC#CCNC1=C2/N=C\[N@@]3C2=NC=N1.S.S Chemical compound *.*.CO[P@@]1(=S)OC[C@H]2OC3[C@H](F)[C@@H]2O[P@@](=O)(SCC2=C([N+](=O)[O-])C=CC=C2)OC[C@H]2OC([C@H](F)[C@@H]2O1)[N@@]1/C=N\C2=C(N=CN=C21)N(C(=O)C1=CC=CC=C1)CC#CCCC1=NC=NC2=C1N=C[N@@]23.N.N.O=[P@@]1(O)OC[C@H]2OC3[C@H](F)[C@@H]2O[P@](O)(=S)OC[C@H]2OC([C@H](F)[C@@H]2O1)[N@@]1C=NC2=C1N=CN=C2CCC#CCNC1=C2/N=C\[N@@]3C2=NC=N1.S.S RBNSIUXVEHDRAN-UFRROUMRSA-N 0.000 description 1
- KEUVMJOBHHUVCT-WTBMIYBESA-N *.*.C[C@@H]1[C@@H]2O[P@@](=O)(SCC3=C([N+](=O)[O-])C=CC=C3)OC[C@H]3OC4[C@H](F)[C@@H]3O[P@](=O)(SCC3=C([N+](=O)[O-])C=CC=C3)OC[C@H]2O[C@H]1N1C=NC2=C1N=CN=C2CCC1CC1CNC1=NC=NC2=C1/N=C\[N@@]24.NOC1=C([N+](=O)[O-])C=C([N+](=O)[O-])C=C1.O=[N+]([O-])C1=C(CS[P@@]2(=O)OC[C@H]3OC4[C@H](F)[C@@H]3O[P@](=O)(SCC3=C([N+](=O)[O-])C=CC=C3)OC[C@H]3O[C@H]([C@H](F)[C@@H]3O2)N2C=NC3=C2N=CN=C3CC/C=C/CNC2=NC=NC3=C2/N=C\[N@@]34)C=CC=C1.S.S Chemical compound *.*.C[C@@H]1[C@@H]2O[P@@](=O)(SCC3=C([N+](=O)[O-])C=CC=C3)OC[C@H]3OC4[C@H](F)[C@@H]3O[P@](=O)(SCC3=C([N+](=O)[O-])C=CC=C3)OC[C@H]2O[C@H]1N1C=NC2=C1N=CN=C2CCC1CC1CNC1=NC=NC2=C1/N=C\[N@@]24.NOC1=C([N+](=O)[O-])C=C([N+](=O)[O-])C=C1.O=[N+]([O-])C1=C(CS[P@@]2(=O)OC[C@H]3OC4[C@H](F)[C@@H]3O[P@](=O)(SCC3=C([N+](=O)[O-])C=CC=C3)OC[C@H]3O[C@H]([C@H](F)[C@@H]3O2)N2C=NC3=C2N=CN=C3CC/C=C/CNC2=NC=NC3=C2/N=C\[N@@]34)C=CC=C1.S.S KEUVMJOBHHUVCT-WTBMIYBESA-N 0.000 description 1
- VIXVJSMJSGHRAY-JRYNTNGZSA-N *.*.N#CCCOP1(=S)OC[C@H]2OC3[C@H](F)[C@@H]2OP(=O)(SCC2=C([N+](=O)[O-])C=CC=C2)OC[C@H]2O[C@H]([C@H](F)[C@@H]2O1)N1C=NC2=C(CC/C=C/CCC4=C5/N=C\[N@@]3C5=NC=N4)/N=C\N=C\21.O=[N+]([O-])C1=CC=CC=C1CS[P@]1(=O)OC[C@H]2OC3[C@H](F)[C@@H]2O[P@](=O)(SCC2=C([N+](=O)[O-])C=CC=C2)OC[C@H]2O[C@H]([C@H](F)[C@@H]2O1)N1C=NC2=C(CC/C=C/CCC4=C5/N=C\[N@@]3C5=NC=N4)/N=C\N=C\21 Chemical compound *.*.N#CCCOP1(=S)OC[C@H]2OC3[C@H](F)[C@@H]2OP(=O)(SCC2=C([N+](=O)[O-])C=CC=C2)OC[C@H]2O[C@H]([C@H](F)[C@@H]2O1)N1C=NC2=C(CC/C=C/CCC4=C5/N=C\[N@@]3C5=NC=N4)/N=C\N=C\21.O=[N+]([O-])C1=CC=CC=C1CS[P@]1(=O)OC[C@H]2OC3[C@H](F)[C@@H]2O[P@](=O)(SCC2=C([N+](=O)[O-])C=CC=C2)OC[C@H]2O[C@H]([C@H](F)[C@@H]2O1)N1C=NC2=C(CC/C=C/CCC4=C5/N=C\[N@@]3C5=NC=N4)/N=C\N=C\21 VIXVJSMJSGHRAY-JRYNTNGZSA-N 0.000 description 1
- VDWCZRTVCOFRCI-ZHWNCUJCSA-N *.*.N.N.N#CCCO[P@@]1(=S)OC[C@H]2OC3[C@H](F)[C@@H]2O[P@@](=O)(SCC2=C([N+](=O)[O-])C=CC=C2)OC[C@H]2OC([C@H](F)[C@@H]2O1)[N@@]1/C=N\C2=C(N=CN=C21)N(C(=O)C1=CC=CC=C1)CC#CCCC1=NC=NC2=C1N=C[N@@]23.O=[P@]1(S)OC[C@H]2OC3[C@H](F)[C@@H]2O[P@](=O)(S)OC[C@H]2OC([C@H](F)[C@@H]2O1)[N@@]1C=NC2=C1N=CN=C2CCC#CCNC1=C2/N=C\[N@@]3C2=NC=N1.S.S Chemical compound *.*.N.N.N#CCCO[P@@]1(=S)OC[C@H]2OC3[C@H](F)[C@@H]2O[P@@](=O)(SCC2=C([N+](=O)[O-])C=CC=C2)OC[C@H]2OC([C@H](F)[C@@H]2O1)[N@@]1/C=N\C2=C(N=CN=C21)N(C(=O)C1=CC=CC=C1)CC#CCCC1=NC=NC2=C1N=C[N@@]23.O=[P@]1(S)OC[C@H]2OC3[C@H](F)[C@@H]2O[P@](=O)(S)OC[C@H]2OC([C@H](F)[C@@H]2O1)[N@@]1C=NC2=C1N=CN=C2CCC#CCNC1=C2/N=C\[N@@]3C2=NC=N1.S.S VDWCZRTVCOFRCI-ZHWNCUJCSA-N 0.000 description 1
- ZYACALOGVCXLOM-LGOIISNBSA-N *.*.N.N.N#CCCO[P@@]1(=S)OC[C@H]2O[C@@H]3[C@H](F)[C@@H]2O[P@@](=O)(SCC2=CC=CC=C2[N+](=O)[O-])OC[C@H]2O[C@H]([C@H](F)[C@@H]2O1)N1/C=N\C2=C1N=CN=C2N(C(=O)C1=CC=CC=C1)C/C=C/CCC1=NC=NC2=C1N=CN23.O=P1(O)OC[C@H]2O[C@@H]3[C@H](F)[C@@H]2O[P@](O)(=S)OC[C@H]2O[C@H]([C@H](F)[C@@H]2O1)N1C=NC2=C1N=CN=C2CC/C=C/CNC1=NC=NC2=C1/N=C\N23.S Chemical compound *.*.N.N.N#CCCO[P@@]1(=S)OC[C@H]2O[C@@H]3[C@H](F)[C@@H]2O[P@@](=O)(SCC2=CC=CC=C2[N+](=O)[O-])OC[C@H]2O[C@H]([C@H](F)[C@@H]2O1)N1/C=N\C2=C1N=CN=C2N(C(=O)C1=CC=CC=C1)C/C=C/CCC1=NC=NC2=C1N=CN23.O=P1(O)OC[C@H]2O[C@@H]3[C@H](F)[C@@H]2O[P@](O)(=S)OC[C@H]2O[C@H]([C@H](F)[C@@H]2O1)N1C=NC2=C1N=CN=C2CC/C=C/CNC1=NC=NC2=C1/N=C\N23.S ZYACALOGVCXLOM-LGOIISNBSA-N 0.000 description 1
- AENZCYDCVCKVIA-OGXFWJJZSA-N *.*.N.N.O=[N+]([O-])C1=CC=CC=C1CS[P@@]1(=O)OC[C@H]2OC3[C@H](F)[C@@H]2O[P@](=O)(SCC2=CC=CC=C2[N+](=O)[O-])OC[C@H]2O[C@H]([C@H](F)[C@@H]2O1)N1C=NC2=C1N=CN=C2CCC1CC1CNC1=NC=NC2=C1/N=C\[N@@]23.O=[P@]1(S)OC[C@H]2OC3[C@H](F)[C@@H]2O[P@](=O)(S)OC[C@H]2O[C@H]([C@H](F)[C@@H]2O1)N1C=NC2=C1N=CN=C2CCC1CC1CNC1=NC=NC2=C1/N=C\[N@@]23.S.S Chemical compound *.*.N.N.O=[N+]([O-])C1=CC=CC=C1CS[P@@]1(=O)OC[C@H]2OC3[C@H](F)[C@@H]2O[P@](=O)(SCC2=CC=CC=C2[N+](=O)[O-])OC[C@H]2O[C@H]([C@H](F)[C@@H]2O1)N1C=NC2=C1N=CN=C2CCC1CC1CNC1=NC=NC2=C1/N=C\[N@@]23.O=[P@]1(S)OC[C@H]2OC3[C@H](F)[C@@H]2O[P@](=O)(S)OC[C@H]2O[C@H]([C@H](F)[C@@H]2O1)N1C=NC2=C1N=CN=C2CCC1CC1CNC1=NC=NC2=C1/N=C\[N@@]23.S.S AENZCYDCVCKVIA-OGXFWJJZSA-N 0.000 description 1
- FVRKNJUBBNOSQK-GVEOFJEISA-N *.*.N.N.S.S.[2H]/C(=C(/[2H])C([2H])([2H])O)C([2H])([2H])O.[2H]/C1=C(/[2H])C([2H])([2H])N(C(=O)C2=CC=CC=C2)C2=C3/N=C\N(C3=NC=N2)[C@@H]2O[C@@H]3CO[P@](=O)(SCC4=C([N+](=O)[O-])C=CC=C4)O[C@@H]4[C@@H](CO[P@](=S)(OC)O[C@H]3[C@H]2F)O[C@H]([C@@H]4F)N2C=NC3=C2N=CN=C3CC1([2H])[2H].[2H]/C1=C(/[2H])C([2H])([2H])NC2=C3/N=C\N(C3=NC=N2)[C@@H]2O[C@@H]3CO[P@](=O)(S)O[C@@H]4[C@@H](CO[P@@](=O)(S)O[C@H]3[C@H]2F)O[C@H]([C@@H]4F)N2C=NC3=C2N=CN=C3CC1([2H])[2H].[2H]C([2H])=C([2H])C([2H])([2H])O Chemical compound *.*.N.N.S.S.[2H]/C(=C(/[2H])C([2H])([2H])O)C([2H])([2H])O.[2H]/C1=C(/[2H])C([2H])([2H])N(C(=O)C2=CC=CC=C2)C2=C3/N=C\N(C3=NC=N2)[C@@H]2O[C@@H]3CO[P@](=O)(SCC4=C([N+](=O)[O-])C=CC=C4)O[C@@H]4[C@@H](CO[P@](=S)(OC)O[C@H]3[C@H]2F)O[C@H]([C@@H]4F)N2C=NC3=C2N=CN=C3CC1([2H])[2H].[2H]/C1=C(/[2H])C([2H])([2H])NC2=C3/N=C\N(C3=NC=N2)[C@@H]2O[C@@H]3CO[P@](=O)(S)O[C@@H]4[C@@H](CO[P@@](=O)(S)O[C@H]3[C@H]2F)O[C@H]([C@@H]4F)N2C=NC3=C2N=CN=C3CC1([2H])[2H].[2H]C([2H])=C([2H])C([2H])([2H])O FVRKNJUBBNOSQK-GVEOFJEISA-N 0.000 description 1
- SVOCLCVIKGETGB-QDUMOIKQSA-N *.*.N.N.S.S.[2H]/C1=C(/[2H])C([2H])([2H])N(C(=O)C2=CC=CC=C2)C2=C3/N=C\N(C3=NC=N2)[C@@H]2O[C@@H]3CO[P@](=O)(SCC4=C([N+](=O)[O-])C=CC=C4)O[C@@H]4[C@@H](CO[P@](=S)(OC)O[C@H]3[C@H]2F)O[C@H]([C@@H]4F)N2C=NC3=C2N=CN=C3CC1([2H])[2H].[2H]/C1=C(/[2H])C([2H])([2H])NC2=C3/N=C\N(C3=NC=N2)[C@@H]2O[C@@H]3CO[P@](=O)(S)O[C@@H]4[C@@H](CO[P@@](=O)(S)O[C@H]3[C@H]2F)O[C@H]([C@@H]4F)N2C=NC3=C2N=CN=C3CC1([2H])[2H] Chemical compound *.*.N.N.S.S.[2H]/C1=C(/[2H])C([2H])([2H])N(C(=O)C2=CC=CC=C2)C2=C3/N=C\N(C3=NC=N2)[C@@H]2O[C@@H]3CO[P@](=O)(SCC4=C([N+](=O)[O-])C=CC=C4)O[C@@H]4[C@@H](CO[P@](=S)(OC)O[C@H]3[C@H]2F)O[C@H]([C@@H]4F)N2C=NC3=C2N=CN=C3CC1([2H])[2H].[2H]/C1=C(/[2H])C([2H])([2H])NC2=C3/N=C\N(C3=NC=N2)[C@@H]2O[C@@H]3CO[P@](=O)(S)O[C@@H]4[C@@H](CO[P@@](=O)(S)O[C@H]3[C@H]2F)O[C@H]([C@@H]4F)N2C=NC3=C2N=CN=C3CC1([2H])[2H] SVOCLCVIKGETGB-QDUMOIKQSA-N 0.000 description 1
- HKZCUFJRMQWTIJ-FTVWKRRTSA-L *.*.O=C(C1=CC=CC=C1)N1C/C=C/CN(C(=O)C2=CC=CC=C2)C2=C3/N=C\N(C3=NC=N2)[C@@H]2O[C@@H]3CO[P@](=O)(SCC4=CC=CC=C4[N+](=O)[O-])O[C@@H]4[C@@H](CO[P@@](=O)(SCC5=C([N+](=O)[O-])C=CC=C5)O[C@H]3[C@H]2F)O[C@H]([C@@H]4F)N2C=NC3=C1N=CN=C32.O=[P@]1([S-])OC[C@H]2O[C@@H]3[C@H](F)[C@@H]2O[P@](=O)([S-])OC[C@H]2O[C@H]([C@H](F)[C@@H]2O1)N1C=NC2=C(CC/C=C/CNC4=C5/N=C\N3C5=NC=N4)N=CN=C21.S.S.[NH4+].[NH4+] Chemical compound *.*.O=C(C1=CC=CC=C1)N1C/C=C/CN(C(=O)C2=CC=CC=C2)C2=C3/N=C\N(C3=NC=N2)[C@@H]2O[C@@H]3CO[P@](=O)(SCC4=CC=CC=C4[N+](=O)[O-])O[C@@H]4[C@@H](CO[P@@](=O)(SCC5=C([N+](=O)[O-])C=CC=C5)O[C@H]3[C@H]2F)O[C@H]([C@@H]4F)N2C=NC3=C1N=CN=C32.O=[P@]1([S-])OC[C@H]2O[C@@H]3[C@H](F)[C@@H]2O[P@](=O)([S-])OC[C@H]2O[C@H]([C@H](F)[C@@H]2O1)N1C=NC2=C(CC/C=C/CNC4=C5/N=C\N3C5=NC=N4)N=CN=C21.S.S.[NH4+].[NH4+] HKZCUFJRMQWTIJ-FTVWKRRTSA-L 0.000 description 1
- VFCCAWGFCUGBBJ-RZSDRBOQSA-N *.*.O=[P@@]1(S)OC[C@H]2O[C@@H]3[C@H](F)[C@@H]2O[P@](=O)(S)OC[C@H]2OC([C@H](F)[C@@H]2O1)[N@@]1/C=N\C2=C1N=CN=C2CC/C=C/CC/C1=N/C=N\C2=C1N=CN23 Chemical compound *.*.O=[P@@]1(S)OC[C@H]2O[C@@H]3[C@H](F)[C@@H]2O[P@](=O)(S)OC[C@H]2OC([C@H](F)[C@@H]2O1)[N@@]1/C=N\C2=C1N=CN=C2CC/C=C/CC/C1=N/C=N\C2=C1N=CN23 VFCCAWGFCUGBBJ-RZSDRBOQSA-N 0.000 description 1
- JKBYLWJJMZTNOR-FDZONTHBSA-N *.*.O=[P@@]1(S)OC[C@H]2O[C@@H]3[C@H](F)[C@@H]2O[P@](=O)(S)OC[C@H]2OC([C@H](F)[C@@H]2O1)[N@@]1/C=N\C2=C1N=CN=C2NC/C=C/CCC1=NC=NC2=C1N=CN23 Chemical compound *.*.O=[P@@]1(S)OC[C@H]2O[C@@H]3[C@H](F)[C@@H]2O[P@](=O)(S)OC[C@H]2OC([C@H](F)[C@@H]2O1)[N@@]1/C=N\C2=C1N=CN=C2NC/C=C/CCC1=NC=NC2=C1N=CN23 JKBYLWJJMZTNOR-FDZONTHBSA-N 0.000 description 1
- JKBYLWJJMZTNOR-VRVCTWDYSA-N *.*.O=[P@@]1(S)OC[C@H]2O[C@@H]3[C@H](F)[C@@H]2O[P@](=O)(S)OC[C@H]2OC([C@H](F)[C@@H]2O1)[N@@]1/C=N\C2=C1N=CN=C2NC/C=C\CCC1=NC=NC2=C1N=CN23 Chemical compound *.*.O=[P@@]1(S)OC[C@H]2O[C@@H]3[C@H](F)[C@@H]2O[P@](=O)(S)OC[C@H]2OC([C@H](F)[C@@H]2O1)[N@@]1/C=N\C2=C1N=CN=C2NC/C=C\CCC1=NC=NC2=C1N=CN23 JKBYLWJJMZTNOR-VRVCTWDYSA-N 0.000 description 1
- WWGDYKPYLGTDOT-KFYCVQLKSA-N *.*.O=[P@@]1(S)OC[C@H]2O[C@@H]3[C@H](F)[C@@H]2O[P@](=O)(S)OC[C@H]2OC([C@H](F)[C@@H]2O1)[N@@]1/C=N\C2=C1N=CN=C2OC/C=C/CO/C1=N/C=N\C2=C1N=CN23 Chemical compound *.*.O=[P@@]1(S)OC[C@H]2O[C@@H]3[C@H](F)[C@@H]2O[P@](=O)(S)OC[C@H]2OC([C@H](F)[C@@H]2O1)[N@@]1/C=N\C2=C1N=CN=C2OC/C=C/CO/C1=N/C=N\C2=C1N=CN23 WWGDYKPYLGTDOT-KFYCVQLKSA-N 0.000 description 1
- BGKGKMHFIZWCDQ-OVDLCCFYSA-N *.*.O=[P@@]1(S)OC[C@H]2O[C@@H]3[C@H](O[P@](=O)(S)OC[C@H]4OC([C@H](F)[C@@H]4O1)[N@@]1/C=N\C4=C1N=CN=C4NC/C=C/CCC1=NC=NC4=C1N=CN43)[C@@H]2O Chemical compound *.*.O=[P@@]1(S)OC[C@H]2O[C@@H]3[C@H](O[P@](=O)(S)OC[C@H]4OC([C@H](F)[C@@H]4O1)[N@@]1/C=N\C4=C1N=CN=C4NC/C=C/CCC1=NC=NC4=C1N=CN43)[C@@H]2O BGKGKMHFIZWCDQ-OVDLCCFYSA-N 0.000 description 1
- HRFFRBJKZBWLHK-FCIRREAVSA-N *.*.O=[P@@]1(S)OC[C@H]2O[C@@H]3[C@H](O[P@](=O)(S)OC[C@H]4OC([C@H](O)[C@@H]4O1)[N@@]1/C=N\C4=C1N=CN=C4NC/C=C/CCC1=NC=NC4=C1N=CN43)[C@@H]2O Chemical compound *.*.O=[P@@]1(S)OC[C@H]2O[C@@H]3[C@H](O[P@](=O)(S)OC[C@H]4OC([C@H](O)[C@@H]4O1)[N@@]1/C=N\C4=C1N=CN=C4NC/C=C/CCC1=NC=NC4=C1N=CN43)[C@@H]2O HRFFRBJKZBWLHK-FCIRREAVSA-N 0.000 description 1
- VMOCSUGFWQJFIB-WAIHBWEWSA-J *.*.O=[P@]1([S-])COC[C@H]2OC3[C@H](F)[C@@H]2O[P@](=O)([S-])OCC[C@H]2OC([C@H](F)[C@@H]2O1)[N@@]1C=NC2=C(CC/C=C/CNC4=C5/N=C\[N@@]3C5=NC=N4)N=CN=C21.O=[P@]1([S-])COC[C@H]2OC3[C@H](F)[C@@H]2O[P@](=O)([S-])OCC[C@H]2OC([C@H](F)[C@@H]2O1)[N@@]1C=NC2=C(CC/C=C/CNC4=C5/N=C\[N@@]3C5=NC=N4)N=CN=C21.S.S.[HH].[NH4+].[NH4+].[NH4+].[NH4+] Chemical compound *.*.O=[P@]1([S-])COC[C@H]2OC3[C@H](F)[C@@H]2O[P@](=O)([S-])OCC[C@H]2OC([C@H](F)[C@@H]2O1)[N@@]1C=NC2=C(CC/C=C/CNC4=C5/N=C\[N@@]3C5=NC=N4)N=CN=C21.O=[P@]1([S-])COC[C@H]2OC3[C@H](F)[C@@H]2O[P@](=O)([S-])OCC[C@H]2OC([C@H](F)[C@@H]2O1)[N@@]1C=NC2=C(CC/C=C/CNC4=C5/N=C\[N@@]3C5=NC=N4)N=CN=C21.S.S.[HH].[NH4+].[NH4+].[NH4+].[NH4+] VMOCSUGFWQJFIB-WAIHBWEWSA-J 0.000 description 1
- ZLPBZTJRNLQDLQ-DTCXLETPSA-N *.C/C=N/C1=NC(=S)SS1.CC(C)N(C(C)C)P(C)C.CC(C)N(C(C)C)P(C)C.CC(C)N(C(C)C)P(C)OC[C@H]1OC2[C@H](F)[C@@H]1O[P@@](=O)(SCC1=CC=CC=C1[N+](=O)[O-])COC[C@H]1OC([C@H](F)[C@@H]1O)[N@@]1C=NC3=C1N=CN=C3N(C(=O)C1=CC=CC=C1)C/C=C/CCC1=NC=NC3=C1/N=C\[N@@]32.CP1(=S)OCC[C@H]2OC3[C@H](F)[C@@H]2O[P@@](=O)(SCC2=CC=CC=C2[N+](=O)[O-])COC[C@H]2OC([C@H](F)[C@@H]2O1)[N@@]1/C=N\C2=C1N=CN=C2N(C(=O)C1=CC=CC=C1)C/C=C/CCC1=NC=NC2=C1N=C[N@@]23.CP1OCC[C@H]2OC3[C@H](F)[C@@H]2O[P@@](=O)(SCC2=CC=CC=C2[N+](=O)[O-])COC[C@H]2OC([C@H](F)[C@@H]2O1)[N@@]1/C=N\C2=C1N=CN=C2N(C(=O)C1=CC=CC=C1)C/C=C/CCC1=NC=NC2=C1N=C[N@@]23.O=C(C1=CC=CC=C1)N1C/C=C/CCC2=NC=NC3=C2/N=C\[N@]3C2O[C@H](CO)[C@@H](O[P@@](=O)(SCC3=CC=CC=C3[N+](=O)[O-])COC[C@H]3OC([C@H](F)[C@@H]3O)[N@@]3C=NC4=C3N=CN=C41)[C@H]2F.S.S.S.S Chemical compound *.C/C=N/C1=NC(=S)SS1.CC(C)N(C(C)C)P(C)C.CC(C)N(C(C)C)P(C)C.CC(C)N(C(C)C)P(C)OC[C@H]1OC2[C@H](F)[C@@H]1O[P@@](=O)(SCC1=CC=CC=C1[N+](=O)[O-])COC[C@H]1OC([C@H](F)[C@@H]1O)[N@@]1C=NC3=C1N=CN=C3N(C(=O)C1=CC=CC=C1)C/C=C/CCC1=NC=NC3=C1/N=C\[N@@]32.CP1(=S)OCC[C@H]2OC3[C@H](F)[C@@H]2O[P@@](=O)(SCC2=CC=CC=C2[N+](=O)[O-])COC[C@H]2OC([C@H](F)[C@@H]2O1)[N@@]1/C=N\C2=C1N=CN=C2N(C(=O)C1=CC=CC=C1)C/C=C/CCC1=NC=NC2=C1N=C[N@@]23.CP1OCC[C@H]2OC3[C@H](F)[C@@H]2O[P@@](=O)(SCC2=CC=CC=C2[N+](=O)[O-])COC[C@H]2OC([C@H](F)[C@@H]2O1)[N@@]1/C=N\C2=C1N=CN=C2N(C(=O)C1=CC=CC=C1)C/C=C/CCC1=NC=NC2=C1N=C[N@@]23.O=C(C1=CC=CC=C1)N1C/C=C/CCC2=NC=NC3=C2/N=C\[N@]3C2O[C@H](CO)[C@@H](O[P@@](=O)(SCC3=CC=CC=C3[N+](=O)[O-])COC[C@H]3OC([C@H](F)[C@@H]3O)[N@@]3C=NC4=C3N=CN=C41)[C@H]2F.S.S.S.S ZLPBZTJRNLQDLQ-DTCXLETPSA-N 0.000 description 1
- ZYVFRBZFOQHIJH-XIAWVRPLSA-N *.C=CCN(C(=O)C1=CC=CC=C1)C1=C2/N=C\N(C3O[C@H](CO)[C@@H](NP(C)(=S)OC[C@H]4O[C@@H](N5/C=N\C6=C(N(CC=C)C(=O)C7=CC=CC=C7)N=CN=C65)[C@H](O[Si](C)(C)C(C)(C)C)[C@@H]4C)[C@H]3C)C2=NC=N1.C=CCN(C(=O)C1=CC=CC=C1)C1=NC=NC2=C1N=CN2[C@@H]1O[C@H](CO)[C@@H](N)[C@H]1O[Si](C)(C)C(C)(C)C.C=CCN(C(=O)C1=CC=CC=C1)C1=NC=NC2=C1N=CN2[C@@H]1O[C@H](CO[PH](C)=S)[C@@H](C)[C@H]1O[Si](C)(C)C(C)(C)C.CC#N Chemical compound *.C=CCN(C(=O)C1=CC=CC=C1)C1=C2/N=C\N(C3O[C@H](CO)[C@@H](NP(C)(=S)OC[C@H]4O[C@@H](N5/C=N\C6=C(N(CC=C)C(=O)C7=CC=CC=C7)N=CN=C65)[C@H](O[Si](C)(C)C(C)(C)C)[C@@H]4C)[C@H]3C)C2=NC=N1.C=CCN(C(=O)C1=CC=CC=C1)C1=NC=NC2=C1N=CN2[C@@H]1O[C@H](CO)[C@@H](N)[C@H]1O[Si](C)(C)C(C)(C)C.C=CCN(C(=O)C1=CC=CC=C1)C1=NC=NC2=C1N=CN2[C@@H]1O[C@H](CO[PH](C)=S)[C@@H](C)[C@H]1O[Si](C)(C)C(C)(C)C.CC#N ZYVFRBZFOQHIJH-XIAWVRPLSA-N 0.000 description 1
- XBJGQESSAHGMEJ-LXLBBUCLSA-N *.CCC[Ni](CCC)P(C)C.CO[P@@]1(=S)OC[C@H]2OC3[C@H](F)[C@@H]2O[P@@](=O)(SCC2=C([N+](=O)[O-])C=CC=C2)OC[C@H]2OC([C@H](F)[C@@H]2O1)[N@@]1/C=N\C2=C(N=CN=C21)N(C(=O)C1=CC=CC=C1)CC#CCCC1=NC=NC2=C1N=C[N@@]23.O=C(C1=CC=CC=C1)N1CC#CCCC2=NC=NC3=C2N=C[N@]3C2O[C@H](CO)[C@@H](O[P@@](=O)(SCC3=CC=CC=C3[N+](=O)[O-])OC[C@H]3OC([C@H](F)[C@@H]3O)[N@@]3/C=N\C4=C3N=CN=C41)[C@H]2F.S.S Chemical compound *.CCC[Ni](CCC)P(C)C.CO[P@@]1(=S)OC[C@H]2OC3[C@H](F)[C@@H]2O[P@@](=O)(SCC2=C([N+](=O)[O-])C=CC=C2)OC[C@H]2OC([C@H](F)[C@@H]2O1)[N@@]1/C=N\C2=C(N=CN=C21)N(C(=O)C1=CC=CC=C1)CC#CCCC1=NC=NC2=C1N=C[N@@]23.O=C(C1=CC=CC=C1)N1CC#CCCC2=NC=NC3=C2N=C[N@]3C2O[C@H](CO)[C@@H](O[P@@](=O)(SCC3=CC=CC=C3[N+](=O)[O-])OC[C@H]3OC([C@H](F)[C@@H]3O)[N@@]3/C=N\C4=C3N=CN=C41)[C@H]2F.S.S XBJGQESSAHGMEJ-LXLBBUCLSA-N 0.000 description 1
- YXBVKRVZGLJKJE-FOWPUJITSA-N *.N#CCCOP1(=S)OC[C@H]2OC3[C@H](F)[C@@H]2OP(=O)(SCC2=C([N+](=O)[O-])C=CC=C2)OC[C@H]2O[C@H]([C@H](F)[C@@H]2O1)N1C=NC2=C(CC/C=C/CCC4=C5/N=C\[N@@]3C5=NC=N4)/N=C\N=C\21.O=[N+]([O-])C1=CC=CC=C1CS[P@@]1(=O)OC[C@H]2OC3[C@H](F)[C@@H]2O[P@](=O)(SCC2=C([N+](=O)[O-])C=CC=C2)OC[C@H]2O[C@H]([C@H](F)[C@@H]2O1)N1C=NC2=C(CC/C=C/CCC4=C5/N=C\[N@@]3C5=NC=N4)/N=C\N=C\21.S Chemical compound *.N#CCCOP1(=S)OC[C@H]2OC3[C@H](F)[C@@H]2OP(=O)(SCC2=C([N+](=O)[O-])C=CC=C2)OC[C@H]2O[C@H]([C@H](F)[C@@H]2O1)N1C=NC2=C(CC/C=C/CCC4=C5/N=C\[N@@]3C5=NC=N4)/N=C\N=C\21.O=[N+]([O-])C1=CC=CC=C1CS[P@@]1(=O)OC[C@H]2OC3[C@H](F)[C@@H]2O[P@](=O)(SCC2=C([N+](=O)[O-])C=CC=C2)OC[C@H]2O[C@H]([C@H](F)[C@@H]2O1)N1C=NC2=C(CC/C=C/CCC4=C5/N=C\[N@@]3C5=NC=N4)/N=C\N=C\21.S YXBVKRVZGLJKJE-FOWPUJITSA-N 0.000 description 1
- XQMINSZVKYLTIC-GIAGONCMSA-L *.O=C(C1=CC=CC=C1)N1C/C=C/CN(C(=O)C2=CC=CC=C2)C2=C3/N=C\[N@@](C3=NC=N2)C2O[C@@H]3COC[P@](=O)(SCC4=CC=CC=C4[N+](=O)[O-])O[C@@H]4[C@@H](CCO[P@@](=O)(SCC5=C([N+](=O)[O-])C=CC=C5)O[C@H]3[C@H]2F)OC([C@@H]4F)[N@@]2C=NC3=C1N=CN=C32.O=P1([O-])COC[C@H]2OC3[C@H](F)[C@@H]2OP(=O)([O-])OCC[C@H]2OC([C@H](F)[C@@H]2O1)[N@@]1C=NC2=C(CC/C=C/CNC4=C5/N=C\[N@@]3C5=NC=N4)N=CN=C21.S.[NH4+].[NH4+] Chemical compound *.O=C(C1=CC=CC=C1)N1C/C=C/CN(C(=O)C2=CC=CC=C2)C2=C3/N=C\[N@@](C3=NC=N2)C2O[C@@H]3COC[P@](=O)(SCC4=CC=CC=C4[N+](=O)[O-])O[C@@H]4[C@@H](CCO[P@@](=O)(SCC5=C([N+](=O)[O-])C=CC=C5)O[C@H]3[C@H]2F)OC([C@@H]4F)[N@@]2C=NC3=C1N=CN=C32.O=P1([O-])COC[C@H]2OC3[C@H](F)[C@@H]2OP(=O)([O-])OCC[C@H]2OC([C@H](F)[C@@H]2O1)[N@@]1C=NC2=C(CC/C=C/CNC4=C5/N=C\[N@@]3C5=NC=N4)N=CN=C21.S.[NH4+].[NH4+] XQMINSZVKYLTIC-GIAGONCMSA-L 0.000 description 1
- BKSLRIBJXANHRV-YFBTUROQSA-N *.O=P1(O)OC[C@H]2OC3[C@H](F)[C@@H]2O[P@](O)(=S)OC[C@H]2O[C@H]([C@H](F)[C@@H]2O1)N1C=NC2=C(CC/C=C/CNC4=C5/N=C\[N@@]3C5=NC=N4)N=CN=C21 Chemical compound *.O=P1(O)OC[C@H]2OC3[C@H](F)[C@@H]2O[P@](O)(=S)OC[C@H]2O[C@H]([C@H](F)[C@@H]2O1)N1C=NC2=C(CC/C=C/CNC4=C5/N=C\[N@@]3C5=NC=N4)N=CN=C21 BKSLRIBJXANHRV-YFBTUROQSA-N 0.000 description 1
- AKBAJELCLPDEEG-VCRHDBLYSA-N *.O=[P@@]1(S)N[C@@H]2[C@H]3CO[P@@](=O)(S)N[C@@H]4[C@@H](CO1)OC([C@@H]4O)[N@@]1/C=N\C4=C(N=CN=C41)NC/C=C/CCC1=C4N=CN(C4=NC=N1)[C@H](O3)[C@@H]2O.S Chemical compound *.O=[P@@]1(S)N[C@@H]2[C@H]3CO[P@@](=O)(S)N[C@@H]4[C@@H](CO1)OC([C@@H]4O)[N@@]1/C=N\C4=C(N=CN=C41)NC/C=C/CCC1=C4N=CN(C4=NC=N1)[C@H](O3)[C@@H]2O.S AKBAJELCLPDEEG-VCRHDBLYSA-N 0.000 description 1
- NJLWDGYELSIBFX-CQTSJULBSA-N *.O=[P@]1(S)OC[C@H]2OC3[C@H](F)[C@@H]2O[P@](=O)(S)OC[C@H]2O[C@H]([C@H](F)[C@@H]2O1)N1C=NC2=C1/N=C\N=C/2CC/C=C/CCC1=NC=NC2=C1/N=C\[N@@]23.S Chemical compound *.O=[P@]1(S)OC[C@H]2OC3[C@H](F)[C@@H]2O[P@](=O)(S)OC[C@H]2O[C@H]([C@H](F)[C@@H]2O1)N1C=NC2=C1/N=C\N=C/2CC/C=C/CCC1=NC=NC2=C1/N=C\[N@@]23.S NJLWDGYELSIBFX-CQTSJULBSA-N 0.000 description 1
- DDOULIFFBCFPNF-NWWDMJHPSA-N *.O=[P@]1(S)OC[C@H]2OC3[C@H](F)[C@@H]2O[P@](=O)(S)OC[C@H]2O[C@H]([C@H](F)[C@@H]2O1)N1C=NC2=C1/N=C\N=C/2CC[C@H](O)[C@@H](O)CNC1=NC=NC2=C1/N=C\[N@@]23.S.S.S Chemical compound *.O=[P@]1(S)OC[C@H]2OC3[C@H](F)[C@@H]2O[P@](=O)(S)OC[C@H]2O[C@H]([C@H](F)[C@@H]2O1)N1C=NC2=C1/N=C\N=C/2CC[C@H](O)[C@@H](O)CNC1=NC=NC2=C1/N=C\[N@@]23.S.S.S DDOULIFFBCFPNF-NWWDMJHPSA-N 0.000 description 1
- JRLUFEXYTWLVBF-VJOUNJCESA-N *.O=[P@]1(S)OC[C@H]2OC3[C@H](F)[C@@H]2O[P@](=O)(S)OC[C@H]2O[C@H]([C@H](F)[C@@H]2O1)N1C=NC2=C1N=CN=C2CC/C=C/CNC1=NC=NC2=C1/N=C\[N@@]23.S Chemical compound *.O=[P@]1(S)OC[C@H]2OC3[C@H](F)[C@@H]2O[P@](=O)(S)OC[C@H]2O[C@H]([C@H](F)[C@@H]2O1)N1C=NC2=C1N=CN=C2CC/C=C/CNC1=NC=NC2=C1/N=C\[N@@]23.S JRLUFEXYTWLVBF-VJOUNJCESA-N 0.000 description 1
- JRLUFEXYTWLVBF-CMUALURSSA-N *.O=[P@]1(S)OC[C@H]2OC3[C@H](F)[C@@H]2O[P@](=O)(S)OC[C@H]2O[C@H]([C@H](F)[C@@H]2O1)N1C=NC2=C1N=CN=C2CC/C=C\CNC1=NC=NC2=C1/N=C\[N@@]23.S Chemical compound *.O=[P@]1(S)OC[C@H]2OC3[C@H](F)[C@@H]2O[P@](=O)(S)OC[C@H]2O[C@H]([C@H](F)[C@@H]2O1)N1C=NC2=C1N=CN=C2CC/C=C\CNC1=NC=NC2=C1/N=C\[N@@]23.S JRLUFEXYTWLVBF-CMUALURSSA-N 0.000 description 1
- BTTYHTJOYASXQD-VPVRVHCZSA-N *.O=[P@]1(S)OC[C@H]2OC3[C@H](F)[C@@H]2O[P@](=O)(S)OC[C@H]2O[C@H]([C@H](F)[C@@H]2O1)N1C=NC2=C1N=CN=C2CCC#CCNC1=C2/N=C\[N@@]3C2=NC=N1.S Chemical compound *.O=[P@]1(S)OC[C@H]2OC3[C@H](F)[C@@H]2O[P@](=O)(S)OC[C@H]2O[C@H]([C@H](F)[C@@H]2O1)N1C=NC2=C1N=CN=C2CCC#CCNC1=C2/N=C\[N@@]3C2=NC=N1.S BTTYHTJOYASXQD-VPVRVHCZSA-N 0.000 description 1
- FXXRJVWXVYRSTC-VPVRVHCZSA-N *.O=[P@]1(S)OC[C@H]2OC3[C@H](F)[C@@H]2O[P@](=O)(S)OC[C@H]2O[C@H]([C@H](F)[C@@H]2O1)N1C=NC2=C1N=CN=C2CCCCCNC1=NC=NC2=C1/N=C\[N@@]23.S Chemical compound *.O=[P@]1(S)OC[C@H]2OC3[C@H](F)[C@@H]2O[P@](=O)(S)OC[C@H]2O[C@H]([C@H](F)[C@@H]2O1)N1C=NC2=C1N=CN=C2CCCCCNC1=NC=NC2=C1/N=C\[N@@]23.S FXXRJVWXVYRSTC-VPVRVHCZSA-N 0.000 description 1
- PIGKJUGNYCBMHI-XXXGYATESA-N *.O=[P@]1(S)OC[C@H]2OC3[C@H](F)[C@@H]2O[P@](=O)(S)OC[C@H]2O[C@H]([C@H](O1)[C@@H]2O)N1C=NC2=C1N=CN=C2CC/C=C/CNC1=NC=NC2=C1/N=C\[N@@]23.S Chemical compound *.O=[P@]1(S)OC[C@H]2OC3[C@H](F)[C@@H]2O[P@](=O)(S)OC[C@H]2O[C@H]([C@H](O1)[C@@H]2O)N1C=NC2=C1N=CN=C2CC/C=C/CNC1=NC=NC2=C1/N=C\[N@@]23.S PIGKJUGNYCBMHI-XXXGYATESA-N 0.000 description 1
- XAHTYQMPOPYQKO-VTLOWNHFSA-N *.O=[P@]1(S)OC[C@H]2OC3[C@H](O)[C@@H]2O[P@](=O)(S)OC[C@H]2O[C@H]([C@H](O1)[C@@H]2O)N1C=NC2=C1N=CN=C2CC/C=C/CNC1=NC=NC2=C1/N=C\[N@@]23.S Chemical compound *.O=[P@]1(S)OC[C@H]2OC3[C@H](O)[C@@H]2O[P@](=O)(S)OC[C@H]2O[C@H]([C@H](O1)[C@@H]2O)N1C=NC2=C1N=CN=C2CC/C=C/CNC1=NC=NC2=C1/N=C\[N@@]23.S XAHTYQMPOPYQKO-VTLOWNHFSA-N 0.000 description 1
- HTNGLYBERZQHII-DYKINSFGSA-L *.O=[P@]1([S-])OC[C@H]2OC3[C@H](O)[C@@H]2O[P@](=O)([S-])OCC[C@H]2OC([C@H](O1)[C@@H]2O)[N@@]1C=NC2=C(CC/C=C/CNC4=C5/N=C\[N@@]3C5=NC=N4)N=CN=C21.S.[NH4+].[NH4+] Chemical compound *.O=[P@]1([S-])OC[C@H]2OC3[C@H](O)[C@@H]2O[P@](=O)([S-])OCC[C@H]2OC([C@H](O1)[C@@H]2O)[N@@]1C=NC2=C(CC/C=C/CNC4=C5/N=C\[N@@]3C5=NC=N4)N=CN=C21.S.[NH4+].[NH4+] HTNGLYBERZQHII-DYKINSFGSA-L 0.000 description 1
- RZIRHKKJFQFSNF-BADAANIMSA-N *.S.[2H]/C(=C(/[2H])C([2H])([2H])O)C([2H])([2H])O.[2H]/C1=C(/[2H])C([2H])([2H])N(C(=O)C2=CC=CC=C2)C2=C3/N=C\N(C3=NC=N2)[C@@H]2O[C@@H]3CO[P@](=O)(SCC4=C([N+](=O)[O-])C=CC=C4)O[C@@H]4[C@@H](CO[P@](=S)(OC)O[C@H]3[C@H]2F)O[C@H]([C@@H]4F)N2C=NC3=C2N=CN=C3CC1([2H])[2H] Chemical compound *.S.[2H]/C(=C(/[2H])C([2H])([2H])O)C([2H])([2H])O.[2H]/C1=C(/[2H])C([2H])([2H])N(C(=O)C2=CC=CC=C2)C2=C3/N=C\N(C3=NC=N2)[C@@H]2O[C@@H]3CO[P@](=O)(SCC4=C([N+](=O)[O-])C=CC=C4)O[C@@H]4[C@@H](CO[P@](=S)(OC)O[C@H]3[C@H]2F)O[C@H]([C@@H]4F)N2C=NC3=C2N=CN=C3CC1([2H])[2H] RZIRHKKJFQFSNF-BADAANIMSA-N 0.000 description 1
- JRLUFEXYTWLVBF-NGJNQHISSA-N *.S.[H][C@]1(F)[C@H]2O[C@@H]3CO[P@@](=O)(S)O[C@]4([H])[C@@H](CO[P@](=O)(S)O[C@]31[H])O[C@@H](N1/C=N\C3=C(N=CN=C31)NC([2H])([2H])/C([2H])=C(\[2H])C([2H])([2H])CC1=C3N=CN2C3=NC=N1)[C@]4([H])F Chemical compound *.S.[H][C@]1(F)[C@H]2O[C@@H]3CO[P@@](=O)(S)O[C@]4([H])[C@@H](CO[P@](=O)(S)O[C@]31[H])O[C@@H](N1/C=N\C3=C(N=CN=C31)NC([2H])([2H])/C([2H])=C(\[2H])C([2H])([2H])CC1=C3N=CN2C3=NC=N1)[C@]4([H])F JRLUFEXYTWLVBF-NGJNQHISSA-N 0.000 description 1
- XXROGKLTLUQVRX-RHPBTXKOSA-N 1,1,2,3,3-pentadeuterioprop-2-en-1-ol Chemical compound [2H]C([2H])=C([2H])C([2H])([2H])O XXROGKLTLUQVRX-RHPBTXKOSA-N 0.000 description 1
- 125000004502 1,2,3-oxadiazolyl group Chemical group 0.000 description 1
- 125000004511 1,2,3-thiadiazolyl group Chemical group 0.000 description 1
- 125000001399 1,2,3-triazolyl group Chemical group N1N=NC(=C1)* 0.000 description 1
- 125000004504 1,2,4-oxadiazolyl group Chemical group 0.000 description 1
- 125000004514 1,2,4-thiadiazolyl group Chemical group 0.000 description 1
- 125000001376 1,2,4-triazolyl group Chemical group N1N=C(N=C1)* 0.000 description 1
- 125000004506 1,2,5-oxadiazolyl group Chemical group 0.000 description 1
- 125000004517 1,2,5-thiadiazolyl group Chemical group 0.000 description 1
- 125000001781 1,3,4-oxadiazolyl group Chemical group 0.000 description 1
- 125000004520 1,3,4-thiadiazolyl group Chemical group 0.000 description 1
- 125000005960 1,4-diazepanyl group Chemical group 0.000 description 1
- 125000005962 1,4-oxazepanyl group Chemical group 0.000 description 1
- UNILWMWFPHPYOR-KXEYIPSPSA-M 1-[6-[2-[3-[3-[3-[2-[2-[3-[[2-[2-[[(2r)-1-[[2-[[(2r)-1-[3-[2-[2-[3-[[2-(2-amino-2-oxoethoxy)acetyl]amino]propoxy]ethoxy]ethoxy]propylamino]-3-hydroxy-1-oxopropan-2-yl]amino]-2-oxoethyl]amino]-3-[(2r)-2,3-di(hexadecanoyloxy)propyl]sulfanyl-1-oxopropan-2-yl Chemical compound O=C1C(SCCC(=O)NCCCOCCOCCOCCCNC(=O)COCC(=O)N[C@@H](CSC[C@@H](COC(=O)CCCCCCCCCCCCCCC)OC(=O)CCCCCCCCCCCCCCC)C(=O)NCC(=O)N[C@H](CO)C(=O)NCCCOCCOCCOCCCNC(=O)COCC(N)=O)CC(=O)N1CCNC(=O)CCCCCN\1C2=CC=C(S([O-])(=O)=O)C=C2CC/1=C/C=C/C=C/C1=[N+](CC)C2=CC=C(S([O-])(=O)=O)C=C2C1 UNILWMWFPHPYOR-KXEYIPSPSA-M 0.000 description 1
- KXJGSNRAQWDDJT-UHFFFAOYSA-N 1-acetyl-5-bromo-2h-indol-3-one Chemical compound BrC1=CC=C2N(C(=O)C)CC(=O)C2=C1 KXJGSNRAQWDDJT-UHFFFAOYSA-N 0.000 description 1
- MCTWTZJPVLRJOU-UHFFFAOYSA-N 1-methyl-1H-imidazole Chemical compound CN1C=CN=C1 MCTWTZJPVLRJOU-UHFFFAOYSA-N 0.000 description 1
- IXPNQXFRVYWDDI-UHFFFAOYSA-N 1-methyl-2,4-dioxo-1,3-diazinane-5-carboximidamide Chemical compound CN1CC(C(N)=N)C(=O)NC1=O IXPNQXFRVYWDDI-UHFFFAOYSA-N 0.000 description 1
- 238000001644 13C nuclear magnetic resonance spectroscopy Methods 0.000 description 1
- 125000005955 1H-indazolyl group Chemical group 0.000 description 1
- KJUGUADJHNHALS-UHFFFAOYSA-N 1H-tetrazole Chemical compound C=1N=NNN=1 KJUGUADJHNHALS-UHFFFAOYSA-N 0.000 description 1
- NHBKXEKEPDILRR-UHFFFAOYSA-N 2,3-bis(butanoylsulfanyl)propyl butanoate Chemical compound CCCC(=O)OCC(SC(=O)CCC)CSC(=O)CCC NHBKXEKEPDILRR-UHFFFAOYSA-N 0.000 description 1
- CHHHXKFHOYLYRE-UHFFFAOYSA-M 2,4-Hexadienoic acid, potassium salt (1:1), (2E,4E)- Chemical compound [K+].CC=CC=CC([O-])=O CHHHXKFHOYLYRE-UHFFFAOYSA-M 0.000 description 1
- QTMAZYGAVHCKKX-UHFFFAOYSA-N 2-[(4-amino-5-bromopyrrolo[2,3-d]pyrimidin-7-yl)methoxy]propane-1,3-diol Chemical compound NC1=NC=NC2=C1C(Br)=CN2COC(CO)CO QTMAZYGAVHCKKX-UHFFFAOYSA-N 0.000 description 1
- MUZDXNQOSGWMJJ-UHFFFAOYSA-N 2-methylprop-2-enoic acid;prop-2-enoic acid Chemical compound OC(=O)C=C.CC(=C)C(O)=O MUZDXNQOSGWMJJ-UHFFFAOYSA-N 0.000 description 1
- PCJFEVUKVKQSSL-UHFFFAOYSA-N 2h-1,2,4-oxadiazol-5-one Chemical compound O=C1N=CNO1 PCJFEVUKVKQSSL-UHFFFAOYSA-N 0.000 description 1
- AHCPGXZDVSBJII-UHFFFAOYSA-J 3-[3-(2-carboxylato-2-methylpropyl)phenyl]-2,2-dimethylpropanoate rhodium(2+) Chemical compound [Rh+2].[Rh+2].[O-]C(=O)C(C)(C)CC1=CC=CC(CC(C)(C)C([O-])=O)=C1.[O-]C(=O)C(C)(C)CC1=CC=CC(CC(C)(C)C([O-])=O)=C1 AHCPGXZDVSBJII-UHFFFAOYSA-J 0.000 description 1
- NKIKZNIGHFRCRG-UHFFFAOYSA-N 3-dihydroxyphosphinothioyloxypropanenitrile Chemical compound OP(O)(=S)OCCC#N NKIKZNIGHFRCRG-UHFFFAOYSA-N 0.000 description 1
- XDPCNPCKDGQBAN-UHFFFAOYSA-N 3-hydroxytetrahydrofuran Chemical compound OC1CCOC1 XDPCNPCKDGQBAN-UHFFFAOYSA-N 0.000 description 1
- GAMYYCRTACQSBR-UHFFFAOYSA-N 4-azabenzimidazole Chemical compound C1=CC=C2NC=NC2=N1 GAMYYCRTACQSBR-UHFFFAOYSA-N 0.000 description 1
- 229960000549 4-dimethylaminophenol Drugs 0.000 description 1
- 125000005986 4-piperidonyl group Chemical group 0.000 description 1
- 125000002471 4H-quinolizinyl group Chemical group C=1(C=CCN2C=CC=CC12)* 0.000 description 1
- FHVDTGUDJYJELY-UHFFFAOYSA-N 6-{[2-carboxy-4,5-dihydroxy-6-(phosphanyloxy)oxan-3-yl]oxy}-4,5-dihydroxy-3-phosphanyloxane-2-carboxylic acid Chemical compound O1C(C(O)=O)C(P)C(O)C(O)C1OC1C(C(O)=O)OC(OP)C(O)C1O FHVDTGUDJYJELY-UHFFFAOYSA-N 0.000 description 1
- CYJRNFFLTBEQSQ-UHFFFAOYSA-N 8-(3-methyl-1-benzothiophen-5-yl)-N-(4-methylsulfonylpyridin-3-yl)quinoxalin-6-amine Chemical compound CS(=O)(=O)C1=C(C=NC=C1)NC=1C=C2N=CC=NC2=C(C=1)C=1C=CC2=C(C(=CS2)C)C=1 CYJRNFFLTBEQSQ-UHFFFAOYSA-N 0.000 description 1
- 244000215068 Acacia senegal Species 0.000 description 1
- 229920002126 Acrylic acid copolymer Polymers 0.000 description 1
- 108010011485 Aspartame Proteins 0.000 description 1
- 238000011718 B6 albino mouse Methods 0.000 description 1
- IYHHRZBKXXKDDY-UHFFFAOYSA-N BI-605906 Chemical compound N=1C=2SC(C(N)=O)=C(N)C=2C(C(F)(F)CC)=CC=1N1CCC(S(C)(=O)=O)CC1 IYHHRZBKXXKDDY-UHFFFAOYSA-N 0.000 description 1
- JEGZRTMZYUDVBF-UHFFFAOYSA-N Benz[a]acridine Chemical compound C1=CC=C2C3=CC4=CC=CC=C4N=C3C=CC2=C1 JEGZRTMZYUDVBF-UHFFFAOYSA-N 0.000 description 1
- 241000283690 Bos taurus Species 0.000 description 1
- 206010055113 Breast cancer metastatic Diseases 0.000 description 1
- COVZYZSDYWQREU-UHFFFAOYSA-N Busulfan Chemical compound CS(=O)(=O)OCCCCOS(C)(=O)=O COVZYZSDYWQREU-UHFFFAOYSA-N 0.000 description 1
- ZFMBJPLYVNYEMH-QGFKEKSMSA-N C.CC.CC(C)(C)[Si](C)(C)O[C@@H]1[C@H]2COC[P@](=O)(S)O[C@@H]3[C@@H](CO)OC([C@@H]3F)[N@@]3/C=N\C4=C3N=CN=C4CC/C=C/CN(C(=O)C3=CC=CC=C3)C3=NC=NC4=C3N=C[N@]4C(O2)[C@@H]1F.CC[C@H]1OC2[C@H](F)[C@@H]1O[P@@](=O)(S)COC[C@H]1OC([C@H](F)[C@@H]1O[Si](C)(C)C(C)(C)C)[N@@]1C=NC3=C1N=CN=C3N(C(=O)C1=CC=CC=C1)C/C=C/CCC1=NC=NC3=C1/N=C\[N@@]32.S.S Chemical compound C.CC.CC(C)(C)[Si](C)(C)O[C@@H]1[C@H]2COC[P@](=O)(S)O[C@@H]3[C@@H](CO)OC([C@@H]3F)[N@@]3/C=N\C4=C3N=CN=C4CC/C=C/CN(C(=O)C3=CC=CC=C3)C3=NC=NC4=C3N=C[N@]4C(O2)[C@@H]1F.CC[C@H]1OC2[C@H](F)[C@@H]1O[P@@](=O)(S)COC[C@H]1OC([C@H](F)[C@@H]1O[Si](C)(C)C(C)(C)C)[N@@]1C=NC3=C1N=CN=C3N(C(=O)C1=CC=CC=C1)C/C=C/CCC1=NC=NC3=C1/N=C\[N@@]32.S.S ZFMBJPLYVNYEMH-QGFKEKSMSA-N 0.000 description 1
- GSRDZCYSPWAFCU-SRHDBHIDSA-N C/C=C/CO.OC/C=C/CO.[2H]C[C@H]1OC(N2C=NC3=C2N=CN=C3NC(=O)C2=CC=CC=C2)[C@H](F)[C@@H]1C.[2H]C[C@H]1OC(N2C=NC3=C2N=CN=C3NC(=O)C2=CC=CC=C2)[C@H](F)[C@@H]1C.[3H]OC.[3H]OC Chemical compound C/C=C/CO.OC/C=C/CO.[2H]C[C@H]1OC(N2C=NC3=C2N=CN=C3NC(=O)C2=CC=CC=C2)[C@H](F)[C@@H]1C.[2H]C[C@H]1OC(N2C=NC3=C2N=CN=C3NC(=O)C2=CC=CC=C2)[C@H](F)[C@@H]1C.[3H]OC.[3H]OC GSRDZCYSPWAFCU-SRHDBHIDSA-N 0.000 description 1
- NKVIWQURDKYYET-GORDUTHDSA-N C/C=N/C1=NC(=S)SS1 Chemical compound C/C=N/C1=NC(=S)SS1 NKVIWQURDKYYET-GORDUTHDSA-N 0.000 description 1
- GUFOUQRGRWSIJM-ZXGZTLSDSA-N C1=CC=C(P(C2=CC=CC=C2)C2=CC=CC=C2)C=C1.C=CCN(C(=O)C1=CC=CC=C1)C1=NC=NC2=C1N=CN2[C@@H]1O[C@H](CO)[C@@H](N)[C@H]1O[Si](C)(C)C(C)(C)C.C=CCN(C(=O)C1=CC=CC=C1)C1=NC=NC2=C1N=CN2[C@@H]1O[C@H](CO)[C@@H](N=[N+]=[N-])[C@H]1O[Si](C)(C)C(C)(C)C Chemical compound C1=CC=C(P(C2=CC=CC=C2)C2=CC=CC=C2)C=C1.C=CCN(C(=O)C1=CC=CC=C1)C1=NC=NC2=C1N=CN2[C@@H]1O[C@H](CO)[C@@H](N)[C@H]1O[Si](C)(C)C(C)(C)C.C=CCN(C(=O)C1=CC=CC=C1)C1=NC=NC2=C1N=CN2[C@@H]1O[C@H](CO)[C@@H](N=[N+]=[N-])[C@H]1O[Si](C)(C)C(C)(C)C GUFOUQRGRWSIJM-ZXGZTLSDSA-N 0.000 description 1
- BKRSWRDZBHFQSB-XBSYHXEYSA-N C1CCOC1.[2H]C[C@H]1OC(N2C=NC3=C2N=CN=C3N(CC=C)C(=O)C2=CC=CC=C2)[C@H](F)[C@@H]1OP(C)C.[2H]C[C@H]1OC(N2C=NC3=C2N=CN=C3NC(=O)C2=CC=CC=C2)[C@H](F)[C@@H]1OP(C)C.[3H]OC.[3H]OC Chemical compound C1CCOC1.[2H]C[C@H]1OC(N2C=NC3=C2N=CN=C3N(CC=C)C(=O)C2=CC=CC=C2)[C@H](F)[C@@H]1OP(C)C.[2H]C[C@H]1OC(N2C=NC3=C2N=CN=C3NC(=O)C2=CC=CC=C2)[C@H](F)[C@@H]1OP(C)C.[3H]OC.[3H]OC BKRSWRDZBHFQSB-XBSYHXEYSA-N 0.000 description 1
- ZHOUVXBQJHJLPF-QNDFYTRNSA-N C=CCCC1=NC=NC2=C1N=CN2[C@@H]1O[C@H](CC)[C@@H](C)[C@H]1F.C=CCCC1=NC=NC2=C1N=CN2[C@@H]1O[C@H](CO)[C@@H](O)[C@H]1F Chemical compound C=CCCC1=NC=NC2=C1N=CN2[C@@H]1O[C@H](CC)[C@@H](C)[C@H]1F.C=CCCC1=NC=NC2=C1N=CN2[C@@H]1O[C@H](CO)[C@@H](O)[C@H]1F ZHOUVXBQJHJLPF-QNDFYTRNSA-N 0.000 description 1
- VNOPOHQHDYIFHG-RVHQFESHSA-M C=CCCC1=NC=NC2=C1N=CN2[C@@H]1O[C@H](CC)[C@@H](C)[C@H]1F.C=CCC[Mg]Br.CC[C@H]1O[C@@H](N2C=NC3=C2N=CN=C3Cl)[C@H](F)[C@@H]1C Chemical compound C=CCCC1=NC=NC2=C1N=CN2[C@@H]1O[C@H](CC)[C@@H](C)[C@H]1F.C=CCC[Mg]Br.CC[C@H]1O[C@@H](N2C=NC3=C2N=CN=C3Cl)[C@H](F)[C@@H]1C VNOPOHQHDYIFHG-RVHQFESHSA-M 0.000 description 1
- XIGMNHHUBDWYKD-ZZVNMCFHSA-N C=CCCC1=NC=NC2=C1N=CN2[C@@H]1O[C@H](CO)[C@@H](O)[C@H]1F.[2H]C([3H])Cl.[2H]OC[C@H]1O[C@@H](N2C=NC3=C2N=CN=C3CCC=C)[C@H](F)[C@@H]1O.[3H]C Chemical compound C=CCCC1=NC=NC2=C1N=CN2[C@@H]1O[C@H](CO)[C@@H](O)[C@H]1F.[2H]C([3H])Cl.[2H]OC[C@H]1O[C@@H](N2C=NC3=C2N=CN=C3CCC=C)[C@H](F)[C@@H]1O.[3H]C XIGMNHHUBDWYKD-ZZVNMCFHSA-N 0.000 description 1
- YHOGHRWWLQQHOY-XCQYBLGOSA-L C=CCN(C(=O)C1=CC=CC=C1)C1=C2/N=C\N(C3O[C@@H]4COC[P@](=O)(SCC5=CC=CC=C5[N+](=O)[O-])O[C@@H]5[C@@H](CCO[P@](=O)(SCC6=C([N+](=O)[O-])C=CC=C6)O[C@H]4[C@H]3F)OC(N3/C=N\C4=C(N(CC=C)C(=O)C6=CC=CC=C6)N=CN=C43)[C@@H]5F)C2=NC=N1.O=[P@]1([S-])OCC[C@H]2OC3[C@H](F)[C@@H]2O[P@@](=O)([S-])COC[C@H]2OC([C@H](F)[C@@H]2O1)[N@@]1/C=N\C2=C(N=CN=C21)NC/C=C/CCC1=C2N=C[N@@]3C2=NC=N1.S.S.S.S.[NH4+].[NH4+] Chemical compound C=CCN(C(=O)C1=CC=CC=C1)C1=C2/N=C\N(C3O[C@@H]4COC[P@](=O)(SCC5=CC=CC=C5[N+](=O)[O-])O[C@@H]5[C@@H](CCO[P@](=O)(SCC6=C([N+](=O)[O-])C=CC=C6)O[C@H]4[C@H]3F)OC(N3/C=N\C4=C(N(CC=C)C(=O)C6=CC=CC=C6)N=CN=C43)[C@@H]5F)C2=NC=N1.O=[P@]1([S-])OCC[C@H]2OC3[C@H](F)[C@@H]2O[P@@](=O)([S-])COC[C@H]2OC([C@H](F)[C@@H]2O1)[N@@]1/C=N\C2=C(N=CN=C21)NC/C=C/CCC1=C2N=C[N@@]3C2=NC=N1.S.S.S.S.[NH4+].[NH4+] YHOGHRWWLQQHOY-XCQYBLGOSA-L 0.000 description 1
- XNWDESCIYVBWRZ-UXNUTKBXSA-N C=CCN(C(=O)C1=CC=CC=C1)C1=C2/N=C\N(C3O[C@@H]4COP(C)(=S)N[C@@H]5[C@@H](COP(C)(=S)N[C@H]4[C@H]3C)O[C@@H](N3/C=N\C4=C(N(CC=C)C(=O)C6=CC=CC=C6)N=CN=C43)[C@@H]5O[Si](C)(C)C(C)(C)C)C2=NC=N1.C=CCN(C(=O)C1=CC=CC=C1)C1=C2/N=C\N(C3O[C@H](COP=S)[C@@H](NP(C)(=S)OC[C@H]4O[C@@H](N5/C=N\C6=C(N(CC=C)C(=O)C7=CC=CC=C7)N=CN=C65)[C@H](O[Si](C)(C)C(C)(C)C)[C@@H]4N)[C@H]3C)C2=NC=N1.CC#N Chemical compound C=CCN(C(=O)C1=CC=CC=C1)C1=C2/N=C\N(C3O[C@@H]4COP(C)(=S)N[C@@H]5[C@@H](COP(C)(=S)N[C@H]4[C@H]3C)O[C@@H](N3/C=N\C4=C(N(CC=C)C(=O)C6=CC=CC=C6)N=CN=C43)[C@@H]5O[Si](C)(C)C(C)(C)C)C2=NC=N1.C=CCN(C(=O)C1=CC=CC=C1)C1=C2/N=C\N(C3O[C@H](COP=S)[C@@H](NP(C)(=S)OC[C@H]4O[C@@H](N5/C=N\C6=C(N(CC=C)C(=O)C7=CC=CC=C7)N=CN=C65)[C@H](O[Si](C)(C)C(C)(C)C)[C@@H]4N)[C@H]3C)C2=NC=N1.CC#N XNWDESCIYVBWRZ-UXNUTKBXSA-N 0.000 description 1
- NPBFWOTZDMJJLY-SKMODWHPSA-N C=CCN(C(=O)C1=CC=CC=C1)C1=C2/N=C\N(C3O[C@@H]4COP(C)(=S)N[C@@H]5[C@@H](COP(C)(=S)N[C@H]4[C@H]3C)O[C@@H](N3/C=N\C4=C(N(CC=C)C(=O)C6=CC=CC=C6)N=CN=C43)[C@@H]5O[Si](C)(C)C(C)(C)C)C2=NC=N1.C[C@H]1C2O[C@@H]3COP(C)(=S)N[C@@H]4[C@@H](COP(C)(=S)N[C@H]31)O[C@H]([C@@H]4O[Si](C)(C)C(C)(C)C)N1C=NC3=C(N=CN=C31)N(C(=O)C1=CC=CC=C1)C/C=C/CN(C(=O)C1=CC=CC=C1)C1=C3/N=C\[N@@]2C3=NC=N1 Chemical compound C=CCN(C(=O)C1=CC=CC=C1)C1=C2/N=C\N(C3O[C@@H]4COP(C)(=S)N[C@@H]5[C@@H](COP(C)(=S)N[C@H]4[C@H]3C)O[C@@H](N3/C=N\C4=C(N(CC=C)C(=O)C6=CC=CC=C6)N=CN=C43)[C@@H]5O[Si](C)(C)C(C)(C)C)C2=NC=N1.C[C@H]1C2O[C@@H]3COP(C)(=S)N[C@@H]4[C@@H](COP(C)(=S)N[C@H]31)O[C@H]([C@@H]4O[Si](C)(C)C(C)(C)C)N1C=NC3=C(N=CN=C31)N(C(=O)C1=CC=CC=C1)C/C=C/CN(C(=O)C1=CC=CC=C1)C1=C3/N=C\[N@@]2C3=NC=N1 NPBFWOTZDMJJLY-SKMODWHPSA-N 0.000 description 1
- FTRVXOZKCDWHTH-ORMCFMQGSA-N C=CCN(C(=O)C1=CC=CC=C1)C1=C2/N=C\N(C3O[C@H](CO)[C@@H](NP(C)(=S)OC[C@H]4O[C@@H](N5/C=N\C6=C(N(CC=C)C(=O)C7=CC=CC=C7)N=CN=C65)[C@H](O[Si](C)(C)C(C)(C)C)[C@@H]4C)[C@H]3C)C2=NC=N1.C=CCN(C(=O)C1=CC=CC=C1)C1=C2/N=C\N(C3O[C@H](COP=S)[C@@H](NP(C)(=S)OC[C@H]4O[C@@H](N5/C=N\C6=C(N(CC=C)C(=O)C7=CC=CC=C7)N=CN=C65)[C@H](O[Si](C)(C)C(C)(C)C)[C@@H]4C)[C@H]3C)C2=NC=N1.CC(C)N(C(C)C)P(C)C Chemical compound C=CCN(C(=O)C1=CC=CC=C1)C1=C2/N=C\N(C3O[C@H](CO)[C@@H](NP(C)(=S)OC[C@H]4O[C@@H](N5/C=N\C6=C(N(CC=C)C(=O)C7=CC=CC=C7)N=CN=C65)[C@H](O[Si](C)(C)C(C)(C)C)[C@@H]4C)[C@H]3C)C2=NC=N1.C=CCN(C(=O)C1=CC=CC=C1)C1=C2/N=C\N(C3O[C@H](COP=S)[C@@H](NP(C)(=S)OC[C@H]4O[C@@H](N5/C=N\C6=C(N(CC=C)C(=O)C7=CC=CC=C7)N=CN=C65)[C@H](O[Si](C)(C)C(C)(C)C)[C@@H]4C)[C@H]3C)C2=NC=N1.CC(C)N(C(C)C)P(C)C FTRVXOZKCDWHTH-ORMCFMQGSA-N 0.000 description 1
- KQATUAKLPZMBKX-JEWSYAOBSA-N C=CCN(C(=O)C1=CC=CC=C1)C1=C2/N=C\N(C3O[C@H](COP=S)[C@@H](NP(C)(=S)OC[C@H]4O[C@@H](N5/C=N\C6=C(N(CC=C)C(=O)C7=CC=CC=C7)N=CN=C65)[C@H](O[Si](C)(C)C(C)(C)C)[C@@H]4C)[C@H]3C)C2=NC=N1.C=CCN(C(=O)C1=CC=CC=C1)C1=C2/N=C\N(C3O[C@H](COP=S)[C@@H](NP(C)(=S)OC[C@H]4O[C@@H](N5/C=N\C6=C(N(CC=C)C(=O)C7=CC=CC=C7)N=CN=C65)[C@H](O[Si](C)(C)C(C)(C)C)[C@@H]4N)[C@H]3C)C2=NC=N1 Chemical compound C=CCN(C(=O)C1=CC=CC=C1)C1=C2/N=C\N(C3O[C@H](COP=S)[C@@H](NP(C)(=S)OC[C@H]4O[C@@H](N5/C=N\C6=C(N(CC=C)C(=O)C7=CC=CC=C7)N=CN=C65)[C@H](O[Si](C)(C)C(C)(C)C)[C@@H]4C)[C@H]3C)C2=NC=N1.C=CCN(C(=O)C1=CC=CC=C1)C1=C2/N=C\N(C3O[C@H](COP=S)[C@@H](NP(C)(=S)OC[C@H]4O[C@@H](N5/C=N\C6=C(N(CC=C)C(=O)C7=CC=CC=C7)N=CN=C65)[C@H](O[Si](C)(C)C(C)(C)C)[C@@H]4N)[C@H]3C)C2=NC=N1 KQATUAKLPZMBKX-JEWSYAOBSA-N 0.000 description 1
- GRENRASXOMQFAR-WHZKZQKLSA-N C=CCN(C(=O)C1=CC=CC=C1)C1=C2/N=C\N([C@@H]3O[C@@H]4COP(C)(=S)O[C@@H]5[C@@H](COP(=O)(S)O[C@H]4[C@H]3F)O[C@@H](N3/C=N\C4=C(N(CC=C)C(=O)C6=CC=CC=C6)N=CN=C43)[C@@H]5F)C2=NC=N1.C=CCN(C(=O)C1=CC=CC=C1)C1=C2/N=C\N([C@@H]3O[C@H](COP(C)(=S)O[C@@H]4[C@@H](CO)O[C@@H](N5/C=N\C6=C(N(CC=C)C(=O)C7=CC=CC=C7)N=CN=C65)[C@@H]4F)[C@@H](O[PH](=O)O)[C@H]3F)C2=NC=N1 Chemical compound C=CCN(C(=O)C1=CC=CC=C1)C1=C2/N=C\N([C@@H]3O[C@@H]4COP(C)(=S)O[C@@H]5[C@@H](COP(=O)(S)O[C@H]4[C@H]3F)O[C@@H](N3/C=N\C4=C(N(CC=C)C(=O)C6=CC=CC=C6)N=CN=C43)[C@@H]5F)C2=NC=N1.C=CCN(C(=O)C1=CC=CC=C1)C1=C2/N=C\N([C@@H]3O[C@H](COP(C)(=S)O[C@@H]4[C@@H](CO)O[C@@H](N5/C=N\C6=C(N(CC=C)C(=O)C7=CC=CC=C7)N=CN=C65)[C@@H]4F)[C@@H](O[PH](=O)O)[C@H]3F)C2=NC=N1 GRENRASXOMQFAR-WHZKZQKLSA-N 0.000 description 1
- XTTZUFPHGQMWBH-VLVIWOAYSA-N C=CCN(C(=O)C1=CC=CC=C1)C1=C2/N=C\N([C@@H]3O[C@H](COP(C)(=S)O[C@@H]4[C@@H](CO)O[C@@H](N5/C=N\C6=C(N(CC=C)C(=O)C7=CC=CC=C7)N=CN=C65)[C@@H]4F)[C@@H](O[PH](=O)O)[C@H]3F)C2=NC=N1.C=CCN(C(=O)C1=CC=CC=C1)C1=NC=NC2=C1N=CN2C1O[C@H](CO)[C@@H](O[PH](=O)O)[C@H]1F Chemical compound C=CCN(C(=O)C1=CC=CC=C1)C1=C2/N=C\N([C@@H]3O[C@H](COP(C)(=S)O[C@@H]4[C@@H](CO)O[C@@H](N5/C=N\C6=C(N(CC=C)C(=O)C7=CC=CC=C7)N=CN=C65)[C@@H]4F)[C@@H](O[PH](=O)O)[C@H]3F)C2=NC=N1.C=CCN(C(=O)C1=CC=CC=C1)C1=NC=NC2=C1N=CN2C1O[C@H](CO)[C@@H](O[PH](=O)O)[C@H]1F XTTZUFPHGQMWBH-VLVIWOAYSA-N 0.000 description 1
- XLFBWFBRXOBITQ-DBKVQMPZSA-L C=CCN(C(=O)C1=CC=CC=C1)C1=NC=NC2=C1N=CN2C1O[C@H](CO)[C@@H](O[PH](=O)O)[C@H]1F.O=C(C1=CC=CC=C1)N1C/C=C/CN(C(=O)C2=CC=CC=C2)C2=C3/N=C\[N@@](C3=NC=N2)C2O[C@@H]3COCP(=O)(SCC4=CC=CC=C4[N+](=O)[O-])O[C@@H]4[C@@H](CCOP(=O)(SCC5=C([N+](=O)[O-])C=CC=C5)O[C@H]3[C@H]2F)OC([C@@H]4F)[N@@]2C=NC3=C1N=CN=C32.O=P1([S-])COC[C@H]2OC3[C@H](F)[C@@H]2OP(=O)([S-])OCC[C@H]2OC([C@H](F)[C@@H]2O1)[N@@]1C=NC2=C(N=CN=C21)NC/C=C/CCNC1=C2/N=C\[N@@]3C2=NC=N1.[2H]C[C@H]1OC(N2C=NC3=C2N=CN=C3N(CCC=C)C(=O)C2=CC=CC=C2)[C@H](F)[C@@H]1OP(C)C.[3H]OC.[NH4+].[NH4+] Chemical compound C=CCN(C(=O)C1=CC=CC=C1)C1=NC=NC2=C1N=CN2C1O[C@H](CO)[C@@H](O[PH](=O)O)[C@H]1F.O=C(C1=CC=CC=C1)N1C/C=C/CN(C(=O)C2=CC=CC=C2)C2=C3/N=C\[N@@](C3=NC=N2)C2O[C@@H]3COCP(=O)(SCC4=CC=CC=C4[N+](=O)[O-])O[C@@H]4[C@@H](CCOP(=O)(SCC5=C([N+](=O)[O-])C=CC=C5)O[C@H]3[C@H]2F)OC([C@@H]4F)[N@@]2C=NC3=C1N=CN=C32.O=P1([S-])COC[C@H]2OC3[C@H](F)[C@@H]2OP(=O)([S-])OCC[C@H]2OC([C@H](F)[C@@H]2O1)[N@@]1C=NC2=C(N=CN=C21)NC/C=C/CCNC1=C2/N=C\[N@@]3C2=NC=N1.[2H]C[C@H]1OC(N2C=NC3=C2N=CN=C3N(CCC=C)C(=O)C2=CC=CC=C2)[C@H](F)[C@@H]1OP(C)C.[3H]OC.[NH4+].[NH4+] XLFBWFBRXOBITQ-DBKVQMPZSA-L 0.000 description 1
- NIBNSWIXJOXXNS-XYIFBUEHSA-N C=CCN(C(=O)C1=CC=CC=C1)C1=NC=NC2=C1N=CN2C1O[C@H](CO)[C@@H](O[PH](=O)O)[C@H]1F.O=[Si](O)[Na].OOOOS.[2H]C[C@H]1OC(N2C=NC3=C2N=CN=C3N(CC=C)C(=O)C2=CC=CC=C2)[C@H](F)[C@@H]1OP(C)C.[3H]OC Chemical compound C=CCN(C(=O)C1=CC=CC=C1)C1=NC=NC2=C1N=CN2C1O[C@H](CO)[C@@H](O[PH](=O)O)[C@H]1F.O=[Si](O)[Na].OOOOS.[2H]C[C@H]1OC(N2C=NC3=C2N=CN=C3N(CC=C)C(=O)C2=CC=CC=C2)[C@H](F)[C@@H]1OP(C)C.[3H]OC NIBNSWIXJOXXNS-XYIFBUEHSA-N 0.000 description 1
- CSRKBRVYHZDUDX-UXXMNMGOSA-N C=CCN(C(=O)C1=CC=CC=C1)C1=NC=NC2=C1N=CN2[C@@H]1O[C@H](CO)[C@@H](C)[C@H]1O[Si](C)(C)C(C)(C)C.C=CCN(C(=O)C1=CC=CC=C1)C1=NC=NC2=C1N=CN2[C@@H]1O[C@H](CO)[C@@H](N)[C@H]1O[Si](C)(C)C(C)(C)C Chemical compound C=CCN(C(=O)C1=CC=CC=C1)C1=NC=NC2=C1N=CN2[C@@H]1O[C@H](CO)[C@@H](C)[C@H]1O[Si](C)(C)C(C)(C)C.C=CCN(C(=O)C1=CC=CC=C1)C1=NC=NC2=C1N=CN2[C@@H]1O[C@H](CO)[C@@H](N)[C@H]1O[Si](C)(C)C(C)(C)C CSRKBRVYHZDUDX-UXXMNMGOSA-N 0.000 description 1
- CQWKWCBDZQRVLC-ULEUMZAUSA-N C=CCN(C(=O)C1=CC=CC=C1)C1=NC=NC2=C1N=CN2[C@@H]1O[C@H](CO)[C@@H](C)[C@H]1O[Si](C)(C)C(C)(C)C.C=CCN(C(=O)C1=CC=CC=C1)C1=NC=NC2=C1N=CN2[C@@H]1O[C@H](CO[PH](=S)OCCC#N)[C@@H](C)[C@H]1O[Si](C)(C)C(C)(C)C.CC(C)N(C(C)C)P(C)C Chemical compound C=CCN(C(=O)C1=CC=CC=C1)C1=NC=NC2=C1N=CN2[C@@H]1O[C@H](CO)[C@@H](C)[C@H]1O[Si](C)(C)C(C)(C)C.C=CCN(C(=O)C1=CC=CC=C1)C1=NC=NC2=C1N=CN2[C@@H]1O[C@H](CO[PH](=S)OCCC#N)[C@@H](C)[C@H]1O[Si](C)(C)C(C)(C)C.CC(C)N(C(C)C)P(C)C CQWKWCBDZQRVLC-ULEUMZAUSA-N 0.000 description 1
- IHPARVUUJIOOQI-LFWBZLPASA-N C=CCN(C(=O)C1=CC=CC=C1)C1=NC=NC2=C1N=CN2[C@@H]1O[C@H](CO)[C@@H](N=[N+]=[N-])[C@H]1O[Si](C)(C)C(C)(C)C.C=CCN(C(=O)C1=CC=CC=C1)C1=NC=NC2=C1N=CN2[C@@H]1O[C@H](CO[Si](C)(C)C(C)(C)C)[C@@H](N=[N+]=[N-])[C@H]1O[Si](C)(C)C(C)(C)C Chemical compound C=CCN(C(=O)C1=CC=CC=C1)C1=NC=NC2=C1N=CN2[C@@H]1O[C@H](CO)[C@@H](N=[N+]=[N-])[C@H]1O[Si](C)(C)C(C)(C)C.C=CCN(C(=O)C1=CC=CC=C1)C1=NC=NC2=C1N=CN2[C@@H]1O[C@H](CO[Si](C)(C)C(C)(C)C)[C@@H](N=[N+]=[N-])[C@H]1O[Si](C)(C)C(C)(C)C IHPARVUUJIOOQI-LFWBZLPASA-N 0.000 description 1
- KWSFZWXTHUDYRU-XDEPHMKBSA-N C=CCN(C(=O)C1=CC=CC=C1)C1=NC=NC2=C1N=CN2[C@@H]1O[C@H](CO[Si](C)(C)C(C)(C)C)[C@@H](N=[N+]=[N-])[C@H]1O[Si](C)(C)C(C)(C)C.CC(C)(C)[Si](C)(C)OC[C@H]1O[C@@H](N2C=NC3=C2N=CN=C3NC(=O)C2=CC=CC=C2)[C@H](O[Si](C)(C)C(C)(C)C)[C@@H]1N=[N+]=[N-] Chemical compound C=CCN(C(=O)C1=CC=CC=C1)C1=NC=NC2=C1N=CN2[C@@H]1O[C@H](CO[Si](C)(C)C(C)(C)C)[C@@H](N=[N+]=[N-])[C@H]1O[Si](C)(C)C(C)(C)C.CC(C)(C)[Si](C)(C)OC[C@H]1O[C@@H](N2C=NC3=C2N=CN=C3NC(=O)C2=CC=CC=C2)[C@H](O[Si](C)(C)C(C)(C)C)[C@@H]1N=[N+]=[N-] KWSFZWXTHUDYRU-XDEPHMKBSA-N 0.000 description 1
- QKZLZIYYCPMNMV-KWFMLUHISA-L C=CCOC1=C2/N=C\N(C3O[C@@H]4COP(=O)(SCC5=CC=CC=C5[N+](=O)[O-])O[C@H]5C(F)[C@H](N6C=NC7=C(N(CC=C)C(=O)C8=CC=CC=C8)N=CN=C76)O[C@@H]5COP(=O)(SCC5=C([N+](=O)[O-])C=CC=C5)O[C@H]4[C@H]3F)C2=NC(C)=N1.COC1=NC(C)=NC2=C1N=CN2C1O[C@H](CO)[C@@H](O[PH](=O)O)[C@H]1F.NC1=NC2=C3/N=C\[N@@](C3=N1)C1O[C@@H]3COP(=O)([O-])O[C@H]4C(F)[C@@H](O[C@@H]4COP([O-])(=S)O[C@H]3[C@H]1F)N1C=NC3=C(CC/C=C/CO2)/N=C\N=C\31.[2H]C[C@H]1OC(N2C=NC3=C2N=CN=C3N(CC=C)C(=O)C2=CC=CC=C2)[C@H](F)[C@@H]1OP(C)C.[3H]OC.[NH4+].[NH4+] Chemical compound C=CCOC1=C2/N=C\N(C3O[C@@H]4COP(=O)(SCC5=CC=CC=C5[N+](=O)[O-])O[C@H]5C(F)[C@H](N6C=NC7=C(N(CC=C)C(=O)C8=CC=CC=C8)N=CN=C76)O[C@@H]5COP(=O)(SCC5=C([N+](=O)[O-])C=CC=C5)O[C@H]4[C@H]3F)C2=NC(C)=N1.COC1=NC(C)=NC2=C1N=CN2C1O[C@H](CO)[C@@H](O[PH](=O)O)[C@H]1F.NC1=NC2=C3/N=C\[N@@](C3=N1)C1O[C@@H]3COP(=O)([O-])O[C@H]4C(F)[C@@H](O[C@@H]4COP([O-])(=S)O[C@H]3[C@H]1F)N1C=NC3=C(CC/C=C/CO2)/N=C\N=C\31.[2H]C[C@H]1OC(N2C=NC3=C2N=CN=C3N(CC=C)C(=O)C2=CC=CC=C2)[C@H](F)[C@@H]1OP(C)C.[3H]OC.[NH4+].[NH4+] QKZLZIYYCPMNMV-KWFMLUHISA-L 0.000 description 1
- SCNFBTCVGVTKBX-OUDWDCOYSA-N C=CCOC1=C2/N=C\N(C3O[C@H](CO)[C@@H](OP(C)(=S)OC[C@H]4O[C@@H](N5/C=N\C6=C(OCC=C)N=CN=C65)[C@H](F)[C@@H]4O[PH](=O)O)[C@H]3F)C2=NC=N1.C=CCOC1=NC=NC2=C1/N=C\N2C1O[C@@H]2COP(O)(=S)O[C@@H]3[C@@H](COP(C)(=S)O[C@H]2[C@H]1F)O[C@@H](N1/C=N\C2=C1N=CN=C2OCC=C)[C@@H]3F.C=CCOC1=NC=NC2=C1/N=C\N2[C@@H]1O[C@H](CO)[C@@H](O)[C@H]1F.CP(C)C.[2H]C([3H])Cl.[3H]C[2H]OC[C@H]1OC(N2/C=N\C3=C(OCC=C)N=CN=C32)[C@H](F)[C@@H]1OP(C)(=S)OC[C@H]1O[C@@H](N2/C=N\C3=C(OCC=C)N=CN=C32)[C@H](F)[C@@H]1O.[3H]C[2H]OC[C@H]1O[C@@H](N2C=NC3=C2N=CN=C3OCC=C)[C@H](F)[C@@H]1O.[3H]C[2H]OC[C@H]1O[C@@H](N2C=NC3=C2N=CN=C3OCC=C)[C@H](F)[C@@H]1OP(C)C Chemical compound C=CCOC1=C2/N=C\N(C3O[C@H](CO)[C@@H](OP(C)(=S)OC[C@H]4O[C@@H](N5/C=N\C6=C(OCC=C)N=CN=C65)[C@H](F)[C@@H]4O[PH](=O)O)[C@H]3F)C2=NC=N1.C=CCOC1=NC=NC2=C1/N=C\N2C1O[C@@H]2COP(O)(=S)O[C@@H]3[C@@H](COP(C)(=S)O[C@H]2[C@H]1F)O[C@@H](N1/C=N\C2=C1N=CN=C2OCC=C)[C@@H]3F.C=CCOC1=NC=NC2=C1/N=C\N2[C@@H]1O[C@H](CO)[C@@H](O)[C@H]1F.CP(C)C.[2H]C([3H])Cl.[3H]C[2H]OC[C@H]1OC(N2/C=N\C3=C(OCC=C)N=CN=C32)[C@H](F)[C@@H]1OP(C)(=S)OC[C@H]1O[C@@H](N2/C=N\C3=C(OCC=C)N=CN=C32)[C@H](F)[C@@H]1O.[3H]C[2H]OC[C@H]1O[C@@H](N2C=NC3=C2N=CN=C3OCC=C)[C@H](F)[C@@H]1O.[3H]C[2H]OC[C@H]1O[C@@H](N2C=NC3=C2N=CN=C3OCC=C)[C@H](F)[C@@H]1OP(C)C SCNFBTCVGVTKBX-OUDWDCOYSA-N 0.000 description 1
- IAQKRXCQALLOFB-LKYMVCSXSA-N C=CCOC1=C2/N=C\N(C3O[C@H](CO)[C@@H](OP(C)(=S)OC[C@H]4O[C@@H](N5/C=N\C6=C(OCC=C)N=CN=C65)[C@H](F)[C@@H]4O[PH](=O)O)[C@H]3F)C2=NC=N1.[3H]C[2H]OC[C@H]1OC(N2/C=N\C3=C(OCC=C)N=CN=C32)[C@H](F)[C@@H]1OP(C)(=S)OC[C@H]1O[C@@H](N2/C=N\C3=C(OCC=C)N=CN=C32)[C@H](F)[C@@H]1O Chemical compound C=CCOC1=C2/N=C\N(C3O[C@H](CO)[C@@H](OP(C)(=S)OC[C@H]4O[C@@H](N5/C=N\C6=C(OCC=C)N=CN=C65)[C@H](F)[C@@H]4O[PH](=O)O)[C@H]3F)C2=NC=N1.[3H]C[2H]OC[C@H]1OC(N2/C=N\C3=C(OCC=C)N=CN=C32)[C@H](F)[C@@H]1OP(C)(=S)OC[C@H]1O[C@@H](N2/C=N\C3=C(OCC=C)N=CN=C32)[C@H](F)[C@@H]1O IAQKRXCQALLOFB-LKYMVCSXSA-N 0.000 description 1
- NSQRWAZICPBSCE-XFMIXUNJSA-N C=CCOC1=C2/N=C\N([C@@H]3O[C@H](COP(C)(=S)O[C@@H]4[C@@H](CO)O[C@@H](N5/C=N\C6=C(OCC=C)N=CN=C65)[C@@H]4F)[C@@H](O[PH](=O)O)[C@H]3F)C2=NC=N1.C=CCOC1=NC=NC2=C1/N=C\N2[C@@H]1O[C@@H]2COP(O)(=S)O[C@@H]3[C@@H](COP(C)(=S)O[C@H]2[C@H]1F)O[C@@H](N1/C=N\C2=C1N=CN=C2OCC=C)[C@@H]3F Chemical compound C=CCOC1=C2/N=C\N([C@@H]3O[C@H](COP(C)(=S)O[C@@H]4[C@@H](CO)O[C@@H](N5/C=N\C6=C(OCC=C)N=CN=C65)[C@@H]4F)[C@@H](O[PH](=O)O)[C@H]3F)C2=NC=N1.C=CCOC1=NC=NC2=C1/N=C\N2[C@@H]1O[C@@H]2COP(O)(=S)O[C@@H]3[C@@H](COP(C)(=S)O[C@H]2[C@H]1F)O[C@@H](N1/C=N\C2=C1N=CN=C2OCC=C)[C@@H]3F NSQRWAZICPBSCE-XFMIXUNJSA-N 0.000 description 1
- VNRZQZRQSLMVOZ-YANSNIGPSA-N C=CCOC1=NC=NC2=C1/N=C\N2[C@@H]1O[C@H](CO)[C@@H](O)[C@H]1F.[2H]C([3H])Cl.[3H]C[2H]OC[C@H]1O[C@@H](N2C=NC3=C2N=CN=C3OCC=C)[C@H](F)[C@@H]1O Chemical compound C=CCOC1=NC=NC2=C1/N=C\N2[C@@H]1O[C@H](CO)[C@@H](O)[C@H]1F.[2H]C([3H])Cl.[3H]C[2H]OC[C@H]1O[C@@H](N2C=NC3=C2N=CN=C3OCC=C)[C@H](F)[C@@H]1O VNRZQZRQSLMVOZ-YANSNIGPSA-N 0.000 description 1
- MIJAJPQYHPZYQX-PGQNCEOSSA-N C=CCOC1=NC=NC2=C1N=CN2[C@@H]1O[C@H](CO)[C@@H](O)[C@H]1F.CC[C@H]1O[C@@H](N2C=NC3=C2N=CN=C3N(C)C(=O)C2=CC=CC=C2)[C@H](F)[C@@H]1OP(=S)(OCCC#N)OC[C@H]1O[C@@H](N2C=NC3=C2N=CN=C3C)[C@H](F)[C@@H]1O Chemical compound C=CCOC1=NC=NC2=C1N=CN2[C@@H]1O[C@H](CO)[C@@H](O)[C@H]1F.CC[C@H]1O[C@@H](N2C=NC3=C2N=CN=C3N(C)C(=O)C2=CC=CC=C2)[C@H](F)[C@@H]1OP(=S)(OCCC#N)OC[C@H]1O[C@@H](N2C=NC3=C2N=CN=C3C)[C@H](F)[C@@H]1O MIJAJPQYHPZYQX-PGQNCEOSSA-N 0.000 description 1
- WSPRFYIXRYTYSU-PISVMJJASA-N C=CCOC1=NC=NC2=C1N=CN2[C@@H]1O[C@H](CO)[C@@H](O)[C@H]1F.OC[C@H]1O[C@@H](N2C=NC3=C2N=CN=C3ON2N=NC3=CC=CC=C32)[C@H](F)[C@@H]1O Chemical compound C=CCOC1=NC=NC2=C1N=CN2[C@@H]1O[C@H](CO)[C@@H](O)[C@H]1F.OC[C@H]1O[C@@H](N2C=NC3=C2N=CN=C3ON2N=NC3=CC=CC=C32)[C@H](F)[C@@H]1O WSPRFYIXRYTYSU-PISVMJJASA-N 0.000 description 1
- VTCNTGTZDYIXBQ-XPNVCOSCSA-N C=CCOC1=NC=NC2=C1N=CN2[C@@H]1O[C@H](CO)[C@@H](O)[C@H]1F.[3H]C[2H]OC[C@H]1OC(N2/C=N\C3=C(OCC=C)N=CN=C32)[C@H](F)[C@@H]1OP(C)(=S)OC[C@H]1O[C@@H](N2/C=N\C3=C(OCC=C)N=CN=C32)[C@H](F)[C@@H]1O.[3H]C[2H]OC[C@H]1O[C@@H](N2C=NC3=C2N=CN=C3OCC=C)[C@H](F)[C@@H]1OP(C)C Chemical compound C=CCOC1=NC=NC2=C1N=CN2[C@@H]1O[C@H](CO)[C@@H](O)[C@H]1F.[3H]C[2H]OC[C@H]1OC(N2/C=N\C3=C(OCC=C)N=CN=C32)[C@H](F)[C@@H]1OP(C)(=S)OC[C@H]1O[C@@H](N2/C=N\C3=C(OCC=C)N=CN=C32)[C@H](F)[C@@H]1O.[3H]C[2H]OC[C@H]1O[C@@H](N2C=NC3=C2N=CN=C3OCC=C)[C@H](F)[C@@H]1OP(C)C VTCNTGTZDYIXBQ-XPNVCOSCSA-N 0.000 description 1
- XGKYLEYLSVSNER-ZCHOBWOVSA-N C=CCOc1ncnc2c1nc[n]2C([C@@H]1F)O[C@H](CO)[C@H]1O Chemical compound C=CCOc1ncnc2c1nc[n]2C([C@@H]1F)O[C@H](CO)[C@H]1O XGKYLEYLSVSNER-ZCHOBWOVSA-N 0.000 description 1
- ITYATCXOPWCSAJ-FLEGMYGKSA-N C=O(POC1=CC=CC=C1)C1=CC=CC=C1.CC[C@H]1OC(N2/C=N\C3=C2N=CN=C3CC/C=C/CN(C(=O)C2=CC=CC=C2)C2=NC=NC3=C2N=CN3C2O[C@H](CO)[C@@H](O[Si](C)(C)C(C)(C)C)[C@H]2F)[C@H](F)[C@@H]1O[PH](=O)O.[3H]C[2H]OC[C@H]1OC(N2C=NC3=C2N=CN=C3N(C/C=C/CCC2=NC=NC3=C2/N=C\N3C2O[C@H](CC)[C@@H](O)[C@H]2F)C(=O)C2=CC=CC=C2)[C@H](F)[C@@H]1O[Si](C)(C)C(C)(C)C.[3H]C[2H]OC[C@H]1OC(N2C=NC3=C2N=CN=C3N(C/C=C/CCC2=NC=NC3=C2/N=C\N3C2O[C@H](CC)[C@@H](O[PH](=O)O)[C@H]2F)C(=O)C2=CC=CC=C2)[C@H](F)[C@@H]1O[Si](C)(C)C(C)(C)C Chemical compound C=O(POC1=CC=CC=C1)C1=CC=CC=C1.CC[C@H]1OC(N2/C=N\C3=C2N=CN=C3CC/C=C/CN(C(=O)C2=CC=CC=C2)C2=NC=NC3=C2N=CN3C2O[C@H](CO)[C@@H](O[Si](C)(C)C(C)(C)C)[C@H]2F)[C@H](F)[C@@H]1O[PH](=O)O.[3H]C[2H]OC[C@H]1OC(N2C=NC3=C2N=CN=C3N(C/C=C/CCC2=NC=NC3=C2/N=C\N3C2O[C@H](CC)[C@@H](O)[C@H]2F)C(=O)C2=CC=CC=C2)[C@H](F)[C@@H]1O[Si](C)(C)C(C)(C)C.[3H]C[2H]OC[C@H]1OC(N2C=NC3=C2N=CN=C3N(C/C=C/CCC2=NC=NC3=C2/N=C\N3C2O[C@H](CC)[C@@H](O[PH](=O)O)[C@H]2F)C(=O)C2=CC=CC=C2)[C@H](F)[C@@H]1O[Si](C)(C)C(C)(C)C ITYATCXOPWCSAJ-FLEGMYGKSA-N 0.000 description 1
- ZRCMQPAEYPAHFK-DWMZURNRSA-N CC#N.CCN(CC)CC.[3H]C[2H]OC[C@H]1O[C@@H](N2C=NC3=C(CCC=C)N=CN=C32)[C@H](F)[C@@H]1OP(=O)(OC[C@H]1O[C@@H](N2C=NC3=C(CCC=C)N=CN=C32)[C@H](F)[C@@H]1O)SCC1=C([N+](=O)[O-])C=CC=C1.[3H]C[2H]OC[C@H]1O[C@@H](N2C=NC3=C(CCC=C)N=CN=C32)[C@H](F)[C@@H]1OP(=O)(S)OC[C@H]1O[C@@H](N2C=NC3=C(CCC=C)N=CN=C32)[C@H](F)[C@@H]1O Chemical compound CC#N.CCN(CC)CC.[3H]C[2H]OC[C@H]1O[C@@H](N2C=NC3=C(CCC=C)N=CN=C32)[C@H](F)[C@@H]1OP(=O)(OC[C@H]1O[C@@H](N2C=NC3=C(CCC=C)N=CN=C32)[C@H](F)[C@@H]1O)SCC1=C([N+](=O)[O-])C=CC=C1.[3H]C[2H]OC[C@H]1O[C@@H](N2C=NC3=C(CCC=C)N=CN=C32)[C@H](F)[C@@H]1OP(=O)(S)OC[C@H]1O[C@@H](N2C=NC3=C(CCC=C)N=CN=C32)[C@H](F)[C@@H]1O ZRCMQPAEYPAHFK-DWMZURNRSA-N 0.000 description 1
- VUVGYCAGSXOGCC-BQYQJAHWSA-N CC(C)(C)C/C=C/CC(C)(C)C Chemical compound CC(C)(C)C/C=C/CC(C)(C)C VUVGYCAGSXOGCC-BQYQJAHWSA-N 0.000 description 1
- LXLXPRIAPYWSNC-PXFGJMOLSA-N CC(C)(C)[Si](C)(C)Cl.[2H]C[C@H]1OC(N2C=NC3=C2N=CN=C3NC(=O)C2=CC=CC=C2)[C@H](F)[C@@H]1C.[2H]C[C@H]1OC(N2C=NC3=C2N=CN=C3NC(=O)C2=CC=CC=C2)[C@H](F)[C@@H]1O.[3H]OC.[3H]OC Chemical compound CC(C)(C)[Si](C)(C)Cl.[2H]C[C@H]1OC(N2C=NC3=C2N=CN=C3NC(=O)C2=CC=CC=C2)[C@H](F)[C@@H]1C.[2H]C[C@H]1OC(N2C=NC3=C2N=CN=C3NC(=O)C2=CC=CC=C2)[C@H](F)[C@@H]1O.[3H]OC.[3H]OC LXLXPRIAPYWSNC-PXFGJMOLSA-N 0.000 description 1
