US20190070155A1 - Pharmaceutical compositions of 3-(6-(1-(2,2-difluorobenzo[d][1,3]dioxol-5-yl) cyclopropanecarboxamido)-3-methylpyridin-2-yl) benzoic acid and administration thereof - Google Patents
Pharmaceutical compositions of 3-(6-(1-(2,2-difluorobenzo[d][1,3]dioxol-5-yl) cyclopropanecarboxamido)-3-methylpyridin-2-yl) benzoic acid and administration thereof Download PDFInfo
- Publication number
- US20190070155A1 US20190070155A1 US16/050,029 US201816050029A US2019070155A1 US 20190070155 A1 US20190070155 A1 US 20190070155A1 US 201816050029 A US201816050029 A US 201816050029A US 2019070155 A1 US2019070155 A1 US 2019070155A1
- Authority
- US
- United States
- Prior art keywords
- tablet
- compound
- weight
- present
- another embodiment
- Prior art date
- Legal status (The legal status is an assumption and is not a legal conclusion. Google has not performed a legal analysis and makes no representation as to the accuracy of the status listed.)
- Abandoned
Links
- UFSKUSARDNFIRC-UHFFFAOYSA-N lumacaftor Chemical group N1=C(C=2C=C(C=CC=2)C(O)=O)C(C)=CC=C1NC(=O)C1(C=2C=C3OC(F)(F)OC3=CC=2)CC1 UFSKUSARDNFIRC-UHFFFAOYSA-N 0.000 title claims abstract description 18
- 239000008194 pharmaceutical composition Substances 0.000 title abstract description 172
- 229940125904 compound 1 Drugs 0.000 claims abstract description 439
- 238000000034 method Methods 0.000 claims abstract description 61
- 239000000314 lubricant Substances 0.000 claims abstract description 54
- 239000007884 disintegrant Substances 0.000 claims abstract description 51
- 239000004094 surface-active agent Substances 0.000 claims abstract description 51
- 239000000945 filler Substances 0.000 claims abstract description 47
- 108010079245 Cystic Fibrosis Transmembrane Conductance Regulator Proteins 0.000 claims abstract description 46
- 239000011230 binding agent Substances 0.000 claims abstract description 44
- 239000003085 diluting agent Substances 0.000 claims abstract description 37
- 201000003883 Cystic fibrosis Diseases 0.000 claims abstract description 19
- HQKMJHAJHXVSDF-UHFFFAOYSA-L magnesium stearate Chemical group [Mg+2].CCCCCCCCCCCCCCCCCC([O-])=O.CCCCCCCCCCCCCCCCCC([O-])=O HQKMJHAJHXVSDF-UHFFFAOYSA-L 0.000 claims description 96
- 229920002785 Croscarmellose sodium Polymers 0.000 claims description 75
- 229960001681 croscarmellose sodium Drugs 0.000 claims description 75
- DPXJVFZANSGRMM-UHFFFAOYSA-N acetic acid;2,3,4,5,6-pentahydroxyhexanal;sodium Chemical group [Na].CC(O)=O.OCC(O)C(O)C(O)C(O)C=O DPXJVFZANSGRMM-UHFFFAOYSA-N 0.000 claims description 74
- 235000010947 crosslinked sodium carboxy methyl cellulose Nutrition 0.000 claims description 72
- 229920000168 Microcrystalline cellulose Polymers 0.000 claims description 65
- 239000008108 microcrystalline cellulose Substances 0.000 claims description 64
- 229940016286 microcrystalline cellulose Drugs 0.000 claims description 64
- 235000019813 microcrystalline cellulose Nutrition 0.000 claims description 52
- 235000019359 magnesium stearate Nutrition 0.000 claims description 48
- DBMJMQXJHONAFJ-UHFFFAOYSA-M Sodium laurylsulphate Chemical group [Na+].CCCCCCCCCCCCOS([O-])(=O)=O DBMJMQXJHONAFJ-UHFFFAOYSA-M 0.000 claims description 45
- 235000019333 sodium laurylsulphate Nutrition 0.000 claims description 45
- 229920000036 polyvinylpyrrolidone Polymers 0.000 claims description 41
- 239000001267 polyvinylpyrrolidone Substances 0.000 claims description 41
- 235000013855 polyvinylpyrrolidone Nutrition 0.000 claims description 41
- 239000003814 drug Substances 0.000 claims description 29
- 239000003086 colorant Substances 0.000 claims description 26
- 230000035772 mutation Effects 0.000 claims description 25
- 108090000623 proteins and genes Proteins 0.000 claims description 19
- 229940124597 therapeutic agent Drugs 0.000 claims description 18
- 238000000634 powder X-ray diffraction Methods 0.000 claims description 16
- PURKAOJPTOLRMP-UHFFFAOYSA-N ivacaftor Chemical compound C1=C(O)C(C(C)(C)C)=CC(C(C)(C)C)=C1NC(=O)C1=CNC2=CC=CC=C2C1=O PURKAOJPTOLRMP-UHFFFAOYSA-N 0.000 claims description 12
- 230000005855 radiation Effects 0.000 claims description 10
- 235000010980 cellulose Nutrition 0.000 claims description 7
- 229920002678 cellulose Polymers 0.000 claims description 7
- CZMRCDWAGMRECN-UGDNZRGBSA-N Sucrose Chemical compound O[C@H]1[C@H](O)[C@@H](CO)O[C@@]1(CO)O[C@@H]1[C@H](O)[C@@H](O)[C@H](O)[C@@H](CO)O1 CZMRCDWAGMRECN-UGDNZRGBSA-N 0.000 claims description 5
- 239000001913 cellulose Substances 0.000 claims description 5
- GUBGYTABKSRVRQ-XLOQQCSPSA-N Alpha-Lactose Chemical compound O[C@@H]1[C@@H](O)[C@@H](O)[C@@H](CO)O[C@H]1O[C@@H]1[C@@H](CO)O[C@H](O)[C@H](O)[C@H]1O GUBGYTABKSRVRQ-XLOQQCSPSA-N 0.000 claims description 3
- 229920002261 Corn starch Polymers 0.000 claims description 3
- GUBGYTABKSRVRQ-QKKXKWKRSA-N Lactose Natural products OC[C@H]1O[C@@H](O[C@H]2[C@H](O)[C@@H](O)C(O)O[C@@H]2CO)[C@H](O)[C@@H](O)[C@H]1O GUBGYTABKSRVRQ-QKKXKWKRSA-N 0.000 claims description 3
- 229930006000 Sucrose Natural products 0.000 claims description 3
- 235000019700 dicalcium phosphate Nutrition 0.000 claims description 3
- 229940095079 dicalcium phosphate anhydrous Drugs 0.000 claims description 3
- 229920003063 hydroxymethyl cellulose Polymers 0.000 claims description 3
- 229940031574 hydroxymethyl cellulose Drugs 0.000 claims description 3
- 239000008101 lactose Substances 0.000 claims description 3
- 239000005720 sucrose Substances 0.000 claims description 3
- OKMWKBLSFKFYGZ-UHFFFAOYSA-N 1-behenoylglycerol Chemical compound CCCCCCCCCCCCCCCCCCCCCC(=O)OCC(O)CO OKMWKBLSFKFYGZ-UHFFFAOYSA-N 0.000 claims description 2
- 239000001856 Ethyl cellulose Substances 0.000 claims description 2
- ZZSNKZQZMQGXPY-UHFFFAOYSA-N Ethyl cellulose Chemical compound CCOCC1OC(OC)C(OCC)C(OCC)C1OC1C(O)C(O)C(OC)C(CO)O1 ZZSNKZQZMQGXPY-UHFFFAOYSA-N 0.000 claims description 2
- 229920002153 Hydroxypropyl cellulose Polymers 0.000 claims description 2
- ROHFNLRQFUQHCH-YFKPBYRVSA-N L-leucine Chemical compound CC(C)C[C@H](N)C(O)=O ROHFNLRQFUQHCH-YFKPBYRVSA-N 0.000 claims description 2
- ROHFNLRQFUQHCH-UHFFFAOYSA-N Leucine Natural products CC(C)CC(N)C(O)=O ROHFNLRQFUQHCH-UHFFFAOYSA-N 0.000 claims description 2
- 235000021355 Stearic acid Nutrition 0.000 claims description 2
- CEGOLXSVJUTHNZ-UHFFFAOYSA-K aluminium tristearate Chemical compound [Al+3].CCCCCCCCCCCCCCCCCC([O-])=O.CCCCCCCCCCCCCCCCCC([O-])=O.CCCCCCCCCCCCCCCCCC([O-])=O CEGOLXSVJUTHNZ-UHFFFAOYSA-K 0.000 claims description 2
- 229940063655 aluminum stearate Drugs 0.000 claims description 2
- CJZGTCYPCWQAJB-UHFFFAOYSA-L calcium stearate Chemical compound [Ca+2].CCCCCCCCCCCCCCCCCC([O-])=O.CCCCCCCCCCCCCCCCCC([O-])=O CJZGTCYPCWQAJB-UHFFFAOYSA-L 0.000 claims description 2
- 235000013539 calcium stearate Nutrition 0.000 claims description 2
- 239000008116 calcium stearate Substances 0.000 claims description 2
- 239000001768 carboxy methyl cellulose Substances 0.000 claims description 2
- 229920002301 cellulose acetate Polymers 0.000 claims description 2
- 239000008120 corn starch Substances 0.000 claims description 2
- 235000019325 ethyl cellulose Nutrition 0.000 claims description 2
- 229920001249 ethyl cellulose Polymers 0.000 claims description 2
- 229940049654 glyceryl behenate Drugs 0.000 claims description 2
- 239000008172 hydrogenated vegetable oil Substances 0.000 claims description 2
- 239000001863 hydroxypropyl cellulose Substances 0.000 claims description 2
- 235000010977 hydroxypropyl cellulose Nutrition 0.000 claims description 2
- QIQXTHQIDYTFRH-UHFFFAOYSA-N octadecanoic acid Chemical compound CCCCCCCCCCCCCCCCCC(O)=O QIQXTHQIDYTFRH-UHFFFAOYSA-N 0.000 claims description 2
- OQCDKBAXFALNLD-UHFFFAOYSA-N octadecanoic acid Natural products CCCCCCCC(C)CCCCCCCCC(O)=O OQCDKBAXFALNLD-UHFFFAOYSA-N 0.000 claims description 2
- 229920001592 potato starch Polymers 0.000 claims description 2
- 235000019812 sodium carboxymethyl cellulose Nutrition 0.000 claims description 2
- 229920001027 sodium carboxymethylcellulose Polymers 0.000 claims description 2
- RYYKJJJTJZKILX-UHFFFAOYSA-M sodium octadecanoate Chemical compound [Na+].CCCCCCCCCCCCCCCCCC([O-])=O RYYKJJJTJZKILX-UHFFFAOYSA-M 0.000 claims description 2
- 239000008117 stearic acid Substances 0.000 claims description 2
- XOOUIPVCVHRTMJ-UHFFFAOYSA-L zinc stearate Chemical compound [Zn+2].CCCCCCCCCCCCCCCCCC([O-])=O.CCCCCCCCCCCCCCCCCC([O-])=O XOOUIPVCVHRTMJ-UHFFFAOYSA-L 0.000 claims description 2
- 102000012605 Cystic Fibrosis Transmembrane Conductance Regulator Human genes 0.000 claims 8
- FUFJGUQYACFECW-UHFFFAOYSA-L calcium hydrogenphosphate Chemical compound [Ca+2].OP([O-])([O-])=O FUFJGUQYACFECW-UHFFFAOYSA-L 0.000 claims 1
- 239000000203 mixture Substances 0.000 abstract description 215
- 239000000546 pharmaceutical excipient Substances 0.000 abstract description 52
- 102000008371 intracellularly ATP-gated chloride channel activity proteins Human genes 0.000 abstract description 38
- 208000037265 diseases, disorders, signs and symptoms Diseases 0.000 abstract description 31
- 201000010099 disease Diseases 0.000 abstract description 23
- 230000001404 mediated effect Effects 0.000 abstract description 11
- 239000008203 oral pharmaceutical composition Substances 0.000 abstract description 2
- 239000003826 tablet Substances 0.000 description 145
- CSCPPACGZOOCGX-UHFFFAOYSA-N Acetone Chemical compound CC(C)=O CSCPPACGZOOCGX-UHFFFAOYSA-N 0.000 description 75
- 150000003840 hydrochlorides Chemical group 0.000 description 73
- XLYOFNOQVPJJNP-UHFFFAOYSA-N water Substances O XLYOFNOQVPJJNP-UHFFFAOYSA-N 0.000 description 59
- 150000001875 compounds Chemical class 0.000 description 53
- 210000004027 cell Anatomy 0.000 description 50
- 239000008187 granular material Substances 0.000 description 49
- 239000007787 solid Substances 0.000 description 49
- FBPFZTCFMRRESA-KVTDHHQDSA-N D-Mannitol Chemical compound OC[C@@H](O)[C@@H](O)[C@H](O)[C@H](O)CO FBPFZTCFMRRESA-KVTDHHQDSA-N 0.000 description 45
- 229960001855 mannitol Drugs 0.000 description 45
- 229930195725 Mannitol Natural products 0.000 description 44
- 239000000594 mannitol Substances 0.000 description 44
- 235000010355 mannitol Nutrition 0.000 description 44
- 230000000694 effects Effects 0.000 description 43
- 239000012453 solvate Substances 0.000 description 43
- 239000000243 solution Substances 0.000 description 42
- 239000004615 ingredient Substances 0.000 description 41
- 108020001823 ΔF508-CFTR Proteins 0.000 description 39
- WEVYAHXRMPXWCK-UHFFFAOYSA-N Acetonitrile Chemical compound CC#N WEVYAHXRMPXWCK-UHFFFAOYSA-N 0.000 description 38
- 239000003795 chemical substances by application Substances 0.000 description 35
- LFQSCWFLJHTTHZ-UHFFFAOYSA-N Ethanol Chemical compound CCO LFQSCWFLJHTTHZ-UHFFFAOYSA-N 0.000 description 34
- 239000007914 high shear granule blend Substances 0.000 description 34
- 239000002904 solvent Substances 0.000 description 34
- YXFVVABEGXRONW-UHFFFAOYSA-N Toluene Chemical compound CC1=CC=CC=C1 YXFVVABEGXRONW-UHFFFAOYSA-N 0.000 description 33
- 238000009472 formulation Methods 0.000 description 32
- AICOOMRHRUFYCM-ZRRPKQBOSA-N oxazine, 1 Chemical compound C([C@@H]1[C@H](C(C[C@]2(C)[C@@H]([C@H](C)N(C)C)[C@H](O)C[C@]21C)=O)CC1=CC2)C[C@H]1[C@@]1(C)[C@H]2N=C(C(C)C)OC1 AICOOMRHRUFYCM-ZRRPKQBOSA-N 0.000 description 29
- 238000007792 addition Methods 0.000 description 27
- IAZDPXIOMUYVGZ-UHFFFAOYSA-N Dimethylsulphoxide Chemical compound CS(C)=O IAZDPXIOMUYVGZ-UHFFFAOYSA-N 0.000 description 24
- OKKJLVBELUTLKV-UHFFFAOYSA-N Methanol Chemical compound OC OKKJLVBELUTLKV-UHFFFAOYSA-N 0.000 description 24
- HEMHJVSKTPXQMS-UHFFFAOYSA-M Sodium hydroxide Chemical compound [OH-].[Na+] HEMHJVSKTPXQMS-UHFFFAOYSA-M 0.000 description 24
- 238000002441 X-ray diffraction Methods 0.000 description 24
- 239000002245 particle Substances 0.000 description 24
- 230000008569 process Effects 0.000 description 22
- KFZMGEQAYNKOFK-UHFFFAOYSA-N Isopropanol Chemical compound CC(C)O KFZMGEQAYNKOFK-UHFFFAOYSA-N 0.000 description 21
- BZLVMXJERCGZMT-UHFFFAOYSA-N Methyl tert-butyl ether Chemical compound COC(C)(C)C BZLVMXJERCGZMT-UHFFFAOYSA-N 0.000 description 21
- 239000012528 membrane Substances 0.000 description 20
- 238000003756 stirring Methods 0.000 description 20
- -1 glidants Substances 0.000 description 19
- 238000002156 mixing Methods 0.000 description 19
- 108091006146 Channels Proteins 0.000 description 18
- 239000013078 crystal Substances 0.000 description 18
- 238000002360 preparation method Methods 0.000 description 18
- 239000000843 powder Substances 0.000 description 17
- 239000000126 substance Substances 0.000 description 17
- 239000007916 tablet composition Substances 0.000 description 17
- FAPWRFPIFSIZLT-UHFFFAOYSA-M Sodium chloride Chemical compound [Na+].[Cl-] FAPWRFPIFSIZLT-UHFFFAOYSA-M 0.000 description 16
- 229940125782 compound 2 Drugs 0.000 description 15
- 238000000113 differential scanning calorimetry Methods 0.000 description 15
- XBDQKXXYIPTUBI-UHFFFAOYSA-M Propionate Chemical compound CCC([O-])=O XBDQKXXYIPTUBI-UHFFFAOYSA-M 0.000 description 14
- WYURNTSHIVDZCO-UHFFFAOYSA-N Tetrahydrofuran Chemical compound C1CCOC1 WYURNTSHIVDZCO-UHFFFAOYSA-N 0.000 description 14
- 238000004090 dissolution Methods 0.000 description 14
- 238000001035 drying Methods 0.000 description 14
- 150000003839 salts Chemical group 0.000 description 14
- 230000032258 transport Effects 0.000 description 14
- 238000003556 assay Methods 0.000 description 13
- 238000006243 chemical reaction Methods 0.000 description 13
- 238000007906 compression Methods 0.000 description 13
- 230000006835 compression Effects 0.000 description 13
- 238000012937 correction Methods 0.000 description 13
- 239000010410 layer Substances 0.000 description 13
- 238000012360 testing method Methods 0.000 description 13
- FYSNRJHAOHDILO-UHFFFAOYSA-N thionyl chloride Chemical compound ClS(Cl)=O FYSNRJHAOHDILO-UHFFFAOYSA-N 0.000 description 13
- JKMHFZQWWAIEOD-UHFFFAOYSA-N 2-[4-(2-hydroxyethyl)piperazin-1-yl]ethanesulfonic acid Chemical compound OCC[NH+]1CCN(CCS([O-])(=O)=O)CC1 JKMHFZQWWAIEOD-UHFFFAOYSA-N 0.000 description 12
- TWRXJAOTZQYOKJ-UHFFFAOYSA-L Magnesium chloride Chemical compound [Mg+2].[Cl-].[Cl-] TWRXJAOTZQYOKJ-UHFFFAOYSA-L 0.000 description 12
- VYPSYNLAJGMNEJ-UHFFFAOYSA-N Silicium dioxide Chemical compound O=[Si]=O VYPSYNLAJGMNEJ-UHFFFAOYSA-N 0.000 description 12
- 239000008186 active pharmaceutical agent Substances 0.000 description 12
- 238000011260 co-administration Methods 0.000 description 12
- 238000005469 granulation Methods 0.000 description 12
- 230000003179 granulation Effects 0.000 description 12
- 239000000976 ink Substances 0.000 description 11
- 238000005160 1H NMR spectroscopy Methods 0.000 description 10
- IJGRMHOSHXDMSA-UHFFFAOYSA-N Atomic nitrogen Chemical compound N#N IJGRMHOSHXDMSA-UHFFFAOYSA-N 0.000 description 10
- OHCQJHSOBUTRHG-KGGHGJDLSA-N FORSKOLIN Chemical compound O=C([C@@]12O)C[C@](C)(C=C)O[C@]1(C)[C@@H](OC(=O)C)[C@@H](O)[C@@H]1[C@]2(C)[C@@H](O)CCC1(C)C OHCQJHSOBUTRHG-KGGHGJDLSA-N 0.000 description 10
- 239000007917 core tablet composition Substances 0.000 description 10
- 238000007908 dry granulation Methods 0.000 description 10
- 239000012530 fluid Substances 0.000 description 10
- LRHPLDYGYMQRHN-UHFFFAOYSA-N N-Butanol Chemical compound CCCCO LRHPLDYGYMQRHN-UHFFFAOYSA-N 0.000 description 9
- WHNWPMSKXPGLAX-UHFFFAOYSA-N N-Vinyl-2-pyrrolidone Chemical compound C=CN1CCCC1=O WHNWPMSKXPGLAX-UHFFFAOYSA-N 0.000 description 9
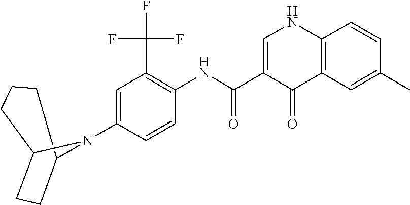
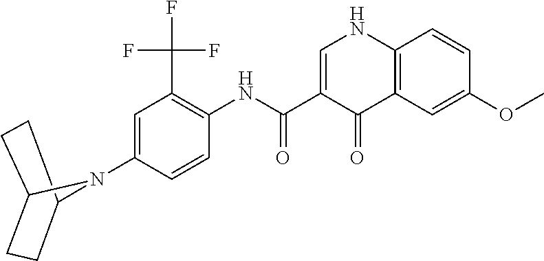
- ABEOIACPXJLEFO-UHFFFAOYSA-N N1=C(C=2C(=C(C(O)=O)C=CC=2)C(C)(C)C)C(C)=CC=C1NC(=O)C1(C=2C=C3OC(F)(F)OC3=CC=2)CC1 Chemical compound N1=C(C=2C(=C(C(O)=O)C=CC=2)C(C)(C)C)C(C)=CC=C1NC(=O)C1(C=2C=C3OC(F)(F)OC3=CC=2)CC1 ABEOIACPXJLEFO-UHFFFAOYSA-N 0.000 description 9
- 229920003081 Povidone K 30 Polymers 0.000 description 9
- 230000004071 biological effect Effects 0.000 description 9
- 230000015572 biosynthetic process Effects 0.000 description 9
- 210000000170 cell membrane Anatomy 0.000 description 9
- 239000011780 sodium chloride Substances 0.000 description 9
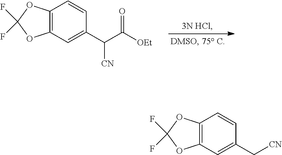
- OGDSGFSPCQGELG-UHFFFAOYSA-N 2-(2,2-difluoro-1,3-benzodioxol-5-yl)acetonitrile Chemical compound C1=C(CC#N)C=C2OC(F)(F)OC2=C1 OGDSGFSPCQGELG-UHFFFAOYSA-N 0.000 description 8
- VEXZGXHMUGYJMC-UHFFFAOYSA-M Chloride anion Chemical compound [Cl-] VEXZGXHMUGYJMC-UHFFFAOYSA-M 0.000 description 8
- 239000007995 HEPES buffer Substances 0.000 description 8
- 150000001450 anions Chemical class 0.000 description 8
- 208000035475 disorder Diseases 0.000 description 8
- 239000002552 dosage form Substances 0.000 description 8
- 210000002472 endoplasmic reticulum Anatomy 0.000 description 8
- 230000003287 optical effect Effects 0.000 description 8
- 239000012071 phase Substances 0.000 description 8
- 229920000191 poly(N-vinyl pyrrolidone) Polymers 0.000 description 8
- 239000002002 slurry Substances 0.000 description 8
- 230000007704 transition Effects 0.000 description 8
- ZWEHNKRNPOVVGH-UHFFFAOYSA-N 2-Butanone Chemical compound CCC(C)=O ZWEHNKRNPOVVGH-UHFFFAOYSA-N 0.000 description 7
- NGNBDVOYPDDBFK-UHFFFAOYSA-N 2-[2,4-di(pentan-2-yl)phenoxy]acetyl chloride Chemical group CCCC(C)C1=CC=C(OCC(Cl)=O)C(C(C)CCC)=C1 NGNBDVOYPDDBFK-UHFFFAOYSA-N 0.000 description 7
- VHYFNPMBLIVWCW-UHFFFAOYSA-N 4-Dimethylaminopyridine Chemical compound CN(C)C1=CC=NC=C1 VHYFNPMBLIVWCW-UHFFFAOYSA-N 0.000 description 7
- VEXZGXHMUGYJMC-UHFFFAOYSA-N Hydrochloric acid Chemical compound Cl VEXZGXHMUGYJMC-UHFFFAOYSA-N 0.000 description 7
- KXKVLQRXCPHEJC-UHFFFAOYSA-N acetic acid trimethyl ester Natural products COC(C)=O KXKVLQRXCPHEJC-UHFFFAOYSA-N 0.000 description 7
- 239000002253 acid Substances 0.000 description 7
- 238000004113 cell culture Methods 0.000 description 7
- 239000008119 colloidal silica Substances 0.000 description 7
- 238000005056 compaction Methods 0.000 description 7
- 230000002950 deficient Effects 0.000 description 7
- 239000007888 film coating Substances 0.000 description 7
- 238000009501 film coating Methods 0.000 description 7
- 238000001914 filtration Methods 0.000 description 7
- WBJINCZRORDGAQ-UHFFFAOYSA-N formic acid ethyl ester Natural products CCOC=O WBJINCZRORDGAQ-UHFFFAOYSA-N 0.000 description 7
- 229940045109 genistein Drugs 0.000 description 7
- TZBJGXHYKVUXJN-UHFFFAOYSA-N genistein Natural products C1=CC(O)=CC=C1C1=COC2=CC(O)=CC(O)=C2C1=O TZBJGXHYKVUXJN-UHFFFAOYSA-N 0.000 description 7
- 235000006539 genistein Nutrition 0.000 description 7
- ZCOLJUOHXJRHDI-CMWLGVBASA-N genistein 7-O-beta-D-glucoside Chemical compound O[C@@H]1[C@@H](O)[C@H](O)[C@@H](CO)O[C@H]1OC1=CC(O)=C2C(=O)C(C=3C=CC(O)=CC=3)=COC2=C1 ZCOLJUOHXJRHDI-CMWLGVBASA-N 0.000 description 7
- 230000001965 increasing effect Effects 0.000 description 7
- 239000007788 liquid Substances 0.000 description 7
- 239000000463 material Substances 0.000 description 7
- 239000012074 organic phase Substances 0.000 description 7
- 235000018102 proteins Nutrition 0.000 description 7
- 102000004169 proteins and genes Human genes 0.000 description 7
- 238000009490 roller compaction Methods 0.000 description 7
- 238000012216 screening Methods 0.000 description 7
- RZGNTHQZYZRDDB-UHFFFAOYSA-N tert-butyl 3-(6-amino-3-methylpyridin-2-yl)benzoate Chemical compound CC1=CC=C(N)N=C1C1=CC=CC(C(=O)OC(C)(C)C)=C1 RZGNTHQZYZRDDB-UHFFFAOYSA-N 0.000 description 7
- YLQBMQCUIZJEEH-UHFFFAOYSA-N tetrahydrofuran Natural products C=1C=COC=1 YLQBMQCUIZJEEH-UHFFFAOYSA-N 0.000 description 7
- IBYHHJPAARCAIE-UHFFFAOYSA-N 1-bromo-2-chloroethane Chemical compound ClCCBr IBYHHJPAARCAIE-UHFFFAOYSA-N 0.000 description 6
- ZMANZCXQSJIPKH-UHFFFAOYSA-N Triethylamine Chemical compound CCN(CC)CC ZMANZCXQSJIPKH-UHFFFAOYSA-N 0.000 description 6
- 229940079593 drug Drugs 0.000 description 6
- 239000007941 film coated tablet Substances 0.000 description 6
- 229910001629 magnesium chloride Inorganic materials 0.000 description 6
- BDAGIHXWWSANSR-UHFFFAOYSA-N methanoic acid Natural products OC=O BDAGIHXWWSANSR-UHFFFAOYSA-N 0.000 description 6
- 239000007915 roller compaction granule blend Substances 0.000 description 6
- 238000002411 thermogravimetry Methods 0.000 description 6
- 239000001993 wax Substances 0.000 description 6
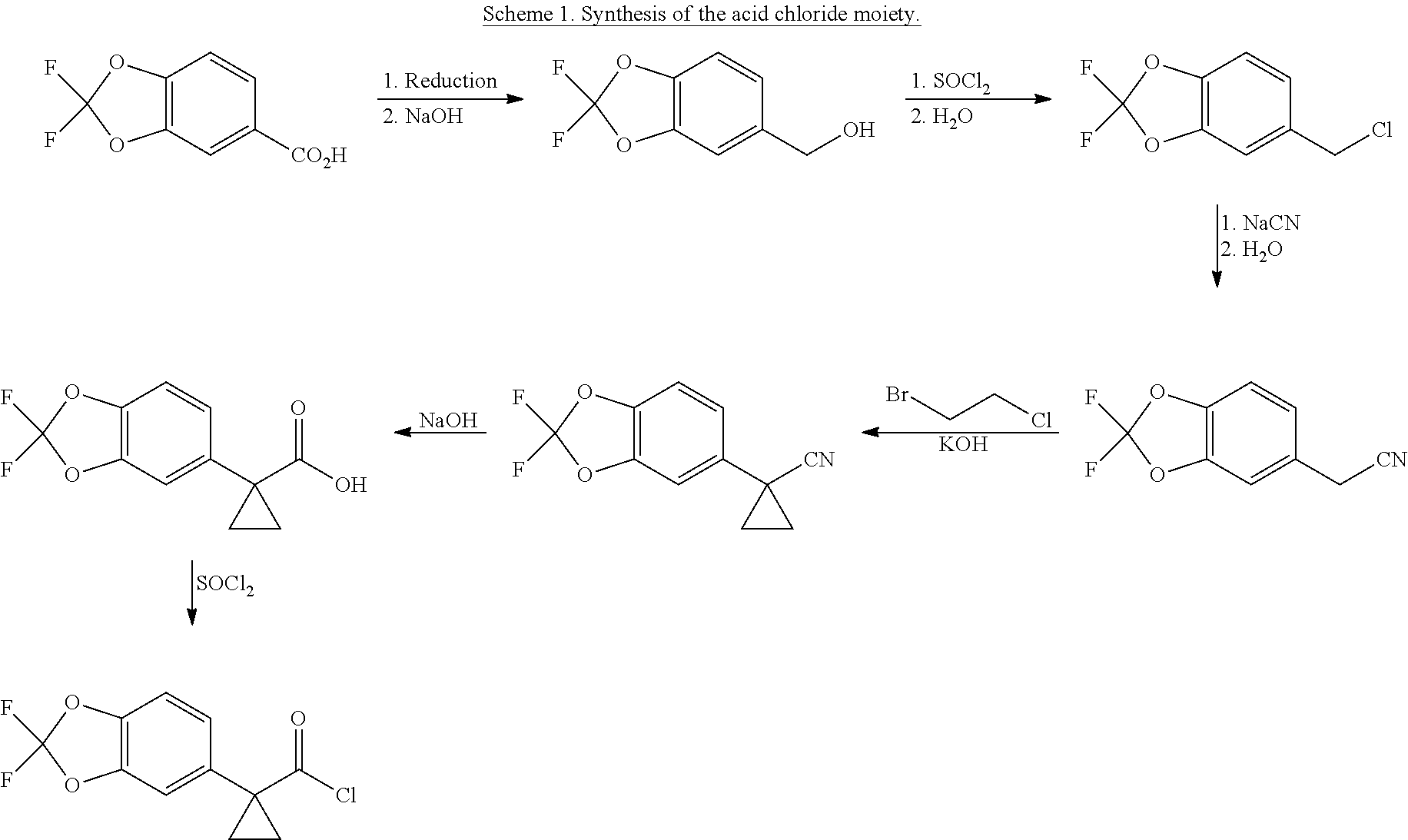
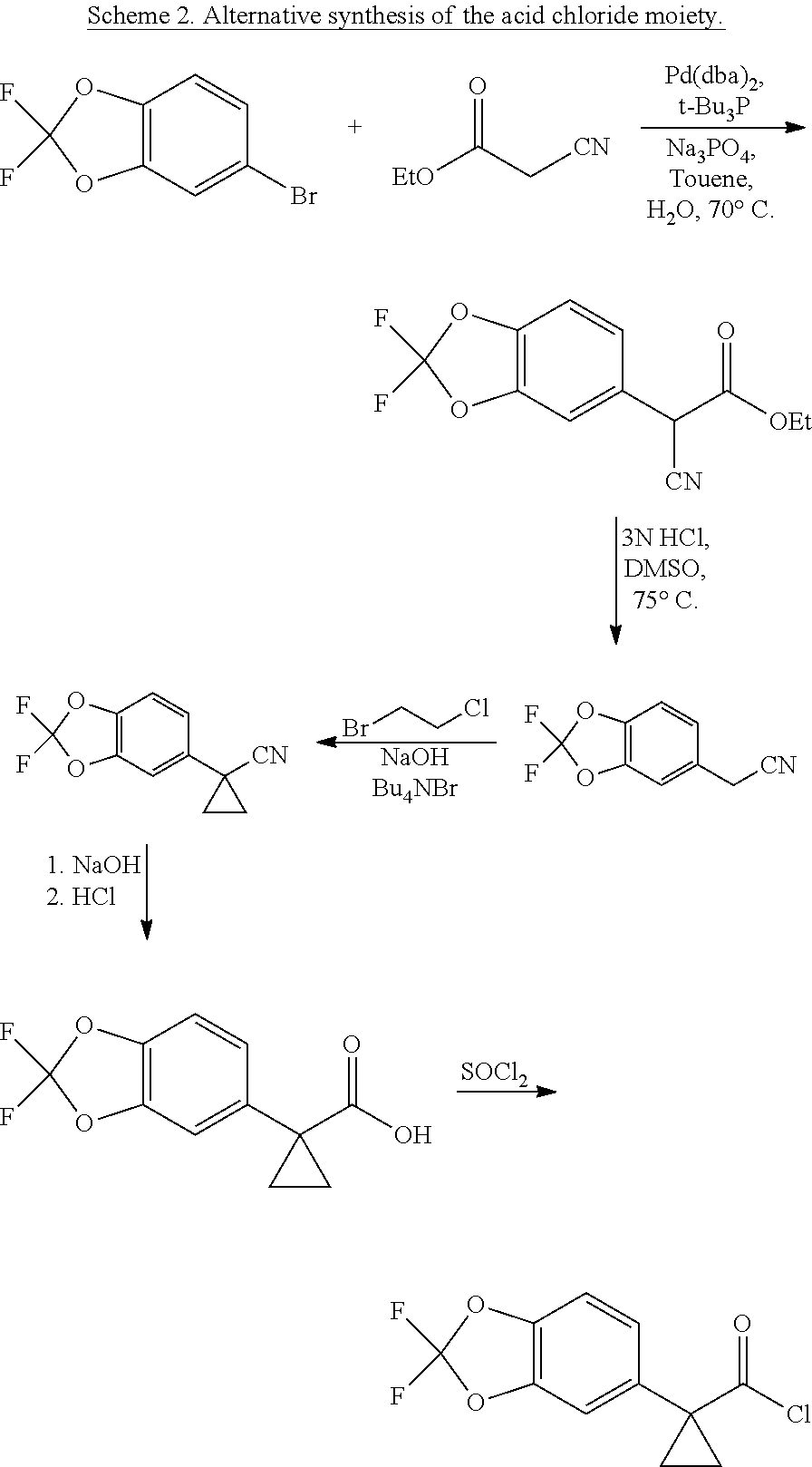
- RGKFSYDEMAFDQP-UHFFFAOYSA-N 1-(2,2-difluoro-1,3-benzodioxol-5-yl)cyclopropane-1-carbonitrile Chemical compound C1=C2OC(F)(F)OC2=CC=C1C1(C#N)CC1 RGKFSYDEMAFDQP-UHFFFAOYSA-N 0.000 description 5
- JWUJQDFVADABEY-UHFFFAOYSA-N 2-methyltetrahydrofuran Chemical compound CC1CCCO1 JWUJQDFVADABEY-UHFFFAOYSA-N 0.000 description 5
- SUZLHDUTVMZSEV-UHFFFAOYSA-N Deoxycoleonol Natural products C12C(=O)CC(C)(C=C)OC2(C)C(OC(=O)C)C(O)C2C1(C)C(O)CCC2(C)C SUZLHDUTVMZSEV-UHFFFAOYSA-N 0.000 description 5
- 108010067035 Pancrelipase Proteins 0.000 description 5
- 239000013543 active substance Substances 0.000 description 5
- 230000008901 benefit Effects 0.000 description 5
- 239000002775 capsule Substances 0.000 description 5
- 150000001732 carboxylic acid derivatives Chemical group 0.000 description 5
- OHCQJHSOBUTRHG-UHFFFAOYSA-N colforsin Natural products OC12C(=O)CC(C)(C=C)OC1(C)C(OC(=O)C)C(O)C1C2(C)C(O)CCC1(C)C OHCQJHSOBUTRHG-UHFFFAOYSA-N 0.000 description 5
- 210000000981 epithelium Anatomy 0.000 description 5
- 238000001704 evaporation Methods 0.000 description 5
- 230000008020 evaporation Effects 0.000 description 5
- 238000002474 experimental method Methods 0.000 description 5
- 239000003205 fragrance Substances 0.000 description 5
- 239000002609 medium Substances 0.000 description 5
- 238000002844 melting Methods 0.000 description 5
- 230000008018 melting Effects 0.000 description 5
- 239000000047 product Substances 0.000 description 5
- 239000000523 sample Substances 0.000 description 5
- 239000011734 sodium Substances 0.000 description 5
- 238000003786 synthesis reaction Methods 0.000 description 5
- 230000001225 therapeutic effect Effects 0.000 description 5
- FVNYSBKXILOVTD-UHFFFAOYSA-N 1-(2,2-difluoro-1,3-benzodioxol-5-yl)cyclopropane-1-carbonyl chloride Chemical compound C1=C2OC(F)(F)OC2=CC=C1C1(C(Cl)=O)CC1 FVNYSBKXILOVTD-UHFFFAOYSA-N 0.000 description 4
- IELWGOUPQRHXLS-UHFFFAOYSA-N 1-(2,2-difluoro-1,3-benzodioxol-5-yl)cyclopropane-1-carboxylic acid Chemical compound C=1C=C2OC(F)(F)OC2=CC=1C1(C(=O)O)CC1 IELWGOUPQRHXLS-UHFFFAOYSA-N 0.000 description 4
- VJLDRFCNFNQTTH-UHFFFAOYSA-N 2,2-difluoro-1,3-benzodioxole-5-carboxylic acid Chemical compound OC(=O)C1=CC=C2OC(F)(F)OC2=C1 VJLDRFCNFNQTTH-UHFFFAOYSA-N 0.000 description 4
- TWIROCHBZRSMEC-UHFFFAOYSA-N 5-(chloromethyl)-2,2-difluoro-1,3-benzodioxole Chemical compound C1=C(CCl)C=C2OC(F)(F)OC2=C1 TWIROCHBZRSMEC-UHFFFAOYSA-N 0.000 description 4
- 108091003079 Bovine Serum Albumin Proteins 0.000 description 4
- UXVMQQNJUSDDNG-UHFFFAOYSA-L Calcium chloride Chemical compound [Cl-].[Cl-].[Ca+2] UXVMQQNJUSDDNG-UHFFFAOYSA-L 0.000 description 4
- IAZDPXIOMUYVGZ-WFGJKAKNSA-N Dimethyl sulfoxide Chemical compound [2H]C([2H])([2H])S(=O)C([2H])([2H])[2H] IAZDPXIOMUYVGZ-WFGJKAKNSA-N 0.000 description 4
- XEKOWRVHYACXOJ-UHFFFAOYSA-N Ethyl acetate Chemical compound CCOC(C)=O XEKOWRVHYACXOJ-UHFFFAOYSA-N 0.000 description 4
- IMNFDUFMRHMDMM-UHFFFAOYSA-N N-Heptane Chemical compound CCCCCCC IMNFDUFMRHMDMM-UHFFFAOYSA-N 0.000 description 4
- 229910006124 SOCl2 Inorganic materials 0.000 description 4
- 238000004458 analytical method Methods 0.000 description 4
- 239000003242 anti bacterial agent Substances 0.000 description 4
- 238000000149 argon plasma sintering Methods 0.000 description 4
- 239000001110 calcium chloride Substances 0.000 description 4
- 229910001628 calcium chloride Inorganic materials 0.000 description 4
- 239000011248 coating agent Substances 0.000 description 4
- 238000000576 coating method Methods 0.000 description 4
- 230000008878 coupling Effects 0.000 description 4
- 238000010168 coupling process Methods 0.000 description 4
- 238000005859 coupling reaction Methods 0.000 description 4
- 239000003937 drug carrier Substances 0.000 description 4
- 239000000975 dye Substances 0.000 description 4
- 239000000796 flavoring agent Substances 0.000 description 4
- 235000019634 flavors Nutrition 0.000 description 4
- 239000011521 glass Substances 0.000 description 4
- RWSXRVCMGQZWBV-WDSKDSINSA-N glutathione Chemical compound OC(=O)[C@@H](N)CCC(=O)N[C@@H](CS)C(=O)NCC(O)=O RWSXRVCMGQZWBV-WDSKDSINSA-N 0.000 description 4
- 238000004128 high performance liquid chromatography Methods 0.000 description 4
- 238000011534 incubation Methods 0.000 description 4
- 230000003834 intracellular effect Effects 0.000 description 4
- 150000002500 ions Chemical class 0.000 description 4
- 210000004072 lung Anatomy 0.000 description 4
- 238000004519 manufacturing process Methods 0.000 description 4
- 229910052757 nitrogen Inorganic materials 0.000 description 4
- 235000016709 nutrition Nutrition 0.000 description 4
- 239000003921 oil Substances 0.000 description 4
- 235000019198 oils Nutrition 0.000 description 4
- 239000012044 organic layer Substances 0.000 description 4
- BNRNXUUZRGQAQC-UHFFFAOYSA-N sildenafil Chemical compound CCCC1=NN(C)C(C(N2)=O)=C1N=C2C(C(=CC=1)OCC)=CC=1S(=O)(=O)N1CCN(C)CC1 BNRNXUUZRGQAQC-UHFFFAOYSA-N 0.000 description 4
- 239000007909 solid dosage form Substances 0.000 description 4
- 238000001228 spectrum Methods 0.000 description 4
- VNFCTMXMAKNWDJ-UHFFFAOYSA-N tert-butyl 3-(3-methylpyridin-2-yl)benzoate Chemical compound CC1=CC=CN=C1C1=CC=CC(C(=O)OC(C)(C)C)=C1 VNFCTMXMAKNWDJ-UHFFFAOYSA-N 0.000 description 4
- 125000000999 tert-butyl group Chemical group [H]C([H])([H])C(*)(C([H])([H])[H])C([H])([H])[H] 0.000 description 4
- 238000002560 therapeutic procedure Methods 0.000 description 4
- 238000005303 weighing Methods 0.000 description 4
- PJPDSEYHEHGLOH-UHFFFAOYSA-N (2,2-difluoro-1,3-benzodioxol-5-yl)methanol Chemical compound OCC1=CC=C2OC(F)(F)OC2=C1 PJPDSEYHEHGLOH-UHFFFAOYSA-N 0.000 description 3
- OOUGLTULBSNHNF-UHFFFAOYSA-N 3-[5-(2-fluorophenyl)-1,2,4-oxadiazol-3-yl]benzoic acid Chemical compound OC(=O)C1=CC=CC(C=2N=C(ON=2)C=2C(=CC=CC=2)F)=C1 OOUGLTULBSNHNF-UHFFFAOYSA-N 0.000 description 3
- OSWFIVFLDKOXQC-UHFFFAOYSA-N 4-(3-methoxyphenyl)aniline Chemical compound COC1=CC=CC(C=2C=CC(N)=CC=2)=C1 OSWFIVFLDKOXQC-UHFFFAOYSA-N 0.000 description 3
- VJYNRXFXHKIGLT-UHFFFAOYSA-N 5-[3-(1,3-diethyl-4,6-dioxo-2-sulfanylidene-1,3-diazinan-5-yl)prop-2-enylidene]-1,3-diethyl-2-sulfanylidene-1,3-diazinane-4,6-dione Chemical compound O=C1N(CC)C(=S)N(CC)C(=O)C1C=CC=C1C(=O)N(CC)C(=S)N(CC)C1=O VJYNRXFXHKIGLT-UHFFFAOYSA-N 0.000 description 3
- XBPCUCUWBYBCDP-UHFFFAOYSA-N Dicyclohexylamine Chemical compound C1CCCCC1NC1CCCCC1 XBPCUCUWBYBCDP-UHFFFAOYSA-N 0.000 description 3
- 239000006144 Dulbecco’s modified Eagle's medium Substances 0.000 description 3
- 241000124008 Mammalia Species 0.000 description 3
- AFVFQIVMOAPDHO-UHFFFAOYSA-N Methanesulfonic acid Chemical compound CS(O)(=O)=O AFVFQIVMOAPDHO-UHFFFAOYSA-N 0.000 description 3
- MBBZMMPHUWSWHV-BDVNFPICSA-N N-methylglucamine Chemical compound CNC[C@H](O)[C@@H](O)[C@H](O)[C@H](O)CO MBBZMMPHUWSWHV-BDVNFPICSA-N 0.000 description 3
- 239000007832 Na2SO4 Substances 0.000 description 3
- 239000004698 Polyethylene Substances 0.000 description 3
- 229920001328 Polyvinylidene chloride Polymers 0.000 description 3
- PMZURENOXWZQFD-UHFFFAOYSA-L Sodium Sulfate Chemical compound [Na+].[Na+].[O-]S([O-])(=O)=O PMZURENOXWZQFD-UHFFFAOYSA-L 0.000 description 3
- 238000009825 accumulation Methods 0.000 description 3
- 239000004480 active ingredient Substances 0.000 description 3
- 229910052782 aluminium Inorganic materials 0.000 description 3
- XAGFODPZIPBFFR-UHFFFAOYSA-N aluminium Chemical compound [Al] XAGFODPZIPBFFR-UHFFFAOYSA-N 0.000 description 3
- 210000003050 axon Anatomy 0.000 description 3
- KRKNYBCHXYNGOX-UHFFFAOYSA-N citric acid Chemical compound OC(=O)CC(O)(C(O)=O)CC(O)=O KRKNYBCHXYNGOX-UHFFFAOYSA-N 0.000 description 3
- 229940075614 colloidal silicon dioxide Drugs 0.000 description 3
- 238000001816 cooling Methods 0.000 description 3
- 239000012043 crude product Substances 0.000 description 3
- 230000007547 defect Effects 0.000 description 3
- 238000012217 deletion Methods 0.000 description 3
- 230000037430 deletion Effects 0.000 description 3
- 239000000539 dimer Substances 0.000 description 3
- 239000012738 dissolution medium Substances 0.000 description 3
- 239000012091 fetal bovine serum Substances 0.000 description 3
- 210000002950 fibroblast Anatomy 0.000 description 3
- 235000019253 formic acid Nutrition 0.000 description 3
- ZDXPYRJPNDTMRX-UHFFFAOYSA-N glutamine Natural products OC(=O)C(N)CCC(N)=O ZDXPYRJPNDTMRX-UHFFFAOYSA-N 0.000 description 3
- 238000009478 high shear granulation Methods 0.000 description 3
- 238000003801 milling Methods 0.000 description 3
- 239000003960 organic solvent Substances 0.000 description 3
- 229920000573 polyethylene Polymers 0.000 description 3
- 239000011541 reaction mixture Substances 0.000 description 3
- 230000000241 respiratory effect Effects 0.000 description 3
- 230000004044 response Effects 0.000 description 3
- 230000028327 secretion Effects 0.000 description 3
- 229910052938 sodium sulfate Inorganic materials 0.000 description 3
- 238000009987 spinning Methods 0.000 description 3
- GABVOLXSMGHLPI-UHFFFAOYSA-N tert-butyl 3-(3-methyl-1-oxidopyridin-1-ium-2-yl)benzoate Chemical compound CC1=CC=C[N+]([O-])=C1C1=CC=CC(C(=O)OC(C)(C)C)=C1 GABVOLXSMGHLPI-UHFFFAOYSA-N 0.000 description 3
- 229960000707 tobramycin Drugs 0.000 description 3
- NLVFBUXFDBBNBW-PBSUHMDJSA-N tobramycin Chemical compound N[C@@H]1C[C@H](O)[C@@H](CN)O[C@@H]1O[C@H]1[C@H](O)[C@@H](O[C@@H]2[C@@H]([C@@H](N)[C@H](O)[C@@H](CO)O2)O)[C@H](N)C[C@@H]1N NLVFBUXFDBBNBW-PBSUHMDJSA-N 0.000 description 3
- 238000012546 transfer Methods 0.000 description 3
- LENZDBCJOHFCAS-UHFFFAOYSA-N tris Chemical compound OCC(N)(CO)CO LENZDBCJOHFCAS-UHFFFAOYSA-N 0.000 description 3
- MJUVRTYWUMPBTR-MRXNPFEDSA-N 1-(2,2-difluoro-1,3-benzodioxol-5-yl)-n-[1-[(2r)-2,3-dihydroxypropyl]-6-fluoro-2-(1-hydroxy-2-methylpropan-2-yl)indol-5-yl]cyclopropane-1-carboxamide Chemical group FC=1C=C2N(C[C@@H](O)CO)C(C(C)(CO)C)=CC2=CC=1NC(=O)C1(C=2C=C3OC(F)(F)OC3=CC=2)CC1 MJUVRTYWUMPBTR-MRXNPFEDSA-N 0.000 description 2
- AEQDJSLRWYMAQI-UHFFFAOYSA-N 2,3,9,10-tetramethoxy-6,8,13,13a-tetrahydro-5H-isoquinolino[2,1-b]isoquinoline Chemical compound C1CN2CC(C(=C(OC)C=C3)OC)=C3CC2C2=C1C=C(OC)C(OC)=C2 AEQDJSLRWYMAQI-UHFFFAOYSA-N 0.000 description 2
- HZAXFHJVJLSVMW-UHFFFAOYSA-N 2-Aminoethan-1-ol Chemical compound NCCO HZAXFHJVJLSVMW-UHFFFAOYSA-N 0.000 description 2
- PZSISEFPCYMBDL-UHFFFAOYSA-N 2-bromo-3-methylpyridine Chemical compound CC1=CC=CN=C1Br PZSISEFPCYMBDL-UHFFFAOYSA-N 0.000 description 2
- YNVODGKBKZCGGN-UHFFFAOYSA-N 3-[6-[[1-(2,2-difluoro-1,3-benzodioxol-5-yl)cyclopropanecarbonyl]amino]-3-methylpyridin-2-yl]benzoic acid;hydrochloride Chemical class Cl.N1=C(C=2C=C(C=CC=2)C(O)=O)C(C)=CC=C1NC(=O)C1(C=2C=C3OC(F)(F)OC3=CC=2)CC1 YNVODGKBKZCGGN-UHFFFAOYSA-N 0.000 description 2
- 229960000549 4-dimethylaminophenol Drugs 0.000 description 2
- SZRHWHHXVXSGMT-UHFFFAOYSA-N 5-bromo-2,2-difluoro-1,3-benzodioxole Chemical compound C1=C(Br)C=C2OC(F)(F)OC2=C1 SZRHWHHXVXSGMT-UHFFFAOYSA-N 0.000 description 2
- SDDSJMXGJNWMJY-BRHAQHMBSA-N 7-[(2r,4ar,5r,7ar)-2-[(3s)-1,1-difluoro-3-methylpentyl]-2-hydroxy-6-oxo-3,4,4a,5,7,7a-hexahydrocyclopenta[b]pyran-5-yl]heptanoic acid Chemical compound O1[C@](C(F)(F)C[C@@H](C)CC)(O)CC[C@@H]2[C@@H](CCCCCCC(O)=O)C(=O)C[C@H]21 SDDSJMXGJNWMJY-BRHAQHMBSA-N 0.000 description 2
- WZPBZJONDBGPKJ-UHFFFAOYSA-N Antibiotic SQ 26917 Natural products O=C1N(S(O)(=O)=O)C(C)C1NC(=O)C(=NOC(C)(C)C(O)=O)C1=CSC(N)=N1 WZPBZJONDBGPKJ-UHFFFAOYSA-N 0.000 description 2
- 229920003084 Avicel® PH-102 Polymers 0.000 description 2
- LJEORQHFPZFXSP-UHFFFAOYSA-N CC1=C(C2=CC=CC(C(=O)O)=C2)N=C(NC(=O)C2(C3=CC4=C(C=C3)OC(F)(F)O4)CC2)C=C1.CC1=C(C2=CC=CC(C(=O)OC(C)(C)C)=C2)N=C(NC(=O)C2(C3=CC4=C(C=C3)OC(F)(F)O4)CC2)C=C1.Cl Chemical compound CC1=C(C2=CC=CC(C(=O)O)=C2)N=C(NC(=O)C2(C3=CC4=C(C=C3)OC(F)(F)O4)CC2)C=C1.CC1=C(C2=CC=CC(C(=O)OC(C)(C)C)=C2)N=C(NC(=O)C2(C3=CC4=C(C=C3)OC(F)(F)O4)CC2)C=C1.Cl LJEORQHFPZFXSP-UHFFFAOYSA-N 0.000 description 2
- 244000180278 Copernicia prunifera Species 0.000 description 2
- 235000010919 Copernicia prunifera Nutrition 0.000 description 2
- 102000008130 Cyclic AMP-Dependent Protein Kinases Human genes 0.000 description 2
- FBPFZTCFMRRESA-FSIIMWSLSA-N D-Glucitol Natural products OC[C@H](O)[C@H](O)[C@@H](O)[C@H](O)CO FBPFZTCFMRRESA-FSIIMWSLSA-N 0.000 description 2
- FBPFZTCFMRRESA-JGWLITMVSA-N D-glucitol Chemical compound OC[C@H](O)[C@@H](O)[C@H](O)[C@H](O)CO FBPFZTCFMRRESA-JGWLITMVSA-N 0.000 description 2
- RGHNJXZEOKUKBD-SQOUGZDYSA-M D-gluconate Chemical group OC[C@@H](O)[C@@H](O)[C@H](O)[C@@H](O)C([O-])=O RGHNJXZEOKUKBD-SQOUGZDYSA-M 0.000 description 2
- XRHVZWWRFMCBAZ-UHFFFAOYSA-L Endothal-disodium Chemical compound [Na+].[Na+].C1CC2C(C([O-])=O)C(C(=O)[O-])C1O2 XRHVZWWRFMCBAZ-UHFFFAOYSA-L 0.000 description 2
- WQZGKKKJIJFFOK-GASJEMHNSA-N Glucose Natural products OC[C@H]1OC(O)[C@H](O)[C@@H](O)[C@@H]1O WQZGKKKJIJFFOK-GASJEMHNSA-N 0.000 description 2
- 108010024636 Glutathione Proteins 0.000 description 2
- 102000004310 Ion Channels Human genes 0.000 description 2
- 108090000862 Ion Channels Proteins 0.000 description 2
- UQSXHKLRYXJYBZ-UHFFFAOYSA-N Iron oxide Chemical compound [Fe]=O UQSXHKLRYXJYBZ-UHFFFAOYSA-N 0.000 description 2
- 208000019693 Lung disease Diseases 0.000 description 2
- 108010021466 Mutant Proteins Proteins 0.000 description 2
- 102000008300 Mutant Proteins Human genes 0.000 description 2
- KDLHZDBZIXYQEI-UHFFFAOYSA-N Palladium Chemical compound [Pd] KDLHZDBZIXYQEI-UHFFFAOYSA-N 0.000 description 2
- 208000035467 Pancreatic insufficiency Diseases 0.000 description 2
- LGRFSURHDFAFJT-UHFFFAOYSA-N Phthalic anhydride Natural products C1=CC=C2C(=O)OC(=O)C2=C1 LGRFSURHDFAFJT-UHFFFAOYSA-N 0.000 description 2
- JUJWROOIHBZHMG-UHFFFAOYSA-N Pyridine Chemical compound C1=CC=NC=C1 JUJWROOIHBZHMG-UHFFFAOYSA-N 0.000 description 2
- CDBYLPFSWZWCQE-UHFFFAOYSA-L Sodium Carbonate Chemical compound [Na+].[Na+].[O-]C([O-])=O CDBYLPFSWZWCQE-UHFFFAOYSA-L 0.000 description 2
- 229920002472 Starch Polymers 0.000 description 2
- QAOWNCQODCNURD-UHFFFAOYSA-L Sulfate Chemical compound [O-]S([O-])(=O)=O QAOWNCQODCNURD-UHFFFAOYSA-L 0.000 description 2
- 102000003673 Symporters Human genes 0.000 description 2
- 108090000088 Symporters Proteins 0.000 description 2
- GWEVSGVZZGPLCZ-UHFFFAOYSA-N Titan oxide Chemical compound O=[Ti]=O GWEVSGVZZGPLCZ-UHFFFAOYSA-N 0.000 description 2
- HEDRZPFGACZZDS-MICDWDOJSA-N Trichloro(2H)methane Chemical compound [2H]C(Cl)(Cl)Cl HEDRZPFGACZZDS-MICDWDOJSA-N 0.000 description 2
- 239000007983 Tris buffer Substances 0.000 description 2
- HVJDVHCPCSZDSR-UHFFFAOYSA-N [3-[(2-methylpropan-2-yl)oxycarbonyl]phenyl]boronic acid Chemical compound CC(C)(C)OC(=O)C1=CC=CC(B(O)O)=C1 HVJDVHCPCSZDSR-UHFFFAOYSA-N 0.000 description 2
- 230000004913 activation Effects 0.000 description 2
- 239000000654 additive Substances 0.000 description 2
- NDAUXUAQIAJITI-UHFFFAOYSA-N albuterol Chemical compound CC(C)(C)NCC(O)C1=CC=C(O)C(CO)=C1 NDAUXUAQIAJITI-UHFFFAOYSA-N 0.000 description 2
- MBMBGCFOFBJSGT-KUBAVDMBSA-N all-cis-docosa-4,7,10,13,16,19-hexaenoic acid Chemical compound CC\C=C/C\C=C/C\C=C/C\C=C/C\C=C/C\C=C/CCC(O)=O MBMBGCFOFBJSGT-KUBAVDMBSA-N 0.000 description 2
- 150000001413 amino acids Chemical class 0.000 description 2
- 239000002260 anti-inflammatory agent Substances 0.000 description 2
- 229940121363 anti-inflammatory agent Drugs 0.000 description 2
- 229940088710 antibiotic agent Drugs 0.000 description 2
- 239000007864 aqueous solution Substances 0.000 description 2
- 238000002820 assay format Methods 0.000 description 2
- 229960003995 ataluren Drugs 0.000 description 2
- 229960003644 aztreonam Drugs 0.000 description 2
- WZPBZJONDBGPKJ-VEHQQRBSSA-N aztreonam Chemical compound O=C1N(S([O-])(=O)=O)[C@@H](C)[C@@H]1NC(=O)C(=N/OC(C)(C)C(O)=O)\C1=CSC([NH3+])=N1 WZPBZJONDBGPKJ-VEHQQRBSSA-N 0.000 description 2
- 230000003115 biocidal effect Effects 0.000 description 2
- 239000012267 brine Substances 0.000 description 2
- JHIWVOJDXOSYLW-UHFFFAOYSA-N butyl 2,2-difluorocyclopropane-1-carboxylate Chemical compound CCCCOC(=O)C1CC1(F)F JHIWVOJDXOSYLW-UHFFFAOYSA-N 0.000 description 2
- AIYUHDOJVYHVIT-UHFFFAOYSA-M caesium chloride Chemical compound [Cl-].[Cs+] AIYUHDOJVYHVIT-UHFFFAOYSA-M 0.000 description 2
- HUCVOHYBFXVBRW-UHFFFAOYSA-M caesium hydroxide Chemical compound [OH-].[Cs+] HUCVOHYBFXVBRW-UHFFFAOYSA-M 0.000 description 2
- XAAHAAMILDNBPS-UHFFFAOYSA-L calcium hydrogenphosphate dihydrate Chemical compound O.O.[Ca+2].OP([O-])([O-])=O XAAHAAMILDNBPS-UHFFFAOYSA-L 0.000 description 2
- 239000001506 calcium phosphate Substances 0.000 description 2
- 235000011010 calcium phosphates Nutrition 0.000 description 2
- 238000001460 carbon-13 nuclear magnetic resonance spectrum Methods 0.000 description 2
- 239000004203 carnauba wax Substances 0.000 description 2
- 235000013869 carnauba wax Nutrition 0.000 description 2
- 230000003197 catalytic effect Effects 0.000 description 2
- 230000001413 cellular effect Effects 0.000 description 2
- 230000008859 change Effects 0.000 description 2
- MYSWGUAQZAJSOK-UHFFFAOYSA-N ciprofloxacin Chemical compound C12=CC(N3CCNCC3)=C(F)C=C2C(=O)C(C(=O)O)=CN1C1CC1 MYSWGUAQZAJSOK-UHFFFAOYSA-N 0.000 description 2
- 239000000306 component Substances 0.000 description 2
- 238000002447 crystallographic data Methods 0.000 description 2
- RWGFKTVRMDUZSP-UHFFFAOYSA-N cumene Chemical compound CC(C)C1=CC=CC=C1 RWGFKTVRMDUZSP-UHFFFAOYSA-N 0.000 description 2
- VFLDPWHFBUODDF-FCXRPNKRSA-N curcumin Chemical compound C1=C(O)C(OC)=CC(\C=C\C(=O)CC(=O)\C=C\C=2C=C(OC)C(O)=CC=2)=C1 VFLDPWHFBUODDF-FCXRPNKRSA-N 0.000 description 2
- 239000008121 dextrose Substances 0.000 description 2
- 229910001873 dinitrogen Inorganic materials 0.000 description 2
- 239000006185 dispersion Substances 0.000 description 2
- 238000009826 distribution Methods 0.000 description 2
- 210000002919 epithelial cell Anatomy 0.000 description 2
- ZIUSEGSNTOUIPT-UHFFFAOYSA-N ethyl 2-cyanoacetate Chemical compound CCOC(=O)CC#N ZIUSEGSNTOUIPT-UHFFFAOYSA-N 0.000 description 2
- MVPICKVDHDWCJQ-UHFFFAOYSA-N ethyl 3-pyrrolidin-1-ylpropanoate Chemical compound CCOC(=O)CCN1CCCC1 MVPICKVDHDWCJQ-UHFFFAOYSA-N 0.000 description 2
- 235000019439 ethyl acetate Nutrition 0.000 description 2
- 230000001747 exhibiting effect Effects 0.000 description 2
- 238000002866 fluorescence resonance energy transfer Methods 0.000 description 2
- 238000000806 fluorine-19 nuclear magnetic resonance spectrum Methods 0.000 description 2
- 229960003180 glutathione Drugs 0.000 description 2
- 239000008202 granule composition Substances 0.000 description 2
- 230000005484 gravity Effects 0.000 description 2
- 229920001903 high density polyethylene Polymers 0.000 description 2
- 239000004700 high-density polyethylene Substances 0.000 description 2
- 230000001744 histochemical effect Effects 0.000 description 2
- 230000001771 impaired effect Effects 0.000 description 2
- 208000015181 infectious disease Diseases 0.000 description 2
- 239000003112 inhibitor Substances 0.000 description 2
- 229920001684 low density polyethylene Polymers 0.000 description 2
- 239000004702 low-density polyethylene Substances 0.000 description 2
- 238000007726 management method Methods 0.000 description 2
- 239000011159 matrix material Substances 0.000 description 2
- 238000005259 measurement Methods 0.000 description 2
- 238000010297 mechanical methods and process Methods 0.000 description 2
- 230000005226 mechanical processes and functions Effects 0.000 description 2
- 230000028161 membrane depolarization Effects 0.000 description 2
- 239000002480 mineral oil Substances 0.000 description 2
- 235000010446 mineral oil Nutrition 0.000 description 2
- 229940064639 minipress Drugs 0.000 description 2
- 210000003097 mucus Anatomy 0.000 description 2
- VLKZOEOYAKHREP-UHFFFAOYSA-N n-Hexane Chemical class CCCCCC VLKZOEOYAKHREP-UHFFFAOYSA-N 0.000 description 2
- 229960000988 nystatin Drugs 0.000 description 2
- VQOXZBDYSJBXMA-NQTDYLQESA-N nystatin A1 Chemical compound O[C@H]1[C@@H](N)[C@H](O)[C@@H](C)O[C@H]1O[C@H]1/C=C/C=C/C=C/C=C/CC/C=C/C=C/[C@H](C)[C@@H](O)[C@@H](C)[C@H](C)OC(=O)C[C@H](O)C[C@H](O)C[C@H](O)CC[C@@H](O)[C@H](O)C[C@](O)(C[C@H](O)[C@H]2C(O)=O)O[C@H]2C1 VQOXZBDYSJBXMA-NQTDYLQESA-N 0.000 description 2
- 229940045258 pancrelipase Drugs 0.000 description 2
- 239000013618 particulate matter Substances 0.000 description 2
- 229940124531 pharmaceutical excipient Drugs 0.000 description 2
- HYAFETHFCAUJAY-UHFFFAOYSA-N pioglitazone Chemical compound N1=CC(CC)=CC=C1CCOC(C=C1)=CC=C1CC1C(=O)NC(=O)S1 HYAFETHFCAUJAY-UHFFFAOYSA-N 0.000 description 2
- 229920000729 poly(L-lysine) polymer Polymers 0.000 description 2
- 239000004800 polyvinyl chloride Substances 0.000 description 2
- BWHMMNNQKKPAPP-UHFFFAOYSA-L potassium carbonate Chemical compound [K+].[K+].[O-]C([O-])=O BWHMMNNQKKPAPP-UHFFFAOYSA-L 0.000 description 2
- WFXFYZULCQKPIP-UHFFFAOYSA-N prazosin hydrochloride Chemical compound [H+].[Cl-].N=1C(N)=C2C=C(OC)C(OC)=CC2=NC=1N(CC1)CCN1C(=O)C1=CC=CO1 WFXFYZULCQKPIP-UHFFFAOYSA-N 0.000 description 2
- 238000011533 pre-incubation Methods 0.000 description 2
- 239000002243 precursor Substances 0.000 description 2
- 238000012545 processing Methods 0.000 description 2
- 238000010926 purge Methods 0.000 description 2
- 238000001953 recrystallisation Methods 0.000 description 2
- 230000001105 regulatory effect Effects 0.000 description 2
- 229960002052 salbutamol Drugs 0.000 description 2
- 238000005070 sampling Methods 0.000 description 2
- 229960003310 sildenafil Drugs 0.000 description 2
- 238000009491 slugging Methods 0.000 description 2
- 239000000176 sodium gluconate Substances 0.000 description 2
- 235000012207 sodium gluconate Nutrition 0.000 description 2
- 229940005574 sodium gluconate Drugs 0.000 description 2
- 239000012064 sodium phosphate buffer Substances 0.000 description 2
- 229940045902 sodium stearyl fumarate Drugs 0.000 description 2
- GEHJYWRUCIMESM-UHFFFAOYSA-L sodium sulfite Chemical compound [Na+].[Na+].[O-]S([O-])=O GEHJYWRUCIMESM-UHFFFAOYSA-L 0.000 description 2
- HPALAKNZSZLMCH-UHFFFAOYSA-M sodium;chloride;hydrate Chemical compound O.[Na+].[Cl-] HPALAKNZSZLMCH-UHFFFAOYSA-M 0.000 description 2
- 239000011343 solid material Substances 0.000 description 2
- 239000000600 sorbitol Substances 0.000 description 2
- 235000010356 sorbitol Nutrition 0.000 description 2
- 235000019698 starch Nutrition 0.000 description 2
- 230000001954 sterilising effect Effects 0.000 description 2
- 238000004659 sterilization and disinfection Methods 0.000 description 2
- UCSJYZPVAKXKNQ-HZYVHMACSA-N streptomycin Chemical compound CN[C@H]1[C@H](O)[C@@H](O)[C@H](CO)O[C@H]1O[C@@H]1[C@](C=O)(O)[C@H](C)O[C@H]1O[C@@H]1[C@@H](NC(N)=N)[C@H](O)[C@@H](NC(N)=N)[C@H](O)[C@H]1O UCSJYZPVAKXKNQ-HZYVHMACSA-N 0.000 description 2
- 235000000346 sugar Nutrition 0.000 description 2
- 150000008163 sugars Chemical class 0.000 description 2
- 239000000725 suspension Substances 0.000 description 2
- 208000024891 symptom Diseases 0.000 description 2
- 239000000454 talc Substances 0.000 description 2
- 229910052623 talc Inorganic materials 0.000 description 2
- 235000012222 talc Nutrition 0.000 description 2
- QORWJWZARLRLPR-UHFFFAOYSA-H tricalcium bis(phosphate) Chemical class [Ca+2].[Ca+2].[Ca+2].[O-]P([O-])([O-])=O.[O-]P([O-])([O-])=O QORWJWZARLRLPR-UHFFFAOYSA-H 0.000 description 2
- 229940086542 triethylamine Drugs 0.000 description 2
- LWIHDJKSTIGBAC-UHFFFAOYSA-K tripotassium phosphate Chemical compound [K+].[K+].[K+].[O-]P([O-])([O-])=O LWIHDJKSTIGBAC-UHFFFAOYSA-K 0.000 description 2
- 239000011800 void material Substances 0.000 description 2
- 238000005550 wet granulation Methods 0.000 description 2
- JWZZKOKVBUJMES-UHFFFAOYSA-N (+-)-Isoprenaline Chemical compound CC(C)NCC(O)C1=CC=C(O)C(O)=C1 JWZZKOKVBUJMES-UHFFFAOYSA-N 0.000 description 1
- SFWLDKQAUHFCBS-AOEYGKNYSA-N (1S,4S,13S,16S,19S,22S,25S,28R,31S,37S,40S,41S,44R,47S,50S,53S,56R,65S,70S)-44-amino-47-(4-aminobutyl)-4,16,22-tribenzyl-31-[(R)-carboxy(hydroxy)methyl]-2,5,14,17,20,23,26,29,32,35,38,45,48,51,54,57,67-heptadecahydroxy-37-(2-hydroxy-2-iminoethyl)-50-(3-hydroxy-3-iminopropyl)-41,70-dimethyl-8-oxo-25-propan-2-yl-42,69,72-trithia-3,6,9,15,18,21,24,27,30,33,36,39,46,49,52,55,58,60,66-nonadecazapentacyclo[38.18.9.319,56.328,53.09,13]triheptaconta-2,5,14,17,20,23,26,29,32,35,38,45,48,51,54,57,66-heptadecaene-65-carboxylic acid Chemical compound CC(C)[C@@H]1\N=C(O)/[C@H](Cc2ccccc2)\N=C(O)/[C@@H]2\N=C(O)/[C@H](Cc3ccccc3)\N=C(O)/[C@@H]3CCCN3C(=O)C\N=C(O)/[C@H](Cc3ccccc3)\N=C(O)/[C@@H]3CNCCCC[C@H](\N=C(O)\[C@@H]4\N=C(O)\[C@H](CC(O)=N)\N=C(O)\C\N=C(O)/[C@@H](\N=C(O)\[C@H](CSC[C@@H](N=C(O)[C@H](CCC(O)=N)N=C(O)[C@H](CCCCN)N=C(O)[C@@H](N)CS[C@H]4C)C(O)=N[C@@H](CS[C@H]2C)C(O)=N3)\N=C1\O)[C@@H](O)C(O)=O)C(O)=O SFWLDKQAUHFCBS-AOEYGKNYSA-N 0.000 description 1
- UKSZBOKPHAQOMP-SVLSSHOZSA-N (1e,4e)-1,5-diphenylpenta-1,4-dien-3-one;palladium Chemical compound [Pd].C=1C=CC=CC=1\C=C\C(=O)\C=C\C1=CC=CC=C1.C=1C=CC=CC=1\C=C\C(=O)\C=C\C1=CC=CC=C1 UKSZBOKPHAQOMP-SVLSSHOZSA-N 0.000 description 1
- QSIRXSYRKZHJHX-TWXHAJHVSA-N (2s)-6-amino-2-[[(2s)-2-[[(2s)-2-[[(2s)-2-[[(2s)-2-[[(2s)-6-amino-2-[[(2s)-2-[[(2s)-2-[[(2s)-2-[[(2s)-2-[[(2s)-6-amino-2-[[(2s)-2-[[(2s)-2-[[(2s)-2-[[(2s)-2-[[(2s)-6-amino-2-[[(2s)-2-[[(2s)-2-[[(2s)-2-[[(2s)-2-[[(2s)-2,6-diaminohexanoyl]amino]-4-methylpen Chemical compound NCCCC[C@H](N)C(=O)N[C@@H](CC(C)C)C(=O)N[C@@H](CC(C)C)C(=O)N[C@@H](CC(C)C)C(=O)N[C@@H](CC(C)C)C(=O)N[C@@H](CCCCN)C(=O)N[C@@H](CC(C)C)C(=O)N[C@@H](CC(C)C)C(=O)N[C@@H](CC(C)C)C(=O)N[C@@H](CC(C)C)C(=O)N[C@@H](CCCCN)C(=O)N[C@@H](CC(C)C)C(=O)N[C@@H](CC(C)C)C(=O)N[C@@H](CC(C)C)C(=O)N[C@@H](CC(C)C)C(=O)N[C@@H](CCCCN)C(=O)N[C@@H](CC(C)C)C(=O)N[C@@H](CC(C)C)C(=O)N[C@@H](CC(C)C)C(=O)N[C@@H](CC(C)C)C(=O)N[C@@H](CCCCN)C(O)=O QSIRXSYRKZHJHX-TWXHAJHVSA-N 0.000 description 1
- ZORQXIQZAOLNGE-UHFFFAOYSA-N 1,1-difluorocyclohexane Chemical compound FC1(F)CCCCC1 ZORQXIQZAOLNGE-UHFFFAOYSA-N 0.000 description 1
- ZOOGRGPOEVQQDX-UUOKFMHZSA-N 3',5'-cyclic GMP Chemical compound C([C@H]1O2)OP(O)(=O)O[C@H]1[C@@H](O)[C@@H]2N1C(N=C(NC2=O)N)=C2N=C1 ZOOGRGPOEVQQDX-UUOKFMHZSA-N 0.000 description 1
- UIAGMCDKSXEBJQ-IBGZPJMESA-N 3-o-(2-methoxyethyl) 5-o-propan-2-yl (4s)-2,6-dimethyl-4-(3-nitrophenyl)-1,4-dihydropyridine-3,5-dicarboxylate Chemical compound COCCOC(=O)C1=C(C)NC(C)=C(C(=O)OC(C)C)[C@H]1C1=CC=CC([N+]([O-])=O)=C1 UIAGMCDKSXEBJQ-IBGZPJMESA-N 0.000 description 1
- OBKXEAXTFZPCHS-UHFFFAOYSA-M 4-phenylbutyrate Chemical compound [O-]C(=O)CCCC1=CC=CC=C1 OBKXEAXTFZPCHS-UHFFFAOYSA-M 0.000 description 1
- AJSFRSHQRVBBKB-UHFFFAOYSA-N 5-(bromomethyl)-2,2-difluoro-1,3-benzodioxole Chemical compound C1=C(CBr)C=C2OC(F)(F)OC2=C1 AJSFRSHQRVBBKB-UHFFFAOYSA-N 0.000 description 1
- RZTAMFZIAATZDJ-HNNXBMFYSA-N 5-o-ethyl 3-o-methyl (4s)-4-(2,3-dichlorophenyl)-2,6-dimethyl-1,4-dihydropyridine-3,5-dicarboxylate Chemical compound CCOC(=O)C1=C(C)NC(C)=C(C(=O)OC)[C@@H]1C1=CC=CC(Cl)=C1Cl RZTAMFZIAATZDJ-HNNXBMFYSA-N 0.000 description 1
- APKFDSVGJQXUKY-KKGHZKTASA-N Amphotericin-B Natural products O[C@H]1[C@@H](N)[C@H](O)[C@@H](C)O[C@H]1O[C@H]1C=CC=CC=CC=CC=CC=CC=C[C@H](C)[C@@H](O)[C@@H](C)[C@H](C)OC(=O)C[C@H](O)C[C@H](O)CC[C@@H](O)[C@H](O)C[C@H](O)C[C@](O)(C[C@H](O)[C@H]2C(O)=O)O[C@H]2C1 APKFDSVGJQXUKY-KKGHZKTASA-N 0.000 description 1
- 108091006515 Anion channels Proteins 0.000 description 1
- 102000037829 Anion channels Human genes 0.000 description 1
- DKPFZGUDAPQIHT-UHFFFAOYSA-N Butyl acetate Natural products CCCCOC(C)=O DKPFZGUDAPQIHT-UHFFFAOYSA-N 0.000 description 1
- JSRJQGLLIUBTKQ-UHFFFAOYSA-N C.CC(=O)CC#N.CCOC(=O)C(C#N)C1=CC2=C(C=C1)OC(F)(F)O2.ClCCBr.FC1(F)OC2=C(C=C(Br)C=C2)O1.N#CC1(C2=CC3=C(C=C2)OC(F)(F)O3)CC1.N#CCC1=CC2=C(C=C1)OC(F)(F)O2.O=C(Cl)C1(C2=CC3=C(C=C2)OC(F)(F)O3)CC1.O=C(O)C1(C2=CC3=C(C=C2)OC(F)(F)O3)CC1.O=S(Cl)Cl Chemical compound C.CC(=O)CC#N.CCOC(=O)C(C#N)C1=CC2=C(C=C1)OC(F)(F)O2.ClCCBr.FC1(F)OC2=C(C=C(Br)C=C2)O1.N#CC1(C2=CC3=C(C=C2)OC(F)(F)O3)CC1.N#CCC1=CC2=C(C=C1)OC(F)(F)O2.O=C(Cl)C1(C2=CC3=C(C=C2)OC(F)(F)O3)CC1.O=C(O)C1(C2=CC3=C(C=C2)OC(F)(F)O3)CC1.O=S(Cl)Cl JSRJQGLLIUBTKQ-UHFFFAOYSA-N 0.000 description 1
- JUAWPGZVAOCBOC-UHFFFAOYSA-N CC(=O)CC#N.CCOC(=O)C(C#N)C1=CC2=C(C=C1)OC(F)(F)O2.FC1(F)OC2=C(C=C(Br)C=C2)O1 Chemical compound CC(=O)CC#N.CCOC(=O)C(C#N)C1=CC2=C(C=C1)OC(F)(F)O2.FC1(F)OC2=C(C=C(Br)C=C2)O1 JUAWPGZVAOCBOC-UHFFFAOYSA-N 0.000 description 1
- GMKNPQPUCQHRIU-UHFFFAOYSA-N CC(C)(C)OC(=O)C1=CC=CC(OBO)=C1.CC1=CC=C(N)N=C1C1=CC(C(=O)OC(C)(C)C)=CC=C1.CC1=CC=CN=C1Br.CC1=CC=CN=C1C1=CC(C(=O)OC(C)(C)C)=CC=C1.CC1=CC=C[N+](C)=C1C1=CC(C(=O)OC(C)(C)C)=CC=C1 Chemical compound CC(C)(C)OC(=O)C1=CC=CC(OBO)=C1.CC1=CC=C(N)N=C1C1=CC(C(=O)OC(C)(C)C)=CC=C1.CC1=CC=CN=C1Br.CC1=CC=CN=C1C1=CC(C(=O)OC(C)(C)C)=CC=C1.CC1=CC=C[N+](C)=C1C1=CC(C(=O)OC(C)(C)C)=CC=C1 GMKNPQPUCQHRIU-UHFFFAOYSA-N 0.000 description 1
- NKNKQCVUFPDWOM-UHFFFAOYSA-N CC(C)(C)OC(=O)C1=CC=CC(OBO)=C1.CC1=CC=CN=C1Br.CC1=CC=CN=C1C1=CC(C(=O)OC(C)(C)C)=CC=C1 Chemical compound CC(C)(C)OC(=O)C1=CC=CC(OBO)=C1.CC1=CC=CN=C1Br.CC1=CC=CN=C1C1=CC(C(=O)OC(C)(C)C)=CC=C1 NKNKQCVUFPDWOM-UHFFFAOYSA-N 0.000 description 1
- IJIFNBGEJIZKNN-UHFFFAOYSA-N CC1=C(C2=CC(C(=O)O)=CC=C2)N=C(NC(=O)C2(C3=CC4=C(C=C3)OC(F)(F)O4)CC2)C=C1.CC1=C(C2=CC(C(=O)OC(C)(C)C)=CC=C2)N=C(NC(=O)C2(C3=CC4=C(C=C3)OC(F)(F)O4)CC2)C=C1.CC1=CC=C(N)N=C1C1=CC(C(=O)OC(C)(C)C)=CC=C1.O=C(Cl)C1(C2=CC3=C(C=C2)OC(F)(F)O3)CC1 Chemical compound CC1=C(C2=CC(C(=O)O)=CC=C2)N=C(NC(=O)C2(C3=CC4=C(C=C3)OC(F)(F)O4)CC2)C=C1.CC1=C(C2=CC(C(=O)OC(C)(C)C)=CC=C2)N=C(NC(=O)C2(C3=CC4=C(C=C3)OC(F)(F)O4)CC2)C=C1.CC1=CC=C(N)N=C1C1=CC(C(=O)OC(C)(C)C)=CC=C1.O=C(Cl)C1(C2=CC3=C(C=C2)OC(F)(F)O3)CC1 IJIFNBGEJIZKNN-UHFFFAOYSA-N 0.000 description 1
- YHLXCGFKOJIQIA-UHFFFAOYSA-N CC1=C(C2=CC(C(=O)OC(C)(C)C)=CC=C2)N(O)=CC=C1.CC1=C(C2=CC(C(=O)OC(C)(C)C)=CC=C2)N=C(N)C=C1 Chemical compound CC1=C(C2=CC(C(=O)OC(C)(C)C)=CC=C2)N(O)=CC=C1.CC1=C(C2=CC(C(=O)OC(C)(C)C)=CC=C2)N=C(N)C=C1 YHLXCGFKOJIQIA-UHFFFAOYSA-N 0.000 description 1
- QFXNXWAARUVOKX-UHFFFAOYSA-N CC1=C(C2=CC(C(=O)OC(C)(C)C)=CC=C2)N(O)=CC=C1.CC1=C(C2=CC(C(=O)OC(C)(C)C)=CC=C2)N=CC=C1 Chemical compound CC1=C(C2=CC(C(=O)OC(C)(C)C)=CC=C2)N(O)=CC=C1.CC1=C(C2=CC(C(=O)OC(C)(C)C)=CC=C2)N=CC=C1 QFXNXWAARUVOKX-UHFFFAOYSA-N 0.000 description 1
- FKKOOUHLTIBXSN-UHFFFAOYSA-N CC1=C(C2=CC(C(=O)OC(C)(C)C)=CC=C2)N=C(N)C=C1.CC1=C(C2=CC=CC(C(=O)OC(C)(C)C)=C2)N=C(NC(=O)C2(C3=CC4=C(C=C3)OC(F)(F)O4)CC2)C=C1.O=C(Cl)C1(C2=CC3=C(C=C2)OC(F)(F)O3)CC1 Chemical compound CC1=C(C2=CC(C(=O)OC(C)(C)C)=CC=C2)N=C(N)C=C1.CC1=C(C2=CC=CC(C(=O)OC(C)(C)C)=C2)N=C(NC(=O)C2(C3=CC4=C(C=C3)OC(F)(F)O4)CC2)C=C1.O=C(Cl)C1(C2=CC3=C(C=C2)OC(F)(F)O3)CC1 FKKOOUHLTIBXSN-UHFFFAOYSA-N 0.000 description 1
