US20170360889A1 - Neuregulin based methods and compositions for treating cardiovascular diseases - Google Patents
Neuregulin based methods and compositions for treating cardiovascular diseases Download PDFInfo
- Publication number
- US20170360889A1 US20170360889A1 US15/419,946 US201715419946A US2017360889A1 US 20170360889 A1 US20170360889 A1 US 20170360889A1 US 201715419946 A US201715419946 A US 201715419946A US 2017360889 A1 US2017360889 A1 US 2017360889A1
- Authority
- US
- United States
- Prior art keywords
- group
- neuregulin
- rhnrg
- functional fragment
- combination
- Prior art date
- Legal status (The legal status is an assumption and is not a legal conclusion. Google has not performed a legal analysis and makes no representation as to the accuracy of the status listed.)
- Abandoned
Links
- 108050003475 Neuregulin Proteins 0.000 title claims abstract description 275
- 102000014413 Neuregulin Human genes 0.000 title claims abstract description 266
- 238000000034 method Methods 0.000 title claims abstract description 141
- 239000000203 mixture Substances 0.000 title abstract description 26
- 208000024172 Cardiovascular disease Diseases 0.000 title abstract description 12
- 239000012634 fragment Substances 0.000 claims abstract description 138
- 102000039446 nucleic acids Human genes 0.000 claims abstract description 66
- 108020004707 nucleic acids Proteins 0.000 claims abstract description 66
- 150000007523 nucleic acids Chemical class 0.000 claims abstract description 66
- 239000003795 chemical substances by application Substances 0.000 claims abstract description 62
- 241000124008 Mammalia Species 0.000 claims abstract description 37
- 238000004519 manufacturing process Methods 0.000 claims abstract description 33
- 239000003814 drug Substances 0.000 claims description 186
- 210000002216 heart Anatomy 0.000 claims description 63
- 206010047470 viral myocarditis Diseases 0.000 claims description 60
- 210000004165 myocardium Anatomy 0.000 claims description 51
- 229940124597 therapeutic agent Drugs 0.000 claims description 47
- 230000000069 prophylactic effect Effects 0.000 claims description 46
- 206010048610 Cardiotoxicity Diseases 0.000 claims description 40
- 239000008194 pharmaceutical composition Substances 0.000 claims description 38
- 231100000259 cardiotoxicity Toxicity 0.000 claims description 37
- 230000007681 cardiovascular toxicity Effects 0.000 claims description 37
- 208000010125 myocardial infarction Diseases 0.000 claims description 34
- 238000011282 treatment Methods 0.000 claims description 23
- 230000000747 cardiac effect Effects 0.000 claims description 20
- 230000003111 delayed effect Effects 0.000 claims description 20
- 239000005541 ACE inhibitor Substances 0.000 claims description 16
- 229940086440 Angiotensin I converting enzyme inhibitor Drugs 0.000 claims description 16
- 208000031229 Cardiomyopathies Diseases 0.000 claims description 16
- 239000000546 pharmaceutical excipient Substances 0.000 claims description 16
- 229940127291 Calcium channel antagonist Drugs 0.000 claims description 12
- 230000002265 prevention Effects 0.000 claims description 11
- -1 Rampril Chemical compound 0.000 claims description 10
- 239000000480 calcium channel blocker Substances 0.000 claims description 10
- 239000003937 drug carrier Substances 0.000 claims description 9
- 229940124629 β-receptor antagonist Drugs 0.000 claims description 9
- 239000003527 fibrinolytic agent Substances 0.000 claims description 8
- 238000001727 in vivo Methods 0.000 claims description 8
- 229960000103 thrombolytic agent Drugs 0.000 claims description 8
- AQHHHDLHHXJYJD-UHFFFAOYSA-N propranolol Chemical compound C1=CC=C2C(OCC(O)CNC(C)C)=CC=CC2=C1 AQHHHDLHHXJYJD-UHFFFAOYSA-N 0.000 claims description 6
- 235000015097 nutrients Nutrition 0.000 claims description 5
- 239000003223 protective agent Substances 0.000 claims description 5
- 239000003242 anti bacterial agent Substances 0.000 claims description 4
- 239000003963 antioxidant agent Substances 0.000 claims description 4
- 230000003078 antioxidant effect Effects 0.000 claims description 4
- 239000002934 diuretic Substances 0.000 claims description 4
- 230000001256 tonic effect Effects 0.000 claims description 4
- METKIMKYRPQLGS-GFCCVEGCSA-N (R)-atenolol Chemical compound CC(C)NC[C@@H](O)COC1=CC=C(CC(N)=O)C=C1 METKIMKYRPQLGS-GFCCVEGCSA-N 0.000 claims description 3
- TWBNMYSKRDRHAT-RCWTXCDDSA-N (S)-timolol hemihydrate Chemical compound O.CC(C)(C)NC[C@H](O)COC1=NSN=C1N1CCOCC1.CC(C)(C)NC[C@H](O)COC1=NSN=C1N1CCOCC1 TWBNMYSKRDRHAT-RCWTXCDDSA-N 0.000 claims description 3
- 229930000680 A04AD01 - Scopolamine Natural products 0.000 claims description 3
- 108010058207 Anistreplase Proteins 0.000 claims description 3
- BSYNRYMUTXBXSQ-UHFFFAOYSA-N Aspirin Chemical compound CC(=O)OC1=CC=CC=C1C(O)=O BSYNRYMUTXBXSQ-UHFFFAOYSA-N 0.000 claims description 3
- 229930003347 Atropine Natural products 0.000 claims description 3
- RKUNBYITZUJHSG-UHFFFAOYSA-N Hyosciamin-hydrochlorid Natural products CN1C(C2)CCC1CC2OC(=O)C(CO)C1=CC=CC=C1 RKUNBYITZUJHSG-UHFFFAOYSA-N 0.000 claims description 3
- STECJAGHUSJQJN-GAUPFVANSA-N Hyoscine Natural products C1([C@H](CO)C(=O)OC2C[C@@H]3N([C@H](C2)[C@@H]2[C@H]3O2)C)=CC=CC=C1 STECJAGHUSJQJN-GAUPFVANSA-N 0.000 claims description 3
- 108010007859 Lisinopril Proteins 0.000 claims description 3
- STECJAGHUSJQJN-UHFFFAOYSA-N N-Methyl-scopolamin Natural products C1C(C2C3O2)N(C)C3CC1OC(=O)C(CO)C1=CC=CC=C1 STECJAGHUSJQJN-UHFFFAOYSA-N 0.000 claims description 3
- SNIOPGDIGTZGOP-UHFFFAOYSA-N Nitroglycerin Chemical compound [O-][N+](=O)OCC(O[N+]([O-])=O)CO[N+]([O-])=O SNIOPGDIGTZGOP-UHFFFAOYSA-N 0.000 claims description 3
- 239000000006 Nitroglycerin Substances 0.000 claims description 3
- 108010023197 Streptokinase Proteins 0.000 claims description 3
- 108050006955 Tissue-type plasminogen activator Proteins 0.000 claims description 3
- VXFJYXUZANRPDJ-WTNASJBWSA-N Trandopril Chemical compound C([C@@H](C(=O)OCC)N[C@@H](C)C(=O)N1[C@@H](C[C@H]2CCCC[C@@H]21)C(O)=O)CC1=CC=CC=C1 VXFJYXUZANRPDJ-WTNASJBWSA-N 0.000 claims description 3
- 229960001138 acetylsalicylic acid Drugs 0.000 claims description 3
- 229960000983 anistreplase Drugs 0.000 claims description 3
- 229960002274 atenolol Drugs 0.000 claims description 3
- 229960000396 atropine Drugs 0.000 claims description 3
- RKUNBYITZUJHSG-SPUOUPEWSA-N atropine Chemical compound O([C@H]1C[C@H]2CC[C@@H](C1)N2C)C(=O)C(CO)C1=CC=CC=C1 RKUNBYITZUJHSG-SPUOUPEWSA-N 0.000 claims description 3
- 230000003115 biocidal effect Effects 0.000 claims description 3
- 229960000830 captopril Drugs 0.000 claims description 3
- FAKRSMQSSFJEIM-RQJHMYQMSA-N captopril Chemical compound SC[C@@H](C)C(=O)N1CCC[C@H]1C(O)=O FAKRSMQSSFJEIM-RQJHMYQMSA-N 0.000 claims description 3
- 229960004166 diltiazem Drugs 0.000 claims description 3
- HSUGRBWQSSZJOP-RTWAWAEBSA-N diltiazem Chemical group C1=CC(OC)=CC=C1[C@H]1[C@@H](OC(C)=O)C(=O)N(CCN(C)C)C2=CC=CC=C2S1 HSUGRBWQSSZJOP-RTWAWAEBSA-N 0.000 claims description 3
- 230000001882 diuretic effect Effects 0.000 claims description 3
- 229960003711 glyceryl trinitrate Drugs 0.000 claims description 3
- 229960002394 lisinopril Drugs 0.000 claims description 3
- RLAWWYSOJDYHDC-BZSNNMDCSA-N lisinopril Chemical compound C([C@H](N[C@@H](CCCCN)C(=O)N1[C@@H](CCC1)C(O)=O)C(O)=O)CC1=CC=CC=C1 RLAWWYSOJDYHDC-BZSNNMDCSA-N 0.000 claims description 3
- IUBSYMUCCVWXPE-UHFFFAOYSA-N metoprolol Chemical compound COCCC1=CC=C(OCC(O)CNC(C)C)C=C1 IUBSYMUCCVWXPE-UHFFFAOYSA-N 0.000 claims description 3
- 229960002237 metoprolol Drugs 0.000 claims description 3
- 229960003712 propranolol Drugs 0.000 claims description 3
- 229940044551 receptor antagonist Drugs 0.000 claims description 3
- 239000002464 receptor antagonist Substances 0.000 claims description 3
- 229960002646 scopolamine Drugs 0.000 claims description 3
- STECJAGHUSJQJN-FWXGHANASA-N scopolamine Chemical compound C1([C@@H](CO)C(=O)O[C@H]2C[C@@H]3N([C@H](C2)[C@@H]2[C@H]3O2)C)=CC=CC=C1 STECJAGHUSJQJN-FWXGHANASA-N 0.000 claims description 3
- 229960005202 streptokinase Drugs 0.000 claims description 3
- 229960004605 timolol Drugs 0.000 claims description 3
- 229960002051 trandolapril Drugs 0.000 claims description 3
- 229960002769 zofenopril Drugs 0.000 claims description 3
- IAIDUHCBNLFXEF-MNEFBYGVSA-N zofenopril Chemical compound C([C@@H](C)C(=O)N1[C@@H](C[C@@H](C1)SC=1C=CC=CC=1)C(O)=O)SC(=O)C1=CC=CC=C1 IAIDUHCBNLFXEF-MNEFBYGVSA-N 0.000 claims description 3
- 241001465754 Metazoa Species 0.000 description 240
- 238000001647 drug administration Methods 0.000 description 153
- 229940079593 drug Drugs 0.000 description 130
- 238000012360 testing method Methods 0.000 description 125
- 230000000694 effects Effects 0.000 description 105
- AOJJSUZBOXZQNB-TZSSRYMLSA-N Doxorubicin Chemical compound O([C@H]1C[C@@](O)(CC=2C(O)=C3C(=O)C=4C=CC=C(C=4C(=O)C3=C(O)C=21)OC)C(=O)CO)[C@H]1C[C@H](N)[C@H](O)[C@H](C)O1 AOJJSUZBOXZQNB-TZSSRYMLSA-N 0.000 description 96
- 238000002474 experimental method Methods 0.000 description 80
- 230000002107 myocardial effect Effects 0.000 description 77
- 238000002347 injection Methods 0.000 description 64
- 239000007924 injection Substances 0.000 description 64
- 241000699670 Mus sp. Species 0.000 description 60
- 210000004027 cell Anatomy 0.000 description 58
- 206010019280 Heart failures Diseases 0.000 description 52
- 230000004083 survival effect Effects 0.000 description 52
- 230000001575 pathological effect Effects 0.000 description 50
- 210000002966 serum Anatomy 0.000 description 48
- 229940009456 adriamycin Drugs 0.000 description 45
- 241000700605 Viruses Species 0.000 description 41
- 230000006870 function Effects 0.000 description 38
- 102000048238 Neuregulin-1 Human genes 0.000 description 37
- 108090000556 Neuregulin-1 Proteins 0.000 description 37
- 241000700159 Rattus Species 0.000 description 36
- 241000282414 Homo sapiens Species 0.000 description 35
- 230000037396 body weight Effects 0.000 description 34
- 101100537532 Rattus norvegicus Tnni3 gene Proteins 0.000 description 32
- 238000004458 analytical method Methods 0.000 description 32
- 239000002609 medium Substances 0.000 description 31
- 230000004217 heart function Effects 0.000 description 30
- 208000015181 infectious disease Diseases 0.000 description 30
- 230000002829 reductive effect Effects 0.000 description 28
- 108090000623 proteins and genes Proteins 0.000 description 27
- 101001109800 Homo sapiens Pro-neuregulin-1, membrane-bound isoform Proteins 0.000 description 25
- 102000055650 human NRG1 Human genes 0.000 description 25
- 210000005240 left ventricle Anatomy 0.000 description 24
- 241000282693 Cercopithecidae Species 0.000 description 23
- 108020004414 DNA Proteins 0.000 description 23
- 238000011888 autopsy Methods 0.000 description 23
- 239000000243 solution Substances 0.000 description 23
- 101800000675 Neuregulin-2 Proteins 0.000 description 22
- 102100022668 Pro-neuregulin-2, membrane-bound isoform Human genes 0.000 description 22
- 241000282472 Canis lupus familiaris Species 0.000 description 21
- 150000001413 amino acids Chemical group 0.000 description 21
- 102000004169 proteins and genes Human genes 0.000 description 21
- 230000002861 ventricular Effects 0.000 description 21
- 102000005962 receptors Human genes 0.000 description 20
- 108020003175 receptors Proteins 0.000 description 20
- 210000001519 tissue Anatomy 0.000 description 20
- 206010007559 Cardiac failure congestive Diseases 0.000 description 19
- 210000004351 coronary vessel Anatomy 0.000 description 19
- 208000037265 diseases, disorders, signs and symptoms Diseases 0.000 description 19
- 230000003176 fibrotic effect Effects 0.000 description 19
- 238000010253 intravenous injection Methods 0.000 description 19
- 239000000523 sample Substances 0.000 description 19
- 208000034657 Convalescence Diseases 0.000 description 18
- 208000007271 Substance Withdrawal Syndrome Diseases 0.000 description 18
- 229960002478 aldosterone Drugs 0.000 description 18
- 230000003902 lesion Effects 0.000 description 18
- 235000018102 proteins Nutrition 0.000 description 18
- 230000027455 binding Effects 0.000 description 17
- 239000007853 buffer solution Substances 0.000 description 17
- 230000006378 damage Effects 0.000 description 17
- 230000001225 therapeutic effect Effects 0.000 description 17
- 102400000344 Angiotensin-1 Human genes 0.000 description 16
- 101800000734 Angiotensin-1 Proteins 0.000 description 16
- 206010028980 Neoplasm Diseases 0.000 description 16
- ORWYRWWVDCYOMK-HBZPZAIKSA-N angiotensin I Chemical compound C([C@@H](C(=O)N[C@@H]([C@@H](C)CC)C(=O)N[C@@H](CC=1NC=NC=1)C(=O)N1[C@@H](CCC1)C(=O)N[C@@H](CC=1C=CC=CC=1)C(=O)N[C@@H](CC=1NC=NC=1)C(=O)N[C@@H](CC(C)C)C(O)=O)NC(=O)[C@@H](NC(=O)[C@H](CCCN=C(N)N)NC(=O)[C@@H](N)CC(O)=O)C(C)C)C1=CC=C(O)C=C1 ORWYRWWVDCYOMK-HBZPZAIKSA-N 0.000 description 16
- 201000010099 disease Diseases 0.000 description 16
- 238000002592 echocardiography Methods 0.000 description 16
- 208000003906 hydrocephalus Diseases 0.000 description 16
- 108090000765 processed proteins & peptides Proteins 0.000 description 16
- 208000024891 symptom Diseases 0.000 description 16
- 231100000331 toxic Toxicity 0.000 description 16
- 230000002588 toxic effect Effects 0.000 description 16
- 239000003153 chemical reaction reagent Substances 0.000 description 15
- 210000000056 organ Anatomy 0.000 description 15
- 230000036285 pathological change Effects 0.000 description 15
- PQSUYGKTWSAVDQ-ZVIOFETBSA-N Aldosterone Chemical compound C([C@@]1([C@@H](C(=O)CO)CC[C@H]1[C@@H]1CC2)C=O)[C@H](O)[C@@H]1[C@]1(C)C2=CC(=O)CC1 PQSUYGKTWSAVDQ-ZVIOFETBSA-N 0.000 description 14
- PQSUYGKTWSAVDQ-UHFFFAOYSA-N Aldosterone Natural products C1CC2C3CCC(C(=O)CO)C3(C=O)CC(O)C2C2(C)C1=CC(=O)CC2 PQSUYGKTWSAVDQ-UHFFFAOYSA-N 0.000 description 14
- 208000009525 Myocarditis Diseases 0.000 description 14
- 102100026893 Troponin T, cardiac muscle Human genes 0.000 description 14
- 101710165323 Troponin T, cardiac muscle Proteins 0.000 description 14
- 230000005856 abnormality Effects 0.000 description 14
- 230000004071 biological effect Effects 0.000 description 14
- 230000001965 increasing effect Effects 0.000 description 14
- 102000004196 processed proteins & peptides Human genes 0.000 description 14
- 210000003934 vacuole Anatomy 0.000 description 14
- 210000003462 vein Anatomy 0.000 description 14
- 102400000345 Angiotensin-2 Human genes 0.000 description 13
- 101800000733 Angiotensin-2 Proteins 0.000 description 13
- CZGUSIXMZVURDU-JZXHSEFVSA-N Ile(5)-angiotensin II Chemical compound C([C@@H](C(=O)N[C@@H]([C@@H](C)CC)C(=O)N[C@@H](CC=1NC=NC=1)C(=O)N1[C@@H](CCC1)C(=O)N[C@@H](CC=1C=CC=CC=1)C([O-])=O)NC(=O)[C@@H](NC(=O)[C@H](CCCNC(N)=[NH2+])NC(=O)[C@@H]([NH3+])CC([O-])=O)C(C)C)C1=CC=C(O)C=C1 CZGUSIXMZVURDU-JZXHSEFVSA-N 0.000 description 13
- 229950006323 angiotensin ii Drugs 0.000 description 13
- 210000004369 blood Anatomy 0.000 description 13
- 239000008280 blood Substances 0.000 description 13
- 208000035269 cancer or benign tumor Diseases 0.000 description 13
- 210000001631 vena cava inferior Anatomy 0.000 description 13
- 101800000673 Neuregulin-3 Proteins 0.000 description 12
- 102100022659 Pro-neuregulin-3, membrane-bound isoform Human genes 0.000 description 12
- FAPWRFPIFSIZLT-UHFFFAOYSA-M Sodium chloride Chemical compound [Na+].[Cl-] FAPWRFPIFSIZLT-UHFFFAOYSA-M 0.000 description 12
- 238000006243 chemical reaction Methods 0.000 description 12
- 239000000902 placebo Substances 0.000 description 12
- 229940068196 placebo Drugs 0.000 description 12
- 238000002360 preparation method Methods 0.000 description 12
- 230000035755 proliferation Effects 0.000 description 12
- 239000000758 substrate Substances 0.000 description 12
- 210000002700 urine Anatomy 0.000 description 12
- XLYOFNOQVPJJNP-UHFFFAOYSA-N water Substances O XLYOFNOQVPJJNP-UHFFFAOYSA-N 0.000 description 12
- 208000037892 acute myocardial injury Diseases 0.000 description 11
- 229920001184 polypeptide Polymers 0.000 description 11
- 239000013598 vector Substances 0.000 description 11
- 102000004190 Enzymes Human genes 0.000 description 10
- 108090000790 Enzymes Proteins 0.000 description 10
- 101800002641 Neuregulin-4 Proteins 0.000 description 10
- 102100022658 Pro-neuregulin-4, membrane-bound isoform Human genes 0.000 description 10
- 230000002159 abnormal effect Effects 0.000 description 10
- 235000001014 amino acid Nutrition 0.000 description 10
- 206010003119 arrhythmia Diseases 0.000 description 10
- 230000006793 arrhythmia Effects 0.000 description 10
- 230000002354 daily effect Effects 0.000 description 10
- 230000034994 death Effects 0.000 description 10
- 238000009826 distribution Methods 0.000 description 10
- 238000005516 engineering process Methods 0.000 description 10
- 229940088598 enzyme Drugs 0.000 description 10
- 230000002489 hematologic effect Effects 0.000 description 10
- 238000012544 monitoring process Methods 0.000 description 10
- 239000013612 plasmid Substances 0.000 description 10
- 239000000047 product Substances 0.000 description 10
- 239000000126 substance Substances 0.000 description 10
- 206010002091 Anaesthesia Diseases 0.000 description 9
- 238000002965 ELISA Methods 0.000 description 9
- WQZGKKKJIJFFOK-GASJEMHNSA-N Glucose Natural products OC[C@H]1OC(O)[C@H](O)[C@@H](O)[C@@H]1O WQZGKKKJIJFFOK-GASJEMHNSA-N 0.000 description 9
- 206010028851 Necrosis Diseases 0.000 description 9
- 208000036142 Viral infection Diseases 0.000 description 9
- 230000001154 acute effect Effects 0.000 description 9
- 230000037005 anaesthesia Effects 0.000 description 9
- 230000000840 anti-viral effect Effects 0.000 description 9
- 210000001185 bone marrow Anatomy 0.000 description 9
- 210000000038 chest Anatomy 0.000 description 9
- KRKNYBCHXYNGOX-UHFFFAOYSA-N citric acid Chemical compound OC(=O)CC(O)(C(O)=O)CC(O)=O KRKNYBCHXYNGOX-UHFFFAOYSA-N 0.000 description 9
- 230000007423 decrease Effects 0.000 description 9
- 230000018109 developmental process Effects 0.000 description 9
- 230000003203 everyday effect Effects 0.000 description 9
- 210000000416 exudates and transudate Anatomy 0.000 description 9
- 239000001963 growth medium Substances 0.000 description 9
- 230000000302 ischemic effect Effects 0.000 description 9
- 239000003446 ligand Substances 0.000 description 9
- 230000017074 necrotic cell death Effects 0.000 description 9
- 230000003285 pharmacodynamic effect Effects 0.000 description 9
- 238000012545 processing Methods 0.000 description 9
- 238000002560 therapeutic procedure Methods 0.000 description 9
- 201000008460 toxic myocarditis Diseases 0.000 description 9
- 230000009385 viral infection Effects 0.000 description 9
- CIWBSHSKHKDKBQ-JLAZNSOCSA-N Ascorbic acid Chemical compound OC[C@H](O)[C@H]1OC(=O)C(O)=C1O CIWBSHSKHKDKBQ-JLAZNSOCSA-N 0.000 description 8
- 102000001301 EGF receptor Human genes 0.000 description 8
- 108060006698 EGF receptor Proteins 0.000 description 8
- 208000005228 Pericardial Effusion Diseases 0.000 description 8
- 239000005557 antagonist Substances 0.000 description 8
- 239000000164 antipsychotic agent Substances 0.000 description 8
- 230000015572 biosynthetic process Effects 0.000 description 8
- 239000011248 coating agent Substances 0.000 description 8
- 238000000576 coating method Methods 0.000 description 8
- DDRJAANPRJIHGJ-UHFFFAOYSA-N creatinine Chemical compound CN1CC(=O)NC1=N DDRJAANPRJIHGJ-UHFFFAOYSA-N 0.000 description 8
- 230000004069 differentiation Effects 0.000 description 8
- 210000003743 erythrocyte Anatomy 0.000 description 8
- 210000003414 extremity Anatomy 0.000 description 8
- NOESYZHRGYRDHS-UHFFFAOYSA-N insulin Chemical compound N1C(=O)C(NC(=O)C(CCC(N)=O)NC(=O)C(CCC(O)=O)NC(=O)C(C(C)C)NC(=O)C(NC(=O)CN)C(C)CC)CSSCC(C(NC(CO)C(=O)NC(CC(C)C)C(=O)NC(CC=2C=CC(O)=CC=2)C(=O)NC(CCC(N)=O)C(=O)NC(CC(C)C)C(=O)NC(CCC(O)=O)C(=O)NC(CC(N)=O)C(=O)NC(CC=2C=CC(O)=CC=2)C(=O)NC(CSSCC(NC(=O)C(C(C)C)NC(=O)C(CC(C)C)NC(=O)C(CC=2C=CC(O)=CC=2)NC(=O)C(CC(C)C)NC(=O)C(C)NC(=O)C(CCC(O)=O)NC(=O)C(C(C)C)NC(=O)C(CC(C)C)NC(=O)C(CC=2NC=NC=2)NC(=O)C(CO)NC(=O)CNC2=O)C(=O)NCC(=O)NC(CCC(O)=O)C(=O)NC(CCCNC(N)=N)C(=O)NCC(=O)NC(CC=3C=CC=CC=3)C(=O)NC(CC=3C=CC=CC=3)C(=O)NC(CC=3C=CC(O)=CC=3)C(=O)NC(C(C)O)C(=O)N3C(CCC3)C(=O)NC(CCCCN)C(=O)NC(C)C(O)=O)C(=O)NC(CC(N)=O)C(O)=O)=O)NC(=O)C(C(C)CC)NC(=O)C(CO)NC(=O)C(C(C)O)NC(=O)C1CSSCC2NC(=O)C(CC(C)C)NC(=O)C(NC(=O)C(CCC(N)=O)NC(=O)C(CC(N)=O)NC(=O)C(NC(=O)C(N)CC=1C=CC=CC=1)C(C)C)CC1=CN=CN1 NOESYZHRGYRDHS-UHFFFAOYSA-N 0.000 description 8
- 230000000144 pharmacologic effect Effects 0.000 description 8
- 230000009467 reduction Effects 0.000 description 8
- 239000013603 viral vector Substances 0.000 description 8
- 206010006187 Breast cancer Diseases 0.000 description 7
- 208000026310 Breast neoplasm Diseases 0.000 description 7
- 239000006144 Dulbecco’s modified Eagle's medium Substances 0.000 description 7
- 102000001554 Hemoglobins Human genes 0.000 description 7
- 108010054147 Hemoglobins Proteins 0.000 description 7
- 241000699666 Mus <mouse, genus> Species 0.000 description 7
- 206010047700 Vomiting Diseases 0.000 description 7
- 238000010171 animal model Methods 0.000 description 7
- 210000001715 carotid artery Anatomy 0.000 description 7
- 238000011161 development Methods 0.000 description 7
- 239000012530 fluid Substances 0.000 description 7
- 230000006698 induction Effects 0.000 description 7
- 239000003112 inhibitor Substances 0.000 description 7
- 210000004072 lung Anatomy 0.000 description 7
- 238000005259 measurement Methods 0.000 description 7
- 238000004904 shortening Methods 0.000 description 7
- 108091032973 (ribonucleotides)n+m Proteins 0.000 description 6
- GVJHHUAWPYXKBD-UHFFFAOYSA-N (±)-α-Tocopherol Chemical compound OC1=C(C)C(C)=C2OC(CCCC(C)CCCC(C)CCCC(C)C)(C)CCC2=C1C GVJHHUAWPYXKBD-UHFFFAOYSA-N 0.000 description 6
- FBPFZTCFMRRESA-KVTDHHQDSA-N D-Mannitol Chemical compound OC[C@@H](O)[C@@H](O)[C@H](O)[C@H](O)CO FBPFZTCFMRRESA-KVTDHHQDSA-N 0.000 description 6
- 241000287828 Gallus gallus Species 0.000 description 6
- 108091006905 Human Serum Albumin Proteins 0.000 description 6
- 102000008100 Human Serum Albumin Human genes 0.000 description 6
- 206010021143 Hypoxia Diseases 0.000 description 6
- 229930195725 Mannitol Natural products 0.000 description 6
- 102100022661 Pro-neuregulin-1, membrane-bound isoform Human genes 0.000 description 6
- 102000013394 Troponin I Human genes 0.000 description 6
- 108010065729 Troponin I Proteins 0.000 description 6
- RJURFGZVJUQBHK-UHFFFAOYSA-N actinomycin D Natural products CC1OC(=O)C(C(C)C)N(C)C(=O)CN(C)C(=O)C2CCCN2C(=O)C(C(C)C)NC(=O)C1NC(=O)C1=C(N)C(=O)C(C)=C2OC(C(C)=CC=C3C(=O)NC4C(=O)NC(C(N5CCCC5C(=O)N(C)CC(=O)N(C)C(C(C)C)C(=O)OC4C)=O)C(C)C)=C3N=C21 RJURFGZVJUQBHK-UHFFFAOYSA-N 0.000 description 6
- 229940024606 amino acid Drugs 0.000 description 6
- 208000022531 anorexia Diseases 0.000 description 6
- 229940045799 anthracyclines and related substance Drugs 0.000 description 6
- 230000002924 anti-infective effect Effects 0.000 description 6
- 230000036760 body temperature Effects 0.000 description 6
- 239000002299 complementary DNA Substances 0.000 description 6
- 150000001875 compounds Chemical class 0.000 description 6
- 206010061428 decreased appetite Diseases 0.000 description 6
- 238000001514 detection method Methods 0.000 description 6
- 230000003205 diastolic effect Effects 0.000 description 6
- 210000001174 endocardium Anatomy 0.000 description 6
- 239000012678 infectious agent Substances 0.000 description 6
- 239000000594 mannitol Substances 0.000 description 6
- 235000010355 mannitol Nutrition 0.000 description 6
- 208000037891 myocardial injury Diseases 0.000 description 6
- 239000013642 negative control Substances 0.000 description 6
- 210000003516 pericardium Anatomy 0.000 description 6
- 230000035479 physiological effects, processes and functions Effects 0.000 description 6
- 239000011780 sodium chloride Substances 0.000 description 6
- 210000002330 subarachnoid space Anatomy 0.000 description 6
- 238000006467 substitution reaction Methods 0.000 description 6
- 230000003612 virological effect Effects 0.000 description 6
- 230000008673 vomiting Effects 0.000 description 6
- 206010003694 Atrophy Diseases 0.000 description 5
- 102100031780 Endonuclease Human genes 0.000 description 5
- 108010042407 Endonucleases Proteins 0.000 description 5
- LFQSCWFLJHTTHZ-UHFFFAOYSA-N Ethanol Chemical compound CCO LFQSCWFLJHTTHZ-UHFFFAOYSA-N 0.000 description 5
- 108700039691 Genetic Promoter Regions Proteins 0.000 description 5
- 108010001336 Horseradish Peroxidase Proteins 0.000 description 5
- 102000014150 Interferons Human genes 0.000 description 5
- 108010050904 Interferons Proteins 0.000 description 5
- 102000015696 Interleukins Human genes 0.000 description 5
- 108010063738 Interleukins Proteins 0.000 description 5
- 206010028813 Nausea Diseases 0.000 description 5
- 206010030113 Oedema Diseases 0.000 description 5
- 206010035039 Piloerection Diseases 0.000 description 5
- 108010029485 Protein Isoforms Proteins 0.000 description 5
- 102000001708 Protein Isoforms Human genes 0.000 description 5
- 102100030086 Receptor tyrosine-protein kinase erbB-2 Human genes 0.000 description 5
- 229940123445 Tricyclic antidepressant Drugs 0.000 description 5
- 239000003708 ampul Substances 0.000 description 5
- 230000037444 atrophy Effects 0.000 description 5
- 230000017531 blood circulation Effects 0.000 description 5
- 230000001684 chronic effect Effects 0.000 description 5
- 238000010276 construction Methods 0.000 description 5
- 230000008602 contraction Effects 0.000 description 5
- 210000000805 cytoplasm Anatomy 0.000 description 5
- 230000003247 decreasing effect Effects 0.000 description 5
- 230000029087 digestion Effects 0.000 description 5
- 238000004090 dissolution Methods 0.000 description 5
- 230000002550 fecal effect Effects 0.000 description 5
- 230000037406 food intake Effects 0.000 description 5
- 238000009472 formulation Methods 0.000 description 5
- 208000019622 heart disease Diseases 0.000 description 5
- 230000000004 hemodynamic effect Effects 0.000 description 5
- 230000001146 hypoxic effect Effects 0.000 description 5
- 230000001976 improved effect Effects 0.000 description 5
- 238000000338 in vitro Methods 0.000 description 5
- 230000003680 myocardial damage Effects 0.000 description 5
- 230000008693 nausea Effects 0.000 description 5
- 108010051255 neuregulin beta Proteins 0.000 description 5
- 230000005371 pilomotor reflex Effects 0.000 description 5
- 230000008569 process Effects 0.000 description 5
- 230000002685 pulmonary effect Effects 0.000 description 5
- 230000001105 regulatory effect Effects 0.000 description 5
- 235000020183 skimmed milk Nutrition 0.000 description 5
- 239000011734 sodium Substances 0.000 description 5
- 241000894007 species Species 0.000 description 5
- 238000013518 transcription Methods 0.000 description 5
- 230000035897 transcription Effects 0.000 description 5
- 239000003029 tricyclic antidepressant agent Substances 0.000 description 5
- 102100036475 Alanine aminotransferase 1 Human genes 0.000 description 4
- 108010082126 Alanine transaminase Proteins 0.000 description 4
- 108010003415 Aspartate Aminotransferases Proteins 0.000 description 4
- 102000004625 Aspartate Aminotransferases Human genes 0.000 description 4
- 241000283690 Bos taurus Species 0.000 description 4
- 241000283707 Capra Species 0.000 description 4
- 201000009030 Carcinoma Diseases 0.000 description 4
- ZZZCUOFIHGPKAK-UHFFFAOYSA-N D-erythro-ascorbic acid Natural products OCC1OC(=O)C(O)=C1O ZZZCUOFIHGPKAK-UHFFFAOYSA-N 0.000 description 4
- 201000010046 Dilated cardiomyopathy Diseases 0.000 description 4
- 241000283086 Equidae Species 0.000 description 4
- 241000282326 Felis catus Species 0.000 description 4
- 208000032843 Hemorrhage Diseases 0.000 description 4
- 101100405240 Homo sapiens NRG1 gene Proteins 0.000 description 4
- UFHFLCQGNIYNRP-UHFFFAOYSA-N Hydrogen Chemical group [H][H] UFHFLCQGNIYNRP-UHFFFAOYSA-N 0.000 description 4
- 206010020880 Hypertrophy Diseases 0.000 description 4
- 102000004877 Insulin Human genes 0.000 description 4
- 108090001061 Insulin Proteins 0.000 description 4
- 102000006992 Interferon-alpha Human genes 0.000 description 4
- 108010047761 Interferon-alpha Proteins 0.000 description 4
- NWIBSHFKIJFRCO-WUDYKRTCSA-N Mytomycin Chemical compound C1N2C(C(C(C)=C(N)C3=O)=O)=C3[C@@H](COC(N)=O)[C@@]2(OC)[C@@H]2[C@H]1N2 NWIBSHFKIJFRCO-WUDYKRTCSA-N 0.000 description 4
- 241000283973 Oryctolagus cuniculus Species 0.000 description 4
- 241001494479 Pecora Species 0.000 description 4
- 229920001213 Polysorbate 20 Polymers 0.000 description 4
- 241000700157 Rattus norvegicus Species 0.000 description 4
- 101100148573 Rattus norvegicus S1pr5 gene Proteins 0.000 description 4
- 101710100968 Receptor tyrosine-protein kinase erbB-2 Proteins 0.000 description 4
- 206010039424 Salivary hypersecretion Diseases 0.000 description 4
- CDBYLPFSWZWCQE-UHFFFAOYSA-L Sodium Carbonate Chemical compound [Na+].[Na+].[O-]C([O-])=O CDBYLPFSWZWCQE-UHFFFAOYSA-L 0.000 description 4
- UIIMBOGNXHQVGW-UHFFFAOYSA-M Sodium bicarbonate Chemical compound [Na+].OC([O-])=O UIIMBOGNXHQVGW-UHFFFAOYSA-M 0.000 description 4
- 241000282887 Suidae Species 0.000 description 4
- 238000008050 Total Bilirubin Reagent Methods 0.000 description 4
- 229930003268 Vitamin C Natural products 0.000 description 4
- 241000269368 Xenopus laevis Species 0.000 description 4
- 230000004913 activation Effects 0.000 description 4
- 239000000556 agonist Substances 0.000 description 4
- 238000003556 assay Methods 0.000 description 4
- 230000002860 competitive effect Effects 0.000 description 4
- 229940109239 creatinine Drugs 0.000 description 4
- 230000007850 degeneration Effects 0.000 description 4
- BNIILDVGGAEEIG-UHFFFAOYSA-L disodium hydrogen phosphate Chemical compound [Na+].[Na+].OP([O-])([O-])=O BNIILDVGGAEEIG-UHFFFAOYSA-L 0.000 description 4
- 229910000397 disodium phosphate Inorganic materials 0.000 description 4
- 238000002565 electrocardiography Methods 0.000 description 4
- 238000001962 electrophoresis Methods 0.000 description 4
- 239000013604 expression vector Substances 0.000 description 4
- 239000000835 fiber Substances 0.000 description 4
- 238000007667 floating Methods 0.000 description 4
- 229960002949 fluorouracil Drugs 0.000 description 4
- 238000013467 fragmentation Methods 0.000 description 4
- 238000006062 fragmentation reaction Methods 0.000 description 4
- 230000002496 gastric effect Effects 0.000 description 4
- 210000001035 gastrointestinal tract Anatomy 0.000 description 4
- 238000001415 gene therapy Methods 0.000 description 4
- 239000008103 glucose Substances 0.000 description 4
- 210000003714 granulocyte Anatomy 0.000 description 4
- 239000001257 hydrogen Chemical group 0.000 description 4
- 229910052739 hydrogen Chemical group 0.000 description 4
- 229940125396 insulin Drugs 0.000 description 4
- 229940079322 interferon Drugs 0.000 description 4
- JVTAAEKCZFNVCJ-UHFFFAOYSA-N lactic acid Chemical compound CC(O)C(O)=O JVTAAEKCZFNVCJ-UHFFFAOYSA-N 0.000 description 4
- 239000002502 liposome Substances 0.000 description 4
- 239000002932 luster Substances 0.000 description 4
- 238000001543 one-way ANOVA Methods 0.000 description 4
- 231100000915 pathological change Toxicity 0.000 description 4
- 230000026731 phosphorylation Effects 0.000 description 4
- 238000006366 phosphorylation reaction Methods 0.000 description 4
- 210000003446 pia mater Anatomy 0.000 description 4
- 239000000256 polyoxyethylene sorbitan monolaurate Substances 0.000 description 4
- 235000010486 polyoxyethylene sorbitan monolaurate Nutrition 0.000 description 4
- 238000005086 pumping Methods 0.000 description 4
- 150000003254 radicals Chemical group 0.000 description 4
- 238000011552 rat model Methods 0.000 description 4
- 208000026451 salivation Diseases 0.000 description 4
- 238000012216 screening Methods 0.000 description 4
- 238000007789 sealing Methods 0.000 description 4
- 238000002415 sodium dodecyl sulfate polyacrylamide gel electrophoresis Methods 0.000 description 4
- 208000011580 syndromic disease Diseases 0.000 description 4
- 230000009885 systemic effect Effects 0.000 description 4
- 238000012353 t test Methods 0.000 description 4
- XOAAWQZATWQOTB-UHFFFAOYSA-N taurine Chemical compound NCCS(O)(=O)=O XOAAWQZATWQOTB-UHFFFAOYSA-N 0.000 description 4
- 210000001550 testis Anatomy 0.000 description 4
- 210000003437 trachea Anatomy 0.000 description 4
- 230000009723 vascular congestion Effects 0.000 description 4
- 239000003981 vehicle Substances 0.000 description 4
- 229960004528 vincristine Drugs 0.000 description 4
- OGWKCGZFUXNPDA-UHFFFAOYSA-N vincristine Natural products C1C(CC)(O)CC(CC2(C(=O)OC)C=3C(=CC4=C(C56C(C(C(OC(C)=O)C7(CC)C=CCN(C67)CC5)(O)C(=O)OC)N4C=O)C=3)OC)CN1CCC1=C2NC2=CC=CC=C12 OGWKCGZFUXNPDA-UHFFFAOYSA-N 0.000 description 4
- OGWKCGZFUXNPDA-XQKSVPLYSA-N vincristine Chemical compound C([N@]1C[C@@H](C[C@]2(C(=O)OC)C=3C(=CC4=C([C@]56[C@H]([C@@]([C@H](OC(C)=O)[C@]7(CC)C=CCN([C@H]67)CC5)(O)C(=O)OC)N4C=O)C=3)OC)C[C@@](C1)(O)CC)CC1=C2NC2=CC=CC=C12 OGWKCGZFUXNPDA-XQKSVPLYSA-N 0.000 description 4
- 235000019154 vitamin C Nutrition 0.000 description 4
- 239000011718 vitamin C Substances 0.000 description 4
- JKMHFZQWWAIEOD-UHFFFAOYSA-N 2-[4-(2-hydroxyethyl)piperazin-1-yl]ethanesulfonic acid Chemical compound OCC[NH+]1CCN(CCS([O-])(=O)=O)CC1 JKMHFZQWWAIEOD-UHFFFAOYSA-N 0.000 description 3
- STQGQHZAVUOBTE-UHFFFAOYSA-N 7-Cyan-hept-2t-en-4,6-diinsaeure Natural products C1=2C(O)=C3C(=O)C=4C(OC)=CC=CC=4C(=O)C3=C(O)C=2CC(O)(C(C)=O)CC1OC1CC(N)C(O)C(C)O1 STQGQHZAVUOBTE-UHFFFAOYSA-N 0.000 description 3
- 102000002260 Alkaline Phosphatase Human genes 0.000 description 3
- 108020004774 Alkaline Phosphatase Proteins 0.000 description 3
- 108010006654 Bleomycin Proteins 0.000 description 3
- 206010007572 Cardiac hypertrophy Diseases 0.000 description 3
- 208000006029 Cardiomegaly Diseases 0.000 description 3
- ACTIUHUUMQJHFO-UHFFFAOYSA-N Coenzym Q10 Natural products COC1=C(OC)C(=O)C(CC=C(C)CCC=C(C)CCC=C(C)CCC=C(C)CCC=C(C)CCC=C(C)CCC=C(C)CCC=C(C)CCC=C(C)CCC=C(C)C)=C(C)C1=O ACTIUHUUMQJHFO-UHFFFAOYSA-N 0.000 description 3
- 206010056370 Congestive cardiomyopathy Diseases 0.000 description 3
- 241000709675 Coxsackievirus B3 Species 0.000 description 3
- 102000004420 Creatine Kinase Human genes 0.000 description 3
- 108010042126 Creatine kinase Proteins 0.000 description 3
- 230000006820 DNA synthesis Effects 0.000 description 3
- 102000004163 DNA-directed RNA polymerases Human genes 0.000 description 3
- 108090000626 DNA-directed RNA polymerases Proteins 0.000 description 3
- 108010092160 Dactinomycin Proteins 0.000 description 3
- 241000196324 Embryophyta Species 0.000 description 3
- GHASVSINZRGABV-UHFFFAOYSA-N Fluorouracil Chemical compound FC1=CNC(=O)NC1=O GHASVSINZRGABV-UHFFFAOYSA-N 0.000 description 3
- WSFSSNUMVMOOMR-UHFFFAOYSA-N Formaldehyde Chemical compound O=C WSFSSNUMVMOOMR-UHFFFAOYSA-N 0.000 description 3
- 241000282412 Homo Species 0.000 description 3
- 206010061218 Inflammation Diseases 0.000 description 3
- 102000000588 Interleukin-2 Human genes 0.000 description 3
- 108010002350 Interleukin-2 Proteins 0.000 description 3
- HRNLUBSXIHFDHP-UHFFFAOYSA-N N-(2-aminophenyl)-4-[[[4-(3-pyridinyl)-2-pyrimidinyl]amino]methyl]benzamide Chemical compound NC1=CC=CC=C1NC(=O)C(C=C1)=CC=C1CNC1=NC=CC(C=2C=NC=CC=2)=N1 HRNLUBSXIHFDHP-UHFFFAOYSA-N 0.000 description 3
- 208000037065 Subacute sclerosing leukoencephalitis Diseases 0.000 description 3
- 206010042297 Subacute sclerosing panencephalitis Diseases 0.000 description 3
- QAOWNCQODCNURD-UHFFFAOYSA-N Sulfuric acid Chemical compound OS(O)(=O)=O QAOWNCQODCNURD-UHFFFAOYSA-N 0.000 description 3
- 102000004903 Troponin Human genes 0.000 description 3
- 108090001027 Troponin Proteins 0.000 description 3
- 102000004987 Troponin T Human genes 0.000 description 3
- 108090001108 Troponin T Proteins 0.000 description 3
- 102000044209 Tumor Suppressor Genes Human genes 0.000 description 3
- 108700025716 Tumor Suppressor Genes Proteins 0.000 description 3
- 229930003427 Vitamin E Natural products 0.000 description 3
- RJURFGZVJUQBHK-IIXSONLDSA-N actinomycin D Chemical compound C[C@H]1OC(=O)[C@H](C(C)C)N(C)C(=O)CN(C)C(=O)[C@@H]2CCCN2C(=O)[C@@H](C(C)C)NC(=O)[C@H]1NC(=O)C1=C(N)C(=O)C(C)=C2OC(C(C)=CC=C3C(=O)N[C@@H]4C(=O)N[C@@H](C(N5CCC[C@H]5C(=O)N(C)CC(=O)N(C)[C@@H](C(C)C)C(=O)O[C@@H]4C)=O)C(C)C)=C3N=C21 RJURFGZVJUQBHK-IIXSONLDSA-N 0.000 description 3
- 231100001259 acute cardiotoxicity Toxicity 0.000 description 3
- 230000006978 adaptation Effects 0.000 description 3
- 229960000528 amlodipine Drugs 0.000 description 3
- HTIQEAQVCYTUBX-UHFFFAOYSA-N amlodipine Chemical compound CCOC(=O)C1=C(COCCN)NC(C)=C(C(=O)OC)C1C1=CC=CC=C1Cl HTIQEAQVCYTUBX-UHFFFAOYSA-N 0.000 description 3
- 239000002246 antineoplastic agent Substances 0.000 description 3
- 235000006708 antioxidants Nutrition 0.000 description 3
- 230000000740 bleeding effect Effects 0.000 description 3
- 229960001561 bleomycin Drugs 0.000 description 3
- OYVAGSVQBOHSSS-UAPAGMARSA-O bleomycin A2 Chemical compound N([C@H](C(=O)N[C@H](C)[C@@H](O)[C@H](C)C(=O)N[C@@H]([C@H](O)C)C(=O)NCCC=1SC=C(N=1)C=1SC=C(N=1)C(=O)NCCC[S+](C)C)[C@@H](O[C@H]1[C@H]([C@@H](O)[C@H](O)[C@H](CO)O1)O[C@@H]1[C@H]([C@@H](OC(N)=O)[C@H](O)[C@@H](CO)O1)O)C=1N=CNC=1)C(=O)C1=NC([C@H](CC(N)=O)NC[C@H](N)C(N)=O)=NC(N)=C1C OYVAGSVQBOHSSS-UAPAGMARSA-O 0.000 description 3
- 210000004556 brain Anatomy 0.000 description 3
- 238000009395 breeding Methods 0.000 description 3
- 230000001488 breeding effect Effects 0.000 description 3
- 239000000872 buffer Substances 0.000 description 3
- 201000011510 cancer Diseases 0.000 description 3
- 210000004413 cardiac myocyte Anatomy 0.000 description 3
- NPAKNKYSJIDKMW-UHFFFAOYSA-N carvedilol Chemical compound COC1=CC=CC=C1OCCNCC(O)COC1=CC=CC2=NC3=CC=C[CH]C3=C12 NPAKNKYSJIDKMW-UHFFFAOYSA-N 0.000 description 3
- 229960004195 carvedilol Drugs 0.000 description 3
- 230000024245 cell differentiation Effects 0.000 description 3
- 230000001413 cellular effect Effects 0.000 description 3
- HVYWMOMLDIMFJA-DPAQBDIFSA-N cholesterol Chemical compound C1C=C2C[C@@H](O)CC[C@]2(C)[C@@H]2[C@@H]1[C@@H]1CC[C@H]([C@H](C)CCCC(C)C)[C@@]1(C)CC2 HVYWMOMLDIMFJA-DPAQBDIFSA-N 0.000 description 3
- 235000017471 coenzyme Q10 Nutrition 0.000 description 3
- 229940110767 coenzyme Q10 Drugs 0.000 description 3
- ACTIUHUUMQJHFO-UPTCCGCDSA-N coenzyme Q10 Chemical compound COC1=C(OC)C(=O)C(C\C=C(/C)CC\C=C(/C)CC\C=C(/C)CC\C=C(/C)CC\C=C(/C)CC\C=C(/C)CC\C=C(/C)CC\C=C(/C)CC\C=C(/C)CCC=C(C)C)=C(C)C1=O ACTIUHUUMQJHFO-UPTCCGCDSA-N 0.000 description 3
- 210000004292 cytoskeleton Anatomy 0.000 description 3
- 229960000640 dactinomycin Drugs 0.000 description 3
- STQGQHZAVUOBTE-VGBVRHCVSA-N daunorubicin Chemical compound O([C@H]1C[C@@](O)(CC=2C(O)=C3C(=O)C=4C=CC=C(C=4C(=O)C3=C(O)C=21)OC)C(C)=O)[C@H]1C[C@H](N)[C@H](O)[C@H](C)O1 STQGQHZAVUOBTE-VGBVRHCVSA-N 0.000 description 3
- 230000001419 dependent effect Effects 0.000 description 3
- 239000012895 dilution Substances 0.000 description 3
- 238000010790 dilution Methods 0.000 description 3
- 208000035475 disorder Diseases 0.000 description 3
- 229960004679 doxorubicin Drugs 0.000 description 3
- 230000007613 environmental effect Effects 0.000 description 3
- 239000013613 expression plasmid Substances 0.000 description 3
- 235000013305 food Nutrition 0.000 description 3
- WIGCFUFOHFEKBI-UHFFFAOYSA-N gamma-tocopherol Natural products CC(C)CCCC(C)CCCC(C)CCCC1CCC2C(C)C(O)C(C)C(C)C2O1 WIGCFUFOHFEKBI-UHFFFAOYSA-N 0.000 description 3
- 210000005003 heart tissue Anatomy 0.000 description 3
- 108010015041 heregulin beta 1 (177-244) Proteins 0.000 description 3
- 210000003000 inclusion body Anatomy 0.000 description 3
- 230000004054 inflammatory process Effects 0.000 description 3
- 230000005764 inhibitory process Effects 0.000 description 3
- 208000014674 injury Diseases 0.000 description 3
- 238000001990 intravenous administration Methods 0.000 description 3
- 210000003734 kidney Anatomy 0.000 description 3
- 210000000265 leukocyte Anatomy 0.000 description 3
- 239000007788 liquid Substances 0.000 description 3
- 230000007774 longterm Effects 0.000 description 3
- 239000006210 lotion Substances 0.000 description 3
- 210000004698 lymphocyte Anatomy 0.000 description 3
- 210000003593 megakaryocyte Anatomy 0.000 description 3
- 229960004857 mitomycin Drugs 0.000 description 3
- 239000002773 nucleotide Substances 0.000 description 3
- 125000003729 nucleotide group Chemical group 0.000 description 3
- 239000012188 paraffin wax Substances 0.000 description 3
- 239000000843 powder Substances 0.000 description 3
- 230000002035 prolonged effect Effects 0.000 description 3
- 230000008929 regeneration Effects 0.000 description 3
- 238000011069 regeneration method Methods 0.000 description 3
- 210000005241 right ventricle Anatomy 0.000 description 3
- 210000002235 sarcomere Anatomy 0.000 description 3
- 229910000162 sodium phosphate Inorganic materials 0.000 description 3
- 239000000725 suspension Substances 0.000 description 3
- 238000003786 synthesis reaction Methods 0.000 description 3
- 210000000779 thoracic wall Anatomy 0.000 description 3
- 235000015961 tonic Nutrition 0.000 description 3
- 230000001988 toxicity Effects 0.000 description 3
- 231100000419 toxicity Toxicity 0.000 description 3
- 230000014616 translation Effects 0.000 description 3
- 241000701161 unidentified adenovirus Species 0.000 description 3
- 241001430294 unidentified retrovirus Species 0.000 description 3
- 235000019165 vitamin E Nutrition 0.000 description 3
- 229940046009 vitamin E Drugs 0.000 description 3
- 239000011709 vitamin E Substances 0.000 description 3
- 239000008215 water for injection Substances 0.000 description 3
- 230000003442 weekly effect Effects 0.000 description 3
- 238000001262 western blot Methods 0.000 description 3
- NHBKXEKEPDILRR-UHFFFAOYSA-N 2,3-bis(butanoylsulfanyl)propyl butanoate Chemical compound CCCC(=O)OCC(SC(=O)CCC)CSC(=O)CCC NHBKXEKEPDILRR-UHFFFAOYSA-N 0.000 description 2
- AOJJSUZBOXZQNB-VTZDEGQISA-N 4'-epidoxorubicin Chemical compound O([C@H]1C[C@@](O)(CC=2C(O)=C3C(=O)C=4C=CC=C(C=4C(=O)C3=C(O)C=21)OC)C(=O)CO)[C@H]1C[C@H](N)[C@@H](O)[C@H](C)O1 AOJJSUZBOXZQNB-VTZDEGQISA-N 0.000 description 2
- 206010000830 Acute leukaemia Diseases 0.000 description 2
- 229920000936 Agarose Polymers 0.000 description 2
- 102100027211 Albumin Human genes 0.000 description 2
- 102000009027 Albumins Human genes 0.000 description 2
- 108010088751 Albumins Proteins 0.000 description 2
- 108091093088 Amplicon Proteins 0.000 description 2
- BPYKTIZUTYGOLE-IFADSCNNSA-N Bilirubin Chemical compound N1C(=O)C(C)=C(C=C)\C1=C\C1=C(C)C(CCC(O)=O)=C(CC2=C(C(C)=C(\C=C/3C(=C(C=C)C(=O)N\3)C)N2)CCC(O)=O)N1 BPYKTIZUTYGOLE-IFADSCNNSA-N 0.000 description 2
- 206010005003 Bladder cancer Diseases 0.000 description 2
- 108091003079 Bovine Serum Albumin Proteins 0.000 description 2
- 206010006895 Cachexia Diseases 0.000 description 2
- 208000017897 Carcinoma of esophagus Diseases 0.000 description 2
- 206010053567 Coagulopathies Diseases 0.000 description 2
- CMSMOCZEIVJLDB-UHFFFAOYSA-N Cyclophosphamide Chemical compound ClCCN(CCCl)P1(=O)NCCCO1 CMSMOCZEIVJLDB-UHFFFAOYSA-N 0.000 description 2
- 101710088194 Dehydrogenase Proteins 0.000 description 2
- LTMHDMANZUZIPE-AMTYYWEZSA-N Digoxin Natural products O([C@H]1[C@H](C)O[C@H](O[C@@H]2C[C@@H]3[C@@](C)([C@@H]4[C@H]([C@]5(O)[C@](C)([C@H](O)C4)[C@H](C4=CC(=O)OC4)CC5)CC3)CC2)C[C@@H]1O)[C@H]1O[C@H](C)[C@@H](O[C@H]2O[C@@H](C)[C@H](O)[C@@H](O)C2)[C@@H](O)C1 LTMHDMANZUZIPE-AMTYYWEZSA-N 0.000 description 2
- IAZDPXIOMUYVGZ-UHFFFAOYSA-N Dimethylsulphoxide Chemical compound CS(C)=O IAZDPXIOMUYVGZ-UHFFFAOYSA-N 0.000 description 2
- 229940097420 Diuretic Drugs 0.000 description 2
- 102000012545 EGF-like domains Human genes 0.000 description 2
- 108050002150 EGF-like domains Proteins 0.000 description 2
- 108010000912 Egg Proteins Proteins 0.000 description 2
- 102000002322 Egg Proteins Human genes 0.000 description 2
- MBYXEBXZARTUSS-QLWBXOBMSA-N Emetamine Natural products O(C)c1c(OC)cc2c(c(C[C@@H]3[C@H](CC)CN4[C@H](c5c(cc(OC)c(OC)c5)CC4)C3)ncc2)c1 MBYXEBXZARTUSS-QLWBXOBMSA-N 0.000 description 2
- 241000701832 Enterobacteria phage T3 Species 0.000 description 2
- HTIJFSOGRVMCQR-UHFFFAOYSA-N Epirubicin Natural products COc1cccc2C(=O)c3c(O)c4CC(O)(CC(OC5CC(N)C(=O)C(C)O5)c4c(O)c3C(=O)c12)C(=O)CO HTIJFSOGRVMCQR-UHFFFAOYSA-N 0.000 description 2
- 239000007995 HEPES buffer Substances 0.000 description 2
- 208000009889 Herpes Simplex Diseases 0.000 description 2
- 206010020772 Hypertension Diseases 0.000 description 2
- XDXDZDZNSLXDNA-TZNDIEGXSA-N Idarubicin Chemical compound C1[C@H](N)[C@H](O)[C@H](C)O[C@H]1O[C@@H]1C2=C(O)C(C(=O)C3=CC=CC=C3C3=O)=C3C(O)=C2C[C@@](O)(C(C)=O)C1 XDXDZDZNSLXDNA-TZNDIEGXSA-N 0.000 description 2
- XDXDZDZNSLXDNA-UHFFFAOYSA-N Idarubicin Natural products C1C(N)C(O)C(C)OC1OC1C2=C(O)C(C(=O)C3=CC=CC=C3C3=O)=C3C(O)=C2CC(O)(C(C)=O)C1 XDXDZDZNSLXDNA-UHFFFAOYSA-N 0.000 description 2
- 206010061598 Immunodeficiency Diseases 0.000 description 2
- 208000029462 Immunodeficiency disease Diseases 0.000 description 2
- 108050004689 Inhibitor of carbonic anhydrases Proteins 0.000 description 2
- YQEZLKZALYSWHR-UHFFFAOYSA-N Ketamine Chemical compound C=1C=CC=C(Cl)C=1C1(NC)CCCCC1=O YQEZLKZALYSWHR-UHFFFAOYSA-N 0.000 description 2
- FBOZXECLQNJBKD-ZDUSSCGKSA-N L-methotrexate Chemical compound C=1N=C2N=C(N)N=C(N)C2=NC=1CN(C)C1=CC=C(C(=O)N[C@@H](CCC(O)=O)C(O)=O)C=C1 FBOZXECLQNJBKD-ZDUSSCGKSA-N 0.000 description 2
- JAYAGJDXJIDEKI-PTGWOZRBSA-N Lanatoside C Chemical compound O([C@H]1[C@@H](OC(C)=O)C[C@@H](O[C@@H]1C)O[C@H]1[C@@H](O)C[C@@H](O[C@@H]1C)O[C@H]1[C@@H](O)C[C@@H](O[C@@H]1C)O[C@@H]1C[C@@H]2[C@]([C@@H]3[C@H]([C@]4(CC[C@@H]([C@@]4(C)[C@H](O)C3)C=3COC(=O)C=3)O)CC2)(C)CC1)[C@@H]1O[C@H](CO)[C@@H](O)[C@H](O)[C@H]1O JAYAGJDXJIDEKI-PTGWOZRBSA-N 0.000 description 2
- 206010058467 Lung neoplasm malignant Diseases 0.000 description 2
- 206010025323 Lymphomas Diseases 0.000 description 2
- 241000701076 Macacine alphaherpesvirus 1 Species 0.000 description 2
- FYYHWMGAXLPEAU-UHFFFAOYSA-N Magnesium Chemical compound [Mg] FYYHWMGAXLPEAU-UHFFFAOYSA-N 0.000 description 2
- 108010052285 Membrane Proteins Proteins 0.000 description 2
- 241000699673 Mesocricetus auratus Species 0.000 description 2
- 102000014171 Milk Proteins Human genes 0.000 description 2
- 108010011756 Milk Proteins Proteins 0.000 description 2
- 108090000375 Mineralocorticoid Receptors Proteins 0.000 description 2
- 102000003979 Mineralocorticoid Receptors Human genes 0.000 description 2
- 229930192392 Mitomycin Natural products 0.000 description 2
- 101500028325 Mus musculus Neuregulin-3 Proteins 0.000 description 2
- 101500028327 Mus musculus Neuregulin-4 Proteins 0.000 description 2
- 208000029549 Muscle injury Diseases 0.000 description 2
- 108091061960 Naked DNA Proteins 0.000 description 2
- 206010029260 Neuroblastoma Diseases 0.000 description 2
- 108091005461 Nucleic proteins Proteins 0.000 description 2
- 206010030155 Oesophageal carcinoma Diseases 0.000 description 2
- 108700020796 Oncogene Proteins 0.000 description 2
- 229940079172 Osmotic diuretic Drugs 0.000 description 2
- 238000012408 PCR amplification Methods 0.000 description 2
- 229930182555 Penicillin Natural products 0.000 description 2
- JGSARLDLIJGVTE-MBNYWOFBSA-N Penicillin G Chemical compound N([C@H]1[C@H]2SC([C@@H](N2C1=O)C(O)=O)(C)C)C(=O)CC1=CC=CC=C1 JGSARLDLIJGVTE-MBNYWOFBSA-N 0.000 description 2
- RGCVKNLCSQQDEP-UHFFFAOYSA-N Perphenazine Chemical compound C1CN(CCO)CCN1CCCN1C2=CC(Cl)=CC=C2SC2=CC=CC=C21 RGCVKNLCSQQDEP-UHFFFAOYSA-N 0.000 description 2
- OAICVXFJPJFONN-UHFFFAOYSA-N Phosphorus Chemical compound [P] OAICVXFJPJFONN-UHFFFAOYSA-N 0.000 description 2
- 108091000080 Phosphotransferase Proteins 0.000 description 2
- ZLMJMSJWJFRBEC-UHFFFAOYSA-N Potassium Chemical compound [K] ZLMJMSJWJFRBEC-UHFFFAOYSA-N 0.000 description 2
- 102000004022 Protein-Tyrosine Kinases Human genes 0.000 description 2
- 108090000412 Protein-Tyrosine Kinases Proteins 0.000 description 2
- 108090000783 Renin Proteins 0.000 description 2
- 102100028255 Renin Human genes 0.000 description 2
- 208000025747 Rheumatic disease Diseases 0.000 description 2
- AUVVAXYIELKVAI-UHFFFAOYSA-N SJ000285215 Natural products N1CCC2=CC(OC)=C(OC)C=C2C1CC1CC2C3=CC(OC)=C(OC)C=C3CCN2CC1CC AUVVAXYIELKVAI-UHFFFAOYSA-N 0.000 description 2
- 238000012300 Sequence Analysis Methods 0.000 description 2
- 208000032023 Signs and Symptoms Diseases 0.000 description 2
- 208000007888 Sinus Tachycardia Diseases 0.000 description 2
- KEAYESYHFKHZAL-UHFFFAOYSA-N Sodium Chemical compound [Na] KEAYESYHFKHZAL-UHFFFAOYSA-N 0.000 description 2
- 206010042434 Sudden death Diseases 0.000 description 2
- 229940100514 Syk tyrosine kinase inhibitor Drugs 0.000 description 2
- 208000024770 Thyroid neoplasm Diseases 0.000 description 2
- 208000025865 Ulcer Diseases 0.000 description 2
- 241000700618 Vaccinia virus Species 0.000 description 2
- 206010047295 Ventricular hypertrophy Diseases 0.000 description 2
- JXLYSJRDGCGARV-WWYNWVTFSA-N Vinblastine Natural products O=C(O[C@H]1[C@](O)(C(=O)OC)[C@@H]2N(C)c3c(cc(c(OC)c3)[C@]3(C(=O)OC)c4[nH]c5c(c4CCN4C[C@](O)(CC)C[C@H](C3)C4)cccc5)[C@@]32[C@H]2[C@@]1(CC)C=CCN2CC3)C JXLYSJRDGCGARV-WWYNWVTFSA-N 0.000 description 2
- 208000027418 Wounds and injury Diseases 0.000 description 2
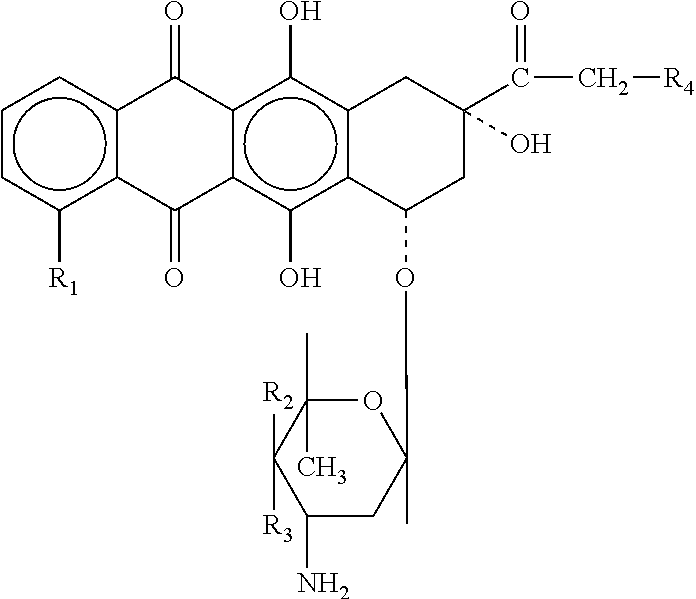
- 0 [1*]c1cccc2c1C(=O)c1c(O)c3c(c(O)c1C2=O)C[C@@](O)(C(=O)C[4*])C[C@@H]3OC1(C)CC(N)C([2*])([3*])C(C)(C)O1 Chemical compound [1*]c1cccc2c1C(=O)c1c(O)c3c(c(O)c1C2=O)C[C@@](O)(C(=O)C[4*])C[C@@H]3OC1(C)CC(N)C([2*])([3*])C(C)(C)O1 0.000 description 2
- PNNCWTXUWKENPE-UHFFFAOYSA-N [N].NC(N)=O Chemical compound [N].NC(N)=O PNNCWTXUWKENPE-UHFFFAOYSA-N 0.000 description 2
- OIPILFWXSMYKGL-UHFFFAOYSA-N acetylcholine Chemical compound CC(=O)OCC[N+](C)(C)C OIPILFWXSMYKGL-UHFFFAOYSA-N 0.000 description 2
- 229960004373 acetylcholine Drugs 0.000 description 2
- 229940100198 alkylating agent Drugs 0.000 description 2
- 239000002168 alkylating agent Substances 0.000 description 2
- 230000004075 alteration Effects 0.000 description 2
- KRMDCWKBEZIMAB-UHFFFAOYSA-N amitriptyline Chemical compound C1CC2=CC=CC=C2C(=CCCN(C)C)C2=CC=CC=C21 KRMDCWKBEZIMAB-UHFFFAOYSA-N 0.000 description 2
- 229960000836 amitriptyline Drugs 0.000 description 2
- 229940044094 angiotensin-converting-enzyme inhibitor Drugs 0.000 description 2
- 230000004872 arterial blood pressure Effects 0.000 description 2
- QVGXLLKOCUKJST-UHFFFAOYSA-N atomic oxygen Chemical compound [O] QVGXLLKOCUKJST-UHFFFAOYSA-N 0.000 description 2
- 230000001580 bacterial effect Effects 0.000 description 2
- 239000012620 biological material Substances 0.000 description 2
- 201000001531 bladder carcinoma Diseases 0.000 description 2
- 238000009534 blood test Methods 0.000 description 2
- 244000309466 calf Species 0.000 description 2
- 230000001451 cardiotoxic effect Effects 0.000 description 2
- 238000004113 cell culture Methods 0.000 description 2
- 208000019065 cervical carcinoma Diseases 0.000 description 2
- 230000008859 change Effects 0.000 description 2
- ZPEIMTDSQAKGNT-UHFFFAOYSA-N chlorpromazine Chemical compound C1=C(Cl)C=C2N(CCCN(C)C)C3=CC=CC=C3SC2=C1 ZPEIMTDSQAKGNT-UHFFFAOYSA-N 0.000 description 2
- 229960001076 chlorpromazine Drugs 0.000 description 2
- 238000004140 cleaning Methods 0.000 description 2
- 230000035602 clotting Effects 0.000 description 2
- 230000015271 coagulation Effects 0.000 description 2
- 238000005345 coagulation Methods 0.000 description 2
- 210000001072 colon Anatomy 0.000 description 2
