US20160311762A1 - Hydrazinyl lipidoids and uses thereof - Google Patents
Hydrazinyl lipidoids and uses thereof Download PDFInfo
- Publication number
- US20160311762A1 US20160311762A1 US15/200,432 US201615200432A US2016311762A1 US 20160311762 A1 US20160311762 A1 US 20160311762A1 US 201615200432 A US201615200432 A US 201615200432A US 2016311762 A1 US2016311762 A1 US 2016311762A1
- Authority
- US
- United States
- Prior art keywords
- group
- optionally substituted
- certain embodiments
- mosaic
- potyvirus
- Prior art date
- Legal status (The legal status is an assumption and is not a legal conclusion. Google has not performed a legal analysis and makes no representation as to the accuracy of the status listed.)
- Abandoned
Links
- 125000000717 hydrazino group Chemical group [H]N([*])N([H])[H] 0.000 title abstract description 104
- 239000000203 mixture Substances 0.000 claims abstract description 144
- 239000013543 active substance Substances 0.000 claims abstract description 79
- 238000009472 formulation Methods 0.000 claims abstract description 67
- 238000000034 method Methods 0.000 claims abstract description 32
- 239000004055 small Interfering RNA Substances 0.000 claims description 113
- 108020004459 Small interfering RNA Proteins 0.000 claims description 112
- 239000002105 nanoparticle Substances 0.000 claims description 96
- 150000001875 compounds Chemical class 0.000 claims description 82
- -1 n-decanyl Chemical group 0.000 claims description 79
- 125000001931 aliphatic group Chemical group 0.000 claims description 76
- 108091032973 (ribonucleotides)n+m Proteins 0.000 claims description 63
- 102000040430 polynucleotide Human genes 0.000 claims description 60
- 108091033319 polynucleotide Proteins 0.000 claims description 60
- 239000002157 polynucleotide Substances 0.000 claims description 60
- 239000001257 hydrogen Substances 0.000 claims description 56
- 229910052739 hydrogen Inorganic materials 0.000 claims description 56
- 108090000623 proteins and genes Proteins 0.000 claims description 53
- 241000196324 Embryophyta Species 0.000 claims description 50
- 108091034117 Oligonucleotide Proteins 0.000 claims description 49
- 241000238631 Hexapoda Species 0.000 claims description 36
- 239000003795 chemical substances by application Substances 0.000 claims description 36
- 150000002431 hydrogen Chemical class 0.000 claims description 36
- 210000004027 cell Anatomy 0.000 claims description 26
- 125000002496 methyl group Chemical group [H]C([H])([H])* 0.000 claims description 23
- 239000011859 microparticle Substances 0.000 claims description 23
- 125000000623 heterocyclic group Chemical group 0.000 claims description 22
- 102000004169 proteins and genes Human genes 0.000 claims description 20
- 102000040650 (ribonucleotides)n+m Human genes 0.000 claims description 19
- 230000014509 gene expression Effects 0.000 claims description 18
- 125000001072 heteroaryl group Chemical group 0.000 claims description 18
- 125000002837 carbocyclic group Chemical group 0.000 claims description 17
- 239000004009 herbicide Substances 0.000 claims description 16
- 108090000765 processed proteins & peptides Proteins 0.000 claims description 16
- 125000003107 substituted aryl group Chemical group 0.000 claims description 16
- 230000001276 controlling effect Effects 0.000 claims description 14
- 244000000003 plant pathogen Species 0.000 claims description 14
- 102000004196 processed proteins & peptides Human genes 0.000 claims description 13
- JLCPHMBAVCMARE-UHFFFAOYSA-N [3-[[3-[[3-[[3-[[3-[[3-[[3-[[3-[[3-[[3-[[3-[[5-(2-amino-6-oxo-1H-purin-9-yl)-3-[[3-[[3-[[3-[[3-[[3-[[5-(2-amino-6-oxo-1H-purin-9-yl)-3-[[5-(2-amino-6-oxo-1H-purin-9-yl)-3-hydroxyoxolan-2-yl]methoxy-hydroxyphosphoryl]oxyoxolan-2-yl]methoxy-hydroxyphosphoryl]oxy-5-(5-methyl-2,4-dioxopyrimidin-1-yl)oxolan-2-yl]methoxy-hydroxyphosphoryl]oxy-5-(6-aminopurin-9-yl)oxolan-2-yl]methoxy-hydroxyphosphoryl]oxy-5-(6-aminopurin-9-yl)oxolan-2-yl]methoxy-hydroxyphosphoryl]oxy-5-(6-aminopurin-9-yl)oxolan-2-yl]methoxy-hydroxyphosphoryl]oxy-5-(6-aminopurin-9-yl)oxolan-2-yl]methoxy-hydroxyphosphoryl]oxyoxolan-2-yl]methoxy-hydroxyphosphoryl]oxy-5-(5-methyl-2,4-dioxopyrimidin-1-yl)oxolan-2-yl]methoxy-hydroxyphosphoryl]oxy-5-(4-amino-2-oxopyrimidin-1-yl)oxolan-2-yl]methoxy-hydroxyphosphoryl]oxy-5-(5-methyl-2,4-dioxopyrimidin-1-yl)oxolan-2-yl]methoxy-hydroxyphosphoryl]oxy-5-(5-methyl-2,4-dioxopyrimidin-1-yl)oxolan-2-yl]methoxy-hydroxyphosphoryl]oxy-5-(6-aminopurin-9-yl)oxolan-2-yl]methoxy-hydroxyphosphoryl]oxy-5-(6-aminopurin-9-yl)oxolan-2-yl]methoxy-hydroxyphosphoryl]oxy-5-(4-amino-2-oxopyrimidin-1-yl)oxolan-2-yl]methoxy-hydroxyphosphoryl]oxy-5-(4-amino-2-oxopyrimidin-1-yl)oxolan-2-yl]methoxy-hydroxyphosphoryl]oxy-5-(4-amino-2-oxopyrimidin-1-yl)oxolan-2-yl]methoxy-hydroxyphosphoryl]oxy-5-(6-aminopurin-9-yl)oxolan-2-yl]methoxy-hydroxyphosphoryl]oxy-5-(4-amino-2-oxopyrimidin-1-yl)oxolan-2-yl]methyl [5-(6-aminopurin-9-yl)-2-(hydroxymethyl)oxolan-3-yl] hydrogen phosphate Polymers Cc1cn(C2CC(OP(O)(=O)OCC3OC(CC3OP(O)(=O)OCC3OC(CC3O)n3cnc4c3nc(N)[nH]c4=O)n3cnc4c3nc(N)[nH]c4=O)C(COP(O)(=O)OC3CC(OC3COP(O)(=O)OC3CC(OC3COP(O)(=O)OC3CC(OC3COP(O)(=O)OC3CC(OC3COP(O)(=O)OC3CC(OC3COP(O)(=O)OC3CC(OC3COP(O)(=O)OC3CC(OC3COP(O)(=O)OC3CC(OC3COP(O)(=O)OC3CC(OC3COP(O)(=O)OC3CC(OC3COP(O)(=O)OC3CC(OC3COP(O)(=O)OC3CC(OC3COP(O)(=O)OC3CC(OC3COP(O)(=O)OC3CC(OC3COP(O)(=O)OC3CC(OC3COP(O)(=O)OC3CC(OC3COP(O)(=O)OC3CC(OC3CO)n3cnc4c(N)ncnc34)n3ccc(N)nc3=O)n3cnc4c(N)ncnc34)n3ccc(N)nc3=O)n3ccc(N)nc3=O)n3ccc(N)nc3=O)n3cnc4c(N)ncnc34)n3cnc4c(N)ncnc34)n3cc(C)c(=O)[nH]c3=O)n3cc(C)c(=O)[nH]c3=O)n3ccc(N)nc3=O)n3cc(C)c(=O)[nH]c3=O)n3cnc4c3nc(N)[nH]c4=O)n3cnc4c(N)ncnc34)n3cnc4c(N)ncnc34)n3cnc4c(N)ncnc34)n3cnc4c(N)ncnc34)O2)c(=O)[nH]c1=O JLCPHMBAVCMARE-UHFFFAOYSA-N 0.000 claims description 11
- UFHFLCQGNIYNRP-UHFFFAOYSA-N Hydrogen Chemical compound [H][H] UFHFLCQGNIYNRP-UHFFFAOYSA-N 0.000 claims description 10
- 150000003384 small molecules Chemical class 0.000 claims description 10
- 230000002363 herbicidal effect Effects 0.000 claims description 9
- 230000000749 insecticidal effect Effects 0.000 claims description 8
- 239000002917 insecticide Substances 0.000 claims description 8
- 125000000740 n-pentyl group Chemical group [H]C([H])([H])C([H])([H])C([H])([H])C([H])([H])C([H])([H])* 0.000 claims description 6
- 230000001105 regulatory effect Effects 0.000 claims description 6
- 125000004108 n-butyl group Chemical group [H]C([H])([H])C([H])([H])C([H])([H])C([H])([H])* 0.000 claims description 5
- 210000004962 mammalian cell Anatomy 0.000 claims description 2
- 241000710078 Potyvirus Species 0.000 description 118
- 125000003729 nucleotide group Chemical group 0.000 description 111
- 239000002773 nucleotide Substances 0.000 description 88
- 239000000243 solution Substances 0.000 description 69
- 239000002245 particle Substances 0.000 description 67
- GASFVSRUEBGMDI-UHFFFAOYSA-N n-aminohydroxylamine Chemical compound NNO GASFVSRUEBGMDI-UHFFFAOYSA-N 0.000 description 61
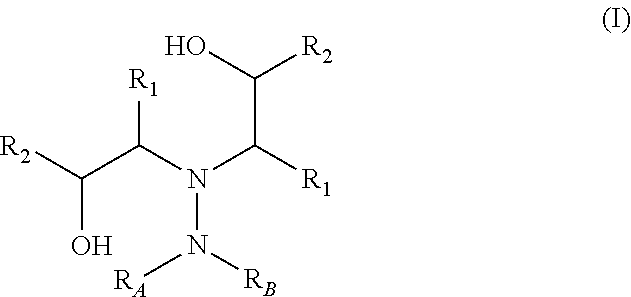
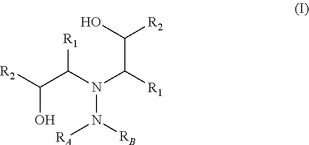
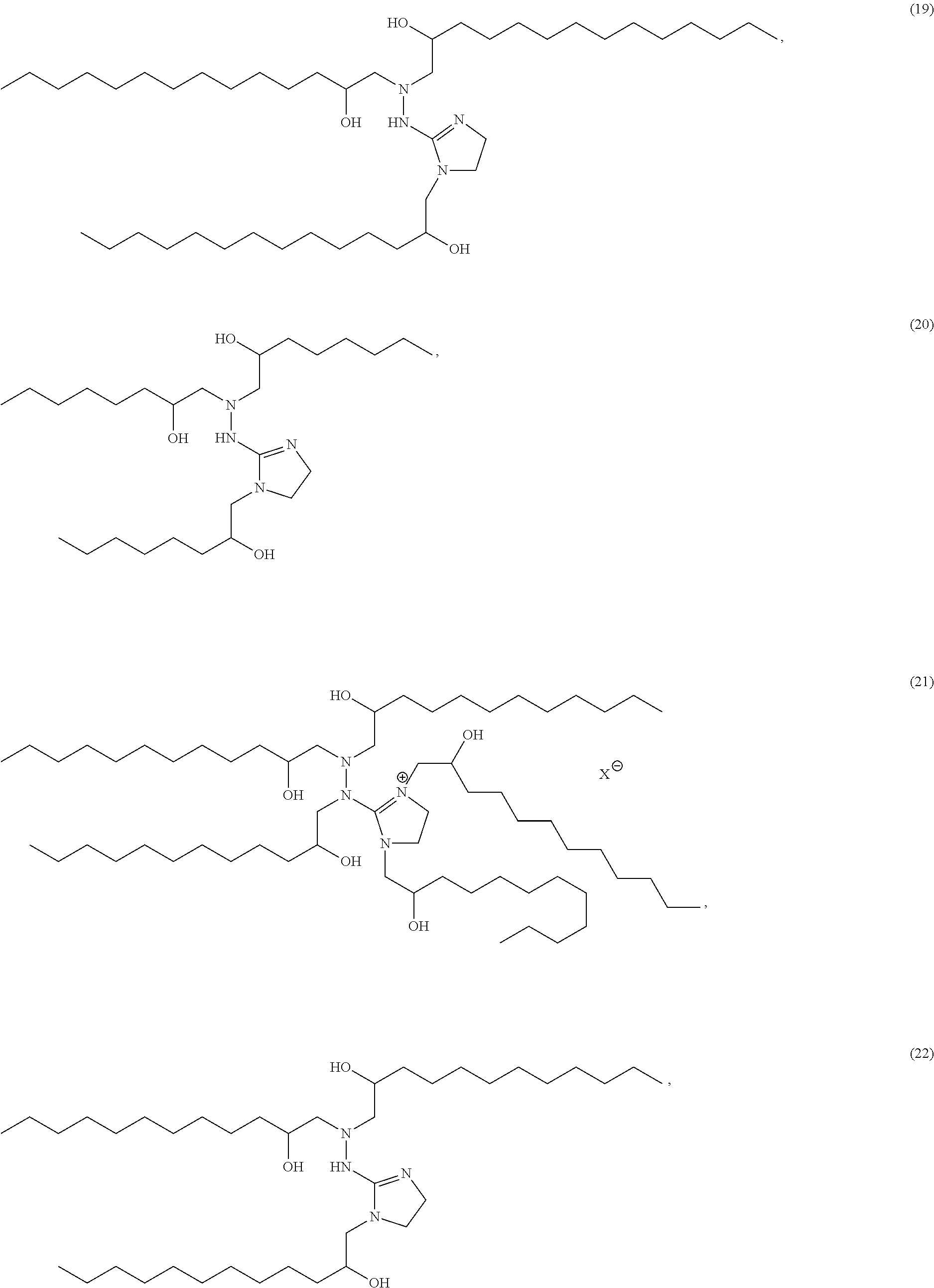
- 0 **N(*B)N(C([1*])C([2*])O)C([1*])C([2*])O Chemical compound **N(*B)N(C([1*])C([2*])O)C([1*])C([2*])O 0.000 description 56
- 230000000692 anti-sense effect Effects 0.000 description 44
- 241000700605 Viruses Species 0.000 description 42
- HVYWMOMLDIMFJA-DPAQBDIFSA-N cholesterol Chemical compound C1C=C2C[C@@H](O)CC[C@]2(C)[C@@H]2[C@@H]1[C@@H]1CC[C@H]([C@H](C)CCCC(C)C)[C@@]1(C)CC2 HVYWMOMLDIMFJA-DPAQBDIFSA-N 0.000 description 34
- OAKJQQAXSVQMHS-UHFFFAOYSA-N Hydrazine Chemical compound NN OAKJQQAXSVQMHS-UHFFFAOYSA-N 0.000 description 30
- 238000002296 dynamic light scattering Methods 0.000 description 28
- 125000000956 methoxy group Chemical group [H]C([H])([H])O* 0.000 description 28
- 150000007523 nucleic acids Chemical class 0.000 description 28
- 102000039446 nucleic acids Human genes 0.000 description 26
- 108020004707 nucleic acids Proteins 0.000 description 26
- 240000008042 Zea mays Species 0.000 description 24
- 235000002017 Zea mays subsp mays Nutrition 0.000 description 22
- JEIPFZHSYJVQDO-UHFFFAOYSA-N iron(III) oxide Inorganic materials O=[Fe]O[Fe]=O JEIPFZHSYJVQDO-UHFFFAOYSA-N 0.000 description 21
- 239000002502 liposome Substances 0.000 description 21
- 108020004414 DNA Proteins 0.000 description 20
- 239000003814 drug Substances 0.000 description 20
- 239000000872 buffer Substances 0.000 description 19
- 235000018102 proteins Nutrition 0.000 description 19
- 230000000295 complement effect Effects 0.000 description 18
- 238000001556 precipitation Methods 0.000 description 18
- 241000405760 Alphapartitivirus Species 0.000 description 17
- 108700011259 MicroRNAs Proteins 0.000 description 17
- 244000098338 Triticum aestivum Species 0.000 description 17
- 125000003118 aryl group Chemical group 0.000 description 17
- 235000012000 cholesterol Nutrition 0.000 description 17
- 229920001223 polyethylene glycol Polymers 0.000 description 17
- NRJAVPSFFCBXDT-HUESYALOSA-N 1,2-distearoyl-sn-glycero-3-phosphocholine Chemical compound CCCCCCCCCCCCCCCCCC(=O)OC[C@H](COP([O-])(=O)OCC[N+](C)(C)C)OC(=O)CCCCCCCCCCCCCCCCC NRJAVPSFFCBXDT-HUESYALOSA-N 0.000 description 16
- KRKNYBCHXYNGOX-UHFFFAOYSA-K Citrate Chemical compound [O-]C(=O)CC(O)(CC([O-])=O)C([O-])=O KRKNYBCHXYNGOX-UHFFFAOYSA-K 0.000 description 16
- 235000010469 Glycine max Nutrition 0.000 description 16
- 244000068988 Glycine max Species 0.000 description 16
- 239000002202 Polyethylene glycol Substances 0.000 description 16
- 239000007979 citrate buffer Substances 0.000 description 16
- 239000006228 supernatant Substances 0.000 description 16
- 210000003462 vein Anatomy 0.000 description 16
- 235000005824 Zea mays ssp. parviglumis Nutrition 0.000 description 15
- 235000005822 corn Nutrition 0.000 description 15
- 229910052757 nitrogen Inorganic materials 0.000 description 15
- 125000001424 substituent group Chemical group 0.000 description 15
- 230000008685 targeting Effects 0.000 description 15
- IJGRMHOSHXDMSA-UHFFFAOYSA-N Atomic nitrogen Chemical compound N#N IJGRMHOSHXDMSA-UHFFFAOYSA-N 0.000 description 14
- 235000007688 Lycopersicon esculentum Nutrition 0.000 description 14
- 240000003768 Solanum lycopersicum Species 0.000 description 14
- 238000003556 assay Methods 0.000 description 14
- 229940124597 therapeutic agent Drugs 0.000 description 14
- 108090000994 Catalytic RNA Proteins 0.000 description 13
- 102000053642 Catalytic RNA Human genes 0.000 description 13
- 125000002947 alkylene group Chemical group 0.000 description 13
- 230000004048 modification Effects 0.000 description 13
- 238000012986 modification Methods 0.000 description 13
- 125000001997 phenyl group Chemical group [H]C1=C([H])C([H])=C(*)C([H])=C1[H] 0.000 description 13
- 108091092562 ribozyme Proteins 0.000 description 13
- OKKJLVBELUTLKV-UHFFFAOYSA-N Methanol Chemical compound OC OKKJLVBELUTLKV-UHFFFAOYSA-N 0.000 description 12
- 208000037265 diseases, disorders, signs and symptoms Diseases 0.000 description 12
- 230000002452 interceptive effect Effects 0.000 description 12
- 244000000626 Daucus carota Species 0.000 description 11
- 235000002767 Daucus carota Nutrition 0.000 description 11
- 241000723638 Nepovirus Species 0.000 description 11
- 241000208125 Nicotiana Species 0.000 description 11
- 235000021307 Triticum Nutrition 0.000 description 11
- DRTQHJPVMGBUCF-XVFCMESISA-N Uridine Chemical compound O[C@@H]1[C@H](O)[C@@H](CO)O[C@H]1N1C(=O)NC(=O)C=C1 DRTQHJPVMGBUCF-XVFCMESISA-N 0.000 description 11
- 150000002632 lipids Chemical class 0.000 description 11
- 230000017074 necrotic cell death Effects 0.000 description 11
- 239000008194 pharmaceutical composition Substances 0.000 description 11
- 239000000126 substance Substances 0.000 description 11
- 241000710175 Carlavirus Species 0.000 description 10
- 239000000969 carrier Substances 0.000 description 10
- 239000000693 micelle Substances 0.000 description 10
- 125000000954 2-hydroxyethyl group Chemical group [H]C([*])([H])C([H])([H])O[H] 0.000 description 9
- 244000105624 Arachis hypogaea Species 0.000 description 9
- 235000002566 Capsicum Nutrition 0.000 description 9
- KXDHJXZQYSOELW-UHFFFAOYSA-M Carbamate Chemical compound NC([O-])=O KXDHJXZQYSOELW-UHFFFAOYSA-M 0.000 description 9
- 235000002637 Nicotiana tabacum Nutrition 0.000 description 9
- 241000712466 Nucleorhabdovirus Species 0.000 description 9
- 108020005543 Satellite RNA Proteins 0.000 description 9
- 239000002253 acid Substances 0.000 description 9
- 230000030279 gene silencing Effects 0.000 description 9
- 125000004435 hydrogen atom Chemical group [H]* 0.000 description 9
- 239000011541 reaction mixture Substances 0.000 description 9
- XKRFYHLGVUSROY-UHFFFAOYSA-N Argon Chemical compound [Ar] XKRFYHLGVUSROY-UHFFFAOYSA-N 0.000 description 8
- 235000006008 Brassica napus var napus Nutrition 0.000 description 8
- 241000710136 Tymovirus Species 0.000 description 8
- 241000607479 Yersinia pestis Species 0.000 description 8
- 125000000217 alkyl group Chemical group 0.000 description 8
- 230000001580 bacterial effect Effects 0.000 description 8
- 230000027455 binding Effects 0.000 description 8
- 201000010099 disease Diseases 0.000 description 8
- 235000013305 food Nutrition 0.000 description 8
- 239000002418 insect attractant Substances 0.000 description 8
- 229910052760 oxygen Inorganic materials 0.000 description 8
- 229920000642 polymer Polymers 0.000 description 8
- 238000002360 preparation method Methods 0.000 description 8
- 239000002904 solvent Substances 0.000 description 8
- SXUXMRMBWZCMEN-UHFFFAOYSA-N 2'-O-methyl uridine Natural products COC1C(O)C(CO)OC1N1C(=O)NC(=O)C=C1 SXUXMRMBWZCMEN-UHFFFAOYSA-N 0.000 description 7
- FFMBYMANYCDCMK-UHFFFAOYSA-N 2,5-dihydro-1h-imidazole Chemical class C1NCN=C1 FFMBYMANYCDCMK-UHFFFAOYSA-N 0.000 description 7
- 235000010777 Arachis hypogaea Nutrition 0.000 description 7
- 241000335053 Beta vulgaris Species 0.000 description 7
- 102000053602 DNA Human genes 0.000 description 7
- 241000233866 Fungi Species 0.000 description 7
- NYHBQMYGNKIUIF-UUOKFMHZSA-N Guanosine Chemical class C1=NC=2C(=O)NC(N)=NC=2N1[C@@H]1O[C@H](CO)[C@@H](O)[C@H]1O NYHBQMYGNKIUIF-UUOKFMHZSA-N 0.000 description 7
- 244000017020 Ipomoea batatas Species 0.000 description 7
- 235000002678 Ipomoea batatas Nutrition 0.000 description 7
- 240000003183 Manihot esculenta Species 0.000 description 7
- 235000016735 Manihot esculenta subsp esculenta Nutrition 0.000 description 7
- 240000007594 Oryza sativa Species 0.000 description 7
- 235000007164 Oryza sativa Nutrition 0.000 description 7
- 239000006002 Pepper Substances 0.000 description 7
- 235000016761 Piper aduncum Nutrition 0.000 description 7
- 235000017804 Piper guineense Nutrition 0.000 description 7
- 240000003889 Piper guineense Species 0.000 description 7
- 235000008184 Piper nigrum Nutrition 0.000 description 7
- 241000710007 Potexvirus Species 0.000 description 7
- 238000012228 RNA interference-mediated gene silencing Methods 0.000 description 7
- 241000692746 Stenocarpella maydis Species 0.000 description 7
- 240000006677 Vicia faba Species 0.000 description 7
- 235000010749 Vicia faba Nutrition 0.000 description 7
- 235000002098 Vicia faba var. major Nutrition 0.000 description 7
- 241000219977 Vigna Species 0.000 description 7
- 235000016383 Zea mays subsp huehuetenangensis Nutrition 0.000 description 7
- 230000009368 gene silencing by RNA Effects 0.000 description 7
- 239000003112 inhibitor Substances 0.000 description 7
- 235000009973 maize Nutrition 0.000 description 7
- 108020004999 messenger RNA Proteins 0.000 description 7
- 230000001338 necrotic effect Effects 0.000 description 7
- 239000013612 plasmid Substances 0.000 description 7
- 241000894007 species Species 0.000 description 7
- 235000000346 sugar Nutrition 0.000 description 7
- KDCGOANMDULRCW-UHFFFAOYSA-N 7H-purine Chemical compound N1=CNC2=NC=NC2=C1 KDCGOANMDULRCW-UHFFFAOYSA-N 0.000 description 6
- 208000035657 Abasia Diseases 0.000 description 6
- 235000017060 Arachis glabrata Nutrition 0.000 description 6
- 235000018262 Arachis monticola Nutrition 0.000 description 6
- 241000894006 Bacteria Species 0.000 description 6
- 241000701513 Badnavirus Species 0.000 description 6
- 240000002791 Brassica napus Species 0.000 description 6
- 235000006618 Brassica rapa subsp oleifera Nutrition 0.000 description 6
- 241000723607 Comovirus Species 0.000 description 6
- 229920000742 Cotton Polymers 0.000 description 6
- 241000712467 Cytorhabdovirus Species 0.000 description 6
- DHMQDGOQFOQNFH-UHFFFAOYSA-N Glycine Chemical compound NCC(O)=O DHMQDGOQFOQNFH-UHFFFAOYSA-N 0.000 description 6
- 241000219146 Gossypium Species 0.000 description 6
- 241000709757 Luteovirus Species 0.000 description 6
- 229910019142 PO4 Inorganic materials 0.000 description 6
- 244000288157 Passiflora edulis Species 0.000 description 6
- 241000813090 Rhizoctonia solani Species 0.000 description 6
- 240000000111 Saccharum officinarum Species 0.000 description 6
- 235000007201 Saccharum officinarum Nutrition 0.000 description 6
- 108091081021 Sense strand Proteins 0.000 description 6
- 241001533358 Umbravirus Species 0.000 description 6
- 230000015572 biosynthetic process Effects 0.000 description 6
- 235000014633 carbohydrates Nutrition 0.000 description 6
- 150000001720 carbohydrates Chemical class 0.000 description 6
- 238000006243 chemical reaction Methods 0.000 description 6
- 230000000694 effects Effects 0.000 description 6
- 125000000592 heterocycloalkyl group Chemical group 0.000 description 6
- 239000005556 hormone Substances 0.000 description 6
- 229940088597 hormone Drugs 0.000 description 6
- 239000007788 liquid Substances 0.000 description 6
- 239000000463 material Substances 0.000 description 6
- GTCAXTIRRLKXRU-UHFFFAOYSA-N methyl carbamate Chemical compound COC(N)=O GTCAXTIRRLKXRU-UHFFFAOYSA-N 0.000 description 6
- 239000003960 organic solvent Substances 0.000 description 6
- 150000002924 oxiranes Chemical class 0.000 description 6
- 235000020232 peanut Nutrition 0.000 description 6
- 235000021317 phosphate Nutrition 0.000 description 6
- 125000002467 phosphate group Chemical group [H]OP(=O)(O[H])O[*] 0.000 description 6
- 239000000843 powder Substances 0.000 description 6
- 230000035755 proliferation Effects 0.000 description 6
- 229910052717 sulfur Inorganic materials 0.000 description 6
- 239000004094 surface-active agent Substances 0.000 description 6
- 238000003786 synthesis reaction Methods 0.000 description 6
- 125000004105 2-pyridyl group Chemical group N1=C([*])C([H])=C([H])C([H])=C1[H] 0.000 description 5
- DLFVBJFMPXGRIB-UHFFFAOYSA-N Acetamide Chemical class CC(N)=O DLFVBJFMPXGRIB-UHFFFAOYSA-N 0.000 description 5
- 244000075850 Avena orientalis Species 0.000 description 5
- 235000016068 Berberis vulgaris Nutrition 0.000 description 5
- 241000228439 Bipolaris zeicola Species 0.000 description 5
- 240000008100 Brassica rapa Species 0.000 description 5
- 241000701459 Caulimovirus Species 0.000 description 5
- 241000220223 Fragaria Species 0.000 description 5
- 241000723722 Furovirus Species 0.000 description 5
- 241000725303 Human immunodeficiency virus Species 0.000 description 5
- 241000124008 Mammalia Species 0.000 description 5
- 240000004658 Medicago sativa Species 0.000 description 5
- 241000244206 Nematoda Species 0.000 description 5
- 235000000370 Passiflora edulis Nutrition 0.000 description 5
- 241000286139 Phaeocytostroma ambiguum Species 0.000 description 5
- 241000115988 Physalospora zeicola Species 0.000 description 5
- 241000702656 Phytoreovirus Species 0.000 description 5
- 241000219843 Pisum Species 0.000 description 5
- 235000002595 Solanum tuberosum Nutrition 0.000 description 5
- 244000061456 Solanum tuberosum Species 0.000 description 5
- 244000299461 Theobroma cacao Species 0.000 description 5
- 241000710141 Tombusvirus Species 0.000 description 5
- 241000219793 Trifolium Species 0.000 description 5
- 150000001412 amines Chemical group 0.000 description 5
- 239000000074 antisense oligonucleotide Substances 0.000 description 5
- 238000012230 antisense oligonucleotides Methods 0.000 description 5
- 239000005667 attractant Substances 0.000 description 5
- 244000038559 crop plants Species 0.000 description 5
- 125000004122 cyclic group Chemical group 0.000 description 5
- 229940079593 drug Drugs 0.000 description 5
- 239000012634 fragment Substances 0.000 description 5
- 125000000524 functional group Chemical group 0.000 description 5
- 230000000855 fungicidal effect Effects 0.000 description 5
- 239000000417 fungicide Substances 0.000 description 5
- 239000000499 gel Substances 0.000 description 5
- 125000001183 hydrocarbyl group Chemical group 0.000 description 5
- 230000002209 hydrophobic effect Effects 0.000 description 5
- 208000006278 hypochromic anemia Diseases 0.000 description 5
- 239000000546 pharmaceutical excipient Substances 0.000 description 5
- 239000010452 phosphate Substances 0.000 description 5
- 239000000047 product Substances 0.000 description 5
- 235000009566 rice Nutrition 0.000 description 5
- 241000219318 Amaranthus Species 0.000 description 4
- VHUUQVKOLVNVRT-UHFFFAOYSA-N Ammonium hydroxide Chemical compound [NH4+].[OH-] VHUUQVKOLVNVRT-UHFFFAOYSA-N 0.000 description 4
- 240000007087 Apium graveolens Species 0.000 description 4
- 241000405758 Betapartitivirus Species 0.000 description 4
- 241001161772 Bipolaris rostrata Species 0.000 description 4
- 241000190150 Bipolaris sorokiniana Species 0.000 description 4
- 235000014698 Brassica juncea var multisecta Nutrition 0.000 description 4
- 240000000385 Brassica napus var. napus Species 0.000 description 4
- 235000004977 Brassica sinapistrum Nutrition 0.000 description 4
- 241000714207 Carmovirus Species 0.000 description 4
- 244000037364 Cinnamomum aromaticum Species 0.000 description 4
- 235000014489 Cinnamomum aromaticum Nutrition 0.000 description 4
- 241000219109 Citrullus Species 0.000 description 4
- 235000012828 Citrullus lanatus var citroides Nutrition 0.000 description 4
- 241000219112 Cucumis Species 0.000 description 4
- 241000935926 Diplodia Species 0.000 description 4
- 241000223218 Fusarium Species 0.000 description 4
- 241000223195 Fusarium graminearum Species 0.000 description 4
- 241000724309 Hordeivirus Species 0.000 description 4
- 241000724277 Ilarvirus Species 0.000 description 4
- 241000227653 Lycopersicon Species 0.000 description 4
- 235000002262 Lycopersicon Nutrition 0.000 description 4
- 240000000249 Morus alba Species 0.000 description 4
- 235000008708 Morus alba Nutrition 0.000 description 4
- 241000234295 Musa Species 0.000 description 4
- 108091028043 Nucleic acid sequence Proteins 0.000 description 4
- 241000228143 Penicillium Species 0.000 description 4
- 240000009164 Petroselinum crispum Species 0.000 description 4
- 235000010627 Phaseolus vulgaris Nutrition 0.000 description 4
- 244000046052 Phaseolus vulgaris Species 0.000 description 4
- 241000221301 Puccinia graminis Species 0.000 description 4
- 241000334150 Ramulispora sorghi f. maydis Species 0.000 description 4
- 241000228417 Sarocladium strictum Species 0.000 description 4
- 241000332749 Setosphaeria turcica Species 0.000 description 4
- 235000002634 Solanum Nutrition 0.000 description 4
- 241000207763 Solanum Species 0.000 description 4
- 235000002597 Solanum melongena Nutrition 0.000 description 4
- 244000061458 Solanum melongena Species 0.000 description 4
- 240000006394 Sorghum bicolor Species 0.000 description 4
- 235000011684 Sorghum saccharatum Nutrition 0.000 description 4
- 241000116011 Stenocarpella macrospora Species 0.000 description 4
- NINIDFKCEFEMDL-UHFFFAOYSA-N Sulfur Chemical compound [S] NINIDFKCEFEMDL-UHFFFAOYSA-N 0.000 description 4
- 235000010726 Vigna sinensis Nutrition 0.000 description 4
- 150000007513 acids Chemical class 0.000 description 4
- 239000002671 adjuvant Substances 0.000 description 4
- 239000000427 antigen Substances 0.000 description 4
- 108091007433 antigens Proteins 0.000 description 4
- 102000036639 antigens Human genes 0.000 description 4
- 229910052786 argon Inorganic materials 0.000 description 4
- PUJDIJCNWFYVJX-UHFFFAOYSA-N benzyl carbamate Chemical compound NC(=O)OCC1=CC=CC=C1 PUJDIJCNWFYVJX-UHFFFAOYSA-N 0.000 description 4
- 229910052799 carbon Inorganic materials 0.000 description 4
- 125000004432 carbon atom Chemical group C* 0.000 description 4
- 230000015556 catabolic process Effects 0.000 description 4
- 238000006731 degradation reaction Methods 0.000 description 4
- 208000035475 disorder Diseases 0.000 description 4
- 239000004495 emulsifiable concentrate Substances 0.000 description 4
- 239000000839 emulsion Substances 0.000 description 4
- 235000008995 european elder Nutrition 0.000 description 4
- 239000003337 fertilizer Substances 0.000 description 4
- 238000003818 flash chromatography Methods 0.000 description 4
- 125000005842 heteroatom Chemical group 0.000 description 4
- 230000001976 improved effect Effects 0.000 description 4
- 230000002147 killing effect Effects 0.000 description 4
- 230000000670 limiting effect Effects 0.000 description 4
- 125000002950 monocyclic group Chemical group 0.000 description 4
- 125000004433 nitrogen atom Chemical group N* 0.000 description 4
- 150000002894 organic compounds Chemical class 0.000 description 4
- 239000003208 petroleum Substances 0.000 description 4
- 230000000069 prophylactic effect Effects 0.000 description 4
- 108020003175 receptors Proteins 0.000 description 4
- 125000006413 ring segment Chemical group 0.000 description 4
- 150000003839 salts Chemical class 0.000 description 4
- 239000007787 solid Substances 0.000 description 4
- 239000007921 spray Substances 0.000 description 4
- 239000000758 substrate Substances 0.000 description 4
- 239000000725 suspension Substances 0.000 description 4
- 230000003612 virological effect Effects 0.000 description 4
- QFLWZFQWSBQYPS-AWRAUJHKSA-N (3S)-3-[[(2S)-2-[[(2S)-2-[5-[(3aS,6aR)-2-oxo-1,3,3a,4,6,6a-hexahydrothieno[3,4-d]imidazol-4-yl]pentanoylamino]-3-methylbutanoyl]amino]-3-(4-hydroxyphenyl)propanoyl]amino]-4-[1-bis(4-chlorophenoxy)phosphorylbutylamino]-4-oxobutanoic acid Chemical compound CCCC(NC(=O)[C@H](CC(O)=O)NC(=O)[C@H](Cc1ccc(O)cc1)NC(=O)[C@@H](NC(=O)CCCCC1SC[C@@H]2NC(=O)N[C@H]12)C(C)C)P(=O)(Oc1ccc(Cl)cc1)Oc1ccc(Cl)cc1 QFLWZFQWSBQYPS-AWRAUJHKSA-N 0.000 description 3
- MPGABYXKKCLIRW-UHFFFAOYSA-N 2-decyloxirane Chemical compound CCCCCCCCCCC1CO1 MPGABYXKKCLIRW-UHFFFAOYSA-N 0.000 description 3
- 241001136249 Agriotes lineatus Species 0.000 description 3
- 108020000948 Antisense Oligonucleotides Proteins 0.000 description 3
- 235000005340 Asparagus officinalis Nutrition 0.000 description 3
- 241000228212 Aspergillus Species 0.000 description 3
- 241001530056 Athelia rolfsii Species 0.000 description 3
- 241000228438 Bipolaris maydis Species 0.000 description 3
- 241000121260 Bipolaris victoriae Species 0.000 description 3
- 244000309472 Botryosphaeria zeae Species 0.000 description 3
- 235000011293 Brassica napus Nutrition 0.000 description 3
- 241001533462 Bromoviridae Species 0.000 description 3
- 241000724268 Bromovirus Species 0.000 description 3
- OJRUSAPKCPIVBY-KQYNXXCUSA-N C1=NC2=C(N=C(N=C2N1[C@H]3[C@@H]([C@@H]([C@H](O3)COP(=O)(CP(=O)(O)O)O)O)O)I)N Chemical compound C1=NC2=C(N=C(N=C2N1[C@H]3[C@@H]([C@@H]([C@H](O3)COP(=O)(CP(=O)(O)O)O)O)O)I)N OJRUSAPKCPIVBY-KQYNXXCUSA-N 0.000 description 3
- 235000007516 Chrysanthemum Nutrition 0.000 description 3
- 240000005250 Chrysanthemum indicum Species 0.000 description 3
- 235000010523 Cicer arietinum Nutrition 0.000 description 3
- 244000045195 Cicer arietinum Species 0.000 description 3
- 241000723343 Cichorium Species 0.000 description 3
- 235000007542 Cichorium intybus Nutrition 0.000 description 3
- 241000710151 Closterovirus Species 0.000 description 3
- 241001330709 Cochliobolus pallescens Species 0.000 description 3
- 241000233838 Commelina Species 0.000 description 3
- 244000018436 Coriandrum sativum Species 0.000 description 3
- 235000002787 Coriandrum sativum Nutrition 0.000 description 3
- 240000008067 Cucumis sativus Species 0.000 description 3
- 235000010799 Cucumis sativus var sativus Nutrition 0.000 description 3
- 241001040638 Curvularia eragrostidis Species 0.000 description 3
- 241000371644 Curvularia ravenelii Species 0.000 description 3
- 102000004127 Cytokines Human genes 0.000 description 3
- 108090000695 Cytokines Proteins 0.000 description 3
- 241000208296 Datura Species 0.000 description 3
- 235000009355 Dianthus caryophyllus Nutrition 0.000 description 3
- 240000006497 Dianthus caryophyllus Species 0.000 description 3
- 235000017896 Digitaria Nutrition 0.000 description 3
- 241001303487 Digitaria <clam> Species 0.000 description 3
- 235000016623 Fragaria vesca Nutrition 0.000 description 3
- 235000011363 Fragaria x ananassa Nutrition 0.000 description 3
- 241000122692 Fusarium avenaceum Species 0.000 description 3
- 241000221779 Fusarium sambucinum Species 0.000 description 3
- 241000702463 Geminiviridae Species 0.000 description 3
- 239000004471 Glycine Substances 0.000 description 3
- 235000003222 Helianthus annuus Nutrition 0.000 description 3
- 244000020551 Helianthus annuus Species 0.000 description 3
- 241000218033 Hibiscus Species 0.000 description 3
- 235000005206 Hibiscus Nutrition 0.000 description 3
- 235000007185 Hibiscus lunariifolius Nutrition 0.000 description 3
- 241000209219 Hordeum Species 0.000 description 3
- 240000005979 Hordeum vulgare Species 0.000 description 3
- 108010050904 Interferons Proteins 0.000 description 3
- 102000014150 Interferons Human genes 0.000 description 3
- 240000008415 Lactuca sativa Species 0.000 description 3
- 235000003228 Lactuca sativa Nutrition 0.000 description 3
- 241000219745 Lupinus Species 0.000 description 3
- 235000010624 Medicago sativa Nutrition 0.000 description 3
- 235000017587 Medicago sativa ssp. sativa Nutrition 0.000 description 3
- 241001112506 Ourmiavirus Species 0.000 description 3
- 240000004370 Pastinaca sativa Species 0.000 description 3
- 235000017769 Pastinaca sativa subsp sativa Nutrition 0.000 description 3
- 241000209048 Poa Species 0.000 description 3
- 241000219000 Populus Species 0.000 description 3
- 241000233639 Pythium Species 0.000 description 3
- 241000219492 Quercus Species 0.000 description 3
- 241001092459 Rubus Species 0.000 description 3
- 241001533356 Rymovirus Species 0.000 description 3
- 241000208829 Sambucus Species 0.000 description 3
- 241000266353 Setosphaeria pedicellata Species 0.000 description 3
- 241000220261 Sinapis Species 0.000 description 3
- IQFYYKKMVGJFEH-XLPZGREQSA-N Thymidine Chemical compound O=C1NC(=O)C(C)=CN1[C@@H]1O[C@H](CO)[C@@H](O)C1 IQFYYKKMVGJFEH-XLPZGREQSA-N 0.000 description 3
- 241000723848 Tobamovirus Species 0.000 description 3
- 244000126277 Trifolium campestre Species 0.000 description 3
- 241000722921 Tulipa gesneriana Species 0.000 description 3
- 241001545529 Ullucus Species 0.000 description 3
- 235000003548 Ullucus Nutrition 0.000 description 3
- 241001230653 Varicosavirus Species 0.000 description 3
- 241000219873 Vicia Species 0.000 description 3
- 241000845448 [Rhizoctonia] zeae Species 0.000 description 3
- 125000002015 acyclic group Chemical group 0.000 description 3
- 239000003242 anti bacterial agent Substances 0.000 description 3
- 229940088710 antibiotic agent Drugs 0.000 description 3
- 239000007900 aqueous suspension Substances 0.000 description 3
- 125000006615 aromatic heterocyclic group Chemical group 0.000 description 3
- 125000003710 aryl alkyl group Chemical group 0.000 description 3
- 125000004429 atom Chemical group 0.000 description 3
- DRTQHJPVMGBUCF-PSQAKQOGSA-N beta-L-uridine Natural products O[C@H]1[C@@H](O)[C@H](CO)O[C@@H]1N1C(=O)NC(=O)C=C1 DRTQHJPVMGBUCF-PSQAKQOGSA-N 0.000 description 3
- 150000004657 carbamic acid derivatives Chemical class 0.000 description 3
- 150000003857 carboxamides Chemical class 0.000 description 3
- 210000002421 cell wall Anatomy 0.000 description 3
- 238000007385 chemical modification Methods 0.000 description 3
- 230000031902 chemoattractant activity Effects 0.000 description 3
- 239000012230 colorless oil Substances 0.000 description 3
- 229940125758 compound 15 Drugs 0.000 description 3
- OPTASPLRGRRNAP-UHFFFAOYSA-N cytosine Chemical class NC=1C=CNC(=O)N=1 OPTASPLRGRRNAP-UHFFFAOYSA-N 0.000 description 3
- 231100000676 disease causative agent Toxicity 0.000 description 3
- 239000003937 drug carrier Substances 0.000 description 3
- CTSPAMFJBXKSOY-UHFFFAOYSA-N ellipticine Chemical compound N1=CC=C2C(C)=C(NC=3C4=CC=CC=3)C4=C(C)C2=C1 CTSPAMFJBXKSOY-UHFFFAOYSA-N 0.000 description 3
- 239000003995 emulsifying agent Substances 0.000 description 3
- 210000001163 endosome Anatomy 0.000 description 3
- 125000001495 ethyl group Chemical group [H]C([H])([H])C([H])([H])* 0.000 description 3
- 238000001125 extrusion Methods 0.000 description 3
- NYPJDWWKZLNGGM-UHFFFAOYSA-N fenvalerate Aalpha Natural products C=1C=C(Cl)C=CC=1C(C(C)C)C(=O)OC(C#N)C(C=1)=CC=CC=1OC1=CC=CC=C1 NYPJDWWKZLNGGM-UHFFFAOYSA-N 0.000 description 3
- JLYXXMFPNIAWKQ-UHFFFAOYSA-N gamma-hexachlorocyclohexane Natural products ClC1C(Cl)C(Cl)C(Cl)C(Cl)C1Cl JLYXXMFPNIAWKQ-UHFFFAOYSA-N 0.000 description 3
- 239000008187 granular material Substances 0.000 description 3
- UYTPUPDQBNUYGX-UHFFFAOYSA-N guanine Chemical class O=C1NC(N)=NC2=C1N=CN2 UYTPUPDQBNUYGX-UHFFFAOYSA-N 0.000 description 3
- 150000002429 hydrazines Chemical class 0.000 description 3
- 230000003308 immunostimulating effect Effects 0.000 description 3
- 229910052500 inorganic mineral Inorganic materials 0.000 description 3
- 230000003993 interaction Effects 0.000 description 3
- 229940079322 interferon Drugs 0.000 description 3
- 239000003446 ligand Substances 0.000 description 3
- NBIIXXVUZAFLBC-UHFFFAOYSA-K phosphate Chemical compound [O-]P([O-])([O-])=O NBIIXXVUZAFLBC-UHFFFAOYSA-K 0.000 description 3
- 229920001184 polypeptide Polymers 0.000 description 3
- 239000011148 porous material Substances 0.000 description 3
- 239000002213 purine nucleotide Substances 0.000 description 3
- 239000002719 pyrimidine nucleotide Substances 0.000 description 3
- 102000005962 receptors Human genes 0.000 description 3
- 229920006395 saturated elastomer Polymers 0.000 description 3
- 230000009870 specific binding Effects 0.000 description 3
- 239000011593 sulfur Substances 0.000 description 3
- 239000003826 tablet Substances 0.000 description 3
- 210000001519 tissue Anatomy 0.000 description 3
- 238000013519 translation Methods 0.000 description 3
- 238000011282 treatment Methods 0.000 description 3
- DRTQHJPVMGBUCF-UHFFFAOYSA-N uracil arabinoside Natural products OC1C(O)C(CO)OC1N1C(=O)NC(=O)C=C1 DRTQHJPVMGBUCF-UHFFFAOYSA-N 0.000 description 3
- 229940045145 uridine Drugs 0.000 description 3
- 229960005486 vaccine Drugs 0.000 description 3
- 230000003253 viricidal effect Effects 0.000 description 3
- XLYOFNOQVPJJNP-UHFFFAOYSA-N water Substances O XLYOFNOQVPJJNP-UHFFFAOYSA-N 0.000 description 3
- 239000004562 water dispersible granule Substances 0.000 description 3
- UAOUIVVJBYDFKD-XKCDOFEDSA-N (1R,9R,10S,11R,12R,15S,18S,21R)-10,11,21-trihydroxy-8,8-dimethyl-14-methylidene-4-(prop-2-enylamino)-20-oxa-5-thia-3-azahexacyclo[9.7.2.112,15.01,9.02,6.012,18]henicosa-2(6),3-dien-13-one Chemical compound C([C@@H]1[C@@H](O)[C@@]23C(C1=C)=O)C[C@H]2[C@]12C(N=C(NCC=C)S4)=C4CC(C)(C)[C@H]1[C@H](O)[C@]3(O)OC2 UAOUIVVJBYDFKD-XKCDOFEDSA-N 0.000 description 2
- UDQTXCHQKHIQMH-KYGLGHNPSA-N (3ar,5s,6s,7r,7ar)-5-(difluoromethyl)-2-(ethylamino)-5,6,7,7a-tetrahydro-3ah-pyrano[3,2-d][1,3]thiazole-6,7-diol Chemical compound S1C(NCC)=N[C@H]2[C@@H]1O[C@H](C(F)F)[C@@H](O)[C@@H]2O UDQTXCHQKHIQMH-KYGLGHNPSA-N 0.000 description 2
- PZBPKYOVPCNPJY-UHFFFAOYSA-N 1-[2-(allyloxy)-2-(2,4-dichlorophenyl)ethyl]imidazole Chemical compound ClC1=CC(Cl)=CC=C1C(OCC=C)CN1C=NC=C1 PZBPKYOVPCNPJY-UHFFFAOYSA-N 0.000 description 2
- YSUIQYOGTINQIN-UZFYAQMZSA-N 2-amino-9-[(1S,6R,8R,9S,10R,15R,17R,18R)-8-(6-aminopurin-9-yl)-9,18-difluoro-3,12-dihydroxy-3,12-bis(sulfanylidene)-2,4,7,11,13,16-hexaoxa-3lambda5,12lambda5-diphosphatricyclo[13.2.1.06,10]octadecan-17-yl]-1H-purin-6-one Chemical compound NC1=NC2=C(N=CN2[C@@H]2O[C@@H]3COP(S)(=O)O[C@@H]4[C@@H](COP(S)(=O)O[C@@H]2[C@@H]3F)O[C@H]([C@H]4F)N2C=NC3=C2N=CN=C3N)C(=O)N1 YSUIQYOGTINQIN-UZFYAQMZSA-N 0.000 description 2
- WNZQDUSMALZDQF-UHFFFAOYSA-N 2-benzofuran-1(3H)-one Chemical compound C1=CC=C2C(=O)OCC2=C1 WNZQDUSMALZDQF-UHFFFAOYSA-N 0.000 description 2
- LSBDFXRDZJMBSC-UHFFFAOYSA-N 2-phenylacetamide Chemical class NC(=O)CC1=CC=CC=C1 LSBDFXRDZJMBSC-UHFFFAOYSA-N 0.000 description 2
- UHPMCKVQTMMPCG-UHFFFAOYSA-N 5,8-dihydroxy-2-methoxy-6-methyl-7-(2-oxopropyl)naphthalene-1,4-dione Chemical compound CC1=C(CC(C)=O)C(O)=C2C(=O)C(OC)=CC(=O)C2=C1O UHPMCKVQTMMPCG-UHFFFAOYSA-N 0.000 description 2
- VSVKOUBCDZYAQY-UHFFFAOYSA-N 7-chloro-1,2-benzothiazole Chemical compound ClC1=CC=CC2=C1SN=C2 VSVKOUBCDZYAQY-UHFFFAOYSA-N 0.000 description 2
- HBAQYPYDRFILMT-UHFFFAOYSA-N 8-[3-(1-cyclopropylpyrazol-4-yl)-1H-pyrazolo[4,3-d]pyrimidin-5-yl]-3-methyl-3,8-diazabicyclo[3.2.1]octan-2-one Chemical class C1(CC1)N1N=CC(=C1)C1=NNC2=C1N=C(N=C2)N1C2C(N(CC1CC2)C)=O HBAQYPYDRFILMT-UHFFFAOYSA-N 0.000 description 2
- XASOHFCUIQARJT-UHFFFAOYSA-N 8-methoxy-6-[7-(2-morpholin-4-ylethoxy)imidazo[1,2-a]pyridin-3-yl]-2-(2,2,2-trifluoroethyl)-3,4-dihydroisoquinolin-1-one Chemical compound C(N1C(=O)C2=C(OC)C=C(C=3N4C(=NC=3)C=C(C=C4)OCCN3CCOCC3)C=C2CC1)C(F)(F)F XASOHFCUIQARJT-UHFFFAOYSA-N 0.000 description 2
- 239000005660 Abamectin Substances 0.000 description 2
- 241000208140 Acer Species 0.000 description 2
- 102000012440 Acetylcholinesterase Human genes 0.000 description 2
- 108010022752 Acetylcholinesterase Proteins 0.000 description 2
- 241000234282 Allium Species 0.000 description 2
- 241000223602 Alternaria alternata Species 0.000 description 2
- 239000005995 Aluminium silicate Substances 0.000 description 2
- 235000003840 Amygdalus nana Nutrition 0.000 description 2
- 244000099147 Ananas comosus Species 0.000 description 2
- 235000007119 Ananas comosus Nutrition 0.000 description 2
- 241000743857 Anthoxanthum Species 0.000 description 2
- 108020005544 Antisense RNA Proteins 0.000 description 2
- 235000002764 Apium graveolens Nutrition 0.000 description 2
- 235000015849 Apium graveolens Dulce Group Nutrition 0.000 description 2
- 235000010591 Appio Nutrition 0.000 description 2
- 235000003911 Arachis Nutrition 0.000 description 2
- 235000003130 Arctium lappa Nutrition 0.000 description 2
- 244000294263 Arctium minus Species 0.000 description 2
- 235000008078 Arctium minus Nutrition 0.000 description 2
- 244000003416 Asparagus officinalis Species 0.000 description 2
- 241000050634 Aureobasidium zeae Species 0.000 description 2
- 241000193388 Bacillus thuringiensis Species 0.000 description 2
- 241000724681 Barley yellow mosaic virus Species 0.000 description 2
- 241000709764 Beet western yellows virus Species 0.000 description 2
- KXDAEFPNCMNJSK-UHFFFAOYSA-N Benzamide Chemical compound NC(=O)C1=CC=CC=C1 KXDAEFPNCMNJSK-UHFFFAOYSA-N 0.000 description 2
- 235000021533 Beta vulgaris Nutrition 0.000 description 2
- 239000002028 Biomass Substances 0.000 description 2
- 241001477837 Black raspberry necrosis virus Species 0.000 description 2
- 235000011331 Brassica Nutrition 0.000 description 2
- 241000219198 Brassica Species 0.000 description 2
- 235000005637 Brassica campestris Nutrition 0.000 description 2
- 235000011292 Brassica rapa Nutrition 0.000 description 2
- 241001533357 Bymovirus Species 0.000 description 2
- JLXKGGUGXUZKDR-UHFFFAOYSA-N C(CCCCC)OC(CCN(CCC(OCCCCCC)=O)N(CCC(=O)OCCCCCC)C)=O Chemical compound C(CCCCC)OC(CCN(CCC(OCCCCCC)=O)N(CCC(=O)OCCCCCC)C)=O JLXKGGUGXUZKDR-UHFFFAOYSA-N 0.000 description 2
- 239000002126 C01EB10 - Adenosine Substances 0.000 description 2
- QITMMOIMOKZTFI-UHFFFAOYSA-N CC(C)(C)N1CCC(=O)N1C(C)(C)C Chemical compound CC(C)(C)N1CCC(=O)N1C(C)(C)C QITMMOIMOKZTFI-UHFFFAOYSA-N 0.000 description 2
- IRMGHXKYVXDSAS-UHFFFAOYSA-N CCCCCCCCCCC(O)CN(C)N(CC(O)CCCCCCCCCC)CC(O)CCCCCCCCCC Chemical compound CCCCCCCCCCC(O)CN(C)N(CC(O)CCCCCCCCCC)CC(O)CCCCCCCCCC IRMGHXKYVXDSAS-UHFFFAOYSA-N 0.000 description 2
- NDUWWBRXBKBVBM-UHFFFAOYSA-N CCCCCCCCCCC(O)CN(CC(O)CCCCCCCCCC)NC Chemical compound CCCCCCCCCCC(O)CN(CC(O)CCCCCCCCCC)NC NDUWWBRXBKBVBM-UHFFFAOYSA-N 0.000 description 2
- FDDWZBVAQWVADX-UHFFFAOYSA-N CCCCCCCCCCCCC(O)CN(CC(O)CCCCCCCCCCCC)N(CC(O)CCCCCCCCCCCC)CC(O)CCCCCCCCCCCC Chemical compound CCCCCCCCCCCCC(O)CN(CC(O)CCCCCCCCCCCC)N(CC(O)CCCCCCCCCCCC)CC(O)CCCCCCCCCCCC FDDWZBVAQWVADX-UHFFFAOYSA-N 0.000 description 2
- IEAKBIKJAVEMNE-UHFFFAOYSA-N CCCCCCCCCCCCC(O)CNN(CC(O)CCCCCCCCCCCC)CC(O)CCCCCCCCCCCC Chemical compound CCCCCCCCCCCCC(O)CNN(CC(O)CCCCCCCCCCCC)CC(O)CCCCCCCCCCCC IEAKBIKJAVEMNE-UHFFFAOYSA-N 0.000 description 2
- JRBTZYLKWMPDRZ-UHFFFAOYSA-N CN1N(CCC1=O)CCC(=O)OCCCCCC Chemical compound CN1N(CCC1=O)CCC(=O)OCCCCCC JRBTZYLKWMPDRZ-UHFFFAOYSA-N 0.000 description 2
- 244000052707 Camellia sinensis Species 0.000 description 2
- 244000045232 Canavalia ensiformis Species 0.000 description 2
- 244000292211 Canna coccinea Species 0.000 description 2
- 235000005273 Canna coccinea Nutrition 0.000 description 2
- 241000218236 Cannabis Species 0.000 description 2
- 240000008574 Capsicum frutescens Species 0.000 description 2
- DLGOEMSEDOSKAD-UHFFFAOYSA-N Carmustine Chemical compound ClCCNC(=O)N(N=O)CCCl DLGOEMSEDOSKAD-UHFFFAOYSA-N 0.000 description 2
- 235000014036 Castanea Nutrition 0.000 description 2
- 241001070941 Castanea Species 0.000 description 2
- 102000020313 Cell-Penetrating Peptides Human genes 0.000 description 2
- 108010051109 Cell-Penetrating Peptides Proteins 0.000 description 2
- 241001114509 Cephalotrichum stemonitis Species 0.000 description 2
- 241000498849 Chlamydiales Species 0.000 description 2
- XTEGARKTQYYJKE-UHFFFAOYSA-M Chlorate Chemical compound [O-]Cl(=O)=O XTEGARKTQYYJKE-UHFFFAOYSA-M 0.000 description 2
- 240000006740 Cichorium endivia Species 0.000 description 2
- 235000018536 Cichorium endivia Nutrition 0.000 description 2
- 244000241235 Citrullus lanatus Species 0.000 description 2
- 235000009831 Citrullus lanatus Nutrition 0.000 description 2
- 241000207199 Citrus Species 0.000 description 2
- 241001149955 Cladosporium cladosporioides Species 0.000 description 2
- 241001149956 Cladosporium herbarum Species 0.000 description 2
- PTOAARAWEBMLNO-KVQBGUIXSA-N Cladribine Chemical compound C1=NC=2C(N)=NC(Cl)=NC=2N1[C@H]1C[C@H](O)[C@@H](CO)O1 PTOAARAWEBMLNO-KVQBGUIXSA-N 0.000 description 2
- 241000030549 Claviceps gigantea Species 0.000 description 2
- 241000737241 Cocos Species 0.000 description 2
- 241000723377 Coffea Species 0.000 description 2
- 241001429695 Colletotrichum graminicola Species 0.000 description 2
- 241000723382 Corylus Species 0.000 description 2
- 235000014493 Crataegus Nutrition 0.000 description 2
- 241001092040 Crataegus Species 0.000 description 2
- 235000015510 Cucumis melo subsp melo Nutrition 0.000 description 2
- 235000010071 Cucumis prophetarum Nutrition 0.000 description 2
- 241000724253 Cucumovirus Species 0.000 description 2
- 241000219122 Cucurbita Species 0.000 description 2
- 241000371648 Curvularia intermedia Species 0.000 description 2
- 241000223211 Curvularia lunata Species 0.000 description 2
- 241000072225 Curvularia tuberculata Species 0.000 description 2
- 244000303965 Cyamopsis psoralioides Species 0.000 description 2
- 241000489947 Diabrotica virgifera virgifera Species 0.000 description 2
- 241001422851 Didymella maydis Species 0.000 description 2
- HDWLUGYOLUHEMN-UHFFFAOYSA-N Dinobuton Chemical compound CCC(C)C1=CC([N+]([O-])=O)=CC([N+]([O-])=O)=C1OC(=O)OC(C)C HDWLUGYOLUHEMN-UHFFFAOYSA-N 0.000 description 2
- 235000005903 Dioscorea Nutrition 0.000 description 2
- 244000281702 Dioscorea villosa Species 0.000 description 2
- 235000000504 Dioscorea villosa Nutrition 0.000 description 2
- 241000192043 Echinochloa Species 0.000 description 2
- XQSPYNMVSIKCOC-NTSWFWBYSA-N Emtricitabine Chemical compound C1=C(F)C(N)=NC(=O)N1[C@H]1O[C@@H](CO)SC1 XQSPYNMVSIKCOC-NTSWFWBYSA-N 0.000 description 2
- 241000723747 Enamovirus Species 0.000 description 2
- 241000982936 Enterobacter cloacae subsp. dissolvens Species 0.000 description 2
- 102000004190 Enzymes Human genes 0.000 description 2
- 108090000790 Enzymes Proteins 0.000 description 2
- 241001481670 Epicauta Species 0.000 description 2
- 241001506775 Epicoccum nigrum Species 0.000 description 2
- JOYRKODLDBILNP-UHFFFAOYSA-N Ethyl urethane Chemical compound CCOC(N)=O JOYRKODLDBILNP-UHFFFAOYSA-N 0.000 description 2
- 241000208367 Euonymus Species 0.000 description 2
- 241000306559 Exserohilum Species 0.000 description 2
- 241001070947 Fagus Species 0.000 description 2
- 235000008730 Ficus carica Nutrition 0.000 description 2
- 244000025361 Ficus carica Species 0.000 description 2
- 241000702658 Fijivirus Species 0.000 description 2
- 239000005900 Flonicamid Substances 0.000 description 2
- ZHNUHDYFZUAESO-UHFFFAOYSA-N Formamide Chemical class NC=O ZHNUHDYFZUAESO-UHFFFAOYSA-N 0.000 description 2
- 241000879295 Fusarium equiseti Species 0.000 description 2
- 241001489200 Fusarium poae Species 0.000 description 2
- 241000145502 Fusarium subglutinans Species 0.000 description 2
- 241000233732 Fusarium verticillioides Species 0.000 description 2
- 235000008100 Ginkgo biloba Nutrition 0.000 description 2
- 244000194101 Ginkgo biloba Species 0.000 description 2
- 108090000288 Glycoproteins Proteins 0.000 description 2
- 102000003886 Glycoproteins Human genes 0.000 description 2
- 244000299507 Gossypium hirsutum Species 0.000 description 2
- 235000009432 Gossypium hirsutum Nutrition 0.000 description 2
- 241000208818 Helianthus Species 0.000 description 2
- 241000258937 Hemiptera Species 0.000 description 2
- 241000744855 Holcus Species 0.000 description 2
- 241000282412 Homo Species 0.000 description 2
- 235000007340 Hordeum vulgare Nutrition 0.000 description 2
- 241000701806 Human papillomavirus Species 0.000 description 2
- 239000005795 Imazalil Substances 0.000 description 2
- UGQMRVRMYYASKQ-KQYNXXCUSA-N Inosine Chemical compound O[C@@H]1[C@H](O)[C@@H](CO)O[C@H]1N1C2=NC=NC(O)=C2N=C1 UGQMRVRMYYASKQ-KQYNXXCUSA-N 0.000 description 2
- 229930010555 Inosine Natural products 0.000 description 2
- 108010047761 Interferon-alpha Proteins 0.000 description 2
- 102000006992 Interferon-alpha Human genes 0.000 description 2
- 108010074328 Interferon-gamma Proteins 0.000 description 2
- 241000978134 Ipomovirus Species 0.000 description 2
- 241000758789 Juglans Species 0.000 description 2
- 235000013757 Juglans Nutrition 0.000 description 2
- 241001091572 Kalanchoe Species 0.000 description 2
- 102000007330 LDL Lipoproteins Human genes 0.000 description 2
- 108010007622 LDL Lipoproteins Proteins 0.000 description 2
- 241000190144 Lasiodiplodia theobromae Species 0.000 description 2
- 235000004431 Linum usitatissimum Nutrition 0.000 description 2
- 240000006240 Linum usitatissimum Species 0.000 description 2
- 241000209082 Lolium Species 0.000 description 2
- 235000018780 Luffa acutangula Nutrition 0.000 description 2
- 244000280244 Luffa acutangula Species 0.000 description 2
- 244000276497 Lycopersicon esculentum Species 0.000 description 2
- 241001495426 Macrophomina phaseolina Species 0.000 description 2
- 241000220225 Malus Species 0.000 description 2
- 241000709759 Marafivirus Species 0.000 description 2
- 235000014435 Mentha Nutrition 0.000 description 2
- 241001072983 Mentha Species 0.000 description 2
- 239000002169 Metam Substances 0.000 description 2
- BAVYZALUXZFZLV-UHFFFAOYSA-N Methylamine Chemical compound NC BAVYZALUXZFZLV-UHFFFAOYSA-N 0.000 description 2
- 241000878006 Miscanthus sinensis Species 0.000 description 2
- 241001558145 Mucor sp. Species 0.000 description 2
- 235000003805 Musa ABB Group Nutrition 0.000 description 2
- LVDRREOUMKACNJ-BKMJKUGQSA-N N-[(2R,3S)-2-(4-chlorophenyl)-1-(1,4-dimethyl-2-oxoquinolin-7-yl)-6-oxopiperidin-3-yl]-2-methylpropane-1-sulfonamide Chemical compound CC(C)CS(=O)(=O)N[C@H]1CCC(=O)N([C@@H]1c1ccc(Cl)cc1)c1ccc2c(C)cc(=O)n(C)c2c1 LVDRREOUMKACNJ-BKMJKUGQSA-N 0.000 description 2
- 235000006508 Nelumbo nucifera Nutrition 0.000 description 2
- 240000002853 Nelumbo nucifera Species 0.000 description 2
- 235000006510 Nelumbo pentapetala Nutrition 0.000 description 2
- 206010028980 Neoplasm Diseases 0.000 description 2
- 244000183278 Nephelium litchi Species 0.000 description 2
- 235000015742 Nephelium litchi Nutrition 0.000 description 2
- 241000605508 Nerine Species 0.000 description 2
- 241000228669 Nicotiana velutina Species 0.000 description 2
- 241000368696 Nigrospora oryzae Species 0.000 description 2
- 101710163270 Nuclease Proteins 0.000 description 2
- CDXDRHCOVCWHHL-UHFFFAOYSA-N OC(CN(CC(CCCCCCCCCC)O)N(CC(CCCCCCCCCC)O)CC(CCCCCCCCCC)O)CCCCCCCCCC Chemical compound OC(CN(CC(CCCCCCCCCC)O)N(CC(CCCCCCCCCC)O)CC(CCCCCCCCCC)O)CCCCCCCCCC CDXDRHCOVCWHHL-UHFFFAOYSA-N 0.000 description 2
- 241000795633 Olea <sea slug> Species 0.000 description 2
- 241000712894 Orthotospovirus Species 0.000 description 2
- 241000209094 Oryza Species 0.000 description 2
- 240000001516 Oryza latifolia Species 0.000 description 2
- 241000702633 Oryzavirus Species 0.000 description 2
- KDLHZDBZIXYQEI-UHFFFAOYSA-N Palladium Chemical compound [Pd] KDLHZDBZIXYQEI-UHFFFAOYSA-N 0.000 description 2
- 241000209117 Panicum Species 0.000 description 2
- 240000008114 Panicum miliaceum Species 0.000 description 2
- 235000007199 Panicum miliaceum Nutrition 0.000 description 2
- 235000006443 Panicum miliaceum subsp. miliaceum Nutrition 0.000 description 2
- 235000009037 Panicum miliaceum subsp. ruderale Nutrition 0.000 description 2
- 241001520808 Panicum virgatum Species 0.000 description 2
- 241000932831 Pantoea stewartii Species 0.000 description 2
- 241001143330 Paratrichodorus minor Species 0.000 description 2
- 241000218996 Passiflora Species 0.000 description 2
- 241000760719 Peronosclerospora maydis Species 0.000 description 2
- 241000760727 Peronosclerospora philippinensis Species 0.000 description 2
- 241001183114 Peronosclerospora sacchari Species 0.000 description 2
- 241000596141 Peronosclerospora sorghi Species 0.000 description 2
- 235000002770 Petroselinum crispum Nutrition 0.000 description 2
- 244000309475 Phaeosphaeria maydis Species 0.000 description 2
- 241000219833 Phaseolus Species 0.000 description 2
- 241000275069 Phyllotreta cruciferae Species 0.000 description 2
- 244000309487 Physopella pallescens Species 0.000 description 2
- 235000003447 Pistacia vera Nutrition 0.000 description 2
- 240000006711 Pistacia vera Species 0.000 description 2
- 235000015266 Plantago major Nutrition 0.000 description 2
- 240000002505 Pogostemon cablin Species 0.000 description 2
- 235000011751 Pogostemon cablin Nutrition 0.000 description 2
- 241000243142 Porifera Species 0.000 description 2
- 241001402984 Potato black ringspot virus Species 0.000 description 2
- 241000723762 Potato virus Y Species 0.000 description 2
- 241000193960 Pratylenchus minyus Species 0.000 description 2
- 235000000497 Primula Nutrition 0.000 description 2
- 241000245063 Primula Species 0.000 description 2
- 241000220299 Prunus Species 0.000 description 2
- 235000011432 Prunus Nutrition 0.000 description 2
- 241000589615 Pseudomonas syringae Species 0.000 description 2
- 241001304534 Puccinia polysora Species 0.000 description 2
- 241001123567 Puccinia sorghi Species 0.000 description 2
- 241001246061 Puccinia triticina Species 0.000 description 2
- 235000014443 Pyrus communis Nutrition 0.000 description 2
- 240000001987 Pyrus communis Species 0.000 description 2
- 235000019057 Raphanus caudatus Nutrition 0.000 description 2
- 244000088415 Raphanus sativus Species 0.000 description 2
- 235000011380 Raphanus sativus Nutrition 0.000 description 2
- 241000702247 Reoviridae Species 0.000 description 2
- 235000009411 Rheum rhabarbarum Nutrition 0.000 description 2
- 244000193032 Rheum rhaponticum Species 0.000 description 2
- 241001361634 Rhizoctonia Species 0.000 description 2
- 241000235546 Rhizopus stolonifer Species 0.000 description 2
- 235000011483 Ribes Nutrition 0.000 description 2
- 241000220483 Ribes Species 0.000 description 2
- 240000000528 Ricinus communis Species 0.000 description 2
- 235000004443 Ricinus communis Nutrition 0.000 description 2
- 241000857233 Rottboellia Species 0.000 description 2
- 241000209051 Saccharum Species 0.000 description 2
- 241000921305 Salix sp. Species 0.000 description 2
- 241001183191 Sclerophthora macrospora Species 0.000 description 2
- 235000007238 Secale cereale Nutrition 0.000 description 2
- 244000082988 Secale cereale Species 0.000 description 2
- 241000228160 Secale cereale x Triticum aestivum Species 0.000 description 2
- 241000961587 Secoviridae Species 0.000 description 2
- 241000986481 Selenophoma Species 0.000 description 2
- 241000709666 Sequivirus Species 0.000 description 2
- 235000009367 Sesamum alatum Nutrition 0.000 description 2
- 240000000452 Sesamum alatum Species 0.000 description 2
- 235000003434 Sesamum indicum Nutrition 0.000 description 2
- 241001432632 Setophoma terrestris Species 0.000 description 2
- 108020004682 Single-Stranded DNA Proteins 0.000 description 2
- 108091027967 Small hairpin RNA Proteins 0.000 description 2
- 241000710119 Sobemovirus Species 0.000 description 2
- 244000244100 Solanum integrifolium Species 0.000 description 2
- 235000000099 Solanum integrifolium Nutrition 0.000 description 2
- 235000002560 Solanum lycopersicum Nutrition 0.000 description 2
- 235000007230 Sorghum bicolor Nutrition 0.000 description 2
- 240000002439 Sorghum halepense Species 0.000 description 2
- 244000062793 Sorghum vulgare Species 0.000 description 2
- 241000709761 Soybean dwarf virus Species 0.000 description 2
- 241000532885 Sphenophorus Species 0.000 description 2
- 241000219315 Spinacia Species 0.000 description 2
- 244000297179 Syringa vulgaris Species 0.000 description 2
- 235000004338 Syringa vulgaris Nutrition 0.000 description 2
- 235000004298 Tamarindus indica Nutrition 0.000 description 2
- 240000004584 Tamarindus indica Species 0.000 description 2
- 229920002359 Tetronic® Polymers 0.000 description 2
- 235000006468 Thea sinensis Nutrition 0.000 description 2
- 235000009470 Theobroma cacao Nutrition 0.000 description 2
- 235000005764 Theobroma cacao ssp. cacao Nutrition 0.000 description 2
- 235000005767 Theobroma cacao ssp. sphaerocarpum Nutrition 0.000 description 2
- 241000223261 Trichoderma viride Species 0.000 description 2
- 244000042324 Trifolium repens Species 0.000 description 2
- 235000013540 Trifolium repens var repens Nutrition 0.000 description 2
- 241000209140 Triticum Species 0.000 description 2
- 235000007264 Triticum durum Nutrition 0.000 description 2
- 235000002041 Triticum macha Nutrition 0.000 description 2
- 244000102426 Triticum macha Species 0.000 description 2
- 235000007247 Triticum turgidum Nutrition 0.000 description 2
- 240000002805 Triticum turgidum Species 0.000 description 2
- 241000209143 Triticum turgidum subsp. durum Species 0.000 description 2
- 241000208241 Tropaeolum Species 0.000 description 2
- ISAKRJDGNUQOIC-UHFFFAOYSA-N Uracil Chemical compound O=C1C=CNC(=O)N1 ISAKRJDGNUQOIC-UHFFFAOYSA-N 0.000 description 2
- 244000301083 Ustilago maydis Species 0.000 description 2
- 235000012511 Vaccinium Nutrition 0.000 description 2
- 241000736767 Vaccinium Species 0.000 description 2
- 240000009038 Viola odorata Species 0.000 description 2
- 235000013487 Viola odorata Nutrition 0.000 description 2
- 235000009392 Vitis Nutrition 0.000 description 2
- 241000219095 Vitis Species 0.000 description 2
- 235000014787 Vitis vinifera Nutrition 0.000 description 2
- 240000006365 Vitis vinifera Species 0.000 description 2
- 241000709760 Waikavirus Species 0.000 description 2
- BUHNCQOJJZAOMJ-UHFFFAOYSA-N ZXI 8901 Chemical compound C=1C=C(OC(F)F)C=CC=1C(C(C)C)C(=O)OC(C#N)C(C=1)=CC=CC=1OC1=CC=C(Br)C=C1 BUHNCQOJJZAOMJ-UHFFFAOYSA-N 0.000 description 2
- 235000007244 Zea mays Nutrition 0.000 description 2
- CFGPESLNPCIKIX-UHFFFAOYSA-N [2-[ethoxy(propylsulfanyl)phosphoryl]oxyphenyl] n-methylcarbamate Chemical compound CCCSP(=O)(OCC)OC1=CC=CC=C1OC(=O)NC CFGPESLNPCIKIX-UHFFFAOYSA-N 0.000 description 2
- FJJCIZWZNKZHII-UHFFFAOYSA-N [4,6-bis(cyanoamino)-1,3,5-triazin-2-yl]cyanamide Chemical compound N#CNC1=NC(NC#N)=NC(NC#N)=N1 FJJCIZWZNKZHII-UHFFFAOYSA-N 0.000 description 2
- 229940022698 acetylcholinesterase Drugs 0.000 description 2
- 229960004150 aciclovir Drugs 0.000 description 2
- MKUXAQIIEYXACX-UHFFFAOYSA-N aciclovir Chemical compound N1C(N)=NC(=O)C2=C1N(COCCO)C=N2 MKUXAQIIEYXACX-UHFFFAOYSA-N 0.000 description 2
- 230000009471 action Effects 0.000 description 2
- OIRDTQYFTABQOQ-KQYNXXCUSA-N adenosine Chemical compound C1=NC=2C(N)=NC=NC=2N1[C@@H]1O[C@H](CO)[C@@H](O)[C@H]1O OIRDTQYFTABQOQ-KQYNXXCUSA-N 0.000 description 2
- 229960005305 adenosine Drugs 0.000 description 2
- 239000000443 aerosol Substances 0.000 description 2
- 239000011543 agarose gel Substances 0.000 description 2
- 238000013019 agitation Methods 0.000 description 2
- 125000003342 alkenyl group Chemical group 0.000 description 2
- 125000000304 alkynyl group Chemical group 0.000 description 2
- SHGAZHPCJJPHSC-YCNIQYBTSA-N all-trans-retinoic acid Chemical compound OC(=O)\C=C(/C)\C=C\C=C(/C)\C=C\C1=C(C)CCCC1(C)C SHGAZHPCJJPHSC-YCNIQYBTSA-N 0.000 description 2
- FPIPGXGPPPQFEQ-OVSJKPMPSA-N all-trans-retinol Chemical compound OC\C=C(/C)\C=C\C=C(/C)\C=C\C1=C(C)CCCC1(C)C FPIPGXGPPPQFEQ-OVSJKPMPSA-N 0.000 description 2
- 235000012211 aluminium silicate Nutrition 0.000 description 2
- 238000004458 analytical method Methods 0.000 description 2
- 150000001450 anions Chemical class 0.000 description 2
- 230000003288 anthiarrhythmic effect Effects 0.000 description 2
- 230000000844 anti-bacterial effect Effects 0.000 description 2
- 239000001961 anticonvulsive agent Substances 0.000 description 2
- 239000000935 antidepressant agent Substances 0.000 description 2
- 229940005513 antidepressants Drugs 0.000 description 2
- 239000002220 antihypertensive agent Substances 0.000 description 2
- 229940030600 antihypertensive agent Drugs 0.000 description 2
- 229940041181 antineoplastic drug Drugs 0.000 description 2
- 239000003443 antiviral agent Substances 0.000 description 2
- 239000001387 apium graveolens Substances 0.000 description 2
- 239000008365 aqueous carrier Substances 0.000 description 2
- XRWSZZJLZRKHHD-WVWIJVSJSA-N asunaprevir Chemical compound O=C([C@@H]1C[C@H](CN1C(=O)[C@@H](NC(=O)OC(C)(C)C)C(C)(C)C)OC1=NC=C(C2=CC=C(Cl)C=C21)OC)N[C@]1(C(=O)NS(=O)(=O)C2CC2)C[C@H]1C=C XRWSZZJLZRKHHD-WVWIJVSJSA-N 0.000 description 2
- 229940097012 bacillus thuringiensis Drugs 0.000 description 2
- 239000003899 bactericide agent Substances 0.000 description 2
- WPYMKLBDIGXBTP-UHFFFAOYSA-N benzoic acid Chemical compound OC(=O)C1=CC=CC=C1 WPYMKLBDIGXBTP-UHFFFAOYSA-N 0.000 description 2
- WGQKYBSKWIADBV-UHFFFAOYSA-N benzylamine Chemical compound NCC1=CC=CC=C1 WGQKYBSKWIADBV-UHFFFAOYSA-N 0.000 description 2
- 239000011230 binding agent Substances 0.000 description 2
- 229960000074 biopharmaceutical Drugs 0.000 description 2
- VEMKTZHHVJILDY-UXHICEINSA-N bioresmethrin Chemical compound CC1(C)[C@H](C=C(C)C)[C@H]1C(=O)OCC1=COC(CC=2C=CC=CC=2)=C1 VEMKTZHHVJILDY-UXHICEINSA-N 0.000 description 2
- GZUXJHMPEANEGY-UHFFFAOYSA-N bromomethane Chemical compound BrC GZUXJHMPEANEGY-UHFFFAOYSA-N 0.000 description 2
- 235000001046 cacaotero Nutrition 0.000 description 2
- KXRPCFINVWWFHQ-UHFFFAOYSA-N cadusafos Chemical compound CCC(C)SP(=O)(OCC)SC(C)CC KXRPCFINVWWFHQ-UHFFFAOYSA-N 0.000 description 2
- 239000001390 capsicum minimum Substances 0.000 description 2
- TWFZGCMQGLPBSX-UHFFFAOYSA-N carbendazim Chemical compound C1=CC=C2NC(NC(=O)OC)=NC2=C1 TWFZGCMQGLPBSX-UHFFFAOYSA-N 0.000 description 2
- 239000011203 carbon fibre reinforced carbon Substances 0.000 description 2
- 150000001735 carboxylic acids Chemical class 0.000 description 2
- 235000013339 cereals Nutrition 0.000 description 2
- 239000013522 chelant Substances 0.000 description 2
- 235000020971 citrus fruits Nutrition 0.000 description 2
- 229960002436 cladribine Drugs 0.000 description 2
- 239000004927 clay Substances 0.000 description 2
- 239000011248 coating agent Substances 0.000 description 2
- 238000000576 coating method Methods 0.000 description 2
- 239000003184 complementary RNA Substances 0.000 description 2
- 229940125773 compound 10 Drugs 0.000 description 2
- 229940125961 compound 24 Drugs 0.000 description 2
- 229940125936 compound 42 Drugs 0.000 description 2
- 229940126545 compound 53 Drugs 0.000 description 2
- 208000018999 crinkle Diseases 0.000 description 2
- 239000012043 crude product Substances 0.000 description 2
- JHIVVAPYMSGYDF-UHFFFAOYSA-N cyclohexanone Chemical compound O=C1CCCCC1 JHIVVAPYMSGYDF-UHFFFAOYSA-N 0.000 description 2
- ZXQYGBMAQZUVMI-UNOMPAQXSA-N cyhalothrin Chemical compound CC1(C)C(\C=C(/Cl)C(F)(F)F)C1C(=O)OC(C#N)C1=CC=CC(OC=2C=CC=CC=2)=C1 ZXQYGBMAQZUVMI-UNOMPAQXSA-N 0.000 description 2
- KAATUXNTWXVJKI-UHFFFAOYSA-N cypermethrin Chemical compound CC1(C)C(C=C(Cl)Cl)C1C(=O)OC(C#N)C1=CC=CC(OC=2C=CC=CC=2)=C1 KAATUXNTWXVJKI-UHFFFAOYSA-N 0.000 description 2
- WHBIGIKBNXZKFE-UHFFFAOYSA-N delavirdine Chemical compound CC(C)NC1=CC=CN=C1N1CCN(C(=O)C=2NC3=CC=C(NS(C)(=O)=O)C=C3C=2)CC1 WHBIGIKBNXZKFE-UHFFFAOYSA-N 0.000 description 2
- OEBRKCOSUFCWJD-UHFFFAOYSA-N dichlorvos Chemical compound COP(=O)(OC)OC=C(Cl)Cl OEBRKCOSUFCWJD-UHFFFAOYSA-N 0.000 description 2
- 235000004879 dioscorea Nutrition 0.000 description 2
- NAGJZTKCGNOGPW-UHFFFAOYSA-K dioxido-sulfanylidene-sulfido-$l^{5}-phosphane Chemical compound [O-]P([O-])([S-])=S NAGJZTKCGNOGPW-UHFFFAOYSA-K 0.000 description 2
- 238000009826 distribution Methods 0.000 description 2
- NOPFSRXAKWQILS-UHFFFAOYSA-N docosan-1-ol Chemical compound CCCCCCCCCCCCCCCCCCCCCCO NOPFSRXAKWQILS-UHFFFAOYSA-N 0.000 description 2
- 239000002552 dosage form Substances 0.000 description 2
- GCKZANITAMOIAR-XWVCPFKXSA-N dsstox_cid_14566 Chemical compound [O-]C(=O)C1=CC=CC=C1.C1=C[C@H](C)[C@@H]([C@@H](C)CC)O[C@]11O[C@H](C\C=C(C)\[C@@H](O[C@@H]2O[C@@H](C)[C@H](O[C@@H]3O[C@@H](C)[C@H]([NH2+]C)[C@@H](OC)C3)[C@@H](OC)C2)[C@@H](C)\C=C\C=C/2[C@]3([C@H](C(=O)O4)C=C(C)[C@@H](O)[C@H]3OC\2)O)C[C@H]4C1 GCKZANITAMOIAR-XWVCPFKXSA-N 0.000 description 2
- 230000012202 endocytosis Effects 0.000 description 2
- 229960002125 enilconazole Drugs 0.000 description 2
- 230000002255 enzymatic effect Effects 0.000 description 2
- 229940088598 enzyme Drugs 0.000 description 2
- 235000004426 flaxseed Nutrition 0.000 description 2
- RLQJEEJISHYWON-UHFFFAOYSA-N flonicamid Chemical compound FC(F)(F)C1=CC=NC=C1C(=O)NCC#N RLQJEEJISHYWON-UHFFFAOYSA-N 0.000 description 2
- ZGNITFSDLCMLGI-UHFFFAOYSA-N flubendiamide Chemical compound CC1=CC(C(F)(C(F)(F)F)C(F)(F)F)=CC=C1NC(=O)C1=CC=CC(I)=C1C(=O)NC(C)(C)CS(C)(=O)=O ZGNITFSDLCMLGI-UHFFFAOYSA-N 0.000 description 2
- 229910052731 fluorine Inorganic materials 0.000 description 2
- 239000004459 forage Substances 0.000 description 2
- 239000002316 fumigant Substances 0.000 description 2
- JLYXXMFPNIAWKQ-GNIYUCBRSA-N gamma-hexachlorocyclohexane Chemical compound Cl[C@H]1[C@H](Cl)[C@@H](Cl)[C@@H](Cl)[C@H](Cl)[C@H]1Cl JLYXXMFPNIAWKQ-GNIYUCBRSA-N 0.000 description 2
- 238000012226 gene silencing method Methods 0.000 description 2
- 230000012010 growth Effects 0.000 description 2
- 125000004404 heteroalkyl group Chemical group 0.000 description 2
- 125000004446 heteroarylalkyl group Chemical group 0.000 description 2
- 239000003906 humectant Substances 0.000 description 2
- 230000036571 hydration Effects 0.000 description 2
- 238000006703 hydration reaction Methods 0.000 description 2
- JGJLWPGRMCADHB-UHFFFAOYSA-N hypobromite Chemical compound Br[O-] JGJLWPGRMCADHB-UHFFFAOYSA-N 0.000 description 2
- WQYVRQLZKVEZGA-UHFFFAOYSA-N hypochlorite Chemical compound Cl[O-] WQYVRQLZKVEZGA-UHFFFAOYSA-N 0.000 description 2
- RONFGUROBZGJKP-UHFFFAOYSA-N iminoctadine Chemical compound NC(N)=NCCCCCCCCNCCCCCCCCN=C(N)N RONFGUROBZGJKP-UHFFFAOYSA-N 0.000 description 2
- 239000002955 immunomodulating agent Substances 0.000 description 2
- 208000037797 influenza A Diseases 0.000 description 2
- 208000037798 influenza B Diseases 0.000 description 2
- 230000002401 inhibitory effect Effects 0.000 description 2
- 238000002347 injection Methods 0.000 description 2
- 239000007924 injection Substances 0.000 description 2
- 229960003786 inosine Drugs 0.000 description 2
- 230000003834 intracellular effect Effects 0.000 description 2
- FCOAHACKGGIURQ-UHFFFAOYSA-N iprobenfos Chemical compound CC(C)OP(=O)(OC(C)C)SCC1=CC=CC=C1 FCOAHACKGGIURQ-UHFFFAOYSA-N 0.000 description 2
- 125000001449 isopropyl group Chemical group [H]C([H])([H])C([H])(*)C([H])([H])[H] 0.000 description 2
- WLPCAERCXQSYLQ-UHFFFAOYSA-N isotianil Chemical compound ClC1=NSC(C(=O)NC=2C(=CC=CC=2)C#N)=C1Cl WLPCAERCXQSYLQ-UHFFFAOYSA-N 0.000 description 2
- ZLVXBBHTMQJRSX-VMGNSXQWSA-N jdtic Chemical compound C1([C@]2(C)CCN(C[C@@H]2C)C[C@H](C(C)C)NC(=O)[C@@H]2NCC3=CC(O)=CC=C3C2)=CC=CC(O)=C1 ZLVXBBHTMQJRSX-VMGNSXQWSA-N 0.000 description 2
- UGWALRUNBSBTGI-ZKMZRDRYSA-N kadethrin Chemical compound C(/[C@@H]1C([C@@H]1C(=O)OCC=1C=C(CC=2C=CC=CC=2)OC=1)(C)C)=C1/CCSC1=O UGWALRUNBSBTGI-ZKMZRDRYSA-N 0.000 description 2
- NLYAJNPCOHFWQQ-UHFFFAOYSA-N kaolin Chemical compound O.O.O=[Al]O[Si](=O)O[Si](=O)O[Al]=O NLYAJNPCOHFWQQ-UHFFFAOYSA-N 0.000 description 2
- 235000021374 legumes Nutrition 0.000 description 2
- 125000005647 linker group Chemical group 0.000 description 2
- 239000008297 liquid dosage form Substances 0.000 description 2
- 208000019423 liver disease Diseases 0.000 description 2
- 239000011159 matrix material Substances 0.000 description 2
- 230000007246 mechanism Effects 0.000 description 2
- 230000001404 mediated effect Effects 0.000 description 2
- SGDBTWWWUNNDEQ-LBPRGKRZSA-N melphalan Chemical compound OC(=O)[C@@H](N)CC1=CC=C(N(CCCl)CCCl)C=C1 SGDBTWWWUNNDEQ-LBPRGKRZSA-N 0.000 description 2
- 208000030159 metabolic disease Diseases 0.000 description 2
- ZQEIXNIJLIKNTD-GFCCVEGCSA-N metalaxyl-M Chemical compound COCC(=O)N([C@H](C)C(=O)OC)C1=C(C)C=CC=C1C ZQEIXNIJLIKNTD-GFCCVEGCSA-N 0.000 description 2
- YACKEPLHDIMKIO-UHFFFAOYSA-N methylphosphonic acid Chemical compound CP(O)(O)=O YACKEPLHDIMKIO-UHFFFAOYSA-N 0.000 description 2
- VOEYXMAFNDNNED-UHFFFAOYSA-N metolcarb Chemical compound CNC(=O)OC1=CC=CC(C)=C1 VOEYXMAFNDNNED-UHFFFAOYSA-N 0.000 description 2
- 239000002679 microRNA Substances 0.000 description 2
- 230000003278 mimic effect Effects 0.000 description 2
- 239000011707 mineral Substances 0.000 description 2
- 239000000178 monomer Substances 0.000 description 2
- HDZGCSFEDULWCS-UHFFFAOYSA-N monomethylhydrazine Chemical compound CNN HDZGCSFEDULWCS-UHFFFAOYSA-N 0.000 description 2
- YCJZWBZJSYLMPB-UHFFFAOYSA-N n-(2-chloropyrimidin-4-yl)-2,5-dimethyl-1-phenylimidazole-4-carboxamide Chemical compound CC=1N(C=2C=CC=CC=2)C(C)=NC=1C(=O)NC1=CC=NC(Cl)=N1 YCJZWBZJSYLMPB-UHFFFAOYSA-N 0.000 description 2
- OHDXDNUPVVYWOV-UHFFFAOYSA-N n-methyl-1-(2-naphthalen-1-ylsulfanylphenyl)methanamine Chemical compound CNCC1=CC=CC=C1SC1=CC=CC2=CC=CC=C12 OHDXDNUPVVYWOV-UHFFFAOYSA-N 0.000 description 2
- PSZYNBSKGUBXEH-UHFFFAOYSA-N naphthalene-1-sulfonic acid Chemical class C1=CC=C2C(S(=O)(=O)O)=CC=CC2=C1 PSZYNBSKGUBXEH-UHFFFAOYSA-N 0.000 description 2
- 239000005645 nematicide Substances 0.000 description 2
- GPLGAQQQNWMVMM-FCGWIEHOSA-N nerine Chemical compound C1C=C2CC(N(C)C)CC[C@]2(C)C2C1C1CCC3C(C)N(C)C[C@@]31CC2 GPLGAQQQNWMVMM-FCGWIEHOSA-N 0.000 description 2
- NQDJXKOVJZTUJA-UHFFFAOYSA-N nevirapine Chemical compound C12=NC=CC=C2C(=O)NC=2C(C)=CC=NC=2N1C1CC1 NQDJXKOVJZTUJA-UHFFFAOYSA-N 0.000 description 2
- QJGQUHMNIGDVPM-UHFFFAOYSA-N nitrogen group Chemical group [N] QJGQUHMNIGDVPM-UHFFFAOYSA-N 0.000 description 2
- 239000002736 nonionic surfactant Substances 0.000 description 2
- 239000003921 oil Substances 0.000 description 2
- 235000019198 oils Nutrition 0.000 description 2
- 239000001301 oxygen Substances 0.000 description 2
- 230000003071 parasitic effect Effects 0.000 description 2
- 244000052769 pathogen Species 0.000 description 2
- 230000035515 penetration Effects 0.000 description 2
- 235000011197 perejil Nutrition 0.000 description 2
- ZJAOAACCNHFJAH-UHFFFAOYSA-N phosphonoformic acid Chemical compound OC(=O)P(O)(O)=O ZJAOAACCNHFJAH-UHFFFAOYSA-N 0.000 description 2
- NAYYNDKKHOIIOD-UHFFFAOYSA-N phthalamide Chemical class NC(=O)C1=CC=CC=C1C(N)=O NAYYNDKKHOIIOD-UHFFFAOYSA-N 0.000 description 2
- 239000001739 pinus spp. Substances 0.000 description 2
- 125000003367 polycyclic group Chemical group 0.000 description 2
- 235000014774 prunus Nutrition 0.000 description 2
- 125000004076 pyridyl group Chemical group 0.000 description 2
- 150000003230 pyrimidines Chemical class 0.000 description 2
- 150000003233 pyrroles Chemical class 0.000 description 2
- 210000000614 rib Anatomy 0.000 description 2
- 125000000548 ribosyl group Chemical group C1([C@H](O)[C@H](O)[C@H](O1)CO)* 0.000 description 2
- 210000003296 saliva Anatomy 0.000 description 2
- 239000000932 sedative agent Substances 0.000 description 2
- 229940125723 sedative agent Drugs 0.000 description 2
- 230000007226 seed germination Effects 0.000 description 2
- 239000004065 semiconductor Substances 0.000 description 2
- 239000007909 solid dosage form Substances 0.000 description 2
- CLSVJBIHYWPGQY-GGYDESQDSA-N spirotetramat Chemical compound CCOC(=O)OC1=C(C=2C(=CC=C(C)C=2)C)C(=O)N[C@@]11CC[C@H](OC)CC1 CLSVJBIHYWPGQY-GGYDESQDSA-N 0.000 description 2
- 238000001694 spray drying Methods 0.000 description 2
- 239000000021 stimulant Substances 0.000 description 2
- UCSJYZPVAKXKNQ-HZYVHMACSA-N streptomycin Chemical compound CN[C@H]1[C@H](O)[C@@H](O)[C@H](CO)O[C@H]1O[C@@H]1[C@](C=O)(O)[C@H](C)O[C@H]1O[C@@H]1[C@@H](NC(N)=N)[C@H](O)[C@@H](NC(N)=N)[C@H](O)[C@H]1O UCSJYZPVAKXKNQ-HZYVHMACSA-N 0.000 description 2
- 125000005017 substituted alkenyl group Chemical group 0.000 description 2
- 125000000547 substituted alkyl group Chemical group 0.000 description 2
- 238000006467 substitution reaction Methods 0.000 description 2
- 150000008163 sugars Chemical class 0.000 description 2
- 229940124530 sulfonamide Drugs 0.000 description 2
- 230000004083 survival effect Effects 0.000 description 2
- 239000000375 suspending agent Substances 0.000 description 2
- XLNZEKHULJKQBA-UHFFFAOYSA-N terbufos Chemical compound CCOP(=S)(OCC)SCSC(C)(C)C XLNZEKHULJKQBA-UHFFFAOYSA-N 0.000 description 2
- 230000001225 therapeutic effect Effects 0.000 description 2
- 239000002562 thickening agent Substances 0.000 description 2
- RWQNBRDOKXIBIV-UHFFFAOYSA-N thymine Chemical compound CC1=CNC(=O)NC1=O RWQNBRDOKXIBIV-UHFFFAOYSA-N 0.000 description 2
- 238000011200 topical administration Methods 0.000 description 2
- 230000000699 topical effect Effects 0.000 description 2
- 239000002691 unilamellar liposome Substances 0.000 description 2
- 239000000080 wetting agent Substances 0.000 description 2
- 238000004383 yellowing Methods 0.000 description 2
- HBOMLICNUCNMMY-XLPZGREQSA-N zidovudine Chemical compound O=C1NC(=O)C(C)=CN1[C@@H]1O[C@H](CO)[C@@H](N=[N+]=[N-])C1 HBOMLICNUCNMMY-XLPZGREQSA-N 0.000 description 2
- BMKDZUISNHGIBY-ZETCQYMHSA-N (+)-dexrazoxane Chemical compound C([C@H](C)N1CC(=O)NC(=O)C1)N1CC(=O)NC(=O)C1 BMKDZUISNHGIBY-ZETCQYMHSA-N 0.000 description 1
- ZCVAOQKBXKSDMS-PVAVHDDUSA-N (+)-trans-(S)-allethrin Chemical compound CC1(C)[C@H](C=C(C)C)[C@H]1C(=O)O[C@@H]1C(C)=C(CC=C)C(=O)C1 ZCVAOQKBXKSDMS-PVAVHDDUSA-N 0.000 description 1
- ZCVAOQKBXKSDMS-AQYZNVCMSA-N (+)-trans-allethrin Chemical compound CC1(C)[C@H](C=C(C)C)[C@H]1C(=O)OC1C(C)=C(CC=C)C(=O)C1 ZCVAOQKBXKSDMS-AQYZNVCMSA-N 0.000 description 1
- DFNJPPOAVCXQQQ-UHFFFAOYSA-N (1,1,1-trichloro-2-methylpropan-2-yl) carbamate Chemical compound ClC(Cl)(Cl)C(C)(C)OC(N)=O DFNJPPOAVCXQQQ-UHFFFAOYSA-N 0.000 description 1
- AXTXAVIVKGDCLE-UHFFFAOYSA-N (1,1-dibromo-2-methylpropan-2-yl) carbamate Chemical compound BrC(Br)C(C)(C)OC(N)=O AXTXAVIVKGDCLE-UHFFFAOYSA-N 0.000 description 1
- CXBMCYHAMVGWJQ-CABCVRRESA-N (1,3-dioxo-4,5,6,7-tetrahydroisoindol-2-yl)methyl (1r,3r)-2,2-dimethyl-3-(2-methylprop-1-enyl)cyclopropane-1-carboxylate Chemical compound CC1(C)[C@H](C=C(C)C)[C@H]1C(=O)OCN1C(=O)C(CCCC2)=C2C1=O CXBMCYHAMVGWJQ-CABCVRRESA-N 0.000 description 1
- FTVXFBJENACRRL-UHFFFAOYSA-N (1-hydroxypiperidin-2-yl) carbamate Chemical compound NC(=O)OC1CCCCN1O FTVXFBJENACRRL-UHFFFAOYSA-N 0.000 description 1
- KLWCNEYVHPBUNM-UHFFFAOYSA-N (1-methylcyclobutyl) carbamate Chemical compound NC(=O)OC1(C)CCC1 KLWCNEYVHPBUNM-UHFFFAOYSA-N 0.000 description 1
- AKIHTGIGOHBKGE-UHFFFAOYSA-N (1-methylcyclohexyl) carbamate Chemical compound NC(=O)OC1(C)CCCCC1 AKIHTGIGOHBKGE-UHFFFAOYSA-N 0.000 description 1
- FJDPATXIBIBRIM-QFMSAKRMSA-N (1R)-trans-cyphenothrin Chemical compound CC1(C)[C@H](C=C(C)C)[C@H]1C(=O)OC(C#N)C1=CC=CC(OC=2C=CC=CC=2)=C1 FJDPATXIBIBRIM-QFMSAKRMSA-N 0.000 description 1
