US20110172255A1 - Condensed N-Heterocyclic Compounds and their Use as CRF Receptor Antagonists - Google Patents
Condensed N-Heterocyclic Compounds and their Use as CRF Receptor Antagonists Download PDFInfo
- Publication number
- US20110172255A1 US20110172255A1 US11/931,313 US93131307A US2011172255A1 US 20110172255 A1 US20110172255 A1 US 20110172255A1 US 93131307 A US93131307 A US 93131307A US 2011172255 A1 US2011172255 A1 US 2011172255A1
- Authority
- US
- United States
- Prior art keywords
- methyl
- pyrazol
- phenyl
- pyridin
- pyrrolo
- Prior art date
- Legal status (The legal status is an assumption and is not a legal conclusion. Google has not performed a legal analysis and makes no representation as to the accuracy of the status listed.)
- Abandoned
Links
- 0 *n1c[2h]C2=C(C[W])[Y]=C([1*])N=C21 Chemical compound *n1c[2h]C2=C(C[W])[Y]=C([1*])N=C21 0.000 description 52
- WDLVPXNAMLEUBB-UHFFFAOYSA-N CC(C)C1=NN(C(C)C)C=C1 Chemical compound CC(C)C1=NN(C(C)C)C=C1 WDLVPXNAMLEUBB-UHFFFAOYSA-N 0.000 description 21
- IREGNGVGIMKYRS-UHFFFAOYSA-N CC.CC(C)C1=CN(C(C)C)N=C1 Chemical compound CC.CC(C)C1=CN(C(C)C)N=C1 IREGNGVGIMKYRS-UHFFFAOYSA-N 0.000 description 10
- MGWUORUOIJTOJQ-UHFFFAOYSA-N CC.CC(C)N1CCCC1=O Chemical compound CC.CC(C)N1CCCC1=O MGWUORUOIJTOJQ-UHFFFAOYSA-N 0.000 description 5
- UUHJUJUUJHECOS-UHFFFAOYSA-N CC(C)C1=NC(C(C)C)=NC=C1 Chemical compound CC(C)C1=NC(C(C)C)=NC=C1 UUHJUJUUJHECOS-UHFFFAOYSA-N 0.000 description 2
- RTPNQRLGWKMEEK-UHFFFAOYSA-N CC(C)N1CCNC1=O Chemical compound CC(C)N1CCNC1=O RTPNQRLGWKMEEK-UHFFFAOYSA-N 0.000 description 2
- YAYQCVOKVFGNDF-UHFFFAOYSA-N CC.CC(C)N1CCCS1(=O)=O Chemical compound CC.CC(C)N1CCCS1(=O)=O YAYQCVOKVFGNDF-UHFFFAOYSA-N 0.000 description 2
- TVBPVPSHAKDRGV-UHFFFAOYSA-N CC1=CC(C(C)C)=NN1C(C)C Chemical compound CC1=CC(C(C)C)=NN1C(C)C TVBPVPSHAKDRGV-UHFFFAOYSA-N 0.000 description 2
- QQWUTAQCPOXVHA-UHFFFAOYSA-N BrC1=NNC=C1.CC(C)N1CCOC1=O.CC(C)N1N=CC=CC1=O.CC1=CC=CN(C(C)C)C1=O.CC1=NN(C)C=C1.CC1=NNC=C1.CN1C=CC(Br)=N1 Chemical compound BrC1=NNC=C1.CC(C)N1CCOC1=O.CC(C)N1N=CC=CC1=O.CC1=CC=CN(C(C)C)C1=O.CC1=NN(C)C=C1.CC1=NNC=C1.CN1C=CC(Br)=N1 QQWUTAQCPOXVHA-UHFFFAOYSA-N 0.000 description 1
- UNEATYXSUBPPKP-UHFFFAOYSA-N CC(C)C1=CC=CC(C(C)C)=C1 Chemical compound CC(C)C1=CC=CC(C(C)C)=C1 UNEATYXSUBPPKP-UHFFFAOYSA-N 0.000 description 1
- LFMMVPZBLJZNGE-UHFFFAOYSA-N CC(C)C1=CC=CC(C(C)C)=N1 Chemical compound CC(C)C1=CC=CC(C(C)C)=N1 LFMMVPZBLJZNGE-UHFFFAOYSA-N 0.000 description 1
- HDCOXNARKWXSRJ-UHFFFAOYSA-N CC(C)C1=NN(C(C)C)C=N1 Chemical compound CC(C)C1=NN(C(C)C)C=N1 HDCOXNARKWXSRJ-UHFFFAOYSA-N 0.000 description 1
- GHELJWBGTIKZQW-UHFFFAOYSA-N CC(C)N1CCCC1=O Chemical compound CC(C)N1CCCC1=O GHELJWBGTIKZQW-UHFFFAOYSA-N 0.000 description 1
- DCKAQSIMBFBNCD-UHFFFAOYSA-N CC.CC(C)N1C=CC=CC1=O Chemical compound CC.CC(C)N1C=CC=CC1=O DCKAQSIMBFBNCD-UHFFFAOYSA-N 0.000 description 1
- YZLYTIMDGOOLJD-UHFFFAOYSA-N CC.CC(C)N1C=CCC1=O Chemical compound CC.CC(C)N1C=CCC1=O YZLYTIMDGOOLJD-UHFFFAOYSA-N 0.000 description 1
- BTUYZYXCZJRAAY-UHFFFAOYSA-N CC.CC(C)N1CCCCC1=O Chemical compound CC.CC(C)N1CCCCC1=O BTUYZYXCZJRAAY-UHFFFAOYSA-N 0.000 description 1
- XPTSOEFBZRPHPG-UHFFFAOYSA-N CC.CC(C)N1CCOC1=O Chemical compound CC.CC(C)N1CCOC1=O XPTSOEFBZRPHPG-UHFFFAOYSA-N 0.000 description 1
- HNUBXHWPVGWNKX-UHFFFAOYSA-N CC.CC(C)N1N=CC=CC1=O Chemical compound CC.CC(C)N1N=CC=CC1=O HNUBXHWPVGWNKX-UHFFFAOYSA-N 0.000 description 1
- SFLVFKKRXGEWEK-UHFFFAOYSA-N CC.CC.CC.CC.CC.CC(C)C1=CC=C(C(C)C)C=C1.CC(C)C1=CC=CC(C(C)C)=N1.CC(C)C1=CN(C(C)C)N=C1.CC(C)C1=NC(C(C)C)=NC=C1.CC(C)C1=NN(C(C)C)C=N1 Chemical compound CC.CC.CC.CC.CC.CC(C)C1=CC=C(C(C)C)C=C1.CC(C)C1=CC=CC(C(C)C)=N1.CC(C)C1=CN(C(C)C)N=C1.CC(C)C1=NC(C(C)C)=NC=C1.CC(C)C1=NN(C(C)C)C=N1 SFLVFKKRXGEWEK-UHFFFAOYSA-N 0.000 description 1
- KPAKLDRKRZPLIC-UHFFFAOYSA-N CC[n]1ncc(C(C)C)c1 Chemical compound CC[n]1ncc(C(C)C)c1 KPAKLDRKRZPLIC-UHFFFAOYSA-N 0.000 description 1
- ZNZGYIAAGKPBIT-UHFFFAOYSA-N COC1=C(N)C=CC(Br)=C1.COC1=C(N)C=CC(N2C=CC=N2)=C1 Chemical compound COC1=C(N)C=CC(Br)=C1.COC1=C(N)C=CC(N2C=CC=N2)=C1 ZNZGYIAAGKPBIT-UHFFFAOYSA-N 0.000 description 1
- DKCMKCXKMJHOMV-UHFFFAOYSA-N COC1=CC(C(=O)O)=C([N+](=O)[O-])C=C1.COC1=CC(C(F)F)=C(N)C=C1.COC1=CC(C(F)F)=C([N+](=O)[O-])C=C1.COC1=CC(C=O)=C([N+](=O)[O-])C=C1.COC1=CC(CO)=C([N+](=O)[O-])C=C1 Chemical compound COC1=CC(C(=O)O)=C([N+](=O)[O-])C=C1.COC1=CC(C(F)F)=C(N)C=C1.COC1=CC(C(F)F)=C([N+](=O)[O-])C=C1.COC1=CC(C=O)=C([N+](=O)[O-])C=C1.COC1=CC(CO)=C([N+](=O)[O-])C=C1 DKCMKCXKMJHOMV-UHFFFAOYSA-N 0.000 description 1
- ZIXFZVLBDGVJDJ-UHFFFAOYSA-N COC1=CC=C(CCC(=O)NCCCl)C=C1.COC1=CC=C(CN)C=C1.COC1=CC=C(CN2CCN(C3=CC=NC(Br)=N3)C2=O)C=C1.COC1=CC=C(CN2CCN(C3=CC=NC(Cl)=N3)C2=O)C=C1.COC1=CC=C(CN2CCN(C3=NC=CC(Br)=N3)C2=O)C=C1.COC1=CC=C(CN2CCN(C3=NC=CC(Cl)=N3)C2=O)C=C1.COC1=CC=C(CN2CCNC2=O)C=C1 Chemical compound COC1=CC=C(CCC(=O)NCCCl)C=C1.COC1=CC=C(CN)C=C1.COC1=CC=C(CN2CCN(C3=CC=NC(Br)=N3)C2=O)C=C1.COC1=CC=C(CN2CCN(C3=CC=NC(Cl)=N3)C2=O)C=C1.COC1=CC=C(CN2CCN(C3=NC=CC(Br)=N3)C2=O)C=C1.COC1=CC=C(CN2CCN(C3=NC=CC(Cl)=N3)C2=O)C=C1.COC1=CC=C(CN2CCNC2=O)C=C1 ZIXFZVLBDGVJDJ-UHFFFAOYSA-N 0.000 description 1
- KCHWWZSIJBCBAG-UHFFFAOYSA-N COC1=CC=C(CN2CCN(C3=CC=CC(Br)=N3)C2=O)C=C1.NC1=CC=CC(Br)=N1.O=C(CC1=CC=CC(Br)=N1)NCCCl.O=C1NCCN1C1=CC=CC(Br)=N1 Chemical compound COC1=CC=C(CN2CCN(C3=CC=CC(Br)=N3)C2=O)C=C1.NC1=CC=CC(Br)=N1.O=C(CC1=CC=CC(Br)=N1)NCCCl.O=C1NCCN1C1=CC=CC(Br)=N1 KCHWWZSIJBCBAG-UHFFFAOYSA-N 0.000 description 1
- ZHGYWAXWWDUJHN-UHFFFAOYSA-N NC1=NNC=C1.O=C(CCCCl)N1C=CC(N2CCCC2=O)=N1.O=C(CCCCl)NC1=NN(C(=O)CCCCl)C=C1.O=C1CCCN1C1=NNC=C1 Chemical compound NC1=NNC=C1.O=C(CCCCl)N1C=CC(N2CCCC2=O)=N1.O=C(CCCCl)NC1=NN(C(=O)CCCCl)C=C1.O=C1CCCN1C1=NNC=C1 ZHGYWAXWWDUJHN-UHFFFAOYSA-N 0.000 description 1
- RDDFBJFEPJOIJJ-UHFFFAOYSA-N NC1=NNC=C1.O=C(NCCCCl)N1C=CC(N2CCCNC2=O)=N1.O=C(NCCCCl)NC1=NN(C(=O)NCCCCl)C=C1.O=C1NCCCN1C1=NNC=C1 Chemical compound NC1=NNC=C1.O=C(NCCCCl)N1C=CC(N2CCCNC2=O)=N1.O=C(NCCCCl)NC1=NN(C(=O)NCCCCl)C=C1.O=C1NCCCN1C1=NNC=C1 RDDFBJFEPJOIJJ-UHFFFAOYSA-N 0.000 description 1
- YNEYXOFTMWWMJZ-UHFFFAOYSA-N NC1=NNC=C1.O=C(NCCCl)N1C=CC(N2CCNC2=O)=N1.O=C(NCCCl)NC1=NN(C(=O)NCCCl)C=C1.O=C1NCCN1C1=NNC=C1 Chemical compound NC1=NNC=C1.O=C(NCCCl)N1C=CC(N2CCNC2=O)=N1.O=C(NCCCl)NC1=NN(C(=O)NCCCl)C=C1.O=C1NCCN1C1=NNC=C1 YNEYXOFTMWWMJZ-UHFFFAOYSA-N 0.000 description 1
- LWBUPBMJCRARCE-UHFFFAOYSA-N O=C1NCCN1C1=NNC=C1 Chemical compound O=C1NCCN1C1=NNC=C1 LWBUPBMJCRARCE-UHFFFAOYSA-N 0.000 description 1
Classifications
-
- C—CHEMISTRY; METALLURGY
- C07—ORGANIC CHEMISTRY
- C07D—HETEROCYCLIC COMPOUNDS
- C07D471/00—Heterocyclic compounds containing nitrogen atoms as the only ring hetero atoms in the condensed system, at least one ring being a six-membered ring with one nitrogen atom, not provided for by groups C07D451/00 - C07D463/00
- C07D471/02—Heterocyclic compounds containing nitrogen atoms as the only ring hetero atoms in the condensed system, at least one ring being a six-membered ring with one nitrogen atom, not provided for by groups C07D451/00 - C07D463/00 in which the condensed system contains two hetero rings
- C07D471/04—Ortho-condensed systems
-
- A—HUMAN NECESSITIES
- A61—MEDICAL OR VETERINARY SCIENCE; HYGIENE
- A61P—SPECIFIC THERAPEUTIC ACTIVITY OF CHEMICAL COMPOUNDS OR MEDICINAL PREPARATIONS
- A61P1/00—Drugs for disorders of the alimentary tract or the digestive system
- A61P1/02—Stomatological preparations, e.g. drugs for caries, aphtae, periodontitis
-
- A—HUMAN NECESSITIES
- A61—MEDICAL OR VETERINARY SCIENCE; HYGIENE
- A61P—SPECIFIC THERAPEUTIC ACTIVITY OF CHEMICAL COMPOUNDS OR MEDICINAL PREPARATIONS
- A61P1/00—Drugs for disorders of the alimentary tract or the digestive system
- A61P1/04—Drugs for disorders of the alimentary tract or the digestive system for ulcers, gastritis or reflux esophagitis, e.g. antacids, inhibitors of acid secretion, mucosal protectants
-
- A—HUMAN NECESSITIES
- A61—MEDICAL OR VETERINARY SCIENCE; HYGIENE
- A61P—SPECIFIC THERAPEUTIC ACTIVITY OF CHEMICAL COMPOUNDS OR MEDICINAL PREPARATIONS
- A61P1/00—Drugs for disorders of the alimentary tract or the digestive system
- A61P1/08—Drugs for disorders of the alimentary tract or the digestive system for nausea, cinetosis or vertigo; Antiemetics
-
- A—HUMAN NECESSITIES
- A61—MEDICAL OR VETERINARY SCIENCE; HYGIENE
- A61P—SPECIFIC THERAPEUTIC ACTIVITY OF CHEMICAL COMPOUNDS OR MEDICINAL PREPARATIONS
- A61P1/00—Drugs for disorders of the alimentary tract or the digestive system
- A61P1/14—Prodigestives, e.g. acids, enzymes, appetite stimulants, antidyspeptics, tonics, antiflatulents
-
- A—HUMAN NECESSITIES
- A61—MEDICAL OR VETERINARY SCIENCE; HYGIENE