- 230000000112 colonic effect Effects 0.000 description 2
- 210000002808 connective tissue Anatomy 0.000 description 2
- 208000029078 coronary artery disease Diseases 0.000 description 2
- 230000037029 cross reaction Effects 0.000 description 2
- 229960004397 cyclophosphamide Drugs 0.000 description 2
- 235000018417 cysteine Nutrition 0.000 description 2
- XUJNEKJLAYXESH-UHFFFAOYSA-N cysteine Natural products SCC(N)C(O)=O XUJNEKJLAYXESH-UHFFFAOYSA-N 0.000 description 2
- 230000009089 cytolysis Effects 0.000 description 2
- 229940127089 cytotoxic agent Drugs 0.000 description 2
- 229960000975 daunorubicin Drugs 0.000 description 2
- 230000035617 depilation Effects 0.000 description 2
- 229960005156 digoxin Drugs 0.000 description 2
- LTMHDMANZUZIPE-PUGKRICDSA-N digoxin Chemical compound C1[C@H](O)[C@H](O)[C@@H](C)O[C@H]1O[C@@H]1[C@@H](C)O[C@@H](O[C@@H]2[C@H](O[C@@H](O[C@@H]3C[C@@H]4[C@]([C@@H]5[C@H]([C@]6(CC[C@@H]([C@@]6(C)[C@H](O)C5)C=5COC(=O)C=5)O)CC4)(C)CC3)C[C@@H]2O)C)C[C@@H]1O LTMHDMANZUZIPE-PUGKRICDSA-N 0.000 description 2
- LTMHDMANZUZIPE-UHFFFAOYSA-N digoxine Natural products C1C(O)C(O)C(C)OC1OC1C(C)OC(OC2C(OC(OC3CC4C(C5C(C6(CCC(C6(C)C(O)C5)C=5COC(=O)C=5)O)CC4)(C)CC3)CC2O)C)CC1O LTMHDMANZUZIPE-UHFFFAOYSA-N 0.000 description 2
- 239000002552 dosage form Substances 0.000 description 2
- 231100000673 dose–response relationship Toxicity 0.000 description 2
- ODQWQRRAPPTVAG-GZTJUZNOSA-N doxepin Chemical compound C1OC2=CC=CC=C2C(=C/CCN(C)C)/C2=CC=CC=C21 ODQWQRRAPPTVAG-GZTJUZNOSA-N 0.000 description 2
- 229960005426 doxepin Drugs 0.000 description 2
- 235000013399 edible fruits Nutrition 0.000 description 2
- 230000005518 electrochemistry Effects 0.000 description 2
- 238000002001 electrophysiology Methods 0.000 description 2
- 230000007831 electrophysiology Effects 0.000 description 2
- 230000008030 elimination Effects 0.000 description 2
- 238000003379 elimination reaction Methods 0.000 description 2
- 208000026500 emaciation Diseases 0.000 description 2
- AUVVAXYIELKVAI-CKBKHPSWSA-N emetine Chemical compound N1CCC2=CC(OC)=C(OC)C=C2[C@H]1C[C@H]1C[C@H]2C3=CC(OC)=C(OC)C=C3CCN2C[C@@H]1CC AUVVAXYIELKVAI-CKBKHPSWSA-N 0.000 description 2
- 229960002694 emetine Drugs 0.000 description 2
- AUVVAXYIELKVAI-UWBTVBNJSA-N emetine Natural products N1CCC2=CC(OC)=C(OC)C=C2[C@H]1C[C@H]1C[C@H]2C3=CC(OC)=C(OC)C=C3CCN2C[C@H]1CC AUVVAXYIELKVAI-UWBTVBNJSA-N 0.000 description 2
- 206010014665 endocarditis Diseases 0.000 description 2
- 229960001904 epirubicin Drugs 0.000 description 2
- 201000005619 esophageal carcinoma Diseases 0.000 description 2
- 239000012894 fetal calf serum Substances 0.000 description 2
- 210000003754 fetus Anatomy 0.000 description 2
- 238000007716 flux method Methods 0.000 description 2
- 206010017758 gastric cancer Diseases 0.000 description 2
- 208000010749 gastric carcinoma Diseases 0.000 description 2
- 238000001476 gene delivery Methods 0.000 description 2
- 239000008187 granular material Substances 0.000 description 2
- 230000005986 heart dysfunction Effects 0.000 description 2
- 238000011702 heart failure animal model Methods 0.000 description 2
- 238000005534 hematocrit Methods 0.000 description 2
- 230000002008 hemorrhagic effect Effects 0.000 description 2
- 125000002887 hydroxy group Chemical group [H]O* 0.000 description 2
- 230000001969 hypertrophic effect Effects 0.000 description 2
- 229960000908 idarubicin Drugs 0.000 description 2
- 238000010191 image analysis Methods 0.000 description 2
- 238000003018 immunoassay Methods 0.000 description 2
- 230000007813 immunodeficiency Effects 0.000 description 2
- 230000006872 improvement Effects 0.000 description 2
- 230000008595 infiltration Effects 0.000 description 2
- 238000001764 infiltration Methods 0.000 description 2
- 210000004969 inflammatory cell Anatomy 0.000 description 2
- 238000007914 intraventricular administration Methods 0.000 description 2
- BPHPUYQFMNQIOC-NXRLNHOXSA-N isopropyl beta-D-thiogalactopyranoside Chemical compound CC(C)S[C@@H]1O[C@H](CO)[C@H](O)[C@H](O)[C@H]1O BPHPUYQFMNQIOC-NXRLNHOXSA-N 0.000 description 2
- 229960003299 ketamine Drugs 0.000 description 2
- 150000002576 ketones Chemical class 0.000 description 2
- 239000004310 lactic acid Substances 0.000 description 2
- 235000014655 lactic acid Nutrition 0.000 description 2
- 229960002614 lanatoside c Drugs 0.000 description 2
- 230000003859 lipid peroxidation Effects 0.000 description 2
- 150000002632 lipids Chemical class 0.000 description 2
- 210000004185 liver Anatomy 0.000 description 2
- 201000007270 liver cancer Diseases 0.000 description 2
- 208000014018 liver neoplasm Diseases 0.000 description 2
- 231100001252 long-term toxicity Toxicity 0.000 description 2
- 201000005202 lung cancer Diseases 0.000 description 2
- 208000020816 lung neoplasm Diseases 0.000 description 2
- 210000001165 lymph node Anatomy 0.000 description 2
- 239000011777 magnesium Substances 0.000 description 2
- 229910052749 magnesium Inorganic materials 0.000 description 2
- 239000003550 marker Substances 0.000 description 2
- 239000000463 material Substances 0.000 description 2
- GLVAUDGFNGKCSF-UHFFFAOYSA-N mercaptopurine Chemical compound S=C1NC=NC2=C1NC=N2 GLVAUDGFNGKCSF-UHFFFAOYSA-N 0.000 description 2
- WSFSSNUMVMOOMR-NJFSPNSNSA-N methanone Chemical compound O=[14CH2] WSFSSNUMVMOOMR-NJFSPNSNSA-N 0.000 description 2
- 229960000485 methotrexate Drugs 0.000 description 2
- 125000000956 methoxy group Chemical group [H]C([H])([H])O* 0.000 description 2
- 235000021239 milk protein Nutrition 0.000 description 2
- KKZJGLLVHKMTCM-UHFFFAOYSA-N mitoxantrone Chemical compound O=C1C2=C(O)C=CC(O)=C2C(=O)C2=C1C(NCCNCCO)=CC=C2NCCNCCO KKZJGLLVHKMTCM-UHFFFAOYSA-N 0.000 description 2
- 229960001156 mitoxantrone Drugs 0.000 description 2
- 230000004048 modification Effects 0.000 description 2
- 238000012986 modification Methods 0.000 description 2
- 210000004877 mucosa Anatomy 0.000 description 2
- 210000003205 muscle Anatomy 0.000 description 2
- 208000031225 myocardial ischemia Diseases 0.000 description 2
- 210000001982 neural crest cell Anatomy 0.000 description 2
- 239000002547 new drug Substances 0.000 description 2
- 229920002113 octoxynol Polymers 0.000 description 2
- 210000003463 organelle Anatomy 0.000 description 2
- 239000002337 osmotic diuretic agent Substances 0.000 description 2
- 201000008968 osteosarcoma Diseases 0.000 description 2
- 210000001672 ovary Anatomy 0.000 description 2
- 210000004681 ovum Anatomy 0.000 description 2
- 230000003647 oxidation Effects 0.000 description 2
- 238000007254 oxidation reaction Methods 0.000 description 2
- 239000001301 oxygen Substances 0.000 description 2
- 229910052760 oxygen Inorganic materials 0.000 description 2
- 210000000496 pancreas Anatomy 0.000 description 2
- 230000003071 parasitic effect Effects 0.000 description 2
- 229940049954 penicillin Drugs 0.000 description 2
- WEXRUCMBJFQVBZ-UHFFFAOYSA-N pentobarbital Chemical compound CCCC(C)C1(CC)C(=O)NC(=O)NC1=O WEXRUCMBJFQVBZ-UHFFFAOYSA-N 0.000 description 2
- 208000008494 pericarditis Diseases 0.000 description 2
- 210000005259 peripheral blood Anatomy 0.000 description 2
- 239000011886 peripheral blood Substances 0.000 description 2
- 230000002093 peripheral effect Effects 0.000 description 2
- 229960000762 perphenazine Drugs 0.000 description 2
- 229910052698 phosphorus Inorganic materials 0.000 description 2
- 239000011574 phosphorus Substances 0.000 description 2
- 102000020233 phosphotransferase Human genes 0.000 description 2
- 210000004180 plasmocyte Anatomy 0.000 description 2
- 229920003023 plastic Polymers 0.000 description 2
- 239000004033 plastic Substances 0.000 description 2
- BASFCYQUMIYNBI-UHFFFAOYSA-N platinum Chemical compound [Pt] BASFCYQUMIYNBI-UHFFFAOYSA-N 0.000 description 2
- 239000002243 precursor Substances 0.000 description 2
- 239000003755 preservative agent Substances 0.000 description 2
- 210000002307 prostate Anatomy 0.000 description 2
- 238000003908 quality control method Methods 0.000 description 2
- 239000002994 raw material Substances 0.000 description 2
- 238000011084 recovery Methods 0.000 description 2
- 230000008439 repair process Effects 0.000 description 2
- 230000003362 replicative effect Effects 0.000 description 2
- 230000029058 respiratory gaseous exchange Effects 0.000 description 2
- 230000004044 response Effects 0.000 description 2
- 210000001995 reticulocyte Anatomy 0.000 description 2
- 238000003757 reverse transcription PCR Methods 0.000 description 2
- 230000000552 rheumatic effect Effects 0.000 description 2
- 210000003752 saphenous vein Anatomy 0.000 description 2
- 210000004116 schwann cell Anatomy 0.000 description 2
- 230000028327 secretion Effects 0.000 description 2
- 230000035945 sensitivity Effects 0.000 description 2
- 230000035939 shock Effects 0.000 description 2
- 230000019491 signal transduction Effects 0.000 description 2
- 210000002363 skeletal muscle cell Anatomy 0.000 description 2
- 229910000030 sodium bicarbonate Inorganic materials 0.000 description 2
- 229910000029 sodium carbonate Inorganic materials 0.000 description 2
- AJPJDKMHJJGVTQ-UHFFFAOYSA-M sodium dihydrogen phosphate Chemical compound [Na+].OP(O)([O-])=O AJPJDKMHJJGVTQ-UHFFFAOYSA-M 0.000 description 2
- 229910052979 sodium sulfide Inorganic materials 0.000 description 2
- GRVFOGOEDUUMBP-UHFFFAOYSA-N sodium sulfide (anhydrous) Chemical compound [Na+].[Na+].[S-2] GRVFOGOEDUUMBP-UHFFFAOYSA-N 0.000 description 2
- 210000004872 soft tissue Anatomy 0.000 description 2
- 210000000952 spleen Anatomy 0.000 description 2
- 230000002269 spontaneous effect Effects 0.000 description 2
- 239000010421 standard material Substances 0.000 description 2
- 238000004659 sterilization and disinfection Methods 0.000 description 2
- 230000000638 stimulation Effects 0.000 description 2
- 210000002784 stomach Anatomy 0.000 description 2
- 201000000498 stomach carcinoma Diseases 0.000 description 2
- 239000006228 supernatant Substances 0.000 description 2
- 238000001356 surgical procedure Methods 0.000 description 2
- 229960003080 taurine Drugs 0.000 description 2
- RTKIYNMVFMVABJ-UHFFFAOYSA-L thimerosal Chemical compound [Na+].CC[Hg]SC1=CC=CC=C1C([O-])=O RTKIYNMVFMVABJ-UHFFFAOYSA-L 0.000 description 2
- 210000001541 thymus gland Anatomy 0.000 description 2
- 201000002510 thyroid cancer Diseases 0.000 description 2
- 210000001685 thyroid gland Anatomy 0.000 description 2
- 238000011200 topical administration Methods 0.000 description 2
- 230000000699 topical effect Effects 0.000 description 2
- 230000002110 toxicologic effect Effects 0.000 description 2
- 231100000027 toxicology Toxicity 0.000 description 2
- 230000005026 transcription initiation Effects 0.000 description 2
- 230000001052 transient effect Effects 0.000 description 2
- 238000013519 translation Methods 0.000 description 2
- ZEWQUBUPAILYHI-UHFFFAOYSA-N trifluoperazine Chemical compound C1CN(C)CCN1CCCN1C2=CC(C(F)(F)F)=CC=C2SC2=CC=CC=C21 ZEWQUBUPAILYHI-UHFFFAOYSA-N 0.000 description 2
- 229960002324 trifluoperazine Drugs 0.000 description 2
- LENZDBCJOHFCAS-UHFFFAOYSA-N tris Chemical compound OCC(N)(CO)CO LENZDBCJOHFCAS-UHFFFAOYSA-N 0.000 description 2
- IHIXIJGXTJIKRB-UHFFFAOYSA-N trisodium vanadate Chemical compound [Na+].[Na+].[Na+].[O-][V]([O-])([O-])=O IHIXIJGXTJIKRB-UHFFFAOYSA-N 0.000 description 2
- 231100000397 ulcer Toxicity 0.000 description 2
- 208000010570 urinary bladder carcinoma Diseases 0.000 description 2
- OBHRVMZSZIDDEK-UHFFFAOYSA-N urobilinogen Chemical compound CCC1=C(C)C(=O)NC1CC1=C(C)C(CCC(O)=O)=C(CC2=C(C(C)=C(CC3C(=C(CC)C(=O)N3)C)N2)CCC(O)=O)N1 OBHRVMZSZIDDEK-UHFFFAOYSA-N 0.000 description 2
- 210000004291 uterus Anatomy 0.000 description 2
- JXLYSJRDGCGARV-XQKSVPLYSA-N vincaleukoblastine Chemical compound C([C@@H](C[C@]1(C(=O)OC)C=2C(=CC3=C([C@]45[C@H]([C@@]([C@H](OC(C)=O)[C@]6(CC)C=CCN([C@H]56)CC4)(O)C(=O)OC)N3C)C=2)OC)C[C@@](C2)(O)CC)N2CCC2=C1NC1=CC=CC=C21 JXLYSJRDGCGARV-XQKSVPLYSA-N 0.000 description 2
- BMKDZUISNHGIBY-ZETCQYMHSA-N (+)-dexrazoxane Chemical compound C([C@H](C)N1CC(=O)NC(=O)C1)N1CC(=O)NC(=O)C1 BMKDZUISNHGIBY-ZETCQYMHSA-N 0.000 description 1
- SFLSHLFXELFNJZ-QMMMGPOBSA-N (-)-norepinephrine Chemical compound NC[C@H](O)C1=CC=C(O)C(O)=C1 SFLSHLFXELFNJZ-QMMMGPOBSA-N 0.000 description 1
- UHDGCWIWMRVCDJ-UHFFFAOYSA-N 1-beta-D-Xylofuranosyl-NH-Cytosine Natural products O=C1N=C(N)C=CN1C1C(O)C(O)C(CO)O1 UHDGCWIWMRVCDJ-UHFFFAOYSA-N 0.000 description 1
- VSNHCAURESNICA-NJFSPNSNSA-N 1-oxidanylurea Chemical compound N[14C](=O)NO VSNHCAURESNICA-NJFSPNSNSA-N 0.000 description 1
- UPXRTVAIJMUAQR-UHFFFAOYSA-N 4-(9h-fluoren-9-ylmethoxycarbonylamino)-1-[(2-methylpropan-2-yl)oxycarbonyl]pyrrolidine-2-carboxylic acid Chemical compound C1C(C(O)=O)N(C(=O)OC(C)(C)C)CC1NC(=O)OCC1C2=CC=CC=C2C2=CC=CC=C21 UPXRTVAIJMUAQR-UHFFFAOYSA-N 0.000 description 1
- 201000004384 Alopecia Diseases 0.000 description 1
- 102000015427 Angiotensins Human genes 0.000 description 1
- 108010064733 Angiotensins Proteins 0.000 description 1
- 108020000948 Antisense Oligonucleotides Proteins 0.000 description 1
- 206010003445 Ascites Diseases 0.000 description 1
- 101100002068 Bacillus subtilis (strain 168) araR gene Proteins 0.000 description 1
- 241000894006 Bacteria Species 0.000 description 1
- 206010065553 Bone marrow failure Diseases 0.000 description 1
- FRPHFZCDPYBUAU-UHFFFAOYSA-N Bromocresolgreen Chemical compound CC1=C(Br)C(O)=C(Br)C=C1C1(C=2C(=C(Br)C(O)=C(Br)C=2)C)C2=CC=CC=C2S(=O)(=O)O1 FRPHFZCDPYBUAU-UHFFFAOYSA-N 0.000 description 1
- 101100245381 Caenorhabditis elegans pbs-6 gene Proteins 0.000 description 1
- OYPRJOBELJOOCE-UHFFFAOYSA-N Calcium Chemical compound [Ca] OYPRJOBELJOOCE-UHFFFAOYSA-N 0.000 description 1
- UXVMQQNJUSDDNG-UHFFFAOYSA-L Calcium chloride Chemical compound [Cl-].[Cl-].[Ca+2] UXVMQQNJUSDDNG-UHFFFAOYSA-L 0.000 description 1
- BVKZGUZCCUSVTD-UHFFFAOYSA-L Carbonate Chemical compound [O-]C([O-])=O BVKZGUZCCUSVTD-UHFFFAOYSA-L 0.000 description 1
- VEXZGXHMUGYJMC-UHFFFAOYSA-M Chloride anion Chemical compound [Cl-] VEXZGXHMUGYJMC-UHFFFAOYSA-M 0.000 description 1
- 108020004705 Codon Proteins 0.000 description 1
- 208000035473 Communicable disease Diseases 0.000 description 1
- 206010010356 Congenital anomaly Diseases 0.000 description 1
- 229920000858 Cyclodextrin Polymers 0.000 description 1
- UHDGCWIWMRVCDJ-PSQAKQOGSA-N Cytidine Natural products O=C1N=C(N)C=CN1[C@@H]1[C@@H](O)[C@@H](O)[C@H](CO)O1 UHDGCWIWMRVCDJ-PSQAKQOGSA-N 0.000 description 1
- 102000053602 DNA Human genes 0.000 description 1
- WEAHRLBPCANXCN-UHFFFAOYSA-N Daunomycin Natural products CCC1(O)CC(OC2CC(N)C(O)C(C)O2)c3cc4C(=O)c5c(OC)cccc5C(=O)c4c(O)c3C1 WEAHRLBPCANXCN-UHFFFAOYSA-N 0.000 description 1
- 208000020401 Depressive disease Diseases 0.000 description 1
- 206010012735 Diarrhoea Diseases 0.000 description 1
- KCXVZYZYPLLWCC-UHFFFAOYSA-N EDTA Chemical compound OC(=O)CN(CC(O)=O)CCN(CC(O)=O)CC(O)=O KCXVZYZYPLLWCC-UHFFFAOYSA-N 0.000 description 1
- 101150029707 ERBB2 gene Proteins 0.000 description 1
- 241001466953 Echovirus Species 0.000 description 1
- 241000991587 Enterovirus C Species 0.000 description 1
- 206010049466 Erythroblastosis Diseases 0.000 description 1
- 241000588724 Escherichia coli Species 0.000 description 1
- 241000672609 Escherichia coli BL21 Species 0.000 description 1
- 108700024394 Exon Proteins 0.000 description 1
- 239000001116 FEMA 4028 Substances 0.000 description 1
- 206010016654 Fibrosis Diseases 0.000 description 1
- 208000021662 Fiedler myocarditis Diseases 0.000 description 1
- 230000010190 G1 phase Effects 0.000 description 1
- 230000010337 G2 phase Effects 0.000 description 1
- 208000007882 Gastritis Diseases 0.000 description 1
- 206010060891 General symptom Diseases 0.000 description 1
- 108010015776 Glucose oxidase Proteins 0.000 description 1
- 239000004366 Glucose oxidase Substances 0.000 description 1
- 108010051696 Growth Hormone Proteins 0.000 description 1
- 208000010496 Heart Arrest Diseases 0.000 description 1
- 101001002657 Homo sapiens Interleukin-2 Proteins 0.000 description 1
- 101001012157 Homo sapiens Receptor tyrosine-protein kinase erbB-2 Proteins 0.000 description 1
- 208000031309 Hypertrophic Familial Cardiomyopathy Diseases 0.000 description 1
- 108060003951 Immunoglobulin Proteins 0.000 description 1
- CKLJMWTZIZZHCS-REOHCLBHSA-N L-aspartic acid Chemical compound OC(=O)[C@@H](N)CC(O)=O CKLJMWTZIZZHCS-REOHCLBHSA-N 0.000 description 1
- OUYCCCASQSFEME-QMMMGPOBSA-N L-tyrosine Chemical compound OC(=O)[C@@H](N)CC1=CC=C(O)C=C1 OUYCCCASQSFEME-QMMMGPOBSA-N 0.000 description 1
- 102000003960 Ligases Human genes 0.000 description 1
- 108090000364 Ligases Proteins 0.000 description 1
- 208000009378 Low Cardiac Output Diseases 0.000 description 1
- 206010028594 Myocardial fibrosis Diseases 0.000 description 1
- 102400000058 Neuregulin-1 Human genes 0.000 description 1
- IOVCWXUNBOPUCH-UHFFFAOYSA-M Nitrite anion Chemical compound [O-]N=O IOVCWXUNBOPUCH-UHFFFAOYSA-M 0.000 description 1
- 108091034117 Oligonucleotide Proteins 0.000 description 1
- 102000043276 Oncogene Human genes 0.000 description 1
- 208000030852 Parasitic disease Diseases 0.000 description 1
- QGMRQYFBGABWDR-UHFFFAOYSA-M Pentobarbital sodium Chemical compound [Na+].CCCC(C)C1(CC)C(=O)NC(=O)[N-]C1=O QGMRQYFBGABWDR-UHFFFAOYSA-M 0.000 description 1
- 108091005804 Peptidases Proteins 0.000 description 1
- 102100033237 Pro-epidermal growth factor Human genes 0.000 description 1
- 239000004365 Protease Substances 0.000 description 1
- 229940124158 Protease/peptidase inhibitor Drugs 0.000 description 1
- 102000001253 Protein Kinase Human genes 0.000 description 1
- 108010076504 Protein Sorting Signals Proteins 0.000 description 1
- 108020004511 Recombinant DNA Proteins 0.000 description 1
- 102100037486 Reverse transcriptase/ribonuclease H Human genes 0.000 description 1
- 230000018199 S phase Effects 0.000 description 1
- 102100038803 Somatotropin Human genes 0.000 description 1
- 235000009233 Stachytarpheta cayennensis Nutrition 0.000 description 1
- 108091081024 Start codon Proteins 0.000 description 1
- 208000001871 Tachycardia Diseases 0.000 description 1
- 108090000340 Transaminases Proteins 0.000 description 1
- 102000003929 Transaminases Human genes 0.000 description 1
- 108091023040 Transcription factor Proteins 0.000 description 1
- 206010052779 Transplant rejections Diseases 0.000 description 1
- 239000007983 Tris buffer Substances 0.000 description 1
- 229920004890 Triton X-100 Polymers 0.000 description 1
- 239000013504 Triton X-100 Substances 0.000 description 1
- 108010040002 Tumor Suppressor Proteins Proteins 0.000 description 1
- OIRDTQYFTABQOQ-UHTZMRCNSA-N Vidarabine Chemical compound C1=NC=2C(N)=NC=NC=2N1[C@@H]1O[C@H](CO)[C@@H](O)[C@@H]1O OIRDTQYFTABQOQ-UHTZMRCNSA-N 0.000 description 1
- AXIKDPDWFVPGOD-UHFFFAOYSA-O [7-(dimethylamino)phenothiazin-3-ylidene]-dimethylazanium;2-(2,4,5,7-tetrabromo-3,6-dihydroxyxanthen-10-ium-9-yl)benzoic acid Chemical compound C1=CC(=[N+](C)C)C=C2SC3=CC(N(C)C)=CC=C3N=C21.OC(=O)C1=CC=CC=C1C1=C(C=C(Br)C(O)=C2Br)C2=[O+]C2=C1C=C(Br)C(O)=C2Br AXIKDPDWFVPGOD-UHFFFAOYSA-O 0.000 description 1
- PUSCUDFKJQDKEF-UHFFFAOYSA-N [Ca].CC1=CC=CC=C1O Chemical compound [Ca].CC1=CC=CC=C1O PUSCUDFKJQDKEF-UHFFFAOYSA-N 0.000 description 1
- 239000002250 absorbent Substances 0.000 description 1
- 230000002745 absorbent Effects 0.000 description 1
- 239000004480 active ingredient Substances 0.000 description 1
- 231100000403 acute toxicity Toxicity 0.000 description 1
- 230000007059 acute toxicity Effects 0.000 description 1
- 230000001464 adherent effect Effects 0.000 description 1
- 210000000577 adipose tissue Anatomy 0.000 description 1
- 230000001780 adrenocortical effect Effects 0.000 description 1
- 230000002411 adverse Effects 0.000 description 1
- HXHWSAZORRCQMX-UHFFFAOYSA-N albendazole Chemical compound CCCSC1=CC=C2NC(NC(=O)OC)=NC2=C1 HXHWSAZORRCQMX-UHFFFAOYSA-N 0.000 description 1
- 229960002669 albendazole Drugs 0.000 description 1
- 229930013930 alkaloid Natural products 0.000 description 1
- 231100000360 alopecia Toxicity 0.000 description 1
- 230000001668 ameliorated effect Effects 0.000 description 1
- 230000003321 amplification Effects 0.000 description 1
- 210000003484 anatomy Anatomy 0.000 description 1
- 230000033115 angiogenesis Effects 0.000 description 1
- 239000004037 angiogenesis inhibitor Substances 0.000 description 1
- RGHILYZRVFRRNK-UHFFFAOYSA-N anthracene-1,2-dione Chemical compound C1=CC=C2C=C(C(C(=O)C=C3)=O)C3=CC2=C1 RGHILYZRVFRRNK-UHFFFAOYSA-N 0.000 description 1
- 230000003466 anti-cipated effect Effects 0.000 description 1
- 230000000340 anti-metabolite Effects 0.000 description 1
- 230000000259 anti-tumor effect Effects 0.000 description 1
- 229940088710 antibiotic agent Drugs 0.000 description 1
- 230000010100 anticoagulation Effects 0.000 description 1
- 239000000427 antigen Substances 0.000 description 1
- 108091007433 antigens Proteins 0.000 description 1
- 102000036639 antigens Human genes 0.000 description 1
- 229940100197 antimetabolite Drugs 0.000 description 1
- 239000002256 antimetabolite Substances 0.000 description 1
- 239000000074 antisense oligonucleotide Substances 0.000 description 1
- 238000012230 antisense oligonucleotides Methods 0.000 description 1
- 210000000709 aorta Anatomy 0.000 description 1
- 210000001765 aortic valve Anatomy 0.000 description 1
- 239000008135 aqueous vehicle Substances 0.000 description 1
- 101150044616 araC gene Proteins 0.000 description 1
- 210000001367 artery Anatomy 0.000 description 1
- 229940009098 aspartate Drugs 0.000 description 1
- 238000010009 beating Methods 0.000 description 1
- 230000006399 behavior Effects 0.000 description 1
- 230000009286 beneficial effect Effects 0.000 description 1
- 230000008901 benefit Effects 0.000 description 1
- 229940054066 benzamide antipsychotics Drugs 0.000 description 1
- 150000003936 benzamides Chemical class 0.000 description 1
- WQZGKKKJIJFFOK-VFUOTHLCSA-N beta-D-glucose Chemical compound OC[C@H]1O[C@@H](O)[C@H](O)[C@@H](O)[C@@H]1O WQZGKKKJIJFFOK-VFUOTHLCSA-N 0.000 description 1
- WHGYBXFWUBPSRW-FOUAGVGXSA-N beta-cyclodextrin Chemical compound OC[C@H]([C@H]([C@@H]([C@H]1O)O)O[C@H]2O[C@@H]([C@@H](O[C@H]3O[C@H](CO)[C@H]([C@@H]([C@H]3O)O)O[C@H]3O[C@H](CO)[C@H]([C@@H]([C@H]3O)O)O[C@H]3O[C@H](CO)[C@H]([C@@H]([C@H]3O)O)O[C@H]3O[C@H](CO)[C@H]([C@@H]([C@H]3O)O)O3)[C@H](O)[C@H]2O)CO)O[C@@H]1O[C@H]1[C@H](O)[C@@H](O)[C@@H]3O[C@@H]1CO WHGYBXFWUBPSRW-FOUAGVGXSA-N 0.000 description 1
- 235000011175 beta-cyclodextrine Nutrition 0.000 description 1
- 229960004853 betadex Drugs 0.000 description 1
- 230000033228 biological regulation Effects 0.000 description 1
- 230000005540 biological transmission Effects 0.000 description 1
- 229960000074 biopharmaceutical Drugs 0.000 description 1
- OHJMTUPIZMNBFR-UHFFFAOYSA-N biuret Chemical compound NC(=O)NC(N)=O OHJMTUPIZMNBFR-UHFFFAOYSA-N 0.000 description 1
- 210000000601 blood cell Anatomy 0.000 description 1
- 238000004820 blood count Methods 0.000 description 1
- 210000004204 blood vessel Anatomy 0.000 description 1
- 210000000988 bone and bone Anatomy 0.000 description 1
- 210000005013 brain tissue Anatomy 0.000 description 1
- 210000000481 breast Anatomy 0.000 description 1
- 201000008275 breast carcinoma Diseases 0.000 description 1
- 239000008366 buffered solution Substances 0.000 description 1
- FFSAXUULYPJSKH-UHFFFAOYSA-N butyrophenone Chemical class CCCC(=O)C1=CC=CC=C1 FFSAXUULYPJSKH-UHFFFAOYSA-N 0.000 description 1
- 210000004899 c-terminal region Anatomy 0.000 description 1
- 239000011575 calcium Substances 0.000 description 1
- 229910052791 calcium Inorganic materials 0.000 description 1
- 239000001110 calcium chloride Substances 0.000 description 1
- 229910001628 calcium chloride Inorganic materials 0.000 description 1
- 230000001964 calcium overload Effects 0.000 description 1
- 238000004364 calculation method Methods 0.000 description 1
- VBRNLOQCBCPPHL-UHFFFAOYSA-N calmagite Chemical compound CC1=CC=C(O)C(N=NC=2C3=CC=CC=C3C(=CC=2O)S(O)(=O)=O)=C1 VBRNLOQCBCPPHL-UHFFFAOYSA-N 0.000 description 1
- 239000002775 capsule Substances 0.000 description 1
- 239000004202 carbamide Substances 0.000 description 1
- 230000003683 cardiac damage Effects 0.000 description 1
- 231100000457 cardiotoxic Toxicity 0.000 description 1
- 239000002340 cardiotoxin Substances 0.000 description 1
- 239000000969 carrier Substances 0.000 description 1
- 210000000845 cartilage Anatomy 0.000 description 1
- 239000006143 cell culture medium Substances 0.000 description 1
- 230000005779 cell damage Effects 0.000 description 1
- 230000030833 cell death Effects 0.000 description 1
- 230000006037 cell lysis Effects 0.000 description 1
- 210000000170 cell membrane Anatomy 0.000 description 1
- 238000005119 centrifugation Methods 0.000 description 1
- 239000012829 chemotherapy agent Substances 0.000 description 1
- 235000012000 cholesterol Nutrition 0.000 description 1
- 210000000349 chromosome Anatomy 0.000 description 1
- DQLATGHUWYMOKM-UHFFFAOYSA-L cisplatin Chemical compound N[Pt](N)(Cl)Cl DQLATGHUWYMOKM-UHFFFAOYSA-L 0.000 description 1
- 229960004316 cisplatin Drugs 0.000 description 1
- 238000004737 colorimetric analysis Methods 0.000 description 1
- 230000000295 complement effect Effects 0.000 description 1
- 238000013329 compounding Methods 0.000 description 1
- 239000000039 congener Substances 0.000 description 1
- 239000006071 cream Substances 0.000 description 1
- UHDGCWIWMRVCDJ-ZAKLUEHWSA-N cytidine Chemical compound O=C1N=C(N)C=CN1[C@H]1[C@H](O)[C@@H](O)[C@H](CO)O1 UHDGCWIWMRVCDJ-ZAKLUEHWSA-N 0.000 description 1
- 238000000354 decomposition reaction Methods 0.000 description 1
- 230000002950 deficient Effects 0.000 description 1
- 230000002951 depilatory effect Effects 0.000 description 1
- 239000008121 dextrose Substances 0.000 description 1
- 238000003745 diagnosis Methods 0.000 description 1
- 230000035487 diastolic blood pressure Effects 0.000 description 1
- 201000011304 dilated cardiomyopathy 1A Diseases 0.000 description 1
- 230000010339 dilation Effects 0.000 description 1
- 238000011038 discontinuous diafiltration by volume reduction Methods 0.000 description 1
- 239000002270 dispersing agent Substances 0.000 description 1
- 239000006185 dispersion Substances 0.000 description 1
- 229940030606 diuretics Drugs 0.000 description 1
- 238000011833 dog model Methods 0.000 description 1
- 238000009510 drug design Methods 0.000 description 1
- 238000009509 drug development Methods 0.000 description 1
- 238000003255 drug test Methods 0.000 description 1
- 238000002651 drug therapy Methods 0.000 description 1
- 210000001198 duodenum Anatomy 0.000 description 1
- 230000002497 edematous effect Effects 0.000 description 1
- 239000012636 effector Substances 0.000 description 1
- 239000000839 emulsion Substances 0.000 description 1
- 230000037149 energy metabolism Effects 0.000 description 1
- 239000003623 enhancer Substances 0.000 description 1
- 230000002255 enzymatic effect Effects 0.000 description 1
- 238000001976 enzyme digestion Methods 0.000 description 1
- 210000003979 eosinophil Anatomy 0.000 description 1
- 238000011156 evaluation Methods 0.000 description 1
- 201000006692 familial hypertrophic cardiomyopathy Diseases 0.000 description 1
- 230000012953 feeding on blood of other organism Effects 0.000 description 1
- 230000004761 fibrosis Effects 0.000 description 1
- 238000011049 filling Methods 0.000 description 1
- 230000004907 flux Effects 0.000 description 1
- 239000006260 foam Substances 0.000 description 1
- 238000012395 formulation development Methods 0.000 description 1
- 108020001507 fusion proteins Proteins 0.000 description 1
- 102000037865 fusion proteins Human genes 0.000 description 1
- 239000000499 gel Substances 0.000 description 1
- 229940116332 glucose oxidase Drugs 0.000 description 1
- 235000019420 glucose oxidase Nutrition 0.000 description 1
- ZDXPYRJPNDTMRX-UHFFFAOYSA-N glutamine Natural products OC(=O)C(N)CCC(N)=O ZDXPYRJPNDTMRX-UHFFFAOYSA-N 0.000 description 1
- 150000002334 glycols Chemical class 0.000 description 1
- 230000012010 growth Effects 0.000 description 1
- 239000000122 growth hormone Substances 0.000 description 1
- 230000010005 growth-factor like effect Effects 0.000 description 1
- 210000002837 heart atrium Anatomy 0.000 description 1
- 230000010247 heart contraction Effects 0.000 description 1
- 230000009067 heart development Effects 0.000 description 1
- 238000010438 heat treatment Methods 0.000 description 1
- 125000000623 heterocyclic group Chemical group 0.000 description 1
- 239000000833 heterodimer Substances 0.000 description 1
- 210000001981 hip bone Anatomy 0.000 description 1
- 229940088597 hormone Drugs 0.000 description 1
- 239000005556 hormone Substances 0.000 description 1
- 102000055277 human IL2 Human genes 0.000 description 1
- 235000003642 hunger Nutrition 0.000 description 1
- 238000009396 hybridization Methods 0.000 description 1
- 206010020718 hyperplasia Diseases 0.000 description 1
- 230000001631 hypertensive effect Effects 0.000 description 1
- 230000007954 hypoxia Effects 0.000 description 1
- 210000003405 ileum Anatomy 0.000 description 1
- 238000005286 illumination Methods 0.000 description 1
- 230000008105 immune reaction Effects 0.000 description 1
- 102000018358 immunoglobulin Human genes 0.000 description 1
- 238000010348 incorporation Methods 0.000 description 1
- 238000011534 incubation Methods 0.000 description 1
- 230000001939 inductive effect Effects 0.000 description 1
- 230000002757 inflammatory effect Effects 0.000 description 1
- 238000001802 infusion Methods 0.000 description 1
- 239000003978 infusion fluid Substances 0.000 description 1
- 238000011081 inoculation Methods 0.000 description 1
- 230000003993 interaction Effects 0.000 description 1
- 229940047124 interferons Drugs 0.000 description 1
- 229940047122 interleukins Drugs 0.000 description 1
- 244000000053 intestinal parasite Species 0.000 description 1
- 210000000936 intestine Anatomy 0.000 description 1
- 239000007926 intracavernous injection Substances 0.000 description 1
- 230000003834 intracellular effect Effects 0.000 description 1
- 238000007918 intramuscular administration Methods 0.000 description 1
- 238000010255 intramuscular injection Methods 0.000 description 1
- 239000007927 intramuscular injection Substances 0.000 description 1
- 239000000797 iron chelating agent Substances 0.000 description 1
- 229940075525 iron chelating agent Drugs 0.000 description 1
- 230000002427 irreversible effect Effects 0.000 description 1
- 208000028867 ischemia Diseases 0.000 description 1
- 210000004731 jugular vein Anatomy 0.000 description 1
- 229960004184 ketamine hydrochloride Drugs 0.000 description 1
- 238000002372 labelling Methods 0.000 description 1
- 230000002045 lasting effect Effects 0.000 description 1
- 210000005246 left atrium Anatomy 0.000 description 1
- 231100000518 lethal Toxicity 0.000 description 1
- 230000001665 lethal effect Effects 0.000 description 1
- 238000012417 linear regression Methods 0.000 description 1
- 238000004020 luminiscence type Methods 0.000 description 1
- 230000003211 malignant effect Effects 0.000 description 1
- HAWPXGHAZFHHAD-UHFFFAOYSA-N mechlorethamine Chemical class ClCCN(C)CCCl HAWPXGHAZFHHAD-UHFFFAOYSA-N 0.000 description 1
- 229960004961 mechlorethamine Drugs 0.000 description 1
- 210000004379 membrane Anatomy 0.000 description 1
- 239000012528 membrane Substances 0.000 description 1
- 229960001428 mercaptopurine Drugs 0.000 description 1
- 210000000713 mesentery Anatomy 0.000 description 1
- 108020004999 messenger RNA Proteins 0.000 description 1
- 208000030159 metabolic disease Diseases 0.000 description 1
- 230000001394 metastastic effect Effects 0.000 description 1
- 206010061289 metastatic neoplasm Diseases 0.000 description 1
- 230000000813 microbial effect Effects 0.000 description 1
- 230000005012 migration Effects 0.000 description 1
- 238000013508 migration Methods 0.000 description 1
- 210000004115 mitral valve Anatomy 0.000 description 1
- 210000001616 monocyte Anatomy 0.000 description 1
- HDZGCSFEDULWCS-UHFFFAOYSA-N monomethylhydrazine Chemical class CNN HDZGCSFEDULWCS-UHFFFAOYSA-N 0.000 description 1
- 230000010016 myocardial function Effects 0.000 description 1
- 229930014626 natural product Natural products 0.000 description 1
- 230000009826 neoplastic cell growth Effects 0.000 description 1
- 230000001613 neoplastic effect Effects 0.000 description 1
- 210000001640 nerve ending Anatomy 0.000 description 1
- 210000000653 nervous system Anatomy 0.000 description 1
- 230000003472 neutralizing effect Effects 0.000 description 1
- 210000000440 neutrophil Anatomy 0.000 description 1
- 230000002474 noradrenergic effect Effects 0.000 description 1
- 229960002748 norepinephrine Drugs 0.000 description 1
- SFLSHLFXELFNJZ-UHFFFAOYSA-N norepinephrine Natural products NCC(O)C1=CC=C(O)C(O)=C1 SFLSHLFXELFNJZ-UHFFFAOYSA-N 0.000 description 1
- 230000012154 norepinephrine uptake Effects 0.000 description 1
- 238000003199 nucleic acid amplification method Methods 0.000 description 1
- 238000001216 nucleic acid method Methods 0.000 description 1
- 210000004940 nucleus Anatomy 0.000 description 1
- 230000035764 nutrition Effects 0.000 description 1
- 235000016709 nutrition Nutrition 0.000 description 1
- 239000003921 oil Substances 0.000 description 1
- 239000002674 ointment Substances 0.000 description 1
- 206010033675 panniculitis Diseases 0.000 description 1
- 239000006201 parenteral dosage form Substances 0.000 description 1
- 230000008506 pathogenesis Effects 0.000 description 1
- 230000007170 pathology Effects 0.000 description 1
- 210000002976 pectoralis muscle Anatomy 0.000 description 1
- 229960001412 pentobarbital Drugs 0.000 description 1
- 229960002275 pentobarbital sodium Drugs 0.000 description 1
- 239000000137 peptide hydrolase inhibitor Substances 0.000 description 1
- 210000003200 peritoneal cavity Anatomy 0.000 description 1
- 230000002085 persistent effect Effects 0.000 description 1
- 150000002990 phenothiazines Chemical class 0.000 description 1
- 239000008055 phosphate buffer solution Substances 0.000 description 1
- DCWXELXMIBXGTH-UHFFFAOYSA-N phosphotyrosine Chemical compound OC(=O)C(N)CC1=CC=C(OP(O)(O)=O)C=C1 DCWXELXMIBXGTH-UHFFFAOYSA-N 0.000 description 1
- 230000005622 photoelectricity Effects 0.000 description 1
- 230000001817 pituitary effect Effects 0.000 description 1
- 229910052697 platinum Inorganic materials 0.000 description 1
- 230000004481 post-translational protein modification Effects 0.000 description 1
- 238000011248 postoperative chemotherapy Methods 0.000 description 1
- 230000003389 potentiating effect Effects 0.000 description 1
- 230000002335 preservative effect Effects 0.000 description 1
- CPTBDICYNRMXFX-UHFFFAOYSA-N procarbazine Chemical compound CNNCC1=CC=C(C(=O)NC(C)C)C=C1 CPTBDICYNRMXFX-UHFFFAOYSA-N 0.000 description 1
- 229960000624 procarbazine Drugs 0.000 description 1
- 238000004393 prognosis Methods 0.000 description 1
- 210000001236 prokaryotic cell Anatomy 0.000 description 1
- 108060006633 protein kinase Proteins 0.000 description 1
- 230000009822 protein phosphorylation Effects 0.000 description 1
- 238000001243 protein synthesis Methods 0.000 description 1
- 208000020016 psychiatric disease Diseases 0.000 description 1
- 150000003230 pyrimidines Chemical class 0.000 description 1
- 238000004445 quantitative analysis Methods 0.000 description 1
- 238000012113 quantitative test Methods 0.000 description 1
- 230000010076 replication Effects 0.000 description 1
- 238000011160 research Methods 0.000 description 1
- 210000005245 right atrium Anatomy 0.000 description 1
- 150000003839 salts Chemical class 0.000 description 1
- 239000012898 sample dilution Substances 0.000 description 1
- 239000012488 sample solution Substances 0.000 description 1
- 238000004062 sedimentation Methods 0.000 description 1
- 238000012163 sequencing technique Methods 0.000 description 1
- 230000013275 serotonin uptake Effects 0.000 description 1
- 230000009528 severe injury Effects 0.000 description 1
- 239000001488 sodium phosphate Substances 0.000 description 1
- 238000005063 solubilization Methods 0.000 description 1
- 230000007928 solubilization Effects 0.000 description 1
- 239000002904 solvent Substances 0.000 description 1
- 239000003381 stabilizer Substances 0.000 description 1
- 230000000087 stabilizing effect Effects 0.000 description 1
- 238000010186 staining Methods 0.000 description 1
- 230000037351 starvation Effects 0.000 description 1
- 230000001954 sterilising effect Effects 0.000 description 1
- 208000003265 stomatitis Diseases 0.000 description 1
- 238000003860 storage Methods 0.000 description 1
- 238000007920 subcutaneous administration Methods 0.000 description 1
- 238000010254 subcutaneous injection Methods 0.000 description 1
- 239000007929 subcutaneous injection Substances 0.000 description 1
- 210000004304 subcutaneous tissue Anatomy 0.000 description 1
- 235000000346 sugar Nutrition 0.000 description 1
- 230000003319 supportive effect Effects 0.000 description 1
- 239000000375 suspending agent Substances 0.000 description 1
- 230000002459 sustained effect Effects 0.000 description 1
- 230000035488 systolic blood pressure Effects 0.000 description 1
- 230000006794 tachycardia Effects 0.000 description 1
- 238000011287 therapeutic dose Methods 0.000 description 1
- 238000011285 therapeutic regimen Methods 0.000 description 1
- 230000008719 thickening Effects 0.000 description 1
- 150000005075 thioxanthenes Chemical class 0.000 description 1
- 229960000716 tonics Drugs 0.000 description 1
- 230000002103 transcriptional effect Effects 0.000 description 1
- 230000001131 transforming effect Effects 0.000 description 1
- 230000014621 translational initiation Effects 0.000 description 1
- 102000035160 transmembrane proteins Human genes 0.000 description 1
- 108091005703 transmembrane proteins Proteins 0.000 description 1
- 230000032258 transport Effects 0.000 description 1
- 238000012384 transportation and delivery Methods 0.000 description 1
- ODLHGICHYURWBS-LKONHMLTSA-N trappsol cyclo Chemical compound CC(O)COC[C@H]([C@H]([C@@H]([C@H]1O)O)O[C@H]2O[C@@H]([C@@H](O[C@H]3O[C@H](COCC(C)O)[C@H]([C@@H]([C@H]3O)O)O[C@H]3O[C@H](COCC(C)O)[C@H]([C@@H]([C@H]3O)O)O[C@H]3O[C@H](COCC(C)O)[C@H]([C@@H]([C@H]3O)O)O[C@H]3O[C@H](COCC(C)O)[C@H]([C@@H]([C@H]3O)O)O3)[C@H](O)[C@H]2O)COCC(O)C)O[C@@H]1O[C@H]1[C@H](O)[C@@H](O)[C@@H]3O[C@@H]1COCC(C)O ODLHGICHYURWBS-LKONHMLTSA-N 0.000 description 1
- 230000008733 trauma Effects 0.000 description 1
- RYFMWSXOAZQYPI-UHFFFAOYSA-K trisodium phosphate Chemical compound [Na+].[Na+].[Na+].[O-]P([O-])([O-])=O RYFMWSXOAZQYPI-UHFFFAOYSA-K 0.000 description 1
- 229960000281 trometamol Drugs 0.000 description 1
- 229960001005 tuberculin Drugs 0.000 description 1
- 230000004614 tumor growth Effects 0.000 description 1
- OUYCCCASQSFEME-UHFFFAOYSA-N tyrosine Natural products OC(=O)C(N)CC1=CC=C(O)C=C1 OUYCCCASQSFEME-UHFFFAOYSA-N 0.000 description 1
- 150000003672 ureas Chemical class 0.000 description 1
- 210000003932 urinary bladder Anatomy 0.000 description 1
- 229960003636 vidarabine Drugs 0.000 description 1
- 229960003048 vinblastine Drugs 0.000 description 1
- 238000005303 weighing Methods 0.000 description 1
- 239000012224 working solution Substances 0.000 description 1
Images
Classifications
-
- A—HUMAN NECESSITIES
- A61—MEDICAL OR VETERINARY SCIENCE; HYGIENE
- A61K—PREPARATIONS FOR MEDICAL, DENTAL OR TOILETRY PURPOSES
- A61K38/00—Medicinal preparations containing peptides
- A61K38/16—Peptides having more than 20 amino acids; Gastrins; Somatostatins; Melanotropins; Derivatives thereof
- A61K38/17—Peptides having more than 20 amino acids; Gastrins; Somatostatins; Melanotropins; Derivatives thereof from animals; from humans
- A61K38/18—Growth factors; Growth regulators
- A61K38/1883—Neuregulins, e.g.. p185erbB2 ligands, glial growth factor, heregulin, ARIA, neu differentiation factor
-
- A—HUMAN NECESSITIES
- A61—MEDICAL OR VETERINARY SCIENCE; HYGIENE
- A61K—PREPARATIONS FOR MEDICAL, DENTAL OR TOILETRY PURPOSES
- A61K31/00—Medicinal preparations containing organic active ingredients
- A61K31/12—Ketones
- A61K31/122—Ketones having the oxygen directly attached to a ring, e.g. quinones, vitamin K1, anthralin
-
- A—HUMAN NECESSITIES
- A61—MEDICAL OR VETERINARY SCIENCE; HYGIENE
- A61K—PREPARATIONS FOR MEDICAL, DENTAL OR TOILETRY PURPOSES
- A61K31/00—Medicinal preparations containing organic active ingredients
- A61K31/185—Acids; Anhydrides, halides or salts thereof, e.g. sulfur acids, imidic, hydrazonic or hydroximic acids
-
- A—HUMAN NECESSITIES
- A61—MEDICAL OR VETERINARY SCIENCE; HYGIENE
- A61K—PREPARATIONS FOR MEDICAL, DENTAL OR TOILETRY PURPOSES
- A61K31/00—Medicinal preparations containing organic active ingredients
- A61K31/33—Heterocyclic compounds
- A61K31/335—Heterocyclic compounds having oxygen as the only ring hetero atom, e.g. fungichromin
- A61K31/35—Heterocyclic compounds having oxygen as the only ring hetero atom, e.g. fungichromin having six-membered rings with one oxygen as the only ring hetero atom
- A61K31/352—Heterocyclic compounds having oxygen as the only ring hetero atom, e.g. fungichromin having six-membered rings with one oxygen as the only ring hetero atom condensed with carbocyclic rings, e.g. methantheline
- A61K31/353—3,4-Dihydrobenzopyrans, e.g. chroman, catechin
- A61K31/355—Tocopherols, e.g. vitamin E
-
- A—HUMAN NECESSITIES
- A61—MEDICAL OR VETERINARY SCIENCE; HYGIENE
- A61K—PREPARATIONS FOR MEDICAL, DENTAL OR TOILETRY PURPOSES
- A61K31/00—Medicinal preparations containing organic active ingredients
- A61K31/33—Heterocyclic compounds
- A61K31/335—Heterocyclic compounds having oxygen as the only ring hetero atom, e.g. fungichromin
- A61K31/365—Lactones
- A61K31/375—Ascorbic acid, i.e. vitamin C; Salts thereof
-
- A—HUMAN NECESSITIES
- A61—MEDICAL OR VETERINARY SCIENCE; HYGIENE
- A61K—PREPARATIONS FOR MEDICAL, DENTAL OR TOILETRY PURPOSES
- A61K31/00—Medicinal preparations containing organic active ingredients
- A61K31/33—Heterocyclic compounds
- A61K31/395—Heterocyclic compounds having nitrogen as a ring hetero atom, e.g. guanethidine or rifamycins
- A61K31/41—Heterocyclic compounds having nitrogen as a ring hetero atom, e.g. guanethidine or rifamycins having five-membered rings with two or more ring hetero atoms, at least one of which being nitrogen, e.g. tetrazole
- A61K31/425—Thiazoles
- A61K31/429—Thiazoles condensed with heterocyclic ring systems
- A61K31/43—Compounds containing 4-thia-1-azabicyclo [3.2.0] heptane ring systems, i.e. compounds containing a ring system of the formula, e.g. penicillins, penems
-
- A—HUMAN NECESSITIES
- A61—MEDICAL OR VETERINARY SCIENCE; HYGIENE
- A61K—PREPARATIONS FOR MEDICAL, DENTAL OR TOILETRY PURPOSES
- A61K31/00—Medicinal preparations containing organic active ingredients
- A61K31/70—Carbohydrates; Sugars; Derivatives thereof
- A61K31/7088—Compounds having three or more nucleosides or nucleotides
-
- A—HUMAN NECESSITIES
- A61—MEDICAL OR VETERINARY SCIENCE; HYGIENE
- A61K—PREPARATIONS FOR MEDICAL, DENTAL OR TOILETRY PURPOSES
- A61K38/00—Medicinal preparations containing peptides
-
- A—HUMAN NECESSITIES
- A61—MEDICAL OR VETERINARY SCIENCE; HYGIENE
- A61K—PREPARATIONS FOR MEDICAL, DENTAL OR TOILETRY PURPOSES
- A61K38/00—Medicinal preparations containing peptides
- A61K38/16—Peptides having more than 20 amino acids; Gastrins; Somatostatins; Melanotropins; Derivatives thereof
- A61K38/17—Peptides having more than 20 amino acids; Gastrins; Somatostatins; Melanotropins; Derivatives thereof from animals; from humans
- A61K38/19—Cytokines; Lymphokines; Interferons
- A61K38/20—Interleukins [IL]
- A61K38/2013—IL-2
-
- A—HUMAN NECESSITIES
- A61—MEDICAL OR VETERINARY SCIENCE; HYGIENE
- A61K—PREPARATIONS FOR MEDICAL, DENTAL OR TOILETRY PURPOSES
- A61K38/00—Medicinal preparations containing peptides
- A61K38/16—Peptides having more than 20 amino acids; Gastrins; Somatostatins; Melanotropins; Derivatives thereof
- A61K38/17—Peptides having more than 20 amino acids; Gastrins; Somatostatins; Melanotropins; Derivatives thereof from animals; from humans
- A61K38/19—Cytokines; Lymphokines; Interferons
- A61K38/21—Interferons [IFN]
- A61K38/212—IFN-alpha
-
- A—HUMAN NECESSITIES
- A61—MEDICAL OR VETERINARY SCIENCE; HYGIENE
- A61K—PREPARATIONS FOR MEDICAL, DENTAL OR TOILETRY PURPOSES
- A61K38/00—Medicinal preparations containing peptides
- A61K38/16—Peptides having more than 20 amino acids; Gastrins; Somatostatins; Melanotropins; Derivatives thereof
- A61K38/55—Protease inhibitors
- A61K38/556—Angiotensin converting enzyme inhibitors
-
- A—HUMAN NECESSITIES
- A61—MEDICAL OR VETERINARY SCIENCE; HYGIENE
- A61K—PREPARATIONS FOR MEDICAL, DENTAL OR TOILETRY PURPOSES
- A61K45/00—Medicinal preparations containing active ingredients not provided for in groups A61K31/00 - A61K41/00
- A61K45/06—Mixtures of active ingredients without chemical characterisation, e.g. antiphlogistics and cardiaca
-
- A—HUMAN NECESSITIES
- A61—MEDICAL OR VETERINARY SCIENCE; HYGIENE
- A61P—SPECIFIC THERAPEUTIC ACTIVITY OF CHEMICAL COMPOUNDS OR MEDICINAL PREPARATIONS
- A61P25/00—Drugs for disorders of the nervous system
- A61P25/18—Antipsychotics, i.e. neuroleptics; Drugs for mania or schizophrenia
-
- A—HUMAN NECESSITIES
- A61—MEDICAL OR VETERINARY SCIENCE; HYGIENE
- A61P—SPECIFIC THERAPEUTIC ACTIVITY OF CHEMICAL COMPOUNDS OR MEDICINAL PREPARATIONS
- A61P25/00—Drugs for disorders of the nervous system
- A61P25/24—Antidepressants
-
- A—HUMAN NECESSITIES
- A61—MEDICAL OR VETERINARY SCIENCE; HYGIENE
- A61P—SPECIFIC THERAPEUTIC ACTIVITY OF CHEMICAL COMPOUNDS OR MEDICINAL PREPARATIONS
- A61P31/00—Antiinfectives, i.e. antibiotics, antiseptics, chemotherapeutics
-
- A—HUMAN NECESSITIES
- A61—MEDICAL OR VETERINARY SCIENCE; HYGIENE
- A61P—SPECIFIC THERAPEUTIC ACTIVITY OF CHEMICAL COMPOUNDS OR MEDICINAL PREPARATIONS
- A61P31/00—Antiinfectives, i.e. antibiotics, antiseptics, chemotherapeutics
- A61P31/04—Antibacterial agents
-
- A—HUMAN NECESSITIES
- A61—MEDICAL OR VETERINARY SCIENCE; HYGIENE
- A61P—SPECIFIC THERAPEUTIC ACTIVITY OF CHEMICAL COMPOUNDS OR MEDICINAL PREPARATIONS
- A61P31/00—Antiinfectives, i.e. antibiotics, antiseptics, chemotherapeutics
- A61P31/12—Antivirals
-
- A—HUMAN NECESSITIES
- A61—MEDICAL OR VETERINARY SCIENCE; HYGIENE
- A61P—SPECIFIC THERAPEUTIC ACTIVITY OF CHEMICAL COMPOUNDS OR MEDICINAL PREPARATIONS
- A61P31/00—Antiinfectives, i.e. antibiotics, antiseptics, chemotherapeutics
- A61P31/12—Antivirals
- A61P31/14—Antivirals for RNA viruses
-
- A—HUMAN NECESSITIES
- A61—MEDICAL OR VETERINARY SCIENCE; HYGIENE
- A61P—SPECIFIC THERAPEUTIC ACTIVITY OF CHEMICAL COMPOUNDS OR MEDICINAL PREPARATIONS
- A61P35/00—Antineoplastic agents
-
- A—HUMAN NECESSITIES
- A61—MEDICAL OR VETERINARY SCIENCE; HYGIENE
- A61P—SPECIFIC THERAPEUTIC ACTIVITY OF CHEMICAL COMPOUNDS OR MEDICINAL PREPARATIONS
- A61P35/00—Antineoplastic agents
- A61P35/02—Antineoplastic agents specific for leukemia
-
- A—HUMAN NECESSITIES
- A61—MEDICAL OR VETERINARY SCIENCE; HYGIENE
- A61P—SPECIFIC THERAPEUTIC ACTIVITY OF CHEMICAL COMPOUNDS OR MEDICINAL PREPARATIONS
- A61P39/00—General protective or antinoxious agents
- A61P39/06—Free radical scavengers or antioxidants
-
- A—HUMAN NECESSITIES
- A61—MEDICAL OR VETERINARY SCIENCE; HYGIENE
- A61P—SPECIFIC THERAPEUTIC ACTIVITY OF CHEMICAL COMPOUNDS OR MEDICINAL PREPARATIONS
- A61P43/00—Drugs for specific purposes, not provided for in groups A61P1/00-A61P41/00
-
- A—HUMAN NECESSITIES
- A61—MEDICAL OR VETERINARY SCIENCE; HYGIENE
- A61P—SPECIFIC THERAPEUTIC ACTIVITY OF CHEMICAL COMPOUNDS OR MEDICINAL PREPARATIONS
- A61P7/00—Drugs for disorders of the blood or the extracellular fluid
- A61P7/02—Antithrombotic agents; Anticoagulants; Platelet aggregation inhibitors
-
- A—HUMAN NECESSITIES
- A61—MEDICAL OR VETERINARY SCIENCE; HYGIENE
- A61P—SPECIFIC THERAPEUTIC ACTIVITY OF CHEMICAL COMPOUNDS OR MEDICINAL PREPARATIONS
- A61P7/00—Drugs for disorders of the blood or the extracellular fluid
- A61P7/10—Antioedematous agents; Diuretics
-
- A—HUMAN NECESSITIES
- A61—MEDICAL OR VETERINARY SCIENCE; HYGIENE
- A61P—SPECIFIC THERAPEUTIC ACTIVITY OF CHEMICAL COMPOUNDS OR MEDICINAL PREPARATIONS
- A61P9/00—Drugs for disorders of the cardiovascular system
-
- A—HUMAN NECESSITIES
- A61—MEDICAL OR VETERINARY SCIENCE; HYGIENE
- A61P—SPECIFIC THERAPEUTIC ACTIVITY OF CHEMICAL COMPOUNDS OR MEDICINAL PREPARATIONS
- A61P9/00—Drugs for disorders of the cardiovascular system
- A61P9/02—Non-specific cardiovascular stimulants, e.g. drugs for syncope, antihypotensives
-
- A—HUMAN NECESSITIES
- A61—MEDICAL OR VETERINARY SCIENCE; HYGIENE
- A61P—SPECIFIC THERAPEUTIC ACTIVITY OF CHEMICAL COMPOUNDS OR MEDICINAL PREPARATIONS
- A61P9/00—Drugs for disorders of the cardiovascular system
- A61P9/04—Inotropic agents, i.e. stimulants of cardiac contraction; Drugs for heart failure
-
- A—HUMAN NECESSITIES
- A61—MEDICAL OR VETERINARY SCIENCE; HYGIENE
- A61P—SPECIFIC THERAPEUTIC ACTIVITY OF CHEMICAL COMPOUNDS OR MEDICINAL PREPARATIONS
- A61P9/00—Drugs for disorders of the cardiovascular system
- A61P9/06—Antiarrhythmics
-
- A—HUMAN NECESSITIES
- A61—MEDICAL OR VETERINARY SCIENCE; HYGIENE
- A61P—SPECIFIC THERAPEUTIC ACTIVITY OF CHEMICAL COMPOUNDS OR MEDICINAL PREPARATIONS
- A61P9/00—Drugs for disorders of the cardiovascular system
- A61P9/10—Drugs for disorders of the cardiovascular system for treating ischaemic or atherosclerotic diseases, e.g. antianginal drugs, coronary vasodilators, drugs for myocardial infarction, retinopathy, cerebrovascula insufficiency, renal arteriosclerosis
-
- C—CHEMISTRY; METALLURGY
- C07—ORGANIC CHEMISTRY
- C07K—PEPTIDES
- C07K14/00—Peptides having more than 20 amino acids; Gastrins; Somatostatins; Melanotropins; Derivatives thereof
- C07K14/435—Peptides having more than 20 amino acids; Gastrins; Somatostatins; Melanotropins; Derivatives thereof from animals; from humans
- C07K14/475—Growth factors; Growth regulators
- C07K14/4756—Neuregulins, i.e. p185erbB2 ligands, glial growth factor, heregulin, ARIA, neu differentiation factor
-
- A—HUMAN NECESSITIES
- A61—MEDICAL OR VETERINARY SCIENCE; HYGIENE
- A61K—PREPARATIONS FOR MEDICAL, DENTAL OR TOILETRY PURPOSES
- A61K48/00—Medicinal preparations containing genetic material which is inserted into cells of the living body to treat genetic diseases; Gene therapy
-
- Y—GENERAL TAGGING OF NEW TECHNOLOGICAL DEVELOPMENTS; GENERAL TAGGING OF CROSS-SECTIONAL TECHNOLOGIES SPANNING OVER SEVERAL SECTIONS OF THE IPC; TECHNICAL SUBJECTS COVERED BY FORMER USPC CROSS-REFERENCE ART COLLECTIONS [XRACs] AND DIGESTS
- Y02—TECHNOLOGIES OR APPLICATIONS FOR MITIGATION OR ADAPTATION AGAINST CLIMATE CHANGE
- Y02A—TECHNOLOGIES FOR ADAPTATION TO CLIMATE CHANGE
- Y02A50/00—TECHNOLOGIES FOR ADAPTATION TO CLIMATE CHANGE in human health protection, e.g. against extreme weather
- Y02A50/30—Against vector-borne diseases, e.g. mosquito-borne, fly-borne, tick-borne or waterborne diseases whose impact is exacerbated by climate change
Definitions
- the present invention relates to compositions and methods for preventing, treating or delaying various cardiovascular diseases or disorders in mammals, particularly in humans. More particularly, the present invention provides for compositions and methods for preventing, treating or delaying various cardiovascular diseases or disorders using, inter alia, a neuregulin protein, or a functional fragment thereof, or a nucleic acid encoding a neuregulin protein, or a functional fragment thereof, or an agent that enhances production and/or function of said neuregulin.