- HLNZUKBPPVKZAZ-VSFHIJPSSA-N CC(C)(C)[Si](C)(C)OC[C@H]1OC(N2C=NC3=C2N=CN=C3CCC#CCN(C(=O)C2=CC=CC=C2)C2=NC=NC3=C2N=CN3C2O[C@H](CO)[C@@H](O[Si](C)(C)C(C)(C)C)[C@H]2F)[C@H](F)[C@@H]1O[PH](=O)O.CC(C)(C)[Si](C)(C)OC[C@H]1OC(N2C=NC3=C2N=CN=C3NC(=O)C2=CC=CC=C2)[C@H](F)[C@@H]1O.CC(C)(C)[Si](C)(C)OC[C@H]1OC2[C@H](F)[C@@H]1O[P@@](=O)(S)OC[C@H]1OC([C@H](F)[C@@H]1O[Si](C)(C)C(C)(C)C)[N@@]1/C=N\C3=C1N=CN=C3N(C(=O)C1=CC=CC=C1)CC#CCCC1=NC=NC3=C1N=C[N@@]32.CCC[Ni](CCC)P(C)C.C[PH](=O)OC1=CC=CC=C1.O=C(C1=CC=CC=C1)N1CC#CCCC2=NC=NC3=C2N=C[N@]3C2O[C@H](CO)[C@@H](O[P@@](=O)(SCC3=CC=CC=C3[N+](=O)[O-])OC[C@H]3OC([C@H](F)[C@@H]3O)[N@@]3/C=N\C4=C3N=CN=C41)[C@H]2F.OCC#CCO.S.S.[2H]C[C@H]1OC(N2C=NC3=C2N=CN=C3N(CC#CCCC2=NC=NC3=C2N=CN3C2O[C@H](CO[Si](C)(C)C(C)(C)C)[C@@H](O)[C@H]2F)C(=O)C2=CC=CC=C2)[C@H](F)[C@@H]1O[Si](C)(C)C(C)(C)C.[2H]C[C@H]1OC(N2C=NC3=C2N=CN=C3N(CC#CCO)C(=O)C2=CC=CC=C2)[C@H](F)[C@@H]1O[Si](C)(C)C(C)(C)C.[3H]C[2H]OC[C@H]1OC(N2C=NC3=C2N=CN=C3C)[C@H](F)[C@@H]1O[Si](C)(C)C(C)(C)C.[3H]OC.[3H]OC Chemical compound CC(C)(C)[Si](C)(C)OC[C@H]1OC(N2C=NC3=C2N=CN=C3CCC#CCN(C(=O)C2=CC=CC=C2)C2=NC=NC3=C2N=CN3C2O[C@H](CO)[C@@H](O[Si](C)(C)C(C)(C)C)[C@H]2F)[C@H](F)[C@@H]1O[PH](=O)O.CC(C)(C)[Si](C)(C)OC[C@H]1OC(N2C=NC3=C2N=CN=C3NC(=O)C2=CC=CC=C2)[C@H](F)[C@@H]1O.CC(C)(C)[Si](C)(C)OC[C@H]1OC2[C@H](F)[C@@H]1O[P@@](=O)(S)OC[C@H]1OC([C@H](F)[C@@H]1O[Si](C)(C)C(C)(C)C)[N@@]1/C=N\C3=C1N=CN=C3N(C(=O)C1=CC=CC=C1)CC#CCCC1=NC=NC3=C1N=C[N@@]32.CCC[Ni](CCC)P(C)C.C[PH](=O)OC1=CC=CC=C1.O=C(C1=CC=CC=C1)N1CC#CCCC2=NC=NC3=C2N=C[N@]3C2O[C@H](CO)[C@@H](O[P@@](=O)(SCC3=CC=CC=C3[N+](=O)[O-])OC[C@H]3OC([C@H](F)[C@@H]3O)[N@@]3/C=N\C4=C3N=CN=C41)[C@H]2F.OCC#CCO.S.S.[2H]C[C@H]1OC(N2C=NC3=C2N=CN=C3N(CC#CCCC2=NC=NC3=C2N=CN3C2O[C@H](CO[Si](C)(C)C(C)(C)C)[C@@H](O)[C@H]2F)C(=O)C2=CC=CC=C2)[C@H](F)[C@@H]1O[Si](C)(C)C(C)(C)C.[2H]C[C@H]1OC(N2C=NC3=C2N=CN=C3N(CC#CCO)C(=O)C2=CC=CC=C2)[C@H](F)[C@@H]1O[Si](C)(C)C(C)(C)C.[3H]C[2H]OC[C@H]1OC(N2C=NC3=C2N=CN=C3C)[C@H](F)[C@@H]1O[Si](C)(C)C(C)(C)C.[3H]OC.[3H]OC HLNZUKBPPVKZAZ-VSFHIJPSSA-N 0.000 description 1
- NBOJWEGGNBHNHV-RAAWSTQBSA-N CC(C)(C)[Si](C)(C)OC[C@H]1OC(N2C=NC3=C2N=CN=C3CCC#CCN(C(=O)C2=CC=CC=C2)C2=NC=NC3=C2N=CN3C2O[C@H](CO)[C@@H](O[Si](C)(C)C(C)(C)C)[C@H]2F)[C@H](F)[C@@H]1O[PH](=O)O.CC(C)(C)[Si](C)(C)OC[C@H]1OC2[C@H](F)[C@@H]1O[P@@](=O)(S)OC[C@H]1OC([C@H](F)[C@@H]1O[Si](C)(C)C(C)(C)C)[N@@]1/C=N\C3=C1N=CN=C3N(C(=O)C1=CC=CC=C1)CC#CCCC1=NC=NC3=C1N=C[N@@]32.S Chemical compound CC(C)(C)[Si](C)(C)OC[C@H]1OC(N2C=NC3=C2N=CN=C3CCC#CCN(C(=O)C2=CC=CC=C2)C2=NC=NC3=C2N=CN3C2O[C@H](CO)[C@@H](O[Si](C)(C)C(C)(C)C)[C@H]2F)[C@H](F)[C@@H]1O[PH](=O)O.CC(C)(C)[Si](C)(C)OC[C@H]1OC2[C@H](F)[C@@H]1O[P@@](=O)(S)OC[C@H]1OC([C@H](F)[C@@H]1O[Si](C)(C)C(C)(C)C)[N@@]1/C=N\C3=C1N=CN=C3N(C(=O)C1=CC=CC=C1)CC#CCCC1=NC=NC3=C1N=C[N@@]32.S NBOJWEGGNBHNHV-RAAWSTQBSA-N 0.000 description 1
- BRKTYMARUZELQG-ADXNMXOWSA-N CC(C)(C)[Si](C)(C)OC[C@H]1OC(N2C=NC3=C2N=CN=C3CCC#CCN(C(=O)C2=CC=CC=C2)C2=NC=NC3=C2N=CN3C2O[C@H](CO)[C@@H](O[Si](C)(C)C(C)(C)C)[C@H]2F)[C@H](F)[C@@H]1O[PH](=O)O.C[PH](=O)OC1=CC=CC=C1.[2H]C[C@H]1OC(N2C=NC3=C2N=CN=C3N(CC#CCCC2=NC=NC3=C2N=CN3C2O[C@H](CO[Si](C)(C)C(C)(C)C)[C@@H](O)[C@H]2F)C(=O)C2=CC=CC=C2)[C@H](F)[C@@H]1O[Si](C)(C)C(C)(C)C.[3H]OC Chemical compound CC(C)(C)[Si](C)(C)OC[C@H]1OC(N2C=NC3=C2N=CN=C3CCC#CCN(C(=O)C2=CC=CC=C2)C2=NC=NC3=C2N=CN3C2O[C@H](CO)[C@@H](O[Si](C)(C)C(C)(C)C)[C@H]2F)[C@H](F)[C@@H]1O[PH](=O)O.C[PH](=O)OC1=CC=CC=C1.[2H]C[C@H]1OC(N2C=NC3=C2N=CN=C3N(CC#CCCC2=NC=NC3=C2N=CN3C2O[C@H](CO[Si](C)(C)C(C)(C)C)[C@@H](O)[C@H]2F)C(=O)C2=CC=CC=C2)[C@H](F)[C@@H]1O[Si](C)(C)C(C)(C)C.[3H]OC BRKTYMARUZELQG-ADXNMXOWSA-N 0.000 description 1
- FUSPJVURESBTRY-QYPQSLTCSA-N CC(C)(C)[Si](C)(C)OC[C@H]1OC(N2C=NC3=C2N=CN=C3NC(=O)C2=CC=CC=C2)[C@H](F)[C@@H]1O.[2H]C[C@H]1OC(N2C=NC3=C2N=CN=C3N(CC#CCCC2=NC=NC3=C2N=CN3C2O[C@H](CO[Si](C)(C)C(C)(C)C)[C@@H](O)[C@H]2F)C(=O)C2=CC=CC=C2)[C@H](F)[C@@H]1O[Si](C)(C)C(C)(C)C.[2H]C[C@H]1OC(N2C=NC3=C2N=CN=C3N(CC#CCO)C(=O)C2=CC=CC=C2)[C@H](F)[C@@H]1O[Si](C)(C)C(C)(C)C.[3H]OC.[3H]OC Chemical compound CC(C)(C)[Si](C)(C)OC[C@H]1OC(N2C=NC3=C2N=CN=C3NC(=O)C2=CC=CC=C2)[C@H](F)[C@@H]1O.[2H]C[C@H]1OC(N2C=NC3=C2N=CN=C3N(CC#CCCC2=NC=NC3=C2N=CN3C2O[C@H](CO[Si](C)(C)C(C)(C)C)[C@@H](O)[C@H]2F)C(=O)C2=CC=CC=C2)[C@H](F)[C@@H]1O[Si](C)(C)C(C)(C)C.[2H]C[C@H]1OC(N2C=NC3=C2N=CN=C3N(CC#CCO)C(=O)C2=CC=CC=C2)[C@H](F)[C@@H]1O[Si](C)(C)C(C)(C)C.[3H]OC.[3H]OC FUSPJVURESBTRY-QYPQSLTCSA-N 0.000 description 1
- XNZQWLHKFIZCSL-PPHRWWGTSA-N CC(C)(C)[Si](C)(C)OC[C@H]1OC2[C@H](F)[C@@H]1O[P@@](=O)(S)OC[C@H]1OC([C@H](F)[C@@H]1O[Si](C)(C)C(C)(C)C)[N@@]1/C=N\C3=C1N=CN=C3N(C(=O)C1=CC=CC=C1)CC#CCCC1=NC=NC3=C1N=C[N@@]32.O=C(C1=CC=CC=C1)N1CC#CCCC2=NC=NC3=C2N=C[N@]3C2O[C@H](CO)[C@@H](O[P@@](=O)(SCC3=CC=CC=C3[N+](=O)[O-])OC[C@H]3OC([C@H](F)[C@@H]3O)[N@@]3/C=N\C4=C3N=CN=C41)[C@H]2F.S.S Chemical compound CC(C)(C)[Si](C)(C)OC[C@H]1OC2[C@H](F)[C@@H]1O[P@@](=O)(S)OC[C@H]1OC([C@H](F)[C@@H]1O[Si](C)(C)C(C)(C)C)[N@@]1/C=N\C3=C1N=CN=C3N(C(=O)C1=CC=CC=C1)CC#CCCC1=NC=NC3=C1N=C[N@@]32.O=C(C1=CC=CC=C1)N1CC#CCCC2=NC=NC3=C2N=C[N@]3C2O[C@H](CO)[C@@H](O[P@@](=O)(SCC3=CC=CC=C3[N+](=O)[O-])OC[C@H]3OC([C@H](F)[C@@H]3O)[N@@]3/C=N\C4=C3N=CN=C41)[C@H]2F.S.S XNZQWLHKFIZCSL-PPHRWWGTSA-N 0.000 description 1
- HKIXMXBXIZYNMM-UHFFFAOYSA-N CC(C)CCC(O)C(O)CNC(C)C Chemical compound CC(C)CCC(O)C(O)CNC(C)C HKIXMXBXIZYNMM-UHFFFAOYSA-N 0.000 description 1
- AZUSLLNYWXCPIZ-UHFFFAOYSA-N CC(C)CCCCCCCC(C)C Chemical compound CC(C)CCCCCCCC(C)C AZUSLLNYWXCPIZ-UHFFFAOYSA-N 0.000 description 1
- MUVQFWLXDLCXRC-UHFFFAOYSA-N CC(C)CCCCCNC(C)C Chemical compound CC(C)CCCCCNC(C)C MUVQFWLXDLCXRC-UHFFFAOYSA-N 0.000 description 1
- PUPDPBUABJWUGP-UHFFFAOYSA-N CC(C)OC(=O)OCSC(C)C Chemical compound CC(C)OC(=O)OCSC(C)C PUPDPBUABJWUGP-UHFFFAOYSA-N 0.000 description 1
- BMSYXLRQGIFLFO-UHFFFAOYSA-N CC(C)OCCC#N Chemical compound CC(C)OCCC#N BMSYXLRQGIFLFO-UHFFFAOYSA-N 0.000 description 1
- NRJACQRTHACBDD-UHFFFAOYSA-N CC(C)P(=O)(S)C(C)C.CC(C)P(O)(=S)C(C)C Chemical compound CC(C)P(=O)(S)C(C)C.CC(C)P(O)(=S)C(C)C NRJACQRTHACBDD-UHFFFAOYSA-N 0.000 description 1
- VKMXVVWBMOPYQK-ABWGIVNTSA-N CC1(C)COP(=O)(Cl)OC1.CC[C@H]1OC(N2/C=N\C3=C2N=CN=C3CC/C=C/CN(C(=O)C2=CC=CC=C2)C2=NC=NC3=C2N=CN3C2O[C@H](CO)[C@@H](O[Si](C)(C)C(C)(C)C)[C@H]2F)[C@H](F)[C@@H]1O[PH](=O)O.CC[C@H]1OC2[C@H](F)[C@@H]1O[P@@](=O)(S)COC[C@H]1OC([C@H](F)[C@@H]1O[Si](C)(C)C(C)(C)C)[N@@]1C=NC3=C1N=CN=C3N(C(=O)C1=CC=CC=C1)C/C=C/CCC1=NC=NC3=C1/N=C\[N@@]32.CC[C@H]1OC2[C@H](F)[C@@H]1O[PH](=O)COC[C@H]1OC([C@H](F)[C@@H]1O[Si](C)(C)C(C)(C)C)[N@@]1C=NC3=C1N=CN=C3N(C(=O)C1=CC=CC=C1)C/C=C/CCC1=NC=NC3=C1/N=C\[N@@]32.S Chemical compound CC1(C)COP(=O)(Cl)OC1.CC[C@H]1OC(N2/C=N\C3=C2N=CN=C3CC/C=C/CN(C(=O)C2=CC=CC=C2)C2=NC=NC3=C2N=CN3C2O[C@H](CO)[C@@H](O[Si](C)(C)C(C)(C)C)[C@H]2F)[C@H](F)[C@@H]1O[PH](=O)O.CC[C@H]1OC2[C@H](F)[C@@H]1O[P@@](=O)(S)COC[C@H]1OC([C@H](F)[C@@H]1O[Si](C)(C)C(C)(C)C)[N@@]1C=NC3=C1N=CN=C3N(C(=O)C1=CC=CC=C1)C/C=C/CCC1=NC=NC3=C1/N=C\[N@@]32.CC[C@H]1OC2[C@H](F)[C@@H]1O[PH](=O)COC[C@H]1OC([C@H](F)[C@@H]1O[Si](C)(C)C(C)(C)C)[N@@]1C=NC3=C1N=CN=C3N(C(=O)C1=CC=CC=C1)C/C=C/CCC1=NC=NC3=C1/N=C\[N@@]32.S VKMXVVWBMOPYQK-ABWGIVNTSA-N 0.000 description 1
- IDFQXCVPUZNFEI-QEDLTKLPSA-N CC1(C)OC(CO)[C@H](CO)O1.S.S.[3H]C[2H]OC[C@H]1OC(N2/C=N\C3=C2N=CN=C3C)[C@H](F)[C@@H]1O[Si](C)(C)C(C)(C)C.[3H]C[2H]OC[C@H]1OC(N2/C=N\C3=C2N=CN=C3CC[C@@H]2OC(C)(C)O[C@H]2CO)[C@H](F)[C@@H]1C Chemical compound CC1(C)OC(CO)[C@H](CO)O1.S.S.[3H]C[2H]OC[C@H]1OC(N2/C=N\C3=C2N=CN=C3C)[C@H](F)[C@@H]1O[Si](C)(C)C(C)(C)C.[3H]C[2H]OC[C@H]1OC(N2/C=N\C3=C2N=CN=C3CC[C@@H]2OC(C)(C)O[C@H]2CO)[C@H](F)[C@@H]1C IDFQXCVPUZNFEI-QEDLTKLPSA-N 0.000 description 1
- SCIYKGKYIIZWCM-VWIJKLNYSA-N CC1=C2N=CN([C@@H]3O[C@@H]4COP(=O)(S)N[C@@H]5[C@@H](COP(=O)(S)N[C@H]4[C@H]3C)OC(N3/C=N\C4=C(C)N=CN=C43)[C@@H]5C)C2=NC=N1 Chemical compound CC1=C2N=CN([C@@H]3O[C@@H]4COP(=O)(S)N[C@@H]5[C@@H](COP(=O)(S)N[C@H]4[C@H]3C)OC(N3/C=N\C4=C(C)N=CN=C43)[C@@H]5C)C2=NC=N1 SCIYKGKYIIZWCM-VWIJKLNYSA-N 0.000 description 1
- IJRUHMKJBKLOFZ-LFBGBQBZSA-N CC1=C2N=CN([C@@H]3O[C@@H]4COP(=O)(S)O[C@H]5C(N6/C=N\C7=C(C)N=CN=C76)O[C@H](COP(=O)(S)O[C@@H]3[C@@H]4O)[C@H]5O)C2=NC=N1 Chemical compound CC1=C2N=CN([C@@H]3O[C@@H]4COP(=O)(S)O[C@H]5C(N6/C=N\C7=C(C)N=CN=C76)O[C@H](COP(=O)(S)O[C@@H]3[C@@H]4O)[C@H]5O)C2=NC=N1 IJRUHMKJBKLOFZ-LFBGBQBZSA-N 0.000 description 1
- KKCYQUFDCRKHNK-IVXJFSPSSA-N CC1=NC(C)=C2/N=C\N(C3O[C@@H]4COP(=O)(S)O[C@@H]5[C@@H](COP(=O)([Y])O[C@H]4[C@H]3F)O[C@@H](N3C=NC4=C(C)N=CN=C43)[C@@H]5F)C2=N1 Chemical compound CC1=NC(C)=C2/N=C\N(C3O[C@@H]4COP(=O)(S)O[C@@H]5[C@@H](COP(=O)([Y])O[C@H]4[C@H]3F)O[C@@H](N3C=NC4=C(C)N=CN=C43)[C@@H]5F)C2=N1 KKCYQUFDCRKHNK-IVXJFSPSSA-N 0.000 description 1
- IRUCBBFNLDIMIK-BQYQJAHWSA-N CCC/C=C/CCC Chemical compound CCC/C=C/CCC IRUCBBFNLDIMIK-BQYQJAHWSA-N 0.000 description 1
- RKORKQGBLHEXJI-JORVCOPLSA-N CCC1=NC=NC2=C1N=CN2[C@@H]1O[C@@H]2COP(=O)(S)O[C@@H]3[C@@H](COP(=O)(S)O[C@H]2[C@H]1F)O[C@@H](N1C=NC2=C1N=CN=C2C)[C@@H]3F.CCC1=NC=NC2=C1N=CN2[C@@H]1O[C@@H]2COP(=O)(SCC3=C([N+](=O)[O-])C=CC=C3)O[C@@H]3[C@@H](COP(=O)(SCC4=C([N+](=O)[O-])C=CC=C4)O[C@H]2[C@H]1F)O[C@@H](N1C=NC2=C1N=CN=C2C)[C@@H]3F Chemical compound CCC1=NC=NC2=C1N=CN2[C@@H]1O[C@@H]2COP(=O)(S)O[C@@H]3[C@@H](COP(=O)(S)O[C@H]2[C@H]1F)O[C@@H](N1C=NC2=C1N=CN=C2C)[C@@H]3F.CCC1=NC=NC2=C1N=CN2[C@@H]1O[C@@H]2COP(=O)(SCC3=C([N+](=O)[O-])C=CC=C3)O[C@@H]3[C@@H](COP(=O)(SCC4=C([N+](=O)[O-])C=CC=C4)O[C@H]2[C@H]1F)O[C@@H](N1C=NC2=C1N=CN=C2C)[C@@H]3F RKORKQGBLHEXJI-JORVCOPLSA-N 0.000 description 1
- UMYCXNFEXQRLRI-QFVBSRPBSA-N CCC1=NC=NC2=C1N=CN2[C@@H]1O[C@@H]2COP(=O)(S)O[C@@H]3[C@@H](COP(=O)(S)O[C@H]2[C@H]1F)O[C@@H](N1C=NC2=C1N=CN=C2C)[C@@H]3F.CC[C@H]1O[C@@H](N2C=NC3=C2N=CN=C3N(C)C(=O)C2=CC=CC=C2)[C@H](F)[C@@H]1OP(=S)(OCCC#N)OC[C@H]1O[C@@H](N2C=NC3=C2N=CN=C3C)[C@H](F)[C@@H]1O[PH](=O)O Chemical compound CCC1=NC=NC2=C1N=CN2[C@@H]1O[C@@H]2COP(=O)(S)O[C@@H]3[C@@H](COP(=O)(S)O[C@H]2[C@H]1F)O[C@@H](N1C=NC2=C1N=CN=C2C)[C@@H]3F.CC[C@H]1O[C@@H](N2C=NC3=C2N=CN=C3N(C)C(=O)C2=CC=CC=C2)[C@H](F)[C@@H]1OP(=S)(OCCC#N)OC[C@H]1O[C@@H](N2C=NC3=C2N=CN=C3C)[C@H](F)[C@@H]1O[PH](=O)O UMYCXNFEXQRLRI-QFVBSRPBSA-N 0.000 description 1
- MPNPMTDDJNHRGG-WVLJMQQKSA-N CCC1=NC=NC2=C1N=CN2[C@@H]1O[C@@H]2COP(=O)(SCC3=C([N+](=O)[O-])C=CC=C3)O[C@@H]3[C@@H](COP(=O)(SCC4=C([N+](=O)[O-])C=CC=C4)O[C@H]2[C@H]1F)O[C@@H](N1C=NC2=C1N=CN=C2C)[C@@H]3F.O=P1(S)OC[C@H]2O[C@@H]3[C@H](F)[C@@H]2OP(=O)(S)OC[C@H]2C[C@H]([C@H](F)[C@@H]2O1)N1/C=N\C2=C(N=CN=C21)OC/C=C/CCC1=C2N=CN3C2=NC=N1 Chemical compound CCC1=NC=NC2=C1N=CN2[C@@H]1O[C@@H]2COP(=O)(SCC3=C([N+](=O)[O-])C=CC=C3)O[C@@H]3[C@@H](COP(=O)(SCC4=C([N+](=O)[O-])C=CC=C4)O[C@H]2[C@H]1F)O[C@@H](N1C=NC2=C1N=CN=C2C)[C@@H]3F.O=P1(S)OC[C@H]2O[C@@H]3[C@H](F)[C@@H]2OP(=O)(S)OC[C@H]2C[C@H]([C@H](F)[C@@H]2O1)N1/C=N\C2=C(N=CN=C21)OC/C=C/CCC1=C2N=CN3C2=NC=N1 MPNPMTDDJNHRGG-WVLJMQQKSA-N 0.000 description 1
- IRDTWRAKRLINAJ-UHFFFAOYSA-N CCCC#CCNC Chemical compound CCCC#CCNC IRDTWRAKRLINAJ-UHFFFAOYSA-N 0.000 description 1
- LHXFHUSERPELLJ-UHFFFAOYSA-N CCCC1NC1CNC Chemical compound CCCC1NC1CNC LHXFHUSERPELLJ-UHFFFAOYSA-N 0.000 description 1
- KCUBTOJYCKJIDC-UHFFFAOYSA-N CCCC=CCOC Chemical compound CCCC=CCOC KCUBTOJYCKJIDC-UHFFFAOYSA-N 0.000 description 1
- WDUAYTLURFCHHH-BQBZGAKWSA-N CCC[C@H](O)[C@@H](O)CNC Chemical compound CCC[C@H](O)[C@@H](O)CNC WDUAYTLURFCHHH-BQBZGAKWSA-N 0.000 description 1
- ANFQKCPJLGRUNP-SFMQMSMWSA-N CCN(CC)CC.CCN(CC)CC.CCN(CC)CC.CCN(CC)CC.C[C@@H]1[C@H]2COP(O)(=S)O[C@H]3C4O[C@H](COP(O)(=S)O[C@H]1[C@@H](O2)N1C=NC2=C1N=CN=C2CC/C=C/CN(C(=O)C1=CC=CC=C1)C1=NC=NC2=C1/N=C\[N@@]24)[C@H]3O[Si](C)(C)C(C)(C)C.O[C@@H]1[C@H]2COP(O)(=S)O[C@@H]3[C@H](O)[C@H]4COP(O)(=S)O[C@H]1C(O2)[N@@]1/C=N\C2=C1N=CN=C2NC/C=C/CCC1=NC=NC2=C1N=CN2[C@@H]3O4 Chemical compound CCN(CC)CC.CCN(CC)CC.CCN(CC)CC.CCN(CC)CC.C[C@@H]1[C@H]2COP(O)(=S)O[C@H]3C4O[C@H](COP(O)(=S)O[C@H]1[C@@H](O2)N1C=NC2=C1N=CN=C2CC/C=C/CN(C(=O)C1=CC=CC=C1)C1=NC=NC2=C1/N=C\[N@@]24)[C@H]3O[Si](C)(C)C(C)(C)C.O[C@@H]1[C@H]2COP(O)(=S)O[C@@H]3[C@H](O)[C@H]4COP(O)(=S)O[C@H]1C(O2)[N@@]1/C=N\C2=C1N=CN=C2NC/C=C/CCC1=NC=NC2=C1N=CN2[C@@H]3O4 ANFQKCPJLGRUNP-SFMQMSMWSA-N 0.000 description 1
- HXNUAVFVNXNAGY-KKKSAFDKSA-N CCN(CC)CC.CCN(CC)CC.C[C@@H]1[C@@H](CO)O[C@@H](N2/C=N\C3=C2N=CN=C3CC/C=C/CN(C(=O)C2=CC=CC=C2)/C2=N/C=N\C3=C2N=CN3[C@@H]2O[C@H](CO)[C@@H](O[Si](C)(C)C(C)(C)C)[C@H]2OP=O)[C@@H]1O[PH](=O)O.C[C@@H]1[C@H]2COP(O)(=S)O[C@H]3C4O[C@H](COP(O)(=S)O[C@H]1[C@@H](O2)N1C=NC2=C1N=CN=C2CC/C=C/CN(C(=O)C1=CC=CC=C1)C1=NC=NC2=C1/N=C\[C@@H]24)[C@H]3O[Si](C)(C)C(C)(C)C.O Chemical compound CCN(CC)CC.CCN(CC)CC.C[C@@H]1[C@@H](CO)O[C@@H](N2/C=N\C3=C2N=CN=C3CC/C=C/CN(C(=O)C2=CC=CC=C2)/C2=N/C=N\C3=C2N=CN3[C@@H]2O[C@H](CO)[C@@H](O[Si](C)(C)C(C)(C)C)[C@H]2OP=O)[C@@H]1O[PH](=O)O.C[C@@H]1[C@H]2COP(O)(=S)O[C@H]3C4O[C@H](COP(O)(=S)O[C@H]1[C@@H](O2)N1C=NC2=C1N=CN=C2CC/C=C/CN(C(=O)C1=CC=CC=C1)C1=NC=NC2=C1/N=C\[C@@H]24)[C@H]3O[Si](C)(C)C(C)(C)C.O HXNUAVFVNXNAGY-KKKSAFDKSA-N 0.000 description 1
- UHNRLQRZRNKOKU-UHFFFAOYSA-N CCN(CC1=NC2=C(N1)C1=CC=C(C=C1N=C2N)C1=NNC=C1)C(C)=O Chemical compound CCN(CC1=NC2=C(N1)C1=CC=C(C=C1N=C2N)C1=NNC=C1)C(C)=O UHNRLQRZRNKOKU-UHFFFAOYSA-N 0.000 description 1
- DWNWOLQZKXLTOK-WAZDQIEPSA-N CC[C@H]1OC(N2C=NC3=C2N=CN=C3NC(=O)C2=CC=CC=C2)[C@H](F)[C@@H]1O.O=C(NC1=NC=NC2=C1N=CN2C1O[C@H](CO)[C@@H](O)[C@H]1F)C1=CC=CC=C1 Chemical compound CC[C@H]1OC(N2C=NC3=C2N=CN=C3NC(=O)C2=CC=CC=C2)[C@H](F)[C@@H]1O.O=C(NC1=NC=NC2=C1N=CN2C1O[C@H](CO)[C@@H](O)[C@H]1F)C1=CC=CC=C1 DWNWOLQZKXLTOK-WAZDQIEPSA-N 0.000 description 1
- HAIULOOMYFXTEF-DGRJJZEGSA-N CC[C@H]1OC(N2C=NC3=C2N=CN=C3NC(=O)C2=CC=CC=C2)[C@H](F)[C@@H]1O.[2H]C[C@H]1OC(N2C=NC3=C2N=CN=C3N(C/C=C/CO)C(=O)C2=CC=CC=C2)[C@H](F)[C@@H]1C.[3H]C[2H]OC[C@H]1OC(N2C=NC3=C2N=CN=C3N(C/C=C/CCC2=NC=NC3=C2/N=C\N3[C@@H]2O[C@H](CC)[C@@H](O)[C@H]2F)C(=O)C2=CC=CC=C2)[C@H](F)[C@@H]1O[Si](C)(C)C(C)(C)C.[3H]OC Chemical compound CC[C@H]1OC(N2C=NC3=C2N=CN=C3NC(=O)C2=CC=CC=C2)[C@H](F)[C@@H]1O.[2H]C[C@H]1OC(N2C=NC3=C2N=CN=C3N(C/C=C/CO)C(=O)C2=CC=CC=C2)[C@H](F)[C@@H]1C.[3H]C[2H]OC[C@H]1OC(N2C=NC3=C2N=CN=C3N(C/C=C/CCC2=NC=NC3=C2/N=C\N3[C@@H]2O[C@H](CC)[C@@H](O)[C@H]2F)C(=O)C2=CC=CC=C2)[C@H](F)[C@@H]1O[Si](C)(C)C(C)(C)C.[3H]OC HAIULOOMYFXTEF-DGRJJZEGSA-N 0.000 description 1
- HLJNYLPOOKHCJN-NUOONASOSA-N CC[C@H]1O[C@@H](N2/C=N\C3=C2N=CN=C3NC(=O)C2=CC=CC=C2)[C@H](F)[C@@H]1O.S.S.[3H]C[2H]OC[C@H]1OC(N2/C=N\C3=C2N=CN=C3CC[C@@H]2OC(C)(C)O[C@H]2CO)[C@H](F)[C@@H]1C.[3H]C[2H]OC[C@H]1O[C@@H](N2C=NC3=C2/N=C\N=C/3N(C[C@@H]2OC(C)(C)O[C@H]2CCC2=NC=NC3=C2/N=C\N3[C@@H]2O[C@H](CO[Si](C)(C)C(C)(C)C)[C@@H](O)[C@H]2F)C(=O)C2=CC=CC=C2)[C@H](F)[C@@H]1O[Si](C)(C)C(C)(C)C Chemical compound CC[C@H]1O[C@@H](N2/C=N\C3=C2N=CN=C3NC(=O)C2=CC=CC=C2)[C@H](F)[C@@H]1O.S.S.[3H]C[2H]OC[C@H]1OC(N2/C=N\C3=C2N=CN=C3CC[C@@H]2OC(C)(C)O[C@H]2CO)[C@H](F)[C@@H]1C.[3H]C[2H]OC[C@H]1O[C@@H](N2C=NC3=C2/N=C\N=C/3N(C[C@@H]2OC(C)(C)O[C@H]2CCC2=NC=NC3=C2/N=C\N3[C@@H]2O[C@H](CO[Si](C)(C)C(C)(C)C)[C@@H](O)[C@H]2F)C(=O)C2=CC=CC=C2)[C@H](F)[C@@H]1O[Si](C)(C)C(C)(C)C HLJNYLPOOKHCJN-NUOONASOSA-N 0.000 description 1
- LOOCYZGQPHWZHM-MQXLJQRISA-N CC[C@H]1O[C@@H](N2C=NC3=C2N=CN=C3Cl)[C@H](F)[C@@H]1C.CC[C@H]1O[C@@H](N2C=NC3=C2N=CNC3=O)[C@H](F)[C@@H]1C Chemical compound CC[C@H]1O[C@@H](N2C=NC3=C2N=CN=C3Cl)[C@H](F)[C@@H]1C.CC[C@H]1O[C@@H](N2C=NC3=C2N=CNC3=O)[C@H](F)[C@@H]1C LOOCYZGQPHWZHM-MQXLJQRISA-N 0.000 description 1
- NDPWXYZPYQHWKI-AQNZERKMSA-N CC[C@H]1O[C@@H](N2C=NC3=C2N=CN=C3N(C)C(=O)C2=CC=CC=C2)[C@H](F)[C@@H]1OP(=S)(OCCC#N)OC[C@H]1O[C@@H](N2C=NC3=C2N=CN=C3C)[C@H](F)[C@@H]1O.CC[C@H]1O[C@@H](N2C=NC3=C2N=CN=C3N(C)C(=O)C2=CC=CC=C2)[C@H](F)[C@@H]1OP(=S)(OCCC#N)OC[C@H]1O[C@@H](N2C=NC3=C2N=CN=C3C)[C@H](F)[C@@H]1O[PH](=O)O Chemical compound CC[C@H]1O[C@@H](N2C=NC3=C2N=CN=C3N(C)C(=O)C2=CC=CC=C2)[C@H](F)[C@@H]1OP(=S)(OCCC#N)OC[C@H]1O[C@@H](N2C=NC3=C2N=CN=C3C)[C@H](F)[C@@H]1O.CC[C@H]1O[C@@H](N2C=NC3=C2N=CN=C3N(C)C(=O)C2=CC=CC=C2)[C@H](F)[C@@H]1OP(=S)(OCCC#N)OC[C@H]1O[C@@H](N2C=NC3=C2N=CN=C3C)[C@H](F)[C@@H]1O[PH](=O)O NDPWXYZPYQHWKI-AQNZERKMSA-N 0.000 description 1
- YNCJUSPUSZAZMW-ULHBYQQKSA-N CC[C@H]1O[C@@H](N2C=NC3=C2N=CNC3=O)[C@H](F)[C@@H]1C.O=C1NC=NC2=C1N=CN2[C@@H]1O[C@H](CO)[C@@H](O)[C@H]1F Chemical compound CC[C@H]1O[C@@H](N2C=NC3=C2N=CNC3=O)[C@H](F)[C@@H]1C.O=C1NC=NC2=C1N=CN2[C@@H]1O[C@H](CO)[C@@H](O)[C@H]1F YNCJUSPUSZAZMW-ULHBYQQKSA-N 0.000 description 1
- TWLQDTLBQMGBHA-UHFFFAOYSA-N CN1C=NC2=C1N=CN=C2NC(C)(C)C Chemical compound CN1C=NC2=C1N=CN=C2NC(C)(C)C TWLQDTLBQMGBHA-UHFFFAOYSA-N 0.000 description 1
- HWKKQQDKLRAMSW-UHFFFAOYSA-N CNCC1NC1CNC Chemical compound CNCC1NC1CNC HWKKQQDKLRAMSW-UHFFFAOYSA-N 0.000 description 1
- RXNMLQHZBCJMBA-ONEGZZNKSA-N COC/C=C/COC Chemical compound COC/C=C/COC RXNMLQHZBCJMBA-ONEGZZNKSA-N 0.000 description 1
- QCMHGCDOZLWPOT-FMNCTDSISA-N COC1=C(CC[C@@H]2CCC3=C(C2)C=CC(=C3)[C@H]2CC[C@](N)(CO)C2)C=CC=C1 Chemical compound COC1=C(CC[C@@H]2CCC3=C(C2)C=CC(=C3)[C@H]2CC[C@](N)(CO)C2)C=CC=C1 QCMHGCDOZLWPOT-FMNCTDSISA-N 0.000 description 1
- LIMGWAWZEXAELN-UHFFFAOYSA-N COC1=CC=C(C(OC(C)C)(C2=CC=CC=C2)C2=CC=C(C)C=C2)C=C1 Chemical compound COC1=CC=C(C(OC(C)C)(C2=CC=CC=C2)C2=CC=C(C)C=C2)C=C1 LIMGWAWZEXAELN-UHFFFAOYSA-N 0.000 description 1
- JSPJNBLQMVILKK-AUWAKVTGSA-N CP(C)C.CP1(=S)OC[C@H]2OC3[C@H](F)[C@@H]2OP(=O)(SCC2=C([N+](=O)[O-])C=CC=C2)OC[C@H]2O[C@H]([C@H](F)[C@@H]2O1)N1C=NC2=C(CC/C=C/CCC4=C5/N=C\[N@@]3C5=NC=N4)/N=C\N=C\21.O=[N+]([O-])C1=C(CSP2(=O)OC[C@H]3O[C@H]([C@H](F)[C@@H]3O)N3C=NC4=C(CC/C=C/CCC5=C6/N=C\[N@@](C6=NC=N5)C5O[C@H](CO)[C@@H](O2)[C@H]5F)/N=C\N=C\43)C=CC=C1 Chemical compound CP(C)C.CP1(=S)OC[C@H]2OC3[C@H](F)[C@@H]2OP(=O)(SCC2=C([N+](=O)[O-])C=CC=C2)OC[C@H]2O[C@H]([C@H](F)[C@@H]2O1)N1C=NC2=C(CC/C=C/CCC4=C5/N=C\[N@@]3C5=NC=N4)/N=C\N=C\21.O=[N+]([O-])C1=C(CSP2(=O)OC[C@H]3O[C@H]([C@H](F)[C@@H]3O)N3C=NC4=C(CC/C=C/CCC5=C6/N=C\[N@@](C6=NC=N5)C5O[C@H](CO)[C@@H](O2)[C@H]5F)/N=C\N=C\43)C=CC=C1 JSPJNBLQMVILKK-AUWAKVTGSA-N 0.000 description 1
- ZTUCHDISBBARAA-YXNGESNRSA-N CP(C)C.[2H]OC[C@H]1O[C@@H](N2C=NC3=C2N=CN=C3CCC=C)[C@H](F)[C@@H]1O.[2H]OC[C@H]1O[C@@H](N2C=NC3=C2N=CN=C3CCC=C)[C@H](F)[C@@H]1OP(C)C.[3H]C.[3H]C Chemical compound CP(C)C.[2H]OC[C@H]1O[C@@H](N2C=NC3=C2N=CN=C3CCC=C)[C@H](F)[C@@H]1O.[2H]OC[C@H]1O[C@@H](N2C=NC3=C2N=CN=C3CCC=C)[C@H](F)[C@@H]1OP(C)C.[3H]C.[3H]C ZTUCHDISBBARAA-YXNGESNRSA-N 0.000 description 1
- RCGMYVDRINJQDL-KCGQQRONSA-N CP(C)C.[3H]C[2H]OC[C@H]1O[C@@H](N2C=NC3=C2N=CN=C3OCC=C)[C@H](F)[C@@H]1O.[3H]C[2H]OC[C@H]1O[C@@H](N2C=NC3=C2N=CN=C3OCC=C)[C@H](F)[C@@H]1OP(C)C Chemical compound CP(C)C.[3H]C[2H]OC[C@H]1O[C@@H](N2C=NC3=C2N=CN=C3OCC=C)[C@H](F)[C@@H]1O.[3H]C[2H]OC[C@H]1O[C@@H](N2C=NC3=C2N=CN=C3OCC=C)[C@H](F)[C@@H]1OP(C)C RCGMYVDRINJQDL-KCGQQRONSA-N 0.000 description 1
- VYSXXFUUMKYIDS-LOXDOOODSA-N CP1(=O)OC[C@H]2O[C@@H]3[C@H](F)[C@@H]2OP(C)(=O)OC[C@H]2OC([C@H](F)[C@@H]2O1)[N@@]1/C=N\C2=C(N=CN=C21)NCC=CCCC1=C2N=CN3C2=NC=N1 Chemical compound CP1(=O)OC[C@H]2O[C@@H]3[C@H](F)[C@@H]2OP(C)(=O)OC[C@H]2OC([C@H](F)[C@@H]2O1)[N@@]1/C=N\C2=C(N=CN=C21)NCC=CCCC1=C2N=CN3C2=NC=N1 VYSXXFUUMKYIDS-LOXDOOODSA-N 0.000 description 1
- HPXUNWGODWILJM-YSNXMYGUSA-L C[C@@H]1OC2[C@@H]3OP(=O)([S-])OC[C@H]4OC5[C@H](F)[C@@H]4OP(=O)([S-])OC[C@]13O[C@H]2N1C=NC2=C(CC/C=C/CNC3=C4/N=C\[N@@]5C4=NC=N3)/N=C\N=C\21.[2H]C[C@]12O[C@@H](N3C=NC4=C3N=CN=C4NC(=O)C3=CC=CC=C3)[C@H](O[C@H]1C)[C@@H]2OP(C)C.[3H]OC.[NH4+].[NH4+] Chemical compound C[C@@H]1OC2[C@@H]3OP(=O)([S-])OC[C@H]4OC5[C@H](F)[C@@H]4OP(=O)([S-])OC[C@]13O[C@H]2N1C=NC2=C(CC/C=C/CNC3=C4/N=C\[N@@]5C4=NC=N3)/N=C\N=C\21.[2H]C[C@]12O[C@@H](N3C=NC4=C3N=CN=C4NC(=O)C3=CC=CC=C3)[C@H](O[C@H]1C)[C@@H]2OP(C)C.[3H]OC.[NH4+].[NH4+] HPXUNWGODWILJM-YSNXMYGUSA-L 0.000 description 1
- VVCBXALUDIIZLM-AOAIXFJRSA-N C[C@@H]1[C@@H](CO)O[C@@H](N2/C=N\C3=C2N=CN=C3CC/C=C/CN(C(=O)C2=CC=CC=C2)/C2=N/C=N\C3=C2N=CN3[C@@H]2O[C@H](CO)[C@@H](O[Si](C)(C)C(C)(C)C)[C@H]2OP=O)[C@@H]1O[PH](=O)O.C[C@@H]1[C@H]2COP(=O)(S)O[C@H]3C4O[C@H](COP(=O)(S)O[C@H]1[C@@H](O2)N1C=NC2=C1N=CN=C2CC/C=C/CN(C(=O)C1=CC=CC=C1)C1=NC=NC2=C1/N=C\[C@@H]24)[C@H]3O[Si](C)(C)C(C)(C)C.O.OC/C=C/CO.[3H]C[2H]OC[C@H]1O[C@@H](N2/C=N\C3=C2N=CN=C3CC/C=C/CN(C(=O)C2=CC=CC=C2)/C2=N/C=N\C3=C2N=CN3[C@@H]2O[C@H](CO[2H]C[3H])[C@@H](O[Si](C)(C)C(C)(C)C)[C@H]2OP(C)N(C(C)C)C(C)C)[C@H](OP(C)N(C(C)C)C(C)C)[C@@H]1C.[3H]C[2H]OC[C@H]1O[C@@H](N2/C=N\C3=C2N=CN=C3NC(=O)C2=CC=CC=C2)[C@H](OP(C)N(C(C)C)C(C)C)[C@@H]1C Chemical compound C[C@@H]1[C@@H](CO)O[C@@H](N2/C=N\C3=C2N=CN=C3CC/C=C/CN(C(=O)C2=CC=CC=C2)/C2=N/C=N\C3=C2N=CN3[C@@H]2O[C@H](CO)[C@@H](O[Si](C)(C)C(C)(C)C)[C@H]2OP=O)[C@@H]1O[PH](=O)O.C[C@@H]1[C@H]2COP(=O)(S)O[C@H]3C4O[C@H](COP(=O)(S)O[C@H]1[C@@H](O2)N1C=NC2=C1N=CN=C2CC/C=C/CN(C(=O)C1=CC=CC=C1)C1=NC=NC2=C1/N=C\[C@@H]24)[C@H]3O[Si](C)(C)C(C)(C)C.O.OC/C=C/CO.[3H]C[2H]OC[C@H]1O[C@@H](N2/C=N\C3=C2N=CN=C3CC/C=C/CN(C(=O)C2=CC=CC=C2)/C2=N/C=N\C3=C2N=CN3[C@@H]2O[C@H](CO[2H]C[3H])[C@@H](O[Si](C)(C)C(C)(C)C)[C@H]2OP(C)N(C(C)C)C(C)C)[C@H](OP(C)N(C(C)C)C(C)C)[C@@H]1C.[3H]C[2H]OC[C@H]1O[C@@H](N2/C=N\C3=C2N=CN=C3NC(=O)C2=CC=CC=C2)[C@H](OP(C)N(C(C)C)C(C)C)[C@@H]1C VVCBXALUDIIZLM-AOAIXFJRSA-N 0.000 description 1
- NWUPLNORDABKIY-RZUJHONCSA-N C[C@@H]1[C@@H](CO)O[C@@H](N2/C=N\C3=C2N=CN=C3CC/C=C/CN(C(=O)C2=CC=CC=C2)/C2=N/C=N\C3=C2N=CN3[C@@H]2O[C@H](CO)[C@@H](O[Si](C)(C)C(C)(C)C)[C@H]2O[PH](=O)O)[C@@H]1O[PH](=O)O.[3H]C[2H]OC[C@H]1O[C@@H](N2/C=N\C3=C2N=CN=C3CC/C=C/CN(C(=O)C2=CC=CC=C2)/C2=N/C=N\C3=C2N=CN3[C@@H]2O[C@H](CO[2H]C[3H])[C@@H](O[Si](C)(C)C(C)(C)C)[C@H]2OP(OCCC#N)N(C(C)C)C(C)C)[C@H](OP(OCCC#N)N(C(C)C)C(C)C)[C@@H]1C Chemical compound C[C@@H]1[C@@H](CO)O[C@@H](N2/C=N\C3=C2N=CN=C3CC/C=C/CN(C(=O)C2=CC=CC=C2)/C2=N/C=N\C3=C2N=CN3[C@@H]2O[C@H](CO)[C@@H](O[Si](C)(C)C(C)(C)C)[C@H]2O[PH](=O)O)[C@@H]1O[PH](=O)O.[3H]C[2H]OC[C@H]1O[C@@H](N2/C=N\C3=C2N=CN=C3CC/C=C/CN(C(=O)C2=CC=CC=C2)/C2=N/C=N\C3=C2N=CN3[C@@H]2O[C@H](CO[2H]C[3H])[C@@H](O[Si](C)(C)C(C)(C)C)[C@H]2OP(OCCC#N)N(C(C)C)C(C)C)[C@H](OP(OCCC#N)N(C(C)C)C(C)C)[C@@H]1C NWUPLNORDABKIY-RZUJHONCSA-N 0.000 description 1
- KQLKCLTVSSOKRN-OEDOBMNRSA-L C[C@@H]1[C@@H]2OP(=O)([S-])OC[C@H]3OC4[C@H](OP(=O)([S-])OC[C@H]2O[C@H]1N1C=NC2=C(CCC=CCNC5=C6/N=C\[N@@]4C6=NC=N5)N=CN=C21)[C@@H]3O Chemical compound C[C@@H]1[C@@H]2OP(=O)([S-])OC[C@H]3OC4[C@H](OP(=O)([S-])OC[C@H]2O[C@H]1N1C=NC2=C(CCC=CCNC5=C6/N=C\[N@@]4C6=NC=N5)N=CN=C21)[C@@H]3O KQLKCLTVSSOKRN-OEDOBMNRSA-L 0.000 description 1
- 241000283707 Capra Species 0.000 description 1
- 229920008347 Cellulose acetate propionate Polymers 0.000 description 1
- DQEFEBPAPFSJLV-UHFFFAOYSA-N Cellulose propionate Chemical compound CCC(=O)OCC1OC(OC(=O)CC)C(OC(=O)CC)C(OC(=O)CC)C1OC1C(OC(=O)CC)C(OC(=O)CC)C(OC(=O)CC)C(COC(=O)CC)O1 DQEFEBPAPFSJLV-UHFFFAOYSA-N 0.000 description 1
- 241000282693 Cercopithecidae Species 0.000 description 1
- 241001391944 Commicarpus scandens Species 0.000 description 1
- 108020004635 Complementary DNA Proteins 0.000 description 1
- 229920002785 Croscarmellose sodium Polymers 0.000 description 1
- 102000053602 DNA Human genes 0.000 description 1
- 239000004287 Dehydroacetic acid Substances 0.000 description 1
- YZCKVEUIGOORGS-OUBTZVSYSA-N Deuterium Chemical compound [2H] YZCKVEUIGOORGS-OUBTZVSYSA-N 0.000 description 1
- 206010058314 Dysplasia Diseases 0.000 description 1
- 241000283086 Equidae Species 0.000 description 1
- 229920003139 Eudragit® L 100 Polymers 0.000 description 1
- 229920003138 Eudragit® L 30 D-55 Polymers 0.000 description 1
- 229920003141 Eudragit® S 100 Polymers 0.000 description 1
- 229920003134 Eudragit® polymer Polymers 0.000 description 1
- 241000282326 Felis catus Species 0.000 description 1
- 102100031181 Glyceraldehyde-3-phosphate dehydrogenase Human genes 0.000 description 1
- BIVBRWYINDPWKA-VLQRKCJKSA-L Glycyrrhizinate dipotassium Chemical compound [K+].[K+].O([C@@H]1[C@@H](O)[C@H](O)[C@H](O[C@@H]1O[C@H]1CC[C@]2(C)[C@H]3C(=O)C=C4[C@@H]5C[C@](C)(CC[C@@]5(CC[C@@]4(C)[C@]3(C)CC[C@H]2C1(C)C)C)C(O)=O)C([O-])=O)[C@@H]1O[C@H](C([O-])=O)[C@@H](O)[C@H](O)[C@H]1O BIVBRWYINDPWKA-VLQRKCJKSA-L 0.000 description 1
- UYTPUPDQBNUYGX-UHFFFAOYSA-N Guanine Natural products O=C1NC(N)=NC2=C1N=CN2 UYTPUPDQBNUYGX-UHFFFAOYSA-N 0.000 description 1
- 229920000084 Gum arabic Polymers 0.000 description 1
- 241000282412 Homo Species 0.000 description 1
- 101001074035 Homo sapiens Zinc finger protein GLI2 Proteins 0.000 description 1
- 108091006905 Human Serum Albumin Proteins 0.000 description 1
- 102000008100 Human Serum Albumin Human genes 0.000 description 1
- YZCKVEUIGOORGS-UHFFFAOYSA-N Hydrogen atom Chemical class [H] YZCKVEUIGOORGS-UHFFFAOYSA-N 0.000 description 1
- 206010061218 Inflammation Diseases 0.000 description 1
- 108090000467 Interferon-beta Proteins 0.000 description 1
- 241000282567 Macaca fascicularis Species 0.000 description 1
- 241000124008 Mammalia Species 0.000 description 1
- PWHULOQIROXLJO-UHFFFAOYSA-N Manganese Chemical compound [Mn] PWHULOQIROXLJO-UHFFFAOYSA-N 0.000 description 1
- 206010054949 Metaplasia Diseases 0.000 description 1
- VVQNEPGJFQJSBK-UHFFFAOYSA-N Methyl methacrylate Chemical compound COC(=O)C(C)=C VVQNEPGJFQJSBK-UHFFFAOYSA-N 0.000 description 1
- 239000012901 Milli-Q water Substances 0.000 description 1
- 229920000881 Modified starch Polymers 0.000 description 1
- 241001529936 Murinae Species 0.000 description 1
- 101100043703 Mus musculus Sting1 gene Proteins 0.000 description 1
- WHNWPMSKXPGLAX-UHFFFAOYSA-N N-Vinyl-2-pyrrolidone Chemical compound C=CN1CCCC1=O WHNWPMSKXPGLAX-UHFFFAOYSA-N 0.000 description 1
- LIMFPAAAIVQRRD-BCGVJQADSA-N N-[2-[(3S,4R)-3-fluoro-4-methoxypiperidin-1-yl]pyrimidin-4-yl]-8-[(2R,3S)-2-methyl-3-(methylsulfonylmethyl)azetidin-1-yl]-5-propan-2-ylisoquinolin-3-amine Chemical compound F[C@H]1CN(CC[C@H]1OC)C1=NC=CC(=N1)NC=1N=CC2=C(C=CC(=C2C=1)C(C)C)N1[C@@H]([C@H](C1)CS(=O)(=O)C)C LIMFPAAAIVQRRD-BCGVJQADSA-N 0.000 description 1
- CHJJGSNFBQVOTG-UHFFFAOYSA-N N-methyl-guanidine Natural products CNC(N)=N CHJJGSNFBQVOTG-UHFFFAOYSA-N 0.000 description 1
- BOWNGDBKULOVAY-SVSFPZIRSA-N N.N.N#CCCO[P@]1(=S)OC[C@H]2O[C@@H]3[C@H](F)[C@@H]2O[P@@](=O)(SCC2=CC=CC=C2[N+](=O)[O-])OC[C@H]2O[C@H]([C@H](F)[C@@H]2O1)N1/C=N\C2=C1N=CN=C2N(C(=O)C1=CC=CC=C1)C/C=C/CCC1=NC=NC2=C1N=CN23.O=P1(O)OC[C@H]2O[C@@H]3[C@H](F)[C@@H]2O[P@@](O)(=S)OC[C@H]2O[C@H]([C@H](F)[C@@H]2O1)N1C=NC2=C1N=CN=C2CC/C=C/CNC1=NC=NC2=C1/N=C\N23.S.S.S Chemical compound N.N.N#CCCO[P@]1(=S)OC[C@H]2O[C@@H]3[C@H](F)[C@@H]2O[P@@](=O)(SCC2=CC=CC=C2[N+](=O)[O-])OC[C@H]2O[C@H]([C@H](F)[C@@H]2O1)N1/C=N\C2=C1N=CN=C2N(C(=O)C1=CC=CC=C1)C/C=C/CCC1=NC=NC2=C1N=CN23.O=P1(O)OC[C@H]2O[C@@H]3[C@H](F)[C@@H]2O[P@@](O)(=S)OC[C@H]2O[C@H]([C@H](F)[C@@H]2O1)N1C=NC2=C1N=CN=C2CC/C=C/CNC1=NC=NC2=C1/N=C\N23.S.S.S BOWNGDBKULOVAY-SVSFPZIRSA-N 0.000 description 1
- 102000003945 NF-kappa B Human genes 0.000 description 1
- 108010057466 NF-kappa B Proteins 0.000 description 1
- HYAKIRWPTQGUOW-QCZKVIKOSA-N O=C(C1=CC=CC=C1)N1C/C=C/CCC2=NC=NC3=C2/N=C\[N@]3C2O[C@H](CO)[C@@H](O[P@@](=O)(S)COC[C@H]3OC([C@H](F)[C@@H]3O)[N@@]3C=NC4=C3N=CN=C41)[C@H]2F.O=C(C1=CC=CC=C1)N1C/C=C/CCC2=NC=NC3=C2/N=C\[N@]3C2O[C@H](CO)[C@@H](O[P@@](=O)(SCC3=CC=CC=C3[N+](=O)[O-])COC[C@H]3OC([C@H](F)[C@@H]3O)[N@@]3C=NC4=C3N=CN=C41)[C@H]2F.O=[N+]([O-])C1=CC=CC=C1CBr.S.S Chemical compound O=C(C1=CC=CC=C1)N1C/C=C/CCC2=NC=NC3=C2/N=C\[N@]3C2O[C@H](CO)[C@@H](O[P@@](=O)(S)COC[C@H]3OC([C@H](F)[C@@H]3O)[N@@]3C=NC4=C3N=CN=C41)[C@H]2F.O=C(C1=CC=CC=C1)N1C/C=C/CCC2=NC=NC3=C2/N=C\[N@]3C2O[C@H](CO)[C@@H](O[P@@](=O)(SCC3=CC=CC=C3[N+](=O)[O-])COC[C@H]3OC([C@H](F)[C@@H]3O)[N@@]3C=NC4=C3N=CN=C41)[C@H]2F.O=[N+]([O-])C1=CC=CC=C1CBr.S.S HYAKIRWPTQGUOW-QCZKVIKOSA-N 0.000 description 1
- MLKNMUYUJOKKTH-VRKPOSMGSA-N O=C(NC1=NC=NC2=C1N=CN2C1O[C@H](CO)[C@@H](O)[C@H]1F)C1=CC=CC=C1.[2H]C[C@H]1OC(N2C=NC3=C2N=CN=C3NC(=O)C2=CC=CC=C2)[C@H](F)[C@@H]1O.[3H]OC Chemical compound O=C(NC1=NC=NC2=C1N=CN2C1O[C@H](CO)[C@@H](O)[C@H]1F)C1=CC=CC=C1.[2H]C[C@H]1OC(N2C=NC3=C2N=CN=C3NC(=O)C2=CC=CC=C2)[C@H](F)[C@@H]1O.[3H]OC MLKNMUYUJOKKTH-VRKPOSMGSA-N 0.000 description 1
- DYQUHJDHLLIDCJ-RZLTWODFSA-N O=P1(O)OC[C@H]2OC3[C@H](F)[C@@H]2O[P@@](O)(=S)OC[C@H]2O[C@H]([C@H](F)[C@@H]2O1)N1C=NC2=C1/N=C\N=C/2CC/C=C/CNC1=NC=NC2=C1/N=C\[N@@]23.S Chemical compound O=P1(O)OC[C@H]2OC3[C@H](F)[C@@H]2O[P@@](O)(=S)OC[C@H]2O[C@H]([C@H](F)[C@@H]2O1)N1C=NC2=C1/N=C\N=C/2CC/C=C/CNC1=NC=NC2=C1/N=C\[N@@]23.S DYQUHJDHLLIDCJ-RZLTWODFSA-N 0.000 description 1
- LZTZQEUOEYBLBC-ROGZVJRHSA-N O=P1(O)OC[C@H]2O[C@@H]3[C@H](F)[C@@H]2OP(=O)(O)OC[C@H]2OC([C@H](F)[C@@H]2O1)[N@@]1/C=N\C2=C1N=CN=C2NC/C=C/CCC1=NC=NC2=C1N=CN23 Chemical compound O=P1(O)OC[C@H]2O[C@@H]3[C@H](F)[C@@H]2OP(=O)(O)OC[C@H]2OC([C@H](F)[C@@H]2O1)[N@@]1/C=N\C2=C1N=CN=C2NC/C=C/CCC1=NC=NC2=C1N=CN23 LZTZQEUOEYBLBC-ROGZVJRHSA-N 0.000 description 1
- VPWCDCVSDDXFRV-NWLQJQCSSA-N O=P1(S)N[C@@H]2[C@H]3COP(=O)(S)N[C@@H]4[C@@H](CO1)O[C@H]([C@@H]4O)N1C=NC4=C(CC/C=C/CNC5=C6/N=C\[N@@](C6=NC=N5)C(O3)[C@@H]2O)N=CN=C41 Chemical compound O=P1(S)N[C@@H]2[C@H]3COP(=O)(S)N[C@@H]4[C@@H](CO1)O[C@H]([C@@H]4O)N1C=NC4=C(CC/C=C/CNC5=C6/N=C\[N@@](C6=NC=N5)C(O3)[C@@H]2O)N=CN=C41 VPWCDCVSDDXFRV-NWLQJQCSSA-N 0.000 description 1
- CVRPSBOKRWBGQL-ZDBNEPNZSA-N O=[P@]1(S)OC[C@H]2O[C@@H]3[C@H](F)[C@@H]2O[P@@](=O)(S)OC[C@H]2OC([C@H](F)[C@@H]2O1)[N@@]1/C=N\C2=C1N=CN=C2NC/C=C/CCC1=NC=NC2=C1N=CN23.S.S Chemical compound O=[P@]1(S)OC[C@H]2O[C@@H]3[C@H](F)[C@@H]2O[P@@](=O)(S)OC[C@H]2OC([C@H](F)[C@@H]2O1)[N@@]1/C=N\C2=C1N=CN=C2NC/C=C/CCC1=NC=NC2=C1N=CN23.S.S CVRPSBOKRWBGQL-ZDBNEPNZSA-N 0.000 description 1
- QTOSQLNYTHWEJA-RJKXVQJGSA-N OC/C=C/CO.[3H]C[2H]OC[C@H]1O[C@@H](N2/C=N\C3=C2N=CN=C3CC/C=C/CN(C(=O)C2=CC=CC=C2)/C2=N/C=N\C3=C2N=CN3[C@@H]2O[C@H](CO[2H]C[3H])[C@@H](O[Si](C)(C)C(C)(C)C)[C@H]2OP(C)N(C(C)C)C(C)C)[C@H](OP(C)N(C(C)C)C(C)C)[C@@H]1C.[3H]C[2H]OC[C@H]1O[C@@H](N2/C=N\C3=C2N=CN=C3NC(=O)C2=CC=CC=C2)[C@H](OP(C)N(C(C)C)C(C)C)[C@@H]1C Chemical compound OC/C=C/CO.[3H]C[2H]OC[C@H]1O[C@@H](N2/C=N\C3=C2N=CN=C3CC/C=C/CN(C(=O)C2=CC=CC=C2)/C2=N/C=N\C3=C2N=CN3[C@@H]2O[C@H](CO[2H]C[3H])[C@@H](O[Si](C)(C)C(C)(C)C)[C@H]2OP(C)N(C(C)C)C(C)C)[C@H](OP(C)N(C(C)C)C(C)C)[C@@H]1C.[3H]C[2H]OC[C@H]1O[C@@H](N2/C=N\C3=C2N=CN=C3NC(=O)C2=CC=CC=C2)[C@H](OP(C)N(C(C)C)C(C)C)[C@@H]1C QTOSQLNYTHWEJA-RJKXVQJGSA-N 0.000 description 1
- JNMUETHJTWDJOT-JCPJWIENSA-N OCC#CCO.[2H]C[C@H]1OC(N2C=NC3=C2N=CN=C3N(CC#CCO)C(=O)C2=CC=CC=C2)[C@H](F)[C@@H]1O[Si](C)(C)C(C)(C)C.[3H]C[2H]OC[C@H]1OC(N2C=NC3=C2N=CN=C3C)[C@H](F)[C@@H]1O[Si](C)(C)C(C)(C)C.[3H]OC Chemical compound OCC#CCO.[2H]C[C@H]1OC(N2C=NC3=C2N=CN=C3N(CC#CCO)C(=O)C2=CC=CC=C2)[C@H](F)[C@@H]1O[Si](C)(C)C(C)(C)C.[3H]C[2H]OC[C@H]1OC(N2C=NC3=C2N=CN=C3C)[C@H](F)[C@@H]1O[Si](C)(C)C(C)(C)C.[3H]OC JNMUETHJTWDJOT-JCPJWIENSA-N 0.000 description 1
- HJLFIFVAFNLAEN-UHFFFAOYSA-N OCC(C(C1F)OP(S)=O)OC1[n]1c(ncnc2NCC=CCOc3c4nc[n](C(C5F)OC(CO)C5OP(S)=O)c4ncn3)c2nc1 Chemical compound OCC(C(C1F)OP(S)=O)OC1[n]1c(ncnc2NCC=CCOc3c4nc[n](C(C5F)OC(CO)C5OP(S)=O)c4ncn3)c2nc1 HJLFIFVAFNLAEN-UHFFFAOYSA-N 0.000 description 1
- IKGREHLWGJAAGW-TXBZSQBCSA-N OC[C@H]1O[C@@H](N2C=NC3=C2N=CN=C3O)[C@H](F)[C@@H]1O.OC[C@H]1O[C@@H](N2C=NC3=C2N=CN=C3ON2N=NC3=CC=CC=C32)[C@H](F)[C@@H]1O Chemical compound OC[C@H]1O[C@@H](N2C=NC3=C2N=CN=C3O)[C@H](F)[C@@H]1O.OC[C@H]1O[C@@H](N2C=NC3=C2N=CN=C3ON2N=NC3=CC=CC=C32)[C@H](F)[C@@H]1O IKGREHLWGJAAGW-TXBZSQBCSA-N 0.000 description 1
- 241000283973 Oryctolagus cuniculus Species 0.000 description 1
- 241001494479 Pecora Species 0.000 description 1
- 229920003171 Poly (ethylene oxide) Polymers 0.000 description 1
- 239000004743 Polypropylene Substances 0.000 description 1
- 208000006994 Precancerous Conditions Diseases 0.000 description 1
- 238000011530 RNeasy Mini Kit Methods 0.000 description 1
- 241000700157 Rattus norvegicus Species 0.000 description 1
- 239000006146 Roswell Park Memorial Institute medium Substances 0.000 description 1
- 235000011034 Rubus glaucus Nutrition 0.000 description 1
- 244000235659 Rubus idaeus Species 0.000 description 1
- 235000009122 Rubus idaeus Nutrition 0.000 description 1
- 108010017324 STAT3 Transcription Factor Proteins 0.000 description 1
- WINXNKPZLFISPD-UHFFFAOYSA-M Saccharin sodium Chemical compound [Na+].C1=CC=C2C(=O)[N-]S(=O)(=O)C2=C1 WINXNKPZLFISPD-UHFFFAOYSA-M 0.000 description 1
- 102100024040 Signal transducer and activator of transcription 3 Human genes 0.000 description 1
- 229920002125 Sokalan® Polymers 0.000 description 1
- 235000021355 Stearic acid Nutrition 0.000 description 1
- 244000228451 Stevia rebaudiana Species 0.000 description 1
- 101150060741 Sting1 gene Proteins 0.000 description 1
- 229930006000 Sucrose Natural products 0.000 description 1
- CZMRCDWAGMRECN-UGDNZRGBSA-N Sucrose Chemical compound O[C@H]1[C@H](O)[C@@H](CO)O[C@@]1(CO)O[C@@H]1[C@H](O)[C@@H](O)[C@H](O)[C@@H](CO)O1 CZMRCDWAGMRECN-UGDNZRGBSA-N 0.000 description 1
- 241000282887 Suidae Species 0.000 description 1
- YZCKVEUIGOORGS-NJFSPNSNSA-N Tritium Chemical compound [3H] YZCKVEUIGOORGS-NJFSPNSNSA-N 0.000 description 1
- 102100035558 Zinc finger protein GLI2 Human genes 0.000 description 1
- BBAWTPDTGRXPDG-UHFFFAOYSA-N [1,3]thiazolo[4,5-b]pyridine Chemical compound C1=CC=C2SC=NC2=N1 BBAWTPDTGRXPDG-UHFFFAOYSA-N 0.000 description 1
- ACZVDLNGAPRJPR-CNDXCEIISA-N [2H]/C(=C(/[2H])C([2H])([2H])NC)C([2H])([2H])CC Chemical compound [2H]/C(=C(/[2H])C([2H])([2H])NC)C([2H])([2H])CC ACZVDLNGAPRJPR-CNDXCEIISA-N 0.000 description 1
- HGICWYHWTCVVJX-TUTZYBMZSA-N [2H]/C(=C(/[2H])C([2H])([2H])O)C([2H])([2H])O.[2H]C([2H])=C([2H])C([2H])([2H])O.[H]C Chemical compound [2H]/C(=C(/[2H])C([2H])([2H])O)C([2H])([2H])O.[2H]C([2H])=C([2H])C([2H])([2H])O.[H]C HGICWYHWTCVVJX-TUTZYBMZSA-N 0.000 description 1
- PHOMROPFKLLYEZ-PEOHJAGUSA-N [H][C@]1(F)[C@H]2O[C@@H]3COP(=O)(S)O[C@H]4[C@H]5O[C@@H](C)[C@]4(COP(=O)(S)O[C@]31[H])O[C@H]5N1C=NC3=C(CC/C=C/CNC4=C5/N=C\N2C5=NC=N4)N=CN=C31 Chemical compound [H][C@]1(F)[C@H]2O[C@@H]3COP(=O)(S)O[C@H]4[C@H]5O[C@@H](C)[C@]4(COP(=O)(S)O[C@]31[H])O[C@H]5N1C=NC3=C(CC/C=C/CNC4=C5/N=C\N2C5=NC=N4)N=CN=C31 PHOMROPFKLLYEZ-PEOHJAGUSA-N 0.000 description 1
- VYSXXFUUMKYIDS-RKULSVRBSA-N [H][C@]1(F)[C@H]2O[C@@H]3COP(C)(=O)O[C@]4([H])[C@@H](COP(C)(=O)O[C@]31[H])O[C@@H](N1/C=N\C3=C1N=CN=C3NCccCCC1=C3N=CN2C3=NC=N1)[C@]4([H])F Chemical compound [H][C@]1(F)[C@H]2O[C@@H]3COP(C)(=O)O[C@]4([H])[C@@H](COP(C)(=O)O[C@]31[H])O[C@@H](N1/C=N\C3=C1N=CN=C3NCccCCC1=C3N=CN2C3=NC=N1)[C@]4([H])F VYSXXFUUMKYIDS-RKULSVRBSA-N 0.000 description 1
- TYDXYACMOUSJLF-JOJZAEOQSA-N [H][C@]12CP(=O)(S)SC(C)C3C[C@H]4C5=NN=C6C(=NC=CN65)OCCCCOC5=NC=CN6/C5=N\N=C/6C1CC(C(C)CP(=O)(S)C[C@]4([H])[C@]3([H])C)[C@@]2([H])C Chemical compound [H][C@]12CP(=O)(S)SC(C)C3C[C@H]4C5=NN=C6C(=NC=CN65)OCCCCOC5=NC=CN6/C5=N\N=C/6C1CC(C(C)CP(=O)(S)C[C@]4([H])[C@]3([H])C)[C@@]2([H])C TYDXYACMOUSJLF-JOJZAEOQSA-N 0.000 description 1
- YKTSYUJCYHOUJP-UHFFFAOYSA-N [O--].[Al+3].[Al+3].[O-][Si]([O-])([O-])[O-] Chemical compound [O--].[Al+3].[Al+3].[O-][Si]([O-])([O-])[O-] YKTSYUJCYHOUJP-UHFFFAOYSA-N 0.000 description 1
- 235000010489 acacia gum Nutrition 0.000 description 1
- 239000000205 acacia gum Substances 0.000 description 1
- DHKHKXVYLBGOIT-UHFFFAOYSA-N acetaldehyde Diethyl Acetal Natural products CCOC(C)OCC DHKHKXVYLBGOIT-UHFFFAOYSA-N 0.000 description 1
- 125000000641 acridinyl group Chemical group C1(=CC=CC2=NC3=CC=CC=C3C=C12)* 0.000 description 1
- 230000033289 adaptive immune response Effects 0.000 description 1
- QBYJBZPUGVGKQQ-SJJAEHHWSA-N aldrin Chemical compound C1[C@H]2C=C[C@@H]1[C@H]1[C@@](C3(Cl)Cl)(Cl)C(Cl)=C(Cl)[C@@]3(Cl)[C@H]12 QBYJBZPUGVGKQQ-SJJAEHHWSA-N 0.000 description 1
- 229940072056 alginate Drugs 0.000 description 1
- 239000000783 alginic acid Substances 0.000 description 1
- 229960001126 alginic acid Drugs 0.000 description 1
- 150000004781 alginic acids Chemical class 0.000 description 1
- 150000001336 alkenes Chemical class 0.000 description 1
- 150000005215 alkyl ethers Chemical class 0.000 description 1
- BHELZAPQIKSEDF-UHFFFAOYSA-N allyl bromide Chemical compound BrCC=C BHELZAPQIKSEDF-UHFFFAOYSA-N 0.000 description 1
- HSFWRNGVRCDJHI-UHFFFAOYSA-N alpha-acetylene Natural products C#C HSFWRNGVRCDJHI-UHFFFAOYSA-N 0.000 description 1
- 229910052782 aluminium Inorganic materials 0.000 description 1
- XAGFODPZIPBFFR-UHFFFAOYSA-N aluminium Chemical compound [Al] XAGFODPZIPBFFR-UHFFFAOYSA-N 0.000 description 1
- WMGSQTMJHBYJMQ-UHFFFAOYSA-N aluminum;magnesium;silicate Chemical compound [Mg+2].[Al+3].[O-][Si]([O-])([O-])[O-] WMGSQTMJHBYJMQ-UHFFFAOYSA-N 0.000 description 1
- 239000003242 anti bacterial agent Substances 0.000 description 1
- 230000000844 anti-bacterial effect Effects 0.000 description 1
- 230000001348 anti-glioma Effects 0.000 description 1
- 239000003429 antifungal agent Substances 0.000 description 1
- 229940121375 antifungal agent Drugs 0.000 description 1
- 230000006907 apoptotic process Effects 0.000 description 1
- 238000013459 approach Methods 0.000 description 1
- 125000002029 aromatic hydrocarbon group Chemical group 0.000 description 1
- 125000003118 aryl group Chemical group 0.000 description 1
- 239000000605 aspartame Substances 0.000 description 1
- IAOZJIPTCAWIRG-QWRGUYRKSA-N aspartame Chemical compound OC(=O)C[C@H](N)C(=O)N[C@H](C(=O)OC)CC1=CC=CC=C1 IAOZJIPTCAWIRG-QWRGUYRKSA-N 0.000 description 1
- 235000010357 aspartame Nutrition 0.000 description 1
- 229960003438 aspartame Drugs 0.000 description 1
- 239000012298 atmosphere Substances 0.000 description 1
- 239000012752 auxiliary agent Substances 0.000 description 1
- 229950003588 axetil Drugs 0.000 description 1
- 125000002393 azetidinyl group Chemical group 0.000 description 1
- 125000004931 azocinyl group Chemical group N1=C(C=CC=CC=C1)* 0.000 description 1
- 210000003719 b-lymphocyte Anatomy 0.000 description 1
- 230000001580 bacterial effect Effects 0.000 description 1
- 125000003785 benzimidazolyl group Chemical group N1=C(NC2=C1C=CC=C2)* 0.000 description 1
- 125000004604 benzisothiazolyl group Chemical group S1N=C(C2=C1C=CC=C2)* 0.000 description 1
- 125000004603 benzisoxazolyl group Chemical group O1N=C(C2=C1C=CC=C2)* 0.000 description 1
- 125000000499 benzofuranyl group Chemical group O1C(=CC2=C1C=CC=C2)* 0.000 description 1
- WPYMKLBDIGXBTP-UHFFFAOYSA-N benzoic acid group Chemical group C(C1=CC=CC=C1)(=O)O WPYMKLBDIGXBTP-UHFFFAOYSA-N 0.000 description 1
- 125000001164 benzothiazolyl group Chemical group S1C(=NC2=C1C=CC=C2)* 0.000 description 1
- 125000004196 benzothienyl group Chemical group S1C(=CC2=C1C=CC=C2)* 0.000 description 1
- 125000004935 benzoxazolinyl group Chemical group O1C(=NC2=C1C=CC=C2)* 0.000 description 1
- 125000004541 benzoxazolyl group Chemical group O1C(=NC2=C1C=CC=C2)* 0.000 description 1
- 125000005512 benztetrazolyl group Chemical group 0.000 description 1
- 125000001797 benzyl group Chemical group [H]C1=C([H])C([H])=C(C([H])=C1[H])C([H])([H])* 0.000 description 1
- 230000008275 binding mechanism Effects 0.000 description 1
- 230000004071 biological effect Effects 0.000 description 1
- 238000012925 biological evaluation Methods 0.000 description 1
- 230000008033 biological extinction Effects 0.000 description 1
- 210000004369 blood Anatomy 0.000 description 1
- 239000008280 blood Substances 0.000 description 1
- 230000037396 body weight Effects 0.000 description 1
- 230000005587 bubbling Effects 0.000 description 1
- 238000011095 buffer preparation Methods 0.000 description 1
- DLDJFQGPPSQZKI-UHFFFAOYSA-N but-2-yne-1,4-diol Chemical compound OCC#CCO DLDJFQGPPSQZKI-UHFFFAOYSA-N 0.000 description 1
- 125000004369 butenyl group Chemical group C(=CCC)* 0.000 description 1
- 125000000480 butynyl group Chemical group [*]C#CC([H])([H])C([H])([H])[H] 0.000 description 1
- 239000006227 byproduct Substances 0.000 description 1
- RFCBNSCSPXMEBK-INFSMZHSSA-N c-GMP-AMP Chemical compound C([C@H]1O2)OP(O)(=O)O[C@H]3[C@@H](O)[C@H](N4C5=NC=NC(N)=C5N=C4)O[C@@H]3COP(O)(=O)O[C@H]1[C@@H](O)[C@@H]2N1C(N=C(NC2=O)N)=C2N=C1 RFCBNSCSPXMEBK-INFSMZHSSA-N 0.000 description 1
- PKFDLKSEZWEFGL-MHARETSRSA-N c-di-GMP Chemical compound C([C@H]1O2)OP(O)(=O)O[C@H]3[C@@H](O)[C@H](N4C5=C(C(NC(N)=N5)=O)N=C4)O[C@@H]3COP(O)(=O)O[C@H]1[C@@H](O)[C@@H]2N1C(N=C(NC2=O)N)=C2N=C1 PKFDLKSEZWEFGL-MHARETSRSA-N 0.000 description 1
- FJDQFPXHSGXQBY-UHFFFAOYSA-L caesium carbonate Chemical compound [Cs+].[Cs+].[O-]C([O-])=O FJDQFPXHSGXQBY-UHFFFAOYSA-L 0.000 description 1
- 229910000024 caesium carbonate Inorganic materials 0.000 description 1
- FUFJGUQYACFECW-UHFFFAOYSA-L calcium hydrogenphosphate Chemical compound [Ca+2].OP([O-])([O-])=O FUFJGUQYACFECW-UHFFFAOYSA-L 0.000 description 1
- CJZGTCYPCWQAJB-UHFFFAOYSA-L calcium stearate Chemical compound [Ca+2].CCCCCCCCCCCCCCCCCC([O-])=O.CCCCCCCCCCCCCCCCCC([O-])=O CJZGTCYPCWQAJB-UHFFFAOYSA-L 0.000 description 1
- 239000008116 calcium stearate Substances 0.000 description 1
- 235000013539 calcium stearate Nutrition 0.000 description 1
- 238000004364 calculation method Methods 0.000 description 1
- 239000012482 calibration solution Substances 0.000 description 1
- 125000000609 carbazolyl group Chemical group C1(=CC=CC=2C3=CC=CC=C3NC12)* 0.000 description 1
- 125000004623 carbolinyl group Chemical group 0.000 description 1
- 150000001735 carboxylic acids Chemical class 0.000 description 1
- 239000005018 casein Substances 0.000 description 1
- BECPQYXYKAMYBN-UHFFFAOYSA-N casein, tech. Chemical compound NCCCCC(C(O)=O)N=C(O)C(CC(O)=O)N=C(O)C(CCC(O)=N)N=C(O)C(CC(C)C)N=C(O)C(CCC(O)=O)N=C(O)C(CC(O)=O)N=C(O)C(CCC(O)=O)N=C(O)C(C(C)O)N=C(O)C(CCC(O)=N)N=C(O)C(CCC(O)=N)N=C(O)C(CCC(O)=N)N=C(O)C(CCC(O)=O)N=C(O)C(CCC(O)=O)N=C(O)C(COP(O)(O)=O)N=C(O)C(CCC(O)=N)N=C(O)C(N)CC1=CC=CC=C1 BECPQYXYKAMYBN-UHFFFAOYSA-N 0.000 description 1
- 235000021240 caseins Nutrition 0.000 description 1
- 239000004359 castor oil Substances 0.000 description 1
- 235000019438 castor oil Nutrition 0.000 description 1
- 229920002301 cellulose acetate Polymers 0.000 description 1
- 229920006217 cellulose acetate butyrate Polymers 0.000 description 1
- 229920001727 cellulose butyrate Polymers 0.000 description 1
- 229920003086 cellulose ether Polymers 0.000 description 1
- 229920006218 cellulose propionate Polymers 0.000 description 1
- 238000005119 centrifugation Methods 0.000 description 1
- 230000008859 change Effects 0.000 description 1
- 238000012512 characterization method Methods 0.000 description 1
- 150000008280 chlorinated hydrocarbons Chemical class 0.000 description 1
- 229930002875 chlorophyll Natural products 0.000 description 1
- 235000019804 chlorophyll Nutrition 0.000 description 1
- ATNHDLDRLWWWCB-AENOIHSZSA-M chlorophyll a Chemical compound C1([C@@H](C(=O)OC)C(=O)C2=C3C)=C2N2C3=CC(C(CC)=C3C)=[N+]4C3=CC3=C(C=C)C(C)=C5N3[Mg-2]42[N+]2=C1[C@@H](CCC(=O)OC\C=C(/C)CCC[C@H](C)CCC[C@H](C)CCCC(C)C)[C@H](C)C2=C5 ATNHDLDRLWWWCB-AENOIHSZSA-M 0.000 description 1
- 125000003016 chromanyl group Chemical group O1C(CCC2=CC=CC=C12)* 0.000 description 1
- 238000004587 chromatography analysis Methods 0.000 description 1
- 125000004230 chromenyl group Chemical group O1C(C=CC2=CC=CC=C12)* 0.000 description 1
- 125000000259 cinnolinyl group Chemical group N1=NC(=CC2=CC=CC=C12)* 0.000 description 1
- 238000004140 cleaning Methods 0.000 description 1
- 239000008119 colloidal silica Substances 0.000 description 1
- 201000010989 colorectal carcinoma Diseases 0.000 description 1
- 238000004440 column chromatography Methods 0.000 description 1
- 238000004891 communication Methods 0.000 description 1
- 239000002299 complementary DNA Substances 0.000 description 1
- 239000012141 concentrate Substances 0.000 description 1
- 235000008504 concentrate Nutrition 0.000 description 1
- 229960001681 croscarmellose sodium Drugs 0.000 description 1
- 229960000913 crospovidone Drugs 0.000 description 1
- 235000010947 crosslinked sodium carboxy methyl cellulose Nutrition 0.000 description 1
- 238000005520 cutting process Methods 0.000 description 1
- WZHCOOQXZCIUNC-UHFFFAOYSA-N cyclandelate Chemical compound C1C(C)(C)CC(C)CC1OC(=O)C(O)C1=CC=CC=C1 WZHCOOQXZCIUNC-UHFFFAOYSA-N 0.000 description 1
- 125000000753 cycloalkyl group Chemical group 0.000 description 1
- 125000001995 cyclobutyl group Chemical group [H]C1([H])C([H])([H])C([H])(*)C1([H])[H] 0.000 description 1
- 125000000582 cycloheptyl group Chemical group [H]C1([H])C([H])([H])C([H])([H])C([H])([H])C([H])(*)C([H])([H])C1([H])[H] 0.000 description 1
- 125000000596 cyclohexenyl group Chemical group C1(=CCCCC1)* 0.000 description 1
- 125000000113 cyclohexyl group Chemical group [H]C1([H])C([H])([H])C([H])([H])C([H])(*)C([H])([H])C1([H])[H] 0.000 description 1
- 125000002433 cyclopentenyl group Chemical group C1(=CCCC1)* 0.000 description 1
- 125000001511 cyclopentyl group Chemical group [H]C1([H])C([H])([H])C([H])([H])C([H])(*)C1([H])[H] 0.000 description 1
- 125000001559 cyclopropyl group Chemical group [H]C1([H])C([H])([H])C1([H])* 0.000 description 1
- XUJNEKJLAYXESH-UHFFFAOYSA-N cysteine Natural products SCC(N)C(O)=O XUJNEKJLAYXESH-UHFFFAOYSA-N 0.000 description 1
- 235000018417 cysteine Nutrition 0.000 description 1
- 210000000172 cytosol Anatomy 0.000 description 1
- 238000007405 data analysis Methods 0.000 description 1
- 230000006196 deacetylation Effects 0.000 description 1
- 238000003381 deacetylation reaction Methods 0.000 description 1
- 125000004856 decahydroquinolinyl group Chemical group N1(CCCC2CCCCC12)* 0.000 description 1
- 238000010908 decantation Methods 0.000 description 1
- 230000003247 decreasing effect Effects 0.000 description 1
- 230000002950 deficient Effects 0.000 description 1
- 235000019258 dehydroacetic acid Nutrition 0.000 description 1
- 229940061632 dehydroacetic acid Drugs 0.000 description 1
- JEQRBTDTEKWZBW-UHFFFAOYSA-N dehydroacetic acid Chemical compound CC(=O)C1=C(O)OC(C)=CC1=O JEQRBTDTEKWZBW-UHFFFAOYSA-N 0.000 description 1
- PGRHXDWITVMQBC-UHFFFAOYSA-N dehydroacetic acid Natural products CC(=O)C1C(=O)OC(C)=CC1=O PGRHXDWITVMQBC-UHFFFAOYSA-N 0.000 description 1
- 239000008367 deionised water Substances 0.000 description 1
- 229910021641 deionized water Inorganic materials 0.000 description 1
- 230000002939 deleterious effect Effects 0.000 description 1
- 238000012217 deletion Methods 0.000 description 1
- 230000037430 deletion Effects 0.000 description 1
- 238000013461 design Methods 0.000 description 1
- 229910052805 deuterium Inorganic materials 0.000 description 1
- 235000019700 dicalcium phosphate Nutrition 0.000 description 1
- 229940095079 dicalcium phosphate anhydrous Drugs 0.000 description 1
- ACYGYJFTZSAZKR-UHFFFAOYSA-J dicalcium;2-[2-[bis(carboxylatomethyl)amino]ethyl-(carboxylatomethyl)amino]acetate Chemical compound [Ca+2].[Ca+2].[O-]C(=O)CN(CC([O-])=O)CCN(CC([O-])=O)CC([O-])=O ACYGYJFTZSAZKR-UHFFFAOYSA-J 0.000 description 1
- 235000005911 diet Nutrition 0.000 description 1
- 230000037213 diet Effects 0.000 description 1
- 235000013681 dietary sucrose Nutrition 0.000 description 1
- 125000005043 dihydropyranyl group Chemical group O1C(CCC=C1)* 0.000 description 1