- SBNFWQZLDJGRLK-RTWAWAEBSA-N (1R)-trans-phenothrin Chemical compound CC1(C)[C@H](C=C(C)C)[C@H]1C(=O)OCC1=CC=CC(OC=2C=CC=CC=2)=C1 SBNFWQZLDJGRLK-RTWAWAEBSA-N 0.000 description 1
- XERJKGMBORTKEO-VZUCSPMQSA-N (1e)-2-(ethylcarbamoylamino)-n-methoxy-2-oxoethanimidoyl cyanide Chemical compound CCNC(=O)NC(=O)C(\C#N)=N\OC XERJKGMBORTKEO-VZUCSPMQSA-N 0.000 description 1
- YATDSXRLIUJOQN-SVRRBLITSA-N (2,3,4,5,6-pentafluorophenyl)methyl (1r,3s)-3-(2,2-dichloroethenyl)-2,2-dimethylcyclopropane-1-carboxylate Chemical compound CC1(C)[C@H](C=C(Cl)Cl)[C@H]1C(=O)OCC1=C(F)C(F)=C(F)C(F)=C1F YATDSXRLIUJOQN-SVRRBLITSA-N 0.000 description 1
- AGMMRUPNXPWLGF-AATRIKPKSA-N (2,3,5,6-tetrafluoro-4-methylphenyl)methyl 2,2-dimethyl-3-[(e)-prop-1-enyl]cyclopropane-1-carboxylate Chemical compound CC1(C)C(/C=C/C)C1C(=O)OCC1=C(F)C(F)=C(C)C(F)=C1F AGMMRUPNXPWLGF-AATRIKPKSA-N 0.000 description 1
- ZLIHDHDAJVINAN-UHFFFAOYSA-N (2,4,6-trimethyl-3-pyridin-2-ylphenyl)methanimine Chemical compound CC1=C(C=N)C(C)=CC(C)=C1C1=CC=CC=N1 ZLIHDHDAJVINAN-UHFFFAOYSA-N 0.000 description 1
- KJOPTLWVYZCJBX-UHFFFAOYSA-N (2,4,6-trimethylphenyl)methyl carbamate Chemical class CC1=CC(C)=C(COC(N)=O)C(C)=C1 KJOPTLWVYZCJBX-UHFFFAOYSA-N 0.000 description 1
- IUZVXNNZBSTDJT-UHFFFAOYSA-N (2,4,6-tritert-butylphenyl) carbamate Chemical compound CC(C)(C)C1=CC(C(C)(C)C)=C(OC(N)=O)C(C(C)(C)C)=C1 IUZVXNNZBSTDJT-UHFFFAOYSA-N 0.000 description 1
- LZZRHUUMSXNYBI-UHFFFAOYSA-N (2,4-dichlorophenyl)methyl carbamate Chemical compound NC(=O)OCC1=CC=C(Cl)C=C1Cl LZZRHUUMSXNYBI-UHFFFAOYSA-N 0.000 description 1
- LEDMDNAHWYVAPC-UHFFFAOYSA-N (2-carbamoylphenyl)methyl benzoate Chemical compound NC(=O)C1=CC=CC=C1COC(=O)C1=CC=CC=C1 LEDMDNAHWYVAPC-UHFFFAOYSA-N 0.000 description 1
- NHOWDZOIZKMVAI-UHFFFAOYSA-N (2-chlorophenyl)(4-chlorophenyl)pyrimidin-5-ylmethanol Chemical compound C=1N=CN=CC=1C(C=1C(=CC=CC=1)Cl)(O)C1=CC=C(Cl)C=C1 NHOWDZOIZKMVAI-UHFFFAOYSA-N 0.000 description 1
- SAPGTCDSBGMXCD-UHFFFAOYSA-N (2-chlorophenyl)-(4-fluorophenyl)-pyrimidin-5-ylmethanol Chemical compound C=1N=CN=CC=1C(C=1C(=CC=CC=1)Cl)(O)C1=CC=C(F)C=C1 SAPGTCDSBGMXCD-UHFFFAOYSA-N 0.000 description 1
- CVYDTFIMANSFRW-UHFFFAOYSA-N (2-cyano-2-methylpropyl) carbamate Chemical compound N#CC(C)(C)COC(N)=O CVYDTFIMANSFRW-UHFFFAOYSA-N 0.000 description 1
- MIZYPRIEDMSCAC-UHFFFAOYSA-N (2-methyl-4-oxo-3-prop-2-enylcyclopent-2-en-1-yl) 2,2,3,3-tetramethylcyclopropane-1-carboxylate Chemical compound CC1=C(CC=C)C(=O)CC1OC(=O)C1C(C)(C)C1(C)C MIZYPRIEDMSCAC-UHFFFAOYSA-N 0.000 description 1
- SWHAGWLVMRLFKO-UHFFFAOYSA-N (2-nitrophenyl)methyl carbamate Chemical compound NC(=O)OCC1=CC=CC=C1[N+]([O-])=O SWHAGWLVMRLFKO-UHFFFAOYSA-N 0.000 description 1
- YMTQHWMPGDSBOD-UHFFFAOYSA-N (2-tert-butylpyrimidin-5-yl)oxy-diethoxy-sulfanylidene-$l^{5}-phosphane Chemical compound CCOP(=S)(OCC)OC1=CN=C(C(C)(C)C)N=C1 YMTQHWMPGDSBOD-UHFFFAOYSA-N 0.000 description 1
- ZMYFCFLJBGAQRS-IRXDYDNUSA-N (2R,3S)-epoxiconazole Chemical compound C1=CC(F)=CC=C1[C@@]1(CN2N=CN=C2)[C@H](C=2C(=CC=CC=2)Cl)O1 ZMYFCFLJBGAQRS-IRXDYDNUSA-N 0.000 description 1
- RYAUSSKQMZRMAI-ALOPSCKCSA-N (2S,6R)-4-[3-(4-tert-butylphenyl)-2-methylpropyl]-2,6-dimethylmorpholine Chemical compound C=1C=C(C(C)(C)C)C=CC=1CC(C)CN1C[C@H](C)O[C@H](C)C1 RYAUSSKQMZRMAI-ALOPSCKCSA-N 0.000 description 1
- LZTIMERBDGGAJD-SNAWJCMRSA-N (2e)-2-(nitromethylidene)-1,3-thiazinane Chemical compound [O-][N+](=O)\C=C1/NCCCS1 LZTIMERBDGGAJD-SNAWJCMRSA-N 0.000 description 1
- ROBSGBGTWRRYSK-SNVBAGLBSA-N (2r)-2-[4-(4-cyano-2-fluorophenoxy)phenoxy]propanoic acid Chemical compound C1=CC(O[C@H](C)C(O)=O)=CC=C1OC1=CC=C(C#N)C=C1F ROBSGBGTWRRYSK-SNVBAGLBSA-N 0.000 description 1
- HIPYHINICCKLGX-UHFFFAOYSA-N (3,5-dimethoxyphenyl)methyl carbamate Chemical compound COC1=CC(COC(N)=O)=CC(OC)=C1 HIPYHINICCKLGX-UHFFFAOYSA-N 0.000 description 1
- YVOBGLMMNWZYCL-UHFFFAOYSA-N (3-nitrophenyl) carbamate Chemical compound NC(=O)OC1=CC=CC([N+]([O-])=O)=C1 YVOBGLMMNWZYCL-UHFFFAOYSA-N 0.000 description 1
- WTKQMHWYSBWUBE-UHFFFAOYSA-N (3-nitropyridin-2-yl) thiohypochlorite Chemical compound [O-][N+](=O)C1=CC=CN=C1SCl WTKQMHWYSBWUBE-UHFFFAOYSA-N 0.000 description 1
- RLLPVAHGXHCWKJ-HKUYNNGSSA-N (3-phenoxyphenyl)methyl (1r,3r)-3-(2,2-dichloroethenyl)-2,2-dimethylcyclopropane-1-carboxylate Chemical compound CC1(C)[C@@H](C=C(Cl)Cl)[C@H]1C(=O)OCC1=CC=CC(OC=2C=CC=CC=2)=C1 RLLPVAHGXHCWKJ-HKUYNNGSSA-N 0.000 description 1
- RLLPVAHGXHCWKJ-MJGOQNOKSA-N (3-phenoxyphenyl)methyl (1r,3s)-3-(2,2-dichloroethenyl)-2,2-dimethylcyclopropane-1-carboxylate Chemical compound CC1(C)[C@H](C=C(Cl)Cl)[C@H]1C(=O)OCC1=CC=CC(OC=2C=CC=CC=2)=C1 RLLPVAHGXHCWKJ-MJGOQNOKSA-N 0.000 description 1
- LDVVMCZRFWMZSG-OLQVQODUSA-N (3ar,7as)-2-(trichloromethylsulfanyl)-3a,4,7,7a-tetrahydroisoindole-1,3-dione Chemical compound C1C=CC[C@H]2C(=O)N(SC(Cl)(Cl)Cl)C(=O)[C@H]21 LDVVMCZRFWMZSG-OLQVQODUSA-N 0.000 description 1
- AWOKSNNHYRGYIA-UHFFFAOYSA-N (4,5-dimethoxy-2-nitrophenyl)methyl carbamate Chemical compound COC1=CC(COC(N)=O)=C([N+]([O-])=O)C=C1OC AWOKSNNHYRGYIA-UHFFFAOYSA-N 0.000 description 1
- CNPVJJQCETWNEU-CYFREDJKSA-N (4,6-dimethyl-5-pyrimidinyl)-[4-[(3S)-4-[(1R)-2-methoxy-1-[4-(trifluoromethyl)phenyl]ethyl]-3-methyl-1-piperazinyl]-4-methyl-1-piperidinyl]methanone Chemical compound N([C@@H](COC)C=1C=CC(=CC=1)C(F)(F)F)([C@H](C1)C)CCN1C(CC1)(C)CCN1C(=O)C1=C(C)N=CN=C1C CNPVJJQCETWNEU-CYFREDJKSA-N 0.000 description 1
- XHTUZBFAOYRMHI-UHFFFAOYSA-N (4-bromophenyl)methyl carbamate Chemical compound NC(=O)OCC1=CC=C(Br)C=C1 XHTUZBFAOYRMHI-UHFFFAOYSA-N 0.000 description 1
- XUNYDVLIZWUPAW-UHFFFAOYSA-N (4-chlorophenyl) n-(4-methylphenyl)sulfonylcarbamate Chemical compound C1=CC(C)=CC=C1S(=O)(=O)NC(=O)OC1=CC=C(Cl)C=C1 XUNYDVLIZWUPAW-UHFFFAOYSA-N 0.000 description 1
- HIIOEWGKFCWTJU-UHFFFAOYSA-N (4-chlorophenyl)methyl carbamate Chemical compound NC(=O)OCC1=CC=C(Cl)C=C1 HIIOEWGKFCWTJU-UHFFFAOYSA-N 0.000 description 1
- NULWVEYYQSYAHP-UHFFFAOYSA-N (4-cyanophenyl)methyl carbamate Chemical compound NC(=O)OCC1=CC=C(C#N)C=C1 NULWVEYYQSYAHP-UHFFFAOYSA-N 0.000 description 1
- IERCGNSLWQVTPC-UHFFFAOYSA-N (4-decoxyphenyl)methyl carbamate Chemical compound CCCCCCCCCCOC1=CC=C(COC(N)=O)C=C1 IERCGNSLWQVTPC-UHFFFAOYSA-N 0.000 description 1
- GIWOBQLAIGEECV-UHFFFAOYSA-N (4-fluorophenyl) n-[1-[1-(4-cyanophenyl)ethylsulfonyl]butan-2-yl]carbamate Chemical compound C=1C=C(F)C=CC=1OC(=O)NC(CC)CS(=O)(=O)C(C)C1=CC=C(C#N)C=C1 GIWOBQLAIGEECV-UHFFFAOYSA-N 0.000 description 1
- QXENIPSNYCZWNY-UHFFFAOYSA-N (4-methoxyphenyl)-diphenylmethanamine Chemical compound C1=CC(OC)=CC=C1C(N)(C=1C=CC=CC=1)C1=CC=CC=C1 QXENIPSNYCZWNY-UHFFFAOYSA-N 0.000 description 1
- OKLFHGKWEQKSDZ-UHFFFAOYSA-N (4-methoxyphenyl)methanimine Chemical compound COC1=CC=C(C=N)C=C1 OKLFHGKWEQKSDZ-UHFFFAOYSA-N 0.000 description 1
- SDEOSHAQCMPJIJ-UHFFFAOYSA-N (4-methoxyphenyl)methyl carbamate Chemical compound COC1=CC=C(COC(N)=O)C=C1 SDEOSHAQCMPJIJ-UHFFFAOYSA-N 0.000 description 1
- WNNZAHBBDIVWBB-UHFFFAOYSA-N (4-methylsulfanylphenyl) carbamate Chemical compound CSC1=CC=C(OC(N)=O)C=C1 WNNZAHBBDIVWBB-UHFFFAOYSA-N 0.000 description 1
- RZTAQRMRWPYVRR-UHFFFAOYSA-N (4-methylsulfinylphenyl)methyl carbamate Chemical compound CS(=O)C1=CC=C(COC(N)=O)C=C1 RZTAQRMRWPYVRR-UHFFFAOYSA-N 0.000 description 1
- LRJOVUGHUMSKFA-UHFFFAOYSA-N (4-nitrophenyl)methanimine Chemical compound [O-][N+](=O)C1=CC=C(C=N)C=C1 LRJOVUGHUMSKFA-UHFFFAOYSA-N 0.000 description 1
- HQNKOEZESXBYJA-UHFFFAOYSA-N (4-phenyldiazenylphenyl)methyl carbamate Chemical compound C1=CC(COC(=O)N)=CC=C1N=NC1=CC=CC=C1 HQNKOEZESXBYJA-UHFFFAOYSA-N 0.000 description 1
- MGRRXBWTLBJEMS-YADHBBJMSA-N (5-benzylfuran-3-yl)methyl (1r,3r)-3-(cyclopentylidenemethyl)-2,2-dimethylcyclopropane-1-carboxylate Chemical compound C([C@H]1C([C@@H]1C(=O)OCC=1C=C(CC=2C=CC=CC=2)OC=1)(C)C)=C1CCCC1 MGRRXBWTLBJEMS-YADHBBJMSA-N 0.000 description 1
- YSEUOPNOQRVVDY-OGEJUEGTSA-N (5-benzylfuran-3-yl)methyl (1r,3r)-3-[(e)-3-methoxy-2-methyl-3-oxoprop-1-enyl]-2,2-dimethylcyclopropane-1-carboxylate Chemical compound CC1(C)[C@H](/C=C(\C)C(=O)OC)[C@H]1C(=O)OCC1=COC(CC=2C=CC=CC=2)=C1 YSEUOPNOQRVVDY-OGEJUEGTSA-N 0.000 description 1
- VEMKTZHHVJILDY-WOJBJXKFSA-N (5-benzylfuran-3-yl)methyl (1s,3r)-2,2-dimethyl-3-(2-methylprop-1-enyl)cyclopropane-1-carboxylate Chemical compound CC1(C)[C@H](C=C(C)C)[C@@H]1C(=O)OCC1=COC(CC=2C=CC=CC=2)=C1 VEMKTZHHVJILDY-WOJBJXKFSA-N 0.000 description 1
- PPDBOQMNKNNODG-NTEUORMPSA-N (5E)-5-(4-chlorobenzylidene)-2,2-dimethyl-1-(1,2,4-triazol-1-ylmethyl)cyclopentanol Chemical compound C1=NC=NN1CC1(O)C(C)(C)CC\C1=C/C1=CC=C(Cl)C=C1 PPDBOQMNKNNODG-NTEUORMPSA-N 0.000 description 1
- QTGIYXFCSKXKMO-XPSMFNQNSA-N (5r)-5-[(z)-dec-1-enyl]oxolan-2-one Chemical compound CCCCCCCC\C=C/[C@H]1CCC(=O)O1 QTGIYXFCSKXKMO-XPSMFNQNSA-N 0.000 description 1
- FPVKHBSQESCIEP-UHFFFAOYSA-N (8S)-3-(2-deoxy-beta-D-erythro-pentofuranosyl)-3,6,7,8-tetrahydroimidazo[4,5-d][1,3]diazepin-8-ol Natural products C1C(O)C(CO)OC1N1C(NC=NCC2O)=C2N=C1 FPVKHBSQESCIEP-UHFFFAOYSA-N 0.000 description 1
- CSWBSLXBXRFNST-MQQKCMAXSA-N (8e,10e)-dodeca-8,10-dien-1-ol Chemical compound C\C=C\C=C\CCCCCCCO CSWBSLXBXRFNST-MQQKCMAXSA-N 0.000 description 1
- 125000003837 (C1-C20) alkyl group Chemical group 0.000 description 1
- WCXDHFDTOYPNIE-RIYZIHGNSA-N (E)-acetamiprid Chemical compound N#C/N=C(\C)N(C)CC1=CC=C(Cl)N=C1 WCXDHFDTOYPNIE-RIYZIHGNSA-N 0.000 description 1
- PGOOBECODWQEAB-UHFFFAOYSA-N (E)-clothianidin Chemical compound [O-][N+](=O)\N=C(/NC)NCC1=CN=C(Cl)S1 PGOOBECODWQEAB-UHFFFAOYSA-N 0.000 description 1
- FDKXTQMXEQVLRF-ZHACJKMWSA-N (E)-dacarbazine Chemical compound CN(C)\N=N\c1[nH]cnc1C(N)=O FDKXTQMXEQVLRF-ZHACJKMWSA-N 0.000 description 1
- BKBSMMUEEAWFRX-NBVRZTHBSA-N (E)-flumorph Chemical compound C1=C(OC)C(OC)=CC=C1C(\C=1C=CC(F)=CC=1)=C\C(=O)N1CCOCC1 BKBSMMUEEAWFRX-NBVRZTHBSA-N 0.000 description 1
- CFRPSFYHXJZSBI-DHZHZOJOSA-N (E)-nitenpyram Chemical compound [O-][N+](=O)/C=C(\NC)N(CC)CC1=CC=C(Cl)N=C1 CFRPSFYHXJZSBI-DHZHZOJOSA-N 0.000 description 1
- FZRBKIRIBLNOAM-UHFFFAOYSA-N (E,E)-2-propynyl 3,7,11-trimethyl-2,4-dodecadienoate Chemical compound CC(C)CCCC(C)CC=CC(C)=CC(=O)OCC#C FZRBKIRIBLNOAM-UHFFFAOYSA-N 0.000 description 1
- XGWIJUOSCAQSSV-XHDPSFHLSA-N (S,S)-hexythiazox Chemical compound S([C@H]([C@@H]1C)C=2C=CC(Cl)=CC=2)C(=O)N1C(=O)NC1CCCCC1 XGWIJUOSCAQSSV-XHDPSFHLSA-N 0.000 description 1
- ZFHGXWPMULPQSE-SZGBIDFHSA-N (Z)-(1S)-cis-tefluthrin Chemical compound FC1=C(F)C(C)=C(F)C(F)=C1COC(=O)[C@@H]1C(C)(C)[C@@H]1\C=C(/Cl)C(F)(F)F ZFHGXWPMULPQSE-SZGBIDFHSA-N 0.000 description 1
- QNBTYORWCCMPQP-JXAWBTAJSA-N (Z)-dimethomorph Chemical compound C1=C(OC)C(OC)=CC=C1C(\C=1C=CC(Cl)=CC=1)=C/C(=O)N1CCOCC1 QNBTYORWCCMPQP-JXAWBTAJSA-N 0.000 description 1
- PCKNFPQPGUWFHO-SXBRIOAWSA-N (Z)-flucycloxuron Chemical compound FC1=CC=CC(F)=C1C(=O)NC(=O)NC(C=C1)=CC=C1CO\N=C(C=1C=CC(Cl)=CC=1)\C1CC1 PCKNFPQPGUWFHO-SXBRIOAWSA-N 0.000 description 1
- HOKKPVIRMVDYPB-UVTDQMKNSA-N (Z)-thiacloprid Chemical compound C1=NC(Cl)=CC=C1CN1C(=N/C#N)/SCC1 HOKKPVIRMVDYPB-UVTDQMKNSA-N 0.000 description 1
- CKPCAYZTYMHQEX-NBVRZTHBSA-N (e)-1-(2,4-dichlorophenyl)-n-methoxy-2-pyridin-3-ylethanimine Chemical compound C=1C=C(Cl)C=C(Cl)C=1C(=N/OC)/CC1=CC=CN=C1 CKPCAYZTYMHQEX-NBVRZTHBSA-N 0.000 description 1
- RASLWNGTMHFPIQ-AATRIKPKSA-N (e)-3-(2-nitrophenyl)prop-2-enamide Chemical compound NC(=O)\C=C\C1=CC=CC=C1[N+]([O-])=O RASLWNGTMHFPIQ-AATRIKPKSA-N 0.000 description 1
- 125000003088 (fluoren-9-ylmethoxy)carbonyl group Chemical group 0.000 description 1
- NRPCZWUIOZTKHN-FMIVXFBMSA-N (ne)-n-[1-[(2-chloro-1,3-thiazol-5-yl)methyl]-3,5-dimethyl-1,3,5-triazinan-2-ylidene]nitramide Chemical compound C1N(C)CN(C)\C(=N/[N+]([O-])=O)N1CC1=CN=C(Cl)S1 NRPCZWUIOZTKHN-FMIVXFBMSA-N 0.000 description 1
- IAKOZHOLGAGEJT-UHFFFAOYSA-N 1,1,1-trichloro-2,2-bis(p-methoxyphenyl)-Ethane Chemical compound C1=CC(OC)=CC=C1C(C(Cl)(Cl)Cl)C1=CC=C(OC)C=C1 IAKOZHOLGAGEJT-UHFFFAOYSA-N 0.000 description 1
- TTXKLVVJWALEOY-UHFFFAOYSA-N 1,2-benzoxazol-5-ylmethyl carbamate Chemical compound NC(=O)OCC1=CC=C2ON=CC2=C1 TTXKLVVJWALEOY-UHFFFAOYSA-N 0.000 description 1
- FGODUFHTWYYOOB-UHFFFAOYSA-N 1,3-diaminopropan-2-yl dihydrogen phosphate Chemical compound NCC(CN)OP(O)(O)=O FGODUFHTWYYOOB-UHFFFAOYSA-N 0.000 description 1
- MPCAJMNYNOGXPB-UHFFFAOYSA-N 1,5-anhydrohexitol Chemical class OCC1OCC(O)C(O)C1O MPCAJMNYNOGXPB-UHFFFAOYSA-N 0.000 description 1
- HJTAZXHBEBIQQX-UHFFFAOYSA-N 1,5-bis(chloromethyl)naphthalene Chemical compound C1=CC=C2C(CCl)=CC=CC2=C1CCl HJTAZXHBEBIQQX-UHFFFAOYSA-N 0.000 description 1
- UBCHPRBFMUDMNC-UHFFFAOYSA-N 1-(1-adamantyl)ethanamine Chemical compound C1C(C2)CC3CC2CC1(C(N)C)C3 UBCHPRBFMUDMNC-UHFFFAOYSA-N 0.000 description 1
- JWUCHKBSVLQQCO-UHFFFAOYSA-N 1-(2-fluorophenyl)-1-(4-fluorophenyl)-2-(1H-1,2,4-triazol-1-yl)ethanol Chemical compound C=1C=C(F)C=CC=1C(C=1C(=CC=CC=1)F)(O)CN1C=NC=N1 JWUCHKBSVLQQCO-UHFFFAOYSA-N 0.000 description 1
- WURBVZBTWMNKQT-UHFFFAOYSA-N 1-(4-chlorophenoxy)-3,3-dimethyl-1-(1,2,4-triazol-1-yl)butan-2-one Chemical compound C1=NC=NN1C(C(=O)C(C)(C)C)OC1=CC=C(Cl)C=C1 WURBVZBTWMNKQT-UHFFFAOYSA-N 0.000 description 1
- RURQAJURNPMSSK-UHFFFAOYSA-N 1-(4-chlorophenoxy)-3-{[2-(4-ethoxyphenyl)-3,3,3-trifluoropropoxy]methyl}benzene Chemical compound C1=CC(OCC)=CC=C1C(C(F)(F)F)COCC1=CC=CC(OC=2C=CC(Cl)=CC=2)=C1 RURQAJURNPMSSK-UHFFFAOYSA-N 0.000 description 1
- PXMNMQRDXWABCY-UHFFFAOYSA-N 1-(4-chlorophenyl)-4,4-dimethyl-3-(1H-1,2,4-triazol-1-ylmethyl)pentan-3-ol Chemical compound C1=NC=NN1CC(O)(C(C)(C)C)CCC1=CC=C(Cl)C=C1 PXMNMQRDXWABCY-UHFFFAOYSA-N 0.000 description 1
- VGPIBGGRCVEHQZ-UHFFFAOYSA-N 1-(biphenyl-4-yloxy)-3,3-dimethyl-1-(1,2,4-triazol-1-yl)butan-2-ol Chemical compound C1=NC=NN1C(C(O)C(C)(C)C)OC(C=C1)=CC=C1C1=CC=CC=C1 VGPIBGGRCVEHQZ-UHFFFAOYSA-N 0.000 description 1
- OZOMQRBLCMDCEG-VIZOYTHASA-N 1-[(e)-[5-(4-nitrophenyl)furan-2-yl]methylideneamino]imidazolidine-2,4-dione Chemical compound C1=CC([N+](=O)[O-])=CC=C1C(O1)=CC=C1\C=N\N1C(=O)NC(=O)C1 OZOMQRBLCMDCEG-VIZOYTHASA-N 0.000 description 1
- LWWDYSLFWMWORA-BEJOPBHTSA-N 1-[2,6-dichloro-4-(trifluoromethyl)phenyl]-5-[(E)-(4-hydroxy-3-methoxyphenyl)methylideneamino]-4-(trifluoromethylsulfanyl)pyrazole-3-carbonitrile Chemical compound c1cc(O)c(OC)cc1\C=N\c1c(SC(F)(F)F)c(C#N)nn1-c1c(Cl)cc(C(F)(F)F)cc1Cl LWWDYSLFWMWORA-BEJOPBHTSA-N 0.000 description 1
- LQDARGUHUSPFNL-UHFFFAOYSA-N 1-[2-(2,4-dichlorophenyl)-3-(1,1,2,2-tetrafluoroethoxy)propyl]1,2,4-triazole Chemical compound C=1C=C(Cl)C=C(Cl)C=1C(COC(F)(F)C(F)F)CN1C=NC=N1 LQDARGUHUSPFNL-UHFFFAOYSA-N 0.000 description 1
- WKBPZYKAUNRMKP-UHFFFAOYSA-N 1-[2-(2,4-dichlorophenyl)pentyl]1,2,4-triazole Chemical compound C=1C=C(Cl)C=C(Cl)C=1C(CCC)CN1C=NC=N1 WKBPZYKAUNRMKP-UHFFFAOYSA-N 0.000 description 1
- MGNFYQILYYYUBS-UHFFFAOYSA-N 1-[3-(4-tert-butylphenyl)-2-methylpropyl]piperidine Chemical compound C=1C=C(C(C)(C)C)C=CC=1CC(C)CN1CCCCC1 MGNFYQILYYYUBS-UHFFFAOYSA-N 0.000 description 1
- FJANNOJSTOGZHK-UHFFFAOYSA-N 1-adamantyl carbamate Chemical compound C1C(C2)CC3CC2CC1(OC(=O)N)C3 FJANNOJSTOGZHK-UHFFFAOYSA-N 0.000 description 1
- XIUQHVQLGXTGGN-UHFFFAOYSA-N 1-cyclopropylethyl carbamate Chemical compound NC(=O)OC(C)C1CC1 XIUQHVQLGXTGGN-UHFFFAOYSA-N 0.000 description 1
- YIKWKLYQRFRGPM-UHFFFAOYSA-N 1-dodecylguanidine acetate Chemical compound CC(O)=O.CCCCCCCCCCCCN=C(N)N YIKWKLYQRFRGPM-UHFFFAOYSA-N 0.000 description 1
- PFFIDZXUXFLSSR-UHFFFAOYSA-N 1-methyl-N-[2-(4-methylpentan-2-yl)-3-thienyl]-3-(trifluoromethyl)pyrazole-4-carboxamide Chemical compound S1C=CC(NC(=O)C=2C(=NN(C)C=2)C(F)(F)F)=C1C(C)CC(C)C PFFIDZXUXFLSSR-UHFFFAOYSA-N 0.000 description 1
- NFGXHKASABOEEW-UHFFFAOYSA-N 1-methylethyl 11-methoxy-3,7,11-trimethyl-2,4-dodecadienoate Chemical compound COC(C)(C)CCCC(C)CC=CC(C)=CC(=O)OC(C)C NFGXHKASABOEEW-UHFFFAOYSA-N 0.000 description 1
- VSNHCAURESNICA-NJFSPNSNSA-N 1-oxidanylurea Chemical compound N[14C](=O)NO VSNHCAURESNICA-NJFSPNSNSA-N 0.000 description 1
- FMTFEIJHMMQUJI-NJAFHUGGSA-N 102130-98-3 Natural products CC=CCC1=C(C)[C@H](CC1=O)OC(=O)[C@@H]1[C@@H](C=C(C)C)C1(C)C FMTFEIJHMMQUJI-NJAFHUGGSA-N 0.000 description 1
- YBYIRNPNPLQARY-UHFFFAOYSA-N 1H-indene Natural products C1=CC=C2CC=CC2=C1 YBYIRNPNPLQARY-UHFFFAOYSA-N 0.000 description 1
- RLOQBKJCOAXOLR-UHFFFAOYSA-N 1h-pyrrole-2-carboxamide Chemical class NC(=O)C1=CC=CN1 RLOQBKJCOAXOLR-UHFFFAOYSA-N 0.000 description 1
- LJCZNYWLQZZIOS-UHFFFAOYSA-N 2,2,2-trichlorethoxycarbonyl chloride Chemical compound ClC(=O)OCC(Cl)(Cl)Cl LJCZNYWLQZZIOS-UHFFFAOYSA-N 0.000 description 1
- UPQQXPKAYZYUKO-UHFFFAOYSA-N 2,2,2-trichloroacetamide Chemical class OC(=N)C(Cl)(Cl)Cl UPQQXPKAYZYUKO-UHFFFAOYSA-N 0.000 description 1
- QPLJYAKLSCXZSF-UHFFFAOYSA-N 2,2,2-trichloroethyl carbamate Chemical compound NC(=O)OCC(Cl)(Cl)Cl QPLJYAKLSCXZSF-UHFFFAOYSA-N 0.000 description 1
- NRKYWOKHZRQRJR-UHFFFAOYSA-N 2,2,2-trifluoroacetamide Chemical class NC(=O)C(F)(F)F NRKYWOKHZRQRJR-UHFFFAOYSA-N 0.000 description 1
- XNMOEWPBTNQAQB-UHFFFAOYSA-N 2,2,5,7,8-pentamethyl-3,4-dihydrochromene-6-sulfonamide Chemical compound C1CC(C)(C)OC2=C1C(C)=C(S(N)(=O)=O)C(C)=C2C XNMOEWPBTNQAQB-UHFFFAOYSA-N 0.000 description 1
- YNEKMCSWRMRXIR-UHFFFAOYSA-N 2,3,5,5-tetrachloro-4,7-bis(chloromethyl)-7-(dichloromethyl)bicyclo[2.2.1]heptane Chemical compound C1C(Cl)(Cl)C2(CCl)C(Cl)C(Cl)C1C2(C(Cl)Cl)CCl YNEKMCSWRMRXIR-UHFFFAOYSA-N 0.000 description 1
- NYOKZHDTNBDPOB-UHFFFAOYSA-N 2,3,5-trimethylphenyl methylcarbamate Chemical compound CNC(=O)OC1=CC(C)=CC(C)=C1C NYOKZHDTNBDPOB-UHFFFAOYSA-N 0.000 description 1
- MHKBMNACOMRIAW-UHFFFAOYSA-N 2,3-dinitrophenol Chemical class OC1=CC=CC([N+]([O-])=O)=C1[N+]([O-])=O MHKBMNACOMRIAW-UHFFFAOYSA-N 0.000 description 1
- PXVUDLXXKGSXHH-UHFFFAOYSA-N 2,4,6-trimethoxybenzenesulfonamide Chemical compound COC1=CC(OC)=C(S(N)(=O)=O)C(OC)=C1 PXVUDLXXKGSXHH-UHFFFAOYSA-N 0.000 description 1
- YECJUZIGFPJWGQ-UHFFFAOYSA-N 2,4,6-trimethylbenzenesulfonamide Chemical compound CC1=CC(C)=C(S(N)(=O)=O)C(C)=C1 YECJUZIGFPJWGQ-UHFFFAOYSA-N 0.000 description 1
- 239000005631 2,4-Dichlorophenoxyacetic acid Substances 0.000 description 1
- XEPBBUCQCXXTGR-UHFFFAOYSA-N 2,5-dimethyl-n-phenylfuran-3-carboxamide Chemical compound O1C(C)=CC(C(=O)NC=2C=CC=CC=2)=C1C XEPBBUCQCXXTGR-UHFFFAOYSA-N 0.000 description 1
- YJRISODHEYGPEL-UHFFFAOYSA-N 2,6-dimethoxy-4-methylbenzenesulfonamide Chemical compound COC1=CC(C)=CC(OC)=C1S(N)(=O)=O YJRISODHEYGPEL-UHFFFAOYSA-N 0.000 description 1
- YTOPFCCWCSOHFV-UHFFFAOYSA-N 2,6-dimethyl-4-tridecylmorpholine Chemical compound CCCCCCCCCCCCCN1CC(C)OC(C)C1 YTOPFCCWCSOHFV-UHFFFAOYSA-N 0.000 description 1
- DWKLSWPFGOTZII-UHFFFAOYSA-N 2-(1-adamantyl)propan-2-yl carbamate Chemical compound C1C(C2)CC3CC2CC1(C(C)(OC(N)=O)C)C3 DWKLSWPFGOTZII-UHFFFAOYSA-N 0.000 description 1
- STMIIPIFODONDC-UHFFFAOYSA-N 2-(2,4-dichlorophenyl)-1-(1H-1,2,4-triazol-1-yl)hexan-2-ol Chemical compound C=1C=C(Cl)C=C(Cl)C=1C(O)(CCCC)CN1C=NC=N1 STMIIPIFODONDC-UHFFFAOYSA-N 0.000 description 1
- DVCVYHFEWYAJCP-UHFFFAOYSA-N 2-(2-nitrophenoxy)acetamide Chemical compound NC(=O)COC1=CC=CC=C1[N+]([O-])=O DVCVYHFEWYAJCP-UHFFFAOYSA-N 0.000 description 1
- XHNQIEUUMIBVBX-UHFFFAOYSA-N 2-(3,5-dimethoxyphenyl)propan-2-yl carbamate Chemical compound COC1=CC(OC)=CC(C(C)(C)OC(N)=O)=C1 XHNQIEUUMIBVBX-UHFFFAOYSA-N 0.000 description 1
- KPJXVLVCTUUFBA-UHFFFAOYSA-N 2-(3,5-ditert-butylphenyl)propan-2-yl carbamate Chemical compound CC(C)(C)C1=CC(C(C)(C)C)=CC(C(C)(C)OC(N)=O)=C1 KPJXVLVCTUUFBA-UHFFFAOYSA-N 0.000 description 1
- HZJKXKUJVSEEFU-UHFFFAOYSA-N 2-(4-chlorophenyl)-2-(1H-1,2,4-triazol-1-ylmethyl)hexanenitrile Chemical compound C=1C=C(Cl)C=CC=1C(CCCC)(C#N)CN1C=NC=N1 HZJKXKUJVSEEFU-UHFFFAOYSA-N 0.000 description 1
- UFNOUKDBUJZYDE-UHFFFAOYSA-N 2-(4-chlorophenyl)-3-cyclopropyl-1-(1H-1,2,4-triazol-1-yl)butan-2-ol Chemical compound C1=NC=NN1CC(O)(C=1C=CC(Cl)=CC=1)C(C)C1CC1 UFNOUKDBUJZYDE-UHFFFAOYSA-N 0.000 description 1
- KWLVWJPJKJMCSH-UHFFFAOYSA-N 2-(4-chlorophenyl)-N-{2-[3-methoxy-4-(prop-2-yn-1-yloxy)phenyl]ethyl}-2-(prop-2-yn-1-yloxy)acetamide Chemical compound C1=C(OCC#C)C(OC)=CC(CCNC(=O)C(OCC#C)C=2C=CC(Cl)=CC=2)=C1 KWLVWJPJKJMCSH-UHFFFAOYSA-N 0.000 description 1
- YABFPHSQTSFWQB-UHFFFAOYSA-N 2-(4-fluorophenyl)-1-(1,2,4-triazol-1-yl)-3-(trimethylsilyl)propan-2-ol Chemical compound C=1C=C(F)C=CC=1C(O)(C[Si](C)(C)C)CN1C=NC=N1 YABFPHSQTSFWQB-UHFFFAOYSA-N 0.000 description 1
- JTQUNAJHSFYGSN-UHFFFAOYSA-N 2-(4-methylphenyl)sulfonylethyl carbamate Chemical compound CC1=CC=C(S(=O)(=O)CCOC(N)=O)C=C1 JTQUNAJHSFYGSN-UHFFFAOYSA-N 0.000 description 1
- RHTMIQNZSGHFCN-UHFFFAOYSA-N 2-(4-phenyldiazenylphenyl)propan-2-yl carbamate Chemical compound C1=CC(C(C)(OC(N)=O)C)=CC=C1N=NC1=CC=CC=C1 RHTMIQNZSGHFCN-UHFFFAOYSA-N 0.000 description 1
- KXKIBGGGFMXVBJ-UHFFFAOYSA-N 2-(4-phenylphenyl)propan-2-yl carbamate Chemical compound C1=CC(C(C)(OC(N)=O)C)=CC=C1C1=CC=CC=C1 KXKIBGGGFMXVBJ-UHFFFAOYSA-N 0.000 description 1
- GOCUAJYOYBLQRH-UHFFFAOYSA-N 2-(4-{[3-chloro-5-(trifluoromethyl)pyridin-2-yl]oxy}phenoxy)propanoic acid Chemical compound C1=CC(OC(C)C(O)=O)=CC=C1OC1=NC=C(C(F)(F)F)C=C1Cl GOCUAJYOYBLQRH-UHFFFAOYSA-N 0.000 description 1
- YUVKUEAFAVKILW-UHFFFAOYSA-N 2-(4-{[5-(trifluoromethyl)pyridin-2-yl]oxy}phenoxy)propanoic acid Chemical compound C1=CC(OC(C)C(O)=O)=CC=C1OC1=CC=C(C(F)(F)F)C=N1 YUVKUEAFAVKILW-UHFFFAOYSA-N 0.000 description 1
- FGJAPOYTPXTLPY-UHFFFAOYSA-N 2-(benzylideneamino)-4-chlorophenol Chemical compound OC1=CC=C(Cl)C=C1N=CC1=CC=CC=C1 FGJAPOYTPXTLPY-UHFFFAOYSA-N 0.000 description 1
- MNHVNIJQQRJYDH-UHFFFAOYSA-N 2-[2-(1-chlorocyclopropyl)-3-(2-chlorophenyl)-2-hydroxypropyl]-1,2-dihydro-1,2,4-triazole-3-thione Chemical compound N1=CNC(=S)N1CC(C1(Cl)CC1)(O)CC1=CC=CC=C1Cl MNHVNIJQQRJYDH-UHFFFAOYSA-N 0.000 description 1
- BOTNFCTYKJBUMU-UHFFFAOYSA-N 2-[4-(2-methylpropyl)piperazin-4-ium-1-yl]-2-oxoacetate Chemical compound CC(C)C[NH+]1CCN(C(=O)C([O-])=O)CC1 BOTNFCTYKJBUMU-UHFFFAOYSA-N 0.000 description 1
- MPPOHAUSNPTFAJ-UHFFFAOYSA-N 2-[4-[(6-chloro-1,3-benzoxazol-2-yl)oxy]phenoxy]propanoic acid Chemical compound C1=CC(OC(C)C(O)=O)=CC=C1OC1=NC2=CC=C(Cl)C=C2O1 MPPOHAUSNPTFAJ-UHFFFAOYSA-N 0.000 description 1
- ZQMRDENWZKMOTM-UHFFFAOYSA-N 2-butoxy-6-iodo-3-propylchromen-4-one Chemical compound C1=C(I)C=C2C(=O)C(CCC)=C(OCCCC)OC2=C1 ZQMRDENWZKMOTM-UHFFFAOYSA-N 0.000 description 1
- WHNBDXQTMPYBAT-UHFFFAOYSA-N 2-butyloxirane Chemical compound CCCCC1CO1 WHNBDXQTMPYBAT-UHFFFAOYSA-N 0.000 description 1
- OWDLFBLNMPCXSD-UHFFFAOYSA-N 2-chloro-N-(2,6-dimethylphenyl)-N-(2-oxotetrahydrofuran-3-yl)acetamide Chemical compound CC1=CC=CC(C)=C1N(C(=O)CCl)C1C(=O)OCC1 OWDLFBLNMPCXSD-UHFFFAOYSA-N 0.000 description 1
- ASJSAQIRZKANQN-CRCLSJGQSA-N 2-deoxy-D-ribose Chemical compound OC[C@@H](O)[C@@H](O)CC=O ASJSAQIRZKANQN-CRCLSJGQSA-N 0.000 description 1
- IOHJQSFEAYDZGF-UHFFFAOYSA-N 2-dodecyloxirane Chemical compound CCCCCCCCCCCCC1CO1 IOHJQSFEAYDZGF-UHFFFAOYSA-N 0.000 description 1
- ZNQVEEAIQZEUHB-UHFFFAOYSA-N 2-ethoxyethanol Chemical compound CCOCCO ZNQVEEAIQZEUHB-UHFFFAOYSA-N 0.000 description 1
- 229940093475 2-ethoxyethanol Drugs 0.000 description 1
- YHDXOFFTMOZZPE-UHFFFAOYSA-N 2-ethyl-3-[3-ethyl-5-(4-ethylphenoxy)pentyl]-2-methyloxirane Chemical compound O1C(CC)(C)C1CCC(CC)CCOC1=CC=C(CC)C=C1 YHDXOFFTMOZZPE-UHFFFAOYSA-N 0.000 description 1
- CHZCERSEMVWNHL-UHFFFAOYSA-N 2-hydroxybenzonitrile Chemical compound OC1=CC=CC=C1C#N CHZCERSEMVWNHL-UHFFFAOYSA-N 0.000 description 1
- UYCIUCIKUGYNBR-UHFFFAOYSA-N 2-iodoethyl carbamate Chemical compound NC(=O)OCCI UYCIUCIKUGYNBR-UHFFFAOYSA-N 0.000 description 1
- AWSZRJQNBMEZOI-UHFFFAOYSA-N 2-methoxyethyl 2-(4-tert-butylphenyl)-2-cyano-3-oxo-3-[2-(trifluoromethyl)phenyl]propanoate Chemical compound C=1C=C(C(C)(C)C)C=CC=1C(C#N)(C(=O)OCCOC)C(=O)C1=CC=CC=C1C(F)(F)F AWSZRJQNBMEZOI-UHFFFAOYSA-N 0.000 description 1
- LPUAWADEOBHDIP-UHFFFAOYSA-N 2-methyl-2-(2-nitrophenoxy)propanamide Chemical compound NC(=O)C(C)(C)OC1=CC=CC=C1[N+]([O-])=O LPUAWADEOBHDIP-UHFFFAOYSA-N 0.000 description 1
- OBEJXZIQPCOKSK-UHFFFAOYSA-N 2-methyl-2-(2-phenyldiazenylphenoxy)propanamide Chemical compound NC(=O)C(C)(C)OC1=CC=CC=C1N=NC1=CC=CC=C1 OBEJXZIQPCOKSK-UHFFFAOYSA-N 0.000 description 1
- SDJNOBUNFYNROE-UHFFFAOYSA-N 2-methylbut-3-yn-2-yl carbamate Chemical compound C#CC(C)(C)OC(N)=O SDJNOBUNFYNROE-UHFFFAOYSA-N 0.000 description 1
- AUQKXXDHDKEBEY-UHFFFAOYSA-N 2-methylbutan-2-yl carbamate Chemical compound CCC(C)(C)OC(N)=O AUQKXXDHDKEBEY-UHFFFAOYSA-N 0.000 description 1
- BRUZQRBVNRKLJG-UHFFFAOYSA-N 2-methylpropyl carbamate Chemical compound CC(C)COC(N)=O BRUZQRBVNRKLJG-UHFFFAOYSA-N 0.000 description 1
- OWXVECVXBTWHPP-UHFFFAOYSA-N 2-methylsulfanylethyl carbamate Chemical compound CSCCOC(N)=O OWXVECVXBTWHPP-UHFFFAOYSA-N 0.000 description 1
- IXTODZAWAAKENF-UHFFFAOYSA-N 2-methylsulfonylethyl carbamate Chemical compound CS(=O)(=O)CCOC(N)=O IXTODZAWAAKENF-UHFFFAOYSA-N 0.000 description 1
- 229940044120 2-n-octyl-4-isothiazolin-3-one Drugs 0.000 description 1
- FTBBGQKRYUTLMP-UHFFFAOYSA-N 2-nitro-1h-pyrrole Chemical class [O-][N+](=O)C1=CC=CN1 FTBBGQKRYUTLMP-UHFFFAOYSA-N 0.000 description 1
- KLGQWSOYKYFBTR-UHFFFAOYSA-N 2-nitrobenzamide Chemical compound NC(=O)C1=CC=CC=C1[N+]([O-])=O KLGQWSOYKYFBTR-UHFFFAOYSA-N 0.000 description 1
- AVGVFDSUDIUXEU-UHFFFAOYSA-N 2-octyl-1,2-thiazolidin-3-one Chemical compound CCCCCCCCN1SCCC1=O AVGVFDSUDIUXEU-UHFFFAOYSA-N 0.000 description 1
- MUAUTBNKPSNTFM-UHFFFAOYSA-N 2-phenylethyl carbamate Chemical compound NC(=O)OCCC1=CC=CC=C1 MUAUTBNKPSNTFM-UHFFFAOYSA-N 0.000 description 1
- UCZSGRLQZLKLCQ-UHFFFAOYSA-N 2-phenylpropan-2-yl carbamate Chemical compound NC(=O)OC(C)(C)C1=CC=CC=C1 UCZSGRLQZLKLCQ-UHFFFAOYSA-N 0.000 description 1
- FCOXSVSQGYUZTB-UHFFFAOYSA-N 2-phosphanylethyl carbamate Chemical compound NC(=O)OCCP FCOXSVSQGYUZTB-UHFFFAOYSA-N 0.000 description 1
- WYECGUSLBPACPT-UHFFFAOYSA-N 2-pyridin-4-ylpropan-2-yl carbamate Chemical compound NC(=O)OC(C)(C)C1=CC=NC=C1 WYECGUSLBPACPT-UHFFFAOYSA-N 0.000 description 1
- ZRDUSMYWDRPZRM-UHFFFAOYSA-N 2-sec-butyl-4,6-dinitrophenyl 3-methylbut-2-enoate Chemical compound CCC(C)C1=CC([N+]([O-])=O)=CC([N+]([O-])=O)=C1OC(=O)C=C(C)C ZRDUSMYWDRPZRM-UHFFFAOYSA-N 0.000 description 1
- MZASHBBAFBWNFL-UHFFFAOYSA-N 2-trimethylsilylethanesulfonamide Chemical compound C[Si](C)(C)CCS(N)(=O)=O MZASHBBAFBWNFL-UHFFFAOYSA-N 0.000 description 1
- XSXPJNJLDYOPTF-UHFFFAOYSA-N 2-trimethylsilylethoxymethanamine Chemical compound C[Si](C)(C)CCOCN XSXPJNJLDYOPTF-UHFFFAOYSA-N 0.000 description 1
- QWYTUBPAXJYCTH-UHFFFAOYSA-N 2-trimethylsilylethyl carbamate Chemical compound C[Si](C)(C)CCOC(N)=O QWYTUBPAXJYCTH-UHFFFAOYSA-N 0.000 description 1
- ABOOPXYCKNFDNJ-UHFFFAOYSA-N 2-{4-[(6-chloroquinoxalin-2-yl)oxy]phenoxy}propanoic acid Chemical class C1=CC(OC(C)C(O)=O)=CC=C1OC1=CN=C(C=C(Cl)C=C2)C2=N1 ABOOPXYCKNFDNJ-UHFFFAOYSA-N 0.000 description 1
- AZSNMRSAGSSBNP-UHFFFAOYSA-N 22,23-dihydroavermectin B1a Natural products C1CC(C)C(C(C)CC)OC21OC(CC=C(C)C(OC1OC(C)C(OC3OC(C)C(O)C(OC)C3)C(OC)C1)C(C)C=CC=C1C3(C(C(=O)O4)C=C(C)C(O)C3OC1)O)CC4C2 AZSNMRSAGSSBNP-UHFFFAOYSA-N 0.000 description 1
- UPMXNNIRAGDFEH-UHFFFAOYSA-N 3,5-dibromo-4-hydroxybenzonitrile Chemical compound OC1=C(Br)C=C(C#N)C=C1Br UPMXNNIRAGDFEH-UHFFFAOYSA-N 0.000 description 1
- KADQHJDUFKAUEB-UHFFFAOYSA-N 3-(2-nitrophenyl)propanamide Chemical compound NC(=O)CCC1=CC=CC=C1[N+]([O-])=O KADQHJDUFKAUEB-UHFFFAOYSA-N 0.000 description 1
- FSCWZHGZWWDELK-UHFFFAOYSA-N 3-(3,5-dichlorophenyl)-5-ethenyl-5-methyl-2,4-oxazolidinedione Chemical compound O=C1C(C)(C=C)OC(=O)N1C1=CC(Cl)=CC(Cl)=C1 FSCWZHGZWWDELK-UHFFFAOYSA-N 0.000 description 1
- OEHZEBOCZWCVMK-UHFFFAOYSA-N 3-(4-hydroxyphenyl)propanamide Chemical compound NC(=O)CCC1=CC=C(O)C=C1 OEHZEBOCZWCVMK-UHFFFAOYSA-N 0.000 description 1
- NRZLJLXOGSCRAO-UHFFFAOYSA-N 3-(4-nitrophenyl)prop-2-enyl carbamate Chemical compound NC(=O)OCC=CC1=CC=C([N+]([O-])=O)C=C1 NRZLJLXOGSCRAO-UHFFFAOYSA-N 0.000 description 1
- UZFPOOOQHWICKY-UHFFFAOYSA-N 3-[13-[1-[1-[8,12-bis(2-carboxyethyl)-17-(1-hydroxyethyl)-3,7,13,18-tetramethyl-21,24-dihydroporphyrin-2-yl]ethoxy]ethyl]-18-(2-carboxyethyl)-8-(1-hydroxyethyl)-3,7,12,17-tetramethyl-22,23-dihydroporphyrin-2-yl]propanoic acid Chemical compound N1C(C=C2C(=C(CCC(O)=O)C(C=C3C(=C(C)C(C=C4N5)=N3)CCC(O)=O)=N2)C)=C(C)C(C(C)O)=C1C=C5C(C)=C4C(C)OC(C)C1=C(N2)C=C(N3)C(C)=C(C(O)C)C3=CC(C(C)=C3CCC(O)=O)=NC3=CC(C(CCC(O)=O)=C3C)=NC3=CC2=C1C UZFPOOOQHWICKY-UHFFFAOYSA-N 0.000 description 1
- DHTJFQWHCVTNRY-UHFFFAOYSA-N 3-[5-(4-chlorophenyl)-2,3-dimethyl-1,2-oxazolidin-3-yl]pyridine Chemical compound CN1OC(C=2C=CC(Cl)=CC=2)CC1(C)C1=CC=CN=C1 DHTJFQWHCVTNRY-UHFFFAOYSA-N 0.000 description 1
- MTZNODTZOSBYJW-UHFFFAOYSA-N 3-amino-5,5-dimethylcyclohex-2-en-1-one Chemical compound CC1(C)CC(N)=CC(=O)C1 MTZNODTZOSBYJW-UHFFFAOYSA-N 0.000 description 1
- SCLGGNBFBLJQFU-UHFFFAOYSA-N 3-aminopropyl acetate Chemical compound CC(=O)OCCCN SCLGGNBFBLJQFU-UHFFFAOYSA-N 0.000 description 1
- KUQZVISZELWDNZ-UHFFFAOYSA-N 3-aminopropyl dihydrogen phosphate Chemical compound NCCCOP(O)(O)=O KUQZVISZELWDNZ-UHFFFAOYSA-N 0.000 description 1
- HYCSHFLKPSMPGO-UHFFFAOYSA-N 3-hydroxypropyl dihydrogen phosphate Chemical compound OCCCOP(O)(O)=O HYCSHFLKPSMPGO-UHFFFAOYSA-N 0.000 description 1
- UVODFYVXDPJZFJ-UHFFFAOYSA-N 3-methyl-3-nitrobutanamide Chemical compound [O-][N+](=O)C(C)(C)CC(N)=O UVODFYVXDPJZFJ-UHFFFAOYSA-N 0.000 description 1
- LOJNBPNACKZWAI-UHFFFAOYSA-N 3-nitro-1h-pyrrole Chemical compound [O-][N+](=O)C=1C=CNC=1 LOJNBPNACKZWAI-UHFFFAOYSA-N 0.000 description 1
- VYIBCOSBNVFEIW-UHFFFAOYSA-N 3-phenylpropanamide Chemical class NC(=O)CCC1=CC=CC=C1 VYIBCOSBNVFEIW-UHFFFAOYSA-N 0.000 description 1
- UBARRNXCKBFUEN-UHFFFAOYSA-N 4,5-diphenyl-5h-1,3-oxazol-2-one Chemical compound N=1C(=O)OC(C=2C=CC=CC=2)C=1C1=CC=CC=C1 UBARRNXCKBFUEN-UHFFFAOYSA-N 0.000 description 1
- PKTIFYGCWCQRSX-UHFFFAOYSA-N 4,6-diamino-2-(cyclopropylamino)pyrimidine-5-carbonitrile Chemical compound NC1=C(C#N)C(N)=NC(NC2CC2)=N1 PKTIFYGCWCQRSX-UHFFFAOYSA-N 0.000 description 1
- ZXVONLUNISGICL-UHFFFAOYSA-N 4,6-dinitro-o-cresol Chemical compound CC1=CC([N+]([O-])=O)=CC([N+]([O-])=O)=C1O ZXVONLUNISGICL-UHFFFAOYSA-N 0.000 description 1
- LABQLTFAPITERI-UHFFFAOYSA-N 4-(1-but-2-ynoxyethyl)-1,2-dimethoxybenzene Chemical compound COC1=CC=C(C(C)OCC#CC)C=C1OC LABQLTFAPITERI-UHFFFAOYSA-N 0.000 description 1
- BMTZEAOGFDXDAD-UHFFFAOYSA-M 4-(4,6-dimethoxy-1,3,5-triazin-2-yl)-4-methylmorpholin-4-ium;chloride Chemical compound [Cl-].COC1=NC(OC)=NC([N+]2(C)CCOCC2)=N1 BMTZEAOGFDXDAD-UHFFFAOYSA-M 0.000 description 1
- RQDJADAKIFFEKQ-UHFFFAOYSA-N 4-(4-chlorophenyl)-2-phenyl-2-(1,2,4-triazol-1-ylmethyl)butanenitrile Chemical compound C1=CC(Cl)=CC=C1CCC(C=1C=CC=CC=1)(C#N)CN1N=CN=C1 RQDJADAKIFFEKQ-UHFFFAOYSA-N 0.000 description 1
- WQMVTGCKCKMBSJ-UHFFFAOYSA-N 4-(difluoromethyl)-2-methyl-n-[2-[4-(trifluoromethyl)phenyl]phenyl]-1,3-thiazole-5-carboxamide Chemical compound S1C(C)=NC(C(F)F)=C1C(=O)NC1=CC=CC=C1C1=CC=C(C(F)(F)F)C=C1 WQMVTGCKCKMBSJ-UHFFFAOYSA-N 0.000 description 1
- BLEFBWAGWNSEGB-UHFFFAOYSA-N 4-[(4,8-dimethoxynaphthalen-1-yl)methyl]benzenesulfonamide Chemical compound C12=C(OC)C=CC=C2C(OC)=CC=C1CC1=CC=C(S(N)(=O)=O)C=C1 BLEFBWAGWNSEGB-UHFFFAOYSA-N 0.000 description 1
- QDFVXXBCJYNKKC-UHFFFAOYSA-N 4-[4-(4-chlorophenyl)-4-cyclopropylbutyl]-1-fluoro-2-phenoxybenzene Chemical compound C1=C(OC=2C=CC=CC=2)C(F)=CC=C1CCCC(C=1C=CC(Cl)=CC=1)C1CC1 QDFVXXBCJYNKKC-UHFFFAOYSA-N 0.000 description 1
- YLDCUKJMEKGGFI-QCSRICIXSA-N 4-acetamidobenzoic acid;9-[(2r,3r,4s,5r)-3,4-dihydroxy-5-(hydroxymethyl)oxolan-2-yl]-3h-purin-6-one;1-(dimethylamino)propan-2-ol Chemical compound CC(O)CN(C)C.CC(O)CN(C)C.CC(O)CN(C)C.CC(=O)NC1=CC=C(C(O)=O)C=C1.CC(=O)NC1=CC=C(C(O)=O)C=C1.CC(=O)NC1=CC=C(C(O)=O)C=C1.O[C@@H]1[C@H](O)[C@@H](CO)O[C@H]1N1C(NC=NC2=O)=C2N=C1 YLDCUKJMEKGGFI-QCSRICIXSA-N 0.000 description 1
- QPSBONMVNZJUMM-UHFFFAOYSA-N 4-chloro-2-methanimidoylphenol Chemical compound OC1=CC=C(Cl)C=C1C=N QPSBONMVNZJUMM-UHFFFAOYSA-N 0.000 description 1
- XYOXIERJKILWCG-UHFFFAOYSA-N 4-chlorobutanamide Chemical compound NC(=O)CCCCl XYOXIERJKILWCG-UHFFFAOYSA-N 0.000 description 1
- BQMRHYBXRAYYQS-UHFFFAOYSA-N 4-dihydroxyphosphinothioyloxy-n,n-diethyl-6-methylpyrimidin-2-amine Chemical compound CCN(CC)C1=NC(C)=CC(OP(O)(O)=S)=N1 BQMRHYBXRAYYQS-UHFFFAOYSA-N 0.000 description 1
- SBUKOHLFHYSZNG-UHFFFAOYSA-N 4-dodecyl-2,6-dimethylmorpholine Chemical compound CCCCCCCCCCCCN1CC(C)OC(C)C1 SBUKOHLFHYSZNG-UHFFFAOYSA-N 0.000 description 1
- LZINOQJQXIEBNN-UHFFFAOYSA-N 4-hydroxybutyl dihydrogen phosphate Chemical compound OCCCCOP(O)(O)=O LZINOQJQXIEBNN-UHFFFAOYSA-N 0.000 description 1
- UHAAUDAFKLCPEA-UHFFFAOYSA-N 4-methoxy-2,3,5,6-tetramethylbenzenesulfonamide Chemical compound COC1=C(C)C(C)=C(S(N)(=O)=O)C(C)=C1C UHAAUDAFKLCPEA-UHFFFAOYSA-N 0.000 description 1
- ZJJLGMUSGUYZQP-UHFFFAOYSA-N 4-methoxy-2,6-dimethylbenzenesulfonamide Chemical compound COC1=CC(C)=C(S(N)(=O)=O)C(C)=C1 ZJJLGMUSGUYZQP-UHFFFAOYSA-N 0.000 description 1
- MSFQEZBRFPAFEX-UHFFFAOYSA-N 4-methoxybenzenesulfonamide Chemical compound COC1=CC=C(S(N)(=O)=O)C=C1 MSFQEZBRFPAFEX-UHFFFAOYSA-N 0.000 description 1
- LAVZKLJDKGRZJG-UHFFFAOYSA-N 4-nitro-1h-indole Chemical compound [O-][N+](=O)C1=CC=CC2=C1C=CN2 LAVZKLJDKGRZJG-UHFFFAOYSA-N 0.000 description 1
- LUQVCHRDAGWYMG-UHFFFAOYSA-N 4-phenylbenzamide Chemical compound C1=CC(C(=O)N)=CC=C1C1=CC=CC=C1 LUQVCHRDAGWYMG-UHFFFAOYSA-N 0.000 description 1
- VKLKXFOZNHEBSW-UHFFFAOYSA-N 5-[[3-[(4-morpholin-4-ylbenzoyl)amino]phenyl]methoxy]pyridine-3-carboxamide Chemical compound O1CCN(CC1)C1=CC=C(C(=O)NC=2C=C(COC=3C=NC=C(C(=O)N)C=3)C=CC=2)C=C1 VKLKXFOZNHEBSW-UHFFFAOYSA-N 0.000 description 1
- NHUNFKZUEHLVER-UHFFFAOYSA-N 5-[ethoxy(propan-2-yloxy)phosphinothioyl]oxy-4-methoxy-2-methylpyridazin-3-one Chemical compound CCOP(=S)(OC(C)C)OC=1C=NN(C)C(=O)C=1OC NHUNFKZUEHLVER-UHFFFAOYSA-N 0.000 description 1
- ZOCSXAVNDGMNBV-UHFFFAOYSA-N 5-amino-1-[2,6-dichloro-4-(trifluoromethyl)phenyl]-4-[(trifluoromethyl)sulfinyl]-1H-pyrazole-3-carbonitrile Chemical compound NC1=C(S(=O)C(F)(F)F)C(C#N)=NN1C1=C(Cl)C=C(C(F)(F)F)C=C1Cl ZOCSXAVNDGMNBV-UHFFFAOYSA-N 0.000 description 1
- NRTLIYOWLVMQBO-UHFFFAOYSA-N 5-chloro-1,3-dimethyl-N-(1,1,3-trimethyl-1,3-dihydro-2-benzofuran-4-yl)pyrazole-4-carboxamide Chemical compound C=12C(C)OC(C)(C)C2=CC=CC=1NC(=O)C=1C(C)=NN(C)C=1Cl NRTLIYOWLVMQBO-UHFFFAOYSA-N 0.000 description 1
- ASMNSUBMNZQTTG-UHFFFAOYSA-N 5-chloro-7-(4-methylpiperidin-1-yl)-6-(2,4,6-trifluorophenyl)-[1,2,4]triazolo[1,5-a]pyrimidine Chemical compound C1CC(C)CCN1C1=C(C=2C(=CC(F)=CC=2F)F)C(Cl)=NC2=NC=NN12 ASMNSUBMNZQTTG-UHFFFAOYSA-N 0.000 description 1
- PCCSBWNGDMYFCW-UHFFFAOYSA-N 5-methyl-5-(4-phenoxyphenyl)-3-(phenylamino)-1,3-oxazolidine-2,4-dione Chemical compound O=C1C(C)(C=2C=CC(OC=3C=CC=CC=3)=CC=2)OC(=O)N1NC1=CC=CC=C1 PCCSBWNGDMYFCW-UHFFFAOYSA-N 0.000 description 1
- OZFPSOBLQZPIAV-UHFFFAOYSA-N 5-nitro-1h-indole Chemical compound [O-][N+](=O)C1=CC=C2NC=CC2=C1 OZFPSOBLQZPIAV-UHFFFAOYSA-N 0.000 description 1
- IBSREHMXUMOFBB-JFUDTMANSA-N 5u8924t11h Chemical compound O1[C@@H](C)[C@H](O)[C@@H](OC)C[C@@H]1O[C@@H]1[C@@H](OC)C[C@H](O[C@@H]2C(=C/C[C@@H]3C[C@@H](C[C@@]4(O3)C=C[C@H](C)[C@@H](C(C)C)O4)OC(=O)[C@@H]3C=C(C)[C@@H](O)[C@H]4OC\C([C@@]34O)=C/C=C/[C@@H]2C)/C)O[C@H]1C.C1=C[C@H](C)[C@@H]([C@@H](C)CC)O[C@]11O[C@H](C\C=C(C)\[C@@H](O[C@@H]2O[C@@H](C)[C@H](O[C@@H]3O[C@@H](C)[C@H](O)[C@@H](OC)C3)[C@@H](OC)C2)[C@@H](C)\C=C\C=C/2[C@]3([C@H](C(=O)O4)C=C(C)[C@@H](O)[C@H]3OC\2)O)C[C@H]4C1 IBSREHMXUMOFBB-JFUDTMANSA-N 0.000 description 1
- XYVLZAYJHCECPN-UHFFFAOYSA-N 6-aminohexyl phosphate Chemical compound NCCCCCCOP(O)(O)=O XYVLZAYJHCECPN-UHFFFAOYSA-N 0.000 description 1
- XYVLZAYJHCECPN-UHFFFAOYSA-L 6-aminohexyl phosphate Chemical compound NCCCCCCOP([O-])([O-])=O XYVLZAYJHCECPN-UHFFFAOYSA-L 0.000 description 1
- PSWCIARYGITEOY-UHFFFAOYSA-N 6-nitro-1h-indole Chemical compound [O-][N+](=O)C1=CC=C2C=CNC2=C1 PSWCIARYGITEOY-UHFFFAOYSA-N 0.000 description 1
- SPBDXSGPUHCETR-JFUDTMANSA-N 8883yp2r6d Chemical compound O1[C@@H](C)[C@H](O)[C@@H](OC)C[C@@H]1O[C@@H]1[C@@H](OC)C[C@H](O[C@@H]2C(=C/C[C@@H]3C[C@@H](C[C@@]4(O[C@@H]([C@@H](C)CC4)C(C)C)O3)OC(=O)[C@@H]3C=C(C)[C@@H](O)[C@H]4OC\C([C@@]34O)=C/C=C/[C@@H]2C)/C)O[C@H]1C.C1C[C@H](C)[C@@H]([C@@H](C)CC)O[C@@]21O[C@H](C\C=C(C)\[C@@H](O[C@@H]1O[C@@H](C)[C@H](O[C@@H]3O[C@@H](C)[C@H](O)[C@@H](OC)C3)[C@@H](OC)C1)[C@@H](C)\C=C\C=C/1[C@]3([C@H](C(=O)O4)C=C(C)[C@@H](O)[C@H]3OC\1)O)C[C@H]4C2 SPBDXSGPUHCETR-JFUDTMANSA-N 0.000 description 1
- QXPJDKVEHRKBOE-UHFFFAOYSA-N 9-phenyl-9h-fluoren-1-amine Chemical compound C1=2C(N)=CC=CC=2C2=CC=CC=C2C1C1=CC=CC=C1 QXPJDKVEHRKBOE-UHFFFAOYSA-N 0.000 description 1
- GDXXYJRQFQZYNL-UHFFFAOYSA-N 9h-fluoren-1-ylmethyl carbamate Chemical compound C1C2=CC=CC=C2C2=C1C(COC(=O)N)=CC=C2 GDXXYJRQFQZYNL-UHFFFAOYSA-N 0.000 description 1
- ZZOKVYOCRSMTSS-UHFFFAOYSA-N 9h-fluoren-9-ylmethyl carbamate Chemical compound C1=CC=C2C(COC(=O)N)C3=CC=CC=C3C2=C1 ZZOKVYOCRSMTSS-UHFFFAOYSA-N 0.000 description 1
- 108091006112 ATPases Proteins 0.000 description 1
- 241000007128 Abelia Species 0.000 description 1
- 240000004507 Abelmoschus esculentus Species 0.000 description 1
- RSWGJHLUYNHPMX-UHFFFAOYSA-N Abietic-Saeure Natural products C12CCC(C(C)C)=CC2=CCC2C1(C)CCCC2(C)C(O)=O RSWGJHLUYNHPMX-UHFFFAOYSA-N 0.000 description 1
- 241000219144 Abutilon Species 0.000 description 1
- 241000702453 Abutilon mosaic virus Species 0.000 description 1
- 239000005651 Acequinocyl Substances 0.000 description 1
- 239000005875 Acetamiprid Substances 0.000 description 1
- QTBSBXVTEAMEQO-UHFFFAOYSA-M Acetate Chemical compound CC([O-])=O QTBSBXVTEAMEQO-UHFFFAOYSA-M 0.000 description 1
- 239000005964 Acibenzolar-S-methyl Substances 0.000 description 1
- 241001600699 Acidovorax avenae subsp. avenae Species 0.000 description 1
- 239000005652 Acrinathrin Substances 0.000 description 1
- 241001014341 Acrosternum hilare Species 0.000 description 1
- 241000075441 Actinidia virus X Species 0.000 description 1
- 102000057290 Adenosine Triphosphatases Human genes 0.000 description 1
- 241001246233 Aecidium Species 0.000 description 1
- 244000309521 Aecidium cantensis Species 0.000 description 1
- 241000673184 Aeolus mellillus Species 0.000 description 1
- 240000003870 Ageratum houstonianum Species 0.000 description 1
- 241000673167 Agriotes mancus Species 0.000 description 1
- 241000743339 Agrostis Species 0.000 description 1
- 241001368895 Agrotis gladiaria Species 0.000 description 1
- 235000011468 Albizia julibrissin Nutrition 0.000 description 1
- YRRKLBAKDXSTNC-UHFFFAOYSA-N Aldicarb sulfonyl Natural products CNC(=O)ON=CC(C)(C)S(C)(=O)=O YRRKLBAKDXSTNC-UHFFFAOYSA-N 0.000 description 1
- YRRKLBAKDXSTNC-WEVVVXLNSA-N Aldoxycarb Chemical compound CNC(=O)O\N=C\C(C)(C)S(C)(=O)=O YRRKLBAKDXSTNC-WEVVVXLNSA-N 0.000 description 1
- 241000385397 Alfalfa latent virus Species 0.000 description 1
- 241000724328 Alfalfa mosaic virus Species 0.000 description 1
- 241000724330 Alfamovirus Species 0.000 description 1
- VVJKKWFAADXIJK-UHFFFAOYSA-N Allylamine Chemical compound NCC=C VVJKKWFAADXIJK-UHFFFAOYSA-N 0.000 description 1
- FBEHFRAORPEGFH-UHFFFAOYSA-N Allyxycarb Chemical compound CNC(=O)OC1=CC(C)=C(N(CC=C)CC=C)C(C)=C1 FBEHFRAORPEGFH-UHFFFAOYSA-N 0.000 description 1
- 241000743985 Alopecurus Species 0.000 description 1
- 241000556588 Alstroemeria Species 0.000 description 1
- 241000020192 Alstroemeria mosaic virus Species 0.000 description 1
- 239000005952 Aluminium phosphide Substances 0.000 description 1
- 241000999156 Amaranthus mosaic potyvirus Species 0.000 description 1
- 241000496103 American hop latent virus Species 0.000 description 1
- 241000936903 American plum line pattern virus Species 0.000 description 1
- 239000005468 Aminopyralid Substances 0.000 description 1
- 241001265137 Andean potato latent virus Species 0.000 description 1
- 241000723604 Andean potato mottle virus Species 0.000 description 1
- 241000399940 Anguina tritici Species 0.000 description 1
- 241000532810 Anthonomus eugenii Species 0.000 description 1
- 241000124755 Anthriscus Species 0.000 description 1
- 241000625764 Anticarsia gemmatalis Species 0.000 description 1
- 108020004491 Antisense DNA Proteins 0.000 description 1
- 241001584957 Apamea devastator Species 0.000 description 1
- 235000003276 Apios tuberosa Nutrition 0.000 description 1
- 241000710009 Apple chlorotic leaf spot virus Species 0.000 description 1
- 241000724287 Apple mosaic virus Species 0.000 description 1
- 241001135987 Apple stem grooving virus Species 0.000 description 1
- 108091023037 Aptamer Proteins 0.000 description 1
- 241000218156 Aquilegia Species 0.000 description 1
- 241000205585 Aquilegia canadensis Species 0.000 description 1
- 241000490494 Arabis Species 0.000 description 1
- 241000723635 Arabis mosaic virus Species 0.000 description 1
- 235000010744 Arachis villosulicarpa Nutrition 0.000 description 1
- 241000893865 Araujia Species 0.000 description 1
- 241000712891 Arenavirus Species 0.000 description 1
- BFYIZQONLCFLEV-DAELLWKTSA-N Aromasine Chemical compound O=C1C=C[C@]2(C)[C@H]3CC[C@](C)(C(CC4)=O)[C@@H]4[C@@H]3CC(=C)C2=C1 BFYIZQONLCFLEV-DAELLWKTSA-N 0.000 description 1
- 241001127925 Arracacha virus A Species 0.000 description 1
- 241000082175 Arracacia xanthorrhiza Species 0.000 description 1
- DJHGAFSJWGLOIV-UHFFFAOYSA-K Arsenate3- Chemical compound [O-][As]([O-])([O-])=O DJHGAFSJWGLOIV-UHFFFAOYSA-K 0.000 description 1
- 241000201267 Artichoke latent virus Species 0.000 description 1
- 241000710139 Artichoke mottled crinkle virus Species 0.000 description 1
- 241000766186 Artichoke yellow ringspot virus Species 0.000 description 1
- 241001071161 Asclepias Species 0.000 description 1
- 241000222195 Ascochyta Species 0.000 description 1
- 244000309474 Ascochyta maydis Species 0.000 description 1
- 244000309488 Ascochyta zeicola Species 0.000 description 1
- 241000424137 Asparagus virus 1 Species 0.000 description 1
- 241001532592 Asparagus virus 2 Species 0.000 description 1
- 241000228197 Aspergillus flavus Species 0.000 description 1
- 241000132177 Aspergillus glaucus Species 0.000 description 1
- 241000228245 Aspergillus niger Species 0.000 description 1
- 241001061264 Astragalus Species 0.000 description 1
- 235000010110 Astragalus glycyphyllos Nutrition 0.000 description 1
- AXRYRYVKAWYZBR-UHFFFAOYSA-N Atazanavir Natural products C=1C=C(C=2N=CC=CC=2)C=CC=1CN(NC(=O)C(NC(=O)OC)C(C)(C)C)CC(O)C(NC(=O)C(NC(=O)OC)C(C)(C)C)CC1=CC=CC=C1 AXRYRYVKAWYZBR-UHFFFAOYSA-N 0.000 description 1
- 108010019625 Atazanavir Sulfate Proteins 0.000 description 1
- 241001465356 Atropa belladonna Species 0.000 description 1
- 235000005781 Avena Nutrition 0.000 description 1
- 239000005878 Azadirachtin Substances 0.000 description 1
- 239000005730 Azoxystrobin Substances 0.000 description 1
- 241000193830 Bacillus <bacterium> Species 0.000 description 1
- 241000193738 Bacillus anthracis Species 0.000 description 1
- 244000063299 Bacillus subtilis Species 0.000 description 1
- 235000014469 Bacillus subtilis Nutrition 0.000 description 1
- 101100002068 Bacillus subtilis (strain 168) araR gene Proteins 0.000 description 1
- 241000192993 Banana bract mosaic virus Species 0.000 description 1
- 241000725138 Banana bunchy top virus Species 0.000 description 1
- 241000984553 Banana streak virus Species 0.000 description 1
- 241000724679 Barley mild mosaic virus Species 0.000 description 1
- 241000724306 Barley stripe mosaic virus Species 0.000 description 1
- 241000709756 Barley yellow dwarf virus Species 0.000 description 1
- 244000309504 Barley yellow streak mosaic cytorhabdovirus Species 0.000 description 1
- 241000191879 Barley yellow striate mosaic cytorhabdovirus Species 0.000 description 1
- 241000168276 Bean common mosaic necrosis virus Species 0.000 description 1
- 241000710076 Bean common mosaic virus Species 0.000 description 1
- 241000702286 Bean golden mosaic virus Species 0.000 description 1
- 241000709765 Bean leafroll virus Species 0.000 description 1
- 241000723596 Bean pod mottle virus Species 0.000 description 1
- 241000610275 Bean rugose mosaic virus Species 0.000 description 1
- 241000710073 Bean yellow mosaic virus Species 0.000 description 1
- 241000223679 Beauveria Species 0.000 description 1
- 244000309579 Beet distortion mosaic virus Species 0.000 description 1
- 244000309580 Beet leaf curl virus Species 0.000 description 1
- 241000026318 Beet mild yellowing virus Species 0.000 description 1
- 241000196477 Beet mosaic virus Species 0.000 description 1
- 241001429251 Beet necrotic yellow vein virus Species 0.000 description 1
- 241001492217 Beet yellow stunt virus Species 0.000 description 1
- 241000710149 Beet yellows virus Species 0.000 description 1
- 241000710135 Belladonna mottle virus Species 0.000 description 1
- 241000580217 Belonolaimus Species 0.000 description 1
- 241000580218 Belonolaimus longicaudatus Species 0.000 description 1
- 239000005734 Benalaxyl Substances 0.000 description 1
- 239000005735 Benalaxyl-M Substances 0.000 description 1
- KHBQMWCZKVMBLN-UHFFFAOYSA-N Benzenesulfonamide Chemical compound NS(=O)(=O)C1=CC=CC=C1 KHBQMWCZKVMBLN-UHFFFAOYSA-N 0.000 description 1
- 239000005711 Benzoic acid Substances 0.000 description 1
- 239000005884 Beta-Cyfluthrin Substances 0.000 description 1
- BVKZGUZCCUSVTD-UHFFFAOYSA-M Bicarbonate Chemical compound OC([O-])=O BVKZGUZCCUSVTD-UHFFFAOYSA-M 0.000 description 1
- 241000143476 Bidens Species 0.000 description 1
- 241000043078 Bidens mottle virus Species 0.000 description 1
- 239000005653 Bifenazate Substances 0.000 description 1
- 239000005874 Bifenthrin Substances 0.000 description 1
- 241001148506 Bitylenchus dubius Species 0.000 description 1
- 239000005738 Bixafen Substances 0.000 description 1
- 241001629132 Blissus leucopterus Species 0.000 description 1
- 241001516403 Blueberry leaf mottle virus Species 0.000 description 1
- 241000707738 Blueberry red ringspot virus Species 0.000 description 1
- 241001429249 Blueberry scorch virus Species 0.000 description 1
- 241001519991 Blueberry shoestring virus Species 0.000 description 1
- 229940078581 Bone resorption inhibitor Drugs 0.000 description 1
- 241000588832 Bordetella pertussis Species 0.000 description 1
- 241000589969 Borreliella burgdorferi Species 0.000 description 1
- 239000005740 Boscalid Substances 0.000 description 1
- 241000190146 Botryosphaeria Species 0.000 description 1
- 241000339490 Brachyachne Species 0.000 description 1
- 240000007124 Brassica oleracea Species 0.000 description 1
- 235000003899 Brassica oleracea var acephala Nutrition 0.000 description 1
- 235000011299 Brassica oleracea var botrytis Nutrition 0.000 description 1
- 235000011301 Brassica oleracea var capitata Nutrition 0.000 description 1
- 235000017647 Brassica oleracea var italica Nutrition 0.000 description 1
- 235000001169 Brassica oleracea var oleracea Nutrition 0.000 description 1
- 240000003259 Brassica oleracea var. botrytis Species 0.000 description 1
- 235000000540 Brassica rapa subsp rapa Nutrition 0.000 description 1
- 241000724266 Broad bean mottle virus Species 0.000 description 1
- 241001583694 Broad bean true mosaic virus Species 0.000 description 1
- 241000724256 Brome mosaic virus Species 0.000 description 1
- CPELXLSAUQHCOX-UHFFFAOYSA-M Bromide Chemical compound [Br-] CPELXLSAUQHCOX-UHFFFAOYSA-M 0.000 description 1
- KWGUFOITWDSNQY-UHFFFAOYSA-N Bromophos-ethyl Chemical group CCOP(=S)(OCC)OC1=CC(Cl)=C(Br)C=C1Cl KWGUFOITWDSNQY-UHFFFAOYSA-N 0.000 description 1
- 239000005489 Bromoxynil Substances 0.000 description 1
- 239000005741 Bromuconazole Substances 0.000 description 1
- 241000209200 Bromus Species 0.000 description 1
- 241000219106 Bryonia Species 0.000 description 1
- 241000999523 Bryonia alba Species 0.000 description 1
- MYTVVMGUDBRCDJ-UHFFFAOYSA-N Bufencarb Chemical compound CCCC(C)C1=CC=CC(OC(=O)NC)=C1.CCC(CC)C1=CC=CC(OC(=O)NC)=C1 MYTVVMGUDBRCDJ-UHFFFAOYSA-N 0.000 description 1
- 239000005742 Bupirimate Substances 0.000 description 1
- 239000005885 Buprofezin Substances 0.000 description 1
- 241001383003 Burdock mottle virus Species 0.000 description 1
- SLZWBCGZQRRUNG-UHFFFAOYSA-N Butacarb Chemical compound CNC(=O)OC1=CC(C(C)(C)C)=CC(C(C)(C)C)=C1 SLZWBCGZQRRUNG-UHFFFAOYSA-N 0.000 description 1
- FIPWRIJSWJWJAI-UHFFFAOYSA-N Butyl carbitol 6-propylpiperonyl ether Chemical compound C1=C(CCC)C(COCCOCCOCCCC)=CC2=C1OCO2 FIPWRIJSWJWJAI-UHFFFAOYSA-N 0.000 description 1
- PASUPCSLYYGQRZ-MHRVHOARSA-N C=C(CCCCCCCCCCCCC)CCN1C(=O)CCN1CCC(=O)NCCCCCCCCCCCC.CCCCC/C=C\C/C=C\CCCCCCCCOC(=O)CCN(C)N(CCC(=O)OCCCCCCCC/C=C\C/C=C\CCCCC)CCC(=O)OCCCCCCCC/C=C\C/C=C\CCCCC.CCCCCCCC/C=C\CCCCCCCCOC(=O)CCN(C)N(CCC(=O)OCCCCCCCC/C=C\CCCCCCCC)CCC(=O)OCCCCCCCC/C=C\CCCCCCCC.CCCCCCCCCCCCNC(=O)CCNN(CCC(=O)NCCCCCCCCCCCC)CCC(=O)NCCCCCCCCCCCC Chemical compound C=C(CCCCCCCCCCCCC)CCN1C(=O)CCN1CCC(=O)NCCCCCCCCCCCC.CCCCC/C=C\C/C=C\CCCCCCCCOC(=O)CCN(C)N(CCC(=O)OCCCCCCCC/C=C\C/C=C\CCCCC)CCC(=O)OCCCCCCCC/C=C\C/C=C\CCCCC.CCCCCCCC/C=C\CCCCCCCCOC(=O)CCN(C)N(CCC(=O)OCCCCCCCC/C=C\CCCCCCCC)CCC(=O)OCCCCCCCC/C=C\CCCCCCCC.CCCCCCCCCCCCNC(=O)CCNN(CCC(=O)NCCCCCCCCCCCC)CCC(=O)NCCCCCCCCCCCC PASUPCSLYYGQRZ-MHRVHOARSA-N 0.000 description 1
- TUQDYNMNQODUDM-UHFFFAOYSA-N C=C(CCN1C(=O)CCN1CCC(=O)OCCCCCCCCCCCC)OCCCCCCCCCCCC.C=C(CCN1C(=O)CCN1CCC(=O)OCCCCCCCCCCCCCCCC)OCCCCCCCCCCCCCCCC.CCCCCCCCCCCCCC(=O)CCN(CCC(=O)NCCCCCCCCCCCC)N(CCC(=O)NCCCCCCCCCCCC)CCC(=O)NCCCCCCCCCCCC.CCCCCCCCCCCCCCCCOC(=O)CCN(CCC(=O)OCCCCCCCCCCCCCCCC)N(CCC(=O)OCCCCCCCCCCCCCCCC)CCC(=O)OCCCCCCCCCCCCCCCC Chemical compound C=C(CCN1C(=O)CCN1CCC(=O)OCCCCCCCCCCCC)OCCCCCCCCCCCC.C=C(CCN1C(=O)CCN1CCC(=O)OCCCCCCCCCCCCCCCC)OCCCCCCCCCCCCCCCC.CCCCCCCCCCCCCC(=O)CCN(CCC(=O)NCCCCCCCCCCCC)N(CCC(=O)NCCCCCCCCCCCC)CCC(=O)NCCCCCCCCCCCC.CCCCCCCCCCCCCCCCOC(=O)CCN(CCC(=O)OCCCCCCCCCCCCCCCC)N(CCC(=O)OCCCCCCCCCCCCCCCC)CCC(=O)OCCCCCCCCCCCCCCCC TUQDYNMNQODUDM-UHFFFAOYSA-N 0.000 description 1
- UCUIHYGHRDLQRS-UHFFFAOYSA-N C=C1CCN(CCC(=O)OCCCCCC)N1C.CCCCCCCCCCCCCCC(O)CN(CCO)N(CC(O)CCCCCCCCCCCCCC)CC(O)CCCCCCCCCCCCCC.CCCCCCCCCCCCCCC(O)CNN(CCO)CC(O)CCCCCCCCCCCCCC.CCCCCCCCCCCCCCC(O)CNN(CCO)CC(O)CCCCCCCCCCCCCC.CCCCCCOC(=O)CCN(C)N(CCC(=O)OCCCCCC)CCC(=O)OCCCCCC Chemical compound C=C1CCN(CCC(=O)OCCCCCC)N1C.CCCCCCCCCCCCCCC(O)CN(CCO)N(CC(O)CCCCCCCCCCCCCC)CC(O)CCCCCCCCCCCCCC.CCCCCCCCCCCCCCC(O)CNN(CCO)CC(O)CCCCCCCCCCCCCC.CCCCCCCCCCCCCCC(O)CNN(CCO)CC(O)CCCCCCCCCCCCCC.CCCCCCOC(=O)CCN(C)N(CCC(=O)OCCCCCC)CCC(=O)OCCCCCC UCUIHYGHRDLQRS-UHFFFAOYSA-N 0.000 description 1
- VQUAZWJHBILLHN-ODJNSRLRSA-N C=C1CCN(CCC(=O)OCCCCCCCCCCCC)N1C1=CC=CC=C1.CCCC/C=C\C/C=C\CCCCCCCCOCC(O)CN(CC(O)COCCCCCCCC/C=C\C/C=C\CCCCC)N(CC(O)COCCCCCCCC/C=C\C/C=C\CCCCC)C1=NCCN1.CCCCC/C=C\C/C=C\CCCCCCCC(O)CN(CC(O)CCCCCCC/C=C\C/C=C\CCCCC)N(CC(O)CCCCCCC/C=C\C/C=C\CCCCC)C1=NCCN1.CCCCCCCCCCCCOC(=O)CCN(CCC(=O)OCCCCCCCCCCCC)NC1=CC=CC=C1 Chemical compound C=C1CCN(CCC(=O)OCCCCCCCCCCCC)N1C1=CC=CC=C1.CCCC/C=C\C/C=C\CCCCCCCCOCC(O)CN(CC(O)COCCCCCCCC/C=C\C/C=C\CCCCC)N(CC(O)COCCCCCCCC/C=C\C/C=C\CCCCC)C1=NCCN1.CCCCC/C=C\C/C=C\CCCCCCCC(O)CN(CC(O)CCCCCCC/C=C\C/C=C\CCCCC)N(CC(O)CCCCCCC/C=C\C/C=C\CCCCC)C1=NCCN1.CCCCCCCCCCCCOC(=O)CCN(CCC(=O)OCCCCCCCCCCCC)NC1=CC=CC=C1 VQUAZWJHBILLHN-ODJNSRLRSA-N 0.000 description 1
- UQPNAWRKNGHRJO-UHFFFAOYSA-N C=C1CCN(CCC(=O)OCCCCCCCCCCCCCCCC)N1CCO.CCCCCCCCCCCCCCCCOC(=O)CCN(CCO)N(CCC(=O)OCCCCCCCCCCCCCCCC)CCC(=O)OCCCCCCCCCCCCCCCC.CCCCCCCCCCCCCCOC(=O)CCN(CCC(=O)OCCCCCCCCCCCCCC)N1CCN(C)CC1.CCCCCCCCCCCCCCOC(=O)CCNN1CCN(C)CC1.CCCCCCCCCCCCCOC(=O)CCN(CCC(=O)OCCCCCCCCCCCC)N1CCN(C)CC1.CCCCCCCCCCCCOC(=O)CCNN1CCN(C)CC1.CCCCCCOC(=O)CCN(CCC(=O)OCCCCCC)N1CCN(C)CC1.CCCCCCOC(=O)CCNN1CCN(C)CC1 Chemical compound C=C1CCN(CCC(=O)OCCCCCCCCCCCCCCCC)N1CCO.CCCCCCCCCCCCCCCCOC(=O)CCN(CCO)N(CCC(=O)OCCCCCCCCCCCCCCCC)CCC(=O)OCCCCCCCCCCCCCCCC.CCCCCCCCCCCCCCOC(=O)CCN(CCC(=O)OCCCCCCCCCCCCCC)N1CCN(C)CC1.CCCCCCCCCCCCCCOC(=O)CCNN1CCN(C)CC1.CCCCCCCCCCCCCOC(=O)CCN(CCC(=O)OCCCCCCCCCCCC)N1CCN(C)CC1.CCCCCCCCCCCCOC(=O)CCNN1CCN(C)CC1.CCCCCCOC(=O)CCN(CCC(=O)OCCCCCC)N1CCN(C)CC1.CCCCCCOC(=O)CCNN1CCN(C)CC1 UQPNAWRKNGHRJO-UHFFFAOYSA-N 0.000 description 1
- IQAWBBGJIGIEAE-UHFFFAOYSA-N CC(O)CN(CC(C)O)N(CC(C)O)CC(C)O.CC(O)CN(CC(C)O)NC1=CC=CC=C1.CC(O)CNN(CC(C)O)CC(C)O.CCCCC(O)CC(CC(O)CCCC)N(CC(O)CCCC)CC(O)CCCC.CCCCCC(O)CC(CC(O)CCCCC)N(CC(O)CCCCC)CC(O)CCCCC.CCCCCCCCC(O)CC(CC(O)CCCCCCCC)N(CC(O)CCCCCCCC)CC(O)CCCCCCCC.CCCCCCCCCCCCC(O)CN(CC(O)CCCCCCCCCCCC)N(CC(O)CCCCCCCCCCCC)CC(O)CCCCCCCCCCCC.CCCCCCCCCCCCC(O)CNN(CC(O)CCCCCCCCCCCC)CC(O)CCCCCCCCCCCC Chemical compound CC(O)CN(CC(C)O)N(CC(C)O)CC(C)O.CC(O)CN(CC(C)O)NC1=CC=CC=C1.CC(O)CNN(CC(C)O)CC(C)O.CCCCC(O)CC(CC(O)CCCC)N(CC(O)CCCC)CC(O)CCCC.CCCCCC(O)CC(CC(O)CCCCC)N(CC(O)CCCCC)CC(O)CCCCC.CCCCCCCCC(O)CC(CC(O)CCCCCCCC)N(CC(O)CCCCCCCC)CC(O)CCCCCCCC.CCCCCCCCCCCCC(O)CN(CC(O)CCCCCCCCCCCC)N(CC(O)CCCCCCCCCCCC)CC(O)CCCCCCCCCCCC.CCCCCCCCCCCCC(O)CNN(CC(O)CCCCCCCCCCCC)CC(O)CCCCCCCCCCCC IQAWBBGJIGIEAE-UHFFFAOYSA-N 0.000 description 1
- FEQMRZDHDFWIKC-UHFFFAOYSA-N CC(O)CN(CC(C)O)N(CC(C)O)CC(C)O.CC(O)CN(CC(C)O)NC1=CC=CC=C1.CC(O)CNN(CC(C)O)CC(C)O.CCCCC(O)CN(CC(O)CCCC)N(CC(O)CCCC)CC(O)CCCC.CCCCCC(O)CN(CC(O)CCCCC)N(CC(O)CCCCC)CC(O)CCCCC.CCCCCCCCC(O)CN(CC(O)CCCCCCCC)N(CC(O)CCCCCCCC)CC(O)CCCCCCCC.CCCCCCCCCCCCC(O)CN(CC(O)CCCCCCCCCCCC)N(CC(O)CCCCCCCCCCCC)CC(O)CCCCCCCCCCCC.CCCCCCCCCCCCC(O)CNN(CC(O)CCCCCCCCCCCC)CC(O)CCCCCCCCCCCC Chemical compound CC(O)CN(CC(C)O)N(CC(C)O)CC(C)O.CC(O)CN(CC(C)O)NC1=CC=CC=C1.CC(O)CNN(CC(C)O)CC(C)O.CCCCC(O)CN(CC(O)CCCC)N(CC(O)CCCC)CC(O)CCCC.CCCCCC(O)CN(CC(O)CCCCC)N(CC(O)CCCCC)CC(O)CCCCC.CCCCCCCCC(O)CN(CC(O)CCCCCCCC)N(CC(O)CCCCCCCC)CC(O)CCCCCCCC.CCCCCCCCCCCCC(O)CN(CC(O)CCCCCCCCCCCC)N(CC(O)CCCCCCCCCCCC)CC(O)CCCCCCCCCCCC.CCCCCCCCCCCCC(O)CNN(CC(O)CCCCCCCCCCCC)CC(O)CCCCCCCCCCCC FEQMRZDHDFWIKC-UHFFFAOYSA-N 0.000 description 1
- XZLUZIUBGKKCEI-UHFFFAOYSA-N CCCCC(C)CN(CC(O)CCCC)N1CCN(C)CC1.CCCCC(O)CNN1CCN(C)CC1.CCCCCCC(C)CN(CC(O)CCCCCC)N1CCN(C)CC1.CCCCCCC(O)CNN1CCN(C)CC1.CCCCCCCCC(C)CN(CC(O)CCCCCCCC)N1CCN(C)CC1.CCCCCCCCC(O)CNN1CCN(C)CC1.CCCCCCCCCC(O)CN(CC(O)CCCCCC)N(CC(O)CCCCCC)CC(O)CCCCCC Chemical compound CCCCC(C)CN(CC(O)CCCC)N1CCN(C)CC1.CCCCC(O)CNN1CCN(C)CC1.CCCCCCC(C)CN(CC(O)CCCCCC)N1CCN(C)CC1.CCCCCCC(O)CNN1CCN(C)CC1.CCCCCCCCC(C)CN(CC(O)CCCCCCCC)N1CCN(C)CC1.CCCCCCCCC(O)CNN1CCN(C)CC1.CCCCCCCCCC(O)CN(CC(O)CCCCCC)N(CC(O)CCCCCC)CC(O)CCCCCC XZLUZIUBGKKCEI-UHFFFAOYSA-N 0.000 description 1
- YWHJBUYIBKCWNF-UHFFFAOYSA-N CCCCC(O)CN(CC(O)CCCC)N(CC(O)CCCC)CC(O)CCCC.CCCCCCCCCCC(O)CN(CC(O)CCCCCCCCC)N(CC(O)CCCCCCCCCC)CC(O)CCCCCCCCCC.CCCCCCCCCCC(O)CN(CC(O)CCCCCCCCCC)NC1=CC=CC=C1 Chemical compound CCCCC(O)CN(CC(O)CCCC)N(CC(O)CCCC)CC(O)CCCC.CCCCCCCCCCC(O)CN(CC(O)CCCCCCCCC)N(CC(O)CCCCCCCCCC)CC(O)CCCCCCCCCC.CCCCCCCCCCC(O)CN(CC(O)CCCCCCCCCC)NC1=CC=CC=C1 YWHJBUYIBKCWNF-UHFFFAOYSA-N 0.000 description 1
- VHPMMTAQXJUHPP-KWRILAERSA-N CCCCC/C=C\C/C=C\CCCCCCCCOC(=O)CCN(CCO)N(CCC(=O)OCCCCCCCC/C=C\C/C=C\CCCCC)CCC(=O)OCCCCCCCC/C=C\C/C=C\CCCCC.CCCCC/C=C\C/C=C\CCCCCCCCOC(=O)CCNN(C)CCC(=O)OCCCCCCCC/C=C\C/C=C\CCCCC.CCCCC/C=C\C/C=C\CCCCCCCCOC(=O)CCNN(CCC)CCC(=O)OCCCCCCCC/C=C\C/C=C\CCCCC Chemical compound CCCCC/C=C\C/C=C\CCCCCCCCOC(=O)CCN(CCO)N(CCC(=O)OCCCCCCCC/C=C\C/C=C\CCCCC)CCC(=O)OCCCCCCCC/C=C\C/C=C\CCCCC.CCCCC/C=C\C/C=C\CCCCCCCCOC(=O)CCNN(C)CCC(=O)OCCCCCCCC/C=C\C/C=C\CCCCC.CCCCC/C=C\C/C=C\CCCCCCCCOC(=O)CCNN(CCC)CCC(=O)OCCCCCCCC/C=C\C/C=C\CCCCC VHPMMTAQXJUHPP-KWRILAERSA-N 0.000 description 1
- AJFGEESNRGKURY-UHFFFAOYSA-N CCCCC1CO1.CCCCCCCCCCC(O)CN(CC(O)CCCCCCCCCC)N(CC(O)CCCC)CC(O)CCCC.CCCCCCCCCCC(O)CN(N)CC(O)CCCCCCCCCC Chemical compound CCCCC1CO1.CCCCCCCCCCC(O)CN(CC(O)CCCCCCCCCC)N(CC(O)CCCC)CC(O)CCCC.CCCCCCCCCCC(O)CN(N)CC(O)CCCCCCCCCC AJFGEESNRGKURY-UHFFFAOYSA-N 0.000 description 1
- PCKXQZCYGIRZOQ-UHFFFAOYSA-N CCCCCCC(O)CN(CC(O)CCCCCC)N(CC(O)CCCCCC)C1=CC=CC=C1.CCCCCCC(O)CN(CC(O)CCCCCC)NC1=CC=CC=C1.CCCCCCCCCCC(O)CN(C)N(CC(O)CCCCCCCCCC)CC(O)CCCCCCCCCC.CCCCCCCCCCC(O)CN(CC(O)CCCCCCCCCC)N(CC(O)CCCCCCCCCC)CC(O)CCCCCCCCCC.CCCCCCCCCCC(O)CN(CCO)N(CC(O)CCCCCCCCCC)CC(O)CCCCCCCCCC.CCCCCCCCCCCCNC(=O)CCN(CCC(=O)NCCCCCCCCCCCC)NC1=CC=CC=C1 Chemical compound CCCCCCC(O)CN(CC(O)CCCCCC)N(CC(O)CCCCCC)C1=CC=CC=C1.CCCCCCC(O)CN(CC(O)CCCCCC)NC1=CC=CC=C1.CCCCCCCCCCC(O)CN(C)N(CC(O)CCCCCCCCCC)CC(O)CCCCCCCCCC.CCCCCCCCCCC(O)CN(CC(O)CCCCCCCCCC)N(CC(O)CCCCCCCCCC)CC(O)CCCCCCCCCC.CCCCCCCCCCC(O)CN(CCO)N(CC(O)CCCCCCCCCC)CC(O)CCCCCCCCCC.CCCCCCCCCCCCNC(=O)CCN(CCC(=O)NCCCCCCCCCCCC)NC1=CC=CC=C1 PCKXQZCYGIRZOQ-UHFFFAOYSA-N 0.000 description 1
- YLCAEGGNYJBJPG-UHFFFAOYSA-N CCCCCCC(O)CN(CC(O)CCCCCC)N(CC(O)CCCCCC)C1=CC=CC=N1.CCCCCCC(O)CN(CC(O)CCCCCC)NC1=CC=CC=N1.CCCCCCCCCCCCCCC(O)CN(CC(O)CCCCCCCCCCCCCC)N(CC(O)CCCCCCCCCCCCCC)C1=CC=CC=N1.CCCCCCCCCCCCCCC(O)CN(CC(O)CCCCCCCCCCCCCC)NC1=CC=CC=N1.CCCCCCCCCCCCCCCCOC(=O)CCN(CCC(=O)OCCCCCCCCCCCCCCCC)N(CCC(=O)OCCCCCCCCCCCCCCCC)C1=CC=CC=N1.CCCCCCCCCCCCOC(=O)CCN(CCC(=O)OCCCCCCCCCCCC)N(CCC(=O)OCCCCCCCCCCCC)C1=CC=CC=N1.CCCCCCCCCCCCOC(=O)CCN(CCC(=O)OCCCCCCCCCCCC)NC1=CC=CC=N1 Chemical compound CCCCCCC(O)CN(CC(O)CCCCCC)N(CC(O)CCCCCC)C1=CC=CC=N1.CCCCCCC(O)CN(CC(O)CCCCCC)NC1=CC=CC=N1.CCCCCCCCCCCCCCC(O)CN(CC(O)CCCCCCCCCCCCCC)N(CC(O)CCCCCCCCCCCCCC)C1=CC=CC=N1.CCCCCCCCCCCCCCC(O)CN(CC(O)CCCCCCCCCCCCCC)NC1=CC=CC=N1.CCCCCCCCCCCCCCCCOC(=O)CCN(CCC(=O)OCCCCCCCCCCCCCCCC)N(CCC(=O)OCCCCCCCCCCCCCCCC)C1=CC=CC=N1.CCCCCCCCCCCCOC(=O)CCN(CCC(=O)OCCCCCCCCCCCC)N(CCC(=O)OCCCCCCCCCCCC)C1=CC=CC=N1.CCCCCCCCCCCCOC(=O)CCN(CCC(=O)OCCCCCCCCCCCC)NC1=CC=CC=N1 YLCAEGGNYJBJPG-UHFFFAOYSA-N 0.000 description 1
- AORFJRSWXYVCDG-UHFFFAOYSA-N CCCCCCC(O)CN(CC(O)CCCCCC)NC1=NCCN1CC(O)CCCCCC.CCCCCCCCCCC(O)CN(CC(O)CCCCCCCCCC)NC1=NCCN1CC(O)CCCCCCCCCC.CCCCCCCCCCC(O)CN1CC[N+](CC(O)CCCCCCCCCC)=C1N(CC(O)CCCCCCCCCC)N(CC(O)CCCCCCCCCC)CC(O)CCCCCCCCCC.CCCCCCCCCCCCC(O)CN(CC(O)CCCCCCCCCCCC)NC1=NCCN1CC(O)CCCCCCCCCCCC.[CH3-] Chemical compound CCCCCCC(O)CN(CC(O)CCCCCC)NC1=NCCN1CC(O)CCCCCC.CCCCCCCCCCC(O)CN(CC(O)CCCCCCCCCC)NC1=NCCN1CC(O)CCCCCCCCCC.CCCCCCCCCCC(O)CN1CC[N+](CC(O)CCCCCCCCCC)=C1N(CC(O)CCCCCCCCCC)N(CC(O)CCCCCCCCCC)CC(O)CCCCCCCCCC.CCCCCCCCCCCCC(O)CN(CC(O)CCCCCCCCCCCC)NC1=NCCN1CC(O)CCCCCCCCCCCC.[CH3-] AORFJRSWXYVCDG-UHFFFAOYSA-N 0.000 description 1
- OBFISWCAOFREAP-UHFFFAOYSA-N CCCCCCC(O)CN(CCO)N(CC(O)CCCCCC)CC(O)CCCCCC.CCCCCCC(O)CNN(CCO)CC(O)CCCCCC.CCCCCCCCC(O)CN(CCO)N(CC(O)CCCCCCCC)CC(O)CCCCCCCC.CCCCCCCCCCC(O)CN(CCO)N(CC(O)CCCCCCCCCC)CC(O)CCCCCCCCCC.CCCCCCCCCCC(O)CNN(CCO)CC(O)CCCCCCCC.CCCCCCCCCCCCC(O)CN(CCO)N(CC(O)CCCCCCCCCCCC)CC(O)CCCCCCCCCCCC Chemical compound CCCCCCC(O)CN(CCO)N(CC(O)CCCCCC)CC(O)CCCCCC.CCCCCCC(O)CNN(CCO)CC(O)CCCCCC.CCCCCCCCC(O)CN(CCO)N(CC(O)CCCCCCCC)CC(O)CCCCCCCC.CCCCCCCCCCC(O)CN(CCO)N(CC(O)CCCCCCCCCC)CC(O)CCCCCCCCCC.CCCCCCCCCCC(O)CNN(CCO)CC(O)CCCCCCCC.CCCCCCCCCCCCC(O)CN(CCO)N(CC(O)CCCCCCCCCCCC)CC(O)CCCCCCCCCCCC OBFISWCAOFREAP-UHFFFAOYSA-N 0.000 description 1
- RMXDDBDBURJTJK-UHFFFAOYSA-N CCCCCCC(O)CNN(CC(O)CCCCCC)CC(O)CCCCCC.CCCCCCCCC(O)CN(CC(O)CCCCCCC)N(CC(O)CCCCCCCC)CC(O)CCCCCCCC.CCCCCCCCC(O)CNN(CC(O)CCCCCCCC)CC(O)CCCCCCCC.CCCCCCCCCCCCC(O)CN(CC(O)CCCCCCCCCCCC)N(CC(O)CCCCCC)CC(O)CCCCCCCCCC.CCCCCCCCCCCCC(O)CN(CC(O)CCCCCCCCCCCC)N(CC(O)CCCCCCCCCCCC)CC(O)CCCCCCCCCCCC.CCCCCCCCCCCCCCC(O)CN(CC(O)CCCCCCCCCCCCCC)NC1=CC=CC=C1 Chemical compound CCCCCCC(O)CNN(CC(O)CCCCCC)CC(O)CCCCCC.CCCCCCCCC(O)CN(CC(O)CCCCCCC)N(CC(O)CCCCCCCC)CC(O)CCCCCCCC.CCCCCCCCC(O)CNN(CC(O)CCCCCCCC)CC(O)CCCCCCCC.CCCCCCCCCCCCC(O)CN(CC(O)CCCCCCCCCCCC)N(CC(O)CCCCCC)CC(O)CCCCCCCCCC.CCCCCCCCCCCCC(O)CN(CC(O)CCCCCCCCCCCC)N(CC(O)CCCCCCCCCCCC)CC(O)CCCCCCCCCCCC.CCCCCCCCCCCCCCC(O)CN(CC(O)CCCCCCCCCCCCCC)NC1=CC=CC=C1 RMXDDBDBURJTJK-UHFFFAOYSA-N 0.000 description 1
- CFGZCVPXJBUUPP-MYUSRUMTSA-N CCCCCCC/C=C\CCCCCCCCOC(=O)CCN(CCC(=O)OCCCCCCCC/C=C\CCCCCCCC)NCCC(=O)OCCCCCCCC/C=C\CCCCCCCC.CCCCCCCCCCC(O)CN(CC(O)CCCCCCCCCC)N(CC(O)CCCCCCCCCC)C1=CC=CC=N1.CCCCCCCCCCC(O)CN(CC(O)CCCCCCCCCC)NC1=CC=CC=N1.CCCCCCCCCCCCOC(=O)CCN(CCC(=O)OCCCCCCCCCCCC)N(CCC(=O)OCCCCCCCCCCCC)C1=NCCN1CCC(=O)CCCCCCCCCCCC Chemical compound CCCCCCC/C=C\CCCCCCCCOC(=O)CCN(CCC(=O)OCCCCCCCC/C=C\CCCCCCCC)NCCC(=O)OCCCCCCCC/C=C\CCCCCCCC.CCCCCCCCCCC(O)CN(CC(O)CCCCCCCCCC)N(CC(O)CCCCCCCCCC)C1=CC=CC=N1.CCCCCCCCCCC(O)CN(CC(O)CCCCCCCCCC)NC1=CC=CC=N1.CCCCCCCCCCCCOC(=O)CCN(CCC(=O)OCCCCCCCCCCCC)N(CCC(=O)OCCCCCCCCCCCC)C1=NCCN1CCC(=O)CCCCCCCCCCCC CFGZCVPXJBUUPP-MYUSRUMTSA-N 0.000 description 1
- JGLWJMIMHBOQBG-NARJRYLFSA-N CCCCCCCC/C=C\CCCCCCCC(O)CN(CC(O)CCCCCCC/C=C\CCCCCCCC)N(CC(O)CCCCCCC/C=C\CCCCCCCC)C1=CC=CC=N1.CCCCCCCC/C=C\CCCCCCCC(O)CN(CC(O)CCCCCCC/C=C\CCCCCCCC)NC1=CC=CC=N1.CCCCCCCCCCC(O)CNNC1=NCCN1.CCCCCCCCCCCCCCCCOC(=O)CCN(CCC(=O)OCCCCCCCCCCCCCCCC)NC1=CC=CC=N1.CCCCCCCCCCCCNC(=O)CCN(CCC(=O)NCCCCCCCCCCCC)NC1=CC=CC=N1 Chemical compound CCCCCCCC/C=C\CCCCCCCC(O)CN(CC(O)CCCCCCC/C=C\CCCCCCCC)N(CC(O)CCCCCCC/C=C\CCCCCCCC)C1=CC=CC=N1.CCCCCCCC/C=C\CCCCCCCC(O)CN(CC(O)CCCCCCC/C=C\CCCCCCCC)NC1=CC=CC=N1.CCCCCCCCCCC(O)CNNC1=NCCN1.CCCCCCCCCCCCCCCCOC(=O)CCN(CCC(=O)OCCCCCCCCCCCCCCCC)NC1=CC=CC=N1.CCCCCCCCCCCCNC(=O)CCN(CCC(=O)NCCCCCCCCCCCC)NC1=CC=CC=N1 JGLWJMIMHBOQBG-NARJRYLFSA-N 0.000 description 1
- SVBLMNDXCPNSGU-UHFFFAOYSA-N CCCCCCCCC(O)CN(C)N(CC(O)CCCCCCCC)CC(O)CCCCCCCC.CCCCCCCCC(O)CN(C)N(CC(O)CCCCCCCC)CC(O)CCCCCCCC.CCCCCCCCC(O)CNN(C)CC(O)CCCCCCCC.CCCCCCCCCCCCCCCCOC(=O)CCN(CCC(=O)OCCCCCCCCCCCCCC)N1CCN(C)CC1.CCCCCCCCCCCCCCCCOC(=O)CCNN1CCN(C)CC1.CCCCCCCCCCCCNC(=O)CCN(CCC(=O)NCCCCCCCCCCCC)N1CCN(C)CC1.CCCCCCCCCCCCNC(=O)CCNN1CCN(C)CC1 Chemical compound CCCCCCCCC(O)CN(C)N(CC(O)CCCCCCCC)CC(O)CCCCCCCC.CCCCCCCCC(O)CN(C)N(CC(O)CCCCCCCC)CC(O)CCCCCCCC.CCCCCCCCC(O)CNN(C)CC(O)CCCCCCCC.CCCCCCCCCCCCCCCCOC(=O)CCN(CCC(=O)OCCCCCCCCCCCCCC)N1CCN(C)CC1.CCCCCCCCCCCCCCCCOC(=O)CCNN1CCN(C)CC1.CCCCCCCCCCCCNC(=O)CCN(CCC(=O)NCCCCCCCCCCCC)N1CCN(C)CC1.CCCCCCCCCCCCNC(=O)CCNN1CCN(C)CC1 SVBLMNDXCPNSGU-UHFFFAOYSA-N 0.000 description 1
- FHCVUFUEDDJVRK-UHFFFAOYSA-N CCCCCCCCCCC(C)CN(CC(O)CCCCCCCCCC)N1CCN(C)CC1.CCCCCCCCCCC(O)CNN1CCN(C)CC1.CCCCCCCCCCCCC(C)CN(CC(O)CCCCCCCCCCCC)N1CCN(C)CC1.CCCCCCCCCCCCC(O)CNN1CCN(C)CC1.CCCCCCCCCCCCCCC(C)CN(CC(O)CCCCCCCCCCCCCC)N1CCN(C)CC1.CCCCCCCCCCCCCCC(O)CNN1CCN(C)CC1.CCCCCCCCCCCCCCCCC(C)CN(CC(O)CCCCCCCCCCCCCCCC)N1CCN(C)CC1.CCCCCCCCCCCCCCCCC(O)CN(CC(O)CCCCCCCCCCCCCC)N(CC(O)CCCCCCCCCCCCCCCC)CC(O)CCCCCCCCCCCCCCCC.CCCCCCCCCCCCCCCCC(O)CNN1CCN(C)CC1 Chemical compound CCCCCCCCCCC(C)CN(CC(O)CCCCCCCCCC)N1CCN(C)CC1.CCCCCCCCCCC(O)CNN1CCN(C)CC1.CCCCCCCCCCCCC(C)CN(CC(O)CCCCCCCCCCCC)N1CCN(C)CC1.CCCCCCCCCCCCC(O)CNN1CCN(C)CC1.CCCCCCCCCCCCCCC(C)CN(CC(O)CCCCCCCCCCCCCC)N1CCN(C)CC1.CCCCCCCCCCCCCCC(O)CNN1CCN(C)CC1.CCCCCCCCCCCCCCCCC(C)CN(CC(O)CCCCCCCCCCCCCCCC)N1CCN(C)CC1.CCCCCCCCCCCCCCCCC(O)CN(CC(O)CCCCCCCCCCCCCC)N(CC(O)CCCCCCCCCCCCCCCC)CC(O)CCCCCCCCCCCCCCCC.CCCCCCCCCCCCCCCCC(O)CNN1CCN(C)CC1 FHCVUFUEDDJVRK-UHFFFAOYSA-N 0.000 description 1
- MUWXQIIGIBQCHA-UHFFFAOYSA-N CCCCCCCCCCC(O)CN(C)N(CC(O)CCCCCCCCCC)CC(O)CCCCCCCCCC.CCCCCCCCCCC(O)CN(CC(O)CCCCCCCCCC)N(CC(O)CCCCCCCCCC)CC(O)CCCCCCCCCC.CCCCCCCCCCC(O)CN(CCO)N(CC(O)CCCCCCCCCC)CC(O)CCCCCCCCCC Chemical compound CCCCCCCCCCC(O)CN(C)N(CC(O)CCCCCCCCCC)CC(O)CCCCCCCCCC.CCCCCCCCCCC(O)CN(CC(O)CCCCCCCCCC)N(CC(O)CCCCCCCCCC)CC(O)CCCCCCCCCC.CCCCCCCCCCC(O)CN(CCO)N(CC(O)CCCCCCCCCC)CC(O)CCCCCCCCCC MUWXQIIGIBQCHA-UHFFFAOYSA-N 0.000 description 1
- CXNPCAFSAGOQHC-UHFFFAOYSA-N CCCCCCCCCCC(O)CN(C)N(CC(O)CCCCCCCCCC)CC(O)CCCCCCCCCC.CCCCCCCCCCC(O)CN(CC(O)CCCCCCCCCC)NC.CCCCCCCCCCCCC(O)CN(C)N(CC(O)CCCCCCCCCCCC)CC(O)CCCCCCCCCCCC.CCCCCCCCCCCCC(O)CNN(C)CC(O)CCCCCCCCCCCC.CCCCCCCCCCCCOC(=O)CCN(CCC(=O)OCCCCCCCCCCCC)N(CCC(=O)OCCCCCCCCCCCC)CCC(=O)OCCCCCCCCCCCC Chemical compound CCCCCCCCCCC(O)CN(C)N(CC(O)CCCCCCCCCC)CC(O)CCCCCCCCCC.CCCCCCCCCCC(O)CN(CC(O)CCCCCCCCCC)NC.CCCCCCCCCCCCC(O)CN(C)N(CC(O)CCCCCCCCCCCC)CC(O)CCCCCCCCCCCC.CCCCCCCCCCCCC(O)CNN(C)CC(O)CCCCCCCCCCCC.CCCCCCCCCCCCOC(=O)CCN(CCC(=O)OCCCCCCCCCCCC)N(CCC(=O)OCCCCCCCCCCCC)CCC(=O)OCCCCCCCCCCCC CXNPCAFSAGOQHC-UHFFFAOYSA-N 0.000 description 1
- YHNRESMUDRQNTP-UHFFFAOYSA-N CCCCCCCCCCC(O)CN(CC(=O)OCC1=CC=CC=C1)CC(O)CCCCCCCCCC.CCCCCCCCCCC(O)CN(N)CC(O)CCCCCCCCCC Chemical compound CCCCCCCCCCC(O)CN(CC(=O)OCC1=CC=CC=C1)CC(O)CCCCCCCCCC.CCCCCCCCCCC(O)CN(N)CC(O)CCCCCCCCCC YHNRESMUDRQNTP-UHFFFAOYSA-N 0.000 description 1
- HNEKTFAMOWEDPU-UHFFFAOYSA-N CCCCCCCCCCC(O)CN(CC(=O)OCC1=CC=CC=C1)CC(O)CCCCCCCCCC.CCCCCCCCCCC1CO1.NCC(=O)OCC1=CC=CC=C1 Chemical compound CCCCCCCCCCC(O)CN(CC(=O)OCC1=CC=CC=C1)CC(O)CCCCCCCCCC.CCCCCCCCCCC1CO1.NCC(=O)OCC1=CC=CC=C1 HNEKTFAMOWEDPU-UHFFFAOYSA-N 0.000 description 1
- WMZPUIIJPGONNQ-UHFFFAOYSA-N CCCCCCCCCCCCCCCCOC(=O)CCN(C)N(CCC(=O)OCCCCCCCCCCCCCCCC)CCC(=O)OCCCCCCCCCCCCCCCC.CCCCCCCCCCCCCCOC(=O)CCN(C)N(CCC(=O)OCCCCCCCCCCCCCC)CCC(=O)OCCCCCCCCCCCCCC.CCCCCCCCCCCCCCOC(=O)CCN1C(=O)CCN1C.CCCCCCCCCCCCOC(=O)CCN(C)N(CCC(=O)OCCCCCCCCCCCC)CCC(=O)OCCCCCCCCCCCC.CCCCCCCCCCCCOC(=O)CCN1C(=O)CCN1C Chemical compound CCCCCCCCCCCCCCCCOC(=O)CCN(C)N(CCC(=O)OCCCCCCCCCCCCCCCC)CCC(=O)OCCCCCCCCCCCCCCCC.CCCCCCCCCCCCCCOC(=O)CCN(C)N(CCC(=O)OCCCCCCCCCCCCCC)CCC(=O)OCCCCCCCCCCCCCC.CCCCCCCCCCCCCCOC(=O)CCN1C(=O)CCN1C.CCCCCCCCCCCCOC(=O)CCN(C)N(CCC(=O)OCCCCCCCCCCCC)CCC(=O)OCCCCCCCCCCCC.CCCCCCCCCCCCOC(=O)CCN1C(=O)CCN1C WMZPUIIJPGONNQ-UHFFFAOYSA-N 0.000 description 1
- JFLRKDZMHNBDQS-UCQUSYKYSA-N CC[C@H]1CCC[C@@H]([C@H](C(=O)C2=C[C@H]3[C@@H]4C[C@@H](C[C@H]4C(=C[C@H]3[C@@H]2CC(=O)O1)C)O[C@H]5[C@@H]([C@@H]([C@H]([C@@H](O5)C)OC)OC)OC)C)O[C@H]6CC[C@@H]([C@H](O6)C)N(C)C.CC[C@H]1CCC[C@@H]([C@H](C(=O)C2=C[C@H]3[C@@H]4C[C@@H](C[C@H]4C=C[C@H]3C2CC(=O)O1)O[C@H]5[C@@H]([C@@H]([C@H]([C@@H](O5)C)OC)OC)OC)C)O[C@H]6CC[C@@H]([C@H](O6)C)N(C)C Chemical compound CC[C@H]1CCC[C@@H]([C@H](C(=O)C2=C[C@H]3[C@@H]4C[C@@H](C[C@H]4C(=C[C@H]3[C@@H]2CC(=O)O1)C)O[C@H]5[C@@H]([C@@H]([C@H]([C@@H](O5)C)OC)OC)OC)C)O[C@H]6CC[C@@H]([C@H](O6)C)N(C)C.CC[C@H]1CCC[C@@H]([C@H](C(=O)C2=C[C@H]3[C@@H]4C[C@@H](C[C@H]4C=C[C@H]3C2CC(=O)O1)O[C@H]5[C@@H]([C@@H]([C@H]([C@@H](O5)C)OC)OC)OC)C)O[C@H]6CC[C@@H]([C@H](O6)C)N(C)C JFLRKDZMHNBDQS-UCQUSYKYSA-N 0.000 description 1
- QAGYKUNXZHXKMR-UHFFFAOYSA-N CPD000469186 Natural products CC1=C(O)C=CC=C1C(=O)NC(C(O)CN1C(CC2CCCCC2C1)C(=O)NC(C)(C)C)CSC1=CC=CC=C1 QAGYKUNXZHXKMR-UHFFFAOYSA-N 0.000 description 1
- GAWIXWVDTYZWAW-UHFFFAOYSA-N C[CH]O Chemical group C[CH]O GAWIXWVDTYZWAW-UHFFFAOYSA-N 0.000 description 1
- 241000710133 Cacao yellow mosaic virus Species 0.000 description 1
- 241000219357 Cactaceae Species 0.000 description 1
- 241000171509 Cactus virus X Species 0.000 description 1
- 235000010773 Cajanus indicus Nutrition 0.000 description 1
- 244000105627 Cajanus indicus Species 0.000 description 1
- 229940127291 Calcium channel antagonist Drugs 0.000 description 1
- 240000001432 Calendula officinalis Species 0.000 description 1
- 235000005881 Calendula officinalis Nutrition 0.000 description 1
- 241000722913 Callistephus chinensis Species 0.000 description 1
- 235000010520 Canavalia ensiformis Nutrition 0.000 description 1
- 235000010518 Canavalia gladiata Nutrition 0.000 description 1
- 244000045231 Canavalia maritima Species 0.000 description 1
- 235000010522 Canavalia maritima Nutrition 0.000 description 1
- 241000222122 Candida albicans Species 0.000 description 1
- 241000222178 Candida tropicalis Species 0.000 description 1
- 241001050236 Canna yellow mottle virus Species 0.000 description 1
- 241000710011 Capillovirus Species 0.000 description 1
- 244000140995 Capparis spinosa Species 0.000 description 1
- 235000017336 Capparis spinosa Nutrition 0.000 description 1
- 240000004160 Capsicum annuum Species 0.000 description 1
- 235000008534 Capsicum annuum var annuum Nutrition 0.000 description 1
- 239000005745 Captan Substances 0.000 description 1
- KXDHJXZQYSOELW-UHFFFAOYSA-N Carbamic acid Chemical group NC(O)=O KXDHJXZQYSOELW-UHFFFAOYSA-N 0.000 description 1
- OKTJSMMVPCPJKN-UHFFFAOYSA-N Carbon Chemical compound [C] OKTJSMMVPCPJKN-UHFFFAOYSA-N 0.000 description 1
- BVKZGUZCCUSVTD-UHFFFAOYSA-L Carbonate Chemical compound [O-]C([O-])=O BVKZGUZCCUSVTD-UHFFFAOYSA-L 0.000 description 1
- VEDTXTNSFWUXGQ-UHFFFAOYSA-N Carbophenothion Chemical compound CCOP(=S)(OCC)SCSC1=CC=C(Cl)C=C1 VEDTXTNSFWUXGQ-UHFFFAOYSA-N 0.000 description 1
- 239000005746 Carboxin Substances 0.000 description 1
- 208000005623 Carcinogenesis Diseases 0.000 description 1
- 241000490499 Cardamine Species 0.000 description 1
- 241001531266 Carnation Italian ringspot virus Species 0.000 description 1
- 241000701502 Carnation etched ring virus Species 0.000 description 1
- 241000710173 Carnation latent virus Species 0.000 description 1
- 241000714206 Carnation mottle virus Species 0.000 description 1
- 241000723666 Carnation ringspot virus Species 0.000 description 1
- 241001635862 Carnation vein mottle virus Species 0.000 description 1
- 241000584509 Carnation yellow fleck virus Species 0.000 description 1
- 241000969784 Carrot mottle virus Species 0.000 description 1
- 241000931518 Carrot red leaf virus Species 0.000 description 1
- 241000701489 Cauliflower mosaic virus Species 0.000 description 1
- 241000533770 Cayaponia Species 0.000 description 1
- 241000173842 Celery mosaic virus Species 0.000 description 1
- 102000000844 Cell Surface Receptors Human genes 0.000 description 1
- 108010001857 Cell Surface Receptors Proteins 0.000 description 1
- 241001619326 Cephalosporium Species 0.000 description 1
- 241001157813 Cercospora Species 0.000 description 1
- 241001124145 Cerotoma Species 0.000 description 1
- 241001124201 Cerotoma trifurcata Species 0.000 description 1
- 241000343781 Chaetocnema pulicaria Species 0.000 description 1
- 241000604356 Chamaepsila rosae Species 0.000 description 1
- 241000219312 Chenopodium Species 0.000 description 1
- 241000725592 Cherry leaf roll virus Species 0.000 description 1
- 241000147092 Cherry virus A Species 0.000 description 1
- 241000509420 Chilli veinal mottle virus Species 0.000 description 1
- 241000218971 Chino del tomate virus Species 0.000 description 1
- STUSTWKEFDQFFZ-UHFFFAOYSA-N Chlordimeform Chemical compound CN(C)C=NC1=CC=C(Cl)C=C1C STUSTWKEFDQFFZ-UHFFFAOYSA-N 0.000 description 1
- VEXZGXHMUGYJMC-UHFFFAOYSA-M Chloride anion Chemical compound [Cl-] VEXZGXHMUGYJMC-UHFFFAOYSA-M 0.000 description 1
- 241000861718 Chloris <Aves> Species 0.000 description 1
- RAPBNVDSDCTNRC-UHFFFAOYSA-N Chlorobenzilate Chemical compound C=1C=C(Cl)C=CC=1C(O)(C(=O)OCC)C1=CC=C(Cl)C=C1 RAPBNVDSDCTNRC-UHFFFAOYSA-N 0.000 description 1
- 235000007836 Chlorogalum pomeridianum Nutrition 0.000 description 1
- 239000005747 Chlorothalonil Substances 0.000 description 1
- 239000005944 Chlorpyrifos Substances 0.000 description 1
- 102000009016 Cholera Toxin Human genes 0.000 description 1
- 108010049048 Cholera Toxin Proteins 0.000 description 1
- 108010009685 Cholinergic Receptors Proteins 0.000 description 1
- 239000005887 Chromafenozide Substances 0.000 description 1
- 241000710171 Chrysanthemum virus B Species 0.000 description 1
- 241001364932 Chrysodeixis Species 0.000 description 1
- 241001367803 Chrysodeixis includens Species 0.000 description 1
- VWFCHDSQECPREK-LURJTMIESA-N Cidofovir Chemical compound NC=1C=CN(C[C@@H](CO)OCP(O)(O)=O)C(=O)N=1 VWFCHDSQECPREK-LURJTMIESA-N 0.000 description 1
- 241000132536 Cirsium Species 0.000 description 1
- 241001502571 Citrus leaf rugose virus Species 0.000 description 1
- 241000754176 Citrus leprosis virus C Species 0.000 description 1
- 241001264030 Citrus psorosis virus Species 0.000 description 1
- 241001466956 Citrus tatter leaf virus Species 0.000 description 1
- 241000710177 Citrus tristeza virus Species 0.000 description 1
- 241001502578 Citrus variegation virus Species 0.000 description 1
- 241000222290 Cladosporium Species 0.000 description 1
- 241001136168 Clavibacter michiganensis Species 0.000 description 1
- 241000710163 Clitoria yellow vein virus Species 0.000 description 1
- 239000005498 Clodinafop Substances 0.000 description 1
- 239000005654 Clofentezine Substances 0.000 description 1
- 241000193155 Clostridium botulinum Species 0.000 description 1
- 241000193468 Clostridium perfringens Species 0.000 description 1
- 241000193449 Clostridium tetani Species 0.000 description 1
- 239000005888 Clothianidin Substances 0.000 description 1
- 241000710021 Clover yellow mosaic virus Species 0.000 description 1
- 241000710070 Clover yellow vein virus Species 0.000 description 1
- 241000125131 Cocksfoot mottle virus Species 0.000 description 1
- 241001439061 Cocksfoot streak virus Species 0.000 description 1
- 235000013162 Cocos nucifera Nutrition 0.000 description 1
- 244000060011 Cocos nucifera Species 0.000 description 1
- CSWBSLXBXRFNST-UHFFFAOYSA-N Codlemone Natural products CC=CC=CCCCCCCCO CSWBSLXBXRFNST-UHFFFAOYSA-N 0.000 description 1
- 241000254173 Coleoptera Species 0.000 description 1
- 241000626656 Colletotrichum falcatum Species 0.000 description 1
- 241001471082 Colocasia bobone disease-associated cytorhabdovirus Species 0.000 description 1
- 241000306271 Colombian datura virus Species 0.000 description 1
- 241001394717 Commelina diffusa Species 0.000 description 1
- 108020004394 Complementary RNA Proteins 0.000 description 1
- 241000132542 Conyza Species 0.000 description 1
- 241001529717 Corticium <basidiomycota> Species 0.000 description 1
- 241000186227 Corynebacterium diphtheriae Species 0.000 description 1
- 241001302247 Cotton leaf crumple virus Species 0.000 description 1
- 241000710086 Cowpea aphid-borne mosaic virus Species 0.000 description 1
- 241000724254 Cowpea chlorotic mottle virus Species 0.000 description 1
- 241000723664 Cowpea severe mosaic virus Species 0.000 description 1
- 241000709687 Coxsackievirus Species 0.000 description 1
- 241000755719 Crinum Species 0.000 description 1
- 244000168525 Croton tiglium Species 0.000 description 1
- 201000007336 Cryptococcosis Diseases 0.000 description 1
- 241000221204 Cryptococcus neoformans Species 0.000 description 1
- 241000723845 Cucumber green mottle mosaic virus Species 0.000 description 1
- 241000382778 Cucumber leaf spot virus Species 0.000 description 1
- 241000724252 Cucumber mosaic virus Species 0.000 description 1
- 241000710137 Cucumber necrosis virus Species 0.000 description 1