- Viral myocarditis is inflammation of heart muscle caused by or associated with various viruses, which induce focal or diffuse inflammatory exudation in interstitial myocardium and degeneration, necrosis or lysis of cardiac muscle fiber. Viral myocarditis may be complicated by pericarditis or endocarditis. The outcome of viral myocarditis includes myocardial damage, heart dysfunction, arrhythmia and systemic symptoms. Viral myocarditis occurs at any age. In recent years, the incidence of viral myocarditis is increasing. The sequela of acute viral myocarditis include arrhythmia, heart failure, cardiac shock, and even sudden death. The disease may be prolonged with cardiac hypertrophy and permanent cardiac muscle injury. Cardiomyopathy finally results from immune reaction.
- the treatment of viral myocarditis includes antibiotics, heart protective agents, antioxidant such as high dose vitamin C, vitamin E, coenzyme Q10, nutrients for myocardium such as energy combination to provide enough nutrition for myocardium. These measures are applied to improve heart function, repair cardiac damage, and prevent heart failure, but the efficacy is not so ideal, especially for the structural and functional changes in myocarditis. No reliable therapy is available for these pathological changes.
- Dilated (congestive) cardiomyopathy is the eventual outcome of various myocardial diseases of unidentified origin. Its pathological changes are non-rheumatic, non-hypertensive and not due to coronary heart disease.
- the main clinical features of dilated cardiomyopathy is ventricular hypertrophy, myocardial pump function failure, or congestive heart failure. Hypertrophy of nucleus and organelles is generally seen in mild myocardium damage of dilated cardiomyopathy. Structural change, cell death and the resultant fibrosis is usually seen in severe damage. The etiology and pathogenesis of DCM remains to be clarified. The prognosis of DCM is very poor because no effective therapy is available.
- Dynamic cardiomyoplasty is useful in improving cardiac function, but patient can not tolerate the relatively extensive trauma. Therefore, this operation is only used as alternative to heart transplant.
- heart transplant is radical treatment for DCM.
- lack of donor heart, expensive cost, post-operation infection and transplant rejection are the main obstacles. Therefore, new therapy for DCM is urgently needed in clinical practice.
- Doxorubicin or adriamycin belongs to anthracycline anticancer agents with a broad spectrum and potent anti-tumor activity. It has been widely used in clinical practice to treat various malignant tumors such as lung cancer, breast cancer, bladder carcinoma, testis carcinoma, thyroid cancer, soft tissue carcinoma, osteosarcoma, neuroblastoma, acute leukemia, malignant lymphoma, gastric carcinoma, liver cancer, esophageal carcinoma, and cervical carcinoma.
- ADM acts through incorporation with DNA to inhibit DNA synthesis. The inhibition effect is observed in S, M, G1 and G2 phases, but the activity is most active in S phase.
- ADM ADM-derived neurotrophic factor
- the toxicity of ADM includes bone marrow depression.
- leukocyte and platelet counts decrease to the lowest level 10-15 days after administration, and recover to normal levels 21 days later.
- Major digestive tract reaction are nausea, vomiting, anorexia, gastritis and even ulcer and stomatitis.
- Alopecia also occurs in nearly all patients treated with ADM, although this effect can be reversed after withdrawal.
- cardiac toxicity Cardiac toxicity of ADM may result from the production of oxygen-derived free radicals.
- the semiquinone group in ADM can induce an oxidoreduction reaction, which leads to enhanced lipid peroxidation, contributing to cellular damage.
- the free radicals damage cell membrane and organelle membrane, and modify the function of membrane proteins and enzyme activity. These changes can lead to intracellular calcium overload, inhibition of DNA and protein synthesis, and energy metabolism disorder, which inevitably harm the cardiac contraction and relaxation process.
- Cardiac toxicity occurs when ADM accumulates in the body because ADM has a higher affinity for cardiac tissue than for other tissues. Thus, the heart is more vulnerable to the toxic effect of ADM. Cardiac toxicity may be acute or chronic. Clinical features of acute cardiac toxicity include cardiac functional changes, such as sinus tachycardia, arrhythmia, conduction block, ST-T segment alteration, etc. Various arrhythmia may be present at early stages of ADM therapy. Acute cardiac toxicity can also include decrease of the left ventricular ejection fraction (LVEF), as well as decreases in stroke volume (SV), cardiac output (CO) and cardiac index (CI). ADM has also been suggested to inhibit the contraction and pumping ability of the left ventricle.
- LVEF left ventricular ejection fraction
- SV stroke volume
- CO cardiac output
- CI cardiac index
- Chronic cardiac toxicity include irreversible congestive heart failure. Once a person suffers from congestive heart failure, the mortality decreases to about 30% to 50%. Because of the cardiac toxicity associated with ADM, some patients have to terminate ADM therapy, or reduce the dosage or length of ADM use, affecting the efficacy of ADM therapy.
- Heart failure is caused by many etiology such as coronary arteriosclerosis, hypertension and inflammation induced myocardial injury, finally leading to refractory heart disease. These factors cause changes in myocardial cell structure and fraction, eventually resulting in lower ventricular pumping function and heart failure.
- CHF congestive heart failure
- Mortality 5 years after establishment of the diagnosis of CHF is 60% (male) and 45% (female).
- Mean survival time is 32 years (male) and 5.4 years (female), while the survival rate of patients with final stage CHF is only about 20%.
- Neuregulin-1 also named as Neu Differentiation Factor (NDF) or Glial Growth Factor (GGF) is a ligand of ErbB3 and ErbB4.
- NDF Neu Differentiation Factor
- GGF Glial Growth Factor
- the study in neuregulin gene defective mouse fetus demonstrates that neuregulin is essential for the development of heart and nervous system. However, the data are limited about the way neuregulin controls cell differentiation and downstream signal transduction.
- neuregulin and ErbB receptor are expressed in the lining of endocardium and cardiac myocytes respectively. As these 2 layers are separated widely, neuregulin has to pass through the space between these 2 layers before it can activate ErbB receptor.
- WO 00/37095 shows that neuregulin can enhance the differentiation of cardiac myocytes, strengthen the combination of sarcomere and cytoskeleton, as well as intercellular cohesion. WO 00/37095 also shows that neuregulin can be used to detect, diagnose and treat heart diseases. WO 00/37095 further shows that neuregulin and its analogues can promote cardiocyte differentiation in vitro, induce reconstruction of sarcomere and cytoskeleton in cardiocyte and intercellular cohesion, identify the polypeptide or compound that can inhibit neuregulin. The identified polypeptide or compound can be used to treat heart diseases and heart failure.
- DCM Dilated Cardiomyopathy
- the present invention is directed to a method for preventing, treating or delaying viral myocarditis or dilated (congestive) cardiomyopathy (DCM) in a mammal, which method comprises administering to a mammal, to which such prevention, treatment or delay is needed or desirable, an effective amount of a neuregulin protein, or a functional fragment thereof, or a nucleic acid encoding a neuregulin protein, or a functional fragment thereof, or an agent that enhances production and/or function of said neuregulin, whereby said viral myocarditis or DCM is prevented, treated or delayed.
- DCM dilated cardiomyopathy
- the neuregulin protein, or a functional fragment thereof, or a nucleic acid encoding a neuregulin protein, or a functional fragment thereof, or an agent that enhances production and/or function of said neuregulin is administered in vivo.
- the present invention is directed to a combination, which combination comprises an effective amount of a neuregulin protein, or a functional fragment thereof, or a nucleic acid encoding a neuregulin protein, or a functional fragment thereof, or an agent that enhances production and/or function of said neuregulin, and an effective amount of a prophylactic or therapeutic agent for viral myocarditis or dilated (congestive) cardiomyopathy (DCM).
- DCM dilated cardiomyopathy
- the present invention is directed to a pharmaceutical composition for preventing, treating or delaying viral myocarditis or dilated (congestive) cardiomyopathy (DCM) in a mammal, which pharmaceutical composition comprises an effective amount of a neuregulin protein, or a functional fragment thereof, or a nucleic acid encoding a neuregulin protein, or a functional fragment thereof, or an agent that enhances production and/or function of said neuregulin.
- DCM dilated cardiomyopathy
- the present invention provides methods for preventing, treating or delaying cardiac toxicity in a mammal to which such prevention, treatment or delay is needed or desirable, comprising administering to a mammal in vivo an effective amount of a prophylactic or a therapeutic agent and an effective amount of: (i) a neuregulin protein or a functional fragment thereof; (ii) a nucleic acid encoding a neuregulin protein or a functional fragment thereof; or (iii) an agent that enhances production or function of said neuregulin, whereby the cardiac toxicity associated with administration of said prophylactic or therapeutic agent is prevented, treated or delayed.
- the present invention can be used to prevent, treat or delay any clinical manifestations of cardiac toxicity known to one of ordinary skill in the art, including but not limited to acute or chronic cardiac toxicity.
- the present invention can be used to prevent, treat or delay tachycardia, arrhythmia and congestive heart failure.
- the present invention can be used to prevent, treat or delay clinical manifestations of acute cardiac toxicity such as sinus tachycardia, arrhythmia, conduction block and ST-T segment alteration, as well as decreases in the left ventricular ejection fraction (LVEF), stroke volume (SV), cardiac output (CO) or cardiac index (CI).
- LVEF left ventricular ejection fraction
- SV stroke volume
- CO cardiac output
- CI cardiac index
- the present invention can also be used to prevent, treat or delay cardiac toxicity comprising the inhibition of the contracting and pumping ability of the left ventricle.
- the present methods can be used to prevent, treat or delay cardiac toxicity associated with any prophylactic or therapeutic agent.
- the prophylactic or therapeutic agent produces oxygen-derived free radicals, which cause cardiac toxicity.
- the prophylactic or therapeutic agent enhances lipid peroxidation, which causes cardiac toxicity.
- the present methods can be used to prevent, reduce or delay cardiac toxicity associated with anti-neoplasm agents.
- the anti-neoplasm agent is preferably an anthracycline.
- the anti-neoplasm agent has the following formula I:
- R1 is methoxy or hydrogen; and R2, R3 and R4 are hydroxy or hydrogen.
- anthracycline for use in the present methods include adriamycin (or doxorubicin), daunorubicin, epirubicin, idarubicin, mitoxantrone, mitomycin, bleomycin, cyclophosphamide, fluorouracil, actinomycin D and vincristine.
- the present invention is directed to the use of neuregulin as an anti-cardiotoxic agent for preventing, heating or delaying cardiac toxicity induced by chemotherapeutic agents such as adriamycin (ADM), alone or in combination with another reagent.
- ADM adriamycin
- the present methods can be used to prevent, reduce or delay cardiac toxicity associated with antipsychotic agents.
- the antipsychotic agent can be chlorpromazine, perphenazine or trifluperazine.
- the present methods can be used to prevent, reduce or delay cardiac toxicity associated with tricyclic antidepressants.
- the tricyclic antidepressant can be chloroimipramine, amitriptyline or doxepin.
- the present methods can be used to prevent, reduce or delay cardiac toxicity associated with interferon, e.g., interferon- ⁇ , or interleukin, e.g., interleukin-2.
- interferon e.g., interferon- ⁇
- interleukin e.g., interleukin-2.
- the present methods can be used to prevent, reduce or delay cardiac toxicity associated with anti-infectious agents, e.g., emetine.
- the neuregulin agent for use in the present methods can be neuregulin 1, neuregulin 2, neuregulin 3, or neuregulin 4.
- the neuregulin for use in the present methods is neuregulin ⁇ 2 or neuregulin ⁇ 2.
- the neuregulin fragment is a neuregulin ⁇ 2 comprising an amino acid sequence set forth in SEQ ID NO:4.
- the neuregulin agent can be administered as a protein or a functional fragment thereof.
- the neuregulin agent can also be administered as a nucleic acid encoding a neuregulin protein or a functional fragment thereof. Any agent that enhances production or function of neuregulin can also be administered.
- the neuregulin agent can be administered alone or with a pharmaceutically acceptable carrier or excipient.
- the neuregulin protein or a functional fragment thereof, or a nucleic acid encoding a neuregulin protein or a functional fragment thereof, or an agent that enhances production or function of said neuregulin can be administered prior to, concurrently with, or subsequent to the administration of the prophylactic or therapeutic agent.
- the prophylactic or therapeutic agent is administered in an amount that is higher than a maximally allowed amount when the prophylactic or therapeutic agent is administered in the absence of the neuregulin protein or a functional fragment thereof, or a nucleic acid encoding a neuregulin protein or a functional fragment thereof, or an agent that enhances production or function of said neuregulin.
- the present invention provides methods for preventing, treating or delaying cardiac toxicity in a human to which such prevention, treatment or delay is needed or desirable.
- the human has a malignant tumor such lung cancer, breast cancer, bladder carcinoma, testis carcinoma, thyroid cancer, soft tissue carcinoma, osteosarcoma, neuroblastoma, acute leukemia, malignant lymphoma, gastric carcinoma, liver cancer, esophageal carcinoma, or cervical carcinoma.
- the present invention is directed to a combination, which combination comprises an effective amount of a neuregulin protein, or a functional fragment thereof, or a nucleic acid encoding a neuregulin protein, or a functional fragment thereof, or an agent that enhances production and/or function of said neuregulin, and an effective amount of a prophylactic or therapeutic agent for myocardial infarction.
- the present invention is directed to a kit, which kit comprises an above-described combination in a container and an instruction for using said combination in preventing, treating or delaying myocardial infarction.
- the present invention is directed to a method for preventing, treating or delaying myocardial infarction in a mammal, which method comprises administering to a mammal, to which such prevention, treatment or delay is needed or desirable, an effective amount of a neuregulin protein, or a functional fragment thereof, or a nucleic acid encoding a neuregulin protein, or a functional fragment thereof, or an agent that enhances production and/or function of said neuregulin, whereby said myocardial infarction is prevented, treated or delayed.
- the present invention is directed to a pharmaceutical composition for preventing, treating or delaying a disease in a mammal, which composition comprises a neuregulin protein, or a functional fragment thereof: a) in a safety dosage equals to or less than about 170 U/kg; or b) in a total regimen equals to or less than about 3,600 U/kg.
- FIG. 1 illustrates construction of an engineered bacterial strain for recombinantly producing a neuregulin protein.
- FIG. 2 depicts PCR amplification of human neuregulin gene.
- Lane 1 183 bp neuregulin gene obtained by RT-PCR; and Lanes 2 and 3: DNA markers.
- FIG. 3 depicts physical map of plasmid PET22b.
- FIG. 4 depicts identification of recombinant plasmid by endonuclease digestion. Lanes 1 and 3: DNA marker; and lane 2: fragments after enzyme digestion.
- FIG. 5 depicts screening for expression of an engineered strain.
- Lane 1 Marker
- lane 2 engineered strain without induction
- lane 3 1 hour after induction
- lane 4 2 hours after induction
- lane 5 3 hours after induction
- lane 6 4 hours after induction
- lanes 7-9 different strains with induction.
- FIG. 6 depicts pathologic section of myocardial tissue in pseudo-operation group rat (1)(10 ⁇ 10), showing that there was no specific pathological change.
- FIG. 7 depicts large area of red stained region in the model group (10 ⁇ 10).
- FIG. 8 illustrates sporadic distribution of red stained myocardial cells of the rhNRG-1 ⁇ group (20 ⁇ g/kg) (I) (10 ⁇ 10).
- FIG. 9 illustrates patchy distribution of red stained myocardial cells and connective tissue of the medium dosage (10 ⁇ g/kg) of rhNRG-1 ⁇ group (I) (10 ⁇ 10).
- FIG. 10 illustrates patchy distribution of red stained myocardial cells and connective tissue of the low dosage (5 ⁇ g/kg) of rhNRG-1 ⁇ group (I) (10 ⁇ 10).
- FIG. 11 depicts pathohistologic section of myocardial tissue in pseudo-operation group (II) (10 ⁇ 10), showing that there was no specific pathologic changes of the myocardial tissue.
- FIG. 12 depicts large area of red stained region was seen in the model group (II) (10 ⁇ 10).
- FIG. 13 depicts sporadic distribution of red stained myocardial cells seen in high dosage of rhNRG-1 ⁇ (20 ⁇ g/kg) group (II) (0 ⁇ 10).
- FIG. 14 depicts patchy distribution of red stained myocardial cells and fiber tissue seen in medium dosage level of rhNRG-1 ⁇ S177-Q237 (10 ⁇ g/kg) group (II) (10 ⁇ 10).
- FIG. 15 depicts patchy distribution of red stained myocardial cells and fiber tissue seen in low dosage level of rhNRG-1 ⁇ S177-Q237 (5 ⁇ g/kg) group (II) (10 ⁇ 10).
- FIG. 16 illustrates effect of rhNRG-1 ⁇ on capillary regeneration in myocardial fibrotic area of model animal (I) (HE stained, 50 ⁇ );
- A Pseudo-operation group: normal myocardial structure, with fibrotic changes;
- B Model animal group: marked myocardial fibrosis and small amount of capillary proliferation was seen;
- C 201 ⁇ g/kg rhNRG-1 ⁇ group: patchy fibrotic changes in myocardium, significant capillary proliferation;
- D 10 ⁇ g/kg rhNRG-1 ⁇ group: marked fibrotic changes with relatively large number of capillary proliferation; and
- E 5 ⁇ g/kg rhNRG-1 ⁇ group: patchy fibrotic changes and capillary proliferation could be seen.
- FIG. 17 illustrates effect of rhNRG-1 ⁇ on capillary proliferation in myocardial fibrotic area of model animal (II) (HE stained, 50 ⁇ );
- A Pseudo-operation group: normal myocardial structure, with fibrotic changes;
- B Model animal group: marked myocardial fibrotic changes, small number of capillary proliferation could be seen;
- C 20 ⁇ g/kg rhNRG-1 ⁇ group: patchy fibrotic changes in myocardium, significant capillary proliferation;
- D 10 ⁇ g/kg rhNRG-1 ⁇ group: marked fibrotic changes, there were relatively large number of capillary proliferation; and
- E 5 ⁇ g/kg rhNRG-1 ⁇ group: patchy fibrotic changes, capillary proliferation could be seen.
- FIG. 18 illustrates myocardium pathologic section of SD rat toxic myocarditis induced by Adriamycin
- a normal control group: pathologic score of myocardium was 0, without myocardial cells atrophy and hypertrophy, with vacuole formation, cross striation can be clearly seen; myocardium arranged regularly; no abnormality of endocardium and pericardium; no changes of the vessels and interstitial tissue;
- b model animal group: pathologic score of the myocardium was 3, large area of myocardial cell necrosis and dissolution.
- FIG. 19 illustrates effect of rhNRG-1 ⁇ on survival rate of the model animals.
- FIG. 20 illustrates effect of rhNRG-1 ⁇ on myocardial structure of model animals.
- FIG. 21 illustrates effect of rhNRG-1 ⁇ S177-Q237 on myocardial pathologic damage in mice infected by virus (I); A: Normal group; B: Model group; C: Placebo control group; D: High dosage level group; E: Medium dosage level group; and F: Low dosage level group.
- FIG. 22 illustrates effect of rhNRG-1 ⁇ S177-Q237 on myocardial pathologic damage in mice infected by virus;
- FIG. 23 illustrates effect of rhNRG-1 ⁇ S177-Q237 administered for different number of days on myocardial pathologic changes in mice infected by virus (I) (HE stained, 40 ⁇ );
- A Normal control group;
- B model group;
- C rhNRG-1 ⁇ S177-Q237 for 3-day group;
- D rhNRG-1 ⁇ S177-Q237 for 5-day group;
- E rhNRG-1 ⁇ S177-Q237 for 7-day group.
- FIG. 24 illustrates effect of rhNRG-1 ⁇ administered for different number of days on myocardial pathologic changes in mice infected by virus (II) (HE stained, 40 ⁇ );
- neuregulin refers to proteins or peptides that can activate ErbB2/ErbB4 or ErbB2/ErbB3 heterodimers protein kinases, such as all neuregulin isoforms, neuregulin EGF domain alone, neuregulin mutants, and any kind of neuregulin-like gene products that also activate the above receptors.
- An exemplary neuregulin fragment is a polypeptide fragment of human neuregulin ⁇ 2 isomer, which contains receptor-binding domain, i.e., EGF-like domain.
- This polypeptide can activate ErbB receptor of EGF receptor family and modulate its biological reactions, e.g., stimulate breast cancer cell differentiation and milk protein secretion; induce the differentiation of neural crest cell into Schwann cell; stimulate acetylcholine synthesis in skeletal muscle cell; and improve cardiocyte survival and DNA synthesis.
- Neuregulin also includes those variants with conservative amino acid substitutions that do not substantially alter their its anti-viral myocarditis, anti-DCM, anti-cardiotoxic, or anti-myocardial infarction activity. Suitable conservative substitutions of amino acids are known to those of skill in this art and may be made generally without altering the biological activity of the resulting molecule.
- Neuregulin protein encompasses a neuregulin protein and peptide.
- Neuregulin nucleic acid encompasses neuregulin nucleic acid and neuregulin oligonucleotide.
- EGF-like domain refers to a polypeptide motif encoded by the neuregulin gene that binds to and activates ErbB2, ErbB3, ErbB4, or combinations thereof, and bears a structural similarity to the EGF receptor-binding domain as disclosed in WO 00/64400. Holmes et al., Science, 256:1205-1210 (1992); U.S. Pat. Nos. 5,530,109 and 5,716,930; Hijazi et al., Int. J.
- a “functional derivative or fragment” of neuregulin refers to a derivative or fragment of the neuregulin protein or its encoding nucleic acid that still substantially retains its anti-viral myocarditis, anti-DCM, anti-cardiotoxic, or anti-myocardial infarction activity. Normally, the derivative or fragment retains at least 50% of its anti-viral myocarditis, anti-DCM, anti-cardiotoxic, or anti-myocardial infarction activity. Preferably, the derivative or fragment retains at least 60%, 70%, 80%, 90%, 95%, 99% and 100% of its anti-viral myocarditis, anti-DCM, anti-cardiotoxic, or anti-myocardial infarction activity.
- an “agent that enhances production of neuregulin” refers to a substance that increases transcription and/or translation of a neuregulin gene, or a substance that increases post-translational modification and/or cellular trafficking of a neuregulin precursor, or a substance that prolongs half-life of a neuregulin protein.
- an “agent that enhances function of neuregulin” refers to a substance that increases potency of the neuregulin's anti-viral myocarditis, anti-DCM activity, anti-cardiotoxic activity, or anti-myocardial infarction activity, or a substance that increases sensitivity of a neuregulin's natural ligand in an anti-viral myocarditis, anti-DCM, anti-cardiotoxic activity, or anti-myocardial infarction signaling pathway, or a substance that decreases potency of a neuregulin's antagonist.
- Such an agent is not a neuregulin protein or its encoding nucleic acid.
- a “combination” refers to any association between two or among more items.
- composition refers to any mixture of two or more products or compounds. It may be a solution, a suspension, liquid, powder, a paste, aqueous, non-aqueous or any combination thereof.
- erb refers to two oncogenes, erb A and erb B, associated with erythroblastosis virus (an acute transforming retrovirus).
- an effective amount of a compound for treating a particular disease is an amount that is sufficient to ameliorate, or in some manner reduce the symptoms associated with the disease. Such amount may be administered as a single dosage or may be administered according to a regimen, whereby it is effective. The amount may cure the disease but, typically, is administered in order to ameliorate the symptoms of the disease. Repeated administration may be required to achieve the desired amelioration of symptoms.
- heart failure is meant an abnormality of cardiac function where the heart does not pump blood at the rate needed for the requirements of metabolizing tissues.
- Heart failure includes a wide range of disease states such as congestive heart failure, myocardial infarction, tachyarrythmia, familial hypertrophic cardiomyopathy, ischaemic heart disease, idiopathic dilated cardiomyopathy, and myocarditis.
- the heart failure can be caused by any number of factors, including ischaemic, congenital, rheumatic, or idiopathic forms.
- Chronic cardiac hypertrophy is a significantly diseased state which is a precursor to congestive heart failure and cardiac arrest.
- production by recombinant means refers to production methods that use recombinant nucleic acid methods that rely on well known methods of molecular biology for expressing proteins encoded by cloned nucleic acids.
- complementary when referring to two nucleic acid molecules, means that the two sequences of nucleotides are capable of hybridizing, preferably with less than 25%, more preferably with less than 15%, even more preferably with less than 5%, most preferably with no mismatches between opposed nucleotides. Preferably the two molecules will hybridize under conditions of high stringency.
- medium stringency 0.2 ⁇ SSPE, 0.1% SDS, 50° C. (also referred to as moderate stringency);
- vector refers to discrete elements that are used to introduce heterologous DNA into cells for either expression or replication thereof. Selection and use of such vehicles are well known within the skill of the artisan.
- An expression vector includes vectors capable of expressing DNA's that are operatively linked with regulatory sequences, such as promoter regions, that are capable of effecting expression of such DNA fragments.
- an expression vector refers to a recombinant DNA or RNA construct, such as a plasmid, a phage, recombinant virus or other vector that, upon introduction into an appropriate host cell, results in expression of the cloned DNA.
- Appropriate expression vectors are well known to those of skill in the art and include those that are replicable in eucaryotic cells and/or prokaryotic cells and those that remain episomal or those which integrate into the host cell genome.
- a promoter region or promoter element refers to a segment of DNA or RNA that controls transcription of the DNA or RNA to which it is operatively linked.
- the promoter region includes specific sequences that are sufficient for RNA polymerase recognition, binding and transcription initiation. This portion of the promoter region is referred to as the promoter.
- the promoter region includes sequences that modulate this recognition, binding and transcription initiation activity of RNA polymerase. These sequences may be cis acting or may be responsive to trans acting factors. Promoters, depending upon the nature of the regulation, may be constitutive or regulated. Exemplary promoters contemplated for use in prokaryotes include the bacteriophage T7 and T3 promoters, and the like.
- operatively linked or operationally associated refers to the functional relationship of DNA with regulatory and effector sequences of nucleotides, such as promoters, enhancers, transcriptional and translational stop sites, and other signal sequences.
- operative linkage of DNA to a promoter refers to the physical and functional relationship between the DNA and the promoter such that the transcription of such DNA is initiated from the promoter by an RNA polymerase that specifically recognizes, binds to and transcribes the DNA.
- amelioration of the symptoms of a particular disorder by administration of a particular pharmaceutical composition refers to any lessening, whether permanent or temporary, lasting or transient that can be attributed to or associated with administration of the composition.
- a therapeutic agent refers to any conventional drug or drug therapies which are known to those skilled in the art, including, but not limited to prophylactic or chemotherapeutic agents.
- terapéuticaally effective amount refers to that amount that is sufficient to ameliorate, or in some manner reduce the symptoms associated with a disease. Such amount may be administered as a single dosage or according to a regimen. Repeated administration may be required to achieve the desired amelioration of symptoms.
- administering refers to any suitable method of providing a compound to a subject.
- treatment refers to any manner in which the symptoms of a condition, disorder or disease are ameliorated or otherwise beneficially altered. Treatment also encompasses any pharmaceutical use of the compositions herein. Amelioration of symptoms of a particular disorder refers to any lessening of symptoms, whether permanent or temporary, that can be attributed to or associated with administration of the composition.
- neoplasm neoplasia
- neoplastic proliferation persists even in the absence of the original stimulus.
- an anti-neoplasm agent refers to any agents used to prevent the occurrence or lessen the severity of neoplasm, tumor or cancer. These include, but are not limited to, anti-angiogenic agents, alkylating agents, antimetabolites, natural products, platinum coordination complexes, anthracenedione, substituted urea, methylhydrazine derivatives, adrenocortical suppressants, hormones, antagonists, oncogene inhibitors, tumor suppressor genes or proteins, anti-oncogene antibodies, or anti-oncogene antisense oligonucleotides.
- anti-psychotic agent refers to any agents used in the treatment of psychiatric disorders. These include, but are not limited to, tricyclic phenothiazines, thioxanthenes, and dibenzepines, as well as butyrophenones and congeners, other heterocyclics, and experimental benzamides.
- tricyclic antidepressants refers to any agents used in the treatment of depression. These include, but are not limited to, agents that inhibit norepinephrine and serotonin uptake into nerve endings, and thus leading to sustained facilitation of noradrenergic function in the brain.
- anti-infectious agent refers to any agents used in the treatment of infectious diseases. These include, but are not limited to, agents for use against parasitic infections, bacterial and microbial infections.
- safety dosage refers to a dosage sufficient to prevent, treat or delay a disease in mammal without inducing intolerable toxic or other aide effects in said mammal.
- myocardial infarction refers to blockade of coronary artery, blood flow interruption, leading to focal necrosis of part of the myocardium caused by severe and persistent ischemia.
- the present invention is directed to a method for preventing, treating or delaying viral myocarditis or dilated (congestive) cardiomyopathy (DCM) in a mammal, which method comprises administering to a mammal, to which such prevention, treatment or delay is needed or desirable, an effective amount of a neuregulin protein, or a functional fragment thereof, or a nucleic acid encoding a neuregulin protein, or a functional fragment thereof, or an agent that enhances production and/or function of said neuregulin, whereby said viral myocarditis or DCM is prevented, treated or delayed.
- DCM dilated cardiomyopathy
- the present method can be used for preventing, treating or delaying viral myocarditis or DCM in any mammals, such as mice, rats, rabbits, cats, dogs, pigs, cows, ox, sheep, goats, horses, monkeys and other non-human primates.
- the present method is used for preventing, treating or delaying viral myocarditis or DCM in humans.
- neuregulin protein or a functional fragment thereof, or a nucleic acid encoding a neuregulin protein, or a functional fragment thereof, can be used in the present methods.
- the neuregulin used in the present methods carries out its anti-viral myocarditis or anti-DCM activity via binding with ErbB2-ErbB4 receptors.
- neuregulin 1, neuregulin 2, neuregulin 3 or neuregulin 4 is used in the present methods. Synonyms of neuregulin 1 include heregulin, GGF2 and p185erbB2 ligand. See e.g., WO 00/64400 and U.S. Pat. Nos.
- neuregulin ⁇ 2 and neuregulin ⁇ 2 can be used in the present methods.
- a neuregulin ⁇ 2 fragment comprising an amino acid sequence set forth in SEQ ID NO:4 is used in the present methods.
- neuregulins or functional fragments thereof disclosed in the following patents, patent applications and Genbank databases can be used in the present methods: U.S. Pat. Nos. 6,252,051 and 6,121,415 (NRG3); U.S. Pat. No. 6,087,323 (neuregulin with p185 erbB2 , p185 erbB3 or p185 erbB4 binding activity); U.S. Pat. No.
- 6,033,906 (neuregulin as a ligand for a receptor selected from the group consisting of p185 erbB2 and p180 erbB4 ); US2002002276 (The chimeric ErbB heteromultimer adhesins as competitive antagonists or agonists of a neuregulin); WO1/81540 (NRG-4); WO1/64877 (NRG1); WO01/64876 (NRG1AG1); WO01/58948 (neuregulin-beta); WO01/26607 (SMDF and GGF neuregulin splice variant isoforms); WO00/70322 (CRD-neuregulin); WO00/64400; WO99/18976; WO98/02540 (chimeric ErbB heteromultimer adhesins as competitive antagonists or agonists of a neuregulin); WO96/30403; WO96/15812; BC017568 ( Homo sapiens , Similar to neuregul
- any viral myocarditis can be prevented, treated or delayed using the present methods.
- the viral myocarditis caused by or associated with infection of a Coxsackie Group A virus, Coxsackie Group B virus, ECHO virus or polio virus can be prevented, treated or delayed using the present methods.
- the viral myocarditis caused by or associated with infection of a Coxsackie Group B virus is prevented, treated or delayed using the present methods.
- Viral myocarditis with various clinical features can be prevented, treated or delayed using the present methods.
- the viral myocarditis that is complicated by pericarditis or endocarditis can be prevented, treated or delayed using the present methods.
- the viral myocarditis with a clinical feature of myocardial damage, heart dysfunction, arrhythmia, systemic symptom or cardiomyopathy can be prevented, treated or delayed using the present methods.
- Both the acute and the chronic viral myocarditis can be prevented, treated or delayed using the present methods.
- the acute viral myocarditis having arrhythmia, heart failure or cardiac shock can be prevented, treated or delayed using the present methods.
- the viral myocarditis that is prolonged with cardiac hypertrophy and/or permanent cardiac muscle injury may also be prevented, treated or delayed using the present methods.
- DCM with various clinical features can be prevented, treated or delayed using the present methods.
- the DCM having ventricular hypertrophy, myocardial pump function failure or congestive heart failure can be prevented, treated or delayed using the present methods.
- the neuregulin protein, or a functional fragment thereof, or a nucleic acid encoding a neuregulin protein, or a functional fragment thereof can be administered alone.
- the neuregulin protein, or a functional fragment thereof, or a nucleic acid encoding a neuregulin protein, or a functional fragment thereof can be administered with a pharmaceutically acceptable carrier or excipient.
- the neuregulin protein, or a functional fragment thereof, or a nucleic acid encoding a neuregulin protein, or a functional fragment thereof can be administered in vivo, i.e., administered directly into a mammal.
- the neuregulin protein, or a functional fragment thereof, or a nucleic acid encoding a neuregulin protein, or a functional fragment thereof can be administered ex vivo, i.e., administered into cell(s), tissue(s) or organ(s) and such cell(s), tissue(s) or organ(s) carrying the neuregulin protein, or a functional fragment thereof, or a nucleic acid encoding a neuregulin protein, or a functional fragment thereof, can be transferred into a mammal.
- a neuregulin protein, or a functional fragment thereof is administered.
- a nucleic acid encoding a neuregulin protein, or a functional fragment thereof is administered.
- the neuregulin protein, or a functional fragment thereof, or a nucleic acid encoding a neuregulin protein, or a functional fragment thereof can be used alone.
- the neuregulin protein, or a functional fragment thereof, or a nucleic acid encoding a neuregulin protein, or a functional fragment thereof can be used in combination with a prophylactic or therapeutic agent for viral myocarditis or DCM.
- the neuregulin protein, or a functional fragment thereof, or a nucleic acid encoding a neuregulin protein, or a functional fragment thereof can be administered prior to, concurrently with, or subsequent to the administration of the prophylactic or therapeutic agent for viral myocarditis or DCM.
- the prophylactic or therapeutic agent for viral myocarditis can be an antibiotic, e.g., penicillin, a heart protective agent, e.g., taurine, an antioxidant, e.g., vitamin C, vitamin E and coenzyme Q10, and a nutrient for myocardium, e.g., an energy combination.
- an antibiotic e.g., penicillin
- a heart protective agent e.g., taurine
- an antioxidant e.g., vitamin C, vitamin E and coenzyme Q10
- a nutrient for myocardium e.g., an energy combination.
- the prophylactic or therapeutic agent for DCM can be a cardiac tonic, e.g., digoxin and cedilanid, a diuretic (Goodman and Gilman's The Pharmacological Basis of Therapeutics (9th Ed.), McGraw-Hill (1996) pp 683-713), e.g., an inhibitor of carbonic anhydrase, an osmotic diuretic, an inhibitor of Na + —K + -2Cl ⁇ symport, an inhibitor of Na + —Cl ⁇ symport, an inhibitor of renal epithelial Na + channels and an antagonist of mineralocorticoid receptors, angiotensin I-converting enzyme inhibitor (ACEI), a calcium antagonist, e.g., amlodipine, and a ⁇ -receptor antagonist, e.g., carvedilol.
- ACEI angiotensin I-converting enzyme inhibitor
- the present invention is directed to a pharmaceutical composition for preventing, treating or delaying viral myocarditis or dilated (congestive) cardiomyopathy (DCM) in a mammal, which pharmaceutical composition comprises an effective amount of a neuregulin protein, or a functional fragment thereof, or a nucleic acid encoding a neuregulin protein, or a functional fragment thereof, or an agent that enhances production and/or function of said neuregulin.
- DCM dilated cardiomyopathy
- neuregulin protein or a functional fragment thereof, or a nucleic acid encoding a neuregulin protein, or a functional fragment thereof, including the ones described in the above Section B, can be used in the present pharmaceutical compositions.
- the neuregulin used in the present pharmaceutical compositions carries out its anti-viral myocarditis or anti-DCM activity via binding with ErbB2-ErbB4 receptors.
- neuregulin 1, neuregulin 2, neuregulin 3 or neuregulin 4 is used in the present pharmaceutical compositions. Synonyms of neuregulin 1 include heregulin, GGF2 and p185erbB2 ligand.
- neuregulin ⁇ 2 and neuregulin ⁇ 2 can be used in the present pharmaceutical compositions.
- a neuregulin ⁇ 2 fragment comprising an amino acid sequence set forth in SEQ ID NO:4 is used in the present pharmaceutical compositions.
- the neuregulin protein, or a functional fragment thereof, or a nucleic acid encoding a neuregulin protein, or a functional fragment thereof can be used in any suitable dosage ranges.
- the neuregulin protein, or a functional fragment thereof, or a nucleic acid encoding a neuregulin protein, or a functional fragment thereof can have a dosage range from about 25 ⁇ g to about 2,500 ⁇ g.
- the present invention is directed to a kit, which kit comprises the above pharmaceutical composition in a container and an instruction for using said pharmaceutical composition in preventing, treating or delaying viral myocarditis or DCM.
- the present invention is directed to a combination, which combination comprises an effective amount of a neuregulin protein, or a functional fragment thereof, or a nucleic acid encoding a neuregulin protein, or a functional fragment thereof, or an agent that enhances production and/or function of said neuregulin, and an effective amount of a prophylactic or therapeutic agent for viral myocarditis or dilated (congestive) cardiomyopathy (DCM).
- DCM dilated cardiomyopathy
- neuregulin protein or a functional fragment thereof, or a nucleic acid encoding a neuregulin protein, or a functional fragment thereof, including the ones described in the above Section B, can be used in the present combinations.
- the neuregulin used in the present combinations carries out its anti-viral myocarditis or anti-DCM activity via binding with ErbB2-ErbB4 receptors.
- neuregulin 1, neuregulin 2, neuregulin 3 or neuregulin 4 is used in the present combinations. Synonyms of neuregulin 1 include heregulin, GGF2 and p185erbB2 ligand. See e.g., WO 00/64400 and U.S. Pat. Nos.
- neuregulin ⁇ 2 and neuregulin ⁇ 2 can be used in the present combinations.
- a neuregulin ⁇ 2 fragment comprising an amino acid sequence set forth in SEQ ID:1 is used in the present combinations.
- the prophylactic or therapeutic agent for viral myocarditis can be an antibiotic, e.g., penicillin, a heart protective agent, e.g., taurine, an antioxidant, e.g., vitamin C, vitamin E and coenzyme Q10, and a nutrient for myocardium, e.g., an energy combination.
- an antibiotic e.g., penicillin
- a heart protective agent e.g., taurine
- an antioxidant e.g., vitamin C, vitamin E and coenzyme Q10
- a nutrient for myocardium e.g., an energy combination.
- the prophylactic or therapeutic agent for DCM can be a cardiac tonic, e.g., digoxin and cedilanid, a diuretic, e.g., an inhibitor of carbonic anhydrase, an osmotic diuretic, an inhibitor of Na + —K + -2Cl ⁇ symport, an inhibitor of Na + —Cl ⁇ symport, an inhibitor of renal epithelial Na + channels and an antagonist of mineralocorticoid receptors, angiotensin I-converting enzyme inhibitor (ACEI), a calcium antagonist, e.g., amlodipine, and a ⁇ -receptor antagonist, e.g., carvedilol.
- ACEI angiotensin I-converting enzyme inhibitor
- calcium antagonist e.g., amlodipine
- a ⁇ -receptor antagonist e.g., carvedilol.
- the present invention is directed to a kit, which kit comprises the above combination in a container and an instruction for using said combination in preventing, treating or delaying viral myocarditis or DCM.
- Neuregulin has been found to enhance the differentiation of cardiac myocytes, and strengthen the combination of sarcomere and cytoskeleton, as well as intercellular cohesion (WO 00/37095). Neuregulin can also be used to detect, diagnose and treat heart diseases. In the methods of the present invention, neuregulin is used as a cardiocyte protective agent for preventing, treating or delaying cardiac toxicity due to other prophylactic or therapeutic agents.
- the present invention is directed to a method for preventing, treating or delaying cardiac toxicity in a mammal to which such prevention, treatment or delay is needed or desirable, comprising administering to a mammal in vivo an effective amount of a prophylactic or a therapeutic agent and an effective amount of (i) a neuregulin protein or a functional fragment thereof; (ii) a nucleic acid encoding a neuregulin protein or a functional fragment thereof; or (iii) an agent that enhances production or function of said neuregulin, whereby the cardiac toxicity associated with administration of said prophylactic or therapeutic agent is prevented, treated or delayed.
- the present method can be used for preventing, treating or delaying cardiac toxicity in any mammals, such as mice, rats, rabbits, cats, dogs, pigs, cows, ox, sheep, goats, horses, monkeys and other non-human primates.
- the present method is used for preventing, treating or delaying cardiac toxicity in humans.
- any suitable neuregulin protein or a functional fragment thereof, or a nucleic acid encoding a neuregulin protein or a functional fragment thereof can be used in the present methods.
- the methods of the present invention uses a polypeptide fragment of a human neuregulin ⁇ 2 isomer, which contains the receptor-binding domain (i.e., an EGF-class region).
- This polypeptide can activate the erbB receptor of the EGF receptor family and modulate its biological reactions (e.g., stimulate breast cancer cell differentiation and milk protein secretion; induce the differentiation of neural crest cell into Schwann cell; stimulate acetylcholine synthesis in skeletal muscle cell; and/or improve cardiocyte survival and DNA synthesis).
- Neuregulin nucleic acids and proteins can be produced by any suitable methods known in the art, including but not limited to recombinant production, chemical synthesis or a combination of both. Preferably, neuregulin nucleic acids and proteins are produced by recombinant production. (See, Ausubel et al., Current Protocols in Molecular Biology, John Wiley & Sons, Inc. 2002).
- Neuregulin variants with conservative amino acid substitutions that do not substantially alter their anti-cardiotoxic activity can also be used in the present methods. Suitable conservative substitutions of amino acids are known to those of skill in this art, and may be made generally without altering the biological activity of the resulting molecule. Those of skill in this art recognize that, in general, single amino acid substitutions in non-essential regions of a polypeptide do not substantially alter biological activity (see e.g., Watson et al. Molecular Biology of the Gene, 4th Edition, page 224, The Benjamin/Cummings Pub. Co., 1987).
- the nucleic acid encoding a neuregulin protein or a functional fragment thereof can be used in the form of naked DNA, complexed DNA, cDNA, plasmid DNA, RNA or other mixtures thereof as components of the gene delivery system.
- the nucleic acid encoding a neuregulin protein or a functional fragment thereof is included in a viral vector.
- Any viral vectors that are suitable for gene therapy can be used. Non-limiting examples include adenovirus vectors (U.S. Pat. No. 5,869,305), simian virus vectors (U.S. Pat. No. 5,962,274), conditionally replicating human immunodeficiency viral vectors (U.S. Pat. No.
- genes can be delivered in a non-viral vector system such as a liposome wherein the lipid protects the DNA or other biomaterials from oxidation during the coagulation.
- the neuregulin used in the present methods carries out its anti-cardiotoxic activity via binding with any of the erbB2-erbB4 receptors.
- neuregulin 1, neuregulin 2, neuregulin 3 or neuregulin 4 is used in the present methods.
- Synonyms of neuregulin 1 include heregulin, GGF2 and p185erbB2 ligand. (See e.g., WO 00/64400 and U.S. Pat. Nos. 5,530,109 and 5,716,930).
- Both neuregulin ⁇ 2 and neuregulin ⁇ 2 can be used in the present methods.
- a neuregulin ⁇ 2 fragment comprising an amino acid sequence set forth in SEQ ID NO:4 is used in the present methods.
- neuregulins or functional fragments thereof disclosed in the following patents, patent applications and GenBank databases can be used in the present methods: U.S. Pat. Nos. 6,252,051 and 6,121,415 (NRG3); U.S. Pat. No. 6,087,323 (neuregulin with p185 erbB2 , p185 erbB3 or p185 erbB4 binding activity); U.S. Pat. No.
- 6,033,906 (neuregulin as a ligand for a receptor selected from the group consisting of p185 erbB2 and p180 erbB4 ); US2002002276 (chimeric ErbB heteromultimer adhesins as competitive antagonists or agonists of a neuregulin); WO01/81540 (NRG-4); WO01/64877 (NRG1); WO01/64876 (NRG1AG1); WO01/58948 (neuregulin-beta); WO1/26607 (SMDF and GGF neuregulin splice variant isoforms); WO00/70322 (CRD-neuregulin); WO00/64400; WO99/18976; WO98/02540 (chimeric ErbB heteromultimer adhesins as competitive antagonists or agonists of a neuregulin); WO96/30403; WO96/15812; BC017568 ( Homo sapiens , Similar to neuregulin
- the present invention provides methods for preventing, treating or delaying cardiac toxicity associated with the administration of a prophylactic or therapeutic agent.
- the neuregulin agent can be administered prior to, concurrently with, or subsequent to the administration of the prophylactic or therapeutic agent.
- the present methods are not limited to preventing, treating or delaying cardiac toxicity associated with specific prophylactic or therapeutic agents.
- Non-limiting examples of prophylactic or therapeutic agents for use in the present methods include anti-neoplasm agents, antipsychotic agents, tricyclic depressants, interferons, interleukins, and anti-infectious agents. Any anti-neoplasm agent can be used in the present methods.
- the anti-neoplasm agent is an anthracycline anti-neoplasm agent having the formula:
- R1 is methoxy or hydrogen; and R2, R3 and R4 are hydroxy or hydrogen.
- anthracycline anti-neoplasm agent examples include adriamycin (or doxorubicin), daunorubicin, epirubicin, idarubicin, mitoxantrone, mitomycin, bleomycin, cyclophosphamide, fluorouracil, actinomycin D, vincristine, and derivatives thereof.
- adriamycin or doxorubicin
- daunorubicin or daunorubicin
- epirubicin idarubicin
- idarubicin mitoxantrone
- mitomycin bleomycin
- cyclophosphamide cyclophosphamide
- fluorouracil actinomycin D
- vincristine vincristine
- anti-neoplasm agents include, but are not limited to, cytidine, arabinosyladenine (araC), daunomycin, methotrexate (MTX), fluorinated pyrimidines such as S-fluorouracil (5-FU), hydroxyurea, 6-mercaptopurine, plant alkaloids such as vincristine (VCR), VP-16 and vinblastine (VLB), alkylating agent, cisplatin, nitrogen Mustard, trisamine, procarbazine, bleomycin, mitomycin C, actinomycin D. or an enzyme such as L-Asparaginse. (See Goodman & Gilman's, The Pharmacological Basis of Therapeutics, Ninth Edition, pp. 1227-1229).