- RTFYECWDFULLLA-UHFFFAOYSA-N CC1=C(C2=CC=CC(C(=O)O)=C2)N=C(NC(=O)C2(C3=CC4=C(C=C3)OC(F)(F)O4)CC2)C=C1.CC1=C(C2=CC=CC(C(=O)O)=C2)N=C(NC(=O)C2(C3=CC4=C(C=C3)OC(F)(F)O4)CC2)C=C1.Cl Chemical compound CC1=C(C2=CC=CC(C(=O)O)=C2)N=C(NC(=O)C2(C3=CC4=C(C=C3)OC(F)(F)O4)CC2)C=C1.CC1=C(C2=CC=CC(C(=O)O)=C2)N=C(NC(=O)C2(C3=CC4=C(C=C3)OC(F)(F)O4)CC2)C=C1.Cl RTFYECWDFULLLA-UHFFFAOYSA-N 0.000 description 1
- KRSGBYKVGIAQOF-UHFFFAOYSA-N CC1=C2C(=O)C(C(=O)CC3=C(C#N)C=C(N4C5CCC4CC5)C=C3)=CCC2=CC=C1 Chemical compound CC1=C2C(=O)C(C(=O)CC3=C(C#N)C=C(N4C5CCC4CC5)C=C3)=CCC2=CC=C1 KRSGBYKVGIAQOF-UHFFFAOYSA-N 0.000 description 1
- GWKDZEOTPOVVCL-UHFFFAOYSA-N CC1=C2C(=O)C(C(=O)CC3=C(C(F)(F)F)C=C(N4C5CCC4CC5)C=C3)=CCC2=CC=C1 Chemical compound CC1=C2C(=O)C(C(=O)CC3=C(C(F)(F)F)C=C(N4C5CCC4CC5)C=C3)=CCC2=CC=C1 GWKDZEOTPOVVCL-UHFFFAOYSA-N 0.000 description 1
- JYHKODQOWDEJCQ-UHFFFAOYSA-N CC1=CC2=C(C=C1)CC=C(C(=O)CC1=C(C(F)(F)F)C=C(N3C4CCC3CC4)C=C1)C2=O Chemical compound CC1=CC2=C(C=C1)CC=C(C(=O)CC1=C(C(F)(F)F)C=C(N3C4CCC3CC4)C=C1)C2=O JYHKODQOWDEJCQ-UHFFFAOYSA-N 0.000 description 1
- ATWIVEUPZDONPS-UHFFFAOYSA-N CC1=CC2=C(C=C1)CC=C(C(=O)CC1=C(C(F)(F)F)C=C(N3C4CCCC3CC4)C=C1)C2=O Chemical compound CC1=CC2=C(C=C1)CC=C(C(=O)CC1=C(C(F)(F)F)C=C(N3C4CCCC3CC4)C=C1)C2=O ATWIVEUPZDONPS-UHFFFAOYSA-N 0.000 description 1
- RHFCRFGTFQRRNB-UHFFFAOYSA-N CC1=CC=C(CC(=O)C2(C3=CC4=C(C=C3)OC(F)(F)O4)CC2)N=C1C1=CC(C(=O)O)=CC=C1 Chemical compound CC1=CC=C(CC(=O)C2(C3=CC4=C(C=C3)OC(F)(F)O4)CC2)N=C1C1=CC(C(=O)O)=CC=C1 RHFCRFGTFQRRNB-UHFFFAOYSA-N 0.000 description 1
- PNHXOEKSSXUPSK-UHFFFAOYSA-N CC1=CC=CC2=C1C(=O)C(C(=O)CC1=C(C#CCN(C)C)C=C(N3C4CCC3CC4)C=C1)=CC2 Chemical compound CC1=CC=CC2=C1C(=O)C(C(=O)CC1=C(C#CCN(C)C)C=C(N3C4CCC3CC4)C=C1)=CC2 PNHXOEKSSXUPSK-UHFFFAOYSA-N 0.000 description 1
- XBPDGBRGAXOAAC-UHFFFAOYSA-N CCOC(=O)C(C#N)C1=CC2=C(C=C1)OC(F)(F)O2.N#CCC1=CC2=C(C=C1)OC(F)(F)O2 Chemical compound CCOC(=O)C(C#N)C1=CC2=C(C=C1)OC(F)(F)O2.N#CCC1=CC2=C(C=C1)OC(F)(F)O2 XBPDGBRGAXOAAC-UHFFFAOYSA-N 0.000 description 1
- 101150029409 CFTR gene Proteins 0.000 description 1
- STYVRADCRHZTRX-UHFFFAOYSA-N CN(C)CC#CC1=C(CC(=O)C2=CCC3=C(C2=O)C(C(F)(F)F)=CC=C3)C=CC(N2C3CCC2CC3)=C1 Chemical compound CN(C)CC#CC1=C(CC(=O)C2=CCC3=C(C2=O)C(C(F)(F)F)=CC=C3)C=CC(N2C3CCC2CC3)=C1 STYVRADCRHZTRX-UHFFFAOYSA-N 0.000 description 1
- WDVXUQGHOYTOSG-UHFFFAOYSA-N COC1=CC2=C(C=C1)CC=C(C(=O)CC1=C(C(F)(F)F)C=C(N3C4CCC3CC4)C=C1)C2=O Chemical compound COC1=CC2=C(C=C1)CC=C(C(=O)CC1=C(C(F)(F)F)C=C(N3C4CCC3CC4)C=C1)C2=O WDVXUQGHOYTOSG-UHFFFAOYSA-N 0.000 description 1
- OKTJSMMVPCPJKN-UHFFFAOYSA-N Carbon Chemical compound [C] OKTJSMMVPCPJKN-UHFFFAOYSA-N 0.000 description 1
- 108010078791 Carrier Proteins Proteins 0.000 description 1
- YPNWMCKYXASGPJ-UHFFFAOYSA-N Cc(cccc1NC=C2C(Nc(cc3)c(C(F)(F)F)cc3N3C4CCC3CC4)=O)c1C2=O Chemical compound Cc(cccc1NC=C2C(Nc(cc3)c(C(F)(F)F)cc3N3C4CCC3CC4)=O)c1C2=O YPNWMCKYXASGPJ-UHFFFAOYSA-N 0.000 description 1
- LZZYPRNAOMGNLH-UHFFFAOYSA-M Cetrimonium bromide Chemical compound [Br-].CCCCCCCCCCCCCCCC[N+](C)(C)C LZZYPRNAOMGNLH-UHFFFAOYSA-M 0.000 description 1
- 206010008631 Cholera Diseases 0.000 description 1
- 208000006545 Chronic Obstructive Pulmonary Disease Diseases 0.000 description 1
- RKGDJIWROXHWNB-UHFFFAOYSA-L ClCCBr.FC1(F)OC2=C(C=C(CCl)C=C2)O1.N#CC1(C2=CC3=C(C=C2)OC(F)(F)O3)CC1.N#CCC1=CC2=C(C=C1)OC(F)(F)O2.O=C(Cl)C1(C2=CC3=C(C=C2)OC(F)(F)O3)CC1.O=C(O)C1(C2=CC3=C(C=C2)OC(F)(F)O3)CC1.O=C(O)C1=CC2=C(C=C1)OC(F)(F)O2.O=S(Cl)Cl.OCC1=CC2=C(C=C1)OC(F)(F)O2.O[K].O[Na] Chemical compound ClCCBr.FC1(F)OC2=C(C=C(CCl)C=C2)O1.N#CC1(C2=CC3=C(C=C2)OC(F)(F)O3)CC1.N#CCC1=CC2=C(C=C1)OC(F)(F)O2.O=C(Cl)C1(C2=CC3=C(C=C2)OC(F)(F)O3)CC1.O=C(O)C1(C2=CC3=C(C=C2)OC(F)(F)O3)CC1.O=C(O)C1=CC2=C(C=C1)OC(F)(F)O2.O=S(Cl)Cl.OCC1=CC2=C(C=C1)OC(F)(F)O2.O[K].O[Na] RKGDJIWROXHWNB-UHFFFAOYSA-L 0.000 description 1
- 206010010356 Congenital anomaly Diseases 0.000 description 1
- 108010049894 Cyclic AMP-Dependent Protein Kinases Proteins 0.000 description 1
- CMSMOCZEIVJLDB-UHFFFAOYSA-N Cyclophosphamide Chemical compound ClCCN(CCCl)P1(=O)NCCCO1 CMSMOCZEIVJLDB-UHFFFAOYSA-N 0.000 description 1
- 239000004375 Dextrin Substances 0.000 description 1
- 229920001353 Dextrin Polymers 0.000 description 1
- 206010012735 Diarrhoea Diseases 0.000 description 1
- 206010061818 Disease progression Diseases 0.000 description 1
- 206010014561 Emphysema Diseases 0.000 description 1
- 102000004190 Enzymes Human genes 0.000 description 1
- 108090000790 Enzymes Proteins 0.000 description 1
- YUFNGLUZMUSMJT-UHFFFAOYSA-N FC1(F)OC2=C(C=C(CCl)C=C2)O1.N#CCC1=CC2=C(C=C1)OC(F)(F)O2 Chemical compound FC1(F)OC2=C(C=C(CCl)C=C2)O1.N#CCC1=CC2=C(C=C1)OC(F)(F)O2 YUFNGLUZMUSMJT-UHFFFAOYSA-N 0.000 description 1
- GXCRUHSNHLKCKQ-UHFFFAOYSA-N FC1(F)OC2=C(C=C(CCl)C=C2)O1.OCC1=CC2=C(C=C1)OC(F)(F)O2 Chemical compound FC1(F)OC2=C(C=C(CCl)C=C2)O1.OCC1=CC2=C(C=C1)OC(F)(F)O2 GXCRUHSNHLKCKQ-UHFFFAOYSA-N 0.000 description 1
- CEAZRRDELHUEMR-URQXQFDESA-N Gentamicin Chemical compound O1[C@H](C(C)NC)CC[C@@H](N)[C@H]1O[C@H]1[C@H](O)[C@@H](O[C@@H]2[C@@H]([C@@H](NC)[C@@](C)(O)CO2)O)[C@H](N)C[C@@H]1N CEAZRRDELHUEMR-URQXQFDESA-N 0.000 description 1
- 229930182566 Gentamicin Natural products 0.000 description 1
- 208000028782 Hereditary disease Diseases 0.000 description 1
- 241000282412 Homo Species 0.000 description 1
- UFHFLCQGNIYNRP-UHFFFAOYSA-N Hydrogen Chemical compound [H][H] UFHFLCQGNIYNRP-UHFFFAOYSA-N 0.000 description 1
- HEFNNWSXXWATRW-UHFFFAOYSA-N Ibuprofen Chemical compound CC(C)CC1=CC=C(C(C)C(O)=O)C=C1 HEFNNWSXXWATRW-UHFFFAOYSA-N 0.000 description 1
- DGAQECJNVWCQMB-PUAWFVPOSA-M Ilexoside XXIX Chemical compound C[C@@H]1CC[C@@]2(CC[C@@]3(C(=CC[C@H]4[C@]3(CC[C@@H]5[C@@]4(CC[C@@H](C5(C)C)OS(=O)(=O)[O-])C)C)[C@@H]2[C@]1(C)O)C)C(=O)O[C@H]6[C@@H]([C@H]([C@@H]([C@H](O6)CO)O)O)O.[Na+] DGAQECJNVWCQMB-PUAWFVPOSA-M 0.000 description 1
- 208000026350 Inborn Genetic disease Diseases 0.000 description 1
- 206010061218 Inflammation Diseases 0.000 description 1
- CKLJMWTZIZZHCS-REOHCLBHSA-N L-aspartic acid Chemical compound OC(=O)[C@@H](N)CC(O)=O CKLJMWTZIZZHCS-REOHCLBHSA-N 0.000 description 1
- DAQAKHDKYAWHCG-UHFFFAOYSA-N Lactacystin Natural products CC(=O)NC(C(O)=O)CSC(=O)C1(C(O)C(C)C)NC(=O)C(C)C1O DAQAKHDKYAWHCG-UHFFFAOYSA-N 0.000 description 1
- 101000839464 Leishmania braziliensis Heat shock 70 kDa protein Proteins 0.000 description 1
- 241001465754 Metazoa Species 0.000 description 1
- NTIZESTWPVYFNL-UHFFFAOYSA-N Methyl isobutyl ketone Chemical compound CC(C)CC(C)=O NTIZESTWPVYFNL-UHFFFAOYSA-N 0.000 description 1
- UIHCLUNTQKBZGK-UHFFFAOYSA-N Methyl isobutyl ketone Natural products CCC(C)C(C)=O UIHCLUNTQKBZGK-UHFFFAOYSA-N 0.000 description 1
- OURUNIXJTYOENS-UHFFFAOYSA-N N#CC1(C2=CC3=C(C=C2)OC(F)(F)O3)CC1.N#CCC1=CC2=C(C=C1)OC(F)(F)O2 Chemical compound N#CC1(C2=CC3=C(C=C2)OC(F)(F)O3)CC1.N#CCC1=CC2=C(C=C1)OC(F)(F)O2 OURUNIXJTYOENS-UHFFFAOYSA-N 0.000 description 1
- QJDSVWNCVHUNDP-UHFFFAOYSA-N N#CC1(C2=CC3=C(C=C2)OC(F)(F)O3)CC1.O=C(O)C1(C2=CC3=C(C=C2)OC(F)(F)O3)CC1 Chemical compound N#CC1(C2=CC3=C(C=C2)OC(F)(F)O3)CC1.O=C(O)C1(C2=CC3=C(C=C2)OC(F)(F)O3)CC1 QJDSVWNCVHUNDP-UHFFFAOYSA-N 0.000 description 1
- JSGYMZCSDSMREO-UHFFFAOYSA-N N#CC1=CC2=C(C=C1)CC=C(C(=O)CC1=C(C(F)(F)F)C=C(N3C4CCC3CC4)C=C1)C2=O Chemical compound N#CC1=CC2=C(C=C1)CC=C(C(=O)CC1=C(C(F)(F)F)C=C(N3C4CCC3CC4)C=C1)C2=O JSGYMZCSDSMREO-UHFFFAOYSA-N 0.000 description 1
- 238000005481 NMR spectroscopy Methods 0.000 description 1
- IPDRYCYQVZZCEU-UHFFFAOYSA-N O=C(CC1=C(C(F)(F)F)C=C(N2C3CCC2CC3)C=C1)C1=CCC2=C(C1=O)C(C(F)(F)F)=CC=C2 Chemical compound O=C(CC1=C(C(F)(F)F)C=C(N2C3CCC2CC3)C=C1)C1=CCC2=C(C1=O)C(C(F)(F)F)=CC=C2 IPDRYCYQVZZCEU-UHFFFAOYSA-N 0.000 description 1
- BZMWAWKVURTHMA-UHFFFAOYSA-N O=C(CC1=C(C(F)(F)F)C=C(N2C3CCC2CC3)C=C1)C1=CCC2=CC=CC(CO)=C2C1=O Chemical compound O=C(CC1=C(C(F)(F)F)C=C(N2C3CCC2CC3)C=C1)C1=CCC2=CC=CC(CO)=C2C1=O BZMWAWKVURTHMA-UHFFFAOYSA-N 0.000 description 1
- IFILZTCKIAGGHS-UHFFFAOYSA-N O=C(CC1=C(C(F)(F)F)C=C(N2C3CCC2CC3)C=C1)C1=CCC2=CC=CC(O)=C2C1=O.[HH] Chemical compound O=C(CC1=C(C(F)(F)F)C=C(N2C3CCC2CC3)C=C1)C1=CCC2=CC=CC(O)=C2C1=O.[HH] IFILZTCKIAGGHS-UHFFFAOYSA-N 0.000 description 1
- SYFDENNDVCRLCD-UHFFFAOYSA-N O=C(CC1=C(C(F)(F)F)C=C(N2C3CCCC2CC3)C=C1)C1=CCC2=C(C1=O)C(C(F)(F)F)=CC=C2 Chemical compound O=C(CC1=C(C(F)(F)F)C=C(N2C3CCCC2CC3)C=C1)C1=CCC2=C(C1=O)C(C(F)(F)F)=CC=C2 SYFDENNDVCRLCD-UHFFFAOYSA-N 0.000 description 1
- FTBSPTJMYLGUMW-UHFFFAOYSA-N O=C(Cl)C1(C2=CC3=C(C=C2)OC(F)(F)O3)CC1.O=C(O)C1(C2=CC3=C(C=C2)OC(F)(F)O3)CC1 Chemical compound O=C(Cl)C1(C2=CC3=C(C=C2)OC(F)(F)O3)CC1.O=C(O)C1(C2=CC3=C(C=C2)OC(F)(F)O3)CC1 FTBSPTJMYLGUMW-UHFFFAOYSA-N 0.000 description 1
- ZKTVHWBHWZEPRS-UHFFFAOYSA-N O=C(O)C1=CC2=C(C=C1)OC(F)(F)O2.OCC1=CC2=C(C=C1)OC(F)(F)O2 Chemical compound O=C(O)C1=CC2=C(C=C1)OC(F)(F)O2.OCC1=CC2=C(C=C1)OC(F)(F)O2 ZKTVHWBHWZEPRS-UHFFFAOYSA-N 0.000 description 1
- HSVIINWFPKEOEQ-NSHDSACASA-N Ofloxacin methyl ester Chemical compound C([C@H](C)N1C=C(C(C(=C11)C=C2F)=O)C(=O)OC)OC1=C2N1CCN(C)CC1 HSVIINWFPKEOEQ-NSHDSACASA-N 0.000 description 1
- 208000001132 Osteoporosis Diseases 0.000 description 1
- 206010033645 Pancreatitis Diseases 0.000 description 1
- 229930182555 Penicillin Natural products 0.000 description 1
- JGSARLDLIJGVTE-MBNYWOFBSA-N Penicillin G Chemical compound N([C@H]1[C@H]2SC([C@@H](N2C1=O)C(O)=O)(C)C)C(=O)CC1=CC=CC=C1 JGSARLDLIJGVTE-MBNYWOFBSA-N 0.000 description 1
- 229940122907 Phosphatase inhibitor Drugs 0.000 description 1
- 229940099471 Phosphodiesterase inhibitor Drugs 0.000 description 1
- QSXMZJGGEWYVCN-UHFFFAOYSA-N Pirbuterol acetate Chemical compound CC(O)=O.CC(C)(C)NCC(O)C1=CC=C(O)C(CO)=N1 QSXMZJGGEWYVCN-UHFFFAOYSA-N 0.000 description 1
- 229920003171 Poly (ethylene oxide) Polymers 0.000 description 1
- 239000004743 Polypropylene Substances 0.000 description 1
- 108010000303 Secretory Proteinase Inhibitory Proteins Proteins 0.000 description 1
- 102000002255 Secretory Proteinase Inhibitory Proteins Human genes 0.000 description 1
- 238000012300 Sequence Analysis Methods 0.000 description 1
- GIIZNNXWQWCKIB-UHFFFAOYSA-N Serevent Chemical compound C1=C(O)C(CO)=CC(C(O)CNCCCCCCOCCCCC=2C=CC=CC=2)=C1 GIIZNNXWQWCKIB-UHFFFAOYSA-N 0.000 description 1
- XUIMIQQOPSSXEZ-UHFFFAOYSA-N Silicon Chemical compound [Si] XUIMIQQOPSSXEZ-UHFFFAOYSA-N 0.000 description 1
- 240000006394 Sorghum bicolor Species 0.000 description 1
- 240000008042 Zea mays Species 0.000 description 1
- 235000005824 Zea mays ssp. parviglumis Nutrition 0.000 description 1
- 235000002017 Zea mays subsp mays Nutrition 0.000 description 1
- HRCGLALUAYSZOM-ZTPNQDGTSA-N [HH].[H][C@@]1(O)CC2CCC1N2C1=CC(C(F)(F)F)=C(CC(=O)C2=CCC3=C(C2=O)C(C(F)(F)F)=CC=C3)C=C1 Chemical compound [HH].[H][C@@]1(O)CC2CCC1N2C1=CC(C(F)(F)F)=C(CC(=O)C2=CCC3=C(C2=O)C(C(F)(F)F)=CC=C3)C=C1 HRCGLALUAYSZOM-ZTPNQDGTSA-N 0.000 description 1
- HRCGLALUAYSZOM-PKTLFSNNSA-N [HH].[H][C@]1(O)CC2CCC1N2C1=CC(C(F)(F)F)=C(CC(=O)C2=CCC3=C(C2=O)C(C(F)(F)F)=CC=C3)C=C1 Chemical compound [HH].[H][C@]1(O)CC2CCC1N2C1=CC(C(F)(F)F)=C(CC(=O)C2=CCC3=C(C2=O)C(C(F)(F)F)=CC=C3)C=C1 HRCGLALUAYSZOM-PKTLFSNNSA-N 0.000 description 1
- JEDZLBFUGJTJGQ-UHFFFAOYSA-N [Na].COCCO[AlH]OCCOC Chemical compound [Na].COCCO[AlH]OCCOC JEDZLBFUGJTJGQ-UHFFFAOYSA-N 0.000 description 1
- FPNPSEMJLALQSA-QWQWSIRXSA-N [[(3s,5r)-5-(4-amino-2-oxopyrimidin-1-yl)-3-hydroxyoxolan-2-yl]methoxy-hydroxyphosphoryl] [[[(2r,3s,4r,5r)-5-(2,4-dioxopyrimidin-1-yl)-3,4-dihydroxyoxolan-2-yl]methoxy-hydroxyphosphoryl]oxy-hydroxyphosphoryl] hydrogen phosphate Chemical compound O=C1N=C(N)C=CN1[C@@H]1OC(COP(O)(=O)OP(O)(=O)OP(O)(=O)OP(O)(=O)OC[C@@H]2[C@H]([C@@H](O)[C@@H](O2)N2C(NC(=O)C=C2)=O)O)[C@@H](O)C1 FPNPSEMJLALQSA-QWQWSIRXSA-N 0.000 description 1
- 238000010521 absorption reaction Methods 0.000 description 1
- 150000007513 acids Chemical class 0.000 description 1
- 230000009056 active transport Effects 0.000 description 1
- 230000002411 adverse Effects 0.000 description 1
- 125000003158 alcohol group Chemical group 0.000 description 1
- 230000029936 alkylation Effects 0.000 description 1
- 238000005804 alkylation reaction Methods 0.000 description 1
- 150000001408 amides Chemical class 0.000 description 1
- 229960004821 amikacin Drugs 0.000 description 1
- LKCWBDHBTVXHDL-RMDFUYIESA-N amikacin Chemical compound O([C@@H]1[C@@H](N)C[C@H]([C@@H]([C@H]1O)O[C@@H]1[C@@H]([C@@H](N)[C@H](O)[C@@H](CO)O1)O)NC(=O)[C@@H](O)CCN)[C@H]1O[C@H](CN)[C@@H](O)[C@H](O)[C@H]1O LKCWBDHBTVXHDL-RMDFUYIESA-N 0.000 description 1
- 150000001412 amines Chemical group 0.000 description 1
- 229940024606 amino acid Drugs 0.000 description 1
- 235000001014 amino acid Nutrition 0.000 description 1
- APKFDSVGJQXUKY-INPOYWNPSA-N amphotericin B Chemical compound O[C@H]1[C@@H](N)[C@H](O)[C@@H](C)O[C@H]1O[C@H]1/C=C/C=C/C=C/C=C/C=C/C=C/C=C/[C@H](C)[C@@H](O)[C@@H](C)[C@H](C)OC(=O)C[C@H](O)C[C@H](O)CC[C@@H](O)[C@H](O)C[C@H](O)C[C@](O)(C[C@H](O)[C@H]2C(O)=O)O[C@H]2C1 APKFDSVGJQXUKY-INPOYWNPSA-N 0.000 description 1
- 229960003942 amphotericin b Drugs 0.000 description 1
- 229960002105 amrinone Drugs 0.000 description 1
- RNLQIBCLLYYYFJ-UHFFFAOYSA-N amrinone Chemical compound N1C(=O)C(N)=CC(C=2C=CN=CC=2)=C1 RNLQIBCLLYYYFJ-UHFFFAOYSA-N 0.000 description 1
- RDOXTESZEPMUJZ-UHFFFAOYSA-N anisole Chemical compound COC1=CC=CC=C1 RDOXTESZEPMUJZ-UHFFFAOYSA-N 0.000 description 1
- 229960005475 antiinfective agent Drugs 0.000 description 1
- 239000004599 antimicrobial Substances 0.000 description 1
- KZNIFHPLKGYRTM-UHFFFAOYSA-N apigenin Chemical compound C1=CC(O)=CC=C1C1=CC(=O)C2=C(O)C=C(O)C=C2O1 KZNIFHPLKGYRTM-UHFFFAOYSA-N 0.000 description 1
- 229940117893 apigenin Drugs 0.000 description 1
- XADJWCRESPGUTB-UHFFFAOYSA-N apigenin Natural products C1=CC(O)=CC=C1C1=CC(=O)C2=CC(O)=C(O)C=C2O1 XADJWCRESPGUTB-UHFFFAOYSA-N 0.000 description 1
- 235000008714 apigenin Nutrition 0.000 description 1
- 239000008346 aqueous phase Substances 0.000 description 1
- 229940009098 aspartate Drugs 0.000 description 1
- 235000003704 aspartic acid Nutrition 0.000 description 1
- 229960004099 azithromycin Drugs 0.000 description 1
- MQTOSJVFKKJCRP-BICOPXKESA-N azithromycin Chemical compound O([C@@H]1[C@@H](C)C(=O)O[C@@H]([C@@]([C@H](O)[C@@H](C)N(C)C[C@H](C)C[C@@](C)(O)[C@H](O[C@H]2[C@@H]([C@H](C[C@@H](C)O2)N(C)C)O)[C@H]1C)(C)O)CC)[C@H]1C[C@@](C)(OC)[C@@H](O)[C@H](C)O1 MQTOSJVFKKJCRP-BICOPXKESA-N 0.000 description 1
- 239000011324 bead Substances 0.000 description 1
- 230000009286 beneficial effect Effects 0.000 description 1
- WNRBERXEBGAUGT-UHFFFAOYSA-N benzo[c]quinolizin-11-ium Chemical group C1=CC=[N+]2C3=CC=CC=C3C=CC2=C1 WNRBERXEBGAUGT-UHFFFAOYSA-N 0.000 description 1
- WPYMKLBDIGXBTP-UHFFFAOYSA-N benzoic acid group Chemical group C(C1=CC=CC=C1)(=O)O WPYMKLBDIGXBTP-UHFFFAOYSA-N 0.000 description 1
- 150000001562 benzopyrans Chemical class 0.000 description 1
- WQZGKKKJIJFFOK-VFUOTHLCSA-N beta-D-glucose Chemical compound OC[C@H]1O[C@@H](O)[C@H](O)[C@@H](O)[C@@H]1O WQZGKKKJIJFFOK-VFUOTHLCSA-N 0.000 description 1
- OQFSQFPPLPISGP-UHFFFAOYSA-N beta-carboxyaspartic acid Natural products OC(=O)C(N)C(C(O)=O)C(O)=O OQFSQFPPLPISGP-UHFFFAOYSA-N 0.000 description 1
- 230000002146 bilateral effect Effects 0.000 description 1
- 230000033228 biological regulation Effects 0.000 description 1
- 230000037396 body weight Effects 0.000 description 1
- 229910000389 calcium phosphate Inorganic materials 0.000 description 1
- 230000015556 catabolic process Effects 0.000 description 1
- 239000003054 catalyst Substances 0.000 description 1
- 238000000423 cell based assay Methods 0.000 description 1
- KXZJHVJKXJLBKO-UHFFFAOYSA-N chembl1408157 Chemical compound N=1C2=CC=CC=C2C(C(=O)O)=CC=1C1=CC=C(O)C=C1 KXZJHVJKXJLBKO-UHFFFAOYSA-N 0.000 description 1
- 150000003841 chloride salts Chemical class 0.000 description 1
- 239000012320 chlorinating reagent Substances 0.000 description 1
- 238000004587 chromatography analysis Methods 0.000 description 1
- 210000000349 chromosome Anatomy 0.000 description 1
- 230000001684 chronic effect Effects 0.000 description 1
- 229960003405 ciprofloxacin Drugs 0.000 description 1
- 229950005980 cobiprostone Drugs 0.000 description 1
- 238000002648 combination therapy Methods 0.000 description 1
- 239000012141 concentrate Substances 0.000 description 1
- 230000001276 controlling effect Effects 0.000 description 1
- 238000007796 conventional method Methods 0.000 description 1
- 235000005822 corn Nutrition 0.000 description 1
- 229940092125 creon Drugs 0.000 description 1
- 238000005564 crystal structure determination Methods 0.000 description 1
- 239000002178 crystalline material Substances 0.000 description 1
- 238000002425 crystallisation Methods 0.000 description 1
- 230000008025 crystallization Effects 0.000 description 1
- 238000012258 culturing Methods 0.000 description 1
- 229940109262 curcumin Drugs 0.000 description 1
- 239000004148 curcumin Substances 0.000 description 1
- 235000012754 curcumin Nutrition 0.000 description 1
- SNRCKKQHDUIRIY-UHFFFAOYSA-L cyclopenta-1,4-dien-1-yl(diphenyl)phosphane;dichloromethane;dichloropalladium;iron(2+) Chemical compound [Fe+2].ClCCl.Cl[Pd]Cl.C1=C[CH-]C(P(C=2C=CC=CC=2)C=2C=CC=CC=2)=C1.C1=C[CH-]C(P(C=2C=CC=CC=2)C=2C=CC=CC=2)=C1 SNRCKKQHDUIRIY-UHFFFAOYSA-L 0.000 description 1
- 229960004397 cyclophosphamide Drugs 0.000 description 1
- 238000013480 data collection Methods 0.000 description 1
- 238000000354 decomposition reaction Methods 0.000 description 1
- 230000003247 decreasing effect Effects 0.000 description 1
- 238000006731 degradation reaction Methods 0.000 description 1
- 230000018044 dehydration Effects 0.000 description 1
- 238000006297 dehydration reaction Methods 0.000 description 1
- CARVNSROHCBVAO-BUGJESOBSA-N depelestat Chemical compound O=C([C@H](C(C)C)NC(=O)CNC(=O)[C@@H]1CSSC[C@@H](C(=O)N[C@@H](CC(N)=O)C(=O)N[C@@H](CC(C)C)C(=O)N2CCC[C@H]2C(=O)N[C@H](C(N[C@H](C(=O)N[C@@H](CCCNC(N)=N)C(=O)NCC(=O)N2CCC[C@H]2C(=O)N[C@@H]2C(=O)N[C@H](C(=O)N[C@@H](C)C(=O)N[C@@H](CC=3C=CC=CC=3)C(=O)N[C@@H](CC=3C=CC=CC=3)C(=O)N3CCC[C@H]3C(=O)N[C@@H](CCCNC(N)=N)C(=O)N[C@@H](CC=3C4=CC=CC=C4NC=3)C(=O)N[C@@H](C)C(=O)N[C@@H](CC=3C=CC=CC=3)C(=O)N[C@@H](CC(O)=O)C(=O)N[C@@H](C)C(=O)N[C@H](C(=O)N[C@@H](CCCCN)C(=O)NCC(=O)N[C@@H](CCCCN)C(=O)N[C@H]3CSSC[C@H](NC(=O)[C@H](CCC(O)=O)NC(=O)[C@H](CCCCN)NC(=O)[C@H](CCC(O)=O)NC(=O)[C@H](CO)NC(=O)[C@H](CC=4C=CC(O)=CC=4)NC(=O)[C@H](CC=4C=CC=CC=4)NC(=O)[C@H](CCCCN)NC(=O)[C@H](CC(N)=O)NC(=O)CNC(=O)[C@H](CC(N)=O)NC(=O)CNC(=O)[C@H](CCC(N)=O)NC(=O)[C@@H](NC(=O)CNC(=O)CNC(=O)[C@H](CC=4C=CC(O)=CC=4)NC(=O)[C@H]4N(CCC4)C(=O)[C@H](CC=4C=CC=CC=4)NC(=O)[C@H](CC(C)C)NC(=O)[C@@H](NC3=O)C(C)C)CSSC2)C(=O)N[C@@H](CCCNC(N)=N)C(=O)N[C@@H](CCC(O)=O)C(=O)N[C@@H](CC=2C=CC(O)=CC=2)C(=O)N1)C(C)C)[C@@H](C)CC)C(C)C)=O)[C@@H](C)CC)NC(=O)[C@H](C)NC(=O)[C@@H](N)CCC(O)=O)N1CCC[C@H]1C(O)=O CARVNSROHCBVAO-BUGJESOBSA-N 0.000 description 1
- 229950003912 depelestat Drugs 0.000 description 1
- 108010077021 depelestat Proteins 0.000 description 1
- 230000001419 dependent effect Effects 0.000 description 1
- 239000002274 desiccant Substances 0.000 description 1
- 230000001627 detrimental effect Effects 0.000 description 1
- 229940096516 dextrates Drugs 0.000 description 1
- 235000019425 dextrin Nutrition 0.000 description 1
- 235000005911 diet Nutrition 0.000 description 1
- 230000037213 diet Effects 0.000 description 1
- VFLDPWHFBUODDF-UHFFFAOYSA-N diferuloylmethane Natural products C1=C(O)C(OC)=CC(C=CC(=O)CC(=O)C=CC=2C=C(OC)C(O)=CC=2)=C1 VFLDPWHFBUODDF-UHFFFAOYSA-N 0.000 description 1
- 230000001079 digestive effect Effects 0.000 description 1
- ZPWVASYFFYYZEW-UHFFFAOYSA-L dipotassium hydrogen phosphate Chemical compound [K+].[K+].OP([O-])([O-])=O ZPWVASYFFYYZEW-UHFFFAOYSA-L 0.000 description 1
- 229910000396 dipotassium phosphate Inorganic materials 0.000 description 1
- 230000005750 disease progression Effects 0.000 description 1
- 238000010494 dissociation reaction Methods 0.000 description 1
- 230000005593 dissociations Effects 0.000 description 1
- 238000004821 distillation Methods 0.000 description 1
- 108010067396 dornase alfa Proteins 0.000 description 1
- 231100000673 dose–response relationship Toxicity 0.000 description 1
- 238000012377 drug delivery Methods 0.000 description 1
- 239000003792 electrolyte Substances 0.000 description 1
- 238000005538 encapsulation Methods 0.000 description 1
- 229940088598 enzyme Drugs 0.000 description 1
- DOGIDQKFVLKMLQ-JTHVHQAWSA-N epoxomicin Chemical compound CC[C@H](C)[C@H](N(C)C(C)=O)C(=O)N[C@@H]([C@@H](C)CC)C(=O)N[C@@H]([C@@H](C)O)C(=O)N[C@@H](CC(C)C)C(=O)[C@@]1(C)CO1 DOGIDQKFVLKMLQ-JTHVHQAWSA-N 0.000 description 1
- 108700002672 epoxomicin Proteins 0.000 description 1
- 150000002148 esters Chemical group 0.000 description 1
- DQYBDCGIPTYXML-UHFFFAOYSA-N ethoxyethane;hydrate Chemical compound O.CCOCC DQYBDCGIPTYXML-UHFFFAOYSA-N 0.000 description 1
- DEFVIWRASFVYLL-UHFFFAOYSA-N ethylene glycol bis(2-aminoethyl)tetraacetic acid Chemical compound OC(=O)CN(CC(O)=O)CCOCCOCCN(CC(O)=O)CC(O)=O DEFVIWRASFVYLL-UHFFFAOYSA-N 0.000 description 1
- 238000011156 evaluation Methods 0.000 description 1
- 230000000763 evoking effect Effects 0.000 description 1
- 230000029142 excretion Effects 0.000 description 1
- 239000003172 expectorant agent Substances 0.000 description 1
- 239000000284 extract Substances 0.000 description 1
- 238000000605 extraction Methods 0.000 description 1
- 230000002349 favourable effect Effects 0.000 description 1
- 229940083280 fd&c blue #1 aluminum lake Drugs 0.000 description 1
- 229960003580 felodipine Drugs 0.000 description 1
- 230000035558 fertility Effects 0.000 description 1
- 239000012894 fetal calf serum Substances 0.000 description 1
- 238000011049 filling Methods 0.000 description 1
- MKXKFYHWDHIYRV-UHFFFAOYSA-N flutamide Chemical class CC(C)C(=O)NC1=CC=C([N+]([O-])=O)C(C(F)(F)F)=C1 MKXKFYHWDHIYRV-UHFFFAOYSA-N 0.000 description 1
- 230000004907 flux Effects 0.000 description 1
- 239000011888 foil Substances 0.000 description 1
- 229960000308 fosfomycin Drugs 0.000 description 1
- YMDXZJFXQJVXBF-STHAYSLISA-N fosfomycin Chemical compound C[C@@H]1O[C@@H]1P(O)(O)=O YMDXZJFXQJVXBF-STHAYSLISA-N 0.000 description 1
- 230000006870 function Effects 0.000 description 1
- OBKXEAXTFZPCHS-UHFFFAOYSA-N gamma-phenylbutyric acid Natural products OC(=O)CCCC1=CC=CC=C1 OBKXEAXTFZPCHS-UHFFFAOYSA-N 0.000 description 1
- 239000007789 gas Substances 0.000 description 1
- 230000002496 gastric effect Effects 0.000 description 1
- 208000016361 genetic disease Diseases 0.000 description 1
- 229960002518 gentamicin Drugs 0.000 description 1
- 239000011086 glassine Substances 0.000 description 1
- 229940050410 gluconate Drugs 0.000 description 1
- 239000010439 graphite Substances 0.000 description 1
- 229910002804 graphite Inorganic materials 0.000 description 1
- 229960002706 gusperimus Drugs 0.000 description 1
- 238000013038 hand mixing Methods 0.000 description 1
- 230000036541 health Effects 0.000 description 1
- 239000003481 heat shock protein 90 inhibitor Substances 0.000 description 1
- 238000010438 heat treatment Methods 0.000 description 1
- FUZZWVXGSFPDMH-UHFFFAOYSA-N hexanoic acid Chemical compound CCCCCC(O)=O FUZZWVXGSFPDMH-UHFFFAOYSA-N 0.000 description 1
- 150000004677 hydrates Chemical class 0.000 description 1
- 230000007062 hydrolysis Effects 0.000 description 1
- 238000006460 hydrolysis reaction Methods 0.000 description 1
- XXSMGPRMXLTPCZ-UHFFFAOYSA-N hydroxychloroquine Chemical compound ClC1=CC=C2C(NC(C)CCCN(CCO)CC)=CC=NC2=C1 XXSMGPRMXLTPCZ-UHFFFAOYSA-N 0.000 description 1
- 229960004171 hydroxychloroquine Drugs 0.000 description 1
- 229960001680 ibuprofen Drugs 0.000 description 1
- 238000010191 image analysis Methods 0.000 description 1
- 239000012535 impurity Substances 0.000 description 1
- 238000000338 in vitro Methods 0.000 description 1
- 238000001727 in vivo Methods 0.000 description 1
- 229910052738 indium Inorganic materials 0.000 description 1
- APFVFJFRJDLVQX-UHFFFAOYSA-N indium atom Chemical compound [In] APFVFJFRJDLVQX-UHFFFAOYSA-N 0.000 description 1
- 208000021267 infertility disease Diseases 0.000 description 1
- 230000004054 inflammatory process Effects 0.000 description 1
- 229910052500 inorganic mineral Inorganic materials 0.000 description 1
- 230000010354 integration Effects 0.000 description 1
- GJRQTCIYDGXPES-UHFFFAOYSA-N iso-butyl acetate Natural products CC(C)COC(C)=O GJRQTCIYDGXPES-UHFFFAOYSA-N 0.000 description 1
- FGKJLKRYENPLQH-UHFFFAOYSA-M isocaproate Chemical compound CC(C)CCC([O-])=O FGKJLKRYENPLQH-UHFFFAOYSA-M 0.000 description 1
- JMMWKPVZQRWMSS-UHFFFAOYSA-N isopropanol acetate Natural products CC(C)OC(C)=O JMMWKPVZQRWMSS-UHFFFAOYSA-N 0.000 description 1
- 229940011051 isopropyl acetate Drugs 0.000 description 1
- 229940039009 isoproterenol Drugs 0.000 description 1
- GWYFCOCPABKNJV-UHFFFAOYSA-N isovaleric acid Chemical compound CC(C)CC(O)=O GWYFCOCPABKNJV-UHFFFAOYSA-N 0.000 description 1
- OQAGVSWESNCJJT-UHFFFAOYSA-N isovaleric acid methyl ester Natural products COC(=O)CC(C)C OQAGVSWESNCJJT-UHFFFAOYSA-N 0.000 description 1
- 238000010902 jet-milling Methods 0.000 description 1
- DAQAKHDKYAWHCG-RWTHQLGUSA-N lactacystin Chemical compound CC(=O)N[C@H](C(O)=O)CSC(=O)[C@]1([C@@H](O)C(C)C)NC(=O)[C@H](C)[C@@H]1O DAQAKHDKYAWHCG-RWTHQLGUSA-N 0.000 description 1
- 229950004331 lancovutide Drugs 0.000 description 1
- 238000002356 laser light scattering Methods 0.000 description 1
- 239000003591 leukocyte elastase inhibitor Substances 0.000 description 1
- 238000004895 liquid chromatography mass spectrometry Methods 0.000 description 1
- 230000004807 localization Effects 0.000 description 1
- 239000007937 lozenge Substances 0.000 description 1
- 238000012423 maintenance Methods 0.000 description 1
- 230000007257 malfunction Effects 0.000 description 1
- 108010082117 matrigel Proteins 0.000 description 1
- 230000007246 mechanism Effects 0.000 description 1
- 238000002779 membrane potential assay Methods 0.000 description 1
- 229940098779 methanesulfonic acid Drugs 0.000 description 1
- IZDROVVXIHRYMH-UHFFFAOYSA-N methanesulfonic anhydride Chemical compound CS(=O)(=O)OS(C)(=O)=O IZDROVVXIHRYMH-UHFFFAOYSA-N 0.000 description 1
- 238000010327 methods by industry Methods 0.000 description 1
- 230000000813 microbial effect Effects 0.000 description 1
- UQRORFVVSGFNRO-UTINFBMNSA-N miglustat Chemical compound CCCCN1C[C@H](O)[C@@H](O)[C@H](O)[C@H]1CO UQRORFVVSGFNRO-UTINFBMNSA-N 0.000 description 1
- 229960001512 miglustat Drugs 0.000 description 1
- PZRHRDRVRGEVNW-UHFFFAOYSA-N milrinone Chemical compound N1C(=O)C(C#N)=CC(C=2C=CN=CC=2)=C1C PZRHRDRVRGEVNW-UHFFFAOYSA-N 0.000 description 1
- 229960003574 milrinone Drugs 0.000 description 1
- 235000010755 mineral Nutrition 0.000 description 1
- 239000011707 mineral Substances 0.000 description 1
- 150000007522 mineralic acids Chemical class 0.000 description 1
- 230000004048 modification Effects 0.000 description 1
- 238000012986 modification Methods 0.000 description 1
- 229940066491 mucolytics Drugs 0.000 description 1
- IDINUJSAMVOPCM-INIZCTEOSA-N n-[(1s)-2-[4-(3-aminopropylamino)butylamino]-1-hydroxy-2-oxoethyl]-7-(diaminomethylideneamino)heptanamide Chemical compound NCCCNCCCCNC(=O)[C@H](O)NC(=O)CCCCCCN=C(N)N IDINUJSAMVOPCM-INIZCTEOSA-N 0.000 description 1
- 239000013642 negative control Substances 0.000 description 1
- 229960000715 nimodipine Drugs 0.000 description 1
- 150000002825 nitriles Chemical group 0.000 description 1
- 230000008518 non respiratory effect Effects 0.000 description 1
- 239000002773 nucleotide Substances 0.000 description 1
- 125000003729 nucleotide group Chemical group 0.000 description 1
- 150000007524 organic acids Chemical class 0.000 description 1
- 235000005985 organic acids Nutrition 0.000 description 1
- 230000003204 osmotic effect Effects 0.000 description 1
- 239000005022 packaging material Substances 0.000 description 1
- 238000012856 packing Methods 0.000 description 1
- 229910052763 palladium Inorganic materials 0.000 description 1
- 229940049954 penicillin Drugs 0.000 description 1
- 230000010412 perfusion Effects 0.000 description 1
- 230000008823 permeabilization Effects 0.000 description 1
- 239000000825 pharmaceutical preparation Substances 0.000 description 1
- 230000000144 pharmacologic effect Effects 0.000 description 1
- 238000005191 phase separation Methods 0.000 description 1
- COLNVLDHVKWLRT-UHFFFAOYSA-N phenylalanine Natural products OC(=O)C(N)CC1=CC=CC=C1 COLNVLDHVKWLRT-UHFFFAOYSA-N 0.000 description 1
- COLNVLDHVKWLRT-QMMMGPOBSA-N phenylalanine group Chemical group N[C@@H](CC1=CC=CC=C1)C(=O)O COLNVLDHVKWLRT-QMMMGPOBSA-N 0.000 description 1
- 150000003904 phospholipids Chemical class 0.000 description 1
- 230000026731 phosphorylation Effects 0.000 description 1
- 238000006366 phosphorylation reaction Methods 0.000 description 1
- 239000000049 pigment Substances 0.000 description 1
- 239000006187 pill Substances 0.000 description 1
- 229960005095 pioglitazone Drugs 0.000 description 1
- 229960004994 pirbuterol acetate Drugs 0.000 description 1
- 229920001155 polypropylene Polymers 0.000 description 1
- 229920000915 polyvinyl chloride Polymers 0.000 description 1
- 239000011148 porous material Substances 0.000 description 1
- 239000013641 positive control Substances 0.000 description 1
- 229910000027 potassium carbonate Inorganic materials 0.000 description 1
- 229910000160 potassium phosphate Inorganic materials 0.000 description 1
- 235000011009 potassium phosphates Nutrition 0.000 description 1
- 229920003124 powdered cellulose Polymers 0.000 description 1
- 235000019814 powdered cellulose Nutrition 0.000 description 1
- 238000003825 pressing Methods 0.000 description 1
- 150000003138 primary alcohols Chemical class 0.000 description 1
- KIDBBTHHMJOMAU-UHFFFAOYSA-N propan-1-ol;hydrate Chemical compound O.CCCO KIDBBTHHMJOMAU-UHFFFAOYSA-N 0.000 description 1
- 230000002685 pulmonary effect Effects 0.000 description 1
- 229940107568 pulmozyme Drugs 0.000 description 1
- 238000000746 purification Methods 0.000 description 1
- 239000008213 purified water Substances 0.000 description 1
- UMJSCPRVCHMLSP-UHFFFAOYSA-N pyridine Natural products COC1=CC=CN=C1 UMJSCPRVCHMLSP-UHFFFAOYSA-N 0.000 description 1
- 239000000376 reactant Substances 0.000 description 1
- 230000009467 reduction Effects 0.000 description 1
- 208000023504 respiratory system disease Diseases 0.000 description 1
- 229950005741 rolipram Drugs 0.000 description 1
- HJORMJIFDVBMOB-UHFFFAOYSA-N rolipram Chemical compound COC1=CC=C(C2CC(=O)NC2)C=C1OC1CCCC1 HJORMJIFDVBMOB-UHFFFAOYSA-N 0.000 description 1
- 229960004017 salmeterol Drugs 0.000 description 1
- 238000007127 saponification reaction Methods 0.000 description 1
- 229910052594 sapphire Inorganic materials 0.000 description 1
- 239000010980 sapphire Substances 0.000 description 1
- 238000007789 sealing Methods 0.000 description 1
- 230000003248 secreting effect Effects 0.000 description 1
- 239000012679 serum free medium Substances 0.000 description 1
- 238000005029 sieve analysis Methods 0.000 description 1
- 229910052710 silicon Inorganic materials 0.000 description 1
- 239000010703 silicon Substances 0.000 description 1
- 229960000802 sinapultide Drugs 0.000 description 1
- 108010081062 sinapultide Proteins 0.000 description 1
- 238000004467 single crystal X-ray diffraction Methods 0.000 description 1
- 150000003384 small molecules Chemical class 0.000 description 1
- 229910052708 sodium Inorganic materials 0.000 description 1
- 239000012419 sodium bis(2-methoxyethoxy)aluminum hydride Substances 0.000 description 1
- 229910000029 sodium carbonate Inorganic materials 0.000 description 1
- MNWBNISUBARLIT-UHFFFAOYSA-N sodium cyanide Chemical compound [Na+].N#[C-] MNWBNISUBARLIT-UHFFFAOYSA-N 0.000 description 1
- 229920003109 sodium starch glycolate Polymers 0.000 description 1
- 239000008109 sodium starch glycolate Substances 0.000 description 1
- 229940079832 sodium starch glycolate Drugs 0.000 description 1
- 239000001593 sorbitan monooleate Substances 0.000 description 1
- 235000011069 sorbitan monooleate Nutrition 0.000 description 1
- 229940035049 sorbitan monooleate Drugs 0.000 description 1
- 241000894007 species Species 0.000 description 1
- 239000008107 starch Substances 0.000 description 1
- 229940032147 starch Drugs 0.000 description 1
- 239000007858 starting material Substances 0.000 description 1
- 239000011550 stock solution Substances 0.000 description 1
- 229960005322 streptomycin Drugs 0.000 description 1
- 210000004243 sweat Anatomy 0.000 description 1
- 230000009897 systematic effect Effects 0.000 description 1
- 229960000835 tadalafil Drugs 0.000 description 1
- IEHKWSGCTWLXFU-IIBYNOLFSA-N tadalafil Chemical compound C1=C2OCOC2=CC([C@@H]2C3=C([C]4C=CC=CC4=N3)C[C@H]3N2C(=O)CN(C3=O)C)=C1 IEHKWSGCTWLXFU-IIBYNOLFSA-N 0.000 description 1
- ZGNPLWZYVAFUNZ-UHFFFAOYSA-N tert-butylphosphane Chemical compound CC(C)(C)P ZGNPLWZYVAFUNZ-UHFFFAOYSA-N 0.000 description 1
- PASYJVRFGUDDEW-WMUGRWSXSA-J tetrasodium;[[(2r,3s,5r)-5-(4-amino-2-oxopyrimidin-1-yl)-3-hydroxyoxolan-2-yl]methoxy-oxidophosphoryl] [[[(2r,3s,4r,5r)-5-(2,4-dioxopyrimidin-1-yl)-3,4-dihydroxyoxolan-2-yl]methoxy-oxidophosphoryl]oxy-oxidophosphoryl] phosphate Chemical compound [Na+].[Na+].[Na+].[Na+].O=C1N=C(N)C=CN1[C@@H]1O[C@H](COP([O-])(=O)OP([O-])(=O)OP([O-])(=O)OP([O-])(=O)OC[C@@H]2[C@H]([C@@H](O)[C@@H](O2)N2C(NC(=O)C=C2)=O)O)[C@@H](O)C1 PASYJVRFGUDDEW-WMUGRWSXSA-J 0.000 description 1
- 230000004797 therapeutic response Effects 0.000 description 1
- 210000001519 tissue Anatomy 0.000 description 1
- 239000004408 titanium dioxide Substances 0.000 description 1
- 231100000331 toxic Toxicity 0.000 description 1
- 230000002588 toxic effect Effects 0.000 description 1
- RYFMWSXOAZQYPI-UHFFFAOYSA-K trisodium phosphate Chemical compound [Na+].[Na+].[Na+].[O-]P([O-])([O-])=O RYFMWSXOAZQYPI-UHFFFAOYSA-K 0.000 description 1
- 229910000406 trisodium phosphate Inorganic materials 0.000 description 1
- 229940054369 ultrase Drugs 0.000 description 1
- AQLJVWUFPCUVLO-UHFFFAOYSA-N urea hydrogen peroxide Chemical compound OO.NC(N)=O AQLJVWUFPCUVLO-UHFFFAOYSA-N 0.000 description 1
- 238000005292 vacuum distillation Methods 0.000 description 1
- 210000001177 vas deferen Anatomy 0.000 description 1
- 230000000007 visual effect Effects 0.000 description 1
- 235000012431 wafers Nutrition 0.000 description 1
Images
Classifications
-
- A—HUMAN NECESSITIES
- A61—MEDICAL OR VETERINARY SCIENCE; HYGIENE
- A61K—PREPARATIONS FOR MEDICAL, DENTAL OR TOILETRY PURPOSES
- A61K31/00—Medicinal preparations containing organic active ingredients
- A61K31/33—Heterocyclic compounds
- A61K31/395—Heterocyclic compounds having nitrogen as a ring hetero atom, e.g. guanethidine or rifamycins
- A61K31/435—Heterocyclic compounds having nitrogen as a ring hetero atom, e.g. guanethidine or rifamycins having six-membered rings with one nitrogen as the only ring hetero atom
- A61K31/44—Non condensed pyridines; Hydrogenated derivatives thereof
- A61K31/4427—Non condensed pyridines; Hydrogenated derivatives thereof containing further heterocyclic ring systems
- A61K31/443—Non condensed pyridines; Hydrogenated derivatives thereof containing further heterocyclic ring systems containing a five-membered ring with oxygen as a ring hetero atom
-
- A—HUMAN NECESSITIES
- A61—MEDICAL OR VETERINARY SCIENCE; HYGIENE
- A61K—PREPARATIONS FOR MEDICAL, DENTAL OR TOILETRY PURPOSES
- A61K31/00—Medicinal preparations containing organic active ingredients
- A61K31/33—Heterocyclic compounds
- A61K31/395—Heterocyclic compounds having nitrogen as a ring hetero atom, e.g. guanethidine or rifamycins
- A61K31/435—Heterocyclic compounds having nitrogen as a ring hetero atom, e.g. guanethidine or rifamycins having six-membered rings with one nitrogen as the only ring hetero atom
- A61K31/47—Quinolines; Isoquinolines
-
- A—HUMAN NECESSITIES
- A61—MEDICAL OR VETERINARY SCIENCE; HYGIENE
- A61K—PREPARATIONS FOR MEDICAL, DENTAL OR TOILETRY PURPOSES
- A61K45/00—Medicinal preparations containing active ingredients not provided for in groups A61K31/00 - A61K41/00
- A61K45/06—Mixtures of active ingredients without chemical characterisation, e.g. antiphlogistics and cardiaca
-
- A—HUMAN NECESSITIES
- A61—MEDICAL OR VETERINARY SCIENCE; HYGIENE
- A61K—PREPARATIONS FOR MEDICAL, DENTAL OR TOILETRY PURPOSES
- A61K9/00—Medicinal preparations characterised by special physical form
- A61K9/0012—Galenical forms characterised by the site of application
- A61K9/0053—Mouth and digestive tract, i.e. intraoral and peroral administration
-
- A—HUMAN NECESSITIES
- A61—MEDICAL OR VETERINARY SCIENCE; HYGIENE
- A61K—PREPARATIONS FOR MEDICAL, DENTAL OR TOILETRY PURPOSES
- A61K9/00—Medicinal preparations characterised by special physical form
- A61K9/14—Particulate form, e.g. powders, Processes for size reducing of pure drugs or the resulting products, Pure drug nanoparticles
- A61K9/141—Intimate drug-carrier mixtures characterised by the carrier, e.g. ordered mixtures, adsorbates, solid solutions, eutectica, co-dried, co-solubilised, co-kneaded, co-milled, co-ground products, co-precipitates, co-evaporates, co-extrudates, co-melts; Drug nanoparticles with adsorbed surface modifiers
-
- A—HUMAN NECESSITIES
- A61—MEDICAL OR VETERINARY SCIENCE; HYGIENE
- A61K—PREPARATIONS FOR MEDICAL, DENTAL OR TOILETRY PURPOSES
- A61K9/00—Medicinal preparations characterised by special physical form
- A61K9/14—Particulate form, e.g. powders, Processes for size reducing of pure drugs or the resulting products, Pure drug nanoparticles
- A61K9/16—Agglomerates; Granulates; Microbeadlets ; Microspheres; Pellets; Solid products obtained by spray drying, spray freeze drying, spray congealing,(multiple) emulsion solvent evaporation or extraction
- A61K9/1605—Excipients; Inactive ingredients
- A61K9/1617—Organic compounds, e.g. phospholipids, fats
- A61K9/1623—Sugars or sugar alcohols, e.g. lactose; Derivatives thereof; Homeopathic globules
-
- A—HUMAN NECESSITIES
- A61—MEDICAL OR VETERINARY SCIENCE; HYGIENE
- A61K—PREPARATIONS FOR MEDICAL, DENTAL OR TOILETRY PURPOSES
- A61K9/00—Medicinal preparations characterised by special physical form
- A61K9/14—Particulate form, e.g. powders, Processes for size reducing of pure drugs or the resulting products, Pure drug nanoparticles
- A61K9/16—Agglomerates; Granulates; Microbeadlets ; Microspheres; Pellets; Solid products obtained by spray drying, spray freeze drying, spray congealing,(multiple) emulsion solvent evaporation or extraction
- A61K9/1605—Excipients; Inactive ingredients
- A61K9/1629—Organic macromolecular compounds
- A61K9/1652—Polysaccharides, e.g. alginate, cellulose derivatives; Cyclodextrin
-
- A—HUMAN NECESSITIES
- A61—MEDICAL OR VETERINARY SCIENCE; HYGIENE
- A61K—PREPARATIONS FOR MEDICAL, DENTAL OR TOILETRY PURPOSES
- A61K9/00—Medicinal preparations characterised by special physical form
- A61K9/14—Particulate form, e.g. powders, Processes for size reducing of pure drugs or the resulting products, Pure drug nanoparticles
- A61K9/16—Agglomerates; Granulates; Microbeadlets ; Microspheres; Pellets; Solid products obtained by spray drying, spray freeze drying, spray congealing,(multiple) emulsion solvent evaporation or extraction
- A61K9/1682—Processes
-
- A—HUMAN NECESSITIES
- A61—MEDICAL OR VETERINARY SCIENCE; HYGIENE
- A61K—PREPARATIONS FOR MEDICAL, DENTAL OR TOILETRY PURPOSES
- A61K9/00—Medicinal preparations characterised by special physical form
- A61K9/20—Pills, tablets, discs, rods
- A61K9/2004—Excipients; Inactive ingredients
- A61K9/2009—Inorganic compounds
-
- A—HUMAN NECESSITIES
- A61—MEDICAL OR VETERINARY SCIENCE; HYGIENE
- A61K—PREPARATIONS FOR MEDICAL, DENTAL OR TOILETRY PURPOSES
- A61K9/00—Medicinal preparations characterised by special physical form
- A61K9/20—Pills, tablets, discs, rods
- A61K9/2004—Excipients; Inactive ingredients
- A61K9/2013—Organic compounds, e.g. phospholipids, fats
-
- A—HUMAN NECESSITIES
- A61—MEDICAL OR VETERINARY SCIENCE; HYGIENE
- A61K—PREPARATIONS FOR MEDICAL, DENTAL OR TOILETRY PURPOSES
- A61K9/00—Medicinal preparations characterised by special physical form
- A61K9/20—Pills, tablets, discs, rods
- A61K9/2004—Excipients; Inactive ingredients
- A61K9/2022—Organic macromolecular compounds
- A61K9/2027—Organic macromolecular compounds obtained by reactions only involving carbon-to-carbon unsaturated bonds, e.g. polyvinyl pyrrolidone, poly(meth)acrylates
-
- A—HUMAN NECESSITIES
- A61—MEDICAL OR VETERINARY SCIENCE; HYGIENE
- A61K—PREPARATIONS FOR MEDICAL, DENTAL OR TOILETRY PURPOSES
- A61K9/00—Medicinal preparations characterised by special physical form
- A61K9/20—Pills, tablets, discs, rods
- A61K9/2004—Excipients; Inactive ingredients
- A61K9/2022—Organic macromolecular compounds
- A61K9/205—Polysaccharides, e.g. alginate, gums; Cyclodextrin
- A61K9/2054—Cellulose; Cellulose derivatives, e.g. hydroxypropyl methylcellulose
-
- A—HUMAN NECESSITIES
- A61—MEDICAL OR VETERINARY SCIENCE; HYGIENE
- A61K—PREPARATIONS FOR MEDICAL, DENTAL OR TOILETRY PURPOSES
- A61K9/00—Medicinal preparations characterised by special physical form
- A61K9/20—Pills, tablets, discs, rods
- A61K9/2072—Pills, tablets, discs, rods characterised by shape, structure or size; Tablets with holes, special break lines or identification marks; Partially coated tablets; Disintegrating flat shaped forms
- A61K9/2077—Tablets comprising drug-containing microparticles in a substantial amount of supporting matrix; Multiparticulate tablets
-
- A—HUMAN NECESSITIES
- A61—MEDICAL OR VETERINARY SCIENCE; HYGIENE
- A61K—PREPARATIONS FOR MEDICAL, DENTAL OR TOILETRY PURPOSES
- A61K9/00—Medicinal preparations characterised by special physical form
- A61K9/20—Pills, tablets, discs, rods
- A61K9/2095—Tabletting processes; Dosage units made by direct compression of powders or specially processed granules, by eliminating solvents, by melt-extrusion, by injection molding, by 3D printing
-
- A—HUMAN NECESSITIES
- A61—MEDICAL OR VETERINARY SCIENCE; HYGIENE
- A61K—PREPARATIONS FOR MEDICAL, DENTAL OR TOILETRY PURPOSES
- A61K9/00—Medicinal preparations characterised by special physical form
- A61K9/20—Pills, tablets, discs, rods
- A61K9/28—Dragees; Coated pills or tablets, e.g. with film or compression coating
-
- A—HUMAN NECESSITIES
- A61—MEDICAL OR VETERINARY SCIENCE; HYGIENE
- A61K—PREPARATIONS FOR MEDICAL, DENTAL OR TOILETRY PURPOSES
- A61K9/00—Medicinal preparations characterised by special physical form
- A61K9/20—Pills, tablets, discs, rods
- A61K9/28—Dragees; Coated pills or tablets, e.g. with film or compression coating
- A61K9/2806—Coating materials
- A61K9/2833—Organic macromolecular compounds
- A61K9/286—Polysaccharides, e.g. gums; Cyclodextrin
- A61K9/2866—Cellulose; Cellulose derivatives, e.g. hydroxypropyl methylcellulose
-
- A—HUMAN NECESSITIES
- A61—MEDICAL OR VETERINARY SCIENCE; HYGIENE
- A61P—SPECIFIC THERAPEUTIC ACTIVITY OF CHEMICAL COMPOUNDS OR MEDICINAL PREPARATIONS
- A61P1/00—Drugs for disorders of the alimentary tract or the digestive system
- A61P1/10—Laxatives
-
- A—HUMAN NECESSITIES
- A61—MEDICAL OR VETERINARY SCIENCE; HYGIENE
- A61P—SPECIFIC THERAPEUTIC ACTIVITY OF CHEMICAL COMPOUNDS OR MEDICINAL PREPARATIONS
- A61P1/00—Drugs for disorders of the alimentary tract or the digestive system
- A61P1/16—Drugs for disorders of the alimentary tract or the digestive system for liver or gallbladder disorders, e.g. hepatoprotective agents, cholagogues, litholytics
-
- A—HUMAN NECESSITIES
- A61—MEDICAL OR VETERINARY SCIENCE; HYGIENE
- A61P—SPECIFIC THERAPEUTIC ACTIVITY OF CHEMICAL COMPOUNDS OR MEDICINAL PREPARATIONS
- A61P1/00—Drugs for disorders of the alimentary tract or the digestive system
- A61P1/18—Drugs for disorders of the alimentary tract or the digestive system for pancreatic disorders, e.g. pancreatic enzymes
-
- A—HUMAN NECESSITIES
- A61—MEDICAL OR VETERINARY SCIENCE; HYGIENE
- A61P—SPECIFIC THERAPEUTIC ACTIVITY OF CHEMICAL COMPOUNDS OR MEDICINAL PREPARATIONS
- A61P11/00—Drugs for disorders of the respiratory system
-
- A—HUMAN NECESSITIES
- A61—MEDICAL OR VETERINARY SCIENCE; HYGIENE
- A61P—SPECIFIC THERAPEUTIC ACTIVITY OF CHEMICAL COMPOUNDS OR MEDICINAL PREPARATIONS
- A61P11/00—Drugs for disorders of the respiratory system
- A61P11/02—Nasal agents, e.g. decongestants
-
- A—HUMAN NECESSITIES
- A61—MEDICAL OR VETERINARY SCIENCE; HYGIENE
- A61P—SPECIFIC THERAPEUTIC ACTIVITY OF CHEMICAL COMPOUNDS OR MEDICINAL PREPARATIONS
- A61P11/00—Drugs for disorders of the respiratory system
- A61P11/06—Antiasthmatics
-
- A—HUMAN NECESSITIES
- A61—MEDICAL OR VETERINARY SCIENCE; HYGIENE
- A61P—SPECIFIC THERAPEUTIC ACTIVITY OF CHEMICAL COMPOUNDS OR MEDICINAL PREPARATIONS
- A61P13/00—Drugs for disorders of the urinary system
- A61P13/02—Drugs for disorders of the urinary system of urine or of the urinary tract, e.g. urine acidifiers
-
- A—HUMAN NECESSITIES
- A61—MEDICAL OR VETERINARY SCIENCE; HYGIENE
- A61P—SPECIFIC THERAPEUTIC ACTIVITY OF CHEMICAL COMPOUNDS OR MEDICINAL PREPARATIONS
- A61P13/00—Drugs for disorders of the urinary system
- A61P13/12—Drugs for disorders of the urinary system of the kidneys
-
- A—HUMAN NECESSITIES
- A61—MEDICAL OR VETERINARY SCIENCE; HYGIENE
- A61P—SPECIFIC THERAPEUTIC ACTIVITY OF CHEMICAL COMPOUNDS OR MEDICINAL PREPARATIONS
- A61P15/00—Drugs for genital or sexual disorders; Contraceptives
-
- A—HUMAN NECESSITIES
- A61—MEDICAL OR VETERINARY SCIENCE; HYGIENE
- A61P—SPECIFIC THERAPEUTIC ACTIVITY OF CHEMICAL COMPOUNDS OR MEDICINAL PREPARATIONS
- A61P15/00—Drugs for genital or sexual disorders; Contraceptives
- A61P15/10—Drugs for genital or sexual disorders; Contraceptives for impotence
-
- A—HUMAN NECESSITIES
- A61—MEDICAL OR VETERINARY SCIENCE; HYGIENE
- A61P—SPECIFIC THERAPEUTIC ACTIVITY OF CHEMICAL COMPOUNDS OR MEDICINAL PREPARATIONS
- A61P19/00—Drugs for skeletal disorders
-
- A—HUMAN NECESSITIES
- A61—MEDICAL OR VETERINARY SCIENCE; HYGIENE
- A61P—SPECIFIC THERAPEUTIC ACTIVITY OF CHEMICAL COMPOUNDS OR MEDICINAL PREPARATIONS
- A61P19/00—Drugs for skeletal disorders
- A61P19/08—Drugs for skeletal disorders for bone diseases, e.g. rachitism, Paget's disease
-
- A—HUMAN NECESSITIES
- A61—MEDICAL OR VETERINARY SCIENCE; HYGIENE
- A61P—SPECIFIC THERAPEUTIC ACTIVITY OF CHEMICAL COMPOUNDS OR MEDICINAL PREPARATIONS
- A61P19/00—Drugs for skeletal disorders
- A61P19/08—Drugs for skeletal disorders for bone diseases, e.g. rachitism, Paget's disease
- A61P19/10—Drugs for skeletal disorders for bone diseases, e.g. rachitism, Paget's disease for osteoporosis
-
- A—HUMAN NECESSITIES
- A61—MEDICAL OR VETERINARY SCIENCE; HYGIENE
- A61P—SPECIFIC THERAPEUTIC ACTIVITY OF CHEMICAL COMPOUNDS OR MEDICINAL PREPARATIONS
- A61P21/00—Drugs for disorders of the muscular or neuromuscular system
-
- A—HUMAN NECESSITIES
- A61—MEDICAL OR VETERINARY SCIENCE; HYGIENE
- A61P—SPECIFIC THERAPEUTIC ACTIVITY OF CHEMICAL COMPOUNDS OR MEDICINAL PREPARATIONS
- A61P21/00—Drugs for disorders of the muscular or neuromuscular system
- A61P21/02—Muscle relaxants, e.g. for tetanus or cramps
-
- A—HUMAN NECESSITIES
- A61—MEDICAL OR VETERINARY SCIENCE; HYGIENE
- A61P—SPECIFIC THERAPEUTIC ACTIVITY OF CHEMICAL COMPOUNDS OR MEDICINAL PREPARATIONS
- A61P21/00—Drugs for disorders of the muscular or neuromuscular system
- A61P21/04—Drugs for disorders of the muscular or neuromuscular system for myasthenia gravis
-
- A—HUMAN NECESSITIES
- A61—MEDICAL OR VETERINARY SCIENCE; HYGIENE
- A61P—SPECIFIC THERAPEUTIC ACTIVITY OF CHEMICAL COMPOUNDS OR MEDICINAL PREPARATIONS
- A61P25/00—Drugs for disorders of the nervous system
-
- A—HUMAN NECESSITIES
- A61—MEDICAL OR VETERINARY SCIENCE; HYGIENE
- A61P—SPECIFIC THERAPEUTIC ACTIVITY OF CHEMICAL COMPOUNDS OR MEDICINAL PREPARATIONS
- A61P25/00—Drugs for disorders of the nervous system
- A61P25/02—Drugs for disorders of the nervous system for peripheral neuropathies
-
- A—HUMAN NECESSITIES
- A61—MEDICAL OR VETERINARY SCIENCE; HYGIENE
- A61P—SPECIFIC THERAPEUTIC ACTIVITY OF CHEMICAL COMPOUNDS OR MEDICINAL PREPARATIONS
- A61P25/00—Drugs for disorders of the nervous system
- A61P25/08—Antiepileptics; Anticonvulsants
-
- A—HUMAN NECESSITIES
- A61—MEDICAL OR VETERINARY SCIENCE; HYGIENE
- A61P—SPECIFIC THERAPEUTIC ACTIVITY OF CHEMICAL COMPOUNDS OR MEDICINAL PREPARATIONS
- A61P25/00—Drugs for disorders of the nervous system
- A61P25/14—Drugs for disorders of the nervous system for treating abnormal movements, e.g. chorea, dyskinesia
-
- A—HUMAN NECESSITIES
- A61—MEDICAL OR VETERINARY SCIENCE; HYGIENE
- A61P—SPECIFIC THERAPEUTIC ACTIVITY OF CHEMICAL COMPOUNDS OR MEDICINAL PREPARATIONS
- A61P25/00—Drugs for disorders of the nervous system
- A61P25/14—Drugs for disorders of the nervous system for treating abnormal movements, e.g. chorea, dyskinesia
- A61P25/16—Anti-Parkinson drugs
-
- A—HUMAN NECESSITIES
- A61—MEDICAL OR VETERINARY SCIENCE; HYGIENE
- A61P—SPECIFIC THERAPEUTIC ACTIVITY OF CHEMICAL COMPOUNDS OR MEDICINAL PREPARATIONS
- A61P25/00—Drugs for disorders of the nervous system
- A61P25/28—Drugs for disorders of the nervous system for treating neurodegenerative disorders of the central nervous system, e.g. nootropic agents, cognition enhancers, drugs for treating Alzheimer's disease or other forms of dementia
-
- A—HUMAN NECESSITIES
- A61—MEDICAL OR VETERINARY SCIENCE; HYGIENE
- A61P—SPECIFIC THERAPEUTIC ACTIVITY OF CHEMICAL COMPOUNDS OR MEDICINAL PREPARATIONS
- A61P27/00—Drugs for disorders of the senses
- A61P27/02—Ophthalmic agents
-
- A—HUMAN NECESSITIES
- A61—MEDICAL OR VETERINARY SCIENCE; HYGIENE
- A61P—SPECIFIC THERAPEUTIC ACTIVITY OF CHEMICAL COMPOUNDS OR MEDICINAL PREPARATIONS
- A61P3/00—Drugs for disorders of the metabolism
- A61P3/06—Antihyperlipidemics
-
- A—HUMAN NECESSITIES
- A61—MEDICAL OR VETERINARY SCIENCE; HYGIENE
- A61P—SPECIFIC THERAPEUTIC ACTIVITY OF CHEMICAL COMPOUNDS OR MEDICINAL PREPARATIONS
- A61P3/00—Drugs for disorders of the metabolism
- A61P3/08—Drugs for disorders of the metabolism for glucose homeostasis
- A61P3/10—Drugs for disorders of the metabolism for glucose homeostasis for hyperglycaemia, e.g. antidiabetics
-
- A—HUMAN NECESSITIES
- A61—MEDICAL OR VETERINARY SCIENCE; HYGIENE
- A61P—SPECIFIC THERAPEUTIC ACTIVITY OF CHEMICAL COMPOUNDS OR MEDICINAL PREPARATIONS
- A61P35/00—Antineoplastic agents
-
- A—HUMAN NECESSITIES
- A61—MEDICAL OR VETERINARY SCIENCE; HYGIENE
- A61P—SPECIFIC THERAPEUTIC ACTIVITY OF CHEMICAL COMPOUNDS OR MEDICINAL PREPARATIONS
- A61P37/00—Drugs for immunological or allergic disorders
- A61P37/02—Immunomodulators
-
- A—HUMAN NECESSITIES
- A61—MEDICAL OR VETERINARY SCIENCE; HYGIENE
- A61P—SPECIFIC THERAPEUTIC ACTIVITY OF CHEMICAL COMPOUNDS OR MEDICINAL PREPARATIONS
- A61P43/00—Drugs for specific purposes, not provided for in groups A61P1/00-A61P41/00
-
- A—HUMAN NECESSITIES