- 241000975725 Cucumber vein yellowing virus Species 0.000 description 1
- 244000241257 Cucumis melo Species 0.000 description 1
- 235000009847 Cucumis melo var cantalupensis Nutrition 0.000 description 1
- 241000667819 Cunninghamella sp. Species 0.000 description 1
- 241000254171 Curculionidae Species 0.000 description 1
- 241000223208 Curvularia Species 0.000 description 1
- 241000371652 Curvularia clavata Species 0.000 description 1
- 241001537312 Curvularia inaequalis Species 0.000 description 1
- 241001586664 Curvularia senegalensis Species 0.000 description 1
- 240000007371 Cuscuta campestris Species 0.000 description 1
- XFXPMWWXUTWYJX-UHFFFAOYSA-N Cyanide Chemical compound N#[C-] XFXPMWWXUTWYJX-UHFFFAOYSA-N 0.000 description 1
- LRNJHZNPJSPMGK-UHFFFAOYSA-N Cyanofenphos Chemical compound C=1C=CC=CC=1P(=S)(OCC)OC1=CC=C(C#N)C=C1 LRNJHZNPJSPMGK-UHFFFAOYSA-N 0.000 description 1
- 239000005754 Cyazofamid Substances 0.000 description 1
- 241000218916 Cycas Species 0.000 description 1
- 102100021906 Cyclin-O Human genes 0.000 description 1
- 229920000858 Cyclodextrin Polymers 0.000 description 1
- CMSMOCZEIVJLDB-UHFFFAOYSA-N Cyclophosphamide Chemical compound ClCCN(CCCl)P1(=O)NCCCO1 CMSMOCZEIVJLDB-UHFFFAOYSA-N 0.000 description 1
- PMATZTZNYRCHOR-CGLBZJNRSA-N Cyclosporin A Chemical compound CC[C@@H]1NC(=O)[C@H]([C@H](O)[C@H](C)C\C=C\C)N(C)C(=O)[C@H](C(C)C)N(C)C(=O)[C@H](CC(C)C)N(C)C(=O)[C@H](CC(C)C)N(C)C(=O)[C@@H](C)NC(=O)[C@H](C)NC(=O)[C@H](CC(C)C)N(C)C(=O)[C@H](C(C)C)NC(=O)[C@H](CC(C)C)N(C)C(=O)CN(C)C1=O PMATZTZNYRCHOR-CGLBZJNRSA-N 0.000 description 1
- 229930105110 Cyclosporin A Natural products 0.000 description 1
- 108010036949 Cyclosporine Proteins 0.000 description 1
- 239000005755 Cyflufenamid Substances 0.000 description 1
- 239000005655 Cyflumetofen Substances 0.000 description 1
- 241000710019 Cymbidium mosaic virus Species 0.000 description 1
- 241000710147 Cymbidium ringspot virus Species 0.000 description 1
- 239000005756 Cymoxanil Substances 0.000 description 1
- 244000019459 Cynara cardunculus Species 0.000 description 1
- 235000019106 Cynara scolymus Nutrition 0.000 description 1
- 244000052363 Cynodon dactylon Species 0.000 description 1
- 239000005946 Cypermethrin Substances 0.000 description 1
- 241000234653 Cyperus Species 0.000 description 1
- 235000000298 Cyphomandra crassifolia Nutrition 0.000 description 1
- 244000193629 Cyphomandra crassifolia Species 0.000 description 1
- 241000519565 Cypripedium calceolus Species 0.000 description 1
- 239000005757 Cyproconazole Substances 0.000 description 1
- 239000005758 Cyprodinil Substances 0.000 description 1
- 206010011732 Cyst Diseases 0.000 description 1
- UHDGCWIWMRVCDJ-CCXZUQQUSA-N Cytarabine Chemical compound O=C1N=C(N)C=CN1[C@H]1[C@@H](O)[C@H](O)[C@@H](CO)O1 UHDGCWIWMRVCDJ-CCXZUQQUSA-N 0.000 description 1
- 241000701022 Cytomegalovirus Species 0.000 description 1
- 102100028717 Cytosolic 5'-nucleotidase 3A Human genes 0.000 description 1
- YVGGHNCTFXOJCH-UHFFFAOYSA-N DDT Chemical compound C1=CC(Cl)=CC=C1C(C(Cl)(Cl)Cl)C1=CC=C(Cl)C=C1 YVGGHNCTFXOJCH-UHFFFAOYSA-N 0.000 description 1
- 240000004585 Dactylis glomerata Species 0.000 description 1
- 241001566548 Dahlia mosaic virus Species 0.000 description 1
- 241000865306 Dandelion yellow mosaic virus Species 0.000 description 1
- 241000934856 Daphne Species 0.000 description 1
- 241001147458 Dasheen mosaic virus Species 0.000 description 1
- 240000007175 Datura inoxia Species 0.000 description 1
- 241001474308 Datura yellow vein nucleorhabdovirus Species 0.000 description 1
- 239000005644 Dazomet Substances 0.000 description 1
- 241001414892 Delia radicum Species 0.000 description 1
- 239000005892 Deltamethrin Substances 0.000 description 1
- PZIRJMYRYORVIT-UHFFFAOYSA-N Demeton-S-methylsulphon Chemical compound CCS(=O)(=O)CCSP(=O)(OC)OC PZIRJMYRYORVIT-UHFFFAOYSA-N 0.000 description 1
- 241001529914 Dendrobium mosaic virus Species 0.000 description 1
- 241000522190 Desmodium Species 0.000 description 1
- 241001222760 Desmodium yellow mottle virus Species 0.000 description 1
- YZCKVEUIGOORGS-OUBTZVSYSA-N Deuterium Chemical compound [2H] YZCKVEUIGOORGS-OUBTZVSYSA-N 0.000 description 1
- MUMQYXACQUZOFP-UHFFFAOYSA-N Dialifor Chemical compound C1=CC=C2C(=O)N(C(CCl)SP(=S)(OCC)OCC)C(=O)C2=C1 MUMQYXACQUZOFP-UHFFFAOYSA-N 0.000 description 1
- 241000001870 Dialonectria episphaeria Species 0.000 description 1
- 241000122106 Diatraea saccharalis Species 0.000 description 1
- WGOWCPGHOCIHBW-UHFFFAOYSA-N Dichlofenthion Chemical compound CCOP(=S)(OCC)OC1=CC=C(Cl)C=C1Cl WGOWCPGHOCIHBW-UHFFFAOYSA-N 0.000 description 1
- 241000588700 Dickeya chrysanthemi Species 0.000 description 1
- BXZVVICBKDXVGW-NKWVEPMBSA-N Didanosine Chemical compound O1[C@H](CO)CC[C@@H]1N1C(NC=NC2=O)=C2N=C1 BXZVVICBKDXVGW-NKWVEPMBSA-N 0.000 description 1
- 241000555695 Didymella Species 0.000 description 1
- 239000005759 Diethofencarb Substances 0.000 description 1
- 239000005760 Difenoconazole Substances 0.000 description 1
- 239000005893 Diflubenzuron Substances 0.000 description 1
- 239000005947 Dimethoate Substances 0.000 description 1
- 239000005761 Dimethomorph Substances 0.000 description 1
- 239000005762 Dimoxystrobin Substances 0.000 description 1
- 240000005717 Dioscorea alata Species 0.000 description 1
- 235000002723 Dioscorea alata Nutrition 0.000 description 1
- 240000006153 Dioscorea trifida Species 0.000 description 1
- 235000002718 Dioscorea trifida Nutrition 0.000 description 1
- MYMOFIZGZYHOMD-UHFFFAOYSA-N Dioxygen Chemical compound O=O MYMOFIZGZYHOMD-UHFFFAOYSA-N 0.000 description 1
- 241000275449 Diplectrum formosum Species 0.000 description 1
- 241000123589 Dipsacus Species 0.000 description 1
- 241000255925 Diptera Species 0.000 description 1
- 208000035240 Disease Resistance Diseases 0.000 description 1
- 241000399949 Ditylenchus dipsaci Species 0.000 description 1
- SNRUBQQJIBEYMU-UHFFFAOYSA-N Dodecane Natural products CCCCCCCCCCCC SNRUBQQJIBEYMU-UHFFFAOYSA-N 0.000 description 1
- 239000005765 Dodemorph Substances 0.000 description 1
- 239000005766 Dodine Substances 0.000 description 1
- 241000158776 Dodonaea Species 0.000 description 1
- 241000520384 Dolichoderus Species 0.000 description 1
- 241001525375 Dolichodorus heterocephalus Species 0.000 description 1
- 241000219764 Dolichos Species 0.000 description 1
- 241001222758 Dulcamara mottle virus Species 0.000 description 1
- AIGRXSNSLVJMEA-UHFFFAOYSA-N EPN Chemical compound C=1C=CC=CC=1P(=S)(OCC)OC1=CC=C([N+]([O-])=O)C=C1 AIGRXSNSLVJMEA-UHFFFAOYSA-N 0.000 description 1
- 241001115402 Ebolavirus Species 0.000 description 1
- XPOQHMRABVBWPR-UHFFFAOYSA-N Efavirenz Natural products O1C(=O)NC2=CC=C(Cl)C=C2C1(C(F)(F)F)C#CC1CC1 XPOQHMRABVBWPR-UHFFFAOYSA-N 0.000 description 1
- 241000710160 Eggplant mosaic virus Species 0.000 description 1
- 241000274553 Eggplant mottled dwarf nucleorhabdovirus Species 0.000 description 1
- 240000002943 Elettaria cardamomum Species 0.000 description 1
- 239000005894 Emamectin Substances 0.000 description 1
- 244000119298 Emblica officinalis Species 0.000 description 1
- 235000015489 Emblica officinalis Nutrition 0.000 description 1
- YUGWDVYLFSETPE-JLHYYAGUSA-N Empenthrin Chemical compound CC\C=C(/C)C(C#C)OC(=O)C1C(C=C(C)C)C1(C)C YUGWDVYLFSETPE-JLHYYAGUSA-N 0.000 description 1
- 206010014596 Encephalitis Japanese B Diseases 0.000 description 1
- 102100031780 Endonuclease Human genes 0.000 description 1
- 108010042407 Endonucleases Proteins 0.000 description 1
- 108010032976 Enfuvirtide Proteins 0.000 description 1
- 241000224432 Entamoeba histolytica Species 0.000 description 1
- 241000709661 Enterovirus Species 0.000 description 1
- 241000991587 Enterovirus C Species 0.000 description 1
- 101710091045 Envelope protein Proteins 0.000 description 1
- 206010014970 Ephelides Diseases 0.000 description 1
- 241000462639 Epilachna varivestis Species 0.000 description 1
- 241000132362 Epirus cherry virus Species 0.000 description 1
- 241001183323 Epitrix cucumeris Species 0.000 description 1
- 241000738498 Epitrix pubescens Species 0.000 description 1
- 239000005767 Epoxiconazole Substances 0.000 description 1
- 208000000832 Equine Encephalomyelitis Diseases 0.000 description 1
- 241000710159 Erysimum latent virus Species 0.000 description 1
- 239000005895 Esfenvalerate Substances 0.000 description 1
- 108700039887 Essential Genes Proteins 0.000 description 1
- FNELVJVBIYMIMC-UHFFFAOYSA-N Ethiprole Chemical compound N1=C(C#N)C(S(=O)CC)=C(N)N1C1=C(Cl)C=C(C(F)(F)F)C=C1Cl FNELVJVBIYMIMC-UHFFFAOYSA-N 0.000 description 1
- 239000005961 Ethoprophos Substances 0.000 description 1
- IAYPIBMASNFSPL-UHFFFAOYSA-N Ethylene oxide Chemical class C1CO1 IAYPIBMASNFSPL-UHFFFAOYSA-N 0.000 description 1
- 239000005896 Etofenprox Substances 0.000 description 1
- 239000005897 Etoxazole Substances 0.000 description 1
- 239000005769 Etridiazole Substances 0.000 description 1
- FGIWFCGDPUIBEZ-UHFFFAOYSA-N Etrimfos Chemical compound CCOC1=CC(OP(=S)(OC)OC)=NC(CC)=N1 FGIWFCGDPUIBEZ-UHFFFAOYSA-N 0.000 description 1
- 240000006408 Eucharis amazonica Species 0.000 description 1
- 241000221079 Euphorbia <genus> Species 0.000 description 1
- 241001302876 Euphorbia mosaic virus Species 0.000 description 1
- 235000014066 European mistletoe Nutrition 0.000 description 1
- 241001619920 Euschistus servus Species 0.000 description 1
- 241000233490 Feltia jaculifera Species 0.000 description 1
- 239000005958 Fenamiphos (aka phenamiphos) Substances 0.000 description 1
- 239000005656 Fenazaquin Substances 0.000 description 1
- 239000005775 Fenbuconazole Substances 0.000 description 1
- 239000005776 Fenhexamid Substances 0.000 description 1
- HMIBKHHNXANVHR-UHFFFAOYSA-N Fenothiocarb Chemical compound CN(C)C(=O)SCCCCOC1=CC=CC=C1 HMIBKHHNXANVHR-UHFFFAOYSA-N 0.000 description 1
- 239000005898 Fenoxycarb Substances 0.000 description 1
- 239000005777 Fenpropidin Substances 0.000 description 1
- 239000005778 Fenpropimorph Substances 0.000 description 1
- 239000005657 Fenpyroximate Substances 0.000 description 1
- PNVJTZOFSHSLTO-UHFFFAOYSA-N Fenthion Chemical compound COP(=S)(OC)OC1=CC=C(SC)C(C)=C1 PNVJTZOFSHSLTO-UHFFFAOYSA-N 0.000 description 1
- 241000234642 Festuca Species 0.000 description 1
- 241000701484 Figwort mosaic virus Species 0.000 description 1
- 241001302129 Fiji disease virus Species 0.000 description 1
- 239000004606 Fillers/Extenders Substances 0.000 description 1
- 241000711950 Filoviridae Species 0.000 description 1
- 241001075561 Fioria Species 0.000 description 1
- 239000005899 Fipronil Substances 0.000 description 1
- 239000005901 Flubendiamide Substances 0.000 description 1
- KVKHBPGBGOVMBN-PWLVHAGJSA-N Flubenzimine Chemical compound C=1C=CC=CC=1N/1C(=N/C(F)(F)F)/S\C(=N/C(F)(F)F)\C\1=N/C1=CC=CC=C1 KVKHBPGBGOVMBN-PWLVHAGJSA-N 0.000 description 1
- 239000005781 Fludioxonil Substances 0.000 description 1
- KRHYYFGTRYWZRS-UHFFFAOYSA-M Fluoride anion Chemical compound [F-] KRHYYFGTRYWZRS-UHFFFAOYSA-M 0.000 description 1
- 239000005784 Fluoxastrobin Substances 0.000 description 1
- 239000005785 Fluquinconazole Substances 0.000 description 1
- 239000005786 Flutolanil Substances 0.000 description 1
- 239000005787 Flutriafol Substances 0.000 description 1
- 239000005789 Folpet Substances 0.000 description 1
- BDAGIHXWWSANSR-UHFFFAOYSA-M Formate Chemical compound [O-]C=O BDAGIHXWWSANSR-UHFFFAOYSA-M 0.000 description 1
- 239000005948 Formetanate Substances 0.000 description 1
- AIKKULXCBHRFOS-UHFFFAOYSA-N Formothion Chemical compound COP(=S)(OC)SCC(=O)N(C)C=O AIKKULXCBHRFOS-UHFFFAOYSA-N 0.000 description 1
- 239000005790 Fosetyl Substances 0.000 description 1
- MVBGKYGTNGPFHT-UHFFFAOYSA-N Fosmethilan Chemical compound COP(=S)(OC)SCN(C(=O)CCC)C1=CC=CC=C1Cl MVBGKYGTNGPFHT-UHFFFAOYSA-N 0.000 description 1
- 239000005959 Fosthiazate Substances 0.000 description 1
- 241000710017 Foxtail mosaic virus Species 0.000 description 1
- 241000589602 Francisella tularensis Species 0.000 description 1
- 241000407230 Frangipani mosaic virus Species 0.000 description 1
- 241000597000 Freesia Species 0.000 description 1
- 241001310821 Freesia mosaic virus Species 0.000 description 1
- 239000005791 Fuberidazole Substances 0.000 description 1
- 241000223193 Fusarium acuminatum Species 0.000 description 1
- 241000223194 Fusarium culmorum Species 0.000 description 1
- 241000221778 Fusarium fujikuroi Species 0.000 description 1
- 241001208371 Fusarium incarnatum Species 0.000 description 1
- 241000577840 Fusarium merismoides Species 0.000 description 1
- 241000223221 Fusarium oxysporum Species 0.000 description 1
- 241000427940 Fusarium solani Species 0.000 description 1
- 241000879141 Fusarium tricinctum Species 0.000 description 1
- 241001149475 Gaeumannomyces graminis Species 0.000 description 1
- 241000867624 Galinsoga mosaic virus Species 0.000 description 1
- 241001101998 Galium Species 0.000 description 1
- 239000005903 Gamma-cyhalothrin Substances 0.000 description 1
- 108010010803 Gelatin Proteins 0.000 description 1
- 108700028146 Genetic Enhancer Elements Proteins 0.000 description 1
- 241000735332 Gerbera Species 0.000 description 1
- 241001489135 Globodera pallida Species 0.000 description 1
- 241001442497 Globodera rostochiensis Species 0.000 description 1
- 241000923667 Globodera tabacum Species 0.000 description 1
- 241001620302 Glomerella <beetle> Species 0.000 description 1
- 241001244716 Grapevine Algerian latent virus Species 0.000 description 1
- 241001256162 Grapevine Bulgarian latent virus Species 0.000 description 1
- 241000723700 Grapevine chrome mosaic virus Species 0.000 description 1
- 241000723697 Grapevine fanleaf virus Species 0.000 description 1
- 241001478515 Grapevine fleck virus Species 0.000 description 1
- 241001492240 Grapevine virus A Species 0.000 description 1
- 241000947775 Graphium penicillioides Species 0.000 description 1
- 241001467044 Groundnut rosette assistor virus Species 0.000 description 1
- 241000218513 Groundnut rosette virus Species 0.000 description 1
- 108091027874 Group I catalytic intron Proteins 0.000 description 1
- 241000190708 Guanarito mammarenavirus Species 0.000 description 1
- 241001517315 Habenaria Species 0.000 description 1
- 241000606768 Haemophilus influenzae Species 0.000 description 1
- 241000606766 Haemophilus parainfluenzae Species 0.000 description 1
- 235000009417 Helenium Nutrition 0.000 description 1
- 241000521915 Helenium Species 0.000 description 1
- 241000710169 Helenium virus S Species 0.000 description 1
- 241001148481 Helicotylenchus Species 0.000 description 1
- 241001505704 Henbane mosaic virus Species 0.000 description 1
- 208000005176 Hepatitis C Diseases 0.000 description 1
- 208000005331 Hepatitis D Diseases 0.000 description 1
- 241000724709 Hepatitis delta virus Species 0.000 description 1
- 241000125184 Heracleum Species 0.000 description 1
- 235000001202 Heracleum lanatum Nutrition 0.000 description 1
- 241000232846 Heracleum latent virus Species 0.000 description 1
- 208000009889 Herpes Simplex Diseases 0.000 description 1
- 208000007514 Herpes zoster Diseases 0.000 description 1
- 241001481225 Heterodera avenae Species 0.000 description 1
- 241000040387 Heterodera ciceri Species 0.000 description 1
- 241000040422 Heterodera cyperi Species 0.000 description 1
- 241000040427 Heterodera fici Species 0.000 description 1
- 241000580319 Heterodera goettingiana Species 0.000 description 1
- 241000040429 Heterodera humuli Species 0.000 description 1
- 241000040431 Heterodera latipons Species 0.000 description 1
- 241000040430 Heterodera litoralis Species 0.000 description 1
- 241000040434 Heterodera medicaginis Species 0.000 description 1
- 241000691294 Heterodera mediterranea Species 0.000 description 1
- 241000040481 Heterodera salixophila Species 0.000 description 1
- 241000040489 Heterodera sorghi Species 0.000 description 1
- 241000040487 Heterodera trifolii Species 0.000 description 1
- 241001186910 Heterodera turcomanica Species 0.000 description 1
- 241001466007 Heteroptera Species 0.000 description 1
- 239000005661 Hexythiazox Substances 0.000 description 1
- 240000000797 Hibiscus cannabinus Species 0.000 description 1
- 241000519953 Hibiscus chlorotic ringspot virus Species 0.000 description 1
- 241001310824 Hippeastrum mosaic virus Species 0.000 description 1
- 241000201431 Hirschmanniella Species 0.000 description 1
- 241000228404 Histoplasma capsulatum Species 0.000 description 1
- 240000003857 Holcus lanatus Species 0.000 description 1
- 101000897441 Homo sapiens Cyclin-O Proteins 0.000 description 1
- 101001002469 Homo sapiens Interferon lambda-2 Proteins 0.000 description 1
- 244000095303 Homonoia riparia Species 0.000 description 1
- 241001496944 Hop latent virus Species 0.000 description 1
- 241001263192 Hop mosaic virus Species 0.000 description 1
- 241001540513 Hoplolaimus Species 0.000 description 1
- 241001254664 Hoplolaimus columbus Species 0.000 description 1
- 241001540500 Hoplolaimus galeatus Species 0.000 description 1
- 241001260426 Horistonotus Species 0.000 description 1
- 241000441510 Hormodendrum Species 0.000 description 1
- 241000071893 Horseradish latent virus Species 0.000 description 1
- 241000701044 Human gammaherpesvirus 4 Species 0.000 description 1
- 241000218229 Humulus japonicus Species 0.000 description 1
- 241001310822 Hyacinth mosaic virus Species 0.000 description 1
- 244000309480 Hyalothyridium Species 0.000 description 1
- 244000309481 Hyalothyridium maydis Species 0.000 description 1
- 235000014486 Hydrangea macrophylla Nutrition 0.000 description 1
- 244000267823 Hydrangea macrophylla Species 0.000 description 1
- 241000147180 Hydrangea mosaic virus Species 0.000 description 1
- 241000171503 Hydrangea ringspot virus Species 0.000 description 1
- AVXURJPOCDRRFD-UHFFFAOYSA-N Hydroxylamine Chemical compound ON AVXURJPOCDRRFD-UHFFFAOYSA-N 0.000 description 1
- VSNHCAURESNICA-UHFFFAOYSA-N Hydroxyurea Chemical compound NC(=O)NO VSNHCAURESNICA-UHFFFAOYSA-N 0.000 description 1
- 241000257303 Hymenoptera Species 0.000 description 1
- 239000005794 Hymexazol Substances 0.000 description 1
- 241000370523 Hypena scabra Species 0.000 description 1
- XQFRJNBWHJMXHO-RRKCRQDMSA-N IDUR Chemical compound C1[C@H](O)[C@@H](CO)O[C@H]1N1C(=O)NC(=O)C(I)=C1 XQFRJNBWHJMXHO-RRKCRQDMSA-N 0.000 description 1
- XDXDZDZNSLXDNA-TZNDIEGXSA-N Idarubicin Chemical compound C1[C@H](N)[C@H](O)[C@H](C)O[C@H]1O[C@@H]1C2=C(O)C(C(=O)C3=CC=CC=C3C3=O)=C3C(O)=C2C[C@@](O)(C(C)=O)C1 XDXDZDZNSLXDNA-TZNDIEGXSA-N 0.000 description 1
- XDXDZDZNSLXDNA-UHFFFAOYSA-N Idarubicin Natural products C1C(N)C(O)C(C)OC1OC1C2=C(O)C(C(=O)C3=CC=CC=C3C3=O)=C3C(O)=C2CC(O)(C(C)=O)C1 XDXDZDZNSLXDNA-UHFFFAOYSA-N 0.000 description 1
- 239000005906 Imidacloprid Substances 0.000 description 1
- 108010021625 Immunoglobulin Fragments Proteins 0.000 description 1
- 102000008394 Immunoglobulin Fragments Human genes 0.000 description 1
- 241000016007 Impatiens necrotic spot orthotospovirus Species 0.000 description 1
- 239000005907 Indoxacarb Substances 0.000 description 1
- 108700001097 Insect Genes Proteins 0.000 description 1
- 102100034343 Integrase Human genes 0.000 description 1
- 102100034349 Integrase Human genes 0.000 description 1
- 108010014726 Interferon Type I Proteins 0.000 description 1
- 102000002227 Interferon Type I Human genes 0.000 description 1
- 102100026720 Interferon beta Human genes 0.000 description 1
- 102100026688 Interferon epsilon Human genes 0.000 description 1
- 101710147309 Interferon epsilon Proteins 0.000 description 1
- 102100037850 Interferon gamma Human genes 0.000 description 1
- 102100022469 Interferon kappa Human genes 0.000 description 1
- 102100020989 Interferon lambda-2 Human genes 0.000 description 1
- 108090000467 Interferon-beta Proteins 0.000 description 1
- 102000008070 Interferon-gamma Human genes 0.000 description 1
- 102000015696 Interleukins Human genes 0.000 description 1
- 108010063738 Interleukins Proteins 0.000 description 1
- LFVLUOAHQIVABZ-UHFFFAOYSA-N Iodofenphos Chemical compound COP(=S)(OC)OC1=CC(Cl)=C(I)C=C1Cl LFVLUOAHQIVABZ-UHFFFAOYSA-N 0.000 description 1
- 108090000862 Ion Channels Proteins 0.000 description 1
- 102000004310 Ion Channels Human genes 0.000 description 1
- 239000005796 Ipconazole Substances 0.000 description 1
- 235000021506 Ipomoea Nutrition 0.000 description 1
- 241000207783 Ipomoea Species 0.000 description 1
- 239000005867 Iprodione Substances 0.000 description 1
- 239000005797 Iprovalicarb Substances 0.000 description 1
- 241000332141 Iris fulva Species 0.000 description 1
- 240000000015 Iris germanica Species 0.000 description 1
- 241001212077 Iris mild mosaic virus Species 0.000 description 1
- 241001455593 Iris severe mosaic virus Species 0.000 description 1
- 235000002971 Iris x germanica Nutrition 0.000 description 1
- 240000006392 Isachne Species 0.000 description 1
- XRHGWAGWAHHFLF-UHFFFAOYSA-N Isazofos Chemical compound CCOP(=S)(OCC)OC=1N=C(Cl)N(C(C)C)N=1 XRHGWAGWAHHFLF-UHFFFAOYSA-N 0.000 description 1
- 201000005807 Japanese encephalitis Diseases 0.000 description 1
- 241000710842 Japanese encephalitis virus Species 0.000 description 1
- 241001301654 Japanese iris necrotic ring virus Species 0.000 description 1
- QTGIYXFCSKXKMO-UHFFFAOYSA-N Japonilure Natural products CCCCCCCCC=CC1CCC(=O)O1 QTGIYXFCSKXKMO-UHFFFAOYSA-N 0.000 description 1
- 241000221089 Jatropha Species 0.000 description 1
- 241001429318 Johnsongrass mosaic virus Species 0.000 description 1
- 240000007049 Juglans regia Species 0.000 description 1
- 235000009496 Juglans regia Nutrition 0.000 description 1
- 241000712890 Junin mammarenavirus Species 0.000 description 1
- 241000913730 Kalanchoe latent virus Species 0.000 description 1
- KJHKTHWMRKYKJE-SUGCFTRWSA-N Kaletra Chemical compound N1([C@@H](C(C)C)C(=O)N[C@H](C[C@H](O)[C@H](CC=2C=CC=CC=2)NC(=O)COC=2C(=CC=CC=2C)C)CC=2C=CC=CC=2)CCCNC1=O KJHKTHWMRKYKJE-SUGCFTRWSA-N 0.000 description 1
- 241000710162 Kennedya yellow mosaic virus Species 0.000 description 1
- 239000005800 Kresoxim-methyl Substances 0.000 description 1
- 241000160656 Kyuri green mottle mosaic virus Species 0.000 description 1
- NWUWYYSKZYIQAE-ZBFHGGJFSA-N L-(R)-iprovalicarb Chemical compound CC(C)OC(=O)N[C@@H](C(C)C)C(=O)N[C@H](C)C1=CC=C(C)C=C1 NWUWYYSKZYIQAE-ZBFHGGJFSA-N 0.000 description 1
- 231100000111 LD50 Toxicity 0.000 description 1
- 241000712902 Lassa mammarenavirus Species 0.000 description 1
- 241000167828 Launaea Species 0.000 description 1
- 241000156303 Leek yellow stripe virus Species 0.000 description 1
- 241000589242 Legionella pneumophila Species 0.000 description 1
- 241000255777 Lepidoptera Species 0.000 description 1
- 241000258916 Leptinotarsa decemlineata Species 0.000 description 1
- 244000309489 Leptosphaeria maydis Species 0.000 description 1
- 206010024238 Leptospirosis Diseases 0.000 description 1
- 244000309491 Leptothyrium zeae Species 0.000 description 1
- 241000191880 Lettuce big-vein associated varicosavirus Species 0.000 description 1
- 241000724005 Lettuce mosaic virus Species 0.000 description 1
- 241000191478 Lettuce necrotic yellows cytorhabdovirus Species 0.000 description 1
- 108010000817 Leuprolide Proteins 0.000 description 1
- 229920001732 Lignosulfonate Polymers 0.000 description 1
- 241001502574 Lilac ring mottle virus Species 0.000 description 1
- 241000234435 Lilium Species 0.000 description 1
- 241000710013 Lily symptomless virus Species 0.000 description 1
- 241000710025 Lily virus X Species 0.000 description 1
- 240000001585 Limonium sinuatum Species 0.000 description 1
- 241001635593 Lisianthius Species 0.000 description 1
- 241000186779 Listeria monocytogenes Species 0.000 description 1
- 241000322338 Loeseliastrum Species 0.000 description 1
- GQYIWUVLTXOXAJ-UHFFFAOYSA-N Lomustine Chemical compound ClCCN(N=O)C(=O)NC1CCCCC1 GQYIWUVLTXOXAJ-UHFFFAOYSA-N 0.000 description 1
- 241001220360 Longidorus Species 0.000 description 1
- 241001242941 Longidorus breviannulatus Species 0.000 description 1
- 244000309552 Lucerne Australian latent virus Species 0.000 description 1
- 241000724705 Lucerne transient streak virus Species 0.000 description 1
- 239000005912 Lufenuron Substances 0.000 description 1
- 241000083473 Lychnis Species 0.000 description 1
- 241001414823 Lygus hesperus Species 0.000 description 1
- 241000501345 Lygus lineolaris Species 0.000 description 1
- 239000005574 MCPA Substances 0.000 description 1
- 241000701076 Macacine alphaherpesvirus 1 Species 0.000 description 1
- 241000712898 Machupo mammarenavirus Species 0.000 description 1
- 241000229298 Maclura mosaic virus Species 0.000 description 1
- 235000012549 Macrotyloma uniflorum Nutrition 0.000 description 1
- 244000131099 Macrotyloma uniflorum Species 0.000 description 1
- 241001598086 Magnaporthiopsis maydis Species 0.000 description 1
- FYYHWMGAXLPEAU-UHFFFAOYSA-N Magnesium Chemical compound [Mg] FYYHWMGAXLPEAU-UHFFFAOYSA-N 0.000 description 1
- 241000499445 Maize chlorotic dwarf virus Species 0.000 description 1
- 241000710118 Maize chlorotic mottle virus Species 0.000 description 1
- 241000723994 Maize dwarf mosaic virus Species 0.000 description 1
- 241000495102 Maize mosaic nucleorhabdovirus Species 0.000 description 1
- 241000611254 Maize rayado fino virus Species 0.000 description 1
- 241000702659 Maize rough dwarf virus Species 0.000 description 1
- 241000702489 Maize streak virus Species 0.000 description 1
- 241000724202 Maize stripe tenuivirus Species 0.000 description 1
- 241000442455 Maize white line mosaic virus Species 0.000 description 1
- 239000005949 Malathion Substances 0.000 description 1
- 235000013939 Malva Nutrition 0.000 description 1
- 240000000982 Malva neglecta Species 0.000 description 1
- 235000000060 Malva neglecta Nutrition 0.000 description 1
- 241001547426 Malvastrum Species 0.000 description 1
- 239000005802 Mancozeb Substances 0.000 description 1
- 239000005804 Mandipropamid Substances 0.000 description 1
- 241000955424 Manihot dichotoma Species 0.000 description 1
- 235000000088 Maracuja Nutrition 0.000 description 1
- 241001159199 Marasmiellus sp. Species 0.000 description 1
- 241001115401 Marburgvirus Species 0.000 description 1
- 241000407157 Mariannaea elegans Species 0.000 description 1
- 201000005505 Measles Diseases 0.000 description 1
- 240000007298 Megathyrsus maximus Species 0.000 description 1
- 241000147934 Melandrium yellow fleck virus Species 0.000 description 1
- 206010027146 Melanoderma Diseases 0.000 description 1
- 241001478935 Melanoplus bivittatus Species 0.000 description 1
- 208000003351 Melanosis Diseases 0.000 description 1
- 241000213996 Melilotus Species 0.000 description 1
- 241001481669 Meloidae Species 0.000 description 1
- 241001143352 Meloidogyne Species 0.000 description 1
- 241000243784 Meloidogyne arenaria Species 0.000 description 1
- 241000144336 Meloidogyne artiellia Species 0.000 description 1
- 241000611260 Meloidogyne chitwoodi Species 0.000 description 1
- 241001237450 Meloidogyne fallax Species 0.000 description 1
- 241000243787 Meloidogyne hapla Species 0.000 description 1
- 241000243786 Meloidogyne incognita Species 0.000 description 1
- 241001423344 Meloidogyne microtyla Species 0.000 description 1
- 241001059950 Meloidogyne panyuensis Species 0.000 description 1
- 241000821263 Meloidogyne partityla Species 0.000 description 1
- 241000714212 Melon necrotic spot virus Species 0.000 description 1
- 241000529888 Melothria Species 0.000 description 1
- 239000005805 Mepanipyrim Substances 0.000 description 1
- XOGTZOOQQBDUSI-UHFFFAOYSA-M Mesna Chemical compound [Na+].[O-]S(=O)(=O)CCS XOGTZOOQQBDUSI-UHFFFAOYSA-M 0.000 description 1
- 241001268433 Mesocriconema ornatum Species 0.000 description 1
- 239000005807 Metalaxyl Substances 0.000 description 1
- 239000005808 Metalaxyl-M Substances 0.000 description 1
- 239000005868 Metconazole Substances 0.000 description 1
- NTAHCMPOMKHKEU-AATRIKPKSA-N Methacrifos Chemical compound COC(=O)C(\C)=C\OP(=S)(OC)OC NTAHCMPOMKHKEU-AATRIKPKSA-N 0.000 description 1
- 239000005951 Methiocarb Substances 0.000 description 1
- 239000005916 Methomyl Substances 0.000 description 1
- QXKHYNVANLEOEG-UHFFFAOYSA-N Methoxsalen Chemical compound C1=CC(=O)OC2=C1C=C1C=COC1=C2OC QXKHYNVANLEOEG-UHFFFAOYSA-N 0.000 description 1
- 239000005917 Methoxyfenozide Substances 0.000 description 1
- 239000005809 Metiram Substances 0.000 description 1
- 241001229889 Metis Species 0.000 description 1
- LTMQQEMGRMBUSL-UHFFFAOYSA-N Metoxadiazone Chemical compound O=C1OC(OC)=NN1C1=CC=CC=C1OC LTMQQEMGRMBUSL-UHFFFAOYSA-N 0.000 description 1
- UDSJPFPDKCMYBD-UHFFFAOYSA-N Metsulfovax Chemical compound S1C(C)=NC(C)=C1C(=O)NC1=CC=CC=C1 UDSJPFPDKCMYBD-UHFFFAOYSA-N 0.000 description 1
- 241001486950 Microdochium bolleyi Species 0.000 description 1
- 241001022799 Microdochium sorghi Species 0.000 description 1
- 239000005918 Milbemectin Substances 0.000 description 1
- 240000005852 Mimosa quadrivalvis Species 0.000 description 1
- 241000219470 Mirabilis Species 0.000 description 1
- 241000878007 Miscanthus Species 0.000 description 1
- 235000002322 Monascus purpureus Nutrition 0.000 description 1
- 244000113306 Monascus purpureus Species 0.000 description 1
- 235000003990 Monochoria hastata Nutrition 0.000 description 1
- 240000000178 Monochoria vaginalis Species 0.000 description 1
- 235000001851 Montia perfoliata Nutrition 0.000 description 1
- 244000234597 Montia perfoliata Species 0.000 description 1
- 208000005647 Mumps Diseases 0.000 description 1
- 241001467086 Mungbean yellow mosaic virus Species 0.000 description 1
- 240000001766 Mycetia javanica Species 0.000 description 1
- 239000005811 Myclobutanil Substances 0.000 description 1
- 241000186362 Mycobacterium leprae Species 0.000 description 1
- 241000187479 Mycobacterium tuberculosis Species 0.000 description 1
- 241000202934 Mycoplasma pneumoniae Species 0.000 description 1
- 241000303984 Myrothecium gramineum Species 0.000 description 1
- 241000721621 Myzus persicae Species 0.000 description 1
- IUOKJNROJISWRO-UHFFFAOYSA-N N-(2-cyano-3-methylbutan-2-yl)-2-(2,4-dichlorophenoxy)propanamide Chemical compound CC(C)C(C)(C#N)NC(=O)C(C)OC1=CC=C(Cl)C=C1Cl IUOKJNROJISWRO-UHFFFAOYSA-N 0.000 description 1
- KJHOZAZQWVKILO-UHFFFAOYSA-N N-(diaminomethylidene)-4-morpholinecarboximidamide Chemical compound NC(N)=NC(=N)N1CCOCC1 KJHOZAZQWVKILO-UHFFFAOYSA-N 0.000 description 1
- XFOXDUJCOHBXRC-UHFFFAOYSA-N N-Ethyl-N-methyl-4-(trifluoromethyl)-2-(3,4-dimethoxyphenyl)benzamide Chemical compound CCN(C)C(=O)C1=CC=C(C(F)(F)F)C=C1C1=CC=C(OC)C(OC)=C1 XFOXDUJCOHBXRC-UHFFFAOYSA-N 0.000 description 1
- NQRFDNJEBWAUBL-UHFFFAOYSA-N N-[cyano(2-thienyl)methyl]-4-ethyl-2-(ethylamino)-1,3-thiazole-5-carboxamide Chemical compound S1C(NCC)=NC(CC)=C1C(=O)NC(C#N)C1=CC=CS1 NQRFDNJEBWAUBL-UHFFFAOYSA-N 0.000 description 1
- XUYPXLNMDZIRQH-LURJTMIESA-N N-acetyl-L-methionine Chemical class CSCC[C@@H](C(O)=O)NC(C)=O XUYPXLNMDZIRQH-LURJTMIESA-N 0.000 description 1
- ZDZOTLJHXYCWBA-VCVYQWHSSA-N N-debenzoyl-N-(tert-butoxycarbonyl)-10-deacetyltaxol Chemical compound O([C@H]1[C@H]2[C@@](C([C@H](O)C3=C(C)[C@@H](OC(=O)[C@H](O)[C@@H](NC(=O)OC(C)(C)C)C=4C=CC=CC=4)C[C@]1(O)C3(C)C)=O)(C)[C@@H](O)C[C@H]1OC[C@]12OC(=O)C)C(=O)C1=CC=CC=C1 ZDZOTLJHXYCWBA-VCVYQWHSSA-N 0.000 description 1
- 229910002651 NO3 Inorganic materials 0.000 description 1
- 229910000503 Na-aluminosilicate Inorganic materials 0.000 description 1
- 244000309479 Nacobbus dorsalis Species 0.000 description 1
- 241000234479 Narcissus Species 0.000 description 1
- 241000321943 Narcissus late season yellows virus Species 0.000 description 1
- 241000229295 Narcissus latent virus Species 0.000 description 1
- 241000709996 Narcissus mosaic virus Species 0.000 description 1
- 241000321938 Narcissus yellow stripe virus Species 0.000 description 1
- 235000017879 Nasturtium officinale Nutrition 0.000 description 1
- 240000005407 Nasturtium officinale Species 0.000 description 1
- 241000588652 Neisseria gonorrhoeae Species 0.000 description 1
- 241000588650 Neisseria meningitidis Species 0.000 description 1
- 241000272401 Neoascochyta exitialis Species 0.000 description 1
- 241001417798 Nerine latent virus Species 0.000 description 1
- 241000343002 Nerine virus X Species 0.000 description 1
- 241000221960 Neurospora Species 0.000 description 1
- DFPAKSUCGFBDDF-UHFFFAOYSA-N Nicotinamide Chemical class NC(=O)C1=CC=CN=C1 DFPAKSUCGFBDDF-UHFFFAOYSA-N 0.000 description 1
- NHNBFGGVMKEFGY-UHFFFAOYSA-N Nitrate Chemical compound [O-][N+]([O-])=O NHNBFGGVMKEFGY-UHFFFAOYSA-N 0.000 description 1
- IOVCWXUNBOPUCH-UHFFFAOYSA-M Nitrite anion Chemical compound [O-]N=O IOVCWXUNBOPUCH-UHFFFAOYSA-M 0.000 description 1
- 241000187678 Nocardia asteroides Species 0.000 description 1
- 241000499858 Nothoscordum Species 0.000 description 1
- 241000557047 Oat blue dwarf virus Species 0.000 description 1
- 241000040340 Oat mosaic virus Species 0.000 description 1
- 241001246255 Oat sterile dwarf virus Species 0.000 description 1
- 241000723826 Odontoglossum ringspot virus Species 0.000 description 1
- 241001222759 Okra mosaic virus Species 0.000 description 1
- 241000520867 Olive latent ringspot virus Species 0.000 description 1
- 241000167946 Onion yellow dwarf virus Species 0.000 description 1
- 241000596467 Ononis Species 0.000 description 1
- 241001465313 Ophiosphaerella herpotricha Species 0.000 description 1
- 240000001439 Opuntia Species 0.000 description 1
- 241000233855 Orchidaceae Species 0.000 description 1
- 241000723992 Ornithogalum mosaic virus Species 0.000 description 1
- 241000238814 Orthoptera Species 0.000 description 1
- 241001147398 Ostrinia nubilalis Species 0.000 description 1
- 241001112513 Ourmia melon virus Species 0.000 description 1
- MUBZPKHOEPUJKR-UHFFFAOYSA-N Oxalic acid Chemical compound OC(=O)C(O)=O MUBZPKHOEPUJKR-UHFFFAOYSA-N 0.000 description 1
- 240000007930 Oxalis acetosella Species 0.000 description 1
- 235000008098 Oxalis acetosella Nutrition 0.000 description 1
- 239000005950 Oxamyl Substances 0.000 description 1
- 241000293001 Oxytropis besseyi Species 0.000 description 1
- 241001236817 Paecilomyces <Clavicipitaceae> Species 0.000 description 1
- 206010033546 Pallor Diseases 0.000 description 1
- 241000709995 Papaya mosaic virus Species 0.000 description 1
- 241000723990 Papaya ringspot virus Species 0.000 description 1
- 241001631646 Papillomaviridae Species 0.000 description 1
- 206010033799 Paralysis Diseases 0.000 description 1
- 208000002606 Paramyxoviridae Infections Diseases 0.000 description 1
- 241000572009 Paraphaeosphaeria michotii Species 0.000 description 1
- 241001220391 Paratrichodorus Species 0.000 description 1
- 241000908838 Parietaria mottle virus Species 0.000 description 1
- 241000710936 Partitiviridae Species 0.000 description 1
- 241001268782 Paspalum dilatatum Species 0.000 description 1
- 241000210029 Passiflora latent virus Species 0.000 description 1
- 241001429221 Passion fruit woodiness virus Species 0.000 description 1
- 241000536307 Paullinia eriocarpa Species 0.000 description 1
- 241000723575 Pea early-browning virus Species 0.000 description 1
- 244000309631 Pea mild mosaic virus Species 0.000 description 1
- 241000723997 Pea seed-borne mosaic virus Species 0.000 description 1
- 241001522923 Pea stem necrosis virus Species 0.000 description 1
- 241000918572 Peach rosette mosaic virus Species 0.000 description 1
- 241001494165 Peanut chlorotic streak virus Species 0.000 description 1
- 241001135902 Peanut clump virus Species 0.000 description 1
- 241001467036 Peanut mottle virus Species 0.000 description 1
- 241000724284 Peanut stunt virus Species 0.000 description 1
- 241001493094 Pear vein yellows virus Species 0.000 description 1
- 241000024150 Pecteilis Species 0.000 description 1
- 241000588702 Pectobacterium carotovorum subsp. carotovorum Species 0.000 description 1
- 241000208181 Pelargonium Species 0.000 description 1
- 241001492219 Pelargonium flower break virus Species 0.000 description 1
- 241001492331 Pelargonium leaf curl virus Species 0.000 description 1
- JNTOCHDNEULJHD-UHFFFAOYSA-N Penciclovir Chemical compound N1C(N)=NC(=O)C2=C1N(CCC(CO)CO)C=N2 JNTOCHDNEULJHD-UHFFFAOYSA-N 0.000 description 1
- 239000005813 Penconazole Substances 0.000 description 1
- 239000005814 Pencycuron Substances 0.000 description 1
- 241000228150 Penicillium chrysogenum Species 0.000 description 1
- 241001123663 Penicillium expansum Species 0.000 description 1
- 241000985513 Penicillium oxalicum Species 0.000 description 1
- 235000002233 Penicillium roqueforti Nutrition 0.000 description 1
- 239000005816 Penthiopyrad Substances 0.000 description 1
- 241000171505 Pepino mosaic virus Species 0.000 description 1
- 241000723824 Pepper mild mottle virus Species 0.000 description 1
- 241000723996 Pepper mottle virus Species 0.000 description 1
- 241001378207 Pepper veinal mottle virus Species 0.000 description 1
- 241000150350 Peribunyaviridae Species 0.000 description 1
- 244000309515 Periconia circinata Species 0.000 description 1
- 235000004347 Perilla Nutrition 0.000 description 1
- 244000124853 Perilla frutescens Species 0.000 description 1
- 241000596140 Peronosclerospora Species 0.000 description 1
- 241000408224 Petunia asteroid mosaic virus Species 0.000 description 1
- 241000286137 Phaeocytostroma Species 0.000 description 1
- 241000555275 Phaeosphaeria Species 0.000 description 1
- 206010057249 Phagocytosis Diseases 0.000 description 1
- 244000309618 Phakopsora gossypii Species 0.000 description 1
- 241000682645 Phakopsora pachyrhizi Species 0.000 description 1
- 235000010617 Phaseolus lunatus Nutrition 0.000 description 1
- 241000286209 Phasianidae Species 0.000 description 1
- 241001207509 Phoma sp. Species 0.000 description 1
- 241001557902 Phomopsis sp. Species 0.000 description 1
- 239000005921 Phosmet Substances 0.000 description 1
- NBIIXXVUZAFLBC-UHFFFAOYSA-L Phosphate ion(2-) Chemical compound OP([O-])([O-])=O NBIIXXVUZAFLBC-UHFFFAOYSA-L 0.000 description 1
- OAICVXFJPJFONN-UHFFFAOYSA-N Phosphorus Chemical compound [P] OAICVXFJPJFONN-UHFFFAOYSA-N 0.000 description 1
- 235000014676 Phragmites communis Nutrition 0.000 description 1
- 241001636470 Phyllachora maydis Species 0.000 description 1
- 241001640279 Phyllophaga Species 0.000 description 1
- 241000286134 Phyllophaga crinita Species 0.000 description 1
- 241000275067 Phyllotreta Species 0.000 description 1
- 244000064622 Physalis edulis Species 0.000 description 1
- 241001115351 Physalospora Species 0.000 description 1
- 241000471406 Physoderma maydis Species 0.000 description 1
- 241001149949 Phytophthora cactorum Species 0.000 description 1
- 241000233633 Phytophthora drechsleri Species 0.000 description 1
- 241000233647 Phytophthora nicotianae var. parasitica Species 0.000 description 1
- 239000005595 Picloram Substances 0.000 description 1
- 239000005818 Picoxystrobin Substances 0.000 description 1
- 241000150396 Pigeonpea sterility mosaic emaravirus 1 Species 0.000 description 1
- 239000005923 Pirimicarb Substances 0.000 description 1
- 241001092090 Pittosporum Species 0.000 description 1
- 241001135901 Plantago asiatica mosaic virus Species 0.000 description 1
- 241001240313 Plantago mottle virus Species 0.000 description 1
- 241000223960 Plasmodium falciparum Species 0.000 description 1
- 241000543794 Pleioblastus chino Species 0.000 description 1
- 241000723784 Plum pox virus Species 0.000 description 1
- 241000500437 Plutella xylostella Species 0.000 description 1
- 241001626586 Pokeweed mosaic virus Species 0.000 description 1
- 235000016067 Polianthes tuberosa Nutrition 0.000 description 1
- 244000014047 Polianthes tuberosa Species 0.000 description 1
- 229920001212 Poly(beta amino esters) Polymers 0.000 description 1
- 239000004952 Polyamide Substances 0.000 description 1
- 229920002873 Polyethylenimine Polymers 0.000 description 1
- 229930182764 Polyoxin Natural products 0.000 description 1
- 241000254101 Popillia japonica Species 0.000 description 1
- 241000710183 Poplar mosaic virus Species 0.000 description 1
- 241000709994 Potato aucuba mosaic virus Species 0.000 description 1
- 241000709769 Potato leafroll virus Species 0.000 description 1
- 241001502576 Potato mop-top virus Species 0.000 description 1
- 241000723764 Potato virus A Species 0.000 description 1
- 241000710181 Potato virus M Species 0.000 description 1
- 241000710179 Potato virus S Species 0.000 description 1
- 241001506308 Potato virus T Species 0.000 description 1
- 244000309523 Potato virus U Species 0.000 description 1
- 241000124132 Potato virus V Species 0.000 description 1
- 241000709992 Potato virus X Species 0.000 description 1
- 241001474398 Potato yellow dwarf nucleorhabdovirus Species 0.000 description 1
- 241001533393 Potyviridae Species 0.000 description 1
- 241000196707 Pratylenchoides Species 0.000 description 1
- 241000193943 Pratylenchus Species 0.000 description 1
- 241000193978 Pratylenchus brachyurus Species 0.000 description 1
- 241000193957 Pratylenchus crenatus Species 0.000 description 1
- 241000201396 Pratylenchus hexincisus Species 0.000 description 1
- 241000193977 Pratylenchus musicola Species 0.000 description 1
- 241000193940 Pratylenchus penetrans Species 0.000 description 1
- 241000193953 Pratylenchus scribneri Species 0.000 description 1
- 241000193955 Pratylenchus thornei Species 0.000 description 1
- 241000193966 Pratylenchus vulnus Species 0.000 description 1
- 239000005820 Prochloraz Substances 0.000 description 1
- DTAPQAJKAFRNJB-UHFFFAOYSA-N Promecarb Chemical compound CNC(=O)OC1=CC(C)=CC(C(C)C)=C1 DTAPQAJKAFRNJB-UHFFFAOYSA-N 0.000 description 1
- 239000005821 Propamocarb Substances 0.000 description 1
- 239000005822 Propiconazole Substances 0.000 description 1
- 239000005823 Propineb Substances 0.000 description 1
- 239000005824 Proquinazid Substances 0.000 description 1
- 101710188315 Protein X Proteins 0.000 description 1
- 239000005825 Prothioconazole Substances 0.000 description 1
- QTXHFDHVLBDJIO-UHFFFAOYSA-N Prothoate Chemical compound CCOP(=S)(OCC)SCC(=O)NC(C)C QTXHFDHVLBDJIO-UHFFFAOYSA-N 0.000 description 1
- 241001467043 Prune dwarf virus Species 0.000 description 1
- 241001290151 Prunus avium subsp. avium Species 0.000 description 1
- 241001522976 Prunus necrotic ringspot virus Species 0.000 description 1
- 241000589517 Pseudomonas aeruginosa Species 0.000 description 1
- 241001285728 Pseudopithomyces maydicus Species 0.000 description 1
- 241000221300 Puccinia Species 0.000 description 1
- 241000343500 Puccinia arachidis Species 0.000 description 1
- 244000309617 Puccinia cacabata Species 0.000 description 1
- 241001123561 Puccinia coronata Species 0.000 description 1
- 241000540505 Puccinia dispersa f. sp. tritici Species 0.000 description 1
- 241000567201 Puccinia graminis f. sp. secalis Species 0.000 description 1
- 241000928332 Puccinia melanocephala Species 0.000 description 1
- 244000309616 Puccinia schedonnardii Species 0.000 description 1
- 241001123583 Puccinia striiformis Species 0.000 description 1
- 241001427686 Punctodera chalcoensis Species 0.000 description 1
- 239000005925 Pymetrozine Substances 0.000 description 1
- YPCALTGLHFLNGA-UHFFFAOYSA-N Pyracarbolid Chemical compound C1CCOC(C)=C1C(=O)NC1=CC=CC=C1 YPCALTGLHFLNGA-UHFFFAOYSA-N 0.000 description 1
- 239000005869 Pyraclostrobin Substances 0.000 description 1
- 241000812330 Pyrenochaeta Species 0.000 description 1
- 241000228453 Pyrenophora Species 0.000 description 1
- 239000005663 Pyridaben Substances 0.000 description 1
- 239000005926 Pyridalyl Substances 0.000 description 1
- 239000005828 Pyrimethanil Substances 0.000 description 1
- MWMQNVGAHVXSPE-UHFFFAOYSA-N Pyriprole Chemical compound ClC=1C=C(C(F)(F)F)C=C(Cl)C=1N1N=C(C#N)C(SC(F)F)=C1NCC1=CC=CC=N1 MWMQNVGAHVXSPE-UHFFFAOYSA-N 0.000 description 1
- 241000918585 Pythium aphanidermatum Species 0.000 description 1
- 241001622914 Pythium arrhenomanes Species 0.000 description 1
- 241001231787 Pythium butleri Species 0.000 description 1
- 241001622911 Pythium graminicola Species 0.000 description 1
- 241000327774 Quinisulcius acutus Species 0.000 description 1
- 239000005831 Quinoxyfen Substances 0.000 description 1
- 230000006819 RNA synthesis Effects 0.000 description 1
- 206010037742 Rabies Diseases 0.000 description 1
- 241000034975 Radish mosaic virus Species 0.000 description 1
- 241001331177 Radish yellow edge virus Species 0.000 description 1
- 241000201377 Radopholus Species 0.000 description 1
- 241000201375 Radopholus similis Species 0.000 description 1
- 241000218206 Ranunculus Species 0.000 description 1
- 241000978515 Ranunculus repens Species 0.000 description 1
- 241000724648 Raspberry bushy dwarf virus Species 0.000 description 1
- 241000725693 Raspberry ringspot virus Species 0.000 description 1
- 241000723661 Red clover mottle virus Species 0.000 description 1
- 241000723670 Red clover necrotic mosaic virus Species 0.000 description 1
- 241000266793 Red clover vein mosaic virus Species 0.000 description 1
- 241000725643 Respiratory syncytial virus Species 0.000 description 1
- 241000711931 Rhabdoviridae Species 0.000 description 1
- 244000152640 Rhipsalis cassutha Species 0.000 description 1
- 235000012300 Rhipsalis cassutha Nutrition 0.000 description 1
- 241000593344 Rhizopus microsporus Species 0.000 description 1
- 240000005384 Rhizopus oryzae Species 0.000 description 1
- 235000013752 Rhizopus oryzae Nutrition 0.000 description 1
- ISRUGXGCCGIOQO-UHFFFAOYSA-N Rhoden Chemical compound CNC(=O)OC1=CC=CC=C1OC(C)C ISRUGXGCCGIOQO-UHFFFAOYSA-N 0.000 description 1
- 240000008301 Rhynchosia minima Species 0.000 description 1
- IWUCXVSUMQZMFG-AFCXAGJDSA-N Ribavirin Chemical compound N1=C(C(=O)N)N=CN1[C@H]1[C@H](O)[C@H](O)[C@@H](CO)O1 IWUCXVSUMQZMFG-AFCXAGJDSA-N 0.000 description 1
- 241000500290 Ribgrass mosaic virus Species 0.000 description 1
- 102000006382 Ribonucleases Human genes 0.000 description 1
- 108010083644 Ribonucleases Proteins 0.000 description 1
- 108091028664 Ribonucleotide Proteins 0.000 description 1
- PYMYPHUHKUWMLA-LMVFSUKVSA-N Ribose Natural products OC[C@@H](O)[C@@H](O)[C@@H](O)C=O PYMYPHUHKUWMLA-LMVFSUKVSA-N 0.000 description 1
- 241000702634 Rice black streaked dwarf virus Species 0.000 description 1
- 241000702632 Rice dwarf virus Species 0.000 description 1
- 241000932813 Rice grassy stunt tenuivirus Species 0.000 description 1
- 241000724204 Rice hoja blanca tenuivirus Species 0.000 description 1
- 241000609835 Rice necrosis mosaic virus Species 0.000 description 1
- 241000144068 Rice ragged stunt virus Species 0.000 description 1
- 241000724205 Rice stripe tenuivirus Species 0.000 description 1
- 241000701507 Rice tungro bacilliform virus Species 0.000 description 1
- 241001492231 Rice tungro spherical virus Species 0.000 description 1
- 241001429314 Rice yellow mottle virus Species 0.000 description 1
- 241000608027 Rice yellow stunt nucleorhabdovirus Species 0.000 description 1
- 241000606701 Rickettsia Species 0.000 description 1
- 241000606726 Rickettsia typhi Species 0.000 description 1
- 208000000705 Rift Valley Fever Diseases 0.000 description 1
- NCDNCNXCDXHOMX-UHFFFAOYSA-N Ritonavir Natural products C=1C=CC=CC=1CC(NC(=O)OCC=1SC=NC=1)C(O)CC(CC=1C=CC=CC=1)NC(=O)C(C(C)C)NC(=O)N(C)CC1=CSC(C(C)C)=N1 NCDNCNXCDXHOMX-UHFFFAOYSA-N 0.000 description 1
- 241001135520 Robbsia andropogonis Species 0.000 description 1
- KHPCPRHQVVSZAH-HUOMCSJISA-N Rosin Natural products O(C/C=C/c1ccccc1)[C@H]1[C@H](O)[C@@H](O)[C@@H](O)[C@@H](CO)O1 KHPCPRHQVVSZAH-HUOMCSJISA-N 0.000 description 1
- 241000702670 Rotavirus Species 0.000 description 1
- 235000017848 Rubus fruticosus Nutrition 0.000 description 1
- 240000007272 Rubus parviflorus Species 0.000 description 1
- 235000015731 Rubus parviflorus var parvifolius Nutrition 0.000 description 1
- 235000011670 Rubus parviflorus var. velutinus Nutrition 0.000 description 1
- 235000003963 Rubus phoenicolasius Nutrition 0.000 description 1
- 244000111447 Rubus phoenicolasius Species 0.000 description 1
- 229930001406 Ryanodine Natural products 0.000 description 1
- 241000124072 Ryegrass mosaic virus Species 0.000 description 1
- 241000192617 Sabia mammarenavirus Species 0.000 description 1
- 240000004808 Saccharomyces cerevisiae Species 0.000 description 1
- 235000014680 Saccharomyces cerevisiae Nutrition 0.000 description 1
- 240000009132 Sagittaria sagittifolia Species 0.000 description 1
- OUNSASXJZHBGAI-UHFFFAOYSA-N Salithion Chemical compound C1=CC=C2OP(OC)(=S)OCC2=C1 OUNSASXJZHBGAI-UHFFFAOYSA-N 0.000 description 1
- 241000293871 Salmonella enterica subsp. enterica serovar Typhi Species 0.000 description 1
- 235000018735 Sambucus canadensis Nutrition 0.000 description 1
- 244000151637 Sambucus canadensis Species 0.000 description 1
- 241000190070 Sarracenia purpurea Species 0.000 description 1
- 241000203383 Schefflera Species 0.000 description 1
- 241000242680 Schistosoma mansoni Species 0.000 description 1
- 241000202758 Scirpus Species 0.000 description 1
- 244000309484 Sclerophthora rayssiae Species 0.000 description 1
- 241000342317 Sclerospora Species 0.000 description 1
- 241000342322 Sclerospora graminicola Species 0.000 description 1
- 241001558929 Sclerotium <basidiomycota> Species 0.000 description 1
- 241000122802 Scopulariopsis brumptii Species 0.000 description 1
- 241001240312 Scrophularia mottle virus Species 0.000 description 1
- 244000309478 Septoria zeae Species 0.000 description 1
- 244000309476 Septoria zeicola Species 0.000 description 1
- 244000309477 Septoria zeina Species 0.000 description 1
- 241000287219 Serinus canaria Species 0.000 description 1
- 235000005775 Setaria Nutrition 0.000 description 1
- 241000232088 Setaria <nematode> Species 0.000 description 1
- 241000710168 Shallot latent virus Species 0.000 description 1
- VYPSYNLAJGMNEJ-UHFFFAOYSA-N Silicium dioxide Chemical compound O=[Si]=O VYPSYNLAJGMNEJ-UHFFFAOYSA-N 0.000 description 1
- XUIMIQQOPSSXEZ-UHFFFAOYSA-N Silicon Chemical group [Si] XUIMIQQOPSSXEZ-UHFFFAOYSA-N 0.000 description 1
- 239000005835 Silthiofam Substances 0.000 description 1
- 241001135883 Soil-borne wheat mosaic virus Species 0.000 description 1
- 244000033854 Solanum fendleri Species 0.000 description 1
- 235000014289 Solanum fendleri Nutrition 0.000 description 1
- 235000009865 Solanum jamesii Nutrition 0.000 description 1
- 241000724704 Solanum nodiflorum mottle virus Species 0.000 description 1
- 241000488874 Sonchus Species 0.000 description 1
- 244000111146 Sonchus arvensis Species 0.000 description 1
- 235000008132 Sonchus arvensis ssp. uliginosus Nutrition 0.000 description 1
- 241000712465 Sonchus yellow net nucleorhabdovirus Species 0.000 description 1
- 241001455595 Sorghum mosaic virus Species 0.000 description 1
- 241000710117 Southern bean mosaic virus Species 0.000 description 1
- 241000197389 Sowbane mosaic virus Species 0.000 description 1
- 241000723811 Soybean mosaic virus Species 0.000 description 1
- 241000520373 Sphacelia Species 0.000 description 1
- 241001015417 Sphenophorus parvulus Species 0.000 description 1
- 241000251131 Sphyrna Species 0.000 description 1
- 241000145525 Spinach latent virus Species 0.000 description 1
- 244000300264 Spinacia oleracea Species 0.000 description 1
- 235000009337 Spinacia oleracea Nutrition 0.000 description 1
- 239000005664 Spirodiclofen Substances 0.000 description 1
- 239000005665 Spiromesifen Substances 0.000 description 1
- 241000202917 Spiroplasma Species 0.000 description 1
- 239000005931 Spirotetramat Substances 0.000 description 1
- 239000005837 Spiroxamine Substances 0.000 description 1
- 241000893100 Sporisorium Species 0.000 description 1
- 241001250070 Sporisorium reilianum Species 0.000 description 1
- 241000702479 Squash leaf curl virus Species 0.000 description 1
- 241000723658 Squash mosaic virus Species 0.000 description 1
- 241000191967 Staphylococcus aureus Species 0.000 description 1
- 229920002472 Starch Polymers 0.000 description 1
- 108091081024 Start codon Proteins 0.000 description 1
- XNKLLVCARDGLGL-JGVFFNPUSA-N Stavudine Chemical compound O=C1NC(=O)C(C)=CN1[C@H]1C=C[C@@H](CO)O1 XNKLLVCARDGLGL-JGVFFNPUSA-N 0.000 description 1
- 240000006694 Stellaria media Species 0.000 description 1
- 241000191471 Strawberry crinkle cytorhabdovirus Species 0.000 description 1
- 241001135991 Strawberry latent ringspot virus Species 0.000 description 1
- 241000710036 Strawberry mild yellow edge virus Species 0.000 description 1
- 241000413494 Strawberry mottle virus Species 0.000 description 1
- 241001112810 Streptocarpus Species 0.000 description 1
- 241000194019 Streptococcus mutans Species 0.000 description 1
- 241000193996 Streptococcus pyogenes Species 0.000 description 1
- 241000208000 Striga Species 0.000 description 1
- 229930182692 Strobilurin Natural products 0.000 description 1
- 101710172711 Structural protein Proteins 0.000 description 1
- 241000724703 Subterranean clover mottle virus Species 0.000 description 1
- 241000723806 Sugarcane mosaic virus Species 0.000 description 1
- 241000702287 Sugarcane streak virus Species 0.000 description 1
- QAOWNCQODCNURD-UHFFFAOYSA-L Sulfate Chemical compound [O-]S([O-])(=O)=O QAOWNCQODCNURD-UHFFFAOYSA-L 0.000 description 1
- LSNNMFCWUKXFEE-UHFFFAOYSA-N Sulfurous acid Chemical compound OS(O)=O LSNNMFCWUKXFEE-UHFFFAOYSA-N 0.000 description 1
- UCKMPCXJQFINFW-UHFFFAOYSA-N Sulphide Chemical compound [S-2] UCKMPCXJQFINFW-UHFFFAOYSA-N 0.000 description 1
- 241000723881 Sunn-hemp mosaic virus Species 0.000 description 1
- 241001135988 Sweet clover necrotic mosaic virus Species 0.000 description 1
- 241000725680 Sweet potato feathery mottle virus Species 0.000 description 1
- 241000132145 Sweet potato mild mottle virus Species 0.000 description 1
- 108700026226 TATA Box Proteins 0.000 description 1
- QJJXYPPXXYFBGM-LFZNUXCKSA-N Tacrolimus Chemical compound C1C[C@@H](O)[C@H](OC)C[C@@H]1\C=C(/C)[C@@H]1[C@H](C)[C@@H](O)CC(=O)[C@H](CC=C)/C=C(C)/C[C@H](C)C[C@H](OC)[C@H]([C@H](C[C@H]2C)OC)O[C@@]2(O)C(=O)C(=O)N2CCCC[C@H]2C(=O)O1 QJJXYPPXXYFBGM-LFZNUXCKSA-N 0.000 description 1
- 240000004460 Tanacetum coccineum Species 0.000 description 1
- 240000001949 Taraxacum officinale Species 0.000 description 1
- 235000005187 Taraxacum officinale ssp. officinale Nutrition 0.000 description 1
- NAVMQTYZDKMPEU-UHFFFAOYSA-N Targretin Chemical compound CC1=CC(C(CCC2(C)C)(C)C)=C2C=C1C(=C)C1=CC=C(C(O)=O)C=C1 NAVMQTYZDKMPEU-UHFFFAOYSA-N 0.000 description 1
- 239000005839 Tebuconazole Substances 0.000 description 1
- 239000005937 Tebufenozide Substances 0.000 description 1
- 239000005658 Tebufenpyrad Substances 0.000 description 1
- 239000005938 Teflubenzuron Substances 0.000 description 1
- 239000005939 Tefluthrin Substances 0.000 description 1
- 235000012764 Telfairia Nutrition 0.000 description 1
- 241000100912 Telfairia Species 0.000 description 1
- BPEGJWRSRHCHSN-UHFFFAOYSA-N Temozolomide Chemical compound O=C1N(C)N=NC2=C(C(N)=O)N=CN21 BPEGJWRSRHCHSN-UHFFFAOYSA-N 0.000 description 1
- 235000011517 Terminalia chebula Nutrition 0.000 description 1
- 241000787011 Tetanops myopaeformis Species 0.000 description 1
- 239000005840 Tetraconazole Substances 0.000 description 1
- QUWSDLYBOVGOCW-UHFFFAOYSA-N Tetrasul Chemical compound C1=CC(Cl)=CC=C1SC1=CC(Cl)=C(Cl)C=C1Cl QUWSDLYBOVGOCW-UHFFFAOYSA-N 0.000 description 1
- 241001617088 Thanatephorus sasakii Species 0.000 description 1
- 239000005940 Thiacloprid Substances 0.000 description 1
- 239000005941 Thiamethoxam Substances 0.000 description 1
- 239000005842 Thiophanate-methyl Substances 0.000 description 1
- 239000005843 Thiram Substances 0.000 description 1
- SUJUHGSWHZTSEU-UHFFFAOYSA-N Tipranavir Natural products C1C(O)=C(C(CC)C=2C=C(NS(=O)(=O)C=3N=CC(=CC=3)C(F)(F)F)C=CC=2)C(=O)OC1(CCC)CCC1=CC=CC=C1 SUJUHGSWHZTSEU-UHFFFAOYSA-N 0.000 description 1
- 241000723792 Tobacco etch virus Species 0.000 description 1
- 241000723877 Tobacco mild green mosaic virus Species 0.000 description 1
- 241000723873 Tobacco mosaic virus Species 0.000 description 1
- 241000723573 Tobacco rattle virus Species 0.000 description 1
- 241000724291 Tobacco streak virus Species 0.000 description 1
- 241000723790 Tobacco vein mottling virus Species 0.000 description 1
- 241000723717 Tobravirus Species 0.000 description 1
- 239000005845 Tolclofos-methyl Substances 0.000 description 1
- 241000723694 Tomato black ring virus Species 0.000 description 1
- 241000710145 Tomato bushy stunt virus Species 0.000 description 1
- 241000702295 Tomato golden mosaic virus Species 0.000 description 1
- 241000723613 Tomato mosaic virus Species 0.000 description 1
- 241000702305 Tomato mottle virus Species 0.000 description 1
- 241000723681 Tomato ringspot virus Species 0.000 description 1
- 241000016010 Tomato spotted wilt orthotospovirus Species 0.000 description 1
- 241000702308 Tomato yellow leaf curl virus Species 0.000 description 1
- 241000223997 Toxoplasma gondii Species 0.000 description 1
- 240000000324 Tradescantia zebrina Species 0.000 description 1
- 102000004338 Transferrin Human genes 0.000 description 1
- 108090000901 Transferrin Proteins 0.000 description 1
- 108700019146 Transgenes Proteins 0.000 description 1
- WHKUVVPPKQRRBV-UHFFFAOYSA-N Trasan Chemical compound CC1=CC(Cl)=CC=C1OCC(O)=O WHKUVVPPKQRRBV-UHFFFAOYSA-N 0.000 description 1
- 241000589884 Treponema pallidum Species 0.000 description 1
- 239000005846 Triadimenol Substances 0.000 description 1
- 241000018137 Trialeurodes vaporariorum Species 0.000 description 1
- 241000223259 Trichoderma Species 0.000 description 1
- 241001557886 Trichoderma sp. Species 0.000 description 1
- 241001220308 Trichodorus Species 0.000 description 1
- 241000224527 Trichomonas vaginalis Species 0.000 description 1
- 241000255993 Trichoplusia ni Species 0.000 description 1
- 241000218989 Trichosanthes Species 0.000 description 1
- 239000005857 Trifloxystrobin Substances 0.000 description 1
- 239000005858 Triflumizole Substances 0.000 description 1
- 239000005942 Triflumuron Substances 0.000 description 1
- 235000000598 Trifolium hybridum Nutrition 0.000 description 1
- 240000006345 Trifolium hybridum Species 0.000 description 1
- 235000016722 Trifolium incarnatum Nutrition 0.000 description 1
- 240000000992 Trifolium incarnatum Species 0.000 description 1
- 235000015724 Trifolium pratense Nutrition 0.000 description 1
- 241000219870 Trifolium subterraneum Species 0.000 description 1
- 239000005859 Triticonazole Substances 0.000 description 1
- 240000001260 Tropaeolum majus Species 0.000 description 1
- 235000004424 Tropaeolum majus Nutrition 0.000 description 1
- 241000223105 Trypanosoma brucei Species 0.000 description 1
- 241001629556 Tulare apple mosaic virus Species 0.000 description 1
- 241000723798 Tulip breaking virus Species 0.000 description 1
- 241001492228 Tulip mosaic virus Species 0.000 description 1
- 241000413408 Tulip virus X Species 0.000 description 1
- 241000714211 Turnip crinkle virus Species 0.000 description 1
- 241000723838 Turnip mosaic virus Species 0.000 description 1
- 241001623460 Turnip rosette virus Species 0.000 description 1
- 241001147459 Turnip vein-clearing virus Species 0.000 description 1
- 241000221577 Uromyces appendiculatus Species 0.000 description 1
- 241001474928 Ustilaginoidea virens Species 0.000 description 1
- 235000015919 Ustilago maydis Nutrition 0.000 description 1
- 235000003095 Vaccinium corymbosum Nutrition 0.000 description 1
- 235000017537 Vaccinium myrtillus Nutrition 0.000 description 1
- 244000077233 Vaccinium uliginosum Species 0.000 description 1
- HDOVUKNUBWVHOX-QMMMGPOBSA-N Valacyclovir Chemical compound N1C(N)=NC(=O)C2=C1N(COCCOC(=O)[C@@H](N)C(C)C)C=N2 HDOVUKNUBWVHOX-QMMMGPOBSA-N 0.000 description 1
- WPVFJKSGQUFQAP-GKAPJAKFSA-N Valcyte Chemical compound N1C(N)=NC(=O)C2=C1N(COC(CO)COC(=O)[C@@H](N)C(C)C)C=N2 WPVFJKSGQUFQAP-GKAPJAKFSA-N 0.000 description 1
- JARYYMUOCXVXNK-UHFFFAOYSA-N Validamycin A Natural products OC1C(O)C(OC2C(C(O)C(O)C(CO)O2)O)C(CO)CC1NC1C=C(CO)C(O)C(O)C1O JARYYMUOCXVXNK-UHFFFAOYSA-N 0.000 description 1
- 241000009233 Vallota mosaic virus Species 0.000 description 1
- 244000290333 Vanilla fragrans Species 0.000 description 1
- 235000009499 Vanilla fragrans Nutrition 0.000 description 1
- 241001114556 Vanilla mosaic virus Species 0.000 description 1
- 235000012036 Vanilla tahitensis Nutrition 0.000 description 1
- 241000700647 Variola virus Species 0.000 description 1
- 241000082085 Verticillium <Phyllachorales> Species 0.000 description 1
- 241000607626 Vibrio cholerae Species 0.000 description 1
- OIRDTQYFTABQOQ-UHTZMRCNSA-N Vidarabine Chemical compound C1=NC=2C(N)=NC=NC=2N1[C@@H]1O[C@H](CO)[C@@H](O)[C@@H]1O OIRDTQYFTABQOQ-UHTZMRCNSA-N 0.000 description 1
- 244000042295 Vigna mungo Species 0.000 description 1
- 235000006085 Vigna mungo var mungo Nutrition 0.000 description 1
- 240000004922 Vigna radiata Species 0.000 description 1
- 235000010721 Vigna radiata var radiata Nutrition 0.000 description 1
- 235000011469 Vigna radiata var sublobata Nutrition 0.000 description 1
- 244000042327 Vigna sinensis Species 0.000 description 1
- 241000405217 Viola <butterfly> Species 0.000 description 1
- 208000036142 Viral infection Diseases 0.000 description 1
- 241000893385 Waitea circinata Species 0.000 description 1
- 241001493113 Watermelon chlorotic stunt virus Species 0.000 description 1
- 241001492226 Wheat spindle streak mosaic virus Species 0.000 description 1
- 241001429320 Wheat streak mosaic virus Species 0.000 description 1
- 244000309508 Wheat yellow leaf virus Species 0.000 description 1
- 241001396914 White clover cryptic virus 2 Species 0.000 description 1
- 241000710052 White clover mosaic virus Species 0.000 description 1
- 241001222757 Wild cucumber mosaic virus Species 0.000 description 1
- 241001156280 Wisteria vein mosaic virus Species 0.000 description 1
- CVQODEWAPZVVBU-UHFFFAOYSA-N XMC Chemical compound CNC(=O)OC1=CC(C)=CC(C)=C1 CVQODEWAPZVVBU-UHFFFAOYSA-N 0.000 description 1
- 241001506766 Xanthium Species 0.000 description 1
- 241000566997 Xanthomonas vasicola Species 0.000 description 1
- PCWZKQSKUXXDDJ-UHFFFAOYSA-N Xanthotoxin Natural products COCc1c2OC(=O)C=Cc2cc3ccoc13 PCWZKQSKUXXDDJ-UHFFFAOYSA-N 0.000 description 1
- 241000201423 Xiphinema Species 0.000 description 1
- 241001242944 Xiphinema americanum Species 0.000 description 1
- 241000019288 Xiphinema pachtaicum Species 0.000 description 1
- 241000132050 Yam mosaic virus Species 0.000 description 1
- 208000003152 Yellow Fever Diseases 0.000 description 1
- WREGKURFCTUGRC-POYBYMJQSA-N Zalcitabine Chemical compound O=C1N=C(N)C=CN1[C@@H]1O[C@H](CO)CC1 WREGKURFCTUGRC-POYBYMJQSA-N 0.000 description 1
- 240000003307 Zinnia violacea Species 0.000 description 1
- 239000005870 Ziram Substances 0.000 description 1
- 240000001102 Zoysia matrella Species 0.000 description 1
- 241000831752 Zucchini yellow fleck virus Species 0.000 description 1
- 241000723854 Zucchini yellow mosaic virus Species 0.000 description 1
- GBAWQJNHVWMTLU-RQJHMYQMSA-N [(1R,5S)-7-chloro-6-bicyclo[3.2.0]hepta-2,6-dienyl] dimethyl phosphate Chemical compound C1=CC[C@@H]2C(OP(=O)(OC)OC)=C(Cl)[C@@H]21 GBAWQJNHVWMTLU-RQJHMYQMSA-N 0.000 description 1
- VXSIXFKKSNGRRO-MXOVTSAMSA-N [(1s)-2-methyl-4-oxo-3-[(2z)-penta-2,4-dienyl]cyclopent-2-en-1-yl] (1r,3r)-2,2-dimethyl-3-(2-methylprop-1-enyl)cyclopropane-1-carboxylate;[(1s)-2-methyl-4-oxo-3-[(2z)-penta-2,4-dienyl]cyclopent-2-en-1-yl] (1r,3r)-3-[(e)-3-methoxy-2-methyl-3-oxoprop-1-enyl Chemical class CC1(C)[C@H](C=C(C)C)[C@H]1C(=O)O[C@@H]1C(C)=C(C\C=C/C=C)C(=O)C1.CC1(C)[C@H](/C=C(\C)C(=O)OC)[C@H]1C(=O)O[C@@H]1C(C)=C(C\C=C/C=C)C(=O)C1 VXSIXFKKSNGRRO-MXOVTSAMSA-N 0.000 description 1
- CLPYVPMXLNNKLB-UHFFFAOYSA-N [(2-nitrophenyl)-phenylmethyl] carbamate Chemical compound C=1C=CC=C([N+]([O-])=O)C=1C(OC(=O)N)C1=CC=CC=C1 CLPYVPMXLNNKLB-UHFFFAOYSA-N 0.000 description 1
- QQODLKZGRKWIFG-RUTXASTPSA-N [(R)-cyano-(4-fluoro-3-phenoxyphenyl)methyl] (1S)-3-(2,2-dichloroethenyl)-2,2-dimethylcyclopropane-1-carboxylate Chemical compound CC1(C)C(C=C(Cl)Cl)[C@@H]1C(=O)O[C@@H](C#N)C1=CC=C(F)C(OC=2C=CC=CC=2)=C1 QQODLKZGRKWIFG-RUTXASTPSA-N 0.000 description 1
- FZSVSABTBYGOQH-XFFZJAGNSA-N [(e)-(3,3-dimethyl-1-methylsulfanylbutan-2-ylidene)amino] n-methylcarbamate Chemical compound CNC(=O)O\N=C(C(C)(C)C)\CSC FZSVSABTBYGOQH-XFFZJAGNSA-N 0.000 description 1
- ORDKAVSHIKNMAN-XYOKQWHBSA-N [(e)-2-bromo-1-(2,4-dichlorophenyl)ethenyl] diethyl phosphate Chemical compound CCOP(=O)(OCC)O\C(=C\Br)C1=CC=C(Cl)C=C1Cl ORDKAVSHIKNMAN-XYOKQWHBSA-N 0.000 description 1
- CTJBHIROCMPUKL-WEVVVXLNSA-N [(e)-3-methylsulfonylbutan-2-ylideneamino] n-methylcarbamate Chemical compound CNC(=O)O\N=C(/C)C(C)S(C)(=O)=O CTJBHIROCMPUKL-WEVVVXLNSA-N 0.000 description 1
- LXKLUWFIBVXFGX-QPJJXVBHSA-N [(e)-3-phenylprop-2-enyl] carbamate Chemical compound NC(=O)OC\C=C\C1=CC=CC=C1 LXKLUWFIBVXFGX-QPJJXVBHSA-N 0.000 description 1
- BZMIHNKNQJJVRO-LVZFUZTISA-N [(e)-c-(3-chloro-2,6-dimethoxyphenyl)-n-ethoxycarbonimidoyl] benzoate Chemical compound COC=1C=CC(Cl)=C(OC)C=1C(=N/OCC)\OC(=O)C1=CC=CC=C1 BZMIHNKNQJJVRO-LVZFUZTISA-N 0.000 description 1
- FSAVDKDHPDSCTO-WQLSENKSSA-N [(z)-2-chloro-1-(2,4-dichlorophenyl)ethenyl] diethyl phosphate Chemical compound CCOP(=O)(OCC)O\C(=C/Cl)C1=CC=C(Cl)C=C1Cl FSAVDKDHPDSCTO-WQLSENKSSA-N 0.000 description 1
- QSGNQELHULIMSJ-POHAHGRESA-N [(z)-2-chloro-1-(2,4-dichlorophenyl)ethenyl] dimethyl phosphate Chemical compound COP(=O)(OC)O\C(=C/Cl)C1=CC=C(Cl)C=C1Cl QSGNQELHULIMSJ-POHAHGRESA-N 0.000 description 1
- KVIZNNVXXNFLMU-AIIUZBJTSA-N [2,3,5,6-tetrafluoro-4-(methoxymethyl)phenyl]methyl (1r,3r)-2,2-dimethyl-3-[(e)-prop-1-enyl]cyclopropane-1-carboxylate Chemical compound FC1=C(F)C(COC)=C(F)C(F)=C1COC(=O)[C@H]1C(C)(C)[C@@H]1\C=C\C KVIZNNVXXNFLMU-AIIUZBJTSA-N 0.000 description 1
- MQLDYIKXBMSDCL-UHFFFAOYSA-N [2,4-bis(methylsulfanyl)phenyl] carbamate Chemical compound CSC1=CC=C(OC(N)=O)C(SC)=C1 MQLDYIKXBMSDCL-UHFFFAOYSA-N 0.000 description 1
- OJUHIDQVEFLXSE-UHFFFAOYSA-N [2-(4-methoxyphenyl)-2-oxoethyl] carbamate Chemical compound COC1=CC=C(C(=O)COC(N)=O)C=C1 OJUHIDQVEFLXSE-UHFFFAOYSA-N 0.000 description 1
- ROVGZAWFACYCSP-MQBLHHJJSA-N [2-methyl-4-oxo-3-[(2z)-penta-2,4-dienyl]cyclopent-2-en-1-yl] (1r,3r)-2,2-dimethyl-3-(2-methylprop-1-enyl)cyclopropane-1-carboxylate Chemical compound CC1(C)[C@H](C=C(C)C)[C@H]1C(=O)OC1C(C)=C(C\C=C/C=C)C(=O)C1 ROVGZAWFACYCSP-MQBLHHJJSA-N 0.000 description 1
- XSXGGUVGOHDUPF-UHFFFAOYSA-N [4-(carbamoyloxymethyl)phenyl]boronic acid Chemical compound NC(=O)OCC1=CC=C(B(O)O)C=C1 XSXGGUVGOHDUPF-UHFFFAOYSA-N 0.000 description 1
- 241001231403 [Nectria] haematococca Species 0.000 description 1
- GLWHPRRGGYLLRV-XLPZGREQSA-N [[(2s,3s,5r)-3-azido-5-(5-methyl-2,4-dioxopyrimidin-1-yl)oxolan-2-yl]methoxy-hydroxyphosphoryl] phosphono hydrogen phosphate Chemical compound O=C1NC(=O)C(C)=CN1[C@@H]1O[C@H](COP(O)(=O)OP(O)(=O)OP(O)(O)=O)[C@@H](N=[N+]=[N-])C1 GLWHPRRGGYLLRV-XLPZGREQSA-N 0.000 description 1
- INISTDXBRIBGOC-CGAIIQECSA-N [cyano-(3-phenoxyphenyl)methyl] (2s)-2-[2-chloro-4-(trifluoromethyl)anilino]-3-methylbutanoate Chemical compound N([C@@H](C(C)C)C(=O)OC(C#N)C=1C=C(OC=2C=CC=CC=2)C=CC=1)C1=CC=C(C(F)(F)F)C=C1Cl INISTDXBRIBGOC-CGAIIQECSA-N 0.000 description 1
- VQHJWDTTWVEXFE-UHFFFAOYSA-N [cyano-(3-phenoxyphenyl)methyl] 3-(1,2-dibromo-2,2-dichloroethyl)-2,2-dimethylcyclopropane-1-carboxylate Chemical compound CC1(C)C(C(Br)C(Cl)(Cl)Br)C1C(=O)OC(C#N)C1=CC=CC(OC=2C=CC=CC=2)=C1 VQHJWDTTWVEXFE-UHFFFAOYSA-N 0.000 description 1
- YXWCBRDRVXHABN-JCMHNJIXSA-N [cyano-(4-fluoro-3-phenoxyphenyl)methyl] 3-[(z)-2-chloro-2-(4-chlorophenyl)ethenyl]-2,2-dimethylcyclopropane-1-carboxylate Chemical compound C=1C=C(F)C(OC=2C=CC=CC=2)=CC=1C(C#N)OC(=O)C1C(C)(C)C1\C=C(/Cl)C1=CC=C(Cl)C=C1 YXWCBRDRVXHABN-JCMHNJIXSA-N 0.000 description 1
- IHVPAVRHNZFQKC-UHFFFAOYSA-N [cyano-(6-phenoxypyridin-2-yl)methyl] 3-(2,2-dichloroethenyl)-2,2-dimethylcyclopropane-1-carboxylate Chemical compound CC1(C)C(C=C(Cl)Cl)C1C(=O)OC(C#N)C1=CC=CC(OC=2C=CC=CC=2)=N1 IHVPAVRHNZFQKC-UHFFFAOYSA-N 0.000 description 1
- 229960004748 abacavir Drugs 0.000 description 1
- MCGSCOLBFJQGHM-SCZZXKLOSA-N abacavir Chemical compound C=12N=CN([C@H]3C=C[C@@H](CO)C3)C2=NC(N)=NC=1NC1CC1 MCGSCOLBFJQGHM-SCZZXKLOSA-N 0.000 description 1
- 229950008167 abamectin Drugs 0.000 description 1
- 239000002250 absorbent Substances 0.000 description 1
- 230000002745 absorbent Effects 0.000 description 1
- YASYVMFAVPKPKE-UHFFFAOYSA-N acephate Chemical compound COP(=O)(SC)NC(C)=O YASYVMFAVPKPKE-UHFFFAOYSA-N 0.000 description 1
- QDRXWCAVUNHOGA-UHFFFAOYSA-N acequinocyl Chemical group C1=CC=C2C(=O)C(CCCCCCCCCCCC)=C(OC(C)=O)C(=O)C2=C1 QDRXWCAVUNHOGA-UHFFFAOYSA-N 0.000 description 1
- GCPWJFKTWGFEHH-UHFFFAOYSA-N acetoacetamide Chemical compound CC(=O)CC(N)=O GCPWJFKTWGFEHH-UHFFFAOYSA-N 0.000 description 1
- GDZNYEZGJAFIKA-UHFFFAOYSA-N acetoprole Chemical compound NC1=C(S(C)=O)C(C(=O)C)=NN1C1=C(Cl)C=C(C(F)(F)F)C=C1Cl GDZNYEZGJAFIKA-UHFFFAOYSA-N 0.000 description 1
- 102000034337 acetylcholine receptors Human genes 0.000 description 1
- UELITFHSCLAHKR-UHFFFAOYSA-N acibenzolar-S-methyl Chemical group CSC(=O)C1=CC=CC2=C1SN=N2 UELITFHSCLAHKR-UHFFFAOYSA-N 0.000 description 1
- 230000002378 acidificating effect Effects 0.000 description 1
- YLFSVIMMRPNPFK-WEQBUNFVSA-N acrinathrin Chemical compound CC1(C)[C@@H](\C=C/C(=O)OC(C(F)(F)F)C(F)(F)F)[C@H]1C(=O)O[C@H](C#N)C1=CC=CC(OC=2C=CC=CC=2)=C1 YLFSVIMMRPNPFK-WEQBUNFVSA-N 0.000 description 1
- 150000003926 acrylamides Chemical class 0.000 description 1
- 150000001252 acrylic acid derivatives Chemical class 0.000 description 1
- 229960001997 adefovir Drugs 0.000 description 1
- WOZSCQDILHKSGG-UHFFFAOYSA-N adefovir depivoxil Chemical compound N1=CN=C2N(CCOCP(=O)(OCOC(=O)C(C)(C)C)OCOC(=O)C(C)(C)C)C=NC2=C1N WOZSCQDILHKSGG-UHFFFAOYSA-N 0.000 description 1
- 239000000674 adrenergic antagonist Substances 0.000 description 1
- 239000003463 adsorbent Substances 0.000 description 1
- 244000193174 agave Species 0.000 description 1
- 239000000556 agonist Substances 0.000 description 1
- GMAUQNJOSOMMHI-JXAWBTAJSA-N alanycarb Chemical compound CSC(\C)=N/OC(=O)N(C)SN(CCC(=O)OCC)CC1=CC=CC=C1 GMAUQNJOSOMMHI-JXAWBTAJSA-N 0.000 description 1
- 150000001298 alcohols Chemical class 0.000 description 1
- QGLZXHRNAYXIBU-WEVVVXLNSA-N aldicarb Chemical compound CNC(=O)O\N=C\C(C)(C)SC QGLZXHRNAYXIBU-WEVVVXLNSA-N 0.000 description 1
- 125000002723 alicyclic group Chemical group 0.000 description 1
- 229940098174 alkeran Drugs 0.000 description 1
- 125000003545 alkoxy group Chemical group 0.000 description 1
- 125000005103 alkyl silyl group Chemical group 0.000 description 1
- 150000008051 alkyl sulfates Chemical class 0.000 description 1
- 125000004414 alkyl thio group Chemical group 0.000 description 1
- 239000011717 all-trans-retinol Substances 0.000 description 1
- 235000019169 all-trans-retinol Nutrition 0.000 description 1
- 229940024113 allethrin Drugs 0.000 description 1
- 229960003459 allopurinol Drugs 0.000 description 1
- OFCNXPDARWKPPY-UHFFFAOYSA-N allopurinol Chemical compound OC1=NC=NC2=C1C=NN2 OFCNXPDARWKPPY-UHFFFAOYSA-N 0.000 description 1
- HMFHBZSHGGEWLO-UHFFFAOYSA-N alpha-D-Furanose-Ribose Natural products OCC1OC(O)C(O)C1O HMFHBZSHGGEWLO-UHFFFAOYSA-N 0.000 description 1
- HSFWRNGVRCDJHI-UHFFFAOYSA-N alpha-acetylene Natural products C#C HSFWRNGVRCDJHI-UHFFFAOYSA-N 0.000 description 1
- 229960000473 altretamine Drugs 0.000 description 1
- 229940037003 alum Drugs 0.000 description 1
- PPNXXZIBFHTHDM-UHFFFAOYSA-N aluminium phosphide Chemical compound P#[Al] PPNXXZIBFHTHDM-UHFFFAOYSA-N 0.000 description 1
- DKNWSYNQZKUICI-UHFFFAOYSA-N amantadine Chemical compound C1C(C2)CC3CC2CC1(N)C3 DKNWSYNQZKUICI-UHFFFAOYSA-N 0.000 description 1
- 229960003805 amantadine Drugs 0.000 description 1
- 229940059260 amidate Drugs 0.000 description 1
- 150000001408 amides Chemical class 0.000 description 1
- 229960001097 amifostine Drugs 0.000 description 1
- JKOQGQFVAUAYPM-UHFFFAOYSA-N amifostine Chemical compound NCCCNCCSP(O)(O)=O JKOQGQFVAUAYPM-UHFFFAOYSA-N 0.000 description 1
- 125000003277 amino group Chemical group 0.000 description 1
- IMIDOCRTMDIQIJ-UHFFFAOYSA-N aminocarb Chemical compound CNC(=O)OC1=CC=C(N(C)C)C(C)=C1 IMIDOCRTMDIQIJ-UHFFFAOYSA-N 0.000 description 1
- KWAIHLIXESXTJL-UHFFFAOYSA-N aminocyclopyrachlor Chemical class OC(=O)C1=C(Cl)C(N)=NC(C2CC2)=N1 KWAIHLIXESXTJL-UHFFFAOYSA-N 0.000 description 1
- NIXXQNOQHKNPEJ-UHFFFAOYSA-N aminopyralid Chemical compound NC1=CC(Cl)=NC(C(O)=O)=C1Cl NIXXQNOQHKNPEJ-UHFFFAOYSA-N 0.000 description 1
- 229960002587 amitraz Drugs 0.000 description 1
- QXAITBQSYVNQDR-ZIOPAAQOSA-N amitraz Chemical compound C=1C=C(C)C=C(C)C=1/N=C/N(C)\C=N\C1=CC=C(C)C=C1C QXAITBQSYVNQDR-ZIOPAAQOSA-N 0.000 description 1
- YMARZQAQMVYCKC-OEMFJLHTSA-N amprenavir Chemical compound C([C@@H]([C@H](O)CN(CC(C)C)S(=O)(=O)C=1C=CC(N)=CC=1)NC(=O)O[C@@H]1COCC1)C1=CC=CC=C1 YMARZQAQMVYCKC-OEMFJLHTSA-N 0.000 description 1
- 229960001830 amprenavir Drugs 0.000 description 1
- 239000002269 analeptic agent Substances 0.000 description 1
- 230000000202 analgesic effect Effects 0.000 description 1
