US20150119364A1 - Boron-containing small molecules - Google Patents
Boron-containing small molecules Download PDFInfo
- Publication number
- US20150119364A1 US20150119364A1 US14/537,771 US201414537771A US2015119364A1 US 20150119364 A1 US20150119364 A1 US 20150119364A1 US 201414537771 A US201414537771 A US 201414537771A US 2015119364 A1 US2015119364 A1 US 2015119364A1
- Authority
- US
- United States
- Prior art keywords
- substituted
- unsubstituted
- member selected
- compound
- species
- Prior art date
- Legal status (The legal status is an assumption and is not a legal conclusion. Google has not performed a legal analysis and makes no representation as to the accuracy of the status listed.)
- Abandoned
Links
- 229910052796 boron Inorganic materials 0.000 title claims description 30
- ZOXJGFHDIHLPTG-UHFFFAOYSA-N Boron Chemical compound [B] ZOXJGFHDIHLPTG-UHFFFAOYSA-N 0.000 title claims description 26
- 150000003384 small molecules Chemical class 0.000 title 1
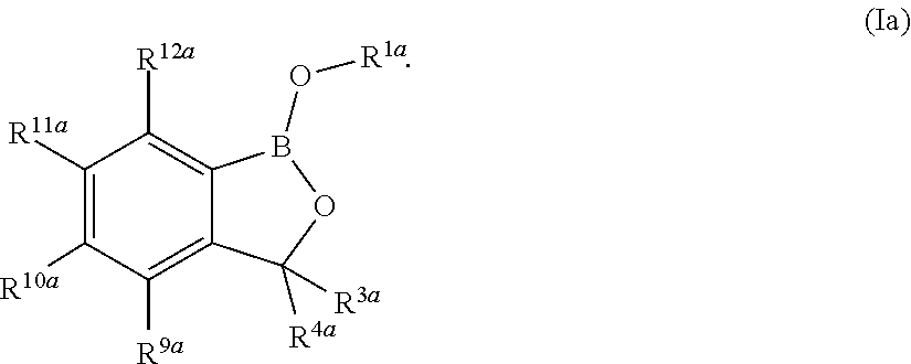
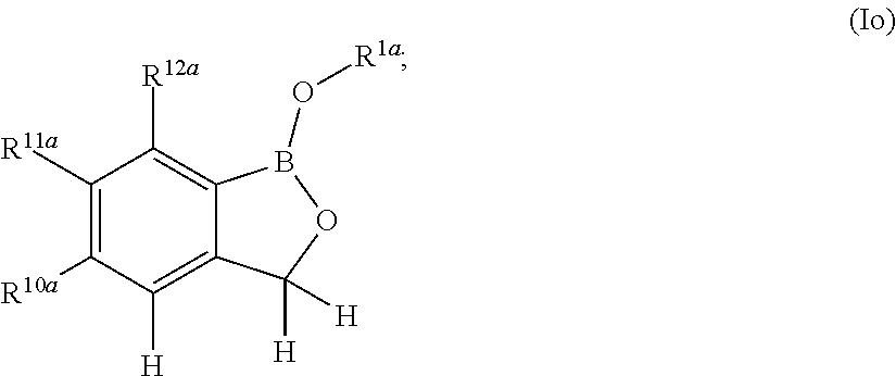
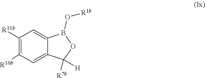
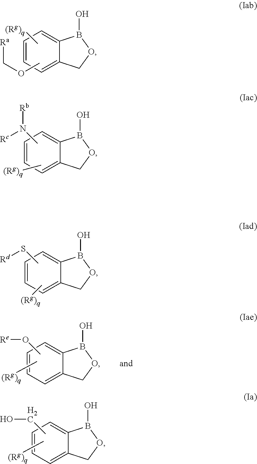
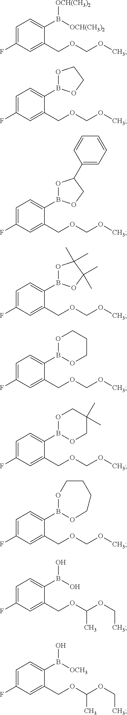
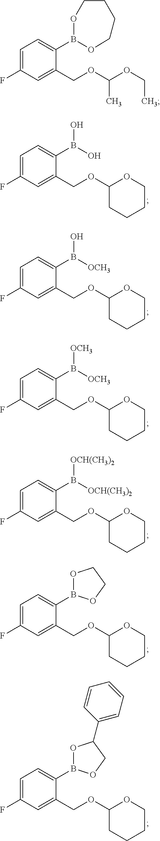
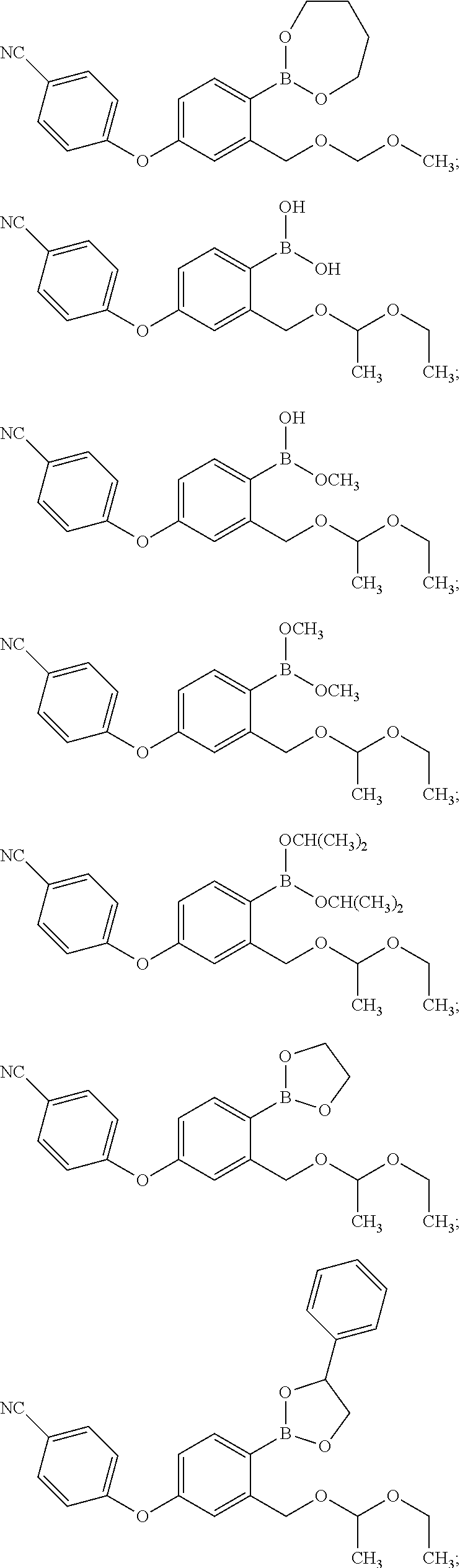
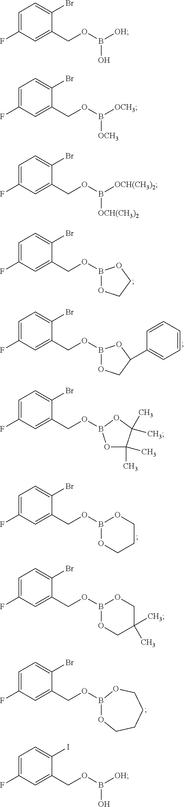
- 150000001875 compounds Chemical class 0.000 claims abstract description 477
- 210000000282 nail Anatomy 0.000 claims abstract description 151
- 241000233866 Fungi Species 0.000 claims abstract description 38
- 208000010195 Onychomycosis Diseases 0.000 claims abstract description 25
- 201000005882 tinea unguium Diseases 0.000 claims abstract description 25
- 230000000699 topical effect Effects 0.000 claims abstract description 21
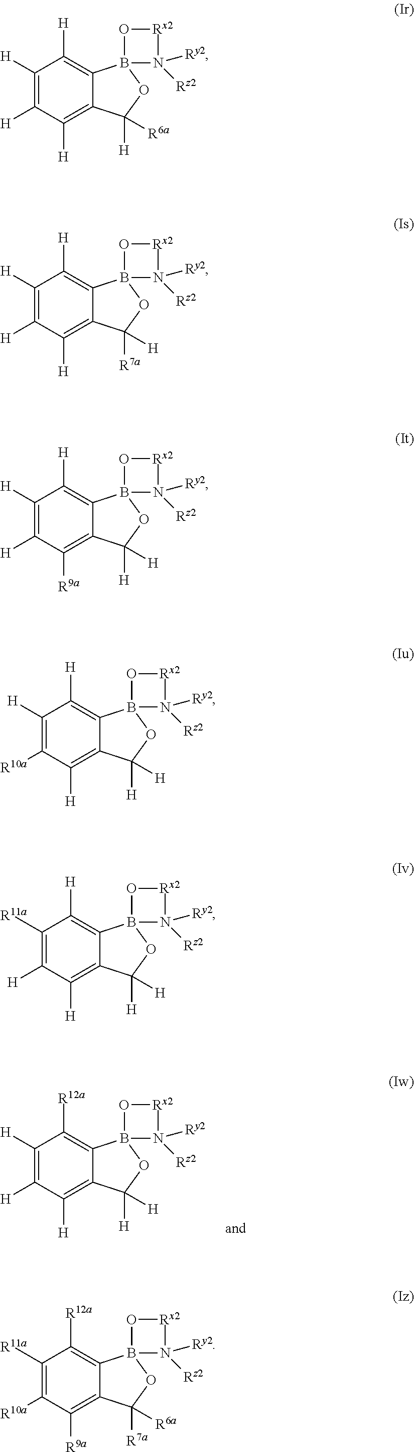
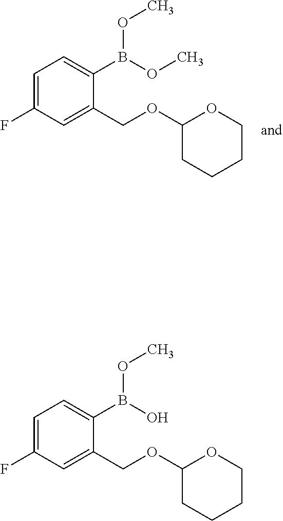
- -1 methoxy, ethoxy Chemical group 0.000 claims description 675
- 125000002915 carbonyl group Chemical group [*:2]C([*:1])=O 0.000 claims description 126
- 238000000034 method Methods 0.000 claims description 112
- 125000000217 alkyl group Chemical group 0.000 claims description 96
- 125000002496 methyl group Chemical group [H]C([H])([H])* 0.000 claims description 92
- 125000003118 aryl group Chemical group 0.000 claims description 87
- 239000008194 pharmaceutical composition Substances 0.000 claims description 87
- 125000004429 atom Chemical group 0.000 claims description 80
- 125000001072 heteroaryl group Chemical group 0.000 claims description 80
- 125000004404 heteroalkyl group Chemical group 0.000 claims description 78
- 125000000753 cycloalkyl group Chemical group 0.000 claims description 70
- 125000000592 heterocycloalkyl group Chemical group 0.000 claims description 69
- 125000001997 phenyl group Chemical group [H]C1=C([H])C([H])=C(*)C([H])=C1[H] 0.000 claims description 62
- 229910052736 halogen Inorganic materials 0.000 claims description 61
- 125000001495 ethyl group Chemical group [H]C([H])([H])C([H])([H])* 0.000 claims description 59
- 150000002367 halogens Chemical class 0.000 claims description 59
- 244000005700 microbiome Species 0.000 claims description 55
- 241000282414 Homo sapiens Species 0.000 claims description 52
- 208000015181 infectious disease Diseases 0.000 claims description 45
- XLYOFNOQVPJJNP-UHFFFAOYSA-N water Substances O XLYOFNOQVPJJNP-UHFFFAOYSA-N 0.000 claims description 45
- 229910001868 water Inorganic materials 0.000 claims description 45
- 150000003839 salts Chemical class 0.000 claims description 41
- 125000002023 trifluoromethyl group Chemical group FC(F)(F)* 0.000 claims description 41
- 241001465754 Metazoa Species 0.000 claims description 36
- 208000037265 diseases, disorders, signs and symptoms Diseases 0.000 claims description 29
- 201000010099 disease Diseases 0.000 claims description 26
- 230000002401 inhibitory effect Effects 0.000 claims description 25
- 229910052760 oxygen Inorganic materials 0.000 claims description 25
- 241000894007 species Species 0.000 claims description 25
- 125000000999 tert-butyl group Chemical group [H]C([H])([H])C(*)(C([H])([H])[H])C([H])([H])[H] 0.000 claims description 25
- 239000000546 pharmaceutical excipient Substances 0.000 claims description 24
- 230000012010 growth Effects 0.000 claims description 20
- QVGXLLKOCUKJST-UHFFFAOYSA-N atomic oxygen Chemical compound [O] QVGXLLKOCUKJST-UHFFFAOYSA-N 0.000 claims description 19
- 125000001153 fluoro group Chemical group F* 0.000 claims description 19
- 239000001301 oxygen Substances 0.000 claims description 19
- 210000004904 fingernail bed Anatomy 0.000 claims description 18
- 241001480043 Arthrodermataceae Species 0.000 claims description 16
- 230000037304 dermatophytes Effects 0.000 claims description 16
- 229910052717 sulfur Inorganic materials 0.000 claims description 14
- QJGQUHMNIGDVPM-UHFFFAOYSA-N nitrogen group Chemical group [N] QJGQUHMNIGDVPM-UHFFFAOYSA-N 0.000 claims description 13
- 125000003356 phenylsulfanyl group Chemical group [*]SC1=C([H])C([H])=C([H])C([H])=C1[H] 0.000 claims description 13
- 241000223238 Trichophyton Species 0.000 claims description 11
- 230000002147 killing effect Effects 0.000 claims description 11
- 230000009885 systemic effect Effects 0.000 claims description 11
- KBPLFHHGFOOTCA-UHFFFAOYSA-N 1-Octanol Chemical compound CCCCCCCCO KBPLFHHGFOOTCA-UHFFFAOYSA-N 0.000 claims description 10
- 241000283690 Bos taurus Species 0.000 claims description 10
- 241001480035 Epidermophyton Species 0.000 claims description 10
- 125000000951 phenoxy group Chemical group [H]C1=C([H])C([H])=C(O*)C([H])=C1[H] 0.000 claims description 10
- NINIDFKCEFEMDL-UHFFFAOYSA-N Sulfur Chemical compound [S] NINIDFKCEFEMDL-UHFFFAOYSA-N 0.000 claims description 8
- 239000011593 sulfur Substances 0.000 claims description 8
- 241001480037 Microsporum Species 0.000 claims description 7
- 230000001580 bacterial effect Effects 0.000 claims description 7
- 125000006527 (C1-C5) alkyl group Chemical group 0.000 claims description 6
- 201000004384 Alopecia Diseases 0.000 claims description 6
- 241000283073 Equus caballus Species 0.000 claims description 6
- 208000002584 Fungal Eye Infections Diseases 0.000 claims description 6
- 208000009163 Sebaceous of Jadassohn Nevus Diseases 0.000 claims description 6
- 206010041736 Sporotrichosis Diseases 0.000 claims description 6
- 231100000360 alopecia Toxicity 0.000 claims description 6
- 244000309464 bull Species 0.000 claims description 6
- 230000001684 chronic effect Effects 0.000 claims description 6
- 230000000149 penetrating effect Effects 0.000 claims description 6
- 125000004660 phenylalkylthio group Chemical group 0.000 claims description 6
- 229920006395 saturated elastomer Polymers 0.000 claims description 6
- 125000004178 (C1-C4) alkyl group Chemical group 0.000 claims description 5
- 241000283707 Capra Species 0.000 claims description 5
- 241000700199 Cavia porcellus Species 0.000 claims description 5
- 241000282326 Felis catus Species 0.000 claims description 5
- 241000287828 Gallus gallus Species 0.000 claims description 5
- 241000699694 Gerbillinae Species 0.000 claims description 5
- 241000283973 Oryctolagus cuniculus Species 0.000 claims description 5
- 241001494479 Pecora Species 0.000 claims description 5
- 241000009328 Perro Species 0.000 claims description 5
- 241000282898 Sus scrofa Species 0.000 claims description 5
- 125000005843 halogen group Chemical group 0.000 claims description 5
- 206010005098 Blastomycosis Diseases 0.000 claims description 4
- 241000222120 Candida <Saccharomycetales> Species 0.000 claims description 4
- 208000009889 Herpes Simplex Diseases 0.000 claims description 4
- 206010063409 Acarodermatitis Diseases 0.000 claims description 3
- 206010056508 Acquired epidermolysis bullosa Diseases 0.000 claims description 3
- 241000223600 Alternaria Species 0.000 claims description 3
- 241000228212 Aspergillus Species 0.000 claims description 3
- 206010003694 Atrophy Diseases 0.000 claims description 3
- 208000011068 Bazex syndrome Diseases 0.000 claims description 3
- 208000034068 Bazex-Dupré-Christol syndrome Diseases 0.000 claims description 3
- 241000335423 Blastomyces Species 0.000 claims description 3
- 206010005913 Body tinea Diseases 0.000 claims description 3
- 206010008803 Chromoblastomycosis Diseases 0.000 claims description 3
- 208000015116 Chromomycosis Diseases 0.000 claims description 3
- 241001337994 Cryptococcus <scale insect> Species 0.000 claims description 3
- 208000002506 Darier Disease Diseases 0.000 claims description 3
- 201000004624 Dermatitis Diseases 0.000 claims description 3
- 206010012442 Dermatitis contact Diseases 0.000 claims description 3
- 206010048768 Dermatosis Diseases 0.000 claims description 3
- 206010015146 Erysipeloid Diseases 0.000 claims description 3
- 206010015150 Erythema Diseases 0.000 claims description 3
- 208000014260 Fungal keratitis Diseases 0.000 claims description 3
- 241000223218 Fusarium Species 0.000 claims description 3
- 206010018612 Gonorrhoea Diseases 0.000 claims description 3
- 241000228402 Histoplasma Species 0.000 claims description 3
- 206010023369 Keratosis follicular Diseases 0.000 claims description 3
- 208000004204 Larva Migrans Diseases 0.000 claims description 3
- 206010024229 Leprosy Diseases 0.000 claims description 3
- 241000555676 Malassezia Species 0.000 claims description 3
- 241000041810 Mycetoma Species 0.000 claims description 3
- 206010028698 Nail dystrophy Diseases 0.000 claims description 3
- 206010048886 Onychoclasis Diseases 0.000 claims description 3
- 206010033554 Palmoplantar keratoderma Diseases 0.000 claims description 3
- 241001537205 Paracoccidioides Species 0.000 claims description 3
- 208000005775 Parakeratosis Diseases 0.000 claims description 3
- 206010034016 Paronychia Diseases 0.000 claims description 3
- 241000029132 Paronychia Species 0.000 claims description 3
- 206010034277 Pemphigoid Diseases 0.000 claims description 3
- 241000721454 Pemphigus Species 0.000 claims description 3
- 241000228143 Penicillium Species 0.000 claims description 3
- 241000222831 Phialophora <Chaetothyriales> Species 0.000 claims description 3
- 201000004681 Psoriasis Diseases 0.000 claims description 3
- 206010037575 Pustular psoriasis Diseases 0.000 claims description 3
- 208000033464 Reiter syndrome Diseases 0.000 claims description 3
- 241000235527 Rhizopus Species 0.000 claims description 3
- 241000447727 Scabies Species 0.000 claims description 3
- 241000132889 Scedosporium Species 0.000 claims description 3
- 241000122799 Scopulariopsis Species 0.000 claims description 3
- 241000223255 Scytalidium Species 0.000 claims description 3
- 201000009594 Systemic Scleroderma Diseases 0.000 claims description 3
- 206010042953 Systemic sclerosis Diseases 0.000 claims description 3
- 208000002474 Tinea Diseases 0.000 claims description 3
- 208000007712 Tinea Versicolor Diseases 0.000 claims description 3
- 206010043866 Tinea capitis Diseases 0.000 claims description 3
- 201000010618 Tinea cruris Diseases 0.000 claims description 3
- 206010049591 Tinea imbricata Diseases 0.000 claims description 3
- 206010043871 Tinea nigra Diseases 0.000 claims description 3
- 206010056131 Tinea versicolour Diseases 0.000 claims description 3
- 208000034784 Tularaemia Diseases 0.000 claims description 3
- 208000001924 Tungiasis Diseases 0.000 claims description 3
- 241001661641 Verrucosa Species 0.000 claims description 3
- 230000001154 acute effect Effects 0.000 claims description 3
- 230000037444 atrophy Effects 0.000 claims description 3
- 208000000594 bullous pemphigoid Diseases 0.000 claims description 3
- 208000010247 contact dermatitis Diseases 0.000 claims description 3
- 201000011114 epidermolysis bullosa acquisita Diseases 0.000 claims description 3
- 231100000321 erythema Toxicity 0.000 claims description 3
- 208000001786 gonorrhea Diseases 0.000 claims description 3
- 201000005473 herpetic whitlow Diseases 0.000 claims description 3
- 201000004607 keratosis follicularis Diseases 0.000 claims description 3
- 201000011486 lichen planus Diseases 0.000 claims description 3
- 201000006506 lobomycosis Diseases 0.000 claims description 3
- 206010025135 lupus erythematosus Diseases 0.000 claims description 3
- 201000009838 otomycosis Diseases 0.000 claims description 3
- 201000008743 palmoplantar keratosis Diseases 0.000 claims description 3
- 208000005814 piedra Diseases 0.000 claims description 3
- 206010035116 pityriasis rubra pilaris Diseases 0.000 claims description 3
- 201000000508 pityriasis versicolor Diseases 0.000 claims description 3
- 208000002574 reactive arthritis Diseases 0.000 claims description 3
- 208000005687 scabies Diseases 0.000 claims description 3
- 208000017520 skin disease Diseases 0.000 claims description 3
- 201000009862 superficial mycosis Diseases 0.000 claims description 3
- 208000037946 swimming pool granuloma Diseases 0.000 claims description 3
- 208000006379 syphilis Diseases 0.000 claims description 3
- 201000000596 systemic lupus erythematosus Diseases 0.000 claims description 3
- 201000009642 tinea barbae Diseases 0.000 claims description 3
- 201000003875 tinea corporis Diseases 0.000 claims description 3
- 208000009189 tinea favosa Diseases 0.000 claims description 3
- 201000004647 tinea pedis Diseases 0.000 claims description 3
- 201000008827 tuberculosis Diseases 0.000 claims description 3
- 206010066945 Lichen striatus Diseases 0.000 claims description 2
- 125000005059 halophenyl group Chemical group 0.000 claims description 2
- 230000002194 synthesizing effect Effects 0.000 claims 2
- 210000003491 skin Anatomy 0.000 abstract description 38
- 210000000003 hoof Anatomy 0.000 abstract description 34
- 210000004209 hair Anatomy 0.000 abstract description 33
- 238000011282 treatment Methods 0.000 abstract description 31
- 210000000078 claw Anatomy 0.000 abstract description 26
- 230000035515 penetration Effects 0.000 abstract description 19
- 206010017533 Fungal infection Diseases 0.000 abstract description 12
- 208000031888 Mycoses Diseases 0.000 abstract description 12
- 108700028939 Amino Acyl-tRNA Synthetases Proteins 0.000 description 95
- 102000052866 Amino Acyl-tRNA Synthetases Human genes 0.000 description 94
- LFQSCWFLJHTTHZ-UHFFFAOYSA-N Ethanol Chemical compound CCO LFQSCWFLJHTTHZ-UHFFFAOYSA-N 0.000 description 94
- 125000000956 methoxy group Chemical group [H]C([H])([H])O* 0.000 description 76
- 239000002904 solvent Substances 0.000 description 69
- 239000000203 mixture Substances 0.000 description 59
- 108020004566 Transfer RNA Proteins 0.000 description 58
- 238000006243 chemical reaction Methods 0.000 description 49
- 150000002148 esters Chemical class 0.000 description 48
- 125000001797 benzyl group Chemical group [H]C1=C([H])C([H])=C(C([H])=C1[H])C([H])([H])* 0.000 description 46
- 125000004093 cyano group Chemical group *C#N 0.000 description 46
- 235000019441 ethanol Nutrition 0.000 description 40
- YXFVVABEGXRONW-UHFFFAOYSA-N Toluene Chemical compound CC1=CC=CC=C1 YXFVVABEGXRONW-UHFFFAOYSA-N 0.000 description 39
- 150000001413 amino acids Chemical class 0.000 description 38
- 239000003814 drug Substances 0.000 description 38
- 125000001424 substituent group Chemical group 0.000 description 38
- 229940024606 amino acid Drugs 0.000 description 37
- 235000001014 amino acid Nutrition 0.000 description 37
- OKKJLVBELUTLKV-UHFFFAOYSA-N Methanol Chemical compound OC OKKJLVBELUTLKV-UHFFFAOYSA-N 0.000 description 36
- 229940079593 drug Drugs 0.000 description 35
- WYURNTSHIVDZCO-UHFFFAOYSA-N Tetrahydrofuran Chemical compound C1CCOC1 WYURNTSHIVDZCO-UHFFFAOYSA-N 0.000 description 32
- 238000009472 formulation Methods 0.000 description 30
- WEVYAHXRMPXWCK-UHFFFAOYSA-N Acetonitrile Chemical compound CC#N WEVYAHXRMPXWCK-UHFFFAOYSA-N 0.000 description 27
- DNIAPMSPPWPWGF-UHFFFAOYSA-N Propylene glycol Chemical compound CC(O)CO DNIAPMSPPWPWGF-UHFFFAOYSA-N 0.000 description 27
- 210000004027 cell Anatomy 0.000 description 26
- ZADPBFCGQRWHPN-UHFFFAOYSA-N boronic acid Chemical compound OBO ZADPBFCGQRWHPN-UHFFFAOYSA-N 0.000 description 24
- 125000000449 nitro group Chemical group [O-][N+](*)=O 0.000 description 24
- XTHFKEDIFFGKHM-UHFFFAOYSA-N Dimethoxyethane Chemical compound COCCOC XTHFKEDIFFGKHM-UHFFFAOYSA-N 0.000 description 22
- 125000001449 isopropyl group Chemical group [H]C([H])([H])C([H])(*)C([H])([H])[H] 0.000 description 22
- 108010076876 Keratins Proteins 0.000 description 21
- 102000011782 Keratins Human genes 0.000 description 21
- 238000003556 assay Methods 0.000 description 21
- 239000013543 active substance Substances 0.000 description 20
- 125000002015 acyclic group Chemical group 0.000 description 20
- 125000000484 butyl group Chemical group [H]C([*])([H])C([H])([H])C([H])([H])C([H])([H])[H] 0.000 description 20
- 230000000694 effects Effects 0.000 description 20
- 125000001436 propyl group Chemical group [H]C([*])([H])C([H])([H])C([H])([H])[H] 0.000 description 20
- 241000894006 Bacteria Species 0.000 description 19
- 240000004808 Saccharomyces cerevisiae Species 0.000 description 19
- 235000014680 Saccharomyces cerevisiae Nutrition 0.000 description 19
- RAXXELZNTBOGNW-UHFFFAOYSA-N imidazole Natural products C1=CNC=N1 RAXXELZNTBOGNW-UHFFFAOYSA-N 0.000 description 19
- 125000003178 carboxy group Chemical group [H]OC(*)=O 0.000 description 18
- 241000700605 Viruses Species 0.000 description 17
- 239000002253 acid Substances 0.000 description 17
- 125000004202 aminomethyl group Chemical group [H]N([H])C([H])([H])* 0.000 description 17
- 125000002768 hydroxyalkyl group Chemical group 0.000 description 17
- 125000004029 hydroxymethyl group Chemical group [H]OC([H])([H])* 0.000 description 17
- 125000001041 indolyl group Chemical group 0.000 description 17
- 125000005358 mercaptoalkyl group Chemical group 0.000 description 17
- 238000002360 preparation method Methods 0.000 description 17
- IJGRMHOSHXDMSA-UHFFFAOYSA-N Atomic nitrogen Chemical compound N#N IJGRMHOSHXDMSA-UHFFFAOYSA-N 0.000 description 16
- QTBSBXVTEAMEQO-UHFFFAOYSA-N acetic acid Substances CC(O)=O QTBSBXVTEAMEQO-UHFFFAOYSA-N 0.000 description 16
- 125000003710 aryl alkyl group Chemical group 0.000 description 16
- 238000009835 boiling Methods 0.000 description 16
- 230000005764 inhibitory process Effects 0.000 description 16
- LFQDNHWZDQTITF-UHFFFAOYSA-N tavaborole Chemical compound FC1=CC=C2B(O)OCC2=C1 LFQDNHWZDQTITF-UHFFFAOYSA-N 0.000 description 16
- YLQBMQCUIZJEEH-UHFFFAOYSA-N tetrahydrofuran Natural products C=1C=COC=1 YLQBMQCUIZJEEH-UHFFFAOYSA-N 0.000 description 16
- RYHBNJHYFVUHQT-UHFFFAOYSA-N 1,4-Dioxane Chemical compound C1COCCO1 RYHBNJHYFVUHQT-UHFFFAOYSA-N 0.000 description 15
- RTZKZFJDLAIYFH-UHFFFAOYSA-N Diethyl ether Chemical compound CCOCC RTZKZFJDLAIYFH-UHFFFAOYSA-N 0.000 description 15
- 108010071170 Leucine-tRNA ligase Proteins 0.000 description 15
- 102100023342 Leucine-tRNA ligase, mitochondrial Human genes 0.000 description 15
- 230000015572 biosynthetic process Effects 0.000 description 15
- 229910052757 nitrogen Inorganic materials 0.000 description 15
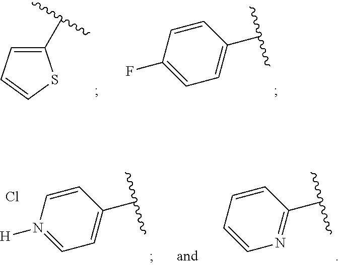
- 125000004105 2-pyridyl group Chemical group N1=C([*])C([H])=C([H])C([H])=C1[H] 0.000 description 14
- 125000000175 2-thienyl group Chemical group S1C([*])=C([H])C([H])=C1[H] 0.000 description 14
- 125000003349 3-pyridyl group Chemical group N1=C([H])C([*])=C([H])C([H])=C1[H] 0.000 description 14
- 125000001541 3-thienyl group Chemical group S1C([H])=C([*])C([H])=C1[H] 0.000 description 14
- 125000000339 4-pyridyl group Chemical group N1=C([H])C([H])=C([*])C([H])=C1[H] 0.000 description 14
- 241000223229 Trichophyton rubrum Species 0.000 description 14
- 229940126214 compound 3 Drugs 0.000 description 14
- 125000004122 cyclic group Chemical group 0.000 description 14
- 239000013638 trimer Substances 0.000 description 14
- 239000000539 dimer Substances 0.000 description 13
- 125000005842 heteroatom Chemical group 0.000 description 13
- 125000000593 indol-1-yl group Chemical group [H]C1=C([H])C([H])=C2N([*])C([H])=C([H])C2=C1[H] 0.000 description 13
- 125000006518 morpholino carbonyl group Chemical group [H]C1([H])OC([H])([H])C([H])([H])N(C(*)=O)C1([H])[H] 0.000 description 13
- 125000002757 morpholinyl group Chemical group 0.000 description 13
- 150000007523 nucleic acids Chemical class 0.000 description 13
- 239000002773 nucleotide Substances 0.000 description 13
- 125000003729 nucleotide group Chemical group 0.000 description 13
- 125000004194 piperazin-1-yl group Chemical group [H]N1C([H])([H])C([H])([H])N(*)C([H])([H])C1([H])[H] 0.000 description 13
- 125000000714 pyrimidinyl group Chemical group 0.000 description 13
- 238000001953 recrystallisation Methods 0.000 description 13
- 238000003786 synthesis reaction Methods 0.000 description 13
- XEKOWRVHYACXOJ-UHFFFAOYSA-N Ethyl acetate Chemical compound CCOC(C)=O XEKOWRVHYACXOJ-UHFFFAOYSA-N 0.000 description 12
- ZMXDDKWLCZADIW-UHFFFAOYSA-N N,N-Dimethylformamide Chemical compound CN(C)C=O ZMXDDKWLCZADIW-UHFFFAOYSA-N 0.000 description 12
- 229940121375 antifungal agent Drugs 0.000 description 12
- 125000003917 carbamoyl group Chemical group [H]N([H])C(*)=O 0.000 description 12
- 239000003638 chemical reducing agent Substances 0.000 description 12
- 239000003795 chemical substances by application Substances 0.000 description 12
- 244000045947 parasite Species 0.000 description 12
- 239000004480 active ingredient Substances 0.000 description 11
- 150000008064 anhydrides Chemical class 0.000 description 11
- 229940125782 compound 2 Drugs 0.000 description 11
- 125000001570 methylene group Chemical group [H]C([H])([*:1])[*:2] 0.000 description 11
- 239000003921 oil Substances 0.000 description 11
- 108090000623 proteins and genes Proteins 0.000 description 11
- 239000003981 vehicle Substances 0.000 description 11
- 102000004190 Enzymes Human genes 0.000 description 10
- 108090000790 Enzymes Proteins 0.000 description 10
- 102000029793 Isoleucine-tRNA ligase Human genes 0.000 description 10
- 101710176147 Isoleucine-tRNA ligase, cytoplasmic Proteins 0.000 description 10
- MZRVEZGGRBJDDB-UHFFFAOYSA-N N-Butyllithium Chemical compound [Li]CCCC MZRVEZGGRBJDDB-UHFFFAOYSA-N 0.000 description 10
- 101710149031 Probable isoleucine-tRNA ligase, cytoplasmic Proteins 0.000 description 10
- 125000003368 amide group Chemical group 0.000 description 10
- 230000000843 anti-fungal effect Effects 0.000 description 10
- 229910052739 hydrogen Inorganic materials 0.000 description 10
- 239000003112 inhibitor Substances 0.000 description 10
- 239000000543 intermediate Substances 0.000 description 10
- 230000035772 mutation Effects 0.000 description 10
- VLKZOEOYAKHREP-UHFFFAOYSA-N n-Hexane Chemical class CCCCCC VLKZOEOYAKHREP-UHFFFAOYSA-N 0.000 description 10
- 231100000252 nontoxic Toxicity 0.000 description 10
- 230000003000 nontoxic effect Effects 0.000 description 10
- 150000003254 radicals Chemical class 0.000 description 10
- 239000000243 solution Substances 0.000 description 10
- 239000000126 substance Substances 0.000 description 10
- 108091028043 Nucleic acid sequence Proteins 0.000 description 9
- ZMANZCXQSJIPKH-UHFFFAOYSA-N Triethylamine Chemical compound CCN(CC)CC ZMANZCXQSJIPKH-UHFFFAOYSA-N 0.000 description 9
- 125000002252 acyl group Chemical group 0.000 description 9
- 239000000839 emulsion Substances 0.000 description 9
- 125000001301 ethoxy group Chemical group [H]C([H])([H])C([H])([H])O* 0.000 description 9
- 239000001257 hydrogen Substances 0.000 description 9
- 125000004573 morpholin-4-yl group Chemical group N1(CCOCC1)* 0.000 description 9
- 239000003883 ointment base Substances 0.000 description 9
- 125000002924 primary amino group Chemical class [H]N([H])* 0.000 description 9
- 229960004063 propylene glycol Drugs 0.000 description 9
- 235000013772 propylene glycol Nutrition 0.000 description 9
- BTBUEUYNUDRHOZ-UHFFFAOYSA-N Borate Chemical compound [O-]B([O-])[O-] BTBUEUYNUDRHOZ-UHFFFAOYSA-N 0.000 description 8
- QAOWNCQODCNURD-UHFFFAOYSA-N Sulfuric acid Chemical compound OS(O)(=O)=O QAOWNCQODCNURD-UHFFFAOYSA-N 0.000 description 8
- 229950006790 adenosine phosphate Drugs 0.000 description 8
- 125000003282 alkyl amino group Chemical group 0.000 description 8
- 125000004432 carbon atom Chemical group C* 0.000 description 8
- 230000010261 cell growth Effects 0.000 description 8
- 239000003153 chemical reaction reagent Substances 0.000 description 8
- 229960003749 ciclopirox Drugs 0.000 description 8
- SCKYRAXSEDYPSA-UHFFFAOYSA-N ciclopirox Chemical compound ON1C(=O)C=C(C)C=C1C1CCCCC1 SCKYRAXSEDYPSA-UHFFFAOYSA-N 0.000 description 8
- 239000006071 cream Substances 0.000 description 8
- 238000009792 diffusion process Methods 0.000 description 8
- UYTPUPDQBNUYGX-UHFFFAOYSA-N guanine Chemical class O=C1NC(N)=NC2=C1N=CN2 UYTPUPDQBNUYGX-UHFFFAOYSA-N 0.000 description 8
- 150000002430 hydrocarbons Chemical group 0.000 description 8
- 239000010410 layer Substances 0.000 description 8
- 239000007788 liquid Substances 0.000 description 8
- 230000000813 microbial effect Effects 0.000 description 8
- 235000019198 oils Nutrition 0.000 description 8
- 239000003755 preservative agent Substances 0.000 description 8
- 108090000765 processed proteins & peptides Proteins 0.000 description 8
- 125000006239 protecting group Chemical group 0.000 description 8
- 238000012360 testing method Methods 0.000 description 8
- MLRBNIXMTWSDJU-UHFFFAOYSA-N 2-benzylfuran Chemical class C=1C=CC=CC=1CC1=CC=CO1 MLRBNIXMTWSDJU-UHFFFAOYSA-N 0.000 description 7
- 101000787278 Arabidopsis thaliana Valine-tRNA ligase, chloroplastic/mitochondrial 2 Proteins 0.000 description 7
- 101000787296 Arabidopsis thaliana Valine-tRNA ligase, mitochondrial 1 Proteins 0.000 description 7
- 101000787280 Dictyostelium discoideum Probable valine-tRNA ligase, mitochondrial Proteins 0.000 description 7
- IAZDPXIOMUYVGZ-UHFFFAOYSA-N Dimethylsulphoxide Chemical compound CS(C)=O IAZDPXIOMUYVGZ-UHFFFAOYSA-N 0.000 description 7
- VEXZGXHMUGYJMC-UHFFFAOYSA-N Hydrochloric acid Chemical compound Cl VEXZGXHMUGYJMC-UHFFFAOYSA-N 0.000 description 7
- 102000013625 Valine-tRNA Ligase Human genes 0.000 description 7
- 125000002947 alkylene group Chemical group 0.000 description 7
- 125000002490 anilino group Chemical group [H]N(*)C1=C([H])C([H])=C([H])C([H])=C1[H] 0.000 description 7
- 239000003429 antifungal agent Substances 0.000 description 7
- 125000000440 benzylamino group Chemical group [H]N(*)C([H])([H])C1=C([H])C([H])=C([H])C([H])=C1[H] 0.000 description 7
- 125000001246 bromo group Chemical group Br* 0.000 description 7
- 125000001951 carbamoylamino group Chemical group C(N)(=O)N* 0.000 description 7
- USZAGAREISWJDP-UHFFFAOYSA-N crisaborole Chemical compound C=1C=C2B(O)OCC2=CC=1OC1=CC=C(C#N)C=C1 USZAGAREISWJDP-UHFFFAOYSA-N 0.000 description 7
- 125000004663 dialkyl amino group Chemical group 0.000 description 7
- 239000003623 enhancer Substances 0.000 description 7
- 239000000499 gel Substances 0.000 description 7
- 229930195733 hydrocarbon Natural products 0.000 description 7
- 125000004435 hydrogen atom Chemical class [H]* 0.000 description 7
- 239000000463 material Substances 0.000 description 7
- 125000002816 methylsulfanyl group Chemical group [H]C([H])([H])S[*] 0.000 description 7
- 125000003170 phenylsulfonyl group Chemical group C1(=CC=CC=C1)S(=O)(=O)* 0.000 description 7
- 102000004196 processed proteins & peptides Human genes 0.000 description 7
- 239000000047 product Substances 0.000 description 7
- BDERNNFJNOPAEC-UHFFFAOYSA-N propan-1-ol Chemical compound CCCO BDERNNFJNOPAEC-UHFFFAOYSA-N 0.000 description 7
- 210000000434 stratum corneum Anatomy 0.000 description 7
- 125000005864 sulfonamidyl group Chemical group 0.000 description 7
- MINDHVHHQZYEEK-UHFFFAOYSA-N (E)-(2S,3R,4R,5S)-5-[(2S,3S,4S,5S)-2,3-epoxy-5-hydroxy-4-methylhexyl]tetrahydro-3,4-dihydroxy-(beta)-methyl-2H-pyran-2-crotonic acid ester with 9-hydroxynonanoic acid Natural products CC(O)C(C)C1OC1CC1C(O)C(O)C(CC(C)=CC(=O)OCCCCCCCCC(O)=O)OC1 MINDHVHHQZYEEK-UHFFFAOYSA-N 0.000 description 6
- HZAXFHJVJLSVMW-UHFFFAOYSA-N 2-Aminoethan-1-ol Chemical compound NCCO HZAXFHJVJLSVMW-UHFFFAOYSA-N 0.000 description 6
- CSCPPACGZOOCGX-UHFFFAOYSA-N Acetone Chemical compound CC(C)=O CSCPPACGZOOCGX-UHFFFAOYSA-N 0.000 description 6
- QGZKDVFQNNGYKY-UHFFFAOYSA-N Ammonia Chemical compound N QGZKDVFQNNGYKY-UHFFFAOYSA-N 0.000 description 6
- VTYYLEPIZMXCLO-UHFFFAOYSA-L Calcium carbonate Chemical compound [Ca+2].[O-]C([O-])=O VTYYLEPIZMXCLO-UHFFFAOYSA-L 0.000 description 6
- 241000222122 Candida albicans Species 0.000 description 6
- 239000004215 Carbon black (E152) Substances 0.000 description 6
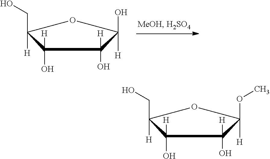
- HMFHBZSHGGEWLO-SOOFDHNKSA-N D-ribofuranose Chemical group OC[C@H]1OC(O)[C@H](O)[C@@H]1O HMFHBZSHGGEWLO-SOOFDHNKSA-N 0.000 description 6
- PYGXAGIECVVIOZ-UHFFFAOYSA-N Dibutyl decanedioate Chemical compound CCCCOC(=O)CCCCCCCCC(=O)OCCCC PYGXAGIECVVIOZ-UHFFFAOYSA-N 0.000 description 6
- QUSNBJAOOMFDIB-UHFFFAOYSA-N Ethylamine Chemical compound CCN QUSNBJAOOMFDIB-UHFFFAOYSA-N 0.000 description 6
- 108090000364 Ligases Proteins 0.000 description 6
- 108010092041 Lysine-tRNA Ligase Proteins 0.000 description 6
- 102100035529 Lysine-tRNA ligase Human genes 0.000 description 6
- BAVYZALUXZFZLV-UHFFFAOYSA-N Methylamine Chemical compound NC BAVYZALUXZFZLV-UHFFFAOYSA-N 0.000 description 6
- KWYUFKZDYYNOTN-UHFFFAOYSA-M Potassium hydroxide Chemical compound [OH-].[K+] KWYUFKZDYYNOTN-UHFFFAOYSA-M 0.000 description 6
- SMWDFEZZVXVKRB-UHFFFAOYSA-N Quinoline Chemical compound N1=CC=CC2=CC=CC=C21 SMWDFEZZVXVKRB-UHFFFAOYSA-N 0.000 description 6
- CDBYLPFSWZWCQE-UHFFFAOYSA-L Sodium Carbonate Chemical compound [Na+].[Na+].[O-]C([O-])=O CDBYLPFSWZWCQE-UHFFFAOYSA-L 0.000 description 6
- HEMHJVSKTPXQMS-UHFFFAOYSA-M Sodium hydroxide Chemical compound [OH-].[Na+] HEMHJVSKTPXQMS-UHFFFAOYSA-M 0.000 description 6
- ISAKRJDGNUQOIC-UHFFFAOYSA-N Uracil Chemical class O=C1C=CNC(=O)N1 ISAKRJDGNUQOIC-UHFFFAOYSA-N 0.000 description 6
- 150000007513 acids Chemical class 0.000 description 6
- OIRDTQYFTABQOQ-KQYNXXCUSA-N adenosine group Chemical group [C@@H]1([C@H](O)[C@H](O)[C@@H](CO)O1)N1C=NC=2C(N)=NC=NC12 OIRDTQYFTABQOQ-KQYNXXCUSA-N 0.000 description 6
- 125000003545 alkoxy group Chemical group 0.000 description 6
- 230000008901 benefit Effects 0.000 description 6
- 230000004071 biological effect Effects 0.000 description 6
- 239000000969 carrier Substances 0.000 description 6
- 239000003995 emulsifying agent Substances 0.000 description 6
- 239000000796 flavoring agent Substances 0.000 description 6
- BXWNKGSJHAJOGX-UHFFFAOYSA-N hexadecan-1-ol Chemical compound CCCCCCCCCCCCCCCCO BXWNKGSJHAJOGX-UHFFFAOYSA-N 0.000 description 6
- 238000000338 in vitro Methods 0.000 description 6
- 238000001727 in vivo Methods 0.000 description 6
- 150000002540 isothiocyanates Chemical class 0.000 description 6
- 239000004922 lacquer Substances 0.000 description 6
- 239000006210 lotion Substances 0.000 description 6
- BDAGIHXWWSANSR-UHFFFAOYSA-N methanoic acid Natural products OC=O BDAGIHXWWSANSR-UHFFFAOYSA-N 0.000 description 6
- 108020004707 nucleic acids Proteins 0.000 description 6
- 102000039446 nucleic acids Human genes 0.000 description 6
- 125000004288 oxazolidin-2-yl group Chemical group [H]N1C([H])([H])C([H])([H])OC1([H])* 0.000 description 6
- 239000012071 phase Substances 0.000 description 6
- 229920001184 polypeptide Polymers 0.000 description 6
- 235000018102 proteins Nutrition 0.000 description 6
- 102000004169 proteins and genes Human genes 0.000 description 6
- 239000007921 spray Substances 0.000 description 6
- 239000000375 suspending agent Substances 0.000 description 6
- 239000000725 suspension Substances 0.000 description 6
- 239000003765 sweetening agent Substances 0.000 description 6
- RWQNBRDOKXIBIV-UHFFFAOYSA-N thymine Chemical class CC1=CNC(=O)NC1=O RWQNBRDOKXIBIV-UHFFFAOYSA-N 0.000 description 6
- 210000001519 tissue Anatomy 0.000 description 6
- JOXIMZWYDAKGHI-UHFFFAOYSA-N toluene-4-sulfonic acid Chemical compound CC1=CC=C(S(O)(=O)=O)C=C1 JOXIMZWYDAKGHI-UHFFFAOYSA-N 0.000 description 6
- 239000012049 topical pharmaceutical composition Substances 0.000 description 6
- 108010058060 Alanine-tRNA ligase Proteins 0.000 description 5
- 102000006268 Alanine-tRNA ligase Human genes 0.000 description 5
- 108020004414 DNA Proteins 0.000 description 5
- 241000282412 Homo Species 0.000 description 5
- AGPKZVBTJJNPAG-WHFBIAKZSA-N L-isoleucine Chemical compound CC[C@H](C)[C@H](N)C(O)=O AGPKZVBTJJNPAG-WHFBIAKZSA-N 0.000 description 5
- 102000003960 Ligases Human genes 0.000 description 5
- JCXJVPUVTGWSNB-UHFFFAOYSA-N Nitrogen dioxide Chemical compound O=[N]=O JCXJVPUVTGWSNB-UHFFFAOYSA-N 0.000 description 5
- 102100026126 Proline-tRNA ligase Human genes 0.000 description 5
- KDCGOANMDULRCW-UHFFFAOYSA-N Purine Natural products N1=CNC2=NC=NC2=C1 KDCGOANMDULRCW-UHFFFAOYSA-N 0.000 description 5
- 229910006069 SO3H Inorganic materials 0.000 description 5
- 102000001618 Threonine-tRNA Ligase Human genes 0.000 description 5
- 108010029287 Threonine-tRNA ligase Proteins 0.000 description 5
- 238000010521 absorption reaction Methods 0.000 description 5
- 230000002378 acidificating effect Effects 0.000 description 5
- 150000001412 amines Chemical class 0.000 description 5
- 239000003086 colorant Substances 0.000 description 5
- 239000007859 condensation product Substances 0.000 description 5
- 239000002537 cosmetic Substances 0.000 description 5
- 235000014113 dietary fatty acids Nutrition 0.000 description 5
- 238000002474 experimental method Methods 0.000 description 5
- 229930195729 fatty acid Natural products 0.000 description 5
- 239000000194 fatty acid Substances 0.000 description 5
- 150000004665 fatty acids Chemical class 0.000 description 5
- 235000003599 food sweetener Nutrition 0.000 description 5
- 125000004474 heteroalkylene group Chemical group 0.000 description 5
- 150000002460 imidazoles Chemical class 0.000 description 5
- 150000002632 lipids Chemical class 0.000 description 5
- 238000004519 manufacturing process Methods 0.000 description 5
- 230000007246 mechanism Effects 0.000 description 5
- 239000002609 medium Substances 0.000 description 5
- 229960003128 mupirocin Drugs 0.000 description 5
- DDHVILIIHBIMQU-YJGQQKNPSA-L mupirocin calcium hydrate Chemical compound O.O.[Ca+2].C[C@H](O)[C@H](C)[C@@H]1O[C@H]1C[C@@H]1[C@@H](O)[C@@H](O)[C@H](C\C(C)=C\C(=O)OCCCCCCCCC([O-])=O)OC1.C[C@H](O)[C@H](C)[C@@H]1O[C@H]1C[C@@H]1[C@@H](O)[C@@H](O)[C@H](C\C(C)=C\C(=O)OCCCCCCCCC([O-])=O)OC1 DDHVILIIHBIMQU-YJGQQKNPSA-L 0.000 description 5
- 230000036961 partial effect Effects 0.000 description 5
- 230000035699 permeability Effects 0.000 description 5
- 239000008177 pharmaceutical agent Substances 0.000 description 5
- 108010042589 prolyl T RNA synthetase Proteins 0.000 description 5
- 150000003212 purines Chemical class 0.000 description 5
- JUJWROOIHBZHMG-UHFFFAOYSA-N pyridine Substances C1=CC=NC=C1 JUJWROOIHBZHMG-UHFFFAOYSA-N 0.000 description 5
- UMJSCPRVCHMLSP-UHFFFAOYSA-N pyridine Natural products COC1=CC=CN=C1 UMJSCPRVCHMLSP-UHFFFAOYSA-N 0.000 description 5
- 150000003222 pyridines Chemical class 0.000 description 5
- 150000003230 pyrimidines Chemical class 0.000 description 5
- 239000007787 solid Substances 0.000 description 5
- 239000012453 solvate Substances 0.000 description 5
- 125000000020 sulfo group Chemical group O=S(=O)([*])O[H] 0.000 description 5
- 229960002722 terbinafine Drugs 0.000 description 5
- DOMXUEMWDBAQBQ-WEVVVXLNSA-N terbinafine Chemical compound C1=CC=C2C(CN(C\C=C\C#CC(C)(C)C)C)=CC=CC2=C1 DOMXUEMWDBAQBQ-WEVVVXLNSA-N 0.000 description 5
- 230000001225 therapeutic effect Effects 0.000 description 5
- 238000011200 topical administration Methods 0.000 description 5
- VBICKXHEKHSIBG-UHFFFAOYSA-N 1-monostearoylglycerol Chemical compound CCCCCCCCCCCCCCCCCC(=O)OCC(O)CO VBICKXHEKHSIBG-UHFFFAOYSA-N 0.000 description 4
- OIVLITBTBDPEFK-UHFFFAOYSA-N 5,6-dihydrouracil Chemical class O=C1CCNC(=O)N1 OIVLITBTBDPEFK-UHFFFAOYSA-N 0.000 description 4
- 229930024421 Adenine Natural products 0.000 description 4
- GFFGJBXGBJISGV-UHFFFAOYSA-N Adenine Chemical class NC1=NC=NC2=C1N=CN2 GFFGJBXGBJISGV-UHFFFAOYSA-N 0.000 description 4
- 102000004506 Blood Proteins Human genes 0.000 description 4
- 108010017384 Blood Proteins Proteins 0.000 description 4
- UDMBCSSLTHHNCD-UHFFFAOYSA-N Coenzym Q(11) Natural products C1=NC=2C(N)=NC=NC=2N1C1OC(COP(O)(O)=O)C(O)C1O UDMBCSSLTHHNCD-UHFFFAOYSA-N 0.000 description 4
- 241000711573 Coronaviridae Species 0.000 description 4
- IAYPIBMASNFSPL-UHFFFAOYSA-N Ethylene oxide Chemical compound C1CO1 IAYPIBMASNFSPL-UHFFFAOYSA-N 0.000 description 4
- 241000427940 Fusarium solani Species 0.000 description 4
- 241000700588 Human alphaherpesvirus 1 Species 0.000 description 4
- 241000701074 Human alphaherpesvirus 2 Species 0.000 description 4
- 241000701024 Human betaherpesvirus 5 Species 0.000 description 4
- 241000713772 Human immunodeficiency virus 1 Species 0.000 description 4
- 241000713340 Human immunodeficiency virus 2 Species 0.000 description 4
- AYFVYJQAPQTCCC-GBXIJSLDSA-N L-threonine Chemical compound C[C@@H](O)[C@H](N)C(O)=O AYFVYJQAPQTCCC-GBXIJSLDSA-N 0.000 description 4
- KZSNJWFQEVHDMF-BYPYZUCNSA-N L-valine Chemical compound CC(C)[C@H](N)C(O)=O KZSNJWFQEVHDMF-BYPYZUCNSA-N 0.000 description 4
- AFVFQIVMOAPDHO-UHFFFAOYSA-N Methanesulfonic acid Chemical compound CS(O)(=O)=O AFVFQIVMOAPDHO-UHFFFAOYSA-N 0.000 description 4
- 108010003060 Methionine-tRNA ligase Proteins 0.000 description 4
- 102000004587 Methionine-tRNA ligase Human genes 0.000 description 4
- JGFZNNIVVJXRND-UHFFFAOYSA-N N,N-Diisopropylethylamine (DIPEA) Chemical compound CCN(C(C)C)C(C)C JGFZNNIVVJXRND-UHFFFAOYSA-N 0.000 description 4
- IMNFDUFMRHMDMM-UHFFFAOYSA-N N-Heptane Chemical compound CCCCCCC IMNFDUFMRHMDMM-UHFFFAOYSA-N 0.000 description 4
- PCLIMKBDDGJMGD-UHFFFAOYSA-N N-bromosuccinimide Chemical compound BrN1C(=O)CCC1=O PCLIMKBDDGJMGD-UHFFFAOYSA-N 0.000 description 4
- PVNIIMVLHYAWGP-UHFFFAOYSA-N Niacin Chemical class OC(=O)C1=CC=CN=C1 PVNIIMVLHYAWGP-UHFFFAOYSA-N 0.000 description 4
- 108010004478 Phenylalanine-tRNA Ligase Proteins 0.000 description 4
- 102000002798 Phenylalanine-tRNA Ligase Human genes 0.000 description 4
- 108010039918 Polylysine Proteins 0.000 description 4
- 201000003176 Severe Acute Respiratory Syndrome Diseases 0.000 description 4
- 241000187747 Streptomyces Species 0.000 description 4
- 241001045770 Trichophyton mentagrophytes Species 0.000 description 4
- KZSNJWFQEVHDMF-UHFFFAOYSA-N Valine Natural products CC(C)C(N)C(O)=O KZSNJWFQEVHDMF-UHFFFAOYSA-N 0.000 description 4
- 125000004423 acyloxy group Chemical group 0.000 description 4
- 229960000643 adenine Drugs 0.000 description 4
- UDMBCSSLTHHNCD-KQYNXXCUSA-N adenosine 5'-monophosphate Chemical compound C1=NC=2C(N)=NC=NC=2N1[C@@H]1O[C@H](COP(O)(O)=O)[C@@H](O)[C@H]1O UDMBCSSLTHHNCD-KQYNXXCUSA-N 0.000 description 4
- 230000002411 adverse Effects 0.000 description 4
- 125000003275 alpha amino acid group Chemical group 0.000 description 4
- 239000003963 antioxidant agent Substances 0.000 description 4
- 235000006708 antioxidants Nutrition 0.000 description 4
- 239000007900 aqueous suspension Substances 0.000 description 4
- 125000004104 aryloxy group Chemical group 0.000 description 4
- SIPUZPBQZHNSDW-UHFFFAOYSA-N bis(2-methylpropyl)aluminum Chemical compound CC(C)C[Al]CC(C)C SIPUZPBQZHNSDW-UHFFFAOYSA-N 0.000 description 4
- 229940095731 candida albicans Drugs 0.000 description 4
- 125000001309 chloro group Chemical group Cl* 0.000 description 4
- OPTASPLRGRRNAP-UHFFFAOYSA-N cytosine Chemical class NC=1C=CNC(=O)N=1 OPTASPLRGRRNAP-UHFFFAOYSA-N 0.000 description 4
- 230000001086 cytosolic effect Effects 0.000 description 4
- 239000003085 diluting agent Substances 0.000 description 4
- 239000002270 dispersing agent Substances 0.000 description 4
- 239000003974 emollient agent Substances 0.000 description 4
- 235000019439 ethyl acetate Nutrition 0.000 description 4
- 235000013355 food flavoring agent Nutrition 0.000 description 4
- 244000053095 fungal pathogen Species 0.000 description 4
- 125000001188 haloalkyl group Chemical group 0.000 description 4
- 125000002346 iodo group Chemical group I* 0.000 description 4
- 229960000310 isoleucine Drugs 0.000 description 4
- AGPKZVBTJJNPAG-UHFFFAOYSA-N isoleucine Natural products CCC(C)C(N)C(O)=O AGPKZVBTJJNPAG-UHFFFAOYSA-N 0.000 description 4
- 229960003136 leucine Drugs 0.000 description 4
- IUYHWZFSGMZEOG-UHFFFAOYSA-M magnesium;propane;chloride Chemical compound [Mg+2].[Cl-].C[CH-]C IUYHWZFSGMZEOG-UHFFFAOYSA-M 0.000 description 4
- 229930187697 mupirocin Natural products 0.000 description 4
- 230000007935 neutral effect Effects 0.000 description 4
- 239000002777 nucleoside Substances 0.000 description 4
- 150000007524 organic acids Chemical class 0.000 description 4
- 239000003961 penetration enhancing agent Substances 0.000 description 4
- 229920001223 polyethylene glycol Polymers 0.000 description 4
- 229920000656 polylysine Polymers 0.000 description 4
- BWHMMNNQKKPAPP-UHFFFAOYSA-L potassium carbonate Chemical compound [K+].[K+].[O-]C([O-])=O BWHMMNNQKKPAPP-UHFFFAOYSA-L 0.000 description 4
- 239000000651 prodrug Substances 0.000 description 4
- 229940002612 prodrug Drugs 0.000 description 4
- 230000001915 proofreading effect Effects 0.000 description 4
- JQWHASGSAFIOCM-UHFFFAOYSA-M sodium periodate Chemical compound [Na+].[O-]I(=O)(=O)=O JQWHASGSAFIOCM-UHFFFAOYSA-M 0.000 description 4
- 239000007858 starting material Substances 0.000 description 4
- 239000003826 tablet Substances 0.000 description 4
- 125000001981 tert-butyldimethylsilyl group Chemical group [H]C([H])([H])[Si]([H])(C([H])([H])[H])[*]C(C([H])([H])[H])(C([H])([H])[H])C([H])([H])[H] 0.000 description 4
- 238000002560 therapeutic procedure Methods 0.000 description 4
- 230000037317 transdermal delivery Effects 0.000 description 4
- 238000012546 transfer Methods 0.000 description 4
- 239000004474 valine Substances 0.000 description 4
- 229960004295 valine Drugs 0.000 description 4
- 235000015112 vegetable and seed oil Nutrition 0.000 description 4
- 239000008158 vegetable oil Substances 0.000 description 4
- 239000000080 wetting agent Substances 0.000 description 4
- JOXJSNMBKNEDTQ-UHFFFAOYSA-N 2-(3-chlorophenyl)-1,3,2-dioxaborolane Chemical compound ClC1=CC=CC(B2OCCO2)=C1 JOXJSNMBKNEDTQ-UHFFFAOYSA-N 0.000 description 3
- VHVPQPYKVGDNFY-DFMJLFEVSA-N 2-[(2r)-butan-2-yl]-4-[4-[4-[4-[[(2r,4s)-2-(2,4-dichlorophenyl)-2-(1,2,4-triazol-1-ylmethyl)-1,3-dioxolan-4-yl]methoxy]phenyl]piperazin-1-yl]phenyl]-1,2,4-triazol-3-one Chemical compound O=C1N([C@H](C)CC)N=CN1C1=CC=C(N2CCN(CC2)C=2C=CC(OC[C@@H]3O[C@](CN4N=CN=C4)(OC3)C=3C(=CC(Cl)=CC=3)Cl)=CC=2)C=C1 VHVPQPYKVGDNFY-DFMJLFEVSA-N 0.000 description 3
- YZBOVSFWWNVKRJ-UHFFFAOYSA-M 2-butoxycarbonylbenzoate Chemical compound CCCCOC(=O)C1=CC=CC=C1C([O-])=O YZBOVSFWWNVKRJ-UHFFFAOYSA-M 0.000 description 3
- BUDOHXRLVIXTME-UHFFFAOYSA-N 3,4-dimethyldioxaborinane Chemical compound CB1OOCCC1C BUDOHXRLVIXTME-UHFFFAOYSA-N 0.000 description 3
- GDUXKUYAOLDWIU-UHFFFAOYSA-N 3-(1,3,2-dioxaborolan-2-yl)benzonitrile Chemical compound N#CC1=CC=CC(B2OCCO2)=C1 GDUXKUYAOLDWIU-UHFFFAOYSA-N 0.000 description 3
- BMYNFMYTOJXKLE-UHFFFAOYSA-N 3-azaniumyl-2-hydroxypropanoate Chemical compound NCC(O)C(O)=O BMYNFMYTOJXKLE-UHFFFAOYSA-N 0.000 description 3
- 125000004179 3-chlorophenyl group Chemical group [H]C1=C([H])C(*)=C([H])C(Cl)=C1[H] 0.000 description 3
- DHANQIJKGVELAS-UHFFFAOYSA-N 3-phenyldioxaborolane Chemical class O1OCCB1C1=CC=CC=C1 DHANQIJKGVELAS-UHFFFAOYSA-N 0.000 description 3
- OSWFIVFLDKOXQC-UHFFFAOYSA-N 4-(3-methoxyphenyl)aniline Chemical compound COC1=CC=CC(C=2C=CC(N)=CC=2)=C1 OSWFIVFLDKOXQC-UHFFFAOYSA-N 0.000 description 3
- QGZKDVFQNNGYKY-UHFFFAOYSA-O Ammonium Chemical compound [NH4+] QGZKDVFQNNGYKY-UHFFFAOYSA-O 0.000 description 3
- 241000228245 Aspergillus niger Species 0.000 description 3
- UHOVQNZJYSORNB-UHFFFAOYSA-N Benzene Chemical compound C1=CC=CC=C1 UHOVQNZJYSORNB-UHFFFAOYSA-N 0.000 description 3
- WVDDGKGOMKODPV-UHFFFAOYSA-N Benzyl alcohol Chemical compound OCC1=CC=CC=C1 WVDDGKGOMKODPV-UHFFFAOYSA-N 0.000 description 3
- 239000002126 C01EB10 - Adenosine Substances 0.000 description 3
- FRDOMQZQFJXSJN-UHFFFAOYSA-N CC1(C)BOOC1(C)C Chemical class CC1(C)BOOC1(C)C FRDOMQZQFJXSJN-UHFFFAOYSA-N 0.000 description 3
- OYPRJOBELJOOCE-UHFFFAOYSA-N Calcium Chemical compound [Ca] OYPRJOBELJOOCE-UHFFFAOYSA-N 0.000 description 3
- 241000186216 Corynebacterium Species 0.000 description 3
- 241000221204 Cryptococcus neoformans Species 0.000 description 3
- YMWUJEATGCHHMB-UHFFFAOYSA-N Dichloromethane Chemical compound ClCCl YMWUJEATGCHHMB-UHFFFAOYSA-N 0.000 description 3
- 241000588724 Escherichia coli Species 0.000 description 3
- 241000192125 Firmicutes Species 0.000 description 3
- PEDCQBHIVMGVHV-UHFFFAOYSA-N Glycerine Chemical compound OCC(O)CO PEDCQBHIVMGVHV-UHFFFAOYSA-N 0.000 description 3
- 238000003747 Grignard reaction Methods 0.000 description 3
- 241000711549 Hepacivirus C Species 0.000 description 3
- 241000701085 Human alphaherpesvirus 3 Species 0.000 description 3
- 241000701044 Human gammaherpesvirus 4 Species 0.000 description 3
- UFHFLCQGNIYNRP-UHFFFAOYSA-N Hydrogen Chemical compound [H][H] UFHFLCQGNIYNRP-UHFFFAOYSA-N 0.000 description 3
- AVXURJPOCDRRFD-UHFFFAOYSA-N Hydroxylamine Chemical group ON AVXURJPOCDRRFD-UHFFFAOYSA-N 0.000 description 3
- DGAQECJNVWCQMB-PUAWFVPOSA-M Ilexoside XXIX Chemical compound C[C@@H]1CC[C@@]2(CC[C@@]3(C(=CC[C@H]4[C@]3(CC[C@@H]5[C@@]4(CC[C@@H](C5(C)C)OS(=O)(=O)[O-])C)C)[C@@H]2[C@]1(C)O)C)C(=O)O[C@H]6[C@@H]([C@H]([C@@H]([C@H](O6)CO)O)O)O.[Na+] DGAQECJNVWCQMB-PUAWFVPOSA-M 0.000 description 3
- ONIBWKKTOPOVIA-BYPYZUCNSA-N L-Proline Chemical compound OC(=O)[C@@H]1CCCN1 ONIBWKKTOPOVIA-BYPYZUCNSA-N 0.000 description 3
- ROHFNLRQFUQHCH-YFKPBYRVSA-N L-leucine Chemical compound CC(C)C[C@H](N)C(O)=O ROHFNLRQFUQHCH-YFKPBYRVSA-N 0.000 description 3
- KDXKERNSBIXSRK-YFKPBYRVSA-N L-lysine Chemical compound NCCCC[C@H](N)C(O)=O KDXKERNSBIXSRK-YFKPBYRVSA-N 0.000 description 3
- FFEARJCKVFRZRR-BYPYZUCNSA-N L-methionine Chemical compound CSCC[C@H](N)C(O)=O FFEARJCKVFRZRR-BYPYZUCNSA-N 0.000 description 3
- ROHFNLRQFUQHCH-UHFFFAOYSA-N Leucine Natural products CC(C)CC(N)C(O)=O ROHFNLRQFUQHCH-UHFFFAOYSA-N 0.000 description 3
- WMFOQBRAJBCJND-UHFFFAOYSA-M Lithium hydroxide Chemical compound [Li+].[OH-] WMFOQBRAJBCJND-UHFFFAOYSA-M 0.000 description 3
- KDXKERNSBIXSRK-UHFFFAOYSA-N Lysine Natural products NCCCCC(N)C(O)=O KDXKERNSBIXSRK-UHFFFAOYSA-N 0.000 description 3
- 239000004472 Lysine Substances 0.000 description 3
- 241000555688 Malassezia furfur Species 0.000 description 3
- 241000893976 Nannizzia gypsea Species 0.000 description 3
- 239000004264 Petrolatum Substances 0.000 description 3
- ZLMJMSJWJFRBEC-UHFFFAOYSA-N Potassium Chemical compound [K] ZLMJMSJWJFRBEC-UHFFFAOYSA-N 0.000 description 3
- ONIBWKKTOPOVIA-UHFFFAOYSA-N Proline Natural products OC(=O)C1CCCN1 ONIBWKKTOPOVIA-UHFFFAOYSA-N 0.000 description 3
- 229910006074 SO2NH2 Inorganic materials 0.000 description 3
- 101100205184 Saccharomyces cerevisiae (strain ATCC 204508 / S288c) CDC60 gene Proteins 0.000 description 3
- DHXVGJBLRPWPCS-UHFFFAOYSA-N Tetrahydropyran Chemical compound C1CCOCC1 DHXVGJBLRPWPCS-UHFFFAOYSA-N 0.000 description 3
- AYFVYJQAPQTCCC-UHFFFAOYSA-N Threonine Natural products CC(O)C(N)C(O)=O AYFVYJQAPQTCCC-UHFFFAOYSA-N 0.000 description 3
- 239000004473 Threonine Substances 0.000 description 3
- 229960005305 adenosine Drugs 0.000 description 3
- 229960003767 alanine Drugs 0.000 description 3
- 125000004397 aminosulfonyl group Chemical group NS(=O)(=O)* 0.000 description 3
- 229910021529 ammonia Inorganic materials 0.000 description 3
- WGQKYBSKWIADBV-UHFFFAOYSA-N benzylamine Chemical compound NCC1=CC=CC=C1 WGQKYBSKWIADBV-UHFFFAOYSA-N 0.000 description 3
- 210000004369 blood Anatomy 0.000 description 3
- 239000008280 blood Substances 0.000 description 3
- 230000037396 body weight Effects 0.000 description 3
- UORVGPXVDQYIDP-BJUDXGSMSA-N borane Chemical class [10BH3] UORVGPXVDQYIDP-BJUDXGSMSA-N 0.000 description 3
- MCQRPQCQMGVWIQ-UHFFFAOYSA-N boron;methylsulfanylmethane Chemical compound [B].CSC MCQRPQCQMGVWIQ-UHFFFAOYSA-N 0.000 description 3
- UWTDFICHZKXYAC-UHFFFAOYSA-N boron;oxolane Chemical compound [B].C1CCOC1 UWTDFICHZKXYAC-UHFFFAOYSA-N 0.000 description 3
- 239000011575 calcium Substances 0.000 description 3
- 229910052791 calcium Inorganic materials 0.000 description 3
- 229910000019 calcium carbonate Inorganic materials 0.000 description 3
- 239000001506 calcium phosphate Substances 0.000 description 3
- 229910000389 calcium phosphate Inorganic materials 0.000 description 3
- 235000011010 calcium phosphates Nutrition 0.000 description 3
- 229910052799 carbon Inorganic materials 0.000 description 3
- 239000003054 catalyst Substances 0.000 description 3
- 229960000541 cetyl alcohol Drugs 0.000 description 3
- 229940125898 compound 5 Drugs 0.000 description 3
- 125000000664 diazo group Chemical group [N-]=[N+]=[*] 0.000 description 3
- 229960001760 dimethyl sulfoxide Drugs 0.000 description 3
- 208000035475 disorder Diseases 0.000 description 3
- 239000002552 dosage form Substances 0.000 description 3
- 239000003651 drinking water Substances 0.000 description 3
- 235000020188 drinking water Nutrition 0.000 description 3
- 239000003937 drug carrier Substances 0.000 description 3
- 210000002615 epidermis Anatomy 0.000 description 3
- RFHAOTPXVQNOHP-UHFFFAOYSA-N fluconazole Chemical compound C1=NC=NN1CC(C=1C(=CC(F)=CC=1)F)(O)CN1C=NC=N1 RFHAOTPXVQNOHP-UHFFFAOYSA-N 0.000 description 3
- 229960004884 fluconazole Drugs 0.000 description 3
- 235000019253 formic acid Nutrition 0.000 description 3
- 230000006870 function Effects 0.000 description 3
- 230000002538 fungal effect Effects 0.000 description 3
- 208000005252 hepatitis A Diseases 0.000 description 3
- 125000002887 hydroxy group Chemical group [H]O* 0.000 description 3
- 230000001965 increasing effect Effects 0.000 description 3
- 238000002347 injection Methods 0.000 description 3
- 239000007924 injection Substances 0.000 description 3
- 229960004130 itraconazole Drugs 0.000 description 3
- 125000001909 leucine group Chemical group [H]N(*)C(C(*)=O)C([H])([H])C(C([H])([H])[H])C([H])([H])[H] 0.000 description 3
- 239000003446 ligand Substances 0.000 description 3
- 125000005647 linker group Chemical group 0.000 description 3
- 229940057995 liquid paraffin Drugs 0.000 description 3
- 239000012280 lithium aluminium hydride Substances 0.000 description 3
- 230000007774 longterm Effects 0.000 description 3
- 229960003646 lysine Drugs 0.000 description 3
- 239000011777 magnesium Substances 0.000 description 3
- 239000011976 maleic acid Substances 0.000 description 3
- 108020004999 messenger RNA Proteins 0.000 description 3
- 229930182817 methionine Natural products 0.000 description 3
- 239000002480 mineral oil Substances 0.000 description 3
- 235000010446 mineral oil Nutrition 0.000 description 3
- 230000002438 mitochondrial effect Effects 0.000 description 3
- 239000012046 mixed solvent Substances 0.000 description 3
- 239000001788 mono and diglycerides of fatty acids Substances 0.000 description 3
- 125000004433 nitrogen atom Chemical group N* 0.000 description 3
- 150000003833 nucleoside derivatives Chemical class 0.000 description 3
- 239000004006 olive oil Substances 0.000 description 3
- 235000008390 olive oil Nutrition 0.000 description 3
- 125000001979 organolithium group Chemical group 0.000 description 3
- 229940066842 petrolatum Drugs 0.000 description 3
- 235000019271 petrolatum Nutrition 0.000 description 3
- 230000000144 pharmacologic effect Effects 0.000 description 3
- 229920002338 polyhydroxyethylmethacrylate Polymers 0.000 description 3
- 229920000642 polymer Polymers 0.000 description 3
- 229920002689 polyvinyl acetate Polymers 0.000 description 3
- 239000011118 polyvinyl acetate Substances 0.000 description 3
- 239000011591 potassium Substances 0.000 description 3
- 229910052700 potassium Inorganic materials 0.000 description 3
- 239000000843 powder Substances 0.000 description 3
- 229960002429 proline Drugs 0.000 description 3
- 230000002285 radioactive effect Effects 0.000 description 3
- 230000000241 respiratory effect Effects 0.000 description 3
- 239000011734 sodium Substances 0.000 description 3
- 235000015424 sodium Nutrition 0.000 description 3
- 229910052708 sodium Inorganic materials 0.000 description 3
- 239000012279 sodium borohydride Substances 0.000 description 3
- 229910000033 sodium borohydride Inorganic materials 0.000 description 3
- 229910000029 sodium carbonate Inorganic materials 0.000 description 3
- 125000004434 sulfur atom Chemical group 0.000 description 3
- 238000001356 surgical procedure Methods 0.000 description 3
- 239000006188 syrup Substances 0.000 description 3
- 235000020357 syrup Nutrition 0.000 description 3
- 239000002562 thickening agent Substances 0.000 description 3
- 229960002898 threonine Drugs 0.000 description 3
- 229940113082 thymine Drugs 0.000 description 3
- 229910052723 transition metal Inorganic materials 0.000 description 3
- 150000003624 transition metals Chemical class 0.000 description 3
- QORWJWZARLRLPR-UHFFFAOYSA-H tricalcium bis(phosphate) Chemical compound [Ca+2].[Ca+2].[Ca+2].[O-]P([O-])([O-])=O.[O-]P([O-])([O-])=O QORWJWZARLRLPR-UHFFFAOYSA-H 0.000 description 3
- 229940035893 uracil Drugs 0.000 description 3
- 238000005406 washing Methods 0.000 description 3
- PUPZLCDOIYMWBV-UHFFFAOYSA-N (+/-)-1,3-Butanediol Chemical compound CC(O)CCO PUPZLCDOIYMWBV-UHFFFAOYSA-N 0.000 description 2
- ZORQXIQZAOLNGE-UHFFFAOYSA-N 1,1-difluorocyclohexane Chemical compound FC1(F)CCCCC1 ZORQXIQZAOLNGE-UHFFFAOYSA-N 0.000 description 2
- HOWNZCAPZMYXRY-UHFFFAOYSA-N 1-(3-chlorophenyl)-3,3-dimethyl-2,1-benzoxaborole Chemical compound C12=CC=CC=C2C(C)(C)OB1C1=CC=CC(Cl)=C1 HOWNZCAPZMYXRY-UHFFFAOYSA-N 0.000 description 2
- PQQDLWYWXKTLDI-UHFFFAOYSA-N 1-(3-chlorophenyl)-3,4-dihydro-2,1-benzoxaborinine Chemical compound ClC1=CC=CC(B2C3=CC=CC=C3CCO2)=C1 PQQDLWYWXKTLDI-UHFFFAOYSA-N 0.000 description 2
- GMPASXURYDBGPI-UHFFFAOYSA-N 1-(3-chlorophenyl)-4,5-dihydro-3h-2,1-benzoxaborepine Chemical compound ClC1=CC=CC(B2C3=CC=CC=C3CCCO2)=C1 GMPASXURYDBGPI-UHFFFAOYSA-N 0.000 description 2
- UZKBSZSTDQSMDR-UHFFFAOYSA-N 1-[(4-chlorophenyl)-phenylmethyl]piperazine Chemical compound C1=CC(Cl)=CC=C1C(C=1C=CC=CC=1)N1CCNCC1 UZKBSZSTDQSMDR-UHFFFAOYSA-N 0.000 description 2
- UHDGCWIWMRVCDJ-UHFFFAOYSA-N 1-beta-D-Xylofuranosyl-NH-Cytosine Natural products O=C1N=C(N)C=CN1C1C(O)C(O)C(CO)O1 UHDGCWIWMRVCDJ-UHFFFAOYSA-N 0.000 description 2
- XOQABDOICLHPIS-UHFFFAOYSA-N 1-hydroxy-2,1-benzoxaborole Chemical compound C1=CC=C2B(O)OCC2=C1 XOQABDOICLHPIS-UHFFFAOYSA-N 0.000 description 2
- IXPNQXFRVYWDDI-UHFFFAOYSA-N 1-methyl-2,4-dioxo-1,3-diazinane-5-carboximidamide Chemical compound CN1CC(C(N)=N)C(=O)NC1=O IXPNQXFRVYWDDI-UHFFFAOYSA-N 0.000 description 2
- IIZPXYDJLKNOIY-JXPKJXOSSA-N 1-palmitoyl-2-arachidonoyl-sn-glycero-3-phosphocholine Chemical compound CCCCCCCCCCCCCCCC(=O)OC[C@H](COP([O-])(=O)OCC[N+](C)(C)C)OC(=O)CCC\C=C/C\C=C/C\C=C/C\C=C/CCCCC IIZPXYDJLKNOIY-JXPKJXOSSA-N 0.000 description 2
- LPHIYKWSEYTCLW-UHFFFAOYSA-N 1h-azaborole Chemical compound N1B=CC=C1 LPHIYKWSEYTCLW-UHFFFAOYSA-N 0.000 description 2
- GQHTUMJGOHRCHB-UHFFFAOYSA-N 2,3,4,6,7,8,9,10-octahydropyrimido[1,2-a]azepine Chemical compound C1CCCCN2CCCN=C21 GQHTUMJGOHRCHB-UHFFFAOYSA-N 0.000 description 2
- IZHVBANLECCAGF-UHFFFAOYSA-N 2-hydroxy-3-(octadecanoyloxy)propyl octadecanoate Chemical compound CCCCCCCCCCCCCCCCCC(=O)OCC(O)COC(=O)CCCCCCCCCCCCCCCCC IZHVBANLECCAGF-UHFFFAOYSA-N 0.000 description 2
- BMIBJCFFZPYJHF-UHFFFAOYSA-N 2-methoxy-5-methyl-3-(4,4,5,5-tetramethyl-1,3,2-dioxaborolan-2-yl)pyridine Chemical compound COC1=NC=C(C)C=C1B1OC(C)(C)C(C)(C)O1 BMIBJCFFZPYJHF-UHFFFAOYSA-N 0.000 description 2
- VHDDPRSTDANHBU-UHFFFAOYSA-N 4-(1,3,2-dioxaborolan-2-yl)benzonitrile Chemical compound C1=CC(C#N)=CC=C1B1OCCO1 VHDDPRSTDANHBU-UHFFFAOYSA-N 0.000 description 2
- ZLOIGESWDJYCTF-UHFFFAOYSA-N 4-Thiouridine Natural products OC1C(O)C(CO)OC1N1C(=O)NC(=S)C=C1 ZLOIGESWDJYCTF-UHFFFAOYSA-N 0.000 description 2
- PXACTUVBBMDKRW-UHFFFAOYSA-M 4-bromobenzenesulfonate Chemical compound [O-]S(=O)(=O)C1=CC=C(Br)C=C1 PXACTUVBBMDKRW-UHFFFAOYSA-M 0.000 description 2
- ZLOIGESWDJYCTF-XVFCMESISA-N 4-thiouridine Chemical class O[C@@H]1[C@H](O)[C@@H](CO)O[C@H]1N1C(=O)NC(=S)C=C1 ZLOIGESWDJYCTF-XVFCMESISA-N 0.000 description 2
- 244000215068 Acacia senegal Species 0.000 description 2
- 235000006491 Acacia senegal Nutrition 0.000 description 2
- 241000186046 Actinomyces Species 0.000 description 2
- 241000589158 Agrobacterium Species 0.000 description 2
- 241000223602 Alternaria alternata Species 0.000 description 2
- 206010001935 American trypanosomiasis Diseases 0.000 description 2
- 241000272525 Anas platyrhynchos Species 0.000 description 2
- 241000272814 Anser sp. Species 0.000 description 2
- 241000256844 Apis mellifera Species 0.000 description 2
- 235000003911 Arachis Nutrition 0.000 description 2
- 244000105624 Arachis hypogaea Species 0.000 description 2
- 241000203069 Archaea Species 0.000 description 2
- CIWBSHSKHKDKBQ-JLAZNSOCSA-N Ascorbic acid Chemical compound OC[C@H](O)[C@H]1OC(=O)C(O)=C1O CIWBSHSKHKDKBQ-JLAZNSOCSA-N 0.000 description 2
- 241001225321 Aspergillus fumigatus Species 0.000 description 2
- 241000416162 Astragalus gummifer Species 0.000 description 2
- 241000193830 Bacillus <bacterium> Species 0.000 description 2
- 208000035143 Bacterial infection Diseases 0.000 description 2
- 241000588807 Bordetella Species 0.000 description 2
- 241001416153 Bos grunniens Species 0.000 description 2
- 241000589562 Brucella Species 0.000 description 2
- 241000282836 Camelus dromedarius Species 0.000 description 2
- 241000589876 Campylobacter Species 0.000 description 2
- 241000222173 Candida parapsilosis Species 0.000 description 2
- 241000222178 Candida tropicalis Species 0.000 description 2
- OKTJSMMVPCPJKN-UHFFFAOYSA-N Carbon Chemical compound [C] OKTJSMMVPCPJKN-UHFFFAOYSA-N 0.000 description 2
- 241000282994 Cervidae Species 0.000 description 2
- HEDRZPFGACZZDS-UHFFFAOYSA-N Chloroform Chemical compound ClC(Cl)Cl HEDRZPFGACZZDS-UHFFFAOYSA-N 0.000 description 2
- 241001149956 Cladosporium herbarum Species 0.000 description 2
- 241000193403 Clostridium Species 0.000 description 2
- 241000272201 Columbiformes Species 0.000 description 2
- 201000003075 Crimean-Congo hemorrhagic fever Diseases 0.000 description 2
- 201000007336 Cryptococcosis Diseases 0.000 description 2
- UHDGCWIWMRVCDJ-PSQAKQOGSA-N Cytidine Natural products O=C1N=C(N)C=CN1[C@@H]1[C@@H](O)[C@@H](O)[C@H](CO)O1 UHDGCWIWMRVCDJ-PSQAKQOGSA-N 0.000 description 2
- 241000588914 Enterobacter Species 0.000 description 2
- 241001480036 Epidermophyton floccosum Species 0.000 description 2
- 241000588722 Escherichia Species 0.000 description 2
- 241000710781 Flaviviridae Species 0.000 description 2
- 108010010803 Gelatin Proteins 0.000 description 2
- DHMQDGOQFOQNFH-UHFFFAOYSA-N Glycine Chemical compound NCC(O)=O DHMQDGOQFOQNFH-UHFFFAOYSA-N 0.000 description 2
- 229920000084 Gum arabic Polymers 0.000 description 2
- 241000606790 Haemophilus Species 0.000 description 2
- 241000701027 Human herpesvirus 6 Species 0.000 description 2
- 241000430519 Human rhinovirus sp. Species 0.000 description 2
- 229930010555 Inosine Natural products 0.000 description 2
- UGQMRVRMYYASKQ-KQYNXXCUSA-N Inosine Chemical class O[C@@H]1[C@H](O)[C@@H](CO)O[C@H]1N1C2=NC=NC(O)=C2N=C1 UGQMRVRMYYASKQ-KQYNXXCUSA-N 0.000 description 2
- 241000588748 Klebsiella Species 0.000 description 2
- XUJNEKJLAYXESH-REOHCLBHSA-N L-Cysteine Chemical compound SC[C@H](N)C(O)=O XUJNEKJLAYXESH-REOHCLBHSA-N 0.000 description 2
- QNAYBMKLOCPYGJ-REOHCLBHSA-N L-alanine Chemical compound C[C@H](N)C(O)=O QNAYBMKLOCPYGJ-REOHCLBHSA-N 0.000 description 2
- COLNVLDHVKWLRT-QMMMGPOBSA-N L-phenylalanine Chemical compound OC(=O)[C@@H](N)CC1=CC=CC=C1 COLNVLDHVKWLRT-QMMMGPOBSA-N 0.000 description 2
- 241001233242 Lontra Species 0.000 description 2
- 241000406668 Loxodonta cyclotis Species 0.000 description 2
- 241001299738 Malassezia pachydermatis Species 0.000 description 2
- 241001291478 Malassezia sympodialis Species 0.000 description 2
- 241001480000 Microsporum audouinii Species 0.000 description 2
- 241000893980 Microsporum canis Species 0.000 description 2
- YNAVUWVOSKDBBP-UHFFFAOYSA-N Morpholine Chemical compound C1COCCN1 YNAVUWVOSKDBBP-UHFFFAOYSA-N 0.000 description 2
- 241000186359 Mycobacterium Species 0.000 description 2
- 241000272458 Numididae Species 0.000 description 2
- 108091034117 Oligonucleotide Proteins 0.000 description 2
- 241000712464 Orthomyxoviridae Species 0.000 description 2
- 241000711504 Paramyxoviridae Species 0.000 description 2
- 241000606860 Pasteurella Species 0.000 description 2
- OFBQJSOFQDEBGM-UHFFFAOYSA-N Pentane Chemical compound CCCCC OFBQJSOFQDEBGM-UHFFFAOYSA-N 0.000 description 2
- 241001193612 Phoma violacea Species 0.000 description 2
- 241000235645 Pichia kudriavzevii Species 0.000 description 2
- 241000186429 Propionibacterium Species 0.000 description 2
- 241000589516 Pseudomonas Species 0.000 description 2
- 241000589517 Pseudomonas aeruginosa Species 0.000 description 2
- 241000283011 Rangifer Species 0.000 description 2
- 241000282849 Ruminantia Species 0.000 description 2
- 241000607142 Salmonella Species 0.000 description 2
- 241000825258 Scopulariopsis brevicaulis Species 0.000 description 2
- 241000607768 Shigella Species 0.000 description 2
- 241000713311 Simian immunodeficiency virus Species 0.000 description 2
- KEAYESYHFKHZAL-UHFFFAOYSA-N Sodium Chemical compound [Na] KEAYESYHFKHZAL-UHFFFAOYSA-N 0.000 description 2
- 241000191967 Staphylococcus aureus Species 0.000 description 2
- 229920002472 Starch Polymers 0.000 description 2
- 235000021355 Stearic acid Nutrition 0.000 description 2
- 241000371621 Stemphylium Species 0.000 description 2
- 229930182558 Sterol Natural products 0.000 description 2
- 241001478878 Streptobacillus Species 0.000 description 2
- 241000272534 Struthio camelus Species 0.000 description 2
- CZMRCDWAGMRECN-UGDNZRGBSA-N Sucrose Chemical compound O[C@H]1[C@H](O)[C@@H](CO)O[C@@]1(CO)O[C@@H]1[C@H](O)[C@@H](O)[C@H](O)[C@@H](CO)O1 CZMRCDWAGMRECN-UGDNZRGBSA-N 0.000 description 2
- 229930006000 Sucrose Natural products 0.000 description 2
- 241000606507 Talaromyces pinophilus Species 0.000 description 2
- MUMGGOZAMZWBJJ-DYKIIFRCSA-N Testostosterone Chemical compound O=C1CC[C@]2(C)[C@H]3CC[C@](C)([C@H](CC4)O)[C@@H]4[C@@H]3CCC2=C1 MUMGGOZAMZWBJJ-DYKIIFRCSA-N 0.000 description 2
- 229920001615 Tragacanth Polymers 0.000 description 2
- 241001480048 Trichophyton tonsurans Species 0.000 description 2
- DTQVDTLACAAQTR-UHFFFAOYSA-N Trifluoroacetic acid Chemical compound OC(=O)C(F)(F)F DTQVDTLACAAQTR-UHFFFAOYSA-N 0.000 description 2
- 241000700647 Variola virus Species 0.000 description 2
- 241000607598 Vibrio Species 0.000 description 2
- 208000003152 Yellow Fever Diseases 0.000 description 2
- 241000607734 Yersinia <bacteria> Species 0.000 description 2
- DFPAKSUCGFBDDF-ZQBYOMGUSA-N [14c]-nicotinamide Chemical group N[14C](=O)C1=CC=CN=C1 DFPAKSUCGFBDDF-ZQBYOMGUSA-N 0.000 description 2
- HMAKMGIOLLFHOF-UHFFFAOYSA-N [2-(3h-2,1-benzoxaborol-1-yl)-5-chlorophenyl]methanol Chemical compound OCC1=CC(Cl)=CC=C1B1C2=CC=CC=C2CO1 HMAKMGIOLLFHOF-UHFFFAOYSA-N 0.000 description 2
- RJOAWYWGRKWCPB-UHFFFAOYSA-N [2-(3h-2,1-benzoxaborol-1-yl)phenyl]methanol Chemical compound OCC1=CC=CC=C1B1C2=CC=CC=C2CO1 RJOAWYWGRKWCPB-UHFFFAOYSA-N 0.000 description 2
- JLCPHMBAVCMARE-UHFFFAOYSA-N [3-[[3-[[3-[[3-[[3-[[3-[[3-[[3-[[3-[[3-[[3-[[5-(2-amino-6-oxo-1H-purin-9-yl)-3-[[3-[[3-[[3-[[3-[[3-[[5-(2-amino-6-oxo-1H-purin-9-yl)-3-[[5-(2-amino-6-oxo-1H-purin-9-yl)-3-hydroxyoxolan-2-yl]methoxy-hydroxyphosphoryl]oxyoxolan-2-yl]methoxy-hydroxyphosphoryl]oxy-5-(5-methyl-2,4-dioxopyrimidin-1-yl)oxolan-2-yl]methoxy-hydroxyphosphoryl]oxy-5-(6-aminopurin-9-yl)oxolan-2-yl]methoxy-hydroxyphosphoryl]oxy-5-(6-aminopurin-9-yl)oxolan-2-yl]methoxy-hydroxyphosphoryl]oxy-5-(6-aminopurin-9-yl)oxolan-2-yl]methoxy-hydroxyphosphoryl]oxy-5-(6-aminopurin-9-yl)oxolan-2-yl]methoxy-hydroxyphosphoryl]oxyoxolan-2-yl]methoxy-hydroxyphosphoryl]oxy-5-(5-methyl-2,4-dioxopyrimidin-1-yl)oxolan-2-yl]methoxy-hydroxyphosphoryl]oxy-5-(4-amino-2-oxopyrimidin-1-yl)oxolan-2-yl]methoxy-hydroxyphosphoryl]oxy-5-(5-methyl-2,4-dioxopyrimidin-1-yl)oxolan-2-yl]methoxy-hydroxyphosphoryl]oxy-5-(5-methyl-2,4-dioxopyrimidin-1-yl)oxolan-2-yl]methoxy-hydroxyphosphoryl]oxy-5-(6-aminopurin-9-yl)oxolan-2-yl]methoxy-hydroxyphosphoryl]oxy-5-(6-aminopurin-9-yl)oxolan-2-yl]methoxy-hydroxyphosphoryl]oxy-5-(4-amino-2-oxopyrimidin-1-yl)oxolan-2-yl]methoxy-hydroxyphosphoryl]oxy-5-(4-amino-2-oxopyrimidin-1-yl)oxolan-2-yl]methoxy-hydroxyphosphoryl]oxy-5-(4-amino-2-oxopyrimidin-1-yl)oxolan-2-yl]methoxy-hydroxyphosphoryl]oxy-5-(6-aminopurin-9-yl)oxolan-2-yl]methoxy-hydroxyphosphoryl]oxy-5-(4-amino-2-oxopyrimidin-1-yl)oxolan-2-yl]methyl [5-(6-aminopurin-9-yl)-2-(hydroxymethyl)oxolan-3-yl] hydrogen phosphate Polymers Cc1cn(C2CC(OP(O)(=O)OCC3OC(CC3OP(O)(=O)OCC3OC(CC3O)n3cnc4c3nc(N)[nH]c4=O)n3cnc4c3nc(N)[nH]c4=O)C(COP(O)(=O)OC3CC(OC3COP(O)(=O)OC3CC(OC3COP(O)(=O)OC3CC(OC3COP(O)(=O)OC3CC(OC3COP(O)(=O)OC3CC(OC3COP(O)(=O)OC3CC(OC3COP(O)(=O)OC3CC(OC3COP(O)(=O)OC3CC(OC3COP(O)(=O)OC3CC(OC3COP(O)(=O)OC3CC(OC3COP(O)(=O)OC3CC(OC3COP(O)(=O)OC3CC(OC3COP(O)(=O)OC3CC(OC3COP(O)(=O)OC3CC(OC3COP(O)(=O)OC3CC(OC3COP(O)(=O)OC3CC(OC3COP(O)(=O)OC3CC(OC3CO)n3cnc4c(N)ncnc34)n3ccc(N)nc3=O)n3cnc4c(N)ncnc34)n3ccc(N)nc3=O)n3ccc(N)nc3=O)n3ccc(N)nc3=O)n3cnc4c(N)ncnc34)n3cnc4c(N)ncnc34)n3cc(C)c(=O)[nH]c3=O)n3cc(C)c(=O)[nH]c3=O)n3ccc(N)nc3=O)n3cc(C)c(=O)[nH]c3=O)n3cnc4c3nc(N)[nH]c4=O)n3cnc4c(N)ncnc34)n3cnc4c(N)ncnc34)n3cnc4c(N)ncnc34)n3cnc4c(N)ncnc34)O2)c(=O)[nH]c1=O JLCPHMBAVCMARE-UHFFFAOYSA-N 0.000 description 2
- XJKIIKZHUOSWBZ-UHFFFAOYSA-N [5-chloro-2-(5-chloro-3h-2,1-benzoxaborol-1-yl)phenyl]methanol Chemical compound OCC1=CC(Cl)=CC=C1B1C2=CC=C(Cl)C=C2CO1 XJKIIKZHUOSWBZ-UHFFFAOYSA-N 0.000 description 2
- 235000010489 acacia gum Nutrition 0.000 description 2
- DPXJVFZANSGRMM-UHFFFAOYSA-N acetic acid;2,3,4,5,6-pentahydroxyhexanal;sodium Chemical compound [Na].CC(O)=O.OCC(O)C(O)C(O)C(O)C=O DPXJVFZANSGRMM-UHFFFAOYSA-N 0.000 description 2
- 125000002777 acetyl group Chemical group [H]C([H])([H])C(*)=O 0.000 description 2
- 125000003668 acetyloxy group Chemical group [H]C([H])([H])C(=O)O[*] 0.000 description 2
- 239000003377 acid catalyst Substances 0.000 description 2
- 230000009471 action Effects 0.000 description 2
- 239000000654 additive Substances 0.000 description 2
- 239000002671 adjuvant Substances 0.000 description 2
- 235000004279 alanine Nutrition 0.000 description 2
- 235000010443 alginic acid Nutrition 0.000 description 2
- 239000000783 alginic acid Substances 0.000 description 2
- 229920000615 alginic acid Polymers 0.000 description 2
- 229960001126 alginic acid Drugs 0.000 description 2
- 150000004781 alginic acids Chemical class 0.000 description 2
- 125000003342 alkenyl group Chemical group 0.000 description 2
- 125000000304 alkynyl group Chemical group 0.000 description 2
- 230000006229 amino acid addition Effects 0.000 description 2
- 125000003277 amino group Chemical group 0.000 description 2
- 230000000845 anti-microbial effect Effects 0.000 description 2
- 239000008346 aqueous phase Substances 0.000 description 2
- 125000005002 aryl methyl group Chemical group 0.000 description 2
- 208000022362 bacterial infectious disease Diseases 0.000 description 2
- 244000052616 bacterial pathogen Species 0.000 description 2
- 230000004888 barrier function Effects 0.000 description 2
- 230000008499 blood brain barrier function Effects 0.000 description 2
- 210000001218 blood-brain barrier Anatomy 0.000 description 2
- 150000001639 boron compounds Chemical class 0.000 description 2
- 210000004556 brain Anatomy 0.000 description 2
- GDTBXPJZTBHREO-UHFFFAOYSA-N bromine Chemical compound BrBr GDTBXPJZTBHREO-UHFFFAOYSA-N 0.000 description 2
- 239000006172 buffering agent Substances 0.000 description 2
- 239000001768 carboxy methyl cellulose Substances 0.000 description 2
- 239000012876 carrier material Substances 0.000 description 2
- 239000013553 cell monolayer Substances 0.000 description 2
- MVPPADPHJFYWMZ-UHFFFAOYSA-N chlorobenzene Chemical compound ClC1=CC=CC=C1 MVPPADPHJFYWMZ-UHFFFAOYSA-N 0.000 description 2
- 229940125904 compound 1 Drugs 0.000 description 2
- 125000000113 cyclohexyl group Chemical group [H]C1([H])C([H])([H])C([H])([H])C([H])(*)C([H])([H])C1([H])[H] 0.000 description 2
- XUJNEKJLAYXESH-UHFFFAOYSA-N cysteine Natural products SCC(N)C(O)=O XUJNEKJLAYXESH-UHFFFAOYSA-N 0.000 description 2
- 235000018417 cysteine Nutrition 0.000 description 2
- UHDGCWIWMRVCDJ-ZAKLUEHWSA-N cytidine Chemical class O=C1N=C(N)C=CN1[C@H]1[C@H](O)[C@@H](O)[C@H](CO)O1 UHDGCWIWMRVCDJ-ZAKLUEHWSA-N 0.000 description 2
- 229940104302 cytosine Drugs 0.000 description 2
- 235000005911 diet Nutrition 0.000 description 2
- 230000037213 diet Effects 0.000 description 2
- 150000002009 diols Chemical class 0.000 description 2
- 238000009826 distribution Methods 0.000 description 2
- 239000013583 drug formulation Substances 0.000 description 2
- 125000004185 ester group Chemical group 0.000 description 2
- LYCAIKOWRPUZTN-UHFFFAOYSA-N ethylene glycol Natural products OCCO LYCAIKOWRPUZTN-UHFFFAOYSA-N 0.000 description 2
- 125000002485 formyl group Chemical group [H]C(*)=O 0.000 description 2
- 239000012634 fragment Substances 0.000 description 2
- 239000003205 fragrance Substances 0.000 description 2
- 125000000524 functional group Chemical group 0.000 description 2
- 229920000159 gelatin Polymers 0.000 description 2
- 239000008273 gelatin Substances 0.000 description 2
- 239000007903 gelatin capsule Substances 0.000 description 2
- 235000019322 gelatine Nutrition 0.000 description 2
- 235000011852 gelatine desserts Nutrition 0.000 description 2
- 230000002068 genetic effect Effects 0.000 description 2
- 229940075507 glyceryl monostearate Drugs 0.000 description 2
- 239000008187 granular material Substances 0.000 description 2
- 229940093915 gynecological organic acid Drugs 0.000 description 2
- FBPFZTCFMRRESA-UHFFFAOYSA-N hexane-1,2,3,4,5,6-hexol Chemical compound OCC(O)C(O)C(O)C(O)CO FBPFZTCFMRRESA-UHFFFAOYSA-N 0.000 description 2
- 238000013537 high throughput screening Methods 0.000 description 2
- 230000007062 hydrolysis Effects 0.000 description 2
- 238000006460 hydrolysis reaction Methods 0.000 description 2
- 239000012442 inert solvent Substances 0.000 description 2
- 229960003786 inosine Drugs 0.000 description 2
- 230000003834 intracellular effect Effects 0.000 description 2
- 238000001990 intravenous administration Methods 0.000 description 2
- 125000000741 isoleucyl group Chemical group [H]N([H])C(C(C([H])([H])[H])C([H])([H])C([H])([H])[H])C(=O)O* 0.000 description 2
- 235000010445 lecithin Nutrition 0.000 description 2
- 239000000787 lecithin Substances 0.000 description 2
- 229940067606 lecithin Drugs 0.000 description 2
- ZCSHNCUQKCANBX-UHFFFAOYSA-N lithium diisopropylamide Chemical compound [Li+].CC(C)[N-]C(C)C ZCSHNCUQKCANBX-UHFFFAOYSA-N 0.000 description 2
- UBJFKNSINUCEAL-UHFFFAOYSA-N lithium;2-methylpropane Chemical compound [Li+].C[C-](C)C UBJFKNSINUCEAL-UHFFFAOYSA-N 0.000 description 2
- WGOPGODQLGJZGL-UHFFFAOYSA-N lithium;butane Chemical compound [Li+].CC[CH-]C WGOPGODQLGJZGL-UHFFFAOYSA-N 0.000 description 2
- 239000007937 lozenge Substances 0.000 description 2
- HQKMJHAJHXVSDF-UHFFFAOYSA-L magnesium stearate Chemical compound [Mg+2].CCCCCCCCCCCCCCCCCC([O-])=O.CCCCCCCCCCCCCCCCCC([O-])=O HQKMJHAJHXVSDF-UHFFFAOYSA-L 0.000 description 2
- 239000003550 marker Substances 0.000 description 2
- 230000001404 mediated effect Effects 0.000 description 2
- 229910052751 metal Inorganic materials 0.000 description 2
- 239000002184 metal Substances 0.000 description 2
- 229910021645 metal ion Inorganic materials 0.000 description 2
- 125000004184 methoxymethyl group Chemical group [H]C([H])([H])OC([H])([H])* 0.000 description 2
- 229920000609 methyl cellulose Polymers 0.000 description 2
- 235000010981 methylcellulose Nutrition 0.000 description 2
- 239000001923 methylcellulose Substances 0.000 description 2
- 230000005012 migration Effects 0.000 description 2
- 238000013508 migration Methods 0.000 description 2
- 238000002156 mixing Methods 0.000 description 2
- 229960003512 nicotinic acid Drugs 0.000 description 2
- 235000001968 nicotinic acid Nutrition 0.000 description 2
- 239000011664 nicotinic acid Substances 0.000 description 2
- 231100000344 non-irritating Toxicity 0.000 description 2
- 239000000346 nonvolatile oil Substances 0.000 description 2
- GLDOVTGHNKAZLK-UHFFFAOYSA-N octadecan-1-ol Chemical compound CCCCCCCCCCCCCCCCCCO GLDOVTGHNKAZLK-UHFFFAOYSA-N 0.000 description 2
- QIQXTHQIDYTFRH-UHFFFAOYSA-N octadecanoic acid Chemical compound CCCCCCCCCCCCCCCCCC(O)=O QIQXTHQIDYTFRH-UHFFFAOYSA-N 0.000 description 2
- OQCDKBAXFALNLD-UHFFFAOYSA-N octadecanoic acid Natural products CCCCCCCC(C)CCCCCCCCC(O)=O OQCDKBAXFALNLD-UHFFFAOYSA-N 0.000 description 2
- 239000002674 ointment Substances 0.000 description 2
- 235000005985 organic acids Nutrition 0.000 description 2
- 239000003960 organic solvent Substances 0.000 description 2
- XLYOFNOQVPJJNP-UHFFFAOYSA-O oxonium Chemical compound [OH3+] XLYOFNOQVPJJNP-UHFFFAOYSA-O 0.000 description 2
- 125000004430 oxygen atom Chemical group O* 0.000 description 2
- NFHFRUOZVGFOOS-UHFFFAOYSA-N palladium;triphenylphosphane Chemical compound [Pd].C1=CC=CC=C1P(C=1C=CC=CC=1)C1=CC=CC=C1.C1=CC=CC=C1P(C=1C=CC=CC=1)C1=CC=CC=C1.C1=CC=CC=C1P(C=1C=CC=CC=1)C1=CC=CC=C1.C1=CC=CC=C1P(C=1C=CC=CC=1)C1=CC=CC=C1 NFHFRUOZVGFOOS-UHFFFAOYSA-N 0.000 description 2
- 239000012466 permeate Substances 0.000 description 2
- COLNVLDHVKWLRT-UHFFFAOYSA-N phenylalanine Natural products OC(=O)C(N)CC1=CC=CC=C1 COLNVLDHVKWLRT-UHFFFAOYSA-N 0.000 description 2
- 229960005190 phenylalanine Drugs 0.000 description 2
- 239000013612 plasmid Substances 0.000 description 2
- 235000013855 polyvinylpyrrolidone Nutrition 0.000 description 2
- 239000001267 polyvinylpyrrolidone Substances 0.000 description 2
- 229920000036 polyvinylpyrrolidone Polymers 0.000 description 2
- SCVFZCLFOSHCOH-UHFFFAOYSA-M potassium acetate Chemical compound [K+].CC([O-])=O SCVFZCLFOSHCOH-UHFFFAOYSA-M 0.000 description 2
- 229910000027 potassium carbonate Inorganic materials 0.000 description 2
- LPNYRYFBWFDTMA-UHFFFAOYSA-N potassium tert-butoxide Chemical compound [K+].CC(C)(C)[O-] LPNYRYFBWFDTMA-UHFFFAOYSA-N 0.000 description 2
- QELSKZZBTMNZEB-UHFFFAOYSA-N propylparaben Chemical compound CCCOC(=O)C1=CC=C(O)C=C1 QELSKZZBTMNZEB-UHFFFAOYSA-N 0.000 description 2
- 238000000159 protein binding assay Methods 0.000 description 2
- 238000000746 purification Methods 0.000 description 2
- 238000010791 quenching Methods 0.000 description 2
- 230000000171 quenching effect Effects 0.000 description 2
- 239000011541 reaction mixture Substances 0.000 description 2
- 238000011160 research Methods 0.000 description 2
- 201000005404 rubella Diseases 0.000 description 2
- 125000003808 silyl group Chemical group [H][Si]([H])([H])[*] 0.000 description 2
- 239000000344 soap Substances 0.000 description 2
- 235000010413 sodium alginate Nutrition 0.000 description 2
- 239000000661 sodium alginate Substances 0.000 description 2
- 229940005550 sodium alginate Drugs 0.000 description 2
- 235000019812 sodium carboxymethyl cellulose Nutrition 0.000 description 2
- 239000012312 sodium hydride Substances 0.000 description 2
- 229910000104 sodium hydride Inorganic materials 0.000 description 2
- 235000011069 sorbitan monooleate Nutrition 0.000 description 2
- 239000001593 sorbitan monooleate Substances 0.000 description 2
- 229940035049 sorbitan monooleate Drugs 0.000 description 2
- 235000019698 starch Nutrition 0.000 description 2
- 239000008117 stearic acid Substances 0.000 description 2
- 229960004274 stearic acid Drugs 0.000 description 2
- 235000003702 sterols Nutrition 0.000 description 2
- 238000006467 substitution reaction Methods 0.000 description 2
- 239000005720 sucrose Substances 0.000 description 2
- 150000003459 sulfonic acid esters Chemical class 0.000 description 2
- 239000004094 surface-active agent Substances 0.000 description 2
- ILMRJRBKQSSXGY-UHFFFAOYSA-N tert-butyl(dimethyl)silicon Chemical compound C[Si](C)C(C)(C)C ILMRJRBKQSSXGY-UHFFFAOYSA-N 0.000 description 2
- 150000003512 tertiary amines Chemical class 0.000 description 2
- FPGGTKZVZWFYPV-UHFFFAOYSA-M tetrabutylammonium fluoride Chemical compound [F-].CCCC[N+](CCCC)(CCCC)CCCC FPGGTKZVZWFYPV-UHFFFAOYSA-M 0.000 description 2
- VZGDMQKNWNREIO-UHFFFAOYSA-N tetrachloromethane Chemical compound ClC(Cl)(Cl)Cl VZGDMQKNWNREIO-UHFFFAOYSA-N 0.000 description 2
- 125000004187 tetrahydropyran-2-yl group Chemical group [H]C1([H])OC([H])(*)C([H])([H])C([H])([H])C1([H])[H] 0.000 description 2
- 125000005309 thioalkoxy group Chemical group 0.000 description 2
- 210000004906 toe nail Anatomy 0.000 description 2
- 231100000419 toxicity Toxicity 0.000 description 2
- 230000001988 toxicity Effects 0.000 description 2
- 238000013518 transcription Methods 0.000 description 2
- 230000035897 transcription Effects 0.000 description 2
- 125000004665 trialkylsilyl group Chemical group 0.000 description 2
- LGQXXHMEBUOXRP-UHFFFAOYSA-N tributyl borate Chemical compound CCCCOB(OCCCC)OCCCC LGQXXHMEBUOXRP-UHFFFAOYSA-N 0.000 description 2
- 125000002306 tributylsilyl group Chemical group C(CCC)[Si](CCCC)(CCCC)* 0.000 description 2
- ITMCEJHCFYSIIV-UHFFFAOYSA-M triflate Chemical compound [O-]S(=O)(=O)C(F)(F)F ITMCEJHCFYSIIV-UHFFFAOYSA-M 0.000 description 2
- WRECIMRULFAWHA-UHFFFAOYSA-N trimethyl borate Chemical compound COB(OC)OC WRECIMRULFAWHA-UHFFFAOYSA-N 0.000 description 2
- 125000000026 trimethylsilyl group Chemical group [H]C([H])([H])[Si]([*])(C([H])([H])[H])C([H])([H])[H] 0.000 description 2
- RIOQSEWOXXDEQQ-UHFFFAOYSA-N triphenylphosphine Chemical compound C1=CC=CC=C1P(C=1C=CC=CC=1)C1=CC=CC=C1 RIOQSEWOXXDEQQ-UHFFFAOYSA-N 0.000 description 2
- NHDIQVFFNDKAQU-UHFFFAOYSA-N tripropan-2-yl borate Chemical compound CC(C)OB(OC(C)C)OC(C)C NHDIQVFFNDKAQU-UHFFFAOYSA-N 0.000 description 2
- COIOYMYWGDAQPM-UHFFFAOYSA-N tris(2-methylphenyl)phosphane Chemical compound CC1=CC=CC=C1P(C=1C(=CC=CC=1)C)C1=CC=CC=C1C COIOYMYWGDAQPM-UHFFFAOYSA-N 0.000 description 2
- 238000007514 turning Methods 0.000 description 2
- 125000004417 unsaturated alkyl group Chemical group 0.000 description 2
- XMAYWYJOQHXEEK-OZXSUGGESA-N (2R,4S)-ketoconazole Chemical compound C1CN(C(=O)C)CCN1C(C=C1)=CC=C1OC[C@@H]1O[C@@](CN2C=NC=C2)(C=2C(=CC(Cl)=CC=2)Cl)OC1 XMAYWYJOQHXEEK-OZXSUGGESA-N 0.000 description 1
- MQHLMHIZUIDKOO-OKZBNKHCSA-N (2R,6S)-2,6-dimethyl-4-[(2S)-2-methyl-3-[4-(2-methylbutan-2-yl)phenyl]propyl]morpholine Chemical compound C1=CC(C(C)(C)CC)=CC=C1C[C@H](C)CN1C[C@@H](C)O[C@@H](C)C1 MQHLMHIZUIDKOO-OKZBNKHCSA-N 0.000 description 1
- MTCFGRXMJLQNBG-REOHCLBHSA-N (2S)-2-Amino-3-hydroxypropansäure Chemical compound OC[C@H](N)C(O)=O MTCFGRXMJLQNBG-REOHCLBHSA-N 0.000 description 1
- ZESGNAJSBDILTB-OXVOKJAASA-N (2e,4s,5s,6e,8e)-10-[(2s,3r,6s,8r,9s)-3-butyl-2-[(1e,3e)-4-carboxy-3-methylbuta-1,3-dienyl]-3-(3-carboxypropanoyloxy)-9-methyl-1,7-dioxaspiro[5.5]undecan-8-yl]-5-hydroxy-4,8-dimethyldeca-2,6,8-trienoic acid Chemical compound O1[C@@H](\C=C\C(\C)=C\C(O)=O)[C@](CCCC)(OC(=O)CCC(O)=O)CC[C@@]11O[C@H](C\C=C(/C)\C=C\[C@H](O)[C@@H](C)\C=C\C(O)=O)[C@@H](C)CC1 ZESGNAJSBDILTB-OXVOKJAASA-N 0.000 description 1
- JSPNNZKWADNWHI-PNANGNLXSA-N (2r)-2-hydroxy-n-[(2s,3r,4e,8e)-3-hydroxy-9-methyl-1-[(2r,3r,4s,5s,6r)-3,4,5-trihydroxy-6-(hydroxymethyl)oxan-2-yl]oxyoctadeca-4,8-dien-2-yl]heptadecanamide Chemical compound CCCCCCCCCCCCCCC[C@@H](O)C(=O)N[C@H]([C@H](O)\C=C\CC\C=C(/C)CCCCCCCCC)CO[C@@H]1O[C@H](CO)[C@@H](O)[C@H](O)[C@H]1O JSPNNZKWADNWHI-PNANGNLXSA-N 0.000 description 1
- LNAZSHAWQACDHT-XIYTZBAFSA-N (2r,3r,4s,5r,6s)-4,5-dimethoxy-2-(methoxymethyl)-3-[(2s,3r,4s,5r,6r)-3,4,5-trimethoxy-6-(methoxymethyl)oxan-2-yl]oxy-6-[(2r,3r,4s,5r,6r)-4,5,6-trimethoxy-2-(methoxymethyl)oxan-3-yl]oxyoxane Chemical compound CO[C@@H]1[C@@H](OC)[C@H](OC)[C@@H](COC)O[C@H]1O[C@H]1[C@H](OC)[C@@H](OC)[C@H](O[C@H]2[C@@H]([C@@H](OC)[C@H](OC)O[C@@H]2COC)OC)O[C@@H]1COC LNAZSHAWQACDHT-XIYTZBAFSA-N 0.000 description 1
- ASPVAWAZOZVNFQ-UHFFFAOYSA-N (3-chlorophenyl)-[2-[2-(methoxymethoxy)ethyl]phenyl]borinic acid Chemical compound COCOCCC1=CC=CC=C1B(O)C1=CC=CC(Cl)=C1 ASPVAWAZOZVNFQ-UHFFFAOYSA-N 0.000 description 1
- YYGNTYWPHWGJRM-UHFFFAOYSA-N (6E,10E,14E,18E)-2,6,10,15,19,23-hexamethyltetracosa-2,6,10,14,18,22-hexaene Chemical compound CC(C)=CCCC(C)=CCCC(C)=CCCC=C(C)CCC=C(C)CCC=C(C)C YYGNTYWPHWGJRM-UHFFFAOYSA-N 0.000 description 1
- 125000000229 (C1-C4)alkoxy group Chemical group 0.000 description 1
- 125000004169 (C1-C6) alkyl group Chemical group 0.000 description 1
- WRIDQFICGBMAFQ-UHFFFAOYSA-N (E)-8-Octadecenoic acid Natural products CCCCCCCCCC=CCCCCCCC(O)=O WRIDQFICGBMAFQ-UHFFFAOYSA-N 0.000 description 1
- MIOPJNTWMNEORI-GMSGAONNSA-N (S)-camphorsulfonic acid Chemical compound C1C[C@@]2(CS(O)(=O)=O)C(=O)C[C@@H]1C2(C)C MIOPJNTWMNEORI-GMSGAONNSA-N 0.000 description 1
- 125000003088 (fluoren-9-ylmethoxy)carbonyl group Chemical group 0.000 description 1
- 108091032973 (ribonucleotides)n+m Proteins 0.000 description 1
- FNXHOBDXERDGGW-UHFFFAOYSA-N 1-(3-chlorophenyl)-3h-2,1-benzoxaborole Chemical compound ClC1=CC=CC(B2C3=CC=CC=C3CO2)=C1 FNXHOBDXERDGGW-UHFFFAOYSA-N 0.000 description 1
- MXOJVXNNESHMSK-UHFFFAOYSA-N 1-(3-chlorophenyl)-5-fluoro-3h-2,1-benzoxaborole Chemical compound O1CC2=CC(F)=CC=C2B1C1=CC=CC(Cl)=C1 MXOJVXNNESHMSK-UHFFFAOYSA-N 0.000 description 1
- VNJAUHQDUAKQRS-UHFFFAOYSA-N 1-(3-chlorophenyl)-6-fluoro-3h-2,1-benzoxaborole Chemical compound C12=CC(F)=CC=C2COB1C1=CC=CC(Cl)=C1 VNJAUHQDUAKQRS-UHFFFAOYSA-N 0.000 description 1
- UMPNYQHDSSAJBW-UHFFFAOYSA-N 1-(4-chlorophenyl)-3h-2,1-benzoxaborole Chemical compound C1=CC(Cl)=CC=C1B1C2=CC=CC=C2CO1 UMPNYQHDSSAJBW-UHFFFAOYSA-N 0.000 description 1
- AFNXATANNDIXLG-SFHVURJKSA-N 1-[(2r)-2-[(4-chlorophenyl)methylsulfanyl]-2-(2,4-dichlorophenyl)ethyl]imidazole Chemical compound C1=CC(Cl)=CC=C1CS[C@H](C=1C(=CC(Cl)=CC=1)Cl)CN1C=NC=C1 AFNXATANNDIXLG-SFHVURJKSA-N 0.000 description 1
- ZPBBUGVRRBPAGW-UHFFFAOYSA-N 1-[2-(3h-2,1-benzoxaborol-1-yl)-5-chlorophenyl]-n,n-dimethylmethanamine Chemical compound CN(C)CC1=CC(Cl)=CC=C1B1C2=CC=CC=C2CO1 ZPBBUGVRRBPAGW-UHFFFAOYSA-N 0.000 description 1
- IHUIFUYFNXHXKM-UHFFFAOYSA-N 1-[2-(3h-2,1-benzoxaborol-1-yl)phenyl]-n,n-dimethylmethanamine Chemical compound CN(C)CC1=CC=CC=C1B1C2=CC=CC=C2CO1 IHUIFUYFNXHXKM-UHFFFAOYSA-N 0.000 description 1
- 125000001637 1-naphthyl group Chemical group [H]C1=C([H])C([H])=C2C(*)=C([H])C([H])=C([H])C2=C1[H] 0.000 description 1
- 125000004214 1-pyrrolidinyl group Chemical group [H]C1([H])N(*)C([H])([H])C([H])([H])C1([H])[H] 0.000 description 1
- 125000001462 1-pyrrolyl group Chemical group [*]N1C([H])=C([H])C([H])=C1[H] 0.000 description 1
- LEZWWPYKPKIXLL-UHFFFAOYSA-N 1-{2-(4-chlorobenzyloxy)-2-(2,4-dichlorophenyl)ethyl}imidazole Chemical compound C1=CC(Cl)=CC=C1COC(C=1C(=CC(Cl)=CC=1)Cl)CN1C=NC=C1 LEZWWPYKPKIXLL-UHFFFAOYSA-N 0.000 description 1
- UTQNKKSJPHTPBS-UHFFFAOYSA-N 2,2,2-trichloroethanone Chemical group ClC(Cl)(Cl)[C]=O UTQNKKSJPHTPBS-UHFFFAOYSA-N 0.000 description 1
- 125000004206 2,2,2-trifluoroethyl group Chemical group [H]C([H])(*)C(F)(F)F 0.000 description 1
- AMROMNCFBJPUEB-UHFFFAOYSA-N 2-(3-fluorophenyl)-1,3,2-dioxaborolane Chemical compound FC1=CC=CC(B2OCCO2)=C1 AMROMNCFBJPUEB-UHFFFAOYSA-N 0.000 description 1
- ZDANMRXRFANFKM-UHFFFAOYSA-N 2-(4-chlorophenyl)-1,3,2-dioxaborolane Chemical compound C1=CC(Cl)=CC=C1B1OCCO1 ZDANMRXRFANFKM-UHFFFAOYSA-N 0.000 description 1
- NKNVAWOTIIWNME-UHFFFAOYSA-N 2-(oxaborol-3-yl)pyridine Chemical class C1=COB=C1C1=CC=CC=N1 NKNVAWOTIIWNME-UHFFFAOYSA-N 0.000 description 1
- 125000004174 2-benzimidazolyl group Chemical group [H]N1C(*)=NC2=C([H])C([H])=C([H])C([H])=C12 0.000 description 1
- 125000002941 2-furyl group Chemical group O1C([*])=C([H])C([H])=C1[H] 0.000 description 1
- HZLCGUXUOFWCCN-UHFFFAOYSA-N 2-hydroxynonadecane-1,2,3-tricarboxylic acid Chemical compound CCCCCCCCCCCCCCCCC(C(O)=O)C(O)(C(O)=O)CC(O)=O HZLCGUXUOFWCCN-UHFFFAOYSA-N 0.000 description 1
- 125000001622 2-naphthyl group Chemical group [H]C1=C([H])C([H])=C2C([H])=C(*)C([H])=C([H])C2=C1[H] 0.000 description 1
- 125000000094 2-phenylethyl group Chemical group [H]C1=C([H])C([H])=C(C([H])=C1[H])C([H])([H])C([H])([H])* 0.000 description 1
- 125000003903 2-propenyl group Chemical group [H]C([*])([H])C([H])=C([H])[H] 0.000 description 1
- 125000000389 2-pyrrolyl group Chemical group [H]N1C([*])=C([H])C([H])=C1[H] 0.000 description 1
- LQJBNNIYVWPHFW-UHFFFAOYSA-N 20:1omega9c fatty acid Natural products CCCCCCCCCCC=CCCCCCCCC(O)=O LQJBNNIYVWPHFW-UHFFFAOYSA-N 0.000 description 1
- AYMDJRBXLJNSJC-UHFFFAOYSA-N 3-(3h-2,1-benzoxaborol-1-yl)benzonitrile Chemical compound N#CC1=CC=CC(B2C3=CC=CC=C3CO2)=C1 AYMDJRBXLJNSJC-UHFFFAOYSA-N 0.000 description 1
- LWEYICDKBBAZLK-UHFFFAOYSA-N 3-(5,6-dimethoxy-3h-2,1-benzoxaborol-1-yl)benzonitrile Chemical compound C1=2C=C(OC)C(OC)=CC=2COB1C1=CC=CC(C#N)=C1 LWEYICDKBBAZLK-UHFFFAOYSA-N 0.000 description 1
- AOGUUUKWDLUJOV-UHFFFAOYSA-N 3-(5-fluoro-3h-2,1-benzoxaborol-1-yl)benzonitrile Chemical compound O1CC2=CC(F)=CC=C2B1C1=CC=CC(C#N)=C1 AOGUUUKWDLUJOV-UHFFFAOYSA-N 0.000 description 1
- VSMBBUHKOYKSLI-UHFFFAOYSA-N 3-(5-fluoro-3h-2,1-benzoxaborol-1-yl)pyridine Chemical compound O1CC2=CC(F)=CC=C2B1C1=CC=CN=C1 VSMBBUHKOYKSLI-UHFFFAOYSA-N 0.000 description 1
- HWGKUOWHHXGEBG-UHFFFAOYSA-N 3-(6-fluoro-3h-2,1-benzoxaborol-1-yl)benzonitrile Chemical compound C12=CC(F)=CC=C2COB1C1=CC=CC(C#N)=C1 HWGKUOWHHXGEBG-UHFFFAOYSA-N 0.000 description 1
- CHHJDDSHDLEZQA-UHFFFAOYSA-N 3-(6-fluoro-3h-2,1-benzoxaborol-1-yl)phenol Chemical compound OC1=CC=CC(B2C3=CC(F)=CC=C3CO2)=C1 CHHJDDSHDLEZQA-UHFFFAOYSA-N 0.000 description 1
- 125000000474 3-butynyl group Chemical group [H]C#CC([H])([H])C([H])([H])* 0.000 description 1
- 125000003682 3-furyl group Chemical group O1C([H])=C([*])C([H])=C1[H] 0.000 description 1
- 125000001397 3-pyrrolyl group Chemical group [H]N1C([H])=C([*])C([H])=C1[H] 0.000 description 1
- UCFSYHMCKWNKAH-UHFFFAOYSA-N 4,4,5,5-tetramethyl-1,3,2-dioxaborolane Chemical compound CC1(C)OBOC1(C)C UCFSYHMCKWNKAH-UHFFFAOYSA-N 0.000 description 1
- QBQDIOGLENEOGU-UHFFFAOYSA-N 4-(3h-2,1-benzoxaborol-1-yl)benzonitrile Chemical compound C1=CC(C#N)=CC=C1B1C2=CC=CC=C2CO1 QBQDIOGLENEOGU-UHFFFAOYSA-N 0.000 description 1