- antipsychotic agent can be used in the present methods.
- antipsychotic agents include chlorpromazine, perphenazine and trifluperazine.
- Other examples of antipsychotic agents can be found in Goodman & Gilman's, The Pharmacological Basis of Therapeutics, Ninth Edition, pp. 400-420.
- tricyclic antidepressant can be used in the present methods.
- tricyclic antidepressants include chloroimipramine, amitriptyline and doxepin.
- Other examples of antipsychotic agents can be found in Goodman & Gilman's, The Pharmacological Basis of Therapeutics, Ninth Edition, pp. 431-434.
- interferon is interferon- ⁇ .
- the interferon is human interferon- ⁇ .
- Methods for producing interferon- ⁇ can be found in U.S. Pat. Nos. 6,005,075; 5,834,235; 5,503,828; and 4,820,638.
- interleukin can be used in the present methods.
- the interleukin is interleukin-2.
- the interleukin is human interleukin-2.
- Methods for producing interleukin-2 can be found in U.S. Pat. Nos. 5,834,441; 5,795,777; 5,419,899; and 5,399,699.
- any anti-infectious agent can be used in the present methods.
- the anti-infectious agent is emetine.
- Other examples of anti-infectious agent can be found in Goodman & Gilman's, The Pharmacological Basis of Therapeutics, Ninth Edition, pp. 965-1008.
- Neuregulin agents can be administered in vivo (i.e., administered directly into a mammal).
- the neuregulin protein or a functional fragment thereof; or a nucleic acid encoding a neuregulin protein or a functional fragment thereof can be administered ex vivo (i.e., administered into cells, tissues or organs, wherein such cells, tissues or organs carrying the neuregulin protein, or a functional fragment thereof, or a nucleic acid encoding a neuregulin protein, or a functional fragment thereof, can be transferred into a mammal).
- the present invention is directed to a combination, which combination comprises an effective amount of a neuregulin protein, or a functional fragment thereof, or a nucleic acid encoding a neuregulin protein, or a functional fragment thereof, or an agent that enhances production and/or function of said neuregulin, and an effective amount of a prophylactic or therapeutic agent for myocardial infarction.
- the present combinations further comprise a pharmaceutically acceptable carrier or excipient.
- neuregulin used in the present combinations can carry out its anti-myocardial infarction activity via binding with ErbB2-ErbB4 receptors.
- the neuregulin used in the present combinations is neuregulin 1, neuregulin 2, neuregulin 3 or neuregulin 4.
- the neuregulin 2 is neuregulin ⁇ 2 or neuregulin ⁇ 2.
- the neuregulin used in the present combinations is a neuregulin ⁇ 2 fragment comprising an amino acid sequence set forth in SEQ ID NO:4. Any specific neuregulin described in the above sections can also be used.
- the prophylactic or therapeutic agent used in the present combinations can be an angiotensin I-converting enzyme inhibitor (ACEI), a calcium antagonist, a ⁇ -receptor antagonist, aspirin, atropine, nitroglycerin, scopolamine or a thrombolytic agent.
- ACEI angiotensin I-converting enzyme inhibitor
- Any suitable ACEI can be used.
- Exemplary ACEIs include Captopril, Rampril, Lisinopril, Zofenopril and Trandolapril.
- Any suitable calcium antagonist can be used.
- Exemplary calcium antagonists include diltiazem.
- Any suitable ⁇ -receptor antagonist can be used.
- Exemplary ⁇ -receptor antagonists include propranolol, metoprolol, atenolol and timolol.
- Any suitable thrombolytic agent can be used.
- Exemplary thrombolytic agents include streptokinase, t-PA and anistreplase.
- the present invention is directed to a kit, which kit comprises an above-described combination in a container and an instruction for using said combination in preventing, treating or delaying myocardial infarction.
- the present invention is directed to a method for preventing, beating or delaying myocardial infarction in a mammal, which method comprises administering to a mammal, to which such prevention, treatment or delay is needed or desirable, an effective amount of a neuregulin protein, or a functional fragment thereof, or a nucleic acid encoding a neuregulin protein, or a functional fragment thereof, or an agent that enhances production and/or function of said neuregulin, whereby said myocardial infarction is prevented, treated or delayed.
- neuregulin used in the present methods can carry out its anti-myocardial infarction activity via binding with ErbB2-ErbB4 receptors.
- the neuregulin used in the present methods is neuregulin 1, neuregulin 2, neuregulin 3 or neuregulin 4.
- the neuregulin 2 is neuregulin ⁇ 2 or neuregulin ⁇ 2.
- the neuregulin used in the present methods is a neuregulin ⁇ 2 fragment comprising an amino acid sequence set forth in SEQ ID NO:4. Any specific neuregulin described in the above sections can also be used.
- the present methods can be used to prevent, treat or delay myocardial infarction in any suitable mammal.
- exemplary mammals include mice, rats, rabbits, cats, dogs, pigs, cows, ox, sheep, goats, horses, monkeys and other non-human primates.
- the present methods are used to prevent, treat or delay myocardial infarction in a human.
- the present methods can be used to prevent, treat or delay any suitable myocardial infarction.
- the present methods can be used to prevent, treat or delay myocardial infarction having a clinical feature selected from the group consisting of left ventricular dilation, reduced systolic function and increased filling pressure.
- the neuregulin protein, or a functional fragment thereof, or a nucleic acid encoding a neuregulin protein, or a functional fragment thereof; or the agent that enhances production and/or function of the neuregulin can be administered alone.
- the neuregulin protein, or a functional fragment thereof, or a nucleic acid encoding a neuregulin protein, or a functional fragment thereof, or the agent that enhances production and/or function of the neuregulin is administered with a pharmaceutically acceptable carrier or excipient.
- a neuregulin protein, or a functional fragment thereof is administered.
- a nucleic acid encoding a neuregulin protein, or a functional fragment thereof is administered. Any suitable route of administration can be used.
- intravenous administration is used.
- the present methods can further comprise administering a prophylactic or therapeutic agent for myocardial infarction.
- a prophylactic or therapeutic agent for myocardial infarction.
- Any suitable prophylactic or therapeutic agent can be used in the present methods.
- the prophylactic or therapeutic agent used in the present methods can be an angiotensin I-converting enzyme inhibitor (ACEI), a calcium antagonist, a 0-receptor antagonist, aspirin, atropine, nitroglycerin, scopolamine or a thrombolytic agent.
- ACEI angiotensin I-converting enzyme inhibitor
- Any suitable ACEI can be used.
- Exemplary ACEIs include Captopril, Rampril, Lisinopril, Zofenopril and Trandolapril.
- Any suitable calcium antagonist can be used.
- Exemplary calcium antagonists include diltiazem.
- Any suitable ⁇ -receptor antagonist can be used.
- Exemplary ⁇ -receptor antagonists include propranolol, metoprolol, atenolol and timolol.
- Any suitable thrombolytic agent can be used.
- Exemplary thrombolytic agents include streptokinase, t-PA and anistreplase.
- the neuregulin protein, or a functional fragment thereof, the nucleic acid encoding a neuregulin protein, or a functional fragment thereof, or the agent that enhances production and/or function of the neuregulin is administered in vivo.
- the present invention is directed to a pharmaceutical composition for preventing, treating or delaying a disease in a mammal, which composition comprises a neuregulin protein, or a functional fragment thereof: a) in a safety dosage equals to or less than about 170 U/kg; or b) in a total regimen equals to or less than about 3,600 U/kg.
- the present pharmaceutical compositions can be used in any suitable regimen and/or administration plans. In one example, the present pharmaceutical compositions are administered for about 21 days or less than 21 days. In another example, the present pharmaceutical compositions are administered continuously or intermittently.
- present pharmaceutical compositions can be administered alone.
- present pharmaceutical compositions can further comprise a pharmaceutically acceptable carrier or excipient.
- neuregulin can be used in the present pharmaceutical compositions.
- the neuregulin used in the present pharmaceutical compositions can carry out its anti-disease activity via binding with ErbB2-ErbB4 receptors.
- the neuregulin used in the present pharmaceutical compositions is neuregulin 1, neuregulin 2, neuregulin 3 or neuregulin 4.
- the neuregulin 1 is neuregulin ⁇ 2 or neuregulin ⁇ 2.
- the neuregulin used in the present pharmaceutical compositions is a neuregulin ⁇ 2 fragment comprising an amino acid sequence set forth in SEQ ID NO:4. Any specific neuregulin described in the above sections can also be used.
- the present pharmaceutical compositions can be used to prevent, treat or delay a disease in any suitable mammal.
- exemplary mammals include mice, rats, rabbits, cats, dogs, pigs, cows, ox, sheep, goats, horses, monkeys and other non-human primates.
- the present methods are used to prevent, treat or delay a disease in a human.
- the present pharmaceutical compositions can be used to prevent, treat or delay any suitable disease.
- the present pharmaceutical compositions are used to prevent, treat or delay a cardiovascular disease, e.g., viral myocarditis, DCM, cardiotoxic activity, myocardial infarction activity, etc.
- the present pharmaceutical compositions are formulated for intravenous administration.
- NGR-1 biological activity of various origins can be determined.
- the assay termed a kinase receptor activation enzyme-linked immunosorbant assay (KIRA-ELISA)
- KIRA-ELISA kinase receptor activation enzyme-linked immunosorbant assay
- the assay was developed for analysis of heregulin-induced ErbB2 activation and utilizes the stimulation of intact receptor on the adherent breast carcinoma cell line, MCF-7.
- Membrane proteins are solubilized via Triton X-100 lysis and the receptor is captured in ELISA wells coated with ErbB2-specific antibodies with no cross-reaction to ErbB3 or ErbB4.
- the degree of receptor phosphorylation is then quantified by antiphosphotyrosine ELISA.
- a reproducible standard curve is generated with a EC(50) of approximately 360 pM for heregulin beta 1(177-244) (HRG beta 1(177-244).
- HRG beta 1(177-244) is analyzed by both the KIRA-ELISA and quantitative antiphosphotyrosine Western blot analysis.
- the assay described in this report is able to specifically quantify tyrosine phosphorylation of ErbB2 that results from the interaction of HRG with ErbB3 and/or ErbB4.
- the formulation, dosage and route of administration of a neuregulin protein, or a functional fragment thereof, or a nucleic acid encoding a neuregulin protein, or a functional fragment thereof, preferably in the form of pharmaceutical compositions can be determined according to the methods known in the art (see e.g., Remington: The Science and Practice of Pharmacy , Alfonso R.
- the neuregulin protein, or a functional fragment thereof, or a nucleic acid encoding the neuregulin protein, or a functional fragment thereof can be formulated for oral, rectal, topical inhalational, buccal (e.g., sublingual), parenteral (e.g., subcutaneous, intramuscular, intradermal, or intravenous), transdermal administration or any other suitable route of administration.
- the neuregulin protein, or a functional fragment thereof or a nucleic acid encoding the neuregulin protein, or a functional fragment thereof can be administered alone.
- the neuregulin protein, or a functional fragment thereof, or a nucleic acid encoding the neuregulin protein, or a functional fragment thereof is co-administered with a pharmaceutically acceptable carrier or excipient.
- a pharmaceutically acceptable carrier or excipient can be used in the present method (See e.g., Remington: The Science and Practice of Pharmacy , Alfonso R. Gennaro (Editor) Mack Publishing Company, April 1997).
- the nucleic acid encoding a neuregulin protein, or a functional fragment thereof can be used in the form of naked DNA, complexed DNA, cDNA, plasmid DNA, RNA or other mixtures thereof as components of the gene delivery system.
- the nucleic acid encoding a neuregulin protein, or a functional fragment thereof is included in a viral vector.
- Any viral vectors that are suitable for gene therapy can be used.
- an adenovirus vector U.S. Pat. No. 5,869,305
- a simian virus vector U.S. Pat. No. 5,962,274
- a conditionally replicating human immunodeficiency viral vector U.S. Pat. No.
- retrovirus retrovirus
- SV40 Herpes simplex viral amplicon vectors
- Vaccinia virus vectors can be used.
- the genes can be delivered in a non-viral vector system such as a liposome wherein the lipid protects the DNA or other biomaterials from oxidation during the coagulation.
- the neuregulin protein, or a functional fragment thereof, or a nucleic acid encoding the neuregulin protein, or a functional fragment thereof, alone or in combination with other agents, carriers or excipients may be formulated for any suitable administration route, such as intracavernous injection, subcutaneous injection, intravenous injection, intramuscular injection, intradermal injection, oral or topical administration.
- the method may employ formulations for injectable administration in unit dosage form, in ampoules or in multidose containers, with an added preservative.
- the formulations may take such forms as suspensions, solutions or emulsions in oily or aqueous vehicles, and may contain formulatory agents such as suspending, stabilizing and/or dispersing agents.
- the active ingredient may be in powder form for constitution with a suitable vehicle, sterile pyrogen-free water or other solvents, before use.
- Topical administration in the present invention may employ the use of a foam, gel, cream, ointment, transdermal patch, or paste.
- compositions and methods for their administration that may be employed for use in this invention include, but are not limited to those described in U.S. Pat. Nos. 5,736,154; 6,197,801 B1; U.S. Pat. Nos. 5,741,511; 5,886,039; 5,941,868; 6,258,374 B1; and 5,686,102.
- the magnitude of a therapeutic dose in the treatment or prevention will vary with the severity of the condition to be treated and the route of administration.
- the dose, and perhaps dose frequency will also vary according to age, body weight, condition and response of the individual patient.
- the attending physician would know how to and when to terminate, interrupt or adjust therapy to lower dosage due to toxicity, or adverse effects. Conversely, the physician would also know how to and when to adjust treatment to higher levels if the clinical response is not adequate (precluding toxic side effects).
- Dosage forms include tablets, troches, cachet, dispersions, suspensions, solutions, capsules, patches, and the like. See, Remington's Pharmaceutical Sciences.
- the neuregulin protein, or a functional fragment thereof, or a nucleic acid encoding the neuregulin protein, or a functional fragment thereof, alone or in combination with other agents may be combined as the active in intimate admixture with a pharmaceutical carrier or excipient, such as beta-cyclodextrin and 2-hydroxy-propyl-beta-cyclodextrin, according to conventional pharmaceutical compounding techniques.
- a pharmaceutical carrier or excipient such as beta-cyclodextrin and 2-hydroxy-propyl-beta-cyclodextrin, according to conventional pharmaceutical compounding techniques.
- the carrier may take a wide form of preparation desired for administration, topical or parenteral.
- compositions for parenteral dosage form such as intravenous injection or infusion
- similar pharmaceutical media may be employed, water, glycols, oils, buffers, sugar, preservatives, liposomes, and the like known to those of skill in the art.
- parenteral compositions include, but are not limited to dextrose 5% w/v, normal saline or other solutions.
- the total dose of the neuregulin protein, or a functional fragment thereof, or a nucleic acid encoding the neuregulin protein, or a functional fragment thereof, alone or in combination with other agents to be administered may be administered in a vial of intravenous fluid, ranging from about 1 ml to 2000 ml.
- the volume of dilution fluid will vary according to the total dose administered.
- kits for carrying out the therapeutic regimens of the invention comprise in one or more containers therapeutically effective amounts of the neuregulin protein, or a functional fragment thereof, or a nucleic acid encoding the neuregulin protein, or a functional fragment thereof, alone or in combination with other agents, in pharmaceutically acceptable form.
- Preferred pharmaceutical forms would be in combination with sterile saline, dextrose solution, or buffered solution, or other pharmaceutically acceptable sterile fluid.
- the composition may be lyophilized or desiccated; in this instance, the kit optionally further comprises in a container a pharmaceutically acceptable solution, preferably sterile, to reconstitute the complex to form a solution for injection purposes.
- Exemplary pharmaceutically acceptable solutions are saline and dextrose solution.
- kits of the invention further comprises a needle or syringe, preferably packaged in sterile form, for injecting the composition, and/or a packaged alcohol pad. Instructions are optionally included for administration of composition by a physician or by the patient.
- Recombinant Human Neuregulin-1 ⁇ S177-Q237 (rhNRG-1 ⁇ S177-Q237 of Neuregulin-1) developed by the present inventor can repair damaged myocardial cell structure, strengthen connection between these cells, improve myocardial function and strengthen myocardial biological effect.
- the experiments described herein demonstrate that certain Neuregulin fragments, e.g., rhNRG-1 ⁇ S177-Q237 can effectively treat various forms of cardiovascular disease such as viral myocarditis or dilated (congestive) cardiomyopathy (DCM), cardiotoxic caused by certain therapeutic agents, or myocardial infarction in vivo and do not affect hemodynamics of normal animals.
- DCM dilated cardiomyopathy
- FIG. 1 Technical Outline of Construction of an Engineered Strain
- Human neuregulin gene is located in chromosome 8P12 with about 13 exons.
- Recombinant neuregulin fragment is composed of 61 amino acid.
- Theoretical molecular weight is 7,055 D.
- Apparent molecular weight in SDS-PAGE electrophoresis is 6,500-7,000 D. Its isoelectric point is about 6.5. There is no glycosylated locus.
- the peptide structure contains 3 disulfide bonds. This gene is suitable for expression in E. coli.
- PET22b was selected as expression plasmid. Human neuregulin gene was introduced into the plasmid and then E. coli BL21 was transformed by this plasmid. High level expression recombinant was screened out as engineered strain for producing recombinant human neuregulin fragment.
- FIG. 2 Amplification of Human Neuregulin Gene
- RNA and mRNA were extracted from brain tissue of 5-month human fetus and reversibly transcribed to cDNA.
- RT-PCR was performed with the transcribed cDNA as template, and a pair of primers P1, TCG AAC ATA TGA GCC ATC TTG TAA AAT GTG CGG (SEQ ID NO:1) and P2, TCG AAG GGC CCT CAC TGG TAC AGC TCC TCC (SEQ ID NO:2) to amplify target gene.
- the PCR product was examined in electrophoresis on 1.5% agarose. Specific 183 bp DNA fragment was found in agarose, the length of which was the same as anticipated.
- FIG. 3 Physical Map of Plasmid PET22b
- FIG. 4 Identification of Recombinant Plasmid by Endonuclease Digestion
- FIG. 5 Screening for Expression of an Engineered Strain
- single colony of the engineering clone (BL21-PET22b-human-neuregulin) was randomly picked to inoculate in 2 ml LB-Amp liquid medium.
- the culture was incubated overnight at 37° C. and shaking at 250 rpm. Then a proportion of pure culture was inoculated into 20 ml LB-Amp medium.
- the culture was collected after incubation at 37° C. till the turbidity increased to 1.0 at OD 600 and after IPTG was added for 4 h to induce the expression. Inclusion body was collected after the cells were destructed.
- an engineered strain (BL21-PET22b-human neuregulin) was characterized and established with stable high level expression of target protein neuregulin.
- the expressed target protein accounted for approximately 10% of the total protein in this strain.
- the target protein presented in the form of inclusion body.
- the engineered strain was analyzed by SDS-PAGE electrophoresis after 4 h induction by IPTG. Inclusion body accounted for about 20% of the total proteins. Purified recombinant neuregulin specific activity was more than 5 ⁇ 10 3 EU/mg, indicating that the construction of neuregulin producing strain was successful. In addition to the SDS-PAGE, Western Blot, biological activity analysis at the stage of strain screening, further analysis was carried out, such as neuregulin amino acid composition analysis and N-terminal sequence analysis. These results indicate that the amino acid sequence of expressed recombinant human neuregulin is the same as designed.
- the groups were randomly divided, i.e., model group, testing drug group and pseudo-operation group that only opened the chest but did not ligate the coronary artery. There were 10-13 animals in each group, 3 dosage level groups were set up for the testing drug group, they were 5, 10 and 20 ⁇ g/kg respectively, the drug was injected into the tail vein once every day for consecutive 10 days.
- Heart function determination echocardiography was performed 6 days prior to the drug administration and after the drug withdrawal, the testing animals autopsied, heart weight measured, ventricular wall thickness determined, pathologic examination and plasma renin-angiotensin-aldosterone level determined.
- Echocardiograph device Hewlett Packard Sonos 5500, type of probe: S12; 5.2 Six leads electro-physiology recorder, SMUP-C-6, manufactured by Physiology Department of Shanghai Medical University;
- High, medium and low dosage level group of 20 ⁇ g/kg, 10 ⁇ g/kg and 5 ⁇ g/kg respectively were set up according to the result of preliminary experiment.
- the drug was diluted with preparation buffer solution (10 mM PB, 0.2% human serum albumin, 5% mannitol) to the needed concentration.
- Route of drug administration in both testing drug group and model group the drug was injected into the tail vein once per day for consecutive 5 days. Echocardiography was performed at the 6 th day prior to drug administration, then continuously injected for 5 days. Volume of each drug injection was 0.4 ml/100 g body weight.
- trachea was found after separating the anterior cervical muscle, 180 arterial indwelling trochar was inserted into the trachea at the level of 3-5 tracheal cartilage, took out the stylet, push the plastic cannula 1-2 cm further into the trachea, fixed it for later connection with ventilator for small animal (tidal volume was about 20 ml, frequency was 80/min).
- Echocardiograph was performed for the operated rat at about 6 days postoperatively, those animals with about 50% reduction of EF value were randomly divided into groups, the EF value of each group was all about 50%, then drug administration began.
- Those animals with EF value of about 50% were randomly divided into model group (negative group) and 3-dosage level testing drug groups with 12-13 animals in each group.
- Route of drug administration in testing drug group and model group was injection into the tail vein, once every day for consecutive 5 days. After echocardiography at the 6 th day, another 5 days of consecutive drug administration was carried out. Drug volume of each injection was 0.4 ml/100 g body weight.
- Echocardiography was again performed after the end of drug administration, the animals autopsied, heart weight measured, thickness of ventricular wall determined, pathologic examination of the heart performed, peripheral blood collected, plasma separated and renin-angiotensin-aldosterone determined.
- Echocardiography was performed under anesthesia with ketamine after the legation and prior to drug administration and at the 6 th day, 11 th day of drug administration, the major index included:
- Carotid artery phlebotomy was carried out and plasma extracted according to the mandate of the reagent kit, frozen and stored at ⁇ 20° C. Renin activity (PRA), angiotensin I (AI), angiotensin II (AII) and aldosterone (ALD) content were determined with immunoassay.
- PRA Renin activity
- AI angiotensin I
- AII angiotensin II
- ALD aldosterone
- myocardium of the rat was longitudinally cut with equal distance into 3 slices, conventionally embedded with paraffin, section made, HE stained, image analysis for area of fibrotic region of the heart, counted the number of capillary in the fibrotic lesion (counting unit: piece/mm 2 ); Nagar-Oslen stained, studied the size of ischemic hypoxic region in the myocardium.
- rat heart EF value of the 20 ⁇ g/kg rhNRG-1 ⁇ group maintained stable at relatively high level and there was significant difference when comparing with that of the model animal group (P ⁇ 0.05) (Table 7).
- FIGS. 6-15 showed the pathohistological changes of the various testing group.
- Myocardium of the model group stained deep color, large patch of myocardium was stained with red color, while that of the pseudo-operation group stained yellow, without red stained area;
- red stained myocardial cells of 20 ⁇ g/kg rhNRG-1 ⁇ showed punctuate distribution;
- red stained tissue of 10 ⁇ g/kg and 5 ⁇ g/kg groups showed patchy distribution, demonstrating that rhNRG-1 ⁇ could alleviate the severity of ischemic hypoxic damages.
- Plasma rennin (PRA), angiotensin I (AI), angiotensin II (AII) and aldosterone (ALD) levels was determined in various testing drug groups with radioimmunoessay.
- PRA, AI, AII and ALD were 3.506 ⁇ 1.78 ng/ml ⁇ h, 10.655 ⁇ 1.18 ng/ml, 1366.38 ⁇ 577.33 ⁇ g/ml and 1.738 ⁇ 0.34 ng/ml respectively; Comparing with those of the pseudo-operation group (1.315 ⁇ 0.96 ⁇ g/ml, 8.125 ⁇ 1.57 ng/ml, 564.37 ⁇ 273.56 ⁇ g/ml and 1.113 ⁇ 0.45 ng/ml), the content increased significantly, the difference was significant statistically (P ⁇ 0.05).
- rhNRG-1 ⁇ provided by Zensun (Shanghai) Science & Technology Development Co. Ltd. Batch number: 200110006-2 Specification: 500 ⁇ g/ampule. Titer determination: 5000 u/ampule; Purity: >95% (HPLC-C8).
- SD rat provided by Experimental Animal Center of Fudan University Medical College, Number of certificate of animal competency: Yi Dong Zi 02-22-11, body weight 250 ⁇ 30 g, male.
- the animals were randomly divided in groups, 20 animals in each group, bred in separate cage.
- Temperature of the animal room was 18-22° C., with relative humidity of S0%-70%.
- SMUP-C-6 Six leads electro-physiology recorder, SMUP-C-6, manufactured by Physiology Department of Shanghai Medical University;
- Electrochemistry luminescence automatic immune analysis device (model 2010): Roche Diagnostics Co Ltd. batch number 158468;
- Micro-vernier calipers (Harbin Measure & Knife Factory, 0.05 mm);
- Model group negative control group: Adriamycin, manufactured by MingZhi Pharmaceuticals; ShanTou Special Economy Prefecture (batch number: 000201, expired date: 2003.2);
- 3-dosage levels of 10, 20 and 40 ⁇ g/kg of the testing drug group were established. Dissolved with 1 ml of water for injection and adjusted to needed concentration with excipient. Major component of the excipient was 5% mannitol for injection, 0.2% human serum albumin for injection, 10 mM phosphate buffer solution, provided by Zensun (Shanghai) Science & Technology Development Co Ltd. The testing drug was prepared prior to injection.
- rhNRG-1 ⁇ was injected into the tail vein within 24 hours after the first injection of Adriamycin, the injection of rhNRG-1 was carried out once daily for 10 days. Dosage was adjusted according to the body weight, volume of the drug administered was 0.2 ml/l 00 g.
- rhNRG-1 ⁇ was injected into the tail vein within 24 hours after the first injection of Adriamycin.
- animal survival was dynamically monitored, heart function indexes (maximal rate of pressure increase within left ventricle, dt/dpmax, maximal rate of pressure decrease within left ventricle, ⁇ dp/dt, systolic end pressure of left ventricle LVPmax, diastolic end pressure of left ventricle LVPmin) were monitored at the 5 th week. Section was made from the heart tissue and pathological changes examined.
- Heart was extirpated after thoracotomy (auricle should be reserved), the heart weight was measured after dried with absorbent paper, ratio of heart weight/body weight calculated; outer diameter of the heart was measured at 1/2 site of the vertically standing heat; medium pert of the left ventricle was crosswise cut open, maximal thickness of free wall of the left ventricle measured; the heart was fixed with 10% formaldehyde, paraffin embedded and HE stained, observation of the myocardial structure carried out under optic microscope, give out pathologic score.
- Grade 0 normal myocardial structure, without atrophy or hypertrophy of the myocardial cells, with vacuole, cross striation clear; regular arrangement of the myocardium; endocardium and pericardium without abnormality; no changes in blood vessel and interstitial tissue.
- Grade 1 Focal dissolve of myocardial cytoplasm and vacuole formation were seen in sporadic individual myocardial cells, while the neighboring myocardial cells still looked normal.
- Grade 2 Atrophy, dissolve of myocardial cytoplasm and vacuole formation was seen in small to medium extent of clustering myocardial cells, small focal necrosis of myocardial cells was also seen.
- Grade 3 Large extent of diffuse atrophy of myocardial cells, dissolve of cytoplasm or vacuole formation with quite marked necrosis. Scoring could be performed between grade 1 and grade 2 or between grade 2 and grade 3, e.g. grade 1.5, grade 2.5 etc.
- Hemodynamics index such as carotid artery pressure, intra-ventricular pressure.
- dp/dt was measured with six lead physiology recorder.
- FIG. 18 illustrates myocardium pathologic section of SD rat toxic myocarditis induced by Adriamycin
- a normal control group: pathologic score of myocardium was 0, without myocardial cells atrophy and hypertrophy, with vacuole formation, cross striation can be clearly seen; myocardium arranged regularly, no abnormality of endocardium and pericardium; no changes of the vessels and interstitial tissue;
- b model animal group: pathologic score of the myocardium was 3, large area of myocardial cell necrosis and dissolution.
- FIG. 20 Effect of rhNRG-1 ⁇ on Myocardial Structure of Model Animals
- a model animal myocardium pathologic score was 3, large area of myocardial cells necrosis and dissolution; b: 401 ⁇ g/kg testing drug group, myocardial pathologic score was 1, most of the myocardial cells were normal, there was local myocardial cytoplasm dissolution in sporadic myocardial cells; c: 20 ⁇ g/kg testing drug group, myocardial pathologic score was 1, most of the myocardial cells were normal, there was local myocardial cytoplasm dissolution in sporadic myocardial cells; d: 130 ⁇ g/kg testing drug group, myocardial pathologic score was 1.5, vacuole degeneration was seen in small cluster of myocardial cells.
- 40, 20 and 10 ⁇ g/kg of rhNRG-1 ⁇ could significantly improved the survival rate, reaching 85%, 90% and 60% respectively when comparing with that of 15% survival rate of the model group; dp/dt, ⁇ dp/dt and LVPmax of the high, medium and low dosage level group were significantly increased, dp/dt was 5954 ⁇ 689, 6107 ⁇ 418, 4875 ⁇ 636 respectively, ⁇ dp/dt was ⁇ 4794 ⁇ 954, ⁇ 4323 ⁇ 457, ⁇ 3672 ⁇ 884 respectively, and LVPmax was 165.7 ⁇ 22.7, 156.1 ⁇ 17.7, 145 ⁇ 15.2 respectively, there was significant difference when comparing with that of the control group (P ⁇ 0.001), in addition, dp/dt, ⁇ dp/dt and LVPmax of the 40 and 20 ⁇ g/kg dosage group differed significantly from those of the 10 ⁇ g/kg group ( ⁇ 0.05) and was somewhat dose dependent; all the three-dosage levels of 40, 20 and
- Method Mmice acute viral myocarditis model was established through intra-abdominal injection of Coxsackie B3 virus (CVB 3 ).
- the model animals were randomly divided into groups, i.e., normal control group, model group, testing drug group with 20 animals in each group.
- Three dosage level of 30, 15 and 7.5 ⁇ g/kg of rhNRG-1 ⁇ was established and injection into the tail vein was carried out at the same day, for consecutive 5 days. During the experiment, animal survival rate was monitored.
- Heart function test (echocardiograph) was performed at the 7 th day and killed the animals at the 8 th day, serum was extracted for troponin I (cTnI) level determination and heart pathologic examination performed.
- Placebo control group Intra-abdominal injection of non-CVB3 freeze-thaw cellular supernatant, 0.2 ml/animal.
- Drug administration of both the testing drug group and the model group was intravenous injection into the tail vein of mice, once every day (qd), for consecutive 5 days, volume of each of the drug administered was 0.2 ml/animal.
- Intravenous injection of the testing drug into the tail vein was carried out the same day of intra-abdominal viral infection in mice, the injection was performed for consecutive 5 days, animal survival rate was monitored, after completion of the experiment, echocardiograph, myocardial pathologic examination, serum troponin determination were carried out.
- Chest depilating was performed at the 7 th day of viral injection, then the mouse was fixed on special made fixed mount and echocardiograph was carried out with S12 high-frequency probe, the main index included:
- Severity of myocardial injury was evaluated through determination of the amount of serum cTnI release, with advantage of high specificity and high sensitivity when comparing with other traditional index such as CK, LDH and AST. Therefore, serum cTnI content determination was used as an objective index reflecting the severity of myocardial injury.
- mice At the 8 th day of viral injection, body weight of the mice was measured and blood withdrawn from the orbit, serum separated, stored in ⁇ 20° C. refrigerator and serum cTnI determination with luminous reaction carried out.
- mice were killed through dislocating the cervical spine, aseptic thoracotomy was performed and the heart extirpated, heart weight measured and put the myocardium into formaldehyde for fixation, embedded in paraffin, consecutive section made and pathologic examination performed, observed inflammatory cells infiltration of the myocardium, degeneration and necrosis. Based on the Principle of New Drug Evaluation Guideline, pathologic scoring criteria was defined as follow:
- Scoring could be performed between score 1 and score 2 or between score 2 and score 3, e.g. when lesion area was 80% was scored as score 3.2,
- Pairing t test of the relevant data was used for data processing.
- LVDd value (0.208 ⁇ 0.015 cm) and LVDs value (0.142 ⁇ 0.020 cm) of the model group were significantly higher than that of the normal control group (LVDd. 0.179 ⁇ 0.007 cm/LVDs. 0.073 ⁇ 0.006 cm) and there were significant difference between them (P ⁇ 0.01).
- LVDd and LVDs of 30 ⁇ g/kg and 15 ⁇ g/kg of rhNRG-1 ⁇ group were significantly lower than that of the model group (P ⁇ 0.05), while that of 7.5 ⁇ g/kg differed insignificantly from that of the model group (P>0.05).
- Tables 19 and 20 showed results of the 2 repeated experiments.
- mice in the model group were 50% and 55% respectively, while after injection of rhNRG-1 ⁇ they raised up to 85% and 80% (30 ⁇ g/kg) and 70% and 65% (15 ⁇ g/kg).
- EF value (90.2 ⁇ 2.5%, 86.0 ⁇ 2.9%) and FS value (55.7 ⁇ 2.1%, 50.7 ⁇ 4.3%) of 301 ⁇ g/kg and 15 ⁇ g/kg of rhNRG-1 groups raised significantly and there was significant difference when comparing with that of the model group (P ⁇ 0.02), both LVDd value (0.187 ⁇ 0.006, 0.189 ⁇ 0.008) and LVDs value (0.085 ⁇ 0.009, 0.099 ⁇ 0.027) were lower than that of the model group (0.208 ⁇ 0.015, 0.142 ⁇ 0.020), P ⁇ 0.05; rhNRG-1 ⁇ could alleviate the severity of myocardial pathologic damage of model group animals, effectively reduced serum troponin I (cTnI) level, cTnI content of 30 ⁇ g/kg dosage level group (7.98 ⁇ 6.07 ng/ml) and 15 ⁇ g/kg dosage level group (19.43 ⁇ 10.76 ng/ml) were significantly lower than that of the model group (44.44 ⁇ 12.39 ng/ml) and there was significant difference
- Method Acute myocardial injury animal model was established through intra-abdominal injection of Coxsacki B 3 virus (CVB 3 ) in mice.
- the model animals were randomly divided into groups, i.e., normal control group, model group, testing drug group, 20 animals was assigned to each group.
- 30 ⁇ g/kg of rhNRG-1 ⁇ was injected into the tail vein for consecutive 3, 5 and 7 days respectively.
- rhNRG-1 ⁇ provided by Zensun (Shanghai) Science & Technology Development. Batch number 200110006-2, Titer: 500 u; purity: >95% (HPLC-C8).
- Placebo control group Intra-abdominal injection of non-CVB3 freeze-thaw cellular supernatant, 0.2 ml/animal.
- rhNRG-1 ⁇ was diluted with preparation buffer solution (10 mM PB, 0.2% human serum albumin, 5% mannitol to needed concentration;
- Drug administration of the model group was intravenous injection into the tail vein of mice, once every day (qd), for consecutive 7 days, drug volume for each dose was 0.2 ml/animal.
- Pairing t test of the relevant data was used for the data processing.
- LVDs value (0.133 ⁇ 0.012 cm) was higher than that of the normal group (0.059 ⁇ 0.006 cm) and there was significant difference between them (P ⁇ 0.01).
- LVDs value of rhNRG-1 ⁇ administered for 5 days and for 7 days group was significantly reduced (0.090 ⁇ 0.011, 0.092 ⁇ 0.012 cm respectively), and differed significantly from that of the model group (P ⁇ 0.001).
- LVDs value of rbNRG-1 ⁇ administered for 3-day group (0.123 ⁇ 0.012 cm) differed insignificantly from that of the model group (P ⁇ 0.05).
- Table-27 and 17-28 showed results of the two experiments.
- Tables 33 and 34 showed results of the two experiments, survival rate of mice in the model group was 50% and 55% respectively, while that of rhNRG-1 ⁇ administered for both 5-day and 7-day group raised up to 85% and 80% and there was significant difference when comparing with that of the model group, P ⁇ 0.05. Survival rate of the 3-day group raised to 65% and 75%, however, there was no significant difference when comparing with that of the model group (P ⁇ 0.05).
- rhNRG-1 ⁇ provided by Zensun (Shanghai) Science & Technology Development. Batch number 200110006-2; Concentration: 500 ⁇ g/ampule; Titer: 5000 u/ampule; Purity: >95% (HPLC-C8).
- Preparation buffer solution was injected intravenously once daily for consecutive 5 days for the model group.
- volume of the drug administered was 0.8 ml/kg body weight.
- 3% pentobarbital sodium (30 mg/kg) was injected into the peripheral vein to anesthetize the dog, then trachea intubated.
- Aseptic thoracotomized via right chest between the 4 and 5 rib measured circumference of the inferior vena cava at 3 cm from the right auricle.
- Selected hard spool with circumference equal to 1/3-1/2 of that of the inferior vena cava tightened the spool and the inferior vena cava together with #7 silk thread, drew out the spool, stopped all the bleeding, closed the chest.
- experiment was carried out according to the animal grouping and drug administration regime.
- Heart function index determination was carried out under anesthesia of the dog prior to the operation, prior to and 5-day after the drug administration.
- Major index included:
- EF Ejection Fraction
- heart ejection fraction i.e., ratio of difference between end diastolic volume of the ventricle (EDV) and end systolic volume of ventricle (ESV) and end diastolic volume of ventricle, being general index used for reflecting pumping function of ventricle; especially reflecting the systolic function
- FS ventricular short axis shortening rate, being index reflecting contraction function of ventricle
- CO cardiac output, i.e. blood volume ejected by the heart per minute.
- EF and FS value prior to the constriction in model animals were 82.3 ⁇ 1.6% and 49.2 ⁇ 2.6% respectively through echocardiography examination and reduced to 59.1 ⁇ 7.3% and 29.3 ⁇ 3.9% respectively after the operation, there was significant difference between that prior to and that after the constriction (P ⁇ 0.01, P ⁇ 0.05), EF and FS value continuously maintained at 55.5 ⁇ 10.9% and 28.5 ⁇ 6.6% level S days later, demonstrating that through constriction of the inferior vena cava, the congestive heart failure dog model was established and was relatively stable.
- EF and FS value of all the three dosage level groups after rhNRG-1 ⁇ injection raised significantly, EF and FS of the low dosage level group (I ⁇ g/kg) increased from 57.7 ⁇ 10.9 and 30.6 ⁇ 8.0 to 70.4 ⁇ 8.4 and 39.7 ⁇ 5.7, there was significant difference between prior to and after the drug administration (P ⁇ 0.05), meanwhile, there was significant difference when comparing with that of the model group (P ⁇ 0.05).
- EF/FS value of the medium and high dosage level group model animals increased significantly as well and there was significant difference when compared that prior to and after the drug administration with that of the model group (P ⁇ 0.01), Table 35 showed the results.
- Table 36 showed that rhNRG-1 ⁇ could significantly increase cardiac output of the model animals, cardiac output of the 1 ⁇ g/kg of rhNRG-1 ⁇ group increased from 2.4 ⁇ 0.5 to 3.7 ⁇ 0.8 and there was significant difference when compared that prior to and that after the drug administration (P ⁇ 0.05), meanwhile, there was significant difference as well when comparing with that of the model animals (P ⁇ 0.05). CO changes of 3 and 10 ⁇ g/kg dosage level group was even significant (P ⁇ 0.01). Results of heart rate changes determination showed that rbNRG-1 ⁇ has less effect on heart rate. (no details were revealed).
- All the three dosage level (1, 3 and 10 ⁇ g/kg) of rhNRG-1 ⁇ administered for consecutive 5 days could raise the EF/FS value and cardiac output (CO) of the model animal, there was significant difference when comparing that prior to with that after the drug administration (P ⁇ 0.005, P ⁇ 0.01); 1, 3 and 10 ⁇ g/kg of rhNRG-1 ⁇ could effectively increase left ventricular dp/dt and there was significant difference when comparing with that of the model group (P ⁇ 0.05), being able to effectively raise the LVPmax, reduce LVPmin of the model animals and them was significant difference when comparing with that of the model group, P ⁇ 0.05, while was less effect on the right ventricle.
- the experiment animals were randomly divided into 4 groups based on their body weight with 6 animals, 3 male and 3 female, in each group. Volume of the drug administered was 1 m/kg body weight. Body weight was measured weekly and dosage was regulated according to the body weight measured. The drug was administered every day in the morning for consecutive 3 weeks. Electrocardiogram, hematological, biochemistry, urine and fecal testing and determination of antibody were carried out prior to the drug administration and 10 days and 21 days after the beginning of drug administration respectively. Fundus examination was performed under anesthesia at 22 days and 42 days (counted from the first day of drug administration) respectively, then 2/3 and 1/3 animals were killed, autopsied and studied pathohistologically, bone marrow smear was prepared at the same time. Echocardiography was performed under anesthesia one day prior to the autopsy.
- Electrocardiography no significant deceleration of heart rate was seen in conscious animals at 10-day of drug administration, while significant reduction of heart rate happened at 3-week of drug administration in conscious animals of every drug taken group, probably due to pharmacological effect of the testing drug; in addition, relatively high voltage of R and S wave in VI and V3 leads of electrocardiogram, probably associated with variation of chest leads of the animals; no significant abnormality in echocardiogram, heart rate and other index and no hypertrophic changes of the myocardium were seen pathologically.
- the gastrointestinal symptoms such as vomiting, nausea and anorexia of those animals and the resulting reduction of body weight in the high dosage group due probably to distribution and elimination of the testing drug in the gastrointestinal tract.
- Symptoms such as paleness, hardening of skin at the injection site, pericardial effusion and hydrocephalus, and without entirely recovery of hydrocephalus of high dosage group animals 3 weeks after drug withdrawal demonstrated that capillary exudate and transudate syndrome in rheusus can be caused by medium and high dosage of Recombinant Human Neuregulin-1 ⁇ S177-Q237 for Injection.
- deceleration of heart rate in conscious animals and vacuole in the cytoplasma of myocardium of high dosage group animals were all associated with the testing drug.
- the animals were fed with 100 gram feedstuff two times daily in addition to about 100 gram of fruit.
- the room temperature was kept at 20-25° C., relative humidity of 50%-70%, illumination for 12 hours every day.
- Environmental adaptation time Breeding for 25 days for environmental adaptation.
- Albendazole was used to kill intestinal parasites and tuberculin test was performed prior to buy in the experiment animal, then environmental adaptation; hematological, biochemistry, urine testing and electrocardiography were performed two times to ensure that the experiment animals were in healthy condition. 4 groups were divided based on body weight and gender of the animals, with 6 animals in each group, half male and half female.
- the volume of drug administered was 1.0 ml/kg body weight, body weight was measured weekly prior to each drug administration and the volume of drug to be administered will be adjusted according to the body weight measured, 2/3 and 1/3 of the animals (2 female and 1 male monkeys each) in each group were killed at 24 hours after 3-week of drug administration and at the end of 3-week after the convalescence period, autopsy performed, organs weighed, organ coefficient calculated and pathohistological examination carried out. Blood was withdrawn for hematological and biochemistry examination and bone marrow smear was performed at 10-day of drug administration and prior to autopsy.
- Heraeus Low temperature centrifuge Heraeus Company of Germany.
- Hewlett Packard sonos 5500 echocardiography machine with S4 probe.
- Coating antigen Recombinant Human Neuregulin-1 ⁇ S177-Q237 for Injection was diluted to 6 ⁇ g/m) with coating buffer solution, add into 96 hole enzyme labeled plate with 100 ⁇ l/hole, 37° C. for 1 hour.
- dilute the scheduled for testing serum dilute the sample with sample dilution solution, dilute gradient is 1:100.
- Substrate Wash the plate 5 times, add newly prepared substrate operating fluid, 100 ⁇ l/hole, 37° C. for 10 minutes.
- Ending add 2N H 2 SO 4 , 50 ⁇ l/hole to end the reaction.
- Odd value detection Positive result was defined as OD value of testing sample was 2.1 time greater than that of the negative control (serum was 1:100 diluted).
- Body weight was measured once daily prior to drug administration.
- Body temperature was taken prior to and 1 hour after the drug administration at 1, 3 and 5-day of drug administration.
- Granule feedstuff 200 g was given to each monkey daily, with 100 g of fruits, calculate the consumption of food per animal per day.
- IVS intraventricular thickness
- PW postereior wall of left ventricule
- LPDd left ventriclular end diastolic volume
- LVDs left ventricular end systolic volume
- EF ejection fraction
- Fs shortening fraction
- MV mitral valve blood flow peak value
- AV aortic valve blood flow peak value
- HR heart rate
- red blood cell count (RBC), reticulocyte count (Ret), hemoglobin (Hb), white blood bell count (WBC) and differentiation count including: neutrophil (N), eosinophil (E), Lymphocyte (L) and monocyte (M), platelet count (PLT), clotting time (CT), hematocrit (Ht), mean corpuscular volume (MCV), mean concentration hemoglobin (MCH) and mean corpuscular hemoglobin concentration (MCHC).
- RBC red blood cell count
- Ret reticulocyte count
- Hb hemoglobin
- WBC white blood bell count
- differentiation count including: neutrophil (N), eosinophil (E), Lymphocyte (L) and monocyte (M), platelet count (PLT), clotting time (CT), hematocrit (Ht), mean corpuscular volume (MCV), mean concentration hemoglobin (MCH) and mean corpuscular hemoglobin concentration (MCHC).
- urine sample was collected for testing white blood cell, nitrite, pH value, urine protein, glucose, ketone body, urobilinogen, urine bilirubin and hemoglobin.
- Fecal parasitic ovum and occult blood were tested prior to drug administration. Focal occult blood test was also performed at 10-day after the beginning of drug administration, at the end of drug administration and 3-week after convalescence period.
- Heart, brain, liver, spleen, lungs, kidneys, adrenals, thymus, lymphnodes, thyroid, testis or uterus, ovary or prostate were taken out, their weight measured and the coefficient calculated.
- Heart anterior wall of left ventricle, right ventricle, interseptum, left atrium, right atrium
- liver spleen
- lungs brain
- stomach duodenum
- ileum colon
- kidneys urinary bladder
- adrenals pituitary
- thyroid thymus
- pancreas testis
- prostate ovary
- uterus lymph nodes (cervical, mesentery), vessels and subcutaneous tissue of the injected site.
- Bone marrow sample from the femoral bone was taken out prior to autopsy under anesthesia, smear, staining and optic microscopic examination carried out to study the megakaryocyte system, granulocyte and erythrocyte system, lymphocyte, plasmocyte and other type of cells. 5 ⁇ 100 nucleated cells in the four quadrants and central part will be counted, GE ratio calculated and photographs taken.
- Variance analysis was carried as statistical testing for data collected from various dosage groups and control group.
- Negative Fecal occult blood test and no fecal parasitic ovum were seen in all the animals prior to drug administration, at 10-day and 3-week after the beginning of drug administration, and at 3-week of convalescence period prior to autopsy (Table 22).
- hydrocephalus in the subarachnoid space was seen in one male and one female animals (10#, 14#) of high-dosage group, 0.5 ml and 3 ml fluid were drawn out from them respectively; there were no significant abnormality seen in animal that was over-anesthetized and autopsied in advance.
- vascular congestion and mild edema were seen in the subarachnoid space of 1 l# and 21# monkey; the were inflammatory cells infiltration in pert of the colonic mucosa of 21 # animal; thickening of avleola septum, congestion, patchy hemorrhage of the lung, full with edematous fluid in part of the avleola, partly tissue autocytolysis in kidneys, stomach, colon, intestine and pancreas were seen during autopsy of 8# animals that died before the autopsy. No other abnormality was seen.
- Micro-vacuole in the myocardial cytoplasma vascular congestion in the subarachnoid space was seen in 14# female monkey of the high-dosage group. No significant abnormality was discovered in animals autopsied in advance due to over-anesthetization. No significant reaction to stimulus in addition to hemorrhagic changes in vessels within the injection site in all the drug administration groups wore seen. Sporadic, accidental lesions, such as inflammatory reaction in the lungs and gastrointestinal tract were seen in the remaining animals, most of them were spontaneous lesions (Table 26,27 and Photos 1-22).
- Bone marrow was aspirated from the right hip bone prior to autopsy under anesthesia at 3-week of drug administration and 3 rd week of convalescence period, smear made, stained and megakaryocyte system, granulocyte system, erythrocyte system lymphocyte and plasmocyte and other type of cells were examination under optic microscope. 5 ⁇ 100 nucleated cells in the four quadrants and central part were counted and differentiation counting performed, GE ratio calculated and microphotography carried out.
- Intravenous injection of 7.5, 15, 75 ⁇ g/d of Recombinant Human Neuregulin-1 ⁇ S177-Q237 for Injection to rhesus (the dosage used was equivalent to 2, 4, 20 times that of the dosage for monkey); excipient was used as control; monitoring was carried out for 3 weeks after drug withdrawal.
- Electrocardiography no significant deceleration of heart rate was seen in conscious animals at 10 days of drug administration, while significant reduction of heart rate happened at 3-week of drug administration in conscious animals of every drug taken group, probably due to pharmacological effect of the testing drug; in addition, relatively high voltage of R and S wave in VI and V3 leads of electrocardiogram, probably associated with variation of chest lead of the animals were seen; no significant abnormality in echocardiogram, heart rate and other index were discovered; no hypertrophic changes of myocardium was aeon pathologically.
- the gastrointestinal symptoms such as vomiting, nausea and anorexia of those animals could lead further to reduction of body weight in the high dosage group due probably to distribution and elimination of the testing drug in the gastrointestinal tract.
- Symptoms such as paleness, hardening of skin at the injection site, pericardial effusion and hydrocephalus were seen, and without entire recovery of hydrocephalus in high dosage group animals 3 weeks after drug withdrawal, demonstrating that capillary exudate and transudate syndrome in rhesus can happened in medium and high dosage of Recombinant Human Neuregulin-1 ⁇ S177-Q237 for Injection groups.
- deceleration of heart rate in conscious animals and vacuole in the cytoplasma of myocardium of high dosage group animals were al associated with the testing drug.
- HER2/neu gene encods a trans-membrane protein p185, which is a tyrosine protein kinase. Binding of Neuregulin-1 with ErbB3 or ErbB4 induces heterodimer ErbB3-ErbB2 and ErbB4-ErbB2 formation and activates HER2 encoded tyrosine protein kinase, mediating the transmission of functioning signal of Neuregulin-1. Based on the fact that binding of Neuregulin-1 with its receptors triggers phosphorylation of ErbB2 protein, we establish a rapid, sensitive and high flux method for in vitro quantitatively determining biological activity of Recombinant Neuregulin-1.
- DMEM culture medium with 10% fetal calf serum and insulin 9 mg/L, stored at 4° C.
- Coating buffer solution pH 9.6, 0.05M carbonate buffer solution.
- HRP Horse-radish peroxidase labeled mouse anti-human phosphorylated protease monoclonal antibody
- TMB 2 mg/ml TMB (prepare with absolute alcohol).
- Substrate buffer 0.2M citric acid+0.1M Na 2 HPO 4 (pH5.0).
- substrate buffer solution 9 ml+TMB 1 ml+3% H 2 O 2 10 ul (prepared as needed).
- Process 3.1 was carried out on the first day, that of 3.2 ⁇ 3.3 on the second day, that of 3.4 ⁇ 3.12 was performed on the third day; in which, process of 3.1 and 3.2 should be carried out under sterilization condition.
- MCF-7 cells were amplified to a given amount, washed with sterilized PBS solution, then digested with 0.25% trypsinase. After counting, the concentration of cells was regulated with base culture medium. The cells were added into 96 holes cell culture plate, 5 ⁇ 104/hole, 1001 ⁇ l/hole, and cultured over night in the culture box under 37° C. and 5% CO 2 .
- DMEM base culture medium Fetal calf serum 100 ml Insulin 9.2 mg add into 1 L of DMEM culture medium, mixed well.
- Cell fragmentation solution NaCl 4.38 g HEPES 5.96 g sodium orthovanadate 0.368 g thimerosol 0.05 g Triton-X 100 5 mL Dissolve into 500 mL H 2 O 3.
- Coating solution pH 9.6
- NaHCO 3 0.293 g Na 2 CO 3 0.159 g Dissolve into 100 mL H 2 O
- 100 mL substrate buffer solution (pH 5.0)
- Citric acid 1.02 g Na 2 HPO 4 •12H 2 O 3.68 g Dissolve into H 2 O 5.
Landscapes
- Health & Medical Sciences (AREA)
- Life Sciences & Earth Sciences (AREA)
- Chemical & Material Sciences (AREA)
- Medicinal Chemistry (AREA)
- General Health & Medical Sciences (AREA)
- Public Health (AREA)
- Veterinary Medicine (AREA)
- Pharmacology & Pharmacy (AREA)
- Animal Behavior & Ethology (AREA)
- Engineering & Computer Science (AREA)
- Bioinformatics & Cheminformatics (AREA)
- Epidemiology (AREA)
- Organic Chemistry (AREA)
- Nuclear Medicine, Radiotherapy & Molecular Imaging (AREA)
- General Chemical & Material Sciences (AREA)
- Chemical Kinetics & Catalysis (AREA)
- Proteomics, Peptides & Aminoacids (AREA)
- Gastroenterology & Hepatology (AREA)
- Immunology (AREA)
- Zoology (AREA)
- Cardiology (AREA)
- Heart & Thoracic Surgery (AREA)
- Molecular Biology (AREA)
- Oncology (AREA)
- Communicable Diseases (AREA)
- Toxicology (AREA)
- Vascular Medicine (AREA)
- Biochemistry (AREA)
- Virology (AREA)
- Hematology (AREA)
- Biophysics (AREA)
- Genetics & Genomics (AREA)
- Neurology (AREA)
- Diabetes (AREA)
- Psychiatry (AREA)
- Biomedical Technology (AREA)
- Neurosurgery (AREA)
- Urology & Nephrology (AREA)
- Pain & Pain Management (AREA)
- Hospice & Palliative Care (AREA)
Abstract
The present invention relates to compositions and methods for preventing, treating or delaying various cardiovascular diseases or disorders in mammals, particularly in humans. More particularly, the present invention provides for compositions and methods for preventing, treating or delaying various cardiovascular diseases or disorders using, inter alia, a neuregulin protein, or a functional fragment thereof, or a nucleic acid encoding a neuregulin protein, or a functional fragment thereof, or an agent that enhances production and/or function of said neuregulin.
Description
- The present application is related to PCT/CN02/00349, filed May 24, 2002, PCT/CN02/00664, filed Sep. 18, 2002, Chinese Patent Application No. 02145145.1, filed Nov. 8, 2002 and Chinese Patent Application No. 03109976.9, filed Apr. 9, 2003. The disclosures of the above applications are incorporated by reference in their entireties.
- The present invention relates to compositions and methods for preventing, treating or delaying various cardiovascular diseases or disorders in mammals, particularly in humans. More particularly, the present invention provides for compositions and methods for preventing, treating or delaying various cardiovascular diseases or disorders using, inter alia, a neuregulin protein, or a functional fragment thereof, or a nucleic acid encoding a neuregulin protein, or a functional fragment thereof, or an agent that enhances production and/or function of said neuregulin.
- Viral myocarditis is inflammation of heart muscle caused by or associated with various viruses, which induce focal or diffuse inflammatory exudation in interstitial myocardium and degeneration, necrosis or lysis of cardiac muscle fiber. Viral myocarditis may be complicated by pericarditis or endocarditis. The outcome of viral myocarditis includes myocardial damage, heart dysfunction, arrhythmia and systemic symptoms. Viral myocarditis occurs at any age. In recent years, the incidence of viral myocarditis is increasing. The sequela of acute viral myocarditis include arrhythmia, heart failure, cardiac shock, and even sudden death. The disease may be prolonged with cardiac hypertrophy and permanent cardiac muscle injury. Cardiomyopathy finally results from immune reaction. The treatment of viral myocarditis includes antibiotics, heart protective agents, antioxidant such as high dose vitamin C, vitamin E, coenzyme Q10, nutrients for myocardium such as energy combination to provide enough nutrition for myocardium. These measures are applied to improve heart function, repair cardiac damage, and prevent heart failure, but the efficacy is not so ideal, especially for the structural and functional changes in myocarditis. No reliable therapy is available for these pathological changes.
- Dilated (congestive) cardiomyopathy (DCM) is the eventual outcome of various myocardial diseases of unidentified origin. Its pathological changes are non-rheumatic, non-hypertensive and not due to coronary heart disease. The main clinical features of dilated cardiomyopathy is ventricular hypertrophy, myocardial pump function failure, or congestive heart failure. Hypertrophy of nucleus and organelles is generally seen in mild myocardium damage of dilated cardiomyopathy. Structural change, cell death and the resultant fibrosis is usually seen in severe damage. The etiology and pathogenesis of DCM remains to be clarified. The prognosis of DCM is very poor because no effective therapy is available. Most of such patients die of increasingly worsen heart failure. Sudden death may result from arrhythmia. At present, no specific effective therapy is available for DCM. The routine treatment for DCM includes administration of cardiac tonics, diuretics, ACEI and other drugs. In addition, third generation calcium antagonist amlodipine and third generation β-receptor antagonist such as carvedilol are also used to treat DCM. It is controversial about the effect of thyroxin and growth hormone because no randomized double-blind clinical trial evidence is available. Volume reduction surgery of left ventricle can decrease the inside diameter of left ventricle and improve cardiac function temporarily. However, the higher mortality associated with post-operational heart failure and arrhythmia hampers the application of this method. Dynamic cardiomyoplasty is useful in improving cardiac function, but patient can not tolerate the relatively extensive trauma. Therefore, this operation is only used as alternative to heart transplant. In surgery, heart transplant is radical treatment for DCM. However, lack of donor heart, expensive cost, post-operation infection and transplant rejection are the main obstacles. Therefore, new therapy for DCM is urgently needed in clinical practice.
- Doxorubicin or adriamycin (ADM) belongs to anthracycline anticancer agents with a broad spectrum and potent anti-tumor activity. It has been widely used in clinical practice to treat various malignant tumors such as lung cancer, breast cancer, bladder carcinoma, testis carcinoma, thyroid cancer, soft tissue carcinoma, osteosarcoma, neuroblastoma, acute leukemia, malignant lymphoma, gastric carcinoma, liver cancer, esophageal carcinoma, and cervical carcinoma. ADM acts through incorporation with DNA to inhibit DNA synthesis. The inhibition effect is observed in S, M, G1 and G2 phases, but the activity is most active in S phase. It has been discovered that a higher dose of chemotherapy agents produces better clinical efficacy and longer survival in unit time for breast cancer patients, whether metastatic or post-operative chemotherapy. Other studies have confirmed the importance of higher dose and dose potency, as well as the relation between dose, dose potency and efficacy.
- However, the application of ADM is restricted by its toxic side effects. The toxicity of ADM includes bone marrow depression. In about 60.80% patients, leukocyte and platelet counts decrease to the lowest level 10-15 days after administration, and recover to normal levels 21 days later. Major digestive tract reaction are nausea, vomiting, anorexia, gastritis and even ulcer and stomatitis. Alopecia also occurs in nearly all patients treated with ADM, although this effect can be reversed after withdrawal.
- More importantly, the major factor preventing clinical application of higher dose ADM and other anthracycline agents is cardiac toxicity. Cardiac toxicity of ADM may result from the production of oxygen-derived free radicals. The semiquinone group in ADM can induce an oxidoreduction reaction, which leads to enhanced lipid peroxidation, contributing to cellular damage. The free radicals damage cell membrane and organelle membrane, and modify the function of membrane proteins and enzyme activity. These changes can lead to intracellular calcium overload, inhibition of DNA and protein synthesis, and energy metabolism disorder, which inevitably harm the cardiac contraction and relaxation process.