- A61P—SPECIFIC THERAPEUTIC ACTIVITY OF CHEMICAL COMPOUNDS OR MEDICINAL PREPARATIONS
- A61P11/00—Drugs for disorders of the respiratory system
- A61P11/02—Nasal agents, e.g. decongestants
-
- A—HUMAN NECESSITIES
- A61—MEDICAL OR VETERINARY SCIENCE; HYGIENE
- A61P—SPECIFIC THERAPEUTIC ACTIVITY OF CHEMICAL COMPOUNDS OR MEDICINAL PREPARATIONS
- A61P11/00—Drugs for disorders of the respiratory system
- A61P11/04—Drugs for disorders of the respiratory system for throat disorders
-
- A—HUMAN NECESSITIES
- A61—MEDICAL OR VETERINARY SCIENCE; HYGIENE
- A61P—SPECIFIC THERAPEUTIC ACTIVITY OF CHEMICAL COMPOUNDS OR MEDICINAL PREPARATIONS
- A61P11/00—Drugs for disorders of the respiratory system
- A61P11/06—Antiasthmatics
-
- A—HUMAN NECESSITIES
- A61—MEDICAL OR VETERINARY SCIENCE; HYGIENE
- A61P—SPECIFIC THERAPEUTIC ACTIVITY OF CHEMICAL COMPOUNDS OR MEDICINAL PREPARATIONS
- A61P11/00—Drugs for disorders of the respiratory system
- A61P11/16—Central respiratory analeptics
-
- A—HUMAN NECESSITIES
- A61—MEDICAL OR VETERINARY SCIENCE; HYGIENE
- A61P—SPECIFIC THERAPEUTIC ACTIVITY OF CHEMICAL COMPOUNDS OR MEDICINAL PREPARATIONS
- A61P13/00—Drugs for disorders of the urinary system
- A61P13/02—Drugs for disorders of the urinary system of urine or of the urinary tract, e.g. urine acidifiers
-
- A—HUMAN NECESSITIES
- A61—MEDICAL OR VETERINARY SCIENCE; HYGIENE
- A61P—SPECIFIC THERAPEUTIC ACTIVITY OF CHEMICAL COMPOUNDS OR MEDICINAL PREPARATIONS
- A61P13/00—Drugs for disorders of the urinary system
- A61P13/10—Drugs for disorders of the urinary system of the bladder
-
- A—HUMAN NECESSITIES
- A61—MEDICAL OR VETERINARY SCIENCE; HYGIENE
- A61P—SPECIFIC THERAPEUTIC ACTIVITY OF CHEMICAL COMPOUNDS OR MEDICINAL PREPARATIONS
- A61P15/00—Drugs for genital or sexual disorders; Contraceptives
-
- A—HUMAN NECESSITIES
- A61—MEDICAL OR VETERINARY SCIENCE; HYGIENE
- A61P—SPECIFIC THERAPEUTIC ACTIVITY OF CHEMICAL COMPOUNDS OR MEDICINAL PREPARATIONS
- A61P15/00—Drugs for genital or sexual disorders; Contraceptives
- A61P15/08—Drugs for genital or sexual disorders; Contraceptives for gonadal disorders or for enhancing fertility, e.g. inducers of ovulation or of spermatogenesis
-
- A—HUMAN NECESSITIES
- A61—MEDICAL OR VETERINARY SCIENCE; HYGIENE
- A61P—SPECIFIC THERAPEUTIC ACTIVITY OF CHEMICAL COMPOUNDS OR MEDICINAL PREPARATIONS
- A61P17/00—Drugs for dermatological disorders
-
- A—HUMAN NECESSITIES
- A61—MEDICAL OR VETERINARY SCIENCE; HYGIENE
- A61P—SPECIFIC THERAPEUTIC ACTIVITY OF CHEMICAL COMPOUNDS OR MEDICINAL PREPARATIONS
- A61P17/00—Drugs for dermatological disorders
- A61P17/02—Drugs for dermatological disorders for treating wounds, ulcers, burns, scars, keloids, or the like
-
- A—HUMAN NECESSITIES
- A61—MEDICAL OR VETERINARY SCIENCE; HYGIENE
- A61P—SPECIFIC THERAPEUTIC ACTIVITY OF CHEMICAL COMPOUNDS OR MEDICINAL PREPARATIONS
- A61P17/00—Drugs for dermatological disorders
- A61P17/04—Antipruritics
-
- A—HUMAN NECESSITIES
- A61—MEDICAL OR VETERINARY SCIENCE; HYGIENE
- A61P—SPECIFIC THERAPEUTIC ACTIVITY OF CHEMICAL COMPOUNDS OR MEDICINAL PREPARATIONS
- A61P17/00—Drugs for dermatological disorders
- A61P17/06—Antipsoriatics
-
- A—HUMAN NECESSITIES
- A61—MEDICAL OR VETERINARY SCIENCE; HYGIENE
- A61P—SPECIFIC THERAPEUTIC ACTIVITY OF CHEMICAL COMPOUNDS OR MEDICINAL PREPARATIONS
- A61P19/00—Drugs for skeletal disorders
- A61P19/02—Drugs for skeletal disorders for joint disorders, e.g. arthritis, arthrosis
-
- A—HUMAN NECESSITIES
- A61—MEDICAL OR VETERINARY SCIENCE; HYGIENE
- A61P—SPECIFIC THERAPEUTIC ACTIVITY OF CHEMICAL COMPOUNDS OR MEDICINAL PREPARATIONS
- A61P19/00—Drugs for skeletal disorders
- A61P19/06—Antigout agents, e.g. antihyperuricemic or uricosuric agents
-
- A—HUMAN NECESSITIES
- A61—MEDICAL OR VETERINARY SCIENCE; HYGIENE
- A61P—SPECIFIC THERAPEUTIC ACTIVITY OF CHEMICAL COMPOUNDS OR MEDICINAL PREPARATIONS
- A61P19/00—Drugs for skeletal disorders
- A61P19/08—Drugs for skeletal disorders for bone diseases, e.g. rachitism, Paget's disease
-
- A—HUMAN NECESSITIES
- A61—MEDICAL OR VETERINARY SCIENCE; HYGIENE
- A61P—SPECIFIC THERAPEUTIC ACTIVITY OF CHEMICAL COMPOUNDS OR MEDICINAL PREPARATIONS
- A61P25/00—Drugs for disorders of the nervous system
-
- A—HUMAN NECESSITIES
- A61—MEDICAL OR VETERINARY SCIENCE; HYGIENE
- A61P—SPECIFIC THERAPEUTIC ACTIVITY OF CHEMICAL COMPOUNDS OR MEDICINAL PREPARATIONS
- A61P25/00—Drugs for disorders of the nervous system
- A61P25/02—Drugs for disorders of the nervous system for peripheral neuropathies
-
- A—HUMAN NECESSITIES
- A61—MEDICAL OR VETERINARY SCIENCE; HYGIENE
- A61P—SPECIFIC THERAPEUTIC ACTIVITY OF CHEMICAL COMPOUNDS OR MEDICINAL PREPARATIONS
- A61P25/00—Drugs for disorders of the nervous system
- A61P25/04—Centrally acting analgesics, e.g. opioids
-
- A—HUMAN NECESSITIES
- A61—MEDICAL OR VETERINARY SCIENCE; HYGIENE
- A61P—SPECIFIC THERAPEUTIC ACTIVITY OF CHEMICAL COMPOUNDS OR MEDICINAL PREPARATIONS
- A61P25/00—Drugs for disorders of the nervous system
- A61P25/06—Antimigraine agents
-
- A—HUMAN NECESSITIES
- A61—MEDICAL OR VETERINARY SCIENCE; HYGIENE
- A61P—SPECIFIC THERAPEUTIC ACTIVITY OF CHEMICAL COMPOUNDS OR MEDICINAL PREPARATIONS
- A61P25/00—Drugs for disorders of the nervous system
- A61P25/18—Antipsychotics, i.e. neuroleptics; Drugs for mania or schizophrenia
-
- A—HUMAN NECESSITIES
- A61—MEDICAL OR VETERINARY SCIENCE; HYGIENE
- A61P—SPECIFIC THERAPEUTIC ACTIVITY OF CHEMICAL COMPOUNDS OR MEDICINAL PREPARATIONS
- A61P25/00—Drugs for disorders of the nervous system
- A61P25/20—Hypnotics; Sedatives
-
- A—HUMAN NECESSITIES
- A61—MEDICAL OR VETERINARY SCIENCE; HYGIENE
- A61P—SPECIFIC THERAPEUTIC ACTIVITY OF CHEMICAL COMPOUNDS OR MEDICINAL PREPARATIONS
- A61P25/00—Drugs for disorders of the nervous system
- A61P25/22—Anxiolytics
-
- A—HUMAN NECESSITIES
- A61—MEDICAL OR VETERINARY SCIENCE; HYGIENE
- A61P—SPECIFIC THERAPEUTIC ACTIVITY OF CHEMICAL COMPOUNDS OR MEDICINAL PREPARATIONS
- A61P25/00—Drugs for disorders of the nervous system
- A61P25/24—Antidepressants
-
- A—HUMAN NECESSITIES
- A61—MEDICAL OR VETERINARY SCIENCE; HYGIENE
- A61P—SPECIFIC THERAPEUTIC ACTIVITY OF CHEMICAL COMPOUNDS OR MEDICINAL PREPARATIONS
- A61P25/00—Drugs for disorders of the nervous system
- A61P25/28—Drugs for disorders of the nervous system for treating neurodegenerative disorders of the central nervous system, e.g. nootropic agents, cognition enhancers, drugs for treating Alzheimer's disease or other forms of dementia
-
- A—HUMAN NECESSITIES
- A61—MEDICAL OR VETERINARY SCIENCE; HYGIENE
- A61P—SPECIFIC THERAPEUTIC ACTIVITY OF CHEMICAL COMPOUNDS OR MEDICINAL PREPARATIONS
- A61P25/00—Drugs for disorders of the nervous system
- A61P25/30—Drugs for disorders of the nervous system for treating abuse or dependence
-
- A—HUMAN NECESSITIES
- A61—MEDICAL OR VETERINARY SCIENCE; HYGIENE
- A61P—SPECIFIC THERAPEUTIC ACTIVITY OF CHEMICAL COMPOUNDS OR MEDICINAL PREPARATIONS
- A61P25/00—Drugs for disorders of the nervous system
- A61P25/30—Drugs for disorders of the nervous system for treating abuse or dependence
- A61P25/32—Alcohol-abuse
-
- A—HUMAN NECESSITIES
- A61—MEDICAL OR VETERINARY SCIENCE; HYGIENE
- A61P—SPECIFIC THERAPEUTIC ACTIVITY OF CHEMICAL COMPOUNDS OR MEDICINAL PREPARATIONS
- A61P25/00—Drugs for disorders of the nervous system
- A61P25/30—Drugs for disorders of the nervous system for treating abuse or dependence
- A61P25/34—Tobacco-abuse
-
- A—HUMAN NECESSITIES
- A61—MEDICAL OR VETERINARY SCIENCE; HYGIENE
- A61P—SPECIFIC THERAPEUTIC ACTIVITY OF CHEMICAL COMPOUNDS OR MEDICINAL PREPARATIONS
- A61P25/00—Drugs for disorders of the nervous system
- A61P25/30—Drugs for disorders of the nervous system for treating abuse or dependence
- A61P25/36—Opioid-abuse
-
- A—HUMAN NECESSITIES
- A61—MEDICAL OR VETERINARY SCIENCE; HYGIENE
- A61P—SPECIFIC THERAPEUTIC ACTIVITY OF CHEMICAL COMPOUNDS OR MEDICINAL PREPARATIONS
- A61P27/00—Drugs for disorders of the senses
- A61P27/02—Ophthalmic agents
-
- A—HUMAN NECESSITIES
- A61—MEDICAL OR VETERINARY SCIENCE; HYGIENE
- A61P—SPECIFIC THERAPEUTIC ACTIVITY OF CHEMICAL COMPOUNDS OR MEDICINAL PREPARATIONS
- A61P27/00—Drugs for disorders of the senses
- A61P27/16—Otologicals
-
- A—HUMAN NECESSITIES
- A61—MEDICAL OR VETERINARY SCIENCE; HYGIENE
- A61P—SPECIFIC THERAPEUTIC ACTIVITY OF CHEMICAL COMPOUNDS OR MEDICINAL PREPARATIONS
- A61P29/00—Non-central analgesic, antipyretic or antiinflammatory agents, e.g. antirheumatic agents; Non-steroidal antiinflammatory drugs [NSAID]
-
- A—HUMAN NECESSITIES
- A61—MEDICAL OR VETERINARY SCIENCE; HYGIENE