- A61—MEDICAL OR VETERINARY SCIENCE; HYGIENE
- A61P—SPECIFIC THERAPEUTIC ACTIVITY OF CHEMICAL COMPOUNDS OR MEDICINAL PREPARATIONS
- A61P5/00—Drugs for disorders of the endocrine system
- A61P5/14—Drugs for disorders of the endocrine system of the thyroid hormones, e.g. T3, T4
-
- A—HUMAN NECESSITIES
- A61—MEDICAL OR VETERINARY SCIENCE; HYGIENE
- A61P—SPECIFIC THERAPEUTIC ACTIVITY OF CHEMICAL COMPOUNDS OR MEDICINAL PREPARATIONS
- A61P5/00—Drugs for disorders of the endocrine system
- A61P5/18—Drugs for disorders of the endocrine system of the parathyroid hormones
-
- A—HUMAN NECESSITIES
- A61—MEDICAL OR VETERINARY SCIENCE; HYGIENE
- A61P—SPECIFIC THERAPEUTIC ACTIVITY OF CHEMICAL COMPOUNDS OR MEDICINAL PREPARATIONS
- A61P7/00—Drugs for disorders of the blood or the extracellular fluid
-
- A—HUMAN NECESSITIES
- A61—MEDICAL OR VETERINARY SCIENCE; HYGIENE
- A61P—SPECIFIC THERAPEUTIC ACTIVITY OF CHEMICAL COMPOUNDS OR MEDICINAL PREPARATIONS
- A61P7/00—Drugs for disorders of the blood or the extracellular fluid
- A61P7/04—Antihaemorrhagics; Procoagulants; Haemostatic agents; Antifibrinolytic agents
-
- A—HUMAN NECESSITIES
- A61—MEDICAL OR VETERINARY SCIENCE; HYGIENE
- A61P—SPECIFIC THERAPEUTIC ACTIVITY OF CHEMICAL COMPOUNDS OR MEDICINAL PREPARATIONS
- A61P7/00—Drugs for disorders of the blood or the extracellular fluid
- A61P7/12—Antidiuretics, e.g. drugs for diabetes insipidus
-
- A—HUMAN NECESSITIES
- A61—MEDICAL OR VETERINARY SCIENCE; HYGIENE
- A61P—SPECIFIC THERAPEUTIC ACTIVITY OF CHEMICAL COMPOUNDS OR MEDICINAL PREPARATIONS
- A61P9/00—Drugs for disorders of the cardiovascular system
-
- C—CHEMISTRY; METALLURGY
- C07—ORGANIC CHEMISTRY
- C07D—HETEROCYCLIC COMPOUNDS
- C07D405/00—Heterocyclic compounds containing both one or more hetero rings having oxygen atoms as the only ring hetero atoms, and one or more rings having nitrogen as the only ring hetero atom
- C07D405/02—Heterocyclic compounds containing both one or more hetero rings having oxygen atoms as the only ring hetero atoms, and one or more rings having nitrogen as the only ring hetero atom containing two hetero rings
- C07D405/12—Heterocyclic compounds containing both one or more hetero rings having oxygen atoms as the only ring hetero atoms, and one or more rings having nitrogen as the only ring hetero atom containing two hetero rings linked by a chain containing hetero atoms as chain links
-
- C—CHEMISTRY; METALLURGY
- C07—ORGANIC CHEMISTRY
- C07D—HETEROCYCLIC COMPOUNDS
- C07D405/00—Heterocyclic compounds containing both one or more hetero rings having oxygen atoms as the only ring hetero atoms, and one or more rings having nitrogen as the only ring hetero atom
- C07D405/14—Heterocyclic compounds containing both one or more hetero rings having oxygen atoms as the only ring hetero atoms, and one or more rings having nitrogen as the only ring hetero atom containing three or more hetero rings
-
- C—CHEMISTRY; METALLURGY
- C07—ORGANIC CHEMISTRY
- C07D—HETEROCYCLIC COMPOUNDS
- C07D451/00—Heterocyclic compounds containing 8-azabicyclo [3.2.1] octane, 9-azabicyclo [3.3.1] nonane, or 3-oxa-9-azatricyclo [3.3.1.0<2,4>] nonane ring systems, e.g. tropane or granatane alkaloids, scopolamine; Cyclic acetals thereof
- C07D451/02—Heterocyclic compounds containing 8-azabicyclo [3.2.1] octane, 9-azabicyclo [3.3.1] nonane, or 3-oxa-9-azatricyclo [3.3.1.0<2,4>] nonane ring systems, e.g. tropane or granatane alkaloids, scopolamine; Cyclic acetals thereof containing not further condensed 8-azabicyclo [3.2.1] octane or 3-oxa-9-azatricyclo [3.3.1.0<2,4>] nonane ring systems, e.g. tropane; Cyclic acetals thereof
Definitions
- the invention relates to pharmaceutical compositions comprising 3-(6-(1-(2,2-difluorobenzo[d][1,3]dioxol-5-yl) cyclopropanecarboxamido)-3-methylpyridin-2-yl)benzoic acid (Compound 1), methods for manufacturing such compositions and methods for administering pharmaceutical compositions comprising same.
- CFTR is a cAMP/ATP-mediated anion channel that is expressed in a variety of cells types, including absorptive and secretory epithelia cells, where it regulates anion flux across the membrane, as well as the activity of other ion channels and proteins. In epithelia cells, normal functioning of CFTR is critical for the maintenance of electrolyte transport throughout the body, including respiratory and digestive tissue.
- CFTR is composed of approximately 1480 amino acids that encode a protein made up of a tandem repeat of transmembrane domains, each containing six transmembrane helices and a nucleotide binding domain. The two transmembrane domains are linked by a large, polar, regulatory (R)-domain with multiple phosphorylation sites that regulate channel activity and cellular trafficking.
- CFTR cystic fibrosis
- a defect in this gene causes mutations in CFTR resulting in cystic fibrosis (“CF”), the most common fatal genetic disease in humans. Cystic fibrosis affects approximately one in every 2,500 infants in the United States. Within the general United States population, up to 10 million people carry a single copy of the defective gene without apparent ill effects. In contrast, individuals with two copies of the CF associated gene suffer from the debilitating and fatal effects of CF, including chronic lung disease.
- CF cystic fibrosis
- the most prevalent mutation is a deletion of phenylalanine at position 508 of the CFTR amino acid sequence, and is commonly referred to as ⁇ F508-CFTR. This mutation occurs in approximately 70 percent of the cases of cystic fibrosis and is associated with a severe disease. Other mutations include the R117H and G551D.
- deletion of residue 508 in ⁇ F508-CFTR prevents the nascent protein from folding correctly. This results in the inability of the mutant protein to exit the ER, and traffic to the plasma membrane. As a result, the number of channels present in the membrane is far less than observed in cells expressing wild-type CFTR. In addition to impaired trafficking, the mutation results in defective channel gating. Together, the reduced number of channels in the membrane and the defective gating lead to reduced anion transport across epithelia leading to defective ion and fluid transport. (Quinton, P. M. (1990), FASEB J. 4: 2709-2727).
- CFTR transports a variety of molecules in addition to anions
- this role represents one element in an important mechanism of transporting ions and water across the epithelium.
- the other elements include the epithelial Na + channel, ENaC, Na + /2Cl ⁇ /K + co-transporter, Na + -K + -ATPase pump and the basolateral membrane K + channels, that are responsible for the uptake of chloride into the cell.
- Chloride absorption takes place by the coordinated activity of ENaC and CFTR present on the apical membrane and the Na + -K + -ATPase pump and Cl ⁇ channels expressed on the basolateral surface of the cell.
- Secondary active transport of chloride from the luminal side leads to the accumulation of intracellular chloride, which can then passively leave the cell via Cl ⁇ channels, resulting in a vectorial transport.
- the invention relates to pharmaceutical compositions, pharmaceutical preparations, and solid dosage forms comprising 3-(6-(1-(2,2-difluorobenzo[d][1,3]dioxol-5-yl) cyclopropanecarboxamido)-3-methylpyridin-2-yl)benzoic acid (Compound 1) which has the structure below:
- the invention provides a pharmaceutical composition comprising:
- g. at least one of a glidant and a binder.
- Compound 1 is in substantially one of its crystalline solid forms. In one embodiment, Compound 1 is in substantially crystalline Form I (Compound 1 Form I). In one embodiment, Compound 1 is in substantially crystalline Form II (Compound 1 Form II). In one embodiment, Compound 1 is in substantially crystalline HCl salt form (Compound 1 HCl Salt Form A). It is understood that the term “Compound 1,” as used throughout, includes, amongst other forms, including non-crystalline forms, the following solid state forms: Compound 1 Form I, Compound 1 Form II, and/or Compound 1 HCl Salt Form A.
- the pharmaceutical composition comprises 25 mg to 400 mg. In some embodiments, the pharmaceutical composition comprises 25 mg of Compound 1. In some embodiments, the pharmaceutical composition comprises 50 mg of Compound 1. In some embodiments, the pharmaceutical composition comprises 100 mg of Compound 1. In some embodiments, the pharmaceutical composition comprises 125 mg of Compound 1. In some embodiments, the pharmaceutical composition comprises 150 mg of Compound 1. In some embodiments, the pharmaceutical composition comprises 200 mg of Compound 1. In some embodiments, the pharmaceutical composition comprises 250 mg of Compound 1. In some embodiments, the pharmaceutical composition comprises 400 mg of Compound 1.
- the invention provides a pharmaceutical composition comprising the following components:
- roller Compaction Granule Blend Compound 1 20-40 Microcrystalline cellulose 30-50 Mannitol 10-30 Croscarmellose Sodium 1-5 Sodium Lauryl Sulfate 0.1-2 Colloidal Silica 0.1-1 Magnesium Stearate 1-3 Tablet Composition (100 mg dose) Roller Compaction Granule Blend 99-99.9 Magnesium Stearate 0.1-1
- the invention provides a pharmaceutical composition comprising the following components:
- roller Compaction Granule Blend Compound 1 Form I 30 Microcrystalline cellulose 42.3 Mannitol 21.2 Croscarmellose Sodium 3 Sodium Lauryl Sulfate 1 Colloidal Silica 0.5 Magnesium Stearate 2 Tablet Composition (100 mg dose, 335 mg image) Roller Compaction Granule Blend 99.5 Magnesium Stearate 0.5
- the invention provides a pharmaceutical composition comprising the following components:
- High Shear Granule Blend Compound 1 Form I 40-80 Microcrystalline cellulose 20-40 Mannitol 10-15 Croscarmellose Sodium 1-5 Polyvinylpyrrolidone 1-10 Sodium Lauryl Sulfate 0.1-2 Water (removed during drying) 25-40% solids Tablet Composition (100 mg dose) High Shear Granule Blend 95-99 Croscarmellose Sodium 1-4 Magnesium Stearate 0.1-1
- the invention provides a pharmaceutical composition comprising the following components:
- High Shear Granule Blend Compound 1 Form I 50 Microcrystalline cellulose 30 Mannitol 13 Croscarmellose Sodium 2 Polyvinylpyrrolidone 4 Sodium Lauryl Sulfate 1 Water (removed during drying) 25-40% solids Tablet Composition (100 mg dose, 205 mg image) High Shear Granule Blend 97.5 Croscarmellose Sodium 2.0 Magnesium Stearate 0.5
- the invention provides a pharmaceutical composition comprising the following components:
- High Shear Granule Blend Compound 1 Form I 60 Microcrystalline cellulose 20 Mannitol 13 Croscarmellose Sodium 2 Polyvinylpyrrolidone 4 Sodium Lauryl Sulfate 1 Water (removed during drying) 25-40% solids Tablet Composition (100 mg dose, 171 mg image) High Shear Granule Blend 97.5 Croscarmellose Sodium 2.0 Magnesium Stearate 0.5
- the invention provides a pharmaceutical composition comprising the following components:
- High Shear Granule Blend Compound 1 Form I 60 Microcrystalline cellulose 20 Mannitol 13 Croscarmellose Sodium 2 Polyvinylpyrrolidone 4 Sodium Lauryl Sulfate 1 Water (removed during drying) 25-40% solids Tablet Composition (200 mg dose, 402 mg image) High Shear Granule Blend 83 Microcrystalline cellulose 14 Croscarmellose Sodium 2 Magnesium Stearate 1
- the invention provides a pharmaceutical composition comprising the following components:
- High Shear Granule Blend Compound 1 Form I 200 Microcrystalline cellulose 66 Mannitol 43 Croscarmellose Sodium 7 Polyvinylpyrrolidone 13 Sodium Lauryl Sulfate 3 Core Tablet Composition (200 mg dose, 400 mg image) High Shear Granule Blend 332 Microcrystalline cellulose 56 Croscarmellose Sodium 8 Magnesium Stearate 4 Film Coated Tablet (200 mg dose, 412 mg image) Core Tablet Composition 400 Film Coat 12 Wax 0.04
- the invention provides a pharmaceutical composition comprising the following components:
- High Shear Granule Blend Compound 1 Form I 200 Microcrystalline cellulose 67 Mannitol 45 Croscarmellose Sodium 7 Polyvinylpyrrolidone 10.4 Sodium Lauryl Sulfate 2.6 Core Tablet Composition (200 mg dose, 400 mg image) High Shear Granule Blend 332 Microcrystalline cellulose 56 Croscarmellose Sodium 8 Magnesium Stearate 4 Film Coated Tablet (200 mg dose, 412 mg image) Core Tablet Composition 400 Film Coat 12 Wax 0.04
- the invention provides a pharmaceutical composition comprising the following components:
- High Shear Granule Blend Compound 1 Form I 70 Microcrystalline cellulose 12 Mannitol 11 Croscarmellose Sodium 2 Polyvinylpyrrolidone 4 Sodium Lauryl Sulfate 1 Water (removed during drying) 25-40% solids Tablet Composition (100 mg dose, 147 mg image) High Shear Granule Blend 97.5 Croscarmellose Sodium 2.0 Magnesium Stearate 0.5
- the invention provides a pharmaceutical composition comprising the following components:
- High Shear Granule Blend Compound 1 Form I or Form II 61 Microcrystalline cellulose 20.3 Mannitol 13.2 Croscarmellose Sodium 2 Polyvinylpyrrolidone 2.7 Sodium Lauryl Sulfate 0.7 Tablet Composition (100 mg dose, 197 mg image) High Shear Granule Blend 83 Microcrystalline cellulose 14 Croscarmellose Sodium 2 Magnesium Stearate 1
- the invention provides a pharmaceutical composition comprising the following components:
- High Shear Granule Blend Compound 1 Form I or Form II 100 Microcrystalline cellulose 33.3 Mannitol 21.7 Croscarmellose Sodium 3.3 Polyvinylpyrrolidone 4.4 Sodium Lauryl Sulfate 1.1 Core Tablet Composition (100 mg dose, 197 mg image) High Shear Granule Blend 163.9 Microcrystalline cellulose 27.6 Croscarmellose Sodium 3.9 Magnesium Stearate 2.0
- the invention provides a pharmaceutical composition in the form of a tablet that comprises Compound 1, and one or more pharmaceutically acceptable excipients, for example, a filler, a disintegrant, a surfactant, a diluent, a binder, a glidant, and a lubricant and any combination thereof, where the tablet has a dissolution of at least about 50% in about 30 minutes.
- the dissolution rate is at least about 75% in about 30 minutes.
- the dissolution rate is at least about 90% in about 30 minutes.
- the tablet has a target friability of less than 1.0% after 400 revolutions.
- the invention provides a pharmaceutical composition as described herein further comprising an additional therapeutic agent.
- the additional therapeutic agent is N-(5-hydroxy-2,4-ditert-butyl-phenyl)-4-oxo-1H-quinoline-3-carboxamide.
- the invention provides a method of treating a CFTR mediated disease in a mammal comprising administering to the mammal an effective amount of a pharmaceutical composition as described herein.
- the CFTR mediated disease is cystic fibrosis, emphysema, COPD, or osteoporosis.
- the CFTR mediated disease is cystic fibrosis.
- This method may further comprise administering an additional therapeutic agent, wherein in some embodiments, the additional therapeutic agent is N-(5-hydroxy-2,4-ditert-butyl-phenyl)-4-oxo-1H-quinoline-3-carboxamide.
- the invention provides a process for making the pharmaceutical compositions described herein by a roller compaction process comprising the steps of screening and weighing Compound 1 and excipients; blending Compound 1 and excipients for a suitable amount of time; roller compacting the blend into ribbons and milling the ribbons into granules; blending the granules with extra-granular excipients for a suitable amount of time; compressing the blend into tablets; coating the tablets; and, optionally, printing a monogram on one or both tablet faces.
- the invention provides a process for making the pharmaceutical compositions described herein by a high shear granulation process comprising the steps of screening and weighing Compound 1 and excipients; mixing Compound 1 and excipients while adding a granulation fluid comprising surfactant and a binder at a suitable mixing speed for a suitable amount of time and chopping the mixture into granules; drying the granules; blending the granules with extra-granular excipients for a suitable amount of time; compressing the blend into tablets; coating the tablets; and, optionally, printing a monogram on one or both tablet faces.
- FIG. 1 is an X-ray diffraction pattern calculated from a single crystal structure of Compound 1 Form I.
- FIG. 2 is an actual X-ray powder diffraction pattern of Compound 1 Form I.
- FIG. 3 is an X-ray powder diffraction pattern of Compound 1 Form II.
- FIG. 4 provides X-ray diffraction patterns of Compound 1 Form II's selected from:
- FIG. 5 provides an X-ray diffraction pattern of Compound 1 Form II, Methanol Solvate.
- FIG. 6 provides an X-ray diffraction pattern of Compound 1 Form II, Ethanol Solvate.
- FIG. 7 provides an X-ray diffraction pattern of Compound 1 Form II, Acetone Solvate.
- FIG. 8 provides an X-ray diffraction pattern of Compound 1 Form II, 2-Propanol Solvate.
- FIG. 9 provides an X-ray diffraction pattern of Compound 1 Form II, Acetonitrile Solvate.
- FIG. 10 provides an X-ray diffraction pattern of Compound 1 Form II, Tetrahydrofuran Solvate.
- FIG. 11 provides an X-ray diffraction pattern of Compound 1 Form II, Methyl Acetate Solvate.
- FIG. 12 provides an X-ray diffraction pattern of Compound 1 Form II, 2-Butanone Solvate.
- FIG. 13 provides an X-ray diffraction pattern of Compound 1 Form II, Ethyl Formate Solvate.
- FIG. 14 provides an X-ray diffraction pattern of Compound 1 Form II, 2-Methyltetrahydrofuran Solvate.
- FIG. 15 is a differential scanning calorimetry (DSC) trace of Compound 1 Form II, Acetone Solvate.
- FIG. 16 is a Thermogravimetric analysis (TGA) plot of Compound 1 Form II, Acetone Solvate.
- FIG. 17 is a conformational image of Compound 1 Form II, Acetone Solvate based on single crystal X-ray analysis.
- FIG. 18 is a conformational image of the dimer of Compound 1 HCl Salt Form A.
- FIG. 19 is an X-ray diffraction pattern of Compound 1 HCl Salt Form A calculated from the crystal structure.
- FIG. 20 is an 1 HNMR spectrum of Compound 1.
- FIG. 21 is an 1 HNMR spectrum of Compound 1 HCl salt.
- FIG. 22 is a differential scanning calorimetry (DSC) trace of Compound 1 Form I.
- FIG. 23 is a conformational picture of Compound 1 Form I based on single crystal X-ray analysis.
- FIG. 24 is a conformational image of Compound 1 Form II, Acetone Solvate, based on single crystal X-ray analysis.
- FIG. 25 is a solid state 13 C NMR spectrum (15.0 kHz spinning) of Compound 1 Form II, Acetone Solvate.
- FIG. 26 is a solid state 19 F NMR spectrum (12.5 kHz spinning) of Compound 1 Form II, Acetone Solvate.
- FIG. 27 is an X-ray diffraction pattern of Compound 1 HCl Salt Form A calculated from the crystal structure.
- API active pharmaceutical ingredient
- exemplary APIs include 3-(6-(1-(2,2-difluorobenzo[d][1,3]dioxol-5-yl) cyclopropanecarboxamido)-3-methylpyridin-2-yl)benzoic acid (Compound 1).
- solid form when used herein to refer to 3-(6-(1-(2,2-difluorobenzo[d][1,3]dioxol-5-yl) cyclopropanecarboxamido)-3-methylpyridin-2-yl) benzoic acid (Compound 1), refer to a solid form e.g. crystals and the like, comprising Compound 1 which is not predominantly in a liquid or a gaseous state.
- substantially amorphous refers to a solid material having little or no long range order in the position of its molecules.
- substantially amorphous materials have less than about 15% crystallinity (e.g., less than about 10% crystallinity or less than about 5% crystallinity).
- substantially amorphous includes the descriptor, ‘amorphous’, which refers to materials having no (0%) crystallinity.
- substantially crystalline refers to a solid material having predominantly long range order in the position of its molecules.
- substantially crystalline materials have more than about 85% crystallinity (e.g., more than about 90% crystallinity or more than about 95% crystallinity).
- substantially crystalline includes the descriptor, ‘crystalline’, which refers to materials having 100% crystallinity.
- crystalline and related terms used herein, when used to describe a substance, component, product, or form, means that the substance, component or product is substantially crystalline as determined by X-ray diffraction. (See, e.g., Remington: The Science and Practice of Pharmacy, 21st Ed., Lippincott Williams & Wilkins, Baltimore, Md. (2003); The United States Pharmacopeia, 23 rd ed., 1843-1844 (1995)).
- composition generally refers to a composition of two or more components, usually one or more drugs (e.g., one drug (e.g., Compound 1 Form I, Compound 1 Form II, or Compound 1 HCl Salt Form A)) and one or more pharmaceutical excipients.
- drugs e.g., one drug (e.g., Compound 1 Form I, Compound 1 Form II, or Compound 1 HCl Salt Form A)
- pharmaceutical excipients e.g., one drug (e.g., Compound 1 Form I, Compound 1 Form II, or Compound 1 HCl Salt Form A)
- solid dosage form generally refers to a pharmaceutical composition, which when used in an oral mode of administration include capsules, tablets, pills, powders and granules.
- the active compound is mixed with at least one inert, pharmaceutically acceptable excipient or carrier.
- an “excipient” includes functional and non-functional ingredients in a pharmaceutical composition.
- a “disintegrant” is an excipient that hydrates a pharmaceutical composition and aids in tablet dispersion.
- a “diluent” or “filler” is an excipient that adds bulkiness to a pharmaceutical composition.
- a “surfactant” is an excipient that imparts pharmaceutical compositions with enhanced solubility and/or wetability.
- a “binder” is an excipient that imparts a pharmaceutical composition with enhanced cohesion or tensile strength (e.g., hardness).
- a “glidant” is an excipient that imparts a pharmaceutical compositions with enhanced flow properties.
- a “colorant” is an excipient that imparts a pharmaceutical composition with a desired color.
- examples of colorants include commercially available pigments such as FD&C Blue #1 Aluminum Lake, FD&C Blue #2, other FD&C Blue colors, titanium dioxide, iron oxide, and/or combinations thereof.
- the pharmaceutical composition provided by the invention is purple.
- a “lubricant” is an excipient that is added to pharmaceutical compositions that are pressed into tablets.
- the lubricant aids in compaction of granules into tablets and ejection of a tablet of a pharmaceutical composition from a die press.
- Friability refers to the property of a tablet to remain intact and withhold its form despite an external force of pressure. Friability can be quantified using the mathematical expression presented in equation 1:
- Friability is measured using a standard USP testing apparatus that tumbles experimental tablets for 100 or 400 revolutions. Some tablets of the invention have a friability of less than 5.0%. In another embodiment, the friability is less than 2.0%. In another embodiment, the target friability is less than 1.0% after 400 revolutions.
- mean particle diameter is the average particle diameter as measured using techniques such as laser light scattering, image analysis, or sieve analysis.
- the granules used to prepare the pharmaceutical compositions provided by the invention have a mean particle diameter of less than 1.0 mm.
- the granules used to prepare the pharmaceutical compositions provided by the invention have a bulk density of about 0.5-0.7 g/cc.
- an effective amount or “therapeutically effective amount” of a drug compound of the invention may vary according to factors such as the disease state, age, and weight of the subject, and the ability of the compound of the invention to elicit a desired response in the subject. Dosage regimens may be adjusted to provide the optimum therapeutic response. An effective amount is also one in which any toxic or detrimental effects (e.g., side effects) of the compound of the invention are outweighed by the therapeutically beneficial effects.
- the terms “therapeutically effective amount” and “effective amount” of a compound mean an amount sufficient to provide a therapeutic benefit in the treatment or management of a disease or disorder, or to delay or minimize one or more symptoms associated with the disease or disorder.
- a “therapeutically effective amount” and “effective amount” of a compound mean an amount of therapeutic agent, alone or in combination with one or more other agent(s), which provides a therapeutic benefit in the treatment or management of the disease or disorder.
- the terms “therapeutically effective amount” and “effective amount” can encompass an amount that improves overall therapy, reduces or avoids symptoms or causes of disease or disorder, or enhances the therapeutic efficacy of another therapeutic agent.
- substantially pure as used in the phrase “substantially pure Compound 1 Form I, Compound 1 Form II, or Compound 1 HCl Salt Form A,” means greater than about 90% purity. In another embodiment, substantially pure refers to greater than about 95% purity. In another embodiment, substantially pure refers to greater than about 98% purity. In another embodiment, substantially pure refers to greater than about 99% purity.
- the term “about” or “approximately” means an acceptable error for a particular value as determined by one of ordinary skill in the art, which depends in part on how the value is measured or determined.
- the term “about” or “approximately” means within 1, 2, 3, or 4 standard deviations. In certain embodiments, the term “about” or “approximately” means within 30%, 25%, 20%, 15%, 10%, 9%, 8%, 7%, 6%, 5%, 4%, 3%, 2%, 1%, 0.5%, 0.1%, or 0.05% of a given value or range.
- Compound 1 includes, but is not limited to, the solid forms of Compound 1 as described herein, e.g. Compound 1 Form I, Compound 1 Form II, or Compound 1 HCl Salt Form A, as well as combinations thereof.
- the invention provides pharmaceutical compositions, pharmaceutical formulations and solid dosage forms comprising Compound 1 which may be in substantially crystalline form.
- Compound 1 is in crystalline Form I (Compound 1 Form I).
- Compound 1 is in crystalline Form II (Compound 1 Form II).
- Compound 1 is in crystalline HCl salt form (Compound 1 HCl Salt Form A).
- the amount of Compound 1 that is present in the pharmaceutical composition is 25 mg, 50 mg, 75 mg, 100 mg, 125 mg, 150 mg, 200 mg, 250 mg, or 400 mg.
- weight/weight relative percent of Compound 1 that is present in the pharmaceutical composition is from 10 to 75 percent.
- 3-(6-(1-(2,2-difluorobenzo[d][1,3]dioxol-5-yl) cyclopropanecarboxamido)-3-methylpyridin-2-yl)benzoic acid is present as substantially pure Compound 1.
- “Substantially pure” means greater than ninety percent pure; preferably greater than 95 percent pure; more preferably greater than 99.5 percent pure (i.e., not mixed with other crystalline forms of Compound 1).
- the invention provides a pharmaceutical composition comprising:
- g. and at least one of a glidant and a binder.
- the pharmaceutical composition comprises 25 mg of Compound 1. In another embodiment of this aspect, the pharmaceutical composition comprises 50 mg of Compound 1. In another embodiment of this aspect, the pharmaceutical composition comprises 100 mg of Compound 1. In another embodiment of this aspect, the pharmaceutical composition comprises 125 mg of Compound 1. In another embodiment of this aspect, the pharmaceutical composition comprises 150 mg of Compound 1. In another embodiment of this aspect, the pharmaceutical composition comprises 200 mg of Compound 1. In another embodiment of this aspect, the pharmaceutical composition comprises 250 mg of Compound 1. In another embodiment of this aspect, the pharmaceutical composition comprises 400 mg of Compound 1.
- the pharmaceutical compositions comprises Compound 1, wherein Compound 1 is present in an amount of at least 15 wt % (e.g., at least 20 wt %, at least 30 wt %, at least 40 wt %, at least 50 wt %, or at least 60 wt %) by weight of the composition.
- the pharmaceutical composition comprises Compound 1, a filler, a diluent, a disintegrant, a surfactant, a glidant, and a lubricant.
- the composition comprises from about 20 wt % to about 50 wt % (e.g., about 25-35 wt %) of Compound 1 by weight of the composition, and more typically, from 25 wt % to about 45 wt % (e.g., about 28-32 wt %) of Compound 1 by weight of the composition.
- the pharmaceutical composition comprises Compound 1, a filler, a diluent, a disintegrant, a surfactant, a binder, and a lubricant.
- the composition comprises from about 30 wt % to about 60 wt % (e.g., about 40-55 wt %) of Compound 1 by weight of the composition, and more typically from 35 wt % to about 70 wt % (e.g., about 45-55 wt %) of Compound 1 by weight of the composition.
- the concentration of Compound 1 in the composition depends on several factors such as the amount of pharmaceutical composition needed to provide a desired amount of Compound 1 and the desired dissolution profile of the pharmaceutical composition.
- the pharmaceutical composition comprises Compound 1, in which Compound 1 in its solid form has a mean particle diameter, measured by light scattering (e.g., using a Malvern Mastersizer available from Malvern Instruments in England) of 0.1 microns to 10 microns.
- the particle size of Compound 1 is 1 micron to 5 microns.
- Compound 1 has a particle size D50 of 2.0 microns.
- the pharmaceutical compositions which are oral formulations also comprise one or more excipients such as fillers, disintegrants, surfactants, diluents, binders, glidants, lubricants, colorants, or fragrances and any combination thereof.
- excipients such as fillers, disintegrants, surfactants, diluents, binders, glidants, lubricants, colorants, or fragrances and any combination thereof.
- Fillers suitable for the invention are compatible with the ingredients of the pharmaceutical composition, i.e., they do not substantially reduce the solubility, the hardness, the chemical stability, the physical stability, or the biological activity of the pharmaceutical composition.
- Exemplary fillers include: celluloses, modified celluloses, (e.g. sodium carboxymethyl cellulose, ethyl cellulose hydroxymethyl cellulose, hydroxypropylcellulose), cellulose acetate, microcrystalline cellulose, calcium phosphates, dibasic calcium phosphate, starches (e.g. corn starch, potato starch), sugars (e.g., sorbitol) lactose, sucrose, or the like), or any combination thereof.
- the pharmaceutical composition comprises at least one filler in an amount of at least 5 wt % (e.g., at least about 20 wt %, at least about 30 wt %, or at least about 40 wt %) by weight of the composition.
- the pharmaceutical composition comprises from about 10 wt % to about 60 wt % (e.g., from about 20 wt % to about 55 wt %, from about 25 wt % to about 50 wt %, or from about 27 wt % to about 45 wt %) of filler, by weight of the composition.
- the pharmaceutical composition comprises at least about 20 wt % (e.g., at least 30 wt % or at least 40 wt %) of microcrystalline cellulose, for example MCC Avicel PH102, by weight of the composition.
- the pharmaceutical composition comprises from about 10 wt % to about 60 wt % (e.g., from about 20 wt % to about 55 wt % or from about 25 wt % to about 45 wt %) of microcellulose, by weight of the composition.
- Disintegrants suitable for the invention enhance the dispersal of the pharmaceutical composition and are compatible with the ingredients of the pharmaceutical composition, i.e., they do not substantially reduce the chemical stability, the physical stability, the hardness, or the biological activity of the pharmaceutical composition.
- Exemplary disintegrants include croscarmellose sodium, sodium starch glycolate, or a combination thereof.
- the pharmaceutical composition comprises disintegrant in an amount of about 10 wt % or less (e.g., about 7 wt % or less, about 6 wt % or less, or about 5 wt % or less) by weight of the composition.
- the pharmaceutical composition comprises from about 1 wt % to about 10 wt % (e.g., from about 1.5 wt % to about 7.5 wt % or from about 2.5 wt % to about 6 wt %) of disintegrant, by weight of the composition.
- the pharmaceutical composition comprises about 10 wt % or less (e.g., 7 wt % or less, 6 wt % or less, or 5 wt % or less) of croscarmellose sodium, by weight of the composition.
- the pharmaceutical composition comprises from about 1 wt % to about 10 wt % (e.g., from about 1.5 wt % to about 7.5 wt % or from about 2.5 wt % to about 6 wt %) of croscarmellose sodium, by weight of the composition.
- the pharmaceutical composition comprises from about 0.1% to about 10 wt % (e.g., from about 0.5 wt % to about 7.5 wt % or from about 1.5 wt % to about 6 wt %) of disintegrant, by weight of the composition. In still other examples, the pharmaceutical composition comprises from about 0.5% to about 10 wt % (e.g., from about 1.5 wt % to about 7.5 wt % or from about 2.5 wt % to about 6 wt %) of disintegrant, by weight of the composition.
- Surfactants suitable for the invention enhance the wettability of the pharmaceutical composition and are compatible with the ingredients of the pharmaceutical composition, i.e., they do not substantially reduce the chemical stability, the physical stability, the hardness, or the biological activity of the pharmaceutical composition.
- exemplary surfactants include sodium lauryl sulfate (SLS), sodium stearyl fumarate (SSF), polyoxyethylene 20 sorbitan mono-oleate (e.g., TweenTM), any combination thereof, or the like.
- the pharmaceutical composition comprises a surfactant in an amount of about 10 wt % or less (e.g., about 5 wt % or less, about 2 wt % or less, about 1 wt % or less, about 0.8 wt % or less, or about 0.6 wt % or less) by weight of the composition.
- the pharmaceutical composition includes from about 10 wt % to about 0.1 wt % (e.g., from about 5 wt % to about 0.2 wt % or from about 2 wt % to about 0.3 wt %) of surfactant, by weight of the composition.
- the pharmaceutical composition comprises 10 wt % or less (e.g., about 5 wt % or less, about 2 wt % or less, about 1 wt % or less, about 0.8 wt % or less, or about 0.6 wt % or less) of sodium lauryl sulfate, by weight of the composition.
- the pharmaceutical composition comprises from about 10 wt % to about 0.1 wt % (e.g., from about 5 wt % to about 0.2 wt % or from about 2 wt % to about 0.3 wt %) of sodium lauryl sulfate, by weight of the composition.
- Binders suitable for the invention enhance the tablet strength of the pharmaceutical composition and are compatible with the ingredients of the pharmaceutical composition, i.e., they do not substantially reduce the chemical stability, the physical stability, or the biological activity of the pharmaceutical composition.
- exemplary binders include polyvinylpyrrolidone, dibasic calcium phosphate, sucrose, corn (maize) starch, modified cellulose (e.g., hydroxymethyl cellulose), or any combination thereof.
- the pharmaceutical composition comprises a binder in an amount of at least about 0.1 wt % (e.g., at least about 1 wt %, at least about 3 wt %, at least about 4 wt %, or at least about 5 wt %) by weight of the composition.
- the pharmaceutical composition comprises from about 0.1 wt % to about 10 wt % (e.g., from about 1 wt % to about 10 wt % or from about 2 wt % to about 7 wt %) of binder, by weight of the composition.
- the pharmaceutical composition comprises at least about 0.1 wt % (e.g., at least about 1 wt %, at least about 2 wt %, at least about 3 wt %, or at least about 4 wt %) of polyvinylpyrrolidone, by weight of the composition.
- the pharmaceutical composition comprises a glidant in an amount ranging from about 0.1 wt % to about 10 wt % (e.g., from about 1 wt % to about 8 wt % or from about 2 wt % to about 5 wt %) of polyvinylpyrrolidone, by weight of the composition.
- Diluents suitable for the invention may add necessary bulk to a formulation to prepare tablets of the desired size and are generally compatible with the ingredients of the pharmaceutical composition, i.e., they do not substantially reduce the solubility, the hardness, the chemical stability, the physical stability, or the biological activity of the pharmaceutical composition.
- Exemplary diluents include: sugars, for example, confectioner's sugar, compressible sugar, dextrates, dextrin, dextrose, lactose, mannitol, sorbitol, cellulose, and modified celluloses, for example, powdered cellulose, talc, calcium phosphate, starch, or any combination thereof.
- the pharmaceutical composition comprises a diluent in an amount of 40 wt % or less (e.g., 35 wt % or less, 30 wt % or less, or 25 wt % or less, or 20 wt % or less, or 15 wt % or less, or 10 wt % or less) by weight of the composition.
- a diluent in an amount of 40 wt % or less (e.g., 35 wt % or less, 30 wt % or less, or 25 wt % or less, or 20 wt % or less, or 15 wt % or less, or 10 wt % or less) by weight of the composition.
- the pharmaceutical composition comprises from about 40 wt % to about 1 wt % (e.g., from about 35 wt % to about 5 wt % or from about 30 wt % to about 7 wt %, from about 25 wt % to about 10 wt %, from about 20 wt % to about 15 wt %) of diluent, by weight of the composition.
- the pharmaceutical composition comprises 40 wt % or less (e.g., 35 wt % or less, 25 wt % or less, or 15 wt % or less) of mannitol, by weight of the composition.
- the pharmaceutical composition comprises from about 35 wt % to about 1 wt % (e.g., from about 30 wt % to about 5 wt % or from about 25 wt % to about 10 wt %) of mannitol, by weight of the composition.
- Glidants suitable for the invention enhance the flow properties of the pharmaceutical composition and are compatible with the ingredients of the pharmaceutical composition, i.e., they do not substantially reduce the solubility, the hardness, the chemical stability, the physical stability, or the biological activity of the pharmaceutical composition.
- exemplary glidants include colloidal silicon dioxide, talc, or a combination thereof.
- the pharmaceutical composition comprises a glidant in an amount of 2 wt % or less (e.g., 1.75 wt %, 1.25 wt % or less, or 1.00 wt % or less) by weight of the composition.
- the pharmaceutical composition comprises from about 2 wt % to about 0.05 wt % (e.g., from about 1.5 wt % to about 0.07 wt % or from about 1.0 wt % to about 0.09 wt %) of glidant, by weight of the composition.
- the pharmaceutical composition comprises 2 wt % or less (e.g., 1.75 wt %, 1.25 wt % or less, or 1.00 wt % or less) of colloidal silicon dioxide, by weight of the composition.
- the pharmaceutical composition comprises from about 2 wt % to about 0.05 wt % (e.g., from about 1.5 wt % to about 0.07 wt % or from about 1.0 wt % to about 0.09 wt %) of colloidal silicon dioxide, by weight of the composition.
- the pharmaceutical composition can include an oral solid pharmaceutical dosage form which can comprise a lubricant that can prevent adhesion of a granulate-bead admixture to a surface (e.g., a surface of a mixing bowl, a compression die and/or punch).
- a lubricant can also reduce interparticle friction within the granulate and improve the compression and ejection of compressed pharmaceutical compositions from a die press.
- the lubricant is also compatible with the ingredients of the pharmaceutical composition, i.e., they do not substantially reduce the solubility, the hardness, or the biological activity of the pharmaceutical composition.
- Exemplary lubricants include magnesium stearate, calcium stearate, zinc stearate, sodium stearate, stearic acid, aluminum stearate, leucine, glyceryl behenate, hydrogenated vegetable oil or any combination thereof.
- the pharmaceutical composition comprises a lubricant in an amount of 5 wt % or less (e.g., 4.75 wt %, 4.0 wt % or less, or 3.00 wt % or less, or 2.0 wt % or less) by weight of the composition.
- the pharmaceutical composition comprises from about 5 wt % to about 0.10 wt % (e.g., from about 4.5 wt % to about 0.5 wt % or from about 3 wt % to about 1 wt %) of lubricant, by weight of the composition.
- the pharmaceutical composition comprises 5 wt % or less (e.g., 4.0 wt % or less, 3.0 wt % or less, or 2.0 wt % or less, or 1.0 wt % or less) of magnesium stearate, by weight of the composition.
- the pharmaceutical composition comprises from about 5 wt % to about 0.10 wt % (e.g., from about 4.5 wt % to about 0.15 wt % or from about 3.0 wt % to about 0.50 wt %) of magnesium stearate, by weight of the composition.
- compositions of the invention can optionally comprise one or more colorants, flavors, and/or fragrances to enhance the visual appeal, taste, and/or scent of the composition.
- Suitable colorants, flavors, or fragrances are compatible with the ingredients of the pharmaceutical composition, i.e., they do not substantially reduce the solubility, the chemical stability, the physical stability, the hardness, or the biological activity of the pharmaceutical composition.
- the pharmaceutical composition comprises a colorant, a flavor, and/or a fragrance.
- the pharmaceutical compositions provided by the invention are purple.
- the pharmaceutical composition includes or can be made into tablets and the tablets can be coated with a colorant and optionally labeled with a logo, other image and/or text using a suitable ink.
- the pharmaceutical composition includes or can be made into tablets and the tablets can be coated with a colorant, waxed, and optionally labeled with a logo, other image and/or text using a suitable ink.
- Suitable colorants and inks are compatible with the ingredients of the pharmaceutical composition, i.e., they do not substantially reduce the solubility, the chemical stability, the physical stability, the hardness, or the biological activity of the pharmaceutical composition.
- the suitable colorants and inks can be any color and are water based or solvent based.
- tablets made from the pharmaceutical composition are coated with a colorant and then labeled with a logo, other image, and/or text using a suitable ink.
- tablets comprising pharmaceutical composition as described herein can be coated with about 3 wt % (e.g., less than about 6 wt % or less than about 4 wt %) of film coating comprising a colorant.
- the colored tablets can be labeled with a logo and text indicating the strength of the active ingredient in the tablet using a suitable ink.
- tablets comprising pharmaceutical composition as described herein can be coated with about 3 wt % (e.g., less than about 6 wt % or less than about 4 wt %) of a film coating comprising a colorant.
- tablets made from the pharmaceutical composition are coated with a colorant, waxed, and then labeled with a logo, other image, and/or text using a suitable ink.
- tablets comprising pharmaceutical composition as described herein can be coated with about 3 wt % (e.g., less than about 6 wt % or less than about 4 wt %) of film coating comprising a colorant.
- the colored tablets can be waxed with Carnauba wax powder weighed out in the amount of about 0.01% w/w of the starting tablet core weight.
- the waxed tablets can be labeled with a logo and text indicating the strength of the active ingredient in the tablet using a suitable ink.
- tablets comprising pharmaceutical composition as described herein can be coated with about 3 wt % (e.g., less than about 6 wt % or less than about 4 wt %) of a film coating comprising a colorant
- the colored tablets can be waxed with Carnauba wax powder weighed out in the amount of about 0.01% w/w of the starting tablet core weight.
- the waxed tablets can be labeled with a logo and text indicating the strength of the active ingredient in the tablet using a pharmaceutical grade ink such as a black ink (e.g., Opacode® S-1-17823, a solvent based ink, commercially available from Colorcon, Inc. of West Point, Pa.).
- a black ink e.g., Opacode® S-1-17823, a solvent based ink, commercially available from Colorcon, Inc. of West Point, Pa.
- One exemplary pharmaceutical composition comprises from about 15 wt % to about 70 wt % (e.g., from about 15 wt % to about 60 wt %, from about 15 wt % to about 50 wt %, or from about 15 wt % to about 40 wt %, or from about 20 wt % to about 70 wt %, or from about 30 wt % to about 70 wt %, or from about 40 wt % to about 70 wt %, or from about 50 wt % to about 70 wt %) of Compound 1, by weight of the composition.
- compositions can also include one or more pharmaceutically acceptable excipients, for example, from about 20 wt % to about 50 wt % of a filler; from about 1 wt % to about 5 wt % of a disintegrant; from about 2 wt % to about 0.3 wt % of a surfactant; from about 0.1 wt % to about 5 wt % of a binder; from about 1 wt % to about 30 wt % of a diluent; from about 2 wt % to about 0.05 wt % of a glidant; and from about 5 wt % to about 0.1 wt % of a lubricant.
- pharmaceutically acceptable excipients for example, from about 20 wt % to about 50 wt % of a filler; from about 1 wt % to about 5 wt % of a disintegrant; from about 2 wt % to about
- the pharmaceutical composition comprises a composition containing from about 15 wt % to about 70 wt % (e.g., from about 20 wt % to about 40 wt %, from about 25 wt % to about 60 wt %, or from about 30 wt % to about 55 wt %) of Compound 1, by weight of the composition; and one or more excipients, for example, from about 20 wt % to about 50 wt % of a filler; from about 1 wt % to about 5 wt % of a disintegrant; from about 2 wt % to about 0.3 wt % of a surfactant; from about 0.1 wt % to about 5 wt % of a binder; from about 1 wt % to about 30 wt % of a diluent; from about 2 wt % to about 0.05 wt % of a glidant; and from about 5 wt
- Another exemplary pharmaceutical composition comprises from about 15 wt % to about 70 wt % (e.g., from about 15 wt % to about 60 wt %, from about 15 wt % to about 50 wt %, or from about 15 wt % to about 40 wt % or from about 20 wt % to about 70 wt %, or from about 30 wt % to about 70 wt %, or from about 40 wt % to about 70 wt %, or from about 50 wt % to about 70 wt %) of Compound 1 by weight of the composition, and one or more excipients, for example, from about 20 wt % to about 50 wt % of a filler; from about 1 wt % to about 5 wt % of a disintegrant; from about 2 wt % to about 0.3 wt % of a surfactant; from about 0.1 wt % to about 5
- Another exemplary pharmaceutical composition comprises from about 15 wt % to about 70 wt % (e.g., from about 15 wt % to about 60 wt %, from about 15 wt % to about 50 wt %, or from about 15 wt % to about 40 wt % or from about 20 wt % to about 70 wt %, or from about 30 wt % to about 70 wt %, or from about 40 wt % to about 70 wt %, or from about 50 wt % to about 70 wt %) of Compound 1 by weight of the composition, and one or more excipients, for example, from about 20 wt % to about 50 wt % of a filler; from about 1 wt % to about 5 wt % of a disintegrant; from about 2 wt % to about 0.3 wt % of a surfactant; from about 0.1 wt % to about 5
- Another exemplary pharmaceutical composition comprises from about 15 wt % to about 70 wt % (e.g., from about 15 wt % to about 60 wt %, from about 15 wt % to about 50 wt %, or from about 15 wt % to about 40 wt % or from about 20 wt % to about 70 wt %, or from about 30 wt % to about 70 wt %, or from about 40 wt % to about 70 wt %, or from about 50 wt % to about 70 wt %) of Compound 1 and one or more excipients, for example, from about 20 wt % to about 50 wt % of a filler; from about 1 wt % to about 5 wt % of a disintegrant; from about 2 wt % to about 0.3 wt % of a surfactant; from about 0.1 wt % to about 5 wt % of
- the invention is a granular pharmaceutical composition comprising:
- Another granular composition formulated into an oral formulation of the invention comprises:
- a pharmaceutical oral formulation of the invention comprises:
- Another pharmaceutical oral formulation of the invention comprises:
- Another pharmaceutical oral formulation of the invention comprises:
- Another pharmaceutical oral formulation of the invention comprises:
- magnesium stearate g. about 1 to 5 mg of magnesium stearate.
- Another pharmaceutical oral formulation of the invention comprises:
- magnesium stearate g. about 4 mg of magnesium stearate.
- Another pharmaceutical oral formulation of the invention comprises:
- magnesium stearate g. about 4 mg of magnesium stearate.
- Another pharmaceutical oral formulation of the invention comprises:
- compositions of the invention can be processed into a tablet form, capsule form, pouch form, lozenge form, or other solid form that is suited for oral administration.
- the pharmaceutical compositions are in tablet form.
- a shaped pharmaceutical tablet composition having an initial hardness of 5-21 kP ⁇ 20 percent comprises: about 30 wt % of Compound 1; about 42 wt % of microcrystalline cellulose by weight of the composition; about 21 wt % of mannitol by weight of the composition; about 3 wt % of sodium croscarmellose sodium by weight of the composition; about 1 wt % of sodium lauryl sulfate by weight of the composition; about 2.5 wt % of magnesium stearate by weight of the composition; and about 0.5 wt % of colloidal silica by weight of the composition.
- the amount of Compound 1 in the shaped pharmaceutical tablet ranges from about 25 mg to about 250 mg, for example, 50 mg, or 75 mg, or 100 mg, or 150 mg, 200 mg, or 250 mg Compound 1 per tablet.
- a shaped pharmaceutical tablet composition having an initial hardness of 5-21 kP ⁇ 20 percent comprises: about 49 wt % of a Compound 1; about 29 wt % of microcrystalline cellulose by weight of the composition; about 12.6 wt % of mannitol by weight of the composition; about 4 wt % of sodium croscarmellose sodium by weight of the composition; about 4 wt % of polyvinylpyrrolidone by weight of the composition; about 1 wt % of sodium lauryl sulfate by weight of the composition; and about 0.5 wt % of magnesium stearate by weight of the composition.
- the amount of Compound 1 in the shaped pharmaceutical tablet ranges from about 25 mg to about 250 mg, for example, 50 mg, or 75 mg, or 100 mg, or 150 mg, 200 mg, or 250 mg Compound 1 per tablet.
- the shaped pharmaceutical tablet contains about 100 mg of Compound 1. In certain embodiments, the shaped pharmaceutical tablet contains about 200 mg of Compound 1.
- Another aspect of the invention provides a pharmaceutical formulation consisting of a tablet or capsule that includes a Compound 1 and other excipients (e.g., a filler, a disintegrant, a surfactant, a binder, a glidant, a colorant, a lubricant, or any combination thereof), each of which is described above and in the Examples below, wherein the tablet has a dissolution of at least about 50% (e.g., at least about 60%, at least about 70%, at least about 80%, at least about 90%, or at least about 99%) in about 30 minutes.