- Cardiac toxicity occurs when ADM accumulates in the body because ADM has a higher affinity for cardiac tissue than for other tissues. Thus, the heart is more vulnerable to the toxic effect of ADM. Cardiac toxicity may be acute or chronic. Clinical features of acute cardiac toxicity include cardiac functional changes, such as sinus tachycardia, arrhythmia, conduction block, ST-T segment alteration, etc. Various arrhythmia may be present at early stages of ADM therapy. Acute cardiac toxicity can also include decrease of the left ventricular ejection fraction (LVEF), as well as decreases in stroke volume (SV), cardiac output (CO) and cardiac index (CI). ADM has also been suggested to inhibit the contraction and pumping ability of the left ventricle. Chronic cardiac toxicity include irreversible congestive heart failure. Once a person suffers from congestive heart failure, the mortality decreases to about 30% to 50%. Because of the cardiac toxicity associated with ADM, some patients have to terminate ADM therapy, or reduce the dosage or length of ADM use, affecting the efficacy of ADM therapy.
- Studies have been conducted to find ways to reduce the toxicity of ADM, while maintaining the therapeutic effect. Certain measures, such as decreasing the total dose of ADM or administering myocardial nutrients such as a high dose of vitamin C, may be helpful in protecting myocardium. Regular blood transfusion and administering an iron chelating agent ICRF-187 also have some effect in protecting myocardium. However, although these supportive agents are beneficial to the cardiac muscle, they have little effect on the cardiac toxicity induced by ADM. Thus, there exists a need in the art for preventing, treating or delaying the cardiac toxicity of ADM without affecting its efficacy.
- Heart failure is caused by many etiology such as coronary arteriosclerosis, hypertension and inflammation induced myocardial injury, finally leading to refractory heart disease. These factors cause changes in myocardial cell structure and fraction, eventually resulting in lower ventricular pumping function and heart failure. The incidence and mortality of heart failure is very high worldwide, being one of the most severe lethal diseases. In the United States, 30%-40% of the congestive heart failure (CHF) lead to hospitalization annually.
Mortality 5 years after establishment of the diagnosis of CHF is 60% (male) and 45% (female). Mean survival time is 32 years (male) and 5.4 years (female), while the survival rate of patients with final stage CHF is only about 20%. - Neuregulin-1 (NRG-1), also named as Neu Differentiation Factor (NDF) or Glial Growth Factor (GGF), is a ligand of ErbB3 and ErbB4. The study in neuregulin gene defective mouse fetus demonstrates that neuregulin is essential for the development of heart and nervous system. However, the data are limited about the way neuregulin controls cell differentiation and downstream signal transduction. At early stage of heart development, neuregulin and ErbB receptor are expressed in the lining of endocardium and cardiac myocytes respectively. As these 2 layers are separated widely, neuregulin has to pass through the space between these 2 layers before it can activate ErbB receptor. The activation of ErbB receptors in cardiocyte is helpful for cardiocyte and its migration into endocardium. WO 00/37095 shows that neuregulin can enhance the differentiation of cardiac myocytes, strengthen the combination of sarcomere and cytoskeleton, as well as intercellular cohesion. WO 00/37095 also shows that neuregulin can be used to detect, diagnose and treat heart diseases. WO 00/37095 further shows that neuregulin and its analogues can promote cardiocyte differentiation in vitro, induce reconstruction of sarcomere and cytoskeleton in cardiocyte and intercellular cohesion, identify the polypeptide or compound that can inhibit neuregulin. The identified polypeptide or compound can be used to treat heart diseases and heart failure.
- There exists a need in the art for more efficient and/or cost effective neuregulin related treatments for viral myocarditis, dilated cardiomyopathy, the cardiac toxicity of a prophylactic or therapeutic agent, e.g. ADM, without affecting its efficacy and myocardial infarction. The present invention addresses these and other related needs in the art.
- Treating Viral Myocarditis or Dilated (Congestive) Cardiomyopathy (DCM)
- In one aspect, the present invention is directed to a method for preventing, treating or delaying viral myocarditis or dilated (congestive) cardiomyopathy (DCM) in a mammal, which method comprises administering to a mammal, to which such prevention, treatment or delay is needed or desirable, an effective amount of a neuregulin protein, or a functional fragment thereof, or a nucleic acid encoding a neuregulin protein, or a functional fragment thereof, or an agent that enhances production and/or function of said neuregulin, whereby said viral myocarditis or DCM is prevented, treated or delayed. Preferably, the neuregulin protein, or a functional fragment thereof, or a nucleic acid encoding a neuregulin protein, or a functional fragment thereof, or an agent that enhances production and/or function of said neuregulin is administered in vivo.
- In another aspect, the present invention is directed to a combination, which combination comprises an effective amount of a neuregulin protein, or a functional fragment thereof, or a nucleic acid encoding a neuregulin protein, or a functional fragment thereof, or an agent that enhances production and/or function of said neuregulin, and an effective amount of a prophylactic or therapeutic agent for viral myocarditis or dilated (congestive) cardiomyopathy (DCM).
- In still another aspect, the present invention is directed to a pharmaceutical composition for preventing, treating or delaying viral myocarditis or dilated (congestive) cardiomyopathy (DCM) in a mammal, which pharmaceutical composition comprises an effective amount of a neuregulin protein, or a functional fragment thereof, or a nucleic acid encoding a neuregulin protein, or a functional fragment thereof, or an agent that enhances production and/or function of said neuregulin.
- Treating Cardiac Toxicity Associated with Prophylactic or Therapeutic Agents
- It is an object of the present invention to provide methods for preventing, treating or delaying cardiac toxicity associated with prophylactic or therapeutic agents. In particular, it is an object of the present invention to provide methods for preventing, treating or decreasing cardiac toxicity of drug-induced cardiomyopathy.
- The present invention provides methods for preventing, treating or delaying cardiac toxicity in a mammal to which such prevention, treatment or delay is needed or desirable, comprising administering to a mammal in vivo an effective amount of a prophylactic or a therapeutic agent and an effective amount of: (i) a neuregulin protein or a functional fragment thereof; (ii) a nucleic acid encoding a neuregulin protein or a functional fragment thereof; or (iii) an agent that enhances production or function of said neuregulin, whereby the cardiac toxicity associated with administration of said prophylactic or therapeutic agent is prevented, treated or delayed.
- The present invention can be used to prevent, treat or delay any clinical manifestations of cardiac toxicity known to one of ordinary skill in the art, including but not limited to acute or chronic cardiac toxicity. For example, the present invention can be used to prevent, treat or delay tachycardia, arrhythmia and congestive heart failure. In a particular embodiment, the present invention can be used to prevent, treat or delay clinical manifestations of acute cardiac toxicity such as sinus tachycardia, arrhythmia, conduction block and ST-T segment alteration, as well as decreases in the left ventricular ejection fraction (LVEF), stroke volume (SV), cardiac output (CO) or cardiac index (CI). The present invention can also be used to prevent, treat or delay cardiac toxicity comprising the inhibition of the contracting and pumping ability of the left ventricle.
- The present methods can be used to prevent, treat or delay cardiac toxicity associated with any prophylactic or therapeutic agent. In one embodiment, the prophylactic or therapeutic agent produces oxygen-derived free radicals, which cause cardiac toxicity. In another embodiment, the prophylactic or therapeutic agent enhances lipid peroxidation, which causes cardiac toxicity.
- The present methods can be used to prevent, reduce or delay cardiac toxicity associated with anti-neoplasm agents. The anti-neoplasm agent is preferably an anthracycline. In a specific embodiment, the anti-neoplasm agent has the following formula I:
- wherein R1 is methoxy or hydrogen; and R2, R3 and R4 are hydroxy or hydrogen. Non-limiting examples of anthracycline for use in the present methods include adriamycin (or doxorubicin), daunorubicin, epirubicin, idarubicin, mitoxantrone, mitomycin, bleomycin, cyclophosphamide, fluorouracil, actinomycin D and vincristine. In one aspect, the present invention is directed to the use of neuregulin as an anti-cardiotoxic agent for preventing, heating or delaying cardiac toxicity induced by chemotherapeutic agents such as adriamycin (ADM), alone or in combination with another reagent.
- The present methods can be used to prevent, reduce or delay cardiac toxicity associated with antipsychotic agents. The antipsychotic agent can be chlorpromazine, perphenazine or trifluperazine.
- The present methods can be used to prevent, reduce or delay cardiac toxicity associated with tricyclic antidepressants. The tricyclic antidepressant can be chloroimipramine, amitriptyline or doxepin.
- The present methods can be used to prevent, reduce or delay cardiac toxicity associated with interferon, e.g., interferon-α, or interleukin, e.g., interleukin-2.
- The present methods can be used to prevent, reduce or delay cardiac toxicity associated with anti-infectious agents, e.g., emetine.
- The neuregulin agent for use in the present methods can be
neuregulin 1,neuregulin 2,neuregulin 3, orneuregulin 4. In a particular embodiment, the neuregulin for use in the present methods is neuregulin α2 or neuregulin β2. In another embodiment, the neuregulin fragment is a neuregulin β2 comprising an amino acid sequence set forth in SEQ ID NO:4. - The neuregulin agent can be administered as a protein or a functional fragment thereof. The neuregulin agent can also be administered as a nucleic acid encoding a neuregulin protein or a functional fragment thereof. Any agent that enhances production or function of neuregulin can also be administered. The neuregulin agent can be administered alone or with a pharmaceutically acceptable carrier or excipient. The neuregulin protein or a functional fragment thereof, or a nucleic acid encoding a neuregulin protein or a functional fragment thereof, or an agent that enhances production or function of said neuregulin, can be administered prior to, concurrently with, or subsequent to the administration of the prophylactic or therapeutic agent.
- In one embodiment, the prophylactic or therapeutic agent is administered in an amount that is higher than a maximally allowed amount when the prophylactic or therapeutic agent is administered in the absence of the neuregulin protein or a functional fragment thereof, or a nucleic acid encoding a neuregulin protein or a functional fragment thereof, or an agent that enhances production or function of said neuregulin.
- In a particular embodiment, the present invention provides methods for preventing, treating or delaying cardiac toxicity in a human to which such prevention, treatment or delay is needed or desirable. Preferably, the human has a malignant tumor such lung cancer, breast cancer, bladder carcinoma, testis carcinoma, thyroid cancer, soft tissue carcinoma, osteosarcoma, neuroblastoma, acute leukemia, malignant lymphoma, gastric carcinoma, liver cancer, esophageal carcinoma, or cervical carcinoma.
- Treating Myocardial Infarction
- In one aspect, the present invention is directed to a combination, which combination comprises an effective amount of a neuregulin protein, or a functional fragment thereof, or a nucleic acid encoding a neuregulin protein, or a functional fragment thereof, or an agent that enhances production and/or function of said neuregulin, and an effective amount of a prophylactic or therapeutic agent for myocardial infarction.
- In another aspect, the present invention is directed to a kit, which kit comprises an above-described combination in a container and an instruction for using said combination in preventing, treating or delaying myocardial infarction.
- In still another aspect, the present invention is directed to a method for preventing, treating or delaying myocardial infarction in a mammal, which method comprises administering to a mammal, to which such prevention, treatment or delay is needed or desirable, an effective amount of a neuregulin protein, or a functional fragment thereof, or a nucleic acid encoding a neuregulin protein, or a functional fragment thereof, or an agent that enhances production and/or function of said neuregulin, whereby said myocardial infarction is prevented, treated or delayed.
- Pharmaceutical Compositions
- In one aspect, the present invention is directed to a pharmaceutical composition for preventing, treating or delaying a disease in a mammal, which composition comprises a neuregulin protein, or a functional fragment thereof: a) in a safety dosage equals to or less than about 170 U/kg; or b) in a total regimen equals to or less than about 3,600 U/kg.
-
FIG. 1 illustrates construction of an engineered bacterial strain for recombinantly producing a neuregulin protein. -
FIG. 2 depicts PCR amplification of human neuregulin gene. Lane 1: 183 bp neuregulin gene obtained by RT-PCR; andLanes 2 and 3: DNA markers. -
FIG. 3 depicts physical map of plasmid PET22b. -
FIG. 4 depicts identification of recombinant plasmid by endonuclease digestion.Lanes 1 and 3: DNA marker; and lane 2: fragments after enzyme digestion. -
FIG. 5 depicts screening for expression of an engineered strain. Lane 1: Marker; lane 2: engineered strain without induction; lane 3: 1 hour after induction; lane 4: 2 hours after induction; lane 5: 3 hours after induction; lane 6: 4 hours after induction; and lanes 7-9: different strains with induction. -
FIG. 6 depicts pathologic section of myocardial tissue in pseudo-operation group rat (1)(10×10), showing that there was no specific pathological change. -
FIG. 7 depicts large area of red stained region in the model group (10×10). -
FIG. 8 illustrates sporadic distribution of red stained myocardial cells of the rhNRG-1 β group (20 μg/kg) (I) (10×10). -
FIG. 9 illustrates patchy distribution of red stained myocardial cells and connective tissue of the medium dosage (10 μg/kg) of rhNRG-1 β group (I) (10×10). -
FIG. 10 illustrates patchy distribution of red stained myocardial cells and connective tissue of the low dosage (5 μg/kg) of rhNRG-1 β group (I) (10×10). -
FIG. 11 depicts pathohistologic section of myocardial tissue in pseudo-operation group (II) (10×10), showing that there was no specific pathologic changes of the myocardial tissue. -
FIG. 12 depicts large area of red stained region was seen in the model group (II) (10×10). -
FIG. 13 depicts sporadic distribution of red stained myocardial cells seen in high dosage of rhNRG-1 β (20 μg/kg) group (II) (0×10). -
FIG. 14 depicts patchy distribution of red stained myocardial cells and fiber tissue seen in medium dosage level of rhNRG-1 β S177-Q237 (10 μg/kg) group (II) (10×10). -
FIG. 15 depicts patchy distribution of red stained myocardial cells and fiber tissue seen in low dosage level of rhNRG-1 β S177-Q237 (5 μg/kg) group (II) (10×10). -
FIG. 16 illustrates effect of rhNRG-1 β on capillary regeneration in myocardial fibrotic area of model animal (I) (HE stained, 50×); A: Pseudo-operation group: normal myocardial structure, with fibrotic changes; B: Model animal group: marked myocardial fibrosis and small amount of capillary proliferation was seen; C: 201 μg/kg rhNRG-1 β group: patchy fibrotic changes in myocardium, significant capillary proliferation; D: 10 μg/kg rhNRG-1 β group: marked fibrotic changes with relatively large number of capillary proliferation; and E: 5 μg/kg rhNRG-1 β group: patchy fibrotic changes and capillary proliferation could be seen. -
FIG. 17 illustrates effect of rhNRG-1 β on capillary proliferation in myocardial fibrotic area of model animal (II) (HE stained, 50×); A: Pseudo-operation group: normal myocardial structure, with fibrotic changes; B: Model animal group: marked myocardial fibrotic changes, small number of capillary proliferation could be seen; C: 20 μg/kg rhNRG-1 β group: patchy fibrotic changes in myocardium, significant capillary proliferation; D: 10 μg/kg rhNRG-1 β group: marked fibrotic changes, there were relatively large number of capillary proliferation; and E: 5 μg/kg rhNRG-1 β group: patchy fibrotic changes, capillary proliferation could be seen. -
FIG. 18 illustrates myocardium pathologic section of SD rat toxic myocarditis induced by Adriamycin; a: normal control group: pathologic score of myocardium was 0, without myocardial cells atrophy and hypertrophy, with vacuole formation, cross striation can be clearly seen; myocardium arranged regularly; no abnormality of endocardium and pericardium; no changes of the vessels and interstitial tissue; b: model animal group: pathologic score of the myocardium was 3, large area of myocardial cell necrosis and dissolution. -
FIG. 19 illustrates effect of rhNRG-1 β on survival rate of the model animals. -
FIG. 20 illustrates effect of rhNRG-1 β on myocardial structure of model animals. -
FIG. 21 illustrates effect of rhNRG-1 β S177-Q237 on myocardial pathologic damage in mice infected by virus (I); A: Normal group; B: Model group; C: Placebo control group; D: High dosage level group; E: Medium dosage level group; and F: Low dosage level group. -
FIG. 22 illustrates effect of rhNRG-1 β S177-Q237 on myocardial pathologic damage in mice infected by virus; A: Normal group; B: Model group; C: Placebo control group; D: High dosage level group; B: Medium dosage level group; and F Low dosage level group. -
FIG. 23 illustrates effect of rhNRG-1 β S177-Q237 administered for different number of days on myocardial pathologic changes in mice infected by virus (I) (HE stained, 40×); A: Normal control group; B: model group; C: rhNRG-1 β S177-Q237 for 3-day group; D: rhNRG-1 β S177-Q237 for 5-day group; and E: rhNRG-1 β S177-Q237 for 7-day group. -
FIG. 24 illustrates effect of rhNRG-1 β administered for different number of days on myocardial pathologic changes in mice infected by virus (II) (HE stained, 40×); A: Normal control group; B: model group; C: rhNRG-1 β S177-Q237 for 3-day group; D: rhNRG-1 β for 5-day group; and E: rhNRG-1 β S177-Q237 for 7-day group. - For clarity of disclosure, and not by way of limitation, the detailed description of the invention is divided into the subsections that follow.
- Unless defined otherwise, all technical and scientific terms used herein have the same meaning as is commonly understood by one of ordinary skill in the art to which this invention belongs. All patents, applications, published applications and other publications referred to herein are incorporated by reference in their entirety. If a definition set forth in this section is contrary to or otherwise inconsistent with a definition set forth in the patents, applications, published applications and other publications that are herein incorporated by reference, the definition set forth in this section prevails over the definition that is incorporated herein by reference.
- As used herein, “a” or “an” means “at least one” or “one or more.”
- As used herein, “neuregulin” refers to proteins or peptides that can activate ErbB2/ErbB4 or ErbB2/ErbB3 heterodimers protein kinases, such as all neuregulin isoforms, neuregulin EGF domain alone, neuregulin mutants, and any kind of neuregulin-like gene products that also activate the above receptors. An exemplary neuregulin fragment is a polypeptide fragment of
human neuregulin β 2 isomer, which contains receptor-binding domain, i.e., EGF-like domain. This polypeptide can activate ErbB receptor of EGF receptor family and modulate its biological reactions, e.g., stimulate breast cancer cell differentiation and milk protein secretion; induce the differentiation of neural crest cell into Schwann cell; stimulate acetylcholine synthesis in skeletal muscle cell; and improve cardiocyte survival and DNA synthesis. Neuregulin also includes those variants with conservative amino acid substitutions that do not substantially alter their its anti-viral myocarditis, anti-DCM, anti-cardiotoxic, or anti-myocardial infarction activity. Suitable conservative substitutions of amino acids are known to those of skill in this art and may be made generally without altering the biological activity of the resulting molecule. Those of skill in this art recognize that, in general, single amino acid substitutions in non-essential regions of a polypeptide do not substantially alter biological activity (see, e.g., Watson et al. Molecular Biology of the Gene, 4th Edition, 1987, The Bejacmin/Cummings Pub. co., p. 224). Neuregulin protein encompasses a neuregulin protein and peptide. Neuregulin nucleic acid encompasses neuregulin nucleic acid and neuregulin oligonucleotide. - As used herein, “epidermal growth factor-like domain” or “EGF-like domain” refers to a polypeptide motif encoded by the neuregulin gene that binds to and activates ErbB2, ErbB3, ErbB4, or combinations thereof, and bears a structural similarity to the EGF receptor-binding domain as disclosed in WO 00/64400. Holmes et al., Science, 256:1205-1210 (1992); U.S. Pat. Nos. 5,530,109 and 5,716,930; Hijazi et al., Int. J. Oncol., 13:1061-1067 (1998); Chang et al., Nature, 387:509-512 (1997); Carraway et al., Nature, 387:512-516 (1997); Higashiyama at al., J. Biochern, 122:675-680 (1997); and WO 97/09425.
- As used herein, a “functional derivative or fragment” of neuregulin refers to a derivative or fragment of the neuregulin protein or its encoding nucleic acid that still substantially retains its anti-viral myocarditis, anti-DCM, anti-cardiotoxic, or anti-myocardial infarction activity. Normally, the derivative or fragment retains at least 50% of its anti-viral myocarditis, anti-DCM, anti-cardiotoxic, or anti-myocardial infarction activity. Preferably, the derivative or fragment retains at least 60%, 70%, 80%, 90%, 95%, 99% and 100% of its anti-viral myocarditis, anti-DCM, anti-cardiotoxic, or anti-myocardial infarction activity.
- As used herein, an “agent that enhances production of neuregulin” refers to a substance that increases transcription and/or translation of a neuregulin gene, or a substance that increases post-translational modification and/or cellular trafficking of a neuregulin precursor, or a substance that prolongs half-life of a neuregulin protein.
- As used herein, an “agent that enhances function of neuregulin” refers to a substance that increases potency of the neuregulin's anti-viral myocarditis, anti-DCM activity, anti-cardiotoxic activity, or anti-myocardial infarction activity, or a substance that increases sensitivity of a neuregulin's natural ligand in an anti-viral myocarditis, anti-DCM, anti-cardiotoxic activity, or anti-myocardial infarction signaling pathway, or a substance that decreases potency of a neuregulin's antagonist. Such an agent is not a neuregulin protein or its encoding nucleic acid.
- As used herein, a “combination” refers to any association between two or among more items.
- As used herein, a “composition” refers to any mixture of two or more products or compounds. It may be a solution, a suspension, liquid, powder, a paste, aqueous, non-aqueous or any combination thereof.
- As used herein, “erb” refers to two oncogenes, erb A and erb B, associated with erythroblastosis virus (an acute transforming retrovirus).
- As used herein, “an effective amount of a compound for treating a particular disease” is an amount that is sufficient to ameliorate, or in some manner reduce the symptoms associated with the disease. Such amount may be administered as a single dosage or may be administered according to a regimen, whereby it is effective. The amount may cure the disease but, typically, is administered in order to ameliorate the symptoms of the disease. Repeated administration may be required to achieve the desired amelioration of symptoms.
- As used herein, “heart failure” is meant an abnormality of cardiac function where the heart does not pump blood at the rate needed for the requirements of metabolizing tissues. Heart failure includes a wide range of disease states such as congestive heart failure, myocardial infarction, tachyarrythmia, familial hypertrophic cardiomyopathy, ischaemic heart disease, idiopathic dilated cardiomyopathy, and myocarditis. The heart failure can be caused by any number of factors, including ischaemic, congenital, rheumatic, or idiopathic forms. Chronic cardiac hypertrophy is a significantly diseased state which is a precursor to congestive heart failure and cardiac arrest.
- As used herein, “production by recombinant means” refers to production methods that use recombinant nucleic acid methods that rely on well known methods of molecular biology for expressing proteins encoded by cloned nucleic acids.
- As used herein, “complementary” when referring to two nucleic acid molecules, means that the two sequences of nucleotides are capable of hybridizing, preferably with less than 25%, more preferably with less than 15%, even more preferably with less than 5%, most preferably with no mismatches between opposed nucleotides. Preferably the two molecules will hybridize under conditions of high stringency.
- As used herein: “stringency of hybridization” in determining percentage mismatch is as follows:
- 1) high stringency: 0.1×SSPE, 0.1% SDS, 65° C.;
- 2) medium stringency: 0.2×SSPE, 0.1% SDS, 50° C. (also referred to as moderate stringency); and
- 3) low stringency: 1.0×SSPE, 0.1% SDS, 50′C.
- It is understood that equivalent stringencies may be achieved using alternative buffers, salts and temperatures.
- As used herein, “vector (or plasmid)” refers to discrete elements that are used to introduce heterologous DNA into cells for either expression or replication thereof. Selection and use of such vehicles are well known within the skill of the artisan. An expression vector includes vectors capable of expressing DNA's that are operatively linked with regulatory sequences, such as promoter regions, that are capable of effecting expression of such DNA fragments. Thus, an expression vector refers to a recombinant DNA or RNA construct, such as a plasmid, a phage, recombinant virus or other vector that, upon introduction into an appropriate host cell, results in expression of the cloned DNA. Appropriate expression vectors are well known to those of skill in the art and include those that are replicable in eucaryotic cells and/or prokaryotic cells and those that remain episomal or those which integrate into the host cell genome.
- As used herein, “a promoter region or promoter element” refers to a segment of DNA or RNA that controls transcription of the DNA or RNA to which it is operatively linked. The promoter region includes specific sequences that are sufficient for RNA polymerase recognition, binding and transcription initiation. This portion of the promoter region is referred to as the promoter. In addition, the promoter region includes sequences that modulate this recognition, binding and transcription initiation activity of RNA polymerase. These sequences may be cis acting or may be responsive to trans acting factors. Promoters, depending upon the nature of the regulation, may be constitutive or regulated. Exemplary promoters contemplated for use in prokaryotes include the bacteriophage T7 and T3 promoters, and the like.
- As used herein, “operatively linked or operationally associated” refers to the functional relationship of DNA with regulatory and effector sequences of nucleotides, such as promoters, enhancers, transcriptional and translational stop sites, and other signal sequences. For example, operative linkage of DNA to a promoter refers to the physical and functional relationship between the DNA and the promoter such that the transcription of such DNA is initiated from the promoter by an RNA polymerase that specifically recognizes, binds to and transcribes the DNA. In order to optimize expression and/or in vitro transcription, it may be necessary to remove, add or alter 5′ untranslated portions of the clones to eliminate extra, potential inappropriate alternative translation initiation (i.e., start) codons or other sequences that may interfere with or reduce expression, either at the level of transcription or translation. Alternatively, consensus ribosome binding sites (see, e.g., Kozak, J. Biol. Chem., 266:19867-19870 (1991)) can be inserted immediately 5′ of the start codon and may enhance expression. The desirability of (or need for) such modification may be empirically determined.
- As used herein, “amelioration” of the symptoms of a particular disorder by administration of a particular pharmaceutical composition refers to any lessening, whether permanent or temporary, lasting or transient that can be attributed to or associated with administration of the composition.
- As used herein, “a therapeutic agent” refers to any conventional drug or drug therapies which are known to those skilled in the art, including, but not limited to prophylactic or chemotherapeutic agents.
- As used herein, “therapeutically effective amount” refers to that amount that is sufficient to ameliorate, or in some manner reduce the symptoms associated with a disease. Such amount may be administered as a single dosage or according to a regimen. Repeated administration may be required to achieve the desired amelioration of symptoms.
- As used herein, “administration” or “administering” a compound refers to any suitable method of providing a compound to a subject.
- As used herein, “treatment” or “treating” refer to any manner in which the symptoms of a condition, disorder or disease are ameliorated or otherwise beneficially altered. Treatment also encompasses any pharmaceutical use of the compositions herein. Amelioration of symptoms of a particular disorder refers to any lessening of symptoms, whether permanent or temporary, that can be attributed to or associated with administration of the composition.
- As used herein, “neoplasm (neoplasia)” refers to abnormal new growth or tumor growth, which may be benign or malignant. Unlike hyperplasia, neoplastic proliferation persists even in the absence of the original stimulus.
- As used herein, “an anti-neoplasm agent” refers to any agents used to prevent the occurrence or lessen the severity of neoplasm, tumor or cancer. These include, but are not limited to, anti-angiogenic agents, alkylating agents, antimetabolites, natural products, platinum coordination complexes, anthracenedione, substituted urea, methylhydrazine derivatives, adrenocortical suppressants, hormones, antagonists, oncogene inhibitors, tumor suppressor genes or proteins, anti-oncogene antibodies, or anti-oncogene antisense oligonucleotides.
- As used herein, “anti-psychotic agent” refers to any agents used in the treatment of psychiatric disorders. These include, but are not limited to, tricyclic phenothiazines, thioxanthenes, and dibenzepines, as well as butyrophenones and congeners, other heterocyclics, and experimental benzamides.
- As used herein, “tricyclic antidepressants” refers to any agents used in the treatment of depression. These include, but are not limited to, agents that inhibit norepinephrine and serotonin uptake into nerve endings, and thus leading to sustained facilitation of noradrenergic function in the brain.
- As used herein, “anti-infectious agent” refers to any agents used in the treatment of infectious diseases. These include, but are not limited to, agents for use against parasitic infections, bacterial and microbial infections.
- As used herein, “safety dosage” refers to a dosage sufficient to prevent, treat or delay a disease in mammal without inducing intolerable toxic or other aide effects in said mammal.
- As used herein, “myocardial infarction” refers to blockade of coronary artery, blood flow interruption, leading to focal necrosis of part of the myocardium caused by severe and persistent ischemia.
- In one aspect, the present invention is directed to a method for preventing, treating or delaying viral myocarditis or dilated (congestive) cardiomyopathy (DCM) in a mammal, which method comprises administering to a mammal, to which such prevention, treatment or delay is needed or desirable, an effective amount of a neuregulin protein, or a functional fragment thereof, or a nucleic acid encoding a neuregulin protein, or a functional fragment thereof, or an agent that enhances production and/or function of said neuregulin, whereby said viral myocarditis or DCM is prevented, treated or delayed.
- The present method can be used for preventing, treating or delaying viral myocarditis or DCM in any mammals, such as mice, rats, rabbits, cats, dogs, pigs, cows, ox, sheep, goats, horses, monkeys and other non-human primates. Preferably, the present method is used for preventing, treating or delaying viral myocarditis or DCM in humans.
- Any suitable neuregulin protein, or a functional fragment thereof, or a nucleic acid encoding a neuregulin protein, or a functional fragment thereof, can be used in the present methods. In one specific embodiment, the neuregulin used in the present methods carries out its anti-viral myocarditis or anti-DCM activity via binding with ErbB2-ErbB4 receptors. In another specific embodiment,
neuregulin 1,neuregulin 2,neuregulin 3 orneuregulin 4 is used in the present methods. Synonyms ofneuregulin 1 include heregulin, GGF2 and p185erbB2 ligand. See e.g., WO 00/64400 and U.S. Pat. Nos. 5,530,109 and 5,716,930. Both neuregulin α2 and neuregulin β2 can be used in the present methods. Preferably, a neuregulin β2 fragment comprising an amino acid sequence set forth in SEQ ID NO:4 is used in the present methods. - In still another specific embodiments, neuregulins or functional fragments thereof disclosed in the following patents, patent applications and Genbank databases can be used in the present methods: U.S. Pat. Nos. 6,252,051 and 6,121,415 (NRG3); U.S. Pat. No. 6,087,323 (neuregulin with p185erbB2, p185erbB3 or p185erbB4 binding activity); U.S. Pat. No. 6,033,906 (neuregulin as a ligand for a receptor selected from the group consisting of p185erbB2 and p180erbB4); US2002002276 (The chimeric ErbB heteromultimer adhesins as competitive antagonists or agonists of a neuregulin); WO1/81540 (NRG-4); WO1/64877 (NRG1); WO01/64876 (NRG1AG1); WO01/58948 (neuregulin-beta); WO01/26607 (SMDF and GGF neuregulin splice variant isoforms); WO00/70322 (CRD-neuregulin); WO00/64400; WO99/18976; WO98/02540 (chimeric ErbB heteromultimer adhesins as competitive antagonists or agonists of a neuregulin); WO96/30403; WO96/15812; BC017568 (Homo sapiens, Similar to neuregulin 4); BC007675 (Homo sapiens, neuregulin 1); AF142632 (Xenopus laevis cysteine-rich domain neuregulin-1); AF194439 (Rattus norvegicus SMDF neuregulin alpha 2a (Nrg1)); AF194438 (Rattus norvegicus SMDF neuregulin beta 1a (Nrg1)); HS2NRG12 (Homo sapiens alternatively spliced neuregulin 2 (NRG2)); HS2NRG08 (Homo sapiens alternatively spliced neuregulin 2 (NRG2)); HS2NRG07 (Homo sapiens alternatively spliced neuregulin 2 (NRG2)); AF083067 (Mus musculus neuregulin-4 short isoform (Nrg4)); AF076618 (Xenopus laevis neuregulin alpha-1); AF045656 (Gallus gallus neuregulin beta-2b); AFP04655 (Gallus gallus neuregulin beta-2a); AF045654 (Gallus gallus neuregulin beta-1a); MAU96612 (Mesocricetus auratus neuregulin); AF010130 (Mus musculus neuregulin-3 (NRG3)). Preferably, neuregulin(s) disclosed in the GenBank Accession No. NT_007995 (gi:18570363) is used in the present methods.
- Any viral myocarditis can be prevented, treated or delayed using the present methods. For example, the viral myocarditis caused by or associated with infection of a Coxsackie Group A virus, Coxsackie Group B virus, ECHO virus or polio virus can be prevented, treated or delayed using the present methods. Preferably, the viral myocarditis caused by or associated with infection of a Coxsackie Group B virus is prevented, treated or delayed using the present methods.
- Viral myocarditis with various clinical features can be prevented, treated or delayed using the present methods. For example, the viral myocarditis that is complicated by pericarditis or endocarditis can be prevented, treated or delayed using the present methods. In another example, the viral myocarditis with a clinical feature of myocardial damage, heart dysfunction, arrhythmia, systemic symptom or cardiomyopathy can be prevented, treated or delayed using the present methods. Both the acute and the chronic viral myocarditis can be prevented, treated or delayed using the present methods. Preferably, the acute viral myocarditis having arrhythmia, heart failure or cardiac shock can be prevented, treated or delayed using the present methods. The viral myocarditis that is prolonged with cardiac hypertrophy and/or permanent cardiac muscle injury may also be prevented, treated or delayed using the present methods.
- DCM with various clinical features can be prevented, treated or delayed using the present methods. For example, the DCM having ventricular hypertrophy, myocardial pump function failure or congestive heart failure can be prevented, treated or delayed using the present methods.
- The neuregulin protein, or a functional fragment thereof, or a nucleic acid encoding a neuregulin protein, or a functional fragment thereof, can be administered alone. Alternatively, the neuregulin protein, or a functional fragment thereof, or a nucleic acid encoding a neuregulin protein, or a functional fragment thereof, can be administered with a pharmaceutically acceptable carrier or excipient.
- The neuregulin protein, or a functional fragment thereof, or a nucleic acid encoding a neuregulin protein, or a functional fragment thereof, can be administered in vivo, i.e., administered directly into a mammal. Alternatively, the neuregulin protein, or a functional fragment thereof, or a nucleic acid encoding a neuregulin protein, or a functional fragment thereof, can be administered ex vivo, i.e., administered into cell(s), tissue(s) or organ(s) and such cell(s), tissue(s) or organ(s) carrying the neuregulin protein, or a functional fragment thereof, or a nucleic acid encoding a neuregulin protein, or a functional fragment thereof, can be transferred into a mammal.
- In one specific embodiment, a neuregulin protein, or a functional fragment thereof, is administered. In another specific embodiment, a nucleic acid encoding a neuregulin protein, or a functional fragment thereof, is administered.
- The neuregulin protein, or a functional fragment thereof, or a nucleic acid encoding a neuregulin protein, or a functional fragment thereof, can be used alone. Alternatively, the neuregulin protein, or a functional fragment thereof, or a nucleic acid encoding a neuregulin protein, or a functional fragment thereof, can be used in combination with a prophylactic or therapeutic agent for viral myocarditis or DCM. The neuregulin protein, or a functional fragment thereof, or a nucleic acid encoding a neuregulin protein, or a functional fragment thereof, can be administered prior to, concurrently with, or subsequent to the administration of the prophylactic or therapeutic agent for viral myocarditis or DCM.
- Any suitable prophylactic or therapeutic agent for viral myocarditis can be used in the present methods. For example, the prophylactic or therapeutic agent for viral myocarditis can be an antibiotic, e.g., penicillin, a heart protective agent, e.g., taurine, an antioxidant, e.g., vitamin C, vitamin E and coenzyme Q10, and a nutrient for myocardium, e.g., an energy combination.
- Any suitable prophylactic or therapeutic agent for DCM can be used in the present methods. For example, the prophylactic or therapeutic agent for DCM can be a cardiac tonic, e.g., digoxin and cedilanid, a diuretic (Goodman and Gilman's The Pharmacological Basis of Therapeutics (9th Ed.), McGraw-Hill (1996) pp 683-713), e.g., an inhibitor of carbonic anhydrase, an osmotic diuretic, an inhibitor of Na+—K+-2Cl− symport, an inhibitor of Na+—Cl− symport, an inhibitor of renal epithelial Na+ channels and an antagonist of mineralocorticoid receptors, angiotensin I-converting enzyme inhibitor (ACEI), a calcium antagonist, e.g., amlodipine, and a β-receptor antagonist, e.g., carvedilol.
- In another aspect, the present invention is directed to a pharmaceutical composition for preventing, treating or delaying viral myocarditis or dilated (congestive) cardiomyopathy (DCM) in a mammal, which pharmaceutical composition comprises an effective amount of a neuregulin protein, or a functional fragment thereof, or a nucleic acid encoding a neuregulin protein, or a functional fragment thereof, or an agent that enhances production and/or function of said neuregulin.
- Any suitable neuregulin protein, or a functional fragment thereof, or a nucleic acid encoding a neuregulin protein, or a functional fragment thereof, including the ones described in the above Section B, can be used in the present pharmaceutical compositions. In one specific embodiment, the neuregulin used in the present pharmaceutical compositions carries out its anti-viral myocarditis or anti-DCM activity via binding with ErbB2-ErbB4 receptors. In another specific embodiment,
neuregulin 1,neuregulin 2,neuregulin 3 orneuregulin 4 is used in the present pharmaceutical compositions. Synonyms ofneuregulin 1 include heregulin, GGF2 and p185erbB2 ligand. See e.g., WO 00/64400 and U.S. Pat. Nos. 5,530,109 and 5,716,930. Both neuregulin α2 and neuregulin β2 can be used in the present pharmaceutical compositions. Preferably, a neuregulin β2 fragment comprising an amino acid sequence set forth in SEQ ID NO:4 is used in the present pharmaceutical compositions. - The neuregulin protein, or a functional fragment thereof, or a nucleic acid encoding a neuregulin protein, or a functional fragment thereof, can be used in any suitable dosage ranges. For example, the neuregulin protein, or a functional fragment thereof, or a nucleic acid encoding a neuregulin protein, or a functional fragment thereof, can have a dosage range from about 25 μg to about 2,500 μg.
- In still another aspect, the present invention is directed to a kit, which kit comprises the above pharmaceutical composition in a container and an instruction for using said pharmaceutical composition in preventing, treating or delaying viral myocarditis or DCM.
- In yet another aspect, the present invention is directed to a combination, which combination comprises an effective amount of a neuregulin protein, or a functional fragment thereof, or a nucleic acid encoding a neuregulin protein, or a functional fragment thereof, or an agent that enhances production and/or function of said neuregulin, and an effective amount of a prophylactic or therapeutic agent for viral myocarditis or dilated (congestive) cardiomyopathy (DCM).
- Any suitable neuregulin protein, or a functional fragment thereof, or a nucleic acid encoding a neuregulin protein, or a functional fragment thereof, including the ones described in the above Section B, can be used in the present combinations. In one specific embodiment, the neuregulin used in the present combinations carries out its anti-viral myocarditis or anti-DCM activity via binding with ErbB2-ErbB4 receptors. In another specific embodiment,
neuregulin 1,neuregulin 2,neuregulin 3 orneuregulin 4 is used in the present combinations. Synonyms ofneuregulin 1 include heregulin, GGF2 and p185erbB2 ligand. See e.g., WO 00/64400 and U.S. Pat. Nos. 5,530,109 and 5,716,930. Both neuregulin α2 and neuregulin β2 can be used in the present combinations. Preferably, a neuregulin β2 fragment comprising an amino acid sequence set forth in SEQ ID:1 is used in the present combinations. - Any suitable prophylactic or therapeutic agent for viral myocarditis, including the ones described in the above Section B, can be used in the present combinations. For example, the prophylactic or therapeutic agent for viral myocarditis can be an antibiotic, e.g., penicillin, a heart protective agent, e.g., taurine, an antioxidant, e.g., vitamin C, vitamin E and coenzyme Q10, and a nutrient for myocardium, e.g., an energy combination.
- Any suitable prophylactic or therapeutic agent for DCM, including the ones described in the above Section B, can be used in the present combinations. For example, the prophylactic or therapeutic agent for DCM can be a cardiac tonic, e.g., digoxin and cedilanid, a diuretic, e.g., an inhibitor of carbonic anhydrase, an osmotic diuretic, an inhibitor of Na+—K+-2Cl− symport, an inhibitor of Na+—Cl− symport, an inhibitor of renal epithelial Na+ channels and an antagonist of mineralocorticoid receptors, angiotensin I-converting enzyme inhibitor (ACEI), a calcium antagonist, e.g., amlodipine, and a β-receptor antagonist, e.g., carvedilol.
- In yet another aspect, the present invention is directed to a kit, which kit comprises the above combination in a container and an instruction for using said combination in preventing, treating or delaying viral myocarditis or DCM.
- Neuregulin has been found to enhance the differentiation of cardiac myocytes, and strengthen the combination of sarcomere and cytoskeleton, as well as intercellular cohesion (WO 00/37095). Neuregulin can also be used to detect, diagnose and treat heart diseases. In the methods of the present invention, neuregulin is used as a cardiocyte protective agent for preventing, treating or delaying cardiac toxicity due to other prophylactic or therapeutic agents.
- In one aspect, the present invention is directed to a method for preventing, treating or delaying cardiac toxicity in a mammal to which such prevention, treatment or delay is needed or desirable, comprising administering to a mammal in vivo an effective amount of a prophylactic or a therapeutic agent and an effective amount of (i) a neuregulin protein or a functional fragment thereof; (ii) a nucleic acid encoding a neuregulin protein or a functional fragment thereof; or (iii) an agent that enhances production or function of said neuregulin, whereby the cardiac toxicity associated with administration of said prophylactic or therapeutic agent is prevented, treated or delayed. The present method can be used for preventing, treating or delaying cardiac toxicity in any mammals, such as mice, rats, rabbits, cats, dogs, pigs, cows, ox, sheep, goats, horses, monkeys and other non-human primates. Preferably, the present method is used for preventing, treating or delaying cardiac toxicity in humans.
- 1. Neuregulin Agents
- Any suitable neuregulin protein or a functional fragment thereof, or a nucleic acid encoding a neuregulin protein or a functional fragment thereof, can be used in the present methods. In one embodiment, the methods of the present invention uses a polypeptide fragment of a human neuregulin β2 isomer, which contains the receptor-binding domain (i.e., an EGF-class region). This polypeptide can activate the erbB receptor of the EGF receptor family and modulate its biological reactions (e.g., stimulate breast cancer cell differentiation and milk protein secretion; induce the differentiation of neural crest cell into Schwann cell; stimulate acetylcholine synthesis in skeletal muscle cell; and/or improve cardiocyte survival and DNA synthesis). Neuregulin nucleic acids and proteins can be produced by any suitable methods known in the art, including but not limited to recombinant production, chemical synthesis or a combination of both. Preferably, neuregulin nucleic acids and proteins are produced by recombinant production. (See, Ausubel et al., Current Protocols in Molecular Biology, John Wiley & Sons, Inc. 2002).
- Neuregulin variants with conservative amino acid substitutions that do not substantially alter their anti-cardiotoxic activity can also be used in the present methods. Suitable conservative substitutions of amino acids are known to those of skill in this art, and may be made generally without altering the biological activity of the resulting molecule. Those of skill in this art recognize that, in general, single amino acid substitutions in non-essential regions of a polypeptide do not substantially alter biological activity (see e.g., Watson et al. Molecular Biology of the Gene, 4th Edition, page 224, The Benjamin/Cummings Pub. Co., 1987).
- The nucleic acid encoding a neuregulin protein or a functional fragment thereof, can be used in the form of naked DNA, complexed DNA, cDNA, plasmid DNA, RNA or other mixtures thereof as components of the gene delivery system. In another embodiment, the nucleic acid encoding a neuregulin protein or a functional fragment thereof, is included in a viral vector. Any viral vectors that are suitable for gene therapy can be used. Non-limiting examples include adenovirus vectors (U.S. Pat. No. 5,869,305), simian virus vectors (U.S. Pat. No. 5,962,274), conditionally replicating human immunodeficiency viral vectors (U.S. Pat. No. 5,888,767), retroviruses, SV40, herpes simplex viral amplicon vectors, and vaccinia virus vectors. In addition, the genes can be delivered in a non-viral vector system such as a liposome wherein the lipid protects the DNA or other biomaterials from oxidation during the coagulation.
- In a specific embodiment, the neuregulin used in the present methods carries out its anti-cardiotoxic activity via binding with any of the erbB2-erbB4 receptors. In another specific embodiment,
neuregulin 1,neuregulin 2,neuregulin 3 orneuregulin 4 is used in the present methods. Synonyms ofneuregulin 1 include heregulin, GGF2 and p185erbB2 ligand. (See e.g., WO 00/64400 and U.S. Pat. Nos. 5,530,109 and 5,716,930). Both neuregulin α2 and neuregulin β2 can be used in the present methods. Preferably, a neuregulin β2 fragment comprising an amino acid sequence set forth in SEQ ID NO:4 is used in the present methods. - In still another specific embodiments, neuregulins or functional fragments thereof disclosed in the following patents, patent applications and GenBank databases can be used in the present methods: U.S. Pat. Nos. 6,252,051 and 6,121,415 (NRG3); U.S. Pat. No. 6,087,323 (neuregulin with p185erbB2, p185erbB3 or p185erbB4 binding activity); U.S. Pat. No. 6,033,906 (neuregulin as a ligand for a receptor selected from the group consisting of p185erbB2 and p180erbB4); US2002002276 (chimeric ErbB heteromultimer adhesins as competitive antagonists or agonists of a neuregulin); WO01/81540 (NRG-4); WO01/64877 (NRG1); WO01/64876 (NRG1AG1); WO01/58948 (neuregulin-beta); WO1/26607 (SMDF and GGF neuregulin splice variant isoforms); WO00/70322 (CRD-neuregulin); WO00/64400; WO99/18976; WO98/02540 (chimeric ErbB heteromultimer adhesins as competitive antagonists or agonists of a neuregulin); WO96/30403; WO96/15812; BC017568 (Homo sapiens, Similar to neuregulin 4); BC007675 (Homo sapiens, neuregulin 1); AF142632 (Xenopus laevis cysteine-rich domain neuregulin-1); AF194439 (Rattus norvegicus SMDF neuregulin alpha 2a (Nrg1)); AF194438 (Rattus norvegicus SMDF neuregulin beta 1a (Nrg1)); HS2NRG12 (Homo sapiens alternatively spliced neuregulin 2 (NRG2)); HS2NRG08 (Homo sapiens alternatively spliced neuregulin 2 (NRG2)); HS2NRG07 (Homo sapiens alternatively spliced neuregulin 2 (NRG2)); AF083067 (Mus musculus neuregulin-4 short isoform (Nrg4)); AF076618 (Xenopus laevis neuregulin alpha-1); AF045656 (Gallus gallus neuregulin beta-2b); AF045655 (Gallus gallus neuregulin beta-2a); AF045654 (Gallus gallus neuregulin beta-1a); MAU96612 (Mesocricetus auratus neuregulin); AF010130 (Mus musculus neuregulin-3 (NRG3)). Preferably, neuregulin(s) disclosed in the GenBank Accession No. NT_007995 (gi:18570363) is used in the present methods.
- 2. Prophylactic or Therapeutic Agents
- The present invention provides methods for preventing, treating or delaying cardiac toxicity associated with the administration of a prophylactic or therapeutic agent. The neuregulin agent can be administered prior to, concurrently with, or subsequent to the administration of the prophylactic or therapeutic agent. The present methods are not limited to preventing, treating or delaying cardiac toxicity associated with specific prophylactic or therapeutic agents. Non-limiting examples of prophylactic or therapeutic agents for use in the present methods include anti-neoplasm agents, antipsychotic agents, tricyclic depressants, interferons, interleukins, and anti-infectious agents. Any anti-neoplasm agent can be used in the present methods. Preferably, the anti-neoplasm agent is an anthracycline anti-neoplasm agent having the formula:
- wherein R1 is methoxy or hydrogen; and R2, R3 and R4 are hydroxy or hydrogen.
- Non-limiting examples of anthracycline anti-neoplasm agent include adriamycin (or doxorubicin), daunorubicin, epirubicin, idarubicin, mitoxantrone, mitomycin, bleomycin, cyclophosphamide, fluorouracil, actinomycin D, vincristine, and derivatives thereof. (See Goodman & Gilman's, The Pharmacological Basis of Therapeutics, Ninth Edition, pp. 1264-1269, McGraw-Hill 1996). Other examples of anti-neoplasm agents that can be used in the present methods are described in U.S. Patent Application No. 2002/044919. Other anti-neoplasm agents include, but are not limited to, cytidine, arabinosyladenine (araC), daunomycin, methotrexate (MTX), fluorinated pyrimidines such as S-fluorouracil (5-FU), hydroxyurea, 6-mercaptopurine, plant alkaloids such as vincristine (VCR), VP-16 and vinblastine (VLB), alkylating agent, cisplatin, nitrogen Mustard, trisamine, procarbazine, bleomycin, mitomycin C, actinomycin D. or an enzyme such as L-Asparaginse. (See Goodman & Gilman's, The Pharmacological Basis of Therapeutics, Ninth Edition, pp. 1227-1229).
- Any antipsychotic agent can be used in the present methods. Non-limiting examples of antipsychotic agents include chlorpromazine, perphenazine and trifluperazine. Other examples of antipsychotic agents can be found in Goodman & Gilman's, The Pharmacological Basis of Therapeutics, Ninth Edition, pp. 400-420.
- Any tricyclic antidepressant can be used in the present methods. Non-limiting examples of tricyclic antidepressants include chloroimipramine, amitriptyline and doxepin. Other examples of antipsychotic agents can be found in Goodman & Gilman's, The Pharmacological Basis of Therapeutics, Ninth Edition, pp. 431-434.
- Any interferon can be used in the present methods. Preferably, the interferon is interferon-α. In one embodiment, the interferon is human interferon-α. Methods for producing interferon-α can be found in U.S. Pat. Nos. 6,005,075; 5,834,235; 5,503,828; and 4,820,638.
- Any interleukin can be used in the present methods. Preferably, the interleukin is interleukin-2. In one embodiment, the interleukin is human interleukin-2. Methods for producing interleukin-2 can be found in U.S. Pat. Nos. 5,834,441; 5,795,777; 5,419,899; and 5,399,699.
- Any anti-infectious agent can be used in the present methods. Preferably, the anti-infectious agent is emetine. Other examples of anti-infectious agent can be found in Goodman & Gilman's, The Pharmacological Basis of Therapeutics, Ninth Edition, pp. 965-1008.
- Neuregulin agents can be administered in vivo (i.e., administered directly into a mammal). Alternatively, the neuregulin protein or a functional fragment thereof; or a nucleic acid encoding a neuregulin protein or a functional fragment thereof, can be administered ex vivo (i.e., administered into cells, tissues or organs, wherein such cells, tissues or organs carrying the neuregulin protein, or a functional fragment thereof, or a nucleic acid encoding a neuregulin protein, or a functional fragment thereof, can be transferred into a mammal).
- In one aspect, the present invention is directed to a combination, which combination comprises an effective amount of a neuregulin protein, or a functional fragment thereof, or a nucleic acid encoding a neuregulin protein, or a functional fragment thereof, or an agent that enhances production and/or function of said neuregulin, and an effective amount of a prophylactic or therapeutic agent for myocardial infarction. Preferably, the present combinations further comprise a pharmaceutically acceptable carrier or excipient.
- Any suitable neuregulin can be used in the present combinations. For example, the neuregulin used in the present combinations can carry out its anti-myocardial infarction activity via binding with ErbB2-ErbB4 receptors. In another example, the neuregulin used in the present combinations is
neuregulin 1,neuregulin 2,neuregulin 3 orneuregulin 4. Preferably, theneuregulin 2 is neuregulin α2 or neuregulin β2. In still another example, the neuregulin used in the present combinations is a neuregulin β2 fragment comprising an amino acid sequence set forth in SEQ ID NO:4. Any specific neuregulin described in the above sections can also be used. - Any suitable prophylactic or therapeutic agent can be used in the present combinations. For example, the prophylactic or therapeutic agent used in the present combinations can be an angiotensin I-converting enzyme inhibitor (ACEI), a calcium antagonist, a β-receptor antagonist, aspirin, atropine, nitroglycerin, scopolamine or a thrombolytic agent.
- Any suitable ACEI can be used. Exemplary ACEIs include Captopril, Rampril, Lisinopril, Zofenopril and Trandolapril. Any suitable calcium antagonist can be used. Exemplary calcium antagonists include diltiazem. Any suitable β-receptor antagonist can be used. Exemplary β-receptor antagonists include propranolol, metoprolol, atenolol and timolol. Any suitable thrombolytic agent can be used. Exemplary thrombolytic agents include streptokinase, t-PA and anistreplase.
- In another aspect, the present invention is directed to a kit, which kit comprises an above-described combination in a container and an instruction for using said combination in preventing, treating or delaying myocardial infarction.
- In still another aspect, the present invention is directed to a method for preventing, beating or delaying myocardial infarction in a mammal, which method comprises administering to a mammal, to which such prevention, treatment or delay is needed or desirable, an effective amount of a neuregulin protein, or a functional fragment thereof, or a nucleic acid encoding a neuregulin protein, or a functional fragment thereof, or an agent that enhances production and/or function of said neuregulin, whereby said myocardial infarction is prevented, treated or delayed.
- Any suitable neuregulin can be used in the present methods. For example, the neuregulin used in the present methods can carry out its anti-myocardial infarction activity via binding with ErbB2-ErbB4 receptors. In another example, the neuregulin used in the present methods is
neuregulin 1,neuregulin 2,neuregulin 3 orneuregulin 4. Preferably, theneuregulin 2 is neuregulin α2 or neuregulin β2. In still another example, the neuregulin used in the present methods is a neuregulin β2 fragment comprising an amino acid sequence set forth in SEQ ID NO:4. Any specific neuregulin described in the above sections can also be used. - In a specific embodiment, the neuregulin protein, or a functional fragment thereof the nucleic acid encoding a neuregulin protein, or a functional fragment thereof, or the agent that enhances production and/or function of the neuregulin antagonizes the increase of left ventricular end-diastolic (LVEDD) and end-systolic diameters (LVESD) associated with the myocardial infarction. In another specific embodiment, the neuregulin protein, or a functional fragment thereof, the nucleic acid encoding a neuregulin protein, or a functional fragment thereof, or the agent that enhances production and/or function of the neuregulin antagonizes the decrease of left ventricular EF associated with the myocardial infarction.
- The present methods can be used to prevent, treat or delay myocardial infarction in any suitable mammal. Exemplary mammals include mice, rats, rabbits, cats, dogs, pigs, cows, ox, sheep, goats, horses, monkeys and other non-human primates. Preferably, the present methods are used to prevent, treat or delay myocardial infarction in a human.
- The present methods can be used to prevent, treat or delay any suitable myocardial infarction. For example, the present methods can be used to prevent, treat or delay myocardial infarction having a clinical feature selected from the group consisting of left ventricular dilation, reduced systolic function and increased filling pressure.
- The neuregulin protein, or a functional fragment thereof, or a nucleic acid encoding a neuregulin protein, or a functional fragment thereof; or the agent that enhances production and/or function of the neuregulin, can be administered alone. Preferably, the neuregulin protein, or a functional fragment thereof, or a nucleic acid encoding a neuregulin protein, or a functional fragment thereof, or the agent that enhances production and/or function of the neuregulin, is administered with a pharmaceutically acceptable carrier or excipient. In a specific embodiment, a neuregulin protein, or a functional fragment thereof, is administered. In another embodiment, a nucleic acid encoding a neuregulin protein, or a functional fragment thereof, is administered. Any suitable route of administration can be used. Preferably, intravenous administration is used.
- The present methods can further comprise administering a prophylactic or therapeutic agent for myocardial infarction. Any suitable prophylactic or therapeutic agent can be used in the present methods. For example, the prophylactic or therapeutic agent used in the present methods can be an angiotensin I-converting enzyme inhibitor (ACEI), a calcium antagonist, a 0-receptor antagonist, aspirin, atropine, nitroglycerin, scopolamine or a thrombolytic agent.
- Any suitable ACEI can be used. Exemplary ACEIs include Captopril, Rampril, Lisinopril, Zofenopril and Trandolapril. Any suitable calcium antagonist can be used. Exemplary calcium antagonists include diltiazem. Any suitable β-receptor antagonist can be used. Exemplary β-receptor antagonists include propranolol, metoprolol, atenolol and timolol. Any suitable thrombolytic agent can be used. Exemplary thrombolytic agents include streptokinase, t-PA and anistreplase.
- In a preferred embodiment, the neuregulin protein, or a functional fragment thereof, the nucleic acid encoding a neuregulin protein, or a functional fragment thereof, or the agent that enhances production and/or function of the neuregulin is administered in vivo.
- In one aspect, the present invention is directed to a pharmaceutical composition for preventing, treating or delaying a disease in a mammal, which composition comprises a neuregulin protein, or a functional fragment thereof: a) in a safety dosage equals to or less than about 170 U/kg; or b) in a total regimen equals to or less than about 3,600 U/kg.
- The present pharmaceutical compositions can be used in any suitable regimen and/or administration plans. In one example, the present pharmaceutical compositions are administered for about 21 days or less than 21 days. In another example, the present pharmaceutical compositions are administered continuously or intermittently.
- The present pharmaceutical compositions can be administered alone. Preferably, the present pharmaceutical compositions can further comprise a pharmaceutically acceptable carrier or excipient.
- Any suitable neuregulin can be used in the present pharmaceutical compositions. For example, the neuregulin used in the present pharmaceutical compositions can carry out its anti-disease activity via binding with ErbB2-ErbB4 receptors. In another example, the neuregulin used in the present pharmaceutical compositions is
neuregulin 1,neuregulin 2,neuregulin 3 orneuregulin 4. Preferably, theneuregulin 1 is neuregulin α2 or neuregulin β2. In still another example, the neuregulin used in the present pharmaceutical compositions is a neuregulin β2 fragment comprising an amino acid sequence set forth in SEQ ID NO:4. Any specific neuregulin described in the above sections can also be used. - The present pharmaceutical compositions can be used to prevent, treat or delay a disease in any suitable mammal. Exemplary mammals include mice, rats, rabbits, cats, dogs, pigs, cows, ox, sheep, goats, horses, monkeys and other non-human primates. Preferably, the present methods are used to prevent, treat or delay a disease in a human.
- The present pharmaceutical compositions can be used to prevent, treat or delay any suitable disease. Preferably, the present pharmaceutical compositions are used to prevent, treat or delay a cardiovascular disease, e.g., viral myocarditis, DCM, cardiotoxic activity, myocardial infarction activity, etc.
- In a preferred embodiment, the present pharmaceutical compositions are formulated for intravenous administration.
- The following is an exemplary, rapid, sensitive, high flux and quantitative method for determination of biological activity of NRG-1 through combining Neuregulin with cell surface ErbB3/ErbB4 molecule and indirect mediation of ErbB2 protein phosphorylation (See e.g., Michael D. Sadick et al. Analytical Biochemistry, 1996, 235, 207-214). According to the practical example 3 of the in vitro NRG-1 activity determination as described in Michael D. Sadick et al., NGR-1 biological activity of various origins can be determined.