- A61P—SPECIFIC THERAPEUTIC ACTIVITY OF CHEMICAL COMPOUNDS OR MEDICINAL PREPARATIONS
- A61P3/00—Drugs for disorders of the metabolism
- A61P3/04—Anorexiants; Antiobesity agents
-
- A—HUMAN NECESSITIES
- A61—MEDICAL OR VETERINARY SCIENCE; HYGIENE
- A61P—SPECIFIC THERAPEUTIC ACTIVITY OF CHEMICAL COMPOUNDS OR MEDICINAL PREPARATIONS
- A61P3/00—Drugs for disorders of the metabolism
- A61P3/08—Drugs for disorders of the metabolism for glucose homeostasis
-
- A—HUMAN NECESSITIES
- A61—MEDICAL OR VETERINARY SCIENCE; HYGIENE
- A61P—SPECIFIC THERAPEUTIC ACTIVITY OF CHEMICAL COMPOUNDS OR MEDICINAL PREPARATIONS
- A61P3/00—Drugs for disorders of the metabolism
- A61P3/08—Drugs for disorders of the metabolism for glucose homeostasis
- A61P3/10—Drugs for disorders of the metabolism for glucose homeostasis for hyperglycaemia, e.g. antidiabetics
-
- A—HUMAN NECESSITIES
- A61—MEDICAL OR VETERINARY SCIENCE; HYGIENE
- A61P—SPECIFIC THERAPEUTIC ACTIVITY OF CHEMICAL COMPOUNDS OR MEDICINAL PREPARATIONS
- A61P31/00—Antiinfectives, i.e. antibiotics, antiseptics, chemotherapeutics
- A61P31/04—Antibacterial agents
-
- A—HUMAN NECESSITIES
- A61—MEDICAL OR VETERINARY SCIENCE; HYGIENE
- A61P—SPECIFIC THERAPEUTIC ACTIVITY OF CHEMICAL COMPOUNDS OR MEDICINAL PREPARATIONS
- A61P31/00—Antiinfectives, i.e. antibiotics, antiseptics, chemotherapeutics
- A61P31/12—Antivirals
- A61P31/14—Antivirals for RNA viruses
- A61P31/16—Antivirals for RNA viruses for influenza or rhinoviruses
-
- A—HUMAN NECESSITIES
- A61—MEDICAL OR VETERINARY SCIENCE; HYGIENE
- A61P—SPECIFIC THERAPEUTIC ACTIVITY OF CHEMICAL COMPOUNDS OR MEDICINAL PREPARATIONS
- A61P31/00—Antiinfectives, i.e. antibiotics, antiseptics, chemotherapeutics
- A61P31/12—Antivirals
- A61P31/20—Antivirals for DNA viruses
- A61P31/22—Antivirals for DNA viruses for herpes viruses
-
- A—HUMAN NECESSITIES
- A61—MEDICAL OR VETERINARY SCIENCE; HYGIENE
- A61P—SPECIFIC THERAPEUTIC ACTIVITY OF CHEMICAL COMPOUNDS OR MEDICINAL PREPARATIONS
- A61P35/00—Antineoplastic agents
-
- A—HUMAN NECESSITIES
- A61—MEDICAL OR VETERINARY SCIENCE; HYGIENE
- A61P—SPECIFIC THERAPEUTIC ACTIVITY OF CHEMICAL COMPOUNDS OR MEDICINAL PREPARATIONS
- A61P37/00—Drugs for immunological or allergic disorders
- A61P37/02—Immunomodulators
-
- A—HUMAN NECESSITIES
- A61—MEDICAL OR VETERINARY SCIENCE; HYGIENE
- A61P—SPECIFIC THERAPEUTIC ACTIVITY OF CHEMICAL COMPOUNDS OR MEDICINAL PREPARATIONS
- A61P37/00—Drugs for immunological or allergic disorders
- A61P37/08—Antiallergic agents
-
- A—HUMAN NECESSITIES
- A61—MEDICAL OR VETERINARY SCIENCE; HYGIENE
- A61P—SPECIFIC THERAPEUTIC ACTIVITY OF CHEMICAL COMPOUNDS OR MEDICINAL PREPARATIONS
- A61P43/00—Drugs for specific purposes, not provided for in groups A61P1/00-A61P41/00
-
- A—HUMAN NECESSITIES
- A61—MEDICAL OR VETERINARY SCIENCE; HYGIENE
- A61P—SPECIFIC THERAPEUTIC ACTIVITY OF CHEMICAL COMPOUNDS OR MEDICINAL PREPARATIONS
- A61P5/00—Drugs for disorders of the endocrine system
-
- A—HUMAN NECESSITIES
- A61—MEDICAL OR VETERINARY SCIENCE; HYGIENE
- A61P—SPECIFIC THERAPEUTIC ACTIVITY OF CHEMICAL COMPOUNDS OR MEDICINAL PREPARATIONS
- A61P5/00—Drugs for disorders of the endocrine system
- A61P5/38—Drugs for disorders of the endocrine system of the suprarenal hormones
-
- A—HUMAN NECESSITIES
- A61—MEDICAL OR VETERINARY SCIENCE; HYGIENE
- A61P—SPECIFIC THERAPEUTIC ACTIVITY OF CHEMICAL COMPOUNDS OR MEDICINAL PREPARATIONS
- A61P9/00—Drugs for disorders of the cardiovascular system
- A61P9/10—Drugs for disorders of the cardiovascular system for treating ischaemic or atherosclerotic diseases, e.g. antianginal drugs, coronary vasodilators, drugs for myocardial infarction, retinopathy, cerebrovascula insufficiency, renal arteriosclerosis
-
- C—CHEMISTRY; METALLURGY
- C07—ORGANIC CHEMISTRY
- C07D—HETEROCYCLIC COMPOUNDS
- C07D403/00—Heterocyclic compounds containing two or more hetero rings, having nitrogen atoms as the only ring hetero atoms, not provided for by group C07D401/00
- C07D403/14—Heterocyclic compounds containing two or more hetero rings, having nitrogen atoms as the only ring hetero atoms, not provided for by group C07D401/00 containing three or more hetero rings
-
- C—CHEMISTRY; METALLURGY
- C07—ORGANIC CHEMISTRY
- C07D—HETEROCYCLIC COMPOUNDS
- C07D487/00—Heterocyclic compounds containing nitrogen atoms as the only ring hetero atoms in the condensed system, not provided for by groups C07D451/00 - C07D477/00
- C07D487/02—Heterocyclic compounds containing nitrogen atoms as the only ring hetero atoms in the condensed system, not provided for by groups C07D451/00 - C07D477/00 in which the condensed system contains two hetero rings
- C07D487/04—Ortho-condensed systems
Definitions
- the present invention relates to bicyclic derivatives, to processes for their preparation, to pharmaceutical compositions containing them and to their use in therapy.
- CRF corticotropin-releasing factor
- CRF In addition to its role in stimulating the production of ACTH and POMC, CRF appears to be one of the pivotal central nervous system neurotransmitters and plays a crucial role in integrating the body's overall response to stress.
- CRF receptor antagonists may represent novel antidepressant and/or anxiolytic drugs that may be useful in the treatment of the neuropsychiatric disorders manifesting hypersecretion of CRF.
- the first CRF receptor antagonists were peptides (see, e.g., Rivier et al., U.S. Pat. No. 4,605,642; Rivier et al., Science 224: 889, 1984). While these peptides established that CRF receptor antagonists can attenuate the pharmacological responses to CRF, peptide CRF receptor antagonists suffer from the usual drawbacks of peptide therapeutics including lack of stability and limited oral activity. More recently, small molecule CRF receptor antagonists have been reported.
- WO 95/10506 describes inter alia compounds of general formula (A) with general CRF antagonist activity
- WO 95/33750 also describes compounds of general formula (B) having CRF antagonistic activity
- a and Y may be nitrogen and carbon and B may correspond to an amine derivative.
- R 2 and R 3 with N may form a saturated or unsaturated heterocycle, which may be substituted by a 5-6 membered heterocycle, which may be substituted by 1 to 3 groups selected among: C1-C6 alkyl, halo C1-C2 alkyl, C1-C6 alkoxy, halogen, nitro or cyano.
- R 2 and R 3 with N may form a 5-14 membered heterocycle, which may be substituted by a 5-6 membered heterocycle, which may be saturated or may contain one to three double bonds, and which may be substituted by 1 or more groups such as C3-C7 cycloalkyl, C1-C6 alkyl, C1-C6 alkoxy, halo C1-C6 alkyl, C2-C6 alkenyl, C2-C6 alkynyl, halo C1-C6 alkoxy, hydroxy, halogen, nitro, cyano, or C(O)NR 6 R 7
- CRF receptor antagonists would be useful in the treatment of endocrine, psychiatric and neurologic conditions or illnesses, including stress-related disorders in general.
- the invention relates to novel compounds which are potent and specific antagonists of corticotropin-releasing factor (CRF) receptors.
- CCF corticotropin-releasing factor
- the present invention provides compounds of formula (I) including stereoisomers, prodrugs and pharmaceutically acceptable salts or solvates thereof
- the dashed line may represent a double bond
- the compounds of the present invention may be in the form of and/or may be administered as a pharmaceutically acceptable salt.
- suitable salts see Berge et al, J. Pharm. Sci., 1977, 66, 1-19.
- a pharmaceutical acceptable salt may be readily prepared by using a desired acid or base as appropriate.
- the salt may precipitate from solution and be collected by filtration or may be recovered by evaporation of the solvent.
- Suitable addition salts are formed from acids which form non-toxic salts and examples are hydrochloride, hydrobromide, hydroiodide, sulphate, bisulphate, nitrate, phosphate, hydrogen phosphate, acetate, maleate, malate, fumarate, lactate, tartrate, citrate, formate, gluconate, succinate, piruvate, oxalate, oxaloacetate, trifluoroacetate, saccharate, benzoate, methansulphonate, ethanesulphonate, benzenesulphonate, p-toluensulphonate, methanesulphonic, ethanesulphonic, p-toluenesulphonic, and isethionate.
- Pharmaceutically acceptable base salts include ammonium salts, alkali metal salts such as those of sodium and potassium, alkaline earth metal salts such as those of calcium and magnesium and salts with organic bases, including salts of primary, secondary and tertiary amines, such as isopropylamine, diethylamine, ethanolamine, trimethylamine, dicyclohexyl amine and N-methyl-D-glucamine.