- OGBDTIXWSUFVGO-UHFFFAOYSA-N 4-(5-fluoro-3h-2,1-benzoxaborol-1-yl)benzonitrile Chemical compound O1CC2=CC(F)=CC=C2B1C1=CC=C(C#N)C=C1 OGBDTIXWSUFVGO-UHFFFAOYSA-N 0.000 description 1
- FWMNVWWHGCHHJJ-SKKKGAJSSA-N 4-amino-1-[(2r)-6-amino-2-[[(2r)-2-[[(2r)-2-[[(2r)-2-amino-3-phenylpropanoyl]amino]-3-phenylpropanoyl]amino]-4-methylpentanoyl]amino]hexanoyl]piperidine-4-carboxylic acid Chemical compound C([C@H](C(=O)N[C@H](CC(C)C)C(=O)N[C@H](CCCCN)C(=O)N1CCC(N)(CC1)C(O)=O)NC(=O)[C@H](N)CC=1C=CC=CC=1)C1=CC=CC=C1 FWMNVWWHGCHHJJ-SKKKGAJSSA-N 0.000 description 1
- SPXOTSHWBDUUMT-UHFFFAOYSA-M 4-nitrobenzenesulfonate Chemical compound [O-][N+](=O)C1=CC=C(S([O-])(=O)=O)C=C1 SPXOTSHWBDUUMT-UHFFFAOYSA-M 0.000 description 1
- KDDQRKBRJSGMQE-UHFFFAOYSA-N 4-thiazolyl Chemical group [C]1=CSC=N1 KDDQRKBRJSGMQE-UHFFFAOYSA-N 0.000 description 1
- HHLQTIUKGYQQOD-UHFFFAOYSA-N 5-chloro-1-(3-fluorophenyl)-3h-2,1-benzoxaborole Chemical compound FC1=CC=CC(B2C3=CC=C(Cl)C=C3CO2)=C1 HHLQTIUKGYQQOD-UHFFFAOYSA-N 0.000 description 1
- CWDWFSXUQODZGW-UHFFFAOYSA-N 5-thiazolyl Chemical group [C]1=CN=CS1 CWDWFSXUQODZGW-UHFFFAOYSA-N 0.000 description 1
- ZCYVEMRRCGMTRW-UHFFFAOYSA-N 7553-56-2 Chemical group [I] ZCYVEMRRCGMTRW-UHFFFAOYSA-N 0.000 description 1
- 239000005725 8-Hydroxyquinoline Substances 0.000 description 1
- QSBYPNXLFMSGKH-UHFFFAOYSA-N 9-Heptadecensaeure Natural products CCCCCCCC=CCCCCCCCC(O)=O QSBYPNXLFMSGKH-UHFFFAOYSA-N 0.000 description 1
- 208000030507 AIDS Diseases 0.000 description 1
- QTBSBXVTEAMEQO-UHFFFAOYSA-M Acetate Chemical compound CC([O-])=O QTBSBXVTEAMEQO-UHFFFAOYSA-M 0.000 description 1
- 241000589291 Acinetobacter Species 0.000 description 1
- 241000588626 Acinetobacter baumannii Species 0.000 description 1
- 241000186041 Actinomyces israelii Species 0.000 description 1
- 241000701242 Adenoviridae Species 0.000 description 1
- 208000000230 African Trypanosomiasis Diseases 0.000 description 1
- 229920001817 Agar Polymers 0.000 description 1
- 241000589155 Agrobacterium tumefaciens Species 0.000 description 1
- 102000009027 Albumins Human genes 0.000 description 1
- 108010088751 Albumins Proteins 0.000 description 1
- VVJKKWFAADXIJK-UHFFFAOYSA-N Allylamine Chemical class NCC=C VVJKKWFAADXIJK-UHFFFAOYSA-N 0.000 description 1
- GUBGYTABKSRVRQ-XLOQQCSPSA-N Alpha-Lactose Chemical compound O[C@@H]1[C@@H](O)[C@@H](O)[C@@H](CO)O[C@H]1O[C@@H]1[C@@H](CO)O[C@H](O)[C@H](O)[C@H]1O GUBGYTABKSRVRQ-XLOQQCSPSA-N 0.000 description 1
- 241000191412 Alternaria infectoria Species 0.000 description 1
- 239000005995 Aluminium silicate Substances 0.000 description 1
- 208000004881 Amebiasis Diseases 0.000 description 1
- 208000003829 American Hemorrhagic Fever Diseases 0.000 description 1
- 206010001980 Amoebiasis Diseases 0.000 description 1
- APKFDSVGJQXUKY-KKGHZKTASA-N Amphotericin-B Natural products O[C@H]1[C@@H](N)[C@H](O)[C@@H](C)O[C@H]1O[C@H]1C=CC=CC=CC=CC=CC=CC=C[C@H](C)[C@@H](O)[C@@H](C)[C@H](C)OC(=O)C[C@H](O)C[C@H](O)CC[C@@H](O)[C@H](O)C[C@H](O)C[C@](O)(C[C@H](O)[C@H]2C(O)=O)O[C@H]2C1 APKFDSVGJQXUKY-KKGHZKTASA-N 0.000 description 1
- 108020005098 Anticodon Proteins 0.000 description 1
- 240000005528 Arctium lappa Species 0.000 description 1
- 241000712892 Arenaviridae Species 0.000 description 1
- 201000009695 Argentine hemorrhagic fever Diseases 0.000 description 1
- 239000004475 Arginine Substances 0.000 description 1
- DCXYFEDJOCDNAF-UHFFFAOYSA-N Asparagine Natural products OC(=O)C(N)CC(N)=O DCXYFEDJOCDNAF-UHFFFAOYSA-N 0.000 description 1
- 201000002909 Aspergillosis Diseases 0.000 description 1
- 241000228197 Aspergillus flavus Species 0.000 description 1
- 208000036641 Aspergillus infections Diseases 0.000 description 1
- 241000223678 Aureobasidium pullulans Species 0.000 description 1
- YCEGGNNGACCHFZ-UHFFFAOYSA-N B1OC=CC=C1 Chemical class B1OC=CC=C1 YCEGGNNGACCHFZ-UHFFFAOYSA-N 0.000 description 1
- 241000193738 Bacillus anthracis Species 0.000 description 1
- 241000228405 Blastomyces dermatitidis Species 0.000 description 1
- 208000034200 Bolivian hemorrhagic fever Diseases 0.000 description 1
- 241000589567 Brucella abortus Species 0.000 description 1
- 241000195940 Bryophyta Species 0.000 description 1
- COVZYZSDYWQREU-UHFFFAOYSA-N Busulfan Chemical compound CS(=O)(=O)OCCCCOS(C)(=O)=O COVZYZSDYWQREU-UHFFFAOYSA-N 0.000 description 1
- YDNKGFDKKRUKPY-JHOUSYSJSA-N C16 ceramide Natural products CCCCCCCCCCCCCCCC(=O)N[C@@H](CO)[C@H](O)C=CCCCCCCCCCCCCC YDNKGFDKKRUKPY-JHOUSYSJSA-N 0.000 description 1
- 101150102024 CDC60 gene Proteins 0.000 description 1
- DNXFLLVRSKAJSG-UHFFFAOYSA-N COCOC(C)(C)C1=CC=CC=C1BO Chemical compound COCOC(C)(C)C1=CC=CC=C1BO DNXFLLVRSKAJSG-UHFFFAOYSA-N 0.000 description 1
- 244000197813 Camelina sativa Species 0.000 description 1
- 241000589874 Campylobacter fetus Species 0.000 description 1
- 241000589875 Campylobacter jejuni Species 0.000 description 1
- 206010007134 Candida infections Diseases 0.000 description 1
- OKTJSMMVPCPJKN-NJFSPNSNSA-N Carbon-14 Chemical compound [14C] OKTJSMMVPCPJKN-NJFSPNSNSA-N 0.000 description 1
- 208000024699 Chagas disease Diseases 0.000 description 1
- 201000006082 Chickenpox Diseases 0.000 description 1
- 241000606161 Chlamydia Species 0.000 description 1
- 241001647378 Chlamydia psittaci Species 0.000 description 1
- 241000606153 Chlamydia trachomatis Species 0.000 description 1
- KZBUYRJDOAKODT-UHFFFAOYSA-N Chlorine Chemical compound ClCl KZBUYRJDOAKODT-UHFFFAOYSA-N 0.000 description 1
- XJUZRXYOEPSWMB-UHFFFAOYSA-N Chloromethyl methyl ether Chemical compound COCCl XJUZRXYOEPSWMB-UHFFFAOYSA-N 0.000 description 1
- BHYOQNUELFTYRT-UHFFFAOYSA-N Cholesterol sulfate Natural products C1C=C2CC(OS(O)(=O)=O)CCC2(C)C2C1C1CCC(C(C)CCCC(C)C)C1(C)CC2 BHYOQNUELFTYRT-UHFFFAOYSA-N 0.000 description 1
- 241000193163 Clostridioides difficile Species 0.000 description 1
- 241000193155 Clostridium botulinum Species 0.000 description 1
- 241000193468 Clostridium perfringens Species 0.000 description 1
- 241000193449 Clostridium tetani Species 0.000 description 1
- 241000223205 Coccidioides immitis Species 0.000 description 1
- 229920002261 Corn starch Polymers 0.000 description 1
- 241000709687 Coxsackievirus Species 0.000 description 1
- 208000000307 Crimean Hemorrhagic Fever Diseases 0.000 description 1
- 208000008953 Cryptosporidiosis Diseases 0.000 description 1
- 206010011502 Cryptosporidiosis infection Diseases 0.000 description 1
- 241000223936 Cryptosporidium parvum Species 0.000 description 1
- 241000186427 Cutibacterium acnes Species 0.000 description 1
- FBPFZTCFMRRESA-FSIIMWSLSA-N D-Glucitol Natural products OC[C@H](O)[C@H](O)[C@@H](O)[C@H](O)CO FBPFZTCFMRRESA-FSIIMWSLSA-N 0.000 description 1
- FBPFZTCFMRRESA-JGWLITMVSA-N D-glucitol Chemical compound OC[C@H](O)[C@@H](O)[C@H](O)[C@H](O)CO FBPFZTCFMRRESA-JGWLITMVSA-N 0.000 description 1
- 241000450599 DNA viruses Species 0.000 description 1
- 102000016928 DNA-directed DNA polymerase Human genes 0.000 description 1
- 108010014303 DNA-directed DNA polymerase Proteins 0.000 description 1
- 241000725619 Dengue virus Species 0.000 description 1
- 229920002307 Dextran Polymers 0.000 description 1
- BUDQDWGNQVEFAC-UHFFFAOYSA-N Dihydropyran Chemical compound C1COC=CC1 BUDQDWGNQVEFAC-UHFFFAOYSA-N 0.000 description 1
- 241001466953 Echovirus Species 0.000 description 1
- 241000224432 Entamoeba histolytica Species 0.000 description 1
- 241000194033 Enterococcus Species 0.000 description 1
- 241000194032 Enterococcus faecalis Species 0.000 description 1
- 241000194031 Enterococcus faecium Species 0.000 description 1
- 241000991587 Enterovirus C Species 0.000 description 1
- 241000283086 Equidae Species 0.000 description 1
- 240000001624 Espostoa lanata Species 0.000 description 1
- 235000009161 Espostoa lanata Nutrition 0.000 description 1
- 241000206602 Eukaryota Species 0.000 description 1
- 208000001860 Eye Infections Diseases 0.000 description 1
- PXGOKWXKJXAPGV-UHFFFAOYSA-N Fluorine Chemical compound FF PXGOKWXKJXAPGV-UHFFFAOYSA-N 0.000 description 1
- 241000589602 Francisella tularensis Species 0.000 description 1
- 241000224467 Giardia intestinalis Species 0.000 description 1
- 239000004471 Glycine Substances 0.000 description 1
- 235000010469 Glycine max Nutrition 0.000 description 1
- 244000068988 Glycine max Species 0.000 description 1
- 241000606768 Haemophilus influenzae Species 0.000 description 1
- 241000589989 Helicobacter Species 0.000 description 1
- 241000590002 Helicobacter pylori Species 0.000 description 1
- 241000700739 Hepadnaviridae Species 0.000 description 1
- 241000700721 Hepatitis B virus Species 0.000 description 1
- 208000007514 Herpes zoster Diseases 0.000 description 1
- 241000700586 Herpesviridae Species 0.000 description 1
- 241000228404 Histoplasma capsulatum Species 0.000 description 1
- 201000002563 Histoplasmosis Diseases 0.000 description 1
- OAKJQQAXSVQMHS-UHFFFAOYSA-N Hydrazine Chemical compound NN OAKJQQAXSVQMHS-UHFFFAOYSA-N 0.000 description 1
- 229920001612 Hydroxyethyl starch Polymers 0.000 description 1
- 240000007597 Hymenaea verrucosa Species 0.000 description 1
- 208000002078 Ingrown Nails Diseases 0.000 description 1
- 206010054999 Koilonychia Diseases 0.000 description 1
- DCXYFEDJOCDNAF-REOHCLBHSA-N L-asparagine Chemical compound OC(=O)[C@@H](N)CC(N)=O DCXYFEDJOCDNAF-REOHCLBHSA-N 0.000 description 1
- CKLJMWTZIZZHCS-REOHCLBHSA-N L-aspartic acid Chemical compound OC(=O)[C@@H](N)CC(O)=O CKLJMWTZIZZHCS-REOHCLBHSA-N 0.000 description 1
- WHUUTDBJXJRKMK-VKHMYHEASA-N L-glutamic acid Chemical compound OC(=O)[C@@H](N)CCC(O)=O WHUUTDBJXJRKMK-VKHMYHEASA-N 0.000 description 1
- ZDXPYRJPNDTMRX-VKHMYHEASA-N L-glutamine Chemical compound OC(=O)[C@@H](N)CCC(N)=O ZDXPYRJPNDTMRX-VKHMYHEASA-N 0.000 description 1
- HNDVDQJCIGZPNO-YFKPBYRVSA-N L-histidine Chemical compound OC(=O)[C@@H](N)CC1=CN=CN1 HNDVDQJCIGZPNO-YFKPBYRVSA-N 0.000 description 1
- QIVBCDIJIAJPQS-VIFPVBQESA-N L-tryptophane Chemical compound C1=CC=C2C(C[C@H](N)C(O)=O)=CNC2=C1 QIVBCDIJIAJPQS-VIFPVBQESA-N 0.000 description 1
- OUYCCCASQSFEME-QMMMGPOBSA-N L-tyrosine Chemical compound OC(=O)[C@@H](N)CC1=CC=C(O)C=C1 OUYCCCASQSFEME-QMMMGPOBSA-N 0.000 description 1
- GUBGYTABKSRVRQ-QKKXKWKRSA-N Lactose Natural products OC[C@H]1O[C@@H](O[C@H]2[C@H](O)[C@@H](O)C(O)O[C@@H]2CO)[C@H](O)[C@@H](O)[C@H]1O GUBGYTABKSRVRQ-QKKXKWKRSA-N 0.000 description 1
- 239000004166 Lanolin Substances 0.000 description 1
- 206010023927 Lassa fever Diseases 0.000 description 1
- 241000589242 Legionella pneumophila Species 0.000 description 1
- 241000222738 Leishmania aethiopica Species 0.000 description 1
- 241000222724 Leishmania amazonensis Species 0.000 description 1
- 241000178949 Leishmania chagasi Species 0.000 description 1
- 241000222727 Leishmania donovani Species 0.000 description 1
- 241000222697 Leishmania infantum Species 0.000 description 1
- 241000012072 Leishmania mexicana venezuelensis Species 0.000 description 1
- 208000004554 Leishmaniasis Diseases 0.000 description 1
- 244000207740 Lemna minor Species 0.000 description 1
- 240000007472 Leucaena leucocephala Species 0.000 description 1
- 235000010643 Leucaena leucocephala Nutrition 0.000 description 1
- FYYHWMGAXLPEAU-UHFFFAOYSA-N Magnesium Chemical compound [Mg] FYYHWMGAXLPEAU-UHFFFAOYSA-N 0.000 description 1
- 241001291474 Malassezia globosa Species 0.000 description 1
- 241001291475 Malassezia slooffiae Species 0.000 description 1
- 241000124008 Mammalia Species 0.000 description 1
- 201000005505 Measles Diseases 0.000 description 1
- 241000235048 Meyerozyma guilliermondii Species 0.000 description 1
- BYBLEWFAAKGYCD-UHFFFAOYSA-N Miconazole Chemical compound ClC1=CC(Cl)=CC=C1COC(C=1C(=CC(Cl)=CC=1)Cl)CN1C=NC=C1 BYBLEWFAAKGYCD-UHFFFAOYSA-N 0.000 description 1
- 208000005647 Mumps Diseases 0.000 description 1
- 241000545499 Mycobacterium avium-intracellulare Species 0.000 description 1
- 241000187479 Mycobacterium tuberculosis Species 0.000 description 1
- FXHOOIRPVKKKFG-UHFFFAOYSA-N N,N-Dimethylacetamide Chemical compound CN(C)C(C)=O FXHOOIRPVKKKFG-UHFFFAOYSA-N 0.000 description 1
- SECXISVLQFMRJM-UHFFFAOYSA-N N-Methylpyrrolidone Chemical compound CN1CCCC1=O SECXISVLQFMRJM-UHFFFAOYSA-N 0.000 description 1
- CRJGESKKUOMBCT-VQTJNVASSA-N N-acetylsphinganine Chemical compound CCCCCCCCCCCCCCC[C@@H](O)[C@H](CO)NC(C)=O CRJGESKKUOMBCT-VQTJNVASSA-N 0.000 description 1
- 206010061303 Nail bed infection Diseases 0.000 description 1
- 241000588653 Neisseria Species 0.000 description 1
- 241000588652 Neisseria gonorrhoeae Species 0.000 description 1
- 241000588650 Neisseria meningitidis Species 0.000 description 1
- 241000714209 Norwalk virus Species 0.000 description 1
- 244000020186 Nymphaea lutea Species 0.000 description 1
- 239000005642 Oleic acid Substances 0.000 description 1
- ZQPPMHVWECSIRJ-UHFFFAOYSA-N Oleic acid Natural products CCCCCCCCC=CCCCCCCCC(O)=O ZQPPMHVWECSIRJ-UHFFFAOYSA-N 0.000 description 1
- 208000006187 Onycholysis Diseases 0.000 description 1
- 241000702259 Orbivirus Species 0.000 description 1
- 241000700629 Orthopoxvirus Species 0.000 description 1
- 206010033372 Pain and discomfort Diseases 0.000 description 1
- 241000526686 Paracoccidioides brasiliensis Species 0.000 description 1
- 206010033767 Paracoccidioides infections Diseases 0.000 description 1
- 201000000301 Paracoccidioidomycosis Diseases 0.000 description 1
- 208000002606 Paramyxoviridae Infections Diseases 0.000 description 1
- 241000701945 Parvoviridae Species 0.000 description 1
- 235000019483 Peanut oil Nutrition 0.000 description 1
- 241000150350 Peribunyaviridae Species 0.000 description 1
- 208000031956 Phaehyphomycosis Diseases 0.000 description 1
- 201000011404 Phaeohyphomycosis Diseases 0.000 description 1
- 201000000239 Phlebotomus fever Diseases 0.000 description 1
- 240000009188 Phyllostachys vivax Species 0.000 description 1
- 241000709664 Picornaviridae Species 0.000 description 1
- 241000224017 Plasmodium berghei Species 0.000 description 1
- 241000223960 Plasmodium falciparum Species 0.000 description 1
- 241000223821 Plasmodium malariae Species 0.000 description 1
- 206010035501 Plasmodium malariae infection Diseases 0.000 description 1
- 206010035502 Plasmodium ovale infection Diseases 0.000 description 1
- 241000233872 Pneumocystis carinii Species 0.000 description 1
- 208000000474 Poliomyelitis Diseases 0.000 description 1
- 229920003171 Poly (ethylene oxide) Polymers 0.000 description 1
- 239000004698 Polyethylene Substances 0.000 description 1
- 229920002873 Polyethylenimine Polymers 0.000 description 1
- 102000014450 RNA Polymerase III Human genes 0.000 description 1
- 108010078067 RNA Polymerase III Proteins 0.000 description 1
- 206010037742 Rabies Diseases 0.000 description 1
- 241000711798 Rabies lyssavirus Species 0.000 description 1
- 241000702247 Reoviridae Species 0.000 description 1
- 241000702263 Reovirus sp. Species 0.000 description 1
- 206010038687 Respiratory distress Diseases 0.000 description 1
- 241000725643 Respiratory syncytial virus Species 0.000 description 1
- 241000712907 Retroviridae Species 0.000 description 1
- ZESGNAJSBDILTB-UHFFFAOYSA-N Reveromycin A Natural products O1C(C=CC(C)=CC(O)=O)C(CCCC)(OC(=O)CCC(O)=O)CCC11OC(CC=C(C)C=CC(O)C(C)C=CC(O)=O)C(C)CC1 ZESGNAJSBDILTB-UHFFFAOYSA-N 0.000 description 1
- 241000711931 Rhabdoviridae Species 0.000 description 1
- 208000004364 Rhinosporidiosis Diseases 0.000 description 1
- 241000606697 Rickettsia prowazekii Species 0.000 description 1
- 241000606695 Rickettsia rickettsii Species 0.000 description 1
- 208000000705 Rift Valley Fever Diseases 0.000 description 1
- 241000710799 Rubella virus Species 0.000 description 1
- 241000315672 SARS coronavirus Species 0.000 description 1
- 238000012300 Sequence Analysis Methods 0.000 description 1
- MTCFGRXMJLQNBG-UHFFFAOYSA-N Serine Natural products OCC(N)C(O)=O MTCFGRXMJLQNBG-UHFFFAOYSA-N 0.000 description 1
- XUIMIQQOPSSXEZ-UHFFFAOYSA-N Silicon Chemical compound [Si] XUIMIQQOPSSXEZ-UHFFFAOYSA-N 0.000 description 1
- VMHLLURERBWHNL-UHFFFAOYSA-M Sodium acetate Chemical compound [Na+].CC([O-])=O VMHLLURERBWHNL-UHFFFAOYSA-M 0.000 description 1
- FAPWRFPIFSIZLT-UHFFFAOYSA-M Sodium chloride Chemical compound [Na+].[Cl-] FAPWRFPIFSIZLT-UHFFFAOYSA-M 0.000 description 1
- 241000191940 Staphylococcus Species 0.000 description 1
- 241000191963 Staphylococcus epidermidis Species 0.000 description 1
- 241001147691 Staphylococcus saprophyticus Species 0.000 description 1
- 241000194017 Streptococcus Species 0.000 description 1
- 241000193985 Streptococcus agalactiae Species 0.000 description 1
- 241000193998 Streptococcus pneumoniae Species 0.000 description 1
- 241000193996 Streptococcus pyogenes Species 0.000 description 1
- QAOWNCQODCNURD-UHFFFAOYSA-L Sulfate Chemical compound [O-]S([O-])(=O)=O QAOWNCQODCNURD-UHFFFAOYSA-L 0.000 description 1
- 239000004809 Teflon Substances 0.000 description 1
- 229920006362 Teflon® Polymers 0.000 description 1
- BHEOSNUKNHRBNM-UHFFFAOYSA-N Tetramethylsqualene Natural products CC(=C)C(C)CCC(=C)C(C)CCC(C)=CCCC=C(C)CCC(C)C(=C)CCC(C)C(C)=C BHEOSNUKNHRBNM-UHFFFAOYSA-N 0.000 description 1
- 241000710924 Togaviridae Species 0.000 description 1
- 241000223997 Toxoplasma gondii Species 0.000 description 1
- 201000005485 Toxoplasmosis Diseases 0.000 description 1
- 241000589884 Treponema pallidum Species 0.000 description 1
- 241000224527 Trichomonas vaginalis Species 0.000 description 1
- 241000893963 Trichophyton concentricum Species 0.000 description 1
- 241001480046 Trichophyton schoenleinii Species 0.000 description 1
- 241000985906 Trichophyton soudanense Species 0.000 description 1
- 241001480050 Trichophyton violaceum Species 0.000 description 1
- YZCKVEUIGOORGS-NJFSPNSNSA-N Tritium Chemical compound [3H] YZCKVEUIGOORGS-NJFSPNSNSA-N 0.000 description 1
- 241001442399 Trypanosoma brucei gambiense Species 0.000 description 1
- 241001442397 Trypanosoma brucei rhodesiense Species 0.000 description 1
- 241000223109 Trypanosoma cruzi Species 0.000 description 1
- QIVBCDIJIAJPQS-UHFFFAOYSA-N Tryptophan Natural products C1=CC=C2C(CC(N)C(O)=O)=CNC2=C1 QIVBCDIJIAJPQS-UHFFFAOYSA-N 0.000 description 1
- 206010046980 Varicella Diseases 0.000 description 1
- 241000607626 Vibrio cholerae Species 0.000 description 1
- 241000607272 Vibrio parahaemolyticus Species 0.000 description 1
- 206010047505 Visceral leishmaniasis Diseases 0.000 description 1
- 239000004164 Wax ester Substances 0.000 description 1
- 241000710886 West Nile virus Species 0.000 description 1
- 206010052428 Wound Diseases 0.000 description 1
- 241000710772 Yellow fever virus Species 0.000 description 1
- 241000607479 Yersinia pestis Species 0.000 description 1
- 206010061418 Zygomycosis Diseases 0.000 description 1
- WERKSKAQRVDLDW-ANOHMWSOSA-N [(2s,3r,4r,5r)-2,3,4,5,6-pentahydroxyhexyl] (z)-octadec-9-enoate Chemical compound CCCCCCCC\C=C/CCCCCCCC(=O)OC[C@H](O)[C@@H](O)[C@H](O)[C@H](O)CO WERKSKAQRVDLDW-ANOHMWSOSA-N 0.000 description 1
- SXFOJGKAIQWOJJ-UHFFFAOYSA-N [2-(methoxymethoxymethyl)phenyl]boronic acid Chemical compound COCOCC1=CC=CC=C1B(O)O SXFOJGKAIQWOJJ-UHFFFAOYSA-N 0.000 description 1
- BZXPXRKTDDQTIR-UHFFFAOYSA-N [2-[[bis(methoxymethyl)amino]methyl]phenyl]-(3-chlorophenyl)borinic acid Chemical compound COCN(COC)CC1=CC=CC=C1B(O)C1=CC=CC(Cl)=C1 BZXPXRKTDDQTIR-UHFFFAOYSA-N 0.000 description 1
- 241000222126 [Candida] glabrata Species 0.000 description 1
- QQIRAVWVGBTHMJ-UHFFFAOYSA-N [dimethyl-(trimethylsilylamino)silyl]methane;lithium Chemical compound [Li].C[Si](C)(C)N[Si](C)(C)C QQIRAVWVGBTHMJ-UHFFFAOYSA-N 0.000 description 1
- 238000002835 absorbance Methods 0.000 description 1
- 239000002250 absorbent Substances 0.000 description 1
- 230000002745 absorbent Effects 0.000 description 1
- 238000009825 accumulation Methods 0.000 description 1
- 150000001242 acetic acid derivatives Chemical class 0.000 description 1
- 238000005903 acid hydrolysis reaction Methods 0.000 description 1
- 239000011149 active material Substances 0.000 description 1
- 230000000996 additive effect Effects 0.000 description 1
- 108700010877 adenoviridae proteins Proteins 0.000 description 1
- 239000008272 agar Substances 0.000 description 1
- 235000010419 agar Nutrition 0.000 description 1
- 229940040563 agaric acid Drugs 0.000 description 1
- 125000003295 alanine group Chemical group N[C@@H](C)C(=O)* 0.000 description 1
- 230000001476 alcoholic effect Effects 0.000 description 1
- 150000001298 alcohols Chemical class 0.000 description 1
- 150000001335 aliphatic alkanes Chemical class 0.000 description 1
- 125000004453 alkoxycarbonyl group Chemical group 0.000 description 1
- 150000004996 alkyl benzenes Chemical class 0.000 description 1
- 125000004414 alkyl thio group Chemical group 0.000 description 1
- 125000005237 alkyleneamino group Chemical group 0.000 description 1
- 125000005238 alkylenediamino group Chemical group 0.000 description 1
- 125000005530 alkylenedioxy group Chemical group 0.000 description 1
- 125000005529 alkyleneoxy group Chemical group 0.000 description 1
- HSFWRNGVRCDJHI-UHFFFAOYSA-N alpha-acetylene Natural products C#C HSFWRNGVRCDJHI-UHFFFAOYSA-N 0.000 description 1
- 229910052782 aluminium Inorganic materials 0.000 description 1
- XAGFODPZIPBFFR-UHFFFAOYSA-N aluminium Chemical compound [Al] XAGFODPZIPBFFR-UHFFFAOYSA-N 0.000 description 1
- 235000012211 aluminium silicate Nutrition 0.000 description 1
- 229960003204 amorolfine Drugs 0.000 description 1
- 239000002280 amphoteric surfactant Substances 0.000 description 1
- APKFDSVGJQXUKY-INPOYWNPSA-N amphotericin B Chemical compound O[C@H]1[C@@H](N)[C@H](O)[C@@H](C)O[C@H]1O[C@H]1/C=C/C=C/C=C/C=C/C=C/C=C/C=C/[C@H](C)[C@@H](O)[C@@H](C)[C@H](C)OC(=O)C[C@H](O)C[C@H](O)CC[C@@H](O)[C@H](O)C[C@H](O)C[C@](O)(C[C@H](O)[C@H]2C(O)=O)O[C@H]2C1 APKFDSVGJQXUKY-INPOYWNPSA-N 0.000 description 1
- 229960003942 amphotericin b Drugs 0.000 description 1
- 238000004458 analytical method Methods 0.000 description 1
- 229940031955 anhydrous lanolin Drugs 0.000 description 1
- 238000010171 animal model Methods 0.000 description 1
- 125000000129 anionic group Chemical group 0.000 description 1
- 239000003945 anionic surfactant Substances 0.000 description 1
- 239000003242 anti bacterial agent Substances 0.000 description 1
- 230000002924 anti-infective effect Effects 0.000 description 1
- 229940088710 antibiotic agent Drugs 0.000 description 1
- 229960005475 antiinfective agent Drugs 0.000 description 1
- 230000003078 antioxidant effect Effects 0.000 description 1
- 238000013459 approach Methods 0.000 description 1
- 150000004982 aromatic amines Chemical class 0.000 description 1
- 125000005101 aryl methoxy carbonyl group Chemical group 0.000 description 1
- 125000005165 aryl thioxy group Chemical group 0.000 description 1
- 235000010323 ascorbic acid Nutrition 0.000 description 1
- 239000011668 ascorbic acid Substances 0.000 description 1
- 229960005070 ascorbic acid Drugs 0.000 description 1
- 235000009582 asparagine Nutrition 0.000 description 1
- 229960001230 asparagine Drugs 0.000 description 1
- 229940009098 aspartate Drugs 0.000 description 1
- 229940091771 aspergillus fumigatus Drugs 0.000 description 1
- 229940065181 bacillus anthracis Drugs 0.000 description 1
- 229940028420 bactroban Drugs 0.000 description 1
- 235000013871 bee wax Nutrition 0.000 description 1
- 239000012166 beeswax Substances 0.000 description 1
- 229940092714 benzenesulfonic acid Drugs 0.000 description 1
- WPYMKLBDIGXBTP-UHFFFAOYSA-N benzoic acid group Chemical group C(C1=CC=CC=C1)(=O)O WPYMKLBDIGXBTP-UHFFFAOYSA-N 0.000 description 1
- 235000019445 benzyl alcohol Nutrition 0.000 description 1
- 229960004217 benzyl alcohol Drugs 0.000 description 1
- 239000011230 binding agent Substances 0.000 description 1
- 238000002306 biochemical method Methods 0.000 description 1
- 230000003115 biocidal effect Effects 0.000 description 1
- 125000000319 biphenyl-4-yl group Chemical group [H]C1=C([H])C([H])=C([H])C([H])=C1C1=C([H])C([H])=C([*])C([H])=C1[H] 0.000 description 1
- IPWKHHSGDUIRAH-UHFFFAOYSA-N bis(pinacolato)diboron Chemical compound O1C(C)(C)C(C)(C)OB1B1OC(C)(C)C(C)(C)O1 IPWKHHSGDUIRAH-UHFFFAOYSA-N 0.000 description 1
- YNHIGQDRGKUECZ-UHFFFAOYSA-L bis(triphenylphosphine)palladium(ii) dichloride Chemical compound [Cl-].[Cl-].[Pd+2].C1=CC=CC=C1P(C=1C=CC=CC=1)C1=CC=CC=C1.C1=CC=CC=C1P(C=1C=CC=CC=1)C1=CC=CC=C1 YNHIGQDRGKUECZ-UHFFFAOYSA-L 0.000 description 1
- ROMXKPVZMNOTDK-UHFFFAOYSA-N bis[2-(methoxymethoxymethyl)phenyl]borinic acid Chemical compound COCOCC1=CC=CC=C1B(O)C1=CC=CC=C1COCOC ROMXKPVZMNOTDK-UHFFFAOYSA-N 0.000 description 1
- KSZCMBMXXCPVDN-UHFFFAOYSA-N bis[4-chloro-2-(methoxymethoxymethyl)phenyl]borinic acid Chemical compound COCOCC1=CC(Cl)=CC=C1B(O)C1=CC=C(Cl)C=C1COCOC KSZCMBMXXCPVDN-UHFFFAOYSA-N 0.000 description 1
- 230000000903 blocking effect Effects 0.000 description 1
- 150000001642 boronic acid derivatives Chemical class 0.000 description 1
- 229910052794 bromium Inorganic materials 0.000 description 1
- QJIXIPKLVVDFDO-UHFFFAOYSA-N bromo(iodo)methanesulfonic acid Chemical compound OS(=O)(=O)C(Br)I QJIXIPKLVVDFDO-UHFFFAOYSA-N 0.000 description 1
- 229940056450 brucella abortus Drugs 0.000 description 1
- 239000000872 buffer Substances 0.000 description 1
- 229960002962 butenafine Drugs 0.000 description 1
- ABJKWBDEJIDSJZ-UHFFFAOYSA-N butenafine Chemical compound C=1C=CC2=CC=CC=C2C=1CN(C)CC1=CC=C(C(C)(C)C)C=C1 ABJKWBDEJIDSJZ-UHFFFAOYSA-N 0.000 description 1
- 235000010216 calcium carbonate Nutrition 0.000 description 1
- 208000032343 candida glabrata infection Diseases 0.000 description 1
- 229940055022 candida parapsilosis Drugs 0.000 description 1
- 201000003984 candidiasis Diseases 0.000 description 1
- 239000002775 capsule Substances 0.000 description 1
- 150000001721 carbon Chemical group 0.000 description 1
- 150000001732 carboxylic acid derivatives Chemical class 0.000 description 1
- 125000002091 cationic group Chemical group 0.000 description 1
- 239000003093 cationic surfactant Substances 0.000 description 1
- 238000004113 cell culture Methods 0.000 description 1
- 230000030833 cell death Effects 0.000 description 1
- 230000032823 cell division Effects 0.000 description 1
- 230000001413 cellular effect Effects 0.000 description 1
- 230000019522 cellular metabolic process Effects 0.000 description 1
- 229920002678 cellulose Chemical class 0.000 description 1
- 239000001913 cellulose Chemical class 0.000 description 1
- 235000010980 cellulose Nutrition 0.000 description 1
- 208000015114 central nervous system disease Diseases 0.000 description 1
- 229940106189 ceramide Drugs 0.000 description 1
- ZVEQCJWYRWKARO-UHFFFAOYSA-N ceramide Natural products CCCCCCCCCCCCCCC(O)C(=O)NC(CO)C(O)C=CCCC=C(C)CCCCCCCCC ZVEQCJWYRWKARO-UHFFFAOYSA-N 0.000 description 1
- 229930183167 cerebroside Natural products 0.000 description 1
- RIZIAUKTHDLMQX-UHFFFAOYSA-N cerebroside D Natural products CCCCCCCCCCCCCCCCC(O)C(=O)NC(C(O)C=CCCC=C(C)CCCCCCCCC)COC1OC(CO)C(O)C(O)C1O RIZIAUKTHDLMQX-UHFFFAOYSA-N 0.000 description 1
- 230000008859 change Effects 0.000 description 1
- 238000012512 characterization method Methods 0.000 description 1
- 239000013522 chelant Substances 0.000 description 1
- 239000002738 chelating agent Substances 0.000 description 1
- 229940038705 chlamydia trachomatis Drugs 0.000 description 1
- 239000000460 chlorine Substances 0.000 description 1
- 229910052801 chlorine Inorganic materials 0.000 description 1
- 229940061627 chloromethyl methyl ether Drugs 0.000 description 1
- BHYOQNUELFTYRT-DPAQBDIFSA-N cholesterol sulfate Chemical compound C1C=C2C[C@@H](OS(O)(=O)=O)CC[C@]2(C)[C@@H]2[C@@H]1[C@@H]1CC[C@H]([C@H](C)CCCC(C)C)[C@@]1(C)CC2 BHYOQNUELFTYRT-DPAQBDIFSA-N 0.000 description 1
- 238000004587 chromatography analysis Methods 0.000 description 1
- 229960004022 clotrimazole Drugs 0.000 description 1
- VNFPBHJOKIVQEB-UHFFFAOYSA-N clotrimazole Chemical compound ClC1=CC=CC=C1C(N1C=NC=C1)(C=1C=CC=CC=1)C1=CC=CC=C1 VNFPBHJOKIVQEB-UHFFFAOYSA-N 0.000 description 1
- 201000003486 coccidioidomycosis Diseases 0.000 description 1
- 229940110456 cocoa butter Drugs 0.000 description 1
- 235000019868 cocoa butter Nutrition 0.000 description 1
- 239000003240 coconut oil Substances 0.000 description 1
- 235000019864 coconut oil Nutrition 0.000 description 1
- 230000000052 comparative effect Effects 0.000 description 1
- 230000002508 compound effect Effects 0.000 description 1
- 238000013270 controlled release Methods 0.000 description 1
- 239000008120 corn starch Substances 0.000 description 1
- 238000006880 cross-coupling reaction Methods 0.000 description 1
- 239000013078 crystal Substances 0.000 description 1
- WZHCOOQXZCIUNC-UHFFFAOYSA-N cyclandelate Chemical compound C1C(C)(C)CC(C)CC1OC(=O)C(O)C1=CC=CC=C1 WZHCOOQXZCIUNC-UHFFFAOYSA-N 0.000 description 1
- 125000000392 cycloalkenyl group Chemical group 0.000 description 1
- 125000000582 cycloheptyl group Chemical group [H]C1([H])C([H])([H])C([H])([H])C([H])([H])C([H])(*)C([H])([H])C1([H])[H] 0.000 description 1
- NXQGGXCHGDYOHB-UHFFFAOYSA-L cyclopenta-1,4-dien-1-yl(diphenyl)phosphane;dichloropalladium;iron(2+) Chemical compound [Fe+2].Cl[Pd]Cl.[CH-]1C=CC(P(C=2C=CC=CC=2)C=2C=CC=CC=2)=C1.[CH-]1C=CC(P(C=2C=CC=CC=2)C=2C=CC=CC=2)=C1 NXQGGXCHGDYOHB-UHFFFAOYSA-L 0.000 description 1
- 125000001511 cyclopentyl group Chemical group [H]C1([H])C([H])([H])C([H])([H])C([H])(*)C1([H])[H] 0.000 description 1
- 125000004186 cyclopropylmethyl group Chemical group [H]C([H])(*)C1([H])C([H])([H])C1([H])[H] 0.000 description 1
- 210000000805 cytoplasm Anatomy 0.000 description 1
- 230000007547 defect Effects 0.000 description 1
- 230000002939 deleterious effect Effects 0.000 description 1
- 210000004207 dermis Anatomy 0.000 description 1
- 230000006866 deterioration Effects 0.000 description 1
- 238000000502 dialysis Methods 0.000 description 1
- 125000002147 dimethylamino group Chemical group [H]C([H])([H])N(*)C([H])([H])[H] 0.000 description 1
- ZZVUWRFHKOJYTH-UHFFFAOYSA-N diphenhydramine Chemical group C=1C=CC=CC=1C(OCCN(C)C)C1=CC=CC=C1 ZZVUWRFHKOJYTH-UHFFFAOYSA-N 0.000 description 1
- 125000005982 diphenylmethyl group Chemical group [H]C1=C([H])C([H])=C(C([H])=C1[H])C([H])(*)C1=C([H])C([H])=C([H])C([H])=C1[H] 0.000 description 1
- 239000001177 diphosphate Substances 0.000 description 1
- XPPKVPWEQAFLFU-UHFFFAOYSA-J diphosphate(4-) Chemical class [O-]P([O-])(=O)OP([O-])([O-])=O XPPKVPWEQAFLFU-UHFFFAOYSA-J 0.000 description 1
- 235000011180 diphosphates Nutrition 0.000 description 1
- 206010013023 diphtheria Diseases 0.000 description 1
- 238000002845 discoloration Methods 0.000 description 1
- 239000006185 dispersion Substances 0.000 description 1
- 230000009429 distress Effects 0.000 description 1
- PRAKJMSDJKAYCZ-UHFFFAOYSA-N dodecahydrosqualene Natural products CC(C)CCCC(C)CCCC(C)CCCCC(C)CCCC(C)CCCC(C)C PRAKJMSDJKAYCZ-UHFFFAOYSA-N 0.000 description 1
- 239000000890 drug combination Substances 0.000 description 1
- 238000012377 drug delivery Methods 0.000 description 1
- 238000009509 drug development Methods 0.000 description 1
- 230000036267 drug metabolism Effects 0.000 description 1
- 241001493065 dsRNA viruses Species 0.000 description 1
- 239000000975 dye Substances 0.000 description 1
- 229960003913 econazole Drugs 0.000 description 1
- 230000002708 enhancing effect Effects 0.000 description 1
- 150000002084 enol ethers Chemical class 0.000 description 1
- 229940007078 entamoeba histolytica Drugs 0.000 description 1
- 229940032049 enterococcus faecalis Drugs 0.000 description 1
- 210000002919 epithelial cell Anatomy 0.000 description 1
- 125000005448 ethoxyethyl group Chemical group [H]C([H])([H])C([H])([H])OC([H])([H])C([H])([H])* 0.000 description 1
- 229940093476 ethylene glycol Drugs 0.000 description 1
- 125000002534 ethynyl group Chemical group [H]C#C* 0.000 description 1
- 230000029142 excretion Effects 0.000 description 1
- 208000011323 eye infectious disease Diseases 0.000 description 1
- 239000003925 fat Substances 0.000 description 1
- 235000019197 fats Nutrition 0.000 description 1
- 150000002191 fatty alcohols Chemical class 0.000 description 1
- 239000000945 filler Substances 0.000 description 1
- 210000004905 finger nail Anatomy 0.000 description 1
- 239000012530 fluid Substances 0.000 description 1
- 239000011737 fluorine Substances 0.000 description 1
- 229910052731 fluorine Inorganic materials 0.000 description 1
- 230000004907 flux Effects 0.000 description 1
- 239000006260 foam Substances 0.000 description 1
- 235000013305 food Nutrition 0.000 description 1
- 229940118764 francisella tularensis Drugs 0.000 description 1
- 235000021588 free fatty acids Nutrition 0.000 description 1
- 238000007306 functionalization reaction Methods 0.000 description 1
- 230000000855 fungicidal effect Effects 0.000 description 1
- 230000002496 gastric effect Effects 0.000 description 1
- 210000001035 gastrointestinal tract Anatomy 0.000 description 1
- 239000003349 gelling agent Substances 0.000 description 1
- 229910052732 germanium Inorganic materials 0.000 description 1
- GNPVGFCGXDBREM-UHFFFAOYSA-N germanium atom Chemical compound [Ge] GNPVGFCGXDBREM-UHFFFAOYSA-N 0.000 description 1
- 201000006592 giardiasis Diseases 0.000 description 1
- 229930195712 glutamate Natural products 0.000 description 1
- ZDXPYRJPNDTMRX-UHFFFAOYSA-N glutamine Natural products OC(=O)C(N)CCC(N)=O ZDXPYRJPNDTMRX-UHFFFAOYSA-N 0.000 description 1
- 229940074045 glyceryl distearate Drugs 0.000 description 1
- 229960002449 glycine Drugs 0.000 description 1
- 229940047650 haemophilus influenzae Drugs 0.000 description 1
- 239000007902 hard capsule Substances 0.000 description 1
- 230000036541 health Effects 0.000 description 1
- 229940037467 helicobacter pylori Drugs 0.000 description 1
- 231100000304 hepatotoxicity Toxicity 0.000 description 1
- 125000000623 heterocyclic group Chemical group 0.000 description 1
- 125000004366 heterocycloalkenyl group Chemical group 0.000 description 1
- 229960002885 histidine Drugs 0.000 description 1
- HNDVDQJCIGZPNO-UHFFFAOYSA-N histidine Natural products OC(=O)C(N)CC1=CN=CN1 HNDVDQJCIGZPNO-UHFFFAOYSA-N 0.000 description 1
- 229940088597 hormone Drugs 0.000 description 1
- 239000005556 hormone Substances 0.000 description 1
- 210000003284 horn Anatomy 0.000 description 1
- 208000029080 human African trypanosomiasis Diseases 0.000 description 1
- 239000003906 humectant Substances 0.000 description 1
- 150000004677 hydrates Chemical class 0.000 description 1
- IXCSERBJSXMMFS-UHFFFAOYSA-N hydrogen chloride Substances Cl.Cl IXCSERBJSXMMFS-UHFFFAOYSA-N 0.000 description 1
- 229910000041 hydrogen chloride Inorganic materials 0.000 description 1
- 230000002209 hydrophobic effect Effects 0.000 description 1
- 229940050526 hydroxyethylstarch Drugs 0.000 description 1
- 235000010979 hydroxypropyl methyl cellulose Nutrition 0.000 description 1
- 239000001866 hydroxypropyl methyl cellulose Substances 0.000 description 1
- 229920003088 hydroxypropyl methyl cellulose Polymers 0.000 description 1
- UFVKGYZPFZQRLF-UHFFFAOYSA-N hydroxypropyl methyl cellulose Chemical compound OC1C(O)C(OC)OC(CO)C1OC1C(O)C(O)C(OC2C(C(O)C(OC3C(C(O)C(O)C(CO)O3)O)C(CO)O2)O)C(CO)O1 UFVKGYZPFZQRLF-UHFFFAOYSA-N 0.000 description 1
- 230000001900 immune effect Effects 0.000 description 1
- 230000028993 immune response Effects 0.000 description 1
- 239000003701 inert diluent Substances 0.000 description 1
- 239000012678 infectious agent Substances 0.000 description 1
- 230000002757 inflammatory effect Effects 0.000 description 1
- 206010022000 influenza Diseases 0.000 description 1
- 208000037797 influenza A Diseases 0.000 description 1
- 238000001802 infusion Methods 0.000 description 1
- 239000003999 initiator Substances 0.000 description 1
- 229940102223 injectable solution Drugs 0.000 description 1
- 229940102213 injectable suspension Drugs 0.000 description 1
- 150000007529 inorganic bases Chemical class 0.000 description 1
- 229910052500 inorganic mineral Inorganic materials 0.000 description 1
- 230000003993 interaction Effects 0.000 description 1
- 230000000968 intestinal effect Effects 0.000 description 1
- 238000007918 intramuscular administration Methods 0.000 description 1
- 238000007912 intraperitoneal administration Methods 0.000 description 1
- 238000007913 intrathecal administration Methods 0.000 description 1
- 230000009545 invasion Effects 0.000 description 1
- 229910052740 iodine Inorganic materials 0.000 description 1
- ZCYVEMRRCGMTRW-YPZZEJLDSA-N iodine-125 Chemical compound [125I] ZCYVEMRRCGMTRW-YPZZEJLDSA-N 0.000 description 1
- 229940044173 iodine-125 Drugs 0.000 description 1
- 150000002500 ions Chemical class 0.000 description 1
- 239000002085 irritant Substances 0.000 description 1
- 125000000959 isobutyl group Chemical group [H]C([H])([H])C([H])(C([H])([H])[H])C([H])([H])* 0.000 description 1
- 238000002955 isolation Methods 0.000 description 1
- QXJSBBXBKPUZAA-UHFFFAOYSA-N isooleic acid Natural products CCCCCCCC=CCCCCCCCCC(O)=O QXJSBBXBKPUZAA-UHFFFAOYSA-N 0.000 description 1
- 230000000155 isotopic effect Effects 0.000 description 1
- 229950003188 isovaleryl diethylamide Drugs 0.000 description 1
- NLYAJNPCOHFWQQ-UHFFFAOYSA-N kaolin Chemical compound O.O.O=[Al]O[Si](=O)O[Si](=O)O[Al]=O NLYAJNPCOHFWQQ-UHFFFAOYSA-N 0.000 description 1
- 229960004125 ketoconazole Drugs 0.000 description 1
- 210000003734 kidney Anatomy 0.000 description 1
- 239000008101 lactose Substances 0.000 description 1
- 229940039717 lanolin Drugs 0.000 description 1
- 235000019388 lanolin Nutrition 0.000 description 1
- 229940115932 legionella pneumophila Drugs 0.000 description 1
- 230000000670 limiting effect Effects 0.000 description 1
- 239000002502 liposome Substances 0.000 description 1
- 230000007056 liver toxicity Effects 0.000 description 1
- 239000003589 local anesthetic agent Substances 0.000 description 1
- 229960005015 local anesthetics Drugs 0.000 description 1
- 238000012153 long-term therapy Methods 0.000 description 1
- 231100000053 low toxicity Toxicity 0.000 description 1
- 239000000314 lubricant Substances 0.000 description 1
- 125000001288 lysyl group Chemical group 0.000 description 1
- 229920002521 macromolecule Polymers 0.000 description 1
- 229910052749 magnesium Inorganic materials 0.000 description 1
- 159000000003 magnesium salts Chemical class 0.000 description 1
- 235000019359 magnesium stearate Nutrition 0.000 description 1
- 201000004792 malaria Diseases 0.000 description 1
- 238000005259 measurement Methods 0.000 description 1
- 230000010534 mechanism of action Effects 0.000 description 1
- 239000012528 membrane Substances 0.000 description 1
- 210000004379 membrane Anatomy 0.000 description 1
- 229940098779 methanesulfonic acid Drugs 0.000 description 1
- 229960004452 methionine Drugs 0.000 description 1
- 125000001360 methionine group Chemical group N[C@@H](CCSC)C(=O)* 0.000 description 1
- HRDXJKGNWSUIBT-UHFFFAOYSA-N methoxybenzene Chemical group [CH2]OC1=CC=CC=C1 HRDXJKGNWSUIBT-UHFFFAOYSA-N 0.000 description 1
- SDMCZCALYDCRBH-UHFFFAOYSA-N methoxymethyl(triphenyl)phosphanium Chemical class C=1C=CC=CC=1[P+](C=1C=CC=CC=1)(COC)C1=CC=CC=C1 SDMCZCALYDCRBH-UHFFFAOYSA-N 0.000 description 1
- NOCGROPYCGRERZ-UHFFFAOYSA-M methoxymethyl(triphenyl)phosphanium;bromide Chemical compound [Br-].C=1C=CC=CC=1[P+](C=1C=CC=CC=1)(COC)C1=CC=CC=C1 NOCGROPYCGRERZ-UHFFFAOYSA-M 0.000 description 1
- SJFNDMHZXCUXSA-UHFFFAOYSA-M methoxymethyl(triphenyl)phosphanium;chloride Chemical compound [Cl-].C=1C=CC=CC=1[P+](C=1C=CC=CC=1)(COC)C1=CC=CC=C1 SJFNDMHZXCUXSA-UHFFFAOYSA-M 0.000 description 1
- 229960002509 miconazole Drugs 0.000 description 1
- 230000003228 microsomal effect Effects 0.000 description 1
- 235000010755 mineral Nutrition 0.000 description 1
- 239000011707 mineral Substances 0.000 description 1
- 150000007522 mineralic acids Chemical class 0.000 description 1
- 125000006682 monohaloalkyl group Chemical group 0.000 description 1
- 150000004712 monophosphates Chemical class 0.000 description 1
- 125000004572 morpholin-3-yl group Chemical group N1C(COCC1)* 0.000 description 1
- 235000011929 mousse Nutrition 0.000 description 1
- 201000000626 mucocutaneous leishmaniasis Diseases 0.000 description 1
- 201000007524 mucormycosis Diseases 0.000 description 1
- 210000004400 mucous membrane Anatomy 0.000 description 1
- 208000010805 mumps infectious disease Diseases 0.000 description 1
- MINDHVHHQZYEEK-HBBNESRFSA-N mupirocin Chemical compound C[C@H](O)[C@H](C)[C@@H]1O[C@H]1C[C@@H]1[C@@H](O)[C@@H](O)[C@H](C\C(C)=C\C(=O)OCCCCCCCCC(O)=O)OC1 MINDHVHHQZYEEK-HBBNESRFSA-N 0.000 description 1
- 230000000869 mutational effect Effects 0.000 description 1
- 125000004108 n-butyl group Chemical group [H]C([H])([H])C([H])([H])C([H])([H])C([H])([H])* 0.000 description 1
- GOQYKNQRPGWPLP-UHFFFAOYSA-N n-heptadecyl alcohol Natural products CCCCCCCCCCCCCCCCCO GOQYKNQRPGWPLP-UHFFFAOYSA-N 0.000 description 1
- 125000003136 n-heptyl group Chemical group [H]C([H])([H])C([H])([H])C([H])([H])C([H])([H])C([H])([H])C([H])([H])C([H])([H])* 0.000 description 1
- 125000001280 n-hexyl group Chemical group C(CCCCC)* 0.000 description 1
- 125000000740 n-pentyl group Chemical group [H]C([H])([H])C([H])([H])C([H])([H])C([H])([H])C([H])([H])* 0.000 description 1
- 125000004123 n-propyl group Chemical group [H]C([H])([H])C([H])([H])C([H])([H])* 0.000 description 1
- OZGNYLLQHRPOBR-DHZHZOJOSA-N naftifine Chemical compound C=1C=CC2=CC=CC=C2C=1CN(C)C\C=C\C1=CC=CC=C1 OZGNYLLQHRPOBR-DHZHZOJOSA-N 0.000 description 1
- 229960004313 naftifine Drugs 0.000 description 1
- 208000026721 nail disease Diseases 0.000 description 1
- 238000001728 nano-filtration Methods 0.000 description 1
- 239000002105 nanoparticle Substances 0.000 description 1
- VVGIYYKRAMHVLU-UHFFFAOYSA-N newbouldiamide Natural products CCCCCCCCCCCCCCCCCCCC(O)C(O)C(O)C(CO)NC(=O)CCCCCCCCCCCCCCCCC VVGIYYKRAMHVLU-UHFFFAOYSA-N 0.000 description 1
- ZCYXXKJEDCHMGH-UHFFFAOYSA-N nonane Chemical compound CCCC[CH]CCCC ZCYXXKJEDCHMGH-UHFFFAOYSA-N 0.000 description 1
- 239000002736 nonionic surfactant Substances 0.000 description 1
- BKIMMITUMNQMOS-UHFFFAOYSA-N normal nonane Natural products CCCCCCCCC BKIMMITUMNQMOS-UHFFFAOYSA-N 0.000 description 1
- 125000005492 nosylate group Chemical class 0.000 description 1
- 238000010534 nucleophilic substitution reaction Methods 0.000 description 1
- 125000003835 nucleoside group Chemical group 0.000 description 1
- 229960000988 nystatin Drugs 0.000 description 1
- VQOXZBDYSJBXMA-NQTDYLQESA-N nystatin A1 Chemical compound O[C@H]1[C@@H](N)[C@H](O)[C@@H](C)O[C@H]1O[C@H]1/C=C/C=C/C=C/C=C/CC/C=C/C=C/[C@H](C)[C@@H](O)[C@@H](C)[C@H](C)OC(=O)C[C@H](O)C[C@H](O)C[C@H](O)CC[C@@H](O)[C@H](O)C[C@](O)(C[C@H](O)[C@H]2C(O)=O)O[C@H]2C1 VQOXZBDYSJBXMA-NQTDYLQESA-N 0.000 description 1
- GYCKQBWUSACYIF-UHFFFAOYSA-N o-hydroxybenzoic acid ethyl ester Natural products CCOC(=O)C1=CC=CC=C1O GYCKQBWUSACYIF-UHFFFAOYSA-N 0.000 description 1
- TVMXDCGIABBOFY-UHFFFAOYSA-N octane Chemical compound CCCCCCCC TVMXDCGIABBOFY-UHFFFAOYSA-N 0.000 description 1
- ZQPPMHVWECSIRJ-KTKRTIGZSA-N oleic acid Chemical compound CCCCCCCC\C=C/CCCCCCCC(O)=O ZQPPMHVWECSIRJ-KTKRTIGZSA-N 0.000 description 1
- 238000005580 one pot reaction Methods 0.000 description 1
- 239000003605 opacifier Substances 0.000 description 1
- 230000003287 optical effect Effects 0.000 description 1
- 210000003463 organelle Anatomy 0.000 description 1
- 150000002894 organic compounds Chemical class 0.000 description 1
- 229960003540 oxyquinoline Drugs 0.000 description 1
- MUJIDPITZJWBSW-UHFFFAOYSA-N palladium(2+) Chemical compound [Pd+2] MUJIDPITZJWBSW-UHFFFAOYSA-N 0.000 description 1
- LXNAVEXFUKBNMK-UHFFFAOYSA-N palladium(II) acetate Substances [Pd].CC(O)=O.CC(O)=O LXNAVEXFUKBNMK-UHFFFAOYSA-N 0.000 description 1
- YJVFFLUZDVXJQI-UHFFFAOYSA-L palladium(ii) acetate Chemical compound [Pd+2].CC([O-])=O.CC([O-])=O YJVFFLUZDVXJQI-UHFFFAOYSA-L 0.000 description 1
- 239000012188 paraffin wax Substances 0.000 description 1
- 230000003071 parasitic effect Effects 0.000 description 1
- 239000002245 particle Substances 0.000 description 1
- 239000006072 paste Substances 0.000 description 1
- 239000000312 peanut oil Substances 0.000 description 1
- 230000002093 peripheral effect Effects 0.000 description 1
- 239000003208 petroleum Substances 0.000 description 1
- 239000003209 petroleum derivative Substances 0.000 description 1
- 125000000405 phenylalanyl group Chemical group 0.000 description 1
- OJMIONKXNSYLSR-UHFFFAOYSA-N phosphorous acid Chemical class OP(O)O OJMIONKXNSYLSR-UHFFFAOYSA-N 0.000 description 1
- 230000000704 physical effect Effects 0.000 description 1
- 230000004962 physiological condition Effects 0.000 description 1
- 239000006187 pill Substances 0.000 description 1
- 125000000587 piperidin-1-yl group Chemical group [H]C1([H])N(*)C([H])([H])C([H])([H])C([H])([H])C1([H])[H] 0.000 description 1
- 125000004483 piperidin-3-yl group Chemical group N1CC(CCC1)* 0.000 description 1
- 125000003386 piperidinyl group Chemical group 0.000 description 1
- 229940068196 placebo Drugs 0.000 description 1
- 239000000902 placebo Substances 0.000 description 1
- 230000004983 pleiotropic effect Effects 0.000 description 1
- 239000002798 polar solvent Substances 0.000 description 1
- 229920000570 polyether Polymers 0.000 description 1
- 229920000573 polyethylene Polymers 0.000 description 1
- 125000006684 polyhaloalkyl group Polymers 0.000 description 1
- 229920005862 polyol Polymers 0.000 description 1
- 150000003077 polyols Chemical class 0.000 description 1
- 235000010482 polyoxyethylene sorbitan monooleate Nutrition 0.000 description 1
- 239000000244 polyoxyethylene sorbitan monooleate Substances 0.000 description 1
- 229920001451 polypropylene glycol Polymers 0.000 description 1
- 229920000053 polysorbate 80 Polymers 0.000 description 1
- 235000011056 potassium acetate Nutrition 0.000 description 1
- ZGJADVGJIVEEGF-UHFFFAOYSA-M potassium;phenoxide Chemical compound [K+].[O-]C1=CC=CC=C1 ZGJADVGJIVEEGF-UHFFFAOYSA-M 0.000 description 1
- 230000003389 potentiating effect Effects 0.000 description 1
- 230000002335 preservative effect Effects 0.000 description 1
- 230000008569 process Effects 0.000 description 1
- 230000002250 progressing effect Effects 0.000 description 1
- 230000002035 prolonged effect Effects 0.000 description 1
- 125000001500 prolyl group Chemical group [H]N1C([H])(C(=O)[*])C([H])([H])C([H])([H])C1([H])[H] 0.000 description 1
- 229940055019 propionibacterium acne Drugs 0.000 description 1
- 229930194369 pseudomonic acid Natural products 0.000 description 1
- 125000000561 purinyl group Chemical group N1=C(N=C2N=CNC2=C1)* 0.000 description 1
- 125000003373 pyrazinyl group Chemical group 0.000 description 1
- ZDYVRSLAEXCVBX-UHFFFAOYSA-N pyridinium p-toluenesulfonate Chemical compound C1=CC=[NH+]C=C1.CC1=CC=C(S([O-])(=O)=O)C=C1 ZDYVRSLAEXCVBX-UHFFFAOYSA-N 0.000 description 1
- 125000004076 pyridyl group Chemical group 0.000 description 1
- 125000005344 pyridylmethyl group Chemical group [H]C1=C([H])C([H])=C([H])C(=N1)C([H])([H])* 0.000 description 1
- 125000001453 quaternary ammonium group Chemical group 0.000 description 1
- MCJGNVYPOGVAJF-UHFFFAOYSA-N quinolin-8-ol Chemical compound C1=CN=C2C(O)=CC=CC2=C1 MCJGNVYPOGVAJF-UHFFFAOYSA-N 0.000 description 1
- 210000000664 rectum Anatomy 0.000 description 1
- 230000002829 reductive effect Effects 0.000 description 1
- 238000010992 reflux Methods 0.000 description 1
- 238000012552 review Methods 0.000 description 1
- 125000000548 ribosyl group Chemical group C1([C@H](O)[C@H](O)[C@H](O1)CO)* 0.000 description 1
- 229940046939 rickettsia prowazekii Drugs 0.000 description 1
- 229940075118 rickettsia rickettsii Drugs 0.000 description 1
- CVHZOJJKTDOEJC-UHFFFAOYSA-N saccharin Chemical compound C1=CC=C2C(=O)NS(=O)(=O)C2=C1 CVHZOJJKTDOEJC-UHFFFAOYSA-N 0.000 description 1
- 229940081974 saccharin Drugs 0.000 description 1
- 235000019204 saccharin Nutrition 0.000 description 1
- 239000000901 saccharin and its Na,K and Ca salt Substances 0.000 description 1
- 229930195734 saturated hydrocarbon Natural products 0.000 description 1
- 125000002914 sec-butyl group Chemical group [H]C([H])([H])C([H])([H])C([H])(*)C([H])([H])[H] 0.000 description 1
- 230000001235 sensitizing effect Effects 0.000 description 1
- 229960001153 serine Drugs 0.000 description 1
- 239000008159 sesame oil Substances 0.000 description 1
- 235000011803 sesame oil Nutrition 0.000 description 1
- 229910052710 silicon Inorganic materials 0.000 description 1
- 239000010703 silicon Substances 0.000 description 1
- 238000001542 size-exclusion chromatography Methods 0.000 description 1
- 201000002612 sleeping sickness Diseases 0.000 description 1
- 239000001632 sodium acetate Substances 0.000 description 1
- 235000017281 sodium acetate Nutrition 0.000 description 1
- 229910001467 sodium calcium phosphate Inorganic materials 0.000 description 1
- 229920001027 sodium carboxymethylcellulose Polymers 0.000 description 1
- 239000001488 sodium phosphate Substances 0.000 description 1
- 239000007901 soft capsule Substances 0.000 description 1
- 239000000600 sorbitol Substances 0.000 description 1
- 238000004611 spectroscopical analysis Methods 0.000 description 1
- 229940031439 squalene Drugs 0.000 description 1
- TUHBEKDERLKLEC-UHFFFAOYSA-N squalene Natural products CC(=CCCC(=CCCC(=CCCC=C(/C)CCC=C(/C)CC=C(C)C)C)C)C TUHBEKDERLKLEC-UHFFFAOYSA-N 0.000 description 1
- 239000003381 stabilizer Substances 0.000 description 1
- 238000010561 standard procedure Methods 0.000 description 1
- 239000008107 starch Substances 0.000 description 1
- 150000003432 sterols Chemical class 0.000 description 1
- 229940031000 streptococcus pneumoniae Drugs 0.000 description 1
- 238000007920 subcutaneous administration Methods 0.000 description 1
- 239000007929 subcutaneous injection Substances 0.000 description 1
- 238000010254 subcutaneous injection Methods 0.000 description 1
- 125000005017 substituted alkenyl group Chemical group 0.000 description 1
- 125000004426 substituted alkynyl group Chemical group 0.000 description 1
- 125000003107 substituted aryl group Chemical group 0.000 description 1
- 239000000758 substrate Substances 0.000 description 1
- 235000000346 sugar Nutrition 0.000 description 1
- 150000008163 sugars Chemical class 0.000 description 1
- 229960002607 sulconazole Drugs 0.000 description 1
- 230000000475 sunscreen effect Effects 0.000 description 1
- 239000000516 sunscreening agent Substances 0.000 description 1
- 239000013589 supplement Substances 0.000 description 1
- 239000000829 suppository Substances 0.000 description 1
- 230000002459 sustained effect Effects 0.000 description 1
- 238000010189 synthetic method Methods 0.000 description 1
- 238000007910 systemic administration Methods 0.000 description 1
- 238000009121 systemic therapy Methods 0.000 description 1
- 239000000454 talc Substances 0.000 description 1
- 235000012222 talc Nutrition 0.000 description 1
- 229910052623 talc Inorganic materials 0.000 description 1
- 125000005931 tert-butyloxycarbonyl group Chemical group [H]C([H])([H])C(OC(*)=O)(C([H])([H])[H])C([H])([H])[H] 0.000 description 1
- 210000001550 testis Anatomy 0.000 description 1
- 229960003604 testosterone Drugs 0.000 description 1
- 125000004192 tetrahydrofuran-2-yl group Chemical group [H]C1([H])OC([H])(*)C([H])([H])C1([H])[H] 0.000 description 1
- ZWZVWGITAAIFPS-UHFFFAOYSA-N thiophosgene Chemical compound ClC(Cl)=S ZWZVWGITAAIFPS-UHFFFAOYSA-N 0.000 description 1
- 125000000341 threoninyl group Chemical group [H]OC([H])(C([H])([H])[H])C([H])(N([H])[H])C(*)=O 0.000 description 1
- 239000003860 topical agent Substances 0.000 description 1
- 239000006208 topical dosage form Substances 0.000 description 1
- 230000002103 transcriptional effect Effects 0.000 description 1
- 230000014616 translation Effects 0.000 description 1
- 238000013519 translation Methods 0.000 description 1
- 230000005945 translocation Effects 0.000 description 1
- 150000003626 triacylglycerols Chemical class 0.000 description 1
- WLPUWLXVBWGYMZ-UHFFFAOYSA-N tricyclohexylphosphine Chemical compound C1CCCCC1P(C1CCCCC1)C1CCCCC1 WLPUWLXVBWGYMZ-UHFFFAOYSA-N 0.000 description 1
- 150000008648 triflates Chemical class 0.000 description 1
- 125000004044 trifluoroacetyl group Chemical group FC(C(=O)*)(F)F 0.000 description 1
- 235000011178 triphosphate Nutrition 0.000 description 1
- 239000001226 triphosphate Substances 0.000 description 1
- UNXRWKVEANCORM-UHFFFAOYSA-N triphosphoric acid Chemical class OP(O)(=O)OP(O)(=O)OP(O)(O)=O UNXRWKVEANCORM-UHFFFAOYSA-N 0.000 description 1
- RYFMWSXOAZQYPI-UHFFFAOYSA-K trisodium phosphate Chemical compound [Na+].[Na+].[Na+].[O-]P([O-])([O-])=O RYFMWSXOAZQYPI-UHFFFAOYSA-K 0.000 description 1
- 229910052722 tritium Inorganic materials 0.000 description 1
- 125000002221 trityl group Chemical group [H]C1=C([H])C([H])=C([H])C([H])=C1C([*])(C1=C(C(=C(C(=C1[H])[H])[H])[H])[H])C1=C([H])C([H])=C([H])C([H])=C1[H] 0.000 description 1
- 201000002311 trypanosomiasis Diseases 0.000 description 1
- OUYCCCASQSFEME-UHFFFAOYSA-N tyrosine Natural products OC(=O)C(N)CC1=CC=C(O)C=C1 OUYCCCASQSFEME-UHFFFAOYSA-N 0.000 description 1
- 241000712461 unidentified influenza virus Species 0.000 description 1
- 125000002114 valyl group Chemical group 0.000 description 1
- 235000013311 vegetables Nutrition 0.000 description 1
- 230000035899 viability Effects 0.000 description 1
- 229940118696 vibrio cholerae Drugs 0.000 description 1
- 125000000391 vinyl group Chemical group [H]C([*])=C([H])[H] 0.000 description 1
- 229920002554 vinyl polymer Polymers 0.000 description 1
- 230000003612 virological effect Effects 0.000 description 1
- 239000001993 wax Substances 0.000 description 1
- 235000019386 wax ester Nutrition 0.000 description 1
- 229940051021 yellow-fever virus Drugs 0.000 description 1
Images
Classifications
-
- C—CHEMISTRY; METALLURGY
- C07—ORGANIC CHEMISTRY
- C07F—ACYCLIC, CARBOCYCLIC OR HETEROCYCLIC COMPOUNDS CONTAINING ELEMENTS OTHER THAN CARBON, HYDROGEN, HALOGEN, OXYGEN, NITROGEN, SULFUR, SELENIUM OR TELLURIUM
- C07F5/00—Compounds containing elements of Groups 3 or 13 of the Periodic Table
- C07F5/02—Boron compounds
- C07F5/025—Boronic and borinic acid compounds
-
- A—HUMAN NECESSITIES
- A61—MEDICAL OR VETERINARY SCIENCE; HYGIENE
- A61K—PREPARATIONS FOR MEDICAL, DENTAL OR TOILETRY PURPOSES
- A61K31/00—Medicinal preparations containing organic active ingredients
- A61K31/69—Boron compounds
-
- A—HUMAN NECESSITIES
- A61—MEDICAL OR VETERINARY SCIENCE; HYGIENE
- A61K—PREPARATIONS FOR MEDICAL, DENTAL OR TOILETRY PURPOSES
- A61K31/00—Medicinal preparations containing organic active ingredients
- A61K31/70—Carbohydrates; Sugars; Derivatives thereof
-
- A—HUMAN NECESSITIES
- A61—MEDICAL OR VETERINARY SCIENCE; HYGIENE
- A61K—PREPARATIONS FOR MEDICAL, DENTAL OR TOILETRY PURPOSES
- A61K31/00—Medicinal preparations containing organic active ingredients
- A61K31/70—Carbohydrates; Sugars; Derivatives thereof
- A61K31/7042—Compounds having saccharide radicals and heterocyclic rings
- A61K31/7052—Compounds having saccharide radicals and heterocyclic rings having nitrogen as a ring hetero atom, e.g. nucleosides, nucleotides
- A61K31/706—Compounds having saccharide radicals and heterocyclic rings having nitrogen as a ring hetero atom, e.g. nucleosides, nucleotides containing six-membered rings with nitrogen as a ring hetero atom
- A61K31/7064—Compounds having saccharide radicals and heterocyclic rings having nitrogen as a ring hetero atom, e.g. nucleosides, nucleotides containing six-membered rings with nitrogen as a ring hetero atom containing condensed or non-condensed pyrimidines
- A61K31/7076—Compounds having saccharide radicals and heterocyclic rings having nitrogen as a ring hetero atom, e.g. nucleosides, nucleotides containing six-membered rings with nitrogen as a ring hetero atom containing condensed or non-condensed pyrimidines containing purines, e.g. adenosine, adenylic acid
-
- A—HUMAN NECESSITIES
- A61—MEDICAL OR VETERINARY SCIENCE; HYGIENE
- A61K—PREPARATIONS FOR MEDICAL, DENTAL OR TOILETRY PURPOSES
- A61K47/00—Medicinal preparations characterised by the non-active ingredients used, e.g. carriers or inert additives; Targeting or modifying agents chemically bound to the active ingredient
- A61K47/06—Organic compounds, e.g. natural or synthetic hydrocarbons, polyolefins, mineral oil, petrolatum or ozokerite
- A61K47/08—Organic compounds, e.g. natural or synthetic hydrocarbons, polyolefins, mineral oil, petrolatum or ozokerite containing oxygen, e.g. ethers, acetals, ketones, quinones, aldehydes, peroxides
- A61K47/10—Alcohols; Phenols; Salts thereof, e.g. glycerol; Polyethylene glycols [PEG]; Poloxamers; PEG/POE alkyl ethers
-
- A—HUMAN NECESSITIES
- A61—MEDICAL OR VETERINARY SCIENCE; HYGIENE
- A61K—PREPARATIONS FOR MEDICAL, DENTAL OR TOILETRY PURPOSES
- A61K9/00—Medicinal preparations characterised by special physical form
- A61K9/0012—Galenical forms characterised by the site of application
-
- A—HUMAN NECESSITIES
- A61—MEDICAL OR VETERINARY SCIENCE; HYGIENE
- A61K—PREPARATIONS FOR MEDICAL, DENTAL OR TOILETRY PURPOSES
- A61K9/00—Medicinal preparations characterised by special physical form
- A61K9/08—Solutions
-
- A—HUMAN NECESSITIES
- A61—MEDICAL OR VETERINARY SCIENCE; HYGIENE
- A61P—SPECIFIC THERAPEUTIC ACTIVITY OF CHEMICAL COMPOUNDS OR MEDICINAL PREPARATIONS
- A61P17/00—Drugs for dermatological disorders
-
- A—HUMAN NECESSITIES
- A61—MEDICAL OR VETERINARY SCIENCE; HYGIENE
- A61P—SPECIFIC THERAPEUTIC ACTIVITY OF CHEMICAL COMPOUNDS OR MEDICINAL PREPARATIONS
- A61P31/00—Antiinfectives, i.e. antibiotics, antiseptics, chemotherapeutics
- A61P31/10—Antimycotics
-
- C—CHEMISTRY; METALLURGY
- C07—ORGANIC CHEMISTRY
- C07F—ACYCLIC, CARBOCYCLIC OR HETEROCYCLIC COMPOUNDS CONTAINING ELEMENTS OTHER THAN CARBON, HYDROGEN, HALOGEN, OXYGEN, NITROGEN, SULFUR, SELENIUM OR TELLURIUM
- C07F5/00—Compounds containing elements of Groups 3 or 13 of the Periodic Table
- C07F5/02—Boron compounds
-
- C—CHEMISTRY; METALLURGY
- C07—ORGANIC CHEMISTRY
- C07F—ACYCLIC, CARBOCYCLIC OR HETEROCYCLIC COMPOUNDS CONTAINING ELEMENTS OTHER THAN CARBON, HYDROGEN, HALOGEN, OXYGEN, NITROGEN, SULFUR, SELENIUM OR TELLURIUM
- C07F5/00—Compounds containing elements of Groups 3 or 13 of the Periodic Table
- C07F5/02—Boron compounds
- C07F5/04—Esters of boric acids
-
- C—CHEMISTRY; METALLURGY
- C07—ORGANIC CHEMISTRY
- C07H—SUGARS; DERIVATIVES THEREOF; NUCLEOSIDES; NUCLEOTIDES; NUCLEIC ACIDS
- C07H19/00—Compounds containing a hetero ring sharing one ring hetero atom with a saccharide radical; Nucleosides; Mononucleotides; Anhydro-derivatives thereof
- C07H19/02—Compounds containing a hetero ring sharing one ring hetero atom with a saccharide radical; Nucleosides; Mononucleotides; Anhydro-derivatives thereof sharing nitrogen
- C07H19/04—Heterocyclic radicals containing only nitrogen atoms as ring hetero atom
- C07H19/06—Pyrimidine radicals
-
- C—CHEMISTRY; METALLURGY
- C07—ORGANIC CHEMISTRY
- C07H—SUGARS; DERIVATIVES THEREOF; NUCLEOSIDES; NUCLEOTIDES; NUCLEIC ACIDS
- C07H19/00—Compounds containing a hetero ring sharing one ring hetero atom with a saccharide radical; Nucleosides; Mononucleotides; Anhydro-derivatives thereof
- C07H19/02—Compounds containing a hetero ring sharing one ring hetero atom with a saccharide radical; Nucleosides; Mononucleotides; Anhydro-derivatives thereof sharing nitrogen
- C07H19/04—Heterocyclic radicals containing only nitrogen atoms as ring hetero atom
- C07H19/16—Purine radicals
-
- C—CHEMISTRY; METALLURGY
- C07—ORGANIC CHEMISTRY
- C07H—SUGARS; DERIVATIVES THEREOF; NUCLEOSIDES; NUCLEOTIDES; NUCLEIC ACIDS
- C07H21/00—Compounds containing two or more mononucleotide units having separate phosphate or polyphosphate groups linked by saccharide radicals of nucleoside groups, e.g. nucleic acids
-
- C—CHEMISTRY; METALLURGY
- C07—ORGANIC CHEMISTRY
- C07H—SUGARS; DERIVATIVES THEREOF; NUCLEOSIDES; NUCLEOTIDES; NUCLEIC ACIDS
- C07H23/00—Compounds containing boron, silicon or a metal, e.g. chelates or vitamin B12
-
- Y—GENERAL TAGGING OF NEW TECHNOLOGICAL DEVELOPMENTS; GENERAL TAGGING OF CROSS-SECTIONAL TECHNOLOGIES SPANNING OVER SEVERAL SECTIONS OF THE IPC; TECHNICAL SUBJECTS COVERED BY FORMER USPC CROSS-REFERENCE ART COLLECTIONS [XRACs] AND DIGESTS
- Y02—TECHNOLOGIES OR APPLICATIONS FOR MITIGATION OR ADAPTATION AGAINST CLIMATE CHANGE
- Y02A—TECHNOLOGIES FOR ADAPTATION TO CLIMATE CHANGE
- Y02A50/00—TECHNOLOGIES FOR ADAPTATION TO CLIMATE CHANGE in human health protection, e.g. against extreme weather
- Y02A50/30—Against vector-borne diseases, e.g. mosquito-borne, fly-borne, tick-borne or waterborne diseases whose impact is exacerbated by climate change
Definitions
- ungual and/or periungual infections pose serious problems in dermatology. These ungual and/or periungual can be caused by sources such as fungi, viruses, yeast, bacteria and parasites. Onychomycosis is an example of these serious ungual and/or periungual infections and is caused by at least one fungus.
- Current treatment for ungual and/or periungual infections generally falls into three categories: systemic administration of medicine; surgical removal of all or part of the nail or hoof followed by topical treatment of the exposed tissue; or topical application of conventional creams, lotions, gels or solutions, frequently including the use of bandages to keep these dosage forms in place on the nail or hoof. All of these approaches have major drawbacks. The following discussion is particularly directed to drawbacks associated with current treatment of ungual and/or periungual antifungal infections.
- terbinafine Long term systemic (oral) administration of an antifungal agent for the treatment of onychomycosis is often required to produce a therapeutic effect in the nail bed.
- oral treatment with the antifungal compound terbinafine typically requires administration of 200 to 400 mg/day for 12 weeks before any significant therapeutic benefit is realized.
- high dose systemic therapy can have significant adverse effects.
- terbinafine has been reported to have liver toxicity effects and reduces testosterone levels in blood due to adverse effects on the testes. Patient compliance is a problem with such long term therapies especially those which involve serious adverse effects.
- this type of long term oral therapy is inconvenient in the treatment of a horse or other ruminants afflicted with fungal infections of the hoof. Accordingly, the risks associated with parenteral treatments generate significant disincentive against their use and considerable patient non-compliance.
- Surgical removal of all or part of the nail followed by topical treatment also has severe drawbacks.
- the pain and discomfort associated with the surgery and the undesirable cosmetic appearance of the nail or nail bed represent significant problems, particularly for patients more sensitive to physical appearance.
- this type of treatment is not realistic for ruminants such as horses.
- Topical therapy has significant problems too.
- Topical dosage forms such as creams, lotions, gels etc.
- Bandages have been used to hold drug reservoirs in place in an attempt to enhance absorption of the pharmaceutical agent.
- the bandages are thick, awkward, troublesome and generally lead to poor patient compliance.
- Topical formulations for fungal infection treatment have largely tried to deliver the drug to the target site (an infected nail bed) by diffusion across or through the nail.
- Nail is more like hair than stratum corneum with respect to chemical composition and permeability. Nitrogen is the major component of the nail attesting to the nail's proteinaceous nature. The total lipid content of mature nail is 0.1-1.0%, while the stratum corneum lipid is about 10% w/w. The nail is 100-200 times thicker than the stratum corneum and has a very high affinity and capacity for binding and retaining antifungal drugs. Consequently little if any drug penetrates through the nail to reach the target site. Because of these reasons topical therapy for fungal infections have generally been ineffective.
- penetration or permeation enhancers are well known in the art to produce an increase in the permeability of skin or other body membranes to a pharmacologically active agent.
- the increased permeability allows an increase in the rate at which the drug permeates through the skin and enters the blood stream.
- Penetration enhancers have been successful in overcoming the impermeability of pharmaceutical agents through the skin.
- the thin stratum corneum layer of the skin which is about 10 to 15 cells thick and is formed naturally by cells migrating toward the skin surface from the basal layer, has been easier to penetrate than nails.
- known penetration enhancers have not proven to be useful in facilitating drug migration through the nail tissue.
- Antimicrobial compositions for controlling bacterial and fungal infections comprising a metal chelate of 8-hydroxyquinoline and an alkyl benzene sulfonic acid have been shown to be efficacious due to the increased ability of the oleophilic group to penetrate the lipoid layers of micro-cells.
- the compounds however, do not effectively increase the ability to carry the pharmaceutically active antifungal through the cornified layer or stratum corneum of the skin.
- ARS Aminoacyl-tRNA synthetases
- the family of 20 ARS fall into two distinct structural classes as determined by their crystal structure.
- Class I which have a Rossman like fold, include the ARS for the following amino acids-arginine, cysteine, glutamate, glutamine, isolelucine, leucine, lysine (in archaea and some bacteria), valine, methionine, tryptophan and tyrosine.
- Class II ARS include the enzymes for the amino acids, alanine, asparagine, aspartate, glycine, histidine, lysine, phenylalanine, proline, serine and threonine.
- the ARS mediated reaction is the major checkpoint of specificity that ensures the correct amino acid is charged to its cognate tRNA.
- the enzymes for the following amino acids have been shown to have editing activity-alanine, isoleucine, leucine, methionine, lysine, phenylalanine, proline, threonine and valine.
- These ARS can hydrolyse the incorrectly adenylated amino acid AA-AMP (pre-transfer editing) or the incorrectly charged tRNA (post-transfer editing).
- AA-AMP pre-transfer editing
- tRNA post-transfer editing
- the isoleucyl, leucyl and valyl-tRNA synthetases have the best-characterized editing mechanisms; an additional structural domain called the connective polypeptide I (CP1) inserted in the synthetic domain has been shown to contain the editing active site.
- CP1 connective polypeptide I
- ARS inhibitor pseudomonic acid
- Bactroban mupirocin
- Mupirocin specifically inhibits bacterial isoleucyl-tRNA synthetases, while its activity against the human homolog is more than 1,000 times less active. Mupirocin binds specifically to the synthetic active site and mutants that are resistant to this drug have mutations in the synthetic domain of leucyl-tRNA synthetase.
- reveromycin A inhibits the eukaryotic isoleucyl-tRNA synthetases: Saccharomyces cerevisiae resistance mutants have mutations in the synthetic domain. So far all attempts to develop better ARS inhibitors than mupirocin, an isoleucine-adenylate analogue, have relied on inhibiting the synthetic reactions.
- the editing domain of tRNA synthetases Since it has been previously thought not to be essential for the synthesis of charged tRNAs, the editing domain of tRNA synthetases has not been thought a promising target for drug development. Data from mutational analysis of the ARS editing domains tend to suggest that inhibition of the editing mechanism leads only to an increase in mischarged tRNAs and does not lead to cell death. Compounds that are active against, and specific for, the editing domain of the tRNA synthetase would provide access to a new class of antimicrobial therapeutics to augment the arsenal of agents currently in use. Quite surprisingly, the present invention provides such compounds and methods of using these compounds.
- the invention provides a structure according to the following formula:
- R 1 and R 2 are members independently selected from H, substituted or unsubstituted alkyl, substituted or unsubstituted heteroalkyl, substituted or unsubstituted cycloalkyl, substituted or unsubstituted heterocycloalkyl, substituted or unsubstituted aryl, and substituted or unsubstituted heteroaryl.
- R 1 and R 2 together with the atoms to which they are attached, can be optionally joined to form a 4- to 7-membered ring.
- Z1 is a member selected from
- R 3a and R 4a are members independently selected from H, cyano, substituted or unsubstituted alkyl, substituted or unsubstituted heteroalkyl, substituted or unsubstituted cycloalkyl, substituted or unsubstituted heterocycloalkyl, substituted or unsubstituted aryl, and substituted or unsubstituted heteroaryl.
- R 5 is a member selected from halogen and OR 8 .
- R 8 is a member selected from H, substituted or unsubstituted alkyl, substituted or unsubstituted heteroalkyl, substituted or unsubstituted cycloalkyl, substituted or unsubstituted heterocycloalkyl, substituted or unsubstituted aryl, and substituted or unsubstituted heteroaryl.
- A is a member selected from CR 9a and N.
- D is a member selected from CR 10a and N.
- E is a member selected from CR 11a and N.
- G is a member selected from CR 12a and N.
- R 9a , R 10a , R 11a and R 12a are members independently selected from H, OR*, NR*R**, SR*, —S(O)R*, —S(O) 2 R*, —S(O) 2 NR*R**, nitro, halogen, cyano, substituted or unsubstituted alkyl, substituted or unsubstituted heteroalkyl, substituted or unsubstituted cycloalkyl, substituted or unsubstituted heterocycloalkyl, substituted or unsubstituted aryl, and substituted or unsubstituted heteroaryl.
- Each R* and R** are members independently selected from H, substituted or unsubstituted alkyl, substituted or unsubstituted heteroalkyl, substituted or unsubstituted cycloalkyl, substituted or unsubstituted heterocycloalkyl, substituted or unsubstituted aryl, and substituted or unsubstituted heteroaryl.
- R 9a and R 10a along with the atoms to which they are attached, are optionally joined to form a ring.
- R 10a and R 11a along with the atoms to which they are attached, are optionally joined to form a ring.
- R 11a and R 12a along with the atoms to which they are attached, are optionally joined to form a ring.
- the combination of nitrogens (A+D+E+G) is an integer selected from 0 to 3.
- FIG. 1A , FIG. 1B , FIG. 1C are a table of minimum inhibitory concentration (MIC) data of cyclic boronic esters against various fungi.
- MIC minimum inhibitory concentration
- FIG. 2A displays minimum inhibitory concentration (MIC) for C10, ciclopirox, terbinafine, fluconazole and itraconazole (comparator drugs) against 19 test strains of fungi.
- FIG. 2B displays minimum fungicidal concentration (MFC) for C10, ciclopirox, terbinafine and itraconazole (comparator drugs) against 2 test strains of fungi.
- MFC minimum fungicidal concentration
- FIG. 3 displays a comparison of Normalized C10 and Ciclopirox Equivalent in Each Part of Nail Plate Samples after 14-day Treatment.
- FIG. 4 displays a comparison of C10 and Ciclopirox Equivalent in Cotton Ball Supporting Bed Samples after 14-day Treatment.
- FIG. 5 displays the results of a placebo for C10 (50:50 propylene glycol and ethyl acetate) applied per day over five days. Full carpet growth of the organism T. rubrum was observed.
- FIG. 6 displays the results of a 40 ⁇ L/cm 2 aliquot of C10 10% w/v solution applied per day over five days. Zones of inhibition (in the order of the cells shown in the figure) of 100%, 67%, 46%, 57%, 38% and 71% were observed for the growth of T. rubrum . Green arrow indicates the measurement of zone of inhibition.
- FIG. 7 displays the results of a 40 L/cm 2 aliquot of C10 10% w/v solution applied per day over five days. Zones of inhibition (in the order of the cells shown in the figure) of 74%, 86%, 100%, 82%, 100% and 84% were observed for the growth of T. rubrum.
- FIG. 8 displays the results of a 40 L/cm 2 aliquot of 8% ciclopirox in w/w commercial lacquer applied per day over five days. No zone of inhibition observed; full carpet growth of T. rubrum.
- FIG. 9 displays the results of a 40 L/cm 2 aliquot of 5% amorolfine w/v in commercial lacquer applied per day over five days. No zone of inhibition observed; full carpet growth of T. rubrum.
- FIG. 10 ( 1 ), FIG. 10 ( 2 ), FIG. 10 ( 3 ), FIG. 10 ( 4 ), FIG. 10 ( 5 ), FIG. 10 ( 6 ), FIG. 10 ( 7 ), FIG. 10 ( 8 ), FIG. 10 ( 9 ) are Amino acid sequences for leucyl-tRNA synthetase editing domains and nucleotide sequences for tRNA-Leu and tRNA-Ile.
- cerivisiae in wild type (SEQ ID NO:1) and over-expressing form (SEQ ID NO: 2);
- B Amino acid sequences for leucyl-tRNA synthetase editing domains from indicated species;
- C Genomic nucleotide sequence for tRNA-leu and tRNA-ile from S. cerivisiae ; in one embodiment of the invention, an aminoacyl tRNA synthetase will bind to the transcribed and methylated products for which these sequences serve as a template;
- D tRNA-Leu nucleotide sequences from indicated species.
- FIG. 11A , FIG. 11B , FIG. 11C , FIG. 11D , FIG. 11E , FIG. 11F display structures of cyclic boronic esters.
- FIG. 12A , FIG. 12B , FIG. 12C , FIG. 12D , FIG. 12E , FIG. 12F , FIG. 12G , FIG. 12H , FIG. 12I display different structures for portions of the compounds of the invention.
- FIG. 13 Effect of ATP on binding of C10 to cdc60.
- the binding assay was conducted with an initial [C10] concentration of approximately 72-79 ⁇ M (pre-equilibrium).
- FIG. 14 Binding curve of cdc60 against concentration of free [C10].
- FIG. 15 Data from PPi exchange reaction experiment to determine rate of editing in the presence and absence of C10.
- FIG. 16 Data from an aminoacylation experiment showing the effect of C10 at different concentrations on the aminoacylation of tRNA leu .
- FIG. 17 Results from post transfer editing assay conducted in S. cerevisiae at differing concentrations of C10 across a range of time points.
- FIG. 18A , FIG. 18B , FIG. 18C display the names of exemplary compounds of the invention.
- FIG. 19A , FIG. 19B , FIG. 19C , FIG. 19D , FIG. 19E , FIG. 19F , FIG. 19G , FIG. 19H , FIG. 19I , FIG. 19J , FIG. 19K display exemplary compounds of the invention.
- FIG. 20A , FIG. 20B , FIG. 20C , FIG. 20D , FIG. 20E , FIG. 20F , FIG. 20G , FIG. 20H display exemplary compounds of the invention.
- Compound of the invention refers to the compounds discussed herein, pharmaceutically acceptable salts and prodrugs of these compounds.
- MIC or minimum inhibitory concentration
- substituent groups are specified by their conventional chemical formulae, written from left to right, they equally encompass the chemically identical substituents, which would result from writing the structure from right to left, e.g., —CH 2 O— is intended to also recite —OCH 2 —.
- poly as used herein means at least 2.
- a polyvalent metal ion is a metal ion having a valency of at least 2.
- Moiety refers to the radical of a molecule that is attached to another moiety.
- alkyl by itself or as part of another substituent, means, unless otherwise stated, a straight or branched chain, or cyclic hydrocarbon radical, or combination thereof, which may be fully saturated, mono- or polyunsaturated and can include di- and multivalent radicals, having the number of carbon atoms designated (i.e. C 1 -C 10 means one to ten carbons).
- saturated hydrocarbon radicals include, but are not limited to, groups such as methyl, ethyl, n-propyl, isopropyl, n-butyl, t-butyl, isobutyl, sec-butyl, cyclohexyl, (cyclohexyl)methyl, cyclopropylmethyl, homologs and isomers of, for example, n-pentyl, n-hexyl, n-heptyl, n-octyl, and the like.
- An unsaturated alkyl group is one having one or more double bonds or triple bonds.
- alkyl groups examples include, but are not limited to, vinyl, 2-propenyl, crotyl, 2-isopentenyl, 2-(butadienyl), 2,4-pentadienyl, 3-(1,4-pentadienyl), ethynyl, 1- and 3-propynyl, 3-butynyl, and the higher homologs and isomers.
- alkyl unless otherwise noted, is also meant to include those derivatives of alkyl defined in more detail below, such as “heteroalkyl.” Alkyl groups that are limited to hydrocarbon groups are termed “homoalkyl”.
- alkylene by itself or as part of another substituent means a divalent radical derived from an alkane, as exemplified, but not limited, by —CH 2 CH 2 CH 2 CH 2 —, and further includes those groups described below as “heteroalkylene.”
- an alkyl (or alkylene) group will have from 1 to 24 carbon atoms, with those groups having 10 or fewer carbon atoms being preferred in the present invention.
- a “lower alkyl” or “lower alkylene” is a shorter chain alkyl or alkylene group, generally having eight or fewer carbon atoms.
- alkoxy alkylamino and “alkylthio” (or thioalkoxy) are used in their conventional sense, and refer to those alkyl groups attached to the remainder of the molecule via an oxygen atom, an amino group, or a sulfur atom, respectively.
- heteroalkyl by itself or in combination with another term, means, unless otherwise stated, a stable straight or branched chain, or cyclic hydrocarbon radical, or combinations thereof, consisting of the stated number of carbon atoms and at least one heteroatom.
- the heteroatoms can be selected from the group consisting of B, O, N and S, and wherein the nitrogen and sulfur atoms may optionally be oxidized and the nitrogen heteroatom may optionally be quaternized.
- the heteroatom(s) B, O, N and S may be placed at any interior position of the heteroalkyl group or at the position at which the alkyl group is attached to the remainder of the molecule.
- Examples include, but are not limited to, —CH 2 —CH 2 —O—CH 3 , —CH 2 —CH 2 —NH—CH 3 , —CH 2 —CH 2 —N(CH 3 )—CH 3 , —CH 2 —S—CH 2 —CH 3 , —CH 2 —CH 2 , —S(O)—CH 3 , —CH 2 —CH 2 —S(O) 2 —CH 3 , —CH ⁇ CH—O—CH 3 , —CH 2 —CH ⁇ N—OCH 3 , and —CH ⁇ CH—N(CH 3 )—CH 3 .
- heteroalkylene by itself or as part of another substituent means a divalent radical derived from heteroalkyl, as exemplified, but not limited by, —CH 2 —CH 2 —S—CH 2 —CH 2 — and —CH 2 —S—CH 2 —CH 2 —NH—CH 2 —.
- heteroatoms can also occupy either or both of the chain termini (e.g., alkyleneoxy, alkylenedioxy, alkyleneamino, alkylenediamino, and the like).
- heterocycloalkyl examples include, but are not limited to, 1-(1,2,5,6-tetrahydropyridyl), 1-piperidinyl, 2-piperidinyl, 3-piperidinyl, 4-morpholinyl, 3-morpholinyl, tetrahydrofuran-2-yl, tetrahydrofuran-3-yl, tetrahydrothien-2-yl, tetrahydrothien-3-yl, 1-piperazinyl, 2-piperazinyl, and the like.
- halo or “halogen,” by themselves or as part of another substituent, mean, unless otherwise stated, a fluorine, chlorine, bromine, or iodine atom. Additionally, terms such as “haloalkyl,” are meant to include monohaloalkyl and polyhaloalkyl.
- halo(C 1 -C 4 )alkyl is mean to include, but not be limited to, trifluoromethyl, 2,2,2-trifluoroethyl, 4-chlorobutyl, 3-bromopropyl, and the like.
- aryl means, unless otherwise stated, a polyunsaturated, aromatic, substituent that can be a single ring or multiple rings (preferably from 1 to 3 rings), which are fused together or linked covalently.
- heteroaryl refers to aryl groups (or rings) that contain from one to four heteroatoms.
- the heteroatom is selected from B, N, O, and S, wherein the nitrogen and sulfur atoms are optionally oxidized, and the nitrogen atom(s) are optionally quaternized.
- a heteroaryl group can be attached to the remainder of the molecule through a heteroatom.
- Non-limiting examples of aryl and heteroaryl groups include phenyl, 1-naphthyl, 2-naphthyl, 4-biphenyl, 1-pyrrolyl, 2-pyrrolyl, 3-pyrrolyl, 3-pyrazolyl, 2-imidazolyl, 4-imidazolyl, pyrazinyl, 2-oxazolyl, 4-oxazolyl, 2-phenyl-4-oxazolyl, 5-oxazolyl, 3-isoxazolyl, 4-isoxazolyl, 5-isoxazolyl, 2-thiazolyl, 4-thiazolyl, 5-thiazolyl, 2-furyl, 3-furyl, 2-thienyl, 3-thienyl, 2-pyridyl, 3-pyridyl, 4-pyridyl, 2-pyrimidyl, 4-pyrimidyl, 5-benzothiazolyl, purinyl, 2-benzimidazolyl, 5-indolyl, 1-isoquinoly
- aryl when used in combination with other terms (e.g., aryloxy, arylthioxy, arylalkyl) includes both aryl and heteroaryl rings as defined above.
- arylalkyl is meant to include those radicals in which an aryl group is attached to an alkyl group (e.g., benzyl, phenethyl, pyridylmethyl and the like) including those alkyl groups in which a carbon atom (e.g., a methylene group) has been replaced by, for example, an oxygen atom (e.g., phenoxymethyl, 2-pyridyloxymethyl, 3-(1-naphthyloxyl)propyl, and the like).
- alkyl group e.g., benzyl, phenethyl, pyridylmethyl and the like
- an oxygen atom e.g., phenoxymethyl, 2-pyridyloxymethyl, 3-(1-nap
- alkyl e.g., “alkyl,” “heteroalkyl,” “aryl” and “heteroaryl” are meant to include both substituted and unsubstituted forms of the indicated radical.
- Preferred substituents for each type of radical are provided below.
- alkyl and heteroalkyl radicals are generically referred to as “alkyl group substituents,” and they can be one or more of a variety of groups selected from, but not limited to: —OR′, ⁇ O, ⁇ NR′, ⁇ N—OR′, —NR′R′′, —SR′, -halogen, —OC(O)R′, —C(O)R′, —CO 2 R′, —CONR′R′′, —OC(O)NR′R′′, —NR′′C(O)R′, —NR′—C(O)NR′′R′′′, —NR′′C(O) 2 R′, —NR—C(NR′R′′R′′′)
- R′, R′′, R′′′ and R′′′′ each preferably independently refer to hydrogen, substituted or unsubstituted heteroalkyl, substituted or unsubstituted aryl, e.g., aryl substituted with 1-3 halogens, substituted or unsubstituted alkyl, alkoxy or thioalkoxy groups, or arylalkyl groups.
- each of the R groups is independently selected as are each R′, R′′, R′ and R′′′′ groups when more than one of these groups is present.
- R′ and R′′ are attached to the same nitrogen atom, they can be combined with the nitrogen atom to form a 5-, 6-, or 7-membered ring.
- —NR′R′′ is meant to include, but not be limited to, 1-pyrrolidinyl and 4-morpholinyl.
- alkyl is meant to include groups including carbon atoms bound to groups other than hydrogen groups, such as haloalkyl (e.g., —CF 3 and —CH 2 CF 3 ) and acyl (e.g., —C(O)CH 3 , —C(O)CF 3 , —C(O)CH 2 OCH 3 , and the like).
- haloalkyl e.g., —CF 3 and —CH 2 CF 3
- acyl e.g., —C(O)CH 3 , —C(O)CF 3 , —C(O)CH 2 OCH 3 , and the like.
- substituents for the aryl and heteroaryl groups are generically referred to as “aryl group substituents.”
- the substituents are selected from, for example: halogen, —OR′, ⁇ O, ⁇ NR′, ⁇ N—OR′, —NR′R′′, —SR′, -halogen, —OC(O)R′, —C(O)R′, —CO 2 R′, —CONR′R′′, —OC(O)NR′R′′, —NR′′C(O)R′, —NR′—(O)NR′′R′′′, —NR′′C(O) 2 R′, —NR—C(NR′R′′R′′′) ⁇ NR′′′′, —NR—C(NR′R′′) ⁇ NR′′′, —S(O)R′, —S(O) 2 R′, —S(O) 2 NR′R′′, —NRSO 2 R′, —CN and
- Two of the substituents on adjacent atoms of the aryl or heteroaryl ring may optionally be replaced with a substituent of the formula -T-C(O)—CRR′) q —U—, wherein T and U are independently —NR—, —O—, —CRR′— or a single bond, and q is an integer of from 0 to 3.
- two of the substituents on adjacent atoms of the aryl or heteroaryl ring may optionally be replaced with a substituent of the formula -A-(CH 2 ) r —B—, wherein A and B are independently —CRR′—, —O—, —NR—, —S—, —S(O)—, —S(O) 2 —, —S(O) 2 NR′— or a single bond, and r is an integer of from 1 to 4.
- One of the single bonds of the new ring so formed may optionally be replaced with a double bond.
- two of the substituents on adjacent atoms of the aryl or heteroaryl ring may optionally be replaced with a substituent of the formula —(CRR′) s —X—(CR′′R′′′) d —, where s and d are independently integers of from 0 to 3, and X is —O—, —NR′—, —S—, —S(O)—, —S(O) 2 —, or —S(O) 2 NR′—.
- the substituents R, R′, R′′ and R′′′ are preferably independently selected from hydrogen or substituted or unsubstituted (C 1 -C 6 )alkyl.
- Ring as used herein, means a substituted or unsubstituted cycloalkyl, substituted or unsubstituted heterocycloalkyl, substituted or unsubstituted aryl, or substituted or unsubstituted heteroaryl.
- a ring includes fused ring moieties. The number of atoms in a ring is typically defined by the number of members in the ring. For example, a “5- to 7-membered ring” means there are 5 to 7 atoms in the encircling arrangement. The ring optionally included a heteroatom. Thus, the term “5- to 7-membered ring” includes, for example pyridinyl and piperidinyl.
- the term “ring” further includes a ring system comprising more than one “ring”, wherein each “ring” is independently defined as above.
- heteroatom includes atoms other than carbon (C) and hydrogen (H). Examples include oxygen (O), nitrogen (N) sulfur (S), silicon (Si), germanium (Ge), aluminum (Al) and boron (B).
- R is a general abbreviation that represents a substituent group that is selected from substituted or unsubstituted alkyl, substituted or unsubstituted heteroalkyl, substituted or unsubstituted aryl, substituted or unsubstituted heteroaryl, substituted or unsubstituted cycloalkyl and substituted or unsubstituted heterocycloalkyl groups.
- the term “derived from” includes its plain language meaning and also refers to a molecule that is 99%, 98%, 97%, 96%, 95%, 94%, 93%, 92%, 91%, 90%, 89%, 88%, 87%, 86%, 85%, 84%, 83%, 82%, 81%, 80%, 75%, 70%, 65%, or 60% homologous to a referenced molecule.
- the molecules referred to in this definition include chains of RNA or DNA, oligonucleotides, polypeptides, or proteins of any length and composition.
- immunological marker includes oligonucleotides, proteins, antibodies, peptides, polypeptides, enzymes, or any other molecule able to induce an immune response in appropriate animals or cells or to bind with specific antibodies.
- noncognate is meant to encompass both the singular and plural forms of the word, i.e. the phrase “noncognate amino acid” comprises one or more amino acids.
- ⁇ ективное amount of a drug, formulation, or permeant is meant a sufficient amount of a active agent to provide the desired local or systemic effect.
- a “Topically effective,” “Cosmetically effective,” “pharmaceutically effective,” or “therapeutically effective” amount refers to the amount of drug needed to effect the desired therapeutic result.
- Topically effective refers to a material that, when applied to the skin, nail, hair, claw or hoof produces a desired pharmacological result either locally at the place of application or systemically as a result of transdermal passage of an active ingredient in the material.
- Cosmetically effective refers to a material that, when applied to the skin, nail, hair, claw or hoof, produces a desired cosmetic result locally at the place of application of an active ingredient in the material.