- GXGAKHNRMVGRPK-UHFFFAOYSA-N dimagnesium;dioxido-bis[[oxido(oxo)silyl]oxy]silane Chemical compound [Mg+2].[Mg+2].[O-][Si](=O)O[Si]([O-])([O-])O[Si]([O-])=O GXGAKHNRMVGRPK-UHFFFAOYSA-N 0.000 description 1
- SWSQBOPZIKWTGO-UHFFFAOYSA-N dimethylaminoamidine Natural products CN(C)C(N)=N SWSQBOPZIKWTGO-UHFFFAOYSA-N 0.000 description 1
- 150000002009 diols Chemical class 0.000 description 1
- 125000000532 dioxanyl group Chemical group 0.000 description 1
- ZPWVASYFFYYZEW-UHFFFAOYSA-L dipotassium hydrogen phosphate Chemical compound [K+].[K+].OP([O-])([O-])=O ZPWVASYFFYYZEW-UHFFFAOYSA-L 0.000 description 1
- 235000019797 dipotassium phosphate Nutrition 0.000 description 1
- 229910000396 dipotassium phosphate Inorganic materials 0.000 description 1
- 238000007907 direct compression Methods 0.000 description 1
- BNIILDVGGAEEIG-UHFFFAOYSA-L disodium hydrogen phosphate Chemical compound [Na+].[Na+].OP([O-])([O-])=O BNIILDVGGAEEIG-UHFFFAOYSA-L 0.000 description 1
- 238000010494 dissociation reaction Methods 0.000 description 1
- 230000005593 dissociations Effects 0.000 description 1
- 238000007922 dissolution test Methods 0.000 description 1
- 239000008298 dragée Substances 0.000 description 1
- 238000007908 dry granulation Methods 0.000 description 1
- 239000003792 electrolyte Substances 0.000 description 1
- 230000009881 electrostatic interaction Effects 0.000 description 1
- 230000001804 emulsifying effect Effects 0.000 description 1
- 239000000839 emulsion Substances 0.000 description 1
- 238000009505 enteric coating Methods 0.000 description 1
- 239000002702 enteric coating Substances 0.000 description 1
- 230000008995 epigenetic change Effects 0.000 description 1
- 150000002148 esters Chemical class 0.000 description 1
- MVPICKVDHDWCJQ-UHFFFAOYSA-N ethyl 3-pyrrolidin-1-ylpropanoate Chemical compound CCOC(=O)CCN1CCCC1 MVPICKVDHDWCJQ-UHFFFAOYSA-N 0.000 description 1
- 229960001617 ethyl hydroxybenzoate Drugs 0.000 description 1
- 235000010944 ethyl methyl cellulose Nutrition 0.000 description 1
- 239000001761 ethyl methyl cellulose Substances 0.000 description 1
- FAMRKDQNMBBFBR-UHFFFAOYSA-N ethyl n-ethoxycarbonyliminocarbamate Chemical compound CCOC(=O)N=NC(=O)OCC FAMRKDQNMBBFBR-UHFFFAOYSA-N 0.000 description 1
- 239000004403 ethyl p-hydroxybenzoate Substances 0.000 description 1
- 235000010228 ethyl p-hydroxybenzoate Nutrition 0.000 description 1
- NUVBSKCKDOMJSU-UHFFFAOYSA-N ethylparaben Chemical compound CCOC(=O)C1=CC=C(O)C=C1 NUVBSKCKDOMJSU-UHFFFAOYSA-N 0.000 description 1
- 125000002534 ethynyl group Chemical group [H]C#C* 0.000 description 1
- 230000005284 excitation Effects 0.000 description 1
- 238000013401 experimental design Methods 0.000 description 1
- 238000013265 extended release Methods 0.000 description 1
- 235000019197 fats Nutrition 0.000 description 1
- 239000007941 film coated tablet Substances 0.000 description 1
- 239000012467 final product Substances 0.000 description 1
- 235000019634 flavors Nutrition 0.000 description 1
- 235000013355 food flavoring agent Nutrition 0.000 description 1
- 239000012634 fragment Substances 0.000 description 1
- 239000003205 fragrance Substances 0.000 description 1
- 238000004108 freeze drying Methods 0.000 description 1
- 125000003838 furazanyl group Chemical group 0.000 description 1
- ZZUFCTLCJUWOSV-UHFFFAOYSA-N furosemide Chemical compound C1=C(Cl)C(S(=O)(=O)N)=CC(C(O)=O)=C1NCC1=CC=CO1 ZZUFCTLCJUWOSV-UHFFFAOYSA-N 0.000 description 1
- 229960003883 furosemide Drugs 0.000 description 1
- 125000002541 furyl group Chemical group 0.000 description 1
- 230000002496 gastric effect Effects 0.000 description 1
- 210000003736 gastrointestinal content Anatomy 0.000 description 1
- 239000007903 gelatin capsule Substances 0.000 description 1
- 238000012224 gene deletion Methods 0.000 description 1
- 230000002068 genetic effect Effects 0.000 description 1
- 238000011331 genomic analysis Methods 0.000 description 1
- 239000011521 glass Substances 0.000 description 1
- ZEMPKEQAKRGZGQ-XOQCFJPHSA-N glycerol triricinoleate Natural products CCCCCC[C@@H](O)CC=CCCCCCCCC(=O)OC[C@@H](COC(=O)CCCCCCCC=CC[C@@H](O)CCCCCC)OC(=O)CCCCCCCC=CC[C@H](O)CCCCCC ZEMPKEQAKRGZGQ-XOQCFJPHSA-N 0.000 description 1
- 239000001087 glyceryl triacetate Substances 0.000 description 1
- 235000013773 glyceryl triacetate Nutrition 0.000 description 1
- IVSXFFJGASXYCL-UHFFFAOYSA-N guanine Chemical compound O=C1NC(N)=NC2=NC=N[C]21 IVSXFFJGASXYCL-UHFFFAOYSA-N 0.000 description 1
- 230000036541 health Effects 0.000 description 1
- ZFGMDIBRIDKWMY-PASTXAENSA-N heparin Chemical compound CC(O)=N[C@@H]1[C@@H](O)[C@H](O)[C@@H](COS(O)(=O)=O)O[C@@H]1O[C@@H]1[C@@H](C(O)=O)O[C@@H](O[C@H]2[C@@H]([C@@H](OS(O)(=O)=O)[C@@H](O[C@@H]3[C@@H](OC(O)[C@H](OS(O)(=O)=O)[C@H]3O)C(O)=O)O[C@@H]2O)CS(O)(=O)=O)[C@H](O)[C@H]1O ZFGMDIBRIDKWMY-PASTXAENSA-N 0.000 description 1
- 229920000669 heparin Polymers 0.000 description 1
- 125000001072 heteroaryl group Chemical group 0.000 description 1
- 125000006038 hexenyl group Chemical group 0.000 description 1
- 125000004051 hexyl group Chemical group [H]C([H])([H])C([H])([H])C([H])([H])C([H])([H])C([H])([H])C([H])([H])* 0.000 description 1
- 125000005980 hexynyl group Chemical group 0.000 description 1
- 238000009478 high shear granulation Methods 0.000 description 1
- 150000002431 hydrogen Chemical class 0.000 description 1
- 125000004435 hydrogen atom Chemical group [H]* 0.000 description 1
- 125000002887 hydroxy group Chemical group [H]O* 0.000 description 1
- HXJZHJLLMIGFCM-UHFFFAOYSA-N hydroxy-imino-di(propan-2-yloxy)-$l^{5}-phosphane Chemical compound CC(C)OP(N)(=O)OC(C)C HXJZHJLLMIGFCM-UHFFFAOYSA-N 0.000 description 1
- 206010020718 hyperplasia Diseases 0.000 description 1
- 125000002636 imidazolinyl group Chemical group 0.000 description 1
- 230000008073 immune recognition Effects 0.000 description 1
- 230000002163 immunogen Effects 0.000 description 1
- 238000009169 immunotherapy Methods 0.000 description 1
- 125000004926 indolenyl group Chemical group 0.000 description 1
- 125000003406 indolizinyl group Chemical group C=1(C=CN2C=CC=CC12)* 0.000 description 1
- 125000001041 indolyl group Chemical group 0.000 description 1
- 230000004054 inflammatory process Effects 0.000 description 1
- 238000001802 infusion Methods 0.000 description 1
- 239000004615 ingredient Substances 0.000 description 1
- 230000005764 inhibitory process Effects 0.000 description 1
- 229940102223 injectable solution Drugs 0.000 description 1
- 229940102213 injectable suspension Drugs 0.000 description 1
- 230000009878 intermolecular interaction Effects 0.000 description 1
- 230000000968 intestinal effect Effects 0.000 description 1
- 238000007919 intrasynovial administration Methods 0.000 description 1
- 238000007913 intrathecal administration Methods 0.000 description 1
- 238000001990 intravenous administration Methods 0.000 description 1
- DHEPIQOGGUAJGR-UHFFFAOYSA-N iodomethyl propan-2-yl carbonate Chemical compound CC(C)OC(=O)OCI DHEPIQOGGUAJGR-UHFFFAOYSA-N 0.000 description 1
- 229910052742 iron Inorganic materials 0.000 description 1
- AQBLLJNPHDIAPN-LNTINUHCSA-K iron(3+);(z)-4-oxopent-2-en-2-olate Chemical compound [Fe+3].C\C([O-])=C\C(C)=O.C\C([O-])=C\C(C)=O.C\C([O-])=C\C(C)=O AQBLLJNPHDIAPN-LNTINUHCSA-K 0.000 description 1
- 125000004936 isatinoyl group Chemical group N1(C(=O)C(=O)C2=CC=CC=C12)C(=O)* 0.000 description 1
- 125000001977 isobenzofuranyl group Chemical group C=1(OC=C2C=CC=CC12)* 0.000 description 1
- 125000003384 isochromanyl group Chemical group C1(OCCC2=CC=CC=C12)* 0.000 description 1
- 125000005438 isoindazolyl group Chemical group 0.000 description 1
- 125000000904 isoindolyl group Chemical group C=1(NC=C2C=CC=CC12)* 0.000 description 1
- 238000002955 isolation Methods 0.000 description 1
- 125000002183 isoquinolinyl group Chemical group C1(=NC=CC2=CC=CC=C12)* 0.000 description 1
- 125000001786 isothiazolyl group Chemical group 0.000 description 1
- 125000003965 isoxazolidinyl group Chemical group 0.000 description 1
- 125000000842 isoxazolyl group Chemical group 0.000 description 1
- 238000011813 knockout mouse model Methods 0.000 description 1
- 238000005710 macrocyclization reaction Methods 0.000 description 1
- 239000000391 magnesium silicate Substances 0.000 description 1
- 235000019341 magnesium sulphate Nutrition 0.000 description 1
- 229910000386 magnesium trisilicate Inorganic materials 0.000 description 1
- 235000019793 magnesium trisilicate Nutrition 0.000 description 1
- 229940099273 magnesium trisilicate Drugs 0.000 description 1
- JAUWOQLHLFMTON-UHFFFAOYSA-M magnesium;but-1-ene;bromide Chemical compound [Mg+2].[Br-].[CH2-]CC=C JAUWOQLHLFMTON-UHFFFAOYSA-M 0.000 description 1
- 230000003211 malignant effect Effects 0.000 description 1
- 239000011572 manganese Substances 0.000 description 1
- 229910052748 manganese Inorganic materials 0.000 description 1
- 238000004949 mass spectrometry Methods 0.000 description 1
- 230000001404 mediated effect Effects 0.000 description 1
- 238000002483 medication Methods 0.000 description 1
- 239000000155 melt Substances 0.000 description 1
- 230000015689 metaplastic ossification Effects 0.000 description 1
- 208000037819 metastatic cancer Diseases 0.000 description 1
- 208000011575 metastatic malignant neoplasm Diseases 0.000 description 1
- YLGXILFCIXHCMC-JHGZEJCSSA-N methyl cellulose Chemical compound COC1C(OC)C(OC)C(COC)O[C@H]1O[C@H]1C(OC)C(OC)C(OC)OC1COC YLGXILFCIXHCMC-JHGZEJCSSA-N 0.000 description 1
- 239000004292 methyl p-hydroxybenzoate Substances 0.000 description 1
- 235000010270 methyl p-hydroxybenzoate Nutrition 0.000 description 1
- 229960002216 methylparaben Drugs 0.000 description 1
- 150000007522 mineralic acids Chemical class 0.000 description 1
- 239000008185 minitablet Substances 0.000 description 1
- 238000000465 moulding Methods 0.000 description 1
- 238000010172 mouse model Methods 0.000 description 1
- 230000035772 mutation Effects 0.000 description 1
- LPOIGVZLNWEGJG-UHFFFAOYSA-N n-benzyl-5-(4-methylpiperazin-1-yl)-2-nitroaniline Chemical compound C1CN(C)CCN1C1=CC=C([N+]([O-])=O)C(NCC=2C=CC=CC=2)=C1 LPOIGVZLNWEGJG-UHFFFAOYSA-N 0.000 description 1
- 125000004108 n-butyl group Chemical group [H]C([H])([H])C([H])([H])C([H])([H])C([H])([H])* 0.000 description 1
- 125000001280 n-hexyl group Chemical group C(CCCCC)* 0.000 description 1
- 125000000740 n-pentyl group Chemical group [H]C([H])([H])C([H])([H])C([H])([H])C([H])([H])C([H])([H])* 0.000 description 1
- 125000004123 n-propyl group Chemical group [H]C([H])([H])C([H])([H])C([H])([H])* 0.000 description 1
- 125000004593 naphthyridinyl group Chemical group N1=C(C=CC2=CC=CN=C12)* 0.000 description 1
- 238000010606 normalization Methods 0.000 description 1
- YLACRFYIUQZNIV-UHFFFAOYSA-N o-(2,4-dinitrophenyl)hydroxylamine Chemical compound NOC1=CC=C([N+]([O-])=O)C=C1[N+]([O-])=O YLACRFYIUQZNIV-UHFFFAOYSA-N 0.000 description 1
- QIQXTHQIDYTFRH-UHFFFAOYSA-N octadecanoic acid Chemical compound CCCCCCCCCCCCCCCCCC(O)=O QIQXTHQIDYTFRH-UHFFFAOYSA-N 0.000 description 1
- OQCDKBAXFALNLD-UHFFFAOYSA-N octadecanoic acid Natural products CCCCCCCC(C)CCCCCCCCC(O)=O OQCDKBAXFALNLD-UHFFFAOYSA-N 0.000 description 1
- 125000004930 octahydroisoquinolinyl group Chemical group C1(NCCC2CCCC=C12)* 0.000 description 1
- 239000004006 olive oil Substances 0.000 description 1
- 235000008390 olive oil Nutrition 0.000 description 1
- 230000005868 ontogenesis Effects 0.000 description 1
- 238000011017 operating method Methods 0.000 description 1
- 239000006186 oral dosage form Substances 0.000 description 1
- 229940041672 oral gel Drugs 0.000 description 1
- 239000001048 orange dye Substances 0.000 description 1
- 210000000056 organ Anatomy 0.000 description 1
- 125000001715 oxadiazolyl group Chemical group 0.000 description 1
- QNNHQVPFZIFNFK-UHFFFAOYSA-N oxazolo[4,5-b]pyridine Chemical compound C1=CC=C2OC=NC2=N1 QNNHQVPFZIFNFK-UHFFFAOYSA-N 0.000 description 1
- 125000002971 oxazolyl group Chemical group 0.000 description 1
- 125000003566 oxetanyl group Chemical group 0.000 description 1
- 125000004095 oxindolyl group Chemical group N1(C(CC2=CC=CC=C12)=O)* 0.000 description 1
- 125000000466 oxiranyl group Chemical group 0.000 description 1
- 125000004430 oxygen atom Chemical group O* 0.000 description 1
- NXJCBFBQEVOTOW-UHFFFAOYSA-L palladium(2+);dihydroxide Chemical compound O[Pd]O NXJCBFBQEVOTOW-UHFFFAOYSA-L 0.000 description 1
- 230000036961 partial effect Effects 0.000 description 1
- 239000006072 paste Substances 0.000 description 1
- 235000021400 peanut butter Nutrition 0.000 description 1
- 235000010987 pectin Nutrition 0.000 description 1
- 239000001814 pectin Substances 0.000 description 1
- 229920001277 pectin Polymers 0.000 description 1
- 239000008188 pellet Substances 0.000 description 1
- 125000002255 pentenyl group Chemical group C(=CCCC)* 0.000 description 1
- 125000005981 pentynyl group Chemical group 0.000 description 1
- 230000000144 pharmacologic effect Effects 0.000 description 1
- 125000004934 phenanthridinyl group Chemical group C1(=CC=CC2=NC=C3C=CC=CC3=C12)* 0.000 description 1
- 125000004625 phenanthrolinyl group Chemical group N1=C(C=CC2=CC=C3C=CC=NC3=C12)* 0.000 description 1
- 125000001791 phenazinyl group Chemical group C1(=CC=CC2=NC3=CC=CC=C3N=C12)* 0.000 description 1
- 125000001484 phenothiazinyl group Chemical group C1(=CC=CC=2SC3=CC=CC=C3NC12)* 0.000 description 1
- 125000004932 phenoxathinyl group Chemical group 0.000 description 1
- 125000001644 phenoxazinyl group Chemical group C1(=CC=CC=2OC3=CC=CC=C3NC12)* 0.000 description 1
- 239000008363 phosphate buffer Substances 0.000 description 1
- 150000004713 phosphodiesters Chemical class 0.000 description 1
- 125000004592 phthalazinyl group Chemical group C1(=NN=CC2=CC=CC=C12)* 0.000 description 1
- 125000004928 piperidonyl group Chemical group 0.000 description 1
- 229960005235 piperonyl butoxide Drugs 0.000 description 1
- 125000004591 piperonyl group Chemical group C(C1=CC=2OCOC2C=C1)* 0.000 description 1
- 229920000058 polyacrylate Polymers 0.000 description 1
- 102000054765 polymorphisms of proteins Human genes 0.000 description 1
- 229920001155 polypropylene Polymers 0.000 description 1
- 229920000136 polysorbate Polymers 0.000 description 1
- 239000004810 polytetrafluoroethylene Substances 0.000 description 1
- 229920001343 polytetrafluoroethylene Polymers 0.000 description 1
- 235000013809 polyvinylpolypyrrolidone Nutrition 0.000 description 1
- 229920000523 polyvinylpolypyrrolidone Polymers 0.000 description 1
- 229910000027 potassium carbonate Inorganic materials 0.000 description 1
- 239000004304 potassium nitrite Substances 0.000 description 1
- 159000000001 potassium salts Chemical class 0.000 description 1
- 239000004302 potassium sorbate Substances 0.000 description 1
- 235000010241 potassium sorbate Nutrition 0.000 description 1
- 229940069338 potassium sorbate Drugs 0.000 description 1
- 238000012545 processing Methods 0.000 description 1
- VVWRJUBEIPHGQF-UHFFFAOYSA-N propan-2-yl n-propan-2-yloxycarbonyliminocarbamate Chemical compound CC(C)OC(=O)N=NC(=O)OC(C)C VVWRJUBEIPHGQF-UHFFFAOYSA-N 0.000 description 1
- 125000004368 propenyl group Chemical group C(=CC)* 0.000 description 1
- 239000004405 propyl p-hydroxybenzoate Substances 0.000 description 1
- 235000010232 propyl p-hydroxybenzoate Nutrition 0.000 description 1
- 229960003415 propylparaben Drugs 0.000 description 1
- 125000002568 propynyl group Chemical group [*]C#CC([H])([H])[H] 0.000 description 1
- 230000001681 protective effect Effects 0.000 description 1
- 239000012460 protein solution Substances 0.000 description 1
- 238000000425 proton nuclear magnetic resonance spectrum Methods 0.000 description 1
- 125000001042 pteridinyl group Chemical group N1=C(N=CC2=NC=CN=C12)* 0.000 description 1
- 238000010926 purge Methods 0.000 description 1
- 239000008213 purified water Substances 0.000 description 1
- 125000000561 purinyl group Chemical group N1=C(N=C2N=CNC2=C1)* 0.000 description 1
- 125000003373 pyrazinyl group Chemical group 0.000 description 1
- 125000002755 pyrazolinyl group Chemical group 0.000 description 1
- 125000003226 pyrazolyl group Chemical group 0.000 description 1
- 125000002098 pyridazinyl group Chemical group 0.000 description 1
- 125000001422 pyrrolinyl group Chemical group 0.000 description 1
- 125000000168 pyrrolyl group Chemical group 0.000 description 1
- 238000011002 quantification Methods 0.000 description 1
- 150000003242 quaternary ammonium salts Chemical class 0.000 description 1
- 125000002294 quinazolinyl group Chemical group N1=C(N=CC2=CC=CC=C12)* 0.000 description 1
- 125000002943 quinolinyl group Chemical group N1=C(C=CC2=CC=CC=C12)* 0.000 description 1
- 125000001567 quinoxalinyl group Chemical group N1=C(C=NC2=CC=CC=C12)* 0.000 description 1
- 125000004621 quinuclidinyl group Chemical group N12C(CC(CC1)CC2)* 0.000 description 1
- HELXLJCILKEWJH-NCGAPWICSA-N rebaudioside A Chemical compound O([C@H]1[C@H](O)[C@@H](CO)O[C@H]([C@@H]1O[C@H]1[C@@H]([C@@H](O)[C@H](O)[C@@H](CO)O1)O)O[C@]12C(=C)C[C@@]3(C1)CC[C@@H]1[C@@](C)(CCC[C@]1([C@@H]3CC2)C)C(=O)O[C@H]1[C@@H]([C@@H](O)[C@H](O)[C@@H](CO)O1)O)[C@@H]1O[C@H](CO)[C@@H](O)[C@H](O)[C@H]1O HELXLJCILKEWJH-NCGAPWICSA-N 0.000 description 1
- 238000011084 recovery Methods 0.000 description 1
- 238000001953 recrystallisation Methods 0.000 description 1
- 230000000306 recurrent effect Effects 0.000 description 1
- 230000002829 reductive effect Effects 0.000 description 1
- 230000028617 response to DNA damage stimulus Effects 0.000 description 1
- 238000012552 review Methods 0.000 description 1
- 238000007363 ring formation reaction Methods 0.000 description 1
- 230000000630 rising effect Effects 0.000 description 1
- 125000002914 sec-butyl group Chemical group [H]C([H])([H])C([H])([H])C([H])(*)C([H])([H])[H] 0.000 description 1
- XGVXKJKTISMIOW-ZDUSSCGKSA-N simurosertib Chemical compound N1N=CC(C=2SC=3C(=O)NC(=NC=3C=2)[C@H]2N3CCC(CC3)C2)=C1C XGVXKJKTISMIOW-ZDUSSCGKSA-N 0.000 description 1
- 229910052708 sodium Inorganic materials 0.000 description 1
- 235000015424 sodium Nutrition 0.000 description 1
- 235000010413 sodium alginate Nutrition 0.000 description 1
- 239000000661 sodium alginate Substances 0.000 description 1
- 229940005550 sodium alginate Drugs 0.000 description 1
- DVQHRBFGRZHMSR-UHFFFAOYSA-N sodium methyl 2,2-dimethyl-4,6-dioxo-5-(N-prop-2-enoxy-C-propylcarbonimidoyl)cyclohexane-1-carboxylate Chemical compound [Na+].C=CCON=C(CCC)[C-]1C(=O)CC(C)(C)C(C(=O)OC)C1=O DVQHRBFGRZHMSR-UHFFFAOYSA-N 0.000 description 1
- 159000000000 sodium salts Chemical class 0.000 description 1
- 229940045902 sodium stearyl fumarate Drugs 0.000 description 1
- 210000000952 spleen Anatomy 0.000 description 1
- 230000002269 spontaneous effect Effects 0.000 description 1
- 239000003381 stabilizer Substances 0.000 description 1
- 239000008117 stearic acid Substances 0.000 description 1
- 239000012089 stop solution Substances 0.000 description 1
- 238000006467 substitution reaction Methods 0.000 description 1
- 229960004793 sucrose Drugs 0.000 description 1
- 235000000346 sugar Nutrition 0.000 description 1
- 150000005846 sugar alcohols Chemical class 0.000 description 1
- 239000007940 sugar coated tablet Substances 0.000 description 1
- 125000004434 sulfur atom Chemical group 0.000 description 1
- 239000004094 surface-active agent Substances 0.000 description 1
- 238000013269 sustained drug release Methods 0.000 description 1
- 230000002459 sustained effect Effects 0.000 description 1
- 230000009747 swallowing Effects 0.000 description 1
- 239000006068 taste-masking agent Substances 0.000 description 1
- 238000003419 tautomerization reaction Methods 0.000 description 1
- LMBFAGIMSUYTBN-MPZNNTNKSA-N teixobactin Chemical compound C([C@H](C(=O)N[C@@H]([C@@H](C)CC)C(=O)N[C@@H](CO)C(=O)N[C@H](CCC(N)=O)C(=O)N[C@H]([C@@H](C)CC)C(=O)N[C@@H]([C@@H](C)CC)C(=O)N[C@@H](CO)C(=O)N[C@H]1C(N[C@@H](C)C(=O)N[C@@H](C[C@@H]2NC(=N)NC2)C(=O)N[C@H](C(=O)O[C@H]1C)[C@@H](C)CC)=O)NC)C1=CC=CC=C1 LMBFAGIMSUYTBN-MPZNNTNKSA-N 0.000 description 1
- 125000000999 tert-butyl group Chemical group [H]C([H])([H])C(*)(C([H])([H])[H])C([H])([H])[H] 0.000 description 1
- ILMRJRBKQSSXGY-UHFFFAOYSA-N tert-butyl(dimethyl)silicon Chemical group C[Si](C)C(C)(C)C ILMRJRBKQSSXGY-UHFFFAOYSA-N 0.000 description 1
- YLQBMQCUIZJEEH-UHFFFAOYSA-N tetrahydrofuran Natural products C=1C=COC=1 YLQBMQCUIZJEEH-UHFFFAOYSA-N 0.000 description 1
- 125000003039 tetrahydroisoquinolinyl group Chemical group C1(NCCC2=CC=CC=C12)* 0.000 description 1
- 125000001412 tetrahydropyranyl group Chemical group 0.000 description 1
- 125000000147 tetrahydroquinolinyl group Chemical group N1(CCCC2=CC=CC=C12)* 0.000 description 1
- RAOIDOHSFRTOEL-UHFFFAOYSA-N tetrahydrothiophene Chemical compound C1CCSC1 RAOIDOHSFRTOEL-UHFFFAOYSA-N 0.000 description 1
- 150000003536 tetrazoles Chemical class 0.000 description 1
- 125000003831 tetrazolyl group Chemical group 0.000 description 1
- 125000004627 thianthrenyl group Chemical group C1(=CC=CC=2SC3=CC=CC=C3SC12)* 0.000 description 1
- 125000000335 thiazolyl group Chemical group 0.000 description 1
- 125000002053 thietanyl group Chemical group 0.000 description 1
- 230000036962 time dependent Effects 0.000 description 1
- 238000004448 titration Methods 0.000 description 1
- 238000011200 topical administration Methods 0.000 description 1
- 230000000699 topical effect Effects 0.000 description 1
- 231100000331 toxic Toxicity 0.000 description 1
- 230000002588 toxic effect Effects 0.000 description 1
- 238000012546 transfer Methods 0.000 description 1
- 230000009261 transgenic effect Effects 0.000 description 1
- 230000014616 translation Effects 0.000 description 1
- 229960002622 triacetin Drugs 0.000 description 1
- 125000004306 triazinyl group Chemical group 0.000 description 1
- 125000005310 triazolidinyl group Chemical group N1(NNCC1)* 0.000 description 1
- UFTFJSFQGQCHQW-UHFFFAOYSA-N triformin Chemical compound O=COCC(OC=O)COC=O UFTFJSFQGQCHQW-UHFFFAOYSA-N 0.000 description 1
- PXFLCAQHOZXYED-UHFFFAOYSA-N tripyrrolidin-1-ylphosphane Chemical compound C1CCCN1P(N1CCCC1)N1CCCC1 PXFLCAQHOZXYED-UHFFFAOYSA-N 0.000 description 1
- 229910052722 tritium Inorganic materials 0.000 description 1
- 230000004614 tumor growth Effects 0.000 description 1
- 238000002255 vaccination Methods 0.000 description 1
- 210000005166 vasculature Anatomy 0.000 description 1
- 235000013311 vegetables Nutrition 0.000 description 1
- 230000003612 virological effect Effects 0.000 description 1
- 239000001993 wax Substances 0.000 description 1
- 230000003442 weekly effect Effects 0.000 description 1
- 238000005550 wet granulation Methods 0.000 description 1
- 239000000080 wetting agent Substances 0.000 description 1
- 210000002268 wool Anatomy 0.000 description 1
- 125000001834 xanthenyl group Chemical group C1=CC=CC=2OC3=CC=CC=C3C(C12)* 0.000 description 1
- 150000003751 zinc Chemical class 0.000 description 1
- OENHQHLEOONYIE-JLTXGRSLSA-N β-Carotene Chemical compound CC=1CCCC(C)(C)C=1\C=C\C(\C)=C\C=C\C(\C)=C\C=C\C=C(/C)\C=C\C=C(/C)\C=C\C1=C(C)CCCC1(C)C OENHQHLEOONYIE-JLTXGRSLSA-N 0.000 description 1
Images
Classifications
-
- C—CHEMISTRY; METALLURGY
- C07—ORGANIC CHEMISTRY
- C07H—SUGARS; DERIVATIVES THEREOF; NUCLEOSIDES; NUCLEOTIDES; NUCLEIC ACIDS
- C07H19/00—Compounds containing a hetero ring sharing one ring hetero atom with a saccharide radical; Nucleosides; Mononucleotides; Anhydro-derivatives thereof
- C07H19/02—Compounds containing a hetero ring sharing one ring hetero atom with a saccharide radical; Nucleosides; Mononucleotides; Anhydro-derivatives thereof sharing nitrogen
- C07H19/04—Heterocyclic radicals containing only nitrogen atoms as ring hetero atom
- C07H19/16—Purine radicals
- C07H19/20—Purine radicals with the saccharide radical esterified by phosphoric or polyphosphoric acids
- C07H19/213—Purine radicals with the saccharide radical esterified by phosphoric or polyphosphoric acids containing cyclic phosphate
-
- C—CHEMISTRY; METALLURGY
- C07—ORGANIC CHEMISTRY
- C07H—SUGARS; DERIVATIVES THEREOF; NUCLEOSIDES; NUCLEOTIDES; NUCLEIC ACIDS
- C07H21/00—Compounds containing two or more mononucleotide units having separate phosphate or polyphosphate groups linked by saccharide radicals of nucleoside groups, e.g. nucleic acids
- C07H21/02—Compounds containing two or more mononucleotide units having separate phosphate or polyphosphate groups linked by saccharide radicals of nucleoside groups, e.g. nucleic acids with ribosyl as saccharide radical
-
- A—HUMAN NECESSITIES
- A61—MEDICAL OR VETERINARY SCIENCE; HYGIENE
- A61K—PREPARATIONS FOR MEDICAL, DENTAL OR TOILETRY PURPOSES
- A61K31/00—Medicinal preparations containing organic active ingredients
- A61K31/70—Carbohydrates; Sugars; Derivatives thereof
- A61K31/7084—Compounds having two nucleosides or nucleotides, e.g. nicotinamide-adenine dinucleotide, flavine-adenine dinucleotide
-
- A—HUMAN NECESSITIES
- A61—MEDICAL OR VETERINARY SCIENCE; HYGIENE
- A61P—SPECIFIC THERAPEUTIC ACTIVITY OF CHEMICAL COMPOUNDS OR MEDICINAL PREPARATIONS
- A61P31/00—Antiinfectives, i.e. antibiotics, antiseptics, chemotherapeutics
- A61P31/04—Antibacterial agents
-
- A—HUMAN NECESSITIES
- A61—MEDICAL OR VETERINARY SCIENCE; HYGIENE
- A61P—SPECIFIC THERAPEUTIC ACTIVITY OF CHEMICAL COMPOUNDS OR MEDICINAL PREPARATIONS
- A61P35/00—Antineoplastic agents
-
- A—HUMAN NECESSITIES
- A61—MEDICAL OR VETERINARY SCIENCE; HYGIENE
- A61P—SPECIFIC THERAPEUTIC ACTIVITY OF CHEMICAL COMPOUNDS OR MEDICINAL PREPARATIONS
- A61P35/00—Antineoplastic agents
- A61P35/02—Antineoplastic agents specific for leukemia
-
- A—HUMAN NECESSITIES
- A61—MEDICAL OR VETERINARY SCIENCE; HYGIENE
- A61P—SPECIFIC THERAPEUTIC ACTIVITY OF CHEMICAL COMPOUNDS OR MEDICINAL PREPARATIONS
- A61P35/00—Antineoplastic agents
- A61P35/04—Antineoplastic agents specific for metastasis
-
- A—HUMAN NECESSITIES
- A61—MEDICAL OR VETERINARY SCIENCE; HYGIENE
- A61P—SPECIFIC THERAPEUTIC ACTIVITY OF CHEMICAL COMPOUNDS OR MEDICINAL PREPARATIONS
- A61P37/00—Drugs for immunological or allergic disorders
- A61P37/02—Immunomodulators
- A61P37/04—Immunostimulants
-
- C—CHEMISTRY; METALLURGY
- C07—ORGANIC CHEMISTRY
- C07F—ACYCLIC, CARBOCYCLIC OR HETEROCYCLIC COMPOUNDS CONTAINING ELEMENTS OTHER THAN CARBON, HYDROGEN, HALOGEN, OXYGEN, NITROGEN, SULFUR, SELENIUM OR TELLURIUM
- C07F9/00—Compounds containing elements of Groups 5 or 15 of the Periodic Table
- C07F9/02—Phosphorus compounds
- C07F9/547—Heterocyclic compounds, e.g. containing phosphorus as a ring hetero atom
- C07F9/6564—Heterocyclic compounds, e.g. containing phosphorus as a ring hetero atom having phosphorus atoms, with or without nitrogen, oxygen, sulfur, selenium or tellurium atoms, as ring hetero atoms
- C07F9/6581—Heterocyclic compounds, e.g. containing phosphorus as a ring hetero atom having phosphorus atoms, with or without nitrogen, oxygen, sulfur, selenium or tellurium atoms, as ring hetero atoms having phosphorus and nitrogen atoms with or without oxygen or sulfur atoms, as ring hetero atoms
- C07F9/6587—Heterocyclic compounds, e.g. containing phosphorus as a ring hetero atom having phosphorus atoms, with or without nitrogen, oxygen, sulfur, selenium or tellurium atoms, as ring hetero atoms having phosphorus and nitrogen atoms with or without oxygen or sulfur atoms, as ring hetero atoms having two phosphorus atoms as ring hetero atoms in the same ring
-
- C—CHEMISTRY; METALLURGY
- C07—ORGANIC CHEMISTRY
- C07H—SUGARS; DERIVATIVES THEREOF; NUCLEOSIDES; NUCLEOTIDES; NUCLEIC ACIDS
- C07H21/00—Compounds containing two or more mononucleotide units having separate phosphate or polyphosphate groups linked by saccharide radicals of nucleoside groups, e.g. nucleic acids
-
- C—CHEMISTRY; METALLURGY
- C07—ORGANIC CHEMISTRY
- C07B—GENERAL METHODS OF ORGANIC CHEMISTRY; APPARATUS THEREFOR
- C07B2200/00—Indexing scheme relating to specific properties of organic compounds
- C07B2200/07—Optical isomers
Definitions
- STING (stimulator of interferon genes) is a signaling molecule in the innate response to dsDNA in the cytosol. STING deletion has been reported in multiple human cancers. In addition, deregulation of STING signaling in human cancers also has been reported in melanoma (Xia T, et al., “Recurrent Loss of STING Signaling in Melanoma Correlates with Susceptibility to Viral Oncolysis” Cancer Res. 2016) and colon cancer. (Xia T, et al., “Deregulation of STING Signaling in Colorectal Carcinoma Constrains DNA Damage Responses and Correlates With Tumorigenesis” Cell Rep. 2016; 14:282-97).
- Embodiments may provide a compound of Formula (III):
- R 1a is selected from the group consisting of —H, halogen, —C 1-6 alkyl, —N 3 , —CH 2 R 2a , —NHR 2a , or —OR 2a ;
- R 2a is selected from the group consisting of —H, —C 1-6 -alkyl, or R 2a and R 3 are connected and together represent —CH 2 —, —CH 2 CH 2 —, —CH(CH 2 Y 1 )—, or —CH 2 CH(CH 2 Y 1 )—;
- Y 1 is selected from the group consisting of —H; —OH optionally substituted with —C 1-3 alkyl; —NH 2 optionally substituted with C 1-3 alkyl; allyl optionally substituted with (i) —OH, (ii) —OCH 3 , (iii) C 1-3 alkyl, or (iv) halogen; vinyl, optionally substituted with
- X 10 , X 1i , X 12 , X 13 , X 14 , and X 15 are independently selected from a bond; —O—; —NH—; —S—; —C(O)—; —CH—, optionally substituted by (i) (ii) —OH, or (iii) —OCH 3 ; and —CH 2 —, optionally substituted by (i) (ii) —OH, (iii) or —OCH 3 ; and wherein any two adjacent or three contiguous members of the group including X 10 , X 11 , X 12 , X 13 , X 14 , and X 15 may optionally form, with additional atoms, a C 3-6 cycloalkyl, optionally substituted with one or more of (i) C 1-3 alkyl, (ii) —OH, or (iii) —OMe; C 5-6 cycloaryl, optionally substituted with one
- X 16 is selected from the group consisting of —CH 2 —, —O—, —NH—, —S—, and —C(O)—, optionally substituted with C 1-3 alkyl, —OH, or —OCH 3 ; wherein R 13 , R 14 , R 15 , R 16 , and R 17 , when present, are independently selected from the group consisting of —H, —F, —Cl, —I, —Br, —OH, —SH, —NH 2 , C 1-3 alkyl, C 3-6 cycloalkyl, —O(C 1-3 alkyl), —O(C 3-6 cycloalkyl), —S(C 1-3 alkyl), —S(C 3-6 cycloalkyl), —NH(C 1-3 alkyl), —NH(C 3-6 cycloalkyl), —N(C 1-3 alkyl) 2 , and —N(C 3-6 cyclo
- R 23 and R 24 are the same or different and are selected from the group consisting of —H and —C 1-3 alkyl.
- R 1a is selected from the group consisting of —H, halogen, —C 1-6 alkyl, —N 3 , —CH 2 R 2a , —NHR 2a , or —OR 2a ;
- R ea is selected from the group consisting of —H and —C 1-6 -alkyl;
- R 1b is selected from the group consisting of —H, halogen, —C 1-6 alkyl, —OR 2b , —NHR 2b , or, with R 11 , forms C 4-6 cycloalkyl or C 4-6 heterocycloalkyl;
- R 2b is selected from the group consisting of —H, or —C 1-6 alkyl;
- R 3 is —H; —F; —C 1-6 alkyl, optionally substituted by (i) C 1-3 alkyl, (ii) —OH, (iii) halogen, or (iv) —OCH 3
- X 10 , X 11 , X 12 , X 13 X 14 , and X 15 are independently selected from a bond; —O—; —NH—; —S—; —C(O)—; —CH—, optionally substituted by (i) C 1 -C 3 alkyl, (ii) —OH, or (iii) —OCH 3 ; and —CH 2 —, optionally substituted by (i) C 1-3 alkyl, (ii) —OH, (iii) or —OCH 3 ; and wherein any two adjacent or three contiguous members of the group including X 10 , X 11 , X 12 , X 13 , X 14 , and X 15 may optionally form, with additional atoms, a C 3-6 cycloalkyl, optionally substituted with one or more of (i) C 1-3 alkyl, (ii) —OH, or (iii) —OMe; C
- X 16 is selected from the group consisting of —CH2-, —O—, —NH—, —S—, and —C(O)—, optionally substituted with C 1-3 alkyl, —OH, or —OCH 3 ; wherein R 13 , R 14 , R 15 , R 16 , and R 17 , when present, are independently selected from the group consisting of —H, —F, —Cl, —I, —Br, —OH, —SH, —NH 2 , C 1-3 alkyl, C 3-6 cycloalkyl, —O(C 1-3 alkyl), —O(C 3-6 cycloalkyl), —S(C 1-3 alkyl), —S(C 3-6 cycloalkyl), —NH(C 1-3 alkyl), —NH(C 3-6 cycloalkyl), —NH(C 1-3 alkyl), —NH(C 3-6 cycloalkyl), —
- R 23 and R 24 are the same or different and are selected from the group consisting of —H and —C 1-3 alkyl.
- R 1a is selected from the group consisting of —H, halogen, —C 1-6 alkyl, —N 3 , —CH 2 R 2a , —NHR 2a , or —OR 2a ;
- R ea is selected from the group consisting of —H and —C 1-6 -alkyl;
- R 1b is selected from the group consisting of —H, halogen, —C 1-6 alkyl, —OR 2b , —NHR 2b , or, with R 11 , forms C 4-6 cycloalkyl or C 4-6 heterocycloalkyl;
- R 2b is selected from the group consisting of —H, or —C 1-6 alkyl;
- R 3 is —H; —F; —C 1-6 alkyl, optionally substituted by (i) C 1-3 alkyl, (ii) —OH, (iii) halogen, or (iv) —OCH 3
- X 10 , X 11 , X 12 , X 13 , X 14 , and X 15 are independently selected from a bond; —O—; —NH—; —S—; —C(O)—; —CH—, optionally substituted by (i) C 1 -C 3 alkyl, (ii) —OH, or (iii) —OCH 3 ; and —CH 2 —, optionally substituted by (i) C 1-3 alkyl, (ii) —OH, (iii) or —OCH 3 ; and wherein any two adjacent or three contiguous members of the group including X 10 , X 1i , X 12 , X 13 , X 14 , and X 15 may form, optionally with additional atoms, a C 3-6 cycloalkyl, optionally substituted with one or more of (i) C 1-3 alkyl, (ii) —OH, or (iii) —OM
- X 16 is selected from the group consisting of —CH2-, —O—, —NH—, —S—, and —C(O)—, optionally substituted with C 1-3 alkyl, —OH, or —OCH 3 ; wherein R 13 , R 14 , R 15 , R 16 , and R 17 , when present, are independently selected from the group consisting of —H, —F, —Cl, —I, —Br, —OH, —SH, —NH 2 , C 1-3 alkyl, C 3-6 cycloalkyl, —O(C 1-3 alkyl), —O(C 3-6 cycloalkyl), —S(C 1-3 alkyl), —S(C 3-6 cycloalkyl), —NH(C 1-3 alkyl), —NH(C 3-6 cycloalkyl), —NH(C 1-3 alkyl), —NH(C 3-6 cycloalkyl), —
- R 23 and R 24 are the same or different and are selected from the group consisting of —H and —C 1-3 alkyl.
- the pharmaceutically acceptable salt is a diammonium salt.
- X 1b and X 2b are —SH.
- R 4a is —F
- R 4b , R 12 , and R 6 are —H.
- R 4b is —F, and R 4a , R 12 , and R 6 are —H.
- R 12 is —F, and R 4a , R 4b , and R 6 are —H.
- R 6 is —F, and R 4a , R 4b , and R 12 are —H.
- R 1a is —F
- R 3 , R 1b , and R 11 are —H.
- R 3 is —F, and R 1a , R 1b , and R 11 are —H.
- R 1b is —F, and R 1a , R 3 , and R 11 are —H.
- R 11 is —F, and R 1a , R 1b , and R 3 are —H.
- X 1a and X 2a are both ⁇ O.
- B 1 and B 2 are both
- X 7 and X 8 are both O.
- L 1 is
- X 1a is S
- X 1b is —SH
- X 2a is S
- X 2b is —SH
- Z 1 and Z 2 are both —O—.
- X 17 and X 1g are both —O—.
- Z 1 , Z 2 , X 17 , and X 1g are each —O—.
- R 25 and R 1g are both —H.
- Embodiments may provide a compound or pharmaceutically acceptable salt with one or more of (i) an EC 50 value below 100 micromolar in a cell reporter assay expressing STING HAQ genetic variant; (ii) an EC 50 value below 100 micromolar in reporter cells expressing human STING AQ variant; (iii) an EC 50 value below 100 micromolar in reporter cells expressing human STING WT variant; and (iv) an EC 50 value below 100 micromolar in reporter cells expressing human STING REF variant.
- Embodiments may provide a pharmaceutical composition comprising a compound or pharmaceutically acceptable salt as reported herein and a pharmaceutically acceptable excipient.
- Embodiments may provide a method of treating cancer, comprising administering to a patient an effective amount of a pharmaceutical composition as reported herein.
- Embodiments may further provide mixtures of compounds as reported herein, including mixtures of stereoisomers of these compounds.
- a mixture may be provided of Compound 11 and Compound 12, or a mixture may be provided of Compound 2 and Compound 4.
- these are not limiting examples and other mixtures are possible.
- a compound as reported herein is provided as a free acid.
- the compound is provided as an NH 4 salt. In other embodiments it is a bis-TEA salt.
- Embodiments may provide a method of treating cancer in a patient in need thereof, including administering to the patient a therapeutically effective amount of a compound as reported herein or a pharmaceutically acceptable salt thereof, as recited above.
- the compound is administered as a free acid. In some embodiments, the compound is administered as a diammonium salt (NH 4 ).
- Pharmaceutical compositions including a compound as reported herein, or a pharmaceutically acceptable salt thereof, as well as a pharmaceutically acceptable excipient, are contemplated. Embodiments may provide a compound according to Formula I in which n is 1; geometry about the double bond is trans; X 1 and X 2 are each SH; stereochemistry at P 1 is S; and stereochemistry at P 2 is R; or a pharmaceutically acceptable salt thereof.
- Embodiments may provide a method of treating cancer in a patient comprising administering to said patient a compound or pharmaceutically acceptable salt thereof, or a pharmaceutical composition, as reported herein.
- Cancers treated as reported herein may be metastatic cancers. They may be selected from, for example, melanoma, colorectal cancer, breast cancer, acute myeloid leukemia, colon cancer, liver cancer, and glioma. Uses of compounds, salts, and pharmaceutical compositions for treatment of cancer and/or preparation of a medicament for treatment of cancer are also contemplated.
- Embodiments may provide a method of treating cancer including identifying an individual having a cancer treatable by a compound, pharmaceutically acceptable salt, or pharmaceutical composition as reported herein, and administering to the individual a compound, pharmaceutically acceptable salt, or pharmaceutical composition by which the patient has been identified as treatable.
- the individual is identified as having a cancer treatable by a compound, pharmaceutically acceptable salt, or pharmaceutical composition as reported herein by presence of a human REF STING variant allele in the patient.
- Embodiments may provide a method of treating cancer in a patient having REF STING allele comprising administering to said patient a compound or pharmaceutically acceptable salt thereof, or pharmaceutical composition as reported herein.
- Embodiments may provide a method of treating cancer in a patient having WT STING allele comprising administering to said patient a compound or pharmaceutically acceptable salt thereof, or pharmaceutical composition as reported herein.
- Embodiments may provide a method of treating cancer in a patient having AQ STING allele comprising administering to said patient a compound or pharmaceutically acceptable salt thereof, or pharmaceutical composition as reported herein.
- Embodiments may provide a method of treating cancer in a patient having HAQ STING allele comprising administering to said patient a compound or pharmaceutically acceptable salt thereof, or pharmaceutical composition as reported herein.
- Embodiments may relate to C 4 -C 6 linkers that may be covalently bound at either end to purine or pyrimidine bases that form part of a cyclic dinucleotide.
- the linkers are butene, pentene or hexene linkers bound at either end to purine bases.
- the linkers are butene linkers bound at either end to purine bases; in another embodiment, the linkers are transbutene linkers with the double bond located between the center two carbons.
- a 1 and A 2 are sugar moieties and may be the same or different;
- B 3 and B 4 are purine or pyrimidine bases that may be the same or different and that form nucleotides with, respectively, A 1 and A 2 ;
- L is a alkyl linker
- X 19 and X 20 are the same or different and are selected from the group consisting of —O—, —CH—, —NH—, and —S—, wherein —CH— and —NH— may be substituted or unsubstituted.
- a 1 , A 2 , B 3 , and B 4 may be further substituted with, for example, hydroxyl, halogen, or methoxy.
- Each phosphorous in Formula (X) may be substituted, for example, with —SH, —OH, ⁇ O, or ⁇ S until its valence has been satisfied.
- cyclic dinucleotide analogs that may benefit from linkers of the present invention include but are not limited to those identified in US 2014/0205653 A1; US 2014/0329889 A1; US 2014/0341976 A1; US 2015/0056224 A1; US 2016/0362441 A1; US 2017/0158724 A1; US 2017/044206 A1; U.S. Pat. Nos.
- FIG. 1 shows a synthesis of Compound 1a and Compound 2a.
- FIG. 2A and FIG. 2B show an alternate synthesis of Compound 1 and Compound 1a. That alternate synthesis is also shown in FIG. 2C .
- FIG. 3 shows an 1 H NMR spectrograph for Compound 1.
- FIG. 4A , FIG. 4B , and FIG. 4C show X-ray crystallography results (ORTEP drawings) for, respectively, an asymmetric crystal of Compound 1, a first molecule from the asymmetric crystal, and a second molecule from the asymmetric crystal.
- FIG. 4D shows X-Ray crystallography results (ORTEP drawing) for a crystal of Compound 2.
- FIG. 5A and FIG. 5B shows a synthesis route for Compounds 18, 19, and 20.
- FIG. 6 shows an expression vector map for WT STING (pLenti-WT human STING-Puro).
- FIG. 7 and FIG. 8 accompany Example 108 and show curative activity of Compound 1a in a CT26 dual tumor model.
- FIG. 9 accompanies Example 109 and shows a tumor volume plot for treated tumors and survival curve.
- FIG. 10 accompanies Example 110 and shows a tumor volume plot for treated tumors and survival curve.
- FIG. 11 shows a picture of the X-ray crystal structure of human WT STING in complex with Compound 1.
- FIG. 12 shows human REF STING C-terminal Domain in complex with Compound 1.
- FIG. 13 shows an example of synthesis of Compound 38 and Compound 39.
- the compounds may activate stimulator of interferon genes (STING).
- the compound is provided as a free acid. In some embodiments, the compound is provided as, for example, an NH 4 salt or TEA salt. Reference to a compound number followed by an “a” will indicate a diammonium salt of the given compound. For example, “Compound 1a” refers to the diammonium salt of Compound 1.
- Embodiments may provide a method of treating cancer in a patient in need thereof, including administering to the patient a therapeutically effective amount of a Compound of Formula I, Formula II, Formula III, Formula IV, or Formula V, or pharmaceutically acceptable salt thereof.
- the compound is administered as a free acid. In some embodiments, the compound is administered as, for example, a diammonium salt (NH 4 ).
- Pharmaceutical compositions for treating cancer may also be provided including a compound reported herein or a pharmaceutically acceptable salt thereof, as well as a pharmaceutically acceptable excipient.
- Embodiments as reported herein may be used to treat cancer or to prepare medicaments useful for treatment of cancer.
- “Cancer” may include, but is not limited to, colon cancer, liver cancer, melanoma, colorectal cancer, breast cancer, acute myeloid leukemia, and glioma.
- the compound selected from the group consisting of the compounds reported herein is provided as a free acid or a pharmaceutically acceptable salt thereof. In some embodiments, the compound selected from the group consisting of the compounds reported herein is provided as an NH 4 salt, which may be a diammonium salt.
- C 1-6 alkyl or “C 1 -C 6 ” alkyl is intended to include C 1 , C 2 , C 3 , C 4 , C 5 or C 6 straight chain (linear) saturated aliphatic hydrocarbon groups and C 3 , C 4 , C 5 or C 6 branched saturated aliphatic hydrocarbon groups.
- C 1-6 alkyl is intended to include C 1 , C 2 , C 3 , C 4 , C 5 and C 6 alkyl groups.
- alkyl examples include moieties having from one to six carbon atoms, such as, but not limited to, methyl, ethyl, n-propyl, i-propyl, n-butyl, s-butyl, t-butyl, n-pentyl, s-pentyl or n-hexyl.
- C1-3alkyl or “C1-C3alkyl” is intended to include C 1 , C 2 , or C 3 straight chain (linear) saturated aliphatic hydrocarbon groups and C 3 branched saturated aliphatic hydrocarbon groups.
- C 3-6 cycloalkyl or “C 3 -C 6 cycloalkyl” refers to a saturated or unsaturated nonaromatic hydrocarbon ring having 3 to 6 carbon atoms (e.g., C 3 -C 6 ).
- Examples of cycloalkyl include, but are not limited to, cyclopropyl, cyclobutyl, cyclopentyl, cyclohexyl, cycloheptyl, cyclopentenyl, and cyclohexenyl.
- C 5-6 cycloalkyl or “C 5 -C 6 cycloalkyl” refers to a saturated or unsaturated nonaromatic hydrocarbon ring having 5 or 6 carbon atoms (e.g., C 5 -C 6 ).
- C 5-6 heterocycloalkyl or “C 5 -C 6 heterocycloalkyl” refers to a saturated or unsaturated nonaromatic 5-6 membered monocyclic having one or more heteroatoms (such as O, N, or S), unless specified otherwise.
- C 4-6 heterocycloalkyl or “C 4 -C 6 heterocycloalkyl” refers to a saturated or unsaturated nonaromatic 4-6 membered monocyclic having one or more heteroatoms (such as O, N, or S), unless specified otherwise.
- heterocycloalkyl groups include, but are not limited to, piperidinyl, piperazinyl, pyrrolidinyl, dioxanyl, tetrahydrofuranyl, isoindolinyl, indolinyl, imidazolidinyl, pyrazolidinyl, oxazolidinyl, isoxazolidinyl, triazolidinyl, oxiranyl, azetidinyl, oxetanyl, thietanyl, 1,2,3,6-tetrahydropyridinyl, tetrahydropyranyl, tetrahydrothiophene, dihydropyranyl, pyranyl, morpholinyl, 1,4-diazepanyl, 1,4-oxazepanyl, and the like.
- heterocycloalkyl groups include, but are not limited to, acridinyl, azocinyl, benzimidazolyl, benzofuranyl, benzothiofuranyl, benzothiophenyl, benzoxazolyl, benzoxazolinyl, benzthiazolyl, benztriazolyl, benztetrazolyl, benzisoxazolyl, benzisothiazolyl, benzimidazolinyl, carbazolyl, 4aH-carbazolyl, carbolinyl, chromanyl, chromenyl, cinnolinyl, decahydroquinolinyl, 2H,6H-1,5,2-dithiazinyl, dihydrofuro[2,3-b]tetrahydrofuran, furanyl, furazanyl, imidazolidinyl, imidazolinyl, imidazolyl, 1H-indazolyl,
- C 5-6 aryl or “C 5 -C 6 aryl” refers to an aromatic hydrocarbon ring having 5 to 6 carbon atoms (e.g., C 5 -C 6 ) that does not contain any heteroatom in the ring structure.
- C 3-6 heteroaryl or “C 3 -C 6 heteroaryl” refers to an aromatic 3-6 membered monocyclic having one or more heteroatoms (such as O, N, or S), unless specified otherwise, except that a heteroaryl ring will include no more than one oxygen atom or one sulfur atom.
- C 2-6 alkenyl includes unsaturated aliphatic groups having 2, 3, 4, 5, or 6 carbons and that contain at least one double bond.
- the term “C 2-6 alkenyl” includes straight chain alkenyl groups (e.g., ethenyl, propenyl, butenyl, pentenyl, hexenyl), and branched alkenyl groups.
- a straight chain or branched alkenyl group has six or fewer carbon atoms in its backbone (e.g., C 2 -C 6 for straight chain, C 3 -C 6 for branched chain).
- C 2-6 alkenyl includes alkenyl groups containing two to six carbon atoms.