- 229940035676 analgesics Drugs 0.000 description 1
- 229960002932 anastrozole Drugs 0.000 description 1
- YBBLVLTVTVSKRW-UHFFFAOYSA-N anastrozole Chemical compound N#CC(C)(C)C1=CC(C(C)(C#N)C)=CC(CN2N=CN=C2)=C1 YBBLVLTVTVSKRW-UHFFFAOYSA-N 0.000 description 1
- 230000002491 angiogenic effect Effects 0.000 description 1
- IMHBYKMAHXWHRP-UHFFFAOYSA-N anilazine Chemical compound ClC1=CC=CC=C1NC1=NC(Cl)=NC(Cl)=N1 IMHBYKMAHXWHRP-UHFFFAOYSA-N 0.000 description 1
- 125000000129 anionic group Chemical group 0.000 description 1
- 239000003945 anionic surfactant Substances 0.000 description 1
- 230000000578 anorexic effect Effects 0.000 description 1
- 239000005557 antagonist Substances 0.000 description 1
- 239000000730 antalgic agent Substances 0.000 description 1
- DQEFBVRIBYYPLE-UHFFFAOYSA-N anthracen-9-ylmethyl carbamate Chemical compound C1=CC=C2C(COC(=O)N)=C(C=CC=C3)C3=CC2=C1 DQEFBVRIBYYPLE-UHFFFAOYSA-N 0.000 description 1
- FKFZOFZWJNHJDE-UHFFFAOYSA-N anthracene-9-sulfonamide Chemical compound C1=CC=C2C(S(=O)(=O)N)=C(C=CC=C3)C3=CC2=C1 FKFZOFZWJNHJDE-UHFFFAOYSA-N 0.000 description 1
- 230000001466 anti-adreneric effect Effects 0.000 description 1
- 230000001772 anti-angiogenic effect Effects 0.000 description 1
- 230000002456 anti-arthritic effect Effects 0.000 description 1
- 230000001078 anti-cholinergic effect Effects 0.000 description 1
- 230000003556 anti-epileptic effect Effects 0.000 description 1
- 230000002924 anti-infective effect Effects 0.000 description 1
- 229940121363 anti-inflammatory agent Drugs 0.000 description 1
- 239000002260 anti-inflammatory agent Substances 0.000 description 1
- 230000001022 anti-muscarinic effect Effects 0.000 description 1
- 230000000118 anti-neoplastic effect Effects 0.000 description 1
- 230000001139 anti-pruritic effect Effects 0.000 description 1
- 230000001754 anti-pyretic effect Effects 0.000 description 1
- 230000002921 anti-spasmodic effect Effects 0.000 description 1
- 239000003416 antiarrhythmic agent Substances 0.000 description 1
- 229940124346 antiarthritic agent Drugs 0.000 description 1
- 239000000924 antiasthmatic agent Substances 0.000 description 1
- 229940125681 anticonvulsant agent Drugs 0.000 description 1
- 229960003965 antiepileptics Drugs 0.000 description 1
- 239000000739 antihistaminic agent Substances 0.000 description 1
- 229940125715 antihistaminic agent Drugs 0.000 description 1
- 229960005475 antiinfective agent Drugs 0.000 description 1
- 239000003524 antilipemic agent Substances 0.000 description 1
- 239000002579 antinauseant Substances 0.000 description 1
- 229940034982 antineoplastic agent Drugs 0.000 description 1
- 239000002246 antineoplastic agent Substances 0.000 description 1
- 239000003908 antipruritic agent Substances 0.000 description 1
- 239000000164 antipsychotic agent Substances 0.000 description 1
- 239000002221 antipyretic Substances 0.000 description 1
- 229940125716 antipyretic agent Drugs 0.000 description 1
- 229940124575 antispasmodic agent Drugs 0.000 description 1
- 229940058344 antitrematodals organophosphorous compound Drugs 0.000 description 1
- 239000002249 anxiolytic agent Substances 0.000 description 1
- 230000000949 anxiolytic effect Effects 0.000 description 1
- 229940005530 anxiolytics Drugs 0.000 description 1
- 230000001640 apoptogenic effect Effects 0.000 description 1
- 238000013459 approach Methods 0.000 description 1
- 239000012736 aqueous medium Substances 0.000 description 1
- 101150044616 araC gene Proteins 0.000 description 1
- 125000001204 arachidyl group Chemical group [H]C([*])([H])C([H])([H])C([H])([H])C([H])([H])C([H])([H])C([H])([H])C([H])([H])C([H])([H])C([H])([H])C([H])([H])C([H])([H])C([H])([H])C([H])([H])C([H])([H])C([H])([H])C([H])([H])C([H])([H])C([H])([H])C([H])([H])C([H])([H])[H] 0.000 description 1
- 229940000489 arsenate Drugs 0.000 description 1
- GOLCXWYRSKYTSP-UHFFFAOYSA-N arsenic trioxide Inorganic materials O1[As]2O[As]1O2 GOLCXWYRSKYTSP-UHFFFAOYSA-N 0.000 description 1
- 229960002594 arsenic trioxide Drugs 0.000 description 1
- AQLMHYSWFMLWBS-UHFFFAOYSA-N arsenite(1-) Chemical compound O[As](O)[O-] AQLMHYSWFMLWBS-UHFFFAOYSA-N 0.000 description 1
- 235000016520 artichoke thistle Nutrition 0.000 description 1
- 210000004507 artificial chromosome Anatomy 0.000 description 1
- 125000005110 aryl thio group Chemical group 0.000 description 1
- 125000004104 aryloxy group Chemical group 0.000 description 1
- 235000006533 astragalus Nutrition 0.000 description 1
- 238000011914 asymmetric synthesis Methods 0.000 description 1
- AXRYRYVKAWYZBR-GASGPIRDSA-N atazanavir Chemical compound C([C@H](NC(=O)[C@@H](NC(=O)OC)C(C)(C)C)[C@@H](O)CN(CC=1C=CC(=CC=1)C=1N=CC=CC=1)NC(=O)[C@@H](NC(=O)OC)C(C)(C)C)C1=CC=CC=C1 AXRYRYVKAWYZBR-GASGPIRDSA-N 0.000 description 1
- 229960003277 atazanavir Drugs 0.000 description 1
- QVGXLLKOCUKJST-UHFFFAOYSA-N atomic oxygen Chemical group [O] QVGXLLKOCUKJST-UHFFFAOYSA-N 0.000 description 1
- 229940068561 atripla Drugs 0.000 description 1
- 230000006472 autoimmune response Effects 0.000 description 1
- RRZXIRBKKLTSOM-XPNPUAGNSA-N avermectin B1a Chemical compound C1=C[C@H](C)[C@@H]([C@@H](C)CC)O[C@]11O[C@H](C\C=C(C)\[C@@H](O[C@@H]2O[C@@H](C)[C@H](O[C@@H]3O[C@@H](C)[C@H](O)[C@@H](OC)C3)[C@@H](OC)C2)[C@@H](C)\C=C\C=C/2[C@]3([C@H](C(=O)O4)C=C(C)[C@@H](O)[C@H]3OC\2)O)C[C@H]4C1 RRZXIRBKKLTSOM-XPNPUAGNSA-N 0.000 description 1
- VEHPJKVTJQSSKL-UHFFFAOYSA-N azadirachtin Natural products O1C2(C)C(C3(C=COC3O3)O)CC3C21C1(C)C(O)C(OCC2(OC(C)=O)C(CC3OC(=O)C(C)=CC)OC(C)=O)C2C32COC(C(=O)OC)(O)C12 VEHPJKVTJQSSKL-UHFFFAOYSA-N 0.000 description 1
- FTNJWQUOZFUQQJ-NDAWSKJSSA-N azadirachtin A Chemical compound C([C@@H]([C@]1(C=CO[C@H]1O1)O)[C@]2(C)O3)[C@H]1[C@]23[C@]1(C)[C@H](O)[C@H](OC[C@@]2([C@@H](C[C@@H]3OC(=O)C(\C)=C\C)OC(C)=O)C(=O)OC)[C@@H]2[C@]32CO[C@@](C(=O)OC)(O)[C@@H]12 FTNJWQUOZFUQQJ-NDAWSKJSSA-N 0.000 description 1
- FTNJWQUOZFUQQJ-IRYYUVNJSA-N azadirachtin A Natural products C([C@@H]([C@]1(C=CO[C@H]1O1)O)[C@]2(C)O3)[C@H]1[C@]23[C@]1(C)[C@H](O)[C@H](OC[C@@]2([C@@H](C[C@@H]3OC(=O)C(\C)=C/C)OC(C)=O)C(=O)OC)[C@@H]2[C@]32CO[C@@](C(=O)OC)(O)[C@@H]12 FTNJWQUOZFUQQJ-IRYYUVNJSA-N 0.000 description 1
- VNKBTWQZTQIWDV-UHFFFAOYSA-N azamethiphos Chemical compound C1=C(Cl)C=C2OC(=O)N(CSP(=O)(OC)OC)C2=N1 VNKBTWQZTQIWDV-UHFFFAOYSA-N 0.000 description 1
- CJJOSEISRRTUQB-UHFFFAOYSA-N azinphos-methyl Chemical compound C1=CC=C2C(=O)N(CSP(=S)(OC)OC)N=NC2=C1 CJJOSEISRRTUQB-UHFFFAOYSA-N 0.000 description 1
- ONHBDDJJTDTLIR-UHFFFAOYSA-N azocyclotin Chemical compound C1CCCCC1[Sn](N1N=CN=C1)(C1CCCCC1)C1CCCCC1 ONHBDDJJTDTLIR-UHFFFAOYSA-N 0.000 description 1
- 150000003851 azoles Chemical class 0.000 description 1
- WFDXOXNFNRHQEC-GHRIWEEISA-N azoxystrobin Chemical compound CO\C=C(\C(=O)OC)C1=CC=CC=C1OC1=CC(OC=2C(=CC=CC=2)C#N)=NC=N1 WFDXOXNFNRHQEC-GHRIWEEISA-N 0.000 description 1
- 229940065181 bacillus anthracis Drugs 0.000 description 1
- 230000037429 base substitution Effects 0.000 description 1
- CJPQIRJHIZUAQP-MRXNPFEDSA-N benalaxyl-M Chemical compound CC=1C=CC=C(C)C=1N([C@H](C)C(=O)OC)C(=O)CC1=CC=CC=C1 CJPQIRJHIZUAQP-MRXNPFEDSA-N 0.000 description 1
- XEGGRYVFLWGFHI-UHFFFAOYSA-N bendiocarb Chemical compound CNC(=O)OC1=CC=CC2=C1OC(C)(C)O2 XEGGRYVFLWGFHI-UHFFFAOYSA-N 0.000 description 1
- 230000009286 beneficial effect Effects 0.000 description 1
- 230000008901 benefit Effects 0.000 description 1
- FYZBOYWSHKHDMT-UHFFFAOYSA-N benfuracarb Chemical compound CCOC(=O)CCN(C(C)C)SN(C)C(=O)OC1=CC=CC2=C1OC(C)(C)C2 FYZBOYWSHKHDMT-UHFFFAOYSA-N 0.000 description 1
- LJOZMWRYMKECFF-UHFFFAOYSA-N benodanil Chemical compound IC1=CC=CC=C1C(=O)NC1=CC=CC=C1 LJOZMWRYMKECFF-UHFFFAOYSA-N 0.000 description 1
- RIOXQFHNBCKOKP-UHFFFAOYSA-N benomyl Chemical compound C1=CC=C2N(C(=O)NCCCC)C(NC(=O)OC)=NC2=C1 RIOXQFHNBCKOKP-UHFFFAOYSA-N 0.000 description 1
- VVSLYIKSEBPRSN-PELKAZGASA-N benthiavalicarb Chemical compound C1=C(F)C=C2SC([C@@H](C)NC(=O)[C@@H](NC(O)=O)C(C)C)=NC2=C1 VVSLYIKSEBPRSN-PELKAZGASA-N 0.000 description 1
- 229940054066 benzamide antipsychotics Drugs 0.000 description 1
- 150000003936 benzamides Chemical class 0.000 description 1
- DUXANUSOCMOJSI-UHFFFAOYSA-N benzhydryl carbamate Chemical compound C=1C=CC=CC=1C(OC(=O)N)C1=CC=CC=C1 DUXANUSOCMOJSI-UHFFFAOYSA-N 0.000 description 1
- 150000001556 benzimidazoles Chemical class 0.000 description 1
- 235000010233 benzoic acid Nutrition 0.000 description 1
- MITFXPHMIHQXPI-UHFFFAOYSA-N benzoxaprofen Natural products N=1C2=CC(C(C(O)=O)C)=CC=C2OC=1C1=CC=C(Cl)C=C1 MITFXPHMIHQXPI-UHFFFAOYSA-N 0.000 description 1
- 150000008047 benzoylureas Chemical class 0.000 description 1
- RXUBZLMIGSAPEJ-UHFFFAOYSA-N benzyl n-aminocarbamate Chemical compound NNC(=O)OCC1=CC=CC=C1 RXUBZLMIGSAPEJ-UHFFFAOYSA-N 0.000 description 1
- 229940125388 beta agonist Drugs 0.000 description 1
- 239000002876 beta blocker Substances 0.000 description 1
- 229940097320 beta blocking agent Drugs 0.000 description 1
- SQVRNKJHWKZAKO-UHFFFAOYSA-N beta-N-Acetyl-D-neuraminic acid Natural products CC(=O)NC1C(O)CC(O)(C(O)=O)OC1C(O)C(O)CO SQVRNKJHWKZAKO-UHFFFAOYSA-N 0.000 description 1
- 229960002938 bexarotene Drugs 0.000 description 1
- 229940108502 bicnu Drugs 0.000 description 1
- 125000002618 bicyclic heterocycle group Chemical group 0.000 description 1
- VHLKTXFWDRXILV-UHFFFAOYSA-N bifenazate Chemical compound C1=C(NNC(=O)OC(C)C)C(OC)=CC=C1C1=CC=CC=C1 VHLKTXFWDRXILV-UHFFFAOYSA-N 0.000 description 1
- OMFRMAHOUUJSGP-IRHGGOMRSA-N bifenthrin Chemical compound C1=CC=C(C=2C=CC=CC=2)C(C)=C1COC(=O)[C@@H]1[C@H](\C=C(/Cl)C(F)(F)F)C1(C)C OMFRMAHOUUJSGP-IRHGGOMRSA-N 0.000 description 1
- 229960001901 bioallethrin Drugs 0.000 description 1
- 229950002373 bioresmethrin Drugs 0.000 description 1
- HROGQYMZWGPHIB-UHFFFAOYSA-N bis(4-methoxyphenyl)methanamine Chemical compound C1=CC(OC)=CC=C1C(N)C1=CC=C(OC)C=C1 HROGQYMZWGPHIB-UHFFFAOYSA-N 0.000 description 1
- OIPMQULDKWSNGX-UHFFFAOYSA-N bis[[ethoxy(oxo)phosphaniumyl]oxy]alumanyloxy-ethoxy-oxophosphanium Chemical compound [Al+3].CCO[P+]([O-])=O.CCO[P+]([O-])=O.CCO[P+]([O-])=O OIPMQULDKWSNGX-UHFFFAOYSA-N 0.000 description 1
- LDLMOOXUCMHBMZ-UHFFFAOYSA-N bixafen Chemical compound FC(F)C1=NN(C)C=C1C(=O)NC1=CC=C(F)C=C1C1=CC=C(Cl)C(Cl)=C1 LDLMOOXUCMHBMZ-UHFFFAOYSA-N 0.000 description 1
- 235000007123 blue elder Nutrition 0.000 description 1
- 235000021014 blueberries Nutrition 0.000 description 1
- 230000037396 body weight Effects 0.000 description 1
- 238000009835 boiling Methods 0.000 description 1
- 239000002617 bone density conservation agent Substances 0.000 description 1
- 230000008468 bone growth Effects 0.000 description 1
- 229940118790 boscalid Drugs 0.000 description 1
- WYEMLYFITZORAB-UHFFFAOYSA-N boscalid Chemical compound C1=CC(Cl)=CC=C1C1=CC=CC=C1NC(=O)C1=CC=CN=C1Cl WYEMLYFITZORAB-UHFFFAOYSA-N 0.000 description 1
- 238000009395 breeding Methods 0.000 description 1
- 230000001488 breeding effect Effects 0.000 description 1
- SXDBWCPKPHAZSM-UHFFFAOYSA-M bromate Inorganic materials [O-]Br(=O)=O SXDBWCPKPHAZSM-UHFFFAOYSA-M 0.000 description 1
- SXDBWCPKPHAZSM-UHFFFAOYSA-N bromic acid Chemical compound OBr(=O)=O SXDBWCPKPHAZSM-UHFFFAOYSA-N 0.000 description 1
- FOANIXZHAMJWOI-UHFFFAOYSA-N bromopropylate Chemical compound C=1C=C(Br)C=CC=1C(O)(C(=O)OC(C)C)C1=CC=C(Br)C=C1 FOANIXZHAMJWOI-UHFFFAOYSA-N 0.000 description 1
- HJJVPARKXDDIQD-UHFFFAOYSA-N bromuconazole Chemical compound ClC1=CC(Cl)=CC=C1C1(CN2N=CN=C2)OCC(Br)C1 HJJVPARKXDDIQD-UHFFFAOYSA-N 0.000 description 1
- 239000006172 buffering agent Substances 0.000 description 1
- DSKJPMWIHSOYEA-UHFFFAOYSA-N bupirimate Chemical compound CCCCC1=C(C)N=C(NCC)N=C1OS(=O)(=O)N(C)C DSKJPMWIHSOYEA-UHFFFAOYSA-N 0.000 description 1
- PRLVTUNWOQKEAI-VKAVYKQESA-N buprofezin Chemical compound O=C1N(C(C)C)\C(=N\C(C)(C)C)SCN1C1=CC=CC=C1 PRLVTUNWOQKEAI-VKAVYKQESA-N 0.000 description 1
- 125000004369 butenyl group Chemical group C(=CCC)* 0.000 description 1
- SFNPDDSJBGRXLW-UITAMQMPSA-N butocarboxim Chemical compound CNC(=O)O\N=C(\C)C(C)SC SFNPDDSJBGRXLW-UITAMQMPSA-N 0.000 description 1
- 125000000480 butynyl group Chemical group [*]C#CC([H])([H])C([H])([H])[H] 0.000 description 1
- 239000000480 calcium channel blocker Substances 0.000 description 1
- 201000011510 cancer Diseases 0.000 description 1
- 230000036952 cancer formation Effects 0.000 description 1
- 229940095731 candida albicans Drugs 0.000 description 1
- 239000001511 capsicum annuum Substances 0.000 description 1
- 239000002775 capsule Substances 0.000 description 1
- JHRWWRDRBPCWTF-OLQVQODUSA-N captafol Chemical compound C1C=CC[C@H]2C(=O)N(SC(Cl)(Cl)C(Cl)Cl)C(=O)[C@H]21 JHRWWRDRBPCWTF-OLQVQODUSA-N 0.000 description 1
- 229940117949 captan Drugs 0.000 description 1
- 229960005286 carbaryl Drugs 0.000 description 1
- CVXBEEMKQHEXEN-UHFFFAOYSA-N carbaryl Chemical compound C1=CC=C2C(OC(=O)NC)=CC=CC2=C1 CVXBEEMKQHEXEN-UHFFFAOYSA-N 0.000 description 1
- 239000006013 carbendazim Substances 0.000 description 1
- DUEPRVBVGDRKAG-UHFFFAOYSA-N carbofuran Chemical compound CNC(=O)OC1=CC=CC2=C1OC(C)(C)C2 DUEPRVBVGDRKAG-UHFFFAOYSA-N 0.000 description 1
- 150000001721 carbon Chemical group 0.000 description 1
- BVKZGUZCCUSVTD-UHFFFAOYSA-N carbonic acid Chemical compound OC(O)=O BVKZGUZCCUSVTD-UHFFFAOYSA-N 0.000 description 1
- 150000004649 carbonic acid derivatives Chemical class 0.000 description 1
- 125000002915 carbonyl group Chemical group [*:2]C([*:1])=O 0.000 description 1
- JLQUFIHWVLZVTJ-UHFFFAOYSA-N carbosulfan Chemical compound CCCCN(CCCC)SN(C)C(=O)OC1=CC=CC2=C1OC(C)(C)C2 JLQUFIHWVLZVTJ-UHFFFAOYSA-N 0.000 description 1
- GYSSRZJIHXQEHQ-UHFFFAOYSA-N carboxin Chemical compound S1CCOC(C)=C1C(=O)NC1=CC=CC=C1 GYSSRZJIHXQEHQ-UHFFFAOYSA-N 0.000 description 1
- 125000003178 carboxy group Chemical group [H]OC(*)=O 0.000 description 1
- 150000001732 carboxylic acid derivatives Chemical class 0.000 description 1
- 125000002057 carboxymethyl group Chemical group [H]OC(=O)C([H])([H])[*] 0.000 description 1
- 231100000504 carcinogenesis Toxicity 0.000 description 1
- 235000005300 cardamomo Nutrition 0.000 description 1
- 229960005243 carmustine Drugs 0.000 description 1
- RXDMAYSSBPYBFW-UHFFFAOYSA-N carpropamid Chemical compound C=1C=C(Cl)C=CC=1C(C)NC(=O)C1(CC)C(C)C1(Cl)Cl RXDMAYSSBPYBFW-UHFFFAOYSA-N 0.000 description 1
- 108020001778 catalytic domains Proteins 0.000 description 1
- 125000002091 cationic group Chemical group 0.000 description 1
- RZEKVGVHFLEQIL-UHFFFAOYSA-N celecoxib Chemical compound C1=CC(C)=CC=C1C1=CC(C(F)(F)F)=NN1C1=CC=C(S(N)(=O)=O)C=C1 RZEKVGVHFLEQIL-UHFFFAOYSA-N 0.000 description 1
- 229960000590 celecoxib Drugs 0.000 description 1
- 230000010307 cell transformation Effects 0.000 description 1
- 230000001413 cellular effect Effects 0.000 description 1
- 230000004700 cellular uptake Effects 0.000 description 1
- 239000003610 charcoal Substances 0.000 description 1
- 238000001311 chemical methods and process Methods 0.000 description 1
- 229940044683 chemotherapy drug Drugs 0.000 description 1
- 235000019693 cherries Nutrition 0.000 description 1
- 230000001055 chewing effect Effects 0.000 description 1
- BIWJNBZANLAXMG-YQELWRJZSA-N chloordaan Chemical compound ClC1=C(Cl)[C@@]2(Cl)C3CC(Cl)C(Cl)C3[C@]1(Cl)C2(Cl)Cl BIWJNBZANLAXMG-YQELWRJZSA-N 0.000 description 1
- XFDJMIHUAHSGKG-UHFFFAOYSA-N chlorethoxyfos Chemical compound CCOP(=S)(OCC)OC(Cl)C(Cl)(Cl)Cl XFDJMIHUAHSGKG-UHFFFAOYSA-N 0.000 description 1
- CWFOCCVIPCEQCK-UHFFFAOYSA-N chlorfenapyr Chemical compound BrC1=C(C(F)(F)F)N(COCC)C(C=2C=CC(Cl)=CC=2)=C1C#N CWFOCCVIPCEQCK-UHFFFAOYSA-N 0.000 description 1
- UISUNVFOGSJSKD-UHFFFAOYSA-N chlorfluazuron Chemical compound FC1=CC=CC(F)=C1C(=O)NC(=O)NC(C=C1Cl)=CC(Cl)=C1OC1=NC=C(C(F)(F)F)C=C1Cl UISUNVFOGSJSKD-UHFFFAOYSA-N 0.000 description 1
- 229910001919 chlorite Inorganic materials 0.000 description 1
- 229910052619 chlorite group Inorganic materials 0.000 description 1
- QGTYWWGEWOBMAK-UHFFFAOYSA-N chlormephos Chemical compound CCOP(=S)(OCC)SCCl QGTYWWGEWOBMAK-UHFFFAOYSA-N 0.000 description 1
- VXIVSQZSERGHQP-UHFFFAOYSA-N chloroacetamide Chemical class NC(=O)CCl VXIVSQZSERGHQP-UHFFFAOYSA-N 0.000 description 1
- LFHISGNCFUNFFM-UHFFFAOYSA-N chloropicrin Chemical compound [O-][N+](=O)C(Cl)(Cl)Cl LFHISGNCFUNFFM-UHFFFAOYSA-N 0.000 description 1
- CRQQGFGUEAVUIL-UHFFFAOYSA-N chlorothalonil Chemical compound ClC1=C(Cl)C(C#N)=C(Cl)C(C#N)=C1Cl CRQQGFGUEAVUIL-UHFFFAOYSA-N 0.000 description 1
- QBWCMBCROVPCKQ-UHFFFAOYSA-N chlorous acid Chemical compound OCl=O QBWCMBCROVPCKQ-UHFFFAOYSA-N 0.000 description 1
- SBPBAQFWLVIOKP-UHFFFAOYSA-N chlorpyrifos Chemical compound CCOP(=S)(OCC)OC1=NC(Cl)=C(Cl)C=C1Cl SBPBAQFWLVIOKP-UHFFFAOYSA-N 0.000 description 1
- 235000019219 chocolate Nutrition 0.000 description 1
- 230000000718 cholinopositive effect Effects 0.000 description 1
- HPNSNYBUADCFDR-UHFFFAOYSA-N chromafenozide Chemical compound CC1=CC(C)=CC(C(=O)N(NC(=O)C=2C(=C3CCCOC3=CC=2)C)C(C)(C)C)=C1 HPNSNYBUADCFDR-UHFFFAOYSA-N 0.000 description 1
- ZCDOYSPFYFSLEW-UHFFFAOYSA-N chromate(2-) Chemical compound [O-][Cr]([O-])(=O)=O ZCDOYSPFYFSLEW-UHFFFAOYSA-N 0.000 description 1
- 238000004587 chromatography analysis Methods 0.000 description 1
- 229960001265 ciclosporin Drugs 0.000 description 1
- 229960000724 cidofovir Drugs 0.000 description 1
- YUIKUTLBPMDDNQ-MRVPVSSYSA-N clodinafop Chemical compound C1=CC(O[C@H](C)C(O)=O)=CC=C1OC1=NC=C(Cl)C=C1F YUIKUTLBPMDDNQ-MRVPVSSYSA-N 0.000 description 1
- UXADOQPNKNTIHB-UHFFFAOYSA-N clofentezine Chemical compound ClC1=CC=CC=C1C1=NN=C(C=2C(=CC=CC=2)Cl)N=N1 UXADOQPNKNTIHB-UHFFFAOYSA-N 0.000 description 1
- HUBANNPOLNYSAD-UHFFFAOYSA-N clopyralid Chemical class OC(=O)C1=NC(Cl)=CC=C1Cl HUBANNPOLNYSAD-UHFFFAOYSA-N 0.000 description 1
- 238000005354 coacervation Methods 0.000 description 1
- 229940000425 combination drug Drugs 0.000 description 1
- 229940014461 combivir Drugs 0.000 description 1
- 230000000052 comparative effect Effects 0.000 description 1
- 238000010668 complexation reaction Methods 0.000 description 1
- 230000021615 conjugation Effects 0.000 description 1
- 238000013270 controlled release Methods 0.000 description 1
- 229910052802 copper Inorganic materials 0.000 description 1
- 239000010949 copper Substances 0.000 description 1
- 239000007799 cork Substances 0.000 description 1
- 229940037530 cough and cold preparations Drugs 0.000 description 1
- BXNANOICGRISHX-UHFFFAOYSA-N coumaphos Chemical compound CC1=C(Cl)C(=O)OC2=CC(OP(=S)(OCC)OCC)=CC=C21 BXNANOICGRISHX-UHFFFAOYSA-N 0.000 description 1
- 239000006071 cream Substances 0.000 description 1
- 229910001610 cryolite Inorganic materials 0.000 description 1
- 238000002425 crystallisation Methods 0.000 description 1
- 230000008025 crystallization Effects 0.000 description 1
- XLJMAIOERFSOGZ-UHFFFAOYSA-M cyanate Chemical compound [O-]C#N XLJMAIOERFSOGZ-UHFFFAOYSA-M 0.000 description 1
- 125000004093 cyano group Chemical group *C#N 0.000 description 1
- SCKHCCSZFPSHGR-UHFFFAOYSA-N cyanophos Chemical compound COP(=S)(OC)OC1=CC=C(C#N)C=C1 SCKHCCSZFPSHGR-UHFFFAOYSA-N 0.000 description 1
- YXKMMRDKEKCERS-UHFFFAOYSA-N cyazofamid Chemical compound CN(C)S(=O)(=O)N1C(C#N)=NC(Cl)=C1C1=CC=C(C)C=C1 YXKMMRDKEKCERS-UHFFFAOYSA-N 0.000 description 1
- 125000000392 cycloalkenyl group Chemical group 0.000 description 1
- 125000000753 cycloalkyl group Chemical group 0.000 description 1
- LWABFMLTBBNLTA-UHFFFAOYSA-N cyclobutyl carbamate Chemical compound NC(=O)OC1CCC1 LWABFMLTBBNLTA-UHFFFAOYSA-N 0.000 description 1
- 125000001995 cyclobutyl group Chemical group [H]C1([H])C([H])([H])C([H])(*)C1([H])[H] 0.000 description 1
- 229940097362 cyclodextrins Drugs 0.000 description 1
- 125000000582 cycloheptyl group Chemical group [H]C1([H])C([H])([H])C([H])([H])C([H])([H])C([H])(*)C([H])([H])C1([H])[H] 0.000 description 1
- NNGAQKAUYDTUQR-UHFFFAOYSA-N cyclohexanimine Chemical compound N=C1CCCCC1 NNGAQKAUYDTUQR-UHFFFAOYSA-N 0.000 description 1
- AUELWJRRASQDKI-UHFFFAOYSA-N cyclohexyl carbamate Chemical compound NC(=O)OC1CCCCC1 AUELWJRRASQDKI-UHFFFAOYSA-N 0.000 description 1
- 125000000113 cyclohexyl group Chemical group [H]C1([H])C([H])([H])C([H])([H])C([H])(*)C([H])([H])C1([H])[H] 0.000 description 1
- JMFVWNKPLURQMI-UHFFFAOYSA-N cyclopentyl carbamate Chemical compound NC(=O)OC1CCCC1 JMFVWNKPLURQMI-UHFFFAOYSA-N 0.000 description 1
- 125000001511 cyclopentyl group Chemical group [H]C1([H])C([H])([H])C([H])([H])C([H])(*)C1([H])[H] 0.000 description 1
- 125000001559 cyclopropyl group Chemical group [H]C1([H])C([H])([H])C1([H])* 0.000 description 1
- UWYRVVJXSNXVAI-UHFFFAOYSA-N cyclopropylmethyl carbamate Chemical compound NC(=O)OCC1CC1 UWYRVVJXSNXVAI-UHFFFAOYSA-N 0.000 description 1
- LSFUGNKKPMBOMG-UHFFFAOYSA-N cycloprothrin Chemical compound ClC1(Cl)CC1(C=1C=CC=CC=1)C(=O)OC(C#N)C1=CC=CC(OC=2C=CC=CC=2)=C1 LSFUGNKKPMBOMG-UHFFFAOYSA-N 0.000 description 1
- ACMXQHFNODYQAT-UHFFFAOYSA-N cyflufenamid Chemical compound FC1=CC=C(C(F)(F)F)C(C(NOCC2CC2)=NC(=O)CC=2C=CC=CC=2)=C1F ACMXQHFNODYQAT-UHFFFAOYSA-N 0.000 description 1
- 229960001591 cyfluthrin Drugs 0.000 description 1
- QQODLKZGRKWIFG-QSFXBCCZSA-N cyfluthrin Chemical compound CC1(C)[C@@H](C=C(Cl)Cl)[C@H]1C(=O)O[C@@H](C#N)C1=CC=C(F)C(OC=2C=CC=CC=2)=C1 QQODLKZGRKWIFG-QSFXBCCZSA-N 0.000 description 1
- WCMMILVIRZAPLE-UHFFFAOYSA-M cyhexatin Chemical compound C1CCCCC1[Sn](C1CCCCC1)(O)C1CCCCC1 WCMMILVIRZAPLE-UHFFFAOYSA-M 0.000 description 1
- 229960005424 cypermethrin Drugs 0.000 description 1
- HAORKNGNJCEJBX-UHFFFAOYSA-N cyprodinil Chemical compound N=1C(C)=CC(C2CC2)=NC=1NC1=CC=CC=C1 HAORKNGNJCEJBX-UHFFFAOYSA-N 0.000 description 1
- 208000031513 cyst Diseases 0.000 description 1
- 230000009089 cytolysis Effects 0.000 description 1
- 210000000805 cytoplasm Anatomy 0.000 description 1
- 229940104302 cytosine Drugs 0.000 description 1
- 230000006378 damage Effects 0.000 description 1
- CJBJHOAVZSMMDJ-HEXNFIEUSA-N darunavir Chemical compound C([C@@H]([C@H](O)CN(CC(C)C)S(=O)(=O)C=1C=CC(N)=CC=1)NC(=O)O[C@@H]1[C@@H]2CCO[C@@H]2OC1)C1=CC=CC=C1 CJBJHOAVZSMMDJ-HEXNFIEUSA-N 0.000 description 1
- 229960005107 darunavir Drugs 0.000 description 1
- QAYICIQNSGETAS-UHFFFAOYSA-N dazomet Chemical compound CN1CSC(=S)N(C)C1 QAYICIQNSGETAS-UHFFFAOYSA-N 0.000 description 1
- 229960002483 decamethrin Drugs 0.000 description 1
- 125000003493 decenyl group Chemical group [H]C([*])=C([H])C([H])([H])C([H])([H])C([H])([H])C([H])([H])C([H])([H])C([H])([H])C([H])([H])C([H])([H])[H] 0.000 description 1
- 239000000850 decongestant Substances 0.000 description 1
- 229940124581 decongestants Drugs 0.000 description 1
- 230000007423 decrease Effects 0.000 description 1
- 206010061428 decreased appetite Diseases 0.000 description 1
- 125000002704 decyl group Chemical group [H]C([H])([H])C([H])([H])C([H])([H])C([H])([H])C([H])([H])C([H])([H])C([H])([H])C([H])([H])C([H])([H])C([H])([H])* 0.000 description 1
- 125000005070 decynyl group Chemical group [H]C([H])([H])C([H])([H])C([H])([H])C([H])([H])C([H])([H])C([H])([H])C([H])([H])C([H])([H])C#C* 0.000 description 1
- 230000007850 degeneration Effects 0.000 description 1
- 229960005319 delavirdine Drugs 0.000 description 1
- 229940124447 delivery agent Drugs 0.000 description 1
- OWZREIFADZCYQD-NSHGMRRFSA-N deltamethrin Chemical compound CC1(C)[C@@H](C=C(Br)Br)[C@H]1C(=O)O[C@H](C#N)C1=CC=CC(OC=2C=CC=CC=2)=C1 OWZREIFADZCYQD-NSHGMRRFSA-N 0.000 description 1
- WEBQKRLKWNIYKK-UHFFFAOYSA-N demeton-S-methyl Chemical group CCSCCSP(=O)(OC)OC WEBQKRLKWNIYKK-UHFFFAOYSA-N 0.000 description 1
- 239000000412 dendrimer Substances 0.000 description 1
- 229920000736 dendritic polymer Polymers 0.000 description 1
- CFCUWKMKBJTWLW-UHFFFAOYSA-N deoliosyl-3C-alpha-L-digitoxosyl-MTM Natural products CC=1C(O)=C2C(O)=C3C(=O)C(OC4OC(C)C(O)C(OC5OC(C)C(O)C(OC6OC(C)C(O)C(C)(O)C6)C5)C4)C(C(OC)C(=O)C(O)C(C)O)CC3=CC2=CC=1OC(OC(C)C1O)CC1OC1CC(O)C(O)C(C)O1 CFCUWKMKBJTWLW-UHFFFAOYSA-N 0.000 description 1
- 239000005547 deoxyribonucleotide Substances 0.000 description 1
- 230000001419 dependent effect Effects 0.000 description 1
- 238000009795 derivation Methods 0.000 description 1
- 238000013461 design Methods 0.000 description 1
- 229910052805 deuterium Inorganic materials 0.000 description 1
- 229960000605 dexrazoxane Drugs 0.000 description 1
- 150000008037 diacylhydrazines Chemical class 0.000 description 1
- 238000003745 diagnosis Methods 0.000 description 1
- GUJOJGAPFQRJSV-UHFFFAOYSA-N dialuminum;dioxosilane;oxygen(2-);hydrate Chemical compound O.[O-2].[O-2].[O-2].[Al+3].[Al+3].O=[Si]=O.O=[Si]=O.O=[Si]=O.O=[Si]=O GUJOJGAPFQRJSV-UHFFFAOYSA-N 0.000 description 1
- CRPOUZQWHJYTMS-UHFFFAOYSA-N dialuminum;magnesium;disilicate Chemical compound [Mg+2].[Al+3].[Al+3].[O-][Si]([O-])([O-])[O-].[O-][Si]([O-])([O-])[O-] CRPOUZQWHJYTMS-UHFFFAOYSA-N 0.000 description 1
- FHIVAFMUCKRCQO-UHFFFAOYSA-N diazinon Chemical compound CCOP(=S)(OCC)OC1=CC(C)=NC(C(C)C)=N1 FHIVAFMUCKRCQO-UHFFFAOYSA-N 0.000 description 1
- IWEDIXLBFLAXBO-UHFFFAOYSA-N dicamba Chemical class COC1=C(Cl)C=CC(Cl)=C1C(O)=O IWEDIXLBFLAXBO-UHFFFAOYSA-N 0.000 description 1
- 150000008056 dicarboxyimides Chemical class 0.000 description 1
- WURGXGVFSMYFCG-UHFFFAOYSA-N dichlofluanid Chemical compound CN(C)S(=O)(=O)N(SC(F)(Cl)Cl)C1=CC=CC=C1 WURGXGVFSMYFCG-UHFFFAOYSA-N 0.000 description 1
- 229950001327 dichlorvos Drugs 0.000 description 1
- SOCTUWSJJQCPFX-UHFFFAOYSA-N dichromate(2-) Chemical compound [O-][Cr](=O)(=O)O[Cr]([O-])(=O)=O SOCTUWSJJQCPFX-UHFFFAOYSA-N 0.000 description 1
- YEJGPFZQLRMXOI-PKEIRNPWSA-N diclocymet Chemical compound N#CC(C(C)(C)C)C(=O)N[C@H](C)C1=CC=C(Cl)C=C1Cl YEJGPFZQLRMXOI-PKEIRNPWSA-N 0.000 description 1
- VEENJGZXVHKXNB-VOTSOKGWSA-N dicrotophos Chemical compound COP(=O)(OC)O\C(C)=C\C(=O)N(C)C VEENJGZXVHKXNB-VOTSOKGWSA-N 0.000 description 1
- 229960002656 didanosine Drugs 0.000 description 1
- 235000015872 dietary supplement Nutrition 0.000 description 1
- LNJNFVJKDJYTEU-UHFFFAOYSA-N diethofencarb Chemical compound CCOC1=CC=C(NC(=O)OC(C)C)C=C1OCC LNJNFVJKDJYTEU-UHFFFAOYSA-N 0.000 description 1
- JZUKGAJJLZRHGL-UHFFFAOYSA-N diethoxy-[2-phenyl-5-(trifluoromethyl)pyrazol-3-yl]oxy-sulfanylidene-lambda5-phosphane Chemical compound CCOP(=S)(OCC)OC1=CC(C(F)(F)F)=NN1C1=CC=CC=C1 JZUKGAJJLZRHGL-UHFFFAOYSA-N 0.000 description 1
- JXSJBGJIGXNWCI-UHFFFAOYSA-N diethyl 2-[(dimethoxyphosphorothioyl)thio]succinate Chemical compound CCOC(=O)CC(SP(=S)(OC)OC)C(=O)OCC JXSJBGJIGXNWCI-UHFFFAOYSA-N 0.000 description 1
- BQYJATMQXGBDHF-UHFFFAOYSA-N difenoconazole Chemical compound O1C(C)COC1(C=1C(=CC(OC=2C=CC(Cl)=CC=2)=CC=1)Cl)CN1N=CN=C1 BQYJATMQXGBDHF-UHFFFAOYSA-N 0.000 description 1
- 230000004069 differentiation Effects 0.000 description 1
- 229940019503 diflubenzuron Drugs 0.000 description 1
- NBIIXXVUZAFLBC-UHFFFAOYSA-M dihydrogenphosphate Chemical compound OP(O)([O-])=O NBIIXXVUZAFLBC-UHFFFAOYSA-M 0.000 description 1
- 239000003085 diluting agent Substances 0.000 description 1
- 239000000539 dimer Substances 0.000 description 1
- MCWXGJITAZMZEV-UHFFFAOYSA-N dimethoate Chemical compound CNC(=O)CSP(=S)(OC)OC MCWXGJITAZMZEV-UHFFFAOYSA-N 0.000 description 1
- DCYUBZJZSBAWEZ-UHFFFAOYSA-N dimethyl 2-(carbamoyloxymethylidene)propanedioate Chemical compound COC(=O)C(C(=O)OC)=COC(N)=O DCYUBZJZSBAWEZ-UHFFFAOYSA-N 0.000 description 1
- 239000004205 dimethyl polysiloxane Substances 0.000 description 1
- RDBIYWSVMRVKSG-UHFFFAOYSA-N dimetilan Chemical compound CN(C)C(=O)OC=1C=C(C)N(C(=O)N(C)C)N=1 RDBIYWSVMRVKSG-UHFFFAOYSA-N 0.000 description 1
- WXUZAHCNPWONDH-DYTRJAOYSA-N dimoxystrobin Chemical compound CNC(=O)C(=N\OC)\C1=CC=CC=C1COC1=CC(C)=CC=C1C WXUZAHCNPWONDH-DYTRJAOYSA-N 0.000 description 1
- FBOUIAKEJMZPQG-BLXFFLACSA-N diniconazole-M Chemical compound C1=NC=NN1/C([C@H](O)C(C)(C)C)=C/C1=CC=C(Cl)C=C1Cl FBOUIAKEJMZPQG-BLXFFLACSA-N 0.000 description 1
- YKBZOVFACRVRJN-UHFFFAOYSA-N dinotefuran Chemical compound [O-][N+](=O)\N=C(/NC)NCC1CCOC1 YKBZOVFACRVRJN-UHFFFAOYSA-N 0.000 description 1
- SXZIXHOMFPUIRK-UHFFFAOYSA-N diphenylmethanimine Chemical compound C=1C=CC=CC=1C(=N)C1=CC=CC=C1 SXZIXHOMFPUIRK-UHFFFAOYSA-N 0.000 description 1
- SEBARIVPCNBHKO-UHFFFAOYSA-N dipyridin-2-ylmethyl carbamate Chemical compound C=1C=CC=NC=1C(OC(=O)N)C1=CC=CC=N1 SEBARIVPCNBHKO-UHFFFAOYSA-N 0.000 description 1
- 229940042399 direct acting antivirals protease inhibitors Drugs 0.000 description 1
- 239000007884 disintegrant Substances 0.000 description 1
- 239000002270 dispersing agent Substances 0.000 description 1
- 238000004821 distillation Methods 0.000 description 1
- DOFZAZXDOSGAJZ-UHFFFAOYSA-N disulfoton Chemical compound CCOP(=S)(OCC)SCCSCC DOFZAZXDOSGAJZ-UHFFFAOYSA-N 0.000 description 1
- PYZSVQVRHDXQSL-UHFFFAOYSA-N dithianon Chemical compound S1C(C#N)=C(C#N)SC2=C1C(=O)C1=CC=CC=C1C2=O PYZSVQVRHDXQSL-UHFFFAOYSA-N 0.000 description 1
- 239000012990 dithiocarbamate Substances 0.000 description 1
- 150000004659 dithiocarbamates Chemical class 0.000 description 1
- 239000002934 diuretic Substances 0.000 description 1
- 229940030606 diuretics Drugs 0.000 description 1
- 229960000735 docosanol Drugs 0.000 description 1
- 125000005066 dodecenyl group Chemical group C(=CCCCCCCCCCC)* 0.000 description 1
- 125000003438 dodecyl group Chemical group [H]C([H])([H])C([H])([H])C([H])([H])C([H])([H])C([H])([H])C([H])([H])C([H])([H])C([H])([H])C([H])([H])C([H])([H])C([H])([H])C([H])([H])* 0.000 description 1
- JMXKCYUTURMERF-UHFFFAOYSA-N dodemorph Chemical compound C1C(C)OC(C)CN1C1CCCCCCCCCCC1 JMXKCYUTURMERF-UHFFFAOYSA-N 0.000 description 1
- 230000024346 drought recovery Effects 0.000 description 1
- 238000012377 drug delivery Methods 0.000 description 1
- 238000001035 drying Methods 0.000 description 1
- 241001493065 dsRNA viruses Species 0.000 description 1
- 239000000428 dust Substances 0.000 description 1
- 239000000975 dye Substances 0.000 description 1
- AWZOLILCOUMRDG-UHFFFAOYSA-N edifenphos Chemical compound C=1C=CC=CC=1SP(=O)(OCC)SC1=CC=CC=C1 AWZOLILCOUMRDG-UHFFFAOYSA-N 0.000 description 1
- 229960002030 edoxudine Drugs 0.000 description 1
- XACKNLSZYYIACO-DJLDLDEBSA-N edoxudine Chemical compound O=C1NC(=O)C(CC)=CN1[C@@H]1O[C@H](CO)[C@@H](O)C1 XACKNLSZYYIACO-DJLDLDEBSA-N 0.000 description 1
- XPOQHMRABVBWPR-ZDUSSCGKSA-N efavirenz Chemical compound C([C@]1(C2=CC(Cl)=CC=C2NC(=O)O1)C(F)(F)F)#CC1CC1 XPOQHMRABVBWPR-ZDUSSCGKSA-N 0.000 description 1
- 229960003804 efavirenz Drugs 0.000 description 1
- 230000002526 effect on cardiovascular system Effects 0.000 description 1
- 235000007124 elderberry Nutrition 0.000 description 1
- 229960000366 emtricitabine Drugs 0.000 description 1
- 238000004945 emulsification Methods 0.000 description 1
- RDYMFSUJUZBWLH-SVWSLYAFSA-N endosulfan Chemical compound C([C@@H]12)OS(=O)OC[C@@H]1[C@]1(Cl)C(Cl)=C(Cl)[C@@]2(Cl)C1(Cl)Cl RDYMFSUJUZBWLH-SVWSLYAFSA-N 0.000 description 1
- 229960002062 enfuvirtide Drugs 0.000 description 1
- PEASPLKKXBYDKL-FXEVSJAOSA-N enfuvirtide Chemical compound C([C@@H](C(=O)N[C@@H](CO)C(=O)N[C@@H](CC(C)C)C(=O)N[C@@H]([C@@H](C)CC)C(=O)N[C@@H](CCC(O)=O)C(=O)N[C@@H](CCC(O)=O)C(=O)N[C@@H](CO)C(=O)N[C@@H](CCC(N)=O)C(=O)N[C@@H](CC(N)=O)C(=O)N[C@@H](CCC(N)=O)C(=O)N[C@@H](CCC(N)=O)C(=O)N[C@@H](CCC(O)=O)C(=O)N[C@@H](CCCCN)C(=O)N[C@@H](CC(N)=O)C(=O)N[C@@H](CCC(O)=O)C(=O)N[C@@H](CCC(N)=O)C(=O)N[C@@H](CCC(O)=O)C(=O)N[C@@H](CC(C)C)C(=O)N[C@@H](CC(C)C)C(=O)N[C@@H](CCC(O)=O)C(=O)N[C@@H](CC(C)C)C(=O)N[C@@H](CC(O)=O)C(=O)N[C@@H](CCCCN)C(=O)N[C@@H](CC=1C2=CC=CC=C2NC=1)C(=O)N[C@@H](C)C(=O)N[C@@H](CO)C(=O)N[C@@H](CC(C)C)C(=O)N[C@@H](CC=1C2=CC=CC=C2NC=1)C(=O)N[C@@H](CC(N)=O)C(=O)N[C@@H](CC=1C2=CC=CC=C2NC=1)C(=O)N[C@@H](CC=1C=CC=CC=1)C(N)=O)NC(=O)[C@@H](NC(=O)[C@H](CC(C)C)NC(=O)[C@H](CO)NC(=O)[C@@H](NC(=O)[C@H](CC=1C=CC(O)=CC=1)NC(C)=O)[C@@H](C)O)[C@@H](C)CC)C1=CN=CN1 PEASPLKKXBYDKL-FXEVSJAOSA-N 0.000 description 1
- 238000005516 engineering process Methods 0.000 description 1
- 239000003623 enhancer Substances 0.000 description 1
- 230000002708 enhancing effect Effects 0.000 description 1
- VMNULHCTRPXWFJ-UJSVPXBISA-N enoxastrobin Chemical compound CO\C=C(\C(=O)OC)C1=CC=CC=C1CO\N=C(/C)\C=C\C1=CC=C(Cl)C=C1 VMNULHCTRPXWFJ-UJSVPXBISA-N 0.000 description 1
- 229940007078 entamoeba histolytica Drugs 0.000 description 1
- 229960000980 entecavir Drugs 0.000 description 1
- YXPVEXCTPGULBZ-WQYNNSOESA-N entecavir hydrate Chemical compound O.C1=NC=2C(=O)NC(N)=NC=2N1[C@H]1C[C@H](O)[C@@H](CO)C1=C YXPVEXCTPGULBZ-WQYNNSOESA-N 0.000 description 1
- YJGVMLPVUAXIQN-UHFFFAOYSA-N epipodophyllotoxin Natural products COC1=C(OC)C(OC)=CC(C2C3=CC=4OCOC=4C=C3C(O)C3C2C(OC3)=O)=C1 YJGVMLPVUAXIQN-UHFFFAOYSA-N 0.000 description 1
- 229930013356 epothilone Natural products 0.000 description 1
- HESCAJZNRMSMJG-KKQRBIROSA-N epothilone A Chemical class C/C([C@@H]1C[C@@H]2O[C@@H]2CCC[C@@H]([C@@H]([C@@H](C)C(=O)C(C)(C)[C@@H](O)CC(=O)O1)O)C)=C\C1=CSC(C)=N1 HESCAJZNRMSMJG-KKQRBIROSA-N 0.000 description 1
- NYPJDWWKZLNGGM-RPWUZVMVSA-N esfenvalerate Chemical compound C=1C([C@@H](C#N)OC(=O)[C@@H](C(C)C)C=2C=CC(Cl)=CC=2)=CC=CC=1OC1=CC=CC=C1 NYPJDWWKZLNGGM-RPWUZVMVSA-N 0.000 description 1
- 150000002148 esters Chemical class 0.000 description 1
- 229960001842 estramustine Drugs 0.000 description 1
- FRPJXPJMRWBBIH-RBRWEJTLSA-N estramustine Chemical compound ClCCN(CCCl)C(=O)OC1=CC=C2[C@H]3CC[C@](C)([C@H](CC4)O)[C@@H]4[C@@H]3CCC2=C1 FRPJXPJMRWBBIH-RBRWEJTLSA-N 0.000 description 1
- HEZNVIYQEUHLNI-UHFFFAOYSA-N ethiofencarb Chemical compound CCSCC1=CC=CC=C1OC(=O)NC HEZNVIYQEUHLNI-UHFFFAOYSA-N 0.000 description 1
- RIZMRRKBZQXFOY-UHFFFAOYSA-N ethion Chemical compound CCOP(=S)(OCC)SCSP(=S)(OCC)OCC RIZMRRKBZQXFOY-UHFFFAOYSA-N 0.000 description 1
- VJYFKVYYMZPMAB-UHFFFAOYSA-N ethoprophos Chemical compound CCCSP(=O)(OCC)SCCC VJYFKVYYMZPMAB-UHFFFAOYSA-N 0.000 description 1
- 125000002534 ethynyl group Chemical group [H]C#C* 0.000 description 1
- YREQHYQNNWYQCJ-UHFFFAOYSA-N etofenprox Chemical compound C1=CC(OCC)=CC=C1C(C)(C)COCC1=CC=CC(OC=2C=CC=CC=2)=C1 YREQHYQNNWYQCJ-UHFFFAOYSA-N 0.000 description 1
- 229950005085 etofenprox Drugs 0.000 description 1
- NPUKDXXFDDZOKR-LLVKDONJSA-N etomidate Chemical compound CCOC(=O)C1=CN=CN1[C@H](C)C1=CC=CC=C1 NPUKDXXFDDZOKR-LLVKDONJSA-N 0.000 description 1
- IXSZQYVWNJNRAL-UHFFFAOYSA-N etoxazole Chemical compound CCOC1=CC(C(C)(C)C)=CC=C1C1N=C(C=2C(=CC=CC=2F)F)OC1 IXSZQYVWNJNRAL-UHFFFAOYSA-N 0.000 description 1
- KQTVWCSONPJJPE-UHFFFAOYSA-N etridiazole Chemical compound CCOC1=NC(C(Cl)(Cl)Cl)=NS1 KQTVWCSONPJJPE-UHFFFAOYSA-N 0.000 description 1
- 229960000255 exemestane Drugs 0.000 description 1
- 239000000284 extract Substances 0.000 description 1
- 229960004396 famciclovir Drugs 0.000 description 1
- GGXKWVWZWMLJEH-UHFFFAOYSA-N famcyclovir Chemical compound N1=C(N)N=C2N(CCC(COC(=O)C)COC(C)=O)C=NC2=C1 GGXKWVWZWMLJEH-UHFFFAOYSA-N 0.000 description 1
- JISACBWYRJHSMG-UHFFFAOYSA-N famphur Chemical compound COP(=S)(OC)OC1=CC=C(S(=O)(=O)N(C)C)C=C1 JISACBWYRJHSMG-UHFFFAOYSA-N 0.000 description 1
- 239000003925 fat Substances 0.000 description 1
- 235000019197 fats Nutrition 0.000 description 1
- ZCJPOPBZHLUFHF-UHFFFAOYSA-N fenamiphos Chemical compound CCOP(=O)(NC(C)C)OC1=CC=C(SC)C(C)=C1 ZCJPOPBZHLUFHF-UHFFFAOYSA-N 0.000 description 1
- DMYHGDXADUDKCQ-UHFFFAOYSA-N fenazaquin Chemical compound C1=CC(C(C)(C)C)=CC=C1CCOC1=NC=NC2=CC=CC=C12 DMYHGDXADUDKCQ-UHFFFAOYSA-N 0.000 description 1
- 229950006668 fenfluthrin Drugs 0.000 description 1
- JFSPBVWPKOEZCB-UHFFFAOYSA-N fenfuram Chemical compound O1C=CC(C(=O)NC=2C=CC=CC=2)=C1C JFSPBVWPKOEZCB-UHFFFAOYSA-N 0.000 description 1
- VDLGAVXLJYLFDH-UHFFFAOYSA-N fenhexamid Chemical compound C=1C=C(O)C(Cl)=C(Cl)C=1NC(=O)C1(C)CCCCC1 VDLGAVXLJYLFDH-UHFFFAOYSA-N 0.000 description 1
- ZNOLGFHPUIJIMJ-UHFFFAOYSA-N fenitrothion Chemical compound COP(=S)(OC)OC1=CC=C([N+]([O-])=O)C(C)=C1 ZNOLGFHPUIJIMJ-UHFFFAOYSA-N 0.000 description 1
- DIRFUJHNVNOBMY-UHFFFAOYSA-N fenobucarb Chemical compound CCC(C)C1=CC=CC=C1OC(=O)NC DIRFUJHNVNOBMY-UHFFFAOYSA-N 0.000 description 1
- HJUFTIJOISQSKQ-UHFFFAOYSA-N fenoxycarb Chemical compound C1=CC(OCCNC(=O)OCC)=CC=C1OC1=CC=CC=C1 HJUFTIJOISQSKQ-UHFFFAOYSA-N 0.000 description 1
- FKLFBQCQQYDUAM-UHFFFAOYSA-N fenpiclonil Chemical compound ClC1=CC=CC(C=2C(=CNC=2)C#N)=C1Cl FKLFBQCQQYDUAM-UHFFFAOYSA-N 0.000 description 1
- XQUXKZZNEFRCAW-UHFFFAOYSA-N fenpropathrin Chemical compound CC1(C)C(C)(C)C1C(=O)OC(C#N)C1=CC=CC(OC=2C=CC=CC=2)=C1 XQUXKZZNEFRCAW-UHFFFAOYSA-N 0.000 description 1
- YYJNOYZRYGDPNH-MFKUBSTISA-N fenpyroximate Chemical compound C=1C=C(C(=O)OC(C)(C)C)C=CC=1CO/N=C/C=1C(C)=NN(C)C=1OC1=CC=CC=C1 YYJNOYZRYGDPNH-MFKUBSTISA-N 0.000 description 1
- XDNBJTQLKCIJBV-UHFFFAOYSA-N fensulfothion Chemical compound CCOP(=S)(OCC)OC1=CC=C(S(C)=O)C=C1 XDNBJTQLKCIJBV-UHFFFAOYSA-N 0.000 description 1
- BFWMWWXRWVJXSE-UHFFFAOYSA-M fentin hydroxide Chemical class C=1C=CC=CC=1[Sn](C=1C=CC=CC=1)(O)C1=CC=CC=C1 BFWMWWXRWVJXSE-UHFFFAOYSA-M 0.000 description 1
- WHDGWKAJBYRJJL-UHFFFAOYSA-K ferbam Chemical compound [Fe+3].CN(C)C([S-])=S.CN(C)C([S-])=S.CN(C)C([S-])=S WHDGWKAJBYRJJL-UHFFFAOYSA-K 0.000 description 1
- GOWLARCWZRESHU-AQTBWJFISA-N ferimzone Chemical compound C=1C=CC=C(C)C=1C(/C)=N\NC1=NC(C)=CC(C)=N1 GOWLARCWZRESHU-AQTBWJFISA-N 0.000 description 1
- 230000035558 fertility Effects 0.000 description 1
- 239000000945 filler Substances 0.000 description 1
- 239000012467 final product Substances 0.000 description 1
- 229940013764 fipronil Drugs 0.000 description 1
- 239000000796 flavoring agent Substances 0.000 description 1
- 230000009969 flowable effect Effects 0.000 description 1
- MXWAGQASUDSFBG-RVDMUPIBSA-N fluacrypyrim Chemical compound CO\C=C(\C(=O)OC)C1=CC=CC=C1COC1=CC(C(F)(F)F)=NC(OC(C)C)=N1 MXWAGQASUDSFBG-RVDMUPIBSA-N 0.000 description 1
- YOWNVPAUWYHLQX-UHFFFAOYSA-N fluazuron Chemical compound FC1=CC=CC(F)=C1C(=O)NC(=O)NC1=CC=C(Cl)C(OC=2C(=CC(=CN=2)C(F)(F)F)Cl)=C1 YOWNVPAUWYHLQX-UHFFFAOYSA-N 0.000 description 1
- 229950006719 fluazuron Drugs 0.000 description 1
- GBIHOLCMZGAKNG-CGAIIQECSA-N flucythrinate Chemical compound O=C([C@@H](C(C)C)C=1C=CC(OC(F)F)=CC=1)OC(C#N)C(C=1)=CC=CC=1OC1=CC=CC=C1 GBIHOLCMZGAKNG-CGAIIQECSA-N 0.000 description 1
- MUJOIMFVNIBMKC-UHFFFAOYSA-N fludioxonil Chemical compound C=12OC(F)(F)OC2=CC=CC=1C1=CNC=C1C#N MUJOIMFVNIBMKC-UHFFFAOYSA-N 0.000 description 1
- GJEREQYJIQASAW-UHFFFAOYSA-N flufenerim Chemical compound CC(F)C1=NC=NC(NCCC=2C=CC(OC(F)(F)F)=CC=2)=C1Cl GJEREQYJIQASAW-UHFFFAOYSA-N 0.000 description 1
- RYLHNOVXKPXDIP-UHFFFAOYSA-N flufenoxuron Chemical compound C=1C=C(NC(=O)NC(=O)C=2C(=CC=CC=2F)F)C(F)=CC=1OC1=CC=C(C(F)(F)F)C=C1Cl RYLHNOVXKPXDIP-UHFFFAOYSA-N 0.000 description 1
- 239000012530 fluid Substances 0.000 description 1
- 239000011737 fluorine Substances 0.000 description 1
- 125000001153 fluoro group Chemical group F* 0.000 description 1
- UFEODZBUAFNAEU-NLRVBDNBSA-N fluoxastrobin Chemical compound C=1C=CC=C(OC=2C(=C(OC=3C(=CC=CC=3)Cl)N=CN=2)F)C=1C(=N/OC)\C1=NOCCO1 UFEODZBUAFNAEU-NLRVBDNBSA-N 0.000 description 1
- IJJVMEJXYNJXOJ-UHFFFAOYSA-N fluquinconazole Chemical compound C=1C=C(Cl)C=C(Cl)C=1N1C(=O)C2=CC(F)=CC=C2N=C1N1C=NC=N1 IJJVMEJXYNJXOJ-UHFFFAOYSA-N 0.000 description 1
- FQKUGOMFVDPBIZ-UHFFFAOYSA-N flusilazole Chemical compound C=1C=C(F)C=CC=1[Si](C=1C=CC(F)=CC=1)(C)CN1C=NC=N1 FQKUGOMFVDPBIZ-UHFFFAOYSA-N 0.000 description 1
- GNVDAZSPJWCIQZ-UHFFFAOYSA-N flusulfamide Chemical compound ClC1=CC([N+](=O)[O-])=CC=C1NS(=O)(=O)C1=CC=C(Cl)C(C(F)(F)F)=C1 GNVDAZSPJWCIQZ-UHFFFAOYSA-N 0.000 description 1
- PTCGDEVVHUXTMP-UHFFFAOYSA-N flutolanil Chemical compound CC(C)OC1=CC=CC(NC(=O)C=2C(=CC=CC=2)C(F)(F)F)=C1 PTCGDEVVHUXTMP-UHFFFAOYSA-N 0.000 description 1
- SXSGXWCSHSVPGB-UHFFFAOYSA-N fluxapyroxad Chemical compound FC(F)C1=NN(C)C=C1C(=O)NC1=CC=CC=C1C1=CC(F)=C(F)C(F)=C1 SXSGXWCSHSVPGB-UHFFFAOYSA-N 0.000 description 1
- HKIOYBQGHSTUDB-UHFFFAOYSA-N folpet Chemical compound C1=CC=C2C(=O)N(SC(Cl)(Cl)Cl)C(=O)C2=C1 HKIOYBQGHSTUDB-UHFFFAOYSA-N 0.000 description 1
- 229960001447 fomivirsen Drugs 0.000 description 1
- XCWFZHPEARLXJI-UHFFFAOYSA-N fomivirsen Chemical compound C1C(N2C3=C(C(NC(N)=N3)=O)N=C2)OC(CO)C1OP(O)(=S)OCC1OC(N(C)C(=O)\N=C(\N)C=C)CC1OP(O)(=S)OCC1OC(N2C3=C(C(NC(N)=N3)=O)N=C2)CC1OP(O)(=S)OCC1OC(N2C(NC(=O)C(C)=C2)=O)CC1OP(O)(=S)OCC1OC(N2C(NC(=O)C(C)=C2)=O)CC1OP(O)(=S)OCC1OC(N2C(NC(=O)C(C)=C2)=O)CC1OP(O)(=S)OCC1OC(N2C3=C(C(NC(N)=N3)=O)N=C2)CC1OP(O)(=S)OCC1OC(N2C(N=C(N)C=C2)=O)CC1OP(O)(=S)OCC(C(C1)OP(S)(=O)OCC2C(CC(O2)N2C(N=C(N)C=C2)=O)OP(O)(=S)OCC2C(CC(O2)N2C(NC(=O)C(C)=C2)=O)OP(O)(=S)OCC2C(CC(O2)N2C(NC(=O)C(C)=C2)=O)OP(O)(=S)OCC2C(CC(O2)N2C(N=C(N)C=C2)=O)OP(O)(=S)OCC2C(CC(O2)N2C(NC(=O)C(C)=C2)=O)OP(O)(=S)OCC2C(CC(O2)N2C(NC(=O)C(C)=C2)=O)OP(O)(=S)OCC2C(CC(O2)N2C(N=C(N)C=C2)=O)OP(O)(=S)OCC2C(CC(O2)N2C(NC(=O)C(C)=C2)=O)OP(O)(=S)OCC2C(CC(O2)N2C(NC(=O)C(C)=C2)=O)OP(O)(=S)OCC2C(CC(O2)N2C3=C(C(NC(N)=N3)=O)N=C2)OP(O)(=S)OCC2C(CC(O2)N2C(N=C(N)C=C2)=O)OP(O)(=S)OCC2C(CC(O2)N2C3=C(C(NC(N)=N3)=O)N=C2)O)OC1N1C=C(C)C(=O)NC1=O XCWFZHPEARLXJI-UHFFFAOYSA-N 0.000 description 1
- KVGLBTYUCJYMND-UHFFFAOYSA-N fonofos Chemical compound CCOP(=S)(CC)SC1=CC=CC=C1 KVGLBTYUCJYMND-UHFFFAOYSA-N 0.000 description 1
- 235000013355 food flavoring agent Nutrition 0.000 description 1
- 230000037406 food intake Effects 0.000 description 1
- 235000003599 food sweetener Nutrition 0.000 description 1
- RMFNNCGOSPBBAD-MDWZMJQESA-N formetanate Chemical compound CNC(=O)OC1=CC=CC(\N=C\N(C)C)=C1 RMFNNCGOSPBBAD-MDWZMJQESA-N 0.000 description 1
- 229960003142 fosamprenavir Drugs 0.000 description 1
- MLBVMOWEQCZNCC-OEMFJLHTSA-N fosamprenavir Chemical compound C([C@@H]([C@H](OP(O)(O)=O)CN(CC(C)C)S(=O)(=O)C=1C=CC(N)=CC=1)NC(=O)O[C@@H]1COCC1)C1=CC=CC=C1 MLBVMOWEQCZNCC-OEMFJLHTSA-N 0.000 description 1
- 229960005102 foscarnet Drugs 0.000 description 1
- VUERQRKTYBIULR-UHFFFAOYSA-N fosetyl Chemical compound CCOP(O)=O VUERQRKTYBIULR-UHFFFAOYSA-N 0.000 description 1
- 229940112424 fosfonet Drugs 0.000 description 1
- DUFVKSUJRWYZQP-UHFFFAOYSA-N fosthiazate Chemical compound CCC(C)SP(=O)(OCC)N1CCSC1=O DUFVKSUJRWYZQP-UHFFFAOYSA-N 0.000 description 1
- 238000001640 fractional crystallisation Methods 0.000 description 1
- 229940118764 francisella tularensis Drugs 0.000 description 1
- UYJUZNLFJAWNEZ-UHFFFAOYSA-N fuberidazole Chemical compound C1=COC(C=2NC3=CC=CC=C3N=2)=C1 UYJUZNLFJAWNEZ-UHFFFAOYSA-N 0.000 description 1
- 230000002538 fungal effect Effects 0.000 description 1
- RGEAONPOJJBMHO-UHFFFAOYSA-N furan-2-ylmethyl carbamate Chemical compound NC(=O)OCC1=CC=CO1 RGEAONPOJJBMHO-UHFFFAOYSA-N 0.000 description 1
- HAWJXYBZNNRMNO-UHFFFAOYSA-N furathiocarb Chemical compound CCCCOC(=O)N(C)SN(C)C(=O)OC1=CC=CC2=C1OC(C)(C)C2 HAWJXYBZNNRMNO-UHFFFAOYSA-N 0.000 description 1
- 125000002541 furyl group Chemical group 0.000 description 1
- 230000004927 fusion Effects 0.000 description 1
- ZXQYGBMAQZUVMI-GCMPRSNUSA-N gamma-cyhalothrin Chemical compound CC1(C)[C@@H](\C=C(/Cl)C(F)(F)F)[C@H]1C(=O)O[C@H](C#N)C1=CC=CC(OC=2C=CC=CC=2)=C1 ZXQYGBMAQZUVMI-GCMPRSNUSA-N 0.000 description 1
- 229960002963 ganciclovir Drugs 0.000 description 1
- IRSCQMHQWWYFCW-UHFFFAOYSA-N ganciclovir Chemical compound O=C1NC(N)=NC2=C1N=CN2COC(CO)CO IRSCQMHQWWYFCW-UHFFFAOYSA-N 0.000 description 1
- 239000007789 gas Substances 0.000 description 1
- 239000008273 gelatin Substances 0.000 description 1
- 229920000159 gelatin Polymers 0.000 description 1
- 235000019322 gelatine Nutrition 0.000 description 1
- 235000011852 gelatine desserts Nutrition 0.000 description 1
- 229960003297 gemtuzumab ozogamicin Drugs 0.000 description 1
- 230000037440 gene silencing effect Effects 0.000 description 1
- 239000003193 general anesthetic agent Substances 0.000 description 1
- 229940005494 general anesthetics Drugs 0.000 description 1
- 125000003976 glyceryl group Chemical group [H]C([*])([H])C(O[H])([H])C(O[H])([H])[H] 0.000 description 1
- 239000003102 growth factor Substances 0.000 description 1
- 230000009036 growth inhibition Effects 0.000 description 1
- 239000003966 growth inhibitor Substances 0.000 description 1
- 150000002357 guanidines Chemical class 0.000 description 1
- 229940029575 guanosine Drugs 0.000 description 1
- 239000010440 gypsum Substances 0.000 description 1
- 229910052602 gypsum Inorganic materials 0.000 description 1
- 229940047650 haemophilus influenzae Drugs 0.000 description 1
- WIFXJBMOTMKRMM-UHFFFAOYSA-N halfenprox Chemical compound C=1C=C(OC(F)(F)Br)C=CC=1C(C)(C)COCC(C=1)=CC=CC=1OC1=CC=CC=C1 WIFXJBMOTMKRMM-UHFFFAOYSA-N 0.000 description 1
- 150000004820 halides Chemical class 0.000 description 1
- CNKHSLKYRMDDNQ-UHFFFAOYSA-N halofenozide Chemical compound C=1C=CC=CC=1C(=O)N(C(C)(C)C)NC(=O)C1=CC=C(Cl)C=C1 CNKHSLKYRMDDNQ-UHFFFAOYSA-N 0.000 description 1
- 125000005843 halogen group Chemical group 0.000 description 1
- 229910001385 heavy metal Inorganic materials 0.000 description 1
- 208000006454 hepatitis Diseases 0.000 description 1
- 231100000283 hepatitis Toxicity 0.000 description 1
- 208000005252 hepatitis A Diseases 0.000 description 1
- 208000002672 hepatitis B Diseases 0.000 description 1
- 201000010284 hepatitis E Diseases 0.000 description 1
- FRCCEHPWNOQAEU-UHFFFAOYSA-N heptachlor Chemical compound ClC1=C(Cl)C2(Cl)C3C=CC(Cl)C3C1(Cl)C2(Cl)Cl FRCCEHPWNOQAEU-UHFFFAOYSA-N 0.000 description 1
- 125000003187 heptyl group Chemical group [H]C([*])([H])C([H])([H])C([H])([H])C([H])([H])C([H])([H])C([H])([H])C([H])([H])[H] 0.000 description 1
- 125000004405 heteroalkoxy group Chemical group 0.000 description 1
- 125000005553 heteroaryloxy group Chemical group 0.000 description 1
- 125000005368 heteroarylthio group Chemical group 0.000 description 1
- CKAPSXZOOQJIBF-UHFFFAOYSA-N hexachlorobenzene Chemical compound ClC1=C(Cl)C(Cl)=C(Cl)C(Cl)=C1Cl CKAPSXZOOQJIBF-UHFFFAOYSA-N 0.000 description 1
- RGNPBRKPHBKNKX-UHFFFAOYSA-N hexaflumuron Chemical compound C1=C(Cl)C(OC(F)(F)C(F)F)=C(Cl)C=C1NC(=O)NC(=O)C1=C(F)C=CC=C1F RGNPBRKPHBKNKX-UHFFFAOYSA-N 0.000 description 1
- UUVWYPNAQBNQJQ-UHFFFAOYSA-N hexamethylmelamine Chemical compound CN(C)C1=NC(N(C)C)=NC(N(C)C)=N1 UUVWYPNAQBNQJQ-UHFFFAOYSA-N 0.000 description 1
- 125000006038 hexenyl group Chemical group 0.000 description 1
- 125000004051 hexyl group Chemical group [H]C([H])([H])C([H])([H])C([H])([H])C([H])([H])C([H])([H])C([H])([H])* 0.000 description 1
- PHNWGDTYCJFUGZ-UHFFFAOYSA-L hexyl phosphate Chemical compound CCCCCCOP([O-])([O-])=O PHNWGDTYCJFUGZ-UHFFFAOYSA-L 0.000 description 1
- LNMQRPPRQDGUDR-UHFFFAOYSA-N hexyl prop-2-enoate Chemical compound CCCCCCOC(=O)C=C LNMQRPPRQDGUDR-UHFFFAOYSA-N 0.000 description 1
- 125000005980 hexynyl group Chemical group 0.000 description 1
- 239000008240 homogeneous mixture Substances 0.000 description 1
- 230000003054 hormonal effect Effects 0.000 description 1
- 230000000887 hydrating effect Effects 0.000 description 1
- 229940096120 hydrea Drugs 0.000 description 1
- XMBWDFGMSWQBCA-UHFFFAOYSA-N hydrogen iodide Chemical compound I XMBWDFGMSWQBCA-UHFFFAOYSA-N 0.000 description 1
- QAOWNCQODCNURD-UHFFFAOYSA-M hydrogensulfate Chemical compound OS([O-])(=O)=O QAOWNCQODCNURD-UHFFFAOYSA-M 0.000 description 1
- FYQGBXGJFWXIPP-UHFFFAOYSA-N hydroprene Chemical compound CCOC(=O)C=C(C)C=CCC(C)CCCC(C)C FYQGBXGJFWXIPP-UHFFFAOYSA-N 0.000 description 1
- 229930000073 hydroprene Natural products 0.000 description 1
- XLYOFNOQVPJJNP-UHFFFAOYSA-M hydroxide Chemical compound [OH-] XLYOFNOQVPJJNP-UHFFFAOYSA-M 0.000 description 1
- 125000002887 hydroxy group Chemical group [H]O* 0.000 description 1
- HSNUXDIQZKIQRR-UHFFFAOYSA-N hydroxy-imino-bis(phenylmethoxy)-$l^{5}-phosphane Chemical compound C=1C=CC=CC=1COP(=O)(N)OCC1=CC=CC=C1 HSNUXDIQZKIQRR-UHFFFAOYSA-N 0.000 description 1
- QWMUDOFWQWBHFI-UHFFFAOYSA-N hydroxy-imino-diphenoxy-$l^{5}-phosphane Chemical compound C=1C=CC=CC=1OP(=O)(N)OC1=CC=CC=C1 QWMUDOFWQWBHFI-UHFFFAOYSA-N 0.000 description 1
- RIGIWEGXTTUCIQ-UHFFFAOYSA-N hydroxy-imino-diphenyl-$l^{5}-phosphane Chemical compound C=1C=CC=CC=1P(=O)(N)C1=CC=CC=C1 RIGIWEGXTTUCIQ-UHFFFAOYSA-N 0.000 description 1
- KGVPNLBXJKTABS-UHFFFAOYSA-N hymexazol Chemical compound CC1=CC(O)=NO1 KGVPNLBXJKTABS-UHFFFAOYSA-N 0.000 description 1
- 239000003326 hypnotic agent Substances 0.000 description 1
- 230000000147 hypnotic effect Effects 0.000 description 1
- HICUREFSAIZXFQ-JOWPUVSESA-N i9z29i000j Chemical compound C1C[C@H](C)[C@@H](CC)O[C@@]21O[C@H](C\C=C(C)\[C@H](OC(=O)C(=N/OC)\C=1C=CC=CC=1)[C@@H](C)\C=C\C=C/1[C@]3([C@H](C(=O)O4)C=C(C)[C@@H](O)[C@H]3OC\1)O)C[C@H]4C2 HICUREFSAIZXFQ-JOWPUVSESA-N 0.000 description 1
- WEVJJMPVVFNAHZ-RRKCRQDMSA-N ibacitabine Chemical compound C1=C(I)C(N)=NC(=O)N1[C@@H]1O[C@H](CO)[C@@H](O)C1 WEVJJMPVVFNAHZ-RRKCRQDMSA-N 0.000 description 1
- 229960000374 ibacitabine Drugs 0.000 description 1
- 229960000908 idarubicin Drugs 0.000 description 1
- 229960004716 idoxuridine Drugs 0.000 description 1
- 229960002411 imatinib Drugs 0.000 description 1
- YLMAHDNUQAMNNX-UHFFFAOYSA-N imatinib methanesulfonate Chemical compound CS(O)(=O)=O.C1CN(C)CCN1CC1=CC=C(C(=O)NC=2C=C(NC=3N=C(C=CN=3)C=3C=NC=CC=3)C(C)=CC=2)C=C1 YLMAHDNUQAMNNX-UHFFFAOYSA-N 0.000 description 1
- AGKSTYPVMZODRV-UHFFFAOYSA-N imibenconazole Chemical compound C1=CC(Cl)=CC=C1CSC(CN1N=CN=C1)=NC1=CC=C(Cl)C=C1Cl AGKSTYPVMZODRV-UHFFFAOYSA-N 0.000 description 1
- 229940056881 imidacloprid Drugs 0.000 description 1
- YWTYJOPNNQFBPC-UHFFFAOYSA-N imidacloprid Chemical compound [O-][N+](=O)\N=C1/NCCN1CC1=CC=C(Cl)N=C1 YWTYJOPNNQFBPC-UHFFFAOYSA-N 0.000 description 1
- 150000002460 imidazoles Chemical class 0.000 description 1
- 125000002632 imidazolidinyl group Chemical group 0.000 description 1
- 125000002636 imidazolinyl group Chemical group 0.000 description 1
- 125000002883 imidazolyl group Chemical group 0.000 description 1
- VPRAQYXPZIFIOH-UHFFFAOYSA-N imiprothrin Chemical compound CC1(C)C(C=C(C)C)C1C(=O)OCN1C(=O)N(CC#C)CC1=O VPRAQYXPZIFIOH-UHFFFAOYSA-N 0.000 description 1
- DOUYETYNHWVLEO-UHFFFAOYSA-N imiquimod Chemical compound C1=CC=CC2=C3N(CC(C)C)C=NC3=C(N)N=C21 DOUYETYNHWVLEO-UHFFFAOYSA-N 0.000 description 1
- 229960002751 imiquimod Drugs 0.000 description 1
- 230000002163 immunogen Effects 0.000 description 1
- 229940121354 immunomodulator Drugs 0.000 description 1
- 230000002584 immunomodulator Effects 0.000 description 1
- 229940125721 immunosuppressive agent Drugs 0.000 description 1
- 238000000338 in vitro Methods 0.000 description 1
- 238000001727 in vivo Methods 0.000 description 1
- 125000003392 indanyl group Chemical group C1(CCC2=CC=CC=C12)* 0.000 description 1
- 125000003454 indenyl group Chemical group C1(C=CC2=CC=CC=C12)* 0.000 description 1
- CBVCZFGXHXORBI-PXQQMZJSSA-N indinavir Chemical compound C([C@H](N(CC1)C[C@@H](O)C[C@@H](CC=2C=CC=CC=2)C(=O)N[C@H]2C3=CC=CC=C3C[C@H]2O)C(=O)NC(C)(C)C)N1CC1=CC=CN=C1 CBVCZFGXHXORBI-PXQQMZJSSA-N 0.000 description 1
- 229960001936 indinavir Drugs 0.000 description 1
- VBCVPMMZEGZULK-NRFANRHFSA-N indoxacarb Chemical compound C([C@@]1(OC2)C(=O)OC)C3=CC(Cl)=CC=C3C1=NN2C(=O)N(C(=O)OC)C1=CC=C(OC(F)(F)F)C=C1 VBCVPMMZEGZULK-NRFANRHFSA-N 0.000 description 1
- 230000001939 inductive effect Effects 0.000 description 1
- 230000028709 inflammatory response Effects 0.000 description 1
- 208000037799 influenza C Diseases 0.000 description 1
- 230000004941 influx Effects 0.000 description 1
- 238000001802 infusion Methods 0.000 description 1
- 239000004615 ingredient Substances 0.000 description 1
- 229940124524 integrase inhibitor Drugs 0.000 description 1
- 239000002850 integrase inhibitor Substances 0.000 description 1
- 108010080375 interferon kappa Proteins 0.000 description 1
- 108700027921 interferon tau Proteins 0.000 description 1
- 108010018844 interferon type III Proteins 0.000 description 1
- 229940028894 interferon type ii Drugs 0.000 description 1
- 229940047122 interleukins Drugs 0.000 description 1
- 230000000968 intestinal effect Effects 0.000 description 1
- 239000011872 intimate mixture Substances 0.000 description 1
- 238000001361 intraarterial administration Methods 0.000 description 1
- 238000007918 intramuscular administration Methods 0.000 description 1
- 238000007912 intraperitoneal administration Methods 0.000 description 1
- 238000007913 intrathecal administration Methods 0.000 description 1
- 238000001990 intravenous administration Methods 0.000 description 1
- ICIWUVCWSCSTAQ-UHFFFAOYSA-M iodate Chemical compound [O-]I(=O)=O ICIWUVCWSCSTAQ-UHFFFAOYSA-M 0.000 description 1
- 150000002500 ions Chemical class 0.000 description 1
- NRXQIUSYPAHGNM-UHFFFAOYSA-N ioxynil Chemical class OC1=C(I)C=C(C#N)C=C1I NRXQIUSYPAHGNM-UHFFFAOYSA-N 0.000 description 1
- QTYCMDBMOLSEAM-UHFFFAOYSA-N ipconazole Chemical compound C1=NC=NN1CC1(O)C(C(C)C)CCC1CC1=CC=C(Cl)C=C1 QTYCMDBMOLSEAM-UHFFFAOYSA-N 0.000 description 1
- ONUFESLQCSAYKA-UHFFFAOYSA-N iprodione Chemical compound O=C1N(C(=O)NC(C)C)CC(=O)N1C1=CC(Cl)=CC(Cl)=C1 ONUFESLQCSAYKA-UHFFFAOYSA-N 0.000 description 1
- 125000000959 isobutyl group Chemical group [H]C([H])([H])C([H])(C([H])([H])[H])C([H])([H])* 0.000 description 1
- HOQADATXFBOEGG-UHFFFAOYSA-N isofenphos Chemical compound CCOP(=S)(NC(C)C)OC1=CC=CC=C1C(=O)OC(C)C HOQADATXFBOEGG-UHFFFAOYSA-N 0.000 description 1
- 125000001972 isopentyl group Chemical group [H]C([H])([H])C([H])(C([H])([H])[H])C([H])([H])C([H])([H])* 0.000 description 1
- QBSJMKIUCUGGNG-UHFFFAOYSA-N isoprocarb Chemical compound CNC(=O)OC1=CC=CC=C1C(C)C QBSJMKIUCUGGNG-UHFFFAOYSA-N 0.000 description 1
- UFHLMYOGRXOCSL-UHFFFAOYSA-N isoprothiolane Chemical compound CC(C)OC(=O)C(C(=O)OC(C)C)=C1SCCS1 UFHLMYOGRXOCSL-UHFFFAOYSA-N 0.000 description 1
- 125000002183 isoquinolinyl group Chemical group C1(=NC=CC2=CC=CC=C12)* 0.000 description 1
- 125000004628 isothiazolidinyl group Chemical group S1N(CCC1)* 0.000 description 1
- SDMSCIWHRZJSRN-UHFFFAOYSA-N isoxathion Chemical compound O1N=C(OP(=S)(OCC)OCC)C=C1C1=CC=CC=C1 SDMSCIWHRZJSRN-UHFFFAOYSA-N 0.000 description 1
- 125000003965 isoxazolidinyl group Chemical group 0.000 description 1
- 229960002418 ivermectin Drugs 0.000 description 1
- PVTHJAPFENJVNC-MHRBZPPQSA-N kasugamycin Chemical compound N[C@H]1C[C@H](NC(=N)C(O)=O)[C@@H](C)O[C@@H]1O[C@H]1[C@H](O)[C@@H](O)[C@@H](O)[C@H](O)[C@@H]1O PVTHJAPFENJVNC-MHRBZPPQSA-N 0.000 description 1
- 229940043355 kinase inhibitor Drugs 0.000 description 1
- 229930001540 kinoprene Natural products 0.000 description 1
- ZOTBXTZVPHCKPN-HTXNQAPBSA-N kresoxim-methyl Chemical compound CO\N=C(\C(=O)OC)C1=CC=CC=C1COC1=CC=CC=C1C ZOTBXTZVPHCKPN-HTXNQAPBSA-N 0.000 description 1
- 229960001627 lamivudine Drugs 0.000 description 1
- JTEGQNOMFQHVDC-NKWVEPMBSA-N lamivudine Chemical compound O=C1N=C(N)C=CN1[C@H]1O[C@@H](CO)SC1 JTEGQNOMFQHVDC-NKWVEPMBSA-N 0.000 description 1
- 229940115932 legionella pneumophila Drugs 0.000 description 1
- 230000003902 lesion Effects 0.000 description 1
- HPJKCIUCZWXJDR-UHFFFAOYSA-N letrozole Chemical compound C1=CC(C#N)=CC=C1C(N1N=CN=C1)C1=CC=C(C#N)C=C1 HPJKCIUCZWXJDR-UHFFFAOYSA-N 0.000 description 1
- 229960003881 letrozole Drugs 0.000 description 1
- GFIJNRVAKGFPGQ-LIJARHBVSA-N leuprolide Chemical compound CCNC(=O)[C@@H]1CCCN1C(=O)[C@H](CCCNC(N)=N)NC(=O)[C@H](CC(C)C)NC(=O)[C@@H](CC(C)C)NC(=O)[C@@H](NC(=O)[C@H](CO)NC(=O)[C@H](CC=1C2=CC=CC=C2NC=1)NC(=O)[C@H](CC=1N=CNC=1)NC(=O)[C@H]1NC(=O)CC1)CC1=CC=C(O)C=C1 GFIJNRVAKGFPGQ-LIJARHBVSA-N 0.000 description 1
- 229960004338 leuprorelin Drugs 0.000 description 1
- 235000019357 lignosulphonate Nutrition 0.000 description 1
- 229960002809 lindane Drugs 0.000 description 1
- 239000003589 local anesthetic agent Substances 0.000 description 1
- 229960005015 local anesthetics Drugs 0.000 description 1
- 229960004525 lopinavir Drugs 0.000 description 1
- 239000006210 lotion Substances 0.000 description 1
- 229950006243 loviride Drugs 0.000 description 1
- CJPLEFFCVDQQFZ-UHFFFAOYSA-N loviride Chemical compound CC(=O)C1=CC=C(C)C=C1NC(C(N)=O)C1=C(Cl)C=CC=C1Cl CJPLEFFCVDQQFZ-UHFFFAOYSA-N 0.000 description 1
- 239000000314 lubricant Substances 0.000 description 1
- 229960000521 lufenuron Drugs 0.000 description 1
- PWPJGUXAGUPAHP-UHFFFAOYSA-N lufenuron Chemical compound C1=C(Cl)C(OC(F)(F)C(C(F)(F)F)F)=CC(Cl)=C1NC(=O)NC(=O)C1=C(F)C=CC=C1F PWPJGUXAGUPAHP-UHFFFAOYSA-N 0.000 description 1
- 229920002521 macromolecule Polymers 0.000 description 1
- 239000011777 magnesium Substances 0.000 description 1
- 229910052749 magnesium Inorganic materials 0.000 description 1
- 229960000453 malathion Drugs 0.000 description 1
- YKSNLCVSTHTHJA-UHFFFAOYSA-L maneb Chemical compound [Mn+2].[S-]C(=S)NCCNC([S-])=S YKSNLCVSTHTHJA-UHFFFAOYSA-L 0.000 description 1
- 229920000940 maneb Polymers 0.000 description 1
- GSNHKUDZZFZSJB-QYOOZWMWSA-N maraviroc Chemical compound CC(C)C1=NN=C(C)N1[C@@H]1C[C@H](N2CC[C@H](NC(=O)C3CCC(F)(F)CC3)C=3C=CC=CC=3)CC[C@H]2C1 GSNHKUDZZFZSJB-QYOOZWMWSA-N 0.000 description 1
- 229960004710 maraviroc Drugs 0.000 description 1
- 125000002960 margaryl group Chemical group [H]C([*])([H])C([H])([H])C([H])([H])C([H])([H])C([H])([H])C([H])([H])C([H])([H])C([H])([H])C([H])([H])C([H])([H])C([H])([H])C([H])([H])C([H])([H])C([H])([H])C([H])([H])C([H])([H])C([H])([H])[H] 0.000 description 1
- KLGMSAOQDHLCOS-UHFFFAOYSA-N mecarbam Chemical compound CCOC(=O)N(C)C(=O)CSP(=S)(OCC)OCC KLGMSAOQDHLCOS-UHFFFAOYSA-N 0.000 description 1
- 229960004961 mechlorethamine Drugs 0.000 description 1
- HAWPXGHAZFHHAD-UHFFFAOYSA-N mechlorethamine Chemical class ClCCN(C)CCCl HAWPXGHAZFHHAD-UHFFFAOYSA-N 0.000 description 1
- 239000012528 membrane Substances 0.000 description 1
- CIFWZNRJIBNXRE-UHFFFAOYSA-N mepanipyrim Chemical compound CC#CC1=CC(C)=NC(NC=2C=CC=CC=2)=N1 CIFWZNRJIBNXRE-UHFFFAOYSA-N 0.000 description 1
- BCTQJXQXJVLSIG-UHFFFAOYSA-N mepronil Chemical compound CC(C)OC1=CC=CC(NC(=O)C=2C(=CC=CC=2)C)=C1 BCTQJXQXJVLSIG-UHFFFAOYSA-N 0.000 description 1
- 229960004635 mesna Drugs 0.000 description 1
- HYVVJDQGXFXBRZ-UHFFFAOYSA-N metam Chemical compound CNC(S)=S HYVVJDQGXFXBRZ-UHFFFAOYSA-N 0.000 description 1
- AFCCDDWKHLHPDF-UHFFFAOYSA-M metam-sodium Chemical compound [Na+].CNC([S-])=S AFCCDDWKHLHPDF-UHFFFAOYSA-M 0.000 description 1
- XWPZUHJBOLQNMN-UHFFFAOYSA-N metconazole Chemical compound C1=NC=NN1CC1(O)C(C)(C)CCC1CC1=CC=C(Cl)C=C1 XWPZUHJBOLQNMN-UHFFFAOYSA-N 0.000 description 1
- NNKVPIKMPCQWCG-UHFFFAOYSA-N methamidophos Chemical compound COP(N)(=O)SC NNKVPIKMPCQWCG-UHFFFAOYSA-N 0.000 description 1
- HNQIVZYLYMDVSB-UHFFFAOYSA-N methanesulfonimidic acid Chemical compound CS(N)(=O)=O HNQIVZYLYMDVSB-UHFFFAOYSA-N 0.000 description 1
- ZWJNEYVWPYIKMB-UHFFFAOYSA-N methfuroxam Chemical compound CC1=C(C)OC(C)=C1C(=O)NC1=CC=CC=C1 ZWJNEYVWPYIKMB-UHFFFAOYSA-N 0.000 description 1
- MEBQXILRKZHVCX-UHFFFAOYSA-N methidathion Chemical compound COC1=NN(CSP(=S)(OC)OC)C(=O)S1 MEBQXILRKZHVCX-UHFFFAOYSA-N 0.000 description 1
- YFBPRJGDJKVWAH-UHFFFAOYSA-N methiocarb Chemical compound CNC(=O)OC1=CC(C)=C(SC)C(C)=C1 YFBPRJGDJKVWAH-UHFFFAOYSA-N 0.000 description 1
- UHXUZOCRWCRNSJ-QPJJXVBHSA-N methomyl Chemical compound CNC(=O)O\N=C(/C)SC UHXUZOCRWCRNSJ-QPJJXVBHSA-N 0.000 description 1
- 229930002897 methoprene Natural products 0.000 description 1
- 229950003442 methoprene Drugs 0.000 description 1
- 229960004469 methoxsalen Drugs 0.000 description 1
- QCAWEPFNJXQPAN-UHFFFAOYSA-N methoxyfenozide Chemical compound COC1=CC=CC(C(=O)NN(C(=O)C=2C=C(C)C=C(C)C=2)C(C)(C)C)=C1C QCAWEPFNJXQPAN-UHFFFAOYSA-N 0.000 description 1
- CRFYLQMIDWBKRT-UHFFFAOYSA-N methyl (2-chloro-5-{N-[(6-methylpyridin-2-yl)methoxy]ethanimidoyl}benzyl)carbamate Chemical compound C1=C(Cl)C(CNC(=O)OC)=CC(C(C)=NOCC=2N=C(C)C=CC=2)=C1 CRFYLQMIDWBKRT-UHFFFAOYSA-N 0.000 description 1
- GEPDYQSQVLXLEU-AATRIKPKSA-N methyl (e)-3-dimethoxyphosphoryloxybut-2-enoate Chemical compound COC(=O)\C=C(/C)OP(=O)(OC)OC GEPDYQSQVLXLEU-AATRIKPKSA-N 0.000 description 1
- DBXFMOWZRXXBRN-UHFFFAOYSA-N methyl 3-(4-chlorophenyl)-3-{[N-(isopropoxycarbonyl)valyl]amino}propanoate Chemical compound CC(C)OC(=O)NC(C(C)C)C(=O)NC(CC(=O)OC)C1=CC=C(Cl)C=C1 DBXFMOWZRXXBRN-UHFFFAOYSA-N 0.000 description 1
- KBHDSWIXRODKSZ-UHFFFAOYSA-N methyl 5-chloro-2-(trifluoromethylsulfonylamino)benzoate Chemical compound COC(=O)C1=CC(Cl)=CC=C1NS(=O)(=O)C(F)(F)F KBHDSWIXRODKSZ-UHFFFAOYSA-N 0.000 description 1
- ZQEIXNIJLIKNTD-UHFFFAOYSA-N methyl N-(2,6-dimethylphenyl)-N-(methoxyacetyl)alaninate Chemical compound COCC(=O)N(C(C)C(=O)OC)C1=C(C)C=CC=C1C ZQEIXNIJLIKNTD-UHFFFAOYSA-N 0.000 description 1
- CJPQIRJHIZUAQP-UHFFFAOYSA-N methyl N-(2,6-dimethylphenyl)-N-(phenylacetyl)alaninate Chemical compound CC=1C=CC=C(C)C=1N(C(C)C(=O)OC)C(=O)CC1=CC=CC=C1 CJPQIRJHIZUAQP-UHFFFAOYSA-N 0.000 description 1
- CIEXPHRYOLIQQD-UHFFFAOYSA-N methyl N-(2,6-dimethylphenyl)-N-2-furoylalaninate Chemical compound CC=1C=CC=C(C)C=1N(C(C)C(=O)OC)C(=O)C1=CC=CO1 CIEXPHRYOLIQQD-UHFFFAOYSA-N 0.000 description 1
- 229940102396 methyl bromide Drugs 0.000 description 1
- WYEUOYBSAKLKEY-UHFFFAOYSA-N methyl n-[[2-chloro-5-[c-methyl-n-[(3-methylphenyl)methoxy]carbonimidoyl]phenyl]methyl]carbamate Chemical compound C1=C(Cl)C(CNC(=O)OC)=CC(C(C)=NOCC=2C=C(C)C=CC=2)=C1 WYEUOYBSAKLKEY-UHFFFAOYSA-N 0.000 description 1
- 230000011987 methylation Effects 0.000 description 1
- 238000007069 methylation reaction Methods 0.000 description 1
- 229920000257 metiram Polymers 0.000 description 1
- HIIRDDUVRXCDBN-OBGWFSINSA-N metominostrobin Chemical compound CNC(=O)C(=N\OC)\C1=CC=CC=C1OC1=CC=CC=C1 HIIRDDUVRXCDBN-OBGWFSINSA-N 0.000 description 1
- 239000010445 mica Substances 0.000 description 1
- 229910052618 mica group Inorganic materials 0.000 description 1
- 239000004530 micro-emulsion Substances 0.000 description 1
- 230000000813 microbial effect Effects 0.000 description 1
- 239000003094 microcapsule Substances 0.000 description 1
- 239000011785 micronutrient Substances 0.000 description 1
- 235000013369 micronutrients Nutrition 0.000 description 1
- FXWHFKOXMBTCMP-WMEDONTMSA-N milbemycin Natural products COC1C2OCC3=C/C=C/C(C)CC(=CCC4CC(CC5(O4)OC(C)C(C)C(OC(=O)C(C)CC(C)C)C5O)OC(=O)C(C=C1C)C23O)C FXWHFKOXMBTCMP-WMEDONTMSA-N 0.000 description 1
- ZLBGSRMUSVULIE-GSMJGMFJSA-N milbemycin A3 Chemical compound O1[C@H](C)[C@@H](C)CC[C@@]11O[C@H](C\C=C(C)\C[C@@H](C)\C=C\C=C/2[C@]3([C@H](C(=O)O4)C=C(C)[C@@H](O)[C@H]3OC\2)O)C[C@H]4C1 ZLBGSRMUSVULIE-GSMJGMFJSA-N 0.000 description 1
- 235000020786 mineral supplement Nutrition 0.000 description 1
- 229940029985 mineral supplement Drugs 0.000 description 1
- 150000007522 mineralic acids Chemical class 0.000 description 1
- CFCUWKMKBJTWLW-BKHRDMLASA-N mithramycin Chemical compound O([C@@H]1C[C@@H](O[C@H](C)[C@H]1O)OC=1C=C2C=C3C[C@H]([C@@H](C(=O)C3=C(O)C2=C(O)C=1C)O[C@@H]1O[C@H](C)[C@@H](O)[C@H](O[C@@H]2O[C@H](C)[C@H](O)[C@H](O[C@@H]3O[C@H](C)[C@@H](O)[C@@](C)(O)C3)C2)C1)[C@H](OC)C(=O)[C@@H](O)[C@@H](C)O)[C@H]1C[C@@H](O)[C@H](O)[C@@H](C)O1 CFCUWKMKBJTWLW-BKHRDMLASA-N 0.000 description 1
- 230000000116 mitigating effect Effects 0.000 description 1
- 238000002156 mixing Methods 0.000 description 1
- 239000003750 molluscacide Substances 0.000 description 1
- 230000002013 molluscicidal effect Effects 0.000 description 1
- 229940057059 monascus purpureus Drugs 0.000 description 1
- KRTSDMXIXPKRQR-AATRIKPKSA-N monocrotophos Chemical compound CNC(=O)\C=C(/C)OP(=O)(OC)OC KRTSDMXIXPKRQR-AATRIKPKSA-N 0.000 description 1
- 229910052901 montmorillonite Inorganic materials 0.000 description 1
- 229960005389 moroxydine Drugs 0.000 description 1
- 125000004573 morpholin-4-yl group Chemical group N1(CCOCC1)* 0.000 description 1
- 150000002780 morpholines Chemical class 0.000 description 1
- 125000002757 morpholinyl group Chemical group 0.000 description 1
- 208000010805 mumps infectious disease Diseases 0.000 description 1
- 239000000472 muscarinic agonist Substances 0.000 description 1
- 239000003149 muscarinic antagonist Substances 0.000 description 1
- 229940035363 muscle relaxants Drugs 0.000 description 1
- 239000003158 myorelaxant agent Substances 0.000 description 1
- 125000001421 myristyl group Chemical group [H]C([*])([H])C([H])([H])C([H])([H])C([H])([H])C([H])([H])C([H])([H])C([H])([H])C([H])([H])C([H])([H])C([H])([H])C([H])([H])C([H])([H])C([H])([H])C([H])([H])[H] 0.000 description 1
- COHTVILOUURPNC-UHFFFAOYSA-N n-(3,4-dichlorophenyl)-4-hydroxy-1,3-dimethyl-2,6-dioxopyrimidine-5-carboxamide Chemical compound O=C1N(C)C(=O)N(C)C(O)=C1C(=O)NC1=CC=C(Cl)C(Cl)=C1 COHTVILOUURPNC-UHFFFAOYSA-N 0.000 description 1
- YNTOKMNHRPSGFU-UHFFFAOYSA-N n-Propyl carbamate Chemical compound CCCOC(N)=O YNTOKMNHRPSGFU-UHFFFAOYSA-N 0.000 description 1
- KNHFGNGQAPKHOC-UHFFFAOYSA-N n-[2-(3,4-dichlorophenyl)-5-fluorophenyl]-3-(difluoromethyl)-1-methylpyrazole-4-carboxamide Chemical compound FC(F)C1=NN(C)C=C1C(=O)NC1=CC(F)=CC=C1C1=CC=C(Cl)C(Cl)=C1 KNHFGNGQAPKHOC-UHFFFAOYSA-N 0.000 description 1
- NOTMCFVPRDIUAV-UHFFFAOYSA-N n-[2-(4-bromophenyl)phenyl]-4-(difluoromethyl)-2-methyl-1,3-thiazole-5-carboxamide Chemical compound S1C(C)=NC(C(F)F)=C1C(=O)NC1=CC=CC=C1C1=CC=C(Br)C=C1 NOTMCFVPRDIUAV-UHFFFAOYSA-N 0.000 description 1
- JCPCLLBVKYTARN-UHFFFAOYSA-N n-[2-[4-[3-(4-chlorophenyl)prop-2-ynoxy]-3-methoxyphenyl]ethyl]-2-(ethylsulfonylamino)-3-methylbutanamide Chemical compound COC1=CC(CCNC(=O)C(C(C)C)NS(=O)(=O)CC)=CC=C1OCC#CC1=CC=C(Cl)C=C1 JCPCLLBVKYTARN-UHFFFAOYSA-N 0.000 description 1
- FVJQBZVCJVMBIP-UHFFFAOYSA-N n-[2-chloro-5-(trifluoromethyl)phenyl]-2,4-dinitro-6-(trifluoromethyl)aniline Chemical compound FC(F)(F)C1=CC([N+](=O)[O-])=CC([N+]([O-])=O)=C1NC1=CC(C(F)(F)F)=CC=C1Cl FVJQBZVCJVMBIP-UHFFFAOYSA-N 0.000 description 1
- 125000004123 n-propyl group Chemical group [H]C([H])([H])C([H])([H])C([H])([H])* 0.000 description 1
- BUYMVQAILCEWRR-UHFFFAOYSA-N naled Chemical compound COP(=O)(OC)OC(Br)C(Cl)(Cl)Br BUYMVQAILCEWRR-UHFFFAOYSA-N 0.000 description 1
- 125000001624 naphthyl group Chemical group 0.000 description 1
- 239000007922 nasal spray Substances 0.000 description 1
- 229940097496 nasal spray Drugs 0.000 description 1
- 229920001206 natural gum Polymers 0.000 description 1
- 229920005615 natural polymer Polymers 0.000 description 1
- 229960000884 nelfinavir Drugs 0.000 description 1
- QAGYKUNXZHXKMR-HKWSIXNMSA-N nelfinavir Chemical compound CC1=C(O)C=CC=C1C(=O)N[C@H]([C@H](O)CN1[C@@H](C[C@@H]2CCCC[C@@H]2C1)C(=O)NC(C)(C)C)CSC1=CC=CC=C1 QAGYKUNXZHXKMR-HKWSIXNMSA-N 0.000 description 1
- 230000001069 nematicidal effect Effects 0.000 description 1
- 125000001971 neopentyl group Chemical group [H]C([*])([H])C(C([H])([H])[H])(C([H])([H])[H])C([H])([H])[H] 0.000 description 1
- 208000015122 neurodegenerative disease Diseases 0.000 description 1
- 239000003176 neuroleptic agent Substances 0.000 description 1
- 239000002698 neuron blocking agent Substances 0.000 description 1
- 229960000689 nevirapine Drugs 0.000 description 1
- 229940101771 nexavir Drugs 0.000 description 1
- 229940079888 nitenpyram Drugs 0.000 description 1
- SFDJOSRHYKHMOK-UHFFFAOYSA-N nitramide Chemical compound N[N+]([O-])=O SFDJOSRHYKHMOK-UHFFFAOYSA-N 0.000 description 1
- 150000004767 nitrides Chemical class 0.000 description 1
- 125000000449 nitro group Chemical group [O-][N+](*)=O 0.000 description 1
- 125000006501 nitrophenyl group Chemical group 0.000 description 1
- 125000006574 non-aromatic ring group Chemical group 0.000 description 1
- 125000001196 nonadecyl group Chemical group [H]C([*])([H])C([H])([H])C([H])([H])C([H])([H])C([H])([H])C([H])([H])C([H])([H])C([H])([H])C([H])([H])C([H])([H])C([H])([H])C([H])([H])C([H])([H])C([H])([H])C([H])([H])C([H])([H])C([H])([H])C([H])([H])C([H])([H])[H] 0.000 description 1
- 231100000065 noncytotoxic Toxicity 0.000 description 1
- 230000002020 noncytotoxic effect Effects 0.000 description 1
- 125000005187 nonenyl group Chemical group C(=CCCCCCCC)* 0.000 description 1
- 230000009871 nonspecific binding Effects 0.000 description 1
- 125000001400 nonyl group Chemical group [H]C([*])([H])C([H])([H])C([H])([H])C([H])([H])C([H])([H])C([H])([H])C([H])([H])C([H])([H])C([H])([H])[H] 0.000 description 1
- 125000005071 nonynyl group Chemical group C(#CCCCCCCC)* 0.000 description 1
- NJPPVKZQTLUDBO-UHFFFAOYSA-N novaluron Chemical compound C1=C(Cl)C(OC(F)(F)C(OC(F)(F)F)F)=CC=C1NC(=O)NC(=O)C1=C(F)C=CC=C1F NJPPVKZQTLUDBO-UHFFFAOYSA-N 0.000 description 1
- YTYGAJLZOJPJGH-UHFFFAOYSA-N noviflumuron Chemical compound FC1=C(Cl)C(OC(F)(F)C(C(F)(F)F)F)=C(Cl)C=C1NC(=O)NC(=O)C1=C(F)C=CC=C1F YTYGAJLZOJPJGH-UHFFFAOYSA-N 0.000 description 1
- 239000002777 nucleoside Substances 0.000 description 1
- 229940127073 nucleoside analogue Drugs 0.000 description 1
- 150000003833 nucleoside derivatives Chemical class 0.000 description 1
- 210000004940 nucleus Anatomy 0.000 description 1
- 235000015097 nutrients Nutrition 0.000 description 1
- 125000005064 octadecenyl group Chemical group C(=CCCCCCCCCCCCCCCCC)* 0.000 description 1
- 125000004365 octenyl group Chemical group C(=CCCCCCC)* 0.000 description 1
- 125000002347 octyl group Chemical group [H]C([*])([H])C([H])([H])C([H])([H])C([H])([H])C([H])([H])C([H])([H])C([H])([H])C([H])([H])[H] 0.000 description 1
- 125000005069 octynyl group Chemical group [H]C([H])([H])C([H])([H])C([H])([H])C([H])([H])C([H])([H])C([H])([H])C#C* 0.000 description 1
- 239000002674 ointment Substances 0.000 description 1
- PZXOQEXFMJCDPG-UHFFFAOYSA-N omethoate Chemical compound CNC(=O)CSP(=O)(OC)OC PZXOQEXFMJCDPG-UHFFFAOYSA-N 0.000 description 1
- 239000000668 oral spray Substances 0.000 description 1
- 229940041678 oral spray Drugs 0.000 description 1
- 150000007524 organic acids Chemical class 0.000 description 1
- 150000004045 organic chlorine compounds Chemical class 0.000 description 1
- 239000011368 organic material Substances 0.000 description 1
- 150000002902 organometallic compounds Chemical class 0.000 description 1
- 150000002903 organophosphorus compounds Chemical class 0.000 description 1
- JHIPUJPTQJYEQK-ZLHHXESBSA-N orysastrobin Chemical compound CNC(=O)C(=N\OC)\C1=CC=CC=C1CO\N=C(/C)\C(=N\OC)\C(\C)=N\OC JHIPUJPTQJYEQK-ZLHHXESBSA-N 0.000 description 1
- 229960003752 oseltamivir Drugs 0.000 description 1
- NENPYTRHICXVCS-YNEHKIRRSA-N oseltamivir acid Chemical compound CCC(CC)O[C@@H]1C=C(C(O)=O)C[C@H](N)[C@H]1NC(C)=O NENPYTRHICXVCS-YNEHKIRRSA-N 0.000 description 1
- 150000005063 oxadiazines Chemical class 0.000 description 1
- 125000001715 oxadiazolyl group Chemical group 0.000 description 1
- UWVQIROCRJWDKL-UHFFFAOYSA-N oxadixyl Chemical compound CC=1C=CC=C(C)C=1N(C(=O)COC)N1CCOC1=O UWVQIROCRJWDKL-UHFFFAOYSA-N 0.000 description 1
- KZAUOCCYDRDERY-UHFFFAOYSA-N oxamyl Chemical compound CNC(=O)ON=C(SC)C(=O)N(C)C KZAUOCCYDRDERY-UHFFFAOYSA-N 0.000 description 1
- 125000000160 oxazolidinyl group Chemical group 0.000 description 1
- 125000002971 oxazolyl group Chemical group 0.000 description 1
- AMEKQAFGQBKLKX-UHFFFAOYSA-N oxycarboxin Chemical compound O=S1(=O)CCOC(C)=C1C(=O)NC1=CC=CC=C1 AMEKQAFGQBKLKX-UHFFFAOYSA-N 0.000 description 1
- PMCVMORKVPSKHZ-UHFFFAOYSA-N oxydemeton-methyl Chemical compound CCS(=O)CCSP(=O)(OC)OC PMCVMORKVPSKHZ-UHFFFAOYSA-N 0.000 description 1
- 125000000913 palmityl group Chemical group [H]C([*])([H])C([H])([H])C([H])([H])C([H])([H])C([H])([H])C([H])([H])C([H])([H])C([H])([H])C([H])([H])C([H])([H])C([H])([H])C([H])([H])C([H])([H])C([H])([H])C([H])([H])C([H])([H])[H] 0.000 description 1
- 229940046231 pamidronate Drugs 0.000 description 1
- WRUUGTRCQOWXEG-UHFFFAOYSA-N pamidronate Chemical compound NCCC(O)(P(O)(O)=O)P(O)(O)=O WRUUGTRCQOWXEG-UHFFFAOYSA-N 0.000 description 1
- LCCNCVORNKJIRZ-UHFFFAOYSA-N parathion Chemical compound CCOP(=S)(OCC)OC1=CC=C([N+]([O-])=O)C=C1 LCCNCVORNKJIRZ-UHFFFAOYSA-N 0.000 description 1
- 238000007911 parenteral administration Methods 0.000 description 1
- 239000006072 paste Substances 0.000 description 1
- 239000001814 pectin Substances 0.000 description 1
- 229920001277 pectin Polymers 0.000 description 1
- 235000010987 pectin Nutrition 0.000 description 1
- 229960001218 pegademase Drugs 0.000 description 1
- 108010027841 pegademase bovine Proteins 0.000 description 1
- 229960001179 penciclovir Drugs 0.000 description 1
- OGYFATSSENRIKG-UHFFFAOYSA-N pencycuron Chemical compound C1=CC(Cl)=CC=C1CN(C(=O)NC=1C=CC=CC=1)C1CCCC1 OGYFATSSENRIKG-UHFFFAOYSA-N 0.000 description 1
- WBTYBAGIHOISOQ-UHFFFAOYSA-N pent-4-en-1-yl 2-[(2-furylmethyl)(imidazol-1-ylcarbonyl)amino]butanoate Chemical compound C1=CN=CN1C(=O)N(C(CC)C(=O)OCCCC=C)CC1=CC=CO1 WBTYBAGIHOISOQ-UHFFFAOYSA-N 0.000 description 1
- LKPLKUMXSAEKID-UHFFFAOYSA-N pentachloronitrobenzene Chemical compound [O-][N+](=O)C1=C(Cl)C(Cl)=C(Cl)C(Cl)=C1Cl LKPLKUMXSAEKID-UHFFFAOYSA-N 0.000 description 1
- 125000002958 pentadecyl group Chemical group [H]C([*])([H])C([H])([H])C([H])([H])C([H])([H])C([H])([H])C([H])([H])C([H])([H])C([H])([H])C([H])([H])C([H])([H])C([H])([H])C([H])([H])C([H])([H])C([H])([H])C([H])([H])[H] 0.000 description 1
- 125000002255 pentenyl group Chemical group C(=CCCC)* 0.000 description 1
- 229960002340 pentostatin Drugs 0.000 description 1
- FPVKHBSQESCIEP-JQCXWYLXSA-N pentostatin Chemical compound C1[C@H](O)[C@@H](CO)O[C@H]1N1C(N=CNC[C@H]2O)=C2N=C1 FPVKHBSQESCIEP-JQCXWYLXSA-N 0.000 description 1
- 125000005981 pentynyl group Chemical group 0.000 description 1
- 239000000137 peptide hydrolase inhibitor Substances 0.000 description 1
- XRQDFNLINLXZLB-CKIKVBCHSA-N peramivir Chemical compound CCC(CC)[C@H](NC(C)=O)[C@@H]1[C@H](O)[C@@H](C(O)=O)C[C@H]1NC(N)=N XRQDFNLINLXZLB-CKIKVBCHSA-N 0.000 description 1
- 229960001084 peramivir Drugs 0.000 description 1
- VLTRZXGMWDSKGL-UHFFFAOYSA-M perchlorate Inorganic materials [O-]Cl(=O)(=O)=O VLTRZXGMWDSKGL-UHFFFAOYSA-M 0.000 description 1