- salts are meant to include salts of the compounds of the invention which are prepared with relatively nontoxic acids or bases, depending on the particular substituents found on the compounds described herein.
- base addition salts can be obtained by contacting the neutral form of such compounds with a sufficient amount of the desired base, either neat or in a suitable inert solvent.
- pharmaceutically acceptable base addition salts include sodium, potassium, calcium, ammonium, organic amino, or magnesium salt, or a similar salt.
- acid addition salts can be obtained by contacting the neutral form of such compounds with a sufficient amount of the desired acid, either neat or in a suitable inert solvent.
- Examples of pharmaceutically acceptable acid addition salts include those derived from inorganic acids like hydrochloric, hydrobromic, nitric, carbonic, monohydrogencarbonic, phosphoric, monohydrogenphosphoric, dihydrogenphosphoric, sulfuric, monohydrogensulfuric, hydriodic, or phosphorous acids and the like, as well as the salts derived from relatively nontoxic organic acids like acetic, propionic, isobutyric, maleic, malonic, benzoic, succinic, suberic, fumaric, lactic, mandelic, phthalic, benzenesulfonic, p-tolylsulfonic, citric, tartaric, methanesulfonic, and the like.
- inorganic acids like hydrochloric, hydrobromic, nitric, carbonic, monohydrogencarbonic, phosphoric, monohydrogenphosphoric, dihydrogenphosphoric, sulfuric, monohydrogensulfuric, hydriodic, or phosphorous acids and
- salts of amino acids such as arginate and the like, and salts of organic acids like glucuronic or galactunoric acids and the like (see, for example, Berge et al., “Pharmaceutical Salts”, Journal of Pharmaceutical Science 66: 1-19 (1977)).
- Certain specific compounds of the present invention contain both basic and acidic functionalities that allow the compounds to be converted into either base or acid addition salts.
- the neutral forms of the compounds are preferably regenerated by contacting the salt with a base or acid and isolating the parent compounds in the conventional manner.
- the parent form of the compound differs from the various salt forms in certain physical properties, such as solubility in polar solvents.
- the present invention provides compounds which are in a prodrug form.
- Prodrugs of the compounds or complexes described herein readily undergo chemical changes under physiological conditions to provide the compounds of the present invention. Additionally, prodrugs can be converted to the compounds of the present invention by chemical or biochemical methods in an ex vivo environment.
- Certain compounds of the present invention can exist in unsolvated forms as well as solvated forms, including hydrated forms. In general, the solvated forms are equivalent to unsolvated forms and are encompassed within the scope of the present invention. Certain compounds of the present invention may exist in multiple crystalline or amorphous forms. In general, all physical forms are equivalent for the uses contemplated by the present invention and are intended to be within the scope of the present invention.
- Certain compounds of the present invention possess asymmetric carbon atoms (optical centers) or double bonds; the racemates, diastereomers, geometric isomers and individual isomers are encompassed within the scope of the present invention.
- the compounds of the present invention may also contain unnatural proportions of atomic isotopes at one or more of the atoms that constitute such compounds.
- the compounds may be radiolabeled with radioactive isotopes, such as for example tritium ( 3 H), iodine-125 ( 125 I) or carbon-14 ( 14 C). All isotopic variations of the compounds of the present invention, whether radioactive or not, are intended to be encompassed within the scope of the present invention.
- pharmaceutically acceptable carrier or “pharmaceutically acceptable vehicle” refers to any formulation or carrier medium that provides the appropriate delivery of an effective amount of a active agent as defined herein, does not interfere with the effectiveness of the biological activity of the active agent, and that is sufficiently non-toxic to the host or patient.
- Representative carriers include water, oils, both vegetable and mineral, cream bases, lotion bases, ointment bases and the like. These bases include suspending agents, thickeners, penetration enhancers, and the like. Their formulation is well known to those in the art of cosmetics and topical pharmaceuticals. Additional information concerning carriers can be found in Remington: The Science and Practice of Pharmacy, 21st Ed., Lippincott, Williams & Wilkins (2005) which is incorporated herein by reference.
- “Pharmaceutically acceptable topical carrier” and equivalent terms refer to pharmaceutically acceptable carriers, as described herein above, suitable for topical application.
- An inactive liquid or cream vehicle capable of suspending or dissolving the active agent(s), and having the properties of being nontoxic and non-inflammatory when applied to the skin, nail, hair, claw or hoof is an example of a pharmaceutically-acceptable topical carrier. This term is specifically intended to encompass carrier materials approved for use in topical cosmetics as well.
- pharmaceutically acceptable additive refers to preservatives, antioxidants, fragrances, emulsifiers, dyes and excipients known or used in the field of drug formulation and that do not unduly interfere with the effectiveness of the biological activity of the active agent, and that is sufficiently non-toxic to the host or patient.
- Additives for topical formulations are well-known in the art, and may be added to the topical composition, as long as they are pharmaceutically acceptable and not deleterious to the epithelial cells or their function. Further, they should not cause deterioration in the stability of the composition.
- inert fillers for example, inert fillers, anti-irritants, tackifiers, excipients, fragrances, opacifiers, antioxidants, gelling agents, stabilizers, surfactant, emollients, coloring agents, preservatives, buffering agents, other permeation enhancers, and other conventional components of topical or transdermal delivery formulations as are known in the art.
- enhancement refers to an increase in the permeability of the skin, nail, hair, claw or hoof to a drug, so as to increase the rate at which the drug permeates through the skin, nail, hair, claw or hoof.
- the enhanced permeation effected through the use of such enhancers can be observed, for example, by measuring the rate of diffusion of the drug through animal or human skin, nail, hair, claw or hoof using a diffusion cell apparatus.
- a diffusion cell is described by Merritt et al. Diffusion Apparatus for Skin Penetration, J of Controlled Release, 1 (1984) pp. 161-162.
- permeation enhancer or “penetration enhancer” intends an agent or a mixture of agents, which, alone or in combination, act to increase the permeability of the skin, nail, hair or hoof to a drug.
- excipients is conventionally known to mean carriers, diluents and/or vehicles used in formulating drug compositions effective for the desired use.
- Topical administration refers to the application of a pharmaceutical agent to the external surface of the skin, nail, hair, claw or hoof, such that the agent crosses the external surface of the skin, nail, hair, claw or hoof and enters the underlying tissues.
- Topical administration includes application of the composition to intact skin, nail, hair, claw or hoof, or to an broken, raw or open wound of skin, nail, hair, claw or hoof.
- Topical administration of a pharmaceutical agent can result in a limited distribution of the agent to the skin and surrounding tissues or, when the agent is removed from the treatment area by the bloodstream, can result in systemic distribution of the agent.
- Transdermal delivery refers to the diffusion of an agent across the barrier of the skin, nail, hair, claw or hoof resulting from topical administration or other application of a composition.
- stratum corneum acts as a barrier and few pharmaceutical agents are able to penetrate intact skin.
- the epidermis and dermis are permeable to many solutes and absorption of drugs therefore occurs more readily through skin, nail, hair, claw or hoof that is abraded or otherwise stripped of the stratum corneum to expose the epidermis.
- Transdermal delivery includes injection or other delivery through any portion of the skin, nail, hair, claw or hoof or mucous membrane and absorption or permeation through the remaining portion.
- Absorption through intact skin, nail, hair, claw or hoof can be enhanced by placing the active agent in an appropriate pharmaceutically acceptable vehicle before application to the skin, nail, hair, claw or hoof.
- Passive topical administration may consist of applying the active agent directly to the treatment site in combination with emollients or penetration enhancers.
- transdermal delivery is intended to include delivery by permeation through or past the integument, i.e. skin, nail, hair, claw or hoof.
- microbial infection refers to any infection of a host tissue by an infectious agent including, but not limited to, viruses, bacteria, mycobacteria, fungus and parasites (see, e.g., Harrison's Principles of Internal Medicine, pp. 93-98 (Wilson et al., eds., 12th ed. 1991); Williams et al., J. of Medicinal Chem. 42:1481-1485 (1999), herein each incorporated by reference in their entirety).
- Bio medium refers to both in vitro and in vivo biological milieus.
- exemplary in vitro “biological media” include, but are not limited to, cell culture, tissue culture, homogenates, plasma and blood. In vivo applications are generally performed in mammals, preferably humans.
- “Ventral/intermediate center” as used herein refers to powdered nail samples drilled from the center of the inner surface (facing the nail bed) approximately 0.3-0.5 mm in depth to the surface. The area is beneath the dosed site of the nail place but does not include dosed surface (dorsal nail surface).
- Vehicle/intermediate center refers to the immediate area of dosed site.
- Remainder nail refers to the remaining part of the nail that has not been dosed.
- “Supporting bed” as used herein refers to the cotton ball placed within the Teflon chamber of the diffusion cell to provide moisture to the nail plate and also to receive chemicals penetrating through the nail plate.
- “Surfacing washing” as used herein refers to ethanol (or other organic solvents) and soap/water washing on the surface of the dosed site.
- Cell washing refers to ethanol (or other organic solvents) and soap/water wash of the inside of the diffusion cell.
- a “human nail unit”, as defined herein, can be the nail plate, the nail bed, proximal nail fold, lateral nail fold and combinations thereof.
- leaving group means a functional group or atom which can be displaced by another functional group or atom in a substitution reaction, such as a nucleophilic substitution reaction.
- representative leaving groups include triflate, chloro, bromo and iodo groups; sulfonic ester groups, such as mesylate, tosylate, brosylate, nosylate and the like; and acyloxy groups, such as acetoxy, trifluoroacetoxy and the like.
- amino-protecting group means a protecting group suitable for preventing undesired reactions at an amino nitrogen.
- Representative amino-protecting groups include, but are not limited to, formyl; acyl groups, for example alkanoyl groups, such as acetyl, trichloroacetyl or trifluoroacetyl; alkoxycarbonyl groups, such as tert-butoxycarbonyl (Boc); arylmethoxycarbonyl groups, such as benzyloxycarbonyl (Cbz) and 9-fluorenylmethoxycarbonyl (Fmoc); arylmethyl groups, such as benzyl (Bn), trityl (Tr), and 1,1-di-(4′-methoxyphenyl)methyl; silyl groups, such as trimethylsilyl (TMS) and tert-butyldimethylsilyl (TBS); and the like.
- hydroxy-protecting group means a protecting group suitable for preventing undesired reactions at a hydroxy group.
- Representative hydroxy-protecting groups include, but are not limited to, alkyl groups, such as methyl, ethyl, and tert-butyl; acyl groups, for example alkanoyl groups, such as acetyl; arylmethyl groups, such as benzyl (Bn), p-methoxybenzyl (PMB), 9-fluorenylmethyl (Fm), and diphenylmethyl (benzhydryl, DPM); silyl groups, such as trimethylsilyl (TMS) and tert-butyldimethylsilyl (TBS); and the like.
- alkyl groups such as methyl, ethyl, and tert-butyl
- acyl groups for example alkanoyl groups, such as acetyl
- arylmethyl groups such as benzyl (Bn), p-meth
- Dative bonds are usually weaker than covalent bonds.
- a boron is covalently bonded to at least one oxygen, sulfur or nitrogen, and is at the same time datively bonded to an oxygen, sulfur or nitrogen, respectively, the dative bond and covalent bond between the boron and the two identical heteroatoms can interconvert or be in the form of a resonance hybrid.
- the structures supplied are not intended to include any and all possible bonding scenarios between boron and the atom to which it is bound. Non limiting examples of these bonds are as follows:
- Salt counterion refers to positively charged ions that associate with a compound of the invention when the boron is fully negatively or partially negatively charged.
- salt counterions include H + , H 3 O + , ammonium, potassium, calcium, magnesium and sodium.
- the compounds comprising a boron bonded to a carbon and three heteroatoms can optionally contain a fully negatively charged boron or partially negatively charged boron, due to the nature of the dative bond between the boron and one of the oxygens. Due to the negative charge, a positively charged counterion may associate with this compound, thus forming a salt.
- positively charged counterions include H + , H 3 O + , calcium, sodium, ammonium, potassium. The salts of these compounds are implicitly contained in descriptions of these compounds.
- the present invention also encompasses compounds that are poly- or multi-valent species, including, for example, species such as dimers, trimers, tetramers and higher homologs of the compounds of use in the invention or reactive analogues thereof.
- dimers of C10 can form under the following conditions:
- dimers of C17 can form under the following conditions:
- the present invention also encompasses compounds that are anhydrides of the cyclic boronic esters are synthesized by subjecting these compounds to dehydrating conditions. Examples of these anhydrides are provided below:
- trimers of the compounds of the invention are also produced.
- trimers of acyclic boronic esters can be formed as follows:
- trimers of acyclic boronic esters can be formed as follows:
- Also of use in the present invention are compounds that are poly- or multi-valent species, including, for example, species such as dimers, trimers, tetramers and higher homologs of the compounds of use in the invention or reactive analogues thereof.
- the poly- and multi-valent species can be assembled from a single species or more than one species of the invention.
- a dimeric construct can be “homo-dimeric” or “heterodimeric.”
- poly- and multi-valent constructs in which a compound of the invention or a reactive analogue thereof, is attached to an oligomeric or polymeric framework (e.g., polylysine, dextran, hydroxyethyl starch and the like) are within the scope of the present invention.
- the framework is preferably polyfunctional (i.e. having an array of reactive sites for attaching compounds of use in the invention).
- the framework can be derivatized with a single species of the invention or more than one species of the invention.
- the present invention includes the use of compounds within the motif set forth in the formulae contained herein, which are functionalized to afford compounds having water-solubility that is enhanced relative to analogous compounds that are not similarly functionalized.
- any of the substituents set forth herein can be replaced with analogous radicals that have enhanced water solubility.
- additional water solubility is imparted by substitution at a site not essential for the activity towards the editing domain of the compounds set forth herein with a moiety that enhances the water solubility of the parent compounds.
- Such methods include, but are not limited to, functionalizing an organic nucleus with a permanently charged moiety, e.g., quaternary ammonium, or a group that is charged at a physiologically relevant pH, e.g. carboxylic acid, amine.
- Other methods include, appending to the organic nucleus hydroxyl- or amine-containing groups, e.g. alcohols, polyols, polyethers, and the like.
- Representative examples include, but are not limited to, polylysine, polyethyleneimine, poly(ethyleneglycol) and poly(propyleneglycol). Suitable functionalization chemistries and strategies for these compounds are known in the art. See, for example, Dunn, R. L., et al., Eds. POLYMERIC DRUGS AND DRUG DELIVERY SYSTEMS, ACS Symposium Series Vol. 469, American Chemical Society, Washington, D.C. 1991.
- the present invention provides novel boron compounds and methods for the preparation of these molecules.
- the invention further provides boron compounds as analogs comprising a functional moiety, such as a drug moiety and methods of use for said analogs.
- the invention provides a compound having a structure according to Formula I:
- R 1a is a member selected from a negative charge, a salt counterion, H, cyano, substituted or unsubstituted alkyl, substituted or unsubstituted heteroalkyl, substituted or unsubstituted cycloalkyl, substituted or unsubstituted heterocycloalkyl, substituted or unsubstituted aryl, and substituted or unsubstituted heteroaryl.
- M is a member selected from oxygen, sulfur and NR 2a .
- R 2a is a member selected from H, substituted or unsubstituted alkyl, substituted or unsubstituted heteroalkyl, substituted or unsubstituted cycloalkyl, substituted or unsubstituted heterocycloalkyl, substituted or unsubstituted aryl, and substituted or unsubstituted heteroaryl.
- J is a member selected from (CR 3a R 4a ) n1 and CR 5a .
- R 3a , R 4a , and R 5a are members independently selected from H, cyano, substituted or unsubstituted alkyl, substituted or unsubstituted heteroalkyl, substituted or unsubstituted cycloalkyl, substituted or unsubstituted heterocycloalkyl, substituted or unsubstituted aryl, and substituted or unsubstituted heteroaryl.
- the index n1 is an integer selected from 0 to 2.
- W is a member selected from C ⁇ O (carbonyl), (CR 6a R 7a ) m1 and CR 8a .
- R 6a , R 7a , and R 8a are members independently selected from H, cyano, substituted or unsubstituted alkyl, substituted or unsubstituted heteroalkyl, substituted or unsubstituted cycloalkyl, substituted or unsubstituted heterocycloalkyl, substituted or unsubstituted aryl, and substituted or unsubstituted heteroaryl.
- the index m1 is an integer selected from 0 and 1.
- A is a member selected from CR 9a and N.
- D is a member selected from CR 10a and N.
- E is a member selected from CR 11a and N.
- G is a member selected from CR 12a and N.
- R 9a , R 10a , R 11a and R 12a are members independently selected from H, OR*, NR*R**, SR*, —S(O)R*, —S(O) 2 R*, —S(O) 2 NR*R**, —C(O)R*, —C(O)OR*, —C(O)NR*R**, nitro, halogen, cyano, substituted or unsubstituted alkyl, substituted or unsubstituted heteroalkyl, substituted or unsubstituted cycloalkyl, substituted or unsubstituted heterocycloalkyl, substituted or unsubstituted aryl, and substituted or unsubstituted heteroaryl.
- Each R* and R** are members independently selected from H, nitro, halogen, cyano, substituted or unsubstituted alkyl, substituted or unsubstituted heteroalkyl, substituted or unsubstituted cycloalkyl, substituted or unsubstituted heterocycloalkyl, substituted or unsubstituted aryl, and substituted or unsubstituted heteroaryl.
- the combination of nitrogens (A+D+E+G) is an integer selected from 0 to 3.
- a member selected from R 3a , R 4a and R 5a and a member selected from R 6a , R 7a and R 8a , together with the atoms to which they are attached, are optionally joined to form a 4 to 7 membered ring.
- R 3a and R 4a together with the atoms to which they are attached, are optionally joined to form a 4 to 7 membered ring.
- R 6a and R 7a together with the atoms to which they are attached, are optionally joined to form a 4 to 7 membered ring.
- R 9a and R 10a together with the atoms to which they are attached, are optionally joined to form a 4 to 7 membered ring.
- R 10a and R 11a together with the atoms to which they are attached, are optionally joined to form a 4 to 7 membered ring.
- R 11a and R 12a together with the atoms to which they are attached, are optionally joined to form a 4 to 7 membered ring.
- the compound has a structure according to Formula (Ia):
- each R 3a and R 4a is a member independently selected from H, cyano, substituted or unsubstituted methyl, substituted or unsubstituted ethyl, trifluoromethyl, substituted or unsubstituted hydroxymethyl, substituted or unsubstituted hydroxyalkyl, substituted or unsubstituted benzyl, substituted or unsubstituted phenyl, substituted or unsubstituted mercaptomethyl, substituted or unsubstituted mercaptoalkyl, substituted or unsubstituted aminomethyl, substituted or unsubstituted alkylaminomethyl, substituted or unsubstituted dialkylaminomethyl, substituted or unsubstituted arylaminomethyl, substituted or unsubstituted indolyl and substituted or unsubstituted amido.
- each R 3a and R 4a is a member independently selected from cyano, substituted or unsubstituted methyl, substituted or unsubstituted ethyl, trifluoromethyl, substituted or unsubstituted hydroxymethyl, substituted or unsubstituted hydroxyalkyl, substituted or unsubstituted benzyl, substituted or unsubstituted phenyl, substituted or unsubstituted mercaptomethyl, substituted or unsubstituted mercaptoalkyl, substituted or unsubstituted aminomethyl, substituted or unsubstituted alkylaminomethyl, substituted or unsubstituted dialkylaminomethyl, substituted or unsubstituted arylaminomethyl, substituted or unsubstituted indolyl, substituted or unsubstituted amido.
- each R 3a and R 4a is a member selected from H, substituted or unsubstituted methyl, substituted or unsubstituted ethyl, substituted or unsubstituted propyl, substituted or unsubstituted isopropyl, substituted or unsubstituted butyl, substituted or unsubstituted t-butyl, substituted or unsubstituted phenyl and substituted or unsubstituted benzyl.
- R 3a and R 4a is a member selected from methyl, ethyl, propyl, isopropyl, butyl, t-butyl, phenyl and benzyl.
- R 3a is H and R 4a is a member selected from methyl, ethyl, propyl, isopropyl, butyl, t-butyl, phenyl and benzyl.
- R 3a is H and R 4a H.
- each R 9a , R 10a , R 11a and R 12a is a member independently selected from H, OR*, NR*R**, SR*, —S(O)R*, —S(O) 2 R*, —S(O) 2 NR*R**, —C(O)R*, —C(O)OR*, —C(O)NR*R**, halogen, cyano, nitro, substituted or unsubstituted methoxy, substituted or unsubstituted methyl, substituted or unsubstituted ethoxy, substituted or unsubstituted ethyl, trifluoromethyl, substituted or unsubstituted hydroxymethyl, substituted or unsubstituted hydroxyalkyl, substituted or unsubstituted benzyl, substituted or unsubstituted phenyl, substituted or unsubstituted phenyloxy, substituted or unsubsti
- R 9a , R 10a , R 11a and R 12a are selected from the previous list of substituents with the exception of —C(O)R*, —C(O)OR*, —C(O)NR*R**.
- R 9a , R 10a , R 11a and R 12a are members independently selected from fluoro, chloro, bromo, nitro, cyano, amino, methyl, hydroxylmethyl, trifluoromethyl, methoxy, trifluoromethyoxy, ethyl, diethylcarbamoyl, pyridin-2-yl, pyridin-3-yl, pyridin-4-yl, pyrimidinyl, piperizino, piperizinyl, piperizinocarbonyl, piperizinylcarbonyl, carboxyl, 1-tetrazolyl, 1-ethoxycarbonylmethoxy, carboxymethoxy, thiophenyl, 3-(butylcarbonyl) phenylmethoxy, 1H-tetrazol-5-yl, 1-ethoxycarbonylmethyloxy-, 1-ethoxycarbonylmethyl-, 1-ethoxycarbonyl-, carboxymethoxy-,
- the compound according to Formula (I) or Formula (Ia) is a member selected from:
- the compound has a structure according to one of Formulae I-Io with substituent selections for R 9a , R 10a , R 11a and R 12a including all the possibilities contained in paragraph 106 except for H.
- the compound has a structure according to one of Formulae Ib-Io with substituent selections for R 9a , R 10a , R 11a and R 12a including all the possiblities contained in paragraph 107 except for H.
- the compound has a formula according to Formulae (Ib)-(Ie) wherein R 1a is a member selected from H, a negative charge and a salt counterion and the remaining R group (R 9a in Ib, R 10a in Ic, R 11a in Id, and R 12a in Ie) is a member selected from fluoro, chloro, bromo, nitro, cyano, amino, methyl, hydroxylmethyl, trifluoromethyl, methoxy, trifluoromethyoxy, ethyl, diethylcarbamoyl, pyridin-2-yl, pyridin-3-yl, pyridin-4-yl, pyrimidinyl, piperizino, piperizinyl, piperizinocarbonyl, piperizinylcarbonyl, carboxyl, 1-tetrazolyl, 1-ethoxycarbonylmethoxy, carboxymethoxy, thiophenyl, 3-(buty
- the compound has a formula according to Formulae (If)-(Ik) wherein R 1a is a member selected from H, a negative charge and a salt counterion and each of the remaining two R groups (R 9a and R 10a in If, R 9a and R 11a in Ig, R 9a and R 12a in Ih, R 10a and R 11a in Ii, R 10a and R 12a in Ij, R 11a and R 12a in Ik) is a member independently selected from fluoro, chloro, bromo, nitro, cyano, amino, methyl, hydroxylmethyl, trifluoromethyl, methoxy, trifluoromethyoxy, ethyl, diethylcarbamoyl, pyridin-2-yl, pyridin-3-yl, pyridin-4-yl, pyrimidinyl, piperizino, piperizinyl, piperizinocarbonyl, piperizinylcarbonyl, carb
- the compound has a formula according to Formulae (Il)-(Io) wherein R 1a is a member selected from H, a negative charge and a salt counterion and each of the remaining three R groups (R 9a , R 10a , R 11a in (Il), R 9a , R 10a , R 12a in (Im), R 9a , R 11a , R 12a in (In), R 10 , R 11a , R 12a in (Io)) is a member independently selected from fluoro, chloro, bromo, nitro, cyano, amino, methyl, hydroxylmethyl, trifluoromethyl, methoxy, trifluoromethyoxy, ethyl, diethylcarbamoyl, pyridin-2-yl, pyridin-3-yl, pyridin-4-yl, pyrimidinyl, piperizino, piperizinyl, piperizinocarbonyl, piperizin
- the compound cannot be a member selected from FIG. 11 . In another exemplary embodiment, there is a proviso that the compound cannot be a member selected from C1-C40.
- R 7b is a member selected from H, methyl, ethyl and phenyl.
- R 10b is a member selected from H, OH, NH 2 , SH, halogen, substituted or unsubstituted phenoxy, substituted or unsubstituted phenylalkyloxy, substituted or unsubstituted phenylthio and substituted or unsubstituted phenylalkylthio.
- R 11b is a member selected from H, OH, NH 2 , SH, methyl, substituted or unsubstituted phenoxy, substituted or unsubstituted phenylalkyloxy, substituted or unsubstituted phenylthio and substituted or unsubstituted phenylalkylthio.
- R 1b is a member selected from a negative charge, H and a salt counterion.
- R 10b and R 11b are H.
- the compound cannot have a structure according to Formula (Ix) wherein one member selected from R 10b and R 11b is H and the other member selected from R 10b and R 11b is a member selected from halo, methyl, cyano, methoxy, hydroxymethyl and p-cyanophenyloxy.
- R 10b and R 11b are members independently selected from fluoro, chloro, methyl, cyano, methoxy, hydroxymethyl, and p-cyanophenyl.
- the compound cannot have a structure according to Formula (Ix) wherein R 1b is a member selected from a negative charge, H and a salt counterion; R 7b is H; R 10b is F and R 11b is H.
- R 11b and R 12b along with the atoms to which they are attached, are joined to form a phenyl group.
- the compound cannot have a structure according to Formula (Ix) wherein R 1b is a member selected from a negative charge, H and a salt counterion; R 7b is H; R 10b is 4-cyanophenoxy; and R 11b is H.
- R 10b is a member selected from H, halogen, CN and substituted or unsubstituted C 1-4 alkyl.
- a structure does not have the which is a member selected from Formulae (I) to (Io) at least one member selected from R 3a , R 4a , R 5a , R 6a , R 7a , R 8a , R 9a , R 10a , R 11a and R 12a is nitro, cyano or halogen.
- W is a member selected from (CR 3a R 4a ) n1 , wherein n1 is 0, J is a member selected from (CR 6a R 7a ) m1 , wherein m1 is 1, A is CR 9a , D is CR 10a , E is CR 11a , G is CR 12a , the R 9a is not halogen, methyl, ethyl, or optionally joined with R 10a to form a phenyl ring; R 10a is not unsubstituted phenoxy, C(CH 3 ) 3 , halogen, CF 3 , methoxy, ethoxy, or optionally joined with R 9a to form a phenyl ring; R 11a is not halogen or optionally joined with R 10a to form a phenyl ring; and R 12a is not halogen.
- W is a member selected from (CR 3a R 4a ) n1 , wherein n1 is 0, J is a member selected from (CR 6a R 7a ) m1 , wherein m1 is 1, A is CR 9a , D is CR 10a , E is CR 11a , G1 is CR 12a , then neither R 6a nor R 7a are halophenyl.
- W is a member selected from (CR 3a R 4a ) n1 , wherein n1 is 0, J is a member selected from (CR 6a R 7a ) m1 , wherein m1 is 1, A is CR 9a , D is CR 10a , E is CR 11a , G is CR 12a , and R 9a , R 10a and R 11a are H, then R 6a , R 7a and R 12a are not H.
- J is a member selected from (CR 6a R 7a ) m1 , wherein m1 is 0, A is CR 9a , D is CR 10a , E is CR 11a , G is CR 12a , R 9a is H, R 10a is H, R 11a is H, R 6a is H, R 7a is H, R 12a is H, then W is not C ⁇ O (carbonyl).
- the compound of the invention has a structure which is a member selected from:
- R g is halogen.
- R a , R b , R c , R d and R e are members independently selected from a member selected from H, substituted or unsubstituted alkyl, substituted or unsubstituted heteroalkyl, substituted or unsubstituted cycloalkyl, substituted or unsubstituted heterocycloalkyl, substituted or unsubstituted aryl, and substituted or unsubstituted heteroaryl.
- there is a proviso that the compound is not a member selected from
- the compound has a structure is a member selected from:
- R a , R d and R e are each members independently selected from:
- R b and R c are members independently selected from H, methyl,
- R b is H and R c is a member selected from H, methyl
- R b and R c are, together with the nitrogen to which they are attached, optionally joined to form a member selected from
- R a is a member selected from
- R d is a member selected from
- R e is a member selected from
- the compound is a member selected from
- the compound has a structure which is described in FIG. 19 . In an exemplary embodiment, the compound has a structure which is described in FIG. 20 .
- the compound has a structure according to a member selected from Formulae I(b), I(c), I(d), and I(e) wherein said remaining R group (R 9a for I(b), R 10a for I(c), R 11a for I(d) and R 12a for I(e)) is carboxymethoxy.
- the compound has a structure which is a member selected from Formulae (If)-(Ik), wherein either R 9a or R 10a for Formula (If), either R 9a or R 11a for Formula (Ig), either R 9a or R 12a for Formula (Ih), either R 10a or R 11a for Formula (Ii), either R 10a or R 12a for Formula (Ij), either R 11a or R 12a for Formula (Ik) is halogen, and the other substituent in the pairing (ex. if R 9a is F in Formula (If), then R 10a is selected from the following substituent listing), is a member selected from NH 2 , N(CH 3 )H, and N(CH 3 ) 2 .
- the compound has a structure which is a member selected from:
- R* and R** are members selected from: H, substituted or unsubstituted alkyl, substituted or unsubstituted heteroalkyl, substituted or unsubstituted cycloalkyl, substituted or unsubstituted heterocycloalkyl, substituted or unsubstituted aryl, and substituted or unsubstituted heteroaryl.
- the compound is a member selected from
- R 1a is a member selected from a negative charge, H and a salt counterion.
- the compound has a structure which is a member selected from:
- R g is a member selected from fluoro, chloro and bromo.
- the compounds and embodiments described above in Formulae (I)-(Io) can form a hydrate with water, a solvate with an alcohol (e.g. methanol, ethanol, propanol); an adduct with an amino compound (e.g. ammonia, methylamine, ethylamine); an adduct with an acid (e.g. formic acid, acetic acid); complexes with ethanolamine, quinoline, amino acids, and the like.
- an alcohol e.g. methanol, ethanol, propanol
- an amino compound e.g. ammonia, methylamine, ethylamine
- an acid e.g. formic acid, acetic acid
- complexes with ethanolamine, quinoline, amino acids, and the like e.g. formic acid, acetic acid
- the compound has a structure according to Formula (Ip):
- R x2 is a member selected from substituted or unsubstituted C 1 -C 5 alkyl and substituted or unsubstituted C 1 -C 5 heteroalkyl.
- R y2 and R z2 are members independently selected from H, substituted or unsubstituted alkyl, substituted or unsubstituted heteroalkyl, substituted or unsubstituted cycloalkyl, substituted or unsubstituted heterocycloalkyl, substituted or unsubstituted aryl, and substituted or unsubstituted heteroaryl.
- the compound has a structure according to Formula (Iq):
- R x2 is a member selected from substituted or unsubstituted C 1 -C 5 alkyl and substituted or unsubstituted C 1 -C 5 heteroalkyl.
- R y2 and R z2 are members independently selected from H, substituted or unsubstituted alkyl, substituted or unsubstituted heteroalkyl, substituted or unsubstituted cycloalkyl, substituted or unsubstituted heterocycloalkyl, substituted or unsubstituted aryl, and substituted or unsubstituted heteroaryl.
- At least one member selected from R 3a , R 4a , R 5a , R 6a , R 7a , R 8a , R 9a , R 10a , R 11a and R 12a is a member selected from nitro, cyano and halogen.
- the compound has a structure which is a member selected from the following Formulae:
- the compound has a formula according to Formulae (Ib)-(Ie) wherein at least one member selected from R 3a , R 4a , R 5a , R 6a , R 7a , R 8a , R 9a , R 10a , R 11a and R 12a is a member selected from nitro, cyano, fluro, chloro, bromo and cyanophenoxy.
- the compound is a member selected from
- the compound is a member selected from
- R 6b , R 9b , R 10b , R 11b and R 12b have the same substituent listings as described for Formulae (Ix) and (Iy) above.
- the invention provides poly- or mutli-valent species of the compounds of the invention.
- the invention provides a dimer of the compounds described herein.
- the invention provides a dimer of the compounds described herein.
- the invention provides a dimer of a compound which is a member selected from C1-C96.
- the dimer is a member selected from
- the invention provides an anhydride of the compounds described herein. In an exemplary embodiment, the invention provides an anhydride of the compounds described herein. In an exemplary embodiment, the invention provides an anhydride of a compound which is a member selected from C1-C96. In an exemplary embodiment the anhydride is a member selected from
- the invention provides a trimer of the compounds described herein. In an exemplary embodiment, the invention provides a trimer of the compounds described herein. In an exemplary embodiment, the invention provides a trimer of a compound which is a member selected from C1-C96. In an exemplary embodiment the trimer is a member selected from
- the compound has a structure which is a member selected from Formulae (IIa) (IIb) (IIc) and (IId).
- the compound has a structure according to Formula (III):
- the invention provides compounds useful in the methods which have a structure according to Formula VII:
- R 1 is substituted or unsubstituted alkyl (C 1 -C 4 ). In an exemplary embodiment of Formula (VII), R 1 is substituted or unsubstituted alkyloxy. In an exemplary embodiment of Formula (VII), R 1 is substituted or unsubstituted cycloalkyl (C 3 -C 7 ). In an exemplary embodiment of Formula (VII), R 1 is substituted or unsubstituted alkenyl. In a further exemplary embodiment thereof, the substituted alkenyl has the structure
- R 1 is a substituted or unsubstituted alkynyl.
- the substituted alkynyl has the structure
- R 23 is defined as before.
- R 1 is substituted or unsubstituted aryl.
- the substituted aryl has the structure
- R 1 is a substituted or unsubstituted aralkyl.
- the substituted aralkyl has the structure
- R 28 , R 29 , R 30 , R 31 and R 32 are defined as before, and n1 is an integer selected from 1 to 15.
- R 1 is a substituted or unsubstituted heteroaryl.
- heteroaryl has the structure
- the structures of the invention also permit solvent interactions that may afford structures (Formula VIIg) that include atoms derived from the solvent encountered by the compounds of the invention during synthetic manipulations and therapeutic uses. Structure VIIg arises from the formation of a dative bond between the solvent(s) with the Lewis acidic boron center. Thus, such solvent complexes could be stable entities with comparative bioactivities.
- Such structures are expressly contemplated by the present invention where R*** is H or alkyl.
- the compound has a structure which is a member selected from 2-(3-Chlorophenyl)-[1,3,2]-dioxaborolane, (3-Chlorophenyl)(4′-fluoro-(2′-(methoxymethoxy)-methyl)-phenyl)-borinic acid, 1-(3-Chlorophenyl)-5-fluoro-1,3-dihydrobenzo[c][1,2]oxaborole, 1-(3-Chlorophenyl)-6-fluoro-1,3-dihydrobenzo[c][1,2]oxaborole, 1-(3-Chlorophenyl)-1,3-dihydrobenzo[c][1,2]oxaborole, 5-Chloro-1-(3-Fluorophenyl)-1,3-dihydrobenzo[c][1,2]oxaborole, 2-(3-fluorophenyl)[1,3,
- the invention provides compounds useful in the methods which is a 2′-amino ribofuranose.
- the 1′-position of the ribofuranose is substituted with a member selected from substituted or unsubstituted aryl and substituted or unsubstituted heteroaryl.
- the 1′-position of the ribofuranose is substituted with a member selected from substituted or unsubstituted purine, substituted or unsubstituted pyrimidine, substituted or unsubstituted pyridine and substituted or unsubstituted imidazole.
- the 1′-position of the ribofuranose is substituted with a member selected from substituted or unsubstituted nicotinic acid, substituted or unsubstituted nicotinamide, substituted or unsubstituted nucleic acid base, substituted or unsubstituted adenine,
- the compound has a structure according to Formula (VIII):
- L is a member selected from substituted or unsubstituted purine, substituted or unsubstituted pyrimidine, substituted or unsubstituted pyridine and substituted or unsubstituted imidazole.
- M as defined herein earlier, is a member selected from O, S, and NR 2 .
- R 43 , R 44 , and R 45 are each members independently selected from substituted or unsubstituted alkyl, substituted or unsubstituted heteroalkyl, substituted or unsubstituted cycloalkyl, substituted or unsubstituted heterocycloalkyl, substituted or unsubstituted aryl and substituted or unsubstituted heteroaryl.
- R 43 and R 44 together with the atoms to which they are attached, are optionally joined to form a 4 to 7 membered ring.
- R 43 and R 45 together with the atoms to which they are attached, are optionally joined to form a 4 to 7 membered ring.
- R 44 and R 45 together with the atoms to which they are attached, are optionally joined to form a 4 to 7 membered ring.
- A, D, E and G are all defined elsewhere herein.
- Z is a member selected from CR 46 and N.
- the combinations of nitrogens (A+D+E+G+Z) is an integer selected from 0 to 4.
- At least two members selected from R 9 , R 10 , R 11 , R 12 and R 46 , together with the atoms to which they are attached, are optionally joined to form a 4 to 7 membered ring.
- the compound has a formula according to the following formulae:
- the compound is a member selected from:
- the invention provides compounds useful in the methods which is a 3′-amino ribofuranose.
- the 1′-position of the ribofuranose is substituted with a member selected from substituted or unsubstituted aryl and substituted or unsubstituted heteroaryl.
- the 1′-position of the ribofuranose is substituted with a member selected from substituted or unsubstituted purine, substituted or unsubstituted pyrimidine, substituted or unsubstituted pyridine, and substituted or unsubstituted imidazole.
- the 1′-position of the ribofuranose is substituted with a member selected from substituted or unsubstituted nicotinic acid, substituted or unsubstituted nicotinamide, substituted or unsubstituted nucleic acid base, substituted or unsubstituted adenine,
- the compound has a structure according to Formula (VIIIc):
- L is a member selected from substituted or unsubstituted purine, substituted or unsubstituted pyrimidine, substituted or unsubstituted pyridine and substituted or unsubstituted imidazole.
- M as defined herein earlier, is a member selected from 0, S, and NR 2 .
- R 43 , R 44 , and R 45 are each members independently selected from substituted or unsubstituted alkyl, substituted or unsubstituted heteroalkyl, substituted or unsubstituted cycloalkyl, substituted or unsubstituted heterocycloalkyl, substituted or unsubstituted aryl and substituted or unsubstituted heteroaryl.
- R 43 and R 44 together with the atoms to which they are attached, are optionally joined to form a 4 to 7 membered ring.
- R 43 and R 45 together with the atoms to which they are attached, are optionally joined to form a 4 to 7 membered ring.
- R 44 and R 45 together with the atoms to which they are attached, are optionally joined to form a 4 to 7 membered ring.
- A, D, E and G are all defined elsewhere herein.
- Z is a member selected from CR 46 and N.
- the combinations of nitrogens (A+D+E+G+Z) is an integer selected from 0 to 4.
- At least two members selected from R 9 , R 10 , R 11 , R 12 and R 46 , together with the atoms to which they are attached, are optionally joined to form a 4 to 7 membered ring.
- the compound has a formula according to the following formulae:
- the compound is a member selected from:
- Acyclic boronic acids and esters such as those described in this section can also be utilized in the invention. These compounds can be used to kill or inhibit the growth of the microorganisms described herein, as well as treat the diseases described herein. In addition, these compounds can be used as synthetic intermediates in the generation of the compounds described herein.
- the compound has a structure according to the following formula:
- R 1 and R 2 are members independently selected from H, substituted or unsubstituted alkyl, substituted or unsubstituted heteroalkyl, substituted or unsubstituted cycloalkyl, substituted or unsubstituted heterocycloalkyl, substituted or unsubstituted aryl, and substituted or unsubstituted heteroaryl.
- R 1 and R 2 together with the atoms to which they are attached, can be optionally joined to form a 4- to 7-membered ring.
- Z1 is a member selected from
- each R 3a and R 4a is a member independently selected from H, cyano, substituted or unsubstituted alkyl, substituted or unsubstituted heteroalkyl, substituted or unsubstituted cycloalkyl, substituted or unsubstituted heterocycloalkyl, substituted or unsubstituted aryl, and substituted or unsubstituted heteroaryl.
- R 5 is a member selected from halogen and OR 6 .
- R 9a , R 10a , R 11a and R 12a are members independently selected from H, OR*, NR*R**, SR*, —S(O)R*, —S(O) 2 R*, —S(O) 2 NR*R**, —C(O)R*, —C(O)OR*, —C(O)NR*R**, nitro, halogen, cyano, substituted or unsubstituted alkyl, substituted or unsubstituted heteroalkyl, substituted or unsubstituted cycloalkyl, substituted or unsubstituted heterocycloalkyl, substituted or unsubstituted aryl, and substituted or unsubstituted heteroaryl.
- Each R* and R** is a member independently selected from H, substituted or unsubstituted alkyl, substituted or unsubstituted heteroalkyl, substituted or unsubstituted cycloalkyl, substituted or unsubstituted heterocycloalkyl, substituted or unsubstituted aryl, and substituted or unsubstituted heteroaryl.
- R 9a and R 10a along with the atoms to which they are attached, are optionally joined to form a ring.
- R 10a and R 11a along with the atoms to which they are attached, are optionally joined to form a ring.
- R 11a and R 12a along with the atoms to which they are attached, are optionally joined to form a ring.
- the combination of nitrogens (A+D+E+G) is an integer selected from 0 to 3.
- the compound is not a member selected from:
- the compound has a structure according to Formula IXa
- each R 3a and R 4a is a member independently selected from H, cyano, substituted or unsubstituted methyl, substituted or unsubstituted ethyl, trifluoromethyl, substituted or unsubstituted hydroxymethyl, substituted or unsubstituted hydroxyalkyl, substituted or unsubstituted benzyl, substituted or unsubstituted phenyl, substituted or unsubstituted mercaptomethyl, substituted or unsubstituted mercaptoalkyl, substituted or unsubstituted aminomethyl, substituted or unsubstituted alkylaminomethyl, substituted or unsubstituted dialkylaminomethyl, substituted or unsubstituted arylaminomethyl, substituted or unsubstituted indolyl and substituted or unsubstituted amido.
- each R 3a and R 4a is a member independently selected from cyano, substituted or unsubstituted methyl, substituted or unsubstituted ethyl, trifluoromethyl, substituted or unsubstituted hydroxymethyl, substituted or unsubstituted hydroxyalkyl, substituted or unsubstituted benzyl, substituted or unsubstituted phenyl, substituted or unsubstituted mercaptomethyl, substituted or unsubstituted mercaptoalkyl, substituted or unsubstituted aminomethyl, substituted or unsubstituted alkylaminomethyl, substituted or unsubstituted dialkylaminomethyl, substituted or unsubstituted arylaminomethyl, substituted or unsubstituted indolyl, substituted or unsubstituted amido.
- each R 3a and R 4a is a member selected from H, substituted or unsubstituted methyl, substituted or unsubstituted ethyl, substituted or unsubstituted propyl, substituted or unsubstituted isopropyl, substituted or unsubstituted butyl, substituted or unsubstituted t-butyl, substituted or unsubstituted phenyl and substituted or unsubstituted benzyl.
- R 3a and R 4a is a member selected from methyl, ethyl, propyl, isopropyl, butyl, t-butyl, phenyl and benzyl.
- R 3a is H and R 4a is a member selected from methyl, ethyl, propyl, isopropyl, butyl, t-butyl, phenyl and benzyl.
- R 3a is H and R 4a H.
- Z1 is CHO. In another exemplary embodiment, Z1 is
- R 5 is a member selected from OH, substituted or unsubstituted methoxy, substituted or unsubstituted ethoxy, substituted or unsubstituted methoxymethoxy, substituted or unsubstituted ethoxyethoxy, substituted or unsubstituted trialkylsialyl, and substituted or unsubstituted tetrahydro-2H-pyran-2yloxy.
- R 5 is substituted or unsubstituted trialkylsialyl, wherein said trialkylsialyl is a member selected from substituted or unsubstituted trimethylsilyl, substituted or unsubstituted tert-butyldimethylsilyl, and substituted or unsubstituted tributylsilyl.
- R 5 is substituted or unsubstituted methoxy, substituted or unsubstituted ethoxy, substituted or unsubstituted methoxymethoxy, substituted or unsubstituted ethoxyethoxy, and substituted or unsubstituted tetrahydro-2H-pyran-2yloxy.
- R 5 is a member selected from methoxy, ethoxy, methoxymethoxy, ethoxyethoxy and tetrahydro-2H-pyran-2yloxy.
- Z1 is
- R 9a , R 10a , R 11a and R 12a is a member independently selected from H, OR*, NR*R**, SR*, —S(O)R*, —S(O) 2 R*, —S(O) 2 NR*R**, —C(O)R*, —C(O)OR*, —C(O)NR*R**, halogen, cyano, nitro, substituted or unsubstituted methoxy, substituted or unsubstituted methyl, substituted or unsubstituted ethoxy, substituted or unsubstituted ethyl, trifluoromethyl, substituted or unsubstituted hydroxymethyl, substituted or unsubstituted hydroxyalkyl, substituted or unsubstituted benzyl, substituted or unsubstituted phenyl, substituted or unsubstituted phenyloxy, substituted or unsubstit
- R 9a , R 10a , R 11a and R 12a are selected from the previous list of substituents with the exception of —C(O)R*, —C(O)OR*, —C(O)NR*R**.
- R 9a , R 10a , R 11a and R 12a are members independently selected from fluoro, chloro, bromo, nitro, cyano, amino, methyl, hydroxylmethyl, trifluoromethyl, methoxy, trifluoromethyoxy, ethyl, diethylcarbamoyl, pyridin-2-yl, pyridin-3-yl, pyridin-4-yl, pyrimidinyl, piperizino, piperizinyl, piperizinocarbonyl, piperizinylcarbonyl, carboxyl, 1-tetrazolyl, 1-ethoxycarbonylmethoxy, carboxymethoxy, thiophenyl, 3-(butylcarbonyl) phenylmethoxy, 1H-tetrazol-5-yl, 1-ethoxycarbonylmethyloxy-, 1-ethoxycarbonylmethyl-, 1-ethoxycarbonyl-, carboxymethoxy-,
- R 9a is H and R 12a is H.
- the compound has a substitutent combination for R 9a , R 10a , R 11a , and R 12a which is a member selected from those described in Formulae (I), (Ia) (Ib), (Ic), (Id), (Ie), (If), (Ig), (Ih), (Ii), (Ij), (Ik), (Il), (Im), (In), (Io), (Ip), (Iq), (Ir), (Is), (It), (Iu), (Iv), (Iw), (Iz), (Iaa), (Iab), (Iac), (Iad), (Iae), (Iaf), (Iag), (Iah), (Iai), (Iaj), (Iak), above, and/or the subsequent paragraphs describing Formulae (I), (Ia) (Ib), (Ic), (Id), (Ie), (If),
- R 1 and R 2 together with the atoms to which they are joined, can optionally form a member selected from substituted or unsubstituted dioxaborolane, substituted or unsubstituted dioxaborinane, substituted or unsubstituted dioxaborepane.
- R 1 and R 2 are each members independently selected from H, methyl, ethyl, propyl, isopropyl, butyl, t-butyl, phenyl and benzyl. In an exemplary embodiment, R 1 and R 2 are each members independently selected from H, methyl, isopropyl, and phenyl. In an exemplary embodiment, R 1 and R 2 are methyl. In an exemplary embodiment, R 1 and R 2 are isopropyl. In an exemplary embodiment, R 1 and R 2 are H.
- R 1 and R 2 together with the atoms to which they are joined, form a member selected from substituted or unsubstituted dioxaborolane, substituted or unsubstituted dioxaborinane, substituted or unsubstituted dioxaborepane.
- R 1 and R 2 together with the atoms to which they are joined, form a member selected from dioxaborolane, substituted or unsubstituted tetramethyldioxaborolane, substituted or unsubstituted phenyldioxaborolane, dioxaborinane, dimethyldioxaborinane and dioxaborepane.
- the compound is a member selected from
- the compound is a member selected from:
- the compound is a member selected from
- the compounds and embodiments described herein can form a hydrate with water, a solvate with an alcohol (e.g. methanol, ethanol, propanol); an adduct with an amino compound (e.g. ammonia, methylamine, ethylamine); an adduct with an acid (e.g. formic acid, acetic acid); complexes with ethanolamine, quinoline, amino acids, and the like.
- an alcohol e.g. methanol, ethanol, propanol
- an amino compound e.g. ammonia, methylamine, ethylamine
- an acid e.g. formic acid, acetic acid
- complexes with ethanolamine, quinoline, amino acids, and the like e.g. formic acid, acetic acid
- acyclic boronic esters described herein can be used as intermediates in the synthesis of the compounds described herein.
- the acyclic boronic esters described herein can be used as intermediates in the synthesis of a compound which is a member selected from Formulae (I), (Ia) (Ib), (Ic), (Id), (Ie), (If), (Ig), (Ih), (Ii), (Ij), (Ik), (Il), (Im), (In), (Io), (Ip), (Iq), (Ir), (Is), (It), (Iu), (Iv), (Iw), (Iz), (Iaa), (Iab), (Iac), (Iad), (Iae), (Iaf), (Iag), (Iah), (Iai), (Iaj), (Iak).
- Acyclic boronic acids and esters described herein can also be utilized in the invention. These compounds can be used to kill or inhibit the growth of the microorganisms described herein, as well as treat the diseases described herein. In addition, these compounds can be used as synthetic intermediates in the generation of other compounds described herein. In an exemplary embodiment, these other compounds are the cyclic boronic esters and cyclic borinic esters described herein.
- R 1 and R 2 are members independently selected from H, substituted or unsubstituted alkyl, substituted or unsubstituted heteroalkyl, substituted or unsubstituted cycloalkyl, substituted or unsubstituted heterocycloalkyl, substituted or unsubstituted aryl, and substituted or unsubstituted heteroaryl.
- R 1 and R 2 together with the atoms to which they are attached, can be optionally joined to form a 4- to 7-membered ring.
- D is a member selected from CR 10a and N.
- E is a member selected from CR 11a and N.
- G is a member selected from CR 12a and N.
- R 9a , R 10a , R 11a and R 12a are members independently selected from H, OR*, NR*R**, SR*, —S(O)R*, —S(O) 2 R*, —S(O) 2 NR*R**, —C(O)R*, —C(O)OR*, —C(O)NR*R**, nitro, halogen, cyano, substituted or unsubstituted alkyl, substituted or unsubstituted heteroalkyl, substituted or unsubstituted cycloalkyl, substituted or unsubstituted heterocycloalkyl, substituted or unsubstituted aryl, and substituted or unsubstituted heteroaryl.
- Each R* and R** is a member independently selected from H, substituted or unsubstituted alkyl, substituted or unsubstituted heteroalkyl, substituted or unsubstituted cycloalkyl, substituted or unsubstituted heterocycloalkyl, substituted or unsubstituted aryl, and substituted or unsubstituted heteroaryl.
- R 9a and R 10a along with the atoms to which they are attached, are optionally joined to form a ring.
- R 10a and R 11a along with the atoms to which they are attached, are optionally joined to form a ring.
- R 11a and R 12a along with the atoms to which they are attached, are optionally joined to form a ring.
- the combination of nitrogens (A+D+E+G) is an integer selected from 0 to 3.
- this aspect has the proviso that the compound is not:
- each R 3a and R 4a is a member independently selected from cyano, substituted or unsubstituted methyl, substituted or unsubstituted ethyl, trifluoromethyl, substituted or unsubstituted hydroxymethyl, substituted or unsubstituted hydroxyalkyl, substituted or unsubstituted benzyl, substituted or unsubstituted phenyl, substituted or unsubstituted mercaptomethyl, substituted or unsubstituted mercaptoalkyl, substituted or unsubstituted aminomethyl, substituted or unsubstituted alkylaminomethyl, substituted or unsubstituted dialkylaminomethyl, substituted or unsubstituted arylaminomethyl, substituted or unsubstituted indolyl, substituted or unsubstituted amido.
- each R 3a and R 4a is a member selected from H, substituted or unsubstituted methyl, substituted or unsubstituted ethyl, substituted or unsubstituted propyl, substituted or unsubstituted isopropyl, substituted or unsubstituted butyl, substituted or unsubstituted t-butyl, substituted or unsubstituted phenyl and substituted or unsubstituted benzyl.
- R 3a and R 4a is a member selected from methyl, ethyl, propyl, isopropyl, butyl, t-butyl, phenyl and benzyl.
- R 3a is H and R 4a is a member selected from methyl, ethyl, propyl, isopropyl, butyl, t-butyl, phenyl and benzyl.
- R 3a is H and R 4a H.
- R 9a , R 10a , R 11a and R 12a is a member selected from H, OR*, NR*R**, SR*, —S(O)R*, —S(O) 2 R*, —S(O) 2 NR*R**, —C(O)R*, —C(O)OR*, —C(O)NR*R**, halogen, cyano, nitro, substituted or unsubstituted methoxy, substituted or unsubstituted methyl, substituted or unsubstituted ethoxy, substituted or unsubstituted ethyl, trifluoromethyl, substituted or unsubstituted hydroxymethyl, substituted or unsubstituted hydroxyalkyl, substituted or unsubstituted benzyl, substituted or unsubstituted phenyl, substituted or unsubstituted phenyloxy, substituted or unsubstitute
- R 9a , R 10a , R 11a and R 12a are members independently selected from fluoro, chloro, bromo, nitro, cyano, amino, methyl, hydroxylmethyl, trifluoromethyl, methoxy, trifluoromethyoxy, ethyl, diethylcarbamoyl, pyridin-2-yl, pyridin-3-yl, pyridin-4-yl, pyrimidinyl, piperizino, piperizinyl, piperizinocarbonyl, piperizinylcarbonyl, carboxyl, 1-tetrazolyl, 1-ethoxycarbonylmethoxy, carboxymethoxy, thiophenyl, 3-(butylcarbonyl) phenylmethoxy, 1H-tetrazol-5-yl, 1-ethoxycarbonylmethyloxy-, 1-ethoxycarbonylmethyl-, 1-ethoxycarbonyl-, carboxymethoxy-,
- R 9a is H and R 12a is H.
- the compound has a substitutent combination for R 9a , R 10a , R 11a , and R 12a which is a member selected from those described in Formulae (I), (Ia) (Ib), (Ic), (Id), (Ie), (If), (Ig), (Ih), (Ii), (Ij), (Ik), (Il), (Im), (In), (Io), (Ip), (Iq), (Ir), (Is), (It), (Iu), (Iv), (Iw), (Iz), (Iaa), (Iab), (Iac), (Iad), (Iae), (Iaf), (Iag), (Iah), (Iai), (Iaj), (Iak), above, and/or the subsequent paragraphs describing Formulae (I), (Ia) (Ib), (Ic), (Id), (Ie), (If),
- the compound is an acyclic boronic acid or ester in which a portion of the acyclic boronic acid or ester is as in Figure (IXb) below
- R 1 and R 2 are each members independently selected from H, substituted or unsubstituted methyl, substituted or unsubstituted ethyl, substituted or unsubstituted propyl, substituted or unsubstituted isopropyl, substituted or unsubstituted butyl, substituted or unsubstituted t-butyl, substituted or unsubstituted phenyl and substituted or unsubstituted benzyl.
- R 1 and R 2 together with the atoms to which they are joined, can optionally form a member selected from substituted or unsubstituted dioxaborolane, substituted or unsubstituted dioxaborinane, substituted or unsubstituted dioxaborepane.
- X is a member selected from triflate, chloro, bromo, iodo, substituted or unsubstituted sulfonic esters, substituted or unsubstituted acyloxy groups, and substituted or unsubstituted diazo.
- X is a sulfonic ester group, which is a member selected from substituted or unsubstituted mesylate, substituted or unsubstituted tosylate, substituted or unsubstituted brosylate and substituted or unsubstituted nosylate.
- X is an acyloxy group, which is a member selected from substituted or unsubstituted acetoxy and substituted or unsubstituted trifluoroacetoxy.
- X is a member selected from bromo, iodo, mesylate and diazo.
- X is a member selected from bromo and iodo.
- R 1 and R 2 together with the atoms to which they are joined, form a member selected from dioxaborolane, substituted or unsubstituted tetramethyldioxaborolane, substituted or unsubstituted phenyldioxaborolane, dioxaborinane, dimethyldioxaborinane and dioxaborepane.
- R 3a and R 4a are each members independently selected from H, methyl, ethyl, propyl, butyl, phenyl, benzyl, cyano, halogen and nitro.
- the compound is a member selected from
- the compound is a member selected from
- acyclic boronic esters described herein can be used as intermediates in the synthesis of the compounds described herein.
- the acyclic boronic esters described herein can be used as intermediates in the synthesis of a compound which is a member selected from Formulae (I), (Ia) (Ib), (Ic), (Id), (Ie), (If), (Ig), (Ih), (Ii), (Ij), (Ik), (Il), (Im), (In), (Io), (Ip), (Iq), (Ir), (Is), (It), (Iu), (Iv), (Iw), (Iz), (Iaa), (Iab), (Iac), (Iad), (Iae), (Iaf), (Iag), (Iah), (Iai), (Iaj), (Iak).
- Compounds such as those described herein can also be utilized in the invention.
- the compounds of the invention can form between the 2′,3′ diol of the ribose ring of a nucleic acid, nucleoside or nucleotide, and a cyclic or acyclic boronic ester such as those described herein.
- These compounds can be used in a human or in an animal to kill or inhibit the growth of the microorganisms described herein, as well as to treat the diseases described herein.
- These compounds can be formed in vitro as well as in vivo. Methods of making these compounds are provided in the Examples section.
- the invention provides a compound having a structure according to the following formula:
- L is a member selected from OR 7 , substituted or unsubstituted purine, substituted or unsubstituted pyrimidine, substituted or unsubstituted pyridine and substituted or unsubstituted imidazole.
- R 7 is a member selected from H, substituted or unsubstituted alkyl, substituted or unsubstituted heteroalkyl, substituted or unsubstituted cycloalkyl, substituted or unsubstituted aryl and substituted or unsubstituted heteroaryl.
- A is a member selected from OH, substituted or unsubstituted monophosphate, substituted or unsubstituted diphosphate, substituted or unsubstituted triphosphate,
- A1 is a nucleic acid sequence which comprises between 1 and 100 nucleotides.
- Q is a member selected from substituted or unsubstituted heterocycloalkyl and substituted or unsubstituted heteroaryl. Q comprises said boron and at least one oxygen.
- the aspect has the proviso that the compound cannot comprise a member selected from C1-C40.
- the aspect has a proviso that the compound cannot comprise a member which is described in FIG. 11 .
- the aspect has a proviso that the compound cannot involve a compound which is described in expired U.S. Pat. No. 5,880,188.
- the compound has a structure according to the following formula (XIIa):
- M is a member selected from O and S.
- J is a member selected from (CR 3a R 4a ) n1 and CR 5a .
- R 3a , R 4a , and R 5a are members independently selected from H, halogen, cyano, substituted or unsubstituted alkyl, substituted or unsubstituted heteroalkyl, substituted or unsubstituted cycloalkyl, substituted or unsubstituted heterocycloalkyl, substituted or unsubstituted aryl, and substituted or unsubstituted heteroaryl.
- n1 is an integer selected from 0 to 2.
- W is a member selected from C ⁇ O (carbonyl), (CR 6a R 7a ) m and CR 8a .
- R 6a , R 7a , and R 8a are members independently selected from H, halogen, cyano, substituted or unsubstituted alkyl, substituted or unsubstituted heteroalkyl, substituted or unsubstituted cycloalkyl, substituted or unsubstituted heterocycloalkyl, substituted or unsubstituted aryl, and substituted or unsubstituted heteroaryl.
- the index m1 is an integer selected from 0 and 1.
- A is a member selected from CR 9a and N.
- D is a member selected from CR 10a and N.
- E is a member selected from CR 11a and N.
- G is a member selected from CR 12a and N.
- R 9a , R 10a , R 11a and R 12a are members independently selected from H, OR*, NR*R**, SR*, —S(O)R*, —S(O) 2 R*, —S(O) 2 NR*R**, —C(O)R*, —C(O)OR*, —C(O)NR*R**, nitro, halogen, cyano, substituted or unsubstituted alkyl, substituted or unsubstituted heteroalkyl, substituted or unsubstituted cycloalkyl, substituted or unsubstituted heterocycloalkyl, substituted or unsubstituted aryl, and substituted or unsubstituted heteroaryl.
- Each R* and R** are members independently selected from H, nitro, halogen, cyano, substituted or unsubstituted alkyl, substituted or unsubstituted heteroalkyl, substituted or unsubstituted cycloalkyl, substituted or unsubstituted heterocycloalkyl, substituted or unsubstituted aryl, and substituted or unsubstituted heteroaryl.
- the combination of nitrogens (A+D+E+G) is an integer selected from 0 to 3.
- a member selected from R 3a , R 4a and R 5a and a member selected from R 6a , R 7a and R 8a , together with the atoms to which they are attached, are optionally joined to form a 4 to 7 membered ring.
- R 3a and R 4a together with the atoms to which they are attached, are optionally joined to form a 4 to 7 membered ring.
- R 6a and R 7a together with the atoms to which they are attached, are optionally joined to form a 4 to 7 membered ring.
- R 9a and R 10a together with the atoms to which they are attached, are optionally joined to form a 4 to 7 membered ring.
- R 10a and R 11a together with the atoms to which they are attached, are optionally joined to form a 4 to 7 membered ring.
- R 11a and R 12a together with the atoms to which they are attached, are optionally joined to form a 4 to 7 membered ring.
- each R 3a and R 4a is a member independently selected from H, cyano, substituted or unsubstituted methyl, substituted or unsubstituted ethyl, trifluoromethyl, substituted or unsubstituted hydroxymethyl, substituted or unsubstituted hydroxyalkyl, substituted or unsubstituted benzyl, substituted or unsubstituted phenyl, substituted or unsubstituted mercaptomethyl, substituted or unsubstituted mercaptoalkyl, substituted or unsubstituted aminomethyl, substituted or unsubstituted alkylaminomethyl, substituted or unsubstituted dialkylaminomethyl, substituted or unsubstituted arylaminomethyl, substituted or unsubstituted indolyl and substituted or unsubstituted amido.
- each R 3a and R 4a is a member independently selected from cyano, substituted or unsubstituted methyl, substituted or unsubstituted ethyl, trifluoromethyl, substituted or unsubstituted hydroxymethyl, substituted or unsubstituted hydroxyalkyl, substituted or unsubstituted benzyl, substituted or unsubstituted phenyl, substituted or unsubstituted mercaptomethyl, substituted or unsubstituted mercaptoalkyl, substituted or unsubstituted aminomethyl, substituted or unsubstituted alkylaminomethyl, substituted or unsubstituted dialkylaminomethyl, substituted or unsubstituted arylaminomethyl, substituted or unsubstituted indolyl, substituted or unsubstituted amido.
- each R 3a and R 4a is a member selected from H, substituted or unsubstituted methyl, substituted or unsubstituted ethyl, substituted or unsubstituted propyl, substituted or unsubstituted isopropyl, substituted or unsubstituted butyl, substituted or unsubstituted t-butyl, substituted or unsubstituted phenyl and substituted or unsubstituted benzyl.
- R 3a and R 4a is a member selected from methyl, ethyl, propyl, isopropyl, butyl, t-butyl, phenyl and benzyl.
- R 3a is H and R 4a is a member selected from methyl, ethyl, propyl, isopropyl, butyl, t-butyl, phenyl and benzyl.
- R 3a is H and R 4a H.
- each R 9a , R 10a , R 11a and R 12a is an member independently selected from H, OR*, NR*R**, SR*, —S(O)R*, —S(O) 2 R*, —S(O) 2 NR*R**, —C(O)R*, —C(O)OR*, —C(O)NR*R**, halogen, cyano, nitro, substituted or unsubstituted methoxy, substituted or unsubstituted methyl, substituted or unsubstituted ethoxy, substituted or unsubstituted ethyl, trifluoromethyl, substituted or unsubstituted hydroxymethyl, substituted or unsubstituted hydroxyalkyl, substituted or unsubstituted benzyl, substituted or unsubstituted phenyl, substituted or unsubstituted phenyloxy, substituted or unsubstit
- R 9a , R 10a , R 11a and R 12a are selected from the previous list of substituents with the exception of —C(O)R*, —C(O)OR*, —C(O)NR*R**.
- R 9a , R 10a , R 11a and R 12a are members independently selected from fluoro, chloro, bromo, nitro, cyano, amino, methyl, hydroxylmethyl, trifluoromethyl, methoxy, trifluoromethyoxy, ethyl, diethylcarbamoyl, pyridin-2-yl, pyridin-3-yl, pyridin-4-yl, pyrimidinyl, piperizino, piperizinyl, piperizinocarbonyl, piperizinylcarbonyl, carboxyl, 1-tetrazolyl, 1-ethoxycarbonylmethoxy, carboxymethoxy, thiophenyl, 3-(butylcarbonyl) phenylmethoxy, 1H-tetrazol-5-yl, 1-ethoxycarbonylmethyloxy-, 1-ethoxycarbonylmethyl-, 1-ethoxycarbonyl-, carboxymethoxy-,
- the compound has a structure according to the following formula:
- R 9a , R 10a , R 11a and R 12a are members independently selected from H, halogen, cyano, nitro, substituted or unsubstituted methoxy, substituted or unsubstituted methyl, substituted or unsubstituted ethoxy, substituted or unsubstituted ethyl, trifluoromethyl, substituted or unsubstituted hydroxymethyl, substituted or unsubstituted hydroxyalkyl, substituted or unsubstituted benzyl, substituted or unsubstituted phenyl, substituted or unsubstituted phenyloxy, substituted or unsubstituted phenyl methoxy, substituted or unsubstituted thiophenyloxy, substituted or unsubstituted pyridinyloxy, substituted or unsubstituted pyrimidinyloxy, substituted or unsubstituted benzylfuran
- R 9a , R 10a , R 11a and R 12a are members independently selected from H, fluoro, chloro, bromo, nitro, cyano, amino, methyl, hydroxylmethyl, trifluoromethyl, methoxy, trifluoromethyoxy, ethyl, diethylcarbamoyl, pyridin-2-yl, pyridin-3-yl, pyridin-4-yl, pyrimidinyl, piperizino, piperizinyl, piperizinocarbonyl, piperizinylcarbonyl, carboxyl, 1-tetrazolyl, 1-ethoxycarbonylmethoxy, carboxymethoxy, thiophenyl, 3-(butylcarbonyl) phenylmethoxy, 1H-tetrazol-5-yl, 1-ethoxycarbonylmethyloxy-, 1-ethoxycarbonylmethyl-, 1-ethoxycarbonyl-, carboxymethoxy,
- R 9a is H and R 12a is H.
- the compound has a substitutent combination for R 9a , R 10a , R 11a , and R 12a which is a member selected from those described in Formulae (I), (Ia) (Ib), (Ic), (Id), (Ie), (If), (Ig), (Ih), (Ii), (Ij), (Ik), (I1), (Im), (In), (Io), (Ip), (Iq), (Ir), (Is), (It), (Iu), (Iv), (Iw), (Iz), (Iaa), (Iab), (Iac), (Iad), (Iae), (Iaf), (Iag), (Iah), (Iai), (Iaj), (Iak) above, and/or the subsequent paragraphs describing Formulae (I), (Ia) (Ib), (Ic), (Id), (Ie), (If),
- FIG. 12 is a member selected from a structure in FIG. 12 .
- the compound has a structure according to the following formula:
- the compound has a structure according to the following formula:
- the compound has a structure according to the following formula:
- the compound has a structure which is a member selected from Formulae (XII), (XIIa), (XIIb), (XIIc), (XIId) and (XIIe) wherein L is a member selected from substituted or unsubstituted adenine, substituted or unsubstituted guanine, substituted or unsubstituted cytidine, substituted or unsubstituted uracil, and substituted or unsubstituted thymine.
- L is OH.
- L is adenine.
- the compound has a structure which is a member selected from
- A1 is a nucleic acid sequence between 72 and 90 nucleotides. In another exemplary embodiment, A1 is a nucleic acid sequence between 35 and 150 nucleotides. In another exemplary embodiment, A1 is a nucleic acid sequence between 50 and 100 nucleotides. In another exemplary embodiment, A1 is a nucleic acid sequence between 75 and 85 nucleotides. In another exemplary embodiment, A1 is a nucleic acid sequence which is a tRNA or a portion of a tRNA.
- said tRNA or the portion of said tRNA is a member selected from alanyl tRNA, isoleucyl tRNA, leucyl tRNA, methionyl tRNA, lysyl tRNA, phenylalanyl tRNA, prolyl tRNA, threonyl tRNA and valyl tRNA.
- said tRNA or the portion of said tRNA is leucyl tRNA.
- said tRNA or the portion of said tRNA has a sequence which is a member selected from SEQ ID NOS: 18-62.
- A1 is a nucleic acid sequence wherein two final nucleotides are each cytidine.
- the compound further comprises a tRNA synthetase or a portion of a tRNA synthetase which comprises the editing domain, wherein said compound is noncovalently attached to the editing domain of said tRNA synthetase.
- the tRNA synthetase is a member selected from a mitochondrial tRNA synthetase and a cytoplasmic tRNA synthetase.
- the tRNA synthetase is a member selected from alanyl tRNA synthetase, isoleucyl tRNA synthetase, leucyl tRNA synthetase, methionyl tRNA synthetase, lysyl tRNA synthetase, phenylalanyl tRNA synthetase, prolyl tRNA synthetase, threonyl tRNA synthetase and valyl tRNA synthetase.
- the compound described herein is present in a microorganism described in this application.
- the compound is not present in a microorganism that is a member selected from Saccharomyces cerevisiae, Aspergillus niger, Pseudomonas aeruginosa, Staphylococcus aureus, Aureobasidium pullulans, Fusarium solani, Penicillium pinophilum, Scopulariopsis brevicaulis, Streptoverticillium waksmanii, Alternaria alternata, Cladosporium herbarum, Phoma violacea, Stemphylium dentriticum, Candida albicans, Escherichia coli , and Glioclasium roseum .
- the fungus is not a member selected from Saccharomyces cerevisiae, Aspergillus niger, Fusarium solani, Penicillium pinophilum, Scopulariopsis brevicaulis, Streptoverticillium waksmanii, Alternaria alternata, Cladosporium herbarum, Phoma violacea, Stemphylium dentriticum, Candida albicans , and Glioclasium roseum.
- the compound is present in a microorganism which is a member selected from a dermatophyte, Trichophyton, Microsporum, Epidermophyton and yeast-like fungi.
- a microorganism which is a member selected from a dermatophyte, Trichophyton, Microsporum, Epidermophyton and yeast-like fungi.
- the microorganism is a member selected from a dermatophyte, Trichophyton, Microsporum, Epidermophyton and yeast-like fungi.
- the microorganism is a dermatophyte.
- the microorganism is a member selected from Trichophyton species. In an exemplary embodiment, the microorganism is a member selected from is a member selected from T. rubrum and T. menagrophytes . In an exemplary embodiment, the microorganism is a dermatophyte and said dermatophyte is a member selected from T. rubrum and T. menagrophytes.
- the compound is present in a human or an animal. In another exemplary embodiment, the compound is present in a microorganism which is in, or on the surface of, a human or an animal. In another exemplary embodiment, the compound is present in a microoganism which is present in a human nail unit of a human or a nail, hoof, or horn component of an animal. In another exemplary embodiment, the compound is present in a microoganism which is present in a member selected from a human nail plate, human nail bed, proximal nail fold, lateral nail fold and combinations thereof. In another exemplary embodiment, the compound is present in a microoganism which is present in a member selected from a human nail plate and a human nail bed.
- the compound is present in a microoganism which is present in a member selected from a proximal nail fold and a lateral nail fold.
- the microorganism is a member selected from dermatophyte, Trichophyton, Microsporum, Epidermophyton and yeast-like fungi.
- said compound is a dermatophyte.
- the dermatophyte is a member selected from T. rubrum and T. menagrophytes.
- a compound of the invention described herein When a compound of the invention described herein is applied to a nail component of a human, the compound absorbs or penetrates into the nail.
- the human nail is primarily composed of keratin (i.e. hair keratin or ⁇ -keratin) as well as trace amounts of lipid components. Therefore, in the process of treating a disease of the nail or killing or inhibiting the growth of a microorganism, a formulation comprising a human nail unit and a compound of the invention is formed.
- the invention provides a formulation comprising: (a) a compound which is a member selected from a boron-containing compound, a 2′-amino ribofuranose-containing compound, a 3′-amino ribofuranose-containing compound, and combinations thereof; and (b) a keratin containing component which is a member selected from a human nail unit, skin and hair.
- the compound of part (a) contacts the component of part (b).
- the keratin containing component is a nail plate of the human nail unit.
- the keratin containing component is a nail bed of the human nail unit.
- the keratin containing component is a proximal nail fold of the human nail unit. In an exemplary embodiment, the keratin containing component is a lateral nail fold of the human nail unit.
- the human nail unit comprises a member selected from keratin and lipid. In another exemplary embodiment, keratin is a member selected from skin keratin and nail/hair keratin. In another exemplary embodiment, lipid is a member selected from cholesterol sulfate, cerebroside, ceramide, free sterol, free fatty acids, triglycerides, sterol esters, wax esters, and squalene.
- the compound is present in the formulation at a concentration which is a member selected from about 0.001%, about 0.01%, about 0.05%, about 0.1%, about 0.5%, about 1%, about 1.5%, about 2%, about 2.5%, about 3%.
- the keratin is present in said formulation at a concentration which is a member selected from about 99.99%, about 99.95%, about 99.90%, about 99.5%, about 99.0%, about 98.5%, about 98.0%, about 97.5% and about 97%.
- the compound is a compound described herein.
- the compound is as described in Formulae (I), (Ia) (Ib), (Ic), (Id), (Ie), (If), (Ig), (Ih), (Ii), (Ij), (Ik), (II), (Im), (In), (Io), (Ip), (Iq), (Ir), (Is), (It), (Iu), (Iv), (Iw), (Iz), (Iaa), (Iab), (Iac), (Iad), (Iae), (Iaf), (Iag), (Iah), (Iai), (Iaj), (Iak), (II), (IIa), (IIb), (IIc), (IId), and (III).
- the compound is an acyclic boronic ester as described herein. In another exemplary embodiment, the compound is a member selected from C1-C96 described herein. In another exemplary embodiment, the compound is a member selected from a compound appearing in FIG. 19 . In another exemplary embodiment, the compound is a member selected from a compound appearing in FIG. 20 . In another exemplary embodiment, the compound is 1,3-dihydro-5-fluoro-1-hydroxy-2,1-benzoxaborole.
- 1,3-dihydro-5-fluoro-1-hydroxy-2,1-benzoxaborole is present is said formulation at a concentration which is a member selected from about 0.001%, about 0.01%, about 0.05%, about 0.1%, about 0.5%, about 1%, and about 1.5%.
- the invention provides a method of forming this formulation, wherein said method comprises applying said compound to a formulation comprising keratin, thereby forming said formulation.
- the formulation comprising keratin is a human nail unit.
- the formulation comprising keratin is a member selected from a nail plate, nail bed, proximal nail fold, and lateral nail fold. Methods of making these formulations are described in the Examples section.
- the following exemplary schemes illustrate methods of preparing boron-containing molecules of the present invention. These methods are not limited to producing the compounds shown, but can be used to prepare a variety of molecules such as the compounds and complexes described herein.
- the compounds of the present invention can also be synthesized by methods not explicitly illustrated in the schemes but are well within the skill of one in the art.
- the compounds can be prepared using readily available materials of known intermediates.
- the symbol X represents bromo or iodo.
- the symbol Y is selected from H, lower alkyl, and arylalkyl.
- the symbol Z is selected from H, alkyl, and aryl.
- the symbol PG represents protecting group.
- the symbols A, D, E, G, R x , R y , R z , R 1a , R 2a , R 3a , R 4a , R 5a , R 6a , R 7a , R 8a , R 9a , R 10a , R 11a , and R 12a can be used to refer to the corresponding symbols in the compounds described herein.
- Step 1 and 2 compounds 1 or 2 are converted into alcohol 3.
- compound 1 is treated with a reducing agent in an appropriate solvent.
- Suitable reducing agents include borane complexes, such as borane-tetrahydrofuran, borane-dimethylsulfide, combinations thereof and the like.
- Lithium aluminum hydride, or sodium borohydride can also be used as reducing agents.
- the reducing agents can be used in quantities ranging from 0.5 to 5 equivalents, relative to compound 1 or 2.
- Suitable solvents include diethyl ether, tetrahydrofuran, 1,4-dioxane, 1,2-dimethoxyethane, combinations thereof and the like. Reaction temperatures range from 0° C. to the boiling point of the solvent used; reaction completion times range from 1 to 24 h.
- Step 2 the carbonyl group of compound 2 is treated with a reducing agent in an appropriate solvent.
- Suitable reducing agents include borane complexes, such as borane-tetrahydrofuran, borane-dimethylsulfide, combinations thereof and the like.
- Lithium aluminum hydride, or sodium borohydride can also be used as reducing agents.
- the reducing agents can be used in quantities ranging from 0.5 to 5 equivalents, relative to compound 2.
- Suitable solvents include lower alcohol, such as methanol, ethanol, and propanol, diethyl ether, tetrahydrofuran, 1,4-dioxane and 1,2-dimethoxyethane, combinations thereof and the like. Reaction temperatures range from 0° C. to the boiling point of the solvent used; reaction completion times range from 1 to 24 h.
- Step 3 the hydroxyl group of compound 3 is protected with a protecting group which is stable under neutral or basic conditions.
- the protecting group is typically selected from methoxymethyl, ethoxyethyl, tetrahydropyran-2-yl, trimethylsilyl, tert-butyldimethylsilyl, tributylsilyl, combinations thereof and the like.
- methoxymethyl compound 3 is treated with 1 to 3 equivalents of chloromethyl methyl ether in the presence of a base.
- Suitable bases include sodium hydride, potassium tert-butoxide, tertiary amines, such as diisopropylethylamine, triethylamine, 1,8-diazabicyclo[5,4,0]undec-7-ene, and inorganic bases, such as sodium hydroxide, sodium carbonate, potassium hydroxide, potassium carbonate, combinations thereof and the like.
- the bases can be used in quantities ranging from 1 to 3 equivalents, relative to compound 3. Reaction temperatures range from 0° C. to the boiling point of the solvent used; preferably between 0 and 40° C.; reaction completion times range from 1 h to 5 days.
- compound 3 is treated with 1 to 3 equivalents of 3,4-dihydro-2H-pyran in the presence of 1 to 10 mol % of acid catalyst.
- acid catalysts include pyridinium p-toluenesulfonic acid, p-toluenesulfonic acid, camphorsulfonic acid, methanesulfonic acid, hydrogen chloride, sulfuric acid, combinations thereof and the like.
- Suitable solvents include dichloromethane, chloroform, tetrahydrofuran, 1,4-dioxane, 1,2-dimethoxyethane, toluene, benzene, and acetonitrile combinations thereof and the like.
- Reaction temperatures range from 0° C. to the boiling point of the solvent used; preferably between 0 and 60° C., and is complete in 1 h to 5 days.
- compound 3 is treated with 1 to 3 equivalents of chlorotrialkylsilyane in the presence of 1 to 3 equivalents of base.
- bases include tertiary amines, such as imidazole, diisopropylethylamine, triethylamine, 1,8-diazabicyclo[5,4,0]undec-7-ene, combinations thereof and the like.
- Reaction temperatures range from 0° C. to the boiling point of the solvent used; preferably between 0 and 40° C.; reaction completion times range from 1 to 48 h.
- Step 4 compound 4 is converted into boronic acid (5) through halogen metal exchange reaction.
- Compound 4 is treated with 1 to 3 equivalents of alkylmetal reagent relative to compound 4, such as n-butyllithium, sec-butyllithium, tert-butyllithium, isopropylmagnesium chloride or Mg turnings with or without an initiator such as diisobutylaluminum hydride (DiBAl), followed by the addition of 1 to 3 equivalents of trialkyl borate relative to compound 4, such as trimethyl borate, triisopropyl borate, or tributyl borate.
- alkylmetal reagent such as n-butyllithium, sec-butyllithium, tert-butyllithium, isopropylmagnesium chloride or Mg turnings with or without an initiator such as diisobutylaluminum hydride (DiBAl)
- TriBAl diisobutylalum
- Suitable solvents include tetrahydrofuran, ether, 1,4-dioxane, 1,2-dimethoxyethane, toluene, hexanes, combinations thereof and the like.
- Alkylmetal reagent may also be added in the presence of trialkyl borate.
- the addition of butyllithium is carried out at between ⁇ 100 and 0° C., preferably at between ⁇ 80 and ⁇ 40° C.
- the addition of isopropylmagnesium chloride is carried out at between ⁇ 80 and 40° C., preferably at between ⁇ 20 and 30° C.
- the addition of Mg turnings, with or without the addition of DiBAl, is carried out at between ⁇ 80 and 40° C., preferably at between ⁇ 35 and 30° C.
- the addition of the trialkyl borate is carried out at between ⁇ 100 and 20° C. After the addition of trialkyl borate, the reaction is allowed to warm to room temperature, which is typically between ⁇ 30 and 30° C. When alkylmetal reagent is added in the presence of trialkyl borate, the reaction mixture is allowed to warm to room temperature after the addition. Reaction completion times range from 1 to 12 h. Compound 5 may not be isolated and may be used for the next step without purification or in one pot.
- Step 5 the protecting group of compound 5 is removed under acidic conditions to give compound of the invention.
- Suitable acids include acetic acid, trifluoroacetic acid, hydrochloric acid, hydrobromic acid, sulfuric acid, p-toluenesulfonic acid and the like.
- the acids can be used in quantities ranging from 0.1 to 20 equivalents, relative to compound 5.
- the protecting group is trialkylsilyl
- basic reagents such as tetrabutylammonium fluoride, can also be used.
- Suitable solvents include tetrahydrofuran, 1,4-dioxane, 1,2-dimethoxyethane, methanol, ethanol, propanol, acetonitrile, acetone, combination thereof and the like.
- Reaction temperatures range from 0° C. to the boiling point of the solvent used; preferably between 10° C. and reflux temperature of the solvent; reaction completion times range from 0.5 to 48 h.
- the product can be purified by methods known to those of skill in the art.
- the invention provides a method of making a tetrahydropyran-containing boronic ester, said ester having a structure according to the following formula:
- R 1 and R 2 are members independently selected from H, substituted or unsubstituted alkyl, substituted or unsubstituted heteroalkyl, substituted or unsubstituted cycloalkyl, substituted or unsubstituted heterocycloalkyl, substituted or unsubstituted aryl, and substituted or unsubstituted heteroaryl.
- R 1 and R 2 together with the atoms to which they are attached, can be optionally joined to form a 4- to 7-membered ring.
- R 9a , R 10 % R 11a and R 12a are members independently selected from H, OR*, NR*R**, SR*, —S(O)R*, —S(O) 2 R*, —S(O) 2 NR*R**, nitro, halogen, cyano, substituted or unsubstituted alkyl, substituted or unsubstituted heteroalkyl, substituted or unsubstituted cycloalkyl, substituted or unsubstituted heterocycloalkyl, substituted or unsubstituted aryl, and substituted or unsubstituted heteroaryl.
- R* and R** is a member selected from H, substituted or unsubstituted alkyl, substituted or unsubstituted heteroalkyl, substituted or unsubstituted cycloalkyl, substituted or unsubstituted heterocycloalkyl, substituted or unsubstituted aryl, and substituted or unsubstituted heteroaryl.
- the method comprises: a) subjecting a first compound to Grignard or organolithium conditions, said first compound having a structure according to the following formula:
- halogen is a member selected from iodo and bromo.
- the borate ester is a member selected from B(OR 1 ) 2 (OR 2 ), wherein R 1 and R 2 are each members independently selected from H, substituted or unsubstituted methyl, substituted or unsubstituted ethyl, substituted or unsubstituted propyl, substituted or unsubstituted isopropyl, substituted or unsubstituted butyl, substituted or unsubstituted t-butyl, substituted or unsubstituted phenyl and substituted or unsubstituted benzyl.
- R 1 and R 2 together with the atoms to which they are joined, can optionally form a member selected from substituted or unsubstituted dioxaborolane, substituted or unsubstituted dioxaborinane and substituted or unsubstituted dioxaborepane.
- the borate ester is a member selected from B(OR 1 ) 2 (OR 2 ), wherein R 1 and R 2 , together with the atoms to which they are joined, form a member selected from dioxaborolane, substituted or unsubstituted tetramethyldioxaborolane, substituted or unsubstituted phenyldioxaborolane, dioxaborinane, dimethyldioxaborinane and dioxaborepane.
- the Grignard or organolithium conditions further comprise diisobutyl aluminum hydride.
- the temperature of the Grignard reaction does not exceed about 35° C.
- step (b) is performed at a temperature of from about ⁇ 30° C. to about ⁇ 20° C. In another exemplary embodiment, step (b) is performed at a temperature of from about ⁇ 35° C. to about ⁇ 25° C. In another exemplary embodiment, step (b) is performed at a temperature of from about ⁇ 50° C. to about ⁇ 0° C. In another exemplary embodiment, step (b) is performed at a temperature of from about ⁇ 40° C. to about ⁇ 20° C. In another exemplary embodiment, the tetrahydropyran-containing boronic ester is
- the invention provides a method of making a compound having a structure according to the following formula
- said method comprising: a) subjecting a first compound to Grignard or organolithium conditions, said first compound having a structure according to the following formula:
- the quenching step is essentially not contacted with a strong acid.
- the compound is 1,3-dihydro-5-fluoro-1-hydroxy-2,1-benzoxaborole.
- the compound is purified by recrystallization from a recrystallization solvent, wherein said recrystallization solvent essentially does not contain acetonitrile. In an exemplary embodiment, the recrystallization solvent contains less than 2% acetonitrile.
- the recrystallization solvent contains less than 1% acetonitrile. In an exemplary embodiment, the recrystallization solvent contains less than 0.5% acetonitrile. In an exemplary embodiment, the recrystallization solvent contains less than 0.1% acetonitrile. In an exemplary embodiment, the recrystallization solvent contains toluene and a hydrocarbon solvent. In an exemplary embodiment, the recrystallization solvent contains about 1:1 toluene: hydrocarbon solvent. In an exemplary embodiment, the recrystallization solvent contains about 2:1 toluene: hydrocarbon solvent. In an exemplary embodiment, the recrystallization solvent contains about 3:1 toluene:hydrocarbon solvent.
- the recrystallization solvent contains about 4:1 toluene: hydrocarbon solvent.
- the hydrocarbon solvent is a member selected from heptane, octane, hexane, pentane and nonane.
- the recrystallization solvent is 3:1 toluene:heptane.
- Step 6 compound 2 is converted into boronic acid (6) via a transition metal catalyzed cross-coupling reaction.
- Compound 2 is treated with 1 to 3 equivalents of bis(pinacolato)diboron or 4,4,5,5-tetramethyl-1,3,2-dioxaborolane in the presence of transition metal catalyst, with the use of appropriate ligand and base as necessary.
- Suitable transition metal catalysts include palladium(II) acetate, palladium(II) acetoacetonate, tetrakis(triphenylphosphine)palladium, dichlorobis(triphenylphosphine)palladium, [1,1′-bis(diphenylphosphino)ferrocen]dichloropalladium(II), combinations thereof and the like.
- the catalyst can be used in quantities ranging from 1 to 5 mol % relative to compound 2.
- Suitable ligands include triphenylphosphine, tri(o-tolyl)phosphine, tricyclohexylphosphine, combinations thereof and the like.
- the ligand can be used in quantities ranging from 1 to 5 equivalents relative to compound 2.
- Suitable bases include sodium carbonate, potassium carbonate, potassium phenoxide, triethylamine, combinations thereof and the like.
- the base can be used in quantities ranging from 1 to 5 equivalents relative to compound 2.
- Suitable solvents include N,N-dimethylformamide, dimethylsufoxide, tetrahydrofuran, 1,4-dioxane, toluene, combinations thereof and the like.
- Reaction temperatures range from 20° C. to the boiling point of the solvent used; preferably between 50 and 150° C.; reaction completion times range from 1 to 72 h.
- Pinacol ester is then oxidatively cleaved to give compound 6.
- Pinacol ester is treated with sodium periodate followed by acid.
- Sodium periodate can be used in quantities ranging from 2 to 5 equivalents relative to compound 6.
- Suitable solvents include tetrahydrofuran, 1,4-dioxane, acetonitrile, methanol, ethanol, combinations thereof and the like.
- Suitable acids include hydrochloric acid, hydrobromic acid, sulfuric acid combinations thereof and the like. Reaction temperatures range from 0° C. to the boiling point of the solvent used; preferably between 0 and 50° C.; reaction completion times range from 1 to 72 h.
- Step 7 the carbonyl group of compound 6 is treated with a reducing agent in an appropriate solvent to give a compound of the invention.
- Suitable reducing agents include borane complexes, such as borane-tetrahydrofuran, borane-dimethylsulfide, combinations thereof and the like.
- Lithium aluminum hydride, or sodium borohydride can also be used as reducing agents.
- the reducing agents can be used in quantities ranging from 0.5 to 5 equivalents, relative to compound 6.
- Suitable solvents include lower alcohol, such as methanol, ethanol, and propanol, diethyl ether, tetrahydrofuran, 1,4-dioxane and 1,2-dimethoxyethane, combinations thereof and the like. Reaction temperatures range from 0° C. to the boiling point of the solvent used; reaction completion times range from 1 to 24 h.
- Step 8 compounds of the invention can be prepared in one step from compound 3.
- Compound 3 is mixed with trialkyl borate then treated with alkylmetal reagent.
- Suitable alkylmetal reagents include n-butyllithium, sec-butyllithium, tert-butyllithium combinations thereof and the like.
- Suitable trialkyl borates include trimethyl borate, triisopropyl borate, tributyl borate, combinations thereof and the like.
- the addition of butyllithium is carried out at between ⁇ 100 and 0° C., preferably at between ⁇ 80 and ⁇ 40° C.
- the reaction mixture is allowed to warm to room temperature after the addition. Reaction completion times range from 1 to 12 h.
- the trialkyl borate can be used in quantities ranging from 1 to 5 equivalents relative to compound 3.
- the alkylmetal reagent can be used in quantities ranging from 1 to 2 equivalents relative to compound 3.
- Suitable solvents include tetrahydrofuran, ether, 1,4-dioxane, 1,2-dimethoxyethane, toluene, hexanes, combinations thereof and the like. Reaction completion times range from 1 to 12 h.
- a mixture of compound 3 and trialkyl borate can be refluxed for 1 to 3 h and the alcohol molecule formed upon the ester exchange can be distilled out before the addition of alkylmetal reagent.
- Step 10 the methyl group of compound 7 is brominated using N-bromosuccinimide.
- N-bromosuccinimide can be used in quantities ranging from 0.9 to 1.2 equivalents relative to compound 7.
- Suitable solvents include carbon tetrachloride, tetrahydrofuran, 1,4-dioxane, chlorobenzene, combinations thereof and the like.
- Reaction temperatures range from 20° C. to the boiling point of the solvent used; preferably between 50 and 150° C.; reaction completion times range from 1 to 12 h.
- Step 11 the bromomethylene group of compound 8 is converted to the benzyl alcohol 3.
- Compound 8 is treated with sodium acetate or potassium acetate. These acetates can be used in quantities ranging from 1 to 10 equivalents relative to compound 8.
- Suitable solvents include tetrahydrofuran, 1,4-dioxane, N,N-dimethylformamide, N,N-dimethylacetamide, N-methylpyrrolidone, dimethylsulfoxide, combinations thereof and the like.
- Reaction temperatures range from 20° C. to the boiling point of the solvent used; preferably between 50 and 100° C.; reaction completion times range from 1 to 12 h.
- the resulting acetate is hydrolyzed to compound 3 under basic conditions.
- Suitable bases include sodium hydroxide, lithium hydroxide, potassium hydroxide, combinations thereof and the like.
- the base can be used in quantities ranging from 1 to 5 equivalents relative to compound 8.
- Suitable solvents include methanol, ethanol, tetrahydrofuran, water, combinations thereof and the like. Reaction temperatures range from 20° C. to the boiling point of the solvent used; preferably between 50 and 100° C.; reaction completion times range from 1 to 12 h.
- compound 8 can be directly converted into compound 3 under the similar condition above.
- Steps 3 through 5 convert compound 3 into a compound of the invention.
- Suitable solvents include tetrahydrofuran, 1,2-dimethoxyethane, 1,4-dioxane, ether, toluene, hexane, N,N-dimethylformamide, combinations thereof and the like.
- Reaction temperatures range from 0° C. to the boiling point of the solvent used; preferably between 0 and 30° C.; reaction completion times range from 1 to 12 h.
- the enolether formed is hydrolyzed under acidic conditions. Suitable acids include hydrochloric acid, hydrobromic acid, sulfuric acid, and the like.
- Suitable solvents include tetrahydrofuran, 1,2-dimethoxyethane, 1,4-dioxane, methanol, ethanol, combination thereof and the like.
- Reaction temperatures range from 20° C. to the boiling point of the solvent used; preferably between 50 and 100° C.; reaction completion times range from 1 to 12 h.
- Steps 2 through 5 convert compound 9 into a compound of the invention.
- reaction temperatures range from 20° C. to the boiling point of the solvent used; preferably between 50 and 100° C.; reaction completion times range from 1 to 12 h.
- compound (Ia) is converted into its aminoalcohol complex (Ib).
- Compound (Ia) is treated with HOR 1 NR 1a R 1b .
- the aminoalcohol can be used in quantities ranging from 1 to 10 equivalents relative to compound (Ia).
- Suitable solvents include methanol, ethanol, propanol, tetrahydrofuran, acetone, acetonitrile, 1,2-dimethoxyethane, 1,4-dioxane, toluene, N,N-dimethylformamide, water, combination thereof and the like.
- Reaction temperatures range from 20° C. to the boiling point of the solvent used; preferably between 50 and 100° C.; reaction completion times range from 1 to 24 h.
- the compounds of the invention can be converted into hydrates and solvates by methods similar to those described above.
- Ashton et al. (Can. Pat. App. 2,031,644 (1991)) and Durette, et al. (UK Pat. App. 2,207,678 (1989)) disclose the synthesis of the amino acid starting material for compound D5.
- Hardee, et al. (PCT Int. App. WO2005020885 (2005)) discloses the synthesis of the nucleoside starting material for compound D6.
- an aromatic amine of the invention is converted to the corresponding isothiocyanate by the action of thiophosgene.
- the resulting isothiocyanate is coupled to an amine of the invention, thereby forming either a homo- or heterodimeric species.
- the isothiocyanate is coupled with an amine-containing backbone, such as polylysine, thereby forming a conjugate between a polyvalent framework and a compound of the invention.
- the polylysine is underlabeled with the first isothiocyanate and subsequently labeled with one or more different isothiocyanates.
- a mixture of isothiocyanates is added to the backbone. Purification proceeds by, for example, size exclusion chromatography, dialysis, nanofiltration and the like.
- Assays to determine whether, and how effectively, a particular compound binds to and/or inhibits the editing domain of a selected tRNA synthetase are also set forth herein, and additional assays are readily available to those of skill in the art. Briefly, in an exemplary assay, an improperly charged tRNA and a tRNA synthetase that is capable of editing the improperly charged tRNA are combined. The resulting mixture is contacted with the putative inhibitor and the degree of editing inhibition is observed.
- Another assay uses genetics to show that a drug works via the editing domain.
- the compound is first tested against a strain of cells over-expressing copies of the tRNA synthetase gene.
- the compound's effect on the over-expressing strain is compared with a control strain to determine whether the compound is active against the synthetase. If the minimum inhibitory concentration (MIC) is 2-fold higher in the strain with extra copies of the synthetase gene than the MIC of the inhibitor against a wild type cell, a further genetic screen is conducted to determine whether the increased resistance is due to mutations in the editing domain.
- the control strain is challenged against a high concentration of the inhibitor. The colonies surviving the challenge are isolated and DNA from these cells is isolated.
- the editing domain is amplified using a proof-reading PCR enzyme and the appropriate primers.
- the PCR product can be purified using standard procedures.
- the sequence amplified mutant DNA is compared to wild-type. If the mutant DNA bears mutations in the editing domain, such results would suggest that the compound binds to the editing domain and affects the editing function of the molecule through this domain.
- the assays set forth above are useful in essentially any microbial system, e.g., bacterial, fungal, parasitic, viral and the like.
- the compounds to be tested are present in the assays in ranges from about 1 pM to about 100 mM, preferably from about 1 pM to about 1 ⁇ M.
- Other compounds range from about 1 nM to about 100 nM, preferably from about 1 nM to about 1 ⁇ M.
- test compounds upon the function of the enzymes can also be measured by any suitable physiological change.
- functional consequences are determined using intact cells or animals, one can also measure a variety of effects such as transmitter release, hormone release, transcriptional changes to both known and uncharacterized genetic markers, changes in cell metabolism such as cell growth or pH changes, and changes in intracellular second messengers such as Ca 2+ , or cyclic nucleotides.
- High throughput screening is also of use in identifying promising candidates of the invention.
- the invention provides a method for identifying a compound which binds to an editing domain of a tRNA synthetase comprising: a) contacting said editing domain with a test compound under conditions suitable for binding; and b) detecting binding of said test compound to said editing domain.
- detecting binding of said compound comprises use of at least one detectable element, isotope, or chemical label attached to said compound.
- the element, isotope or chemical label is detected by a fluorescent, luminescent, radioactive, or absorbance readout.
- the contacting of said test compound with said editing domain also includes further contacting said test compound and said editing domain with a member selected from AMP and a molecule with a terminal adenosine.
- said tRNA synthetase is derived from a member selected from alanyl tRNA synthetase, isoleucyl tRNA synthetase, leucyl tRNA synthetase, methionyl tRNA synthetase, lysyl tRNA synthetase, phenylalanyl tRNA synthetase, prolyl tRNA synthetase, threonyl tRNA synthetase and valyl tRNA synthetase.
- the tRNA synthetase is derived from leucyl tRNA synthetase. In an exemplary embodiment, the tRNA synthetase is derived from a mutated tRNA synthetase, wherein said mutated tRNA synthetase comprises amino acid mutations in an editing domain. In another exemplary embodiment, the mutated tRNA synthetase comprises amino acid mutations in the editing domain as listed in Table 4. In another exemplary embodiment, wherein said editing domain of a tRNA synthetase comprises the amino acid sequence of SEQ ID NOS: 1-15.
- the invention provides a method for identifying a compound which binds to an editing domain of a tRNA synthetase, said assay comprising: a) contacting said editing domain of a tRNA synthetase with said compound under conditions suitable for binding of said compound with said editing domain of a tRNA synthetase; b) comparing a biological activity of said editing domain of a tRNA synthetase contacting said compound to said biological activity when not contacting said compound; and c) identifying said compound as binding to said editing domain of a tRNA synthetase if said biological activity of said editing domain of a tRNA synthetase is reduced when contacting said compound.
- the biological activity is hydrolysis of noncognate amino acid.
- the hydrolysis of said noncognate amino acid is detected through the use of one or more labels.
- the labels include a radiolabel, a fluorescent marker, an antibody, or a combination thereof.
- said labels can be detected using spectroscopy.
- the editing domain of a tRNA synthetase is derived from a member selected from alanyl tRNA synthetase, isoleucyl tRNA synthetase, leucyl tRNA synthetase, methionyl tRNA synthetase, lysyl tRNA synthetase, phenylalanyl tRNA synthetase, prolyl tRNA synthetase, threonyl tRNA synthetase and valyl tRNA synthetase.
- said editing domain of a tRNA synthetase is derived from leucyl tRNA synthetase.
- the invention provides a method of generating tRNA molecules with noncognate amino acid comprising: a) creating or isolating a mutated tRNA synthetase with altered amino acid editing domains; and b) contacting a tRNA molecule with said mutated tRNA synthetase and a noncognate amino acid.
- the mutated tRNA synthetase contains one or more amino acid mutations in an editing domain.
- the mutated tRNA synthetase is unable to bind with 1,3-dihydro-5-fluoro-1-hydroxy-2,1-benzoxaborole.
- the mutated tRNA synthetase is able to bind with 1,3-dihydro-5-fluoro-1-hydroxy-2,1-benzoxaborole.
- the invention provides a composition that comprises one or more tRNA molecules attached to noncognate amino acids, wherein said tRNA molecules are synthesized using one or more mutated tRNA synthetases isolated from a microorganism or a cell line derived from a microorganism.
- the microorganism is a fungus or a yeast.
- said mutated tRNA synthetases contain amino acid mutations in their editing domains.
- said mutated tRNA synthetases comprise point mutations in the editing domain as listed in Table 4.
- Transfer RNAs translate mRNA into a protein on a ribosome.
- Each transfer RNA contains an anti-codon region that hybridizes with mRNA, and an amino acid which may be attached to the growing peptide.
- the structural gene of tRNA is about 72 to 90 nucleotides long and folds into a cloverleaf structure (Sharp S. J., Schaack J., Coolen L., Burke D. J. and Soll D., “Structure and transcription of eukaryotic tRNA genes”, Crit. Rev. Biochem, 19:107 144 (1985); Geiduschek E. O., and Tocchini-Valentini, “Transcription by RNA polymerase III”, Annu Rev. Biochem. 57:873 914 (1988)).
- C10 contacts AMP and a tRNA synthetase, and the tRNA synthetase in turn contacts a tRNA molecule. In another embodiment, C10 contacts AMP from the tRNA molecules and a tRNA synthetase.
- the nucleotide sequence of the tRNA molecule can be determined by the identity of the tRNA synthetase involved. For example, for leucyl tRNA synthetase, the cognate tRNA molecule bound will be tRNA-leucine (SEQ ID NO: 3), but a noncognate tRNA, such as isoleucine, (SEQ ID NO: 4) may be bound under certain conditions.
- the term “noncognate” is meant to encompass both the singular and plural forms of the word, i.e. the phrase “noncognate amino acid” comprises one or more amino acids.
- SEQ ID NO: 3 corresponds to the nucleotide sequence of the tRNA-Leu gene from Saccharomyces cerevisiae : gggagtttgg ccgagtggtt taaggcgtca gatttaggct ctgatatctt cggatgcaagggttcgaatc ccttagctct cacca
- SEQ ID NO: 4 corresponds to the nucleotide sequence of the tRNA-Ile gene from Saccharomyces cerevisiae : gaaactataa ttcaattggt tagaatagta ttttgataag gtacaaatat aggttcaatc cctgttagtt tcatcca
- tRNA synthetase molecule In some binding and inhibition assays, it is more effective to use a portion of a tRNA synthetase molecule rather than the whole protein itself. In such assays, polypeptides derived from tRNA synthetases are used in the experiment.
- polypeptide fragments corresponding to the editing domain of a tRNA synthetase molecule are used in assay and binding experiments. Two such fragments are represented by SEQ ID NO:1 and SEQ ID NO:2.
- SEQ ID NO 1 TPQEYIGVKIEALEFADDAAKIIDSSSDLDKSKKFYFVAATLRPETMYG QTCCFVSPTIEYGIFDAGDSYFITTERAFKNMSYQKLTPKRGFYKPIVT VPGKAFIGTKIHAPQSVYPELRILPMETVIATKGTGVVTCVPSNSPDDY ITTKDLLHKPEYYGIKPEWIDHEIVPIMHTEKYGDLTAKAIVEEKKIQS PKDKNLLAEAKKIAYKEDYYTGTMIYGPYKGEKVEQAKNKVKADMIAAG EAFVYNEPESQDP SEQ ID NO 2: MTPQEYIGVKIEALEFADDAAKIIDSSSDLDKSKKFYFVAATLRPETMY GQTCCFVSPTIEYGIFDAGDSYFITTERAFKNMSYQKLTPKRGFYKPIV TVPGKAFIGTKIHAPQSVYPELRILPMETVIATKGTGVVTCVPSNSPDD
- a method for binding to and/or inhibiting the editing domain of a tRNA synthetase comprises contacting a tRNA synthetase with a compound that inhibits the editing domain under the conditions in which the tRNA synthetase interacts with its substrate to form an aminoacyl adenylate intermediate and, preferably, to form a charged tRNA.
- a compound that inhibits the editing domain under the conditions in which the tRNA synthetase interacts with its substrate to form an aminoacyl adenylate intermediate and, preferably, to form a charged tRNA.
- the compound is one described herein.
- the tRNA synthetase is contacted with an amount of inhibitor sufficient to result in a detectable amount of tRNA synthetase inhibition.
- This method can be performed on a tRNA synthetase that is contained within an organism or which is outside an organism.
- the method is performed on a tRNA synthetase that is contained within a microorganism or a microbial cell that is in, or on the surface of, a human or an animal.
- the method results in a decrease in the amount of charged tRNA produced by the tRNA synthetase that has an inhibited editing domain.
- the inhibition takes place in a cell, such as a microbial cell.
- the microbial cell is a bacteria, fungus, yeast or parasite.
- the tRNA synthetase is a mitochondrial tRNA synthetase or a cytoplasmic tRNA synthetase.
- the invention provides a method of inhibiting conversion of a tRNA molecule into a charged tRNA molecule.
- the method involves contacting a tRNA synthetase with a compound effective to inhibit activity of an editing domain of said tRNA synthetase, under conditions sufficient to inhibit said activity, thereby inhibiting said conversion wherein the compound is a member selected from those compounds described herein.
- the compound is a member selected from a cyclic boronic ester, cyclic borinic ester, 2′-amino ribofuranose moiety and a 3′-amino ribofuranose moiety.
- the inhibition occurs within a cell, and the cell is a microbial cell.
- the microbial cell is a member selected from a bacteria, fungus, yeast, and parasite.
- the tRNA synthetase is a member selected from a mitochondrial tRNA synthetase and a cytoplasmic tRNA synthetase.
- the tRNA synthetase is a member selected from alanyl tRNA synthetase, isoleucyl tRNA synthetase, leucyl tRNA synthetase, methionyl tRNA synthetase, lysyl tRNA synthetase, phenylalanyl tRNA synthetase, prolyl tRNA synthetase, threonyl tRNA synthetase and valyl tRNA synthetase.
- the compound has a K D,synthesis of greater than 100 ⁇ M against a synthetic domain of said tRNA synthetase.
- the mechanism of action of the compound is to inhibit the conversion of a tRNA molecule into a charged tRNA molecule by binding to and/or inhibiting at least the editing domain of the synthetase.
- the compounds of use in this method may also inhibit or otherwise interact with the synthetic domain (e.g., the active site of the synthetic domain).
- the editing domain is inhibited selectively in the presence of the synthetic domain.
- the synthetic domain is essentially uninhibited, while the editing domain is inhibited at least 50%, preferably at least 60%, more preferably at least 70%, still more preferably, at least 80% and even still more preferably at least 90% of the activity of the tRNA synthetase.
- the synthetic domain is inhibited by at most 50%, preferably at most 30%, preferably at most 20%, 10%, preferably at most 8%, more preferably at most 5%, still more preferably, at most 3% and even still more preferably at most 1%. Inhibition of the editing domain produces a decrease in the amount of the properly charged tRNA which results in retardation or cessation of cell growth and division.
- the ratio of a minimum concentration of said compound inhibiting said editing domain to a minimum concentration of said compound inhibiting said synthetic domain of said tRNA synthetase, represented as K D,edit /K D,synthesis is less than one.
- the K D,edit /D D,synthesis of the compound is a member selected from less than 0.5, less than 0.1 and less than 0.05.
- the invention provides a method for inhibiting the growth, or killing, a microorganism, preferably a bacteria, fungus, virus, yeast or parasite, comprising contacting the microorganism with an inhibitor of a tRNA synthetase, e.g., a compound described by a formula listed herein, under conditions which permit entry of the compound into the organism.
- a microorganism preferably a bacteria, fungus, virus, yeast or parasite
- an inhibitor of a tRNA synthetase e.g., a compound described by a formula listed herein
- the invention provides a method for inhibiting the growth, or killing, a microorganism, preferably a bacteria, fungus, virus, yeast or parasite, comprising contacting the microorganism with a compound which is a member selected from Formulae (I), (Ia), (Ib), (Ic), (Id) (Ie), (If), (Ig), (Ih) (Ij), (Ik), (I1) (Im), (In), (Io), (Ip) (Iq), (Ir), (Is), (It), (Iu), (Iv), (Iw), (Ix) (Iy), (Iz), (Iaa), (Iab), (Iac), (Iad), (Iae), (Iaf), (Iag), (Iah), (Iai), (Iaj), (Iak), (II), (IIa), (IIb), (IIc), (IId), (III), (VIII), (VIII), (VIII),
- the invention provides a method for inhibiting the growth, or killing, a microorganism, preferably a bacteria, fungus, virus, yeast or parasite, comprising contacting the microorganism with a compound which is described in either FIG. 19 or FIG. 20 e.g., a compound described by a formula listed herein, under conditions which permit entry of the compound into the organism.
- the compound inhibits the tRNA synthetase through the editing domain of the synthetase.
- This method involves contacting a microbial cell with a therapeutically-effective amount of an editing domain inhibitor to inhibit tRNA synthetase in vivo or in vitro.
- the invention provides a method of inhibiting the growth of a microorganism, or killing a microorganism, or both, comprising contacting the microorganism with a compound described herein.
- Microorganisms are members selected from fungi, yeast, viruses, bacteria and parasites.
- the microorganism is inside, or on the surface of an animal.
- the animal is a member selected from human, cattle, deer, reindeer, goat, honey bee, pig, sheep, horse, cow, bull, dog, guinea pig, gerbil, rabbit, cat, camel, yak, elephant, ostrich, otter, chicken, duck, goose, guinea fowl, pigeon, swan, and turkey.
- the animal is a human.
- the microorganism is a member selected from a fungus and a yeast.
- the fungus or yeast is a member selected from Candida species, Trichophyton species, Microsporium species, Aspergillus species, Cryptococcus species, Blastomyces species, Cocciodiodes species, Histoplasma species, Paracoccidioides species, Phycomycetes species, Malassezia species, Fusarium species, Epidermophyton species, Scytalidium species, Scopulariopsis species, Alternaria species, Penicillium species, Phialophora species, Rhizopus species, Scedosporium species and Zygomycetes class.
- the fungus or yeast is a member selected from Aspergillus fumigatus ( A. fumigatus ), Blastomyces dermatitidis, Candida Albicans ( C. albicans , both fluconazole sensitive and resistant strains), Candida glabrata ( C. glabrata ), Candida krusei ( C. krusei ), Cryptococcus neoformans ( C. neoformans ), Candida parapsilosis ( C. parapsilosis ), Candida tropicalis ( C. tropicalis ), Cocciodiodes immitis, Epidermophyton floccosum ( E. floccosum ), Fusarium solani ( F.
- Aspergillus fumigatus A. fumigatus
- Blastomyces dermatitidis C. albicans , both fluconazole sensitive and resistant strains
- Candida glabrata C. glabrata
- Candida krusei C.
- the fungus or yeast is a member selected from Trichophyton concentricum, T. violaceum, T. schoenleinii, T. verrucosum, T. soudanense, Microsporum gypseum, M equinum, Candida guilliermondii, Malassezia globosa, M obtuse, M restricta, M. slooffiae , and Aspergillus flavus .
- the fungus or yeast is a member selected from dermatophytes, Trichophyton, Microsporum, Epidermophyton and yeast-like fungi.
- the microorganism is a bacteria.
- the bacteria is a gram-positive bacteria.
- the gram-positive bacteria is a member selected from Staphylococcus species, Streptococcus species, Bacillus species, Mycobacterium species, Corynebacterium species ( Propionibacterium species), Clostridium species, Actinomyces species, Enterococcus species and Streptomyces species.
- the bacteria is a gram-negative bacteria.
- the gram-negative bacteria is a member selected from Acinetobacter species, Neisseria species, Pseudomonas species, Brucella species, Agrobacterium species, Bordetella species, Escherichia species, Shigella species, Yersinia species, Salmonella species, Klebsiella species, Enterobacter species, Haemophilus species, Pasteurella species, Streptobacillus species, spirochetal species, Campylobacter species, Vibrio species and Helicobacter species.
- the bacterium is a member selected from Propionibacterium acnes; Staphylococcus aureus; Staphylococcus epidermidis, Staphylococcus saprophyticus; Streptococcus pyogenes; Streptococcus agalactiae; Streptococcus pneumoniae; Enterococcus faecalis; Enterococcus faecium; Bacillus anthracis; Mycobacterium avium - intracellulare; Mycobacterium tuberculosis, Acinetobacter baumanii; Corynebacterium diphtheria; Clostridium perfringens; Clostridium botulinum; Clostridium tetani; Clostridium difficile; Neisseria gonorrhoeae; Neisseria meningitidis; Pseudomonas aeruginosa; Legionella pneumophila; Escherichia
- the microorganism is a bacteria, which is a member selected from acid-fast bacterium, including Mycobacterium species; bacilli, including Bacillus species, Corynebacterium species (also Propionibacterium ) and Clostridium species; filamentous bacteria, including Actinomyces species and Streptomyces species; bacilli, such as Pseudomonas species, Brucella species, Agrobacterium species, Bordetella species, Escherichia species, Shigella species, Yersinia species, Salmonella species, Klebsiella species, Enterobacter species, Haemophilus species, Pasteurella species, and Streptobacillus species; spirochetal species, Campylobacter species, Vibrio species; and intracellular bacteria including Rickettsiae species and Chlamydia species.
- the microorganism is a virus.
- the virus is a member selected from hepatitis A-B, human rhinoviruses, Yellow fever virus, human respiratory coronaviruses, Severe acute respiratory syndrome (SARS), respiratory syncytial virus, influenza viruses, parainfluenza viruses 1-4, human immunodeficiency virus 1 (HIV-1), human immunodeficiency virus 2 (HIV-2), Herpes simplex virus 1 (HSV-1), Herpes simplex virus 2 (HSV-2), human cytomegalovirus (HCMV), Varicella zoster virus, Epstein-Barr (EBV), polioviruses, coxsackieviruses, echoviruses, rubella virus, neuroderma-tropic virus, variola virus, papoviruses, rabies virus, dengue virus, West Nile virus and SARS virus.
- the virus is a member selected from picornaviridae, Flaviviridae, coronaviridae, paramyxoviridae, orthomyxoviridae, retroviridae, herpesviridae and hepadnaviridae. In another exemplary embodiment, the virus is a member selected from a virus included in the following table;
- the microorganism is a parasite.
- the parasite is a member selected from Plasmodium falciparum, P. vivax, P. ovale P. malariae, P. berghei, Leishmania donovani, L. infantum, L. chagasi, L. mexicana, L. amazonensis, L. venezuelensi, L. tropics, L. major, L. minor, L. aethiopica, L. Biana braziliensis, L . ( V .) guyanensis, L . ( V .) panamensis, L .
- the invention provides a method of treating or preventing an infection.