- Briefly, the assay, termed a kinase receptor activation enzyme-linked immunosorbant assay (KIRA-ELISA), consists of two separate microtiter plates, one for cell culture, ligand stimulation, and cell lysis/receptor solubilization and the other plate for receptor capture and phosphotyrosine ELISA. The assay was developed for analysis of heregulin-induced ErbB2 activation and utilizes the stimulation of intact receptor on the adherent breast carcinoma cell line, MCF-7. Membrane proteins are solubilized via Triton X-100 lysis and the receptor is captured in ELISA wells coated with ErbB2-specific antibodies with no cross-reaction to ErbB3 or ErbB4. The degree of receptor phosphorylation is then quantified by antiphosphotyrosine ELISA. A reproducible standard curve is generated with a EC(50) of approximately 360 pM for heregulin beta 1(177-244) (HRG beta 1(177-244). When identical samples of HRG beta 1(177-244) are analyzed by both the KIRA-ELISA and quantitative antiphosphotyrosine Western blot analysis, the results correlate very closely with one another. The assay described in this report is able to specifically quantify tyrosine phosphorylation of ErbB2 that results from the interaction of HRG with ErbB3 and/or ErbB4.
- Since most of the genetically engineered medicines are proteins and polypeptides, their activity can be determined by their amino acid sequences or the activity center formed by their spatial structure. Activity titer of protein and polypeptide is not consistent with their absolute quality, therefore cannot be determined with weight unit as that of chemical drugs. However, biological activity of genetically engineered medicines is generally consistent with their pharmacodynamics and titer determination system established through given biological activity can determine its titer unit. Therefore, biological activity determination can be part of a process of titering the substance with biological activity and is an important component of quality control of genetically engineered product. It is important to determine biological activity criteria for quality control of genetically engineered product and clinically used drugs.
- Quantity of standard product that can induce 50% maximal reaction is defined as an activity unit (1 U). Accordingly, product from different pharmaceuticals and of different batch number can be quantitated with uniform criteria.
- The formulation, dosage and route of administration of a neuregulin protein, or a functional fragment thereof, or a nucleic acid encoding a neuregulin protein, or a functional fragment thereof, preferably in the form of pharmaceutical compositions, can be determined according to the methods known in the art (see e.g., Remington: The Science and Practice of Pharmacy, Alfonso R. Gennaro (Editor) Mack Publishing Company, April 1997; Therapeutic Peptides and Proteins: Formulation, Processing, and Delivery Systems, Banga, 1999; and Pharmaceutical Formulation Development of Peptides and Proteins, Hovgaard and Frkjr (Ed.), Taylor & Francis, Inc., 2000; Medical Applications of Liposomes, Lasic and Papahadjopoulos (Ed.), Elsevier Science, 1998; Textbook of Gene Therapy, Jain, Hogrefe & Huber Publishers, 1998; Adenoviruses: Basic Biology to Gene Therapy, Vol. 15, Seth, Landes Bioscience, 1999; Biopharmaceutical Drug Design and Development, Wu-Pong and Rojanasakul (Ed.), Humana Press, 1999; Therapeutic Angiogenesis: From Basic Science to the Clinic, Vol. 28, Dole et al. (Ed.), Springer-Verlag New York, 1999). The neuregulin protein, or a functional fragment thereof, or a nucleic acid encoding the neuregulin protein, or a functional fragment thereof, can be formulated for oral, rectal, topical inhalational, buccal (e.g., sublingual), parenteral (e.g., subcutaneous, intramuscular, intradermal, or intravenous), transdermal administration or any other suitable route of administration. The most suitable route in any given case will depend on the nature and severity of the condition being treated and on the nature of the particular neuregulin protein, or a functional fragment thereof, or a nucleic acid encoding the neuregulin protein, or a functional fragment thereof, which is being used.
- The neuregulin protein, or a functional fragment thereof or a nucleic acid encoding the neuregulin protein, or a functional fragment thereof, can be administered alone. Alternatively and preferably, the neuregulin protein, or a functional fragment thereof, or a nucleic acid encoding the neuregulin protein, or a functional fragment thereof, is co-administered with a pharmaceutically acceptable carrier or excipient. Any suitable pharmaceutically acceptable carrier or excipient can be used in the present method (See e.g., Remington: The Science and Practice of Pharmacy, Alfonso R. Gennaro (Editor) Mack Publishing Company, April 1997).
- The nucleic acid encoding a neuregulin protein, or a functional fragment thereof, can be used in the form of naked DNA, complexed DNA, cDNA, plasmid DNA, RNA or other mixtures thereof as components of the gene delivery system. In another embodiment, the nucleic acid encoding a neuregulin protein, or a functional fragment thereof, is included in a viral vector. Any viral vectors that are suitable for gene therapy can be used. For example, an adenovirus vector (U.S. Pat. No. 5,869,305), a simian virus vector (U.S. Pat. No. 5,962,274), a conditionally replicating human immunodeficiency viral vector (U.S. Pat. No. 5,888,767), retrovirus, SV40, Herpes simplex viral amplicon vectors and Vaccinia virus vectors can be used. In addition, the genes can be delivered in a non-viral vector system such as a liposome wherein the lipid protects the DNA or other biomaterials from oxidation during the coagulation.
- According to the present invention, the neuregulin protein, or a functional fragment thereof, or a nucleic acid encoding the neuregulin protein, or a functional fragment thereof, alone or in combination with other agents, carriers or excipients, may be formulated for any suitable administration route, such as intracavernous injection, subcutaneous injection, intravenous injection, intramuscular injection, intradermal injection, oral or topical administration. The method may employ formulations for injectable administration in unit dosage form, in ampoules or in multidose containers, with an added preservative. The formulations may take such forms as suspensions, solutions or emulsions in oily or aqueous vehicles, and may contain formulatory agents such as suspending, stabilizing and/or dispersing agents. Alternatively, the active ingredient may be in powder form for constitution with a suitable vehicle, sterile pyrogen-free water or other solvents, before use. Topical administration in the present invention may employ the use of a foam, gel, cream, ointment, transdermal patch, or paste.
- Pharmaceutically acceptable compositions and methods for their administration that may be employed for use in this invention include, but are not limited to those described in U.S. Pat. Nos. 5,736,154; 6,197,801 B1; U.S. Pat. Nos. 5,741,511; 5,886,039; 5,941,868; 6,258,374 B1; and 5,686,102.
- The magnitude of a therapeutic dose in the treatment or prevention will vary with the severity of the condition to be treated and the route of administration. The dose, and perhaps dose frequency, will also vary according to age, body weight, condition and response of the individual patient.
- It should be noted that the attending physician would know how to and when to terminate, interrupt or adjust therapy to lower dosage due to toxicity, or adverse effects. Conversely, the physician would also know how to and when to adjust treatment to higher levels if the clinical response is not adequate (precluding toxic side effects).
- Any suitable route of administration may be used. Dosage forms include tablets, troches, cachet, dispersions, suspensions, solutions, capsules, patches, and the like. See, Remington's Pharmaceutical Sciences.
- In practical use, the neuregulin protein, or a functional fragment thereof, or a nucleic acid encoding the neuregulin protein, or a functional fragment thereof, alone or in combination with other agents, may be combined as the active in intimate admixture with a pharmaceutical carrier or excipient, such as beta-cyclodextrin and 2-hydroxy-propyl-beta-cyclodextrin, according to conventional pharmaceutical compounding techniques. The carrier may take a wide form of preparation desired for administration, topical or parenteral. In preparing compositions for parenteral dosage form, such as intravenous injection or infusion, similar pharmaceutical media may be employed, water, glycols, oils, buffers, sugar, preservatives, liposomes, and the like known to those of skill in the art. Examples of such parenteral compositions include, but are not limited to
dextrose 5% w/v, normal saline or other solutions. The total dose of the neuregulin protein, or a functional fragment thereof, or a nucleic acid encoding the neuregulin protein, or a functional fragment thereof, alone or in combination with other agents to be administered may be administered in a vial of intravenous fluid, ranging from about 1 ml to 2000 ml. The volume of dilution fluid will vary according to the total dose administered. - The invention also provides for kits for carrying out the therapeutic regimens of the invention. Such kits comprise in one or more containers therapeutically effective amounts of the neuregulin protein, or a functional fragment thereof, or a nucleic acid encoding the neuregulin protein, or a functional fragment thereof, alone or in combination with other agents, in pharmaceutically acceptable form. Preferred pharmaceutical forms would be in combination with sterile saline, dextrose solution, or buffered solution, or other pharmaceutically acceptable sterile fluid. Alternatively, the composition may be lyophilized or desiccated; in this instance, the kit optionally further comprises in a container a pharmaceutically acceptable solution, preferably sterile, to reconstitute the complex to form a solution for injection purposes. Exemplary pharmaceutically acceptable solutions are saline and dextrose solution.
- In another embodiment, a kit of the invention further comprises a needle or syringe, preferably packaged in sterile form, for injecting the composition, and/or a packaged alcohol pad. Instructions are optionally included for administration of composition by a physician or by the patient.
- Recombinant Human Neuregulin-1 βS177-Q237 (rhNRG-1βS177-Q237 of Neuregulin-1) developed by the present inventor can repair damaged myocardial cell structure, strengthen connection between these cells, improve myocardial function and strengthen myocardial biological effect. The experiments described herein demonstrate that certain Neuregulin fragments, e.g., rhNRG-1 βS177-Q237 can effectively treat various forms of cardiovascular disease such as viral myocarditis or dilated (congestive) cardiomyopathy (DCM), cardiotoxic caused by certain therapeutic agents, or myocardial infarction in vivo and do not affect hemodynamics of normal animals.
- Human neuregulin gene is located in chromosome 8P12 with about 13 exons.
- Recombinant neuregulin fragment is composed of 61 amino acid. Theoretical molecular weight is 7,055 D. Apparent molecular weight in SDS-PAGE electrophoresis is 6,500-7,000 D. Its isoelectric point is about 6.5. There is no glycosylated locus. The peptide structure contains 3 disulfide bonds. This gene is suitable for expression in E. coli.
- PET22b was selected as expression plasmid. Human neuregulin gene was introduced into the plasmid and then E. coli BL21 was transformed by this plasmid. High level expression recombinant was screened out as engineered strain for producing recombinant human neuregulin fragment.
- Total RNA and mRNA were extracted from brain tissue of 5-month human fetus and reversibly transcribed to cDNA. RT-PCR was performed with the transcribed cDNA as template, and a pair of primers P1, TCG AAC ATA TGA GCC ATC TTG TAA AAT GTG CGG (SEQ ID NO:1) and P2, TCG AAG GGC CCT CAC TGG TAC AGC TCC TCC (SEQ ID NO:2) to amplify target gene. The PCR product was examined in electrophoresis on 1.5% agarose. Specific 183 bp DNA fragment was found in agarose, the length of which was the same as anticipated.
- Calcium chloride sedimentation method was applied to clone human neuregulin gene into the expression plasmid PET22b to construct recombinant human neuregulin expression plasmid (PET22b-human neuregulin). This gene was expressed efficiently under the drive of T7 promoter. N-terminal of expressed gene was inserted at NdeI locus. C-terminal terminator is next to the last amino acid. The expressed protein did not form fusion protein with any amino acid. An accurate 183 bp fragment was obtained after endonuclease digestion analysis. Transformant was characterized by endonuclease digestion. Double-stranded DNA was extracted for sequence analysis. The sequencing results confirmed that the sequence of human neuregulin carried in expression vector was completely correct. The determined cDNA sequence is listed here:
-
(SEQ ID NO: 3) AGC CAT CTT GTA AAA TGT GCG GAG AAG GAG AAA ACT TTC TGT GTG AAT GGA GGG GAG TGC TTC ATG GTG AAA GAC CTT TCA AAC CCC TCG AGA TAC TTG TGC AAG TGC CCA AAT GAG TTT ACT GGT GAT CGC TGC CAA AAC TAC GTA ATG GCC AGC TTC TAC AAG GCG GAG GAG CTG TAC CAG.
The deduced amino acid sequence based on the above cDNA sequence is: -
(SEQ ID NO: 4) SHLVKCAEKEKTFCVNGGECFMVKDLSNPSRYLCKCPNEFTGDRCQNYV MASFYKAEELYQ, - After PCR amplification and endonuclease digestion analysis, single colony of the engineering clone (BL21-PET22b-human-neuregulin) was randomly picked to inoculate in 2 ml LB-Amp liquid medium. The culture was incubated overnight at 37° C. and shaking at 250 rpm. Then a proportion of pure culture was inoculated into 20 ml LB-Amp medium. The culture was collected after incubation at 37° C. till the turbidity increased to 1.0 at OD600 and after IPTG was added for 4 h to induce the expression. Inclusion body was collected after the cells were destructed. After electrophoresis in 15% SDS-PAGE, thin-layer scanning analysis, Western-blotting, and repeated screening, an engineered strain (BL21-PET22b-human neuregulin) was characterized and established with stable high level expression of target protein neuregulin. The expressed target protein accounted for approximately 10% of the total protein in this strain. After high-pressure homogenate process, the target protein presented in the form of inclusion body.
- The engineered strain was analyzed by SDS-PAGE electrophoresis after 4 h induction by IPTG. Inclusion body accounted for about 20% of the total proteins. Purified recombinant neuregulin specific activity was more than 5×103 EU/mg, indicating that the construction of neuregulin producing strain was successful. In addition to the SDS-PAGE, Western Blot, biological activity analysis at the stage of strain screening, further analysis was carried out, such as neuregulin amino acid composition analysis and N-terminal sequence analysis. These results indicate that the amino acid sequence of expressed recombinant human neuregulin is the same as designed.
- Objectives To study the therapeutic effect of Recombinant Human Neuregulin-1 β (rhNRG-1 β) on heart failure in rat caused by ligation of coronary artery. Method Open the chest of rat, descending limb of the coronary was ligated with non-invasive sutures at the site between left auricle and pulmonary cone, set up a subacute heart failure rat model. In general, about 6 days after the ligation when ejection fraction of the left ventricle decreased by about 50%,
- The groups were randomly divided, i.e., model group, testing drug group and pseudo-operation group that only opened the chest but did not ligate the coronary artery. There were 10-13 animals in each group, 3 dosage level groups were set up for the testing drug group, they were 5, 10 and 20 μg/kg respectively, the drug was injected into the tail vein once every day for consecutive 10 days. Heart function determination (echocardiography) was performed 6 days prior to the drug administration and after the drug withdrawal, the testing animals autopsied, heart weight measured, ventricular wall thickness determined, pathologic examination and plasma renin-angiotensin-aldosterone level determined. Results After consecutive 5-day of drug administration in 3 dosage level groups of rbNRG-1 β, ejection fraction (71.1±12.0%, 64.4±12.9%, 62.9±8.4%) and shortening fraction (36.91±9.7%, 32.0±9.5%, 30.3±6.1%) of the model animals were all increased respectively and, there was significant difference between that of the 20 μg/kg, 10 μg/kg group compared with the model group (P<0.01); in addition, the changes of ejection fraction in the 20 μg/kg model group could maintain for about 35 days after the drug administration (P<0.05); 20 μg/kg of rhNRG-1 β could significantly reduce ischemic area of the myocardium, increase capillary number of the fibrotic lesion (P<0.05); 20 μg/kg and 10 μg/kg of rhNRG-1 β could reduce peripheral angiotensin I (AI), angiotensin II (AII), renin (PRA) and aldosterone (ALD) levels and with significant difference when comparing with that of the model group (P<0.01, P<0.05); There wasn't significant difference between group with consecutive 10 days of injection and group with consecutive 5 days of injection (P<0.05). Conclusion Certain dosage of rhNRG-1
β 3 injected intravenously for consecutive 5 days could effectively treat heart failure in rat caused by ligation of coronary artery. - To study the therapeutic effect of rhNRG-1 β on heart failure in rat caused by ligation of coronary artery.
- rhNRG-1 β researched and produced by Zensun (Shanghai) Science & Technology Co Ltd, batch number: 200110006-2; concentration: 500 μg/ampule; titer determination: 5000 u/amplulc; purity: >95% (HPLC-C8).
- 4.1 Species, sources and number of certificate of competency: SD rat, provided by Experimental Animal Center of Chinese Academy of Science, number of certificate of competency: Zhong Ke Yuan Doug Guan Hui 003;
4.2 Body weight, gender: 200-220 g, male. - 5.1 Echocardiograph device, Hewlett Packard Sonos 5500, type of probe: S12;
5.2 Six leads electro-physiology recorder, SMUP-C-6, manufactured by Physiology Department of Shanghai Medical University; - 5.4 Arterial-venous indwelling needle, 20G, produced by Sino-America Weng Zhou Hua Li Medical Equipment Company;
5.5 Micro-vernier calipers, Harbin Measure & Knife Factory;
5.6 Radio-immune γ counter, GC-1200, Zhong Jia Photoelectric Equipment Branch of General Science & Technology Industry Company of China Science & Technology University;
5.7 Renin, angiotensin kits, AI: Beijing North Bio-Tech Institute, batch number: 0210; AII: Beijing North Bio-Tech Institute, batch number: 2028;
5.8 Depilatory, 8% sodium sulfide, Xi Long Chemical Plant of GuangDong Province, batch number: 010622;
5.9 Ketamine hydrochloride, manufactured by Shanghai Zhong Xi Pharmaceuticals Co Ltd, batch number: 20020401. - Pseudo-operation group, model group and testing drug groups were set up.
- Pseudo-operation group (n=10), i.e. thoracotomy but without ligating the coronary artery;
- Model group (negative control group) (n=12): vehicle of the preparation was injected (10 mM PB, 0.2% human serum albumin, 5% mannitol);
- Testing drug group (n=13): rhNRG-1 β with 3 dosage level, 2 subgroups were established for each dosage level group; in which, one group served as long-term monitoring after the drug administration.
- High, medium and low dosage level group of 20 μg/kg, 10 μg/kg and 5 μg/kg respectively were set up according to the result of preliminary experiment. The drug was diluted with preparation buffer solution (10 mM PB, 0.2% human serum albumin, 5% mannitol) to the needed concentration.
- Route of drug administration: in both testing drug group and model group the drug was injected into the tail vein once per day for consecutive 5 days. Echocardiography was performed at the 6th day prior to drug administration, then continuously injected for 5 days. Volume of each drug injection was 0.4 ml/100 g body weight.
- After anesthesia with intra-abdominal injection of 100 mg/kg ketamine, the rat was fixed on rat plate in supine position, disinfection of the neck region with bromo-geramine was carried out after depilating. Midline incision was made, trachea was found after separating the anterior cervical muscle, 180 arterial indwelling trochar was inserted into the trachea at the level of 3-5 tracheal cartilage, took out the stylet, push the plastic cannula 1-2 cm further into the trachea, fixed it for later connection with ventilator for small animal (tidal volume was about 20 ml, frequency was 80/min). After cut open the left anterior chest wall skin, separated the muscle, exposed the 4th and 5th rib, penetrate the chest wall with curve forceps, separated tissue under the ribs, connected with ventilator, exposed the heart, monitoring the inflation of the lungs and the heart beat, tore open the pericardium, turned the upper fat pad up, full exposed the left auricle and pulmonary cone, ligated the left coronary artery between the two parts with 6/0 non-invasive suture for medical use, infarcted myocardial area (about 8 mm×8 mm) showed violet color, protruding and with significantly reduced activity after the ligation. Then closed the chest wall, block the opening of the ventilator to inflate the lungs, forcefully pressed the chest to drive out the air, then sutured the chest muscle and skin. Monitoring the respiration, after spontaneous respiration recovered, withdrawn the ventilator, took the animal back to its cage for breeding. In the pseudo-operation group, only the pericardium was tore open, but without the coronary artery ligation.
- Echocardiograph was performed for the operated rat at about 6 days postoperatively, those animals with about 50% reduction of EF value were randomly divided into groups, the EF value of each group was all about 50%, then drug administration began.
- Those animals with EF value of about 50% were randomly divided into model group (negative group) and 3-dosage level testing drug groups with 12-13 animals in each group. Route of drug administration in testing drug group and model group was injection into the tail vein, once every day for consecutive 5 days. After echocardiography at the 6th day, another 5 days of consecutive drug administration was carried out. Drug volume of each injection was 0.4 ml/100 g body weight.
- Echocardiography was again performed after the end of drug administration, the animals autopsied, heart weight measured, thickness of ventricular wall determined, pathologic examination of the heart performed, peripheral blood collected, plasma separated and renin-angiotensin-aldosterone determined.
- Some testing animals of various groups were left out for long-term monitoring.
- Echocardiography was performed under anesthesia with ketamine after the legation and prior to drug administration and at the 6th day, 11th day of drug administration, the major index included:
-
- EF: heart ejection fraction, reflecting ejection function of ventricle;
- FS: ventricular short axis shortening rate, reflecting contraction function of ventricle;
- LVDd: diastolic maximal inner diameter of left ventricle (cm);
- LVDs: systolic minimal inner diameter of left ventricle (cm).
- It was submitted to be performed by Radio-isotope Department of Zhong Shan Hospital affiliated to Fudan University.
- Carotid artery phlebotomy was carried out and plasma extracted according to the mandate of the reagent kit, frozen and stored at −20° C. Renin activity (PRA), angiotensin I (AI), angiotensin II (AII) and aldosterone (ALD) content were determined with immunoassay.
- It was performed by Professor Wand Bing Seng of Shanghai Difficult Pathologic Consulting Center.
- After fixed with 10% formaldehyde, myocardium of the rat was longitudinally cut with equal distance into 3 slices, conventionally embedded with paraffin, section made, HE stained, image analysis for area of fibrotic region of the heart, counted the number of capillary in the fibrotic lesion (counting unit: piece/mm2); Nagar-Oslen stained, studied the size of ischemic hypoxic region in the myocardium.
- t test was carried out for the experimental data collected.
- 8.1 Effect of rhNRG-1 β on Function of the Ischemic Heart in Rat
- Results of echocardiography performed at 5-day of drug administration showed that EF value (50.2±8.4%) and FS value (22.4±4.6%) of the model group was significantly lower than EF (91.1±2.4%) and FS (57.3±3.9%) of the pseudo-operation group and with significant difference (P<0.01). Both EF value (71.1±12.0%, 64.3±12.8%, 62.9±8.4%) and FS value (36.9±9.7%, 32.0±9.5%, 30.3±6.1%) of testing drug groups (20, 10, and 5 μg/kg) increased significantly once again, and there was significant difference when comparing with those of the model group (P<0.01).
- Results of repeated echocardiography performed at 10-day of drug administration showed that EF value (42.7±6.4%) and FS value (18.3±3.2%) were still significantly lower than EF (95.0±2.8%) and FS (65.3±6.8%) of the pseudo-operation group and with significant difference (P<0.01). While EF value (75.7±10.8%, 61.4±15.0%, 59.2±12.4%) and FS value (41.3±11.0%, 30.3±10.4%, 28.4±8.6%) of the testing drug groups (20, 10, 5 μg/kg) still maintained at relative high level, and there was significant difference when comparing with those of the model group (P<0.01), however, there was no significant difference when comparing with the results of 5-day of drug administration. Tables 1-6 showed the results of the two experiments.
- Observation on EF value of rat heart in the model animal group and testing drug group at 5-day of drug administration and 35-day after drug withdrawal were carried out, the result showed that rat heart EF value of the 20 μg/kg rhNRG-1 β group maintained stable at relatively high level and there was significant difference when comparing with that of the model animal group (P<0.05) (Table 7).
-
TABLE 1 Measurement parameters of heart function prior to drug administration in ligation of anterior descending limb of the coronary artery produced heart failure model animals (1) Group LVDd LVDs EF FS Pseudo-operation group (n = 6) 0.572 ± 0.033* 0.258 ± 0.046** 89.5 ± 4.4** 55.2 ± 5.8** Model group (n = 12) 0.705 ± 0.117 0.558 ± 0.119 48.3 ± 10.3 21.3 ± 5.6 rhNRG-1β group 0.730 ± 0.108 0.575 ± 0.119 49.3 ± 11.4 21.7 ± 6.4 20 μg/kg (n = 13) rhNRG-1β group 0.709 ± 0.099 0.555 ± 0.102 49.5 ± 11.0 22.1 ± 6.1 10 μg/kg (n = 13) rhNRG-1β group 0.761 ± 0.075 0.596 ± 0.092 49.3 ± 10.6 22.0 ± 5.9 5 μg/kg (n = 13) *P < 0.05, **<0.01, when comparing with that of the model animal group -
TABLE 2 Measurement parameters of heart function 5 days after the drug administration in ligationof anterior descending limb of the coronary artery produced heart failure model animals (1) Drug Group administration LVDd LVDs EF FS Pseudo-operation iv 0.549 ± 0.046** 0.234 ± 0.027** 91.1 ± 2.4** 57.3 ± 3.9** group(n = 6) qd × 5 Model group iv 0.79 ± 0.08 0.61 ± 0.09 50.24 ± 8.41 22.43 ± 4.62 (n = 12) qd × 5 rhNRG-1β iv 0.70 ± 0.07** 0.46 ± 0.09** 71.07 ± 11.99** 36.88 ± 9.66** 20 μg/kg (n = 13) qd × 5 rhNRG-1β iv 0.71 ± 0.05* 0.51 ± 0.09** 64.35 ± 12.85** 32.01 ± 9.54** 10 μg/kg (n = 13) qd × 5 rhNRG-1β iv 0.73 ± 0.05* 0.54 ± 0.09* 62.90 ± 8.39** 30.32 ± 6.11** 5 μg/kg (n = 11) qd × 5 *p < 0.05, **p < 0.01, when comparing with that of the model group -
TABLE 3 Measurement parameters of heart function 10 days after the drug administration in ligationof anterior descending limb of the coronary artery produced heart failure model animals (1) Drug Group administration LVDd LVDs EF FS Pseudo-operation iv 0.466 ± 0.041** 0.159 ± 0.036** 95.0 ± 2.8** 65.3 ± 6.8** (n = 6) qd × 10 Model group 1iv 0.8 ± 0.11 0.7 ± 0.11 42.7 ± 6.36 18.3 ± 3.19 (n = 10) qd × 10 rhNRG-1β iv 0.6 ± 0.12** 0.5 ± 0.14** 75.7 ± 10.78** 41.3 ± 10.98** 20 μg/kg (n = 10) qd × 10 rhNRG-1β iv 0.7 ± 0.07** 0.51 ± 0.14** 61.4 ± 15** 30.3 ± 10.36** 10 μg/kg (n = 10) qd × 10 rhNRG-1β iv 0.72 ± 0.10* 0.55 ± 0.12* 59.2 ± 12.37** 28.4 ± 8.62** 5 μg/kg (n = 10) qd × 10 *p < 0.05, **p < 0.01, when comparing with that of the model group -
TABLE 4 Measurement parameters of heart function 10 days after the drug administration in ligationof anterior descending limb of the coronary artery produced heart failure model animals (II) Group LVDd LVDs EF FS Pseudo-operation group 0.544 ± 0.071* 0.215 ± 0.053** 93 ± 2.9** 60.8 ± 5.2** (n = 6) Model group (n = 12) 0.66 ± 0.10 0.52 ± 0.11 46.98 ± 14.17 20.85 ± 7.38 rhNRG-1β 20 μg/kg 0.74 ± 0.12 0.56 ± 0.11 52.29 ± 12.87 23.89 ± 7.28 (n = 12) rhNRG-1β 10 μg/kg 0.64 ± 0.11 0.49 ± 0.11 51.67 ± 11.92 23.27 ± 6.73 (n = 12) rhNRG- 1β 5 μg/kg0.66 ± 0.11 0.51 ± 0.12 50.81 ± 12.55 22.83 ± 6.92 (n = 12) *p < 0.05, **p < 0.01, when comparing with that of the model group -
TABLE 5 Measurement parameters of heart function 5 days after the drug administration in ligationof anterior descending limb of the coronary artery produced heart failure model animals (II) Drug Group administration LVDd LVDs EF FS Pseudo-operation iv 0.553 ± 0.063** 0.215 ± 0.052** 93.1 ± 3.9** 61.4 ± 6.2** group (n = 6) qd × 5 Model group iv 0.87 ± 0.11 0.74 ± 0.14 38.00 ± 12.36 16.35 ± 5.55 (n = 10) qd × 5 rhNRG-1β i.v 0.68 ± 0.11** 0.46 ± 0.17** 65.47 ± 20.48** 34.23 ± 15.42** 20 μg/kg qd × 5 (n = 9) rhNRG-1β iv 0.72 ± 0.13** 0.54 ± 0.14** 56.51 ± 12.68** 26.53 ± 8.48** 10 μg/kg qd × 5 (n = 12) rhNRG- 1β 5 μg/kgiv 0.74 ± 0.11* 0.58 ± 0.18* 56.76 ± 16.10** 28.35 ± 10.64** (n = 10) qd × 5 *p < 0.05, **p < 0.01, when comparing with that of the model group -
TABLE 6 Measurement parameters of heart function 10 days after the drug administration in ligationof anterior descending limb of the coronary artery produced heart failure model animals (II) Drug Group administration LVDd LVDs EF FS Psudo-operation group iv 0.539 ± 0.015** 0.204 ± 0.017** 93.8 ± 1.6** 62.2 ± 3.6** (n = 6) 10 qd Model group iv 0.81 ± 0.13 0.69 ± 0.13 36.13 ± 10.10 15.18 ± 5.01 (n = 10) 10 qd rhNRG-1β 20 μg/kg iv 0.65 ± 0.09** 0.42 ± 0.13** 70.22 ± 14.15** 36.49 ± 11.27** (n = 8) 10 qd rhNRG-1β 10 μg/kg iv 0.68 ± 0.08** 0.49 ± 0.17** 66.54 ± 15.81** 34.28 ± 12.64** (n = 12) 10 qd rhNRG- 1β 5 μg/kgiv 0.70 ± 0.08* 0.53 ± 0.16* 57.90 ± 19.54** 29.26 ± 14.19* (n = 9) 10 qd *p < 0.05, **p < 0.01, when comparing with that of the model group -
TABLE 7 EF value of heart function measured at 5-day of drug administration and 35 - day after drug withdrawal in model animals 5-day after drug After ligation administration and prior to drug 5-day after drug 35-day after drug administration administration withdrawal rhNRG-1 β 52.4 ± 13.8 79.2 ± 4.7* 73.0 ± 20.3* 20 μg/kg rhNRG-1 β 52.2 ± 12.8 77.3 ± 11.6 63.8 ± 23.8 10 μg/kg rhNRG-1 β 53.1 ± 12.8 75.8 ± 15.3 69.9 ± 28.6 5 μg/kg Model group 53.0 ± 12.6 62.6 ± 16.7 52.5 ± 29.9 Pseudo- 94.4 ± 3.7** 94.1 ± 2.5** 95.1 ± 2.3** operation group *p < 0.05; **p < 0.01, when comparing with that of the model animal group
8.2 Effect of rbNRG-1 β on Pathohistology of Model Rat Myocardium
8.2.1 Effect of rhNRG-1 β on the Severity of Myocardial Ischemia and Hypoxia in Model Animals - In Nagar-Oslen stained section, normal myocardium stained with light yellow color, while ischemic hypoxic area stained deeper with reddish color. Ischemic hypoxic changes could be analyzed with this method and comparison of qualitative and semi-quantitative test could be made.
-
FIGS. 6-15 showed the pathohistological changes of the various testing group. Myocardium of the model group stained deep color, large patch of myocardium was stained with red color, while that of the pseudo-operation group stained yellow, without red stained area; red stained myocardial cells of 20 μg/kg rhNRG-1 β showed punctuate distribution; red stained tissue of 10 μg/kg and 5 μg/kg groups showed patchy distribution, demonstrating that rhNRG-1 β could alleviate the severity of ischemic hypoxic damages. - 8.2.2 Effect of rhNRG-1 β on Capillary Regeneration in the Fibrotic Area of Ischemic Myocardium of Model Rat
- Changes of capillary number in myocardial tissue of various testing groups were studied with Leica image analysis system. The results revealed that there was increase of capillary number in the fibrotic lesion of myocardium of model animal in the testing drug group with rhNRG-13 and there was significant difference between 20 μg/kg dosage level group and that of the model group (P<0.01), no statistic difference was seen between 10 μg/kg and 5 μg/kg dosage level groups and that of the model group, demonstrating that high dosage of rhNRG-1 β (20 μg/kg) could promote capillary proliferation in myocardial fibrotic lesion after ligation of the coronary artery in rat (Table 8,
FIGS. 16 and 17 ). -
TABLE 8 Effect of rhNRG-1 β on capillary regeneration in myocardial fibrotic area of model animal Capillary Capillary Drug counting counting Group administration (I) (II) Pseudo-operation iv qd × 10 0 ± 0 0 ± 0 group Model group iv qd × 10 6.49 ± 2.17 13.7 ± 5.5 rhNRG-1 β 20 μg/kgiv qd × 10 10.12 ± 3.0** 24.6 ± 9.5** rhNRG-1 β 10 μg/kgiv qd × 10 8.99 ± 3.3 19.6 ± 8.5 rhNRG-1 β 5 μg/kgiv qd × 10 9.35 ± 4.2 15.0 ± 6.9 **P < 0.01, when comparing with that of the model group
8.3 Effect of rhNRG-1 β on Plasma Rennin-Angiotensin-Aldosterone Level in Model Animal - Plasma rennin (PRA), angiotensin I (AI), angiotensin II (AII) and aldosterone (ALD) levels was determined in various testing drug groups with radioimmunoessay. In the model animal group, the results showed that PRA, AI, AII and ALD were 3.506±1.78 ng/ml·h, 10.655±1.18 ng/ml, 1366.38±577.33 μg/ml and 1.738±0.34 ng/ml respectively; Comparing with those of the pseudo-operation group (1.315±0.96 μg/ml, 8.125±1.57 ng/ml, 564.37±273.56 μg/ml and 1.113±0.45 ng/ml), the content increased significantly, the difference was significant statistically (P<0.05).
- Plasma AI (7.40±12.15, 7.65±1.40 ng/ml), and AII (641.47±283.86, 468.58±165.10 μg/ml) level reduced significantly in 20, and 10 μg/kg rhNRG-1 β group with significant difference (P<0.01); PRA (1.337±1.09, 1.075±1.50 ng/ml. h) and ALD (1.02±0.27, 1.26±0.38 ng/ml) reduced significantly as well and there was significant difference when comparing with that of the model animal group (P<0.05). However, when comparing with that of the pseudo-operation group, the difference has no statistical implication (P>0.05), demonstrating that certain dosage level of rhNRG-1 β could reduced plasma PRA, AI, AII and ALD content in rat after ligation of its coronary artery (Table 9).
-
TABLE 9 Plasma rennin (PRA), angiotensin I (AI), angiotensin II (A II) and aldosterone (ALD) in various testing group model animals Drug AI AII ALD PRA Group administration (ng/ml) (Pg/ml) (ng/ml) (ng/ml h) Pseudo-operation iv 8.125 ± 1.573* 564.370 ± 273.56* 1.113 ± 0.447* 1.315 ± 0.96* n = 6 qd × 10 rhNRG-1 β iv 10.655 ± 1.178 1366.38 ± 577.33 1.738 ± 0.337 3.506 ± 1.78 (n = 6) qd × 10 rhNRG-1 β iv 7.400 ± 2.15** 641.47 ± 283.86* 1.018 ± 0.266** 1.337 ± 1.09* 20 μg/kg (n = 6) qd × 10 rhNRG-1 β iv 7.654 ± 1.399** 468.583 ± 165.1** 1.264 ± 0.382* 1.075 ± 1.5* 10 μg/kg (n = 6) qd × 10 rhNRG-1 β iv 10.036 ± 2.283 807.304 ± 333.46 1.472 ± 0.413 4.032 ± 1.81 5 μg/kg (n = 6) qd × 10 *p < 0.05, **p < 0.01, when comparing with that of the model group - When comparing with the ejection fraction (50.2±8.4%) and shortening fraction (22.4±4.6%) of the model control group, three dosage level of rhNRG-1 β injected for consecutive 5 days could raise the ejection fraction (71.1±12.0%, 64.44±12.9%, 62.9±8.4%) and shortening fraction (36.9±9.7%, 32.0±19.5%, 30.3±6.1%) and there was significant difference between 20 μg/kg, 10 μg/kg group and the model animal group (P<0.01), in addition, changes of ejection fraction in testing drug group model animal could maintain for about 35 days after drug administration (P<0.05); 200 μg/kg of rhNRG-1 β could significantly reduce ischemic hypoxic area of the myocardium, increase capillary number in the fibrotic lesion (P<0.05); 20 μg/kg and 10 μg/kg of rhNRG-1 β could reduce angiotensin I (AI), angiotensin I (AII), rennin (PRA) and aldosterone (ALD) levels in the peripheral blood of model animals and with significant difference when comparing with that of the model animal group (P<0.01, P<0.05). There was no significant difference between those with consecutive 10 days of drug administration and those with consecutive 5 days of drug administration (P<0.05).
- Results of the experiment showed that certain dosage of 20 μg/kg of rhNRG-1 β injected intravenously for consecutive 5 days could effectively treat rat heart failure caused by ligation of the coronary artery.
- Objectives To study therapeutic effect of 20 μg/kg of rhNRG-1 β on toxic myocarditis caused by Adriamycin in rat. Method 3.3 mg/kg of Adriamycin was injected in SD rat's tail vein, once every week for consecutive 4 injections, set up Adriamycin caused SD rat toxic myocarditis model. 3-dosage levels of rhNRG-1 β groups were set up, they were 10, 20 and 40 μg/kg once intravenous injection per day (qd) for consecutive 10 days. Survival of the animals was monitored; blood flow dynamic index, ratio of heart weight/body weight, pathologic examination of the myocardium were monitored at the end of the experiment, serum troponnin T (cTnT) level was determined as well. Results The survival rate of 40, 20 and 10 μg/kg dosage level of rhNRG-1 β group raised significantly when comparing with that of the 15% survival rate of the model animals, reached 85%, 90% and 60% respectively, dp/dt, −dp/dt and LVPmax of high, medium and low testing drug dosage level groups raised significantly, dp/dt reached 5954±689, 6107±418 and 4875±636 respectively, −dp/dt was −4794±954, −4323±457 and −3672±884 respectively, LVPmax was 165.7±22.7, 156.1±17.7 and 145±15.2 respectively, there was significant difference when comparing with those of the model animal group (P<0.001), in addition, there was significant difference in dp/dt, −dp/dt, LVPmax between 40 and 20 μg/kg dosage groups and those of 10 μg/kg dosage group P<0.05) and was somewhat dosage dependent; 40, 20 and 10 μg/kg of rhNRG-1 β could effectively alleviate the severity of myocardial damage in model animals, reduced serum troponin T (cTnT) level, they were 0.025±0.011, 0.031±0.006 and 0.074±0.024 respectively, with significant difference when comparing with that of 0.205±0.072 of the model group (P<0.01).
Conclusion 20 μg/kg of rhNRG-1 β could effectively treat toxic myocardial damage caused by Adriamycin in rat. - To study the therapeutic effect of rhNRG-1 β on toxic myocarditis caused by Adriamycin in rat.
- rhNRG-1β, provided by Zensun (Shanghai) Science & Technology Development Co. Ltd. Batch number: 200110006-2 Specification: 500 μg/ampule. Titer determination: 5000 u/ampule; Purity: >95% (HPLC-C8).
- SD rat provided by Experimental Animal Center of Fudan University Medical College, Number of certificate of animal competency: Yi Dong Zi 02-22-11, body weight 250±30 g, male.
- The animals were randomly divided in groups, 20 animals in each group, bred in separate cage.
- Temperature of the animal room was 18-22° C., with relative humidity of S0%-70%.
- Six leads electro-physiology recorder, SMUP-C-6, manufactured by Physiology Department of Shanghai Medical University;
- Energy exchanger (Japan Photoelectricity Industry Company, NIHON KOHDEN, model: TP-400T);
- Electrochemistry luminescence automatic immune analysis device (model 2010): Roche Diagnostics Co Ltd. batch number 158468;
- Precisive electro-balance, (Mateler-Tolido Equipment Co Ltd; Max: 610 g d=0.01 g);
- Micro-vernier calipers, (Harbin Measure & Knife Factory, 0.05 mm);
- Arterial-venous indwelling needle, 20Gm produced by Sino-America Weng Zhou Hua Li Medical Equipment Company;
- Reagent kit for serum troponin determination (Behring Diagnostic Inc.).
- Normal control group, model animal group and testing drug group were set up;
- Model group (negative control group: Adriamycin, manufactured by MingZhi Pharmaceuticals; ShanTou Special Economy Prefecture (batch number: 000201, expired date: 2003.2);
- Testing drug group: rhNRG-1 β group.
- 3-dosage levels of 10, 20 and 40 μg/kg of the testing drug group were established. Dissolved with 1 ml of water for injection and adjusted to needed concentration with excipient. Major component of the excipient was 5% mannitol for injection, 0.2% human serum albumin for injection, 10 mM phosphate buffer solution, provided by Zensun (Shanghai) Science & Technology Development Co Ltd. The testing drug was prepared prior to injection.
- rhNRG-1 β was injected into the tail vein within 24 hours after the first injection of Adriamycin, the injection of rhNRG-1 was carried out once daily for 10 days. Dosage was adjusted according to the body weight, volume of the drug administered was 0.2 ml/l 00 g.
- Based on the <<Guidance Principle of New Drug Preclinical Experiment>>, 3.3 mg/kg of Adriamycin was injected into the tail vein, once per week for consecutive 4 injections, establishing Adriamycin caused toxic myocarditis rat model.
- rhNRG-1 β was injected into the tail vein within 24 hours after the first injection of Adriamycin. During the experiment, animal survival was dynamically monitored, heart function indexes (maximal rate of pressure increase within left ventricle, dt/dpmax, maximal rate of pressure decrease within left ventricle, −dp/dt, systolic end pressure of left ventricle LVPmax, diastolic end pressure of left ventricle LVPmin) were monitored at the 5th week. Section was made from the heart tissue and pathological changes examined.
- Situation of survival was recorded weekly and the survival rate of the various experimental groups was calculated. Survival rate (%)=survival animal number/number of experimental animals×100.
- Heart was extirpated after thoracotomy (auricle should be reserved), the heart weight was measured after dried with absorbent paper, ratio of heart weight/body weight calculated; outer diameter of the heart was measured at 1/2 site of the vertically standing heat; medium pert of the left ventricle was crosswise cut open, maximal thickness of free wall of the left ventricle measured; the heart was fixed with 10% formaldehyde, paraffin embedded and HE stained, observation of the myocardial structure carried out under optic microscope, give out pathologic score.
- Grade 0: normal myocardial structure, without atrophy or hypertrophy of the myocardial cells, with vacuole, cross striation clear; regular arrangement of the myocardium; endocardium and pericardium without abnormality; no changes in blood vessel and interstitial tissue.
- Grade 1: Focal dissolve of myocardial cytoplasm and vacuole formation were seen in sporadic individual myocardial cells, while the neighboring myocardial cells still looked normal.
- Grade 2: Atrophy, dissolve of myocardial cytoplasm and vacuole formation was seen in small to medium extent of clustering myocardial cells, small focal necrosis of myocardial cells was also seen.
- Grade 3: Large extent of diffuse atrophy of myocardial cells, dissolve of cytoplasm or vacuole formation with quite marked necrosis. Scoring could be performed between
grade 1 andgrade 2 or betweengrade 2 andgrade 3, e.g. grade 1.5, grade 2.5 etc. - Hemodynamics index such as carotid artery pressure, intra-ventricular pressure. dp/dt was measured with six lead physiology recorder. Major procedure: separate the right carotid artery, ligase its distal end and block its proximal end with arterial clamps, 200 arteriovenous indwelling needle was inserted into the carotid artery, took out the medal stylet, loosened the artery clamps, push the plastic trocar further into appropriate depth, indwelled for 10 minutes, observed the wave style recorded by the physiology recorder, after it was stable, then recorded the carotid artery pressure and push the trocar further into the left ventricle, kept in place for 15 minutes, after it was stable, then recorded the dp/dt, −dp/dt, LVPmax and LVPmin.
- 6.3.3.4 Determination of Serum Troponin T (cTnT) Level
- 2 ml of arterial blood was withdrawn, serum extracted, frozen and stored at −20′C, determination of serum cTnT content was performed with electrochemistry irradiate method submitted to be carried out by Clinical Laboratory of Zhong Shan Hospital.
- Data was expressed as X±SD. Inter-group difference was analyzed with monofactorial variance analysis.
- 8.1 Adriamycin could Induce Toxic Myocarditis Complicated with Heart Failure in Rat
- Refer to Table 10, and
FIG. 18 . 3.3 mg/kg of Adriamycin was intravenously injected once every week for 4 consecutive injections, 5 weeks later, animal survival rate was 15%, significant heart function damage was seen in the survived rat, their dp/dt, −dp/dt, LVPmax, LVPmin was 43%, 47%, 58% and 37% of the normal value respectively, pathologic scoring of the myocardial tissue was 2.33±0.26, relative morbidity rate was 100%, serum cTnT raised significantly and reached 0.2 ng/mL demonstrating that toxic myocarditis and the resulting heart failure caused by Adriamycin animal model was successfully established. -
TABLE 10 Various determination index of toxic myocarditis induced by Adriamycin rat model Control group Model animal group survival rate (%) 100 15 pathologic score of 0 2.33 ± 0.26 * myocardial tissue dp/dt (mmHg/s) 6235 ± 423 2674 ± 446 ** −dp/dt −4590 ± 1003 −2141 ± 596 ** LVPmax (mmHg) 181.4 ± 15.4 106.1 ± 21.2 * LVPmin −27.1 ± 10.2 −10.0 ± 4.7 ** cTnT (ng/ml) 0.001 ± 0.000 0.205 ± 0.072 ** heart weight/body weight 0.0032 ± 0.0002 0.0031 ± 0.0001 thickness of left 1.88 ± 0.15 1.73 ± 0.16 ventricular wall (mm) heart circumference (mm) 31.0 ± 1.1 30.6 ± 0.1 n = 20, X ± SD, when comparing with that of the normal group, variance analysis, * P < 0.05 ** P < 0.001. -
FIG. 18 illustrates myocardium pathologic section of SD rat toxic myocarditis induced by Adriamycin; a: normal control group: pathologic score of myocardium was 0, without myocardial cells atrophy and hypertrophy, with vacuole formation, cross striation can be clearly seen; myocardium arranged regularly, no abnormality of endocardium and pericardium; no changes of the vessels and interstitial tissue; b: model animal group: pathologic score of the myocardium was 3, large area of myocardial cell necrosis and dissolution. - 8.2 Effect of rhNRG-1 β on Survival Rate of the Model Animals
- The results showed that with time of the experiment extended, all of the three-dosage levels of rhNRG-1 β could significantly reduce mortality of the model animals, survival rate of the model animal of 20 μg/kg dosage group reached up to 90% (P<0.0.1) (
FIG. 19 ). - 8.3 Effect of rhNRG-1 β on Heart Function of Model Animals
- After the drug administration, dp/dt and LVPmax in all the testing drug group animals raised somewhat. Through monofactorial variance analysis with SPSS software, inter-groups comparison showed that dp/dt and −dp/dt of testing drug group animals was significantly higher than those of the model animal group (P<0.001), the difference was not significant when comparing with those of the control group (P>0.05). Those of 40 and 20 μg/kg dosage group were significantly higher than those of 10 μg/kg group (P<0.01); LVPmax of the testing drug group (40, 20 and 10 μg/kg) was significantly higher than that of the model animal group (P<0.001) as well, in addition, the difference between various testing drug groups was significant statistically (P<0.05), demonstrating that rhNRG-1 β could effective improve heart function of the model animals and was dose-dependent. Results of the two experiments were coincident (Tables 11 and 12).
-
TABLE 11 Effect of rhNRG-1 β on heart function of model animals (I) Drug +dp/dt −dp/dt LVPmax LVPmin Group administration (mmHg/s) (mmHg/s) (mmHg) (mmHg) Normal control 6235 ± 423** −4590 ± 1003** 181.4 ± 15.4** −27.1 ± 10.2** group (n = 8) Model group iv qd × 10 d 2674 ± 446 −2141 ± 596 106.1 ± 21.2 −10 ± 4.7 (n = 6) rhNRG-1 β iv qd × 10 d 5954 ± 689** −4794 ± 954** 165.7 ± 22.7** −27.4 ± 10** 40 μg/kg (n = 8) rhNRG-1 β iv qd × 10 d 6107 ± 418** −4323 ± 457** 156.1 ± 17.7** −26.9 ± 9.7** 20 μg/kg (n = 8) rhNRG-1 β iv qd × 10 d 4875 ± 636** −3672 ± 884** 145 ± 15.2** −24.5 ± 9.6** 10 μg/kg (n = 8) * p < 0.05; **p < 0.001, when comparing with that of the model animal group -
TABLE 12 Effect of rhNRG-1 β on heart function of model animals (II) Drug +dp/dt −dp/dt LVPmax LVPmin Sample administration (mmHg/s) (mmHg/s) (mmHg) (mmHg) Normal 5872 ± 342** −4626 ± 896** 159 ± 25** −22.7 ± 12* group (n = 8) Model animal iv qd × 10 d 2675 ± 359 −2137 ± 334 103.9 ± 11.5 −11.3 ± 5.4 group (n = 8) rhNRG-1 β iv qd × 10 d 6041 ± 461** −4529 ± 274** 166.3 ± 12.4** −22.2 ± 11.4* 40 μg/kg (n = 7) rhNRG-1 β iv qd × 10 d 5833 ± 416** −4345 ± 807** 157.7 ± 12** −26.6 ± 7.4* 20 μg/kg (n = 7) rhNRG-1 β iv qd × 10 d 4956 ± 352** −3626 ± 1056** 158.2 ± 22.9** −22.4 ± 18 10 μg/kg (n = 8) *p < 0.05; **p < 0.001, when comparing with that of the model animals
8.4 Effect of rhNRG-1 β on myocardial structure of model animals - rhNRG-1 β could significant reduce the severity of myocardial cells damage in model animals, significant reduce pathologic score and the difference was significant statistically when comparing with that of the model group (P<0.01, P<0.05). Tables 13 and 14 and
FIG. 20 showed the results of the two experiments. -
FIG. 20 . Effect of rhNRG-1 β on Myocardial Structure of Model Animals - a: model animal myocardium pathologic score was 3, large area of myocardial cells necrosis and dissolution; b: 401 μg/kg testing drug group, myocardial pathologic score was 1, most of the myocardial cells were normal, there was local myocardial cytoplasm dissolution in sporadic myocardial cells; c: 20 μg/kg testing drug group, myocardial pathologic score was 1, most of the myocardial cells were normal, there was local myocardial cytoplasm dissolution in sporadic myocardial cells; d: 130 μg/kg testing drug group, myocardial pathologic score was 1.5, vacuole degeneration was seen in small cluster of myocardial cells.
-
TABLE 13 Effect of rhNRG-1 β on myocardial pathologic changes of model animals (I) Group Drug administration Pathologic scoring Normal group (n = 6) 0.00 ± 0.00** Model group (n = 6) iv qd × 10 d 2.33 ± 0.26 rhNRG-1 β 40 μg/kg (n = 6)iv qd × 10 d 0.33 ± 0.41** rhNRG-1 β 20 μg/kg (n = 6)iv qd × 10 d 1.17 ± 0.93* rhNRG-1 β 10 μg/kg (n = 6)iv qd × 10 d 1.83 ± 0.41* *p < 0.05; **p < 0.01 when comparing with that of the model animal group -
TABLE 14 Effect of rhNRG-1 β on myocardial pathologic changes of model animals (II) Group Drug administration Pathologic scoring Normal group (n = 6) 0 ± 0** Model animal group (n = 6) iv qd × 10 d 2.75 ± 0.274 rhNRG-1 β 40 μg/kg (n = 6)iv qd × 10 0.583 ± 0.204** rhNRG-1 β 20 μg/kg (n = 6)iv qd × 10 d 1.667 ± 0.931* rhNRG-1 β 10 μg/kg (n = 6)iv qd × 10 d 2.167 ± 0.516* p < 0.05; **p < 0.01, when comparing with that of the model animal group,
8.5 Effect of rhNRG-1 β on Serum cTnT of Model Animals - After the drug administration, serum cTnT content reduced significantly in every group animals, serum cTnT of high, medium and low dosage level groups was significant lower than that of the model group (P<0.001). Results of the two experiments were coincidence (Tables 15 and 16).
-
TABLE 15 Effect of rhNRG-1 β on serum cTnT of model animals (I) Group Drug administration cTnT (ng/ml) Normal group (n = 5) 0.001 ± 0.000** Model group (n = 6) iv qd × 10 d 0.205 ± 0.072 rhNRG-1 β 40 μg/kg (n = 6)iv qd × 10 d 0.025 ± 0.011** rhNRG-1 β 20 μg/kg (n = 6)iv qd × 10 d 0.031 ± 0.006** rhNRG-1 β 10 μg/kg (n = 6)iv qd × 10 d 0.074 ± 0.024** **p < 0.001 when comparing with that of the model group -
TABLE 16 Effect of rhNRG-1 β on serum cTnT of model animals (II) Group Drug administration cTnI (ng/ml) Normal group (n = 6) 0.433 ± 0.079** Model group (n = 6) iv qd × 10 d 20.525 ± 20.638 rhNRG-1 β 40 μg/kg (n = 6)iv qd × 10 0.874 ± 0.108** rhNRG-1 β 20 μg/kg (n = 6)iv qd × 10 d 1.677 ± 0.589** rhNRG-1 β 10 μg/kg (n = 6)iv qd × 10 d 8.342 ± 13.537** **p < 0.001 when comparing with that of the model animal group
8.6 Effect of rhNRG-1 β on Heart Size of Model Animals - Table and 18 showed results of the two experiments. There was no significant Change in heart physical parameters of the testing drug groups and the difference was not significant statistically between the groups (P>0.05).
-
TABLE 17 Effect of rhNRG-1 β on heart size of model animals (I) Drug Heart weight/body Left ventricle wall Group administration weight thickness (mm) Normal 0.0032 ± 0.0002 2.01 ± 0.07** group (n = 20) Model iv qd × 10 d 0.0031 ± 0.0001 1.717 ± 0.154 animal group (n = 6) rhNRG-1 β iv qd × 10 d 0.0031 ± 0.0002 1.813 ± 0.12 40 μg/kg (n = 16) rhNRG-1 β iv qd × 10 d 0.0032 ± 0.0001 1.789 ± 0.133 20 μg/kg (n = 18) rhNRG-1 β iv qd × 10 d 0.00301 ± 0.0002 1.773 ± 0.115 10 μg/kg (n = 13) **p < 0.01, when comparing with that of the model animal group -
TABLE 18 Effect of rhNRG-1 β on heart size of model animals (II) Drug Heart weight/body Left ventricular wall Group administration weight thickness (mm) Normal 0.00310 ± 0.000 2.19 ± 0.2** group (n = 20) Model group iv qd × 10 d 0.00298 ± 0.000 2.065 ± 0.17 (n = 10) rhNRG-1 β iv qd × 10 0.00297 ± 0.000 2.06 ± 0.2 40 μg/kg (n = 18) rhNRG-1 β iv qd × 10 d 0.00303 ± 0.000 2.15 ± 0.24 20 μg/kg (n = 19) rhNRG-1 β iv qd × 10 d 0.00307 ± 0.000 2.18 ± 0.21 10 μg/kg g (n = 16) **p < 0.01, when comparing with that of the model animal group - 40, 20 and 10 μg/kg of rhNRG-1 β could significantly improved the survival rate, reaching 85%, 90% and 60% respectively when comparing with that of 15% survival rate of the model group; dp/dt, −dp/dt and LVPmax of the high, medium and low dosage level group were significantly increased, dp/dt was 5954±689, 6107±418, 4875±636 respectively, −dp/dt was −4794±954, −4323±457, −3672±884 respectively, and LVPmax was 165.7±22.7, 156.1±17.7, 145±15.2 respectively, there was significant difference when comparing with that of the control group (P<0.001), in addition, dp/dt, −dp/dt and LVPmax of the 40 and 20 μg/kg dosage group differed significantly from those of the 10 μg/kg group (<0.05) and was somewhat dose dependent; all the three-dosage levels of 40, 20 and 10 μg/kg rhNRG-1 β could effectively alleviate the severity of myocardial damage in the model animal, reduce serum troponin T (cTnT) content, being 0.025±0.011, 0.031±0.006 and 0.074±0.024 respectively; when comparing with the 0.205±0.072 of the model animal group, there was significant difference. (P<0.01).
- Results of the experiment showed that rhNRG-1 β could effectively treat toxic myocardial injury cause by Adriamycin in rat through reduced serum release of cTnT and myocardial fiber necrosis, improved contraction function of the heart and reduced animal mortality.
- Objectives To study therapeutic effect of rhNRG-1 β on acute myocardial injury caused by viral (Coxsackie B3) infection. Method Mmice acute viral myocarditis model was established through intra-abdominal injection of Coxsackie B3 virus (CVB3). The model animals were randomly divided into groups, i.e., normal control group, model group, testing drug group with 20 animals in each group. Three dosage level of 30, 15 and 7.5 μg/kg of rhNRG-1 β was established and injection into the tail vein was carried out at the same day, for consecutive 5 days. During the experiment, animal survival rate was monitored. Heart function test (echocardiograph) was performed at the 7th day and killed the animals at the 8th day, serum was extracted for troponin I (cTnI) level determination and heart pathologic examination performed. Results EF value (90.2±2.5%, 86.0±2.9%) and FS value (55.7±2.1%, 50.7±4.3%) of both the 30 μg/kg and 15 μg/kg group increased significantly; there was significant difference when comparing with those of the model group (P<0.01), LVDd value (0.187±0.006, 0.189±0.008) and LVDs value (0.085±0.009, 0.099±0.027) were significantly lower than those of the model group (0.208±0.015, 0.142±0.020) (P<0.05); rhNRG-1 β could alleviate the severity of myocardial pathologic injury, effectively reduced serum troponin (cTnI) level, cTnI of 30 μg/kg dosage group (7.98±6.07 ng/ml) and 15 μg/kg group (19.43±10.76 ng/ml) were significantly lower than that of the model group (44.44±12.39 ng/ml), the difference between them was significant statistically (P<0.001, P<0.005); 30 μg/kg of rhNRG-1 β could significantly improved survival rate of the model animals, reaching 80%. P<0.05. Conclusion Certain dosage of rhNRG-1 β could effective threat acute myocardial injury caused by viral infection.
- To study therapeutic effect of rhNRG-1 β on acute myocardial injury caused by viral infection in mice and to find out optional effective dosage.
- rhNRG-1 β, provided by Zensun (Shanghai) Science & Technology Development. Batch number: 200110006-2 Titer: 5000 u; purity: >95% (HPLC-C8).
- 4.1 Species, source and certificate of competency: 4-week old purebred BALB/C mice, provided by Experiment Animal Department of Fudan University, Number of certificate of animal competency: Yi Dong Zi 22-9.
4.2 Body weight and gender: 10-12 g, male.
4.3 Animal number in each group: 20 animals in each experimental group, 10 in the normal control group. - Coxsackie Virus B3, CVB3, Nancy strain, provided by Ministerial Viral Heart Disease Laboratory (Shanghai Municipal Cardiovascular Diseases Institute).
- 6.1 Echocardiography device, Hewlett Packard sonos 5500; type of the probe: S12′;
6.2 Immuno-Assay System Opus® Plus, produced by Behring Diagnostic Inc. for determining serum troponin I (cTnI), batch number: CTE8;
6.3 Precise electronic balance, KERN 822;
6.4 Water for injection, Zang Jiang Andus Bioproduct Co Ltd, 10×5 ml, batch number: 0112180;
6.5 Epilating agent, 8% sodium sulfide, GuangDong XiLong Chemical Plant, batch number: 010622. - Normal control group, model group, testing drug group and placebo control group were set up;
- Model group was negative control group (n=20): Prepared buffer solution was administered (10 mN PB, 0.2% human serum albumin, 5% mannitol);
- Testing drug group (n=20): high, medium and low dosage level of rhNRG-1 β group were divided;
- Placebo control group (n=20): Intra-abdominal injection of non-CVB3 freeze-thaw cellular supernatant, 0.2 ml/animal.
- Three-dosage levels of 30, 15 and 7.5 μg/kg of the testing drug group were established based on the results of preliminary experiment. Diluted with preparation buffer solution (10 mM PB, 0.2% human serum albumin, 5% mannitol) to needed concentration.
- Drug administration of both the testing drug group and the model group was intravenous injection into the tail vein of mice, once every day (qd), for consecutive 5 days, volume of each of the drug administered was 0.2 ml/animal.