- VLTRZXGMWDSKGL-UHFFFAOYSA-N perchloric acid Chemical compound OCl(=O)(=O)=O VLTRZXGMWDSKGL-UHFFFAOYSA-N 0.000 description 1
- 239000002304 perfume Substances 0.000 description 1
- 230000035699 permeability Effects 0.000 description 1
- 229960000490 permethrin Drugs 0.000 description 1
- RLLPVAHGXHCWKJ-UHFFFAOYSA-N permethrin Chemical compound CC1(C)C(C=C(Cl)Cl)C1C(=O)OCC1=CC=CC(OC=2C=CC=CC=2)=C1 RLLPVAHGXHCWKJ-UHFFFAOYSA-N 0.000 description 1
- 150000002978 peroxides Chemical class 0.000 description 1
- 230000000361 pesticidal effect Effects 0.000 description 1
- 239000004477 pesticide formulation type Substances 0.000 description 1
- 230000008782 phagocytosis Effects 0.000 description 1
- 230000000144 pharmacologic effect Effects 0.000 description 1
- 238000005191 phase separation Methods 0.000 description 1
- 229960003536 phenothrin Drugs 0.000 description 1
- XAMUDJHXFNRLCY-UHFFFAOYSA-N phenthoate Chemical compound CCOC(=O)C(SP(=S)(OC)OC)C1=CC=CC=C1 XAMUDJHXFNRLCY-UHFFFAOYSA-N 0.000 description 1
- BSCCSDNZEIHXOK-UHFFFAOYSA-N phenyl carbamate Chemical compound NC(=O)OC1=CC=CC=C1 BSCCSDNZEIHXOK-UHFFFAOYSA-N 0.000 description 1
- ABOYDMHGKWRPFD-UHFFFAOYSA-N phenylmethanesulfonamide Chemical compound NS(=O)(=O)CC1=CC=CC=C1 ABOYDMHGKWRPFD-UHFFFAOYSA-N 0.000 description 1
- AFDMODCXODAXLC-UHFFFAOYSA-N phenylmethanimine Chemical compound N=CC1=CC=CC=C1 AFDMODCXODAXLC-UHFFFAOYSA-N 0.000 description 1
- 239000003016 pheromone Substances 0.000 description 1
- BULVZWIRKLYCBC-UHFFFAOYSA-N phorate Chemical compound CCOP(=S)(OCC)SCSCC BULVZWIRKLYCBC-UHFFFAOYSA-N 0.000 description 1
- IOUNQDKNJZEDEP-UHFFFAOYSA-N phosalone Chemical compound C1=C(Cl)C=C2OC(=O)N(CSP(=S)(OCC)OCC)C2=C1 IOUNQDKNJZEDEP-UHFFFAOYSA-N 0.000 description 1
- LMNZTLDVJIUSHT-UHFFFAOYSA-N phosmet Chemical compound C1=CC=C2C(=O)N(CSP(=S)(OC)OC)C(=O)C2=C1 LMNZTLDVJIUSHT-UHFFFAOYSA-N 0.000 description 1
- RGCLLPNLLBQHPF-HJWRWDBZSA-N phosphamidon Chemical compound CCN(CC)C(=O)C(\Cl)=C(/C)OP(=O)(OC)OC RGCLLPNLLBQHPF-HJWRWDBZSA-N 0.000 description 1
- UEZVMMHDMIWARA-UHFFFAOYSA-M phosphonate Chemical compound [O-]P(=O)=O UEZVMMHDMIWARA-UHFFFAOYSA-M 0.000 description 1
- XUYJLQHKOGNDPB-UHFFFAOYSA-N phosphonoacetic acid Chemical compound OC(=O)CP(O)(O)=O XUYJLQHKOGNDPB-UHFFFAOYSA-N 0.000 description 1
- 150000008298 phosphoramidates Chemical class 0.000 description 1
- 150000003013 phosphoric acid derivatives Chemical class 0.000 description 1
- 229910052698 phosphorus Inorganic materials 0.000 description 1
- 239000011574 phosphorus Substances 0.000 description 1
- 230000026731 phosphorylation Effects 0.000 description 1
- 238000006366 phosphorylation reaction Methods 0.000 description 1
- 239000003757 phosphotransferase inhibitor Substances 0.000 description 1
- ATROHALUCMTWTB-OWBHPGMISA-N phoxim Chemical compound CCOP(=S)(OCC)O\N=C(\C#N)C1=CC=CC=C1 ATROHALUCMTWTB-OWBHPGMISA-N 0.000 description 1
- 229950001664 phoxim Drugs 0.000 description 1
- NQQVFXUMIDALNH-UHFFFAOYSA-N picloram Chemical compound NC1=C(Cl)C(Cl)=NC(C(O)=O)=C1Cl NQQVFXUMIDALNH-UHFFFAOYSA-N 0.000 description 1
- IBBMAWULFFBRKK-UHFFFAOYSA-N picolinamide Chemical class NC(=O)C1=CC=CC=N1 IBBMAWULFFBRKK-UHFFFAOYSA-N 0.000 description 1
- SIOXPEMLGUPBBT-UHFFFAOYSA-N picolinic acid Chemical compound OC(=O)C1=CC=CC=N1 SIOXPEMLGUPBBT-UHFFFAOYSA-N 0.000 description 1
- IBSNKSODLGJUMQ-SDNWHVSQSA-N picoxystrobin Chemical compound CO\C=C(\C(=O)OC)C1=CC=CC=C1COC1=CC=CC(C(F)(F)F)=N1 IBSNKSODLGJUMQ-SDNWHVSQSA-N 0.000 description 1
- 239000006187 pill Substances 0.000 description 1
- 150000004885 piperazines Chemical class 0.000 description 1
- 125000004193 piperazinyl group Chemical group 0.000 description 1
- 125000003386 piperidinyl group Chemical group 0.000 description 1
- 229960005235 piperonyl butoxide Drugs 0.000 description 1
- YFGYUFNIOHWBOB-UHFFFAOYSA-N pirimicarb Chemical compound CN(C)C(=O)OC1=NC(N(C)C)=NC(C)=C1C YFGYUFNIOHWBOB-UHFFFAOYSA-N 0.000 description 1
- 239000000419 plant extract Substances 0.000 description 1
- 230000008635 plant growth Effects 0.000 description 1
- 239000004014 plasticizer Substances 0.000 description 1
- 229960000471 pleconaril Drugs 0.000 description 1
- KQOXLKOJHVFTRN-UHFFFAOYSA-N pleconaril Chemical compound O1N=C(C)C=C1CCCOC1=C(C)C=C(C=2N=C(ON=2)C(F)(F)F)C=C1C KQOXLKOJHVFTRN-UHFFFAOYSA-N 0.000 description 1
- 229960003171 plicamycin Drugs 0.000 description 1
- 229960001237 podophyllotoxin Drugs 0.000 description 1
- YJGVMLPVUAXIQN-XVVDYKMHSA-N podophyllotoxin Chemical compound COC1=C(OC)C(OC)=CC([C@@H]2C3=CC=4OCOC=4C=C3[C@H](O)[C@@H]3[C@@H]2C(OC3)=O)=C1 YJGVMLPVUAXIQN-XVVDYKMHSA-N 0.000 description 1
- YVCVYCSAAZQOJI-UHFFFAOYSA-N podophyllotoxin Natural products COC1=C(O)C(OC)=CC(C2C3=CC=4OCOC=4C=C3C(O)C3C2C(OC3)=O)=C1 YVCVYCSAAZQOJI-UHFFFAOYSA-N 0.000 description 1
- 229920000962 poly(amidoamine) Polymers 0.000 description 1
- 229920000435 poly(dimethylsiloxane) Polymers 0.000 description 1
- 229920001606 poly(lactic acid-co-glycolic acid) Polymers 0.000 description 1
- 229920002647 polyamide Polymers 0.000 description 1
- 239000004417 polycarbonate Substances 0.000 description 1
- 229920000515 polycarbonate Polymers 0.000 description 1
- 229960004293 porfimer sodium Drugs 0.000 description 1
- 229940096992 potassium oleate Drugs 0.000 description 1
- MLICVSDCCDDWMD-KVVVOXFISA-M potassium;(z)-octadec-9-enoate Chemical compound [K+].CCCCCCCC\C=C/CCCCCCCC([O-])=O MLICVSDCCDDWMD-KVVVOXFISA-M 0.000 description 1
- SMKRKQBMYOFFMU-UHFFFAOYSA-N prallethrin Chemical compound CC1(C)C(C=C(C)C)C1C(=O)OC1C(C)=C(CC#C)C(=O)C1 SMKRKQBMYOFFMU-UHFFFAOYSA-N 0.000 description 1
- XOFYZVNMUHMLCC-ZPOLXVRWSA-N prednisone Chemical compound O=C1C=C[C@]2(C)[C@H]3C(=O)C[C@](C)([C@@](CC4)(O)C(=O)CO)[C@@H]4[C@@H]3CCC2=C1 XOFYZVNMUHMLCC-ZPOLXVRWSA-N 0.000 description 1
- 229960004618 prednisone Drugs 0.000 description 1
- 239000003755 preservative agent Substances 0.000 description 1
- 230000002265 prevention Effects 0.000 description 1
- 125000002924 primary amino group Chemical group [H]N([H])* 0.000 description 1
- WHHIPMZEDGBUCC-UHFFFAOYSA-N probenazole Chemical compound C1=CC=C2C(OCC=C)=NS(=O)(=O)C2=C1 WHHIPMZEDGBUCC-UHFFFAOYSA-N 0.000 description 1
- TVLSRXXIMLFWEO-UHFFFAOYSA-N prochloraz Chemical compound C1=CN=CN1C(=O)N(CCC)CCOC1=C(Cl)C=C(Cl)C=C1Cl TVLSRXXIMLFWEO-UHFFFAOYSA-N 0.000 description 1
- QXJKBPAVAHBARF-BETUJISGSA-N procymidone Chemical compound O=C([C@]1(C)C[C@@]1(C1=O)C)N1C1=CC(Cl)=CC(Cl)=C1 QXJKBPAVAHBARF-BETUJISGSA-N 0.000 description 1
- 229940002612 prodrug Drugs 0.000 description 1
- 239000000651 prodrug Substances 0.000 description 1
- QYMMJNLHFKGANY-UHFFFAOYSA-N profenofos Chemical compound CCCSP(=O)(OCC)OC1=CC=C(Br)C=C1Cl QYMMJNLHFKGANY-UHFFFAOYSA-N 0.000 description 1
- 230000001737 promoting effect Effects 0.000 description 1
- OCAAZRFBJBEVPS-UHFFFAOYSA-N prop-2-enyl carbamate Chemical compound NC(=O)OCC=C OCAAZRFBJBEVPS-UHFFFAOYSA-N 0.000 description 1
- WZZLDXDUQPOXNW-UHFFFAOYSA-N propamocarb Chemical compound CCCOC(=O)NCCCN(C)C WZZLDXDUQPOXNW-UHFFFAOYSA-N 0.000 description 1
- ZNZJJSYHZBXQSM-UHFFFAOYSA-N propane-2,2-diamine Chemical compound CC(C)(N)N ZNZJJSYHZBXQSM-UHFFFAOYSA-N 0.000 description 1
- PWYIUEFFPNVCMW-UHFFFAOYSA-N propaphos Chemical compound CCCOP(=O)(OCCC)OC1=CC=C(SC)C=C1 PWYIUEFFPNVCMW-UHFFFAOYSA-N 0.000 description 1
- ZYHMJXZULPZUED-UHFFFAOYSA-N propargite Chemical compound C1=CC(C(C)(C)C)=CC=C1OC1C(OS(=O)OCC#C)CCCC1 ZYHMJXZULPZUED-UHFFFAOYSA-N 0.000 description 1
- 239000003380 propellant Substances 0.000 description 1
- 125000004368 propenyl group Chemical group C(=CC)* 0.000 description 1
- BZNDWPRGXNILMS-VQHVLOKHSA-N propetamphos Chemical compound CCNP(=S)(OC)O\C(C)=C\C(=O)OC(C)C BZNDWPRGXNILMS-VQHVLOKHSA-N 0.000 description 1
- STJLVHWMYQXCPB-UHFFFAOYSA-N propiconazole Chemical compound O1C(CCC)COC1(C=1C(=CC(Cl)=CC=1)Cl)CN1N=CN=C1 STJLVHWMYQXCPB-UHFFFAOYSA-N 0.000 description 1
- KKMLIVYBGSAJPM-UHFFFAOYSA-L propineb Chemical compound [Zn+2].[S-]C(=S)NC(C)CNC([S-])=S KKMLIVYBGSAJPM-UHFFFAOYSA-L 0.000 description 1
- 125000002568 propynyl group Chemical group [*]C#CC([H])([H])[H] 0.000 description 1
- FLVBXVXXXMLMOX-UHFFFAOYSA-N proquinazid Chemical compound C1=C(I)C=C2C(=O)N(CCC)C(OCCC)=NC2=C1 FLVBXVXXXMLMOX-UHFFFAOYSA-N 0.000 description 1
- 125000006239 protecting group Chemical group 0.000 description 1
- FITIWKDOCAUBQD-UHFFFAOYSA-N prothiofos Chemical compound CCCSP(=S)(OCC)OC1=CC=C(Cl)C=C1Cl FITIWKDOCAUBQD-UHFFFAOYSA-N 0.000 description 1
- 230000005588 protonation Effects 0.000 description 1
- 239000003368 psychostimulant agent Substances 0.000 description 1
- QHMTXANCGGJZRX-WUXMJOGZSA-N pymetrozine Chemical compound C1C(C)=NNC(=O)N1\N=C\C1=CC=CN=C1 QHMTXANCGGJZRX-WUXMJOGZSA-N 0.000 description 1
- QHGVXILFMXYDRS-UHFFFAOYSA-N pyraclofos Chemical compound C1=C(OP(=O)(OCC)SCCC)C=NN1C1=CC=C(Cl)C=C1 QHGVXILFMXYDRS-UHFFFAOYSA-N 0.000 description 1
- HZRSNVGNWUDEFX-UHFFFAOYSA-N pyraclostrobin Chemical compound COC(=O)N(OC)C1=CC=CC=C1COC1=NN(C=2C=CC(Cl)=CC=2)C=C1 HZRSNVGNWUDEFX-UHFFFAOYSA-N 0.000 description 1
- DDIQWGKUSJOETH-UHFFFAOYSA-N pyrafluprole Chemical compound ClC=1C=C(C(F)(F)F)C=C(Cl)C=1N1N=C(C#N)C(SCF)=C1NCC1=CN=CC=N1 DDIQWGKUSJOETH-UHFFFAOYSA-N 0.000 description 1
- 125000003373 pyrazinyl group Chemical group 0.000 description 1
- 125000003072 pyrazolidinyl group Chemical group 0.000 description 1
- 125000002755 pyrazolinyl group Chemical group 0.000 description 1
- 125000003226 pyrazolyl group Chemical group 0.000 description 1
- JOOMJVFZQRQWKR-UHFFFAOYSA-N pyrazophos Chemical compound N1=C(C)C(C(=O)OCC)=CN2N=C(OP(=S)(OCC)OCC)C=C21 JOOMJVFZQRQWKR-UHFFFAOYSA-N 0.000 description 1
- HYJYGLGUBUDSLJ-UHFFFAOYSA-N pyrethrin Natural products CCC(=O)OC1CC(=C)C2CC3OC3(C)C2C2OC(=O)C(=C)C12 HYJYGLGUBUDSLJ-UHFFFAOYSA-N 0.000 description 1
- 229940070846 pyrethrins Drugs 0.000 description 1
- 239000002728 pyrethroid Substances 0.000 description 1
- 229940015367 pyrethrum Drugs 0.000 description 1
- DWFZBUWUXWZWKD-UHFFFAOYSA-N pyridaben Chemical compound C1=CC(C(C)(C)C)=CC=C1CSC1=C(Cl)C(=O)N(C(C)(C)C)N=C1 DWFZBUWUXWZWKD-UHFFFAOYSA-N 0.000 description 1
- AEHJMNVBLRLZKK-UHFFFAOYSA-N pyridalyl Chemical group N1=CC(C(F)(F)F)=CC=C1OCCCOC1=C(Cl)C=C(OCC=C(Cl)Cl)C=C1Cl AEHJMNVBLRLZKK-UHFFFAOYSA-N 0.000 description 1
- CXJSOEPQXUCJSA-UHFFFAOYSA-N pyridaphenthion Chemical compound N1=C(OP(=S)(OCC)OCC)C=CC(=O)N1C1=CC=CC=C1 CXJSOEPQXUCJSA-UHFFFAOYSA-N 0.000 description 1
- RWUGBYOALBYTGU-UHFFFAOYSA-N pyridin-4-ylmethyl carbamate Chemical compound NC(=O)OCC1=CC=NC=C1 RWUGBYOALBYTGU-UHFFFAOYSA-N 0.000 description 1
- 150000003222 pyridines Chemical class 0.000 description 1
- ZLIBICFPKPWGIZ-UHFFFAOYSA-N pyrimethanil Chemical compound CC1=CC(C)=NC(NC=2C=CC=CC=2)=N1 ZLIBICFPKPWGIZ-UHFFFAOYSA-N 0.000 description 1
- ITKAIUGKVKDENI-UHFFFAOYSA-N pyrimidifen Chemical compound CC1=C(C)C(CCOCC)=CC=C1OCCNC1=NC=NC(CC)=C1Cl ITKAIUGKVKDENI-UHFFFAOYSA-N 0.000 description 1
- ZFCHNZDUMIOWFV-UHFFFAOYSA-N pyrimidine-2-carboxylic acid Chemical compound OC(=O)C1=NC=CC=N1 ZFCHNZDUMIOWFV-UHFFFAOYSA-N 0.000 description 1
- 125000000714 pyrimidinyl group Chemical group 0.000 description 1
- NHDHVHZZCFYRSB-UHFFFAOYSA-N pyriproxyfen Chemical compound C=1C=CC=NC=1OC(C)COC(C=C1)=CC=C1OC1=CC=CC=C1 NHDHVHZZCFYRSB-UHFFFAOYSA-N 0.000 description 1
- XRJLAOUDSILTFT-UHFFFAOYSA-N pyroquilon Chemical compound O=C1CCC2=CC=CC3=C2N1CC3 XRJLAOUDSILTFT-UHFFFAOYSA-N 0.000 description 1
- 125000000719 pyrrolidinyl group Chemical group 0.000 description 1
- 125000000168 pyrrolyl group Chemical group 0.000 description 1
- 239000002096 quantum dot Substances 0.000 description 1
- 150000003242 quaternary ammonium salts Chemical class 0.000 description 1
- 238000005956 quaternization reaction Methods 0.000 description 1
- JYQUHIFYBATCCY-UHFFFAOYSA-N quinalphos Chemical compound C1=CC=CC2=NC(OP(=S)(OCC)OCC)=CN=C21 JYQUHIFYBATCCY-UHFFFAOYSA-N 0.000 description 1
- FLCPORVHXQFBHT-UHFFFAOYSA-N quinolin-8-yl carbamate Chemical compound C1=CN=C2C(OC(=O)N)=CC=CC2=C1 FLCPORVHXQFBHT-UHFFFAOYSA-N 0.000 description 1
- 125000002943 quinolinyl group Chemical group N1=C(C=CC2=CC=CC=C12)* 0.000 description 1
- WRPIRSINYZBGPK-UHFFFAOYSA-N quinoxyfen Chemical compound C1=CC(F)=CC=C1OC1=CC=NC2=CC(Cl)=CC(Cl)=C12 WRPIRSINYZBGPK-UHFFFAOYSA-N 0.000 description 1
- 150000003254 radicals Chemical class 0.000 description 1
- 230000003439 radiotherapeutic effect Effects 0.000 description 1
- 229960004742 raltegravir Drugs 0.000 description 1
- CZFFBEXEKNGXKS-UHFFFAOYSA-N raltegravir Chemical compound O1C(C)=NN=C1C(=O)NC(C)(C)C1=NC(C(=O)NCC=2C=CC(F)=CC=2)=C(O)C(=O)N1C CZFFBEXEKNGXKS-UHFFFAOYSA-N 0.000 description 1
- 229920013730 reactive polymer Polymers 0.000 description 1
- 229940044601 receptor agonist Drugs 0.000 description 1
- 239000000018 receptor agonist Substances 0.000 description 1
- 238000010188 recombinant method Methods 0.000 description 1
- 238000011084 recovery Methods 0.000 description 1
- 235000013526 red clover Nutrition 0.000 description 1
- 230000002829 reductive effect Effects 0.000 description 1
- 229940108410 resmethrin Drugs 0.000 description 1
- VEMKTZHHVJILDY-FIWHBWSRSA-N resmethrin Chemical compound CC1(C)[C@H](C=C(C)C)C1C(=O)OCC1=COC(CC=2C=CC=CC=2)=C1 VEMKTZHHVJILDY-FIWHBWSRSA-N 0.000 description 1
- 239000003340 retarding agent Substances 0.000 description 1
- 229960000329 ribavirin Drugs 0.000 description 1
- HZCAHMRRMINHDJ-DBRKOABJSA-N ribavirin Natural products O[C@@H]1[C@H](O)[C@@H](CO)O[C@H]1N1N=CN=C1 HZCAHMRRMINHDJ-DBRKOABJSA-N 0.000 description 1
- 239000002336 ribonucleotide Substances 0.000 description 1
- 125000002652 ribonucleotide group Chemical group 0.000 description 1
- 210000003705 ribosome Anatomy 0.000 description 1
- 229960000888 rimantadine Drugs 0.000 description 1
- 229960000311 ritonavir Drugs 0.000 description 1
- NCDNCNXCDXHOMX-XGKFQTDJSA-N ritonavir Chemical compound N([C@@H](C(C)C)C(=O)N[C@H](C[C@H](O)[C@H](CC=1C=CC=CC=1)NC(=O)OCC=1SC=NC=1)CC=1C=CC=CC=1)C(=O)N(C)CC1=CSC(C(C)C)=N1 NCDNCNXCDXHOMX-XGKFQTDJSA-N 0.000 description 1
- 229960004641 rituximab Drugs 0.000 description 1
- 239000003419 rna directed dna polymerase inhibitor Substances 0.000 description 1
- 239000011435 rock Substances 0.000 description 1
- 230000002786 root growth Effects 0.000 description 1
- 229940080817 rotenone Drugs 0.000 description 1
- JUVIOZPCNVVQFO-UHFFFAOYSA-N rotenone Natural products O1C2=C3CC(C(C)=C)OC3=CC=C2C(=O)C2C1COC1=C2C=C(OC)C(OC)=C1 JUVIOZPCNVVQFO-UHFFFAOYSA-N 0.000 description 1
- 201000005404 rubella Diseases 0.000 description 1
- JJSYXNQGLHBRRK-SFEDZAPPSA-N ryanodine Chemical compound O([C@@H]1[C@]([C@@]2([C@]3(O)[C@]45O[C@@]2(O)C[C@]([C@]4(CC[C@H](C)[C@H]5O)O)(C)[C@@]31O)C)(O)C(C)C)C(=O)C1=CC=CN1 JJSYXNQGLHBRRK-SFEDZAPPSA-N 0.000 description 1
- YBKWIGSMABMNJZ-UHFFFAOYSA-N s-(2,3,4,5,6-pentachlorophenyl)thiohydroxylamine Chemical compound NSC1=C(Cl)C(Cl)=C(Cl)C(Cl)=C1Cl YBKWIGSMABMNJZ-UHFFFAOYSA-N 0.000 description 1
- RTKRAORYZUBVGQ-UHFFFAOYSA-N s-(2,4-dinitrophenyl)thiohydroxylamine Chemical compound NSC1=CC=C([N+]([O-])=O)C=C1[N+]([O-])=O RTKRAORYZUBVGQ-UHFFFAOYSA-N 0.000 description 1
- LOVVSIULYJABJF-UHFFFAOYSA-N s-(2-nitrophenyl)thiohydroxylamine Chemical compound NSC1=CC=CC=C1[N+]([O-])=O LOVVSIULYJABJF-UHFFFAOYSA-N 0.000 description 1
- BDEZGPKAMAVGBE-UHFFFAOYSA-N s-(3-nitropyridin-2-yl)thiohydroxylamine Chemical compound NSC1=NC=CC=C1[N+]([O-])=O BDEZGPKAMAVGBE-UHFFFAOYSA-N 0.000 description 1
- DAXSYWBYJZACTA-UHFFFAOYSA-N s-(4-methoxy-2-nitrophenyl)thiohydroxylamine Chemical compound COC1=CC=C(SN)C([N+]([O-])=O)=C1 DAXSYWBYJZACTA-UHFFFAOYSA-N 0.000 description 1
- LOFZYSZWOLKUGE-UHFFFAOYSA-N s-benzyl carbamothioate Chemical compound NC(=O)SCC1=CC=CC=C1 LOFZYSZWOLKUGE-UHFFFAOYSA-N 0.000 description 1
- YGBMMMOLNODPBP-GWGZPXPZSA-N s-ethyl (2e,4e)-11-methoxy-3,7,11-trimethyldodeca-2,4-dienethioate Chemical compound CCSC(=O)\C=C(/C)\C=C\CC(C)CCCC(C)(C)OC YGBMMMOLNODPBP-GWGZPXPZSA-N 0.000 description 1
- MAGSSGQAJNNDLU-UHFFFAOYSA-N s-phenylthiohydroxylamine Chemical compound NSC1=CC=CC=C1 MAGSSGQAJNNDLU-UHFFFAOYSA-N 0.000 description 1
- PIDYQAYNSQSDQY-UHFFFAOYSA-N s-tritylthiohydroxylamine Chemical compound C=1C=CC=CC=1C(C=1C=CC=CC=1)(SN)C1=CC=CC=C1 PIDYQAYNSQSDQY-UHFFFAOYSA-N 0.000 description 1
- BPELEZSCHIEMAE-UHFFFAOYSA-N salicylaldehyde imine Chemical compound OC1=CC=CC=C1C=N BPELEZSCHIEMAE-UHFFFAOYSA-N 0.000 description 1
- WKEDVNSFRWHDNR-UHFFFAOYSA-N salicylanilide Chemical compound OC1=CC=CC=C1C(=O)NC1=CC=CC=C1 WKEDVNSFRWHDNR-UHFFFAOYSA-N 0.000 description 1
- 229950000975 salicylanilide Drugs 0.000 description 1
- 229960001860 salicylate Drugs 0.000 description 1
- 239000004576 sand Substances 0.000 description 1
- 229960001852 saquinavir Drugs 0.000 description 1
- QWAXKHKRTORLEM-UGJKXSETSA-N saquinavir Chemical compound C([C@@H]([C@H](O)CN1C[C@H]2CCCC[C@H]2C[C@H]1C(=O)NC(C)(C)C)NC(=O)[C@H](CC(N)=O)NC(=O)C=1N=C2C=CC=CC2=CC=1)C1=CC=CC=C1 QWAXKHKRTORLEM-UGJKXSETSA-N 0.000 description 1
- 125000002914 sec-butyl group Chemical group [H]C([H])([H])C([H])([H])C([H])(*)C([H])([H])[H] 0.000 description 1
- 125000003548 sec-pentyl group Chemical group [H]C([H])([H])C([H])([H])C([H])([H])C([H])(*)C([H])([H])[H] 0.000 description 1
- 238000001338 self-assembly Methods 0.000 description 1
- 210000002966 serum Anatomy 0.000 description 1
- 230000035939 shock Effects 0.000 description 1
- SQVRNKJHWKZAKO-OQPLDHBCSA-N sialic acid Chemical compound CC(=O)N[C@@H]1[C@@H](O)C[C@@](O)(C(O)=O)OC1[C@H](O)[C@H](O)CO SQVRNKJHWKZAKO-OQPLDHBCSA-N 0.000 description 1
- 230000019491 signal transduction Effects 0.000 description 1
- HPYNBECUCCGGPA-UHFFFAOYSA-N silafluofen Chemical compound C1=CC(OCC)=CC=C1[Si](C)(C)CCCC1=CC=C(F)C(OC=2C=CC=CC=2)=C1 HPYNBECUCCGGPA-UHFFFAOYSA-N 0.000 description 1
- 239000004460 silage Substances 0.000 description 1
- 238000010898 silica gel chromatography Methods 0.000 description 1
- 150000004760 silicates Chemical class 0.000 description 1
- 229910052710 silicon Inorganic materials 0.000 description 1
- MXMXHPPIGKYTAR-UHFFFAOYSA-N silthiofam Chemical compound CC=1SC([Si](C)(C)C)=C(C(=O)NCC=C)C=1C MXMXHPPIGKYTAR-UHFFFAOYSA-N 0.000 description 1
- 238000004513 sizing Methods 0.000 description 1
- 239000000429 sodium aluminium silicate Substances 0.000 description 1
- 235000012217 sodium aluminium silicate Nutrition 0.000 description 1
- URGAHOPLAPQHLN-UHFFFAOYSA-N sodium aluminosilicate Chemical compound [Na+].[Al+3].[O-][Si]([O-])=O.[O-][Si]([O-])=O URGAHOPLAPQHLN-UHFFFAOYSA-N 0.000 description 1
- 239000002689 soil Substances 0.000 description 1
- 239000007790 solid phase Substances 0.000 description 1
- 238000000935 solvent evaporation Methods 0.000 description 1
- 238000000638 solvent extraction Methods 0.000 description 1
- 238000000527 sonication Methods 0.000 description 1
- 238000001179 sorption measurement Methods 0.000 description 1
- 235000012424 soybean oil Nutrition 0.000 description 1
- 239000003549 soybean oil Substances 0.000 description 1
- 229930185156 spinosyn Natural products 0.000 description 1
- DTDSAWVUFPGDMX-UHFFFAOYSA-N spirodiclofen Chemical compound CCC(C)(C)C(=O)OC1=C(C=2C(=CC(Cl)=CC=2)Cl)C(=O)OC11CCCCC1 DTDSAWVUFPGDMX-UHFFFAOYSA-N 0.000 description 1
- GOLXNESZZPUPJE-UHFFFAOYSA-N spiromesifen Chemical compound CC1=CC(C)=CC(C)=C1C(C(O1)=O)=C(OC(=O)CC(C)(C)C)C11CCCC1 GOLXNESZZPUPJE-UHFFFAOYSA-N 0.000 description 1
- PUYXTUJWRLOUCW-UHFFFAOYSA-N spiroxamine Chemical compound O1C(CN(CC)CCC)COC11CCC(C(C)(C)C)CC1 PUYXTUJWRLOUCW-UHFFFAOYSA-N 0.000 description 1
- 230000002269 spontaneous effect Effects 0.000 description 1
- 239000003381 stabilizer Substances 0.000 description 1
- 235000019698 starch Nutrition 0.000 description 1
- 239000007858 starting material Substances 0.000 description 1
- 229960001203 stavudine Drugs 0.000 description 1
- 125000004079 stearyl group Chemical group [H]C([*])([H])C([H])([H])C([H])([H])C([H])([H])C([H])([H])C([H])([H])C([H])([H])C([H])([H])C([H])([H])C([H])([H])C([H])([H])C([H])([H])C([H])([H])C([H])([H])C([H])([H])C([H])([H])C([H])([H])C([H])([H])[H] 0.000 description 1
- 150000003431 steroids Chemical class 0.000 description 1
- 238000003860 storage Methods 0.000 description 1
- 229960005322 streptomycin Drugs 0.000 description 1
- ZSJLQEPLLKMAKR-GKHCUFPYSA-N streptozocin Chemical compound O=NN(C)C(=O)N[C@H]1[C@@H](O)O[C@H](CO)[C@@H](O)[C@@H]1O ZSJLQEPLLKMAKR-GKHCUFPYSA-N 0.000 description 1
- 229960001052 streptozocin Drugs 0.000 description 1
- 238000007920 subcutaneous administration Methods 0.000 description 1
- 125000005346 substituted cycloalkyl group Chemical group 0.000 description 1
- IIACRCGMVDHOTQ-UHFFFAOYSA-M sulfamate Chemical compound NS([O-])(=O)=O IIACRCGMVDHOTQ-UHFFFAOYSA-M 0.000 description 1
- CCEKAJIANROZEO-UHFFFAOYSA-N sulfluramid Chemical compound CCNS(=O)(=O)C(F)(F)C(F)(F)C(F)(F)C(F)(F)C(F)(F)C(F)(F)C(F)(F)C(F)(F)F CCEKAJIANROZEO-UHFFFAOYSA-N 0.000 description 1
- 150000003456 sulfonamides Chemical class 0.000 description 1
- BDHFUVZGWQCTTF-UHFFFAOYSA-M sulfonate Chemical compound [O-]S(=O)=O BDHFUVZGWQCTTF-UHFFFAOYSA-M 0.000 description 1
- XIUROWKZWPIAIB-UHFFFAOYSA-N sulfotep Chemical compound CCOP(=S)(OCC)OP(=S)(OCC)OCC XIUROWKZWPIAIB-UHFFFAOYSA-N 0.000 description 1
- 150000003467 sulfuric acid derivatives Chemical class 0.000 description 1
- OBTWBSRJZRCYQV-UHFFFAOYSA-N sulfuryl difluoride Chemical compound FS(F)(=O)=O OBTWBSRJZRCYQV-UHFFFAOYSA-N 0.000 description 1
- JXHJNEJVUNHLKO-UHFFFAOYSA-N sulprofos Chemical compound CCCSP(=S)(OCC)OC1=CC=C(SC)C=C1 JXHJNEJVUNHLKO-UHFFFAOYSA-N 0.000 description 1
- 230000001629 suppression Effects 0.000 description 1
- 239000004546 suspension concentrate Substances 0.000 description 1
- 238000013268 sustained release Methods 0.000 description 1
- 239000012730 sustained-release form Substances 0.000 description 1
- 239000003765 sweetening agent Substances 0.000 description 1
- 208000024891 symptom Diseases 0.000 description 1
- 230000002195 synergetic effect Effects 0.000 description 1
- 230000002194 synthesizing effect Effects 0.000 description 1
- 229920001059 synthetic polymer Polymers 0.000 description 1
- 239000006188 syrup Substances 0.000 description 1
- 235000020357 syrup Nutrition 0.000 description 1
- 230000009885 systemic effect Effects 0.000 description 1
- 229950006081 taribavirin Drugs 0.000 description 1
- NHKZSTHOYNWEEZ-AFCXAGJDSA-N taribavirin Chemical compound N1=C(C(=N)N)N=CN1[C@H]1[C@H](O)[C@H](O)[C@@H](CO)O1 NHKZSTHOYNWEEZ-AFCXAGJDSA-N 0.000 description 1
- 239000005936 tau-Fluvalinate Substances 0.000 description 1
- INISTDXBRIBGOC-XMMISQBUSA-N tau-fluvalinate Chemical compound N([C@H](C(C)C)C(=O)OC(C#N)C=1C=C(OC=2C=CC=CC=2)C=CC=1)C1=CC=C(C(F)(F)F)C=C1Cl INISTDXBRIBGOC-XMMISQBUSA-N 0.000 description 1
- 229940063683 taxotere Drugs 0.000 description 1
- QYPNKSZPJQQLRK-UHFFFAOYSA-N tebufenozide Chemical compound C1=CC(CC)=CC=C1C(=O)NN(C(C)(C)C)C(=O)C1=CC(C)=CC(C)=C1 QYPNKSZPJQQLRK-UHFFFAOYSA-N 0.000 description 1
- ZZYSLNWGKKDOML-UHFFFAOYSA-N tebufenpyrad Chemical compound CCC1=NN(C)C(C(=O)NCC=2C=CC(=CC=2)C(C)(C)C)=C1Cl ZZYSLNWGKKDOML-UHFFFAOYSA-N 0.000 description 1
- AWYOMXWDGWUJHS-UHFFFAOYSA-N tebupirimfos Chemical compound CCOP(=S)(OC(C)C)OC1=CN=C(C(C)(C)C)N=C1 AWYOMXWDGWUJHS-UHFFFAOYSA-N 0.000 description 1
- ROZUQUDEWZIBHV-UHFFFAOYSA-N tecloftalam Chemical compound OC(=O)C1=C(Cl)C(Cl)=C(Cl)C(Cl)=C1C(=O)NC1=CC=CC(Cl)=C1Cl ROZUQUDEWZIBHV-UHFFFAOYSA-N 0.000 description 1
- CJDWRQLODFKPEL-UHFFFAOYSA-N teflubenzuron Chemical compound FC1=CC=CC(F)=C1C(=O)NC(=O)NC1=CC(Cl)=C(F)C(Cl)=C1F CJDWRQLODFKPEL-UHFFFAOYSA-N 0.000 description 1
- WWJZWCUNLNYYAU-UHFFFAOYSA-N temephos Chemical compound C1=CC(OP(=S)(OC)OC)=CC=C1SC1=CC=C(OP(=S)(OC)OC)C=C1 WWJZWCUNLNYYAU-UHFFFAOYSA-N 0.000 description 1
- 229960004964 temozolomide Drugs 0.000 description 1
- NRUKOCRGYNPUPR-QBPJDGROSA-N teniposide Chemical compound COC1=C(O)C(OC)=CC([C@@H]2C3=CC=4OCOC=4C=C3[C@@H](O[C@H]3[C@@H]([C@@H](O)[C@@H]4O[C@@H](OC[C@H]4O3)C=3SC=CC=3)O)[C@@H]3[C@@H]2C(OC3)=O)=C1 NRUKOCRGYNPUPR-QBPJDGROSA-N 0.000 description 1
- 229960004556 tenofovir Drugs 0.000 description 1
- SGOIRFVFHAKUTI-ZCFIWIBFSA-N tenofovir (anhydrous) Chemical compound N1=CN=C2N(C[C@@H](C)OCP(O)(O)=O)C=NC2=C1N SGOIRFVFHAKUTI-ZCFIWIBFSA-N 0.000 description 1
- 229960001355 tenofovir disoproxil Drugs 0.000 description 1
- JFVZFKDSXNQEJW-CQSZACIVSA-N tenofovir disoproxil Chemical compound N1=CN=C2N(C[C@@H](C)OCP(=O)(OCOC(=O)OC(C)C)OCOC(=O)OC(C)C)C=NC2=C1N JFVZFKDSXNQEJW-CQSZACIVSA-N 0.000 description 1
- VCMJCVGFSROFHV-WZGZYPNHSA-N tenofovir disoproxil fumarate Chemical compound OC(=O)\C=C\C(O)=O.N1=CN=C2N(C[C@@H](C)OCP(=O)(OCOC(=O)OC(C)C)OCOC(=O)OC(C)C)C=NC2=C1N VCMJCVGFSROFHV-WZGZYPNHSA-N 0.000 description 1
- 125000000999 tert-butyl group Chemical group [H]C([H])([H])C(*)(C([H])([H])[H])C([H])([H])[H] 0.000 description 1
- XBXCNNQPRYLIDE-UHFFFAOYSA-N tert-butylcarbamic acid Chemical compound CC(C)(C)NC(O)=O XBXCNNQPRYLIDE-UHFFFAOYSA-N 0.000 description 1
- 125000001973 tert-pentyl group Chemical group [H]C([H])([H])C([H])([H])C(*)(C([H])([H])[H])C([H])([H])[H] 0.000 description 1
- UBCKGWBNUIFUST-YHYXMXQVSA-N tetrachlorvinphos Chemical compound COP(=O)(OC)O\C(=C/Cl)C1=CC(Cl)=C(Cl)C=C1Cl UBCKGWBNUIFUST-YHYXMXQVSA-N 0.000 description 1
- 125000005063 tetradecenyl group Chemical group C(=CCCCCCCCCCCCC)* 0.000 description 1
- MLGCXEBRWGEOQX-UHFFFAOYSA-N tetradifon Chemical compound C1=CC(Cl)=CC=C1S(=O)(=O)C1=CC(Cl)=C(Cl)C=C1Cl MLGCXEBRWGEOQX-UHFFFAOYSA-N 0.000 description 1
- 125000003718 tetrahydrofuranyl group Chemical group 0.000 description 1
- 125000001712 tetrahydronaphthyl group Chemical group C1(CCCC2=CC=CC=C12)* 0.000 description 1
- 229960005199 tetramethrin Drugs 0.000 description 1
- ZFXYFBGIUFBOJW-UHFFFAOYSA-N theophylline Chemical compound O=C1N(C)C(=O)N(C)C2=C1NC=N2 ZFXYFBGIUFBOJW-UHFFFAOYSA-N 0.000 description 1
- 229960000278 theophylline Drugs 0.000 description 1
- 239000004308 thiabendazole Substances 0.000 description 1
- WJCNZQLZVWNLKY-UHFFFAOYSA-N thiabendazole Chemical compound S1C=NC(C=2NC3=CC=CC=C3N=2)=C1 WJCNZQLZVWNLKY-UHFFFAOYSA-N 0.000 description 1
- 235000010296 thiabendazole Nutrition 0.000 description 1
- 229960004546 thiabendazole Drugs 0.000 description 1
- 125000001113 thiadiazolyl group Chemical group 0.000 description 1
- NWWZPOKUUAIXIW-FLIBITNWSA-N thiamethoxam Chemical compound [O-][N+](=O)\N=C/1N(C)COCN\1CC1=CN=C(Cl)S1 NWWZPOKUUAIXIW-FLIBITNWSA-N 0.000 description 1
- 125000001984 thiazolidinyl group Chemical group 0.000 description 1
- 125000000335 thiazolyl group Chemical group 0.000 description 1
- 125000001544 thienyl group Chemical group 0.000 description 1
- WOSNCVAPUOFXEH-UHFFFAOYSA-N thifluzamide Chemical compound S1C(C)=NC(C(F)(F)F)=C1C(=O)NC1=C(Br)C=C(OC(F)(F)F)C=C1Br WOSNCVAPUOFXEH-UHFFFAOYSA-N 0.000 description 1
- BAKXBZPQTXCKRR-UHFFFAOYSA-N thiodicarb Chemical compound CSC(C)=NOC(=O)NSNC(=O)ON=C(C)SC BAKXBZPQTXCKRR-UHFFFAOYSA-N 0.000 description 1
- OPASCBHCTNRLRM-UHFFFAOYSA-N thiometon Chemical compound CCSCCSP(=S)(OC)OC OPASCBHCTNRLRM-UHFFFAOYSA-N 0.000 description 1
- 239000005451 thionucleotide Substances 0.000 description 1
- QGHREAKMXXNCOA-UHFFFAOYSA-N thiophanate-methyl Chemical compound COC(=O)NC(=S)NC1=CC=CC=C1NC(=S)NC(=O)OC QGHREAKMXXNCOA-UHFFFAOYSA-N 0.000 description 1
- RYYWUUFWQRZTIU-UHFFFAOYSA-K thiophosphate Chemical compound [O-]P([O-])([O-])=S RYYWUUFWQRZTIU-UHFFFAOYSA-K 0.000 description 1
- 229940048910 thiosulfate Drugs 0.000 description 1
- DHCDFWKWKRSZHF-UHFFFAOYSA-L thiosulfate(2-) Chemical compound [O-]S([S-])(=O)=O DHCDFWKWKRSZHF-UHFFFAOYSA-L 0.000 description 1
- KUAZQDVKQLNFPE-UHFFFAOYSA-N thiram Chemical compound CN(C)C(=S)SSC(=S)N(C)C KUAZQDVKQLNFPE-UHFFFAOYSA-N 0.000 description 1
- 229960002447 thiram Drugs 0.000 description 1
- 229940113082 thymine Drugs 0.000 description 1
- VJQYLJSMBWXGDV-UHFFFAOYSA-N tiadinil Chemical compound N1=NSC(C(=O)NC=2C=C(Cl)C(C)=CC=2)=C1C VJQYLJSMBWXGDV-UHFFFAOYSA-N 0.000 description 1
- 229960000838 tipranavir Drugs 0.000 description 1
- SUJUHGSWHZTSEU-FYBSXPHGSA-N tipranavir Chemical compound C([C@@]1(CCC)OC(=O)C([C@H](CC)C=2C=C(NS(=O)(=O)C=3N=CC(=CC=3)C(F)(F)F)C=CC=2)=C(O)C1)CC1=CC=CC=C1 SUJUHGSWHZTSEU-FYBSXPHGSA-N 0.000 description 1
- OBZIQQJJIKNWNO-UHFFFAOYSA-N tolclofos-methyl Chemical compound COP(=S)(OC)OC1=C(Cl)C=C(C)C=C1Cl OBZIQQJJIKNWNO-UHFFFAOYSA-N 0.000 description 1
- WPALTCMYPARVNV-UHFFFAOYSA-N tolfenpyrad Chemical compound CCC1=NN(C)C(C(=O)NCC=2C=CC(OC=3C=CC(C)=CC=3)=CC=2)=C1Cl WPALTCMYPARVNV-UHFFFAOYSA-N 0.000 description 1
- LMYRWZFENFIFIT-UHFFFAOYSA-N toluene-4-sulfonamide Chemical compound CC1=CC=C(S(N)(=O)=O)C=C1 LMYRWZFENFIFIT-UHFFFAOYSA-N 0.000 description 1
- HYVWIQDYBVKITD-UHFFFAOYSA-N tolylfluanid Chemical compound CN(C)S(=O)(=O)N(SC(F)(Cl)Cl)C1=CC=C(C)C=C1 HYVWIQDYBVKITD-UHFFFAOYSA-N 0.000 description 1
- 229960005026 toremifene Drugs 0.000 description 1
- XFCLJVABOIYOMF-QPLCGJKRSA-N toremifene Chemical compound C1=CC(OCCN(C)C)=CC=C1C(\C=1C=CC=CC=1)=C(\CCCl)C1=CC=CC=C1 XFCLJVABOIYOMF-QPLCGJKRSA-N 0.000 description 1
- YWSCPYYRJXKUDB-KAKFPZCNSA-N tralomethrin Chemical compound CC1(C)[C@@H](C(Br)C(Br)(Br)Br)[C@H]1C(=O)O[C@H](C#N)C1=CC=CC(OC=2C=CC=CC=2)=C1 YWSCPYYRJXKUDB-KAKFPZCNSA-N 0.000 description 1
- 239000003204 tranquilizing agent Substances 0.000 description 1
- 230000002936 tranquilizing effect Effects 0.000 description 1
- KHPCPRHQVVSZAH-UHFFFAOYSA-N trans-cinnamyl beta-D-glucopyranoside Natural products OC1C(O)C(O)C(CO)OC1OCC=CC1=CC=CC=C1 KHPCPRHQVVSZAH-UHFFFAOYSA-N 0.000 description 1
- 238000013518 transcription Methods 0.000 description 1
- 230000035897 transcription Effects 0.000 description 1
- 238000001890 transfection Methods 0.000 description 1
- 238000006276 transfer reaction Methods 0.000 description 1
- 239000012581 transferrin Substances 0.000 description 1
- DDVNRFNDOPPVQJ-HQJQHLMTSA-N transfluthrin Chemical compound CC1(C)[C@H](C=C(Cl)Cl)[C@H]1C(=O)OCC1=C(F)C(F)=CC(F)=C1F DDVNRFNDOPPVQJ-HQJQHLMTSA-N 0.000 description 1
- 230000014621 translational initiation Effects 0.000 description 1
- 210000003956 transport vesicle Anatomy 0.000 description 1
- 229960001727 tretinoin Drugs 0.000 description 1
- BAZVSMNPJJMILC-UHFFFAOYSA-N triadimenol Chemical compound C1=NC=NN1C(C(O)C(C)(C)C)OC1=CC=C(Cl)C=C1 BAZVSMNPJJMILC-UHFFFAOYSA-N 0.000 description 1
- JWXZLCFGVKMEEK-UHFFFAOYSA-N triarathene Chemical compound C1=CC(Cl)=CC=C1C1=CC(C=2C=CC=CC=2)=C(C=2C=CC=CC=2)S1 JWXZLCFGVKMEEK-UHFFFAOYSA-N 0.000 description 1
- NKNFWVNSBIXGLL-UHFFFAOYSA-N triazamate Chemical compound CCOC(=O)CSC1=NC(C(C)(C)C)=NN1C(=O)N(C)C NKNFWVNSBIXGLL-UHFFFAOYSA-N 0.000 description 1
- 150000003852 triazoles Chemical class 0.000 description 1
- AMFGTOFWMRQMEM-UHFFFAOYSA-N triazophos Chemical compound N1=C(OP(=S)(OCC)OCC)N=CN1C1=CC=CC=C1 AMFGTOFWMRQMEM-UHFFFAOYSA-N 0.000 description 1
- REEQLXCGVXDJSQ-UHFFFAOYSA-N trichlopyr Chemical class OC(=O)COC1=NC(Cl)=C(Cl)C=C1Cl REEQLXCGVXDJSQ-UHFFFAOYSA-N 0.000 description 1
- NFACJZMKEDPNKN-UHFFFAOYSA-N trichlorfon Chemical compound COP(=O)(OC)C(O)C(Cl)(Cl)Cl NFACJZMKEDPNKN-UHFFFAOYSA-N 0.000 description 1
- DQJCHOQLCLEDLL-UHFFFAOYSA-N tricyclazole Chemical compound CC1=CC=CC2=C1N1C=NN=C1S2 DQJCHOQLCLEDLL-UHFFFAOYSA-N 0.000 description 1
- 125000005040 tridecenyl group Chemical group C(=CCCCCCCCCCCC)* 0.000 description 1
- 125000002889 tridecyl group Chemical group [H]C([*])([H])C([H])([H])C([H])([H])C([H])([H])C([H])([H])C([H])([H])C([H])([H])C([H])([H])C([H])([H])C([H])([H])C([H])([H])C([H])([H])C([H])([H])[H] 0.000 description 1
- ONCZDRURRATYFI-TVJDWZFNSA-N trifloxystrobin Chemical compound CO\N=C(\C(=O)OC)C1=CC=CC=C1CO\N=C(/C)C1=CC=CC(C(F)(F)F)=C1 ONCZDRURRATYFI-TVJDWZFNSA-N 0.000 description 1
- HSMVPDGQOIQYSR-KGENOOAVSA-N triflumizole Chemical compound C1=CN=CN1C(/COCCC)=N/C1=CC=C(Cl)C=C1C(F)(F)F HSMVPDGQOIQYSR-KGENOOAVSA-N 0.000 description 1
- XAIPTRIXGHTTNT-UHFFFAOYSA-N triflumuron Chemical compound C1=CC(OC(F)(F)F)=CC=C1NC(=O)NC(=O)C1=CC=CC=C1Cl XAIPTRIXGHTTNT-UHFFFAOYSA-N 0.000 description 1
- KAKQVSNHTBLJCH-UHFFFAOYSA-N trifluoromethanesulfonimidic acid Chemical compound NS(=O)(=O)C(F)(F)F KAKQVSNHTBLJCH-UHFFFAOYSA-N 0.000 description 1
- 125000002023 trifluoromethyl group Chemical group FC(F)(F)* 0.000 description 1
- 229960003962 trifluridine Drugs 0.000 description 1
- VSQQQLOSPVPRAZ-RRKCRQDMSA-N trifluridine Chemical compound C1[C@H](O)[C@@H](CO)O[C@H]1N1C(=O)NC(=O)C(C(F)(F)F)=C1 VSQQQLOSPVPRAZ-RRKCRQDMSA-N 0.000 description 1
- RROQIUMZODEXOR-UHFFFAOYSA-N triforine Chemical compound O=CNC(C(Cl)(Cl)Cl)N1CCN(C(NC=O)C(Cl)(Cl)Cl)CC1 RROQIUMZODEXOR-UHFFFAOYSA-N 0.000 description 1
- BZVJOYBTLHNRDW-UHFFFAOYSA-N triphenylmethanamine Chemical compound C=1C=CC=CC=1C(C=1C=CC=CC=1)(N)C1=CC=CC=C1 BZVJOYBTLHNRDW-UHFFFAOYSA-N 0.000 description 1
- 229940111527 trizivir Drugs 0.000 description 1
- 229960000832 tromantadine Drugs 0.000 description 1
- UXQDWARBDDDTKG-UHFFFAOYSA-N tromantadine Chemical compound C1C(C2)CC3CC2CC1(NC(=O)COCCN(C)C)C3 UXQDWARBDDDTKG-UHFFFAOYSA-N 0.000 description 1
- 229940008349 truvada Drugs 0.000 description 1
- WFKWXMTUELFFGS-UHFFFAOYSA-N tungsten Chemical compound [W] WFKWXMTUELFFGS-UHFFFAOYSA-N 0.000 description 1
- 229910052721 tungsten Inorganic materials 0.000 description 1
- 239000010937 tungsten Substances 0.000 description 1
- 229960004626 umifenovir Drugs 0.000 description 1
- KCFYEAOKVJSACF-UHFFFAOYSA-N umifenovir Chemical compound CN1C2=CC(Br)=C(O)C(CN(C)C)=C2C(C(=O)OCC)=C1CSC1=CC=CC=C1 KCFYEAOKVJSACF-UHFFFAOYSA-N 0.000 description 1
- 125000005065 undecenyl group Chemical group C(=CCCCCCCCCC)* 0.000 description 1
- 125000002948 undecyl group Chemical group [H]C([*])([H])C([H])([H])C([H])([H])C([H])([H])C([H])([H])C([H])([H])C([H])([H])C([H])([H])C([H])([H])C([H])([H])C([H])([H])[H] 0.000 description 1
- 241000701161 unidentified adenovirus Species 0.000 description 1
- 241001529453 unidentified herpesvirus Species 0.000 description 1
- 241000712461 unidentified influenza virus Species 0.000 description 1
- 241000709655 unidentified tobacco necrosis virus Species 0.000 description 1
- 229940035893 uracil Drugs 0.000 description 1
- 229940093257 valacyclovir Drugs 0.000 description 1
- 229960002149 valganciclovir Drugs 0.000 description 1
- JARYYMUOCXVXNK-CSLFJTBJSA-N validamycin A Chemical compound N([C@H]1C[C@@H]([C@H]([C@H](O)[C@H]1O)O[C@H]1[C@@H]([C@@H](O)[C@H](O)[C@@H](CO)O1)O)CO)[C@H]1C=C(CO)[C@@H](O)[C@H](O)[C@H]1O JARYYMUOCXVXNK-CSLFJTBJSA-N 0.000 description 1
- ZOCKGBMQLCSHFP-KQRAQHLDSA-N valrubicin Chemical compound O([C@H]1C[C@](CC2=C(O)C=3C(=O)C4=CC=CC(OC)=C4C(=O)C=3C(O)=C21)(O)C(=O)COC(=O)CCCC)[C@H]1C[C@H](NC(=O)C(F)(F)F)[C@H](O)[C@H](C)O1 ZOCKGBMQLCSHFP-KQRAQHLDSA-N 0.000 description 1
- 229960000653 valrubicin Drugs 0.000 description 1
- LESVOLZBIFDZGS-UHFFFAOYSA-N vamidothion Chemical compound CNC(=O)C(C)SCCSP(=O)(OC)OC LESVOLZBIFDZGS-UHFFFAOYSA-N 0.000 description 1
- 239000005526 vasoconstrictor agent Substances 0.000 description 1
- 229940124549 vasodilator Drugs 0.000 description 1
- 239000003071 vasodilator agent Substances 0.000 description 1
- 229940118696 vibrio cholerae Drugs 0.000 description 1
- 229950009860 vicriviroc Drugs 0.000 description 1
- 229960003636 vidarabine Drugs 0.000 description 1
- KDQAABAKXDWYSZ-PNYVAJAMSA-N vinblastine sulfate Chemical compound OS(O)(=O)=O.C([C@H](C[C@]1(C(=O)OC)C=2C(=CC3=C([C@]45[C@H]([C@@]([C@H](OC(C)=O)[C@]6(CC)C=CCN([C@H]56)CC4)(O)C(=O)OC)N3C)C=2)OC)C[C@@](C2)(O)CC)N2CCC2=C1NC1=CC=CC=C21 KDQAABAKXDWYSZ-PNYVAJAMSA-N 0.000 description 1
- LVLANIHJQRZTPY-UHFFFAOYSA-N vinyl carbamate Chemical compound NC(=O)OC=C LVLANIHJQRZTPY-UHFFFAOYSA-N 0.000 description 1
- 125000000391 vinyl group Chemical group [H]C([*])=C([H])[H] 0.000 description 1
- 230000009385 viral infection Effects 0.000 description 1
- 239000013603 viral vector Substances 0.000 description 1
- 239000011782 vitamin Substances 0.000 description 1
- 235000013343 vitamin Nutrition 0.000 description 1
- 229930003231 vitamin Natural products 0.000 description 1
- 229940088594 vitamin Drugs 0.000 description 1
- 235000020234 walnut Nutrition 0.000 description 1
- 239000004563 wettable powder Substances 0.000 description 1
- 229940045860 white wax Drugs 0.000 description 1
- 239000002023 wood Substances 0.000 description 1
- 239000008096 xylene Substances 0.000 description 1
- 150000003738 xylenes Chemical class 0.000 description 1
- WCJYTPVNMWIZCG-UHFFFAOYSA-N xylylcarb Chemical compound CNC(=O)OC1=CC=C(C)C(C)=C1 WCJYTPVNMWIZCG-UHFFFAOYSA-N 0.000 description 1
- 229960000523 zalcitabine Drugs 0.000 description 1
- ARAIBEBZBOPLMB-UFGQHTETSA-N zanamivir Chemical compound CC(=O)N[C@@H]1[C@@H](N=C(N)N)C=C(C(O)=O)O[C@H]1[C@H](O)[C@H](O)CO ARAIBEBZBOPLMB-UFGQHTETSA-N 0.000 description 1
- 229960001028 zanamivir Drugs 0.000 description 1
- 229960002555 zidovudine Drugs 0.000 description 1
- 229910052725 zinc Inorganic materials 0.000 description 1
- 239000011701 zinc Substances 0.000 description 1
- DUBNHZYBDBBJHD-UHFFFAOYSA-L ziram Chemical compound [Zn+2].CN(C)C([S-])=S.CN(C)C([S-])=S DUBNHZYBDBBJHD-UHFFFAOYSA-L 0.000 description 1
Classifications
-
- C—CHEMISTRY; METALLURGY
- C07—ORGANIC CHEMISTRY
- C07C—ACYCLIC OR CARBOCYCLIC COMPOUNDS
- C07C243/00—Compounds containing chains of nitrogen atoms singly-bound to each other, e.g. hydrazines, triazanes
- C07C243/10—Hydrazines
- C07C243/12—Hydrazines having nitrogen atoms of hydrazine groups bound to acyclic carbon atoms
- C07C243/14—Hydrazines having nitrogen atoms of hydrazine groups bound to acyclic carbon atoms of a saturated carbon skeleton
-
- A—HUMAN NECESSITIES
- A01—AGRICULTURE; FORESTRY; ANIMAL HUSBANDRY; HUNTING; TRAPPING; FISHING
- A01N—PRESERVATION OF BODIES OF HUMANS OR ANIMALS OR PLANTS OR PARTS THEREOF; BIOCIDES, e.g. AS DISINFECTANTS, AS PESTICIDES OR AS HERBICIDES; PEST REPELLANTS OR ATTRACTANTS; PLANT GROWTH REGULATORS
- A01N25/00—Biocides, pest repellants or attractants, or plant growth regulators, characterised by their forms, or by their non-active ingredients or by their methods of application, e.g. seed treatment or sequential application; Substances for reducing the noxious effect of the active ingredients to organisms other than pests
-
- A—HUMAN NECESSITIES
- A01—AGRICULTURE; FORESTRY; ANIMAL HUSBANDRY; HUNTING; TRAPPING; FISHING
- A01N—PRESERVATION OF BODIES OF HUMANS OR ANIMALS OR PLANTS OR PARTS THEREOF; BIOCIDES, e.g. AS DISINFECTANTS, AS PESTICIDES OR AS HERBICIDES; PEST REPELLANTS OR ATTRACTANTS; PLANT GROWTH REGULATORS
- A01N25/00—Biocides, pest repellants or attractants, or plant growth regulators, characterised by their forms, or by their non-active ingredients or by their methods of application, e.g. seed treatment or sequential application; Substances for reducing the noxious effect of the active ingredients to organisms other than pests
- A01N25/08—Biocides, pest repellants or attractants, or plant growth regulators, characterised by their forms, or by their non-active ingredients or by their methods of application, e.g. seed treatment or sequential application; Substances for reducing the noxious effect of the active ingredients to organisms other than pests containing solids as carriers or diluents
-
- A—HUMAN NECESSITIES
- A01—AGRICULTURE; FORESTRY; ANIMAL HUSBANDRY; HUNTING; TRAPPING; FISHING
- A01N—PRESERVATION OF BODIES OF HUMANS OR ANIMALS OR PLANTS OR PARTS THEREOF; BIOCIDES, e.g. AS DISINFECTANTS, AS PESTICIDES OR AS HERBICIDES; PEST REPELLANTS OR ATTRACTANTS; PLANT GROWTH REGULATORS
- A01N25/00—Biocides, pest repellants or attractants, or plant growth regulators, characterised by their forms, or by their non-active ingredients or by their methods of application, e.g. seed treatment or sequential application; Substances for reducing the noxious effect of the active ingredients to organisms other than pests
- A01N25/12—Powders or granules
-
- A—HUMAN NECESSITIES
- A01—AGRICULTURE; FORESTRY; ANIMAL HUSBANDRY; HUNTING; TRAPPING; FISHING
- A01N—PRESERVATION OF BODIES OF HUMANS OR ANIMALS OR PLANTS OR PARTS THEREOF; BIOCIDES, e.g. AS DISINFECTANTS, AS PESTICIDES OR AS HERBICIDES; PEST REPELLANTS OR ATTRACTANTS; PLANT GROWTH REGULATORS
- A01N33/00—Biocides, pest repellants or attractants, or plant growth regulators containing organic nitrogen compounds
- A01N33/26—Biocides, pest repellants or attractants, or plant growth regulators containing organic nitrogen compounds containing nitrogen-to-nitrogen bonds, e.g. azides, diazo-amino compounds, diazonium compounds, hydrazine derivatives
-
- A—HUMAN NECESSITIES
- A01—AGRICULTURE; FORESTRY; ANIMAL HUSBANDRY; HUNTING; TRAPPING; FISHING
- A01N—PRESERVATION OF BODIES OF HUMANS OR ANIMALS OR PLANTS OR PARTS THEREOF; BIOCIDES, e.g. AS DISINFECTANTS, AS PESTICIDES OR AS HERBICIDES; PEST REPELLANTS OR ATTRACTANTS; PLANT GROWTH REGULATORS
- A01N37/00—Biocides, pest repellants or attractants, or plant growth regulators containing organic compounds containing a carbon atom having three bonds to hetero atoms with at the most two bonds to halogen, e.g. carboxylic acids
- A01N37/44—Biocides, pest repellants or attractants, or plant growth regulators containing organic compounds containing a carbon atom having three bonds to hetero atoms with at the most two bonds to halogen, e.g. carboxylic acids containing at least one carboxylic group or a thio analogue, or a derivative thereof, and a nitrogen atom attached to the same carbon skeleton by a single or double bond, this nitrogen atom not being a member of a derivative or of a thio analogue of a carboxylic group, e.g. amino-carboxylic acids
-
- A—HUMAN NECESSITIES
- A01—AGRICULTURE; FORESTRY; ANIMAL HUSBANDRY; HUNTING; TRAPPING; FISHING
- A01N—PRESERVATION OF BODIES OF HUMANS OR ANIMALS OR PLANTS OR PARTS THEREOF; BIOCIDES, e.g. AS DISINFECTANTS, AS PESTICIDES OR AS HERBICIDES; PEST REPELLANTS OR ATTRACTANTS; PLANT GROWTH REGULATORS
- A01N43/00—Biocides, pest repellants or attractants, or plant growth regulators containing heterocyclic compounds
- A01N43/34—Biocides, pest repellants or attractants, or plant growth regulators containing heterocyclic compounds having rings with one nitrogen atom as the only ring hetero atom
- A01N43/40—Biocides, pest repellants or attractants, or plant growth regulators containing heterocyclic compounds having rings with one nitrogen atom as the only ring hetero atom six-membered rings
-
- A—HUMAN NECESSITIES
- A01—AGRICULTURE; FORESTRY; ANIMAL HUSBANDRY; HUNTING; TRAPPING; FISHING
- A01N—PRESERVATION OF BODIES OF HUMANS OR ANIMALS OR PLANTS OR PARTS THEREOF; BIOCIDES, e.g. AS DISINFECTANTS, AS PESTICIDES OR AS HERBICIDES; PEST REPELLANTS OR ATTRACTANTS; PLANT GROWTH REGULATORS
- A01N43/00—Biocides, pest repellants or attractants, or plant growth regulators containing heterocyclic compounds
- A01N43/48—Biocides, pest repellants or attractants, or plant growth regulators containing heterocyclic compounds having rings with two nitrogen atoms as the only ring hetero atoms
- A01N43/50—1,3-Diazoles; Hydrogenated 1,3-diazoles
-
- A—HUMAN NECESSITIES
- A01—AGRICULTURE; FORESTRY; ANIMAL HUSBANDRY; HUNTING; TRAPPING; FISHING
- A01N—PRESERVATION OF BODIES OF HUMANS OR ANIMALS OR PLANTS OR PARTS THEREOF; BIOCIDES, e.g. AS DISINFECTANTS, AS PESTICIDES OR AS HERBICIDES; PEST REPELLANTS OR ATTRACTANTS; PLANT GROWTH REGULATORS
- A01N43/00—Biocides, pest repellants or attractants, or plant growth regulators containing heterocyclic compounds
- A01N43/48—Biocides, pest repellants or attractants, or plant growth regulators containing heterocyclic compounds having rings with two nitrogen atoms as the only ring hetero atoms
- A01N43/56—1,2-Diazoles; Hydrogenated 1,2-diazoles
-
- A—HUMAN NECESSITIES
- A01—AGRICULTURE; FORESTRY; ANIMAL HUSBANDRY; HUNTING; TRAPPING; FISHING
- A01N—PRESERVATION OF BODIES OF HUMANS OR ANIMALS OR PLANTS OR PARTS THEREOF; BIOCIDES, e.g. AS DISINFECTANTS, AS PESTICIDES OR AS HERBICIDES; PEST REPELLANTS OR ATTRACTANTS; PLANT GROWTH REGULATORS
- A01N43/00—Biocides, pest repellants or attractants, or plant growth regulators containing heterocyclic compounds
- A01N43/48—Biocides, pest repellants or attractants, or plant growth regulators containing heterocyclic compounds having rings with two nitrogen atoms as the only ring hetero atoms
- A01N43/60—1,4-Diazines; Hydrogenated 1,4-diazines
-
- A—HUMAN NECESSITIES
- A01—AGRICULTURE; FORESTRY; ANIMAL HUSBANDRY; HUNTING; TRAPPING; FISHING
- A01N—PRESERVATION OF BODIES OF HUMANS OR ANIMALS OR PLANTS OR PARTS THEREOF; BIOCIDES, e.g. AS DISINFECTANTS, AS PESTICIDES OR AS HERBICIDES; PEST REPELLANTS OR ATTRACTANTS; PLANT GROWTH REGULATORS
- A01N57/00—Biocides, pest repellants or attractants, or plant growth regulators containing organic phosphorus compounds
- A01N57/10—Biocides, pest repellants or attractants, or plant growth regulators containing organic phosphorus compounds having phosphorus-to-oxygen bonds or phosphorus-to-sulfur bonds
- A01N57/16—Biocides, pest repellants or attractants, or plant growth regulators containing organic phosphorus compounds having phosphorus-to-oxygen bonds or phosphorus-to-sulfur bonds containing heterocyclic radicals
-
- A—HUMAN NECESSITIES
- A61—MEDICAL OR VETERINARY SCIENCE; HYGIENE
- A61K—PREPARATIONS FOR MEDICAL, DENTAL OR TOILETRY PURPOSES
- A61K31/00—Medicinal preparations containing organic active ingredients
- A61K31/70—Carbohydrates; Sugars; Derivatives thereof
- A61K31/7088—Compounds having three or more nucleosides or nucleotides
- A61K31/7105—Natural ribonucleic acids, i.e. containing only riboses attached to adenine, guanine, cytosine or uracil and having 3'-5' phosphodiester links
-
- A—HUMAN NECESSITIES
- A61—MEDICAL OR VETERINARY SCIENCE; HYGIENE
- A61K—PREPARATIONS FOR MEDICAL, DENTAL OR TOILETRY PURPOSES
- A61K31/00—Medicinal preparations containing organic active ingredients
- A61K31/70—Carbohydrates; Sugars; Derivatives thereof
- A61K31/7088—Compounds having three or more nucleosides or nucleotides
- A61K31/713—Double-stranded nucleic acids or oligonucleotides
-
- A—HUMAN NECESSITIES
- A61—MEDICAL OR VETERINARY SCIENCE; HYGIENE
- A61K—PREPARATIONS FOR MEDICAL, DENTAL OR TOILETRY PURPOSES
- A61K47/00—Medicinal preparations characterised by the non-active ingredients used, e.g. carriers or inert additives; Targeting or modifying agents chemically bound to the active ingredient
- A61K47/06—Organic compounds, e.g. natural or synthetic hydrocarbons, polyolefins, mineral oil, petrolatum or ozokerite
- A61K47/16—Organic compounds, e.g. natural or synthetic hydrocarbons, polyolefins, mineral oil, petrolatum or ozokerite containing nitrogen, e.g. nitro-, nitroso-, azo-compounds, nitriles, cyanates
-
- A—HUMAN NECESSITIES
- A61—MEDICAL OR VETERINARY SCIENCE; HYGIENE
- A61K—PREPARATIONS FOR MEDICAL, DENTAL OR TOILETRY PURPOSES
- A61K47/00—Medicinal preparations characterised by the non-active ingredients used, e.g. carriers or inert additives; Targeting or modifying agents chemically bound to the active ingredient
- A61K47/06—Organic compounds, e.g. natural or synthetic hydrocarbons, polyolefins, mineral oil, petrolatum or ozokerite
- A61K47/22—Heterocyclic compounds, e.g. ascorbic acid, tocopherol or pyrrolidones
-
- A—HUMAN NECESSITIES
- A61—MEDICAL OR VETERINARY SCIENCE; HYGIENE
- A61K—PREPARATIONS FOR MEDICAL, DENTAL OR TOILETRY PURPOSES
- A61K9/00—Medicinal preparations characterised by special physical form
- A61K9/14—Particulate form, e.g. powders, Processes for size reducing of pure drugs or the resulting products, Pure drug nanoparticles
- A61K9/16—Agglomerates; Granulates; Microbeadlets ; Microspheres; Pellets; Solid products obtained by spray drying, spray freeze drying, spray congealing,(multiple) emulsion solvent evaporation or extraction
- A61K9/1605—Excipients; Inactive ingredients
- A61K9/1617—Organic compounds, e.g. phospholipids, fats
-
- A—HUMAN NECESSITIES
- A61—MEDICAL OR VETERINARY SCIENCE; HYGIENE
- A61K—PREPARATIONS FOR MEDICAL, DENTAL OR TOILETRY PURPOSES
- A61K9/00—Medicinal preparations characterised by special physical form
- A61K9/48—Preparations in capsules, e.g. of gelatin, of chocolate
- A61K9/50—Microcapsules having a gas, liquid or semi-solid filling; Solid microparticles or pellets surrounded by a distinct coating layer, e.g. coated microspheres, coated drug crystals
- A61K9/5005—Wall or coating material
- A61K9/5015—Organic compounds, e.g. fats, sugars
-
- A—HUMAN NECESSITIES
- A61—MEDICAL OR VETERINARY SCIENCE; HYGIENE
- A61K—PREPARATIONS FOR MEDICAL, DENTAL OR TOILETRY PURPOSES
- A61K9/00—Medicinal preparations characterised by special physical form
- A61K9/48—Preparations in capsules, e.g. of gelatin, of chocolate
- A61K9/50—Microcapsules having a gas, liquid or semi-solid filling; Solid microparticles or pellets surrounded by a distinct coating layer, e.g. coated microspheres, coated drug crystals
- A61K9/51—Nanocapsules; Nanoparticles
-
- A—HUMAN NECESSITIES
- A61—MEDICAL OR VETERINARY SCIENCE; HYGIENE
- A61K—PREPARATIONS FOR MEDICAL, DENTAL OR TOILETRY PURPOSES
- A61K9/00—Medicinal preparations characterised by special physical form
- A61K9/48—Preparations in capsules, e.g. of gelatin, of chocolate
- A61K9/50—Microcapsules having a gas, liquid or semi-solid filling; Solid microparticles or pellets surrounded by a distinct coating layer, e.g. coated microspheres, coated drug crystals
- A61K9/51—Nanocapsules; Nanoparticles
- A61K9/5107—Excipients; Inactive ingredients
- A61K9/5123—Organic compounds, e.g. fats, sugars
-
- C—CHEMISTRY; METALLURGY
- C07—ORGANIC CHEMISTRY
- C07C—ACYCLIC OR CARBOCYCLIC COMPOUNDS
- C07C229/00—Compounds containing amino and carboxyl groups bound to the same carbon skeleton
- C07C229/02—Compounds containing amino and carboxyl groups bound to the same carbon skeleton having amino and carboxyl groups bound to acyclic carbon atoms of the same carbon skeleton
- C07C229/04—Compounds containing amino and carboxyl groups bound to the same carbon skeleton having amino and carboxyl groups bound to acyclic carbon atoms of the same carbon skeleton the carbon skeleton being acyclic and saturated
- C07C229/26—Compounds containing amino and carboxyl groups bound to the same carbon skeleton having amino and carboxyl groups bound to acyclic carbon atoms of the same carbon skeleton the carbon skeleton being acyclic and saturated having more than one amino group bound to the carbon skeleton, e.g. lysine
-
- C—CHEMISTRY; METALLURGY
- C07—ORGANIC CHEMISTRY
- C07C—ACYCLIC OR CARBOCYCLIC COMPOUNDS
- C07C243/00—Compounds containing chains of nitrogen atoms singly-bound to each other, e.g. hydrazines, triazanes
- C07C243/10—Hydrazines
- C07C243/12—Hydrazines having nitrogen atoms of hydrazine groups bound to acyclic carbon atoms
- C07C243/16—Hydrazines having nitrogen atoms of hydrazine groups bound to acyclic carbon atoms of an unsaturated carbon skeleton
-
- C—CHEMISTRY; METALLURGY
- C07—ORGANIC CHEMISTRY
- C07C—ACYCLIC OR CARBOCYCLIC COMPOUNDS
- C07C243/00—Compounds containing chains of nitrogen atoms singly-bound to each other, e.g. hydrazines, triazanes
- C07C243/10—Hydrazines
- C07C243/22—Hydrazines having nitrogen atoms of hydrazine groups bound to carbon atoms of six-membered aromatic rings
-
- C—CHEMISTRY; METALLURGY
- C07—ORGANIC CHEMISTRY
- C07D—HETEROCYCLIC COMPOUNDS
- C07D213/00—Heterocyclic compounds containing six-membered rings, not condensed with other rings, with one nitrogen atom as the only ring hetero atom and three or more double bonds between ring members or between ring members and non-ring members
- C07D213/02—Heterocyclic compounds containing six-membered rings, not condensed with other rings, with one nitrogen atom as the only ring hetero atom and three or more double bonds between ring members or between ring members and non-ring members having three double bonds between ring members or between ring members and non-ring members
- C07D213/04—Heterocyclic compounds containing six-membered rings, not condensed with other rings, with one nitrogen atom as the only ring hetero atom and three or more double bonds between ring members or between ring members and non-ring members having three double bonds between ring members or between ring members and non-ring members having no bond between the ring nitrogen atom and a non-ring member or having only hydrogen or carbon atoms directly attached to the ring nitrogen atom
- C07D213/60—Heterocyclic compounds containing six-membered rings, not condensed with other rings, with one nitrogen atom as the only ring hetero atom and three or more double bonds between ring members or between ring members and non-ring members having three double bonds between ring members or between ring members and non-ring members having no bond between the ring nitrogen atom and a non-ring member or having only hydrogen or carbon atoms directly attached to the ring nitrogen atom with hetero atoms or with carbon atoms having three bonds to hetero atoms with at the most one bond to halogen, e.g. ester or nitrile radicals, directly attached to ring carbon atoms
- C07D213/72—Nitrogen atoms
- C07D213/76—Nitrogen atoms to which a second hetero atom is attached
- C07D213/77—Hydrazine radicals
-
- C—CHEMISTRY; METALLURGY
- C07—ORGANIC CHEMISTRY
- C07D—HETEROCYCLIC COMPOUNDS
- C07D231/00—Heterocyclic compounds containing 1,2-diazole or hydrogenated 1,2-diazole rings
- C07D231/02—Heterocyclic compounds containing 1,2-diazole or hydrogenated 1,2-diazole rings not condensed with other rings
- C07D231/06—Heterocyclic compounds containing 1,2-diazole or hydrogenated 1,2-diazole rings not condensed with other rings having one double bond between ring members or between a ring member and a non-ring member
- C07D231/08—Heterocyclic compounds containing 1,2-diazole or hydrogenated 1,2-diazole rings not condensed with other rings having one double bond between ring members or between a ring member and a non-ring member with oxygen or sulfur atoms directly attached to ring carbon atoms
-
- C—CHEMISTRY; METALLURGY
- C07—ORGANIC CHEMISTRY
- C07D—HETEROCYCLIC COMPOUNDS
- C07D233/00—Heterocyclic compounds containing 1,3-diazole or hydrogenated 1,3-diazole rings, not condensed with other rings
- C07D233/04—Heterocyclic compounds containing 1,3-diazole or hydrogenated 1,3-diazole rings, not condensed with other rings having one double bond between ring members or between a ring member and a non-ring member
- C07D233/28—Heterocyclic compounds containing 1,3-diazole or hydrogenated 1,3-diazole rings, not condensed with other rings having one double bond between ring members or between a ring member and a non-ring member with hetero atoms or with carbon atoms having three bonds to hetero atoms with at the most one bond to halogen, e.g. ester or nitrile radicals, directly attached to ring carbon atoms
- C07D233/44—Nitrogen atoms not forming part of a nitro radical
- C07D233/52—Nitrogen atoms not forming part of a nitro radical with hetero atoms directly attached to said nitrogen atoms
-
- C—CHEMISTRY; METALLURGY
- C07—ORGANIC CHEMISTRY
- C07D—HETEROCYCLIC COMPOUNDS
- C07D295/00—Heterocyclic compounds containing polymethylene-imine rings with at least five ring members, 3-azabicyclo [3.2.2] nonane, piperazine, morpholine or thiomorpholine rings, having only hydrogen atoms directly attached to the ring carbon atoms
- C07D295/22—Heterocyclic compounds containing polymethylene-imine rings with at least five ring members, 3-azabicyclo [3.2.2] nonane, piperazine, morpholine or thiomorpholine rings, having only hydrogen atoms directly attached to the ring carbon atoms with hetero atoms directly attached to ring nitrogen atoms
- C07D295/28—Nitrogen atoms
- C07D295/30—Nitrogen atoms non-acylated
-
- C—CHEMISTRY; METALLURGY
- C12—BIOCHEMISTRY; BEER; SPIRITS; WINE; VINEGAR; MICROBIOLOGY; ENZYMOLOGY; MUTATION OR GENETIC ENGINEERING
- C12N—MICROORGANISMS OR ENZYMES; COMPOSITIONS THEREOF; PROPAGATING, PRESERVING, OR MAINTAINING MICROORGANISMS; MUTATION OR GENETIC ENGINEERING; CULTURE MEDIA
- C12N15/00—Mutation or genetic engineering; DNA or RNA concerning genetic engineering, vectors, e.g. plasmids, or their isolation, preparation or purification; Use of hosts therefor
- C12N15/09—Recombinant DNA-technology
- C12N15/11—DNA or RNA fragments; Modified forms thereof; Non-coding nucleic acids having a biological activity
- C12N15/113—Non-coding nucleic acids modulating the expression of genes, e.g. antisense oligonucleotides; Antisense DNA or RNA; Triplex- forming oligonucleotides; Catalytic nucleic acids, e.g. ribozymes; Nucleic acids used in co-suppression or gene silencing
-
- C—CHEMISTRY; METALLURGY
- C12—BIOCHEMISTRY; BEER; SPIRITS; WINE; VINEGAR; MICROBIOLOGY; ENZYMOLOGY; MUTATION OR GENETIC ENGINEERING
- C12N—MICROORGANISMS OR ENZYMES; COMPOSITIONS THEREOF; PROPAGATING, PRESERVING, OR MAINTAINING MICROORGANISMS; MUTATION OR GENETIC ENGINEERING; CULTURE MEDIA
- C12N15/00—Mutation or genetic engineering; DNA or RNA concerning genetic engineering, vectors, e.g. plasmids, or their isolation, preparation or purification; Use of hosts therefor
- C12N15/09—Recombinant DNA-technology
- C12N15/11—DNA or RNA fragments; Modified forms thereof; Non-coding nucleic acids having a biological activity
- C12N15/111—General methods applicable to biologically active non-coding nucleic acids
-
- C—CHEMISTRY; METALLURGY
- C12—BIOCHEMISTRY; BEER; SPIRITS; WINE; VINEGAR; MICROBIOLOGY; ENZYMOLOGY; MUTATION OR GENETIC ENGINEERING
- C12N—MICROORGANISMS OR ENZYMES; COMPOSITIONS THEREOF; PROPAGATING, PRESERVING, OR MAINTAINING MICROORGANISMS; MUTATION OR GENETIC ENGINEERING; CULTURE MEDIA
- C12N2310/00—Structure or type of the nucleic acid
- C12N2310/10—Type of nucleic acid
- C12N2310/14—Type of nucleic acid interfering nucleic acids [NA]
-
- C—CHEMISTRY; METALLURGY
- C12—BIOCHEMISTRY; BEER; SPIRITS; WINE; VINEGAR; MICROBIOLOGY; ENZYMOLOGY; MUTATION OR GENETIC ENGINEERING
- C12N—MICROORGANISMS OR ENZYMES; COMPOSITIONS THEREOF; PROPAGATING, PRESERVING, OR MAINTAINING MICROORGANISMS; MUTATION OR GENETIC ENGINEERING; CULTURE MEDIA
- C12N2310/00—Structure or type of the nucleic acid
- C12N2310/30—Chemical structure
- C12N2310/35—Nature of the modification
- C12N2310/351—Conjugate
-
- C—CHEMISTRY; METALLURGY
- C12—BIOCHEMISTRY; BEER; SPIRITS; WINE; VINEGAR; MICROBIOLOGY; ENZYMOLOGY; MUTATION OR GENETIC ENGINEERING
- C12N—MICROORGANISMS OR ENZYMES; COMPOSITIONS THEREOF; PROPAGATING, PRESERVING, OR MAINTAINING MICROORGANISMS; MUTATION OR GENETIC ENGINEERING; CULTURE MEDIA
- C12N2320/00—Applications; Uses
- C12N2320/30—Special therapeutic applications
-
- C—CHEMISTRY; METALLURGY
- C12—BIOCHEMISTRY; BEER; SPIRITS; WINE; VINEGAR; MICROBIOLOGY; ENZYMOLOGY; MUTATION OR GENETIC ENGINEERING
- C12N—MICROORGANISMS OR ENZYMES; COMPOSITIONS THEREOF; PROPAGATING, PRESERVING, OR MAINTAINING MICROORGANISMS; MUTATION OR GENETIC ENGINEERING; CULTURE MEDIA
- C12N2320/00—Applications; Uses
- C12N2320/30—Special therapeutic applications
- C12N2320/32—Special delivery means, e.g. tissue-specific
-
- C—CHEMISTRY; METALLURGY
- C12—BIOCHEMISTRY; BEER; SPIRITS; WINE; VINEGAR; MICROBIOLOGY; ENZYMOLOGY; MUTATION OR GENETIC ENGINEERING
- C12N—MICROORGANISMS OR ENZYMES; COMPOSITIONS THEREOF; PROPAGATING, PRESERVING, OR MAINTAINING MICROORGANISMS; MUTATION OR GENETIC ENGINEERING; CULTURE MEDIA
- C12N2320/00—Applications; Uses
- C12N2320/50—Methods for regulating/modulating their activity
Definitions
- the present disclosure relates generally to novel hydrazinyl lipidoids.
- the present disclosure also relates generally to methods of preparing such hydrazinyl lipidoids, their formulation with one or more active agents, and the delivery of such formulations to target organisms.
- polymers such as polyethylenimine or poly(beta-aminoesters) have been used to effectively complex DNA for delivery into cells.
- Polymers in these classes of delivery agent typically contain amine functionalities that serve to electrostatically bind to DNA to form nanoparticles that are then taken up by the cell via endocytosis. Once in the cell, these amine groups serve to buffer the endosome and cause an influx of ions due to the proton-sponge mechanism. The resulting burst of the endocytic vesicle leads to the release of the payload of the particle, which is then free to travel to the nucleus where the DNA is expressed.
- RNA RNA
- an improved delivery system is required for the use of siRNA for agricultural and pharmaceutical applications.
- the delivery system needs to protect siRNA from nuclease degradation, allow for the proper concentration and distribution profile in the target tissues, facilitate efficient uptake of siRNA into target cells, and release siRNA into cytoplasm to knockout expression of the target gene.
- lipid-based delivery system generally consist of a positively charged headgroup and a hydrophobic tail.
- the charged portion serves to electrostatically bind the negatively charged RNA, while the hydrophobic tail leads to self-assembly into lipophilic particles.
- Such cationic lipids are promising but still fall short of the transfection efficiency achieved by viral vectors. Few advances have been made in the field, in part due to the limited structural diversity of these lipid-like molecules, which is a result of the difficult synthetic procedures oftentimes required to access these structures.
- lipidoid molecules that possess an improved ability to deliver RNA, as well as other active agents, to cells over existing amine-containing lipidoid materials.
- One embodiment of the present invention is a hydrazinylalcohol lipidoid of formula (I):
- R 3 and R 4 are as defined above; wherein any one or more of R 1 , R 2 , R 3 , and R 4 together with another R 1 , R 2 , R 3 , or R 4 or one of R A and R B optionally defines a carbocyclic or heterocyclic ring system; and R A and R B together optionally define a carbocyclic or heterocyclic ring system.
- R A and R B are each a group of formula (II):
- Another embodiment of the present invention is the above compound, wherein R 1 and R 3 are identical and R 2 and R 4 are identical.
- Another embodiment of the present invention is the above compound, wherein R 1 and R 3 are hydrogen and R 2 and R 4 are an unbranched C 1-20 aliphatic group.
- R 2 and R 4 are selected from the group consisting of methyl, n-butyl, n-pentyl, n-decanyl, and n-dodecanyl.
- Another embodiment of the present invention is the above compound, wherein R 1 and R 3 are identical and R 2 and R 4 are different.
- Another embodiment of the present invention is the above compound, wherein R 1 and R 3 are identical and R 2 and R 4 are different and wherein R 1 and R 3 are hydrogen and R 2 and R 4 are an unbranched C 1-20 aliphatic group.
- Another embodiment of the present invention is the above compound, wherein R A is hydrogen, methyl, or hydroxyethyl.
- Another embodiment of the present invention is the above compound, wherein R B is phenyl.
- Another embodiment of the present invention is the above compound, wherein R 1 is hydrogen and R 2 is methyl.
- R B is a group of formula (II):
- Another embodiment of the present invention is the above compound, wherein R 1 and R 3 are identical and R 2 and R 4 are identical.
- Another embodiment of the present invention is the above compound, wherein R 1 and R 3 are hydrogen and R 2 and R 4 are an unbranched C 1-20 aliphatic group.
- R 2 and R 4 are selected from the group consisting of methyl, n-butyl, n-pentyl, n-decanyl, and n-dodecanyl.
- Yet another embodiment of the present invention is a compound selected from the group consisting of compounds of formulae (1), (2), (3), (4), (5), (6), (7), (8), (9), (10), and (11):
- Yet another embodiment of the present invention is a microparticle comprising the above compound and an active agent to be delivered.
- Another embodiment of the present invention is the above microparticle, wherein the active agent to be delivered is selected from the group consisting of polynucleotides, oligonucelotides, proteins, peptides, and small molecules.
- Another embodiment of the present invention is the above microparticle, wherein the active agent to be delivered is an oligonucleotide or a polynucleotide.
- Another embodiment of the present invention is the above microparticle, wherein the active agent to be delivered is an RNA.
- Yet another embodiment of the present invention is a nanoparticle comprising the compound and an active agent to be delivered.
- Another embodiment of the present invention is the above nanoparticle, wherein the active agent to be delivered is selected from the group consisting of polynucleotides, oligonucelotides, proteins, peptides, and small molecules.
- Another embodiment of the present invention is the above nanoparticle, wherein the active agent to be delivered is an oligonucleotide or a polynucleotide.
- Another embodiment of the present invention is the above nanoparticle, wherein the active agent to be delivered is an RNA.
- RNA is a small interfering RNA (siRNA) or a double-stranded RNA (dsRNA).
- siRNA small interfering RNA
- dsRNA double-stranded RNA
- Yet another embodiment of the present invention is a method of delivering an active agent comprising the step of administering an effective amount of the above microparticle or nanoparticle to a plant, insect, or mammal.
- Another embodiment of the present invention is the above method, wherein the active agent to be delivered is an oligonucleotide or a polynucleotide.
- Another embodiment of the present invention is the above method, wherein the active agent to be delivered is an RNA.
- Yet another embodiment of the present invention is a formulation comprising the above compound and an active agent to be delivered.
- Another embodiment of the present invention is the above formulation, wherein the active agent to be delivered is an oligonucleotide or a polynucleotide.
- Yet another embodiment of the present invention is a herbicidal formulation comprising the above compound, an herbicidal agent to be delivered, and an agriculturally acceptable carrier.
- Yet another embodiment of the present invention is an insecticidal formulation comprising the above compound, an insecticidal agent to be delivered, and an agriculturally acceptable carrier.
- Yet another embodiment of the present invention is a formulation for controlling a plant pathogen, comprising the above compound, an agent to be delivered that controls a plant pathogen, and an agriculturally acceptable carrier.
- Yet another embodiment of the present invention is a pharmaceutical formulation comprising the above compound, a therapeutic agent to be delivered, and a pharmaceutically acceptable excipient and/or carrier.
- Yet another embodiment of the present invention is a method of regulating expression of a gene in an organism, comprising applying the above formulation comprising the above compound and an active agent to be delivered to the organism.
- Another embodiment of the present invention is the above method of regulating expression of a gene in an organism, wherein the organism is a plant, insect, or mammal.
- Yet another embodiment of the present invention is a method of controlling a weed, comprising delivering to the weed an effective amount of the above herbicidal formulation.
- Yet another embodiment of the present invention is a method of controlling an insect, comprising delivering to the insect an effective amount of the above insecticidal formulation.
- Yet another embodiment of the present invention is a method of controlling a plant pathogen, comprising applying the above formulation for controlling a plant pathogen to the plant pathogen, or to a plant infected with the plant pathogen.
- Yet another embodiment of the present invention is a method of treating a disorder in a human comprising administering to a human in need of such treatment a therapeutically effective amount of the above pharmaceutical formulation.
- Yet another embodiment of the present invention is a plant cell, insect cell, or mammalian cell comprising the above compound.
- the novel hydrazinyl lipidoids of the present disclosure provide for several different advantages in the delivery of active agents to target organisms.
- the hydrazine-containing portion of these lipidoids may be used to complex oligonucleotides and polynucleotides, thereby enhancing their delivery to the target organism and preventing their degradation.
- These hydrazinyl lipidoids may also be used generate formulations, such as microparticles, nanoparticles, picoparticles, liposomes, and micelles, containing the active agent to be delivered.
- These hydrazinyl lipidoids, as well as the formulations thereof may be biocompatible and biodegradable and may be used to provide controlled, sustained release of the active agent to be delivered.
- hydrazinyl lipidoids and their corresponding formulations may also be responsive to pH changes given that these lipidoids are protonated at lower pH.
- These hydrazinyl lipidoids may also act as proton sponges in the delivery of an active agent to a cell to cause endosome lysis.
- the present disclosure provides for novel hydrazinylalcohol lipidoids of formula (I):
- R A and R B of the hydrazinylalcohol lipidoids of formula (I) can each be a group of formula (II):
- R 1 , R 2 , R 3 , and R 4 of the presently disclosed hydrazinylalcohol lipidoids can be identical or different to the others.
- R 1 and R 3 are identical, but are different from R 2 and R 4 , which are, in turn, identical to each other.
- R 1 and R 3 are identical, but are different from R 2 and R 4 , which are, in turn, different from each other.
- R 1 and R 3 can each be hydrogen, while R 2 and R 4 , identically or differently, can each be an unbranched C 1-20 aliphatic group. Therefore, the present disclosure provides for hydrazinylalcohol lipidoids of formula (IV):
- R A of the hydrazinylalcohol lipidoids of formula (I) is hydrogen. Therefore, the present disclosure provides hydrazinylalcohol lipidoids of formulae (V) and (VI):
- R A of the hydrazinylalcohol lipidoids of formula (I) is an optionally substituted aliphatic group. Therefore, the present disclosure provides hydrazinylalcohol lipidoids of formula (VII):
- R A , R B , R C , and R D of the hydrazinyl lipidoids of formula (X) can each be, independently, groups of formulae (XI) or (XII).
- R A , R B , R C , and R D of the presently disclosed hydrazinyl lipidoids are groups of formulae (XI) or (XII)
- each can be identical or different to the others.
- R A and R B are identical, but are different from R C and R D , which are, in turn, identical to each other.
- R A and R B are identical, but are different from R C and R D , which are, in turn, different from each other.
- R A , R C , and R D of the hydrazinyl lipidoids of formula (X) can each be, independently, groups of formulae (XI) or (XII), while R B is hydrogen, an optionally substituted aliphatic group, such as methyl or 2-hydroxyethyl, an optionally substituted aryl group, such as phenyl, an optionally substituted group, such as 2-pyridyl, or an optionally substituted heterocycloalkyl group, such as optionally substituted 2,5-dihydro-1H-imidazole.
- R B is hydrogen, an optionally substituted aliphatic group, such as methyl or 2-hydroxyethyl, an optionally substituted aryl group, such as phenyl, an optionally substituted group, such as 2-pyridyl, or an optionally substituted heterocycloalkyl group, such as optionally substituted 2,5-dihydro-1H-imidazole.
- R C , and R D of the hydrazinyl lipidoids of formula (X) can each be, independently, groups of formulae (XI) or (XII), while R A is hydrogen or an optionally substituted aryl group, such as phenyl, and R B is an optionally substituted aliphatic group, such as methyl, an optionally substituted aryl group, such as phenyl, and an optionally substituted group, such as 2-pyridyl.
- R C , and R D of the hydrazinyl lipidoids of formula (X) can each be, independently, groups of formulae (XI) or (XII), while R A is hydrogen and R B is an optionally substituted heterocycloalkyl group, such as optionally substituted 2,5-dihydro-1H-imidazole.
- R D of the hydrazinyl lipidoids of formula (X) can be a group of formulae (XI) or (XII), while R B is an optionally substituted heterocycloalkyl group, such as optionally substituted 2,5-dihydro-1H-imidazole, and R A and R C are each hydrogen.
- R A and R D of the hydrazinyl lipidoids of formula (X) can each be, independently, groups of formulae (XI) or (XII), while R C is hydrogen and R B is an optionally substituted aliphatic group, such as methyl or 2-hydroxyethyl.
- R A and R C of the hydrazinyl lipidoids of formula (X), together with the nitrogen atoms to which they are bonded define a carbocyclic ring system having the following formula:
- R B is an optionally substituted aliphatic group, such as methyl and 2-hydroxyethyl, an optionally substituted aryl group, such as phenyl, or a group of formulae (XI) or (XII) and R D is a group of formulae (XI) or (XII).