- prodrugs are also included within the context of this invention.
- prodrug means a compound which is converted within the body, e.g. by hydrolysis in the blood, into its active form that has medical effects.
- Pharmaceutically acceptable prodrugs are described in T. Higuchi and V. Stella, Prodrugs as Novel Delivery Systems, Vol. 14 of the A.C.S. Symposium Series, Edward B. Roche, ed., Bioreversible Carriers in Drug Design, American Pharmaceutical Association and Pergamon Press, 1987, and in D. Fleisher, S. Ramon and H. Barbra “Improved oral drug delivery: solubility limitations overcome by the use of prodrugs”, Advanced Drug Delivery Reviews (1996) 19(2) 115-130, each of which are incorporated herein by reference.
- Prodrugs are any covalently bonded carriers that release a compound of structure (I) in vivo when such prodrug is administered to a patient.
- Prodrugs are generally prepared by modifying functional groups in a way such that the modification is cleaved, either by routine manipulation or in vivo, yielding the parent compound.
- Prodrugs include, for example, compounds of this invention wherein hydroxy, amine or sulfhydryl groups are bonded to any group that, when administered to a patient, cleaves to form the hydroxy, amine or sulfhydryl groups.
- prodrugs include (but are not limited to) acetate, formate and benzoate derivatives of alcohol, sulfhydryl and amine functional groups of the compounds of structure (I).
- esters may be employed, such as methyl esters, ethyl esters, and the like. Esters may be active in their own right and/or be hydrolysable under in vivo conditions in the human body. Suitable pharmaceutically acceptable in vivo hydrolysable ester groups include those which break down readily in the human body to leave the parent acid or its salt.
- the compounds of structure (I) may have one or more asymmetric carbon atom and may occur as recemates, racemic mixtures and as individual enantiomers or diastereomers. All such isomeric forms are included within the present invention, including mixtures thereof.
- a compound of the invention contains an alkenyl or alkenylene group
- cis (E) and trans (Z) isomerism may also occur.
- the present invention includes the individual stereoisomers of the compound of the invention and, where appropriate, the individual tautomeric forms thereof, together with mixtures thereof.
- Separation of diastereoisomers or cis and trans isomers may be achieved by conventional techniques, e.g. by fractional crystallisation, chromatography or H.P.L.C. of a stereoisomeric mixture of the agent may also be prepared from a corresponding optically pure intermediate or by resolution, such as H.P.L.C. of the corresponding racemate using a suitable chiral support or by fractional crystallisation of the diastereoisomeric salts formed by reaction of the corresponding racemate with a suitable optically active acid or base, as appropriate.
- crystalline forms of the compounds of structure (I) may exist as polymorphs, which are included in the present invention.
- C1-C6 alkyl refers to a linear or branched alkyl group containing from 1 to 6 carbon atoms; examples of such groups include methyl, ethyl, propyl, isopropyl, n-butyl, isobutyl, tert butyl, pentyl or hexyl.
- C3-C7 cycloalkyl group means a non aromatic monocyclic hydrocarbon ring of 3 to 7 carbon atom such as, for example, cyclopropyl, cyclobutyl, cyclopentyl, cyclohexyl or cycloheptyl; while unsaturated cycloalkyls include cyclopentenyl and cyclohexenyl, and the like.
- halogen refers to a fluorine, chlorine, bromine or iodine atom.
- halo C1-C6 alkyl, or halo C1-C2 alkyl means an alkyl group having one or more carbon atoms and wherein at least one hydrogen atom is replaced with halogen such as for example a trifluoromethyl group and the like.
- C1-C6 thioalkyl may be a linear or a branched chain thioalkyl group, for example thiomethyl, thioethyl, thiopropyl, thioisopropyl, thiobutyl, thiosec-butyl, thiotert-butyl and the like.
- C2-C6 alkenyl defines straight or branched chain hydrocarbon radicals containing one or more double bond and having from 2 to 6 carbon atoms such as, for example, ethenyl, 2-propenyl, 3-butenyl, 2-butenyl, 2-pentenyl, 3-pentenyl, 3-methyl-2-butenyl or 3-hexenyl and the like.
- C1-C6 alkoxy group may be a linear or a branched chain alkoxy group, for example methoxy, ethoxy, propoxy, prop-2-oxy, butoxy, but-2-oxy or methylprop-2-oxy and the like.
- halo C1-C6 alkoxy group may be a C1-C6 alkoxy group as defined before substituted with at least one halogen, preferably fluorine, such as OCHF 2 , or OCF 3 .
- C2-C6 alkynyl defines straight or branched chain hydrocarbon radicals containing one or more triple bond and having from 2 to 6 carbon atoms including acetylenyl, propynyl, 1-butynyl, 1-pentynyl, 3-methyl-1-butynyl and the like.
- aryl means an aromatic carbocyclic moiety such as phenyl, biphenyl or naphthyl.
- heteroaryl means an aromatic heterocycle ring of 5 to 10 members and having at least one heteroatom selected from nitrogen, oxygen and sulfur, and containing at least 1 carbon atom, including both mono- and bicyclic ring systems.
- heteroaryls include (but are not limited to) furyl, benzofuranyl, thiophenyl, benzothiophenyl, pyrrolyl, indolyl, isoindolyl, azaindolyl, pyridyl, quinolinyl, isoquinolinyl, oxazolyl, isooxazolyl, benzoxazolyl, pyrazolyl, imidazolyl, benzimidazolyl, thiazolyl, benzothiazolyl, isothiazolyl, pyridazinyl, pyrimidinyl, pyrazinyl, triazinyl, cinnolinyl, phthalazinyl, triazolyl, tetrazolyl, quinazolinyl, and benzodioxolyl.
- 5-6 membered heterocycle means, according to the above definition, a 5-6 monocyclic heterocyclic ring which is either saturated, unsaturated or aromatic, and which contains from 1 to 4 heteroatoms independently selected from nitrogen, oxygen and sulfur, and wherein the nitrogen and sulfur heteroatoms may be optionally oxidized, and the nitrogen heteroatom may be optionally quaternized.
- Heterocycles include heteroaryls as defined above. The heterocycle may be attached via any heteroatom or carbon atom.
- the term include (but are not limited to) morpholinyl, pyridinyl, pyrazinyl, pyrazolyl, thiazolyl, triazolyl, imidazolyl, oxadiazolyl, oxazolyl, isoxazolyl, pyrrolidinonyl, pyrrolidinyl, piperidinyl, hydantoinyl, valerolactamyl, oxiranyl, oxetanyl, tetrahydrofuranyl, tetrahydropyranyl, tetrahydropyridinyl, tetrahydropyrimidinyl, tetrahydrothiophenyl, tetrahydrothiopyranyl, and the like.
- W defines a 4-8 membered ring, which may be saturated or may contain from one to three double bonds, and in which:
- the 4-8 membered ring means a 4-8 monocyclic carbocyclic ring which is either saturated, or unsaturated o aromatic and one to four carbon atoms may be replaced by an heteroatom as defined above.
- the carbocycle may be attached via any heteroatom or carbon atom.
- the term include (but are not limited to): cyclobutane, cyclopentane, cyclohexane, cycloheptane, cyclooctane, azirydinyl, azetidinyl, pyrrolidinyl, piperidinyl, imidazolidinyl, morpholinyl, piperazinyl, hydantoinyl, valerolactamyl, oxetanyl, tetrahydrofuranyl, tetrahydropyranyl, tetrahydropyridinyl, tetrahydropyrimidinyl, tetrahydrothiophenyl, tetrahydrothiopyranyl, 1,3-dihydro-2H-imidazol-2-one, imidazolidin-2-one, tetrahydropyrimidin-2(1H)-one, 2,5-dihydro-1,2,5-thiadiazole 1-
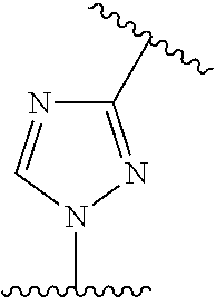
- Representative ring of the W definition include, but are not limited to, the following structure and derivatives:
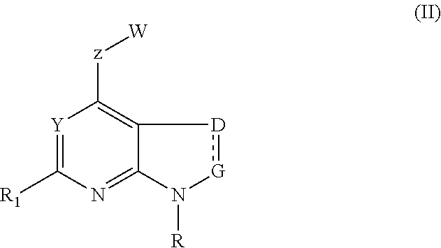
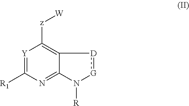
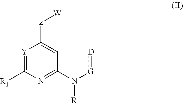
- the compounds of formula (II) are specific representatives of the present invention. Particularly preferred are the compounds of formula (II), in which W is selected in the group consisting from: W1, W2, W3, W9, W10, W11, W12, W13, and W14.
- W is selected in the group consisting from: W1, W2, W3, W9, W10, W11, W12, W13, and W14 and in which Z is selected in a group consisting from: pyrimidine, pyridine, thiazol, pyrazol, triazol and phenyl.
- the compounds of formula (IIb), (IIc), (IId), (IIe), (IIf), (IIg), (IIh), (IIi), (IIl), (IIm), (IIn), (IIo), (IIp) and (IIq) are illustratives of the compounds of formula (II).
- W is selected in the group consisting from: W1, W2, W3, W9, W10, W11, W12, W13, and W14.
- W is selected in the group consisting from: W1, W2, W3, W9, W10, W11, W12, W13, and W14.
- Z is selected in a group consisting from: pyrimidine, pyridine, thiazol, pyrazol, triazol and phenyl.
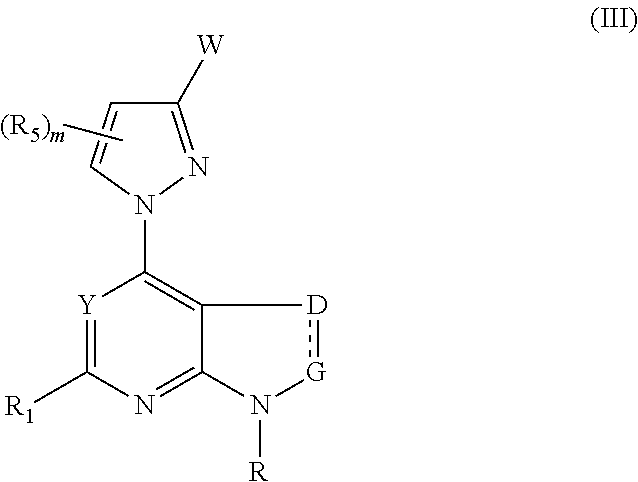
- W is selected in the group consisting from: W1, W2, W3, W9, W10, W11, W12, W13, and W14 and R, R 1 , R 5 , R 7 , R 8 , R 9 , R 10 , R 11 , m, have the meanings as previously defined.
- W corresponds to a W2 derivative and R, R 1 , R 5 , R 6 , R 7 , R 12 , m, q, D and G have the meanings as previously defined and the dashed line may represent a double bond.
- R 7 is hydrogen and R, R 1 , R 5 , R 6 , R 7 , R 12 , m, q, D and G have the meanings as previously defined and the dashed line may represent a double bond.
- the compounds of formula (V) are equally representatives of the compounds of formula (II).
- the compounds of formula (VI) are specific representatives of the compounds of formula (V), in which Y is —CR 7 and Z, R, R 1 , R 6 , R 7 , q, Y, W, D and G have the meanings as previously and the dashed line may represent a double bond.
- Z is selected in a group consisting from: pyrimidine, pyridine, thiazol, pyrazol, triazol and phenyl and R, R 1 , R 6 , R 8 , R 9 , R 10 , R 11 , R 12 , q, D and G have the meanings as previously defined.
- Even more preferred embodiments of the invention include, but are not limited to, compounds of the formula (I), (IIb), (IIc), (IId), (IIe), (IIf), (IIg), (IIh), (IIi), (IIl), (IIm), (IIn), (IIo), (IIp), (IIq), (IIl), (IIIa), (IIIb), (IIIc), (IIId), (IV), (IVa), (IVb), (IVc), (V), (VI), (Via), (VIb), (VIc) wherein:
- R 1 is C1-C3 alkyl group or halo C1-C3 alkyl group, preferably methyl or trifluoromethyl;
- R 7 is hydrogen
- R 8 , (R 9 ), R 10 (R 11 ) are hydrogen
- R is an aryl group selected from: 2,4-dichlorophenyl, 2-chloro-4-methylphenyl, 2-chloro-4-trifluoromethylphenyl, 2-chloro-4-methoxyphenyl, 2,4,5-trimethylphenyl, 2,4-dimethylphenyl, 2-methyl-4-methoxyphenyl, 2-methyl-4-ethoxyphenyl, 2-methyl-4-isopropoxyphenyl, 2-methyl-4-hydroxyphenyl, 2-methyl-4-chlorophenyl, 2-methyl-4-trifluoromethylphenyl, 2,4-dimethoxyphenyl, 2-methoxy-4-trifluoromethylphenyl, 2-methoxy-4-chlorophenyl, 3-methoxy-4-chlorophenyl, 2,5-dimethoxy-4-chlorophenyl, 2-methoxy-4-isopropylphenyl, 2-methoxy-4-trifluoromethylphenyl, 2-methoxy-4-isopropy
- Preferred compounds according to the invention are:
- the compounds of structure (I) may be made according to the organic synthesis techniques known to those skilled in this field, as well as by the representative methods set forth in the Examples.