- C 2-6 alkynyl includes unsaturated aliphatic groups having 2, 3, 4, 5, or 6 carbon atoms, but which contain at least one triple bond.
- alkynyl includes straight chain alkynyl groups (e.g., ethynyl, propynyl, butynyl, pentynyl, hexynyl), and branched alkynyl groups.
- a straight chain or branched alkynyl group has six or fewer carbon atoms in its backbone (e.g., C 2 -C 6 for straight chain, C 3 -C 6 for branched chain).
- C 2-6 alkynyl includes alkynyl groups containing two to six carbon atoms.
- Embodiments may provide a method of treating cancer in a patient in need thereof, including administering to the patient a therapeutically effective amount of a compound reported herein or a pharmaceutically acceptable salt thereof.
- the administered compound is provided as a free acid or a pharmaceutically acceptable salt thereof. In some embodiments, the administered compound is provided as an NH 4 salt a free acid or a pharmaceutically acceptable salt thereof. In some embodiments, the compound is provided as an NH 4 salt.
- isotopes include those atoms having the same atomic number but different mass numbers.
- isotopes of 1 H hydrogen include tritium and deuterium
- isotopes of 12 C carbon include 13 C and 14 C.
- the optimal dose for treatment of cancer can be determined empirically for each individual using known methods and will depend upon a variety of factors, including the activity of the agents; the age, body weight, general health, gender and diet of the individual; the time and route of administration; and other medications the individual is taking. Optimal dosages may be established using routine testing and procedures that are well known in the art. Administration of the above compounds may be by any suitable route.
- “Pharmaceutically acceptable salt” as used herein refers to acid addition salts or base addition salts of the compounds in the present disclosure.
- a pharmaceutically acceptable salt is any salt which retains the activity of the parent compound and does not impart any unduly deleterious or undesirable effect on a subject to whom it is administered and in the context in which it is administered.
- Pharmaceutically acceptable salts include, but are not limited to, metal complexes and salts of both inorganic and carboxylic acids.
- Pharmaceutically acceptable salts also include metal salts such as aluminum, calcium, iron, magnesium, manganese and complex salts.
- salts include, but are not limited to, acid salts such as acetic, aspartic, alkylsulfonic, arylsulfonic, axetil, benzenesulfonic, benzoic, bicarbonic, bisulfuric, bitartaric, butyric, calcium edetate, camsylic, carbonic, chlorobenzoic, citric, edetic, edisylic, estolic, esyl, esylic, formic, fumaric, gluceptic, gluconic, glutamic, glycolic, glycolylarsanilic, hexamic, hexylresorcinoic, hydrabamic, hydrobromic, hydrochloric, hydrochloride, hydroiodic, hydroxynaphthoic, isethionic, lactic, lactobionic, maleic, malic, malonic, mandelic, methanesulfonic, methylnitric,
- Embodiments may be diammonium salts.
- Pharmaceutically acceptable salts may be derived from amino acids including, but not limited to, cysteine. Methods for producing compounds as salts are known to those of skill in the art (see, e.g., Stahl et al., Handbook of Pharmaceutical Salts: Properties, Selection, and Use, Wiley-VCH; Verlag Helvetica Chimica Acta, Zurich, 2002; Berge et al., J. Pharm. Sci. 66: 1, 1977).
- an “effective amount” of a therapeutic agent is an amount sufficient to provide an observable therapeutic benefit compared to cancer left untreated in a subject or patient.
- Active agents as reported herein can be combined with a pharmaceutically acceptable carrier to provide pharmaceutical formulations thereof.
- a pharmaceutically acceptable carrier to provide pharmaceutical formulations thereof.
- the particular choice of carrier and formulation will depend upon the particular route of administration for which the composition is intended.
- “Pharmaceutically acceptable carrier” refers to a nontoxic carrier, adjuvant, or vehicle that does not destroy the pharmacological activity of the compound with which it is formulated.
- Pharmaceutically acceptable carriers, adjuvants or vehicles that may be used in the compositions of this invention include, but are not limited to, sorbic acid, potassium sorbate, partial glyceride mixtures of saturated vegetable fatty acids, water, salts or electrolytes, disodium hydrogen phosphate, potassium hydrogen phosphate, sodium chloride, zinc salts, colloidal silica, magnesium tri silicate, polyvinyl pyrrolidone, cellulose-based substances, polyethylene glycol, sodium carboxymethylcellulose, polyacrylates, waxes, polyethylene glycol and wool fat.
- compositions of the present invention may be suitable for parenteral, oral, inhalation spray, topical, rectal, nasal, buccal, vaginal or implanted reservoir administration, etc.
- the formulation comprises ingredients that are from natural or non-natural sources.
- the formulation or carrier may be provided in a sterile form.
- Non-limiting examples of a sterile carrier include endotoxin-free water or pyrogen-free water.
- parenteral as used herein includes subcutaneous, intravenous, intramuscular, intra-articular, intra-synovial, intrasternal, intrathecal, intrahepatic, intralesional and intracranial injection or infusion techniques.
- the compounds are administered intravenously, orally, subcutaneously, or via intramuscular administration.
- Sterile injectable forms of the compositions of this invention may be aqueous or oleaginous suspension. These suspensions may be formulated according to techniques known in the art using suitable dispersing or wetting agents and suspending agents.
- the sterile injectable preparation may also be a sterile injectable solution or suspension in a nontoxic parenterally acceptable diluent or solvent.
- the acceptable vehicles and solvents that may be employed are water, Ringer's solution and isotonic sodium chloride solution.
- sterile, fixed oils are conventionally employed as a solvent or suspending medium.
- any bland fixed oil may be employed including synthetic mono- or di-glycerides.
- Fatty acids and their glyceride derivatives are useful in the preparation of injectables, as are natural pharmaceutically acceptable oils, such as olive oil or castor oil, especially in their polyoxyethylated versions.
- These oil solutions or suspensions may also contain a long-chain alcohol diluent or dispersant, such as carboxymethyl cellulose or similar dispersing agents that are commonly used in the formulation of pharmaceutically acceptable dosage forms including emulsions and suspensions.
- Other commonly used surfactants, such as Tweens, Spans and other emulsifying agents that are commonly used in the manufacture of pharmaceutically acceptable solid, liquid, or other dosage forms may also be used for the purposes of formulation.
- a compound or salt may be provided in an acceptable oral dosage form, including, but not limited to, capsules, tablets, aqueous suspensions or solutions.
- carriers commonly used include lactose and corn starch.
- Lubricating agents such as magnesium stearate, may also be added.
- useful diluents include lactose and dried cornstarch.
- the active ingredient may be combined with emulsifying and suspending agents. If desired, certain sweetening, flavoring or coloring agents may also be added. In addition preservatives may also be added.
- Suitable examples of pharmaceutically acceptable preservatives include, but are not limited to, various antibacterial and antifungal agents such as solvents, for example ethanol, propylene glycol, benzyl alcohol, chlorobutanol, quaternary ammonium salts, and parabens (such as methyl paraben, ethyl paraben, propyl paraben, etc.).
- solvents for example ethanol, propylene glycol, benzyl alcohol, chlorobutanol, quaternary ammonium salts, and parabens (such as methyl paraben, ethyl paraben, propyl paraben, etc.).
- immediate-release is meant to include a conventional release, in which release of the drug starts immediately after administration.
- immediate release includes dosage forms that allow the drug to dissolve in the gastrointestinal contents, with no intention of delaying or prolonging the dissolution or absorption of the drug. The objective is for the drug to be released rapidly after administration, for example for it to be possible to release at least 80% of the drug within approximately 30 minutes after commencement of dissolution in a dissolution test.
- “Sustained-release” or “extended-release” includes dosage forms whose drug-release characteristics of time course and/or location are chosen to accomplish therapeutic or convenience objectives not offered by conventional dosage forms such as a solution or an immediate release dosage form.
- the term “steady-state” means that a plasma level for a given active agent has been achieved and which is maintained with subsequent doses of the active agent at a level which is at or above the minimum effective therapeutic level and is below the minimum toxic plasma level for a given active agent.
- single formulation refers to a single carrier or vehicle formulated to deliver effective amounts of both therapeutic agents to a patient.
- the single vehicle is designed to deliver an effective amount of each of the agents along with any pharmaceutically acceptable carriers or excipients.
- the vehicle is a tablet, capsule, pill, or a patch.
- unit dose is used herein to mean simultaneous administration of both agents together, in one dosage form, to the patient being treated.
- the unit dose is a single formulation.
- the unit dose includes one or more vehicles such that each vehicle includes an effective amount of an agent along with pharmaceutically acceptable carriers and excipients.
- the unit dose is one or more tablets, capsules, pills, or patches administered to the patient at the same time.
- dose range refers to an upper and a lower limit of an acceptable variation of the amount of agent specified. Typically, a dose of an agent in any amount within the specified range can be administered to patients undergoing treatment.
- treat is used herein to mean to relieve, reduce or alleviate at least one symptom of a disease in a subject.
- the term “treat” may mean to arrest, delay the onset (i.e., the period prior to clinical manifestation of a disease or symptom of a disease) and/or reduce the risk of developing or worsening a symptom of a disease.
- protect is used herein to mean prevent delay or treat, or all, as appropriate, development or continuance or aggravation of symptoms of the disease in a subject.
- subject or “patient” is intended to include animals, which are capable of suffering from or afflicted with cancer.
- subjects or patients include mammals, e.g., humans, dogs, cows, horses, pigs, sheep, goats, cats, mice, rabbits, rats, and transgenic non-human animals.
- the subject is a human, e.g., a human suffering from, at risk of suffering from, or potentially capable of suffering from cancer.
- the term “about” or “approximately” usually means within 20%, more preferably within 10%, and most preferably still within 5% of a given value or range. Alternatively, especially in biological systems, the term “about” means approximately within a log (i.e., an order of magnitude) preferably within a factor of two of a given value.
- Exemplary cell proliferative disorders that may be treated using one or more compounds disclosed herein include, but are not limited to cancer, a precancer or precancerous condition, and metastatic lesions in tissue and organs in the body.
- Cell proliferative disorders may include hyperplasia, metaplasia, and dysplasia.
- a compound disclosed herein, or a pharmaceutically acceptable salt thereof may be used to treat or prevent a cell proliferative disorder, or to treat or prevent cancer, in a subject having an increased risk of developing cancer relative to the population at large, or used to identify suitable candidates for such purposes.
- compositions comprising a compound or pharmaceutically acceptable salt thereof for the treatment of cancer.
- the pharmaceutical formulations may additionally comprise a carrier or excipient, stabilizer, flavoring agent, and/or coloring agent.
- the compound or pharmaceutically acceptable salt thereof may be administered using a variety of routes of administration known to those skilled in the art. Routes of administration include oral administration. In certain embodiments, a pharmaceutical formulation comprising the compound or pharmaceutically acceptable salt thereof may be taken orally in the form of liquid, syrup, tablet, capsule, powder, sprinkle, chewtab, or dissolvable disk. Alternatively, pharmaceutical formulations of the present invention can be administered intravenously or transdermally. Additional routes of administration are known to those skilled in the art (see, e.g., Remington's Pharmaceutical Sciences, Gennaro A. R., Ed., 20.sup.th Edition, Mack Publishing Co., Easton, Pa.).
- the compound or pharmaceutically acceptable salt is formulated as a paste, jelly, or suspension.
- the drug is dissolved, entrapped or suspended in the form of drug particles, microencapsulated particles, or drug-polymer particles in a gelatinous solution or semi-solid.
- An advantage of an oral jelly formulation is that it is easier to administer the drug to patients who have difficulty swallowing tablets, capsules or pills.
- the compound is thoroughly mixed and suspended in an appropriate medium to form a paste or a gel. Additional agents can optionally be mixed to provide flavor during oral administration. Peanut butter or alginate, flavored with raspberry and a sweetener are examples of the many suitable taste masking agents.
- the paste or jelly can also be formulated with suitable binders or excipients known in the art for topical administration.
- the sustained release formulation is prepared by coating the active ingredient of the drug with a polymer, preferably a water-insoluble polymer.
- a polymer preferably a water-insoluble polymer.
- a water-insoluble polymer used in the pharmaceutical field as a sustained release coating agent, an enteric coating agent, or a gastric coating agent.
- the water-insoluble polymer can include, for example, ethyl cellulose, purified shellac, white shellac, aminoalkyl methacrylate copolymer RS, hydroxypropyl methylcellulose phthalate, hydroxypropyl methylcellulose acetate succinate, carboxymethylethyl-cellulose, cellulose acetate phthalate, methacrylic acid copolymer L, methacrylic acid copolymer LD, methacrylic acid copolymer S, aminoalkyl methacrylate copolymer E, or polyvinyl acetal diethylaminoacetate.
- the type, degree of substitution and molecular weight of the water-insoluble polymers can depend on solubility of the active ingredient in water or an alcohol, the desired sustained release level and the like.
- the water-insoluble polymers can be used either alone or in combination.
- the sustained release formulation is a matrix-type tablet or granule.
- the active ingredient can be coated with up to 3 different types of polymers. These three different types of polymers can include: 1) a water insoluble polymer, such as ethylcellulose; 2) a pH independent gelling polymer, such as hydroxypropyl methylcellulose; and 3) a pH dependent gelling polymer, such as sodium alginate. These three different types of polymers can be used together to attenuate the release rate of the drugs.
- Sustained-release formulations can achieve a degree of sustained effect.
- the exposure and/or the bioavailability of the active ingredient may vary based on a variety of factors, such as for example, the absorption window, the carriers or excipients used in the formulation, the mode of delivery of the formulation, and/or the transit time of the active ingredient through the gastrointestinal tract of the patient.
- a therapy can contain at least one sustained-release portion for performing a sustained-release function and one immediate release portion for performing an immediate release function.
- the therapy when it is in a single dosage form, it can be in the form of tablets formed from a mixture of sustained-release granules constituting a sustained-release portion and immediate-release granules constituting an immediate-release portion, a capsule preparation obtained by filling a capsule with sustained-release granules and immediate-release granules, or press-coated tablets in which an outer layer constituting an immediate-release portion is formed on an inner core constituting a sustained-release portion.
- the compound may be dispersed uniformly in the composition, immediate release portion or sustained release portion, or may be contained in only one part of the composition, immediate-release portion or sustained-release portion, or may be contained such that there is a concentration gradient.
- a sustained-release portion in the composition according to the present invention can contain at least one non-pH-dependent polymeric substance or pH-dependent polymeric substance for controlling drug release.
- a non-pH-dependent polymeric substance used herein can comprise a polymeric substance whose charge state hardly changes under pH conditions generally found in the gastrointestinal tract, specifically from pH 1 to pH 8. This means, for example, a polymeric substance that does not have functional groups whose charge state changes depending on the pH such as basic functional groups such as amino groups or acidic functional groups such as carboxylic acid groups.
- the non-pH-dependent polymeric substance can be included for giving the composition according to the present invention a sustained-release function, but may also be included for another purpose.
- the non-pH-dependent polymeric substance used in the present invention may be water-insoluble, or may swell in water or dissolve in water to form a gel.
- water-insoluble non-pH-dependent polymeric substances include, but are not limited to, cellulose ethers, cellulose esters, and methacrylic acid-acrylic acid copolymers (trade name Eudragit, manufactured by Rohm GmbH & Co. KG, Darmstadt, Germany).
- Examples include, but are not limited to, cellulose alkyl ethers such as ethylcellulose (trade name Ethocel, manufactured by Dow Chemical Company, USA), ethyl methylcellulose, ethyl propylcellulose or isopropylcellulose, and butylcellulose, cellulose aralkyl ethers such as benzyl cellulose, cellulose cyanoalkyl ethers such as cyanoethylcellulose, cellulose organic acid esters such as cellulose acetate butyrate, cellulose acetate, cellulose propionate or cellulose butyrate, and cellulose acetate propionate, ethyl acrylate-methyl methacrylate copolymers (trade name Eudragit NE, manufactured by Rohm GmbH & Co.
- cellulose alkyl ethers such as ethylcellulose (trade name Ethocel, manufactured by Dow Chemical Company, USA), ethyl methylcellulose, ethyl propylcellulose or isopropylcellulose
- mean particle diameter of a water-insoluble polymer used in the present invention usually the lower this mean particle diameter the better the performance, with the mean particle diameter preferably being from 0.1 to 100 ⁇ m, more preferably from 1 to 50 ⁇ m, particularly preferably from 3 to 15 ⁇ m, most preferably from 5 to 15 ⁇ m.
- water-soluble or water-swelling non-pH-dependent polymeric substances include, but are not limited to, polyethylene oxide (trade name Polyox, manufactured by Dow Chemical Company, molecular weight 100,000 to 7,000,000), low-substituted hydroxypropyl cellulose (trade name L-HPC, manufactured by Shin-Etsu Chemical, Japan), hydroxypropyl cellulose (trade name HPC, manufactured by Nippon Soda, Co., Ltd, Japan), hydroxypropyl methylcellulose (trade names Metolose 60SH, 65SH, 90SH, manufactured by Shin-Etsu Chemical, Japan), and methylcellulose (trade name Metolose SM, manufactured by Shin-Etsu Chemical, Japan).
- polyethylene oxide trade name Polyox, manufactured by Dow Chemical Company, molecular weight 100,000 to 7,000,000
- L-HPC low-substituted hydroxypropyl cellulose
- HPC manufactured by Nippon Soda, Co., Ltd, Japan
- Metolose 60SH, 65SH, 90SH manufactured by Shin
- a single non-pH-dependent polymeric substance may be contained in the composition, or a plurality of the non-pH-dependent polymeric substances may be contained.
- the non-pH-dependent polymeric substance if used in embodiments reported herein, may be a water-insoluble polymeric substance, more preferably ethylcellulose, an ethyl acrylate-methyl methacrylate copolymer (trade name Eudragit NE), or an aminoalkyl methacrylate copolymer RS (trade name Eudragit RL, Eudragit RS). Particularly preferable is at least one of ethylcellulose and an aminoalkyl methacrylate copolymer RS. Most preferable is ethylcellulose.
- the amount of the non-pH-dependent polymeric substance contained in the composition this amount can be adjusted as appropriate in accordance with the purpose such as controlling sustained drug release.
- a pH-dependent polymeric substance that can be used in embodiments reported herein may be a polymeric substance whose charge state changes under pH conditions generally found in the gastrointestinal tract, specifically from pH 1 to pH 8. This means, for example, a polymeric substance having functional groups whose charge state changes depending on the pH such as basic functional groups such as amino groups or acidic functional groups such as carboxylic acid groups.
- the pH-dependent functional groups of the pH-dependent polymeric substance are preferably acidic functional groups, with the pH-dependent polymeric substance most preferably having carboxylic acid groups.
- a pH-dependent polymeric substance used in the present invention may be water-insoluble, or may swell in water or dissolve in water to form a gel.
- pH-dependent polymeric substances used in the present invention include, but are not limited to, enteric polymeric substances.
- enteric polymeric substances include, but are not limited to, methacrylic acid-methyl methacrylate copolymers (Eudragit L100, Eudragit S100, manufactured by Rohm GmbH & Co. KG, Darmstadt, Germany), methacrylic acid-ethyl acrylate copolymers (Eudragit L100-55, Eudragit L30D-55, manufactured by Rohm GmbH & Co.
- hydroxypropyl methylcellulose phthalate HP-55, HP-50, manufactured by Shin-Etsu Chemical, Japan
- hydroxypropyl methylcellulose acetate succinate AQOAT, manufactured by Shin-Etsu Chemical, Japan
- carboxymethyl ethylcellulose CMEC, manufactured by Freund Corporation, Japan
- cellulose acetate phthalate HP-55, HP-50, manufactured by Shin-Etsu Chemical, Japan
- AQOAT hydroxypropyl methylcellulose acetate succinate
- CMEC carboxymethyl ethylcellulose
- a single pH-dependent polymeric substance may be contained in the composition, or a plurality of pH-dependent polymeric substances may be contained.
- the pH-dependent polymeric substance used in the present invention is preferably an enteric polymeric substance, more preferably a methacrylic acid-ethyl acrylate copolymer, a methacrylic acid-methyl methacrylate copolymer, hydroxypropyl methylcellulose phthalate, or hydroxypropyl methylcellulose acetate succinate, particularly preferably a methacrylic acid-ethyl acrylate copolymer.
- a commercially available product of a powder type or a granular type, or a suspension type in which the pH-dependent polymeric substance has been dispersed in a solvent in advance can be used as is, or such a commercially available product can be used dispersed in water or an organic solvent.
- an example is Eudragit L100-55.
- the mean particle diameter of a pH-dependent polymeric substance used in the present invention is preferably from 0.05 to 100 ⁇ m, more preferably from 0.05 to 70 ⁇ m, most preferably from 0.05 to 50 ⁇ m.
- the amount of the pH-dependent polymeric substance for example, in the case of an enteric polymeric substance, the amount is generally from 0.1 to 90 parts by weight, preferably from 1 to 70 parts by weight, more preferably from 5 to 60 parts by weight, particularly preferably from 10 to 50 parts by weight, based on 100 parts by weight of the composition.
- a therapy according to embodiments reported herein may further contain any of various additives, such as any of various pharmacologically acceptable carriers such as diluents, lubricants, binders and disintegrants, as well as preservatives, colorants, sweeteners, plasticizers, film coating agents and so on, as necessary.
- diluents include, but are not limited to, lactose, mannitol, dibasic calcium phosphate, starch, pregelatinized starch, crystalline cellulose, light silicic anhydride, synthetic aluminum silicate, magnesium aluminate metasilicate or the like.
- Examples of lubricants include, but are not limited to, magnesium stearate, calcium stearate, talc, sodium stearyl fumarate or the like.
- Examples of binders include, but are not limited to, hydroxypropyl cellulose, methylcellulose, sodium carboxymethyl cellulose, hydroxypropyl methylcellulose, polyvinylpyrrolidone or the like.
- Examples of disintegrants include, but are not limited to, carboxymethyl cellulose, calcium carboxymethyl cellulose, croscarmellose sodium, sodium carboxymethyl starch, low-substituted hydroxypropyl cellulose or the like.
- preservatives include, but are not limited to, paraoxybenzoic acid esters, chlorobutanol, benzyl alcohol, phenethyl alcohol, dehydroacetic acid, sorbic acid or the like.
- colorants include, but are not limited to, water-insoluble lake pigments, natural pigments (e.g., .beta.-carotene, chlorophyll, red ferric oxide), yellow ferric oxide, red ferric oxide, black ferric oxide or the like.
- sweeteners include, but are not limited to, sodium saccharin, dipotassium glycyrrhizate, aspartame, stevia or the like.
- plasticizers include, but are not limited to, glycerol fatty acid esters, triethyl citrate, propylene glycol, polyethylene glycol or the like.
- film coating agents include, but are not limited to, hydroxypropyl methylcellulose, hydroxypropyl cellulose or the like.
- a single conventional method, or a combination of conventional methods can be used.
- granulation is the main operation, but this may be combined with other operations such as mixing, drying, sieving, and classification.
- a wet granulation method in which a binder and a solvent are added to the powder and granulation is carried out
- a dry granulation method in which the powder is compressed and granulation is carried out
- a molten granulation method in which a binder that melts on heating is added and heating and granulation are carried out, or the like can be used.
- an operating method such as a mixing granulation method using a planetary mixer, a screw mixer or the like, a high-speed mixing granulation method using a Henschel mixer, a Super mixer or the like, an extruding granulation method using a cylindrical granulator, a rotary granulator, a screw extruding granulator, a pellet mill type granulator or the like, a wet high-shear granulation method, a fluidized-bed granulation method, a compression granulation method, a crushing granulation method, or a spraying granulation method can be used.
- a granulation solvent may be used when preparing the composition according to the present invention.
- a granulation solvent which may be water or any of various organic solvents, for example, water, a lower alcohol such as methanol or ethanol, a ketone such as acetone or methyl ethyl ketone, methylene chloride, or a mixture thereof.
- sustained-release granules contained in embodiments at least one drug and at least one selected from non-pH-dependent polymeric substances and pH-dependent polymeric substances are mixed together, a diluent and a binder are added as necessary, and granulation is carried out to obtain granular matter.
- the granular matter obtained is dried using a tray dryer, a fluidized bed dryer or the like, and sieving is carried out using a mill or an oscillator, whereby the sustained-release granules can be obtained.
- sustained-release granules in the present invention it is possible to add at least one drug, at least one selected from non-pH-dependent polymeric substances and pH-dependent polymeric substances, and as necessary a diluent and a binder using a dry compactor such as a roller compactor or a slug tabletting machine, and carry out compression-molding while mixing, and then carry out granulation by cracking down to a suitable size.
- a dry compactor such as a roller compactor or a slug tabletting machine
- the granular matter prepared using such a granulator may be used as is as granules or fine granules according to the present invention, or may be further cracked using a power mill, a roll granulator, a rotor speed mill or the like, and sieved to obtain sustained-release granules.
- immediate-release granules can also be manufactured as for the sustained-release granules.
- a compression-molded product can be manufactured as a drug-containing sustained-release portion or immediate-release portion, or as a composition reported herein using a single conventional method, or a combination of conventional methods.
- at least one drug at least one selected from non-pH-dependent polymeric substances and pH-dependent polymeric substances, a diluent such as mannitol or lactose, a binder such as polyvinylpyrrolidone or crystalline cellulose, a disintegrant such as carmellose sodium or crospovidone, and a lubricant such as magnesium stearate or talc are used, and tableting is carried out using an ordinary method, whereby the compression-molded product can be obtained.
- tabletting is the main operation in the method of manufacturing the compression-molded product, but this may be combined with other operations such as mixing, drying, sugar coating formation, and coating.
- Examples of the method for the tabletting include, but are not limited to, direct compression molding in which at least one drug and pharmacologically acceptable additives are mixed together and then the mixture is directly compression-molded into tablets using a tabletting machine, and dry granule compression or wet granule compression in which sustained-release granules or immediate-release granules according to the present invention are subjected to compression-molding after adding a lubricant or a disintegrant as necessary.
- the tabletting machine used in the compression molding for example, a single-punch tabletting machine, a rotary tabletting machine, or a press-coated tabletting machine can be used.
- Drug-containing sustained-release granules or immediate-release granules, or compression-molded product according to embodiments herein can be used as is in the form of granules or a tablet as the composition, but may also be subjected to further processing to manufacture the composition.
- the compression-molded product or granules can be given a film coating using a film base material such as ethylcellulose, casein, methylcellulose, hydroxypropyl methylcellulose, methacrylic acid copolymer L, cellulose acetate phthalate, shellac or the like, or given a sugar coating using a sugar coating liquid containing saccharose, sugar alcohol, gum arabic powder, talc or the like, thus producing film-coated tablets or sugar-coated tablets.
- a film base material such as ethylcellulose, casein, methylcellulose, hydroxypropyl methylcellulose, methacrylic acid copolymer L, cellulose acetate phthalate, shellac or the like
- a sugar coating liquid containing saccharose, sugar alcohol, gum arabic powder, talc or the like thus producing film-coated tablets or sugar-coated tablets.
- One solvent in this coating technique may be purified water, but an organic solvent such as an alcohol, a ketone, an ether
- ethanol for example, ethanol, acetone, methylene chloride or the like can be used as an organic solvent.
- an apparatus ordinarily used in coating techniques for manufacturing medicines can be used, with examples including a spray coating apparatus in which the coating is carried out by spraying a coating liquid or the like, and a rotor fluidized bed granulator for layering.
- capsule preparations can be manufactured by filling sustained-release granules or immediate-release granules as above, or mini-tablets into hard gelatin capsules or HPMC capsules using an automatic capsule filling machine.
- sustained-release granules or immediate-release granules as above can be mixed with a thickener or a dispersant so as to disperse these granules, the mixture then being made into granules or tablets.
- a liquid or jelly can be made using water, and substances selected from dispersants, emulsifiers, thickeners, preservatives, pH adjustors, sweeteners, flavorings, fragrances and so on.
- dispersants emulsifiers, thickeners, preservatives, pH adjustors, sweeteners, flavorings, fragrances and so on.
- DMOCP 2-chloro-5,5-dimethyl-1,3,2-dioxaphosphinane 2-oxide
- FIG. 1 A full scheme of this synthesis is available in FIG. 1 .
- the crude mixture was dissolved in DCM (45.0 ml) and treated with water (0.118 ml, 6.55 mmol, 2.0 eq) and NaHSO 4 —SiO 2 (1.18 g, 6.55 mmol, 2 eq) at ambient temperature.
- the reaction mixture was filtered and rinsed twice with DCM/MeOH (9/1, 20 ml).
- the combined filtrates were concentrated in vacuo and treated with 1:1 mixture of n-heptane/toluene ( ⁇ 30 ml). The top layer was removed by decantation.
- reaction mixture Upon complete sulfurization (approximately 40 minutes), the reaction mixture was partially concentrated in vacuo to approximately 15 ml and poured into a mixture of saturated aqueous NaHCO 3 (50 ml) and water (30 ml). After 10 min stirring at ambient temperature, the mixture was extracted with 1:1 mixture of EtOAc/MTBE (60 ml ⁇ 3 times). The organic layers were combined, washed with brine (25 ml), dried over Mg 2 SO 4 and concentrated in vacuo. The residue was purified by silica gel column chromatography (0-20% MeOH in DCM) to give Compound 104 (3.31 g, 3.20 mmol, 100% theoretical yield assumed) as a brown oil. The product was used in the next step without further purification.
- FIG. 2A and FIG. 2B An alternative synthetic route for Compound 1a is set out in FIG. 2A and FIG. 2B , as well as in FIG. 2C and reported below.
- the organic layer was washed with water (2.0 L, 3.5 wt, 3.5 vol). Solid began slowly precipitating out of the organic layer. The water layer was separated. The organic layer was then concentrated to approx. 1 vol. The crude product was slurried with a mixture of n-heptane (2.00 L, 2.40 wt, 3.51 vol) and toluene (0.50 L, 0.76 wt, 0.88 vol). After stirring for 15 minutes, the pale yellow solid was collected by vacuum filtration.
- the filter cake was sequentially rinsed with: (1) a mixture of n-heptane (0.60 L, 0.72 wt, 1.05 vol) and toluene (0.30 L, 0.46 wt, 0.53 vol), and then (2) n-heptane (3.00 L, 3.6 wt, 5.26 vol).
- the solid was dried with no heat for 30 minutes and then transferred to trays for drying at 50° C. in a vacuum oven overnight to give Compound 130 as pale yellow solid (996.7 g, 1.47 mol, 1.75 wt, 97% yield).
- DIAD (0.320 L, 1.65 mol, 333 g, 0.333 wt, 0.320 vol, 1.3 eq) was added slowly over 20 minutes while keeping T-internal below 5° C. The reaction was stirred at 0-5° C. for 1 h and monitored by LCMS. The ice bath was removed and the mixture was allowed to warm up to rt. After overnight stirring (17h), an triphenylphosphine (83 g, 0.32 mol, 0.083 wt, 0.25 eq) and DIAD (62 ml, 0.32 mol, 64 g, 0.064 wt, 0.062 vol, 0.25 eq) were added.
- reaction mixture was diluted with MTBE (10 L, 10 vol), washed twice with half-saturated NaCl (18 wt % solution in water; 2 ⁇ 4 L) and concentrated in vacuo to a thick oil.
- the mixture was re-dissolved in a mixture of MTBE (4.00 L, 4 vol) and n-heptane (0.50 L, 0.5 vol) and then cooled to 0° C.
- a seed crystal of triphenylphosphine oxide was added to the solution. Solids slowly began precipitating out of solution and was stirred overnight. The white solid was collected by vacuum filtration and rinsed with MTBE (2 L, 2 vol) to isolate 540 g of triphenylphosphine oxide.
- the filtrate was concentrated and purified via Biotage 150L KP-Sil (SiO 2 5 kg; preteated with 1% TEA in Hep/etOAc; eluents: heptane/EtOAc (48 L of 33% EtOAc with 1% TEA, 24 L of 50% EtOAc with 1% TEA, 24 L of 66% EtOAc with 1% TEA) ⁇ 100% EtOAc with 1% TEA).
- the column was monitored by TLC (2:1 EtOAc/n-heptane).
- the filtrate was concentrated under vacuum and purified via Biotage 150 L KP-Sil (SiO2 5 kg; preteated with 1% TEA; loaded sample by dissolving in toluene eluents: 9:1 heptane/EtOAc (16 L) and 15 TEA, 3.6:1 (46 L), 2:1 (20 L) and 1% TEA, 1:1 (30 L) and 1% TEA, and 100% EtOAc (16 L) and 1% TEA).
- the combined clean product fractions were concentrated under vacuum to give Compound 134 as off white solid foam (662.2 g).
- the mixture fractions were combined and concentrated under vacuum (480 g).
- a white insoluble solid formed by dilution with toluene (300 ml) prior to loading on Biotage 150L was removed by vacuum filtration.
- the material soluble in toluene was purified via Biotage 150M HP-Sphere (SiO 2 2.5 kg (preteated with 1% TEA); sample loading with toluene; eluents: 2:1 heptane/EtOAc (26 L) w/1% TEA, 1:1 (25 L) w/1% TEA, 1:4 (34 L) w/1% TEA).
- the column was monitored by TLC (1:1 heptane/EtOAc).
- the crude Compound 135 was dissolved in dichloromethane (3.08 L, 4.07 kg, 9.9 wt, 7.5 vol) at ambient temperature. Water (55.7 ml, 0.136 vol, 10 eq) was added followed by a solution of dichloroacetic acid (77 ml, 120 g, 0.93 mol, 0.29 wt, 0.19 vol, 3.0 eq) in DCM (3.08 L, 7.5 vol) while keeping the internal T below 25° C. (Turned into an orange solution).
- the mixture was concentrated to 1.55 kg (3.8 wt), redissolved in EtOAc (6.2 L, 5.5 kg, 14 wt, 15 vol), sequentially washed with: (1) water (1.0 L, 2.5 vol) and saturated NaHCO 3 (9 wt % solution in water, 0.82 L, 2.0 vol).
- the crude product EtOAc solution was stored at ⁇ 20° C. over night; 0.82 L, 2.0 vol) and in next day, the solution was concentrated in vacuo at 25° C.
- the crude mixture thus obtained (654 g) was triturated with: (1) n-heptane (3.01 L, 7.5 vol), (2) a mixture of n-heptane (2.46 L, 6.0 vol) and toluene (0.82 L, 2.0 vol).
- TEA 129 ml, 927 mmol, 94 g, 0.28 wt, 0.38 vol, 3.0 eq
- water 100 ml, 5.56 mol, 0.30 wt, 0.30 wt, 18 eq
- sulfur 34.7 g, 1.08 mol, 0.10 wt, 3.5 eq
- the filtrate was concentrated the mixture in vacuo, diluted with MTBE (5.1 L, 15 vol), and wash twice with NaCl (30 wt % solution in water; 2 ⁇ 1.35 L, 2 ⁇ 4 vol). Insoluble solids were filtered off and the filtrate was concentrated in vacuo and azeotroped with toluene (4.0 L, 12 vol).
- the combined organic layers were sequentially washed with: (1) a mixture of NaCl (36 wt % solution in water; 300 ml, 2 vol) and water (300 ml, 2 vol) and (2) water (600 ml, 4 vol).
- the organic layer was then concentrated under vacuum and azeotroped with n-heptane (1.50 L, 10 vol).
- MTBE (0.95 L, 6.3 vol) was added to the crude solid and the mixture was heated at 40° C.
- the mixture was diluted with EtOAc (300 ml, 2 vol) and slowly cooled to 0° C. The dense solid was allowed to settle and the supernatant was pumped off through a filter frit tube.
- the resulting reaction mixture was stirred at 0° C. for 10 h, warmed to 10° C. over 2 h, held at 10° C. for 10 h and warmed up to rt over 2h.
- the reaction was monitored by LCMS and TLC (EtOAc with 0.5% TEA). After 18 h, anhydrous acetonitrile (0.73 L, 10 vol) was added and the mixture was stored at ⁇ 20° C. over 3 days.
- the mixture from Stage 10 was warmed to ambient temperature and added via a dropping funnel in portions (100 mL every 30 minutes, over 9 h) into a mixture of pyridine trifluoroacetate salt (azetroped in advance with pyridine twice; 41.9 g, 217 mmol, 0.57 wt, 3.0 eq) and acetonitrile (5.85 L, 80 vol).
- the reaction was monitored by LCMS.
- a solution of 2-cyanoethyl N,N,N′,N′-tetraisopropylphosphorodiamidite (5.8 mL, 18 mmol, 0.25 eq) in acetonitrile (24 mL) was added over 4h.
- Amount of the additional reagent was determined based on the reamining Compound 140 ( ⁇ 30% based on LCMS). More conversion of the diol was observed after 6h.
- the resulting aqueous layer was treated with HCl (1.0 M solution in water; 90 ml, 90 mmol, 3.2 eq) over a period of 3.5 hours (pH ⁇ 2).
- HCl 1.0 M solution in water
- the mixture stirred for 30 minutes and then the solid precipitate was collected by vacuum filtration.
- the filter cake was washed with water three times (3 ⁇ 200 ml, 3 ⁇ 9 vol) and dried in vacuo overnight.
- Ammonia 2.0 M solution in MeOH; 250 ml, 500 mmol, 17.6 eq
- ethanol 100 ml
- a colorless block single crystal (0.1 ⁇ 0.1 ⁇ 0.1 mm) found in crystallization solution was dispersed in liquid Parabar 10312 and was mounted on a Dual-Thickness MicroMountsTM (MiTeGen). Diffraction data was collected at ⁇ 160° C. on XtaLAB PRO P200 MM007HF (Rigaku) with w axis oscillation method using multi-layer mirror monochromated Cu-K ⁇ radiation.
- FIG. 4A shows an ORTEP figure of Compound 1 molecules in an asymmetric unit, along with a number of disordered water molecules.
- FIG. 4B shows the crystal structure of one of the Compound 1 molecules from FIG. 4A .
- FIG. 4C shows the crystal structure of the other molecule of Compound 1 shown in FIG. 4A .
- the crystal structure of Compound 1 was solved with a final R-factor of 0.1354.
- the Flack parameter was nearly zero (0.083(17)), indicating that the absolute configuration of Compound 1 is (R, S).
- the crystal structure analysis also indicated that many water molecules were present in the large channel of Compound 1, which indicated that water molecules were able to easily slip out from the channel.
- the analysis also confirmed that the conformations of both crystallographically independent molecules the asymmetric unit were almost the same.
- Compound 2 (0.5 mg) was weighed and dissolved in acetonitrile/28% ammonia solution. Then, this solution was stored under room temperature with loosely fixed cap. After 2 weeks rod shape crystal appeared.
- a colorless block single crystal (0.1 ⁇ 0.1 ⁇ 0.5 mm) found in crystallization solution was dispersed in liquid Parabar 10312 and was mounted on a Dual-Thickness MicroMountsTM (MiTeGen). Diffraction data was collected at ⁇ 160° C. on XtaLAB PRO P200 MM007HF (Rigaku) with ⁇ axis oscillation method using multi-layer mirror monochromated Cu-K ⁇ radiation.
- FIG. 4D shows an ORTEP figure of a Compound 2 molecule.
- Compound 16 was obtained from compound B (RR isomer of compound A) via the same sequences as described in compound 15.
- FIG. 3 A route for this synthesis is shown in FIG. 3 .
- the reaction mixture was transferred into a flask containing acetonitrile (20.8 ml), water (104 ⁇ l, 5.776 mmol) and pyridine trifluoroacetate salt (421 mg, 2.178 mmol). The mixture was stirred for 10 min. UPLC-MS indicated the desired product was formed.
- the reaction mixture was mixed with EtOAc and washed with HCl [0.1N]/brine and then sat. NaHCO 3 /Brine to prevent DMT deprotection.
- the aqueous layer was back extracted with EtOAc (1 ⁇ ).
- the combined organic layer was dried over Na 2 SO 4 and then filtered. Solvents and volatiles in the filtrate were removed on rotavapor to afford the crude product which was used for the next step without further purification.
- the crude hydrogen phosphonate intermediate was dissolved in DCM (2635 40.946 mmol) and water (29.5 1 1.1, 1.638 mmol) before Dichloroacetic acid (135 1 1.1, 1.638 mmol) in DCM (2635 40.946 mmol) was added at 20° C. The mixture was stirred at 20° C. for 5 min. UPLC-MS indicated that the reaction was completed. The reaction was neutralized with pyridine (510 ⁇ l, 6.308 mmol). The volatiles were removed on rotavapor and then highvac rotavapor. The residue was azeotroped with pyridine one more time before used for cyclization.
- the reaction was stirred at RT for 1 hr. No change was found on UPLC-MS.
- the reaction mixture was diluted with EtOAc and washed with sat. NaHCO 3 and brine. The organic layer was dried over Na 2 SO before filtered. The residue after solvent evaporation was dissolved in MeOH before NH 3 —H 2 O was added. The mixture was stirred for 5 min before all the solvent and volatiles were removed on rotavapor and highvac rotavapor.
- the CDN intermediate was dissolved in acetonitrile (1484 ⁇ l, 28.417 mmol) and 1,4-dioxane (496 ⁇ l, 5.797 mmol) before TEA (39.6 0.284 mmol) and 1-(bromomethyl)-2-nitrobenzene (49.1 mg, 0.227 mmol) was added at 20° C. The mixture was stirred at 20° C. for 16 hr. UPLC-MS indicated that the reaction was incomplete. Neither TLC (EtOAc) nor HPLC indicated any o-nitrobenzyl bromide left.
- Prep-TLC (EtOAc) was used to isolate the most polar isomer which leads to the final product Compound 18.
- Compound 27 was prepared from Compound 159, a byproduct in Stage 11b of a route for Compound 1 shown in FIG. 2B .
- Compound 28 was prepared from Compound 160, a product in Stage 11 of the route for Compound 1 shown in FIG. 2B , using the same method for Compound 27.
- the resulting mixture was treated with water (0.80 ml) and extracted three times with a mixture of n-heptane/toluene (1/1, 0.5 mL each time) and then toluene (0.3 ml).
- the aqueous layer was concentrated in vacuo at 40-50° C. and treated with water (1 mL).
- the resulting solid was filtered off, rinsing with water (0.3 ml).
- the combined filtrates were treated with 1.0 M HCl (0.07 ml, 0.07 mmol).
- the resulting slurry was filtered and rinsed with water (1 mL).
- the filter cake was dissolved with a 2.0 M solution of ammonia (1.0 ml, 2.0 mmol) in MeOH. The resulting solution was concentrated in vacuo to 0.5 mL and treated with EtOH (0.5 ml). The same operation was repeated two more times. To the resulting solution was added EtOAc (0.9 mL) dropwise. Precipitation occurred. The resulting solid was collected by filtration, rinsed with a 4/1 mixture of EtOAc/EtOH (0.4 mL) and dried in vacuo overnight at ambient temperature. 12 mg of Compound 29 was obtained.
- Compound 25 was prepared via the same reaction sequence (Stage 12-13) as described in FIG. 2A and FIG. 2B .
- the resulting mixture was stirred at ambient temperature while the reaction was monitored by LCMS Upon complete sulfurization, the reaction mixture was treated with a sat′d aqueous NaHCO 3 (27 ml) and water (10 mL), and concentrated in vacuo. To the resulting residue were added a mixture of MTBE/EtOAc (34/34 ml), a sat′d aqueous NaHCO 3 solution (27 ml) and water (20 mL). The layers were separated and the aqueous layer was extracted with a mixture of EtOAc/MTBE (34/34 mL).
- Compound 181 was prepared via the same reaction sequence (Stage 5-11) as described in FIG. 2A and FIG. 2B .
- reaction mixture was cooled to ambient temperature and treated with DMSO (2.54 ml, 35.8 mmol). After 3h stirring, the reaction mixture was concentrated in vacuo and purified by silicagel column chromatography (SiO 2 50 g, 0% to 15% MeOH in EtOAC) to give a mixture of Compound 198 and Compound 199.
- the mixture was dissolved in dichloromethane (2 mL) and treated with water (0.021 ml, 1.2 mmol) and 6% dichloroacetic acid (0.098 ml, 1.2 mmol) in dichloromethane (2 mL). After 10 min, the reaction was quenched with pyridine (1 ml) and concentrated in vacuo.
- the slower eluting isomer of Compound 190 (60 mg) was processed through the same reaction sequence as described in compound Compound 191 to give 14 mg of Compound 192 and 7 mg of Compound 191.
- FIG. 13 shows an example of synthesis of Compound 38 and Compound 39.
- Compound 217 was processed separately through Step 11 to give Compound 39 and Compound 222.
- THP1-DualTM Cells (InvivoGen, Cat # thpd-nfis) were applied for EC 50 determination.
- THP1 DualTM Cells have been characterized to carry the HAQ STING genotype by the vendor Invivogen (Insight 201402-1). Cells were grown and maintained under conditions as recommended by manufacturer. The interferon regulatory factor (IRF) pathway induction described in manufacturer's manual was followed for EC 50 determination. In brief, cells were seeded and treated with different concentrations of compound for 20 hrs while incubated at 37° C., 5% CO 2 . Cells were resuspended and QUANTI-LucTM solution (Cat. #: rep-q1c1) was added. Resulting light emission was measured by luminometer (Envision, Perkin Elmer). Obtained signals were plotted and EC 50 was calculated with GraphPad Prism? software.
- EC 50 values are reported in Tables 4-8 below.
- the EC 50 values may be from a single assay or an average of multiple assays. Preceding each table is a structure used for review of that table.
- Human STING has 4 major variants, including WT, HAQ, REF, and AQ variants.
- REF-STING also referred to as R232H, for example, occurs in about 14% of the human population. Compared to the wild-type allele, R232H has decreased response to bacterial and metazoan cyclic dinucleotides. Details of these 4 major variants as well as other rare variants are reported by Yi G, et al., “Single nucleotide polymorphisms of human STING can affect innate immune response to cyclic dinucleotides” PLoS One 2013; 8:e77846.
- STING variant specific reporter cell lines were established by using THP1-DualTM KO-STING cells (InvivoGen, Cat # thpd-kostg) and three STING variant protein expression vectors.
- the expression vector map for WT STING is shown in FIG. 6 .
- different STING variant sequences were used in that vector, with the WT STING replaced by the appropriate nucleotide sequence.
- STING variant-expressing vectors for WT-STING, REF-STING, and AQ-STING were prepared and stably transfected into THP1-DualTM KO-STING cells to prepare STING variant-specific reporter assays for WT-STING, REF-STING and AQ-STING, respectively.
- EC 50 values were determined as described above in Example 103 for the HAQ STING agonist activity reporter assay. Results are shown below in Table 9.
- the DNA sequences used for these STING variants are shown in SEQ ID NO: 1 (Nucleotide Sequence of WT Human STING), SEQ ID NO: 2 (Nucleotide Sequence of REF Human STING), and SEQ ID NO: 3 (Nucleotide Sequence of AQ Human Sting).
- RAW-LuciaTM ISG Cells (InvivoGen, Cat # rawl-isg) were used for a mouse STING agonist reporter assay. EC 50 values were determined as described above in Example 103 in the HAQ STING agonist activity reporter assay. Results are shown below in Table 9.
- a DSF assay was employed to measure the physical interaction between compound and recombinant STING protein.
- Truncated recombinant STING protein (a.a.155-341) (SEQ ID NO: 4) was expressed in E. coli and isolated for the assay, as described below.
- Assay matrix was prepared in 384-well plates to a final volume of 10 ⁇ L per well consisting of 1 ⁇ M recombinant STING protein (a.a. 155-341) (SEQ ID NO: 4), 100 mM PBS pH 7.4, supplemented with 100 mM KCl, 5 ⁇ SYPRO orange dye and 50 ⁇ M compound (final DMSO conc. 0-1%).
- Example 107 Ex Vivo Human PBMC Stimulation Assay
- PBMC Peripheral blood mononuclear cell isolation was done using SIGMA ACCUSPIN 50 ml Tubes (cat # A2055) and sigma ACCUSPIN System-HISTOPAQUE-1077 (cat # A7054) using protocol provided by manufacturer. PBMC layer was harvested and washed with 1 ⁇ Phosphate Buffered Saline (PBS) as suggested by Sigma.
- PBS Phosphate Buffered Saline
- PBMC peripheral blood mononuclear cells
- RPMI fetal bovine serum
- FBS fetal bovine serum
- 1 ml of cell (1 ⁇ 10e6) were transferred into Falcon 5 mL Round Bottom Polypropylene Test Tube (cat #352063) and stimulated with different concentrations (0, 0.1, 1, 10 uM) for 24 hours in 5% CO2 incubator at 37° C.
- IFN ⁇ measurement was done using Human IFN- ⁇ Base Kit (Meso Scale Diagnostics cat # K151ADA) and protocol provided by manufacturer was used. IFN-beta estimation was done by reading assay plate at MESO SECTOR Imager 2400 and using MSD Discovery Workbench 4.0 program. After 24 hours IFN ⁇ protein was analyzed. The results showed that compound 1a can induce primary human PBMC IFN ⁇ protein production in a dose-dependent manner.
- Results shown in Table 10 reflect an average of measurements conducted using five different donors.
- RNA-specific primers for IFNB1 Hs01077958_s1
- GAPDH Hs99999905_m1
- Compound 1a was tested for its anti-cancer activity in CT26 dual tumor model, which is a mouse colon cancer model.
- Female of 5-6 week old Balb/cJ mice (Jackson Labs, Bar Harbor, Me.) were implanted subcutaneously with CT26 tumor cells on both sides of each animals, 10 5 cells for each side.
- treatment was started 5 days (1.25 mg/kg, 2.5 mg/kg and 5 mg/kg) after the tumor implantation, when the average tumors reached approximately 100 mm 3 .
- treatment was started 8 days (0.6 mg/kg, and 10 mg/kg) after the tumor implantation, when the average tumors reached approximately 120 mm 3 .
- the treatment scheme is described in Table 12 and Table 13.
- mice in the study have two subcutaneous CT26 tumors.
- the “treated tumor” indicates the tumor with compound direct administration, while “untreated tumor” indicates the tumor without direct compound administration.
- Tumor volume was followed throughout the experiment. Tumor volume is measured two times weekly after the start of treatment. Tumor burden is calculated from caliper measurements by the formula for the volume of a prolate ellipsoid (L ⁇ W 2 )/2 where L and W are the respective orthogonal length and width measurements (mm).
- Compound 1a showed potent and curative activity in CT26 dual tumor model ( FIG. 7 and FIG. 8 ).
- a cure rate of 20% was detected even at the lowest dose tested in the study ( FIG. 8 , 0.6 mg/kg dose).
- the highest dose (10 mg/kg) cured 100% of animals of that tumor at the end of study.
- the top dose group (10 mg/kg) showed 80% curative effects; all the lower doses also showed tumor growth inhibition activity.
- Compound 1a was tested for its anti-cancer activity in a CT26 liver metastatic model.
- Anesthetized female 5-6 week-old BALB/cJ mice (Jackson Labs, Bar Harbor, Me.) were implanted intra-splenically with luciferase-expressing CT26 tumor cells (5 ⁇ 10 5 cells per mouse).
- a subsequent ten minute waiting period allowed tumor cells to circulate into the animals' livers.
- Spleens were then removed and animals were sutured and allowed to recover.
- CT26 tumor cells (10 5 cells per mouse) were again implanted, this time subcutaneously (sc) under the right forelimb area, to enable development of a tumor mass for compound administration.
- compound (10 mg/kg) was administered intratumorally, a single time, into the sc tumor.
- the local anti-cancer effect of compound was measured through its effect on the sc tumor, while the compound's abscopal effect was assessed by the overall survival of treated mice compared with vehicle-treated control mice, based on the detrimental effect of the growing tumor mass in each mouse liver.
- Compound 1a showed both potent activity towards the local sc tumors and also curative systemic activity in 9 of 10 treated animals ( FIG. 9 ). These results indicate that local administration of compound 1a can induce both local and systemic (abscopal) anti-cancer activity including deep lesion such as in the liver.
- GL261 is a murine glioma cell line. Luciferase expressing GL261 mouse glioma cells (2 ⁇ 10 4 cells/mouse) were intra-cranially implanted into female 5-6 week-old B6 albino mice (Jackson Labs, Bar Harbor, Me.). Three to 4 days later, GL261 cells were implanted subcutaneously (10 6 cells/mouse) under the right forelimb area to allow development of a tumor mass for compound administration. Ten days after intra-cranial tumor cell implantation, compound (10 mg/kg) was administered intratumorally, a single time, into the sc tumor.
- the local anti-cancer effect of compound was measured through its effect on the sc tumor, while the compound's abscopal effect was assessed by the overall survival of treated mice compared with vehicle-treated control mice, based on the detrimental effect of the growing tumor mass in each mouse brain.
- Compound 1a showed both potent activity at local sc tumors and showed curative systemic activity in 5 of 8 treated animals ( FIG. 10 ). These results indicate that local administration of compound 1a can induce both local and systemic (abscopal) anti-cancer activity including deep lesion such as in the brain.
- DNA sequence encoding human WT STING protein from amino acid 155 to 341 was cloned into the pET21b vector, following a His-TEV-Sumo tag at its N-terminus (SEQ ID NO: 5).
- the sequence of the pET21b has been deposited in addgene and is available here: addgene.org/vector-database/2550/; that sequence is incorporated by reference herein.
- E. coli BL21 (DE3) codon plus cells were transformed with this plasmid, and the expression of recombinant protein was induced with 0.1 mM Isopropyl ⁇ -D-1-thiogalactopyranoside (IPTG).
- IPTG Isopropyl ⁇ -D-1-thiogalactopyranoside
- Protein was purified from the soluble fraction of cell lysate by Ni-NTA affinity chromatography. The His-TEV-Sumo tag was removed by sumo protease, and was separated from tag-free WT STING 155-341, using a second Ni-NTA affinity column. The protein was further purified by anion-exchange and size-exclusion chromatography, and was stored in buffer containing 20 mM Tris-HCl pH 7.5, and 150 mM NaCl at 35 mg/ml concentration.
- the WT STING protein was diluted to 10 mg/ml using the storage buffer (20 mM Tris-HCl pH 7.5, and 150 mM NaCl) and mixed with Compound 1 (100 mM stock in DMSO) in molar ratio 1:5. The mixture was incubated for 4 hours at 4° C., and centrifuged at 13,000 rpm for 20 min before crystallization. Crystallization screen trays were set up using the hanging-drop vapor-diffusion method at 18° C.
- Crystals were grown by mixing 1 ⁇ L of WT STING/Compound 1 solution with an equal volume of well solution, containing 100 mM HEPES pH 7.5, 200 mM CaCl2, and 15% (wt/vol) PEG 8000. 20% (wt/vol) PEG 400 was used as cryoprotectant reagent when crystals were flash-frozen in liquid nitrogen. Diffraction datasets were collected with a Pilatus detector at SSRF BL19U1 beamline, and processed with HKL3000 and program SCALEPACK2MTZ in CCP4 software suite.
- WT STING 155-341 bound to Compound 1 was determined by molecular replacement using program PHASER (Maximum Likelihood Molecular Replacement), with PDB ID 4F9E as the initial search model.
- PHASER Maximum Likelihood Molecular Replacement
- PDB ID 4F9E PDB ID 4F9E
- the presence of Compound 1 between the dimer interface of WT STING was confirmed in a Fo-Fc difference map calculated with model phases.
- the model was built and completed manually with Coot program and refined with Refmac5 program in CCP4 software suite.
- Two copies of WT STING 155-341 were identified in each asymmetric unit binding to one molecule of Compound 1 at the dimer interface.
- FIG. 11 shows a picture of the X-ray crystal structure of human WT STING in complex with Compound 1.
- the compound binds at an interface pocket formed by a dimer of WT STING protein.
- the two faces of adenine base of the compound form 7C-7C stacking interaction with Tyr240 and the guanidine group of Arg238, respectively.
- the trans olefin linker forms van der Waals interaction with aliphatic portion of the side chain of Arg 238.
- the fluorine substituent at the C2′ position of ribose group of compound nests in a hydrophobic hole defined by Thr263, Pro264 and Tyr163.
- the negatively charged thiophosphate group of the compound forms salt bridge with Arg238 and H-bond interactions with Ser162 and Thr267, respectively.
- the thiophosphate group also forms electrostatic interaction with guanidine group of Arg 232.
- the LID loop region of WT STING consisting of residue 226 to 243, wraps around the two base groups and the trans olefin linker.
- DNA sequence encoding human REF STING protein from amino acid 155 to 341 was cloned into the pET21b vector, following a His-TEV-Sumo tag at its N-terminus (SEQ ID NO: 7).
- the sequence of the pET21b has been deposited in addgene and is available here: addgene.org/vector-database/2550/; that sequence is incorporated by reference herein.
- E. coli BL21 (DE3) codon plus cells were transformed with this plasmid, and the expression of recombinant protein was induced with 0.1 mM Isopropyl ⁇ -D-1-thiogalactopyranoside (IPTG).
- IPTG Isopropyl ⁇ -D-1-thiogalactopyranoside
- Protein was purified from the soluble fraction of cell lysate by Ni-NTA affinity chromatography. The His-TEV-Sumo tag was removed by sumo protease, and was separated from tag-free REF STING_155-341 using a second Ni-NTA affinity column. The protein was further purified by anion-exchange and size-exclusion chromatography, and was stored in buffer containing 20 mM Tris-HCl pH 7.5, and 150 mM NaCl at 24 mg/ml concentration.
- REF STING protein was diluted to 10 mg/ml using the storage buffer (20 mM Tris-HCl pH 7.5, and 150 mM NaCl) and mixed with Compound 1 (100 mM stock in DMSO) in molar ratio 1:5. The mixture was incubated for 4 hours at 4° C., and centrifuged at 13,000 rpm for 20 min before crystallization. Crystallization screen trays were set up using the hanging-drop vapor-diffusion method at 18° C.
- Crystals were grown by mixing 1 ⁇ L of REF STING/Compound 1 solution with an equal volume of well solution, containing 100 mM HEPES pH 7.5, 200 mM CaCl2, and 15% (wt/vol) PEG 8000. 20% (wt/vol) PEG 400 was used as cryoprotectant reagent when crystals were flash-frozen in liquid nitrogen. Diffraction datasets were collected with a Pilatus detector at SSRF BL18U1 beamline, and processed with HKL3000 and program SCALEPACK2MTZ in CCP4 software suite. This structure is shown in FIG. 12 .
- REF STING 155-341 bound to Compound 1 was determined by molecular replacement using program PHASER (Maximum Likelihood Molecular Replacement), using previously determined WT STING 155-341 structure (as described above) as the initial search model.
- PHASER Maximum Likelihood Molecular Replacement
- Two copies of REF STING 155-341 were identified in each asymmetric unit binding to one molecule of Compound 1 at the dimer interface.
- FIG. 12 shows the X-ray crystal structure of human REF STING in complex with Compound 1, which was co-crystallized from a sample of Compound 1a.
- the compound binds at an interface pocket formed by a dimer of STING protein.
- the two faces of adenine base of the compound form 7C-7C stacking interaction with Tyr240 and the guanidine group of Arg238, respectively.
- the trans olefin linker forms van der Waals interaction with the aliphatic portion of the side chain of Arg238 while the guanidine portion of the side chain of Arg238 forms 7C-7C stacking interaction with the imidazole group of the side chain of His232 from outside.
- the olefin linker is in contact with the interacting pair of the side chains of Arg238 and His232.
- the fluorine substituent at the C2′ position of ribose group of compound nests in a hydrophobic hole defined by Thr263, Pro264 and Tyr163.
- the negatively charged thiophosphate group of the compound forms salt bridge with Arg238 and H-bond interactions with Ser162 and Thr267, respectively.
- the LID loop region of REF STING consisting of residue 226 to 243, wraps around the two base groups and the trans olefin linker.
- EC50 values were calculated for human STING assays of WT STING, HAQ STING, AQ STING, and REF STING, in head-to-head comparisons using Compound 1a of the present disclosure, a natural STING ligand (2′3′ cGAMP), and the purported STING agonist ML RR-S2 CDA, as reported in Corrales, et al., “Direct Activation of STING in the Tumor Microenvironment Leads to Potent and Systemic Tumor Regression and Immunity,” Cell Reports (2015) 11:1018-1030, which is incorporated by reference herein. Assays were conducted as described in examples set forth above. Note that reported assay values in Table 14 were limited to the assays conducted in the head-to-head comparisons and may not reflect averaged values determined over a greater number of trials as reported in Table 5 or elsewhere.
- Table 14 also reports dissociation binding constants (Kd) for the binding of human WT STING to each of the three tested compounds, as measured by isothermal titration calorimetry (ITC).
- ITC isothermal titration calorimetry
- ITC is a microcalorimetic titration technique that measures thermodynamic properties associated with intermolecular interactions. Based on these tests, Compound 1a appears to form the strongest bond with WT STING of the tested compounds.
- Recombinant human wild type STING (aa, 139-379, H232R) protein was generated by expressing a construct in E. coli encoding a cytosolic domain of human WT STING comprising amino acids 139-379.
- STING protein was stored at ⁇ 60° C. in 90 ⁇ L and 100 ⁇ L aliquots each at a concentration of 3.0 mg/mL and 20 mg/mL, respectively in PBS, pH 7.5 containing 5% glycerol.
- aliquots of the protein were thawed, diluted to 400 uL and buffer-exchanged into PBS using an Amicon Ultra centrifugal filter unit (10 k MW cutoff, 0.5 mL) with at least four 10 min 14000 ⁇ g centrifugations with an Eppendorf microcentrifuge and then finally diluted to 20 ⁇ M to 30 ⁇ M (experiment-dependent) with 1 ⁇ PBS.
- Protein concentration was determined using a Nanodrop 2000 spectrophotometer and a protein extinction coefficient of 22140 (M ⁇ 1 cm ⁇ 1 ).
- Assays were performed on an Affinity ITC unit (TA Instruments no. 609003.901) equipped with the ITC cleaning accessory (TA Instruments no 601800.901).
- the STING protein solution approximately 400 ⁇ L containing 20 ⁇ M to 30 ⁇ M STING protein, was pipetted into the 185 ⁇ L calorimeter cell allowing some acceptable overload.
- the reference cell contained an equivalent amount of Milli-Q water. Incubation was carried out at 25° C. with 20 ⁇ 2.5 ⁇ L injections of 100 ⁇ M to 300 ⁇ M compounds.
- the control software was ITC Run Ver. 3.3.0.0 (TA Instruments) was used to obtain the thermograms consisting of multiple peaks of raw heat ( ⁇ cal/sec) representing the heat rate at each injection.
- the Kds and n values were derived and reported. Optimal conditions for the concentrations of protein and ligand were derived from preliminary experiments.
- Compound 1a was incubated in hepatocytes of CD-1 mouse, Sprague Dawley rat, Beagle dog, Cynomolgus monkey, and human, to evaluate the formation of major metabolites.
- Cryopreserved pooled hepatocytes were purchased from ThermoFisher Scientific (Waltham, Mass.), Xenotech, LLC (Kansas City, Kans.) and In Vitro ADMET Laboratories (Columbia, Md.), and the appropriate media were purchased from In Vitro ADMET Laboratories (Columbia, Md.) and Life Technologies (Carlsbad, Calif.).
- AOPI staining solution and phosphate buffer were obtained from Corning Life Sciences (Tewksbury, Mass.) and Nexcelom Bioscience (Lawrence, Mass.), respectively. All chemicals, reagents, and solvents used in analysis were of either analytical or HPLC grade.
- Compound 1a was weighed and dissolved in HPLC-water containing 0.12% formic acid PBS to make 1020 mmol/L. The solution was then diluted 2.5-fold individually to 4 mmol/L and then further diluted 21000-fold with the Williams' E medium containing 0.1% human serum albumin and 2 mmol/L L-glutamine to make the working stock solution with concentration of 20 ⁇ mol/L.
- cryopreserved hepatocytes Prior to incubations, the cryopreserved hepatocytes were thawed in a water bath at 37° C. One tube of cryopreserved hepatocytes was added to each 50-mL conical tube of cryopreserved hepatocyte recovery medium (UCRM) obtained from In Vitro ADMET Laboratories (Columbia, Md.). The cells were spun in a Beckman centrifuge (Brea, Calif.) with a GH 3.8 rotor at 740 rpm for 10 minutes at room temperature 4° C. The supernatant was removed and the cells were re-suspended in plating media for counting.
- UCRM cryopreserved hepatocyte recovery medium
- the hepatocyte suspension (50 ⁇ L/well) was added into a 48-well plate. Fifty microliters of working stock solution containing Compound 1a (20 ⁇ mon) were added to start the reaction. The plate was placed into a tissue culture incubator (5% CO2/95% air humidified atmosphere and 37° C.), and the reactions were terminated with 200 ⁇ L of stop solution consisting of 100% methanol/acetonitrile (1/1, v/v) with 2010 ng/mL furosemide and 0.2 ⁇ mol/L (R)-propranolol at 5, 30, 60, 120, 180 and 240 minutes. The mixture was centrifuged and filtered, and the supernatant was collected for analysis. The final concentrations of cryopreserved hepatocytes were 1 ⁇ 106 cells/mL. The final incubation concentration of Compound 1a was 10 ⁇ mon.
- the LC-MS/MS system was composed of a Shimadzu HPLC and an AB-SCIEX TripleTOF 5600 hybrid quadrupole and TOF mass spectrometer (Framingham, Mass.).
- the Shimadzu HPLC (Kyoto, Japan), consisted of a communications bus module (CBM-20A), an auto-sampler (SIL-30AC) with an attached rack changer (Rack Changer II) two pumps (LC-30AD) and a column oven (CTO-30A).
- the mass spectrometer was calibrated using the AB-SCIEX APCI both Negative and Positive Calibration Solutions (Framingham, Mass.). The samples obtained from incubations with hepatocytes were analyzed under both negative and positive scan modes.
- the basic analytical method and instrumental conditions are summarized below. Modification of the spectrometer settings was dependent on the necessity of the analyte.
- Mass spectrometry data were acquired using AB-Sciex Analyst TF (Version 1.5.1; Framingham, Mass.). Chromatograms and spectra were obtained using AB-Sciex PeakView (Version 2.2.0.1; Framingham, Mass.). The comparison of relative peak areas for extracted ion chromatograms were based on ⁇ 0.0002 Da of the expected exact mass-to-charge ratio (m/z) for each analyte of interest.
- Compound 1a Under positive scan mode, Compound 1a showed the protonated molecular ion m/z 747 (C 24 H 27 F 2 N 10 O 8 P 2 S 2 + ) and the major MS/MS product ions with m/z 651 (C 24 H 26 F 2 N 10 O 6 PS + ), m/z 252 (C 10 H 11 FN 5 O 2 + ), and m/z 188 (C 9 H 10 N 5 + ).
- the MS and MS/MS data are confirmative to the structure of Compound 1a.
- Compound 1a was stable in the incubations with hepatocytes of mouse, rat, dog, monkey, and human. No apparent metabolite of Compound 1a was identified in this study. In the samples obtained from incubations with hepatocytes, only Compound 1a itself could be detected and confirmed by the fragments of tandem mass spectrometry (MS/MS).
Landscapes
- Health & Medical Sciences (AREA)
- Chemical & Material Sciences (AREA)
- Life Sciences & Earth Sciences (AREA)
- Organic Chemistry (AREA)
- General Health & Medical Sciences (AREA)
- Molecular Biology (AREA)
- Biochemistry (AREA)
- Medicinal Chemistry (AREA)
- Pharmacology & Pharmacy (AREA)
- Veterinary Medicine (AREA)
- Public Health (AREA)
- Animal Behavior & Ethology (AREA)
- General Chemical & Material Sciences (AREA)
- Nuclear Medicine, Radiotherapy & Molecular Imaging (AREA)
- Chemical Kinetics & Catalysis (AREA)
- Engineering & Computer Science (AREA)
- Genetics & Genomics (AREA)
- Immunology (AREA)
- Biotechnology (AREA)
- Oncology (AREA)
- Epidemiology (AREA)
- Hematology (AREA)
- Bioinformatics & Cheminformatics (AREA)
- Communicable Diseases (AREA)
- Pharmaceuticals Containing Other Organic And Inorganic Compounds (AREA)
- Saccharide Compounds (AREA)
- Medicines That Contain Protein Lipid Enzymes And Other Medicines (AREA)
- Steroid Compounds (AREA)
- Acyclic And Carbocyclic Compounds In Medicinal Compositions (AREA)
- Peptides Or Proteins (AREA)
Abstract
Provided herein are compounds useful for the treatment of cancer.
Description
- This application claims benefit of U.S. Provisional Patent Application No. 62/460,562, filed on Feb. 17, 2017; U.S. Provisional Patent Application No. 62/479,169, filed on Mar. 30, 2017; U.S. Provisional Patent Application No. 62/551,645, filed on Aug. 29, 2017; U.S. Provisional Patent Application No. 62/551,647, filed on Aug. 29, 2017; and U.S. Provisional Patent Application No. 62/551,668, filed on Aug. 29, 2017. All of those applications are incorporated by reference as if fully rewritten herein.
- STING (stimulator of interferon genes) is a signaling molecule in the innate response to dsDNA in the cytosol. STING deletion has been reported in multiple human cancers. In addition, deregulation of STING signaling in human cancers also has been reported in melanoma (Xia T, et al., “Recurrent Loss of STING Signaling in Melanoma Correlates with Susceptibility to Viral Oncolysis” Cancer Res. 2016) and colon cancer. (Xia T, et al., “Deregulation of STING Signaling in Colorectal Carcinoma Constrains DNA Damage Responses and Correlates With Tumorigenesis” Cell Rep. 2016; 14:282-97). Interestingly, in those studies, genomic analysis results showed loss expression of STING is not due to gene deletion or mutation, but through epigenetic changes. (Xia, Cancer Res. 2016; Xia, Cell Rep. 2016). STING's cancer protection activity is also supported by evidence obtained from mouse model studies. STING knockout mice have shown defective tumor control. (Woo S R, et al. “STING-dependent cytosolic DNA sensing mediates innate immune recognition of immunogenic tumors” Immunity 2014; 41:830-42).
- In addition, STING's role in protecting ontogenesis has been demonstrated in several mouse spontaneous models, including glioma (Ohkuri T, et al., “Protective role of STING against gliomagenesis: Rational use of STING agonist in anti-glioma immunotherapy” Oncoimmunology. 2015; 4:e999523), and colon cancer (Zhu Q, et al., “Cutting edge: STING mediates protection against colorectal tumorigenesis by governing the magnitude of intestinal inflammation” J. Immunol. 2014; 193:4779-82). This anti-tumor effect may be due to its ability to counter over-activation of NF-kB and STAT3. (Okihuri 2015). Activation of STING pathway also showed potent activity in preclinical mouse tumor models. (Woo 2014; Chandra D, et al. “STING ligand c-di-GMP improves cancer vaccination against metastatic breast cancer” Cancer Immunol Res. 2014; 2:901-10; Corrales L, et al., “Direct Activation of STING in the Tumor Microenvironment Leads to Potent and Systemic Tumor Regression and Immunity” Cell Rep. 2015; 11:1018-30; Curran E, et al. “STING Pathway Activation Stimulates Potent Immunity against Acute Myeloid Leukemia” Cell Rep. 2016; 15:2357-66; Tang C H, et al. “Agonist-Mediated Activation of STING Induces Apoptosis in Malignant B Cells” Cancer Res. 2016; 76:2137-52). This anti-tumor activity is likely due to disruption of tumor vasculature and followed by induction of adaptive immune response. (Corrales L, et al., “The host STING pathway at the interface of cancer and immunity” J. Clin. Invest. 2016; 126:2404-11). Accordingly, direct stimulation of STING in a tumor microenvironment by an agonist may represent a novel approach for treating multiple cancer types.
- Embodiments may provide a Compound of Formula I:
- (where P1 is the lower-left phosphorus and P2 the upper right phosphorus as depicted above) having substituents and stereochemistry as indicated in 71, below, or a pharmaceutically acceptable salt thereof. The indicates a single bond or double bond.
Where a phosphorous atom has four substituents that differ, that phosphorous atom will be a stereocenter. SpSp/RpRp/SpRp/RpSp refers to the phosphorous stereochemistry as indicated. -
TABLE 1 Geometry stereochemical stereochemical (Trans, Cis, or configuration configuration Compound # n Saturated) X1 X2 (P1) (P2) 1 1 Trans SH SH S R 2 1 Trans SH SH R R 3 1 Trans SH SH S S 4 1 Cis SH SH R R 5 1 Cis SH SH S R 6 1 Saturated SH SH S R 8 2 Trans SH SH Undetermined Undetermined 9 1 Trans OH OH n/a n/ a 11 2 Trans SH SH Undetermined Undetermined 12 2 Trans SH SH Undetermined Undetermined - Embodiments may further provide a Compound of Formula II:
- having substituents and stereochemistry as indicated in Table 2, below, or a pharmaceutically acceptable salt thereof. Where a phosphorous atom has four substituents that differ, that phosphorous atom will be a stereocenter.
-
TABLE 2 stereochemical Geometric configuration Compound # R4a configuration (P1, P2) 13 —OH trans S, R 14 —OH trans R, R 15 —F trans S, R 16 —F trans R, R - Embodiments may provide a compound of Formula (III):
- or a pharmaceutically acceptable salt thereof, wherein
R1a is selected from the group consisting of —H, halogen, —C1-6alkyl, —N3, —CH2R2a, —NHR2a, or —OR2a;
R2a is selected from the group consisting of —H, —C1-6-alkyl, or R2a and R3 are connected and together represent —CH2—, —CH2CH2—, —CH(CH2Y1)—, or —CH2CH(CH2Y1)—;
Y1 is selected from the group consisting of —H; —OH optionally substituted with —C1-3alkyl; —NH2 optionally substituted with C1-3alkyl; allyl optionally substituted with (i) —OH, (ii) —OCH3, (iii) C1-3alkyl, or (iv) halogen; vinyl, optionally substituted with (i) —OH, (ii) —OCH3, (iii) C1-3alkyl, or (iv) halogen; or —CH3 optionally substituted with (i) —OH, (ii) —OCH3, (iii) C1-3alkyl, or (iv) halogen;
R1b is selected from the group consisting of —H, halogen, —C1-6alkyl, —OR2b, —NHR2b, or, with R11, forms C4-6cycloalkyl or C4-6heterocycloalkyl;
R2b is selected from the group consisting of —H, or —C1-6alkyl;
R3 is —H; —F; optionally substituted by (i) (ii) —OH, (iii) halogen, or (iv) —OCH3; —C2-6alkenyl, optionally substituted by (i) (ii) —OH, (iii) halogen, or (iv) —OCH3; C2-6alkynyl, optionally substituted by (i) (ii) —OH, (iii) halogen, or (iv) —OCH3; or —OC1-6alkyl, optionally substituted by (i) (ii) —OH, (iii) halogen, or (iv) —OCH3; or R3 is connected with R2a;
R4a is selected from the group consisting of —H, halogen, —C1-6alkyl, —N3, —CH2R5a, —NHR5a, or —OR5a;
R5a is selected from the group consisting of —H, —C1-6alkyl, or R5a and R6 are connected and together represent —CH2—, —CH2CH2—, —CH(CH2Y2)—, or —CH2CH(CH2Y2)—;
Y2 is selected from the group consisting of —H; —OH optionally substituted with —C1-3alkyl; —NH2 optionally substituted with C1-3alkyl; allyl optionally substituted with (i) —OH, (ii) —OCH3, (iii) C1-3alkyl, or (iv) halogen; vinyl, optionally substituted with (i) —OH, (ii) —OCH3, (iii) C1-3alkyl, or (iv) halogen; or —CH3 optionally substituted with (i) —OH, (ii) —OCH3, (iii) C1-3alkyl, or (iv) halogen;
R4b is selected from the group consisting of —H, halogen, —C1-6-alkyl, —OR5b, —NHR5b, or with R12, forms C4-6cycloalkyl or C4-6heterocycloalkyl;
R5b is selected from the group consisting of —H, or —C1-6alkyl;
R6 is —H; —F, —C1-6alkyl, optionally substituted by (i) C1-3alkyl, (ii) —OH, (iii) halogen, or (iv) —OCH3; —C2-6alkenyl optionally substituted by (i) C1-3alkyl, (ii) —OH, (iii) halogen, or (iv) —OCH3; C2-6alkynyl, optionally substituted by (i) C1-3alkyl, (ii) —OH, (iii) halogen, or (iv) —OCH3; or —OC1-6alkyl, optionally substituted by (i) C1-3alkyl, (ii) —OH, (iii) halogen, or (iv)—OCH3 or R6 is connected with R5a;
R11 is —H or —C1-6alkyl, or R11 forms a ring with R1b;
R12 is —H or —C1-6alkyl; or R12 forms a ring with R4b;
R25 and R18 are the same or different and are independently selected from the group consisting of —H, C1-3alkyl, saturated or unsaturated, and optionally substituted by C1-3alkyl, —OH, halogen, or —OCH3;
Z1 and Z2 are the same or different and are independently selected from —O—, —NH—, —N(C1-3alkyl), —CH2—, and —S—;
P1 and P2 each independently has an S or R stereochemical configuration;
X1a and X2a are the same or different and are independently selected from 0 or S;
X1b and X2b are the same or different and are independently selected from the group consisting of —OR19, —NR19R20, and —SR19—,
wherein each of R19 and R20 is independently selected from the group consisting of —H, —C1-6alkyl, —C(O)R21, —CH2OC(O)OR21, and —CH2OC(O)NR21R22, —OC(O)OR21, and —CH2OC(O)NR21R22;
wherein each of R21 and R22 is independently selected from —H and C1-6alkyl;
X7 and X8 are the same or different and are independently selected from the group consisting of —O—; —CH2—; —CHF—; —S—; and —NH—, optionally substituted with C1-3alkyl; and
L1 is 3 to 6 atoms long comprising - wherein indicates a single bond, a double bond, or a triple bond and wherein (i) either 0 or 1 occurrence of in L1 indicates a triple bond; or (ii) 0, 1, or 2 occurrences of in L1 indicates a double bond, wherein geometry about each double bond is cis or trans; and (iii) wherein when 1 occurrence of in L1 indicates a triple bond, 0 occurrences of in L1 indicates a double bond; and (iv) wherein, when 2 occurrences of in L1 indicate a double bond, those double bonds are either adjacent bonds or alternating bonds;
- wherein X10, X1i, X12, X13, X14, and X15 are independently selected from a bond; —O—; —NH—; —S—; —C(O)—; —CH—, optionally substituted by (i) (ii) —OH, or (iii) —OCH3; and —CH2—, optionally substituted by (i) (ii) —OH, (iii) or —OCH3;
and wherein any two adjacent or three contiguous members of the group including X10, X11, X12, X13, X14, and X15 may optionally form, with additional atoms, a C3-6cycloalkyl, optionally substituted with one or more of (i) C1-3 alkyl, (ii) —OH, or (iii) —OMe; C5-6cycloaryl, optionally substituted with one or more of (i) (ii) —OH, or (iii) —OMe; C5-6heterocycloalkyl, optionally substituted with one or more of (i) (ii) —OH, or (iii) —OMe; or C3-6heterocycloaryl ring optionally substituted with one or more of (i) C1-3 alkyl, (ii) —OH, or (iii) —OMe; and wherein
B1 and B2 are independently selected from: - where the bonds at points q and r on B1 and B2 are attached at points q and r on Formula (III);
- wherein X16 is selected from the group consisting of —CH2—, —O—, —NH—, —S—, and —C(O)—, optionally substituted with C1-3alkyl, —OH, or —OCH3;
wherein R13, R14, R15, R16, and R17, when present, are independently selected from the group consisting of —H, —F, —Cl, —I, —Br, —OH, —SH, —NH2, C1-3alkyl, C3-6cycloalkyl, —O(C1-3alkyl), —O(C3-6cycloalkyl), —S(C1-3 alkyl), —S(C3-6cycloalkyl), —NH(C1-3alkyl), —NH(C3-6 cycloalkyl), —N(C1-3alkyl)2, and —N(C3-6cycloalkyl)2; and wherein X17 and X18 are independently selected from the group consisting of —O—, —CR23R24—, —NR23—, and —S—; and wherein - R23 and R24 are the same or different and are selected from the group consisting of —H and —C1-3alkyl.