- 0.2 ml of 100×TCID50 CVB3 provided by Zhong Shan Hospital affiliated to Fudan University was injected intra-abdominally and established myocarditis model. Within the following week, the mouse manifested pilo-erection, depilation, emaciation, dullness and death, about half of the tested animals died at the 8th day.
- Intravenous injection of the testing drug into the tail vein was carried out the same day of intra-abdominal viral infection in mice, the injection was performed for consecutive 5 days, animal survival rate was monitored, after completion of the experiment, echocardiograph, myocardial pathologic examination, serum troponin determination were carried out.
- Chest depilating was performed at the 7th day of viral injection, then the mouse was fixed on special made fixed mount and echocardiograph was carried out with S12 high-frequency probe, the main index included:
- EF: ejection fraction of left ventricle, being major index reflecting ejection function of left ventricle;
- FS: shortening fraction of left ventricle, index reflecting contraction function of left ventricle;
- LVDd: diastolic maximal inner diameter (cm);
- LVDs: systolic minimal inner diameter (cm).
7.3.3.2 Determination of Serum Troponin I (cTnI) in Mice - Severity of myocardial injury was evaluated through determination of the amount of serum cTnI release, with advantage of high specificity and high sensitivity when comparing with other traditional index such as CK, LDH and AST. Therefore, serum cTnI content determination was used as an objective index reflecting the severity of myocardial injury.
- At the 8th day of viral injection, body weight of the mice was measured and blood withdrawn from the orbit, serum separated, stored in −20° C. refrigerator and serum cTnI determination with luminous reaction carried out.
- The examination was submitted to be carried out by Pathology Department of Shanghai Medical College affiliated to Fudan University.
- The survived mice were killed through dislocating the cervical spine, aseptic thoracotomy was performed and the heart extirpated, heart weight measured and put the myocardium into formaldehyde for fixation, embedded in paraffin, consecutive section made and pathologic examination performed, observed inflammatory cells infiltration of the myocardium, degeneration and necrosis. Based on the Principle of New Drug Evaluation Guideline, pathologic scoring criteria was defined as follow:
- Score 0: lesion area accounting for 0%;
-
Score 1; lesion area accounting for 25%; - Score 2: lesion area accounting for 50%;
- Score 3: lesion area accounting for 75%;
- Score 4: lesion area accounting for 100%;
- Scoring could be performed between
score 1 and score 2 or betweenscore 2 and score 3, e.g. when lesion area was 80% was scored as score 3.2, - The death status of model animals in various testing drug group was monitored.
- Pairing t test of the relevant data was used for data processing.
- 9.1 Effect of rbNRG-1 β on Heart Function of Mice Infected with Virus
- The results showed that both EF value (67.1±9.9%) and Fs value (32.0±7.2%) were significantly lower than the normal value (EF, 92.5±2.3%/FS, 59.2±3.1%), p<0.05; EF value (90.2±2.5%, 86.0±2.9%) and FS value (55.7±2.1%, 50.7±4.3%) of 30 μg/kg and 15 μg/kg of rhNRG-1 β group increased significantly, there was significant difference when comparing with those of the model group (P<01). EF/FS of 7.5 μg/kg group did not have significantly difference from that of the model group (P>0.05).
- LVDd value (0.208±0.015 cm) and LVDs value (0.142±0.020 cm) of the model group were significantly higher than that of the normal control group (LVDd. 0.179±0.007 cm/LVDs. 0.073±0.006 cm) and there were significant difference between them (P<0.01). LVDd and LVDs of 30 μg/kg and 15 μg/kg of rhNRG-1 β group were significantly lower than that of the model group (P<0.05), while that of 7.5 μg/kg differed insignificantly from that of the model group (P>0.05). Tables 19 and 20 showed results of the 2 repeated experiments.
-
TABLE 19 Determination parameters of heart function after 5-day drug administration in mice infected with virus (I) Drug administration LVDd LVDs EF FS Group regime (cm) (cm) (%) (%) Normal control group 0.179 ± 0.007** 0.073 ± 0.006** 92.5 ± 2.3** 59.2 ± 3.1** Model group iv 0.208 ± 0.015 0.142 ± 0.020 67.1 ± 9.9 32.0 ± 7.2 qd × 5 hNRG-1 β iv 0.187 ± 0.006** 0.085 ± 0.009** 90.2 ± 2.5** 55.7 ± 2.1** 30 μg/kg qd × 5 rhNRG-1 β iv 0.189 ± 0.008* 0.099 ± 0.027* 81.3 ± 6.28* 44.5 ± 8.27* 15 μg/kg qd × 5 rhNRG-1 β iv 0.191 ± 0.012 0.114 ± 0.028 78.1 ± 9.3 41.7 ± 9.6 7.5 μg/kg qd × 5 In each of the above-described data, each group n = 6, through SPSS one-way anova analysis and compare with that of the model group *P < 0.05 **P < 0.01 -
TABLE 20 Determination parameters of heart function after 5-day's drug administration in mice infected with virus (II) Drug administration LVDd LVDs EF FS Group regime (cm) (cm) (%) (%) Normal control group 0.189 ± 0.008** 0.069 ± 0.006** 94.5 ± 0.56** 63.7 ± 3.01** Model group iv 0.232 ± 0.023 0.159 ± 0.031 63.1 ± 18.47 30.3 ± 10.75 qd × 5 rhNRG-1 β iv 0.196 ± 0.011** 0.094 ± 0.011** 87.7 ± 3.76** 51.8 ± 5.24** 30 μg/kg qd × 5 rhNRG-1 β iv 0.201 ± 0.011* 0.114 ± 0.018* 81.6 ± 4.59* 44.9 ± 5.68* 15 μg/kg qd × 5 hNRG-1 β iv 0.213 ± 0.009 0.133 ± 0.015 71.9 ± 6.69 35.7 ± 5.60 7.5 μg/kg qd × 5 In each of the above-described data, each group n = 6, through SPSS one-way anova analysis and compare with that of the model group *P < 0.05 **P < 0.01
9.2 Effect of rhNRG-1 β on Serum cTnI of Mice Infected by Virus - Results showed that cTnI of the model group (44.44±12.39 ng/ml) was significant higher than that of the control group (3.28±4.55 ng/ml), that of 30 μg/kg of rhNRG-1 β. Group (7.98±6.07 ng/ml) was significantly lower than that of the model group (P<0.01); cTnI of 15 μg/kg of rhNRG-1 β group (19.43±10.76 ng/ml) differed significantly from that of the model group (P<0.05), whereas there was no significant difference statistically between cTnI of the 7.5 μg/kg of rhNRG-1 βgroup (29.05±17.06 ng/ml) and that of the model group. Tables 21 and 22 showed the results of the two experiments.
-
TABLE 21 Effect of rhNRG-1 β on serum cTnI (ng/ml) content in mice infected by virus (I) Drug administration cTnI (ng/ml) Mean ± Group regime SD Normal control group 3.28 ± 4.55 ** Model group iv qd × 5 44.44 ± 12.39 rhNRG-1 β 30 μg/kg iv qd × 5 7.98 ± 6.07 ** rhNRG-1 β 15 μg/kg iv qd × 5 19.43 ± 10.76 * rhNRG-1 β 7.5 μg/kg iv qd × 5 29.05 ± 17.06 Placebo control group 3.75 ± 2.36 ** In each of the above-described data, each group n = 6, through SPSS Nonparametric tests (Independent samples tests) analysis and compare with that of the model group * P < 0.05 ** P < 0.01 -
TABLE 22 Effect of rhNRG-1β on serum cTnI (ng/ml) content in mice infected by virus (II) cTnI (ng/ml) Group Drug administration regime Mean ± SD Normal group 0.19 ± 0.06** Model group iv 34.05 ± 16.50 qd × 5 rhNRG-1β 30 μg/kg iv qd × 5 0.54 ± 0.53** rhNRG-1β 15 μg/kg iv qd × 5 15.59 ± 14.94* rhNRG-1β 7.5 μg/kg iv qd × 5 26.85 ± 15.20 Placebo control group 14 ± 0.03** In each of the above-described data, each group n = 6, through SPSS Nonparametric tests (Independent samples tests) analysis and compare with that of the model group *P < 0.05 **P < 0.01
9.3 Effect of rhNRG-1 β on Myocardial Injury of Mice Infected with Virus - Results of the experiment showed that myocardial pathologic score of the normal group was 0.0±0.00, myocardial pathologic score of the model group was (2.22±0.97), there was significant difference between them (P<0.01). Pathologic score of both the high dosage and medium dosage level of rhNRG-1 β decreased significantly (0.56±0.47 and 0.73±0.58 respectively), and were significantly different from that of the model group (P<0.001), there was no significant difference between that of the low dosage level group and that of the model group (P>0.05). Tables 23 and 24 and
FIGS. 21 and 22 showed results of the two experiments. -
TABLE 23 Effect of rhNRG-1β on myocardial pathologic changes in mice infected by virus (I) Drug Pathologic score Group administration regime Mean ± SD Normal control group 0.00 ± 0.00** (n = 10) Model group (n = 10) iv 2.22 ± 0.97 qd × 5 rhNRG-1β 30 μg/kg (n = 17) iv qd × 5 0.56 ± 0.47** rhNRG-1β 15 μg/kg (n = 13) iv qd × 5 0.73 ± 0.58** rhNRG-1β 7.5 μg/kg iv qd × 5 1.52 ± 0.74 (n = 10) Placebo control group 0.00 ± 0.00** (n = 10) In each of the above-described data, each group n = 6, through SPSS Nonparametric tests (Independent samples tests) analysis and compare with that of the model group *P < 0.05 **P < 0.01 -
TABLE 24 Effect of rhNRG-1β on myocardial pathologic changes in mice infected by virus (II) Pathologic score Group Drug administration regime Mean ± SD Normal control group 0.00 ± 0.00** (n = 10) Model group (n = 10) iv 2.03 ± 1.44 qd × 5 rhNRG-1β 30 μg/kg iv qd × 5 0.23 ± 0.26** (n = 17) rhNRG-1β 15 μg/kg iv qd × 5 0.57 ± 0.58** (n = 13) rhNRG-1β 7.5 μg/kg iv qd × 5 1.34 ± 1.16 (n = 10) Placebo control group 0.00 ± 0.00** (n = 10) In each of the above-described data, each group n = 6, through SPSS Nonparametric tests (Independent samples tests) analysis and compare with that of the model group *P < 0.05 **P < 0.01
9.4 Effect of rbNRG-1 β on Survival Rate of Mice Infected by Virus - Tables 25 and 26 showed results of the two experiments. One week after injection of the virus, survival rate of mice in the model group was 50% and 55% respectively, while after injection of rhNRG-1 β they raised up to 85% and 80% (30 μg/kg) and 70% and 65% (15 μg/kg).
-
TABLE 25 Effect of rhNRG-1 β on survival rate of mice infected by virus (I) Drug Numbers of survival animals (relative survival rate %) adminis- Group tration 1st day 2nd day 3rd day 4th day 5th day 6th day 7th day killed Normal control 10 10 10 10 10 10 10 10** group 100% 100% 100% 100% 100% 100% 100% 100% (n = 10) Model group iv qd × 5 20 20 20 18 17 14 11 10 (n = 20) 100% 100% 100% 90% 85% 70% 55% 50% rhNRG-1 β iv qd × 5 20 20 20 20 20 18 17 16* 30 μg/kg 100% 100% 100% 100% 100% 90% 85% 80% (n = 20) rhNRG-1 β iv qd × 5 20 20 20 20 19 17 14 13 15 μg/kg 100% 100% 100% 100% 95% 85% 70% 65% (n = 20) rhNRG-1 β iv qd × 5 20 20 20 19 18 15 13 10 5 μg/kg 100% 100% 100% 95% 90% 75% 65% 50% (n = 20) Placebo control 20 20 20 20 20 20 20 20** group 100% 100% 100% 100% 100% 100% 100% 100% (n = 20) The above described data were processed through SPSS software, Survival Life Tables analysis, *P < 0.05 **P < 0.01, when comparing with that of the control group -
TABLE 26 Effect of rhNRG-1 β on survival rate of mice infected by virus (II) Drug adminis- Numbers of survival animals (relative survival rate %) Group tration 1st day 2nd day 3rd day 4th day 5th day 6th day 7th day killed Normal control 10 10 10 10 10 10 10 10** group 100% 100% 100% 100% 100% 100% 100% 100% (n = 10) Model group iv qd × 5 20 20 20 18 15 13 10 10 (n = 20) 100% 100% 100% 90% 75% 65% 50% 50% rhNRG-1 β iv qd × 5 20 20 20 20 19 18 17 17* 30 μg/kg 100% 100% 100% 100% 95% 90% 85% 85% (n = 20) rhNRG-1 β iv qd × 5 20 20 20 19 18 16 13 13 15 μg/kg 100% 100% 100% 95% 90% 80% 65% 65% (n = 20) rhNRG-1 β iv qd × 5 20 20 20 18 17 14 11 10 7.5 μg/kg 100% 100% 100% 90% 85% 70% 55% 50% (n = 20) Placebo control 20 20 20 20 20 20 20 20** group 100% 100% 100% 100% 100% 100% 100% 100% (n = 20) The above described data were processed through SPSS software, Survival Life Tables analysis, *P < 0.05 **P < 0.01 when comparing with that of the control group - EF value (90.2±2.5%, 86.0±2.9%) and FS value (55.7±2.1%, 50.7±4.3%) of 301 μg/kg and 15 μg/kg of rhNRG-1 groups raised significantly and there was significant difference when comparing with that of the model group (P<0.02), both LVDd value (0.187±0.006, 0.189±0.008) and LVDs value (0.085±0.009, 0.099±0.027) were lower than that of the model group (0.208±0.015, 0.142±0.020), P<0.05; rhNRG-1 β could alleviate the severity of myocardial pathologic damage of model group animals, effectively reduced serum troponin I (cTnI) level, cTnI content of 30 μg/kg dosage level group (7.98±6.07 ng/ml) and 15 μg/kg dosage level group (19.43±10.76 ng/ml) were significantly lower than that of the model group (44.44±12.39 ng/ml) and there was significant difference between them (P<0.001, P<0.005); 30 μg/kg of rhNRG-1 β could significantly improve survival rate of model group animals and reached 80% when comparing with the 50% survival rate of the model group animals, P<0.05.
- Results of the experiment showed that 30 μg/kg dosage level of rhNRG-1 β could effectively treat acute myocardial injury caused by viral infection in mice.
- Objectives To study the effective time of drug administration of rhNRG-1 β in the treatment of acute myocardial injury in mice caused by viral infection. Method Acute myocardial injury animal model was established through intra-abdominal injection of Coxsacki B3 virus (CVB3) in mice. The model animals were randomly divided into groups, i.e., normal control group, model group, testing drug group, 20 animals was assigned to each group. 30 μg/kg of rhNRG-1 β was injected into the tail vein for consecutive 3, 5 and 7 days respectively. During the experiment, animal survival rate was monitored, echocardiograph was performed at the 7th day and the animals were killed at the 8th day, serum separated for cTnI level determination, heart pathohistological examination carried out. Results Consecutive injection of 30 μg/kg of rhNRG-1 β for 3, 5 and 7 days could raise the EF/FS value and there was significant difference (P<0.001) in comparing the EF/FS value of 5-day and 7-day testing drug groups (86.8±4.4%/51.9±5.8%, 87.0±3.3%/51.8±5.1%) with the EF/FS value of the model group (66.5±5.6/31.8±3.7), the LVDs value of the 5 and 7-day testing drug group decreased significantly (being 0.090±0.011, 0.092±0.012 cm respectively) and there was significant difference (P<0.01) when comparing with that of the model group (0.133±0.012); rhNRG-1 β could alleviate the severity of myocardial pathologic damage, effectively reduced serum troponin I (cTnI) level of the model animals, the cTnI of 5-day testing drug group (1.06±1.32 ng/ml) and of 7-day testing drug group (1.05±1.2 ng/ml) was significantly lower than that of the model group (23.54±16.96 ng/ml) P<0.01; consecutive 5 and 7-day injection of rhNRG-1 β could significantly improved the animal survival rate, reaching 85% when comparing with the 50% survival rate of the model animals, P<0.05. Conclusion 30 μg/kg of rhNRG-1 β injected for consecutive 5 days could effectively treat the acute myocardial injury in mice caused by viral infection.
- To make clear the effective time of drug administration of rhNRG-1 β in the treatment of mice acute myocardial injury caused by viral infection.
- rhNRG-1 β, provided by Zensun (Shanghai) Science & Technology Development. Batch number 200110006-2, Titer: 500 u; purity: >95% (HPLC-C8).
- 5.1 Species, source and certificate of competency: 4-week old purebred BALB/C mice, provided by Experiment Animal Department of Fudan University, Number of certificate of animal competency: Yi Dong Zi 22-9.
5.2 Body weight and gender: 13-15 g, male.
5.3 Animal number in each group: 20 animals in each experimental group, 10 in the normal control group. - The same as that described in the previous section.
- The same as that described in the previous section.
- Normal mice control group, model group and testing drug group were set up;
- Normal mice control group (n=10);
- Model group (n=20): Prepared buffer solution was injected;
- Testing drug group (n=20): 30 μg/kg of rhNRG-1 β was administered for 3, 5 and 7 consecutive days as three difference therapeutic courses with 20 animals assigned for each group;
- Placebo control group (n=20): Intra-abdominal injection of non-CVB3 freeze-thaw cellular supernatant, 0.2 ml/animal.
- rhNRG-1 β was diluted with preparation buffer solution (10 mM PB, 0.2% human serum albumin, 5% mannitol to needed concentration;
- Three drug administration groups were set up, intravenous injection for consecutive 3-day, 5-day and 7-day, drug volume for each dose was 0.2 ml/animal;
- Drug administration of the model group was intravenous injection into the tail vein of mice, once every day (qd), for consecutive 7 days, drug volume for each dose was 0.2 ml/animal.
- 0.2 ml of 100×TCID50 CVB3 provided by Zhong Shan Hospital affiliated to Fudan University was injected intra-abdominally and established myocarditis model. Within the following week the mouse manifested pilo-erection, depilation, emaciation, dullness and death, about half of the tested animals died at the 8th day.
- The same as that described in the previous section.
- The same as that described in the previous section.
- Pairing t test of the relevant data was used for the data processing.
- 9.1 Effect of rhNRG-1 β Administered for 3, 5 and 7 Days on Heart Function of Mice Infected by Virus
- Results showed that BF/Fs value (66.5±5.6%/31.8±3.7%) was significantly lower than that of the normal group (93.5±0.9%/68.1±1.3%), the difference was significant statistically (P<0.01). EF/FS value of 5 and 7 consecutive-day of rhNRG-1 β injection (86.8±4.4%/51.9±5.8%, 87.0±3.3%/51.8±5.1%) differed significantly from that of the model group (P<0.001).
- EF value of 3 consecutive days of rhNRG-1 β injection raised again (73.1±6.6%), however without significant difference when comparing with that of the model group (P<0.05).
- LVDs value (0.133±0.012 cm) was higher than that of the normal group (0.059±0.006 cm) and there was significant difference between them (P<0.01). LVDs value of rhNRG-1 β administered for 5 days and for 7 days group was significantly reduced (0.090±0.011, 0.092±0.012 cm respectively), and differed significantly from that of the model group (P<0.001). LVDs value of rbNRG-1 β administered for 3-day group (0.123±0.012 cm) differed insignificantly from that of the model group (P<0.05). Table-27 and 17-28 showed results of the two experiments.
-
TABLE 27 Effect of rhNRG-1β administered for different number of days on heart function of mice infected by virus (I) Drug administration Group regime LVDd (cm) LVDs (cm) EF (%) FS (%) Normal control 0.179* ± 0.007 0.059** ± 0.006 93.5** ± 0.9 68.1** ± 1.3 group Model group iv qd × 7 0.194 ± 0.012 0.133 ± 0.012 66.5 ± 5.6 31.8 ± 3.7 rhNRG-1β iv qd × 3 0.194 ± 0.008 0.123 ± 0.012 73.1 ± 6.6 36.7 ± 4.7 30 μg/kg rhNRG-1β iv qd × 5 0.187 ± 0.006 0.090** ± 0.011 86.8** ± 4.4 51.9** ± 5.8 30 μg/kg rhNRG-1β iv qd × 7 0.192 ± 0.008 0.092** ± 0.012 87.0** ± 3.3 51.8** ± 5.1 30 μg/kg In each of the above-described data, each group n = 6, through SPSS one-way anova analysis and compare with that of the model group *P < 0.05 **P < 0.01 -
TABLE 28 Effect of rhNRG-1β administered for different number of days on heart function of mice infected by virus (II) Drug administration Group regime LVDd (cm) LVDs (cm) EF (%) FS (%) Normal control 0.189** ± 0.008 0.080** ± 0.007 90.9** ± 2.6 57.5** ± 3.5 group Model group iv qd × 7 0.206 ± 0.008 0.126 ± 0.006 75.4 ± 5.2 39.0 ± 4.3 rhNRG-1β iv qd × 3 0.211 ± 0.016 0.121 ± 0.016 81.0 ± 5.4 43.9 ± 5.1 30 μg/kg rhNRG-1β iv qd × 5 0.199 ± 0.000 0.100* ± 0.014 85.8** ± 4.205 50.0** ± 6.350 30 μg/kg rhNRG-1β iv qd × 7 0.194 ± 0.017 0.092** ± 0.008 87.283** ± 1.694 52.367** ± 1.847 30 μg/kg In each of the above-described data, each group n = 6, through SPSS one-way anova analysis and compare with that of the model group *P < 0.05 **P < 0.01
9.2 Effect of rhNRG-1 β on Serum cTnI of Mice Infected by Virus - Results showed that mean of cTnI of the normal group (0.12±0.03 ng/ml) and mean of cTnI of the model group raised significantly (23.54±16.96 ng/ml) and there was significant difference between them (P<0.001). cTnI value of rhNRG-1 β administered for both 5-day and 7-day group reduced significantly (being 1.06±1.32 ng/ml, 1.05±1.20 ng/ml respectively), and differed significantly from that of the model group (P<0.001), the difference was insignificant between the 3-day drug administration group and the model group (P>0.05). Tables 29 and 30 showed the results of the two experiments.
-
TABLE 29 Effect of rhNRG-1β on serum cTnI (ng/ml) in mice infected by virus (I) cTnI (ng/ml) Group n = 9) Drug administration regime Mean ± SD Normal control group 0.12 ± 0.03** Model group iv qd × 7 23.54 ± 16.96 rhNRG-1β 30 μg/kg iv qd × 3 13.37 ± 9.53 rhNRG-1β 30 μg/kg iv qd × 5 1.06 ± 1.32** rhNRG-1β 30 μg/kg iv qd × 7 1.05 ± 1.20** Each of the above group was analyzed by Nonparametric tests (Independent samples tests) of SPSS software, when comparing with that of the model group, *P < 0.05 **P < 0.01 -
TABLE 30 Effect of rhNRG-1β on serum cTnI (ng/ml) in mice infected by virus (II) cTnI (ng/ml) Group n = 8) Drug administration regime Mean ± SD Normal control group 0.15 ± 0.03** Model group iv qd × 7 30.13 ± 21.75 rhNRG-1β iv qd × 3 12.32 ± 18.36 30 μg/kg rhNRG-1β iv qd × 5 0.44 ± 0.24** 30 μg/kg rhNRG-1β iv qd × 7 0.51 ± 0.28** 30 μg/kg - Each of the above group was analyzed by Nonparametric tests (Independent samples tests) of SPSS software, when comparing with that of the model group,* P<0.05 **P<0.01
- 9.3 Effect of rhNRG-1 β Administered for Different Number of Days on Myocardial Pathologic Injury of Mice Infected with Virus
- Results of the experiment showed that pathologic score of the normal group was 0.0±0.00, pathologic score of the model group was increased (1.44±1.19), there was significant difference between them (P<0.01), pathologic score of rhNRG-1 β administered for 5-day and 7-day groups reduced significantly (being 0.11±0.14 and 0.13±0.13 respectively) and differed significantly from that of the model group (P<0.01). There was improvement of myocardial injury of the 3-day drug administration group as well (0.33±0.155) and there was significant difference when comparing with that of the model group, however, improvement of the myocardial cells of the 5-day drug administration group was markedly better than that of the 3-day drug administration group and there was significant difference between them (P<0.01), while there was no significant difference in pathologic scoring between 5-day and 7-day drug administration group.
- Tables 31, 32 and
FIGS. 21 and 24 showed results of the two experiments. -
TABLE 31 Effect of rhNRG-1β administered for different number of days on myocardial pathologic changes in mice infected by virus (I) Pathologic score Group Drug administration regime Mean ± SD Normal control group 0.00 ± 0.00** Model group iv qd × 7 1.44 ± 1.19 rhNRG-1β 30 μg/kg iv qd × 3 0.33 ± 0.155* rhNRG-1β 30 μg/kg iv qd × 5 0.11 ± 0.140** rhNRG-1β 30 μg/kg iv qd × 7 0.13 ± 0.132** Each of the above group was analyzed by Nonparametric tests (Independent samples tests) of SPSS software, when comparing with that of the model group, * P < 0.05 ** P < 0.01 -
TABLE 32 Effect of rhNRG-1β administered for different number of days on myocardial pathologic changes in mice infected by virus (II) Pathologic Group (n = 10) Drug administration regime score Mean ± SD Normal control 0.00 ± 0.00** group Model group iv qd × 7 1.86 ± 1.20 rhNRG-1β 30 μg/kg iv qd × 3 0.55 ± 0.476* rhNRG-1β 30 μg/kg iv qd × 5 0.17 ± 0.157** rhNRG-1β 30 μg/kg iv qd × 7 0.19 ± 0.168** Each of the above group was analyzed by Nonparametric tests (Independent samples tests) of SPSS software, when comparing with that of the model group, * P < 0.05 ** P < 0.01
9.4 Effect of rbNRG-1 β on Survival Rate of Mice Infected by Virus - Tables 33 and 34 showed results of the two experiments, survival rate of mice in the model group was 50% and 55% respectively, while that of rhNRG-1 β administered for both 5-day and 7-day group raised up to 85% and 80% and there was significant difference when comparing with that of the model group, P<0.05. Survival rate of the 3-day group raised to 65% and 75%, however, there was no significant difference when comparing with that of the model group (P<0.05).
-
TABLE 33 Effect of rhNRG-1 β administered for different number of days on survival rate in mice infected by virus (I) Drug adminis- Number of survival animal (relative survival rate %) Group tration 1st day 2nd day 3rd day 4th day 5th day 6th day 7th day killed Normal control 10 10 10 10 10 10 10 10** group 100% 100% 100% 100% 100% 100% 100% 100% n = 10 Model group iv qd × 7 20 20 20 18 16 13 10 10 n = 20 100% 100% 100% 90% 80% 65% 50% 50% rhNRG-1 β Iv qd × 3 20 20 20 19 18 16 14 13 30 μg/kg 100% 100% 100% 95% 90% 80% 70% 65% n = 20 rhNRG-1 β iv qd × 5 20 20 20 20 19 19 18 17* 30 μg/kg 100% 100% 100% 100% 95% 95% 90% 85% n = 20 rbNRG-1 β iv qd × 7 20 20 20 20 20 19 19 17* 30 μg/kg 100% 100% 100% 100% 100% 90% 90% 85% n = 20 Each of the above group was analyzed by Survival Life Tables of SPSS software, when comparing with that of the model group,* P < 0.05 **P < 0.01 -
TABLE 34 Effect of rhNRG-1 β administered for different number of days on survival rate in mice infected by virus (II) Drug adminis- Number of survival animals (relative survival rate %) Group tration 1st day 2nd day 3rd day 4th day 5th day 6th day 7th day killed Normal group 10 10 10 10 10 10 10 10** n = 10 100% 100% 100% 100% 100% 100% 100% 100% Model group iv qd × 7 20 20 20 18 17 14 12 12 n = 20 100% 100% 100% 90% 85% 70% 60% 60% rhNRG -1 β iv qd × 3 20 20 20 20 19 16 15 15 30 μg/kg 100% 100% 100% 100% 95% 80% 75% 75% n = 20 rhNRG-1 β iv qd × 5 20 20 20 20 19 19 18 18* 30 μg/kg 100% 100% 100% 100% 95% 95% 90% 90% n = 20 rhNRG-1 β iv qd × 7 20 20 20 20 20 19 18 18* 30 μg/kg 100% 100% 100% 100% 100% 95% 90% 90% n = 20 Each of the above group was analyzed by Survival Life Tables of SPSS software, when comparing with that of the model group,* P < 0.05 **P < 0.01 - 30 μg/kg of rhNRG-1 β intravenously injected for consecutive 3, 5 and 7 days could all raise the EF/FS value, EF/FS value of drug administration for 5 and 7 days groups (86.8±4.4%/51.9±5.8%, 87.0±33%/51.8±5.1%) differed significantly from EF/FS value of the model group (66.5±5.6/31.8 3.7) (P<0.01), LVDs of both the 5 and 7 days groups reduced significantly (being 0.090±0.011 and 0.092±0.012 cm respectively) and differed significantly from that of the model group (0.133±0.012) (P<0.01); rhNRG-1 β could alleviate the severity of myocardial pathologic damage in model animals, effectively reduced serum troponin I (cTnI) level, cTnI of drug administration for 5-day group (1.06±1.32 ng/ml) and for 7-day group (1.05±1.2 ng/ml) were significantly lower than that of the model group (23.54±16.96 ng/ml), (P<0.01); rhNRG-1 β intravenously injected for consecutive 5 days and 7 days could significant raised survival rate of the model animals, reaching 85%. P<0.05.
- Results of the experiment demonstrated that 30 μg/kg of rhNRG-1 β administered for consecutive 5 days could effectively treat the acute myocardial injury in mice infected by virus.
- Objectives To study therapeutic effect of rhNRG-1 β on congestive heart failure caused by inferior vena cava constriction in dog. Methods After about 1 week of constriction of inferior vena cava by 50%, EF value reduced by about 20% or cardiac output reduced by 20% determined by echocardiograph, demonstrating that stable low output, congestive heart failure animal model was established. Then randomly divided the animals into groups with 6 dogs for each group, three dosage level of rhNRG-1 β i.e., 1, 3 and 10 μg/kg, was intravenously injected daily for consecutive 5 days. Heart function (echocardiography) determination was performed after the drug administration; various hemodynamic parameters in model animals were analyzed through cervical vein and carotid artery catheterization respectively. Results All of the three dosage level of rhNRG-1 β (1,3 and 10 μg/kg) administrated for consecutive 5 days could raise E/IFS value and cardiac output (CO) of model animals, there were significant difference between those value prior to and after the drug administration and those of the model group (P<0.05, P<0.01); 1, 3 and 10 μg/kg of rhNRG-1 β could effectively raise dp/dt of left ventricle in model animals, there was significant difference when comparing with that of the model group (P<0.01), could effectively raised LVPmax of the model animals, reduced LVPmin value and P<0.04 when comparing with those of the model group, whereas effect on the right ventricle was not apparent. Conclusion rhNRG-1 β could effectively treat congestive heart failure caused by constriction of the inferior vena cava in dog.
- To demonstrate therapeutic effect of rhNRG-1 β on congestive heart failure caused by constriction of the inferior vena cava in dog.
- rhNRG-1 β, provided by Zensun (Shanghai) Science & Technology Development. Batch number 200110006-2; Concentration: 500 μg/ampule; Titer: 5000 u/ampule; Purity: >95% (HPLC-C8).
- 6.1 Species, source and certificate of competency: crossbred dog, provided by Zhong Shan Hospital of Fudan University, being eligible guarantied by Experiment Department of Fudan University.
6.2 Body weight and gender: 13-18 kg, male.
6.3 Animal number in each group: 6 animals in each experimental group. - 5.1 Echocardiography device. Hewlett Packard sonos 5500; type of the probe: S4
5.2 Water for injection, Zang Jiang Antus Bioproduct Co Ltd, 10×5 ml, batch number: 0112180;
5.3 High-frequency electric knife, Shanghai Hu Tong electronic equipment factory, GD350-D;
5.4 Electrocardiography recorder, Nihon Kohden ECG-6511;
5.5 Monitoring electrode, Ludlow Company of Canada, model: MT-200;
5.6 Physiology recorder, Equipment Research Center of Shanghai Medical University, SMUP-B;
5.7 Electric ventilator, Shanghai No. 4 Medical Equipment Factory;
5.8 Trifid balloon floating catheter, Edwards 114F7. - Pseudo-operation group, model group and testing drug group were set up.
- Pseudo-operation group (n=6): only thoracotomy but without constriction of the inferior vena cava were carried out.
- Model group (n=6): Prepared buffer solution was injected after the establishment of heart failure model.
- Testing drug group: rhNRG-1 β was injected after the establishment of heart failure model.
- High, medium and low dosage level of 1, 3 and 10 μg/kg respectively of rhNRG-1 β was diluted with preparation buffer solution (vehicle) to needed concentration, intravenous injection once everyday for consecutive 5 days.
- Preparation buffer solution was injected intravenously once daily for consecutive 5 days for the model group.
- Volume of the drug administered was 0.8 ml/kg body weight.
- 3% pentobarbital sodium (30 mg/kg) was injected into the peripheral vein to anesthetize the dog, then trachea intubated. Aseptic thoracotomized via right chest between the 4 and 5 rib, measured circumference of the inferior vena cava at 3 cm from the right auricle. Selected hard spool with circumference equal to 1/3-1/2 of that of the inferior vena cava, tightened the spool and the inferior vena cava together with #7 silk thread, drew out the spool, stopped all the bleeding, closed the chest. Bred for 1 week, echocardiography performed according to the amount of ascites, when EF reduced by about 20% or dilatation of the left heart by about 20%, stable low cardiac output congestive heart failure animal model was established. Then intravenous injection of the drug was carried out for consecutive 5 days. Thoracotomy without constricting the inferior vena cava was carried out for the pseudo-operation group.
- After identifying the establishment of animal model, experiment was carried out according to the animal grouping and drug administration regime.
- Heart function index determination was carried out under anesthesia of the dog prior to the operation, prior to and 5-day after the drug administration. Major index included:
- EF (Ejection Fraction): heart ejection fraction, i.e., ratio of difference between end diastolic volume of the ventricle (EDV) and end systolic volume of ventricle (ESV) and end diastolic volume of ventricle, being general index used for reflecting pumping function of ventricle; especially reflecting the systolic function;
FS: ventricular short axis shortening rate, being index reflecting contraction function of ventricle,
CO: cardiac output, i.e. blood volume ejected by the heart per minute. - 7F trifid balloon floating catheter was inserted into the right jugular vein, right auricular pressure, right ventricular pressure, pulmonary pressure and pulmonary wedge pressure were recorded.
6F trifid balloon floating catheter was again inserted into left carotid artery, aorta pressure and left ventricle pressure were recorded with physiology recorder with the following major index: LVPmax, LVPmin, +dp/dt, and −dp/dt. - Paring t test or nonparameter test of the collected data with SPSS software was carried out.
- 8.1 Effect of rbNRG-1 β on Heart Function of TIVCC Dog
8.1.1 Effect of rhNRG-1 β on Left Ventricle EF/FS Value of TIVCC Dog - EF and FS value prior to the constriction in model animals were 82.3±1.6% and 49.2±2.6% respectively through echocardiography examination and reduced to 59.1±7.3% and 29.3±3.9% respectively after the operation, there was significant difference between that prior to and that after the constriction (P<0.01, P<0.05), EF and FS value continuously maintained at 55.5±10.9% and 28.5±6.6% level S days later, demonstrating that through constriction of the inferior vena cava, the congestive heart failure dog model was established and was relatively stable.
- EF and FS value of all the three dosage level groups after rhNRG-1 β injection raised significantly, EF and FS of the low dosage level group (I μg/kg) increased from 57.7±10.9 and 30.6±8.0 to 70.4±8.4 and 39.7±5.7, there was significant difference between prior to and after the drug administration (P<0.05), meanwhile, there was significant difference when comparing with that of the model group (P<0.05). In addition, EF/FS value of the medium and high dosage level group model animals increased significantly as well and there was significant difference when compared that prior to and after the drug administration with that of the model group (P<0.01), Table 35 showed the results.
-
TABLE 35 Effect of rhNRG-1 β on EF/FS of the left ventricle in TIVCC dog FS (%) EF (%) Prior Prior to drug to drug adminis- After drug adminis- After drug preoperation tration administration Preoperation tration administration Pseudo- 51.7 ± 2.2 47.4 ± 1.3** 50.3 ± 2.2** 84.1 ± 1.4 81.4 ± 1.1** 83.1 ± 1.6** operation group Model group 49.2 ± 2.6 29.3 ± 3.9 28.5 ± 6.6 82.3 ± 1.6 59.1 ± 7.3 55.5 ± 10.9 rhNRG-1 β 50.5 ± 3.3 27.7 ± 5.6 41.5 ± 3.1**▴▴ 82.9 ± 2.6 55.8 ± 10.0 74.7 ± 3.2**▴▴ 10 μg/kg rhNRG-1 β 51.7 ± 2.9 29.9 ± 6.4 42.4 ± 4.4**▴▴ 84.7 ± 2.8 58.0 ± 8.3 74.7 ± 4.6**▴▴ 3 μg/kg rhNRG-1 β 50.8 ± 4.0 30.6 ± 8.0 39.7 ± 5.7*▴ 82.8 ± 3.0 57.7 ± 10.9 70.4 ± 8.4*▴ 1 μg/kg All of the above described groups, n = 6 *P < 0.05, when comparing with that of the model group; **P < 0.01. when comparing with that of the model group; ▴P < 0.05, when comparing that prior to and that after the drug administration ▴▴P < 0.01, when comparing that prior to and that after the drug administration
8.1.2 Effect of rhNRG-1 β on Cardiac Output (CO) of TIVCC Dog - Table 36 showed that rhNRG-1 β could significantly increase cardiac output of the model animals, cardiac output of the 1 μg/kg of rhNRG-1 β group increased from 2.4±0.5 to 3.7±0.8 and there was significant difference when compared that prior to and that after the drug administration (P<0.05), meanwhile, there was significant difference as well when comparing with that of the model animals (P<0.05). CO changes of 3 and 10 μg/kg dosage level group was even significant (P<0.01). Results of heart rate changes determination showed that rbNRG-1 β has less effect on heart rate. (no details were revealed).
-
TABLE 36 Effect of rhNRG-1β on cardiac output of TIVCC dog (Lmin) CO (L/min) Prior to drug After Group preoperation administration drug administration Pseudo-operation 4.3 ± 0.7 3.9 ± 0.6 4.0 ± 0.6** group Model group 4.7 ± 1.3 2.5 ± 0.8 2.7 ± 0.5 rhNRG-1β 10 μg/kg 4.3 ± 0.6 1.9 ± 0.3 3.6 ± 0.7**▴▴ rhNRG- 1β 3 μg/kg4.3 ± 0.8 2.1 ± 0.7 4.0 ± 0.9*▴▴ rhNRG- 1β 1 μg/kg4.2 ± 0.6 2.4 ± 0.5 3.7 ± 0.8*▴ All of the above described groups, n = 6 *P < 0.05, when comparing with that of the model group; **P < 0.01, when comparing with that of the model group;; ▴P < 0.05, when comparing that prior to and that after the drug administration ▴▴P < 0.01, when comparing that prior to with that after the drug administration
8.2 Effect of rbNRG-1 β on Blood Flow Dynamics of TIVCC Dog - Changes of left and right ventricular dp/dt and end systolic pressure/end diastolic pressure were determined with floating catheterization technique. The results showed that 1, 3 and 10 μg/kg of rhNRG-1 β could effectively increased the left ventricular dp/dt of animals, there was significant difference when comparing with that of the model group (P<0.05); effectively raised the LVPmax, reduced LVPmin value, when comparing with that of the model group, P<0.05; rhNRG-1 β has less effect on left heart dp/dt, right ventricular +dp/dt and ventricular end pressure, Tables 37 and 38 showed the results in details.
-
TABLE 37 Effect of rhNRG-1β on left ventricular dp/dt of TIVCC dog Group L(+dp/dt) (mmHg/s) L(−dp/dt) (mmHg/s) Pseudo-operation 5088.99 ± 982.87** −3233.39 ± 923.82 group Model group 2017.75 ± 295.25 −2384.94 ± 1062.31 rhNRG-1β 10 μg/kg 5104.88 ± 1332.05** −3658.34 ± 1390.97 rhNRG- 1β 3 μg/kg5000.45 ± 1535.88** −3249.52 ± 973.32 rhNRG- 1β 1 μg/kg4024 ± 1006 635.63** −2933 ± 613.44 All the above described groups n = 6 *P < 0.05, when comparing with that of the model group; **P < 0.01, when comparing with that of the model group; -
TABLE 38 Effect of rhNRG-1β on left ventricular LVPmax/LVPmin of TIVCC dog Group LVPmax (mmHg) LVPmin (mmHg) Pseudo-operation 145.04 ± 15.17** −0.03 ± 6.48 group Model group 95.07 ± 11.62 2.42 ± 2.86 rhNRG-1β 10 μg/kg 122.87 ± 17.37* −0.69 ± 1.05* rhNRG- 1β 3 μg/kg114.68 ± 17.12* −1.12 ± 1.34* rhNRG- 1β 1 μg/kg102.12 ± 12.42 0.59 ± 3.05 All the above described groups n = 6 *P < 0.05, when comparing with that of the model group; **P < 0.01, when comparing with that of the model group; - All the three dosage level (1, 3 and 10 μg/kg) of rhNRG-1 β administered for consecutive 5 days could raise the EF/FS value and cardiac output (CO) of the model animal, there was significant difference when comparing that prior to with that after the drug administration (P<0.005, P<0.01); 1, 3 and 10 μg/kg of rhNRG-1 β could effectively increase left ventricular dp/dt and there was significant difference when comparing with that of the model group (P<0.05), being able to effectively raise the LVPmax, reduce LVPmin of the model animals and them was significant difference when comparing with that of the model group, P<0.05, while was less effect on the right ventricle.
- Results of the experiment showed that rhNRG-1 β could effectively treat the congestive heart failure caused by constriction of inferior vena cava.
- Long-term toxicity experiment on intravenous injection of 7.5, 15, 75 μg/d of Recombinant Human Neuregulin-1 βS177-Q237 for Injection to rhesus (the dosage used was based on the effective dosage in mice pharmacodynamic model and conversed to dosage equivalent to 2, 4, 20 times that of the dosage for monkey; and based on dog pharmacodynamic model and conversed to dosage equivalent to 4, 5, 9, and 45 times that of dosage for monkey), excipient was used as control; monitoring was continuously carried out for 3 weeks after drug withdrawal. Toxic reactions of Recombinant Human Neuregulin-1 β S177-Q237 for Injection and their severity to organism was studied, to look for target organs of the toxic reactions and reversibility of the damage and to determine dosage that does not cause toxic reaction and to serve the dosage as a reference for safe dosage to be used in human.
- The experiment animals were randomly divided into 4 groups based on their body weight with 6 animals, 3 male and 3 female, in each group. Volume of the drug administered was 1 m/kg body weight. Body weight was measured weekly and dosage was regulated according to the body weight measured. The drug was administered every day in the morning for consecutive 3 weeks. Electrocardiogram, hematological, biochemistry, urine and fecal testing and determination of antibody were carried out prior to the drug administration and 10 days and 21 days after the beginning of drug administration respectively. Fundus examination was performed under anesthesia at 22 days and 42 days (counted from the first day of drug administration) respectively, then 2/3 and 1/3 animals were killed, autopsied and studied pathohistologically, bone marrow smear was prepared at the same time. Echocardiography was performed under anesthesia one day prior to the autopsy.
- No animal death associated with the testing drug happened during the experiment. Vomiting, nausea and salivation occurred in part of the animals in each drug taken
group 1 week after the beginning of drug administration; pilo-erection, fur without luster, reduction of activity, anorexia were seen 2 weeks after the drug administration; mild paleness, hardening of regional skin and vessels was discovered at the site of drug injection; the above-mentioned symptoms and sign disappeared or reduced 3 weeks after drug withdrawal. No abnormal manifestations were seen in animals of the control group during period of drug administration and convalescent period after drug withdrawal. - Food ingestion reduced significantly and body weight lowered markedly in the high dosage group (self-comparison prior to and after the drug administration showed that the difference was significant; whereas there was no significant difference when comparing with that of the control group). There were no significant changes of body temperature in all the animals prior to and after the drug administration.
- Hematological, biochemistry examination, urine and fecal testing showed no significant toxicological changes.
- Electrocardiography: no significant deceleration of heart rate was seen in conscious animals at 10-day of drug administration, while significant reduction of heart rate happened at 3-week of drug administration in conscious animals of every drug taken group, probably due to pharmacological effect of the testing drug; in addition, relatively high voltage of R and S wave in VI and V3 leads of electrocardiogram, probably associated with variation of chest leads of the animals; no significant abnormality in echocardiogram, heart rate and other index and no hypertrophic changes of the myocardium were seen pathologically.
- No abnormal changes in fundus examination were seen.
- No significant toxic pathologic changes were seen in the bone marrow smear.
- Autopsy performed at 3-week of drug administration showed pericardial effusion in 3 animals each in both medium and high dosage groups and 2-3 ml of transudate could be drawn out in each of them; hydrocephalus in the subarachnoid space was discovered in 2 animals of the high dosage group and 0.5 and 3 ml of transudate was drawn out from each of them respectively.
- Various degree of vacuole appeared in the cytoplasma of myocardium, vascular congestion and mild edema under the pia mater were seen in those with hydrocephalus. All of them had something to do with the testing drug.
- Antibody testing showed negative results.
- The gastrointestinal symptoms such as vomiting, nausea and anorexia of those animals and the resulting reduction of body weight in the high dosage group due probably to distribution and elimination of the testing drug in the gastrointestinal tract. Symptoms such as paleness, hardening of skin at the injection site, pericardial effusion and hydrocephalus, and without entirely recovery of hydrocephalus of high
dosage group animals 3 weeks after drug withdrawal demonstrated that capillary exudate and transudate syndrome in rheusus can be caused by medium and high dosage of Recombinant Human Neuregulin-1 βS177-Q237 for Injection. In addition, deceleration of heart rate in conscious animals and vacuole in the cytoplasma of myocardium of high dosage group animals were all associated with the testing drug. - Conclusion: Daily intravenous injection of 7.5, 15, 75 μg/d of Recombinant Human Neuregulin-1 βS177-Q237 for Injection to rhesus for a total of 3 weeks and continuously monitoring for 3 weeks were carried out. The results showed that more than 10 days of consecutive injection of Recombinant Human Neuregulin-1 βS177-Q237 for Injection could cause deceleration of heart rate in conscious animals; it may lead to gastrointestinal reaction; caused pericardial effusion, hydrocephalus and mild congestion and edema under the pia mater in rhesus of medium and high dosage group, the hydrocephalus did not recover entirely 3 weeks after drug withdrawal in the high dosage group animals; paleness and hardening of skin and vessels in the injection site recovered gradually after drug withdrawal. Those manifestations demonstrated that the possible cause was capillary transudate-exudation syndrome. High dosage of Recombinant Human Neuregulin-1 βS177-Q237 for Injection could cause vacuole in the cytoplasma of myocardium; antibody testing showed negative results. The dosage level that did not case pericardial effusion and hydrocephalus during 3-week's drug administration and 3-week's convalescent period was 7.5 μg/kg/d.
- To study the toxic reactions of Recombinant Human Neuregulin-1 βS177-Q237 for Injection and their severity to organism, to look for target organs of the toxic reaction and reversibility of the damage, to determine dosage that does not cause toxic reactions and to serve the dosage as a reference for safe dosage to be used in human.
- 2.1 Name of the drug: Recombinant Human Neuregulin-1 βS177-Q237 for Injection.
2.2 Batch number 200210024.
2.3 Institute that provided the drug: Zensun (Shanghai) Science & Technology Development Company Ltd. Address: 2nd floor of C building, 328 Bi Bo Road, Zhang Jiang High Tech Zoon.
2.4 Content: 3.75 mg/ml.
2.5 Specific activity: 1.12×104 U/mg.
2.6 Character: transparent colorless solution. - 2.8 Excipient: 0.1 5M NaCl, 10 mM sodium phosphate, pH 6.0.
2.9 Preparing: Dilute with normal saline to the needed concentration. - 3.1 Species of the animals: Rhesus.
3.2 Source of animals: Da Li Ji Rhesus Breeding Farm, Li Xing County, Anhui Province, certificate of competency: Wan Fa Xun Fan No. 2002-6.
3.3 Reception Date of the animals: 13 Oct. 2002.
3.4 Body weight 2.6-5.9 kg at the beginning of drug administration.
3.5 Gender: Half male and half female.
3.6 Number of animals: a total of 24 animals.
3.7 Marks on the animals: Chest card was used to identify individual animal.
3.8 Feeding condition: One animal for each cage, fed with granule feedstuff (provided by Shanghai Shi Ling Science & Technology Company Ltd). The animals were fed with 100 gram feedstuff two times daily in addition to about 100 gram of fruit. The room temperature was kept at 20-25° C., relative humidity of 50%-70%, illumination for 12 hours every day.
3.9 Environmental adaptation time: Breeding for 25 days for environmental adaptation. -
-
- Control group: 0 μg/kg/d (injected with equal volume of excipient);
- Low dosage group: 7.5 μg/kg/d (comparable to 2 times that of monkey equivalent dosage);
- Medium dosage group: 15 μg/kg/d (comparable to 4 times that of monkey equivalent dosage);
- High dosage group: 75 μg/kg/d ((comparable to 20 times that of monkey equivalent dosage).
4.2 Rationale of the dosage set up: - The scheduled indication for Recombinant Human Neuregulin-1 βS177-Q237 for Injection was for therapy of heart failure. The mice pharmacodynamic model was pro-cardiac Coxsacki B3 virus induced myocarditis model, dosage used were 7.5, 15 and 30 μg/kg/d (equivalent to 1.875, 3.75 and 7.5 μg/kg/d used for monkey), injected intravenously for consecutive 5 days, the pathologic score was 1.5, 0.7 and 0.56 respectively (the criteria for pathologic scoring is: score 0: area of lesions=0%, score 1: area of lesions=25%, score 2: area of lesions=50%, score 3: area of lesions=100%). Therefore, dosage of 15 and 30 μg/kg/d could significantly reduce damage to 3 the heart. The scheduled route of drug administration was intravenous injection, once every day for consecutive 3-5 days. The MTD of acute toxicity experiment on intravenous injection of Recombinant Human Neuregulin-1 βS177-Q237 for Injection was 35 mg/kg. Take equivalent dosage for monkey of 3.751 μg/kg/d as significantly effective dosage, the long-term toxic dosage for animals will be tentatively set at 2, 4, and 20 times that of the animals effective dosage.
- Once every day for consecutive 3 weeks.
- 3 weeks.
- 1.0 ml/kg body weight.
- Slow intravenous injection, the same as that used clinically.
- Albendazole was used to kill intestinal parasites and tuberculin test was performed prior to buy in the experiment animal, then environmental adaptation; hematological, biochemistry, urine testing and electrocardiography were performed two times to ensure that the experiment animals were in healthy condition. 4 groups were divided based on body weight and gender of the animals, with 6 animals in each group, half male and half female. The volume of drug administered was 1.0 ml/kg body weight, body weight was measured weekly prior to each drug administration and the volume of drug to be administered will be adjusted according to the body weight measured, 2/3 and 1/3 of the animals (2 female and 1 male monkeys each) in each group were killed at 24 hours after 3-week of drug administration and at the end of 3-week after the convalescence period, autopsy performed, organs weighed, organ coefficient calculated and pathohistological examination carried out. Blood was withdrawn for hematological and biochemistry examination and bone marrow smear was performed at 10-day of drug administration and prior to autopsy.
-
-
- 9.1.1 Reagent for hematological testing.
- 9.1.2 Reagent for serum biochemistry testing: Trace imported biochemistry reagent.
- 9.1.3 Main reagent for antibody detection.
- {circle around (1)} Coating liquid: NaHCO3 0.293 g, Na2CO3 0.159 g. dissolve in 100 ml water.
- {circle around (2)} Substrate buffer solution: pH 5.0, citric acid 1.02 g, Na2HPO4.12H2O 3.68 g dissolve in water.
- {circle around (3)} Cleaning solution: 0.01M PBS adds 1:2000 Tween-20
- {circle around (4)} Sealing solution: evaporated skimmed milk 5 g, dissolve in 100 ml, pH 7.4 0.01M PBS.
- {circle around (5)} HRP labeled rat anti-monkey second antibody: Product of Sigma Company of the U.S. batch number: A-2054.
- {circle around (6)} Tween-20: Separated package of imported raw material, provided by Zensun (Shanghai) Science & Technology Company Ltd.
- {circle around (7)} Tetramethylo-aminobenzene (TMB: Separated package of imported raw material, provided by Shanghai Huamei Bioengineering Company.
- {circle around (8)} H2SO4: analytical reagent, Shanghai Ling Feng Chemical Reagent Co Ltd.
- Roche Hematology Vet Blood Cell Counter.
- Hitachi-7060 Automatic Biochemistry Analytic Machine.
- 550 Enzyme labeling machine: product of BIO-RAD of the U.S.
- Heraeus Low temperature centrifuge, Heraeus Company of Germany.
- Hewlett Packard sonos 5500 echocardiography machine, with S4 probe.
- Method or Hematological Testing
-
Topic of testing Method of testing WBC white blood cell Instrumental Analysis RBC red blood cell Instrumental Analysis PLT platelet Instrumental Analysis Ht hematocrit Instrumental Analysis Hb hemoglobin Instrumental Analysis MCV mean corpusclular volume Instrumental Analysis MCH mean corpusclular hemoglobin Instrumental Analysis MCHC mean corpusclular hemoglobin Instrumental Analysis concentration Ret reticulocyte count BrilliantCresyl blue method DC differentiation count Wright stain CT clotting time Slide method -
-
Testing Method ALT/GPT alanine aminotransferase IFCC w/o P-5-P AST/GOT aspartate IFCC w/o P-5-P aminotransferase ALP alkaline phosphatase Tris/Carb LDH lactic acid dehydrogenase L→P enzyme method CPK creatine phosphokinase NAC enzyme method BUN blood urea nitrogen Urease-GLDH-Kinetic CRE creatinine Jaffe-Kinetic GLU glucose Oxidase T-Bil total bilirubin Dimethyl sulfoxide method T-CHO total cholesterol Enzymatic TP total protein Biuret ALB albumin Bromcresol green method K+ kalium Electrode method Na+ natrium Electrode method Cl− chloride Electrode method P+++/PHOS inorganic phosphorus Phosphomolybdate-UV Ca++ calcium Orthocresol phthalein complexon method Mg++ magnesium Calmagite complexometric indicator - Coating antigen: Recombinant Human Neuregulin-1 βS177-Q237 for Injection was diluted to 6 μg/m) with coating buffer solution, add into 96 hole enzyme labeled plate with 100 μl/hole, 37° C. for 1 hour.
- Sealing: Wash the
plate 5 times, prepare 5% evaporated skimmed milk with cleaning solution. - Dilute the scheduled for testing serum; dilute the sample with sample dilution solution, dilute gradient is 1:100.
- Add sample: Wash the sealed enzyme labeled plate for 3 times, add scheduled for testing serum, 100 μl/hole, 37° C. for 1 hour.
- Add enzyme labeled antibody: Wash the
plate 5 times, add 1:1000 diluted HRP labeled rat anti-monkey immunoglobulin, 100 μl/hole, 37° for 1 hour. - Substrate: Wash the
plate 5 times, add newly prepared substrate operating fluid, 100 μl/hole, 37° C. for 10 minutes. - Ending: add 2N H2SO4, 50 μl/hole to end the reaction.
- Odd value detection: Positive result was defined as OD value of testing sample was 2.1 time greater than that of the negative control (serum was 1:100 diluted).
- Monitoring was carried out once or twice daily and the time of animal death will be recorded if there is any animal death.
- Including general appearance, sign, behavior activity, blood or exudation attached on the cage surface, luster of the fur. The observation was carried out once or twice daily.
- Body weight was measured once daily prior to drug administration.
- Body temperature was taken prior to and 1 hour after the drug administration at 1, 3 and 5-day of drug administration.
- Granule feedstuff 200 g was given to each monkey daily, with 100 g of fruits, calculate the consumption of food per animal per day.
- 2 electrocardiograph examinations was performed prior to the drug administration and also at 10 days after the beginning of drug administration, at the end of drug administration and during the convalescence period respectively, P-R, QRS, QT and ST value were calculated.
- After ending the drug administration and 1 day prior to autopsy at the end of convalescence period, the animals scheduled to be autopsied will be anesthetized with intravenous injection of 3% pentobarbital (30 mg/kg), then echocardiography performed to determine the intraventricular thickness (IVS), postereior wall of left ventricule (PW), left ventriclular end diastolic volume (LVDd), left ventricular end systolic volume (LVDs), ejection fraction (EF), shortening fraction (Fs), mitral valve blood flow peak value (MV), aortic valve blood flow peak value (AV) and heart rate (HR).
- Two times prior to the drug administration, 10-day after the beginning of the drug administration, at the end of drug administration and at the end of 3-week's convalescence period prior to autopsy, 0.5 ml blood was drawn from the saphenous veins, treated with 3.8% EDTA for anticoagulation, testing for the following index: red blood cell count (RBC), reticulocyte count (Ret), hemoglobin (Hb), white blood bell count (WBC) and differentiation count including: neutrophil (N), eosinophil (E), Lymphocyte (L) and monocyte (M), platelet count (PLT), clotting time (CT), hematocrit (Ht), mean corpuscular volume (MCV), mean concentration hemoglobin (MCH) and mean corpuscular hemoglobin concentration (MCHC).
- Two times prior to the drug administration, 10-day after the beginning of drug administration, at the and of drug administration and 3-week after convalescence period prior to autopsy, 5 ml blood was drawn from the saphenous veins, serum was separated after centrifugation and the following items were tested: aspartate aminotransferase (AST), alanine aminotransferase (ALT), alkaline phosphatase (ALP), lactic acid dehydrogenase (LDH), creatine phosphokinase (CPK), blood urea nitrogen (BUN), total protein (TP), albumin, (ALB) glucose (GLU), serum total bilirubin (T-Bil), creatinine (CRE), total cholesteral (T-CHO), natrium (Na+), kalium (K+), chloride (Cl−), calcium (Ca++), magnesium (Mg++) and phosphorus (P+++).
- Two times prior to drug administration, 10-day after the beginning of drug administration, at the end of drug administration, 3-week after convalescence period prior to autopsy, urine sample was collected for testing white blood cell, nitrite, pH value, urine protein, glucose, ketone body, urobilinogen, urine bilirubin and hemoglobin.
- Fecal parasitic ovum and occult blood were tested prior to drug administration. Focal occult blood test was also performed at 10-day after the beginning of drug administration, at the end of drug administration and 3-week after convalescence period.
- Fundus examination was carried out under anesthesia prior to autopsy.
- 2/3 and 1/3 animals in each group (with 2 female and 1 male animal each) were killed 24 hours after 3-week of dug administration and at the end of convalescence period after the end of drug administration, and autopsy carried.
- Heart, brain, liver, spleen, lungs, kidneys, adrenals, thymus, lymphnodes, thyroid, testis or uterus, ovary or prostate were taken out, their weight measured and the coefficient calculated.
- Pathohistological examination of the following organs were carried out: heart (anterior wall of left ventricle, right ventricle, interseptum, left atrium, right atrium), liver, spleen, lungs, brain, stomach, duodenum, ileum, colon, kidneys, urinary bladder, adrenals, pituitary, thyroid, thymus, pancreas, testis, prostate, ovary, uterus, lymph nodes (cervical, mesentery), vessels and subcutaneous tissue of the injected site.
- Bone marrow sample from the femoral bone was taken out prior to autopsy under anesthesia, smear, staining and optic microscopic examination carried out to study the megakaryocyte system, granulocyte and erythrocyte system, lymphocyte, plasmocyte and other type of cells. 5×100 nucleated cells in the four quadrants and central part will be counted, GE ratio calculated and photographs taken.