- the starting compounds of formula (XXIII) are known compounds or may be prepared according to known methods in the literature.
- the compounds of general formula (XXIV), (XXIVb), (XXVI), (XXVII), (XXVIII), (XXIX) are novel intermediates useful for the preparation of the CRF antagonists object of the present invention or other CRF antagonists, which may be conveniently prepared using such intermediates.
- Representative CRF antagonists which may be prepared using the above intermediates include, but are not limited to, those disclosed in the above cited patent applications: WO 95/10506, WO 95/33750, WO 02/08895 and WO 03/008412.
- the above cited publications, including but not limited to patents and patent applications, are herein incorporated by reference as if each individual publication were specifically and individually indicated to be incorporated by reference herein as though fully set forth.
- the compounds of formula (XXVIA), corresponding to the compounds of formula (XXVI) when Y corresponds to a carbon atom, may exist in the tautomeric form (XXVIB).
- the starting material is already known in literature, as acid derivative (see Snider, Barry B.; Ahn, Yong; Foxman, Bruce M. Synthesis of the tricyclic triamine core of martinelline and martinellic acid. Tetrahedron Letters (1999), 40(17), 3339-3342).
- R group present in compounds of formula (I) is generally a known compound. When such R group is not a compound already described in the literature, it may be prepared in analogy to the following Schemes.
- J is a group —OCHF 2
- this can be introduced directly in the R group by methods already known in the literature or, eventually, the group —OCH 3 may be deprotected using one of the methods listed in the Greene's reference cited below.
- the hydroxyl group may be alkylated by using a suitable fluoroalkylating agent, such as CF 2 Br 2 , as exemplified for Intermediate 125.
- Suitable protecting groups for use according to the present invention are well known to those skilled in the art and may be used in a conventional manner. See, for example, “Protective groups in organic synthesis” by T. W. Greene and P. G. M. Wuts (John Wiley & sons 1991) or “Protecting Groups” by P. J. Kocienski (Georg Thieme Verlag 1994).
- suitable amino protecting groups include acyl type protecting groups (e.g.
- aromatic urethane type protecting groups e.g. benzyloxycarbonyl (Cbz) and substituted Cbz
- aliphatic urethane protecting groups e.g. 9-fluorenylmethoxycarbonyl (Fmoc), t-butyloxycarbonyl (Boc), isopropyloxycarbonyl, cyclohexyloxycarbonyl
- alkyl type protecting groups e.g. benzyl, trityl, chlorotrityl.
- oxygen protecting groups may include for example alky silyl groups, such as trimethylsilyl or tert-butyldimethylsilyl; alkyl ethers such as tetrahydropyranyl or tert-butyl; or esters such as acetate
- Pharmaceutical acceptable salts may also be prepared from other salts, including other pharmaceutically acceptable salts, of the compound of formula (I) using conventional methods.
- the compounds of formula (I) may readily be isolated in association with solvent molecules by crystallisation or evaporation of an appropriate solvent to give the corresponding solvates.
- the subject invention also includes isotopically-labelled compounds, which are identical to those recited in formula (I) and following, but for the fact that one or more atoms are replaced by an atom having an atomic mass or mass number different from the atomic mass or mass number usually found in nature.
- isotopes that can be incorporated into compounds of the invention and pharmaceutically acceptable salts thereof include isotopes of hydrogen, carbon, nitrogen, oxygen, phosphorous, sulphur, fluorine, iodine, and chlorine, such as 2 H, 3 H, 11 C, 13 C, 14 C, 15 N, 17 O, 18 O, 31 P, 32 P, 35 S, 18 F, 36 Cl, 123 I and 125 I.
- Isotopically-labelled compounds of the present invention for example those into which radioactive isotopes such as 3H, 14C are incorporated, are useful in drug and/or substrate tissue distribution assays. Tritiated, i.e., 3 H, and carbon-14, i.e., 14 C, isotopes are particularly preferred for their ease of preparation and detectability.
- 11 C and 18 F isotopes are particularly useful in PET (positron emission tomography), and 125 I isotopes are particularly useful in SPECT (single photon emission computerized tomography), all useful in brain imaging.
- substitution with heavier isotopes such as deuterium, i.e., 2 H can afford certain therapeutic advantages resulting from greater metabolic stability, for example increased in vivo half-life or reduced dosage requirements and, hence, may be preferred in some circumstances.
- Isotopically labelled compounds of formula I and following of this invention can generally be prepared by carrying out the procedures disclosed in the Schemes and/or in the Examples below, by substituting a readily available isotopically labelled reagent for a non-isotopically labelled reagent.
- the CRF receptor antagonists of the present invention demonstrate activity at the CRF receptor site and may be used in the treatment of conditions mediated by CRF or CRF receptors.
- Suitable CRF antagonists of this invention are capable of inhibiting the specific binding of CRF to its receptor and antagonizing activities associated with CRF.
- a compound of structure (I) may be assessed for activity as a CRF antagonist by one or more generally accepted assays for this purpose, including (but not limited to) the assays disclosed by DeSouza et al. (J. Neuroscience 7: 88, 1987) and Battaglia et al. (Synapse 1: 572, 1987).
- the CRF receptors-binding assay was performed by using the homogeneous technique of scintillation proximity (SPA).
- SPA scintillation proximity
- the ligand binds to recombinant membrane preparation expressing the CRF receptors which in turn bind to wheatgerm agglutinin coated SPA beads.
- SPA scintillation proximity
- CRF receptor antagonists of this invention have a Ki less than 10 ⁇ m.
- Compounds of the invention are useful in the treatment of central nervous system disorders where CRF receptors are involved.
- major depressive disorders including bipolar depression, unipolar depression, single or recurrent major depressive episodes with or without psychotic features, catatonic features, melancholic features, atypical features or postpartum onset, the treatment of anxiety and the treatment of panic disorders.
- Major depressive disorders include dysthymic disorder with early or late onset and with or without atypical features, neurotic depression, post traumatic stress disorders, post operative stress and social phobia; dementia of the Alzheimer's type, with early or late onset, with depressed mood; vascular dementia with depressed mood; mood disorders induced by alcohol, amphetamines, cocaine, hallucinogens, inhalants, opioids, phencyclidine, sedatives, hypnotics, anxiolytics and other substances; schizoaffective disorder of the depressed type; and adjustment disorder with depressed mood.
- Major depressive disorders may also result from a general medical condition including, but not limited to, myocardial infarction, diabetes, miscarriage or abortion, etc.
- Compounds of the invention are also useful in the treatment or prevention of schizophrenic disorders including paranoid schizophrenia, disorganised schizophrenia, catatonic schizophrenia, undifferentiated schizophrenia, residual schizophrenia.
- Compounds of the invention are useful as analgesics.
- traumatic pain such as postoperative pain
- traumatic avulsion pain such as brachial plexus
- chronic pain such as arthritic pain such as occurring in osteo-, rheumatoid or psoriatic arthritis
- neuropathic pain such as post-herpetic neuralgia, trigeminal neuralgia, segmental or intercostal neuralgia, fibromyalgia, causalgia, peripheral neuropathy, diabetic neuropathy, chemotherapy-induced neuropathy, AIDS related neuropathy, occipital neuralgia, geniculate neuralgia, glossopharyngeal neuralgia, reflex sympathetic dystrophy, phantom limb pain
- various forms of headache such as migraine, acute or chronic tension headache, temporomandibular pain, maxillary sinus pain, cluster headache; odontalgia; cancer pain; pain of visceral origin; gastrointestinal pain; nerve entrapment pain
- Compounds of the invention are also useful for the treatment of dysfunction of appetite and food intake and in circumstances such as anorexia, anorexia nervosa and bulimia.
- Compounds of the invention are also useful in the treatment of sleep disorders including dysomnia, insomnia, sleep apnea, narcolepsy, and circadian rhythmic disorders.
- Cognitive disorders include dementia, amnestic disorders and cognitive disorders not otherwise specified.
- compounds of the invention are also useful as memory and/or cognition enhancers in healthy humans with no cognitive and/or memory deficit.
- Compounds of the invention are also useful in the treatment of tolerance to and dependence on a number of substances. For example, they are useful in the treatment of dependence on nicotine, alcohol, caffeine, phencyclidine (phencyclidine like compounds), or in the treatment of tolerance to and dependence on opiates (e.g. cannabis, heroin, morphine) or benzodiazepines; in the treatment of cocaine, sedative ipnotic, amphetamine or amphetamine-related drugs (e.g. dextroamphetamine, methylamphetamine) addiction or a combination thereof.
- opiates e.g. cannabis, heroin, morphine
- benzodiazepines e.g. cocaine, sedative ipnotic, amphetamine or amphetamine-related drugs (e.g. dextroamphetamine, methylamphetamine) addiction or a combination thereof.
- Compounds of the invention are also useful as anti-inflammatory agents.
- they are useful in the treatment of inflammation in asthma, influenza, chronic bronchitis and rheumatoid arthritis; in the treatment of inflammatory diseases of the gastrointestinal tract such as Crohn's disease, ulcerative colitis, postoperative gastric ileus (POI), inflammatory bowel disease (IBD) and non-steroidal anti-inflammatory drug induced damage; inflammatory diseases of the skin such as herpes and eczema; inflammatory diseases of the bladder such as cystitis and urge incontinence; and eye and dental inflammation.
- inflammatory diseases of the skin such as herpes and eczema
- inflammatory diseases of the bladder such as cystitis and urge incontinence
- eye and dental inflammation are also useful as anti-inflammatory agents.
- Compounds of the invention are also useful in the treatment of allergic disorders, in particular allergic disorders of the skin such as urticaria, and allergic disorders of the airways such as rhinitis.
- Emesis i.e. nausea, retching and vomiting.
- Emesis includes acute emesis, delayed emesis and anticipatory emesis.
- the compounds of the invention are useful in the treatment of emesis however induced.
- emesis may be induced by drugs such as cancer chemotherapeutic agents such as alkylating agents, e.g. cyclophosphamide, carmustine, lomustine and chlorambucil; cytotoxic antibiotics, e.g. dactinomycin, doxorubicin, mitomycin-C and bleomycin; anti-metabolites, e.g.
- cytarabine methotrexate and 5-fluorouracil
- vinca alkaloids e.g. etoposide, vinblastine and vincristine
- others such as cisplatin, dacarbazine, procarbazine and hydroxyurea; and combinations thereof
- radiation sickness e.g. irradiation of the thorax or abdomen, such as in the treatment of cancer; poisons; toxins such as toxins caused by metabolic disorders or by infection, e.g.
- gastritis or released during bacterial or viral gastrointestinal infection; pregnancy; vestibular disorders, such as motion sickness, vertigo, dizziness and Meniere's disease; post-operative sickness; gastrointestinal obstruction; reduced gastrointestinal motility; visceral pain, e.g. myocardial infarction or peritonitis; migraine; increased intercranial pressure; decreased intercranial pressure (e.g. altitude sickness); opioid analgesics, such as morphine; and gastro-oesophageal reflux disease, acid indigestion, over-indulgence of food or drink, acid stomach, sour stomach, waterbrash/regurgitation, heartburn, such as episodic heartburn, nocturnal heartburn, and meal-induced heartburn and dyspepsia.
- Compounds of the invention are of particular use in the treatment of gastrointestinal disorders such as irritable bowel syndrome (IBS); skin disorders such as psoriasis, pruritis and sunburn; vasospastic diseases such as angina, vascular headache and Reynaud's disease; cerebral ischeamia such as cerebral vasospasm following subarachnoid haemorrhage; fibrosing and collagen diseases such as scleroderma and eosinophilic fascioliasis; disorders related to immune enhancement or suppression such as systemic lupus erythematosus and rheumatic diseases such as fibrositis; and cough.
- IBS irritable bowel syndrome
- skin disorders such as psoriasis, pruritis and sunburn
- vasospastic diseases such as angina, vascular headache and Reynaud's disease
- cerebral ischeamia such as cerebral vasospasm following subarachnoid haemorrh
- Compounds of the invention are useful for the treatment of neurotoxic injury which follows cerebral stroke, thromboembolic stroke, hemorrhagic stroke, cerebral ischemia, cerebral vasospam, hypoglycemia, hypoxia, anoxia, perinatal asphyxia cardiac arrest.
- the invention therefore provides a compound of formula (I) or a pharmaceutically acceptable salt or solvate thereof for use in therapy, in particular in human medicine.