- the method includes administering to the animal a therapeutically effective amount of the compound of the invention, sufficient to treat or prevent said infection.
- the compound is a compound described herein.
- the compound has a structure according to Formulae (I) to (Iak) and (II) to (XI).
- the compound has a structure which is described in FIG. 19 .
- the compound has a structure which is described in FIG. 20 .
- the animal is a member selected from human, cattle, deer, reindeer, goat, honey bee, pig, sheep, horse, cow, bull, dog, guinea pig, gerbil, rabbit, cat, camel, yak, elephant, ostrich, otter, chicken, duck, goose, guinea fowl, pigeon, swan, and turkey.
- the animal is a human.
- the animal is a member selected from a human, cattle, goat, pig, sheep, horse, cow, bull, dog, guinea pig, gerbil, rabbit, cat, chicken and turkey.
- the infection is a member selected from a systemic infection, a cutaneous infection, and an ungual, periungual or subungual infection.
- the treatment of a disorder or condition occurs through inhibition of an editing domain of an aminoacyl tRNA synthetase.
- Onychomycosis is a disease of the nail caused by yeast, dermatophytes, or other molds, and represents approximately 50% of all nail disorders. Toenail infection accounts for approximately 80% of onychomycosis incidence, while fingernails are affected in about 20% of the cases. Dermatophytes are the most frequent cause of nail plate invasion, particularly in toenail onychomycosis. Onychomycosis caused by a dermatophyte is termed Tinea unguium. Trichophyton rubrum is by far the most frequently isolated dermatophyte, followed by T. mentagrophytes.
- Distal subungual onychomycosis is the most common presentation of tinea unguium, with the main site of entry through the hyponychium (the thickened epidermis underneath the free distal end of a nail) progressing in time to involve the nail bed and the nail plate.
- Discoloration, onycholysis, and accumulation of subungual debris and nail plate dystrophy characterize the disease.
- the disease adversely affects the quality of life of its victims, with subject complaints ranging from unsightly nails and discomfort with footwear, to more serious complications including secondary bacterial infections.
- antibiotics e.g., nystatin and amphotericin B
- imidazole anti-fungal agents such as miconazole, clotrimazole, fluconazole, econazole and sulconazole
- non-imidazole fungal agents such as the allylamine derivatives terbinafine and naftifine, and the benzylamine butenafine.
- onychomycosis has proven to be resistant to most treatments.
- Nail fungal infections reside in an area difficult to access by conventional topical treatment and anti-fungal drugs cannot readily penetrate the nail plate to reach the infection sites under the nail. Therefore, onychomycosis has traditionally been treated by oral administration of anti-fungal drugs; however, clearly this is undesirable due to the potential for side effects of such drugs, in particular those caused by the more potent anti-fungal drugs such as itraconazole and ketoconazole.
- An alternative method of treatment of onychomycosis is by removal of the nail before treating with a topically active anti-fungal agent; such a method of treatment is equally undesirable.
- Systemic antimycotic agents require prolonged use and have the potential for significant side effects. Topical agents have usually been of little benefit, primarily because of poor penetration of the anti-fungal agents into and through the nail mass.
- the invention provides a method of treating or preventing an ungual or periungual infection in a human or an animal. This method comprising administering to the human or the animal a therapeutically effective amount of a compound of the invention, thereby treating or preventing the ungual or periungual infection.
- the ungual or periungual infection is onychomycosis.
- the infection is of the skin, nail, hair, claw or hoof, hair, ear and eye and is a member selected from Sporotrichosis, Mycotic keratitis, Extension oculomycosis, Endogenous oculomycosis, Lobomycosis, Mycetoma, Piedra, Pityriasis versicolor, Tinea corporis, Tinea cruris, Tinea pedis, Tinea barbae, Tinea capitis, Tinea nigra, Otomycosis, Tinea favosa, Chromomycosis, and Tinea Imbricata.
- the compound useful for treating these infections is 1,3-dihydro-5-fluoro-1-hydroxy-2,1-benzoxaborole.
- the invention provides a method of treating a systemic disease.
- the method involves contacting an animal with a compound of the invention.
- the method of delivery for treatment of systemic disesases can be oral, intravenous, transdermal, inhalation, intraperitoneal, and subcutaneous.
- the compound administered is 1,3-dihydro-5-fluoro-1-hydroxy-2,1-benzoxaborole.
- the infection is systemic and is a member selected from candidiasis, aspergillosis, coccidioidomycosis, cryptococcosis, histoplasmosis, blastomycosis, paracoccidioidomycosis, zygomycosis, phaeohyphomycosis and rhinosporidiosis.
- the compounds of the invention are useful for the treatment of diseases of both animals and humans, involving viruses.
- the disease is a member selected from hepatitis A-B-C, yellow fever, respiratory syncytial, influenza, AIDS, herpes simplex, chicken pox, varicella zoster, and Epstein-Barr disease.
- the compounds of the invention are useful for the treatment of diseases of both animals and humans, involving parasites.
- the disease is a member selected from malaria, Chagas' disease, Leishmaniasis, African sleeping sickness (African human trypanosomiasis), giardiasis, toxoplasmosis, amebiasis and cryptosporidiosis.
- the aminoacyl tRNA synthetase is an aminoacyl tRNA synthetase comprising an editing domain.
- the editing domain is encoded by a portion of the aminoacyl tRNA synthetase involved in proofreading.
- the editing domain is preferably encoded by a DNA portion having at least conserved residues compared after alignment with the editing site of the leucyl-tRNA synthetase, valyl-tRNA synthetase and isoleucyl-tRNA synthetase.
- the synthetase is selected from the group consisting of the valyl-tRNA synthetase, isoleucyl-tRNA synthetase, leucyl-tRNA synthetase, alanyl-tRNA synthetase, prolyl-tRNA synthetase, threonyl-tRNA synthetase, phenyl-tRNA synthetase and lysyl-tRNA synthetase which are known to have an editing site or domain (see for Ile RS Baldwin, A. N. and Berg, P. (1966) J. Biol. Chem. 241, 839-845 and Eldred, E. W.
- the tested compounds of the present invention are able to penetrate the nail plate and were also active against Trichophyton rubrum and mentagrophytes and other species. In addition, the tested compounds are also active against Trichophyton rubrum in the presence of 5% keratin powder.
- the invention provides a method of killing or inhibiting growth of a microorganism present in a human nail unit, wherein said human nail unit comprises a nail plate.
- the method comprising contacting a dorsal layer of the nail plate with a compound capable of penetrating the nail plate, traveling through the nail plate to a nail bed underlying said nail plate, and contacting said microorganism, under conditions sufficient for said compound to penetrate said nail plate.
- the compound has a molecular weight of between about 100 Da and about 200 Da, a log P value of between about 1.0 and about 2.6, a water solubility greater than about 0.1 mg/mL octanol/saturated water, and an MIC of less than 16 ⁇ g/mL against said microorganism, thereby killing or inhibiting the growth of said microorganism.
- R 9a , R 10a , R 11 and R 12a are members independently selected from H, fluoro, chloro, bromo, nitro, cyano, amino, methyl, hydroxylmethyl, trifluoromethyl, methoxy, trifluoromethyoxy, ethyl, diethylcarbamoyl, pyridin-2-yl, pyridin-3-yl, pyridin-4-yl, pyrimidinyl, piperizino, piperizinyl, piperizinocarbonyl, piperizinylcarbonyl, carboxyl, 1-tetrazolyl, 1-ethoxycarbonylmethoxy, carboxymethoxy, thiophenyl, 3-(butylcarbonyl) phenylmethoxy, 1H-tetrazol-5-yl, 1-ethoxycarbonylmethyloxy-, 1-ethoxycarbonylmethyl-, 1-ethoxycarbonyl-, carboxymethoxy-
- the invention provides a method of treating a disease caused by a microorganism present in a human nail unit, wherein said human nail unit comprises a nail plate, said method comprising: contacting a dorsal layer of the nail plate with a compound capable of penetrating the nail plate, traveling through the nail plate to a nail bed underlying said nail plate, and contacting said microorganism, under conditions sufficient for said compound to penetrate said nail plate and to treat said disease.
- the compound has a molecular weight of between about 100 Da and about 200 Da; a log P value of between about 1.0 and about 2.6; a water solubility greater than about 0.1 mg/mL octanol/saturated water, and an MIC of less than 16 ⁇ g/mL against said microorganism, thereby treating said disease.
- the compound has a structure according to Formula (I) described herein.
- the compound has a structure which is a member selected from Formula (Ia)-(Iaa) described herein.
- the invention provides a method of delivering a compound from the dorsal layer of the nail plate to the nail bed.
- This method comprises contacting the cell with a compound capable of penetrating the nail plate, under conditions sufficient to penetrate the nail.
- the compound has a molecular weight of between about 100 and about 200 Da.
- the compound also has a log P value of between about 1.0 and about 2.6.
- the compound additionally has a water solubility between about 0.1 mg/mL and 1 g/mL octanol/saturated water, thereby delivering said compound.
- the physicochemical properties of the compound of the invention described by quantities predictive for migration of the compound through the nail plate, including, but not limited to, molecular weight, log P and solubility in water, and the like, are effective to provide substantial penetration of the nail plate.
- the compound has a molecular weight of between 130 and 200. In another embodiment of this invention, the compound has a molecular weight of from about 140 to about 200 Da. In another embodiment of this invention, the compound has a molecular weight of from about 170 to about 200 Da. In another embodiment of this invention, the compound has a molecular weight of from about 155 to about 190 Da. In another embodiment of this invention, the compound has a molecular weight of from about 165 to about 185 Da. In another embodiment of this invention, the compound has a molecular weight of from about 145 to about 170 Da. In yet another embodiment the molecular weight is either 151.93 or 168.39 Da.
- the compound has a log P value of between about ⁇ 3.5 to about 2.5. In another exemplary embodiment, the compound has a log P value of from about ⁇ 1.0 to about 2.5. In another exemplary embodiment, the compound has a log P value of from about ⁇ 1.0 to about 2.0. In another exemplary embodiment, the compound has a log P value of from about ⁇ 0.5 to about 2.5. In another exemplary embodiment, the compound has a log P value of from about ⁇ 0.5 to about 1.5. In another exemplary embodiment, the compound has a log P value of from about 0.5 to about 2.5. In another exemplary embodiment, the compound has a log P value of from about 1.0 to about 2.5. In yet another exemplary embodiment, the compound has a log P value of 1.9 or 2.3.
- Also contemplated by the present invention is a compound with a log P value less then 2.5, with a molecular weight less than 200 Da, that are still able to penetrate the nail plate.
- the compound has a water solubility between about 0.1 mg/mL to 1 g/mL in octanol saturated water. In one embodiment of the present invention the compound has a water solubility of between 0.1 mg/mL and 100 mg/mL. In another embodiment of this invention, the compound has a water solubility of from about 0.1 mg/mL and 10 mg/mL. In another embodiment of this invention, the compound has a water solubility of from about 0.1 mg/mL and 1 mg/mL. In another embodiment of this invention, the compound has a water solubility of from about 5 mg/mL and 1 g/mL. In another embodiment of this invention, the compound has a water solubility of from about 10 mg/mL and 500 g/mL. In another embodiment of this invention, the compound has a water solubility of from about 80 mg/mL and 250 mg/mL.
- the present invention provides a compound with a log P value selected from a range above, with a molecular weight selected from a range above, that are still able to penetrate the nail plate.
- the present invention provides compounds with a molecular weight selected from a range above, with a water solubility selected from a range above, that are still able to penetrate the nail plate.
- the present invention provides compounds with a log P selected from a range above, with a water solubility selected from a range above, that are still able to penetrate the nail plate.
- the present invention provides compounds with a molecular weight selected from a range above, with a log P selected from a range above, and with a water solubility selected from a range above, that are still able to penetrate the nail plate.
- Penetration of the nail by the active ingredient may be effected by the polarity of the formulation.
- the polarity of the formulation is not expected have as much influence on nail penetration as some of the other factors, such as the molecular weight or the log P of the active ingredient.
- the presence of penetration enhancing agents in the formulation is likely to increase penetration of the active agent when compared to similar formulations containing no penetration enhancing agent.
- Compound 3 below is an example of a compound similar in molecular weight to ciclopirox, and like ciclopirox, penetrates the nail plate poorly.
- the topical formulations including a compound described herein has a total molecular weight of less than 200 Da, has a Log P of less than 2.5, and a minimum inhibitory concentration against Trichophyton rubrum that is substantially unchanged in the presence of 5% keratin.
- the compound has an efficacy coefficient between about 10 and about 1000. In an exemplary embodiment, the compound has an efficacy coefficient between about 30 and about 100. In an exemplary embodiment, the compound has an efficacy coefficient between about 100 and about 500. In an exemplary embodiment, the compound has an efficacy coefficient between about 25 and about 200.
- This invention is still further directed to methods for treating a fungal infection mediated at least in part by dermatophytes, Trichophyton, Microsporum or Epidermophyton species, or a yeast-like fungi including Candida species, in a human or an animal, which methods comprise administering to a human or an animal, that has been diagnosed with said fungal infection or is at risk of developing said fungal infection, a pharmaceutical composition comprising a pharmaceutically acceptable diluent and a therapeutically effective amount of a compound described herein or mixtures of one or more of such compounds.
- the infection is onychomycosis.
- Compounds contemplated by the present invention may have broad spectrum antifungal activity and as such may be candidates for use against other cutaneous fungal infections.
- the methods provided in this aspect of the invention are useful in the penetration of nails and hoofs, as well as the treatment of ungual and periungual conditions.
- the invention is a pharmaceutical formulation which includes: (a) a pharmaceutically acceptable excipient; and (b) a compound of the invention.
- the invention is a pharmaceutical formulation which includes: (a) a pharmaceutically acceptable excipient; and (b) a compound having a structure which is a member selected from Formulae (I), (Ia), (Ib), (Ic), (Id) (Ie), (If), (Ig), (Ih) (Ii), (Ij), (Ik), (I1) (Im), (In), (Io), (Ip) (Iq), (Ir), (Is), (It), (Iu), (Iv), (Iw), (Ix) (Iy), (Iz), (Iaa), (Iab), (Iac), (Iad), (Iae), (Iaf), (Iag), (Iah), (Iai), (Iaj), (Iak), (II), (IIa), (Ib),
- the invention is a pharmaceutical formulation which includes: (a) a pharmaceutically acceptable excipient; and (b) a compound which has a structure according to Formulae (VIII), (VIIIa), (VIIIb), (VIIIc), (VIIId), (VIIIe).
- the invention is a pharmaceutical formulation which includes: (a) a pharmaceutically acceptable excipient; and (b) a compound which has a structure which is a member selected from D1-D19, E1-E19, (VIII), (VIIIa), (VIIIb), (VIIIe), (VIIId), (VIIIe).
- the invention is a pharmaceutical formulation which includes: (a) a pharmaceutically acceptable excipient; and (b) a acyclic boronic ester of the invention.
- the compound is described in FIG. 19 .
- the compound is described in FIG. 20 .
- the invention is a pharmaceutical formulation which includes: (a) a pharmaceutically acceptable excipient; and (b) a acyclic boronic ester of the invention.
- the invention is a pharmaceutical formulation comprising: (a) a pharmaceutically acceptable excipient; and (b) a compound having a structure according to Formula I:
- R 1a is a member selected from a negative charge, a salt counterion, H, cyano, substituted or unsubstituted alkyl, substituted or unsubstituted heteroalkyl, substituted or unsubstituted cycloalkyl, substituted or unsubstituted heterocycloalkyl, substituted or unsubstituted aryl, and substituted or unsubstituted heteroaryl.
- M is a member selected from oxygen, sulfur and NR 2a .
- R 2a is a member selected from H, substituted or unsubstituted alkyl, substituted or unsubstituted heteroalkyl, substituted or unsubstituted cycloalkyl, substituted or unsubstituted heterocycloalkyl, substituted or unsubstituted aryl, and substituted or unsubstituted heteroaryl.
- J is a member selected from (CR 3a R 4a ) n1 and CR 5a .
- R 3a , R 4a , and R 5a are members independently selected from H, halogen, cyano, substituted or unsubstituted alkyl, substituted or unsubstituted heteroalkyl, substituted or unsubstituted cycloalkyl, substituted or unsubstituted heterocycloalkyl, substituted or unsubstituted aryl, and substituted or unsubstituted heteroaryl.
- the index n1 is an integer selected from 0 to 2.
- W is a member selected from C ⁇ O (carbonyl), (CR 6a R 7a ) m1 and CR 8a .
- R 6a , R 7a , and R 8a are members independently selected from H, halogen, cyano, substituted or unsubstituted alkyl, substituted or unsubstituted heteroalkyl, substituted or unsubstituted cycloalkyl, substituted or unsubstituted heterocycloalkyl, substituted or unsubstituted aryl, and substituted or unsubstituted heteroaryl.
- the index m1 is an integer selected from 0 and 1.
- A is a member selected from CR 9a and N.
- D is a member selected from CR 10a and N.
- E is a member selected from CR 11a and N.
- G is a member selected from CR 12a and N.
- R 9a , R 10a , R 11a and R 12a are members independently selected from H, OR*, NR*R**, SR*, —S(O)R*, —S(O) 2 R*, —S(O) 2 NR*R**, —C(O)R*, —C(O)OR*, —C(O)NR*R**, nitro, halogen, cyano, substituted or unsubstituted alkyl, substituted or unsubstituted heteroalkyl, substituted or unsubstituted cycloalkyl, substituted or unsubstituted heterocycloalkyl, substituted or unsubstituted aryl, and substituted or unsubstituted heteroaryl.
- Each R* and R** are members independently selected from H, substituted or unsubstituted alkyl, substituted or unsubstituted heteroalkyl, substituted or unsubstituted cycloalkyl, substituted or unsubstituted heterocycloalkyl, substituted or unsubstituted aryl, and substituted or unsubstituted heteroaryl.
- the combination of nitrogens (A+D+E+G) is an integer selected from 0 to 3.
- a member selected from R 3a , R 4a and R 5a and a member selected from R 6a , R 7a and R 8a , together with the atoms to which they are attached, are optionally joined to form a 4 to 7 membered ring.
- R 3a and R 4a together with the atoms to which they are attached, are optionally joined to form a 4 to 7 membered ring.
- R 6a and R 7a together with the atoms to which they are attached, are optionally joined to form a 4 to 7 membered ring.
- R 9a and R 10a together with the atoms to which they are attached, are optionally joined to form a 4 to 7 membered ring.
- R 10a and R 11a together with the atoms to which they are attached, are optionally joined to form a 4 to 7 membered ring.
- R 11a and R 12a together with the atoms to which they are attached, are optionally joined to form a 4 to 7 membered ring.
- R 7b is a member selected from H, methyl, ethyl and phenyl.
- R 10b is a member selected from H, OH, NH 2 , SH, halogen, substituted or unsubstituted phenoxy, substituted or unsubstituted phenylalkyloxy, substituted or unsubstituted phenylthio and substituted or unsubstituted phenylalkylthio.
- R 11b is a member selected from H, OH, NH 2 , SH, methyl, substituted or unsubstituted phenoxy, substituted or unsubstituted phenylalkyloxy, substituted or unsubstituted phenylthio and substituted or unsubstituted phenylalkylthio.
- R 1b is a member selected from a negative charge, H and a salt counterion.
- R 10b and R 11b are H.
- the compound cannot have a structure according to Formula (Ix) wherein one member selected from R 10b and R 11b is H and the other member selected from R 10b and R 11b is a member selected from halo, methyl, cyano, methoxy, hydroxymethyl and p-cyanophenyloxy.
- R 10b and R 11b are members independently selected from fluoro, chloro, methyl, cyano, methoxy, hydroxymethyl, and p-cyanophenyl.
- the compound cannot have a structure according to Formula (Ix) wherein R 11b is a member selected from a negative charge, H and a salt counterion; R 7b is H; R 10b is F and R 11b is H.
- R 11b and R 12b along with the atoms to which they are attached, are joined to form a phenyl group.
- the compound cannot have a structure according to Formula (Ix) wherein R 1b is a member selected from a negative charge, H and a salt counterion; R 7b is H; R 10b is 4-cyanophenoxy; and R 11b is H.
- R 10b is a member selected from H, halogen, CN and substituted or unsubstituted C 1-4 alkyl.
- the pharmaceutical formulation comprises a compound that has a structure according to Formula (Ia):
- each R 3a and R 4a is a member independently selected from H, cyano, substituted or unsubstituted methyl, substituted or unsubstituted ethyl, trifluoromethyl, substituted or unsubstituted hydroxymethyl, substituted or unsubstituted hydroxyalkyl, substituted or unsubstituted benzyl, substituted or unsubstituted phenyl, substituted or unsubstituted mercaptomethyl, substituted or unsubstituted mercaptoalkyl, substituted or unsubstituted aminomethyl, substituted or unsubstituted alkylaminomethyl, substituted or unsubstituted dialkylaminomethyl, substituted or unsubstituted arylaminomethyl, substituted or unsubstituted indolyl and substituted or unsubstituted amido.
- each R 3a and R 4a is a member independently selected from cyano, substituted or unsubstituted methyl, substituted or unsubstituted ethyl, trifluoromethyl, substituted or unsubstituted hydroxymethyl, substituted or unsubstituted hydroxyalkyl, substituted or unsubstituted benzyl, substituted or unsubstituted phenyl, substituted or unsubstituted mercaptomethyl, substituted or unsubstituted mercaptoalkyl, substituted or unsubstituted aminomethyl, substituted or unsubstituted alkylaminomethyl, substituted or unsubstituted dialkylaminomethyl, substituted or unsubstituted arylaminomethyl, substituted or unsubstituted indolyl, substituted or unsubstituted amido.
- each R 3a and R 4a is a member selected from H, substituted or unsubstituted methyl, substituted or unsubstituted ethyl, substituted or unsubstituted propyl, substituted or unsubstituted isopropyl, substituted or unsubstituted butyl, substituted or unsubstituted t-butyl, substituted or unsubstituted phenyl and substituted or unsubstituted benzyl.
- R 3a and R 4a is a member selected from methyl, ethyl, propyl, isopropyl, butyl, t-butyl, phenyl and benzyl.
- R 3a is H and R 4a is a member selected from methyl, ethyl, propyl, isopropyl, butyl, t-butyl, phenyl and benzyl.
- R 3a is H and R 4a H.
- R 9a , R 10a , R 11a and R 12a is a member independently selected from H, OR*, NR*R**, SR*, —S(O)R*, —S(O) 2 R*, —S(O) 2 NR*R**, —C(O)R*, —C(O)OR*, —C(O)NR*R**, halogen, cyano, nitro, substituted or unsubstituted methoxy, substituted or unsubstituted methyl, substituted or unsubstituted ethoxy, substituted or unsubstituted ethyl, trifluoromethyl, substituted or unsubstituted hydroxymethyl, substituted or unsubstituted hydroxyalkyl, substituted or unsubstituted benzyl, substituted or unsubstituted phenyl, substituted or unsubstituted phenyloxy, substituted or unsubstit
- R 9a , R 10a , R 11a and R 12a are selected from the previous list of substituents with the exception of —C(O)R*, —C(O)OR*, —C(O)NR*R**.
- R 6a , R 7a , R 9a , R 10a , R 11a and R 12a are members independently selected from fluoro, chloro, bromo, nitro, cyano, amino, methyl, hydroxylmethyl, trifluoromethyl, methoxy, trifluoromethyoxy, ethyl, diethylcarbamoyl, pyridin-2-yl, pyridin-3-yl, pyridin-4-yl, pyrimidinyl, piperizino, piperizinyl, piperizinocarbonyl, piperizinylcarbonyl, carboxyl, 1-tetrazolyl, 1-ethoxycarbonylmethoxy, carboxymethoxy, thiophenyl, 3-(butylcarbonyl) phenylmethoxy, 1H-tetrazol-5-yl, 1-ethoxycarbonylmethyloxy-, 1-ethoxycarbonylmethyl-, 1-ethoxycarbonylmethyl-, 1-
- the pharmaceutical formulation comprises a compound that has a structure which is a member according the following formulas:
- the pharmaceutical formulation comprises a compound that has a structure according to one of Formulae I-Io with substituent selections for R 9a , R 10a , R 11a and R 12a including all the possibilities contained in paragraph 106 except for H.
- the pharmaceutical formulation comprises a compound that has a structure according to one of Formulae Ib-Io with substituent selections for R 9a , R 10a , R 11a and R 12a including all the possiblities contained in paragraph 107 except for H.
- the pharmaceutical formulation comprises a compound that has a formula according to Formulae (Ib)-(Ie) wherein R 1a is a member selected from H, a negative charge and a salt counterion and the remaining R group (R 9a in Ib, R 10a in Ic, R 11a in Id, and R 12a in Ie) is a member selected from fluoro, chloro, bromo, nitro, cyano, amino, methyl, hydroxylmethyl, trifluoromethyl, methoxy, trifluoromethyoxy, ethyl, diethylcarbamoyl, pyridin-2-yl, pyridin-3-yl, pyridin-4-yl, pyrimidinyl, piperizino, piperizinyl, piperizinocarbonyl, piperizinylcarbonyl, carboxyl, 1-tetrazolyl, 1-ethoxycarbonylmethoxy, carboxymethoxy, thiopheny
- the pharmaceutical formulation comprises a compound that has a formula according to Formulae (If)-(Ik) wherein R 1a is a member selected from H, a negative charge and a salt counterion and each of the remaining two R groups (R 9a and R 10a in If, R 9a and R 11a in Ig, R 9a and R 12a in Ih, R 10a and R 11a in Ii, R 10a and R 12a in Ij, R 11a and R 12a in Ik) is a member independently selected from fluoro, chloro, bromo, nitro, cyano, amino, methyl, hydroxylmethyl, trifluoromethyl, methoxy, trifluoromethyoxy, ethyl, diethylcarbamoyl, pyridin-2-yl, pyridin-3-yl, pyridin-4-yl, pyrimidinyl, piperizino, piperizinyl, piperizinocarbonyl, piperiziny
- the pharmaceutical formulation comprises a compound that has a formula according to Formulae (Il)-(Io) wherein R 1a is a member selected from H, a negative charge and a salt counterion and each of the remaining three R groups (R 9a , R 10a , R 11a in 1 (Il), R 9a , R 10a , R 12a in (Im), R 9a , R 11a , R 12a in (In), R 10a , R 11a , R 12a in (Io)) is a member independently selected from fluoro, chloro, bromo, nitro, cyano, amino, methyl, hydroxylmethyl, trifluoromethyl, methoxy, trifluoromethyoxy, ethyl, diethylcarbamoyl, pyridin-2-yl, pyridin-3-yl, pyridin-4-yl, pyrimidinyl, piperizino, piperizinyl, piperizin
- the pharmaceutical formulation comprises a compound that is a member selected from:
- the compound of the invention has a structure which is a member selected from:
- R g is halogen.
- R a , R b , R c , R d and R e are members independently selected from a member selected from H, substituted or unsubstituted alkyl, substituted or unsubstituted heteroalkyl, substituted or unsubstituted cycloalkyl, substituted or unsubstituted heterocycloalkyl, substituted or unsubstituted aryl, and substituted or unsubstituted heteroaryl.
- the compound in the pharmaceutical formulation is a member selected from
- the compound has a structure is a member selected from:
- R a , R d and R e are each members independently selected from:
- R b and R c are members independently selected from H, methyl,
- R b is H and R c is a member selected from H, methyl
- R b and R c are, together with the nitrogen to which they are attached, optionally joined to form a member selected from
- R a is a member selected from
- R d is a member selected from
- R e is a member selected from
- the pharmaceutical formulations described herein can form a hydrate with water, a solvate with an alcohol (e.g. methanol, ethanol, propanol); an adduct with an amino compound (e.g. ammonia, methylamine, ethylamine); an adduct with an acid (e.g. formic acid, acetic acid); complexes with ethanolamine, quinoline, amino acids, and the like.
- an alcohol e.g. methanol, ethanol, propanol
- an amino compound e.g. ammonia, methylamine, ethylamine
- an acid e.g. formic acid, acetic acid
- complexes with ethanolamine, quinoline, amino acids, and the like e.g. formic acid, acetic acid
- the pharmaceutical formulation comprises a compound that has a structure according to Formula (Ip):
- R x2 is a member selected from substituted or unsubstituted C 1 -C 5 alkyl and substituted or unsubstituted C 1 -C 5 heteroalkyl.
- R y2 and R z2 are members independently selected from H, substituted or unsubstituted alkyl, substituted or unsubstituted heteroalkyl, substituted or unsubstituted cycloalkyl, substituted or unsubstituted heterocycloalkyl, substituted or unsubstituted aryl, and substituted or unsubstituted heteroaryl.
- the pharmaceutical formulation comprises a compound that has a structure according to Formula (Iq):
- R x2 is a member selected from substituted or unsubstituted C 1 -C 5 alkyl and substituted or unsubstituted C 1 -C 5 heteroalkyl.
- R y2 and R z2 are members independently selected from H, substituted or unsubstituted alkyl, substituted or unsubstituted heteroalkyl, substituted or unsubstituted cycloalkyl, substituted or unsubstituted heterocycloalkyl, substituted or unsubstituted aryl, and substituted or unsubstituted heteroaryl.
- At least one member selected from R 3a , R 4a , R 5a , R 6a , R 7a , R 8a , R 9a , R 10a , R 11a and R 12a is a member selected from nitro, cyano and halogen.
- the pharmaceutical formulation comprises a compound that has a structure which is a member selected from the following Formulae:
- the pharmaceutical formulation comprises a compound that has a formula according to Formulae (Ib)-(Ie) wherein at least one member selected from R 3a , R 4a , R 5a , R 6a , R 7a , R 8a , R 9a , R 10a , R 11a and R 12a is a member selected from nitro, cyano, fluro, chloro, bromo and cyanophenoxy.
- the pharmaceutical formulation comprises a compound that has a structure which is a member selected from
- the pharmaceutical formulation comprises a compound that has a structure that is a member selected from
- the pharmaceutical formulation cannot comprise a structure according to Formula (Iaa):
- R 6b , R 9b , R 10b , R 11b and a R 12b have the same substituent listings as described for Formulae (Ix) and (Iy) above.
- the pharmaceutical formulations of the invention can take a variety of forms adapted to the chosen route of administration. Those skilled in the art will recognize various synthetic methodologies that may be employed to prepare non-toxic pharmaceutical formulations incorporating the compounds described herein. Those skilled in the art will recognize a wide variety of non-toxic pharmaceutically acceptable solvents that may be used to prepare solvates of the compounds of the invention, such as water, ethanol, propylene glycol, mineral oil, vegetable oil and dimethylsulfoxide (DMSO).
- DMSO dimethylsulfoxide
- compositions of the invention may be administered orally, topically, parenterally, by inhalation or spray or rectally in dosage unit formulations containing conventional non-toxic pharmaceutically acceptable carriers, adjuvants and vehicles. It is further understood that the best method of administration may be a combination of methods. Oral administration in the form of a pill, capsule, elixir, syrup, lozenge, troche, or the like is particularly preferred.
- parenteral as used herein includes subcutaneous injections, intradermal, intravascular (e.g., intravenous), intramuscular, spinal, intrathecal injection or like injection or infusion techniques.
- the pharmaceutical formulations containing compounds of the invention are preferably in a form suitable for oral use, for example, as tablets, troches, lozenges, aqueous or oily suspensions, dispersible powders or granules, emulsion, hard or soft capsules, or syrups or elixirs.
- compositions intended for oral use may be prepared according to any method known in the art for the manufacture of pharmaceutical formulations, and such compositions may contain one or more agents selected from the group consisting of sweetening agents, flavoring agents, coloring agents and preserving agents in order to provide pharmaceutically elegant and palatable preparations.
- Tablets may contain the active ingredient in admixture with non-toxic pharmaceutically acceptable excipients that are suitable for the manufacture of tablets.
- excipients may be for example, inert diluents, such as calcium carbonate, sodium carbonate, lactose, calcium phosphate or sodium phosphate; granulating and disintegrating agents, for example, corn starch, or alginic acid; binding agents, for example starch, gelatin or acacia; and lubricating agents, for example magnesium stearate, stearic acid or talc.
- the tablets may be uncoated or they may be coated by known techniques to delay disintegration and absorption in the gastrointestinal tract and thereby provide a sustained action over a longer period.
- a time delay material such as glyceryl monostearate or glyceryl distearate may be employed.
- Formulations for oral use may also be presented as hard gelatin capsules wherein the active ingredient is mixed with an inert solid diluent, for example, calcium carbonate, calcium phosphate or kaolin, or as soft gelatin capsules wherein the active ingredient is mixed with water or an oil medium, for example peanut oil, liquid paraffin or olive oil.
- an inert solid diluent for example, calcium carbonate, calcium phosphate or kaolin
- water or an oil medium for example peanut oil, liquid paraffin or olive oil.
- Aqueous suspensions contain the active materials in admixture with excipients suitable for the manufacture of aqueous suspensions.
- excipients are suspending agents, for example sodium carboxymethylcellulose, methylcellulose, hydroxypropylmethylcellulose, sodium alginate, polyvinylpyrrolidone, gum tragacanth and gum acacia; and dispersing or wetting agents, which may be a naturally-occurring phosphatide, for example, lecithin, or condensation products of an alkylene oxide with fatty acids, for example polyoxyethylene stearate, or condensation products of ethylene oxide with long chain aliphatic alcohols, for example heptadecaethyleneoxycetanol, or condensation products of ethylene oxide with partial esters derived from fatty acids and a hexitol such as polyoxyethylene sorbitol monooleate, or condensation products of ethylene oxide with partial esters derived from fatty acids and hexitol anhydrides, for example polyethylene sorbitan
- the aqueous suspensions may also contain one or more preservatives, for example ethyl, or n-propyl p-hydroxybenzoate, one or more coloring agents, one or more flavoring agents, and one or more sweetening agents, such as sucrose or saccharin.
- preservatives for example ethyl, or n-propyl p-hydroxybenzoate
- coloring agents for example ethyl, or n-propyl p-hydroxybenzoate
- flavoring agents for example ethyl, or n-propyl p-hydroxybenzoate
- sweetening agents such as sucrose or saccharin.
- Oily suspensions may be formulated by suspending the active ingredients in a vegetable oil, for example arachis oil, olive oil, sesame oil or coconut oil, or in a mineral oil such as liquid paraffin.
- the oily suspensions may contain a thickening agent, for example beeswax, hard paraffin or cetyl alcohol. Sweetening agents such as those set forth above, and flavoring agents may be added to provide palatable oral preparations. These compositions may be preserved by the addition of an anti-oxidant such as ascorbic acid.
- Dispersible powders and granules suitable for preparation of an aqueous suspension by the addition of water provide the active ingredient in admixture with a dispersing or wetting agent, suspending agent and one or more preservatives.
- a dispersing or wetting agent e.g., glycerol, glycerol, glycerol, glycerol, glycerol, glycerol, glycerin, glycerin, glycerin, glycerin, glycerin, sorbitol, sorbitol, sorbitol, sorbitol, sorbitol, sorbitol, sorbitol, sorbitol, sorbitol, sorbitol, glycerol, glycerol, glycerol, glycerol, glycerol, glycerol, glycerol, glycerol, glycerol
- compositions of the invention may also be in the form of oil-in-water emulsions and water-in-oil emulsions.
- the oily phase may be a vegetable oil, for example olive oil or arachis oil, or a mineral oil, for example liquid paraffin or mixtures of these.
- Suitable emulsifying agents may be naturally-occurring gums, for example gum acacia or gum tragacanth; naturally-occurring phosphatides, for example soy bean, lecithin, and esters or partial esters derived from fatty acids and hexitol; anhydrides, for example sorbitan monooleate; and condensation products of the said partial esters with ethylene oxide, for example polyoxyethylene sorbitan monooleate.
- the emulsions may also contain sweetening and flavoring agents.
- Syrups and elixirs may be formulated with sweetening agents, for example glycerol, propylene glycol, sorbitol or sucrose. Such formulations may also contain a demulcent, a preservative, and flavoring and coloring agents.
- the pharmaceutical formulations may be in the form of a sterile injectable aqueous or oleaginous suspension. This suspension may be formulated according to the known art using those suitable dispersing or wetting agents and suspending agents, which have been mentioned above.
- the sterile injectable preparation may also be a sterile injectable solution or suspension in a non-toxic parenterally acceptable diluent or solvent, for example as a solution in 1,3-butanediol.
- Suitable vehicles and solvents that may be employed are water, Ringer's solution and isotonic sodium chloride solution.
- sterile, fixed oils are conventionally employed as a solvent or suspending medium.
- any bland fixed oil may be employed including synthetic mono- or diglycerides.
- fatty acids such as oleic acid find use in the preparation of injectables.
- composition of the invention may also be administered in the form of suppositories, e.g., for rectal administration of the drug.
- suppositories e.g., for rectal administration of the drug.
- These compositions can be prepared by mixing the drug with a suitable non-irritating excipient that is solid at ordinary temperatures but liquid at the rectal temperature and will therefore melt in the rectum to release the drug.
- suitable non-irritating excipient that is solid at ordinary temperatures but liquid at the rectal temperature and will therefore melt in the rectum to release the drug.
- Such materials are cocoa butter and polyethylene glycols.
- compositions can be administered parenterally in a sterile medium.
- the drug depending on the vehicle and concentration used, can either be suspended or dissolved in the vehicle.
- adjuvants such as local anesthetics, preservatives and buffering agents can be dissolved in the vehicle.
- the composition containing the therapeutic compound may be added to the animal's feed or drinking water. Also, it will be convenient to formulate animal feed and drinking water products so that the animal takes in an appropriate quantity of the compound in its diet. It will further be convenient to present the compound in a composition as a premix for addition to the feed or drinking water. The composition can also added as a food or drink supplement for humans.
- Dosage levels of the order of from about 5 mg to about 250 mg per kilogram of body weight per day and more preferably from about 25 mg to about 150 mg per kilogram of body weight per day, are useful in the treatment of the above-indicated conditions.
- the amount of active ingredient that may be combined with the carrier materials to produce a single dosage form will vary depending upon the condition being treated and the particular mode of administration.
- Dosage unit forms will generally contain between from about 1 mg to about 500 mg of an active ingredient.
- Frequency of dosage may also vary depending on the compound used and the particular disease treated. However, for treatment of most disorders, a dosage regimen of 4 times daily or less is preferred. It will be understood, however, that the specific dose level for any particular patient will depend upon a variety of factors including the activity of the specific compound employed, the age, body weight, general health, sex, diet, time of administration, route of administration and rate of excretion, drug combination and the severity of the particular disease undergoing therapy.
- Preferred compounds of the invention will have desirable pharmacological properties that include, but are not limited to, oral bioavailability, low toxicity, low serum protein binding and desirable in vitro and in vivo half-lives. Penetration of the blood brain barrier for compounds used to treat CNS disorders is necessary, while low brain levels of compounds used to treat peripheral disorders are often preferred.
- Assays may be used to predict these desirable pharmacological properties. Assays used to predict bioavailability include transport across human intestinal cell monolayers, including Caco-2 cell monolayers. Toxicity to cultured hepatocyctes may be used to predict compound toxicity. Penetration of the blood brain barrier of a compound in humans may be predicted from the brain levels of laboratory animals that receive the compound intravenously.
- Serum protein binding may be predicted from albumin binding assays. Such assays are described in a review by Oravcova, et al. (Journal of Chromatography B (1996) volume 677, pages 1-27).
- Compound half-life is inversely proportional to the frequency of dosage of a compound.
- In vitro half-lives of compounds may be predicted from assays of microsomal half-life as described by Kuhnz and Gieschen (Drug Metabolism and Disposition, (1998) volume 26, pages 1120-1127).
- compositions required for use in treatment will vary not only with the particular compound selected but also with the route of administration, the nature of the condition being treated and the age and condition of the patient and will ultimately be at the discretion of the attendant physician or clinician.
- the pharmaceutical formulation excipient comprises ethanol and the pharmaceutical formulation compound is 1,3-dihydro-5-fluoro-1-hydroxy-2,1-benzoxaborole.
- the pharmaceutical formulation excipient comprises propylene glycol and the pharmaceutical formulation compound is 1,3-dihydro-5-fluoro-1-hydroxy-2,1-benzoxaborole.
- the pharmaceutical formulation comprises: about propylene glycol:ethanol 1:4, with 1:10 wt/volume of 1,3-dihydro-5-fluoro-1-hydroxy-2,1-benzoxaborole.
- the pharmaceutical formulation comprises: about 70% ethanol; about 20% poly(vinyl methyl ether-alt-maleic acid monobutyl ester); about 10% 1,3-dihydro-5-fluoro-1-hydroxy-2,1-benzoxaborole. In an exemplary embodiment the pharmaceutical formulation comprises: about 56% ethanol; about 14% water; about 15% poly(2-hydroxyethyl methacrylate); about 5% dibutyl sebacate; about 10% 1,3-dihydro-5-fluoro-1-hydroxy-2,1-benzoxaborole.
- the pharmaceutical formulation comprises: about 55% ethanol; about 15% ethyl acetate; about 15% poly(vinyl acetate); about 5% dibutyl sebacate; about 10% 1,3-dihydro-5-fluoro-1-hydroxy-2,1-benzoxaborole.
- 1,3-dihydro-5-fluoro-1-hydroxy-2,1-benzoxaborole is present in a pharmaceutical formulation in a concentration which is a member selected from 1%, 2.5%, 5%, 7.5%, 10% and 15% w/v.
- the pharmaceutical formulation is a lacquer.
- the pharmaceutical formulation excipient comprises ethanol and the pharmaceutical formulation compound is 5-(4-cyanophenoxy)-1,3-dihydro-1-hydroxy-2,1-benzoxaborole.
- the pharmaceutical formulation excipient comprises propylene glycol and the pharmaceutical formulation compound is 5-(4-cyanophenoxy)-1,3-dihydro-1-hydroxy-2,1-benzoxaborole.
- the pharmaceutical formulation comprises: about 20% propylene glycol; about 70% ethanol; about 10% 5-(4-cyanophenoxy)-1,3-dihydro-1-hydroxy-2,1-benzoxaborole.
- the pharmaceutical formulation comprises: about 70% ethanol; about 20% poly(vinyl methyl ether-alt-maleic acid monobutyl ester); about 10% 5-(4-cyanophenoxy)-1,3-dihydro-1-hydroxy-2,1-benzoxaborole.
- the pharmaceutical formulation comprises: about 56% ethanol; about 14% water; about 15% poly(2-hydroxyethyl methacrylate); about 5% dibutyl sebacate; about 10% 5-(4-cyanophenoxy)-1,3-dihydro-1-hydroxy-2,1-benzoxaborole.
- the pharmaceutical formulation comprises: about 55% ethanol; about 15% ethyl acetate; about 15% poly(vinyl acetate); about 5% dibutyl sebacate; about 10% 5-(4-cyanophenoxy)-1,3-dihydro-1-hydroxy-2,1-benzoxaborole.
- 5-(4-cyanophenoxy)-1,3-dihydro-1-hydroxy-2,1-benzoxaborole is present in a pharmaceutical formulation in a concentration which is a member selected from 1%, 2.5%, 5%, 7.5%, 10% and 15% w/v.
- the pharmaceutical formulation is a lacquer.
- the pharmaceutical formulation excipient comprises ethanol and the pharmaceutical formulation compound is a compound described herein.
- the pharmaceutical formulation excipient comprises propylene glycol and the pharmaceutical formulation compound is a compound described herein.
- the pharmaceutical formulation comprises: about 20% propylene glycol; about 70% ethanol; about 10% of a compound described herein.
- the pharmaceutical formulation comprises: about 70% ethanol; about 20% poly(vinyl methyl ether-alt-maleic acid monobutyl ester); about 10% of a compound described herein.
- the pharmaceutical formulation comprises: about 56% ethanol; about 14% water; about 15% poly(2-hydroxyethyl methacrylate); about 5% dibutyl sebacate; about 10% of a compound described herein.
- the pharmaceutical formulation comprises: about 55% ethanol; about 15% ethyl acetate; about 15% poly(vinyl acetate); about 5% dibutyl sebacate; about 10% of a compound described herein.
- a compound described herein is present in a pharmaceutical formulation in a concentration which is a member selected from 1%, 2.5%, 5%, 7.5%, 10% and 15% w/v.
- the pharmaceutical formulation is a lacquer.
- the methods of the invention can be used employed through the topical application of the compounds described herein.
- compositions of the present invention comprises fluid or semi-solid vehicles that may include but are not limited to polymers, thickeners, buffers, neutralizers, chelating agents, preservatives, surfactants or emulsifiers, antioxidants, waxes or oils, emollients, sunscreens, and a solvent or mixed solvent system.
- the solvent or mixed solvent system is important to the formation because it is primarily responsible for dissolving the drug.
- the best solvent or mixed solvent systems are also capable of maintaining clinically relevant levels of the drug in solution despite the addition of a poor solvent to the formulation.
- the topical compositions useful in the subject invention can be made into a wide variety of product types.
- compositions include, but are not limited to, lotions, creams, gels, sticks, sprays, ointments, pastes, foams, mousses, and cleansers.
- product types can comprise several types of carrier systems including, but not limited to particles, nanoparticles, and liposomes.
- disintegrating agents can be added, such as the cross-linked polyvinyl pyrrolidone, agar or alginic acid or a salt thereof such as sodium alginate. Techniques for formulation and administration can be found in Remington: The Science and Practice of Pharmacy , supra. The formulation can be selected to maximize delivery to a desired target site in the body.
- Lotions which are preparations that are to be applied to the skin, nail, hair, claw or hoof surface without friction, are typically liquid or semi-liquid preparations in which finely divided solid, waxy, or liquid are dispersed. Lotions will typically contain suspending agents to produce better dispersions as well as compounds useful for localizing and holding the active agent in contact with the skin, nail, hair, claw or hoof, e.g., methylcellulose, sodium carboxymethyl-cellulose, or the like.
- Creams containing the active agent for delivery according to the present invention are viscous liquid or semisolid emulsions, either oil-in-water or water-in-oil.
- Cream bases are water-washable, and contain an oil phase, an emulsifier and an aqueous phase.
- the oil phase is generally comprised of petrolatum or a fatty alcohol, such as cetyl- or stearyl alcohol; the aqueous phase usually, although not necessarily, exceeds the oil phase in volume, and generally contains a humectant.
- the emulsifier in a cream formulation as explained in Remington: The Science and Practice of Pharmacy , supra, is generally a nonionic, anionic, cationic or amphoteric surfactant.
- Gel formulations can also be used in connection with the present invention. As will be appreciated by those working in the field of topical drug formulation, gels are semisolid. Single-phase gels contain organic macromolecules distributed substantially uniformly throughout the carrier liquid, which is typically aqueous, but also may be a solvent or solvent blend.
- Ointments which are semisolid preparations, are typically based on petrolatum or other petroleum derivatives.
- the specific ointment base to be used is one that provides for optimum delivery for the active agent chosen for a given formulation, and, preferably, provides for other desired characteristics as well, e.g., emolliency or the like.
- an ointment base should be inert, stable, nonirritating and non-sensitizing. As explained in Remington: The Science and Practice of Pharmacy, 19th Ed.
- ointment bases may be grouped in four classes: oleaginous bases; emulsifiable bases; emulsion bases; and water-soluble bases.
- Oleaginous ointment bases include, for example, vegetable oils, fats obtained from animals, and semisolid hydrocarbons obtained from petroleum.
- Emulsifiable ointment bases also known as absorbent ointment bases, contain little or no water and include, for example, hydroxystearin sulfate, anhydrous lanolin and hydrophilic petrolatum.
- Emulsion ointment bases are either water-in-oil (W/O) emulsions or oil-in-water (O/W) emulsions, and include, for example, cetyl alcohol, glyceryl monostearate, lanolin and stearic acid.
- W/O water-in-oil
- O/W oil-in-water
- Preferred water-soluble ointment bases are prepared from polyethylene glycols of varying molecular weight; again, reference may be had to Remington: The Science and Practice of Pharmacy, supra, for further information.
- Sprays generally provide the active agent in an aqueous and/or alcoholic solution which can be misted onto the skin, nail, hair, claw or hoof for delivery.
- Such sprays include those formulated to provide for concentration of the active agent solution at the site of administration following delivery, e.g., the spray solution can be primarily composed of alcohol or other like volatile liquid in which the drug or active agent can be dissolved.
- the carrier evaporates, leaving concentrated active agent at the site of administration.
- the topical pharmaceutical compositions may also comprise suitable solid or gel phase carriers.
- suitable solid or gel phase carriers include but are not limited to calcium carbonate, calcium phosphate, various sugars, starches, cellulose derivatives, gelatin, and polymers such as polyethylene glycols.
- the topical pharmaceutical compositions may also comprise a suitable emulsifier which refers to an agent that enhances or facilitates mixing and suspending oil-in-water or water-in-oil.
- a suitable emulsifier which refers to an agent that enhances or facilitates mixing and suspending oil-in-water or water-in-oil.
- the emulsifying agent used herein may consist of a single emulsifying agent or may be a nonionic, anionic, cationic or amphoteric surfactant or blend of two or more such surfactants; preferred for use herein are nonionic or anionic emulsifiers.
- Such surface-active agents are described in “McCutcheon's Detergent and Emulsifiers,” North American Edition, 1980 Annual published by the McCutcheon Division, MC Publishing Company, 175 Rock Road, Glen Rock, N.J. 07452, USA.
- high molecular weight alcohols such as cetearyl alcohol, cetyl alcohol, stearyl alcohol, emulsifying wax, glyceryl monostearate.
- Other examples are ethylene glycol distearate, sorbitan tristearate, propylene glycol monostearate, sorbitan monooleate, sorbitan monostearate (SPAN 60), diethylene glycol monolaurate, sorbitan monopalmitate, sucrose dioleate, sucrose stearate (CRODESTA F-160), polyoxyethylene lauryl ether (BRIJ 30), polyoxyethylene (2) stearyl ether (BRIJ 72), polyoxyethylene (21) stearyl ether (BRIJ 721), polyoxyethylene monostearate (Myrj 45), polyoxyethylene sorbitan monostearate (TWEEN 60), polyoxyethylene sorbitan monooleate (TWEEN 80), polyoxyethylene sorbitan monolaurate (TWEEN 20) and
- nonionic emulsifying agents are those with hydrophile-lipophile balances (HLB) of about 3 to 6 for w/o system and 8 to 18 for o/w system as determined by the method described by Paul L. Lindner in “Emulsions and Emulsion”, edited by Kenneth Lissant, published by Dekker, New York, N.Y., 1974, pages 188-190. More preferred for use herein are one or more nonionic surfactants that produce a system having HLB of about 8 to about 18.
- HLB hydrophile-lipophile balances
- nonionic emulsifiers include but are not limited to “BRIJ 72”, the trade name for a polyoxyethylene (2) stearyl ether having an HLB of 4.9; “BRIJ 721”, the trade name for a polyoxyethylene (21) stearyl ether having an HLB of 15.5, “Brij 30”, the trade name for polyoxyethylene lauryl ether having an HLB of 9.7; “Polawax”, the trade name for emulsifying wax having an HLB of 8.0; “Span 60”, the trade name for sorbitan monostearate having an HLB of 4.7; “Crodesta F-160”, the trade name for sucrose stearate” having an HLB of 14.5.
- each emulsifying agent is present in amount from about 0.5 to about 2.5 wt %, preferably 0.5 to 2.0%, more preferably 1.0% or 1.8%.
- the emulsifying agent comprises a mixture of steareth 21 (at about 1.8%) and steareth 2 (at about 1.0%).
- the topical pharmaceutical compositions may also comprise suitable emollients.
- Emollients are materials used for the prevention or relief of dryness, as well as for the protection of the skin, nail, hair, claw or hoof.
- Useful emollients include, but are not limited to, cetyl alcohol, isopropyl myristate, stearyl alcohol, and the like.
- suitable emollients are known and can be used herein. See e.g., Sagarin, Cosmetics, Science and Technology, 2nd Edition, Vol. 1, pp. 32-43 (1972), and U.S. Pat. No. 4,919,934, to Deckner et al., issued Apr. 24, 1990, both of which are incorporated herein by reference in their entirety.
- These materials are available from Ruger Chemical Co, (Irvington, N.J.).
- each emollient is present in an amount from about 0.1 to 15%, preferably 0.1 to about 3.0, more preferably 0.5, 1.0, or 2.5 wt %.
- the emollient is a mixture of cetyl alcohol, isopropyl myristate and stearyl alcohol in a 1/5/2 ratio.
- the emollient may also be a mixture of cetyl alcohol and stearyl alcohol in a 1/2 ratio.
- the topical pharmaceutical compositions may also comprise suitable antioxidants, substances known to inhibit oxidation.
- Antioxidants suitable for use in accordance with the present invention include, but are not limited to, butylated hydroxytoluene, ascorbic acid, sodium ascorbate, calcium ascorbate, ascorbic palmitate, butylated hydroxyanisole, 2,4,5-trihydroxybutyrophenone, 4-hydroxymethyl-2,6-di-tert-butylphenol, erythorbic acid, gum guaiac, propyl gallate, thiodipropionic acid, dilauryl thiodipropionate, tert-butylhydroquinone and tocopherols such as vitamin E, and the like, including pharmaceutically acceptable salts and esters of these compounds.
- the antioxidant is butylated hydroxytoluene, butylated hydroxyanisole, propyl gallate, ascorbic acid, pharmaceutically acceptable salts or esters thereof, or mixtures thereof.
- the antioxidant is butylated hydroxytoluene. These materials are available from Ruger Chemical Co, (Irvington, N.J.).
- the total amount of antioxidant present is from about 0.001 to 0.5 wt %, preferably 0.05 to about 0.5 wt %, more preferably 0.1%.
- the topical pharmaceutical compositions may also comprise suitable preservatives.
- Preservatives are compounds added to a pharmaceutical formulation to act as an anti-microbial agent.
- preservatives known in the art as being effective and acceptable in parenteral formulations are benzalkonium chloride, benzethonium, chlorohexidine, phenol, m-cresol, benzyl alcohol, methylparaben, propylparaben, chlorobutanol, o-cresol, p-cresol, chlorocresol, phenylmercuric nitrate, thimerosal, benzoic acid, and various mixtures thereof. See, e.g., Wall Later, K.-H., Develop. Biol.
- the preservative is selected from methylparaben, propylparaben and mixtures thereof. These materials are available from Inolex Chemical Co (Philadelphia, Pa.) or Spectrum Chemicals.
- the total amount of preservative present is from about 0.01 to about 0.5 wt %, preferably from about 0.1 to 0.5%, more preferably from about 0.03 to about 0.15.
- the preservative is a mixture of methylparaben and proplybarben in a 5/1 ratio.
- the amount is usually 15 to 20%.
- the topical pharmaceutical compositions may also comprise suitable chelating agents to form complexes with metal cations that do not cross a lipid bilayer.
- suitable chelating agents include ethylene diamine tetraacetic acid (EDTA), ethylene glycol-bis(beta-aminoethyl ether)-N,N,N′,N′-tetraacetic acid (EGTA) and 8-Amino-2-[(2-amino-5-methylphenoxy)methyl]-6-methoxyquinoline-N,N,N′,N′-tetraacetic acid, tetrapotassium salt (QUIN-2).
- the chelating agents are EDTA and citric acid. These materials are available from Spectrum Chemicals.
- the total amount of chelating agent present is from about 0.005% to 2.0% by weight, preferably from about 0.05% to about 0.5 wt %, more preferably about 0.1% by weight.
- the topical pharmaceutical compositions may also comprise suitable neutralizing agents used to adjust the pH of the formulation to within a pharmaceutically acceptable range.
- neutralizing agents include but are not limited to trolamine, tromethamine, sodium hydroxide, hydrochloric acid, citric acid, and acetic acid. Such materials are available from are available from Spectrum Chemicals (Gardena, Calif.).
- the total amount of neutralizing agent present is from about 0.1 wt to about 10 wt %, preferably 0.1 wt % to about 5.0 wt %, and more preferably about 1.0 wt %.
- the neutralizing agent is generally added in whatever amount is required to bring the formulation to the desired pH.
- the topical pharmaceutical compositions may also comprise suitable viscosity increasing agents. These components are diffusible compounds capable of increasing the viscosity of a polymer-containing solution through the interaction of the agent with the polymer.
- CARBOPOL ULTREZ 10 may be used as a viscosity-increasing agent. These materials are available from Noveon Chemicals, Cleveland, Ohio.
- the total amount of viscosity increasing agent present is from about 0.25% to about 5.0% by weight, preferably from about 0.25% to about 1.0 wt %, and more preferably from about 0.4% to about 0.6% by weight.
- the topical pharmaceutical compositions may also comprise suitable nail penetration enhancers.
- nail penetration enhancers include mercaptan compounds, sulfites and bisulfites, keratolytic agents and surfactants.
- nail penetration enhancers suitable for use in the invention are described in greater detail in Malhotra et al., J. Pharm. Sci., 91:2, 312-323 (2002), which is incorporated herein by reference in its entirety.
- the topical pharmaceutical compositions may also comprise one or more suitable solvents.
- suitable solvents The ability of any solid substance (solute) to dissolve in any liquid substance (solvent) is dependent upon the physical properties of the solute and the solvent. When solutes and solvents have similar physical properties the solubility of the solute in the solvent will be the greatest. This gives rise to the traditional understanding that “like dissolves like.”
- Solvents can be characterized in one extreme as non-polar, lipophilic oils, while in the other extreme as polar hydrophilic solvents. Oily solvents dissolve other non-polar substances by Van der Wals interactions while water and other hydrophilic solvents dissolve polar substances by ionic, dipole, or hydrogen bonding interactions. All solvents can be listed along a continuum from the least polar, i.e.
- hydrocarbons such as decane to the most polar solvent being water.
- a solute will have its greatest solubility in solvents having equivalent polarity.
- less polar solvents will provide improved solubility with the solvent having polarity nearly equivalent to the solute providing maximum solubility.
- Most drugs have intermediate polarity, and thus experience maximum solubility in solvents such as propylene glycol or ethanol, which are significantly less polar than water. If the drug has greater solubility in propylene glycol (for example 8% (w/w)) than in water (for example 0.1% (w/w)), then addition of water to propylene glycol should decrease the maximum amount of drug solubility for the solvent mixture compared with pure propylene glycol. Addition of a poor solvent to an excellent solvent will decrease the maximum solubility for the blend compared with the maximum solubility in the excellent solvent.
- the concentration of active ingredient in the formulation may be limited by the solubility of the active ingredient in the chosen solvent and/or carrier.
- Non-lipophilic drugs typically display very low solubility in pharmaceutically acceptable solvents and/or carriers.
- the solubility of some compounds in the invention in water is less than 0.00025% wt/wt.
- the solubility of the same compounds in the invention can be less than about 2% wt/wt in either propylene glycol or isopropyl myristate.
- diethylene glycol monoethyl ether (DGME) is the solvent used to dissolve the compounds of the invention.
- the compounds in the invention useful in the present formulation are believed to have a solubility of from about 10% wt/wt to about 25% wt/wt in DGME.
- a DGME water cosolvent system is used to dissolve the compounds of the invention.
- the solvent capacity of DGME drops when water is added; however, the DGME/water cosolvent system can be designed to maintain the desired concentration of from about 0.1% to about 5% wt/wt active ingredient.
- the active ingredient is present from about 0.5% to about 3% wt/wt, and more preferably at about 1% wt/wt, in the as-applied topical formulations.
- DGME is less volatile than water, as the topical formulation evaporates upon application, the active agent becomes more soluble in the cream formulation. This increased solubility reduces the likelihood of reduced bioavailability caused by the drug precipitating on the surface of the skin, nail, hair, claw or hoof.
- Liquid forms such as lotions suitable for topical administration or suitable for cosmetic application, may include a suitable aqueous or nonaqueous vehicle with buffers, suspending and dispensing agents, thickeners, penetration enhancers, and the like.
- Solid forms such as creams or pastes or the like may include, for example, any of the following ingredients, water, oil, alcohol or grease as a substrate with surfactant, polymers such as polyethylene glycol, thickeners, solids and the like.
- Liquid or solid formulations may include enhanced delivery technologies such as liposomes, microsomes, microsponges and the like.
- the compounds can be delivered using a sustained-release system, such as semipermeable matrices of solid hydrophobic polymers containing the therapeutic agent.
- sustained-release materials have been established and are well known by those skilled in the art.
- Topical treatment regimens comprise applying the composition directly to the skin, nail, hair, claw or hoof at the application site, from one to several times daily.
- Formulations of the present invention can be used to treat, ameliorate or prevent conditions or symptoms associated with bacterial infections, acne, inflammation and the like.
- the pharmaceutical formulation includes a simple solution.
- the simple solution includes an alcohol.
- the simple solution includes alcohol and water.
- the alcohol is ethanol, ethylene glycol, propanol, polypropylene glycol, isopropanol or butanol.
- the simple solution is a member selected from about 10% polypropylene glycol and about 90% ethanol; about 20% polypropylene glycol and about 80% ethanol; about 30% polypropylene glycol and about 70% ethanol; about 40% polypropylene glycol and about 60% ethanol; about 50% polypropylene glycol and about 50% ethanol; about 60% polypropylene glycol and about 40% ethanol; about 70% polypropylene glycol and about 30% ethanol; about 80% polypropylene glycol and about 20% ethanol; about 90% polypropylene glycol and about 10% ethanol.
- the pharmaceutical formulation is a lacquer. Please see Remington's, supra, for more information on the production of lacquers.
- the compound is present in said pharmaceutical formulation in a concentration of from about 0.5% to about 15%. In an exemplary embodiment, the compound is present in said pharmaceutical formulation in a concentration of from about 0.1% to about 12.5%. In an exemplary embodiment, the compound is present in said pharmaceutical formulation in a concentration of from about 1% to about 10%. In an exemplary embodiment, the compound is present in said pharmaceutical formulation in a concentration of from about 1% to about 5%. In an exemplary embodiment, the compound is present in said pharmaceutical formulation in a concentration of from about 0.5% to about 5%. In an exemplary embodiment, the compound is present in said pharmaceutical formulation in a concentration of from about 0.5% to about 7.5%.
- the compound is present in said pharmaceutical formulation in a concentration of from about 5% to about 7.5%. In an exemplary embodiment, the compound is present in said pharmaceutical formulation in a concentration of from about 2% to about 8%. In an exemplary embodiment, the compound is present in said pharmaceutical formulation in a concentration of from about 4% to about 9%.
- the following agents are known compounds and are readily available commercially.
- Anti-inflammatory agents include, but are not limited to, bisabolol, mentholatum, dapsone, aloe, hydrocortisone, and the like.
- Vitamins include, but are not limited to, Vitamin B, Vitamin E, Vitamin A, Vitamin D, and the like and vitamin derivatives such as tazarotene, calcipotriene, tretinoin, adapalene and the like.
- Anti-aging agents include, but are not limited to, niacinamide, retinol and retinoid derivatives, AHA, Ascorbic acid, lipoic acid, coenzyme Q 10, beta hydroxy acids, salicylic acid, copper binding peptides, dimethylaminoethyl (DAEA), and the like.
- Sunscreens and or sunburn relief agents include, but are not limited to, PABA, jojoba, aloe, padimate-O, methoxycinnamates, proxamine HCl, lidocaine and the like.
- Sunless tanning agents include, but are not limited to, dihydroxyacetone (DHA).
- Psoriasis-treating agents and/or acne-treating agents include, but are not limited to, salicylic acid, benzoyl peroxide, coal tar, selenium sulfide, zinc oxide, pyrithione (zinc and/or sodium), tazarotene, calcipotriene, tretinoin, adapalene and the like.
- Agents that are effective to control or modify keratinization including without limitation: tretinoin, tazarotene, and adapalene.
- compositions comprising an compound/active agent of the invention, and optionally at least one of these additional agents are to be administered topically.
- this leads to the compounds of the invention and any other active agent working upon and treating the skin, nail, hair, claw or hoof.
- any one of the topically applied active agents may also be delivered systemically by transdermal routes.
- an additional cosmetically or pharmaceutically effective agent such as an anti-inflammatory agent, vitamin, anti-aging agent, sunscreen, and/or acne-treating agent, for example, is usually a minor component (from about 0.001% to about 20% by weight or preferably from about 0.01% to about 10% by weight) with the remainder being various vehicles or carriers and processing aids helpful for forming the desired dosing form.
- Preferred compounds for use in the present topical formulations will have certain pharmacological properties. Such properties include, but are not limited to, low toxicity, low serum protein binding and desirable in vitro and in vivo half-lives. Assays may be used to predict these desirable pharmacological properties. Assays used to predict bioavailability include transport across human intestinal cell monolayers, including Caco-2 cell monolayers. Serum protein binding may be predicted from albumin binding assays. Such assays are described in a review by Oravcova et al. (1996, J. Chromat. B 677: 1-27). Compound half-life is inversely proportional to the frequency of dosage of a compound. In vitro half-lives of compounds may be predicted from assays of microsomal half-life as described by Kuhnz and Gleschen (Drug Metabolism and Disposition, (1998) volume 26, pages 1120-1127).
- Toxicity and therapeutic efficacy of such compounds can be determined by standard pharmaceutical procedures in cell cultures or experimental animals, e.g., for determining the LD50 (the dose lethal to 50% of the population) and the ED 50 (the dose therapeutically effective in 50% of the population).
- the dose ratio between toxic and therapeutic effects is the therapeutic index and it can be expressed as the ratio between LD 50 and ED 50 .
- Compounds that exhibit high therapeutic indices are preferred.
- the data obtained from these cell culture assays and animal studies can be used in formulating a range of dosage for use in humans.
- the dosage of such compounds lies preferably within a range of circulating concentrations that include the ED 50 with little or no toxicity.
- the dosage can vary within this range depending upon the dosage form employed and the route of administration utilized. The exact formulation, route of administration and dosage can be chosen by the individual physician in view of the patient's condition. (See, e.g. Fingl et al., 1975, in “The Pharmacological Basis of Therapeutics”, Ch
- the therapeutically effective dose can be estimated initially from cell culture assays, as disclosed herein.
- a dose can be formulated in animal models to achieve a circulating concentration range that includes the EC 50 (effective dose for 50% increase) as determined in cell culture, i.e., the concentration of the test compound which achieves a half-maximal inhibition of bacterial cell growth.
- EC 50 effective dose for 50% increase
- concentration of the test compound which achieves a half-maximal inhibition of bacterial cell growth i.e., the concentration of the test compound which achieves a half-maximal inhibition of bacterial cell growth.
- the compounds prepared by the methods, and from the intermediates, described herein will be administered in a therapeutically or cosmetically effective amount by any of the accepted modes of administration for agents that serve similar utilities. It will be understood, however, that the specific dose level for any particular patient will depend upon a variety of factors including the activity of the specific compound employed, the age, body weight, general health, sex, diet, time of administration, route of administration, and rate of excretion, drug combination, the severity of the particular disease undergoing therapy and the judgment of the prescribing physician.
- the drug can be administered from once or twice a day, or up to 3 or 4 times a day.
- Dosage amount and interval can be adjusted individually to provide plasma levels of the active moiety that are sufficient to maintain bacterial cell growth inhibitory effects.
- Usual patient dosages for systemic administration range from 0.1 to 1000 mg/day, preferably, 1-500 mg/day, more preferably 10-200 mg/day, even more preferably 100-200 mg/day. Stated in terms of patient body surface areas, usual dosages range from 50-91 mg/m 2 /day.
- the amount of the compound in a formulation can vary within the full range employed by those skilled in the art.
- the formulation will contain, on a weight percent (wt %) basis, from about 0.01-10 wt % of the drug based on the total formulation, with the balance being one or more suitable pharmaceutical excipients.
- the compound is present at a level of about 0.1-3.0 wt %, more preferably, about 1.0 wt %.
- Additional examples of compounds which can be produced by this method include 2-bromo-4-(3-cyanophenoxy)benzyl alcohol; 2-bromo-4-(4-chlorophenoxyl)benzyl alcohol; 2-bromo-4-phenoxybenzyl alcohol; 2-bromo-5-(3,4-dicyanophenoxyl)benzyl alcohol; 2-(2-bromo-5-fluorophenyl)ethyl alcohol; 2-bromo-5-fluorobenzyl alcohol; and 1-bromo-2-naphthalenemethanol.
- Additional examples of compounds which can be produced by this method include 2-bromo-1-(methoxymethoxymethyl)benzene; 2-bromo-5-methyl-1-(methoxymethoxymethyl)benzene; 2-bromo-5-(methoxymethoxymethyl)-1-(methoxymethoxymethyl)benzene; 2-bromo-5-fluoro-1-(methoxymethoxymethyl)benzene; 1-bromo-2-(methoxymethoxymethyl)naphthalene; 2-bromo-4-fluoro-1-(methoxymethoxymethyl)benzene; 2-phenyl-1-(2-bromophenyl)-1-(methoxymethoxy)ethane; 2-bromo-5-(4-cyanophenoxy)-1-(methoxymethoxy methyl)benzene; 2-bromo-4-(3-cyanophenoxy)-1-(methoxymethoxymethyl)benzene; 2-bromo-4-(4-chlorophenoxy
Landscapes
- Chemical & Material Sciences (AREA)
- Health & Medical Sciences (AREA)
- Organic Chemistry (AREA)
- Life Sciences & Earth Sciences (AREA)
- General Health & Medical Sciences (AREA)
- Molecular Biology (AREA)
- Veterinary Medicine (AREA)
- Pharmacology & Pharmacy (AREA)
- Animal Behavior & Ethology (AREA)
- Public Health (AREA)
- Medicinal Chemistry (AREA)
- Epidemiology (AREA)
- Engineering & Computer Science (AREA)
- Biochemistry (AREA)
- Biotechnology (AREA)
- Genetics & Genomics (AREA)
- Chemical Kinetics & Catalysis (AREA)
- General Chemical & Material Sciences (AREA)
- Nuclear Medicine, Radiotherapy & Molecular Imaging (AREA)
- Oil, Petroleum & Natural Gas (AREA)
- Oncology (AREA)
- Communicable Diseases (AREA)
- Bioinformatics & Cheminformatics (AREA)
- Dermatology (AREA)
- Pharmaceuticals Containing Other Organic And Inorganic Compounds (AREA)
- Enzymes And Modification Thereof (AREA)
- Measuring Or Testing Involving Enzymes Or Micro-Organisms (AREA)
- Saccharide Compounds (AREA)
Abstract
This invention relates to compounds useful for treating fungal infections, more specifically topical treatment of onychomycosis and/or cutaneous fungal infections. This invention is directed to compounds that are active against fungi and have properties that allow the compound, when placed in contact with a patient, to reach the particular part of the skin, nail, hair, claw or hoof infected by the fungus. In particular the present compounds have physiochemical properties that facilitate penetration of the nail plate.
Description
- The present application is a continuation of U.S. patent application Ser. No. 14/201,459, filed Mar. 7, 2014, which is a continuation of U.S. patent application Ser. No. 13/356,488, filed Jan. 23, 2012, now U.S. Pat. No. 8,722,917, which is a continuation of U.S. patent application Ser. No. 12/629,753, filed Dec. 2, 2009, now U.S. Pat. No. 8,115,026, which is a divisional of U.S. patent application Ser. No. 11/505,591, filed Aug. 16, 2006, now U.S. Pat. No. 7,767,657, which claims the benefit of U.S. Provisional Patent Application No. 60/755,227, filed Dec. 30, 2005, and the benefit of U.S. Provisional Patent Application No. 60/746,361, filed May 3, 2006, all of which are incorporated by reference in their entirety for all purposes. U.S. patent application Ser. No. 11/505,591 is also a continuation-in-part of U.S. patent application Ser. No. 11/357,687, filed Feb. 16, 2006, now U.S. Pat. No. 7,582,621, which claims the benefit of U.S. Provisional Patent Application No. 60/654,060, filed Feb. 16, 2005, all of which are incorporated by reference in their entirety for all purposes. The present application is also a continuation-in-part of U.S. patent application Ser. No. 13/874,329, filed Apr. 30, 2013, which is a continuation of U.S. patent application Ser. No. 13/224,252, filed Sep. 1, 2011, now U.S. Pat. No. 8,440,642, which is a continuation of U.S. patent application Ser. No. 12/507,010, filed Jul. 21, 2009, now U.S. Pat. No. 8,039,451, which is a continuation of U.S. patent application Ser. No. 11/357,687, filed Feb. 16, 2006, now U.S. Pat. No. 7,582,621, which claims the benefit of 60/654,060, filed Feb. 16, 2005, all of which are incorporated by reference in their entirety for all purposes.
- Infections of the nail and hoof, known as ungual and/or periungual infections, pose serious problems in dermatology. These ungual and/or periungual can be caused by sources such as fungi, viruses, yeast, bacteria and parasites. Onychomycosis is an example of these serious ungual and/or periungual infections and is caused by at least one fungus. Current treatment for ungual and/or periungual infections generally falls into three categories: systemic administration of medicine; surgical removal of all or part of the nail or hoof followed by topical treatment of the exposed tissue; or topical application of conventional creams, lotions, gels or solutions, frequently including the use of bandages to keep these dosage forms in place on the nail or hoof. All of these approaches have major drawbacks. The following discussion is particularly directed to drawbacks associated with current treatment of ungual and/or periungual antifungal infections.
- Long term systemic (oral) administration of an antifungal agent for the treatment of onychomycosis is often required to produce a therapeutic effect in the nail bed. For example, oral treatment with the antifungal compound terbinafine typically requires administration of 200 to 400 mg/day for 12 weeks before any significant therapeutic benefit is realized. Such long term, high dose systemic therapy can have significant adverse effects. For example, terbinafine has been reported to have liver toxicity effects and reduces testosterone levels in blood due to adverse effects on the testes. Patient compliance is a problem with such long term therapies especially those which involve serious adverse effects. Moreover, this type of long term oral therapy is inconvenient in the treatment of a horse or other ruminants afflicted with fungal infections of the hoof. Accordingly, the risks associated with parenteral treatments generate significant disincentive against their use and considerable patient non-compliance.
- Surgical removal of all or part of the nail followed by topical treatment also has severe drawbacks. The pain and discomfort associated with the surgery and the undesirable cosmetic appearance of the nail or nail bed represent significant problems, particularly for patients more sensitive to physical appearance. Generally, this type of treatment is not realistic for ruminants such as horses.
- Topical therapy has significant problems too. Topical dosage forms such as creams, lotions, gels etc., can not keep the drug in intimate contact with the infected area for therapeutically effective periods of time. Bandages have been used to hold drug reservoirs in place in an attempt to enhance absorption of the pharmaceutical agent. However the bandages are thick, awkward, troublesome and generally lead to poor patient compliance.
- Hydrophilic and hydrophobic film forming topical antifungal solutions have also been developed. These dosage forms provide improved contact between the drug and the nail. Topical formulations for fungal infection treatment have largely tried to deliver the drug to the target site (an infected nail bed) by diffusion across or through the nail.
- Nail is more like hair than stratum corneum with respect to chemical composition and permeability. Nitrogen is the major component of the nail attesting to the nail's proteinaceous nature. The total lipid content of mature nail is 0.1-1.0%, while the stratum corneum lipid is about 10% w/w. The nail is 100-200 times thicker than the stratum corneum and has a very high affinity and capacity for binding and retaining antifungal drugs. Consequently little if any drug penetrates through the nail to reach the target site. Because of these reasons topical therapy for fungal infections have generally been ineffective.
- Compounds known as penetration or permeation enhancers are well known in the art to produce an increase in the permeability of skin or other body membranes to a pharmacologically active agent. The increased permeability allows an increase in the rate at which the drug permeates through the skin and enters the blood stream. Penetration enhancers have been successful in overcoming the impermeability of pharmaceutical agents through the skin. However, the thin stratum corneum layer of the skin, which is about 10 to 15 cells thick and is formed naturally by cells migrating toward the skin surface from the basal layer, has been easier to penetrate than nails. Moreover, known penetration enhancers have not proven to be useful in facilitating drug migration through the nail tissue.
- Antimicrobial compositions for controlling bacterial and fungal infections comprising a metal chelate of 8-hydroxyquinoline and an alkyl benzene sulfonic acid have been shown to be efficacious due to the increased ability of the oleophilic group to penetrate the lipoid layers of micro-cells. The compounds however, do not effectively increase the ability to carry the pharmaceutically active antifungal through the cornified layer or stratum corneum of the skin. U.S. Pat. No. 4,602,011, West et al., Jul. 22, 1986; U.S. Pat. No. 4,766,113, West et al., Aug. 23, 1988.
- Therefore, there is a need in the art for compounds which can effectively penetrate the nail. There is also need in the art for compounds which can effectively treat ungual and/or periungual infections. These and other needs are addressed by the current invention.
- Aminoacyl-tRNA synthetases (ARS) are a family of essential enzymes that attach amino acids to the 3′ terminal adenosine end of tRNAs, the charged tRNAs are then used by the translation machinery to synthesis proteins from mRNA. Although there are few exceptions, for example in Gram-positive bacteria and archaea, most organisms have at least one ARS for each amino acid. In the case of eukaryotes, they have two ARS, one is localized to the cytoplasm while the other ARS is located in the organelle(s). The ARS catalyzes two reactions, as outlined below, the first reaction adenylates the amino acid with ATP followed by its transfer to the 2′- or 3′-hydroxyl of the terminal adenosine of tRNA.
-
Amino acid (AA)+ATP→AA-AMP+PPi; -
AA-AMP+tRNA→tRNA-AA+AMP - The family of 20 ARS fall into two distinct structural classes as determined by their crystal structure. Class I, which have a Rossman like fold, include the ARS for the following amino acids-arginine, cysteine, glutamate, glutamine, isolelucine, leucine, lysine (in archaea and some bacteria), valine, methionine, tryptophan and tyrosine. Class II ARS include the enzymes for the amino acids, alanine, asparagine, aspartate, glycine, histidine, lysine, phenylalanine, proline, serine and threonine. The ARS mediated reaction is the major checkpoint of specificity that ensures the correct amino acid is charged to its cognate tRNA. Since some amino acids only differ by a single methylene group, for example valine and isoleucine, it has been postulated that the specificity of the synthetic reaction alone can't explain the observed in vivo accuracy of tRNA charging. The synthetic active site should be able to exclude amino acids that are not close analogs of the cognate amino acid, but analogous amino acids pose a bigger problem. Therefore to increase specificity, proof-reading and editing must occur. So far nine ARS have been shown to have an editing mechanism that significantly reduces the frequency of mischarged tRNAs. The enzymes for the following amino acids have been shown to have editing activity-alanine, isoleucine, leucine, methionine, lysine, phenylalanine, proline, threonine and valine. These ARS can hydrolyse the incorrectly adenylated amino acid AA-AMP (pre-transfer editing) or the incorrectly charged tRNA (post-transfer editing). To date the isoleucyl, leucyl and valyl-tRNA synthetases have the best-characterized editing mechanisms; an additional structural domain called the connective polypeptide I (CP1) inserted in the synthetic domain has been shown to contain the editing active site. This is located more than 25 Å away from the synthetic active site, which suggests that both the adenylated amino acid intermediate and amino acid tethered to the 3′end of the tRNA must be moved from the active site in the synthetic domain to the editing site for the reaction to be proof-read. It has been postulated that the 3′end of the charged tRNA is translocated in a similar manner to that of the proof-reading mechanism of DNA polymerases. Much less is known about the translocation of the adenylated amino acid. A similar CP1 domain is also present in the methionine and cysteine ARS enzymes, but it is much smaller than that found in the valine, isoleucine and leucine enzymes. Despite the absence of a direct homolog to the CP1-like domain in class II ARS, separate editing domains have been found in the enzymes for proline and threonine. Although editing is important to ensure the correct charging of tRNAs, it is not essential for viability and is not required for the synthesis of charged tRNAs. For example, in Escherichia coli, in which 10 amino acids in the editing domain of isoleucyl-tRNA synthetase were changed to alanine, the resulting mutant was still viable, although it did have many pleiotropic effects, including a noticeable cell growth defect.
- In spite of significant homologies between human, bacterial and fungal ARS there are a number of compounds that have been developed as anti-infectives. The most notable example of an ARS inhibitor is the commercial antibiotic mupirocin (pseudomonic acid), which is sold under the label Bactroban. Mupirocin specifically inhibits bacterial isoleucyl-tRNA synthetases, while its activity against the human homolog is more than 1,000 times less active. Mupirocin binds specifically to the synthetic active site and mutants that are resistant to this drug have mutations in the synthetic domain of leucyl-tRNA synthetase. Likewise, reveromycin A inhibits the eukaryotic isoleucyl-tRNA synthetases: Saccharomyces cerevisiae resistance mutants have mutations in the synthetic domain. So far all attempts to develop better ARS inhibitors than mupirocin, an isoleucine-adenylate analogue, have relied on inhibiting the synthetic reactions.
- Since it has been previously thought not to be essential for the synthesis of charged tRNAs, the editing domain of tRNA synthetases has not been thought a promising target for drug development. Data from mutational analysis of the ARS editing domains tend to suggest that inhibition of the editing mechanism leads only to an increase in mischarged tRNAs and does not lead to cell death. Compounds that are active against, and specific for, the editing domain of the tRNA synthetase would provide access to a new class of antimicrobial therapeutics to augment the arsenal of agents currently in use. Quite surprisingly, the present invention provides such compounds and methods of using these compounds.
- In one aspect, the invention provides a structure according to the following formula:
- in which R1 and R2 are members independently selected from H, substituted or unsubstituted alkyl, substituted or unsubstituted heteroalkyl, substituted or unsubstituted cycloalkyl, substituted or unsubstituted heterocycloalkyl, substituted or unsubstituted aryl, and substituted or unsubstituted heteroaryl. R1 and R2, together with the atoms to which they are attached, can be optionally joined to form a 4- to 7-membered ring. Z1 is a member selected from
- R3a and R4a are members independently selected from H, cyano, substituted or unsubstituted alkyl, substituted or unsubstituted heteroalkyl, substituted or unsubstituted cycloalkyl, substituted or unsubstituted heterocycloalkyl, substituted or unsubstituted aryl, and substituted or unsubstituted heteroaryl. R5 is a member selected from halogen and OR8. R8 is a member selected from H, substituted or unsubstituted alkyl, substituted or unsubstituted heteroalkyl, substituted or unsubstituted cycloalkyl, substituted or unsubstituted heterocycloalkyl, substituted or unsubstituted aryl, and substituted or unsubstituted heteroaryl. A is a member selected from CR9a and N. D is a member selected from CR10a and N. E is a member selected from CR11a and N. G is a member selected from CR12a and N. R9a, R10a, R11a and R12a are members independently selected from H, OR*, NR*R**, SR*, —S(O)R*, —S(O)2R*, —S(O)2NR*R**, nitro, halogen, cyano, substituted or unsubstituted alkyl, substituted or unsubstituted heteroalkyl, substituted or unsubstituted cycloalkyl, substituted or unsubstituted heterocycloalkyl, substituted or unsubstituted aryl, and substituted or unsubstituted heteroaryl. Each R* and R** are members independently selected from H, substituted or unsubstituted alkyl, substituted or unsubstituted heteroalkyl, substituted or unsubstituted cycloalkyl, substituted or unsubstituted heterocycloalkyl, substituted or unsubstituted aryl, and substituted or unsubstituted heteroaryl. R9a and R10a, along with the atoms to which they are attached, are optionally joined to form a ring. R10a and R11a, along with the atoms to which they are attached, are optionally joined to form a ring. R11a and R12a, along with the atoms to which they are attached, are optionally joined to form a ring. The combination of nitrogens (A+D+E+G) is an integer selected from 0 to 3.
-
FIG. 1A ,FIG. 1B ,FIG. 1C are a table of minimum inhibitory concentration (MIC) data of cyclic boronic esters against various fungi. -
FIG. 2A displays minimum inhibitory concentration (MIC) for C10, ciclopirox, terbinafine, fluconazole and itraconazole (comparator drugs) against 19 test strains of fungi. -
FIG. 2B displays minimum fungicidal concentration (MFC) for C10, ciclopirox, terbinafine and itraconazole (comparator drugs) against 2 test strains of fungi. -
FIG. 3 displays a comparison of Normalized C10 and Ciclopirox Equivalent in Each Part of Nail Plate Samples after 14-day Treatment. -
FIG. 4 displays a comparison of C10 and Ciclopirox Equivalent in Cotton Ball Supporting Bed Samples after 14-day Treatment. -
FIG. 5 displays the results of a placebo for C10 (50:50 propylene glycol and ethyl acetate) applied per day over five days. Full carpet growth of the organism T. rubrum was observed. -
FIG. 6 displays the results of a 40 μL/cm2 aliquot ofC10 10% w/v solution applied per day over five days. Zones of inhibition (in the order of the cells shown in the figure) of 100%, 67%, 46%, 57%, 38% and 71% were observed for the growth of T. rubrum. Green arrow indicates the measurement of zone of inhibition. -
FIG. 7 displays the results of a 40 L/cm2 aliquot ofC10 10% w/v solution applied per day over five days. Zones of inhibition (in the order of the cells shown in the figure) of 74%, 86%, 100%, 82%, 100% and 84% were observed for the growth of T. rubrum. -
FIG. 8 displays the results of a 40 L/cm2 aliquot of 8% ciclopirox in w/w commercial lacquer applied per day over five days. No zone of inhibition observed; full carpet growth of T. rubrum. -
FIG. 9 displays the results of a 40 L/cm2 aliquot of 5% amorolfine w/v in commercial lacquer applied per day over five days. No zone of inhibition observed; full carpet growth of T. rubrum. - FIG. 10(1), FIG. 10(2), FIG. 10(3), FIG. 10(4), FIG. 10(5), FIG. 10(6), FIG. 10(7), FIG. 10(8), FIG. 10(9) are Amino acid sequences for leucyl-tRNA synthetase editing domains and nucleotide sequences for tRNA-Leu and tRNA-Ile. (A) Amino acid sequences for leucyl-tRNA synthetase editing domain from S. cerivisiae in wild type (SEQ ID NO:1) and over-expressing form (SEQ ID NO: 2); (B) Amino acid sequences for leucyl-tRNA synthetase editing domains from indicated species; (C) Genomic nucleotide sequence for tRNA-leu and tRNA-ile from S. cerivisiae; in one embodiment of the invention, an aminoacyl tRNA synthetase will bind to the transcribed and methylated products for which these sequences serve as a template; (D) tRNA-Leu nucleotide sequences from indicated species.
-
FIG. 11A ,FIG. 11B ,FIG. 11C ,FIG. 11D ,FIG. 11E ,FIG. 11F display structures of cyclic boronic esters. -
FIG. 12A ,FIG. 12B ,FIG. 12C ,FIG. 12D ,FIG. 12E ,FIG. 12F ,FIG. 12G ,FIG. 12H ,FIG. 12I display different structures for portions of the compounds of the invention. -
FIG. 13 Effect of ATP on binding of C10 to cdc60. The binding assay was conducted with an initial [C10] concentration of approximately 72-79 μM (pre-equilibrium). -
FIG. 14 Binding curve of cdc60 against concentration of free [C10]. -
FIG. 15 Data from PPi exchange reaction experiment to determine rate of editing in the presence and absence of C10. -
FIG. 16 Data from an aminoacylation experiment showing the effect of C10 at different concentrations on the aminoacylation of tRNAleu. -
FIG. 17 Results from post transfer editing assay conducted in S. cerevisiae at differing concentrations of C10 across a range of time points. -
FIG. 18A ,FIG. 18B ,FIG. 18C display the names of exemplary compounds of the invention. -
FIG. 19A ,FIG. 19B ,FIG. 19C ,FIG. 19D ,FIG. 19E ,FIG. 19F ,FIG. 19G ,FIG. 19H ,FIG. 19I ,FIG. 19J ,FIG. 19K display exemplary compounds of the invention. -
FIG. 20A ,FIG. 20B ,FIG. 20C ,FIG. 20D ,FIG. 20E ,FIG. 20F ,FIG. 20G ,FIG. 20H display exemplary compounds of the invention. - The abbreviations used herein generally have their conventional meaning within the chemical and biological arts.
- “Compound of the invention,” as used herein refers to the compounds discussed herein, pharmaceutically acceptable salts and prodrugs of these compounds.
- “Boron containing compounds”, as used herein, refers to the compounds of the invention that contain boron as part of their chemical formula.
- MIC, or minimum inhibitory concentration, is the point where the compound stops more than 50% of cell growth, preferably 60% of cell growth, preferably 70% of cell growth, preferably 80% of cell growth, preferably 90% of cell growth, relative to an untreated control.
- Where substituent groups are specified by their conventional chemical formulae, written from left to right, they equally encompass the chemically identical substituents, which would result from writing the structure from right to left, e.g., —CH2O— is intended to also recite —OCH2—.
- The term “poly” as used herein means at least 2. For example, a polyvalent metal ion is a metal ion having a valency of at least 2.
- “Moiety” refers to the radical of a molecule that is attached to another moiety.
-
- The term “alkyl,” by itself or as part of another substituent, means, unless otherwise stated, a straight or branched chain, or cyclic hydrocarbon radical, or combination thereof, which may be fully saturated, mono- or polyunsaturated and can include di- and multivalent radicals, having the number of carbon atoms designated (i.e. C1-C10 means one to ten carbons). Examples of saturated hydrocarbon radicals include, but are not limited to, groups such as methyl, ethyl, n-propyl, isopropyl, n-butyl, t-butyl, isobutyl, sec-butyl, cyclohexyl, (cyclohexyl)methyl, cyclopropylmethyl, homologs and isomers of, for example, n-pentyl, n-hexyl, n-heptyl, n-octyl, and the like. An unsaturated alkyl group is one having one or more double bonds or triple bonds. Examples of unsaturated alkyl groups include, but are not limited to, vinyl, 2-propenyl, crotyl, 2-isopentenyl, 2-(butadienyl), 2,4-pentadienyl, 3-(1,4-pentadienyl), ethynyl, 1- and 3-propynyl, 3-butynyl, and the higher homologs and isomers. The term “alkyl,” unless otherwise noted, is also meant to include those derivatives of alkyl defined in more detail below, such as “heteroalkyl.” Alkyl groups that are limited to hydrocarbon groups are termed “homoalkyl”.
- The term “alkylene” by itself or as part of another substituent means a divalent radical derived from an alkane, as exemplified, but not limited, by —CH2CH2CH2CH2—, and further includes those groups described below as “heteroalkylene.” Typically, an alkyl (or alkylene) group will have from 1 to 24 carbon atoms, with those groups having 10 or fewer carbon atoms being preferred in the present invention. A “lower alkyl” or “lower alkylene” is a shorter chain alkyl or alkylene group, generally having eight or fewer carbon atoms.
- The terms “alkoxy,” “alkylamino” and “alkylthio” (or thioalkoxy) are used in their conventional sense, and refer to those alkyl groups attached to the remainder of the molecule via an oxygen atom, an amino group, or a sulfur atom, respectively.
- The term “heteroalkyl,” by itself or in combination with another term, means, unless otherwise stated, a stable straight or branched chain, or cyclic hydrocarbon radical, or combinations thereof, consisting of the stated number of carbon atoms and at least one heteroatom. In an exemplary embodiment, the heteroatoms can be selected from the group consisting of B, O, N and S, and wherein the nitrogen and sulfur atoms may optionally be oxidized and the nitrogen heteroatom may optionally be quaternized. The heteroatom(s) B, O, N and S may be placed at any interior position of the heteroalkyl group or at the position at which the alkyl group is attached to the remainder of the molecule. Examples include, but are not limited to, —CH2—CH2—O—CH3, —CH2—CH2—NH—CH3, —CH2—CH2—N(CH3)—CH3, —CH2—S—CH2—CH3, —CH2—CH2, —S(O)—CH3, —CH2—CH2—S(O)2—CH3, —CH═CH—O—CH3, —CH2—CH═N—OCH3, and —CH═CH—N(CH3)—CH3. Up to two heteroatoms may be consecutive, such as, for example, —CH2—NH—OCH3. Similarly, the term “heteroalkylene” by itself or as part of another substituent means a divalent radical derived from heteroalkyl, as exemplified, but not limited by, —CH2—CH2—S—CH2—CH2— and —CH2—S—CH2—CH2—NH—CH2—. For heteroalkylene groups, heteroatoms can also occupy either or both of the chain termini (e.g., alkyleneoxy, alkylenedioxy, alkyleneamino, alkylenediamino, and the like). Still further, for alkylene and heteroalkylene linking groups, no orientation of the linking group is implied by the direction in which the formula of the linking group is written. For example, the formula —C(O)2R′— represents both —C(O)2R′— and —R′C(O)2—.
- The terms “cycloalkyl” and “heterocycloalkyl”, by themselves or in combination with other terms, represent, unless otherwise stated, cyclic versions of “alkyl” and “heteroalkyl”, respectively. Additionally, for heterocycloalkyl, a heteroatom can occupy the position at which the heterocycle is attached to the remainder of the molecule. Examples of cycloalkyl include, but are not limited to, cyclopentyl, cyclohexyl, 1-cyclohexenyl, 3-cyclohexenyl, cycloheptyl, and the like. Examples of heterocycloalkyl include, but are not limited to, 1-(1,2,5,6-tetrahydropyridyl), 1-piperidinyl, 2-piperidinyl, 3-piperidinyl, 4-morpholinyl, 3-morpholinyl, tetrahydrofuran-2-yl, tetrahydrofuran-3-yl, tetrahydrothien-2-yl, tetrahydrothien-3-yl, 1-piperazinyl, 2-piperazinyl, and the like.
- The terms “halo” or “halogen,” by themselves or as part of another substituent, mean, unless otherwise stated, a fluorine, chlorine, bromine, or iodine atom. Additionally, terms such as “haloalkyl,” are meant to include monohaloalkyl and polyhaloalkyl. For example, the term “halo(C1-C4)alkyl” is mean to include, but not be limited to, trifluoromethyl, 2,2,2-trifluoroethyl, 4-chlorobutyl, 3-bromopropyl, and the like.
- The term “aryl” means, unless otherwise stated, a polyunsaturated, aromatic, substituent that can be a single ring or multiple rings (preferably from 1 to 3 rings), which are fused together or linked covalently. The term “heteroaryl” refers to aryl groups (or rings) that contain from one to four heteroatoms. In an exemplary embodiment, the heteroatom is selected from B, N, O, and S, wherein the nitrogen and sulfur atoms are optionally oxidized, and the nitrogen atom(s) are optionally quaternized. A heteroaryl group can be attached to the remainder of the molecule through a heteroatom. Non-limiting examples of aryl and heteroaryl groups include phenyl, 1-naphthyl, 2-naphthyl, 4-biphenyl, 1-pyrrolyl, 2-pyrrolyl, 3-pyrrolyl, 3-pyrazolyl, 2-imidazolyl, 4-imidazolyl, pyrazinyl, 2-oxazolyl, 4-oxazolyl, 2-phenyl-4-oxazolyl, 5-oxazolyl, 3-isoxazolyl, 4-isoxazolyl, 5-isoxazolyl, 2-thiazolyl, 4-thiazolyl, 5-thiazolyl, 2-furyl, 3-furyl, 2-thienyl, 3-thienyl, 2-pyridyl, 3-pyridyl, 4-pyridyl, 2-pyrimidyl, 4-pyrimidyl, 5-benzothiazolyl, purinyl, 2-benzimidazolyl, 5-indolyl, 1-isoquinolyl, 5-isoquinolyl, 2-quinoxalinyl, 5-quinoxalinyl, 3-quinolyl, 6-quinolyl, dioxaborolane, dioxaborinane and dioxaborepane. Substituents for each of the above noted aryl and heteroaryl ring systems are selected from the group of acceptable substituents described below.
- For brevity, the term “aryl” when used in combination with other terms (e.g., aryloxy, arylthioxy, arylalkyl) includes both aryl and heteroaryl rings as defined above. Thus, the term “arylalkyl” is meant to include those radicals in which an aryl group is attached to an alkyl group (e.g., benzyl, phenethyl, pyridylmethyl and the like) including those alkyl groups in which a carbon atom (e.g., a methylene group) has been replaced by, for example, an oxygen atom (e.g., phenoxymethyl, 2-pyridyloxymethyl, 3-(1-naphthyloxyl)propyl, and the like).
- Each of the above terms (e.g., “alkyl,” “heteroalkyl,” “aryl” and “heteroaryl”) are meant to include both substituted and unsubstituted forms of the indicated radical. Preferred substituents for each type of radical are provided below.
- Substituents for the alkyl and heteroalkyl radicals (including those groups often referred to as alkylene, alkenyl, heteroalkylene, heteroalkenyl, alkynyl, cycloalkyl, heterocycloalkyl, cycloalkenyl, and heterocycloalkenyl) are generically referred to as “alkyl group substituents,” and they can be one or more of a variety of groups selected from, but not limited to: —OR′, ═O, ═NR′, ═N—OR′, —NR′R″, —SR′, -halogen, —OC(O)R′, —C(O)R′, —CO2R′, —CONR′R″, —OC(O)NR′R″, —NR″C(O)R′, —NR′—C(O)NR″R′″, —NR″C(O)2R′, —NR—C(NR′R″R′″)═NR″″, —NR—C(NR′R″)═NR′″, —S(O)R′, —S(O)2R′, —S(O)2NR′R″, —NRSO2R′, —CN and —NO2 in a number ranging from zero to (2m′+1), where m′ is the total number of carbon atoms in such radical. R′, R″, R′″ and R″″ each preferably independently refer to hydrogen, substituted or unsubstituted heteroalkyl, substituted or unsubstituted aryl, e.g., aryl substituted with 1-3 halogens, substituted or unsubstituted alkyl, alkoxy or thioalkoxy groups, or arylalkyl groups. When a compound of the invention includes more than one R group, for example, each of the R groups is independently selected as are each R′, R″, R′ and R″″ groups when more than one of these groups is present. When R′ and R″ are attached to the same nitrogen atom, they can be combined with the nitrogen atom to form a 5-, 6-, or 7-membered ring. For example, —NR′R″ is meant to include, but not be limited to, 1-pyrrolidinyl and 4-morpholinyl. From the above discussion of substituents, one of skill in the art will understand that the term “alkyl” is meant to include groups including carbon atoms bound to groups other than hydrogen groups, such as haloalkyl (e.g., —CF3 and —CH2CF3) and acyl (e.g., —C(O)CH3, —C(O)CF3, —C(O)CH2OCH3, and the like).
- Similar to the substituents described for the alkyl radical, substituents for the aryl and heteroaryl groups are generically referred to as “aryl group substituents.” The substituents are selected from, for example: halogen, —OR′, ═O, ═NR′, ═N—OR′, —NR′R″, —SR′, -halogen, —OC(O)R′, —C(O)R′, —CO2R′, —CONR′R″, —OC(O)NR′R″, —NR″C(O)R′, —NR′—(O)NR″R′″, —NR″C(O)2R′, —NR—C(NR′R″R′″)═NR″″, —NR—C(NR′R″)═NR′″, —S(O)R′, —S(O)2R′, —S(O)2NR′R″, —NRSO2R′, —CN and —NO2, —R′, —N3, —CH(Ph)2, fluoro(C1-C4)alkoxy, and fluoro(C1-C4)alkyl, in a number ranging from zero to the total number of open valences on the aromatic ring system; and where R′, R″, R′″ and R″″ are preferably independently selected from hydrogen, substituted or unsubstituted alkyl, substituted or unsubstituted heteroalkyl, substituted or unsubstituted aryl and substituted or unsubstituted heteroaryl. When a compound of the invention includes more than one R group, for example, each of the R groups is independently selected as are each R′, R″, R′″ and R″″ groups when more than one of these groups is present.
- Two of the substituents on adjacent atoms of the aryl or heteroaryl ring may optionally be replaced with a substituent of the formula -T-C(O)—CRR′)q—U—, wherein T and U are independently —NR—, —O—, —CRR′— or a single bond, and q is an integer of from 0 to 3. Alternatively, two of the substituents on adjacent atoms of the aryl or heteroaryl ring may optionally be replaced with a substituent of the formula -A-(CH2)r—B—, wherein A and B are independently —CRR′—, —O—, —NR—, —S—, —S(O)—, —S(O)2—, —S(O)2NR′— or a single bond, and r is an integer of from 1 to 4. One of the single bonds of the new ring so formed may optionally be replaced with a double bond. Alternatively, two of the substituents on adjacent atoms of the aryl or heteroaryl ring may optionally be replaced with a substituent of the formula —(CRR′)s—X—(CR″R′″)d—, where s and d are independently integers of from 0 to 3, and X is —O—, —NR′—, —S—, —S(O)—, —S(O)2—, or —S(O)2NR′—. The substituents R, R′, R″ and R′″ are preferably independently selected from hydrogen or substituted or unsubstituted (C1-C6)alkyl.
- “Ring” as used herein, means a substituted or unsubstituted cycloalkyl, substituted or unsubstituted heterocycloalkyl, substituted or unsubstituted aryl, or substituted or unsubstituted heteroaryl. A ring includes fused ring moieties. The number of atoms in a ring is typically defined by the number of members in the ring. For example, a “5- to 7-membered ring” means there are 5 to 7 atoms in the encircling arrangement. The ring optionally included a heteroatom. Thus, the term “5- to 7-membered ring” includes, for example pyridinyl and piperidinyl. The term “ring” further includes a ring system comprising more than one “ring”, wherein each “ring” is independently defined as above.
- As used herein, the term “heteroatom” includes atoms other than carbon (C) and hydrogen (H). Examples include oxygen (O), nitrogen (N) sulfur (S), silicon (Si), germanium (Ge), aluminum (Al) and boron (B).
- The symbol “R” is a general abbreviation that represents a substituent group that is selected from substituted or unsubstituted alkyl, substituted or unsubstituted heteroalkyl, substituted or unsubstituted aryl, substituted or unsubstituted heteroaryl, substituted or unsubstituted cycloalkyl and substituted or unsubstituted heterocycloalkyl groups.
- The term “derived from” includes its plain language meaning and also refers to a molecule that is 99%, 98%, 97%, 96%, 95%, 94%, 93%, 92%, 91%, 90%, 89%, 88%, 87%, 86%, 85%, 84%, 83%, 82%, 81%, 80%, 75%, 70%, 65%, or 60% homologous to a referenced molecule. The molecules referred to in this definition include chains of RNA or DNA, oligonucleotides, polypeptides, or proteins of any length and composition.
- The term “immunological marker” includes oligonucleotides, proteins, antibodies, peptides, polypeptides, enzymes, or any other molecule able to induce an immune response in appropriate animals or cells or to bind with specific antibodies.
- The term “noncognate” is meant to encompass both the singular and plural forms of the word, i.e. the phrase “noncognate amino acid” comprises one or more amino acids.
- By “effective” amount of a drug, formulation, or permeant is meant a sufficient amount of a active agent to provide the desired local or systemic effect. A “Topically effective,” “Cosmetically effective,” “pharmaceutically effective,” or “therapeutically effective” amount refers to the amount of drug needed to effect the desired therapeutic result.
- “Topically effective” refers to a material that, when applied to the skin, nail, hair, claw or hoof produces a desired pharmacological result either locally at the place of application or systemically as a result of transdermal passage of an active ingredient in the material.
- “Cosmetically effective” refers to a material that, when applied to the skin, nail, hair, claw or hoof, produces a desired cosmetic result locally at the place of application of an active ingredient in the material.
- The term “pharmaceutically acceptable salts” is meant to include salts of the compounds of the invention which are prepared with relatively nontoxic acids or bases, depending on the particular substituents found on the compounds described herein. When compounds of the present invention contain relatively acidic functionalities, base addition salts can be obtained by contacting the neutral form of such compounds with a sufficient amount of the desired base, either neat or in a suitable inert solvent. Examples of pharmaceutically acceptable base addition salts include sodium, potassium, calcium, ammonium, organic amino, or magnesium salt, or a similar salt. When compounds of the present invention contain relatively basic functionalities, acid addition salts can be obtained by contacting the neutral form of such compounds with a sufficient amount of the desired acid, either neat or in a suitable inert solvent. Examples of pharmaceutically acceptable acid addition salts include those derived from inorganic acids like hydrochloric, hydrobromic, nitric, carbonic, monohydrogencarbonic, phosphoric, monohydrogenphosphoric, dihydrogenphosphoric, sulfuric, monohydrogensulfuric, hydriodic, or phosphorous acids and the like, as well as the salts derived from relatively nontoxic organic acids like acetic, propionic, isobutyric, maleic, malonic, benzoic, succinic, suberic, fumaric, lactic, mandelic, phthalic, benzenesulfonic, p-tolylsulfonic, citric, tartaric, methanesulfonic, and the like. Also included are salts of amino acids such as arginate and the like, and salts of organic acids like glucuronic or galactunoric acids and the like (see, for example, Berge et al., “Pharmaceutical Salts”, Journal of Pharmaceutical Science 66: 1-19 (1977)). Certain specific compounds of the present invention contain both basic and acidic functionalities that allow the compounds to be converted into either base or acid addition salts.
- The neutral forms of the compounds are preferably regenerated by contacting the salt with a base or acid and isolating the parent compounds in the conventional manner. The parent form of the compound differs from the various salt forms in certain physical properties, such as solubility in polar solvents.
- In addition to salt forms, the present invention provides compounds which are in a prodrug form. Prodrugs of the compounds or complexes described herein readily undergo chemical changes under physiological conditions to provide the compounds of the present invention. Additionally, prodrugs can be converted to the compounds of the present invention by chemical or biochemical methods in an ex vivo environment.
- Certain compounds of the present invention can exist in unsolvated forms as well as solvated forms, including hydrated forms. In general, the solvated forms are equivalent to unsolvated forms and are encompassed within the scope of the present invention. Certain compounds of the present invention may exist in multiple crystalline or amorphous forms. In general, all physical forms are equivalent for the uses contemplated by the present invention and are intended to be within the scope of the present invention.
- Certain compounds of the present invention possess asymmetric carbon atoms (optical centers) or double bonds; the racemates, diastereomers, geometric isomers and individual isomers are encompassed within the scope of the present invention.
- The compounds of the present invention may also contain unnatural proportions of atomic isotopes at one or more of the atoms that constitute such compounds. For example, the compounds may be radiolabeled with radioactive isotopes, such as for example tritium (3H), iodine-125 (125I) or carbon-14 (14C). All isotopic variations of the compounds of the present invention, whether radioactive or not, are intended to be encompassed within the scope of the present invention.
- The term “pharmaceutically acceptable carrier” or “pharmaceutically acceptable vehicle” refers to any formulation or carrier medium that provides the appropriate delivery of an effective amount of a active agent as defined herein, does not interfere with the effectiveness of the biological activity of the active agent, and that is sufficiently non-toxic to the host or patient. Representative carriers include water, oils, both vegetable and mineral, cream bases, lotion bases, ointment bases and the like. These bases include suspending agents, thickeners, penetration enhancers, and the like. Their formulation is well known to those in the art of cosmetics and topical pharmaceuticals. Additional information concerning carriers can be found in Remington: The Science and Practice of Pharmacy, 21st Ed., Lippincott, Williams & Wilkins (2005) which is incorporated herein by reference.
- “Pharmaceutically acceptable topical carrier” and equivalent terms refer to pharmaceutically acceptable carriers, as described herein above, suitable for topical application. An inactive liquid or cream vehicle capable of suspending or dissolving the active agent(s), and having the properties of being nontoxic and non-inflammatory when applied to the skin, nail, hair, claw or hoof is an example of a pharmaceutically-acceptable topical carrier. This term is specifically intended to encompass carrier materials approved for use in topical cosmetics as well.
- The term “pharmaceutically acceptable additive” refers to preservatives, antioxidants, fragrances, emulsifiers, dyes and excipients known or used in the field of drug formulation and that do not unduly interfere with the effectiveness of the biological activity of the active agent, and that is sufficiently non-toxic to the host or patient. Additives for topical formulations are well-known in the art, and may be added to the topical composition, as long as they are pharmaceutically acceptable and not deleterious to the epithelial cells or their function. Further, they should not cause deterioration in the stability of the composition. For example, inert fillers, anti-irritants, tackifiers, excipients, fragrances, opacifiers, antioxidants, gelling agents, stabilizers, surfactant, emollients, coloring agents, preservatives, buffering agents, other permeation enhancers, and other conventional components of topical or transdermal delivery formulations as are known in the art.
- The terms “enhancement,” “penetration enhancement” or “permeation enhancement” relate to an increase in the permeability of the skin, nail, hair, claw or hoof to a drug, so as to increase the rate at which the drug permeates through the skin, nail, hair, claw or hoof. The enhanced permeation effected through the use of such enhancers can be observed, for example, by measuring the rate of diffusion of the drug through animal or human skin, nail, hair, claw or hoof using a diffusion cell apparatus. A diffusion cell is described by Merritt et al. Diffusion Apparatus for Skin Penetration, J of Controlled Release, 1 (1984) pp. 161-162. The term “permeation enhancer” or “penetration enhancer” intends an agent or a mixture of agents, which, alone or in combination, act to increase the permeability of the skin, nail, hair or hoof to a drug.
- The term “excipients” is conventionally known to mean carriers, diluents and/or vehicles used in formulating drug compositions effective for the desired use.
- The term “topical administration” refers to the application of a pharmaceutical agent to the external surface of the skin, nail, hair, claw or hoof, such that the agent crosses the external surface of the skin, nail, hair, claw or hoof and enters the underlying tissues. Topical administration includes application of the composition to intact skin, nail, hair, claw or hoof, or to an broken, raw or open wound of skin, nail, hair, claw or hoof. Topical administration of a pharmaceutical agent can result in a limited distribution of the agent to the skin and surrounding tissues or, when the agent is removed from the treatment area by the bloodstream, can result in systemic distribution of the agent.
- The term “transdermal delivery” refers to the diffusion of an agent across the barrier of the skin, nail, hair, claw or hoof resulting from topical administration or other application of a composition. The stratum corneum acts as a barrier and few pharmaceutical agents are able to penetrate intact skin. In contrast, the epidermis and dermis are permeable to many solutes and absorption of drugs therefore occurs more readily through skin, nail, hair, claw or hoof that is abraded or otherwise stripped of the stratum corneum to expose the epidermis. Transdermal delivery includes injection or other delivery through any portion of the skin, nail, hair, claw or hoof or mucous membrane and absorption or permeation through the remaining portion. Absorption through intact skin, nail, hair, claw or hoof can be enhanced by placing the active agent in an appropriate pharmaceutically acceptable vehicle before application to the skin, nail, hair, claw or hoof. Passive topical administration may consist of applying the active agent directly to the treatment site in combination with emollients or penetration enhancers. As used herein, transdermal delivery is intended to include delivery by permeation through or past the integument, i.e. skin, nail, hair, claw or hoof.
- The term “microbial infection” refers to any infection of a host tissue by an infectious agent including, but not limited to, viruses, bacteria, mycobacteria, fungus and parasites (see, e.g., Harrison's Principles of Internal Medicine, pp. 93-98 (Wilson et al., eds., 12th ed. 1991); Williams et al., J. of Medicinal Chem. 42:1481-1485 (1999), herein each incorporated by reference in their entirety).
- “Biological medium,” as used herein refers to both in vitro and in vivo biological milieus. Exemplary in vitro “biological media” include, but are not limited to, cell culture, tissue culture, homogenates, plasma and blood. In vivo applications are generally performed in mammals, preferably humans.
- “Inhibiting” and “blocking,” are used interchangeably herein to refer to the partial or full blockade of an editing domain of a tRNA synthetase.
- “Ventral/intermediate center” as used herein refers to powdered nail samples drilled from the center of the inner surface (facing the nail bed) approximately 0.3-0.5 mm in depth to the surface. The area is beneath the dosed site of the nail place but does not include dosed surface (dorsal nail surface).
- “Ventral/intermediate center” as used herein refers to the immediate area of dosed site.
- “Remainder nail” as used herein refers to the remaining part of the nail that has not been dosed.
- “Supporting bed” as used herein refers to the cotton ball placed within the Teflon chamber of the diffusion cell to provide moisture to the nail plate and also to receive chemicals penetrating through the nail plate.
- “Surfacing washing” as used herein refers to ethanol (or other organic solvents) and soap/water washing on the surface of the dosed site.
- “Cell washing” as used herein, refers to ethanol (or other organic solvents) and soap/water wash of the inside of the diffusion cell.
- A “human nail unit”, as defined herein, can be the nail plate, the nail bed, proximal nail fold, lateral nail fold and combinations thereof.
- The term “leaving group” means a functional group or atom which can be displaced by another functional group or atom in a substitution reaction, such as a nucleophilic substitution reaction. By way of example, representative leaving groups include triflate, chloro, bromo and iodo groups; sulfonic ester groups, such as mesylate, tosylate, brosylate, nosylate and the like; and acyloxy groups, such as acetoxy, trifluoroacetoxy and the like.
- The term “amino-protecting group” means a protecting group suitable for preventing undesired reactions at an amino nitrogen. Representative amino-protecting groups include, but are not limited to, formyl; acyl groups, for example alkanoyl groups, such as acetyl, trichloroacetyl or trifluoroacetyl; alkoxycarbonyl groups, such as tert-butoxycarbonyl (Boc); arylmethoxycarbonyl groups, such as benzyloxycarbonyl (Cbz) and 9-fluorenylmethoxycarbonyl (Fmoc); arylmethyl groups, such as benzyl (Bn), trityl (Tr), and 1,1-di-(4′-methoxyphenyl)methyl; silyl groups, such as trimethylsilyl (TMS) and tert-butyldimethylsilyl (TBS); and the like.
- The term “hydroxy-protecting group” means a protecting group suitable for preventing undesired reactions at a hydroxy group. Representative hydroxy-protecting groups include, but are not limited to, alkyl groups, such as methyl, ethyl, and tert-butyl; acyl groups, for example alkanoyl groups, such as acetyl; arylmethyl groups, such as benzyl (Bn), p-methoxybenzyl (PMB), 9-fluorenylmethyl (Fm), and diphenylmethyl (benzhydryl, DPM); silyl groups, such as trimethylsilyl (TMS) and tert-butyldimethylsilyl (TBS); and the like.
- Boron is able to form dative bonds with oxygen, sulfur or nitrogen under some circumstances in this invention. Dative bonds are usually weaker than covalent bonds. In situations where a boron is covalently bonded to at least one oxygen, sulfur or nitrogen, and is at the same time datively bonded to an oxygen, sulfur or nitrogen, respectively, the dative bond and covalent bond between the boron and the two identical heteroatoms can interconvert or be in the form of a resonance hybrid. There is potential uncertainty surrounding the exact nature and extent of electron sharing in these situations. The structures supplied are not intended to include any and all possible bonding scenarios between boron and the atom to which it is bound. Non limiting examples of these bonds are as follows:
- “Salt counterion”, as used herein, refers to positively charged ions that associate with a compound of the invention when the boron is fully negatively or partially negatively charged. Examples of salt counterions include H+, H3O+, ammonium, potassium, calcium, magnesium and sodium.
- The compounds comprising a boron bonded to a carbon and three heteroatoms (such as three oxygens described in this section) can optionally contain a fully negatively charged boron or partially negatively charged boron, due to the nature of the dative bond between the boron and one of the oxygens. Due to the negative charge, a positively charged counterion may associate with this compound, thus forming a salt. Examples of positively charged counterions include H+, H3O+, calcium, sodium, ammonium, potassium. The salts of these compounds are implicitly contained in descriptions of these compounds.