- R A and R B of the hydrazinyl lipidoids of formula (X), together with the nitrogen atom to which they are bonded define a heterocyclic ring system having the following formula:
- R C is hydrogen or a group of formulae (XI) or (XII) and R D is a group of formulae (XI) or (XII).
- R A and R B of the hydrazinyl lipidoids of formula (XIII) can each be a group of formula (II). Any one of R 1 , R 2 , R 3 , and R 4 of the presently disclosed hydrazinyl lipidoids of formula (XIII) can be identical or different to the others. In certain embodiments, R 1 and R 3 are identical, but are different from R 2 and R 4 , which are, in turn, identical to each other. In other embodiments, R 1 and R 3 are identical, but are different from R 2 and R 4 , which are, in turn, different from each other. For example, R 1 and R 3 can each be hydrogen, while R 2 and R 4 , identically or differently, can each be an unbranched C 1-20 aliphatic group.
- R A of the hydrazinyl lipidoids of formula (XIII) is hydrogen
- R B is an optionally substituted aliphatic group, such as methyl or 2-hydroxyethyl, an optionally substituted aryl group, such as phenyl, an optionally substituted heteroaryl group, such as 2-pyridyl, an optionally substituted heterocycloaliphatic group, such as optionally substituted 2,5-dihydro-1H-imidazole, or a group of formula (II).
- R A of the hydrazinyl lipidoids of formula (XIII) is an optionally substituted aliphatic group, such as methyl or 2-hydroxyethyl, while R B is a group of formula (II).
- R A of the hydrazinyl lipidoids of formula (XIII) is group of formula (II), while R B is an optionally substituted aryl group, such as phenyl, an optionally substituted heteroaryl group, such as 2-pyridyl, or an optionally substituted heterocycloaliphatic group, such as optionally substituted 2,5-dihydro-1H-imidazole, or a group of formula (II).
- each of R 2 and R 4 of the hydrazinyl lipidoids of formula (XIII) is an alkyl group. In certain embodiments, each of R 2 and R 4 of the hydrazinyl lipidoids of formula (XIII) is an alkylene group. In certain embodiments, each of R 2 and R 4 of the hydrazinyl lipidoids of formula (XIII) is an alkylene group having one double bond. In certain embodiments, each of R 2 and R 4 of the hydrazinyl lipidoids of formula (XIII) is an alkylene group having two double bonds.
- R A , R B , and R C of the hydrazinyl lipidoids of formula (XIV) can each be a group of formula (XV).
- each of R A , R B , and R C of the presently disclosed hydrazinyl lipidoids of formula (XIV) are a group of formula (XV)
- each can be identical or different to the others.
- R A and R B are identical, but are different from R C .
- R A and R C are identical, but are different from R B .
- R B and R C are identical, but are different from R A .
- R A of the hydrazinyl lipidoids of formula (XIV) is hydrogen
- R B is an optionally substituted aryl group, such as phenyl, an optionally substituted heteroaryl group, such as 2-pyridyl, or a group of formula (XV)
- R C is an optionally substituted aliphatic group, such as methyl or 2-hydroxyethyl.
- R A of the hydrazinyl lipidoids of formula (XIV) is an optionally substituted aliphatic group, such as methyl or 2-hydroxy ethyl
- R B is a group or formula (XV)
- R C is hydrogen or a group of formula (XV).
- R A and R C of the hydrazinyl lipidoids of formula (XIV) is a group of formula (XV) and R B is an optionally substituted heteroaryl group, such as pyridyl or an optionally substituted heterocycloalkyl group, such as optionally substituted 2,5-dihydro-1H-imidazole.
- R 3 of the hydrazinyl lipidoids of formula (XIV) is an alkyl group. In certain embodiments, R 3 of the hydrazinyl lipidoids of formula (XIV) is an alkylene group. In certain embodiments, R 3 of the hydrazinyl lipidoids of formula (XIV) is an alkylene group having one double bond. In certain embodiments, R 3 of the hydrazinyl lipidoids of formula (XIV) is an alkylene group having two double bonds.
- R A and R B of the hydrazinyl lipidoids of formula (XVI) can each be a group of formula (XI) or (XV).
- each of R A and R B of the presently disclosed hydrazinyl lipidoids of formula (XVI) are a group of formula (XI) or (XV)
- each can be identical or different to the others.
- R A and R B are identical.
- R A and R B are different.
- R A of the hydrazinyl lipidoids of formula (XVI) is a group of formula (XI), R B is hydrogen or a group of formula (XI), and R C is an optionally substituted aliphatic group, such as methyl.
- R A of the hydrazinyl lipidoids of formula (XVI) is a group of formula (XV), R B is hydrogen or a group of formula (XV), and R C is an optionally substituted aliphatic group, such as methyl.
- each of R 2 and R 3 of the hydrazinyl lipidoids of formula (XVI) is an alkyl group. In certain embodiments, each of R 2 and R 3 of the hydrazinyl lipidoids of formula (XVI) is an alkylene group. In certain embodiments, each of R 2 and R 3 of the hydrazinyl lipidoids of formula (XVI) is an alkylene group having one double bond. In certain embodiments, each of R 2 and R 3 of the hydrazinyl lipidoids of formula (XVI) is an alkylene group having two double bonds.
- R A and R B of the hydrazinyl lipidoids of formula (XVII) can each be a group of formula (XV).
- each of R A and R B of the presently disclosed hydrazinyl lipidoids of formula (XVII) are a group of formula (XV)
- each can be identical or different to the others.
- R A and R B are identical.
- R A and R B are different.
- R A of the hydrazinyl lipidoids of formula (XVII) is a group of formula (XV) and R B is an optionally substituted aliphatic group, such as methyl or 2-hydroxyethyl, an optionally substituted aryl group, such as phenyl, or a group of formula (XV).
- R A of the hydrazinyl lipidoids of formula (XVII) is an optionally substituted aliphatic group, such as methyl or 2-hydroxyethyl
- R B is a group of formula (XV).
- R 3 of the hydrazinyl lipidoids of formula (XVII) is an alkyl group. In certain embodiments, R 3 of the hydrazinyl lipidoids of formula (XVII) is an alkylene group. In certain embodiments, R 3 of the hydrazinyl lipidoids of formula (XVII) is an alkylene group having one double bond. In certain embodiments, R 3 of the hydrazinyl lipidoids of formula (XVII) is an alkylene group having two double bonds.
- the aliphatic groups of the presently disclosed hydrazinyl and hydrazinylalcohol lipidoids refers to both saturated and unsaturated aliphatic hydrocarbyl groups, which can be straight chain (i.e., unbranched), branched, or cyclic (including polycyclic) and are optionally substituted with one or more functional groups.
- Examples of aliphatic groups include, but are not limited to, alkyl, alkenyl, alkynyl, cycloalkyl, cycloalkenyl, and cycloalkynyl groups, each of which are optionally substituted with one or more functional groups.
- alkyl refers to saturated hydrocarbyl groups, which can be unbranched, branched, or cyclic (i.e., alicyclic) alkyl groups.
- alkenyl and alkylene refers to unsaturated hydrocarbyl groups having at least one carbon-carbon double bond.
- alkynyl refers to unsaturated hydrocarbyl groups having at least one carbon-carbon triple bond.
- aliphatic groups include, but are not limited to, methyl, ethyl, n-propyl, isopropyl, cyclopropyl, —CH 2 -cyclopropyl, n-butyl, sec-butyl, isobutyl, tert-butyl, cyclobutyl, —CH 2 -cyclobutyl, n-pentyl, sec-pentyl, isopentyl, tert-pentyl, neopentyl, cyclopentyl, —CH 2 -cyclopentyl, hexyl, cyclohexyl, —CH 2 -cyclohexyl, heptyl, cycloheptyl, octyl, nonyl, decyl, undecyl, dodecyl, tridecyl, tetradecyl, pentadecyl, hexade
- heteroaliphatic groups of the presently disclosed hydrazinyl and hydrazinylalcohol lipidoids refers to aliphatic groups, as described above, that independently in one or more instances contain an oxygen, sulfur, nitrogen, phosphorus, or silicon atom between two carbon atoms of the aliphatic group.
- Such heteroaliphatic groups include saturated and unsaturated heterocycles.
- heterocycles refers to a non-aromatic partially unsaturated or fully saturated 3- to 10-membered ring system, which includes single rings of 3 to 8 atoms in size and bi- and tri-cyclic ring systems, which may include aromatic six-membered aryl or aromatic heterocyclic groups fused to a non-aromatic heterocyclic ring.
- Such heterocyclic rings include those having from one to three heteroatoms independently selected from oxygen, sulfur, and nitrogen, in which the nitrogen and sulfur heteroatoms may optionally be oxidized and the nitrogen heteroatom may optionally be quaternized.
- heterocycles include, but are not limited to, pyrrolidinyl, pyrazolinyl, pyrazolidinyl, imidazolinyl, imidazolidinyl, piperidinyl, piperazinyl, oxazolidinyl, isoxazolidinyl, morpholinyl, thiazolidinyl, isothiazolidinyl, 2,5-dihydro-1H-imidazole, and tetrahydrofuryl.
- the aliphatic and/or heteroaliphatic groups of the hydrazinyl and hydrazinylalcohol compounds of the present disclosure independently contain from 1 to 20, or from 1 to 12, or from 1 to 10, or from 1 to 8, or from 1 to 5, or from 1 to 4, or from 4 to 5, or from 4 to 8, or from 4 to 10, or from 4 to 12, or from 4 to 20, or from 5 to 20, or from 5 to 12, or from 5 to 10, or from 5 to 8, or from 8 to 10, or from 8 to 12, or from 8 to 20, or from 10 to 12, or from 10 to 20, or from 12 to 20 carbon atoms.
- aryl and heteroaryl groups of the presently disclosed hydrazinyl and hydrazinylalcohol lipidoids refer to mono- or polycyclic aromatic carbocyclic groups and mono- or polycyclic aromatic heterocyclic groups. In certain embodiments, these groups have 3-14 carbon atoms, each of which is optionally substituted. In certain embodiments, the aryl group is a mono- or bicyclic carbocyclic ring system having one or two aromatic rings.
- the heteroaryl group is a mono- or bicyclic heterocyclic ring system having one or two aromatic rings.
- the heteroaryl group (1) has from five to ten ring atoms of which one ring atom is selected from S, O, and N, (2) has zero, one, or two ring atoms that are additional heteroatoms independently selected from S, O, and N, and (3) the remaining ring atoms are carbon.
- heteroaryl groups include, but are not limited to, pyridyl, pyrazinyl, pyrimidinyl, pyrrolyl, pyrazolyl, imidazolyl, thiazolyl, oxazolyl, isooxazolyl, thiadiazolyl, oxadiazolyl, thiophenyl, furanyl, quinolinyl, and isoquinolinyl.
- the compounds of the presented disclosure may be substituted with any number of substituents.
- substituted refers to the replacement of hydrogen radicals in a given structure with the radical of a specified substituent.
- the substituent may be either the same or different at every position.
- substituted is contemplated to include all permissible substituents of organic compounds.
- permissible substituents include all acyclic and cyclic, branched and unbranched, carbocyclic and heterocyclic, aromatic and nonaromatic substituents of organic compounds.
- heteroatoms such as nitrogen, may have hydrogen substituents and/or any permissible substituents of organic compounds described herein which satisfy the valencies of the heteroatoms.
- the presently disclosed hydrazinyl lipidoids are not intended to be limited in any manner by the permissible substituents of organic compounds. Any substituents disclosed herein may also be further substituted (e.g., an aryl substituent may itself be substituted, such as with another aryl group, which, in turn, is further substituted with fluorine at one or more positions).
- optional substituents of the compounds of the present disclosure include, but are not limited to, aliphatic groups, heteroaliphatic groups, aryl groups, heteroaryl groups, arylalkyl groups, heteroarylalkyl groups, alkoxy groups, aryloxy groups, heteroalkoxy groups, heteroaryloxy groups, alkylthio groups, arylthio groups, heteroalkylthio groups, heteroarylthio groups, F, Cl, Br, I, —OH, —NO 2 , —CN, —CF 3 , —CH 2 CF 3 , —CHCl 2 , —CH 2 OH, —CH 2 CH 2 OH, —CH 2 NH 2 , —CH 2 SO 2 R, —C(O)R, —CO 2 (R), —CON(R) 2 , —OC(O)R, —OCO 2 R, —OCON(R) 2 , —N(R) 2 , —S(O) 2 R
- the presently disclosed hydrazinyl and hydrazinylalcohol lipidoids can be salt, either from protonation by a mineral or organic acid or by quaternization of one more available tertiary nitrogens.
- counterions for such salts include, but are not limited to, halides, such as fluoride, chloride, bromide, or iodide, nitrate, hydrogen sulfate, dihydrogen phosphate, bicarbonate, nitrite, perchlorate, iodate, chlorate, bromate, chlorite, hypochlorite, hypobromite, cyanide, amide, cyanate, hydroxide, permanganate, an acid anion such as acetate or formate, or anions with negative charges greater than ⁇ 1 (e.g., having in some embodiments one or more than one adsorbent functional group as counterion), such as oxide, sulfide, nitride, arsenate,
- the presently disclosed hydrazinyl and hydrazinylalcohol lipidoids, and optional substitutents thereon can contain isotopes of various common atoms.
- isotopes include, but are not limited to, deuterium, C 13 , N 15 , O 18 , and F 18 .
- R 1 , R 2 , R 3 , R 4 , and R A can be perfluorinated C 1-20 alkyl groups.
- R 2 and R 4 are identical and selected from the group consisting of methyl, n-butyl, n-pentyl, n-decanyl, and n-dodecanyl.
- R 2 is methyl and R4 is n-pentyl.
- R 2 is methyl and R 4 is n-octyl.
- R B is phenyl.
- R A is methyl or —CH 2 CH 2 OH.
- the hydrazinyl and hydrazinylalcohol lipidoid compounds of the present disclosure is a compound selected from the group consisting of compounds 1 through 116, as shown below:
- the presently disclosed hydrazinyl and hydrazinylalcohol lipidoids are relatively non-cytotoxic. In certain embodiments, the presently disclosed hydrazinyl and hydrazinylalcohol lipidoids are biocompatible and biodegradable. In certain embodiments, the presently disclosed hydrazinyl and hydrazinylalcohol lipidoids have a pKa in the range of from about 3.0 to about 9.0, or in the range of from about 5.0 to about 8.0, or in the range of from about 5.5 to about 7.5, or in the range of from about 6.0 to about 7.0.
- hydrazinyl and hydrazinylalcohol lipidoids may exist in particular geometric or stereoisomeric forms.
- the present disclosure contemplates all such forms, including cis- and trans-isomers, R- and S-enantiomers, diastereomers, (D)-isomers, (L)-isomers, the racemic mixtures thereof, and other mixtures thereof, as falling within the scope of the invention.
- Additional asymmetric carbon atoms may be present in a substituent, such as an alkyl group. All such isomers, as well as mixtures thereof, are intended to be included in this disclosure.
- Isomeric mixtures containing any of a variety of isomer ratios may be utilized in accordance with the present disclosure. For example, where only two isomers are combined, mixtures containing 50:50, 60:40, 70:30, 80:20, 90:10, 95:5, 96:4, 97:3, 98:2, 99:1, or 100:0 isomer ratios are all contemplated by the present disclosure. Those of ordinary skill in the art will readily appreciate that analogous ratios are contemplated for more complex isomer mixtures.
- a particular enantiomer of the presently disclosed hydrazinylalcohol lipidoids may be prepared by asymmetric synthesis, for example, by reacting hydrazine or a substituted hydrazine with a chiral epoxide. It may also be prepared by derivation with a chiral auxiliary, where the resulting diastereomeric mixture is separated and the auxiliary group cleaved to provide the pure desired enantiomers.
- diastereomeric salts can be formed with an appropriate optically-active acid or base, followed by resolution of the diastereomers thus formed by fractional crystallization or chromatographic means well known in the art, and subsequent recovery of the pure enantiomers.
- hydrazinylalcohol lipidoid compounds of the present disclosure contain at least two stereocenters, as shown in formula (VIII):
- R A and R B are a group of formula (II)
- the presently disclosed novel hydrazinylalcohol lipidoid compounds contain at least three or at least four stereocenters, as shown in formula (IX):
- the “enantiomeric excess” of a substance is a measure of how pure a desired enantiomer is relative to the undesired enantiomer. Enantiomeric excess is defined as the absolute difference between the mole fraction of each enantiomer which is most often expressed as a percent enantiomeric excess. For mixtures of diastereomers, there are analogous definitions and uses for “diastereomeric excess” and percent diastereomeric excess. For example, a sample with 70% of R isomer and 30% of S will have an enantiomeric excess of 40%. This can also be thought of as a mixture of 40% pure R with 60% of a racemic mixture (which contributes 30% R and 30% S to the overall composition).
- the hydrazinylalcohol lipidoid compounds of the present disclosure can have an enantiomeric excess or a diastereomeric excess up to and including 2%, 5%, 10%, 15%, 20%, 25%, 30%, 35%, 40%, 45%, 50%, 55%, 60%, 61%, 62%, 63%, 64%, 65%, 66%, 67%, 68%, 69%, 70%, 71%, 72%, 73%, 74%, 75%, 76%, 77%, 78%, 79%, 80%, 81%, 82%, 83%, 84%, 85%, 86%, 87%, 88%, 89%, 90%, 90.5%, 91%, 91.5%, 92%, 92.5%, 93%, 93.5%, 94%, 94.5%, 95%, 95.5%, 96%, 96.5%, 97%, 97.5%, 98%, 98.5%, 99%, 99.5%, or 100%.
- hydrazinyl and hydrazinylalcohol lipidoids may be prepared by any method known in the art.
- the hydrazinyl lipidoid compounds of the present disclosure are synthesized by reacting hydrazine or a substituted hydrazine with one or more acrylates or acrylamides.
- the hydrazinylalcohol lipidoid compounds of the present disclosure are synthesized by reacting hydrazine or a substituted hydrazine with one or more terminal or interior epoxides.
- these starting materials are commercially available and/or are easily and/or inexpensively prepared.
- Scheme 1 depicts this reaction where hydrazine is reacted with a terminal epoxide:
- the hydrazine is reacted in the presence of a stoichiometric excess of a terminal or interior epoxide.
- the synthesis of the hydrazinyl and hydrazinylalcohol lipidoid compounds is performed without solvent (i.e., neat).
- the hydrazine and the terminal or interior epoxide are reacted at a temperature of about 120° C. for about 3 days. After the reaction is complete, the reaction mixture is cooled and the crude product is purified.
- the synthesized hydrazinyl and hydrazinylalcohol lipidoid compounds may be purified by any technique known in the art including, but not limited to, precipitation, crystallization, chromatography, and distillation.
- the crude product is purified by silica gel chromatography.
- hydrazinyl and hydrazinylalcohol lipidoids of the present disclosure can be synthesized such that one nitrogen of the hydrazine core has identical substitutents that are different to the identical substituents on the other nitrogen of the hydrazine core.
- this can be achieved through substituting one of the hydrazine atoms with a protecting group and then reacting the protected hydrazine with a terminal or interior epoxide. This reaction is shown in Scheme 2, where benzyl N-aminocarbamate is used as the protected hydrazine, which is reacted with 1,2-epoxydodecane:
- amino-protecting groups examples include, but are not limited to, methyl carbamate, ethyl carbamante, 9-fluorenylmethyl carbamate (Fmoc), 9-(2-sulfo)fluorenylmethyl carbamate, 9-(2,7-dibromo)fluoroenylmethyl carbamate, 2,7-di-t-butyl-[9-(10,10-dioxo-10,10,10,10-tetrahydrothioxanthyl)]methyl carbamate (DBD-Tmoc), 4-methoxyphenacyl carbamate (Phenoc), 2,2,2-trichloroethyl carbamate (Troc), 2-trimethylsilylethyl carbamate (Teoc), 2-phenylethyl carbamate (hZ), 1-(1-adamantyl)-1-methylethyl carbamate (Adpoc), 1,1-dimethyl-2-fluorenylmethyl carba
- the present disclosure provides for formulations comprising the presently disclosed hydrazinyl or hydrazinylalcohol lipidoids that may be used to deliver one or more active agents to a target organism. Therefore, in another aspect, the present disclosure provides for formulations that comprise one or more hydrazinyl or hydrazinylalcohol lipidoids of the present disclosure and one or more active agents.
- Such formulations can take any form. Examples of such forms include, but are not limited to, complexes, particles (e.g., microparticles, nanoparticles, and picoparticles), micelles, and liposomes.
- two or more active agents can be formulated with the presently disclosed hydrazinyl or hydrazinylalcohol lipidoids to form a single complex, particle, micelled or liposome containing the two or more active agents.
- the two or more active agents can be separately formulated to form a single complex, particle, micelled or liposome, each containing a single active agent, and are then combined to form a mixture prior to delivery to a target organism.
- the hydrazinyl and hydrazinylalcohol lipidoids of the present disclosure possess a hydrazine core that, although hindered, is available to interact with an active agent (e.g., a polynucleotide).
- an active agent e.g., a polynucleotide
- a complex is formed when an active agent is contacted with the presently disclosed hydrazinyl or hydrazinylalcohol lipidoids under conditions suitable to form an agent/lipidoid complex.
- multiple hydrazinyl or hydrazinylalcohol lipidoid molecules may complex with an agent molecule.
- the complex may include 1-100 hydrazinyl or hydrazinylalcohol lipidoid molecules, 1-1000 hydrazinyl or hydrazinylalcohol lipidoid molecules, 10-1000 hydrazinyl or hydrazinylalcohol lipidoid molecules, or 100-10,000 hydrazinyl or hydrazinylalcohol lipidoid molecules.
- the hydrazinyl and hydrazinylalcohol lipidoid compounds of the present disclosure may be used to encapsulate active agents.
- the hydrazinyl and hydrazinylalcohol lipidoid compounds of the present disclosure have several properties that make them particularly suitable in the preparation of drug delivery devices. These include, but are not limited to: (1) the ability of the lipidoid to complex and “protect” labile agents, (2) the ability to buffer the pH in the endosome (3) the ability to act as a “proton sponge” and cause endosomolysis, and (4) the ability to neutralize the charge on negatively charged agents.
- the hydrazinyl and hydrazinylalcohol lipidoid compounds of the present disclosure are used to form particles containing an active agent to be delivered.
- These particles may include other materials, such as proteins, carbohydrates, synthetic polymers (e.g., PEG, PLGA), and natural polymers.
- the inventive hydrazinyl and hydrazinylalcohol lipidoids are combined with an agent to be delivered to a cell or a subject to form microparticles, nanoparticles, liposomes, or micelles.
- the agent to be delivered by the particles, liposomes, or micelles may be in the form of a gas, liquid, or solid, and the agent may be a polynucleotide, protein, peptide, or small molecule.
- inventive hydrazinyl or hydrazinylalcohol lipidoid compounds may be combined with other hydrazinyl and hydrazinylalcohol lipidoid compounds, polymers (synthetic or natural), surfactants, cholesterol, carbohydrates, proteins, and lipids, to form the particles.
- the diameter of the particles range from 1 to 1,000 micrometers. In certain embodiments, the diameter of the particles range from 1 to 100 micrometers. In certain embodiments, the diameter of the particles range from 1 to 10 micrometers. In certain embodiments, the diameter of the particles range from 10 to 100 micrometers. In certain embodiments, the diameter of the particles range from 100 to 1,000 micrometers. In certain embodiments, the diameter of the particles range from 1 to 5 micrometers. In certain embodiments, the diameter of the particles range from 1 to 1,000 nm. In certain embodiments, the diameter of the particles range from 1 to 100 nm. In certain embodiments, the diameter of the particles range from 1 to 10 nm.
- the diameter of the particles range from 10 nm to 100 nm. In certain embodiments, the diameter of the particles range from 100 nm to 1,000 nm. In certain embodiments, the diameters of the particles range from 1 to 5 nm. In certain embodiments, the diameter of the particles range from 1 to 1,000 ⁇ m. In certain embodiments, the diameter of the particles range from 1 to 100 pm. In certain embodiments, the diameter of the particles range from 1 to 10 pm. In certain embodiments, the diameter of the particles range from 10 to 100 pm. In certain embodiments, the diameter of the particles range from 100 to 1,000 pm. In certain embodiments, the diameter of the particles range from 1 to 5 pm.
- the particles of the present disclosure may be prepared using any method known in the art. These include, but are not limited to, spray drying, single and double emulsion solvent evaporation, solvent extraction, phase separation, simple and complex coacervation, and other methods well known to those of ordinary skill in the art.
- methods of preparing the particles are the double emulsion process and spray drying.
- methods of preparing the particles are nanoprecipitation or flash precipitation, for example, as disclosed in U.S. Pat. Nos. 8,207,290, 8,404,799, 8,546,521, 8,618,240, and 8,809,492, each of which are incorporated herein in its entirety.
- the conditions used in preparing the particles may be altered to yield particles of a desired size or property (e.g., hydrophobicity, hydrophilicity, external morphology, “stickiness”, shape, etc.).
- the method of preparing the particle and the conditions (e.g., solvent, temperature, concentration, air flow rate, etc.) used may also depend on the agent being encapsulated and/or the composition of the matrix. Methods developed for making particles for delivery of encapsulated agents are described in the literature (e.g., Doubrow, M., Ed., “Microcapsules and Nanoparticles in Medicine and Pharmacy,” CRC Press, Boca Raton, 1992; Mathiowitz and Langer, J. Controlled Release 5:13-22, 1987; Mathiowitz et al. Reactive Polymers 6:275-283, 1987; Mathiowitz et al. J. Appl. Polymer Sci. 35:755-774, 1988; each of which is incorporated herein by reference in their entirety).
- the particles prepared by any of the above methods have a size range outside of the desired range, the particles can be sized, for example, using a sieve.
- the particle may also be coated.
- the particles are coated with a targeting agent.
- the particles are coated to achieve desirable surface properties (e.g., a particular charge).
- the hydrazinyl and hydrazinylalcohol lipidoids of the invention may be used to prepare micelles or liposomes containing an agent to be delivered.
- Many techniques for preparing micelles and liposomes are known in the art, and any method may be used with the inventive hydrazinyl and hydrazinylalcohol lipidoid compounds to make micelles and liposomes.
- Micelles and liposomes are particularly useful in delivering hydrophobic agents, such as hydrophobic small molecules.
- liposomes of the present disclosure are formed through spontaneous assembly.
- liposomes are formed when thin lipid films or lipid cakes are hydrated and stacks of lipid crystalline bilayers become fluid and swell.
- the hydrated lipid sheets detach during agitation and self-close to form large, multilamellar vesicles (LMV). This prevents interaction of water with the hydrocarbon core of the bilayers at the edges. Once these particles have formed, reducing the size of the particle can be modified through input of sonic energy (sonication) or mechanical energy (extrusion). See Walde, P. “Preparation of Vesicles (Liposomes)” In Encyclopedia of Nanoscience and Nanotechnology ; Nalwa, H.
- the preparation of liposomes of the present disclosure involves preparing the hydrazinyl and hydrazinylalcohol lipidoids for hydration, hydrating the hydrazinyl and hydrazinylalcohol lipidoids with agitation, and sizing the vesicles to achieve a homogenous distribution of liposomes.
- Hydrazinyl and hydrazinylalcohol lipidoids are first dissolved in an organic solvent to assure a homogeneous mixture. The solvent is then removed to form a lipidoid film. This film is thoroughly dried to remove residual organic solvent by placing the vial or flask on a vacuum pump overnight.
- lipidoid film/cake Hydration of the lipidoid film/cake is accomplished by adding an aqueous medium to the container of dry lipidoid and agitating the mixture.
- Disruption of LMV suspensions using sonic energy typically produces small unilamellar vesicles (SUV) with diameters in the range of from 15 to 50 nm.
- SUV small unilamellar vesicles
- Lipid extrusion is a technique in which a lipid suspension is forced through a polycarbonate filter with a defined pore size to yield particles having a diameter near the pore size of the filter used. Extrusion through filters with 100 nm pores typically yields large, unilamellar vesicles (LUV) with a mean diameter of from 120 to 140 nm.
- LUV unilamellar vesicles
- Certain hydrazinyl and hydrazinylalcohol lipidoids of the present disclosure can spontaneously self assemble around certain molecules, such as DNA and RNA, to form liposomes.
- the application is the delivery of polynucleotides to a target cell.
- use of the hydrazinyl and hydrazinylalcohol lipidoids of the present disclosure allows for simple assembly of liposomes without the need for additional steps or devices such as an extruder.
- the complexes, microparticles, nanoparticles, picoparticles, liposomes, and micelles of the present disclosure may be modified to include targeting agents since it is often desirable to target a particular cell, collection of cells, or tissue.
- targeting agents that direct pharmaceutical compositions to particular cells are known in the art (e.g., Cotten et al. Methods Enzym. 217:618, 1993; which is incorporated herein by reference in its entirety).
- the targeting agents may be included throughout the particle or may be only on the surface.
- the targeting agent may be a protein, peptide, carbohydrate, glycoprotein, lipid, small molecule, nucleic acid, etc.
- the targeting agent may be used to target specific cells or tissues or may be used to promote endocytosis or phagocytosis of the particle.
- targeting agents include, but are not limited to, antibodies, fragments of antibodies, low-density lipoproteins (LDLs), transferrin, asialycoproteins, gp120 envelope protein of the human immunodeficiency virus (HIV), carbohydrates, receptor ligands, sialic acid, aptamers, etc.
- LDLs low-density lipoproteins
- HAV human immunodeficiency virus
- the targeting agent may be included in the mixture that is used to form the particles.
- the targeting agent may be associated with (i.e., by covalent, hydrophobic, hydrogen bonding, van der Waals, or other interactions) the formed particles using standard chemical techniques.
- the presently disclosed hydrazinyl and hydrazinylalcohol lipidoid-based formulations can be used to deliver an active agent to target organisms for the purpose of killing and/or controlling the proliferation of the target organisms, such as insects, plant pathogens (e.g., fungi, bacteria, viruses, and nematodes), and weeds.
- the presently disclosed hydrazinyl and hydrazinylalcohol lipidoid-based formulations comprise an insecticidal, nematidicidal, fungicidal, bacteriocidal, viricidal, or herbicidal active agent, or combinations thereof.
- these formulations are combined with an agriculturally acceptable carrier to form a insecticidal, nematodicidal, fungicidal, bacteriocidal, viricidal, or herbicidal formulation.
- a target organism is an organism in which the presently disclosed herbicidal, insecticidal, or fungicidal formulations are intended to be functional, for example, to mediate gene silencing or suppression.
- a target organism is also a host organism, as described herein below.
- a target organism is separate and distinct from a host organism that serves as a source of the active agent to be functional in the target organism.
- the insecticidal, nematidicidal, fungicidal, bacteriocidal, viricidal, or herbicidal formulation may further be combined with an agriculturally acceptable carrier.
- the agriculturally acceptale carrier can be solid or liquid and is a substance useful in formulation of agricultural products, for example, fertilizers, herbicides, insecticides, fungicides, bactericides, viricides, and nematicides.
- Agriculturally acceptable carriers include, for example, natural or regenerated mineral substances, solvents, dispersants, wetting agents, tackifiers, thickeners, binders or fertilizers. Such carriers are described for example, in WO 97/33890, which is incorporated herein by reference.
- the presently disclosed formulations of the present disclosure can be applied to the crop area or plant to be treated, simultaneously or in succession with further compounds.
- further compounds can be, for example, fertilizers or micronutrient donors or other preparations, which influence the growth of plants. They can also be selective herbicides or non-selective herbicides as well as insecticides, fungicides, bactericides, nematicides, molluscicides or mixtures of several of these preparations, if desired together with further carriers, surfactants or application promoting adjuvants customarily employed in the art of formulation.
- Active agents that can be delivered to a target organism using the presently disclosed formulations include, but are not limited to, any type of molecule or compound including, but not limited to, nucleic acids, peptides, polypeptides, small molecules, and mixtures thereof.
- nucleic acids include, but are not limited to, interfering RNA molecules (e.g., siRNA, aiRNA, miRNA), antisense oligonucleotides, plasmids, ribozymes, immunostimulatory oligonucleotides, and mixtures thereof.
- the active agent comprises a nucleic acid.
- the nucleic acid comprises an interfering RNA molecule such as, e.g., an siRNA, aiRNA, miRNA, or mixtures thereof.
- the nucleic acid comprises single-stranded or double-stranded DNA, RNA, or a DNA/RNA hybrid such as, e.g., an antisense oligonucleotide, a ribozyme, a plasmid, an immunostimulatory oligonucleotide, or mixtures thereof.
- presently disclosed particles are associated with a nucleic acid.
- the nucleic acid is fully encapsulated in a lipidoid particle.
- the term “nucleic acid” includes any oligonucleotide or polynucleotide, with fragments containing up to 60 nucleotides generally termed oligonucleotides, and longer fragments termed polynucleotides.
- oligonucleotides of the invention are about 10, 15, 20, 25, 30, 35, 40, 45, 50, 55 or 60 nucleotides in length. Any of these values may be used to define a range for the size of the oligonucleotide.
- the size of the oligonucleotide may range from 15-60, 20-60 or 25-60 nucleotides in length.
- the polynucleotide is 65, 70, 80, 90, 100, 150, 200, 250, 300, 350, 400, 450, 500, 550, 600, 650, 700, 750, 800, 850, 900, 950, 1000, 1100, 1200, 1300, 1400, 1500, 1600, 1700, 1800, 1900, 2000, or more nucleotides in length.
- the polynucleotide is at least 65, 70, 80, 90, 100, 150, 200, 250, 300, 350, 400, 450, 500, 550, 600, 650, 700, 750, 800, 850, 900, 950, 1000, 1100, 1200, 1300, 1400, 1500, 1600, 1700, 1800, 1900 or 2000 nucleotides in length. Any of these values may be used to define a range for the size of the polynucleotide.
- the polynucleotide may range from 100-150, 150-200, 200-250, 250-300, 300-350, 350-400, 450-500, 500-550, 550-600, 600-650, 650-700, 700-750, 750-800, 800-850, 850-900, 900-950, or 950-1000 nucleotides in length.
- the nucleic acid may be administered alone in the particles of the present disclosure, or in combination (e.g., co-administered) with particles of the present disclosure comprising peptides, polypeptides, or small molecules, such as conventional drugs.
- polynucleotide and oligonucleotide refer to a polymer or oligomer of nucleotide or nucleoside monomers consisting of naturally-occurring bases, sugars, and intersugar (backbone) linkages.
- polynucleotide and oligonucleotide also include polymers or oligomers comprising non-naturally occurring monomers, or portions thereof, which function similarly. Such modified or substituted oligonucleotides are often preferred over native forms because of properties such as, for example, enhanced cellular uptake and increased stability in the presence of nucleases.
- Oligonucleotides are generally classified as deoxyribooligonucleotides or ribooligonucleotides.
- a deoxyribooligonucleotide consists of a 5-carbon sugar called deoxyribose joined covalently to phosphate at the 5′ and 3′ carbons of this sugar to form an alternating, unbranched polymer.
- a ribooligonucleotide consists of a similar repeating structure where the 5-carbon sugar is ribose.
- Nucleic acids that can be used in the presently disclosed formulations includes any form of nucleic acid that is known.
- the nucleic acids used herein can be single-stranded DNA or RNA, or double-stranded DNA or RNA, or DNA-RNA hybrids.
- double-stranded DNA are described herein and include, e.g., structural genes, genes including control and termination regions, and self-replicating systems such as viral or plasmid DNA.
- Examples of double-stranded RNA are described herein and include, e.g., siRNA and other RNAi agents such as aiRNA and pre-miRNA.
- Single-stranded nucleic acids include, e.g., antisense oligonucleotides, ribozymes, mature miRNA, and triplex-forming oligonucleotides.
- Nucleic acids that can be used in the formulations of the present disclosure may be of various lengths, which is generally dependent upon the particular form of nucleic acid.
- plasmids or genes may be from about 1,000 to about 100,000 nucleotide residues in length.
- oligonucleotides may range from about 10 to about 100 nucleotides in length.
- oligonucleotides both single-stranded, double-stranded, and triple-stranded, may range in length from about 10 to about 60 nucleotides, from about 15 to about 60 nucleotides, from about 20 to about 50 nucleotides, from about 15 to about 30 nucleotides, or from about 20 to about 30 nucleotides in length.
- an oligonucleotide (or a strand thereof) that can be used in the presently disclosed formulations specifically hybridizes to or is complementary to a target polynucleotide sequence.
- the terms “specifically hybridizable” and “complementary” as used herein indicate a sufficient degree of complementarity such that stable and specific binding occurs between the DNA or RNA target and the oligonucleotide. It is understood that an oligonucleotide need not be 100% complementary to its target nucleic acid sequence to be specifically hybridizable.
- an oligonucleotide is specifically hybridizable when binding of the oligonucleotide to the target sequence interferes with the normal function of the target sequence to cause a loss of utility or expression therefrom, and there is a sufficient degree of complementarity to avoid non-specific binding of the oligonucleotide to non-target sequences under conditions in which specific binding is desired.
- the oligonucleotide may include 1, 2, 3, or more base substitutions as compared to the region of a gene or mRNA sequence that it is targeting or to which it specifically hybridizes.
- the oligo- or polynucleotide is optionally purified and substantially pure. In some embodiments, the polynucleotide is greater than 50% pure. In some embodiments, the oligo- or polynucleotide is greater than 75% pure. In some embodiments, the oligo- or polynucleotide is greater than 95% pure.
- the oligo- or polynucleotide may be provided by any means known in the art. In certain embodiments, the oligo- or polynucleotide has been engineered using recombinant techniques. The oligo- or polynucleotide may also be obtained from natural sources and purified from contaminating components found normally in nature. The oligo- or polynucleotide may also be chemically synthesized in a laboratory. In certain embodiments, the oligo- or polynucleotide is synthesized using standard solid phase chemistry.
- the oligo- or polynucleotide may be modified by chemical or biological means. In certain embodiments, these modifications lead to increased stability of the oligo- or polynucleotide. Examples of such modifications include, but are not limited to, methylation, phosphorylation, and end-capping.
- the oligo- or polynucleotide to be delivered may be in any form.
- forms include, but are not limited to, a circular plasmid, a linearized plasmid, a cosmid, a viral genome, a modified viral genome, an artificial chromosome, dsRNA, ssRNA, dsDNA, ssDNA, RNA/DNA hybrids, dsRNA hairpins, siRNA, aiRNA, and miRNA.
- the oligo- or polynucleotide may be of any sequence.
- the oligo- or polynucleotide encodes a protein or peptide.
- the encoded proteins may be enzymes, structural proteins, receptors, soluble receptors, ion channels, or cytokines.
- the oligo- or polynucleotide may also comprise regulatory regions to control the expression of a gene. These regulatory regions may include, but are not limited to, promoters, enhancer elements, repressor elements, TATA box, ribosomal binding sites, and stop site for transcription.
- the polynucleotide is not intended to encode a protein.
- the oligo- or polynucleotide is an RNA that carries out RNA interference (RNAi).
- RNAi RNA interference
- interfering RNA or “RNAi” or “interfering RNA sequence” refers to single-stranded RNA (e.g., mature miRNA) or double-stranded RNA (e.g., duplex RNA, such as siRNA, aiRNA, or pre-miRNA) that is capable of reducing or inhibiting the expression of a target gene or sequence (e.g., by mediating the degradation or inhibiting the translation of mRNAs which are complementary to the interfering RNA sequence) when the interfering RNA is in the same cell as the target gene or sequence.
- Interfering RNA thus refers to the single-stranded RNA that is complementary to a target mRNA sequence or to the double-stranded RNA formed by two complementary strands or by a single, self-complementary strand.
- Interfering RNA may have substantial or complete identity to the target gene or sequence, or may comprise a region of mismatch (i.e., a mismatch motif).
- the sequence of the interfering RNA can correspond to the full-length target gene, or a subsequence thereof.
- the active agent comprises an siRNA.
- the siRNA molecule can comprise a double-stranded region of about 15 to about 60 nucleotides in length (e.g., about 15 to 60, 15 to 50, 15 to 40, 15 to 30, 15 to 25, or 19 to 25 nucleotides in length, or 15, 16, 17, 18, 19, 20, 21, 22, 23, 24, or 25 nucleotides in length).
- the siRNA molecules used in the presently disclosed formulations are capable of silencing the expression of a target sequence in vitro and/or in vivo.
- the siRNA molecule comprises modified nucleotides including, but not limited to, 2′-O-methyl (2′OMe) nucleotides, 2′-deoxy-2′-fluoro(2′F) nucleotides, 2′-deoxy nucleotides, 2′-O-(2-methoxyethyl) (MOE) nucleotides, locked nucleic acid (LNA) nucleotides, and mixtures thereof.
- 2′-O-methyl (2′OMe) nucleotides 2′-deoxy-2′-fluoro(2′F) nucleotides
- MOE 2-methoxyethyl
- LNA locked nucleic acid
- the siRNA comprises 2′OMe nucleotides (e.g., 2′OMe purine and/or pyrimidine nucleotides) such as, for example, 2′OMe-guanosine nucleotides, 2′OMe-uridine nucleotides, 2′OMe-adenosine nucleotides, 2′OMe-cytosine nucleotides, and mixtures thereof.
- the siRNA does not comprise 2′OMe-cytosine nucleotides.
- the siRNA comprises a hairpin loop structure.
- the siRNA may comprise modified nucleotides in one strand (i.e., sense or antisense) or both strands of the double-stranded region of the siRNA molecule.
- uridine and/or guanosine nucleotides are modified at selective positions in the double-stranded region of the siRNA duplex.
- uridine nucleotide modifications at least one, two, three, four, five, six, or more of the uridine nucleotides in the sense and/or antisense strand can be a modified uridine nucleotide such as a 2′OMe-uridine nucleotide.
- every uridine nucleotide in the sense and/or antisense strand is a 2′OMe-uridine nucleotide.
- at least one, two, three, four, five, six, or more of the guanosine nucleotides in the sense and/or antisense strand can be a modified guanosine nucleotide such as a 2′OMe-guanosine nucleotide.
- every guanosine nucleotide in the sense and/or antisense strand is a 2′OMe-guanosine nucleotide.
- At least one, two, three, four, five, six, seven, or more 5′-GU-3′ motifs in an siRNA sequence may be modified, e.g., by introducing mismatches to eliminate the 5′-GU-3′ motifs and/or by introducing modified nucleotides such as 2′OMe nucleotides.
- the 5′-GU-3′ motif can be in the sense strand, the antisense strand, or both strands of the siRNA sequence.
- the 5′-GU-3′ motifs may be adjacent to each other or, alternatively, they may be separated by 1, 2, 3, 4, 5, 6, 7, 8, 9, 10, 11, 12, or more nucleotides.
- a modified siRNA molecule is capable of silencing at least about 5%, 10%, 15%, 20%, 25%, 30%, 35%, 40%, 45%, 50%, 55%, 60%, 65%, 70%, 75%, 80%, 85%, 90%, 95%, or 100% of the expression of the target sequence relative to the corresponding unmodified siRNA sequence.
- the siRNA molecule does not comprise phosphate backbone modifications, e.g., in the sense and/or antisense strand of the double-stranded region.
- the siRNA comprises one, two, three, four, or more phosphate backbone modifications, e.g., in the sense and/or antisense strand of the double-stranded region.
- the siRNA does not comprise phosphate backbone modifications.
- the siRNA does not comprise 2′-deoxy nucleotides, e.g., in the sense and/or antisense strand of the double-stranded region. In certain embodiments, the siRNA comprises one, two, three, four, or more 2′-deoxy nucleotides, e.g., in the sense and/or antisense strand of the double-stranded region. In certain embodiments, the siRNA does not comprise 2′-deoxy nucleotides.
- the nucleotide at the 3′-end of the double-stranded region in the sense and/or antisense strand is not a modified nucleotide.
- the nucleotides near the 3′-end (e.g., within one, two, three, or four nucleotides of the 3′-end) of the double-stranded region in the sense and/or antisense strand are not modified nucleotides.
- the siRNA molecules described herein may have 3′ overhangs of one, two, three, four, or more nucleotides on one or both sides of the double-stranded region, or may lack overhangs (i.e., have blunt ends) on one or both sides of the double-stranded region.
- the siRNA has 3′ overhangs of two nucleotides on each side of the double-stranded region.
- the 3′ overhang on the antisense strand has complementarity to the target sequence and the 3′ overhang on the sense strand has complementarity to a complementary strand of the target sequence.
- the 3′ overhangs do not have complementarity to the target sequence or the complementary strand thereof.
- the 3′ overhangs comprise one, two, three, four, or more nucleotides such as 2′-deoxy(2′H) nucleotides.
- the 3′ overhangs comprise deoxythymidine (dT) and/or uridine nucleotides.
- one or more of the nucleotides in the 3′ overhangs on one or both sides of the double-stranded region comprise modified nucleotides.
- modified nucleotides include, but are not limited to, 2′OMe nucleotides, 2′-deoxy-2′F nucleotides, 2′-deoxy nucleotides, 2′-O-2-MOE nucleotides, LNA nucleotides, and mixtures thereof.
- one, two, three, four, or more nucleotides in the 3′ overhangs present on the sense and/or antisense strand of the siRNA comprise 2′OMe nucleotides (e.g., 2′OMe purine and/or pyrimidine nucleotides) such as, for example, 2′OMe-guanosine nucleotides, 2′OMe-uridine nucleotides, 2′OMe-adenosine nucleotides, 2′OMe-cytosine nucleotides, and mixtures thereof.
- 2′OMe nucleotides e.g., 2′OMe purine and/or pyrimidine nucleotides
- 2′OMe-guanosine nucleotides e.g., 2′OMe-uridine nucleotides
- 2′OMe-adenosine nucleotides e.g., 2′OMe-cytosine nucleotides
- the siRNA may comprise at least one or a cocktail (e.g., at least two, three, four, five, six, seven, eight, nine, ten, or more) of unmodified and/or modified siRNA sequences that silence target gene expression.
- the cocktail of siRNA may comprise sequences, which are directed to the same region or domain (e.g., a “hot spot”) and/or to different regions or domains of one or more target genes.
- one or more (e.g., at least two, three, four, five, six, seven, eight, nine, ten, or more) modified siRNA that silence target gene expression are present in a cocktail.
- one or more (e.g., at least two, three, four, five, six, seven, eight, nine, ten, or more) unmodified siRNA sequences that silence target gene expression are present in a cocktail.
- the antisense strand of the siRNA molecule comprises or consists of a sequence that is at least about 80%, 85%, 90%, 95%, 96%, 97%, 98%, or 99% complementary to the target sequence or a portion thereof. In certain embodiments, the antisense strand of the siRNA molecule comprises or consists of a sequence that is 100% complementary to the target sequence or a portion thereof. In certain embodiments, the antisense strand of the siRNA molecule comprises or consists of a sequence that specifically hybridizes to the target sequence or a portion thereof.
- the sense strand of the siRNA molecule comprises or consists of a sequence that is at least about 80%, 85%, 90%, 95%, 96%, 97%, 98%, or 99% identical to the target sequence or a portion thereof. In certain embodiments, the sense strand of the siRNA molecule comprises or consists of a sequence that is 100% identical to the target sequence or a portion thereof.
- the siRNA that can be used in the presently disclosed formulations are capable of silencing the expression of a target gene of interest.
- Each strand of the siRNA duplex can be about 15 to about 60 nucleotides in length, or about 15 to about 30 nucleotides in length.
- the siRNA comprises at least one modified nucleotide.
- the modified siRNA contains at least one 2′OMe purine or pyrimidine nucleotide such as a 2′OMe-guanosine, 2′OMe-uridine, 2′OMe-adenosine, and/or 2′OMe-cytosine nucleotide.
- one or more of the uridine and/or guanosine nucleotides are modified.
- the modified nucleotides can be present in one strand (i.e., sense or antisense) or both strands of the siRNA.
- the siRNA sequences may have overhangs or may lack overhangs (i.e., have blunt ends).
- the modified siRNA generally comprises from about 1% to about 100% (e.g., about 1%, 2%, 3%, 4%, 5%, 6%, 7%, 8%, 9%, 10%, 11%, 12%, 13%, 14%, 15%, 16%, 17%, 18%, 19%, 20%, 21%, 22%, 23%, 24%, 25%, 26%, 27%, 28%, 29%, 30%, 35%, 40%, 45%, 50%, 55%, 60%, 65%, 70%, 75%, 80%, 85%, 90%, 95%, or 100%) modified nucleotides in the double-stranded region of the siRNA duplex.
- one, two, three, four, five, six, seven, eight, nine, ten, or more of the nucleotides in the double-stranded region of the siRNA comprise modified nucleotides.
- less than about 25% e.g., less than about 25%, 24%, 23%, 22%, 21%, 20%, 19%, 18%, 17%, 16%, 15%, 14%, 13%, 12%, 11%, 10%, 9%, 8%, 7%, 6%, 5%, 4%, 3%, 2%, or 1%) of the nucleotides in the double-stranded region of the siRNA comprise modified nucleotides.
- from about 1% to about 25% e.g., from about 1%-25%, 2%-25%, 3%-25%, 4%-25%, 5%-25%, 6%-25%, 7%-25%, 8%-25%, 9%-25%, 10%-25%, 11%-25%, 12%-25%, 13%-25%, 14%-25%, 15%-25%, 16%-25%, 17%-25%, 18%-25%, 19%-25%, 20%-25%, 21%-25%, 22%-25%, 23%-25%, 24%-25%, etc.) or from about 1% to about 20% (e.g., from about 1%-20%, 2%-20%, 3%-20%, 4%-20%, 5%-20%, 6%-20%, 7%-20%, 8%-20%, 9%-20%, 10%-20%, 11%-20%, 12%-20%, 13%-20%, 14%-20%, 15%-20%, 16%-20%, 17%-20%, 18%-20%, 19%-20%, 1%-19%,
- the resulting modified siRNA can comprise less than about 30% modified nucleotides (e.g., less than about 30%, 29%, 28%, 27%, 26%, 25%, 24%, 23%, 22%, 21%, 20%, 19%, 18%, 17%, 16%, 15%, 14%, 13%, 12%, 11%, 10%, 9%, 8%, 7%, 6%, 5%, 4%, 3%, 2%, or 1% modified nucleotides) or from about 1% to about 30% modified nucleotides (e.g., from about 1%-30%, 2%-30%, 3%-30%, 4%-30%, 5%-30%, 6%-30%, 7%-30%, 8%-30%, 9%-30%, 10%-30%, 11%-30%, 12%-30%, 13%-30%, 14%-30%, 15%
- modified nucleotides suitable for use in the presently disclosed formulations include, but are not limited to, ribonucleotides having a 2′-O-methyl (2′OMe), 2′-deoxy-2′-fluoro(2′F), 2′-deoxy, 5-C-methyl, 2′-O-(2-methoxyethyl) (MOE), 4′-thio, 2′-amino, or 2′-C-allyl group.
- Modified nucleotides having a Northern conformation are also suitable for use in siRNA molecules.
- Such modified nucleotides include, without limitation, locked nucleic acid (LNA) nucleotides (e.g., 2′-O, 4′-C-methylene-(D-ribofuranosyl) nucleotides), 2′-O-(2-methoxyethyl) (MOE) nucleotides, 2′-methyl-thio-ethyl nucleotides, 2′-deoxy-2′-fluoro(2′F) nucleotides, 2′-deoxy-2′-chloro(2′Cl) nucleotides, and 2′-azido nucleotides.
- LNA locked nucleic acid
- MOE 2-methoxyethyl
- siRNA molecules described herein include one or more G-clamp nucleotides.
- a G-clamp nucleotide refers to a modified cytosine analog wherein the modifications confer the ability to hydrogen bond both Watson-Crick and Hoogsteen faces of a complementary guanine nucleotide within a duplex.
- nucleotides having a nucleotide base analog such as, for example, C-phenyl, C-naphthyl, other aromatic derivatives, inosine, azole carboxamides, and nitroazole derivatives such as 3-nitropyrrole, 4-nitroindole, 5-nitroindole, and 6-nitroindole can be incorporated into siRNA molecules.
- the siRNA molecules may further comprise one or more chemical modifications such as terminal cap moieties, phosphate backbone modifications, and the like.
- terminal cap moieties include, but are not limited to, inverted deoxy abasic residues, glyceryl modifications, 4′,5′-methylene nucleotides, 1-( ⁇ -D-erythrofuranosyl) nucleotides, 4′-thio nucleotides, carbocyclic nucleotides, 1,5-anhydrohexitol nucleotides, L-nucleotides, a-nucleotides, modified base nucleotides, threo-pentofuranosyl nucleotides, acyclic 3′,4′-seco nucleotides, acyclic 3,4-dihydroxybutyl nucleotides, acyclic 3,5-dihydroxypentyl nucleotides, 3′-3′-inverted nucleotide moie
- phosphate backbone modifications include, but are not limited to, phosphorothioate, phosphorodithioate, methylphosphonate, phosphotriester, morpholino, amidate, carbamate, carboxymethyl, acetamidate, polyamide, sulfonate, sulfonamide, sulfamate, formacetal, thioformacetal, and alkylsilyl substitutions.
- Such chemical modifications can occur at the 5′-end and/or 3′-end of the sense strand, antisense strand, or both strands of the siRNA.
- the sense and/or antisense strand of the siRNA molecule can further comprise a 3′-terminal overhang having about 1 to about 4 (e.g., 1, 2, 3, or 4) 2′-deoxy ribonucleotides and/or any combination of modified and unmodified nucleotides.
- the siRNA molecules can optionally comprise one or more non-nucleotides in one or both strands of the siRNA.
- non-nucleotide refers to any group or compound that can be incorporated into a nucleic acid chain in the place of one or more nucleotide units, including sugar and/or phosphate substitutions, and allows the remaining bases to exhibit their activity.
- the group or compound is abasic in that it does not contain a commonly recognized nucleotide base such as adenosine, guanine, cytosine, uracil, or thymine and therefore lacks a base at the 1′-position.
- chemical modification of the siRNA comprises attaching a conjugate to the siRNA molecule.
- the conjugate can be attached at the 5′ and/or 3′-end of the sense and/or antisense strand of the siRNA via a covalent attachment such as, e.g., a biodegradable linker.
- the conjugate can also be attached to the siRNA, e.g., through a carbamate group or other linking group.
- the conjugate is a molecule that facilitates the delivery of the siRNA into a cell.
- the active agent comprises an asymmetrical interfering RNA (aiRNA).
- aiRNA duplexes of various lengths may be designed with overhangs at the 3′ and 5′ ends of the antisense strand to target an mRNA of interest.
- the sense strand of the aiRNA molecule is about 10-25, 12-20, 12-19, 12-18, 13-17, or 14-17 nucleotides in length, more typically 12, 13, 14, 15, 16, 17, 18, 19, or 20 nucleotides in length.
- the antisense strand of the aiRNA molecule is about 15-60, 15-50, or 15-40 nucleotides in length, or about 15-30, 15-25, or 19-25 nucleotides in length, or about 20-24, 21-22, or 21-23 nucleotides in length.
- the 5′ antisense overhang contains one, two, three, four, or more nontargeting nucleotides (e.g., “AA”, “UU”, “dTdT”, etc.).
- the 3′ antisense overhang contains one, two, three, four, or more nontargeting nucleotides (e.g., “AA”, “UU”, “dTdT”, etc.).
- the aiRNA molecules described herein may comprise one or more modified nucleotides, e.g., in the double-stranded (duplex) region and/or in the antisense overhangs.
- aiRNA sequences may comprise one or more of the modified nucleotides described above for siRNA sequences.
- the aiRNA molecule comprises 2′OMe nucleotides such as, for example, 2′OMe-guanosine nucleotides, 2′OMe-uridine nucleotides, or mixtures thereof.
- aiRNA molecules may comprise an antisense strand which corresponds to the antisense strand of an siRNA molecule, e.g., one of the siRNA molecules described herein. In certain embodiments, aiRNA molecules may be used to silence the expression of any of a target gene.
- the aiRNA molecule comprises a double-stranded (duplex) region of about 10 to about 25 (base paired) nucleotides in length, wherein the aiRNA molecule comprises an antisense strand comprising 5′ and 3′ overhangs, and wherein the aiRNA molecule is capable of silencing target gene expression.
- each of the 5′ and 3′ overhangs on the antisense strand comprises or consists of one, two, three, four, five, six, seven, or more nucleotides.
- the aiRNA molecule comprises modified nucleotides selected from the group consisting of 2′OMe nucleotides, 2′F nucleotides, 2′-deoxy nucleotides, 2′-O-MOE nucleotides, LNA nucleotides, and mixtures thereof.
- the active agent comprises a microRNAs (miRNA).
- miRNA are single-stranded RNA molecules of about 21-23 nucleotides in length, which regulate gene expression.
- the miRNA molecules described herein are about 15-100, 15-90, 15-80, 15-75, 15-70, 15-60, 15-50, or 15-40 nucleotides in length, or about 15-30, 15-25, or 19-25 nucleotides in length, or about 20-24, 21-22, or 21-23 nucleotides in length.
- the miRNA molecule comprises about 15 to about 60 nucleotides in length, wherein the miRNA molecule is capable of silencing target gene expression.
- miRNA molecules may comprise one or more modified nucleotides.
- miRNA sequences may comprise one or more of the modified nucleotides described above for siRNA sequences.
- the miRNA molecule comprises 2′OMe nucleotides such as, for example, 2′OMe-guanosine nucleotides, 2′OMe-uridine nucleotides, or mixtures thereof.
- the miRNA molecule comprises modified nucleotides selected from the group consisting of 2′F nucleotides, 2′-deoxy nucleotides, 2′-O-MOE nucleotides, LNA nucleotides, and mixtures thereof.
- the active agent is a dsRNA (double-stranded RNA). In certain embodiments, the active agent is an shRNA (short hairpin RNA).
- the active agent is an antisense oligonucleotide.
- antisense polynucleotide or “antisense” include polynucleotides that are complementary to a targeted polynucleotide sequence. Antisense polynucleotides are single strands of DNA or RNA that are complementary to a chosen sequence.
- the polynucleotide is an antisense RNA.
- Antisense RNA polynucleotides prevent the translation of complementary RNA strands by binding to the RNA.
- Antisense DNA polynucleotides can be used to target a specific, complementary (coding or non-coding) RNA. If binding occurs, this DNA/RNA hybrid can be degraded by the enzyme RNase H.
- antisense polynucleotides comprise from about 10 to about 60 nucleotides, or from about 15 to about 30 nucleotides. The term also encompasses antisense polynucleotides that may not be exactly complementary to the desired target gene.
- the invention can be utilized in instances where non-target specific-activities are found with antisense, or where an antisense sequence containing one or more mismatches with the target sequence is the most preferred for a particular use.
- antisense polynucleotides are known in the art and can be readily adapted to produce an antisense polynucleotides that targets any polynucleotide sequence. Selection of antisense polynucleotide sequences specific for a given target sequence is based upon analysis of the chosen target sequence and determination of secondary structure, Tm, binding energy, and relative stability. Antisense polynucleotides may be selected based upon their relative inability to form dimers, hairpins, or other secondary structures that would reduce or prohibit specific binding to the target mRNA in a host cell. Highly preferred target regions of the mRNA include those regions at or near the AUG translation initiation codon and those sequences that are substantially complementary to 5′ regions of the mRNA.
- the active agent is a ribozyme.
- Ribozymes are RNA-protein complexes having specific catalytic domains that possess endonuclease activity. For example, a large number of ribozymes accelerate phosphoester transfer reactions with a high degree of specificity, often cleaving only one of several phosphoesters in an oligonucleotide substrate. This specificity has been attributed to the requirement that the substrate bind via specific base-pairing interactions to the internal guide sequence (“IGS”) of the ribozyme prior to chemical reaction.
- IGS internal guide sequence
- the enzymatic nucleic acid molecule may be formed in a hammerhead, hairpin, hepatitis ⁇ virus, group I intron or RNaseP RNA (in association with an RNA guide sequence), or Neurospora VS RNA motif, for example.
- Important characteristics of enzymatic nucleic acid molecules used according to the invention are that they have a specific substrate binding site which is complementary to one or more of the target gene DNA or RNA regions, and that they have nucleotide sequences within or surrounding that substrate binding site which impart an RNA cleaving activity to the molecule.
- Ribozyme activity can be optimized by altering the length of the ribozyme binding arms or chemically synthesizing ribozymes with modifications that prevent their degradation by serum ribonucleases, modifications which enhance their efficacy in cells, and removal of stem II bases to shorten RNA synthesis times and reduce chemical requirements.
- an insecticide for killing or controlling the proliferation of an insect is combined with the active agent described above.
- suitable insecticides include, but are not limited to, those provided in Table 1.
- carboxamides such as flonicamid
- octopaminergic agonists such as amitraz
- inhibitors of the magnesium-stimulated ATPase such as propargite
- ryanodin receptor agonists such as phthalamides or rynaxapyr
- phthalamides N 2 -[1,1-dimethyl-2-(methylsulphonyl)ethyl]-3-iodo-N 1 -[2-methyl--4- [1,2,2,2-tetrafluoro-1-(trifluoromethyl)ethyl]phenyl]-1,2-benzenedi- carboxamide i.e., flubendiamide; CAS reg. No.: 272451-65-7
- suitable insecticides include biologics, hormones or pheromones such as azadirachtin, Bacillus species, Beauveria species, codlemone, Metarrhizium species, Paecilomyces species, thuringiensis and Verticillium species, and active compounds having unknown or non-specified mechanisms of action such as fumigants (such as aluminium phosphide, methyl bromide and sulphuryl fluoride) and selective feeding inhibitors (such as cryolite, flonicamid and pymetrozine).
- biologics such as azadirachtin, Bacillus species, Beauveria species, codlemone, Metarrhizium species, Paecilomyces species, thuringiensis and Verticillium species
- active compounds having unknown or non-specified mechanisms of action such as fumigants (such as aluminium phosphide, methyl bromide and sulphuryl fluoride) and selective feeding inhibitors (such as cryolite,
- mite growth inhibitors include, but are not limited to, clofentezine, etoxazole and hexythiazox, amidoflumet, benclothiaz, benzoximate, bifenazate, bromopropylate, buprofezin, chinomethioat, chlordimeform, chlorobenzilate, chloropicrin, clothiazoben, cycloprene, cyflumetofen, dicyclanil, fenoxacrim, fentrifanil, flubenzimine, flufenerim, flutenzin, gossyplure, hydramethylnone, japonilure, metoxadiazone, petroleum, piperonyl butoxide, potassium oleate, pyrafluprole, pyridalyl, pyriprole, sulfluramid, tetradifon, tetrasul, triarathene, verbutin, furthermore the compound 3-
- an herbicide for killing or controlling the proliferation of weeds and other unwanted plants is combined with one the active agent described above.
- herbicides include, but are not limited to, benzoic acid herbicides such as dicamba esters, phenoxyalkanoic acid herbicides such as 2,4-D, MCPA and 2,4-DB esters, aryloxyphenoxypropionic acid herbicides such as clodinafop, cyhalofop, fenoxaprop, fluazifop, haloxyfop and quizalofop esters, pyridinecarboxylic acid herbicides such as aminopyralid, picloram and clopyralid esters, pyrimidinecarboxylic acid herbicides such as aminocyclopyrachlor esters, pyridyloxyalkanoic acid herbicides such as fluoroxypyr and triclopyr esters, and hydroxybenzonitrile herbicides such as bromoxynil and ioxynil esters
- a fungicide for killing or controlling the proliferation of a fungus is combined with the active agent described above.
- exemplary fungicides include, but are not limited to, strobilurins, azoxystrobin, dimoxystrobin, enestroburin, fluoxastrobin, kresoxim-methyl, metominostrobin, picoxystrobin, pyraclostrobin, trifloxystrobin, orysastrobin, carboxamides, carboxanilides, benalaxyl, benalaxyl-M, benodanil, carboxin, mebenil, mepronil, fenfuram, fenhexamid, flutolanil, furalaxyl, furcarbanil, furametpyr, metalaxyl, metalaxyl-M (mefenoxam), methfuroxam, metsulfovax, ofurace, oxadixyl, oxycar
- the target organism is any organism in which one or more genes is regulated by the active agent.
- the target organism is an organism comprising one or more genes that is targeted by an oligonucleotide or polynucleotide active agent.
- the target organism is a plant in which one or more yield-related traits is improved by the active agent.
- the target organism is a beneficial insect whose growth, fecundity, or disease resistance is improved by the active agent.
- the target organisms are plant pests or pathogens whose damage to the plant can be reduced or eliminated by active agents according to the invention.
- plant pests and pathogens include, but are not limited to, insects, nematodes, fungi, bacteria, viruses, and parasitic plants such as striga, dodder, and mistletoe.
- Insect pests that may be targeted according to the invention include, but are not limited to, chewing, sucking, and boring insects that belong, for example, to the non-limiting Orders Coleoptera, Diptera, Hemiptera, Heteroptera, Homoptera, Hymenoptera, Lepidoptera, and Orthoptera.
- the composition may be taken up by an insect by direct contact with the composition, for example, by topical adsorption or inhalation of the composition or by direct feeding on a bait comprising the composition, as described below.
- the compositions may also be taken up by the insect by direct feeding on a plant that has been treated with the composition. Examples of insect pests that may be targeted by the invention include, but are not limited to, those provided in Table 2.
- nematodes examples include, but are not limited to, those provided in Table 3.
- panyuensis , M paranaensis Spiral Helicotylenchus spp. Sting Belonolaimus spp., B. longicaudatus Stubby-root Paratrichodorus spp., P. christiei , P. minor , Quinisulcius acutus , Trichodorus spp. Stunt Tylenchorhynchus dubius Others Hirschmanniella species, Pratylenchoid magnicauda
- fungi examples include, but are not limited to, those provided in Table 4.
- Hyalothyridium leaf spot Hyalothyridium maydis Late wilt Cephalosporium maydis Leaf spots, minor Alternaria alternata , Ascochyta maydis , A.
- Exserohilum prolatum Drechslera prolata (teleomorph: Setosphaeria prolata) Graphium penicillioides , Leptosphaeria maydis , Leptothyrium zeae , Ophiosphaerella herpotricha, (anamorph: Scolecosporiella sp.), Paraphaeosphaeria michotii, Phoma sp., Septoria zeae , S. zeicola , S.
- Phaeocytostroma stalk rot Phaeocytostroma ambiguum , Phaeocytosporella zeae and root rot Phaeosphaeria leaf spot Phaeosphaeria maydis , Sphaerulina maydis Physalospora ear rot Botryosphaeria Botryosphaeria festucae Physalospora zeicola, (anamorph: Diplodia frumenti ) Purple leaf sheath Hemiparasitic bacteria and fungi Pyrenochaeta stalk rot and Phoma terrestris , Pyrenochaeta terrestris root rot Pythium root rot Pythium spp., P.
- P. graminicola Pythium stalk rot Pythium aphanidermatum P. butleri L. Red kernel disease (ear Epicoccum nigrum mold, leaf and seed rot) Rhizoctonia ear rot Rhizoctonia zeae (teleomorph: Waitea circinata ) Rhizoctonia root rot and Rhizoctonia solani , Rhizoctonia zeae stalk rot Root rots, minor Alternaria alternata , Cercospora sorghi , Dictochaeta fertilis, Fusarium acuminatum (teleomorph: Gibberella acuminate ), F. equiseti (teleomorph: G.
- Rhizopus arrhizus Rostratum leaf spot leaf Setosphaeria rostrata
- Helminthosporium anamorph: Exserohilum disease, ear and, stalk rot
- rostratum Helminthosporium rostratum
- Rust common corn Puccinia sorghi Rust, southern corn Puccinia polysora Rust, tropical corn Physopella pallescens , P.
- Trichoderma ear rot and Trichoderma viride T.
- Brown spot black spot, Physoderma maydis stalk rot
- Cephalosporium kernel rot Acremonium strictum Cephalosporium acremonium
- bacteria that may be targeted include, but are not limited to, those shown in Table 5.
- plant viruses that may be targeted include, but are not limited to, those shown in the Table 6.
- Alfamoviruses Alfalfa mosaic alfamovirus Bromoviridae
- Alphacryptoviruses Alfalfa 1 alphacryptovirus, Beet 1 alphacryptovirus, Beet 2 Partitiviridae alphacryptovirus, Beet 3 alphacryptovirus, Carnation 1 alphacryptovirus, Carrot temperate 1 alphacryptovirus, Carrot temperate 3 alphacryptovirus, Carrot temperate 4 alphacryptovirus, Cocksfoot alphacryptovirus, Hop trefoil 1 alphacryptovirus, Hop trefoil 3 alphacryptovirus, Radish yellow edge alphacryptovirus, Ryegrass alphacryptovirus, Spinach temperate alphacryptovirus, Vicia alphacryptovirus, White clover 1 alphacryptovirus, White clover 3 alphacryptovirus Badnaviruses Banana streak badnavirus, Cacao swollen shoot badnavirus, Canna yellow mottle badnavirus, Commelina yellow mo
- the target organism is a weed.
- the term “weed” refers to any unwanted plant.
- the weed to be controlled may include monocotyledonous species, such as species of the genus Agrostis, Alopecurus, Avena, Bromus, Cyperus, Digitaria, Echinochloa, Lolium, Monochoria, Rottboellia, Sagittaria, Scirpus, Setaria, Sida or Sorghum , and dicotyledonous species, for example species of the genus Abutilon, Amaranthus, Chenopodium, Chrysanthemum, Conyza, Galium, Ipomoea, Nasturtium, Sinapis, Solanum, Stellaria, Veronica, Viola or Xanthium .
- Weeds can also include plants which may be considered crop plants but which are growing outside a crop area (escapes), or which grow from seed left over from a previous planting of a different crop (volunteers). Such volunteers or escapes may be tolerant to certain other herbicides.
- compositions of the present invention may be used to enhance a yield-related trait in a plant.
- Yield-related traits that may be enhanced by the compositions of the present invention include, but are not limited to, total seed germination, rate of seed germination, plant biomass, disease tolerance, insect tolerance, drought tolerance, heat tolerance, cold tolerance, salinity tolerance, tolerance to heavy metals, total yield, seed yield, root growth, early vigor, plant biomass, plant size, total plant dry weight, above-ground dry weight, above-ground fresh weight, leaf area, stem volume, plant height, rosette diameter, leaf length, root length, root mass, tiller number, and leaf number.
- Representative crop plants that may be target organisms include monocotyledonous and dicotyledonous plants including but not limited to fodder or forage legumes, ornamental plants, food crops, trees, or shrubs selected from Acer spp., Allium spp., Amaranthus spp., Ananas comosus, Apium graveolens, Arachis spp, Asparagus officinalis, Beta vulgaris, Brassica spp. (e.g., Brassica napus, Brassica rapa ssp.
- Camellia sinensis Canna indica, Cannabis saliva, Capsicum spp., Castanea spp., Cichorium endivia, Citrullus lanatus, Citrus spp., Cocos spp., Coffea spp., Coriandrum sativum, Corylus spp., Crataegus spp., Cucurbita spp., Cucumis spp., Daucus carota, Fagus spp., Ficus carica, Fragaria spp., Ginkgo biloba, Glycine spp.
- Lycopersicon esculenturn e.g., Lycopersicon esculenturn, Lycopersicon lycopersicum, Lycopersicon pyriforme
- Malus spp. Medicago sativa, Mentha spp., Miscanthus sinensis, Morus nigra, Musa spp., Nicotiana spp., Olea spp., Oryza spp.
- Triticum aestivum, Triticum durum, Triticum turgidum, Triticum hybernum, Triticum macha, Triticum sativum or Triticum vulgare e.g., Triticum aestivum, Triticum durum, Triticum turgidum, Triticum hybernum, Triticum macha, Triticum sativum or Triticum vulgare
- Vaccinium spp. Vicia spp., Vigna spp., Viola odorata, Vitis spp., and Zea mays .
- rice, oilseed rape, canola, soybean, corn (maize), cotton, sugarcane, alfalfa, sorghum, and wheat e.g., Triticum aestivum, Triticum durum, Triticum turgidum, Triticum hybernum, Triticum macha, Triticum sativum or Triticum
- a target gene of interest my also include a gene that is essential to the survival of an organism, such as a weed, insect, or plant pathogen, and can serve as a target for controlling growth and proliferation of the organism.
- dsRNA-mediated silencing of an essential gene in an insect pest can induce cessation of feeding and ultimately growth inhibition, morbidity, or mortality.
- certain coleopteran insect species most notably the western corn rootworm, Diabrotica virgifera virgifera , are extraordinarly sensitive to ingested dsRNAs.
- Highly efficacious dsRNAs yield LC50 values in the parts-per-billion (ppb or ng/ml) range with this species.
- RNAi provides a unique mode of action for the control of insect pests that could complement the current strategy of expressing Bacillus thuringiensis insecticidal proteins in plants of agricultural importance.
- dsRNAs targeting essential insect genes can be delivered via topical sprays for RNAi-mediated insect control.
- the compositions of the invention may be applied to an organism that is different from the target organism.
- the target organism is an insect
- the composition is applied to a non-target organism, such as a plant, that is a host for the insect.
- a “non-target organism” is any organism other than the target organism.
- a non-target organism can comprise a host organism and organisms that consume the host organism or otherwise contact polynucleotides (e.g., siRNAs or antisense polynucleotides) or proteins expressed in a host organism.
- polynucleotides e.g., siRNAs or antisense polynucleotides
- the target-specific design of polynucleotides such as RNAi and antisense polynucleotides, as described herein, provides that such polynucleotides have little or no gene silencing activity in non-target organisms.
- Non-target organisms include crop plants that may be infected with a target organism, such as a plant pathogen or insect.
- Representative crop plants include monocotyledonous and dicotyledonous plants including but not limited to fodder or forage legumes, ornamental plants, food crops, trees, or shrubs selected from Acer spp., Allium spp., Amaranthus spp., Ananas comosus, Apium graveolens, Arachis spp, Asparagus officinalis, Beta vulgaris, Brassica spp. (e.g., Brassica napus, Brassica rapa ssp.
- Camellia sinensis Canna indica, Cannabis saliva, Capsicum spp., Castanea spp., Cichorium endivia, Citrullus lanatus, Citrus spp., Cocos spp., Coffea spp., Coriandrum sativum, Corylus spp., Crataegus spp., Cucurbita spp., Cucumis spp., Daucus carota, Fagus spp., Ficus carica, Fragaria spp., Ginkgo biloba, Glycine spp.
- Lycopersicon esculenturn e.g., Lycopersicon esculenturn, Lycopersicon lycopersicum, Lycopersicon pyriforme
- Malus spp. Medicago sativa, Mentha spp., Miscanthus sinensis, Morus nigra, Musa spp., Nicotiana spp., Olea spp., Oryza spp.
- Triticum aestivum, Triticum durum, Triticum turgidum, Triticum hybernum, Triticum macha, Triticum sativum or Triticum vulgare e.g., Triticum aestivum, Triticum durum, Triticum turgidum, Triticum hybernum, Triticum macha, Triticum sativum or Triticum vulgare
- Vaccinium spp. Vicia spp., Vigna spp., Viola odorata, Vitis spp., and Zea mays .
- rice, oilseed rape, canola, soybean, corn (maize), cotton, sugarcane, alfalfa, sorghum, and wheat e.g., Triticum aestivum, Triticum durum, Triticum turgidum, Triticum hybernum, Triticum macha, Triticum sativum or Triticum
- the compositions described herein can be applied as a spray or powder to the plant, plant part, seed, a pest, or an area of cultivation.
- the compositions can be formulated as a bait, food substance, or attractant.
- the compositions can be incorporated into an insect bait suitable for oral administration of the composition to the target insect.
- the bait may comprise a composition comprising an active agent and a hydrazinyl and hydrazinylalcohol lipidoid of the invention dispersed in a carrier, and an edible insect attractant.
- the bait comprises an edible insect attractant and a nanoparticle or microparticle comprising the active agent and hydrazinyl and hydrazinylalcohol lipidoid, wherein the nanoparticle or microparticle is dispersed in a carrier.
- the composition and attractant are mixed together before being dispersed in the desired carrier.
- Suitable attractants include any type of insect food and/or attractant which will lure the insect to the bait to ingest the bait.
- Exemplary insect foods or attractants include any type of insect food, including various sugars, proteins, carbohydrates, yeast, fats, and/or oils.
- the bait can be in any form suitable for delivery and ingestion of the composition, depending on the habitat and target insect, but will typically be a liquid, gel, self-sustaining gel-matrix, or solid bait (e.g., tablets, granules, etc.).
- Exemplary carriers include, without limitation, agarose gel, gelatin gel, and/or pectin gel.
- the carrier is agarose gel, which is especially suited for aquatic habitats and breeding grounds.
- Insect baits are known in the art and are described, for example, in U.S. Pat. No. 8,841,272.
- compositions are present in the bait in an effective amount (i.e., concentration) for the activity of the active agent, such as gene silencing.
- concentration of the active agent in the bait may be about 0.001, 0.005, 0.01, 0.05, 0.1, 0.5, 1, 2, 3, 4, 5, 6, 7, 8, 9, 10, 11, 12, 13, 14, 15, 16, 17, 18, 19 or 20% by weight of the bait. Any of these values may be used to define a range for the concentration of the active agent in the bait.
- the concentration of the active agent in the bait may range from about 0.1 to about 1%, or from about 1 to about 5% by weight of the bait.
- the weight ratio of active agent to insect attractant (food) in the bait may be about 1:1, 1:5, 1:10, 1:20, 1:30, 1:40, 1:50, 1:60, 1:70, 1:80, 1:90, 1:100, 1:150 or 1:200. Any of these values may be used to define a range for the weight ratio of the active agent to the insect attractant in the bait.
- the weight ratio of the active agent to the insect attractant in the bait may be from about 1:20 to about 1:200, or from about 1:50 to about 1:100.
- the concentration of the microparticle or nanoparticle comprising the active agent and the hydrazinyl and hydrazinylalcohol lipidoid in the bait may be about 0.001, 0.005, 0.01, 0.05, 0.1, 0.5, 1, 2, 3, 4, 5, 6, 7, 8, 9, 10, 11, 12, 13, 14, 15, 16, 17, 18, 19 or 20% by weight of the bait. Any of these values may be used to define a range for the concentration of the microparticle or nanoparticle in the bait. For example, the concentration of the microparticle or nanoparticle in the bait may range from about 0.1 to about 1%, or from about 1 to about 5% by weight of the bait.
- the weight ratio of the microparticle or nanoparticle to insect attractant (food) in the bait may be about 1:1, 1:5, 1:10, 1:20, 1:30, 1:40, 1:50, 1:60, 1:70, 1:80, 1:90, 1:100, 1:150 or 1:200. Any of these values may be used to define a range for the weight ratio of the microparticle or nanoparticle to the insect attractant in the bait.
- the weight ratio of the microparticle or nanoparticle to the insect attractant in the bait may be from about 1:20 to about 1:200, or from about 1:50 to about 1:100.
- compositions of the invention may also be applied as concentrated emulsions, dusts, emulsifiable concentrates, fumigants, gels, granules, seed treatments, suspension concentrates, suspoemulsions, tablets, water soluble liquids, water dispersible granules or dry flowables, wettable powders, and ultra low volume solutions.
- formulation types see “Catalogue of Pesticide Formulation Types and International Coding System” Technical Monograph No. 2, 5th Edition by CropLife International (2002). Agricultural formulations are also described, for example, in U.S. Pat. No. 8,815,271.
- compositions of the invention may be applied as aqueous suspensions or emulsions prepared from concentrated formulations.
- water-soluble, water-suspendable, or emulsifiable formulations are either solids, usually known as wettable powders, or water dispersible granules, or liquids usually known as emulsifiable concentrates, or aqueous suspensions.
- Wettable powders which may be compacted to form water dispersible granules, comprise an intimate mixture of the composition, a carrier, and surfactants.
- the carrier may be selected from attapulgite clays, montmorillonite clays, diatomaceous earths, and purified silicates.
- Effective surfactants comprising from about 0.5% to about 10% of the wettable powder, include sulfonated lignins, condensed naphthalenesulfonates, naphthalenesulfonates, alkylbenzenesulfonates, alkyl sulfates, and non-ionic surfactants such as ethylene oxide adducts of alkyl phenols.
- Emulsifiable concentrates comprise a suitable concentration of the composition, such as from about 50 to about 500 grams per liter of liquid dissolved in a carrier that is either a water miscible solvent or a mixture of water-immiscible organic solvent and emulsifiers.
- Suitable organic solvents include aromatics, especially xylenes and petroleum fractions, especially the high-boiling naphthalenic and olefinic portions of petroleum such as heavy aromatic naphtha.
- Other organic solvents may also be used, such as the terpenic solvents including rosin derivatives, aliphatic ketones such as cyclohexanone, and complex alcohols such as 2-ethoxyethanol.
- Suitable emulsifiers for emulsifiable concentrates are selected from conventional anionic and non-ionic surfactants.
- Aqueous suspensions comprise suspensions of water-insoluble forms of the compositions of the invention dispersed in an aqueous carrier at a concentration in the range from about 5% to about 50% by weight.
- Ingredients, such as inorganic salts and synthetic or natural gums may also be added, to increase the density and viscosity of the aqueous carrier.
- compositions may also be applied as granular compositions, for example, for applications to the soil.
- Granular compositions may contain from about 0.5% to about 10% by weight of the composition, dispersed in a carrier that comprises clay or a similar substance.
- Such compositions may be prepared by dissolving the composition in a suitable solvent and applying it to a granular carrier which has been pre-formed to a suitable particle size, for example, in the range of from about 0.5 to about 3 mm.
- Such compositions may also be formulated by making a dough or paste of the carrier and compound and crushing and drying to obtain the desired granular particle size.
- Dusts comprising the compositions of the invention may be prepared by intimately mixing the composition in powdered form with a suitable dusty agricultural carrier, such as kaolin clay, ground volcanic rock, and the like. Dusts may contain from about 1% to about 10% by weight of the composition. They may be applied as a seed dressing or as a foliage application with a dust blower machine.
- a suitable dusty agricultural carrier such as kaolin clay, ground volcanic rock, and the like. Dusts may contain from about 1% to about 10% by weight of the composition. They may be applied as a seed dressing or as a foliage application with a dust blower machine.
- compositions may also be applied in the form of a solution in an appropriate organic solvent (e.g. petroleum oil) such as the spray oils, which are widely used in agricultural chemistry.
- an appropriate organic solvent e.g. petroleum oil
- spray oils which are widely used in agricultural chemistry.
- the composition may also be applied in the form of an aerosol composition.
- the composition is dissolved or dispersed in a carrier, which is a pressure-generating propellant mixture.
- the aerosol composition is packaged in a container from which the mixture is dispensed through an atomizing valve.
- Agriculturally acceptable carriers may also include surface active agents, stickers, spreader stickers, inert carriers, preservatives, humectants, dyes, U.V. (ultra-violet) protectants, buffers, flow agents, antifoams (e.g. polydimethylsiloxane), sodium aluminosilicate or other components which facilitate product handling and application of the compositions.
- surface active agents stickers, spreader stickers, inert carriers, preservatives, humectants, dyes, U.V. (ultra-violet) protectants, buffers, flow agents, antifoams (e.g. polydimethylsiloxane), sodium aluminosilicate or other components which facilitate product handling and application of the compositions.
- agriculturally acceptable inert carriers include inorganic minerals such as kaolin, mica, gypsum, fertilizer, carbonates, sulfates, or phosphates; organic materials such as sugar, starches or cyclodextrins; or botanical materials such as wood products, cork, powdered corn cobs, rice hulls, peanut hulls and walnut shells.
- Agriculturally acceptable carriers are described, for example in U.S. Pat. No. 6,984,609.
- compositions may further comprise one or more additional compounds to facilitate passage of the active agent through the plant cell wall.
- additional compounds to facilitate passage of compounds through the plant cell wall.
- U.S. Pat. No. 8,609,420 describes conjugation of the active agent to a semi-conductor nanoparticle within the size range of 3-5 nm (e.g. a “quantum dot”) and one or more cell penetrating peptides to improve penetration of the plant cell and intracellular delivery of the active agent.
- U.S. Pat. No. 8,686,222 describes interacting a polyamidoamine dendrimer and one or more cell penetrating peptides with the active agent to improve cell penetration.
- 8,653,327 describes delivery of active agents through plant cell walls by coating a PEGylated semiconductor nanoparticle with the active agent.
- U.S. Pat. No. 8,722,410 describes transferring active agents into plant cells by applying the active agent to a nanoparticle coated with a subcellular compartment targeting protein.
- U.S. Pat. Nos. 8,609,420, 8,686,222, 8,653,327, and 8,722,410 are incorporated by reference herein in their entirety.
- the presently disclosed hydrazinylalcohol lipidoid-based formulations can be used to deliver a therapeutic agent to a target in a subject for the purpose of treating or preventing a disease or disorder.
- the presently disclosed hydrazinylalcohol lipidoid-based formulations are combined with a pharmaceutically acceptable excipient and/or carrier to form a pharmaceutical formulation.
- the disease or disorder is treated or prevented by administering a therapeutically effective amount of the pharmaceutical formulation to a subject in need thereof.
- the subject is a mammal. In certain embodiments, the subject is a human.
- the presently disclosed hydrazinylalcohol lipidoid-based formulations i.e., complexes, microparticles, nanoparticles, picoparticles, liposomes, and micelles, are combined with one or more pharmaceutically acceptable excipients and/or carriers to form pharmaceutical formulations suitable to administer to mammals, including humans.
- excipients and carriers examples include, but are not limited to, fillers, extenders, binders, humectants, disintegrants, plasticizers, stabilizers, solution retarding agents, wetting agents, suspending agents, thickening agents, absorbents, lubricants, surfactants, buffering agents, diluents, solvents, emulsifying agents, suspending agents, sweetening agents, flavoring agents, perfuming agents, opacifying agents, separating agents, and coating permeability adjusters.
- Excipients and/or carriers may comprise about 1%, 2%, 3%, 4%, 5%, 10%, 15%, 20%, 25%, 30%, 40%, 50%, or higher percentage of the presently disclosed pharmaceutical formulations.
- compositions of this invention can be administered to mammals, including humans, by any conventional route.
- routes include, but are not limited to, orally, rectally, parenterally, intracisternally, intravaginally, intranasally, intraperitoneally, topically, bucally, or as an oral or nasal spray.
- Dosage forms for oral administration include, but are not limited to, solid and liquid dosage forms.
- Solid dosage forms for oral administration include, but are not limited to, capsules, tablets, pills, powders, and granules.
- Liquid dosage forms for oral administration include, but are not limited to, emulsions, microemulsions, solutions, suspensions, syrups, and elixirs.
- Dosage forms for topical administration include, but are not limited to, ointments, pastes, creams, lotions, gels, powders, solutions, sprays, inhalants, and transdermal patches.
- parenteral administration and “administered parenterally” means modes of administration other than enteral and topical administration, usually by injection, and includes, but is not limited to, intravenous, intramuscular, intraarterial, intrathecal, intracapsular, intraorbital, intracardiac, intradermal, intraperitoneal, transtracheal, subcutaneous, subcuticular, intraarticular, subcapsular, subarachnoid, intraspinal, and intrasternal injection and infusion.
- a daily dosage of from 0.01 to 2000 mg of the therapeutic agent is recommended for an adult human patient, and this may be administered in a single dose or in divided doses.
- the term “therapeutic agent” includes any synthetic or naturally occurring biologically active compound or composition which, when administered to subject, induces a desired pharmacologic, immunogenic, and/or physiologic effect by local and/or systemic action.
- the term therefore encompasses those compounds or chemicals traditionally regarded as drugs, vaccines, and biopharmaceuticals, including molecules such as proteins, peptides, hormones, nucleic acids, and gene constructs. More particularly, the term “therapeutic agent” includes compounds or compositions for use in all of the major therapeutic areas.
- therapeutic agents include, but are not limited to, nucleic acids, adjuvants, anti-infectives such as antibiotics and antiviral agents, analgesics and analgesic combinations, anorexics, anti-inflammatory agents, anti-epileptics, local and general anesthetics, hypnotics, sedatives, antipsychotic agents, neuroleptic agents, antidepressants, anxiolytics, antagonists, neuron blocking agents, anticholinergic and cholinomimetic agents, antimuscarinic and muscarinic agents, antiadrenergics, antiarrhythmics, antihypertensive agents, hormones, and nutrients, antiarthritics, antiasthmatic agents, anticonvulsants, antihistamines, antinauseants, antineoplastics, antipruritics, antipyretics; antispasmodics, cardiovascular preparations (including calcium channel blockers, beta-blockers, beta-agonists and antiarrythmics),
- the agent may be a biologically active agent used in medical, including veterinary, applications.
- the term therapeutic agent also includes without limitation, medicaments, vitamins; mineral supplements, substances used for the treatment, prevention, diagnosis, cure or mitigation of disease or illness, substances which affect the structure or function of the body, or pro-drugs, which become biologically active or more active after they have been placed in a predetermined physiological environment.
- These therapeutic agents may be administered alone with pharmaceutical formulations or in combination (e.g., co-administered) with pharmaceutical formulations comprising nucleic acid, such as interfering RNA.
- nucleic acids include, but are not limited to, interfering RNA molecules (e.g., siRNA, aiRNA, miRNA), antisense oligonucleotides, plasmids, ribozymes, immunostimulatory oligonucleotides, and mixtures thereof.
- interfering RNA molecules e.g., siRNA, aiRNA, miRNA
- antisense oligonucleotides e.g., aiRNA, miRNA
- plasmids plasmids
- ribozymes e.g., immunostimulatory oligonucleotides, and mixtures thereof.
- Nucleic acids delivered as the therapeutic agent in the presently disclosed pharmaceutical formulations can be used to downregulate or silence the translation (i.e., expression) of a target gene of interest in the target organism.
- classes of genes that can be downregulated or silenced include, but are not limited to, genes associated with viral infection and survival, genes associated with metabolic diseases and disorders (e.g., liver diseases and disorders), genes associated with tumorigenesis and cell transformation (e.g., cancer), angiogenic genes, immunomodulator genes such as those associated with inflammatory and autoimmune responses, ligand receptor genes, and genes associated with neurodegenerative disorders.
- viral sequences that can be downregulated or silenced include filoviruses such as Ebola virus and Marburg virus, arenaviruses such as Lassa virus, Junin virus, Machupo virus, Guanarito virus, and Sabia virus, influenza viruses such as Influenza A, B, and C viruses, hepatitis viruses, Human Immunodeficiency Virus (HIV), herpes viruses, and Human Papilloma Viruses (HPV).
- filoviruses such as Ebola virus and Marburg virus
- arenaviruses such as Lassa virus, Junin virus, Machupo virus, Guanarito virus, and Sabia virus
- influenza viruses such as Influenza A, B, and C viruses
- hepatitis viruses such as Human Immunodeficiency Virus (HIV), herpes viruses, and Human Papilloma Viruses (HPV).
- peptides or polypeptide that may be used as therapeutic agents include, but are not limited to, an antibodies such as a polyclonal antibodies, a monoclonal antibodies, antibody fragments, humanized antibodies, recombinant antibodies, recombinant human antibodies, PrimatizedTM antibodies, cytokines, growth factors, apoptotic factors, differentiation-inducing factors, cell-surface receptors, ligands, hormones, or small molecules.
- an antibodies such as a polyclonal antibodies, a monoclonal antibodies, antibody fragments, humanized antibodies, recombinant antibodies, recombinant human antibodies, PrimatizedTM antibodies, cytokines, growth factors, apoptotic factors, differentiation-inducing factors, cell-surface receptors, ligands, hormones, or small molecules.
- oncology drugs examples include, but are not limited to, alkeran, allopurinol, altretamine, amifostine, anastrozole, araC, arsenic trioxide, bexarotene, biCNU, carmustine, CCNU, celecoxib, cladribine, cyclosporin A, cytosine arabinoside, cytoxan, dexrazoxane, DTIC, estramustine, exemestane, FK506, gemtuzumab-ozogamicin, hydrea, hydroxyurea, idarubicin, interferon, letrozole, Leustatin, leuprolide, litretinoin, megastrol, L-PAM, mesna, methoxsalen, mithramycin, nitrogen mustard, pamidronate, Pegademase, pentostatin, porfimer sodium, prednisone, rit
- anti-viral drugs examples include, but are not limited to, abacavir, aciclovir, acyclovir, adefovir, amantadine, amprenavir, arbidol, atazanavir, atripla, cidofovir, combivir, darunavir, delavirdine, didanosine, docosanol, edoxudine, efavirenz, emtricitabine, enfuvirtide, entecavir, entry inhibitors, famciclovir, fixed dose combinations, fomivirsen, fosamprenavir, foscarnet, fosfonet, fusion inhibitors, ganciclovir, ibacitabine, immunovir, idoxuridine, imiquimod, indinavir, inosine, integrase inhibitors, interferon type III (e.g., IFN- ⁇ molecules such as IFN- ⁇ 1, IFN- ⁇
- interferon type III
- the therapeutic agent to be delivered may be a prophylactic agent.
- Prophylactic agents include, but are not limited to, antibiotics, nutritional supplements, and vaccines.
- Vaccines may comprise isolated proteins or peptides, inactivated organisms and viruses, dead organisms and viruses, genetically altered organisms or viruses, and cell extracts.
- Prophylactic agents may be combined with interleukins, interferon, cytokines, and adjuvants such as cholera toxin, alum, and Freund's adjuvant.
- prophylactic agents include, but are not limited to, (1) antigens of the following bacterial organisms: Streptococccus pneumoniae, Haemophilus influenzae, Staphylococcus aureus, Streptococcus pyrogenes, Corynebacterium diphtheriae, Listeria monocytogenes, Bacillus anthracis, Clostridium tetani, Clostridium botulinum, Clostridium perfringens, Neisseria meningitidis, Neisseria gonorrhoeae, Streptococcus mutans, Pseudomonas aeruginosa, Salmonella typhi, Haemophilus parainfluenzae, Bordetella pertussis, Francisella tularensis, Yersinia pestis, Vibrio cholerae, Legionella pneumophila, Mycobacterium tuberculosis, Mycobacterium leprae, Trepon
- reaction mixture was purified via flash column chromatography using MeOH (10% NH 4 OH)/DCM 0% to 15%, yielding 1-[[bis(2-hydroxytetradecyl)amino]-(2-hydroxytetradecyl)amino]tetradecan-2-ol (270.00 mg, 306.29 ⁇ mol) in 30.67% yield and 1-[2,2-bis(2-hydroxytetradecyl)hydrazino]tetradecan-2-ol (287.00 mg, 428.90 ⁇ mol) in 42.95% yield.
- reaction mixture was purified via flash column chromatography using MeOH (10% NH 4 OH)/DCM 0% to 15%, yielding 1-[[bis(2-hydroxydodecyl)amino]-methyl-amino]dodecan-2-ol as colorless oil and 1-[2-hydroxydodecyl(methylamino)amino]dodecan-2-ol as colorless oil.
- reaction mixture was purified via flash column chromatography using MeOH (10% NH 4 OH)/DCM 0% to 15%, yielding hexyl 3-[[bis(3-hexoxy-3-oxo-propyl)amino]-methyl-amino]propanoate as colorless oil and hexyl 3-(2-methyl-3-oxo-pyrazolidin-1-yl)propanoate as off white wax.
- the lipidoid nanoparticles were separated from the supernatant.
- the isolated nanoparticles have a Z avg size of 323.4 nm with a polydispersity index of 0.179 and a zeta potential of ⁇ 4.57 mV.
- the lipidoid nanoparticles were separated from the supernatant.
- the isolated nanoparticles have a Z avg size of 420.4 nm with a polydispersity index of 0.079 and a zeta potential of ⁇ 5.99 mV.
- Particle size as determined by Dynamic Light Scattering (DLS) was 180 nm.
- the nanoparticles had an entrapment efficiency, as determined using a Ribogreen assay, of 99%.
- ethanolic solutions of compound 8 1,2-Distearoyl-sn-glycero-3-phosphocholine (DSPC), cholesterol, 1,2-dimyristoyl-sn-glycero-3-phosphoethanolamine-N-[methoxy(polyethylene glycol)-2000] (C14-PEG) were prepared and combined to yield a molar ratio of 50:10:38.5:1.5 with the organic solution of 10% 10 mM citrate buffer at pH 5.
- An siRNA was dissolved in 10 mM citrate at pH5 buffer at a concentration of 0.1 mg/mL. The ethanolic solution was then added to the aqueous siRNA solution while stirred at 700 rpm, resulting in the precipitation of lipidoid nanoparticles.
- the lipidoid nanoparticles were separated from the supernatant.
- the isolated nanoparticles have a Z avg size of 1492 nm with a polydispersity index of 0.314 and a zeta potential of ⁇ 22.7 mV.
- Particle size as determined by Dynamic Light Scattering (DLS) was 153 nm.
- the nanoparticles had an entrapment efficiency, as determined using a Ribogreen assay, of 89%.
- the lipidoid nanoparticles were separated from the supernatant.
- the isolated nanoparticles have a Z avg size of 4216 nm with a polydispersity index of 0.255 and a zeta potential of ⁇ 13.6 mV.
- the lipidoid nanoparticles were separated from the supernatant. Particle size as determined by Dynamic Light Scattering (DLS) was 135 nm. The nanoparticles had an entrapment efficiency, as determined using a Ribogreen assay, of 94%.
- DLS Dynamic Light Scattering
- the lipidoid nanoparticles were separated from the supernatant. Particle size as determined by Dynamic Light Scattering (DLS) was 184 nm. The nanoparticles had an entrapment efficiency, as determined using a Ribogreen assay, of 99%.
- DLS Dynamic Light Scattering
- the lipidoid nanoparticles were separated from the supernatant. Particle size as determined by Dynamic Light Scattering (DLS) was 119 nm. The nanoparticles had an entrapment efficiency, as determined using a Ribogreen assay, of 89%.
- DLS Dynamic Light Scattering
- the lipidoid nanoparticles were separated from the supernatant. Particle size as determined by Dynamic Light Scattering (DLS) was 138 nm. The nanoparticles had an entrapment efficiency, as determined using a Ribogreen assay, of ⁇ 61%.
- DLS Dynamic Light Scattering
- the lipidoid nanoparticles were separated from the supernatant. Particle size as determined by Dynamic Light Scattering (DLS) was 184 nm. The nanoparticles had an entrapment efficiency, as determined using a Ribogreen assay, of ⁇ 44%.
- DLS Dynamic Light Scattering
- the lipidoid nanoparticles were separated from the supernatant. Particle size as determined by Dynamic Light Scattering (DLS) was 169 nm. The nanoparticles had an entrapment efficiency, as determined using a Ribogreen assay, of 94%.
- DLS Dynamic Light Scattering
- Stock ethanolic solutions of compound 60, 1,2-Distearoyl-sn-glycero-3-phosphocholine (DSPC), cholesterol, 1,2-dimyristoyl-sn-glycero-3-phosphoethanolamine-N-[methoxy(polyethylene glycol)-2000] (C14-PEG) were prepared and combined to yield a molar ratio of 50:10:38.5:1.5 with the organic solution of 10% 10 mM citrate buffer at pH 5.
- An siRNA was dissolved in 10 mM citrate at pH5 buffer at a concentration of 0.1 mg/mL. The ethanolic solution was then added to the aqueous siRNA solution while stirred at 700 rpm, resulting in the precipitation of lipidoid nanoparticles.
- the lipidoid nanoparticles were separated from the supernatant. Particle size as determined by Dynamic Light Scattering (DLS) was 157 nm. The nanoparticles had an entrapment efficiency, as determined using a Ribogreen assay, of ⁇ 60%.
- DLS Dynamic Light Scattering
- the lipidoid nanoparticles were separated from the supernatant. Particle size as determined by Dynamic Light Scattering (DLS) was 144 nm. The nanoparticles had an entrapment efficiency, as determined using a Ribogreen assay, of ⁇ 50%.
- DLS Dynamic Light Scattering
- the lipidoid nanoparticles were separated from the supernatant. Particle size as determined by Dynamic Light Scattering (DLS) was 170 nm. The nanoparticles had an entrapment efficiency, as determined using a Ribogreen assay, of 89%.
- DLS Dynamic Light Scattering
- the lipidoid nanoparticles were separated from the supernatant. Particle size as determined by Dynamic Light Scattering (DLS) was 110 nm. The nanoparticles had an entrapment efficiency, as determined using a Ribogreen assay, of 93%.
- DLS Dynamic Light Scattering
- Stock ethanolic solutions of compound 90, 1,2-Distearoyl-sn-glycero-3-phosphocholine (DSPC), cholesterol, 1,2-dimyristoyl-sn-glycero-3-phosphoethanolamine-N-[methoxy(polyethylene glycol)-2000] (C14-PEG) were prepared and combined to yield a molar ratio of 50:10:38.5:1.5 with the organic solution of 10% 10 mM citrate buffer at pH 5.
- An siRNA was dissolved in 10 mM citrate at pH5 buffer at a concentration of 0.1 mg/mL. The ethanolic solution was then added to the aqueous siRNA solution while stirred at 700 rpm, resulting in the precipitation of lipidoid nanoparticles.
- the lipidoid nanoparticles were separated from the supernatant. Particle size as determined by Dynamic Light Scattering (DLS) was 177 nm. The nanoparticles had an entrapment efficiency, as determined using a Ribogreen assay, of 82%.
- DLS Dynamic Light Scattering
- the lipidoid nanoparticles were separated from the supernatant. Particle size as determined by Dynamic Light Scattering (DLS) was 155 nm. The nanoparticles had an entrapment efficiency, as determined using a Ribogreen assay, of ⁇ 78%.
- DLS Dynamic Light Scattering
Landscapes
- Life Sciences & Earth Sciences (AREA)
- Health & Medical Sciences (AREA)
- Chemical & Material Sciences (AREA)
- Organic Chemistry (AREA)
- Engineering & Computer Science (AREA)
- General Health & Medical Sciences (AREA)
- Zoology (AREA)
- Wood Science & Technology (AREA)
- Plant Pathology (AREA)
- Dentistry (AREA)
- Agronomy & Crop Science (AREA)
- Pest Control & Pesticides (AREA)
- Environmental Sciences (AREA)
- Bioinformatics & Cheminformatics (AREA)
- Pharmacology & Pharmacy (AREA)
- Public Health (AREA)
- Veterinary Medicine (AREA)
- Animal Behavior & Ethology (AREA)
- Epidemiology (AREA)
- Medicinal Chemistry (AREA)
- Molecular Biology (AREA)
- Biomedical Technology (AREA)
- Biochemistry (AREA)
- Genetics & Genomics (AREA)
- Physics & Mathematics (AREA)
- Toxicology (AREA)
- Biophysics (AREA)
- Optics & Photonics (AREA)
- Nanotechnology (AREA)
- General Engineering & Computer Science (AREA)
- Biotechnology (AREA)
- Oil, Petroleum & Natural Gas (AREA)
- General Chemical & Material Sciences (AREA)
- Chemical Kinetics & Catalysis (AREA)
- Microbiology (AREA)
- Pharmaceuticals Containing Other Organic And Inorganic Compounds (AREA)
- Medicinal Preparation (AREA)
- Agricultural Chemicals And Associated Chemicals (AREA)
- Organic Low-Molecular-Weight Compounds And Preparation Thereof (AREA)
Abstract
The present disclosure is directed to hydrazinyl lipidoids, formulations thereof further comprising at least one active agent, as well as methods of delivering the at least one active agent to a target organism.
Description
- This application claims priority to U.S. Provisional Patent Application Ser. No. 62/045,906, filed Sep. 4, 2014, which is hereby incorporated by reference herein in its entirety.
- The present disclosure relates generally to novel hydrazinyl lipidoids. The present disclosure also relates generally to methods of preparing such hydrazinyl lipidoids, their formulation with one or more active agents, and the delivery of such formulations to target organisms.
- A wide range of molecules have been employed for delivering polynucleotides and other active agents to cells. For example, polymers such as polyethylenimine or poly(beta-aminoesters) have been used to effectively complex DNA for delivery into cells. Polymers in these classes of delivery agent typically contain amine functionalities that serve to electrostatically bind to DNA to form nanoparticles that are then taken up by the cell via endocytosis. Once in the cell, these amine groups serve to buffer the endosome and cause an influx of ions due to the proton-sponge mechanism. The resulting burst of the endocytic vesicle leads to the release of the payload of the particle, which is then free to travel to the nucleus where the DNA is expressed.
- While such polymer based systems have been used extensively for DNA delivery, the delivery of other molecules, such as RNA, presents distinct challenges. In many cases, polymeric materials do not work as effectively for RNA delivery. This is likely due to differences in the chemical structure of the RNA being delivered compared to DNA. RNA are generally short, linear fragments containing additional hydroxyl moieties on each ribose ring. These differences necessitate an alternative approach that is suited for complexation with short RNA strands. In particular, an improved delivery system is required for the use of siRNA for agricultural and pharmaceutical applications. The delivery system needs to protect siRNA from nuclease degradation, allow for the proper concentration and distribution profile in the target tissues, facilitate efficient uptake of siRNA into target cells, and release siRNA into cytoplasm to knockout expression of the target gene.
- Promising results have been achieved with materials that form liposomes or lipoplexes that entrap the RNA or form nanoparticles, which can then be internalized by a cell. The materials utilized to form a lipid-based delivery system generally consist of a positively charged headgroup and a hydrophobic tail. The charged portion serves to electrostatically bind the negatively charged RNA, while the hydrophobic tail leads to self-assembly into lipophilic particles. Such cationic lipids are promising but still fall short of the transfection efficiency achieved by viral vectors. Few advances have been made in the field, in part due to the limited structural diversity of these lipid-like molecules, which is a result of the difficult synthetic procedures oftentimes required to access these structures.
- Thus, there exists a continuing need for lipidoid molecules that possess an improved ability to deliver RNA, as well as other active agents, to cells over existing amine-containing lipidoid materials.
- One embodiment of the present invention is a hydrazinylalcohol lipidoid of formula (I):
- wherein:
- R1 is, independently, hydrogen, an optionally substituted C1-20 aliphatic group, or an optionally substituted C1-20 heteroaliphatic group;
- R2 is, independently, an optionally substituted C1-20 aliphatic group or an optionally substituted C1-20 heteroaliphatic group;
- RA is hydrogen, an optionally substituted C1-20 aliphatic group, an optionally substituted, C1-20 heteroaliphatic group, or a group of formula (II):
- wherein
- R3 is, independently, hydrogen, an optionally substituted C1-20 aliphatic group, or an optionally substituted C1-20 heteroaliphatic; and
- R4 is, independently, an optionally substituted C1-20 aliphatic group or an optionally substituted C1-20 heteroaliphatic group;
- RB is an optionally substituted aryl group, an optionally substituted heteroaryl group, or a group of formula (II):
- wherein R3 and R4 are as defined above;
wherein any one or more of R1, R2, R3, and R4 together with another R1, R2, R3, or R4 or one of RA and RB optionally defines a carbocyclic or heterocyclic ring system; and
RA and RB together optionally define a carbocyclic or heterocyclic ring system. - Another embodiment of the present invention is the above compound, wherein RA and RB are each a group of formula (II):
- Another embodiment of the present invention is the above compound, wherein R1 and R3 are identical and R2 and R4 are identical.