- a Compound 1 e.g., a filler, a disintegrant, a surfactant, a binder, a glidant, a colorant, a lubricant, or any combination thereof
- the pharmaceutical composition consists of a tablet that includes Compound 1 in an amount ranging from 25 mg to 250 mg, for example, 25 mg, or 50 mg, or 75 mg, or 100 mg, or 150 mg, 200 mg, or 250 mg and one or more excipients (e.g., a filler, a disintegrant, a surfactant, a binder, a glidant, a colorant, a lubricant, or any combination thereof), each of which is described above and in the Examples below, wherein the tablet has a dissolution of from about 50% to about 100% (e.g., from about 55% to about 95% or from about 60% to about 90%) in about 30 minutes.
- excipients e.g., a filler, a disintegrant, a surfactant, a binder, a glidant, a colorant, a lubricant, or any combination thereof
- the pharmaceutical composition consists of a tablet that comprises a composition comprising Compound 1; and one or more excipients from: a filler, a diluent, a disintegrant, a surfactant, a binder, a glidant, and a lubricant, wherein the tablet has a dissolution of at least about 50% (e.g., at least about 60%, at least about 70%, at least about 80%, at least about 90%, or at least about 99%) in about 30 minutes.
- a dissolution e.g., at least about 60%, at least about 70%, at least about 80%, at least about 90%, or at least about 99%
- the tablet comprises a composition comprising at least about 25 mg (e.g., at least about 30 mg, at least about 40 mg, or at least about 50 mg) of Compound 1; and one or more excipients from: a filler, a diluent, a disintegrant, a surfactant, a binder, a glidant, and a lubricant.
- a filler e.g., at least about 30 mg, at least about 40 mg, or at least about 50 mg
- excipients from: a filler, a diluent, a disintegrant, a surfactant, a binder, a glidant, and a lubricant.
- the tablet comprises a composition comprising at least about 25 mg (e.g., at least about 30 mg, at least about 40 mg, at least about 50 mg, at least about 100 mg, or at least 150 mg) of Compound 1 and one or more excipients from: a filler, a diluent, a disintegrant, a surfactant, a binder, a glidant, and a lubricant.
- Dissolution can be measured with a standard USP Type II apparatus that employs a dissolution media of 0.1% CTAB dissolved in 900 mL of DI water, buffered at pH 6.8 with 50 mM potassium phosphate monoasic, stirring at about 50-75 rpm at a temperature of about 37° C. A single experimental tablet is tested in each test vessel of the apparatus. Dissolution can also be measured with a standard USP Type II apparatus that employs a dissolution media of 0.7% sodium lauryl sulfate dissolved in 900 mL of 50 mM sodium phosphate buffer (pH 6.8), stirring at about 65 rpm at a temperature of about 37° C. A single experimental tablet is tested in each test vessel of the apparatus.
- Dissolution can also be measured with a standard USP Type II apparatus that employs a dissolution media of 0.5% sodium lauryl sulfate dissolved in 900 mL of 50 mM sodium phosphate buffer (pH 6.8), stirring at about 65 rpm at a temperature of about 37° C. A single experimental tablet is tested in each test vessel of the apparatus.
- Compound 1 is used as the starting point for the other solid state forms and can be prepared by coupling an acid chloride moiety with an amine moiety according to Schemes 1-4.
- Scheme 1 depicts the preparation of 1-(2,2-difluorobenzo[d][1,3]dioxol-5-yl)cyclopropanecarbonyl chloride, which is used in Scheme 3 to make the amide linkage of Compound 1.
- 2,2-difluorobenzo[d][1,3]dioxole-5-carboxylic acid is commercially available from Saltigo (an affiliate of the Lanxess Corporation). Reduction of the carboxylic acid moiety in 2,2-difluorobenzo[d][1,3]dioxole-5-carboxylic acid to the primary alcohol, followed by conversion to the corresponding chloride using thionyl chloride (SOCl 2 ), provides 5-(chloromethyl)-2,2-difluorobenzo[d][1,3]dioxole, which is subsequently converted to 2-(2,2-difluorobenzo[d][1,3]dioxol-5-yl)acetonitrile using sodium cyanide.
- SOCl 2 thionyl chloride
- Scheme 2 depicts an alternative synthesis of the requisite acid chloride.
- 5-bromomethyl-2,2-difluoro-1,3-benzodioxole is coupled with ethyl cyanoacetate in the presence of a palladium catalyst to form the corresponding alpha cyano ethyl ester.
- Saponification of the ester moiety to the carboxylic acid gives the cyanoethyl compound.
- Alkylation of the cyanoethyl compound with 1-bromo-2-chloro ethane in the presence of base gives the cyanocyclopropyl compound.
- Treatment of the cyanocyclopropyl compound with base gives the carboxylate salt, which is converted to the carboxylic acid by treatment with acid. Conversion of the carboxylic acid to the acid chloride is then accomplished using a chlorinating agent such as thionyl chloride or the like.
- Scheme 3 depicts the preparation of the requisite tert-butyl 3-(6-amino-3-methylpyridin-2-yl)benzoate, which is coupled with 1-(2,2-difluorobenzo[d][1,3]dioxol-5-yl)cyclopropanecarbonyl chloride in Scheme 3 to give Compound 1.
- Palladium-catalyzed coupling of 2-bromo-3-methylpyridine with 3-(tert-butoxycarbonyl)phenylboronic acid gives tert-butyl 3-(3-methylpyridin-2-yl)benzoate, which is subsequently converted to the desired compound.
- Scheme 4 depicts the coupling of 1-(2,2-difluorobenzo[d][1,3]dioxol-5-yl)cyclopropanecarbonyl chloride with tert-butyl 3-(6-amino-3-methylpyridin-2-yl)benzoate using triethyl amine and 4-dimethylaminopyridine to initially provide the tert-butyl ester of Compound 1.
- Compound 1 Form I is prepared by dispersing or dissolving a salt form, such as the HCl salt, of Compound 1 in an appropriate solvent for an effective amount of time. Treatment of the tert-butyl ester with an acid such as HCl, gives the HCL salt of Compound 1, which is typically a crystalline solid. Compound 1 Form I may also be prepared directly from the t-butyl ester precursor by treatment with an appropriate acid, such as formic acid.
- the HCl salt of 3-(6-(1-(2,2-difluorobenzo[d][1,3]dioxol-5-yl) cyclopropanecarboxamido)-3-methylpyridin-2-yl)benzoic acid can be used to make Form I by dispersing or dissolving the HCl salt of 3-(6-(1-(2,2-difluorobenzo[d][1,3]dioxol-5-yl) cyclopropanecarboxamido)-3-methylpyridin-2-yl)benzoic acid in an appropriate solvent for an effective amount of time.
- salts of 3-(6-(1-(2,2-difluorobenzo[d][1,3]dioxol-5-yl) cyclopropanecarboxamido)-3-methylpyridin-2-yl)benzoic acid may be used, such as, for example, salts derived from other mineral or organic acids.
- the other salts result from acid-mediated hydrolysis of the t-butyl ester moiety.
- Salts derived from other acids may include, for example, nitric, sulfuric, phosphoric, boric, acetic, benzoic and malonic.
- the appropriate solvent may be water or an alcohol/water mixture such as 50% methanol/water mixture, even though the HCl salt form of 3-(6-(1-(2,2-difluorobenzo[d][1,3]dioxol-5-yl) cyclopropanecarboxamido)-3-methylpyridin-2-yl)benzoic acid is only sparingly soluble in water.
- the appropriate solvent is water.
- the effective amount of time for formation of Form I from the salt of 3-(6-(1-(2,2-difluorobenzo[d][1,3]dioxol-5-yl) cyclopropanecarboxamido)-3-methylpyridin-2-yl)benzoic acid can be any time between 2 to 24 hours or greater. It is recognized that the amount of time needed is inversely proportional to the temperature. That is, the higher the temperature the less time needed to affect dissociation of acid to form Form I. When the solvent is water, stirring the dispersion for approximately 24 hours at room temperature provides Form I in an approximately 98% yield.
- substantially pure refers to greater than about 90% purity. In another embodiment, substantially pure refers to greater than about 95% purity. In another embodiment, substantially pure refers to greater than about 98% purity. In another embodiment, substantially pure refers to greater than about 99% purity.
- the temperature selected depends in part on the solvent used and is well within the determination capabilities of one of ordinary skill in the art. In one embodiment, the temperature is between room temperature and about 80° C. In another embodiment, the temperature is between room temperature and about 40° C. In another embodiment, the temperature is between about 40° C. and about 60° C. In another embodiment, the temperature is between about 60° C. and about 80° C.
- Compound 1 Form I may also be formed directly from 3-(6-(1-(2,2-difluorobenzo[d][1,3]dioxol-5-yl) cyclopropanecarboxamido)-3-methylpyridin-2-yl)-t-butylbenzoate (cf. Scheme 3), which is a precursor to the salt of Compound 1.
- Compound 1 Form I may be further purified by recrystallization from an organic solvent.
- organic solvents include, but are not limited to, toluene, cumene, anisol, 1-butanol, isopropyl acetate, butyl acetate, isobutyl acetate, methyl t-butyl ether, methyl isobutyl ketone and 1-propanol-water mixtures.
- the temperature may be as described above.
- Form I is dissolved in 1-butanol at 75° C. until it is completely dissolved. Cooling down the solution to 10° C. at a rate of 0.2° C./min yields crystals of Form I which may be isolated by filtration.
- Compound 1 Form I is characterized by one or more peaks at 15.2 to 15.6 degrees, 16.1 to 16.5 degrees, and 14.3 to 14.7 degrees in an X-ray powder diffraction obtained using Cu K alpha radiation. In another embodiment, Compound 1 Form I is characterized by one or more peaks at 15.4, 16.3, and 14.5 degrees. In another embodiment, Compound 1 Form I is further characterized by a peak at 14.6 to 15.0 degrees. In another embodiment, Compound 1 Form I is further characterized by a peak at 14.8 degrees. In another embodiment, Compound 1 Form I is further characterized by a peak at 17.6 to 18.0 degrees. In another embodiment, Compound 1 Form I is further characterized by a peak at 17.8 degrees.
- Compound 1 Form I is further characterized by a peak at 16.4 to 16.8 degrees. In another embodiment, Compound 1 Form I is further characterized by a peak at 16.4 to 16.8 degrees. In another embodiment, Compound 1 Form I is further characterized by a peak at 16.6 degrees. In another embodiment, Compound 1 Form I is further characterized by a peak at 7.6 to 8.0 degrees. In another embodiment, Compound 1 Form I is further characterized by a peak at 7.8 degrees. In another embodiment, Compound 1 Form I is further characterized by a peak at 25.8 to 26.2 degrees. In another embodiment, Compound 1 Form I is further characterized by a peak at 26.0 degrees. In another embodiment, Compound 1 Form I is further characterized by a peak at 21.4 to 21.8 degrees.
- Compound 1 Form I is further characterized by a peak at 21.6 degrees. In another embodiment, Compound 1 Form I is further characterized by a peak at 23.1 to 23.5 degrees. In another embodiment, Compound 1 Form I is further characterized by a peak at 23.3 degrees. In some embodiments, Compound 1 Form I is characterized by a diffraction pattern substantially similar to that of FIG. 1 . In some embodiments, Compound 1 Form I is characterized by a diffraction pattern substantially similar to that of FIG. 2 .
- the particle size distribution of D90 is about 82 m or less for Compound 1 Form I. In some embodiments, the particle size distribution of D50 is about 30 ⁇ m or less for Compound 1 Form I.
- Compound 1 Form II is prepared by slurrying Compound 1 Form I in an appropriate solvent at a sufficient concentration for a sufficient time. The slurry is then filtered centrifugally or under vacuum and dried at ambient conditions for sufficient time to yield Compound 1 Form II.
- about 20 to 40 mg of Compound 1 Form I is slurried in about 400 to 600 ⁇ L of an appropriate solvent. In another embodiment, about 25 to 35 mg of Compound 1 Form I is slurried in about 450 to 550 ⁇ L of an appropriate solvent. In another embodiment, about 30 mg of Compound 1 Form I is slurried in about 500 ⁇ L of an appropriate solvent.
- the time that Compound 1 Form I is allowed to slurry with the solvent is from 1 hour to four days. More particularly, the time that Compound 1 Form I is allowed to slurry with the solvent is from 1 to 3 days. More particularly, the time is 2 days.
- the appropriate solvent is selected from an organic solvent of sufficient size to fit the voids in the crystalline lattice of Compound 1 Form II. In other embodiments, the solvate is of sufficient size to fit in voids measuring about 100 ⁇ 3 .
- the solvent is selected from the group consisting of methanol, ethanol, acetone, 2-propanol, acetonitrile, tetrahydrofuran, methyl acetate, 2-butanone, ethyl formate, and 2-methyl tetrahydrofuran.
- Compound 1 Form II may be obtained from a mixture comprising one or more of these solvents and water.
- the effective amount of time for drying Compound 1 Form II is 1 to 24 hours. More particularly, the time is 6 to 18 hours. More particularly, the time is about 12 hours.
- Compound 1 Form II is prepared by dispersing or dissolving a salt form of Compound 1, such as an HCl salt of Compound 1 in an appropriate solvent for an effective amount of time.
- Compound 1 Form II as disclosed herein comprises a crystalline lattice of Compound 1 in which voids in the crystalline lattice are empty, or occupied, or partially occupied by one or more molecules of a suitable solvent.
- suitable solvents include, but are not limited to, methanol, ethanol, acetone, 2-propanol, acetonitrile, tetrahydrofuran, methyl acetate, 2-butanone, ethyl formate, and 2-methyl tetrahydrofuran.
- Certain physical characteristics of Compound 1 isostructural solvate forms, such as X-ray powder diffraction, melting point and DSC, are not substantially affected by the particular solvent molecule in question.
- Compound 1 Form II is characterized by one or more peaks at 21.50 to 21.90 degrees, 8.80 to 9.20 degrees, and 10.80 to 11.20 degrees in an X-ray powder diffraction obtained using Cu K alpha radiation.
- Compound 1 Form II is characterized by one or more peaks at 21.50 to 21.90 degrees, 8.80 to 9.20 degrees, 10.80 to 11.20 degrees, 18.00 to 18.40 degrees, and 22.90 to 23.30 degrees in an X-ray powder diffraction obtained using Cu K alpha radiation.
- Compound 1 Form II is characterized by one or more peaks at 21.70, 8.98, and 11.04 degrees.
- Compound 1 Form II is characterized by one or more peaks at 21.70, 8.98, 11.04, 18.16, and 23.06 degrees. In another embodiment, Compound 1 Form II is characterized by a peak at 21.50 to 21.90 degrees. In another embodiment, Compound 1 Form II is further characterized by a peak at 21.70 degrees. In another embodiment, Compound 1 Form II is further characterized by a peak at 8.80 to 9.20 degrees. In another embodiment, Compound 1 Form II is further characterized by a peak at 8.98 degrees. In another embodiment, Compound 1 Form II is further characterized by a peak at 10.80 to 11.20 degrees. In another embodiment, Compound 1 Form II is further characterized by a peak at 11.04.
- Compound 1 Form II is further characterized by a peak at 18.00 to 18.40 degrees. In another embodiment, Compound 1 Form II is further characterized by a peak at 18.16 degrees. In another embodiment, Compound 1 Form II is further characterized by a peak at 22.90 to 23.30 degrees. In another embodiment, Compound 1 Form II is further characterized by a peak at 23.06 degrees. In another embodiment, Compound 1 Form II is further characterized by a peak at 20.40 to 20.80 degrees. In another embodiment, Compound 1 Form II is further characterized by a peak at 20.63 degrees. In another embodiment, Compound 1 Form II is further characterized by a peak at 22.00 to 22.40 degrees.
- Compound 1 Form II is further characterized by a peak at 22.22 degrees. In another embodiment, Compound 1 Form II is further characterized by a peak at 18.40 to 18.80 degrees. In another embodiment, Compound 1 Form II is further characterized by a peak at 18.57 degrees. In another embodiment, Compound 1 Form II is further characterized by a peak at 16.50 to 16.90 degrees. In another embodiment, Compound 1 Form II is further characterized by a peak at 16.66 degrees. In another embodiment, Compound 1 Form II is further characterized by a peak at 19.70 to 20.10 degrees. In another embodiment, Compound 1 Form II is further characterized by a peak at 19.86 degrees.
- Compound 1 Form II is characterized by a diffraction pattern substantially similar to that of FIG. 3 . In some embodiments, Compound 1 Form II is characterized by diffraction patterns substantially similar to those provided in FIG. 4 .
- the solvate that forms Compound 1 Form II is selected from the group consisting of methanol, ethanol, acetone, 2-propanol, acetonitrile, tetrahydrofuran, methyl acetate, 2-butanone, ethyl formate, and 2-methyl tetrahydrofuran. Diffraction patterns are provided for the following Compound 1 Form II: methanol ( FIG. 5 ), ethanol ( FIG. 6 ), acetone ( FIG. 7 ), 2-propanol ( FIG. 8 ), acetonitrile ( FIG. 9 ), tetrahydrofuran ( FIG. 10 ), methyl acetate ( FIG. 11 ), 2-butanone ( FIG. 12 ), ethyl formate ( FIG. 13 ), and 2-methytetrahydrofuran ( FIG. 14 ).
- the invention provides Compound 1 Form II which exhibits two or more phase transitions as determined by DSC or a similar analytic method known to the skilled artisan.
- the DSC of Compound 1 Form II is substantially similar to the DSC trace depicted in FIG. 15 .
- the DSC gives two phase transitions.
- the DSC gives three phase transitions.
- one of the phase transitions occurs between 200 and 207° C.
- one of the phase transitions occurs between 204 and 206° C.
- one of the phase transitions occurs between 183 and 190° C.
- one of the phase transitions occurs between 185 and 187° C.
- the melting point of Compound 1, Solvate Form A is between 183° C. to 190° C.
- the melting point of Compound 1, Solvate Form A is between 185° C. to 187° C.
- Compound 1 Form II comprises 1 to 10 weight percent (wt. %) solvate as determined by TGA. In some embodiments, the TGA of Compound 1 Form II is substantially similar to the TGA trace depicted in FIG. 16 . In another embodiment, Compound 1 Form II comprises 2 to 5 wt. % solvate as determined by TGA or a similar analytic method known to the skilled artisan.
- the conformation of Compound 1 Form II acetone solvate is substantially similar to that depicted in FIG. 17 , which is based on single X-ray analysis.
- Compound 1 Form II acetone solvate has a P2 1 /n space group, and the following unit cell dimensions:
- Compound 1 HCl Salt Form A can be prepared from the HCl salt of Compound 1, by dissolving the HCl salt of Compound 1 in a minimum of solvent and removing the solvent by slow evaporation.
- the solvent is an alcohol.
- the solvent is ethanol.
- Slow evaporation is generally carried out by impeding the evaporation of the solvent.
- slow evaporation involves dissolving the HCl salt of Compound 1 in a vial and covering the vial with parafilm that contains a hole poked in it.
- Compound 1 HCl Salt Form A is characterized by one or more peaks at 8.80 to 9.20 degrees, 17.30 to 17.70 degrees, and 18.20 to 18.60 degrees in an X-ray powder diffraction obtained using Cu K alpha radiation.
- Compound 1 HCl Salt Form A is characterized by one or more peaks at 8.80 to 9.20 degrees, 17.30 to 17.70 degrees, 18.20 to 18.60 degrees, 10.10 to 10.50, and 15.80 to 16.20 degrees in an X-ray powder diffraction obtained using Cu K alpha radiation.
- Compound 1 HCl Salt Form A is characterized by one or more peaks at 8.96, 17.51, and 18.45 degrees.
- Compound 1 HCl Salt Form A is characterized by one or more peaks at 8.96, 17.51, 18.45. 10.33, and 16.01 degrees. In another embodiment, Compound 1 HCl Salt Form A is characterized by a peak at 8.80 to 9.20 degrees. In another embodiment, Compound 1 HCl Salt Form A is characterized by a peak at 8.96 degrees. In another embodiment, Compound 1 HCl Salt Form A is further characterized by a peak at 17.30 to 17.70 degrees. In another embodiment, Compound 1 HCl Salt Form A is characterized by a peak at 17.51 degrees. In another embodiment, Compound 1 HCl Salt Form A is further characterized by a peak at 18.20 to 18.60 degrees.
- Compound 1 HCl Salt Form A is further characterized by a peak at 18.45 degrees. In another embodiment, Compound 1 HCl Salt Form A is further characterized by a peak at 10.10 to 10.50 degrees. In another embodiment, Compound 1 HCl Salt Form A is further characterized by a peak at 10.33 degrees. In another embodiment, Compound 1 HCl Salt Form A is further characterized by a peak at 15.80 to 16.20 degrees. In another embodiment, Compound 1 HCl Salt Form A is further characterized by a peak at 16.01 degrees. In another embodiment, Compound 1 HCl Salt Form A is further characterized by a peak at 11.70 to 12.10 degrees. In another embodiment, Compound 1 HCl Salt Form A is further characterized by a peak at 11.94 degrees.
- Compound 1 HCl Salt Form A is further characterized by a peak at 7.90 to 8.30 degrees. In another embodiment, Compound 1 HCl Salt Form A is further characterized by a peak at 8.14 degrees. In another embodiment, Compound 1 HCl Salt Form A is further characterized by a peak at 9.90 to 10.30 degrees. In another embodiment, Compound 1 HCl Salt Form A is further characterized by a peak at 10.10 degrees. In another embodiment, Compound 1 HCl Salt Form A is further characterized by a peak at 16.40 to 16.80 degrees. In another embodiment, Compound 1 HCl Salt Form A is further characterized by a peak at 16.55 degrees.
- Compound 1 HCl Salt Form A is further characterized by a peak at 9.30 to 9.70 degrees. In another embodiment, Compound 1 HCl Salt Form A is further characterized by a peak at 9.54 degrees. In another embodiment, Compound 1 HCl Salt Form A is further characterized by a peak at 16.40 to 16.80 degrees. In another embodiment, Compound 1 HCl Salt Form A is further characterized by a peak at 16.55 degrees. In some embodiments, Compound 1 HCl Salt Form A is characterized as a dimer as depicted in FIG. 18 .
- Compound 1 HCl Salt Form A is characterized by a diffraction pattern substantially similar to that of FIG. 19 .
- the invention features crystalline Compound 1 HCl Salt Form A having a P ⁇ 1 space group, and the following unit cell dimensions:
- the dosage unit forms of the invention can be produced by compacting or compressing an admixture or composition, for example, a powder or granules, under pressure to form a stable three-dimensional shape (e.g., a tablet).
- tablette includes compressed pharmaceutical dosage unit forms of all shapes and sizes, whether coated or uncoated.
- dosage unit form refers to a physically discrete unit of agent appropriate for the patient to be treated.
- a compacted mixture has a density greater than that of the mixture prior to compaction.
- a dosage unit form of the invention can have almost any shape including concave and/or convex faces, rounded or angled corners, and a rounded to rectilinear shape.
- the compressed dosage forms of the invention comprise a rounded tablet having flat faces.
- the solid pharmaceutical dosage forms of the invention can be prepared by any compaction and compression method known by persons of ordinary skill in the art of forming compressed solid pharmaceutical dosage forms.
- the formulations provided herein may be prepared using conventional methods known to those skilled in the field of pharmaceutical formulation, as described, e.g., in pertinent textbooks. See, e.g., Remington: The Science and Practice of Pharmacy, 21st Ed., Lippincott Williams & Wilkins, Baltimore, Md. (2003); Ansel et al., Pharmaceutical Dosage Forms And Drug Delivery Systems, 7th Edition, Lippincott Williams & Wilkins, (1999); The Handbook of Pharmaceutical Excipients, 4 th edition, Rowe et al., Eds., American Pharmaceuticals Association (2003); Gibson, Pharmaceutical Preformulation And Formulation, CRC Press (2001), these references hereby incorporated herein by reference in their entirety.
- solid forms including powders comprising the active agent Compound 1 and the included pharmaceutically acceptable excipients (e.g. filler, diluent, disintegrant, surfactant, glidant, binder, lubricant, or any combination thereof) can be subjected to a dry granulation process.
- the dry granulation process causes the powder to agglomerate into larger particles having a size suitable for further processing. Dry granulation can improve the flowability of a mixture in order to be able to produce tablets that comply with the demand of mass variation or content uniformity.
- Formulations as described herein may be produced using one or more mixing and dry granulations steps.
- the order and the number of the mixing and granulation steps do not seem to be critical.
- at least one of the excipients and Compound 1 can be been subject to dry granulation or wet high shear granulation before compression into tablets. Dry granulation of Compound 1 and the excipients made together prior to tablet compression seem, surprisingly, to be a simple, inexpensive and efficient way of providing close physical contact between the ingredients of the present compositions and formulations and thus results in a tablet formulation with good stability properties.
- Dry granulation can be carried out by a mechanical process, which transfers energy to the mixture without any use of any liquid substances (neither in the form of aqueous solutions, solutions based on organic solutes, or mixtures thereof) in contrast to wet granulation processes, also contemplated herein.
- the mechanical process requires compaction such as the one provided by roller compaction.
- An example of an alternative method for dry granulation is slugging.
- roller compaction is a granulation process comprising highly intensive mechanical compacting of one or more substances.
- a pharmaceutical composition comprising an admixture of powders is pressed, that is roller compacted, between 2 counter rotating rollers to make a solid sheet which is subsequently crushed in a sieve to form a particulate matter. In this particulate matter, a close mechanical contact between the ingredients can be obtained.
- roller compaction equipment is Minipactor® a Gerteis 3W-Polygran from Gerteis Maschinen+Processengineering AG.
- tablet compression according to the invention can occur without any use of any liquid substances (neither in the form of aqueous solutions, solutions based on organic solutes, or mixtures thereof), i.e. a dry granulation process.
- the resulting core or tablet has a compressive strength in the range of 1 to 15 kP; such as 1.5 to 12.5 kP, preferably in the range of 2 to 10 kP.
- the ingredients are weighed according to the formula set herein.
- all of the intragranular ingredients are sifted and mixed well.
- the ingredients can be lubricated with a suitable lubricant, for example, magnesium stearate.
- the next step can comprise compaction/slugging of the powder admixture and sized ingredients.
- the compacted or slugged blends are milled into granules and sifted to obtain the desired size.
- the granules can be further lubricated with, for example, magnesium stearate.
- the granular composition of the invention can be compressed on suitable punches into various pharmaceutical formulations in accordance with the invention.
- the tablets can be coated with a film, colorant or other coating.
- Another aspect of the invention provides a method for producing a pharmaceutical composition
- a method for producing a pharmaceutical composition comprising providing an admixture of a composition comprising Compound 1 and one or more excipients selected from: a filler, a diluent, a binder, a glidant, a surfactant, a lubricant, a disintegrant, and compressing the composition into a tablet having a dissolution of at least about 50% in about 30 minutes.
- a wet granulation process is performed to yield the pharmaceutical formulation of the invention from an admixture of powdered and liquid ingredients.
- a pharmaceutical composition comprising an admixture of a composition comprising Compound 1 and one or more excipients selected from: a filler, a diluent, a binder, a glidant, a surfactant, a lubricant, a disintegrant, are weighed as per the formula set herein.
- all of the intragranular ingredients are sifted and mixed in a high shear or low shear granulator using water or water with a surfactant or water with a binder or water with a surfactant and a binder to granulate the powder blend.
- a fluid other than water can also be used with or without surfactant and/or binder to granulate the powder blend.
- the wet granules can optionally be milled using a suitable mill.
- water may optionally be removed from the admixture by drying the ingredients in any suitable manner.
- the dried granules can optionally be milled to the required size.
- extra granular excipients can be added by blending (for example a filler, a diluent, and a disintegrant).
- the sized granules can be further lubricated with magnesium stearate and a disintegrant, for example, croscarmellose sodium.
- the granular composition of the invention can be sifted for sufficient time to obtain the correct size and then compressed on suitable punches into various pharmaceutical formulations in accordance with the invention.
- the tablets can be coated with a film, colorant or other coating.
- the admixture can comprise optional additives, such as, one or more colorants, one or more flavors, and/or one or more fragrances as described above and in the Examples below.
- the relative concentrations (e.g., wt %) of each of these ingredients (and any optional additives) in the admixture are also presented above and in the Examples below.
- the ingredients constituting the admixture can be provided sequentially or in any combination of additions; and, the ingredients or combination of ingredients can be provided in any order.
- the lubricant is the last component added to the admixture.
- the admixture comprises a composition of Compound 1, and any one or more of the excipients; a binder, a glidant, a surfactant, a diluent, a lubricant, a disintegrant, and a filler, wherein each of these ingredients is provided in a powder form (e.g., provided as particles having a mean or average diameter, measured by light scattering, of 250 ⁇ m or less (e.g., 150 ⁇ m or less, 100 ⁇ m or less, 50 ⁇ m or less, 45 ⁇ m or less, 40 ⁇ m or less, or 35 ⁇ m or less)).
- a powder form e.g., provided as particles having a mean or average diameter, measured by light scattering, of 250 ⁇ m or less (e.g., 150 ⁇ m or less, 100 ⁇ m or less, 50 ⁇ m or less, 45 ⁇ m or less, 40 ⁇ m or less, or 35 ⁇ m or less)).
- the admixture comprises a composition of Compound 1, a diluent, a glidant, a surfactant, a lubricant, a disintegrant, and a filler, wherein each of these ingredients is provided in a powder form (e.g., provided as particles having a mean diameter, measured by light scattering, of 250 ⁇ m or less (e.g., 150 ⁇ m or less, 100 ⁇ m or less, 50 ⁇ m or less, 45 ⁇ m or less, 40 ⁇ m or less, or 35 ⁇ m or less)).
- a powder form e.g., provided as particles having a mean diameter, measured by light scattering, of 250 ⁇ m or less (e.g., 150 ⁇ m or less, 100 ⁇ m or less, 50 ⁇ m or less, 45 ⁇ m or less, 40 ⁇ m or less, or 35 ⁇ m or less)).
- the admixture comprises a composition of Compound 1, a diluent, a binder, a surfactant, a lubricant, a disintegrant, and a filler, wherein each of these ingredients is provided in a powder form (e.g., provided as particles having a mean diameter, measured by light scattering, of 250 ⁇ m or less (e.g., 150 ⁇ m or less, 100 ⁇ m or less, 50 ⁇ m or less, 45 ⁇ m or less, 40 ⁇ m or less, or 35 ⁇ m or less))
- a powder form e.g., provided as particles having a mean diameter, measured by light scattering, of 250 ⁇ m or less (e.g., 150 ⁇ m or less, 100 ⁇ m or less, 50 ⁇ m or less, 45 ⁇ m or less, 40 ⁇ m or less, or 35 ⁇ m or less)
- the admixture comprises a composition of Compound 1, and any combination of: a binder, a glidant, a diluent, a surfactant, a lubricant, a disintegrant, and a filler, wherein each of these ingredients is substantially free of water.
- Each of the ingredients comprises less than 5 wt % (e.g., less than 2 wt %, less than 1 wt %, less than 0.75 wt %, less than 0.5 wt %, or less than 0.25 wt %) of water by weight of the ingredient.
- the admixture comprises a composition of Compound 1, a diluent, a glidant, a surfactant, a lubricant, a disintegrant, and a filler, wherein each of these ingredients is substantially free of water.
- each of the ingredients comprises less than 5 wt % (e.g., less than 2 wt %, less than 1 wt %, less than 0.75 wt %, less than 0.5 wt %, or less than 0.25 wt %) of water by weight of the ingredient.
- compressing the admixture into a tablet is accomplished by filling a form (e.g., a mold) with the admixture and applying pressure to admixture. This can be accomplished using a die press or other similar apparatus.
- a form e.g., a mold
- the admixture of Compound 1 and excipients can be first processed into granular form. The granules can then be sized and compressed into tablets or formulated for encapsulation according to known methods in the pharmaceutical art. It is also noted that the application of pressure to the admixture in the form can be repeated using the same pressure during each compression or using different pressures during the compressions.
- the admixture of powdered ingredients or granules can be compressed using a die press that applies sufficient pressure to form a tablet having a dissolution of about 50% or more at about 30 minutes (e.g., about 55% or more at about 30 minutes or about 60% or more at about 30 minutes).
- the admixture is compressed using a die press to produce a tablet hardness of at least about 5 kP (at least about 5.5 kP, at least about 6 kP, at least about 7 kP, at least about 10 kP, or at least 15 kP).
- the admixture is compressed to produce a tablet hardness of between about 5 and 20 kP.
- tablets comprising a pharmaceutical composition as described herein can be coated with about 3.0 wt % of a film coating comprising a colorant by weight of the tablet.
- the colorant suspension or solution used to coat the tablets comprises about 20% w/w of solids by weight of the colorant suspension or solution.
- the coated tablets can be labeled with a logo, other image or text.
- the method for producing a pharmaceutical composition comprises providing an admixture of a solid forms, e.g. an admixture of powdered and/or liquid ingredients, the admixture comprising Compound 1 and one or more excipients selected from: a binder, a glidant, a diluent, a surfactant, a lubricant, a disintegrant, and a filler; mixing the admixture until the admixture is substantially homogenous, and compressing or compacting the admixture into a granular form. Then the granular composition comprising Compound 1 can be compressed into tablets or formulated into capsules as described above or in the Examples below.
- a solid forms e.g. an admixture of powdered and/or liquid ingredients
- the admixture comprising Compound 1 and one or more excipients selected from: a binder, a glidant, a diluent, a surfactant, a lub
- methods for producing a pharmaceutical composition comprises providing an admixture of Compound 1, and one or more excipients, e.g. a binder, a glidant, a diluent, a surfactant, a lubricant, a disintegrant, and a filler; mixing the admixture until the admixture is substantially homogenous, and compressing/compacting the admixture into a granular form using a roller compactor using a dry granulation composition as set forth in the Examples below or alternatively, compressed/compacted into granules using a high shear wet granule compaction process as set forth in the Examples below.
- Pharmaceutical formulations for example a tablet as described herein, can be made using the granules prepared incorporating Compound 1 in addition to the selected excipients described herein.
- the admixture is mixed by stirring, blending, shaking, or the like using hand mixing, a mixer, a blender, any combination thereof, or the like.
- mixing can occur between successive additions, continuously throughout the ingredient addition, after the addition of all of the ingredients or combinations of ingredients, or any combination thereof.
- the admixture is mixed until it has a substantially homogenous composition.
- the present invention comprises jet milling Compound 1, Compound 1 Form I, Compound 1 Form II, Compound 1 HCl Salt Form A in a suitable, conventional milling apparatus using air pressure suitable to produce particles having a significant particle size fraction between 0.1 microns and 50 microns.
- the particle size is between 0.1 microns and 20 microns.
- the particles size is between 0.1 microns and 10 microns.
- the particle size is between 1.0 microns and 5 microns.
- Compound 1, Compound 1 Form I, Compound 1 Form II, Compound 1 HCl Salt Form A has a particle size D50 of 2.0 microns.
- a second therapeutic agent can be formulated together with Compound 1 to form a unitary or single dose form, for example, a tablet or capsule.
- Dosage forms prepared as above can be subjected to in vitro dissolution evaluations according to Test 711 “Dissolution” in United States Pharmacopoeia 29, United States Pharmacopeial Convention, Inc., Rockville, Md., 2005 (“USP”), to determine the rate at which the active substance is released from the dosage forms.
- the content of active substance and the impurity levels are conveniently measured by techniques such as high performance liquid chromatography (HPLC).
- the invention includes use of packaging materials such as containers and closures of high-density polyethylene (HDPE), low-density polyethylene (LDPE) and or polypropylene and/or glass, glassine foil, aluminum pouches, and blisters or strips composed of aluminum or high-density polyvinyl chloride (PVC), optionally including a desiccant, polyethylene (PE), polyvinylidene dichloride (PVDC), PVC/PE/PVDC, and the like.
- packaging materials such as containers and closures of high-density polyethylene (HDPE), low-density polyethylene (LDPE) and or polypropylene and/or glass, glassine foil, aluminum pouches, and blisters or strips composed of aluminum or high-density polyvinyl chloride (PVC), optionally including a desiccant, polyethylene (PE), polyvinylidene dichloride (PVDC), PVC/PE/PVDC, and the like.
- PVDC polyvinylidene dichloride
- the pharmaceutical compositions of the invention can be administered to a patient once daily or about every twenty four hours. Alternatively, the pharmaceutical compositions of the invention can be administered to a patient twice daily or about every twelve hours. These pharmaceutical compositions are administered as oral formulations containing about 25 mg, 50 mg, 100 mg, 125 mg, 150 mg, 200 mg, 250 mg, or 400 mg of Compound 1.
- the pharmaceutical compositions comprise a filler; a diluent; a disintegrant; a surfactant; at least one of a binder and a glidant; and a lubricant.
- a dose of 400 mg of Compound 1 may comprise two tablets of the invention each containing 200 mg of Compound 1, or four tablets of the invention each containing 100 mg of Compound 1.
- the compound and pharmaceutically acceptable compositions and formulations of the invention can be employed in combination therapies; that is, Compound 1 and pharmaceutically acceptable compositions thereof can be administered concurrently with, prior to, or subsequent to, one or more other desired therapeutics or medical procedures.
- the particular combination of therapies (therapeutics or procedures) to employ in a combination regimen will take into account compatibility of the desired therapeutics and/or procedures and the desired therapeutic effect to be achieved.
- the therapies employed may achieve a desired effect for the same disorder (for example, an inventive compound may be administered concurrently with another agent used to treat the same disorder), or they may achieve different effects (e.g., control of any adverse effects).
- additional therapeutic agents that are normally administered to treat or prevent a particular disease for example, a CFTR mediated disease, or condition, are known as “appropriate for the disease or condition being treated.”
- the additional therapeutic agent is selected from a mucolytic agent, bronchodialator, an antibiotic, an anti-infective agent, an anti-inflammatory agent, a CFTR modulator other than Compound 1 of the invention, or a nutritional agent.
- the additional agent is (R)-1-(2,2-difluorobenzo[d][1,3]dioxol-5-yl)-N-(1-(2,3-dihydroxypropyl)-6-fluoro-2-(1-hydroxy-2-methylpropan-2-yl)-1H-indol-5-yl)cyclopropanecarboxamide.
- the additional agent is N-(5-hydroxy-2,4-ditert-butyl-phenyl)-4-oxo-1H-quinoline-3-carboxamide.
- the additional agent is selected from Table 1:
- the additional agent is any combination of the above agents.
- the composition may comprise Compound 1, (R)-1-(2,2-difluorobenzo[d][1,3]dioxol-5-yl)-N-(1-(2,3-dihydroxypropyl)-6-fluoro-2-(1-hydroxy-2-methylpropan-2-yl)-1H-indol-5-yl)cyclopropanecarboxamide, and N-(5-hydroxy-2,4-ditert-butyl-phenyl)-4-oxo-1H-quinoline-3-carboxamide.
- the composition may comprise Compound 1, N-(5-hydroxy-2,4-ditert-butyl-phenyl)-4-oxo-1H-quinoline-3-carboxamide, and any one of the compounds from Table 1, i.e. compounds 1 through 14 of Table 1, or any combination thereof.
- the additional therapeutic agent is an antibiotic.
- antibiotics useful herein include tobramycin, including tobramycin inhaled powder (TIP), azithromycin, aztreonam, including the aerosolized form of aztreonam, amikacin, including liposomal formulations thereof, ciprofloxacin, including formulations thereof suitable for administration by inhalation, levoflaxacin, including aerosolized formulations thereof, and combinations of two antibiotics, e.g., fosfomycin and tobramycin.
- the additional agent is a mucolyte.
- exemplary mucolytes useful herein includes Pulmozyme®.
- the additional agent is a bronchodialator.
- exemplary bronchodialtors include albuterol, metaprotenerol sulfate, pirbuterol acetate, salmeterol, or tetrabuline sulfate.
- the additional agent is effective in restoring lung airway surface liquid.
- Such agents improve the movement of salt in and out of cells, allowing mucus in the lung airway to be more hydrated and, therefore, cleared more easily.
- Exemplary such agents include hypertonic saline, denufosol tetrasodium ([[(3S,5R)-5-(4-amino-2-oxopyrimidin-1-yl)-3-hydroxyoxolan-2-yl]methoxy-hydroxyphosphoryl][[[(2R,3S,4R,5R)-5-(2,4-dioxopyrimidin-1-yl)-3, 4-dihydroxyoxolan-2-yl]methoxy-hydroxyphosphoryl]oxy-hydroxyphosphoryl]hydrogen phosphate), or bronchitol (inhaled formulation of mannitol).
- the additional agent is an anti-inflammatory agent, i.e., an agent that can reduce the inflammation in the lungs.
- agents useful herein include ibuprofen, docosahexanoic acid (DHA), sildenafil, inhaled glutathione, pioglitazone, hydroxychloroquine, or simavastatin.
- the additional agent is a CFTR modulator other than Compound 1, i.e., an agent that has the effect of modulating CFTR activity.
- CFTR modulator other than Compound 1, i.e., an agent that has the effect of modulating CFTR activity.
- agents include ataluren (“PTC124®”; 3-[5-(2-fluorophenyl)-1,2,4-oxadiazol-3-yl]benzoic acid), sinapultide, lancovutide, depelestat (a human recombinant neutrophil elastase inhibitor), and cobiprostone (7- ⁇ (2R, 4aR, 5R, 7aR)-2-[(3 S)-1,1-difluoro-3-methylpentyl]-2-hydroxy-6-oxooctahydrocyclopenta[b]pyran-5-yl ⁇ heptanoic acid).
- the additional agent is a nutritional agent.
- exemplary nutritional agents include pancrelipase (pancreating enzyme replacement), including Pancrease®, Pancreacarb®, Ultrase®, or Creon®, Liprotomase® (formerly Trizytek®), Aquadeks®, or glutathione inhalation.
- the additional nutritional agent is pancrelipase.
- the additional agent is a compound selected from gentamicin, curcumin, cyclophosphamide, 4-phenylbutyrate, miglustat, felodipine, nimodipine, Philoxin B, geniestein, Apigenin, cAMP/cGMP modulators such as rolipram, sildenafil, milrinone, tadalafil, amrinone, isoproterenol, albuterol, and almeterol, deoxyspergualin, HSP 90 inhibitors, HSP 70 inhibitors, proteosome inhibitors such as epoxomicin, lactacystin, etc.
- the additional agent is a compound disclosed in WO 2004028480, WO 2004110352, WO 2005094374, WO 2005120497, or WO 2006101740.
- the additional agent is a benzo[c]quinolizinium derivative that exhibits CFTR modulation activity or a benzopyran derivative that exhibits CFTR modulation activity.
- the additional agent is a compound disclosed in U.S. Pat. Nos.
- the additional agent is a compound disclosed in WO2004080972, WO2004111014, WO2005035514, WO2005049018, WO2006099256, WO2006127588, or WO2007044560.
- the additional agent is N-(5-hydroxy-2,4-ditert-butyl-phenyl)-4-oxo-1H-quinoline-3-carboxamide.
- 400 mg of Compound 1 may be administered to a subject in need thereof followed by co-administration of 150 mg of N-(5-hydroxy-2,4-ditert-butyl-phenyl)-4-oxo-1H-quinoline-3-carboxamide (Compound 2).
- 400 mg of Compound 1 may be administered to a subject in need thereof followed by co-administration of 250 mg of Compound 2.
- the dosage amounts may be achieved by administration of one or more tablets of the invention.
- administration of 400 mg of Compound 1 may be achieved by administering two tablets each containing 200 mg of Compound 1, or four tablets each containing 100 mg of Compound 1.
- Compound 2 may be administered as a pharmaceutical composition comprising Compound 2 and a pharmaceutically acceptable carrier.
- the duration of administration may continue until amelioration of the disease is achieved or until a subject's physician advises, e.g. duration of administration may be less than a week, 1 week, 2 weeks, 3 weeks, or a month or longer.
- the co-administration period may be preceded by an administration period of just Compound 1 alone. For example, there could be administration of 400 mg of Compound 1 for 2 weeks followed by co-administration of 150 mg or 250 mg of Compound 2 for 1 additional week.
- 400 mg of Compound 1 may be administered once a day to a subject in need thereof followed by co-administration of 150 mg of Compound 2 once a day. In another embodiment, 400 mg of Compound 1 may be administered once a day to a subject in need thereof followed by co-administration of 250 mg of Compound 2 once a day. In these embodiments, the dosage amounts may be achieved by administration of one or more tablets of the invention. For example, administration of 400 mg of Compound 1 may be achieved by administering two tablets each containing 200 mg of Compound 1, or four tablets each containing 100 mg of Compound 1.
- Compound 2 may be administered as a pharmaceutical composition comprising Compound 2 and a pharmaceutically acceptable carrier.
- the duration of administration may continue until amelioration of the disease is achieved or until a subject's physician advises, e.g. duration of administration may be less than a week, 1 week, 2 weeks, 3 weeks, or a month or longer.
- the co-administration period may be preceded by an administration period of just Compound 1 alone. For example, there could be administration of 400 mg of Compound 1 for 2 weeks followed by co-administration of 150 mg or 250 mg of Compound 2 for 1 additional week.
- 400 mg of Compound 1 may be administered once a day to a subject in need thereof followed by co-administration of 150 mg of Compound 2 every 12 hours. In another embodiment, 400 mg of Compound 1 may be administered once a day to a subject in need thereof followed by co-administration of 250 mg of Compound 2 every 12 hours. In these embodiments, the dosage amounts may be achieved by administration of one or more tablets of the invention. For example, administration of 400 mg of Compound 1 may be achieved by administering two tablets each containing 200 mg of Compound 1, or four tablets each containing 100 mg of Compound 1.
- Compound 2 may be administered as a pharmaceutical composition comprising Compound 2 and a pharmaceutically acceptable carrier.
- the duration of administration may continue until amelioration of the disease is achieved or until a subject's physician advises, e.g. duration of administration may be less than a week, 1 week, 2 weeks, 3 weeks, or a month or longer.
- the co-administration period may be preceded by an administration period of just Compound 1 alone. For example, there could be administration of 400 mg of Compound 1 for 2 weeks followed by co-administration of 150 mg or 250 mg of Compound 2 for 1 additional week.
- the amount of additional therapeutic agent present in the compositions of this invention will be no more than the amount that would normally be administered in a composition comprising that therapeutic agent as the only active agent.
- the amount of additional therapeutic agent in the presently disclosed compositions will range from about 50% to 100% of the amount normally present in a composition comprising that agent as the only therapeutically active agent.
- the pharmaceutically acceptable compositions comprising Compound 1 and optionally an additional agent are useful for treating or lessening the severity of cystic fibrosis in patients who exhibit residual CFTR activity in the apical membrane of respiratory and non-respiratory epithelia.
- the presence of residual CFTR activity at the epithelial surface can be readily detected using methods known in the art, e.g., standard electrophysiological, biochemical, or histochemical techniques. Such methods identify CFTR activity using in vivo or ex vivo electrophysiological techniques, measurement of sweat or salivary Cl ⁇ concentrations, or ex vivo biochemical or histochemical techniques to monitor cell surface density.
- residual CFTR activity can be readily detected in patients heterozygous or homozygous for a variety of different mutations, including patients homozygous or heterozygous for the most common mutation, ⁇ F508, as well as other mutations such as the G551D mutation, or the R117H mutation.
- Compound 1, as described herein, or pharmaceutically acceptable compositions thereof are useful for treating or lessening the severity of cystic fibrosis in patients within certain genotypes exhibiting residual CFTR activity, e.g., class III mutations (impaired regulation or gating), class IV mutations (altered conductance), or class V mutations (reduced synthesis) (Lee R. Choo-Kang, Pamela L., Zeitlin, Type I, II, III, IV, and V cystic fibrosis Tansmembrane Conductance Regulator Defects and Opportunities of Therapy ; Current Opinion in Pulmonary Medicine 6:521-529, 2000).
- Other patient genotypes that exhibit residual CFTR activity include patients homozygous for one of these classes or heterozygous with any other class of mutations, including class I mutations, class II mutations, or a mutation that lacks classification.
- Compound 1, as described herein, or pharmaceutically acceptable compositions thereof are useful for treating or lessening the severity of cystic fibrosis in patients within certain clinical phenotypes, e.g., a moderate to mild clinical phenotype that typically correlates with the amount of residual CFTR activity in the apical membrane of epithelia.
- phenotypes include patients exhibiting pancreatic insufficiency or patients diagnosed with idiopathic pancreatitis and congenital bilateral absence of the vas deferens, or mild lung disease.
- the exact amount required will vary from subject to subject, depending on the species, age, and general condition of the subject, the severity of the infection, the particular agent, its mode of administration, and the like.
- the compounds of the invention are preferably formulated in dosage unit form for ease of administration and uniformity of dosage.
- dosage unit form refers to a physically discrete unit of agent appropriate for the patient to be treated. It will be understood, however, that the total daily usage of the compounds and compositions of the invention will be decided by the attending physician within the scope of sound medical judgment.
- the specific effective dose level for any particular patient or organism will depend upon a variety of factors including the disorder being treated and the severity of the disorder; the activity of the specific compound employed; the specific composition employed; the age, body weight, general health, sex and diet of the patient; the time of administration, route of administration, and rate of excretion of the specific compound employed; the duration of the treatment; drugs used in combination or coincidental with the specific compound employed, and like factors well known in the medical arts.
- patient means an animal, preferably a mammal, and most preferably a human.
- XRD X-Ray diffraction
- Unmicronized Compound 1, Compound 1 Form I, Compound 1 Form II, or Compound 1 HCl Salt Form A is sieved to de-lump it prior to placing it into the jet mill hopper. All sieves are disposable and received a wipe prior to use. Unmicronized Compound 1, Compound 1 Form I, Compound 1 Form II, or Compound 1 HCl Salt Form A is added to the jet mill hopper at a controlled feeding rate using compressed nitrogen gas.
- the gas pressure range is 40-45/45-70 (Venturi/Mill) PSI and the feeding rate range is 0.5-1.6 Kg/Hour.
- the Compound 1, Compound 1 Form I, Compound 1 Form II, or Compound 1 HCl Salt Form A is micronized in the mill through particle-particle and particle-wall collisions and the processed Compound 1, Compound 1 Form I, Compound 1 Form II, or Compound 1 HCl Salt Form A is emptied into the micronized product containers. It is believed that one of ordinary skill in the art may also achieve Compound 1, Compound 1 Form I, Compound 1 Form II, or Compound 1 HCl Salt Form A with a favorable particle size through pin milling based in part on the conditions described above.
- DSC Differential scanning calorimetry
- Vitride® sodium bis(2-methoxyethoxy)aluminum hydride [or NaAlH 2 (OCH 2 CH 2 OCH 3 ) 2 ], 65 wgt % solution in toluene was purchased from Aldrich Chemicals.
- 2,2-Difluoro-1,3-benzodioxole-5-carboxylic acid was purchased from Saltigo (an affiliate of the Lanxess Corporation).
- a reactor was purged with nitrogen and charged with 900 mL of toluene.
- the solvent was degassed via nitrogen sparge for no less than 16 h.
- To the reactor was then charged Na 3 PO 4 (155.7 g, 949.5 mmol), followed by bis(dibenzylideneacetone) palladium (0) (7.28 g, 12.66 mmol).
- a 10% w/w solution of tert-butylphosphine in hexanes (51.23 g, 25.32 mmol) was charged over 10 min at 23° C. from a nitrogen purged addition funnel.
- 1-(2,2-difluoro-1,3-benzodioxol-5-yl)-cyclopropanecarboxylic acid (1.2 eq) is slurried in toluene (2.5 vol) and the mixture was heated to 60° C. SOCl 2 (1.4 eq) was added via addition funnel. The toluene and SOCl 2 were distilled from the reaction mixture after 30 minutes. Additional toluene (2.5 vol) was added and the resulting mixture was distilled again, leaving the product acid chloride as an oil, which was used without further purification.
- tert-Butyl-3-(3-methylpyridin-2-yl)benzoate (1.0 eq) was dissolved in EtOAc (6 vol). Water (0.3 vol) was added, followed by urea-hydrogen peroxide (3 eq). Phthalic anhydride (3 eq) was then added portionwise to the mixture as a solid at a rate to maintain the temperature in the reactor below 45° C. After completion of the phthalic anhydride addition, the mixture was heated to 45° C. After stirring for an additional 4 hours, the heat was turned off. 10% w/w aqueous Na 2 SO 3 (1.5 eq) was added via addition funnel. After completion of Na 2 SO 3 addition, the mixture was stirred for an additional 30 min and the layers separated.
- FIG. 20 An 1 HNMR spectrum of Compound 1 is shown in FIG. 20 and FIG. 21 depicts an 1 HNMR spectrum of Compound 1 as an HCl salt.
- the DSC trace of Compound 1 Form I is shown in FIG. 22 . Melting for Compound 1 Form I occurs at about 204° C.
- FIG. 2 An actual X-ray powder diffraction pattern of Compound 1 Form I is shown in FIG. 2 .
- Table 4 lists the actual peaks for FIG. 2 .
- Colorless crystals of Compound 1 Form I were obtained by cooling a concentrated 1-butanol solution from 75° C. to 10° C. at a rate of 0.2° C./min. A crystal with dimensions of 0.50 ⁇ 0.08 ⁇ 0.03 mm was selected, cleaned with mineral oil, mounted on a MicroMount and centered on a Bruker APEX II system. Three batches of 40 frames separated in reciprocal space were obtained to provide an orientation matrix and initial cell parameters. Final cell parameters were obtained and refined based on the full data set.
- a diffraction data set of reciprocal space was obtained to a resolution of 0.82 ⁇ using 0.5° steps using 30 s exposure for each frame. Data were collected at 100 (2) K. Integration of intensities and refinement of cell parameters were accomplished using APEXII software. Observation of the crystal after data collection showed no signs of decomposition.
- FIG. 23 A conformational picture of Compound 1 Form I based on single crystal X-ray analysis is shown in FIG. 23 .
- Density of Compound 1 Form I calculated from structural data is 1.492 g/cm 3 at 100 K.
- Compound 1 Form I (approximately 30 mg) was slurried in 500 ⁇ L of an appropriate solvent (for example, methanol, ethanol, acetone, 2-propanol, acetonitrile, tetrahydrofuran, methyl acetate, 2-butanone, ethyl formate, and -methyl tetrahydrofuran for two days. The slurry was then filtered centrifugally or under vacuum and was left to dry at ambient temperature overnight to yield Compound 1 Form II.
- an appropriate solvent for example, methanol, ethanol, acetone, 2-propanol, acetonitrile, tetrahydrofuran, methyl acetate, 2-butanone, ethyl formate, and -methyl tetrahydrofuran
- the DSC trace of Compound 1 Form II Acetone Solvate is shown in FIG. 15 , showing two phase transitions.
- the melting point for Compound 1 Form II Acetone Solvate occurs at about 188° C. and 205° C.
- FIG. 3 An actual X-ray powder diffraction pattern of Compound 1 Form II is shown in FIG. 3 .
- Table 5 lists the actual peaks for FIG. 3 in descending order of relative intensity.
- FIG. 24 Conformational depictions of Compound 1 Form II Acetone Solvate based on single crystal X-ray analysis are shown in FIG. 24 .
- the stoichiometry between Compound 1 Form II and acetone is approximately 4.4:1 (4.48:1 calculated from 1 H NMR; 4.38:1 from X-ray).
- the crystal structure reveals a packing of the molecules where there are two voids or pockets per unit cell, or 1 void per host molecule.
- approximately 92 percent of voids are occupied by acetone molecules.
- the density of Compound 1 in Compound 1 Form II calculated from structural data is 1.430/cm 3 at 100 K.
- FIG. 26 A solid state 19 F NMR spectrum of Compound 1 Form II Acetone Solvate is shown in FIG. 26 . Peaks with an asterisk denote spinning side bands. Table 7 provides chemical shifts of the relevant peaks.
- Colorless crystals of Compound 1 HCl Salt Form A were obtained by slow evaporation from a concentrated solution of the HCl salt of Compound 1 in ethanol.
- a crystal with dimensions of 0.30 ⁇ 1/5 ⁇ 0.15 mm was selected, cleaned using mineral oil, mounted on a MicroMount and centered on a Bruker APEXII diffractometer.
- Three batches of 40 frames separated in reciprocal space were obtained to provide an orientation matrix and initial cell parameters. Final cell parameters were obtained and refined based on the full data set.
- FIG. 18 provides a conformational image of Compound 1 HCl Salt Form A as a dimer, based on single crystal analysis.
- An X-ray diffraction pattern of Compound 1 HCl Salt Form A calculated from the crystal structure is shown in FIG. 27 .
- Table 8 contains the calculated peaks for FIG. 27 in descending order of relative intensity.
- a tablet was prepared with the components and amounts listed in Table 9 for Exemplary Tablet 1A comprising 100 mg of API, i.e. Compound 1 Form I.
- Exemplary Tablet 1A (formulated to have 100 mg of Compound 1) is prepared using a dry roller compaction device formulation process.
- grades/brands were microcrystalline cellulose: Avicel PH102; mannitol: Pearlitol SD 100; croscarmellose sodium: Acdisol; and colloidal silica: Cabosil.
- roller Compaction Granule Blend Compound 1 Form I 30 Microcrystalline cellulose 42.3 Mannitol 21.2 Croscarmellose Sodium 3 Sodium Lauryl Sulfate 1 Colloidal Silica 0.5 Magnesium Stearate 2 Tablet Composition (100 mg dose, 335 mg image) Roller Compaction Granule Blend 99.5 Magnesium Stearate 0.5
- a tablet was prepared with the components and amounts listed in Table 10 for Exemplary Tablet 1B comprising 100 mg of API, i.e. Compound 1 Form I.
- Exemplary Tablet 1B (formulated to have 100 mg of Compound 1 Form I) is prepared using a wet high shear granule formulation process.
- grades/brands were as follows. High Shear Granule Blend—microcrystalline cellulose: Avicel PH101; mannitol: Pearlitol C50; croscarmellose sodium: Acdisol; polyvinylpyrrolidone: Kollidon PVP K30; and in the Tablet Composition—croscarmellose sodium: Acdisol.
- a tablet was prepared with the components and amounts listed in Table 11 for Exemplary Tablet 1C comprising 100 mg of API, i.e. crystalline Compound 1 Form I.
- Exemplary Tablet 1C (formulated to have 100 mg of crystalline Compound 1 Form I) is prepared using a wet high shear granule formulation process.
- grades/brands were as follows. High Shear Granule Blend—microcrystalline cellulose: Avicel PH101; mannitol: Pearlitol C50; croscarmellose sodium: Acdisol; polyvinylpyrrolidone: Kollidon PVP K30; and in the Tablet Composition—croscarmellose sodium: Acdisol.
- a tablet was prepared with the components and amounts listed in Table 12 for Exemplary Tablet 1D comprising 200 mg of API, i.e. crystalline Compound 1 Form I.
- Exemplary Tablet 1D (formulated to have 200 mg of crystalline Compound 1 Form I) is prepared using a wet high shear granule formulation process.
- grades/brands were as follows.
- High Shear Granule Blend microcrystalline cellulose: Avicel PH101; mannitol: Pearlitol C50; croscarmellose sodium: Acdisol; polyvinylpyrrolidone: Kollidon PVP K30; and in the Tablet Composition—microcrystalline cellulose: Avicel PH200; croscarmellose sodium: Acdisol; and magnesium stearate: 5712.
- a tablet was prepared with the components and amounts listed in Table 13 for Exemplary Tablet 1E comprising 200 mg of API, i.e. crystalline Compound 1 Form I.
- Exemplary Tablet 1E (formulated to have 200 mg of crystalline Compound 1 Form I) is prepared using a wet high shear granule formulation process.
- grades/brands were as follows.
- High Shear Granule Blend microcrystalline cellulose: Avicel PH101; mannitol: Pearlitol C50; croscarmellose sodium: Acdisol; polyvinylpyrrolidone: Kollidon PVP K30; and in the Core Tablet Composition—microcrystalline cellulose: Avicel PH200; croscarmellose sodium: Acdisol; and magnesium stearate: 5712; and in the film coat—film coat: Opadry II; wax: Carnauba.
- a tablet was prepared with the components and amounts listed in Table 14 for Exemplary Tablet 1F comprising 200 mg of API, i.e. crystalline Compound 1 Form I.
- Exemplary Tablet 1F (formulated to have 200 mg of crystalline Compound 1 Form I) is prepared using a wet high shear granule formulation process.
- grades/brands were as follows.
- High Shear Granule Blend microcrystalline cellulose: Avicel PH101; mannitol: Pearlitol C50; croscarmellose sodium: Acdisol; polyvinylpyrrolidone: Kollidon PVP K30; and in the Core Tablet Composition—microcrystalline cellulose: Avicel PH200; croscarmellose sodium: Acdisol; and magnesium stearate: 5712; and in the film coat—film coat: Opadry II; wax: Carnauba.
- a tablet was prepared with the components and amounts listed in Table 15 for Exemplary Tablet 1G comprising 100 mg of API, i.e. crystalline Compound 1 Form I.
- Exemplary Tablet 1G (formulated to have 100 mg of crystalline Compound 1 Form I) is prepared using a wet high shear granule formulation process.
- grades/brands were as follows. High Shear Granule Blend—microcrystalline cellulose: Avicel PH101; mannitol: Pearlitol C50; croscarmellose sodium: Acdisol; polyvinylpyrrolidone: Kollidon PVP K30; and in the Tablet Composition—croscarmellose sodium: Acdisol.
- a tablet was prepared with the components and amounts listed in Table 16 for Exemplary Tablet 1H comprising 100 mg of API, i.e. crystalline Compound 1 Form I or Form II.
- Exemplary Tablet 1H (formulated to have 100 mg of crystalline Compound 1 Form I or Form II) is prepared using a wet high shear granule formulation process.
- grades/brands were as follows.
- High Shear Granule Blend microcrystalline cellulose: Avicel PH101; mannitol: Pearlitol C50; croscarmellose sodium: Acdisol; polyvinylpyrrolidone: Kollidon PVP K30; and in the Core Tablet Composition—microcrystalline cellulose: Avicel PH200; croscarmellose sodium: Acdisol; and magnesium stearate: 5712.
- a tablet was prepared with the components and amounts listed in Table 17 for Exemplary Tablet 1I comprising 100 mg of API, i.e. crystalline Compound 1 Form I or Form II.
- Exemplary Tablet 1I (formulated to have 100 mg of crystalline Compound 1 Form I or Form II) is prepared using a wet high shear granule formulation process.
- grades/brands were as follows.
- High Shear Granule Blend microcrystalline cellulose: Avicel PH101; mannitol: Pearlitol C50; croscarmellose sodium: Acdisol; polyvinylpyrrolidone: Kollidon PVP K30; and in the Core Tablet Composition—microcrystalline cellulose: Avicel PH200; croscarmellose sodium: Acdisol; and magnesium stearate: 5712.
- High Shear Granule Blend Compound 1 Form I or Form II 100 Microcrystalline cellulose 33.3 Mannitol 21.7 Croscarmellose Sodium 3.3 Polyvinylpyrrolidone 4.4 Sodium Lauryl Sulfate 1.1 Core Tablet Composition (100 mg dose, 197 mg image) High Shear Granule Blend 163.9 Microcrystalline cellulose 27.6 Croscarmellose Sodium 3.9 Magnesium Stearate 2.0
- Roller Compactors Alexanderwerk WP 120, Vector TF-Mini, or Vector TF-Labo.
- Compound 1 and excipients may be screened prior to or after weigh-out. Appropriate screen sizes are mesh 20, mesh 40, or mesh 60. Compound 1 may be pre-blended with one or more of the excipients to simplify screening.
- Compound 1 and excipients may be added to the blender in different order.
- the blending may be performed in a Turbula blender or a v-shell blender.
- the components may be blended for 10 minutes without lubricant followed by additional blending with lubricant for 3 minutes.
- the blend may be roller compacted in ribbons and milled into granules using an Alexanderwerk WP 120.
- the rolls used may be the 25 mm rolls using a compaction pressure of 18 to 50 bar, a roller speed of 3 to 12 RPM, and a screw feeder speed of 20 to 80 RPM.
- the screen sizes of the integrated mill may be 2 mm for the top screen and 0.8 mm for the bottom screen.
- the roller compacted granules may be blended with extra-granular excipients such as fillers and lubricant using a V-shell blender.
- the blending time may be 5, 3 or 1 minute(s).
- the compression blend has been compressed into tablets using a single station Riva MiniPress with 10 mm tooling.
- the weight of the tablets for a 100 mg dose may be about 200, 250, or 300 mg.
- Tablets may be film coated using a pan coater, such as, for example an O'Hara Labcoat.
- a pan coater such as, for example an O'Hara Labcoat.
- Film coated tablets may be printed with a monogram on one or both tablet faces with, for example, a Hartnett Delta printer.
- Granulator Procept MiPro with a 250 ml or 1 L granulation bowl.
- Compound 1 and excipients may be screened prior to or after weigh-out. Possible screen sizes are mesh 20, mesh 40, or mesh 60. Compound 1 may be pre-blended with one or more of the excipients to simplify screening.
- Granulation Fluid SLS and binder are added to purified water and mixed until dissolved.
- a suitable ratio is 2.5% w/w SLS and 10.0% w/w PVP K30 in water.
- Granulation The excipients and compound 1 are added to the granulation bowl.
- the order of addition may be Compound 1, disintegrant, diluent, and filler.
- the components may be mixed in the 250 ml bowl for 1 minute at impeller speed 1000 RPM and chopper speed 1000 RPM.
- Granulation may be performed at an impeller speed of 2000 RPM with a chopper speed of 4000 RPM while adding the granulation fluid with a syringe pump at 1.5 to 4.5 g/min.
- the fluid addition time may be 4 to 12 minutes.
- the granules may be wet-massed for about 10 seconds to about 1 minute.
- One notable advantage of the present high shear granulation process is using a granulation fluid that comprises both a surfactant and the binder for better granulation through increased wettability.
- the surfactant is SLS.
- the granules may be dried using a vacuum oven, tray dryer, bi-conical dryer, or fluid bed drier.
- the granules have been dried using a vacuum oven with a nitrogen purge.
- the granules may be blended with extra-granular excipients.
- the granules have been blended with extra-granular disintegrant, diluent, filler, and lubricant.
- the granules have been blended using the Turbula blender for 3 minutes pre-lubricant and 1 minute with lubricant.
- a larger scale blender such as a 4-quart V-shell blender may be used.
- the compression blend has been compressed into tablets using a single station Riva MiniPress with 8 mm, or 10 mm tooling.
- the weight of the tablets for a 100 mg dose may be about 160, 200, or 250 mg.
- Tablets may be film coated using a pan coater, such as, for example an O'Hara Labcoat.
- a pan coater such as, for example an O'Hara Labcoat.
- Film coated tablets may be printed with a monogram on one or both tablet faces with, for example, a Hartnett Delta printer.
- the invention relates to a method of treating a CFTR mediated disease in a subject comprising administering to a subject in need thereof an effective amount of the pharmaceutical composition provided by the invention.
- the pharmaceutical composition is administered to the subject once every two weeks.
- the pharmaceutical composition is administered to the subject once a week.
- the pharmaceutical composition is administered to the subject once every three days.
- the pharmaceutical composition is administered to the subject once a day.
- the optical membrane potential assay utilized voltage-sensitive FRET sensors described by Gonzalez and Tsien (See Gonzalez, J. E. and R. Y. Tsien (1995) “Voltage sensing by fluorescence resonance energy transfer in single cells” Biophys J 69(4): 1272-80, and Gonzalez, J. E. and R. Y. Tsien (1997) “Improved indicators of cell membrane potential that use fluorescence resonance energy transfer” Chem Biol 4(4): 269-77) in combination with instrumentation for measuring fluorescence changes such as the Voltage/Ion Probe Reader (VIPR) (See, Gonzalez, J. E., K. Oades, et al. (1999) “Cell-based assays and instrumentation for screening ion-channel targets” Drug Discov Today 4(9): 431-439).
- VIPR Voltage/Ion Probe Reader
- These voltage sensitive assays are based on the change in fluorescence resonant energy transfer (FRET) between the membrane-soluble, voltage-sensitive dye, DiSBAC 2 (3), and a fluorescent phospholipid, CC2-DMPE, which is attached to the outer leaflet of the plasma membrane and acts as a FRET donor.
- FRET fluorescence resonant energy transfer
- V m fluorescent phospholipid
- the changes in fluorescence emission were monitored using VIPRTM II, which is an integrated liquid handler and fluorescent detector designed to conduct cell-based screens in 96- or 384-well microtiter plates.
- Bath Solution #1 (in mM) NaCl 160, KCl 4.5, CaCl 2 2, MgCl 2 1, HEPES 10, pH 7.4 with NaOH.
- Chloride-free bath solution Chloride salts in Bath Solution #1 are substituted with gluconate salts.
- CC2-DMPE Prepared as a 10 mM stock solution in DMSO and stored at ⁇ 20° C.
- DiSBAC 2 (3) Prepared as a 10 mM stock in DMSO and stored at ⁇ 20° C.
- NIH3T3 mouse fibroblasts stably expressing ⁇ F508-CFTR are used for optical measurements of membrane potential.
- the cells are maintained at 37° C. in 5% CO 2 and 90% humidity in Dulbecco's modified Eagle's medium supplemented with 2 mM glutamine, 10% fetal bovine serum, 1 ⁇ NEAA, ⁇ -ME, 1 ⁇ pen/strep, and 25 mM HEPES in 175 cm 2 culture flasks.