- Further embodiments may provide a compound of Formula (IV):
- or a pharmaceutically acceptable salt thereof, wherein
R1a is selected from the group consisting of —H, halogen, —C1-6alkyl, —N3, —CH2R2a, —NHR2a, or —OR2a;
Rea is selected from the group consisting of —H and —C1-6-alkyl;
R1b is selected from the group consisting of —H, halogen, —C1-6alkyl, —OR2b, —NHR2b, or, with R11, forms C4-6cycloalkyl or C4-6heterocycloalkyl;
R2b is selected from the group consisting of —H, or —C1-6alkyl;
R3 is —H; —F; —C1-6alkyl, optionally substituted by (i) C1-3alkyl, (ii) —OH, (iii) halogen, or (iv) —OCH3; —C2-6alkenyl, optionally substituted by (i) C1-3alkyl, (ii) —OH, (iii) halogen, or (iv) —OCH3; C2-6alkynyl, optionally substituted by (i) C1-3alkyl, (ii) —OH, (iii) halogen, or (iv) —OCH3; or —OC1-6alkyl, optionally substituted by (i) C1-3alkyl, (ii) —OH, (iii) halogen, or (iv) —OCH3;
R4a is selected from the group consisting of —H, halogen, —C1-6alkyl, —N3, —CH2R5a, —NHR5a, or —OR5a;
R5a is selected from the group consisting of —H, —C1-6alkyl, or R5a and R6 are connected and together represent —CH2—, —CH2CH2—, —CH(CH2Y2)—, or —CH2CH(CH2Y2)—;
Y2 is selected from the group consisting of —H; —OH optionally substituted with —C1-3alkyl; —NH2 optionally substituted with C1-3alkyl; allyl optionally substituted with (i) —OH, (ii) —OCH3, (iii) C1-3alkyl, or (iv) halogen; vinyl, optionally substituted with (i) —OH, (ii) —OCH3, (iii) C1-3alkyl, or (iv) halogen; or —CH3 optionally substituted with (i) —OH, (ii) —OCH3, (iii) C1-3alkyl, or (iv) halogen;
R4b is selected from the group consisting of —H, halogen, —C1-6-alkyl, —OR5b, —NHR5b, or with R12, forms C4-6cycloalkyl or C4-6heterocycloalkyl;
R5b is selected from the group consisting of —H, or —C1-6alkyl;
R6 is —H; —F, —C1-6alkyl, optionally substituted by (i) C1-3alkyl, (ii) —OH, (iii) halogen, or (iv) —OCH3; —C2-6alkenyl optionally substituted by (i) C1-3alkyl, (ii) —OH, (iii) halogen, or (iv) —OCH3; C2-6alkynyl, optionally substituted by (i) C1-3alkyl, (ii) —OH, (iii) halogen, or (iv) —OCH3; or —OC1-6alkyl, optionally substituted by (i) C1-3alkyl, (ii) —OH, (iii) halogen, or (iv) —OCH3; or R6 is connected with Rya;
R11 is —H or —C1-6alkyl, or R11 forms a ring with R1b;
R12 is —H or —C1-6alkyl; or R12 forms a ring with R4b;
R25 and R18 are the same or different and are independently selected from the group consisting of —H, C1-3alkyl, saturated or unsaturated, and optionally substituted by C1-3alkyl, —OH, halogen, or —OCH3;
Z1 and Z2 are the same or different and are independently selected from —O—, —NH—, —N(C1-3alkyl), —CH2—, and —S—;
P1 and P2 each independently has an S or R stereochemical configuration;
X1a and X2a are the same or different and are independently selected from 0 or S;
X1b and X2b are the same or different and are independently selected from the group consisting of —OR19, —NR19R20, and —SR19—,
wherein each of R19 and R20 is independently selected from the group consisting of —H, —C1-6alkyl, —C(O)R21, —CH2OC(O)OR21, and —CH2OC(O)NR21R22, —OC(O)OR21, and —CH2OC(O)NR21R22;
wherein each of R21 and R22 is independently selected from —H and C1-6alkyl;
X7 and X8 are the same or different and are independently selected from the group consisting of —O—; —CH2—; —CHF—; —S—; and —NH—, optionally substituted with C1-3alkyl; and
L1 is 3 to 6 atoms long comprising - wherein indicates a single bond, a double bond, or a triple bond and wherein (i) either 0 or 1 occurrence of in L1 indicates a triple bond; or (ii) 0, 1, or 2 occurrences of in L1 indicates a double bond, wherein geometry about each double bond is cis or trans; and (iii) wherein when 1 occurrence of in L1 indicates a triple bond, 0 occurrences of in L1 indicates a double bond; and (iv) wherein, when 2 occurrences of in L1 indicate a double bond, those double bonds are either adjacent bonds or alternating bonds;
- wherein X10, X11, X12, X13 X14, and X15 are independently selected from a bond; —O—; —NH—; —S—; —C(O)—; —CH—, optionally substituted by (i) C1-C3alkyl, (ii) —OH, or (iii) —OCH3; and —CH2—, optionally substituted by (i) C1-3alkyl, (ii) —OH, (iii) or —OCH3;
and wherein any two adjacent or three contiguous members of the group including X10, X11, X12, X13, X14, and X15 may optionally form, with additional atoms, a C3-6cycloalkyl, optionally substituted with one or more of (i) C1-3alkyl, (ii) —OH, or (iii) —OMe; C5-6cycloaryl, optionally substituted with one or more of (i) C1-3alkyl, (ii) —OH, or (iii) —OMe; C5-6heterocycloalkyl, optionally substituted with one or more of (i) C1-3alkyl, (ii) —OH, or (iii) —OMe; or C3-6heterocycloaryl ring optionally substituted with one or more of (i) C1-3alkyl, (ii) —OH, or (iii) —OMe; and wherein
B1 and B2 are independently selected from: - where the bonds at points q and r on B1 and B2 are attached at points q and r on Formula (IV);
wherein X16 is selected from the group consisting of —CH2-, —O—, —NH—, —S—, and —C(O)—, optionally substituted with C1-3alkyl, —OH, or —OCH3;
wherein R13, R14, R15, R16, and R17, when present, are independently selected from the group consisting of —H, —F, —Cl, —I, —Br, —OH, —SH, —NH2, C1-3alkyl, C3-6cycloalkyl, —O(C1-3alkyl), —O(C3-6cycloalkyl), —S(C1-3 alkyl), —S(C3-6cycloalkyl), —NH(C1-3alkyl), —NH(C3-6 cycloalkyl), —N(C1-3alkyl)2, and —N(C3-6cycloalkyl)2; and
wherein X17 and X18 are independently selected from the group consisting of —O—, —CR23R24—, —NR23—, and —S—; and wherein - R23 and R24 are the same or different and are selected from the group consisting of —H and —C1-3alkyl.
- Further embodiments may provide a compound of Formula (V):
- or a pharmaceutically acceptable salt thereof, wherein
R1a is selected from the group consisting of —H, halogen, —C1-6alkyl, —N3, —CH2R2a, —NHR2a, or —OR2a;
Rea is selected from the group consisting of —H and —C1-6-alkyl;
R1b is selected from the group consisting of —H, halogen, —C1-6alkyl, —OR2b, —NHR2b, or, with R11, forms C4-6cycloalkyl or C4-6heterocycloalkyl;
R2b is selected from the group consisting of —H, or —C1-6alkyl;
R3 is —H; —F; —C1-6alkyl, optionally substituted by (i) C1-3alkyl, (ii) —OH, (iii) halogen, or (iv) —OCH3; —C2-6alkenyl, optionally substituted by (i) C1-3alkyl, (ii) —OH, (iii) halogen, or (iv) —OCH3; C2-6alkynyl, optionally substituted by (i) C1-3alkyl, (ii) —OH, (iii) halogen, or (iv) —OCH3; or —OC1-6alkyl, optionally substituted by (i) C1-3alkyl, (ii) —OH, (iii) halogen, or (iv) —OCH3;
R4a is selected from the group consisting of —H, halogen, —C1-6alkyl, —N3, —CH2R5a, —NHR5a, or —OR5a;
R5a is selected from the group consisting of —H and —C1-6alkyl;
R4b is selected from the group consisting of —H, halogen, —C1-6-alkyl, —OR5b, and —NHR5b; or, with R12, forms C4-6cycloalkyl or C4-6heterocycloalkyl
R5b is selected from the group consisting of —H, or —C1-6alkyl;
R6 is —H; —F, —C1-6alkyl, optionally substituted by (i) C1-3alkyl, (ii) —OH, (iii) halogen, or (iv) —OCH3; —C2-6alkenyl optionally substituted by (i) C1-3alkyl, (ii) —OH, (iii) halogen, or (iv) —OCH3; C2-6alkynyl, optionally substituted by (i) C1-3alkyl, (ii) —OH, (iii) halogen, or (iv) —OCH3; or —OC1-6alkyl, optionally substituted by (i) C1-3alkyl, (ii) —OH, (iii) halogen, or (iv) —OCH3;
R11 is —H or —C1-6alkyl, or R11 forms a ring with R1b;
R12 is —H or —C1-6alkyl; or R12 forms a ring with R4b;
R25 and R18 are the same or different and are independently selected from the group consisting of —H, C1-3alkyl, saturated or unsaturated, and optionally substituted by C1-3alkyl, —OH, halogen, or —OCH3;
Z1 and Z2 are the same or different and are independently selected from —O—, —NH—, —N(C1-3alkyl), —CH2—, and —S—;
P1 and P2 each independently has an S or R stereochemical configuration;
X1a and X2a are the same or different and are independently selected from O or S;
X1b and X2b are the same or different and are independently selected from the group consisting of —OR19, —NR19R20, and —SR19—,
wherein each of R19 and R20 is independently selected from the group consisting of —H, —C1-6alkyl, —C(O)R21, —CH2OC(O)OR21, and —CH2OC(O)NR21R22, —OC(O)OR21, and —CH2OC(O)NR21R22;
wherein each of R21 and R22 is independently selected from —H and C1-6alkyl;
X7 and X8 are the same or different and are independently selected from the group consisting of —O—; —CH2—; —CHF—; —S—; and —NH—, optionally substituted with C1-3alkyl; and
L1 is 3 to 6 atoms long comprising - wherein indicates a single bond, a double bond, or a triple bond and wherein (i) either 0 or 1 occurrence of in L1 indicates a triple bond; or (ii) 0, 1, or 2 occurrences of in L1 indicates a double bond, wherein geometry about each double bond is cis or trans; and (iii) wherein when 1 occurrence of in L1 indicates a triple bond, 0 occurrences of in L1 indicates a double bond; and (iv) wherein, when 2 occurrences of in L1 indicate a double bond, those double bonds are either adjacent bonds or alternating bonds;
- wherein X10, X11, X12, X13, X14, and X15 are independently selected from a bond; —O—; —NH—; —S—; —C(O)—; —CH—, optionally substituted by (i) C1-C3alkyl, (ii) —OH, or (iii) —OCH3; and —CH2—, optionally substituted by (i) C1-3alkyl, (ii) —OH, (iii) or —OCH3;
and wherein any two adjacent or three contiguous members of the group including X10, X1i, X12, X13, X14, and X15 may form, optionally with additional atoms, a C3-6cycloalkyl, optionally substituted with one or more of (i) C1-3alkyl, (ii) —OH, or (iii) —OMe; C5-6cycloaryl, optionally substituted with one or more of (i) C1-3alkyl, (ii) —OH, or (iii) —OMe; C5-6heterocycloalkyl, optionally substituted with one or more of (i) C1-3alkyl, (ii) —OH, or (iii) —OMe; or C3-6heterocycloaryl ring optionally substituted with one or more of (i) C1-3alkyl, (ii) —OH, or (iii) —OMe; and wherein
B1 and B2 are independently selected from: - where the bonds at points q and r on B1 and B2 are attached at points q and r on Formula (V);
wherein X16 is selected from the group consisting of —CH2-, —O—, —NH—, —S—, and —C(O)—, optionally substituted with C1-3alkyl, —OH, or —OCH3;
wherein R13, R14, R15, R16, and R17, when present, are independently selected from the group consisting of —H, —F, —Cl, —I, —Br, —OH, —SH, —NH2, C1-3alkyl, C3-6cycloalkyl, —O(C1-3alkyl), —O(C3-6cycloalkyl), —S(C1-3 alkyl), —S(C3-6cycloalkyl), —NH(C1-3alkyl), —NH(C3-6 cycl ° alkyl), —N(C1-3alkyl)2, and —N(C3-6cycloalkyl)2; and wherein X17 and X18 are independently selected from the group consisting of —O—, —CR24R23—, —NR23—, and —S—; and wherein - R23 and R24 are the same or different and are selected from the group consisting of —H and —C1-3alkyl.
- Many other aspects of embodiments relating to Formulas I through V are described throughout this specification. For example, in some embodiments the pharmaceutically acceptable salt is a diammonium salt. In some embodiments X1b and X2b are —SH. In some embodiments R4a is —F, and R4b, R12, and R6 are —H. In some embodiments R4b is —F, and R4a, R12, and R6 are —H. In further embodiments R12 is —F, and R4a, R4b, and R6 are —H. In still further embodiments R6 is —F, and R4a, R4b, and R12 are —H. In yet still further embodiments R1a is —F, and R3, R1b, and R11 are —H.
- In further embodiments R3 is —F, and R1a, R1b, and R11 are —H. In still further embodiments R1b is —F, and R1a, R3, and R11 are —H. In further embodiments R11 is —F, and R1a, R1b, and R3 are —H. In further embodiments X1a and X2a are both ═O. In still further embodiments B1 and B2 are both
- In further embodiments X7 and X8 are both O. In further embodiments L1 is
- In still further embodiments X1a is S, X1b is —SH, X2a is S, and X2b is —SH. In yet further embodiments Z1 and Z2 are both —O—. In further embodiments X17 and X1g are both —O—. In still further embodiments Z1, Z2, X17, and X1g are each —O—. In yet still further embodiments R25 and R1g are both —H.
- Embodiments may provide a compound or pharmaceutically acceptable salt with one or more of (i) an EC50 value below 100 micromolar in a cell reporter assay expressing STING HAQ genetic variant; (ii) an EC50 value below 100 micromolar in reporter cells expressing human STING AQ variant; (iii) an EC50 value below 100 micromolar in reporter cells expressing human STING WT variant; and (iv) an EC50 value below 100 micromolar in reporter cells expressing human STING REF variant.
- Embodiments may provide a pharmaceutical composition comprising a compound or pharmaceutically acceptable salt as reported herein and a pharmaceutically acceptable excipient. Embodiments may provide a method of treating cancer, comprising administering to a patient an effective amount of a pharmaceutical composition as reported herein.
- Embodiments may further provide mixtures of compounds as reported herein, including mixtures of stereoisomers of these compounds. For example, a mixture may be provided of
Compound 11 andCompound 12, or a mixture may be provided ofCompound 2 andCompound 4. Of course, these are not limiting examples and other mixtures are possible. - Particular embodiments are set forth in Table 3 below.
- In the table above, Compounds 8, 11, and 12 are drawn with the same structural formula and relate to three separate stereoisomers. The applicant notes, however, that the phosphorous chirality of
Compound 8 is not necessarily the same as the phosphorous chirality for other compounds labeled “Stereoisomer 1,” such as, for example, Compound 21. The same holds true for the other stereoisomers. - In some embodiments, a compound as reported herein is provided as a free acid. In some embodiments, the compound is provided as an NH4 salt. In other embodiments it is a bis-TEA salt.
- Embodiments may provide a method of treating cancer in a patient in need thereof, including administering to the patient a therapeutically effective amount of a compound as reported herein or a pharmaceutically acceptable salt thereof, as recited above.
- In some embodiments, the compound is administered as a free acid. In some embodiments, the compound is administered as a diammonium salt (NH4). Pharmaceutical compositions including a compound as reported herein, or a pharmaceutically acceptable salt thereof, as well as a pharmaceutically acceptable excipient, are contemplated. Embodiments may provide a compound according to Formula I in which n is 1; geometry about the double bond is trans; X1 and X2 are each SH; stereochemistry at P1 is S; and stereochemistry at P2 is R; or a pharmaceutically acceptable salt thereof.
- Embodiments may provide a method of treating cancer in a patient comprising administering to said patient a compound or pharmaceutically acceptable salt thereof, or a pharmaceutical composition, as reported herein. Cancers treated as reported herein may be metastatic cancers. They may be selected from, for example, melanoma, colorectal cancer, breast cancer, acute myeloid leukemia, colon cancer, liver cancer, and glioma. Uses of compounds, salts, and pharmaceutical compositions for treatment of cancer and/or preparation of a medicament for treatment of cancer are also contemplated.
- Embodiments may provide a method of treating cancer including identifying an individual having a cancer treatable by a compound, pharmaceutically acceptable salt, or pharmaceutical composition as reported herein, and administering to the individual a compound, pharmaceutically acceptable salt, or pharmaceutical composition by which the patient has been identified as treatable. In some embodiments the individual is identified as having a cancer treatable by a compound, pharmaceutically acceptable salt, or pharmaceutical composition as reported herein by presence of a human REF STING variant allele in the patient.
- Embodiments may provide a method of treating cancer in a patient having REF STING allele comprising administering to said patient a compound or pharmaceutically acceptable salt thereof, or pharmaceutical composition as reported herein.
- Embodiments may provide a method of treating cancer in a patient having WT STING allele comprising administering to said patient a compound or pharmaceutically acceptable salt thereof, or pharmaceutical composition as reported herein.
- Embodiments may provide a method of treating cancer in a patient having AQ STING allele comprising administering to said patient a compound or pharmaceutically acceptable salt thereof, or pharmaceutical composition as reported herein.
- Embodiments may provide a method of treating cancer in a patient having HAQ STING allele comprising administering to said patient a compound or pharmaceutically acceptable salt thereof, or pharmaceutical composition as reported herein.
- Embodiments may relate to C4-C6 linkers that may be covalently bound at either end to purine or pyrimidine bases that form part of a cyclic dinucleotide. In an embodiment, the linkers are butene, pentene or hexene linkers bound at either end to purine bases. In another embodiment, the linkers are butene linkers bound at either end to purine bases; in another embodiment, the linkers are transbutene linkers with the double bond located between the center two carbons.
- The following numbered embodiments are illustrative of use of these C4-C6 linkers:
- 1. A compound of Formula (X):
- or a pharmaceutically acceptable salt thereof, wherein:
- A1 and A2 are sugar moieties and may be the same or different; B3 and B4 are purine or pyrimidine bases that may be the same or different and that form nucleotides with, respectively, A1 and A2;
- L is a alkyl linker;
- X19 and X20 are the same or different and are selected from the group consisting of —O—, —CH—, —NH—, and —S—, wherein —CH— and —NH— may be substituted or unsubstituted.
- 2. The compound or pharmaceutically acceptable salt of numbered
embodiment 1, wherein —CH— and —NH— of X19 and X20 may be substituted with C1-6 alkyl. - 3. The compound or pharmaceutically acceptable salt of numbered
embodiment 1, wherein L is butene, pentene, or hexane. - 4. The compound or pharmaceutically acceptable salt of numbered
embodiment 3, wherein L is a transbutene linker with a double bond at its center. - Compounds or pharmaceutically acceptable salts of the numbered embodiments may be useful, for example, for treating cancer. A1, A2, B3, and B4 may be further substituted with, for example, hydroxyl, halogen, or methoxy. Each phosphorous in Formula (X) may be substituted, for example, with —SH, —OH, ═O, or ═S until its valence has been satisfied.
- Examples of cyclic dinucleotide analogs that may benefit from linkers of the present invention include but are not limited to those identified in US 2014/0205653 A1; US 2014/0329889 A1; US 2014/0341976 A1; US 2015/0056224 A1; US 2016/0362441 A1; US 2017/0158724 A1; US 2017/044206 A1; U.S. Pat. Nos. 5,547,941; 7,569,555 B2; 7,592,326 B2; 7,709,458 B2; 9,549,944 B2; WO 2009/133560 A1; WO 2015/074145 A1; WO 2015/077354 A1; WO 2015/185565 A1; WO 2016/100261 A1; WO 2016/120305 A1; WO 2016/145102 A1; WO 2017/027645 A1; WO 2017/027646 A1; WO 2017/075477 A1; WO 2017/093933 A1; WO 2017/123657 A1; WO 2017/175156 A1; EP 1740,192 B1; CN 102199183 A; Corrales, L. et al., “Direct Activation of STING in the Tumor Microenvironment Leads to Potent and Systemic Tumor Regression and Immunity,” Cell Reports, 11: 1018-1030 (2015); and Lioux, T. et al., “Design, Synthesis, and Biological Evaluation of Novel Cyclic Adenosine-Inosine Monophosphate (cAIMP) Analogs That Activate Stimulator of Interferon Genes (STING),” J. Med. Chem., 59: 10253-10267 (2016). All of those documents, including the compounds therein, are incorporated by reference herein; if any component of any of those documents contradicts or is otherwise inconsistent with anything in this specification, then this specification controls.
-
FIG. 1 shows a synthesis ofCompound 1a and Compound 2a. -
FIG. 2A andFIG. 2B show an alternate synthesis ofCompound 1 andCompound 1a. That alternate synthesis is also shown inFIG. 2C . -
FIG. 3 shows an 1H NMR spectrograph forCompound 1. -
FIG. 4A ,FIG. 4B , andFIG. 4C , show X-ray crystallography results (ORTEP drawings) for, respectively, an asymmetric crystal ofCompound 1, a first molecule from the asymmetric crystal, and a second molecule from the asymmetric crystal. -
FIG. 4D shows X-Ray crystallography results (ORTEP drawing) for a crystal ofCompound 2. -
FIG. 5A andFIG. 5B shows a synthesis route for 18, 19, and 20.Compounds -
FIG. 6 shows an expression vector map for WT STING (pLenti-WT human STING-Puro). -
FIG. 7 andFIG. 8 accompany Example 108 and show curative activity ofCompound 1a in a CT26 dual tumor model. -
FIG. 9 accompanies Example 109 and shows a tumor volume plot for treated tumors and survival curve. -
FIG. 10 accompanies Example 110 and shows a tumor volume plot for treated tumors and survival curve. -
FIG. 11 shows a picture of the X-ray crystal structure of human WT STING in complex withCompound 1. -
FIG. 12 shows human REF STING C-terminal Domain in complex withCompound 1. -
FIG. 13 shows an example of synthesis ofCompound 38 and Compound 39. - Provided herein are compounds that may be useful in treating cancer. The compounds may activate stimulator of interferon genes (STING).
- In some embodiments, the compound is provided as a free acid. In some embodiments, the compound is provided as, for example, an NH4 salt or TEA salt. Reference to a compound number followed by an “a” will indicate a diammonium salt of the given compound. For example, “
Compound 1a” refers to the diammonium salt ofCompound 1. - Embodiments may provide a method of treating cancer in a patient in need thereof, including administering to the patient a therapeutically effective amount of a Compound of Formula I, Formula II, Formula III, Formula IV, or Formula V, or pharmaceutically acceptable salt thereof.
- In some embodiments, the compound is administered as a free acid. In some embodiments, the compound is administered as, for example, a diammonium salt (NH4). Pharmaceutical compositions for treating cancer may also be provided including a compound reported herein or a pharmaceutically acceptable salt thereof, as well as a pharmaceutically acceptable excipient.
- Embodiments as reported herein may be used to treat cancer or to prepare medicaments useful for treatment of cancer. “Cancer” may include, but is not limited to, colon cancer, liver cancer, melanoma, colorectal cancer, breast cancer, acute myeloid leukemia, and glioma.
- Those of skill in the art will recognize that where substituents bound to the phosphorous atoms (P1,P2) have both single and double bonds, they may be susceptible to tautomerization. For example, the compounds may tautomerize at equilibrium. One example is shown below:
- Such tautomers should be considered to be within the scope of the claims. A structural representation of either tautomer for a given compound will represent the same compound.
- In some embodiments, the compound selected from the group consisting of the compounds reported herein is provided as a free acid or a pharmaceutically acceptable salt thereof. In some embodiments, the compound selected from the group consisting of the compounds reported herein is provided as an NH4 salt, which may be a diammonium salt.
- As used herein, “C1-6alkyl” or “C1-C6” alkyl is intended to include C1, C2, C3, C4, C5 or C6 straight chain (linear) saturated aliphatic hydrocarbon groups and C3, C4, C5 or C6 branched saturated aliphatic hydrocarbon groups. For example, C1-6 alkyl is intended to include C1, C2, C3, C4, C5 and C6 alkyl groups. Examples of alkyl include moieties having from one to six carbon atoms, such as, but not limited to, methyl, ethyl, n-propyl, i-propyl, n-butyl, s-butyl, t-butyl, n-pentyl, s-pentyl or n-hexyl. Similarly, “C1-3alkyl” or “C1-C3alkyl” is intended to include C1, C2, or C3 straight chain (linear) saturated aliphatic hydrocarbon groups and C3 branched saturated aliphatic hydrocarbon groups.
- As used herein, the term “C3-6cycloalkyl” or “C3-C6cycloalkyl” refers to a saturated or unsaturated nonaromatic hydrocarbon ring having 3 to 6 carbon atoms (e.g., C3-C6). Examples of cycloalkyl include, but are not limited to, cyclopropyl, cyclobutyl, cyclopentyl, cyclohexyl, cycloheptyl, cyclopentenyl, and cyclohexenyl. The term “C5-6cycloalkyl” or “C5-C6cycloalkyl” refers to a saturated or unsaturated nonaromatic hydrocarbon ring having 5 or 6 carbon atoms (e.g., C5-C6).
- The term “C5-6heterocycloalkyl” or “C5-C6heterocycloalkyl” refers to a saturated or unsaturated nonaromatic 5-6 membered monocyclic having one or more heteroatoms (such as O, N, or S), unless specified otherwise. The term “C4-6heterocycloalkyl” or “C4-C6heterocycloalkyl” refers to a saturated or unsaturated nonaromatic 4-6 membered monocyclic having one or more heteroatoms (such as O, N, or S), unless specified otherwise. Examples of heterocycloalkyl groups include, but are not limited to, piperidinyl, piperazinyl, pyrrolidinyl, dioxanyl, tetrahydrofuranyl, isoindolinyl, indolinyl, imidazolidinyl, pyrazolidinyl, oxazolidinyl, isoxazolidinyl, triazolidinyl, oxiranyl, azetidinyl, oxetanyl, thietanyl, 1,2,3,6-tetrahydropyridinyl, tetrahydropyranyl, tetrahydrothiophene, dihydropyranyl, pyranyl, morpholinyl, 1,4-diazepanyl, 1,4-oxazepanyl, and the like.
- Additional examples of heterocycloalkyl groups include, but are not limited to, acridinyl, azocinyl, benzimidazolyl, benzofuranyl, benzothiofuranyl, benzothiophenyl, benzoxazolyl, benzoxazolinyl, benzthiazolyl, benztriazolyl, benztetrazolyl, benzisoxazolyl, benzisothiazolyl, benzimidazolinyl, carbazolyl, 4aH-carbazolyl, carbolinyl, chromanyl, chromenyl, cinnolinyl, decahydroquinolinyl, 2H,6H-1,5,2-dithiazinyl, dihydrofuro[2,3-b]tetrahydrofuran, furanyl, furazanyl, imidazolidinyl, imidazolinyl, imidazolyl, 1H-indazolyl, indolenyl, indolinyl, indolizinyl, indolyl, 3H-indolyl, isatinoyl, isobenzofuranyl, isochromanyl, isoindazolyl, isoindolinyl, isoindolyl, isoquinolinyl, isothiazolyl, isoxazolyl, methylenedioxyphenyl, morpholinyl, naphthyridinyl, octahydroisoquinolinyl, oxadiazolyl, 1,2,3-oxadiazolyl, 1,2,4-oxadiazolyl, 1,2,5-oxadiazolyl, 1,3,4-oxadiazolyl, 1,2,4-oxadiazol5(4H)-one, oxazolidinyl, oxazolyl, oxindolyl, pyrimidinyl, phenanthridinyl, phenanthrolinyl, phenazinyl, phenothiazinyl, phenoxathinyl, phenoxazinyl, phthalazinyl, piperazinyl, piperidinyl, piperidonyl, 4-piperidonyl, piperonyl, pteridinyl, purinyl, pyranyl, pyrazinyl, pyrazolidinyl, pyrazolinyl, pyrazolyl, pyridazinyl, pyridooxazole, pyridoimidazole, pyridothiazole, pyridinyl, pyridyl, pyrimidinyl, pyrrolidinyl, pyrrolinyl, 2H-pyrrolyl, pyrrolyl, quinazolinyl, quinolinyl, 4H-quinolizinyl, quinoxalinyl, quinuclidinyl, tetrahydrofuranyl, tetrahydroisoquinolinyl, tetrahydroquinolinyl, tetrazolyl, 6H-1,2,5-thiadiazinyl, 1,2,3-thiadiazolyl, 1,2,4-thiadiazolyl, 1,2,5-thiadiazolyl, 1,3,4-thiadiazolyl, thianthrenyl, thiazolyl, thienyl, thienothiazolyl, thienooxazolyl, thienoimidazolyl, thiophenyl, triazinyl, 1,2,3-triazolyl, 1,2,4-triazolyl, 1,2,5-triazolyl, 1,3,4-triazolyl and xanthenyl.
- As used herein, the term “C5-6aryl” or “C5-C6aryl” refers to an aromatic hydrocarbon ring having 5 to 6 carbon atoms (e.g., C5-C6) that does not contain any heteroatom in the ring structure.
- The term “C3-6heteroaryl” or “C3-C6heteroaryl” refers to an aromatic 3-6 membered monocyclic having one or more heteroatoms (such as O, N, or S), unless specified otherwise, except that a heteroaryl ring will include no more than one oxygen atom or one sulfur atom. The term “C2-6alkenyl” includes unsaturated aliphatic groups having 2, 3, 4, 5, or 6 carbons and that contain at least one double bond. For example, the term “C2-6alkenyl” includes straight chain alkenyl groups (e.g., ethenyl, propenyl, butenyl, pentenyl, hexenyl), and branched alkenyl groups. In certain embodiments, a straight chain or branched alkenyl group has six or fewer carbon atoms in its backbone (e.g., C2-C6 for straight chain, C3-C6 for branched chain). The term “C2-6alkenyl” includes alkenyl groups containing two to six carbon atoms.
- The term “C2-6alkynyl” includes unsaturated aliphatic groups having 2, 3, 4, 5, or 6 carbon atoms, but which contain at least one triple bond. For example, “alkynyl” includes straight chain alkynyl groups (e.g., ethynyl, propynyl, butynyl, pentynyl, hexynyl), and branched alkynyl groups. In certain embodiments, a straight chain or branched alkynyl group has six or fewer carbon atoms in its backbone (e.g., C2-C6 for straight chain, C3-C6 for branched chain). The term “C2-6alkynyl” includes alkynyl groups containing two to six carbon atoms.
- Embodiments may provide a method of treating cancer in a patient in need thereof, including administering to the patient a therapeutically effective amount of a compound reported herein or a pharmaceutically acceptable salt thereof.
- In some embodiments, the administered compound is provided as a free acid or a pharmaceutically acceptable salt thereof. In some embodiments, the administered compound is provided as an NH4 salt a free acid or a pharmaceutically acceptable salt thereof. In some embodiments, the compound is provided as an NH4 salt.
- The term “optionally substituted” refers to a moiety having designated substituents replacing one or more hydrogen atoms on one or more atoms bearing hydrogen in the moiety.
- Chemicals as named or depicted are intended to include all naturally occurring isotopes of atoms occurring in the present compounds. Isotopes include those atoms having the same atomic number but different mass numbers. By way of general example and without limitation, isotopes of 1H hydrogen include tritium and deuterium, and isotopes of 12C carbon include 13C and 14C.
- The optimal dose for treatment of cancer can be determined empirically for each individual using known methods and will depend upon a variety of factors, including the activity of the agents; the age, body weight, general health, gender and diet of the individual; the time and route of administration; and other medications the individual is taking. Optimal dosages may be established using routine testing and procedures that are well known in the art. Administration of the above compounds may be by any suitable route.
- “Pharmaceutically acceptable salt” as used herein refers to acid addition salts or base addition salts of the compounds in the present disclosure. A pharmaceutically acceptable salt is any salt which retains the activity of the parent compound and does not impart any unduly deleterious or undesirable effect on a subject to whom it is administered and in the context in which it is administered. Pharmaceutically acceptable salts include, but are not limited to, metal complexes and salts of both inorganic and carboxylic acids. Pharmaceutically acceptable salts also include metal salts such as aluminum, calcium, iron, magnesium, manganese and complex salts. In addition, pharmaceutically acceptable salts include, but are not limited to, acid salts such as acetic, aspartic, alkylsulfonic, arylsulfonic, axetil, benzenesulfonic, benzoic, bicarbonic, bisulfuric, bitartaric, butyric, calcium edetate, camsylic, carbonic, chlorobenzoic, citric, edetic, edisylic, estolic, esyl, esylic, formic, fumaric, gluceptic, gluconic, glutamic, glycolic, glycolylarsanilic, hexamic, hexylresorcinoic, hydrabamic, hydrobromic, hydrochloric, hydrochloride, hydroiodic, hydroxynaphthoic, isethionic, lactic, lactobionic, maleic, malic, malonic, mandelic, methanesulfonic, methylnitric, methyl sulfuric, mucic, muconic, napsylic, nitric, oxalic, p-nitromethanesulfonic, pamoic, pantothenic, phosphoric, monohydrogen phosphoric, dihydrogen phosphoric, phthalic, polygalactouronic, propionic, salicylic, stearic, succinic, sulfamic, sulfanlic, sulfonic, sulfuric, tannic, tartaric, teoclic, toluenesulfonic, and the like. Sodium salts and potassium salts may also be prepared.
- Embodiments may be diammonium salts. Pharmaceutically acceptable salts may be derived from amino acids including, but not limited to, cysteine. Methods for producing compounds as salts are known to those of skill in the art (see, e.g., Stahl et al., Handbook of Pharmaceutical Salts: Properties, Selection, and Use, Wiley-VCH; Verlag Helvetica Chimica Acta, Zurich, 2002; Berge et al., J. Pharm. Sci. 66: 1, 1977).
- An “effective amount” of a therapeutic agent is an amount sufficient to provide an observable therapeutic benefit compared to cancer left untreated in a subject or patient.
- Active agents as reported herein can be combined with a pharmaceutically acceptable carrier to provide pharmaceutical formulations thereof. The particular choice of carrier and formulation will depend upon the particular route of administration for which the composition is intended.
- “Pharmaceutically acceptable carrier” as used herein refers to a nontoxic carrier, adjuvant, or vehicle that does not destroy the pharmacological activity of the compound with which it is formulated. Pharmaceutically acceptable carriers, adjuvants or vehicles that may be used in the compositions of this invention include, but are not limited to, sorbic acid, potassium sorbate, partial glyceride mixtures of saturated vegetable fatty acids, water, salts or electrolytes, disodium hydrogen phosphate, potassium hydrogen phosphate, sodium chloride, zinc salts, colloidal silica, magnesium tri silicate, polyvinyl pyrrolidone, cellulose-based substances, polyethylene glycol, sodium carboxymethylcellulose, polyacrylates, waxes, polyethylene glycol and wool fat.
- The compositions of the present invention may be suitable for parenteral, oral, inhalation spray, topical, rectal, nasal, buccal, vaginal or implanted reservoir administration, etc. In some embodiments, the formulation comprises ingredients that are from natural or non-natural sources. In some embodiments, the formulation or carrier may be provided in a sterile form. Non-limiting examples of a sterile carrier include endotoxin-free water or pyrogen-free water.
- The term “parenteral” as used herein includes subcutaneous, intravenous, intramuscular, intra-articular, intra-synovial, intrasternal, intrathecal, intrahepatic, intralesional and intracranial injection or infusion techniques. In particular embodiments, the compounds are administered intravenously, orally, subcutaneously, or via intramuscular administration. Sterile injectable forms of the compositions of this invention may be aqueous or oleaginous suspension. These suspensions may be formulated according to techniques known in the art using suitable dispersing or wetting agents and suspending agents. The sterile injectable preparation may also be a sterile injectable solution or suspension in a nontoxic parenterally acceptable diluent or solvent. Among the acceptable vehicles and solvents that may be employed are water, Ringer's solution and isotonic sodium chloride solution. In addition, sterile, fixed oils are conventionally employed as a solvent or suspending medium.
- For this purpose, any bland fixed oil may be employed including synthetic mono- or di-glycerides. Fatty acids and their glyceride derivatives are useful in the preparation of injectables, as are natural pharmaceutically acceptable oils, such as olive oil or castor oil, especially in their polyoxyethylated versions. These oil solutions or suspensions may also contain a long-chain alcohol diluent or dispersant, such as carboxymethyl cellulose or similar dispersing agents that are commonly used in the formulation of pharmaceutically acceptable dosage forms including emulsions and suspensions. Other commonly used surfactants, such as Tweens, Spans and other emulsifying agents that are commonly used in the manufacture of pharmaceutically acceptable solid, liquid, or other dosage forms may also be used for the purposes of formulation.
- For oral administration, a compound or salt may be provided in an acceptable oral dosage form, including, but not limited to, capsules, tablets, aqueous suspensions or solutions. In the case of tablets for oral use, carriers commonly used include lactose and corn starch. Lubricating agents, such as magnesium stearate, may also be added. For oral administration in a capsule form, useful diluents include lactose and dried cornstarch. When aqueous suspensions are required for oral use, the active ingredient may be combined with emulsifying and suspending agents. If desired, certain sweetening, flavoring or coloring agents may also be added. In addition preservatives may also be added. Suitable examples of pharmaceutically acceptable preservatives include, but are not limited to, various antibacterial and antifungal agents such as solvents, for example ethanol, propylene glycol, benzyl alcohol, chlorobutanol, quaternary ammonium salts, and parabens (such as methyl paraben, ethyl paraben, propyl paraben, etc.).
- “Immediate-release” is meant to include a conventional release, in which release of the drug starts immediately after administration. As used herein, the term “immediate release” includes dosage forms that allow the drug to dissolve in the gastrointestinal contents, with no intention of delaying or prolonging the dissolution or absorption of the drug. The objective is for the drug to be released rapidly after administration, for example for it to be possible to release at least 80% of the drug within approximately 30 minutes after commencement of dissolution in a dissolution test.
- “Sustained-release” or “extended-release” includes dosage forms whose drug-release characteristics of time course and/or location are chosen to accomplish therapeutic or convenience objectives not offered by conventional dosage forms such as a solution or an immediate release dosage form.
The term “steady-state” means that a plasma level for a given active agent has been achieved and which is maintained with subsequent doses of the active agent at a level which is at or above the minimum effective therapeutic level and is below the minimum toxic plasma level for a given active agent. - The term “single formulation” as used herein refers to a single carrier or vehicle formulated to deliver effective amounts of both therapeutic agents to a patient. The single vehicle is designed to deliver an effective amount of each of the agents along with any pharmaceutically acceptable carriers or excipients. In some embodiments, the vehicle is a tablet, capsule, pill, or a patch.
- The term “unit dose” is used herein to mean simultaneous administration of both agents together, in one dosage form, to the patient being treated. In some embodiments, the unit dose is a single formulation. In certain embodiments, the unit dose includes one or more vehicles such that each vehicle includes an effective amount of an agent along with pharmaceutically acceptable carriers and excipients. In some embodiments, the unit dose is one or more tablets, capsules, pills, or patches administered to the patient at the same time.
- The term “dose range” as used herein refers to an upper and a lower limit of an acceptable variation of the amount of agent specified. Typically, a dose of an agent in any amount within the specified range can be administered to patients undergoing treatment.
- The term “treat” is used herein to mean to relieve, reduce or alleviate at least one symptom of a disease in a subject. For example, in relation to cancer, the term “treat” may mean to arrest, delay the onset (i.e., the period prior to clinical manifestation of a disease or symptom of a disease) and/or reduce the risk of developing or worsening a symptom of a disease. The term “protect” is used herein to mean prevent delay or treat, or all, as appropriate, development or continuance or aggravation of symptoms of the disease in a subject.
- The term “subject” or “patient” is intended to include animals, which are capable of suffering from or afflicted with cancer. Examples of subjects or patients include mammals, e.g., humans, dogs, cows, horses, pigs, sheep, goats, cats, mice, rabbits, rats, and transgenic non-human animals. In certain embodiments, the subject is a human, e.g., a human suffering from, at risk of suffering from, or potentially capable of suffering from cancer.
- The term “about” or “approximately” usually means within 20%, more preferably within 10%, and most preferably still within 5% of a given value or range. Alternatively, especially in biological systems, the term “about” means approximately within a log (i.e., an order of magnitude) preferably within a factor of two of a given value.
- The use of the terms “a” and “an” and “the” and similar referents in the context of describing the invention (especially in the context of the following claims) are to be construed to cover both the singular and the plural, unless otherwise indicated herein or clearly contradicted by context. The terms “comprising,” “having,” “including,” and “containing” are to be construed as open-ended terms (i.e., meaning “including, but not limited to”) unless otherwise noted. Recitation of ranges of values herein are merely intended to serve as a shorthand method of referring individually to each separate value falling within the range, unless otherwise indicated herein, and each separate value is incorporated into the specification as if it were individually recited herein.
- Exemplary cell proliferative disorders that may be treated using one or more compounds disclosed herein include, but are not limited to cancer, a precancer or precancerous condition, and metastatic lesions in tissue and organs in the body. Cell proliferative disorders may include hyperplasia, metaplasia, and dysplasia.
- A compound disclosed herein, or a pharmaceutically acceptable salt thereof, may be used to treat or prevent a cell proliferative disorder, or to treat or prevent cancer, in a subject having an increased risk of developing cancer relative to the population at large, or used to identify suitable candidates for such purposes.
- Provided herein are pharmaceutical formulations comprising a compound or pharmaceutically acceptable salt thereof for the treatment of cancer. The pharmaceutical formulations may additionally comprise a carrier or excipient, stabilizer, flavoring agent, and/or coloring agent.
- The compound or pharmaceutically acceptable salt thereof may be administered using a variety of routes of administration known to those skilled in the art. Routes of administration include oral administration. In certain embodiments, a pharmaceutical formulation comprising the compound or pharmaceutically acceptable salt thereof may be taken orally in the form of liquid, syrup, tablet, capsule, powder, sprinkle, chewtab, or dissolvable disk. Alternatively, pharmaceutical formulations of the present invention can be administered intravenously or transdermally. Additional routes of administration are known to those skilled in the art (see, e.g., Remington's Pharmaceutical Sciences, Gennaro A. R., Ed., 20.sup.th Edition, Mack Publishing Co., Easton, Pa.).
- In some embodiments, the compound or pharmaceutically acceptable salt is formulated as a paste, jelly, or suspension. For example, the drug is dissolved, entrapped or suspended in the form of drug particles, microencapsulated particles, or drug-polymer particles in a gelatinous solution or semi-solid. An advantage of an oral jelly formulation is that it is easier to administer the drug to patients who have difficulty swallowing tablets, capsules or pills. In certain embodiments, the compound is thoroughly mixed and suspended in an appropriate medium to form a paste or a gel. Additional agents can optionally be mixed to provide flavor during oral administration. Peanut butter or alginate, flavored with raspberry and a sweetener are examples of the many suitable taste masking agents. In various embodiments, the paste or jelly can also be formulated with suitable binders or excipients known in the art for topical administration.
- Methods of preparing sustained release formulations in the form of tablets, capsules or pills are known in the art. In some embodiments, the sustained release formulation is prepared by coating the active ingredient of the drug with a polymer, preferably a water-insoluble polymer. For example, a water-insoluble polymer used in the pharmaceutical field as a sustained release coating agent, an enteric coating agent, or a gastric coating agent. The water-insoluble polymer can include, for example, ethyl cellulose, purified shellac, white shellac, aminoalkyl methacrylate copolymer RS, hydroxypropyl methylcellulose phthalate, hydroxypropyl methylcellulose acetate succinate, carboxymethylethyl-cellulose, cellulose acetate phthalate, methacrylic acid copolymer L, methacrylic acid copolymer LD, methacrylic acid copolymer S, aminoalkyl methacrylate copolymer E, or polyvinyl acetal diethylaminoacetate.
- The type, degree of substitution and molecular weight of the water-insoluble polymers can depend on solubility of the active ingredient in water or an alcohol, the desired sustained release level and the like. The water-insoluble polymers can be used either alone or in combination. There can be further incorporated a hydrogenated oil, stearic acid, or cetanol as a coating auxiliary agent, and a middle-chain triglyceride, triacetin, triethyl citrate, or cetanol as a plasticizer.
- In some embodiments, the sustained release formulation is a matrix-type tablet or granule. The active ingredient can be coated with up to 3 different types of polymers. These three different types of polymers can include: 1) a water insoluble polymer, such as ethylcellulose; 2) a pH independent gelling polymer, such as hydroxypropyl methylcellulose; and 3) a pH dependent gelling polymer, such as sodium alginate. These three different types of polymers can be used together to attenuate the release rate of the drugs.
- Sustained-release formulations can achieve a degree of sustained effect. However, the exposure and/or the bioavailability of the active ingredient may vary based on a variety of factors, such as for example, the absorption window, the carriers or excipients used in the formulation, the mode of delivery of the formulation, and/or the transit time of the active ingredient through the gastrointestinal tract of the patient.
- A therapy can contain at least one sustained-release portion for performing a sustained-release function and one immediate release portion for performing an immediate release function. In certain embodiments, when the therapy is in a single dosage form, it can be in the form of tablets formed from a mixture of sustained-release granules constituting a sustained-release portion and immediate-release granules constituting an immediate-release portion, a capsule preparation obtained by filling a capsule with sustained-release granules and immediate-release granules, or press-coated tablets in which an outer layer constituting an immediate-release portion is formed on an inner core constituting a sustained-release portion. There is, however, no limitation to the above embodiments.
- Moreover, there are no particular limitations on the state of containment of the drug in the composition or in an immediate-release portion or a sustained-release portion; the compound may be dispersed uniformly in the composition, immediate release portion or sustained release portion, or may be contained in only one part of the composition, immediate-release portion or sustained-release portion, or may be contained such that there is a concentration gradient.
- A sustained-release portion in the composition according to the present invention can contain at least one non-pH-dependent polymeric substance or pH-dependent polymeric substance for controlling drug release.
- A non-pH-dependent polymeric substance used herein can comprise a polymeric substance whose charge state hardly changes under pH conditions generally found in the gastrointestinal tract, specifically from
pH 1 topH 8. This means, for example, a polymeric substance that does not have functional groups whose charge state changes depending on the pH such as basic functional groups such as amino groups or acidic functional groups such as carboxylic acid groups. Note that the non-pH-dependent polymeric substance can be included for giving the composition according to the present invention a sustained-release function, but may also be included for another purpose. Moreover, the non-pH-dependent polymeric substance used in the present invention may be water-insoluble, or may swell in water or dissolve in water to form a gel. - Examples of water-insoluble non-pH-dependent polymeric substances include, but are not limited to, cellulose ethers, cellulose esters, and methacrylic acid-acrylic acid copolymers (trade name Eudragit, manufactured by Rohm GmbH & Co. KG, Darmstadt, Germany). Examples include, but are not limited to, cellulose alkyl ethers such as ethylcellulose (trade name Ethocel, manufactured by Dow Chemical Company, USA), ethyl methylcellulose, ethyl propylcellulose or isopropylcellulose, and butylcellulose, cellulose aralkyl ethers such as benzyl cellulose, cellulose cyanoalkyl ethers such as cyanoethylcellulose, cellulose organic acid esters such as cellulose acetate butyrate, cellulose acetate, cellulose propionate or cellulose butyrate, and cellulose acetate propionate, ethyl acrylate-methyl methacrylate copolymers (trade name Eudragit NE, manufactured by Rohm GmbH & Co. KG, Darmstadt, Germany), and aminoalkyl methacrylate copolymer RS (trade names Eudragit RL, Eudragit RS). There are no particular limitations on the mean particle diameter of a water-insoluble polymer used in the present invention, but usually the lower this mean particle diameter the better the performance, with the mean particle diameter preferably being from 0.1 to 100 μm, more preferably from 1 to 50 μm, particularly preferably from 3 to 15 μm, most preferably from 5 to 15 μm. Moreover, examples of water-soluble or water-swelling non-pH-dependent polymeric substances include, but are not limited to, polyethylene oxide (trade name Polyox, manufactured by Dow Chemical Company, molecular weight 100,000 to 7,000,000), low-substituted hydroxypropyl cellulose (trade name L-HPC, manufactured by Shin-Etsu Chemical, Japan), hydroxypropyl cellulose (trade name HPC, manufactured by Nippon Soda, Co., Ltd, Japan), hydroxypropyl methylcellulose (trade names Metolose 60SH, 65SH, 90SH, manufactured by Shin-Etsu Chemical, Japan), and methylcellulose (trade name Metolose SM, manufactured by Shin-Etsu Chemical, Japan).
- In some embodiments a single non-pH-dependent polymeric substance may be contained in the composition, or a plurality of the non-pH-dependent polymeric substances may be contained. The non-pH-dependent polymeric substance, if used in embodiments reported herein, may be a water-insoluble polymeric substance, more preferably ethylcellulose, an ethyl acrylate-methyl methacrylate copolymer (trade name Eudragit NE), or an aminoalkyl methacrylate copolymer RS (trade name Eudragit RL, Eudragit RS). Particularly preferable is at least one of ethylcellulose and an aminoalkyl methacrylate copolymer RS. Most preferable is ethylcellulose. There are no particular limitations on the amount of the non-pH-dependent polymeric substance contained in the composition; this amount can be adjusted as appropriate in accordance with the purpose such as controlling sustained drug release.
- A pH-dependent polymeric substance that can be used in embodiments reported herein may be a polymeric substance whose charge state changes under pH conditions generally found in the gastrointestinal tract, specifically from
pH 1 topH 8. This means, for example, a polymeric substance having functional groups whose charge state changes depending on the pH such as basic functional groups such as amino groups or acidic functional groups such as carboxylic acid groups. The pH-dependent functional groups of the pH-dependent polymeric substance are preferably acidic functional groups, with the pH-dependent polymeric substance most preferably having carboxylic acid groups. - A pH-dependent polymeric substance used in the present invention may be water-insoluble, or may swell in water or dissolve in water to form a gel. Examples of pH-dependent polymeric substances used in the present invention include, but are not limited to, enteric polymeric substances. Examples of enteric polymeric substances include, but are not limited to, methacrylic acid-methyl methacrylate copolymers (Eudragit L100, Eudragit S100, manufactured by Rohm GmbH & Co. KG, Darmstadt, Germany), methacrylic acid-ethyl acrylate copolymers (Eudragit L100-55, Eudragit L30D-55, manufactured by Rohm GmbH & Co. KG, Darmstadt, Germany), hydroxypropyl methylcellulose phthalate (HP-55, HP-50, manufactured by Shin-Etsu Chemical, Japan), hydroxypropyl methylcellulose acetate succinate (AQOAT, manufactured by Shin-Etsu Chemical, Japan), carboxymethyl ethylcellulose (CMEC, manufactured by Freund Corporation, Japan), and cellulose acetate phthalate.
- Examples of pH-dependent polymeric substances that swell in water or dissolve in water to form a gel include, but are not limited to, alginic acid, pectin, carboxyvinyl polymer, and carboxymethyl cellulose. In the present invention, a single pH-dependent polymeric substance may be contained in the composition, or a plurality of pH-dependent polymeric substances may be contained. The pH-dependent polymeric substance used in the present invention is preferably an enteric polymeric substance, more preferably a methacrylic acid-ethyl acrylate copolymer, a methacrylic acid-methyl methacrylate copolymer, hydroxypropyl methylcellulose phthalate, or hydroxypropyl methylcellulose acetate succinate, particularly preferably a methacrylic acid-ethyl acrylate copolymer.
- When using a pH-dependent polymeric substance in the manufacturing process of a composition according to the present invention, a commercially available product of a powder type or a granular type, or a suspension type in which the pH-dependent polymeric substance has been dispersed in a solvent in advance can be used as is, or such a commercially available product can be used dispersed in water or an organic solvent. The lower the particle diameter of the pH-dependent polymeric substance the better the performance, with the pH-dependent polymeric substance preferably being of the powder type. In the case of a methacrylic acid-ethyl acrylate copolymer, an example is Eudragit L100-55. There are no particular limitations on the mean particle diameter of a pH-dependent polymeric substance used in the present invention, but the mean particle diameter is preferably from 0.05 to 100 μm, more preferably from 0.05 to 70 μm, most preferably from 0.05 to 50 μm. Moreover, there are no particular limitations on the amount of the pH-dependent polymeric substance, for example, in the case of an enteric polymeric substance, the amount is generally from 0.1 to 90 parts by weight, preferably from 1 to 70 parts by weight, more preferably from 5 to 60 parts by weight, particularly preferably from 10 to 50 parts by weight, based on 100 parts by weight of the composition.
- A therapy according to embodiments reported herein may further contain any of various additives, such as any of various pharmacologically acceptable carriers such as diluents, lubricants, binders and disintegrants, as well as preservatives, colorants, sweeteners, plasticizers, film coating agents and so on, as necessary. Examples of diluents include, but are not limited to, lactose, mannitol, dibasic calcium phosphate, starch, pregelatinized starch, crystalline cellulose, light silicic anhydride, synthetic aluminum silicate, magnesium aluminate metasilicate or the like. Examples of lubricants include, but are not limited to, magnesium stearate, calcium stearate, talc, sodium stearyl fumarate or the like. Examples of binders include, but are not limited to, hydroxypropyl cellulose, methylcellulose, sodium carboxymethyl cellulose, hydroxypropyl methylcellulose, polyvinylpyrrolidone or the like. Examples of disintegrants include, but are not limited to, carboxymethyl cellulose, calcium carboxymethyl cellulose, croscarmellose sodium, sodium carboxymethyl starch, low-substituted hydroxypropyl cellulose or the like. Examples of preservatives include, but are not limited to, paraoxybenzoic acid esters, chlorobutanol, benzyl alcohol, phenethyl alcohol, dehydroacetic acid, sorbic acid or the like. Preferable examples of colorants include, but are not limited to, water-insoluble lake pigments, natural pigments (e.g., .beta.-carotene, chlorophyll, red ferric oxide), yellow ferric oxide, red ferric oxide, black ferric oxide or the like. Preferable examples of sweeteners include, but are not limited to, sodium saccharin, dipotassium glycyrrhizate, aspartame, stevia or the like. Examples of plasticizers include, but are not limited to, glycerol fatty acid esters, triethyl citrate, propylene glycol, polyethylene glycol or the like. Examples of film coating agents include, but are not limited to, hydroxypropyl methylcellulose, hydroxypropyl cellulose or the like.
- To manufacture embodiments as reported herein, a single conventional method, or a combination of conventional methods, can be used. For example, when manufacturing drug-containing granules as a sustained-release portion or an immediate-release portion, granulation is the main operation, but this may be combined with other operations such as mixing, drying, sieving, and classification. As the granulation method, for example, a wet granulation method in which a binder and a solvent are added to the powder and granulation is carried out, a dry granulation method in which the powder is compressed and granulation is carried out, a molten granulation method in which a binder that melts on heating is added and heating and granulation are carried out, or the like can be used.
- Furthermore, in accordance with the granulation method, an operating method such as a mixing granulation method using a planetary mixer, a screw mixer or the like, a high-speed mixing granulation method using a Henschel mixer, a Super mixer or the like, an extruding granulation method using a cylindrical granulator, a rotary granulator, a screw extruding granulator, a pellet mill type granulator or the like, a wet high-shear granulation method, a fluidized-bed granulation method, a compression granulation method, a crushing granulation method, or a spraying granulation method can be used. After the granulation, drying using a dryer, a fluidized bed or the like, cracking, and sieving can be carried out to obtain the granules or fine granules for use. Moreover, a granulation solvent may be used when preparing the composition according to the present invention. There are no particular limitations on such a granulation solvent, which may be water or any of various organic solvents, for example, water, a lower alcohol such as methanol or ethanol, a ketone such as acetone or methyl ethyl ketone, methylene chloride, or a mixture thereof.
- For sustained-release granules contained in embodiments, at least one drug and at least one selected from non-pH-dependent polymeric substances and pH-dependent polymeric substances are mixed together, a diluent and a binder are added as necessary, and granulation is carried out to obtain granular matter. The granular matter obtained is dried using a tray dryer, a fluidized bed dryer or the like, and sieving is carried out using a mill or an oscillator, whereby the sustained-release granules can be obtained. Alternatively, as a method of manufacturing sustained-release granules in the present invention, it is possible to add at least one drug, at least one selected from non-pH-dependent polymeric substances and pH-dependent polymeric substances, and as necessary a diluent and a binder using a dry compactor such as a roller compactor or a slug tabletting machine, and carry out compression-molding while mixing, and then carry out granulation by cracking down to a suitable size. The granular matter prepared using such a granulator may be used as is as granules or fine granules according to the present invention, or may be further cracked using a power mill, a roll granulator, a rotor speed mill or the like, and sieved to obtain sustained-release granules. Note that immediate-release granules can also be manufactured as for the sustained-release granules.
- A compression-molded product can be manufactured as a drug-containing sustained-release portion or immediate-release portion, or as a composition reported herein using a single conventional method, or a combination of conventional methods. For example, at least one drug, at least one selected from non-pH-dependent polymeric substances and pH-dependent polymeric substances, a diluent such as mannitol or lactose, a binder such as polyvinylpyrrolidone or crystalline cellulose, a disintegrant such as carmellose sodium or crospovidone, and a lubricant such as magnesium stearate or talc are used, and tableting is carried out using an ordinary method, whereby the compression-molded product can be obtained. In this case, tabletting is the main operation in the method of manufacturing the compression-molded product, but this may be combined with other operations such as mixing, drying, sugar coating formation, and coating.
- Examples of the method for the tabletting include, but are not limited to, direct compression molding in which at least one drug and pharmacologically acceptable additives are mixed together and then the mixture is directly compression-molded into tablets using a tabletting machine, and dry granule compression or wet granule compression in which sustained-release granules or immediate-release granules according to the present invention are subjected to compression-molding after adding a lubricant or a disintegrant as necessary. There are no particular limitations on the tabletting machine used in the compression molding; for example, a single-punch tabletting machine, a rotary tabletting machine, or a press-coated tabletting machine can be used.
- Drug-containing sustained-release granules or immediate-release granules, or compression-molded product according to embodiments herein can be used as is in the form of granules or a tablet as the composition, but may also be subjected to further processing to manufacture the composition. For example, the compression-molded product or granules can be given a film coating using a film base material such as ethylcellulose, casein, methylcellulose, hydroxypropyl methylcellulose, methacrylic acid copolymer L, cellulose acetate phthalate, shellac or the like, or given a sugar coating using a sugar coating liquid containing saccharose, sugar alcohol, gum arabic powder, talc or the like, thus producing film-coated tablets or sugar-coated tablets. One solvent in this coating technique may be purified water, but an organic solvent such as an alcohol, a ketone, an ether or a chlorinated hydrocarbon, or a mixture thereof can also be used. For example, ethanol, acetone, methylene chloride or the like can be used as an organic solvent. Moreover, as the coating apparatus, an apparatus ordinarily used in coating techniques for manufacturing medicines can be used, with examples including a spray coating apparatus in which the coating is carried out by spraying a coating liquid or the like, and a rotor fluidized bed granulator for layering.
- In the case of manufacturing capsule preparations, capsule preparations can be manufactured by filling sustained-release granules or immediate-release granules as above, or mini-tablets into hard gelatin capsules or HPMC capsules using an automatic capsule filling machine. Alternatively, in the case of the preparations for per-tube administration or a dry syrup that is used mixed with water or the like when taken, sustained-release granules or immediate-release granules as above can be mixed with a thickener or a dispersant so as to disperse these granules, the mixture then being made into granules or tablets. Furthermore, a liquid or jelly can be made using water, and substances selected from dispersants, emulsifiers, thickeners, preservatives, pH adjustors, sweeteners, flavorings, fragrances and so on. However, with respect to other manufacturing methods, there are no limitations to the above.
- So that embodiments described herein may be more fully understood, the following examples are set forth. It should be understood that these examples are for illustrative purposes only and are not to be construed as limiting.
- The following abbreviations may be used throughout the examples.
All: allyl
BOP: (Benzotriazol-1-yloxy)tris(dimethylamino)phosphonium hexafluorophosphate -
- Bz: benzoyl
ib: isobutyryl
Hunig's Base: i-Pr2NEt (diisopropylethylamine)
AllylOH: allyl alcohol
OAll: —OCH2CHCH2
ACN: acetonitrile - 2-NitroBnBr: 2-nitrobenzyl bromideBz: benzoyl
ib: isobutyryl
i-Pr: isopropyl
CE: cyanoethyl - DEAD: diethyl azodicarboxylate
DIAD: diisopropyl azodicarboxylate
DCM: dichloromethane
DDTT: N,N-dimethyl-N′-(3-thioxo-3H-1,2,4-dithiazol-5-yl)formimidamide - DMOCP: 2-chloro-5,5-dimethyl-1,3,2-dioxaphosphinane 2-oxide
- TB S: t-butyldimethylsilyl
-
- A full scheme of this synthesis is available in
FIG. 1 . -
- To a mixture of (2R,3R,4R,5R)-5-(6-benzamido-9H-purin-9-yl)-2-((bis(4-methoxyphenyl)(phenyl)methoxy)methyl)-4-fluorotetrahydrofuran-3-yl (2-cyanoethyl) diisopropylphosphoramidite (Compound 100) (mixture of phosphorous diastereomers; 80.0 g, 91.332 mmol, 1 eq, ChemGenes Corporation catalog # ANP-9151), allyl alcohol (9.63 ml, 142 mmol, 1.55 eq) and triphenylphosphine (38.3 g, 146 mmol, 1.60 eq) in THF (1.1 L) was added DEAD (40 wt % solution in toluene; 54.2 ml, 137 mmol, 1.5 eq.) at ambient temperature. Stirring was continued at ambient temperature and the reaction was monitored by LC/MS. Upon completion (19 h), the mixture was concentrated in vacuo (35° C.) and resultant mixture was purified by silica gel column chromatography (800 g×2 columns, 40 to 60% EtOAc in n-heptane buffered with 0.5% triethylamine) to give
Compound 101 as a white foam (84.2 g, quantitative yield, mixture of phosphorous diastereomers). - 1H NMR (3:2 mixture of phosphorous diastereomers, 400 MHz, CDCl3) δ 1.14-1.21 (m, 12H) 2.40 (t, J=6.2 Hz, 1.2H) 2.59 (t, J=6.2 Hz, 0.8H) 3.27 (d, J=8.6 Hz, 1H) 3.52-3.66 (m, 5H) 3.78 (s 2.4H) 3.79 (s 3.6H) 4.28-4.34 (m, 1H) 4.84-4.96 (m, 0.4H) 4.99 (d, J=5.5 Hz, 2H) 4.95-5.10 (m, 0.6H) 5.05 (d, J=10.9 Hz, 1H) 5.22 (br d, J=17.6 Hz, 1H) 5.64 (br d, J=53.2 Hz, 0.6H) 5.70 (br d, J=51.6 Hz, 0.4H) 5.96-6.75 (m, 1H) 6.20 (d, J=16.0 Hz, 0.6H) 6.24 (d, J=17.2 Hz, 0.4H) 6.74-6.79 (m, 4H) 7.02-7.06 (m, 2H) 7.17-7.24 (m, 8H) 7.32-7.34 (m, 2H) 7.41-7.44 (m, 2H) 8.11 (s, 1H) 8.52 (s, 0.4H) 8.54 (s, 0.6H).
-
- To a solution of Compound 101 (3.00 g, 3.28 mmol, 1 eq) in acetonitrile (30 ml) was added water (0.118 ml, 6.55 mmol, 2.0 eq) and pyridine trifluoroacetate salt (0.759 g, 3.93 mmol, 1.2 eq). After stirring at ambient temperature for 1 minute, tert-butylamine (14.5 g, 21.0 ml, 0.20 mol, 60 eq) was added. Upon complete cleavage of cyanoethyl group (monitored by LC/MS), the reaction mixture was concentrated in vacuo and azeotroped twice with acetonitrile. The crude mixture was dissolved in DCM (45.0 ml) and treated with water (0.118 ml, 6.55 mmol, 2.0 eq) and NaHSO4—SiO2 (1.18 g, 6.55 mmol, 2 eq) at ambient temperature. Upon complete cleavage of DMT group (monitored by LC/MS, approximately 1 hour), the reaction mixture was filtered and rinsed twice with DCM/MeOH (9/1, 20 ml). The combined filtrates were concentrated in vacuo and treated with 1:1 mixture of n-heptane/toluene (˜30 ml). The top layer was removed by decantation. The same operation was repeated once more with n-heptane/toluene (1/1, 30 ml) and the bottom layer was azeotroped twice with acetonitrile to give Compound 102 (100% theoretical yield assumed). The product was used in the next step without further purification.
-
- To a mixture of Compound 102 (1.56 g, 3.27 mmol, 1 eq) and Compound 101 (3.00 g, 3.28 mmol, 1 eq) in acetonitrile (30 ml) was added pyridine trifluoroacetate salt (azeotropically dried with pyridine; 0.760 g, 3.94 mmol, 1.25 eq). After 5 minutes, DDTT (0.840 g, 4.09 mmol, 1.30 eq, ChemGenes Corporation catalog # RN-1588) was added and, upon complete sulfurization (monitored by LC/MS), the reaction mixture was concentrated in vacuo. The residue was dissolved in DCM (30 ml) and treated with water (0.57 ml, 32 mmol, 10 eq) and 6% dichloroacetic acid (1.56 ml, 18.9 mmol, 6.0 eq) in DCM (30 ml). After 20 minutes, the reaction was quenched with pyridine (20 ml) and concentrated in vacuo. The residue was azeotroped with pyridine to give Compound 103 (3.22 g, 100% theoretical yield assumed). The product was used in next the step without further purification.
-
- To a solution of Compound 103 (3.22 g, 3.15 mmol, 1 eq) in pyridine (100 ml) was added DMOCP (1.45 g, 7.88 mmol, 2.50 eq) at ambient temperature. Upon complete macrocyclization (monitored by LC/MS), water (1.7 ml, 94.5 mmol, x10 fold relative to DMOCP) was added followed by 3H-benzo[c][1,2]dithiol-3-one (0.795 g, 4.73 mmol, 1.5 eq). Upon complete sulfurization (approximately 40 minutes), the reaction mixture was partially concentrated in vacuo to approximately 15 ml and poured into a mixture of saturated aqueous NaHCO3 (50 ml) and water (30 ml). After 10 min stirring at ambient temperature, the mixture was extracted with 1:1 mixture of EtOAc/MTBE (60 ml×3 times). The organic layers were combined, washed with brine (25 ml), dried over Mg2SO4 and concentrated in vacuo. The residue was purified by silica gel column chromatography (0-20% MeOH in DCM) to give Compound 104 (3.31 g, 3.20 mmol, 100% theoretical yield assumed) as a brown oil. The product was used in the next step without further purification.
-
- To a solution of Compound 104 (3.31 g, 3.20 mmol, 1 eq) in acetonitrile (66.2 ml) was added 2-nitrobenzyl bromide (2.42 g, 11.2 mmol, 3.50 eq) and triethylamine (1.78 ml, 12.8 mmol, 4.00 eq). Upon complete reaction (monitored by LC/MS, approximately 20 hours at ambient temperature), the reaction mixture was concentrated in vacuo and purified by silica gel column chromatography (60% ethyl acetate/n-heptane to 100% ethyl acetate) to give 0.568 g product as a mixture of phosphorous diastereomers. Preparative HPLC separation of the diastereomers gave Compound 105 (SR isomer; 0.225 g, 0.180 mmol, 5.6% overall yield from Compound 101) and Compound 106 (RR isomer; 0.187 g, 0.149 mmol, 4.7% overall yield from Compound 1).
- Compound 105 (SpRp) 1H NMR (400 MHz, CDCl3) δ=8.63 (s, 1H), 6=8.61 (s, 1H), 8.04-8.00 (m, 2H), 7.99 (s, 1H), 7.90 (s, 1H), 7.65-7.44 (m, 8H), 7.40-7.31 (m, 4H), 7.25-7.21 (m, 4H), 6.15-5.89 (m, 5H), 5.61 (dd, J=52.0, 5.1 Hz, 1H), 5.55 (ddd, J=51.2, 4.7, 2.7 Hz, 1H) 5.51-5.42 (m, 1H), 5.31-5.22 (m, 2H), 5.11 (dd, J=3.9, 9.8 Hz, 2H), 5.04-4.95 (m, 4H), 4.55-4.37 (m, 7H), 4.29-4.12 (m, 3H)
Compound 106 (RpRp)1H NMR (400 MHz, CDCl3) δ=8.65 (s, 2H), 8.06 (dd, J=1.4, 8.0 Hz, 2H), 7.98 (s, 2H), 7.57-7.52 (m, 6H), 7.47-7.32 (m, 6H), 7.25-7.21 (m, 4H), 6.15 (d, J=18.7 Hz, 2H), 6.09-5.99 (m, 2H), 5.82-5.76 (m, 2H), 5.60 (dd, J=51.8, 4.9 Hz, 2H), 5.27 (dd, J=1.2, 17.2 Hz, 2H), 5.12 (dd, J=1.0, 10.4 Hz, 2H), 5.06-4.96 (m, 4H), 4.55-4.40 (m, 4H), 4.36-4.24 (m, 4H), 4.21-4.02 (m, 2H) -
-
Instrument Agilent 1200 HPLC column Waters Sunfire Prep C18 OBD column, 5 um, 30 × 250 mm, #186003969 Flow rate 50 ml/min mobile phase A: water, B: acetonitrile Gradient Time (min) 0 8 9.9 10 12 B% 50 99 99 50 50 Run time 12 min Injection volume 150 ul (0.08 g/ml in acetonitrile) detection UV 254 nm Retention time Compound 105 7.7 min (SpRp) Compound 1068.0 min (RpRp) -
- To a heated (90° C.) solution of Compound 105 (519 mg, 0.414 mmol, 1 eq) in toluene (519 ml) was added Hoveyda-Grubbs Catalyst™ 2nd generation ((1,3-Bis-(2,4,6-trimethylphenyl)-2-imidazolidinylidene)dichloro(o-isopropoxyphenylmethylene)ruthenium; available at SIGMA-ALDRITCH® Catalog No. 569755; CAS 301224-40-8; 91 mg, 0.15 mmol, 0.35 eq) and quinone (0.102 ml, 1.243 mmol, 3.0 eq). The mixture was heated to reflux and reaction progress was monitored by LC/MS. After 3 hours an additional catalyst was added (91 mg, 0.15 mmol, 0.35 eq) and the reaction was continued for additional 3 hours. After cooling down, the mixture was treated with DMSO (0.59 ml, 8.3 mmol, 20 eq) at ambient temperature for 15 hours, concentrated in vacuo and purified by silica gel column chromatography (SiO2 25 g, 66% ethyl acetate in n-heptane to 100% ethyl acetate) to give Compound 107 (200 mg, 0.163 mmol, 39% yield) as a brown dry foam.
- 1H NMR (400 MHz, CDCl3) δ=8.19 (s, 1H), 8.12 (dd, J=7.8 Hz, 1.9 Hz, 1H), 8.10 (s, 1H), 8.02 (d, J=8.2 Hz, 1H), 7.89 (s, 1H), 7.63 (br d, J=7.0 Hz, 1H), 7.53-7.41 (m, 10H), 7.35-7.30 (m, 2H), 7.25-7.20 (m, 4H), 6.23 (d, J=17.6 Hz, 1H), 6.14 (d, J=18.8 Hz, 1H), 5.86-5.75 (m, 1H), 5.75 (dt, J=15.3, 5.0 Hz, 1H), 5.67 (dt, J=15.3, 4.7 Hz, 1H), 5.60 (dd, J=52.0, 3.9 Hz. 1H), 5.48 (dd, J=50.4, 3.9 Hz. 1H) 5.50-5.39 (m, 1H), 4.91-4.64 (m, 4H), 4.57-4.25 (m, 9H), 4.15 (d, J=7.03 Hz, 1H), 4.11 (d, J=7.03 Hz, 1H).
-
- To a solution of Compound 107 (88 mg, 0.072 mmol, 1 eq) in 1,4-dioxane (1.76 ml) was added thiophenol (0.88 mL, 8.55 mmol, 119 eq) and triethylamine (0.88 mL, 6.31 mmol, 88 eq). The resulting mixture was stirred at ambient temperature. Upon complete reaction (monitored by LC/MS, 13 hours), methanol (5.28 ml) and 28% ammonium hydroxide (3.52 ml) were added and resultant mixture was heated to 50° C. Upon complete reaction (monitored by LC/MS, 5 hours), the mixture was cooled to ambient temperature and the resultant brownish slurry was filtered and rinsed with water (15 ml). The filtrate was filtered again to remove additional solids. The final filtrate was extracted twice with a 1:1 mixture of toluene and heptane (30 ml). The aqueous layer was concentrated in vacuo and then re-suspended in water (6 ml). The resulting solid was filtered off and the filtrate was subjected to preparative HPLC to give
Compound 1 diammonium salt (also referred to asCompound 1a) (39 mg, 0.050 mmol, 70% yield) as a white solid. -
Compound 1a (SpRp, trans) 1H NMR (400 MHz, CD3OD) δ=9.05 (s, 1H), 8.33 (s, 1H), 8.25 (s, 1H), 8.12 (s, 1H), 6.34 (br s, 2H), 5.88 (br s, 2H), 5.66 (br d, J=51.6 Hz, 1H), 5.59 (br d, J=52.2 Hz, 1H) 5.01 (br s, 2H), 4.68-4.34 (m, 6H), 4.07-3.82 (m, 2H), 3.79-3.55 (m, 2H); 31P NMR (162 MHz, CD3OD) δ=55.48 (s, 1P), 55.16 (s, 1P). -
-
Instrument Agilent 1200/1260 AS/FC HPLC column Waters XBridge C18, 10 × 100 mm, # 1413 Flow rate 3.0 ml/min Column temperature 35° C. mobile phase A: 0.1% NH4OH in water, B: 0.1% NH4OH in acetonitrile Gradient (B %) 0 → 50 Run time 20 min Injection volume 50 ul (4 mg/ml in water) detection UV 260 nm Retention time 6.5 min - An alternative synthetic route for
Compound 1a is set out inFIG. 2A andFIG. 2B , as well as inFIG. 2C and reported below. -
Stage 1 - Compound 129 (570 g, 1.53 mol, 1 wt, 1 vol, 1 eq) was dissolved in pyridine (2.85 L, 35.2 mol, 4.89 wt, 5.0 vols, 23 eq). The mixture was cooled to 2.6° C. and treated with 4,4′-dimethoxytrityl chloride (DMTC1; 543 g, 1.60 mol, 0.953 wt, 1.05 eq). The mixture was stirred at 0 to 5° C. for 2 h and then allowed to warm to ambient temperature. The reaction was monitored by LC/MS and complete conversion was confirmed after overnight stirring. The reaction mixture was cooled to below 5° C. and quenched by treatment with MeOH (124 ml, 3.05 mol, 0.172 wt, 0.217 vol, 2.0 eq) for 15 minutes. The mixture was co-evaporated with toluene (2.00 L, 3.04 wt, 3.51 vol) under vacuum and then diluted with a mixture of EtOAc (2.850 L, 4.5 wt, 5.0 vol) and n-heptane (2.85 L, 3.42 wt, 5.0 vol). The organic layer was washed with saturated NaHCO3 (9 wt % solution in water; 2.0 L, 3.5 vol). An additional EtOAc (2.85 L, 4.5 wt, 5.0 vol) was added to completely dissolve the crude product. After stirred for 5 minutes, the two layers were separated. The organic layer was washed with water (2.0 L, 3.5 wt, 3.5 vol). Solid began slowly precipitating out of the organic layer. The water layer was separated. The organic layer was then concentrated to approx. 1 vol. The crude product was slurried with a mixture of n-heptane (2.00 L, 2.40 wt, 3.51 vol) and toluene (0.50 L, 0.76 wt, 0.88 vol). After stirring for 15 minutes, the pale yellow solid was collected by vacuum filtration. The filter cake was sequentially rinsed with: (1) a mixture of n-heptane (0.60 L, 0.72 wt, 1.05 vol) and toluene (0.30 L, 0.46 wt, 0.53 vol), and then (2) n-heptane (3.00 L, 3.6 wt, 5.26 vol). The solid was dried with no heat for 30 minutes and then transferred to trays for drying at 50° C. in a vacuum oven overnight to give
Compound 130 as pale yellow solid (996.7 g, 1.47 mol, 1.75 wt, 97% yield). - 1H NMR (400 MHz, CHLOROFORM-d) δ=8.99 (s, 1H), 8.76 (s, 1H), 8.21 (s, 1H), 8.04-8.00 (m, 2H), 7.64-7.59 (m, 1H), 7.57-7.50 (m, 2H), 7.41-7.36 (m, 2H), 7.32-7.15 (m, 7H), 6.83-6.76 (m, 4H), 6.31 (dd, J=2.5, 17.0 Hz, 1H), 5.68 (ddd, J=2.3, 4.7, 52.7 Hz, 1H), 4.88-4.77 (m, 1H), 4.26-4.21 (m, 1H), 3.77 (s, 6H), 3.57 (dd, J=3.1, 10.9 Hz, 1H), 3.43 (dd, J=4.1, 10.7 Hz, 1H), 2.60 (br s, 1H)
-
Stage 1′ - Compound 129 (430 g, 1.15 mol, 1 wt, 1 vol, 1 eq) and imidazole (118 g, 1.73 mol, 0.274 wt, 1.50 eq) were dissolved in DMF (1.72 L, 3.78 wt, 4.0 vol) and the resultant mixture was cooled to 5° C. TBS-Cl (191 g, 1.27 mol, 0.444 wt, 1.10 eq) was added. The mixture was stirred at 0 to 11° C. for 2 h, allowed to slowly warm to ambient temperature (progress monitored by LCMS). The reaction was complete 6h after TBS-Cl addition, yet allowed to stir at ambient temperature for an additional 20 h. The mixture was cooled to 2° C. and treated with methanol (93 ml, 74 g, 2.3 mol, 0.17 wt, 0.22 wt, 2.0 eq) for 10 minutes. The reaction mixture was diluted with a mixture of MTBE (1.72 L, 1.23 kg, 2.96 wt, 4.0 vol) and EtOAc (1.72 L, 1.55 kg, 3.60 wt, 4.0 vol) followed by saturated NH4Cl (28 wt % solution in water; 2.15 L, 5.0 vol). Solids began slowly falling out of solution. The mixture was allowed to warm to 24° C. and water (1.08 L, 1.08 kg, 2.5 wt, 2.5 vol) was added to the (T-internal=22° C.). More solids began precipitating out of the mixture. An additional water (1.08 L, 1.08 kg, 2.5 wt, 2.5 vol) and MTBE (1.40 L, 1.04 kg, 2.4 wt, 3.3 vol) were added to the mixture. The off-white solid was collected by vacuum filtration. The reactor was rinsed with water (320 ml, 0.74 vol) and then MTBE (1.80 L, 1.33 kg, 3.10 wt, 4.19 vol) to transfer any remaining solid to the filter. The filter cake was rinsed sequentially with: (1) water (1.80 L, 1.80 kg, 4.2 wt, 4.2 vol). (2) water (1.80 L, 1.80 kg, 4.2 wt, 4.2 vol), (3) a mixture of MTBE (0.90 L, 0.67 kg, 1.5 wt, 2.1 vol) and n-heptane (0.90 L, 0.62 kg, 1.4 wt, 2.1 vol), (4) a mixture of MTBE (0.90 L, 0.67 kg, 1.5 wt, 2.1 vol) and n-heptane (0.90 L, 0.62 kg, 1.4 wt, 2.1 vol). The recovered solid was dried under vacuum at 40° C. over 2 days to give
Compound 133 as white solid (483 g, 0.991 mol, 1.12 wt, 86% yield). - 1H NMR (400 MHz, CHLOROFORM-d) δ=8.97 (s, 1H), 8.82 (s, 1H), 8.36 (s, 1H), 8.04-8.00 (m, 2H), 7.64-7.58 (m, 1H), 7.56-7.51 (m, 2H), 6.40 (dd, J=2.3, 16.0 Hz, 1H), 5.45 (ddd, J=2.7, 4.3, 53.1 Hz, 1H), 4.75-4.66 (m, 1H), 4.22-4.17 (m, 1H), 4.07 (dd, J=2.3, 11.7 Hz, 1H), 3.91 (dd, J=2.7, 11.7 Hz, 1H), 2.38 (dd, J=2.7, 7.0 Hz, 1H), 0.92 (s, 9H), 0.11 (s, 3H), 0.11 (s, 3H).