- The present invention also encompasses compounds that are poly- or multi-valent species, including, for example, species such as dimers, trimers, tetramers and higher homologs of the compounds of use in the invention or reactive analogues thereof. For example, dimers of C10 can form under the following conditions:
- In another example, dimers of C17 can form under the following conditions:
- The present invention also encompasses compounds that are anhydrides of the cyclic boronic esters are synthesized by subjecting these compounds to dehydrating conditions. Examples of these anhydrides are provided below:
- Trimers of the compounds of the invention are also produced. For example, trimers of acyclic boronic esters can be formed as follows:
- Polymers of the compounds of the invention are also produced through the removal of certain protecting groups in strong acid. For example, trimers of acyclic boronic esters can be formed as follows:
- Also of use in the present invention are compounds that are poly- or multi-valent species, including, for example, species such as dimers, trimers, tetramers and higher homologs of the compounds of use in the invention or reactive analogues thereof. The poly- and multi-valent species can be assembled from a single species or more than one species of the invention. For example, a dimeric construct can be “homo-dimeric” or “heterodimeric.” Moreover, poly- and multi-valent constructs in which a compound of the invention or a reactive analogue thereof, is attached to an oligomeric or polymeric framework (e.g., polylysine, dextran, hydroxyethyl starch and the like) are within the scope of the present invention. The framework is preferably polyfunctional (i.e. having an array of reactive sites for attaching compounds of use in the invention). Moreover, the framework can be derivatized with a single species of the invention or more than one species of the invention.
- Moreover, the present invention includes the use of compounds within the motif set forth in the formulae contained herein, which are functionalized to afford compounds having water-solubility that is enhanced relative to analogous compounds that are not similarly functionalized. Thus, any of the substituents set forth herein can be replaced with analogous radicals that have enhanced water solubility. For example, it is within the scope of the invention to replace a hydroxyl group with a diol, or an amine with a quaternary amine, hydroxy amine or similar more water-soluble moiety. In a preferred embodiment, additional water solubility is imparted by substitution at a site not essential for the activity towards the editing domain of the compounds set forth herein with a moiety that enhances the water solubility of the parent compounds. Methods of enhancing the water-solubility of organic compounds are known in the art. Such methods include, but are not limited to, functionalizing an organic nucleus with a permanently charged moiety, e.g., quaternary ammonium, or a group that is charged at a physiologically relevant pH, e.g. carboxylic acid, amine. Other methods include, appending to the organic nucleus hydroxyl- or amine-containing groups, e.g. alcohols, polyols, polyethers, and the like. Representative examples include, but are not limited to, polylysine, polyethyleneimine, poly(ethyleneglycol) and poly(propyleneglycol). Suitable functionalization chemistries and strategies for these compounds are known in the art. See, for example, Dunn, R. L., et al., Eds. POLYMERIC DRUGS AND DRUG DELIVERY SYSTEMS, ACS Symposium Series Vol. 469, American Chemical Society, Washington, D.C. 1991.
- The present invention provides novel boron compounds and methods for the preparation of these molecules. The invention further provides boron compounds as analogs comprising a functional moiety, such as a drug moiety and methods of use for said analogs.
- In a first aspect, the invention provides a compound having a structure according to Formula I:
- wherein B is boron. R1a is a member selected from a negative charge, a salt counterion, H, cyano, substituted or unsubstituted alkyl, substituted or unsubstituted heteroalkyl, substituted or unsubstituted cycloalkyl, substituted or unsubstituted heterocycloalkyl, substituted or unsubstituted aryl, and substituted or unsubstituted heteroaryl. M is a member selected from oxygen, sulfur and NR2a. R2a is a member selected from H, substituted or unsubstituted alkyl, substituted or unsubstituted heteroalkyl, substituted or unsubstituted cycloalkyl, substituted or unsubstituted heterocycloalkyl, substituted or unsubstituted aryl, and substituted or unsubstituted heteroaryl. J is a member selected from (CR3aR4a)n1 and CR5a. R3a, R4a, and R5a are members independently selected from H, cyano, substituted or unsubstituted alkyl, substituted or unsubstituted heteroalkyl, substituted or unsubstituted cycloalkyl, substituted or unsubstituted heterocycloalkyl, substituted or unsubstituted aryl, and substituted or unsubstituted heteroaryl. The index n1 is an integer selected from 0 to 2. W is a member selected from C═O (carbonyl), (CR6aR7a)m1 and CR8a. R6a, R7a, and R8a are members independently selected from H, cyano, substituted or unsubstituted alkyl, substituted or unsubstituted heteroalkyl, substituted or unsubstituted cycloalkyl, substituted or unsubstituted heterocycloalkyl, substituted or unsubstituted aryl, and substituted or unsubstituted heteroaryl. The index m1 is an integer selected from 0 and 1. A is a member selected from CR9a and N. D is a member selected from CR10a and N. E is a member selected from CR11a and N. G is a member selected from CR12a and N. R9a, R10a, R11a and R12a are members independently selected from H, OR*, NR*R**, SR*, —S(O)R*, —S(O)2R*, —S(O)2NR*R**, —C(O)R*, —C(O)OR*, —C(O)NR*R**, nitro, halogen, cyano, substituted or unsubstituted alkyl, substituted or unsubstituted heteroalkyl, substituted or unsubstituted cycloalkyl, substituted or unsubstituted heterocycloalkyl, substituted or unsubstituted aryl, and substituted or unsubstituted heteroaryl. Each R* and R** are members independently selected from H, nitro, halogen, cyano, substituted or unsubstituted alkyl, substituted or unsubstituted heteroalkyl, substituted or unsubstituted cycloalkyl, substituted or unsubstituted heterocycloalkyl, substituted or unsubstituted aryl, and substituted or unsubstituted heteroaryl. The combination of nitrogens (A+D+E+G) is an integer selected from 0 to 3. A member selected from R3a, R4a and R5a and a member selected from R6a, R7a and R8a, together with the atoms to which they are attached, are optionally joined to form a 4 to 7 membered ring. R3a and R4a, together with the atoms to which they are attached, are optionally joined to form a 4 to 7 membered ring. R6a and R7a, together with the atoms to which they are attached, are optionally joined to form a 4 to 7 membered ring. R9a and R10a, together with the atoms to which they are attached, are optionally joined to form a 4 to 7 membered ring. R10a and R11a, together with the atoms to which they are attached, are optionally joined to form a 4 to 7 membered ring. R11a and R12a, together with the atoms to which they are attached, are optionally joined to form a 4 to 7 membered ring.
- In an exemplary embodiment, the compound has a structure according to Formula (Ia):
- In another exemplary embodiment, each R3a and R4a is a member independently selected from H, cyano, substituted or unsubstituted methyl, substituted or unsubstituted ethyl, trifluoromethyl, substituted or unsubstituted hydroxymethyl, substituted or unsubstituted hydroxyalkyl, substituted or unsubstituted benzyl, substituted or unsubstituted phenyl, substituted or unsubstituted mercaptomethyl, substituted or unsubstituted mercaptoalkyl, substituted or unsubstituted aminomethyl, substituted or unsubstituted alkylaminomethyl, substituted or unsubstituted dialkylaminomethyl, substituted or unsubstituted arylaminomethyl, substituted or unsubstituted indolyl and substituted or unsubstituted amido. In another exemplary embodiment, each R3a and R4a is a member independently selected from cyano, substituted or unsubstituted methyl, substituted or unsubstituted ethyl, trifluoromethyl, substituted or unsubstituted hydroxymethyl, substituted or unsubstituted hydroxyalkyl, substituted or unsubstituted benzyl, substituted or unsubstituted phenyl, substituted or unsubstituted mercaptomethyl, substituted or unsubstituted mercaptoalkyl, substituted or unsubstituted aminomethyl, substituted or unsubstituted alkylaminomethyl, substituted or unsubstituted dialkylaminomethyl, substituted or unsubstituted arylaminomethyl, substituted or unsubstituted indolyl, substituted or unsubstituted amido.
- In another exemplary embodiment, each R3a and R4a is a member selected from H, substituted or unsubstituted methyl, substituted or unsubstituted ethyl, substituted or unsubstituted propyl, substituted or unsubstituted isopropyl, substituted or unsubstituted butyl, substituted or unsubstituted t-butyl, substituted or unsubstituted phenyl and substituted or unsubstituted benzyl. In another exemplary embodiment, R3a and R4a is a member selected from methyl, ethyl, propyl, isopropyl, butyl, t-butyl, phenyl and benzyl. In another exemplary embodiment, R3a is H and R4a is a member selected from methyl, ethyl, propyl, isopropyl, butyl, t-butyl, phenyl and benzyl. In another exemplary embodiment, R3a is H and R4a H.
- In another exemplary embodiment, each R9a, R10a, R11a and R12a is a member independently selected from H, OR*, NR*R**, SR*, —S(O)R*, —S(O)2R*, —S(O)2NR*R**, —C(O)R*, —C(O)OR*, —C(O)NR*R**, halogen, cyano, nitro, substituted or unsubstituted methoxy, substituted or unsubstituted methyl, substituted or unsubstituted ethoxy, substituted or unsubstituted ethyl, trifluoromethyl, substituted or unsubstituted hydroxymethyl, substituted or unsubstituted hydroxyalkyl, substituted or unsubstituted benzyl, substituted or unsubstituted phenyl, substituted or unsubstituted phenyloxy, substituted or unsubstituted phenyl methoxy, substituted or unsubstituted thiophenyloxy, substituted or unsubstituted pyridinyloxy, substituted or unsubstituted pyrimidinyloxy, substituted or unsubstituted benzylfuran, substituted or unsubstituted methylthio, substituted or unsubstituted mercaptomethyl, substituted or unsubstituted mercaptoalkyl, substituted or unsubstituted phenylthio, substituted or unsubstituted thiophenylthio, substituted or unsubstituted phenyl methylthio, substituted or unsubstituted pyridinylthio, substituted or unsubstituted pyrimidinylthio, substituted or unsubstituted benzylthiofuranyl, substituted or unsubstituted phenylsulfonyl, substituted or unsubstituted benzylsulfonyl, substituted or unsubstituted phenylmethylsulfonyl, substituted or unsubstituted thiophenylsulfonyl, substituted or unsubstituted pyridinylsulfonyl, substituted or unsubstituted pyrimidinylsulfonyl, substituted or unsubstituted sulfonamidyl, substituted or unsubstituted phenylsulfinyl, substituted or unsubstituted benzylsulfinyl, substituted or unsubstituted phenylmethylsulfinyl, substituted or unsubstituted thiophenylsulfinyl, substituted or unsubstituted pyridinylsulfinyl, substituted or unsubstituted pyrimidinylsulfinyl, substituted or unsubstituted amino, substituted or unsubstituted alkylamino, substituted or unsubstituted dialkylamino, substituted or unsubstituted trifluoromethylamino, substituted or unsubstituted aminomethyl, substituted or unsubstituted alkylaminomethyl, substituted or unsubstituted dialkylaminomethyl, substituted or unsubstituted arylaminomethyl, substituted or unsubstituted benzylamino, substituted or unsubstituted phenylamino, substituted or unsubstituted thiophenylamino, substituted or unsubstituted pyridinylamino, substituted or unsubstituted pyrimidinylamino, substituted or unsubstituted indolyl, substituted or unsubstituted morpholino, substituted or unsubstituted alkylamido, substituted or unsubstituted arylamido, substituted or unsubstituted ureido, substituted or unsubstituted carbamoyl, and substituted or unsubstituted piperizinyl. In an exemplary embodiment, R9a, R10a, R11a and R12a are selected from the previous list of substituents with the exception of —C(O)R*, —C(O)OR*, —C(O)NR*R**.
- In another exemplary embodiment, R9a, R10a, R11a and R12a are members independently selected from fluoro, chloro, bromo, nitro, cyano, amino, methyl, hydroxylmethyl, trifluoromethyl, methoxy, trifluoromethyoxy, ethyl, diethylcarbamoyl, pyridin-2-yl, pyridin-3-yl, pyridin-4-yl, pyrimidinyl, piperizino, piperizinyl, piperizinocarbonyl, piperizinylcarbonyl, carboxyl, 1-tetrazolyl, 1-ethoxycarbonylmethoxy, carboxymethoxy, thiophenyl, 3-(butylcarbonyl) phenylmethoxy, 1H-tetrazol-5-yl, 1-ethoxycarbonylmethyloxy-, 1-ethoxycarbonylmethyl-, 1-ethoxycarbonyl-, carboxymethoxy-, thiophen-2-yl, thiophen-2-ylthio-, thiophen-3-yl, thiophen-3-ylthio, 4-fluorophenylthio, butylcarbonylphenylmethoxy, butylcarbonylphenylmethyl, butylcarbonylmethyl, 1-(piperidin-1-yl)carbonyl)methyl, 1-(piperidin-1-yl)carbonyl)methoxy, 1-(piperidin-2-yl)carbonyl)methoxy, 1-(piperidin-3-yl)carbonyl)methoxy, 1-(4-(pyrimidin-2-yl)piperazin-1-yl)carbonyl)methoxy, 1-(4-(pyrimidin-2-yl)piperazin-1-yl)carbonyl)methyl, 1-(4-(pyrimidin-2-yl)piperazin-1-yl)carbonyl, 1-4-(pyrimidin-2-yl)piperazin-1-yl, 1-(4-(pyridin-2-yl)piperazin-1-yl)carbonyl), 1-(4-(pyridin-2-yl)piperazin-1-yl)carbonylmethyl, (1-(4-(pyridin-2-yl)piperazin-1-yl)carbonyl)-methoxy), 1-(4-(pyridin-2-yl)piperazin-1-yl, 1H-indol-1-yl, morpholino-, morpholinyl, morpholinocarbonyl, morpholinylcarbonyl, phenylureido, phenylcarbamoyl, acetamido, 3-(phenylthio)-1H-indol-1-yl, 3-(2-cyanoethylthio)-1H-indol-1-yl, benzylamino, 5-methoxy-3-(phenylthio)-1H-indol-1-yl, 5-methoxy-3-(2-cyanoethylthio)-1H-indol-1-yl)), 5-chloro-1H-indol-1-yl, 5-chloro-3-(2-cyanoethylthio)-1H-indol-1-yl)), dibenzylamino, benzylamino, 5-chloro-3-(phenylthio)-1H-indol-1-yl)), 4-(1H-tetrazol-5-yl)phenoxy, 4-(1H-tetrazol-5-yl)phenyl, 4-(1H-tetrazol-5-yl)phenylthio, 2-cyanophenoxy, 3-cyanophenoxy, 4-cyanophenoxy, 2-cyanophenylthio, 3-cyanophenylthio, 4-cyanophenylthio, 2-chlorophenoxy, 3-chlorophenoxy, 4-chlorophenoxy, 2-fluorophenoxy, 3-fluorophenoxy, 4-fluorophenoxy, 2-cyanobenzyloxy, 3-cyanobenzyloxy, 4-cyanobenzyloxy, 2-chlorobenzyloxy, 3-chlorobenzyloxy, 4-chlorobenzyloxy, 2-fluorobenzyloxy, 3-fluorobenzyloxy, 4-fluorobenzyloxy, unsubstituted phenyl, unsubstituted benzyl. In an exemplary embodiment, R9a is H and R12a is H.
- In an exemplary embodiment, the compound according to Formula (I) or Formula (Ia) is a member selected from:
- In an exemplary embodiment, the compound has a structure according to one of Formulae I-Io with substituent selections for R9a, R10a, R11a and R12a including all the possibilities contained in
paragraph 106 except for H. In an exemplary embodiment, the compound has a structure according to one of Formulae Ib-Io with substituent selections for R9a, R10a, R11a and R12a including all the possiblities contained inparagraph 107 except for H. - In an exemplary embodiment, the compound has a formula according to Formulae (Ib)-(Ie) wherein R1a is a member selected from H, a negative charge and a salt counterion and the remaining R group (R9a in Ib, R10a in Ic, R11a in Id, and R12a in Ie) is a member selected from fluoro, chloro, bromo, nitro, cyano, amino, methyl, hydroxylmethyl, trifluoromethyl, methoxy, trifluoromethyoxy, ethyl, diethylcarbamoyl, pyridin-2-yl, pyridin-3-yl, pyridin-4-yl, pyrimidinyl, piperizino, piperizinyl, piperizinocarbonyl, piperizinylcarbonyl, carboxyl, 1-tetrazolyl, 1-ethoxycarbonylmethoxy, carboxymethoxy, thiophenyl, 3-(butylcarbonyl) phenylmethoxy, 1H-tetrazol-5-yl, 1-ethoxycarbonylmethyloxy-, 1-ethoxycarbonylmethyl-, 1-ethoxycarbonyl-, carboxymethoxy-, thiophen-2-yl, thiophen-2-ylthio-, thiophen-3-yl, thiophen-3-ylthio, 4-fluorophenylthio, butylcarbonylphenylmethoxy, butylcarbonylphenylmethyl, butylcarbonylmethyl, 1-(piperidin-1-yl)carbonyl)methyl, 1-(piperidin-1-yl)carbonyl)methoxy, 1-(piperidin-2-yl)carbonyl)methoxy, 1-(piperidin-3-yl)carbonyl)methoxy, 1-(4-(pyrimidin-2-yl)piperazin-1-yl)carbonyl)methoxy, 1-(4-(pyrimidin-2-yl)piperazin-1-yl)carbonyl)methyl, 1-(4-(pyrimidin-2-yl)piperazin-1-yl)carbonyl, 1-4-(pyrimidin-2-yl)piperazin-1-yl, 1-(4-(pyridin-2-yl)piperazin-1-yl)carbonyl), 1-(4-(pyridin-2-yl)piperazin-1-yl)carbonylmethyl, (1-(4-(pyridin-2-yl)piperazin-1-yl)carbonyl)-methoxy), 1-(4-(pyridin-2-yl)piperazin-1-yl, 1H-indol-1-yl, morpholino-, morpholinyl, morpholinocarbonyl, morpholinylcarbonyl, phenylureido, phenylcarbamoyl, acetamido, 3-(phenylthio)-1H-indol-1-yl, 3-(2-cyanoethylthio)-1H-indol-1-yl, benzylamino, 5-methoxy-3-(phenylthio)-1H-indol-1-yl, 5-methoxy-3-(2-cyanoethylthio)-1H-indol-1-yl)), 5-chloro-1H-indol-1-yl, 5-chloro-3-(2-cyanoethylthio)-1H-indol-1-yl)), dibenzylamino, benzylamino, 5-chloro-3-(phenylthio)-1H-indol-1-yl)), 4-(1H-tetrazol-5-yl)phenoxy, 4-(1H-tetrazol-5-yl)phenyl, 4-(1H-tetrazol-5-yl)phenylthio, 2-cyanophenoxy, 3-cyanophenoxy, 4-cyanophenoxy, 2-cyanophenylthio, 3-cyanophenylthio, 4-cyanophenylthio, 2-chlorophenoxy, 3-chlorophenoxy, 4-chlorophenoxy, 2-fluorophenoxy, 3-fluorophenoxy, 4-fluorophenoxy, 2-cyanobenzyloxy, 3-cyanobenzyloxy, 4-cyanobenzyloxy, 2-chlorobenzyloxy, 3-chlorobenzyloxy, 4-chlorobenzyloxy, 2-fluorobenzyloxy, 3-fluorobenzyloxy and 4-fluorobenzyloxy.
- In an exemplary embodiment, the compound has a formula according to Formulae (If)-(Ik) wherein R1a is a member selected from H, a negative charge and a salt counterion and each of the remaining two R groups (R9a and R10a in If, R9a and R11a in Ig, R9a and R12a in Ih, R10a and R11a in Ii, R10a and R12a in Ij, R11a and R12a in Ik) is a member independently selected from fluoro, chloro, bromo, nitro, cyano, amino, methyl, hydroxylmethyl, trifluoromethyl, methoxy, trifluoromethyoxy, ethyl, diethylcarbamoyl, pyridin-2-yl, pyridin-3-yl, pyridin-4-yl, pyrimidinyl, piperizino, piperizinyl, piperizinocarbonyl, piperizinylcarbonyl, carboxyl, 1-tetrazolyl, 1-ethoxycarbonylmethoxy, carboxymethoxy, thiophenyl, 3-(butylcarbonyl) phenylmethoxy, 1H-tetrazol-5-yl, 1-ethoxycarbonylmethyloxy-, 1-ethoxycarbonylmethyl-, 1-ethoxycarbonyl-, carboxymethoxy-, thiophen-2-yl, thiophen-2-ylthio-, thiophen-3-yl, thiophen-3-ylthio, 4-fluorophenylthio, butylcarbonylphenylmethoxy, butylcarbonylphenylmethyl, butylcarbonylmethyl, 1-(piperidin-1-yl)carbonyl)methyl, 1-(piperidin-1-yl)carbonyl)methoxy, 1-(piperidin-2-yl)carbonyl)methoxy, 1-(piperidin-3-yl)carbonyl)methoxy, 1-(4-(pyrimidin-2-yl)piperazin-1-yl)carbonyl)methoxy, 1-(4-(pyrimidin-2-yl)piperazin-1-yl)carbonyl)methyl, 1-(4-(pyrimidin-2-yl)piperazin-1-yl)carbonyl, 1-4-(pyrimidin-2-yl)piperazin-1-yl, 1-(4-(pyridin-2-yl)piperazin-1-yl)carbonyl), 1-(4-(pyridin-2-yl)piperazin-1-yl)carbonylmethyl, (1-(4-(pyridin-2-yl)piperazin-1-yl)carbonyl)-methoxy), 1-(4-(pyridin-2-yl)piperazin-1-yl, 1H-indol-1-yl, morpholino-, morpholinyl, morpholinocarbonyl, morpholinylcarbonyl, phenylureido, phenylcarbamoyl, acetamido, 3-(phenylthio)-1H-indol-1-yl, 3-(2-cyanoethylthio)-1H-indol-1-yl, benzylamino, 5-methoxy-3-(phenylthio)-1H-indol-1-yl, 5-methoxy-3-(2-cyanoethylthio)-1H-indol-1-yl)), 5-chloro-1H-indol-1-yl, 5-chloro-3-(2-cyanoethylthio)-1H-indol-1-yl)), dibenzylamino, benzylamino, 5-chloro-3-(phenylthio)-1H-indol-1-yl)), 4-(1H-tetrazol-5-yl)phenoxy, 4-(1H-tetrazol-5-yl)phenyl, 4-(1H-tetrazol-5-yl)phenylthio, 2-cyanophenoxy, 3-cyanophenoxy, 4-cyanophenoxy, 2-cyanophenylthio, 3-cyanophenylthio, 4-cyanophenylthio, 2-chlorophenoxy, 3-chlorophenoxy, 4-chlorophenoxy, 2-fluorophenoxy, 3-fluorophenoxy, 4-fluorophenoxy, 2-cyanobenzyloxy, 3-cyanobenzyloxy, 4-cyanobenzyloxy, 2-chlorobenzyloxy, 3-chlorobenzyloxy, 4-chlorobenzyloxy, 2-fluorobenzyloxy, 3-fluorobenzyloxy, and 4-fluorobenzyloxy.
- In an exemplary embodiment, the compound has a formula according to Formulae (Il)-(Io) wherein R1a is a member selected from H, a negative charge and a salt counterion and each of the remaining three R groups (R9a, R10a, R11a in (Il), R9a, R10a, R12a in (Im), R9a, R11a, R12a in (In), R10, R11a, R12a in (Io)) is a member independently selected from fluoro, chloro, bromo, nitro, cyano, amino, methyl, hydroxylmethyl, trifluoromethyl, methoxy, trifluoromethyoxy, ethyl, diethylcarbamoyl, pyridin-2-yl, pyridin-3-yl, pyridin-4-yl, pyrimidinyl, piperizino, piperizinyl, piperizinocarbonyl, piperizinylcarbonyl, carboxyl, 1-tetrazolyl, 1-ethoxycarbonylmethoxy, carboxymethoxy, thiophenyl, 3-(butylcarbonyl) phenylmethoxy, 1H-tetrazol-5-yl, 1-ethoxycarbonylmethyloxy-, 1-ethoxycarbonylmethyl-, 1-ethoxycarbonyl-, carboxymethoxy-, thiophen-2-yl, thiophen-2-ylthio-, thiophen-3-yl, thiophen-3-ylthio, 4-fluorophenylthio, butylcarbonylphenylmethoxy, butylcarbonylphenylmethyl, butylcarbonylmethyl, 1-(piperidin-1-yl)carbonyl)methyl, 1-(piperidin-1-yl)carbonyl)methoxy, 1-(piperidin-2-yl)carbonyl)methoxy, 1-(piperidin-3-yl)carbonyl)methoxy, 1-(4-(pyrimidin-2-yl)piperazin-1-yl)carbonyl)methoxy, 1-(4-(pyrimidin-2-yl)piperazin-1-yl)carbonyl)methyl, 1-(4-(pyrimidin-2-yl)piperazin-1-yl)carbonyl, 1-4-(pyrimidin-2-yl)piperazin-1-yl, 1-(4-(pyridin-2-yl)piperazin-1-yl)carbonyl), 1-(4-(pyridin-2-yl)piperazin-1-yl)carbonylmethyl, (1-(4-(pyridin-2-yl)piperazin-1-yl)carbonyl)-methoxy), 1-(4-(pyridin-2-yl)piperazin-1-yl, 1H-indol-1-yl, morpholino-, morpholinyl, morpholinocarbonyl, morpholinylcarbonyl, phenylureido, phenylcarbamoyl, acetamido, 3-(phenylthio)-1H-indol-1-yl, 3-(2-cyanoethylthio)-1H-indol-1-yl, benzylamino, 5-methoxy-3-(phenylthio)-1H-indol-1-yl, 5-methoxy-3-(2-cyanoethylthio)-1H-indol-1-yl)), 5-chloro-1H-indol-1-yl, 5-chloro-3-(2-cyanoethylthio)-1H-indol-1-yl)), dibenzylamino, benzylamino, 5-chloro-3-(phenylthio)-1H-indol-1-yl)), 4-(1H-tetrazol-5-yl)phenoxy, 4-(1H-tetrazol-5-yl)phenyl, 4-(1H-tetrazol-5-yl)phenylthio, 2-cyanophenoxy, 3-cyanophenoxy, 4-cyanophenoxy, 2-cyanophenylthio, 3-cyanophenylthio, 4-cyanophenylthio, 2-chlorophenoxy, 3-chlorophenoxy, 4-chlorophenoxy, 2-fluorophenoxy, 3-fluorophenoxy, 4-fluorophenoxy, 2-cyanobenzyloxy, 3-cyanobenzyloxy, 4-cyanobenzyloxy, 2-chlorobenzyloxy, 3-chlorobenzyloxy, 4-chlorobenzyloxy, 2-fluorobenzyloxy, 3-fluorobenzyloxy, and 4-fluorobenzyloxy.
- In an exemplary embodiment, there is a proviso that the compound cannot be a member selected from
FIG. 11 . In another exemplary embodiment, there is a proviso that the compound cannot be a member selected from C1-C40. - In another exemplary embodiment, there is a proviso that the compound cannot have a structure according to Formula (Ix):
- wherein R7b is a member selected from H, methyl, ethyl and phenyl. R10b is a member selected from H, OH, NH2, SH, halogen, substituted or unsubstituted phenoxy, substituted or unsubstituted phenylalkyloxy, substituted or unsubstituted phenylthio and substituted or unsubstituted phenylalkylthio. R11b is a member selected from H, OH, NH2, SH, methyl, substituted or unsubstituted phenoxy, substituted or unsubstituted phenylalkyloxy, substituted or unsubstituted phenylthio and substituted or unsubstituted phenylalkylthio. In another exemplary embodiment, there is a proviso that the compound cannot have a structure according to Formula (Ix) wherein R1b is a member selected from a negative charge, H and a salt counterion. In another exemplary embodiment, there is a proviso that the compound cannot have a structure according to Formula (Ix) wherein R10b and R11b are H. In another exemplary embodiment, there is a proviso that the compound cannot have a structure according to Formula (Ix) wherein one member selected from R10b and R11b is H and the other member selected from R10b and R11b is a member selected from halo, methyl, cyano, methoxy, hydroxymethyl and p-cyanophenyloxy. In another exemplary embodiment, there is a proviso that the compound cannot have a structure according to Formula (Ix) wherein R10b and R11b are members independently selected from fluoro, chloro, methyl, cyano, methoxy, hydroxymethyl, and p-cyanophenyl. In another exemplary embodiment, there is a proviso that the compound cannot have a structure according to Formula (Ix) wherein R1b is a member selected from a negative charge, H and a salt counterion; R7b is H; R10b is F and R11b is H. In another exemplary embodiment, there is a proviso that the compound cannot have a structure according to Formula (Ix) wherein R11b and R12b, along with the atoms to which they are attached, are joined to form a phenyl group. In another exemplary embodiment, there is a proviso that the compound cannot have a structure according to Formula (Ix) wherein R1b is a member selected from a negative charge, H and a salt counterion; R7b is H; R10b is 4-cyanophenoxy; and R11b is H.
- In another exemplary embodiment, there is a proviso that the compound cannot have a structure according to Formula (Iy)
- wherein R10b is a member selected from H, halogen, CN and substituted or unsubstituted C1-4 alkyl.
- In another exemplary embodiment, there is a proviso that a structure does not have the which is a member selected from Formulae (I) to (Io) at least one member selected from R3a, R4a, R5a, R6a, R7a, R8a, R9a, R10a, R11a and R12a is nitro, cyano or halogen. In another exemplary embodiment, there is a proviso that when M is oxygen, W is a member selected from (CR3aR4a)n1, wherein n1 is 0, J is a member selected from (CR6aR7a)m1, wherein m1 is 1, A is CR9a, D is CR10a, E is CR11a, G is CR12a, the R9a is not halogen, methyl, ethyl, or optionally joined with R10a to form a phenyl ring; R10a is not unsubstituted phenoxy, C(CH3)3, halogen, CF3, methoxy, ethoxy, or optionally joined with R9a to form a phenyl ring; R11a is not halogen or optionally joined with R10a to form a phenyl ring; and R12a is not halogen. In another exemplary embodiment, there is a proviso that when M is oxygen, W is a member selected from (CR3aR4a)n1, wherein n1 is 0, J is a member selected from (CR6aR7a)m1, wherein m1 is 1, A is CR9a, D is CR10a, E is CR11a, G1 is CR12a, then neither R6a nor R7a are halophenyl. In another exemplary embodiment, there is a proviso that when M is oxygen, W is a member selected from (CR3aR4a)n1, wherein n1 is 0, J is a member selected from (CR6aR7a)m1, wherein m1 is 1, A is CR9a, D is CR10a, E is CR11a, G is CR12a, and R9a, R10a and R11a are H, then R6a, R7a and R12a are not H. In another exemplary embodiment, there is a proviso that when M is oxygen wherein n1 is 1, J is a member selected from (CR6aR7a)m1, wherein m1 is 0, A is CR9a, D is CR10a, E is CR11a, G is CR12a, R9a is H, R10a is H, R11a is H, R6a is H, R7a is H, R12a is H, then W is not C═O (carbonyl). In another exemplary embodiment, there is a proviso that when M is oxygen, W is CR5a, J is CR8a, A is CR9a, D is CR10a, E is CR11a, G is CR12a, R6a, R7a, R9a, R10a, R11a and R12a are H, then R5a and R8a, together with the atoms to which they are attached, do not form a phenyl ring.
- In an exemplary embodiment, the compound of the invention has a structure which is a member selected from:
- in which q is a number between 0 and 1. Rg is halogen. Ra, Rb, Rc, Rd and Re are members independently selected from a member selected from H, substituted or unsubstituted alkyl, substituted or unsubstituted heteroalkyl, substituted or unsubstituted cycloalkyl, substituted or unsubstituted heterocycloalkyl, substituted or unsubstituted aryl, and substituted or unsubstituted heteroaryl. In an exemplary embodiment, there is a proviso that the compound is not a member selected from
- In an exemplary embodiment, the compound has a structure is a member selected from:
- In an exemplary embodiment, Ra, Rd and Re are each members independently selected from:
- In an exemplary embodiment, Rb and Rc are members independently selected from H, methyl,
- In another exemplary embodiment, Rb is H and Rc is a member selected from H, methyl,
- In another exemplary embodiment, Rb and Rc are, together with the nitrogen to which they are attached, optionally joined to form a member selected from
- In an exemplary embodiment, Ra is a member selected from
- In an exemplary embodiment, Rd is a member selected from
- In an exemplary embodiment, Re is a member selected from
- In an exemplary embodiment, the compound is a member selected from
- In an exemplary embodiment, the compound has a structure which is described in
FIG. 19 . In an exemplary embodiment, the compound has a structure which is described inFIG. 20 . - In an exemplary embodiment, the compound has a structure according to a member selected from Formulae I(b), I(c), I(d), and I(e) wherein said remaining R group (R9a for I(b), R10a for I(c), R11a for I(d) and R12a for I(e)) is carboxymethoxy.
- In an exemplary embodiment, the compound has a structure which is a member selected from Formulae (If)-(Ik), wherein either R9a or R10a for Formula (If), either R9a or R11a for Formula (Ig), either R9a or R12a for Formula (Ih), either R10a or R11a for Formula (Ii), either R10a or R12a for Formula (Ij), either R11a or R12a for Formula (Ik) is halogen, and the other substituent in the pairing (ex. if R9a is F in Formula (If), then R10a is selected from the following substituent listing), is a member selected from NH2, N(CH3)H, and N(CH3)2.
- In another exemplary embodiment, the compound has a structure which is a member selected from:
- in which R* and R** are members selected from: H, substituted or unsubstituted alkyl, substituted or unsubstituted heteroalkyl, substituted or unsubstituted cycloalkyl, substituted or unsubstituted heterocycloalkyl, substituted or unsubstituted aryl, and substituted or unsubstituted heteroaryl. In an exemplary embodiment, the compound is a member selected from
- wherein R1a is a member selected from a negative charge, H and a salt counterion.
- In another exemplary embodiment, the compound has a structure which is a member selected from:
- wherein q is 1 and Rg is a member selected from fluoro, chloro and bromo.
- In another exemplary embodiment, the compounds and embodiments described above in Formulae (I)-(Io) can form a hydrate with water, a solvate with an alcohol (e.g. methanol, ethanol, propanol); an adduct with an amino compound (e.g. ammonia, methylamine, ethylamine); an adduct with an acid (e.g. formic acid, acetic acid); complexes with ethanolamine, quinoline, amino acids, and the like.
- In another exemplary embodiment, the compound has a structure according to Formula (Ip):
- in which Rx2 is a member selected from substituted or unsubstituted C1-C5 alkyl and substituted or unsubstituted C1-C5 heteroalkyl. Ry2 and Rz2 are members independently selected from H, substituted or unsubstituted alkyl, substituted or unsubstituted heteroalkyl, substituted or unsubstituted cycloalkyl, substituted or unsubstituted heterocycloalkyl, substituted or unsubstituted aryl, and substituted or unsubstituted heteroaryl.
- In another exemplary embodiment, the compound has a structure according to Formula (Iq):
- wherein B is boron. Rx2 is a member selected from substituted or unsubstituted C1-C5 alkyl and substituted or unsubstituted C1-C5 heteroalkyl. Ry2 and Rz2 are members independently selected from H, substituted or unsubstituted alkyl, substituted or unsubstituted heteroalkyl, substituted or unsubstituted cycloalkyl, substituted or unsubstituted heterocycloalkyl, substituted or unsubstituted aryl, and substituted or unsubstituted heteroaryl. In another exemplary embodiment, at least one member selected from R3a, R4a, R5a, R6a, R7a, R8a, R9a, R10a, R11a and R12a is a member selected from nitro, cyano and halogen.
- In another exemplary embodiment, the compound has a structure which is a member selected from the following Formulae:
- In another exemplary embodiment, the compound has a formula according to Formulae (Ib)-(Ie) wherein at least one member selected from R3a, R4a, R5a, R6a, R7a, R8a, R9a, R10a, R11a and R12a is a member selected from nitro, cyano, fluro, chloro, bromo and cyanophenoxy. In another exemplary embodiment, the compound is a member selected from
- In another exemplary embodiment, the compound is a member selected from
- In another exemplary embodiment, there is a proviso that the compound cannot have a structure according to Formula (Iaa):
- wherein R6b, R9b, R10b, R11b and R12b have the same substituent listings as described for Formulae (Ix) and (Iy) above.
- In another exemplary embodiment, the invention provides poly- or mutli-valent species of the compounds of the invention. In an exemplary embodiment, the invention provides a dimer of the compounds described herein. In an exemplary embodiment, the invention provides a dimer of the compounds described herein. In an exemplary embodiment, the invention provides a dimer of a compound which is a member selected from C1-C96. In an exemplary embodiment the dimer is a member selected from
- In an exemplary embodiment, the invention provides an anhydride of the compounds described herein. In an exemplary embodiment, the invention provides an anhydride of the compounds described herein. In an exemplary embodiment, the invention provides an anhydride of a compound which is a member selected from C1-C96. In an exemplary embodiment the anhydride is a member selected from
- In an exemplary embodiment, the invention provides a trimer of the compounds described herein. In an exemplary embodiment, the invention provides a trimer of the compounds described herein. In an exemplary embodiment, the invention provides a trimer of a compound which is a member selected from C1-C96. In an exemplary embodiment the trimer is a member selected from
- In an exemplary embodiment, the compound has a structure which is a member selected from Formulae (IIa) (IIb) (IIc) and (IId).
- In an exemplary embodiment, the compound has a structure according to Formula (III):
- In one aspect, the invention provides compounds useful in the methods which have a structure according to Formula VII:
- wherein the variables R1a, A, D, E, G, J, W and M are described elsewhere herein.
- In an exemplary embodiment of Formula (VII), R1 is substituted or unsubstituted alkyl (C1-C4). In an exemplary embodiment of Formula (VII), R1 is substituted or unsubstituted alkyloxy. In an exemplary embodiment of Formula (VII), R1 is substituted or unsubstituted cycloalkyl (C3-C7). In an exemplary embodiment of Formula (VII), R1 is substituted or unsubstituted alkenyl. In a further exemplary embodiment thereof, the substituted alkenyl has the structure
- wherein R23, R24, and R25 are each members independently selected from H, haloalkyl, aralkyl, substituted aralkyl, (CH2)rOH (where r=1 to 3), CH2NR26R27 (wherein R26 and R27 are independently selected from hydrogen and alkyl), CO2H, CO2alkyl, CONH2, S-alkyl, S-aryl, SO2alkyl, SO3H, SCF3, CN, halogen, CF3, NO2, substituted or unsubstituted alkyl, substituted or unsubstituted heteroalkyl, substituted or unsubstituted cycloalkyl, substituted or unsubstituted heterocycloalkyl, substituted or unsubstituted aryl, and substituted or unsubstituted heteroaryl.
- In another exemplary embodiment of Formula (VII), R1 is a substituted or unsubstituted alkynyl. In a further exemplary embodiment thereof, the substituted alkynyl has the structure
- wherein R23 is defined as before.
- In an exemplary embodiment of Formula (VII), R1 is substituted or unsubstituted aryl. In a further exemplary embodiment thereof the substituted aryl has the structure
- wherein R28, R29, R30, R31 and R32 are each members independently selected from H, aralkyl, substituted aralkyl, (CH2)sOH (where s=1 to 3), CO2H, CO2alkyl, CONH2, CONHalkyl, CON(alkyl)2, OH, alkoxy, aryloxy, SH, S-alkyl, S-aryl, SO2alkyl, SO3H, SCF3, CN, halogen, CF3, NO2, (CH2)tNR26R27 (wherein R26 and R27 are independently selected from hydrogen, alkyl, and alkanoyl)(t=0 to 2), SO2NH2, OCH2CH2NH2, OCH2CH2NHalkyl, OCH2CH2N(alkyl)2, oxazolidin-2-yl, alkyl substituted oxazolidin-2-yl, substituted or unsubstituted alkyl, substituted or unsubstituted heteroalkyl, substituted or unsubstituted cycloalkyl, substituted or unsubstituted heterocycloalkyl, substituted or unsubstituted aryl, and substituted or unsubstituted heteroaryl.
- In an exemplary embodiment of Formula (VII), R1 is a substituted or unsubstituted aralkyl. In a further exemplary embodiment thereof the substituted aralkyl has the structure
- wherein R28, R29, R30, R31 and R32 are defined as before, and n1 is an integer selected from 1 to 15.
- In an exemplary embodiment of Formula (VII), R1 is a substituted or unsubstituted heteroaryl. In a further exemplary embodiment thereof, heteroaryl has the structure
- wherein X is a member selected from CH═CH, N═CH, NR35 (wherein R35=H, alkyl, aryl or benzyl), O, or S. Y=CH or N. R33 and R34 are each members independently selected from H, haloalkyl, aralkyl, substituted aralkyl, (CH2)uOH (where u=1, 2 or 3), (CH2)vNR26R27 (wherein R26 and R27 are independently selected from hydrogen, alkyl and alkanoyl) (v=0 to 3), CO2H, CO2alkyl, CONH2, S-alkyl, S-aryl, SO2alkyl, SO3H, SCF3, CN, halogen, CF3, NO2, substituted or unsubstituted alkyl, substituted or unsubstituted heteroalkyl, substituted or unsubstituted cycloalkyl, substituted or unsubstituted heterocycloalkyl, substituted or unsubstituted aryl, and substituted or unsubstituted heteroaryl.
- The structures of the invention also permit solvent interactions that may afford structures (Formula VIIg) that include atoms derived from the solvent encountered by the compounds of the invention during synthetic manipulations and therapeutic uses. Structure VIIg arises from the formation of a dative bond between the solvent(s) with the Lewis acidic boron center. Thus, such solvent complexes could be stable entities with comparative bioactivities. Such structures are expressly contemplated by the present invention where R*** is H or alkyl.
- In an exemplary embodiment, the compound has a structure which is a member selected from 2-(3-Chlorophenyl)-[1,3,2]-dioxaborolane, (3-Chlorophenyl)(4′-fluoro-(2′-(methoxymethoxy)-methyl)-phenyl)-borinic acid, 1-(3-Chlorophenyl)-5-fluoro-1,3-dihydrobenzo[c][1,2]oxaborole, 1-(3-Chlorophenyl)-6-fluoro-1,3-dihydrobenzo[c][1,2]oxaborole, 1-(3-Chlorophenyl)-1,3-dihydrobenzo[c][1,2]oxaborole, 5-Chloro-1-(3-Fluorophenyl)-1,3-dihydrobenzo[c][1,2]oxaborole, 2-(3-fluorophenyl)[1,3,2]-dioxaborolane, 3-(Benzo[c][1,2]oxaborol-1(3H)-yl)benzonitrile, 2-(3-cyanophenyl)-[1,3,2]-dioxaborolane, (3-Chlorophenyl)(5′-fluoro-(2′-(methoxymethoxy)methyl)-phenyl)-borinic acid, 1-(3-Chlorophenyl)-1,3-dihydro-3,3dimethylbenzo[c][1,2]oxaborole, (3-Chlorophenyl)(2-(2-(methoxymethoxy)propan-2yl)phenylborinic acid, 1-(3-Chlorophenyl)-1,3-dihydro-3,3-dimethylbenzo[c][1,2]oxaborole, 1-(4-Chlorophenyl)-1,3-dihydrobenzo[c][1,2]oxaborole, 2-(4-chlorophenyl)-[1,3,2]-dioxaborolane, 4-(Benzo[c][1,2]oxaborol-1(3H)-yl)benzonitrile, 2-(4-cyanophenyl)-[1,3,2]-dioxaborolane, 4-(5-Fluorobenzo[c][1,2]oxaborol-1(3H)-yl)benzonitrile, 2-(4-cyanophenyl)-[1,3,2]-dioxaborolane, 3-(5-Fluorobenzo[c][1,2]oxaborol-1(3H)-yl)benzonitrile, 2-(3-cyanophenyl)-[1,3,2]-dioxaborolane, 3-(6-Fluorobenzo[c][1,2]oxaborol-1(3H)-yl)benzonitrile, 2-(3-cyanophenyl)-[1,3,2]-dioxaborolane, 1-(3-Cyanophenyl)-5,6-dimethoxy-1,3-dihydrobenzo[c][1,2]-oxaborole, 2-(3-chlorophenyl)[1,3,2]-dioxaborolane, (4-(5-(Fluorobenzo[c][1,2]oxaborol-1(3H)-yl)phenylmethanamine, 5-Fluoro-2-(methoxymethoxymethyl)phenyl]-[1,3,2]-dioxaborolane, 4-(5-(Fluorobenzo[c][1,2]oxaborol-1(3H)-yl)phenylmethanamine, (3-(5-(Fluorobenzo[c][1,2]oxaborol-1(3H)-yl)-phenylmethanamine, (4-(5-(Fluorobenzo[c][1,2]oxaborol-1(3H)-yl)phenyl)methanol, (3-(5-(Fluorobenzo[c][1,2]oxaborol-1(3H)-yl)phenyl)methanol, 3-(6-Fluorobenzo[c][1,2]oxaborol-1(3H)-yl)phenol, 3-(5-Fluorobenzo[c][1,2]oxaborol-1(3H)-yl)pyridine, (2-(Benzo[c][1,2]oxaborol-1(3H)-yl)phenyl)methanol, 2-[(Methoxymethoxy)methyl]phenyl boronic acid, 2-[(Methoxymethoxymethyl)pheny]-[1,3,2]-dioxaborolane, Bis[2-(methoxymethoxymethyl)phenyl]borinic acid, (2-(Benzo[c][1,2]oxaborol-1(3H)-yl)phenyl)methanol, (2-(Benzo[c][1,2]oxaborol-1(3H)-yl)phenyl)-N,N-dimethylmethanamine, (2-(Benzo[c][1,2]oxaborol-1(3H)-yl)-5-chlorophenyl)-N,N-dimethylmethanamine, (2-(Benzo[c][1,2]oxaborol-1(3H)-yl)-5-chlorophenyl)methanol, (2-(Benzo[c][1,2]oxaborol-1(3H)-yl)-5-chlorophenyl)methanol, (5-Chloro-2-(5-chlorobenzo[c][1,2]oxaborol-1(3H)-yl)phenyl)methanol, Bis[4-chloro-2-(methoxymethoxymethyl)phenyl]borinic acid, (5-Chloro-2-(5-chlorobenzo[c][1,2]oxaborol-1(3H)-yl)phenyl)methanol, (5-Chloro-2-(5-chlorobenzo[c][1,2]oxaborol-1(3H)-yl)phenyl-N,N-dimethylmethanamine, 1-(4-chloro-2-methoxyphenyl)-1,3-dihydrobenzo[c][1,2]benzoxaborole, 4-Chloro-2-methoxyphenylboronic acid ethylene glycol ester, 1-(4-chloro-2-methoxyphenyl)-1,3-dihydrobenzo[c][1,2]benzoxaborole, 2-(Benzo[c][1,2]oxaboral-1(3H)-yl)-5-chlorophenol, 2-(3-(Benzo[c][1.2]oxaborol-1(3H)-yl)phenoxy)-5-chlorophenol, 2-(3-(Benzo[c][1,2]oxaborol-1(3H)-yl)phenoxy)-5-chlorophenol 4-((3-(5-Fluorobenzo[c][1,2]oxaborol-1(3H)-yl)phenyl)methyl)morpholine, 3-(5-Fluorobenzo[c][1,2]oxaborol-1(3H)-yl]phenyl)-methyl 8-hydroxy-quinoline-2-carboxylate, 1-(3-Chlorophenyl)-2,3-dihydro-2-(methoxymethy)-1H-benzo[c][1,2]azaborole, 3-Chlorophenyl 2-[N,N-bis(methoxymethyl)aminomethyl]phenylborinic acid, 1-(3-Chlorophenyl)-2,3-dihydro-2-(methoxymethy)-1H-benzo[c][1,2]azaborole, 1-(3-Chlorophenyl)-1,3,4,5-tetrahydrobenzo-[c][1,2]-oxaborepine, 1-(3-Chlorophenyl)-1,3,4,5-tetrahydrobenzo[c][1,2]oxaborepine, 1-(3-Chlorophenyl)-3,4-dihydro-1H-benzo[c][1,2]-oxaborinine, 2-(3-Chlorophenyl)-[1,3,2]dioxaborolane, (3-Chlorophenyl)(2′-(2-(methoxymethoxy)ethyl)phenyl)borinic acid, and 1-(3-Chlorophenyl)-3,4-dihydro-1H-benzo[c][1,2]oxaborinine
- I. c.) 2′-amino ribofuranoses
- In another aspect, the invention provides compounds useful in the methods which is a 2′-amino ribofuranose. In an exemplary embodiment, the 1′-position of the ribofuranose is substituted with a member selected from substituted or unsubstituted aryl and substituted or unsubstituted heteroaryl. In another exemplary embodiment, the 1′-position of the ribofuranose is substituted with a member selected from substituted or unsubstituted purine, substituted or unsubstituted pyrimidine, substituted or unsubstituted pyridine and substituted or unsubstituted imidazole. In another exemplary embodiment, the 1′-position of the ribofuranose is substituted with a member selected from substituted or unsubstituted nicotinic acid, substituted or unsubstituted nicotinamide, substituted or unsubstituted nucleic acid base, substituted or unsubstituted adenine,
- substituted or unsubstituted cytosine, substituted or unsubstituted guanine, substituted or unsubstituted thymine, substituted or unsubstituted uracil, substituted or unsubstituted N,N-dimethyl guanine, substituted or unsubstituted dihydrouracil, substituted or unsubstituted 4-thiouridine and substituted or unsubstituted inosine. In another exemplary embodiment, the compound has a structure according to Formula (VIII):
- wherein L is a member selected from substituted or unsubstituted purine, substituted or unsubstituted pyrimidine, substituted or unsubstituted pyridine and substituted or unsubstituted imidazole. M, as defined herein earlier, is a member selected from O, S, and NR2. R40 and R41 are each members independently selected from H, aralkyl, substituted aralkyl, (CH2)sOH (where s=1 to 3), CO2H, CO2alkyl, C(O)NH2, C(O)NHalkyl, CON(alkyl)2, C(O)R23, OH, alkoxy, aryloxy, SH, S-alkyl, S-aryl, SO2alkyl, SO3H, SCF3, CN, halogen, CF3, NO2, (CH2)tNR26R27 (wherein R26 and R27 are independently selected from hydrogen, alkyl, and alkanoyl)(t=0 to 2), SO2NH2, OCH2CH2NH2, OCH2CH2NHalkyl, OCH2CH2N(alkyl)2, oxazolidin-2-yl, alkyl substituted oxazolidin-2-yl, substituted or unsubstituted alkyl, substituted or unsubstituted heteroalkyl, substituted or unsubstituted cycloalkyl, substituted or unsubstituted heterocycloalkyl, substituted or unsubstituted aryl, substituted or unsubstituted heteroaryl,
- R43, R44, and R45 are each members independently selected from substituted or unsubstituted alkyl, substituted or unsubstituted heteroalkyl, substituted or unsubstituted cycloalkyl, substituted or unsubstituted heterocycloalkyl, substituted or unsubstituted aryl and substituted or unsubstituted heteroaryl. R43 and R44, together with the atoms to which they are attached, are optionally joined to form a 4 to 7 membered ring. R43 and R45, together with the atoms to which they are attached, are optionally joined to form a 4 to 7 membered ring. R44 and R45, together with the atoms to which they are attached, are optionally joined to form a 4 to 7 membered ring. A, D, E and G are all defined elsewhere herein. Z is a member selected from CR46 and N. The combinations of nitrogens (A+D+E+G+Z) is an integer selected from 0 to 4. At least two members selected from R9, R10, R11, R12 and R46, together with the atoms to which they are attached, are optionally joined to form a 4 to 7 membered ring.
- In an exemplary embodiment
- is a member selected from:
- In another exemplary embodiment, the compound has a formula according to the following formulae:
- In an exemplary embodiment, the compound is a member selected from:
- I. d.) 3′-amino ribofuranoses
- In another aspect, the invention provides compounds useful in the methods which is a 3′-amino ribofuranose. In an exemplary embodiment, the 1′-position of the ribofuranose is substituted with a member selected from substituted or unsubstituted aryl and substituted or unsubstituted heteroaryl. In another exemplary embodiment, the 1′-position of the ribofuranose is substituted with a member selected from substituted or unsubstituted purine, substituted or unsubstituted pyrimidine, substituted or unsubstituted pyridine, and substituted or unsubstituted imidazole. In another exemplary embodiment, the 1′-position of the ribofuranose is substituted with a member selected from substituted or unsubstituted nicotinic acid, substituted or unsubstituted nicotinamide, substituted or unsubstituted nucleic acid base, substituted or unsubstituted adenine,
- substituted or unsubstituted cytosine, substituted or unsubstituted guanine, substituted or unsubstituted thymine, substituted or unsubstituted uracil, substituted or unsubstituted N,N-dimethyl guanine, substituted or unsubstituted dihydrouracil, substituted or unsubstituted 4-thiouridine and substituted or unsubstituted inosine. In another exemplary embodiment, the compound has a structure according to Formula (VIIIc):
- wherein L is a member selected from substituted or unsubstituted purine, substituted or unsubstituted pyrimidine, substituted or unsubstituted pyridine and substituted or unsubstituted imidazole. M, as defined herein earlier, is a member selected from 0, S, and NR2. R40 and R41 are each members independently selected from H, aralkyl, substituted aralkyl, (CH2)sOH (where s=1 to 3), CO2H, CO2alkyl, C(O)NH2, C(O)NHalkyl, CON(alkyl)2, C(O)R23, OH, alkoxy, aryloxy, SH, S-alkyl, S-aryl, SO2alkyl, SO3H, SCF3, CN, halogen, CF3, NO2, (CH2)tNR26R27 (wherein R26 and R27 are independently selected from hydrogen, alkyl, and alkanoyl)(t=0 to 2), SO2NH2, OCH2CH2NH2, OCH2CH2NHalkyl, OCH2CH2N(alkyl)2, oxazolidin-2-yl, alkyl substituted oxazolidin-2-yl, substituted or unsubstituted alkyl, substituted or unsubstituted heteroalkyl, substituted or unsubstituted cycloalkyl, substituted or unsubstituted heterocycloalkyl, substituted or unsubstituted aryl, substituted or unsubstituted heteroaryl,
- R43, R44, and R45 are each members independently selected from substituted or unsubstituted alkyl, substituted or unsubstituted heteroalkyl, substituted or unsubstituted cycloalkyl, substituted or unsubstituted heterocycloalkyl, substituted or unsubstituted aryl and substituted or unsubstituted heteroaryl. R43 and R44, together with the atoms to which they are attached, are optionally joined to form a 4 to 7 membered ring. R43 and R45, together with the atoms to which they are attached, are optionally joined to form a 4 to 7 membered ring. R44 and R45, together with the atoms to which they are attached, are optionally joined to form a 4 to 7 membered ring. A, D, E and G are all defined elsewhere herein. Z is a member selected from CR46 and N. The combinations of nitrogens (A+D+E+G+Z) is an integer selected from 0 to 4. At least two members selected from R9, R10, R11, R12 and R46, together with the atoms to which they are attached, are optionally joined to form a 4 to 7 membered ring.
- In an exemplary embodiment,
- is a member selected from:
- In another exemplary embodiment, the compound has a formula according to the following formulae:
- In an exemplary embodiment, the compound is a member selected from:
- Acyclic boronic acids and esters such as those described in this section can also be utilized in the invention. These compounds can be used to kill or inhibit the growth of the microorganisms described herein, as well as treat the diseases described herein. In addition, these compounds can be used as synthetic intermediates in the generation of the compounds described herein.
- In another aspect, the compound has a structure according to the following formula:
- in which R1 and R2 are members independently selected from H, substituted or unsubstituted alkyl, substituted or unsubstituted heteroalkyl, substituted or unsubstituted cycloalkyl, substituted or unsubstituted heterocycloalkyl, substituted or unsubstituted aryl, and substituted or unsubstituted heteroaryl. R1 and R2, together with the atoms to which they are attached, can be optionally joined to form a 4- to 7-membered ring. Z1 is a member selected from
- wherein each R3a and R4a is a member independently selected from H, cyano, substituted or unsubstituted alkyl, substituted or unsubstituted heteroalkyl, substituted or unsubstituted cycloalkyl, substituted or unsubstituted heterocycloalkyl, substituted or unsubstituted aryl, and substituted or unsubstituted heteroaryl. R5 is a member selected from halogen and OR6. R6 is a member selected from H, cyano, substituted or unsubstituted alkyl, substituted or unsubstituted heteroalkyl, substituted or unsubstituted cycloalkyl, substituted or unsubstituted heterocycloalkyl, substituted or unsubstituted aryl, and substituted or unsubstituted heteroaryl. A is a member selected from CR9a and N. D is a member selected from CR10a and N. E is a member selected from CR11a and N. G is a member selected from CR12a and N. R9a, R10a, R11a and R12a are members independently selected from H, OR*, NR*R**, SR*, —S(O)R*, —S(O)2R*, —S(O)2NR*R**, —C(O)R*, —C(O)OR*, —C(O)NR*R**, nitro, halogen, cyano, substituted or unsubstituted alkyl, substituted or unsubstituted heteroalkyl, substituted or unsubstituted cycloalkyl, substituted or unsubstituted heterocycloalkyl, substituted or unsubstituted aryl, and substituted or unsubstituted heteroaryl. Each R* and R** is a member independently selected from H, substituted or unsubstituted alkyl, substituted or unsubstituted heteroalkyl, substituted or unsubstituted cycloalkyl, substituted or unsubstituted heterocycloalkyl, substituted or unsubstituted aryl, and substituted or unsubstituted heteroaryl. R9a and R10a, along with the atoms to which they are attached, are optionally joined to form a ring. R10a and R11a, along with the atoms to which they are attached, are optionally joined to form a ring. R11a and R12a, along with the atoms to which they are attached, are optionally joined to form a ring. The combination of nitrogens (A+D+E+G) is an integer selected from 0 to 3.
- In an exemplary embodiment, there is a proviso that the compound is not a member selected from:
- In an exemplary embodiment, the compound has a structure according to Formula IXa
- In another exemplary embodiment, each R3a and R4a is a member independently selected from H, cyano, substituted or unsubstituted methyl, substituted or unsubstituted ethyl, trifluoromethyl, substituted or unsubstituted hydroxymethyl, substituted or unsubstituted hydroxyalkyl, substituted or unsubstituted benzyl, substituted or unsubstituted phenyl, substituted or unsubstituted mercaptomethyl, substituted or unsubstituted mercaptoalkyl, substituted or unsubstituted aminomethyl, substituted or unsubstituted alkylaminomethyl, substituted or unsubstituted dialkylaminomethyl, substituted or unsubstituted arylaminomethyl, substituted or unsubstituted indolyl and substituted or unsubstituted amido. In another exemplary embodiment, each R3a and R4a is a member independently selected from cyano, substituted or unsubstituted methyl, substituted or unsubstituted ethyl, trifluoromethyl, substituted or unsubstituted hydroxymethyl, substituted or unsubstituted hydroxyalkyl, substituted or unsubstituted benzyl, substituted or unsubstituted phenyl, substituted or unsubstituted mercaptomethyl, substituted or unsubstituted mercaptoalkyl, substituted or unsubstituted aminomethyl, substituted or unsubstituted alkylaminomethyl, substituted or unsubstituted dialkylaminomethyl, substituted or unsubstituted arylaminomethyl, substituted or unsubstituted indolyl, substituted or unsubstituted amido.
- In another exemplary embodiment, each R3a and R4a is a member selected from H, substituted or unsubstituted methyl, substituted or unsubstituted ethyl, substituted or unsubstituted propyl, substituted or unsubstituted isopropyl, substituted or unsubstituted butyl, substituted or unsubstituted t-butyl, substituted or unsubstituted phenyl and substituted or unsubstituted benzyl. In another exemplary embodiment, R3a and R4a is a member selected from methyl, ethyl, propyl, isopropyl, butyl, t-butyl, phenyl and benzyl. In another exemplary embodiment, R3a is H and R4a is a member selected from methyl, ethyl, propyl, isopropyl, butyl, t-butyl, phenyl and benzyl. In another exemplary embodiment, R3a is H and R4a H.
- In another exemplary embodiment, Z1 is CHO. In another exemplary embodiment, Z1 is
- wherein R5 is a member selected from OH, substituted or unsubstituted methoxy, substituted or unsubstituted ethoxy, substituted or unsubstituted methoxymethoxy, substituted or unsubstituted ethoxyethoxy, substituted or unsubstituted trialkylsialyl, and substituted or unsubstituted tetrahydro-2H-pyran-2yloxy. In another exemplary embodiment, R5 is substituted or unsubstituted trialkylsialyl, wherein said trialkylsialyl is a member selected from substituted or unsubstituted trimethylsilyl, substituted or unsubstituted tert-butyldimethylsilyl, and substituted or unsubstituted tributylsilyl. In another exemplary embodiment, R5 is substituted or unsubstituted methoxy, substituted or unsubstituted ethoxy, substituted or unsubstituted methoxymethoxy, substituted or unsubstituted ethoxyethoxy, and substituted or unsubstituted tetrahydro-2H-pyran-2yloxy. In another exemplary embodiment, R5 is a member selected from methoxy, ethoxy, methoxymethoxy, ethoxyethoxy and tetrahydro-2H-pyran-2yloxy. In another exemplary embodiment, Z1 is
- In an exemplary embodiment, R9a, R10a, R11a and R12a is a member independently selected from H, OR*, NR*R**, SR*, —S(O)R*, —S(O)2R*, —S(O)2NR*R**, —C(O)R*, —C(O)OR*, —C(O)NR*R**, halogen, cyano, nitro, substituted or unsubstituted methoxy, substituted or unsubstituted methyl, substituted or unsubstituted ethoxy, substituted or unsubstituted ethyl, trifluoromethyl, substituted or unsubstituted hydroxymethyl, substituted or unsubstituted hydroxyalkyl, substituted or unsubstituted benzyl, substituted or unsubstituted phenyl, substituted or unsubstituted phenyloxy, substituted or unsubstituted phenyl methoxy, substituted or unsubstituted thiophenyloxy, substituted or unsubstituted pyridinyloxy, substituted or unsubstituted pyrimidinyloxy, substituted or unsubstituted benzylfuran, substituted or unsubstituted methylthio, substituted or unsubstituted mercaptomethyl, substituted or unsubstituted mercaptoalkyl, substituted or unsubstituted phenylthio, substituted or unsubstituted thiophenylthio, substituted or unsubstituted phenyl methylthio, substituted or unsubstituted pyridinylthio, substituted or unsubstituted pyrimidinylthio, substituted or unsubstituted benzylthiofuranyl, substituted or unsubstituted phenylsulfonyl, substituted or unsubstituted benzylsulfonyl, substituted or unsubstituted phenylmethylsulfonyl, substituted or unsubstituted thiophenylsulfonyl, substituted or unsubstituted pyridinylsulfonyl, substituted or unsubstituted pyrimidinylsulfonyl, substituted or unsubstituted sulfonamidyl, substituted or unsubstituted phenylsulfinyl, substituted or unsubstituted benzylsulfinyl, substituted or unsubstituted phenylmethylsulfinyl, substituted or unsubstituted thiophenylsulfinyl, substituted or unsubstituted pyridinylsulfinyl, substituted or unsubstituted pyrimidinylsulfinyl, substituted or unsubstituted amino, substituted or unsubstituted alkylamino, substituted or unsubstituted dialkylamino, substituted or unsubstituted trifluoromethylamino, substituted or unsubstituted aminomethyl, substituted or unsubstituted alkylaminomethyl, substituted or unsubstituted dialkylaminomethyl, substituted or unsubstituted arylaminomethyl, substituted or unsubstituted benzylamino, substituted or unsubstituted phenylamino, substituted or unsubstituted thiophenylamino, substituted or unsubstituted pyridinylamino, substituted or unsubstituted pyrimidinylamino, substituted or unsubstituted indolyl, substituted or unsubstituted morpholino, substituted or unsubstituted alkylamido, substituted or unsubstituted arylamido, substituted or unsubstituted ureido, substituted or unsubstituted carbamoyl, and substituted or unsubstituted piperizinyl. In an exemplary embodiment, R9a, R10a, R11a and R12a are selected from the previous list of substituents with the exception of —C(O)R*, —C(O)OR*, —C(O)NR*R**.
- In another exemplary embodiment, R9a, R10a, R11a and R12a are members independently selected from fluoro, chloro, bromo, nitro, cyano, amino, methyl, hydroxylmethyl, trifluoromethyl, methoxy, trifluoromethyoxy, ethyl, diethylcarbamoyl, pyridin-2-yl, pyridin-3-yl, pyridin-4-yl, pyrimidinyl, piperizino, piperizinyl, piperizinocarbonyl, piperizinylcarbonyl, carboxyl, 1-tetrazolyl, 1-ethoxycarbonylmethoxy, carboxymethoxy, thiophenyl, 3-(butylcarbonyl) phenylmethoxy, 1H-tetrazol-5-yl, 1-ethoxycarbonylmethyloxy-, 1-ethoxycarbonylmethyl-, 1-ethoxycarbonyl-, carboxymethoxy-, thiophen-2-yl, thiophen-2-ylthio-, thiophen-3-yl, thiophen-3-ylthio, 4-fluorophenylthio, butylcarbonylphenylmethoxy, butylcarbonylphenylmethyl, butylcarbonylmethyl, 1-(piperidin-1-yl)carbonyl)methyl, 1-(piperidin-1-yl)carbonyl)methoxy, 1-(piperidin-2-yl)carbonyl)methoxy, 1-(piperidin-3-yl)carbonyl)methoxy, 1-(4-(pyrimidin-2-yl)piperazin-1-yl)carbonyl)methoxy, 1-(4-(pyrimidin-2-yl)piperazin-1-yl)carbonyl)methyl, 1-(4-(pyrimidin-2-yl)piperazin-1-yl)carbonyl, 1-4-(pyrimidin-2-yl)piperazin-1-yl, 1-(4-(pyridin-2-yl)piperazin-1-yl)carbonyl), 1-(4-(pyridin-2-yl)piperazin-1-yl)carbonylmethyl, (1-(4-(pyridin-2-yl)piperazin-1-yl)carbonyl)-methoxy), 1-(4-(pyridin-2-yl)piperazin-1-yl, 1H-indol-1-yl, morpholino-, morpholinyl, morpholinocarbonyl, morpholinylcarbonyl, phenylureido, phenylcarbamoyl, acetamido, 3-(phenylthio)-1H-indol-1-yl, 3-(2-cyanoethylthio)-1H-indol-1-yl, benzylamino, 5-methoxy-3-(phenylthio)-1H-indol-1-yl, 5-methoxy-3-(2-cyanoethylthio)-1H-indol-1-yl)), 5-chloro-1H-indol-1-yl, 5-chloro-3-(2-cyanoethylthio)-1H-indol-1-yl)), dibenzylamino, benzylamino, 5-chloro-3-(phenylthio)-1H-indol-1-yl)), 4-(1H-tetrazol-5-yl)phenoxy, 4-(1H-tetrazol-5-yl)phenyl, 4-(1H-tetrazol-5-yl)phenylthio, 2-cyanophenoxy, 3-cyanophenoxy, 4-cyanophenoxy, 2-cyanophenylthio, 3-cyanophenylthio, 4-cyanophenylthio, 2-chlorophenoxy, 3-chlorophenoxy, 4-chlorophenoxy, 2-fluorophenoxy, 3-fluorophenoxy, 4-fluorophenoxy, 2-cyanobenzyloxy, 3-cyanobenzyloxy, 4-cyanobenzyloxy, 2-chlorobenzyloxy, 3-chlorobenzyloxy, 4-chlorobenzyloxy, 2-fluorobenzyloxy, 3-fluorobenzyloxy, 4-fluorobenzyloxy, unsubstituted phenyl, unsubstituted benzyl. In an exemplary embodiment, R9a is H and R12a is H. In an exemplary embodiment, the compound has a substitutent combination for R9a, R10a, R11a, and R12a which is a member selected from those described in Formulae (I), (Ia) (Ib), (Ic), (Id), (Ie), (If), (Ig), (Ih), (Ii), (Ij), (Ik), (Il), (Im), (In), (Io), (Ip), (Iq), (Ir), (Is), (It), (Iu), (Iv), (Iw), (Iz), (Iaa), (Iab), (Iac), (Iad), (Iae), (Iaf), (Iag), (Iah), (Iai), (Iaj), (Iak), above, and/or the subsequent paragraphs describing Formulae (I), (Ia) (Ib), (Ic), (Id), (Ie), (If), (Ig), (Ih), (Ii), (Ij), (Ik), (Il), (Im), (In), (Io), (Ip), (Iq), (Ir), (Is), (It), (Iu), (Iv), (Iw), (Iz), (Iaa), (Iab), (Iac), (Iad), (Iae), (Iaf), (Iag), (Iah), (Iai), (Iaj), (Iak).
- In an exemplary embodiment, the compound is an acyclic boronic acid or ester in which a portion of the acyclic boronic acid or ester as in Figure (IXb) below
- is a member selected from a structure in
FIG. 12 . In another exemplary embodiment, the compound is a dimer, anhydride or trimer of an acyclic boronic acid or ester described herein. In another exemplary embodiment, the compound is a dimer, anhydride or trimer of an acyclic boronic acid or ester in which a portion of the acyclic boronic acid or ester as in Figure (IXb) is a member selected a structure inFIG. 12 . - In an exemplary embodiment, R1 and R2 are each members independently selected from H, substituted or unsubstituted methyl, substituted or unsubstituted ethyl, substituted or unsubstituted propyl, substituted or unsubstituted isopropyl, substituted or unsubstituted butyl, substituted or unsubstituted t-butyl, substituted or unsubstituted phenyl and substituted or unsubstituted benzyl. R1 and R2, together with the atoms to which they are joined, can optionally form a member selected from substituted or unsubstituted dioxaborolane, substituted or unsubstituted dioxaborinane, substituted or unsubstituted dioxaborepane.
- In an exemplary embodiment, R1 and R2 are each members independently selected from H, methyl, ethyl, propyl, isopropyl, butyl, t-butyl, phenyl and benzyl. In an exemplary embodiment, R1 and R2 are each members independently selected from H, methyl, isopropyl, and phenyl. In an exemplary embodiment, R1 and R2 are methyl. In an exemplary embodiment, R1 and R2 are isopropyl. In an exemplary embodiment, R1 and R2 are H.
- In another exemplary embodiment, R1 and R2, together with the atoms to which they are joined, form a member selected from substituted or unsubstituted dioxaborolane, substituted or unsubstituted dioxaborinane, substituted or unsubstituted dioxaborepane. In another exemplary embodiment, R1 and R2, together with the atoms to which they are joined, form a member selected from dioxaborolane, substituted or unsubstituted tetramethyldioxaborolane, substituted or unsubstituted phenyldioxaborolane, dioxaborinane, dimethyldioxaborinane and dioxaborepane.
- In an exemplary embodiment, the compound is a member selected from
- In an exemplary embodiment, the compound is a member selected from:
- In an exemplary embodiment, the compound is a member selected from
- In another exemplary embodiment, the compounds and embodiments described herein can form a hydrate with water, a solvate with an alcohol (e.g. methanol, ethanol, propanol); an adduct with an amino compound (e.g. ammonia, methylamine, ethylamine); an adduct with an acid (e.g. formic acid, acetic acid); complexes with ethanolamine, quinoline, amino acids, and the like.
- In an exemplary embodiment, acyclic boronic esters described herein can be used as intermediates in the synthesis of the compounds described herein. In another exemplary embodiment, the acyclic boronic esters described herein can be used as intermediates in the synthesis of a compound which is a member selected from Formulae (I), (Ia) (Ib), (Ic), (Id), (Ie), (If), (Ig), (Ih), (Ii), (Ij), (Ik), (Il), (Im), (In), (Io), (Ip), (Iq), (Ir), (Is), (It), (Iu), (Iv), (Iw), (Iz), (Iaa), (Iab), (Iac), (Iad), (Iae), (Iaf), (Iag), (Iah), (Iai), (Iaj), (Iak).
- Acyclic boronic acids and esters described herein can also be utilized in the invention. These compounds can be used to kill or inhibit the growth of the microorganisms described herein, as well as treat the diseases described herein. In addition, these compounds can be used as synthetic intermediates in the generation of other compounds described herein. In an exemplary embodiment, these other compounds are the cyclic boronic esters and cyclic borinic esters described herein.
- In another aspect, the compound has a structure according to the following formula:
- in which R1 and R2 are members independently selected from H, substituted or unsubstituted alkyl, substituted or unsubstituted heteroalkyl, substituted or unsubstituted cycloalkyl, substituted or unsubstituted heterocycloalkyl, substituted or unsubstituted aryl, and substituted or unsubstituted heteroaryl. R1 and R2, together with the atoms to which they are attached, can be optionally joined to form a 4- to 7-membered ring. X is a member selected from substituted or unsubstituted triflate, halogen, substituted or unsubstituted sulfonic esters and substituted or unsubstituted acyloxy groups, and substituted or unsubstituted diazo. R3a and R4a are members independently selected from H, cyano, substituted or unsubstituted alkyl, substituted or unsubstituted heteroalkyl, substituted or unsubstituted cycloalkyl, substituted or unsubstituted heterocycloalkyl, substituted or unsubstituted aryl, and substituted or unsubstituted heteroaryl. A is a member selected from CR9a and N. D is a member selected from CR10a and N. E is a member selected from CR11a and N. G is a member selected from CR12a and N. R9a, R10a, R11a and R12a are members independently selected from H, OR*, NR*R**, SR*, —S(O)R*, —S(O)2R*, —S(O)2NR*R**, —C(O)R*, —C(O)OR*, —C(O)NR*R**, nitro, halogen, cyano, substituted or unsubstituted alkyl, substituted or unsubstituted heteroalkyl, substituted or unsubstituted cycloalkyl, substituted or unsubstituted heterocycloalkyl, substituted or unsubstituted aryl, and substituted or unsubstituted heteroaryl. Each R* and R** is a member independently selected from H, substituted or unsubstituted alkyl, substituted or unsubstituted heteroalkyl, substituted or unsubstituted cycloalkyl, substituted or unsubstituted heterocycloalkyl, substituted or unsubstituted aryl, and substituted or unsubstituted heteroaryl. R9a and R10a, along with the atoms to which they are attached, are optionally joined to form a ring. R10a and R11a, along with the atoms to which they are attached, are optionally joined to form a ring. R11a and R12a, along with the atoms to which they are attached, are optionally joined to form a ring. The combination of nitrogens (A+D+E+G) is an integer selected from 0 to 3.
- In an exemplary embodiment, this aspect has the proviso that the compound is not:
- In an exemplary embodiment, the compound has a structure according to Formula (Xa)
- In another exemplary embodiment, each R3a and R4a is a member independently selected from H, cyano, substituted or unsubstituted methyl, substituted or unsubstituted ethyl, trifluoromethyl, substituted or unsubstituted hydroxymethyl, substituted or unsubstituted hydroxyalkyl, substituted or unsubstituted benzyl, substituted or unsubstituted phenyl, substituted or unsubstituted mercaptomethyl, substituted or unsubstituted mercaptoalkyl, substituted or unsubstituted aminomethyl, substituted or unsubstituted alkylaminomethyl, substituted or unsubstituted dialkylaminomethyl, substituted or unsubstituted arylaminomethyl, substituted or unsubstituted indolyl and substituted or unsubstituted amido. In another exemplary embodiment, each R3a and R4a is a member independently selected from cyano, substituted or unsubstituted methyl, substituted or unsubstituted ethyl, trifluoromethyl, substituted or unsubstituted hydroxymethyl, substituted or unsubstituted hydroxyalkyl, substituted or unsubstituted benzyl, substituted or unsubstituted phenyl, substituted or unsubstituted mercaptomethyl, substituted or unsubstituted mercaptoalkyl, substituted or unsubstituted aminomethyl, substituted or unsubstituted alkylaminomethyl, substituted or unsubstituted dialkylaminomethyl, substituted or unsubstituted arylaminomethyl, substituted or unsubstituted indolyl, substituted or unsubstituted amido.
- In another exemplary embodiment, each R3a and R4a is a member selected from H, substituted or unsubstituted methyl, substituted or unsubstituted ethyl, substituted or unsubstituted propyl, substituted or unsubstituted isopropyl, substituted or unsubstituted butyl, substituted or unsubstituted t-butyl, substituted or unsubstituted phenyl and substituted or unsubstituted benzyl. In another exemplary embodiment, R3a and R4a is a member selected from methyl, ethyl, propyl, isopropyl, butyl, t-butyl, phenyl and benzyl. In another exemplary embodiment, R3a is H and R4a is a member selected from methyl, ethyl, propyl, isopropyl, butyl, t-butyl, phenyl and benzyl. In another exemplary embodiment, R3a is H and R4a H.
- In another exemplary embodiment, R9a, R10a, R11a and R12a is a member selected from H, OR*, NR*R**, SR*, —S(O)R*, —S(O)2R*, —S(O)2NR*R**, —C(O)R*, —C(O)OR*, —C(O)NR*R**, halogen, cyano, nitro, substituted or unsubstituted methoxy, substituted or unsubstituted methyl, substituted or unsubstituted ethoxy, substituted or unsubstituted ethyl, trifluoromethyl, substituted or unsubstituted hydroxymethyl, substituted or unsubstituted hydroxyalkyl, substituted or unsubstituted benzyl, substituted or unsubstituted phenyl, substituted or unsubstituted phenyloxy, substituted or unsubstituted phenyl methoxy, substituted or unsubstituted thiophenyloxy, substituted or unsubstituted pyridinyloxy, substituted or unsubstituted pyrimidinyloxy, substituted or unsubstituted benzylfuran, substituted or unsubstituted methylthio, substituted or unsubstituted mercaptomethyl, substituted or unsubstituted mercaptoalkyl, substituted or unsubstituted phenylthio, substituted or unsubstituted thiophenylthio, substituted or unsubstituted phenyl methylthio, substituted or unsubstituted pyridinylthio, substituted or unsubstituted pyrimidinylthio, substituted or unsubstituted benzylthiofuranyl, substituted or unsubstituted phenylsulfonyl, substituted or unsubstituted benzylsulfonyl, substituted or unsubstituted phenylmethylsulfonyl, substituted or unsubstituted thiophenylsulfonyl, substituted or unsubstituted pyridinylsulfonyl, substituted or unsubstituted pyrimidinylsulfonyl, substituted or unsubstituted sulfonamidyl, substituted or unsubstituted phenylsulfinyl, substituted or unsubstituted benzylsulfinyl, substituted or unsubstituted phenylmethylsulfinyl, substituted or unsubstituted thiophenylsulfinyl, substituted or unsubstituted pyridinylsulfinyl, substituted or unsubstituted pyrimidinylsulfinyl, substituted or unsubstituted amino, substituted or unsubstituted alkylamino, substituted or unsubstituted dialkylamino, substituted or unsubstituted trifluoromethylamino, substituted or unsubstituted aminomethyl, substituted or unsubstituted alkylaminomethyl, substituted or unsubstituted dialkylaminomethyl, substituted or unsubstituted arylaminomethyl, substituted or unsubstituted benzylamino, substituted or unsubstituted phenylamino, substituted or unsubstituted thiophenylamino, substituted or unsubstituted pyridinylamino, substituted or unsubstituted pyrimidinylamino, substituted or unsubstituted indolyl, substituted or unsubstituted morpholino, substituted or unsubstituted alkylamido, substituted or unsubstituted arylamido, substituted or unsubstituted ureido, substituted or unsubstituted carbamoyl, and substituted or unsubstituted piperizinyl. In an exemplary embodiment, R9a, R10a, R11a and R12a are selected from the previous list of substituents with the exception of —C(O)R*, —C(O)OR*, —C(O)NR*R**.
- In another exemplary embodiment, R9a, R10a, R11a and R12a are members independently selected from fluoro, chloro, bromo, nitro, cyano, amino, methyl, hydroxylmethyl, trifluoromethyl, methoxy, trifluoromethyoxy, ethyl, diethylcarbamoyl, pyridin-2-yl, pyridin-3-yl, pyridin-4-yl, pyrimidinyl, piperizino, piperizinyl, piperizinocarbonyl, piperizinylcarbonyl, carboxyl, 1-tetrazolyl, 1-ethoxycarbonylmethoxy, carboxymethoxy, thiophenyl, 3-(butylcarbonyl) phenylmethoxy, 1H-tetrazol-5-yl, 1-ethoxycarbonylmethyloxy-, 1-ethoxycarbonylmethyl-, 1-ethoxycarbonyl-, carboxymethoxy-, thiophen-2-yl, thiophen-2-ylthio-, thiophen-3-yl, thiophen-3-ylthio, 4-fluorophenylthio, butylcarbonylphenylmethoxy, butylcarbonylphenylmethyl, butylcarbonylmethyl, 1-(piperidin-1-yl)carbonyl)methyl, 1-(piperidin-1-yl)carbonyl)methoxy, 1-(piperidin-2-yl)carbonyl)methoxy, 1-(piperidin-3-yl)carbonyl)methoxy, 1-(4-(pyrimidin-2-yl)piperazin-1-yl)carbonyl)methoxy, 1-(4-(pyrimidin-2-yl)piperazin-1-yl)carbonyl)methyl, 1-(4-(pyrimidin-2-yl)piperazin-1-yl)carbonyl, 1-4-(pyrimidin-2-yl)piperazin-1-yl, 1-(4-(pyridin-2-yl)piperazin-1-yl)carbonyl), 1-(4-(pyridin-2-yl)piperazin-1-yl)carbonylmethyl, (1-(4-(pyridin-2-yl)piperazin-1-yl)carbonyl)-methoxy), 1-(4-(pyridin-2-yl)piperazin-1-yl, 1H-indol-1-yl, morpholino-, morpholinyl, morpholinocarbonyl, morpholinylcarbonyl, phenylureido, phenylcarbamoyl, acetamido, 3-(phenylthio)-1H-indol-1-yl, 3-(2-cyanoethylthio)-1H-indol-1-yl, benzylamino, 5-methoxy-3-(phenylthio)-1H-indol-1-yl, 5-methoxy-3-(2-cyanoethylthio)-1H-indol-1-yl)), 5-chloro-1H-indol-1-yl, 5-chloro-3-(2-cyanoethylthio)-1H-indol-1-yl)), dibenzylamino, benzylamino, 5-chloro-3-(phenylthio)-1H-indol-1-yl)), 4-(1H-tetrazol-5-yl)phenoxy, 4-(1H-tetrazol-5-yl)phenyl, 4-(1H-tetrazol-5-yl)phenylthio, 2-cyanophenoxy, 3-cyanophenoxy, 4-cyanophenoxy, 2-cyanophenylthio, 3-cyanophenylthio, 4-cyanophenylthio, 2-chlorophenoxy, 3-chlorophenoxy, 4-chlorophenoxy, 2-fluorophenoxy, 3-fluorophenoxy, 4-fluorophenoxy, 2-cyanobenzyloxy, 3-cyanobenzyloxy, 4-cyanobenzyloxy, 2-chlorobenzyloxy, 3-chlorobenzyloxy, 4-chlorobenzyloxy, 2-fluorobenzyloxy, 3-fluorobenzyloxy, 4-fluorobenzyloxy, unsubstituted phenyl, unsubstituted benzyl. In an exemplary embodiment, R9a is H and R12a is H. In an exemplary embodiment, the compound has a substitutent combination for R9a, R10a, R11a, and R12a which is a member selected from those described in Formulae (I), (Ia) (Ib), (Ic), (Id), (Ie), (If), (Ig), (Ih), (Ii), (Ij), (Ik), (Il), (Im), (In), (Io), (Ip), (Iq), (Ir), (Is), (It), (Iu), (Iv), (Iw), (Iz), (Iaa), (Iab), (Iac), (Iad), (Iae), (Iaf), (Iag), (Iah), (Iai), (Iaj), (Iak), above, and/or the subsequent paragraphs describing Formulae (I), (Ia) (Ib), (Ic), (Id), (Ie), (If), (Ig), (Ih), (Ii), (Ij), (Ik), (Il), (Im), (In), (Io), (Ip), (Iq), (Ir), (Is), (It), (Iu), (Iv), (Iw), (Iz), (Iaa), (Iab), (Iac), (Iad), (Iae), (Iaf), (Iag), (Iah), (Iai), (Iaj), (Iak).
- In an exemplary embodiment, the compound is an acyclic boronic acid or ester in which a portion of the acyclic boronic acid or ester is as in Figure (IXb) below
- is a member selected from a structure in
FIG. 12 . In another exemplary embodiment, the compound is a dimer, anhydride or trimer of an acyclic boronic acid or ester described herein. In another exemplary embodiment, the compound is a dimer, anhydride or trimer of an acyclic boronic acid or ester in which a portion of the acyclic boronic acid or ester as in Figure (IXb) is a member selected a structure inFIG. 12 . - In an exemplary embodiment, R1 and R2 are each members independently selected from H, substituted or unsubstituted methyl, substituted or unsubstituted ethyl, substituted or unsubstituted propyl, substituted or unsubstituted isopropyl, substituted or unsubstituted butyl, substituted or unsubstituted t-butyl, substituted or unsubstituted phenyl and substituted or unsubstituted benzyl. R1 and R2, together with the atoms to which they are joined, can optionally form a member selected from substituted or unsubstituted dioxaborolane, substituted or unsubstituted dioxaborinane, substituted or unsubstituted dioxaborepane.
- In an exemplary embodiment, X is a member selected from triflate, chloro, bromo, iodo, substituted or unsubstituted sulfonic esters, substituted or unsubstituted acyloxy groups, and substituted or unsubstituted diazo. In an exemplary embodiment, X is a sulfonic ester group, which is a member selected from substituted or unsubstituted mesylate, substituted or unsubstituted tosylate, substituted or unsubstituted brosylate and substituted or unsubstituted nosylate. In an exemplary embodiment, X is an acyloxy group, which is a member selected from substituted or unsubstituted acetoxy and substituted or unsubstituted trifluoroacetoxy. In another exemplary embodiment, X is a member selected from bromo, iodo, mesylate and diazo. In another exemplary embodiment, X is a member selected from bromo and iodo.
- In another exemplary embodiment, R1 and R2, together with the atoms to which they are joined, form a member selected from dioxaborolane, substituted or unsubstituted tetramethyldioxaborolane, substituted or unsubstituted phenyldioxaborolane, dioxaborinane, dimethyldioxaborinane and dioxaborepane.
- In another exemplary embodiment, R3a and R4a are each members independently selected from H, methyl, ethyl, propyl, butyl, phenyl, benzyl, cyano, halogen and nitro.
- In an exemplary embodiment, the compound is a member selected from
- In an exemplary embodiment, the compound is a member selected from
- In an exemplary embodiment, acyclic boronic esters described herein can be used as intermediates in the synthesis of the compounds described herein. In another exemplary embodiment, the acyclic boronic esters described herein can be used as intermediates in the synthesis of a compound which is a member selected from Formulae (I), (Ia) (Ib), (Ic), (Id), (Ie), (If), (Ig), (Ih), (Ii), (Ij), (Ik), (Il), (Im), (In), (Io), (Ip), (Iq), (Ir), (Is), (It), (Iu), (Iv), (Iw), (Iz), (Iaa), (Iab), (Iac), (Iad), (Iae), (Iaf), (Iag), (Iah), (Iai), (Iaj), (Iak).
- Compounds such as those described herein can also be utilized in the invention. The compounds of the invention can form between the 2′,3′ diol of the ribose ring of a nucleic acid, nucleoside or nucleotide, and a cyclic or acyclic boronic ester such as those described herein. These compounds can be used in a human or in an animal to kill or inhibit the growth of the microorganisms described herein, as well as to treat the diseases described herein. These compounds can be formed in vitro as well as in vivo. Methods of making these compounds are provided in the Examples section.
- In another aspect, the invention provides a compound having a structure according to the following formula:
- wherein B is boron. L is a member selected from OR7, substituted or unsubstituted purine, substituted or unsubstituted pyrimidine, substituted or unsubstituted pyridine and substituted or unsubstituted imidazole. R7 is a member selected from H, substituted or unsubstituted alkyl, substituted or unsubstituted heteroalkyl, substituted or unsubstituted cycloalkyl, substituted or unsubstituted aryl and substituted or unsubstituted heteroaryl. A is a member selected from OH, substituted or unsubstituted monophosphate, substituted or unsubstituted diphosphate, substituted or unsubstituted triphosphate,
- A1 is a nucleic acid sequence which comprises between 1 and 100 nucleotides. Q is a member selected from substituted or unsubstituted heterocycloalkyl and substituted or unsubstituted heteroaryl. Q comprises said boron and at least one oxygen.
- In an exemplary embodiment, the aspect has the proviso that the compound cannot comprise a member selected from C1-C40.
- In an exemplary embodiment, the aspect has a proviso that the compound cannot comprise a member which is described in
FIG. 11 . In an exemplary embodiment, the aspect has a proviso that the compound cannot involve a compound which is described in expired U.S. Pat. No. 5,880,188. - In an exemplary embodiment, the compound has a structure according to the following formula (XIIa):
- wherein M is a member selected from O and S. J is a member selected from (CR3aR4a)n1 and CR5a. R3a, R4a, and R5a are members independently selected from H, halogen, cyano, substituted or unsubstituted alkyl, substituted or unsubstituted heteroalkyl, substituted or unsubstituted cycloalkyl, substituted or unsubstituted heterocycloalkyl, substituted or unsubstituted aryl, and substituted or unsubstituted heteroaryl. n1 is an integer selected from 0 to 2. W is a member selected from C═O (carbonyl), (CR6aR7a)m and CR8a. R6a, R7a, and R8a are members independently selected from H, halogen, cyano, substituted or unsubstituted alkyl, substituted or unsubstituted heteroalkyl, substituted or unsubstituted cycloalkyl, substituted or unsubstituted heterocycloalkyl, substituted or unsubstituted aryl, and substituted or unsubstituted heteroaryl. The index m1 is an integer selected from 0 and 1. A is a member selected from CR9a and N. D is a member selected from CR10a and N. E is a member selected from CR11a and N. G is a member selected from CR12a and N. R9a, R10a, R11a and R12a are members independently selected from H, OR*, NR*R**, SR*, —S(O)R*, —S(O)2R*, —S(O)2NR*R**, —C(O)R*, —C(O)OR*, —C(O)NR*R**, nitro, halogen, cyano, substituted or unsubstituted alkyl, substituted or unsubstituted heteroalkyl, substituted or unsubstituted cycloalkyl, substituted or unsubstituted heterocycloalkyl, substituted or unsubstituted aryl, and substituted or unsubstituted heteroaryl. Each R* and R** are members independently selected from H, nitro, halogen, cyano, substituted or unsubstituted alkyl, substituted or unsubstituted heteroalkyl, substituted or unsubstituted cycloalkyl, substituted or unsubstituted heterocycloalkyl, substituted or unsubstituted aryl, and substituted or unsubstituted heteroaryl. The combination of nitrogens (A+D+E+G) is an integer selected from 0 to 3. A member selected from R3a, R4a and R5a and a member selected from R6a, R7a and R8a, together with the atoms to which they are attached, are optionally joined to form a 4 to 7 membered ring. R3a and R4a, together with the atoms to which they are attached, are optionally joined to form a 4 to 7 membered ring. R6a and R7a, together with the atoms to which they are attached, are optionally joined to form a 4 to 7 membered ring. R9a and R10a, together with the atoms to which they are attached, are optionally joined to form a 4 to 7 membered ring. R10a and R11a, together with the atoms to which they are attached, are optionally joined to form a 4 to 7 membered ring. R11a and R12a, together with the atoms to which they are attached, are optionally joined to form a 4 to 7 membered ring.
- In another exemplary embodiment, each R3a and R4a is a member independently selected from H, cyano, substituted or unsubstituted methyl, substituted or unsubstituted ethyl, trifluoromethyl, substituted or unsubstituted hydroxymethyl, substituted or unsubstituted hydroxyalkyl, substituted or unsubstituted benzyl, substituted or unsubstituted phenyl, substituted or unsubstituted mercaptomethyl, substituted or unsubstituted mercaptoalkyl, substituted or unsubstituted aminomethyl, substituted or unsubstituted alkylaminomethyl, substituted or unsubstituted dialkylaminomethyl, substituted or unsubstituted arylaminomethyl, substituted or unsubstituted indolyl and substituted or unsubstituted amido. In another exemplary embodiment, each R3a and R4a is a member independently selected from cyano, substituted or unsubstituted methyl, substituted or unsubstituted ethyl, trifluoromethyl, substituted or unsubstituted hydroxymethyl, substituted or unsubstituted hydroxyalkyl, substituted or unsubstituted benzyl, substituted or unsubstituted phenyl, substituted or unsubstituted mercaptomethyl, substituted or unsubstituted mercaptoalkyl, substituted or unsubstituted aminomethyl, substituted or unsubstituted alkylaminomethyl, substituted or unsubstituted dialkylaminomethyl, substituted or unsubstituted arylaminomethyl, substituted or unsubstituted indolyl, substituted or unsubstituted amido.
- In another exemplary embodiment, each R3a and R4a is a member selected from H, substituted or unsubstituted methyl, substituted or unsubstituted ethyl, substituted or unsubstituted propyl, substituted or unsubstituted isopropyl, substituted or unsubstituted butyl, substituted or unsubstituted t-butyl, substituted or unsubstituted phenyl and substituted or unsubstituted benzyl. In another exemplary embodiment, R3a and R4a is a member selected from methyl, ethyl, propyl, isopropyl, butyl, t-butyl, phenyl and benzyl. In another exemplary embodiment, R3a is H and R4a is a member selected from methyl, ethyl, propyl, isopropyl, butyl, t-butyl, phenyl and benzyl. In another exemplary embodiment, R3a is H and R4a H.
- In another exemplary embodiment, each R9a, R10a, R11a and R12a is an member independently selected from H, OR*, NR*R**, SR*, —S(O)R*, —S(O)2R*, —S(O)2NR*R**, —C(O)R*, —C(O)OR*, —C(O)NR*R**, halogen, cyano, nitro, substituted or unsubstituted methoxy, substituted or unsubstituted methyl, substituted or unsubstituted ethoxy, substituted or unsubstituted ethyl, trifluoromethyl, substituted or unsubstituted hydroxymethyl, substituted or unsubstituted hydroxyalkyl, substituted or unsubstituted benzyl, substituted or unsubstituted phenyl, substituted or unsubstituted phenyloxy, substituted or unsubstituted phenyl methoxy, substituted or unsubstituted thiophenyloxy, substituted or unsubstituted pyridinyloxy, substituted or unsubstituted pyrimidinyloxy, substituted or unsubstituted benzylfuran, substituted or unsubstituted methylthio, substituted or unsubstituted mercaptomethyl, substituted or unsubstituted mercaptoalkyl, substituted or unsubstituted phenylthio, substituted or unsubstituted thiophenylthio, substituted or unsubstituted phenyl methylthio, substituted or unsubstituted pyridinylthio, substituted or unsubstituted pyrimidinylthio, substituted or unsubstituted benzylthiofuranyl, substituted or unsubstituted phenylsulfonyl, substituted or unsubstituted benzylsulfonyl, substituted or unsubstituted phenylmethylsulfonyl, substituted or unsubstituted thiophenylsulfonyl, substituted or unsubstituted pyridinylsulfonyl, substituted or unsubstituted pyrimidinylsulfonyl, substituted or unsubstituted sulfonamidyl, substituted or unsubstituted phenylsulfinyl, substituted or unsubstituted benzylsulfinyl, substituted or unsubstituted phenylmethylsulfinyl, substituted or unsubstituted thiophenylsulfinyl, substituted or unsubstituted pyridinylsulfinyl, substituted or unsubstituted pyrimidinylsulfinyl, substituted or unsubstituted amino, substituted or unsubstituted alkylamino, substituted or unsubstituted dialkylamino, substituted or unsubstituted trifluoromethylamino, substituted or unsubstituted aminomethyl, substituted or unsubstituted alkylaminomethyl, substituted or unsubstituted dialkylaminomethyl, substituted or unsubstituted arylaminomethyl, substituted or unsubstituted benzylamino, substituted or unsubstituted phenylamino, substituted or unsubstituted thiophenylamino, substituted or unsubstituted pyridinylamino, substituted or unsubstituted pyrimidinylamino, substituted or unsubstituted indolyl, substituted or unsubstituted morpholino, substituted or unsubstituted alkylamido, substituted or unsubstituted arylamido, substituted or unsubstituted ureido, substituted or unsubstituted carbamoyl, and substituted or unsubstituted piperizinyl. In an exemplary embodiment, R9a, R10a, R11a and R12a are selected from the previous list of substituents with the exception of —C(O)R*, —C(O)OR*, —C(O)NR*R**.
- In another exemplary embodiment, R9a, R10a, R11a and R12a are members independently selected from fluoro, chloro, bromo, nitro, cyano, amino, methyl, hydroxylmethyl, trifluoromethyl, methoxy, trifluoromethyoxy, ethyl, diethylcarbamoyl, pyridin-2-yl, pyridin-3-yl, pyridin-4-yl, pyrimidinyl, piperizino, piperizinyl, piperizinocarbonyl, piperizinylcarbonyl, carboxyl, 1-tetrazolyl, 1-ethoxycarbonylmethoxy, carboxymethoxy, thiophenyl, 3-(butylcarbonyl) phenylmethoxy, 1H-tetrazol-5-yl, 1-ethoxycarbonylmethyloxy-, 1-ethoxycarbonylmethyl-, 1-ethoxycarbonyl-, carboxymethoxy-, thiophen-2-yl, thiophen-2-ylthio-, thiophen-3-yl, thiophen-3-ylthio, 4-fluorophenylthio, butylcarbonylphenylmethoxy, butylcarbonylphenylmethyl, butylcarbonylmethyl, 1-(piperidin-1-yl)carbonyl)methyl, 1-(piperidin-1-yl)carbonyl)methoxy, 1-(piperidin-2-yl)carbonyl)methoxy, 1-(piperidin-3-yl)carbonyl)methoxy, 1-(4-(pyrimidin-2-yl)piperazin-1-yl)carbonyl)methoxy, 1-(4-(pyrimidin-2-yl)piperazin-1-yl)carbonyl)methyl, 1-(4-(pyrimidin-2-yl)piperazin-1-yl)carbonyl, 1-4-(pyrimidin-2-yl)piperazin-1-yl, 1-(4-(pyridin-2-yl)piperazin-1-yl)carbonyl), 1-(4-(pyridin-2-yl)piperazin-1-yl)carbonylmethyl, (1-(4-(pyridin-2-yl)piperazin-1-yl)carbonyl)-methoxy), 1-(4-(pyridin-2-yl)piperazin-1-yl, 1H-indol-1-yl, morpholino-, morpholinyl, morpholinocarbonyl, morpholinylcarbonyl, phenylureido, phenylcarbamoyl, acetamido, 3-(phenylthio)-1H-indol-1-yl, 3-(2-cyanoethylthio)-1H-indol-1-yl, benzylamino, 5-methoxy-3-(phenylthio)-1H-indol-1-yl, 5-methoxy-3-(2-cyanoethylthio)-1H-indol-1-yl)), 5-chloro-1H-indol-1-yl, 5-chloro-3-(2-cyanoethylthio)-1H-indol-1-yl)), dibenzylamino, benzylamino, 5-chloro-3-(phenylthio)-1H-indol-1-yl)), 4-(1H-tetrazol-5-yl)phenoxy, 4-(1H-tetrazol-5-yl)phenyl, 4-(1H-tetrazol-5-yl)phenylthio, 2-cyanophenoxy, 3-cyanophenoxy, 4-cyanophenoxy, 2-cyanophenylthio, 3-cyanophenylthio, 4-cyanophenylthio, 2-chlorophenoxy, 3-chlorophenoxy, 4-chlorophenoxy, 2-fluorophenoxy, 3-fluorophenoxy, 4-fluorophenoxy, 2-cyanobenzyloxy, 3-cyanobenzyloxy, 4-cyanobenzyloxy, 2-chlorobenzyloxy, 3-chlorobenzyloxy, 4-chlorobenzyloxy, 2-fluorobenzyloxy, 3-fluorobenzyloxy, 4-fluorobenzyloxy, unsubstituted phenyl, unsubstituted benzyl.
- In an exemplary embodiment, the compound has a structure according to the following formula:
- In another exemplary embodiment, R9a, R10a, R11a and R12a are members independently selected from H, halogen, cyano, nitro, substituted or unsubstituted methoxy, substituted or unsubstituted methyl, substituted or unsubstituted ethoxy, substituted or unsubstituted ethyl, trifluoromethyl, substituted or unsubstituted hydroxymethyl, substituted or unsubstituted hydroxyalkyl, substituted or unsubstituted benzyl, substituted or unsubstituted phenyl, substituted or unsubstituted phenyloxy, substituted or unsubstituted phenyl methoxy, substituted or unsubstituted thiophenyloxy, substituted or unsubstituted pyridinyloxy, substituted or unsubstituted pyrimidinyloxy, substituted or unsubstituted benzylfuran, substituted or unsubstituted methylthio, substituted or unsubstituted mercaptomethyl, substituted or unsubstituted mercaptoalkyl, substituted or unsubstituted phenylthio, substituted or unsubstituted thiophenylthio, substituted or unsubstituted phenyl methylthio, substituted or unsubstituted pyridinylthio, substituted or unsubstituted pyrimidinylthio, substituted or unsubstituted benzylthiofuranyl, substituted or unsubstituted phenylsulfonyl, substituted or unsubstituted benzylsulfonyl, substituted or unsubstituted phenylmethylsulfonyl, substituted or unsubstituted thiophenylsulfonyl, substituted or unsubstituted pyridinylsulfonyl, substituted or unsubstituted pyrimidinylsulfonyl, substituted or unsubstituted sulfonamidyl, substituted or unsubstituted phenylsulfinyl, substituted or unsubstituted benzylsulfinyl, substituted or unsubstituted phenylmethylsulfinyl, substituted or unsubstituted thiophenylsulfinyl, substituted or unsubstituted pyridinylsulfinyl, substituted or unsubstituted pyrimidinylsulfinyl, substituted or unsubstituted amino, substituted or unsubstituted alkylamino, substituted or unsubstituted dialkylamino, substituted or unsubstituted trifluoromethylamino, substituted or unsubstituted aminomethyl, substituted or unsubstituted alkylaminomethyl, substituted or unsubstituted dialkylaminomethyl, substituted or unsubstituted arylaminomethyl, substituted or unsubstituted benzylamino, substituted or unsubstituted phenylamino, substituted or unsubstituted thiophenylamino, substituted or unsubstituted pyridinylamino, substituted or unsubstituted pyrimidinylamino, substituted or unsubstituted indolyl, substituted or unsubstituted morpholino, substituted or unsubstituted alkylamido, substituted or unsubstituted arylamido, substituted or unsubstituted ureido, substituted or unsubstituted carbamoyl, and substituted or unsubstituted piperizinyl.
- In another exemplary embodiment, R9a, R10a, R11a and R12a are members independently selected from H, fluoro, chloro, bromo, nitro, cyano, amino, methyl, hydroxylmethyl, trifluoromethyl, methoxy, trifluoromethyoxy, ethyl, diethylcarbamoyl, pyridin-2-yl, pyridin-3-yl, pyridin-4-yl, pyrimidinyl, piperizino, piperizinyl, piperizinocarbonyl, piperizinylcarbonyl, carboxyl, 1-tetrazolyl, 1-ethoxycarbonylmethoxy, carboxymethoxy, thiophenyl, 3-(butylcarbonyl) phenylmethoxy, 1H-tetrazol-5-yl, 1-ethoxycarbonylmethyloxy-, 1-ethoxycarbonylmethyl-, 1-ethoxycarbonyl-, carboxymethoxy-, thiophen-2-yl, thiophen-2-ylthio-, thiophen-3-yl, thiophen-3-ylthio, 4-fluorophenylthio, butylcarbonylphenylmethoxy, butylcarbonylphenylmethyl, butylcarbonylmethyl, 1-(piperidin-1-yl)carbonyl)methyl, 1-(piperidin-1-yl)carbonyl)methoxy, 1-(piperidin-2-yl)carbonyl)methoxy, 1-(piperidin-3-yl)carbonyl)methoxy, 1-(4-(pyrimidin-2-yl)piperazin-1-yl)carbonyl)methoxy, 1-(4-(pyrimidin-2-yl)piperazin-1-yl)carbonyl)methyl, 1-(4-(pyrimidin-2-yl)piperazin-1-yl)carbonyl, 1-4-(pyrimidin-2-yl)piperazin-1-yl, 1-(4-(pyridin-2-yl)piperazin-1-yl)carbonyl), 1-(4-(pyridin-2-yl)piperazin-1-yl)carbonylmethyl, (1-(4-(pyridin-2-yl)piperazin-1-yl)carbonyl)-methoxy), 1-(4-(pyridin-2-yl)piperazin-1-yl, 1H-indol-1-yl, morpholino-, morpholinyl, morpholinocarbonyl, morpholinylcarbonyl, phenylureido, phenylcarbamoyl, acetamido, 3-(phenylthio)-1H-indol-1-yl, 3-(2-cyanoethylthio)-1H-indol-1-yl, benzylamino, 5-methoxy-3-(phenylthio)-1H-indol-1-yl, 5-methoxy-3-(2-cyanoethylthio)-1H-indol-1-yl)), 5-chloro-1H-indol-1-yl, 5-chloro-3-(2-cyanoethylthio)-1H-indol-1-yl)), dibenzylamino, benzylamino, 5-chloro-3-(phenylthio)-1H-indol-1-yl)), 4-(1H-tetrazol-5-yl)phenoxy, 4-(1H-tetrazol-5-yl)phenyl, 4-(1H-tetrazol-5-yl)phenylthio, 2-cyanophenoxy, 3-cyanophenoxy, 4-cyanophenoxy, 2-cyanophenylthio, 3-cyanophenylthio, 4-cyanophenylthio, 2-chlorophenoxy, 3-chlorophenoxy, 4-chlorophenoxy, 2-fluorophenoxy, 3-fluorophenoxy, 4-fluorophenoxy, 2-cyanobenzyloxy, 3-cyanobenzyloxy, 4-cyanobenzyloxy, 2-chlorobenzyloxy, 3-chlorobenzyloxy, 4-chlorobenzyloxy, 2-fluorobenzyloxy, 3-fluorobenzyloxy, and 4-fluorobenzyloxy. In an exemplary embodiment, R9a is H and R12a is H. In an exemplary embodiment, the compound has a substitutent combination for R9a, R10a, R11a, and R12a which is a member selected from those described in Formulae (I), (Ia) (Ib), (Ic), (Id), (Ie), (If), (Ig), (Ih), (Ii), (Ij), (Ik), (I1), (Im), (In), (Io), (Ip), (Iq), (Ir), (Is), (It), (Iu), (Iv), (Iw), (Iz), (Iaa), (Iab), (Iac), (Iad), (Iae), (Iaf), (Iag), (Iah), (Iai), (Iaj), (Iak) above, and/or the subsequent paragraphs describing Formulae (I), (Ia) (Ib), (Ic), (Id), (Ie), (If), (Ig), (Ih), (Ii), (Ij), (Ik), (I1), (Im), (In), (Io), (Ip), (Iq), (Ir), (Is), (It), (Iu), (Iv), (Iw), (Iz), (Iaa), (Iab), (Iac), (Iad), (Iae), (Iaf), (Iag), (Iah), (Iai), (Iaj), (Iak).
- In an exemplary embodiment, the portion of the cyclic boronic ester as in the figure below
- is a member selected from a structure in
FIG. 12 . - In an exemplary embodiment, the compound has a structure according to the following formula:
- In an exemplary embodiment, the compound has a structure according to the following formula:
- In an exemplary embodiment, the compound has a structure according to the following formula:
- In another exemplary embodiment, the compound has a structure which is a member selected from Formulae (XII), (XIIa), (XIIb), (XIIc), (XIId) and (XIIe) wherein L is a member selected from substituted or unsubstituted adenine, substituted or unsubstituted guanine, substituted or unsubstituted cytidine, substituted or unsubstituted uracil, and substituted or unsubstituted thymine. In another exemplary embodiment, L is OH. In another exemplary embodiment, L is adenine.
- In another exemplary embodiment, the compound has a structure which is a member selected from
- In another exemplary embodiment, A1 is a nucleic acid sequence between 72 and 90 nucleotides. In another exemplary embodiment, A1 is a nucleic acid sequence between 35 and 150 nucleotides. In another exemplary embodiment, A1 is a nucleic acid sequence between 50 and 100 nucleotides. In another exemplary embodiment, A1 is a nucleic acid sequence between 75 and 85 nucleotides. In another exemplary embodiment, A1 is a nucleic acid sequence which is a tRNA or a portion of a tRNA. In another exemplary embodiment, said tRNA or the portion of said tRNA is a member selected from alanyl tRNA, isoleucyl tRNA, leucyl tRNA, methionyl tRNA, lysyl tRNA, phenylalanyl tRNA, prolyl tRNA, threonyl tRNA and valyl tRNA. In another exemplary embodiment, said tRNA or the portion of said tRNA is leucyl tRNA. In another exemplary embodiment, said tRNA or the portion of said tRNA has a sequence which is a member selected from SEQ ID NOS: 18-62. In another exemplary embodiment, A1 is a nucleic acid sequence wherein two final nucleotides are each cytidine.
- In another exemplary embodiment, the compound further comprises a tRNA synthetase or a portion of a tRNA synthetase which comprises the editing domain, wherein said compound is noncovalently attached to the editing domain of said tRNA synthetase. In another exemplary embodiment, the tRNA synthetase is a member selected from a mitochondrial tRNA synthetase and a cytoplasmic tRNA synthetase. In another exemplary embodiment, the tRNA synthetase is a member selected from alanyl tRNA synthetase, isoleucyl tRNA synthetase, leucyl tRNA synthetase, methionyl tRNA synthetase, lysyl tRNA synthetase, phenylalanyl tRNA synthetase, prolyl tRNA synthetase, threonyl tRNA synthetase and valyl tRNA synthetase.
- In an exemplary embodiment, the compound described herein is present in a microorganism described in this application.
- In another exemplary embodiment, there is a proviso that the compound is not present in a microorganism that is a member selected from Saccharomyces cerevisiae, Aspergillus niger, Pseudomonas aeruginosa, Staphylococcus aureus, Aureobasidium pullulans, Fusarium solani, Penicillium pinophilum, Scopulariopsis brevicaulis, Streptoverticillium waksmanii, Alternaria alternata, Cladosporium herbarum, Phoma violacea, Stemphylium dentriticum, Candida albicans, Escherichia coli, and Glioclasium roseum. In another exemplary embodiment, there is a proviso that when the compound is present in a fungus, the fungus is not a member selected from Saccharomyces cerevisiae, Aspergillus niger, Fusarium solani, Penicillium pinophilum, Scopulariopsis brevicaulis, Streptoverticillium waksmanii, Alternaria alternata, Cladosporium herbarum, Phoma violacea, Stemphylium dentriticum, Candida albicans, and Glioclasium roseum.
- In an exemplary embodiment, the compound is present in a microorganism which is a member selected from a dermatophyte, Trichophyton, Microsporum, Epidermophyton and yeast-like fungi. In an exemplary embodiment, there is a proviso that when the compound is present in a yeast-like fungus, that yeast-like fungus is not a member selected from Aspergillus niger and Candida albicans. In another exemplary embodiment, the microorganism is a member selected from a dermatophyte, Trichophyton, Microsporum, Epidermophyton and yeast-like fungi. In an exemplary embodiment, the microorganism is a dermatophyte. In another exemplary embodiment, the microorganism is a member selected from Trichophyton species. In an exemplary embodiment, the microorganism is a member selected from is a member selected from T. rubrum and T. menagrophytes. In an exemplary embodiment, the microorganism is a dermatophyte and said dermatophyte is a member selected from T. rubrum and T. menagrophytes.
- In another exemplary embodiment, the compound is present in a human or an animal. In another exemplary embodiment, the compound is present in a microorganism which is in, or on the surface of, a human or an animal. In another exemplary embodiment, the compound is present in a microoganism which is present in a human nail unit of a human or a nail, hoof, or horn component of an animal. In another exemplary embodiment, the compound is present in a microoganism which is present in a member selected from a human nail plate, human nail bed, proximal nail fold, lateral nail fold and combinations thereof. In another exemplary embodiment, the compound is present in a microoganism which is present in a member selected from a human nail plate and a human nail bed. In another exemplary embodiment, the compound is present in a microoganism which is present in a member selected from a proximal nail fold and a lateral nail fold. In another exemplary embodiment, the microorganism is a member selected from dermatophyte, Trichophyton, Microsporum, Epidermophyton and yeast-like fungi. In another exemplary embodiment, wherein said compound is a dermatophyte. In another exemplary embodiment, the dermatophyte is a member selected from T. rubrum and T. menagrophytes.
- I. f) Formulations with Keratin
- When a compound of the invention described herein is applied to a nail component of a human, the compound absorbs or penetrates into the nail. The human nail is primarily composed of keratin (i.e. hair keratin or α-keratin) as well as trace amounts of lipid components. Therefore, in the process of treating a disease of the nail or killing or inhibiting the growth of a microorganism, a formulation comprising a human nail unit and a compound of the invention is formed.
- In another aspect, the invention provides a formulation comprising: (a) a compound which is a member selected from a boron-containing compound, a 2′-amino ribofuranose-containing compound, a 3′-amino ribofuranose-containing compound, and combinations thereof; and (b) a keratin containing component which is a member selected from a human nail unit, skin and hair. In an exemplary embodiment, the compound of part (a) contacts the component of part (b). In an exemplary embodiment, the keratin containing component is a nail plate of the human nail unit. In an exemplary embodiment, the keratin containing component is a nail bed of the human nail unit. In an exemplary embodiment, the keratin containing component is a proximal nail fold of the human nail unit. In an exemplary embodiment, the keratin containing component is a lateral nail fold of the human nail unit. In another exemplary embodiment, the human nail unit comprises a member selected from keratin and lipid. In another exemplary embodiment, keratin is a member selected from skin keratin and nail/hair keratin. In another exemplary embodiment, lipid is a member selected from cholesterol sulfate, cerebroside, ceramide, free sterol, free fatty acids, triglycerides, sterol esters, wax esters, and squalene.
- In an exemplary embodiment, the compound is present in the formulation at a concentration which is a member selected from about 0.001%, about 0.01%, about 0.05%, about 0.1%, about 0.5%, about 1%, about 1.5%, about 2%, about 2.5%, about 3%. In another exemplary embodiment, the keratin is present in said formulation at a concentration which is a member selected from about 99.99%, about 99.95%, about 99.90%, about 99.5%, about 99.0%, about 98.5%, about 98.0%, about 97.5% and about 97%. In another exemplary embodiment, the compound is a compound described herein. In another exemplary embodiment, the compound is as described in Formulae (I), (Ia) (Ib), (Ic), (Id), (Ie), (If), (Ig), (Ih), (Ii), (Ij), (Ik), (II), (Im), (In), (Io), (Ip), (Iq), (Ir), (Is), (It), (Iu), (Iv), (Iw), (Iz), (Iaa), (Iab), (Iac), (Iad), (Iae), (Iaf), (Iag), (Iah), (Iai), (Iaj), (Iak), (II), (IIa), (IIb), (IIc), (IId), and (III). In another exemplary embodiment, the compound is an acyclic boronic ester as described herein. In another exemplary embodiment, the compound is a member selected from C1-C96 described herein. In another exemplary embodiment, the compound is a member selected from a compound appearing in
FIG. 19 . In another exemplary embodiment, the compound is a member selected from a compound appearing inFIG. 20 . In another exemplary embodiment, the compound is 1,3-dihydro-5-fluoro-1-hydroxy-2,1-benzoxaborole. In another exemplary embodiment, 1,3-dihydro-5-fluoro-1-hydroxy-2,1-benzoxaborole is present is said formulation at a concentration which is a member selected from about 0.001%, about 0.01%, about 0.05%, about 0.1%, about 0.5%, about 1%, and about 1.5%. - In another aspect, the invention provides a method of forming this formulation, wherein said method comprises applying said compound to a formulation comprising keratin, thereby forming said formulation. In an exemplary embodiment, the formulation comprising keratin is a human nail unit. In an exemplary embodiment, the formulation comprising keratin is a member selected from a nail plate, nail bed, proximal nail fold, and lateral nail fold. Methods of making these formulations are described in the Examples section.