- the cells were seeded at 30,000/well in 384-well matrigel-coated plates and cultured for 2 hrs at 37° C. before culturing at 27° C. for 24 hrs for the potentiator assay.
- the cells are cultured at 27° C. or 37° C. with and without compounds for 16-24 hours.
- FRT ⁇ F508-CFTR epithelial cells grown on Costar Snapwell cell culture inserts were mounted in an Using chamber (Physiologic Instruments, Inc., San Diego, Calif.), and the monolayers were continuously short-circuited using a Voltage-clamp System (Department of Bioengineering, University of Iowa, IA, and, Physiologic Instruments, Inc., San Diego, Calif.). Transepithelial resistance was measured by applying a 2-mV pulse. Under these conditions, the FRT epithelia demonstrated resistances of 4 K ⁇ /cm 2 or more.
- the solutions were maintained at 27° C. and bubbled with air.
- the electrode offset potential and fluid resistance were corrected using a cell-free insert. Under these conditions, the current reflects the flow of Cl ⁇ through ⁇ F508-CFTR expressed in the apical membrane.
- the Isc was digitally acquired using an MP100A-CE interface and AcqKnowledge software (v3.2.6; BIOPAC Systems, Santa Barbara, Calif.).
- Typical protocol utilized a basolateral to apical membrane Cl ⁇ concentration gradient. To set up this gradient, normal ringer was used on the basolateral membrane, whereas apical NaCl was replaced by equimolar sodium gluconate (titrated to pH 7.4 with NaOH) to give a large Cl ⁇ concentration gradient across the epithelium. All experiments were performed with intact monolayers. To fully activate ⁇ F508-CFTR, forskolin (10 ⁇ M) and the PDE inhibitor, IBMX (100 ⁇ M), were applied followed by the addition of the CFTR potentiator, genistein (50 ⁇ M).
- Typical protocol utilized a basolateral to apical membrane Cl ⁇ concentration gradient.
- normal ringers was used on the basolateral membrane and was permeabilized with nystatin (360 ⁇ g/ml), whereas apical NaCl was replaced by equimolar sodium gluconate (titrated to pH 7.4 with NaOH) to give a large Cl ⁇ concentration gradient across the epithelium. All experiments were performed 30 min after nystatin permeabilization. Forskolin (10 ⁇ M) and all test compounds were added to both sides of the cell culture inserts. The efficacy of the putative ⁇ F508-CFTR potentiators was compared to that of the known potentiator, genistein.
- Basolateral solution in mM: NaCl (135), CaCl 2 (1.2), MgCl 2 (1.2), K 2 HPO 4 (2.4), KHPO 4 (0.6), N-2-hydroxyethylpiperazine-N′-2-ethanesulfonic acid (HEPES) (10), and dextrose (10).
- the solution was titrated to pH 7.4 with NaOH.
- FRT Fisher rat epithelial cells expressing ⁇ F508-CFTR
- FRT ⁇ F508-CFTR Fisher rat epithelial cells expressing ⁇ F508-CFTR
- the cells were cultured on Costar Snapwell cell culture inserts and cultured for five days at 37° C. and 5% CO 2 in Coon's modified Ham's F-12 medium supplemented with 5% fetal calf serum, 100 U/ml penicillin, and 100 ⁇ g/ml streptomycin. Prior to use for characterizing the potentiator activity of compounds, the cells were incubated at 27° C. for 16-48 hrs to correct for the ⁇ F508-CFTR. To determine the activity of corrections compounds, the cells were incubated at 27° C. or 37° C. with and without the compounds for 24 hours.
- the macroscopic ⁇ F508-CFTR current (I ⁇ F508 ) in temperature- and test compound-corrected NIH3T3 cells stably expressing ⁇ F508-CFTR were monitored using the perforated-patch, whole-cell recording. Briefly, voltage-clamp recordings of I ⁇ F508 were performed at room temperature using an Axopatch 200B patch-clamp amplifier (Axon Instruments Inc., Foster City, Calif.). All recordings were acquired at a sampling frequency of 10 kHz and low-pass filtered at 1 kHz. Pipettes had a resistance of 5-6 M ⁇ when filled with the intracellular solution.
- the cells were incubated with 10 ⁇ M of the test compound for 24 hours at 37° C. and the current density was compared to the 27° C. and 37° C. controls (% activity). Prior to recording, the cells were washed 3 ⁇ with extracellular recording medium to remove any remaining test compound. Preincubation with 10 ⁇ M of correction compounds significantly increased the cAMP- and genistein-dependent current compared to the 37° C. controls.
- ⁇ F508-CFTR potentiators to increase the macroscopic ⁇ F508-CFTR C1 current (I ⁇ F508 ) in NIH3T3 cells stably expressing ⁇ F508-CFTR was also investigated using perforated-patch-recording techniques.
- the potentiators identified from the optical assays evoked a dose-dependent increase in I ⁇ F508 with similar potency and efficacy observed in the optical assays.
- the reversal potential before and during potentiator application was around ⁇ 30 mV, which is the calculated E Cl ( ⁇ 28 mV).
- Intracellular solution in mM: Cs-aspartate (90), CsCl (50), MgCl 2 (1), HEPES (10), and 240 ⁇ g/ml amphotericin-B (pH adjusted to 7.35 with CsOH).
- Extracellular solution (in mM): N-methyl- D -glucamine (NMDG)-Cl (150), MgCl 2 (2), CaCl 2 (2), HEPES (10) (pH adjusted to 7.35 with HCl).
- NIH3T3 mouse fibroblasts stably expressing ⁇ F508-CFTR are used for whole-cell recordings.
- the cells are maintained at 37° C. in 5% C02 and 90% humidity in Dulbecco's modified Eagle's medium supplemented with 2 mM glutamine, 10% fetal bovine serum, 1 ⁇ NEAA, ⁇ -ME, 1 ⁇ pen/strep, and 25 mM HEPES in 175 cm 2 culture flasks.
- 2,500-5,000 cells were seeded on poly-L-lysine-coated glass coverslips and cultured for 24-48 hrs at 27° C. before use to test the activity of potentiators; and incubated with or without the correction compound at 37° C. for measuring the activity of correctors.
- the single-channel activities of temperature-corrected ⁇ F508-CFTR stably expressed in NIH3T3 cells and activities of potentiator compounds were observed using excised inside-out membrane patch.
- voltage-clamp recordings of single-channel activity were performed at room temperature with an Axopatch 200B patch-clamp amplifier (Axon Instruments Inc.). All recordings were acquired at a sampling frequency of 10 kHz and low-pass filtered at 400 Hz.
- Patch pipettes were fabricated from Corning Kovar Sealing #7052 glass (World Precision Instruments, Inc., Sarasota, Fla.) and had a resistance of 5-8 M ⁇ when filled with the extracellular solution.
- the ⁇ F508-CFTR was activated after excision, by adding 1 mM Mg-ATP, and 75 nM of the cAMP-dependent protein kinase, catalytic subunit (PKA; Promega Corp. Madison, Wis.). After channel activity stabilized, the patch was perifused using a gravity-driven microperfusion system. The inflow was placed adjacent to the patch, resulting in complete solution exchange within 1-2 sec. To maintain ⁇ F508-CFTR activity during the rapid perifusion, the nonspecific phosphatase inhibitor F ⁇ (10 mM NaF) was added to the bath solution. Under these recording conditions, channel activity remained constant throughout the duration of the patch recording (up to 60 min). Currents produced by positive charge moving from the intra- to extracellular solutions (anions moving in the opposite direction) are shown as positive currents. The pipette potential (V p ) was maintained at 80 mV.
- V p The pipette potential
- Channel activity was analyzed from membrane patches containing ⁇ 2 active channels. The maximum number of simultaneous openings determined the number of active channels during the course of an experiment.
- the data recorded from 120 sec of ⁇ F508-CFTR activity was filtered “off-line” at 100 Hz and then used to construct all-point amplitude histograms that were fitted with multigaussian functions using Bio-Patch Analysis software (Bio-Logic Comp. France).
- Extracellular solution (in mM): NMDG (150), aspartic acid (150), CaCl 2 (5), MgCl 2 (2), and HEPES (10) (pH adjusted to 7.35 with Tris base).
- Intracellular solution in mM: NMDG-Cl (150), MgCl 2 (2), EGTA (5), TES (10), and Tris base (14) (pH adjusted to 7.35 with HCl).
- NIH3T3 mouse fibroblasts stably expressing ⁇ F508-CFTR are used for excised-membrane patch-clamp recordings.
- the cells are maintained at 37° C. in 5% CO 2 and 90% humidity in Dulbecco's modified Eagle's medium supplemented with 2 mM glutamine, 10% fetal bovine serum, 1 ⁇ NEAA, ⁇ -ME, 1 ⁇ pen/strep, and 25 mM HEPES in 175 cm 2 culture flasks.
- 2,500-5,000 cells were seeded on poly-L-lysine-coated glass coverslips and cultured for 24-48 hrs at 27° C. before use.
Landscapes
- Health & Medical Sciences (AREA)
- Chemical & Material Sciences (AREA)
- Life Sciences & Earth Sciences (AREA)
- Animal Behavior & Ethology (AREA)
- General Health & Medical Sciences (AREA)
- Public Health (AREA)
- Veterinary Medicine (AREA)
- Medicinal Chemistry (AREA)
- Pharmacology & Pharmacy (AREA)
- Bioinformatics & Cheminformatics (AREA)
- Engineering & Computer Science (AREA)
- Organic Chemistry (AREA)
- Chemical Kinetics & Catalysis (AREA)
- General Chemical & Material Sciences (AREA)
- Nuclear Medicine, Radiotherapy & Molecular Imaging (AREA)
- Epidemiology (AREA)
- Neurology (AREA)
- Diabetes (AREA)
- Physical Education & Sports Medicine (AREA)
- Neurosurgery (AREA)
- Biomedical Technology (AREA)
- Orthopedic Medicine & Surgery (AREA)
- Endocrinology (AREA)
- Hematology (AREA)
- Pulmonology (AREA)
- Molecular Biology (AREA)
- Biophysics (AREA)
- Rheumatology (AREA)
- Immunology (AREA)
- Urology & Nephrology (AREA)
- Obesity (AREA)
- Reproductive Health (AREA)
- Psychology (AREA)
- Pain & Pain Management (AREA)
- Inorganic Chemistry (AREA)
- Nutrition Science (AREA)
- Physiology (AREA)
- Emergency Medicine (AREA)
- Psychiatry (AREA)
- Cardiology (AREA)
Abstract
A pharmaceutical composition comprising Compound 1, (3-(6-(1-(2,2-difluorobenzo[d][1,3]dioxol-5-yl) cyclopropanecarboxamido)-3-methylpyridin-2-yl)benzoic acid), and at least one excipient selected from: a filler, a diluent, a disintegrant, a surfactant, a binder, a glidant and a lubricant, the composition being suitable for oral administration to a patient in need thereof to treat a CFTR mediated disease such as Cystic Fibrosis. Methods for treating a patient in need thereof include administering an oral pharmaceutical formulation of Compound 1 to the patient.
Description
- This application is a continuation of application Ser. No. 15/001,036, filed Jan. 19, 2016, and issued as U.S. Pat. No. 10,076,513 on Sep. 18, 2018; which is a continuation of application Ser. No. 14/542,396, filed Nov. 14, 2014, and issued as U.S. Pat. No. 9,241,934 on Jan. 26, 2016; which is a continuation of application Ser. No. 14/031,360, filed Sep. 19, 2013, now abandoned; which is a continuation of application Ser. No. 13/081,750, filed Apr. 7, 2011, and issued as U.S. Pat. No. 8,552,034 on Oct. 10, 2013, and claims the benefit of priority under 35 U.S.C. § 119 to U.S. provisional patent application Ser. No. 61/321,748, filed Apr. 7, 2010; 61/321,729, filed Apr. 7, 2010; and 61/366,562, filed Jul. 22, 2010, all of which are incorporated herein by reference.
- The invention relates to pharmaceutical compositions comprising 3-(6-(1-(2,2-difluorobenzo[d][1,3]dioxol-5-yl) cyclopropanecarboxamido)-3-methylpyridin-2-yl)benzoic acid (Compound 1), methods for manufacturing such compositions and methods for administering pharmaceutical compositions comprising same.
- CFTR is a cAMP/ATP-mediated anion channel that is expressed in a variety of cells types, including absorptive and secretory epithelia cells, where it regulates anion flux across the membrane, as well as the activity of other ion channels and proteins. In epithelia cells, normal functioning of CFTR is critical for the maintenance of electrolyte transport throughout the body, including respiratory and digestive tissue. CFTR is composed of approximately 1480 amino acids that encode a protein made up of a tandem repeat of transmembrane domains, each containing six transmembrane helices and a nucleotide binding domain. The two transmembrane domains are linked by a large, polar, regulatory (R)-domain with multiple phosphorylation sites that regulate channel activity and cellular trafficking.
- The gene encoding CFTR has been identified and sequenced (See Gregory, R. J. et al. (1990) Nature 347:382-386; Rich, D. P. et al. (1990) Nature 347:358-362), (Riordan, J. R. et al. (1989) Science 245:1066-1073). A defect in this gene causes mutations in CFTR resulting in cystic fibrosis (“CF”), the most common fatal genetic disease in humans. Cystic fibrosis affects approximately one in every 2,500 infants in the United States. Within the general United States population, up to 10 million people carry a single copy of the defective gene without apparent ill effects. In contrast, individuals with two copies of the CF associated gene suffer from the debilitating and fatal effects of CF, including chronic lung disease.
- In patients with cystic fibrosis, mutations in CFTR endogenously expressed in respiratory epithelia lead to reduced apical anion secretion causing an imbalance in ion and fluid transport. The resulting decrease in anion transport contributes to enhance mucus accumulation in the lung and the accompanying microbial infections that ultimately cause death in CF patients. In addition to respiratory disease, CF patients typically suffer from gastrointestinal problems and pancreatic insufficiency that, if left untreated, results in death. In addition, the majority of males with cystic fibrosis are infertile and fertility is decreased among females with cystic fibrosis. In contrast to the severe effects of two copies of the CF associated gene, individuals with a single copy of the CF associated gene exhibit increased resistance to cholera and to dehydration resulting from diarrhea—perhaps explaining the relatively high frequency of the CF gene within the population.
- Sequence analysis of the CFTR gene of CF chromosomes has revealed a variety of disease-causing mutations (Cutting, G. R. et al. (1990) Nature 346:366-369; Dean, M. et al. (1990) Cell 61:863:870; and Kerem, B-S. et al. (1989) Science 245:1073-1080; Kerem, B-S et al. (1990) Proc. Natl. Acad. Sci. USA 87:8447-8451). To date, greater than 1000 disease-causing mutations in the CF gene have been identified as reported by the scientific and medical literature. The most prevalent mutation is a deletion of phenylalanine at position 508 of the CFTR amino acid sequence, and is commonly referred to as ΔF508-CFTR. This mutation occurs in approximately 70 percent of the cases of cystic fibrosis and is associated with a severe disease. Other mutations include the R117H and G551D.
- The deletion of residue 508 in ΔF508-CFTR prevents the nascent protein from folding correctly. This results in the inability of the mutant protein to exit the ER, and traffic to the plasma membrane. As a result, the number of channels present in the membrane is far less than observed in cells expressing wild-type CFTR. In addition to impaired trafficking, the mutation results in defective channel gating. Together, the reduced number of channels in the membrane and the defective gating lead to reduced anion transport across epithelia leading to defective ion and fluid transport. (Quinton, P. M. (1990), FASEB J. 4: 2709-2727). Studies have shown, however, that the reduced numbers of ΔF508-CFTR in the membrane are functional, albeit less than wild-type CFTR. (Dalemans et al. (1991), Nature Lond. 354: 526-528; Denning et al., supra; Pasyk and Foskett (1995), J. Cell. Biochem. 270: 12347-50). In addition to ΔF508-CFTR, other disease causing mutations in CFTR that result in defective trafficking, synthesis, and/or channel gating could be up- or down-regulated to alter anion secretion and modify disease progression and/or severity.
- Although CFTR transports a variety of molecules in addition to anions, it is clear that this role (the transport of anions) represents one element in an important mechanism of transporting ions and water across the epithelium. The other elements include the epithelial Na+ channel, ENaC, Na+/2Cl−/K+ co-transporter, Na+-K+-ATPase pump and the basolateral membrane K+ channels, that are responsible for the uptake of chloride into the cell.
- These elements work together to achieve directional transport across the epithelium via their selective expression and localization within the cell. Chloride absorption takes place by the coordinated activity of ENaC and CFTR present on the apical membrane and the Na+-K+-ATPase pump and Cl− channels expressed on the basolateral surface of the cell. Secondary active transport of chloride from the luminal side leads to the accumulation of intracellular chloride, which can then passively leave the cell via Cl− channels, resulting in a vectorial transport. Arrangement of Na+/2Cl−/K+ co-transporter, Na+-K+-ATPase pump and the basolateral membrane K+ channels on the basolateral surface and CFTR on the luminal side coordinate the secretion of chloride via CFTR on the luminal side. Because water is probably never actively transported itself, its flow across epithelia depends on tiny transepithelial osmotic gradients generated by the bulk flow of sodium and chloride.
- As discussed above, it is believed that the deletion of residue 508 in ΔF508-CFTR prevents the nascent protein from folding correctly, resulting in the inability of this mutant protein to exit the ER, and traffic to the plasma membrane. As a result, insufficient amounts of the mature protein are present at the plasma membrane and chloride transport within epithelial tissues is significantly reduced. In fact, this cellular phenomenon of defective endoplasmic reticulum (ER) processing of ATP-binding cassette (ABC) transporters by the ER machinery, has been shown to be the underlying basis not only for CF disease, but for a wide range of other isolated and inherited diseases. The two ways that the ER machinery can malfunction is either by loss of coupling to ER export of the proteins leading to degradation, or by the ER accumulation of these defective/misfolded proteins [Aridor M, et al., Nature Med., 5(7), pp 745-751 (1999); Shastry, B. S., et al., Neurochem. International, 43, pp 1-7 (2003); Rutishauser, J., et al., Swiss Med Wkly, 132, pp 211-222 (2002); Morello, J P et al., TIPS, 21, pp. 466-469 (2000); Bross P., et al., Human Mut., 14, pp. 186-198 (1999)].
- 3-(6-(1-(2,2-Difluorobenzo[d][1,3]dioxol-5-yl) cyclopropanecarboxamido)-3-methylpyridin-2-yl)benzoic acid in salt form is disclosed in International PCT Publication WO 2007056341 as a modulator of CFTR activity and thus as a useful treatment for CFTR-mediated diseases such as cystic fibrosis. Form I of 3-(6-(1-(2,2-Difluorobenzo[d][1,3]dioxol-5-yl) cyclopropanecarboxamido)-3-methylpyridin-2-yl)benzoic acid, which is a substantially crystalline and salt-free form known as
Compound 1 Form I, is disclosed in U.S. patent application Ser. No. 12/327,902, filed Dec. 4, 2008. Form II and HCl salt Form A of 3-(6-(1-(2,2-difluorobenzo[d][1,3]dioxol-5-yl) cyclopropanecarboxamido)-3-methylpyridin-2-yl)benzoic acid,Compound 1 Form II andCompound 1 HCl salt Form A, respectively, are disclosed in U.S. Provisional Patent Application 61/321,729, filed Apr. 7, 2010. All applications are incorporated in their entirety by reference herein. A need remains, however, for pharmaceuticalcompositions comprising Compound 1 Form I, Form II, or HCl salt Form A that are readily prepared and that are suitable for use as therapeutics. - The invention relates to pharmaceutical compositions, pharmaceutical preparations, and solid dosage forms comprising 3-(6-(1-(2,2-difluorobenzo[d][1,3]dioxol-5-yl) cyclopropanecarboxamido)-3-methylpyridin-2-yl)benzoic acid (Compound 1) which has the structure below:
- In one aspect, the invention provides a pharmaceutical composition comprising:
- a.
Compound 1; - b. a filler;
- c. a disintegrant;
- d. a surfactant;
- e. a diluent;
- f. a lubricant; and
- g. at least one of a glidant and a binder.
- In other embodiments,
Compound 1 is in substantially one of its crystalline solid forms. In one embodiment,Compound 1 is in substantially crystalline Form I (Compound 1 Form I). In one embodiment,Compound 1 is in substantially crystalline Form II (Compound 1 Form II). In one embodiment,Compound 1 is in substantially crystalline HCl salt form (Compound 1 HCl Salt Form A). It is understood that the term “Compound 1,” as used throughout, includes, amongst other forms, including non-crystalline forms, the following solid state forms:Compound 1 Form I,Compound 1 Form II, and/orCompound 1 HCl Salt Form A. - In some embodiments, the pharmaceutical composition comprises 25 mg to 400 mg. In some embodiments, the pharmaceutical composition comprises 25 mg of
Compound 1. In some embodiments, the pharmaceutical composition comprises 50 mg ofCompound 1. In some embodiments, the pharmaceutical composition comprises 100 mg ofCompound 1. In some embodiments, the pharmaceutical composition comprises 125 mg ofCompound 1. In some embodiments, the pharmaceutical composition comprises 150 mg ofCompound 1. In some embodiments, the pharmaceutical composition comprises 200 mg ofCompound 1. In some embodiments, the pharmaceutical composition comprises 250 mg ofCompound 1. In some embodiments, the pharmaceutical composition comprises 400 mg ofCompound 1. - In one aspect, the invention provides a pharmaceutical composition comprising the following components:
-
(% w/w) Roller Compaction Granule Blend Compound 1 20-40 Microcrystalline cellulose 30-50 Mannitol 10-30 Croscarmellose Sodium 1-5 Sodium Lauryl Sulfate 0.1-2 Colloidal Silica 0.1-1 Magnesium Stearate 1-3 Tablet Composition (100 mg dose) Roller Compaction Granule Blend 99-99.9 Magnesium Stearate 0.1-1 - In another embodiment, the invention provides a pharmaceutical composition comprising the following components:
-
(% w/w) Roller Compaction Granule Blend Compound 1 Form I 30 Microcrystalline cellulose 42.3 Mannitol 21.2 Croscarmellose Sodium 3 Sodium Lauryl Sulfate 1 Colloidal Silica 0.5 Magnesium Stearate 2 Tablet Composition (100 mg dose, 335 mg image) Roller Compaction Granule Blend 99.5 Magnesium Stearate 0.5 - In another aspect, the invention provides a pharmaceutical composition comprising the following components:
-
(% w/w) High Shear Granule Blend Compound 1 Form I 40-80 Microcrystalline cellulose 20-40 Mannitol 10-15 Croscarmellose Sodium 1-5 Polyvinylpyrrolidone 1-10 Sodium Lauryl Sulfate 0.1-2 Water (removed during drying) 25-40% solids Tablet Composition (100 mg dose) High Shear Granule Blend 95-99 Croscarmellose Sodium 1-4 Magnesium Stearate 0.1-1 - In another embodiment, the invention provides a pharmaceutical composition comprising the following components:
-
(% w/w) High Shear Granule Blend Compound 1 Form I 50 Microcrystalline cellulose 30 Mannitol 13 Croscarmellose Sodium 2 Polyvinylpyrrolidone 4 Sodium Lauryl Sulfate 1 Water (removed during drying) 25-40% solids Tablet Composition (100 mg dose, 205 mg image) High Shear Granule Blend 97.5 Croscarmellose Sodium 2.0 Magnesium Stearate 0.5 - In another embodiment, the invention provides a pharmaceutical composition comprising the following components:
-
(% w/w) High Shear Granule Blend Compound 1 Form I 60 Microcrystalline cellulose 20 Mannitol 13 Croscarmellose Sodium 2 Polyvinylpyrrolidone 4 Sodium Lauryl Sulfate 1 Water (removed during drying) 25-40% solids Tablet Composition (100 mg dose, 171 mg image) High Shear Granule Blend 97.5 Croscarmellose Sodium 2.0 Magnesium Stearate 0.5 - In another embodiment, the invention provides a pharmaceutical composition comprising the following components:
-
(% w/w) High Shear Granule Blend Compound 1 Form I 60 Microcrystalline cellulose 20 Mannitol 13 Croscarmellose Sodium 2 Polyvinylpyrrolidone 4 Sodium Lauryl Sulfate 1 Water (removed during drying) 25-40% solids Tablet Composition (200 mg dose, 402 mg image) High Shear Granule Blend 83 Microcrystalline cellulose 14 Croscarmellose Sodium 2 Magnesium Stearate 1 - In another embodiment, the invention provides a pharmaceutical composition comprising the following components:
-
mg High Shear Granule Blend Compound 1 Form I 200 Microcrystalline cellulose 66 Mannitol 43 Croscarmellose Sodium 7 Polyvinylpyrrolidone 13 Sodium Lauryl Sulfate 3 Core Tablet Composition (200 mg dose, 400 mg image) High Shear Granule Blend 332 Microcrystalline cellulose 56 Croscarmellose Sodium 8 Magnesium Stearate 4 Film Coated Tablet (200 mg dose, 412 mg image) Core Tablet Composition 400 Film Coat 12 Wax 0.04 - In another embodiment, the invention provides a pharmaceutical composition comprising the following components:
-
mg High Shear Granule Blend Compound 1 Form I 200 Microcrystalline cellulose 67 Mannitol 45 Croscarmellose Sodium 7 Polyvinylpyrrolidone 10.4 Sodium Lauryl Sulfate 2.6 Core Tablet Composition (200 mg dose, 400 mg image) High Shear Granule Blend 332 Microcrystalline cellulose 56 Croscarmellose Sodium 8 Magnesium Stearate 4 Film Coated Tablet (200 mg dose, 412 mg image) Core Tablet Composition 400 Film Coat 12 Wax 0.04 - In another embodiment, the invention provides a pharmaceutical composition comprising the following components:
-
(% w/w) High Shear Granule Blend Compound 1 Form I 70 Microcrystalline cellulose 12 Mannitol 11 Croscarmellose Sodium 2 Polyvinylpyrrolidone 4 Sodium Lauryl Sulfate 1 Water (removed during drying) 25-40% solids Tablet Composition (100 mg dose, 147 mg image) High Shear Granule Blend 97.5 Croscarmellose Sodium 2.0 Magnesium Stearate 0.5 - In another embodiment, the invention provides a pharmaceutical composition comprising the following components:
-
(% w/w) High Shear Granule Blend Compound 1 Form I or Form II 61 Microcrystalline cellulose 20.3 Mannitol 13.2 Croscarmellose Sodium 2 Polyvinylpyrrolidone 2.7 Sodium Lauryl Sulfate 0.7 Tablet Composition (100 mg dose, 197 mg image) High Shear Granule Blend 83 Microcrystalline cellulose 14 Croscarmellose Sodium 2 Magnesium Stearate 1 - In another embodiment, the invention provides a pharmaceutical composition comprising the following components:
-
mg High Shear Granule Blend Compound 1 Form I or Form II 100 Microcrystalline cellulose 33.3 Mannitol 21.7 Croscarmellose Sodium 3.3 Polyvinylpyrrolidone 4.4 Sodium Lauryl Sulfate 1.1 Core Tablet Composition (100 mg dose, 197 mg image) High Shear Granule Blend 163.9 Microcrystalline cellulose 27.6 Croscarmellose Sodium 3.9 Magnesium Stearate 2.0 - In another aspect, the invention provides a pharmaceutical composition in the form of a tablet that comprises
Compound 1, and one or more pharmaceutically acceptable excipients, for example, a filler, a disintegrant, a surfactant, a diluent, a binder, a glidant, and a lubricant and any combination thereof, where the tablet has a dissolution of at least about 50% in about 30 minutes. In another embodiment, the dissolution rate is at least about 75% in about 30 minutes. In another embodiment, the dissolution rate is at least about 90% in about 30 minutes. - In another aspect, the invention provides a pharmaceutical composition consisting of a tablet that comprises a powder blend or
granules comprising Compound 1; and, one or more pharmaceutically acceptable excipients, for example, a filler, a disintegrant, a surfactant, a diluent, a binder, a glidant, and a lubricant, wherein the tablet has a hardness of at least about 5 kP (kP=kilo Ponds; 1 kP=˜9.8 N). In another embodiment, the tablet has a target friability of less than 1.0% after 400 revolutions. In another aspect, the invention provides a pharmaceutical composition consisting of a tablet that comprises a powder blend orgranules comprising Compound 1 Form II,Compound 1; and, one or more pharmaceutically acceptable excipients, for example, a filler, a disintegrant, a surfactant, a diluent, a binder, a glidant, and a lubricant, wherein the tablet has a hardness of at least about 5 kP (kP=kilo Ponds; 1 kP=˜9.8 N). In another embodiment, the tablet has a target friability of less than 1.0% after 400 revolutions. - In another aspect, the invention provides a pharmaceutical composition as described herein further comprising an additional therapeutic agent. In some embodiments, the additional therapeutic agent is N-(5-hydroxy-2,4-ditert-butyl-phenyl)-4-oxo-1H-quinoline-3-carboxamide.
- In another aspect, the invention provides a method of treating a CFTR mediated disease in a mammal comprising administering to the mammal an effective amount of a pharmaceutical composition as described herein. In some embodiments, the CFTR mediated disease is cystic fibrosis, emphysema, COPD, or osteoporosis. In other embodiments, the CFTR mediated disease is cystic fibrosis. This method may further comprise administering an additional therapeutic agent, wherein in some embodiments, the additional therapeutic agent is N-(5-hydroxy-2,4-ditert-butyl-phenyl)-4-oxo-1H-quinoline-3-carboxamide.
- In another aspect, the invention provides a process for making the pharmaceutical compositions described herein by a roller compaction process comprising the steps of screening and weighing
Compound 1 and excipients;blending Compound 1 and excipients for a suitable amount of time; roller compacting the blend into ribbons and milling the ribbons into granules; blending the granules with extra-granular excipients for a suitable amount of time; compressing the blend into tablets; coating the tablets; and, optionally, printing a monogram on one or both tablet faces. - In another aspect, the invention provides a process for making the pharmaceutical compositions described herein by a high shear granulation process comprising the steps of screening and weighing
Compound 1 and excipients; mixingCompound 1 and excipients while adding a granulation fluid comprising surfactant and a binder at a suitable mixing speed for a suitable amount of time and chopping the mixture into granules; drying the granules; blending the granules with extra-granular excipients for a suitable amount of time; compressing the blend into tablets; coating the tablets; and, optionally, printing a monogram on one or both tablet faces. -
FIG. 1 is an X-ray diffraction pattern calculated from a single crystal structure ofCompound 1 Form I. -
FIG. 2 is an actual X-ray powder diffraction pattern ofCompound 1 Form I. -
FIG. 3 is an X-ray powder diffraction pattern ofCompound 1 Form II. -
FIG. 4 provides X-ray diffraction patterns ofCompound 1 Form II's selected from: - 1)
Compound 1 Form II, Methanol Solvate; - 2)
Compound 1 Form II, Ethanol Solvate; - 3)
Compound 1 Form II, Acetone Solvate; - 4)
Compound 1 Form II, 2-Propanol Solvate; - 5)
Compound 1 Form II, Acetonitrile Solvate; - 6)
Compound 1 Form II, Tetrahydrofuran Solvate; - 7)
Compound 1 Form II, Methyl Acetate Solvate; - 8)
Compound 1 Form II, 2-Butanone Solvate; - 9)
Compound 1 Form II, Ethyl Formate Solvate; and - 10)
Compound 1 Form II, 2-Methyltetrahydrofuran Solvate. -
FIG. 5 provides an X-ray diffraction pattern ofCompound 1 Form II, Methanol Solvate. -
FIG. 6 provides an X-ray diffraction pattern ofCompound 1 Form II, Ethanol Solvate. -
FIG. 7 provides an X-ray diffraction pattern ofCompound 1 Form II, Acetone Solvate. -
FIG. 8 provides an X-ray diffraction pattern ofCompound 1 Form II, 2-Propanol Solvate. -
FIG. 9 provides an X-ray diffraction pattern ofCompound 1 Form II, Acetonitrile Solvate. -
FIG. 10 provides an X-ray diffraction pattern ofCompound 1 Form II, Tetrahydrofuran Solvate. -
FIG. 11 provides an X-ray diffraction pattern ofCompound 1 Form II, Methyl Acetate Solvate. -
FIG. 12 provides an X-ray diffraction pattern ofCompound 1 Form II, 2-Butanone Solvate. -
FIG. 13 provides an X-ray diffraction pattern ofCompound 1 Form II, Ethyl Formate Solvate. -
FIG. 14 provides an X-ray diffraction pattern ofCompound 1 Form II, 2-Methyltetrahydrofuran Solvate. -
FIG. 15 is a differential scanning calorimetry (DSC) trace ofCompound 1 Form II, Acetone Solvate. -
FIG. 16 is a Thermogravimetric analysis (TGA) plot ofCompound 1 Form II, Acetone Solvate. -
FIG. 17 is a conformational image ofCompound 1 Form II, Acetone Solvate based on single crystal X-ray analysis. -
FIG. 18 is a conformational image of the dimer ofCompound 1 HCl Salt Form A. -
FIG. 19 is an X-ray diffraction pattern ofCompound 1 HCl Salt Form A calculated from the crystal structure. -
FIG. 20 is an 1HNMR spectrum ofCompound 1. -
FIG. 21 is an 1HNMR spectrum ofCompound 1 HCl salt. -
FIG. 22 is a differential scanning calorimetry (DSC) trace ofCompound 1 Form I. -
FIG. 23 is a conformational picture ofCompound 1 Form I based on single crystal X-ray analysis. -
FIG. 24 is a conformational image ofCompound 1 Form II, Acetone Solvate, based on single crystal X-ray analysis. -
FIG. 25 is a solid state 13C NMR spectrum (15.0 kHz spinning) ofCompound 1 Form II, Acetone Solvate. -
FIG. 26 is a solid state 19F NMR spectrum (12.5 kHz spinning) ofCompound 1 Form II, Acetone Solvate. -
FIG. 27 is an X-ray diffraction pattern ofCompound 1 HCl Salt Form A calculated from the crystal structure. - As used herein, the term “active pharmaceutical ingredient” or “API” refers to a biologically active compound. Exemplary APIs include 3-(6-(1-(2,2-difluorobenzo[d][1,3]dioxol-5-yl) cyclopropanecarboxamido)-3-methylpyridin-2-yl)benzoic acid (Compound 1).
- The terms “solid form”, “solid forms” and related terms, when used herein to refer to 3-(6-(1-(2,2-difluorobenzo[d][1,3]dioxol-5-yl) cyclopropanecarboxamido)-3-methylpyridin-2-yl) benzoic acid (Compound 1), refer to a solid form e.g. crystals and the like, comprising
Compound 1 which is not predominantly in a liquid or a gaseous state. - As used herein, the term “substantially amorphous” refers to a solid material having little or no long range order in the position of its molecules. For example, substantially amorphous materials have less than about 15% crystallinity (e.g., less than about 10% crystallinity or less than about 5% crystallinity). It is also noted that the term ‘substantially amorphous’ includes the descriptor, ‘amorphous’, which refers to materials having no (0%) crystallinity.
- As used herein, the term “substantially crystalline” (as in the phrase substantially
crystalline Compound 1 Form I,Compound 1 Form II, orCompound 1 HCl Salt Form A) refers to a solid material having predominantly long range order in the position of its molecules. For example, substantially crystalline materials have more than about 85% crystallinity (e.g., more than about 90% crystallinity or more than about 95% crystallinity). It is also noted that the term ‘substantially crystalline’ includes the descriptor, ‘crystalline’, which refers to materials having 100% crystallinity. - The term “crystalline” and related terms used herein, when used to describe a substance, component, product, or form, means that the substance, component or product is substantially crystalline as determined by X-ray diffraction. (See, e.g., Remington: The Science and Practice of Pharmacy, 21st Ed., Lippincott Williams & Wilkins, Baltimore, Md. (2003); The United States Pharmacopeia, 23rd ed., 1843-1844 (1995)).
- As used herein, the term “composition” generally refers to a composition of two or more components, usually one or more drugs (e.g., one drug (e.g.,
Compound 1 Form I,Compound 1 Form II, orCompound 1 HCl Salt Form A)) and one or more pharmaceutical excipients. - As used herein, the term “solid dosage form” generally refers to a pharmaceutical composition, which when used in an oral mode of administration include capsules, tablets, pills, powders and granules. In such solid dosage forms, the active compound is mixed with at least one inert, pharmaceutically acceptable excipient or carrier.
- As used herein, an “excipient” includes functional and non-functional ingredients in a pharmaceutical composition.
- As used herein, a “disintegrant” is an excipient that hydrates a pharmaceutical composition and aids in tablet dispersion. As used herein, a “diluent” or “filler” is an excipient that adds bulkiness to a pharmaceutical composition.
- As used herein, a “surfactant” is an excipient that imparts pharmaceutical compositions with enhanced solubility and/or wetability.
- As used herein, a “binder” is an excipient that imparts a pharmaceutical composition with enhanced cohesion or tensile strength (e.g., hardness).
- As used herein, a “glidant” is an excipient that imparts a pharmaceutical compositions with enhanced flow properties.
- As used herein, a “colorant” is an excipient that imparts a pharmaceutical composition with a desired color. Examples of colorants include commercially available pigments such as
FD&C Blue # 1 Aluminum Lake,FD&C Blue # 2, other FD&C Blue colors, titanium dioxide, iron oxide, and/or combinations thereof. In one embodiment, the pharmaceutical composition provided by the invention is purple. - As used herein, a “lubricant” is an excipient that is added to pharmaceutical compositions that are pressed into tablets. The lubricant aids in compaction of granules into tablets and ejection of a tablet of a pharmaceutical composition from a die press.
- As used herein, “cubic centimeter” and “cc” are used interchangeably to represent a unit of volume. Note that 1 cc=1 mL.
- As used herein, “kiloPond” and “kP” are used interchangeably and refer to the measure of force where a kP=approximately 9.8 Newtons.
- As used herein, “friability” refers to the property of a tablet to remain intact and withhold its form despite an external force of pressure. Friability can be quantified using the mathematical expression presented in equation 1:
-
- wherein W0 is the original weight of the tablet and Wf is the final weight of the tablet after it is put through the friabilator. Friability is measured using a standard USP testing apparatus that tumbles experimental tablets for 100 or 400 revolutions. Some tablets of the invention have a friability of less than 5.0%. In another embodiment, the friability is less than 2.0%. In another embodiment, the target friability is less than 1.0% after 400 revolutions.
- As used herein, “mean particle diameter” is the average particle diameter as measured using techniques such as laser light scattering, image analysis, or sieve analysis. In one embodiment, the granules used to prepare the pharmaceutical compositions provided by the invention have a mean particle diameter of less than 1.0 mm.
- As used herein, “bulk density” is the mass of particles of material divided by the total volume the particles occupy. The total volume includes particle volume, inter-particle void volume and internal pore volume. Bulk density is not an intrinsic property of a material; it can change depending on how the material is processed. In one embodiment, the granules used to prepare the pharmaceutical compositions provided by the invention have a bulk density of about 0.5-0.7 g/cc.
- An effective amount or “therapeutically effective amount” of a drug compound of the invention may vary according to factors such as the disease state, age, and weight of the subject, and the ability of the compound of the invention to elicit a desired response in the subject. Dosage regimens may be adjusted to provide the optimum therapeutic response. An effective amount is also one in which any toxic or detrimental effects (e.g., side effects) of the compound of the invention are outweighed by the therapeutically beneficial effects.
- As used herein, and unless otherwise specified, the terms “therapeutically effective amount” and “effective amount” of a compound mean an amount sufficient to provide a therapeutic benefit in the treatment or management of a disease or disorder, or to delay or minimize one or more symptoms associated with the disease or disorder. A “therapeutically effective amount” and “effective amount” of a compound mean an amount of therapeutic agent, alone or in combination with one or more other agent(s), which provides a therapeutic benefit in the treatment or management of the disease or disorder. The terms “therapeutically effective amount” and “effective amount” can encompass an amount that improves overall therapy, reduces or avoids symptoms or causes of disease or disorder, or enhances the therapeutic efficacy of another therapeutic agent.
- “Substantially pure” as used in the phrase “substantially
pure Compound 1 Form I,Compound 1 Form II, orCompound 1 HCl Salt Form A,” means greater than about 90% purity. In another embodiment, substantially pure refers to greater than about 95% purity. In another embodiment, substantially pure refers to greater than about 98% purity. In another embodiment, substantially pure refers to greater than about 99% purity. - With respect to Compound 1 (e.g.,
Compound 1 Form I,Compound 1 Form II,Compound 1 HCl Salt Form A), the terms “about” and “approximately”, when used in connection with doses, amounts, or weight percent of ingredients of a composition or a dosage form, mean a dose, amount, or weight percent that is recognized by one of ordinary skill in the art to provide a pharmacological effect equivalent to that obtained from the specified dose, amount, or weight percent. Specifically the term “about” or “approximately” means an acceptable error for a particular value as determined by one of ordinary skill in the art, which depends in part on how the value is measured or determined. In certain embodiments, the term “about” or “approximately” means within 1, 2, 3, or 4 standard deviations. In certain embodiments, the term “about” or “approximately” means within 30%, 25%, 20%, 15%, 10%, 9%, 8%, 7%, 6%, 5%, 4%, 3%, 2%, 1%, 0.5%, 0.1%, or 0.05% of a given value or range. - Unless otherwise specified, the term “
Compound 1” includes, but is not limited to, the solid forms ofCompound 1 as described herein,e.g. Compound 1 Form I,Compound 1 Form II, orCompound 1 HCl Salt Form A, as well as combinations thereof. - The invention provides pharmaceutical compositions, pharmaceutical formulations and solid dosage
forms comprising Compound 1 which may be in substantially crystalline form. In some embodiments,Compound 1 is in crystalline Form I (Compound 1 Form I). In some embodiments,Compound 1 is in crystalline Form II (Compound 1 Form II). In some embodiments,Compound 1 is in crystalline HCl salt form (Compound 1 HCl Salt Form A). In some embodiments of this aspect, the amount ofCompound 1 that is present in the pharmaceutical composition is 25 mg, 50 mg, 75 mg, 100 mg, 125 mg, 150 mg, 200 mg, 250 mg, or 400 mg. In some embodiments of this aspect, weight/weight relative percent ofCompound 1 that is present in the pharmaceutical composition is from 10 to 75 percent. In these and other embodiments, 3-(6-(1-(2,2-difluorobenzo[d][1,3]dioxol-5-yl) cyclopropanecarboxamido)-3-methylpyridin-2-yl)benzoic acid is present as substantiallypure Compound 1. “Substantially pure” means greater than ninety percent pure; preferably greater than 95 percent pure; more preferably greater than 99.5 percent pure (i.e., not mixed with other crystalline forms of Compound 1). - Thus in one aspect, the invention provides a pharmaceutical composition comprising:
- a.
Compound 1; - b. a filler;
- c. a disintegrant;
- d. a surfactant;
- e. a diluent;
- f. a lubricant; and
- g. and at least one of a glidant and a binder.
- In one embodiment of this aspect, the pharmaceutical composition comprises 25 mg of
Compound 1. In another embodiment of this aspect, the pharmaceutical composition comprises 50 mg ofCompound 1. In another embodiment of this aspect, the pharmaceutical composition comprises 100 mg ofCompound 1. In another embodiment of this aspect, the pharmaceutical composition comprises 125 mg ofCompound 1. In another embodiment of this aspect, the pharmaceutical composition comprises 150 mg ofCompound 1. In another embodiment of this aspect, the pharmaceutical composition comprises 200 mg ofCompound 1. In another embodiment of this aspect, the pharmaceutical composition comprises 250 mg ofCompound 1. In another embodiment of this aspect, the pharmaceutical composition comprises 400 mg ofCompound 1. - In some embodiments, the pharmaceutical compositions comprises
Compound 1, whereinCompound 1 is present in an amount of at least 15 wt % (e.g., at least 20 wt %, at least 30 wt %, at least 40 wt %, at least 50 wt %, or at least 60 wt %) by weight of the composition. - In some embodiments, the pharmaceutical composition comprises
Compound 1, a filler, a diluent, a disintegrant, a surfactant, a glidant, and a lubricant. In this embodiment, the composition comprises from about 20 wt % to about 50 wt % (e.g., about 25-35 wt %) ofCompound 1 by weight of the composition, and more typically, from 25 wt % to about 45 wt % (e.g., about 28-32 wt %) ofCompound 1 by weight of the composition. - In some embodiments, the pharmaceutical composition comprises
Compound 1, a filler, a diluent, a disintegrant, a surfactant, a binder, and a lubricant. In this embodiment, the composition comprises from about 30 wt % to about 60 wt % (e.g., about 40-55 wt %) ofCompound 1 by weight of the composition, and more typically from 35 wt % to about 70 wt % (e.g., about 45-55 wt %) ofCompound 1 by weight of the composition. - The concentration of
Compound 1 in the composition depends on several factors such as the amount of pharmaceutical composition needed to provide a desired amount ofCompound 1 and the desired dissolution profile of the pharmaceutical composition. - In another embodiment, the pharmaceutical composition comprises
Compound 1, in whichCompound 1 in its solid form has a mean particle diameter, measured by light scattering (e.g., using a Malvern Mastersizer available from Malvern Instruments in England) of 0.1 microns to 10 microns. In another embodiment, the particle size ofCompound 1 is 1 micron to 5 microns. In another embodiment,Compound 1 has a particle size D50 of 2.0 microns. - As indicated, in addition to
Compound 1, in some embodiments of the invention, the pharmaceutical compositions which are oral formulations also comprise one or more excipients such as fillers, disintegrants, surfactants, diluents, binders, glidants, lubricants, colorants, or fragrances and any combination thereof. - Fillers suitable for the invention are compatible with the ingredients of the pharmaceutical composition, i.e., they do not substantially reduce the solubility, the hardness, the chemical stability, the physical stability, or the biological activity of the pharmaceutical composition. Exemplary fillers include: celluloses, modified celluloses, (e.g. sodium carboxymethyl cellulose, ethyl cellulose hydroxymethyl cellulose, hydroxypropylcellulose), cellulose acetate, microcrystalline cellulose, calcium phosphates, dibasic calcium phosphate, starches (e.g. corn starch, potato starch), sugars (e.g., sorbitol) lactose, sucrose, or the like), or any combination thereof.
- Thus, in one embodiment, the pharmaceutical composition comprises at least one filler in an amount of at least 5 wt % (e.g., at least about 20 wt %, at least about 30 wt %, or at least about 40 wt %) by weight of the composition. For example, the pharmaceutical composition comprises from about 10 wt % to about 60 wt % (e.g., from about 20 wt % to about 55 wt %, from about 25 wt % to about 50 wt %, or from about 27 wt % to about 45 wt %) of filler, by weight of the composition. In another example, the pharmaceutical composition comprises at least about 20 wt % (e.g., at least 30 wt % or at least 40 wt %) of microcrystalline cellulose, for example MCC Avicel PH102, by weight of the composition. In yet another example, the pharmaceutical composition comprises from about 10 wt % to about 60 wt % (e.g., from about 20 wt % to about 55 wt % or from about 25 wt % to about 45 wt %) of microcellulose, by weight of the composition.
- Disintegrants suitable for the invention enhance the dispersal of the pharmaceutical composition and are compatible with the ingredients of the pharmaceutical composition, i.e., they do not substantially reduce the chemical stability, the physical stability, the hardness, or the biological activity of the pharmaceutical composition. Exemplary disintegrants include croscarmellose sodium, sodium starch glycolate, or a combination thereof.
- Thus, in one embodiment, the pharmaceutical composition comprises disintegrant in an amount of about 10 wt % or less (e.g., about 7 wt % or less, about 6 wt % or less, or about 5 wt % or less) by weight of the composition. For example, the pharmaceutical composition comprises from about 1 wt % to about 10 wt % (e.g., from about 1.5 wt % to about 7.5 wt % or from about 2.5 wt % to about 6 wt %) of disintegrant, by weight of the composition. In another example, the pharmaceutical composition comprises about 10 wt % or less (e.g., 7 wt % or less, 6 wt % or less, or 5 wt % or less) of croscarmellose sodium, by weight of the composition. In yet another example, the pharmaceutical composition comprises from about 1 wt % to about 10 wt % (e.g., from about 1.5 wt % to about 7.5 wt % or from about 2.5 wt % to about 6 wt %) of croscarmellose sodium, by weight of the composition. In some examples, the pharmaceutical composition comprises from about 0.1% to about 10 wt % (e.g., from about 0.5 wt % to about 7.5 wt % or from about 1.5 wt % to about 6 wt %) of disintegrant, by weight of the composition. In still other examples, the pharmaceutical composition comprises from about 0.5% to about 10 wt % (e.g., from about 1.5 wt % to about 7.5 wt % or from about 2.5 wt % to about 6 wt %) of disintegrant, by weight of the composition.
- Surfactants suitable for the invention enhance the wettability of the pharmaceutical composition and are compatible with the ingredients of the pharmaceutical composition, i.e., they do not substantially reduce the chemical stability, the physical stability, the hardness, or the biological activity of the pharmaceutical composition. Exemplary surfactants include sodium lauryl sulfate (SLS), sodium stearyl fumarate (SSF),
polyoxyethylene 20 sorbitan mono-oleate (e.g., Tween™), any combination thereof, or the like. - Thus, in one embodiment, the pharmaceutical composition comprises a surfactant in an amount of about 10 wt % or less (e.g., about 5 wt % or less, about 2 wt % or less, about 1 wt % or less, about 0.8 wt % or less, or about 0.6 wt % or less) by weight of the composition. For example, the pharmaceutical composition includes from about 10 wt % to about 0.1 wt % (e.g., from about 5 wt % to about 0.2 wt % or from about 2 wt % to about 0.3 wt %) of surfactant, by weight of the composition. In another example, the pharmaceutical composition comprises 10 wt % or less (e.g., about 5 wt % or less, about 2 wt % or less, about 1 wt % or less, about 0.8 wt % or less, or about 0.6 wt % or less) of sodium lauryl sulfate, by weight of the composition. In yet another example, the pharmaceutical composition comprises from about 10 wt % to about 0.1 wt % (e.g., from about 5 wt % to about 0.2 wt % or from about 2 wt % to about 0.3 wt %) of sodium lauryl sulfate, by weight of the composition.
- Binders suitable for the invention enhance the tablet strength of the pharmaceutical composition and are compatible with the ingredients of the pharmaceutical composition, i.e., they do not substantially reduce the chemical stability, the physical stability, or the biological activity of the pharmaceutical composition. Exemplary binders include polyvinylpyrrolidone, dibasic calcium phosphate, sucrose, corn (maize) starch, modified cellulose (e.g., hydroxymethyl cellulose), or any combination thereof.
- Thus, in one embodiment, the pharmaceutical composition comprises a binder in an amount of at least about 0.1 wt % (e.g., at least about 1 wt %, at least about 3 wt %, at least about 4 wt %, or at least about 5 wt %) by weight of the composition. For example, the pharmaceutical composition comprises from about 0.1 wt % to about 10 wt % (e.g., from about 1 wt % to about 10 wt % or from about 2 wt % to about 7 wt %) of binder, by weight of the composition. In another example, the pharmaceutical composition comprises at least about 0.1 wt % (e.g., at least about 1 wt %, at least about 2 wt %, at least about 3 wt %, or at least about 4 wt %) of polyvinylpyrrolidone, by weight of the composition. In yet another example, the pharmaceutical composition comprises a glidant in an amount ranging from about 0.1 wt % to about 10 wt % (e.g., from about 1 wt % to about 8 wt % or from about 2 wt % to about 5 wt %) of polyvinylpyrrolidone, by weight of the composition.
- Diluents suitable for the invention may add necessary bulk to a formulation to prepare tablets of the desired size and are generally compatible with the ingredients of the pharmaceutical composition, i.e., they do not substantially reduce the solubility, the hardness, the chemical stability, the physical stability, or the biological activity of the pharmaceutical composition. Exemplary diluents include: sugars, for example, confectioner's sugar, compressible sugar, dextrates, dextrin, dextrose, lactose, mannitol, sorbitol, cellulose, and modified celluloses, for example, powdered cellulose, talc, calcium phosphate, starch, or any combination thereof.
- Thus, in one embodiment, the pharmaceutical composition comprises a diluent in an amount of 40 wt % or less (e.g., 35 wt % or less, 30 wt % or less, or 25 wt % or less, or 20 wt % or less, or 15 wt % or less, or 10 wt % or less) by weight of the composition. For example, the pharmaceutical composition comprises from about 40 wt % to about 1 wt % (e.g., from about 35 wt % to about 5 wt % or from about 30 wt % to about 7 wt %, from about 25 wt % to about 10 wt %, from about 20 wt % to about 15 wt %) of diluent, by weight of the composition. In another example, the pharmaceutical composition comprises 40 wt % or less (e.g., 35 wt % or less, 25 wt % or less, or 15 wt % or less) of mannitol, by weight of the composition. In yet another example, the pharmaceutical composition comprises from about 35 wt % to about 1 wt % (e.g., from about 30 wt % to about 5 wt % or from about 25 wt % to about 10 wt %) of mannitol, by weight of the composition.
- Glidants suitable for the invention enhance the flow properties of the pharmaceutical composition and are compatible with the ingredients of the pharmaceutical composition, i.e., they do not substantially reduce the solubility, the hardness, the chemical stability, the physical stability, or the biological activity of the pharmaceutical composition. Exemplary glidants include colloidal silicon dioxide, talc, or a combination thereof.
- Thus, in one embodiment, the pharmaceutical composition comprises a glidant in an amount of 2 wt % or less (e.g., 1.75 wt %, 1.25 wt % or less, or 1.00 wt % or less) by weight of the composition. For example, the pharmaceutical composition comprises from about 2 wt % to about 0.05 wt % (e.g., from about 1.5 wt % to about 0.07 wt % or from about 1.0 wt % to about 0.09 wt %) of glidant, by weight of the composition. In another example, the pharmaceutical composition comprises 2 wt % or less (e.g., 1.75 wt %, 1.25 wt % or less, or 1.00 wt % or less) of colloidal silicon dioxide, by weight of the composition. In yet another example, the pharmaceutical composition comprises from about 2 wt % to about 0.05 wt % (e.g., from about 1.5 wt % to about 0.07 wt % or from about 1.0 wt % to about 0.09 wt %) of colloidal silicon dioxide, by weight of the composition.
- In some embodiments, the pharmaceutical composition can include an oral solid pharmaceutical dosage form which can comprise a lubricant that can prevent adhesion of a granulate-bead admixture to a surface (e.g., a surface of a mixing bowl, a compression die and/or punch). A lubricant can also reduce interparticle friction within the granulate and improve the compression and ejection of compressed pharmaceutical compositions from a die press. The lubricant is also compatible with the ingredients of the pharmaceutical composition, i.e., they do not substantially reduce the solubility, the hardness, or the biological activity of the pharmaceutical composition. Exemplary lubricants include magnesium stearate, calcium stearate, zinc stearate, sodium stearate, stearic acid, aluminum stearate, leucine, glyceryl behenate, hydrogenated vegetable oil or any combination thereof. In one embodiment, the pharmaceutical composition comprises a lubricant in an amount of 5 wt % or less (e.g., 4.75 wt %, 4.0 wt % or less, or 3.00 wt % or less, or 2.0 wt % or less) by weight of the composition. For example, the pharmaceutical composition comprises from about 5 wt % to about 0.10 wt % (e.g., from about 4.5 wt % to about 0.5 wt % or from about 3 wt % to about 1 wt %) of lubricant, by weight of the composition. In another example, the pharmaceutical composition comprises 5 wt % or less (e.g., 4.0 wt % or less, 3.0 wt % or less, or 2.0 wt % or less, or 1.0 wt % or less) of magnesium stearate, by weight of the composition. In yet another example, the pharmaceutical composition comprises from about 5 wt % to about 0.10 wt % (e.g., from about 4.5 wt % to about 0.15 wt % or from about 3.0 wt % to about 0.50 wt %) of magnesium stearate, by weight of the composition.
- Pharmaceutical compositions of the invention can optionally comprise one or more colorants, flavors, and/or fragrances to enhance the visual appeal, taste, and/or scent of the composition. Suitable colorants, flavors, or fragrances are compatible with the ingredients of the pharmaceutical composition, i.e., they do not substantially reduce the solubility, the chemical stability, the physical stability, the hardness, or the biological activity of the pharmaceutical composition. In one embodiment, the pharmaceutical composition comprises a colorant, a flavor, and/or a fragrance. In one embodiment, the pharmaceutical compositions provided by the invention are purple.
- In some embodiments, the pharmaceutical composition includes or can be made into tablets and the tablets can be coated with a colorant and optionally labeled with a logo, other image and/or text using a suitable ink. In still other embodiments, the pharmaceutical composition includes or can be made into tablets and the tablets can be coated with a colorant, waxed, and optionally labeled with a logo, other image and/or text using a suitable ink. Suitable colorants and inks are compatible with the ingredients of the pharmaceutical composition, i.e., they do not substantially reduce the solubility, the chemical stability, the physical stability, the hardness, or the biological activity of the pharmaceutical composition. The suitable colorants and inks can be any color and are water based or solvent based. In one embodiment, tablets made from the pharmaceutical composition are coated with a colorant and then labeled with a logo, other image, and/or text using a suitable ink. For example, tablets comprising pharmaceutical composition as described herein can be coated with about 3 wt % (e.g., less than about 6 wt % or less than about 4 wt %) of film coating comprising a colorant. The colored tablets can be labeled with a logo and text indicating the strength of the active ingredient in the tablet using a suitable ink. In another example, tablets comprising pharmaceutical composition as described herein can be coated with about 3 wt % (e.g., less than about 6 wt % or less than about 4 wt %) of a film coating comprising a colorant.
- In another embodiment, tablets made from the pharmaceutical composition are coated with a colorant, waxed, and then labeled with a logo, other image, and/or text using a suitable ink. For example, tablets comprising pharmaceutical composition as described herein can be coated with about 3 wt % (e.g., less than about 6 wt % or less than about 4 wt %) of film coating comprising a colorant. The colored tablets can be waxed with Carnauba wax powder weighed out in the amount of about 0.01% w/w of the starting tablet core weight. The waxed tablets can be labeled with a logo and text indicating the strength of the active ingredient in the tablet using a suitable ink. In another example, tablets comprising pharmaceutical composition as described herein can be coated with about 3 wt % (e.g., less than about 6 wt % or less than about 4 wt %) of a film coating comprising a colorant The colored tablets can be waxed with Carnauba wax powder weighed out in the amount of about 0.01% w/w of the starting tablet core weight. The waxed tablets can be labeled with a logo and text indicating the strength of the active ingredient in the tablet using a pharmaceutical grade ink such as a black ink (e.g., Opacode® S-1-17823, a solvent based ink, commercially available from Colorcon, Inc. of West Point, Pa.).
- One exemplary pharmaceutical composition comprises from about 15 wt % to about 70 wt % (e.g., from about 15 wt % to about 60 wt %, from about 15 wt % to about 50 wt %, or from about 15 wt % to about 40 wt %, or from about 20 wt % to about 70 wt %, or from about 30 wt % to about 70 wt %, or from about 40 wt % to about 70 wt %, or from about 50 wt % to about 70 wt %) of
Compound 1, by weight of the composition. The aforementioned compositions can also include one or more pharmaceutically acceptable excipients, for example, from about 20 wt % to about 50 wt % of a filler; from about 1 wt % to about 5 wt % of a disintegrant; from about 2 wt % to about 0.3 wt % of a surfactant; from about 0.1 wt % to about 5 wt % of a binder; from about 1 wt % to about 30 wt % of a diluent; from about 2 wt % to about 0.05 wt % of a glidant; and from about 5 wt % to about 0.1 wt % of a lubricant. Or, the pharmaceutical composition comprises a composition containing from about 15 wt % to about 70 wt % (e.g., from about 20 wt % to about 40 wt %, from about 25 wt % to about 60 wt %, or from about 30 wt % to about 55 wt %) ofCompound 1, by weight of the composition; and one or more excipients, for example, from about 20 wt % to about 50 wt % of a filler; from about 1 wt % to about 5 wt % of a disintegrant; from about 2 wt % to about 0.3 wt % of a surfactant; from about 0.1 wt % to about 5 wt % of a binder; from about 1 wt % to about 30 wt % of a diluent; from about 2 wt % to about 0.05 wt % of a glidant; and from about 5 wt % to about 0.1 wt % of a lubricant. - Another exemplary pharmaceutical composition comprises from about 15 wt % to about 70 wt % (e.g., from about 15 wt % to about 60 wt %, from about 15 wt % to about 50 wt %, or from about 15 wt % to about 40 wt % or from about 20 wt % to about 70 wt %, or from about 30 wt % to about 70 wt %, or from about 40 wt % to about 70 wt %, or from about 50 wt % to about 70 wt %) of
Compound 1 by weight of the composition, and one or more excipients, for example, from about 20 wt % to about 50 wt % of a filler; from about 1 wt % to about 5 wt % of a disintegrant; from about 2 wt % to about 0.3 wt % of a surfactant; from about 0.1 wt % to about 5 wt % of a binder; from about 1 wt % to about 30 wt % of a diluent; from about 2 wt % to about 0.05 wt % of a glidant; and from about 2 wt % to about 0.1 wt % of a lubricant. - Another exemplary pharmaceutical composition comprises from about 15 wt % to about 70 wt % (e.g., from about 15 wt % to about 60 wt %, from about 15 wt % to about 50 wt %, or from about 15 wt % to about 40 wt % or from about 20 wt % to about 70 wt %, or from about 30 wt % to about 70 wt %, or from about 40 wt % to about 70 wt %, or from about 50 wt % to about 70 wt %) of
Compound 1 by weight of the composition, and one or more excipients, for example, from about 20 wt % to about 50 wt % of a filler; from about 1 wt % to about 5 wt % of a disintegrant; from about 2 wt % to about 0.3 wt % of a surfactant; from about 0.1 wt % to about 5 wt % of a binder; from about 1 wt % to about 30 wt % of a diluent; from about 2 wt % to about 0.05 wt % of a glidant; and from about 2 wt % to about 0.1 wt % of a lubricant. - Another exemplary pharmaceutical composition comprises from about 15 wt % to about 70 wt % (e.g., from about 15 wt % to about 60 wt %, from about 15 wt % to about 50 wt %, or from about 15 wt % to about 40 wt % or from about 20 wt % to about 70 wt %, or from about 30 wt % to about 70 wt %, or from about 40 wt % to about 70 wt %, or from about 50 wt % to about 70 wt %) of
Compound 1 and one or more excipients, for example, from about 20 wt % to about 50 wt % of a filler; from about 1 wt % to about 5 wt % of a disintegrant; from about 2 wt % to about 0.3 wt % of a surfactant; from about 0.1 wt % to about 5 wt % of a binder; from about 1 wt % to about 30 wt % of a diluent; from about 2 wt % to about 0.05 wt % of a glidant; and from about 2 wt % to about 0.1 wt % of a lubricant. - In one embodiment, the invention is a granular pharmaceutical composition comprising:
- a. about 30 wt % of
Compound 1 by weight of the composition; - b. about 42 wt % of microcrystalline cellulose by weight of the composition;
- c. about 21 wt % of mannitol by weight of the composition;
- d. about 3 wt % of sodium croscarmellose sodium by weight of the composition;
- e. about 1 wt % of sodium lauryl sulfate by weight of the composition;
- f. about 2 wt % of magnesium stearate by weight of the composition; and
- g. about 0.5 wt % of colloidal silica by weight of the composition.
- Another granular composition formulated into an oral formulation of the invention comprises:
- a. about 50 wt % of
Compound 1; - b. about 30 wt % of microcrystalline cellulose by weight of the composition;
- c. about 13 wt % of mannitol by weight of the composition;
- d. about 2 wt % of sodium croscarmellose sodium by weight of the composition;
- e. about 4 wt % of polyvinylpyrrolidone by weight of the composition; and
- f. about 1 wt % of sodium lauryl sulfate by weight of the composition.
- In one embodiment, a pharmaceutical oral formulation of the invention comprises:
- a. about 30 wt % of a
Compound 1 by weight of the composition; - b. about 42 wt % of microcrystalline cellulose by weight of the composition;
- c. about 21 wt % of mannitol by weight of the composition;
- d. about 3 wt % of sodium croscarmellose sodium by weight of the composition;
- e. about 1 wt % of sodium lauryl sulfate by weight of the composition;
- f. about 2.5 wt % of magnesium stearate by weight of the composition; and
- g. about 0.5 wt % of colloidal silica by weight of the composition.
- Another pharmaceutical oral formulation of the invention comprises:
- a. about 50 wt % of a
Compound 1 by weight of the composition; - b. about 30 wt % of microcrystalline cellulose by weight of the composition;
- c. about 13 wt % of mannitol by weight of the composition;
- d. about 4 wt % of sodium croscarmellose sodium by weight of the composition;
- e. about 4 wt % of polyvinylpyrrolidone by weight of the composition
- f. about 1 wt % of sodium lauryl sulfate by weight of the composition; and
- g. about 0.5 wt % of magnesium stearate by weight of the composition.
- Another pharmaceutical oral formulation of the invention comprises:
- a. about 60 wt % of a
Compound 1 by weight of the composition; - b. about 20 wt % of microcrystalline cellulose by weight of the composition;
- c. about 13 wt % of mannitol by weight of the composition;
- d. about 4 wt % of sodium croscarmellose sodium by weight of the composition;
- e. about 4 wt % of polyvinylpyrrolidone by weight of the composition
- f. about 1 wt % of sodium lauryl sulfate by weight of the composition; and
- g. about 0.5 wt % of magnesium stearate by weight of the composition.
- Another pharmaceutical oral formulation of the invention comprises:
- a. about 150 to 250 mg of
Compound 1; - b. about 40 to 50 mg of mannitol;
- c. about 120 to 130 mg of microcrystalline cellulose;
- d. about 10 to 20 mg of croscarmellose sodium;
- e. about 10 to 20 mg of polyvinylpyrrolidone;
- f. about 1 to 5 mg of sodium lauryl sulfate; and
- g. about 1 to 5 mg of magnesium stearate.
- Another pharmaceutical oral formulation of the invention comprises:
- a. about 200 mg of
Compound 1; - b. about 43 mg of mannitol;
- c. about 123 mg of microcrystalline cellulose;
- d. about 15 mg of croscarmellose sodium;
- e. about 13 mg of polyvinylpyrrolidone;
- f. about 3 mg of sodium lauryl sulfate; and
- g. about 4 mg of magnesium stearate.
- Another pharmaceutical oral formulation of the invention comprises:
- a. about 200 mg of
Compound 1; - b. about 45 mg of mannitol;
- c. about 123 mg of microcrystalline cellulose;
- d. about 15 mg of croscarmellose sodium;
- e. about 10.4 mg of polyvinylpyrrolidone;
- f. about 2.6 mg of sodium lauryl sulfate; and
- g. about 4 mg of magnesium stearate.
- Another pharmaceutical oral formulation of the invention comprises:
- a. about 70 wt % of a
Compound 1 by weight of the composition; - b. about 12 wt % of microcrystalline cellulose by weight of the composition;
- c. about 11 wt % of mannitol by weight of the composition;
- d. about 4 wt % of sodium croscarmellose sodium by weight of the composition;
- e. about 4 wt % of polyvinylpyrrolidone by weight of the composition
- f. about 1 wt % of sodium lauryl sulfate by weight of the composition; and
- g. about 0.5 wt % of magnesium stearate by weight of the composition.
- The pharmaceutical compositions of the invention can be processed into a tablet form, capsule form, pouch form, lozenge form, or other solid form that is suited for oral administration. Thus in some embodiments, the pharmaceutical compositions are in tablet form.