- Another embodiment of the present invention is the above compound, wherein R1 and R3 are hydrogen and R2 and R4 are an unbranched C1-20 aliphatic group.
- Another embodiment of the present invention is the above compound, wherein R2 and R4 are selected from the group consisting of methyl, n-butyl, n-pentyl, n-decanyl, and n-dodecanyl.
- Another embodiment of the present invention is the above compound, wherein R1 and R3 are identical and R2 and R4 are different.
- Another embodiment of the present invention is the above compound, wherein R1 and R3 are identical and R2 and R4 are different and wherein R1 and R3 are hydrogen and R2 and R4 are an unbranched C1-20 aliphatic group.
- Another embodiment of the present invention is the above compound, wherein RA is hydrogen, methyl, or hydroxyethyl.
- Another embodiment of the present invention is the above compound, wherein RB is phenyl.
- Another embodiment of the present invention is the above compound, wherein R1 is hydrogen and R2 is methyl.
- Another embodiment of the present invention is the above compound, wherein RB is a group of formula (II):
- Another embodiment of the present invention is the above compound, wherein R1 and R3 are identical and R2 and R4 are identical.
- Another embodiment of the present invention is the above compound, wherein R1 and R3 are hydrogen and R2 and R4 are an unbranched C1-20 aliphatic group.
- Another embodiment of the present invention is the above compound, wherein R2 and R4 are selected from the group consisting of methyl, n-butyl, n-pentyl, n-decanyl, and n-dodecanyl.
- Yet another embodiment of the present invention is a compound selected from the group consisting of compounds of formulae (1), (2), (3), (4), (5), (6), (7), (8), (9), (10), and (11):
- Yet another embodiment of the present invention is a microparticle comprising the above compound and an active agent to be delivered.
- Another embodiment of the present invention is the above microparticle, wherein the active agent to be delivered is selected from the group consisting of polynucleotides, oligonucelotides, proteins, peptides, and small molecules.
- Another embodiment of the present invention is the above microparticle, wherein the active agent to be delivered is an oligonucleotide or a polynucleotide.
- Another embodiment of the present invention is the above microparticle, wherein the active agent to be delivered is an RNA.
- Yet another embodiment of the present invention is a nanoparticle comprising the compound and an active agent to be delivered.
- Another embodiment of the present invention is the above nanoparticle, wherein the active agent to be delivered is selected from the group consisting of polynucleotides, oligonucelotides, proteins, peptides, and small molecules.
- Another embodiment of the present invention is the above nanoparticle, wherein the active agent to be delivered is an oligonucleotide or a polynucleotide.
- Another embodiment of the present invention is the above nanoparticle, wherein the active agent to be delivered is an RNA.
- Another embodiment of the present invention is the above nanoparticle, wherein the RNA is a small interfering RNA (siRNA) or a double-stranded RNA (dsRNA).
- Yet another embodiment of the present invention is a method of delivering an active agent comprising the step of administering an effective amount of the above microparticle or nanoparticle to a plant, insect, or mammal.
- Another embodiment of the present invention is the above method, wherein the active agent to be delivered is an oligonucleotide or a polynucleotide.
- Another embodiment of the present invention is the above method, wherein the active agent to be delivered is an RNA.
- Yet another embodiment of the present invention is a formulation comprising the above compound and an active agent to be delivered.
- Another embodiment of the present invention is the above formulation, wherein the active agent to be delivered is an oligonucleotide or a polynucleotide.
- Yet another embodiment of the present invention is a herbicidal formulation comprising the above compound, an herbicidal agent to be delivered, and an agriculturally acceptable carrier.
- Yet another embodiment of the present invention is an insecticidal formulation comprising the above compound, an insecticidal agent to be delivered, and an agriculturally acceptable carrier.
- Yet another embodiment of the present invention is a formulation for controlling a plant pathogen, comprising the above compound, an agent to be delivered that controls a plant pathogen, and an agriculturally acceptable carrier.
- Yet another embodiment of the present invention is a pharmaceutical formulation comprising the above compound, a therapeutic agent to be delivered, and a pharmaceutically acceptable excipient and/or carrier.
- Yet another embodiment of the present invention is a method of regulating expression of a gene in an organism, comprising applying the above formulation comprising the above compound and an active agent to be delivered to the organism.
- Another embodiment of the present invention is the above method of regulating expression of a gene in an organism, wherein the organism is a plant, insect, or mammal.
- Yet another embodiment of the present invention is a method of controlling a weed, comprising delivering to the weed an effective amount of the above herbicidal formulation.
- Yet another embodiment of the present invention is a method of controlling an insect, comprising delivering to the insect an effective amount of the above insecticidal formulation.
- Yet another embodiment of the present invention is a method of controlling a plant pathogen, comprising applying the above formulation for controlling a plant pathogen to the plant pathogen, or to a plant infected with the plant pathogen.
- Yet another embodiment of the present invention is a method of treating a disorder in a human comprising administering to a human in need of such treatment a therapeutically effective amount of the above pharmaceutical formulation.
- Yet another embodiment of the present invention is a plant cell, insect cell, or mammalian cell comprising the above compound.
- The novel hydrazinyl lipidoids of the present disclosure provide for several different advantages in the delivery of active agents to target organisms. For example, the hydrazine-containing portion of these lipidoids may be used to complex oligonucleotides and polynucleotides, thereby enhancing their delivery to the target organism and preventing their degradation. These hydrazinyl lipidoids may also be used generate formulations, such as microparticles, nanoparticles, picoparticles, liposomes, and micelles, containing the active agent to be delivered. These hydrazinyl lipidoids, as well as the formulations thereof, may be biocompatible and biodegradable and may be used to provide controlled, sustained release of the active agent to be delivered. These hydrazinyl lipidoids and their corresponding formulations may also be responsive to pH changes given that these lipidoids are protonated at lower pH. These hydrazinyl lipidoids may also act as proton sponges in the delivery of an active agent to a cell to cause endosome lysis.
- In one aspect, the present disclosure provides for novel hydrazinylalcohol lipidoids of formula (I):
-
- wherein:
- R1 is, independently, hydrogen, an optionally substituted aliphatic group, or an optionally substituted heteroaliphatic group;
- R2 is, independently, an optionally substituted aliphatic group or an optionally substituted heteroaliphatic group;
- RA is hydrogen, an optionally substituted aliphatic group, an optionally substituted, heteroaliphatic group, or a group of formula (II):
-
- wherein
- R3 is, independently, hydrogen, an optionally substituted aliphatic group, or an optionally substituted heteroaliphatic group; and
- R4 is, independently, an optionally substituted aliphatic group or an optionally substituted heteroaliphatic group;
- RB is an optionally substituted aryl group, an optionally substituted heteroaryl group, or a group of formula (II):
-
- wherein R3 and R4 are as defined above;
- wherein any one or more of R1, R2, R3, and R4 together with another R1, R2, R3, or R4 or one of RA and RB optionally defines a carbocyclic or heterocyclic ring system; and
- RA and RB together optionally define a carbocyclic or heterocyclic ring system.
- In certain embodiments, RA and RB of the hydrazinylalcohol lipidoids of formula (I) can each be a group of formula (II):
- Therefore, the present disclosure provides for hydrazinylalcohol lipidoids of formula (III):
-
- wherein
- R1 and R3 are, independently, hydrogen, an optionally substituted aliphatic group, or an optionally substituted heteroaliphatic group;
- R2 and R4 are, independently, an optionally substituted aliphatic group or an optionally substituted heteroaliphatic group; and
- wherein any one or more of R1, R2, R3, and R4 together with another R1, R2, R3, or R4 optionally defines a carbocyclic or heterocyclic ring system.
- Any one of R1, R2, R3, and R4 of the presently disclosed hydrazinylalcohol lipidoids can be identical or different to the others. In certain embodiments, R1 and R3 are identical, but are different from R2 and R4, which are, in turn, identical to each other. In other embodiments, R1 and R3 are identical, but are different from R2 and R4, which are, in turn, different from each other. For example, R1 and R3 can each be hydrogen, while R2 and R4, identically or differently, can each be an unbranched C1-20 aliphatic group. Therefore, the present disclosure provides for hydrazinylalcohol lipidoids of formula (IV):
-
- wherein
- R2 is, independently, an optionally substituted aliphatic group or an optionally substituted heteroaliphatic group;
- R4 is, independently, an optionally substituted aliphatic group or an optionally substituted heteroaliphatic group; and
- wherein any one or more of R2 and R4 together with another R2 or R4 optionally defines a carbocyclic or heterocyclic ring system.
- In certain embodiments, RA of the hydrazinylalcohol lipidoids of formula (I) is hydrogen. Therefore, the present disclosure provides hydrazinylalcohol lipidoids of formulae (V) and (VI):
-
- wherein
- R1 and R3 are, independently, hydrogen, an optionally substituted aliphatic group, or an optionally substituted heteroaliphatic group;
- R2 and R4 are, independently, an optionally substituted aliphatic group or an optionally substituted heteroaliphatic group;
- Ar is an optionally substituted aryl group or an optionally substituted heteroaryl group; and
- wherein any one or more of R1, R2, R3, and R4 together with another R1 or R2 or an R3, R4 or Ar optionally defines a carbocyclic or heterocyclic ring system.
- In certain embodiments, RA of the hydrazinylalcohol lipidoids of formula (I) is an optionally substituted aliphatic group. Therefore, the present disclosure provides hydrazinylalcohol lipidoids of formula (VII):
-
- wherein
- R1 and R3 are, independently, hydrogen, an optionally substituted aliphatic group, or an optionally substituted heteroaliphatic group;
- R2 and R4 are, independently, an optionally substituted aliphatic group or an optionally substituted heteroaliphatic group;
- RA is an optionally substituted aliphatic group; and
- wherein any one or more of R1, R2, R3, and R4 together with another R1 or R2 or an R3, R4 or RA optionally defines a carbocyclic or heterocyclic ring system.
- In another aspect, the present disclosure provides for novel hydrazinyl lipidoids of formula (X):
-
- wherein
- RA is hydrogen, a group of formula (XI):
-
- wherein
- R1 is hydrogen, an optionally substituted aliphatic group, or an optionally substituted heteroaliphatic group; and
- R2 is an optionally substituted aliphatic group or an optionally substituted heteroaliphatic group;
- or a group of formula (XII):
-
- wherein
- R3 and R4 are, independently, hydrogen, an optionally substituted aliphatic group, or an optionally substituted heteroaliphatic group;
- R5 is an optionally substituted aliphatic group or an optionally substituted heteroaliphatic group; and
- X is O or N;
- RB is hydrogen, an optionally substituted aliphatic group, an optionally substituted heteroaliphatic group, an optionally substituted aryl group, an optionally substituted heteroaryl group, an optionally substituted cycloalkyl group, an optionally substituted heterocycloalkyl group, a group of formula (X):
-
- wherein
- R1 and R2 are as defined above;
- or a group of formula (XI):
-
- wherein
- R3, R4, R5, and X are as defined above;
- wherein RA and RB together with the nitrogen atom to which they are bonded also optionally define a heterocyclic ring system having the following formula:
-
- wherein R is an optionally substituted aliphatic group.
- RC is hydrogen, a group of formula (XI):
-
- wherein
- R1 and R2 are as defined above;
- a group of formula (XII):
-
- wherein
- R3, R4, R5, and X are as defined above;
- wherein RA and RC together with the nitrogen atoms to which they are bonded also optionally define a carbocyclic ring system having the following formula:
-
- wherein if RB is hydrogen, neither of RA and RC can also be hydrogen; and
- wherein RC can also be an optionally substituted aliphatic group or an optionally substituted heteroaliphatic group when RA is a group of formula (IX) or (X) and RB is hydrogen; and
- RD is a group of formula (XI):
-
- wherein
- R1 and R2 are as defined above;
- or a group of formula (XII):
-
- wherein
- R3, R4, R5, and X are as defined above.
- In certain embodiments, RA, RB, RC, and RD of the hydrazinyl lipidoids of formula (X) can each be, independently, groups of formulae (XI) or (XII). When each of RA, RB, RC, and RD of the presently disclosed hydrazinyl lipidoids are groups of formulae (XI) or (XII), each can be identical or different to the others. In certain embodiments, RA and RB are identical, but are different from RC and RD, which are, in turn, identical to each other. In other embodiments, RA and RB are identical, but are different from RC and RD, which are, in turn, different from each other.
- In certain embodiments, RA, RC, and RD of the hydrazinyl lipidoids of formula (X) can each be, independently, groups of formulae (XI) or (XII), while RB is hydrogen, an optionally substituted aliphatic group, such as methyl or 2-hydroxyethyl, an optionally substituted aryl group, such as phenyl, an optionally substituted group, such as 2-pyridyl, or an optionally substituted heterocycloalkyl group, such as optionally substituted 2,5-dihydro-1H-imidazole.
- In certain embodiments, RC, and RD of the hydrazinyl lipidoids of formula (X) can each be, independently, groups of formulae (XI) or (XII), while RA is hydrogen or an optionally substituted aryl group, such as phenyl, and RB is an optionally substituted aliphatic group, such as methyl, an optionally substituted aryl group, such as phenyl, and an optionally substituted group, such as 2-pyridyl.
- In certain embodiments, RC, and RD of the hydrazinyl lipidoids of formula (X) can each be, independently, groups of formulae (XI) or (XII), while RA is hydrogen and RB is an optionally substituted heterocycloalkyl group, such as optionally substituted 2,5-dihydro-1H-imidazole.
- In certain embodiments, RD of the hydrazinyl lipidoids of formula (X) can be a group of formulae (XI) or (XII), while RB is an optionally substituted heterocycloalkyl group, such as optionally substituted 2,5-dihydro-1H-imidazole, and RA and RC are each hydrogen.
- In certain embodiments, RA and RD of the hydrazinyl lipidoids of formula (X) can each be, independently, groups of formulae (XI) or (XII), while RC is hydrogen and RB is an optionally substituted aliphatic group, such as methyl or 2-hydroxyethyl.
- In certain embodiments, RA and RC of the hydrazinyl lipidoids of formula (X), together with the nitrogen atoms to which they are bonded define a carbocyclic ring system having the following formula:
- while RB is an optionally substituted aliphatic group, such as methyl and 2-hydroxyethyl, an optionally substituted aryl group, such as phenyl, or a group of formulae (XI) or (XII) and RD is a group of formulae (XI) or (XII).
- In certain embodiments, RA and RB of the hydrazinyl lipidoids of formula (X), together with the nitrogen atom to which they are bonded define a heterocyclic ring system having the following formula:
- while RC is hydrogen or a group of formulae (XI) or (XII) and RD is a group of formulae (XI) or (XII).
- In another aspect, the present disclosure provides for novel hydrazinyl lipidoids of formula (XIII):
-
- wherein:
- R1 is, independently, hydrogen, an optionally substituted aliphatic group, or an optionally substituted heteroaliphatic group;
- R2 is, independently, an optionally substituted alkyl group, an optionally substituted heteroalkyl group, an optionally substituted alkenyl group, or an optionally substituted heteroalkenyl group;
- RA is hydrogen, an optionally substituted aliphatic group, an optionally substituted, heteroaliphatic group, or a group of formula (II):
-
- wherein
- R3 is, independently, hydrogen, an optionally substituted aliphatic group, or an optionally substituted heteroaliphatic group; and
- R4 is, independently, an optionally substituted alkyl group, an optionally substituted heteroalkyl group, an optionally substituted alkenyl group, or an optionally substituted heteroalkenyl group;
- RB is hydrogen, an optionally substituted aliphatic group, an optionally substituted aryl group, an optionally substituted heteroaryl group, an optionally substituted heterocycloalkyl group, or a group of formula (II):
-
- wherein R3 and R4 are as defined above;
- RC is hydrogen or a group of formula (II):
-
- wherein R3 and R4 are as defined above;
- wherein
- any one or more of R1, R2, R3, and R4 together with another R1, R2, R3, or R4 or one of RA and RB optionally define a carbocyclic or heterocyclic ring system; and
- RA and RB together optionally define a carbocyclic or heterocyclic ring system.
- In certain embodiments, RA and RB of the hydrazinyl lipidoids of formula (XIII) can each be a group of formula (II). Any one of R1, R2, R3, and R4 of the presently disclosed hydrazinyl lipidoids of formula (XIII) can be identical or different to the others. In certain embodiments, R1 and R3 are identical, but are different from R2 and R4, which are, in turn, identical to each other. In other embodiments, R1 and R3 are identical, but are different from R2 and R4, which are, in turn, different from each other. For example, R1 and R3 can each be hydrogen, while R2 and R4, identically or differently, can each be an unbranched C1-20 aliphatic group.
- In certain embodiments, RA of the hydrazinyl lipidoids of formula (XIII) is hydrogen, while RB is an optionally substituted aliphatic group, such as methyl or 2-hydroxyethyl, an optionally substituted aryl group, such as phenyl, an optionally substituted heteroaryl group, such as 2-pyridyl, an optionally substituted heterocycloaliphatic group, such as optionally substituted 2,5-dihydro-1H-imidazole, or a group of formula (II). In certain embodiments, RA of the hydrazinyl lipidoids of formula (XIII) is an optionally substituted aliphatic group, such as methyl or 2-hydroxyethyl, while RB is a group of formula (II). In certain embodiments, RA of the hydrazinyl lipidoids of formula (XIII) is group of formula (II), while RB is an optionally substituted aryl group, such as phenyl, an optionally substituted heteroaryl group, such as 2-pyridyl, or an optionally substituted heterocycloaliphatic group, such as optionally substituted 2,5-dihydro-1H-imidazole, or a group of formula (II).
- In certain embodiments, each of R2 and R4 of the hydrazinyl lipidoids of formula (XIII) is an alkyl group. In certain embodiments, each of R2 and R4 of the hydrazinyl lipidoids of formula (XIII) is an alkylene group. In certain embodiments, each of R2 and R4 of the hydrazinyl lipidoids of formula (XIII) is an alkylene group having one double bond. In certain embodiments, each of R2 and R4 of the hydrazinyl lipidoids of formula (XIII) is an alkylene group having two double bonds.
- In another aspect, the present disclosure provides for novel hydrazinyl lipidoids of formula (XIV):
-
- wherein:
- R1 and R2 are, independently, hydrogen, an optionally substituted aliphatic group, or an optionally substituted heteroaliphatic group;
- R3 is, independently, an optionally substituted aliphatic group or an optionally substituted heteroaliphatic group; and
- X is O or N; and
- RA is hydrogen, an optionally substituted aliphatic group, an optionally substituted, heteroaliphatic group, or a group of formula (XV):
-
- wherein R1, R2, and R3 are as defined above;
- RB is an optionally substituted aryl group, an optionally substituted heteroaryl group, or a group of formula (XV):
-
- wherein R1, R2, and R3 are as defined above; and
- RC is H, an optionally substituted aliphatic group, or a group of formula (XV):
-
- wherein R1, R2, and R3 are as defined above;
- wherein
- any one or more of R1, R2, R3, and RC together with another R1, R2, or R3, or one of RA and RB optionally defines a carbocyclic or heterocyclic ring system; and
- RA and RB together optionally define a carbocyclic or heterocyclic ring system.
- In certain embodiments, RA, RB, and RC of the hydrazinyl lipidoids of formula (XIV) can each be a group of formula (XV). When each of RA, RB, and RC of the presently disclosed hydrazinyl lipidoids of formula (XIV) are a group of formula (XV), each can be identical or different to the others. In certain embodiments, RA and RB are identical, but are different from RC. In certain embodiments, RA and RC are identical, but are different from RB. In certain embodiments, RB and RC are identical, but are different from RA.
- In certain embodiments, RA of the hydrazinyl lipidoids of formula (XIV) is hydrogen, RB is an optionally substituted aryl group, such as phenyl, an optionally substituted heteroaryl group, such as 2-pyridyl, or a group of formula (XV), and RC is an optionally substituted aliphatic group, such as methyl or 2-hydroxyethyl. In certain embodiments, RA of the hydrazinyl lipidoids of formula (XIV) is an optionally substituted aliphatic group, such as methyl or 2-hydroxy ethyl, RB is a group or formula (XV), and RC is hydrogen or a group of formula (XV). In certain embodiments, RA and RC of the hydrazinyl lipidoids of formula (XIV) is a group of formula (XV) and RB is an optionally substituted heteroaryl group, such as pyridyl or an optionally substituted heterocycloalkyl group, such as optionally substituted 2,5-dihydro-1H-imidazole.
- In certain embodiments, R3 of the hydrazinyl lipidoids of formula (XIV) is an alkyl group. In certain embodiments, R3 of the hydrazinyl lipidoids of formula (XIV) is an alkylene group. In certain embodiments, R3 of the hydrazinyl lipidoids of formula (XIV) is an alkylene group having one double bond. In certain embodiments, R3 of the hydrazinyl lipidoids of formula (XIV) is an alkylene group having two double bonds.
- In another aspect, the present disclosure provides for novel hydrazinyl lipidoids of formula (XVI):
-
- wherein
- RA is a group of formula (XI):
-
- wherein
- R1 is, independently, hydrogen, an optionally substituted aliphatic group, or an optionally substituted heteroaliphatic group;
- R2 is, independently, an optionally substituted aliphatic group or an optionally substituted heteroaliphatic group;
- or a group of formula (XV):
-
- wherein
- R1 and R2 are, independently, hydrogen, an optionally substituted aliphatic group, or an optionally substituted heteroaliphatic group;
- R3 is, independently, an optionally substituted aliphatic group or an optionally substituted heteroaliphatic group; and
- X is O or N;
- RB is hydrogen, a group of formula (XI):
-
- wherein R1 and R2 are as defined above;
- or a group of formula (XV):
-
- wherein
- R1, R2, R3, and X are as defined above; and
- RC is an optionally substituted aliphatic group, or an optionally substituted heteroaliphatic group.
- In certain embodiments, RA and RB of the hydrazinyl lipidoids of formula (XVI) can each be a group of formula (XI) or (XV). When each of RA and RB of the presently disclosed hydrazinyl lipidoids of formula (XVI) are a group of formula (XI) or (XV), each can be identical or different to the others. In certain embodiments, RA and RB are identical. In certain embodiments, RA and RB are different.
- In certain embodiments, RA of the hydrazinyl lipidoids of formula (XVI) is a group of formula (XI), RB is hydrogen or a group of formula (XI), and RC is an optionally substituted aliphatic group, such as methyl. In certain embodiments, RA of the hydrazinyl lipidoids of formula (XVI) is a group of formula (XV), RB is hydrogen or a group of formula (XV), and RC is an optionally substituted aliphatic group, such as methyl.
- In certain embodiments, each of R2 and R3 of the hydrazinyl lipidoids of formula (XVI) is an alkyl group. In certain embodiments, each of R2 and R3 of the hydrazinyl lipidoids of formula (XVI) is an alkylene group. In certain embodiments, each of R2 and R3 of the hydrazinyl lipidoids of formula (XVI) is an alkylene group having one double bond. In certain embodiments, each of R2 and R3 of the hydrazinyl lipidoids of formula (XVI) is an alkylene group having two double bonds.
- In another aspect, the present disclosure provides for novel hydrazinyl lipidoids of formula (XVII):
-
- wherein:
- RA and RB are, independently, an optionally substituted aliphatic group, an optionally substituted heteroaliphatic group, an optionally substituted aryl group, an optionally substituted heteroaryl group, or a group of formula (XIV):
-
- wherein
- R1 and R2 are, independently, hydrogen, an optionally substituted aliphatic group, or an optionally substituted heteroaliphatic group;
- R3 is, independently, an optionally substituted aliphatic group or an optionally substituted heteroaliphatic group; and
- X is O or N; and
- wherein at least one of RA and RB is group of formula (XV).
- In certain embodiments, RA and RB of the hydrazinyl lipidoids of formula (XVII) can each be a group of formula (XV). When each of RA and RB of the presently disclosed hydrazinyl lipidoids of formula (XVII) are a group of formula (XV), each can be identical or different to the others. In certain embodiments, RA and RB are identical. In certain embodiments, RA and RB are different.
- In certain embodiments, RA of the hydrazinyl lipidoids of formula (XVII) is a group of formula (XV) and RB is an optionally substituted aliphatic group, such as methyl or 2-hydroxyethyl, an optionally substituted aryl group, such as phenyl, or a group of formula (XV). In certain embodiments, RA of the hydrazinyl lipidoids of formula (XVII) is an optionally substituted aliphatic group, such as methyl or 2-hydroxyethyl, and RB is a group of formula (XV).
- In certain embodiments, R3 of the hydrazinyl lipidoids of formula (XVII) is an alkyl group. In certain embodiments, R3 of the hydrazinyl lipidoids of formula (XVII) is an alkylene group. In certain embodiments, R3 of the hydrazinyl lipidoids of formula (XVII) is an alkylene group having one double bond. In certain embodiments, R3 of the hydrazinyl lipidoids of formula (XVII) is an alkylene group having two double bonds.
- The aliphatic groups of the presently disclosed hydrazinyl and hydrazinylalcohol lipidoids refers to both saturated and unsaturated aliphatic hydrocarbyl groups, which can be straight chain (i.e., unbranched), branched, or cyclic (including polycyclic) and are optionally substituted with one or more functional groups. Examples of aliphatic groups include, but are not limited to, alkyl, alkenyl, alkynyl, cycloalkyl, cycloalkenyl, and cycloalkynyl groups, each of which are optionally substituted with one or more functional groups. As used herein, the term “alkyl” refers to saturated hydrocarbyl groups, which can be unbranched, branched, or cyclic (i.e., alicyclic) alkyl groups. As used herein, the terms “alkenyl” and “alkylene” refers to unsaturated hydrocarbyl groups having at least one carbon-carbon double bond. As used herein, the term “alkynyl” refers to unsaturated hydrocarbyl groups having at least one carbon-carbon triple bond.
- Examples of such aliphatic groups include, but are not limited to, methyl, ethyl, n-propyl, isopropyl, cyclopropyl, —CH2-cyclopropyl, n-butyl, sec-butyl, isobutyl, tert-butyl, cyclobutyl, —CH2-cyclobutyl, n-pentyl, sec-pentyl, isopentyl, tert-pentyl, neopentyl, cyclopentyl, —CH2-cyclopentyl, hexyl, cyclohexyl, —CH2-cyclohexyl, heptyl, cycloheptyl, octyl, nonyl, decyl, undecyl, dodecyl, tridecyl, tetradecyl, pentadecyl, hexadecyl, heptadecyl, octadecyl, nonadecyl, icosyl, ethenyl, propenyl, butenyl, pentenyl, hexenyl, heptenyl, octenyl, nonenyl, decenyl, undecenyl, dodecenyl, tridecenyl, tetradecenyl, pentadecenyl, hexadecenyl, heptadecenyl, octadecenyl, nonadecenyl, icosenyl, ethynyl, propynyl, butynyl, pentynyl, hexynyl, heptynyl, octynyl, nonynyl, decynyl, undecynyl, dodecynyl, tridecynyl, tetradecynyl, pentadecynyl, hexadecynyl, heptadecynyl, octadecynyl, nonadecynyl, icosynyl, and all isomers thereof.
- The heteroaliphatic groups of the presently disclosed hydrazinyl and hydrazinylalcohol lipidoids refers to aliphatic groups, as described above, that independently in one or more instances contain an oxygen, sulfur, nitrogen, phosphorus, or silicon atom between two carbon atoms of the aliphatic group. Such heteroaliphatic groups include saturated and unsaturated heterocycles. As used herein, the term “heterocycles,” refers to a non-aromatic partially unsaturated or fully saturated 3- to 10-membered ring system, which includes single rings of 3 to 8 atoms in size and bi- and tri-cyclic ring systems, which may include aromatic six-membered aryl or aromatic heterocyclic groups fused to a non-aromatic heterocyclic ring. Such heterocyclic rings include those having from one to three heteroatoms independently selected from oxygen, sulfur, and nitrogen, in which the nitrogen and sulfur heteroatoms may optionally be oxidized and the nitrogen heteroatom may optionally be quaternized. Examples of such heterocycles include, but are not limited to, pyrrolidinyl, pyrazolinyl, pyrazolidinyl, imidazolinyl, imidazolidinyl, piperidinyl, piperazinyl, oxazolidinyl, isoxazolidinyl, morpholinyl, thiazolidinyl, isothiazolidinyl, 2,5-dihydro-1H-imidazole, and tetrahydrofuryl.
- In certain embodiments, the aliphatic and/or heteroaliphatic groups of the hydrazinyl and hydrazinylalcohol compounds of the present disclosure independently contain from 1 to 20, or from 1 to 12, or from 1 to 10, or from 1 to 8, or from 1 to 5, or from 1 to 4, or from 4 to 5, or from 4 to 8, or from 4 to 10, or from 4 to 12, or from 4 to 20, or from 5 to 20, or from 5 to 12, or from 5 to 10, or from 5 to 8, or from 8 to 10, or from 8 to 12, or from 8 to 20, or from 10 to 12, or from 10 to 20, or from 12 to 20 carbon atoms.
- The aryl and heteroaryl groups of the presently disclosed hydrazinyl and hydrazinylalcohol lipidoids refer to mono- or polycyclic aromatic carbocyclic groups and mono- or polycyclic aromatic heterocyclic groups. In certain embodiments, these groups have 3-14 carbon atoms, each of which is optionally substituted. In certain embodiments, the aryl group is a mono- or bicyclic carbocyclic ring system having one or two aromatic rings. The term “carbocyclic” as used herein, refers to an aromatic or non-aromatic ring system in which each atom of the ring is a carbon atom. Examples of such aryl groups include, but are not limited to, phenyl, naphthyl, tetrahydronaphthyl, indanyl, and indenyl. In certain embodiments, the heteroaryl group is a mono- or bicyclic heterocyclic ring system having one or two aromatic rings. In certain embodiments, the heteroaryl group (1) has from five to ten ring atoms of which one ring atom is selected from S, O, and N, (2) has zero, one, or two ring atoms that are additional heteroatoms independently selected from S, O, and N, and (3) the remaining ring atoms are carbon. Examples of such heteroaryl groups include, but are not limited to, pyridyl, pyrazinyl, pyrimidinyl, pyrrolyl, pyrazolyl, imidazolyl, thiazolyl, oxazolyl, isooxazolyl, thiadiazolyl, oxadiazolyl, thiophenyl, furanyl, quinolinyl, and isoquinolinyl.
- It will be appreciated that the compounds of the presented disclosure may be substituted with any number of substituents. In general, the term “substituted,” whether preceded by the term “optionally” or not, and substituents contained in formulas of the present disclosure, refer to the replacement of hydrogen radicals in a given structure with the radical of a specified substituent. When more than one position in any given structure may be substituted with more than one substituent selected from a specified group, the substituent may be either the same or different at every position. As used herein, the term “substituted” is contemplated to include all permissible substituents of organic compounds. Broadly, permissible substituents include all acyclic and cyclic, branched and unbranched, carbocyclic and heterocyclic, aromatic and nonaromatic substituents of organic compounds. For purposes of this disclosure, heteroatoms, such as nitrogen, may have hydrogen substituents and/or any permissible substituents of organic compounds described herein which satisfy the valencies of the heteroatoms. Furthermore, the presently disclosed hydrazinyl lipidoids are not intended to be limited in any manner by the permissible substituents of organic compounds. Any substituents disclosed herein may also be further substituted (e.g., an aryl substituent may itself be substituted, such as with another aryl group, which, in turn, is further substituted with fluorine at one or more positions).
- Examples of optional substituents of the compounds of the present disclosure include, but are not limited to, aliphatic groups, heteroaliphatic groups, aryl groups, heteroaryl groups, arylalkyl groups, heteroarylalkyl groups, alkoxy groups, aryloxy groups, heteroalkoxy groups, heteroaryloxy groups, alkylthio groups, arylthio groups, heteroalkylthio groups, heteroarylthio groups, F, Cl, Br, I, —OH, —NO2, —CN, —CF3, —CH2CF3, —CHCl2, —CH2OH, —CH2CH2OH, —CH2NH2, —CH2SO2R, —C(O)R, —CO2(R), —CON(R)2, —OC(O)R, —OCO2R, —OCON(R)2, —N(R)2, —S(O)2R, and —NR(CO)R, wherein each R is, independently, hydrogen, an aliphatic group, a heteroaliphatic group, an aryl group, a heteroaryl group, an arylalkyl group, or a heteroarylalkyl group, wherein any of the aliphatic, heteroaliphatic, arylalkyl, or heteroarylalkyl substituents described above and herein may be optionally substituted, branched or unbranched, cyclic or acyclic, and wherein any of the aryl or heteroaryl substituents described above and herein may be optionally substituted.
- In certain embodiments, the presently disclosed hydrazinyl and hydrazinylalcohol lipidoids can be salt, either from protonation by a mineral or organic acid or by quaternization of one more available tertiary nitrogens. Examples of counterions for such salts include, but are not limited to, halides, such as fluoride, chloride, bromide, or iodide, nitrate, hydrogen sulfate, dihydrogen phosphate, bicarbonate, nitrite, perchlorate, iodate, chlorate, bromate, chlorite, hypochlorite, hypobromite, cyanide, amide, cyanate, hydroxide, permanganate, an acid anion such as acetate or formate, or anions with negative charges greater than −1 (e.g., having in some embodiments one or more than one adsorbent functional group as counterion), such as oxide, sulfide, nitride, arsenate, phosphate, arsenite, hydrogen phosphate, sulfate, thio sulfate, sulfite, carbonate, chromate, dichromate, peroxide, or oxalate.
- In certain embodiments, the presently disclosed hydrazinyl and hydrazinylalcohol lipidoids, and optional substitutents thereon, can contain isotopes of various common atoms. Examples of such isotopes include, but are not limited to, deuterium, C13, N15, O18, and F18.
- In certain embodiments, R1, R2, R3, R4, and RA, independently, can be perfluorinated C1-20 alkyl groups. In certain embodiments, R2 and R4 are identical and selected from the group consisting of methyl, n-butyl, n-pentyl, n-decanyl, and n-dodecanyl. In certain embodiments, R2 is methyl and R4 is n-pentyl. In certain embodiments, R2 is methyl and R4 is n-octyl. In certain embodiments, RB is phenyl. In certain embodiments, RA is methyl or —CH2CH2OH.
- In certain embodiments, the hydrazinyl and hydrazinylalcohol lipidoid compounds of the present disclosure is a compound selected from the group consisting of compounds 1 through 116, as shown below:
- In certain embodiments, the presently disclosed hydrazinyl and hydrazinylalcohol lipidoids are relatively non-cytotoxic. In certain embodiments, the presently disclosed hydrazinyl and hydrazinylalcohol lipidoids are biocompatible and biodegradable. In certain embodiments, the presently disclosed hydrazinyl and hydrazinylalcohol lipidoids have a pKa in the range of from about 3.0 to about 9.0, or in the range of from about 5.0 to about 8.0, or in the range of from about 5.5 to about 7.5, or in the range of from about 6.0 to about 7.0.
- The presently disclosed hydrazinyl and hydrazinylalcohol lipidoids may exist in particular geometric or stereoisomeric forms. The present disclosure contemplates all such forms, including cis- and trans-isomers, R- and S-enantiomers, diastereomers, (D)-isomers, (L)-isomers, the racemic mixtures thereof, and other mixtures thereof, as falling within the scope of the invention. Additional asymmetric carbon atoms may be present in a substituent, such as an alkyl group. All such isomers, as well as mixtures thereof, are intended to be included in this disclosure.
- Isomeric mixtures containing any of a variety of isomer ratios may be utilized in accordance with the present disclosure. For example, where only two isomers are combined, mixtures containing 50:50, 60:40, 70:30, 80:20, 90:10, 95:5, 96:4, 97:3, 98:2, 99:1, or 100:0 isomer ratios are all contemplated by the present disclosure. Those of ordinary skill in the art will readily appreciate that analogous ratios are contemplated for more complex isomer mixtures.
- If a particular enantiomer of the presently disclosed hydrazinylalcohol lipidoids is desired, it may be prepared by asymmetric synthesis, for example, by reacting hydrazine or a substituted hydrazine with a chiral epoxide. It may also be prepared by derivation with a chiral auxiliary, where the resulting diastereomeric mixture is separated and the auxiliary group cleaved to provide the pure desired enantiomers. Alternatively, where the molecule contains a basic functional group, such as amino, or an acidic functional group, such as carboxyl, diastereomeric salts can be formed with an appropriate optically-active acid or base, followed by resolution of the diastereomers thus formed by fractional crystallization or chromatographic means well known in the art, and subsequent recovery of the pure enantiomers.
- The hydrazinylalcohol lipidoid compounds of the present disclosure contain at least two stereocenters, as shown in formula (VIII):
- If one or both of RA and RB is a group of formula (II), then the presently disclosed novel hydrazinylalcohol lipidoid compounds contain at least three or at least four stereocenters, as shown in formula (IX):
- If one or both groups R1 and/or one or both groups R3 are not hydrogen, it is possible that the presently disclosed compounds can contain one, two, three, or four additional stereocenters. Therefore, in certain embodiments of the presently disclosed compounds, each group of formula (IIa):
- is, independently, a group of formulae (IIb) or (IIc):
- In other embodiments of the presently disclosed compounds, each group of formula (II):
- is, independently, a group of formulae (IId) or (IIe):
- The “enantiomeric excess” of a substance is a measure of how pure a desired enantiomer is relative to the undesired enantiomer. Enantiomeric excess is defined as the absolute difference between the mole fraction of each enantiomer which is most often expressed as a percent enantiomeric excess. For mixtures of diastereomers, there are analogous definitions and uses for “diastereomeric excess” and percent diastereomeric excess. For example, a sample with 70% of R isomer and 30% of S will have an enantiomeric excess of 40%. This can also be thought of as a mixture of 40% pure R with 60% of a racemic mixture (which contributes 30% R and 30% S to the overall composition).
- The hydrazinylalcohol lipidoid compounds of the present disclosure can have an enantiomeric excess or a diastereomeric excess up to and including 2%, 5%, 10%, 15%, 20%, 25%, 30%, 35%, 40%, 45%, 50%, 55%, 60%, 61%, 62%, 63%, 64%, 65%, 66%, 67%, 68%, 69%, 70%, 71%, 72%, 73%, 74%, 75%, 76%, 77%, 78%, 79%, 80%, 81%, 82%, 83%, 84%, 85%, 86%, 87%, 88%, 89%, 90%, 90.5%, 91%, 91.5%, 92%, 92.5%, 93%, 93.5%, 94%, 94.5%, 95%, 95.5%, 96%, 96.5%, 97%, 97.5%, 98%, 98.5%, 99%, 99.5%, or 100%.
- The presently disclosed hydrazinyl and hydrazinylalcohol lipidoids may be prepared by any method known in the art. In certain embodiments, the hydrazinyl lipidoid compounds of the present disclosure are synthesized by reacting hydrazine or a substituted hydrazine with one or more acrylates or acrylamides. In certain embodiments, the hydrazinylalcohol lipidoid compounds of the present disclosure are synthesized by reacting hydrazine or a substituted hydrazine with one or more terminal or interior epoxides. In certain embodiments, these starting materials are commercially available and/or are easily and/or inexpensively prepared. Scheme 1 depicts this reaction where hydrazine is reacted with a terminal epoxide:
- In certain embodiments, the hydrazine is reacted in the presence of a stoichiometric excess of a terminal or interior epoxide. In certain embodiments, the synthesis of the hydrazinyl and hydrazinylalcohol lipidoid compounds is performed without solvent (i.e., neat). In certain embodiments, the hydrazine and the terminal or interior epoxide are reacted at a temperature of about 120° C. for about 3 days. After the reaction is complete, the reaction mixture is cooled and the crude product is purified.
- The synthesized hydrazinyl and hydrazinylalcohol lipidoid compounds may be purified by any technique known in the art including, but not limited to, precipitation, crystallization, chromatography, and distillation. In certain embodiments, the crude product is purified by silica gel chromatography.
- In certain embodiments, hydrazinyl and hydrazinylalcohol lipidoids of the present disclosure can be synthesized such that one nitrogen of the hydrazine core has identical substitutents that are different to the identical substituents on the other nitrogen of the hydrazine core. For example, this can be achieved through substituting one of the hydrazine atoms with a protecting group and then reacting the protected hydrazine with a terminal or interior epoxide. This reaction is shown in Scheme 2, where benzyl N-aminocarbamate is used as the protected hydrazine, which is reacted with 1,2-epoxydodecane:
- The product is the deprotected according to the reaction in Scheme 3 using palladium on carbon in the presence of hydrogen gas:
- The deprotected product is then subsequently reacted 1,2-epoxyhexane to yield a final product having differentiated substituents on each nitrogen of the hydrazine core, as shown in Scheme 4:
- Examples of amino-protecting groups that may be used in the above reaction sequence include, but are not limited to, methyl carbamate, ethyl carbamante, 9-fluorenylmethyl carbamate (Fmoc), 9-(2-sulfo)fluorenylmethyl carbamate, 9-(2,7-dibromo)fluoroenylmethyl carbamate, 2,7-di-t-butyl-[9-(10,10-dioxo-10,10,10,10-tetrahydrothioxanthyl)]methyl carbamate (DBD-Tmoc), 4-methoxyphenacyl carbamate (Phenoc), 2,2,2-trichloroethyl carbamate (Troc), 2-trimethylsilylethyl carbamate (Teoc), 2-phenylethyl carbamate (hZ), 1-(1-adamantyl)-1-methylethyl carbamate (Adpoc), 1,1-dimethyl-2-haloethyl carbamate, 1,1-dimethyl-2,2-dibromoethyl carbamate (DB-t-BOC), 1,1-dimethyl-2,2,2-trichloroethyl carbamate (TCBOC), 1-methyl-1-(4-biphenylyl)ethyl carbamate (Bpoc), 1-(3,5-di-t-butylphenyl)-1-methylethyl carbamate (t-Bumeoc), 2-(2′- and 4′-pyridyl)ethyl carbamate (Pyoc), 2-(N,N-dicyclohexylcarboxamido)ethyl carbamate, t-butyl carbamate (BOC), 1-adamantyl carbamate (Adoc), vinyl carbamate (Voc), allyl carbamate (Alloc), 1-isopropylallyl carbamate (Ipaoc), cinnamyl carbamate (Coc), 4-nitrocinnamyl carbamate (Noc), 8-quinolyl carbamate, N-hydroxypiperidinyl carbamate, alkyldithio carbamate, benzyl carbamate (Cbz), p-methoxybenzyl carbamate (Moz), p-nitobenzyl carbamate, p-bromobenzyl carbamate, p-chlorobenzyl carbamate, 2,4-dichlorobenzyl carbamate, 4-methylsulfinylbenzyl carbamate (Msz), 9-anthrylmethyl carbamate, diphenylmethyl carbamate, 2-methylthioethyl carbamate, 2-methylsulfonylethyl carbamate, 2-(p-toluenesulfonyl)ethyl carbamate, [2-(1,3-dithianyl]methyl carbamate (Dmoc), 4-methylthiophenyl carbamate (Mtpc), 2,4-dimethylthiophenyl carbamate (Bmpc), 2-phosphonioethyl carbamate (Peoc), 2-triphenylphosphonioisopropyl carbamate (Ppoc), dimethyl-2-cyanoethyl carbamate, m-chloro-p-acyloxybenzyl carbamate, p-(dihydroxyboryl)benzyl carbamate, 5-benzisoxazolylmethyl carbamate, 2-(trifluoromethyl)-6-chromonylmethyl carbamate (Tcroc), m-nitrophenyl carbamate, 3,5-dimethoxybenzyl carbamate, o-nitrobenzyl carbamate, 3,4-dimethoxy-6-nitrobenzyl carbamate, phenyl(o-nitrophenyl)methyl carbamate, phenothiazinyl-(10)-carbonyl derivative, N′-p-toluenesulfonylaminocarbonyl derivative, N′-phenylaminothiocarbonyl derivative, t-amyl carbamate, S-benzyl thiocarbamate, p-cyanobenzyl carbamate, cyclobutyl carbamate, cyclohexyl carbamate, cyclopentyl carbamate, cyclopropylmethyl carbamate, p-decyloxybenzyl carbamate, 2,2-dimethoxycarbonylvinyl carbamate, o-(N,N-dimethylcarboxamido)benzyl carbamate, 1,1-dimethyl-3-(N,N-dimethylcarboxamido)propyl carbamate, 1,1-dimethylpropynyl carbamate, di(2-pyridyl)methyl carbamate, 2-furanylmethyl carbamate, 2-iodoethyl carbamate, isoborynl carbamate, isobutyl carbamate, isonicotinyl carbamate, p-(p′-methoxyphenylazo)benzyl carbamate, 1-methylcyclobutyl carbamate, 1-methylcyclohexyl carbamate, 1-methyl-1-cyclopropylmethyl carbamate, 1-methyl-1-(3,5-dimethoxyphenyl)ethyl carbamate, 1-methyl-1-(p-phenylazophenyl)ethyl carbamate, 1-methyl-1-phenylethyl carbamate, 1-methyl-1-(4-pyridyl)ethyl carbamate, phenyl carbamate, p-(phenylazo)benzyl carbamate, 2,4,6-tri-t-butylphenyl carbamate, 4-(trimethylammonium)benzyl carbamate, 2,4,6-trimethylbenzyl carbamate, formamide, acetamide, chloroacetamide, trichloroacetamide, trifluoroacetamide, phenylacetamide, 3-phenylpropanamide, picolinamide, 3-pyridylcarboxamide, N-benzoylphenylalanyl derivative, benzamide, p-phenylbenzamide, o-nitophenylacetamide, o-nitrophenoxyacetamide, acetoacetamide, (N′-dithiobenzyloxycarbonylamino)acetamide, 3-(p-hydroxyphenyl)propanamide, 3-(o-nitrophenyl)propanamide, 2-methyl-2-(o-nitrophenoxy)propanamide, 2-methyl-2-(o-phenylazophenoxy)propanamide, 4-chlorobutanamide, 3-methyl-3-nitrobutanamide, o-nitrocinnamide, N-acetylmethionine derivative, o-nitrobenzamide, o-(benzoyloxymethyl)benzamide, 4,5-diphenyl-3-oxazolin-2-one, N-phthalimide, N-dithiasuccinimide (Dts), N-2,3-diphenylmaleimide, N-2,5-dimethylpyrrole, N-1,1,4,4-tetramethyldisilylazacyclopentane adduct (STABASE), 5-substituted 1,3-dimethyl-1,3,5-triazacyclohexan-2-one, 5-substituted 1,3-dibenzyl-1,3,5-triazacyclohexan-2-one, 1-substituted 3,5-dinitro-4-pyridone, N-methylamine, N-allylamine, N-[2-(trimethylsilyl)ethoxy]methylamine (SEM), N-3-acetoxypropylamine, N-(1-isopropyl-4-nitro-2-oxo-3-pyroolin-3-yl)amine, quaternary ammonium salts, N-benzylamine, N-di(4-methoxyphenyl)methylamine, N-5-dibenzosuberylamine, N-triphenylmethylamine (Tr), N-[(4-methoxyphenyl)diphenylmethyl]amine (MMTr), N-9-phenylfluorenylamine (PhF), N-2,7-dichloro-9-fluorenylmethyleneamine, N-ferrocenylmethylamino (Fern), N-2-picolylamino N′-oxide, N-1,1-dimethylthiomethyleneamine, N-benzylideneamine, N-p-methoxybenzylideneamine, N-diphenylmethyleneamine, N-[(2-pyridyl)mesityl]methyleneamine, N—(N′,N′-dimethylaminomethylene)amine, N,N′-isopropylidenediamine, N-p-nitrobenzylideneamine, N-salicylideneamine, N-5-chlorosalicylideneamine, N-(5-chloro-2-hydroxyphenyl)phenylmethyleneamine, N-cyclohexylideneamine, N-(5,5-dimethyl-3-oxo-cyclohexenyl)amine, N-borane derivative, N-diphenylborinic acid derivative, N-[phenyl(pentacarbonylchromium- or tungsten)carbonyl]amine, N-copper chelate, N-zinc chelate, N-nitroamine, N-nitrosoamme, amine N-oxide, diphenylphosphinamide (Dpp), dimethylthiophosphinamide (Mpt), diphenylthiophosphinamide (Ppt), dialkyl phosphoramidates, dibenzyl phosphoramidate, diphenyl phosphoramidate, benzene sulfenamide, o-nitrobenzenesulfenamide (Nps), 2,4-dinitrobenzenesulfenamide, pentachlorobenzenesulfenamide, 2-nitro-4-methoxybenzenesulfenamide, triphenylmethylsulfenamide, 3-nitropyridinesulfenamide (Npys), p-toluenesulfonamide (Ts), benzenesulfonamide, 2,3,6,-dimethyl-4-methoxybenzenesulfonamide (Mtr), 2,4,6-trimethoxybenzenesulfonamide (Mtb), 2,6-dimethyl-4-methoxybenzenesulfonamide (Pare), 2,3,5,6-tetramethyl-4-methoxybenzenesulfonamide (Mte), 4-methoxybenzenesulfonamide (Mbs), 2,4,6-trimethylbenzenesulfonamide (Mts), 2,6-dimethoxy-4-methylbenzenesulfonamide (iMds), 2,2,5,7,8-pentamethylchroman-6-sulfonamide (Pmc), methanesulfonamide (Ms), β-trimethylsilylethane sulfonamide (SES), 9-anthracenesulfonamide, 4-(4′,8′-dimethoxynaphthylmethyl)benzenesulfonamide (DNMBS), benzylsulfonamide, trifluoromethylsulfonamide, and phenacylsulfonamide.
- In another aspect, the present disclosure provides for formulations comprising the presently disclosed hydrazinyl or hydrazinylalcohol lipidoids that may be used to deliver one or more active agents to a target organism. Therefore, in another aspect, the present disclosure provides for formulations that comprise one or more hydrazinyl or hydrazinylalcohol lipidoids of the present disclosure and one or more active agents. Such formulations can take any form. Examples of such forms include, but are not limited to, complexes, particles (e.g., microparticles, nanoparticles, and picoparticles), micelles, and liposomes. In certain embodiments, two or more active agents (e.g., two or more siRNA) can be formulated with the presently disclosed hydrazinyl or hydrazinylalcohol lipidoids to form a single complex, particle, micelled or liposome containing the two or more active agents. Alternatively, in certain embodiments, the two or more active agents can be separately formulated to form a single complex, particle, micelled or liposome, each containing a single active agent, and are then combined to form a mixture prior to delivery to a target organism.
- The hydrazinyl and hydrazinylalcohol lipidoids of the present disclosure possess a hydrazine core that, although hindered, is available to interact with an active agent (e.g., a polynucleotide). As such, a complex is formed when an active agent is contacted with the presently disclosed hydrazinyl or hydrazinylalcohol lipidoids under conditions suitable to form an agent/lipidoid complex. In certain embodiments, multiple hydrazinyl or hydrazinylalcohol lipidoid molecules may complex with an agent molecule. The complex may include 1-100 hydrazinyl or hydrazinylalcohol lipidoid molecules, 1-1000 hydrazinyl or hydrazinylalcohol lipidoid molecules, 10-1000 hydrazinyl or hydrazinylalcohol lipidoid molecules, or 100-10,000 hydrazinyl or hydrazinylalcohol lipidoid molecules.
- The hydrazinyl and hydrazinylalcohol lipidoid compounds of the present disclosure may be used to encapsulate active agents. The hydrazinyl and hydrazinylalcohol lipidoid compounds of the present disclosure have several properties that make them particularly suitable in the preparation of drug delivery devices. These include, but are not limited to: (1) the ability of the lipidoid to complex and “protect” labile agents, (2) the ability to buffer the pH in the endosome (3) the ability to act as a “proton sponge” and cause endosomolysis, and (4) the ability to neutralize the charge on negatively charged agents. Thus, in certain embodiments, the hydrazinyl and hydrazinylalcohol lipidoid compounds of the present disclosure are used to form particles containing an active agent to be delivered. These particles may include other materials, such as proteins, carbohydrates, synthetic polymers (e.g., PEG, PLGA), and natural polymers.
- In certain embodiments, the inventive hydrazinyl and hydrazinylalcohol lipidoids are combined with an agent to be delivered to a cell or a subject to form microparticles, nanoparticles, liposomes, or micelles. The agent to be delivered by the particles, liposomes, or micelles may be in the form of a gas, liquid, or solid, and the agent may be a polynucleotide, protein, peptide, or small molecule. The inventive hydrazinyl or hydrazinylalcohol lipidoid compounds may be combined with other hydrazinyl and hydrazinylalcohol lipidoid compounds, polymers (synthetic or natural), surfactants, cholesterol, carbohydrates, proteins, and lipids, to form the particles.
- In certain embodiments, the diameter of the particles range from 1 to 1,000 micrometers. In certain embodiments, the diameter of the particles range from 1 to 100 micrometers. In certain embodiments, the diameter of the particles range from 1 to 10 micrometers. In certain embodiments, the diameter of the particles range from 10 to 100 micrometers. In certain embodiments, the diameter of the particles range from 100 to 1,000 micrometers. In certain embodiments, the diameter of the particles range from 1 to 5 micrometers. In certain embodiments, the diameter of the particles range from 1 to 1,000 nm. In certain embodiments, the diameter of the particles range from 1 to 100 nm. In certain embodiments, the diameter of the particles range from 1 to 10 nm. In certain embodiments, the diameter of the particles range from 10 nm to 100 nm. In certain embodiments, the diameter of the particles range from 100 nm to 1,000 nm. In certain embodiments, the diameters of the particles range from 1 to 5 nm. In certain embodiments, the diameter of the particles range from 1 to 1,000 μm. In certain embodiments, the diameter of the particles range from 1 to 100 pm. In certain embodiments, the diameter of the particles range from 1 to 10 pm. In certain embodiments, the diameter of the particles range from 10 to 100 pm. In certain embodiments, the diameter of the particles range from 100 to 1,000 pm. In certain embodiments, the diameter of the particles range from 1 to 5 pm.
- The particles of the present disclosure may be prepared using any method known in the art. These include, but are not limited to, spray drying, single and double emulsion solvent evaporation, solvent extraction, phase separation, simple and complex coacervation, and other methods well known to those of ordinary skill in the art. In certain embodiments, methods of preparing the particles are the double emulsion process and spray drying. In other embodiments, methods of preparing the particles are nanoprecipitation or flash precipitation, for example, as disclosed in U.S. Pat. Nos. 8,207,290, 8,404,799, 8,546,521, 8,618,240, and 8,809,492, each of which are incorporated herein in its entirety. The conditions used in preparing the particles may be altered to yield particles of a desired size or property (e.g., hydrophobicity, hydrophilicity, external morphology, “stickiness”, shape, etc.). The method of preparing the particle and the conditions (e.g., solvent, temperature, concentration, air flow rate, etc.) used may also depend on the agent being encapsulated and/or the composition of the matrix. Methods developed for making particles for delivery of encapsulated agents are described in the literature (e.g., Doubrow, M., Ed., “Microcapsules and Nanoparticles in Medicine and Pharmacy,” CRC Press, Boca Raton, 1992; Mathiowitz and Langer, J. Controlled Release 5:13-22, 1987; Mathiowitz et al. Reactive Polymers 6:275-283, 1987; Mathiowitz et al. J. Appl. Polymer Sci. 35:755-774, 1988; each of which is incorporated herein by reference in their entirety).
- If the particles prepared by any of the above methods have a size range outside of the desired range, the particles can be sized, for example, using a sieve. The particle may also be coated. In certain embodiments, the particles are coated with a targeting agent. In other embodiments, the particles are coated to achieve desirable surface properties (e.g., a particular charge).
- The hydrazinyl and hydrazinylalcohol lipidoids of the invention may be used to prepare micelles or liposomes containing an agent to be delivered. Many techniques for preparing micelles and liposomes are known in the art, and any method may be used with the inventive hydrazinyl and hydrazinylalcohol lipidoid compounds to make micelles and liposomes. Micelles and liposomes are particularly useful in delivering hydrophobic agents, such as hydrophobic small molecules.
- In certain embodiments, liposomes of the present disclosure are formed through spontaneous assembly. In other embodiments, liposomes are formed when thin lipid films or lipid cakes are hydrated and stacks of lipid crystalline bilayers become fluid and swell. The hydrated lipid sheets detach during agitation and self-close to form large, multilamellar vesicles (LMV). This prevents interaction of water with the hydrocarbon core of the bilayers at the edges. Once these particles have formed, reducing the size of the particle can be modified through input of sonic energy (sonication) or mechanical energy (extrusion). See Walde, P. “Preparation of Vesicles (Liposomes)” In Encyclopedia of Nanoscience and Nanotechnology; Nalwa, H. S. Ed. American Scientific Publishers: Los Angeles, 2004; Vol. 9, pp. 43-79; Szoka et al. “Comparative Properties and Methods of Preparation of Lipid Vesicles (Liposomes)” Ann. Rev. Biophys. Bioeng. 9:467-508, 1980; each of which is incorporated herein in its entirety.
- The preparation of liposomes of the present disclosure involves preparing the hydrazinyl and hydrazinylalcohol lipidoids for hydration, hydrating the hydrazinyl and hydrazinylalcohol lipidoids with agitation, and sizing the vesicles to achieve a homogenous distribution of liposomes. Hydrazinyl and hydrazinylalcohol lipidoids are first dissolved in an organic solvent to assure a homogeneous mixture. The solvent is then removed to form a lipidoid film. This film is thoroughly dried to remove residual organic solvent by placing the vial or flask on a vacuum pump overnight. Hydration of the lipidoid film/cake is accomplished by adding an aqueous medium to the container of dry lipidoid and agitating the mixture. Disruption of LMV suspensions using sonic energy typically produces small unilamellar vesicles (SUV) with diameters in the range of from 15 to 50 nm. Lipid extrusion is a technique in which a lipid suspension is forced through a polycarbonate filter with a defined pore size to yield particles having a diameter near the pore size of the filter used. Extrusion through filters with 100 nm pores typically yields large, unilamellar vesicles (LUV) with a mean diameter of from 120 to 140 nm.
- Certain hydrazinyl and hydrazinylalcohol lipidoids of the present disclosure can spontaneously self assemble around certain molecules, such as DNA and RNA, to form liposomes. In some embodiments, the application is the delivery of polynucleotides to a target cell. Thus, use of the hydrazinyl and hydrazinylalcohol lipidoids of the present disclosure allows for simple assembly of liposomes without the need for additional steps or devices such as an extruder.
- The complexes, microparticles, nanoparticles, picoparticles, liposomes, and micelles of the present disclosure may be modified to include targeting agents since it is often desirable to target a particular cell, collection of cells, or tissue. A variety of targeting agents that direct pharmaceutical compositions to particular cells are known in the art (e.g., Cotten et al. Methods Enzym. 217:618, 1993; which is incorporated herein by reference in its entirety). The targeting agents may be included throughout the particle or may be only on the surface. The targeting agent may be a protein, peptide, carbohydrate, glycoprotein, lipid, small molecule, nucleic acid, etc. The targeting agent may be used to target specific cells or tissues or may be used to promote endocytosis or phagocytosis of the particle. Examples of targeting agents include, but are not limited to, antibodies, fragments of antibodies, low-density lipoproteins (LDLs), transferrin, asialycoproteins, gp120 envelope protein of the human immunodeficiency virus (HIV), carbohydrates, receptor ligands, sialic acid, aptamers, etc. If the targeting agent is included throughout the particle, the targeting agent may be included in the mixture that is used to form the particles. If the targeting agent is only on the surface, the targeting agent may be associated with (i.e., by covalent, hydrophobic, hydrogen bonding, van der Waals, or other interactions) the formed particles using standard chemical techniques.
- In another aspect, the presently disclosed hydrazinyl and hydrazinylalcohol lipidoid-based formulations can be used to deliver an active agent to target organisms for the purpose of killing and/or controlling the proliferation of the target organisms, such as insects, plant pathogens (e.g., fungi, bacteria, viruses, and nematodes), and weeds. In certain embodiments, the presently disclosed hydrazinyl and hydrazinylalcohol lipidoid-based formulations comprise an insecticidal, nematidicidal, fungicidal, bacteriocidal, viricidal, or herbicidal active agent, or combinations thereof. In certain embodiments, these formulations are combined with an agriculturally acceptable carrier to form a insecticidal, nematodicidal, fungicidal, bacteriocidal, viricidal, or herbicidal formulation.
- A target organism is an organism in which the presently disclosed herbicidal, insecticidal, or fungicidal formulations are intended to be functional, for example, to mediate gene silencing or suppression. In certain embodiments, a target organism is also a host organism, as described herein below. In other embodiments, a target organism is separate and distinct from a host organism that serves as a source of the active agent to be functional in the target organism.
- The insecticidal, nematidicidal, fungicidal, bacteriocidal, viricidal, or herbicidal formulation may further be combined with an agriculturally acceptable carrier. The agriculturally acceptale carrier can be solid or liquid and is a substance useful in formulation of agricultural products, for example, fertilizers, herbicides, insecticides, fungicides, bactericides, viricides, and nematicides. Agriculturally acceptable carriers include, for example, natural or regenerated mineral substances, solvents, dispersants, wetting agents, tackifiers, thickeners, binders or fertilizers. Such carriers are described for example, in WO 97/33890, which is incorporated herein by reference.
- The presently disclosed formulations of the present disclosure can be applied to the crop area or plant to be treated, simultaneously or in succession with further compounds. These further compounds can be, for example, fertilizers or micronutrient donors or other preparations, which influence the growth of plants. They can also be selective herbicides or non-selective herbicides as well as insecticides, fungicides, bactericides, nematicides, molluscicides or mixtures of several of these preparations, if desired together with further carriers, surfactants or application promoting adjuvants customarily employed in the art of formulation.
- Active Agents
- Active agents that can be delivered to a target organism using the presently disclosed formulations include, but are not limited to, any type of molecule or compound including, but not limited to, nucleic acids, peptides, polypeptides, small molecules, and mixtures thereof. Examples of nucleic acids include, but are not limited to, interfering RNA molecules (e.g., siRNA, aiRNA, miRNA), antisense oligonucleotides, plasmids, ribozymes, immunostimulatory oligonucleotides, and mixtures thereof.
- In certain embodiments, the active agent comprises a nucleic acid. In certain embodiments, the nucleic acid comprises an interfering RNA molecule such as, e.g., an siRNA, aiRNA, miRNA, or mixtures thereof. In certain embodiments, the nucleic acid comprises single-stranded or double-stranded DNA, RNA, or a DNA/RNA hybrid such as, e.g., an antisense oligonucleotide, a ribozyme, a plasmid, an immunostimulatory oligonucleotide, or mixtures thereof.
- In certain embodiments, presently disclosed particles are associated with a nucleic acid. In some embodiments, the nucleic acid is fully encapsulated in a lipidoid particle. As used herein, the term “nucleic acid” includes any oligonucleotide or polynucleotide, with fragments containing up to 60 nucleotides generally termed oligonucleotides, and longer fragments termed polynucleotides. In particular embodiments, oligonucleotides of the invention are about 10, 15, 20, 25, 30, 35, 40, 45, 50, 55 or 60 nucleotides in length. Any of these values may be used to define a range for the size of the oligonucleotide. For example, the size of the oligonucleotide may range from 15-60, 20-60 or 25-60 nucleotides in length. In particular embodiments, the polynucleotide is 65, 70, 80, 90, 100, 150, 200, 250, 300, 350, 400, 450, 500, 550, 600, 650, 700, 750, 800, 850, 900, 950, 1000, 1100, 1200, 1300, 1400, 1500, 1600, 1700, 1800, 1900, 2000, or more nucleotides in length. In particular embodiments, the polynucleotide is at least 65, 70, 80, 90, 100, 150, 200, 250, 300, 350, 400, 450, 500, 550, 600, 650, 700, 750, 800, 850, 900, 950, 1000, 1100, 1200, 1300, 1400, 1500, 1600, 1700, 1800, 1900 or 2000 nucleotides in length. Any of these values may be used to define a range for the size of the polynucleotide. For example, the polynucleotide may range from 100-150, 150-200, 200-250, 250-300, 300-350, 350-400, 450-500, 500-550, 550-600, 600-650, 650-700, 700-750, 750-800, 800-850, 850-900, 900-950, or 950-1000 nucleotides in length. The nucleic acid may be administered alone in the particles of the present disclosure, or in combination (e.g., co-administered) with particles of the present disclosure comprising peptides, polypeptides, or small molecules, such as conventional drugs.
- In the context of this invention, the terms “polynucleotide” and “oligonucleotide” refer to a polymer or oligomer of nucleotide or nucleoside monomers consisting of naturally-occurring bases, sugars, and intersugar (backbone) linkages. The terms “polynucleotide” and “oligonucleotide” also include polymers or oligomers comprising non-naturally occurring monomers, or portions thereof, which function similarly. Such modified or substituted oligonucleotides are often preferred over native forms because of properties such as, for example, enhanced cellular uptake and increased stability in the presence of nucleases.
- Oligonucleotides are generally classified as deoxyribooligonucleotides or ribooligonucleotides. A deoxyribooligonucleotide consists of a 5-carbon sugar called deoxyribose joined covalently to phosphate at the 5′ and 3′ carbons of this sugar to form an alternating, unbranched polymer. A ribooligonucleotide consists of a similar repeating structure where the 5-carbon sugar is ribose.
- Nucleic acids that can be used in the presently disclosed formulations includes any form of nucleic acid that is known. The nucleic acids used herein can be single-stranded DNA or RNA, or double-stranded DNA or RNA, or DNA-RNA hybrids. Examples of double-stranded DNA are described herein and include, e.g., structural genes, genes including control and termination regions, and self-replicating systems such as viral or plasmid DNA. Examples of double-stranded RNA are described herein and include, e.g., siRNA and other RNAi agents such as aiRNA and pre-miRNA. Single-stranded nucleic acids include, e.g., antisense oligonucleotides, ribozymes, mature miRNA, and triplex-forming oligonucleotides.
- Nucleic acids that can be used in the formulations of the present disclosure may be of various lengths, which is generally dependent upon the particular form of nucleic acid. For example, in certain embodiments, plasmids or genes may be from about 1,000 to about 100,000 nucleotide residues in length. In certain embodiments, oligonucleotides may range from about 10 to about 100 nucleotides in length. In certain embodiments, oligonucleotides, both single-stranded, double-stranded, and triple-stranded, may range in length from about 10 to about 60 nucleotides, from about 15 to about 60 nucleotides, from about 20 to about 50 nucleotides, from about 15 to about 30 nucleotides, or from about 20 to about 30 nucleotides in length.
- In certain embodiments, an oligonucleotide (or a strand thereof) that can be used in the presently disclosed formulations specifically hybridizes to or is complementary to a target polynucleotide sequence. The terms “specifically hybridizable” and “complementary” as used herein indicate a sufficient degree of complementarity such that stable and specific binding occurs between the DNA or RNA target and the oligonucleotide. It is understood that an oligonucleotide need not be 100% complementary to its target nucleic acid sequence to be specifically hybridizable. In certain embodiments, an oligonucleotide is specifically hybridizable when binding of the oligonucleotide to the target sequence interferes with the normal function of the target sequence to cause a loss of utility or expression therefrom, and there is a sufficient degree of complementarity to avoid non-specific binding of the oligonucleotide to non-target sequences under conditions in which specific binding is desired. Thus, the oligonucleotide may include 1, 2, 3, or more base substitutions as compared to the region of a gene or mRNA sequence that it is targeting or to which it specifically hybridizes.
- In certain embodiments, the oligo- or polynucleotide is optionally purified and substantially pure. In some embodiments, the polynucleotide is greater than 50% pure. In some embodiments, the oligo- or polynucleotide is greater than 75% pure. In some embodiments, the oligo- or polynucleotide is greater than 95% pure. The oligo- or polynucleotide may be provided by any means known in the art. In certain embodiments, the oligo- or polynucleotide has been engineered using recombinant techniques. The oligo- or polynucleotide may also be obtained from natural sources and purified from contaminating components found normally in nature. The oligo- or polynucleotide may also be chemically synthesized in a laboratory. In certain embodiments, the oligo- or polynucleotide is synthesized using standard solid phase chemistry.
- The oligo- or polynucleotide may be modified by chemical or biological means. In certain embodiments, these modifications lead to increased stability of the oligo- or polynucleotide. Examples of such modifications include, but are not limited to, methylation, phosphorylation, and end-capping.
- The oligo- or polynucleotide to be delivered may be in any form. Examples of such forms include, but are not limited to, a circular plasmid, a linearized plasmid, a cosmid, a viral genome, a modified viral genome, an artificial chromosome, dsRNA, ssRNA, dsDNA, ssDNA, RNA/DNA hybrids, dsRNA hairpins, siRNA, aiRNA, and miRNA.
- The oligo- or polynucleotide may be of any sequence. In certain embodiments, the oligo- or polynucleotide encodes a protein or peptide. The encoded proteins may be enzymes, structural proteins, receptors, soluble receptors, ion channels, or cytokines. The oligo- or polynucleotide may also comprise regulatory regions to control the expression of a gene. These regulatory regions may include, but are not limited to, promoters, enhancer elements, repressor elements, TATA box, ribosomal binding sites, and stop site for transcription. In certain embodiments, the polynucleotide is not intended to encode a protein.
- In certain embodiments, the oligo- or polynucleotide is an RNA that carries out RNA interference (RNAi). The term “interfering RNA” or “RNAi” or “interfering RNA sequence” refers to single-stranded RNA (e.g., mature miRNA) or double-stranded RNA (e.g., duplex RNA, such as siRNA, aiRNA, or pre-miRNA) that is capable of reducing or inhibiting the expression of a target gene or sequence (e.g., by mediating the degradation or inhibiting the translation of mRNAs which are complementary to the interfering RNA sequence) when the interfering RNA is in the same cell as the target gene or sequence. Interfering RNA thus refers to the single-stranded RNA that is complementary to a target mRNA sequence or to the double-stranded RNA formed by two complementary strands or by a single, self-complementary strand. Interfering RNA may have substantial or complete identity to the target gene or sequence, or may comprise a region of mismatch (i.e., a mismatch motif). The sequence of the interfering RNA can correspond to the full-length target gene, or a subsequence thereof.
- siRNA
- In certain embodiments, the active agent comprises an siRNA. The siRNA molecule can comprise a double-stranded region of about 15 to about 60 nucleotides in length (e.g., about 15 to 60, 15 to 50, 15 to 40, 15 to 30, 15 to 25, or 19 to 25 nucleotides in length, or 15, 16, 17, 18, 19, 20, 21, 22, 23, 24, or 25 nucleotides in length). The siRNA molecules used in the presently disclosed formulations are capable of silencing the expression of a target sequence in vitro and/or in vivo.
- In certain embodiments, the siRNA molecule comprises modified nucleotides including, but not limited to, 2′-O-methyl (2′OMe) nucleotides, 2′-deoxy-2′-fluoro(2′F) nucleotides, 2′-deoxy nucleotides, 2′-O-(2-methoxyethyl) (MOE) nucleotides, locked nucleic acid (LNA) nucleotides, and mixtures thereof. In other embodiments, the siRNA comprises 2′OMe nucleotides (e.g., 2′OMe purine and/or pyrimidine nucleotides) such as, for example, 2′OMe-guanosine nucleotides, 2′OMe-uridine nucleotides, 2′OMe-adenosine nucleotides, 2′OMe-cytosine nucleotides, and mixtures thereof. In certain embodiments, the siRNA does not comprise 2′OMe-cytosine nucleotides. In certain embodiments, the siRNA comprises a hairpin loop structure.
- In certain embodiments, the siRNA may comprise modified nucleotides in one strand (i.e., sense or antisense) or both strands of the double-stranded region of the siRNA molecule. In certain embodiments, uridine and/or guanosine nucleotides are modified at selective positions in the double-stranded region of the siRNA duplex. With regard to uridine nucleotide modifications, at least one, two, three, four, five, six, or more of the uridine nucleotides in the sense and/or antisense strand can be a modified uridine nucleotide such as a 2′OMe-uridine nucleotide. In certain embodiments, every uridine nucleotide in the sense and/or antisense strand is a 2′OMe-uridine nucleotide. With regard to guanosine nucleotide modifications, at least one, two, three, four, five, six, or more of the guanosine nucleotides in the sense and/or antisense strand can be a modified guanosine nucleotide such as a 2′OMe-guanosine nucleotide. In certain embodiments, every guanosine nucleotide in the sense and/or antisense strand is a 2′OMe-guanosine nucleotide.
- In certain embodiments, at least one, two, three, four, five, six, seven, or more 5′-GU-3′ motifs in an siRNA sequence may be modified, e.g., by introducing mismatches to eliminate the 5′-GU-3′ motifs and/or by introducing modified nucleotides such as 2′OMe nucleotides. The 5′-GU-3′ motif can be in the sense strand, the antisense strand, or both strands of the siRNA sequence. The 5′-GU-3′ motifs may be adjacent to each other or, alternatively, they may be separated by 1, 2, 3, 4, 5, 6, 7, 8, 9, 10, 11, 12, or more nucleotides.
- In certain embodiments, a modified siRNA molecule is capable of silencing at least about 5%, 10%, 15%, 20%, 25%, 30%, 35%, 40%, 45%, 50%, 55%, 60%, 65%, 70%, 75%, 80%, 85%, 90%, 95%, or 100% of the expression of the target sequence relative to the corresponding unmodified siRNA sequence.
- In certain embodiments, the siRNA molecule does not comprise phosphate backbone modifications, e.g., in the sense and/or antisense strand of the double-stranded region. In certain embodiments, the siRNA comprises one, two, three, four, or more phosphate backbone modifications, e.g., in the sense and/or antisense strand of the double-stranded region. In certain embodiments, the siRNA does not comprise phosphate backbone modifications.
- In certain embodiments, the siRNA does not comprise 2′-deoxy nucleotides, e.g., in the sense and/or antisense strand of the double-stranded region. In certain embodiments, the siRNA comprises one, two, three, four, or more 2′-deoxy nucleotides, e.g., in the sense and/or antisense strand of the double-stranded region. In certain embodiments, the siRNA does not comprise 2′-deoxy nucleotides.
- In certain embodiments, the nucleotide at the 3′-end of the double-stranded region in the sense and/or antisense strand is not a modified nucleotide. In certain embodiments, the nucleotides near the 3′-end (e.g., within one, two, three, or four nucleotides of the 3′-end) of the double-stranded region in the sense and/or antisense strand are not modified nucleotides.
- The siRNA molecules described herein may have 3′ overhangs of one, two, three, four, or more nucleotides on one or both sides of the double-stranded region, or may lack overhangs (i.e., have blunt ends) on one or both sides of the double-stranded region. In certain embodiments, the siRNA has 3′ overhangs of two nucleotides on each side of the double-stranded region. In certain embodiments, the 3′ overhang on the antisense strand has complementarity to the target sequence and the 3′ overhang on the sense strand has complementarity to a complementary strand of the target sequence. Alternatively, the 3′ overhangs do not have complementarity to the target sequence or the complementary strand thereof. In certain embodiments, the 3′ overhangs comprise one, two, three, four, or more nucleotides such as 2′-deoxy(2′H) nucleotides. In certain embodiments, the 3′ overhangs comprise deoxythymidine (dT) and/or uridine nucleotides. In certain embodiments, one or more of the nucleotides in the 3′ overhangs on one or both sides of the double-stranded region comprise modified nucleotides. Examples of modified nucleotides are described above and include, but are not limited to, 2′OMe nucleotides, 2′-deoxy-2′F nucleotides, 2′-deoxy nucleotides, 2′-O-2-MOE nucleotides, LNA nucleotides, and mixtures thereof. In certain embodiments, one, two, three, four, or more nucleotides in the 3′ overhangs present on the sense and/or antisense strand of the siRNA comprise 2′OMe nucleotides (e.g., 2′OMe purine and/or pyrimidine nucleotides) such as, for example, 2′OMe-guanosine nucleotides, 2′OMe-uridine nucleotides, 2′OMe-adenosine nucleotides, 2′OMe-cytosine nucleotides, and mixtures thereof.
- The siRNA may comprise at least one or a cocktail (e.g., at least two, three, four, five, six, seven, eight, nine, ten, or more) of unmodified and/or modified siRNA sequences that silence target gene expression. The cocktail of siRNA may comprise sequences, which are directed to the same region or domain (e.g., a “hot spot”) and/or to different regions or domains of one or more target genes. In certain embodiments, one or more (e.g., at least two, three, four, five, six, seven, eight, nine, ten, or more) modified siRNA that silence target gene expression are present in a cocktail. In certain embodiments, one or more (e.g., at least two, three, four, five, six, seven, eight, nine, ten, or more) unmodified siRNA sequences that silence target gene expression are present in a cocktail.
- In certain embodiments, the antisense strand of the siRNA molecule comprises or consists of a sequence that is at least about 80%, 85%, 90%, 95%, 96%, 97%, 98%, or 99% complementary to the target sequence or a portion thereof. In certain embodiments, the antisense strand of the siRNA molecule comprises or consists of a sequence that is 100% complementary to the target sequence or a portion thereof. In certain embodiments, the antisense strand of the siRNA molecule comprises or consists of a sequence that specifically hybridizes to the target sequence or a portion thereof.
- In certain embodiments, the sense strand of the siRNA molecule comprises or consists of a sequence that is at least about 80%, 85%, 90%, 95%, 96%, 97%, 98%, or 99% identical to the target sequence or a portion thereof. In certain embodiments, the sense strand of the siRNA molecule comprises or consists of a sequence that is 100% identical to the target sequence or a portion thereof.
- The siRNA that can be used in the presently disclosed formulations are capable of silencing the expression of a target gene of interest. Each strand of the siRNA duplex can be about 15 to about 60 nucleotides in length, or about 15 to about 30 nucleotides in length. In certain embodiments, the siRNA comprises at least one modified nucleotide. In some embodiments, the modified siRNA contains at least one 2′OMe purine or pyrimidine nucleotide such as a 2′OMe-guanosine, 2′OMe-uridine, 2′OMe-adenosine, and/or 2′OMe-cytosine nucleotide. In certain embodiments, one or more of the uridine and/or guanosine nucleotides are modified. The modified nucleotides can be present in one strand (i.e., sense or antisense) or both strands of the siRNA. The siRNA sequences may have overhangs or may lack overhangs (i.e., have blunt ends).
- The modified siRNA generally comprises from about 1% to about 100% (e.g., about 1%, 2%, 3%, 4%, 5%, 6%, 7%, 8%, 9%, 10%, 11%, 12%, 13%, 14%, 15%, 16%, 17%, 18%, 19%, 20%, 21%, 22%, 23%, 24%, 25%, 26%, 27%, 28%, 29%, 30%, 35%, 40%, 45%, 50%, 55%, 60%, 65%, 70%, 75%, 80%, 85%, 90%, 95%, or 100%) modified nucleotides in the double-stranded region of the siRNA duplex. In certain embodiments, one, two, three, four, five, six, seven, eight, nine, ten, or more of the nucleotides in the double-stranded region of the siRNA comprise modified nucleotides.
- In certain embodiments, less than about 25% (e.g., less than about 25%, 24%, 23%, 22%, 21%, 20%, 19%, 18%, 17%, 16%, 15%, 14%, 13%, 12%, 11%, 10%, 9%, 8%, 7%, 6%, 5%, 4%, 3%, 2%, or 1%) of the nucleotides in the double-stranded region of the siRNA comprise modified nucleotides.
- In certain embodiments, from about 1% to about 25% (e.g., from about 1%-25%, 2%-25%, 3%-25%, 4%-25%, 5%-25%, 6%-25%, 7%-25%, 8%-25%, 9%-25%, 10%-25%, 11%-25%, 12%-25%, 13%-25%, 14%-25%, 15%-25%, 16%-25%, 17%-25%, 18%-25%, 19%-25%, 20%-25%, 21%-25%, 22%-25%, 23%-25%, 24%-25%, etc.) or from about 1% to about 20% (e.g., from about 1%-20%, 2%-20%, 3%-20%, 4%-20%, 5%-20%, 6%-20%, 7%-20%, 8%-20%, 9%-20%, 10%-20%, 11%-20%, 12%-20%, 13%-20%, 14%-20%, 15%-20%, 16%-20%, 17%-20%, 18%-20%, 19%-20%, 1%-19%, 2%-19%, 3%-19%, 4%-19%, 5%-19%, 6%-19%, 7%-19%, 8%-19%, 9%-19%, 10%-19%, 11%-19%, 12%-19%, 13%-19%, 14%-19%, 15%-19%, 16%-19%, 17%-19%, 18%-19%, 1%-18%, 2%-18%, 3%-18%, 4%-18%, 5%-18%, 6%-18%, 7%-18%, 8%-18%, 9%-18%, 10%-18%, 11%-18%, 12%-18%, 13%-18%, 14%-18%, 15%-18%, 16%-18%, 17%-18%, 1%-17%, 2%-17%, 3%-17%, 4%-17%, 5%-17%, 6%-17%, 7%-17%, 8%-17%, 9%-17%, 10%-17%, 11%-17%, 12%-17%, 13%-17%, 14%-17%, 15%-17%, 16%-17%, 1%-16%, 2%-16%, 3%-16%, 4%-16%, 5%-16%, 6%-16%, 7%-16%, 8%-16%, 9%-16%, 10%-16%, 11%-16%, 12%-16%, 13%-16%, 14%-16%, 15%-16%, 1%-15%, 2%-15%, 3%-15%, 4%-15%, 5%-15%, 6%-15%, 7%-15%, 8%-15%, 9%-15%, 10%-15%, 11%-15%, 12%-15%, 13%-15%, 14%-15%, etc.) of the nucleotides in the double-stranded region of the siRNA comprise modified nucleotides.
- In certain embodiments, e.g., when one or both strands of the siRNA are selectively modified at uridine and/or guanosine nucleotides, the resulting modified siRNA can comprise less than about 30% modified nucleotides (e.g., less than about 30%, 29%, 28%, 27%, 26%, 25%, 24%, 23%, 22%, 21%, 20%, 19%, 18%, 17%, 16%, 15%, 14%, 13%, 12%, 11%, 10%, 9%, 8%, 7%, 6%, 5%, 4%, 3%, 2%, or 1% modified nucleotides) or from about 1% to about 30% modified nucleotides (e.g., from about 1%-30%, 2%-30%, 3%-30%, 4%-30%, 5%-30%, 6%-30%, 7%-30%, 8%-30%, 9%-30%, 10%-30%, 11%-30%, 12%-30%, 13%-30%, 14%-30%, 15%-30%, 16%-30%, 17%-30%, 18%-30%, 19%-30%, 20%-30%, 21%-30%, 22%-30%, 23%-30%, 24%-30%, 25%-30%, 26%-30%, 27%-30%, 28%-30%, or 29%-30% modified nucleotides).
- Examples of modified nucleotides suitable for use in the presently disclosed formulations include, but are not limited to, ribonucleotides having a 2′-O-methyl (2′OMe), 2′-deoxy-2′-fluoro(2′F), 2′-deoxy, 5-C-methyl, 2′-O-(2-methoxyethyl) (MOE), 4′-thio, 2′-amino, or 2′-C-allyl group. Modified nucleotides having a Northern conformation are also suitable for use in siRNA molecules. Such modified nucleotides include, without limitation, locked nucleic acid (LNA) nucleotides (e.g., 2′-O, 4′-C-methylene-(D-ribofuranosyl) nucleotides), 2′-O-(2-methoxyethyl) (MOE) nucleotides, 2′-methyl-thio-ethyl nucleotides, 2′-deoxy-2′-fluoro(2′F) nucleotides, 2′-deoxy-2′-chloro(2′Cl) nucleotides, and 2′-azido nucleotides. In certain instances, the siRNA molecules described herein include one or more G-clamp nucleotides. A G-clamp nucleotide refers to a modified cytosine analog wherein the modifications confer the ability to hydrogen bond both Watson-Crick and Hoogsteen faces of a complementary guanine nucleotide within a duplex. In addition, nucleotides having a nucleotide base analog such as, for example, C-phenyl, C-naphthyl, other aromatic derivatives, inosine, azole carboxamides, and nitroazole derivatives such as 3-nitropyrrole, 4-nitroindole, 5-nitroindole, and 6-nitroindole can be incorporated into siRNA molecules.
- In certain embodiments, the siRNA molecules may further comprise one or more chemical modifications such as terminal cap moieties, phosphate backbone modifications, and the like. Examples of terminal cap moieties include, but are not limited to, inverted deoxy abasic residues, glyceryl modifications, 4′,5′-methylene nucleotides, 1-(β-D-erythrofuranosyl) nucleotides, 4′-thio nucleotides, carbocyclic nucleotides, 1,5-anhydrohexitol nucleotides, L-nucleotides, a-nucleotides, modified base nucleotides, threo-pentofuranosyl nucleotides, acyclic 3′,4′-seco nucleotides, acyclic 3,4-dihydroxybutyl nucleotides, acyclic 3,5-dihydroxypentyl nucleotides, 3′-3′-inverted nucleotide moieties, 3′-3′-inverted abasic moieties, 3′-2′-inverted nucleotide moieties, 3′-2′-inverted abasic moieties, 5′-5′-inverted nucleotide moieties, 5′-5′-inverted abasic moieties, 3′-5′-inverted deoxy abasic moieties, 5′-amino-alkyl phosphate, 1,3-diamino-2-propyl phosphate, 3-aminopropyl phosphate, 6-aminohexyl phosphate, 1,2-aminododecyl phosphate, hydroxypropyl phosphate, 1,4-butanediol phosphate, 3′-phosphoramidate, 5′-phosphoramidate, hexylphosphate, aminohexyl phosphate, 3′-phosphate, 5′-amino, 3′-phosphorothioate, 5′-phosphorothioate, phosphorodithioate, and bridging or non-bridging methylphosphonate or 5′-mercapto moieties. Examples of phosphate backbone modifications (i.e., resulting in modified internucleotide linkages) include, but are not limited to, phosphorothioate, phosphorodithioate, methylphosphonate, phosphotriester, morpholino, amidate, carbamate, carboxymethyl, acetamidate, polyamide, sulfonate, sulfonamide, sulfamate, formacetal, thioformacetal, and alkylsilyl substitutions. Such chemical modifications can occur at the 5′-end and/or 3′-end of the sense strand, antisense strand, or both strands of the siRNA.
- In certain embodiments, the sense and/or antisense strand of the siRNA molecule can further comprise a 3′-terminal overhang having about 1 to about 4 (e.g., 1, 2, 3, or 4) 2′-deoxy ribonucleotides and/or any combination of modified and unmodified nucleotides.
- The siRNA molecules can optionally comprise one or more non-nucleotides in one or both strands of the siRNA. As used herein, the term “non-nucleotide” refers to any group or compound that can be incorporated into a nucleic acid chain in the place of one or more nucleotide units, including sugar and/or phosphate substitutions, and allows the remaining bases to exhibit their activity. The group or compound is abasic in that it does not contain a commonly recognized nucleotide base such as adenosine, guanine, cytosine, uracil, or thymine and therefore lacks a base at the 1′-position.
- In certain embodiments, chemical modification of the siRNA comprises attaching a conjugate to the siRNA molecule. The conjugate can be attached at the 5′ and/or 3′-end of the sense and/or antisense strand of the siRNA via a covalent attachment such as, e.g., a biodegradable linker. The conjugate can also be attached to the siRNA, e.g., through a carbamate group or other linking group. In certain instances, the conjugate is a molecule that facilitates the delivery of the siRNA into a cell.
- aiRNA
- In certain embodiments, the active agent comprises an asymmetrical interfering RNA (aiRNA). In certain embodiments, aiRNA duplexes of various lengths may be designed with overhangs at the 3′ and 5′ ends of the antisense strand to target an mRNA of interest. In certain embodiments, the sense strand of the aiRNA molecule is about 10-25, 12-20, 12-19, 12-18, 13-17, or 14-17 nucleotides in length, more typically 12, 13, 14, 15, 16, 17, 18, 19, or 20 nucleotides in length. In certain embodiments, the antisense strand of the aiRNA molecule is about 15-60, 15-50, or 15-40 nucleotides in length, or about 15-30, 15-25, or 19-25 nucleotides in length, or about 20-24, 21-22, or 21-23 nucleotides in length.
- In certain embodiments, the 5′ antisense overhang contains one, two, three, four, or more nontargeting nucleotides (e.g., “AA”, “UU”, “dTdT”, etc.). In other embodiments, the 3′ antisense overhang contains one, two, three, four, or more nontargeting nucleotides (e.g., “AA”, “UU”, “dTdT”, etc.). In certain embodiments, the aiRNA molecules described herein may comprise one or more modified nucleotides, e.g., in the double-stranded (duplex) region and/or in the antisense overhangs. As a non-limiting example, aiRNA sequences may comprise one or more of the modified nucleotides described above for siRNA sequences. In certain embodiments, the aiRNA molecule comprises 2′OMe nucleotides such as, for example, 2′OMe-guanosine nucleotides, 2′OMe-uridine nucleotides, or mixtures thereof.
- In certain embodiments, aiRNA molecules may comprise an antisense strand which corresponds to the antisense strand of an siRNA molecule, e.g., one of the siRNA molecules described herein. In certain embodiments, aiRNA molecules may be used to silence the expression of any of a target gene.
- In certain embodiments, the aiRNA molecule comprises a double-stranded (duplex) region of about 10 to about 25 (base paired) nucleotides in length, wherein the aiRNA molecule comprises an antisense strand comprising 5′ and 3′ overhangs, and wherein the aiRNA molecule is capable of silencing target gene expression.
- In certain embodiments, each of the 5′ and 3′ overhangs on the antisense strand comprises or consists of one, two, three, four, five, six, seven, or more nucleotides.
- In certain embodiments, the aiRNA molecule comprises modified nucleotides selected from the group consisting of 2′OMe nucleotides, 2′F nucleotides, 2′-deoxy nucleotides, 2′-O-MOE nucleotides, LNA nucleotides, and mixtures thereof.
- miRNA
- In certain embodiments, the active agent comprises a microRNAs (miRNA). Generally, miRNA are single-stranded RNA molecules of about 21-23 nucleotides in length, which regulate gene expression. In certain embodiments, the miRNA molecules described herein are about 15-100, 15-90, 15-80, 15-75, 15-70, 15-60, 15-50, or 15-40 nucleotides in length, or about 15-30, 15-25, or 19-25 nucleotides in length, or about 20-24, 21-22, or 21-23 nucleotides in length. In certain embodiments, the miRNA molecule comprises about 15 to about 60 nucleotides in length, wherein the miRNA molecule is capable of silencing target gene expression.
- In certain embodiments, miRNA molecules may comprise one or more modified nucleotides. As a non-limiting example, miRNA sequences may comprise one or more of the modified nucleotides described above for siRNA sequences. In certain embodiments, the miRNA molecule comprises 2′OMe nucleotides such as, for example, 2′OMe-guanosine nucleotides, 2′OMe-uridine nucleotides, or mixtures thereof. In certain embodiments, the miRNA molecule comprises modified nucleotides selected from the group consisting of 2′F nucleotides, 2′-deoxy nucleotides, 2′-O-MOE nucleotides, LNA nucleotides, and mixtures thereof.
- dsRNA
- In certain embodiments, the active agent is a dsRNA (double-stranded RNA). In certain embodiments, the active agent is an shRNA (short hairpin RNA).
- Antisense Polynucleotide
- In certain embodiments, the active agent is an antisense oligonucleotide. The terms “antisense polynucleotide” or “antisense” include polynucleotides that are complementary to a targeted polynucleotide sequence. Antisense polynucleotides are single strands of DNA or RNA that are complementary to a chosen sequence.
- In certain embodiments, the polynucleotide is an antisense RNA. Antisense RNA polynucleotides prevent the translation of complementary RNA strands by binding to the RNA. Antisense DNA polynucleotides can be used to target a specific, complementary (coding or non-coding) RNA. If binding occurs, this DNA/RNA hybrid can be degraded by the enzyme RNase H. In certain embodiments, antisense polynucleotides comprise from about 10 to about 60 nucleotides, or from about 15 to about 30 nucleotides. The term also encompasses antisense polynucleotides that may not be exactly complementary to the desired target gene. Thus, the invention can be utilized in instances where non-target specific-activities are found with antisense, or where an antisense sequence containing one or more mismatches with the target sequence is the most preferred for a particular use.
- Methods of producing antisense polynucleotides are known in the art and can be readily adapted to produce an antisense polynucleotides that targets any polynucleotide sequence. Selection of antisense polynucleotide sequences specific for a given target sequence is based upon analysis of the chosen target sequence and determination of secondary structure, Tm, binding energy, and relative stability. Antisense polynucleotides may be selected based upon their relative inability to form dimers, hairpins, or other secondary structures that would reduce or prohibit specific binding to the target mRNA in a host cell. Highly preferred target regions of the mRNA include those regions at or near the AUG translation initiation codon and those sequences that are substantially complementary to 5′ regions of the mRNA. These secondary structure analyses and target site selection considerations can be performed, for example, using v.4 of the OLIGO primer analysis software (Molecular Biology Insights) and/or the BLASTN 2.0.5 algorithm software (Altschul et al., Nucleic Acids Res., 25:3389-402 (1997)).
- Ribozymes
- In certain embodiments, the active agent is a ribozyme. Ribozymes are RNA-protein complexes having specific catalytic domains that possess endonuclease activity. For example, a large number of ribozymes accelerate phosphoester transfer reactions with a high degree of specificity, often cleaving only one of several phosphoesters in an oligonucleotide substrate. This specificity has been attributed to the requirement that the substrate bind via specific base-pairing interactions to the internal guide sequence (“IGS”) of the ribozyme prior to chemical reaction.
- The enzymatic nucleic acid molecule may be formed in a hammerhead, hairpin, hepatitis δ virus, group I intron or RNaseP RNA (in association with an RNA guide sequence), or Neurospora VS RNA motif, for example. Important characteristics of enzymatic nucleic acid molecules used according to the invention are that they have a specific substrate binding site which is complementary to one or more of the target gene DNA or RNA regions, and that they have nucleotide sequences within or surrounding that substrate binding site which impart an RNA cleaving activity to the molecule.
- Methods of producing a ribozyme targeted to any polynucleotide sequence are known in the art. Ribozyme activity can be optimized by altering the length of the ribozyme binding arms or chemically synthesizing ribozymes with modifications that prevent their degradation by serum ribonucleases, modifications which enhance their efficacy in cells, and removal of stem II bases to shorten RNA synthesis times and reduce chemical requirements.
- Insecticides
- In certain embodiments, an insecticide for killing or controlling the proliferation of an insect is combined with the active agent described above. Examples of suitable insecticides include, but are not limited to, those provided in Table 1.
-
TABLE 1 chloronicotinyls/ acetamiprid, clothianidin, dinotefuran, imidacloprid, nitenpyram, neonicotinoids nithiazine, thiacloprid, thiamethoxam, imidaclothiz, (2E)-1-[(2-chloro-1,3- thiazol-5-yl)methyl]-3,5-dimethyl-N-nitro-1,3,5-tri-azinan-2-imine, acetylcholinesterase (AChE) inhibitors (such as carbamates and organophosphates) carbamates alanycarb, aldicarb, aldoxycarb, allyxycarb, aminocarb, bendiocarb, benfuracarb, bufencarb, butacarb, butocarboxim, butoxycarboxim, carbaryl, carbofuran, carbosulfan, chloethocarb, dimetilan, ethiofencarb, fenobucarb, fenothiocarb, formetanate, furathiocarb, isoprocarb, metam- sodium, methiocarb, methomyl, metolcarb, oxamyl, phosphocarb, pirimicarb, promecarb, propoxur, thiodicarb, thiofanox, triazamate, trimethacarb, XMC, xylylcarb organophosphates acephate, azamethiphos, azinphos (-methyl, -ethyl), bromophos-ethyl, bromfenvinfos (-methyl), butathiofos, cadusafos, carbophenothion, chlorethoxyfos, chlorfenvinphos, chlormephos, chlorpyrifos (-methyl/-ethyl), coumaphos, cyanofenphos, cyanophos, demeton-S- methyl, demeton-S-methylsulphon, dialifos, diazinon, dichlofenthion, dichlorvos/DDVP, dicrotophos, dimethoate, dimethylvinphos, dioxabenzofos, disulfoton, EPN, ethion, ethoprophos, etrimfos, famphur, fenamiphos, fenitrothion, fensulfothion, fenthion, flupyrazofos, fonofos, formothion, fosmethilan, fosthiazate, heptenophos, iodofenphos, iprobenfos, isazofos, isofenphos, isopropyl O-salicylate, isoxathion, malathion, mecarbam, methacrifos, methamidophos, methidathion, mevinphos, monocrotophos, naled, omethoate, oxydemeton-methyl, parathion (-methyl/-ethyl), phenthoate, phorate, phosalone, phosmet, phosphamidon, phosphocarb, phoxim, pirimiphos (-methyl/-ethyl), profenofos, propaphos, propetamphos, prothiofos, prothoate, pyraclofos, pyridaphenthion, pyridathion, quinalphos, sebufos, sulfotep, sulprofos, tebupirimfos, temephos, terbufos, tetrachlorvinphos, thiometon, triazophos, triclorfon, vamidothion pyrethroids acrinathrin, allethrin (d-cis-trans, d-trans), cypermethrin (alpha-, beta-, theta-, zeta-), permethrin (cis-, trans-), beta-cyfluthrin, bifenthrin, bioallethrin, bioallethrin-S-cyclopentyl-isomer, bioethanomethrin, biopermethrin, bioresmethrin, chlovaporthrin, cis-cypermethrin, cis- resmethrin, cis-permethrin, clocythrin, cycloprothrin, cyfluthrin, cyhalothrin, cyphenothrin, DDT, deltamethrin, empenthrin (1R-isomer), esfenvalerate, etofenprox, fenfluthrin, fenpropathrin, fenpyrithrin, fenvalerate, flubrocythrinate, flucythrinate, flufenprox, flumethrin, fluvalinate, fubfenprox, gamma-cyhalothrin, imiprothrin, kadethrin, lambda, cyhalothrin, metofluthrin, phenothrin (1R-trans isomer), prallethrin, profluthrin, protrifenbute, pyresmethrin, resmethrin, RU 15525, silafluofen, tau-fluvalinate, tefluthrin, terallethrin, tetramethrin (1R-isomer), tralocythrin, tralomethrin, transfluthrin, ZXI 8901, pyrethrins (pyrethrum) oxadiazines indoxacarb, acetylcholine receptor modulators (such as spinosyns) spinosyns spinosad cyclodiene camphechlor, chlordane, endosulfan, gamma-HCH, HCH, heptachlor, organochlorines lindane, methoxychlor fiproles acetoprole, ethiprole, vaniliprole, fipronil mectins abamectin, avermectin, emamectin, emamectin-benzoate, fenoxycarb, hydroprene, kinoprene, methoprene, ivermectin, lepimectin, epofenonane, pyriproxifen, milbemectin, milbemycin, triprene diacylhydrazines chromafenozide, halofenozide, methoxyfenozide, tebufenozide benzoylureas bistrifluoron, chlorfluazuron, diflubenzuron, fluazuron, flucycloxuron, flufenoxuron, hexaflumuron, lufenuron, novaluron, noviflumuron, penfluoron, teflubenzuron, triflumuron organotins azocyclotin, cyhexatin, fenbutatin oxide pyrroles chlorfenapyr dinitrophenols binapacyrl, dinobuton, dinocap, DNOC METIs fenazaquin, fenpyroximate, pyrimidifen, pyridaben, tebufenpyrad, tolfenpyrad, rotenone, acequinocyl, fluacrypyrim, microbial disrupters of the intestinal membrane of insects (such as Bacillus thuringiensis strains), inhibitors of lipid synthesis (such as tetronic acids and tetramic acids) tetronic acids spirodiclofen, spiromesifen, spirotetramat tetramic acids cis-3-(2,5-dimethylphenyl)-8-methoxy-2-oxo-1-azaspiro[4.5]dec-3-en-4-yl ethyl carbonate (alias: carbonic acid, 3-(2,5-dimethylphenyl)-8-methoxy- 2-oxo-1-azaspiro[4.5]dec-3-en-4-yl ethyl ester; CAS Reg. No.: 382608- 10-8), carboxamides (such as flonicamid), octopaminergic agonists (such as amitraz), inhibitors of the magnesium-stimulated ATPase (such as propargite), ryanodin receptor agonists (such as phthalamides or rynaxapyr) phthalamides N2-[1,1-dimethyl-2-(methylsulphonyl)ethyl]-3-iodo-N1-[2-methyl--4- [1,2,2,2-tetrafluoro-1-(trifluoromethyl)ethyl]phenyl]-1,2-benzenedi- carboxamide (i.e., flubendiamide; CAS reg. No.: 272451-65-7) - Additional non-limiting examples of suitable insecticides include biologics, hormones or pheromones such as azadirachtin, Bacillus species, Beauveria species, codlemone, Metarrhizium species, Paecilomyces species, thuringiensis and Verticillium species, and active compounds having unknown or non-specified mechanisms of action such as fumigants (such as aluminium phosphide, methyl bromide and sulphuryl fluoride) and selective feeding inhibitors (such as cryolite, flonicamid and pymetrozine). Examples of mite growth inhibitors include, but are not limited to, clofentezine, etoxazole and hexythiazox, amidoflumet, benclothiaz, benzoximate, bifenazate, bromopropylate, buprofezin, chinomethioat, chlordimeform, chlorobenzilate, chloropicrin, clothiazoben, cycloprene, cyflumetofen, dicyclanil, fenoxacrim, fentrifanil, flubenzimine, flufenerim, flutenzin, gossyplure, hydramethylnone, japonilure, metoxadiazone, petroleum, piperonyl butoxide, potassium oleate, pyrafluprole, pyridalyl, pyriprole, sulfluramid, tetradifon, tetrasul, triarathene, verbutin, furthermore the compound 3-methylphenyl propylcarbamate (Tsumacide Z), the compound 3-(5-chloro-3-pyridinyl)-8-(2,2,2-trifluoroethyl)-8-azabicyclo[3.2.1]octa-ne-3-carbonitrile (CAS reg. No. 185982-80-3) and the corresponding 3-endo isomer (CAS reg. No. 185984-60-5) (cf. WO 96/37494, WO 98/25923), and also preparations comprising insecticidally effective plant extracts, nematodes, fungi, or viruses.
- Herbicides
- In certain embodiments, an herbicide for killing or controlling the proliferation of weeds and other unwanted plants is combined with one the active agent described above. Examples of herbicides include, but are not limited to, benzoic acid herbicides such as dicamba esters, phenoxyalkanoic acid herbicides such as 2,4-D, MCPA and 2,4-DB esters, aryloxyphenoxypropionic acid herbicides such as clodinafop, cyhalofop, fenoxaprop, fluazifop, haloxyfop and quizalofop esters, pyridinecarboxylic acid herbicides such as aminopyralid, picloram and clopyralid esters, pyrimidinecarboxylic acid herbicides such as aminocyclopyrachlor esters, pyridyloxyalkanoic acid herbicides such as fluoroxypyr and triclopyr esters, and hydroxybenzonitrile herbicides such as bromoxynil and ioxynil esters, esters of the arylpyridine carboxylic acids and arylpyrimidine carboxylic acids of the following generic structures as disclosed in U.S. Pat. No. 7,314,849, U.S. Pat. No. 7,300,907 and U.S. Pat. No. 7,642,220.
- Fungicides
- In certain embodiments, a fungicide for killing or controlling the proliferation of a fungus is combined with the active agent described above. Exemplary fungicides include, but are not limited to, strobilurins, azoxystrobin, dimoxystrobin, enestroburin, fluoxastrobin, kresoxim-methyl, metominostrobin, picoxystrobin, pyraclostrobin, trifloxystrobin, orysastrobin, carboxamides, carboxanilides, benalaxyl, benalaxyl-M, benodanil, carboxin, mebenil, mepronil, fenfuram, fenhexamid, flutolanil, furalaxyl, furcarbanil, furametpyr, metalaxyl, metalaxyl-M (mefenoxam), methfuroxam, metsulfovax, ofurace, oxadixyl, oxycarboxin, penthiopyrad, pyracarbolid, salicylanilide, tecloftalam, thifluzamide, tiadinil, N-biphenylamides, bixafen, boscalid, carboxylic acid morpholides, dimethomorph, flumorph, benzamides, flumetover, fluopicolid (picobenzamid), zoxamid, carboxamides, carpropamid, diclocymet, mandipropamid, silthiofam, azoles, triazoles, bitertanol, bromuconazole, cyproconazole, difenoconazole, diniconazole, enilconazole, epoxiconazole, fenbuconazole, flusilazol, fluquinconazole, flutriafol, hexaconazole, imibenconazole, ipconazole, metconazole, myclobutanil, penconazole, propiconazole, prothioconazole, simeconazole, tebuconazole, tetraconazole, triadimenol, triadimefon, triticonazole, Imidazoles, cyazofamid, imazalil, pefurazoate, prochloraz, triflumizole, benzimidazoles, benomyl, carbendazim, fuberidazole, thiabendazole, ethaboxam, etridiazole, hymexazol, nitrogen-containing heterocyclyl compounds, pyridines, fuazinam, pyrifenox, pyrimidines, bupirimate, cyprodinil, ferimzone, fenarimol, mepanipyrim, nuarimol, pyrimethanil, piperazines, triforine, pyrroles, fludioxonil, fenpiclonil, morpholines, aldimorph, dodemorph, fenpropimorph, tridemorph, dicarboximides, iprodione, procymidone, vinclozolin, acibenzolar-S-methyl, anilazine, captan, captafol, dazomet, diclomezin, fenoxanil, folpet, fenpropidin, famoxadon, fenamidon, octhilinone, probenazole, proquinazid, pyroquilon, quinoxyfen, tricyclazole, carbamates, dithiocarbamates, ferbam, mancozeb, maneb, metiram, metam, propineb, thiram, zineb, ziram, diethofencarb, flubenthiavalicarb, iprovalicarb, propamocarb, guanidines, dodine, iminoctadine, guazatine, kasugamycin, polyoxins, streptomycin, validamycin A, organometallic compounds, fentin salts, sulfur-containing heterocyclyl compounds, isoprothiolane, dithianone, organophosphorous compounds, edifenphos, fosetyl, fosetyl-aluminum, iprobenfos, pyrazophos, tolclofos-methyl, Organochlorine compounds, thiophanate-methyl, chlorothalonil, dichlofluanid, tolylfluanid, flusulfamide, phthalide, hexachlorobenzene, pencycuron, quintozene, nitrophenyl derivatives, binapacryl, dinocap, dinobuton, spiroxamine, cyflufenamid, cymoxanil, metrafenon, N-2-cyanophenyl-3,4-dichloroisothiazol-5-carboxamide (isotianil), N-(3′,4′,5′-trifluorobiphenyl-2-yl)-3-difluoromethyl-1-methylpyrazole-4-carboxamide, 3-[5-(4-chlorophenyl)-2,3-dimethylisoxazolidin-3-yl]-pyridine, N-(3′,4′-dichloro-4-fluorobiphenyl-2-yl)-3-difluoromethyl-1-methylpyrazol-e-4-carboxamide, 5-chloro-7-(4-methylpiperidin-1-yl)-6-(2,4,6-trifluorophenyl)-[1,2,4]tria-zolo[1,5-a]pyrimidine, 2-butoxy-6-iodo-3-propylchromen-4-one, N,N-dimethyl-3-(3-bromo-6-fluoro-2-methylindole-1-sulfonyl)-[1,2,4]triazo-le-1-sulfonamide, methyl-(2-chloro-5-[1-(3-methylbenzyloxyimino)-ethyl]benzyl)carbamate, methyl-(2-chloro-5-[1-(6-methylpyridin-2-ylmethoxy-imino)ethyl]benzyl)carbamate, methyl 3-(4-chlorophenyl)-3-(2-isopropoxycarbonylamino-3-methylbutyryl-amino)propionate, 4-fluorophenyl N-(1-(1-(4-cyanophenyl)ethanesulfonyl)but-2-yl)carbamate, N-(2-(4-[3-(4-chlorophenyl)prop-2-ynyloxy]-3-methoxyphenyl)ethyl)-2-metha-nesulfonylamino-3-methylbutyramide, N-(2-(4-[3-(4-chlorophenyl)prop-2-ynyloxy]-3-methoxyphenyl)ethyl)-2-ethan-esulfonylamino-3-methylbutyramide, N-(4′-bromobiphenyl-2-yl)-4-difluoromethyl-2-methylthiazol-5-carboxamide, N-(4′-trifluoromethylbiphenyl-2-yl)-4-difluoromethyl-2-methylthiazol-5-carboxamide, N-(4′-chloro-3′-fluorobiphenyl-2-yl)-4-difluoromethyl-2-methylt-hiazol-5-carboxamide, and methyl 2-(ortho-((2,5-dimethylphenyloxy-methylene)phenyl)-3-methoxyacrylate.