- 10.17 Serum Recombinant Human Neuregulin-1 βS177-Q237 for Injection antibody detection:
- 1, 2 and 3-week after the beginning of drug administration, and at the end of convalescence period scrum Recombinant Human Neuregulin-1 βS177-Q237 for Injection antibody was detected, and drug administration will be stopped whenever antibody was detected and the detected antibody being neutralizing antibody.
- Variance analysis was carried as statistical testing for data collected from various dosage groups and control group.
- No animal death associated with the testing drug happened during the experiment period. At the end of 3-week of drug administration, significant deceleration of heart rate (20.30 beat/min) of 1 animal each (5M and 6#) in the control group and low-dosage group were scan through echocardiography examination under anesthesia at the end of 3-week's convalescence period; being manifestation of over-anesthetization, thus, autopsy was carried out one day before scheduled. (Table 1).
- Vomiting happened in 1 male monkey in high-dosage group 30 minutes after intravenous injection at 2-day of drug administration. During the 2-7 days of drug administration, 1 animal each in the medium and high-dosage group vomited in 20-30 minutes after intravenous injection. Salivation happened in part of the animals in every group after 1-week of drug administration, the rate of occurrence was significantly higher in high-dosage group than that in other drug taken groups; only 1 animal in low-dosage group showed salivation at 9-day of drug administration. Pilo-erection, lost of luster of fur, reduced activity, anorexia appeared in high-dosage group at 2-week of drug administration. Mild paleness, hardening of regional skin and vessels in the injection site began from the 3rd day of drug administration, exaggerated progressively and was dosage dependent. The aforementioned symptoms and signs disappeared or improved at 3-week of convalescence period after drug withdrawal. Light yellow color stool diarrhea and without regularity happened in animal 21# of high-dosage group. No abnormal manifestation appeared in animals of the control group during period of drug administration and convalescence period after drug withdrawal.
- No significant difference in body weight (P>0.05, Table 2;
FIG. 1 ) was seen between animals of the control group and various drug taken groups; self-comparison in animals prior to and after drug administration showed significant reduction of body weight in animals of high-dosage group (P<0.01). - No significant difference in body temperature taken prior to drug administration and 1 hour after drug administration at 1, 3 and 5-day of drug administration was seen (Table 3).
- Significant remnant of feedstuff and various amount of Ingestion from 50 to 150 g of feedstuff was seen in animals of medium and high-dosage groups after 1-week of drug administration. No remnant of feedstuff was seen in animals of the control group and low-dosage group and no remnant of feedstuff happened in all animals during convalescent period.
- No significant deceleration of heart rate was seen in all the conscious animals of every drug-taken group at 10-day of drug administration (P>0.05 when comparing with that of the control group), and significant deceleration of heart rate happened in conscious animals of every drug taken group, and P<0.05, P<0.01, when comparing with that of the control group; at the same time, P-R, QRS and QT interval were prolonged accordingly, being more marked in the low and medium dosage groups, they returned to normal 3-week after drug withdrawal; Voltage of Rv1 in animals of medium and high-dosage group was higher, while Sv1 in high, low and medium dosage group were deeper and voltage of Rv3 in every drug taken groups were higher. (P<0.05; P<0.01 and P<0.001, Table 4-7). There was mild fluctuation in other individual parameter collected in different time, however, all were within normal range.
- No significant difference in parameters of echocardiogram in control group and various drug taken group at 3-week of drug administration and at the end of 3-week of convalescent period were seen (P<0.05, Table 8-9).
- No significant abnormal changes in addition to fluctuation within normal range of individual parameters during the entire experiment period were seen (Table 10-13).
- No significant abnormal changes in addition to fluctuation within normal range of individual parameters during the entire experiment period were seen (Table 14-17).
- Increase of urine protein, positive ketone body, but without regularity, in urine testing of individual animals in every drug taken group and control group were seen prior to drug administration, at 10-day and 3-week after the beginning of drug administration, and at 3-week of convalescence period prior to autopsy. Transient increase of red blood cells in urine was seen in individual animals of control group and every drug taken group. No other significant abnormality was seen (Table 18-21).
- Negative Fecal occult blood test and no fecal parasitic ovum were seen in all the animals prior to drug administration, at 10-day and 3-week after the beginning of drug administration, and at 3-week of convalescence period prior to autopsy (Table 22).
- No abnormality was seen in fundus examination performed at 3-week of drug administration and at 3-week of convalescence period prior to autopsy (Table 23).
- Small amount of effusion in the pericardial cavity of 2# male monkey and 23#. 244# female monkey in medium dosage group were discovered and 2-3 ml of clear slight yellow color fluid was drawn out in each animal at 3-week of drug administration; hydrocephalus in the subarachnoid space was seen in 1# and 21# animal of the high-dosage group, and 1-2 ml of clear slight yellow color fluid was drawn out from each animal; there is effusion in peritoneal cavity, bleeding spot on the surface of colonic mucosa of 21# animal together with focus of ulcer in 210 animal. Congestion and hemorrhagic lesion in pulmonary lobe was seen in 22# male monkey of high-dosage group. 8# monkey of the control group dies prior to autopsy due to over-anesthetization, significant congestion and patchy bleeding in the lungs were seen during autopsy, no other significant abnormality was seen.
- At the end of 3-week's convalescence period, hydrocephalus in the subarachnoid space was seen in one male and one female animals (10#, 14#) of high-dosage group, 0.5 ml and 3 ml fluid were drawn out from them respectively; there were no significant abnormality seen in animal that was over-anesthetized and autopsied in advance.
- No abnormality was seen in other organs.
- Results of testing for the afore-mentioned effusion demonstrated that they were all transudate.
- 11.14 Weight of the Organs and their Coefficient
- Weight of major organs were measured and organ coefficient calculated during the autopsy of all animals. No abnormal changes in organ weight, which has something to do with the testing drug, were seen (Table 24-25).
- Light stained vacuole appeared in cytoplasma of myocardium of the atrium and ventricle of 1#, 11# male monkey and 21# female monkey of high-dosage group, with their severity of “+” or “+ to ++”, striated structure was maintained; there was diffusive vacuole-like degeneration, without significant abnormality in endocardium and pericardium. On the other hand, vascular congestion and mild edema were seen in the subarachnoid space of 1 l# and 21# monkey; the were inflammatory cells infiltration in pert of the colonic mucosa of 21 # animal; thickening of avleola septum, congestion, patchy hemorrhage of the lung, full with edematous fluid in part of the avleola, partly tissue autocytolysis in kidneys, stomach, colon, intestine and pancreas were seen during autopsy of 8# animals that died before the autopsy. No other abnormality was seen.
- Micro-vacuole in the myocardial cytoplasma, vascular congestion in the subarachnoid space was seen in 14# female monkey of the high-dosage group. No significant abnormality was discovered in animals autopsied in advance due to over-anesthetization. No significant reaction to stimulus in addition to hemorrhagic changes in vessels within the injection site in all the drug administration groups wore seen. Sporadic, accidental lesions, such as inflammatory reaction in the lungs and gastrointestinal tract were seen in the remaining animals, most of them were spontaneous lesions (Table 26,27 and Photos 1-22).
- Bone marrow was aspirated from the right hip bone prior to autopsy under anesthesia at 3-week of drug administration and 3rd week of convalescence period, smear made, stained and megakaryocyte system, granulocyte system, erythrocyte system lymphocyte and plasmocyte and other type of cells were examination under optic microscope. 5×100 nucleated cells in the four quadrants and central part were counted and differentiation counting performed, GE ratio calculated and microphotography carried out.
- Results: Normal proliferation in all the granulocyte, erythrocyte and megakaryocyte system were seen, with normal ratio of granulocyte to erythrocyte system; no abnormal pathologic cells and no bone marrow toxic pathologic damage was caused. (Table 28-29; photos 23-34).
- All the serum Recombinant Human Neuregulin-1 βS177-Q237 for Injection antibody detection in all drug taken group at 1, 2, 3-week after the beginning of drug administration and at the end of 3-week of convalescent period showed negative results. (Table 30).
- Intravenous injection of 7.5, 15, 75 μg/d of Recombinant Human Neuregulin-1 βS177-Q237 for Injection to rhesus (the dosage used was equivalent to 2, 4, 20 times that of the dosage for monkey); excipient was used as control; monitoring was carried out for 3 weeks after drug withdrawal.
- No animal death associated with the testing drug happened during the experiment. Vomiting, nausea and salivation occurred in part of the animals in each drug-
testing group 1 week after the beginning of drug administration; pilo-erection, fur without luster, reduction of activity, anorexia were seen in animals of the high-dosage group 2-week after the drug administration; mild paleness, hardening of regional skin and vessels at the site of drug injection; the afore-mentioned symptoms and signs disappeared or reduced 3 weeks after drug withdrawal. No abnormal manifestations were seen in animals of the control group during period of drug administration and convalescent period after drug withdrawal. - Food ingestion reduced significantly and body weight lowered markedly in the high dosage group in self-comparison prior to and after the drug administration. There were no significant changes of body temperature in all the animals prior to and after the drug administration.
- Hematological, biochemistry examination, urine and focal testing showed no significant toxicological changes.
- Electrocardiography: no significant deceleration of heart rate was seen in conscious animals at 10 days of drug administration, while significant reduction of heart rate happened at 3-week of drug administration in conscious animals of every drug taken group, probably due to pharmacological effect of the testing drug; in addition, relatively high voltage of R and S wave in VI and V3 leads of electrocardiogram, probably associated with variation of chest lead of the animals were seen; no significant abnormality in echocardiogram, heart rate and other index were discovered; no hypertrophic changes of myocardium was aeon pathologically.
- No abnormal changes in fundus examination were seen.
- No significant toxic pathologic changes were seen in bone marrow smear.
- Autopsy performed at 3-week of drug administration showed pericardial effusion in 3 animals, each in both medium and high dosage groups and 2-3 ml of transudate could be drawn out; hydrocephalus in the subarachnoid space was discovered in 2 animals of the high dosage group and 1-3 ml of transudate was drawn out.
- Various degree of vacuole appeared in the cytoplasma of myocardium, vascular congestion and mild edema under the pia mater were seen in those with hydrocephalus. All of them had something to do with the testing drug.
- Antibody testing showed negative results.
- The gastrointestinal symptoms such as vomiting, nausea and anorexia of those animals could lead further to reduction of body weight in the high dosage group due probably to distribution and elimination of the testing drug in the gastrointestinal tract. Symptoms such as paleness, hardening of skin at the injection site, pericardial effusion and hydrocephalus were seen, and without entire recovery of hydrocephalus in high
dosage group animals 3 weeks after drug withdrawal, demonstrating that capillary exudate and transudate syndrome in rhesus can happened in medium and high dosage of Recombinant Human Neuregulin-1 βS177-Q237 for Injection groups. In addition, deceleration of heart rate in conscious animals and vacuole in the cytoplasma of myocardium of high dosage group animals were al associated with the testing drug. - Conclusion: Daily intravenous injection of 7.5, 15, 75 μg/d of Recombinant Human Neuregulin-1 βS177-Q237 for Injection to rhesus for a total of 3 weeks and continuously monitoring for 3 weeks were carried out. The results showed that more than 10 days of consecutive injection of Recombinant Human Neuregulin-1 βS177-Q237 for Injection could cause deceleration of heart rate in conscious animals; it may lead to gastrointestinal reaction, caused pericardial effusion, hydrocephalus and mild congestion and edema under the pia mater in rhesus in medium and high dosage group animals, the hydrocephalus did not recover entirely 3 weeks after drug withdrawal in the high dosage group animals; paleness and hardening of skin and vessels in the injection site and recovered gradually after the drug withdrawal. Those manifestations demonstrated that the possible cause was capillary transudate-exudation syndrome. High dosage of Recombinant Human Neuregulin-1 βS177-Q237 for Injection could cause vacuole in the cytoplasma of myocardium; all the antibody testing showed negative results. The dosage level that did not cause pericardial effusion and hydrocephalus during the 3-week's drug administration and 3-week's convalescent period was 7.5 μg/kg/d.
- HER2/neu gene encods a trans-membrane protein p185, which is a tyrosine protein kinase. Binding of Neuregulin-1 with ErbB3 or ErbB4 induces heterodimer ErbB3-ErbB2 and ErbB4-ErbB2 formation and activates HER2 encoded tyrosine protein kinase, mediating the transmission of functioning signal of Neuregulin-1. Based on the fact that binding of Neuregulin-1 with its receptors triggers phosphorylation of ErbB2 protein, we establish a rapid, sensitive and high flux method for in vitro quantitatively determining biological activity of Recombinant Neuregulin-1.
- 2.1 96 holes cell cultural plate (Corning company); Costar 96 holes ELISA detecting plate.
2.2 Human breast cancer cell strain, introduced from the U.S. ATCC, was cultivated in base cultural medium under 37° C. and 50% CO2.
2.3 Weighing a given amount of DMEM, quantifying to corresponding volume, added 3.7 g/L of NaHCO2, 0.1 g/L glutamine and 5.5 g/L of HEPES. - DMEM culture medium with 10% fetal calf serum and insulin 9 mg/L, stored at 4° C.
- Preparing with Ca2+ and Mg2+ fee PBS.
- Select mouse anti-human ErbB2 extra-cell functioning domain H4 monoclonal antibody with no cross reaction with ErbB3 and ErbB4.
- Coating buffer solution; pH 9.6, 0.05M carbonate buffer solution.
- Lotion: 0.01M PBS+0.05% Tween-20.
- 2.8 Horse-radish peroxidase (HRP) labeled mouse anti-human phosphorylated protease monoclonal antibody (anti-P-tyr-HRP)
- Substrate (TMB): 2 mg/ml TMB (prepare with absolute alcohol).
- Substrate buffer: 0.2M citric acid+0.1M Na2HPO4 (pH5.0).
- Operating substrate: substrate buffer solution 9 ml+
TMB 1 ml+3% H2O2 10 ul (prepared as needed). - 2N H2SO4.
- 150 mM NCl+S0 mM Hepes+1% Triton-
X 100+2 mM (sodium orthovanadate)+0.01% (thimerosol). One tablet of mixed protease inhibitor (Tabletten, Proteasen-Inhibitoren-Cocktail) is added into every 25 ml prior to the operation. - Process 3.1 was carried out on the first day, that of 3.2˜3.3 on the second day, that of 3.4˜3.12 was performed on the third day; in which, process of 3.1 and 3.2 should be carried out under sterilization condition.
- MCF-7 cells were amplified to a given amount, washed with sterilized PBS solution, then digested with 0.25% trypsinase. After counting, the concentration of cells was regulated with base culture medium. The cells were added into 96 holes cell culture plate, 5×104/hole, 1001 μl/hole, and cultured over night in the culture box under 37° C. and 5% CO2.
- Suck up all the culture medium in the 96 holes plate, wash each hole with 37° C. warmed PBS, then add 100 μl DMEM culture medium (calf serum free and without insulin). Cells were cultured for 24 hours in the culture box under 37° C. and 5% CO2.
- Dilute the anti-ErbB2 extra-cell functioning domain H4 antibody with coating buffer solution to be 6 g/ml, then add 50 μl per hole to the 96 holes ELISA plate, set over night (16-18 hours) under 4° C.
- Dilute control solution and sample expected to be tested with DMEM culture medium respectively (calf serum free and without insulin) to be 2 μg/ml, then again carry out 3 times gradient dilution with a total of 9 dilution.
- Suck up the post-starvation 96 holes cell culture medium, add standard material and sample expected to be tested, 100 μl per hole, set up 2 double hole for each concentration. Set up negative control at the same time (i.e. DMEM culture medium placebo control). Reaction for 20 minutes under 37° C.
- Rapidly suck out the sample and wash once with PBS, 100 μl of fragmentation solution was added into each hole, fragmenting for 30 minutes in 4° C. refrigerator. Horizontally agitate under ice-bath condition till all the anchorage-dependent cell drop down, 4° C., 15,000 rpm centrifuge for 15 minutes.
- Wash the
plate 5 times. Prepare 5% skimmed milk with wash solution, add 200 μl to each hole of the plate, set under 37° C. for 2 hours. - After
wash 3 times the sealed ELISA plate, add standard cell fragmentation solution and testing sample fragmentation solution with 90 μl per hole, set up negative control at the same time, set for 1 hour under 37° C. - Wash the
plate 5 times, dilute HRP enzyme linked mouse anti-phosphorylated tyrosine protein antibody with 1:500 lotion (determined by the product using guide and the using time), add 100 μl into each hole of the plate. Set for 1 hour under 37° C. - Wash the
plate 5 times, prepared substrate working solution was added into with 100 μl per hole, set for 10 minutes under 37° C. - 2N H2SO4 was added into with 50 μl per hole to terminate the reaction.
- Colorimetric analysis on the ELISA reader, determine wave length of 450 nm, reference wave length of 655, record the results.
- Construction with concentration of Recombinant Human Neuregulin-1 versus OD value and analysis was carried out with linear regression method, calculate the half effective dosage of each sample expected for testing.
-
-
1. DMEM base culture medium Fetal calf serum 100 ml Insulin 9.2 mg add into 1 L of DMEM culture medium, mixed well. 2. Cell fragmentation solution NaCl 4.38 g HEPES 5.96 g sodium orthovanadate 0.368 g thimerosol 0.05 g Triton- X 1005 mL Dissolve into 500 mL H2O 3. Coating solution (pH 9.6) NaHCO3 0.293 g Na2CO3 0.159 g Dissolve into 100 mL H2O 4. 100 mL substrate buffer solution (pH 5.0) Citric acid 1.02 g Na2HPO4•12H2O 3.68 g Dissolve into H2O 5. Sealing solution (5% skimmed milk) Skimmed milk powder 5 g Dissolve into 100 mL pH 7.4 0.01 M PBS 6. 0.01M PBS (pH 7.4) Na2HPO4•12H2O 2.9014 g NaH2PO4•4H2O 0.2964 g NaCl 8.5 g Dissolve into 1000 mL H2O 7. 0.01M PBS-T (PH 7.4) Add 1 ml Tween 20 into 2000 ML 0.01M PBS, mixed well.8. 2 mg/ ml TMB TMB 20 mg Dissolve into 10 mL absolute alcohol 9. 20 × PBS (1000 ML) Na2HPO4•12H2O 58 g NaH2PO4•4H2O 5.9 g NaCl 170 g Dissolve into 1000 mL H2O. - The above examples are included for illustrative purposes only and are not intended to limit the scope of the invention. Many variations to those described above are possible. Since modifications and variations to the examples described above will be apparent to those of skill in this art, it is intended that this invention be limited only by the scope of the appended claims.
Claims (26)
1. A combination, which combination comprises an effective amount of a neuregulin protein, or a functional fragment thereof, or a nucleic acid encoding a neuregulin protein, or a functional fragment thereof, or an agent that enhances production and/or function of said neuregulin, and an effective amount of a prophylactic or therapeutic agent for viral myocarditis or dilated (congestive) cardiomyopathy (DCM).
2-5. (canceled)
6. The combination of claim 1 , wherein the prophylactic or therapeutic agent for viral myocarditis is selected from the group consisting of an antibiotic, a heart protective agent, an antioxidant and a nutrient for myocardium.
7-10. (canceled)
11. The combination of claim 1 , wherein the prophylactic or therapeutic agent for DCM is selected from the group consisting of a cardiac tonic, a diuretic, an angiotensin I-converting enzyme inhibitor (ACEI), a calcium antagonist and a β-receptor antagonist.
12-16. (canceled)
17. A kit, which kit comprises a combination of claim 1 in a container and an instruction for using said combination in preventing, treating or delaying viral myocarditis or DCM.
18. A method for preventing, treating or delaying viral myocarditis or dilated (congestive) cardiomyopathy (DCM) in a mammal, which method comprises administering to a mammal, to which such prevention, treatment or delay is needed or desirable, an effective amount of the combination of claim 1 , whereby said viral myocarditis or DCM is prevented, treated or delayed.
19-46. (canceled)
47. A pharmaceutical composition for preventing, treating or delaying viral myocarditis or dilated (congestive) cardiomyopathy (DCM) in a mammal, which pharmaceutical composition comprises an effective amount of a neuregulin protein, or a functional fragment thereof, or a nucleic acid encoding a NRG protein, or a functional fragment thereof, or an agent that enhances production and/or function of said neuregulin.
48-51. (canceled)
52. The pharmaceutical composition of claim 47 , wherein the neuregulin protein, or a functional fragment thereof, or a nucleic acid encoding a neuregulin protein, or a functional fragment thereof, has a dosage range from about 25 μg to about 2,500 μg.
53. A kit, which kit comprises a pharmaceutical composition of claim 47 , in a container and an instruction for using said pharmaceutical composition in preventing, treating or delaying viral myocarditis or DCM.
54. A method for preventing, treating or delaying cardiac toxicity in a mammal to which such prevention, treatment or delay is needed or desirable, comprising administering to a mammal in vivo an effective amount of a prophylactic or a therapeutic agent and an effective amount of the pharmaceutical composition of claim 47 , whereby said cardiac toxicity associated with administration of said prophylactic or therapeutic agent is prevented, treated or delayed.
55-82. (canceled)
83. A combination, which combination comprises an effective amount of a neuregulin protein, or a functional fragment thereof, or a nucleic acid encoding a neuregulin protein, or a functional fragment thereof, or an agent that enhances production and/or function of said neuregulin, and an effective amount of a prophylactic or therapeutic agent for myocardial infarction.
84-87. (canceled)
88. The combination of claim 83 , wherein the prophylactic or therapeutic agent for viral myocarditis is selected from the group consisting of an angiotensin I-converting enzyme inhibitor (ACEI), a calcium antagonist, a P-receptor antagonist, aspirin, atropine, nitroglycerin, scopolamine and a thrombolytic agent.
89. The combination of claim 88 , wherein the ACEI is selected from the group consisting of Captopril, Rampril, Lisinopril, Zofenopril and Trandolapril.
90. The combination of claim 88 , wherein the calcium antagonist is diltiazem.
91. The combination of claim 88 , wherein the P-receptor antagonist is selected from the group consisting of propranolol, metoprolol, atenolol and timolol.
92. The combination of claim 88 , wherein the thrombolytic agent is selected from the group consisting of streptokinase, t-PA and anistreplase.
93. The combination of claim 83 , which further comprises a pharmaceutically acceptable carrier or excipient.
94. A kit, which kit comprises a combination of claim 83 in a container and an instruction for using said combination in preventing, treating or delaying myocardial infarction.
95. A method for preventing, treating or delaying myocardial infarction in a mammal, which method comprises administering to a mammal, to which such prevention, treatment or delay is needed or desirable, an effective amount of the combination of claim 83 , whereby said myocardial infarction is prevented, treated or delayed.
96-124. (canceled)
Priority Applications (1)
| Application Number | Priority Date | Filing Date | Title |
|---|---|---|---|
| US15/419,946 US20170360889A1 (en) | 2002-05-24 | 2017-01-30 | Neuregulin based methods and compositions for treating cardiovascular diseases |
Applications Claiming Priority (7)
| Application Number | Priority Date | Filing Date | Title |
|---|---|---|---|
| PCT/CN2002/000349 WO2003099320A1 (en) | 2002-05-24 | 2002-05-24 | Neuregulin based methods and compositions for treating viral myocarditis and dilated cardiomyopathy |
| PCT/CN2002/000664 WO2003099321A1 (en) | 2002-05-24 | 2002-09-18 | Methods for preventing, treating or delaying cardiac toxicity using neuregulin |
| PCT/CN2003/000355 WO2003099300A1 (en) | 2002-05-24 | 2003-05-15 | Neuregulin based methods and compositions for treating cardiovascular diseases |
| US10/997,167 US7795212B2 (en) | 2002-05-24 | 2004-11-24 | Neuregulin based methods and compositions for treating cardiovascular diseases |
| US12/879,023 US8785387B2 (en) | 2002-05-24 | 2010-09-10 | Neuregulin based methods and compositions for treating cardiovascular disease |
| US14/271,198 US9555076B2 (en) | 2002-05-24 | 2014-05-06 | Neuregulin based methods and compositions for treating cardiovascular diseases |
| US15/419,946 US20170360889A1 (en) | 2002-05-24 | 2017-01-30 | Neuregulin based methods and compositions for treating cardiovascular diseases |
Related Parent Applications (1)
| Application Number | Title | Priority Date | Filing Date |
|---|---|---|---|
| US14/271,198 Division US9555076B2 (en) | 2002-05-24 | 2014-05-06 | Neuregulin based methods and compositions for treating cardiovascular diseases |
Publications (1)
| Publication Number | Publication Date |
|---|---|
| US20170360889A1 true US20170360889A1 (en) | 2017-12-21 |
Family
ID=29555543
Family Applications (4)
| Application Number | Title | Priority Date | Filing Date |
|---|---|---|---|
| US10/997,167 Expired - Lifetime US7795212B2 (en) | 2002-05-24 | 2004-11-24 | Neuregulin based methods and compositions for treating cardiovascular diseases |
| US12/879,023 Expired - Lifetime US8785387B2 (en) | 2002-05-24 | 2010-09-10 | Neuregulin based methods and compositions for treating cardiovascular disease |
| US14/271,198 Expired - Fee Related US9555076B2 (en) | 2002-05-24 | 2014-05-06 | Neuregulin based methods and compositions for treating cardiovascular diseases |
| US15/419,946 Abandoned US20170360889A1 (en) | 2002-05-24 | 2017-01-30 | Neuregulin based methods and compositions for treating cardiovascular diseases |
Family Applications Before (3)
| Application Number | Title | Priority Date | Filing Date |
|---|---|---|---|
| US10/997,167 Expired - Lifetime US7795212B2 (en) | 2002-05-24 | 2004-11-24 | Neuregulin based methods and compositions for treating cardiovascular diseases |
| US12/879,023 Expired - Lifetime US8785387B2 (en) | 2002-05-24 | 2010-09-10 | Neuregulin based methods and compositions for treating cardiovascular disease |
| US14/271,198 Expired - Fee Related US9555076B2 (en) | 2002-05-24 | 2014-05-06 | Neuregulin based methods and compositions for treating cardiovascular diseases |
Country Status (8)
| Country | Link |
|---|---|
| US (4) | US7795212B2 (en) |
| EP (2) | EP1553960B1 (en) |
| JP (5) | JP2005532332A (en) |
| CN (4) | CN1935254B (en) |
| AU (3) | AU2002304965A1 (en) |
| CA (1) | CA2487112C (en) |
| ES (1) | ES2627547T3 (en) |
| WO (3) | WO2003099320A1 (en) |
Cited By (8)
| Publication number | Priority date | Publication date | Assignee | Title |
|---|---|---|---|---|
| US10441633B2 (en) | 2014-09-24 | 2019-10-15 | Zensun (Shanghai) Science & Technology, Co., Ltd. | Uses of neuregulin in preventing, treating or delaying ventricular arrhythmia, and composition thereof |
| US10561709B2 (en) | 2014-10-17 | 2020-02-18 | Zensun (Shanghai) Science & Technology, Co., Ltd. | Methods and compositions of neuregulins for preventing, treating or delaying preserved ejection fraction cardiac failure |
| US10702585B2 (en) | 2014-01-03 | 2020-07-07 | Zensun (Shanghai) Science & Technology, Co., Ltd. | Formula of neuregulin preparation |
| US10894815B2 (en) | 2012-10-08 | 2021-01-19 | Zensun (Shanghai) Science & Technology, Co., Ltd. | Compositions and methods for treating heart failure in diabetic patients |
| US11246909B2 (en) | 2009-08-25 | 2022-02-15 | Zensun (Shanghai) Science & Technology, Co., Ltd. | Neuregulin based methods for treating heart failure |
| US11253573B2 (en) | 2011-10-10 | 2022-02-22 | Zensun (Shanghai) Science & Technology, Co., Ltd. | Compositions and methods for treating heart failure |
| US11638746B2 (en) | 2005-12-30 | 2023-05-02 | Zensun (Shanghai) Science & Technology, Co., Ltd. | Extended release of neuregulin for improved cardiac function |
| US11826400B2 (en) | 2010-01-29 | 2023-11-28 | Zensun (Shanghai) Science & Technology Limited | Neuregulin based compositions and uses thereof for preventing, treating or delaying the myocardial ischemia-reperfusion injury |
Families Citing this family (63)
| Publication number | Priority date | Publication date | Assignee | Title |
|---|---|---|---|---|
| AUPP785098A0 (en) * | 1998-12-21 | 1999-01-21 | Victor Chang Cardiac Research Institute, The | Treatment of heart disease |
| US8529430B2 (en) | 2002-08-01 | 2013-09-10 | Cardiokinetix, Inc. | Therapeutic methods and devices following myocardial infarction |
| US8246671B2 (en) | 1999-08-09 | 2012-08-21 | Cardiokinetix, Inc. | Retrievable cardiac devices |
| US8257428B2 (en) | 1999-08-09 | 2012-09-04 | Cardiokinetix, Inc. | System for improving cardiac function |
| US10307147B2 (en) | 1999-08-09 | 2019-06-04 | Edwards Lifesciences Corporation | System for improving cardiac function by sealing a partitioning membrane within a ventricle |
| US7674222B2 (en) | 1999-08-09 | 2010-03-09 | Cardiokinetix, Inc. | Cardiac device and methods of use thereof |
| US9694121B2 (en) | 1999-08-09 | 2017-07-04 | Cardiokinetix, Inc. | Systems and methods for improving cardiac function |
| US8377114B2 (en) | 1999-08-09 | 2013-02-19 | Cardiokinetix, Inc. | Sealing and filling ventricular partitioning devices to improve cardiac function |
| US9332993B2 (en) | 2004-08-05 | 2016-05-10 | Cardiokinetix, Inc. | Devices and methods for delivering an endocardial device |
| US9332992B2 (en) | 2004-08-05 | 2016-05-10 | Cardiokinetix, Inc. | Method for making a laminar ventricular partitioning device |
| US9078660B2 (en) | 2000-08-09 | 2015-07-14 | Cardiokinetix, Inc. | Devices and methods for delivering an endocardial device |
| US10064696B2 (en) | 2000-08-09 | 2018-09-04 | Edwards Lifesciences Corporation | Devices and methods for delivering an endocardial device |
| WO2003099320A1 (en) | 2002-05-24 | 2003-12-04 | Zensun (Shanghai) Sci-Tech.Ltd | Neuregulin based methods and compositions for treating viral myocarditis and dilated cardiomyopathy |
| US7198899B2 (en) * | 2002-06-03 | 2007-04-03 | Chiron Corporation | Use of NRG4, or inhibitors thereof, in the treatment of colon and pancreatic cancers |
| JP2009503105A (en) * | 2005-08-03 | 2009-01-29 | イミュノジェン・インコーポレーテッド | Immune complex preparation |
| CA2658326C (en) * | 2005-09-02 | 2013-04-23 | Morehouse School Of Medicine | Neuregulins for prevention and treatment of damage from acute assault on vascular and neuronal tissue |
| US20070213264A1 (en) * | 2005-12-02 | 2007-09-13 | Mingdong Zhou | Neuregulin variants and methods of screening and using thereof |
| EP1986735A4 (en) | 2006-02-06 | 2011-06-29 | Northwind Ventures | Systems and methods for volume reduction |
| WO2008140814A1 (en) * | 2007-05-10 | 2008-11-20 | Acorda Therapeutics, Inc. | Methods for detecting cardiac damage |
| CN104784679A (en) * | 2007-05-25 | 2015-07-22 | 上海泽生科技开发有限公司 | Safe dose of neuregulin applied to people |
| CN101310766B (en) * | 2007-05-25 | 2014-04-16 | 上海泽生科技开发有限公司 | New use of neuroregulation protein |
| CN103432681A (en) * | 2007-05-25 | 2013-12-11 | 上海泽生科技开发有限公司 | Medicine preparation and device comprising NRG (neuregulin) |
| US20090156488A1 (en) | 2007-09-12 | 2009-06-18 | Zensun (Shanghai) Science & Technology Limited | Use of neuregulin for organ preservation |
| CA2731113A1 (en) * | 2008-07-17 | 2010-03-18 | Acorda Therapeutics, Inc. | Therapeutic dosing of a neuregulin or a subsequence thereof for treatment or prophylaxis of heart failure |
| CN102159237A (en) | 2008-08-15 | 2011-08-17 | 阿索尔达治疗公司 | Compositions and methods for treatment during non-acute periods following cns neurological injury |
| EP2346526A2 (en) | 2008-09-22 | 2011-07-27 | Massachusetts Institute of Technology | Compositions of and methods of using ligand dimers |
| JP2012509908A (en) * | 2008-11-28 | 2012-04-26 | ゼンサン (シャンハイ) サイエンス アンド テクノロジー リミテッド | Neuregulin and cardiac stem cells |
| WO2010060265A1 (en) * | 2008-11-28 | 2010-06-03 | Zensun (Shanghai) Science & Technology Limited | Neuregulin peptides and their use |
| EP2440236B1 (en) * | 2009-06-09 | 2016-05-04 | Zensun (Shanghai) Science and Technology Limited | Neuregulin based methods for treating heart failure |
| JP2013503110A (en) * | 2009-06-09 | 2013-01-31 | ゼンサン (シャンハイ) サイエンス アンド テクノロジー リミテッド | Treatment of heart failure based on neuregulin |
| US8889625B2 (en) | 2009-07-10 | 2014-11-18 | Northwestern University | Cardioprotective role of hepatic cells and hepatocyte secretory factors in myocardial ischemia |
| WO2011011388A2 (en) * | 2009-07-22 | 2011-01-27 | Children's Medical Center Corporation | Neuregulin induced regeneraton of heart muscle muscle |
| ES2845691T3 (en) * | 2009-10-23 | 2021-07-27 | Caladrius Biosciences Inc | Compositions and uses for the treatment of progressive myocardial injuries due to vascular insufficiency |
| EP2493417B1 (en) | 2009-10-26 | 2017-06-21 | Cardiokinetix, Inc. | Ventricular volume reduction |
| CN103772498B (en) * | 2009-11-09 | 2015-07-15 | 上海泽生科技开发有限公司 | Neuregulin and application thereof |
| EP2555788B1 (en) * | 2010-03-24 | 2017-10-11 | Massachusetts Institute of Technology | NEUREGULIN DIMER FOR AN ErbB/HER RECEPTOR FOR USE IN REDUCING CARDIOTOXICITY. |
| CN104399062A (en) * | 2011-01-11 | 2015-03-11 | 上海泽生科技开发有限公司 | Method and composition for preventing, treating or delaying Cardiac ischemia-reperfusion injury through neuregulin |
| JP6105491B2 (en) | 2011-03-02 | 2017-03-29 | バーグ エルエルシー | Collating cell-based assays and uses thereof |
| US8754044B2 (en) | 2011-05-03 | 2014-06-17 | Northwestern University | Neuroprotection by hepatic cells and hepatocyte secretory factors |
| MX357392B (en) | 2012-04-02 | 2018-07-06 | Berg Llc | TESTS BASED ON CELLULAR INTERROGATORIES AND USE OF THE SAME. |
| CA2874432A1 (en) * | 2012-05-22 | 2013-11-28 | Berg Llc | Interrogatory cell-based assays for indentifying drug-induced toxicity markers |
| JP6371287B2 (en) | 2012-09-12 | 2018-08-08 | バーグ エルエルシー | Use of markers in the identification of cardiotoxic agents |
| WO2014051567A1 (en) * | 2012-09-26 | 2014-04-03 | Morehouse School Of Medicine | Chimeric neuregulins and method of making and use thereof |
| WO2014187342A1 (en) | 2013-05-22 | 2014-11-27 | Zensun (Shanghai) Science & Technology, Ltd. | Extended Release of Neuregulin for Treating Heart Failure |
| CA2925723A1 (en) * | 2013-10-01 | 2015-04-09 | Kymab Limited | Animal models and therapeutic molecules |
| BR112016007960B8 (en) | 2013-10-18 | 2023-11-14 | Attoquant Diagnostics Gmbh | Method for diagnosing primary hyperaldosteronism in an individual |
| US20170035848A1 (en) | 2014-04-15 | 2017-02-09 | Universiteit Antwerpen | Treatment of nephropathy |
| SG11201701963UA (en) | 2014-09-11 | 2017-04-27 | Berg Llc | Bayesian causal relationship network models for healthcare diagnosis and treatment based on patient data |
| RU2017114607A (en) | 2014-09-28 | 2018-10-29 | Кардиокинетикс, Инк. | DEVICES FOR THERAPY OF HEART FUNCTIONAL DISORDERS |
| US20170333529A1 (en) * | 2015-01-20 | 2017-11-23 | Universiteit Antwerpen | Neuregulin in the treatment of fibrotic disorders |
| CN104922153A (en) * | 2015-04-02 | 2015-09-23 | 连祺周 | Application of NRG1 (neuregulin1)-ERBB4 complex in preparing medicaments for treating myocardial ischemia |
| US10017574B2 (en) * | 2015-05-07 | 2018-07-10 | Yeda Research And Development Co. Ltd. | Methods, kits and devices for promoting cardiac regeneration |
| CN115919889A (en) * | 2015-12-22 | 2023-04-07 | 雀巢产品有限公司 | Method for treating sarcopenia and frailty |
| US10898330B2 (en) | 2017-03-28 | 2021-01-26 | Edwards Lifesciences Corporation | Positioning, deploying, and retrieving implantable devices |
| HUE066892T2 (en) * | 2018-04-11 | 2024-09-28 | Salubris Biotherapeutics Inc | Human neuregulin-1 (nrg-1) recombinant fusion protein compositions and methods of use thereof |
| CN111407881A (en) * | 2019-01-07 | 2020-07-14 | 上海泽生科技开发股份有限公司 | Methods and compositions for neuregulin to prevent, treat or delay myocardial damage |
| AR121035A1 (en) * | 2019-04-01 | 2022-04-13 | Lilly Co Eli | NEUREGULIN-4 COMPOUNDS AND METHODS OF USE |
| CN109999015A (en) * | 2019-04-24 | 2019-07-12 | 江苏省中医药研究院 | Purposes of the alkannin in preparation prevention or treatment atrial fibrillation drug |
| KR20220066116A (en) | 2019-09-16 | 2022-05-23 | 젠순 (상하이) 사이언스 앤드 테크놀로지 캄파니 리미티드 | Recombinant human neuregulin derivatives and uses thereof |
| CN110714068A (en) * | 2019-11-14 | 2020-01-21 | 南通大学 | Application of Membrane Protein Molecule ErbB4 in Preparation of Drugs for Treating Cerebral Ischemia Injury |
| CN113289002A (en) | 2020-02-24 | 2021-08-24 | 上海泽生科技开发股份有限公司 | Methods and compositions for the prevention, treatment or delay of heart failure using neuregulin |
| CN113238060B (en) * | 2021-05-08 | 2022-10-11 | 迈克生物股份有限公司 | Kit for predicting or diagnosing myocarditis |
| WO2023070078A1 (en) * | 2021-10-22 | 2023-04-27 | The Research Institute At Nationwide Children's Hospital | Neuregulin for protection against respiratory viral infection and post-viral disease |
Citations (1)
| Publication number | Priority date | Publication date | Assignee | Title |
|---|---|---|---|---|
| US9340597B2 (en) * | 2005-12-02 | 2016-05-17 | Zensun (Shanghai) Science And Technology Ltd. | Neuregulin variants and methods of screening and using thereof |
Family Cites Families (86)
| Publication number | Priority date | Publication date | Assignee | Title |
|---|---|---|---|---|
| US3773919A (en) | 1969-10-23 | 1973-11-20 | Du Pont | Polylactide-drug mixtures |
| US4179337A (en) | 1973-07-20 | 1979-12-18 | Davis Frank F | Non-immunogenic polypeptides |
| US4263428A (en) | 1978-03-24 | 1981-04-21 | The Regents Of The University Of California | Bis-anthracycline nucleic acid function inhibitors and improved method for administering the same |
| JPS6023084B2 (en) | 1979-07-11 | 1985-06-05 | 味の素株式会社 | blood substitute |
| ATE12348T1 (en) | 1980-11-10 | 1985-04-15 | Gersonde Klaus Prof Dr | PROCESS FOR THE PRODUCTION OF LIPID VESICLES BY ULTRASONIC TREATMENT, APPLICATION OF THE PROCESS AND DEVICE FOR CARRYING OUT THE PROCESS. |
| IE52535B1 (en) | 1981-02-16 | 1987-12-09 | Ici Plc | Continuous release pharmaceutical compositions |
| US4485045A (en) | 1981-07-06 | 1984-11-27 | Research Corporation | Synthetic phosphatidyl cholines useful in forming liposomes |
| US4640835A (en) | 1981-10-30 | 1987-02-03 | Nippon Chemiphar Company, Ltd. | Plasminogen activator derivatives |
| EP0088046B1 (en) | 1982-02-17 | 1987-12-09 | Ciba-Geigy Ag | Lipids in the aqueous phase |
| US4738927A (en) | 1982-03-31 | 1988-04-19 | Ajinomoto Co. Inc. | Gene coded for interleukin-2 polypeptide, recombinant DNA carrying the said gene, a living cell line possessing the recombinant DNA, and method for producing interleukin-2 using the said cell |
| DE3218121A1 (en) | 1982-05-14 | 1983-11-17 | Leskovar, Peter, Dr.-Ing., 8000 München | Pharmaceutical compositions for tumour treatment |
| DE3220116A1 (en) | 1982-05-28 | 1983-12-01 | Dr. Karl Thomae Gmbh, 7950 Biberach | MICROBIOLOGICALLY MANUFACTURED (ALPHA) AND SS INTERFERONES, DNA SEQUENCES CODING FOR THESE INTERFERONES, MICROORGANISMS CONTAINING THIS GENETIC INFORMATION, AND METHOD FOR THE PRODUCTION THEREOF |
| EP0102324A3 (en) | 1982-07-29 | 1984-11-07 | Ciba-Geigy Ag | Lipids and surfactants in an aqueous medium |
| US4544545A (en) | 1983-06-20 | 1985-10-01 | Trustees University Of Massachusetts | Liposomes containing modified cholesterol for organ targeting |
| JPS607934A (en) | 1983-06-29 | 1985-01-16 | Dai Ichi Seiyaku Co Ltd | Method for producing liposomes |
| HUT35524A (en) | 1983-08-02 | 1985-07-29 | Hoechst Ag | Process for preparing pharmaceutical compositions containing regulatory /regulative/ peptides providing for the retarded release of the active substance |
| ATE159858T1 (en) | 1983-09-26 | 1997-11-15 | Ehrenfeld Udo | AGENT AND PRODUCT FOR THE DIAGNOSIS AND THERAPY OF TUMORS AND FOR THE TREATMENT OF WEAKNESSES OF THE CELLULAR AND HUMORAL IMMUNE DEFENSE |
| EP0143949B1 (en) | 1983-11-01 | 1988-10-12 | TERUMO KABUSHIKI KAISHA trading as TERUMO CORPORATION | Pharmaceutical composition containing urokinase |
| US4496689A (en) | 1983-12-27 | 1985-01-29 | Miles Laboratories, Inc. | Covalently attached complex of alpha-1-proteinase inhibitor with a water soluble polymer |
| US4569790A (en) | 1984-03-28 | 1986-02-11 | Cetus Corporation | Process for recovering microbially produced interleukin-2 and purified recombinant interleukin-2 compositions |
| DE3675588D1 (en) | 1985-06-19 | 1990-12-20 | Ajinomoto Kk | HAEMOGLOBIN TIED TO A POLY (ALKENYLENE OXIDE). |
| US4791192A (en) | 1986-06-26 | 1988-12-13 | Takeda Chemical Industries, Ltd. | Chemically modified protein with polyethyleneglycol |
| WO1989001489A1 (en) | 1987-08-10 | 1989-02-23 | Commonwealth Scientific And Industrial Research Or | Control of angiogenesis and compositions and methods therefor |
| SE463851B (en) | 1988-09-02 | 1991-02-04 | Amsu Ltd | COMPOSITION FOR TREATMENT OF ERECT DYSFUNCTION THROUGH URETRA |
| JPH02226533A (en) | 1989-02-27 | 1990-09-10 | Mitsubishi Electric Corp | Information recording medium |
| US5530109A (en) | 1991-04-10 | 1996-06-25 | Ludwig Institute For Cancer Research | DNA encoding glial mitogenic factors |
| GB9107566D0 (en) | 1991-04-10 | 1991-05-29 | Ludwig Inst Cancer Res | Glial mitogenic factors,their preparation and use |
| US5716930A (en) | 1991-04-10 | 1998-02-10 | Ludwig Institute For Cancer Research | Glial growth factors |
| US7115554B1 (en) | 1993-05-06 | 2006-10-03 | Acorda Therapeutics, Inc. | Methods of increasing myotube formation or survival or muscle cell mitogenesis differentiation or survival using neuregulin GGF III |
| US5367060A (en) | 1991-05-24 | 1994-11-22 | Genentech, Inc. | Structure, production and use of heregulin |
| IL101943A0 (en) | 1991-05-24 | 1992-12-30 | Genentech Inc | Structure,production and use of heregulin |
| US5834229A (en) | 1991-05-24 | 1998-11-10 | Genentech, Inc. | Nucleic acids vectors and host cells encoding and expressing heregulin 2-α |
| JPH07503851A (en) | 1992-02-10 | 1995-04-27 | インターフェロン・サイエンシズ、インコーポレイテッド | Improved interferon and its production method from human peripheral blood leukocytes |
| US6087323A (en) | 1992-04-03 | 2000-07-11 | Cambridge Neuroscience, Inc. | Use of neuregulins as modulators of cellular communication |
| DE4221256C2 (en) | 1992-06-26 | 1997-07-10 | Lancaster Group Ag | Galenic composition for topical use |
| US5869305A (en) | 1992-12-04 | 1999-02-09 | The University Of Pittsburgh | Recombinant viral vector system |
| CA2126619A1 (en) | 1993-06-24 | 1994-12-25 | Yasutaka Igari | Sustained-release preparation of anti-endothelin substance |
| US5834441A (en) | 1993-09-13 | 1998-11-10 | Rhone-Poulenc Rorer Pharmaceuticals Inc. | Adeno-associated viral (AAV) liposomes and methods related thereto |
| US5399699A (en) | 1994-01-24 | 1995-03-21 | Abbott Laboratories | Indole iminooxy derivatives which inhibit leukotriene biosynthesis |
| DE69522492T2 (en) | 1994-04-09 | 2002-05-23 | F. Hoffmann-La Roche Ag, Basel | Process for the production of alpha interferon |
| US5770567A (en) | 1994-11-14 | 1998-06-23 | Genentech, Inc. | Sensory and motor neuron derived factor (SMDF) |
| MX9706827A (en) | 1995-03-10 | 1997-11-29 | Genentech Inc | Receptor activation by gas6 |
| US6750196B1 (en) * | 1995-03-27 | 2004-06-15 | Acorda Therapeutics | Methods of treating disorders of the eye |
| US5741511A (en) | 1995-04-12 | 1998-04-21 | Sam Yang Co., Ltd. | Transdermal drug delivery device for treating erectile dysfunction |
| US6033660A (en) | 1995-05-10 | 2000-03-07 | Genentech, Inc. | Method of treating a nervous system injury with cultured schwann cells |
| US5714385A (en) | 1995-05-10 | 1998-02-03 | Genentech, Inc. | Media for culturing schwann cells |
| US5721139A (en) | 1995-05-10 | 1998-02-24 | Genentech, Inc. | Isolating and culturing schwann cells |
| US5912326A (en) | 1995-09-08 | 1999-06-15 | President And Fellows Of Harvard College | Cerebellum-derived growth factors |
| US5888767A (en) | 1996-11-27 | 1999-03-30 | The Johns Hopkins University School Of Medicine | Method of using a conditionally replicating viral vector to express a gene |
| EP0871512A1 (en) | 1995-12-22 | 1998-10-21 | Localmed, Inc. | Localized intravascular delivery of growth factors for promotion of angiogenesis |
| US5736154A (en) | 1996-03-11 | 1998-04-07 | Fuisz Technologies Ltd. | Transdermal delivery system |
| US5968511A (en) | 1996-03-27 | 1999-10-19 | Genentech, Inc. | ErbB3 antibodies |
| US5834235A (en) | 1996-06-21 | 1998-11-10 | Health Research, Incorporated | Inferferon-α-induced protein |
| EP0938556B1 (en) | 1996-07-12 | 2005-03-09 | Genentech, Inc. | Gamma-heregulin |
| IL127892A0 (en) | 1996-07-12 | 1999-10-28 | Genentech Inc | Gamma-heregulin |
| US6156728A (en) | 1996-11-01 | 2000-12-05 | Genentech, Inc. | Treatment of inner ear hair cells |
| US6593290B1 (en) | 1996-11-01 | 2003-07-15 | Genentech, Inc. | Treatment of inner ear hair cells |
| US20020002276A1 (en) | 1997-02-10 | 2002-01-03 | Genentech, Inc. | Chimeric heteromultimer adhesins |
| US6136558A (en) * | 1997-02-10 | 2000-10-24 | Genentech, Inc. | Heregulin variants |
| ATE427353T1 (en) | 1997-02-10 | 2009-04-15 | Genentech Inc | HEREGULIN VARIANTS |
| WO1998055611A1 (en) | 1997-06-06 | 1998-12-10 | Regents Of The University Of Michigan | Neuregulin response element and uses therefor |
| US6121415A (en) | 1997-07-09 | 2000-09-19 | Genentech, Inc. | ErbB4 receptor-specific neuregolin related ligands and uses therefor |
| SE9703226D0 (en) | 1997-09-08 | 1997-09-08 | Astra Ab | New pharmaceutical composition |
| EP1028735A4 (en) | 1997-10-14 | 2003-08-06 | Cenes Pharmaceuticals Inc | Therapeutic methods comprising use of a neuregulin |
| US6197801B1 (en) | 1998-01-14 | 2001-03-06 | Usa Doctors Products, Inc. | Injectable pharmaceutical composition for treatment and reversal of erectile dysfunction |
| US5962274A (en) | 1998-03-13 | 1999-10-05 | Wake Forest University | Viral vector directed to predetermined target cells |
| AUPP785098A0 (en) * | 1998-12-21 | 1999-01-21 | Victor Chang Cardiac Research Institute, The | Treatment of heart disease |
| US6446242B1 (en) | 1999-04-02 | 2002-09-03 | Actel Corporation | Method and apparatus for storing a validation number in a field-programmable gate array |
| US6635249B1 (en) * | 1999-04-23 | 2003-10-21 | Cenes Pharmaceuticals, Inc. | Methods for treating congestive heart failure |
| US6933122B1 (en) | 1999-05-14 | 2005-08-23 | The Trustees Of Columbia University In The City Of New York | A-form of cytoplasmic domain of nARIA (CRD-neuregulin) and uses thereof |
| CN1138785C (en) * | 1999-06-04 | 2004-02-18 | 周明东 | Application of growth factor neuregulin and its analogs |
| WO2001026607A2 (en) | 1999-10-08 | 2001-04-19 | Uab Research Foundation | Smdf and ggf neuregulin splice variant isoforms and uses thereof |
| US6811788B2 (en) | 2000-01-19 | 2004-11-02 | Baofa Yu | Combinations and methods for treating neoplasms |
| US7538197B2 (en) | 2000-02-11 | 2009-05-26 | Proteosys Ag | Use of neuregulin-β as an indicator and/or target |
| US20020094954A1 (en) | 2000-02-28 | 2002-07-18 | Decode Genetics, Ehf, | Human schizophrenia gene |
| MXPA02008239A (en) | 2000-02-28 | 2004-08-12 | Decode Genetics Ehf | Human schizophrenia gene. |
| US6544759B1 (en) | 2000-04-21 | 2003-04-08 | Yeda Research And Development Co. Ltd | Polynucleotides encoding a novel growth factor which acts through ErbB-4 kinase receptor tyrosine |
| CN1498656A (en) | 2002-11-08 | 2004-05-26 | 上海泽生科技开发有限公司 | Method and compsn. of nervous regulation protein for treating myocardial infarction |
| WO2003099320A1 (en) * | 2002-05-24 | 2003-12-04 | Zensun (Shanghai) Sci-Tech.Ltd | Neuregulin based methods and compositions for treating viral myocarditis and dilated cardiomyopathy |
| JP2004348674A (en) * | 2003-05-26 | 2004-12-09 | Noritsu Koki Co Ltd | Area detection method and device |
| CN1715926B (en) | 2004-07-02 | 2011-08-17 | 上海泽生科技开发有限公司 | Use of neuregulin mutant |
| CN1743005A (en) | 2004-09-02 | 2006-03-08 | 上海泽生科技开发有限公司 | New use of PI3-K inhibitor and its composition |
| CN1743006A (en) | 2004-09-02 | 2006-03-08 | 上海泽生科技开发有限公司 | New use of MAPK inhibitor and its composition thereof |
| BRPI0620819A2 (en) * | 2005-12-30 | 2011-11-22 | Zensun Shangai Science & Technology Ltd | use of a sustained release neuregulin (nrg), nrg at a sustained release from a constant low dosage, and, sustained release composition to prevent, treat or delay a disease or disorder in a mammal |
| US9580515B2 (en) * | 2006-08-21 | 2017-02-28 | Zensun (Shanghai) Science & Technology, Co., Ltd. | Neukinase, a downstream protein of neuregulin |
| US20090156488A1 (en) * | 2007-09-12 | 2009-06-18 | Zensun (Shanghai) Science & Technology Limited | Use of neuregulin for organ preservation |
-
2002
- 2002-05-24 WO PCT/CN2002/000349 patent/WO2003099320A1/en not_active Ceased
- 2002-05-24 AU AU2002304965A patent/AU2002304965A1/en not_active Abandoned
- 2002-09-18 AU AU2002336030A patent/AU2002336030A1/en not_active Abandoned
- 2002-09-18 WO PCT/CN2002/000664 patent/WO2003099321A1/en not_active Ceased
-
2003
- 2003-05-15 CN CN2006101543547A patent/CN1935254B/en not_active Expired - Lifetime
- 2003-05-15 CA CA2487112A patent/CA2487112C/en not_active Expired - Fee Related
- 2003-05-15 CN CNA200610139361XA patent/CN101007027A/en active Pending
- 2003-05-15 JP JP2004506824A patent/JP2005532332A/en active Pending
- 2003-05-15 EP EP03732172.6A patent/EP1553960B1/en not_active Expired - Lifetime
- 2003-05-15 CN CNB038118661A patent/CN100522997C/en not_active Expired - Lifetime
- 2003-05-15 CN CN2009101185220A patent/CN101491670B/en not_active Expired - Lifetime
- 2003-05-15 ES ES03732172.6T patent/ES2627547T3/en not_active Expired - Lifetime
- 2003-05-15 AU AU2003238336A patent/AU2003238336B2/en not_active Expired
- 2003-05-15 EP EP12194239.5A patent/EP2606901A1/en not_active Withdrawn
- 2003-05-15 WO PCT/CN2003/000355 patent/WO2003099300A1/en not_active Ceased
-
2004
- 2004-11-24 US US10/997,167 patent/US7795212B2/en not_active Expired - Lifetime
-
2010
- 2010-09-10 US US12/879,023 patent/US8785387B2/en not_active Expired - Lifetime
- 2010-10-01 JP JP2010223952A patent/JP5809789B2/en not_active Expired - Lifetime
-
2014
- 2014-01-06 JP JP2014000319A patent/JP5964868B2/en not_active Expired - Lifetime
- 2014-05-06 US US14/271,198 patent/US9555076B2/en not_active Expired - Fee Related
-
2016
- 2016-02-02 JP JP2016018132A patent/JP6603149B2/en not_active Expired - Lifetime
-
2017
- 2017-01-30 US US15/419,946 patent/US20170360889A1/en not_active Abandoned
- 2017-11-07 JP JP2017214721A patent/JP2018052957A/en active Pending
Patent Citations (1)
| Publication number | Priority date | Publication date | Assignee | Title |
|---|---|---|---|---|
| US9340597B2 (en) * | 2005-12-02 | 2016-05-17 | Zensun (Shanghai) Science And Technology Ltd. | Neuregulin variants and methods of screening and using thereof |
Cited By (10)
| Publication number | Priority date | Publication date | Assignee | Title |
|---|---|---|---|---|
| US11638746B2 (en) | 2005-12-30 | 2023-05-02 | Zensun (Shanghai) Science & Technology, Co., Ltd. | Extended release of neuregulin for improved cardiac function |
| US11246909B2 (en) | 2009-08-25 | 2022-02-15 | Zensun (Shanghai) Science & Technology, Co., Ltd. | Neuregulin based methods for treating heart failure |
| US11826400B2 (en) | 2010-01-29 | 2023-11-28 | Zensun (Shanghai) Science & Technology Limited | Neuregulin based compositions and uses thereof for preventing, treating or delaying the myocardial ischemia-reperfusion injury |
| US11253573B2 (en) | 2011-10-10 | 2022-02-22 | Zensun (Shanghai) Science & Technology, Co., Ltd. | Compositions and methods for treating heart failure |
| US12076370B2 (en) | 2011-10-10 | 2024-09-03 | Zensun (Shanghai) Science & Technology, Co., Ltd. | Compositions and methods for treating heart failure |
| US10894815B2 (en) | 2012-10-08 | 2021-01-19 | Zensun (Shanghai) Science & Technology, Co., Ltd. | Compositions and methods for treating heart failure in diabetic patients |
| US10702585B2 (en) | 2014-01-03 | 2020-07-07 | Zensun (Shanghai) Science & Technology, Co., Ltd. | Formula of neuregulin preparation |
| US11969458B2 (en) | 2014-01-03 | 2024-04-30 | Zensun (Shanghai) Science & Technology, Co., Ltd. | Formula of neuregulin preparation |
| US10441633B2 (en) | 2014-09-24 | 2019-10-15 | Zensun (Shanghai) Science & Technology, Co., Ltd. | Uses of neuregulin in preventing, treating or delaying ventricular arrhythmia, and composition thereof |
| US10561709B2 (en) | 2014-10-17 | 2020-02-18 | Zensun (Shanghai) Science & Technology, Co., Ltd. | Methods and compositions of neuregulins for preventing, treating or delaying preserved ejection fraction cardiac failure |
Also Published As
Similar Documents
| Publication | Publication Date | Title |
|---|---|---|
| US9555076B2 (en) | Neuregulin based methods and compositions for treating cardiovascular diseases | |
| JP7100083B2 (en) | Prescription of Neuregulin formulation | |
| EP0224885B1 (en) | Antitumor composition. | |
| CA2804958A1 (en) | Therapeutic methods for treating subjects with a recombinant erythropoietin having high activity and reduced side effects | |
| CN102159236A (en) | Therapeutic administration of neuregulin or a subsequence thereof for the treatment or prevention of heart failure | |
| JP6475623B2 (en) | Composition for the treatment of heart failure in diabetic patients | |
| JPWO2006115274A1 (en) | Bone marrow erythroid progenitor cell differentiation promoter | |
| EP2077116A1 (en) | Use of interleukin-11 as therapeutic agent for heart disease | |
| CN120114574B (en) | New application of recombinant III type humanized collagen in gastric cancer products | |
| JP2017125032A (en) | Composition for treating heart failure of diabetes patient | |
| JP2019112442A (en) | Composition and method for treating heart failure in diabetic patient |
Legal Events
| Date | Code | Title | Description |
|---|---|---|---|
| STPP | Information on status: patent application and granting procedure in general |
Free format text: NON FINAL ACTION MAILED |
|
| STPP | Information on status: patent application and granting procedure in general |
Free format text: RESPONSE TO NON-FINAL OFFICE ACTION ENTERED AND FORWARDED TO EXAMINER |
|
| STPP | Information on status: patent application and granting procedure in general |
Free format text: FINAL REJECTION MAILED |
|
| STCV | Information on status: appeal procedure |
Free format text: NOTICE OF APPEAL FILED |
|
| STCB | Information on status: application discontinuation |
Free format text: ABANDONED -- FAILURE TO RESPOND TO AN OFFICE ACTION |