- In still another pharmaceutical oral formulation of the invention, a shaped pharmaceutical tablet composition having an initial hardness of 5-21 kP±20 percent comprises: about 30 wt % of
Compound 1; about 42 wt % of microcrystalline cellulose by weight of the composition; about 21 wt % of mannitol by weight of the composition; about 3 wt % of sodium croscarmellose sodium by weight of the composition; about 1 wt % of sodium lauryl sulfate by weight of the composition; about 2.5 wt % of magnesium stearate by weight of the composition; and about 0.5 wt % of colloidal silica by weight of the composition. Wherein the amount ofCompound 1 in the shaped pharmaceutical tablet ranges from about 25 mg to about 250 mg, for example, 50 mg, or 75 mg, or 100 mg, or 150 mg, 200 mg, or 250mg Compound 1 per tablet. - In still another pharmaceutical oral formulation of the invention, a shaped pharmaceutical tablet composition having an initial hardness of 5-21 kP±20 percent comprises: about 49 wt % of a
Compound 1; about 29 wt % of microcrystalline cellulose by weight of the composition; about 12.6 wt % of mannitol by weight of the composition; about 4 wt % of sodium croscarmellose sodium by weight of the composition; about 4 wt % of polyvinylpyrrolidone by weight of the composition; about 1 wt % of sodium lauryl sulfate by weight of the composition; and about 0.5 wt % of magnesium stearate by weight of the composition. The amount ofCompound 1 in the shaped pharmaceutical tablet ranges from about 25 mg to about 250 mg, for example, 50 mg, or 75 mg, or 100 mg, or 150 mg, 200 mg, or 250mg Compound 1 per tablet. - In certain embodiments, the shaped pharmaceutical tablet contains about 100 mg of
Compound 1. In certain embodiments, the shaped pharmaceutical tablet contains about 200 mg ofCompound 1. - Another aspect of the invention provides a pharmaceutical formulation consisting of a tablet or capsule that includes a
Compound 1 and other excipients (e.g., a filler, a disintegrant, a surfactant, a binder, a glidant, a colorant, a lubricant, or any combination thereof), each of which is described above and in the Examples below, wherein the tablet has a dissolution of at least about 50% (e.g., at least about 60%, at least about 70%, at least about 80%, at least about 90%, or at least about 99%) in about 30 minutes. In one example, the pharmaceutical composition consists of a tablet that includesCompound 1 in an amount ranging from 25 mg to 250 mg, for example, 25 mg, or 50 mg, or 75 mg, or 100 mg, or 150 mg, 200 mg, or 250 mg and one or more excipients (e.g., a filler, a disintegrant, a surfactant, a binder, a glidant, a colorant, a lubricant, or any combination thereof), each of which is described above and in the Examples below, wherein the tablet has a dissolution of from about 50% to about 100% (e.g., from about 55% to about 95% or from about 60% to about 90%) in about 30 minutes. In another example, the pharmaceutical composition consists of a tablet that comprises acomposition comprising Compound 1; and one or more excipients from: a filler, a diluent, a disintegrant, a surfactant, a binder, a glidant, and a lubricant, wherein the tablet has a dissolution of at least about 50% (e.g., at least about 60%, at least about 70%, at least about 80%, at least about 90%, or at least about 99%) in about 30 minutes. - In one embodiment, the tablet comprises a composition comprising at least about 25 mg (e.g., at least about 30 mg, at least about 40 mg, or at least about 50 mg) of
Compound 1; and one or more excipients from: a filler, a diluent, a disintegrant, a surfactant, a binder, a glidant, and a lubricant. In another embodiment, the tablet comprises a composition comprising at least about 25 mg (e.g., at least about 30 mg, at least about 40 mg, at least about 50 mg, at least about 100 mg, or at least 150 mg) ofCompound 1 and one or more excipients from: a filler, a diluent, a disintegrant, a surfactant, a binder, a glidant, and a lubricant. - Dissolution can be measured with a standard USP Type II apparatus that employs a dissolution media of 0.1% CTAB dissolved in 900 mL of DI water, buffered at pH 6.8 with 50 mM potassium phosphate monoasic, stirring at about 50-75 rpm at a temperature of about 37° C. A single experimental tablet is tested in each test vessel of the apparatus. Dissolution can also be measured with a standard USP Type II apparatus that employs a dissolution media of 0.7% sodium lauryl sulfate dissolved in 900 mL of 50 mM sodium phosphate buffer (pH 6.8), stirring at about 65 rpm at a temperature of about 37° C. A single experimental tablet is tested in each test vessel of the apparatus. Dissolution can also be measured with a standard USP Type II apparatus that employs a dissolution media of 0.5% sodium lauryl sulfate dissolved in 900 mL of 50 mM sodium phosphate buffer (pH 6.8), stirring at about 65 rpm at a temperature of about 37° C. A single experimental tablet is tested in each test vessel of the apparatus.
-
Compound 1 is used as the starting point for the other solid state forms and can be prepared by coupling an acid chloride moiety with an amine moiety according to Schemes 1-4. -
Scheme 1 depicts the preparation of 1-(2,2-difluorobenzo[d][1,3]dioxol-5-yl)cyclopropanecarbonyl chloride, which is used inScheme 3 to make the amide linkage ofCompound 1. - The starting material, 2,2-difluorobenzo[d][1,3]dioxole-5-carboxylic acid, is commercially available from Saltigo (an affiliate of the Lanxess Corporation). Reduction of the carboxylic acid moiety in 2,2-difluorobenzo[d][1,3]dioxole-5-carboxylic acid to the primary alcohol, followed by conversion to the corresponding chloride using thionyl chloride (SOCl2), provides 5-(chloromethyl)-2,2-difluorobenzo[d][1,3]dioxole, which is subsequently converted to 2-(2,2-difluorobenzo[d][1,3]dioxol-5-yl)acetonitrile using sodium cyanide. Treatment of 2-(2,2-difluorobenzo[d][1,3]dioxol-5-yl)acetonitrile with base and 1-bromo-2-chloroethane provides 1-(2,2-difluorobenzo[d][1,3]dioxol-5-yl)cyclopropanecarbonitrile. The nitrile moiety in 1-(2,2-difluorobenzo[d][1,3]dioxol-5-yl)cyclopropanecarbonitrile is converted to a carboxylic acid using base to give 1-(2,2-difluorobenzo[d][1,3]dioxol-5-yl)cyclopropanecarboxylic acid, which is converted to the desired acid chloride using thionyl chloride.
-
Scheme 2 depicts an alternative synthesis of the requisite acid chloride. 5-bromomethyl-2,2-difluoro-1,3-benzodioxole is coupled with ethyl cyanoacetate in the presence of a palladium catalyst to form the corresponding alpha cyano ethyl ester. Saponification of the ester moiety to the carboxylic acid gives the cyanoethyl compound. Alkylation of the cyanoethyl compound with 1-bromo-2-chloro ethane in the presence of base gives the cyanocyclopropyl compound. Treatment of the cyanocyclopropyl compound with base gives the carboxylate salt, which is converted to the carboxylic acid by treatment with acid. Conversion of the carboxylic acid to the acid chloride is then accomplished using a chlorinating agent such as thionyl chloride or the like. -
Scheme 3 depicts the preparation of the requisite tert-butyl 3-(6-amino-3-methylpyridin-2-yl)benzoate, which is coupled with 1-(2,2-difluorobenzo[d][1,3]dioxol-5-yl)cyclopropanecarbonyl chloride inScheme 3 to giveCompound 1. Palladium-catalyzed coupling of 2-bromo-3-methylpyridine with 3-(tert-butoxycarbonyl)phenylboronic acid gives tert-butyl 3-(3-methylpyridin-2-yl)benzoate, which is subsequently converted to the desired compound. -
Scheme 4 depicts the coupling of 1-(2,2-difluorobenzo[d][1,3]dioxol-5-yl)cyclopropanecarbonyl chloride with tert-butyl 3-(6-amino-3-methylpyridin-2-yl)benzoate using triethyl amine and 4-dimethylaminopyridine to initially provide the tert-butyl ester ofCompound 1. -
Compound 1 Form I is prepared by dispersing or dissolving a salt form, such as the HCl salt, ofCompound 1 in an appropriate solvent for an effective amount of time. Treatment of the tert-butyl ester with an acid such as HCl, gives the HCL salt ofCompound 1, which is typically a crystalline solid.Compound 1 Form I may also be prepared directly from the t-butyl ester precursor by treatment with an appropriate acid, such as formic acid. - The HCl salt of 3-(6-(1-(2,2-difluorobenzo[d][1,3]dioxol-5-yl) cyclopropanecarboxamido)-3-methylpyridin-2-yl)benzoic acid can be used to make Form I by dispersing or dissolving the HCl salt of 3-(6-(1-(2,2-difluorobenzo[d][1,3]dioxol-5-yl) cyclopropanecarboxamido)-3-methylpyridin-2-yl)benzoic acid in an appropriate solvent for an effective amount of time. Other salts of 3-(6-(1-(2,2-difluorobenzo[d][1,3]dioxol-5-yl) cyclopropanecarboxamido)-3-methylpyridin-2-yl)benzoic acid may be used, such as, for example, salts derived from other mineral or organic acids. The other salts result from acid-mediated hydrolysis of the t-butyl ester moiety. Salts derived from other acids may include, for example, nitric, sulfuric, phosphoric, boric, acetic, benzoic and malonic. These salt forms of 3-(6-(1-(2,2-difluorobenzo[d][1,3]dioxol-5-yl) cyclopropanecarboxamido)-3-methylpyridin-2-yl)benzoic acid may or may not be soluble, depending upon the solvent used, but lack of solubility does not hinder formation of Form I. For example, in one embodiment, the appropriate solvent may be water or an alcohol/water mixture such as 50% methanol/water mixture, even though the HCl salt form of 3-(6-(1-(2,2-difluorobenzo[d][1,3]dioxol-5-yl) cyclopropanecarboxamido)-3-methylpyridin-2-yl)benzoic acid is only sparingly soluble in water. In one embodiment, the appropriate solvent is water.
- The effective amount of time for formation of Form I from the salt of 3-(6-(1-(2,2-difluorobenzo[d][1,3]dioxol-5-yl) cyclopropanecarboxamido)-3-methylpyridin-2-yl)benzoic acid can be any time between 2 to 24 hours or greater. It is recognized that the amount of time needed is inversely proportional to the temperature. That is, the higher the temperature the less time needed to affect dissociation of acid to form Form I. When the solvent is water, stirring the dispersion for approximately 24 hours at room temperature provides Form I in an approximately 98% yield. If a solution of the salt of 3-(6-(1-(2,2-difluorobenzo[d][1,3]dioxol-5-yl) cyclopropanecarboxamido)-3-methylpyridin-2-yl)benzoic acid is desired for process purposes, an elevated temperature may be used. After stirring the solution for an effective amount of time at the elevated temperature, recrystallization upon cooling provides substantially pure Form I. In one embodiment, substantially pure refers to greater than about 90% purity. In another embodiment, substantially pure refers to greater than about 95% purity. In another embodiment, substantially pure refers to greater than about 98% purity. In another embodiment, substantially pure refers to greater than about 99% purity. The temperature selected depends in part on the solvent used and is well within the determination capabilities of one of ordinary skill in the art. In one embodiment, the temperature is between room temperature and about 80° C. In another embodiment, the temperature is between room temperature and about 40° C. In another embodiment, the temperature is between about 40° C. and about 60° C. In another embodiment, the temperature is between about 60° C. and about 80° C.
-
Compound 1 Form I may also be formed directly from 3-(6-(1-(2,2-difluorobenzo[d][1,3]dioxol-5-yl) cyclopropanecarboxamido)-3-methylpyridin-2-yl)-t-butylbenzoate (cf. Scheme 3), which is a precursor to the salt ofCompound 1. Thus, 3-(6-(1-(2,2-difluorobenzo[d][1,3]dioxol-5-yl) cyclopropanecarboxamido)-3-methylpyridin-2-yl)-t-butylbenzoate is allowed to undergo reaction with an appropriate acid, such as, for example, formic acid under appropriate reaction conditions to giveCompound 1 Form I. -
Compound 1 Form I may be further purified by recrystallization from an organic solvent. Examples of organic solvents include, but are not limited to, toluene, cumene, anisol, 1-butanol, isopropyl acetate, butyl acetate, isobutyl acetate, methyl t-butyl ether, methyl isobutyl ketone and 1-propanol-water mixtures. The temperature may be as described above. For example, Form I is dissolved in 1-butanol at 75° C. until it is completely dissolved. Cooling down the solution to 10° C. at a rate of 0.2° C./min yields crystals of Form I which may be isolated by filtration. - In one embodiment,
Compound 1 Form I is characterized by one or more peaks at 15.2 to 15.6 degrees, 16.1 to 16.5 degrees, and 14.3 to 14.7 degrees in an X-ray powder diffraction obtained using Cu K alpha radiation. In another embodiment,Compound 1 Form I is characterized by one or more peaks at 15.4, 16.3, and 14.5 degrees. In another embodiment,Compound 1 Form I is further characterized by a peak at 14.6 to 15.0 degrees. In another embodiment,Compound 1 Form I is further characterized by a peak at 14.8 degrees. In another embodiment,Compound 1 Form I is further characterized by a peak at 17.6 to 18.0 degrees. In another embodiment,Compound 1 Form I is further characterized by a peak at 17.8 degrees. In another embodiment,Compound 1 Form I is further characterized by a peak at 16.4 to 16.8 degrees. In another embodiment,Compound 1 Form I is further characterized by a peak at 16.4 to 16.8 degrees. In another embodiment,Compound 1 Form I is further characterized by a peak at 16.6 degrees. In another embodiment,Compound 1 Form I is further characterized by a peak at 7.6 to 8.0 degrees. In another embodiment,Compound 1 Form I is further characterized by a peak at 7.8 degrees. In another embodiment,Compound 1 Form I is further characterized by a peak at 25.8 to 26.2 degrees. In another embodiment,Compound 1 Form I is further characterized by a peak at 26.0 degrees. In another embodiment,Compound 1 Form I is further characterized by a peak at 21.4 to 21.8 degrees. In another embodiment,Compound 1 Form I is further characterized by a peak at 21.6 degrees. In another embodiment,Compound 1 Form I is further characterized by a peak at 23.1 to 23.5 degrees. In another embodiment,Compound 1 Form I is further characterized by a peak at 23.3 degrees. In some embodiments,Compound 1 Form I is characterized by a diffraction pattern substantially similar to that ofFIG. 1 . In some embodiments,Compound 1 Form I is characterized by a diffraction pattern substantially similar to that ofFIG. 2 . - In some embodiments, the particle size distribution of D90 is about 82 m or less for
Compound 1 Form I. In some embodiments, the particle size distribution of D50 is about 30 μm or less forCompound 1 Form I. -
Compound 1 Form II is prepared byslurrying Compound 1 Form I in an appropriate solvent at a sufficient concentration for a sufficient time. The slurry is then filtered centrifugally or under vacuum and dried at ambient conditions for sufficient time to yieldCompound 1 Form II. - In some embodiments, about 20 to 40 mg of
Compound 1 Form I is slurried in about 400 to 600 μL of an appropriate solvent. In another embodiment, about 25 to 35 mg ofCompound 1 Form I is slurried in about 450 to 550 μL of an appropriate solvent. In another embodiment, about 30 mg ofCompound 1 Form I is slurried in about 500 μL of an appropriate solvent. - In some embodiments, the time that
Compound 1 Form I is allowed to slurry with the solvent is from 1 hour to four days. More particularly, the time thatCompound 1 Form I is allowed to slurry with the solvent is from 1 to 3 days. More particularly, the time is 2 days. - In some embodiments, the appropriate solvent is selected from an organic solvent of sufficient size to fit the voids in the crystalline lattice of
Compound 1 Form II. In other embodiments, the solvate is of sufficient size to fit in voids measuring about 100 Å3. - In other embodiments, the solvent is selected from the group consisting of methanol, ethanol, acetone, 2-propanol, acetonitrile, tetrahydrofuran, methyl acetate, 2-butanone, ethyl formate, and 2-methyl tetrahydrofuran.
- In other embodiments, a mixture of two or more of these solvents may be used to obtain
Compound 1 Form II. Alternatively,Compound 1 Form II may be obtained from a mixture comprising one or more of these solvents and water. - In some embodiments, the effective amount of time for drying
Compound 1 Form II is 1 to 24 hours. More particularly, the time is 6 to 18 hours. More particularly, the time is about 12 hours. - In another embodiment,
Compound 1 Form II is prepared by dispersing or dissolving a salt form ofCompound 1, such as an HCl salt ofCompound 1 in an appropriate solvent for an effective amount of time. -
Compound 1 Form II as disclosed herein comprises a crystalline lattice ofCompound 1 in which voids in the crystalline lattice are empty, or occupied, or partially occupied by one or more molecules of a suitable solvent. Suitable solvents include, but are not limited to, methanol, ethanol, acetone, 2-propanol, acetonitrile, tetrahydrofuran, methyl acetate, 2-butanone, ethyl formate, and 2-methyl tetrahydrofuran. Certain physical characteristics ofCompound 1 isostructural solvate forms, such as X-ray powder diffraction, melting point and DSC, are not substantially affected by the particular solvent molecule in question. - In one embodiment,
Compound 1 Form II is characterized by one or more peaks at 21.50 to 21.90 degrees, 8.80 to 9.20 degrees, and 10.80 to 11.20 degrees in an X-ray powder diffraction obtained using Cu K alpha radiation. In another embodiment,Compound 1 Form II is characterized by one or more peaks at 21.50 to 21.90 degrees, 8.80 to 9.20 degrees, 10.80 to 11.20 degrees, 18.00 to 18.40 degrees, and 22.90 to 23.30 degrees in an X-ray powder diffraction obtained using Cu K alpha radiation. In another embodiment,Compound 1 Form II is characterized by one or more peaks at 21.70, 8.98, and 11.04 degrees. In another embodiment,Compound 1 Form II is characterized by one or more peaks at 21.70, 8.98, 11.04, 18.16, and 23.06 degrees. In another embodiment,Compound 1 Form II is characterized by a peak at 21.50 to 21.90 degrees. In another embodiment,Compound 1 Form II is further characterized by a peak at 21.70 degrees. In another embodiment,Compound 1 Form II is further characterized by a peak at 8.80 to 9.20 degrees. In another embodiment,Compound 1 Form II is further characterized by a peak at 8.98 degrees. In another embodiment,Compound 1 Form II is further characterized by a peak at 10.80 to 11.20 degrees. In another embodiment,Compound 1 Form II is further characterized by a peak at 11.04. In another embodiment,Compound 1 Form II is further characterized by a peak at 18.00 to 18.40 degrees. In another embodiment,Compound 1 Form II is further characterized by a peak at 18.16 degrees. In another embodiment,Compound 1 Form II is further characterized by a peak at 22.90 to 23.30 degrees. In another embodiment,Compound 1 Form II is further characterized by a peak at 23.06 degrees. In another embodiment,Compound 1 Form II is further characterized by a peak at 20.40 to 20.80 degrees. In another embodiment,Compound 1 Form II is further characterized by a peak at 20.63 degrees. In another embodiment,Compound 1 Form II is further characterized by a peak at 22.00 to 22.40 degrees. In another embodiment,Compound 1 Form II is further characterized by a peak at 22.22 degrees. In another embodiment,Compound 1 Form II is further characterized by a peak at 18.40 to 18.80 degrees. In another embodiment,Compound 1 Form II is further characterized by a peak at 18.57 degrees. In another embodiment,Compound 1 Form II is further characterized by a peak at 16.50 to 16.90 degrees. In another embodiment,Compound 1 Form II is further characterized by a peak at 16.66 degrees. In another embodiment,Compound 1 Form II is further characterized by a peak at 19.70 to 20.10 degrees. In another embodiment,Compound 1 Form II is further characterized by a peak at 19.86 degrees. - In some embodiments,
Compound 1 Form II is characterized by a diffraction pattern substantially similar to that ofFIG. 3 . In some embodiments,Compound 1 Form II is characterized by diffraction patterns substantially similar to those provided inFIG. 4 . - In another embodiment, the solvate that forms
Compound 1 Form II is selected from the group consisting of methanol, ethanol, acetone, 2-propanol, acetonitrile, tetrahydrofuran, methyl acetate, 2-butanone, ethyl formate, and 2-methyl tetrahydrofuran. Diffraction patterns are provided for thefollowing Compound 1 Form II: methanol (FIG. 5 ), ethanol (FIG. 6 ), acetone (FIG. 7 ), 2-propanol (FIG. 8 ), acetonitrile (FIG. 9 ), tetrahydrofuran (FIG. 10 ), methyl acetate (FIG. 11 ), 2-butanone (FIG. 12 ), ethyl formate (FIG. 13 ), and 2-methytetrahydrofuran (FIG. 14 ). - In another embodiment, the invention provides
Compound 1 Form II which exhibits two or more phase transitions as determined by DSC or a similar analytic method known to the skilled artisan. In some embodiments, the DSC ofCompound 1 Form II is substantially similar to the DSC trace depicted inFIG. 15 . In another embodiment of this aspect, the DSC gives two phase transitions. In another embodiment, the DSC gives three phase transitions. In another embodiment, one of the phase transitions occurs between 200 and 207° C. In another embodiment, one of the phase transitions occurs between 204 and 206° C. In another embodiment, one of the phase transitions occurs between 183 and 190° C. In another embodiment, one of the phase transitions occurs between 185 and 187° C. In another embodiment, the melting point ofCompound 1, Solvate Form A is between 183° C. to 190° C. In another embodiment, the melting point ofCompound 1, Solvate Form A is between 185° C. to 187° C. - In another embodiment,
Compound 1 Form II comprises 1 to 10 weight percent (wt. %) solvate as determined by TGA. In some embodiments, the TGA ofCompound 1 Form II is substantially similar to the TGA trace depicted inFIG. 16 . In another embodiment,Compound 1 Form II comprises 2 to 5 wt. % solvate as determined by TGA or a similar analytic method known to the skilled artisan. - In another embodiment, the conformation of
Compound 1 Form II acetone solvate is substantially similar to that depicted inFIG. 17 , which is based on single X-ray analysis. - In another embodiment,
Compound 1 Form II acetone solvate has a P21/n space group, and the following unit cell dimensions: - a=16.5235 (10) Å α=90°
- b=12.7425 (8) Å β=103.736 (4)°
- c=20.5512 (13) Å γ=90.
-
Compound 1 HCl Salt Form A can be prepared from the HCl salt ofCompound 1, by dissolving the HCl salt ofCompound 1 in a minimum of solvent and removing the solvent by slow evaporation. In another embodiment, the solvent is an alcohol. In another embodiment, the solvent is ethanol. Slow evaporation is generally carried out by impeding the evaporation of the solvent. For example, in one embodiment, slow evaporation involves dissolving the HCl salt ofCompound 1 in a vial and covering the vial with parafilm that contains a hole poked in it. - In one embodiment,
Compound 1 HCl Salt Form A is characterized by one or more peaks at 8.80 to 9.20 degrees, 17.30 to 17.70 degrees, and 18.20 to 18.60 degrees in an X-ray powder diffraction obtained using Cu K alpha radiation. In another embodiment,Compound 1 HCl Salt Form A is characterized by one or more peaks at 8.80 to 9.20 degrees, 17.30 to 17.70 degrees, 18.20 to 18.60 degrees, 10.10 to 10.50, and 15.80 to 16.20 degrees in an X-ray powder diffraction obtained using Cu K alpha radiation. In another embodiment,Compound 1 HCl Salt Form A is characterized by one or more peaks at 8.96, 17.51, and 18.45 degrees. In another embodiment,Compound 1 HCl Salt Form A is characterized by one or more peaks at 8.96, 17.51, 18.45. 10.33, and 16.01 degrees. In another embodiment,Compound 1 HCl Salt Form A is characterized by a peak at 8.80 to 9.20 degrees. In another embodiment,Compound 1 HCl Salt Form A is characterized by a peak at 8.96 degrees. In another embodiment,Compound 1 HCl Salt Form A is further characterized by a peak at 17.30 to 17.70 degrees. In another embodiment,Compound 1 HCl Salt Form A is characterized by a peak at 17.51 degrees. In another embodiment,Compound 1 HCl Salt Form A is further characterized by a peak at 18.20 to 18.60 degrees. In another embodiment,Compound 1 HCl Salt Form A is further characterized by a peak at 18.45 degrees. In another embodiment,Compound 1 HCl Salt Form A is further characterized by a peak at 10.10 to 10.50 degrees. In another embodiment,Compound 1 HCl Salt Form A is further characterized by a peak at 10.33 degrees. In another embodiment,Compound 1 HCl Salt Form A is further characterized by a peak at 15.80 to 16.20 degrees. In another embodiment,Compound 1 HCl Salt Form A is further characterized by a peak at 16.01 degrees. In another embodiment,Compound 1 HCl Salt Form A is further characterized by a peak at 11.70 to 12.10 degrees. In another embodiment,Compound 1 HCl Salt Form A is further characterized by a peak at 11.94 degrees. In another embodiment,Compound 1 HCl Salt Form A is further characterized by a peak at 7.90 to 8.30 degrees. In another embodiment,Compound 1 HCl Salt Form A is further characterized by a peak at 8.14 degrees. In another embodiment,Compound 1 HCl Salt Form A is further characterized by a peak at 9.90 to 10.30 degrees. In another embodiment,Compound 1 HCl Salt Form A is further characterized by a peak at 10.10 degrees. In another embodiment,Compound 1 HCl Salt Form A is further characterized by a peak at 16.40 to 16.80 degrees. In another embodiment,Compound 1 HCl Salt Form A is further characterized by a peak at 16.55 degrees. In another embodiment,Compound 1 HCl Salt Form A is further characterized by a peak at 9.30 to 9.70 degrees. In another embodiment,Compound 1 HCl Salt Form A is further characterized by a peak at 9.54 degrees. In another embodiment,Compound 1 HCl Salt Form A is further characterized by a peak at 16.40 to 16.80 degrees. In another embodiment,Compound 1 HCl Salt Form A is further characterized by a peak at 16.55 degrees. In some embodiments,Compound 1 HCl Salt Form A is characterized as a dimer as depicted inFIG. 18 . - In some embodiments,
Compound 1 HCl Salt Form A is characterized by a diffraction pattern substantially similar to that ofFIG. 19 . - In another embodiment, the invention features
crystalline Compound 1 HCl Salt Form A having aP −1 space group, and the following unit cell dimensions: - a=10.2702 (2) Å α=67.0270 (10)°
- b=10.8782 (2) Å β=66.1810 (10)°
- c=12.4821 (3) Å γ=72.4760 (10)°.
- The dosage unit forms of the invention can be produced by compacting or compressing an admixture or composition, for example, a powder or granules, under pressure to form a stable three-dimensional shape (e.g., a tablet). As used herein, “tablet” includes compressed pharmaceutical dosage unit forms of all shapes and sizes, whether coated or uncoated.
- The expression “dosage unit form” as used herein refers to a physically discrete unit of agent appropriate for the patient to be treated. In general, a compacted mixture has a density greater than that of the mixture prior to compaction. A dosage unit form of the invention can have almost any shape including concave and/or convex faces, rounded or angled corners, and a rounded to rectilinear shape. In some embodiments, the compressed dosage forms of the invention comprise a rounded tablet having flat faces. The solid pharmaceutical dosage forms of the invention can be prepared by any compaction and compression method known by persons of ordinary skill in the art of forming compressed solid pharmaceutical dosage forms. In particular embodiments, the formulations provided herein may be prepared using conventional methods known to those skilled in the field of pharmaceutical formulation, as described, e.g., in pertinent textbooks. See, e.g., Remington: The Science and Practice of Pharmacy, 21st Ed., Lippincott Williams & Wilkins, Baltimore, Md. (2003); Ansel et al., Pharmaceutical Dosage Forms And Drug Delivery Systems, 7th Edition, Lippincott Williams & Wilkins, (1999); The Handbook of Pharmaceutical Excipients, 4th edition, Rowe et al., Eds., American Pharmaceuticals Association (2003); Gibson, Pharmaceutical Preformulation And Formulation, CRC Press (2001), these references hereby incorporated herein by reference in their entirety.
- In some embodiments, solid forms, including powders comprising the
active agent Compound 1 and the included pharmaceutically acceptable excipients (e.g. filler, diluent, disintegrant, surfactant, glidant, binder, lubricant, or any combination thereof) can be subjected to a dry granulation process. The dry granulation process causes the powder to agglomerate into larger particles having a size suitable for further processing. Dry granulation can improve the flowability of a mixture in order to be able to produce tablets that comply with the demand of mass variation or content uniformity. - Formulations as described herein may be produced using one or more mixing and dry granulations steps. The order and the number of the mixing and granulation steps do not seem to be critical. However, at least one of the excipients and
Compound 1 can be been subject to dry granulation or wet high shear granulation before compression into tablets. Dry granulation ofCompound 1 and the excipients made together prior to tablet compression seem, surprisingly, to be a simple, inexpensive and efficient way of providing close physical contact between the ingredients of the present compositions and formulations and thus results in a tablet formulation with good stability properties. Dry granulation can be carried out by a mechanical process, which transfers energy to the mixture without any use of any liquid substances (neither in the form of aqueous solutions, solutions based on organic solutes, or mixtures thereof) in contrast to wet granulation processes, also contemplated herein. Generally, the mechanical process requires compaction such as the one provided by roller compaction. An example of an alternative method for dry granulation is slugging. - In some embodiments, roller compaction is a granulation process comprising highly intensive mechanical compacting of one or more substances. In some embodiments, a pharmaceutical composition comprising an admixture of powders is pressed, that is roller compacted, between 2 counter rotating rollers to make a solid sheet which is subsequently crushed in a sieve to form a particulate matter. In this particulate matter, a close mechanical contact between the ingredients can be obtained. An example of roller compaction equipment is Minipactor® a Gerteis 3W-Polygran from Gerteis Maschinen+Processengineering AG.
- In some embodiments, tablet compression according to the invention can occur without any use of any liquid substances (neither in the form of aqueous solutions, solutions based on organic solutes, or mixtures thereof), i.e. a dry granulation process. In a typical embodiment the resulting core or tablet has a compressive strength in the range of 1 to 15 kP; such as 1.5 to 12.5 kP, preferably in the range of 2 to 10 kP.
- In some embodiments, the ingredients are weighed according to the formula set herein. Next, all of the intragranular ingredients are sifted and mixed well. The ingredients can be lubricated with a suitable lubricant, for example, magnesium stearate. The next step can comprise compaction/slugging of the powder admixture and sized ingredients. Next, the compacted or slugged blends are milled into granules and sifted to obtain the desired size. Next, the granules can be further lubricated with, for example, magnesium stearate. Next the granular composition of the invention can be compressed on suitable punches into various pharmaceutical formulations in accordance with the invention. Optionally the tablets can be coated with a film, colorant or other coating.
- Another aspect of the invention provides a method for producing a pharmaceutical composition comprising providing an admixture of a
composition comprising Compound 1 and one or more excipients selected from: a filler, a diluent, a binder, a glidant, a surfactant, a lubricant, a disintegrant, and compressing the composition into a tablet having a dissolution of at least about 50% in about 30 minutes. - In another embodiment, a wet granulation process is performed to yield the pharmaceutical formulation of the invention from an admixture of powdered and liquid ingredients. For example, a pharmaceutical composition comprising an admixture of a
composition comprising Compound 1 and one or more excipients selected from: a filler, a diluent, a binder, a glidant, a surfactant, a lubricant, a disintegrant, are weighed as per the formula set herein. Next, all of the intragranular ingredients are sifted and mixed in a high shear or low shear granulator using water or water with a surfactant or water with a binder or water with a surfactant and a binder to granulate the powder blend. A fluid other than water can also be used with or without surfactant and/or binder to granulate the powder blend. Next, the wet granules can optionally be milled using a suitable mill. Next, water may optionally be removed from the admixture by drying the ingredients in any suitable manner. Next, the dried granules can optionally be milled to the required size. Next, extra granular excipients can be added by blending (for example a filler, a diluent, and a disintegrant). Next, the sized granules can be further lubricated with magnesium stearate and a disintegrant, for example, croscarmellose sodium. Next the granular composition of the invention can be sifted for sufficient time to obtain the correct size and then compressed on suitable punches into various pharmaceutical formulations in accordance with the invention. Optionally, the tablets can be coated with a film, colorant or other coating. - Each of the ingredients of this exemplary admixture is described above and in the Examples below. Furthermore, the admixture can comprise optional additives, such as, one or more colorants, one or more flavors, and/or one or more fragrances as described above and in the Examples below. In some embodiments, the relative concentrations (e.g., wt %) of each of these ingredients (and any optional additives) in the admixture are also presented above and in the Examples below. The ingredients constituting the admixture can be provided sequentially or in any combination of additions; and, the ingredients or combination of ingredients can be provided in any order. In one embodiment, the lubricant is the last component added to the admixture.
- In another embodiment, the admixture comprises a composition of
Compound 1, and any one or more of the excipients; a binder, a glidant, a surfactant, a diluent, a lubricant, a disintegrant, and a filler, wherein each of these ingredients is provided in a powder form (e.g., provided as particles having a mean or average diameter, measured by light scattering, of 250 μm or less (e.g., 150 μm or less, 100 μm or less, 50 μm or less, 45 μm or less, 40 μm or less, or 35 μm or less)). For instance, the admixture comprises a composition ofCompound 1, a diluent, a glidant, a surfactant, a lubricant, a disintegrant, and a filler, wherein each of these ingredients is provided in a powder form (e.g., provided as particles having a mean diameter, measured by light scattering, of 250 μm or less (e.g., 150 μm or less, 100 μm or less, 50 μm or less, 45 μm or less, 40 μm or less, or 35 μm or less)). In another example, the admixture comprises a composition ofCompound 1, a diluent, a binder, a surfactant, a lubricant, a disintegrant, and a filler, wherein each of these ingredients is provided in a powder form (e.g., provided as particles having a mean diameter, measured by light scattering, of 250 μm or less (e.g., 150 μm or less, 100 μm or less, 50 μm or less, 45 μm or less, 40 μm or less, or 35 μm or less)) - In another embodiment, the admixture comprises a composition of
Compound 1, and any combination of: a binder, a glidant, a diluent, a surfactant, a lubricant, a disintegrant, and a filler, wherein each of these ingredients is substantially free of water. Each of the ingredients comprises less than 5 wt % (e.g., less than 2 wt %, less than 1 wt %, less than 0.75 wt %, less than 0.5 wt %, or less than 0.25 wt %) of water by weight of the ingredient. For instance, the admixture comprises a composition ofCompound 1, a diluent, a glidant, a surfactant, a lubricant, a disintegrant, and a filler, wherein each of these ingredients is substantially free of water. In some embodiments, each of the ingredients comprises less than 5 wt % (e.g., less than 2 wt %, less than 1 wt %, less than 0.75 wt %, less than 0.5 wt %, or less than 0.25 wt %) of water by weight of the ingredient. - In another embodiment, compressing the admixture into a tablet is accomplished by filling a form (e.g., a mold) with the admixture and applying pressure to admixture. This can be accomplished using a die press or other similar apparatus. In some embodiments, the admixture of
Compound 1 and excipients can be first processed into granular form. The granules can then be sized and compressed into tablets or formulated for encapsulation according to known methods in the pharmaceutical art. It is also noted that the application of pressure to the admixture in the form can be repeated using the same pressure during each compression or using different pressures during the compressions. In another example, the admixture of powdered ingredients or granules can be compressed using a die press that applies sufficient pressure to form a tablet having a dissolution of about 50% or more at about 30 minutes (e.g., about 55% or more at about 30 minutes or about 60% or more at about 30 minutes). For instance, the admixture is compressed using a die press to produce a tablet hardness of at least about 5 kP (at least about 5.5 kP, at least about 6 kP, at least about 7 kP, at least about 10 kP, or at least 15 kP). In some instances, the admixture is compressed to produce a tablet hardness of between about 5 and 20 kP. - In some embodiments, tablets comprising a pharmaceutical composition as described herein can be coated with about 3.0 wt % of a film coating comprising a colorant by weight of the tablet. In certain instances, the colorant suspension or solution used to coat the tablets comprises about 20% w/w of solids by weight of the colorant suspension or solution. In still further instances, the coated tablets can be labeled with a logo, other image or text.
- In another embodiment, the method for producing a pharmaceutical composition comprises providing an admixture of a solid forms, e.g. an admixture of powdered and/or liquid ingredients, the
admixture comprising Compound 1 and one or more excipients selected from: a binder, a glidant, a diluent, a surfactant, a lubricant, a disintegrant, and a filler; mixing the admixture until the admixture is substantially homogenous, and compressing or compacting the admixture into a granular form. Then the granularcomposition comprising Compound 1 can be compressed into tablets or formulated into capsules as described above or in the Examples below. Alternatively, methods for producing a pharmaceutical composition comprises providing an admixture ofCompound 1, and one or more excipients, e.g. a binder, a glidant, a diluent, a surfactant, a lubricant, a disintegrant, and a filler; mixing the admixture until the admixture is substantially homogenous, and compressing/compacting the admixture into a granular form using a roller compactor using a dry granulation composition as set forth in the Examples below or alternatively, compressed/compacted into granules using a high shear wet granule compaction process as set forth in the Examples below. Pharmaceutical formulations, for example a tablet as described herein, can be made using the granules prepared incorporatingCompound 1 in addition to the selected excipients described herein. - In some embodiments, the admixture is mixed by stirring, blending, shaking, or the like using hand mixing, a mixer, a blender, any combination thereof, or the like. When ingredients or combinations of ingredients are added sequentially, mixing can occur between successive additions, continuously throughout the ingredient addition, after the addition of all of the ingredients or combinations of ingredients, or any combination thereof. The admixture is mixed until it has a substantially homogenous composition.
- In another embodiment, the present invention comprises
jet milling Compound 1,Compound 1 Form I,Compound 1 Form II,Compound 1 HCl Salt Form A in a suitable, conventional milling apparatus using air pressure suitable to produce particles having a significant particle size fraction between 0.1 microns and 50 microns. In another embodiment, the particle size is between 0.1 microns and 20 microns. In another embodiment, the particles size is between 0.1 microns and 10 microns. In another embodiment, the particle size is between 1.0 microns and 5 microns. In still another embodiment,Compound 1,Compound 1 Form I,Compound 1 Form II,Compound 1 HCl Salt Form A has a particle size D50 of 2.0 microns. - In various embodiments, a second therapeutic agent can be formulated together with
Compound 1 to form a unitary or single dose form, for example, a tablet or capsule. - Dosage forms prepared as above can be subjected to in vitro dissolution evaluations according to Test 711 “Dissolution” in United States Pharmacopoeia 29, United States Pharmacopeial Convention, Inc., Rockville, Md., 2005 (“USP”), to determine the rate at which the active substance is released from the dosage forms. The content of active substance and the impurity levels are conveniently measured by techniques such as high performance liquid chromatography (HPLC).
- In some embodiments, the invention includes use of packaging materials such as containers and closures of high-density polyethylene (HDPE), low-density polyethylene (LDPE) and or polypropylene and/or glass, glassine foil, aluminum pouches, and blisters or strips composed of aluminum or high-density polyvinyl chloride (PVC), optionally including a desiccant, polyethylene (PE), polyvinylidene dichloride (PVDC), PVC/PE/PVDC, and the like. These package materials can be used to store the various pharmaceutical compositions and formulations in a sterile fashion after appropriate sterilization of the package and its contents using chemical or physical sterilization techniques commonly employed in the pharmaceutical arts.
- In one aspect, the pharmaceutical compositions of the invention can be administered to a patient once daily or about every twenty four hours. Alternatively, the pharmaceutical compositions of the invention can be administered to a patient twice daily or about every twelve hours. These pharmaceutical compositions are administered as oral formulations containing about 25 mg, 50 mg, 100 mg, 125 mg, 150 mg, 200 mg, 250 mg, or 400 mg of
Compound 1. In this aspect, in addition toCompound 1, the pharmaceutical compositions comprise a filler; a diluent; a disintegrant; a surfactant; at least one of a binder and a glidant; and a lubricant. For instance, a dose of 400 mg ofCompound 1, may comprise two tablets of the invention each containing 200 mg ofCompound 1, or four tablets of the invention each containing 100 mg ofCompound 1. - It will also be appreciated that the compound and pharmaceutically acceptable compositions and formulations of the invention can be employed in combination therapies; that is,
Compound 1 and pharmaceutically acceptable compositions thereof can be administered concurrently with, prior to, or subsequent to, one or more other desired therapeutics or medical procedures. The particular combination of therapies (therapeutics or procedures) to employ in a combination regimen will take into account compatibility of the desired therapeutics and/or procedures and the desired therapeutic effect to be achieved. It will also be appreciated that the therapies employed may achieve a desired effect for the same disorder (for example, an inventive compound may be administered concurrently with another agent used to treat the same disorder), or they may achieve different effects (e.g., control of any adverse effects). As used herein, additional therapeutic agents that are normally administered to treat or prevent a particular disease, for example, a CFTR mediated disease, or condition, are known as “appropriate for the disease or condition being treated.” - In one embodiment, the additional therapeutic agent is selected from a mucolytic agent, bronchodialator, an antibiotic, an anti-infective agent, an anti-inflammatory agent, a CFTR modulator other than
Compound 1 of the invention, or a nutritional agent. - In one embodiment, the additional agent is (R)-1-(2,2-difluorobenzo[d][1,3]dioxol-5-yl)-N-(1-(2,3-dihydroxypropyl)-6-fluoro-2-(1-hydroxy-2-methylpropan-2-yl)-1H-indol-5-yl)cyclopropanecarboxamide. In another embodiment, the additional agent is N-(5-hydroxy-2,4-ditert-butyl-phenyl)-4-oxo-1H-quinoline-3-carboxamide. In another embodiment, the additional agent is selected from Table 1:
- In another embodiment, the additional agent is any combination of the above agents. For example, the composition may comprise
Compound 1, (R)-1-(2,2-difluorobenzo[d][1,3]dioxol-5-yl)-N-(1-(2,3-dihydroxypropyl)-6-fluoro-2-(1-hydroxy-2-methylpropan-2-yl)-1H-indol-5-yl)cyclopropanecarboxamide, and N-(5-hydroxy-2,4-ditert-butyl-phenyl)-4-oxo-1H-quinoline-3-carboxamide. In another example, the composition may compriseCompound 1, N-(5-hydroxy-2,4-ditert-butyl-phenyl)-4-oxo-1H-quinoline-3-carboxamide, and any one of the compounds from Table 1, i.e. compounds 1 through 14 of Table 1, or any combination thereof. - In one embodiment, the additional therapeutic agent is an antibiotic. Exemplary antibiotics useful herein include tobramycin, including tobramycin inhaled powder (TIP), azithromycin, aztreonam, including the aerosolized form of aztreonam, amikacin, including liposomal formulations thereof, ciprofloxacin, including formulations thereof suitable for administration by inhalation, levoflaxacin, including aerosolized formulations thereof, and combinations of two antibiotics, e.g., fosfomycin and tobramycin.
- In another embodiment, the additional agent is a mucolyte. Exemplary mucolytes useful herein includes Pulmozyme®.
- In another embodiment, the additional agent is a bronchodialator. Exemplary bronchodialtors include albuterol, metaprotenerol sulfate, pirbuterol acetate, salmeterol, or tetrabuline sulfate.
- In another embodiment, the additional agent is effective in restoring lung airway surface liquid. Such agents improve the movement of salt in and out of cells, allowing mucus in the lung airway to be more hydrated and, therefore, cleared more easily. Exemplary such agents include hypertonic saline, denufosol tetrasodium ([[(3S,5R)-5-(4-amino-2-oxopyrimidin-1-yl)-3-hydroxyoxolan-2-yl]methoxy-hydroxyphosphoryl][[[(2R,3S,4R,5R)-5-(2,4-dioxopyrimidin-1-yl)-3, 4-dihydroxyoxolan-2-yl]methoxy-hydroxyphosphoryl]oxy-hydroxyphosphoryl]hydrogen phosphate), or bronchitol (inhaled formulation of mannitol).
- In another embodiment, the additional agent is an anti-inflammatory agent, i.e., an agent that can reduce the inflammation in the lungs. Exemplary such agents useful herein include ibuprofen, docosahexanoic acid (DHA), sildenafil, inhaled glutathione, pioglitazone, hydroxychloroquine, or simavastatin.
- In another embodiment, the additional agent is a CFTR modulator other than
Compound 1, i.e., an agent that has the effect of modulating CFTR activity. Exemplary such agents include ataluren (“PTC124®”; 3-[5-(2-fluorophenyl)-1,2,4-oxadiazol-3-yl]benzoic acid), sinapultide, lancovutide, depelestat (a human recombinant neutrophil elastase inhibitor), and cobiprostone (7-{(2R, 4aR, 5R, 7aR)-2-[(3 S)-1,1-difluoro-3-methylpentyl]-2-hydroxy-6-oxooctahydrocyclopenta[b]pyran-5-yl}heptanoic acid). - In another embodiment, the additional agent is a nutritional agent. Exemplary nutritional agents include pancrelipase (pancreating enzyme replacement), including Pancrease®, Pancreacarb®, Ultrase®, or Creon®, Liprotomase® (formerly Trizytek®), Aquadeks®, or glutathione inhalation. In one embodiment, the additional nutritional agent is pancrelipase.
- In another embodiment, the additional agent is a compound selected from gentamicin, curcumin, cyclophosphamide, 4-phenylbutyrate, miglustat, felodipine, nimodipine, Philoxin B, geniestein, Apigenin, cAMP/cGMP modulators such as rolipram, sildenafil, milrinone, tadalafil, amrinone, isoproterenol, albuterol, and almeterol, deoxyspergualin, HSP 90 inhibitors, HSP 70 inhibitors, proteosome inhibitors such as epoxomicin, lactacystin, etc.
- In other embodiments, the additional agent is a compound disclosed in WO 2004028480, WO 2004110352, WO 2005094374, WO 2005120497, or WO 2006101740. In another embodiment, the additional agent is a benzo[c]quinolizinium derivative that exhibits CFTR modulation activity or a benzopyran derivative that exhibits CFTR modulation activity. In another embodiment, the additional agent is a compound disclosed in U.S. Pat. Nos. 7,202,262, 6,992,096, US20060148864, US20060148863, US20060035943, US20050164973, WO2006110483, WO2006044456, WO2006044682, WO2006044505, WO2006044503, WO2006044502, or WO2004091502. In another embodiment, the additional agent is a compound disclosed in WO2004080972, WO2004111014, WO2005035514, WO2005049018, WO2006099256, WO2006127588, or WO2007044560. In another embodiment, the additional agent is N-(5-hydroxy-2,4-ditert-butyl-phenyl)-4-oxo-1H-quinoline-3-carboxamide.
- In one embodiment, 400 mg of
Compound 1 may be administered to a subject in need thereof followed by co-administration of 150 mg of N-(5-hydroxy-2,4-ditert-butyl-phenyl)-4-oxo-1H-quinoline-3-carboxamide (Compound 2). In another embodiment, 400 mg ofCompound 1 may be administered to a subject in need thereof followed by co-administration of 250 mg ofCompound 2. In these embodiments, the dosage amounts may be achieved by administration of one or more tablets of the invention. For example, administration of 400 mg ofCompound 1 may be achieved by administering two tablets each containing 200 mg ofCompound 1, or four tablets each containing 100 mg ofCompound 1.Compound 2 may be administered as a pharmaceuticalcomposition comprising Compound 2 and a pharmaceutically acceptable carrier. The duration of administration may continue until amelioration of the disease is achieved or until a subject's physician advises, e.g. duration of administration may be less than a week, 1 week, 2 weeks, 3 weeks, or a month or longer. The co-administration period may be preceded by an administration period of justCompound 1 alone. For example, there could be administration of 400 mg ofCompound 1 for 2 weeks followed by co-administration of 150 mg or 250 mg ofCompound 2 for 1 additional week. - In one embodiment, 400 mg of
Compound 1 may be administered once a day to a subject in need thereof followed by co-administration of 150 mg ofCompound 2 once a day. In another embodiment, 400 mg ofCompound 1 may be administered once a day to a subject in need thereof followed by co-administration of 250 mg ofCompound 2 once a day. In these embodiments, the dosage amounts may be achieved by administration of one or more tablets of the invention. For example, administration of 400 mg ofCompound 1 may be achieved by administering two tablets each containing 200 mg ofCompound 1, or four tablets each containing 100 mg ofCompound 1.Compound 2 may be administered as a pharmaceuticalcomposition comprising Compound 2 and a pharmaceutically acceptable carrier. The duration of administration may continue until amelioration of the disease is achieved or until a subject's physician advises, e.g. duration of administration may be less than a week, 1 week, 2 weeks, 3 weeks, or a month or longer. The co-administration period may be preceded by an administration period of justCompound 1 alone. For example, there could be administration of 400 mg ofCompound 1 for 2 weeks followed by co-administration of 150 mg or 250 mg ofCompound 2 for 1 additional week. - In one embodiment, 400 mg of
Compound 1 may be administered once a day to a subject in need thereof followed by co-administration of 150 mg ofCompound 2 every 12 hours. In another embodiment, 400 mg ofCompound 1 may be administered once a day to a subject in need thereof followed by co-administration of 250 mg ofCompound 2 every 12 hours. In these embodiments, the dosage amounts may be achieved by administration of one or more tablets of the invention. For example, administration of 400 mg ofCompound 1 may be achieved by administering two tablets each containing 200 mg ofCompound 1, or four tablets each containing 100 mg ofCompound 1.Compound 2 may be administered as a pharmaceuticalcomposition comprising Compound 2 and a pharmaceutically acceptable carrier. The duration of administration may continue until amelioration of the disease is achieved or until a subject's physician advises, e.g. duration of administration may be less than a week, 1 week, 2 weeks, 3 weeks, or a month or longer. The co-administration period may be preceded by an administration period of justCompound 1 alone. For example, there could be administration of 400 mg ofCompound 1 for 2 weeks followed by co-administration of 150 mg or 250 mg ofCompound 2 for 1 additional week. - These combinations are useful for treating the diseases described herein including cystic fibrosis. These combinations are also useful in the kits described herein.
- The amount of additional therapeutic agent present in the compositions of this invention will be no more than the amount that would normally be administered in a composition comprising that therapeutic agent as the only active agent. Preferably the amount of additional therapeutic agent in the presently disclosed compositions will range from about 50% to 100% of the amount normally present in a composition comprising that agent as the only therapeutically active agent.
- In certain embodiments, the pharmaceutically acceptable
compositions comprising Compound 1 and optionally an additional agent are useful for treating or lessening the severity of cystic fibrosis in patients who exhibit residual CFTR activity in the apical membrane of respiratory and non-respiratory epithelia. The presence of residual CFTR activity at the epithelial surface can be readily detected using methods known in the art, e.g., standard electrophysiological, biochemical, or histochemical techniques. Such methods identify CFTR activity using in vivo or ex vivo electrophysiological techniques, measurement of sweat or salivary Cl− concentrations, or ex vivo biochemical or histochemical techniques to monitor cell surface density. Using such methods, residual CFTR activity can be readily detected in patients heterozygous or homozygous for a variety of different mutations, including patients homozygous or heterozygous for the most common mutation, ΔF508, as well as other mutations such as the G551D mutation, or the R117H mutation. - In one embodiment,
Compound 1, as described herein, or pharmaceutically acceptable compositions thereof, are useful for treating or lessening the severity of cystic fibrosis in patients within certain genotypes exhibiting residual CFTR activity, e.g., class III mutations (impaired regulation or gating), class IV mutations (altered conductance), or class V mutations (reduced synthesis) (Lee R. Choo-Kang, Pamela L., Zeitlin, Type I, II, III, IV, and V cystic fibrosis Tansmembrane Conductance Regulator Defects and Opportunities of Therapy; Current Opinion in Pulmonary Medicine 6:521-529, 2000). Other patient genotypes that exhibit residual CFTR activity include patients homozygous for one of these classes or heterozygous with any other class of mutations, including class I mutations, class II mutations, or a mutation that lacks classification. - In one embodiment,
Compound 1, as described herein, or pharmaceutically acceptable compositions thereof, are useful for treating or lessening the severity of cystic fibrosis in patients within certain clinical phenotypes, e.g., a moderate to mild clinical phenotype that typically correlates with the amount of residual CFTR activity in the apical membrane of epithelia. Such phenotypes include patients exhibiting pancreatic insufficiency or patients diagnosed with idiopathic pancreatitis and congenital bilateral absence of the vas deferens, or mild lung disease. - The exact amount required will vary from subject to subject, depending on the species, age, and general condition of the subject, the severity of the infection, the particular agent, its mode of administration, and the like. The compounds of the invention are preferably formulated in dosage unit form for ease of administration and uniformity of dosage. The expression “dosage unit form” as used herein refers to a physically discrete unit of agent appropriate for the patient to be treated. It will be understood, however, that the total daily usage of the compounds and compositions of the invention will be decided by the attending physician within the scope of sound medical judgment. The specific effective dose level for any particular patient or organism will depend upon a variety of factors including the disorder being treated and the severity of the disorder; the activity of the specific compound employed; the specific composition employed; the age, body weight, general health, sex and diet of the patient; the time of administration, route of administration, and rate of excretion of the specific compound employed; the duration of the treatment; drugs used in combination or coincidental with the specific compound employed, and like factors well known in the medical arts. The term “patient”, as used herein, means an animal, preferably a mammal, and most preferably a human.
- Anywhere in the present application where a name of a compound may not correctly describe the structure of the compound, the structure supersedes the name and governs.
- XRPD (X-Ray Powder Diffraction)
- The X-Ray diffraction (XRD) data of
Compound 1,Compound 1 Form I,Compound 1 Form II, orCompound 1 HCl Salt Form A were collected on a Bruker D8 DISCOVER powder diffractometer with HI-STAR 2-dimensional detector and a flat graphite monochromator. Cu sealed tube with Kα radiation was used at 40 kV, 35 mA. The samples were placed on zero-background silicon wafers at 25° C. For each sample, two data frames were collected at 120 seconds each at 2 different θ2 angles: 8° and 26°. The data were integrated with GADDS software and merged with DIFFRACTplusEVA software. Uncertainties for the reported peak positions are ±0.2 degrees. -
Unmicronized Compound 1,Compound 1 Form I,Compound 1 Form II, orCompound 1 HCl Salt Form A is sieved to de-lump it prior to placing it into the jet mill hopper. All sieves are disposable and received a wipe prior to use.Unmicronized Compound 1,Compound 1 Form I,Compound 1 Form II, orCompound 1 HCl Salt Form A is added to the jet mill hopper at a controlled feeding rate using compressed nitrogen gas. The gas pressure range is 40-45/45-70 (Venturi/Mill) PSI and the feeding rate range is 0.5-1.6 Kg/Hour. TheCompound 1,Compound 1 Form I,Compound 1 Form II, orCompound 1 HCl Salt Form A is micronized in the mill through particle-particle and particle-wall collisions and the processedCompound 1,Compound 1 Form I,Compound 1 Form II, orCompound 1 HCl Salt Form A is emptied into the micronized product containers. It is believed that one of ordinary skill in the art may also achieveCompound 1,Compound 1 Form I,Compound 1 Form II, orCompound 1 HCl Salt Form A with a favorable particle size through pin milling based in part on the conditions described above. - Differential Scanning Calorimetry (DSC)
- The Differential scanning calorimetry (DSC) data of
Compound 1,Compound 1 Form I,Compound 1 Form II, orCompound 1 HCl Salt Form A were collected using a DSC Q100 V9.6 Build 290 (TA Instruments, New Castle, Del.). Temperature was calibrated with indium and heat capacity was calibrated with sapphire. Samples of 3-6 mg were weighed into aluminum pans that were crimped using lids with 1 pin hole. The samples were scanned from 25° C. to 350° C. at a heating rate of 1.0° C./min and with a nitrogen gas purge of 50 ml/min. Data were collected by Thermal Advantage Q Series™ version 2.2.0.248 software and analyzed by Universal Analysis software version 4.1D (TA Instruments, New Castle, Del.). The reported numbers represent single analyses. -
Compound 1 Form I,Compound 1 Form II, andCompound 1 HCl Salt Form a Single Crystal Structure Determination - Diffraction data were acquired on Bruker Apex II diffractometer equipped with sealed tube Cu K-alpha source and an Apex II CCD detector. The structure was solved and refined using SHELX program (Sheldrick, G. M., Acta Cryst., (2008) A64, 112-122). Based on systematic absences and intensities statistics the structure was solved and refined in P21/n space group.
- Vitride® (sodium bis(2-methoxyethoxy)aluminum hydride [or NaAlH2(OCH2CH2OCH3)2], 65 wgt % solution in toluene) was purchased from Aldrich Chemicals.
- 2,2-Difluoro-1,3-benzodioxole-5-carboxylic acid was purchased from Saltigo (an affiliate of the Lanxess Corporation).
-
- Commercially available 2,2-difluoro-1,3-benzodioxole-5-carboxylic acid (1.0 eq) was slurried in toluene (10 vol). Vitride® (2 eq) was added via addition funnel at a rate to maintain the temperature at 15-25° C. At the end of the addition, the temperature was increased to 40° C. for 2 hours (h), then 10% (w/w) aqueous (aq) NaOH (4.0 eq) was carefully added via addition funnel, maintaining the temperature at 40-50° C. After stirring for an additional 30 minutes (min), the layers were allowed to separate at 40° C. The organic phase was cooled to 20° C., then washed with water (2×1.5 vol), dried (Na2SO4), filtered, and concentrated to afford crude (2,2-difluoro-1,3-benzodioxol-5-yl)-methanol that was used directly in the next step.
-
- (2,2-difluoro-1,3-benzodioxol-5-yl)-methanol (1.0 eq) was dissolved in MTBE (5 vol). A catalytic amount of 4-(N,N-dimethyl)aminopyridine (DMAP) (1 mol %) was added and SOCl2 (1.2 eq) was added via addition funnel. The SOCl2 was added at a rate to maintain the temperature in the reactor at 15-25° C. The temperature was increased to 30° C. for 1 h, and then was cooled to 20° C. Water (4 vol) was added via addition funnel while maintaining the temperature at less than 30° C. After stirring for an additional 30 min, the layers were allowed to separate. The organic layer was stirred and 10% (w/v) aq NaOH (4.4 vol) was added. After stirring for 15 to 20 min, the layers were allowed to separate. The organic phase was then dried (Na2SO4), filtered, and concentrated to afford crude 5-chloromethyl-2,2-difluoro-1,3-benzodioxole that was used directly in the next step.
-
- A solution of 5-chloromethyl-2,2-difluoro-1,3-benzodioxole (1 eq) in DMSO (1.25 vol) was added to a slurry of NaCN (1.4 eq) in DMSO (3 vol), while maintaining the temperature between 30-40° C. The mixture was stirred for 1 h, and then water (6 vol) was added, followed by methyl tert-butyl ether (MTBE) (4 vol). After stirring for 30 min, the layers were separated. The aqueous layer was extracted with MTBE (1.8 vol). The combined organic layers were washed with water (1.8 vol), dried (Na2SO4), filtered, and concentrated to afford crude (2,2-difluoro-1,3-benzodioxol-5-yl)-acetonitrile (95%) that was used directly in the next step.
-
- A reactor was purged with nitrogen and charged with 900 mL of toluene. The solvent was degassed via nitrogen sparge for no less than 16 h. To the reactor was then charged Na3PO4 (155.7 g, 949.5 mmol), followed by bis(dibenzylideneacetone) palladium (0) (7.28 g, 12.66 mmol). A 10% w/w solution of tert-butylphosphine in hexanes (51.23 g, 25.32 mmol) was charged over 10 min at 23° C. from a nitrogen purged addition funnel. The mixture was allowed to stir for 50 min, at which time 5-bromo-2,2-difluoro-1,3-benzodioxole (75 g, 316.5 mmol) was added over 1 min. After stirring for an additional 50 min, the mixture was charged with ethyl cyanoacetate (71.6 g, 633.0 mmol) over 5 min followed by water (4.5 mL) in one portion. The mixture was heated to 70° C. over 40 min and analyzed by HPLC every 1-2 h for the percent conversion of the reactant to the product. After complete conversion was observed (typically 100% conversion after 5-8 h), the mixture was cooled to 20-25° C. and filtered through a celite pad. The celite pad was rinsed with toluene (2×450 mL) and the combined organics were concentrated to 300 mL under vacuum at 60-65° C. The concentrate was charged with 225 mL DMSO and concentrated under vacuum at 70-80° C. until active distillation of the solvent ceased. The solution was cooled to 20-25° C. and diluted to 900 mL with DMSO in preparation for
Step 2. 1H NMR (500 MHz, CDCl3) δ 7.16-7.10 (m, 2H), 7.03 (d, J=8.2 Hz, 1H), 4.63 (s, 1H), 4.19 (m, 2H), 1.23 (t, J=7.1 Hz, 3H). -
- The DMSO solution of (2,2-difluoro-1,3-benzodioxol-5-yl)-1-ethylacetate-acetonitrile from above was charged with 3 N HCl (617.3 mL, 1.85 mol) over 20 min while maintaining an internal temperature <40° C. The mixture was then heated to 75° C. over 1 h and analyzed by HPLC every 1-2 h for % conversion. When a conversion of >99% was observed (typically after 5-6 h), the reaction was cooled to 20-25° C. and extracted with MTBE (2×525 mL), with sufficient time to allow for complete phase separation during the extractions. The combined organic extracts were washed with 5% NaCl (2×375 mL). The solution was then transferred to equipment appropriate for a 1.5-2.5 Torr vacuum distillation that was equipped with a cooled receiver flask. The solution was concentrated under vacuum at <60° C. to remove the solvents. (2,2-Difluoro-1,3-benzodioxol-5-yl)-acetonitrile was then distilled from the resulting oil at 125-130° C. (oven temperature) and 1.5-2.0 Torr. (2,2-Difluoro-1,3-benzodioxol-5-yl)-acetonitrile was isolated as a clear oil in 66% yield from 5-bromo-2,2-difluoro-1,3-benzodioxole (2 steps) and with an HPLC purity of 91.5% AUC (corresponds to a w/w assay of 95%). 1H NMR (500 MHz, DMSO) δ 7.44 (br s, 1H), 7.43 (d, J=8.4 Hz, 1H), 7.22 (dd, J=8.2, 1.8 Hz, 1H), 4.07 (s, 2H).
-
- A mixture of (2,2-difluoro-1,3-benzodioxol-5-yl)-acetonitrile (1.0 eq), 50 wt % aqueous KOH (5.0 eq) 1-bromo-2-chloroethane (1.5 eq), and Oct4NBr (0.02 eq) was heated at 70° C. for 1 h. The reaction mixture was cooled, then worked up with MTBE and water. The organic phase was washed with water and brine. The solvent was removed to afford (2,2-difluoro-1,3-benzodioxol-5-yl)-cyclopropanecarbonitrile.
-
- (2,2-difluoro-1,3-benzodioxol-5-yl)-cyclopropanecarbonitrile was hydrolyzed using 6 M NaOH (8 equiv) in ethanol (5 vol) at 80° C. overnight. The mixture was cooled to room temperature and the ethanol was evaporated under vacuum. The residue was taken up in water and MTBE, 1 M HCl was added, and the layers were separated. The MTBE layer was then treated with dicyclohexylamine (DCHA) (0.97 equiv). The slurry was cooled to 0° C., filtered and washed with heptane to give the corresponding DCHA salt. The salt was taken into MTBE and 10% citric acid and stirred until all the solids had dissolved. The layers were separated and the MTBE layer was washed with water and brine. A solvent swap to heptane followed by filtration gave 1-(2,2-difluoro-1,3-benzodioxol-5-yl)-cyclopropanecarboxylic acid after drying in a vacuum oven at 50° C. overnight.
-
- 1-(2,2-difluoro-1,3-benzodioxol-5-yl)-cyclopropanecarboxylic acid (1.2 eq) is slurried in toluene (2.5 vol) and the mixture was heated to 60° C. SOCl2 (1.4 eq) was added via addition funnel. The toluene and SOCl2 were distilled from the reaction mixture after 30 minutes. Additional toluene (2.5 vol) was added and the resulting mixture was distilled again, leaving the product acid chloride as an oil, which was used without further purification.
-
- 2-Bromo-3-methylpyridine (1.0 eq) was dissolved in toluene (12 vol). K2CO3 (4.8 eq) was added, followed by water (3.5 vol). The resulting mixture was heated to 65° C. under a stream of N2 for 1 hour. 3-(t-Butoxycarbonyl)phenylboronic acid (1.05 eq) and Pd(dppf)Cl2.CH2Cl2 (0.015 eq) were then added and the mixture was heated to 80° C. After 2 hours, the heat was turned off, water was added (3.5 vol), and the layers were allowed to separate. The organic phase was then washed with water (3.5 vol) and extracted with 10% aqueous methanesulfonic acid (2 eq MsOH, 7.7 vol). The aqueous phase was made basic with 50% aqueous NaOH (2 eq) and extracted with EtOAc (8 vol). The organic layer was concentrated to afford crude tert-butyl-3-(3-methylpyridin-2-yl)benzoate (82%) that was used directly in the next step.
-
- tert-Butyl-3-(3-methylpyridin-2-yl)benzoate (1.0 eq) was dissolved in EtOAc (6 vol). Water (0.3 vol) was added, followed by urea-hydrogen peroxide (3 eq). Phthalic anhydride (3 eq) was then added portionwise to the mixture as a solid at a rate to maintain the temperature in the reactor below 45° C. After completion of the phthalic anhydride addition, the mixture was heated to 45° C. After stirring for an additional 4 hours, the heat was turned off. 10% w/w aqueous Na2SO3 (1.5 eq) was added via addition funnel. After completion of Na2SO3 addition, the mixture was stirred for an additional 30 min and the layers separated. The organic layer was stirred and 10% wt/wt aqueous. Na2CO3 (2 eq) was added. After stirring for 30 minutes, the layers were allowed to separate. The organic phase was washed 13% w/v aq NaCl. The organic phase was then filtered and concentrated to afford crude 2-(3-(tert-butoxycarbonyl)phenyl)-3-methylpyridine-1-oxide (95%) that was used directly in the next step.
-
- A solution of 2-(3-(tert-butoxycarbonyl)phenyl)-3-methylpyridine-1-oxide (1 eq) and pyridine (4 eq) in acetonitrile (8 vol) was heated to 70° C. A solution of methanesulfonic anhydride (1.5 eq) in MeCN (2 vol) was added over 50 min via addition funnel while maintaining the temperature at less than 75° C. The mixture was stirred for an additional 0.5 hours after complete addition. The mixture was then allowed to cool to ambient. Ethanolamine (10 eq) was added via addition funnel. After stirring for 2 hours, water (6 vol) was added and the mixture was cooled to 10° C. After stirring for 3 hours, the solid was collected by filtration and washed with water (3 vol), 2:1 acetonitrile/water (3 vol), and acetonitrile (2×1.5 vol). The solid was dried to constant weight (<1% difference) in a vacuum oven at 50° C. with a slight N2 bleed to afford tert-butyl-3-(6-amino-3-methylpyridin-2-yl)benzoate as a red-yellow solid (53% yield).
-
- The crude acid chloride described above was dissolved in toluene (2.5 vol based on acid chloride) and added via addition funnel to a mixture of tert-butyl-3-(6-amino-3-methylpyridin-2-yl)benzoate (1 eq), DMAP, (0.02 eq), and triethylamine (3.0 eq) in toluene (4 vol based on tert-butyl-3-(6-amino-3-methylpyridin-2-yl)benzoate). After 2 hours, water (4 vol based on tert-butyl-3-(6-amino-3-methylpyridin-2-yl)benzoate) was added to the reaction mixture. After stirring for 30 minutes, the layers were separated. The organic phase was then filtered and concentrated to afford a thick oil of 3-(6-(1-(2,2-difluorobenzo[d][1,3]dioxol-5-yl) cyclopropanecarboxamido)-3-methylpyridin-2-yl)-t-butylbenzoate (quantitative crude yield). Acetonitrile (3 vol based on crude product) was added and distilled until crystallization occurs. Water (2 vol based on crude product) was added and the mixture stirred for 2 h. The solid was collected by filtration, washed with 1:1 (by volume) acetonitrile/water (2×1 volumes based on crude product), and partially dried on the filter under vacuum. The solid was dried to a constant weight (<1% difference) in a vacuum oven at 60° C. with a slight N2 bleed to afford 3-(6-(1-(2,2-difluorobenzo[d][1,3]dioxol-5-yl) cyclopropanecarboxamido)-3-methylpyridin-2-yl)-t-butylbenzoate as a brown solid.
-
- To a slurry of 3-(6-(1-(2,2-difluorobenzo[d][1,3]dioxol-5-yl) cyclopropanecarboxamido)-3-methylpyridin-2-yl)-t-butylbenzoate (1.0 eq) in MeCN (3.0 vol) was added water (0.83 vol) followed by concentrated aqueous HCl (0.83 vol). The mixture was heated to 45±5° C. After stirring for 24 to 48 h, the reaction was complete, and the mixture was allowed to cool to ambient. Water (1.33 vol) was added and the mixture stirred. The solid was collected by filtration, washed with water (2×0.3 vol), and partially dried on the filter under vacuum. The solid was dried to a constant weight (<1% difference) in a vacuum oven at 60° C. with a slight N2 bleed to afford 3-(6-(1-(2,2-difluorobenzo[d][1,3]dioxol-5-yl) cyclopropanecarboxamido)-3-methylpyridin-2-yl)benzoic acid.HCl as an off-white solid.
- An 1HNMR spectrum of
Compound 1 is shown inFIG. 20 andFIG. 21 depicts an 1HNMR spectrum ofCompound 1 as an HCl salt. - Table 2 below recites the 1HNMR data for Compound I.