- a method for the treatment of a mammal including man, in particular in the treatment of condition mediated by CRF, comprising administration of an effective amount of a compound of formula (I) or a pharmaceutically acceptable salt or a solvate thereof.
- a compound of the present invention may be administered as the raw chemical
- the invention provides a pharmaceutical composition
- a pharmaceutical composition comprising at least one compound of the invention or a pharmaceutically acceptable derivative thereof in association with a pharmaceutically acceptable carrier and/or excipient.
- the carrier and/or excipient must be “acceptable” in the sense of being compatible with the other ingredients of the formulation and not deletrious to the recipient thereof.
- the present invention further provides a pharmaceutical formulation comprising at least one compound of the invention or a pharmaceutically acceptable derivative thereof, in association with a pharmaceutically acceptable carrier and/or excipient.
- a pharmaceutically acceptable carrier and/or excipient must be “acceptable” in the sense of being compatible with the other ingredients of the formulation and not deletrious to the recipient thereof.
- a process of preparing a pharmaceutical composition comprises mixing at least one compound of the invention or a pharmaceutically acceptable derivative thereof, together with a pharmaceutically acceptable carrier and/or excipient.
- the pharmaceutical compositions may be for human or animal usage in human and veterinary medicine and will typically comprise any one or more of a pharmaceutically acceptable diluent, carrier or excipient.
- Acceptable carriers or diluents for therapeutic use are well known in the pharmaceutical art, and are described, for example, in Remington's Pharmaceutical Sciences, Mack Publishing Co. (A. R. Gennaro edit. 1985).
- the choice of pharmaceutical carrier, excipient or diluent can be selected with regard to the intended route of administration and standard pharmaceutical practice.
- the pharmaceutical compositions may comprise as—or in addition to—the carrier, excipient or diluent any suitable binder(s), lubricant(s), suspending agent(s), coating agent(s), solubilising agent(s).
- Preservatives may be provided in the pharmaceutical composition.
- preservatives include sodium benzoate, sorbic acid and esters of p-hydroxybenzoic acid.
- Antioxidants and suspending agents may be also used.
- the pharmaceutical composition of the present invention may be formulated to be delivered using a mini-pump or by a mucosal route, for example, as a nasal spray or aerosol for inhalation or ingestible solution, or parenterally in which the composition is formulated by an injectable form, for delivery, by, for example, an intravenous, intramuscular or subcutaneous route.
- the formulation may be designed to be delivered by both routes.
- the agent is to be delivered mucosally through the gastrointestinal mucosa, it should be able to remain stable during transit though the gastrointestinal tract; for example, it should be resistant to proteolytic degradation, stable at acid pH and resistant to the detergent effects of bile.
- compositions can be administered by inhalation, in the form of a suppository or pessary, topically in the form of a lotion, solution, cream, ointment or dusting powder, by use of a skin patch, orally in the form of tablets containing excipients such as starch or lactose, or in capsules or ovules either alone or in admixture with excipients, or in the form of elixirs, solutions or suspensions containing flavouring or colouring agents, or they can be injected parenterally, for example intravenously, intramuscularly or subcutaneously.
- compositions may be best used in the form of a sterile aqueous solution which may contain other substances, for example enough salts or monosaccharides to make the solution isotonic with blood.
- compositions may be administered in the form of tablets or lozenges which can be formulated in a conventional manner.
- the agents of the present invention may also be used in combination with a cyclodextrin.
- Cyclodextrins are known to form inclusion and non-inclusion complexes with drug molecules. Formation of a drug-cyclodextrin complex may modify the solubility, dissolution rate, bioavailability and/or stability property of a drug molecule. Drug-cyclodextrin complexes are generally useful for most dosage forms and administration routes.
- the cyclodextrin may be used as an auxiliary additive, e.g. as a carrier, diluent or solubiliser.
- Alpha-, beta and gamma-cyclodextrins are most commonly used and suitable examples are described in WO-A-91/11172, WO-A-94/02518 and WO-A-98/55148.
- the agents of the present invention are delivered systemically (such as orally, buccally, sublingually), more preferably orally.
- the agent is in a form that is suitable for oral delivery.
- composition comprises more than one active component, then those components may be administered by different routes.
- the compounds of the invention may be milled using known milling procedures such as wet milling to obtain a particle size appropriate for tablet formation and for other formulation types. Finely divided (nanoparticulate) preparations of the compounds of the invention may be prepared by processes known in the art, for example see International Patent Application No. WO 02/00196 (SmithKline Beecham).
- the pharmaceutical compositions may take the form of, for example, tablets or capsules prepared by conventional means with pharmaceutically acceptable excipients such as binding agents (e.g. pregelatinised maize starch, polyvinylpyrrolidone or hydroxypropyl methylcellulose); fillers (e.g. lactose, microcrystalline cellulose or calcium hydrogen phosphate); lubricants (e.g. magnesium stearate, talc or silica); disintegrants (e.g. potato starch or sodium starch glycollate); or wetting agents (e.g. sodium lauryl sulphate).
- binding agents e.g. pregelatinised maize starch, polyvinylpyrrolidone or hydroxypropyl methylcellulose
- fillers e.g. lactose, microcrystalline cellulose or calcium hydrogen phosphate
- lubricants e.g. magnesium stearate, talc or silica
- disintegrants e.g. potato starch or sodium starch glycollate
- Liquid preparations for oral administration may take the form of, for example, solutions, syrups or suspensions, or they may be presented as a dry product for constitution with water or other suitable vehicle before use.
- Such liquid preparations may be prepared by conventional means with pharmaceutically acceptable additives such as suspending agents (e.g. sorbitol syrup, cellulose derivatives or hydrogenated edible fats); emulsifying agents (e.g. lecithin or acacia); non-aqueous vehicles (e.g. almond oil, oily esters, ethyl alcohol or fractionated vegetable oils); and preservatives (e.g. methyl or propyl-p-hydroxybenzoates or sorbic acid).
- the preparations may also contain buffer salts, flavouring, colouring and sweetening agents as appropriate.
- Preparations for oral administration may be suitably formulated to give controlled release of the active compound.
- composition may take the form of tablets or formulated in conventional manner.
- the compounds of the invention may be formulated for parenteral administration by bolus injection or continuous infusion.
- Formulations for injection may be presented in unit dosage form e.g. in ampoules or in multi-dose containers, with an added preservative.
- the compositions may take such forms as suspensions, solutions or emulsions in oily or aqueous vehicles, and may contain formulatory agents such as suspending, stabilising and/or dispersing agents.
- the active ingredient may be in powder form for constitution with a suitable vehicle, e.g. sterile pyrogen-free water, before use.
- the compounds of the invention may be formulated for topical administration in the form of ointments, creams, gels, lotions, pessaries, aerosols or drops (e.g. eye, ear or nose drops).
- Ointments and creams may, for example, be formulated with an aqueous or oily base with the addition of suitable thickening and/or gelling agents.
- Ointments for administration to the eye may be manufactured in a sterile manner using sterilised components.
- Lotions may be formulated with an aqueous or oily base and will in general also contain one or more emulsifying agents, stabilising agents, dispersing agents, suspending agents, thickening agents, or colouring agents. Drops may be formulated with an aqueous or non-aqueous base also comprising one or more dispersing agents, stabilising agents, solubilising agents or suspending agents. They may also contain a preservative.
- the compounds of the invention may also be formulated in rectal compositions such as suppositories or retention enemas, e.g. containing conventional suppository bases such as cocoa butter or other glycerides.
- the compounds of the invention may also be formulated as depot preparations. Such long acting formulations may be administered by implantation (for example subcutaneously or intramuscularly) or by intramuscular injection.
- the compounds of the invention may be formulated with suitable polymeric or hydrophobic materials (for example as an emulsion in an acceptable oil) or ion exchange resins, or as sparingly soluble derivatives, for example, as a sparingly soluble salt.
- the compounds of the invention may be formulated as solutions for administration via a suitable metered or unitary dose device or alternatively as a powder mix with a suitable carrier for administration using a suitable delivery device.
- a proposed dose of the compounds of the invention is 1 to about 1000 mg per day. It will be appreciated that it may be necessary to make routine variations to the dosage, depending on the age and condition of the patient and the precise dosage will be ultimately at the discretion of the attendant physician or veterinarian. The dosage will also depend on the route of administration and the particular compound selected.
- a daily dose will typically be in the range of 1 to about 100 mg, preferably 1 to 80 mg per day.
- a daily dose will typically be within the range 1 to 300 mg e.g. 1 to 100 mg.
- a strategy comprising of NOE (Nuclear Overhauser Effect) correlation and/or 1H,15N long range scalar correlations measurements has been implemented in order to allow elucidation of possible regio-isomers structure of compounds of the present invention. Proposed structures were verified by measurement of the vicinity in the space of key hydrogens, thus 1D Nuclear Overhauser difference spectra were used to measure 1H,1H-dipole-dipole correlations.
- EtOAc ethyl acetate
- cHex cyclohexane
- CH 2 Cl 2 dichloromethane
- Et 2 O dietyl ether
- DMF N,N′-dimethylformamide
- DIPEA N,N-diisopropylethylamine
- DME ethylene glycol dimethyl ether
- MeOH methanol
- Et 3 N triethylamine
- TFA trifluoroacetic acid
- THF tetrahydrofuran
- DIBAI-H diisobutylaluminium hydride
- DMAP dimethylaminopyridine
- LHMDS lithiumhexamethyldisilazane
- KOtBu potassium tert-butoxide
- NMP M-methyl-2-pyrrolidinone
- MTBE methyl-tert-butyl ether
- IPA isopropanol
- DAST (diethylaminoe)
- the organic layer was further washed with water (31.2 mL) and concentrated to an oil, which was passed through a pad of silica gel (12.7 g, EtOAc/cHex 1/9).
- the crude product thus obtained was diluted with MTBE (38.1 mL) and washed twice with 10% HCl (63.5 mL).
- the combined aqueous layers were treated with conc. NH 4 OH (38.1 mL) and extracted with CH 2 Cl 2 (25.4 mL).
- the organic layer was further washed with 10% NaCl (12.7 mL) and evaporated to an oil.
- the oil was dissolved with IPA (38.1 mL) and seeded with authentic intermediate 4 (0.02 g). The suspension was stirred for 30 min.
- the crude compound was purified by flash chromatography (silica gel, cHex/EtOAc 1:1). The mixed fraction were re-purified by flash chromatography (silica gel, cHex/EtOAc 7:3). The title compound was obtained as a white solid (5 mg, 34%)
- the white solid was collected by filtration, washed with water and dried in vacuo (5.2 g). The filtrate was transferred into a separatory funnel and the aqueous layer was extracted with EtOAc (2 ⁇ 100 mL). The combined organic layers were washed with sat.aq. NaCl, dried over anh. Na 2 SO 4 , the solids were filtered and the solvent evaporated. The crude product was treated with EtOAc and left at r.t. overnight. The precipitate was filtrated, dried in vacuo and combined with the previous batch to give the title compound as a white solid (7.2 g, 48%).
- n-BuLi 1.6M/Hexane (0.44 mL, 3 eq) was added dropwise to a suspension of (methoxymethyl)-triphenylphosphonium chloride (224 mg, 3 eq) in THF (5 mL) at 0° C., under N 2 .
- THF THF
- a solution of intermediate 41 (100 mg, 0.235 mmol) in THF (8 mL) was added and the reaction mixture stirred at r.t. for an additional 1.5 hr.
- the mixture was treated with water, EtOAc was added and the phases were separated. The organic layer was dried over anh.
- intermediate 46 except that intermediate 83 (2-methyl-4-(1H-pyrazol-1-yl)aniline) was used instead of 2-methyl-4-[(trifluoromethyl)oxy]aniline.
- intermediate 46 except that intermediate 87 (2-(difluoromethyl)-4-(methyloxy)aniline) was used instead of 2-methyl-4-[(trifluoromethyl)oxy]aniline.
- intermediate 46 As in intermediate 46, except that intermediate 88 (2-(methyloxy)-4-(1H-pyrazol-1-yl)aniline) was used instead of 2-methyl-4-[(trifluoromethyl)oxy]aniline.
- intermediate 46 except that intermediate 89 (6-methyl-1,3-benzodioxol-5-amine) was used instead of 2-methyl-4-[(trifluoromethyl)oxy]aniline.
- reaction mixture was then cooled to r.t., then partitioned between EtOAc/sat.aq. NaCl (100 mL/50 mL). The phases were separated and the organic layer was dried over anh. Na 2 SO 4 , the solids were filtered, the solvent evaporated and the crude product was purified by flash chromatography (silica gel, cHex/EtOAc 2:8) to give the title compound as a white solid (2 mg, 7%).