-
Stage 2 - Compound 130 (993 g, 1.47 mol, 1 wt, 1 vol, 1 eq) and imidazole (150 g, 2.20 mol, 0.151 wt, 1.5 eq) were dissolved in DMF (3.48 L, 3.28 kg, 3.3 wt, 3.5 vol) and the mixture was cooled to 5° C. TBS-Cl (244 g, 1.62 mol, 0.245 wt, 1.10 eq) was added. The reaction was stirred at 0 to 5° C. for 2h, allowed to slowly warm to ambient temperature and monitored by LCMS. After 17 h, an additional imidazole (100 g, 1.47 mol, 0.10 wt, 1.0 eq) and TBS-Cl (111 g, 735 mmol, 0.112 wt, 0.50 eq) were added and stirring was continued at ambient temperature for 2h and at 35° C. for 2h. The resulting mixture was cooled to 13.6° C. and treated with MeOH (119 ml, 2.94 mol, 2 eq) for 10 minutes. In a separate reactor was added ice (5 kg, 5 wt) and saturated NH4Cl (28 wt % solution in water; 5.0 L, 5 vol). The reaction mixture was added to the ice/NH4Cl mixture. An off white solid began precipitating out of solution immediately. An additional 2 kg of ice (2 kg, 2 wt) and water (3.0 L, 3 vol) were added to the mixture. The reaction flask was rinsed with water (0.50 L, 0.5 vol) and the rinsate was added to the mixture. n-heptane (2.00 L, 2 vol) was added to the mixture and stirring was continued for 10 minutes. The off white solid was collected by vacuum filtration. The filter cake was rinsed with: (1) water (4.0 L, 4.0 vol), (2) water (4.0 L, 4.0 vol), (3) n-heptane (4.0 L, 4.0 vol), (4) n-heptane (4.0 L, 4.0 vol). The recovered solid was dried under vacuum at 45° C. for 4 days to give
Compound 131 as off-white solid (1.095 kg, 1.39 mol, 1.10 wt, 94% yield). - 1H NMR (400 MHz, CHLOROFORM-d) 6=9.09 (s, 1H), 8.78 (s, 1H), 8.28 (s, 1H), 8.02 (d, J=7.4 Hz, 2H), 7.63-7.59 (m, 1H), 7.55-7.50 (m, 2H), 7.37 (d, J=7.1 Hz, 2H), 7.29-7.17 (m, 7H), 6.79 (d, J=7.9 Hz, 4H), 6.29 (dd, J=2.9, 16.2 Hz, 1H), 5.60 (ddd, J=2.7, 3.9, 53.1 Hz, 1H), 4.78 (ddd, J=4.7, 6.4, 15.8 Hz, 1H), 4.26-4.22 (m, 1H), 3.77 (s, 6H), 3.58 (dd, J=3.1, 10.9 Hz, 1H), 3.26 (dd, J=3.7, 10.7 Hz, 1H), 0.85 (s, 9H), 0.10 (s, 3H), 0.02 (s, 3H)
-
Stage 3 - Compound 131 (1000 g, 1.27 mol, 1 wt, 1 vol, 1 eq) and trans-2-butene-1,4-diol (olefin geometry confirmed by 1H-NMR; 335 g, 3.80 mol. 0.335 wt, 3.0 eq) were azeotroped twice with THF (3.0 L, 3.0 vol). The residue was dissolved in a mixture of THF (10 L, 10 vol) and toluene (15 L, 15 vol). Triphenylphosphine (432 g, 1.65 mol, 0.432 wt, 1.3 eq) was added and then the reaction mixture was cooled to −5° C. DIAD (0.320 L, 1.65 mol, 333 g, 0.333 wt, 0.320 vol, 1.3 eq) was added slowly over 20 minutes while keeping T-internal below 5° C. The reaction was stirred at 0-5° C. for 1 h and monitored by LCMS. The ice bath was removed and the mixture was allowed to warm up to rt. After overnight stirring (17h), an triphenylphosphine (83 g, 0.32 mol, 0.083 wt, 0.25 eq) and DIAD (62 ml, 0.32 mol, 64 g, 0.064 wt, 0.062 vol, 0.25 eq) were added. After additional 1h at rt, the reaction mixture was diluted with MTBE (10 L, 10 vol), washed twice with half-saturated NaCl (18 wt % solution in water; 2×4 L) and concentrated in vacuo to a thick oil. The mixture was re-dissolved in a mixture of MTBE (4.00 L, 4 vol) and n-heptane (0.50 L, 0.5 vol) and then cooled to 0° C. A seed crystal of triphenylphosphine oxide was added to the solution. Solids slowly began precipitating out of solution and was stirred overnight. The white solid was collected by vacuum filtration and rinsed with MTBE (2 L, 2 vol) to isolate 540 g of triphenylphosphine oxide. The filtrate was concentrated and purified via Biotage 150L KP-Sil (
SiO 2 5 kg; preteated with 1% TEA in Hep/etOAc; eluents: heptane/EtOAc (48 L of 33% EtOAc with 1% TEA, 24 L of 50% EtOAc with 1% TEA, 24 L of 66% EtOAc with 1% TEA)→100% EtOAc with 1% TEA). The column was monitored by TLC (2:1 EtOAc/n-heptane). The clean product fractions were combined and concentrated under vacuum to giveCompound 132 as pale white foam solid (634 g, contained 14 wt % DIAD derived co-product, net 545 g, 0.63 mol, 50% adjusted yield). The mixture fractions were combined and concentrated under vacuum to give pale yellow foam solid (750 g), which was subjected to repurification via Biotage 150M HP-Sphere (2.5 kg SiO2; preteated with 1% TEA in Hep/EtOAc; loaded sample with toluene eluents: Hep/EtOAc/1% TEA (12 L of 50% EtOAc with 1% TEA, 16 L 66% EtOAc with 1% TEA)→EtOAc with 1% TEA). The column was monitored by TLC (2/1/0.03 EtOAc/n-hep/TEA). The clean product fractions were combined and concentrated under vacuum to giveadditional Compound 132 as pale white foam solid (206 g, 0.24 mol, 18% yield). - 1H NMR (400 MHz, CHLOROFORM-d) δ=8.58 (s, 1H), 8.10 (s, 1H), 7.43-7.37 (m, 2H), 7.32-7.28 (m, 2H), 7.24-7.15 (m, 8H), 7.03-6.98 (m, 2H), 6.78-6.73 (m, 4H), 6.18 (dd, J=2.7, 17.2 Hz, 1H), 5.88 (td, J=5.5, 15.6 Hz, 1H), 5.77 (td, J=5.1, 15.6 Hz, 1H), 5.60 (ddd, J=2.7, 4.3, 53.1 Hz, 1H), 5.03-4.96 (m, 2H), 4.91 (ddd, J=4.5, 6.6, 16.6 Hz, 1H), 4.18-4.14 (m, 1H), 3.88-3.82 (m, 2H), 3.78 (s, 6H), 3.52 (dd, J=2.7, 10.9 Hz, 1H), 3.14 (dd, J=3.5, 10.9 Hz, 1H), 0.85 (s, 9H), 0.10 (s, 3H), 0.01 (s, 3H).
-
Stage 4 - Compound 132 (800 g, 0.930 mol, 1 wt, 1 vol, 1 eq) and Compound 133 (522 g, 1.07 mol, 0.652 wt, 1.15 eq) were azeotropically dried with THF (2×3 L, 2×3.8 vol) and re-dissolved in THF (9.60 L, 8.45 kg, 12.0 vol) at rt. Triphenylphosphine (317 g, 1.21 mol, 0.396 wt, 1.30 eq) was added and the mixture was cooled below −5° C. DIAD (226 ml, 1.16 mol, 235 g, 0.294 wt, 0.283 vol, 1.25 eq) was added T-internal below 7° C. The reaction was allowed to warm to rt slowly. The reaction was monitored by LCMS. After 21h, the reaction mixture was concentrated in vacuo to a thick oil, azeotroped with n-heptane (2.00, 1.37 kg, 1.71 wt, 2.50 vol) and then re-dissolved in a mixture of MTBE (2.40 L, 1.78 kg, 2.2 wt, 3.0 vol) and n-heptane (800 ml, 547 g, 0.68 wt, 1.0 vol). The solution was seeded with triphenylphosphine oxide and cooled to 5° C., diluted with n-heptane (400 ml, 274 g, 0.34 wt, 0.50 vol) and stirred at 5° C. for 30 minutes. The white solid precipitate was collected by vacuum filtration and rinsed with with 2:1 (v/v) mixture of MTBE and n-Heptane (1.8 L) to give triphenylphosohine oxide (455 g). The filtrate was concentrated under vacuum and purified via Biotage 150 L KP-Sil (
SiO2 5 kg; preteated with 1% TEA; loaded sample by dissolving in toluene eluents: 9:1 heptane/EtOAc (16 L) and 15 TEA, 3.6:1 (46 L), 2:1 (20 L) and 1% TEA, 1:1 (30 L) and 1% TEA, and 100% EtOAc (16 L) and 1% TEA). The combined clean product fractions were concentrated under vacuum to giveCompound 134 as off white solid foam (662.2 g). The mixture fractions were combined and concentrated under vacuum (480 g). A white insoluble solid formed by dilution with toluene (300 ml) prior to loading on Biotage 150L was removed by vacuum filtration. The material soluble in toluene was purified via Biotage 150M HP-Sphere (SiO2 2.5 kg (preteated with 1% TEA); sample loading with toluene; eluents: 2:1 heptane/EtOAc (26 L) w/1% TEA, 1:1 (25 L) w/1% TEA, 1:4 (34 L) w/1% TEA). The column was monitored by TLC (1:1 heptane/EtOAc). The combined clean product fractions were concentrated under vacuum to giveadditional Compound 134 as off white solid foam (165.5 g. Total 662.2+165.5 g=827.7 g, 930 mmol, 1.03 wt, 67% yield). - 1H NMR (400 MHz, CHLOROFORM-d) δ=8.47 (s, 1H), 8.39 (s, 1H), 8.20 (s, 1H), 8.01 (s, 1H), 7.38-7.31 (m, 5H), 7.27-7.19 (m, 6H), 7.14-7.06 (m, 3H), 6.93-6.87 (m, 2H), 6.76 (d, J=8.6 Hz, 4H), 6.26 (dd, J=2.0, 16.0 Hz, 1H), 6.15 (dd, J=2.7, 17.2 Hz, 1H), 5.86 (dd, J=4.7, 15.2 Hz, 1H), 5.80 (dd, J=4.7, 15.2 Hz, 1H), 5.51 (ddd, J=2.7, 4.3, 52.8 Hz, 1H), 5.31 (ddd, J=2.0, 4.3, 52.8 Hz, 1H), 4.87 (d, J=4.7 Hz, 2H), 4.85-4.81 (m, 1H), 4.79 (d, J=4.3 Hz, 2H), 4.71-4.59 (m, 1H), 4.20-4.13 (m, 2H), 4.06 (dd, J=2.7, 11.3 Hz, 1H), 3.90 (dd, J=2.7, 11.7 Hz, 1H), 3.77 (s, 6H), 3.52 (dd, J=3.1, 10.9 Hz, 1H), 3.18 (dd, J=3.9, 10.9 Hz, 1H), 0.92 (s, 9H), 0.84 (s, 9H), 0.10 (s, 3H), 0.09 (s, 6H), 0.07 (s, 3H)
- Stage 5-6
- To a solution of Compound 134 (410.7 g, 309 mmol, 1 wt, 1 vol, 1 eq) in pyridine (1.23 L, 1.21 kg, 15.2 mol, 2.9 wt, 3.0 vol, 49 eq) was added diphenyl phosphite (90 ml, 109 g, 0.46 mol, 0.26 wt, 0.22 vol, 1.5 eq). The reaction was stirred at rt and was monitored by LCMS. After 2h (80% conversion) an additional diphenyl phosphite (29.9 ml, 36.2 g, 155 mmol, 0.088 wt, 0.073 vol, 0.50 eq) was added. After an additional 1 h an extra diphenyl phosphite (6.0 ml, 7.2 g, 31 mmol, 0.018 wt, 0.015 vol, 0.10 eq) was added and the reaction was continued for an additional 0.5h (98% conversion). The reaction mixture was added to a mixture of saturated NaHCO3 (9 wt % solution in water; 2.1 L, 5 vol) and water (1.0 L ml, 2.5 vol) while keeping T-internal 4.7 to 12° C. The reactor was rinsed with a small volume of EtOAc. Stirring was continued at rt for 30 minutes and monitored the reaction by LCMS (100% conversion). The reaction mixture was extracted twice with 1:1 mixture of EtOAc and MTBE (2×8.2 L, 2×20 vol). The combined organic layers were washed with water (4.1 L, 10 vol), concentrated in vacuo and azetroped with toluene (3×4.1 L, 3×10 vol; continuous feeding) for removal of pyridine to give Compound 135 (0.55 eq pyridine remained).
-
Stage 6— - The
crude Compound 135 was dissolved in dichloromethane (3.08 L, 4.07 kg, 9.9 wt, 7.5 vol) at ambient temperature. Water (55.7 ml, 0.136 vol, 10 eq) was added followed by a solution of dichloroacetic acid (77 ml, 120 g, 0.93 mol, 0.29 wt, 0.19 vol, 3.0 eq) in DCM (3.08 L, 7.5 vol) while keeping the internal T below 25° C. (Turned into an orange solution). After 30 min, triethylsilane (Et3SiH; 494 ml, 359 g, 3.09 mol, 0.875 wt, 1.20 vol, 10.0 eq) (T-internal went from 18.2° C. to 17° C.) was added and stirring was continued for 20 min. Triethylamine (431 ml, 313 g, 3.09 mol, 0.762 wt, 1.05 vol, 10.0 eq) was added (T-internal went from 17.8° C. to 22° C.). The mixture was concentrated to 1.55 kg (3.8 wt), redissolved in EtOAc (6.2 L, 5.5 kg, 14 wt, 15 vol), sequentially washed with: (1) water (1.0 L, 2.5 vol) and saturated NaHCO3 (9 wt % solution in water, 0.82 L, 2.0 vol). The crude product EtOAc solution was stored at −20° C. over night; 0.82 L, 2.0 vol) and in next day, the solution was concentrated in vacuo at 25° C. The crude mixture thus obtained (654 g) was triturated with: (1) n-heptane (3.01 L, 7.5 vol), (2) a mixture of n-heptane (2.46 L, 6.0 vol) and toluene (0.82 L, 2.0 vol). The solution part (supernatant) was decanted off and the solid remained at the bottom was dissolved in acetonitrile (4.1 L, 10 vol). The mixture was concentrated in vacuo at 25° C. and azeotroped with acetonitrile twice to giveCompound 136. The product was used for the subsequent stage without purification (theoretical 100% yield assumed). -
Stage 7 - Stage 7a
- Compound 136 (337 g, 309 mmol, 1 wt, 1 vol, 1 eq) was dissolved in in anhydrous pyridine (13.5 L, 13.2 kg, 39 wt, 40 vol) at rt. Triethylamine (129 ml, 927 mmol, 94 g, 0.28 wt, 0.38 vol, 3.0 eq) was added followed by 2-chloro-5,5-dimethyl-1,3,2-dioxaphosphinane 2-oxide (DMOCP; 103 g, 556 mmol, 0.31 wt, 1.80 eq). The resultant mixture was stirred at ambient temperature for 30 minutes and monitored by LCMS (100% conversion) to generate
Compound 137. -
Stage 7b - TEA (129 ml, 927 mmol, 94 g, 0.28 wt, 0.38 vol, 3.0 eq), water (100 ml, 5.56 mol, 0.30 wt, 0.30 wt, 18 eq) and sulfur (34.7 g, 1.08 mol, 0.10 wt, 3.5 eq) were added to the above mixture of
Compound 137. After 90 minutes (100% conversion), NaHCO3 (9 wt % solution in water; 3.37 L, 10 vol) was added while keeping T-internal below 30° C. (16.6° C. to 27° C.). The resultant mixture was filtered for removal of salts. The filtrate was concentrated the mixture in vacuo, diluted with MTBE (5.1 L, 15 vol), and wash twice with NaCl (30 wt % solution in water; 2×1.35 L, 2×4 vol). Insoluble solids were filtered off and the filtrate was concentrated in vacuo and azeotroped with toluene (4.0 L, 12 vol). The resulting solid was removed by filtration and the crude mixture was dissolved in toluene and purified via Biotage 150L KP-Sil (SiO 2 5 kg; pretreated with Hep/EtOAc/TEA (1.5/1.5/0.03 CV); eluted with: EtOAc/TEA (3/0.03 CV), EtOAc/MeOH/TEA (4/0.2/0.04 CV), EtOAC/MeOH/TEA (2/0.2/0.02CV) The column was monitored by TLC (EtOAC/MeOH/TEA=9/1/0.1). Fractions containing the Sp isomer were combined and concentrated under vacuum to giveCompound 138 as light pink foam solid (Sp isomer; 154 g, 128 mmol, 0.46 wt, 41.3% yield). Fractions containing the Rp isomer were combined and concentrated under vacuum to give Compound 240 as light pink foam solid (Rp isomer; 64 g, 53 mmol, 0.19 wt, 17% yield). - 1H NMR (400 MHz, CHLOROFORM-d) δ=8.51 (s, 1H), 8.50 (s, 1H), 8.22 (s, 1H), 8.14 (s, 1H), 7.49-7.44 (m, 2H), 7.38-7.27 (m, 4H), 7.25-7.21 (m, 2H), 7.14 (t, J=7.1 Hz, 2H), 6.44 (dd, J=2.5, 13.9 Hz, 1H), 6.18 (d, J=15.2 Hz, 1H), 5.78 (td, J=6.3, 15.6 Hz, 1H), 5.69 (td, J=4.7, 15.6 Hz, 1H), 5.56 (dd, J=3.9, 50.8 Hz, 1H), 5.20-5.06 (m, 1H), 4.95-4.79 (m, 4H), 4.69 (dd, J=4.3, 16.0 Hz, 1H), 4.54-4.38 (m, 3H), 4.35 (d, J=5.5 Hz, 1H), 4.32-4.29 (m, 1H), 4.05 (dd, J=1.6, 11.7 Hz, 1H), 3.91 (dd, J=3.1, 11.7 Hz, 1H), 3.14-3.06 (m, 6H), 1.30 (t, J=7.4 Hz, 9H), 0.91 (s, 9H), 0.90 (s, 9H), 0.12 (s, 3H), 0.08 (s, 3H), 0.06 (s, 3H), 0.05 (s, 3H)
- 1H NMR (400 MHz, CHLOROFORM-d) δ=8.54 (s, 1H), 8.38 (s, 1H), 8.33 (s, 1H), 8.01 (s, 1H), 7.39-7.09 (m, 10H), 6.39 (dd, J=2.3, 14.1 Hz, 1H), 6.13 (d, J=17.2 Hz, 1H), 5.72 (d, J=3.1 Hz, 2H), 5.68 (dd, J=4.3, 51.2 Hz, 1H), 5.43-5.29 (m, 1H), 5.10-4.96 (m, 3H), 4.90-4.83 (m, 2H), 4.78-4.72 (m, 1H), 4.52 (ddd, J=3.9, 6.6, 17.2 Hz, 1H), 4.44-4.35 (m, 2H), 4.31-4.26 (m, 1H), 4.20-4.12 (m, 2H), 3.87 (dd, J=3.5, 11.7 Hz, 1H), 3.79-3.77 (m, 1H), 3.15-3.09 (m, 6H), 1.33 (t, J=7.4 Hz, 9H), 0.94 (s, 9H), 0.89 (s, 9H), 0.13 (s, 3H), 0.12 (s, 3H), 0.10 (s, 3H), 0.09 (s, 3H)
-
- Compound 138 (221 g, 183 mmol, 1 wt, 1 vol, 1 eq) was dissolved in a mixture of pyridine (530 ml, 6.56 mol, 519 g, 2.3 wt, 2.4 vol) and TEA (2.65 L, 19.0 mol, 1.93 kg, 8.7 wt, 12 vol, 104 eq). Triethylamine trihydrofluoride (264 ml, 1.62 mol, 262 g, 1.2 wt, 1.2 vol, 8.9 eq as complex, 27 eq HF) was added and the mixture was stirred at RT while the conversion was monitored by LCMS. After 3h (97% conversion), methoxytrimethylsilane (TMSOMe; 1.40 L, 10.2 mol, 1.06 kg, 4.8 wt, 6.3 vol, 55 eq) was added and stirring was continued for 30 minutes. A sticky solid coated the reactor. The solution part (supernatant) was decanted off. The solid was triturated twice with toluene (2×2.2 L, 2×10 vol; supernant decanted off). The crude solid remained in the reactor was dissolved in dichloromethane (2.2 L, 10 vol) and washed with NH4Cl (28 wt % solution in water; 2.2 L, 10 vol). The aqueous layer was back-extracted with dichloromethane (2.2 L, 10 vol). The combined organic layers were washed with a mixture of NaCl (36 wt % solution in water; 1.1 L, 5 vol) and water (1.1 L, 5 vol), and then concentrated under vacuum to give
Compound 139 as tan dry foam (152 g, 155 mmol, 0.70 wt, 85% yield). The crude product was taken onto the next step without purification. -
Stage 9 - Compound 139 (150 g, 153 mmol, 1 wt, 1 vol, 1 eq) was azeotroped with acetonitrile (4 L, 27 vol) and then re-dissolved in acetonitrile (1.05 L, 0.83 kg, 5.5 wt, 7.0 vol) at rt. 2-Nitrobenzyl bromide (44.4 g, 205 mmol, 0.30 wt, 1.34 eq) was added at rt and the reaction was monitored by LCMS. After 23h (100% conversion), EtOAc (1.50 L, 10 vol), NH4Cl (28 wt % solution in water; 300 ml, 2 vol) and water (300 ml, 2 vol) were added (pH=6) and the resultant mixture was partially concentrated under vacuum at 25° C. to a weight of 1.11 kg. EtOAc (2.25 L, 15 vol) was added and the mixture was stirred for 5 minutes. The two layers were separated. The aqueous layer was extracted with ethyl acetate (750 ml, 5 vol). The combined organic layers were sequentially washed with: (1) a mixture of NaCl (36 wt % solution in water; 300 ml, 2 vol) and water (300 ml, 2 vol) and (2) water (600 ml, 4 vol). The organic layer was then concentrated under vacuum and azeotroped with n-heptane (1.50 L, 10 vol). MTBE (0.95 L, 6.3 vol) was added to the crude solid and the mixture was heated at 40° C. The mixture was diluted with EtOAc (300 ml, 2 vol) and slowly cooled to 0° C. The dense solid was allowed to settle and the supernatant was pumped off through a filter frit tube. The solid was rinsed twice with MTBE (2×300 ml, 2×2 vol; supernatant pumped off through the filter frit tube each time) and dried under vacuum at 40° C. overnight to give
Compound 140 as pale yellow solid (156 g). The filtrate was concentrated under vacuum yielding a brown oil (17.8 g), which was subjected to purification via Biotage Snap-Ultra 340 g (eluents: 0 to 5% MeOH in EtOAc) to giveadditional Compound 140 as pale yellow solid (5.8 g). Total 156 g+5.8 g=161.8 g (net 152 mmol, 95% pure, 99% yield) - 1H NMR (400 MHz, CHLOROFORM-d) δ=8.46 (s, 1H), 8.15 (s, 1H), 8.10 (s, 1H), 8.09-8.06 (m, 1H), 7.89 (s, 1H), 7.54-7.51 (m, 1H), 7.49-7.45 (m, 4H), 7.37-7.28 (m, 3H), 7.24-7.19 (m, 3H), 7.16-7.11 (m, 2H), 6.22 (d, J=16.8 Hz, 1H), 6.14 (dd, J=2.7, 17.2 Hz, 1H), 5.83-5.61 (m, 3H), 5.60-5.48 (m, 1H), 5.07 (dd, J=3.5, 51.6 Hz, 1H), 5.06-4.96 (m, 1H), 4.79 (dd, J=4.9, 15.8 Hz, 1H), 4.69 (d, J=5.9 Hz, 2H), 4.67-4.56 (m, 1H), 4.48-4.40 (m, 3H), 4.37-4.30 (m, 1H), 4.27 (d, J=5.9 Hz, 2H), 4.19-4.13 (m, 1H), 3.93-3.85 (m, 1H), 3.85-3.78 (m, 1H)
- Stage 10-11
-
Stage 10 - Compound 140 (95% pure, net 73.2 g, 72.3 mmol, 1 wt, 1 vol, 1 eq) and 2-cyanoethyl N,N,N′,N′-tetraisopropylphosphorodiamidite (25.3 ml, 79.5 mmol, 0.33 wt, 0.35 vol, 1.10 eq) were azeotroped with anhydrous acetonitrile three times (3×2 L), re-dissolved in dichloromethane (0.73 L, 10 vol) and cooled to 0-5° C. Diisopropylammonium tetrazolide (6.19 g, 36.1 mmol, 0.085 wt, 0.50 eq) was added. The resulting reaction mixture was stirred at 0° C. for 10 h, warmed to 10° C. over 2 h, held at 10° C. for 10 h and warmed up to rt over 2h. The reaction was monitored by LCMS and TLC (EtOAc with 0.5% TEA). After 18 h, anhydrous acetonitrile (0.73 L, 10 vol) was added and the mixture was stored at −20° C. over 3 days.
-
Stage 11a - The mixture from
Stage 10 was warmed to ambient temperature and added via a dropping funnel in portions (100 mL every 30 minutes, over 9 h) into a mixture of pyridine trifluoroacetate salt (azetroped in advance with pyridine twice; 41.9 g, 217 mmol, 0.57 wt, 3.0 eq) and acetonitrile (5.85 L, 80 vol). The reaction was monitored by LCMS. After 13h, a solution of 2-cyanoethyl N,N,N′,N′-tetraisopropylphosphorodiamidite (5.8 mL, 18 mmol, 0.25 eq) in acetonitrile (24 mL) was added over 4h. Amount of the additional reagent was determined based on the reamining Compound 140 (˜30% based on LCMS). More conversion of the diol was observed after 6h. -
Stage 11b - ((Dimethylaminomethylidene)amino)-3H-1,2,4-dithiazoline-3-thione (DDTT; 20.8 g, 101 mmol, 0.28 wt, 1.4 eq) was added and stirring was continued for 1h. The reaction mixture was partially concentrated to ˜800 mL and diluted with MTBE (1.46 L, 20 vol), NaHCO3 (9 wt % solution in water; 1.1 L, 15 vol) and water (0.37 L, 5 vol). pH=8. The layers were separated and the aqueous layer was extracted with a mixture of MTBE (1.46 L, 20 vol) and EtOAc (1.10 L, 15 vol). The combined organic layers were washed twice with 30% aq NaCl (2×0.73 L, 2×10 vol), concentrated under vacuum at 35° C. and azeotroped with toluene (1.46 L, 20 vol). LCMS and TLC (EtOAc) indicated Compound 143 (SpRp, desired): Compound 241 (SpSp)=5:1
- The crude product was purified via Biotage 150M KP-Sil, (SiO2 2.5 kg; eluents: EtOAc/Hep: 2:1 (4 CV), 3:1 (2.5 CV), 4:1 (2.5 CV), 100% EA (3 CV), 5-10% MeOH in
EA 4 CV) to give Compound 143 (36 g, 31.5 mmol, 44% yield).
Compound 143 (SpRp): 1H NMR (400 MHz, CHLOROFORM-d) δ=8.59 (s, 1H), 8.10 (s, 1H), 8.03-7.99 (m, 1H), 7.91 (s, 1H), 7.56-7.53 (m, 2H), 7.49-7.40 (m, 5H), 7.35-7.28 (m, 2H), 7.24-7.16 (m, 4H), 6.92 (s, 1H), 6.29 (d, J=14.9 Hz, 1H), 6.08 (d, J=20.7 Hz, 1H), 5.97-5.83 (m, 1H), 5.76 (td, J=4.7, 15.6 Hz, 1H), 5.61-5.51 (m, 2H), 5.40 (d, J=4.3 Hz, 1H), 5.29-5.17 (m, 1H), 4.91 (dd, J=7.4, 14.9 Hz, 1H), 4.86-4.75 (m, 3H), 4.63 (dd, J=3.7, 9.2 Hz, 1H), 4.58-4.43 (m, 5H), 4.34-4.19 (m, 4H), 2.79 (td, J=5.9, 16.8 Hz, 1H), 2.66 (td, J=6.3, 16.8 Hz, 1H).
Compound 241 (SpSp)1H NMR (400 MHz, CHLOROFORM-d) δ=8.11 (s, 1H), 8.03 (d, J=8.2 Hz, 1H), 7.94 (s, 1H), 7.90 (s, 1H), 7.61 (s, 1H), 7.56-7.40 (m, 7H), 7.33-7.28 (m, 2H), 7.23-7.17 (m, 4H), 6.22 (d, J=17.6 Hz, 1H), 6.15 (d, J=18.8 Hz, 1H), 5.85 (dd, J=3.5, 51.2 Hz, 1H), 5.75-5.45 (m, 5H), 4.95-4.23 (m, 14H), 2.82 (t, J=6.1 Hz, 2H). -
Stage 12 - Compound 143 (71.6 g, 62.6 mmol, 1 wt, 1 vol, 1 eq) was dissolved in 1,4-dioxane (0.43 L, 6 vol). Thiophenol (215 ml, 2.09 mol, 230 g, 3.2 wt, 3 vol, >30 eq) was added followed by triethylamine (215 ml, 1.54 mol, 156 g, 2.2 wt, 3 vol). Some exotherm was observed (T-internal increased by ˜7° C.), therefore, water/ice bath was used to cool and control T-internal below 27° C. The reaction was monitored by LCMS. After 2h, MeOH (0.57 L, 8 vol) and NH4OH (28 wt %; 15 mol, 0.57 L, 8 vol, >200 eq) were added. The resulting mixture was heated at 50° C. for 5h, cooled to rt and stirred overnight. After 14h, water (0.72 L, 10 vol) was added (no solid observed) and the mixture was extracted three times with 1:1 (v/v) mixture of n-heptane and toluene (3×0.86 L, 3×12 vol), followed by with toluene (0.57 L, 8 vol). The aqueous layer was concentrated in vacuo at 40-50° C. and diluted with water (1.07 L, 15 vol). The resulting slurry was kept overnight at rt. The resulting solid was filtered off, rinsing with water (0.36 L, 5 vol). The filtrate was still cloudy and filtered through celite and a Kuno filter. Cloudiness was still present. HCl (1.0 M solution in water; 132 ml, 132 mmol, 2.1 eq) was added over 1 h and pH was checked (pH <2). Stirring was continued at rt for 1 h and the mixture was filtered. The filter cake was rised with water (8×0.20 L), dried in a vacuum oven at 35° C. for 2 days and with no heat for 1 day to give
Compound 1 as pale orange solid (44.88 g, 60.1 mmol, 0.63 wt, 96% yield). -
Stage 13 - To the free acid Compound 1 (22.42 g, 30.03 mmol, 1 wt, 1 vol, 1 eq) was added ammonia (2.0M solution in MeOH; 220 ml, 440 mmol, 10 vol, 15 eq). EtOH (55 ml, 2.5 vol) was added and the resulting solution was filtered through a Kuno filter (0.45 micron; PTFE), rising with 1:1 (v/v) mixture of MeOH and EtOH (90 mL, 4 vol). The filtrate was concentrate in vacuo at 30° C. yielding an off white solid, which was dried at rt overnight, grinded with a spatular (easy to break) and dried further in vacuum at rt. The isolated solid was then suspended in toluene (250 ml) and stirred at rt for 30 minutes. The solid was then collected by vacuum filtration and rinsed with toluene twice (2×50 ml). The solid was then dried under vacuum in a vacuum oven to give 22.4 g of
Compound 1a (the di-ammonium salt of Compound 1). - Recrystallization:
-
Compound 1a (22.14 g, 28.36 mmol, 1 wt, 1 vol, 1 eq) was dissolved in a mixture of water (664 ml, 30 vol) and ammonium hydroxide (28 wt %; 2.5 ml, 18 mmol, 0.63 eq) (pH=9-10) and extracted with toluene three times (3×300 ml, 3 x14 vol), EtOAc three times (3×200 ml, 3×9 vol) and toluene three times (3×300 ml, 3×14 vol). The resulting aqueous layer was treated with HCl (1.0 M solution in water; 90 ml, 90 mmol, 3.2 eq) over a period of 3.5 hours (pH ≤2). The mixture stirred for 30 minutes and then the solid precipitate was collected by vacuum filtration. The filter cake was washed with water three times (3×200 ml, 3×9 vol) and dried in vacuo overnight. Ammonia (2.0 M solution in MeOH; 250 ml, 500 mmol, 17.6 eq) and ethanol (100 ml) were added to the solid and the resulting mixture was concentrated in vacuo until crystals appeared (˜100 ml), at which time concentration was stopped and the mixture was stirred for 20 minutes. Ethanol (45 mL) was added and the mixture was partially concentrated (45 mL removed). The same operation was repeated two more times, and then the mixture was cooled to 0° C. and stirred for 3.5 h. The white solid was collected by vacuum filtration and washed with cold ethanol (20 ml) followed by ethyl acetate (2×50 mL). The white solid was dried under vacuum at rt for 3 days to giveCompound 1a as white solid (16.6 g, 21.3 mmol, 0.75 wt, 75% yield). The filtrate was concentrated under vacuum and dried under vacuum at rt for 3 days to giveCompound 1a as off white solid (4.16 g, 5.3 mmol, 18% yield). - A 1H NMR spectrograph of
Compound 1a is shown inFIG. 3 . The resulting spectrum was: - 1H-NMR Spectrum (400 MHz, DMSO-d6, δH 2.49 ppm, 80° C.)
- δ(ppm): 3.05-3.13 (4H, m), 3.70 (1H, dd, J=13, 5 Hz), 3.78 (1H, dd, J=12, 4 Hz), 4.21-4.24 (2H, m), 4.28 (1H, m), 4.38 (1H, m), 4.53-4.68 (2H, m), 5.22 (1H, m), 5.76 (2H, s), 5.78 (1H, m), 6.26 (1H, m), 6.29 (1H, m), 8.13 (1H, s), 8.14 (1H, s), 8.36 (1H, brs), 8.59 (1H, brs).
- About 2 mg of
Compound 1 was dissolved in 600 uL of water. 120 uL of this solution was put in another glass vial and then this vial was stored in fixed container with 3 mL of MeCN at room temperature for 1 week. This is the H2O/MeCN vapor diffusion method of sample preparation. - A colorless block single crystal (0.1×0.1×0.1 mm) found in crystallization solution was dispersed in liquid Parabar 10312 and was mounted on a Dual-Thickness MicroMounts™ (MiTeGen). Diffraction data was collected at −160° C. on XtaLAB PRO P200 MM007HF (Rigaku) with w axis oscillation method using multi-layer mirror monochromated Cu-Kα radiation.
-
FIG. 4A shows an ORTEP figure ofCompound 1 molecules in an asymmetric unit, along with a number of disordered water molecules.FIG. 4B shows the crystal structure of one of theCompound 1 molecules fromFIG. 4A .FIG. 4C shows the crystal structure of the other molecule ofCompound 1 shown inFIG. 4A . - The crystal structure of
Compound 1 was solved with a final R-factor of 0.1354. The Flack parameter was nearly zero (0.083(17)), indicating that the absolute configuration ofCompound 1 is (R, S). The crystal structure analysis also indicated that many water molecules were present in the large channel ofCompound 1, which indicated that water molecules were able to easily slip out from the channel. The analysis also confirmed that the conformations of both crystallographically independent molecules the asymmetric unit were almost the same. - Further parameters of the X-ray analysis are shown below:
-
Temperature 113 K Wavelength 1.54184 Å Crystal system, Space group Monoclinic, P21 Lattice parameter a = 8.1584(3) Å b = 35.451(2) Å c = 15.9146(6) Å β = 91.313(3) ° Volume 4601.7(4) Å3 Z value, calculated density 4, 1.127 g/cm3 Crystal size 0.1 × 0.1 × 0.1 mm Total number of reflections/ 52006/17198 [R(intensity) = 0.0876] number of unique reflections Completeness 92.2% Phase determination Direct methods (SHELXT Version 2014/5) Refinement method Full-matrix least-squares on F2 (SHELXL Version 2014/7) Data/parameter 17198/1116 Goodness of fit indicator 1.545 Residuals: R(I > 2σ(I)) 0.1354 Residuals: Rw 0.3886 Flack parameter 0.083(17) Maximum and Minimum peak 1.17 and −0.88 e−/Å3 difference - Compound 106 (RpRp isomer of Compound 105) obtained from Example 1, Step E was processed separately through Example 1, Step F and Example 1, Step G to give Compound 2a (RR isomer of Compound 1a):
- Compound 108 (RpRp) 1H NMR (400 MHz, CDCl3) δ=8.12 (dd, J=8.2, 0.8 Hz, 2H), 7.99 (s, 2H), 7.96 (s, 2H), 7.65-7.48 (m, 10H), 7.38-7.33 (m, 2H), 7.26-7.24 (m, 4H), 6.22 (d, J=17.6 Hz, 2H), 5.95-5.84 (m, 2H), 5.71 (dd, J=50.8, 3.9 Hz, 2H) 5.73-5.71 (m, 2H), 4.88-4.77 (m, 4H), 4.59-4.38 (m, 8H), 4.19 (m, 2H).
Compound 2a (RpRp, trans) 1H NMR (400 MHz, CD3OD) δ=8.70 (s, 1H), 8.49 (s, 1H), 8.23 (s, 1H), 8.09 (s, 1H), 6.34 (br s, 2H), 5.83 (br s, 2H), 5.73-5.53 (m, 2H), 5.38-5.01 (m, 2H), 4.76-4.32 (m, 6H), 3.95 (br s, 2H), 3.69-3.64 (m, 2H); 31P NMR (162 MHz, CD3OD) δ=55.57 (s, 1P), 55.32 (s, 1P). - Compound 2 (0.5 mg) was weighed and dissolved in acetonitrile/28% ammonia solution. Then, this solution was stored under room temperature with loosely fixed cap. After 2 weeks rod shape crystal appeared.
- A colorless block single crystal (0.1×0.1×0.5 mm) found in crystallization solution was dispersed in liquid Parabar 10312 and was mounted on a Dual-Thickness MicroMounts™ (MiTeGen). Diffraction data was collected at −160° C. on XtaLAB PRO P200 MM007HF (Rigaku) with ω axis oscillation method using multi-layer mirror monochromated Cu-Kα radiation.
-
FIG. 4D shows an ORTEP figure of aCompound 2 molecule. - Further parameters of this X-ray analysis are shown, below:
-
Temperature 113 K Wavelength 1.54187 Å Crystal system, Space Monoclinic, P2 group Lattice parameter a = 14.20210(11) Å b = 7.99219(7) Å c = 19.03500(14) Å β = 94.2005(7) ° Volume 2154.78(3) Å3 Z value 2 Crystal size 0.1 × 0.1 × 0.5 mm Total number of reflections/ 29195/8152 [R(intensity) = 0.0216] number of unique reflections Completeness 94.8% Phase determination Direct methods (SHELXT Version 2014/5) Refinement method Full-matrix least-squares on F2 (SHELXL Version 2014/7) Data/parameter 8152/518 Goodness of fit indicator 1.099 Residuals: R(I > 2a(I)) 0.0711 Residuals: Rw 0.2133 Flack parameter 0.020(8) Maximum and Minimum 1.95 and −0.64 e−/Å3 peak difference - Compound 109 (SpSp isomer of Compound 105) obtained from Example 1, Step E was processed separately through Example 1, Step F and Example 1, Step G to give Compound 3a (SS isomer of Compound 1a):
- Compound 109 (SpSp isomer of Compound 105): 1H NMR (400 MHz, CHLOROFORM-d) δ=8.52 (s, 2H), 7.99 (d, J=8.2 Hz, 2H), 7.91 (s, 2H), 7.63-7.40 (m, 10H), 7.35-7.28 (m, 2H), 7.23-7.16 (m, 4H), 6.10-5.93 (m, 4H), 5.92-5.75 (m, 2H), 5.62-5.50 (m, 2H), 5.26-5.16 (m, 2H), 5.09-5.03 (m, 2H), 4.98-4.91 (m, 4H), 4.61-4.25 (m, 10H)
Compound 3a (SpSp, trans): 1H NMR (400 MHz, CD3OD) δ=8.97 (br s, 1H), 8.84 (br s, 1H), 8.21 (br s, 2H), 6.31 (br s, 2H), 6.08 (br d, J=53.5 Hz, 1H), 5.89 (br s, 2H), 5.63 (br d, J=52.4 Hz, 1H), 5.13-4.96 (m, 2H), 4.72-4.32 (m, 6H), 4.01 (br d, J=9.8 Hz, 2H), 3.67 (br s, 2H). -
Compound 107 obtained from Example 2, Step F, isolated as the only cis isomer via silica gel chromatography, was processed separately through Example 1, Step G to give Compound 4a. - Compound 107: 1H NMR (400 MHz, CHLOROFORM-d) 6=8.13 (s, 2H), 8.12-8.08 (m, 2H), 7.91 (s, 2H), 7.65-7.55 (m, 4H), 7.54-7.45 (m, 6H), 7.33-7.27 (m, 2H), 7.23-7.16 (m, 4H), 6.14 (d, J=17.6 Hz, 2H), 5.88 (dd, J=3.9, 50.8 Hz, 2H), 5.76-5.61 (m, 4H), 5.21-4.99 (m, 4H), 4.60-4.46 (m, 4H), 4.45-4.37 (m, 2H), 4.30-4.13 (m, 4H), 3.49 (d, J=5.1 Hz, 2H)
Compound 4a (RpRp, cis of 1a, Compound 4a): 1H NMR (400 MHz, METHANOL-d4) 6=8.48 (br s, 2H), 8.02 (br s, 2H), 6.29 (d, J=14.8 Hz, 2H), 5.99 (br s, 2H), 5.43 (d, J=51.2 Hz, 2H), 5.03-4.88 (m, 2H), 4.43 (br d, J=11.7 Hz, 2H), 4.32 (br d, J=9.4 Hz, 2H), 4.27-4.17 (m, 2H), 4.21-4.02 (m, 2H), 3.97 (br dd, J=6.1, 12.3 Hz, 2H). - The cis isomer obtained from Example 1, Step F was processed separately through Example 1, Step G to give Compound 5a.
- Compound 111 (cis isomer of Compound 107): 1H NMR (400 MHz, CHLOROFORM-d) δ=8.48 (s, 1H), 8.15-8.09 (m, 1H), 8.03 (d, J=8.2 Hz, 1H), 7.94 (s, 1H), 7.75 (s, 1H), 7.65-7.06 (m, 11H), 6.07 (d, J=17.2 Hz, 1H), 5.98 (d, J=20.3 Hz, 1H), 5.97-5.79 (m, 1H), 5.84 (dd, J=3.5, 51.2 Hz, 1H), 5.54-5.47 (m, 1H), 5.50 (dd, J=3.9, 52.0 Hz, 1H), 5.38-5.21 (m, 2H), 5.18-5.02 (m, 2H), 5.02-4.95 (m, 1H), 4.78-4.69 (m, 1H), 4.60-4.16 (m, 10H)
Compound 5a (SpRp, cis of 1a): 1H NMR (400 MHz, METHANOL-d4) δ=8.88 (br s, 1H), 8.51 (br s, 1H), 8.16 (s, 1H), 8.05 (s, 1H), 6.38 (d, J=15.6 Hz, 1H), 6.33 (d, J=14.1 Hz, 1H), 6.14-6.09 (m, 2H), 6.01 (d, J=49.2 Hz, 1H), 5.42 (d, J=49.6 Hz, 1H), 5.02-4.87 (m, 2H), 4.76-3.92 (m, 8H), 3.75-3.56 (m, 2H) -
- To a solution of
compound 1a (1.5 mg, 2.0 μmol) in MeOH/H2O (0.6/0.5 ml) at ambient temperature was added palladium hydroxide on carbon (20 wt. % dry basis, 2 mg). The resulting mixture was treated with hydrogen (balloon) while the reaction was monitored by LCMS. Upon complete consumption of the starting material, the mixture was filtered and rinsed with methanol until all product cleared out. The filtrate was concentrated in vacuo and the residue was dissolved water (1 ml). RHPLC purification provided compound 6a (0.9 mg). - LCMS (MS m/z 749.2 [M+H]+)
-
- To a solution of 107 (3.7 mg, 3.02 μmol) in EtOH (1.5 mL) was added ammonium hydroxide (1 mL). The resulting mixture was heated at 50° C. for 8h and cooled to ambient temperature. The solvent was removed under reduced pressure. The residue was treated with 2 mL water and the resulting solid was filtered off. The filtrate was subjected to preparative HPLC to give compound 9a (2.5 mg).
- Compound 9a: 1H NMR (400 MHz, METHANOL-d4) δ=8.67 (br s, 1H), 8.50 (br s, 1H), 8.25 (br s, 1H), 8.12 (br s, 1H), 6.47-6.28 (m, 2H), 5.92-5.79 (m, 2H), 5.74 (d, J=50.8 Hz, 1H), 5.32 (d, J=52.4 Hz, 1H), 5.16-4.95 (m, 2H), 4.71-4.25 (m, 6H), 4.17-3.97 (m, 2H), 3.83-3.61 (m, 2H).
- LCMS: MS m/z 715.2 [M+H]+.
- With Compound 112 and
compound 102 as starting materials, compounds 8, 11 and 12 were prepared via the same reaction sequences as described in Example 1. -
-
Instrument Agilent 1200 HPLC column Waters Sunfire Prep C18 OBD column, 5 um, 19 × 100 mm, #186002567 Flow rate 20 ml/min mobile phase A: water, B: acetonitrile Gradient Time (min) 0 8 9.9 10 11 B% 40 99 99 40 40 Run time 12 min Injection volume 250 ul (0.03 g/ml in acetonitrile) detection UV 254 nm Retention time Fraction A 5.3 min Fraction B 5.8 min - Compound 8a: Fraction A was proceeded through Step G, Example 1 to give two isomers which were separated by HPLC. Compound 8a was a faster running isomer (retention time: 4.1 min) and Compound 37a (retention time: 4.5 min) was a slower-running isomer.
- 1H NMR (400 MHz, METHANOL-d4) δ=9.01 (s, 1H), 8.61 (s, 1H), 8.22 (s, 1H), 8.20 (s, 1H), 6.34 (d, J=10.2 Hz, 1H), 6.31 (d, J=10.9 Hz, 1H), 5.92 (dd, J=2.7, 51.2 Hz, 1H), 5.85-5.71 (m, 2H), 5.37 (d, J=51.6 Hz, 1H), 4.81-4.56 (m, 6H), 4.52 (br d, J=12.1 Hz, 1H), 4.42 (br d, J=9.4 Hz, 3H), 4.05 (dd, J=4.1, 11.9 Hz, 1H), 3.95 (br dd, J=4.3, 12.1 Hz, 1H), 3.94-3.84 (m, 1H), 3.62 (br dd, J=4.9, 15.4 Hz, 1H), 2.71-2.58 (m, 1H), 2.46-2.33 (m, 1H)
- 31P NMR (162 MHz, METHANOL-d4) δ=55.36 (s, 1P), 55.18 (s, 1P) LCMS: MS m/z 761.2 [M+H]+
- Compound 37a: 1H NMR (400 MHz, METHANOL-d4) δ=8.95 (s, 1H), 8.40 (s, 1H), 8.18 (s, 1H), 8.15 (br s, 1H), 6.34 (d, J=5.5 Hz, 1H), 6.31 (d, J=6.6 Hz, 1H), 5.96-5.68 (m, 3H), 5.40 (dd, J=2.7, 51.6 Hz, 1H), 4.85 (s, 3H), 4.58 (br d, J=12.1 Hz, 1H), 4.49 (br d, J=12.1 Hz, 1H), 4.43-4.33 (m, 3H), 4.29 (dd, J=8.6, 14.1 Hz, 1H), 4.05 (dd, J=4.5, 11.9 Hz, 1H), 3.95 (dd, J=4.9, 12.3 Hz, 1H), 3.94-3.86 (m, 1H), 2.67-2.55 (m, 1H), 2.52-2.40 (m, 1H).
- Compound 8a/37a Preparative HPLC Conditions:
-
Instrument Agilent 1200/1260 AS/FC HPLC column Waters XBridge C18, 10 × 100 mm, # 1413 Flow rate 4.0 ml/min Column temperature 35° C. mobile phase A: 0.1% NH4OH in water, B: 0.1% NH4OH in acetonitrile Gradient (B %) 0 → 50 Run time 20 min Injection volume 50 ul (4 mg/ml in water) detection UV 260 nm Retention Compound 4.1 min time 8a Compound 4.5 min 37a - Fraction B was proceeded through Step G, Example 1 to give two isomers which were separated by prep-HPLC described below.
Compound 11a is a faster running isomer (retention time: 11.2 min) andcompound 12a is a slower running isomer (retention time: 12.1 min) -
Compound 11a: 1H NMR (400 MHz, METHANOL-d4) δ=8.63 (br s, 2H), 8.18 (br s, 1H), 8.17 (br s, 1H), 6.34 (d, J=13.3 Hz, 1H), 6.32 (d, J=12.9 Hz, 1H), 5.86-5.65 (m, 2H), 5.48 (d, J=48.5 Hz, 1H), 5.35 (d, J=43.8 Hz, 1H), 4.84-4.53 (m, 6H), 4.47-4.36 (m, 2H), 4.05-3.91 (m, 2H), 3.96-3.85 (m, 1H), 3.70-3.54 (m, 1H), 2.66-2.54 (m, 1H), 2.43-2.30 (m, 1H)
Compound 12a: 1H NMR (400 MHz, METHANOL-d4) δ=8.56 (br s, 1H), 8.41 (s, 1H), 8.17 (s, 1H), 7.95 (br s, 1H), 6.35 (d, J=14.8 Hz, 1H), 6.31 (d, J=15.2 Hz, 1H), 5.82-5.65 (m, 2H), 5.50 (d, J=51.2 Hz, 1H), 5.36 (d, J=53.9 Hz, 1H), 4.74-4.33 (m, 8H), 4.26-4.16 (m, 1H), 4.07-3.93 (m, 3H), 2.64-2.44 (m, 2H).
Compound 11a/12a Preparative HPLC Conditions: -
Instrument Agilent 1200/1260 AS/FC HPLC column Waters Xterra C18, 10 × 100 mm # 3128 Flow rate 3.0 ml/min Column temperature 35° C. mobile phase A: 0.1% formic acid in water, B: 0.1% formic acid in acetonitrile Gradient (B %) 0 → 30 Run time 20 min Injection volume 50 ul (2.5 mg/ml in water) detection UV 260 nm Retention Compound 11.2 min times 11a Compound 12.1 min 12a - With Compound 114 and Compound 115 as starting materials, Compounds 13 and 14 were prepared via the same reaction sequences as described in Example 1 plus TBS deprotection step.
- Compound 116: 1H NMR (400 MHz, CHLOROFORM-d) δ=9.36 (s, 1H), 9.18 (s, 1H), 8.77 (s, 1H), 8.76 (s, 2H), 8.07 (br dd, J=1.8, 7.6 Hz, 3H), 8.05-8.00 (m, 2H), 7.99 (s, 1H), 7.87-7.82 (m, 1H), 7.70-7.65 (m, 1H), 7.63-7.55 (m, 3H), 7.55-7.41 (m, 6H), 7.39-7.35 (m, 1H), 7.30-7.26 (m, 1H), 6.37 (d, J=8.6 Hz, 1H), 5.89 (d, J=4.7 Hz, 1H), 5.36-5.27 (m, 2H), 5.15 (ddd, J=3.7, 8.4, 11.7 Hz, 1H), 4.64-4.43 (m, 4H), 4.43-4.38 (m, 1H), 4.37-4.30 (m, 1H), 4.23-4.13 (m, 2H), 4.11-3.98 (m, 2H), 3.97-3.86 (m, 1H), 0.97 (s, 9H), 0.83 (s, 9H), 0.25 (s, 3H), 0.18 (s, 3H), 0.16 (s, 3H),−0.13 (s, 3H).
Compound 13a: 1H H NMR (400 MHz, METHANOL-d4) δ=8.78 (br s, 1H), 8.47 (br s, 1H), 8.21 (br s, 1H), 8.08 (br s, 1H), 6.44-6.21 (m, 1H), 6.19-6.03 (m, 1H), 6.01-5.78 (m, 2H), 5.38-4.95 (m, 2H), 4.67-4.45 (m, 5H), 4.45-4.35 (m, 1H), 4.34-4.29 (m, 1H), 4.25 (br d, J=11.3 Hz, 1H), 4.18-3.89 (m, 2H), 3.88-3.54 (m, 2H). - 31P NMR (162 MHz, METHANOL-d4) δ=56.89 (br s, 1P), 56.37 (br s, 1P)
- Compound 117 (Rp1Rp2 isomer of Compound 116): 1H NMR (400 MHz, CHLOROFORM-d) δ=9.36 (br s, 1H), 9.11 (br s, 1H), 8.98 (s, 1H), 8.87 (s, 1H), 8.78 (s, 1H), 8.14-7.96 (m, 6H), 7.72-7.27 (m, 13H), 6.44 (d, J=8.6 Hz, 1H), 5.84 (d, J=6.6 Hz, 1H), 5.59-5.50 (m, 1H), 5.48-5.44 (m, 1H), 5.33-5.24 (m, 1H), 4.75-3.85 (m, 11H), 0.90 (s, 9H), 0.79 (s, 9H), 0.20 (s, 3H), 0.11 (s, 3H), 0.07 (s, 3H),−0.21 (s, 3H)
Compound 14a (Rp1Rp2 isomer of Compound 13a) - LCMS: MS m/z 743.17 [M+H]+
-
- To a solution of compound A (2.63 g, 2.46 mmol) in MeCN (26.3 ml) was added tert-butylamine (13.15 ml, 124.1 mmol). After stirred for 1h at ambient temperature, the reaction mixture was concentrated in vacuo and azetroped with MeCN. The residue was dissolved in MeCN (52.6 ml) and treated with 1-(bromomethyl)-2-nitrobenzene (1.064 g, 4.925 mmol) and triethylamine (0.755 ml, 5.42 mmol). Upon complete reaction (monitored by LC/MS), the reaction mixture was concentrated in vacuo and purified by silica gel column chromatography (66% ethyl acetate/n-heptane to 100% ethyl acetate) to give 0.226 g of Compound 118. The isolated product was dissolved in DMF (5 mL) and allyl bromide (0.046 ml, 0.528 mmol) and potassium carbonate (0.073 g, 0.528 mmol) were added. The resulting mixture was stirred at ambient temperature while the progress was monitored by LCMS. After 19 h, 1/1 mixture of MTBE/EtOAc (12/12 mL), a saturated aqueous NH4Cl solution (15 ml), and water (10 mL) were added. The organic layer was separated out, washed with brine (5 mL) twice, dried over MgSO4 and concentrated in vacuo. The residue was purified by silica gel column chromatography (50% ethyl acetate/n-heptane to 100% ethyl acetate) to give 37 mg of bis-allylated product. The isolated product (37 mg, 0.027 mmol) was dissolved in toluene (55 mL) and heated to mild reflux (120-125° C. oil bath). A solution of Hoveyda-Grubbs Catalyst 2nd Generation ((1,3-Bis-(2,4,6-trimethylphenyl)-2-imidazolidinylidene)dichloro(o-isopropoxyphenylmethylene)ruthenium; available at SIGMA-ALDRITCH®Catalog No. 569755; CAS 301224-40-8; 8.5 mg, 0.014 mmol) and quinone (5.9 mg, 0.054 mmol) in toluene (10 mL) was added. The mixture was heated to reflux and reaction progress was monitored by LC/MS. Upon complete consumption of the starting material, the mixture was cooled down to ambient temperature and treated with DMSO (0.059 ml, 0.81 mmol) for 15 hours. The resulting mixture was concentrated in vacuo and purified by silica gel column chromatography (SiO2 10 g, 66% ethyl acetate in n-heptane to 100% ethyl acetate) to give Compound 119 (2.2 mg).
- Compound 119: 1H NMR (400 MHz, CHLOROFORM-d) 6=8.49 (s, 1H), 8.12 (d, J=7.8 Hz, 1H), 8.05-8.02 (m, 1H), 8.02 (s, 1H), 7.82 (s, 1H), 7.70-7.10 (m, 17H), 6.27 (d, J=16.8 Hz, 1H), 6.15-6.05 (m, 1H), 5.97 (d, J=8.2 Hz, 1H), 5.94-5.72 (m, 3H), 4.94 (br s, 2H), 4.86-4.69 (m, 2H), 4.67-4.60 (m, 1H), 4.60-4.44 (m, 4H), 4.39-4.33 (m, 1H), 4.31-4.10 (m, 6H), 0.96 (s, 9H), 0.25 (s, 3H), 0.19 (s, 3H)
Compound 119 was proceeded through Step G in Example 1 followed by TBS deprotection with TEA 3HF to give compound 15a.
Compound 15a: 1H NMR (400 MHz, METHANOL-d4) δ=8.76 (br s, 1H), 8.44 (br s, 1H), 8.24 (br s, 1H), 8.07 (br s, 1H), 6.45-6.19 (m, 2H), 6.12-5.75 (m, 2H), 5.54 (br d, J=51.6 Hz, 1H), 5.67-5.06 (m, 2H), 4.66-4.37 (m, 3H), 4.47-4.37 (m, 1H), 4.36-4.22 (m, 2H), 4.17-3.94 (m, 2H), 3.94-3.80 (m, 1H) 3.80-3.59 (m, 2H) - Compound 16 was obtained from compound B (RR isomer of compound A) via the same sequences as described in
compound 15. - Compound 120 (Rp1Rp2 isomer of Compound 119): 1H NMR (400 MHz, CHLOROFORM-d) 6=8.89 (s, 1H), 8.10 (d, J=8.2 Hz, 1H), 8.01 (d, J=8.2 Hz, 1H), 7.85-7.74 (m, 4H), 7.69-7.61 (m, 2H), 7.58 (s, 1H), 7.55-7.48 (m, 1H), 7.45-7.30 (m, 6H), 7.22-7.15 (m, 1H), 7.13-7.04 (m, 3H), 6.76-6.68 (m, 1H), 6.31-6.22 (m, 1H), 6.22 (d, J=16.0 Hz, 1H), 6.12-5.99 (m, 2H), 5.94 (d, J=8.2 Hz, 1H), 5.92-5.81 (m, 1H), 5.67 (dd, J=3.5, 51.2 Hz, 1H), 5.08-4.93 (m, 2H), 4.87-4.77 (m, 1H), 4.60-4.22 (m, 8H), 4.21-4.16 (m, 1H), 4.11-4.02 (m, 1H), 3.94 (br d, J=11.7 Hz, 1H), 3.66 (dd, J=4.7, 11.3 Hz, 1H), 0.90 (s, 9H), 0.09 (s, 3H), 0.08 (s, 3H)
Compound 16a: 1H NMR (400 MHz, METHANOL-d4) δ=8.54 (br s, 1H), 8.24 (br s, 1H), 8.17 (br s, 1H), 8.08 (br s, 1H), 6.44-6.23 (m, 2H), 6.07-5.68 (m, 2H), 5.43 (d, J=50.4 Hz, 1H), 5.31-5.05 (m, 2H), 4.69-4.26 (m, 6H), 4.19-3.90 (m, 2H), 3.90-3.57 (m, 3H) - With Compound 121 and
Compound 101 as starting materials, adenine/guanine analogs were prepared via the same reaction sequences as described in Example 1. -
-
Instrument Agilent 1100 HPLC column Waters Sunfire Prep C18 OBD column, 5 um, 19 × 100 mm, #186002567 Flow rate 12 ml/min mobile phase A: water, B: acetonitrile Gradient Time (min) 0 13 14.5 14.51 16 B% 40 99 99 40 40 Run time 16 min Injection time 150 ul (0.027 g/ml in acetonitrile) detection UV 254 nm Retention time Compound C 9.9 min Compound D 9.4 min Compound E 9.0 min
Compound D: 1H NMR (400 MHz, CHLOROFORM-d) 6=8.60 (s, 1H), 8.27 (s, 1H), 8.04-8.01 (m, 1H), 8.01 (s, 1H), 7.99-7.95 (m, 1H), 7.80 (s, 1H), 7.63-7.51 (m, 5H), 7.46-7.41 (m, 1H), 7.39-7.30 (m, 3H), 7.25-7.20 (m, 2H), 6.96-6.84 (m, 1H), 6.19-5.99 (m, 4H), 5.67 (dd, J=4.3, 52.3 Hz, 1H), 5.47 (dd, J=1.4, 17.4 Hz, 1H), 5.36-5.24 (m, 4H), 5.14-5.09 (m, 1H), 5.08 (d, J=5.5 Hz, 2H), 5.04-4.98 (m, 2H), 4.51-4.30 (m, 10H), 4.21-4.13 (m, 1H), 2.83-2.67 (m, 1H), 1.16 (d, J=7.0 Hz, 3H), 1.14 (d, J=6.6 Hz, 3H) - Compound D was proceeded through Steps F and G, Example 1 to give Compound 22.
- Compound C: 1H NMR (400 MHz, CHLOROFORM-d) 6=9.08 (s, 1H), 8.60 (s, 1H), 8.07-8.02 (m, 2H), 8.02 (s, 1H), 7.80 (s, 1H), 7.55-7.30 (m, 9H), 7.24-7.19 (m, 2H), 6.58-6.45 (m, 1H), 6.23-5.97 (m, 4H), 5.97-5.86 (m, 1H), 5.63-5.57 (m, 1H), 5.54-5.47 (m, 1H), 5.48-5.44 (m, 1H), 5.35-5.30 (m, 1H), 5.29-5.22 (m, 1H), 5.18-5.13 (m, 2H), 5.11-5.07 (m, 1H), 5.02-4.97 (m, 2H), 4.51-4.22 (m, 9H), 4.14-4.07 (m, 1H), 2.99-2.85 (m, 1H), 1.20 (d, J=6.6 Hz, 3H), 1.17 (d, J=7.0 Hz, 3H)
Compound C was proceeded through Steps F and G in Example 1 to give Compound 21 Compound 21: LCMS: MS m/z 763.13 [M+H]+
Compound E: 1H NMR (400 MHz, CHLOROFORM-d) 6=8.99 (s, 1H), 8.57 (s, 1H), 8.02-7.94 (m, 2H), 7.93 (s, 1H), 7.82 (s, 1H), 7.68-7.63 (m, 1H), 7.60-7.55 (m, 1H), 7.54-7.49 (m, 2H), 7.45-7.31 (m, 5H), 7.25-7.21 (m, 2H), 6.22-5.94 (m, 6H), 5.56 (br dd, J=5.1, 51.5 Hz, 1H), 5.54-5.46 (m, 1H), 5.34-5.29 (m, 1H), 5.29-5.22 (m, 2H), 5.16-5.08 (m, 3H), 5.02-4.96 (m, 2H), 4.62-4.54 (m, 1H), 4.52-4.26 (m, 9H), 2.93-2.81 (m, 1H), 1.21 (d, J=2.3 Hz, 3H), 1.20 (d, J=2.0 Hz, 3H)
Compound E was proceeded through Steps F and G in Example 1 to give Compound 23 Compound 23: LCMS: MS m/z 763.18 [M+H]+ - With compound F, Compound 24a was prepared via the same reaction sequences as described in Example 1.
- Compound 24: 1H NMR (400 MHz, METHANOL-d4) δ=8.95 (br s, 1H), 8.29 (br s, 1H), 8.23 (br s, 1H), 8.08 (br s, 1H), 6.31 (br d, J=12.9 Hz, 2H), 6.23-6.07 (m, 1H), 6.04-5.84 (m, 2H), 5.71 (br d, J=50.8 Hz, 1H), 5.27-4.32 (m, 7H), 4.27-4.16 (m, 1H), 4.12 (dd, J=5.7, 11.9 Hz, 1H), 4.07-3.98 (m, 1H), 3.78-3.62 (m, 2H), 1.40 (d, J=7.0 Hz, 3H)
- A route for this synthesis is shown in
FIG. 3 . - To a solution of 9-((2R,3R,4R,5R)-3-fluoro-4-hydroxy-5-(hydroxymethyl)tetrahydrofuran-2-yl)-9H-purin-6-ol (100 mg, 0.37 mmol) and Hunig's Base (0.129 ml, 0.74 mmol) in DMF (1 ml) was added BOP (327 mg, 0.74 mmol) at 20° C. The mixture was stirred at 20° C. overnight. UPLC-MS indicated that the reaction was completed. Solvent was removed on highvac rotavapor. The residue was dissolved in DCM and purified using Biotage (24 g Si-gel column, EtOAc in Heptane=0 to 100%, 10 vol, 100%, 10 vol) to afford 105 mg of the BOP adduct at 73% of yield.
- 1H NMR (400 MHz, METHANOL-d4) δ ppm 3.74-3.84 (m, 1H) 3.92-4.00 (m, 1H) 4.12-4.19 (m, 1H) 4.62-4.74 (m, 1H) 5.37-5.57 (m, 1H) 6.41-6.52 (m, 1H) 7.47-7.55 (m, 1H) 7.57-7.64 (m, 2H) 8.03-8.14 (m, 1H) 8.36-8.46 (m, 1H) 8.86 (s, 1H)
- To a solution of (2R,3R,4R,5R)-5-(6-((1H-benzo[d][1,2,3]triazol-1-yl)oxy)-9H-purin-9-yl)-4-fluoro-2-(hydroxymethyl)tetrahydrofuran-3-ol (135 mg, 0.349 mmol) in allyl alcohol (3 ml) was added cesium carbonate (500 mg, 1.535 mmol) at 20° C. The mixture was stirred at 20° C. for 1 hr. UPLC-MS indicated that the reaction was completed. The reaction was worked up with sat. NaHCO3/brine and extracted with EtOAc/Hept. The organic layer was dried over Na2SO4 and filtered. The solvent and volatile organics in the filtrate were removed on rotavapor. The residue was purified using Biotage (12 g Si-gel column, EtOAc in Heptane=0 to 100%, 10 vol, 100%, 10 vol) to afford 100 mg of desired allyl adduct at 92% of yield.
- 1H NMR (400 MHz, METHANOL-d4) δ ppm 8.56 (s, 1H) 8.47 (s, 1H) 6.29-6.41 (m, 1H) 6.06-6.21 (m, 1H) 5.33-5.53 (m, 2H) 5.22-5.31 (m, 1H) 5.02-5.14 (m, 2H) 4.56-4.71 (m, 1H) 4.10-4.18 (m, 1H) 3.88-3.96 (m, 1H) 3.70-3.79 (m, 1H)
- To a solution of diisopropylphosphoramidite (150 mg, 0.164 mmol) and (2R,3R,4R,5R)-5-(6-(allyloxy)-9H-purin-9-yl)-4-fluoro-2-(hydroxymethyl)tetrahydrofuran-3-ol (76 mg, 0.246 mmol) in acetonitrile (1069 20.47 mmol) was added molecular sieves (3 A, 150 mg) at 20° C. The mixture was stirred at 20° C. for 1 hr before 1H-Imidazole-4,5-dicarbonitrile (38.7 mg, 0.328 mmol) was added. at RT. The mixture was stirred at RT for 1 hr. UPLC-MS indicated that the reaction was completed. (E)-N,N-dimethyl-N′-(3-thioxo-3H-1,2,4-dithiazol-5-yl)formimidamide (37.0 mg, 0.18 mmol) was added. UPLC-MS indicated that sulfurization was completed in 30 min. The reaction was worked up with sat. NaHCO3/brine and extracted with EtOAc/Hept. The organic layer was dried over Na2SO4 and filtered. The solvent and volatile organics in the filtrate were removed on rotavapor. The residue was purified using Biotage (25 g Si-gel column, EtOAc in Heptane=0 to 100%, 15 vol, 100%, 10 vol).
- 1H NMR (500 MHz, METHANOL-d4, two diastereomers ˜1:1) δ ppm 8.62-8.63 (m, 1H) 8.57-8.58 (m, 1H) 8.48-8.50 (m, 1H) 8.44-8.46 (m, 1H) 8.40-8.41 (m, 1H) 8.38-8.39 (m, 1H) 8.33-8.35 (m, 1H) 8.25-8.27 (m, 1H) 7.22-7.33 (m, 11H) 7.11-7.20 (m, 17H) 7.05-7.11 (m, 4H) 6.83-6.92 (m, 6H) 6.65-6.77 (m, 11H) 6.28-6.41 (m, 5H) 6.23-6.28 (m, 2H) 6.10-6.22 (m, 5H) 6.00-6.10 (m, 4H) 5.89-6.00 (m, 5H) 5.52-5.57 (m, 2H) 5.45-5.52 (m, 3H) 5.41-5.45 (m, 1H) 5.24-5.34 (m, 4H) 5.13-5.17 (m, 3H) 5.07-5.12 (m, 5H) 4.93-4.98 (m, 4H) 4.88-4.93 (m, 5H) 4.73-4.82 (m, 3H) 4.50-4.59 (m, 2H) 4.36-4.48 (m, 4H) 4.27-4.36 (m, 5H) 4.16-4.27 (m, 5H) 3.83-4.04 (m, 5H) 3.73-3.78 (m, 13H) 3.64-3.73 (m, 4H) 3.52-3.58 (m, 1H) 3.45-3.51 (m, 2H) 3.35-3.41 (m, 2H) 3.16-3.23 (m, 2H) 3.08-3.15 (m, 2H) 2.84-2.93 (m, 2H) 2.79-2.83 (m, 2H) 2.70-2.77 (m, 2H) 2.61-2.69 (m, 3H)
- To a solution of O-((2R,3R,4R,5R)-5-(6-(N-allylbenzamido)-9H-purin-9-yl)-2-((bis(4-methoxyphenyl)(phenyl)methoxy)methyl)-4-fluorotetrahydrofuran-3-yl) 0-(((2R,3R,4R,5R)-5-(6-(allyloxy)-9H-purin-9-yl)-4-fluoro-3-hydroxytetrahydrofuran-2-yl)methyl) O-(2-cyanoethyl) phosphorothioate (120 mg, 0.104 mmol) in acetonitrile (4171 11.1, 79.852 mmol) was added molecular sieves (3A, 1 wt) at 20° C. The mixture was stirred at 20° C. for 1 hr before Tripyrrolidinophosphine (71.6 0.311 mmol) was added. 0.45 M Tetrazole in ACN (253 0.114 mmol) was then added in 7 portions, at 2 min interval. TLC (EtOAc/Hept=2:1, RfSM=0.7, RfProd=0.0 to 0.6) was incomplete. 2× of the phosphorylationg reagent and terazole were added. The reaction mixture was stirred at RT for 10 min. Neither UPLC-MS nor TLC indicated any SM left. The reaction mixture was transferred into a flask containing acetonitrile (20.8 ml), water (104 μl, 5.776 mmol) and pyridine trifluoroacetate salt (421 mg, 2.178 mmol). The mixture was stirred for 10 min. UPLC-MS indicated the desired product was formed. The reaction mixture was mixed with EtOAc and washed with HCl [0.1N]/brine and then sat. NaHCO3/Brine to prevent DMT deprotection. The aqueous layer was back extracted with EtOAc (1×). The combined organic layer was dried over Na2SO4 and then filtered. Solvents and volatiles in the filtrate were removed on rotavapor to afford the crude product which was used for the next step without further purification.
- The crude hydrogen phosphonate intermediate was dissolved in DCM (2635 40.946 mmol) and water (29.511.1, 1.638 mmol) before Dichloroacetic acid (13511.1, 1.638 mmol) in DCM (2635 40.946 mmol) was added at 20° C. The mixture was stirred at 20° C. for 5 min. UPLC-MS indicated that the reaction was completed. The reaction was neutralized with pyridine (510 μl, 6.308 mmol). The volatiles were removed on rotavapor and then highvac rotavapor. The residue was azeotroped with pyridine one more time before used for cyclization.
- The crude DMT deprotected hydrogen phosphonate (80 mg, 0.087 mmol) was dissolved in pyridine (1831 22.639 mmol) before 2-chloro-5,5-dimethyl-1,3,2-dioxaphosphinane 2-oxide (48.2 mg, 0.261 mmol) was added at RT. The mixture was stirred at RT for 10 min. UPLC showed no SM peak at 2.1 min. The reaction was quenched by addition of water (47.1 2.612 mmol) followed by the immediate addition of 3H-benzo[c][1,2]dithiol-3-one (21.97 mg, 0.131 mmol). After 10 min, UPLC showed no starting material left. The reaction was stirred at RT for 1 hr. No change was found on UPLC-MS. The reaction mixture was diluted with EtOAc and washed with sat. NaHCO3 and brine. The organic layer was dried over Na2SO before filtered. The residue after solvent evaporation was dissolved in MeOH before NH3—H2O was added. The mixture was stirred for 5 min before all the solvent and volatiles were removed on rotavapor and highvac rotavapor.
- The CDN intermediate was dissolved in acetonitrile (1484 μl, 28.417 mmol) and 1,4-dioxane (496 μl, 5.797 mmol) before TEA (39.6 0.284 mmol) and 1-(bromomethyl)-2-nitrobenzene (49.1 mg, 0.227 mmol) was added at 20° C. The mixture was stirred at 20° C. for 16 hr. UPLC-MS indicated that the reaction was incomplete. Neither TLC (EtOAc) nor HPLC indicated any o-nitrobenzyl bromide left. 1-(bromomethyl)-2-nitrobenzene (49.1 mg, 0.227 mmol) and TEA (39.6 0.284 mmol) was added. The reaction was stirred for 5 hrs. The reaction was worked up with sat. NaHCO3/brine and extracted with EtOAc/Hept. The organic layer was dried over Na2SO4 and filtered. The solvent and volatile organics in the filtrate were removed on rotavapor. The residue was purified using Biotage (12 g Si-gel column, EtOAc in Heptane=0 to 100%, 15 vol, 100%, 10 vol, 10% MeOH in EtOAc, 6 vol). The fractions contained the desired product were combined. Solvent evaporation afforded the desired product. Prep-TLC (EtOAc) was used to isolate the most polar isomer which leads to the
final product Compound 18. Other two isomers were separated using prep-TLC (EtOAc/DCM=1:1, running for 3 times). The more polar isomer was converted to Compound 19 and the less polar isomer was converted toCompound 20. - The most polar product from the first p-TLC (EtOAc), designated Compound 128-1: 1H NMR (500 MHz, chloroform-d) δ ppm 8.62 (s, 1H) 8.55 (s, 1H) 8.00-8.07 (m, 2H) 7.99 (s, 1H) 7.96 (s, 1H) 7.56-7.64 (m, 2H) 7.48-7.56 (m, 3H) 7.42-7.48 (m, 1H) 7.34-7.42 (m, 2H) 7.29-7.34 (m, 1H) 7.18-7.25 (m, 2H) 6.09-6.21 (m, 3H) 5.98-6.09 (m, 2H) 5.63-5.75 (m, 1H) 5.52-5.63 (m, 1H) 5.42-5.51 (m, 2H) 5.32 (dd, J=10.27, 0.98 Hz, 1H) 5.27 (dd, J=17.12, 1.47 Hz, 1H) 5.13 (d, J=5.87 Hz, 2H) 5.09-5.12 (m, 1H) 4.95-5.05 (m, 2H) 4.36-4.54 (m, 7H) 4.23-4.31 (m, 2H) 4.15-4.21 (m, 1H)
- More polar Product from the second time p-TLC, designated Compound 128-2 (EtOAc/DCM=1:1, 3×)1H NMR (400 MHz, methanol-d4) δ ppm 8.75 (s, 1H) 8.59 (s, 1H) 8.43 (s, 1H) 8.39 (s, 1H) 8.01-8.07 (m, 2H) 7.38-7.56 (m, 7H) 7.27-7.35 (m, 1H) 7.15-7.26 (m, 3H) 6.45 (d, J=19.91 Hz, 1H) 6.38 (d, J=19.52 Hz, 1H) 5.95-6.26 (m, 4H) 5.83 (dd, J=51.54, 4.69 Hz, 1H) 5.73 (dd, J=51.54, 4.69 Hz, 1H) 5.46-5.57 (m, 1H) 5.28-5.36 (m, 1H) 5.19-5.28 (m, 1H) 5.16 (dt, J=5.56, 1.51 Hz, 2H) 5.03-5.10 (m, 1H) 4.95 (br d, J=5.50 Hz, 2H) 4.41-4.62 (m, 4H) 4.28-4.40 (m, 2H) 4.12-4.27 (m, 4H)
Less polar Product from the second time p-TLC, designated Compound 128-3 (EtOAc/DCM=1:1, 3×) 1H NMR (400 MHz, chloroform-d) δ ppm 8.53 (s, 1H) 8.36 (s, 1H) 7.95-8.02 (m, 2H) 7.95 (s, 1H) 7.89 (s, 1H) 7.53-7.61 (m, 2H) 7.44-7.53 (m, 4H) 7.36-7.44 (m, 2H) 7.25-7.31 (m, 1H) 7.12-7.20 (m, 2H) 5.91-6.18 (m, 4H) 5.85-5.91 (m, 1H) 5.72-5.79 (m, 1H) 5.61-5.72 (m, 1H) 5.47-5.57 (m, 1H) 5.40-5.47 (m, 1H) 5.25-5.32 (m, 1H) 5.15-5.23 (m, 1H) 4.99-5.14 (m, 3H) 4.92 (d, J=5.47 Hz, 2H) 4.52-4.60 (m, 2H) 4.37-4.52 (m, 4H) 4.35 (d, J=3.13 Hz, 1H) 4.30 (d, J=5.47 Hz, 1H) 4.25 (d, J=2.74 Hz, 1H) 4.20 (d, J=4.69 Hz, 1H) - To the reflux solution of 2-nitrobenzyl protected CDN (10 mg, 8.696 μmol) in toluene (20 ml, 187.761 mmol) was added the solution of Hoveyda-Grubbs Catalyst 2nd Generation ((1,3-Bis-(2,4,6-trimethylphenyl)-2-imidazolidinylidene)dichloro(o-isopropoxyphenylmethylene)ruthenium; available at SIGMA-ALDRITCH® Catalog No. 569755; CAS 301224-40-8; 2.73 mg, 4.348 μmol) and benzoquinone (2.350 mg, 0.022 mmol) in TOLUENE (2 ml). The resulting solution was refluxed for 4 hrs (oil bath temp 120-125° C.). TLC (EtOAc, Rfsm=0.8, RfProd=0.3) and UPLC-MS indicated that the reaction was incomplete. 1 ml of the Ru catalyst solution was added. The reaction was refluxed for 2 more hrs. Still lots of non-reacted SM left. Another 1 ml of the Ru catalyst solution was added. The reaction was refluxed for 2 more hrs. No SM was detected on reverse phase HPLC. The reaction mixture was cooled to RT and quenched with DMSO (0.019 ml, 0.261 mmol). Solvent evaporation afforded the crude product which was purified on Si-gel column (10 g Si-gel column, eluent from 50 to 100%, 15 vol, 100%, 10 vol). Fractions contained the products with desired MS were combined and rotavaped. The residue was purified one more time on Prep-TLC (EtOAc).
To the pTLC purified bridge-locked CDN (2.5 mg, 2.228 μmol) (the trans isomer) in 1,4-dioxane (0.5 ml, 5.845 mmol) was added Thiophenol (0.25 ml, 2.428 mmol) and TEA (0.25 ml, 1.794 mmol) at 20° C. The mixture was stirred at RT for 3 hrs. UPLC indicated that the conversion was completed.
Methanol (1.5 ml) was added which was followed by the addition of 29% NH3 in H2O (1.0 ml). The resulting mixture was heated at 50° C. for 6 h and cooled to RT.
The suspension of the reaction mixture was filtered and rinsed with water (25 mL). Precipitations were formed in the filtrate after water rinse. The filtrate was filtered again to remove some solid.
The resulting filtrate was extracted with mixture of tol/Hep (3×, 1/1, 25 ml each). The aqueous layer was concentrated in vacuo and then dissolved in water (6 mL). The precipitates were filtered one more time. UPLC indicated the desired product was formed. The product was purified with reverse phase HPLC using the same method to purify other based locked CDN analogs.