-
TABLE 2 Compound LC/MS LC/RT No M + 1 minutes NMR 1 453.3 1.93 1HNMR (400 MHz, DMSO-d6) 9.14 (s, 1H), 7.99-7.93 (m, 3H), 7.80-7.78 (m, 1H), 7.74-7.72 (m, 1H), 7.60-7.55 (m, 2H), 7.41-7.33 (m, 2H), 2.24 (s, 3H), 1.53-1.51 (m, 2H), 1.19-1.17 (m, 2H). -
- A slurry of 3-(6-(1-(2,2-difluorobenzo[d][1,3]dioxo-5-yl) cyclopropanecarboxamido)-3-methylpyridin-2-yl)benzoic acid.HCl (1 eq) in water (10 vol) was stirred at ambient temperature. A sample was taken after stirring for 24 h. The sample was filtered and the solid was washed with water (2 times). The solid sample was submitted for DSC analysis. When DSC analysis indicated complete conversion to Form I, the solid was collected by filtration, washed with water (2×1.0 vol), and partially dried on a filter under vacuum. The solid was then dried to a constant weight (<1% difference) in a vacuum oven at 60° C. with a slight N2 bleed to afford
Compound 1 Form I as an off-white solid (98% yield). 1H NMR (400 MHz, DMSO-d6) 9.14 (s, 1H), 7.99-7.93 (m, 3H), 7.80-7.78 (m, 1H), 7.74-7.72 (m, 1H), 7.60-7.55 (m, 2H), 7.41-7.33 (m, 2H), 2.24 (s, 3H), 1.53-1.51 (m, 2H), 1.19-1.17 (m, 2H). -
- A solution of 3-(6-(1-(2,2-difluorobenzo[d][1,3]dioxol-5-yl) cyclopropanecarboxamido)-3-methylpyridin-2-yl)-t-butylbenzoate (1.0 eq) in formic acid (3.0 vol) was heated with stirring to 70±10° C., for 8 h. The reaction was deemed complete when no more than 1.0% AUC by chromatographic methods of 3-(6-(1-(2,2-difluorobenzo[d][1,3]dioxol-5-yl) cyclopropanecarboxamido)-3-methylpyridin-2-yl)-t-butylbenzoate) remained. The mixture was allowed to cool to ambient. The solution was added to water (6 vol), heated at 50° C., and the mixture was stirred. The mixture was then heated to 70±10° C. until the level of 3-(6-(1-(2,2-difluorobenzo[d][1,3]dioxol-5-yl) cyclopropanecarboxamido)-3-methylpyridin-2-yl)-t-butylbenzoate was no more than 0.8% (AUC). The solid was collected by filtration, washed with water (2×3 vol), and partially dried on the filter under vacuum. The solid was dried to a constant weight (<1% difference) in a vacuum oven at 60° C. with a slight N2 bleed to afford
Compound 1 Form I as an off-white solid. - The DSC trace of
Compound 1 Form I is shown inFIG. 22 . Melting forCompound 1 Form I occurs at about 204° C. - An X-ray diffraction pattern was calculated from a single crystal structure of
Compound 1 Form I and is shown inFIG. 1 . Table 3 lists the calculated peaks forFIG. 1 . -
TABLE 3 2θ Angle Relative Intensity Peak Rank [degrees] [%] 11 14.41 48.2 8 14.64 58.8 1 15.23 100.0 2 16.11 94.7 3 17.67 81.9 7 19.32 61.3 4 21.67 76.5 5 23.40 68.7 9 23.99 50.8 6 26.10 67.4 10 28.54 50.1 - An actual X-ray powder diffraction pattern of
Compound 1 Form I is shown inFIG. 2 . Table 4 lists the actual peaks forFIG. 2 . -
TABLE 4 Peak 2θ Angle Relative Intensity Rank [degrees] [%] 7 7.83 37.7 3 14.51 74.9 4 14.78 73.5 1 15.39 100.0 2 16.26 75.6 6 16.62 42.6 5 17.81 70.9 9 21.59 36.6 10 23.32 34.8 11 24.93 26.4 8 25.99 36.9 - Colorless crystals of
Compound 1 Form I were obtained by cooling a concentrated 1-butanol solution from 75° C. to 10° C. at a rate of 0.2° C./min. A crystal with dimensions of 0.50×0.08×0.03 mm was selected, cleaned with mineral oil, mounted on a MicroMount and centered on a Bruker APEX II system. Three batches of 40 frames separated in reciprocal space were obtained to provide an orientation matrix and initial cell parameters. Final cell parameters were obtained and refined based on the full data set. - A diffraction data set of reciprocal space was obtained to a resolution of 0.82 Å using 0.5° steps using 30 s exposure for each frame. Data were collected at 100 (2) K. Integration of intensities and refinement of cell parameters were accomplished using APEXII software. Observation of the crystal after data collection showed no signs of decomposition.
- A conformational picture of
Compound 1 Form I based on single crystal X-ray analysis is shown inFIG. 23 .Compound 1 Form I is monoclinic, P21/n, with the following unit cell dimensions: a=4.9626(7) Å, b=12.299(2) Å, c=33.075 (4) Å, β=93.938(9)°, V=2014.0 Å3, Z=4. Density ofCompound 1 Form I calculated from structural data is 1.492 g/cm3 at 100 K. -
Compound 1 Form I (approximately 30 mg) was slurried in 500 μL of an appropriate solvent (for example, methanol, ethanol, acetone, 2-propanol, acetonitrile, tetrahydrofuran, methyl acetate, 2-butanone, ethyl formate, and -methyl tetrahydrofuran for two days. The slurry was then filtered centrifugally or under vacuum and was left to dry at ambient temperature overnight to yieldCompound 1 Form II. - The DSC trace of
Compound 1 Form II Acetone Solvate is shown inFIG. 15 , showing two phase transitions. The melting point forCompound 1 Form II Acetone Solvate occurs at about 188° C. and 205° C. - An actual X-ray powder diffraction pattern of
Compound 1 Form II is shown inFIG. 3 . Table 5 lists the actual peaks forFIG. 3 in descending order of relative intensity. -
TABLE 5 2θ Angle Relative Intensity [degrees] [%] 21.70 100.0 8.98 65.5 11.04 57.4 18.16 55.9 23.06 55.4 20.63 53.1 22.22 50.2 18.57 49.1 16.66 47.2 19.86 35.0 - Conformational depictions of
Compound 1 Form II Acetone Solvate based on single crystal X-ray analysis are shown inFIG. 24 . The stoichiometry betweenCompound 1 Form II and acetone is approximately 4.4:1 (4.48:1 calculated from 1H NMR; 4.38:1 from X-ray). The crystal structure reveals a packing of the molecules where there are two voids or pockets per unit cell, or 1 void per host molecule. In the acetone solvate, approximately 92 percent of voids are occupied by acetone molecules.Compound 1 Form II is a monoclinic P21/n space group with the following unit cell dimensions: a=16.5235(10) Å, b=12.7425(8) Å, c=20.5512 (13) Å, α=90°, β=103.736(4)°, γ=90°, V=4203.3(5) Å3, =4. The density ofCompound 1 inCompound 1 Form II calculated from structural data is 1.430/cm3 at 100 K. - A solid state 13C NMR spectrum of
Compound 1 Form II Acetone Solvate is shown inFIG. 25 . Table 6 provides chemical shifts of the relevant peaks. -
TABLE 6 Compound 1 Form II, Acetone Solvate13C Chem. Shifts Peak # F1 [ppm] Intensity 1 202.8 6.05 2 173.3 62.66 3 171.9 20.53 4 153.5 28.41 5 150.9 21.68 6 150.1 19.49 7 143.2 45.74 8 142.3 42.68 9 140.1 37.16 10 136.6 26.82 11 135.9 30.1 12 134.6 39.39 13 133.2 23.18 14 131.0 60.92 15 128.5 84.58 16 116.0 34.64 17 114.2 23.85 18 112.4 25.3 19 110.9 24.12 20 107.8 18.21 21 32.0 54.41 22 22.2 20.78 23 18.8 100 - A solid state 19F NMR spectrum of
Compound 1 Form II Acetone Solvate is shown inFIG. 26 . Peaks with an asterisk denote spinning side bands. Table 7 provides chemical shifts of the relevant peaks. -
TABLE 7 Compound 1 Form II, Acetone Solvate19F Chem. Shifts Peak # F1 [ppm] Intensity 1 −41.6 12.5 2 −46.4 6.77 3 −51.4 9.05 - Colorless crystals of
Compound 1 HCl Salt Form A were obtained by slow evaporation from a concentrated solution of the HCl salt ofCompound 1 in ethanol. A crystal with dimensions of 0.30×1/5×0.15 mm was selected, cleaned using mineral oil, mounted on a MicroMount and centered on a Bruker APEXII diffractometer. Three batches of 40 frames separated in reciprocal space were obtained to provide an orientation matrix and initial cell parameters. Final cell parameters were obtained and refined based on the full data set. -
FIG. 18 provides a conformational image ofCompound 1 HCl Salt Form A as a dimer, based on single crystal analysis. An X-ray diffraction pattern ofCompound 1 HCl Salt Form A calculated from the crystal structure is shown inFIG. 27 . Table 8 contains the calculated peaks forFIG. 27 in descending order of relative intensity. -
TABLE 8 2θ Relative Intensity [degrees] [%] 8.96 100.00 17.51 48.20 18.45 34.60 10.33 32.10 16.01 18.90 11.94 18.40 8.14 16.20 10.10 13.90 16.55 13.30 9.54 10.10 16.55 13.30 - A tablet was prepared with the components and amounts listed in Table 9 for Exemplary Tablet 1A comprising 100 mg of API, i.e.
Compound 1 Form I. Exemplary Tablet 1A (formulated to have 100 mg of Compound 1) is prepared using a dry roller compaction device formulation process. In Table 9, grades/brands were microcrystalline cellulose: Avicel PH102; mannitol:Pearlitol SD 100; croscarmellose sodium: Acdisol; and colloidal silica: Cabosil. -
TABLE 9 (% w/w) Roller Compaction Granule Blend Compound 1 Form I 30 Microcrystalline cellulose 42.3 Mannitol 21.2 Croscarmellose Sodium 3 Sodium Lauryl Sulfate 1 Colloidal Silica 0.5 Magnesium Stearate 2 Tablet Composition (100 mg dose, 335 mg image) Roller Compaction Granule Blend 99.5 Magnesium Stearate 0.5 - A tablet was prepared with the components and amounts listed in Table 10 for Exemplary Tablet 1B comprising 100 mg of API, i.e.
Compound 1 Form I. Exemplary Tablet 1B (formulated to have 100 mg ofCompound 1 Form I) is prepared using a wet high shear granule formulation process. In Table 10, grades/brands were as follows. High Shear Granule Blend—microcrystalline cellulose: Avicel PH101; mannitol: Pearlitol C50; croscarmellose sodium: Acdisol; polyvinylpyrrolidone: Kollidon PVP K30; and in the Tablet Composition—croscarmellose sodium: Acdisol. -
TABLE 10 (% w/w) High Shear Granule Blend Compound 1 Form I 50 Microcrystalline cellulose 30 Mannitol 13 Croscarmellose Sodium 2 Polyvinylpyrrolidone 4 Sodium Lauryl Sulfate 1 Water (removed during drying) 25-40% solids Tablet Composition (100 mg dose, 205 mg image) High Shear Granule Blend 97.5 Croscarmellose Sodium 2.0 Magnesium Stearate 0.5 - A tablet was prepared with the components and amounts listed in Table 11 for Exemplary Tablet 1C comprising 100 mg of API, i.e.
crystalline Compound 1 Form I. Exemplary Tablet 1C (formulated to have 100 mg ofcrystalline Compound 1 Form I) is prepared using a wet high shear granule formulation process. In Table 11, grades/brands were as follows. High Shear Granule Blend—microcrystalline cellulose: Avicel PH101; mannitol: Pearlitol C50; croscarmellose sodium: Acdisol; polyvinylpyrrolidone: Kollidon PVP K30; and in the Tablet Composition—croscarmellose sodium: Acdisol. -
TABLE 11 (% w/w) High Shear Granule Blend Compound 1 Form I 60 Microcrystalline cellulose 20 Mannitol 13 Croscarmellose Sodium 2 Polyvinylpyrrolidone 4 Sodium Lauryl Sulfate 1 Water (removed during drying) 25-40% solids Tablet Composition (100 mg dose, 171 mg image) High Shear Granule Blend 97.5 Croscarmellose Sodium 2.0 Magnesium Stearate 0.5 - A tablet was prepared with the components and amounts listed in Table 12 for Exemplary Tablet 1D comprising 200 mg of API, i.e.
crystalline Compound 1 Form I. Exemplary Tablet 1D (formulated to have 200 mg ofcrystalline Compound 1 Form I) is prepared using a wet high shear granule formulation process. In Table 12, grades/brands were as follows. High Shear Granule Blend—microcrystalline cellulose: Avicel PH101; mannitol: Pearlitol C50; croscarmellose sodium: Acdisol; polyvinylpyrrolidone: Kollidon PVP K30; and in the Tablet Composition—microcrystalline cellulose: Avicel PH200; croscarmellose sodium: Acdisol; and magnesium stearate: 5712. -
TABLE 12 (% w/w) High Shear Granule Blend Compound 1 Form I 60 Microcrystalline cellulose 20 Mannitol 13 Croscarmellose Sodium 2 Polyvinylpyrrolidone 4 Sodium Lauryl Sulfate 1 Water (removed during drying) 25-40% solids Tablet Composition (200 mg dose, 402 mg image) High Shear Granule Blend 83 Microcrystalline cellulose 14 Croscarmellose Sodium 2 Magnesium Stearate 1.0 - A tablet was prepared with the components and amounts listed in Table 13 for Exemplary Tablet 1E comprising 200 mg of API, i.e.
crystalline Compound 1 Form I. Exemplary Tablet 1E (formulated to have 200 mg ofcrystalline Compound 1 Form I) is prepared using a wet high shear granule formulation process. In Table 13, grades/brands were as follows. High Shear Granule Blend—microcrystalline cellulose: Avicel PH101; mannitol: Pearlitol C50; croscarmellose sodium: Acdisol; polyvinylpyrrolidone: Kollidon PVP K30; and in the Core Tablet Composition—microcrystalline cellulose: Avicel PH200; croscarmellose sodium: Acdisol; and magnesium stearate: 5712; and in the film coat—film coat: Opadry II; wax: Carnauba. -
TABLE 13 mg High Shear Granule Blend Compound 1 Form I 200 Microcrystalline cellulose 66 Mannitol 43 Croscarmellose Sodium 7 Polyvinylpyrrolidone 13 Sodium Lauryl Sulfate 3 Core Tablet Composition (200 mg dose, 400 mg image) High Shear Granule Blend 332 Microcrystalline cellulose 56 Croscarmellose Sodium 8 Magnesium Stearate 4 Film Coated Tablet (200 mg dose, 412 mg image) Core Tablet Composition 400 Film Coat 12 Wax 0.04 - A tablet was prepared with the components and amounts listed in Table 14 for Exemplary Tablet 1F comprising 200 mg of API, i.e.
crystalline Compound 1 Form I. Exemplary Tablet 1F (formulated to have 200 mg ofcrystalline Compound 1 Form I) is prepared using a wet high shear granule formulation process. In Table 14, grades/brands were as follows. High Shear Granule Blend—microcrystalline cellulose: Avicel PH101; mannitol: Pearlitol C50; croscarmellose sodium: Acdisol; polyvinylpyrrolidone: Kollidon PVP K30; and in the Core Tablet Composition—microcrystalline cellulose: Avicel PH200; croscarmellose sodium: Acdisol; and magnesium stearate: 5712; and in the film coat—film coat: Opadry II; wax: Carnauba. -
TABLE 14 mg High Shear Granule Blend Compound 1 Form I 200 Microcrystalline cellulose 67 Mannitol 45 Croscarmellose Sodium 7 Polyvinylpyrrolidone 10.4 Sodium Lauryl Sulfate 2.6 Core Tablet Composition (200 mg dose, 400 mg image) High Shear Granule Blend 332 Microcrystalline cellulose 56 Croscarmellose Sodium 8 Magnesium Stearate 4 Film Coated Tablet (200 mg dose, 412 mg image) Core Tablet Composition 400 Film Coat 12 Wax 0.04 - A tablet was prepared with the components and amounts listed in Table 15 for Exemplary Tablet 1G comprising 100 mg of API, i.e.
crystalline Compound 1 Form I. Exemplary Tablet 1G (formulated to have 100 mg ofcrystalline Compound 1 Form I) is prepared using a wet high shear granule formulation process. In Table 15, grades/brands were as follows. High Shear Granule Blend—microcrystalline cellulose: Avicel PH101; mannitol: Pearlitol C50; croscarmellose sodium: Acdisol; polyvinylpyrrolidone: Kollidon PVP K30; and in the Tablet Composition—croscarmellose sodium: Acdisol. -
TABLE 15 (% w/w) High Shear Granule Blend Compound 1 Form I 70 Microcrystalline cellulose 12 Mannitol 11 Croscarmellose Sodium 2 Polyvinylpyrrolidone 4 Sodium Lauryl Sulfate 1 Water (removed during drying) 25-40% solids Tablet Composition (100 mg dose, 147 mg image) High Shear Granule Blend 97.5 Croscarmellose Sodium 2.0 Magnesium Stearate 0.5 - A tablet was prepared with the components and amounts listed in Table 16 for Exemplary Tablet 1H comprising 100 mg of API, i.e.
crystalline Compound 1 Form I or Form II. Exemplary Tablet 1H (formulated to have 100 mg ofcrystalline Compound 1 Form I or Form II) is prepared using a wet high shear granule formulation process. In Table 16, grades/brands were as follows. High Shear Granule Blend—microcrystalline cellulose: Avicel PH101; mannitol: Pearlitol C50; croscarmellose sodium: Acdisol; polyvinylpyrrolidone: Kollidon PVP K30; and in the Core Tablet Composition—microcrystalline cellulose: Avicel PH200; croscarmellose sodium: Acdisol; and magnesium stearate: 5712. -
TABLE 16 (% w/w) High Shear Granule Blend Compound 1 Form I or Form II 61 Microcrystalline cellulose 20.3 Mannitol 13.2 Croscarmellose Sodium 2 Polyvinylpyrrolidone 2.7 Sodium Lauryl Sulfate 0.7 Tablet Composition (100 mg dose, 197 mg image) High Shear Granule Blend 83 Microcrystalline cellulose 14 Croscarmellose Sodium 2 Magnesium Stearate 1 - A tablet was prepared with the components and amounts listed in Table 17 for Exemplary Tablet 1I comprising 100 mg of API, i.e.
crystalline Compound 1 Form I or Form II. Exemplary Tablet 1I (formulated to have 100 mg ofcrystalline Compound 1 Form I or Form II) is prepared using a wet high shear granule formulation process. In Table 17, grades/brands were as follows. High Shear Granule Blend—microcrystalline cellulose: Avicel PH101; mannitol: Pearlitol C50; croscarmellose sodium: Acdisol; polyvinylpyrrolidone: Kollidon PVP K30; and in the Core Tablet Composition—microcrystalline cellulose: Avicel PH200; croscarmellose sodium: Acdisol; and magnesium stearate: 5712. -
TABLE 17 mg High Shear Granule Blend Compound 1 Form I or Form II 100 Microcrystalline cellulose 33.3 Mannitol 21.7 Croscarmellose Sodium 3.3 Polyvinylpyrrolidone 4.4 Sodium Lauryl Sulfate 1.1 Core Tablet Composition (100 mg dose, 197 mg image) High Shear Granule Blend 163.9 Microcrystalline cellulose 27.6 Croscarmellose Sodium 3.9 Magnesium Stearate 2.0 - Tablet Formation from Roller Compaction Granule Composition
- Equipment/Process
- Equipment
- Roller Compactors:
Alexanderwerk WP 120, Vector TF-Mini, or Vector TF-Labo. - Screening Weighing
-
Compound 1 and excipients may be screened prior to or after weigh-out. Appropriate screen sizes aremesh 20,mesh 40, ormesh 60.Compound 1 may be pre-blended with one or more of the excipients to simplify screening. - Blending
-
Compound 1 and excipients may be added to the blender in different order. The blending may be performed in a Turbula blender or a v-shell blender. The components may be blended for 10 minutes without lubricant followed by additional blending with lubricant for 3 minutes. - Roller Compaction
- The blend may be roller compacted in ribbons and milled into granules using an
Alexanderwerk WP 120. The rolls used may be the 25 mm rolls using a compaction pressure of 18 to 50 bar, a roller speed of 3 to 12 RPM, and a screw feeder speed of 20 to 80 RPM. The screen sizes of the integrated mill may be 2 mm for the top screen and 0.8 mm for the bottom screen. - Blending
- The roller compacted granules may be blended with extra-granular excipients such as fillers and lubricant using a V-shell blender. The blending time may be 5, 3 or 1 minute(s).
- Compression
- The compression blend has been compressed into tablets using a single station Riva MiniPress with 10 mm tooling. The weight of the tablets for a 100 mg dose may be about 200, 250, or 300 mg.
- Film Coating
- Tablets may be film coated using a pan coater, such as, for example an O'Hara Labcoat.
- Printing
- Film coated tablets may be printed with a monogram on one or both tablet faces with, for example, a Hartnett Delta printer.
- Tablet Formation from High Shear Granule Composition
- Equipment/Process
- Equipment
- Granulator: Procept MiPro with a 250 ml or 1 L granulation bowl.
- Screening/Weighing
-
Compound 1 and excipients may be screened prior to or after weigh-out. Possible screen sizes aremesh 20,mesh 40, ormesh 60.Compound 1 may be pre-blended with one or more of the excipients to simplify screening. - Granulation Operation
- Granulation Fluid—SLS and binder are added to purified water and mixed until dissolved. A suitable ratio is 2.5% w/w SLS and 10.0% w/w PVP K30 in water.
- Granulation—The excipients and
compound 1 are added to the granulation bowl. The order of addition may beCompound 1, disintegrant, diluent, and filler. The components may be mixed in the 250 ml bowl for 1 minute atimpeller speed 1000 RPM andchopper speed 1000 RPM. Granulation may be performed at an impeller speed of 2000 RPM with a chopper speed of 4000 RPM while adding the granulation fluid with a syringe pump at 1.5 to 4.5 g/min. The fluid addition time may be 4 to 12 minutes. After the required binder fluid is added, the granules may be wet-massed for about 10 seconds to about 1 minute. One notable advantage of the present high shear granulation process is using a granulation fluid that comprises both a surfactant and the binder for better granulation through increased wettability. In one embodiment, the surfactant is SLS. - Drying
- The granules may be dried using a vacuum oven, tray dryer, bi-conical dryer, or fluid bed drier. The granules have been dried using a vacuum oven with a nitrogen purge.
- Blending
- The granules may be blended with extra-granular excipients. The granules have been blended with extra-granular disintegrant, diluent, filler, and lubricant. The granules have been blended using the Turbula blender for 3 minutes pre-lubricant and 1 minute with lubricant. A larger scale blender such as a 4-quart V-shell blender may be used.
- Compression
- The compression blend has been compressed into tablets using a single station Riva MiniPress with 8 mm, or 10 mm tooling. The weight of the tablets for a 100 mg dose may be about 160, 200, or 250 mg.
- Film Coating
- Tablets may be film coated using a pan coater, such as, for example an O'Hara Labcoat.
- Printing
- Film coated tablets may be printed with a monogram on one or both tablet faces with, for example, a Hartnett Delta printer.
- Dosing Administration Schedule
- In another aspect, the invention relates to a method of treating a CFTR mediated disease in a subject comprising administering to a subject in need thereof an effective amount of the pharmaceutical composition provided by the invention. In another embodiment, the pharmaceutical composition is administered to the subject once every two weeks. In another embodiment, the pharmaceutical composition is administered to the subject once a week. In another embodiment, the pharmaceutical composition is administered to the subject once every three days. In another embodiment, the pharmaceutical composition is administered to the subject once a day. In one embodiment, when the pharmaceutical composition is a tablet according to Table 9, 10, 11, 12, 13, 14, 15, 16, or 17 dosing is once a day.
- Assays for Detecting and Measuring ΔF508-CFTR Correction Properties of Compounds
- Membrane potential optical methods for assaying ΔF508-CFTR modulation properties of compounds.
- The optical membrane potential assay utilized voltage-sensitive FRET sensors described by Gonzalez and Tsien (See Gonzalez, J. E. and R. Y. Tsien (1995) “Voltage sensing by fluorescence resonance energy transfer in single cells” Biophys J 69(4): 1272-80, and Gonzalez, J. E. and R. Y. Tsien (1997) “Improved indicators of cell membrane potential that use fluorescence resonance energy transfer” Chem Biol 4(4): 269-77) in combination with instrumentation for measuring fluorescence changes such as the Voltage/Ion Probe Reader (VIPR) (See, Gonzalez, J. E., K. Oades, et al. (1999) “Cell-based assays and instrumentation for screening ion-channel targets” Drug Discov Today 4(9): 431-439).
- These voltage sensitive assays are based on the change in fluorescence resonant energy transfer (FRET) between the membrane-soluble, voltage-sensitive dye, DiSBAC2(3), and a fluorescent phospholipid, CC2-DMPE, which is attached to the outer leaflet of the plasma membrane and acts as a FRET donor. Changes in membrane potential (Vm) cause the negatively charged DiSBAC2(3) to redistribute across the plasma membrane and the amount of energy transfer from CC2-DMPE changes accordingly. The changes in fluorescence emission were monitored using VIPR™ II, which is an integrated liquid handler and fluorescent detector designed to conduct cell-based screens in 96- or 384-well microtiter plates.
- To identify small molecules that correct the trafficking defect associated with ΔF508-CFTR; a single-addition HTS assay format was developed. The cells were incubated in serum-free medium for 16 hrs at 37° C. in the presence or absence (negative control) of test compound. As a positive control, cells plated in 384-well plates were incubated for 16 hrs at 27° C. to “temperature-correct” ΔF508-CFTR. The cells were subsequently rinsed 3× with Krebs Ringers solution and loaded with the voltage-sensitive dyes. To activate ΔF508-CFTR, 10 μM forskolin and the CFTR potentiator, genistein (20 μM), were added along with Cl−-free medium to each well. The addition of Cl−-free medium promoted Cl− efflux in response to ΔF508-CFTR activation and the resulting membrane depolarization was optically monitored using the FRET-based voltage-sensor dyes.
- To identify potentiators of ΔF508-CFTR, a double-addition HTS assay format was developed. During the first addition, a Cl−-free medium with or without test compound was added to each well. After 22 sec, a second addition of Cl−-free medium containing 2-10 μM forskolin was added to activate ΔF508-CFTR. The extracellular Cl− concentration following both additions was 28 mM, which promoted Cl− efflux in response to ΔF508-CFTR activation and the resulting membrane depolarization was optically monitored using the FRET-based voltage-sensor dyes.
- Bath Solution #1: (in mM)
NaCl 160, KCl 4.5,CaCl 2 2,MgCl 2 1,HEPES 10, pH 7.4 with NaOH. - Chloride-free bath solution: Chloride salts in
Bath Solution # 1 are substituted with gluconate salts. - CC2-DMPE: Prepared as a 10 mM stock solution in DMSO and stored at −20° C. DiSBAC2(3): Prepared as a 10 mM stock in DMSO and stored at −20° C.
- NIH3T3 mouse fibroblasts stably expressing ΔF508-CFTR are used for optical measurements of membrane potential. The cells are maintained at 37° C. in 5% CO2 and 90% humidity in Dulbecco's modified Eagle's medium supplemented with 2 mM glutamine, 10% fetal bovine serum, 1×NEAA, β-ME, 1× pen/strep, and 25 mM HEPES in 175 cm2 culture flasks. For all optical assays, the cells were seeded at 30,000/well in 384-well matrigel-coated plates and cultured for 2 hrs at 37° C. before culturing at 27° C. for 24 hrs for the potentiator assay. For the correction assays, the cells are cultured at 27° C. or 37° C. with and without compounds for 16-24 hours.
- Electrophysiological Assays for Assaying ΔF508-CFTR Modulation Properties of Compounds
- Using chamber experiments were performed on polarized epithelial cells expressing ΔF508-CFTR to further characterize the ΔF508-CFTR modulators identified in the optical assays. FRTΔF508-CFTR epithelial cells grown on Costar Snapwell cell culture inserts were mounted in an Using chamber (Physiologic Instruments, Inc., San Diego, Calif.), and the monolayers were continuously short-circuited using a Voltage-clamp System (Department of Bioengineering, University of Iowa, IA, and, Physiologic Instruments, Inc., San Diego, Calif.). Transepithelial resistance was measured by applying a 2-mV pulse. Under these conditions, the FRT epithelia demonstrated resistances of 4 KΩ/cm2 or more. The solutions were maintained at 27° C. and bubbled with air. The electrode offset potential and fluid resistance were corrected using a cell-free insert. Under these conditions, the current reflects the flow of Cl− through ΔF508-CFTR expressed in the apical membrane. The Isc was digitally acquired using an MP100A-CE interface and AcqKnowledge software (v3.2.6; BIOPAC Systems, Santa Barbara, Calif.).
- Typical protocol utilized a basolateral to apical membrane Cl− concentration gradient. To set up this gradient, normal ringer was used on the basolateral membrane, whereas apical NaCl was replaced by equimolar sodium gluconate (titrated to pH 7.4 with NaOH) to give a large Cl− concentration gradient across the epithelium. All experiments were performed with intact monolayers. To fully activate ΔF508-CFTR, forskolin (10 μM) and the PDE inhibitor, IBMX (100 μM), were applied followed by the addition of the CFTR potentiator, genistein (50 μM).
- As observed in other cell types, incubation at low temperatures of FRT cells stably expressing ΔF508-CFTR increases the functional density of CFTR in the plasma membrane. To determine the activity of correction compounds, the cells were incubated with 10 μM of the test compound for 24 hours at 37° C. and were subsequently washed 3× prior to recording. The cAMP- and genistein-mediated Isc in compound-treated cells was normalized to the 27° C. and 37° C. controls and expressed as percentage activity. Preincubation of the cells with the correction compound significantly increased the cAMP- and genistein-mediated Isc compared to the 37° C. controls.
- Typical protocol utilized a basolateral to apical membrane Cl− concentration gradient. To set up this gradient, normal ringers was used on the basolateral membrane and was permeabilized with nystatin (360 μg/ml), whereas apical NaCl was replaced by equimolar sodium gluconate (titrated to pH 7.4 with NaOH) to give a large Cl− concentration gradient across the epithelium. All experiments were performed 30 min after nystatin permeabilization. Forskolin (10 μM) and all test compounds were added to both sides of the cell culture inserts. The efficacy of the putative ΔF508-CFTR potentiators was compared to that of the known potentiator, genistein.
- Basolateral solution (in mM): NaCl (135), CaCl2 (1.2), MgCl2 (1.2), K2HPO4 (2.4), KHPO4 (0.6), N-2-hydroxyethylpiperazine-N′-2-ethanesulfonic acid (HEPES) (10), and dextrose (10). The solution was titrated to pH 7.4 with NaOH.
- Apical solution (in mM): Same as basolateral solution with NaCl replaced with Na Gluconate (135).
- Fisher rat epithelial (FRT) cells expressing ΔF508-CFTR (FRTΔF508-CFTR) were used for Using chamber experiments for the putative ΔF508-CFTR modulators identified from our optical assays. The cells were cultured on Costar Snapwell cell culture inserts and cultured for five days at 37° C. and 5% CO2 in Coon's modified Ham's F-12 medium supplemented with 5% fetal calf serum, 100 U/ml penicillin, and 100 μg/ml streptomycin. Prior to use for characterizing the potentiator activity of compounds, the cells were incubated at 27° C. for 16-48 hrs to correct for the ΔF508-CFTR. To determine the activity of corrections compounds, the cells were incubated at 27° C. or 37° C. with and without the compounds for 24 hours.
- The macroscopic ΔF508-CFTR current (IΔF508) in temperature- and test compound-corrected NIH3T3 cells stably expressing ΔF508-CFTR were monitored using the perforated-patch, whole-cell recording. Briefly, voltage-clamp recordings of IΔF508 were performed at room temperature using an Axopatch 200B patch-clamp amplifier (Axon Instruments Inc., Foster City, Calif.). All recordings were acquired at a sampling frequency of 10 kHz and low-pass filtered at 1 kHz. Pipettes had a resistance of 5-6 MΩ when filled with the intracellular solution. Under these recording conditions, the calculated reversal potential for Cl− (ECl) at room temperature was −28 mV. All recordings had a seal resistance >20 GΩ and a series resistance <15 MΩ. Pulse generation, data acquisition, and analysis were performed using a PC equipped with a Digidata 1320 A/D interface in conjunction with Clampex 8 (Axon Instruments Inc.). The bath contained <250 μl of saline and was continuously perifused at a rate of 2 ml/min using a gravity-driven perfusion system,
- To determine the activity of correction compounds for increasing the density of functional ΔF508-CFTR in the plasma membrane, we used the above-described perforated-patch-recording techniques to measure the current density following 24-hr treatment with the correction compounds. To fully activate ΔF508-CFTR, 10 μM forskolin and 20 μM genistein were added to the cells. Under our recording conditions, the current density following 24-hr incubation at 27° C. was higher than that observed following 24-hr incubation at 37° C. These results are consistent with the known effects of low-temperature incubation on the density of ΔF508-CFTR in the plasma membrane. To determine the effects of correction compounds on CFTR current density, the cells were incubated with 10 μM of the test compound for 24 hours at 37° C. and the current density was compared to the 27° C. and 37° C. controls (% activity). Prior to recording, the cells were washed 3× with extracellular recording medium to remove any remaining test compound. Preincubation with 10 μM of correction compounds significantly increased the cAMP- and genistein-dependent current compared to the 37° C. controls.
- The ability of ΔF508-CFTR potentiators to increase the macroscopic ΔF508-CFTR C1 current (IΔF508) in NIH3T3 cells stably expressing ΔF508-CFTR was also investigated using perforated-patch-recording techniques. The potentiators identified from the optical assays evoked a dose-dependent increase in IΔF508 with similar potency and efficacy observed in the optical assays. In all cells examined, the reversal potential before and during potentiator application was around −30 mV, which is the calculated ECl (−28 mV).
- Intracellular solution (in mM): Cs-aspartate (90), CsCl (50), MgCl2 (1), HEPES (10), and 240 μg/ml amphotericin-B (pH adjusted to 7.35 with CsOH).
- Extracellular solution (in mM): N-methyl-
D -glucamine (NMDG)-Cl (150), MgCl2 (2), CaCl2 (2), HEPES (10) (pH adjusted to 7.35 with HCl). - NIH3T3 mouse fibroblasts stably expressing ΔF508-CFTR are used for whole-cell recordings. The cells are maintained at 37° C. in 5% C02 and 90% humidity in Dulbecco's modified Eagle's medium supplemented with 2 mM glutamine, 10% fetal bovine serum, 1×NEAA, β-ME, 1× pen/strep, and 25 mM HEPES in 175 cm2 culture flasks. For whole-cell recordings, 2,500-5,000 cells were seeded on poly-L-lysine-coated glass coverslips and cultured for 24-48 hrs at 27° C. before use to test the activity of potentiators; and incubated with or without the correction compound at 37° C. for measuring the activity of correctors.
- The single-channel activities of temperature-corrected ΔF508-CFTR stably expressed in NIH3T3 cells and activities of potentiator compounds were observed using excised inside-out membrane patch. Briefly, voltage-clamp recordings of single-channel activity were performed at room temperature with an Axopatch 200B patch-clamp amplifier (Axon Instruments Inc.). All recordings were acquired at a sampling frequency of 10 kHz and low-pass filtered at 400 Hz. Patch pipettes were fabricated from Corning Kovar Sealing #7052 glass (World Precision Instruments, Inc., Sarasota, Fla.) and had a resistance of 5-8 MΩ when filled with the extracellular solution. The ΔF508-CFTR was activated after excision, by adding 1 mM Mg-ATP, and 75 nM of the cAMP-dependent protein kinase, catalytic subunit (PKA; Promega Corp. Madison, Wis.). After channel activity stabilized, the patch was perifused using a gravity-driven microperfusion system. The inflow was placed adjacent to the patch, resulting in complete solution exchange within 1-2 sec. To maintain ΔF508-CFTR activity during the rapid perifusion, the nonspecific phosphatase inhibitor F− (10 mM NaF) was added to the bath solution. Under these recording conditions, channel activity remained constant throughout the duration of the patch recording (up to 60 min). Currents produced by positive charge moving from the intra- to extracellular solutions (anions moving in the opposite direction) are shown as positive currents. The pipette potential (Vp) was maintained at 80 mV.
- Channel activity was analyzed from membrane patches containing ≤2 active channels. The maximum number of simultaneous openings determined the number of active channels during the course of an experiment. To determine the single-channel current amplitude, the data recorded from 120 sec of ΔF508-CFTR activity was filtered “off-line” at 100 Hz and then used to construct all-point amplitude histograms that were fitted with multigaussian functions using Bio-Patch Analysis software (Bio-Logic Comp. France). The total microscopic current and open probability (Po) were determined from 120 sec of channel activity. The Po was determined using the Bio-Patch software or from the relationship Po=I/i(N), where I=mean current, i=single-channel current amplitude, and N=number of active channels in patch.
- Extracellular solution (in mM): NMDG (150), aspartic acid (150), CaCl2 (5), MgCl2 (2), and HEPES (10) (pH adjusted to 7.35 with Tris base).
- Intracellular solution (in mM): NMDG-Cl (150), MgCl2 (2), EGTA (5), TES (10), and Tris base (14) (pH adjusted to 7.35 with HCl).
- NIH3T3 mouse fibroblasts stably expressing ΔF508-CFTR are used for excised-membrane patch-clamp recordings. The cells are maintained at 37° C. in 5% CO2 and 90% humidity in Dulbecco's modified Eagle's medium supplemented with 2 mM glutamine, 10% fetal bovine serum, 1×NEAA, β-ME, 1× pen/strep, and 25 mM HEPES in 175 cm2 culture flasks. For single channel recordings, 2,500-5,000 cells were seeded on poly-L-lysine-coated glass coverslips and cultured for 24-48 hrs at 27° C. before use.
- Using the procedures described above, the activity, i.e., EC50s, of
Compound 1 has been measured and is shown in Table 18. -
TABLE 18 IC50/EC50 Bins: +++ <= 2.0 < ++ <= 5.0 < + PercentActivity Bins: + <= 25.0 < ++ <= 100.0 < +++ Cmpd. No. BinnedEC50 BinnedMaxEfficacy 1 +++ +++ - All publications and patents referred to in this disclosure are incorporated herein by reference to the same extent as if each individual publication or patent application were specifically and individually indicated to be incorporated by reference. Should the meaning of the terms in any of the patents or publications incorporated by reference conflict with the meaning of the terms used in this disclosure, the meaning of the terms in this disclosure are intended to be controlling. Furthermore, the foregoing discussion discloses and describes merely exemplary embodiments of the invention. One skilled in the art will readily recognize from such discussion and from the accompanying drawings and claims, that various changes, modifications and variations can be made therein without departing from the spirit and scope of the invention as defined in the following claims.
Claims (37)
1.-55. (canceled)
56. A tablet for oral administration comprising:
a. 3-(6-(1-(2,2-difluorobenzo[d][1,3]dioxol-5-yl)cyclopropanecarboxamido)-3-methylpyridin-2-yl)benzoic acid (Compound 1) Form I wherein the Compound 1 Form I is present in an amount ranging from 25 mg to 250 mg;
b. a filler;
c. a diluent;
d. a disintegrant;
e. a surfactant;
f a lubricant; and
g. a binder;
wherein the binder is polyvinylpyrrolidone.
57. A tablet for oral administration comprising:
a. Compound 1 Form I wherein the Compound 1 Form I is present in an amount ranging from 25 mg to 250 mg;
b. a filler;
c. a disintegrant;
d. a surfactant;
e. a lubricant; and
f. a binder;
wherein the disintegrant is croscarmellose sodium.
58. A tablet for oral administration comprising:
a. Compound 1 Form I wherein the Compound 1 Form I is present in an amount ranging from 25 mg to 250 mg;
b. a filler;
c. a disintegrant;
d. a surfactant;
e. a lubricant; and
f. a binder;
wherein the surfactant is sodium lauryl sulfate and is present in an amount of 0.6 wt % to 2 wt % by weight of the tablet.
59. A tablet for oral administration comprising:
a. Compound 1 Form I wherein the Compound 1 Form I is present in an amount ranging from 25 mg to 250 mg;
b. a filler;
c. a disintegrant;
d. a surfactant;
e. a lubricant; and
f. a binder;
wherein Compound 1 Form I is present in an amount of 30 to 70 wt % by weight of the tablet; and
wherein the tablet further comprises an additional therapeutic agent which is N-(5-hydroxy-2,4-ditert-butylphenyl)-4-oxo-1H-quinoline-3-carboxamide.
60. The tablet as claimed in claim 56 , wherein the tablet further comprises an additional therapeutic agent which is N-(5-hydroxy-2,4-ditert-butylphenyl)-4-oxo-1H-quinoline-3-carboxamide.
61. The tablet as claimed in claim 57 , wherein the tablet further comprises an additional therapeutic agent which is N-(5-hydroxy-2,4-ditert-butylphenyl)-4-oxo-1H-quinoline-3-carboxamide.
62. The tablet as claimed in claim 58 , wherein the tablet further comprises an additional therapeutic agent which is N-(5-hydroxy-2,4-ditert-butylphenyl)-4-oxo-1H-quinoline-3-carboxamide.
63. The tablet as claimed in claim 56 , wherein Compound 1 Form I is present in an amount of 30 to 70 wt % by weight of the tablet.
64. The tablet as claimed in claim 63 , wherein Compound 1 Form I is present in the tablet in an amount of 30 to 60 wt % by weight of the tablet.
65. The tablet as claimed in claim 56 , wherein the disintegrant is croscarmellose sodium.
66. The tablet as claimed in claim 56 , wherein the surfactant is sodium lauryl sulfate and is present in an amount of 0.6 wt % to 2 wt % by weight of the tablet.
67. The tablet as claimed in claim 56 , wherein the Compound 1 Form I is present in the tablet in an amount of 200 mg.
68. The tablet as claimed in claim 56 , wherein the filler is selected from cellulose, modified cellulose, sodium carboxymethyl cellulose, ethyl cellulose hydroxymethyl cellulose, hydroxypropylcellulose, cellulose acetate, microcrystalline cellulose, dibasic calcium phosphate, sucrose, lactose, corn starch, potato starch, and any combination thereof.
69. The tablet as claimed in claim 68 , wherein the filler is microcrystalline cellulose (MCC) and is present in the tablet in an amount ranging from 20 wt % to 55 wt % by weight of the tablet.
70. The tablet as claimed in claim 56 , wherein the disintegrant is croscarmellose sodium and is present in the tablet at a concentration of 2.5 to 6 wt % by weight of the tablet.
71. The tablet as claimed in claim 56 , wherein the polyvinylpyrrolidone is present at a concentration of 1 to 8 wt % by weight of the tablet.
72. The tablet as claimed in claim 56 , wherein the lubricant is selected from magnesium stearate, calcium stearate, zinc stearate, sodium stearate, stearic acid, aluminum stearate, leucine, glyceryl behenate, hydrogenated vegetable oil, and any combination thereof.
73. The tablet as claimed in claim 72 , wherein the lubricant is magnesium stearate and is present at a concentration of 0.15 to 4.5 wt % by weight of the tablet.
74. The tablet as claimed in claim 56 , wherein the tablet further comprises a colorant.
75. The tablet as claimed in claim 56 ,
wherein the surfactant is sodium lauryl sulfate and is present in an amount of 0.6 wt % to 2 wt % by weight of the tablet; and
wherein the tablet further comprises an additional therapeutic agent which is N-(5-hydroxy-2,4-ditert-butylphenyl)-4-oxo-1H-quinoline-3-carboxamide.
76. The tablet as claimed in claim 56 ,
wherein the polyvinylpyrrolidone is present at a concentration of 1 to 8 wt % by weight of the tablet;
wherein the disintegrant is croscarmellose sodium; and
wherein the surfactant is sodium lauryl sulfate and is present in an amount of 0.6 wt % to 2 wt % by weight of the tablet.
77. The tablet as claimed in claim 56 ,
wherein the filler is microcrystalline cellulose (MCC) and is present in the tablet in an amount of 25 to 50 wt % by weight of the tablet;
wherein the disintegrant is croscarmellose sodium and is present in the tablet at a concentration of 2.5 to 6 wt % by weight of the tablet;
wherein the surfactant is sodium lauryl sulfate at a concentration of 0.6 to 2 wt % by weight of the tablet;
wherein the lubricant is magnesium stearate at a concentration of 0.15 to 4.5 wt % by weight of the tablet; and
wherein the polyvinylpyrrolidone is present at a concentration of 2 to 5 wt % by weight of the tablet.
78. The tablet as claimed in claim 56 ,
wherein the filler is microcrystalline cellulose (MCC) and is present in the tablet in an amount of 25 wt % by weight of the tablet;
wherein the disintegrant is croscarmellose sodium and is present in the tablet at a concentration of 6 wt % by weight of the tablet;
wherein the surfactant is sodium lauryl sulfate at a concentration of 0.8 wt % by weight of the tablet;
wherein the lubricant is magnesium stearate at a concentration of 1 wt % by weight of the tablet; and
wherein the polyvinylpyrrolidone is present at a concentration of 2 wt % by weight of the tablet.
79. A method of treating or lessening the severity of cystic fibrosis in a subject, comprising administering to the subject a tablet as claimed in claim 56 .
80. The method as claimed in claim 79 , wherein subject is homozygous for the ΔF508 mutation of the Cystic Fibrosis Transmembrane Conductance Regulator (CFTR) gene.
81. A method of treating or lessening the severity of cystic fibrosis in a subject, comprising administering to the subject a tablet as claimed in claim 57 .
82. The method as claimed in claim 81 , wherein subject is homozygous for the ΔF508 mutation of the Cystic Fibrosis Transmembrane Conductance Regulator (CFTR) gene.
83. A method of treating or lessening the severity of cystic fibrosis in a subject, comprising administering to the subject a tablet as claimed in claim 58 .
84. The method as claimed in claim 83 , wherein subject is homozygous for the ΔF508 mutation of the Cystic Fibrosis Transmembrane Conductance Regulator (CFTR) gene.
85. A method of treating or lessening the severity of cystic fibrosis in a subject, comprising administering to the subject a tablet as claimed in claim 59 .
86. The method as claimed in claim 85 , wherein subject is homozygous for the ΔF508 mutation of the Cystic Fibrosis Transmembrane Conductance Regulator (CFTR) gene.
87. The tablet as claimed in claim 56 , wherein the Form I is characterized by at least one peak having a 20 value selected from 15.4±0.2 degrees, 16.3±0.2 degrees, and 14.5±0.2 degrees in an X-ray powder diffraction obtained using Cu K alpha radiation.
88. The tablet as claimed in claim 56 , wherein the Form I is characterized by a peak having a 20 value at 15.4±0.2 degrees in an X-ray powder diffraction obtained using Cu K alpha radiation.
89. The tablet as claimed in claim 56 , wherein the Form I is characterized by a peak having a 20 value at 16.3±0.2 degrees in an X-ray powder diffraction obtained using Cu K alpha radiation.
90. The tablet as claimed in claim 56 , wherein the Form I is characterized by a peak having a 20 value at 14.5±0.2 degrees in an X-ray powder diffraction obtained using Cu K alpha radiation.
91. The tablet as claimed in claim 56 , wherein the Form I is characterized by a diffraction pattern substantially similar to that of FIG. 2 .
Priority Applications (3)
| Application Number | Priority Date | Filing Date | Title |
|---|---|---|---|
| US16/050,029 US20190070155A1 (en) | 2010-04-07 | 2018-07-31 | Pharmaceutical compositions of 3-(6-(1-(2,2-difluorobenzo[d][1,3]dioxol-5-yl) cyclopropanecarboxamido)-3-methylpyridin-2-yl) benzoic acid and administration thereof |
| US16/530,240 US11052075B2 (en) | 2010-04-07 | 2019-08-02 | Pharmaceutical compositions of 3-(6-(1-(2,2-difluorobenzo[d][1,3]dioxol-5-yl) cyclopropanecarboxamido)-3-methylpyridin-2-yl) benzoic acid and administration thereof |
| US17/333,478 US20220031679A1 (en) | 2010-04-07 | 2021-05-28 | Pharmaceutical compositions of 3-(6-(1-(2,2-difluorobenzo[d][1,3]dioxol-5-yl) cyclopropanecarboxamido)-3-methylpyridin-2-yl) benzoic acid and administration thereof |
Applications Claiming Priority (8)
| Application Number | Priority Date | Filing Date | Title |
|---|---|---|---|
| US32172910P | 2010-04-07 | 2010-04-07 | |
| US32174810P | 2010-04-07 | 2010-04-07 | |
| US36656210P | 2010-07-22 | 2010-07-22 | |
| US13/081,750 US8552034B2 (en) | 2010-04-07 | 2011-04-07 | Pharmaceutical compositions of 3-(6-(1-(2,2-difluorobenzo[d][1,3]dioxol-5-yl) cyclopropanecarboxamido)-3-methylpyridin-2-yl)benzoic acid and administration thereof |
| US14/031,360 US20140023706A1 (en) | 2010-04-07 | 2013-09-19 | Pharmaceutical compositions of 3-(6-(1-(2,2-difluorobenzo[d][1,3]dioxol-5-yl) cyclopropanecarboxamido)-3-methylpyridin-2-yl)benzoic acid and administration thereof |
| US14/542,396 US9241934B2 (en) | 2010-04-07 | 2014-11-14 | Pharmaceutical compositions of 3-(6-(1-(2,2-difluorobenzo[D][1,3]dioxol-5-yl) cyclopropanecarboxamido)-3-methylpyridin-2-yl)benzoic acid and administration thereof |
| US15/001,036 US10076513B2 (en) | 2010-04-07 | 2016-01-19 | Pharmaceutical compositions of 3-(6-(1-(2,2-difluorobenzo[D][1,3]dioxol-5-yl) cyclopropanecarboxamido)-3-methylpyridin-2-yl) benzoic acid and administration thereof |
| US16/050,029 US20190070155A1 (en) | 2010-04-07 | 2018-07-31 | Pharmaceutical compositions of 3-(6-(1-(2,2-difluorobenzo[d][1,3]dioxol-5-yl) cyclopropanecarboxamido)-3-methylpyridin-2-yl) benzoic acid and administration thereof |
Related Parent Applications (1)
| Application Number | Title | Priority Date | Filing Date |
|---|---|---|---|
| US15/001,036 Continuation US10076513B2 (en) | 2010-04-07 | 2016-01-19 | Pharmaceutical compositions of 3-(6-(1-(2,2-difluorobenzo[D][1,3]dioxol-5-yl) cyclopropanecarboxamido)-3-methylpyridin-2-yl) benzoic acid and administration thereof |
Related Child Applications (1)
| Application Number | Title | Priority Date | Filing Date |
|---|---|---|---|
| US16/530,240 Continuation US11052075B2 (en) | 2010-04-07 | 2019-08-02 | Pharmaceutical compositions of 3-(6-(1-(2,2-difluorobenzo[d][1,3]dioxol-5-yl) cyclopropanecarboxamido)-3-methylpyridin-2-yl) benzoic acid and administration thereof |
Publications (1)
| Publication Number | Publication Date |
|---|---|
| US20190070155A1 true US20190070155A1 (en) | 2019-03-07 |
Family
ID=47075277
Family Applications (8)
| Application Number | Title | Priority Date | Filing Date |
|---|---|---|---|
| US13/081,750 Active 2031-05-06 US8552034B2 (en) | 2010-04-07 | 2011-04-07 | Pharmaceutical compositions of 3-(6-(1-(2,2-difluorobenzo[d][1,3]dioxol-5-yl) cyclopropanecarboxamido)-3-methylpyridin-2-yl)benzoic acid and administration thereof |
| US13/646,130 Abandoned US20130095181A1 (en) | 2010-04-07 | 2012-10-05 | Pharmaceutical compositions of 3-(6-(1-(2,2-difluorobenzo[d][1,3]dioxol-5-yl) cyclopropanecarboxamido)-3-methylpyriodin-2-yl)benzoic acid and administration thereof |
| US14/031,360 Abandoned US20140023706A1 (en) | 2010-04-07 | 2013-09-19 | Pharmaceutical compositions of 3-(6-(1-(2,2-difluorobenzo[d][1,3]dioxol-5-yl) cyclopropanecarboxamido)-3-methylpyridin-2-yl)benzoic acid and administration thereof |
| US14/542,396 Active US9241934B2 (en) | 2010-04-07 | 2014-11-14 | Pharmaceutical compositions of 3-(6-(1-(2,2-difluorobenzo[D][1,3]dioxol-5-yl) cyclopropanecarboxamido)-3-methylpyridin-2-yl)benzoic acid and administration thereof |
| US15/001,036 Active US10076513B2 (en) | 2010-04-07 | 2016-01-19 | Pharmaceutical compositions of 3-(6-(1-(2,2-difluorobenzo[D][1,3]dioxol-5-yl) cyclopropanecarboxamido)-3-methylpyridin-2-yl) benzoic acid and administration thereof |
| US16/050,029 Abandoned US20190070155A1 (en) | 2010-04-07 | 2018-07-31 | Pharmaceutical compositions of 3-(6-(1-(2,2-difluorobenzo[d][1,3]dioxol-5-yl) cyclopropanecarboxamido)-3-methylpyridin-2-yl) benzoic acid and administration thereof |
| US16/530,240 Active US11052075B2 (en) | 2010-04-07 | 2019-08-02 | Pharmaceutical compositions of 3-(6-(1-(2,2-difluorobenzo[d][1,3]dioxol-5-yl) cyclopropanecarboxamido)-3-methylpyridin-2-yl) benzoic acid and administration thereof |
| US17/333,478 Abandoned US20220031679A1 (en) | 2010-04-07 | 2021-05-28 | Pharmaceutical compositions of 3-(6-(1-(2,2-difluorobenzo[d][1,3]dioxol-5-yl) cyclopropanecarboxamido)-3-methylpyridin-2-yl) benzoic acid and administration thereof |
Family Applications Before (5)
| Application Number | Title | Priority Date | Filing Date |
|---|---|---|---|
| US13/081,750 Active 2031-05-06 US8552034B2 (en) | 2010-04-07 | 2011-04-07 | Pharmaceutical compositions of 3-(6-(1-(2,2-difluorobenzo[d][1,3]dioxol-5-yl) cyclopropanecarboxamido)-3-methylpyridin-2-yl)benzoic acid and administration thereof |
| US13/646,130 Abandoned US20130095181A1 (en) | 2010-04-07 | 2012-10-05 | Pharmaceutical compositions of 3-(6-(1-(2,2-difluorobenzo[d][1,3]dioxol-5-yl) cyclopropanecarboxamido)-3-methylpyriodin-2-yl)benzoic acid and administration thereof |
| US14/031,360 Abandoned US20140023706A1 (en) | 2010-04-07 | 2013-09-19 | Pharmaceutical compositions of 3-(6-(1-(2,2-difluorobenzo[d][1,3]dioxol-5-yl) cyclopropanecarboxamido)-3-methylpyridin-2-yl)benzoic acid and administration thereof |
| US14/542,396 Active US9241934B2 (en) | 2010-04-07 | 2014-11-14 | Pharmaceutical compositions of 3-(6-(1-(2,2-difluorobenzo[D][1,3]dioxol-5-yl) cyclopropanecarboxamido)-3-methylpyridin-2-yl)benzoic acid and administration thereof |
| US15/001,036 Active US10076513B2 (en) | 2010-04-07 | 2016-01-19 | Pharmaceutical compositions of 3-(6-(1-(2,2-difluorobenzo[D][1,3]dioxol-5-yl) cyclopropanecarboxamido)-3-methylpyridin-2-yl) benzoic acid and administration thereof |
Family Applications After (2)
| Application Number | Title | Priority Date | Filing Date |
|---|---|---|---|
| US16/530,240 Active US11052075B2 (en) | 2010-04-07 | 2019-08-02 | Pharmaceutical compositions of 3-(6-(1-(2,2-difluorobenzo[d][1,3]dioxol-5-yl) cyclopropanecarboxamido)-3-methylpyridin-2-yl) benzoic acid and administration thereof |
| US17/333,478 Abandoned US20220031679A1 (en) | 2010-04-07 | 2021-05-28 | Pharmaceutical compositions of 3-(6-(1-(2,2-difluorobenzo[d][1,3]dioxol-5-yl) cyclopropanecarboxamido)-3-methylpyridin-2-yl) benzoic acid and administration thereof |
Country Status (25)
| Country | Link |
|---|---|
| US (8) | US8552034B2 (en) |
| EP (3) | EP4005559B1 (en) |
| JP (3) | JP2013523833A (en) |
| CN (3) | CN106943403A (en) |
| AR (1) | AR081760A1 (en) |
| AU (1) | AU2011237601B2 (en) |
| BR (1) | BR112012026255A2 (en) |
| CA (1) | CA2795804C (en) |
| CY (1) | CY1124852T1 (en) |
| DK (1) | DK3150198T3 (en) |
| ES (3) | ES3017582T3 (en) |
| HR (1) | HRP20211752T1 (en) |
| HU (1) | HUE056525T2 (en) |
| IL (2) | IL222314A (en) |
| LT (1) | LT3150198T (en) |
| MX (2) | MX364937B (en) |
| NZ (2) | NZ708598A (en) |
| PL (1) | PL3150198T3 (en) |
| PT (1) | PT3150198T (en) |
| RS (1) | RS62767B1 (en) |
| RU (1) | RU2592368C2 (en) |
| SI (1) | SI3150198T1 (en) |
| SM (1) | SMT202100670T1 (en) |
| WO (1) | WO2011127241A2 (en) |
| ZA (1) | ZA201208225B (en) |
Cited By (15)
| Publication number | Priority date | Publication date | Assignee | Title |
|---|---|---|---|---|
| US10626111B2 (en) | 2004-01-30 | 2020-04-21 | Vertex Pharmaceuticals Incorporated | Modulators of ATP-binding cassette transporters |
| US10662192B2 (en) | 2004-06-24 | 2020-05-26 | Vertex Pharmaceuticals Incorporated | Modulators of ATP-binding cassette transporters |
| US10975061B2 (en) | 2006-04-07 | 2021-04-13 | Vertex Pharmaceuticals Incorporated | Modulators of ATP-binding cassette transporters |
| US11052075B2 (en) | 2010-04-07 | 2021-07-06 | Vertex Pharmaceuticals Incorporated | Pharmaceutical compositions of 3-(6-(1-(2,2-difluorobenzo[d][1,3]dioxol-5-yl) cyclopropanecarboxamido)-3-methylpyridin-2-yl) benzoic acid and administration thereof |
| US11147770B2 (en) | 2012-02-27 | 2021-10-19 | Vertex Pharmaceuticals Incorporated | Pharmaceutical composition and administrations thereof |
| US11291662B2 (en) | 2005-12-28 | 2022-04-05 | Vertex Pharmaceuticals Incorporated | Solid forms of n-[2,4-bis(1,1-dimethylethyl)-5-hydroxyphenyl]-1,4-dihydro-4-oxoquinoline-3-carboxamide |
| US11564916B2 (en) | 2008-08-13 | 2023-01-31 | Vertex Pharmaceuticals Incorporated | Pharmaceutical composition and administrations thereof |
| US11578062B2 (en) | 2010-03-25 | 2023-02-14 | Vertex Pharmaceuticals Incorporated | Solid forms of (R)-1(2,2-difluorobenzo[d][1,3]dioxol-5-yl)-N-(1-(2,3-dihydroxypropyl)-6-fluoro-2-(1-hydroxy-2-methylpropan-2-yl)-1H-indol-5-yl)cyclopropanecarboxamide |
| US11951212B2 (en) | 2014-04-15 | 2024-04-09 | Vertex Pharmaceuticals Incorporated | Pharmaceutical compositions for the treatment of cystic fibrosis transmembrane conductance regulator mediated diseases |
| US12065432B2 (en) | 2007-12-07 | 2024-08-20 | Vertex Pharmaceuticals Incorporated | Solid forms of 3-(6-(1-(2,2-difluorobenzo[d][1,3]dioxol-5-yl)cyclopropanecarboxamido)-3-methylpyridin-2-yl) benzoic acid |
| US12269831B2 (en) | 2020-08-07 | 2025-04-08 | Vertex Pharmaceuticals Incorporated | Modulators of cystic fibrosis transmembrane conductance regulator |
| US12324802B2 (en) | 2020-11-18 | 2025-06-10 | Vertex Pharmaceuticals Incorporated | Modulators of cystic fibrosis transmembrane conductance regulator |
| USRE50453E1 (en) | 2006-04-07 | 2025-06-10 | Vertex Pharmaceuticals Incorporated | Indole derivatives as CFTR modulators |
| US12458635B2 (en) | 2008-08-13 | 2025-11-04 | Vertex Pharmaceuticals Incorporated | Pharmaceutical composition and administrations thereof |
| US12508231B2 (en) | 2012-01-25 | 2025-12-30 | Vertex Pharmaceuticals Incorporated | Formulations of 3-(6-(1-(2,2-difluorobenzo[d][1,3]dioxol-5-yl) cyclopropanecarboxamido)-3-methylpyridin-2-yl)benzoic acid |
Families Citing this family (80)
| Publication number | Priority date | Publication date | Assignee | Title |
|---|---|---|---|---|
| AU2004272599A1 (en) | 2003-09-06 | 2005-03-24 | Vertex Pharmaceuticals Incorporated | Modulators of ATP-binding cassette transporters |
| US7977322B2 (en) | 2004-08-20 | 2011-07-12 | Vertex Pharmaceuticals Incorporated | Modulators of ATP-binding cassette transporters |
| CA2618057A1 (en) | 2005-08-11 | 2007-02-22 | Vertex Pharmaceuticals Incorporated | Modulators of cystic fibrosis transmembrane conductance regulator |
| NZ569327A (en) | 2005-12-28 | 2011-09-30 | Vertex Pharma | 1-(benzo [d] [1,3] dioxol-5-yl) -n- (phenyl) cyclopropane- carboxamide derivatives and related compounds as modulators of ATP-binding cassette transporters for the treatment of cystic fibrosis |
| US7645789B2 (en) | 2006-04-07 | 2010-01-12 | Vertex Pharmaceuticals Incorporated | Indole derivatives as CFTR modulators |
| US10022352B2 (en) | 2006-04-07 | 2018-07-17 | Vertex Pharmaceuticals Incorporated | Modulators of ATP-binding cassette transporters |
| US8563573B2 (en) | 2007-11-02 | 2013-10-22 | Vertex Pharmaceuticals Incorporated | Azaindole derivatives as CFTR modulators |
| CN102863432B (en) | 2007-05-09 | 2016-09-07 | 沃泰克斯药物股份有限公司 | CFTR conditioning agent |
| CN101827593B (en) | 2007-08-24 | 2013-07-24 | 沃泰克斯药物股份有限公司 | Isothiazolopyridinones for the treatment of (in particular) cystic fibrosis |
| AU2008322616B2 (en) | 2007-11-16 | 2013-07-18 | Vertex Pharmaceuticals Incorporated | Isoquinoline modulators of ATP-Binding Cassette transporters |
| MX2010006183A (en) | 2007-12-07 | 2010-10-15 | Vertex Pharma | Processes for producing cycloalkylcarboxiamido-pyridine benzoic acids. |
| CA2708146A1 (en) * | 2007-12-07 | 2009-06-18 | Vertex Pharmaceuticals Incorporated | Formulations of 3-(6-(1-(2,2-difluorobenzo[d][1,3]dioxol-5-yl) cyclopropanecarboxamido)-3-methylpyridin-2-yl)benzoic acid |