- the crude product was purified by flash chromatography (silica gel, 100% CH 2 Cl 2 ⁇ CH 2 Cl 2 /MeOH 97:3) followed by a further purification on an SCX SPE cartridge (100% CH 2 Cl 2 to CH 2 Cl 2 /MeOH/2M NH 3 in MeOH 80:19:1) to give the title compound as a white solid (9.5 mg, 71%).
- R 1 is —CH 3 ;
Landscapes
- Health & Medical Sciences (AREA)
- Chemical & Material Sciences (AREA)
- Organic Chemistry (AREA)
- Life Sciences & Earth Sciences (AREA)
- Public Health (AREA)
- Animal Behavior & Ethology (AREA)
- Veterinary Medicine (AREA)
- Chemical Kinetics & Catalysis (AREA)
- General Chemical & Material Sciences (AREA)
- Medicinal Chemistry (AREA)
- Nuclear Medicine, Radiotherapy & Molecular Imaging (AREA)
- General Health & Medical Sciences (AREA)
- Pharmacology & Pharmacy (AREA)
- Engineering & Computer Science (AREA)
- Bioinformatics & Cheminformatics (AREA)
- Biomedical Technology (AREA)
- Neurology (AREA)
- Neurosurgery (AREA)
- Diabetes (AREA)
- Pulmonology (AREA)
- Psychiatry (AREA)
- Addiction (AREA)
- Endocrinology (AREA)
- Virology (AREA)
- Pain & Pain Management (AREA)
- Immunology (AREA)
- Physical Education & Sports Medicine (AREA)
- Dermatology (AREA)
- Rheumatology (AREA)
- Hematology (AREA)
- Communicable Diseases (AREA)
- Oncology (AREA)
- Otolaryngology (AREA)
- Reproductive Health (AREA)
- Urology & Nephrology (AREA)
- Obesity (AREA)
- Emergency Medicine (AREA)
- Hospice & Palliative Care (AREA)
- Molecular Biology (AREA)
- Orthopedic Medicine & Surgery (AREA)
Abstract
Description
- The present invention relates to bicyclic derivatives, to processes for their preparation, to pharmaceutical compositions containing them and to their use in therapy.
- The first corticotropin-releasing factor (CRF) was isolated from ovine hypothalami and identified as a 41-amino acid peptide (Vale et al., Science 213: 1394-1397, 1981). CRF has been found to produce profound alterations in endocrine, nervous and immune system function. CRF is believed to be the major physiological regulator of the basal and stress-release of adrenocorticotropic hormone (“ACTH”), Bendorphin and other propiomelanocortin (“POMC”)-derived peptides from the anterior pituitary (Vale et al., Science 213: 1394-1397, 1981).
- In addition to its role in stimulating the production of ACTH and POMC, CRF appears to be one of the pivotal central nervous system neurotransmitters and plays a crucial role in integrating the body's overall response to stress.
- Administration of CRF directly to the brain elicits behavioral, physiological and endocrine responses identical to those observed for an animal exposed to a stressful environment. Accordingly, clinical data suggests that CRF receptor antagonists may represent novel antidepressant and/or anxiolytic drugs that may be useful in the treatment of the neuropsychiatric disorders manifesting hypersecretion of CRF.
- The first CRF receptor antagonists were peptides (see, e.g., Rivier et al., U.S. Pat. No. 4,605,642; Rivier et al., Science 224: 889, 1984). While these peptides established that CRF receptor antagonists can attenuate the pharmacological responses to CRF, peptide CRF receptor antagonists suffer from the usual drawbacks of peptide therapeutics including lack of stability and limited oral activity. More recently, small molecule CRF receptor antagonists have been reported.
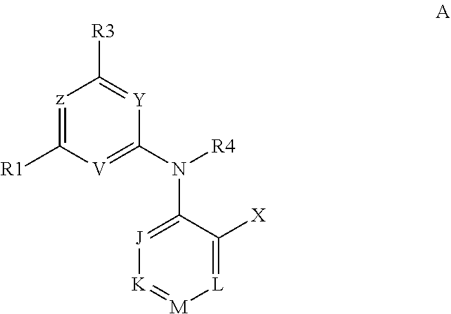
- WO 95/10506 describes inter alia compounds of general formula (A) with general CRF antagonist activity
- wherein Y may be CR29; V may be nitrogen, Z may be carbon or nitrogen, R3 may correspond to an amine derivative and R4 may be taken together with R29 to form a 5-membered ring and is —CH(R28) when R29 is —CH(R30).
- WO 95/33750 also describes compounds of general formula (B) having CRF antagonistic activity,
- in which A and Y may be nitrogen and carbon and B may correspond to an amine derivative.
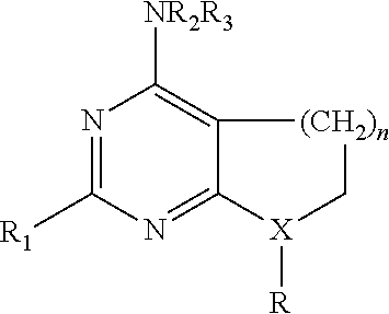
- Recently a patent application has been published as WO 02/08895 in which the following compounds, CRF antagonists, are objects of the patent application:
- In particular, R2 and R3 with N may form a saturated or unsaturated heterocycle, which may be substituted by a 5-6 membered heterocycle, which may be substituted by 1 to 3 groups selected among: C1-C6 alkyl, halo C1-C2 alkyl, C1-C6 alkoxy, halogen, nitro or cyano.
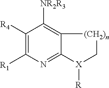
- Another recent patent application has been published as WO 03/008412 in which the following compounds, CRF antagonists, are objects of the patent application:
- In particular, R2 and R3 with N may form a 5-14 membered heterocycle, which may be substituted by a 5-6 membered heterocycle, which may be saturated or may contain one to three double bonds, and which may be substituted by 1 or more groups such as C3-C7 cycloalkyl, C1-C6 alkyl, C1-C6 alkoxy, halo C1-C6 alkyl, C2-C6 alkenyl, C2-C6 alkynyl, halo C1-C6 alkoxy, hydroxy, halogen, nitro, cyano, or C(O)NR6R7
- None of the above references disclosed compounds falling into the scope of the present invention.
- Due to the physiological significance of CRF, the development of biologically-active small molecules having significant CRF receptor binding activity and which are capable of antagonizing the CRF receptor remains a desirable goal. Such CRF receptor antagonists would be useful in the treatment of endocrine, psychiatric and neurologic conditions or illnesses, including stress-related disorders in general.
- While significant strides have been made toward achieving CRF regulation through administration of CRF receptor antagonists, there remains a need in the art for effective small molecule CRF receptor antagonists. There is also a need for pharmaceutical compositions containing such CRF receptor antagonists, as well as methods relating to the use thereof to treat, for example, stress-related disorders. The present invention fulfills these needs, and provides other related advantages.
- In particular the invention relates to novel compounds which are potent and specific antagonists of corticotropin-releasing factor (CRF) receptors.
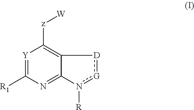
- The present invention provides compounds of formula (I) including stereoisomers, prodrugs and pharmaceutically acceptable salts or solvates thereof
- wherein
- the dashed line may represent a double bond;
-
- R is aryl or heteroaryl, each of which may be substituted by 1 to 4 groups J selected from:
- halogen, C1-C6 alkyl, C1-C6 alkoxy, halo C1-C6 alkyl, C2-C6 alkenyl, C2-C6 alkynyl, halo C1-C6 alkoxy, —C(O)R2, nitro, hydroxy, —NR3R4, cyano or a group Z;
- R1 is hydrogen, C3-C7 cycloalkyl, C1-C6 alkyl, C1-C6 alkoxy, C1-C6 thioalkyl, C2-C6 alkenyl, C2-C6 alkynyl, halo C1-C6 alkyl, halo C1-C6 alkoxy, halogen, NR3R4 or cyano;
- R2 is a C1-C4 alkyl, —OR3 or —NR3R4;
- R3 is hydrogen or C1-C6 alkyl;
- R4 is hydrogen or C1-C6 alkyl;
- R5 is a C1-C6 alkyl, halo C1-C6 alkyl, C1-C6 alkoxy, halo C1-C6 alkoxy, C3-C7 cycloalkyl, hydroxy, halogen, nitro, cyano, —NR3R4; —C(O)R2;
- R6 is a C1-C6 alkyl, halo C1-C6 alkyl, C1-C6 alkoxy, halo C1-C6 alkoxy, C3-C7 cycloalkyl, hydroxy, halogen, nitro, cyano, —NR3R4; —C(O)R2;
- R7 is hydrogen, C1-C6 alkyl, halogen or halo C1-C6 alkyl;
- R5 is hydrogen, C3-C7 cycloalkyl, C1-C6 alkyl, C2-C6 alkenyl, C2-C6 alkynyl, NR3R4 or cyano;
- R9 is hydrogen, C3-C7 cycloalkyl, C1-C6 alkyl, C2-C6 alkenyl, C2-C6 alkynyl, NR3R4 or cyano;
- R10 is hydrogen, C3-C7 cycloalkyl, C1-C6 alkyl, C2-C6 alkenyl, C2-C6 alkynyl, NR3R4 or cyano;
- R11 is hydrogen, C3-C7 cycloalkyl, C1-C6 alkyl, C2-C6 alkenyl, C2-C6 alkynyl, NR3R4 or cyano;
- R12 is R3 or —C(O)R2;
- D is CR8R9 or is CR8 when double bonded with G;
- G is CR10R11 or is CR10 when double bonded with D or is CR10 when double bonded with X when X is carbon;
- X is carbon or nitrogen;
- Y is nitrogen or —CR7;
- W is a 4-8 membered ring, which may be saturated or may contain one to three double bonds, and
- in which:
- one carbon atom is replaced by a carbonyl or S(O)m; and
- one to four carbon atoms may optionally be replaced by oxygen, nitrogen or NR12, S(O)m, carbonyl, and such ring may be further substituted by 1 to 8 R6 groups;
- in which:
- Z is a 5-6 membered heterocycle, which may be substituted by 1 to 8 R5 groups or a phenyl ring, which may be substituted by 1 to 4 R5 groups;
- m is an integer from 0 to 2.
- R is aryl or heteroaryl, each of which may be substituted by 1 to 4 groups J selected from:
- The compounds of the present invention may be in the form of and/or may be administered as a pharmaceutically acceptable salt. For a review on suitable salts see Berge et al, J. Pharm. Sci., 1977, 66, 1-19.
- Typically, a pharmaceutical acceptable salt may be readily prepared by using a desired acid or base as appropriate. The salt may precipitate from solution and be collected by filtration or may be recovered by evaporation of the solvent.
- Suitable addition salts are formed from acids which form non-toxic salts and examples are hydrochloride, hydrobromide, hydroiodide, sulphate, bisulphate, nitrate, phosphate, hydrogen phosphate, acetate, maleate, malate, fumarate, lactate, tartrate, citrate, formate, gluconate, succinate, piruvate, oxalate, oxaloacetate, trifluoroacetate, saccharate, benzoate, methansulphonate, ethanesulphonate, benzenesulphonate, p-toluensulphonate, methanesulphonic, ethanesulphonic, p-toluenesulphonic, and isethionate.
- Pharmaceutically acceptable base salts include ammonium salts, alkali metal salts such as those of sodium and potassium, alkaline earth metal salts such as those of calcium and magnesium and salts with organic bases, including salts of primary, secondary and tertiary amines, such as isopropylamine, diethylamine, ethanolamine, trimethylamine, dicyclohexyl amine and N-methyl-D-glucamine.
- Those skilled in the art of organic chemistry will appreciate that many organic compounds can form complexes with solvents in which they are reacted or from which they are precipitated or crystallized. These complexes are known as “solvates”. For example, a complex with water is known as a “hydrate”. Solvates of the compound of the invention are within the scope of the invention.
- In addition, prodrugs are also included within the context of this invention.
- As used herein, the term “prodrug” means a compound which is converted within the body, e.g. by hydrolysis in the blood, into its active form that has medical effects. Pharmaceutically acceptable prodrugs are described in T. Higuchi and V. Stella, Prodrugs as Novel Delivery Systems, Vol. 14 of the A.C.S. Symposium Series, Edward B. Roche, ed., Bioreversible Carriers in Drug Design, American Pharmaceutical Association and Pergamon Press, 1987, and in D. Fleisher, S. Ramon and H. Barbra “Improved oral drug delivery: solubility limitations overcome by the use of prodrugs”, Advanced Drug Delivery Reviews (1996) 19(2) 115-130, each of which are incorporated herein by reference.