- Compounds of use in the present invention can be prepared using commercially available starting materials, known intermediates, or by using the synthetic methods published in references described and incorporated by reference herein.
- The following exemplary schemes illustrate methods of preparing boron-containing molecules of the present invention. These methods are not limited to producing the compounds shown, but can be used to prepare a variety of molecules such as the compounds and complexes described herein. The compounds of the present invention can also be synthesized by methods not explicitly illustrated in the schemes but are well within the skill of one in the art. The compounds can be prepared using readily available materials of known intermediates.
- In the following schemes, the symbol X represents bromo or iodo. The symbol Y is selected from H, lower alkyl, and arylalkyl. The symbol Z is selected from H, alkyl, and aryl. The symbol PG represents protecting group. The symbols A, D, E, G, Rx, Ry, Rz, R1a, R2a, R3a, R4a, R5a, R6a, R7a, R8a, R9a, R10a, R11a, and R12a can be used to refer to the corresponding symbols in the compounds described herein.
- Boronic Acid
Preparation Strategy # 1 - In
Scheme 1, 1 and 2,Step 1 or 2 are converted intocompounds alcohol 3. Instep 1,compound 1 is treated with a reducing agent in an appropriate solvent. Suitable reducing agents include borane complexes, such as borane-tetrahydrofuran, borane-dimethylsulfide, combinations thereof and the like. Lithium aluminum hydride, or sodium borohydride can also be used as reducing agents. The reducing agents can be used in quantities ranging from 0.5 to 5 equivalents, relative to 1 or 2. Suitable solvents include diethyl ether, tetrahydrofuran, 1,4-dioxane, 1,2-dimethoxyethane, combinations thereof and the like. Reaction temperatures range from 0° C. to the boiling point of the solvent used; reaction completion times range from 1 to 24 h.compound - In
Step 2, the carbonyl group ofcompound 2 is treated with a reducing agent in an appropriate solvent. Suitable reducing agents include borane complexes, such as borane-tetrahydrofuran, borane-dimethylsulfide, combinations thereof and the like. Lithium aluminum hydride, or sodium borohydride can also be used as reducing agents. The reducing agents can be used in quantities ranging from 0.5 to 5 equivalents, relative tocompound 2. Suitable solvents include lower alcohol, such as methanol, ethanol, and propanol, diethyl ether, tetrahydrofuran, 1,4-dioxane and 1,2-dimethoxyethane, combinations thereof and the like. Reaction temperatures range from 0° C. to the boiling point of the solvent used; reaction completion times range from 1 to 24 h. - In
Step 3, the hydroxyl group ofcompound 3 is protected with a protecting group which is stable under neutral or basic conditions. The protecting group is typically selected from methoxymethyl, ethoxyethyl, tetrahydropyran-2-yl, trimethylsilyl, tert-butyldimethylsilyl, tributylsilyl, combinations thereof and the like. In the case of methoxymethyl,compound 3 is treated with 1 to 3 equivalents of chloromethyl methyl ether in the presence of a base. Suitable bases include sodium hydride, potassium tert-butoxide, tertiary amines, such as diisopropylethylamine, triethylamine, 1,8-diazabicyclo[5,4,0]undec-7-ene, and inorganic bases, such as sodium hydroxide, sodium carbonate, potassium hydroxide, potassium carbonate, combinations thereof and the like. The bases can be used in quantities ranging from 1 to 3 equivalents, relative tocompound 3. Reaction temperatures range from 0° C. to the boiling point of the solvent used; preferably between 0 and 40° C.; reaction completion times range from 1 h to 5 days. - In the case of tetrahydropyran-2-yl,
compound 3 is treated with 1 to 3 equivalents of 3,4-dihydro-2H-pyran in the presence of 1 to 10 mol % of acid catalyst. Suitable acid catalysts include pyridinium p-toluenesulfonic acid, p-toluenesulfonic acid, camphorsulfonic acid, methanesulfonic acid, hydrogen chloride, sulfuric acid, combinations thereof and the like. Suitable solvents include dichloromethane, chloroform, tetrahydrofuran, 1,4-dioxane, 1,2-dimethoxyethane, toluene, benzene, and acetonitrile combinations thereof and the like. Reaction temperatures range from 0° C. to the boiling point of the solvent used; preferably between 0 and 60° C., and is complete in 1 h to 5 days. - In the case of trialkylsilyl,
compound 3 is treated with 1 to 3 equivalents of chlorotrialkylsilyane in the presence of 1 to 3 equivalents of base. Suitable bases include tertiary amines, such as imidazole, diisopropylethylamine, triethylamine, 1,8-diazabicyclo[5,4,0]undec-7-ene, combinations thereof and the like. Reaction temperatures range from 0° C. to the boiling point of the solvent used; preferably between 0 and 40° C.; reaction completion times range from 1 to 48 h. - In
Step 4,compound 4 is converted into boronic acid (5) through halogen metal exchange reaction.Compound 4 is treated with 1 to 3 equivalents of alkylmetal reagent relative tocompound 4, such as n-butyllithium, sec-butyllithium, tert-butyllithium, isopropylmagnesium chloride or Mg turnings with or without an initiator such as diisobutylaluminum hydride (DiBAl), followed by the addition of 1 to 3 equivalents of trialkyl borate relative tocompound 4, such as trimethyl borate, triisopropyl borate, or tributyl borate. Suitable solvents include tetrahydrofuran, ether, 1,4-dioxane, 1,2-dimethoxyethane, toluene, hexanes, combinations thereof and the like. Alkylmetal reagent may also be added in the presence of trialkyl borate. The addition of butyllithium is carried out at between −100 and 0° C., preferably at between −80 and −40° C. The addition of isopropylmagnesium chloride is carried out at between −80 and 40° C., preferably at between −20 and 30° C. The addition of Mg turnings, with or without the addition of DiBAl, is carried out at between −80 and 40° C., preferably at between −35 and 30° C. The addition of the trialkyl borate is carried out at between −100 and 20° C. After the addition of trialkyl borate, the reaction is allowed to warm to room temperature, which is typically between −30 and 30° C. When alkylmetal reagent is added in the presence of trialkyl borate, the reaction mixture is allowed to warm to room temperature after the addition. Reaction completion times range from 1 to 12 h.Compound 5 may not be isolated and may be used for the next step without purification or in one pot. - In
Step 5, the protecting group ofcompound 5 is removed under acidic conditions to give compound of the invention. Suitable acids include acetic acid, trifluoroacetic acid, hydrochloric acid, hydrobromic acid, sulfuric acid, p-toluenesulfonic acid and the like. The acids can be used in quantities ranging from 0.1 to 20 equivalents, relative tocompound 5. When the protecting group is trialkylsilyl, basic reagents, such as tetrabutylammonium fluoride, can also be used. Suitable solvents include tetrahydrofuran, 1,4-dioxane, 1,2-dimethoxyethane, methanol, ethanol, propanol, acetonitrile, acetone, combination thereof and the like. Reaction temperatures range from 0° C. to the boiling point of the solvent used; preferably between 10° C. and reflux temperature of the solvent; reaction completion times range from 0.5 to 48 h. The product can be purified by methods known to those of skill in the art. - In another aspect, the invention provides a method of making a tetrahydropyran-containing boronic ester, said ester having a structure according to the following formula:
- wherein R1 and R2 are members independently selected from H, substituted or unsubstituted alkyl, substituted or unsubstituted heteroalkyl, substituted or unsubstituted cycloalkyl, substituted or unsubstituted heterocycloalkyl, substituted or unsubstituted aryl, and substituted or unsubstituted heteroaryl. R1 and R2, together with the atoms to which they are attached, can be optionally joined to form a 4- to 7-membered ring. R9a, R10% R11a and R12a are members independently selected from H, OR*, NR*R**, SR*, —S(O)R*, —S(O)2R*, —S(O)2NR*R**, nitro, halogen, cyano, substituted or unsubstituted alkyl, substituted or unsubstituted heteroalkyl, substituted or unsubstituted cycloalkyl, substituted or unsubstituted heterocycloalkyl, substituted or unsubstituted aryl, and substituted or unsubstituted heteroaryl. R* and R** is a member selected from H, substituted or unsubstituted alkyl, substituted or unsubstituted heteroalkyl, substituted or unsubstituted cycloalkyl, substituted or unsubstituted heterocycloalkyl, substituted or unsubstituted aryl, and substituted or unsubstituted heteroaryl. The method comprises: a) subjecting a first compound to Grignard or organolithium conditions, said first compound having a structure according to the following formula:
- b) contacting the product of step a) with a borate ester, thereby forming said tetrahydropyran-containing boronic ester. In an exemplary embodiment, halogen is a member selected from iodo and bromo. In another exemplary embodiment, the borate ester is a member selected from B(OR1)2(OR2), wherein R1 and R2 are each members independently selected from H, substituted or unsubstituted methyl, substituted or unsubstituted ethyl, substituted or unsubstituted propyl, substituted or unsubstituted isopropyl, substituted or unsubstituted butyl, substituted or unsubstituted t-butyl, substituted or unsubstituted phenyl and substituted or unsubstituted benzyl. R1 and R2, together with the atoms to which they are joined, can optionally form a member selected from substituted or unsubstituted dioxaborolane, substituted or unsubstituted dioxaborinane and substituted or unsubstituted dioxaborepane. In another exemplary embodiment, the borate ester is a member selected from B(OR1)2(OR2), wherein R1 and R2, together with the atoms to which they are joined, form a member selected from dioxaborolane, substituted or unsubstituted tetramethyldioxaborolane, substituted or unsubstituted phenyldioxaborolane, dioxaborinane, dimethyldioxaborinane and dioxaborepane. In another exemplary embodiment, the Grignard or organolithium conditions further comprise diisobutyl aluminum hydride. In another exemplary embodiment, the temperature of the Grignard reaction does not exceed about 35° C. In another exemplary embodiment, the temperature of the Grignard reaction does not exceed about 40° C. In another exemplary embodiment, the temperature of the Grignard reaction does not exceed about 45° C. In an exemplary embodiment, step (b) is performed at a temperature of from about −30° C. to about −20° C. In another exemplary embodiment, step (b) is performed at a temperature of from about −35° C. to about −25° C. In another exemplary embodiment, step (b) is performed at a temperature of from about −50° C. to about −0° C. In another exemplary embodiment, step (b) is performed at a temperature of from about −40° C. to about −20° C. In another exemplary embodiment, the tetrahydropyran-containing boronic ester is
- In another aspect, the invention provides a method of making a compound having a structure according to the following formula
- said method comprising: a) subjecting a first compound to Grignard or organolithium conditions, said first compound having a structure according to the following formula:
- b) quenching said subjecting reaction with water and a organic acid, thereby forming said compound. In an exemplary embodiment, wherein said organic acid is a member selected from acetic acid. In another exemplary embodiment, the quenching step is essentially not contacted with a strong acid. In another exemplary embodiment, the compound is 1,3-dihydro-5-fluoro-1-hydroxy-2,1-benzoxaborole. In another exemplary embodiment, the compound is purified by recrystallization from a recrystallization solvent, wherein said recrystallization solvent essentially does not contain acetonitrile. In an exemplary embodiment, the recrystallization solvent contains less than 2% acetonitrile. In an exemplary embodiment, the recrystallization solvent contains less than 1% acetonitrile. In an exemplary embodiment, the recrystallization solvent contains less than 0.5% acetonitrile. In an exemplary embodiment, the recrystallization solvent contains less than 0.1% acetonitrile. In an exemplary embodiment, the recrystallization solvent contains toluene and a hydrocarbon solvent. In an exemplary embodiment, the recrystallization solvent contains about 1:1 toluene: hydrocarbon solvent. In an exemplary embodiment, the recrystallization solvent contains about 2:1 toluene: hydrocarbon solvent. In an exemplary embodiment, the recrystallization solvent contains about 3:1 toluene:hydrocarbon solvent. In an exemplary embodiment, the recrystallization solvent contains about 4:1 toluene: hydrocarbon solvent. In an exemplary embodiment, the hydrocarbon solvent is a member selected from heptane, octane, hexane, pentane and nonane. In an exemplary embodiment, the recrystallization solvent is 3:1 toluene:heptane.
- Boronic Acid
Preparation Strategy # 2 - In
Scheme 2,Step 6,compound 2 is converted into boronic acid (6) via a transition metal catalyzed cross-coupling reaction.Compound 2 is treated with 1 to 3 equivalents of bis(pinacolato)diboron or 4,4,5,5-tetramethyl-1,3,2-dioxaborolane in the presence of transition metal catalyst, with the use of appropriate ligand and base as necessary. Suitable transition metal catalysts include palladium(II) acetate, palladium(II) acetoacetonate, tetrakis(triphenylphosphine)palladium, dichlorobis(triphenylphosphine)palladium, [1,1′-bis(diphenylphosphino)ferrocen]dichloropalladium(II), combinations thereof and the like. The catalyst can be used in quantities ranging from 1 to 5 mol % relative tocompound 2. Suitable ligands include triphenylphosphine, tri(o-tolyl)phosphine, tricyclohexylphosphine, combinations thereof and the like. The ligand can be used in quantities ranging from 1 to 5 equivalents relative tocompound 2. Suitable bases include sodium carbonate, potassium carbonate, potassium phenoxide, triethylamine, combinations thereof and the like. The base can be used in quantities ranging from 1 to 5 equivalents relative tocompound 2. Suitable solvents include N,N-dimethylformamide, dimethylsufoxide, tetrahydrofuran, 1,4-dioxane, toluene, combinations thereof and the like. Reaction temperatures range from 20° C. to the boiling point of the solvent used; preferably between 50 and 150° C.; reaction completion times range from 1 to 72 h. - Pinacol ester is then oxidatively cleaved to give
compound 6. Pinacol ester is treated with sodium periodate followed by acid. Sodium periodate can be used in quantities ranging from 2 to 5 equivalents relative tocompound 6. Suitable solvents include tetrahydrofuran, 1,4-dioxane, acetonitrile, methanol, ethanol, combinations thereof and the like. Suitable acids include hydrochloric acid, hydrobromic acid, sulfuric acid combinations thereof and the like. Reaction temperatures range from 0° C. to the boiling point of the solvent used; preferably between 0 and 50° C.; reaction completion times range from 1 to 72 h. - In
Step 7, the carbonyl group ofcompound 6 is treated with a reducing agent in an appropriate solvent to give a compound of the invention. Suitable reducing agents include borane complexes, such as borane-tetrahydrofuran, borane-dimethylsulfide, combinations thereof and the like. Lithium aluminum hydride, or sodium borohydride can also be used as reducing agents. The reducing agents can be used in quantities ranging from 0.5 to 5 equivalents, relative tocompound 6. Suitable solvents include lower alcohol, such as methanol, ethanol, and propanol, diethyl ether, tetrahydrofuran, 1,4-dioxane and 1,2-dimethoxyethane, combinations thereof and the like. Reaction temperatures range from 0° C. to the boiling point of the solvent used; reaction completion times range from 1 to 24 h. - Boronic Acid
Preparation Strategy # 3 - In
Scheme 3,Step 8, compounds of the invention can be prepared in one step fromcompound 3.Compound 3 is mixed with trialkyl borate then treated with alkylmetal reagent. Suitable alkylmetal reagents include n-butyllithium, sec-butyllithium, tert-butyllithium combinations thereof and the like. Suitable trialkyl borates include trimethyl borate, triisopropyl borate, tributyl borate, combinations thereof and the like. The addition of butyllithium is carried out at between −100 and 0° C., preferably at between −80 and −40° C. The reaction mixture is allowed to warm to room temperature after the addition. Reaction completion times range from 1 to 12 h. The trialkyl borate can be used in quantities ranging from 1 to 5 equivalents relative tocompound 3. The alkylmetal reagent can be used in quantities ranging from 1 to 2 equivalents relative tocompound 3. Suitable solvents include tetrahydrofuran, ether, 1,4-dioxane, 1,2-dimethoxyethane, toluene, hexanes, combinations thereof and the like. Reaction completion times range from 1 to 12 h. Alternatively, a mixture ofcompound 3 and trialkyl borate can be refluxed for 1 to 3 h and the alcohol molecule formed upon the ester exchange can be distilled out before the addition of alkylmetal reagent. - Boronic Acid
Preparation Strategy # 4 - In
Scheme 4,Step 10, the methyl group ofcompound 7 is brominated using N-bromosuccinimide. N-bromosuccinimide can be used in quantities ranging from 0.9 to 1.2 equivalents relative tocompound 7. Suitable solvents include carbon tetrachloride, tetrahydrofuran, 1,4-dioxane, chlorobenzene, combinations thereof and the like. Reaction temperatures range from 20° C. to the boiling point of the solvent used; preferably between 50 and 150° C.; reaction completion times range from 1 to 12 h. - In
Step 11, the bromomethylene group ofcompound 8 is converted to thebenzyl alcohol 3.Compound 8 is treated with sodium acetate or potassium acetate. These acetates can be used in quantities ranging from 1 to 10 equivalents relative tocompound 8. Suitable solvents include tetrahydrofuran, 1,4-dioxane, N,N-dimethylformamide, N,N-dimethylacetamide, N-methylpyrrolidone, dimethylsulfoxide, combinations thereof and the like. Reaction temperatures range from 20° C. to the boiling point of the solvent used; preferably between 50 and 100° C.; reaction completion times range from 1 to 12 h. The resulting acetate is hydrolyzed tocompound 3 under basic conditions. Suitable bases include sodium hydroxide, lithium hydroxide, potassium hydroxide, combinations thereof and the like. The base can be used in quantities ranging from 1 to 5 equivalents relative tocompound 8. Suitable solvents include methanol, ethanol, tetrahydrofuran, water, combinations thereof and the like. Reaction temperatures range from 20° C. to the boiling point of the solvent used; preferably between 50 and 100° C.; reaction completion times range from 1 to 12 h. Alternatively,compound 8 can be directly converted intocompound 3 under the similar condition above. -
Steps 3 through 5convert compound 3 into a compound of the invention. - Boronic Acid
Preparation Strategy # 5 - In
Scheme 5,Step 12,compound 2 is treated with (methoxymethyl)triphenylphosphonium chloride or (methoxymethyl)triphenylphosphonium bromide in the presence of base followed by acid hydrolysis to givecompound 9. Suitable bases include sodium hydride, potassium tert-butoxide, lithium diisopropylamide, butyllithium, lithium hexamethyldisilazane, combinations thereof and the like. The (methoxymethyl)triphenylphosphonium salt can be used in quantities ranging from 1 to 5 equivalents relative tocompound 2. The base can be used in quantities ranging from 1 to 5 equivalents relative tocompound 2. Suitable solvents include tetrahydrofuran, 1,2-dimethoxyethane, 1,4-dioxane, ether, toluene, hexane, N,N-dimethylformamide, combinations thereof and the like. Reaction temperatures range from 0° C. to the boiling point of the solvent used; preferably between 0 and 30° C.; reaction completion times range from 1 to 12 h. The enolether formed is hydrolyzed under acidic conditions. Suitable acids include hydrochloric acid, hydrobromic acid, sulfuric acid, and the like. Suitable solvents include tetrahydrofuran, 1,2-dimethoxyethane, 1,4-dioxane, methanol, ethanol, combination thereof and the like. Reaction temperatures range from 20° C. to the boiling point of the solvent used; preferably between 50 and 100° C.; reaction completion times range from 1 to 12 h. -
Steps 2 through 5convert compound 9 into a compound of the invention. - Boronic Acid
Preparation Strategy # 6 - In
Scheme 6, compound (I) wherein R1 is H is converted into compound (I) wherein R1 is alkyl by mixing with the corresponding alcohol, R1OH. The suitable solvents include tetrahydrofuran, 1,2-dimethoxyethane, 1,4-dioxane, toluene, combinations thereof and the like. The alcohol (R′OH) can be used as the solvent as well. Reaction temperatures range from 20° C. to the boiling point of the solvent used; preferably between 50 and 100° C.; reaction completion times range from 1 to 12 h. - Boronic Acid
Preparation Strategy # 7 - In
Scheme 7, compound (Ia) is converted into its aminoalcohol complex (Ib). Compound (Ia) is treated with HOR1NR1aR1b. The aminoalcohol can be used in quantities ranging from 1 to 10 equivalents relative to compound (Ia). Suitable solvents include methanol, ethanol, propanol, tetrahydrofuran, acetone, acetonitrile, 1,2-dimethoxyethane, 1,4-dioxane, toluene, N,N-dimethylformamide, water, combination thereof and the like. Reaction temperatures range from 20° C. to the boiling point of the solvent used; preferably between 50 and 100° C.; reaction completion times range from 1 to 24 h. - The compounds of the invention can be converted into hydrates and solvates by methods similar to those described above.
- Methods of making borinic esters are known in the art, and it is within the knowledge of one skilled in the art to use these methods in order to make the boronic esters described herein. Examples include U.S. patent Ser. No. 10/868,268 and U.S. Prov. Pat. No. ______ (Attorney Docket No. 64507-5021PR, filed May 2, 2006) which are herein incorporated by reference.
- I. i.) 2′-amino or 3′-amino ribofuranoses
- Methods of making 2′-amino ribofuranoses or 3′-amino ribofuranoses are known in the art, and it is within the knowledge of one skilled in the art to use these methods in order to make the 2′-amino ribofuranoses described herein.
- Ashton et al. (Can. Pat. App. 2,031,644 (1991)) and Durette, et al. (UK Pat. App. 2,207,678 (1989)) disclose the synthesis of the amino acid starting material for compound D5. Hardee, et al., (PCT Int. App. WO2005020885 (2005)) discloses the synthesis of the nucleoside starting material for compound D6. Sakthivel, (Sakthivel, et al., Tet. Let. 46(22): 3883-3887 (2005)) Sartorelli, et al., (U.S. Pat. Appl. Pub. 2004116362); Roberts, et al., (PCT Int. Appl. WO2003093290); Liu, et al., Nucleosides, Nucleotides & Nucleic Acids, 20(12): 1975-2000 (2001); Minakawa, et al., J. Org. Chem., 64(19): 7158-7172 (1999); Daelemans, et al., Molecular Pharmacology, 52(6): 1157-1163 (1997) all disclose the synthesis of the nucleoside starting material for compound D7.
- Examples of how to prepare these compounds is shown below:
- Compounds 1-14 are produced by a final step (Lincecum, T. L. et al., S. Molecular Cell, 11: 951-963 (2003); Kim, B.-T. et al., J. Bull. Korean Chem. Soc., 25: 243-248 (2004)):
- Compounds 15-18 are produced by a final step (See Lincecum):
- Methods for preparing dimers, trimers and higher homologs of small organic molecules, such as those of use in the present invention, as well as methods of functionalizing a polyfunctional framework molecule are well known to those of skill in the art. For example, an aromatic amine of the invention is converted to the corresponding isothiocyanate by the action of thiophosgene. The resulting isothiocyanate is coupled to an amine of the invention, thereby forming either a homo- or heterodimeric species. Alternatively, the isothiocyanate is coupled with an amine-containing backbone, such as polylysine, thereby forming a conjugate between a polyvalent framework and a compound of the invention. If it is desired to prepare a heterofunctionalized polyvalent species, the polylysine is underlabeled with the first isothiocyanate and subsequently labeled with one or more different isothiocyanates. Alternatively, a mixture of isothiocyanates is added to the backbone. Purification proceeds by, for example, size exclusion chromatography, dialysis, nanofiltration and the like.
- II. Assays for Inhibitors of tRNA Synthetase Editing Domains
- Art-recognized techniques of genetics and molecular biology are of use to identify compounds that bind to and/or inhibit the editing domain of a tRNA synthetase. Moreover, these techniques are of use to distinguish whether a compound binds to and/or inhibits the synthetic domain, the editing domain, or both the editing and synthetic domains.
- In an exemplary assay, activity of a representative compound against the editing domain was confirmed. To identify the target of the novel boron-containing antifungal compound C10, mutants in S. cerevisiae showing resistance to compound C10 were isolated. Characterization of 11 mutants showed that they have an 8-64 fold increase in resistance to C10 over wildtype. The mutants were furthermore shown to be sensitive to various antifungal agents with known modes of action, suggesting that the cellular target of C10 is distinct from the target of the other antifungal agents. Isolation of three different plasmids bearing CDC60 from plasmid libraries generated from three independently isolated mutants implicated CDC60, the gene for the cytoplasmic leucyl-tRNA synthetase in resistance against C10. Sequence analysis of CDC60 from the 11 mutants revealed that the mutations were all located in the editing domain of this enzyme. In a further series of experiments, additional copies of the CDC60 gene were introduced in S. cerevisiae, which gave rise to an eight-fold increase in resistance to C10. These findings confirm a strong link between the editing activity of the enzyme and the inhibition of C10, which entails a novel mechanism of tRNA synthetase inhibition.
- Assays to determine whether, and how effectively, a particular compound binds to and/or inhibits the editing domain of a selected tRNA synthetase are also set forth herein, and additional assays are readily available to those of skill in the art. Briefly, in an exemplary assay, an improperly charged tRNA and a tRNA synthetase that is capable of editing the improperly charged tRNA are combined. The resulting mixture is contacted with the putative inhibitor and the degree of editing inhibition is observed.
- Another assay uses genetics to show that a drug works via the editing domain. In this assay, the compound is first tested against a strain of cells over-expressing copies of the tRNA synthetase gene. The compound's effect on the over-expressing strain is compared with a control strain to determine whether the compound is active against the synthetase. If the minimum inhibitory concentration (MIC) is 2-fold higher in the strain with extra copies of the synthetase gene than the MIC of the inhibitor against a wild type cell, a further genetic screen is conducted to determine whether the increased resistance is due to mutations in the editing domain. In this second screen, the control strain is challenged against a high concentration of the inhibitor. The colonies surviving the challenge are isolated and DNA from these cells is isolated. The editing domain is amplified using a proof-reading PCR enzyme and the appropriate primers. The PCR product can be purified using standard procedures. The sequence amplified mutant DNA is compared to wild-type. If the mutant DNA bears mutations in the editing domain, such results would suggest that the compound binds to the editing domain and affects the editing function of the molecule through this domain.
- The assays set forth above are useful in essentially any microbial system, e.g., bacterial, fungal, parasitic, viral and the like.
- Generally, the compounds to be tested are present in the assays in ranges from about 1 pM to about 100 mM, preferably from about 1 pM to about 1 μM. Other compounds range from about 1 nM to about 100 nM, preferably from about 1 nM to about 1 μM.
- The effects of the test compounds upon the function of the enzymes can also be measured by any suitable physiological change. When the functional consequences are determined using intact cells or animals, one can also measure a variety of effects such as transmitter release, hormone release, transcriptional changes to both known and uncharacterized genetic markers, changes in cell metabolism such as cell growth or pH changes, and changes in intracellular second messengers such as Ca2+, or cyclic nucleotides.
- High throughput screening (HTS) is also of use in identifying promising candidates of the invention.
- Utilizing the assays set forth herein and others readily available in the art, those of skill in the art will be able to readily and routinely determine other compounds and classes of compounds that operate to bind to and/or inhibit the editing domain of tRNA synthetases.
- In another aspect, the invention provides a method for identifying a compound which binds to an editing domain of a tRNA synthetase comprising: a) contacting said editing domain with a test compound under conditions suitable for binding; and b) detecting binding of said test compound to said editing domain. In an exemplary embodiment, detecting binding of said compound comprises use of at least one detectable element, isotope, or chemical label attached to said compound. In an exemplary embodiment, the element, isotope or chemical label is detected by a fluorescent, luminescent, radioactive, or absorbance readout. In an exemplary embodiment, the contacting of said test compound with said editing domain also includes further contacting said test compound and said editing domain with a member selected from AMP and a molecule with a terminal adenosine. In an exemplary embodiment, said tRNA synthetase is derived from a member selected from alanyl tRNA synthetase, isoleucyl tRNA synthetase, leucyl tRNA synthetase, methionyl tRNA synthetase, lysyl tRNA synthetase, phenylalanyl tRNA synthetase, prolyl tRNA synthetase, threonyl tRNA synthetase and valyl tRNA synthetase. In an exemplary embodiment, the tRNA synthetase is derived from leucyl tRNA synthetase. In an exemplary embodiment, the tRNA synthetase is derived from a mutated tRNA synthetase, wherein said mutated tRNA synthetase comprises amino acid mutations in an editing domain. In another exemplary embodiment, the mutated tRNA synthetase comprises amino acid mutations in the editing domain as listed in Table 4. In another exemplary embodiment, wherein said editing domain of a tRNA synthetase comprises the amino acid sequence of SEQ ID NOS: 1-15.
- In another aspect, the invention provides a method for identifying a compound which binds to an editing domain of a tRNA synthetase, said assay comprising: a) contacting said editing domain of a tRNA synthetase with said compound under conditions suitable for binding of said compound with said editing domain of a tRNA synthetase; b) comparing a biological activity of said editing domain of a tRNA synthetase contacting said compound to said biological activity when not contacting said compound; and c) identifying said compound as binding to said editing domain of a tRNA synthetase if said biological activity of said editing domain of a tRNA synthetase is reduced when contacting said compound. In an exemplary embodiment, the biological activity is hydrolysis of noncognate amino acid. In another exemplary embodiment, the hydrolysis of said noncognate amino acid is detected through the use of one or more labels. In another exemplary embodiment, the labels include a radiolabel, a fluorescent marker, an antibody, or a combination thereof. In another exemplary embodiment, said labels can be detected using spectroscopy. In another exemplary embodiment, the editing domain of a tRNA synthetase is derived from a member selected from alanyl tRNA synthetase, isoleucyl tRNA synthetase, leucyl tRNA synthetase, methionyl tRNA synthetase, lysyl tRNA synthetase, phenylalanyl tRNA synthetase, prolyl tRNA synthetase, threonyl tRNA synthetase and valyl tRNA synthetase. In another exemplary embodiment, said editing domain of a tRNA synthetase is derived from leucyl tRNA synthetase.
- In another aspect, the invention provides a method of generating tRNA molecules with noncognate amino acid comprising: a) creating or isolating a mutated tRNA synthetase with altered amino acid editing domains; and b) contacting a tRNA molecule with said mutated tRNA synthetase and a noncognate amino acid. In another exemplary embodiment, the mutated tRNA synthetase contains one or more amino acid mutations in an editing domain. In another exemplary embodiment, the mutated tRNA synthetase is unable to bind with 1,3-dihydro-5-fluoro-1-hydroxy-2,1-benzoxaborole. In another exemplary embodiment, the mutated tRNA synthetase is able to bind with 1,3-dihydro-5-fluoro-1-hydroxy-2,1-benzoxaborole.
- In another aspect, the invention provides a composition that comprises one or more tRNA molecules attached to noncognate amino acids, wherein said tRNA molecules are synthesized using one or more mutated tRNA synthetases isolated from a microorganism or a cell line derived from a microorganism. In an exemplary embodiment, the microorganism is a fungus or a yeast. In an exemplary embodiment, wherein said mutated tRNA synthetases contain amino acid mutations in their editing domains. In an exemplary embodiment, said mutated tRNA synthetases comprise point mutations in the editing domain as listed in Table 4.
- Transfer RNAs (tRNAs) translate mRNA into a protein on a ribosome. Each transfer RNA contains an anti-codon region that hybridizes with mRNA, and an amino acid which may be attached to the growing peptide. The structural gene of tRNA is about 72 to 90 nucleotides long and folds into a cloverleaf structure (Sharp S. J., Schaack J., Coolen L., Burke D. J. and Soll D., “Structure and transcription of eukaryotic tRNA genes”, Crit. Rev. Biochem, 19:107 144 (1985); Geiduschek E. O., and Tocchini-Valentini, “Transcription by RNA polymerase III”, Annu Rev. Biochem. 57:873 914 (1988)).
- In one embodiment, C10 contacts AMP and a tRNA synthetase, and the tRNA synthetase in turn contacts a tRNA molecule. In another embodiment, C10 contacts AMP from the tRNA molecules and a tRNA synthetase. The nucleotide sequence of the tRNA molecule can be determined by the identity of the tRNA synthetase involved. For example, for leucyl tRNA synthetase, the cognate tRNA molecule bound will be tRNA-leucine (SEQ ID NO: 3), but a noncognate tRNA, such as isoleucine, (SEQ ID NO: 4) may be bound under certain conditions. In this and other embodiments, the term “noncognate” is meant to encompass both the singular and plural forms of the word, i.e. the phrase “noncognate amino acid” comprises one or more amino acids.
- SEQ ID NO: 3 corresponds to the nucleotide sequence of the tRNA-Leu gene from Saccharomyces cerevisiae: gggagtttgg ccgagtggtt taaggcgtca gatttaggct ctgatatctt cggatgcaagggttcgaatc ccttagctct cacca
- SEQ ID NO: 4 corresponds to the nucleotide sequence of the tRNA-Ile gene from Saccharomyces cerevisiae: gaaactataa ttcaattggt tagaatagta ttttgataag gtacaaatat aggttcaatc cctgttagtt tcatcca
- Polypeptides Used in Binding and Inhibition Assays
- In some binding and inhibition assays, it is more effective to use a portion of a tRNA synthetase molecule rather than the whole protein itself. In such assays, polypeptides derived from tRNA synthetases are used in the experiment.
- In one preferred embodiment, polypeptide fragments corresponding to the editing domain of a tRNA synthetase molecule are used in assay and binding experiments. Two such fragments are represented by SEQ ID NO:1 and SEQ ID NO:2.
-
SEQ ID NO 1: TPQEYIGVKIEALEFADDAAKIIDSSSDLDKSKKFYFVAATLRPETMYG QTCCFVSPTIEYGIFDAGDSYFITTERAFKNMSYQKLTPKRGFYKPIVT VPGKAFIGTKIHAPQSVYPELRILPMETVIATKGTGVVTCVPSNSPDDY ITTKDLLHKPEYYGIKPEWIDHEIVPIMHTEKYGDLTAKAIVEEKKIQS PKDKNLLAEAKKIAYKEDYYTGTMIYGPYKGEKVEQAKNKVKADMIAAG EAFVYNEPESQDP SEQ ID NO 2: MTPQEYIGVKIEALEFADDAAKIIDSSSDLDKSKKFYFVAATLRPETMY GQTCCFVSPTIEYGIFDAGDSYFITTERAFKNMSYQKLTPKRGFYKPIV TVPGKAFIGTKIHAPQSVYPELRILPMETVIATKGTGVVTCVPSNSPDD YITTKDLLHKPEYYGIKPEWIDHEIVPIMHTEKYGDLTAKAIVEEKKIQ SPKDKNLLAEAKKIAYKEDYYTGTMIYGPYKGEKVEQAKNKVKADMIAA GEAFVYNEPESQDPQDPNSSSVDKLAAALEHHHHH
IV. Methods for Inhibiting the Editing Domain of tRNA Synthetase - According to another aspect of the invention, a method for binding to and/or inhibiting the editing domain of a tRNA synthetase is provided which comprises contacting a tRNA synthetase with a compound that inhibits the editing domain under the conditions in which the tRNA synthetase interacts with its substrate to form an aminoacyl adenylate intermediate and, preferably, to form a charged tRNA. Such conditions are known to those skilled in the art. In an exemplary embodiment, the compound is one described herein. The tRNA synthetase is contacted with an amount of inhibitor sufficient to result in a detectable amount of tRNA synthetase inhibition. This method can be performed on a tRNA synthetase that is contained within an organism or which is outside an organism. In an exemplary embodiment, the method is performed on a tRNA synthetase that is contained within a microorganism or a microbial cell that is in, or on the surface of, a human or an animal. The method results in a decrease in the amount of charged tRNA produced by the tRNA synthetase that has an inhibited editing domain. In an exemplary embodiment, the inhibition takes place in a cell, such as a microbial cell. In another exemplary embodiment, the microbial cell is a bacteria, fungus, yeast or parasite. In another exemplary embodiment, the tRNA synthetase is a mitochondrial tRNA synthetase or a cytoplasmic tRNA synthetase.
- In an exemplary embodiment, the invention provides a method of inhibiting conversion of a tRNA molecule into a charged tRNA molecule. The method involves contacting a tRNA synthetase with a compound effective to inhibit activity of an editing domain of said tRNA synthetase, under conditions sufficient to inhibit said activity, thereby inhibiting said conversion wherein the compound is a member selected from those compounds described herein. In an exemplary embodiment, the compound is a member selected from a cyclic boronic ester, cyclic borinic ester, 2′-amino ribofuranose moiety and a 3′-amino ribofuranose moiety. In an exemplary embodiment, the inhibition occurs within a cell, and the cell is a microbial cell. In another exemplary embodiment, the microbial cell is a member selected from a bacteria, fungus, yeast, and parasite. In an exemplary embodiment, the tRNA synthetase is a member selected from a mitochondrial tRNA synthetase and a cytoplasmic tRNA synthetase. In another exemplary embodiment, the tRNA synthetase is a member selected from alanyl tRNA synthetase, isoleucyl tRNA synthetase, leucyl tRNA synthetase, methionyl tRNA synthetase, lysyl tRNA synthetase, phenylalanyl tRNA synthetase, prolyl tRNA synthetase, threonyl tRNA synthetase and valyl tRNA synthetase. In another exemplary embodiment, the compound has a KD,synthesis of greater than 100 μM against a synthetic domain of said tRNA synthetase.
- In certain embodiments, the mechanism of action of the compound is to inhibit the conversion of a tRNA molecule into a charged tRNA molecule by binding to and/or inhibiting at least the editing domain of the synthetase. The compounds of use in this method may also inhibit or otherwise interact with the synthetic domain (e.g., the active site of the synthetic domain). In a presently preferred embodiment, the editing domain is inhibited selectively in the presence of the synthetic domain. In a preferred embodiment, the synthetic domain is essentially uninhibited, while the editing domain is inhibited at least 50%, preferably at least 60%, more preferably at least 70%, still more preferably, at least 80% and even still more preferably at least 90% of the activity of the tRNA synthetase. In another preferred embodiment, the synthetic domain is inhibited by at most 50%, preferably at most 30%, preferably at most 20%, 10%, preferably at most 8%, more preferably at most 5%, still more preferably, at most 3% and even still more preferably at most 1%. Inhibition of the editing domain produces a decrease in the amount of the properly charged tRNA which results in retardation or cessation of cell growth and division.
- In another exemplary embodiment, the ratio of a minimum concentration of said compound inhibiting said editing domain to a minimum concentration of said compound inhibiting said synthetic domain of said tRNA synthetase, represented as KD,edit/KD,synthesis, is less than one. In another exemplary embodiment, the KD,edit/DD,synthesis of the compound is a member selected from less than 0.5, less than 0.1 and less than 0.05.
- In a further aspect, the invention provides a method for inhibiting the growth, or killing, a microorganism, preferably a bacteria, fungus, virus, yeast or parasite, comprising contacting the microorganism with an inhibitor of a tRNA synthetase, e.g., a compound described by a formula listed herein, under conditions which permit entry of the compound into the organism. In a further aspect, the invention provides a method for inhibiting the growth, or killing, a microorganism, preferably a bacteria, fungus, virus, yeast or parasite, comprising contacting the microorganism with a compound which is a member selected from Formulae (I), (Ia), (Ib), (Ic), (Id) (Ie), (If), (Ig), (Ih) (Ij), (Ik), (I1) (Im), (In), (Io), (Ip) (Iq), (Ir), (Is), (It), (Iu), (Iv), (Iw), (Ix) (Iy), (Iz), (Iaa), (Iab), (Iac), (Iad), (Iae), (Iaf), (Iag), (Iah), (Iai), (Iaj), (Iak), (II), (IIa), (IIb), (IIc), (IId), (III), (VIII), (VIIIa), (VIIIb), (VIIIc), (VIIId), (VIIIe), (IX) e.g., a compound described by a formula listed herein, under conditions which permit entry of the compound into the organism. In a further aspect, the invention provides a method for inhibiting the growth, or killing, a microorganism, preferably a bacteria, fungus, virus, yeast or parasite, comprising contacting the microorganism with a compound which is described in either
FIG. 19 orFIG. 20 e.g., a compound described by a formula listed herein, under conditions which permit entry of the compound into the organism. In an exemplary embodiment, the compound inhibits the tRNA synthetase through the editing domain of the synthetase. Such conditions are known to one skilled in the art and specific conditions are set forth in the Examples appended hereto. This method involves contacting a microbial cell with a therapeutically-effective amount of an editing domain inhibitor to inhibit tRNA synthetase in vivo or in vitro. - In another aspect, the invention provides a method of inhibiting the growth of a microorganism, or killing a microorganism, or both, comprising contacting the microorganism with a compound described herein. Microorganisms are members selected from fungi, yeast, viruses, bacteria and parasites. In another exemplary embodiment, the microorganism is inside, or on the surface of an animal. In an exemplary embodiment, the animal is a member selected from human, cattle, deer, reindeer, goat, honey bee, pig, sheep, horse, cow, bull, dog, guinea pig, gerbil, rabbit, cat, camel, yak, elephant, ostrich, otter, chicken, duck, goose, guinea fowl, pigeon, swan, and turkey. In another exemplary embodiment, the animal is a human.
- In an exemplary embodiment, the microorganism is a member selected from a fungus and a yeast. In another exemplary embodiment, the fungus or yeast is a member selected from Candida species, Trichophyton species, Microsporium species, Aspergillus species, Cryptococcus species, Blastomyces species, Cocciodiodes species, Histoplasma species, Paracoccidioides species, Phycomycetes species, Malassezia species, Fusarium species, Epidermophyton species, Scytalidium species, Scopulariopsis species, Alternaria species, Penicillium species, Phialophora species, Rhizopus species, Scedosporium species and Zygomycetes class. In another exemplary embodiment, the fungus or yeast is a member selected from Aspergillus fumigatus (A. fumigatus), Blastomyces dermatitidis, Candida Albicans (C. albicans, both fluconazole sensitive and resistant strains), Candida glabrata (C. glabrata), Candida krusei (C. krusei), Cryptococcus neoformans (C. neoformans), Candida parapsilosis (C. parapsilosis), Candida tropicalis (C. tropicalis), Cocciodiodes immitis, Epidermophyton floccosum (E. floccosum), Fusarium solani (F. solani), Histoplasma capsulatum, Malassezia furfur (M. furfur), Malassezia pachydermatis (M. pachydermatis), Malassezia sympodialis (M. sympodialis), Microsporum audouinii (M. audouinii), Microsporum canis (M. canis), Microsporum gypseum (M. gypseum), Paracoccidioides brasiliensis and Phycomycetes spp, Trichophyton mentagrophytes (T. mentagrophytes), Trichophyton rubrum (T. rubrum), Trichophyton tonsurans (T. tonsurans). In another exemplary embodiment, the fungus or yeast is a member selected from Trichophyton concentricum, T. violaceum, T. schoenleinii, T. verrucosum, T. soudanense, Microsporum gypseum, M equinum, Candida guilliermondii, Malassezia globosa, M obtuse, M restricta, M. slooffiae, and Aspergillus flavus. In another exemplary embodiment, the fungus or yeast is a member selected from dermatophytes, Trichophyton, Microsporum, Epidermophyton and yeast-like fungi.
- In an exemplary embodiment, the microorganism is a bacteria. In an exemplary embodiment, the bacteria is a gram-positive bacteria. In another exemplary embodiment, the gram-positive bacteria is a member selected from Staphylococcus species, Streptococcus species, Bacillus species, Mycobacterium species, Corynebacterium species (Propionibacterium species), Clostridium species, Actinomyces species, Enterococcus species and Streptomyces species. In another exemplary embodiment, the bacteria is a gram-negative bacteria. In another exemplary embodiment, the gram-negative bacteria is a member selected from Acinetobacter species, Neisseria species, Pseudomonas species, Brucella species, Agrobacterium species, Bordetella species, Escherichia species, Shigella species, Yersinia species, Salmonella species, Klebsiella species, Enterobacter species, Haemophilus species, Pasteurella species, Streptobacillus species, spirochetal species, Campylobacter species, Vibrio species and Helicobacter species. In another exemplary embodiment, the bacterium is a member selected from Propionibacterium acnes; Staphylococcus aureus; Staphylococcus epidermidis, Staphylococcus saprophyticus; Streptococcus pyogenes; Streptococcus agalactiae; Streptococcus pneumoniae; Enterococcus faecalis; Enterococcus faecium; Bacillus anthracis; Mycobacterium avium-intracellulare; Mycobacterium tuberculosis, Acinetobacter baumanii; Corynebacterium diphtheria; Clostridium perfringens; Clostridium botulinum; Clostridium tetani; Clostridium difficile; Neisseria gonorrhoeae; Neisseria meningitidis; Pseudomonas aeruginosa; Legionella pneumophila; Escherichia coli; Yersinia pestis; Haemophilus influenzae; Helicobacter pylori; Campylobacter fetus; Campylobacter jejuni; Vibrio cholerae; Vibrio parahemolyticus; Treponema pallidum; Actinomyces israelii; Rickettsia prowazekii; Rickettsia rickettsii; Chlamydia trachomatis; Chlamydia psittaci; Brucella abortus; Agrobacterium tumefaciens; and Francisella tularensis.
- In an exemplary embodiment, the microorganism is a bacteria, which is a member selected from acid-fast bacterium, including Mycobacterium species; bacilli, including Bacillus species, Corynebacterium species (also Propionibacterium) and Clostridium species; filamentous bacteria, including Actinomyces species and Streptomyces species; bacilli, such as Pseudomonas species, Brucella species, Agrobacterium species, Bordetella species, Escherichia species, Shigella species, Yersinia species, Salmonella species, Klebsiella species, Enterobacter species, Haemophilus species, Pasteurella species, and Streptobacillus species; spirochetal species, Campylobacter species, Vibrio species; and intracellular bacteria including Rickettsiae species and Chlamydia species.
- In an exemplary embodiment, the microorganism is a virus. In an exemplary embodiment, the virus is a member selected from hepatitis A-B, human rhinoviruses, Yellow fever virus, human respiratory coronaviruses, Severe acute respiratory syndrome (SARS), respiratory syncytial virus, influenza viruses, parainfluenza viruses 1-4, human immunodeficiency virus 1 (HIV-1), human immunodeficiency virus 2 (HIV-2), Herpes simplex virus 1 (HSV-1), Herpes simplex virus 2 (HSV-2), human cytomegalovirus (HCMV), Varicella zoster virus, Epstein-Barr (EBV), polioviruses, coxsackieviruses, echoviruses, rubella virus, neuroderma-tropic virus, variola virus, papoviruses, rabies virus, dengue virus, West Nile virus and SARS virus. In another exemplary embodiment, the virus is a member selected from picornaviridae, Flaviviridae, coronaviridae, paramyxoviridae, orthomyxoviridae, retroviridae, herpesviridae and hepadnaviridae. In another exemplary embodiment, the virus is a member selected from a virus included in the following table;
-
TABLE A Viruses Virus Category Pertinent Human Infections RNA Viruses Picomaviridae Polio Human hepatitis A Human rhinovirus Togaviridae and Rubella—German measles Flaviviridae Yellow fever Coronaviridae Human respiratory coronavirus (HCV) Severe acute respiratory syndrome (SAR) Rhabdoviridae Lyssavirus—Rabies Paramyxoviridae Paramyxovirus—Mumps Morbillvirus—measles Pneumovirus—respiratory syncytial virus Orthomyxoviridae Influenza A-C Bunyaviridae Bunyavirus—Bunyamwera (BUN) Hantavirus—Hantaan (HTN) Nairevirus—Crimean-Congo hemorrhagic fever (CCHF) Phlebovirus—Sandfly fever (SFN) Uukuvirus—Uukuniemi (UUK) Rift Valley Fever (RVFN) Arenaviridae Junin—Argentine hemorrhagic fever Machupo—Bolivian hemorrhagic fever Lassa—Lassa fever LCM—aseptic lymphocyctic choriomeningitis Reoviridae Rotovirus Reovirus Orbivirus Retroviridae Human immunodeficiency virus 1 (HIV-1) Human immunodeficiency virus 2 (HIV-2) Simian immunodeficiency virus (SIV) DNA Viruses Papovaviridae Pediatric viruses that reside in kidney Adenoviridae Human respiratory distress and some deep- seated eye infections Parvoviridae Human gastro-intestinal distress (Norwalk Virus) Herpesviridae Herpes simplex virus 1 (HSV-1) Herpes simplex virus 2 (HSV-2) Human cytomegalovirus (HCMV) Varicella zoster virus (VZV) Epstein-Barr virus (EBV) Human herpes virus 6 (HHV6) Poxviridae Orthopoxvirus is sub-genus for smallpox Hepadnaviridae Hepatitis B virus (HBV) Hepatitis C virus (HCV) - In another exemplary embodiment, the microorganism is a parasite. In an exemplary embodiment, the parasite is a member selected from Plasmodium falciparum, P. vivax, P. ovale P. malariae, P. berghei, Leishmania donovani, L. infantum, L. chagasi, L. mexicana, L. amazonensis, L. venezuelensi, L. tropics, L. major, L. minor, L. aethiopica, L. Biana braziliensis, L. (V.) guyanensis, L. (V.) panamensis, L. (V.) peruviana, Trypanosoma brucei rhodesiense, T. brucei gambiense, T. cruzi, Giardia intestinalis, G. lambda, Toxoplasma gondii, Entamoeba histolytica, Trichomonas vaginalis, Pneumocystis carinii, and Cryptosporidium parvum.
- In another aspect, the invention provides a method of treating or preventing an infection. The method includes administering to the animal a therapeutically effective amount of the compound of the invention, sufficient to treat or prevent said infection. In an exemplary embodiment, the compound is a compound described herein. In another exemplary embodiment, the compound has a structure according to Formulae (I) to (Iak) and (II) to (XI). In another exemplary embodiment, the compound has a structure which is described in
FIG. 19 . In another exemplary embodiment, the compound has a structure which is described inFIG. 20 . In another exemplary embodiment, the animal is a member selected from human, cattle, deer, reindeer, goat, honey bee, pig, sheep, horse, cow, bull, dog, guinea pig, gerbil, rabbit, cat, camel, yak, elephant, ostrich, otter, chicken, duck, goose, guinea fowl, pigeon, swan, and turkey. In another exemplary embodiment, the animal is a human. In another exemplary embodiment, the animal is a member selected from a human, cattle, goat, pig, sheep, horse, cow, bull, dog, guinea pig, gerbil, rabbit, cat, chicken and turkey. In another exemplary embodiment, the infection is a member selected from a systemic infection, a cutaneous infection, and an ungual, periungual or subungual infection. - In another exemplary embodiment, the treatment of a disorder or condition occurs through inhibition of an editing domain of an aminoacyl tRNA synthetase.
- VI. a) Methods of Treating of Preventing Ungual and/or Periungual Infections
- In another aspect, the invention provides a method of treating or preventing an ungual and/or periungual infection. The method includes administering to the animal a therapeutically effective amount of a compound or pharmaceutical formulation of the invention, sufficient to treat or prevent said infection. In another exemplary embodiment, the method includes administering the compound or pharmaceutical formulation of the invention at a site which is a member selected from the skin, nail, hair, hoof, claw and the skin surrounding the nail, hair, hoof and claw.
- Onychomycosis is a disease of the nail caused by yeast, dermatophytes, or other molds, and represents approximately 50% of all nail disorders. Toenail infection accounts for approximately 80% of onychomycosis incidence, while fingernails are affected in about 20% of the cases. Dermatophytes are the most frequent cause of nail plate invasion, particularly in toenail onychomycosis. Onychomycosis caused by a dermatophyte is termed Tinea unguium. Trichophyton rubrum is by far the most frequently isolated dermatophyte, followed by T. mentagrophytes. Distal subungual onychomycosis is the most common presentation of tinea unguium, with the main site of entry through the hyponychium (the thickened epidermis underneath the free distal end of a nail) progressing in time to involve the nail bed and the nail plate. Discoloration, onycholysis, and accumulation of subungual debris and nail plate dystrophy characterize the disease. The disease adversely affects the quality of life of its victims, with subject complaints ranging from unsightly nails and discomfort with footwear, to more serious complications including secondary bacterial infections.
- Many methods are known for the treatment of fungal infections, including the oral and topical use of antibiotics (e.g., nystatin and amphotericin B), imidazole anti-fungal agents such as miconazole, clotrimazole, fluconazole, econazole and sulconazole, and non-imidazole fungal agents such as the allylamine derivatives terbinafine and naftifine, and the benzylamine butenafine.
- However, onychomycosis has proven to be resistant to most treatments. Nail fungal infections reside in an area difficult to access by conventional topical treatment and anti-fungal drugs cannot readily penetrate the nail plate to reach the infection sites under the nail. Therefore, onychomycosis has traditionally been treated by oral administration of anti-fungal drugs; however, clearly this is undesirable due to the potential for side effects of such drugs, in particular those caused by the more potent anti-fungal drugs such as itraconazole and ketoconazole. An alternative method of treatment of onychomycosis is by removal of the nail before treating with a topically active anti-fungal agent; such a method of treatment is equally undesirable. Systemic antimycotic agents require prolonged use and have the potential for significant side effects. Topical agents have usually been of little benefit, primarily because of poor penetration of the anti-fungal agents into and through the nail mass.
- In an exemplary embodiment, the invention provides a method of treating or preventing onychomycosis. The method includes administering to a human or an animal a therapeutically effective amount of a compound of the invention, or a pharmaceutical formulation of the invention, sufficient to treat or prevent onychomycosis. In another exemplary embodiment, the method includes administering the pharmaceutical formulation of the invention at a site which is a member selected from the skin, nail, hair, hoof, claw and the skin surrounding the nail, hair, hoof and claw. In another exemplary embodiment, the pharmaceutical formulation includes a compound described herein. The method includes administering to a human or an animal a therapeutically effective amount of 1,3-dihydro-5-fluoro-1-hydroxy-2,1-benzoxaborole, sufficient to treat or prevent onychomycosis.
- In an exemplary embodiment, the invention provides a method of treating or preventing an ungual or periungual infection in a human or an animal. This method comprising administering to the human or the animal a therapeutically effective amount of a compound of the invention, thereby treating or preventing the ungual or periungual infection. In an exemplary embodiment, the ungual or periungual infection is onychomycosis. In an exemplary embodiment, the ungual or periungual infection is a member selected from: onychomycosis, chloronychia, paronychias, erysipeloid, onychorrhexis, gonorrhea, swimming-pool granuloma, larva migrans, leprosy, Orf nodule, milkers' nodules, herpetic whitlow, acute bacterial perionyxis, chronic perionyxis, sporotrichosis, syphilis, tuberculosis verrucosa cutis, tularemia, tungiasis, peri- and subungual warts, zona, nail dystrophy (trachyonychia), and dermatological diseases with an effect on the nails, such as psoriasis, pustular psoriasis, alopecia aerata, parakeratosis pustulosa, contact dermatosis, Reiter's syndrome, psoriasiform acral dermatitis, lichen planus, idiopathy atrophy in the nails, lichin nitidus, lichen striatus, inflammatory linear verrucous epidermal naevus (ILVEN), alopecia, pemphigus, bullous pemphigoid, acquired epidermolysis bullosa, Darier's disease, pityriasis rubra pilaris, palmoplantar keratoderma, contact eczema, polymorphic erythema, scabies, Bazex syndrome, systemic scleroderma, systemic lupus erythematosus, chronic lupus erythematosus, dermatomyositus.
- The compounds and pharmaceutical formulations of the invention useful for ungual and periungual applications also find application in the cosmetics field, in particular for the treatment of irregularities of the nails, koilonychias, Beau's lines, longitudinal ridging, ingrown nails.
- In an exemplary embodiment, the infection is of the skin, nail, hair, claw or hoof, hair, ear and eye and is a member selected from Sporotrichosis, Mycotic keratitis, Extension oculomycosis, Endogenous oculomycosis, Lobomycosis, Mycetoma, Piedra, Pityriasis versicolor, Tinea corporis, Tinea cruris, Tinea pedis, Tinea barbae, Tinea capitis, Tinea nigra, Otomycosis, Tinea favosa, Chromomycosis, and Tinea Imbricata. In an exemplary embodiment, the compound useful for treating these infections is 1,3-dihydro-5-fluoro-1-hydroxy-2,1-benzoxaborole.
- In another aspect, the invention provides a method of treating a systemic disease. The method involves contacting an animal with a compound of the invention. The method of delivery for treatment of systemic disesases can be oral, intravenous, transdermal, inhalation, intraperitoneal, and subcutaneous. In an exemplary embodiment, the compound administered is 1,3-dihydro-5-fluoro-1-hydroxy-2,1-benzoxaborole.
- In an exemplary embodiment, the infection is systemic and is a member selected from candidiasis, aspergillosis, coccidioidomycosis, cryptococcosis, histoplasmosis, blastomycosis, paracoccidioidomycosis, zygomycosis, phaeohyphomycosis and rhinosporidiosis.
- The compounds of the invention are useful for the treatment of diseases of both animals and humans, involving viruses. In an exemplary embodiment, the disease is a member selected from hepatitis A-B-C, yellow fever, respiratory syncytial, influenza, AIDS, herpes simplex, chicken pox, varicella zoster, and Epstein-Barr disease.
- The compounds of the invention are useful for the treatment of diseases of both animals and humans, involving parasites. In an exemplary embodiment, the disease is a member selected from malaria, Chagas' disease, Leishmaniasis, African sleeping sickness (African human trypanosomiasis), giardiasis, toxoplasmosis, amebiasis and cryptosporidiosis.
- In any of the methods according to the present invention set forth above, it is preferred that the aminoacyl tRNA synthetase is an aminoacyl tRNA synthetase comprising an editing domain. The editing domain is encoded by a portion of the aminoacyl tRNA synthetase involved in proofreading. The editing domain is preferably encoded by a DNA portion having at least conserved residues compared after alignment with the editing site of the leucyl-tRNA synthetase, valyl-tRNA synthetase and isoleucyl-tRNA synthetase. More preferably the synthetase is selected from the group consisting of the valyl-tRNA synthetase, isoleucyl-tRNA synthetase, leucyl-tRNA synthetase, alanyl-tRNA synthetase, prolyl-tRNA synthetase, threonyl-tRNA synthetase, phenyl-tRNA synthetase and lysyl-tRNA synthetase which are known to have an editing site or domain (see for Ile RS Baldwin, A. N. and Berg, P. (1966) J. Biol. Chem. 241, 839-845 and Eldred, E. W. and Schimmel, P. R. (1972) J. Biol. Chem. 247, 2961-2964; for Val RS, Fersht, A. R. and Kaethner, M. M. (1976) Biochemistry. 15 (15), 3342-3346; for Leu RS, English, S. et al., (1986) Nucleic Acids Research. 14 (19), 7529-7539; for Ala RS, Tsui, W. C. and Fersht, A. R. (1981) Nucleic Acids Research. 9, 7529-7539; for Pro RS, Beuning, P. J. and Musier-Forsyth, K. (2000) PNAS. 97 (16), 8916-8920; for Thr RS, Sankaranarayanan, R. et al., (2000) Nat. Struct. Biol. 7, 461-465 and Musier-Foryth, K. and Beuning, P. J. (2000) Nat. Struct. Biol. 7, 435-436; for PheRS, Yarus, M. (1972) PNAS. 69, 1915-1919 and for LysRS, Jakubowski, H. (1997) Biochemistry. 36, 11077-11085.
- It is believed that poor penetration of the active agent through the hoof or nail plate and/or excessive binding to keratin, (the major protein in nails and hair) are the reasons for the poor efficacy of 8% ciclopirox w/w in commercial lacquer and other topical treatments that have failed in clinical trials. In mild cases of onychomycosis, the pathogenic fungi reside in the nail plate only. In moderate to severe cases the pathogenic fungi establish a presence in the nail plate and in the nail bed. If the infection is cleared from the nail plate but not from the nail bed, the fungal pathogen can re-infect the nail plate. Therefore, to effectively treat onychomycosis, the infection must be eliminated from the nail plate and the nail bed. To do this, the active agent must penetrate and disseminate substantially throughout the nail plate and nail bed.
- It is believed that in order for an active agent to be effective once disseminated throughout the infected area, it must be bioavailable to the fungal pathogen and cannot be so tightly bound to keratin that the drug cannot inhibit growth or kill the infecting fungi.
- An understanding of the morphology of the nail plate suggests certain physicochemical properties of an active agent that would facilitate penetration of the nail plate. The desired physicochemical properties are described throughout. The tested compounds of the present invention are able to penetrate the nail plate and were also active against Trichophyton rubrum and mentagrophytes and other species. In addition, the tested compounds are also active against Trichophyton rubrum in the presence of 5% keratin powder.
- In an exemplary embodiment, the invention provides a method of killing or inhibiting growth of a microorganism present in a human nail unit, wherein said human nail unit comprises a nail plate. The method comprising contacting a dorsal layer of the nail plate with a compound capable of penetrating the nail plate, traveling through the nail plate to a nail bed underlying said nail plate, and contacting said microorganism, under conditions sufficient for said compound to penetrate said nail plate. In this embodiment, the compound has a molecular weight of between about 100 Da and about 200 Da, a log P value of between about 1.0 and about 2.6, a water solubility greater than about 0.1 mg/mL octanol/saturated water, and an MIC of less than 16 μg/mL against said microorganism, thereby killing or inhibiting the growth of said microorganism.
- In an exemplary embodiment, the compound has a structure according to Formula (I) described herein. In another exemplary embodiment, the compound has a structure according to Formula (Ia)-(Iaa) described herein. In another exemplary embodiment, the compound has a structure according to a member selected from Formula (I)-(Iaa), wherein R9a, R10a, R11a and R12a are members independently selected from members independently selected from H, halogen, cyano, nitro, substituted or unsubstituted methoxy, substituted or unsubstituted methyl, substituted or unsubstituted ethoxy, substituted or unsubstituted ethyl, trifluoromethyl, substituted or unsubstituted hydroxymethyl, substituted or unsubstituted hydroxyalkyl, substituted or unsubstituted benzyl, substituted or unsubstituted phenyl, substituted or unsubstituted phenyloxy, substituted or unsubstituted phenyl methoxy, substituted or unsubstituted thiophenyloxy, substituted or unsubstituted pyridinyloxy, substituted or unsubstituted pyrimidinyloxy, substituted or unsubstituted benzylfuran, substituted or unsubstituted methylthio, substituted or unsubstituted mercaptomethyl, substituted or unsubstituted mercaptoalkyl, substituted or unsubstituted phenylthio, substituted or unsubstituted thiophenylthio, substituted or unsubstituted phenyl methylthio, substituted or unsubstituted pyridinylthio, substituted or unsubstituted pyrimidinylthio, substituted or unsubstituted benzylthiofuranyl, substituted or unsubstituted phenylsulfonyl, substituted or unsubstituted benzylsulfonyl, substituted or unsubstituted phenylmethylsulfonyl, substituted or unsubstituted thiophenylsulfonyl, substituted or unsubstituted pyridinylsulfonyl, substituted or unsubstituted pyrimidinylsulfonyl, substituted or unsubstituted sulfonamidyl, substituted or unsubstituted phenylsulfinyl, substituted or unsubstituted benzylsulfinyl, substituted or unsubstituted phenylmethylsulfinyl, substituted or unsubstituted thiophenylsulfinyl, substituted or unsubstituted pyridinylsulfinyl, substituted or unsubstituted pyrimidinylsulfinyl, substituted or unsubstituted amino, substituted or unsubstituted alkylamino, substituted or unsubstituted dialkylamino, substituted or unsubstituted trifluoromethylamino, substituted or unsubstituted aminomethyl, substituted or unsubstituted alkylaminomethyl, substituted or unsubstituted dialkylaminomethyl, substituted or unsubstituted arylaminomethyl, substituted or unsubstituted benzylamino, substituted or unsubstituted phenylamino, substituted or unsubstituted thiophenylamino, substituted or unsubstituted pyridinylamino, substituted or unsubstituted pyrimidinylamino, substituted or unsubstituted indolyl, substituted or unsubstituted morpholino, substituted or unsubstituted alkylamido, substituted or unsubstituted arylamido, substituted or unsubstituted ureido, substituted or unsubstituted carbamoyl, and substituted or unsubstituted piperizinyl. In another exemplary embodiment, R9a, R10a, R11 and R12a are members independently selected from H, fluoro, chloro, bromo, nitro, cyano, amino, methyl, hydroxylmethyl, trifluoromethyl, methoxy, trifluoromethyoxy, ethyl, diethylcarbamoyl, pyridin-2-yl, pyridin-3-yl, pyridin-4-yl, pyrimidinyl, piperizino, piperizinyl, piperizinocarbonyl, piperizinylcarbonyl, carboxyl, 1-tetrazolyl, 1-ethoxycarbonylmethoxy, carboxymethoxy, thiophenyl, 3-(butylcarbonyl) phenylmethoxy, 1H-tetrazol-5-yl, 1-ethoxycarbonylmethyloxy-, 1-ethoxycarbonylmethyl-, 1-ethoxycarbonyl-, carboxymethoxy-, thiophen-2-yl, thiophen-2-ylthio-, thiophen-3-yl, thiophen-3-ylthio, 4-fluorophenylthio, butylcarbonylphenylmethoxy, butylcarbonylphenylmethyl, butylcarbonylmethyl, 1-(piperidin-1-yl)carbonyl)methyl, 1-(piperidin-1-yl)carbonyl)methoxy, 1-(piperidin-2-yl)carbonyl)methoxy, 1-(piperidin-3-yl)carbonyl)methoxy, 1-(4-(pyrimidin-2-yl)piperazin-1-yl)carbonyl)methoxy, 1-(4-(pyrimidin-2-yl)piperazin-1-yl)carbonyl)methyl, 1-(4-(pyrimidin-2-yl)piperazin-1-yl)carbonyl, 1-4-(pyrimidin-2-yl)piperazin-1-yl, 1-(4-(pyridin-2-yl)piperazin-1-yl)carbonyl), 1-(4-(pyridin-2-yl)piperazin-1-yl)carbonylmethyl, (1-(4-(pyridin-2-yl)piperazin-1-yl)carbonyl)-methoxy), 1-(4-(pyridin-2-yl)piperazin-1-yl, 1H-indol-1-yl, morpholino-, morpholinyl, morpholinocarbonyl, morpholinylcarbonyl, phenylureido, phenylcarbamoyl, acetamido, 3-(phenylthio)-1H-indol-1-yl, 3-(2-cyanoethylthio)-1H-indol-1-yl, benzylamino, 5-methoxy-3-(phenylthio)-1H-indol-1-yl, 5-methoxy-3-(2-cyanoethylthio)-1H-indol-1-yl)), 5-chloro-1H-indol-1-yl, 5-chloro-3-(2-cyanoethylthio)-1H-indol-1-yl)), dibenzylamino, benzylamino, 5-chloro-3-(phenylthio)-1H-indol-1-yl)), 4-(1H-tetrazol-5-yl)phenoxy, 4-(1H-tetrazol-5-yl)phenyl, 4-(1H-tetrazol-5-yl)phenylthio, 2-cyanophenoxy, 3-cyanophenoxy, 4-cyanophenoxy, 2-cyanophenylthio, 3-cyanophenylthio, 4-cyanophenylthio, 2-chlorophenoxy, 3-chlorophenoxy, 4-chlorophenoxy, 2-fluorophenoxy, 3-fluorophenoxy, 4-fluorophenoxy, 2-cyanobenzyloxy, 3-cyanobenzyloxy, 4-cyanobenzyloxy, 2-chlorobenzyloxy, 3-chlorobenzyloxy, 4-chlorobenzyloxy, 2-fluorobenzyloxy, 3-fluorobenzyloxy, and 4-fluorobenzyloxy. In another exemplary embodiment, wherein R9a is H and R12a is H. In another exemplary embodiment, the compound is 1,3-dihydro-5-fluoro-1-hydroxy-2,1-benzoxaborole.
- In another exemplary embodiment, the invention provides a method of treating a disease caused by a microorganism present in a human nail unit, wherein said human nail unit comprises a nail plate, said method comprising: contacting a dorsal layer of the nail plate with a compound capable of penetrating the nail plate, traveling through the nail plate to a nail bed underlying said nail plate, and contacting said microorganism, under conditions sufficient for said compound to penetrate said nail plate and to treat said disease. In this embodiment, the compound has a molecular weight of between about 100 Da and about 200 Da; a log P value of between about 1.0 and about 2.6; a water solubility greater than about 0.1 mg/mL octanol/saturated water, and an MIC of less than 16 μg/mL against said microorganism, thereby treating said disease. In an exemplary embodiment, the compound has a structure according to Formula (I) described herein. In another exemplary embodiment, the compound has a structure which is a member selected from Formula (Ia)-(Iaa) described herein.
- In another aspect, the invention provides a method of delivering a compound from the dorsal layer of the nail plate to the nail bed. This method comprises contacting the cell with a compound capable of penetrating the nail plate, under conditions sufficient to penetrate the nail. The compound has a molecular weight of between about 100 and about 200 Da. The compound also has a log P value of between about 1.0 and about 2.6. The compound additionally has a water solubility between about 0.1 mg/mL and 1 g/mL octanol/saturated water, thereby delivering said compound.
- In a preferred embodiment, the physicochemical properties of the compound of the invention, described by quantities predictive for migration of the compound through the nail plate, including, but not limited to, molecular weight, log P and solubility in water, and the like, are effective to provide substantial penetration of the nail plate.
- Compounds with a molecular weight of less than 200 Da penetrate the nail plate in a manner superior to the commercially available treatment for onychomycosis. In one embodiment of the present invention the compound has a molecular weight of between 130 and 200. In another embodiment of this invention, the compound has a molecular weight of from about 140 to about 200 Da. In another embodiment of this invention, the compound has a molecular weight of from about 170 to about 200 Da. In another embodiment of this invention, the compound has a molecular weight of from about 155 to about 190 Da. In another embodiment of this invention, the compound has a molecular weight of from about 165 to about 185 Da. In another embodiment of this invention, the compound has a molecular weight of from about 145 to about 170 Da. In yet another embodiment the molecular weight is either 151.93 or 168.39 Da.
- In one embodiment of the present invention the compound has a log P value of between about −3.5 to about 2.5. In another exemplary embodiment, the compound has a log P value of from about −1.0 to about 2.5. In another exemplary embodiment, the compound has a log P value of from about −1.0 to about 2.0. In another exemplary embodiment, the compound has a log P value of from about −0.5 to about 2.5. In another exemplary embodiment, the compound has a log P value of from about −0.5 to about 1.5. In another exemplary embodiment, the compound has a log P value of from about 0.5 to about 2.5. In another exemplary embodiment, the compound has a log P value of from about 1.0 to about 2.5. In yet another exemplary embodiment, the compound has a log P value of 1.9 or 2.3.
- Also contemplated by the present invention is a compound with a log P value less then 2.5, with a molecular weight less than 200 Da, that are still able to penetrate the nail plate.
- In one embodiment of the present invention the compound has a water solubility between about 0.1 mg/mL to 1 g/mL in octanol saturated water. In one embodiment of the present invention the compound has a water solubility of between 0.1 mg/mL and 100 mg/mL. In another embodiment of this invention, the compound has a water solubility of from about 0.1 mg/mL and 10 mg/mL. In another embodiment of this invention, the compound has a water solubility of from about 0.1 mg/mL and 1 mg/mL. In another embodiment of this invention, the compound has a water solubility of from about 5 mg/mL and 1 g/mL. In another embodiment of this invention, the compound has a water solubility of from about 10 mg/mL and 500 g/mL. In another embodiment of this invention, the compound has a water solubility of from about 80 mg/mL and 250 mg/mL.
- In an exemplary embodiment, the present invention provides a compound with a log P value selected from a range above, with a molecular weight selected from a range above, that are still able to penetrate the nail plate.
- In an exemplary embodiment, the present invention provides compounds with a molecular weight selected from a range above, with a water solubility selected from a range above, that are still able to penetrate the nail plate.
- In an exemplary embodiment, the present invention provides compounds with a log P selected from a range above, with a water solubility selected from a range above, that are still able to penetrate the nail plate.
- In an exemplary embodiment, the present invention provides compounds with a molecular weight selected from a range above, with a log P selected from a range above, and with a water solubility selected from a range above, that are still able to penetrate the nail plate.
- Penetration of the nail by the active ingredient may be effected by the polarity of the formulation. However, the polarity of the formulation is not expected have as much influence on nail penetration as some of the other factors, such as the molecular weight or the log P of the active ingredient. The presence of penetration enhancing agents in the formulation is likely to increase penetration of the active agent when compared to similar formulations containing no penetration enhancing agent.
- Some examples of molecules with optimal physicochemical properties are given in the table below.
-
Compound 3 below is an example of a compound similar in molecular weight to ciclopirox, and like ciclopirox, penetrates the nail plate poorly. - In a preferred embodiment the topical formulations including a compound described herein has a total molecular weight of less than 200 Da, has a Log P of less than 2.5, and a minimum inhibitory concentration against Trichophyton rubrum that is substantially unchanged in the presence of 5% keratin.
- The efficacy coefficient (defined as flux over MIC) of a compound also informs one of skill regarding whether the compound may be effective in killing a microorganism, inhibiting the growth of a microorganism, or treating a disease which is caused by a microorganism present in a human nail unit, wherein said human nail unit comprises a nail plate. The method comprises: contacting a dorsal layer of the nail plate with a compound capable of penetrating the nail plate, traveling through the nail plate to a nail bed underlying said nail plate, and contacting said microorganism, under conditions sufficient for said compound to penetrate said nail plate and to treat said disease, wherein the compound has an efficacy coefficient above 10.
- In an exemplary embodiment, the compound has an efficacy coefficient between about 10 and about 1000. In an exemplary embodiment, the compound has an efficacy coefficient between about 30 and about 100. In an exemplary embodiment, the compound has an efficacy coefficient between about 100 and about 500. In an exemplary embodiment, the compound has an efficacy coefficient between about 25 and about 200.
- This invention is still further directed to methods for treating a fungal infection mediated at least in part by dermatophytes, Trichophyton, Microsporum or Epidermophyton species, or a yeast-like fungi including Candida species, in a human or an animal, which methods comprise administering to a human or an animal, that has been diagnosed with said fungal infection or is at risk of developing said fungal infection, a pharmaceutical composition comprising a pharmaceutically acceptable diluent and a therapeutically effective amount of a compound described herein or mixtures of one or more of such compounds. In one embodiment the infection is onychomycosis.
- Compounds contemplated by the present invention may have broad spectrum antifungal activity and as such may be candidates for use against other cutaneous fungal infections.
- The methods provided in this aspect of the invention are useful in the penetration of nails and hoofs, as well as the treatment of ungual and periungual conditions.
- In another aspect, the invention is a pharmaceutical formulation which includes: (a) a pharmaceutically acceptable excipient; and (b) a compound of the invention. In another aspect, the invention is a pharmaceutical formulation which includes: (a) a pharmaceutically acceptable excipient; and (b) a compound having a structure which is a member selected from Formulae (I), (Ia), (Ib), (Ic), (Id) (Ie), (If), (Ig), (Ih) (Ii), (Ij), (Ik), (I1) (Im), (In), (Io), (Ip) (Iq), (Ir), (Is), (It), (Iu), (Iv), (Iw), (Ix) (Iy), (Iz), (Iaa), (Iab), (Iac), (Iad), (Iae), (Iaf), (Iag), (Iah), (Iai), (Iaj), (Iak), (II), (IIa), (IIb), (IIc), (IId), (III). In another aspect, the invention is a pharmaceutical formulation which includes: (a) a pharmaceutically acceptable excipient; and (b) a compound which has a structure according to Formulae (VIII), (VIIIa), (VIIIb), (VIIIc), (VIIId), (VIIIe). In another aspect, the invention is a pharmaceutical formulation which includes: (a) a pharmaceutically acceptable excipient; and (b) a compound which has a structure which is a member selected from D1-D19, E1-E19, (VIII), (VIIIa), (VIIIb), (VIIIe), (VIIId), (VIIIe). In another aspect, the invention is a pharmaceutical formulation which includes: (a) a pharmaceutically acceptable excipient; and (b) a acyclic boronic ester of the invention. In an exemplary embodiment, the compound is described in
FIG. 19 . In another exemplary embodiment, the compound is described inFIG. 20 . In another exemplary embodiment, the invention is a pharmaceutical formulation which includes: (a) a pharmaceutically acceptable excipient; and (b) a acyclic boronic ester of the invention. - In another aspect, the invention is a pharmaceutical formulation comprising: (a) a pharmaceutically acceptable excipient; and (b) a compound having a structure according to Formula I:
- wherein B is boron. R1a is a member selected from a negative charge, a salt counterion, H, cyano, substituted or unsubstituted alkyl, substituted or unsubstituted heteroalkyl, substituted or unsubstituted cycloalkyl, substituted or unsubstituted heterocycloalkyl, substituted or unsubstituted aryl, and substituted or unsubstituted heteroaryl. M is a member selected from oxygen, sulfur and NR2a. R2a is a member selected from H, substituted or unsubstituted alkyl, substituted or unsubstituted heteroalkyl, substituted or unsubstituted cycloalkyl, substituted or unsubstituted heterocycloalkyl, substituted or unsubstituted aryl, and substituted or unsubstituted heteroaryl. J is a member selected from (CR3aR4a)n1 and CR5a. R3a, R4a, and R5a are members independently selected from H, halogen, cyano, substituted or unsubstituted alkyl, substituted or unsubstituted heteroalkyl, substituted or unsubstituted cycloalkyl, substituted or unsubstituted heterocycloalkyl, substituted or unsubstituted aryl, and substituted or unsubstituted heteroaryl. The index n1 is an integer selected from 0 to 2. W is a member selected from C═O (carbonyl), (CR6aR7a)m1 and CR8a. R6a, R7a, and R8a are members independently selected from H, halogen, cyano, substituted or unsubstituted alkyl, substituted or unsubstituted heteroalkyl, substituted or unsubstituted cycloalkyl, substituted or unsubstituted heterocycloalkyl, substituted or unsubstituted aryl, and substituted or unsubstituted heteroaryl. The index m1 is an integer selected from 0 and 1. A is a member selected from CR9a and N. D is a member selected from CR10a and N. E is a member selected from CR11a and N. G is a member selected from CR12a and N. R9a, R10a, R11a and R12a are members independently selected from H, OR*, NR*R**, SR*, —S(O)R*, —S(O)2R*, —S(O)2NR*R**, —C(O)R*, —C(O)OR*, —C(O)NR*R**, nitro, halogen, cyano, substituted or unsubstituted alkyl, substituted or unsubstituted heteroalkyl, substituted or unsubstituted cycloalkyl, substituted or unsubstituted heterocycloalkyl, substituted or unsubstituted aryl, and substituted or unsubstituted heteroaryl. Each R* and R** are members independently selected from H, substituted or unsubstituted alkyl, substituted or unsubstituted heteroalkyl, substituted or unsubstituted cycloalkyl, substituted or unsubstituted heterocycloalkyl, substituted or unsubstituted aryl, and substituted or unsubstituted heteroaryl. The combination of nitrogens (A+D+E+G) is an integer selected from 0 to 3. A member selected from R3a, R4a and R5a and a member selected from R6a, R7a and R8a, together with the atoms to which they are attached, are optionally joined to form a 4 to 7 membered ring. R3a and R4a, together with the atoms to which they are attached, are optionally joined to form a 4 to 7 membered ring. R6a and R7a, together with the atoms to which they are attached, are optionally joined to form a 4 to 7 membered ring. R9a and R10a, together with the atoms to which they are attached, are optionally joined to form a 4 to 7 membered ring. R10a and R11a, together with the atoms to which they are attached, are optionally joined to form a 4 to 7 membered ring. R11a and R12a, together with the atoms to which they are attached, are optionally joined to form a 4 to 7 membered ring.
- In another exemplary embodiment, there is a proviso that the compound cannot have a structure according to Formula (Ix):
- wherein R7b is a member selected from H, methyl, ethyl and phenyl. R10b is a member selected from H, OH, NH2, SH, halogen, substituted or unsubstituted phenoxy, substituted or unsubstituted phenylalkyloxy, substituted or unsubstituted phenylthio and substituted or unsubstituted phenylalkylthio. R11b is a member selected from H, OH, NH2, SH, methyl, substituted or unsubstituted phenoxy, substituted or unsubstituted phenylalkyloxy, substituted or unsubstituted phenylthio and substituted or unsubstituted phenylalkylthio. In another exemplary embodiment, there is a proviso that the compound cannot have a structure according to Formula (Ix) wherein R1b is a member selected from a negative charge, H and a salt counterion. In another exemplary embodiment, there is a proviso that the compound cannot have a structure according to Formula (Ix) wherein R10b and R11b are H. In another exemplary embodiment, there is a proviso that the compound cannot have a structure according to Formula (Ix) wherein one member selected from R10b and R11b is H and the other member selected from R10b and R11b is a member selected from halo, methyl, cyano, methoxy, hydroxymethyl and p-cyanophenyloxy. In another exemplary embodiment, there is a proviso that the compound cannot have a structure according to Formula (Ix) wherein R10b and R11b are members independently selected from fluoro, chloro, methyl, cyano, methoxy, hydroxymethyl, and p-cyanophenyl. In another exemplary embodiment, there is a proviso that the compound cannot have a structure according to Formula (Ix) wherein R11b is a member selected from a negative charge, H and a salt counterion; R7b is H; R10b is F and R11b is H. In another exemplary embodiment, there is a proviso that the compound cannot have a structure according to Formula (Ix) wherein R11b and R12b, along with the atoms to which they are attached, are joined to form a phenyl group. In another exemplary embodiment, there is a proviso that the compound cannot have a structure according to Formula (Ix) wherein R1b is a member selected from a negative charge, H and a salt counterion; R7b is H; R10b is 4-cyanophenoxy; and R11b is H.
- In another exemplary embodiment, there is a proviso that the compound cannot have a structure according to Formula (Iy)
- wherein R10b is a member selected from H, halogen, CN and substituted or unsubstituted C1-4 alkyl.
- In an exemplary embodiment, the pharmaceutical formulation comprises a compound that has a structure according to Formula (Ia):
- In another exemplary embodiment, each R3a and R4a is a member independently selected from H, cyano, substituted or unsubstituted methyl, substituted or unsubstituted ethyl, trifluoromethyl, substituted or unsubstituted hydroxymethyl, substituted or unsubstituted hydroxyalkyl, substituted or unsubstituted benzyl, substituted or unsubstituted phenyl, substituted or unsubstituted mercaptomethyl, substituted or unsubstituted mercaptoalkyl, substituted or unsubstituted aminomethyl, substituted or unsubstituted alkylaminomethyl, substituted or unsubstituted dialkylaminomethyl, substituted or unsubstituted arylaminomethyl, substituted or unsubstituted indolyl and substituted or unsubstituted amido. In another exemplary embodiment, each R3a and R4a is a member independently selected from cyano, substituted or unsubstituted methyl, substituted or unsubstituted ethyl, trifluoromethyl, substituted or unsubstituted hydroxymethyl, substituted or unsubstituted hydroxyalkyl, substituted or unsubstituted benzyl, substituted or unsubstituted phenyl, substituted or unsubstituted mercaptomethyl, substituted or unsubstituted mercaptoalkyl, substituted or unsubstituted aminomethyl, substituted or unsubstituted alkylaminomethyl, substituted or unsubstituted dialkylaminomethyl, substituted or unsubstituted arylaminomethyl, substituted or unsubstituted indolyl, substituted or unsubstituted amido.
- In another exemplary embodiment, each R3a and R4a is a member selected from H, substituted or unsubstituted methyl, substituted or unsubstituted ethyl, substituted or unsubstituted propyl, substituted or unsubstituted isopropyl, substituted or unsubstituted butyl, substituted or unsubstituted t-butyl, substituted or unsubstituted phenyl and substituted or unsubstituted benzyl. In another exemplary embodiment, R3a and R4a is a member selected from methyl, ethyl, propyl, isopropyl, butyl, t-butyl, phenyl and benzyl. In another exemplary embodiment, R3a is H and R4a is a member selected from methyl, ethyl, propyl, isopropyl, butyl, t-butyl, phenyl and benzyl. In another exemplary embodiment, R3a is H and R4a H.
- In another exemplary embodiment, R9a, R10a, R11a and R12a is a member independently selected from H, OR*, NR*R**, SR*, —S(O)R*, —S(O)2R*, —S(O)2NR*R**, —C(O)R*, —C(O)OR*, —C(O)NR*R**, halogen, cyano, nitro, substituted or unsubstituted methoxy, substituted or unsubstituted methyl, substituted or unsubstituted ethoxy, substituted or unsubstituted ethyl, trifluoromethyl, substituted or unsubstituted hydroxymethyl, substituted or unsubstituted hydroxyalkyl, substituted or unsubstituted benzyl, substituted or unsubstituted phenyl, substituted or unsubstituted phenyloxy, substituted or unsubstituted phenyl methoxy, substituted or unsubstituted thiophenyloxy, substituted or unsubstituted pyridinyloxy, substituted or unsubstituted pyrimidinyloxy, substituted or unsubstituted benzylfuran, substituted or unsubstituted methylthio, substituted or unsubstituted mercaptomethyl, substituted or unsubstituted mercaptoalkyl, substituted or unsubstituted phenylthio, substituted or unsubstituted thiophenylthio, substituted or unsubstituted phenyl methylthio, substituted or unsubstituted pyridinylthio, substituted or unsubstituted pyrimidinylthio, substituted or unsubstituted benzylthiofuranyl, substituted or unsubstituted phenylsulfonyl, substituted or unsubstituted benzylsulfonyl, substituted or unsubstituted phenylmethylsulfonyl, substituted or unsubstituted thiophenylsulfonyl, substituted or unsubstituted pyridinylsulfonyl, substituted or unsubstituted pyrimidinylsulfonyl, substituted or unsubstituted sulfonamidyl, substituted or unsubstituted phenylsulfinyl, substituted or unsubstituted benzylsulfinyl, substituted or unsubstituted phenylmethylsulfinyl, substituted or unsubstituted thiophenylsulfinyl, substituted or unsubstituted pyridinylsulfinyl, substituted or unsubstituted pyrimidinylsulfinyl, substituted or unsubstituted amino, substituted or unsubstituted alkylamino, substituted or unsubstituted dialkylamino, substituted or unsubstituted trifluoromethylamino, substituted or unsubstituted aminomethyl, substituted or unsubstituted alkylaminomethyl, substituted or unsubstituted dialkylaminomethyl, substituted or unsubstituted arylaminomethyl, substituted or unsubstituted benzylamino, substituted or unsubstituted phenylamino, substituted or unsubstituted thiophenylamino, substituted or unsubstituted pyridinylamino, substituted or unsubstituted pyrimidinylamino, substituted or unsubstituted indolyl, substituted or unsubstituted morpholino, substituted or unsubstituted alkylamido, substituted or unsubstituted arylamido, substituted or unsubstituted ureido, substituted or unsubstituted carbamoyl, and substituted or unsubstituted piperizinyl. In an exemplary embodiment, R9a, R10a, R11a and R12a are selected from the previous list of substituents with the exception of —C(O)R*, —C(O)OR*, —C(O)NR*R**.
- In another exemplary embodiment, R6a, R7a, R9a, R10a, R11a and R12a are members independently selected from fluoro, chloro, bromo, nitro, cyano, amino, methyl, hydroxylmethyl, trifluoromethyl, methoxy, trifluoromethyoxy, ethyl, diethylcarbamoyl, pyridin-2-yl, pyridin-3-yl, pyridin-4-yl, pyrimidinyl, piperizino, piperizinyl, piperizinocarbonyl, piperizinylcarbonyl, carboxyl, 1-tetrazolyl, 1-ethoxycarbonylmethoxy, carboxymethoxy, thiophenyl, 3-(butylcarbonyl) phenylmethoxy, 1H-tetrazol-5-yl, 1-ethoxycarbonylmethyloxy-, 1-ethoxycarbonylmethyl-, 1-ethoxycarbonyl-, carboxymethoxy-, thiophen-2-yl, thiophen-2-ylthio-, thiophen-3-yl, thiophen-3-ylthio, 4-fluorophenylthio, butylcarbonylphenylmethoxy, butylcarbonylphenylmethyl, butylcarbonylmethyl, 1-(piperidin-1-yl)carbonyl)methyl, 1-(piperidin-1-yl)carbonyl)methoxy, 1-(piperidin-2-yl)carbonyl)methoxy, 1-(piperidin-3-yl)carbonyl)methoxy, 1-(4-(pyrimidin-2-yl)piperazin-1-yl)carbonyl)methoxy, 1-(4-(pyrimidin-2-yl)piperazin-1-yl)carbonyl)methyl, 1-(4-(pyrimidin-2-yl)piperazin-1-yl)carbonyl, 1-4-(pyrimidin-2-yl)piperazin-1-yl, 1-(4-(pyridin-2-yl)piperazin-1-yl)carbonyl), 1-(4-(pyridin-2-yl)piperazin-1-yl)carbonylmethyl, (1-(4-(pyridin-2-yl)piperazin-1-yl)carbonyl)-methoxy), 1-(4-(pyridin-2-yl)piperazin-1-yl, 1H-indol-1-yl, morpholino-, morpholinyl, morpholinocarbonyl, morpholinylcarbonyl, phenylureido, phenylcarbamoyl, acetamido, 3-(phenylthio)-1H-indol-1-yl, 3-(2-cyanoethylthio)-1H-indol-1-yl, benzylamino, 5-methoxy-3-(phenylthio)-1H-indol-1-yl, 5-methoxy-3-(2-cyanoethylthio)-1H-indol-1-yl)), 5-chloro-1H-indol-1-yl, 5-chloro-3-(2-cyanoethylthio)-1H-indol-1-yl)), dibenzylamino, benzylamino, 5-chloro-3-(phenylthio)-1H-indol-1-yl)), 4-(1H-tetrazol-5-yl)phenoxy, 4-(1H-tetrazol-5-yl)phenyl, 4-(1H-tetrazol-5-yl)phenylthio, 2-cyanophenoxy, 3-cyanophenoxy, 4-cyanophenoxy, 2-cyanophenylthio, 3-cyanophenylthio, 4-cyanophenylthio, 2-chlorophenoxy, 3-chlorophenoxy, 4-chlorophenoxy, 2-fluorophenoxy, 3-fluorophenoxy, 4-fluorophenoxy, 2-cyanobenzyloxy, 3-cyanobenzyloxy, 4-cyanobenzyloxy, 2-chlorobenzyloxy, 3-chlorobenzyloxy, 4-chlorobenzyloxy, 2-fluorobenzyloxy, 3-fluorobenzyloxy, 4-fluorobenzyloxy, unsubstituted phenyl, unsubstituted benzyl.
- In an exemplary embodiment, the pharmaceutical formulation comprises a compound that has a structure which is a member according the following formulas:
- In an exemplary embodiment, the pharmaceutical formulation comprises a compound that has a structure according to one of Formulae I-Io with substituent selections for R9a, R10a, R11a and R12a including all the possibilities contained in
paragraph 106 except for H. In an exemplary embodiment, the pharmaceutical formulation comprises a compound that has a structure according to one of Formulae Ib-Io with substituent selections for R9a, R10a, R11a and R12a including all the possiblities contained inparagraph 107 except for H. - In an exemplary embodiment, the pharmaceutical formulation comprises a compound that has a formula according to Formulae (Ib)-(Ie) wherein R1a is a member selected from H, a negative charge and a salt counterion and the remaining R group (R9a in Ib, R10a in Ic, R11a in Id, and R12a in Ie) is a member selected from fluoro, chloro, bromo, nitro, cyano, amino, methyl, hydroxylmethyl, trifluoromethyl, methoxy, trifluoromethyoxy, ethyl, diethylcarbamoyl, pyridin-2-yl, pyridin-3-yl, pyridin-4-yl, pyrimidinyl, piperizino, piperizinyl, piperizinocarbonyl, piperizinylcarbonyl, carboxyl, 1-tetrazolyl, 1-ethoxycarbonylmethoxy, carboxymethoxy, thiophenyl, 3-(butylcarbonyl) phenylmethoxy, 1H-tetrazol-5-yl, 1-ethoxycarbonylmethyloxy-, 1-ethoxycarbonylmethyl-, 1-ethoxycarbonyl-, carboxymethoxy-, thiophen-2-yl, thiophen-2-ylthio-, thiophen-3-yl, thiophen-3-ylthio, 4-fluorophenylthio, butylcarbonylphenylmethoxy, butylcarbonylphenylmethyl, butylcarbonylmethyl, 1-(piperidin-1-yl)carbonyl)methyl, 1-(piperidin-1-yl)carbonyl)methoxy, 1-(piperidin-2-yl)carbonyl)methoxy, 1-(piperidin-3-yl)carbonyl)methoxy, 1-(4-(pyrimidin-2-yl)piperazin-1-yl)carbonyl)methoxy, 1-(4-(pyrimidin-2-yl)piperazin-1-yl)carbonyl)methyl, 1-(4-(pyrimidin-2-yl)piperazin-1-yl)carbonyl, 1-4-(pyrimidin-2-yl)piperazin-1-yl, 1-(4-(pyridin-2-yl)piperazin-1-yl)carbonyl), 1-(4-(pyridin-2-yl)piperazin-1-yl)carbonylmethyl, (1-(4-(pyridin-2-yl)piperazin-1-yl)carbonyl)-methoxy), 1-(4-(pyridin-2-yl)piperazin-1-yl, 1H-indol-1-yl, morpholino-, morpholinyl, morpholinocarbonyl, morpholinylcarbonyl, phenylureido, phenylcarbamoyl, acetamido, 3-(phenylthio)-1H-indol-1-yl, 3-(2-cyanoethylthio)-1H-indol-1-yl, benzylamino, 5-methoxy-3-(phenylthio)-1H-indol-1-yl, 5-methoxy-3-(2-cyanoethylthio)-1H-indol-1-yl)), 5-chloro-1H-indol-1-yl, 5-chloro-3-(2-cyanoethylthio)-1H-indol-1-yl)), dibenzylamino, benzylamino, 5-chloro-3-(phenylthio)-1H-indol-1-yl)), 4-(1H-tetrazol-5-yl)phenoxy, 4-(1H-tetrazol-5-yl)phenyl, 4-(1H-tetrazol-5-yl)phenylthio, 2-cyanophenoxy, 3-cyanophenoxy, 4-cyanophenoxy, 2-cyanophenylthio, 3-cyanophenylthio, 4-cyanophenylthio, 2-chlorophenoxy, 3-chlorophenoxy, 4-chlorophenoxy, 2-fluorophenoxy, 3-fluorophenoxy, 4-fluorophenoxy, 2-cyanobenzyloxy, 3-cyanobenzyloxy, 4-cyanobenzyloxy, 2-chlorobenzyloxy, 3-chlorobenzyloxy, 4-chlorobenzyloxy, 2-fluorobenzyloxy, 3-fluorobenzyloxy and 4-fluorobenzyloxy.
- In an exemplary embodiment, the pharmaceutical formulation comprises a compound that has a formula according to Formulae (If)-(Ik) wherein R1a is a member selected from H, a negative charge and a salt counterion and each of the remaining two R groups (R9a and R10a in If, R9a and R11a in Ig, R9a and R12a in Ih, R10a and R11a in Ii, R10a and R12a in Ij, R11a and R12a in Ik) is a member independently selected from fluoro, chloro, bromo, nitro, cyano, amino, methyl, hydroxylmethyl, trifluoromethyl, methoxy, trifluoromethyoxy, ethyl, diethylcarbamoyl, pyridin-2-yl, pyridin-3-yl, pyridin-4-yl, pyrimidinyl, piperizino, piperizinyl, piperizinocarbonyl, piperizinylcarbonyl, carboxyl, 1-tetrazolyl, 1-ethoxycarbonylmethoxy, carboxymethoxy, thiophenyl, 3-(butylcarbonyl) phenylmethoxy, 1H-tetrazol-5-yl, 1-ethoxycarbonylmethyloxy-, 1-ethoxycarbonylmethyl-, 1-ethoxycarbonyl-, carboxymethoxy-, thiophen-2-yl, thiophen-2-ylthio-, thiophen-3-yl, thiophen-3-ylthio, 4-fluorophenylthio, butylcarbonylphenylmethoxy, butylcarbonylphenylmethyl, butylcarbonylmethyl, 1-(piperidin-1-yl)carbonyl)methyl, 1-(piperidin-1-yl)carbonyl)methoxy, 1-(piperidin-2-yl)carbonyl)methoxy, 1-(piperidin-3-yl)carbonyl)methoxy, 1-(4-(pyrimidin-2-yl)piperazin-1-yl)carbonyl)methoxy, 1-(4-(pyrimidin-2-yl)piperazin-1-yl)carbonyl)methyl, 1-(4-(pyrimidin-2-yl)piperazin-1-yl)carbonyl, 1-4-(pyrimidin-2-yl)piperazin-1-yl, 1-(4-(pyridin-2-yl)piperazin-1-yl)carbonyl), 1-(4-(pyridin-2-yl)piperazin-1-yl)carbonylmethyl, (1-(4-(pyridin-2-yl)piperazin-1-yl)carbonyl)-methoxy), 1-(4-(pyridin-2-yl)piperazin-1-yl, 1H-indol-1-yl, morpholino-, morpholinyl, morpholinocarbonyl, morpholinylcarbonyl, phenylureido, phenylcarbamoyl, acetamido, 3-(phenylthio)-1H-indol-1-yl, 3-(2-cyanoethylthio)-1H-indol-1-yl, benzylamino, 5-methoxy-3-(phenylthio)-1H-indol-1-yl, 5-methoxy-3-(2-cyanoethylthio)-1H-indol-1-yl)), 5-chloro-1H-indol-1-yl, 5-chloro-3-(2-cyanoethylthio)-1H-indol-1-yl)), dibenzylamino, benzylamino, 5-chloro-3-(phenylthio)-1H-indol-1-yl)), 4-(1H-tetrazol-5-yl)phenoxy, 4-(1H-tetrazol-5-yl)phenyl, 4-(1H-tetrazol-5-yl)phenylthio, 2-cyanophenoxy, 3-cyanophenoxy, 4-cyanophenoxy, 2-cyanophenylthio, 3-cyanophenylthio, 4-cyanophenylthio, 2-chlorophenoxy, 3-chlorophenoxy, 4-chlorophenoxy, 2-fluorophenoxy, 3-fluorophenoxy, 4-fluorophenoxy, 2-cyanobenzyloxy, 3-cyanobenzyloxy, 4-cyanobenzyloxy, 2-chlorobenzyloxy, 3-chlorobenzyloxy, 4-chlorobenzyloxy, 2-fluorobenzyloxy, 3-fluorobenzyloxy, and 4-fluorobenzyloxy.
- In an exemplary embodiment, the pharmaceutical formulation comprises a compound that has a formula according to Formulae (Il)-(Io) wherein R1a is a member selected from H, a negative charge and a salt counterion and each of the remaining three R groups (R9a, R10a, R11a in 1 (Il), R9a, R10a, R12a in (Im), R9a, R11a, R12a in (In), R10a, R11a, R12a in (Io)) is a member independently selected from fluoro, chloro, bromo, nitro, cyano, amino, methyl, hydroxylmethyl, trifluoromethyl, methoxy, trifluoromethyoxy, ethyl, diethylcarbamoyl, pyridin-2-yl, pyridin-3-yl, pyridin-4-yl, pyrimidinyl, piperizino, piperizinyl, piperizinocarbonyl, piperizinylcarbonyl, carboxyl, 1-tetrazolyl, 1-ethoxycarbonylmethoxy, carboxymethoxy, thiophenyl, 3-(butylcarbonyl) phenylmethoxy, 1H-tetrazol-5-yl, 1-ethoxycarbonylmethyloxy-, 1-ethoxycarbonylmethyl-, 1-ethoxycarbonyl-, carboxymethoxy-, thiophen-2-yl, thiophen-2-ylthio-, thiophen-3-yl, thiophen-3-ylthio, 4-fluorophenylthio, butylcarbonylphenylmethoxy, butylcarbonylphenylmethyl, butylcarbonylmethyl, 1-(piperidin-1-yl)carbonyl)methyl, 1-(piperidin-1-yl)carbonyl)methoxy, 1-(piperidin-2-yl)carbonyl)methoxy, 1-(piperidin-3-yl)carbonyl)methoxy, 1-(4-(pyrimidin-2-yl)piperazin-1-yl)carbonyl)methoxy, 1-(4-(pyrimidin-2-yl)piperazin-1-yl)carbonyl)methyl, 1-(4-(pyrimidin-2-yl)piperazin-1-yl)carbonyl, 1-4-(pyrimidin-2-yl)piperazin-1-yl, 1-(4-(pyridin-2-yl)piperazin-1-yl)carbonyl), 1-(4-(pyridin-2-yl)piperazin-1-yl)carbonylmethyl, (1-(4-(pyridin-2-yl)piperazin-1-yl)carbonyl)-methoxy), 1-(4-(pyridin-2-yl)piperazin-1-yl, 1H-indol-1-yl, morpholino-, morpholinyl, morpholinocarbonyl, morpholinylcarbonyl, phenylureido, phenylcarbamoyl, acetamido, 3-(phenylthio)-1H-indol-1-yl, 3-(2-cyanoethylthio)-1H-indol-1-yl, benzylamino, 5-methoxy-3-(phenylthio)-1H-indol-1-yl, 5-methoxy-3-(2-cyanoethylthio)-1H-indol-1-yl)), 5-chloro-1H-indol-1-yl, 5-chloro-3-(2-cyanoethylthio)-1H-indol-1-yl)), dibenzylamino, benzylamino, 5-chloro-3-(phenylthio)-1H-indol-1-yl)), 4-(1H-tetrazol-5-yl)phenoxy, 4-(1H-tetrazol-5-yl)phenyl, 4-(1H-tetrazol-5-yl)phenylthio, 2-cyanophenoxy, 3-cyanophenoxy, 4-cyanophenoxy, 2-cyanophenylthio, 3-cyanophenylthio, 4-cyanophenylthio, 2-chlorophenoxy, 3-chlorophenoxy, 4-chlorophenoxy, 2-fluorophenoxy, 3-fluorophenoxy, 4-fluorophenoxy, 2-cyanobenzyloxy, 3-cyanobenzyloxy, 4-cyanobenzyloxy, 2-chlorobenzyloxy, 3-chlorobenzyloxy, 4-chlorobenzyloxy, 2-fluorobenzyloxy, 3-fluorobenzyloxy, and 4-fluorobenzyloxy.
- In an exemplary embodiment, the pharmaceutical formulation comprises a compound that is a member selected from:
- In an exemplary embodiment, the compound of the invention has a structure which is a member selected from:
- in which q is a number between 0 and 1. Rg is halogen. Ra, Rb, Rc, Rd and Re are members independently selected from a member selected from H, substituted or unsubstituted alkyl, substituted or unsubstituted heteroalkyl, substituted or unsubstituted cycloalkyl, substituted or unsubstituted heterocycloalkyl, substituted or unsubstituted aryl, and substituted or unsubstituted heteroaryl. In an exemplary embodiment, the compound in the pharmaceutical formulation is a member selected from
- In an exemplary embodiment, the compound has a structure is a member selected from:
- In an exemplary embodiment, Ra, Rd and Re are each members independently selected from:
- In an exemplary embodiment, Rb and Rc are members independently selected from H, methyl,
- In another exemplary embodiment, Rb is H and Rc is a member selected from H, methyl,
- In another exemplary embodiment, Rb and Rc are, together with the nitrogen to which they are attached, optionally joined to form a member selected from
- In an exemplary embodiment, Ra is a member selected from
- In an exemplary embodiment, Rd is a member selected from
- In an exemplary embodiment, Re is a member selected from
- In another exemplary embodiment, the pharmaceutical formulations described herein can form a hydrate with water, a solvate with an alcohol (e.g. methanol, ethanol, propanol); an adduct with an amino compound (e.g. ammonia, methylamine, ethylamine); an adduct with an acid (e.g. formic acid, acetic acid); complexes with ethanolamine, quinoline, amino acids, and the like.
- In an exemplary embodiment, the pharmaceutical formulation comprises a compound that has a structure according to Formula (Ip):
- in which Rx2 is a member selected from substituted or unsubstituted C1-C5 alkyl and substituted or unsubstituted C1-C5 heteroalkyl. Ry2 and Rz2 are members independently selected from H, substituted or unsubstituted alkyl, substituted or unsubstituted heteroalkyl, substituted or unsubstituted cycloalkyl, substituted or unsubstituted heterocycloalkyl, substituted or unsubstituted aryl, and substituted or unsubstituted heteroaryl.
- In an exemplary embodiment, the pharmaceutical formulation comprises a compound that has a structure according to Formula (Iq):
- wherein B is boron. Rx2 is a member selected from substituted or unsubstituted C1-C5 alkyl and substituted or unsubstituted C1-C5 heteroalkyl. Ry2 and Rz2 are members independently selected from H, substituted or unsubstituted alkyl, substituted or unsubstituted heteroalkyl, substituted or unsubstituted cycloalkyl, substituted or unsubstituted heterocycloalkyl, substituted or unsubstituted aryl, and substituted or unsubstituted heteroaryl. In another exemplary embodiment, at least one member selected from R3a, R4a, R5a, R6a, R7a, R8a, R9a, R10a, R11a and R12a is a member selected from nitro, cyano and halogen.
- In an exemplary embodiment, the pharmaceutical formulation comprises a compound that has a structure which is a member selected from the following Formulae:
- In an exemplary embodiment, the pharmaceutical formulation comprises a compound that has a formula according to Formulae (Ib)-(Ie) wherein at least one member selected from R3a, R4a, R5a, R6a, R7a, R8a, R9a, R10a, R11a and R12a is a member selected from nitro, cyano, fluro, chloro, bromo and cyanophenoxy. In an exemplary embodiment, the pharmaceutical formulation comprises a compound that has a structure which is a member selected from
- In an exemplary embodiment, the pharmaceutical formulation comprises a compound that has a structure that is a member selected from
- In another exemplary embodiment, there is a proviso that the pharmaceutical formulation cannot comprise a structure according to Formula (Iaa):
- wherein R6b, R9b, R10b, R11b and a R12b have the same substituent listings as described for Formulae (Ix) and (Iy) above.
- The pharmaceutical formulations of the invention can take a variety of forms adapted to the chosen route of administration. Those skilled in the art will recognize various synthetic methodologies that may be employed to prepare non-toxic pharmaceutical formulations incorporating the compounds described herein. Those skilled in the art will recognize a wide variety of non-toxic pharmaceutically acceptable solvents that may be used to prepare solvates of the compounds of the invention, such as water, ethanol, propylene glycol, mineral oil, vegetable oil and dimethylsulfoxide (DMSO).
- The compositions of the invention may be administered orally, topically, parenterally, by inhalation or spray or rectally in dosage unit formulations containing conventional non-toxic pharmaceutically acceptable carriers, adjuvants and vehicles. It is further understood that the best method of administration may be a combination of methods. Oral administration in the form of a pill, capsule, elixir, syrup, lozenge, troche, or the like is particularly preferred. The term parenteral as used herein includes subcutaneous injections, intradermal, intravascular (e.g., intravenous), intramuscular, spinal, intrathecal injection or like injection or infusion techniques.
- The pharmaceutical formulations containing compounds of the invention are preferably in a form suitable for oral use, for example, as tablets, troches, lozenges, aqueous or oily suspensions, dispersible powders or granules, emulsion, hard or soft capsules, or syrups or elixirs.
- Compositions intended for oral use may be prepared according to any method known in the art for the manufacture of pharmaceutical formulations, and such compositions may contain one or more agents selected from the group consisting of sweetening agents, flavoring agents, coloring agents and preserving agents in order to provide pharmaceutically elegant and palatable preparations. Tablets may contain the active ingredient in admixture with non-toxic pharmaceutically acceptable excipients that are suitable for the manufacture of tablets. These excipients may be for example, inert diluents, such as calcium carbonate, sodium carbonate, lactose, calcium phosphate or sodium phosphate; granulating and disintegrating agents, for example, corn starch, or alginic acid; binding agents, for example starch, gelatin or acacia; and lubricating agents, for example magnesium stearate, stearic acid or talc. The tablets may be uncoated or they may be coated by known techniques to delay disintegration and absorption in the gastrointestinal tract and thereby provide a sustained action over a longer period. For example, a time delay material such as glyceryl monostearate or glyceryl distearate may be employed.
- Formulations for oral use may also be presented as hard gelatin capsules wherein the active ingredient is mixed with an inert solid diluent, for example, calcium carbonate, calcium phosphate or kaolin, or as soft gelatin capsules wherein the active ingredient is mixed with water or an oil medium, for example peanut oil, liquid paraffin or olive oil.
- Aqueous suspensions contain the active materials in admixture with excipients suitable for the manufacture of aqueous suspensions. Such excipients are suspending agents, for example sodium carboxymethylcellulose, methylcellulose, hydroxypropylmethylcellulose, sodium alginate, polyvinylpyrrolidone, gum tragacanth and gum acacia; and dispersing or wetting agents, which may be a naturally-occurring phosphatide, for example, lecithin, or condensation products of an alkylene oxide with fatty acids, for example polyoxyethylene stearate, or condensation products of ethylene oxide with long chain aliphatic alcohols, for example heptadecaethyleneoxycetanol, or condensation products of ethylene oxide with partial esters derived from fatty acids and a hexitol such as polyoxyethylene sorbitol monooleate, or condensation products of ethylene oxide with partial esters derived from fatty acids and hexitol anhydrides, for example polyethylene sorbitan monooleate. The aqueous suspensions may also contain one or more preservatives, for example ethyl, or n-propyl p-hydroxybenzoate, one or more coloring agents, one or more flavoring agents, and one or more sweetening agents, such as sucrose or saccharin.
- Oily suspensions may be formulated by suspending the active ingredients in a vegetable oil, for example arachis oil, olive oil, sesame oil or coconut oil, or in a mineral oil such as liquid paraffin. The oily suspensions may contain a thickening agent, for example beeswax, hard paraffin or cetyl alcohol. Sweetening agents such as those set forth above, and flavoring agents may be added to provide palatable oral preparations. These compositions may be preserved by the addition of an anti-oxidant such as ascorbic acid.
- Dispersible powders and granules suitable for preparation of an aqueous suspension by the addition of water provide the active ingredient in admixture with a dispersing or wetting agent, suspending agent and one or more preservatives. Suitable dispersing or wetting agents and suspending agents are exemplified by those already mentioned above. Additional excipients, for example sweetening, flavoring and coloring agents, may also be present.
- Pharmaceutical formulations of the invention may also be in the form of oil-in-water emulsions and water-in-oil emulsions. The oily phase may be a vegetable oil, for example olive oil or arachis oil, or a mineral oil, for example liquid paraffin or mixtures of these. Suitable emulsifying agents may be naturally-occurring gums, for example gum acacia or gum tragacanth; naturally-occurring phosphatides, for example soy bean, lecithin, and esters or partial esters derived from fatty acids and hexitol; anhydrides, for example sorbitan monooleate; and condensation products of the said partial esters with ethylene oxide, for example polyoxyethylene sorbitan monooleate. The emulsions may also contain sweetening and flavoring agents.
- Syrups and elixirs may be formulated with sweetening agents, for example glycerol, propylene glycol, sorbitol or sucrose. Such formulations may also contain a demulcent, a preservative, and flavoring and coloring agents. The pharmaceutical formulations may be in the form of a sterile injectable aqueous or oleaginous suspension. This suspension may be formulated according to the known art using those suitable dispersing or wetting agents and suspending agents, which have been mentioned above. The sterile injectable preparation may also be a sterile injectable solution or suspension in a non-toxic parenterally acceptable diluent or solvent, for example as a solution in 1,3-butanediol. Among the acceptable vehicles and solvents that may be employed are water, Ringer's solution and isotonic sodium chloride solution. In addition, sterile, fixed oils are conventionally employed as a solvent or suspending medium. For this purpose any bland fixed oil may be employed including synthetic mono- or diglycerides. In addition, fatty acids such as oleic acid find use in the preparation of injectables.
- The composition of the invention may also be administered in the form of suppositories, e.g., for rectal administration of the drug. These compositions can be prepared by mixing the drug with a suitable non-irritating excipient that is solid at ordinary temperatures but liquid at the rectal temperature and will therefore melt in the rectum to release the drug. Such materials are cocoa butter and polyethylene glycols.
- Alternatively, the compositions can be administered parenterally in a sterile medium. The drug, depending on the vehicle and concentration used, can either be suspended or dissolved in the vehicle. Advantageously, adjuvants such as local anesthetics, preservatives and buffering agents can be dissolved in the vehicle.
- For administration to non-human animals, the composition containing the therapeutic compound may be added to the animal's feed or drinking water. Also, it will be convenient to formulate animal feed and drinking water products so that the animal takes in an appropriate quantity of the compound in its diet. It will further be convenient to present the compound in a composition as a premix for addition to the feed or drinking water. The composition can also added as a food or drink supplement for humans.
- Dosage levels of the order of from about 5 mg to about 250 mg per kilogram of body weight per day and more preferably from about 25 mg to about 150 mg per kilogram of body weight per day, are useful in the treatment of the above-indicated conditions. The amount of active ingredient that may be combined with the carrier materials to produce a single dosage form will vary depending upon the condition being treated and the particular mode of administration. Dosage unit forms will generally contain between from about 1 mg to about 500 mg of an active ingredient.
- Frequency of dosage may also vary depending on the compound used and the particular disease treated. However, for treatment of most disorders, a dosage regimen of 4 times daily or less is preferred. It will be understood, however, that the specific dose level for any particular patient will depend upon a variety of factors including the activity of the specific compound employed, the age, body weight, general health, sex, diet, time of administration, route of administration and rate of excretion, drug combination and the severity of the particular disease undergoing therapy.
- Preferred compounds of the invention will have desirable pharmacological properties that include, but are not limited to, oral bioavailability, low toxicity, low serum protein binding and desirable in vitro and in vivo half-lives. Penetration of the blood brain barrier for compounds used to treat CNS disorders is necessary, while low brain levels of compounds used to treat peripheral disorders are often preferred.
- Assays may be used to predict these desirable pharmacological properties. Assays used to predict bioavailability include transport across human intestinal cell monolayers, including Caco-2 cell monolayers. Toxicity to cultured hepatocyctes may be used to predict compound toxicity. Penetration of the blood brain barrier of a compound in humans may be predicted from the brain levels of laboratory animals that receive the compound intravenously.
- Serum protein binding may be predicted from albumin binding assays. Such assays are described in a review by Oravcova, et al. (Journal of Chromatography B (1996) volume 677, pages 1-27).