| US20100036130A1 (en) | 2007-12-07 | 2010-02-11 | Vertex Pharmaceuticals Incorporated | Processes for producing cycloalkylcarboxamido-pyridine benzoic acids |
| NZ703814A (en) | 2008-02-28 | 2016-06-24 | Vertex Pharma | Heteroaryl derivatives as cftr modulators |
| EP2271621B1 (en) | 2008-03-31 | 2013-11-20 | Vertex Pharmaceuticals Incorporated | Pyridyl derivatives as cftr modulators |
| MX2011003249A (en) | 2008-09-29 | 2011-05-19 | Vertex Pharma | Dosage units of 3-(6-(1-(2,2-difluorobenzo [d] [1,3] dioxol-5-yl) cyclopropanecarboxamido)-3-methylpyridin-2-yl)benzoic acid. |
| SMT201700593T1 (en) | 2009-03-20 | 2018-03-08 | Vertex Pharma | Process for making modulators of cystic fibrosis transmembrane conductance regulator |
| NZ602795A (en) | 2010-04-07 | 2015-01-30 | Vertex Pharma | Solid forms of 3-(6-(1-(2,2-difluorobenzo[d][1,3]dioxol-5-yl) cyclopropanecarboxamido)-3-methylpyridin-2-yl)benzoic acid |
| MX2012012204A (en) | 2010-04-22 | 2012-12-05 | Vertex Pharma | Process of producing cycloalkylcarboxamido-indole compounds. |
| US8563593B2 (en) | 2010-06-08 | 2013-10-22 | Vertex Pharmaceuticals Incorporated | Formulations of (R)-1-(2,2-difluorobenzo[D] [1,3] dioxol-5-yl)-N-(1-(2,3-dihydroxypropyl)-6-fluoro-2-(1-hydroxy-2-methylpropan-2-yl)-1H-indol-5-yl)cyclopropanecarboxamide |
| HUE047354T2 (en) | 2011-05-18 | 2020-04-28 | Vertex Pharmaceuticals Europe Ltd | Deuterated derivatives of ivacaftor |
| ME02650B (en) | 2011-11-08 | 2017-06-20 | Vertex Pharma | MODULATORS OF ATP-BINDING CASSETTE TRANSPORTERS |
| WO2013139695A1 (en) | 2012-03-22 | 2013-09-26 | Novo Nordisk A/S | Compositions comprising a delivery agent and preparation thereof |
| US8674108B2 (en) | 2012-04-20 | 2014-03-18 | Vertex Pharmaceuticals Incorporated | Solid forms of N-[2,4-bis(1,1-dimethylethy)-5-hydroxyphenyl]-1,4-dihydro-4-oxoquinoline-3-carboxamide |
| WO2013185112A1 (en) * | 2012-06-08 | 2013-12-12 | Vertex Pharmaceuticals Incorporated | Pharmaceuticl compositions for the treatment of cftr -mediated disorders |
| HK1209318A1 (en) | 2012-07-16 | 2016-04-01 | Vertex Pharmaceuticals Incorporated | Pharmaceutical compositions of (r)-1-(2,2-diflurorbenzo[d][1,3]dioxol-5-yl)-n-(1-(2,3-dihydroxypropyl)-6-fluoro-2-(1-hydroxy-2-methylpropan-2-yl)-1h-indol-5-yl) cyclopropanecarboxamide and administration thereof |
| SMT201800590T1 (en) * | 2012-11-02 | 2019-01-11 | Vertex Pharma | Pharmaceutical compositions for the treatment of cftr mediated diseases |
| AU2014243818B2 (en) | 2013-03-13 | 2017-04-20 | Flatley Discovery Lab, Llc | Pyridazinone compounds and methods for the treatment of cystic fibrosis |
| AU2014302458A1 (en) * | 2013-06-26 | 2015-12-24 | Proteostasis Therapeutics, Inc. | Methods of modulating CFTR activity |
| PT3068392T (en) | 2013-11-12 | 2021-05-14 | Vertex Pharma | Process of preparing pharmaceutical compositions for the treatment of cftr mediated diseases |
| NO2699580T3 (en) | 2014-01-24 | 2018-02-24 | ||
| GB201415381D0 (en) | 2014-08-29 | 2014-10-15 | Algipharma As | Inhalable powder formulations of alginate oligomers |
| KR102336926B1 (en) | 2014-10-06 | 2021-12-08 | 버텍스 파마슈티칼스 인코포레이티드 | Modulators of cystic fibrosis transmembrane conductance regulator |
| CA2963945C (en) | 2014-10-07 | 2023-01-10 | Vertex Pharmaceuticals Incorporated | Co-crystals of modulators of cystic fibrosis transmembrane conductance regulator |
| CN107110831B (en) | 2014-11-18 | 2020-02-21 | 弗特克斯药品有限公司 | Methods for conducting high-throughput experiments with high-performance liquid chromatography |
| GB201504878D0 (en) | 2015-03-23 | 2015-05-06 | Algipharma As | Use of alginate oligomers and CFTR modulators in the treatment of conditions associated with CFTR dysfuntion |
| CN105130949B (en) * | 2015-09-02 | 2019-01-29 | 阜新奥瑞凯新材料有限公司 | The preparation method of 1- (2,2- difluoro benzo [D] [1,3] dioxole -5- base) cyclopropanecarbonitrile |
| US10759721B2 (en) | 2015-09-25 | 2020-09-01 | Vertex Pharmaceuticals (Europe) Limited | Deuterated CFTR potentiators |
| GB201517639D0 (en) | 2015-10-06 | 2015-11-18 | Algipharma As | Use of alginate oligomers to treat or prevent microbial overgrowth in the intestinal tract |
| CN105218510B (en) * | 2015-10-23 | 2017-09-15 | 上海平创化工科技有限公司 | A kind of preparation method of the chloromethyl piperonyl cyclonene of 2,2 difluoro 5 |
| HUP1600271A2 (en) | 2016-04-25 | 2017-10-30 | Druggability Tech Ip Holdco Ltd | Pharmaceutical composition comprising complex formulations of ivacaftor and lumacaftor and their salts and derivatives, process for their preparation thereof and pharmaceutical compositions containing them |
| HUP1600269A2 (en) | 2016-04-25 | 2017-10-30 | Druggability Tech Ip Holdco Ltd | Complexes of lumacaftor and its salts and derivatives, process for the preparation thereof and pharmaceutical compositions containing them |
| US10206915B2 (en) | 2016-04-25 | 2019-02-19 | Druggability Technologies Ip Holdco Limited | Complexes of Ivacaftor and its salts and derivatives, process for the preparation thereof and pharmaceutical compositions containing them |
| US10383865B2 (en) | 2016-04-25 | 2019-08-20 | Druggability Technologies Ip Holdco Limited | Pharmaceutical combination composition comprising complex formulations of Ivacaftor and Lumacaftor and their salts and derivatives, process for their preparation thereof and pharmaceutical compositions containing them |
| US10376501B2 (en) | 2016-04-25 | 2019-08-13 | Druggability Technologies Ip Holdco Limited | Complexes of lumacaftor and its salts and derivatives, process for the preparation thereof and pharmaceutical compositions containing them |
| WO2018037350A1 (en) * | 2016-08-23 | 2018-03-01 | Laurus Labs Limited | Solid forms of lumacaftor, process for its preparation and pharmaceutical compositions thereof |
| UA124708C2 (en) | 2016-09-30 | 2021-11-03 | Вертекс Фармасьютікалз Інкорпорейтед | MODULATOR OF THE MUSCULAR FISCOSE REGULATOR OF TRANSMEMBRANE CONDUCTANCE, PHARMACEUTICAL COMPOSITIONS, METHODS OF TREATMENT AND METHOD OF OBTAINING THE MODULATOR |
| AU2017371200B2 (en) | 2016-12-09 | 2021-05-06 | Vertex Pharmaceuticals Incorporated | Modulator of cystic fibrosis transmembrane conductance regulator, pharmaceutical compositions, methods of treatment, and process for making the modulator |
| CN116730921A (en) | 2017-02-17 | 2023-09-12 | 文涵治疗有限公司 | Preparation method of AG-10, its intermediates and salts thereof |
| MA54105A (en) | 2017-06-08 | 2021-09-15 | Vertex Pharma | CYSTIC FIBROSIS TREATMENT METHODS |
| MA49631A (en) | 2017-07-17 | 2020-05-27 | Vertex Pharma | CYSTIC FIBROSIS TREATMENT METHODS |
| KR102606188B1 (en) | 2017-08-02 | 2023-11-23 | 버텍스 파마슈티칼스 인코포레이티드 | Process for producing pyrrolidine compounds |
| US10654829B2 (en) | 2017-10-19 | 2020-05-19 | Vertex Pharmaceuticals Incorporated | Crystalline forms and compositions of CFTR modulators |
| WO2019109021A1 (en) | 2017-12-01 | 2019-06-06 | Vertex Pharmaceuticals Incorporated | Processes for making modulators of cystic fibrosis transmembrane conductance regulator |
| US11465985B2 (en) | 2017-12-08 | 2022-10-11 | Vertex Pharmaceuticals Incorporated | Processes for making modulators of cystic fibrosis transmembrane conductance regulator |
| CN107982260A (en) * | 2017-12-12 | 2018-05-04 | 南京市儿童医院 | VX-809 is preparing the application in treating Bartter syndrome medicines |
| TWI810243B (en) | 2018-02-05 | 2023-08-01 | 美商維泰克斯製藥公司 | Pharmaceutical compositions for treating cystic fibrosis |
| RS64018B1 (en) | 2018-02-15 | 2023-03-31 | Vertex Pharma | MACROCYCLES AS MODULATORS OF THE TRANSMEMBRANE CONDUCTIVITY REGULATOR OF CYSTIC FIBROSIS, THEIR PHARMACEUTICAL COMPOSITIONS, THEIR USE IN THE TREATMENT OF CYSTIC FIBROSIS AND THE PROCESS OF THEIR PRODUCTION |
| CN112055593B (en) * | 2018-03-01 | 2024-04-09 | 阿斯利康(瑞典)有限公司 | Pharmaceutical composition |
| SG11202009073WA (en) | 2018-03-23 | 2020-10-29 | Eidos Therapeutics Inc | Methods of treating ttr amyloidosis using ag10 |
| WO2019195739A1 (en) | 2018-04-05 | 2019-10-10 | Alexander Russell Abela | Modulators of cystic fibrosis transmembrane conductance regulator |
| US11414439B2 (en) | 2018-04-13 | 2022-08-16 | Vertex Pharmaceuticals Incorporated | Modulators of cystic fibrosis transmembrane conductance regulator, pharmaceutical compositions, methods of treatment, and process for making the modulator |
| EP3823627A4 (en) | 2018-07-17 | 2022-04-20 | Insmed Incorporated | Certain (2s)-n-[(1s)-1-cyano-2-phenylethyl]-1,4-oxazepane-2-carboxamides for treating lupus nephritis |
| EP3836920B1 (en) * | 2018-08-17 | 2025-10-01 | Eidos Therapeutics, Inc. | Formulations of ag10 |
| BR112021009145A2 (en) | 2018-11-14 | 2021-08-10 | Vertex Pharmaceuticals Incorporated | treatment methods for cystic fibrosis |
| TWI848092B (en) | 2019-04-03 | 2024-07-11 | 美商維泰克斯製藥公司 | Cystic fibrosis transmembrane conductance regulator modulating agents |
| WO2020214921A1 (en) | 2019-04-17 | 2020-10-22 | Vertex Pharmaceuticals Incorporated | Solid forms of modulators of cftr |
| TWI899097B (en) | 2019-08-14 | 2025-10-01 | 美商維泰克斯製藥公司 | Process of making cftr modulators |
| MX2022001828A (en) | 2019-08-14 | 2022-06-08 | Vertex Pharma | CRYSTALLINE FORMS OF CYSTIC FIBROSIS TRANSMEMBRANE CONDUCTANCE REGULATOR (CFTR) MODULATORS. |
| TWI867024B (en) | 2019-08-14 | 2024-12-21 | 美商維泰克斯製藥公司 | Modulators of cystic fibrosis transmembrane conductance regulator |
| TW202207940A (en) * | 2020-04-14 | 2022-03-01 | 美商健生生物科技公司 | Pharmaceutical composition for oral administration comprising aminopyrimidine derivative or pharmaceutically acceptable salt, hydrate, or solvate thereof |
| WO2021253380A1 (en) * | 2020-06-19 | 2021-12-23 | InventisBio Co., Ltd. | Oral formulations and uses thereof |
| WO2022194399A1 (en) | 2020-07-13 | 2022-09-22 | Idorsia Pharmaceuticals Ltd | Macrocycles as cftr modulators |
| MX2023001438A (en) * | 2020-08-04 | 2023-06-15 | Calcilytix Therapeutics Inc | Formulations of triphenyl calcilytic compounds. |
| MX2023006770A (en) | 2020-12-10 | 2023-08-14 | Vertex Pharma | Methods of treatment for cystic fibrosis. |
| WO2024056779A1 (en) | 2022-09-15 | 2024-03-21 | Idorsia Pharmaceuticals Ltd | Crystalline form of (3s,7s,10r,13r)-13-benzyl-20-fluoro-7-isobutyl-n-(2-(3-methoxy-1,2,4-oxadiazol-5-yl)ethyl)-6,9-dimethyl-1,5,8,11-tetraoxo-10-(2,2,2-trifluoroethyl)-1,2,3,4,5,6,7,8,9,10,11,12,13,14-tetradecahydro-[1]oxa[4,7,10,14]tetraazacycloheptadecino[16,17-f]quinoline-3-carboxamide |
| KR20250065916A (en) | 2022-09-15 | 2025-05-13 | 이도르시아 파마슈티컬스 리미티드 | Combination of macrocyclic CFTR modulators with CFTR correctors and/or CFTR potentiators |
| JP2025531206A (en) | 2022-09-15 | 2025-09-19 | イドルシア・ファーマシューティカルズ・リミテッド | Macrocyclic CFTR Modulators |
| AU2024206233A1 (en) | 2023-01-06 | 2025-08-21 | Insmed Incorporated | Novel, reversible dpp1 inhibitors and uses thereof |
| WO2025186214A1 (en) | 2024-03-05 | 2025-09-12 | Idorsia Pharmaceuticals Ltd | Macrocyclic cftr modulators |
Citations (1)
| Publication number | Priority date | Publication date | Assignee | Title |
|---|---|---|---|---|
| US20100087490A1 (en) * | 2008-09-29 | 2010-04-08 | Vertex Pharmaceuticals Incorporated | Dosage Units of 3-(6-(1-(2,2-Difluorobenzo[D] [1,3] Dioxol-5-YL) Cyclopropanecarboxamido)-3-Methylpyridin-2-YL)Benzoic Acid |
Family Cites Families (259)
| Publication number | Priority date | Publication date | Assignee | Title |
|---|---|---|---|---|
| US3758475A (en) | 1971-07-20 | 1973-09-11 | Sandoz Ag | Pyrido(2,3-d)pyrimidin 2 ones |
| IT1226048B (en) | 1981-12-14 | 1990-12-10 | Medea Res Srl | COMPOUNDS WITH ANTI-INFLAMMATORY ACTIVITY, PROCESS FOR THEIR PREPARATION AND RELATIVE PHARMACEUTICAL COMPOSITIONS |
| EP0081756B1 (en) | 1981-12-14 | 1985-05-15 | MEDEA RESEARCH S.r.l. | New compounds with antiinflammatory and antitussive activity, process for their preparation and relative pharmaceutical compositions |
| US4501729A (en) | 1982-12-13 | 1985-02-26 | Research Corporation | Aerosolized amiloride treatment of retained pulmonary secretions |
| US4844908A (en) * | 1986-11-27 | 1989-07-04 | Duphar International Research B.V. | Method of preparing tablets with clovoxamine fumarate and tablets thus prepared |
| US5981714A (en) | 1990-03-05 | 1999-11-09 | Genzyme Corporation | Antibodies specific for cystic fibrosis transmembrane conductance regulator and uses therefor |
| JP3167762B2 (en) | 1990-11-27 | 2001-05-21 | 武田薬品工業株式会社 | Pyridopyridazine derivatives and uses thereof |
| US5612360A (en) | 1992-06-03 | 1997-03-18 | Eli Lilly And Company | Angiotensin II antagonists |
| CA2107196A1 (en) | 1992-09-29 | 1994-03-30 | Mitsubishi Chemical Corporation | Carboxamide derivatives |
| US6060024A (en) | 1993-07-14 | 2000-05-09 | Zymark Corporation | Automatic dissolution testing system |
| GB9317764D0 (en) | 1993-08-26 | 1993-10-13 | Pfizer Ltd | Therapeutic compound |
| KR100342275B1 (en) | 1993-10-21 | 2002-12-05 | 지.디. 썰 엘엘씨 | Amidino derivatives useful as nitric oxide synthase inhibitors |
| DE4405712A1 (en) | 1994-02-23 | 1995-08-24 | Basf Ag | Substituted naphthyridines and their use |
| CA2146701A1 (en) | 1994-04-11 | 1995-10-12 | Takashi Fujita | Heterocyclic compounds having anti-diabetic activity, their preparation and their use |
| ES2141383T3 (en) | 1994-09-27 | 2000-03-16 | Janssen Pharmaceutica Nv | DERIVATIVES OF BICYCLE BENZOATES OF PIPERIDINYL SUBSTITUTED IN N. |
| ES2171542T3 (en) | 1994-10-28 | 2002-09-16 | Sophion Bioscience As | PATCH-CLAMP DEVICE AND TECHNIQUE THAT HAVE HIGH PRODUCTION AND REQUIRE A SMALL VOLUME OF FLUID. |
| US5656256A (en) | 1994-12-14 | 1997-08-12 | The University Of North Carolina At Chapel Hill | Methods of treating lung disease by an aerosol containing benzamil or phenamil |
| US5510379A (en) | 1994-12-19 | 1996-04-23 | Warner-Lambert Company | Sulfonate ACAT inhibitors |
| US5585115A (en) | 1995-01-09 | 1996-12-17 | Edward H. Mendell Co., Inc. | Pharmaceutical excipient having improved compressability |
| DE19531067A1 (en) * | 1995-08-23 | 1997-02-27 | Hermann P T Prof Dr Med Ammon | Use of boswellic acid and its derivatives for inhibiting normal and increased leukocyte elastase or plasmin activity |
| AU715658B2 (en) | 1996-04-03 | 2000-02-10 | Merck & Co., Inc. | Inhibitors of farnesyl-protein transferase |
| CA2268051A1 (en) | 1996-08-23 | 1998-02-26 | Alanex Corporation | Neuropeptide-y ligands |
| EP1003374A4 (en) | 1996-12-30 | 2000-05-31 | Merck & Co Inc | FARNESYL-PROTEIN TRANSFERASE INHIBITORS |
| CO4920215A1 (en) | 1997-02-14 | 2000-05-29 | Novartis Ag | OXACARBAZEPINE TABLETS COATED WITH A FILM AND METHOD FOR THE PRODUCTION OF THESE FORMULATIONS |
| US5948814A (en) | 1997-02-20 | 1999-09-07 | The Curators Of The University Of Missouri | Genistein for the treatment of cystic fibrosis |
| WO1998047868A1 (en) | 1997-04-18 | 1998-10-29 | Smithkline Beecham Plc | Heterocycle-containing urea derivatives as 5ht1a, 5ht1b and 5ht1d receptor antagonists |
| BR9813019A (en) | 1997-10-02 | 2000-09-05 | Sankyo Co | Derivatives of amidocarboxylic acid, agents for lowering blood glucose, reducing lipid, for improving insulin resistance, anti-inflammatory, for immuno-regulation, for inhibiting aldose reductase, for inhibiting 5-lipoxygenase, for the generation of suppressor of lipid peroxide, to activate ppar, to reduce osteoporosis, and compositions for the therapy or prevention of diabetes mellitus, hyperlipemia, obesity, impaired glucose tolerance, insulin resistance other than igt, liver fatty, diabetic complications, arteriosclerosis, gestational diabetes mellitus, polycystic ovary syndrome, arthroesthesis, rheumatoid arthritis, allergic diseases, asthma, cancer, autoimmune diseases, pancreatitis, and cataracts |
| ES2216495T3 (en) | 1998-02-17 | 2004-10-16 | G.D. SEARLE & CO. | PROCEDURE FOR THE ENZYMATIC RESOLUTION OF LACTAMAS. |
| WO1999064394A1 (en) | 1998-06-08 | 1999-12-16 | Schering Corporation | Neuropeptide y5 receptor antagonists |
| US6426331B1 (en) | 1998-07-08 | 2002-07-30 | Tularik Inc. | Inhibitors of STAT function |
| AUPP609198A0 (en) | 1998-09-22 | 1998-10-15 | Curtin University Of Technology | Use of non-peptidyl compounds for the treatment of insulin related ailments |
| CA2347770A1 (en) | 1998-12-18 | 2000-06-22 | Bristol-Myers Squibb Pharma Company | N-ureidoalkyl-piperidines as modulators of chemokine receptor activity |
| ES2226622T3 (en) | 1999-02-24 | 2005-04-01 | F. Hoffmann-La Roche Ag | DERIVATIVES OF 4-PHENYL PIRIDINE AND ITS EMPLOYMENT AS ANTAGONIST OF THE NK-1 RECEIVER. |
| BR0008489A (en) | 1999-02-24 | 2002-02-05 | Hoffmann La Roche | Phenyl- and pyridinyl derivatives |
| JP4068305B2 (en) | 1999-02-24 | 2008-03-26 | エフ.ホフマン−ラ ロシュ アーゲー | 3-Phenylpyridine derivatives and their use as NK-1 receptor antagonists |
| UA71971C2 (en) | 1999-06-04 | 2005-01-17 | Agoron Pharmaceuticals Inc | Diaminothiazoles, composition based thereon, a method for modulation of protein kinases activity, a method for the treatment of diseases mediated by protein kinases |
| CN1356988A (en) | 1999-06-18 | 2002-07-03 | 拜尔公司 | Phenoxy fluoropyrimidines |
| UA74539C2 (en) | 1999-12-08 | 2006-01-16 | Pharmacia Corp | Crystalline polymorphous forms of celecoxib (variants), a method for the preparation thereof (variants), a pharmaceutical composition (variants) |
| WO2001046165A2 (en) | 1999-12-16 | 2001-06-28 | Novartis Ag | N-heteroaryl-amides and their use as parasiticides |
| CA2396079A1 (en) | 2000-01-07 | 2001-07-19 | Transform Pharmaceuticals, Inc. | High-throughput formation, identification, and analysis of diverse solid-forms |
| EP1253923A1 (en) | 2000-01-28 | 2002-11-06 | Biogen, Inc. | Pharmaceutical compositions containing anti-beta 1 integrin compounds and uses |
| WO2001056989A2 (en) | 2000-02-01 | 2001-08-09 | Cor Therapeutics, Inc. | Inhibitors of factor xa |
| AU2001249417A1 (en) | 2000-04-26 | 2001-11-07 | Gliatech, Inc. | Chiral imidazoyl intermediates for the synthesis of 2-(4-imidazoyl)-cyclopropyl derivatives |
| WO2001083517A1 (en) | 2000-05-03 | 2001-11-08 | Tularik Inc. | Stat4 and stat6 binding dipeptide derivatives |
| US6499984B1 (en) | 2000-05-22 | 2002-12-31 | Warner-Lambert Company | Continuous production of pharmaceutical granulation |
| WO2001092235A1 (en) | 2000-06-01 | 2001-12-06 | Bristol-Myers Squibb Pharma Company | LACTAMS SUBSTITUTED BY CYCLIC SUCCINATES AS INHIBITORS OF Aβ PROTEIN PRODUCTION |
| TWI259180B (en) | 2000-08-08 | 2006-08-01 | Hoffmann La Roche | 4-Phenyl-pyridine derivatives |
| ES2242771T5 (en) | 2000-09-15 | 2011-10-14 | Vertex Pharmaceuticals Incorporated | PIRAZOL COMPOUNDS USEFUL AS PROTEIN QUINASE INHIBITORS. |
| JP4272338B2 (en) | 2000-09-22 | 2009-06-03 | バイエル アクチェンゲゼルシャフト | Pyridine derivatives |
| US20020115619A1 (en) * | 2000-10-04 | 2002-08-22 | Rubenstein Ronald C. | Compositions and methods for treatment of cystic fibrosis |
| GB2367816A (en) | 2000-10-09 | 2002-04-17 | Bayer Ag | Urea- and thiourea-containing derivatives of beta-amino acids |
| AU2002212282A1 (en) | 2000-10-20 | 2002-05-06 | Merck Patent G.M.B.H | Chiral binaphthol derivatives |
| US6884782B2 (en) | 2000-11-08 | 2005-04-26 | Amgen Inc. | STAT modulators |
| WO2002044183A2 (en) | 2000-12-01 | 2002-06-06 | Guilford Pharmaceuticals Inc. | Benzoazepine and benzodiazepine derivatives and their use as parp inhibitors |
| GB0102687D0 (en) | 2001-02-02 | 2001-03-21 | Pharmacia & Upjohn Spa | Oxazolyl-pyrazole derivatives active as kinase inhibitors,process for their preparation and pharmaceutical compositions comprising them |
| US6531597B2 (en) | 2001-02-13 | 2003-03-11 | Hoffmann-La Roche Inc. | Process for preparation of 2-phenyl acetic acid derivatives |
| US6962674B2 (en) | 2001-02-28 | 2005-11-08 | Varian, Inc. | Dissolution test apparatus |
| AU2002258794A1 (en) | 2001-04-10 | 2003-10-20 | Transtech Pharma, Inc. | Probes, systems and methods for drug discovery |
| MXPA03009720A (en) | 2001-04-23 | 2004-01-29 | Hoffmann La Roche | Use of nk-1 receptor antagonists against benign prostatic hyperplasia. |
| PL367153A1 (en) | 2001-05-22 | 2005-02-21 | Neurogen Corporation | 5-substituted-2-arylpyridines as crf1 modulators |
| US20030083345A1 (en) | 2001-07-10 | 2003-05-01 | Torsten Hoffmann | Method of treatment and/or prevention of brain, spinal or nerve injury |
| US6627646B2 (en) | 2001-07-17 | 2003-09-30 | Sepracor Inc. | Norastemizole polymorphs |
| US20030144350A1 (en) | 2001-07-20 | 2003-07-31 | Adipogenix, Inc. | Fat accumulation-modulation compounds |
| EP1411928A1 (en) | 2001-07-20 | 2004-04-28 | Boehringer Ingelheim (Canada) Ltd. | Viral polymerase inhibitors |
| US7427623B2 (en) | 2001-09-11 | 2008-09-23 | Smithkline Beecham Corporation | 4-Amino-2,3-disubstituted thieno[2,3-d]pyrimidines and pharmacetical compositions thereof |
| PA8557501A1 (en) | 2001-11-12 | 2003-06-30 | Pfizer Prod Inc | BENZAMIDA, HETEROARILAMIDA AND INVESTED AMIDAS |
| JP2003155285A (en) | 2001-11-19 | 2003-05-27 | Toray Ind Inc | Cyclic nitrogen-containing derivative |
| JP2003221386A (en) | 2001-11-26 | 2003-08-05 | Takeda Chem Ind Ltd | Bicylic derivative, method for producing the same, and use of the same |
| PL370989A1 (en) | 2001-12-21 | 2005-06-13 | Novo Nordisk A/S | Amide derivatives as gk activators |
| TW200307539A (en) | 2002-02-01 | 2003-12-16 | Bristol Myers Squibb Co | Cycloalkyl inhibitors of potassium channel function |
| TW200304820A (en) | 2002-03-25 | 2003-10-16 | Avanir Pharmaceuticals | Use of benzimidazole analogs in the treatment of cell proliferation |
| TW200403058A (en) | 2002-04-19 | 2004-03-01 | Bristol Myers Squibb Co | Heterocyclo inhibitors of potassium channel function |
| FR2840807B1 (en) | 2002-06-12 | 2005-03-11 | COSMETIC CARE AND / OR MAKEUP COMPOSITION, STRUCTURED BY SILICONE POLYMERS AND ORGANOGELATORS, IN RIGID FORM | |
| PL374971A1 (en) | 2002-08-09 | 2005-11-14 | Transtech Pharma, Inc. | Aryl and heteroaryl compounds and methods to modulate coagulation |
| GB0221443D0 (en) | 2002-09-16 | 2002-10-23 | Glaxo Group Ltd | Pyridine derivates |
| CN100356922C (en) | 2002-09-30 | 2007-12-26 | 加利福尼亚大学董事会 | Cystic fibrosis transmembrane conductance regulator protein inhibitors and uses thereof |
| WO2004035571A1 (en) | 2002-10-15 | 2004-04-29 | Rigel Pharmaceuticals, Inc. | Substituted indoles and their use as hcv inhibitors |
| EP1558576A4 (en) | 2002-10-30 | 2008-04-16 | Merck & Co Inc | PIPERIDINYL CYCLOPENTYL ARYL BENZYLAMIDE COMPOUNDS MODULATORS OF CHEMOKINE RECEPTOR ACTIVITY |
| AU2003287449A1 (en) | 2002-10-31 | 2004-05-25 | Nanostream, Inc. | Parallel detection chromatography systems |
| US7910030B2 (en) | 2002-11-26 | 2011-03-22 | Universiteit Gent | Process and apparatus for continuous wet granulation of powder material |
| WO2004054505A2 (en) | 2002-12-12 | 2004-07-01 | Pharmacia Corporation | Method of using aminocyanopyridine compounds as mitogen activated protein kinase-activated protein kinase-2 inhibitors |
| CA2509086C (en) | 2003-01-06 | 2012-08-21 | Eli Lilly And Company | Substituted arylcyclopropylacetamides as glucokinase activators |
| AU2004212494B2 (en) | 2003-02-10 | 2011-03-17 | Vertex Pharmaceuticals Incorporated | Processes for the preparation of N-heteroaryl-N-aryl-amines by reacting an N-aryl carbamic acid ester with a halo-heteroaryl and analogous processes |
| US7223788B2 (en) | 2003-02-14 | 2007-05-29 | Sanofi-Aventis Deutschland Gmbh | Substituted N-aryl heterocycles, process for their preparation and their use as medicaments |
| US20050113423A1 (en) | 2003-03-12 | 2005-05-26 | Vangoor Frederick F. | Modulators of ATP-binding cassette transporters |
| ES2770035T3 (en) | 2003-04-11 | 2020-06-30 | Ptc Therapeutics Inc | 1,2,4-Oxadiazole benzoic acid compound and its use for senseless suppression and treatment of diseases |
| CN1812977A (en) | 2003-04-30 | 2006-08-02 | 药物研发有限责任公司 | Substituted carboxylic acids |
| WO2004110352A2 (en) | 2003-05-16 | 2004-12-23 | The Regents Of The University Of California | Compounds having activity in increasing ion transport by mutant-cftr and uses thereof |
| EP1646615B1 (en) | 2003-06-06 | 2009-08-26 | Vertex Pharmaceuticals Incorporated | Pyrimidine derivatives as modulators of atp-binding cassette transporters |
| CA2530075C (en) | 2003-06-27 | 2012-08-21 | Harvey Pollard | Amphiphilic pyridinium compounds, method of making and use thereof |
| GB0315111D0 (en) | 2003-06-27 | 2003-07-30 | Cancer Rec Tech Ltd | Substituted 5-membered ring compounds and their use |
| JP2005053902A (en) | 2003-07-18 | 2005-03-03 | Nippon Nohyaku Co Ltd | Phenylpyridines, intermediates thereof, and herbicides containing the same as active ingredients |
| JP2007504271A (en) | 2003-09-05 | 2007-03-01 | ニューロジェン・コーポレーション | Heteroaryl-fused pyridines, pyrazines and pyrimidines which are CRF1 receptor ligands |
| AU2004272599A1 (en) | 2003-09-06 | 2005-03-24 | Vertex Pharmaceuticals Incorporated | Modulators of ATP-binding cassette transporters |
| US7534894B2 (en) | 2003-09-25 | 2009-05-19 | Wyeth | Biphenyloxy-acids |
| US20050070718A1 (en) | 2003-09-30 | 2005-03-31 | Abbott Gmbh & Co. Kg | Heteroaryl-substituted 1,3-dihydroindol-2-one derivatives and medicaments containing them |
| JP2007509044A (en) | 2003-10-08 | 2007-04-12 | バーテックス ファーマシューティカルズ インコーポレイテッド | Modulator of ATP binding cassette transporter containing cycloalkylpyranyl group |
| WO2005037269A1 (en) | 2003-10-21 | 2005-04-28 | Dainippon Sumitomo Pharma Co., Ltd. | Novel piperidine derivative |
| FR2861304B1 (en) | 2003-10-23 | 2008-07-18 | Univ Grenoble 1 | CFTR CHANNEL MODULATORS |
| GB0325956D0 (en) | 2003-11-06 | 2003-12-10 | Addex Pharmaceuticals Sa | Novel compounds |
| RU2006120549A (en) | 2003-11-14 | 2007-12-27 | Вертекс Фармасьютикалз Инкорпорейтед (Us) | THIAZOLES AND OXAZOLES USED AS MODULATORS OF ART-BINDING CASSETTE TRANSPORTERS |
| JP2007511572A (en) | 2003-11-19 | 2007-05-10 | グラクソ グループ リミテッド | Use of a cyclooxygenase-2 selective inhibitor for the treatment of schizophrenia |
| JP3746062B2 (en) * | 2003-12-05 | 2006-02-15 | 第一製薬株式会社 | Solid preparation and method for producing the same |
| ES2238001B1 (en) | 2004-01-21 | 2006-11-01 | Vita Cientifica, S.L. | NEW POLYMORPHIC FORMS OF ONDANSETRON, PROCEDURES FOR THEIR PREPARATION, PHARMACEUTICAL COMPOSITIONS CONTAINING THEM AND THEIR USE AS ANANTIMETICS. |
| US7977322B2 (en) | 2004-08-20 | 2011-07-12 | Vertex Pharmaceuticals Incorporated | Modulators of ATP-binding cassette transporters |
| CN1938279B (en) | 2004-01-30 | 2011-09-14 | 沃泰克斯药物股份有限公司 | Modulators of atp-binding cassette transporters |
| US7522995B2 (en) | 2004-02-05 | 2009-04-21 | Nortrup Edward H | Method and system for providing travel time information |
| CA2555409A1 (en) | 2004-02-19 | 2005-09-01 | Banyu Pharmaceutical Co., Ltd. | Novel sulfone amide derivative |
| EP1740532A4 (en) | 2004-03-30 | 2009-06-10 | Univ California | HYDRAZID-CONTAINING CFTR HEMMER COMPOUNDS AND USE THEREOF |
| ES2241496B1 (en) | 2004-04-15 | 2006-12-01 | Almirall Prodesfarma, S.A. | NEW DERIVATIVES OF PIRIDINA. |
| WO2005115399A2 (en) | 2004-04-16 | 2005-12-08 | Neurogen Corporation | Imidazopyrazines, imidazopyridines, ans imidazopyrimidines as crf1 receptor ligands |
| EP1740575A2 (en) | 2004-04-22 | 2007-01-10 | Eli Lilly And Company | Pyrrolidine derivatives useful as bace inhibitors |
| US7585885B2 (en) | 2004-04-22 | 2009-09-08 | Eli Lilly And Company | Pyrrolidine derivatives useful as BACE inhibitors |
| WO2005117514A2 (en) * | 2004-06-01 | 2005-12-15 | Tm Bioscience Corporation | Method of detecting cystic fibrosis associated mutations |
| AU2005251745A1 (en) | 2004-06-04 | 2005-12-22 | The Regents Of The University Of California | Compounds having activity in increasing ion transport by mutant-CFTR and uses thereof |
| TWI547431B (en) | 2004-06-09 | 2016-09-01 | 史密斯克萊美占公司 | Apparatus and method for pharmaceutical production |
| US8354427B2 (en) | 2004-06-24 | 2013-01-15 | Vertex Pharmaceutical Incorporated | Modulators of ATP-binding cassette transporters |
| US20140343098A1 (en) | 2004-06-24 | 2014-11-20 | Vertex Pharmaceuticals Incorporated | Modulators of atp-binding cassette transporters |
| US7495103B2 (en) | 2004-06-24 | 2009-02-24 | Vertex Pharmaceuticals Incorporated | Modulators of ATP-binding cassette transporters |
| WO2006003504A1 (en) | 2004-07-01 | 2006-01-12 | Warner-Lambert Company Llc | Preparation of pharmaceutical compositions containing nanoparticles |
| EP1771158A4 (en) | 2004-07-02 | 2008-03-12 | Advancis Pharmaceutical Corp | TABLET FOR PULSED DELIVERY |
| US8188277B2 (en) | 2004-08-06 | 2012-05-29 | Otsuka Pharmaceutical Co., Ltd. | Aromatic compounds for suppressing the generation of collagen |
| AU2005289426A1 (en) | 2004-09-27 | 2006-04-06 | Amgen Inc. | Substituted heterocyclic compounds and methods of use |
| BRPI0516093A (en) | 2004-10-12 | 2008-08-19 | Astrazeneca Ab | quinazoline derivative, process for preparing it, pharmaceutical composition, use of a quinazoline derivative, and method for treating cell proliferative disorders in a warm-blooded animal |
| JP2008515992A (en) | 2004-10-13 | 2008-05-15 | ピーティーシー セラピューティクス,インコーポレーテッド | Use of prescribed compounds for the manufacture of medicaments for the prevention / treatment of diseases caused by somatic mutations |
| JP5036126B2 (en) * | 2004-10-19 | 2012-09-26 | 日医工株式会社 | Ebastine preparation for oral administration |
| WO2006051394A1 (en) | 2004-11-15 | 2006-05-18 | Pfizer Products Inc. | Azabenzoxazoles for the treatment of cns disorders |
| DK1856031T3 (en) | 2004-12-15 | 2009-06-29 | Dompe Pha R Ma Spa Res & Mfg | 2-arylpropionic acid derivatives and pharmaceutical compositions containing them |
| JP4790260B2 (en) | 2004-12-22 | 2011-10-12 | 出光興産株式会社 | Organic electroluminescence device using anthracene derivative |
| EP1844003A4 (en) | 2005-01-27 | 2010-09-22 | Astrazeneca Ab | Novel biaromatic compounds, inhibitors of the p2x7-receptor |
| US7888374B2 (en) | 2005-01-28 | 2011-02-15 | Abbott Laboratories | Inhibitors of c-jun N-terminal kinases |
| WO2006082952A1 (en) | 2005-02-01 | 2006-08-10 | Takeda Pharmaceutical Company Limited | Amide compound |
| WO2006099256A2 (en) | 2005-03-11 | 2006-09-21 | Vertex Pharmaceuticals Incorporated | Modulators of atp-binding cassette transporters |
| AU2006227833A1 (en) | 2005-03-18 | 2006-09-28 | The Regents Of The University Of California | Compounds having activity in correcting mutant-CFTR processing and uses thereof |
| US7297700B2 (en) | 2005-03-24 | 2007-11-20 | Renovis, Inc. | Bicycloheteroaryl compounds as P2X7 modulators and uses thereof |
| TWI377206B (en) | 2005-04-06 | 2012-11-21 | Theravance Inc | Crystalline form of a quinolinone-carboxamide compound |
| CA2603402C (en) | 2005-04-08 | 2017-10-31 | Ptc Therapeutics, Inc. | Compositions of an orally active 1,2,4-oxadiazole for nonsense mutation suppression therapy |
| EP1710246A1 (en) | 2005-04-08 | 2006-10-11 | Schering Aktiengesellschaft | Sulfoximine-pyrimidine Macrocycles and the salts thereof, a process for making them, and their pharmaceutical use against cancer |
| TW200716594A (en) | 2005-04-18 | 2007-05-01 | Neurogen Corp | Substituted heteroaryl CB1 antagonists |
| JP2008536947A (en) | 2005-04-19 | 2008-09-11 | バイエル・フアーマシユーチカルズ・コーポレーシヨン | Arylalkyl acid derivatives and their use |
| AU2006240247A1 (en) | 2005-04-20 | 2006-11-02 | Merck Sharp & Dohme Corp. | Angiotensin II receptor antagonists |
| CN101163689A (en) | 2005-04-22 | 2008-04-16 | 惠氏公司 | Crystalline form of {[(2R)-7-(2,6-dichlorophenyl)-5-fluoro-2,3-dihydro-1-benzofuran-2-yl]methyl}amine hydrochloride |
| CN1864679A (en) * | 2005-05-16 | 2006-11-22 | 马晶 | A composite bergenin dispersible tablet and preparation method thereof |
| GB0510139D0 (en) | 2005-05-18 | 2005-06-22 | Addex Pharmaceuticals Sa | Novel compounds B1 |
| JP5426878B2 (en) | 2005-05-24 | 2014-02-26 | バーテックス ファーマシューティカルズ インコーポレイテッド | ATP-binding cassette transporter modulator |
| JP2008545744A (en) | 2005-06-02 | 2008-12-18 | バイエル・クロツプサイエンス・アクチエンゲゼルシヤフト | Phenylalkyl-substituted heteroaryl derivatives |
| WO2006136829A2 (en) | 2005-06-21 | 2006-12-28 | Astex Therapeutics Limited | Pyrazole derivatives and their use as pka and pkb modulators |
| US20070027451A1 (en) * | 2005-06-23 | 2007-02-01 | Kai Desinger | Method for treatment of hypertrophic palatine tonsils |
| CN101287732A (en) | 2005-08-11 | 2008-10-15 | 沃泰克斯药物股份有限公司 | Modulators of cystic fibrosis transmembrane conductance regulators |
| CA2618057A1 (en) | 2005-08-11 | 2007-02-22 | Vertex Pharmaceuticals Incorporated | Modulators of cystic fibrosis transmembrane conductance regulator |
| CN101305011B (en) | 2005-09-09 | 2011-03-02 | 史密丝克莱恩比彻姆公司 | Pyridine derivatives and their use in the treatment of psychotic disorders |
| RU2431473C2 (en) | 2005-09-23 | 2011-10-20 | Ф. Хоффманн-Ля Рош Аг | New dosage form |
| AU2006302371A1 (en) | 2005-10-06 | 2007-04-19 | Vertex Pharmaceuticals Incorporated | Modulators of ATP-Binding cassette transporters |
| US8710233B2 (en) | 2005-10-19 | 2014-04-29 | Gruenenthal Gmbh | Vanilloid receptor ligands and use thereof for the production of pharmaceutical preparations |
| US20120232059A1 (en) | 2005-11-08 | 2012-09-13 | Vertex Pharmaceuticals Incorporated | Modulators of ATP-Binding Cassette Transporters |
| WO2007054480A1 (en) | 2005-11-08 | 2007-05-18 | N.V. Organon | 2-(benzimidazol-1-yl)-acetamide biaryl derivatives and their use as inhibitors of the trpv1 receptor |
| DK2395002T3 (en) | 2005-11-08 | 2014-09-08 | Vertex Pharma | Pharmaceutical composition containing a heterocyclic modulator of ATP-binding cassette transporters |
| US7807673B2 (en) | 2005-12-05 | 2010-10-05 | Glaxosmithkline Llc | 2-pyrimidinyl pyrazolopyridine ErbB kinase inhibitors |
| EP1979367A2 (en) | 2005-12-24 | 2008-10-15 | Vertex Pharmaceuticals Incorporated | Quinolin-4-one derivatives as modulators of abc transporters |
| EP1974212A1 (en) | 2005-12-27 | 2008-10-01 | Vertex Pharmaceuticals Incorporated | Compounds useful in cftr assays and methods therewith |
| NZ569327A (en) | 2005-12-28 | 2011-09-30 | Vertex Pharma | 1-(benzo [d] [1,3] dioxol-5-yl) -n- (phenyl) cyclopropane- carboxamide derivatives and related compounds as modulators of ATP-binding cassette transporters for the treatment of cystic fibrosis |
| US7671221B2 (en) | 2005-12-28 | 2010-03-02 | Vertex Pharmaceuticals Incorporated | Modulators of ATP-Binding Cassette transporters |
| CA2635581C (en) | 2005-12-28 | 2017-02-28 | Vertex Pharmaceuticals Incorporated | Solid forms of n-[2,4-bis(1,1-dimethylethyl)-5-hydroxyphenyl]-1,4-dihydro-4-oxoquinoline-3-carboxamide |
| US8158059B2 (en) | 2005-12-30 | 2012-04-17 | Sotax Corporation | Integrated dissolution processing and sample transfer system |
| US7645789B2 (en) | 2006-04-07 | 2010-01-12 | Vertex Pharmaceuticals Incorporated | Indole derivatives as CFTR modulators |
| SI2007756T1 (en) | 2006-04-07 | 2015-11-30 | Vertex Pharmaceuticals Incorporated | Modulators of atp-binding cassette transporters |
| US10022352B2 (en) | 2006-04-07 | 2018-07-17 | Vertex Pharmaceuticals Incorporated | Modulators of ATP-binding cassette transporters |
| AU2007249269A1 (en) | 2006-05-12 | 2007-11-22 | Vertex Pharmaceuticals Incorporated | Compositions of N-[2,4-bis(1,1-dimethylethyl)-5-hydroxyphenyl)-1,4-dihydro-4-oxoquinoline-3-carboxamide |
| US8563573B2 (en) | 2007-11-02 | 2013-10-22 | Vertex Pharmaceuticals Incorporated | Azaindole derivatives as CFTR modulators |
| ES2646175T3 (en) | 2006-11-03 | 2017-12-12 | Vertex Pharmaceuticals Incorporated | Azaindole derivatives as CFTR modulators |
| US7754739B2 (en) | 2007-05-09 | 2010-07-13 | Vertex Pharmaceuticals Incorporated | Modulators of CFTR |
| JP5318400B2 (en) * | 2006-11-20 | 2013-10-16 | 第一三共株式会社 | Tablets containing levofloxacin |
| CN101541759A (en) | 2006-11-27 | 2009-09-23 | 诺瓦提斯公司 | Substituted dihydroimidazoles and their use in the treatment of tumors |
| US20080260820A1 (en) * | 2007-04-19 | 2008-10-23 | Gilles Borrelly | Oral dosage formulations of protease-resistant polypeptides |
| MX2009011755A (en) | 2007-05-02 | 2010-02-12 | Portola Pharm Inc | Combination therapy with a compound acting as a platelet adp receptor inhibitor. |
| CN102863432B (en) | 2007-05-09 | 2016-09-07 | 沃泰克斯药物股份有限公司 | CFTR conditioning agent |
| WO2008147952A1 (en) | 2007-05-25 | 2008-12-04 | Vertex Pharmaceuticals Incorporated | Modulators of cystic fibrosis transmembrane conductance regulator |
| WO2009023509A2 (en) | 2007-08-09 | 2009-02-19 | Vertex Pharmaceuticals Incorporated | Therapeutic combinations useful in treating cftr related diseases |
| CN101827593B (en) | 2007-08-24 | 2013-07-24 | 沃泰克斯药物股份有限公司 | Isothiazolopyridinones for the treatment of (in particular) cystic fibrosis |
| DE102007042754A1 (en) | 2007-09-07 | 2009-03-12 | Bayer Healthcare Ag | Substituted 6-phenyl-nicotinic acids and their use |
| AU2008298545B2 (en) | 2007-09-14 | 2013-12-12 | Vertex Pharmaceuticals Incorporated | Modulators of cystic fibrosis transmembrane conductance regulator |
| RU2010114732A (en) | 2007-09-14 | 2011-10-20 | Вертекс Фармасьютикалз Инкорпорейтед (Us) | SOLID FORMS OF N- [2,4-BIS (1,1-DIMETHYLETHYL) -5-HYDROXYPHENYL] -1,4-DIHYDRO-4-OXOCHINOLIN-3-CARBOXAMIDE |
| FR2921657A1 (en) | 2007-09-28 | 2009-04-03 | Sanofi Aventis Sa | New nicotinamide derivatives useful for the preparation of a medicament for the treatment or prevention of cancer |
| AU2008322616B2 (en) | 2007-11-16 | 2013-07-18 | Vertex Pharmaceuticals Incorporated | Isoquinoline modulators of ATP-Binding Cassette transporters |
| CA2708146A1 (en) † | 2007-12-07 | 2009-06-18 | Vertex Pharmaceuticals Incorporated | Formulations of 3-(6-(1-(2,2-difluorobenzo[d][1,3]dioxol-5-yl) cyclopropanecarboxamido)-3-methylpyridin-2-yl)benzoic acid |
| SG186638A1 (en) | 2007-12-07 | 2013-01-30 | Vertex Pharma | Solid forms of 3-(6-(1-(2,2-difluorobenzo[d][1,3] dioxol-5-yl) cyclopropanecarboxamido)-3-methylpyridin-2-yl) benzoic acid |
| US20100036130A1 (en) | 2007-12-07 | 2010-02-11 | Vertex Pharmaceuticals Incorporated | Processes for producing cycloalkylcarboxamido-pyridine benzoic acids |
| MX2010006183A (en) | 2007-12-07 | 2010-10-15 | Vertex Pharma | Processes for producing cycloalkylcarboxiamido-pyridine benzoic acids. |
| ES2422741T3 (en) | 2007-12-13 | 2013-09-13 | Vertex Pharma | Modulators of cystic fibrosis transmembrane conductance regulator |
| NZ703814A (en) | 2008-02-28 | 2016-06-24 | Vertex Pharma | Heteroaryl derivatives as cftr modulators |
| EP2257356B1 (en) | 2008-02-29 | 2016-12-14 | Waters Technologies Corporation | Chromatography-based monitoring and control of multiple process streams |
| EP2271621B1 (en) | 2008-03-31 | 2013-11-20 | Vertex Pharmaceuticals Incorporated | Pyridyl derivatives as cftr modulators |
| EP2110377A1 (en) | 2008-04-15 | 2009-10-21 | DAC S.r.l. | Spirocyclic derivatives as histone deacetylase inhibitors |
| GB0813709D0 (en) | 2008-07-26 | 2008-09-03 | Univ Dundee | Method and product |
| HRP20180328T1 (en) | 2008-08-13 | 2018-04-20 | Vertex Pharmaceuticals Inc. | PHARMACEUTICAL PREPARATION N- [2,4-bis (1,1-dimethylethyl) -5-hydroxyphenyl] -1,4-dihydro-4-oxoquinoline-3-carboxamide and its administration |
| US20100074949A1 (en) | 2008-08-13 | 2010-03-25 | William Rowe | Pharmaceutical composition and administration thereof |
| US20100256184A1 (en) | 2008-08-13 | 2010-10-07 | Vertex Pharmaceuticals Incorporated | Pharmaceutical composition and administrations thereof |
| TWI465449B (en) | 2008-10-23 | 2014-12-21 | Vertex Pharma | Modulators of cystic fibrosis transmembrane conductance regulator |
| US20110257223A1 (en) | 2008-10-23 | 2011-10-20 | Vertex Pharmaceuticals Incorporated | Modulators of Cystic Fibrosis Transmembrane Conductance Regulator |
| ES2406361T3 (en) | 2008-10-23 | 2013-06-06 | Vertex Pharmaceuticals Incorporated | Solid forms of N- (4- (7-azabicyclo [2.2.1] heptan-7-yl) -2- (trifluoromethyl) phenyl) -4-oxo-5- (trifluoromethyl) -1,4-dihydroquinolin-3 -carboxamide |
| WO2010048564A1 (en) | 2008-10-23 | 2010-04-29 | Vertex Pharmaceuticals Incorporated | Modulators of cystic fibrosis transmembrane conductance regulator |
| CA2740836C (en) | 2008-10-31 | 2017-03-21 | Biomerieux, Inc. | Methods for separation, characterization and/or identification of microorganisms using spectroscopy |
| UA104876C2 (en) | 2008-11-06 | 2014-03-25 | Вертекс Фармасьютікалз Інкорпорейтед | Modulators of atp-binding cassette transporters |
| HRP20150288T1 (en) | 2008-11-06 | 2015-04-24 | Vertex Pharmaceuticals Incorporated | Modulators of atp-binding cassette transporters |
| US8367660B2 (en) | 2008-12-30 | 2013-02-05 | Vertex Pharmaceuticals Incorporated | Modulators of cystic fibrosis transmembrane conductance regulator |
| RU2518897C2 (en) | 2009-03-20 | 2014-06-10 | Вертекс Фармасьютикалз Инкорпорейтед | 3-carboxamide-4-oxoquinoline derivatives, useful as modulators of regulator of transmembrane cystic fibrosis conductivity |
| SMT201700593T1 (en) | 2009-03-20 | 2018-03-08 | Vertex Pharma | Process for making modulators of cystic fibrosis transmembrane conductance regulator |
| DK2427166T3 (en) | 2009-05-07 | 2014-01-27 | Gea Pharma Systems Ltd | Tablet Preparation Module and Method for Continuous Tablet Preparation |
| US8404865B2 (en) | 2009-09-17 | 2013-03-26 | Vertex Pharmaceuticals | Process for preparing azabicyclic compounds |
| JP2013508414A (en) | 2009-10-22 | 2013-03-07 | バーテックス ファーマシューティカルズ インコーポレイテッド | Compositions for the treatment of cystic fibrosis and other chronic diseases |
| BR112012009584A2 (en) | 2009-10-23 | 2019-09-24 | Vertex Pharma | n- (4- (7-azabicyclo [2.2.1] heptan-7-yl) -2- (trifluoromethyl) phenyl) -4-oxo-5- (trifluoromethyl) -1,4-dihydroquinoline-solid forms 3-carboxamide |
| US8344147B2 (en) | 2009-10-23 | 2013-01-01 | Vertex Pharmaceutical Incorporated | Process for preparing modulators of cystic fibrosis transmembrane conductance regulator |
| AU2011227021A1 (en) | 2010-03-19 | 2012-10-18 | Vertex Pharmaceuticals Incorporated | Solid forms of N-[2,4-bis(1,1-dimethylethyl)-5-hydroxyphenyl]-1,4-dihydro-4-oxoquinoline-3-carboxamide |
| US8802868B2 (en) | 2010-03-25 | 2014-08-12 | Vertex Pharmaceuticals Incorporated | Solid forms of (R)-1(2,2-difluorobenzo[D][1,3]dioxo1-5-yl)-N-(1-(2,3-dihydroxypropyl-6-fluoro-2-(1-hydroxy-2-methylpropan2-yl)-1H-Indol-5-yl)-Cyclopropanecarboxamide |
| CN106083832A (en) | 2010-03-25 | 2016-11-09 | 弗特克斯药品有限公司 | (R) 1 (2,2 difluoro benzos [D] [1,3] dioxole 5 base) solid form of N (1 (2,3 dihydroxypropyl) 6 fluorine 2 (1 hydroxyl 2 methyl-prop 2 base) 1H indole 5 base) cyclopropane carboxamide |
| NZ602795A (en) | 2010-04-07 | 2015-01-30 | Vertex Pharma | Solid forms of 3-(6-(1-(2,2-difluorobenzo[d][1,3]dioxol-5-yl) cyclopropanecarboxamido)-3-methylpyridin-2-yl)benzoic acid |
| CN106943403A (en) | 2010-04-07 | 2017-07-14 | 弗特克斯药品有限公司 | Pharmaceutical composition and its medication |
| MX2012012204A (en) | 2010-04-22 | 2012-12-05 | Vertex Pharma | Process of producing cycloalkylcarboxamido-indole compounds. |
| EP2560650A1 (en) | 2010-04-22 | 2013-02-27 | Vertex Pharmaceuticals Incorporated | Pharmaceutical compositions and administrations thereof |
| WO2011133951A1 (en) | 2010-04-22 | 2011-10-27 | Vertex Pharmaceuticals Incorporated | Pharmaceutical compositions and administrations thereof |
| NZ603044A (en) * | 2010-04-22 | 2015-08-28 | Vertex Pharma | Pharmaceutical compositions comprising cftr modulators and administrations thereof |
| AU2011255237A1 (en) | 2010-05-20 | 2012-11-29 | Vertex Pharmaceuticals Incorporated | Pharmaceutical compositions and administrations thereof |
| AR081920A1 (en) | 2010-05-20 | 2012-10-31 | Vertex Pharma | PRODUCTION PROCESSES OF TRANSMEMBRANE CHEMICAL FIBROSIS DRIVER REGULATOR MODULATORS |
| US8563593B2 (en) | 2010-06-08 | 2013-10-22 | Vertex Pharmaceuticals Incorporated | Formulations of (R)-1-(2,2-difluorobenzo[D] [1,3] dioxol-5-yl)-N-(1-(2,3-dihydroxypropyl)-6-fluoro-2-(1-hydroxy-2-methylpropan-2-yl)-1H-indol-5-yl)cyclopropanecarboxamide |
| CN103153287A (en) | 2010-08-23 | 2013-06-12 | 弗特克斯药品有限公司 | Pharmaceutical composition of (r)-1-(2,2-difluorobenzo[d][1,3]dioxol-5-yl)-n-(1-(2,3-dihydroxy propyl)-6-fluoro-2-(1-hydroxy-2-methylpropan-2-yl)-1h-indol-5-yl) cyclopropanecarboxamide and administration therof |
| CA2809263A1 (en) | 2010-08-27 | 2012-03-01 | Eleni Dokou | Pharmaceutical composition and administrations thereof |
| CN102058889A (en) | 2010-11-05 | 2011-05-18 | 王定豪 | Dispersible tablet containing anticoagulants and application thereof |
| US8802700B2 (en) | 2010-12-10 | 2014-08-12 | Vertex Pharmaceuticals Incorporated | Modulators of ATP-Binding Cassette transporters |
| CN102507770A (en) | 2011-10-25 | 2012-06-20 | 中国检验检疫科学研究院 | High performance liquid chromatography for detecting hexachlorophene in cosmetics |
| EP2773349A1 (en) | 2011-11-02 | 2014-09-10 | Vertex Pharmaceuticals Incorporated | Use of (n- [2, 4 -bis (1, 1 -dimethylethyl) - 5 - hydroxyphenyl]- 1, 4 - dihydro - 4 - oxoquinoline - 3 - carboxamide) for treating cftr mediated diseases |
| US20140127901A1 (en) | 2012-11-08 | 2014-05-08 | Taiwan Semiconductor Manufacturing Company, Ltd. | Low-k damage free integration scheme for copper interconnects |
| ME02650B (en) | 2011-11-08 | 2017-06-20 | Vertex Pharma | MODULATORS OF ATP-BINDING CASSETTE TRANSPORTERS |
| PL2806859T3 (en) | 2012-01-25 | 2019-11-29 | Vertex Pharma | Formulations of 3- (6- (1- (2,2-difluorobenzo [d] [1,3] dioxol-5-yl) cyclopropanecarboxamido) -3-methylpyridin-2-yl) benzoic acid |
| JP2015511583A (en) | 2012-02-27 | 2015-04-20 | バーテックス ファーマシューティカルズ インコーポレイテッドVertex Pharmaceuticals Incorporated | Pharmaceutical composition and its administration |
| US8674108B2 (en) | 2012-04-20 | 2014-03-18 | Vertex Pharmaceuticals Incorporated | Solid forms of N-[2,4-bis(1,1-dimethylethy)-5-hydroxyphenyl]-1,4-dihydro-4-oxoquinoline-3-carboxamide |
| JP2013253790A (en) | 2012-06-05 | 2013-12-19 | Chube Univ | Analytical method of nivalenol |
| WO2013185112A1 (en) | 2012-06-08 | 2013-12-12 | Vertex Pharmaceuticals Incorporated | Pharmaceuticl compositions for the treatment of cftr -mediated disorders |
| HK1209318A1 (en) | 2012-07-16 | 2016-04-01 | Vertex Pharmaceuticals Incorporated | Pharmaceutical compositions of (r)-1-(2,2-diflurorbenzo[d][1,3]dioxol-5-yl)-n-(1-(2,3-dihydroxypropyl)-6-fluoro-2-(1-hydroxy-2-methylpropan-2-yl)-1h-indol-5-yl) cyclopropanecarboxamide and administration thereof |
| US20140092376A1 (en) | 2012-10-01 | 2014-04-03 | Momentive Performance Materials, Inc. | Container and method for in-line analysis of protein compositions |
| SMT201800590T1 (en) | 2012-11-02 | 2019-01-11 | Vertex Pharma | Pharmaceutical compositions for the treatment of cftr mediated diseases |
| US9636301B2 (en) | 2012-12-04 | 2017-05-02 | Arbutus Biopharma Corporation | In vitro release assay for liposome encapsulated vincristine |
| US20140221424A1 (en) | 2013-01-30 | 2014-08-07 | Vertex Pharmaceuticals Incorporated | Pharmaceutical compositions for use in the treatment of cystic fibrosis |
| CN103743826B (en) | 2013-08-28 | 2015-12-02 | 合肥久诺医药科技有限公司 | A kind of HPLC analytical method of Azilsartan |
| CN103822976B (en) | 2013-10-15 | 2015-05-27 | 辽宁省食品药品检验所 | Method for measuring 4-potassium methoxysalicylate in cosmetics |
| PT3068392T (en) | 2013-11-12 | 2021-05-14 | Vertex Pharma | Process of preparing pharmaceutical compositions for the treatment of cftr mediated diseases |
| DK3925607T3 (en) | 2014-04-15 | 2023-08-21 | Vertex Pharma | PHARMACEUTICAL COMPOSITIONS FOR THE TREATMENT OF CYSTIC FIBROSIS TRANS MEMBRANE BRANCH CONDUCTANCE REGULATOR-MEDIATED DISEASES |
| CN104090038B (en) | 2014-07-07 | 2015-09-30 | 黄宏南 | A kind of method of Chinese caterpillar fungus polysaccharide peptide content in direct mensuration Cordyceps sinensis product |
| CN104122346B (en) | 2014-07-31 | 2016-03-16 | 国家烟草质量监督检验中心 | The assay method of urea content in a kind of water base adhesive |
| CN104122345B (en) | 2014-07-31 | 2015-08-12 | 国家烟草质量监督检验中心 | The assay method of 1,1,1-trimethylolpropane in cigarette paper using |
| KR102336926B1 (en) | 2014-10-06 | 2021-12-08 | 버텍스 파마슈티칼스 인코포레이티드 | Modulators of cystic fibrosis transmembrane conductance regulator |
| CA2963945C (en) | 2014-10-07 | 2023-01-10 | Vertex Pharmaceuticals Incorporated | Co-crystals of modulators of cystic fibrosis transmembrane conductance regulator |
| CN107110831B (en) | 2014-11-18 | 2020-02-21 | 弗特克斯药品有限公司 | Methods for conducting high-throughput experiments with high-performance liquid chromatography |
| WO2016086136A1 (en) | 2014-11-26 | 2016-06-02 | Catabasis Pharmaceuticals, Inc. | Fatty acid cysteamine conjugates of cftr modulators and their use in treating medical disorders |
| MA41031A (en) | 2014-11-26 | 2017-10-03 | Catabasis Pharmaceuticals Inc | CYSTEAMINE-FATTY ACID CONJUGATES AND THEIR USE AS AUTOPHAGIC ACTIVATORS |
| WO2016087665A2 (en) | 2014-12-05 | 2016-06-09 | Centre National De La Recherche Scientifique (Cnrs) | Compounds for treating cystic fibrosis |
| EP3250565B1 (en) | 2015-01-26 | 2019-07-03 | Rigel Pharmaceuticals, Inc. | Tetrazolones as carboxylic acid bioisosteres |
| UY36680A (en) | 2015-05-19 | 2016-12-30 | Glaxosmithkline Ip Dev Ltd | HETEROCYCLIC AMIDES AS QUINASA INHIBITORS |
| CN105890945A (en) | 2016-04-01 | 2016-08-24 | 中国热带农业科学院分析测试中心 | Ultrasonic centrifuged seepage sample injecting method for quickly measuring rapidly available potassium in soil |
| WO2018183367A1 (en) | 2017-03-28 | 2018-10-04 | Van Goor Fredrick F | Methods of treating cystic fibrosis in patients with residual function mutations |
-
2011
- 2011-04-07 CN CN201710033760.6A patent/CN106943403A/en active Pending
- 2011-04-07 SI SI201132009T patent/SI3150198T1/en unknown
- 2011-04-07 NZ NZ708598A patent/NZ708598A/en unknown
- 2011-04-07 EP EP21197971.1A patent/EP4005559B1/en active Active
- 2011-04-07 CN CN201710589819.XA patent/CN107260692A/en active Pending
- 2011-04-07 WO PCT/US2011/031519 patent/WO2011127241A2/en not_active Ceased
- 2011-04-07 MX MX2012011656A patent/MX364937B/en active IP Right Grant
- 2011-04-07 LT LTEP16185289.2T patent/LT3150198T/en unknown
- 2011-04-07 RS RS20211541A patent/RS62767B1/en unknown
- 2011-04-07 MX MX2018014775A patent/MX379946B/en unknown
- 2011-04-07 JP JP2013503939A patent/JP2013523833A/en active Pending
- 2011-04-07 NZ NZ602838A patent/NZ602838A/en unknown
- 2011-04-07 PL PL16185289T patent/PL3150198T3/en unknown
- 2011-04-07 ES ES21197971T patent/ES3017582T3/en active Active
- 2011-04-07 RU RU2012147272/15A patent/RU2592368C2/en active
- 2011-04-07 SM SM20210670T patent/SMT202100670T1/en unknown
- 2011-04-07 EP EP11715637.2A patent/EP2555755B2/en active Active
- 2011-04-07 HU HUE16185289A patent/HUE056525T2/en unknown
- 2011-04-07 ES ES16185289T patent/ES2900353T3/en active Active
- 2011-04-07 AU AU2011237601A patent/AU2011237601B2/en active Active
- 2011-04-07 AR ARP110101172A patent/AR081760A1/en not_active Application Discontinuation
- 2011-04-07 US US13/081,750 patent/US8552034B2/en active Active
- 2011-04-07 PT PT161852892T patent/PT3150198T/en unknown
- 2011-04-07 DK DK16185289.2T patent/DK3150198T3/en active
- 2011-04-07 EP EP16185289.2A patent/EP3150198B1/en active Active
- 2011-04-07 CN CN2011800279601A patent/CN102917692A/en active Pending
- 2011-04-07 CA CA2795804A patent/CA2795804C/en active Active
- 2011-04-07 BR BR112012026255A patent/BR112012026255A2/en not_active Application Discontinuation
- 2011-04-07 HR HRP20211752TT patent/HRP20211752T1/en unknown
- 2011-04-07 ES ES11715637T patent/ES2604480T5/en active Active
-
2012
- 2012-10-05 US US13/646,130 patent/US20130095181A1/en not_active Abandoned
- 2012-10-09 IL IL222314A patent/IL222314A/en active IP Right Grant
- 2012-11-01 ZA ZA2012/08225A patent/ZA201208225B/en unknown
-
2013
- 2013-09-19 US US14/031,360 patent/US20140023706A1/en not_active Abandoned
-
2014
- 2014-11-14 US US14/542,396 patent/US9241934B2/en active Active
-
2016
- 2016-01-14 JP JP2016005254A patent/JP2016128454A/en active Pending
- 2016-01-19 US US15/001,036 patent/US10076513B2/en active Active
-
2017
- 2017-04-09 IL IL251662A patent/IL251662A0/en unknown
- 2017-12-07 JP JP2017234962A patent/JP2018058886A/en active Pending
-
2018
- 2018-07-31 US US16/050,029 patent/US20190070155A1/en not_active Abandoned
-
2019
- 2019-08-02 US US16/530,240 patent/US11052075B2/en active Active
-
2021
- 2021-05-28 US US17/333,478 patent/US20220031679A1/en not_active Abandoned
- 2021-12-03 CY CY20211101061T patent/CY1124852T1/en unknown
Patent Citations (1)
| Publication number | Priority date | Publication date | Assignee | Title |
|---|---|---|---|---|
| US20100087490A1 (en) * | 2008-09-29 | 2010-04-08 | Vertex Pharmaceuticals Incorporated | Dosage Units of 3-(6-(1-(2,2-Difluorobenzo[D] [1,3] Dioxol-5-YL) Cyclopropanecarboxamido)-3-Methylpyridin-2-YL)Benzoic Acid |
Cited By (19)
| Publication number | Priority date | Publication date | Assignee | Title |
|---|---|---|---|---|
| US10626111B2 (en) | 2004-01-30 | 2020-04-21 | Vertex Pharmaceuticals Incorporated | Modulators of ATP-binding cassette transporters |
| US10662192B2 (en) | 2004-06-24 | 2020-05-26 | Vertex Pharmaceuticals Incorporated | Modulators of ATP-binding cassette transporters |
| US11084804B2 (en) | 2005-11-08 | 2021-08-10 | Vertex Pharmaceuticals Incorporated | Modulators of ATP-binding cassette transporters |
| US11291662B2 (en) | 2005-12-28 | 2022-04-05 | Vertex Pharmaceuticals Incorporated | Solid forms of n-[2,4-bis(1,1-dimethylethyl)-5-hydroxyphenyl]-1,4-dihydro-4-oxoquinoline-3-carboxamide |
| US11639347B2 (en) | 2006-04-07 | 2023-05-02 | Vertex Pharmaceuticals Incorporated | Modulators of ATP-binding cassette transporters |
| US10975061B2 (en) | 2006-04-07 | 2021-04-13 | Vertex Pharmaceuticals Incorporated | Modulators of ATP-binding cassette transporters |
| USRE50453E1 (en) | 2006-04-07 | 2025-06-10 | Vertex Pharmaceuticals Incorporated | Indole derivatives as CFTR modulators |
| US12065432B2 (en) | 2007-12-07 | 2024-08-20 | Vertex Pharmaceuticals Incorporated | Solid forms of 3-(6-(1-(2,2-difluorobenzo[d][1,3]dioxol-5-yl)cyclopropanecarboxamido)-3-methylpyridin-2-yl) benzoic acid |
| US11564916B2 (en) | 2008-08-13 | 2023-01-31 | Vertex Pharmaceuticals Incorporated | Pharmaceutical composition and administrations thereof |
| US12458635B2 (en) | 2008-08-13 | 2025-11-04 | Vertex Pharmaceuticals Incorporated | Pharmaceutical composition and administrations thereof |
| US11578062B2 (en) | 2010-03-25 | 2023-02-14 | Vertex Pharmaceuticals Incorporated | Solid forms of (R)-1(2,2-difluorobenzo[d][1,3]dioxol-5-yl)-N-(1-(2,3-dihydroxypropyl)-6-fluoro-2-(1-hydroxy-2-methylpropan-2-yl)-1H-indol-5-yl)cyclopropanecarboxamide |
| US11052075B2 (en) | 2010-04-07 | 2021-07-06 | Vertex Pharmaceuticals Incorporated | Pharmaceutical compositions of 3-(6-(1-(2,2-difluorobenzo[d][1,3]dioxol-5-yl) cyclopropanecarboxamido)-3-methylpyridin-2-yl) benzoic acid and administration thereof |
| US12508231B2 (en) | 2012-01-25 | 2025-12-30 | Vertex Pharmaceuticals Incorporated | Formulations of 3-(6-(1-(2,2-difluorobenzo[d][1,3]dioxol-5-yl) cyclopropanecarboxamido)-3-methylpyridin-2-yl)benzoic acid |
| US11752106B2 (en) | 2012-02-27 | 2023-09-12 | Vertex Pharmaceuticals Incorporated | Pharmaceutical composition and administrations thereof |
| US11147770B2 (en) | 2012-02-27 | 2021-10-19 | Vertex Pharmaceuticals Incorporated | Pharmaceutical composition and administrations thereof |
| US12214083B2 (en) | 2012-02-27 | 2025-02-04 | Vertex Pharmaceuticals Incorporated | Pharmaceutical composition and administrations thereof |
| US11951212B2 (en) | 2014-04-15 | 2024-04-09 | Vertex Pharmaceuticals Incorporated | Pharmaceutical compositions for the treatment of cystic fibrosis transmembrane conductance regulator mediated diseases |
| US12269831B2 (en) | 2020-08-07 | 2025-04-08 | Vertex Pharmaceuticals Incorporated | Modulators of cystic fibrosis transmembrane conductance regulator |
| US12324802B2 (en) | 2020-11-18 | 2025-06-10 | Vertex Pharmaceuticals Incorporated | Modulators of cystic fibrosis transmembrane conductance regulator |
Also Published As
Similar Documents
| Publication | Publication Date | Title |
|---|---|---|
| US11052075B2 (en) | Pharmaceutical compositions of 3-(6-(1-(2,2-difluorobenzo[d][1,3]dioxol-5-yl) cyclopropanecarboxamido)-3-methylpyridin-2-yl) benzoic acid and administration thereof | |
| US12508231B2 (en) | Formulations of 3-(6-(1-(2,2-difluorobenzo[d][1,3]dioxol-5-yl) cyclopropanecarboxamido)-3-methylpyridin-2-yl)benzoic acid | |
| AU2015205839B2 (en) | Pharmaceutical compositions of 3-(6-(1-(2,2-difluorobenzo[d][1,3]dioxol-5-yl) cyclopropanecarboxamido)-3-methylpyridin-2-yl)benzoic acid and administration thereof | |
| HK40073066A (en) | Pharmaceutical compositions of 3-(6-(1-(2,2-difluorobenzo[d][1,3]dioxol-5-yl) cyclopropanecarboxamido)-3-methylpyriodin-2-yl)benzoic acid and administration thereof | |
| HK40073066B (en) | Pharmaceutical compositions of 3-(6-(1-(2,2-difluorobenzo[d][1,3]dioxol-5-yl) cyclopropanecarboxamido)-3-methylpyriodin-2-yl)benzoic acid and administration thereof | |
| AU2016213697B2 (en) | Pharmaceutical compositions of 3-(6-(1-(2,2-difluorobenzo[d][1,3]dioxol-5-yl) cyclopropanecarboxamido)-3-methylpyridin-2-yl)benzoic acid and administration thereof | |
| TWI636051B (en) | Pharmaceutical compositions of 3-(6-(1-(2,2-difluorobenzo[d][1,3]dioxol-5-yl)cyclopropanecarboxamido)-3-methylpyridin-2-yl)benzoic acid and administration thereof | |
| HK1235667B (en) | Pharmaceutical compositions of 3-(6-(1-(2,2-difluorobenzo[d][1,3]dioxol-5-yl) cyclopropanecarboxamido)-3-methylpyriodin-2-yl)benzoic acid and administration thereof | |
| HK1235667A1 (en) | Pharmaceutical compositions of 3-(6-(1-(2,2-difluorobenzo[d][1,3]dioxol-5-yl) cyclopropanecarboxamido)-3-methylpyriodin-2-yl)benzoic acid and administration thereof | |
| HK1177598A (en) | Pharmaceutical compositions of 3-(6-(1-(2,2-difluorobenzo[d][1,3]dioxol-5-yl) cyclopropanecarboxamido)-3-methylpyriodin-2-yl)benzoic acid and administration thereof |
Legal Events
| Date | Code | Title | Description |
|---|---|---|---|
| STPP | Information on status: patent application and granting procedure in general |
Free format text: NON FINAL ACTION MAILED |
|
| STCB | Information on status: application discontinuation |
Free format text: ABANDONED -- FAILURE TO RESPOND TO AN OFFICE ACTION |

