ForCompound 18, LCMS: MS m/z 748.11 [M+H]+ 746.15 [M−H]−
ForCompound 19, LCMS: MS m/z 748.06 [M+H]+ 746.17 [M−H]−
ForCompound 20, LCMS: MS m/z 748.09 [M+H]+ 746.21 [M−H]− -
-
- To a solution of Compound 150 (0.70 g, 2.256 mmol) in pyridine (10.5 ml) 0° C. was added 4,4′-dimethoxytrityl chloride (0.803 g, 2.369 mmol). The resulting solution was stirred overnight while warmed to ambient temperature. Upon completion (monitored by LCMS), a sat′d NH4Cl solution (10 ml) and MTBE (20 mL) were added. The layers were separated and the aqueous layer was extracted with MTBE/EtOAc (3/1, 12 mL). The combined organic layers were washed with 30% aqueous NaCl solution (5 ml), dried over MgSO4, filtered and concentrated in vacuo. Purification of the crude product by silicagel column chromatography (
SiO 2 25 g, 50% to 70% EtOAc in n-heptane) gave 0.942 g of Compound 151. - 1H NMR (400 MHz, CHLOROFORM-d) δ=8.47 (s, 1H), 8.11 (s, 1H), 7.43-7.35 (m, 2H), 7.30-7.26 (m, 4H), 7.25-7.17 (m, 3H), 6.82-6.75 (m, 4H), 6.28 (dd, J=2.3, 17.6 Hz, 1H), 6.22-6.10 (m, 1H), 5.63 (ddd, J=2.7, 4.7, 53.1 Hz, 1H), 5.47 (qd, J=1.4, 17.3 Hz, 1H), 5.31 (dd, J=1.2, 10.6 Hz, 1H), 5.13 (t, J=1.4 Hz, 1H), 5.12 (t, J=1.2 Hz, 1H), 4.89-4.76 (m, 1H), 4.21 (td, J=3.2, 6.8 Hz, 1H), 3.78 (s, 6H), 3.55 (dd, J=2.7, 10.9 Hz, 1H), 3.44 (dd, J=4.3, 10.9 Hz, 1H), 2.29-2.21 (m, 1H).
-
- To a solution of Compound 151 (0.942 g, 1.538 mmol) in DMF (7.5 mL) at ambient temperature were added 3-((bis(diisopropylamino)phosphino)oxy)propanenitrile (0.927 g, 3.075 mmol), 0.45
1,2,3,4-tetrazole (2.8 mL, 1.2 mmol) and 1-Methylimidazole (30 μl, 0.38 mmol). The resulting solution was stirred at ambient temperature for 4h. Upon completion (monitored by LCMS), TEA (0.50 ml, 3.6 mmol), DMF (11.3 mL) and water (1.9 mL) were added. The resulting mixture was extracted with n-heptane (3 mL each time) three times. The DMF layer was diluted with water (4 ml) and extracted with a mixture of toluene/n-heptane (1/1, 10 mL). The combined organic layers were washed with 30% aqueous NaCl solution twice (3 mL each time), dried over MgSO4, filtered and concentrated in vacuo. Purification of the residue by silicagel column chromatography (SiO2 50 g, 33% to 40% EtOAc in n-heptane with 1% TEA) gave 1.115 g of Compound 152 (3:2 diastereomeric mixture) as a white foam solid.M -
- A mixture of Compound 152 (1.115 g, 1.372 mmol) and Compound 158 (0.650 g, 2.095 mmol) was azeotroped with MeCN (20 mL each time) twice. To the resulting residue were added MeCN (20.0 ml) and 1H-imidazole-4,5-dicarbonitrile (0.243 g, 2.058 mmol). Upon complete reaction (monitored by LCMS), the reaction mixture was treated with (E)-N,N-dimethyl-N′-(3-thioxo-3H-1,2,4-dithiazol-5-yl)formimidamide (0.422 g, 2.058 mmol). Upon complete sulfurization, a sat′d NaHCO3 solution (20 mL) and MTBE (30 mL) were added. The layers were separated and the aqueous layer was extracted with a mixture of MTBE/EtOAc (15/15 mL). The combined organic layers were washed with 30% aqueous NaCl solution (10 mL), dried over MgSO4, filtered and concentrated in vacuo. Purification of the residue by silicagel column chromatography (SiO2 50 g, 33% to 100% EtOAc in n-heptane with 1% TEA) gave 0.88 g of Compound 153.
- LC/MS (ESI) m/z 1076.48 [M+Na]t
-
- To a solution of Compound 153 (0.880 g, 0.835 mmol) in pyridine (8.8 ml) at ambient temperature was added diphenyl phosphite (0.323 ml, 1.67 mmol). The reaction mixture was stirred for 1h and monitored by LCMS. Upon completion, the mixture was added into a mixture of a sat′d aqueous NaHCO3 solution (13.2 ml) and water (4.4 ml) while keeping the internal T below 30° C., rinsing with EtOAc (8.8 ml). The resulting mixture was stirred at ambient temperature and the hydrolysis was monitored by LCMS. Upon completion, the mixture was extracted twice with a mixture of EtOAc/MTBE (1/1, 26 mL). The combined organic layers were washed with 30% aqueous NaCl solution (3 ml), dried over MgSO4, filtered and concentrated in vacuo. The residue was azeotroped with toluene (7 mL each time) twice. The crude product was dissolved in dichloromethane (6.6 ml), and treated with water (0.15 ml, 8.35 mmol) and 6% dichloroacetic acid (0.41 ml, 5.0 mmol) in dichloromethane (6.6 ml) at ambient temperature. Upon complete DMT deprotection (monitored by LCMS), triethylsilane (2.7 ml, 17 mmol) was added. After 10 min stirring, the resulting mixture was treated with pyridine (4.4 ml) and TEA (1 ml) and concentrated in vacuo. The residue was triturated with n-heptane (8.8 ml each time) three times and azeotroped with MeCN twice. The crude product (Compound 154) was used in next step without further purification.
- LC/MS (ESI) m/z 814.29 [M−H]−.
-
- To a solution of Compound 154 (0.681 g, 0.835 mmol) in pyridine (68 ml) at ambient temperature was added 2-Chloro-5,5-dimethyl-1,3,2-dioxaphophorinane-2-oxide (0.462 g, 2.505 mmol). The resulting solution was stirred for 1h at ambient temperature and monitored by LCMS. Upon completion, water (0.45 ml, 25 mmol) (10 eq of DMOCP) and sulfur (0.134 g, 4.175 mmol) were added. Upon complete sulfurization (monitored by LCMS), the reaction mixture was treated with a sat′d aqueous solution NaHCO3 (13.6 ml) and concentrated in vacuo. The residue was treated with EtOAc (27 ml) and water (13.6 ml). The layers were separated and the aqueous layer was extracted with a mixture of EtOAc/MTBE (1/1, 27 mL). The combined organic layers were washed with 30% aqueous NaCl solution (13.6 ml), dried over MgSO4, filtered and concentrated in vacuo. Purification of the residue by silicagel column chromatography (
SiO 2 25 g, 0% to 10% MeOH in EtOAc) gave 0.693 g (theoretical yield) of Compound 155. - LC/MS (ESI) m/z 830.23 [M+H]t
-
- To a solution of Compound 155 (0.693 g, 0.835 mmol) in acetonitrile (14 ml) at ambient temperature was added tert-butylamine (14 ml, 131 mmol). The resulting solution was stirred for 10 min and monitored by LCMS. Upon completion, the reaction mixture was concentrated in vacuo and azeotroped with MeCN twice. To the residue were added acetonitrile (14 ml) and 2-nitrobenzyl bromide (0.541 g, 2.51 mmol). After being stirred overnight, the reaction mixture was concentrated in vacuo and purified by silicagel column chromatography (SiO2 100 g, 75% to 100% EtOAc in n-heptane and 0% to 10% MeOH in EtOAc) to give 0.103 g of Compound 156.
- 1H NMR (400 MHz, CHLOROFORM-d) δ=8.59 (s, 2H), 8.05 (br d, J=8.2 Hz, 2H), 8.03 (s, 2H), 7.58 (d, J=7.4 Hz, 2H), 7.48 (t, J=7.4 Hz, 2H), 7.45-7.37 (m, 2H), 6.20 (br d, J=18.8 Hz, 2H), 6.21-6.08 (m, 2H), 5.98-5.83 (m, 2H), 5.69 (dd, J=4.7, 52.0 Hz, 1H), 5.47 (br d, J=17.2 Hz, 2H), 5.31 (br d, J=10.6 Hz, 2H), 5.14 (br d, J=5.5 Hz, 4H), 4.54-4.46 (m, 2H), 4.45-4.40 (m, 2H), 4.37-4.26 (m, 4H), 4.21-4.11 (m, 2H).
- Based upon synthetic methodology, NMR data (symmetric) and HPLC retention time (slowest eluting isomer), applicants believe that compound 156 has RR phosphorous stereochemistry. This stereochemical assignment would be subject to confirmation by X-ray crystallography.
-
- To a solution of Compound 156 (0.103 g, 0.098 mmol) in toluene (103 ml) at reflux was added a solution of Hoveyda-Grubbs Catalyst 2nd Generation ((1,3-Bis-(2,4,6-trimethylphenyl)-2-imidazolidinylidene)dichloro(o-isopropoxyphenylmethylene)ruthenium; available at SIGMA-ALDRITCH® Catalog No. 569755; CAS 301224-40-8; 31 mg, 0.049 mmol) and quinone (32 mg, 0.295 mmol) in toluene (10 mL). The mixture was stirred at reflux for 2h and additional catalyst (16 mg, 0.025 mmol) was added. Upon completion, the reaction mixture was cooled down to ambient temperature and treated with DMSO (0.14 ml, 2.0 mmol) overnight. The resulting mixture was concentrated in vacuo and purified by silicagel column chromatography (
SiO 2 10 g, 0% to 10% methanol in EtOAc) to give the desired product, which was further purified by pre TLC (EtOAc) to give 3.6 mg of compound 157. - 1H NMR (400 MHz, CHLOROFORM-d) δ=8.11 (dd, J=1.2, 8.2 Hz, 2H), 8.09 (s, 2H), 7.68 (s, 2H), 7.67-7.58 (m, 4H), 7.52-7.48 (m, 2H), 6.26 (d, J=17.6 Hz, 2H), 6.02-5.97 (m, 2H), 5.97-5.88 (m, 2H), 5.68 (dd, J=3.9, 50.8 Hz, 2H), 5.15 (br d, J=10.9 Hz, 2H), 4.99 (br d, J=10.9 Hz, 2H), 4.56-4.44 (m, 8H), 4.25 (br t, J=6.1 Hz, 2H).
-
- To Compound 157 (3.6 mg, 3.5 μmol) were added 1,4-dioxane (0.11 mL), thiophenol (0.045 mL, 0.44 mmol) and TEA (0.054 mL, 0.39 mmol). The resulting mixture was stirred at ambient temperature while the reaction was monitored by LCMS. Upon complete conversion, water (0.5 mL) was added. The resulting mixture was extracted three times with a mixture of n-heptane/toluene (1/1, 0.4 mL each time) and then toluene (0.3 mL). The aqueous layer was concentrated in vacuo and treated with water (0.5 mL). The resulting solid was filtered off, rinsing with water (0.5 mL). Freeze-drying of the combined filtrates gave 2.0 mg of bis-TEA salt Compound 26 as a white foam solid.
- 1H NMR (400 MHz, METHANOL-d4) δ=8.67 (s, 2H), 8.18 (s, 2H), 6.41 (d, J=14.8 Hz, 2H), 6.07-6.01 (m, 2H), 5.56 (dd, J=3.1, 51.2 Hz, 2H), 5.48-5.41 (m, 2H), 5.08 (br d, J=12.1 Hz, 2H), 4.99-4.88 (m, 2H), 4.52 (br d, J=12.5 Hz, 2H), 4.40 (br d, J=9.8 Hz, 2H), 3.98 (dd, J=5.7, 12.3 Hz, 2H), 3.14 (q, J=7.4 Hz, 12H), 1.27 (t, J=7.4 Hz, 18H).
- Compound 27 was prepared from Compound 159, a byproduct in
Stage 11b of a route forCompound 1 shown inFIG. 2B . - To a solution of Compound 159 (2.0 g, 1.75 mmol) in methanol (24 ml) was added 28% ammonium hydroxide (12 ml). The resulting mixture was stirred at 50° C. for 5h and cooled to ambient temperature. Upon completion (monitored by LCMS), the reaction mixture was cooled to ambient temperature, treated with water (20 ml) and extracted three times with a mixture of toluene/EtOAc (1/1, 24 mL each time). The aqueous layer was acidified with 1.0 M hydrochloric acid (3.5 ml, 3.5 mmol), stirred at ambient temperature for 30 min and 0° C. for 30 min. The resulting slurry was filtered, rinsing with water (20 mL). The cake was dried in a vacuum oven at 35° C. overnight and dissolved with a mixture of 28% NH4OH (2 mL) and MeOH (20 mL). The resulting solution was concentrated in vacuo and treated with EtOH (4 ml) to make a slurry. The resulting solid was collected by filtration and dried in vacuo. 70 mg of Compound 27 as a white solid was obtained.
- 1H NMR (400 MHz, METHANOL-d4) δ=9.03 (br s, 1H), 8.31 (br s, 1H), 8.26 (br s, 1H), 8.13 (br s, 1H), 6.43-6.24 (m, 2H), 5.97-5.83 (m, 2H), 5.71 (br d, J=51.6 Hz, 1H), 5.64 (br d, J=50.0 Hz, 1H), 5.12-4.99 (m, 1H), 4.96-4.90 (m, 1H), 4.68-4.32 (m, 6H), 4.14-3.97 (m, 2H), 3.77-3.62 (m, 2H).
-
- Compound 28 was prepared from Compound 160, a product in
Stage 11 of the route forCompound 1 shown inFIG. 2B , using the same method for Compound 27. - 1H NMR (400 MHz, METHANOL-d4) δ=8.70 (br s, 1H), 8.49 (br s, 1H), 8.24 (br s, 1H), 8.10 (br s, 1H), 6.52-6.26 (m, 2H), 5.94-5.78 (m, 2H), 5.69 (br d, J=54.7 Hz, 1H), 5.48-5.26 (m, 1H), 5.14 (br d, J=53.1 Hz, 2H), 5.06-4.94 (m, 1H), 4.74-4.19 (m, 4H), 4.10-3.93 (m, 2H), 3.76-3.58 (m, 2H)
-
-
- Compound 161 (5.0 g, 6.329 mmol) and but-2-yne-1,4-diol (1.907 g, 22.153 mmol) were azetroped with THF twice. The residue was dissolved in THF (50.0 ml) and toluene (75 ml). Triphenylphosphine (2.158 g, 8.228 mmol) was added and the resulting solution was cooled down below 5° C. DIAD (1.60 ml, 8.23 mmol) was added dropwise while keeping internal T below 10° C. The resulting solution was stirred at 0-5° C. while the progress was monitored by LCMS. Upon complete, the reaction mixture was concentrated in vacuo to remove most of THF. The residue was diluted with MTBE (50.0 ml) and washed twice with 30% aqueous NaCl solution (40.0 ml each time) and twice with water (25 ml each time). The organic solution was concentrated in vacuo and purified by silica gel column chromatography (
SiO 2 100 g, 50% to 70% EtOAc in n-heptane buffered with 1% TEA) to give 4.671 g ofCompound 162. - 1H NMR (400 MHz, CHLOROFORM-d) δ=8.61 (s, 1H), 8.14 (s, 1H), 7.43 (d, J=7.2 Hz, 2H), 7.33-7.27 (m, 3H), 7.24-7.18 (m, 8H), 7.05-7.01 (m, 2H), 6.76 (d, J=8.6 Hz, 4H), 6.20 (dd, J=2.7, 17.2 Hz, 1H), 5.59 (td, J=3.1, 53.1 Hz, 1H), 5.19 (br d, J=2.3 Hz, 2H), 4.93-4.83 (m, 1H), 4.18-4.15 (m, 1H), 4.01 (br d, J=6.3 Hz, 2H), 3.78 (s, 6H), 3.53 (dd, J=2.7, 10.9 Hz, 1H), 3.17 (dd, J=3.7, 11.1 Hz, 1H), 0.85 (s, 9H), 0.10 (s, 3H), 0.02 (s, 3H).
-
- Compound 162 (4.671 g, 5.444 mmol), Compound 163 (3.32 g, 6.805 mmol) and triphenyl phosphine (1.856 g, 7.077 mmol) were dissolved in THF (56.1 ml) and cooled below 5° C. To the resulting solution was added DIAD (1.3 ml, 6.8 mmol)) while keeping the internal T below 10° C. After complete consumption of Compound 162 (monitored by LCMS), the reaction mixture was concentrated in vacuo and purified by silica gel column chromatography (SiO2 340 g, 55% to 70% EtOAc in n-heptane buffered with 1% TEA) to give 3.879 g of Compound 164 as a white foam solid.
- 1H NMR (400 MHz, CHLOROFORM-d) δ=8.51 (s, 1H), 8.45 (s, 1H), 8.20 (s, 1H), 8.05 (s, 1H), 7.41 (d, J=7.1 Hz, 2H), 7.36-7.32 (m, 4H), 7.28-7.13 (m, 8H), 6.98 (t, J=7.8 Hz, 2H), 6.79-6.74 (m, 4H), 6.29 (dd, J=2.0, 16.4 Hz, 1H), 6.19 (dd, J=2.7, 17.2 Hz, 1H), 5.53 (ddd, J=2.7, 4.7, 53.1 Hz, 1H), 5.33 (ddd, J=2.0, 3.9, 53.1 Hz, 1H), 5.23-5.21 (m, 1H), 5.05-5.01 (m, 2H), 4.99-4.94 (m, 2H), 4.81 (ddd, J=4.3, 6.7, 16.7 Hz, 1H), 4.71-4.60 (m, 1H), 4.21-4.14 (m, 2H), 4.08-4.03 (m, 1H), 3.89 (dd, J=3.1, 11.7 Hz, 1H), 3.77 (s, 6H), 0.91 (s, 9H), 0.84 (s, 9H), 0.09 (s, 3H), 0.08 (s, 6H), 0.00 (s, 3H).
-
- To a solution of Compound 164 (1.5 g, 1.13 mmol) in pyridine (12.0 ml) was added diphenyl phosphite (0.35 ml, 1.8 mmol) at ambient temperature. The resulting solution was stirred at ambient temperature while monitored by LCMS. Upon complete, the reaction mixture was added into a mixture of saturated aqueous NaHCO3 (22.5 ml) and water (7.5 ml) while keeping the internal T below 30° C. After hydrolysis was complete (monitored by LCMS), the resulting mixture was extracted twice with a mixture of EtOAc/MTBE (30.0/30.0 ml). The combined organic layers were washed with 30% aq NaCl (15.0 ml), dried over MgSO4, filtered and concentrated in vacuo. The residue was azetroped with toluene three times and dissovled in dichloromethane (11 ml). water (0.20 ml, 11 mmol) and 6% dichloroacetic acid (0.57 ml, 6.9 mmol) in dichloromethane (11 ml) at ambient temperature. Upon complete removal of DMT group (monitored by LCMS), triethylsilane (1.8 ml, 11 mmol) was added. After 10 min stirring, TEA (1.6 ml, 11 mmol)) was added and the resulting mixture was concentrated in vacuo. The residue was dissolved in EtOAc (22.5 ml), washed with water (3.8 ml) and saturated aqueous NaHCO3 (8%) (3.0 ml), dride over MgSO4, filtered, and concentrated in vacuo. The crude product was triturated twice with n-heptane (33.8 ml) and a mixture of n-heptane (9.0 ml) and toluene (3.0 ml). The supernatant was decanted off and the solid remained at the bottom was dissolved in acetonitrile. The resulting solution was concentrated in vacuo and azeotroped with acetonitrile twice. The crude product, Compound 165, was used for the next stage without purification (theoretical 100% yield assumed).
- LC/MS (ESI) m/z 1089.74 [M+H]t
-
- To a solution of Compound 165 (1.231 g, 1.13 mmol) in pyridine (100 mL) at ambient temperature were added TEA (0.47 ml, 3.4 mmol) and DMOCP (0.375 mg, 2.03 mml). The resulting solution was stirred at ambient temperature while monitored by LCMS. Upon completion, water (0.41 mL, 22.6 mmol) and then sulfur (0.181 g, 5.651 mmol) were added. Upon complete sulfurization (monitored by LCMS), saturated aqueous NaHCO3 (8%) (24.6 ml) and water (10 mL) were added. The resulting mixture was concentrated in vacuo to ˜50 mL and extracted twice with a mixture of MTBE/EtOAc (31/31 ml) each time. The combined organic layers were washed with 30% aq NaCl (25 ml), dried overMgSO4, filtered, concentrated in vacuo, and purified by silica gel column chromatography (
SiO 2 100 g, 0 to 10% methanol in ethyl acetate buffered with 1% TEA) to give Compound 166 (0.484 g). - LC/MS (ESI) m/z 1103.65 [M+H]+.
-
- To a solution of Compound 166 (0.484 g, 0.402 mmol) in pyridine (1.2 ml) and TEA (5.8 ml) at ambient temperature was added Et3N 3HF (0.581 ml, 3.563 mmol). The resulting mixture was stirred at ambient temperature while monitored by LCMS. Upon complete conversion, methoxytrimethylsilane (3.9 ml, 28 mmol) was added. After 20 min stirring at ambient temperature, the supernatant was decanted. To the residue was added toluene (5 mL) and after 10 min stirring, the tolune layer was decanted. The same operation was repeated one more time. The resulting crude product was dissolved in dichloromethane (10 mL), washed with a saturated aqueous NH4Cl (27 wt %) (5 ml) and 30% aq NaCl (2.4 ml), and dried over MgSO4. Filtration followed by concentration of the resulting organic layer gave 0.386 g of pale brown solid which was azeotroped with MeCN twice. The resulting crude product was dissolved in MeCN (4.6 ml) and treated with 2-nitrobenzyl bromide (0.103 g, 0.475 mmol) at ambient temperature. After the alklation was complete (monitored by LCMS), the reaction mixture was concentrated in vacuo and purified by silica-gel column chromatography (
SiO 2 25 g, 0 to 5% MeOH in EtOAc) to give 0.251 g of Compound 167 as a white solid. - 1H NMR (400 MHz, CHLOROFORM-d) δ=8.42 (br s, 1H), 8.31 (br s, 1H), 8.22 (br s, 1H), 8.10-8.04 (m, 1H), 7.93 (s, 1H), 7.53-7.37 (m, 8H), 7.32-7.27 (m, 3H), 7.24-7.16 (m, 2H), 6.18 (br d, J=16.8 Hz, 1H), 6.26-6.14 (m, 1H), 5.56 (d, J=53.1 Hz, 1H), 5.48-5.37 (m, 1H), 5.31 (br s, 1H), 5.15 (br d, J=17.6 Hz, 1H), 4.92 (d, J=17.6 Hz, 1H), 4.82 (d, J=17.2 Hz, 1H), 4.88-4.77 (m, 1H), 4.76-4.66 (m, 1H), 4.58-4.33 (m, 3H), 4.29 (br d, J=5.9 Hz, 1H), 4.21 (br s, 1H), 4.13-4.06 (m, 1H), 3.93-3.79 (m, 2H).
-
- Compound 167 (0.224 g, 0.222 mmol) and 3-(Bis(diisopropylamino)phosphinooxy)propanenitrile (0.081 ml, 0.255 mmol) were dissolve in MeCN (5 mL) and concentrated. The same operation was repeated two more times. The resulting mixture was dissolved in dichloromethane (2.2 ml), cooled to 0° C., and treated with diisopropylammonium tetrazolide (0.019 g, 0.111 mmol). The reaction mixture was brought to ambient temperature over night and diluted with MeCN (2.2 mL). The resulting solution was added over 10h via syringe pump into a solution of pyridine trifluoroacetate salt (0.129 g, 0.665 mmol) in MeCN (18 ml). After additional 1h stirring, 3-(Bis(diisopropylamino)phosphinooxy)propanenitrile (0.04 mL, 0.12 mmol) in MeCN (1 mL) was added over 4h. (E)-N,N-dimethyl-N′-(3-thioxo-3H-1,2,4-dithiazol-5-yl)formimidamide (0.064 g, 0.311 mmol) was added. Upon complete sulfurization (monitored by LCMS), the reaction mixture was concentrated in vacuo and the resulting residue was taken up with MTBE (4.5 ml). The resulting organic solution was washed with saturated aqueous NaHCO3 (8%) (4 ml) and water (2 ml). The combined aqueous layers were backextracted with a mixture of MTBE/EtOAc (4/4 mL). The combined organic layers were washed twice with 30% aqueous NaCl (2 mL each time), dried over MgSO4, filtered, concentrated in vacuo. The residue was purified by silicagel column chromatography (
SiO 2 25 g, 50% to 100% EtOAc in n-heptane) to give 64 mg of Compound 168. - 1H NMR (400 MHz, CHLOROFORM-d) δ=8.57 (s, 1H), 8.18 (s, 1H), 8.06-8.01 (m, 1H), 7.91 (s, 1H), 7.62-7.56 (m, 2H), 7.55-7.50 (m, 2H), 7.49-7.43 (m, 3H), 7.42-7.34 (m, 2H), 7.30-7.18 (m, 5H), 6.33 (d, J=15.2 Hz, 1H), 6.10 (d, J=20.7 Hz, 1H), 5.95-5.77 (m, 1H), 5.54 (dd, J=4.3, 52.8 Hz, 1H), 5.46 (dd, J=3.9, 50.8 Hz, 1H), 5.32-5.18 (m, 1H), 5.10 (d, J=17.6 Hz, 1H), 4.89 (d, J=17.6 Hz, 1H), 4.85-4.81 (m, 2H), 4.78 (br d, J=12.1 Hz, 1H), 4.64 (br dd, J=4.1, 9.2 Hz, 1H), 4.55 (dd, J=2.7, 12.1 Hz, 1H), 4.52-4.44 (m, 3H), 4.38-4.20 (m, 4H), 2.75 (td, J=6.3, 17.6 Hz, 1H), 2.58 (td, J=5.9, 17.2 Hz, 1H).
-
- To a solution of Compound 168 (40 mg, 0.035 mmol) in 1,4-dioxane (0.5 mL) were added thiophenol (0.24 ml, 2.3 mmol) and TEA (0.24 ml, 1.7 mmol). The resulting mixture was stirred at ambient temperature while the reaction was monitored by LCMS. Upon completion, methanol (0.64 ml) and 28% ammonium hydroxide (0.64 ml) were added. The resulting mixture was heated to 50° C., stirred for 5h and cooled to ambient temperature. Upon complete deprotection (monitored by LCMS), the resulting mixture was treated with water (0.80 ml) and extracted three times with a mixture of n-heptane/toluene (1/1, 0.5 mL each time) and then toluene (0.3 ml). The aqueous layer was concentrated in vacuo at 40-50° C. and treated with water (1 mL). The resulting solid was filtered off, rinsing with water (0.3 ml). The combined filtrates were treated with 1.0 M HCl (0.07 ml, 0.07 mmol). The resulting slurry was filtered and rinsed with water (1 mL). The filter cake was dissolved with a 2.0 M solution of ammonia (1.0 ml, 2.0 mmol) in MeOH. The resulting solution was concentrated in vacuo to 0.5 mL and treated with EtOH (0.5 ml). The same operation was repeated two more times. To the resulting solution was added EtOAc (0.9 mL) dropwise. Precipitation occurred. The resulting solid was collected by filtration, rinsed with a 4/1 mixture of EtOAc/EtOH (0.4 mL) and dried in vacuo overnight at ambient temperature. 12 mg of Compound 29 was obtained.
- 1H NMR (400 MHz, METHANOL-d4) δ=8.88 (br s, 1H), 8.50 (br s, 1H), 8.20 (br s, 1H), 8.12 (br s, 1H), 6.42-6.17 (m, 2H), 5.84-5.54 (m, 1H), 5.52 (d, J=51.6 Hz, 1H), 5.06-4.78 (m, 2H), 4.77-4.55 (m, 3H), 4.49 (br d, J=10.2 Hz, 1H), 4.42 (br s, 2H), 4.09-3.77 (m, 4H).
-
-
- To a solution of Hoveyda-Grubbs Catalyst 2nd Generation (0.996 g, 1.585 mmol) in dichloromethane (40.0 ml) at reflux was added prop-2-en-d5-1-ol (10.0 g, 158 mmol). After 1h, additional lmol % Hoveyda-Grubbs Catalyst 2nd Generation (0.996 g, 1.585 mmol) was added. The resulting solution was stirred at reflux overnight, cooled to ambient temperature, and concentrated in vacuo. The residue was purified by silicagel column chromatography (SiO2 340
g 0% to 10% MeOH in EtOAc) to give 4.2 g of Compound 170 as a brown oil. - 13C NMR (101 MHz, METHANOL-d4) δ=130.87 (t, J=23.8 Hz, 2C), 62.22 (quin, J=21.9 Hz, 2C).
-
- With Compound 170 as a starting material, compounds Compound 171 was prepared via the same reaction sequence (
Stage 1 to 11) as described in the synthetic route forCompound 1 inFIG. 2A andFIG. 2B . - 1H NMR (400 MHz, CHLOROFORM-d) δ=8.59 (s, 1H), 8.10 (s, 1H), 8.02-7.96 (m, 1H), 7.93 (s, 1H), 7.58-7.50 (m, 2H), 7.48-7.37 (m, 5H), 7.34-7.27 (m, 2H), 7.24-7.14 (m, 4H), 6.90 (s, 1H), 6.28 (d, J=14.8 Hz, 1H), 6.14-6.03 (m, 1H), 5.97-5.81 (m, 1H), 5.49 (dd, J=4.7, 52.3 Hz, 2H), 5.43 (dd, J=3.9, 50.8 Hz, 1H), 5.30-5.15 (m, 1H), 4.75 (br d, J=12.1 Hz, 1H), 4.61 (br dd, J=4.3, 9.4 Hz, 1H), 4.53 (dd, J=2.9, 11.9 Hz, 1H), 4.47-4.41 (m, 3H), 4.32-4.18 (m, 4H), 2.79 (td, J=7.0, 17.2 Hz, 1H), 2.66 (td, J=6.3, 16.8 Hz, 1H)
-
- With Compound 171 as a starting material,
Compound 25 was prepared via the same reaction sequence (Stage 12-13) as described inFIG. 2A andFIG. 2B . - 1H NMR (400 MHz, CD3OD) δ=9.03 (br s, 1H), 8.30 (br s, 1H), 8.24 (br s, 1H), 8.10 (br s, 1H), 6.44-6.13 (m, 2H), 0.00 (d, J=52.4 Hz, 1H), 0.00 (d, J=51.2 Hz, 1H), 4.71-4.32 (m, 6H), 4.09-3.98 (m, 1H), 3.97-3.87 (m, 1H).
-
-
- A mixture of (E)-but-2-ene-1,4-diol (0.10 g, 1.135 mmol) and Compound 172 (2.52 g, 2.55 mmol) was azeotroped with THF twice and dissolved in THF (5.0 ml) and toluene (7.5 ml). To the resulting solution was added triphenylphosphine (0.714 g, 2.724 mmol). The resulting solution was cooled down below 5° C. and treated with DIAD (0.53 ml, 2.72 mmol) while keeping internal T below 10° C. The resulting reaction mixture was stirred overnight while warmed to ambient temperature. Upon complete reaction (monitored by LCMS), the reaction mixture was concentrated in vacuo and purified by silicagel column chromatography (SiO2 50 g pretreated with 1% TEA in n-heptane/EtOAc (1/1), 50% to 66% EtOAc in n-heptane) to give 2.46 g of Compound 173 as a white foam solid. This material was used in next step without further purification.
-
- To a solution of Compound 173 (2.387 g, 1.177 mmol) in acetonitrile (28.6 ml) were added water (0.085 ml, 4.7 mmol), pyridine trifluoroacetate salt (0.500 g, 2.589 mmol) at ambient temperature. After 1 min, 2-amino-2-methylpropane (19.1 ml, 182 mmol) was added. The resulting mixture was stirred at ambient temperature while the reaction was monitored by LCMS. Upon completion, the reaction mixture was concentrated in vacuo and azeotroped with MeCN. The residue was dissolved in dichloromethane (24 mL) and treated with water (0.42 ml) and 6% dichloroacetic acid (1.2 ml, 14 mmol) in dichloromethane (24 ml). Upon complete DMT deprotection (monitored by LCMS), the reaction was quenched with pyridine (12 ml) and the reaction mixture concentrated in vacuo. The resulting residue was treated with a mixture of n-heptane/toluene (15/15 ml) and the top layer was decanted. The same operation was repeated one more time. Drying the remaining residue in vacuo gave Compound 174, which was used in next step without further purification.
- LC/MS (ESI) m/z 1151.64 [M+H]t
-
- To a solution of Compound 174 (1.355 g, 1.177 mmol) in pyridine (271 ml) at ambient temperature were added TEA (0.98 ml, 7.1 mmol) and 2-chloro-5,5-dimethyl-1,3,2-dioxaphosphinane 2-oxide (0.869 g, 4.708 mmol). The resulting solution was stirred at ambient temperature until all the starting material was consumed (monitored by LCMS). Upon complete reaction, water (0.85 ml, 47 mmol) (10 eq of DMOCP) and then sulfur (0.377 g, 11.77 mmol) were added. The resulting mixture was stirred at ambient temperature while the reaction was monitored by LCMS Upon complete sulfurization, the reaction mixture was treated with a sat′d aqueous NaHCO3 (27 ml) and water (10 mL), and concentrated in vacuo. To the resulting residue were added a mixture of MTBE/EtOAc (34/34 ml), a sat′d aqueous NaHCO3 solution (27 ml) and water (20 mL). The layers were separated and the aqueous layer was extracted with a mixture of EtOAc/MTBE (34/34 mL). The combined organic layers were washed with 30% aqueous NaCl solution (7 ml), dried over MgSO4, filtered and concentrated in vacuo. The residue was purified by silicagel column chromatography (
SiO 2 50 g, 0% to 20% MeOH in EtOAc with 1% TEA) to give 56 mg of Compound 175 (symmetric based on NMR; either RpRp or SpSp isomer). - 1H NMR (400 MHz, CHLOROFORM-d) δ=9.09 (s, 2H), 8.46 (s, 2H), 7.56-7.05 (m, 10H), 6.37 (d, J=8.2 Hz, 2H), 6.28-6.22 (m, 2H), 5.29 (ddd, J=4.7, 7.8, 11.7 Hz, 2H), 5.00 (br d, J=13.7 Hz, 2H), 4.84 (d, J=4.3 Hz, 2H), 4.76 (br d, J=13.3 Hz, 2H), 4.31 (br s, 2H), 4.28-4.20 (m, 2H), 4.16-4.08 (m, 2H), 3.00-2.77 (m, 12H), 1.12-0.99 (m, 18H), 0.96 (s, 18H), 0.34 (s, 6H), 0.25 (s, 6H).
-
- To a solution of Compound 175 (56 mg, 0.0405 mmol) in methanol (1.1 mL) was added 28% ammonium hydroxide (0.22 mL). The resulting mixture was stirred at 50° C. for 5h, cooled to ambient temperature, concentrated in vacuo and azeotroped with MeCN twice. To the resulting residue was added pyridine (0.22 mL), TEA (0.11 mL) and TEA 3HF (0.11 ml, 0.69 mmol). The resulting mixture was stirred at 50° for 5h, cooled to ambient temperature, treated with methoxytrimethyl silane (0.90 mL, 6.50 mmol) for 30 min. The resulting mixture was concentrated in vacuo and dissolved in water (5 mL). The resulting aqueous solution was extracted three times with toluene (5 mL each time) and concentrated in vacuo. The crude product was dissolved in 1 mL water, filtered through a syringe filter and acidified 1N HCl to make pH<3. The resulting mixture was kept in a refreezer (5° C.) for 2 days and the resulting solid was collected by filtration. The solid was dissolved in 2M NH3 in MeOH (1.5 ml) and concentrated in vacuo to give 2.8 mg of Compound 31 as a mixture of NH3 and TEA salt. The product was dissolved in EtOH (1 mL), treated with 0.1 ml TEA, concentrated to 0.5 mL and kept in a freezer (−20° C.) overnight. The supernatant was removed and the remaining solid was further dried in a vacuum to give 0.8 mg of bis TEA salt Compound 31 (symmetric by NMR; either RpRp or SpSp isomer).
- 1H NMR (400 MHz, METHANOL-d4) δ=8.26-7.83 (m, 4H), 6.37 (br s, 2H), 5.89 (br s, 2H), 5.36-5.07 (m, 2H), 4.95 (br d, J=3.5 Hz, 2H), 4.58 (br dd, J=6.3, 10.6 Hz, 2H), 4.43 (br s, 2H), 4.12-4.00 (m, 4H), 3.89-3.70 (m, 2H), 3.19 (q, J=7.2 Hz, 12H), 1.30 (t, J=7.4 Hz, 18H)
-
-
- To a solution of Compound 177 (2.0 g, 2.532 mmol) and (+)-2,3-O-Isopropylidene-L-threitol (Compound 176) (1.232 g, 7.595 mmol) in THF (20.0 ml) and toluene (30.0 ml) was added triphenylphosphine (0.930 g, 3.544 mmol). The resulting solution was cooled down below 5° C. and treated with DIAD (0.64 ml, 3.3 mmol). The reaction mixture was warmed to ambient temperature. After 8h stirring at ambient temperature, additional DIAD (0.64 mL) and PPh3 (0.93 g) were added. After overnight stirring at ambient temperature, the reaction mixture was stirred at 40° C. for 2 days and concentrated in vacuo. Purification of the residue by silicagel column chromatography (SiO2 100 g pretreated with 1% TEA in n-heptane/EtOAc (1/1), 50% to 70% EtOAc in n-heptane) gave 0.524 g of Compound 178 as a white foam solid.
- 1H NMR (400 MHz, CHLOROFORM-d) δ=8.62 (s, 1H), 8.09 (s, 1H), 7.40-7.09 (m, 12H), 7.01-6.92 (m, 2H), 6.80-6.73 (m, 4H), 6.16 (dd, J=2.7, 16.8 Hz, 1H), 5.49 (ddd, J=3.1, 4.3, 53.1 Hz, 1H), 4.85-4.75 (m, 2H), 4.63 (dd, J=3.9, 14.8 Hz, 1H), 4.30-4.19 (m, 2H), 4.18-4.12 (m, 1H), 3.94 (tt, J=3.5, 8.2 Hz, 1H), 3.84 (td, J=5.5, 12.1 Hz, 1H), 3.78 (s, 6H), 3.53 (dd, J=2.7, 10.9 Hz, 1H), 3.17 (dd, J=3.5, 10.9 Hz, 1H), 2.94 (br t, J=5.5 Hz, 1H), 0.89 (s, 6H), 0.83 (s, 9H), 0.08 (s, 3H),−0.01 (s, 3H)
-
- To a solution of Compound 178 (0.409 g, 0.84 mmol) in THF (6 mL) were added triphenylphosphine (0.191 g, 0.728 mmol) and DIAD (0.142 ml, 0.728 mmol). After 40 h stirring at ambient temperature, the reaction mixture was concentrated in vacuo and purified by column chromatography (SiO2 50 g pretreated with 1% TEA in n-heptane/EtOAc (1/1), 50% to 66% EtOAc in n-heptane) to give 0.533 g of Compound 180.
- LC/MS: LRMS (ESI) m/z 1403.86 [M+H]t
-
- With Compound 180 as a starting material, Compound 181 was prepared via the same reaction sequence (Stage 5-11) as described in
FIG. 2A andFIG. 2B . - 1H NMR (400 MHz, CHLOROFORM-d) δ=8.72 (s, 1H), 8.14-8.06 (m, 1H), 7.93 (s, 1H), 7.69 (s, 1H), 7.62-7.53 (m, 6H), 7.53-7.45 (m, 1H), 7.43-7.33 (m, 2H), 7.30-7.24 (m, 3H), 7.19-7.12 (m, 2H), 6.11 (d, J=16.8 Hz, 1H), 6.05 (d, J=19.5 Hz, 1H), 5.89 (dd, J=3.5, 52.3 Hz, 1H), 5.57-5.46 (m, 1H), 5.41 (dd, J=3.5, 53.1 Hz, 1H), 5.18-5.04 (m, 1H), 4.83 (dd, J=4.7, 14.4 Hz, 1H), 4.78-4.73 (m, 1H), 4.70 (br d, J=12.1 Hz, 1H), 4.64-4.48 (m, 4H), 4.46-4.35 (m, 4H), 4.33-4.27 (m, 2H), 4.16-4.06 (m, 2H), 4.05-3.96 (m, 1H), 2.55 (t, J=6.1 Hz, 2H), 1.26 (s, 6H).
-
- To a solution of Compound 181 (3.2 mg, 2.629 μmol) in dichloromethane (0.5 ml) was added tert-butylamine (0.5 ml, 4.7 mmol). After 30 min stirring, the reaction solution was concentrated in vacuo and azeotroped with MeCN twice. The residue was dissolved in acetonitrile (1 ml) and treated with 1-(bromomethyl)-2-nitrobenzene (1.7 mg, 7.9 μmol). Upon complete alkylation (monitored by LCMS), the reaction mixture was concentrated with nitrogen purge. Purification of the residue by silicagel column chromatography (
SiO 2 4 g, 80% to 100% EtOAc in n-heptane) gave 2 mg of Compound 182. - 1H NMR (400 MHz, CHLOROFORM-d) δ=8.12 (dd, J=1.4, 8.0 Hz, 1H), 8.03-8.00 (m, 1H), 8.00 (s, 1H), 7.93 (s, 1H), 7.70 (s, 1H), 7.70-7.29 (m, 13H), 7.21 (dt, J=2.7, 7.6 Hz, 4H), 6.07 (d, J=19.9 Hz, 1H), 5.94 (d, J=21.1 Hz, 1H), 5.91-5.77 (m, 1H), 5.81 (dd, J=4.3, 51.5 Hz, 1H), 5.62-5.49 (m, 1H), 5.54 (dd, J=3.1, 52.7 Hz, 2H), 4.83 (q, J=5.9 Hz, 1H), 4.72-4.63 (m, 2H), 4.61-4.28 (m, 13H), 1.42 (s, 3H), 1.28 (s, 3H).
-
- To Compound 182 (2.0 mg, 1.5 μmol) were added acetic acid (0.8 ml) and water (0.2 ml). The resulting mixture was stirred at ambient temperature for 14h and at 45-50° C. for 24h, concentrated in vacuo, and azeotroped with toluene twice. To the residue were added 1,4-dioxane (0.12 mL), thiophenol (60 μl) and then TEA (60 μl). The resulting mixture was stirred at ambient temperature while the reaction was monitored by LCMS. Upon completion, methanol (160 μl) and 28% ammonium hydroxide (160 μl) were added. The resulting mixture was stirred at 50° C. until debenzolyation was complete (monitored by LCMS). Upon completion, water (0.3 ml) was added. The resulting solid was filtered off, rinsing with water (0.2 mL). The filtrate was extracted twice with toluene (0.5 mL each time) and concentrated in vacuo at 40-50° C. The residue was treated with water (0.5 mL) and the resulting solid was filtered off, rinsing with water (0.1 mL). HPLC purification of the combined aqueous layers under the conditions described below gave 1.5 mg of Compound 32.
- LC/MS: LRMS (ESI) m/z 781.23 [M+H]+.
- Preparative HPLC conditions for Compound 32:
-
Instrument Agilent 1200/1260 AS/FC HPLC column Waters Xterra C18, 10 × 100 mm # 1414 Flow rate 3.0 ml/min Column temperature 35° C. mobile phase A: 0.1% NH4OH in water, B: 0.1% NH4OH in acetonitrile Gradient (B %) 0 → 5 Run time 20 min Injection volume 50 ul (1 mg/ml in water) detection UV 260 nm Retention times 12.7 min -
-
- To a solution of 9-((2R,3R,4R,5R)-3-fluoro-4-hydroxy-5-(hydroxymethyl)tetrahydrofuran-2-yl)-1,9-dihydro-6H-purin-6-one, Compound 183 (5.00 g, 18.5 mmol) in pyridine (75 ml) at 0° C. were added Ac2O (7.0 ml, 74 mmol) and DMAP (0.565 g, 4.626 mmol). The resulting mixture was warmed to ambient temperature and stirred while the reaction was monitored by LCMS. Upon completion, the reaction mixture was concentrated in vacuo and treated with EtOAc (200 mL) and water (50 ml). Precipitation occurred. The resulting solid was collected by filtration and rinsed with MTBE. Drying in vacuo at 40° C. overnight gave 5.81 g of Compound 193 as a white solid.
- 1H NMR (400 MHz, DMSO-d6) δ=12.53 (br s, 1H), 8.33 (s, 1H), 8.15 (d, J=4.3 Hz, 1H), 6.37 (dd, J=2.7, 19.1 Hz, 1H), 5.86 (ddd, J=2.7, 5.1, 51.6 Hz, 1H), 5.62 (ddd, J=5.5, 7.0, 16.0 Hz, 1H), 4.49-4.38 (m, 2H), 4.26 (dd, J=4.7, 12.1 Hz, 1H), 2.19 (s, 3H), 2.04 (s, 3H).
-
- To a solution of Compound 193 in dichloromethane (40.0 ml) at 0° C. were added DMF (1.3 ml, 16.9 mmol) and thionyl chloride (1.28 ml, 17.5 mmol) slowly. The resulting mixture was heated to reflux and stirred until all the starting material was consumed (monitored by LCMS). Upon completion, the reaction mixture was cooled to ambient temperature and treated with a sat′d aqueous NaHCO3 solution (40 mL). The layers were separated and the aqueous layer was extracted twice with dichloromethane (30 mL each). The combined organic layers were dried over MgSO4, filtered and concentrated in vacuo to give 2.81 g of Compound 184 as pale brown oil.
- 1H NMR (400 MHz, CHLOROFORM-d) δ=8.79 (s, 1H), 8.30 (s, 1H), 6.29 (dd, J=2.0, 18.0 Hz, 1H), 5.79 (ddd, J=1.6, 4.7, 51.6 Hz, 1H), 5.53 (ddd, J=5.1, 7.6, 17.8 Hz, 1H), 4.58-4.48 (m, 2H), 4.33 (dd, J=3.9, 12.5 Hz, 1H), 2.20 (s, 3H), 2.07 (s, 3H).
-
- To a solution of Compound 184 (0.22 g, 0.59 mmol) in a mixture of THF (7.7 ml) and NMP (0.77 ml) at ambient temperature were added Iron(III) acetylacetonate (0.021 g, 0.059 mmol) and 0.5M 3-Butenylmagnesium bromide (1.77 ml, 0.885 mmol) in THF. Upon complete reaction (monitored by LCMS), MTBE (10 mL) and 0.1 N HCl (10 mL) were added. The resulting mixture was stirred at ambient temperature for 10 min. The layers were separated and the aqueous layer was extracted with a mixture of EtOAc/MTBE (1/1, 10 ml). The combine organic layers were washed with 30% aqueous NaCl solution (5 mL), dried over MgSO4 and concentrated in vacuo. The crude product was used in next step without further purification.
- 1H NMR (400 MHz, CHLOROFORM-d) δ=8.90 (s, 1H), 8.16 (s, 1H), 6.26 (dd, J=2.0, 18.4 Hz, 1H), 5.98-5.85 (m, 1H), 5.90-5.73 (m, 1H), 5.63 (ddd, J=4.9, 7.5, 17.7 Hz, 1H), 5.12-5.05 (m, 1H), 4.98 (dd, J=1.6, 10.2 Hz, 1H), 4.54-4.50 (m, 2H), 4.31 (dd, J=5.1, 12.9 Hz, 1H), 3.30 (t, J=7.4 Hz, 2H), 2.70-2.64 (m, 2H), 2.19 (s, 3H), 2.05 (s, 3H).
-
- Crude product Compound 194 (0.232 g, 0.590 mmol in theory) was dissolved in methanol (1.5 ml) and treated with 2.0 M ammonia (1.5 ml, 3.0 mmol) in MeOH at ambient temperature. Upon complete deacetylation, the reaction mixture was concentrated in vacuo and purified by silicagel column chromatography (
SiO 2 10 g, 0% to 5% MeOH in EtOAc) to give 0.17 g of Compound 185. - LCMS: MS (ESI) m/z 309.20 [M+H]+
-
- To a solution of Compound 185 (1.22 g, 2.928 mmol) in pyridine (9.0 ml) at 0° was added 4,4′-(chloro(phenyl)methylene)bis(methoxybenzene) (1.042 g, 3.075 mmol). The reaction mixture was allowed to warm to ambient temperature while the reaction was monitored by LCMS. Upon completion, MTBE (18 mL) and a sat′d aqueous NaHCO3 (9.0 ml) were added. After 10 min stirring, the layers were separated and the aqueous layer was extracted with MTBE (18.0 ml). The combined organic layers were washed with 30% aqueous solution NaCl (10 ml), filtered and concentrated in vacuo. Purification by silicagel column chromatography (
SiO 2 50 g, 50% to 100% ethyl acetate in heptane with 1% TEA) to give 1.53 g of Compound 195 as an orange solid. - 1H NMR (400 MHz, CHLOROFORM-d) δ=8.86-8.78 (m, 1H), 8.21 (s, 1H), 7.40-7.36 (m, 2H), 7.31-7.18 (m, 7H), 6.79 (d, J=8.6 Hz, 4H), 6.29 (dd, J=2.3, 17.2 Hz, 1H), 5.92 (tdd, J=6.4, 10.4, 17.0 Hz, 1H), 5.70 (ddd, J=2.7, 4.7, 52.8 Hz, 1H), 5.09 (dd, J=1.6, 17.2 Hz, 1H), 4.97 (dd, J=1.6, 10.2 Hz, 1H), 4.90-4.77 (m, 1H), 4.26-4.19 (m, 1H), 3.78 (s, 6H), 3.56 (dd, J=3.1, 10.9 Hz, 1H), 3.43 (dd, J=4.3, 10.9 Hz, 1H), 3.33-3.28 (m, 2H), 2.70-2.64 (m, 2H), 2.20 (dd, J=2.5, 7.2 Hz, 1H).
-
- To a solution of Compound 195 (1.530 g, 2.505 mmol) in dichloromethane (23 ml) at ambient temperature were added 3-(Bis(diisopropylamino)phosphinooxy)propanenitrile (1.20 ml, 3.76 mmol) and diisopropylammonium tetrazolide (0.493 g, 2.881 mmol). The reaction mixture was stirred at ambient temperature while the progress was monitored by LCMS. Upon completion, the reaction mixture was concentrated in vacuo and purified by silicagel column chromatography (
SiO 2 50 g, 40% to 66% EtOAc in n-heptane with 1% TEA) to give 1.80 g of Compound 186 as a pale orange foam solid. -
- Compound 186 (1.8 g, 2.22 mmol) and Compound 185 (1.110 g, 2.664 mmol) were dissolved in acetonitrile (21.6 ml) and concentrated in vacuo. The same operation was repeated one more time. The resulting mixture was dissolved in acetonitrile (21.6 ml) and treated with pyridinium trifluoroacetate (0.514 g, 2.664 mmol) at ambient temperature. Upon complete reaction (monitored by LCMS), ((Dimethylamino-methylidene)amino)-3H-1,2,4-dithiazaoline-3-thione (0.911 g, 4.439 mmol) was added and the resulting mixture was stirred at ambient temperature. Upon complete sulfurization (monitored by LCMS), a sat′d aqueous NaHCO3 solution (30 ml) was added and the resulting mixture was extracted three time with MTBE (30 mL each time). The combined organic layers were washed with 30% aqueous NaCl solution (20 ml), dried over MgSO4, filtered, and concentrated in vacuo. Purification by silicagel column chromatography (
SiO 2 100 g, 0% to 10% MeOH in EtOAc with 1% TEA) gave 0.481 g of Compound 196 and 1.315 g of Compound 197. -
- To a solution of TEA salt Compound 197 (1.315 g, 1.197 mmol) in MeCN (20 ml) at ambient temperature was added 2-nitrobenzyl bromide (0.388 g, 1.796 mmol). The resulting solution was stirred at ambient temperature while the reaction was monitored by LCMS. Upon completion, the reaction mixture was concentrated in vacuo and purified by silicagel column chromatography (
SiO 2 100 g, 0% to 5% MeOH in EtOAC) to give 0.90 g of Compound 188. - LCMS: MS (ESI) m/z 1154.29 [M+Na]+
-
- To a solution of Compound 188 (1.35 g, 1.192 mmol) in toluene (540 ml) at mild reflux (110-112° C. internal T) was added a solution of Hoveyda-Grubbs Catalyst 2nd Generation (0.187 g, 0.298 mmol) and Quinone (0.322 g, 2.981 mmol)) in toluene (20 mL). The resulting solution was stirred between 110-112° C. while the reaction was monitored by LCMS. After 4h, additional catalyst (0.10 g, 0.16 mmol) was added and stirring continued at reflux. Upon completion, the reaction mixture was cooled to ambient temperature and treated with DMSO (2.54 ml, 35.8 mmol). After 3h stirring, the reaction mixture was concentrated in vacuo and purified by silicagel column chromatography (
SiO 2 50 g, 0% to 15% MeOH in EtOAC) to give a mixture of Compound 198 and Compound 199. The mixture was dissolved in dichloromethane (2 mL) and treated with water (0.021 ml, 1.2 mmol) and 6% dichloroacetic acid (0.098 ml, 1.2 mmol) in dichloromethane (2 mL). After 10 min, the reaction was quenched with pyridine (1 ml) and concentrated in vacuo. The residue dissolved in dichloromethane (50 mL) and washed with 30% aqueous NaCl solution (15 mL each time) twice and dried over MgSO4. Purification of the crude product by silicagel column chromatography (SiO 2 50 g, 5% to 10% MeOH in DCM) gave 0.25 g of Compound 198. -
- Compound 198 (0.233 g, 0.291 mmol) and 3-(Bis(diisopropylamino)phosphinooxy)propanenitrile (0.111 ml, 0.349 mmol) were dissolved in MeCN (10 mL) and concentrated in vacuo. The same operation repeated two more times. The resulting mixture was dissolved in dichloromethane (2.3 ml), cooled to 0-5° C., and treated diisopropylammonium tetrazolide (0.025 g, 0.145 mmol). The reaction mixture was warmed to ambient temperature overnight and then diluted with acetonitrile (2.3 ml). The resulting solution was added over 7h via syringe pump into a solution of pyridine trifluoroacetate salt (0.168 g, 0.872 mmol) in MeCN (18.6 ml). 3-(Bis(diisopropylamino)phosphinooxy)propanenitrile (40 mg, 0.133 mmol) in MeCN (2 mL) was then added over 2 hours. After 1h stirring, (E)-N,N-dimethyl-N′-(3-thioxo-3H-1,2,4-dithiazol-5-yl)formimidamide (0.119 g, 0.581 mmol) was added and the reaction solution was stirred until the sulfurization was complete (monitored by LCMS). Upon completion, the mixture was concentrated in vacuo, dissolved in MTBE (5 ml), and treated with a sat′d aqueous NaHCO3 (3.50 ml) and water (1.2 ml). The layers were separated and the aqueous layer was extracted with a mixture of MTBE/EtOAc (5/3 ml). The combined organic layers were washed twice with 30% aqueous NaCl solution (2.3 ml), dried over MgSO4, filtered, and concentrated in vacuo. Purification of the crude product by silicagel column chromatography (
SiO 2 25 g, 0% to 20% MeOH in EtOAc) gave 119 mg of Compound 190 (58 mg of faster eluting isomers and 61 mg of slower eluting isomers). -
- To a solution of the faster eluting isomers of Compound 190 (58 mg, 0.062 mmol) in dichloromethane (1.8 mL) was added tert-butylamine (1.2 ml, 11 mmol). The resulting solution was stirred at ambient temperature until all the starting material was consumed (monitored by LCMS). Upon completion, the reaction mixture was concentrated in vacuo, azeotroped with acetonitrile twice, and dissolved in acetonitrile (1.7 ml). To the resulting solution was added 1-(bromomethyl)-2-nitrobenzene (40.3 mg, 0.187 mmol). The reaction mixture was stirred at ambient temperature while the reaction was monitored by LCMS. Upon complete alkylation, the reaction mixture was concentrated in vacuo and purified by silicagel column chromatography (
SiO 2 10 g, 0% to 5% MeOH in EtOAC) to give 19 mg of Compound 191 (SpRp isomer). - 1H NMR (400 MHz, CHLOROFORM-d) δ=8.42 (s, 1H), 8.27 (s, 1H), 8.13 (dd, J=1.2, 8.2 Hz, 1H), 8.05 (s, 1H), 7.98 (d, J=7.8 Hz, 1H), 7.69-7.67 (m, 1H), 7.61-7.34 (m, 5H), 6.33 (d, J=17.2 Hz, 1H), 6.19 (d, J=19.9 Hz, 1H), 6.09-5.93 (m, 1H), 5.82-5.66 (m, 2H), 5.67 (dd, J=3.5, 50.8 Hz, 1H), 5.35-5.32 (m, 2H), 4.62-4.29 (m, 11H), 3.35-3.28 (m, 1H), 3.18-3.14 (m, 2H), 3.01-2.91 (m, 1H), 2.84-2.78 (m, 1H), 2.60-2.49 (m, 3H).
-
- The slower eluting isomer of Compound 190 (60 mg) was processed through the same reaction sequence as described in compound Compound 191 to give 14 mg of
Compound 192 and 7 mg of Compound 191. - 1H NMR (400 MHz, CHLOROFORM-d) δ=8.18 (s, 2H), 8.10 (s, 2H), 8.10 (dd, J=1.0, 8.0 Hz, 2H), 7.66-7.57 (m, 4H), 7.53-7.46 (m, 2H), 6.31 (d, J=17.6 Hz, 2H), 6.19-6.05 (m, 2H), 5.84 (dd, J=4.3, 50.8 Hz, 2H), 5.39-5.30 (m, 2H), 4.58-4.46 (m, 6H), 4.45-4.39 (m, 2H), 4.19 (ddd, J=3.1, 6.3, 10.2 Hz, 2H), 3.32 (td, J=3.5, 15.6 Hz, 2H), 3.06 (td, J=6.3, 15.2 Hz, 2H), 2.67-2.57 (m, 4H).
- Based upon synthetic methodology, NMR data (symmetric), HPLC retention time (slowest eluting isomer) and biological activities of Compound 34, which was derived from Compound 192, applicants believe that Compound 192 has RR phosphorous stereochemistry. This stereochemical assignment would be subject to confirmation by X-ray crystallography
-
- To a solution of Compound 192 (26 mg, 0.026 mmol) in 1,4-dioxane (0.52 ml) were added thiophenol (0.26 ml, 2.5 mmol) and then TEA (0.26 ml, 1.9 mmol). The resulting mixture was stirred at ambient temperature until the deprotection was complete (monitored by LCMS). Upon completion, water (2 mL) was added. The resulting mixture extracted three times with toluene (2 mL each time). The aqueous layer was concentrated in vacuo at 40-50° C. and dissolved in water (2 mL). The resulting mixture was extracted four times with a mixture of EtOAc/MTBE (1/1 mL each time). The aqueous layer was concentrated in vacuo to give bis-TEA salt of Compound 33.
- 1H NMR (400 MHz, METHANOL-d4) δ=9.06 (s, 1H), 8.73 (s, 1H), 8.56 (s, 1H), 8.47 (s, 1H), 6.43 (d, J=14.4 Hz, 1H), 6.38 (d, J=15.2 Hz, 1H), 6.27 (dd, J=3.5, 51.1 Hz, 1H), 5.63 (dd, J=2.7, 51.5 Hz, 1H), 5.30-5.14 (m, 2H), 5.06-4.91 (m, 2H), 4.58 (br d, J=12.5 Hz, 1H), 4.52-4.39 (m, 3H), 4.07 (dd, J=4.7, 11.7 Hz, 1H), 3.98 (dd, J=5.1, 12.5 Hz, 1H), 3.43-3.34 (m, 2H), 3.22 (q, J=7.2 Hz, 12H), 2.98-2.86 (m, 2H), 2.79-2.45 (m, 4H), 1.32 (t, J=7.4 Hz, 18H)
-
- With Compound 192 as a starting material, Compound 34 was prepared via the same reaction sequence as described in Compound 33.
- 1H NMR (400 MHz, METHANOL-d4) δ=8.77 (s, 2H), 8.49 (s, 2H), 6.39 (d, J=15.2 Hz, 2H), 5.71 (dd, J=3.1, 51.2 Hz, 2H), 5.24-5.13 (m, 2H), 5.02 (dtd, J=3.1, 9.0, 25.4 Hz, 2H), 4.54 (br d, J=12.1 Hz, 2H), 4.42 (br d, J=9.8 Hz, 2H), 3.99 (dd, J=5.9, 12.1 Hz, 2H), 3.20 (q, J=7.3 Hz, 12H), 2.90 (ddd, J=3.5, 10.2, 14.1 Hz, 2H), 2.81-2.70 (m, 2H), 2.55-2.43 (m, 2H), 1.30 (t, J=7.4 Hz, 18H).
-
-
- To di-sodium salt of Compound 200 (0.10 g, 0.126 mmol) were added 2-nitrobenzyl bromide (0.068 g, 0.316 mmol) and MeCN (2.0 ml). The resulting mixture was stirred at ambient temperature while the reaction was monitored by LCMS. Upon completion, the reaction mixture was concentrated in vacuo and purified by silicagel column chromatography (
SiO 2 10 g, 0% to 5% MeOH in DCM) to give 115 mg of Compound 201. - 1H NMR (400 MHz, CHLOROFORM-d) δ=8.13 (dd, J=0.8, 8.2 Hz, 1H), 8.06 (s, 1H), 8.03 (dd, J=1.0, 8.0 Hz, 1H), 7.80 (br s, 1H), 7.75 (s, 1H), 7.70-7.65 (m, 1H), 7.62-7.54 (m, 2H), 7.53-7.47 (m, 2H), 7.45-7.39 (m, 1H), 7.34-7.27 (m, 1H), 6.23 (br d, J=16.8 Hz, 1H), 6.14 (br d, J=18.8 Hz, 1H), 5.95 (br s, 2H), 5.77 (td, J=5.1, 15.2 Hz, 2H), 5.71 (td, J=5.1, 15.6 Hz, 1H), 5.63-5.55 (m, 1H), 5.47 (br d, J=11.7 Hz, 1H), 4.58-4.27 (m, 11H), 4.18-4.10 (m, 1H), 4.05-3.71 (m, 2H)
-
- To a solution of Compound 201 (77 mg, 0.076 mmol) in 2,2,2-frifluoroethanol (2 ml) were added O-(2,4-Dinitrophenyl)hydroxylamine (36.5 mg, 0.183 mmol) and bis[rhodium (α,α,α′,α′-tetramethyl-1,3-benzenedipropionic acid)] (5.74 mg, 0.015 mmol) in one portion. The mixture was stirred at ambient temperature overnight, diluted with DCM (10 mL) and treated with a sat′d aqueous NaHCO3 solution (10 mL). The layers were separated and the aqueous layer was extracted twice with DCM (10 mL each). The combined organic layers were dried over MgSO4 and purified by silicagel column chromatography (
SiO 210 g, 0% to 15% MeOH in EtOAc) to give 3.3 mg of Compound 202. - LCMS: MS m/z 1032.07 [M+H]+
-
- To a solution of Compound 202 (3.3 mg, 3.2 mol) in 1,4-dioxane (0.40 ml) were added thiophenol (0.2 ml, 1.9 mmol) and TEA (0.2 ml, 1.4 mmol). The resulting mixture was stirred at ambient temperature while the reaction was monitored by LCMS. Upon completion, the reaction mixture was treated with water (2 mL) and extracted three times with toluene (2 mL each time). The aqueous layer was concentrated in vacuo at 40-50° C. and dissolved in water (1.5 ml). The resulting solid was filtered off, rinsing with water (0.5 mL). HPLC separation of the combined filtrates under the conditions described below gave Compound 35 (retention time: 8.4 min) and Compound 36 (retention time: 8.9 min) Compound 35
- LCMS: MS m/z 762.08 [M+H]+
- LCMS: MS m/z 762.22 [M+H]+
- Compound 35/Compound 36 Preparative HPLC conditions:
-
Instrument Agilent 1200/1260 AS/FC HPLC column Waters Xterra C18, 10 × 100 mm # 3128 Flow rate 3.0 ml/min Column temperature 35° C. mobile phase A: 0.1% formic acid in water, B: 0.1% formic acid in acetonitrile Gradient (B %) 0 → 50 Run time 20 min Injection volume 50 ul (1 mg/ml in water) detection UV 260 nm Retention Compound 35 8.4 min times Compound 36 8.9 min -
FIG. 13 shows an example of synthesis ofCompound 38 and Compound 39. -
- To a solution of Compound 203 (5.82 g, 9.314 mmol) and allyl alcohol (0.95 ml, 14 mmol) in THF (50 mL) at 0° C. was added a solution of DIAD (2.4 ml, 11.6 mmol) and triphenylphosphine (2.93 g, 11.2 mmol) in toluene (25 ml) while keeping the internal T below 10° C. The resulting solution was warmed to ambient temperature and stirred while the reaction was monitored by LCMS. Upon completion (5h), the mixture was concentrated in vacuo and purified by silica gel column chromatography (100 g, 20% to 60% EtOAc in n-heptane) to give 4.56 g of
Compound 204 as a pinkish oil.
Compound 204: 1H NMR (400 MHz, CHLOROFORM-d) δ=8.55 (s, 1H), 8.24 (s, 1H), 7.46 (d, J=8.2 Hz, 2H), 7.31-7.23 (m, 1H), 7.20-7.10 (m, 2H), 6.02 (d, J=5.1 Hz, 1H), 6.07-5.95 (m, 1H), 5.21 (dd, J=1.6, 17.2 Hz, 1H), 5.05 (dd, J=1.4, 10.4 Hz, 1H), 5.00 (d, J=5.5 Hz, 2H), 4.82 (t, J=4.9 Hz, 1H), 4.22-4.16 (m, 1H), 4.05-4.00 (m, 2H), 3.82 (dd, J=2.5, 11.5 Hz, 1H), 0.95 (s, 9H), 0.81 (s, 9H), 0.14 (s, 3H), 0.13 (s, 3H), 0.00 (s, 3H),−0.23 (s, 3H). -
- To Compound 204 (4.56 g, 6.858 mmol) was added acetic acid (80 ml) and water (20 ml). The resulting mixture was stirred at ambient temperature overnight and at 35° C. for 1 day. The resulting mixture was concentrated in vacuo and purified by silica gel column chromatography (SiO2, 50 g, 33% to 60% EtOAc in n-heptane) to give 3.22 g of
Compound 205 as a white foam solid.
Compound 205: 1H NMR (400 MHz, CHLOROFORM-d) δ=8.56 (s, 1H), 7.88 (s, 1H), 7.51-7.47 (m, 2H), 7.32-7.27 (m, 1H), 7.20-7.16 (m, 2H), 6.06-5.95 (m, 1H), 5.72 (d, J=7.8 Hz, 1H), 5.26 (dd, J=5.5, 7.8 Hz, 1H), 5.20 (dd, J=1.6, 17.2 Hz, 1H), 5.06 (dd, J=1.6, 10.2 Hz, 1H), 5.03-4.98 (m, 2H), 4.23 (d, J=5.5 Hz, 1H), 4.14 (s, 1H), 3.92 (dd, J=1.6, 12.9 Hz, 1H), 3.68 (br d, J=12.9 Hz, 1H), 0.75 (s, 9H),−0.14 (s, 3H),−0.62 (s, 3H). -
- T a solution of Compound 205 (3.22 g, 5.847 mmol) in THF (120 mL) at ambient temperature were water (30 ml) and triphenylphosphine (2.454 g, 9.355 mmol). The resulting mixture was stirred at ambient temperature while the reaction was monitored by LCMS. Upon completion (18h), the reaction mixture was concentrated in vacuo and azetroped with MeCN three times. The residue was purified by silica gel column chromatography (SiO2 (NH) 55 g, 20% to 100% EtOAc in n-heptane) to give 4.82 g of Compound 206 (63% purity assumed). The product was used in next the step without further purification.
Compound 206: 1H NMR (400 MHz, CHLOROFORM-d) δ=8.56 (s, 1H), 7.92 (s, 1H), 7.54 (qd, J=1.6, 7.6 Hz, 2H), 7.31-7.27 (m, 1H), 7.19-7.15 (m, 2H), 6.07-5.94 (m, 1H), 5.84 (d, J=6.6 Hz, 1H), 5.50 (br d, J=10.6 Hz, 1H), 5.20 (dd, J=1.6, 17.2 Hz, 1H), 5.05 (dd, J=1.4, 10.4 Hz, 1H), 5.02-4.98 (m, 2H), 4.95-4.91 (m, 1H), 4.16-4.08 (m, 2H), 3.96 (dd, J=1.6, 12.9 Hz, 1H), 3.73 (dd, J=2.0, 5.5 Hz, 1H), 3.73-3.67 (m, 1H), 0.78 (s, 9H),−0.20 (s, 3H),−0.46 (s, 3H). -
- To a solution of Compound 206 (4.82 g, 63% purity, 5.72 mmol) in pyridine (39.0 ml) at ambient temperature were added TEA (1.3 ml, 8.6 mmol) and trityl-Cl (1.753 g, 6.289 mmol). Upon complete reaction (monitored by LC/MS), a sat′d NaHCO3 solution (60 mL) was added. The resulting mixture was extracted three times with a mixture of MTBE/EtOAc (1/1, 70 mL each time). The combined organic layers washed with 30% aqueous NaCl solution (30 mL) and dried over MgSO4, filtered and concentrated in vacuo. The residue was purified by silica gel column chromatography (SiO2 50 g pretreated with 1% TEA in EtOAc/n-heptane, 20% to 100% EtOAc in n-heptane with 1% TEA) to give 1.484 g of
Compound 207 as a white solid.
Compound 207: 1H NMR (400 MHz, CHLOROFORM-d) δ=8.49 (s, 1H), 8.10 (s, 1H), 7.50-7.46 (m, 8H), 7.31-7.22 (m, 7H), 7.20-7.14 (m, 5H), 6.11 (d, J=6.3 Hz, 1H), 6.07-5.94 (m, 1H), 5.20 (dd, J=1.2, 17.2 Hz, 1H), 5.06 (dd, J=1.4, 10.4 Hz, 1H), 5.03-4.98 (m, 2H), 4.84 (dd, J=3.1, 10.6 Hz, 1H), 4.52 (t, J=5.7 Hz, 1H), 3.78 (d, J=1.6 Hz, 1H), 3.64-3.57 (m, 1H), 3.26-3.16 (m, 3H), 0.77 (s, 9H),−0.18 (s, 3H),−0.63 (s, 3H). -
- To a solution of Compound 207 (0.50 g, 0.652 mmol) in MeCN (6 mL) at ambient temperature were added 3-((bis(diisopropylamino)phosphaneyl)oxy)propanenitrile (0.393 g, 1.304 mmol) and pyridinium trifluoroacetate (0.113 g, 0.587 mmol). The resulting solution was stirred at ambient temperature while monitored by LCMS. Upon completion (1h), the resulting solution was treated with hydrogen sulfide gas (bubbling) for 1 min followed by pyridinium trifluoroacetate (0.252 g, 1.304 mmol). The resulting solution was stirred at ambient temperature while monitored by LCMS. Upon completion (1h), the resulting mixture was diluted with MTBE (60 mL). The resulting solution was washed with water (15 mL each time) twice and 30% aqueous NaCl solution (15 ml), and dried over Na2SO4, filtered and concentrated in vacuo. The residue was purified by silica gel column chromatography (
SiO 2 25 g, 25% to 40% EtOAc in n-heptane) to give 0.411 g of Compound 208 (1:1 P diastereomeric mixture) as a white foam solid.
Compound 208 (1:1 P diastereomeric mixture) 1H NMR (400 MHz, CHLOROFORM-d) δ=8.49 (s, 1H), 8.49 (s, 1H), 8.11 (s, 1H), 8.06 (s, 1H), 7.54-7.47 (m, 4H), 7.46-7.38 (m, 14H), 7.32-7.27 (m, 2H), 7.23-7.04 (m, 20H), 6.11-5.99 (m, 2H), 5.98 (d, J=2.0 Hz, 1H), 5.91 (d, J=1.6 Hz, 1H), 5.27 (dd, J=1.6, 6.3 Hz, 1H), 5.23 (dd, J=1.6, 6.3 Hz, 1H), 5.12 (dd, J=1.6, 6.3 Hz, 1H), 5.09 (dd, J=1.2, 6.3 Hz, 1H), 5.02 (br d, J=5.5 Hz, 4H), 4.57-4.45 (m, 2H), 4.43-4.34 (m, 1H), 4.32-4.04 (m, 8H), 3.23-3.19 (m, 1H), 3.10 (br s, 2H), 3.06-2.99 (m, 1H), 2.96-2.89 (m, 2H), 2.73 (dt, J=1.4, 6.4 Hz, 2H), 2.65 (t, J=6.3 Hz, 2H), 0.85 (s, 9H), 0.83 (s, 9H), 0.01 (s, 3H),−0.09 (s, 6H),−0.11 (s, 3H). -
- To a solution of Compound 208 (0.411 g, 0.457 mmol) and Compound 206 (0.293 g, 0.502 mmol) in acetonitrile (5 ml) at ambient temperature were added DIEA (0.16 ml, 0.91 mmol) and CCl4 (0.18 ml, 1.8 mmol). The reaction mixture was stirred at ambient temperature while monitored by LCMS. Upon completion (1 h), the resulting mixture was concentrated in vacuo and purified by silica gel column chromatography (SiO2 25 g, 33% to 100% EtOAc in n-heptane) to give 0.461 g of Compound 210 (1:1 P diastereomeric mixture) as a white foam solid.
Compound 210: 1H NMR (400 MHz, CHLOROFORM-d) δ=8.52 (s, 1H), 8.51 (s, 1H), 8.49 (s, 1H), 8.49 (s, 1H), 8.24 (s, 1H), 8.19 (s, 1H), 8.13 (s, 1H), 8.01 (s, 1H), 7.55-7.37 (m, 20H), 7.33-6.99 (m, 30H), 6.09-5.97 (m, 4H), 5.96 (d, J=2.7 Hz, 1H), 5.87 (d, J=1.2 Hz, 1H), 5.82 (d, J=4.7 Hz, 1H), 5.80 (d, J=3.9 Hz, 1H), 5.28-5.17 (m, 4H), 5.11-5.04 (m, 4H), 5.03-4.96 (m, 8H), 4.75 (t, J=5.1 Hz, 1H), 4.70 (t, J=4.5 Hz, 1H), 4.46-4.33 (m, 3H), 4.31-4.18 (m, 5H), 4.12-3.96 (m, 8H), 3.89 (br d, J=11.7 Hz, 1H), 3.78-3.67 (m, 3H), 3.57 (dd, J=2.9, 4.1 Hz, 1H), 3.56-3.44 (m, 2H), 3.08-3.01 (m, 2H), 2.99-2.93 (m, 1H), 2.91 (d, J=8.6 Hz, 1H), 2.77-2.73 (m, 1H), 2.72-2.53 (m, 4H), 0.84 (s, 9H), 0.84 (s, 9H), 0.84 (s, 9H), 0.82 (s, 9H), 0.00 (s, 3H),−0.05 (s, 6H),−0.08 (s, 3H),−0.12 (s, 3H), −0.15 (s, 3H), −0.18 (s, 3H), −0.18 (s, 3H). -
- To a solution of Compound 210 (0.461 g, 0.324 mmol) in MeCN (5.5 ml) at ambient temperature were added 3-((bis(diisopropylamino)phosphaneyl)oxy)propanenitrile (0.195 g, 0.648 mmol) and pyridinium trifluoroacetate (0.050 g, 0.259 mmol). The resulting solution was stirred at ambient temperature while monitored by LCMS. Upon completion (40 min), the resulting solution was bubbled with hydrogen sulfide gas for 1 min and then treated with pyridinium trifluoroacetate (0.138 g, 0.713 mmol). Upon completion (monitored by LCMS), the resulting solution was diluted with MTBE (30 mL), washed with water (10 mL each) twice and 30% aqueous NaCl solution (10 ml), dried over Na2SO4, filtered and concentrated in vacuo. The residue was purified by silica gel column chromatography (SiO2 25 g, 33% to 60% EtOAc in n-heptane) to give 0.329 g of
Compound 211 as a white foam solid. -
- To a solution of Compound 211 (0.329 g, 0.211 mmol) in dichloromethane (7.2 ml) at ambient temperature were added water (0.032 ml, 1.8 mmol) and dichloroacetic acid (0.29 ml, 3.6 mmol). The resulting mixture was stirred at ambient temperature while monitored by LCMS. Upon completion (30 min), the reaction mixture was a sat′d NaHCO3 solution (25 mL). The resulting mixture was extracted twice with DCM (30 mL each time). The combined organic layers were washed with 30% aqueous NaCl solution (20 mL), dried over MgSO4, filtered and concentrated in vacuo. Crude product Compound 212 (0.278 g theoretical yield) was used in next step without further purification.
-
- To a solution of Compound 212 (0.278 g, 0.212 mmol) in MeCN (55.6 ml) at ambient temperature were added triethyl amine (1.0 ml, 7.2 mmol) and CCl4 (1.0 ml, 10 mmol). The resulting solution was stirred at ambient temperature while monitored by LCMS. Upon completion (30 min), the reaction mixture was concentrated to −20 mL in vacuo and diluted with MTBE (30 mL). The resulting mixture was washed with water (10 ml) and 30% aqueous NaCl solution (10 mL each) twice, dried over MgSO4, filtered and concentrated in vacuo. The residue was purified by silica gel column chromatography (
SiO 2 25 g, 20% to 75% EtOAc in n-heptane) to give 71 mg of Compound 213 (SpRp isomer), 43 mg of Compound 214 (either RpRp or SpSp isomer, higher rf on TLC (SiO2)), and 24 mg of Compound 215 (either RpRp or SpSp isomer, lower rf on TLC (SiO2)).
Compound 213 (SpRp isomer) 1H NMR (400 MHz, CHLOROFORM-d) δ=8.58 (s, 1H), 8.44 (s, 1H), 8.42 (s, 1H), 8.12 (s, 1H), 7.46 (dd, J=7.2, 15.4 Hz, 4H), 7.36-7.27 (m, 2H), 7.18 (q, J=7.6 Hz, 4H), 6.09 (s, 1H), 5.98 (s, 1H), 6.06-5.95 (m, 2H), 5.25 (d, J=11.3 Hz, 1H), 5.21 (dd, J=1.4, 10.4 Hz, 1H), 5.12-5.03 (m, 3H), 5.00-4.92 (m, 3H), 4.87 (d, J=4.7 Hz, 1H), 4.60 (br d, J=11.7 Hz, 1H), 4.55 (d, J=3.9 Hz, 1H), 4.44 (br d, J=11.3 Hz, 1H), 4.39-4.32 (m, 2H), 4.26-4.08 (m, 8H), 3.75 (dd, J=11.3, 16.0 Hz, 1H), 3.49 (dd, J=8.2, 10.6 Hz, 1H), 2.82-2.72 (m, 3H), 2.61 (td, J=5.9, 17.2 Hz, 1H), 0.99 (s, 9H), 0.96 (s, 9H), 0.32 (s, 3H), 0.23 (s, 6H), 0.22 (s, 3H).
Compound 214 (either RpRp or SpSp isomer, higher rf on TLC (SiO2) isomer): 1H NMR (400 MHz, CHLOROFORM-d) δ=8.60 (s, 2H), 8.18 (s, 2H), 7.50 (d, J=7.0 Hz, 4H), 7.37-7.31 (m, 2H), 7.25-7.21 (m, 4H), 6.05-5.93 (m, 4H), 5.22 (dd, J=1.6, 17.2 Hz, 2H), 5.09 (dd, J=1.0, 10.4 Hz, 2H), 5.00-4.83 (m, 6H), 4.61 (dd, J=1.2, 11.7 Hz, 2H), 4.25 (dq, J=4.3, 10.8 Hz, 2H), 4.09 (br dd, J=3.7, 10.4 Hz, 2H), 4.04 (td, J=5.5, 10.9 Hz, 2H), 3.99-3.88 (m, 4H), 3.70 (dd, J=11.9, 15.0 Hz, 2H), 2.71 (td, J=5.5, 17.1 Hz, 2H), 2.49-2.37 (m, 2H), 0.98 (s, 18H), 0.25 (s, 6H), 0.24 (s, 6H).