- In certain embodiments, the target organism is any organism in which one or more genes is regulated by the active agent. For example, in some embodiments, the target organism is an organism comprising one or more genes that is targeted by an oligonucleotide or polynucleotide active agent. In some embodiments, the target organism is a plant in which one or more yield-related traits is improved by the active agent. In some embodiments, the target organism is a beneficial insect whose growth, fecundity, or disease resistance is improved by the active agent. In certain embodiments, the target organisms are plant pests or pathogens whose damage to the plant can be reduced or eliminated by active agents according to the invention. Examples of plant pests and pathogens include, but are not limited to, insects, nematodes, fungi, bacteria, viruses, and parasitic plants such as striga, dodder, and mistletoe. Insect pests that may be targeted according to the invention include, but are not limited to, chewing, sucking, and boring insects that belong, for example, to the non-limiting Orders Coleoptera, Diptera, Hemiptera, Heteroptera, Homoptera, Hymenoptera, Lepidoptera, and Orthoptera.
- Insects
- In some embodiments the composition may be taken up by an insect by direct contact with the composition, for example, by topical adsorption or inhalation of the composition or by direct feeding on a bait comprising the composition, as described below. The compositions may also be taken up by the insect by direct feeding on a plant that has been treated with the composition. Examples of insect pests that may be targeted by the invention include, but are not limited to, those provided in Table 2.
-
TABLE 2 Latin Name Common Name Ostrinia nubilalis European corn borer Helicoverpa zea Corn earworm Spodoptera exigua Beet armyworm Spodoptera frugiperda Fall armyworm Diatraea grandiosella Southwestern corn borer Elasmopalpus lignosellus Lesser cornstalk borer Papaipema nebris Stalk borer Pseudaletia unipuncta Common armyworm Agrotis ipsilon Black cutworm Striacosta albicosta Western bean cutworm Spodoptera ornithogalli Yellowstriped armyworm Spodoptera praefica Western yellowstriped armyworm Spodoptera eridania Southern armyworm Spodoptera eridania Southern armyworm Peridroma saucia Variegated cutworm Papaipema nebris Stalk borer Trichoplusia ni Cabbage looper Keiferia lycopersicella Tomato pinworm Manduca sexta Tobacco hornworm Manduca quinquemaculata Tomato hornworm Artogeia rapae Imported cabbageworm Pieris brassicae Cabbage butterfly Trichoplusia ni Cabbage looper Plutella xylostella Diamondback moth Spodoptera exigua Beet armyworm Agrotis segetum Common cutworm Phthorimaea operculella Potato tuberworm Plutella xylostella Diamondback moth Diatraea saccharalis Sugarcane borer Crymodes devastator Glassy cutworm Feltia ducens Dingy cutworm Agrotis gladiaria Claybacked cutworm Plathypena scabra Green cloverworm Pseudoplusia includes Soybean looper Anticarsia gemmatalis Velvetbean caterpillar Coleoptera Diabrotica barberi Northern corn rootworm Diabrotica undecimpunctata Southern corn rootworm Diabrotica virgifera Western corn rootworm Sitophilus zeamais Maize weevil Leptinotarsa decemlineata Colorado potato beetle Epitrix hirtipennis Tobacco flea beetle Phyllotreta cruciferae Crucifer flea beetle Phyllotreta pusilla Western black flea beetle Anthonomus eugenii Pepper weevil Leptinotarsa decemlineata Colorado potato beetle Epitrix cucumeris Potato flea beetle Hemicrepidus memnonius Wireworms Melanpotus spp. Ceutorhychus assimilis Wireworms Phyllotreta cruciferae Cabbage seedpod weevil Melanolus spp. Crucifer flea beetle Aeolus mellillus Wireworm Aeolus mancus Wheat wireworm Horistonotus uhlerii Sand wireworm Sphenophorus maidis Maize billbug Sphenophorus zeae Timothy bilibug Sphenophorus parvulus Bluegrass billbug Sphenophorus callosus Southern corn billbug Phyllophaga spp. White grubs Chaetocnema pulicaria Corn flea beetle Popillia japonica Japanese beetle Epilachna varivestis Mexican bean beetle Cerotoma trifurcate Bean leaf beetle Epicauta pestifera Epicauta lemniscata Blister beetles Homoptera Rhopalosiphum maidis Corn leaf aphid Anuraphis maidiradicis Corn root aphid Myzus persicae Green peach aphid Macrosiphum euphorbiae Potato aphid Trileurodes vaporariorum Greenhouse whitefly Bemisia tabaci Sweetpotato whitefly Bemisia argentifolii Silverleaf whitefly Brevicoryne brassicae Cabbage aphid Myzus persicae Green peach aphid Empoasca fabae Potato leafhopper Paratrioza cockerelli Potato psyllid Bemisia argentifolii Silverleaf whitefly Bemisia tabaci Sweetpotato whitefly Cavariella aegopodii Carrot aphid Brevicoryne brassicae Cabbage aphid Saccharosydne saccharivora West Indian canefly Sipha flava Yellow sugarcane aphid Spissistilus festinus Threecornered alfalfa hopper Hemiptera Lygus lineolaris Lygus hesperus Lygus rugulipennis Lygus bug Acrosternum hilare Green stink bug Euschistus servus Brown stick bug Blissus leucopterus leucopterus Chinch bug Diptera Liriomyza trifolii Leafminer Liriomyza sativae Vegetable leafminer Scrobipalpula absoluta Tomato leafminer Delia platura Seedcorn maggot Delia brassicae Cabbage maggot Delia radicum Cabbage root fly Psilia rosae Carrot rust fly Tetanops myopaeformis Sugarbeet root maggot Orthoptera Melanoplus differentialis Differential grasshopper Melanoplus femurrubrum Redlegged grasshopper Melanoplus bivittatus Twostriped grasshopper - Nematodes
- Examples of nematodes that may be targeted include, but are not limited to, those provided in Table 3.
-
TABLE 3 Disease Causative Agent Awl Dolichoderus spp., D. heterocephalus Bulb and stem (Europe) Ditylenchus dipsaci Burrowing Radopholus similes R. similis Cyst Heterodera avenae, H. zeae, H. schachti; Globodera rostochiensis, G. pallida, and G. tabacum; Heterodera trifolii, H. medicaginis, H. ciceri, H. mediterranea, H. cyperi, H. salixophila, H. zeae, H. goettingiana, H. riparia, H. humuli, H. latipons, H. sorghi, H. fici, H. litoralis, and H. turcomanica; Punctodera chalcoensis Dagger Xiphinema spp., X. americanum, X. Mediterraneum False root-knot Nacobbus dorsalis Lance, Columbia Hoplolaimus Columbus Lance Hoplolaimus spp., H. galeatus Lesion Pratylenchus spp., P. brachyurus, P. coffeae P. crenatus, P. hexincisus, P. neglectus, P. penetrans, P. scribneri, P. magnica, P. neglectus, P. thornei, P. vulnus, P. zeae Needle Longidorus spp., L. breviannulatus Ring Criconemella spp., C. ornata Root-knot Meloidogyne spp., M. arenaria, M. chitwoodi, M. artiellia, M. fallax, M. hapla, M. javanica, M. incognita, M. microtyla, M. partityla, M. panyuensis, M, paranaensis Spiral Helicotylenchus spp. Sting Belonolaimus spp., B. longicaudatus Stubby-root Paratrichodorus spp., P. christiei, P. minor, Quinisulcius acutus, Trichodorus spp. Stunt Tylenchorhynchus dubius Others Hirschmanniella species, Pratylenchoid magnicauda - Fungi
- Examples of fungi that may be targeted include, but are not limited to, those provided in Table 4.
-
TABLE 4 Disease Causative Agent Brown stripe downy mildew Sclerophthora rayssiae var. zeae Crazy top downy mildew Sclerophthora macrospora = S. macrospora Green ear downy mildew Sclerospora graminicola Java downy mildew Peronosclerospora maydis = Sclerospora maydis Philippine downy mildew Peronosclerospora philippinensis = Sclerospora philippinensis Sorghum downy mildew Peronosclerospora sorghi = Sclerospora sorghi Spontaneum downy mildew Peronosclerospora spontanea = Sclerospora spontanea Sugarcane downy mildew Peronosclerospora sacchari = Sclerospora sacchari Dry ear rot (cob, kernel and Nigrospora oryzae (teleomorph: Khuskia oryzae) stalk rot) Ear rots, minor Aspergillus glaucus, A. niger, Aspergillus spp., Cunninghamella sp., Curvularia pallescens, Doratomyces stemonitis = Cephalotrichum stemonitis, Fusarium culmorum, Gonatobotrys simplex, Pithomyces maydicus, Rhizopus microsporus, R. stolonifer = R. nigricans, Scopulariopsis brumptii Ergot (horse's tooth, diente Claviceps gigantea (anamorph: Sphacelia sp.) del caballo) Eyespot Aureobasidium zeae = Kabatiella zeae Fusarium ear and stalk rot Fusarium subglutinans = F. moniliforme var. subglutinans Fusarium kernel, root and Fusarium moniliforme (teleomorph: Gibberella fujikuroi) stalk rot, seed rot and seedling blight Fusarium stalk rot, seedling Fusarium avenaceum (teleomorph: Gibberella avenacea) root rot Gibberella ear and stalk rot Gibberella zeae (anamorph: Fusarium graminearum) Gray ear rot Botryosphaeria zeae = Physalospora zeae (anamorph: Macrophoma zeae) Gray leaf spot (Cercospora Cercospora sorghi = C. sorghi var. maydis, C. zeae-maydis leaf spot) Helminthosporium root rot Exserohilum pedicellatum = Helminthosporium pedicellatum (teleomorph: Setosphaeria) Hormodendrum ear rot Cladosporium cladosporioides = Hormodendrum cladosporioides, (Cladosporium rot) C. herbarum (teleomorph: Mycosphaerella tassiana) Hyalothyridium leaf spot Hyalothyridium maydis Late wilt Cephalosporium maydis Leaf spots, minor Alternaria alternata, Ascochyta maydis, A. tritici, A. zeicola, Bipolaris victoriae = Helminthosporium victoriae (teleomorph: Cochliobolus victoriae), C. sativus (anamorph: Bipolaris sorokiniana = H. sorokinianum = H. sativum), Epicoccum nigrum, Exserohilum prolatum = Drechslera prolata (teleomorph: Setosphaeria prolata) Graphium penicillioides, Leptosphaeria maydis, Leptothyrium zeae, Ophiosphaerella herpotricha, (anamorph: Scolecosporiella sp.), Paraphaeosphaeria michotii, Phoma sp., Septoria zeae, S. zeicola, S. zeina Northern corn leaf blight Exaerohilum turcicum = Helminthosporium turcicum, Setosphaeria turcica Northern corn leaf spot Cochliobolus carbonum Helminthosporium ear rot Bipolaris zeicola = Helminthosporium carbonum (race 1) Penicillium ear rot (blue Penicillium spp., P. chrysogenum, P. expansum, P. oxalicum eye, blue mold) Phaeocytostroma stalk rot Phaeocytostroma ambiguum, Phaeocytosporella zeae and root rot Phaeosphaeria leaf spot Phaeosphaeria maydis, Sphaerulina maydis Physalospora ear rot Botryosphaeria Botryosphaeria festucae = Physalospora zeicola, (anamorph: Diplodia frumenti) Purple leaf sheath Hemiparasitic bacteria and fungi Pyrenochaeta stalk rot and Phoma terrestris, Pyrenochaeta terrestris root rot Pythium root rot Pythium spp., P. arrhenomanes, P. graminicola Pythium stalk rot Pythium aphanidermatum = P. butleri L. Red kernel disease (ear Epicoccum nigrum mold, leaf and seed rot) Rhizoctonia ear rot Rhizoctonia zeae (teleomorph: Waitea circinata) Rhizoctonia root rot and Rhizoctonia solani, Rhizoctonia zeae stalk rot Root rots, minor Alternaria alternata, Cercospora sorghi, Dictochaeta fertilis, Fusarium acuminatum (teleomorph: Gibberella acuminate), F. equiseti (teleomorph: G. intricans), F. oxysporum, F. pallidoroseum, F. poae, F. roseum, F. cyanogena, (anamorph: F. sulphureum), Microdochium bolleyi, Mucor sp., Periconia circinata, Phytophthora cactorum, P. drechsleri, P. nicotianae var. parasitica, Rhizopus arrhizus Rostratum leaf spot (leaf Setosphaeria rostrata, Helminthosporium (anamorph: Exserohilum disease, ear and, stalk rot) rostratum = Helminthosporium rostratum) Rust, common corn Puccinia sorghi Rust, southern corn Puccinia polysora Rust, tropical corn Physopella pallescens, P. zeae = Angiospora zeae Sclerotium ear rot (southern Sclerotium rolfsii (teleomorph: Athelia rolfsii) blight) Seed rot-seedling blight Bipolaris sorokiniana, B. zeicola = Helminthosporium carbonum, Diplodia maydis, Exserohilum pedicellatum, Exserohilum turcicum = Helminthosporium turcicum, Fusarium avenaceum, F. culmorum, F. moniliforme, Gibberella zeae (anamorph: F. graminearum), Macrophomina phaseolina, Penicillium spp., Phomopsis sp., Pythium spp., Rhizoctonia solani, R. zeae, Sclerotium rolfsii, Spicaria sp. Selenophoma leaf spot Selenophoma sp. Sheath rot Gaeumannomyces graminis Shuck rot Myrothecium gramineum Silage mold Monascus purpureus, M. rubber Smut, common Ustilago zeae = U. maydis Smut, false Ustilaginoidea virens Smut, head Sphacelotheca reiliana = Sporisorium holci-sorghi Southern corn leaf blight Cochliobolus heterostrophus (anamorph: Bipolaris maydis = and stalk rot Helminthosporium maydis) Southern leaf spot Stenocarpella macrospora = Diplodia macrospora Stalk rots, minor Cercospora sorghi, Fusarium episphaeria, F. merismoides, F. oxysportum, F. poae, F. roseum, F. solani (teleomorph: Nectria haematococca), F. tricinctum, Mariannaea elegans, Mucor sp., Rhopographus zeae, Spicaria sp. Storage rots Aspergillus spp., Penicillium spp. and other fungi Tar spot Phyllachora maydis Trichoderma ear rot and Trichoderma viride = T. lignorum (teleomorph: Hypocrea sp.) root rot White ear rot, root and stalk Stenocarpella maydis = Diplodia zeae rot Yellow leaf blight Ascochyta ischaemi, Phyllosticta maydis (teleomorph: Mycosphaerella zeae-maydis) Zonate leaf spot Gloeocercospora sorghi Anthracnose leaf blight and Colletotrichum graminicola anthracnose (teleomorph: stalk rot Glomerella graminicola), Glomerella tucumanensis (anamorph: Glomerella falcatum) Aspergillus ear and kernel Aspergillus flavus rot Banded leaf and sheath spot Rhizoctonia solani = Rhizoctonia microsclerotia (teleomorph: Thanatephorus cucumeris) Black bundle disease Acremonium strictum = Cephalosporium acremonium Black kernel rot Lasiodiplodia theobromae = Botryodiplodia theobromae Borde blanco Marasmiellus sp. Brown spot (black spot, Physoderma maydis stalk rot) Cephalosporium kernel rot Acremonium strictum = Cephalosporium acremonium Charcoal rot Macrophomina phaseolina Corticium ear rot Thanatephorus cucumeris = Corticium sasakii Curvularia leaf spot Curvularia clavata, C. eragrostidis, = C. maculans (teleomorph: Cochliobolus eragrostidis), Curvularia inaequalis, C. intermedia (teleomorph: Cochliobolus intermedius), Curvularia lunata (teleomorph: Cochliobolus lunatus), Curvularia pallescens (teleomorph: Cochliobolus pallescens), Curvularia senegalensis, C. tuberculata (teleomorph: Cochliobolus tuberculatus) Didymella leaf spot Didymella exitialis Diplodia ear rot and stalk Diplodia frumenti (teleomorph: Botryosphaeria festucae) rot Diplodia ear rot, stalk rot, Diplodia maydis = Stenocarpella maydis seed rot and seedling blight Diplodia leaf spot or leaf Stenocarpella macrospora = Diplodia macrospore streak Corn common rust Puccinia sorghi Corn southern rust Puccinia polysora Corn tropical rust Physopella pallescens, P. zeae = Angiospora zeae Oat crown rust Puccinia coronata Oat stem Rust Puccinia graminis Stem rust Puccinia graminis = P. graminis f. sp. secalis Leaf (brown) rust Puccinia recondita (anamorph: Aecidium clematitis) Sugarcane common rust Puccinia melanocephala = P. eriantha Wheat leaf (brown) rust Puccinia triticina = P. Recondita f. Sp. tritici = P. tritici-duri Wheat stem (black) rust Puccinia graminis = P. graminis f. sp. tritici Wheat stripe (yellow) rust Puccinia striiformis (anamorph: P. uredoglumarum) Bean rust Uromyces appendiculatus Cotton rust Puccinia schedonnardi Cotton southwestern rust Puccinia cacabata Cotton tropical rust Phakopsora gossypii Peanut rust Puccinia arachidis Potato common rust Puccinia pittierianap Potato deforming rust Aecidium cantensis Soybean rust Phakopsora pachyrhizi - Bacteria
- Examples of bacteria that may be targeted include, but are not limited to, those shown in Table 5.
-
TABLE 5 Disease Causative Agent Bacterial leaf blight and stalk rot Pseudomonas avenae subsp. avenae Bacterial leaf spot Xanthomonas campestris pv. holcicola Bacterial stalk rot Enterobacter dissolvens = Erwinia dissolvens Bacterial stalk and top rot Erwinia carotovora subsp. carotovora, Erwinia chrysanthemi pv. Zeae Bacterial stripe Pseudomonas andropogonis Chocolate spot Pseudomonas syringae pv. Coronafaciens Goss's bacterial wilt blight Clavibacter michiganensis subsp. (leaf freckles and wilt) nebraskensis = Cornebacterium michiganense pv. Nebraskense Holcus spot Pseudomonas syringae pv. Syringae Purple leaf sheath Hemiparasitic bacteria Seed rot-seedling blight Bacillus subtilis Stewart's disease (bacterial wilt) Pantoea stewartii = Erwinia stewartii Corn stunt (Mesa Central or Achapparramiento, stunt, Spiroplasma Rio Grande stunt) kunkelii - Viruses
- Examples of plant viruses that may be targeted include, but are not limited to, those shown in the Table 6.
-
TABLE 6 Alfamoviruses: Alfalfa mosaic alfamovirus Bromoviridae Alphacryptoviruses: Alfalfa 1 alphacryptovirus, Beet 1 alphacryptovirus, Beet 2 Partitiviridae alphacryptovirus, Beet 3 alphacryptovirus, Carnation 1 alphacryptovirus, Carrot temperate 1 alphacryptovirus, Carrot temperate 3 alphacryptovirus, Carrot temperate 4 alphacryptovirus, Cocksfoot alphacryptovirus, Hop trefoil 1 alphacryptovirus, Hop trefoil 3 alphacryptovirus, Radish yellow edge alphacryptovirus, Ryegrass alphacryptovirus, Spinach temperate alphacryptovirus, Vicia alphacryptovirus, White clover 1 alphacryptovirus, White clover 3 alphacryptovirus Badnaviruses Banana streak badnavirus, Cacao swollen shoot badnavirus, Canna yellow mottle badnavirus, Commelina yellow mottle badnavirus, Dioscorea bacilliform badnavirus, Kalanchoe top-spotting badnavirus, Rice tungro bacilliform badnavirus, Schefflera ringspot badnavirus, Sugarcane bacilliform badnavirus Betacryptoviruses: Carrot temperate 2 betacryptovirus, Hop trefoil 2 betacryptovirus, Partitiviridae Red clover 2 betacryptovirus, White clover 2 betacryptovirus Bigeminiviruses: Abutilon mosaic bigeminivirus, Ageratum yellow vein Geminiviridae bigeminivirus, Bean calico mosaic bigeminivirus, Bean golden mosaic bigeminivirus, Bhendi yellow vein mosaic bigeminivirus, Cassava African mosaic bigeminivirus, Cassava Indian mosaic bigeminivirus, Chino del tomate bigeminivirus, Cotton leaf crumple bigeminivirus, Cotton leaf curl bigeminivirus, Croton yellow vein mosaic bigeminivirus, Dolichos yellow mosaic bigeminivirus, Euphorbia mosaic bigeminivirus, Horsegram yellow mosaic bigeminivirus, Jatropha mosaic bigeminivirus, Lima bean golden mosaic bigeminivirus, Melon leaf curl bigeminivirus, Mung bean yellow mosaic bigeminivirus, Okra leaf-curl bigeminivirus, Pepper hausteco bigeminivirus, Pepper Texas bigeminivirus, Potato yellow mosaic bigeminivirus, Rhynchosia mosaic bigeminivirus, Serrano golden mosaic bigeminivirus, Squash leaf curl bigeminivirus, Tobacco leaf curl bigeminivirus, Tomato Australian leafcurl bigeminivirus, Tomato golden mosaic bigeminivirus, Tomato Indian leafcurl bigeminivirus, Tomato leaf crumple bigeminivirus, Tomato mottle bigeminivirus, Tomato yellow leaf curl bigeminivirus, Tomato yellow mosaic bigeminivirus, Watermelon chlorotic stunt bigeminivirus, Watermelon curly mottle bigeminivirus Bromoviruses: Broad bean mottle bromovirus, Brome mosaic bromovirus, Cassia Bromoviridae yellow blotch bromovirus, Cowpea chlorotic mottle bromovirus, Melandrium yellow fleck bromovirus, Spring beauty latent bromovirus Bymoviruses: Barley mild mosaic bymovirus, Barley yellow mosaic bymovirus, Potyviridae Oat mosaic bymovirus, Rice necrosis mosaic bymovirus, Wheat spindle streak mosaic bymovirus, Wheat yellow mosaic bymovirus Capilloviruses Apple stem grooving capillovirus, Cherry A capillovirus, Citrus tatter leaf capillovirus, Lilac chlorotic leafspot capillovirus Carlaviruses Blueberry scorch carlavirus, Cactus 2 carlavirus, Caper latent carlavirus, Carnation latent carlavirus, Chrysanthemum B carlavirus, Dandelion latent carlavirus, Elderberry carlavirus, Fig S carlavirus, Helenium S carlavirus, Honeysuckle latent carlavirus, Hop American latent carlavirus, Hop latent carlavirus, Hop mosaic carlavirus, Kalanchoe latent carlavirus, Lilac mottle carlavirus, Lily symptomless carlavirus, Mulberry latent carlavirus, Muskmelon vein necrosis carlavirus, Nerine latent carlavirus, Passiflora latent carlavirus, Pea streak carlavirus, Poplar mosaic carlavirus, Potato M carlavirus, Potato S carlavirus, Red clover vein mosaic carlavirus, Shallot latent carlavirus, Strawberry pseudo mild yellow edge carlavirus Carmoviruses: Bean mild mosaic carmovirus, Cardamine chlorotic fleck Tombusviridae carmovirus, Carnation mottle carmovirus, Cucumber leaf spot carmovirus, Cucumber soil-borne carmovirus, Galinsoga mosaic carmovirus, Hibiscus chlorotic ringspot carmovirus, Melon necrotic spot carmovirus, Pelargonium flower break carmovirus, Turnip crinkle carmovirus Caulimoviruses Blueberry red ringspot caulimovirus, Carnation etched ring caulimovirus, Cauliflower mosaic caulimovirus, Dahlia mosaic caulimovirus, Figwort mosaic caulimovirus, Horseradish latent caulimovirus, Mirabilis mosaic caulimovirus, Peanut chlorotic streak caulimovirus, Soybean chlorotic mottle caulimovirus, Sweet potato caulimovirus, Thistle mottle caulimovirus Closteroviruses Beet yellow stunt closterovirus, Beet yellows closterovirus, Broad bean severe chlorosis closterovirus, Burdock yellows closterovirus, Carnation necrotic fleck closterovirus, Citrus tristeza closterovirus, Clover yellows closterovirus, Grapevine stem pitting associated closterovirus, Wheat yellow leaf closterovirus Comoviruses: Bean pod mottle comovirus, Bean rugose mosaic comovirus, Broad Comoviridae bean stain comovirus, Broad bean true mosaic comovirus, Cowpea mosaic comovirus, Cowpea severe mosaic comovirus, Glycine mosaic comovirus, Pea mild mosaic comovirus, Potato Andean mottle comovirus, Quail pea mosaic comovirus, Radish mosaic comovirus, Red clover mottle comovirus, Squash mosaic comovirus, Ullucus C comovirus Cucumoviruses: Cucumber mosaic cucumovirus, Peanut stunt cucumovirus, Tomato Bromoviridae aspermy cucumovirus Cytorhabdoviruses: Barley yellow striate mosaic cytorhabdovirus, Broad bean yellow Rhabdoviridae vein cytorhabdovirus, Broccoli necrotic yellows cytorhabdovirus, Cereal northern mosaic cytorhabdovirus, Festuca leaf streak cytorhabdovirus, Lettuce necrotic yellows cytorhabdovirus, Sonchus cytorhabdovirus, Strawberry crinkle cytorhabdovirus Dianthoviruses Carnation ringspot dianthovirus, Red clover necrotic mosaic dianthovirus, Sweet clover necrotic mosaic dianthovirus Enamoviruses Pea enation mosaic enamovirus Fijiviruses: Maize rough dwarf fijivirus, Oat sterile dwarf fijivirus, Pangola Reoviridae stunt fijivirus, Rice black-streaked dwarf fijivirus, Sugarcane Fiji disease fijivirus Furoviruses Beet necrotic yellow vein furovirus, Beet soil-borne furovirus, Broad bean necrosis furovirus, Oat golden stripe furovirus, Peanut clump furovirus, Potato mop-top furovirus, Sorghum chlorotic spot furovirus, Wheat soil-borne mosaic furovirus Hordeiviruses Anthoxanthum latent blanching hordeivirus, Barley stripe mosaic hordeivirus, Lychnis ringspot hordeivirus, Poa semilatent hordeivirus Hybrigeminiviruses: Beet curly top hybrigeminivirus, Tomato pseudo curly top Geminiviridae hybrigeminivirus Idaeoviruses Raspberry bushy dwarf idaeovirus Ilarviruses: Apple mosaic ilarvirus, Asparagus 2 ilarvirus, Blueberry necrotic Bromoviridae shock ilarvirus, Citrus leaf rugose ilarvirus, Citrus variegation ilarvirus, Elm mottle ilarvirus, Humulus japonicus ilarvirus, Hydrangea mosaic ilarvirus, Lilac ring mottle ilarvirus, Parietaria mottle ilarvirus, Plum American line pattern ilarvirus, Prune dwarf ilarvirus, Prunus necrotic ringspot ilarvirus, Spinach latent ilarvirus, Tobacco streak ilarvirus, Tulare apple mosaic ilarvirus Ipomoviruses: Sweet potato mild mottle ipomovirus, Sweet potato yellow dwarf Potyviridae ipomovirus Luteoviruses Barley yellow dwarf luteovirus, Bean leaf roll luteovirus, Beet mild yellowing luteovirus, Beet western yellows luteovirus, Carrot red leaf luteovirus, Groundnut rosette assistor luteovirus, Potato leafroll luteovirus, Solanum yellows luteovirus, Soybean dwarf luteovirus, Soybean Indonesian dwarf luteovirus, Strawberry mild yellow edge luteovirus, Subterranean clover red leaf luteovirus, Tobacco necrotic dwarf luteovirus Machlomoviruses Maize chlorotic mottle machlomovirus Macluraviruses Maclura mosaic macluravirus, Narcissus latent macluravirus Marafiviruses Bermuda grass etched-line marafivirus, Maize rayado fino marafivirus, Oat blue dwarf marafivirus Monogeminiviruses: Chloris striate mosaic monogeminivirus, Digitaria striate mosaic Geminiviridae monogeminivirus, Digitaria streak monogeminivirus, Maize streak monogeminivirus, Miscanthus streak monogeminivirus, Panicum streak monogeminivirus, Paspalum striate mosaic monogeminivirus, Sugarcane streak monogeminivirus, Tobacco yellow dwarf monogeminivirus, Wheat dwarf monogeminivirus Nanaviruses Banana bunchy top nanavirus, Coconut foliar decay nanavirus, Faba bean necrotic yellows nanavirus, Milk vetch dwarf nanavirus, Subterranean clover stunt nanavirus Necroviruses Tobacco necrosis necrovirus, Carnation yellow stripe necrovirus, Lisianthus necrosis necrovirus Nepoviruses: Arabis mosaic nepovirus, Arracacha A nepovirus, Artichoke Italian Comoviridae latent nepovirus, Artichoke yellow ringspot nepovirus, Blueberry leaf mottle nepovirus, Cacao necrosis nepovirus, Cassava green mottle nepovirus, Cherry leaf roll nepovirus, Cherry rasp leaf nepovirus, Chicory yellow mottle nepovirus, Crimson clover latent nepovirus, Cycas necrotic stunt nepovirus, Grapevine Bulgarian latent nepovirus, Grapevine chrome mosaic nepovirus, Grapevine fanleaf nepovirus, Hibiscus latent ringspot nepovirus, Lucerne Australian latent nepovirus, Mulberry ringspot nepovirus, Myrobalan latent ringspot nepovirus, Olive latent ringspot nepovirus, Peach rosette mosaic nepovirus, Potato black ringspot nepovirus, Potato U nepovirus, Raspberry ringspot nepovirus, Tobacco ringspot nepovirus, Tomato black ring nepovirus, Tomato ringspot nepovirus Nucleorhabdoviruses: Carrot latent nucleorhabdovirus, Coriander feathery red vein Rhabdoviridae nucleorhabdovirus, Cow parsnip mosaic nucleorhabdovirus, Cynodon chlorotic streak nucleorhabdovirus, Datura yellow vein nucleorhabdovirus, Eggplant mottled dwarf nucleorhabdovirus, Maize mosaic nucleorhabdovirus, Pittosporum vein yellowing nucleorhabdovirus, Potato yellow dwarf nucleorhabdovirus, Sonchus yellow net nucleorhabdovirus, Sowthistle yellow vein nucleorhabdovirus, Tomato vein clearing nucleorhabdovirus, Wheat American striate mosaic nucleorhabdovirus Oryzaviruses: Echinochloa ragged stunt oryzavirus, Rice ragged stunt oryzavirus Reoviridae Ourmiaviruses Cassava Ivorian bacilliform ourmiavirus, Epirus cherry ourmiavirus, Melon Ourmia ourmiavirus, Pelargonium zonate spot ourmiavirus Phytoreoviruses: Clover wound tumor phytoreovirus, Rice dwarf phytoreovirus, Rice Reoviridae gall dwarf phytoreovirus, Rice bunchy stunt phytoreovirus, Sweet potato phytoreovirus Potexviruses Asparagus 3 potexvirus, Cactus X potexvirus, Cassava X potexvirus, Chicory X potexvirus, Clover yellow mosaic potexvirus, Commelina X potexvirus, Cymbidium mosaic potexvirus, Daphne X potexvirus, Foxtail mosaic potexvirus, Hydrangea ringspot potexvirus, Lily X potexvirus, Narcissus mosaic potexvirus, Nerine X potexvirus, Papaya mosaic potexvirus, Pepino mosaic potexvirus, Plantago asiatica mosaic potexvirus, Plantain X potexvirus, Potato aucuba mosaic potexvirus, Potato X potexvirus, Tulip X potexvirus, Viola mottle potexvirus, White clover mosaic potexvirus Potyviruses: Alstroemeria mosaic potyvirus, Amaranthus leaf mottle potyvirus, Potyviridae Araujia mosaic potyvirus, Arracacha Y potyvirus, Artichoke latent potyvirus, Asparagus 1 potyvirus, Banana bract mosaic potyvirus, Bean common mosaic necrosis potyvirus, Bean common mosaic potyvirus, Bean yellow mosaic potyvirus, Beet mosaic potyvirus, Bidens mosaic potyvirus, Bidens mottle potyvirus, Cardamom mosaic potyvirus, Carnation vein mottle potyvirus, Carrot thin leaf potyyirus, Cassava brown streak potyvirus, Cassia yellow spot potyvirus, Celery mosaic potyvirus, Chickpea bushy dwarf potyvirus, Chickpea distortion mosaic potyvirus, Clover yellow vein potyvirus, Commelina diffusa potyvirus, Commelina mosaic potyvirus, Cowpea green vein-banding potyvirus, Cowpea Moroccan aphid-borne mosaic potyvirus, Cowpea rugose mosaic potyvirus, Crinum mosaic potyvirus, Daphne Y potyvirus, Dasheen mosaic potyvirus, Datura Colombian potyvirus, Datura distortion mosaic potyvirus, Datura necrosis potyvirus, Datura shoestring potyvirus, Dendrobium mosaic potyvirus, Desmodium mosaic potyvirus, Dioscorea alata potyvirus, Dioscorea green banding mosaic potyvirus, Eggplant green mosaic potyvirus, Euphorbia ringspot potyvirus, Freesia mosaic potyvirus, Groundnut eyespot potyvirus, Guar symptomless potyvirus, Guinea grass mosaic potyvirus, Helenium Y potyvirus, Henbane mosaic potyvirus, Hippeastrum mosaic potyvirus, Hyacinth mosaic potyvirus, Iris fulva mosaic potyvirus, Iris mild mosaic potyvirus, Iris severe mosaic potyvirus, Johnsongrass mosaic potyvirus, Kennedya Y potyvirus, Leek yellow stripe potyvirus, Lettuce mosaic potyvirus, Lily mottle potyvirus, Maize dwarf mosaic potyvirus, Malva vein clearing potyvirus, Marigold mottle potyvirus, Narcissus yellow stripe potyvirus, Nerine potyvirus, Onion yellow dwarf potyvirus, Ornithogalum mosaic potyvirus, Papaya ringspot potyvirus, Parsnip mosaic potyvirus, Passiflora ringspot potyvirus, Passiflora South African potyvirus, Passionfruit woodiness potyvirus, Patchouli mosaic potyvirus, Pea mosaic potyvirus, Pea seed-borne mosaic potyvirus, Peanut green mosaic potyvirus, Peanut mottle potyvirus, Pepper Indian mottle potyvirus, Pepper mottle potyvirus, Pepper severe mosaic potyvirus, Pepper veinal mottle potyvirus, Plum pox potyvirus, Pokeweed mosaic potyvirus, Potato A potyvirus, Potato V potyvirus, Potato Y potyvirus, Primula mosaic potyvirus, Ranunculus mottle potyvirus, Sorghum mosaic potyvirus, Soybean mosaic potyvirus, Statice Y potyvirus, Sugarcane mosaic potyvirus, Sweet potato feathery mottle potyvirus, Sweet potato G potyvirus, Swordbean distortion mosaic potyvirus, Tamarillo mosaic potyvirus, Telfairia mosaic potyvirus, Tobacco etch potyvirus, Tobacco vein-banding mosaic potyvirus, Tobacco vein mottling potyvirus, Tobacco wilt potyvirus, Tomato Peru potyvirus, Tradescantia-Zebrina potyvirus, Tropaeolum 1 potyvirus, Tropaeolum 2 potyvirus, Tuberose potyvirus, Tulip band-breaking potyvirus, Tulip breaking potyvirus, Tulip chlorotic blotch potyvirus, Turnip mosaic potyvirus, Ullucus mosaic potyvirus, Vallota mosaic potyvirus, Vanilla mosaic potyvirus, Vanilla necrosis potyvirus, Voandzeia distortion mosaic potyvirus, Watermelon mosaic 1 potyvirus, Watermelon mosaic 2 potyvirus, Wild potato mosaic potyvirus, Wisteria vein mosaic potyvirus, Yam mosaic potyvirus, Zucchini yellow fleck potyvirus, Zucchini yellow mosaic potyvirus Rymoviruses: Hordeum mosaic rymovirus, Oat necrotic mottle Potyviridae Agropyron mosaic rymovirus rymovirus, Ryegrass mosaic rymovirus, Wheat streak mosaic rymovirus Satellite RNAs Arabis mosaic satellite RNA, Chicory yellow mottle satellite RNA, Cucumber mosaic satellite RNA, Grapevine fanleaf satellite RNA, Strawberry latent ringspot satellite RNA, Tobacco ringspot satellite RNA, Tomato black ring satellite RNA, Velvet tobacco mottle satellite RNA Satelliviruses Maize white line mosaic satellivirus, Panicum mosaic satellivirus, Tobacco mosaic satellivirus, Tobacco necrosis satellivirus Sequiviruses: Dandelion yellow mosaic sequivirus, Parsnip yellow fleck Sequiviridae sequivirus Sobemoviruses Bean southern mosaic sobemovirus, Blueberry shoestring sobemovirus, Cocksfoot mottle sobemovirus, Lucerne transient streak sobemovirus, Rice yellow mottle sobemovirus, Rottboellia yellow mottle sobemovirus, Solanum nodiflorum mottle sobemovirus, Sowbane mosaic sobemovirus, Subterranean clover mottle sobemovirus, Turnip rosette sobemovirus, Velvet tobacco mottle, sobemovirus Tenuiviruses Maize stripe tenuivirus, Rice grassy stunt tenuivirus, Rice hoja blanca tenuivirus, Rice stripe tenuivirus Tobamoviruses Cucumber green mottle mosaic tobamovirus, Frangipani mosaic tobamovirus, Kyuri green mottle mosaic tobamovirus, Odontoglossum ringspot tobamovirus, Paprika mild mottle tobamovirus, Pepper mild mottle tobamovirus, Ribgrass mosaic tobamovirus, Opuntia Sammons' tobamovirus, Sunn-hemp mosaic tobamovirus, Tobacco mild green mosaic tobamovirus, Tobacco mosaic tobamovirus, Tomato mosaic tobamovirus, Ullucus mild mottle tobamovirus Tobraviruses Pea early browning tobravirus, Pepper ringspot tobravirus, Tobacco rattle tobravirus Tombusviruses: Artichoke mottled crinkle tombusvirus, Carnation Italian ringspot Tombusviridae tombusvirus, Cucumber necrosis tombusvirus, Cymbidium ringspot tombusvirus, Eggplant mottled crinkle tombusvirus, Grapevine Algerian latent tombusvirus, Lato River tombusvirus, Neckar River tombusvirus, Pelargonium leaf curl tombusvirus, Pepper Moroccan tombusvirus, Petunia asteroid mosaic tombusvirus, Tomato bushy stunt tombusvirus Tospoviruses: Impatiens necrotic spot tospovirus, Peanut yellow spot tospovirus, Bunyaviridae Tomato spotted wilt tospovirus Trichoviruses Apple chlorotic leaf spot trichovirus, Heracleum latent trichovirus, Potato T trichovirus Tymoviruses Abelia latent tymovirus, Belladonna mottle tymovirus, Cacao yellow mosaic tymovirus, Clitoria yellow vein tymovirus, Desmodium yellow mottle tymovirus, Dulcamara mottle tymovirus, Eggplant mosaic tymovirus, Erysimum latent tymovirus, Kennedya yellow mosaic tymovirus, Melon rugose mosaic tymovirus, Okra mosaic tymovirus, Ononis yellow mosaic tymovirus, Passionfruit yellow mosaic tymovirus, Physalis mosaic tymovirus, Plantago mottle tymovirus, Potato Andean latent tymovirus, Scrophularia mottle tymovirus, Turnip yellow mosaic, tymovirus, Voandzeia necrotic mosaic tymovirus, Wild cucumber mosaic tymovirus Umbraviruses Bean yellow vein banding umbravirus, Carrot mottle mimic umbravirus, Carrot mottle umbravirus, Carrot mottle mimic umbravirus, Groundnut rosette umbravirus, Lettuce speckles mottle umbravirus, Tobacco mottle umbravirus Varicosaviruses Freesia leaf necrosis varicosavirus, Lettuce big-vein varicosavirus, Tobacco stunt varicosavirus Waikaviruses: Anthriscus yellows waikavirus, Maize chlorotic dwarf waikavirus, Sequiviridae Rice tungro spherical waikavirus Putative Alsike clover vein mosaic virus, Alstroemeria streak potyvirus, Ungrouped Amaranthus mosaic potyvirus, Amazon lily mosaic potyvirus, Viruses Anthoxanthum mosaic potyvirus, Apple stem pitting virus, Aquilegia potyvirus, Asclepias rhabdovirus, Atropa belladonna rhabdovirus, Barley mosaic virus, Barley yellow streak mosaic virus, Beet distortion mosaic virus, Beet leaf curl rhabdovirus, Beet western yellows ST9-associated RNA virus, Black raspberry necrosis virus, Bramble yellow mosaic potyvirus, Brinjal mild mosaic potyvirus, Broad bean B virus, Broad bean V potyvirus, Broad bean yellow ringspot virus, Bryonia mottle potyvirus, Burdock mosaic virus, Burdock mottle virus, Callistephus chinensis chlorosis rhabdovirus, Canary reed mosaic potyvirus, Canavalia maritima mosaic potyvirus, Carnation rhabdovirus, Carrot mosaic potyvirus, Cassava symptomless rhabdovirus, Cassia mosaic virus, Cassia ringspot virus, Celery yellow mosaic potyvirus, Celery yellow net virus, Cereal flame chlorosis virus, Chickpea filiform potyvirus, Chilli veinal mottle potyvirus, Chrysanthemum spot potyvirus, Chrysanthemum vein chlorosis rhabdovirus, Citrus leprosis rhabdovirus, Citrus ringspot virus, Clover mild mosaic virus, Cocksfoot streak potyvirus, Colocasia bobone disease rhabdovirus, Cucumber toad-skin rhabdovirus, Cucumber vein yellowing virus, Cypripedium calceolus potyvirus, Datura innoxia Hungarian mosaic potyvirus, Dioscorea trifida potyvirus, Dock mottling mosaic potyvirus, Dodonaea yellows-associated virus, Eggplant severe mottle potyvirus, Euonymus fasciation rhabdovirus, Euonymus rhabdovirus, Fern potyvirus, Fig potyvirus, Gerbera symptomless rhabdovirus, Grapevine fleck virus, Grapevine stunt virus, Guar top necrosis virus, Habenaria mosaic potyvirus, Holcus lanatus yellowing rhabdovirus, Holcus streak potyvirus, Iris germanica leaf stripe rhabdovirus, Iris Japanese necrotic ring virus, Isachne mosaic potyvirus, Kalanchoe isometric virus, Kenaf vein-clearing rhabdovirus, Launaea mosaic potyvirus, Lupin yellow vein rhabdovirus, Maize eyespot virus, Maize line virus, Maize mottle/chlorotic stunt virus, Maize white line mosaic virus, Malvastrum mottle virus, Melilotus mosaic potyvirus, Melon vein-banding mosaic potyvirus, Melothria mottle potyvirus, Mimosa mosaic virus, Mung bean mottle potyvirus, Narcissus degeneration potyvirus, Narcissus late season yellows potyvirus, Nerine Y potyvirus, Nothoscordum mosaic potyvirus, Oak ringspot virus, Orchid fleck rhabdovirus, Palm mosaic potyvirus, Parsley green mottle potyvirus, Parsley rhabdovirus, Parsnip leafcurl virus, Passionfruit Sri Lankan mottle potyvirus, Passionfruit vein-clearing rhabdovirus, Patchouli mottle rhabdovirus, Pea stem necrosis virus, Peanut top paralysis potyvirus, Peanut veinal chlorosis rhabdovirus, Pecteilis mosaic potyvirus, Pepper mild mosaic potyvirus, Perilla mottle potyvirus, Pigeonpea proliferation rhabdovirus, Pigeonpea sterility mosaic virus, Plantain 7 potyvirus, Plantain mottle rhabdovirus, Pleioblastus chino potyvirus, Poplar decline potyvirus, Primula mottle potyvirus, Purple granadilla mosaic virus, Ranunculus repens symptomless rhabdovirus, Rice yellow stunt virus, Saintpaulia leaf necrosis rhabdovirus, Sambucus vein clearing rhabdovirus, Sarracenia purpurea rhabdovirus, Shamrock chlorotic ringspot potyvirus, Soybean mild mosaic virus, Soybean rhabdovirus, Soybean spherical virus, Soybean yellow vein virus, Soybean Z potyvirus, Strawberry latent C rhabdovirus, Strawberry mottle virus, Strawberry pallidosis virus, Sunflower mosaic potyvirus, Sweet potato latent potyvirus, Teasel mosaic potyvirus, Thimbleberry ringspot virus, Tomato mild mottle potyvirus, Trichosanthes mottle potyvirus, Tulip halo necrosis virus, Tulip mosaic virus, Turnip vein-clearing virus, Urd bean leaf crinkle virus, Vigna sinensis mosaic rhabdovirus, Watercress yellow spot virus, Watermelon Moroccan mosaic potyvirus, Wheat chlorotic spot rhabdovirus, White bryony potyvirus, Wineberry latent virus, Zinnia mild mottle potyvirus, Zoysia mosaic potyvirus - Weeds
- In certain embodiments, the target organism is a weed. As used herein, the term “weed” refers to any unwanted plant. The weed to be controlled may include monocotyledonous species, such as species of the genus Agrostis, Alopecurus, Avena, Bromus, Cyperus, Digitaria, Echinochloa, Lolium, Monochoria, Rottboellia, Sagittaria, Scirpus, Setaria, Sida or Sorghum, and dicotyledonous species, for example species of the genus Abutilon, Amaranthus, Chenopodium, Chrysanthemum, Conyza, Galium, Ipomoea, Nasturtium, Sinapis, Solanum, Stellaria, Veronica, Viola or Xanthium. Weeds can also include plants which may be considered crop plants but which are growing outside a crop area (escapes), or which grow from seed left over from a previous planting of a different crop (volunteers). Such volunteers or escapes may be tolerant to certain other herbicides.
- It has been demonstrated that several agriculturally relevant traits in plants can be modified via the introduction of transgenes that target the silencing of specific genes, including soybean oil composition and corn kernel protein composition. dsRNAs targeting specific genes in specific species can be applied topically to alter plant traits as well, and in some cases, offers the farmer more flexibility with regard to timing and endurance of application. In certain embodiments the compositions of the present invention may be used to enhance a yield-related trait in a plant. Yield-related traits that may be enhanced by the compositions of the present invention include, but are not limited to, total seed germination, rate of seed germination, plant biomass, disease tolerance, insect tolerance, drought tolerance, heat tolerance, cold tolerance, salinity tolerance, tolerance to heavy metals, total yield, seed yield, root growth, early vigor, plant biomass, plant size, total plant dry weight, above-ground dry weight, above-ground fresh weight, leaf area, stem volume, plant height, rosette diameter, leaf length, root length, root mass, tiller number, and leaf number.
- Crop Plants
- Representative crop plants that may be target organisms include monocotyledonous and dicotyledonous plants including but not limited to fodder or forage legumes, ornamental plants, food crops, trees, or shrubs selected from Acer spp., Allium spp., Amaranthus spp., Ananas comosus, Apium graveolens, Arachis spp, Asparagus officinalis, Beta vulgaris, Brassica spp. (e.g., Brassica napus, Brassica rapa ssp. [canola, oilseed rape, turnip rape]), Camellia sinensis, Canna indica, Cannabis saliva, Capsicum spp., Castanea spp., Cichorium endivia, Citrullus lanatus, Citrus spp., Cocos spp., Coffea spp., Coriandrum sativum, Corylus spp., Crataegus spp., Cucurbita spp., Cucumis spp., Daucus carota, Fagus spp., Ficus carica, Fragaria spp., Ginkgo biloba, Glycine spp. (e.g., Glycine max, Soja hispida or Soja max), Gossypium hirsutum, Helianthus spp. (e.g., Helianthus annuus), Hibiscus spp., Hordeum spp. (e.g., Hordeum vulgare), Ipomoea batatas, Juglans spp., Lactuca sativa, Linum usitatissimum, Litchi chinensis, Lotus spp., Luffa acutangula, Lupinus spp., Lycopersicon spp. (e.g., Lycopersicon esculenturn, Lycopersicon lycopersicum, Lycopersicon pyriforme), Malus spp., Medicago sativa, Mentha spp., Miscanthus sinensis, Morus nigra, Musa spp., Nicotiana spp., Olea spp., Oryza spp. (e.g., Oryza sativa, Oryza latifolia), Panicum miliaceum, Panicum virgatum, Passiflora edulis, Petroselinum crispum, Phaseolus spp., Pinus spp., Pistacia vera, Pisum spp., Poa spp., Populus spp., Prunus spp., Pyrus communis, Quercus spp., Raphanus sativus, Rheum rhabarbarum, Ribes spp., Ricinus communis, Rubus spp., Saccharum spp., Salix sp., Sambucus spp., Secale cereale, Sesamum spp., Sinapis spp., Solanum spp. (e.g., Solanum tuberosum, Solanum integrifolium or Solanum lycopersicum), Sorghum bicolor, Sorghum halepense, Spinacia spp., Tamarindus indica, Theobroma cacao, Trifolium spp., Triticosecale rimpaui, Triticum spp. (e.g., Triticum aestivum, Triticum durum, Triticum turgidum, Triticum hybernum, Triticum macha, Triticum sativum or Triticum vulgare), Vaccinium spp., Vicia spp., Vigna spp., Viola odorata, Vitis spp., and Zea mays. Especially preferred are rice, oilseed rape, canola, soybean, corn (maize), cotton, sugarcane, alfalfa, sorghum, and wheat.
- In certain embodiments, a target gene of interest my also include a gene that is essential to the survival of an organism, such as a weed, insect, or plant pathogen, and can serve as a target for controlling growth and proliferation of the organism. For example, dsRNA-mediated silencing of an essential gene in an insect pest can induce cessation of feeding and ultimately growth inhibition, morbidity, or mortality. Recent studies have shown that certain coleopteran insect species, most notably the western corn rootworm, Diabrotica virgifera virgifera, are exquisitely sensitive to ingested dsRNAs. Highly efficacious dsRNAs yield LC50 values in the parts-per-billion (ppb or ng/ml) range with this species. RNAi provides a unique mode of action for the control of insect pests that could complement the current strategy of expressing Bacillus thuringiensis insecticidal proteins in plants of agricultural importance. In certain embodiments, dsRNAs targeting essential insect genes can be delivered via topical sprays for RNAi-mediated insect control.
- In some embodiments, the compositions of the invention may be applied to an organism that is different from the target organism. For example, in some embodiments the target organism is an insect, and the composition is applied to a non-target organism, such as a plant, that is a host for the insect. As used herein, a “non-target organism” is any organism other than the target organism. Where the target organism and host organism differ, a non-target organism can comprise a host organism and organisms that consume the host organism or otherwise contact polynucleotides (e.g., siRNAs or antisense polynucleotides) or proteins expressed in a host organism. The target-specific design of polynucleotides such as RNAi and antisense polynucleotides, as described herein, provides that such polynucleotides have little or no gene silencing activity in non-target organisms.
- Non-target organisms include crop plants that may be infected with a target organism, such as a plant pathogen or insect. Representative crop plants include monocotyledonous and dicotyledonous plants including but not limited to fodder or forage legumes, ornamental plants, food crops, trees, or shrubs selected from Acer spp., Allium spp., Amaranthus spp., Ananas comosus, Apium graveolens, Arachis spp, Asparagus officinalis, Beta vulgaris, Brassica spp. (e.g., Brassica napus, Brassica rapa ssp. [canola, oilseed rape, turnip rape]), Camellia sinensis, Canna indica, Cannabis saliva, Capsicum spp., Castanea spp., Cichorium endivia, Citrullus lanatus, Citrus spp., Cocos spp., Coffea spp., Coriandrum sativum, Corylus spp., Crataegus spp., Cucurbita spp., Cucumis spp., Daucus carota, Fagus spp., Ficus carica, Fragaria spp., Ginkgo biloba, Glycine spp. (e.g., Glycine max, Soja hispida or Soja max), Gossypium hirsutum, Helianthus spp. (e.g., Helianthus annuus), Hibiscus spp., Hordeum spp. (e.g., Hordeum vulgare), Ipomoea batatas, Juglans spp., Lactuca sativa, Linum usitatissimum, Litchi chinensis, Lotus spp., Luffa acutangula, Lupinus spp., Lycopersicon spp. (e.g., Lycopersicon esculenturn, Lycopersicon lycopersicum, Lycopersicon pyriforme), Malus spp., Medicago sativa, Mentha spp., Miscanthus sinensis, Morus nigra, Musa spp., Nicotiana spp., Olea spp., Oryza spp. (e.g., Oryza sativa, Oryza latifolia), Panicum miliaceum, Panicum virgatum, Passiflora edulis, Petroselinum crispum, Phaseolus spp., Pinus spp., Pistacia vera, Pisum spp., Poa spp., Populus spp., Prunus spp., Pyrus communis, Quercus spp., Raphanus sativus, Rheum rhabarbarum, Ribes spp., Ricinus communis, Rubus spp., Saccharum spp., Salix sp., Sambucus spp., Secale cereale, Sesamum spp., Sinapis spp., Solanum spp. (e.g., Solanum tuberosum, Solanum integrifolium or Solanum lycopersicum), Sorghum bicolor, Sorghum halepense, Spinacia spp., Tamarindus indica, Theobroma cacao, Trifolium spp., Triticosecale rimpaui, Triticum spp. (e.g., Triticum aestivum, Triticum durum, Triticum turgidum, Triticum hybernum, Triticum macha, Triticum sativum or Triticum vulgare), Vaccinium spp., Vicia spp., Vigna spp., Viola odorata, Vitis spp., and Zea mays. Especially preferred are rice, oilseed rape, canola, soybean, corn (maize), cotton, sugarcane, alfalfa, sorghum, and wheat.
- In certain embodiments, the compositions described herein can be applied as a spray or powder to the plant, plant part, seed, a pest, or an area of cultivation. In certain embodiments, the compositions can be formulated as a bait, food substance, or attractant. For example, the compositions can be incorporated into an insect bait suitable for oral administration of the composition to the target insect. The bait may comprise a composition comprising an active agent and a hydrazinyl and hydrazinylalcohol lipidoid of the invention dispersed in a carrier, and an edible insect attractant. In some embodiments, the bait comprises an edible insect attractant and a nanoparticle or microparticle comprising the active agent and hydrazinyl and hydrazinylalcohol lipidoid, wherein the nanoparticle or microparticle is dispersed in a carrier. Typically, the composition and attractant are mixed together before being dispersed in the desired carrier. Suitable attractants include any type of insect food and/or attractant which will lure the insect to the bait to ingest the bait. Exemplary insect foods or attractants include any type of insect food, including various sugars, proteins, carbohydrates, yeast, fats, and/or oils. The bait can be in any form suitable for delivery and ingestion of the composition, depending on the habitat and target insect, but will typically be a liquid, gel, self-sustaining gel-matrix, or solid bait (e.g., tablets, granules, etc.). Exemplary carriers include, without limitation, agarose gel, gelatin gel, and/or pectin gel. In some embodiments, the carrier is agarose gel, which is especially suited for aquatic habitats and breeding grounds. Insect baits are known in the art and are described, for example, in U.S. Pat. No. 8,841,272.
- The compositions are present in the bait in an effective amount (i.e., concentration) for the activity of the active agent, such as gene silencing. The concentration of the active agent in the bait may be about 0.001, 0.005, 0.01, 0.05, 0.1, 0.5, 1, 2, 3, 4, 5, 6, 7, 8, 9, 10, 11, 12, 13, 14, 15, 16, 17, 18, 19 or 20% by weight of the bait. Any of these values may be used to define a range for the concentration of the active agent in the bait. For example, the concentration of the active agent in the bait may range from about 0.1 to about 1%, or from about 1 to about 5% by weight of the bait. The weight ratio of active agent to insect attractant (food) in the bait may be about 1:1, 1:5, 1:10, 1:20, 1:30, 1:40, 1:50, 1:60, 1:70, 1:80, 1:90, 1:100, 1:150 or 1:200. Any of these values may be used to define a range for the weight ratio of the active agent to the insect attractant in the bait. For example, the weight ratio of the active agent to the insect attractant in the bait may be from about 1:20 to about 1:200, or from about 1:50 to about 1:100.
- In some embodiments, the concentration of the microparticle or nanoparticle comprising the active agent and the hydrazinyl and hydrazinylalcohol lipidoid in the bait may be about 0.001, 0.005, 0.01, 0.05, 0.1, 0.5, 1, 2, 3, 4, 5, 6, 7, 8, 9, 10, 11, 12, 13, 14, 15, 16, 17, 18, 19 or 20% by weight of the bait. Any of these values may be used to define a range for the concentration of the microparticle or nanoparticle in the bait. For example, the concentration of the microparticle or nanoparticle in the bait may range from about 0.1 to about 1%, or from about 1 to about 5% by weight of the bait. The weight ratio of the microparticle or nanoparticle to insect attractant (food) in the bait may be about 1:1, 1:5, 1:10, 1:20, 1:30, 1:40, 1:50, 1:60, 1:70, 1:80, 1:90, 1:100, 1:150 or 1:200. Any of these values may be used to define a range for the weight ratio of the microparticle or nanoparticle to the insect attractant in the bait. For example, the weight ratio of the microparticle or nanoparticle to the insect attractant in the bait may be from about 1:20 to about 1:200, or from about 1:50 to about 1:100.
- The compositions of the invention may also be applied as concentrated emulsions, dusts, emulsifiable concentrates, fumigants, gels, granules, seed treatments, suspension concentrates, suspoemulsions, tablets, water soluble liquids, water dispersible granules or dry flowables, wettable powders, and ultra low volume solutions. For further information on formulation types see “Catalogue of Pesticide Formulation Types and International Coding System” Technical Monograph No. 2, 5th Edition by CropLife International (2002). Agricultural formulations are also described, for example, in U.S. Pat. No. 8,815,271.
- For example, the compositions of the invention may be applied as aqueous suspensions or emulsions prepared from concentrated formulations. Such water-soluble, water-suspendable, or emulsifiable formulations are either solids, usually known as wettable powders, or water dispersible granules, or liquids usually known as emulsifiable concentrates, or aqueous suspensions. Wettable powders, which may be compacted to form water dispersible granules, comprise an intimate mixture of the composition, a carrier, and surfactants. The carrier may be selected from attapulgite clays, montmorillonite clays, diatomaceous earths, and purified silicates. Effective surfactants, comprising from about 0.5% to about 10% of the wettable powder, include sulfonated lignins, condensed naphthalenesulfonates, naphthalenesulfonates, alkylbenzenesulfonates, alkyl sulfates, and non-ionic surfactants such as ethylene oxide adducts of alkyl phenols.
- Emulsifiable concentrates comprise a suitable concentration of the composition, such as from about 50 to about 500 grams per liter of liquid dissolved in a carrier that is either a water miscible solvent or a mixture of water-immiscible organic solvent and emulsifiers. Suitable organic solvents include aromatics, especially xylenes and petroleum fractions, especially the high-boiling naphthalenic and olefinic portions of petroleum such as heavy aromatic naphtha. Other organic solvents may also be used, such as the terpenic solvents including rosin derivatives, aliphatic ketones such as cyclohexanone, and complex alcohols such as 2-ethoxyethanol. Suitable emulsifiers for emulsifiable concentrates are selected from conventional anionic and non-ionic surfactants.
- Aqueous suspensions comprise suspensions of water-insoluble forms of the compositions of the invention dispersed in an aqueous carrier at a concentration in the range from about 5% to about 50% by weight. Ingredients, such as inorganic salts and synthetic or natural gums may also be added, to increase the density and viscosity of the aqueous carrier.
- The compositions may also be applied as granular compositions, for example, for applications to the soil. Granular compositions may contain from about 0.5% to about 10% by weight of the composition, dispersed in a carrier that comprises clay or a similar substance. Such compositions may be prepared by dissolving the composition in a suitable solvent and applying it to a granular carrier which has been pre-formed to a suitable particle size, for example, in the range of from about 0.5 to about 3 mm. Such compositions may also be formulated by making a dough or paste of the carrier and compound and crushing and drying to obtain the desired granular particle size.
- Dusts comprising the compositions of the invention may be prepared by intimately mixing the composition in powdered form with a suitable dusty agricultural carrier, such as kaolin clay, ground volcanic rock, and the like. Dusts may contain from about 1% to about 10% by weight of the composition. They may be applied as a seed dressing or as a foliage application with a dust blower machine.
- The compositions may also be applied in the form of a solution in an appropriate organic solvent (e.g. petroleum oil) such as the spray oils, which are widely used in agricultural chemistry.
- The composition may also be applied in the form of an aerosol composition. The composition is dissolved or dispersed in a carrier, which is a pressure-generating propellant mixture. The aerosol composition is packaged in a container from which the mixture is dispensed through an atomizing valve.
- Agriculturally acceptable carriers may also include surface active agents, stickers, spreader stickers, inert carriers, preservatives, humectants, dyes, U.V. (ultra-violet) protectants, buffers, flow agents, antifoams (e.g. polydimethylsiloxane), sodium aluminosilicate or other components which facilitate product handling and application of the compositions. Examples of agriculturally acceptable inert carriers include inorganic minerals such as kaolin, mica, gypsum, fertilizer, carbonates, sulfates, or phosphates; organic materials such as sugar, starches or cyclodextrins; or botanical materials such as wood products, cork, powdered corn cobs, rice hulls, peanut hulls and walnut shells. Agriculturally acceptable carriers are described, for example in U.S. Pat. No. 6,984,609.
- The compositions may further comprise one or more additional compounds to facilitate passage of the active agent through the plant cell wall. Several technologies for facilitating passage of compounds through the plant cell wall are known in the art. For example, U.S. Pat. No. 8,609,420 describes conjugation of the active agent to a semi-conductor nanoparticle within the size range of 3-5 nm (e.g. a “quantum dot”) and one or more cell penetrating peptides to improve penetration of the plant cell and intracellular delivery of the active agent. U.S. Pat. No. 8,686,222 describes interacting a polyamidoamine dendrimer and one or more cell penetrating peptides with the active agent to improve cell penetration. U.S. Pat. No. 8,653,327 describes delivery of active agents through plant cell walls by coating a PEGylated semiconductor nanoparticle with the active agent. U.S. Pat. No. 8,722,410 describes transferring active agents into plant cells by applying the active agent to a nanoparticle coated with a subcellular compartment targeting protein. U.S. Pat. Nos. 8,609,420, 8,686,222, 8,653,327, and 8,722,410 are incorporated by reference herein in their entirety.
- In another aspect, the presently disclosed hydrazinylalcohol lipidoid-based formulations can be used to deliver a therapeutic agent to a target in a subject for the purpose of treating or preventing a disease or disorder. In certain embodiments, the presently disclosed hydrazinylalcohol lipidoid-based formulations are combined with a pharmaceutically acceptable excipient and/or carrier to form a pharmaceutical formulation. In certain embodiments, the disease or disorder is treated or prevented by administering a therapeutically effective amount of the pharmaceutical formulation to a subject in need thereof. In certain embodiments, the subject is a mammal. In certain embodiments, the subject is a human.
- In certain embodiments, the presently disclosed hydrazinylalcohol lipidoid-based formulations, i.e., complexes, microparticles, nanoparticles, picoparticles, liposomes, and micelles, are combined with one or more pharmaceutically acceptable excipients and/or carriers to form pharmaceutical formulations suitable to administer to mammals, including humans. Examples of classes of such excipients and carriers include, but are not limited to, fillers, extenders, binders, humectants, disintegrants, plasticizers, stabilizers, solution retarding agents, wetting agents, suspending agents, thickening agents, absorbents, lubricants, surfactants, buffering agents, diluents, solvents, emulsifying agents, suspending agents, sweetening agents, flavoring agents, perfuming agents, opacifying agents, separating agents, and coating permeability adjusters. Excipients and/or carriers may comprise about 1%, 2%, 3%, 4%, 5%, 10%, 15%, 20%, 25%, 30%, 40%, 50%, or higher percentage of the presently disclosed pharmaceutical formulations.
- The pharmaceutical compositions of this invention can be administered to mammals, including humans, by any conventional route. Examples of such routes include, but are not limited to, orally, rectally, parenterally, intracisternally, intravaginally, intranasally, intraperitoneally, topically, bucally, or as an oral or nasal spray. Dosage forms for oral administration include, but are not limited to, solid and liquid dosage forms. Solid dosage forms for oral administration include, but are not limited to, capsules, tablets, pills, powders, and granules. Liquid dosage forms for oral administration include, but are not limited to, emulsions, microemulsions, solutions, suspensions, syrups, and elixirs. Dosage forms for topical administration include, but are not limited to, ointments, pastes, creams, lotions, gels, powders, solutions, sprays, inhalants, and transdermal patches.
- As used herein, “parenteral administration” and “administered parenterally” means modes of administration other than enteral and topical administration, usually by injection, and includes, but is not limited to, intravenous, intramuscular, intraarterial, intrathecal, intracapsular, intraorbital, intracardiac, intradermal, intraperitoneal, transtracheal, subcutaneous, subcuticular, intraarticular, subcapsular, subarachnoid, intraspinal, and intrasternal injection and infusion.
- Although the dosage will vary depending on the symptoms, age and body weight of the subject, the nature and severity of the disorder to be treated or prevented, the route of administration and the form of the drug, in general, a daily dosage of from 0.01 to 2000 mg of the therapeutic agent is recommended for an adult human patient, and this may be administered in a single dose or in divided doses.
- As used herein, the term “therapeutic agent” includes any synthetic or naturally occurring biologically active compound or composition which, when administered to subject, induces a desired pharmacologic, immunogenic, and/or physiologic effect by local and/or systemic action. The term therefore encompasses those compounds or chemicals traditionally regarded as drugs, vaccines, and biopharmaceuticals, including molecules such as proteins, peptides, hormones, nucleic acids, and gene constructs. More particularly, the term “therapeutic agent” includes compounds or compositions for use in all of the major therapeutic areas.
- Examples of such therapeutic agents include, but are not limited to, nucleic acids, adjuvants, anti-infectives such as antibiotics and antiviral agents, analgesics and analgesic combinations, anorexics, anti-inflammatory agents, anti-epileptics, local and general anesthetics, hypnotics, sedatives, antipsychotic agents, neuroleptic agents, antidepressants, anxiolytics, antagonists, neuron blocking agents, anticholinergic and cholinomimetic agents, antimuscarinic and muscarinic agents, antiadrenergics, antiarrhythmics, antihypertensive agents, hormones, and nutrients, antiarthritics, antiasthmatic agents, anticonvulsants, antihistamines, antinauseants, antineoplastics, antipruritics, antipyretics; antispasmodics, cardiovascular preparations (including calcium channel blockers, beta-blockers, beta-agonists and antiarrythmics), antihypertensives, diuretics, vasodilators, central nervous system stimulants, cough and cold preparations, decongestants, diagnostics, hormones, bone growth stimulants and bone resorption inhibitors, oncology drugs (e.g., chemotherapy drugs, hormonal therapeutic agents, immunotherapeutic agents, radiotherapeutic agents), lipid-lowering agents, antidepressants, stimulants, antibiotics, birth control medication, anti-angiogenics, cytovascular agents, signal transduction inhibitors, hormones, vasoconstrictors, and steroids. immunosuppressives, muscle relaxants, psychostimulants, sedatives, tranquilizers, proteins, peptides, and fragments thereof (whether naturally occurring, chemically synthesized or recombinantly produced), small molecules and other biologically active macromolecules such as, for example, proteins and enzymes. The agent may be a biologically active agent used in medical, including veterinary, applications. The term therapeutic agent also includes without limitation, medicaments, vitamins; mineral supplements, substances used for the treatment, prevention, diagnosis, cure or mitigation of disease or illness, substances which affect the structure or function of the body, or pro-drugs, which become biologically active or more active after they have been placed in a predetermined physiological environment. These therapeutic agents may be administered alone with pharmaceutical formulations or in combination (e.g., co-administered) with pharmaceutical formulations comprising nucleic acid, such as interfering RNA.
- Examples of nucleic acids include, but are not limited to, interfering RNA molecules (e.g., siRNA, aiRNA, miRNA), antisense oligonucleotides, plasmids, ribozymes, immunostimulatory oligonucleotides, and mixtures thereof.
- Nucleic acids delivered as the therapeutic agent in the presently disclosed pharmaceutical formulations can be used to downregulate or silence the translation (i.e., expression) of a target gene of interest in the target organism. Examples of classes of genes that can be downregulated or silenced include, but are not limited to, genes associated with viral infection and survival, genes associated with metabolic diseases and disorders (e.g., liver diseases and disorders), genes associated with tumorigenesis and cell transformation (e.g., cancer), angiogenic genes, immunomodulator genes such as those associated with inflammatory and autoimmune responses, ligand receptor genes, and genes associated with neurodegenerative disorders. Examples viral sequences that can be downregulated or silenced include filoviruses such as Ebola virus and Marburg virus, arenaviruses such as Lassa virus, Junin virus, Machupo virus, Guanarito virus, and Sabia virus, influenza viruses such as Influenza A, B, and C viruses, hepatitis viruses, Human Immunodeficiency Virus (HIV), herpes viruses, and Human Papilloma Viruses (HPV).
- Examples of peptides or polypeptide that may be used as therapeutic agents include, but are not limited to, an antibodies such as a polyclonal antibodies, a monoclonal antibodies, antibody fragments, humanized antibodies, recombinant antibodies, recombinant human antibodies, Primatized™ antibodies, cytokines, growth factors, apoptotic factors, differentiation-inducing factors, cell-surface receptors, ligands, hormones, or small molecules.
- Examples of oncology drugs that may be used as therapeutic agents include, but are not limited to, alkeran, allopurinol, altretamine, amifostine, anastrozole, araC, arsenic trioxide, bexarotene, biCNU, carmustine, CCNU, celecoxib, cladribine, cyclosporin A, cytosine arabinoside, cytoxan, dexrazoxane, DTIC, estramustine, exemestane, FK506, gemtuzumab-ozogamicin, hydrea, hydroxyurea, idarubicin, interferon, letrozole, Leustatin, leuprolide, litretinoin, megastrol, L-PAM, mesna, methoxsalen, mithramycin, nitrogen mustard, pamidronate, Pegademase, pentostatin, porfimer sodium, prednisone, rituxan, streptozocin, STI-571, taxotere, temozolamide, VM-26, toremifene, tretinoin, ATRA, valrubicin, velban, ellipticin and ellipticin analogs or derivatives, epothilones, intracellular kinase inhibitors, and camptothecins.
- Examples of anti-viral drugs that may be used as therapeutic agents include, but are not limited to, abacavir, aciclovir, acyclovir, adefovir, amantadine, amprenavir, arbidol, atazanavir, atripla, cidofovir, combivir, darunavir, delavirdine, didanosine, docosanol, edoxudine, efavirenz, emtricitabine, enfuvirtide, entecavir, entry inhibitors, famciclovir, fixed dose combinations, fomivirsen, fosamprenavir, foscarnet, fosfonet, fusion inhibitors, ganciclovir, ibacitabine, immunovir, idoxuridine, imiquimod, indinavir, inosine, integrase inhibitors, interferon type III (e.g., IFN-λ molecules such as IFN-λ1, IFN-λ2, and IFN-λ3), interferon type II (e.g., IFN-γ), interferon type I (e.g., IFN-α such as PEGylated IFN-α, IFN-β, IFN-κ, IFN-δ, IFN-ε, IFN-τ, IFN-ω, and IFN-ξ, interferon, lamivudine, lopinavir, loviride, MK-0518, maraviroc, moroxydine, nelfinavir, nevirapine, nexavir, nucleoside analogues, oseltamivir, penciclovir, peramivir, pleconaril, podophyllotoxin, protease inhibitors, reverse transcriptase inhibitors, ribavirin, rimantadine, ritonavir, saquinavir, stavudine, synergistic enhancers, tenofovir, tenofovir disoproxil, tipranavir, trifluridine, trizivir, tromantadine, truvada, valaciclovir, valganciclovir, vicriviroc, vidarabine, viramidine, zalcitabine, zanamivir, and zidovudine.
- In certain embodiments, the therapeutic agent to be delivered may be a prophylactic agent. Prophylactic agents include, but are not limited to, antibiotics, nutritional supplements, and vaccines. Vaccines may comprise isolated proteins or peptides, inactivated organisms and viruses, dead organisms and viruses, genetically altered organisms or viruses, and cell extracts. Prophylactic agents may be combined with interleukins, interferon, cytokines, and adjuvants such as cholera toxin, alum, and Freund's adjuvant.
- Examples of prophylactic agents include, but are not limited to, (1) antigens of the following bacterial organisms: Streptococccus pneumoniae, Haemophilus influenzae, Staphylococcus aureus, Streptococcus pyrogenes, Corynebacterium diphtheriae, Listeria monocytogenes, Bacillus anthracis, Clostridium tetani, Clostridium botulinum, Clostridium perfringens, Neisseria meningitidis, Neisseria gonorrhoeae, Streptococcus mutans, Pseudomonas aeruginosa, Salmonella typhi, Haemophilus parainfluenzae, Bordetella pertussis, Francisella tularensis, Yersinia pestis, Vibrio cholerae, Legionella pneumophila, Mycobacterium tuberculosis, Mycobacterium leprae, Treponema pallidum, Leptospirosis interrogans, Borrelia burgdorferi, and Camphylobacter jejuni, (2) antigens of the following viruses: smallpox, influenza A and B, respiratory syncytial virus, parainfluenza, measles, HIV, varicella-zoster, herpes simplex 1 and 2, cytomegalovirus, Epstein-Barr virus, rotavirus, rhinovirus, adenovirus, papillomavirus, poliovirus, mumps, rabies, rubella, coxsackieviruses, equine encephalitis, Japanese encephalitis, yellow fever, Rift Valley fever, and hepatitis A, B, C, D, and E virus, and (3) antigens of the following fungal, protozoan, and parasitic organisms: Cryptococcus neoformans, Histoplasma capsulatum, Candida albicans, Candida tropicalis, Nocardia asteroides, Rickettsia ricketsii, Rickettsia typhi, Mycoplasma pneumoniae, Chlamydial psittaci, Chlamydial trachomatis, Plasmodium falciparum, Trypanosoma brucei, Entamoeba histolytica, Toxoplasma gondii, Trichomonas vaginalis, Schistosoma mansoni. These antigens may be in the form of whole killed organisms, peptides, proteins, glycoproteins, carbohydrates, or combinations thereof.
- To a 2 dram vial flushed with Argon was added hydrazine (48.54 μL, 50.00 mg, 998.60 μmol) and 1,2-epoxydodecane (1.31 mL, 1.10 g, 5.99 mmol). The neat reaction mixture was stirred at 120° C. for 2 days, after which it was cooled to ambient temperature. The reaction mixture was purified via flash column chromatography using MeOH (10% NH4OH)/DCM 0% to 15%, yielding 1-[[bis(2-hydroxydodecyl)amino]-(2-hydroxydodecyl)amino]dodecan-2-ol (351.00 mg, 456.25 μmol) in 45.69% yield.
- To a 2 dram vial flushed with Argon was added hydrazine (48.97 μL, 50.00 mg, 998.60 μmol) and 1,2-epoxytetradecane (1.51 mL, 1.27 g, 5.99 mmol). The neat reaction mixture was stirred at 120° C. for 2 days, after which it was cooled to ambient temperature. The reaction mixture was purified via flash column chromatography using MeOH (10% NH4OH)/DCM 0% to 15%, yielding 1-[[bis(2-hydroxytetradecyl)amino]-(2-hydroxytetradecyl)amino]tetradecan-2-ol (270.00 mg, 306.29 μmol) in 30.67% yield and 1-[2,2-bis(2-hydroxytetradecyl)hydrazino]tetradecan-2-ol (287.00 mg, 428.90 μmol) in 42.95% yield.
- To a 2 dram vial flushed with Argon was added methylhydrazine (25.00 mg, 542.63 μmol) and 1,2-epoxydodecane (600.09 mg, 3.26 mmol, 6 eq.). The neat reaction mixture was stirred at 120° C. for 2 days, after which it was cooled to ambient temperature. The reaction mixture was purified via flash column chromatography using MeOH (10% NH4OH)/DCM 0% to 15%, yielding 1-[[bis(2-hydroxydodecyl)amino]-methyl-amino]dodecan-2-ol as colorless oil and 1-[2-hydroxydodecyl(methylamino)amino]dodecan-2-ol as colorless oil.
- To a 2 dram vial flushed with Argon was added methylhydrazine (43.75 mg, 949.61 umol) and hexyl prop-2-enoate (593.40 mg, 3.80 mmol, 4 eq.). The neat reaction mixture was stirred at 120° C. for 2 days, after which it was cooled to ambient temperature. The reaction mixture was purified via flash column chromatography using MeOH (10% NH4OH)/DCM 0% to 15%, yielding hexyl 3-[[bis(3-hexoxy-3-oxo-propyl)amino]-methyl-amino]propanoate as colorless oil and hexyl 3-(2-methyl-3-oxo-pyrazolidin-1-yl)propanoate as off white wax.
- Stock ethanolic solutions of compound 10, 1,2-Distearoyl-sn-glycero-3-phosphocholine (DSPC), cholesterol, 1,2-dimyristoyl-sn-glycero-3-phosphoethanolamine-N-[methoxy(polyethylene glycol)-2000] (C14-PEG) were prepared and combined to yield a molar ratio of 50:10:38.5:1.5 with the organic solution of 10% 10 mM citrate buffer at pH 5. An siRNA was dissolved in 10 mM citrate at pH5 buffer at a concentration of 0.1 mg/mL. The ethanolic solution was then added to the aqueous siRNA solution while stirred at 700 rpm, resulting in the precipitation of lipidoid nanoparticles. The lipidoid nanoparticles were separated from the supernatant. The isolated nanoparticles have a Zavg size of 323.4 nm with a polydispersity index of 0.179 and a zeta potential of −4.57 mV.
- Stock ethanolic solutions of compound 11, 1,2-Distearoyl-sn-glycero-3-phosphocholine (DSPC), cholesterol, 1,2-dimyristoyl-sn-glycero-3-phosphoethanolamine-N-[methoxy(polyethylene glycol)-2000] (C14-PEG) were prepared and combined to yield a molar ratio of 50:10:38.5:1.5 with the organic solution of 10% 10 mM citrate buffer at pH 5. An siRNA was dissolved in 10 mM citrate at pH5 buffer at a concentration of 0.1 mg/mL. The ethanolic solution was then added to the aqueous siRNA solution while stirred at 700 rpm, resulting in the precipitation of lipidoid nanoparticles. The lipidoid nanoparticles were separated from the supernatant. The isolated nanoparticles have a Zavg size of 420.4 nm with a polydispersity index of 0.079 and a zeta potential of −5.99 mV. Particle size as determined by Dynamic Light Scattering (DLS) was 180 nm. The nanoparticles had an entrapment efficiency, as determined using a Ribogreen assay, of 99%.
- Stock ethanolic solutions of compound 8, 1,2-Distearoyl-sn-glycero-3-phosphocholine (DSPC), cholesterol, 1,2-dimyristoyl-sn-glycero-3-phosphoethanolamine-N-[methoxy(polyethylene glycol)-2000] (C14-PEG) were prepared and combined to yield a molar ratio of 50:10:38.5:1.5 with the organic solution of 10% 10 mM citrate buffer at pH 5. An siRNA was dissolved in 10 mM citrate at pH5 buffer at a concentration of 0.1 mg/mL. The ethanolic solution was then added to the aqueous siRNA solution while stirred at 700 rpm, resulting in the precipitation of lipidoid nanoparticles. The lipidoid nanoparticles were separated from the supernatant. The isolated nanoparticles have a Zavg size of 1492 nm with a polydispersity index of 0.314 and a zeta potential of −22.7 mV. Particle size as determined by Dynamic Light Scattering (DLS) was 153 nm. The nanoparticles had an entrapment efficiency, as determined using a Ribogreen assay, of 89%.
- Stock ethanolic solutions of compound 9, 1,2-Distearoyl-sn-glycero-3-phosphocholine (DSPC), cholesterol, 1,2-dimyristoyl-sn-glycero-3-phosphoethanolamine-N-[methoxy(polyethylene glycol)-2000] (C14-PEG) were prepared and combined to yield a molar ratio of 50:10:38.5:1.5 with the organic solution of 10% 10 mM citrate buffer at pH 5. An siRNA was dissolved in 10 mM citrate at pH5 buffer at a concentration of 0.1 mg/mL. The ethanolic solution was then added to the aqueous siRNA solution while stirred at 700 rpm, resulting in the precipitation of lipidoid nanoparticles. The lipidoid nanoparticles were separated from the supernatant. The isolated nanoparticles have a Zavg size of 4216 nm with a polydispersity index of 0.255 and a zeta potential of −13.6 mV.
- Stock ethanolic solutions of compound 15, 1,2-Distearoyl-sn-glycero-3-phosphocholine (DSPC), cholesterol, 1,2-dimyristoyl-sn-glycero-3-phosphoethanolamine-N-[methoxy(polyethylene glycol)-2000] (C14-PEG) were prepared and combined to yield a molar ratio of 50:10:38.5:1.5 with the organic solution of 10% 10 mM citrate buffer at pH 5. An siRNA was dissolved in 10 mM citrate at pH5 buffer at a concentration of 0.1 mg/mL. The ethanolic solution was then added to the aqueous siRNA solution while stirred at 700 rpm, resulting in the precipitation of lipidoid nanoparticles. The lipidoid nanoparticles were separated from the supernatant. Particle size as determined by Dynamic Light Scattering (DLS) was 135 nm. The nanoparticles had an entrapment efficiency, as determined using a Ribogreen assay, of 94%.
- Stock ethanolic solutions of compound 24, 1,2-Distearoyl-sn-glycero-3-phosphocholine (DSPC), cholesterol, 1,2-dimyristoyl-sn-glycero-3-phosphoethanolamine-N-[methoxy(polyethylene glycol)-2000] (C14-PEG) were prepared and combined to yield a molar ratio of 50:10:38.5:1.5 with the organic solution of 10% 10 mM citrate buffer at pH 5. An siRNA was dissolved in 10 mM citrate at pH5 buffer at a concentration of 0.1 mg/mL. The ethanolic solution was then added to the aqueous siRNA solution while stirred at 700 rpm, resulting in the precipitation of lipidoid nanoparticles. The lipidoid nanoparticles were separated from the supernatant. Particle size as determined by Dynamic Light Scattering (DLS) was 184 nm. The nanoparticles had an entrapment efficiency, as determined using a Ribogreen assay, of 99%.
- Stock ethanolic solutions of compound 26, 1,2-Distearoyl-sn-glycero-3-phosphocholine (DSPC), cholesterol, 1,2-dimyristoyl-sn-glycero-3-phosphoethanolamine-N-[methoxy(polyethylene glycol)-2000] (C14-PEG) were prepared and combined to yield a molar ratio of 50:10:38.5:1.5 with the organic solution of 10% 10 mM citrate buffer at pH 5. An siRNA was dissolved in 10 mM citrate at pH5 buffer at a concentration of 0.1 mg/mL. The ethanolic solution was then added to the aqueous siRNA solution while stirred at 700 rpm, resulting in the precipitation of lipidoid nanoparticles. The lipidoid nanoparticles were separated from the supernatant. Particle size as determined by Dynamic Light Scattering (DLS) was 119 nm. The nanoparticles had an entrapment efficiency, as determined using a Ribogreen assay, of 89%.
- Stock ethanolic solutions of compound 28, 1,2-Distearoyl-sn-glycero-3-phosphocholine (DSPC), cholesterol, 1,2-dimyristoyl-sn-glycero-3-phosphoethanolamine-N-[methoxy(polyethylene glycol)-2000] (C14-PEG) were prepared and combined to yield a molar ratio of 50:10:38.5:1.5 with the organic solution of 10% 10 mM citrate buffer at pH 5. An siRNA was dissolved in 10 mM citrate at pH5 buffer at a concentration of 0.1 mg/mL. The ethanolic solution was then added to the aqueous siRNA solution while stirred at 700 rpm, resulting in the precipitation of lipidoid nanoparticles. The lipidoid nanoparticles were separated from the supernatant. Particle size as determined by Dynamic Light Scattering (DLS) was 138 nm. The nanoparticles had an entrapment efficiency, as determined using a Ribogreen assay, of −61%.
- Stock ethanolic solutions of compound 42, 1,2-Distearoyl-sn-glycero-3-phosphocholine (DSPC), cholesterol, 1,2-dimyristoyl-sn-glycero-3-phosphoethanolamine-N-[methoxy(polyethylene glycol)-2000] (C14-PEG) were prepared and combined to yield a molar ratio of 50:10:38.5:1.5 with the organic solution of 10% 10 mM citrate buffer at pH 5. An siRNA was dissolved in 10 mM citrate at pH5 buffer at a concentration of 0.1 mg/mL. The ethanolic solution was then added to the aqueous siRNA solution while stirred at 700 rpm, resulting in the precipitation of lipidoid nanoparticles. The lipidoid nanoparticles were separated from the supernatant. Particle size as determined by Dynamic Light Scattering (DLS) was 184 nm. The nanoparticles had an entrapment efficiency, as determined using a Ribogreen assay, of −44%.
- Stock ethanolic solutions of compound 53, 1,2-Distearoyl-sn-glycero-3-phosphocholine (DSPC), cholesterol, 1,2-dimyristoyl-sn-glycero-3-phosphoethanolamine-N-[methoxy(polyethylene glycol)-2000] (C14-PEG) were prepared and combined to yield a molar ratio of 50:10:38.5:1.5 with the organic solution of 10% 10 mM citrate buffer at pH 5. An siRNA was dissolved in 10 mM citrate at pH5 buffer at a concentration of 0.1 mg/mL. The ethanolic solution was then added to the aqueous siRNA solution while stirred at 700 rpm, resulting in the precipitation of lipidoid nanoparticles. The lipidoid nanoparticles were separated from the supernatant. Particle size as determined by Dynamic Light Scattering (DLS) was 169 nm. The nanoparticles had an entrapment efficiency, as determined using a Ribogreen assay, of 94%.
- Stock ethanolic solutions of compound 60, 1,2-Distearoyl-sn-glycero-3-phosphocholine (DSPC), cholesterol, 1,2-dimyristoyl-sn-glycero-3-phosphoethanolamine-N-[methoxy(polyethylene glycol)-2000] (C14-PEG) were prepared and combined to yield a molar ratio of 50:10:38.5:1.5 with the organic solution of 10% 10 mM citrate buffer at pH 5. An siRNA was dissolved in 10 mM citrate at pH5 buffer at a concentration of 0.1 mg/mL. The ethanolic solution was then added to the aqueous siRNA solution while stirred at 700 rpm, resulting in the precipitation of lipidoid nanoparticles. The lipidoid nanoparticles were separated from the supernatant. Particle size as determined by Dynamic Light Scattering (DLS) was 157 nm. The nanoparticles had an entrapment efficiency, as determined using a Ribogreen assay, of −60%.
- Stock ethanolic solutions of compound 75, 1,2-Distearoyl-sn-glycero-3-phosphocholine (DSPC), cholesterol, 1,2-dimyristoyl-sn-glycero-3-phosphoethanolamine-N-[methoxy(polyethylene glycol)-2000] (C14-PEG) were prepared and combined to yield a molar ratio of 50:10:38.5:1.5 with the organic solution of 10% 10 mM citrate buffer at pH 5. An siRNA was dissolved in 10 mM citrate at pH5 buffer at a concentration of 0.1 mg/mL. The ethanolic solution was then added to the aqueous siRNA solution while stirred at 700 rpm, resulting in the precipitation of lipidoid nanoparticles. The lipidoid nanoparticles were separated from the supernatant. Particle size as determined by Dynamic Light Scattering (DLS) was 144 nm. The nanoparticles had an entrapment efficiency, as determined using a Ribogreen assay, of −50%.
- Stock ethanolic solutions of compound 15, 1,2-Distearoyl-sn-glycero-3-phosphocholine (DSPC), cholesterol, 1,2-dimyristoyl-sn-glycero-3-phosphoethanolamine-N-[methoxy(polyethylene glycol)-2000] (C14-PEG) were prepared and combined to yield a molar ratio of 50:10:38.5:1.5 with the organic solution of 10% 10 mM citrate buffer at pH 5. An siRNA was dissolved in 10 mM citrate at pH5 buffer at a concentration of 0.1 mg/mL. The ethanolic solution was then added to the aqueous siRNA solution while stirred at 700 rpm, resulting in the precipitation of lipidoid nanoparticles. The lipidoid nanoparticles were separated from the supernatant. Particle size as determined by Dynamic Light Scattering (DLS) was 170 nm. The nanoparticles had an entrapment efficiency, as determined using a Ribogreen assay, of 89%.
- Stock ethanolic solutions of compound 88, 1,2-Distearoyl-sn-glycero-3-phosphocholine (DSPC), cholesterol, 1,2-dimyristoyl-sn-glycero-3-phosphoethanolamine-N-[methoxy(polyethylene glycol)-2000] (C14-PEG) were prepared and combined to yield a molar ratio of 50:10:38.5:1.5 with the organic solution of 10% 10 mM citrate buffer at pH 5. An siRNA was dissolved in 10 mM citrate at pH5 buffer at a concentration of 0.1 mg/mL. The ethanolic solution was then added to the aqueous siRNA solution while stirred at 700 rpm, resulting in the precipitation of lipidoid nanoparticles. The lipidoid nanoparticles were separated from the supernatant. Particle size as determined by Dynamic Light Scattering (DLS) was 110 nm. The nanoparticles had an entrapment efficiency, as determined using a Ribogreen assay, of 93%.
- Stock ethanolic solutions of compound 90, 1,2-Distearoyl-sn-glycero-3-phosphocholine (DSPC), cholesterol, 1,2-dimyristoyl-sn-glycero-3-phosphoethanolamine-N-[methoxy(polyethylene glycol)-2000] (C14-PEG) were prepared and combined to yield a molar ratio of 50:10:38.5:1.5 with the organic solution of 10% 10 mM citrate buffer at pH 5. An siRNA was dissolved in 10 mM citrate at pH5 buffer at a concentration of 0.1 mg/mL. The ethanolic solution was then added to the aqueous siRNA solution while stirred at 700 rpm, resulting in the precipitation of lipidoid nanoparticles. The lipidoid nanoparticles were separated from the supernatant. Particle size as determined by Dynamic Light Scattering (DLS) was 177 nm. The nanoparticles had an entrapment efficiency, as determined using a Ribogreen assay, of 82%.
- Stock ethanolic solutions of compound 103, 1,2-Distearoyl-sn-glycero-3-phosphocholine (DSPC), cholesterol, 1,2-dimyristoyl-sn-glycero-3-phosphoethanolamine-N-[methoxy(polyethylene glycol)-2000] (C14-PEG) were prepared and combined to yield a molar ratio of 50:10:38.5:1.5 with the organic solution of 10% 10 mM citrate buffer at pH 5. An siRNA was dissolved in 10 mM citrate at pH5 buffer at a concentration of 0.1 mg/mL. The ethanolic solution was then added to the aqueous siRNA solution while stirred at 700 rpm, resulting in the precipitation of lipidoid nanoparticles. The lipidoid nanoparticles were separated from the supernatant. Particle size as determined by Dynamic Light Scattering (DLS) was 155 nm. The nanoparticles had an entrapment efficiency, as determined using a Ribogreen assay, of −78%.
Claims (21)
1. A compound of formula (I):
wherein:
R1 is, independently, hydrogen, an optionally substituted C1-20 aliphatic group, or an optionally substituted C1-20 heteroaliphatic group;
R2 is, independently, an optionally substituted C1-20 aliphatic group or an optionally substituted C1-20 heteroaliphatic group;
RA is hydrogen, an optionally substituted C1-20 aliphatic group, an optionally substituted, C1-20 heteroaliphatic group, or a group of formula (II):
wherein
R3 is, independently, hydrogen, an optionally substituted C1-20 aliphatic group, or an optionally substituted C1-20 heteroaliphatic group; and
R4 is, independently, an optionally substituted C1-20 aliphatic group or an optionally substituted C1-20 heteroaliphatic group;
RB is an optionally substituted aryl group, an optionally substituted heteroaryl group, or a group of formula (II):
3. The compound of claim 2 , wherein R1 and R3 are identical and R2 and R4 are identical.
4. The compound of claim 3 , wherein R1 and R3 are hydrogen and R2 and R4 are an unbranched C1-20 aliphatic group.
5. The compound of claim 4 , wherein R2 and R4 are selected from the group consisting of methyl, n-butyl, n-pentyl, n-decanyl, and n-dodecanyl.
6-15. (canceled)
16. A microparticle or nanoparticle comprising a compound of claim 1 and an active agent to be delivered.
17. The microparticle or nanoparticle of claim 16 , wherein the active agent to be delivered is selected from the group consisting of polynucleotides, oligonucleotides, proteins, peptides, and small molecules.
18. The microparticle or nanoparticle of claim 17 , wherein the active agent to be delivered is an oligonucleotide or a polynucleotide.
19. The microparticle or nanoparticle of claim 18 , wherein the active agent to be delivered is an RNA.
20. The microparticle or nanoparticle of claim 19 , wherein the RNA is a small interfering RNA (siRNA) or a double-stranded RNA (dsRNA).
21. A formulation comprising the compound of claim 1 and an active agent to be delivered.
22. The formulation of claim 21 , wherein the active agent to be delivered is an oligonucleotide or a polynucleotide.
23. An herbicidal formulation comprising the compound of claim 1 , an herbicidal agent to be delivered, and an agriculturally acceptable carrier.
24. An insecticidal formulation comprising the compound of claim 1 , an insecticidal agent to be delivered, and an agriculturally acceptable carrier.
25. A formulation for controlling a plant pathogen, comprising the compound of claim 1 , an agent to be delivered that controls a plant pathogen, and an agriculturally acceptable carrier.
26. A method of regulating expression of a gene in an organism, comprising applying the formulation of claim 21 to the organism.
27. A method of controlling a weed, comprising delivering to the weed an effective amount of the formulation of claim 23 .
28. A method of controlling an insect, comprising delivering to the insect an effective amount of the formulation of claim 24 .
29. A method of controlling a plant pathogen, comprising applying the formulation of claim 25 to the plant pathogen, or to a plant infected with the plant pathogen.
30. A plant cell, insect cell or mammalian cell comprising the compound of claim 1 .
Priority Applications (1)
| Application Number | Priority Date | Filing Date | Title |
|---|---|---|---|
| US15/200,432 US20160311762A1 (en) | 2014-09-04 | 2016-07-01 | Hydrazinyl lipidoids and uses thereof |
Applications Claiming Priority (4)
| Application Number | Priority Date | Filing Date | Title |
|---|---|---|---|
| US201462045906P | 2014-09-04 | 2014-09-04 | |
| US14/844,952 US9339029B2 (en) | 2014-09-04 | 2015-09-03 | Hydrazinyl lipidoids and uses thereof |
| US15/095,793 US9409869B1 (en) | 2014-09-04 | 2016-04-11 | Hydrazinyl lipidoids and uses thereof |
| US15/200,432 US20160311762A1 (en) | 2014-09-04 | 2016-07-01 | Hydrazinyl lipidoids and uses thereof |
Related Parent Applications (1)
| Application Number | Title | Priority Date | Filing Date |
|---|---|---|---|
| US15/095,793 Continuation US9409869B1 (en) | 2014-09-04 | 2016-04-11 | Hydrazinyl lipidoids and uses thereof |
Publications (1)
| Publication Number | Publication Date |
|---|---|
| US20160311762A1 true US20160311762A1 (en) | 2016-10-27 |
Family
ID=55436247
Family Applications (4)
| Application Number | Title | Priority Date | Filing Date |
|---|---|---|---|
| US14/844,952 Expired - Fee Related US9339029B2 (en) | 2014-09-04 | 2015-09-03 | Hydrazinyl lipidoids and uses thereof |
| US14/952,033 Expired - Fee Related US9363992B2 (en) | 2014-09-04 | 2015-11-25 | Hydrazinyl lipidoids and uses thereof |
| US15/095,793 Expired - Fee Related US9409869B1 (en) | 2014-09-04 | 2016-04-11 | Hydrazinyl lipidoids and uses thereof |
| US15/200,432 Abandoned US20160311762A1 (en) | 2014-09-04 | 2016-07-01 | Hydrazinyl lipidoids and uses thereof |
Family Applications Before (3)
| Application Number | Title | Priority Date | Filing Date |
|---|---|---|---|
| US14/844,952 Expired - Fee Related US9339029B2 (en) | 2014-09-04 | 2015-09-03 | Hydrazinyl lipidoids and uses thereof |
| US14/952,033 Expired - Fee Related US9363992B2 (en) | 2014-09-04 | 2015-11-25 | Hydrazinyl lipidoids and uses thereof |
| US15/095,793 Expired - Fee Related US9409869B1 (en) | 2014-09-04 | 2016-04-11 | Hydrazinyl lipidoids and uses thereof |
Country Status (2)
| Country | Link |
|---|---|
| US (4) | US9339029B2 (en) |
| WO (1) | WO2016036966A1 (en) |
Cited By (1)
| Publication number | Priority date | Publication date | Assignee | Title |
|---|---|---|---|---|
| WO2022169508A1 (en) * | 2021-02-08 | 2022-08-11 | The Board Of Regents Of The University Of Texas System | Unsaturated dendrimers compositions,related formulations, and methods of use thereof |
Families Citing this family (4)
| Publication number | Priority date | Publication date | Assignee | Title |
|---|---|---|---|---|
| WO2017205566A1 (en) * | 2016-05-27 | 2017-11-30 | Preceres Inc. | Oxidized aminolipidoids and uses thereof |
| CN107624647A (en) * | 2017-10-20 | 2018-01-26 | 皖西学院 | A kind of breeding method of the Dendrobidium huoshanness homozygote strain of anti-southern blight |
| US20240024466A1 (en) * | 2020-12-07 | 2024-01-25 | Trustees Of Tufts College | Lipidoid compositions and methods of use thereof |
| EP4507684A2 (en) * | 2022-04-14 | 2025-02-19 | The Trustees of The University of Pennsylvania | Biodegradable lipidoids and compositions and methods of use thereof for targeted delivery |
Family Cites Families (12)
| Publication number | Priority date | Publication date | Assignee | Title |
|---|---|---|---|---|
| US4374271A (en) | 1974-12-04 | 1983-02-15 | United States Borax & Chemical Corporation | Nitrophenylhydrazine compounds |
| GB0014022D0 (en) * | 2000-06-08 | 2000-08-02 | Novartis Ag | Organic compounds |
| EP1912679A4 (en) | 2005-06-15 | 2009-07-29 | Massachusetts Inst Technology | LIPIDS CONTAINING AMINES AND USES |
| MX353900B (en) | 2008-11-07 | 2018-02-01 | Massachusetts Inst Technology | Aminoalcohol lipidoids and uses thereof. |
| US8731655B2 (en) | 2009-05-12 | 2014-05-20 | Mallinckrodt Llc | Compounds containing acyclic N-N bonds for phototherapy |
| CN102458366B (en) * | 2009-06-15 | 2015-02-11 | 阿尔尼拉姆医药品有限公司 | Lipid-formulated DSRNA targeting the PCSK9 gene |
| US9018187B2 (en) * | 2009-07-01 | 2015-04-28 | Protiva Biotherapeutics, Inc. | Cationic lipids and methods for the delivery of therapeutic agents |
| US8716464B2 (en) * | 2009-07-20 | 2014-05-06 | Thomas W. Geisbert | Compositions and methods for silencing Ebola virus gene expression |
| EP2609135A4 (en) | 2010-08-26 | 2015-05-20 | Massachusetts Inst Technology | POLY (BETA-AMINO ALCOHOLS), THEIR PREPARATION AND USES THEREOF |
| US8466122B2 (en) * | 2010-09-17 | 2013-06-18 | Protiva Biotherapeutics, Inc. | Trialkyl cationic lipids and methods of use thereof |
| RS58077B1 (en) * | 2012-02-24 | 2019-02-28 | Arbutus Biopharma Corp | Trialkyl cationic lipids and methods of use thereof |
| DE102012004804C5 (en) | 2012-03-09 | 2019-03-14 | Kennametal Inc. | Puncture cutting plate and lancing cutting tool |
-
2015
- 2015-09-03 US US14/844,952 patent/US9339029B2/en not_active Expired - Fee Related
- 2015-09-03 WO PCT/US2015/048381 patent/WO2016036966A1/en not_active Ceased
- 2015-11-25 US US14/952,033 patent/US9363992B2/en not_active Expired - Fee Related
-
2016
- 2016-04-11 US US15/095,793 patent/US9409869B1/en not_active Expired - Fee Related
- 2016-07-01 US US15/200,432 patent/US20160311762A1/en not_active Abandoned
Cited By (1)
| Publication number | Priority date | Publication date | Assignee | Title |
|---|---|---|---|---|
| WO2022169508A1 (en) * | 2021-02-08 | 2022-08-11 | The Board Of Regents Of The University Of Texas System | Unsaturated dendrimers compositions,related formulations, and methods of use thereof |
Also Published As
| Publication number | Publication date |
|---|---|
| WO2016036966A1 (en) | 2016-03-10 |
| WO2016036966A8 (en) | 2016-09-15 |
| US20160073629A1 (en) | 2016-03-17 |
| US9339029B2 (en) | 2016-05-17 |
| US20160221960A1 (en) | 2016-08-04 |
| US20160066569A1 (en) | 2016-03-10 |
| US9363992B2 (en) | 2016-06-14 |
| US9409869B1 (en) | 2016-08-09 |
Similar Documents
| Publication | Publication Date | Title |
|---|---|---|
| WO2017100744A1 (en) | Aminolipidoids and uses thereof | |
| US9409869B1 (en) | Hydrazinyl lipidoids and uses thereof | |
| US20170325457A1 (en) | Formulations for the delivery of active agents to insects, plants, and plant pathogens | |
| US11827897B2 (en) | Agricultural compositions and related methods | |
| US20220304930A1 (en) | Modification of plant messenger packs with charged lipids | |
| CA3109958A1 (en) | Modified plant messenger packs and uses thereof | |
| CN101120000B (en) | Pyrazolopyrimidines | |
| Jiang et al. | A nano-delivery system enhances the stomach toxicity of methoxyfenozide against Spodoptera litura by suppressing the synthesis of insect cuticle protein | |
| US12522825B2 (en) | Control of insect infestation | |
| CN104650061B (en) | A kind of thiazole aldoxime ether compound and its production and use | |
| Li et al. | Combinatorial synthesis and high-throughput screening of alkyl amines for nonviral gene delivery | |
| US11185079B2 (en) | Control of Coleopteran insects | |
| WO2017205566A1 (en) | Oxidized aminolipidoids and uses thereof | |
| WO2018209616A1 (en) | α-AMINO ACRYLATE MICROBICIDE, AND PREPARATION METHOD THEREFOR AND USES THEREOF | |
| CN103641795B (en) | One class contains acetophenone derivs of 1,2,3-thiadiazoles and its production and use | |
| WO2017112852A1 (en) | Modified polyethyleneimines and uses thereof | |
| CN101921244A (en) | Derivatives of 4-methyl-1,2,3-thiadiazole containing 4-(1,1,2,2-tetrafluoroethoxy)-3,5-dichloroanilino and their synthetic methods and use | |
| WO2020081486A1 (en) | Control of insect infestation | |
| CN103214475B (en) | One class contains 4-methyl isophthalic acid, α-(replacement) hydroxyamide derivatives of 2,3-thiadiazoles and its production and use | |
| CN115960053A (en) | Naphthalene isoxazoline compound and application thereof | |
| US20220061335A1 (en) | Control of insect infestation | |
| Li et al. | Amphiphilic Block Copolymer Nanocarriers Co-Loaded with Pesticide and dsRNA for Synergistic Pest Control | |
| WO2017129122A1 (en) | Isothiazole oxime ether strobilurin derivatives, preparation method for same, and uses thereof | |
| CN119350315A (en) | A class of 2-(1H-indol-2-yl)-1,3,4-oxadiazole derivatives and their preparation method and use | |
| CN119930651A (en) | A class of thiazolylpiperidine derivatives and their preparation method and use |
Legal Events
| Date | Code | Title | Description |
|---|---|---|---|
| STCB | Information on status: application discontinuation |
Free format text: ABANDONED -- FAILURE TO RESPOND TO AN OFFICE ACTION |











































