- Compound half-life is inversely proportional to the frequency of dosage of a compound. In vitro half-lives of compounds may be predicted from assays of microsomal half-life as described by Kuhnz and Gieschen (Drug Metabolism and Disposition, (1998)
volume 26, pages 1120-1127). - The amount of the composition required for use in treatment will vary not only with the particular compound selected but also with the route of administration, the nature of the condition being treated and the age and condition of the patient and will ultimately be at the discretion of the attendant physician or clinician.
- In an exemplary embodiment, the pharmaceutical formulation excipient comprises ethanol and the pharmaceutical formulation compound is 1,3-dihydro-5-fluoro-1-hydroxy-2,1-benzoxaborole. In another exemplary embodiment, the pharmaceutical formulation excipient comprises propylene glycol and the pharmaceutical formulation compound is 1,3-dihydro-5-fluoro-1-hydroxy-2,1-benzoxaborole. In an exemplary embodiment the pharmaceutical formulation comprises: about propylene glycol:ethanol 1:4, with 1:10 wt/volume of 1,3-dihydro-5-fluoro-1-hydroxy-2,1-benzoxaborole. In an exemplary embodiment the pharmaceutical formulation comprises: about 70% ethanol; about 20% poly(vinyl methyl ether-alt-maleic acid monobutyl ester); about 10% 1,3-dihydro-5-fluoro-1-hydroxy-2,1-benzoxaborole. In an exemplary embodiment the pharmaceutical formulation comprises: about 56% ethanol; about 14% water; about 15% poly(2-hydroxyethyl methacrylate); about 5% dibutyl sebacate; about 10% 1,3-dihydro-5-fluoro-1-hydroxy-2,1-benzoxaborole. In an exemplary embodiment the pharmaceutical formulation comprises: about 55% ethanol; about 15% ethyl acetate; about 15% poly(vinyl acetate); about 5% dibutyl sebacate; about 10% 1,3-dihydro-5-fluoro-1-hydroxy-2,1-benzoxaborole. In another exemplary embodiment, 1,3-dihydro-5-fluoro-1-hydroxy-2,1-benzoxaborole is present in a pharmaceutical formulation in a concentration which is a member selected from 1%, 2.5%, 5%, 7.5%, 10% and 15% w/v. In another exemplary embodiment, the pharmaceutical formulation is a lacquer.
- In an exemplary embodiment, the pharmaceutical formulation excipient comprises ethanol and the pharmaceutical formulation compound is 5-(4-cyanophenoxy)-1,3-dihydro-1-hydroxy-2,1-benzoxaborole. In another exemplary embodiment, the pharmaceutical formulation excipient comprises propylene glycol and the pharmaceutical formulation compound is 5-(4-cyanophenoxy)-1,3-dihydro-1-hydroxy-2,1-benzoxaborole. In an exemplary embodiment the pharmaceutical formulation comprises: about 20% propylene glycol; about 70% ethanol; about 10% 5-(4-cyanophenoxy)-1,3-dihydro-1-hydroxy-2,1-benzoxaborole. In an exemplary embodiment the pharmaceutical formulation comprises: about 70% ethanol; about 20% poly(vinyl methyl ether-alt-maleic acid monobutyl ester); about 10% 5-(4-cyanophenoxy)-1,3-dihydro-1-hydroxy-2,1-benzoxaborole. In an exemplary embodiment the pharmaceutical formulation comprises: about 56% ethanol; about 14% water; about 15% poly(2-hydroxyethyl methacrylate); about 5% dibutyl sebacate; about 10% 5-(4-cyanophenoxy)-1,3-dihydro-1-hydroxy-2,1-benzoxaborole. In an exemplary embodiment the pharmaceutical formulation comprises: about 55% ethanol; about 15% ethyl acetate; about 15% poly(vinyl acetate); about 5% dibutyl sebacate; about 10% 5-(4-cyanophenoxy)-1,3-dihydro-1-hydroxy-2,1-benzoxaborole. In another exemplary embodiment, 5-(4-cyanophenoxy)-1,3-dihydro-1-hydroxy-2,1-benzoxaborole is present in a pharmaceutical formulation in a concentration which is a member selected from 1%, 2.5%, 5%, 7.5%, 10% and 15% w/v. In another exemplary embodiment, the pharmaceutical formulation is a lacquer.
- In an exemplary embodiment, the pharmaceutical formulation excipient comprises ethanol and the pharmaceutical formulation compound is a compound described herein. In another exemplary embodiment, the pharmaceutical formulation excipient comprises propylene glycol and the pharmaceutical formulation compound is a compound described herein. In an exemplary embodiment the pharmaceutical formulation comprises: about 20% propylene glycol; about 70% ethanol; about 10% of a compound described herein. In an exemplary embodiment the pharmaceutical formulation comprises: about 70% ethanol; about 20% poly(vinyl methyl ether-alt-maleic acid monobutyl ester); about 10% of a compound described herein. In an exemplary embodiment the pharmaceutical formulation comprises: about 56% ethanol; about 14% water; about 15% poly(2-hydroxyethyl methacrylate); about 5% dibutyl sebacate; about 10% of a compound described herein. In an exemplary embodiment the pharmaceutical formulation comprises: about 55% ethanol; about 15% ethyl acetate; about 15% poly(vinyl acetate); about 5% dibutyl sebacate; about 10% of a compound described herein. In another exemplary embodiment, a compound described herein is present in a pharmaceutical formulation in a concentration which is a member selected from 1%, 2.5%, 5%, 7.5%, 10% and 15% w/v. In another exemplary embodiment, the pharmaceutical formulation is a lacquer.
- In a preferred embodiment, the methods of the invention can be used employed through the topical application of the compounds described herein.
- The compositions of the present invention comprises fluid or semi-solid vehicles that may include but are not limited to polymers, thickeners, buffers, neutralizers, chelating agents, preservatives, surfactants or emulsifiers, antioxidants, waxes or oils, emollients, sunscreens, and a solvent or mixed solvent system. The solvent or mixed solvent system is important to the formation because it is primarily responsible for dissolving the drug. The best solvent or mixed solvent systems are also capable of maintaining clinically relevant levels of the drug in solution despite the addition of a poor solvent to the formulation. The topical compositions useful in the subject invention can be made into a wide variety of product types. These include, but are not limited to, lotions, creams, gels, sticks, sprays, ointments, pastes, foams, mousses, and cleansers. These product types can comprise several types of carrier systems including, but not limited to particles, nanoparticles, and liposomes. If desired, disintegrating agents can be added, such as the cross-linked polyvinyl pyrrolidone, agar or alginic acid or a salt thereof such as sodium alginate. Techniques for formulation and administration can be found in Remington: The Science and Practice of Pharmacy, supra. The formulation can be selected to maximize delivery to a desired target site in the body.
- Lotions, which are preparations that are to be applied to the skin, nail, hair, claw or hoof surface without friction, are typically liquid or semi-liquid preparations in which finely divided solid, waxy, or liquid are dispersed. Lotions will typically contain suspending agents to produce better dispersions as well as compounds useful for localizing and holding the active agent in contact with the skin, nail, hair, claw or hoof, e.g., methylcellulose, sodium carboxymethyl-cellulose, or the like.
- Creams containing the active agent for delivery according to the present invention are viscous liquid or semisolid emulsions, either oil-in-water or water-in-oil. Cream bases are water-washable, and contain an oil phase, an emulsifier and an aqueous phase. The oil phase is generally comprised of petrolatum or a fatty alcohol, such as cetyl- or stearyl alcohol; the aqueous phase usually, although not necessarily, exceeds the oil phase in volume, and generally contains a humectant. The emulsifier in a cream formulation, as explained in Remington: The Science and Practice of Pharmacy, supra, is generally a nonionic, anionic, cationic or amphoteric surfactant.
- Gel formulations can also be used in connection with the present invention. As will be appreciated by those working in the field of topical drug formulation, gels are semisolid. Single-phase gels contain organic macromolecules distributed substantially uniformly throughout the carrier liquid, which is typically aqueous, but also may be a solvent or solvent blend.
- Ointments, which are semisolid preparations, are typically based on petrolatum or other petroleum derivatives. As will be appreciated by the ordinarily skilled artisan, the specific ointment base to be used is one that provides for optimum delivery for the active agent chosen for a given formulation, and, preferably, provides for other desired characteristics as well, e.g., emolliency or the like. As with other carriers or vehicles, an ointment base should be inert, stable, nonirritating and non-sensitizing. As explained in Remington: The Science and Practice of Pharmacy, 19th Ed. (Easton, Pa.: Mack Publishing Co., 1995), at pages 1399-1404, ointment bases may be grouped in four classes: oleaginous bases; emulsifiable bases; emulsion bases; and water-soluble bases. Oleaginous ointment bases include, for example, vegetable oils, fats obtained from animals, and semisolid hydrocarbons obtained from petroleum. Emulsifiable ointment bases, also known as absorbent ointment bases, contain little or no water and include, for example, hydroxystearin sulfate, anhydrous lanolin and hydrophilic petrolatum. Emulsion ointment bases are either water-in-oil (W/O) emulsions or oil-in-water (O/W) emulsions, and include, for example, cetyl alcohol, glyceryl monostearate, lanolin and stearic acid. Preferred water-soluble ointment bases are prepared from polyethylene glycols of varying molecular weight; again, reference may be had to Remington: The Science and Practice of Pharmacy, supra, for further information.
- Useful formulations of the invention also encompass sprays. Sprays generally provide the active agent in an aqueous and/or alcoholic solution which can be misted onto the skin, nail, hair, claw or hoof for delivery. Such sprays include those formulated to provide for concentration of the active agent solution at the site of administration following delivery, e.g., the spray solution can be primarily composed of alcohol or other like volatile liquid in which the drug or active agent can be dissolved. Upon delivery to the skin, nail, hair, claw or hoof, the carrier evaporates, leaving concentrated active agent at the site of administration.
- The topical pharmaceutical compositions may also comprise suitable solid or gel phase carriers. Examples of such carriers include but are not limited to calcium carbonate, calcium phosphate, various sugars, starches, cellulose derivatives, gelatin, and polymers such as polyethylene glycols.
- The topical pharmaceutical compositions may also comprise a suitable emulsifier which refers to an agent that enhances or facilitates mixing and suspending oil-in-water or water-in-oil. The emulsifying agent used herein may consist of a single emulsifying agent or may be a nonionic, anionic, cationic or amphoteric surfactant or blend of two or more such surfactants; preferred for use herein are nonionic or anionic emulsifiers. Such surface-active agents are described in “McCutcheon's Detergent and Emulsifiers,” North American Edition, 1980 Annual published by the McCutcheon Division, MC Publishing Company, 175 Rock Road, Glen Rock, N.J. 07452, USA.
- Preferred for use herein are high molecular weight alcohols such as cetearyl alcohol, cetyl alcohol, stearyl alcohol, emulsifying wax, glyceryl monostearate. Other examples are ethylene glycol distearate, sorbitan tristearate, propylene glycol monostearate, sorbitan monooleate, sorbitan monostearate (SPAN 60), diethylene glycol monolaurate, sorbitan monopalmitate, sucrose dioleate, sucrose stearate (CRODESTA F-160), polyoxyethylene lauryl ether (BRIJ 30), polyoxyethylene (2) stearyl ether (BRIJ 72), polyoxyethylene (21) stearyl ether (BRIJ 721), polyoxyethylene monostearate (Myrj 45), polyoxyethylene sorbitan monostearate (TWEEN 60), polyoxyethylene sorbitan monooleate (TWEEN 80), polyoxyethylene sorbitan monolaurate (TWEEN 20) and sodium oleate. Cholesterol and cholesterol derivatives may also be employed in externally used emulsions and promote w/o emulsions.
- Especially suitable nonionic emulsifying agents are those with hydrophile-lipophile balances (HLB) of about 3 to 6 for w/o system and 8 to 18 for o/w system as determined by the method described by Paul L. Lindner in “Emulsions and Emulsion”, edited by Kenneth Lissant, published by Dekker, New York, N.Y., 1974, pages 188-190. More preferred for use herein are one or more nonionic surfactants that produce a system having HLB of about 8 to about 18.
- Examples of such nonionic emulsifiers include but are not limited to “
BRIJ 72”, the trade name for a polyoxyethylene (2) stearyl ether having an HLB of 4.9; “BRIJ 721”, the trade name for a polyoxyethylene (21) stearyl ether having an HLB of 15.5, “Brij 30”, the trade name for polyoxyethylene lauryl ether having an HLB of 9.7; “Polawax”, the trade name for emulsifying wax having an HLB of 8.0; “Span 60”, the trade name for sorbitan monostearate having an HLB of 4.7; “Crodesta F-160”, the trade name for sucrose stearate” having an HLB of 14.5. All of these materials are available from Ruger Chemicals Inc.; Croda; ICI Americas, Inc.; Spectrum Chemicals; and BASF. When the topical formulations of the present invention contain at least one emulsifying agent, each emulsifying agent is present in amount from about 0.5 to about 2.5 wt %, preferably 0.5 to 2.0%, more preferably 1.0% or 1.8%. Preferably the emulsifying agent comprises a mixture of steareth 21 (at about 1.8%) and steareth 2 (at about 1.0%). - The topical pharmaceutical compositions may also comprise suitable emollients. Emollients are materials used for the prevention or relief of dryness, as well as for the protection of the skin, nail, hair, claw or hoof. Useful emollients include, but are not limited to, cetyl alcohol, isopropyl myristate, stearyl alcohol, and the like. A wide variety of suitable emollients are known and can be used herein. See e.g., Sagarin, Cosmetics, Science and Technology, 2nd Edition, Vol. 1, pp. 32-43 (1972), and U.S. Pat. No. 4,919,934, to Deckner et al., issued Apr. 24, 1990, both of which are incorporated herein by reference in their entirety. These materials are available from Ruger Chemical Co, (Irvington, N.J.).
- When the topical formulations of the present invention contain at least one emollient, each emollient is present in an amount from about 0.1 to 15%, preferably 0.1 to about 3.0, more preferably 0.5, 1.0, or 2.5 wt %. Preferably the emollient is a mixture of cetyl alcohol, isopropyl myristate and stearyl alcohol in a 1/5/2 ratio. The emollient may also be a mixture of cetyl alcohol and stearyl alcohol in a 1/2 ratio.
- The topical pharmaceutical compositions may also comprise suitable antioxidants, substances known to inhibit oxidation. Antioxidants suitable for use in accordance with the present invention include, but are not limited to, butylated hydroxytoluene, ascorbic acid, sodium ascorbate, calcium ascorbate, ascorbic palmitate, butylated hydroxyanisole, 2,4,5-trihydroxybutyrophenone, 4-hydroxymethyl-2,6-di-tert-butylphenol, erythorbic acid, gum guaiac, propyl gallate, thiodipropionic acid, dilauryl thiodipropionate, tert-butylhydroquinone and tocopherols such as vitamin E, and the like, including pharmaceutically acceptable salts and esters of these compounds. Preferably, the antioxidant is butylated hydroxytoluene, butylated hydroxyanisole, propyl gallate, ascorbic acid, pharmaceutically acceptable salts or esters thereof, or mixtures thereof. Most preferably, the antioxidant is butylated hydroxytoluene. These materials are available from Ruger Chemical Co, (Irvington, N.J.).
- When the topical formulations of the present invention contain at least one antioxidant, the total amount of antioxidant present is from about 0.001 to 0.5 wt %, preferably 0.05 to about 0.5 wt %, more preferably 0.1%.
- The topical pharmaceutical compositions may also comprise suitable preservatives. Preservatives are compounds added to a pharmaceutical formulation to act as an anti-microbial agent. Among preservatives known in the art as being effective and acceptable in parenteral formulations are benzalkonium chloride, benzethonium, chlorohexidine, phenol, m-cresol, benzyl alcohol, methylparaben, propylparaben, chlorobutanol, o-cresol, p-cresol, chlorocresol, phenylmercuric nitrate, thimerosal, benzoic acid, and various mixtures thereof. See, e.g., Wallhausser, K.-H., Develop. Biol. Standard, 24:9-28 (1974) (S. Krager, Basel). Preferably, the preservative is selected from methylparaben, propylparaben and mixtures thereof. These materials are available from Inolex Chemical Co (Philadelphia, Pa.) or Spectrum Chemicals.
- When the topical formulations of the present invention contain at least one preservative, the total amount of preservative present is from about 0.01 to about 0.5 wt %, preferably from about 0.1 to 0.5%, more preferably from about 0.03 to about 0.15. Preferably the preservative is a mixture of methylparaben and proplybarben in a 5/1 ratio. When alcohol is used as a preservative, the amount is usually 15 to 20%.
- The topical pharmaceutical compositions may also comprise suitable chelating agents to form complexes with metal cations that do not cross a lipid bilayer. Examples of suitable chelating agents include ethylene diamine tetraacetic acid (EDTA), ethylene glycol-bis(beta-aminoethyl ether)-N,N,N′,N′-tetraacetic acid (EGTA) and 8-Amino-2-[(2-amino-5-methylphenoxy)methyl]-6-methoxyquinoline-N,N,N′,N′-tetraacetic acid, tetrapotassium salt (QUIN-2). Preferably the chelating agents are EDTA and citric acid. These materials are available from Spectrum Chemicals.
- When the topical formulations of the present invention contain at least one chelating agent, the total amount of chelating agent present is from about 0.005% to 2.0% by weight, preferably from about 0.05% to about 0.5 wt %, more preferably about 0.1% by weight.
- The topical pharmaceutical compositions may also comprise suitable neutralizing agents used to adjust the pH of the formulation to within a pharmaceutically acceptable range. Examples of neutralizing agents include but are not limited to trolamine, tromethamine, sodium hydroxide, hydrochloric acid, citric acid, and acetic acid. Such materials are available from are available from Spectrum Chemicals (Gardena, Calif.).
- When the topical formulations of the present invention contain at least one neutralizing agent, the total amount of neutralizing agent present is from about 0.1 wt to about 10 wt %, preferably 0.1 wt % to about 5.0 wt %, and more preferably about 1.0 wt %. The neutralizing agent is generally added in whatever amount is required to bring the formulation to the desired pH.
- The topical pharmaceutical compositions may also comprise suitable viscosity increasing agents. These components are diffusible compounds capable of increasing the viscosity of a polymer-containing solution through the interaction of the agent with the polymer.
CARBOPOL ULTREZ 10 may be used as a viscosity-increasing agent. These materials are available from Noveon Chemicals, Cleveland, Ohio. - When the topical formulations of the present invention contain at least one viscosity increasing agent, the total amount of viscosity increasing agent present is from about 0.25% to about 5.0% by weight, preferably from about 0.25% to about 1.0 wt %, and more preferably from about 0.4% to about 0.6% by weight.
- The topical pharmaceutical compositions may also comprise suitable nail penetration enhancers. Examples of nail penetration enhancers include mercaptan compounds, sulfites and bisulfites, keratolytic agents and surfactants. Nail penetration enhancers suitable for use in the invention are described in greater detail in Malhotra et al., J. Pharm. Sci., 91:2, 312-323 (2002), which is incorporated herein by reference in its entirety.
- The topical pharmaceutical compositions may also comprise one or more suitable solvents. The ability of any solid substance (solute) to dissolve in any liquid substance (solvent) is dependent upon the physical properties of the solute and the solvent. When solutes and solvents have similar physical properties the solubility of the solute in the solvent will be the greatest. This gives rise to the traditional understanding that “like dissolves like.” Solvents can be characterized in one extreme as non-polar, lipophilic oils, while in the other extreme as polar hydrophilic solvents. Oily solvents dissolve other non-polar substances by Van der Wals interactions while water and other hydrophilic solvents dissolve polar substances by ionic, dipole, or hydrogen bonding interactions. All solvents can be listed along a continuum from the least polar, i.e. hydrocarbons such as decane, to the most polar solvent being water. A solute will have its greatest solubility in solvents having equivalent polarity. Thus, for drugs having minimal solubility in water, less polar solvents will provide improved solubility with the solvent having polarity nearly equivalent to the solute providing maximum solubility. Most drugs have intermediate polarity, and thus experience maximum solubility in solvents such as propylene glycol or ethanol, which are significantly less polar than water. If the drug has greater solubility in propylene glycol (for example 8% (w/w)) than in water (for example 0.1% (w/w)), then addition of water to propylene glycol should decrease the maximum amount of drug solubility for the solvent mixture compared with pure propylene glycol. Addition of a poor solvent to an excellent solvent will decrease the maximum solubility for the blend compared with the maximum solubility in the excellent solvent.
- When compounds are incorporated into topical formulations the concentration of active ingredient in the formulation may be limited by the solubility of the active ingredient in the chosen solvent and/or carrier. Non-lipophilic drugs typically display very low solubility in pharmaceutically acceptable solvents and/or carriers. For example, the solubility of some compounds in the invention in water is less than 0.00025% wt/wt. The solubility of the same compounds in the invention can be less than about 2% wt/wt in either propylene glycol or isopropyl myristate. In one embodiment of the present invention, diethylene glycol monoethyl ether (DGME) is the solvent used to dissolve the compounds of the invention. The compounds in the invention useful in the present formulation are believed to have a solubility of from about 10% wt/wt to about 25% wt/wt in DGME. In another embodiment a DGME water cosolvent system is used to dissolve the compounds of the invention. The solvent capacity of DGME drops when water is added; however, the DGME/water cosolvent system can be designed to maintain the desired concentration of from about 0.1% to about 5% wt/wt active ingredient. Preferably the active ingredient is present from about 0.5% to about 3% wt/wt, and more preferably at about 1% wt/wt, in the as-applied topical formulations. Because DGME is less volatile than water, as the topical formulation evaporates upon application, the active agent becomes more soluble in the cream formulation. This increased solubility reduces the likelihood of reduced bioavailability caused by the drug precipitating on the surface of the skin, nail, hair, claw or hoof.
- Liquid forms, such as lotions suitable for topical administration or suitable for cosmetic application, may include a suitable aqueous or nonaqueous vehicle with buffers, suspending and dispensing agents, thickeners, penetration enhancers, and the like. Solid forms such as creams or pastes or the like may include, for example, any of the following ingredients, water, oil, alcohol or grease as a substrate with surfactant, polymers such as polyethylene glycol, thickeners, solids and the like. Liquid or solid formulations may include enhanced delivery technologies such as liposomes, microsomes, microsponges and the like.
- Additionally, the compounds can be delivered using a sustained-release system, such as semipermeable matrices of solid hydrophobic polymers containing the therapeutic agent. Various sustained-release materials have been established and are well known by those skilled in the art.
- Topical treatment regimens according to the practice of this invention comprise applying the composition directly to the skin, nail, hair, claw or hoof at the application site, from one to several times daily.
- Formulations of the present invention can be used to treat, ameliorate or prevent conditions or symptoms associated with bacterial infections, acne, inflammation and the like.
- In an exemplary embodiment, the pharmaceutical formulation includes a simple solution. In an exemplary embodiment, the simple solution includes an alcohol. In an exemplary embodiment, the simple solution includes alcohol and water. In an exemplary embodiment, the alcohol is ethanol, ethylene glycol, propanol, polypropylene glycol, isopropanol or butanol. In another exemplary embodiment, the simple solution is a member selected from about 10% polypropylene glycol and about 90% ethanol; about 20% polypropylene glycol and about 80% ethanol; about 30% polypropylene glycol and about 70% ethanol; about 40% polypropylene glycol and about 60% ethanol; about 50% polypropylene glycol and about 50% ethanol; about 60% polypropylene glycol and about 40% ethanol; about 70% polypropylene glycol and about 30% ethanol; about 80% polypropylene glycol and about 20% ethanol; about 90% polypropylene glycol and about 10% ethanol.
- In an exemplary embodiment, the pharmaceutical formulation is a lacquer. Please see Remington's, supra, for more information on the production of lacquers.
- In an exemplary embodiment, the compound is present in said pharmaceutical formulation in a concentration of from about 0.5% to about 15%. In an exemplary embodiment, the compound is present in said pharmaceutical formulation in a concentration of from about 0.1% to about 12.5%. In an exemplary embodiment, the compound is present in said pharmaceutical formulation in a concentration of from about 1% to about 10%. In an exemplary embodiment, the compound is present in said pharmaceutical formulation in a concentration of from about 1% to about 5%. In an exemplary embodiment, the compound is present in said pharmaceutical formulation in a concentration of from about 0.5% to about 5%. In an exemplary embodiment, the compound is present in said pharmaceutical formulation in a concentration of from about 0.5% to about 7.5%. In an exemplary embodiment, the compound is present in said pharmaceutical formulation in a concentration of from about 5% to about 7.5%. In an exemplary embodiment, the compound is present in said pharmaceutical formulation in a concentration of from about 2% to about 8%. In an exemplary embodiment, the compound is present in said pharmaceutical formulation in a concentration of from about 4% to about 9%.
- The following are examples of the cosmetic and pharmaceutical agents that can be added to the topical pharmaceutical formulations of the present invention. The following agents are known compounds and are readily available commercially.
- Anti-inflammatory agents include, but are not limited to, bisabolol, mentholatum, dapsone, aloe, hydrocortisone, and the like.
- Vitamins include, but are not limited to, Vitamin B, Vitamin E, Vitamin A, Vitamin D, and the like and vitamin derivatives such as tazarotene, calcipotriene, tretinoin, adapalene and the like.
- Anti-aging agents include, but are not limited to, niacinamide, retinol and retinoid derivatives, AHA, Ascorbic acid, lipoic acid,
coenzyme Q 10, beta hydroxy acids, salicylic acid, copper binding peptides, dimethylaminoethyl (DAEA), and the like. - Sunscreens and or sunburn relief agents include, but are not limited to, PABA, jojoba, aloe, padimate-O, methoxycinnamates, proxamine HCl, lidocaine and the like. Sunless tanning agents include, but are not limited to, dihydroxyacetone (DHA).
- Psoriasis-treating agents and/or acne-treating agents include, but are not limited to, salicylic acid, benzoyl peroxide, coal tar, selenium sulfide, zinc oxide, pyrithione (zinc and/or sodium), tazarotene, calcipotriene, tretinoin, adapalene and the like.
- Agents that are effective to control or modify keratinization, including without limitation: tretinoin, tazarotene, and adapalene.
- The compositions comprising an compound/active agent of the invention, and optionally at least one of these additional agents, are to be administered topically. In a primary application, this leads to the compounds of the invention and any other active agent working upon and treating the skin, nail, hair, claw or hoof. Alternatively, any one of the topically applied active agents may also be delivered systemically by transdermal routes.
- In such compositions an additional cosmetically or pharmaceutically effective agent, such as an anti-inflammatory agent, vitamin, anti-aging agent, sunscreen, and/or acne-treating agent, for example, is usually a minor component (from about 0.001% to about 20% by weight or preferably from about 0.01% to about 10% by weight) with the remainder being various vehicles or carriers and processing aids helpful for forming the desired dosing form.
- Preferred compounds for use in the present topical formulations will have certain pharmacological properties. Such properties include, but are not limited to, low toxicity, low serum protein binding and desirable in vitro and in vivo half-lives. Assays may be used to predict these desirable pharmacological properties. Assays used to predict bioavailability include transport across human intestinal cell monolayers, including Caco-2 cell monolayers. Serum protein binding may be predicted from albumin binding assays. Such assays are described in a review by Oravcova et al. (1996, J. Chromat. B677: 1-27). Compound half-life is inversely proportional to the frequency of dosage of a compound. In vitro half-lives of compounds may be predicted from assays of microsomal half-life as described by Kuhnz and Gleschen (Drug Metabolism and Disposition, (1998)
volume 26, pages 1120-1127). - Toxicity and therapeutic efficacy of such compounds can be determined by standard pharmaceutical procedures in cell cultures or experimental animals, e.g., for determining the LD50 (the dose lethal to 50% of the population) and the ED50 (the dose therapeutically effective in 50% of the population). The dose ratio between toxic and therapeutic effects is the therapeutic index and it can be expressed as the ratio between LD50 and ED50. Compounds that exhibit high therapeutic indices are preferred. The data obtained from these cell culture assays and animal studies can be used in formulating a range of dosage for use in humans. The dosage of such compounds lies preferably within a range of circulating concentrations that include the ED50 with little or no toxicity. The dosage can vary within this range depending upon the dosage form employed and the route of administration utilized. The exact formulation, route of administration and dosage can be chosen by the individual physician in view of the patient's condition. (See, e.g. Fingl et al., 1975, in “The Pharmacological Basis of Therapeutics”, Ch. 1, p. 1).
- For any compound used in the method of the invention, the therapeutically effective dose can be estimated initially from cell culture assays, as disclosed herein. For example, a dose can be formulated in animal models to achieve a circulating concentration range that includes the EC50 (effective dose for 50% increase) as determined in cell culture, i.e., the concentration of the test compound which achieves a half-maximal inhibition of bacterial cell growth. Such information can be used to more accurately determine useful doses in humans.
- In general, the compounds prepared by the methods, and from the intermediates, described herein will be administered in a therapeutically or cosmetically effective amount by any of the accepted modes of administration for agents that serve similar utilities. It will be understood, however, that the specific dose level for any particular patient will depend upon a variety of factors including the activity of the specific compound employed, the age, body weight, general health, sex, diet, time of administration, route of administration, and rate of excretion, drug combination, the severity of the particular disease undergoing therapy and the judgment of the prescribing physician. The drug can be administered from once or twice a day, or up to 3 or 4 times a day.
- Dosage amount and interval can be adjusted individually to provide plasma levels of the active moiety that are sufficient to maintain bacterial cell growth inhibitory effects. Usual patient dosages for systemic administration range from 0.1 to 1000 mg/day, preferably, 1-500 mg/day, more preferably 10-200 mg/day, even more preferably 100-200 mg/day. Stated in terms of patient body surface areas, usual dosages range from 50-91 mg/m2/day.
- The amount of the compound in a formulation can vary within the full range employed by those skilled in the art. Typically, the formulation will contain, on a weight percent (wt %) basis, from about 0.01-10 wt % of the drug based on the total formulation, with the balance being one or more suitable pharmaceutical excipients. Preferably, the compound is present at a level of about 0.1-3.0 wt %, more preferably, about 1.0 wt %.
- The invention is further illustrated by the Examples that follow. The Examples are not intended to define or limit the scope of the invention.
- Proton NMR are recorded on Varian AS 300 spectrometer and chemical shifts are reported as δ (ppm) down field from tetramethylsilane. Mass spectra are determined on Micromass Quattro II.
- To a solution of 1 (23.3 mmol) in anhydrous THF (70 mL) under nitrogen was added dropwise a BH3 THF solution (1.0 M, 55 mL, 55 mmol) at 0° C. and the reaction mixture was stirred overnight at room temperature. Then the mixture was cooled again with ice bath and MeOH (20 mL) was added dropwise to decompose excess BH3. The resulting mixture was stirred until no bubble was released and then 10% NaOH (10 mL) was added. The mixture was concentrated and the residue was mixed with water (200 mL) and extracted with EtOAc. The residue from rotary evaporation was purified by flash column chromatography over silica gel to give 20.7 mmol of 3.
- Exemplary compounds of
structure 3 prepared by the method above are provided below. - 1H NMR (300 MHz, DMSO-d6): δ 7.57 (d, J=8.7 Hz, 1H), 7.50-7.49 (m, 1H), 7.28-7.24 (m, 1H), 5.59 (t, J=6.0 Hz, 1H) and 4.46 (d, J=6.0 Hz, 2H) ppm.
- 1H NMR (300 MHz, DMSO-d6): δ 7.42 (d, J=8.7 Hz, 1H), 7.09 (d, J=2.4 Hz, 1H), 6.77 (dd, J1=3 Hz, J2=3 Hz, 1H), 5.43 (t, J=5.7 Hz, 1H), 4.44 (d, J=5.1 Hz, 2H), 3.76 (s, 3H).
- To a solution of 2 (Z=H, 10.7 mmol) in methanol (30 mL) was added sodium borohydride (5.40 mol), and the mixture was stirred at room temperature for 1 h. Water was added, and the mixture was extracted with ethyl acetate. The organic layer was washed with brine and dried on anhydrous sodium sulfate. The solvent was removed under reduced pressure to afford 9.9 mmol of 3.
- Exemplary compounds of
structure 3 prepared by the method above are provided below. - 1H-NMR (300 MHz, CDCl3) δ (ppm) 2.00 (br s, 1H), 4.75 (s, 2H), 6.88 (dd, J=8.5, 2.9 Hz, 1H), 7.02 (d, J=8.8 Hz, 1H), 7.26 (d, J=2.6 Hz, 1H), 7.56 (d, J=8.5 Hz, 1H), 7.62 (d, J=8.8 Hz, 2H).
- 1H NMR (300 MHz, DMSO-d6): δ 7.83 (d, 2H), 7.58 (d, 1H), 7.39 (d, 1H), 7.18 (dd, 1H), 7.11 (d, 2H), 5.48 (t, 1H) and 4.50 (d, 2H) ppm.
- M.p. 50-53° C. MS (ESI+): m/z=252 (M+1). HPLC: 99.7% purity at 254 nm and 99.0% at 220 nm. 1H NMR (300 MHz, DMSO-d6): δ 7.80 (d, 2H), 7.37 (d, 1H), 7.04 (d, 2H), 6.98-6.93 (m, 2H), 5.27 (d, 1H), 5.03 (q, 1H), 2.95-2.85 (m, 1H), 2.75-2.64 (m, 1H), 2.39-2.29 (m, 1H) and 1.85-1.74 (m, 1H) ppm.
- 1H-NMR (300 MHz, CDCl3) δ (ppm) 0.20 (s, 6H), 0.98 (s, 9H), 4.67 (br s, 1H), 6.65 (dd, J=8.2, 2.6 Hz, 1H), 6.98 (d, J=2.9 Hz, 1H), 7.36 (d, J=8.8 Hz, 1H).
- Additional examples of compounds which can be produced by this method include 2-bromo-4-(3-cyanophenoxy)benzyl alcohol; 2-bromo-4-(4-chlorophenoxyl)benzyl alcohol; 2-bromo-4-phenoxybenzyl alcohol; 2-bromo-5-(3,4-dicyanophenoxyl)benzyl alcohol; 2-(2-bromo-5-fluorophenyl)ethyl alcohol; 2-bromo-5-fluorobenzyl alcohol; and 1-bromo-2-naphthalenemethanol.
- Compound 3 (20.7 mmol) was dissolved in CH2Cl2 (150 mL) and cooled to 0° C. with ice bath. To this solution under nitrogen were added in sequence N,N-diisopropyl ethyl amine (5.4 mL, 31.02 mmol, 1.5 eq) and chloromethyl methyl ether (2 mL, 25.85 mmol, 1.25 eq). The reaction mixture was stirred overnight at room temperature and washed with NaHCO3-saturated water and then NaCl-saturated water. The residue after rotary evaporation was purified by flash column chromatography over silica gel to give 17.6 mmol of 4.
- Exemplary compounds of
structure 4 prepared by the method above are provided below. - 1H NMR (300 MHz, DMSO-d6): δ 7.63 (d, J=8.7 Hz, 1H), 7.50 (dd, J=2.4 & 0.6 Hz, 1H), 7.32 (dd, J=8.4 & 2.4 Hz, 1H), 4.71 (s, 2H), 4.53 (s, 2H) and 3.30 (s, 3H) ppm.
- 1H-NMR (300.058 MHz, CDCl3) δ ppm 1.43 (d, J=6.5 Hz, 3H), 3.38 (s, 3H), 4.55 (d, J=6.5 Hz, 1H), 4.63 (d, J=6.5 Hz, 1H), 5.07 (q, J=6.5 Hz, 1H), 6.85 (m, 1H), 7.25 (dd, J=9.7, 2.6 Hz, 1H), 7.46 (dd, J=8.8, 5.3 Hz, 1H).
- 1H-NMR (300.058 MHz, CDCl3) δ ppm 3.04 (t, J=6.7 Hz, 2H), 3.31 (s, 3H), 3.77 (t, J=6.7 Hz, 2H), 4.62 (s, 2H), 6.82 (td, J=8.2, 3.2 Hz, 1H), 7.04 (dd, J=9.4, 2.9 Hz, 1H), 7.48 (dd, J=8.8, 5.3 Hz, 1H).
- 1H-NMR (300.058 MHz, CDCl3) δ ppm 3.42 (s, 3H), 4.57 (d, J=1.2 Hz, 2H), 4.76 (s, 2H), 7.3-7.5 (m, 2H).
- 1H-NMR (300.058 MHz, CDCl3) δ ppm 3.43 (s, 3H), 4.65 (s, 2H), 4.80 (s, 2H), 7.43 (dd, J=8.2, 4.1 Hz, 1H), 7.66 (d, J=8.2 Hz, 1H), 7.82 (d, J=4.1 Hz, 1H).
- 1H NMR (300 MHz, DMSO-d6): δ 7.48 (dd, J1=1.2 Hz, J2=1.2 Hz, 1H), 7.05 (d, J=2.7 Hz, 1H), 6.83 (dd, J1=3 Hz, J2=3 Hz, 1H), 4.69 (d, J=1.2 Hz, 2H), 4.5 (s, 2H), 3.74 (d, J=1.5 Hz, 3H), 3.32 (d, J=2.1 Hz, 3H) ppm.
- 1H NMR (300 MHz, DMSO-d6): δ 7.70-7.67 (m, 1H), 7.25-7.09 (m, 6H), 6.96-6.93 (m, 2H), 4.61 (d, 1H), 4.48 (d, 1H), 3.36-3.26 (m, 2H), 3.22 (s, 3H) and 1.63 (s, 3H) ppm.
- 1H-NMR (300 MHz, CDCl3) δ (ppm) 3.43 (s, 3H), 4.74 (s, 2H), 4.76 (d, J=2.1 Hz, 2H), 7.05 (t, J=9.1 Hz, 1H), 7.18 (td, J=8.2, 5.9 Hz, 1H), 7.40 (d, J=8.2 Hz, 1H).
- 1H NMR (300 MHz, DMSO-d6): δ 7.84 (d, 2H), 7.56 (d, 1H), 7.44 (d, 1H), 7.19-7.12 (m, 3H), 4.69 (s, 2H), 4.56 (s, 2H) and 3.31 (s, 3H) ppm.
- 1H-NMR (300 MHz, CDCl3) δ (ppm) 0.19 (s, 6H), 0.98 (s, 9H), 3.43 (s, 3H), 4.59 (s, 2H), 4.75 (s, 2H), 6.64 (dd, J=8.5, 2.9 Hz, 1H), 6.98 (d, J=2.9 Hz, 1H), 7.36 (d, J=8.5 Hz, 1H).
- 1H-NMR (300 MHz, CDCl3) δ (ppm) 3.41 (s, 3H), 4.64 (s, 2H), 4.76 (s, 2H), 6.8-6.9 (m, 2H), 7.16 (td, J=7.6, 0.9 Hz, 1H), 7.28 (d, J=2.9 Hz, 1H), 7.49 (ddd, J=8.8, 7.6, 1.8 Hz, 1H), 7.56 (d, J=8.5 Hz, 1H), 7.67 (dd, J=7.9, 1.8 Hz, 1H).
- 1H-NMR (300 MHz, CDCl3) δ (ppm) 3.40 (s, 3H), 4.62 (s, 2H), 4.74 (s, 2H), 6.80 (dd, J=8.8, 2.9 hz, 1H), 7.01 (d, J=8.5 Hz, 2H), 7.12 (t, J=7.9 Hz, 1H), 7.19 (d, J=2.9 hz, 1H), 7.35 (t, J=7.6 Hz, 2H), 7.48 (d, J=8.5 Hz, 1H).
- Additional examples of compounds which can be produced by this method include 2-bromo-1-(methoxymethoxymethyl)benzene; 2-bromo-5-methyl-1-(methoxymethoxymethyl)benzene; 2-bromo-5-(methoxymethoxymethyl)-1-(methoxymethoxymethyl)benzene; 2-bromo-5-fluoro-1-(methoxymethoxymethyl)benzene; 1-bromo-2-(methoxymethoxymethyl)naphthalene; 2-bromo-4-fluoro-1-(methoxymethoxymethyl)benzene; 2-phenyl-1-(2-bromophenyl)-1-(methoxymethoxy)ethane; 2-bromo-5-(4-cyanophenoxy)-1-(methoxymethoxy methyl)benzene; 2-bromo-4-(3-cyanophenoxy)-1-(methoxymethoxymethyl)benzene; 2-bromo-4-(4-chlorophenoxy)-1-(methoxymethoxymethyl)benzene; 2-bromo-4-phenoxy-1-(methoxymethoxymethyl)benzene; 2-bromo-5-(3,4-dicyanophenoxy)-1-(methoxymethoxymethyl)benzene.
- To a solution of 4 (17.3 mmol) in anhydrous THF (80 mL) at −78° C. under nitrogen was added dropwise tert-BuLi or n-BuLi (11.7 mL) and the solution became brown colored. Then, B(OMe)3 (1.93 mL, 17.3 mmol) was injected in one portion and the cooling bath was removed. The mixture was warmed gradually with stirring for 30 min and then stirred with a water bath for 2 h. After addition of 6N HCl (6 mL), the mixture was stirred overnight at room temperature and about 50% hydrolysis has happened as shown by TLC analysis. The solution was rotary evaporated and the residue was dissolved in MeOH (50 mL) and 6N HCl (4 mL). The solution was refluxed for 1 h and the hydrolysis was completed as indicated by TLC analysis. Rotary evaporation gave a residue which was dissolved in EtOAc, washed with water, dried and then evaporated. The crude product was purified by flash column chromatography over silica gel to provide a solid with 80% purity. The solid was further purified by washing with hexane to afford 7.2 mmol of I.
- Analytical data for exemplary compounds of structure I are provided below.
- M.p. 142-150° C. MS (ESI): m/z=169 (M+1, positive) and 167 (M-1, negative). HPLC (220 nm): 99% purity. 1H NMR (300 MHz, DMSO-d6): δ 9.30 (s, 1H), 7.71 (d, J=7.8 Hz, 1H), 7.49 (s, 1H), 7.38 (d, J=7.8 Hz, 1H) and 4.96 (s, 2H) ppm.
- M.p. 83-86° C. MS (ESI): m/z=135 (M+1, positive) and 133 (M-1, negative). HPLC (220 nm): 95.4% purity. 1H NMR (300 MHz, DMSO-d6): δ 9.14 (s, 1H), 7.71 (d, J=7.2 Hz, 1H), 7.45 (t, J=7.5 Hz, 1H), 7.38 (d, J=7.5 Hz, 1H), 7.32 (t, J=7.1 Hz, 1H) and 4.97 (s, 2H) ppm.
- 1H-NMR (300 MHz, DMSO-d6) δ ppm 1.37 (d, J=6.4 Hz, 3H), 5.17 (q, J=6.4 Hz, 1H), 7.14 (m, 1H), 7.25 (dd, J=9.7, 2.3 Hz, 1H), 7.70 (dd, J=8.2, 5.9 Hz, 1H), 9.14 (s, 1H).
- 1H-NMR (300 MHz, DMSO-d6) δ ppm 2.86 (t, J=5.9 Hz, 2H), 4.04 (t, J=5.9 Hz, 2H), 7.0-7.1 (m, 2H), 7.69 (dd, J=8.2, 7.2 Hz, 1H), 8.47 (s, 1H).
- 1H-NMR (300 MHz, DMSO-d6) δ ppm 4.94 (s, 2H), 7.50 (dd, J=10.7, 6.8 Hz, 1H), 7.62 (dd, J=9.7, 8.2 Hz, 1H), 9.34 (s, 1H).
- 1H-NMR (300 MHz, DMSO-d6) δ ppm 5.03 (s, 2H), 7.76 (d, J=8.2 Hz, 1H), 7.89 (d, J=8.2 Hz, 1H), 7.90 (s, 1H), 9.53 (s, 1H).
- M.p. 102-104° C. MS ESI: m/z=165.3 (M+1) and 162.9 (M−1). 1H NMR (300 MHz, DMSO-d6): δ 8.95 (s, 1H), 7.60 (d, J=8.1 Hz, 1H), 6.94 (s, 1H), 6.88 (d, J=8.1 Hz, 1H), 4.91 (s, 2H), 3.77 (s, 3H) ppm.
- M.p. 124-128° C. MS ESI: m/z=148.9 (M+1) and 146.9 (M−1). 1H NMR (300 MHz, DMSO-d6): δ 9.05 (s, 1H), 7.58 (d, J=7.2 Hz, 1H), 7.18 (s, 1H), 7.13 (d, J=7.2 Hz, 2H), 4.91 (s, 2H), 2.33 (s, 3H) ppm.
- MS: m/z=163 (M-1, ESI−). 1H NMR (300 MHz, DMSO-d6): δ 9.08 (s, 1H), 7.64 (d, 1H), 7.33 (s, 1H), 7.27 (d, 1H), 5.23 (t, 1H), 4.96 (s, 2H), 4.53 (d, 2H) ppm.
- M.p. 110-114° C. MS ESI: m/z=150.9 (M−1). 1H NMR (300 MHz, DMSO-d6): δ 9.20 (s, 1H), 7.73 (dd, J1=6 Hz, J2=6 Hz, 1H), 7.21 (m, 1H), 7.14 (m, 1H), 4.95 (s, 2H) ppm.
- M.P. 139-143° C. MS ESI: m/z=184.9 (M+1). 1H NMR (300 MHz, DMSO-d6): δ 9.21 (s, 1H), 8.28 (dd, J1=6.9 Hz, J2=0.6 Hz, 1H), 7.99 (d, J=8.1 Hz, 1H), 7.95 (d, J=7.5 Hz, 1H), 7.59-7.47 (m, 3H), 5.09 (s, 2H) ppm.
- M.p. 110-117.5° C. MS (ESI): m/z=151 (M-1, negative). HPLC (220 nm): 100% purity. 1H NMR (300 MHz, DMSO-d6): δ 9.29 (s, 1H), 7.46-7.41 (m, 2H), 7.29 (td, 1H) and 4.95 (s, 2H) ppm.
- MS (ESI): m/z=239 (M+1, positive). HPLC: 99.5% purity at 220 nm and 95.9% at 254 nm. 1H NMR (300 MHz, DMSO-d6): δ 8.89 (s, 1H), 7.49-7.40 (m, 3H), 7.25-7.19 (m, 1H), 7.09-7.05 (m, 3H), 6.96-6.94 (m, 2H), 3.10 (d, 1H), 3.00 (d, 1H) and 1.44 (s, 3H) ppm.
- MS (ESI+): m/z=225 (M+1). HPLC: 93.4% purity at 220 nm. 1H NMR (300 MHz, DMSO-d6): δ 9.08 (s, 1H), 7.63 (dd, 1H), 7.43 (t, 1H), 7.35-7.14 (m, 7H), 5.38 (dd, 1H), 3.21 (dd, 1H) and 2.77 (dd, 1H) ppm.
- 1H-NMR (300 MHz, DMSO-d6) δ (ppm) 5.06 (s, 2H), 7.26 (ddd, J=9.7, 7.9, 0.6 Hz, 1H), 7.40 (td, J=8.2, 4.7 Hz, 1H), 7.55 (d, J=7.0 Hz, 1H), 9.41 (s, 1H).
- 1H-NMR (300 MHz, DMSO-d6) δ ppm 4.95 (s, 2H), 7.08 (dd, J=7.9, 2.1 Hz, 1H), 7.14 (d, J=8.8 Hz, 1H), 7.15 (d, J=2.1 Hz, 1H), 7.78 (d, J=7.9 Hz, 1H), 7.85 (d, J=9.1 Hz, 2H), 9.22 (s, 1H).
- M.p. 148-151° C. MS: m/z=252 (M+1) (ESI+) and m/z=250 (M−1) (ESI−). HPLC: 100% purity at 254 nm and 98.7% at 220 nm. 1H NMR (300 MHz, DMSO-d6): δ 9.26 (s, 1H), 7.82 (d, 2H), 7.50 (d, 1H), 7.39 (d, 1H), 7.26 (dd, 1H), 7.08 (d, 2H) and 4.99 (s, 2H) ppm
- M.p. 146-149° C. MS: m/z=252 (M+1) (ESI+) and m/z=250 (M−1) (ESI−). HPLC: 100% purity at 254 nm and 97.9% at 220 nm. 1H NMR (300 MHz, DMSO-d6): δ 9.21 (s, 1H), 7.60-7.54 (m, 2H), 7.50-7.45 (m, 2H), 7.34-7.30 (m, 2H), 7.23 (dd, 1H) and 4.98 (s, 2H) ppm.
- M.p. 119-130° C. MS: m/z=261 (M+1) (ESI+) and m/z=259 (M−1) (ESI−). HPLC: 100% purity at 254 nm and 98.9% at 220 nm. 1H NMR (300 MHz, DMSO-d6): δ 9.18 (s, 1H), 7.45-7.41 (m, 3H), 7.29 (d, 1H), 7.19 (dd, 1H), 7.01 (d, 2H) and 4.96 (s, 2H) ppm.
- M.p. 95-99° C. MS: m/z=227 (M+1) (ESI+) and m/z=225 (M−1) (ESI−). HPLC: 100% purity at 254 nm and 98.4% at 220 nm. 1H NMR (300 MHz, DMSO-d6): δ 9.17 (s, 1H), 7.43-7.35 (m, 3H), 7.28 (s, 1H), 7.19-7.09 (m, 2H), 6.99 (d, 2H) and 4.96 (s, 2H) ppm.
- 1H-NMR (300 MHz, DMSO-d6) δ (ppm) 4.90 (s, 2H), 5.25 (s, 2H), 6.98 (dd, J=7.9, 2.1 Hz, 1H), 7.03 (d, J=1.8 Hz, 1H), 7.62 (d, J=7.9 Hz, 1H), 7.64 (d, J=8.5 Hz, 2H), 7.86 (d, J=8.5 Hz, 1H), 9.01 (s, 1H).
- 1H-NMR (300 MHz, DMSO-d6) δ (ppm) 4.95 (s, 2H), 7.0-7.2 (m, 3H), 7.32 (td, J=7.6, 1.2 Hz, 1H), 7.68 (ddd, J=9.1, 7.6, 1.8 Hz, 1H), 7.77 (d, J=7.9 Hz, 1H), 7.91 (dd, J=7.9, 1.8 Hz, 1H).
- 1H-NMR (300 MHz, DMSO-d6) δ (ppm) 4.91 (s, 2H), 6.94 (s, 1H), 6.96 (d, J=8.8 Hz, 1H), 7.05 (d, J=7.6 Hz, 2H), 7.17 (t, J=7.3 Hz, 1H), 7.41 (t, J=7.3 Hz, 2H), 7.70 (d, J=8.5 Hz, 1H), 9.11 (s, 1H).
- 1H-NMR (300 MHz, DMSO-d6) δ (ppm) 1.08 (br s, 6H), 3.1-3.5 (m, 4H), 4.93 (s, 2H), 7.0-7.1 (m, 4H), 7.37 (d, J=8.5 Hz, 2H), 7.73 (d, J=7.9 Hz, 1H), 9.15 (s, 1H).
- 1H-NMR (300 MHz, DMSO-d6) δ (ppm) 3.3-3.7 (m, 8H), 4.93 (s, 2H), 7.0-7.1 (m, 4H), 7.44 (d, J=8.8 Hz, 2H), 7.73 (d, J=7.9 Hz, 1H), 9.16 (s, 1H).
- 1H-NMR (300 MHz, DMSO-d6) δ (ppm) 4.97 (s, 2H), 7.13 (dd, J=7.9, 2.1 Hz, 1H), 7.21 (d, J=1.5 Hz, 1H), 7.43 (dd, J=8.8, 2.6 Hz, 1H), 7.81 (d, J=7.9 Hz, 1H), 7.82 (d, J=2.6 Hz, 1H), 8.11 (d, J=8.5 Hz, 1H), 9.26 (s, 1H).
- M.p. 121-124° C. MS: m/z=243 (M+1) (ESI+) and m/z=241 (M−1) (ESI−). HPLC: 99.6% purity at 254 nm and 99.6% at 220 nm. 1H NMR (300 MHz, DMSO-d6): δ 9.25 (s, 1H), 7.72 (dd, 1H), 7.48 (dd, 1H), 7.43 (dd, 1H), 7.37-7.31 (m, 2H), 7.29-7.23 (m, 3H), and 4.98 (s, 2H) ppm.
- M.p. 97-101° C. MS: m/z=311 (M+1) (ESI+) and m/z=309 (M−1) (ESI−). HPLC: 100% purity at 254 nm and 100% at 220 nm. 1H NMR (300 MHz, DMSO-d6): δ 9.20 (s, 1H), 7.45 (d, 1H), 7.37 (d, 2H), 7.33 (d, 1H), 7.21 (dd, 1H), 7.08 (d, 2H), and 4.97 (s, 2H) ppm.
- M.p. 85-95° C. MS: m/z=304 (M+1) (ESI+) and m/z=302 (M−1) (ESI−). HPLC: 96.6% purity at 254 nm and 89.8% at 220 nm. 1H NMR (300 MHz, DMSO-d6): δ 9.23 (s, 1H), 7.72-7.63 (m, 2H), 7.56 (t, 2H), 7.50 (d, 2H), 7.16 (s, 1H), 7.03 (d, 1H), 4.91 (s, 2H) and 3.14 (s, 3H) ppm.
- M.p. 126-129° C. MS: m/z=257 (M+1) (ESI+) and m/z=255 (M−1) (ESI−). HPLC: 98.4% purity at 254 nm and 98.4% at 220 nm. 1H NMR (300 MHz, DMSO-d6): δ 9.14 (s, 1H), 7.36 (d, 1H), 7.19 (s, 1H), 7.12 (d, 1H), 6.98 (d, 2H), 6.95 (d, 2H), 4.93 (s, 2H) and 3.73 (s, 3H) ppm.
- M.p. 95-100° C. MS: m/z=272 (M+), 273 (M+1) (ESI+) and m/z=271 (M−1) (ESI−). HPLC: 100% purity at 254 nm and 99.2% at 220 nm. 1H NMR (300 MHz, DMSO-d6): δ 9.20 (s, 1H), 7.51 (d, 1H), 7.39-7.28 (m, 4H), 6.98 (d, 2H), 4.93 (s, 2H) and 3.76 (s, 3H) ppm.
- M.p. 180-192° C. MS: m/z=305 (M+1) (ESI+) and m/z=303 (M−1) (ESI−). HPLC: 96.8% purity at 254 nm and 95.5% at 220 nm. 1H NMR (300 MHz, DMSO-d6): δ 9.46 (s, 1H), 8.28 (s, 1H), 7.99 (d, 1H), 7.85 (d, 2H), 7.61 (d, 1H), 7.11 (d, 2H), 5.02 (s, 2H) and 3.80 (s, 3H) ppm.
- 1H NMR (300 MHz, DMSO-d6): δ 9.37 (s, 1H), 8.02 (d, 1H), 7.71 (dd, 1H), 7.59 (d, 2H), 7.53 (d, 1H), 7.07 (d, 2H), 5.00 (s, 2H) and 3.76 (s, 3H) ppm.
- M.p. 113-118° C. MS: m/z=203 (M+1) (ESI+) and m/z=201 (M−1) (ESI−). HPLC: 100% purity at 254 nm and 100% at 220 nm. 1H NMR (300 MHz, DMSO-d6): δ 9.48 (s, 1H), 7.92 (d, 1H), 7.78 (s, 1H), 7.67 (d, 1H) and 5.06 (s, 2H) ppm.
- For coupling reaction between 4-fluorobenzonitrile and substituted phenol to give starting
material 2, see Igarashi, S.; et al. Chemical & Pharmaceutical Bulletin (2000), 48(11), 1689-1697. - 1H-NMR (300 MHz, DMSO-d6) (ppm) 4.84 (s, 2H), 7.08 (d, J=8.2 Hz, 2H), 7.18 (d, J=7.9 Hz, 1H), 7.45 (t, J=7.3 Hz, 1H), 7.63 (d, J=7.3 Hz, 1H), 7.82 (d, J=8.5 Hz, 2H).
- For coupling between 3-fluorobenzonitrile and substituted phenol to give starting material 2: Li, F. et al., Organic Letters (2003), 5(12), 2169-2171.
- 1H-NMR (300 MHz, DMSO-d6) (ppm) 4.93 (s, 2H), 7.0-7.1 (m, 2H), 7.3-7.4 (m, 1H), 7.5-7.7 (m, 3H), 7.75 (d, J=8.2 Hz, 1H).
- To a solution of 5-(4-cyanophenoxy)-1-hydroxy-2,1-benzoxaborole obtained in C17 (430 mg, 1.71 mmol) in ethanol (10 mL) was added 6 mol/L sodium hydroxide (2 mL), and the mixture was refluxed for 3 hours. Hydrochloric acid (6 mol/L, 3 mL) was added, and the mixture was extracted with ethyl acetate. The organic layer was washed with brine and dried on anhydrous sodium sulfate. The solvent was removed under reduced pressure, and the residue was purified by silica gel column chromatography (ethyl acetate) followed by trituration with diisopropyl ether to give the target compound (37 mg, 8%).
- 1H-NMR (300 MHz, DMSO-d6) δ (ppm) 4.94 (s, 2H), 7.0-7.1 (m, 4H), 7.76 (d, J=7.9 Hz, 1H), 7.94 (d, J=8.8 Hz, 2H), 9.19 (s, 1H), 12.8 (br s, 1H).
- A mixture of 5-(4-cyanophenoxy)-1-hydroxy-2,1-benzoxaborole (200 mg, 0.797 mmol), sodium azide (103 mg, 1.59 mmol), and ammonium chloride (85 mg, 1.6 mmol) in N,N-dimethylformamide (5 mL) was stirred at 80° C. for two days. Water was added, and the mixture was extracted with ethyl acetate. The organic layer was washed with water and brine, and dried on anhydrous sodium sulfate. The solvent was removed under reduced pressure, and the residue was purified by silica gel column chromatography (ethyl acetate) followed by trituration with ethyl acetate to give the target compound (55 mg, 23%).
- 1H-NMR (300 MHz, DMSO-d6) δ (ppm) 4.95 (s, 2H), 7.0-7.1 (m, 2H), 7.23 (d, J=8.8 Hz, 2H), 7.76 (d, J=7.9 Hz, 1H), 8.05 (d, J=8.5 Hz, 2H), 9.18 (br s, 1H).
- A mixture of 2 (10.0 mmol), bis(pinacolato)diboron (2.79 g, 11.0 mmol), PdCl2(dppf) (250 mg, 3 mol %), and potassium acetate (2.94 g, 30.0 mmol) in 1,4-dioxane (40 mL) was stirred at 80° C. for overnight. Water was added, and the mixture was extracted with ethyl acetate. The organic layer was washed with brine and dried on anhydrous sodium sulfate. The solvent was removed under reduced pressure. The crude product was dissolved in tetrahydrofuran (80 mL), then sodium periodate (5.56 g, 26.0 mmol) was added. After stirring at room temperature for 30 min, 2N HCl (10 mL) was added, and the mixture was stirred at room temperature for overnight. Water was added, and the mixture was extracted with ethyl acetate. The organic layer was washed with brine and dried on anhydrous sodium sulfate. The solvent was removed under reduced pressure, and the residue was treated with ether to afford 6.3 mmol of the corresponding boronic acid. To the solution of the obtained boronic acid (0.595 mmol) in methanol (5 mL) was added sodium borohydride (11 mg, 0.30 mmol), and the mixture was stirred at room temperature for 1 h. Water was added, and the mixture was extracted with ethyl acetate. The organic layer was washed with brine and dried on anhydrous sodium sulfate. The solvent was removed under reduced pressure, and the residue was purified by silica gel column chromatography to give 0.217 mmol of I.
- Analytical data for exemplary compounds of structure I are provided below.
- Analytical data for this compound is listed in 4.2.j.
- To a solution of 3 (4.88 mmol) and triisopropyl borate (1.35 mL, 5.86 mmol) in tetrahydrofuran (10 mL) was added n-butyllithium (1.6 mol/L in hexanes; 6.7 mL, 10.7 mmol) dropwise over 15 min at −78° C. under nitrogen atmosphere, and the mixture was stirred for 2 h while allowing to warm to room temperature. The reaction was quenched with 2N HCl, and extracted with ethyl acetate. The organic layer was washed with brine and dried on anhydrous sodium sulfate. The solvent was removed under reduced pressure, and the residue was purified by silica gel column chromatography and treated with pentane to give 0.41 mmol of I.
- Analytical data for exemplary compounds of structure I are provided below.
- Analytical data for this compound is listed in 4.2.j.
- To a solution of 3 (4.88 mmol) in toluene (20 mL) was added triisopropyl borate (2.2 mL, 9.8 mmol), and the mixture was heated at reflux for 1 h. The solvent, the generated isopropyl alcohol and excess triisopropyl borate were removed under reduced pressure. The residue was dissolved in tetrahydrofuran (10 mL) and cooled to −78° C. n-Butyllithium (3.2 mL, 5.1 mmol) was added dropwise over 10 min, and the mixture was stirred for 1 h while allowing to warm to room temperature. The reaction was quenched with 2N HCl, and extracted with ethyl acetate. The organic layer was washed with brine and dried on anhydrous sodium sulfate. The solvent was removed under reduced pressure, and the residue was purified by silica gel column chromatography to give 1.54 mmol of I.
- Analytical data for exemplary compounds of structure I are provided below.
- Analytical data for this compound is listed in 4.2.j.
- To a solution of 7 (49.5 mmol) in carbon tetrachloride (200 mL) were added N-bromosuccinimide (8.81 g, 49.5 mmol) and N,N-azoisobutylonitrile (414 mg, 5 mol %), and the mixture was heated at reflux for 3 h. Water was added, and the mixture was extracted with chloroform. The organic layer was washed with brine and dried on anhydrous sodium sulfate. The solvent was removed under reduced pressure to give the crude methyl-brominated intermediate 8.
- To crude 8 (49.5 mmol) were added dimethylformamide (150 mL) and sodium acetate (20.5 g, 250 mmol), and the mixture was stirred at 80° C. for overnight. Water was added, and the mixture was extracted with ether. The organic layer was washed with water and brine, and dried on anhydrous sodium sulfate. The solvent was removed under reduced pressure. To the residue was added methanol (150 mL) and 1N sodium hydroxide (50 mL), and the mixture was stirred at room temperature for 1 h. The reaction mixture was concentrated to about a third of volume under reduced pressure. Water and hydrochloric acid were added, and the mixture was extracted with ethyl acetate. The organic layer was washed with water and brine, and dried on anhydrous sodium sulfate. The solvent was removed under reduced pressure, and the residue was purified by silica gel column chromatography followed by trituration with dichloromethane to give 21.8 mmol of 3.
- Exemplary compounds of
structure 3 prepared by the method above are provided below. - 1H-NMR (300 MHz, DMSO-d6) δ ppm 4.51 (d, J=5.9 Hz, 2H), 5.67 (t, J=5.6 Hz, 1H), 7.67 (dd, J=8.2, 2.0 Hz, 1H), 7.80 (s, J=8.2 Hz, 1H), 7.83 (d, J=2.0 Hz, 1H).
- Additional examples of compounds which can be produced by this method include 2-bromo-5-(4-cyanophenoxy)benzyl alcohol.
- A mixture of 2 (20.0 mmol), (methoxymethyl)triphenylphosphonium chloride (8.49 g, 24.0 mmol), and potassium tert-butoxide (2.83 g, 24.0 mol) in N,N-dimethylformamide (50 mL) was stirred at room temperature for overnight. The reaction was quenched with 6 N HCl, and the mixture was extracted with ethyl acetate. The organic layer was washed with water (×2) and brine, and dried on anhydrous sodium sulfate. The solvent was removed under reduced. To the residue were added tetrahydrofuran (60 mL) and 6 N HCl, and the mixture was heated at reflux for 8 h. Water was added, and the mixture was extracted with ether. The organic layer was washed with brine and dried on anhydrous sodium sulfate. The solvent was removed under reduced pressure to afford 16.6 mmol of 9.
- A solution of I in an appropriate alcohol solvent (R1—OH) was refluxed under nitrogen atmosphere and then distilled to remove the alcohol to give the corresponding ester.
- To a solution of Ia in toluene was added amino alcohol and the participated solid was collected to give Ib.
- (500 mg, 3.3 mmol) was dissolved in toluene (37 mL) at 80° C. and ethanolamine (0.20 mL, 3.3 mmol) was added. The mixture was cooled to room temperature, then ice bath, and filtered to give C40 as a white powder (600.5 mg, 94%).
- 1H-NMR (300 MHz, DMSO-d6) δ (ppm) 2.88 (t, J=6.2 Hz, 2H), 3.75 (t, J=6.3 Hz, 2H), 4.66 (s, 2H), 5.77 (br, 2H), 6.85-6.91 (m, 2H), 7.31 (td, J=7.2, 1.2 Hz, 1H).
- Compounds of the present invention can be administered to a patient using a therapeutically effective amount of a compound described herein in any one of the following three lacquer formulations and one solvent formulation. The lacquer formulation provides good durability while the solvent formulation provides good ease of use. These compounds can also be applied using a spray formulation, paint-on lacquer, drops, or other.
-
- 1. 1:4 propylene glycol:ethanol; 1:10 wt/vol compound of invention;
- 2. 1:4 poly(vinyl methyl ether-alt-maleic acid monobutyl ester: ethanol; 1:10 wt/vol compound of the invention;
- 3. 56% ethanol; 14% water; 15% poly(2-hydroxyethyl methacrylate); 5% dibutyl sebacate; 10% compound of the invention;
- 4. 55% ethanol; 15% ethyl acetate; 15% poly(vinyl acetate); 5% dibutyl sebacate; 10% compound of the invention.
- The preparation of these formulations is well known in the art and is found in references such as Remington: The Science and Practice of Pharmacy, supra.
- All MIC testing followed the National Committee for Clinical Laboratory Standards (NCCLS) guidelines for antimicrobial testing of yeasts (M27-A2 NCCLS) and filamentous fungi (Pfaller et al., NCCLS publication M38-A—Reference Method for Broth Dilution Antifungal Susceptibility Testing of Filamentous Fungi; Approved Standard. Wayne, Pa.: NCCLS; 2002 (Vol. 22, No. 16) except the Malassezia species which was incubated in a urea broth (Nakamura et al., Antimicrobial Agents And Chemotherapy, 2000, 44(8) p. 2185-2186). Results of the MIC testing is provided in
FIG. 1 . - Many antifungal agents strongly bind to keratin which not only reduces their antifungal potency but also may restrict their penetration into the nail. The affinities of the compounds for keratin powder was determined by a method described in Tatsumi, Antimicrobial Agents and Chemotherapy, 46(12):3797-3801 (2002).
- A comparison of MIC data for several compounds of the invention against T. rubrum, with and without the presence of 5% keratin, is provided in
FIG. 1 . - (C10) is a novel compound in development for use as a topical antifungal treatment. The purpose of this study was to determine the minimum inhibitory concentration (MIC) for (C10) against 19 test strains of fungi including: Aspergillus fumigatus (A. fumigatus), Candida Albicans (C. albicans, both fluconazole sensitive and resistant strains), Candida glabrata (C. glabrata), Candida krusei (C. krusei), Cryptococcus neoformans (C. neoformans), Candida parapsilosis (C. parapsilosis), Candida tropicalis (C. tropicalis), Epidermophyton floccosum (E. floccosum), Fusarium solani (F. solani), Malassezia furfur (M. furfur), Malassezia pachydermatis (M. pachydermatis), Malassezia sympodialis (M. sympodialis), Microsporum audouinii (M. audouinii), Microsporum canis (M. canis), Microsporum gypseum (M. gypseum), Trichophyton mentagrophytes (T. mentagrophytes), Trichophyton rubrum (T. rubrum), Trichophyton tonsurans (T. tonsurans). Fungal growth was evaluated after exposure to different concentrations of (C10). In addition, the MIC for (C10) against T. rubrum in the presence of 5% keratin powder and the minimum fungicidal concentration (MFC) for (C10) against T. rubrum and T. mentagrophytes were also determined. Ciclopirox and/or terbinafine and/or fluconazole and/or itraconazole were used as comparators and tested in a similar manner. These studies were conducted at NAEJA Pharmaceutical, Inc.
- (C10) was obtained from Anacor Pharmaceuticals, Inc. (Palo Alto, Calif., USA). ATCC strains were obtained from ATCC (Manassas, Va., USA). Ciclopirox-olamine was obtained from Sigma-Aldrich Co. (St. Louis, Mo., USA). Terbinafine, fluconazole and itraconazole were synthesized at NAEJA Pharmaceutical Inc. (Edmonton, AB, Canada), experimental procedures and analytical data for these standards are stored in NAEJA archives.
- All MIC testing followed the National Committee for Clinical Laboratory Standards (NCCLS) guidelines for antimicrobial testing of yeasts and filamentous fungi (Pfaller et al., 2002) except the Malassezia species which were incubated in a urea broth (Nakamura et al., 2000). The microbroth dilution method was used to test the in vitro activity of (C10) against 19 test strains of fungi. Briefly, compounds were dissolved in DMSO and diluted in sterile water to give a working stock. Two-fold serial dilutions of the working stock were prepared in 96-well plates and media was added. Media was RPMI, RPMI+MOPS, modified RPMI, or modified Urea broth. The plates were inoculated with the fungal suspensions to give a final inoculum size of 0.5-2.5×103 cells/mL for yeasts or 0.4-5×104 CFU/mL for filamentous fungi and then incubated for 24-168 h at 35° C. The final concentration of DMSO did not exceed 5%. The MIC was defined as the lowest concentration that resulted in over 90% reduction of growth, as compared to a drug-free control. The MFC was defined as the lowest concentration that killed over 90% of the fungi, as compared to a drug-free control.
- The results for the MIC of (C10) and reference compounds against 19 strains of fungi are shown in
FIG. 2 . The results for the MFC of C10 against 2 strains of fungi are shown in Table 2. (C10) had MIC values ranging from 0.25-2 μg/mL against all fungi tested. Addition of 5% keratin powder to the media did not effect the MIC against T. rubrum. (C10) had fungicidal activity against T. rubrum and T. mentagrophytes with MFC values of 8 and 16 μg/mL, respectively. Reference compounds had MIC values in the range defined by NCCLS. - The solubility, room temperature stability and Log P of C10 was determined by the following methodology.
- Ethanol: 200 proof ACS Grade (EM Science, Gibbstown, N.J., USA); Octanol: Octyl alcohol (EM Science, Gibbstown, N.J., USA); Acetonitrile: HPLC Grade (Burdick & Jackson, Muskegon, Mich., USA); Ammonium Acetate: lot 3272X49621 (Mallinckrodt, Phillipsburg, N.J., USA); C10: lot A032-103 (Anacor Pharmaceuticals, Palo Alto, Calif., USA); p-Nitrophenol (PNP): lot OGNO1 (TCI America, Portland, Oreg., USA); Water: Deionized water (from Millipore systems, Billerica, Mass., USA)
- N-Octanol and water were mutually pre-saturated by vigorously stirring a mixture of both solvents for up to 12 h and the mixture was allowed to separate. Solubility in each solvent was determined by adding 10 μL of 20, 40, 200, 1000 and 5000 μg/mL of C10 in DMSO to the pre-saturated n-octanol or water. After the sample was vortexed for 10 sec, the sample was centrifuged for 10 min at ca. 3000 rpm. A visual inspection was made to determine if the sample was clear or if a pellet had formed on the bottom of the tube.
- C10 (10 μL of 5000μ/mL) at 2× the final concentration was added to 0.5 mL pre-saturated n-octanol and mixed. An equal volume (0.5 mL) of pre-saturated water was added, vortex mixed and then mixed on a rotating shaker for one hour and 24 h in triplicate at ca. 25° C. The organic and aqueous layers were separated by centrifugation for 5 min at ca. 2000 rpm. Twenty five μL of the octanol (top) layer were removed and placed in a pre-labeled tube. Twenty five μL of the aqueous layer (bottom) were removed, taking care to avoid octanol contamination, and placed in a pro-labeled tube.
- C10 (10 μL of 5000 μg/mL) was added both to 0.5 mL n-octanol and 0.5 mL water in triplicate. Samples were mixed. At 0 h and 24 h samples were stored at ca. −20° C. Twenty five μL of sample was used for analysis.
- For the octanol sample, 25 μL of ethanol, 25 μL of water and 300 μL of acetonitrile containing the internal standard was added. For the water sample, 25 μL of ethanol, 25 μL of octanol and 300 μL of acetonitrile containing the internal standard [60 mL of acetonitrile add 6 μL of PNP (1000 μg/mL)] was added. For the
calibrators 25 μL of octanol, 25 μL of water and 300 pL of acetonitrile containing the internal standard was added. The sample was vortexed for 10 seconds. Two hundred μL of the organic layer were transferred into a clean deactivated autosampler vial. - A 1/concentration weighted linear regression was used for the quantitation of C10. All integration were performed with peak areas using Analyst version 1.3, Applied Biosystems. For C10, peak area ratios analyte to internal standard PNP were used for all quantitation.
- The partition coefficient (P) was calculated according to the equation detailed below:
-
P=[Sample concentration]octanol/[Sample concentration]water -
Log P=log10(partition coefficient) - As shown in Table 17A the solubility of C10 in both octanol and water is very good over the concentration range tested.
-
TABLE 17A Solubility of C10 in water and octanol Targeted Conc Water Octanol (μg/mL) Visual Visual 0.800 Clear Clear 4.00 Clear Clear 20.0 Clear Clear 100 Clear Clear - Table 17B shows the results of the log P determination after 1 h and 24 h for C10. The mean log P after 1 h was 1.97 (n=3). After 24 h the concentrations in both the octanol and water layer remained the same. The mean log P after 24 h was 1.93 (n=3).
-
TABLE 17B Log P of C10 Conc. in Water Conc. in Octanol Sample (μg/mL) (μg/mL) Log P 1 h-1 1.26 108 1.93 1 h-2 1.21 103 1.93 1 h-3 1.05 115 2.04 24 h-1 1.27 104 1.91 24 h-2 1.17 109 1.97 24 h-3 1.28 99.0 1.89 - A stability study for C10 was initiated at room temperature over 24 h without continuous mixing. Table 17C shows that C10 in pure water and octanol is stable over 24 h.
-
TABLE 17C Water and Octanol stability for C10 at room temperature after 24 h. Percent Mean Remaining 24 h Sample (μg/mL) SD versus 0 g Water-0 h 82.5 3.72 115 Water-24 h 95.0 21.4 Octanol-0 h 115 3.06 93 Octanol-24 h 107 6.11 - Two nail penetration studies were performed based on the protocol in Hui et al., Journal of Pharmaceutical Sciences, 91(1): 189-195 (2002) (“Hui protocol”). The purpose of this study was to determine and compare the penetration and distribution of C10 in vehicle into the human nail plate in vitro relative to 8% ciclopirox w/w in commercial lacquer (Penlac®).
- Test Article and Dosage Formulation
- 8% ciclopirox w/w in commercial lacquer was manufactured by Dermick (Berwyn, Pa.). The radiochemical purity and specific activity of the chemical was determined as >95% and 12.5 mCi/mmol, respectively.
- The study was composed of two groups. The compositions (weight %) of the dosage formulations are as follows:
- Active radiolabeled compound in four groups.
-
Dosing Test Chemical Radioactivity Groups* (× 14 days) (%) (per 10 μL) A (C10) qd 10 0.19 μCi C (Ciclopirox) qd 8 0.22 μCi *A = C10 group, C = Ciclopiriox group - Human Nails
- Healthy human finger nail plates were collected from adult human cadavers and stored in a closed container at 0-4° C. Before the experiment, the nail plates were gently washed with normal saline to remove any contamination, then re-hydrated by placing them for three hours on a cloth wetted with normal saline. The nail samples were randomly selected into four groups.
- Dose Preparation:
- Radioactivity of each group is approximately 0.19±0.01 and 0.22±0.03 μCi/10 μL solutions respectively, for 14C10 (group A), and 14C-ciclopirox (group C).
- Experiment Procedure:
-
Study Group A Group C Day wash dose sample wash dose sample 1 D D 2 W D W D 3 W D C W D C 4 W D W D 5 W D W D 6 W D C W D C 7 W D W D 8 W D W D 9 W D C W D C 10 W D W D 11 W D W D 12 W D C W D C 13 W D W D 14 W D W D 15 W C, N W C, N W = once per day before dosing (9~10 AM). D = once per day (9~10 AM). C = changing/sampling cotton ball after surface washing before topical dosing. N = Nail sampling. - Washing Procedure
- Surface washing was started in
morning 10 min prior to next dosing, the surface of the nail was washed with cotton tips in a cycle, as follows: - a tip wetted with absolute ethanol, then
- a tip wetted with absolute ethanol, then
- a tip wetted with 50% IVORY liquid soap, then
- a tip wetted with distilled water, then
- a final tip wetted with distilled water.
- The washing samples from each cycle of each nail were pooled and collected by breaking off the cotton tip into scintillation glass vials. Aliquots of 3.0 mL methanol were added into each vial to extract test material. The radioactivity of each sample was measured in a liquid scintillation counter.
- A Teflon one-chamber diffusion cell (PermeGear, Inc., Hellertown, Pa.) was used to hold each nail. To approximate physiological conditions, a small cotton ball wetted with 0.1 mL normal saline was placed in the chamber to serve as a nail bed and provide moisture for the nail plate. Every 3 days, 0.1 mL normal saline was injected through the inlet into the chamber to keep the cotton ball wet. The nail plate was placed on a ledge inside the receptor (1.0 cm in diameter and 0.5 cm high). The ventral (inner) surface of the nail was placed face down and rested on the wet cotton ball. The cells were placed on a platform in a large glass holding tank filled with saturated sodium phosphate solution to keep the cells at a constant humidity of 40%.
- The nail sampling instrument had two parts, a nail sample stage and a drill. The nail sampling stage consists of a copper nail holder, three adjustments, and a nail powder capture. Three adjustments allow movement in vertical direction. The first coarse adjustment (on the top) was for changing the copper cell and taking powder samples from the capture. The other two adjustments (lower) were for sampling process. The second coarse adjustment allowed movement of 25 mm and the fine adjustment provides movement of 0.20 mm. The nail powder capture was located between the copper cell and the cutter. The inner shape of the capture was inverted funnel and the end of funnel connects to a vacuum. By placing a circle filter paper inside of the funnel, the nail powder samples were captured on the filter paper during the sampling process.
- After completion of the incubation phase, the nail plate was transferred from the diffusion cell to a clean copper nail holder for sampling process. The nail plate was inverted so that the ventral (nail bed) surface now faced up and the dorsal (outer) dosed surfaced faced down. The copper nail holder has an opening as it sits on top of the stage. When the sampling process initiated, the coarse adjustment was adjusted to move the position of the stage until the nail plate was just touching the tip of the cutter. Then the drill was turned on and the fine adjustment was turned to push the stage closer to the drill, removing a nail core sample. After the above process, approximate 0.40-0.50 mm in depth and 7.9 mm in diameter nail pulverized samples were harvested from the center of the ventral (nail bed) surface of the nail.
- The powdered nail samples were collected into a glass scintillation vial and weighted. Aliquots of 5.0 mL Packard soluene-350 (Packard Instrument Company, Meriden, Conn.) was added to the scintillation vial to dissolve the powder. The upper part, the intermediate and dorsal layers of the center of the nail, including the area of application of the dose was cut in the same diameter as the sampled area and was then placed into a glass scintillation vial with 5.0 mL packard soluene-350. The rest of the nail was also placed in a glass scintillation vial with 5.0 mL packard soluene-350.
- The amount of nail sample removed was measured by the difference in weight of the nail plate before and after drilling, and collecting the core of powder.
- All radioactivity measurements were conducted with a Model 1500 Liquid Scintillation Counter (Packard Instrument Company, Downer Grove, Ill.). The counter was audited for accuracy using sealed samples of quenched and unquenched standards as detailed by the instrument manual. The 14C counting efficiency is equal to or greater than 95%. All nail samples pre-treated with packard soluene-350 were incubated at 40° C. for 48 hours followed by the addition of 10 mL scintillation cocktail (HIONIC-FLUOR, Packard Instrument Company, Meriden, Conn.). Other samples (standard dose, surface washing, and bedding material) were mixed directly with Universal ES scintillation cocktail (ICN Biomedicals, Costa Mesa, Calif.). Background control and test samples were counted for 3 minutes each for radioactivity.
- All sample counts (expressed as dpm) were transcribed by hand to a computerized spreadsheet (Microsoft Excel). The individual and mean (±S.D.) amount of test chemical equivalent in nail, bedding material, and wash samples are presented as dpm, μCi, percent administered dose, and mg equivalent at each time point. The concentration of 14C-labeled test chemicals were calculated from the value based on the specific activity of each [14C]-test chemical. The information of concentration of non-labeled test chemical in the topical formulation was obtained from the manufactures. Total concentration of test chemical equivalent is the sum of the concentration of 14C-labeled test chemical and the concentration of non-labeled test chemical. The value of total amount of test chemical equivalent in each nail sample was calculated from those values based on radioactivity of the sample and the ratio of total mg test chemical equivalent and radioactivity of the test chemical. The data was further normalized by dividing with the weight of the sample. Statistical significant of nail samples from every two groups was analyzed by student t-test.
- For both groups (Group A group and Group C) the thickness of whole nail plate, the depth of the ventral surface core sample removed by cutter, the percentage of the whole nail thickness, and the actual weight of powdered nail sample were collected. No statistical difference is found between two groups (P>0.05).
-
FIG. 3 shows summarized normalized drug equivalents in each part (layer) of nail samples. After weight normalization, the concentration of C10 equivalent in dorsal/intermediate center, ventral/intermediate center, and remainder nail samples was significantly higher than that of ciclopirox equivalent (p 0.002). -
FIG. 4 shows summarized C10 and ciclopirox equivalent in supporting bed cotton ball samples. Similar to weight normalized C10 equivalent in the nail plate samples, absolute amount of C10 equivalent per cotton ball sample in group A (after 14 day dosing) was significantly higher than that of ciclopirox in group C (p 0.004). The difference of these two test chemicals was 250 times. - Mass Balance of Radioactivity of [14C]-C10 and [14C]-Ciclopirox after 14-day Treatment
- Table 5 shows summarized radioactive recovery from washing, nail samples, and supporting bed cotton ball samples. Cumulative radioactivity recoveries of carbon-14 were 88±9.21, and 89±1.56 percent of applied dose in group A, and group C, respectively. 88% of the radiolabeled material was accounted for.
- In this study, penetration rate of [14C]-C10 in Anacor topical formulation and [14C]-ciclopirox (8% w/w in commercial lacquer) into human nail with four different dosing and washing methods was studied.
- Results show that much more amount of [14C]-C10 penetrating into the deeper parts of the nail when compared with [14C]-ciclopirox. Tables 3 and 4 show that the amount of [14C]-C10 equivalent in ventral/intermediate center of the nail layer and cotton ball supporting bed in the group A was statistically higher (p≦0.002) than group C after a 14-day dosing period.
- The aim of the current study was to assess and compare the perungual absorption of C10 in a simple vehicle using MedPharm's TurChub® model (see http://www.medpharm.co.uk; specifically http://www.medpharm.co.uk/downloads/Skin%20and%20nail%20dec %202003.pdf; viewed Feb. 14, 2006). in a full scale experiment. Six replicates involving C10 were conducted and Formulations Y (8% ciclopirox w/w in commercial lacquer) and Z (Loceryl, 5% amorolfine w/v in commercial lacquer) were used as the reference formulations.
- The following materials were used in these experiments. These materials were used without any modifications.
- A dose of 40 L/cm2 of the test compound C10 in 50:50 propylene glycol:ethyl acetate was applied to a full thickness nail sample each day over a total duration of five days. Both the reference formulations were also applied at the same dose.
- TurChub® Zone of Inhibition Experiment
- Placebo, test item C10 in vehicle and the reference formulations Y and Z were tested for their inhibition of Trichophyton rubrum (T. rubrum) growth after penetration through a full thickness human nail using a zone of inhibition measurement.
- Formulation Efficacy Testing
-
FIGS. 5-9 show the results obtained from the TurChub zone of inhibition assays. It can be observed that C10 is a potent antifungal agent, which can penetrate through a full thickness nail to elicit its effect against the target organism T. rubrum. No zones of inhibition were observed with reference formulations Y and Z or with the placebo for C10. The experiment using C10 was repeated for a second time to confirm the result and it can be observed fromFIGS. 6 and 7 that C10 shows zones of inhibition of 100%, 67%, 46%, 57%, 38% and 71% in the first experiment and 74%, 86%, 100%, 82%, 100% and 84% in the second experiment. The measurement was taken from the nail to the first point of growth observed. - From the results obtained using MedPharm's TurChub zone of inhibition assay as a test system, the test item C10 was found to be a powerful antifungal agent and demonstrated superior results vs. the commercial reference formulations Y and Z. From these experiments it appears that the compound is permeating through a full thickness nail barrier to exhibit the antifungal activity.
- The optimal dose-response range for penetration into the human nail was determined to be between 1% and 15%. The experiments to determine the optimal dose-response was conducted as follows.
- Tests at different test compound concentrations were conducted on nails derived from the same cadaver. Cadaver nails were hydrated overnight, cut into 4 equally sized squares and placed onto individual poloxomer supports. Test articles were formulated in a lacquer at 1%, 2.5%, 5%, 7.5%, 10% and 15% w/v. A 40 μL/cm2 dose is applied to the center of the nail piece and the nails are left for 24 hrs. Nails are removed from the poloxomer support. Poloxomer support is analyzed for quantity of compound using LC/MS/MS.
- To a solution of 3-bromo-4-hydroxymethylpyridine (10.7 mmol) and B(OMe)3 (2.73 mL, 11.9 mmol) in anhydrous THF (20 mL) at −78° C. under nitrogen was added dropwise n-BuLi (13.6 mL, 21.8 mmol). The cooling bath was then removed. The mixture was warmed gradually with stirring for 30 min and then stirred with a water bath for 2 h. Brine was then added and the pH adjusted to 7 using 6N HCl. The mixture was washed with THF (×2) and the aqueous layer (containing product) was evaporated to dryness. The residue was washed with THF and the product was extracted into ethanol (×2). Ethanol was removed in vacuo, water was added to the residue and removed in vacuo. Toluene was added and removed in vacuo. The resulting residue was triturated with diethyl ether and the product was collected by filtration to afford C12.
- 1H-NMR (300 MHz, DMSO-d6): δ ppm 5.00 (s, 2H), 7.45 (d, J=5.0 Hz, 1H), 8.57 (d, J=5.3 Hz, 1H), 8.91 (s, 1H), 9.57 (s, 1H). ESI-MS m/z 134 (M-H)−, C6H6BNO2=135.
- Additional compounds can be produced by the methods described herein. By choosing the appropriate starting material such as 1 or 3, Examples 1-7 can be used to formulate the following compounds. Where available, melting point characterization is provided for these compounds.
- Analytical data for exemplary compounds of structure I are provided below.
-
- M.P. 134-137° C. Exemplary starting material: ethyl 2-(4-bromo-3-(hydroxymethyl)phenoxy)acetate.
-
- M.P. 163-166° C. Exemplary starting material: ethyl 2-(4-bromo-3-(hydroxymethyl)phenoxy)acetate. The title compound is obtained after saponification of the corresponding ester.
-
- M.P. 99-104° C. Exemplary starting material: (2-bromo-4-(thiophen-2-ylthio)phenyl)methanol.
-
- M.P. 135-138° C. Exemplary starting material: (2-bromo-4-(4-fluorophenylthio)phenyl)methanol.
-
- M.P. 96-98° C. Exemplary starting material: 1-(3-((4-bromo-3-(hydroxymethyl)phenoxy)methyl)phenyl)pentan-1-one.
-
- M.P. 158-163° C. Exemplary starting material: 2-(4-bromo-3-(hydroxymethyl)phenoxy)-1-(piperidin-1-yl)ethanone.
-
- M.P. 190-195° C. Exemplary starting material: 2-(4-bromo-3-(hydroxymethyl)phenoxy)-1-(4-(pyrimidin-2-yl)piperazin-1-yl)ethanone.
-
- M.P. 135-138° C. Exemplary starting material: (2-bromo-4-(4-(pyridin-2-yl)piperazin-1-yl)phenyl)methanol.
-
- M.P. 163-171° C. Exemplary starting material: benzo[c][1,2]oxaborol-1(3H)-ol. See
JACS 82, 2172, 1960 for preparation. -
- M.P. 145-148° C. Exemplary starting material: 6-nitrobenzo[c][1,2]oxaborol-1(3H)-ol.
-
- M.P. 120-123° C. Exemplary starting material: 6-aminobenzo[c][1,2]oxaborol-1(3H)-ol.
-
- M.P. 186-193° C. Exemplary starting material: 6-aminobenzo[c][1,2]oxaborol-1(3H)-ol.
-
- M.P. 159-161° C. Exemplary starting material: (2-bromo-4-(4-phenylpiperazin-1-yl)phenyl)methanol.
-
- M.P. 135-140° C. Exemplary starting material: (2-bromo-4-(1H-indol-1-yl)phenyl)methanol.
-
- M.P. 128-132° C. Exemplary starting material: (2-bromo-4-morpholinophenyl)methanol.
-
- M.P. 193-198° C. Exemplary starting material: 6-(4-bromo-3-(hydroxymethyl)phenoxy)nicotinonitrile.
-
- M.P. 162-167° C. Exemplary starting material: 5-fluorobenzo[c][1,2]oxaborol-1(3H)-ol.
-
- M.P.>257° C. Exemplary starting material: (2,5-dibromo-4-(methoxymethyl)phenyl)methanol.
-
- M.P.>250° C. Exemplary starting material: (2,5-dibromo-1,4-phenylene)dimethanol.
-
- M.P. 213-215° C. Exemplary starting material: 6-aminobenzo[c][1,2]oxaborol-1(3H)-ol.
-
- M.P. 175-184° C. Exemplary starting material: 6-aminobenzo[c][1,2]oxaborol-1(3H)-ol.
-
- M.P. 176-185° C. Exemplary starting material: 6-aminobenzo[c][1,2]oxaborol-1(3H)-ol.
-
- M.P. 241-250° C. Exemplary starting material: (2-bromo-1,3-phenylene)dimethanol.
-
- M.P. 107-111° C. Exemplary starting material: (2-bromo-3-methylphenyl)methanol.
-
- M.P. 159-163° C. Exemplary starting material: (2-bromo-4-(3-(phenylthio)-1H-indol-1-yl)phenyl)methanol.
-
- M.P. 135-141° C. Exemplary starting material: 3-(1-(3-bromo-4-(hydroxymethyl)phenyl)-1H-indol-3-ylthio)propanenitrile.
-
- M.P. 120-124° C. Exemplary starting material: (2-bromo-4-(5-methoxy-1H-indol-1-yl)phenyl)methanol.
-
22cc 5,6-methylenedioxybenzo[c][1,2]oxaborol-1(3H)-ol. (C69) - M.P. 185-189° C. Exemplary starting material: (6-bromobenzo[d][1,3]dioxol-5-yl)methanol.
-
- M.P. 142-145° C. Exemplary starting material: 6-nitro-5-fluorobenzo[c][1,2]oxaborol-1(3H)-ol.
-
- M.P. 159-164° C. Exemplary starting material: 6-amino-5-fluorobenzo[c][1,2]oxaborol-1(3H)-ol.
-
- M.P. 135-141° C. Exemplary starting material: (2-bromo-4-(5-methoxy-3-(phenylthio)-1H-indol-1-yl)phenyl)methanol.
-
- M.P. 149-154° C. Exemplary starting material: 3-(1-(3-bromo-4-(hydroxymethyl)phenyl)-5-methoxy-1H-indol-3-ylthio)propanenitrile.
-
- M.P. 148-153° C. Exemplary starting material: 4-(2-bromo-3-(hydroxymethyl)phenoxy)benzonitrile.
-
- M.P. 149-154° C. Exemplary starting material: (2-bromo-4-(5-chloro-1H-indol-1-yl)phenyl)methanol.
-
- M.P.>225° C. Exemplary starting material: 3-(1-(3-bromo-4-(hydroxymethyl)phenyl)-5-chloro-1H-indol-3-ylthio)propanenitrile.
-
- M.P. 126-133° C. Exemplary starting material: 6-aminobenzo[c][1,2]oxaborol-1(3H)-ol.
-
- M.P. 115-123° C. Exemplary starting material: 6-aminobenzo[c][1,2]oxaborol-1(3H)-ol.
-
- M.P. decomposition at 215° C. Exemplary starting material: 4-(1-hydroxy-1,3-dihydrobenzo[c][1,2]oxaborol-7-yloxy)benzonitrile.
-
- M.P. 145-151° C. Exemplary starting material: (2-bromo-4-(5-chloro-3-(phenylthio)-1H-indol-1-yl)phenyl)methanol.
-
- M.P. NA ° C. Exemplary starting material: (2-bromo-4-(4-(pyrimidin-2-yl)piperazin-1-yl)phenyl)methanol.
-
- M.P. NA ° C. Exemplary starting material: (3-(benzyloxy)-2-bromophenyl)methanol.
-
- M.P. NA ° C. Exemplary starting material: (2-bromo-4-(pyridin-4-ylthio)phenyl)methanol.
-
- M.P. NA ° C. Exemplary starting material: (2-bromo-4-(pyridin-2-ylthio)phenyl)methanol.
- 22tt 7-fluorobenzo[c][1,2]oxaborol-1(3H)-ol (C86)
- M.P. 120-124° C. Exemplary starting material: (2-bromo-3-fluorophenyl)methanol.
-
- M.P. 98-105° C. Exemplary starting material: (2-bromo-4-(4-(trifluoromethyl)phenoxy)phenyl)methanol.
-
- M.P. 157-161° C. Exemplary starting material: (2-bromo-4-(4-chlorophenylthio)phenyl)methanol.
-
- M.P. 154-161° C. Exemplary starting material: 6-(4-chlorophenylthio)benzo[c][1,2]oxaborol-1(3H)-ol.
-
- M.P. 157-163° C. Exemplary starting material: 6-(4-chlorophenylthio)benzo[c][1,2]oxaborol-1(3H)-ol.
-
- M.P. 142-152° C. Exemplary starting material: N-(4-bromo-3-(hydroxymethyl)phenyl)-N-(phenylsulfonyl)benzenesulfonamide.
-
- M.P. 111-113° C. Exemplary starting material: (2-bromo-4-(4-(trifluoromethyl)phenylthio)phenyl)methanol.
-
- M.P. 79-88° C. Exemplary starting material: 6-(4-(trifluoromethyl)phenylthio)benzo[c][1,2]oxaborol-1(3H)-ol.
-
- M.P. 117-120° C. Exemplary starting material: (2-bromo-4-(4-(methylthio)phenylthio)phenyl)methanol.
-
- M.P. 139-144° C. Exemplary starting material: (2-bromo-4-(p-tolylthio)phenyl)methanol.
-
- M.P. 147-150° C. Exemplary starting material: 3-((4-bromo-3-(hydroxymethyl)phenoxy)methyl)benzonitrile.
- A 22.0 L 3-neck flask was equipped with a stir motor, N2 inlet, addition funnel, heating mantle, and condenser. The flask was charged with 3500 g (17.1 mol) of 2-bromo-5-fluorobenzyl alcohol followed by the addition of 3556 g of tetrahydrofuran and 16.4 g (0.17 mol) of methanesulfonic acid. Next, 400 g (4.7 mol) of 3,4-dihydro-2H-pyran was added at 10° C. This step is exothermic so no additional charges should be made until exotherm subsides. The temperature was increased to 27° C., stirred for 15 min and then charged with 400 g (4.7 mol) of 3,4-dihydro-2H-pyran at 24° C. Again the temperature increased (24° C. to 38° C.). The mixture was stirred for 15 min. Once the exotherm subsided, the flask was again charged with 400 g (4.7 mol) of 3,4-dihydro-2H-pyran at 35° C. The temperature again increased to 47° C. over a 20 min period. Once the exotherm subsided, the mixture was stirred for 15 min. Finally the remaining 400 g (4.7 mol) of 3,4-dihydro-2H-pyran was added at 44° C. The temperature increased to 51° C. After stirring for one hour, a sample was removed to check for removal of starting material. Upon reaction completion, contents were cooled to 20±5° C.
-
- To a 22.0 L 3-neck flask equipped with a stir motor, N2 inlet, addition funnel, cooling bath, and condenser was charged 436 g (17.96 mol) of magnesium turnings. 5334 g of tetrahydrofuran was then added followed by 291 g (0.51 mol) of diisobutylaluminum hydride (DIBAL) (25% wt) in toluene. The mixture was stirred for 60 min at 20±5° C. Some gas evolution was seen. Next, 260-430 g˜3-5% (by weight if solution of 4 was dropped to drums) of 4 in THF was added. The mixture was stirred for 15-30 min at which time a slight exotherm should be seen (ΔT=10-15° C.). Once the exotherm was observed, the reaction mixture was cooled to 5±5° C. To this mixture, the remaining 8.22-8.39 kg of 4 in THF was added at a rate such that the temperature was kept below 30° C. (t=3 h). The reaction was stirred at 20-25° C. for 30 min, at which time an aliquot was removed, quench with 3 N HCl (10 mL), and analyzed.
- Upon completion, the contents were cooled to −25±5° C. A solution of trimethylborate in THF was prepared by mixing 2665 g (25.7 mol) of trimethyl borate and 6666 g of tetrahydrofuran. This solution can be prepared in a drum with stirring.
- Next, the 9331 g of trimethyl borate in THF was added at a rate such that the temperature was kept between −35 and −20° C. (t=2.5 h). The mixture became very thick so THF was added. After stirring at −25±5° C. for 10 min, 50 mL aliquot was removed, quenched with 25 mL of 3N HCl, and submitted for CoR. Stirring continued at −25±5° C. for 1 h, and then the mixture was allowed to warm to ambient temperature, where it was stirred for at least 12 h. Pull two samples (one at 6 h and the other at 12 h).
- 1H-NMR (300 MHz, DMSO-d6) δ (ppm) 1.45-1.75 (m, 6H), 3.53 (s, 6H), 3.45 (m, 1H), 3.75 (m, 1H), 4.69 (t, J=3 Hz, 1H), 4.97 (d, J=14.1 Hz, 1H), 5.14 (d, J=14.1 Hz, 1H), 7.03 ((td, J=8.4, 2.7 Hz, 1H), 7.24 (dd, J=10.8, 2.1 Hz, 1H), 7.89 (t, J=7.8 Hz, 1H), 8.76 (s, 1H).
-
- To the reaction mixture above was added 5.3 kg of USP water. After stirring for 30 min, the mixture was charged 5.3 kg of acetic acid. Gas evolution was seen. After stirring for 30 min, an aliquot was removed for analysis. Mixture was then heated to reflux for 36-48 hours. During the reflux period, 12-13 L of THF were removed.
- When the reaction was complete, the contents were cooled by the reactor to ≦40° C. by setting jacket and by charging 10.5 kg of USP water. THF was removed until distillate did not remain. Contents of the reactor were transferred to Rosenmund filter dryer and allowed to cool to 20±5° C. Reactor was rinsed with water, filtered, and then washed again with 10.5 kg of USP water. The flask was charged with 10.5 kg of 10% ACN in water (v/v) and agitated for 1 h. After filtering, the cake was washed with 10.5 kg of 10% ACN in water (v/v), and then charged with 10.5
kg 10% ACN in water (v/v). The contents were agitated for 1 h. The contents were subsequently washed with 10.5 kg of USP water, charged with 7.0 L of 5% Methyl t-Butyl Ether (MTBE)/Heptane (v/v), agitated for 1 h, filtered, charged with 7.0 L of 5% MTBE/Heptanes (v/v) and again agitated for 1 h. After filtering, the contents were charged again with 7.0 L of heptane and filtered. Solids were dried at ≦45° C. to constant weight. Solids were recrystallized from toluene:heptane 75:25. -
- 2-Bromo-5-fluorobenzyl alcohol (5 g, 24.4 mmol) was dissolved in dichloromethane (100 mL). To this solution was added 3,4-dihydro-2H-pyran (3.2 mL, 36.6 mmol) and (1S)-(+)-10-camphorsulfonic acid (117 mg, 0.5 mmol) and stirred at RT under nitrogen for 4 h. Saturated sodium bicarbonate was added to quench the reaction. It was extracted using dichloromethane and the organic layer was washed with brine and dried over sodium sulfate, then concentrated in vacuo to give [1-bromo-4-fluoro-6-[(tetrahydro-2H-pyran-2-yl)oxy]methyl]benzene as a colorless oil (7 g, 100%).
- [1-Bromo-4-fluoro-6-[(tetrahydro-2H-pyran-2-yl)oxy]methyl]benzene (1.8 g, 6.2 mmol) was dissolved in THF and cooled to −78° C. under nitrogen. To this solution was added n-butyllithium (1.6M in hexane)(6.2 mL, 9.3 mmol) dropwise, then added triisopropyl borate (2.2 mL, 9.3 mmol). The mixture was slowly warmed to RT and stirred for 3 h. Water was added to quench the reaction. It was then extracted using ethyl acetate, washed with brine, dried over sodium sulfate and concentrated in vacuo. After column chromatography (silica gel; hexane:ethyl acetate=4:1 to 2:1) purification, [[4-Fluoro-2-[(tetrahydro-2H-pyran-2-yl)oxy]methyl]phenyl]boronic acid was obtained as a white solid (1.1 g, 70%).
- Results:
- 1H-NMR (300 MHz, DMSO-d6) δ (ppm) 1.45-1.74 (m, 6H), 3.44 (m, 1H), 3.75 (m, 1H), 4.58 (d, J=13.2 Hz, 1H), 4.64 (t, J=3 Hz, 1H), 4.79 (d, J=13.2 Hz, 1H), 7.03 (td, J=8.4, 2.7 Hz, 1H), 7.13 (dd, J=10.8, 2.7 Hz, 1H), 7.50 (t, J=6.9 Hz, 1H).
-
- [[4-Fluoro-6-[(tetrahydro-2H-pyran-2-yl)oxy]methyl]phenyl]boronic acid (100 mg) was dissolved in dry methanol, the solution was distilled repeatedly to remove water. The resulting residue was immediately characterized by NMR and was found to be a mixture containing dimethyl ester and monomethyl ester.
- 1H-NMR (300 MHz, DMSO-d6) δ (ppm) 1.45-1.75 (m, 6H), 3.43 (s, 6H), 3.45 (m, 1H), 3.75 (m, 1H), 4.69 (t, J=3 Hz, 1H), 4.97 (d, J=14.1 Hz, 1H), 5.14 (d, J=14.1 Hz, 1H), 7.03 ((td, J=8.4, 2.7 Hz, 1H), 7.24 (dd, J=10.8, 2.1 Hz, 1H), 7.89 (t, J=7.8 Hz, 1H).
- 1H-NMR (300 MHz, DMSO-d6) δ (ppm) 1.45-1.75 (m, 6H), 3.53 (s, 6H), 3.45 (m, 1H), 3.75 (m, 1H), 4.69 (t, J=3 Hz, 1H), 4.97 (d, J=14.1 Hz, 1H), 5.14 (d, J=14.1 Hz, 1H), 7.03 ((td, J=8.4, 2.7 Hz, 1H), 7.24 (dd, J=10.8, 2.1 Hz, 1H), 7.89 (t, J=7.8 Hz, 1H), 8.76 (s, 1H).
-
- [1-Bromo-4-fluoro-6-methoxymethoxymethyl]benzene (525 mg, 2 mmol) was dissolved in THF and cooled to −78° C. under nitrogen. To this solution was added n-butyllithium (1.6M in hexane)(1.5 mL, 2.4 mmol) dropwise, then added triisopropyl borate (0.7 mL, 2.4 mmol). The mixture was slowly warmed to RT and stirred for 3 h. Water was added to quench the reaction. It was then extracted using ethyl acetate, washed with brine, dried over sodium sulfate and concentrated in vacuo. After recrystallization from hexane:ethyl acetate=4:1 [(4-Fluoro-2-methoxymethoxymethyl)phenyl]boronic acid was obtained as a white solid (340 mg, 75%).
- 1H-NMR (300 MHz, DMSO-d6) δ (ppm) 3.28 (s, 3H), 4.70 (s, 2H), 5.02 (s, 2H), 7.04 (td, J=9.0, 3.0 Hz, 1H), 7.23 (dd, J=11.1, 2.4 Hz, 1H), 7.90 (t, J=7.8 Hz, 1H).
-
- 2-Bromo-5-(4-cyanophenoxy)benzyl alcohol (10.4 g, 34.2 mmol) was dissolved in dichloromethane (110 mL). To this solution was added 3,4-dihydro-2H-pyran (9.2 mL, 101 mmol) and (1S)-(+)-10-camphorsulfonic acid (156 mg, 0.67 mmol) and stirred at RT under nitrogen for 3 h. Methanesulfonic acid (50 μL, 0.77 mmol) was then added and reaction was stirred overnight. Saturated sodium bicarbonate was added to quench the reaction. It was extracted using ethyl acetate and the organic layer was washed with brine and dried over sodium sulfate, then concentrated in vacuo to give [1-bromo-4-(4-cyanophenoxy)-6-[(tetrahydro-2H-pyran-2-yl)oxy]methyl]benzene as a colorless oil (13.3 g quant.).
- [1-Bromo-4-(4-cyanophenoxy)-6-[(tetrahydro-2H-pyran-2-yl)oxy]methyl]benzene (13.3 g, 34.2 mmol) was dissolved in THF (100 mL), triisopropyl borate (8.5 mL, 37 mmol) was added and the reaction was cooled to −78° C. under nitrogen. To this solution was added n-butyllithium (1.6M in hexane)(22 mL, 35.2 mmol) dropwise. The mixture was slowly warmed to RT and stirred overnight. THF was removed in vacuo and the residue was dissolved in ethyl acetate. It was then washed with water, brine, dried over sodium sulfate and concentrated in vacuo. After column chromatography (silica gel; hexane:ethyl acetate 2:1) purification of a portion of crude, [[4-(4-cyanophenoxy)-6-[(tetrahydro-2H-pyran-2-yl)oxy]methyl]phenyl]boronic acid was obtained as a clear oil (500 mg, 4%).
- 1H-NMR (300 MHz, DMSO-d6+D2O) 6 (ppm) 1.35-1.75 (m, 6H), 3.40 (m, 1H), 3.73 (m, 1H), 4.58 (d, J=13.2 Hz, 1H), 4.59 (s, 1H), 4.77 (d, J=12.7 Hz, 1H), 6.99 (dd, J=8.1, 2.2 Hz, 1H), 7.05 (m, 3H), 7.54 (d, J=7.9 Hz, 1H), 7.81 (d, J=8.8 Hz, 2H).
- Also isolated was [[4-(4-pentanoylphenoxy)-6-[(tetrahydro-2H-pyran-2-yl)oxy]methyl]phenyl]boronic acid as a clear oil (500 mg, 4%). 1H-NMR (300 MHz, DMSO-d6+D2O) 6 (ppm)), 0.85 (t, J=7.5 Hz, 3H), 1.20-1.75 (m, 10H), 2.93 (t, J=7.0 Hz, 2H), 3.42 (m, 1H), 3.70 (m, 1H), 4.58 (d, J=12.8 Hz, 1H), 4.60 (s, 1H), 4.78 (d, J=13.2 Hz, 1H), 6.94 (d, J=8.4 Hz, 1H), 7.03 (d, J=8.4 Hz, 2H), 7.04 (s, 1H), 7.54 (d, J=8.4 Hz, 1H), 7.96 (d, J=8.4 Hz, 2H).
-
- Using the same method as in C10 Example IIE, a mixture of mono- and dimethyl esters of [[4-(4-cyanophenoxy)-2-[(tetrahydro-2H-pyran-2-yl)oxy]methyl]phenyl]boronic acid were synthesized.
- 1H-NMR (300 MHz, DMSO-d6) δ (ppm) 1.35-1.80 (m, 6H), 3.40-3.50 (m, 7H), 3.60-3.70 (m, 1H), 4.43 (d, J=12.7 Hz, 1H), 4.60-4.80 (m, 2H), 6.95-7.15 (m, 4H), 7.38 (d, J=8.4 Hz, 1H), 7.80-7.90 (m, 2H).
- 1H-NMR (300 MHz, DMSO-d6) δ (ppm) 1.35-1.80 (m, 6H), 3.40-3.50 (m, 1H), 3.55 (s, 3H), 3.60-3.70 (m, 1H), 4.55 (d, J=12.8 Hz, 1H), 4.60-4.80 (m, 2H), 6.95-7.15 (m, 4H), 7.53 (d, J=7.9 Hz, 1H), 7.80-7.90 (m, 2H), 8.77 (s, 1H).
- Using the same method as above, a mixture of mono- and dimethyl esters of [[4-(4-pentanoylphenoxy)-2-[(tetrahydro-2H-pyran-2-yl)oxy]methyl]phenyl]boronic acid were synthesized.
- 1H-NMR (300 MHz, DMSO-d6) δ (ppm) 0.87 (t, J=7.3 Hz, 3H), 1.25-1.80 (m, 10H), 2.94 (t, J=7.3 Hz, 2H), 3.40-3.50 (m, 7H), 3.60-3.70 (m, 1H), 4.43 (d, J=12.8 Hz, 1H), 4.60-4.80 (m, 2H), 6.90-7.10 (m, 4H), 7.36 (d, J=7.9 Hz, 1H), 7.95-8.05 (m, 2H).
- 1H-NMR (300 MHz, DMSO-d6) δ (ppm) 0.87 (t, J=7.3 Hz, 3H), 1.25-1.80 (m, 10H), 2.94 (t, J=7.3 Hz, 2H), 3.40-3.50 (m, 1H), 3.55 (s, 3H), 3.60-3.70 (m, 1H), 4.55 (d, J=12.8 Hz, 1H), 4.60-4.80 (m, 2H), 6.95-7.15 (m, 4H), 7.52 (d, J=7.9 Hz, 1H), 7.95-8.05 (m, 2H), 8.75 (s, 1H).
-
- To a pre-recorded NMR tube containing a solution of 2-bromo-5-fluorobenzyl alcohol (16 mg, 0.078 mmol) in CDCl3 (0.75 mL) was injected triisopropyl borate (0.036 mL, 2 eq, 0.156 mmol) and the solution was sonicated briefly for 30 second at room temperature. 1H NMR determination indicated there were 74.3 mol % of the desired alcohol-borate intermediate, 19.3 mol % of an unknown intermediate and 6.3 mol % of unreacted alcohol.
- 1H NMR (CDCl3, 300 MHz) of (2-bromo-5-fluorobenzyl)diisopropyl borate: δ=7.45 (dd, J=8.7 Hz, J=5.1 Hz, 1H), 7.20 (dd, J=9.6 Hz, J=2.7 Hz, 1H), 6.84 (td, Jt=8.1 Hz, Jd=3.3 Hz, 1H), 4.84 (s, 2H), 4.44 (septet, J=6.0 Hz, 2H), 1.18 (d, J=6.0 Hz, 12H) ppm. 1H NMR (CDCl3, 300 MHz) of an unknown intermediate: δ=7.47-7.42 (1H overlap with product peaks), 7.16 (dd, 1H, partially overlap with product peak), 6.91-6.81 (1H, overlap with product peak), 4.94 (s, 2H), and other unknown peaks due to overlapping. 1H NMR (CDCl3, 300 MHz) of 2-bromo-5-fluorobenzyl alcohol pre-recorded before mixing: δ=7.48 (dd, J=9.0 Hz, J=5.4 Hz, 1H, overlap with product peaks after mixing with triisopropyl borate), 7.26 (dd, J=9.3 Hz, J=3.3 Hz, 1H, intensity decreased but resolved after mixing), 6.88 (td, Jt=8.3 Hz, Jd=3.0 Hz, 1H, overlap with product peaks after mixing), 4.71 (s, 2H, CH2 intensity decreased but resolved after mixing), 2.04 (s, 1H, OH disappeared after mixing with triisopropyl borate) ppm.
-
- The procedure described in Example II I was followed for 1H NMR characterization of the current alcohol-borate intermediate. 1H NMR determination indicated there were 72.7 mol % of the desired alcohol-borate intermediate [2-bromo-5-(4-cyanophenoxy)benzyl]diisopropyl borate, 20.7 mol % of an unknown intermediate and 6.5 mol % of unreacted alcohol. 1H NMR (CDCl3, 300 MHz) of [2-bromo-5-(4-cyanophenoxy)benzyl]diisopropyl borate: δ=7.61 (d, J=9.0 Hz, 2H), 7.52 (d, J=8.4 Hz, 1H), 7.15 (d, J=3.0 Hz, 1H), 7.03 (d, J=8.7 Hz, 2H), 6.84 (dd, J=8.7 Hz, J=3.0 Hz, 1H), 4.85 (s, 2H), 4.35 (septet, J=6.1 Hz, 2H), 1.11 (d, J=6.1 Hz, 12H) ppm.
-
- The procedure described in Example II I was followed for 1H NMR characterization of the current alcohol-borate intermediate. 1H NMR determination indicated there were 73.5 mol % of the desired alcohol-borate intermediate [2-bromo-4-(4-chlorophenylthio)benzyl]diisopropyl borate, 20.2 mol % of an unknown intermediate and 6.2 mol % of unreacted alcohol. 1H NMR (CDCl3, 300 MHz) of [2-bromo-4-(4-chlorophenylthio)benzyl]diisopropyl borate: δ=7.48 (d, J=1.8 Hz, 1H), 7.40 (d, J=8.3 Hz, 1H), 7.27 (s, 4H), 7.25 (dd, J=8.3 Hz, J=1.8 Hz, 1H), 4.86 (s, 2H), 4.42 (septet, J=6.3 Hz, 2H), 1.16 (d, J=6.3 Hz, 12H) ppm.
-
- A mixture of 1,3-dihydro-5-fluoro-1-hydroxy-2,1-benzoxaborole (C10, 0.76 g, 5 mmol), adenosine (1.34 g, 5 mmol) and sodium acetate (0.41 g, 5 mmol) in dry DMF (100 mL) was stirred at 100° C. for 3 h under nitrogen atmosphere. The homogeneous solution was rotary evaporated at 50° C. under high vacuum. The residue was mixed with methylene chloride, sonicated and filtered under nitrogen atmosphere to give the desired complex as white solid that was pumped overnight (2.2 g, yield 100%). 1H NMR indicated there were 5.7 mol % of unreacted adenosine, 5.5 mol % of unreacted C10, and the reaction conversion was more than 94%. 1H NMR (DMSO-d6, 300 MHz): δ=8.33 (s, 1H), 8.12 (s, 1H), 7.35-7.14 (broad m, 1H), 7.29 (s, 2H), 6.80 (broad m, 1H), 6.73 (d, J=9.9 Hz, 1H), 5.99 (broad d, J=2.1 Hz, 1H), 5.10 (very broad s, 1H), 4.71 (dd, J=5.7 Hz, J=3.9 Hz, 1H), 4.51 (s, 2H), 4.42 (dd, J=6.3 Hz, J=3.9 Hz, 1H), 4.07 (broad s, 1H), 3.64 (dd, J=12 Hz, J=3.6 Hz, 1H) and 3.52 (dd, J=12 Hz, J=5.1 Hz, 1H) ppm; M.p: started soften at 115° C. due to residue solvents, remained as soften solid and started decomposing at 230° C.; HPLC: 91.8% at 220 nm (adenosine was 5.3%); MS: m/z=423 (M−, ESI−), 392 (M-CH2OH, ESI+).