Compound 215 (either RpRp or SpSp isomer, lower rf on TLC (SiO2) isomer): 1H NMR (400 MHz, CHLOROFORM-d) δ=8.54 (s, 2H), 8.06 (s, 2H), 7.47-7.44 (m, 4H), 7.32-7.27 (m, 2H), 7.20-7.15 (m, 4H), 6.06-5.95 (m, 2H), 5.92 (d, J=3.5 Hz, 2H), 5.22 (dd, J=1.2, 17.2 Hz, 2H), 5.07 (dd, J=1.4, 10.4 Hz, 2H), 5.04-4.94 (m, 6H), 4.62-4.52 (m, 2H), 4.46-4.40 (m, 2H), 4.40-4.22 (m, 8H), 3.81 (dd, J=6.6, 12.1 Hz, 2H), 2.89-2.71 (m, 4H), 0.88 (s, 18H), 0.08 (s, 6H), −0.07 (s, 6H). -
- To a solution of Compound 213 (71 mg, 0.054 mmol) in toluene (28.4 ml) at reflux was added a solution of Hoveyda-Grubbs Catalyst 2nd Generation (17.0 mg, 0.027 mmol) and P-benzoquinone (11.70 mg, 0.108 mmol) in toluene (8 mL). The mixture was heated to reflux and reaction progress was monitored by LC/MS. After 3h, additional catalyst (8.5 mg, 0.0135 mmol) in toluene (2.5 mL) was added and the reaction was continued for additional 2.5 hours. After cooling down, the mixture was concentrated in vacuo and purified by silica gel column chromatography (SiO2 10 g, 33% to 66% ethyl acetate in n-heptane) to give 17 mg of Compound 216 (trans/cis=5/1) as a brown dry foam.
Compound 216: 1H NMR (trans isomer only, 400 MHz, CHLOROFORM-d) δ=8.37 (s, 1H), 8.34 (s, 1H), 8.24 (s, 1H), 8.20 (s, 1H), 7.41 (d, J=7.1 Hz, 2H), 7.36-7.27 (m, 3H), 7.24-7.13 (m, 5H), 5.97 (d, J=5.9 Hz, 2H), 5.75 (td, J=5.5, 15.2 Hz, 1H), 5.69 (td, J=5.5, 15.6 Hz, 1H), 5.07 (d, J=3.9 Hz, 1H), 5.03 (dd, J=5.1, 15.2 Hz, 1H), 4.94 (t, J=5.5 Hz, 2H), 4.85 (dd, J=5.1, 15.2 Hz, 1H), 4.74 (d, J=3.9 Hz, 1H), 4.67 (br d, J=12.1 Hz, 1H), 4.45 (br d, J=10.2 Hz, 1H), 4.42-4.34 (m, 2H), 4.28-4.19 (m, 2H), 4.19-4.06 (m, 4H), 3.96-3.84 (m, 1H), 3.82-3.68 (m, 1H), 3.56 (br dd, J=12.1, 14.5 Hz, 1H), 3.33 (dd, J=9.0, 10.9 Hz, 1H), 2.83-2.78 (m, 2H), 2.72 (td, J=5.6, 16.6 Hz, 1H), 2.39 (td, J=6.3, 17.2 Hz, 1H), 1.00 (s, 18H), 0.42 (s, 3H), 0.40 (s, 3H), 0.34 (s, 3H), 0.30 (s, 3H). -
Compound 214 obtained fromStep 9 was processed separately throughStep 10 to give Compound 217 (5/1 mixture of trans/cis isomers). - 1H NMR (trans isomer only, 400 MHz, CHLOROFORM-d) δ=8.47 (s, 2H), 8.14 (s, 2H), 7.43-7.38 (m, 4H), 7.36-7.29 (m, 2H), 7.22 (t, J=7.0 Hz, 4H), 5.83 (s, 2H), 5.77 (t, J=3.3 Hz, 2H), 5.17 (d, J=3.5 Hz, 2H), 5.11-5.04 (m, 2H), 4.70 (br dd, J=3.5, 16.4 Hz, 2H), 4.62 (br d, J=12.1 Hz, 2H), 4.16-4.08 (m, 6H), 3.93 (br dd, J=3.7, 11.9 Hz, 2H), 3.74-3.64 (m, 2H), 3.49 (t, J=12.9 Hz, 2H), 2.42 (td, J=5.9, 18.4 Hz, 2H), 2.13 (ddd, J=5.5, 7.8, 16.8 Hz, 2H), 1.00 (s, 18H), 0.40 (s, 6H), 0.34 (s, 6H).
-
Compound 215 obtained fromStep 9 was processed separately throughStep 10 to giveCompound 218. - 1H NMR (400 MHz, CHLOROFORM-d) δ=8.14 (s, 2H), 8.12 (s, 2H), 7.49-7.43 (m, 2H), 7.36-7.27 (m, 4H), 7.19-7.12 (m, 4H), 5.96 (s, 2H), 5.67-5.54 (m, 2H), 4.95-4.82 (m, 4H), 4.69 (d, J=4.3 Hz, 2H), 4.60-4.09 (m, 12H), 3.63 (dd, J=8.8, 16.2 Hz, 2H), 2.93 (td, J=5.9, 17.2 Hz, 2H), 2.82-2.72 (m, 2H), 0.99 (s, 18H), 0.30 (s, 6H), 0.27 (s, 6H).
-
- To Compound 216 (trans/cis=5/1, 17 mg, 0.013 mmol) was added a solution of methylamine solution (2 ml) (33% in EtOH) at ambient temperature. The resulting solution was stirred at ambient temperature while monitored by LCMS. Upon completion (1h), the reaction mixture was concentrated in vacuo. To the residue were added pyridine (0.9 ml), TEA (0.45 ml) and triethylamine trihydrofluoride (0.36 ml, 2.2 mmol). The resulting mixture was stirred at 50-60° C. for 4h and cooled to ambient temperature. Upon complete TBS deprotection (monitored by LCMS), the reaction mixture was treated with methoxytrimethylsilane (1.5 ml, 12 mmol) and stirred for 1h. Water (3 mL) was added and the resulting mixture was extracted with toluene (3 ml each time) twice and EtOAc (2 mL each time) twice. The aqueous layer was filtered by syringe filter and the filtrate was subjected to preparative HPLC to give 5.3 mg of
Compound 38 and 1.1 mg of Compound 220.
Compound 38 (SpRp, trans): 1H NMR (400 MHz, METHANOL-d4) δ=9.27 (br s, 1H), 8.47 (br s, 1H), 8.21 (br s, 1H), 8.09 (br s, 1H), 6.19-5.96 (m, 2H), 5.94-5.71 (m, 2H), 5.13-4.68 (m, 2H), 4.55-4.39 (m, 2H), 4.38-4.23 (m, 1H), 4.20-3.91 (m, 5H), 3.75-3.50 (m, 4H).
Compound 220 (SpRp, cis): 1H NMR (400 MHz, METHANOL-d4) δ=9.08 (s, 1H), 8.72 (br s, 1H), 8.55 (s, 1H), 8.24 (s, 1H), 8.18 (s, 1H), 6.22-6.14 (m, 2H), 6.10 (d, J=1.6 Hz, 2H), 5.01 (d, J=3.9 Hz, 1H), 4.41 (br d, J=9.8 Hz, 1H), 4.34-4.25 (m, 3H), 4.24-4.18 (m, 1H), 4.15 (dd, J=6.1, 11.5 Hz, 1H), 4.08-3.99 (m, 4H), 3.71-3.57 (m, 3H). -
Compound 217 was processed separately throughStep 11 to give Compound 39 and Compound 222.
Compound 39 (trans isomer): 1H NMR (400 MHz, METHANOL-d4) δ=8.83 (br s, 1H), 8.43 (br s, 1H), 8.17 (br s, 1H), 8.11 (br s, 1H), 6.17-5.95 (m, 2H), 5.93-5.63 (m, 2H), 5.10-4.78 (m, 2H), 4.69-4.53 (m, 1H), 4.52-4.35 (m, 2H), 4.12-3.92 (m, 5H), 3.76-3.44 (m, 4H).
Compound 222 (cis isomer): 1H NMR (400 MHz, METHANOL-d4) δ=8.71 (br s, 2H), 8.18 (s, 2H), 6.17-6.06 (m, 4H), 4.37 (br d, J=9.8 Hz, 2H), 4.33 (d, J=3.9 Hz, 2H), 4.27 (br dd, J=7.0, 13.7 Hz, 2H), 4.06 (dd, J=7.0, 11.3 Hz, 2H), 4.19-4.03 (m, 2H), 4.01 (br d, J=9.8 Hz, 2H), 3.74 (ddd, J=3.9, 6.4, 10.5 Hz, 2H). -
Compound 218 was processed separately throughStep 11 to give Compound 40: 1H NMR (400 MHz, METHANOL-d4) δ=9.34-8.88 (m, 2H), 8.73 (br s, 1H), 8.34-8.02 (m, 2H), 6.20-5.96 (m, 2H), 5.89 (br s, 2H), 5.25-4.95 (m, 2H), 4.76-4.64 (m, 1H), 4.47-4.22 (m, 2H), 4.20-4.07 (m, 2H), 4.07-3.93 (m, 2H), 3.82-3.55 (m, 3H), 3.54-3.38 (m, 2H) -
- Compound 2 (1.1 mg, 1.4 μmol) was added into a solution of iodomethyl isopropyl carbonate (13.75 mg, 0.056 mmol) in acetone/water (0.4/0.10 ml) at ambient temperature. The resulting mixture was stirred at ambient temperature in darkness while the reaction was monitored by LCMS. Upon completion (2h), the reaction mixture was diluted with water (0.4 ml) and extracted with n-neptane three time (0.5 mL each). Purification of the crude product in the aqueous layer provided 0.5 mg of
Compound 30. - 1H NMR (400 MHz, CHLOROFORM-d) δ=7.92 (s, 2H), 7.72 (br s, 2H), 6.22 (d, J=17.2 Hz, 2H), 6.19-6.03 (m, 2H), 5.98 (br t, J=6.3 Hz, 2H), 5.82-5.77 (m, 2H), 5.68 (dd, J=2.3, 51.6 Hz, 1H), 5.54 (dd, J=10.9, 13.7 Hz, 2H), 5.48 (dd, J=10.9, 12.9 Hz, 2H), 4.94 (quin, J=6.2 Hz, 2H), 4.71-4.63 (m, 2H), 4.63-4.56 (m, 2H), 4.50-4.43 (m, 2H), 4.22-4.12 (m, 2H), 4.05-3.90 (m, 2H), 1.33 (d, J=4.3 Hz, 6H), 1.32 (d, J=4.3 Hz, 6H).
- THP1-Dual™ Cells (InvivoGen, Cat # thpd-nfis) were applied for EC50 determination. THP1 Dual™ Cells have been characterized to carry the HAQ STING genotype by the vendor Invivogen (Insight 201402-1). Cells were grown and maintained under conditions as recommended by manufacturer. The interferon regulatory factor (IRF) pathway induction described in manufacturer's manual was followed for EC50 determination. In brief, cells were seeded and treated with different concentrations of compound for 20 hrs while incubated at 37° C., 5% CO2. Cells were resuspended and QUANTI-Luc™ solution (Cat. #: rep-q1c1) was added. Resulting light emission was measured by luminometer (Envision, Perkin Elmer). Obtained signals were plotted and EC50 was calculated with GraphPad Prism? software.
- EC50 values are reported in Tables 4-8 below. The EC50 values may be from a single assay or an average of multiple assays. Preceding each table is a structure used for review of that table.
-
TABLE 4 (VI) Linker (carbon atoms in chain between (m) and (n), inclusive) Xa at P chirality Compound Human STING EC50 (μM) length m n geometry 2′ 2′ side 3′ side Number HAQ WT AQ REF 4 carbon 1 1 trans Xa = OH S S 223 * N/E N/E N/E linker S R 13 26.7 N/E N/E N/ E R R 14 58.2 69.8 * * cis S R 224 * N/E N/E N/E S S 225 * N/E N/E N/E N/E N/E N/E Not applicable (phosphodi- ester) 226 227 228 * * * N/E N/E N/E N/E N/E N/E N/E N/E N/E trans Xa = F S R 15 24.7 11.6 13.1 66.7 R R 16 28.8 25.7 20.4 66.7 cis R R 229 * N/E N/E N/ E 5 carbon 2 1 trans Xa = OH R R 230 * N/E N/E N/E linker TBD 231 * N/E N/E Trans (2:1 mix) TBD 232 * N/E N/E Trans (3:1 mix) S R 233 * N/E N/E N/ E 1 2 trans S R 234 * N/E N/E N/E TBD 235 * N/E N/E TBD 236 * N/E N/E cis S R 237 * N/E N/E N/E TBD 238 * N/E N/E TBD R R 239 * N/E N/E N/E S R 240 * N/ E 6 carbon 2 2 TBD S R 241 * N/E N/E N/E linker TBD S R 242 * N/E N/E N/E TBD R R 243 * N/E N/E N/E * Indicates activity was not measurable in the experimental concentration range. “N/E” indicates “not evaluated.”
Human STING EC50 (μM) was measured using the ammonium salt form of each compound in Table 4. -
TABLE 5 (VII) 4 carbon linkers (between NH P linkages Compound Human STING EC50 (μM) in chain) chirality Xb Number HAQ WT AQ REF trans — OH 9 39.2 18.0 30.9 31.7 RR 30 N.D. N.D. N.D. N.D. SR — SH 1 4.1 0.9 1.2 4.8 SS 3 16.4 9.9 13.7 42.7 RR 2 6.1 3.4 3.5 11.4 Trans/ cis mix RR 10 17.9 9.0 10.2 34.3 cis SS 244 * >100 >100 >100 RR 4 10.6 3.9 8.2 >100 SR 5 87.1 49.1 >100 >100 saturated SR 6 10.5 5.7 9.0 42.0 5C cis/trans N.D. 245 * N/E N/E N/E TBD 246 * N/E N/E N/E 5C trans N.D. 8 69.7 68.7 81.0 >100 5C trans N.D. 7** 10.7 8.0 9.0 66.7 5C trans N.D. 37 87.2 >100 82.2 >100 5C trans N.D. 11 6.8 N/E N/E N/E 5C trans N.D. 12 8.2 N/E N/E N/E * Indicates activity was not measurable in the experimental concentration range. ** Compound 7 is a 1:1 mixture ofCompound 11 andCompound 12.“N/E” indicates “not available.” “N.D.” indicates “not determined.”
Human STING EC50 (μM) was measured using the ammonium salt form of each compound listed in Table 5. -
TABLE 6 (IIX) Base pair Xc = Y = geometry P chirality Compound Number hSTING EC50 (μM) HAQ REF AG NH2 SH cis trans N.D 247 22 * 41.2 N/E N/E N.D. 21 83.3 N/E TBD 23 62.3 N/E AI H cis 248 * N/E 249 * N/ E trans 18 2.3 N/ E 19 94.1 N/ E 20 2.8 N/E II RR 26 2.3 7.4 AA SR RR SS 33 34 250 21.5 2.3 * * * * — SR SR 35 36 44.5 31.4 67.2 94.1 SR 32 15.7 * SR 29 0.62 8.4 trans SR 25 0.73 3.0 OH S R 27 28 9.8 10.2 27.6 18.4 * Indicates activity was not measurable in the experimental concentration range. “N/E” indicates “not evaluated.” “N.D.” indicates “not determined.”
Human STING EC50 (μM) was measured using the ammonium salt form of each compound listed in Table 6 with the exception of Compound 26, Compound 31, Compound 33, and Compound 34, all of which were tested as bis-TEA salts. -
TABLE 7 (IX) Base pair geometry P chirality Compound Number hSTING EC50 (μM) HAQ REF AA trans SS or RR SS or RR RR 251 252 31 * * 20.2 * * * * Indicates activity was not measurable in the experimental concentration range.
Human STING EC50 (μM) was measured using the ammonium salt form of each compound in Table 7. - Human STING has 4 major variants, including WT, HAQ, REF, and AQ variants. REF-STING, also referred to as R232H, for example, occurs in about 14% of the human population. Compared to the wild-type allele, R232H has decreased response to bacterial and metazoan cyclic dinucleotides. Details of these 4 major variants as well as other rare variants are reported by Yi G, et al., “Single nucleotide polymorphisms of human STING can affect innate immune response to cyclic dinucleotides” PLoS One 2013; 8:e77846. STING variant specific reporter cell lines were established by using THP1-Dual™ KO-STING cells (InvivoGen, Cat # thpd-kostg) and three STING variant protein expression vectors. The expression vector map for WT STING is shown in
FIG. 6 . For the other two expression vectors, different STING variant sequences were used in that vector, with the WT STING replaced by the appropriate nucleotide sequence. - STING variant-expressing vectors for WT-STING, REF-STING, and AQ-STING were prepared and stably transfected into THP1-Dual™ KO-STING cells to prepare STING variant-specific reporter assays for WT-STING, REF-STING and AQ-STING, respectively. EC50 values were determined as described above in Example 103 for the HAQ STING agonist activity reporter assay. Results are shown below in Table 9. The DNA sequences used for these STING variants are shown in SEQ ID NO: 1 (Nucleotide Sequence of WT Human STING), SEQ ID NO: 2 (Nucleotide Sequence of REF Human STING), and SEQ ID NO: 3 (Nucleotide Sequence of AQ Human Sting).
-
WT Human STING: (SEQ ID NO: 1) atgccccactccagcctgcatccatccatcccgtgtcccaggggtcacgg ggcccagaaggcagccttggttctgctgagtgcctgcctggtgacccttt gggggctaggagagccaccagagcacactctccggtacctggtgctccac ctagcctccctgcagagggactgctgttaaacggggtctgcagcctggct gaggagctgcgccacatccactccaggtaccggggcagctactggaggac tgtgcgggcctgcctgggctgccccctccgccgtggggccctgttgctgc tgtccatctatttctactactccctcccaaatgcggtcggcccgcccttc acttggatgcttgccctcctgggcctctcgcaggcactgaacatcctcct gggcctcaagggcctggccccagctgagatctagcagtgtgtgaaaaagg gaatttcaacgtggcccatgggctggcatggtcatattacatcggatatc tgcggctgatcctgccagagctccaggcccggattcgaacttacaatcag cattacaacaacctgctacggggtgcagtgagccagcggctgtatattct cctcccattggactgtggggtgcctgataacctgagtatggctgacccca acattcgcttcctggataaactgccccagcagaccggtgaccgggctggc atcaaggatcgggtttacagcaacagcatctatgagcttctggagaacgg gcagcgggcgggcacctgtgtcctggagtacgccacccccttgcagactt tgtttgccatgtcacaatacagtcaagctggctttagccgggaggatagg cttgagcaggccaaactcttctgccggacacttgaggacatcctggcaga tgcccctgagtctcagaacaactgccgcctcattgcctaccaggaacctg cagatgacagcagcttctcgctgtcccaggaggttctccggcacctgcgg caggaggaaaaggaagaggttactgtgggcagcttgaagacctcagcggt gcccagtacctccacgatgtcccaagagcctgagctcctcatcagtggaa tggaaaagcccctccctctccgcacggatttctcttga. REF Human STING: (SEQ ID NO: 2) atgccccactccagcctgcatccatccatcccgtgtcccaggggtcacgg ggcccagaaggcagccttggttctgctgagtgcctgcctggtgacccttt gggggctaggagagccaccagagcacactctccggtacctggtgctccac ctagcctccctgcagctgggactgctgttaaacggggtctgcagcctggc tgaggagctgcgccacatccactccaggtaccggggcagctactggagga ctgtgcgggcctgcctgggctgccccctccgccgtggggccctgttgctg ctgtccatctatttctactactccctcccaaatgcggtcggcccgccctt cacttggatgcttgccctcctgggcctctcgcaggcactgaacatcctcc tgggcctcaagggcctggccccagctgagatctctgcagtgtgtgaaaaa gggaatttcaacgtggcccatgggctggcatggtcatattacatcggata tctgcggctgatcctgccagagctccaggcccggattcgaacttacaatc agcattacaacaacctgctacggggtgcagtgagccagcggctgtatatt ctcctcccattggactgtggggtgcctgataacctgagtatggctgaccc caacattcgcttcctggataaactgccccagcagaccggtgaccatgctg gcatcaaggatcgggtttacagcaacagcatctatgagcttctggagaac gggcagcgggcgggcacctgtgtcctggagtacgccacccccttgcagac tttgtttgccatgtcacaatacagtcaagaggctttagccgggaggatag gcttgagcaggccaaactcttctgccggacacttgaggacatcctggcag atgcccctgagtctcagaacaactgccgcctcattgcctaccaggaacct gcagatgacagcagcttctcgctgtcccaggaggttctccggcacctgcg gcaggaggaaaaggaagaggttactgtgggcagcttgaagacctcagcgg tgcccagtacctccacgatgtcccaagagcctgagctcctcatcagtgga atggaaaagcccctccctctccgcacggatttctcttga AQ Human STING: (SEQ ID NO: 3) atgccccactccagcctgcatccatccatcccgtgtcccaggggtcacgg ggcccagaaggcagccttggttctgctgagtgcctgcctggtgacccttt gggggctaggagagccaccagagcacactctccggtacctggtgctccac ctagcctccctgcagctgggactgctgttaaacggggtctgcagcctggc tgaggagctgcgccacatccactccaggtaccggggcagctactggagga ctgtgcgggcctgcctgggctgccccctccgccgtggggccctgttgctg ctgtccatctatttctactactccctcccaaatgcggtcggcccgccctt cacttggatgcttgccctcctgggcctctcgcaggcactgaacatcctcc tgggcctcaagggcctggccccagctgagatctctgcagtgtgtgaaaaa gggaatttcaacgtggcccatgggctggcatggtcatattacatcggata tctgcggctgatcctgccagagctccaggcccggattcgaacttacaatc agcattacaacaacctgctacggggtgcagtgagccagcggctgtatatt ctcctcccattggactgtggggtgcctgataacctgagtatggctgaccc caacattcgcttcctggataaactgccccagcagaccgctgaccgagctg gcatcaaggatcgggtttacagcaacagcatctatgagcttctggagaac gggcagcgggcgggcacctgtgtcctggagtacgccacccccttgcagac tttgtttgccatgtcacaatacagtcaagctggctttagccgggaggata ggcttgagcaggccaaactcttctgccagacacttgaggacatcctggca gatgcccctgagtctcagaacaactgccgcctcattgcctaccaggaacc tgcagatgacagcagcttctcgctgtcccaggaggttctccggcacctgc ggcaggaggaaaaggaagaggttactgtgggcagcttgaagacctcagcg gtgcccagtacctccacgatgtcccaagagcctgagctcctcatcagtgg aatggaaaagcccctccctctccgcacggatttctcttga - RAW-Lucia™ ISG Cells (InvivoGen, Cat # rawl-isg) were used for a mouse STING agonist reporter assay. EC50 values were determined as described above in Example 103 in the HAQ STING agonist activity reporter assay. Results are shown below in Table 9.
- A DSF assay was employed to measure the physical interaction between compound and recombinant STING protein. Truncated recombinant STING protein (a.a.155-341) (SEQ ID NO: 4) was expressed in E. coli and isolated for the assay, as described below. Assay matrix was prepared in 384-well plates to a final volume of 10 μL per well consisting of 1 μM recombinant STING protein (a.a. 155-341) (SEQ ID NO: 4), 100 mM PBS pH 7.4, supplemented with 100 mM KCl, 5×SYPRO orange dye and 50 μM compound (final DMSO conc. 0-1%). Assays were performed on a QuantStudio 12K Flex Real-Time PCR System using a temperature gradient from 25° C. to 95° C. at a rate of 0.05° C./min, and excitation and emission filters at 470 and 586 nm, respectively. According to the fluorescence derivative curves assigned by the Applied Biosystems® Protein Thermal Shift software (algorithm version 1.3), the thermal melt (Tm) of the unbound and ligand bound recombinant STING protein and the difference in thermal melt (dTm D) was calculated.
- In general, compounds with ΔTm values larger than 0 are considered to have a physical interaction with the tested protein, and the value of ΔTm is positively associated with compound binding affinity. Here,
Compound 1a showed the ΔTm of 17.6 (Table 9), indicating physical interaction with STING protein. -
TABLE 9 Compound 1a in vitro characterizationMouse DSF WT Com- Human STING EC50 (μM) STING STING ΔTm pound WT HAQ REF AQ EC50 (μM) (° C.) 1a 0.9 4.1 4.8 1.2 3.4 17.6 - Human blood from 5 healthy donors was collected using 10.0 mL BD Vacutainer Sodium heparin tubes (cat #367874). Peripheral blood mononuclear cell (PBMC) isolation was done using
SIGMA ACCUSPIN 50 ml Tubes (cat # A2055) and sigma ACCUSPIN System-HISTOPAQUE-1077 (cat # A7054) using protocol provided by manufacturer. PBMC layer was harvested and washed with 1× Phosphate Buffered Saline (PBS) as suggested by Sigma. PBMC were counted and finally suspended @ 1×10e6/ml in RPMI (corning cat #10-041-CV) supplemented with 10% fetal bovine serum (FBS) (Gibco cat #20140.79). 1 ml of cell (1×10e6) were transferred intoFalcon 5 mL Round Bottom Polypropylene Test Tube (cat #352063) and stimulated with different concentrations (0, 0.1, 1, 10 uM) for 24 hours in 5% CO2 incubator at 37° C. - After 24 hours of incubation the tubes were centrifuged at 1400 rpm for 5 minutes and supernatants were harvested. Supernatant were stored in −80° C. for subsequent IFNβ measurement. IFNβ measurement was done using Human IFN-β Base Kit (Meso Scale Diagnostics cat # K151ADA) and protocol provided by manufacturer was used. IFN-beta estimation was done by reading assay plate at MESO SECTOR Imager 2400 and using MSD Discovery Workbench 4.0 program. After 24 hours IFNβ protein was analyzed. The results showed that
compound 1a can induce primary human PBMC IFNβ protein production in a dose-dependent manner. - Results shown in Table 10 reflect an average of measurements conducted using five different donors.
-
TABLE 10 Ex vivo human PBMC stimulation assay PBS Compound 1a (Control) 0.1 μM 1 μM 10 μM IFNβ (pg/mL) 0 21.3 ± 17.8 227.5 ± 62.4 540.2 ± 215.0 - For IFNβ mRNA quantification, total RNA was isolated using the RNeasy Mini Kit (Qiagen, Germany) according to the manufacturer's protocol. IFNβ mRNA was quantified by qPCR assay. In brief, total RNA (400 ng to 1000 ng) was converted to cDNA in a 60-μl reaction volume using SuperScript VILO MasterMix (Life Technologies, USA). Obtained cDNAs (10 ng) were subsequently amplified using Applied Biosystems TaqMan expression assays using RNA-specific primers for IFNB1 (Hs01077958_s1), and GAPDH (Hs99999905_m1). A qPCR analysis was performed with TaqMan Fast Advanced Master Mix (Life Technologies, USA) on the Applied Biosystems Quantstudio 12K Flex Real-Time PCR System, with an initial 2-min step at 50° C. followed by 95° C. for 2 s and 40 cycles of 95° C. for 1 s and 60° C. for 20 s. Relative gene expression was calculated after normalization against the reference gene GAPDH using the 2-ΔΔCT method. Calculations were done using the Applied Biosystems Quantstudio 12K Flex software v1.2.2. IFNβ mRNA fold changes vs. vehicle treated samples are summarized in Table 11. The results showed that
compound 1a can induce IFNβ mRNA in primary PBMC in a dose- and time-dependent manner. Table 11 shows an average calculated from five different donors. -
TABLE 11 Ex vivo human PBMC 3-hr & 24-hr stimulation assay (mRNA) IFNβ mRNA (fold changes vs. vehicle Compound 1a treated samples) 0.1 μM 1 μM 10 μM 3-hr treatment 51.0 ± 21.7 219.8 ± 69.8 1973.3 ± 1023.0 24-hr treatment 28.1 ± 28.9 10652.3 ± 4992.4 24157.3 ± 9224.2 -
Compound 1a was tested for its anti-cancer activity in CT26 dual tumor model, which is a mouse colon cancer model. Female of 5-6 week old Balb/cJ mice (Jackson Labs, Bar Harbor, Me.) were implanted subcutaneously with CT26 tumor cells on both sides of each animals, 105 cells for each side. For study A, treatment was started 5 days (1.25 mg/kg, 2.5 mg/kg and 5 mg/kg) after the tumor implantation, when the average tumors reached approximately 100 mm3. For study B, treatment was started 8 days (0.6 mg/kg, and 10 mg/kg) after the tumor implantation, when the average tumors reached approximately 120 mm3. The treatment scheme is described in Table 12 and Table 13. -
TABLE 12 Dosing scheme for study A No. of Group Animals Treatment Route and Schedule A 6 Vehicle (1 x PBS) I.T.*; single dose B 6 5 mg/ kg compound 1aI.T.; single dose C 6 2.5 mg/ kg compound 1aI.T.; single dose D 6 1.25 mg/ kg compound 1aI.T.; single dose *I.T. is intratumoral. -
TABLE 13 Dosing scheme for study B No. of Group Animals Treatment Route and Schedule A 5 Vehicle (1 x PBS) I.T.*; single dose B 5 10 mg/ kg compound 1aI.T.; single dose C 5 0.6 mg/ kg compound 1aI.T.; single dose *I.T. is intratumoral. - All the mice in the study have two subcutaneous CT26 tumors. The “treated tumor” indicates the tumor with compound direct administration, while “untreated tumor” indicates the tumor without direct compound administration. Tumor volume was followed throughout the experiment. Tumor volume is measured two times weekly after the start of treatment. Tumor burden is calculated from caliper measurements by the formula for the volume of a prolate ellipsoid (L×W2)/2 where L and W are the respective orthogonal length and width measurements (mm).
-
Compound 1a showed potent and curative activity in CT26 dual tumor model (FIG. 7 andFIG. 8 ). For treated tumors, a cure rate of 20% was detected even at the lowest dose tested in the study (FIG. 8 , 0.6 mg/kg dose). At the same time, the highest dose (10 mg/kg) cured 100% of animals of that tumor at the end of study. For the untreated tumors, a dose-dependent anti-tumor effect was also evident. The top dose group (10 mg/kg) showed 80% curative effects; all the lower doses also showed tumor growth inhibition activity. Hence, a therapeutic window of 0.6 mg/kg to 10 mg/kg forcompound 1a was observed, with anti-tumor activity seen not only locally but also systemically, based on effects at the non-injected distal tumor site. In conclusion, these results indicate that local administration ofcompound 1a can induce both local and systemic (abscopal) anti-cancer activity. -
Compound 1a was tested for its anti-cancer activity in a CT26 liver metastatic model. Anesthetized female 5-6 week-old BALB/cJ mice (Jackson Labs, Bar Harbor, Me.) were implanted intra-splenically with luciferase-expressing CT26 tumor cells (5×105 cells per mouse). A subsequent ten minute waiting period allowed tumor cells to circulate into the animals' livers. Spleens were then removed and animals were sutured and allowed to recover. Three days later, CT26 tumor cells (105 cells per mouse) were again implanted, this time subcutaneously (sc) under the right forelimb area, to enable development of a tumor mass for compound administration. Nine days after intra-splenic injection, compound (10 mg/kg) was administered intratumorally, a single time, into the sc tumor. - The local anti-cancer effect of compound was measured through its effect on the sc tumor, while the compound's abscopal effect was assessed by the overall survival of treated mice compared with vehicle-treated control mice, based on the detrimental effect of the growing tumor mass in each mouse liver.
Compound 1a showed both potent activity towards the local sc tumors and also curative systemic activity in 9 of 10 treated animals (FIG. 9 ). These results indicate that local administration ofcompound 1a can induce both local and systemic (abscopal) anti-cancer activity including deep lesion such as in the liver. -
Compound 1a was tested for its anti-cancer activity in a GL261 brain orthotopic model. GL261 is a murine glioma cell line. Luciferase expressing GL261 mouse glioma cells (2×104 cells/mouse) were intra-cranially implanted into female 5-6 week-old B6 albino mice (Jackson Labs, Bar Harbor, Me.). Three to 4 days later, GL261 cells were implanted subcutaneously (106cells/mouse) under the right forelimb area to allow development of a tumor mass for compound administration. Ten days after intra-cranial tumor cell implantation, compound (10 mg/kg) was administered intratumorally, a single time, into the sc tumor. The local anti-cancer effect of compound was measured through its effect on the sc tumor, while the compound's abscopal effect was assessed by the overall survival of treated mice compared with vehicle-treated control mice, based on the detrimental effect of the growing tumor mass in each mouse brain.Compound 1a showed both potent activity at local sc tumors and showed curative systemic activity in 5 of 8 treated animals (FIG. 10 ). These results indicate that local administration ofcompound 1a can induce both local and systemic (abscopal) anti-cancer activity including deep lesion such as in the brain. - To further understand the target-binding mechanism of our new compounds, the X-ray crystal structure of WT STING in complex with the compounds was determined.
- A. EXPRESSION AND PURIFICATION OF WT STING C-TERMINAL DOMAIN (RESIDUE 155-341)
- DNA sequence encoding human WT STING protein from amino acid 155 to 341 (SEQ ID NO: 4) was cloned into the pET21b vector, following a His-TEV-Sumo tag at its N-terminus (SEQ ID NO: 5). The sequence of the pET21b has been deposited in addgene and is available here: addgene.org/vector-database/2550/; that sequence is incorporated by reference herein.
- E. coli BL21 (DE3) codon plus cells were transformed with this plasmid, and the expression of recombinant protein was induced with 0.1 mM Isopropyl β-D-1-thiogalactopyranoside (IPTG). Protein was purified from the soluble fraction of cell lysate by Ni-NTA affinity chromatography. The His-TEV-Sumo tag was removed by sumo protease, and was separated from tag-free WT STING 155-341, using a second Ni-NTA affinity column. The protein was further purified by anion-exchange and size-exclusion chromatography, and was stored in buffer containing 20 mM Tris-HCl pH 7.5, and 150 mM NaCl at 35 mg/ml concentration.
- B. Crystallization and Structure Determination of WT STING C-Terminal Domain in Complex with
Compound 1 - To co-crystallize WT STING 155-341, with
Compound 1, the WT STING protein was diluted to 10 mg/ml using the storage buffer (20 mM Tris-HCl pH 7.5, and 150 mM NaCl) and mixed with Compound 1 (100 mM stock in DMSO) in molar ratio 1:5. The mixture was incubated for 4 hours at 4° C., and centrifuged at 13,000 rpm for 20 min before crystallization. Crystallization screen trays were set up using the hanging-drop vapor-diffusion method at 18° C. Crystals were grown by mixing 1 μL of WT STING/Compound 1 solution with an equal volume of well solution, containing 100 mM HEPES pH 7.5, 200 mM CaCl2, and 15% (wt/vol) PEG 8000. 20% (wt/vol) PEG 400 was used as cryoprotectant reagent when crystals were flash-frozen in liquid nitrogen. Diffraction datasets were collected with a Pilatus detector at SSRF BL19U1 beamline, and processed with HKL3000 and program SCALEPACK2MTZ in CCP4 software suite. - The structure of WT STING 155-341 bound to
Compound 1 was determined by molecular replacement using program PHASER (Maximum Likelihood Molecular Replacement), with PDB ID 4F9E as the initial search model. The presence ofCompound 1 between the dimer interface of WT STING was confirmed in a Fo-Fc difference map calculated with model phases. The model was built and completed manually with Coot program and refined with Refmac5 program in CCP4 software suite. The final refined structure was reported at a resolution of 2.38 A in space group P212121 with unit cell measured at a=33.820, b=78.110, c=132.212, α=90.00, β=90.00, γ=90.00. Two copies of WT STING 155-341 were identified in each asymmetric unit binding to one molecule ofCompound 1 at the dimer interface. - C. Interaction of
Compound 1 with WT STING Observed in X-Ray Crystal Structure -
FIG. 11 shows a picture of the X-ray crystal structure of human WT STING in complex withCompound 1. We examined the X-ray crystal structure of human WT STING in complex withCompound 1, which was co-crystallized from a sample ofCompound 1a. The compound binds at an interface pocket formed by a dimer of WT STING protein. The two faces of adenine base of the compound form 7C-7C stacking interaction with Tyr240 and the guanidine group of Arg238, respectively. The trans olefin linker forms van der Waals interaction with aliphatic portion of the side chain of Arg 238. The fluorine substituent at the C2′ position of ribose group of compound nests in a hydrophobic hole defined by Thr263, Pro264 and Tyr163. The negatively charged thiophosphate group of the compound forms salt bridge with Arg238 and H-bond interactions with Ser162 and Thr267, respectively. In addition, the thiophosphate group also forms electrostatic interaction with guanidine group of Arg 232. The LID loop region of WT STING, consisting of residue 226 to 243, wraps around the two base groups and the trans olefin linker. - A. Expression and Purification of REF STING C-Terminal Domain (Residue 155-341, SEQ ID NO: 6)
- DNA sequence encoding human REF STING protein from amino acid 155 to 341 (SEQ ID NO: 6) was cloned into the pET21b vector, following a His-TEV-Sumo tag at its N-terminus (SEQ ID NO: 7). The sequence of the pET21b has been deposited in addgene and is available here: addgene.org/vector-database/2550/; that sequence is incorporated by reference herein.
- E. coli BL21 (DE3) codon plus cells were transformed with this plasmid, and the expression of recombinant protein was induced with 0.1 mM Isopropyl β-D-1-thiogalactopyranoside (IPTG). Protein was purified from the soluble fraction of cell lysate by Ni-NTA affinity chromatography. The His-TEV-Sumo tag was removed by sumo protease, and was separated from tag-free REF STING_155-341 using a second Ni-NTA affinity column. The protein was further purified by anion-exchange and size-exclusion chromatography, and was stored in buffer containing 20 mM Tris-HCl pH 7.5, and 150 mM NaCl at 24 mg/ml concentration.
- B. Crystallization and Structure Determination of REF STING C-Terminal Domain in Complex with
Compound 1 - To co-crystallize REF STING 155-341 with
Compound 1, REF STING protein was diluted to 10 mg/ml using the storage buffer (20 mM Tris-HCl pH 7.5, and 150 mM NaCl) and mixed with Compound 1 (100 mM stock in DMSO) in molar ratio 1:5. The mixture was incubated for 4 hours at 4° C., and centrifuged at 13,000 rpm for 20 min before crystallization. Crystallization screen trays were set up using the hanging-drop vapor-diffusion method at 18° C. Crystals were grown by mixing 1 μL of REF STING/Compound 1 solution with an equal volume of well solution, containing 100 mM HEPES pH 7.5, 200 mM CaCl2, and 15% (wt/vol) PEG 8000. 20% (wt/vol) PEG 400 was used as cryoprotectant reagent when crystals were flash-frozen in liquid nitrogen. Diffraction datasets were collected with a Pilatus detector at SSRF BL18U1 beamline, and processed with HKL3000 and program SCALEPACK2MTZ in CCP4 software suite. This structure is shown inFIG. 12 . - The structure of REF STING 155-341, bound to
Compound 1 was determined by molecular replacement using program PHASER (Maximum Likelihood Molecular Replacement), using previously determined WT STING 155-341 structure (as described above) as the initial search model. The presence ofCompound 1 between the dimer interface of REF STING, was confirmed in a Fo-Fc difference map calculated with model phases. The model was built and completed manually with Coot program and refined with Refmac5 program in CCP4 software suite. The final refined structure was reported at a resolution of 2.76 A in space group P212121 with unit cell measured at a=33.733, b=77.831, c=131.689, α=90.00, β=90.00, γ=90.00. Two copies of REF STING 155-341 were identified in each asymmetric unit binding to one molecule ofCompound 1 at the dimer interface. - C. Interaction of
Compound 1 with REF STING Observed in X-ray Crystal Structure -
FIG. 12 shows the X-ray crystal structure of human REF STING in complex withCompound 1, which was co-crystallized from a sample ofCompound 1a. The compound binds at an interface pocket formed by a dimer of STING protein. The two faces of adenine base of the compound form 7C-7C stacking interaction with Tyr240 and the guanidine group of Arg238, respectively. The trans olefin linker forms van der Waals interaction with the aliphatic portion of the side chain of Arg238 while the guanidine portion of the side chain of Arg238 forms 7C-7C stacking interaction with the imidazole group of the side chain of His232 from outside. The olefin linker is in contact with the interacting pair of the side chains of Arg238 and His232. The fluorine substituent at the C2′ position of ribose group of compound nests in a hydrophobic hole defined by Thr263, Pro264 and Tyr163. The negatively charged thiophosphate group of the compound forms salt bridge with Arg238 and H-bond interactions with Ser162 and Thr267, respectively. The LID loop region of REF STING, consisting of residue 226 to 243, wraps around the two base groups and the trans olefin linker. - EC50 values were calculated for human STING assays of WT STING, HAQ STING, AQ STING, and REF STING, in head-to-head
comparisons using Compound 1a of the present disclosure, a natural STING ligand (2′3′ cGAMP), and the purported STING agonist ML RR-S2 CDA, as reported in Corrales, et al., “Direct Activation of STING in the Tumor Microenvironment Leads to Potent and Systemic Tumor Regression and Immunity,” Cell Reports (2015) 11:1018-1030, which is incorporated by reference herein. Assays were conducted as described in examples set forth above. Note that reported assay values in Table 14 were limited to the assays conducted in the head-to-head comparisons and may not reflect averaged values determined over a greater number of trials as reported in Table 5 or elsewhere. -
TABLE 14 Kd (WT) Human EC50 (mM) (20-hr assay) Compound (μM) WT HAQ AQ REF 2′3′ cGAMP 0.07 61.7 57.9 56.5 33-100 ML RR-S2 0.4 5.9 8.4 5.5 >100 CDA Compound 1a 0.04 0.6 1.9 1.0 3.9 - Table 14 also reports dissociation binding constants (Kd) for the binding of human WT STING to each of the three tested compounds, as measured by isothermal titration calorimetry (ITC). ITC is a microcalorimetic titration technique that measures thermodynamic properties associated with intermolecular interactions. Based on these tests,
Compound 1a appears to form the strongest bond with WT STING of the tested compounds. - Recombinant human wild type STING (aa, 139-379, H232R) protein was generated by expressing a construct in E. coli encoding a cytosolic domain of human WT STING comprising amino acids 139-379.
- Sources of reagents used in this study are shown below:
-
Reagent Source Catalog No. 1X PBS without Calcium or Magnesium Corning 21-040-CV MilliQ-Deionized Water MilliQ Z000Q0V0T0 Liquinox Alconox 1201 NaOH EM SXO593-1 Methanol EMD Millipore MX0475-1 Compounds: Compound 1a2′3′ cGAMP ML RR-S2 CDA - STING protein was stored at −60° C. in 90 μL and 100 μL aliquots each at a concentration of 3.0 mg/mL and 20 mg/mL, respectively in PBS, pH 7.5 containing 5% glycerol. On the day of analysis, aliquots of the protein were thawed, diluted to 400 uL and buffer-exchanged into PBS using an Amicon Ultra centrifugal filter unit (10 k MW cutoff, 0.5 mL) with at least four 10 min 14000×g centrifugations with an Eppendorf microcentrifuge and then finally diluted to 20 μM to 30 μM (experiment-dependent) with 1×PBS. Protein concentration was determined using a Nanodrop 2000 spectrophotometer and a protein extinction coefficient of 22140 (M−1cm−1).
- Two hundred μL of 1 mM stock solutions of Compound 1a, 2′3′ cGAMP, and ML RR-S2CDA were supplied by 1.5 mL microcentrifuge tubes. Prior to each experiment, the samples were diluted to concentrations of 200 uM to 500 uM (experiment-dependent).
- Assays were performed on an Affinity ITC unit (TA Instruments no. 609003.901) equipped with the ITC cleaning accessory (TA Instruments no 601800.901). The STING protein solution, approximately 400 μL containing 20 μM to 30 μM STING protein, was pipetted into the 185 μL calorimeter cell allowing some acceptable overload. The reference cell contained an equivalent amount of Milli-Q water. Incubation was carried out at 25° C. with 20×2.5 μL injections of 100 μM to 300 μM compounds. The control software was ITC Run Ver. 3.3.0.0 (TA Instruments) was used to obtain the thermograms consisting of multiple peaks of raw heat (μcal/sec) representing the heat rate at each injection. The analysis software Nano Analyze Ver. 3.70 (TA Instruments) was used to baseline-correct, correct for blank or sample heat of dilution (at saturation) and to integrate the heat rate peaks producing graphed “Q” values. The resulting isotherms were fit with an independent model to derive the thermodynamic parameters.
- The Kds and n values (molar ratios at the curve inflection points) were derived and reported. Optimal conditions for the concentrations of protein and ligand were derived from preliminary experiments.
- The heat rate thermograms and their resulting isotherms for the binding of the tested compounds to recombinant human wild type STING (aa, 139-379, H232R) were determined. The binding of each compound to STING was endothermic as indicated by the negative heat rates with exothermic (positive direction) heats of dilution (observed after the compound has achieved saturation of the protein). 2′, 3′ cGAMP has been shown to produce a similar endothermic response to various STING variants.
Compound 1a provided the lowest Kd of 0.04 followed by 2′3′ cGAMP with a Kd of 0.07 μM and then ML RR-S2 CDA with a Kd of 0.40 μM. All compounds provided n values close to 0.5, suggesting that the STING protein was present as a dimer and bound 1 mol of compound per 2 mol of STING. -
Compound 1a was incubated in hepatocytes of CD-1 mouse, Sprague Dawley rat, Beagle dog, Cynomolgus monkey, and human, to evaluate the formation of major metabolites. - Cryopreserved pooled hepatocytes were purchased from ThermoFisher Scientific (Waltham, Mass.), Xenotech, LLC (Kansas City, Kans.) and In Vitro ADMET Laboratories (Columbia, Md.), and the appropriate media were purchased from In Vitro ADMET Laboratories (Columbia, Md.) and Life Technologies (Carlsbad, Calif.). AOPI staining solution and phosphate buffer were obtained from Corning Life Sciences (Tewksbury, Mass.) and Nexcelom Bioscience (Lawrence, Mass.), respectively. All chemicals, reagents, and solvents used in analysis were of either analytical or HPLC grade.
-
Compound 1a was weighed and dissolved in HPLC-water containing 0.12% formic acid PBS to make 1020 mmol/L. The solution was then diluted 2.5-fold individually to 4 mmol/L and then further diluted 21000-fold with the Williams' E medium containing 0.1% human serum albumin and 2 mmol/L L-glutamine to make the working stock solution with concentration of 20 μmol/L. - Prior to incubations, the cryopreserved hepatocytes were thawed in a water bath at 37° C. One tube of cryopreserved hepatocytes was added to each 50-mL conical tube of cryopreserved hepatocyte recovery medium (UCRM) obtained from In Vitro ADMET Laboratories (Columbia, Md.). The cells were spun in a Beckman centrifuge (Brea, Calif.) with a GH 3.8 rotor at 740 rpm for 10 minutes at
room temperature 4° C. The supernatant was removed and the cells were re-suspended in plating media for counting. After the cells were re-suspended in plating media, 20 μL of the re-suspension was transferred and mixed with 20 of AOPI staining solution. The solution was gently mixed and cells were counted using a Cellometer (Nexcelom, Lawrence, Mass.). After counting, the cells were then re-suspended at 1 or 2 million viable cells/mL in Williams' E media containing 2 mmol/L L-glutamine (pH 7.4). - The hepatocyte suspension (50 μL/well) was added into a 48-well plate. Fifty microliters of working stock
solution containing Compound 1a (20 μmon) were added to start the reaction. The plate was placed into a tissue culture incubator (5% CO2/95% air humidified atmosphere and 37° C.), and the reactions were terminated with 200 μL of stop solution consisting of 100% methanol/acetonitrile (1/1, v/v) with 2010 ng/mL furosemide and 0.2 μmol/L (R)-propranolol at 5, 30, 60, 120, 180 and 240 minutes. The mixture was centrifuged and filtered, and the supernatant was collected for analysis. The final concentrations of cryopreserved hepatocytes were 1×106 cells/mL. The final incubation concentration ofCompound 1a was 10 μmon. - The LC-MS/MS system was composed of a Shimadzu HPLC and an AB-SCIEX TripleTOF 5600 hybrid quadrupole and TOF mass spectrometer (Framingham, Mass.). The Shimadzu HPLC (Kyoto, Japan), consisted of a communications bus module (CBM-20A), an auto-sampler (SIL-30AC) with an attached rack changer (Rack Changer II) two pumps (LC-30AD) and a column oven (CTO-30A). The mass spectrometer was calibrated using the AB-SCIEX APCI both Negative and Positive Calibration Solutions (Framingham, Mass.). The samples obtained from incubations with hepatocytes were analyzed under both negative and positive scan modes. The basic analytical method and instrumental conditions are summarized below. Modification of the spectrometer settings was dependent on the necessity of the analyte.
-
-
Chromatography Shimadzu LC30AD Settings: Column Type Agilent Eclipse XDB-C8, 5μ, 2.1 × 150 mm, part# 993700-906, serial# USSN002817 Mobile Phases A: water/methanol = 95/5 (v/v) with 5 mM ammonium acetate B: methanol/water = 95/5 (v/v) with 5 mM ammonium acetate Gradients 0-1 min at 1% B; 1-5 min linear to 10% B; 5-13 min linear to 95% B; 13-19.9 min at 95% B; 19.9-20 min linear to 1% B; 20-24 min at 1% B Flow Rate 0.4 mL/min Analysis Time 24 min Sample Tray 4° C. Temperature Injection Volume 15 μL Mass Spectrometer AB Sciex Hybrid Quadrupole-TOF LC-MS/MS Settings: Triple TOF 5600 Ion Source DuoSpray Ion Source Polarity Negative or Positive Ion Spray Voltage 4500 V or 5500 V (ISVF) Temperature (TEM) 550° C. Curtain Gas (CUR) 30 GS1 50 GS2 50 TOF-MS Settings: CE −5.000 or 5.000 DP −100.000 or 100.000 scan range: 120.0-1000.0 TOF MS’Settings: CE −60.000 or 60.000 CES 5.000 DP −100.000 or 100.000 Scan range: 100.0-1000.0 - Mass spectrometry data were acquired using AB-Sciex Analyst TF (Version 1.5.1; Framingham, Mass.). Chromatograms and spectra were obtained using AB-Sciex PeakView (Version 2.2.0.1; Framingham, Mass.). The comparison of relative peak areas for extracted ion chromatograms were based on ±0.0002 Da of the expected exact mass-to-charge ratio (m/z) for each analyte of interest.
- No metabolite was detected from the incubations with hepatocytes. Under the presented analytical conditions,
Compound 1a showed a retention time of approximate 7.8 minutes. Under negative scan mode,Compound 1a showed the deprotonated molecular ion m/z 745 (C24H25F2N10O8P2S2 −) and the doubly deprotonated molecular ion m/z 372 (C24H24F2N10O8P2S2 2−). The major MS/MS product ions with m/z 533 (C19H19FN10O4PS) and m/z 186 (C9H8N5) were observed. Under positive scan mode,Compound 1a showed the protonated molecular ion m/z 747 (C24H27F2N10O8P2S2 +) and the major MS/MS product ions with m/z 651 (C24H26F2N10O6PS+), m/z 252 (C10H11FN5O2 +), and m/z 188 (C9H10N5 +). The MS and MS/MS data are confirmative to the structure ofCompound 1a. -
Compound 1a was stable in the incubations with hepatocytes of mouse, rat, dog, monkey, and human. No apparent metabolite ofCompound 1a was identified in this study. In the samples obtained from incubations with hepatocytes, only Compound 1a itself could be detected and confirmed by the fragments of tandem mass spectrometry (MS/MS). - All documents referenced in this disclosure are incorporated by reference herein, though if any incorporated document contradicts this written specification, then this written specification shall control. Those of skill in the will recognize that various changes and modifications may be made to the material provided herein, and that that material is within the scope and spirit of the disclosure.
-
SEQUENCE LISTINGS SEQ ID NO: 1 (WT Human STING): atgccccactccagcctgcatccatccatcccgtgtcccaggggtcacgg ggcccagaaggcagccttggttctgctgagtgcctgcctggtgacccttt gggggctaggagagccaccagagcacactaccggtacctggtgctccacc tagcctccctgcagctgggactgctgttaaacggggtctgcagcctggct gaggagctgcgccacatccactccaggtaccggggcagctactggaggac tgtgcgggcctgcctgggctgccccctccgccgtggggccctgttgctgc tgtccatctatttctactactccctcccaaatgcggtcggcccgcccttc acttggatgcttgccctcctgggcctctcgcaggcactgaacatcctcct gggcctcaagggcctggccccagctgagatctctgcagtgtgtgaaaaag ggaatttcaacgtggcccatgggctggcatggtcatattacatcggatat ctgcggctgatcctgccagagctccaggcccggattcgaacttacaatca gcattacaacaacctgctacggggtgcagtgagccagcggctgtatattc tcctcccattggactgtggggtgcctgataacctgagtatggctgacccc aacattcgcttcctggataaactgccccagcagaccggtgaccgggctgg catcaaggatcgggtttacagcaacagcatctatgagcttctggagaacg ggcagcgggcgggcacctgtgtcctggagtacgccacccccttgcagact ttgtttgccatgtcacaatacagtcaagctggctttagccgggaggatag gcttgagcaggccaaactcttctgccggacacttgaggacatcctggcag atgcccctgagtctcagaacaactgccgcctcattgcctaccaggaacct gcagatgacagcagcttctcgctgtcccaggaggttctccggcacctgcg gcaggaggaaaaggaagaggttactgtgggcagcttgaagacctcagcgg tgcccagtacctccacgatgtcccaagagcctgagctcctcatcagtgga atggaaaagcccctccctctccgcacggatttctcttga SEQ ID NO: 2 (REF Human STING): atgccccactccagcctgcatccatccatcccgtgtcccaggggtcacgg ggcccagaaggcagccttggttctgctgagtgcctgcctggtgacccttt gggggctaggagagccaccagagcacactctccggtacctggtgctccac ctagcctccctgcagctgggactgctgttaaacggggtctgcagcctggc tgaggagctgcgccacatccactccaggtaccggggcagctactggagga ctgtgcgggcctgcctgggctgccccctccgccgtggggccctgttgctg ctgtccatctatttctactactccctcccaaatgcggtcggcccgccctt cacttggatgcttgccctcctgggcctctcgcaggcactgaacatcctcc tgggcctcaagggcctggccccagctgagatctctgcagtgtgtgaaaaa gggaatttcaacgtggcccatgggctggcatggtcatattacatcggata tctgcggctgatcctgccagagaccaggcccggattcgaacttacaatca gcattacaacaacctgctacggggtgcagtgagccagcggctgtatattc tcctcccattggactgtggggtgcctgataacctgagtatggctgacccc aacattcgcttcctggataaactgccccagcagaccggtgaccatgctgg catcaaggatcgggtttacagcaacagcatctatgagcttctggagaacg ggcagcgggcgggcacctgtgtcctggagtacgccacccccttgcagact ttgtttgccatgtcacaatacagtcaagctggctttagccgggaggatag gcttgagcaggccaaactcttctgccggacacttgaggacatcctggcag atgcccctgagtctcagaacaactgccgcctcattgcctaccaggaacct gcagatgacagcagcttctcgctgtcccaggaggttctccggcacctgcg gcaggaggaaaaggaagaggttactgtgggcagcttgaagacctcagcgg tgcccagtacctccacgatgtcccaagagcctgagctcctcatcagtgga atggaaaagcccctccctctccgcacggatttctcttga SEQ ID NO: 3 (AQ Human STING): atgccccactccagcctgcatccatccatcccgtgtcccaggggtcacgg ggcccagaaggcagccttggttctgctgagtgcctgcctggtgacccttt gggggctaggagagccaccagagcacactctccggtacctggtgctccac ctagcctccctgcagctgggactgctgttaaacggggtctgcagcctggc tgaggagctgcgccacatccactccaggtaccggggcagctactggagga ctgtgcgggcctgcctgggctgccccctccgccgtggggccctgttgctg ctgtccatctatttctactactccctcccaaatgcggtcggcccgccctt cacttggatgcttgccctcctgggcctctcgcaggcactgaacatcctcc tgggcctcaagggcctggccccagctgagatctctgcagtgtgtgaaaaa gggaatttcaacgtggcccatgggctggcatggtcatattacatcggata tctgcggctgatcctgccagagctccaggcccggattcgaacttacaatc agcattacaacaacctgctacggggtgcagtgagccagcggctgtatatt ctcctcccattggactgtggggtgcctgataacctgagtatggctgaccc caacattcgcttcctggataaactgccccagcagaccgctgaccgagctg gcatcaaggatcgggtttacagcaacagcatctatgagcttctggagaac gggcagcgggcgggcacctgtgtcctggagtacgccacccccttgcagac tttgtttgccatgtcacaatacagtcaagctggctttagccgggaggata ggcttgagcaggccaaactcttctgccagacacttgaggacatcctggca gatgcccctgagtctcagaacaactgccgcctcattgcctaccaggaacc tgcagatgacagcagcttctcgctgtcccaggaggttaccggcacctgcg gcaggaggaaaaggaagaggttactgtgggcagcttgaagacctcagcgg tgcccagtacctccacgatgtcccaagagcctgagctcctcatcagtgga atggaaaagcccctccctctccgcacggatttctcttga SEQ ID NO: 4 (WT STING residues 155-341): VAHGLAWSYYIGYLRLILPELQARIRTYNQHYNNLLRGAVSQRLYILLPL DCGVPDNLSMADPNIRFLDKLPQQTGDRAGIKDRVYSNSIYELLENGQRA GTCVLEYATPLQTLFAMSQYSQAGFSREDRLEQAKLFCRTLEDILADAPE SQNNCRLIAYQEPADDSSFSLSQEVLRHLRQEEKEEV SEQ ID NO: 5 (His-TEV-Sumo-WT STING 155-341) MHHHHHHSSGVDLGTENLYFQSNAMSDSEVNQEAKPEVKPEVKPETHINL KVSDGSSEIFFKIKKTTPLRRLMEAFAKRQGKEMDSLRFLYDGIRIQADQ TPEDLDMEDNDIIEAHREQIGGGSVAHGLAWSYYIGYLRLILPELQARIR TYNQHYNNLLRGAVSQRLYILLPLDCGVPDNLSMADPNIRFLDKLPQQTG DRAGIKDRVYSNSIYELLENGQRAGTCVLEYATPLQTLFAMSQYSQAGFS REDRLEQAKLFCRTLEDILADAPESQNNCRLIAYQEPADDSSFSLSQEVL RHLRQEEKEEV SEQ ID NO: 6 (REF STING residues 155-341): VAHGLAWSYYIGYLRLILPELQARIRTYNQHYNNLLRGAVSQRLYILLPL DCGVPDNLSMADPNIRFLDKLPQQTGDHAGIKDRVYSNSIYELLENGQRA GTCVLEYATPLQTLFAMSQYSQAGFSREDRLEQAKLFCRTLEDILADAPE SQNNCRLIAYQEPADDSSFSLSQEVLRHLRQEEKEEV SEQ ID NO: 7 (His-TEV-Sumo-REF STING 155-341) MHHHHHHSSGVDLGTENLYFQSNAMSDSEVNQEAKPEVKPEVKPETHINL KVSDGSSEIFFKIKKTTPLRRLMEAFAKRQGKEMDSLRFLYDGIRIQADQ TPEDLDMEDNDIIEAHREQIGGGSVAHGLAWSYYIGYLRLILPELQARIR TYNQHYNNLLRGAVSQRLYILLPLDCGVPDNLSMADPNIRFLDKLPQQTG DHAGIKDRVYSNSIYELLENGQRAGTCVLEYATPLQTLFAMSQYSQAGFS REDRLEQAKLFCRTLEDILADAPESQNNCRLIAYQEPADDSSFSLSQEVL RHLRQEEKEEV
Claims (1)
Priority Applications (1)
| Application Number | Priority Date | Filing Date | Title |
|---|---|---|---|
| US16/486,954 US20200055883A1 (en) | 2017-02-17 | 2018-02-16 | Cyclic di-nucleotides derivative for the treatment of cancer |
Applications Claiming Priority (7)
| Application Number | Priority Date | Filing Date | Title |
|---|---|---|---|
| US201762460562P | 2017-02-17 | 2017-02-17 | |
| US201762479169P | 2017-03-30 | 2017-03-30 | |
| US201762551647P | 2017-08-29 | 2017-08-29 | |
| US201762551645P | 2017-08-29 | 2017-08-29 | |
| US201762551668P | 2017-08-29 | 2017-08-29 | |
| US16/486,954 US20200055883A1 (en) | 2017-02-17 | 2018-02-16 | Cyclic di-nucleotides derivative for the treatment of cancer |
| PCT/US2018/018561 WO2018152453A1 (en) | 2017-02-17 | 2018-02-17 | Cyclic di-nucleotides derivative for the treatment of cancer |
Publications (1)
| Publication Number | Publication Date |
|---|---|
| US20200055883A1 true US20200055883A1 (en) | 2020-02-20 |
Family
ID=61521844
Family Applications (4)
| Application Number | Title | Priority Date | Filing Date |
|---|---|---|---|
| US16/486,954 Abandoned US20200055883A1 (en) | 2017-02-17 | 2018-02-16 | Cyclic di-nucleotides derivative for the treatment of cancer |
| US15/898,533 Active US10246480B2 (en) | 2017-02-17 | 2018-02-17 | Compounds for the treatment of cancer |
| US16/277,522 Active US10618930B2 (en) | 2017-02-17 | 2019-02-15 | Compounds for the treatment of cancer |
| US16/781,352 Active US11339188B2 (en) | 2017-02-17 | 2020-02-04 | Compounds for the treatment of cancer |
Family Applications After (3)
| Application Number | Title | Priority Date | Filing Date |
|---|---|---|---|
| US15/898,533 Active US10246480B2 (en) | 2017-02-17 | 2018-02-17 | Compounds for the treatment of cancer |
| US16/277,522 Active US10618930B2 (en) | 2017-02-17 | 2019-02-15 | Compounds for the treatment of cancer |
| US16/781,352 Active US11339188B2 (en) | 2017-02-17 | 2020-02-04 | Compounds for the treatment of cancer |
Country Status (33)
| Country | Link |
|---|---|
| US (4) | US20200055883A1 (en) |
| EP (3) | EP4008403A1 (en) |
| JP (2) | JP6672532B2 (en) |
| KR (1) | KR102645790B1 (en) |
| CN (3) | CN110461416B (en) |
| AU (1) | AU2018221170B2 (en) |
| CA (1) | CA3053932A1 (en) |
| CL (1) | CL2019002304A1 (en) |
| CO (1) | CO2019008783A2 (en) |
| CY (1) | CY1126855T1 (en) |
| DK (1) | DK3582853T3 (en) |
| ES (1) | ES2906299T3 (en) |
| HR (1) | HRP20220110T1 (en) |
| HU (1) | HUE057665T2 (en) |
| IL (1) | IL268721B (en) |
| JO (1) | JOP20190194B1 (en) |
| LT (1) | LT3582853T (en) |
| MA (1) | MA47501A (en) |
| MD (1) | MD3582853T2 (en) |
| MX (1) | MX394380B (en) |
| NZ (1) | NZ757357A (en) |
| PE (1) | PE20191686A1 (en) |
| PH (1) | PH12019501914B1 (en) |
| PL (1) | PL3582853T3 (en) |
| PT (1) | PT3582853T (en) |
| RS (1) | RS62842B1 (en) |
| SG (1) | SG11201907496RA (en) |
| SI (1) | SI3582853T1 (en) |
| SM (1) | SMT202200054T1 (en) |
| TW (1) | TWI766948B (en) |
| UA (1) | UA125310C2 (en) |
| WO (2) | WO2018152453A1 (en) |
| ZA (1) | ZA201906111B (en) |
Families Citing this family (28)
| Publication number | Priority date | Publication date | Assignee | Title |
|---|---|---|---|---|
| JOP20170192A1 (en) | 2016-12-01 | 2019-01-30 | Takeda Pharmaceuticals Co | Cyclic dinucleotide |
| CA3047600A1 (en) | 2017-01-20 | 2018-07-26 | Arcus Biosciences, Inc. | Azolopyrimidine for the treatment of cancer-related disorders |
| US12018000B2 (en) | 2017-03-27 | 2024-06-25 | HYDRO-QUéBEC | Lithium salts of cyano-substituted imidazole for lithium ion batteries |
| WO2019084060A1 (en) | 2017-10-24 | 2019-05-02 | Silverback Therapeutics, Inc. | Conjugates and methods of use thereof for selective delivery of immune-modulatory agents |
| TW201922263A (en) | 2017-11-10 | 2019-06-16 | 日商武田藥品工業股份有限公司 | Modulator of interferon gene stimulating protein, and method of manufacture and use thereof |
| CN111566120B (en) | 2017-12-20 | 2023-09-29 | 捷克共和国有机化学与生物化学研究所 | 3’3’ cyclic dinucleotide with phosphonate bond that activates STING adapter protein |
| US11203610B2 (en) | 2017-12-20 | 2021-12-21 | Institute Of Organic Chemistry And Biochemistry Ascr, V.V.I. | 2′3′ cyclic dinucleotides with phosphonate bond activating the sting adaptor protein |
| WO2019161054A1 (en) | 2018-02-16 | 2019-08-22 | Arcus Biosciences, Inc. | Dosing with an azolopyrimidine compound |
| TWI833744B (en) | 2018-04-06 | 2024-03-01 | 捷克科學院有機化學與生物化學研究所 | 3'3'-cyclic dinucleotides |
| TWI818007B (en) | 2018-04-06 | 2023-10-11 | 捷克科學院有機化學與生物化學研究所 | 2'3'-cyclic dinucleotides |
| CN112512531B (en) * | 2018-06-01 | 2024-04-09 | 卫材R&D管理有限公司 | Methods for the treatment of bladder cancer |
| CA3099904A1 (en) | 2018-08-16 | 2020-02-20 | Eisai R&D Management Co., Ltd. | Salts of compounds and crystals thereof |
| SG11202101980VA (en) | 2018-09-12 | 2021-03-30 | Silverback Therapeutics Inc | Methods and composition for the treatment of disease with immune stimulatory conjugates |
| WO2020135715A1 (en) * | 2018-12-29 | 2020-07-02 | 上海济煜医药科技有限公司 | Compound for tumor immunity and application thereof |
| JP7621974B2 (en) | 2019-05-09 | 2025-01-27 | アリゴス セラピューティクス インコーポレイテッド | Modified cyclic dinucleoside compounds as STING modulators |
| WO2020237025A1 (en) * | 2019-05-23 | 2020-11-26 | Gilead Sciences, Inc. | Substituted exo-methylene-oxindoles which are hpk1/map4k1 inhibitors |
| US20220304982A1 (en) * | 2019-07-01 | 2022-09-29 | Eisai R&D Management Co., Ltd. | System for enhancing therapeutic compliance of the anti-cancer compound e7766 |
| CA3151322A1 (en) | 2019-10-01 | 2021-04-08 | Silverback Therapeutics, Inc. | Combination therapy with immune stimulatory conjugates |
| JP2022177332A (en) * | 2019-10-24 | 2022-12-01 | 日東電工株式会社 | Method for producing oligonucleotide |
| WO2021168274A1 (en) | 2020-02-21 | 2021-08-26 | Silverback Therapeutics, Inc. | Nectin-4 antibody conjugates and uses thereof |
| US20230141284A1 (en) | 2020-04-10 | 2023-05-11 | Ono Pharmaceutical Co., Ltd. | Cancer therapeutic method |
| US20230210968A1 (en) | 2020-06-11 | 2023-07-06 | Massachusetts Institute Of Technology | Ribonucleoprotein approach to boost the sting signaling for cancer immunotherapy |
| KR20230047361A (en) | 2020-07-01 | 2023-04-07 | 아르스 파마슈티컬스 인크. | Anti-ASGR1 antibody conjugates and uses thereof |
| CN111909223A (en) * | 2020-07-17 | 2020-11-10 | 清华大学 | Cyclic dinucleotide covalent modifier and preparation method and application thereof |
| EP4228681A1 (en) | 2020-10-14 | 2023-08-23 | Boehringer Ingelheim International GmbH | Combination of a sting agonist and a complex comprising a cell penetrating peptide, a cargo and a tlr peptide agonist |
| IL302390A (en) | 2020-11-09 | 2023-06-01 | Takeda Pharmaceuticals Co | Antibody drug conjugates |
| CN120737157A (en) * | 2022-09-16 | 2025-10-03 | 上海大学 | Polypeptide compound with anti-inflammatory activity and preparation method and application thereof |
| AU2024227808A1 (en) | 2023-02-28 | 2025-07-31 | Eisai R&D Management Co., Ltd. | Anti-psma antibodies, conjugates, and methods of use |
Family Cites Families (39)
| Publication number | Priority date | Publication date | Assignee | Title |
|---|---|---|---|---|
| GB2257704B (en) | 1991-07-18 | 1995-03-01 | Erba Carlo Spa | Cyclic oligonucleotides phosphorothioates |
| US7592326B2 (en) | 2004-03-15 | 2009-09-22 | Karaolis David K R | Method for stimulating the immune, inflammatory or neuroprotective response |
| JP4887284B2 (en) | 2004-03-15 | 2012-02-29 | デイビッド・ケイ・アール・カラオリス | Methods for inhibiting the growth of cancer cells or increasing apoptosis of cancer cells |
| US8076303B2 (en) | 2005-12-13 | 2011-12-13 | Spring Bank Pharmaceuticals, Inc. | Nucleotide and oligonucleotide prodrugs |
| GB0607950D0 (en) | 2006-04-21 | 2006-05-31 | Novartis Ag | Organic compounds |
| WO2009133560A1 (en) | 2008-04-29 | 2009-11-05 | Smart Assays | Non-hydrolyzable and permeable cyclic bis-[nucleotide monophosphate] derivatives and uses thereof |
| CN102199183B (en) | 2010-03-26 | 2013-12-18 | 北京大学 | C-di-GMP, analogues thereof and preparation method thereof |
| CN104507538B (en) * | 2012-06-08 | 2018-04-06 | 艾杜罗生物科技公司 | Compositions and methods for cancer immunotherapy |
| KR20150095668A (en) * | 2012-12-13 | 2015-08-21 | 아두로 바이오테크, 인코포레이티드 | Compositions comprising cyclic purine dinucleotides having defined stereochemistries and methods for their preparation and use |
| JP2016524593A (en) * | 2013-04-29 | 2016-08-18 | メモリアル スローン−ケタリング キャンサー センター | Compositions and methods for altering second messenger signaling |
| JP2016518140A (en) | 2013-05-03 | 2016-06-23 | ザ リージェンツ オブ ザ ユニバーシティ オブ カリフォルニア | Cyclic dinucleotide derivatization of type I interferon |
| US9549944B2 (en) | 2013-05-18 | 2017-01-24 | Aduro Biotech, Inc. | Compositions and methods for inhibiting “stimulator of interferon gene”—dependent signalling |
| US9724408B2 (en) | 2013-05-18 | 2017-08-08 | Aduro Biotech, Inc. | Compositions and methods for activating stimulator of interferon gene-dependent signalling |
| WO2015077354A1 (en) | 2013-11-19 | 2015-05-28 | The University Of Chicago | Use of sting agonist as cancer treatment |
| CA2931146C (en) | 2013-11-22 | 2022-06-28 | Brock University | Use of fluorinated cyclic dinucleotides as oral vaccine adjuvants |
| MX2016015928A (en) | 2014-06-04 | 2017-03-20 | Glaxosmithkline Ip Dev Ltd | Cyclic di-nucleotides as modulators of sting. |
| JP6762030B2 (en) * | 2014-11-20 | 2020-09-30 | 国立研究開発法人医薬基盤・健康・栄養研究所 | New Th1-inducible adjuvants and their uses by combining different nucleic acid adjuvants |
| EP3233191A1 (en) | 2014-12-16 | 2017-10-25 | Invivogen | Combined use of a chemotherapeutic agent and a cyclic dinucleotide for cancer treatment |
| WO2016096174A1 (en) | 2014-12-16 | 2016-06-23 | Invivogen | Fluorinated cyclic dinucleotides for cytokine induction |
| WO2016100261A2 (en) | 2014-12-17 | 2016-06-23 | Lipogen Llc | Method of treating cancer with cgamp or cgasmp |
| GB201501462D0 (en) | 2015-01-29 | 2015-03-18 | Glaxosmithkline Ip Dev Ltd | Novel compounds |
| JP6692826B2 (en) * | 2015-03-10 | 2020-05-13 | アドゥロ バイオテック,インク. | Compositions and methods for activation of "interferon gene stimulator" dependent signaling |
| TW201717968A (en) | 2015-07-14 | 2017-06-01 | 春季銀行製藥公司 | Compounds and compositions that induce RIG-I and other pattern recognition receptors |
| US10844051B2 (en) | 2015-07-22 | 2020-11-24 | The Royal Institution For The Advancement Of Learning/Mcgill University | Substituted oxazoles for the treatment of cancer |
| UA123701C2 (en) | 2015-08-13 | 2021-05-19 | Мерк Шарп І Доум Корп. | Cyclic di-nucleotide compounds as sting agonists |
| US9809597B2 (en) | 2015-08-20 | 2017-11-07 | The Board Of Trustees Of The Leland Stanford Junior University | Ganciclovir derivatives for modulating innate and adaptive immunity and for use in immunotherapy |
| WO2017040670A1 (en) | 2015-09-01 | 2017-03-09 | Ifm Therapeutics, Inc | Immune cells having increased immunity or resistance to an immunosuppressive cytokine and use of the same |
| US10906930B2 (en) | 2015-10-28 | 2021-02-02 | Chinook Therapeutics, Inc. | Compositions and methods for activating “stimulator of interferon gene”-dependent signalling |
| ES2863225T3 (en) | 2015-12-03 | 2021-10-11 | Glaxosmithkline Ip Dev Ltd | Purine cyclic dinucleotides as modulators of sting |
| JP6801956B2 (en) | 2015-12-04 | 2020-12-16 | 株式会社エクセディ | Motorcycle clutch device |
| US10723756B2 (en) | 2016-01-11 | 2020-07-28 | Innate Tumor Immunity Inc. | Cyclic dinucleotides for treating conditions associated with STING activity such as cancer |
| EP3402801B1 (en) | 2016-01-11 | 2025-08-06 | Innate Tumor Immunity, Inc. | Cyclic dinucleotides for treating conditions associated with sting activity such as cancer |
| EP3429596B1 (en) | 2016-03-18 | 2022-08-31 | Immune Sensor, LLC | Cyclic di-nucleotide compounds and methods of use |
| WO2017175156A1 (en) | 2016-04-07 | 2017-10-12 | Glaxosmithkline Intellectual Property Development Limited | Heterocyclic amides useful as protein modulators |
| US10537590B2 (en) | 2016-09-30 | 2020-01-21 | Boehringer Ingelheim International Gmbh | Cyclic dinucleotide compounds |
| JOP20170188A1 (en) | 2016-11-25 | 2019-01-30 | Janssen Biotech Inc | Cyclic dinucleotides as sting agonists |
| US20190336615A1 (en) | 2017-01-27 | 2019-11-07 | Silverback Therapeutics, Inc. | Tumor targeting conjugates and methods of use thereof |
| WO2018198084A1 (en) | 2017-04-27 | 2018-11-01 | Lupin Limited | Cyclic di-nucleotide compounds with tricyclic nucleobases |
| UY37695A (en) | 2017-04-28 | 2018-11-30 | Novartis Ag | BIS 2’-5’-RR- (3’F-A) (3’F-A) CYCLE DINUCLEOTIDE COMPOUND AND USES OF THE SAME |
-
2018
- 2018-02-16 US US16/486,954 patent/US20200055883A1/en not_active Abandoned
- 2018-02-17 US US15/898,533 patent/US10246480B2/en active Active
- 2018-02-17 MD MDE20200009T patent/MD3582853T2/en unknown
- 2018-02-17 MX MX2019009796A patent/MX394380B/en unknown
- 2018-02-17 SM SM20220054T patent/SMT202200054T1/en unknown
- 2018-02-17 JO JOP/2019/0194A patent/JOP20190194B1/en active
- 2018-02-17 EP EP21208462.8A patent/EP4008403A1/en not_active Withdrawn
- 2018-02-17 PE PE2019001715A patent/PE20191686A1/en unknown
- 2018-02-17 MA MA047501A patent/MA47501A/en unknown
- 2018-02-17 NZ NZ757357A patent/NZ757357A/en unknown
- 2018-02-17 EP EP18708032.0A patent/EP3582853B1/en active Active
- 2018-02-17 RS RS20220079A patent/RS62842B1/en unknown
- 2018-02-17 CN CN201880021349.XA patent/CN110461416B/en active Active
- 2018-02-17 UA UAA201909860A patent/UA125310C2/en unknown
- 2018-02-17 HR HRP20220110TT patent/HRP20220110T1/en unknown
- 2018-02-17 HU HUE18708032A patent/HUE057665T2/en unknown
- 2018-02-17 ES ES18708032T patent/ES2906299T3/en active Active
- 2018-02-17 SG SG11201907496RA patent/SG11201907496RA/en unknown
- 2018-02-17 WO PCT/US2018/018561 patent/WO2018152453A1/en not_active Ceased
- 2018-02-17 AU AU2018221170A patent/AU2018221170B2/en active Active
- 2018-02-17 PH PH1/2019/501914A patent/PH12019501914B1/en unknown
- 2018-02-17 WO PCT/US2018/018556 patent/WO2018152450A1/en not_active Ceased
- 2018-02-17 CA CA3053932A patent/CA3053932A1/en active Pending
- 2018-02-17 CN CN202410024195.7A patent/CN117866030A/en active Pending
- 2018-02-17 CN CN201880025317.7A patent/CN110536719A/en active Pending
- 2018-02-17 PL PL18708032T patent/PL3582853T3/en unknown
- 2018-02-17 PT PT187080320T patent/PT3582853T/en unknown
- 2018-02-17 SI SI201830553T patent/SI3582853T1/en unknown
- 2018-02-17 DK DK18708032.0T patent/DK3582853T3/en active
- 2018-02-17 LT LTEPPCT/US2018/018556T patent/LT3582853T/en unknown
- 2018-02-17 JP JP2019544817A patent/JP6672532B2/en active Active
- 2018-02-17 EP EP18709835.5A patent/EP3582854A1/en not_active Withdrawn
- 2018-02-17 JP JP2019544725A patent/JP2020510638A/en active Pending
- 2018-02-17 KR KR1020197027073A patent/KR102645790B1/en active Active
- 2018-02-21 TW TW107105846A patent/TWI766948B/en active
-
2019
- 2019-02-15 US US16/277,522 patent/US10618930B2/en active Active
- 2019-08-13 CO CONC2019/0008783A patent/CO2019008783A2/en unknown
- 2019-08-14 CL CL2019002304A patent/CL2019002304A1/en unknown
- 2019-08-15 IL IL268721A patent/IL268721B/en unknown
- 2019-09-16 ZA ZA2019/06111A patent/ZA201906111B/en unknown
-
2020
- 2020-02-04 US US16/781,352 patent/US11339188B2/en active Active
-
2022
- 2022-01-26 CY CY20221100065T patent/CY1126855T1/en unknown
Also Published As
Similar Documents
| Publication | Publication Date | Title |
|---|---|---|
| US11339188B2 (en) | Compounds for the treatment of cancer | |
| JP7492523B2 (en) | Cyclic dinucleotide compounds and uses thereof | |
| EP3801561B1 (en) | Methods for the treatment of bladder cancer | |
| RU2790175C2 (en) | Cyclic di-nucleotide compounds for treatment of cancer | |
| US11691990B2 (en) | Salts of compounds and crystals thereof | |
| HK40016436B (en) | Cyclic di-nucleotides compounds for the treatment of cancer | |
| BR112019017084B1 (en) | CYCLIC DINUCLEOTIDE COMPOUNDS, PHARMACEUTICAL COMPOSITIONS COMPRISING THE SAME AND USE OF SAID COMPOUNDS FOR THE TREATMENT OF CANCER | |
| RU2795220C2 (en) | Methods for treatment of bladder cancer |
Legal Events
| Date | Code | Title | Description |
|---|---|---|---|
| STPP | Information on status: patent application and granting procedure in general |
Free format text: NON FINAL ACTION MAILED |
|
| STPP | Information on status: patent application and granting procedure in general |
Free format text: RESPONSE TO NON-FINAL OFFICE ACTION ENTERED AND FORWARDED TO EXAMINER |
|
| STPP | Information on status: patent application and granting procedure in general |
Free format text: NON FINAL ACTION MAILED |
|
| STCB | Information on status: application discontinuation |
Free format text: ABANDONED -- FAILURE TO RESPOND TO AN OFFICE ACTION |
















































































































































