-
- The procedure described above was adapted for the preparation of the title complex by replacing (C10) with 5-(4-cyanophenoxy)-1,3-dihydro-1-hydroxy-2,1-benzoxaborole (C17, 1.25 g, 5 mmol). White solid product (2.7 g, yield 100%) was obtained after pumping overnight. 1H NMR indicated there were 3.5 mol % of unreacted adenosine, 3.5 mol % of unreacted C17, and the reaction conversion was more than 96%. 1H NMR (DMSO-d6, 300 MHz): 5=8.35 (s, 1H), 8.13 (s, 1H), 7.76 (d, J=8.7 Hz, 2H), 7.45-7.36 (broad m, 1H), 7.29 (s, 2H), 7.00 (d, J=8.7 Hz, 2H), 6.81 (broad m, 1H), 6.73 (s, 1H), 6.01 (broad s, 1H), 5.10 (very broad s, 1H), 4.73 (dd, J=6.0 Hz, J=3.9 Hz, 1H), 4.54 (s, 2H), 4.45 (dd, J=6.0 Hz, J=3.9 Hz, 1H), 4.09 (broad s, 1H), 3.65 (dd, J=12 Hz, J=3.3 Hz, 1H) and 3.54 (dd, J=12 Hz, J=4.8 Hz, 1H) ppm; M.p: started soften at 120° C. due to residue solvents, remained as soften solid and started decomposing at 230° C.; HPLC: 92.1% at 220 nm (adenosine was 3.8%).
-
- The procedure for the synthesis of C10-adenosine complex was adapted for the preparation of the title complex by replacing (C10) with 6-phenylthio-1,3-dihydro-1-hydroxy-2,1-benzoxaborole (C28, 1.21 g, 5 mmol). White solid product (2.8 g, yield 100%) was obtained after pumping overnight. 1H NMR indicated there was 5 mol % of unreacted C28, and the reaction conversion was 95%. 1H NMR (DMSO-d6, 300 MHz): δ=8.29 (s, 1H), 8.13 (s, 1H), 7.53 (broad s, 1H), 7.29 (s, 2H), 7.32-7.04 (m, 7H), 6.05-5.96 (broad m, 1H), 5.15 (very broad s, 1H), 4.73-4.70 (m, 1H), 4.58 (s, 2H), 4.46 (broad s, 1H), 4.12-4.03 (broad m, 1H), 3.63 (dd, J=11.7 Hz, J=3.3 Hz, 1H) and 3.52 (dd, J=11.7 Hz, J=4.8 Hz, 1H) ppm; M.p: started soften at 110° C. due to residue solvents, remained as soften solid and started decomposing at 238° C. HPLC: 91.3% at 220 nm (adenosine was 3.8%).
-
- The procedure for the synthesis of C10-adenosine complex was adapted for the preparation of the title complex by replacing (C10) with 1,3-dihydro-1-hydroxy-2,1-benzoxaborole (C2, 0.67 g, 5 mmol). Cream solid product (2.18 g, yield 100%) was obtained after pumping overnight. 1H NMR indicated there was 4.5 mol % of unreacted C2, and the reaction conversion was more than 94%. 1H NMR (DMSO-d6, 300 MHz): δ=8.33 (s, 1H), 8.13 (s, 1H), 7.42-7.20 (broad m, 1H), 7.30 (s, 2H), 7.03-6.94 (m, 3H), 6.02 (d, J=3.6 Hz, 1H), 5.25 (very broad s, 1H), 4.73 (dd, J=5.7 Hz, J=4.2 Hz, 1H), 4.56 (s, 2H), 4.46 (dd, J=6.0 Hz, J=3.9 Hz, 1H), 4.10 (broad q, J=3.3 Hz, 1H), 3.66 (dd, J=12 Hz, J=2.7 Hz, 1H) and 3.52 (dd, J=11.7 Hz, J=4.8 Hz, 1H) ppm; M.p: started soften at 115° C. due to residue solvents, remained as soften solid and started decomposing at 233° C. HPLC: 91.6% at 220 nm (adenosine was 5.9%).
-
- 5 g of D-Ribose was dissolved in 100 mL of methanol and cooled to 0° C. 0.5 mL of concentrated sulfuric acid was added and the solution was stored at −20° C. for 48 hrs. Solution was neutralized by passage through a bed of sodium carbonate and evaporated under vacuum to a viscous oil. Crude material was purified on a silica column eluting with 10% methanol in ethyl acetate to yield 2.1 grams of methyl β-D-ribofuranoside.
- 1
H NMR 300 MHz (DMSO-d6) δ 4.97-4.99 (d, J=4.8 Hz, 1H), 4.76-4.79 (d, J=6.6 Hz, 1H), 4.57-4.62 (m, 2H), 3.76-3.80 (m, 1H), 3.72-3.74 (m, 1H), 3.66-3.71 (m, 1H), 3.44-3.50 (m, 1H), 3.26-3.34 (m, 1H), 3.19 (s, 3H) -
- 300 mg of methyl β-D-ribofuranoside was dissolved in 20 ml of dimethylformamide. To this solution was added 1 eq of boronic ester and 0.5 eq of finely powdered sodium carbonate. Reaction mixture was heated to 100° C. and stirred for 3 hours then stripped of solvent under vacuum. Residue was co-evaporated 2 times with ethyl acetate then sonicated in dichloromethane and filtered to yield an off-white solid.
-
- 1
H NMR 300 MHz (DMSO-d6) δ 7.28 (bs, 1H), 6.68-6.77 (m, 2H), 4.71 (s, 1H), 4.52-4.55 (m, 3H), 4.26-4.28 (d, J=5.1 Hz, 1H), 4.17-4.19 (d, J=5.7 Hz, 1H), 3.95-4.00 (t, J=6.8 Hz, 1H), 3.31-3.36 (m, 2H), 3.19 (s, 3H). -
- 1
H NMR 300 MHz (DMSO-d6) δ 7.73-7.76 (d, J=6.9 Hz, 2H), 7.38-7.41 (d, J=7.8 Hz, 1H), 6.96-6.99 (d, J=6.9 Hz, 2H), 6.72-6.75 (d, J=7.5 Hz, 1H), 6.68 (s, 1H), 4.70 (s, 1H), 4.49-4.51 (m, 3H), 4.23-4.25 (d, J=5.4 Hz, 1H), 4.14-4.16 (d, J=5.4 Hz, 1H), 3.95-3.98 (m, 1H), 3.22-3.26 (t, J=6.0, 1H), 3.19 (s, 3H), 3.13-3.14 (d, J=2.1, 1H). - 1
H NMR 300 MHz (DMSO-d6) δ 7.31 (bs, 1H), 6.87-6.95 (m, 3H), 4.70 (s, 1H), 4.46-4.50 (m, 3H), 4.20-4.22 (d, J=5.7, 1H), 4.12-4.14 (d, J=6.0 Hz, 1H), 3.94-3.99 (t, J=7.8 Hz, 1H), 3.30-3.34 (m, 2H), 3.19 (s, 3H) -
- 1
H NMR 300 MHz (DMSO-d6) δ 7.48 (bs, 1H), 7.21-7.26 (m, 2H), 7.05-7.12 (m, 4H), 6.98-7.01 (d, J=7.8 Hz, 1H), 4.65 (s, 1H), 4.47-4.58 (m, 3H), 4.22-4.24 (d, J=5.7 Hz, 1H), 4.13-4.15 (d, J=6.0 Hz, 1H), 3.89-3.93 (t, J=6.6 Hz, 1H), 3.28-3.32 (t, J=6.5, 1H), 3.13-3.16 (m, 4H). - The purpose of this study is to determine the mechanism of action (MOA) of C10 in the model fungi Saccharomyces cerevisiae.
- The haploid Saccharomyces cerevisiae strain ATCC 201388 was used in the selection of C10 resistant mutants. Spontaneous and EMS-induced resistant mutants were isolated from YPD agar plates containing 4×, 8×, 16×MIC of C10. All minimal inhibitory concentrations (MIC) were determined using NCCLS protocol M27 with the exception of using YPD or synthetic defined media. All yeast and molecular genetic manipulations were essentially performed as described by Guthrie C., et al., Methods in Enzymology, 350: Part B, (2002).
- A total of 11 C10 resistant mutants were isolated from S. cerevisiae, all mutants were dominant and showed an 8 to 64-fold increase in the MIC to C10. Further characterization of these mutants showed that they were not resistant to several known antifungals including amphotericin B, cerulenin, itraconazole, aculeacin A, terbinafine, tunicamycin, ciclopirox, cyclohexamide and nikkomycin Z. All 11 mutations in the C10 resistant mutants were mapped to 9 amino acid residues in the editing domain of CDC60, the essential cytoplasmic leucyl-tRNA synthetase, one of 40 aminoacyl-tRNA synthetases in S. cerevisiae. Furthermore, S. cerevisiae strains bearing multiple copies of CDC60 on a 2 μM plasmid were eight times more resistant to C10. The combination of mutant and over-expression data predicts that CDC60 is the target for C10. The fact that all mutations were present in the editing domain of CDC60 indicates that C10 inhibits CDC60 via a novel mechanism.
- The lack of a genomic sequence or any genetic tools for Trichophyton spp. makes it difficult to study the mechanism of action of C10 in either Trichophyton species, therefore, the model fungi Saccharomyces cerevisiae was used.
- C10 (5-fluoro-1,3-dihydro-1-hydroxy-2,1-benzoxaborole, was obtained from Anacor Pharmaceuticals, Inc. (Palo Alto, Calif., USA). All S. cerevisiae strains and plasmids were obtained from ATCC (Manassas, Va., USA). The haploid Saccharomyces cerevisiae strain ATCC201388 (MATa his3Δ1 leu2Δ0 met5Δ0 ura3Δ0) was used for generating mutants, while ATCC 200901 (MATa leu2Δ0 lys2Δ0 ura3Δ0) was used to mate with C10 resistant mutants to determine genetic dominance of the mutation. The yeast-E. coli shuttle plasmid pRS315 (Sikorski R S et al., Genetics 122: 19-27, (1989)), which has CEN6, leu2, ampR genes, and is a low copy plasmid in yeast was used in the construction of the genomic library. In the over-expression experiment, the shuttle vector pRS425 (Christianson T W et al., Gene 110(1):119-22 (1992)), which has the leu2 and ampR genes, and is a high copy plasmid in yeast, was used.
- The haploid S. cerevisiae strain ATCC201388 was grown overnight in YPD broth (BD, NJ USA) at 30° C. and 1 mL of cells was plated out onto YPD agar plates (YPD broth+1.5% Bacto-agar, BD, NJ USA) containing either 1.6, 3.2 or 6.4 μg/mL C10 (equivalent to 4×, 8×, 16×MIC of C10). Resistant mutants appeared after 2 d incubation at 30° C. Frequency of resistance was determined by dividing the number of resistant mutants by the total number of cells plated as determined by plating dilutions of the overnight culture on YPD plates.
- A 2.5 mL of the overnight culture, which was grown in YPD media, was centrifuged at 700×g for 5 minutes. The cell pellet was resuspended in 10
mL 50 mM potassium phosphate buffer, pH 7.0. The cell suspension was centrifuged again and the cell pellet was resuspended in phosphate buffer to obtain a cell density of 5×107 cells/mL as determined by counting the cells using a Petroff Hausser Counting Chamber (Horsham, Pa. USA). The cell suspension was shaken with 300 μL of EMS (Alfa Aesar, Ward Hill, Mass., USA) for 30 min. at 30° C. The mutagenesis was stopped by adding 10% (w/v) sodium thiosulfate (Sigma-Aldrich, St. Louis, Mo., USA), and the cells were pelleted by centrifugation at 700×g for 5 min. and resuspended in 1 mL sterile H2O. This was repeated once more before the cells were plated on YPD agar plates containing 1.6 μg/mL of C10. - The minimal inhibitory concentration (MIC) was essentially performed following the NCCLS guidelines outlined in the M27 protocol with the exception of using YPD or synthetic defined media (SDM).
- The haploid mutants derived from S. cerevisiae ATCC201388 were mixed with S. cerevisiae ATCC 200901, and were incubated on YPD agar plates at 30° C. for 4 h. The cell mixture was streaked out on synthetic defined media agar (BD, NJ USA) without the amino acids lysine and methionine, which are selective for diploids.
- Genomic DNA from mutant strains was isolated using the DNeasy tissue kit from Qiagen (Valencia, Calif., USA). Genomic DNA fragments of 4-10 kb were generated by partial digestion with Mbo I from Fermantas (Hanover, Md., USA), followed by purification using the Wizard®SV gel and PCR Clean-Up system (Promega, Madison Wis. USA). The purified DNA fragments were ligated into pRS315 digested with BamH I (Fermantas, Hanover Md. USA) using T4 DNA ligase (Fermantas, Hanover Md. USA). The ligation mixture was dialyzed against water using the VSWP 0025 filters (Millipore, Billerica, Mass., USA) before it was electroporated into Escherichia coli E.cloni SUPREME cells (Lucigen, Middleton, Wis., USA) following the protocol of the manufacturer. Transformants were plated out on LB plates with 200 μg/ml carbinicillin and incubated overnight at 37° C. The transformants were pooled and the plasmid DNA was isolated using Qiagen miniprep kit (Valencia, Calif., USA). The plasmid library was transformed into S. cerevisiae (Gietz, R D et al., Methods in Enzymology 305: 87-96 (2002)).
- All sequencing was performed by Sequetech Corporation (Mountain View, Calif. USA).
- To further map the mutations to specific domains in CDC60, the following three pairs of primers were used 5′ gcgaaaagaaacctaacgcatattc 3′ and 5′
ctatcgtgatccatacaagcttgac 3′,5′ cgatagacaatccggtgaaggtgttac 3′ and 5′catcccaaggcaatctggtacctaacc 3′, and 5′gaaaaatacttagttgagtctttatca 3′ and 5′caccatgaggcatcttgaaatattctc 3′. - A 4.0 kb BamH I-Sal I DNA fragment containing the entire CDC60 open reading frame (ORF) and 700 bp of upstream sequence was amplified using KOD DNA polymerase, S. cerevisiae genomic DNA (Novagen, Madison, Wis., USA), and the primers GAG GGA TCC GGT TAG TTT TAG TTC GCG AGT GAC CTG and GAG GTC GAC GAT TTC TGG TTG CTG TTT ATT GAT CTT (Operon, Alameda, Calif., USA). This DNA fragment was then cloned into the 2 μM multi-copy plasmid pRS425, and transformed into S. cerevisiae ATCC201388 (Gietz, R D et al., Methods in Enzymology 305: 87-96 (2002)).
- From 5×109 cells, 600 spontaneous C10 resistant mutants were isolated, which makes the frequency of resistance 1.2×10−7 at 4×MIC. Similar frequencies of resistance were obtained for 8× and 16×MIC. We also used EMS to isolate C10 resistance mutants. Use of EMS increased the mutagenic frequency by 4,000 fold. The MICs of 8 spontaneous mutants and 3 EMS generated mutants were tested. All the mutants showed an 8 to 64-fold increase in resistance to C10 (Table 1).
-
TABLE 1 MICs of Spontaneous and EMS induced C10 mutants S. cerevisiae MIC (μg/mL) Haploid Strains Cerulenin C10 ATCC201388 1 0.5 (A) 0.5 4 (B) 0.5 16 (C) 0.5 16 (D) 0.5 32 (E) 0.5 16 (F) 0.5 32 (G) 0.5 32 (H) 0.5 32 (I) 1 32 (J) 1 32 (K) 1 32 - To further characterize these resistant mutants, three C10 resistant mutants were tested against various antifungal agents with known mechanisms of action. The C10 resistant mutants did not show any resistance to these compounds (Table 2), which suggests that C10 acts very differently from these antifungal agents.
-
TABLE 2 C10 mutants are not resistant to other antifungals Antifungal MIC (μg/mL) Agents ATCC201388 (C) (G) (H) C10 0.5 16 16 16 Amphotericin B 0.125 0.125 0.125 0.125 Cyclohexamide <0.06 <0.06 <0.06 <0.06 Cerulenin 0.5 0.5 0.5 0.5 Itraconazole 0.125 0.125 0.125 0.125 Aculeacin A 4 4 4 4 Cicloprirox 0.5 0.5 0.5 0.5 Terbinafine 4 4 4 4 Nikkomycin Z 64 64 64 64 Tunicamycin 8 8 8 8 - In order to identify the gene that gives rise to C10 resistance, it was first determined whether the mutation was either dominant or recessive. The parental S. cerevisiae strain and three mutants were selected and mated with S. cerevisiae ATCC 200901. The MIC of the diploids generated from the C10 mutants were found to be 64-fold greater than the diploid generated from the parental strain (Table 3), which suggests that the mutations are dominant, and therefore, plasmid libraries were constructed from these three haploid C10 resistant mutants.
-
TABLE 3 C10 mutants are dominant Diploid MIC (μg/mL) (mutant strain/ATCC200901) C10 ATCC201388/ATCC200901 0.5 (C)/ATCC200901 32 (G)/ATCC200901 32 (H)/ ATCC200901 32 - Plasmid libraries from the three mutants were transformed into S. cerevisiae ATCC201388 and selected on SDM minus leucine agar with 1 μg/mL of C10. Plasmid DNA was isolated from C10 resistant transformants and electroporated into E. coli 10G cells. The plasmid DNAs from the resulting E. coli carbenicillin resistant transformants were then transformed into S. cerevisiae ATCC201388 to confirm that the plasmids bore the gene for C10 resistance. One plasmid from each library that conferred C10 resistance was sequenced and analyzed using a BLASTN search against the S. cerevisiae genome database (http://seq.yeastgenome.org/egi-bin/nph-blast2sgd). The CDC60 gene was the only open reading frame identified in the cloned inserts from two plasmids derived from two of the plasmid libraries. Two genes were revealed, CDC60 and PET20, in the cloned insert from the remaining plasmid library. This suggests that these C10 resistant mutations are located in the CDC60 gene, which encodes for the cytoplasmic leucyl-tRNA synthetase. CDC60 (leucyl tRNA synthetase) is one of 20 essential aminoacyl-tRNA synthetases (ARS) that attach amino acids to the 2′ or 3′ end of tRNAs.
- DNA sequence analysis of the plasmids derived from the three mutants showed that there was a single amino acid substitution in CDC60 from each of the three mutants (Table 4). An additional eight mutants were analyzed by amplifying CDC60 by colony PCR and transforming the resulting product into S. cerevisiae ATCC201388. All transformants were resistant to C10 and subsequent sequence analysis showed that all of them contained a single amino acid change within the editing domain of CDC60 (Table 4). The function of the ARS is to charge the correct tRNA with the correct amino acid. In leucyl-tRNA synthetases the active site for the editing mechanism is located in a separate domain, which is called the connective polypeptide 1(CP1), from the synthetic active site (Schmidt E. et al, Biochemistry 34(35):11204-10 (1995)). All of the amino acid substitutions from 11 mutants were located in this CP1 domain, demonstrating a link between the editing function of the enzyme and inhibitory activity of C10.
- Since all 11 C10 resistant mutants have single amino acid substitutions in the editing domain of leucyl-tRNA synthetase (Table 4), it strongly suggests that CDC60 is the target for C10. If leucyl-tRNA synthetase is the target, increasing the copies of CDC60 should increase resistance to C10. To test this hypothesis, the wild type CDC60 gene was cloned onto a multi-copy plasmid pRS425, and transformed into S. cerevisiae ATCC201388. As shown in Table 5, the MIC for this strain is eight times higher than the same strain bearing pRS425.
-
TABLE 4 Amino acid (AA) substitutions in C10 resistant mutants Resistant AA substitution mutants in CDC60 (H) T314M (G) L315V (K) T319I (C) C326F (E) C326R (D) G405V (A) N415D (I) S416L (J) D487N (F) D487G (B) R316I -
TABLE 5 CDC60 overexpression increases C10 resistance MIC (μg/mL) Compound pRS425 Plasmid control CDC60 on pRS425 (20 copies) Fluconazole 2 2 1 0.125 1 - Experiments to isolate mutant leucyl tRNA transferase molecules that were also resistant to C10.
- The haploid wild type Saccharomyces cerevisiae strain ATCC 201388 (
MATa his3Δ1 leu2Δ 0met5Δ 0 ura3Δ 0) was used for selection of clones showing resistance to C10. - Mutations in the leucyl tRNA transferase were isolated in two ways. In one set of experiments, EMS was used as a chemical mutagenic agent. 2.5 mL of an overnight culture was washed 2× with 50 mM potassium phosphate buffer, pH 7.0, and resuspended in 10 mL of the buffer to reach approximately 5×107 cells/ml. 3004 EMS (Alfa Aesar, Ward Hill, Mass.) was added to the cells, which were then incubated for 30 min at 30° C. with shaking. The mutagenesis process was halted with the addition of 10% (w/v) sodium thiosulfate (Sigma-Aldrich, St. Louis, Mo., USA). At the end of the mutagenesis cycle, the cells were washed 2× with water and then plated out on YPD agar plates containing C10.
- In the second method, spontaneous mutant clones were isolated from YPD plates containing large concentrations of C10. Wild type haploid S. cerevisiae strain ATCC201388 (
MATa his3Δ1 leu2Δ 0 met5Δ0 ura3Δ 0) was grown overnight in Difco YPD broth (1% yeast extract, 2% Bacto Peptone, 2% glucose) at 30° C. to reach ˜1.0×108 cells/ml. Cells were concentrated 10× in YPD broth, and 100 μL was plated out onto each of 30 YPD agar (Difco YPD broth+1.5% Bacto agar) plates containing 1.6, 3.2, 6.4 μg/ml C10 (equivalent to 4×, 8×, and 16× minimal inhibitory concentration of C10). Resistant mutants appeared after 2 days of incubation at 30° C. Frequency of resistance was determined by counting the number of the mutants, and the total number of cells. - The minimal inhibitory concentration (MIC) test was performed using NCCLS protocol. Yeast mating experiment was conducted following the procedure in Methods in Enzymology by Guthrie, C etc.
- The genomic plasmid library for each clone was constructed using the yeast-E. coli shuttle vector pRS315 and transformed into S. cerevisiae ATCC201388. Transformants were selected on synthetic defined media with 0.2 ug/ml C10 minus leucine. All sequencing work was done by Sequeteq. Blast search was performed using Saccharomyces genome database. Yeast Transformation was carried out using LiAc/PEG method. Over-expression of CDC60 construct was made by using S. cerevisiae genomic DNA, and two
primers 5′GAGGGATCCGGTTAGT TTTAGTTCGCGAGTGACC TG 3′,5′GAGGTCGACGATTTCTGGTTGCT GTTTATTGATCTT 3′. - A total of 23 C10 resistant mutants were isolated from S. cerevisiae. All mutants were dominant and had 8-64 fold increased resistance to C10 over wildtype in the minimal inhibitory concentration test. Further characterization of these mutants showed that they were not cross resistant to any anti-fungal agents with known mechanism of action.
- In order to identify the resistant gene in mutant strain, we first determined whether the mutation is dominant or recessive. The mutant was mated with a wild type strain with opposite mating type to make mutant diploid. There were two sets of genes in the resulting mutant diploid cells, one from resistant mutant, and the other one from the C10-sensitive wild type. If the mutant diploid was resistant to C10, the muted gene was dominant. To map the mutation, we constructed a plasmid library from the mutant strain, and transformed the library into the C10-sensitive wild type strain to select for the resistant phenotype. If the mutant diploid was sensitive to C10, the muted gene would be identified as recessive. A12, F4, H4 was mated with a wild type strain, respectively, as control; the parental strain was also mated with the same strain. Minimal inhibitory concentrations of both wild type diploid and 3 mutant diploids are shown in Table 3. Compared to wild type diploid, all 3 mutant diploids were resistant to C10, indicating that the resistant mutation in these 3 mutants is dominant.
- All the mutations in the 23 isolated C10 resistant mutants were mapped to 11 residues in the editing domain of CDC60, the cytoplasmic leucyl-tRNA synthetase.
- To identify the mutation in the resistant mutant, we constructed 3 plasmid genomic libraries from mutant A12, F4 and H4, respectively. Plasmids with random genomic DNA fragment insert, size from 4-10 kb, were transformed back into parental wild type strain. Transformants with plasmids carrying resistant genes were selected on SDM-leu agar plates with addition of C10. Plasmids were then isolated and sent for sequencing. Nucleotide sequence of the insert was BLAST searched against S. cerevisiae genome database, and the results revealed that there was a single ORF present in the insert of both plasmids isolated from F4 and H4 plasmid library. This ORF was identified as CDC60, the cytoplasmic leucyl tRNA synthetase, one of the 20 essential cytoplasmic aminoacyl-tRNA synthetases in S. cerevisiae (there are 20 more in mitochondrial). In addition to CDC60, there was a second ORF pet20 present in the plasmid isolated from A12 plasmid library, which encoded the protein required for respiratory growth and stability of the mitochondrial genome. To confirm that the CDC60 from these 3 mutants conferred resistance to C10, we re-transformed the 3 plasmids back to parental wild type strain. Compared to the control transformation of the plasmid without CDC60, ones with CDC60 from A12, F4, H4 gave >1,000 more resistant colonies on YPD agar containing C10, confirming that CDC60 from the 3 mutant strains contributed to C10 resistance.
- Sequence in CDC60 from Each of the Mutants Contains Single Amino Acid Substitution
- In order to identify whether there were any amino acid substitutions, the whole ORF of CDC60 from resistant plasmids A12, F4, and H4 was sequenced. Comparing the sequence with wild type CDC60 showed that there was a single amino acid substitution in each of the 3 CDC60 (Table 4). In addition, sequence analysis of CDC60 from the rest of 20 resistant mutants showed that each contains a single amino acid change within CDC60. DNA PCR fragments containing each mutation were transform back into wild type strain. These transformations conferred resistance, indicating that the resistance of all the mutants was due to the single amino acid substitution in CDC60.
- CDC60 (leucyl tRNA synthetase) is one of the aminoacyl-tRNA synthetases (ARS) that belong to a family of essential enzymes that attach amino acids to the 2′, or 3′ end of tRNAs, the charged tRNAs are then used in protein synthesis. The aminoacylation of tRNA is a two-step reaction: a) activation of amino acids with ATP by forming aminoacyl adenylates and b) transferring of the aminoacyl residue from the aminoacyl adenylate to the cognate tRNA substrate. The accuracy of aminoacylation depends on both the specific recognition of amino acids during their activations (coarse sieve) and the pre- or post transferring editing (fine sieve). Some of the ARS have evolved editing mechanism that specifically hydrolyzes structurally close related misactivated amino acids. Leucyl tRNA synthetase is one of such enzymes that can discriminate leucine from isoleucine, and valine. The region that carries out this editing function is called connective polypeptide 1(CP1), it's a large insertion that interrupts the active site between the third and fourth b strands of the Rossman fold. All of the 11 amino acid substitutions from 23 mutants were located in this CP1 region, suggesting that there might be a link between the editing function of the enzyme and inhibition activity of C10.
- This example sets forth a representative assay for determining whether a particular compound inhibits the editing domain of an ARS in a bacterium.
- The [3H]-isoleucine mischarged tRNAleu was synthesized by incubating 1 μM of Saccharomyces cerevisiae editing defective Cdc60p (C326F) in 500 μL of 50 mM Tris-HCl (pH 8.0), 60 mM MgCl2, 4 mM ATP, 1 mM DTT, 0.02% (w/v) BSA, 4 mg/mL crude E. coli tRNA tRNA (Roche), 0.1 mM isoleucine and 5 mCi L-[4,5-3H]isoleucine (100 Ci/mmole, GE Healthcare) and 20% (v/v) DMSO for 1 hour at 30° C. The reaction was stopped by adding 10 μL of 10% (v/v) acetic acid followed by two acidic phenol (Sigma) extractions. The mischarged tRNA in the top aqueous phase was removed and precipitated by adding two volumes of 96% (v/v) ethanol and incubating at −20° C. for 30 minutes. The precipitate was pelleted by centrifugation at 13,200×g for 30 minutes and the mischarged tRNA pellet was washed twice with 70% (v/v) ethanol and then resuspended in 50 mM potassium phosphate buffer pH 5.2.
- The reaction was terminated after 2 hours incubation at 30° C. by the addition of acetic acid to 0.17% (v/v). The isoleucylated crude tRNALeu was purified by extracting twice with acidic phenol-chloroform extractions (pH 4.3), followed by ethanol precipitation. The tRNA pellet was washed twice with 70% ethanol, dried and then resuspended in 50 mM potassium phosphate (pH 5.0) and stored at −20° C. An aliquot was precipitated with 10% (w/v) TCA to quantify ile-tRNALeu.
- Post-transfer editing hydrolysis assays were carried out at 30° C. in 50 mM Hepes (pH 8), 10 mM MgCl2, 30 mM KCl, with 3H-isoleucine-tRNA crude (˜0.3 μCi/mL). Each reaction was initiated by addition of the 150 nM enzyme. At each time point three 20 μL aliquots of the reaction mixture was added to 200 μL of 10% (w/v) TCA in a Millipore filter plate and precipitated for 20 minutes at 4° C. The precipitate was filtered and washed three times with 200 μL of 5% (w/v) TCA, then dried and 20 μL Supermix scintillation cocktail was added. The Millipore filter plates were counted in the MicroBeta Trilux. The IC50 was determined by the amount of inhibitor that inhibited 50% activity, 100% post-transfer editing was calculated by taking the activity of the no enzyme control from the wild-type enzyme activity.
- Compare the minimal inhibitory concentration (MIC) of a tolC Escherichia coli strain bearing a pUC derived plasmid with and without an leuS gene insert.
- If the MIC of the strain bearing the extra copies of leuS is greater than 2-fold more than the control strain then pour LB agar plates with four times the concentration of the MIC of the compound.
-
Plate 1×1010 E. coli on ten plates containing 4×MIC of the compound. Incubate for 1-2 days at 37° C. and pick ten colonies and restreak on 4×MIC LB agar plates to confirm resistance. - Take one large colony from each of the ten E. coli resistant mutants and resuspend in 50 μL of PCR buffer.
- Amplify the editing domain of CDC60 using a proof-reading PCR enzyme and the following primers, ggcaccgtggacgtacgacaacatcgc and gggaaacaccccagtcgcgcaggcgg.
- Purify the 980 bp PCR product using either Qiagen or Promega PCR cleanup kits.
- Sequence amplify the mutant DNA and compared it to wild-type. If the mutant DNA bears mutations in the editing domain the inhibitor affects leucyl-tRNA synthetase via the editing domain.
- Assay for Determining that C10 Inhibits the Editing Domain of tRNA Synthetase in a Fungi
- This example details an exemplary assay for determining whether a selected compound inhibits the editing domain of an ARS in a fungus.
- The [3H]-isoleucine mischarged tRNAleu was synthesized by incubating 1 μM of Saccharomyces cerevisiae editing defective Cdc60p (C326F) in 500 μL of 50 mM Tris-HCl (pH 8.0), 60 mM MgCl2, 4 mM ATP, 1 mM DTT, 0.02% (w/v) BSA, 16 μM brewer's yeast tRNA (Roche), 0.1 mM isoleucine and 5 mCi L-[4,5-3H]isoleucine (100 Ci/mmole, GE Healthcare) and 20% (v/v) DMSO for 1 hour at 30° C. The reaction was stopped by adding 10 μL of 10% (v/v) acetic acid followed by two acidic phenol (Sigma) extractions. The mischarged tRNA in the top aqueous phase was removed and precipitated by adding two volumes of 96% (v/v) ethanol and incubating at −20° C. for 30 minutes. The precipitate was pelleted by centrifugation at 13,200×g for 30 minutes and the mischarged tRNA pellet was washed twice with 70% (v/v) ethanol and then resuspended in 50 mM potassium phosphate buffer pH 5.2.
- The reaction was terminated after 2 hours incubation at 30° C. by the addition of acetic acid to 0.17% (v/v). The isoleucylated crude tRNALeu was purified by extracting twice with acidic phenol-chloroform extractions (pH 4.3), followed by ethanol precipitation. The tRNA pellet was washed twice with 70% ethanol, dried and then resuspended in 50 mM potasium phosphate (pH 5.0) and stored at −20° C. An aliquot was precipitated with 10% (w/v) TCA to quantify ile-tRNALeu.
- Post-transfer editing hydrolysis assays were carried out at 25° C. in 50 mM Hepes (pH 7.5), 10 mM MgCl2, 30 mM KCl, with 3H-isoleucine-tRNA crude (˜0.3 μCi/mL). Each reaction was initiated by addition of the 150 nM enzyme. At each time point three 20 μL aliquots of the reaction mixture was added to 200 μL of 10% (w/v) TCA in a Millipore filter plate and precipitated for 20 min. at 4° C. The precipitate was filtered and washed three times with 200 μL of 5% (w/v) TCA, then dried and 20 μL Supermix scintillation cocktail was added. The Millipore filter plates were counted in the MicroBeta Trilux. The IC50 was determined by the amount of inhibitor that inhibited 50% activity, 100% activity was calculated by taking the activity of the no enzyme control from the wild-type enzyme post-transfer editing activity.
- Equilibrium dialysis experiments were performed in 1×AARS buffer containing 50 mM Hepes-KOH (pH 8.0), 30 mM MgCl2 and 30 mM KCl. Experiments were performed using 5 k MWCO DispoEquilibrium Dialyzer apparatus (Harvard Apparatus, Holliston, Mass.). On one side of the dialysis membrane (side A), [methylene-14C] C10, 2.04 GBq/mmol (Amersham) was added at concentrations ranging from 1 to 200 μM in 20 μL. On the opposite side of the membrane (side B), 30 μM recombinant Cdc60p (Saccharomyces cerevisiae cytoplasmic LeuRS) and 10 mM AMP (
adenosine 5′-monophosphate, Sigma) was added in 20 μL. Samples were incubated at room temperature (21° C.) while shaking for 4.5 hrs to establish C10 equilibrium across the membrane. At equilibrium, C10 on each side of the dialysis membrane was quantified by scintillation counting using a Wallac MicroBeta Trilux model 1450 liquid scintillation counter. The amount of C10 bound to Cdc60p was determined by subtracting [C10]A from [C10]B. - The PPi exchange assay was performed in 1×AARS buffer containing 50 mM Hepes-KOH (pH 8.0), 30 mM MgCl2 and 30 mM KCl supplemented with 2 mM ATP and [32P] PPi (105 cpm/μmol), 2 mM leucine and 7 nM recombinant Cdc60p. Experiments were also performed in the presence or absence of C10 (15 μM) and tRNA (16 μM). After a 20 minute incubation at 30° C., reactions were initiated by the addition of ATP. At various time intervals, 45 μL of reaction mixture was added to 100 μL of 2% perchloric acid and 0.1 M Na4P2O7 to quench the reaction. Radioactive ATP was then absorbed to activated charcoal by the addition of 30 μL of a 5% suspension of acid-washed Norit A. This mixture was filtered though GF/C glass filters and washed 2× with 200 μL of distilled water then lx with 200 μL of 95% ethanol. Filters were dried and scintillation counted using a Wallac MicroBeta Trilux model 1450 liquid scintillation counter.
- Synthesis of Tritiated Mischarged tRNAleu
- The [3H]-isoleucine mischarged tRNAleu was synthesized by incubating 1 μM of Saccharomyces cerevisiae editing defective Cdc60p (C326F) in 500 μL of 50 mM Tris-HCl (pH 8.0), 60 mM MgCl2, 4 mM ATP, 1 mM DTT, 0.02% (w/v) BSA, 16 μM brewer's yeast tRNA (Roche), 0.1 mM isoleucine and 5 mCi L-[4,5-3H]isoleucine (100 Ci/mmole, GE Healthcare) and 20% (v/v) DMSO for 1 hour at 30° C. The reaction was stopped by adding 10 μL of 10% (v/v) acetic acid followed by two acidic phenol (Sigma) extractions. The mischarged tRNA in the top aqueous phase was removed and precipitated by adding two volumes of 96% (v/v) ethanol and incubating at −20° C. for 30 minutes. The precipitate was pelleted by centrifugation at 13,200×g for 30 minutes and the mischarged tRNA pellet was washed twice with 70% (v/v) ethanol and then resuspended in 50 mM potassium phosphate buffer pH 5.2.
- The [3H]-isoleucine mischarged tRNAleu substrate, 40 nM, was added to 50 mM Hepes-KOH pH 8.0, 30 mM KCl, 30 mM MgCl2, 0.02% (w/v) BSA, 1 mM DTT, 2.4 nM S. cerevisiae Cdc60p at 30° C. to start the reaction and 20 μL aliquots, taken at set time points, were added to ice cold 200 μL 10% (w/v) trichloroacetic acid (TCA). The TCA precipitates were washed twice with 200 μl ice cold 5% (w/v) TCA and filtered through a Multiscreen HTS HA filter (Millipore). Optiphase (Perkin Elmer) scintillation cocktail was added to the filters and the TCA precipitate was counted in a Wallac MicroBeta Trilux model 1450 liquid scintillation counter.
- Aminoacylation assays were perfomed to determine the rate of net leucine/tRNALeu synthesis by leucyl tRNA synthetase. Experiments were performed in 500 ul reaction mixtures containinglx AARS buffer (50 mM Hepes-KOH (pH 8.0), 30 mM MgCl2 and 30 mM KCl) supplemented with 20 uM [14C]-leucine (Perkin-Elmer, 11.32 GBq/mmol.), 16 uM crude yeast tRNA, 0.02% BSA, 1 mM dithiothreitol, 2 nM recombinant yeast LeuRS (CDC60) and 2 mM ATP. Reactions were performed at 30 deg Celsius. At time zero reactions were started by the addition of ATP. At various time intervals, 20 ul aliquots were added to 150 ul of 10% trichloroacetic acid (TCA) within a single well of a 96-well nitrocelluse membrane filterplate (Millipore Multiscreen HTS, MSHAN4B50). Each well was then washed 3× with 100 ul of 5% TCA. Filterplates were then dried under a heat lamp and the precipitated [14C]-leucine/tRNALeu complexes were quantified by liquid scintillation counting using a Wallac MicroBeta Trilux model 1450 liquid scintillation counter. The inhibitory effects of boron-containing compounds, was determined by addition of up to a 100 uM of the compound in the reaction mixture for 20 minutes prior to the addition of ATP.
- C10 (5-fluoro-1,3-dihydro-1-hydroxy-2,1-benzoxaborole), 5-fluoro-1,3-dihydro-1-phenyl-2,1-benzoxaborole, C1 (5-chloro-1,3-dihydro-1-hydroxy-2,1-benzoxaborole), and 5-fluoro-1,3-dihydro-1-(3-hydroxymethylphenyl)-2,1-benzoxaborole were obtained from Anacor Pharmaceuticals, Inc. (Palo Alto, Calif.). [14C]-C10 was synthesized by Amersham Biosciences UK Limited (Buckinghamshire HP& 9NA, UK) radiochemical purity and specific activity of >99.3% and 55 mCi/mmol, respectively.
- Penlac™ nail lacquer (
ciclopirox 8% topical solution) was manufactured by Dermik (Berwyn, Pa.). [14C]-Ciclopirox (pyridinone-6-(14C)-ciclopirox) was synthesized by PerkinElmer Life and Analytical Sciences (Boston, Mass.). The radiochemical purity and specific activity of the chemical was >95% and 12.5 mCi/mmol, respectively. - C10, 5-fluoro-1,3-dihydro-1-phenyl-2,1-benzoxaborole, C1, and 5-fluoro-1,3-dihydro-1-(3-hydroxymethylphenyl)-2,1-benzoxaborole, formulated at 10% w/v in ethanol, were tested. A single aliquot (10 μlA) of each formulation was dosed to the top of human nail plates using the nail penetration procedure described below, and allowed to stand for 3-days. The dosed area was washed, and then the cotton ball bed supporting the nail and the nail samples were collected at the end of the incubation period, stored at 4° C. and analyzed for drug using LC/MS/MS.
- The following formulations, all containing 10% C10 were tested. Formulation A: 70% ethanol, 20% poly (vinyl methyl ether alt maleic acid monobutyl ester (v/v); Formulation B: 6% ethanol, 14% water, 15% poly (2-hydroxyethyl methacrylate), 5% dibutyl sebacate (v/v); Formulation C: 55% ethanol, 15% ethyl acetate, 15% poly (vinyl acetate), 5% dibutyl sebacate (v/v); Formulation D: 20% propylene glycol, 70% ethanol (v/v). Using the nail penetration procedure described below, aliquots (10 μL) of the dose formulations were applied to human nail plates once per day for 14 days with a daily wash before dosing. The cotton ball bed supporting the nail was collected from each cell chamber and replaced with a new one at
5, 10, and 15 after the first dose. The nail samples were collected at the end of the 14-day dose period, stored at 4° C. and analyzed for drug by LC/MS/MS.day - Two test articles, C10, 10% in propylene glycol and ethanol (1:4, v/v) and ciclopirox, 8% in Penlac™ nail lacquer were compared for their penetration rate into and through the human nail plate. Trace amounts of carbon-14 radiolabelled C10 and ciclopirox were added to their respective formulations the day before the first dose. Using the nail penetration procedure described below, aliquots (10 μl) of the dose formulations were applied to human nail plates once per day for 14 days with a washing before each dose. The cotton ball bed supporting the nail was collected from each cell chamber and replaced with a new one every 72 hours after the first dose (
3, 6, 9, 12, and 15). The nail samples were collected at the 14-day dose period. The radioactivity of all samples was analyzed and compared.days - Details of the nail incubation have been previously described9,10. Briefly, a healthy finger nail plate was mounted in a one-chamber diffusion cell (
FIG. 1 , Permegear, Inc., Hellertown, Pa.) with the nail surface (top center) open to the air and the inner surface in contact with a small cotton ball acting as a supporting nail bed. The supporting cotton ball under the nail was wetted by normal saline providing moisture for the nail plate, and the degree of hydration was monitored and controlled during the experiment. The incubation period started 24 hours prior to the first dose, and ended 24 hours after the final dose. Aliquots (10 μL) were applied to the surface of the nail plate once daily. - Dosed surface area washing was conducted at the end of incubation period (for single dose study), or each morning before dosing starting on the second day (multiple dose study). The dosed surface area of the nail was washed with cotton tips in a cycle, as follows: two times with ethanol, then with 50% Ivory® liquid soap (Procter & Gamble, Cincinnati, Ohio), then two times with distilled water. The washing samples from each cycle were pooled and the radioactivity was measured. After completion of the dosing and the incubation phase, the nail plate was transferred to a cutting holder for sampling. Under the controlled humidity and temperature, we did not observe any abnormal situations such as the nail plate color change, hydration changes, or fungal growth during the 14-day dosing period. The nail plate was secured in position so that the outer dorsal-dosed surface faced the holder. The cutting holder was moved to bring the plate surface just barely in contact with the cutter tip. The drill was then started and a fine adjustment moved the stage toward the cutter tip, removing a powder sample from the nail. In this way, a hole approximately 0.3-0.4 mm in depth and 7.9 mm in diameter was drilled in each nail, enabling the harvest of powder sample from the center of each nail's ventral surface. These samples are referred to as samples taken from the “ventral/intermediate nail plate center”. Then the nail outside the dosing area (and also the sampling area) was cut away and saved as the “remainder nail plate”. The layer above the powder sampling area was also saved as “the dorsal/intermediate center”. All the nail plate samples were individually collected into a glass scintillation vial and weighed.
- LC/MS/MS (API3000, Applied Biosystems, Foster City, Calif.) was used to quantitate the amounts of non-radiolabeled oxaboroles, C10,5-fluoro-1,3-dihydro-1-phenyl-2,1-benzoxaborole, C1, and 5-fluoro-1,3-dihydro-1-(3-hydroxymethylphenyl)-2,1-benzoxaborole in samples from the nail penetration studies. For the cotton ball analysis eleven calibration standards were prepared fresh in normal saline. A volume of 100 μL of each standard was spiked onto a fresh cotton ball with final calibration standard concentrations of 0, 2.5, 5, 10, 20, 40, 80, 160, 320, 640, 1280, and 2560 μg/mL. Acetonitrile (Burdick & Jackson, Muskegon, Mich.) containing the internal standard p-nitrophenol (PNP) was added to all cotton balls. The cotton ball samples and any residual solvent were transferred to centrifuge filter tubes. After centrifugation, the filtrate from the cotton ball samples was transferred to autosampler vials and analyzed by LC/MS/MS. For the ciclopirox samples, the filtrate was first derivatized with dimethylsulfate according to a previously described method before analysis by LC/MS/MS (Myoung and Choi, 2003). Samples with calculated concentrations above the highest calibration standard were diluted 10- or 20-fold with acetonitrile containing internal standard p-Nitrophenol (TCI America, Portland, Oreg.). For the nail analysis, two separate calibration curves were prepared, one for nail powder analysis and one for top of the nail analysis. Each curve contained eleven calibration standards. Standards were first prepared in dimethylsulfoxide. A volume of 10 μL of each standard was spiked onto keratin powder (6.5 mg for nail powder curve and 17 mg for top of the nail curve). Nail samples were digested with 1N NaOH overnight at 45° C. The next morning, before extraction with methylenechloride, the pH of the samples was adjusted to
pH 3. After extraction, the organic layer was transferred and evaporated. Samples were reconstituted in acetonitrile and analyzed by LC/MS/MS using an Eclipse XDB-C18 5 μm, 2.1×50 mm column (Agilent, Wilmington, Del.) and a gradient mobile phase from 5 mM ammonium acetate and acetonitrile. - All radioactivity measurements were conducted with a Model 1500 Liquid Scintillation Counter (Packard Instrument Company, Downer Grove, Ill.). The counter was audited for accuracy using sealed samples of quenched and unquenched standards as detailed by the instrument manual. The 14C counting efficiency is equal to or greater than 95%. All nail samples pre-treated with Packard soluene-350 were incubated at 40° C. for 48 hours followed by the addition of 10 mL scintillation cocktail (HIONIC-FLUOR, Packard Instrument Company, Meriden, Conn.). Other samples (standard dose, surface washing, and bedding material) were mixed directly with Universal ES scintillation cocktail (ICN Biomedicals, Costa Mesa, Calif.). Background control and test samples were counted for radioactivity for 3 minutes each.
- Quantitation of non-radioactive compounds was based on peak area ratios of compound to internal standard. The method of regression for the calibration curves was selected based on the best fit. Linear and quadratic regression was used with 1/x or 1/x squared weighting. All integrations were performed using Analyst version 1.3 (Applied Biosystems, Foster City, Calif.). The concentrations of compound in the cotton balls were converted to absolute amounts by taking the sample volume of 100 μl into account. The amount of compound in the nail powder and top of the nail were adjusted for their respective weights and reported in μg/mg.
- The individual and mean (±S.E.) amount of test chemical equivalent in nail, bedding material, and wash samples are presented as dpm, μCi, percent administered dose, and mg equivalent at each time point. The concentration of 14C-labeled test chemicals were calculated from the value based on the specific activity of each [14C]-labeled test chemical. The information of concentration of non-labeled test chemical in the topical formulation was obtained from the manufacturers. The total concentration of test chemical equivalent is the sum of the concentration of 14C-labeled test chemical and the concentration of non-labeled test chemical. The value of the total amount of test chemical equivalent in each nail sample was calculated from those values based on the radioactivity of the sample and the ratio of total mg test chemical equivalent and radioactivity of the test chemical. The data was further normalized by dividing by the weight of the sample. Statistical significant of nail samples from every two groups was analyzed by student t-test.
- It is understood that the examples and embodiments described herein are for illustrative purposes only and that various modifications or changes in light thereof will be suggested to persons skilled in the art and are to be included within the spirit and purview of this application and scope of the appended claims. All publications, patents, and patent applications cited herein are hereby incorporated by reference in their entirety for all purposes.
Claims (39)
1. A compound having a structure according to Formula I:
wherein
B is boron;
R1a is a member selected from a negative charge, a salt counterion, H, substituted or unsubstituted alkyl, substituted or unsubstituted heteroalkyl, substituted or unsubstituted cycloalkyl, substituted or unsubstituted heterocycloalkyl, substituted or unsubstituted aryl, and substituted or unsubstituted heteroaryl;
M1 is a member selected from oxygen, sulfur and NR2a;
wherein
R2a is a member selected from H, substituted or unsubstituted alkyl, substituted or unsubstituted heteroalkyl, substituted or unsubstituted cycloalkyl, substituted or unsubstituted heterocycloalkyl, substituted or unsubstituted aryl, and substituted or unsubstituted heteroaryl;
J1 is a member selected from (CR3aR4a)n1 and CR5a
wherein
R3a, R4a, and R5a are members independently selected from H, substituted or unsubstituted alkyl, substituted or unsubstituted heteroalkyl, substituted or unsubstituted cycloalkyl, substituted or unsubstituted heterocycloalkyl, substituted or unsubstituted aryl, and substituted or unsubstituted heteroaryl; and
n1 is an integer selected from 0 to 2;
W1 is a member selected from C═O (carbonyl), (CR6aR7a)m1 and CR8a;
R6a, R7a, and R8a are members independently selected from H, substituted or unsubstituted alkyl, substituted or unsubstituted heteroalkyl, substituted or unsubstituted cycloalkyl, substituted or unsubstituted heterocycloalkyl, substituted or unsubstituted aryl, and substituted or unsubstituted heteroaryl;
m1 is an integer selected from 0 and 1;
A1 is a member selected from CR9a and N;
D1 is a member selected from CR10a and N;
E1 is a member selected from CR11a and N;
G1 is a member selected from CR12a and N;
wherein
R9a, R10, R11a and R12a are members independently selected from H, OH, NH2, SH, substituted or unsubstituted alkyl, substituted or unsubstituted heteroalkyl, substituted or unsubstituted cycloalkyl, substituted or unsubstituted heterocycloalkyl, substituted or unsubstituted aryl, and substituted or unsubstituted heteroaryl;
the combination of nitrogens (A1+D1+E1+G1) is an integer selected from 0 to 3;
wherein
a member selected from R3a, R4a and R5a and a member selected from R6a, R7a and R8a, together with the atoms to which they are attached, are optionally joined to form a 4 to 7 membered ring;
R3a and R4a, together with the atoms to which they are attached, are optionally joined to form a 4 to 7 membered ring;
R6a and R7a, together with the atoms to which they are attached, are optionally joined to form a 4 to 7 membered ring;
R9a and R10a, together with the atoms to which they are attached, are optionally joined to form a 4 to 7 membered ring;
R10a and R11a, together with the atoms to which they are attached, are optionally joined to form a 4 to 7 membered ring;
R11a and R12a, together with the atoms to which they are attached, are optionally joined to form a 4 to 7 membered ring;
with the proviso that when M1 is oxygen, W1 is a member selected from (CR3aR4a)n1, wherein n1 is 0, J1 is a member selected from (CR6aR7a)m1, wherein m1 is 1, A1 is CR9a, D1 is CR10a, E1 is CR11a, G1 is CR12a, then R9a is not halogen, methyl, ethyl, or optionally joined with R10a to a form phenyl ring; R10a is not unsubstituted phenoxy, C(CH3)3, halogen, CF3, methoxy, ethoxy, or optionally joined with R9a to form a phenyl ring; R11a is not halogen or optionally joined with R10a to form a phenyl ring; and R12a is not halogen;
with the further proviso that when M1 is oxygen, W1 is a member selected from, (CR3aR4a)n1, wherein n1 is 0, J1 is a member selected from (CR6aR7a)m1, wherein m1 is 1, A1 is CR9a, D1 is CR10a, E1 is CR11a, G1 is CR12a, then neither R6a nor R7a are halophenyl;
with the further proviso that when M1 is oxygen, W1 is a member selected from (CR3aR4a)n1, wherein n1 is 0, J1 is a member selected from (CR6aR7a)m1, wherein m1 is 1, A1 is CR9a, D1 is CR10a, E1 is CR11a, G1 is CR12a, and R9a, R10a and R11a are H, then R6a, R7a and R12a are not H;
with the further proviso that when M1 is oxygen n1 is 1, J1 is a member selected from (CR6aR7a)m1, wherein m1 is 0, A1 is CR9a, D1 is CR10a, E1 is CR11a, G1 is CR12a, R9a is H, R10a is H, R11a is H, R6a is H, R7a is H, R12a is H, then W1 is not C═O (carbonyl);
with the further proviso that when M1 is oxygen, W1 is CR5a, n1 is 1, J1 is CR8a, m1 is 1, A1 is CR9a, D1 is CR10a, E1 is CR11a, G1 is CR12a, R6a, R7a, R9a, R10a, R11a and R12a are H, then R5a the R8a, together with the atoms to which they are attached, do not form a phenyl ring.
2. The compound of claim 1 , having a structure according to Formula (Ia):
wherein
R9a, R10a, R11a and R12a are members independently selected from H, substituted or unsubstituted alkyl, substituted or unsubstituted heteroalkyl, substituted or unsubstituted cycloalkyl, substituted or unsubstituted heterocycloalkyl, substituted or unsubstituted aryl, and substituted or unsubstituted heteroaryl; and
wherein
R9a and R10a, together with the atoms to which they are attached, are optionally joined to form a 4 to 7 membered ring;
R10a and R11a, together with the atoms to which they are attached, are optionally joined to form a 4 to 7 membered ring; and
R11a and R12a, together with the atoms to which they are attached, are optionally joined to form a 4 to 7 membered ring
with the proviso that R9a is not halogen, methyl, ethyl, or optionally joined with R10a to form a 4 to 7 membered ring;
with the proviso that R10a is not unsubstituted phenoxy, C(CH3)3, halogen, CF3, methoxy, ethoxy, optionally joined with R9 to form a 4 to 7 membered ring, or optionally joined with R11 to form a 4 to 7 membered ring;
with the proviso that R11a is not halogen or optionally joined with R10 to form a 4 to 7 membered ring;
with the proviso that R12a is not halogen.
3. The compound of claim 2 , having a structure according to Formula (Ib):
wherein
B is boron;
Rx1 is a member selected from substituted or unsubstituted C1-C5 alkyl, substituted or unsubstituted C1-C5 heteroalkyl;
Ry1 and Rz1 are members independently selected from H, substituted or unsubstituted alkyl, substituted or unsubstituted heteroalkyl, substituted or unsubstituted cycloalkyl, substituted or unsubstituted heterocycloalkyl, substituted or unsubstituted aryl, and substituted or unsubstituted heteroaryl;
R6a are members independently selected from H, substituted or unsubstituted alkyl, substituted or unsubstituted heteroalkyl, substituted or unsubstituted cycloalkyl, substituted or unsubstituted heterocycloalkyl, substituted or unsubstituted aryl, and substituted or unsubstituted heteroaryl; and
R9a, R10a, R11a and R12a are members independently selected from H, substituted or unsubstituted alkyl, substituted or unsubstituted heteroalkyl, substituted or unsubstituted cycloalkyl, substituted or unsubstituted heterocycloalkyl, substituted or unsubstituted aryl, and substituted or unsubstituted heteroaryl; and
wherein
R11a and R12a, together with the atoms to which they are attached, are optionally joined to form a 4 to 7 membered ring
with the proviso that when R9a, R11a and R12a are H, R10a is not H, halogen, unsubstituted phenoxy or t-butyl
with the further proviso that when R9a is H, R10a and R11a together with the atoms to which they are attached, are not joined to form a phenyl ring;
with the further proviso that when R11a is H, R9a and R10a together with the atoms to which they are attached, are not joined to form a phenyl ring.
4. A pharmaceutical formulation comprising:
(a) a pharmaceutically acceptable excipient; and
(b) a compound having a structure according to Formula II:
wherein
B is boron;
R1b is a member selected from a negative charge, a salt counterion, H, substituted or unsubstituted alkyl, substituted or unsubstituted heteroalkyl, substituted or unsubstituted cycloalkyl, substituted or unsubstituted heterocycloalkyl, substituted or unsubstituted aryl, and substituted or unsubstituted heteroaryl;
M2 is a member selected from oxygen, sulfur and NR2b
wherein
R2b is a member selected from H, substituted or unsubstituted alkyl, substituted or unsubstituted heteroalkyl, substituted or unsubstituted cycloalkyl, substituted or unsubstituted heterocycloalkyl, substituted or unsubstituted aryl, and substituted or unsubstituted heteroaryl;
J2 is a member selected from (CR3bR4b)n2 and CR5b
wherein
R3b, R4b, and R5b are members independently selected from H, OH, NH2, SH, substituted or unsubstituted alkyl, substituted or unsubstituted heteroalkyl, substituted or unsubstituted cycloalkyl, substituted or unsubstituted heterocycloalkyl, substituted or unsubstituted aryl, and substituted or unsubstituted heteroaryl;
n2 is an integer selected from 0 to 2;
W2 is a member selected from C═O (carbonyl), (CR6bR7b)m2 and CR8b
wherein
R6b, R7b, and R8b are members independently selected from H, OH, NH2, SH, substituted or unsubstituted alkyl, substituted or unsubstituted heteroalkyl, substituted or unsubstituted cycloalkyl, substituted or unsubstituted heterocycloalkyl, substituted or unsubstituted aryl, and substituted or unsubstituted heteroaryl;
m2 is an integer selected from 0 and 1;
A2 is a member selected from CR9b and N;
D2 is a member selected from CR10b and N;
E2 is a member selected from CR11b and N;
G2 is a member selected from CR12b and N;
wherein
R9b, R10b, R11b and R12b are members independently selected from H, OH, NH2, SH, substituted or unsubstituted alkyl, substituted or unsubstituted heteroalkyl, substituted or unsubstituted cycloalkyl, substituted or unsubstituted heterocycloalkyl, substituted or unsubstituted aryl, and substituted or unsubstituted heteroaryl;
the combination of nitrogens (A2+D2+E2+G2) is an integer selected from 0 to 3;
a member selected from R3b, R4b and R5b and a member selected from R6b, R7b and R8b, together with the atoms to which they are attached, are optionally joined to form a 4 to 7 membered ring;
R3b and R4b, together with the atoms to which they are attached, are optionally joined to form a 4 to 7 membered ring;
R6b and R7b, together with the atoms to which they are attached, are optionally joined to form a 4 to 7 membered ring;
R9b and R10b, together with the atoms to which they are attached, are optionally joined to form a 4 to 7 membered ring;
R10b and R11b, together with the atoms to which they are attached, are optionally joined to form a 4 to 7 membered ring;
R11b and R12b, together with the atoms to which they are attached, are optionally joined to form a 4 to 7 membered ring.
6. The pharmaceutical formulation of claim 4 , wherein said compound has a structure according to Formula (IIb):
wherein
R7b is a member selected from H, methyl, ethyl and phenyl;
R10b is a member selected from H, halogen, substituted or unsubstituted phenoxy, substituted or unsubstituted phenylalkyloxy, substituted or unsubstituted phenylthio and substituted or unsubstituted phenylalkylthio; and
R11b is a member selected from H, OH, methyl, substituted or unsubstituted phenoxy, substituted or unsubstituted phenylalkyloxy, substituted or unsubstituted phenylthio and substituted or unsubstituted phenylalkylthio.
9. The pharmaceutical formulation of claim 6 , wherein R1b is a member selected from a negative charge, H and a salt counterion.
10. The pharmaceutical formulation of claim 9 , wherein R10b and R11b are H.
11. The pharmaceutical formulation of claim 6 , wherein one member selected from R10b and R11b is H and the other member selected from R10b and R11b is a member selected from halo, methyl, cyano, methoxy, hydroxymethyl and p-cyanophenyloxy.
12. The pharmaceutical formulation of claim 6 , wherein R10b and R11b are members independently selected from fluoro, chloro, methyl, cyano, methoxy, hydroxymethyl, and p-cyanophenyl.
13. The pharmaceutical formulation of claim 6 , wherein R1b is a member selected from a negative charge, H and a salt counterion; R7b is H; R10b is F and R11b is H.
14. The pharmaceutical formulation of claim 6 , wherein R1b is a member selected from a negative charge, H and a salt counterion; R7b is H; R10b is 4-cyanophenoxy and R11b is H.
15. The pharmaceutical formulation of claim 4 , wherein R11b and R12b, along with the atoms to which they are attached, are joined to form a phenyl group.
16. The pharmaceutical formulation of claim 4 , wherein said compound has a structure according to Formula (IId):
wherein
B is boron;
Rx2 is a member selected from substituted or unsubstituted C1-C5 alkyl and substituted or unsubstituted C1-C5 heteroalkyl;
Ry2 and Rz2 are members independently selected from H, substituted or unsubstituted alkyl, substituted or unsubstituted heteroalkyl, substituted or unsubstituted cycloalkyl, substituted or unsubstituted heterocycloalkyl, substituted or unsubstituted aryl, and substituted or unsubstituted heteroaryl.
17. The pharmaceutical formulation of claim 4 , wherein said excipient is a pharmaceutically acceptable topical carrier.
18. The pharmaceutical formulation of claim 4 , wherein said compound is present in said pharmaceutical formulation in a concentration of from about 1% to about 10%.
19. A method for killing a microorganism or inhibiting the growth of a microorganism, comprising contacting said microorganism with a therapeutically effective amount of a compound according to claim 1 .
20. The method of claim 19 , wherein said microorganism is a fungus.
21. The method of claim 19 , wherein said fungus is a member selected from Candida species, Trichophyton species, Microsporium species, Aspergillus species, Cryptococcus species, Blastomyces species, Cocciodiodes species, Histoplasma species, Paracoccidioides species, Phycomycetes species, Malassezia species, Fusarium species, Epidermophyton species, Scytalidium species, Scopulariopsis species, Alternaria species, Penicillium species, Phialophora species, Rhizopus species, Scedosporium species and Zygomycetes class.
22. The method of claim 19 , wherein said fungus is a member selected from dermatophytes, Trichophyton, Microsporum, Epidermophyton and yeast-like fungi.
23. A method for killing a microorganism or inhibiting the growth of a microorganism, comprising contacting said microorganism with a therapeutically effective amount of a pharmaceutical formulation according to claim 4 .
24. The method of claim 23 , wherein said microorganism is a fungus.
25. The method of claim 23 , wherein said fungus is a member selected from Candida species, Trichophyton species, Microsporium species, Aspergillus species, Cryptococcus species, Blastomyces species, Cocciodiodes species, Histoplasma species, Paracoccidioides species, Phycomycetes species, Malassezia species, Fusarium species, Epidermophyton species, Scytalidium species, Scopulariopsis species, Alternaria species, Penicillium species, Phialophora species, Rhizopus species, Scedosporium species and Zygomycetes class.
26. The method of claim 23 , wherein said fungus is a member selected from dermatophytes, Trichophyton, Microsporum, Epidermophyton and yeast-like fungi.
27. A method of treating or preventing an infection in an animal, said method comprising administering to the animal a therapeutically effective amount of the compound according to claim 1 .
28. The method of claim 27 , wherein said infection is a member selected from a systemic infection, a cutaneous infection, and an ungual or periungual infection.
29. The method of claim 27 , wherein said infection is a member selected from chloronychia, paronychias, erysipeloid, onychorrhexis, gonorrhea, swimming-pool granuloma, larva migrans, leprosy, Orf nodule, milkers' nodules, herpetic whitlow, acute bacterial perionyxis, chronic perionyxis, sporotrichosis, syphilis, tuberculosis verrucosa cutis, tularemia, tungiasis, peri- and subungual warts, zona, nail dystrophy (trachyonychia), dermatological diseases, psoriasis, pustular psoriasis, alopecia aerata, parakeratosis pustulosa, contact dermatosis, Reiter's syndrome, psoriasiform acral dermatitis, lichen planus, idiopathy atrophy in the nails, lichin nitidus, lichem striatus, inflammatory linear verrucous epidermal naevus (ILVEN), alopecia, pemphigus, bullous pemphigoid, acquired epidermolysis bullosa, Darier's disease, pityriasis rubra pilaris, palmoplantar keratoderma, contact eczema, polymorphic erythema, scabies, Bazex syndrome, systemic scleroderma, systemic lupus erythematosus, chronic lupus erythematosus, dermatomyositus, Sporotrichosis, Mycotic keratitis, Extension oculomycosis, Endogenous oculomycosis, Lobomycosis, Mycetoma, Piedra, Pityriasis versicolor, Tinea corporis, Tinea cruris, Tinea pedis, Tinea barbae, Tinea capitis, Tinea nigra, Otomycosis, Tinea favosa, Chromomycosis, and Tinea Imbricata.
30. The method of claim 27 , wherein said infection is onychomycosis.
31. The method of claim 27 , wherein said animal is a member selected from a human, cattle, goat, pig, sheep, horse, cow, bull, dog, guinea pig, gerbil, rabbit, cat, chicken and turkey.
32. A method of treating or preventing an infection in an animal, said method comprising administering to the animal a therapeutically effective amount of the pharmaceutical formulation according to claim 4 .
33. The method of claim 32 , wherein said infection is a member selected from a systemic infection and an ungual or periungual infection.
34. The method of claim 32 , wherein said infection is a member selected from chloronychia, paronychias, erysipeloid, onychorrhexis, gonorrhea, swimming-pool granuloma, larva migrans, leprosy, Orf nodule, milkers' nodules, herpetic whitlow, acute bacterial perionyxis, chronic perionyxis, sporotrichosis, syphilis, tuberculosis verrucosa cutis, tularemia, tungiasis, peri- and subungual warts, zona, nail dystrophy (trachyonychia), dermatological diseases, psoriasis, pustular psoriasis, alopecia aerata, parakeratosis pustulosa, contact dermatosis, Reiter's syndrome, psoriasiform acral dermatitis, lichen planus, idiopathy atrophy in the nails, lichin nitidus, lichen striatus, inflammatory linear verrucous epidermal naevus (ILVEN), alopecia, pemphigus, bullous pemphigoid, acquired epidermolysis bullosa, Darier's disease, pityriasis rubra pilaris, palmoplantar keratoderma, contact eczema, polymorphic erythema, scabies, Bazex syndrome, systemic scleroderma, systemic lupus erythematosus, chronic lupus erythematosus, dermatomyositus, Sporotrichosis, Mycotic keratitis, Extension oculomycosis, Endogenous oculomycosis, Lobomycosis, Mycetoma, Piedra, Pityriasis versicolor, Tinea corporis, Tinea cruris, Tinea pedis, Tinea barbae, Tinea capitis, Tinea nigra, Otomycosis, Tinea favosa, Chromomycosis, and Tinea Imbricata.
35. The method of claim 32 , wherein said infection is onychomycosis.
36. The method of claim 32 , wherein said animal is a member selected from a human, cattle, goat, pig, sheep, horse, cow, bull, dog, guinea pig, gerbil, rabbit, cat, chicken and turkey.
37. A method for synthesizing the compound of claim 1 .
38. A method for synthesizing the pharmaceutical formulation of claim 4 .
39. A method of delivering a compound from the dorsal layer of the nail plate to the nail bed, said method comprising:
contacting said cell with a compound capable of penetrating the nail plate,
under conditions sufficient to penetrate said nail plate,
wherein
said compound has a molecular weight of between about 100 and about 200 Da;
said compound has a log P value of between about 1.0 and about 2.6;
said compound has a water solubility greater than about 0.1 mg/mL octanol/saturated water thereby delivering said compound.
Priority Applications (6)
| Application Number | Priority Date | Filing Date | Title |
|---|---|---|---|
| US14/537,771 US20150119364A1 (en) | 2005-02-16 | 2014-11-10 | Boron-containing small molecules |
| US15/046,322 US9566289B2 (en) | 2005-02-16 | 2016-02-17 | Boron-containing small molecules |
| US15/068,352 US9549938B2 (en) | 2005-02-16 | 2016-03-11 | Boron-containing small molecules |
| US15/091,394 US9572823B2 (en) | 2005-02-16 | 2016-04-05 | Boron-containing small molecules |
| US15/134,286 US9566290B2 (en) | 2005-02-16 | 2016-04-20 | Boron-containing small molecules |
| US15/355,393 US20170066787A1 (en) | 2005-02-16 | 2016-11-18 | Boron-containing small molecules |
Applications Claiming Priority (12)
| Application Number | Priority Date | Filing Date | Title |
|---|---|---|---|
| US65406005P | 2005-02-16 | 2005-02-16 | |
| US75522705P | 2005-12-30 | 2005-12-30 | |
| US11/357,687 US7582621B2 (en) | 2005-02-16 | 2006-02-16 | Boron-containing small molecules |
| US74636106P | 2006-05-03 | 2006-05-03 | |
| US11/505,591 US7767657B2 (en) | 2005-02-16 | 2006-08-16 | Boron-containing small molecules |
| US12/507,010 US8039451B2 (en) | 2005-02-16 | 2009-07-21 | Boron-containing small molecules |
| US12/629,753 US8115026B2 (en) | 2005-02-16 | 2009-12-02 | Boron-containing small molecules |
| US13/224,252 US8440642B2 (en) | 2005-02-16 | 2011-09-01 | Boron-containing small molecules |
| US13/356,488 US8722917B2 (en) | 2005-02-16 | 2012-01-23 | Boron-containing small molecules |
| US13/874,329 US8889656B2 (en) | 2005-02-16 | 2013-04-30 | Boron-containing small molecules |
| US14/201,459 US9353133B2 (en) | 2005-02-16 | 2014-03-07 | Boron-containing small molecules |
| US14/537,771 US20150119364A1 (en) | 2005-02-16 | 2014-11-10 | Boron-containing small molecules |
Related Parent Applications (2)
| Application Number | Title | Priority Date | Filing Date |
|---|---|---|---|
| US13/874,329 Continuation-In-Part US8889656B2 (en) | 2005-02-16 | 2013-04-30 | Boron-containing small molecules |
| US14/201,459 Continuation US9353133B2 (en) | 2005-02-16 | 2014-03-07 | Boron-containing small molecules |
Related Child Applications (3)
| Application Number | Title | Priority Date | Filing Date |
|---|---|---|---|
| US11/505,591 Continuation-In-Part US7767657B2 (en) | 2005-02-16 | 2006-08-16 | Boron-containing small molecules |
| US15/046,322 Continuation US9566289B2 (en) | 2005-02-16 | 2016-02-17 | Boron-containing small molecules |
| US15/355,393 Continuation US20170066787A1 (en) | 2005-02-16 | 2016-11-18 | Boron-containing small molecules |
Publications (1)
| Publication Number | Publication Date |
|---|---|
| US20150119364A1 true US20150119364A1 (en) | 2015-04-30 |
Family
ID=38225302
Family Applications (14)
| Application Number | Title | Priority Date | Filing Date |
|---|---|---|---|
| US11/505,591 Active 2027-01-30 US7767657B2 (en) | 2005-02-16 | 2006-08-16 | Boron-containing small molecules |
| US12/629,753 Active 2027-01-09 US8115026B2 (en) | 2005-02-16 | 2009-12-02 | Boron-containing small molecules |
| US13/356,488 Expired - Lifetime US8722917B2 (en) | 2005-02-16 | 2012-01-23 | Boron-containing small molecules |
| US13/607,405 Abandoned US20130064783A1 (en) | 2005-02-16 | 2012-09-07 | Boron-containing small molecules |
| US13/607,321 Abandoned US20130059803A1 (en) | 2005-02-16 | 2012-09-07 | Boron-containing small molecules |
| US13/607,250 Abandoned US20130059802A1 (en) | 2005-02-16 | 2012-09-07 | Boron-containing small molecules |
| US13/861,846 Abandoned US20130210770A1 (en) | 2005-02-16 | 2013-04-12 | Pharmaceutical formulations |
| US14/201,459 Active 2026-04-06 US9353133B2 (en) | 2005-02-16 | 2014-03-07 | Boron-containing small molecules |
| US14/537,771 Abandoned US20150119364A1 (en) | 2005-02-16 | 2014-11-10 | Boron-containing small molecules |
| US15/046,322 Expired - Fee Related US9566289B2 (en) | 2005-02-16 | 2016-02-17 | Boron-containing small molecules |
| US15/068,352 Expired - Fee Related US9549938B2 (en) | 2005-02-16 | 2016-03-11 | Boron-containing small molecules |
| US15/091,394 Expired - Fee Related US9572823B2 (en) | 2005-02-16 | 2016-04-05 | Boron-containing small molecules |
| US15/134,286 Expired - Fee Related US9566290B2 (en) | 2005-02-16 | 2016-04-20 | Boron-containing small molecules |
| US15/355,393 Abandoned US20170066787A1 (en) | 2005-02-16 | 2016-11-18 | Boron-containing small molecules |
Family Applications Before (8)
| Application Number | Title | Priority Date | Filing Date |
|---|---|---|---|
| US11/505,591 Active 2027-01-30 US7767657B2 (en) | 2005-02-16 | 2006-08-16 | Boron-containing small molecules |
| US12/629,753 Active 2027-01-09 US8115026B2 (en) | 2005-02-16 | 2009-12-02 | Boron-containing small molecules |
| US13/356,488 Expired - Lifetime US8722917B2 (en) | 2005-02-16 | 2012-01-23 | Boron-containing small molecules |
| US13/607,405 Abandoned US20130064783A1 (en) | 2005-02-16 | 2012-09-07 | Boron-containing small molecules |
| US13/607,321 Abandoned US20130059803A1 (en) | 2005-02-16 | 2012-09-07 | Boron-containing small molecules |
| US13/607,250 Abandoned US20130059802A1 (en) | 2005-02-16 | 2012-09-07 | Boron-containing small molecules |
| US13/861,846 Abandoned US20130210770A1 (en) | 2005-02-16 | 2013-04-12 | Pharmaceutical formulations |
| US14/201,459 Active 2026-04-06 US9353133B2 (en) | 2005-02-16 | 2014-03-07 | Boron-containing small molecules |
Family Applications After (5)
| Application Number | Title | Priority Date | Filing Date |
|---|---|---|---|
| US15/046,322 Expired - Fee Related US9566289B2 (en) | 2005-02-16 | 2016-02-17 | Boron-containing small molecules |
| US15/068,352 Expired - Fee Related US9549938B2 (en) | 2005-02-16 | 2016-03-11 | Boron-containing small molecules |
| US15/091,394 Expired - Fee Related US9572823B2 (en) | 2005-02-16 | 2016-04-05 | Boron-containing small molecules |
| US15/134,286 Expired - Fee Related US9566290B2 (en) | 2005-02-16 | 2016-04-20 | Boron-containing small molecules |
| US15/355,393 Abandoned US20170066787A1 (en) | 2005-02-16 | 2016-11-18 | Boron-containing small molecules |
Country Status (11)
| Country | Link |
|---|---|
| US (14) | US7767657B2 (en) |
| EP (1) | EP1976536A4 (en) |
| JP (1) | JP2009526751A (en) |
| KR (1) | KR20080110984A (en) |
| CN (3) | CN106008583A (en) |
| AU (1) | AU2006333527B2 (en) |
| BR (1) | BRPI0621279B1 (en) |
| CA (1) | CA2635680A1 (en) |
| IL (1) | IL192402A (en) |
| RU (1) | RU2008131324A (en) |
| WO (1) | WO2007078340A2 (en) |
Cited By (2)
| Publication number | Priority date | Publication date | Assignee | Title |
|---|---|---|---|---|
| US9549938B2 (en) | 2005-02-16 | 2017-01-24 | Anacor Pharmaceuticals, Inc. | Boron-containing small molecules |
| WO2018150327A1 (en) * | 2017-02-14 | 2018-08-23 | Wavelength Enterprises Ltd | Crisaborole production process |
Families Citing this family (86)
| Publication number | Priority date | Publication date | Assignee | Title |
|---|---|---|---|---|
| ZA200707408B (en) * | 2005-02-16 | 2009-11-25 | Anacor Pharmaceuticals Inc | Boron-containing small molecules |
| US7793666B2 (en) * | 2005-07-28 | 2010-09-14 | Innovation Biomedical Devices, Inc. | Apparatus and method for treatment of infected nail |
| CA2642583C (en) | 2006-02-16 | 2016-08-23 | Anacor Pharmaceuticals, Inc. | Boron-containing small molecules as anti-inflammatory agents |
| US8106031B2 (en) * | 2006-05-02 | 2012-01-31 | Anacor Pharmaceuticals, Inc. | Hydrolytically-resistant boron-containing therapeutics and methods of use |
| JO3598B1 (en) | 2006-10-10 | 2020-07-05 | Infinity Discovery Inc | Boronic acids and esters as inhibitors of fatty acid amide hydrolase |
| JO3396B1 (en) * | 2007-06-20 | 2019-10-20 | Anacor Pharmaceuticals Inc | Boron-containing small molecules |
| US20090175810A1 (en) | 2008-01-03 | 2009-07-09 | Gareth Winckle | Compositions and methods for treating diseases of the nail |
| EP2564857B1 (en) | 2008-03-06 | 2017-05-03 | Anacor Pharmaceuticals, Inc. | Boron-containing small molecules as anti-inflammatory agents |
| JP5637982B2 (en) * | 2008-04-09 | 2014-12-10 | インフィニティー ファーマシューティカルズ, インコーポレイテッド | Inhibitors of fatty acid amide hydrolase |
| WO2009140309A2 (en) * | 2008-05-12 | 2009-11-19 | Anacor Pharmaceuticals, Inc. | Boron-containing small molecules |
| US20100021530A1 (en) * | 2008-07-25 | 2010-01-28 | Innovation Biomedical Devices, Inc. | Enhanced trans-keratin drug delivery |
| WO2010027975A1 (en) | 2008-09-04 | 2010-03-11 | Anacor Pharmaceuticals, Inc. | Boron-containing small molecules |
| US8461336B2 (en) | 2008-09-04 | 2013-06-11 | Anacor Pharmaceuticals, Inc. | Boron-containing small molecules |
| WO2010045503A1 (en) | 2008-10-15 | 2010-04-22 | Anacor Pharmaceuticals, Inc. | Boron-containing small molecules as anti-protozoal agents |
| MX2011006334A (en) * | 2008-12-17 | 2011-09-22 | Anacor Pharmaceuticals Inc | Polymorphs of (s)-3-aminomethyl-7-(3-hydroxy-propoxy)-3h-benzo[c] [1,2] oxaborol-1-ol. |
| AU2010234445A1 (en) | 2009-04-07 | 2011-11-03 | Infinity Pharmaceuticals, Inc. | Inhibitors of fatty acid amide hydrolase |
| US8541581B2 (en) | 2009-04-07 | 2013-09-24 | Infinity Pharmaceuticals, Inc. | Inhibitors of fatty acid amide hydrolase |
| AU2010281439A1 (en) | 2009-07-28 | 2012-03-15 | Anacor Pharmaceuticals, Inc. | Trisubstituted boron-containing molecules |
| WO2011019616A1 (en) | 2009-08-14 | 2011-02-17 | Anacor Pharmaceuticals, Inc. | Boron-containing small molecules as antiprotozoal agents |
| WO2011019612A1 (en) | 2009-08-14 | 2011-02-17 | Anacor Pharmaceuticals, Inc. | Boron-containing small molecules as antiprotozoal agents |
| AP4039A (en) | 2009-08-14 | 2017-02-28 | Daitao Chen | Boron-containing small molecules as antiprotozoal agents |
| US20110207701A1 (en) * | 2009-08-19 | 2011-08-25 | Anacor Pharmaceuticals, Inc. | Boron-containing small molecules as antiprotozoal agents |
| US20110124597A1 (en) * | 2009-09-25 | 2011-05-26 | Anacor Pharmaceuticals, Inc. | Boron containing small molecules |
| US8979820B2 (en) | 2009-10-09 | 2015-03-17 | Cynthia S. Bailey | Method and apparatus for improving the appearance of nails affected by onychomycosis through the topical application of an aqueous solution containing boric acid and camphor or other terpenes |
| WO2011049971A1 (en) | 2009-10-20 | 2011-04-28 | Anacor Pharmaceuticals, Inc. | Boron-containing small molecules as antiprotozoal agents |
| WO2011060199A1 (en) | 2009-11-11 | 2011-05-19 | Anacor Pharmaceuticals, Inc. | Boron-containing small molecules |
| WO2011063293A1 (en) * | 2009-11-20 | 2011-05-26 | Anacor Pharmaceuticals, Inc. | Boron-containing small molecules as antihelminth agents |
| US8716478B2 (en) | 2010-01-27 | 2014-05-06 | Anacor Pharmaceuticals, Inc. | Boron-containing small molecules |
| WO2011097233A1 (en) | 2010-02-03 | 2011-08-11 | Infinity Pharmaceuticals, Inc. | Fatty acid amide hydrolase inhibitors |
| US8623911B2 (en) | 2010-03-19 | 2014-01-07 | Anacor Pharmaceuticals, Inc. | Boron-containing small molecules as anti-protozoal agent |
| US8039494B1 (en) | 2010-07-08 | 2011-10-18 | Dow Pharmaceutical Sciences, Inc. | Compositions and methods for treating diseases of the nail |
| EP2613788B1 (en) | 2010-09-07 | 2017-06-21 | Anacor Pharmaceuticals, Inc. | Benzoxaborole derivatives for treating bacterial infections |
| WO2013049424A1 (en) | 2011-09-28 | 2013-04-04 | Wisconsin Alumni Research Foundation | Catalytic conversion of cellulose to fuels and chemicals using boronic acids |
| CN108142434A (en) | 2011-10-07 | 2018-06-12 | 先正达参股股份有限公司 | For protecting the method for useful plant or plant propagation material |
| AR088668A1 (en) | 2011-11-21 | 2014-06-25 | Lilly Co Eli | SMALL MOLECULES CONTAINING BORO |
| AR088669A1 (en) * | 2011-11-21 | 2014-06-25 | Lilly Co Eli | DERIVATIVES OF DIHYDRODIBENZO [C] [1,2] OXABOROL AND DIHYDROISOXAZOL USEFUL FOR THE CONTROL OF ECTOPARASITES |
| US9732101B2 (en) | 2012-01-18 | 2017-08-15 | Wisconsin Alumni Research Foundation | Bioreversible boronates for delivery of molecules into cells |
| US9234048B2 (en) | 2012-01-18 | 2016-01-12 | Wisconsin Alumni Research Foundation | Boronate-mediated delivery of molecules into cells |
| WO2013154759A1 (en) | 2012-04-14 | 2013-10-17 | Anacor Pharmaceuticals, Inc. | Benzoxaborole compounds and uses thereof |
| WO2014007831A1 (en) | 2012-07-06 | 2014-01-09 | Anacor Pharmaceuticals, Inc. | Boron-containing small molecules |
| US8980544B2 (en) | 2012-11-27 | 2015-03-17 | The Penn State Research Foundation | Boronic and borinic acid compounds as inhibitors of sulfenic acid-containing proteins |
| UA116557C2 (en) * | 2013-01-30 | 2018-04-10 | Доу Агросайенсіс Ллс | Use of benzoxaboroles as volatile antimicrobial agents on meats, plants, or plant parts |
| US8669207B1 (en) | 2013-01-30 | 2014-03-11 | Dow Agrosciences, Llc. | Compounds and compositions |
| US9585396B2 (en) | 2013-01-30 | 2017-03-07 | Agrofresh Inc. | Volatile applications against pathogens |
| US11039617B2 (en) | 2013-01-30 | 2021-06-22 | Agrofresh Inc. | Large scale methods of uniformly coating packaging surfaces with a volatile antimicrobial to preserve food freshness |
| US10070649B2 (en) | 2013-01-30 | 2018-09-11 | Agrofresh Inc. | Volatile applications against pathogens |
| WO2014121124A1 (en) | 2013-02-01 | 2014-08-07 | Anacor Pharmaceuticals, Inc. | Boron-containing small molecules as antiprotozoal agents |
| AR094961A1 (en) | 2013-03-15 | 2015-09-09 | Lilly Co Eli | 1-HIDROXI-BENZOOXABOROLES AS ANTIPARASITARY AGENTS |
| WO2014173880A1 (en) | 2013-04-22 | 2014-10-30 | Syngenta Participations Ag | Novel microbiocides |
| KR101636431B1 (en) | 2013-07-30 | 2016-07-05 | 동아에스티 주식회사 | Tricyclic benzoxaborole compound, process preparing thereof and use thereof |
| BR112016002651B1 (en) | 2013-08-09 | 2022-11-29 | Anacor Pharmaceuticals, Inc. | COMPOUND, PHARMACEUTICAL COMPOSITION, COMBINATION, AND USE OF A COMPOUND |
| WO2015051183A1 (en) | 2013-10-03 | 2015-04-09 | Dow Pharmaceutical Sciences, Inc. | Stabilized efinaconazole compositions |
| KR20160087898A (en) | 2013-11-22 | 2016-07-22 | 다우 파마슈티컬 사이언시즈, 인코포레이티드 | Anti-infective methods, compositions, and devices |
| EP3384906A1 (en) | 2013-12-23 | 2018-10-10 | Medical Brands Research B.V. | Dermatological composition based on algae and olive leaf extracts |
| MX2016010451A (en) | 2014-02-17 | 2016-09-22 | Syngenta Participations Ag | Microbiocidally active benzoxaboroles. |
| US11039620B2 (en) | 2014-02-19 | 2021-06-22 | Corning Incorporated | Antimicrobial glass compositions, glasses and polymeric articles incorporating the same |
| US9622483B2 (en) | 2014-02-19 | 2017-04-18 | Corning Incorporated | Antimicrobial glass compositions, glasses and polymeric articles incorporating the same |
| US11039621B2 (en) | 2014-02-19 | 2021-06-22 | Corning Incorporated | Antimicrobial glass compositions, glasses and polymeric articles incorporating the same |
| JP2015212249A (en) * | 2014-05-05 | 2015-11-26 | アナコール ファーマシューティカルズ,インコーポレイテッド | Compound and nail polish |
| WO2015175157A1 (en) * | 2014-05-12 | 2015-11-19 | Dow Agrosciences Llc | Volatile applications against pathogens |
| EP3164404B1 (en) | 2014-07-01 | 2019-04-03 | Daiichi Sankyo Company, Limited | Tricyclic benzoxaboroles as antibacterial agents |
| US20160051565A1 (en) * | 2014-08-20 | 2016-02-25 | Professional Compounding Centers Of America (Pcca) | Transdermal Pharmaceutical Compositions Including Testosterone and an Aromatase Inhibitor |
| EP3949977A1 (en) | 2014-10-21 | 2022-02-09 | Hexima Limited | A method of treatment |
| MA41494B1 (en) | 2015-02-12 | 2020-10-28 | Glaxosmithkline Ip No 2 Ltd | Benzoxaborole compounds substituted in position 4 and associated uses |
| US9737075B2 (en) | 2015-04-09 | 2017-08-22 | The Penn State Research Foundation | Synergistic benzoxaborole-containing anti-fungicidal composition |
| RU2017134285A (en) | 2015-04-09 | 2019-04-03 | Анакор Фармасьютикалз, Инк. | BORNE CONTAINING LOW-MOLECULAR COMPOUNDS AS ANTIPROTOZOIC AGENTS |
| CA3014757C (en) * | 2015-08-06 | 2020-01-14 | The Penn State Research Foundation | Benzoxaborole-containing coating resistant to cellulose-supportable fungus |
| WO2017031041A1 (en) * | 2015-08-17 | 2017-02-23 | Channel Therapeutics, Inc. | Functionalized aminobenzoboroxoles |
| US10611781B2 (en) | 2016-03-02 | 2020-04-07 | Bill And Melinda Gates Foundation | Boron-containing small molecules |
| US10874679B2 (en) | 2016-03-02 | 2020-12-29 | Bill & Melinda Gates Foundation | Boron-containing small molecules |
| US10611780B2 (en) | 2016-03-02 | 2020-04-07 | Bill And Melinda Gates Foundation | Boron-containing small molecules |
| WO2017155879A1 (en) | 2016-03-07 | 2017-09-14 | Agrofresh Inc. | Synergistic methods of using benzoxaborole compounds and preservative gases as an antimicrobial for crops |
| WO2017183043A1 (en) * | 2016-04-18 | 2017-10-26 | Biophore India Pharmaceuticals Pvt. Ltd. | Novel process for the preparation of tavaborole, its novel polymorphic forms and the polymorphs thereof |
| US11447506B2 (en) | 2016-05-09 | 2022-09-20 | Anacor Pharmaceuticals, Inc. | Crystal forms of crisaborole in free form and preparation method and use thereof |
| AU2017262235C1 (en) | 2016-05-09 | 2020-08-20 | Anacor Pharmaceuticals, Llc | Crystal forms of crisaborole in free form and preparation method and use thereof |
| EA201892639A1 (en) | 2016-06-03 | 2019-06-28 | Басф Се | BENZOXABOROL CONNECTIONS |
| WO2019190503A1 (en) * | 2018-03-28 | 2019-10-03 | Cove Bio Llc | Methods and compositions for treating parkinson's disease |
| CN109206446B (en) * | 2017-11-14 | 2021-08-03 | 深圳市塔吉瑞生物医药有限公司 | A substituted boron-containing compound and pharmaceutical composition comprising the same |
| CN111655035A (en) * | 2017-11-30 | 2020-09-11 | 博瑞金股份有限公司 | Benzoxaborole compounds and preparations thereof |
| WO2020041200A1 (en) | 2018-08-18 | 2020-02-27 | Boragen Inc. | Solid forms of substituted benzoxaborole and compositions thereof |
| WO2020123881A1 (en) * | 2018-12-12 | 2020-06-18 | Boragen, Inc. | Boron containing compounds and their uses |
| KR20210154971A (en) * | 2019-04-16 | 2021-12-21 | 바스프 에스이 | Compositions that avoid pattern collapse upon processing of patterned materials having line-spacing dimensions of 50 nm or less comprising boron type additives |
| AR119515A1 (en) * | 2019-07-30 | 2021-12-22 | Boragen Inc | FLOW REACTION PROCESS FOR THE MANUFACTURE OF AGROCHEMICALS CONTAINING BORON |
| US20230340530A1 (en) | 2020-08-31 | 2023-10-26 | Pfizer Inc. | Methods of Protecting RNA |
| CN114249756A (en) * | 2020-09-21 | 2022-03-29 | 广东和博制药有限公司 | Synthetic method of tavabororo |
| CN115894575B (en) * | 2022-08-10 | 2024-11-19 | 河南大学 | Polyoxometallate material constructed by non-classical three-layer cage-shaped clusters, and preparation method and application thereof |
Citations (6)
| Publication number | Priority date | Publication date | Assignee | Title |
|---|---|---|---|---|
| US5880188A (en) * | 1994-06-09 | 1999-03-09 | Zeneca Limited | Oxaboroles and salts thereof, and their use as biocides |
| US20020165121A1 (en) * | 2001-03-10 | 2002-11-07 | Brehove James Edward | Topical application for treating toenail fungus |
| US20040220146A1 (en) * | 2001-07-23 | 2004-11-04 | Amihay Freeman | Methods and compositions for treating fungal infections |
| US7767657B2 (en) * | 2005-02-16 | 2010-08-03 | Anacor Pharmaceuticals, Inc. | Boron-containing small molecules |
| US8039451B2 (en) * | 2005-02-16 | 2011-10-18 | Anacor Pharmaceuticals, Inc. | Boron-containing small molecules |
| US8716478B2 (en) * | 2010-01-27 | 2014-05-06 | Anacor Pharmaceuticals, Inc. | Boron-containing small molecules |
Family Cites Families (104)
| Publication number | Priority date | Publication date | Assignee | Title |
|---|---|---|---|---|
| US2260336A (en) * | 1939-10-16 | 1941-10-28 | Dow Chemical Co | Method of preparation of organic borates |
| US2741548A (en) | 1954-10-15 | 1956-04-10 | Standard Oil Co | Leaded motor fuel containing boron compounds |
| GB791688A (en) | 1955-05-12 | 1958-03-12 | May & Baker Ltd | Improvements in or relating to pyrazole derivatives |
| US3093659A (en) | 1956-06-20 | 1963-06-11 | Pfizer & Co C | Antifungal and insecticidal halokojic acid metal complexes |
| US3104255A (en) | 1960-06-16 | 1963-09-17 | Standard Oil Co | Telomerization of unsaturated hydrocarbons with alkylene glycol borates and telomeric products obtained thereby |
| US3297525A (en) | 1962-10-19 | 1967-01-10 | Merck & Co Inc | Fungicidal compositions comprising salicylates of 8 hydroxy quinoline carboxylic esters |
| NL134354C (en) | 1963-05-23 | |||
| US3686398A (en) * | 1970-07-20 | 1972-08-22 | Chevron Res | 10,9-boroxarophenanthrene as fungicides |
| US3816472A (en) | 1972-07-06 | 1974-06-11 | Schering Corp | Azido analogs of griseofulvin |
| GB1396904A (en) * | 1972-08-11 | 1975-06-11 | Ici Ltd | Method for the control of micro-organisms |
| US4766113A (en) * | 1975-10-24 | 1988-08-23 | Chapman Chemical Company | Antimicrobial compositions and methods of using same |
| US4602011A (en) * | 1975-10-24 | 1986-07-22 | Chapman Chemical Company | Antimicrobial compositions and methods of using same |
| AT354187B (en) | 1976-11-22 | 1979-12-27 | Hoffmann La Roche | FUNGICIDE AGENT |
| US4716035A (en) * | 1985-05-24 | 1987-12-29 | The Procter & Gamble Company | Oral compositions and methods for treating gingivitis |
| JPH0676285B2 (en) | 1985-11-01 | 1994-09-28 | 三井東圧化学株式会社 | Benzylamine derivative, its production method and its use |
| US5962498A (en) * | 1986-06-11 | 1999-10-05 | Procyon Pharmaceuticals, Inc. | Protein kinase C modulators. C. indolactam structural-types with anti-inflammatory activity |
| US4894220A (en) * | 1987-01-30 | 1990-01-16 | Colgate-Palmolive Company | Antibacterial antiplaque oral composition |
| DE3720147A1 (en) | 1987-06-16 | 1988-12-29 | Hoechst Ag | ANTIMYCOTICALLY EFFECTIVE NAIL POLISH AND METHOD FOR THE PRODUCTION THEREOF |
| US4977268A (en) | 1988-04-08 | 1990-12-11 | Duke University | Boron dipeptide compounds |
| US4919934A (en) | 1989-03-02 | 1990-04-24 | Richardson-Vicks Inc. | Cosmetic sticks |
| SG47101A1 (en) * | 1992-07-31 | 1998-03-20 | Us Bioscience | Crystalline amifostine compositions and methods for the preparation and use of same |
| US5348947A (en) * | 1993-05-07 | 1994-09-20 | American Cyanamid Company | Diarylboron ester and thioester fungicidal agents |
| US5348948A (en) * | 1993-05-07 | 1994-09-20 | American Cyanamid Company | 2,2-diaryl-1-(oxa and thia)-2a-azonia-2-borataacenaphthene fungicidal |
| ATE311748T1 (en) * | 1993-09-29 | 2005-12-15 | Dsm Ip Assets Bv | MODIFIED FORMS OF NATAMYCIN, METHOD FOR THE PRODUCTION THEREOF AND ANTIFUNGAL COMPOSITIONS CONTAINING THEM |
| US5594151A (en) * | 1994-01-28 | 1997-01-14 | Prolinx, Inc. | Phenylboronic acid complexing reagents derived from aminosalicylic acid |
| US5498407A (en) | 1994-10-24 | 1996-03-12 | Atlas; Sheldon M. | Poly(2-hydroxyethyl methacrylate) and all copolymers of poly-HEMA fibers and cosmetic compositions containing same |
| US6083903A (en) * | 1994-10-28 | 2000-07-04 | Leukosite, Inc. | Boronic ester and acid compounds, synthesis and uses |
| US5696164A (en) | 1994-12-22 | 1997-12-09 | Johnson & Johnson Consumer Products, Inc. | Antifungal treatment of nails |
| GB9500856D0 (en) | 1995-01-17 | 1995-03-08 | Zeneca Ltd | Composition and use |
| JPH09124620A (en) | 1995-10-11 | 1997-05-13 | Bristol Myers Squibb Co | Substituted biphenyl sulfonamide endothelin antagonist |
| US6766183B2 (en) | 1995-11-22 | 2004-07-20 | Medtronic Minimed, Inc. | Long wave fluorophore sensor compounds and other fluorescent sensor compounds in polymers |
| GB9604926D0 (en) * | 1996-03-08 | 1996-05-08 | Sandoz Ltd | Organic compounds |
| CA2258728C (en) * | 1996-06-19 | 2011-09-27 | Rhone Poulenc Rorer Limited | Substituted azabicylic compounds and their use as inhibitors of the production of tnf and cyclic amp phosphodiesterase |
| US5831046A (en) * | 1996-08-05 | 1998-11-03 | Prolinx, Incorporated | Boronic acid-contaning nucleic acid monomers |
| US6413751B1 (en) | 1996-09-19 | 2002-07-02 | The Board Of Trustees Of The Leland Stanford Jr. University | DNA adenine methyltransferases and uses thereof |
| AU4967997A (en) | 1996-12-02 | 1998-06-29 | Chisso Corporation | Optically active nitro alcohol derivatives, optically active amino alcohol derivates, and process for preparing the same |
| US6221640B1 (en) | 1997-05-14 | 2001-04-24 | Cubist Pharmaceuticals, Inc. | Enterococcal aminoacyl-trna synthetase proteins, nucleic acids and strains comprising same |
| US6140328A (en) * | 1997-12-12 | 2000-10-31 | Rutgers, The State University Of New Jersey | Heterocyclic cytotoxic agents |
| CA2278328C (en) | 1998-02-09 | 2008-07-22 | Macrochem Corporation | Antifungal nail lacquer and method using same |
| CA2325553A1 (en) | 1998-04-17 | 1999-10-28 | Penederm Inc. | Topical formulations for the treatment of nail fungal diseases |
| DE19829947A1 (en) | 1998-07-04 | 2000-01-05 | Bayer Ag | Electroluminescent devices with boron chelates |
| CN1335836A (en) | 1998-11-06 | 2002-02-13 | 巴斯福股份公司 | Tricyclic pyrazole derivatives |
| US6462036B1 (en) | 1998-11-06 | 2002-10-08 | Basf Aktiengesellschaft | Tricyclic pyrazole derivatives |
| WO2000044387A1 (en) | 1999-01-29 | 2000-08-03 | Nitto Kasei Co., Ltd. | Organoboron compounds exhibiting anticoccidial activities |
| AU774404C (en) | 1999-05-25 | 2005-06-30 | Board Of Trustees Of The Leland Stanford Junior University | DNA methyltransferase inhibitors |
| JP5565989B2 (en) * | 1999-08-25 | 2014-08-06 | アンバーゲン インコーポレイティッド | Methods for detecting, analyzing and separating nascent proteins |
| US6306628B1 (en) * | 1999-08-25 | 2001-10-23 | Ambergen, Incorporated | Methods for the detection, analysis and isolation of Nascent proteins |
| US6369098B1 (en) * | 1999-10-05 | 2002-04-09 | Bethesda Pharmaceuticals, Inc. | Dithiolane derivatives |
| WO2001049301A1 (en) | 2000-01-06 | 2001-07-12 | Marantech Holding, Llc | Methods of using electron active compounds for managing cancer |
| US7074392B1 (en) | 2000-03-27 | 2006-07-11 | Taro Pharmaceutical Industries Limited | Controllled delivery system of antifungal and keratolytic agents for local treatment of fungal infections |
| US6521619B2 (en) | 2000-06-29 | 2003-02-18 | Icos Corporation | Aryl phenylcyclopropyl sulfide derivatives and their use as cell adhesion inhibiting anti-inflammatory and immune suppressive agents |
| DE10032017A1 (en) | 2000-07-01 | 2002-01-10 | Clariant Gmbh | Process for the production of high-purity formylphenylboronic acids |
| JP2004506417A (en) * | 2000-07-14 | 2004-03-04 | ザイコス インク. | α-MSH related compounds and methods of use |
| AU2002227269A1 (en) * | 2000-11-07 | 2002-06-03 | Bristol-Myers Squibb Company | Acid derivatives useful as serine protease inhibitors |
| EP1339725B1 (en) | 2000-11-30 | 2006-11-22 | The Penn State Research Foundation | Dna methyl transferase inhibitors |
| DE10110051C2 (en) * | 2001-03-02 | 2003-07-03 | Clariant Gmbh | Process for the preparation of boronic and boric acids |
| JP4342178B2 (en) | 2001-04-06 | 2009-10-14 | バイオクリスト・ファマシューティカルズ インク. | Biaryl compounds as serine protease inhibitors |
| GB0117645D0 (en) * | 2001-07-19 | 2001-09-12 | Isis Innovation | Therapeutic stratergies for prevention and treatment of alzheimers disease |
| DE10143979A1 (en) * | 2001-09-07 | 2003-03-27 | Clariant Gmbh | Process for the preparation of bisallylboranes and non-aromatic boronic acids |
| WO2003033002A1 (en) | 2001-10-11 | 2003-04-24 | Ono Pharmaceutical Co | Intracellular calcium concentration increase inhibitors |
| JP4209659B2 (en) * | 2001-11-15 | 2009-01-14 | エーザイ・アール・アンド・ディー・マネジメント株式会社 | Amidino derivative and anticoagulant and thrombosis therapeutic agent using the same |
| CN1325504C (en) | 2002-01-10 | 2007-07-11 | 宾夕法尼亚州研究基金会 | Methods for the preparation of alkyl diaryl borinates and complexed diarylboronic acids |
| WO2004004658A2 (en) | 2002-07-09 | 2004-01-15 | Point Therapeutics, Inc. | Methods and compositions relating to isoleucine boroproline compounds |
| WO2004043925A2 (en) * | 2002-11-08 | 2004-05-27 | Neurogen Corporation | 3-substituted-6-aryl pyridined as ligands of c5a receptors |
| ATE359986T1 (en) | 2002-12-02 | 2007-05-15 | Solvias Ag | METHOD FOR THE CATALYTIC HYDROGENATION OF CARBON-HETEROATOM DOUBLE BONDS |
| US7390806B2 (en) * | 2002-12-18 | 2008-06-24 | Anacor Pharmaceuticals, Inc. | Antibiotics containing borinic acid complexes and methods of use |
| MXPA05006685A (en) | 2002-12-18 | 2005-12-14 | Anacor Pharmaceuticals Inc | Antibiotics containing borinic acid complexes and methods of use. |
| AU2004220176A1 (en) | 2003-03-14 | 2004-09-23 | Astrazeneca Ab | Novel fused triazolones and the uses thereof |
| US20050125852A1 (en) * | 2003-05-09 | 2005-06-09 | Sugen, Inc. | Novel kinases |
| WO2005013892A2 (en) | 2003-06-16 | 2005-02-17 | Anacor Pharmaceuticals, Inc. | Hydrolytically-resistant boron-containing therapeutics and methods of use |
| JP2005022986A (en) | 2003-06-30 | 2005-01-27 | Sankyo Co Ltd | Alkylene derivative having edg receptor antagonistic action |
| ES2291891T3 (en) * | 2003-07-03 | 2008-03-01 | F. Hoffmann-La Roche Ag | DUAL ANTAGONISTS OF NK1 / NK3 FOR TREATMENT OF SCHIZOPHRENIA. |
| US7888349B2 (en) | 2003-12-29 | 2011-02-15 | 3M Innovative Properties Company | Piperazine, [1,4]Diazepane, [1,4]Diazocane, and [1,5]Diazocane fused imidazo ring compounds |
| DK1755661T3 (en) * | 2004-05-12 | 2014-06-16 | Brigham & Womens Hospital | GELSOLIN FOR USE FOR TREATMENT OF INFECTIONS |
| WO2005110410A2 (en) | 2004-05-14 | 2005-11-24 | Abbott Laboratories | Kinase inhibitors as therapeutic agents |
| AR049915A1 (en) | 2004-06-14 | 2006-09-13 | Anacor Pharmaceuticals Inc | COMPOUNDS WITH BORO CONTENT AND METHODS OF USE OF THE SAME |
| KR100624238B1 (en) * | 2004-06-22 | 2006-09-19 | 한국화학연구원 | Pharmaceutical composition for the prevention and treatment of metabolic bone disease containing alpha-arylmethoxyacrylate derivative |
| US20060111388A1 (en) | 2004-11-19 | 2006-05-25 | University Of North Texas Health Science Center At Fort Worth | Phenanthroline and derivatives thereof used to lower intraocular pressure in an affected eye |
| GB0501944D0 (en) | 2005-01-31 | 2005-03-09 | Univ Cambridge Tech | Compounds for use in chemical detection and/or quantitation |
| JP5084717B2 (en) | 2005-03-08 | 2012-11-28 | エージェンシー フォー サイエンス,テクノロジー アンド リサーチ | Chiral bisoxazoline catalyst |
| US20060251689A1 (en) * | 2005-03-30 | 2006-11-09 | Astion Development A/S | Treatment or prevention of pruritus |
| US20070028682A1 (en) | 2005-08-04 | 2007-02-08 | Geon Sagong | System for measuring fluid level using acoustic impedance matching |
| WO2007022437A2 (en) | 2005-08-18 | 2007-02-22 | Auspex Pharmaceuticals, Inc. | Therapeutic agents for the treatment of cancer and metabolic disorders |
| CA2642583C (en) | 2006-02-16 | 2016-08-23 | Anacor Pharmaceuticals, Inc. | Boron-containing small molecules as anti-inflammatory agents |
| US20070286822A1 (en) * | 2006-06-12 | 2007-12-13 | Anacor Pharmaceuticals Inc. | Compounds for the Treatment of Periodontal Disease |
| MX2008015918A (en) | 2006-06-12 | 2009-01-14 | Anacor Pharmaceuticals Inc | Compounds for the treatment of periodontal disease. |
| KR100848491B1 (en) | 2007-01-16 | 2008-07-28 | 영진약품공업주식회사 | 2-thiazolidine derivatives having a betaamino group, pharmaceutically acceptable salts thereof and preparation method thereof |
| JO3396B1 (en) * | 2007-06-20 | 2019-10-20 | Anacor Pharmaceuticals Inc | Boron-containing small molecules |
| KR100895300B1 (en) | 2007-07-20 | 2009-05-07 | 한국전자통신연구원 | Biosignal garments and biosignal processing systems |
| EP2187893A4 (en) | 2008-03-06 | 2012-02-22 | Anacor Pharmaceuticals Inc | SMALL BORONOUS MOLECULES AS ANTI-INFLAMMATORY ACTIVE SUBSTANCES |
| EP2564857B1 (en) | 2008-03-06 | 2017-05-03 | Anacor Pharmaceuticals, Inc. | Boron-containing small molecules as anti-inflammatory agents |
| WO2009140309A2 (en) | 2008-05-12 | 2009-11-19 | Anacor Pharmaceuticals, Inc. | Boron-containing small molecules |
| WO2010027975A1 (en) | 2008-09-04 | 2010-03-11 | Anacor Pharmaceuticals, Inc. | Boron-containing small molecules |
| US8461336B2 (en) | 2008-09-04 | 2013-06-11 | Anacor Pharmaceuticals, Inc. | Boron-containing small molecules |
| WO2010045503A1 (en) | 2008-10-15 | 2010-04-22 | Anacor Pharmaceuticals, Inc. | Boron-containing small molecules as anti-protozoal agents |
| WO2010045505A1 (en) | 2008-10-15 | 2010-04-22 | Anacor Pharmaceuticals, Inc | Boron-containing small molecules as anti-protozoal agents |
| MX2011006334A (en) | 2008-12-17 | 2011-09-22 | Anacor Pharmaceuticals Inc | Polymorphs of (s)-3-aminomethyl-7-(3-hydroxy-propoxy)-3h-benzo[c] [1,2] oxaborol-1-ol. |
| AU2010281439A1 (en) | 2009-07-28 | 2012-03-15 | Anacor Pharmaceuticals, Inc. | Trisubstituted boron-containing molecules |
| WO2011060199A1 (en) | 2009-11-11 | 2011-05-19 | Anacor Pharmaceuticals, Inc. | Boron-containing small molecules |
| EA021532B1 (en) | 2010-04-07 | 2015-07-30 | ГЛАКСОСМИТКЛАЙН ЭлЭлСи | Process for preparing benzoxaboroles |
| EP2613788B1 (en) | 2010-09-07 | 2017-06-21 | Anacor Pharmaceuticals, Inc. | Benzoxaborole derivatives for treating bacterial infections |
| AR088669A1 (en) | 2011-11-21 | 2014-06-25 | Lilly Co Eli | DERIVATIVES OF DIHYDRODIBENZO [C] [1,2] OXABOROL AND DIHYDROISOXAZOL USEFUL FOR THE CONTROL OF ECTOPARASITES |
| AR088668A1 (en) | 2011-11-21 | 2014-06-25 | Lilly Co Eli | SMALL MOLECULES CONTAINING BORO |
| JP2015212249A (en) | 2014-05-05 | 2015-11-26 | アナコール ファーマシューティカルズ,インコーポレイテッド | Compound and nail polish |
-
2006
- 2006-08-16 JP JP2008548499A patent/JP2009526751A/en active Pending
- 2006-08-16 RU RU2008131324/04A patent/RU2008131324A/en not_active Application Discontinuation
- 2006-08-16 CN CN201610328000.3A patent/CN106008583A/en active Pending
- 2006-08-16 EP EP06801794A patent/EP1976536A4/en not_active Withdrawn
- 2006-08-16 CN CN201610327999.XA patent/CN105949230A/en active Pending
- 2006-08-16 KR KR1020087018808A patent/KR20080110984A/en not_active Withdrawn
- 2006-08-16 CA CA002635680A patent/CA2635680A1/en not_active Abandoned
- 2006-08-16 BR BRPI0621279-4A patent/BRPI0621279B1/en active IP Right Grant
- 2006-08-16 US US11/505,591 patent/US7767657B2/en active Active
- 2006-08-16 CN CN201610328016.4A patent/CN106008571A/en active Pending
- 2006-08-16 WO PCT/US2006/032238 patent/WO2007078340A2/en not_active Ceased
- 2006-08-16 AU AU2006333527A patent/AU2006333527B2/en active Active
-
2008
- 2008-06-23 IL IL192402A patent/IL192402A/en active IP Right Grant
-
2009
- 2009-12-02 US US12/629,753 patent/US8115026B2/en active Active
-
2012
- 2012-01-23 US US13/356,488 patent/US8722917B2/en not_active Expired - Lifetime
- 2012-09-07 US US13/607,405 patent/US20130064783A1/en not_active Abandoned
- 2012-09-07 US US13/607,321 patent/US20130059803A1/en not_active Abandoned
- 2012-09-07 US US13/607,250 patent/US20130059802A1/en not_active Abandoned
-
2013
- 2013-04-12 US US13/861,846 patent/US20130210770A1/en not_active Abandoned
-
2014
- 2014-03-07 US US14/201,459 patent/US9353133B2/en active Active
- 2014-11-10 US US14/537,771 patent/US20150119364A1/en not_active Abandoned
-
2016
- 2016-02-17 US US15/046,322 patent/US9566289B2/en not_active Expired - Fee Related
- 2016-03-11 US US15/068,352 patent/US9549938B2/en not_active Expired - Fee Related
- 2016-04-05 US US15/091,394 patent/US9572823B2/en not_active Expired - Fee Related
- 2016-04-20 US US15/134,286 patent/US9566290B2/en not_active Expired - Fee Related
- 2016-11-18 US US15/355,393 patent/US20170066787A1/en not_active Abandoned
Patent Citations (8)
| Publication number | Priority date | Publication date | Assignee | Title |
|---|---|---|---|---|
| US5880188A (en) * | 1994-06-09 | 1999-03-09 | Zeneca Limited | Oxaboroles and salts thereof, and their use as biocides |
| US20020165121A1 (en) * | 2001-03-10 | 2002-11-07 | Brehove James Edward | Topical application for treating toenail fungus |
| US20040220146A1 (en) * | 2001-07-23 | 2004-11-04 | Amihay Freeman | Methods and compositions for treating fungal infections |
| US7767657B2 (en) * | 2005-02-16 | 2010-08-03 | Anacor Pharmaceuticals, Inc. | Boron-containing small molecules |
| US8039451B2 (en) * | 2005-02-16 | 2011-10-18 | Anacor Pharmaceuticals, Inc. | Boron-containing small molecules |
| US8440642B2 (en) * | 2005-02-16 | 2013-05-14 | Anacor Pharmaceuticals, Inc. | Boron-containing small molecules |
| US8889656B2 (en) * | 2005-02-16 | 2014-11-18 | Anacor Pharmaceuticals, Inc. | Boron-containing small molecules |
| US8716478B2 (en) * | 2010-01-27 | 2014-05-06 | Anacor Pharmaceuticals, Inc. | Boron-containing small molecules |
Non-Patent Citations (1)
| Title |
|---|
| Wade et al. Publication, 1994, Handbook of Pharmaceutical Excipient. * |
Cited By (5)
| Publication number | Priority date | Publication date | Assignee | Title |
|---|---|---|---|---|
| US9549938B2 (en) | 2005-02-16 | 2017-01-24 | Anacor Pharmaceuticals, Inc. | Boron-containing small molecules |
| US9566290B2 (en) | 2005-02-16 | 2017-02-14 | Anacor Pharmaceuticals, Inc. | Boron-containing small molecules |
| US9566289B2 (en) | 2005-02-16 | 2017-02-14 | Anacor Pharmaceuticals, Inc. | Boron-containing small molecules |
| US9572823B2 (en) | 2005-02-16 | 2017-02-21 | Anacor Pharmaceuticals, Inc. | Boron-containing small molecules |
| WO2018150327A1 (en) * | 2017-02-14 | 2018-08-23 | Wavelength Enterprises Ltd | Crisaborole production process |
Also Published As
Similar Documents
| Publication | Publication Date | Title |
|---|---|---|
| US9566290B2 (en) | Boron-containing small molecules | |
| EP3424932B1 (en) | Boronophthalides for therapeutic use | |
| CN101505603A (en) | Boron-containing small molecules | |
| JP6109140B2 (en) | Boron-containing small molecule | |
| HK1228915A1 (en) | Boron-containing small molecules | |
| HK1228915A (en) | Boron-containing small molecules | |
| HK1228916A (en) | Boron-containing small molecules | |
| HK1228916A1 (en) | Boron-containing small molecules | |
| MX2008008417A (en) | Boron-containing small molecules |
Legal Events
| Date | Code | Title | Description |
|---|---|---|---|
| AS | Assignment |
Owner name: ANACOR PHARMACEUTICALS, INC., CALIFORNIA Free format text: ASSIGNMENT OF ASSIGNORS INTEREST;ASSIGNORS:BAKER, STEPHEN J.;AKAMA, TSUTOMU;ALLEY, MICHAEL RICHARD KEVIN;AND OTHERS;SIGNING DATES FROM 20061101 TO 20070104;REEL/FRAME:034140/0569 |
|
| STCB | Information on status: application discontinuation |
Free format text: ABANDONED -- FAILURE TO RESPOND TO AN OFFICE ACTION |































































































































































































































