- Prodrugs are any covalently bonded carriers that release a compound of structure (I) in vivo when such prodrug is administered to a patient. Prodrugs are generally prepared by modifying functional groups in a way such that the modification is cleaved, either by routine manipulation or in vivo, yielding the parent compound. Prodrugs include, for example, compounds of this invention wherein hydroxy, amine or sulfhydryl groups are bonded to any group that, when administered to a patient, cleaves to form the hydroxy, amine or sulfhydryl groups. Thus, representative examples of prodrugs include (but are not limited to) acetate, formate and benzoate derivatives of alcohol, sulfhydryl and amine functional groups of the compounds of structure (I). Further, in the case of a carboxylic acid (—COOH), esters may be employed, such as methyl esters, ethyl esters, and the like. Esters may be active in their own right and/or be hydrolysable under in vivo conditions in the human body. Suitable pharmaceutically acceptable in vivo hydrolysable ester groups include those which break down readily in the human body to leave the parent acid or its salt.
- With regard to stereoisomers, the compounds of structure (I) may have one or more asymmetric carbon atom and may occur as recemates, racemic mixtures and as individual enantiomers or diastereomers. All such isomeric forms are included within the present invention, including mixtures thereof.
- Where a compound of the invention contains an alkenyl or alkenylene group, cis (E) and trans (Z) isomerism may also occur. The present invention includes the individual stereoisomers of the compound of the invention and, where appropriate, the individual tautomeric forms thereof, together with mixtures thereof.
- Separation of diastereoisomers or cis and trans isomers may be achieved by conventional techniques, e.g. by fractional crystallisation, chromatography or H.P.L.C. of a stereoisomeric mixture of the agent may also be prepared from a corresponding optically pure intermediate or by resolution, such as H.P.L.C. of the corresponding racemate using a suitable chiral support or by fractional crystallisation of the diastereoisomeric salts formed by reaction of the corresponding racemate with a suitable optically active acid or base, as appropriate.
- Those skilled in the art of organic chemistry will appreciate that many organic compounds can form complexes with solvents in which they are reacted or from which they are precipitated or crystallized. These complexes are known as “solvates”. For example, a complex with water is known as a “hydrate”. Solvates of the compounds of the invention are within the scope of the invention.
- Furthermore, some of the crystalline forms of the compounds of structure (I) may exist as polymorphs, which are included in the present invention.
- The term C1-C6 alkyl as used herein as a group or a part of the group refers to a linear or branched alkyl group containing from 1 to 6 carbon atoms; examples of such groups include methyl, ethyl, propyl, isopropyl, n-butyl, isobutyl, tert butyl, pentyl or hexyl.
- The term C3-C7 cycloalkyl group means a non aromatic monocyclic hydrocarbon ring of 3 to 7 carbon atom such as, for example, cyclopropyl, cyclobutyl, cyclopentyl, cyclohexyl or cycloheptyl; while unsaturated cycloalkyls include cyclopentenyl and cyclohexenyl, and the like.
- The term halogen refers to a fluorine, chlorine, bromine or iodine atom.
- The term halo C1-C6 alkyl, or halo C1-C2 alkyl means an alkyl group having one or more carbon atoms and wherein at least one hydrogen atom is replaced with halogen such as for example a trifluoromethyl group and the like.
- The term C1-C6 thioalkyl may be a linear or a branched chain thioalkyl group, for example thiomethyl, thioethyl, thiopropyl, thioisopropyl, thiobutyl, thiosec-butyl, thiotert-butyl and the like.
- The term C2-C6 alkenyl defines straight or branched chain hydrocarbon radicals containing one or more double bond and having from 2 to 6 carbon atoms such as, for example, ethenyl, 2-propenyl, 3-butenyl, 2-butenyl, 2-pentenyl, 3-pentenyl, 3-methyl-2-butenyl or 3-hexenyl and the like.
- The term C1-C6 alkoxy group may be a linear or a branched chain alkoxy group, for example methoxy, ethoxy, propoxy, prop-2-oxy, butoxy, but-2-oxy or methylprop-2-oxy and the like.
- The term halo C1-C6 alkoxy group may be a C1-C6 alkoxy group as defined before substituted with at least one halogen, preferably fluorine, such as OCHF2, or OCF3.
- The term C2-C6 alkynyl defines straight or branched chain hydrocarbon radicals containing one or more triple bond and having from 2 to 6 carbon atoms including acetylenyl, propynyl, 1-butynyl, 1-pentynyl, 3-methyl-1-butynyl and the like.
- The term aryl means an aromatic carbocyclic moiety such as phenyl, biphenyl or naphthyl.
- The term heteroaryl means an aromatic heterocycle ring of 5 to 10 members and having at least one heteroatom selected from nitrogen, oxygen and sulfur, and containing at least 1 carbon atom, including both mono- and bicyclic ring systems.
- Representative heteroaryls include (but are not limited to) furyl, benzofuranyl, thiophenyl, benzothiophenyl, pyrrolyl, indolyl, isoindolyl, azaindolyl, pyridyl, quinolinyl, isoquinolinyl, oxazolyl, isooxazolyl, benzoxazolyl, pyrazolyl, imidazolyl, benzimidazolyl, thiazolyl, benzothiazolyl, isothiazolyl, pyridazinyl, pyrimidinyl, pyrazinyl, triazinyl, cinnolinyl, phthalazinyl, triazolyl, tetrazolyl, quinazolinyl, and benzodioxolyl.
- The term 5-6 membered heterocycle means, according to the above definition, a 5-6 monocyclic heterocyclic ring which is either saturated, unsaturated or aromatic, and which contains from 1 to 4 heteroatoms independently selected from nitrogen, oxygen and sulfur, and wherein the nitrogen and sulfur heteroatoms may be optionally oxidized, and the nitrogen heteroatom may be optionally quaternized. Heterocycles include heteroaryls as defined above. The heterocycle may be attached via any heteroatom or carbon atom. Thus, the term include (but are not limited to) morpholinyl, pyridinyl, pyrazinyl, pyrazolyl, thiazolyl, triazolyl, imidazolyl, oxadiazolyl, oxazolyl, isoxazolyl, pyrrolidinonyl, pyrrolidinyl, piperidinyl, hydantoinyl, valerolactamyl, oxiranyl, oxetanyl, tetrahydrofuranyl, tetrahydropyranyl, tetrahydropyridinyl, tetrahydropyrimidinyl, tetrahydrothiophenyl, tetrahydrothiopyranyl, and the like.
- The term W defines a 4-8 membered ring, which may be saturated or may contain from one to three double bonds, and in which:
-
- one carbon atom is replaced by a carbonyl or S(O)m; and
- one to four carbon atoms may optionally be replaced by oxygen, nitrogen or NR12, S(O)m, carbonyl, and such ring may be further substituted by 1 to 8 R6 groups;
- The 4-8 membered ring means a 4-8 monocyclic carbocyclic ring which is either saturated, or unsaturated o aromatic and one to four carbon atoms may be replaced by an heteroatom as defined above. The carbocycle may be attached via any heteroatom or carbon atom. Thus, the term include (but are not limited to): cyclobutane, cyclopentane, cyclohexane, cycloheptane, cyclooctane, azirydinyl, azetidinyl, pyrrolidinyl, piperidinyl, imidazolidinyl, morpholinyl, piperazinyl, hydantoinyl, valerolactamyl, oxetanyl, tetrahydrofuranyl, tetrahydropyranyl, tetrahydropyridinyl, tetrahydropyrimidinyl, tetrahydrothiophenyl, tetrahydrothiopyranyl, 1,3-dihydro-2H-imidazol-2-one, imidazolidin-2-one, tetrahydropyrimidin-2(1H)-one, 2,5-dihydro-1,2,5-thiadiazole 1-oxide, 1,2,5-thiadiazolidine 1-oxide, 2,5-dihydro-1,2,5-thiadiazole 1,1-dioxide, 1,2,6-thiadiazinane 1-oxide, pyrrolidin-2-one, 2,5-dihydro-1,2,5-thiadiazolidine 1,1-dioxide, 1,3-oxazolidin-2-one derivative, isothiazolidine 1,1-dioxide, 2(1H)-pyridinone, 3(2H)-pyridazinone, 2,3-piperazinedione and the like.
- Representative ring of the W definition include, but are not limited to, the following structure and derivatives:
- in which:
-
- W1 represents a 1,3-dihydro-2H-imidazol-2-one derivative;
- W2 represents a imidazolidin-2-one derivative;
- W3 represents a tetrahydropyrimidin-2(1H)-one derivative;
- W4 represents a 2,5-dihydro-1,2,5-thiadiazole 1-oxide derivative;
- W5 represents a 1,2,5-thiadiazolidine 1-oxide derivative;
- W6 represents a 2,5-dihydro-1,2,5-thiadiazole 1,1-dioxide derivative;
- W7 represents a 1,2,6-thiadiazinane 1-oxide derivative;
- W8 represents a 1,2,6-thiadiazinane 1,1-dioxide derivative;
- W9 represents a pyrrolidin-2-one derivative;
- W10 represents a 2,5-dihydro-1,2,5-thiadiazolidine 1,1-dioxide derivative;
- W11 represents a 1,3-oxazolidin-2-one derivative;
- W12 represents a isothiazolidine 1,1-dioxide derivative;
- W13 represents a 2(1H)-pyridinone derivative;
- W14 represents a 3(2H)-pyridazinone;
- W15 represents a 2,3-piperazinedione derivative;
and q is an integer from 0 to 4, n is an integer from 0 to 6, p is an integer from 0 to 3 and m, R6 and R12 are defined as above.
- The compounds of formula (II) and (IIa) are representatives of the present invention.
- In particular they correspond to compounds (I) in which X is nitrogen or carbon and R, R1, Y, Z, W, D, and G have the meanings as previously defined.
- The compounds of formula (II) are specific representatives of the present invention. Particularly preferred are the compounds of formula (II), in which W is selected in the group consisting from: W1, W2, W3, W9, W10, W11, W12, W13, and W14.
- Equally preferred are the compounds of formula (II), in which Z is selected in a group consisting from: pyrimidine, pyridine, thiazol, pyrazol, triazol and phenyl.
- Equally preferred are the compounds of formula (II), in which W is selected in the group consisting from: W1, W2, W3, W9, W10, W11, W12, W13, and W14 and in which Z is selected in a group consisting from: pyrimidine, pyridine, thiazol, pyrazol, triazol and phenyl.
- Examples of compounds of formula (II) are reported in the Experimental Part.
- The compounds of formula (IIb), (IIc), (IId), (IIe), (IIf), (IIg), (IIh), (IIi), (IIl), (IIm), (IIn), (IIo), (IIp) and (IIq) are illustratives of the compounds of formula (II).
- They correspond to the compounds of formula (II), depending on the meaning of X and Y, and where R, R1, R7, Z, W, D, and G have the meanings as previously defined.
- Particularly preferred are the compounds of formula (IIb), (IIc), (IId), (IIe), (IIf), (IIg), (IIh), (IIi), (IIl), (IIm), (IIn), (IIo), (IIp) and (IIq) in which W is selected in the group consisting from: W1, W2, W3, W9, W10, W11, W12, W13, and W14.
- Equally preferred are the compounds of formula (IIb), (IIc), (IId), (IIe), (IIf), (IIg), (IIh), (IIi), (IIl), (IIm), (IIn), (IIo), (IIp) and (IIq) in which Z is selected in a group consisting from: pyrimidine, pyridine, thiazol, pyrazol, triazol and phenyl.
- Equally preferred are the compounds of formula (IIb), (IIc), (IId), (IIe), (IIf), (IIg), (IIh), (IIi), (IIl), (IIm), (IIn), (IIo), (IIp) and (IIq) in which W is selected in the group consisting from: W1, W2, W3, W9, W10, W11, W12, W13, and W14 and in which Z is selected in a group consisting from: pyrimidine, pyridine, thiazol, pyrazol, triazol and phenyl.
- The compounds of formula (IIr), (IIs) and (IIt), which correspond to the compounds of formula (II) in which D and G are —CH2 are preferred.
- Particularly preferred are the compounds of formula (IIr), (IIs) and (IIt), in which W is selected in the group consisting from: W1, W2, W3, W9, W10, W11, W12, W13, and W14. Equally preferred are the compounds of formula (IIr), in which Z is selected in a group consisting from: pyrimidine, pyridine, thiazol, pyrazol, triazol and phenyl.
- Equally preferred are the compounds of formula (IIr), (IIs) and (IIt), in which W is selected in the group consisting from: W1, W2, W3, W9, W10, W11, W12, W13, and W14 and in which Z is selected in a group consisting from: pyrimidine, pyridine, thiazol, pyrazol, triazol and phenyl.
- In particular, the compounds of formula (III) are representatives of the compounds of formula (II).
- They correspond to the compounds of formula (II), in which Z is a pyrazolyl derivative and R, R1, R5, Y, W, D, m and G have the meanings as previously defined and the dashed line may represent a double bond.
- The compounds of formula (IIIa), (IIIb), (IIIc) and (IIId) are specific representatives of the compounds of formula (III).
- They correspond to the compounds of formula (III) depending on the meaning of Y, in which R, R1, R5, R7, R8, R9, R10, R11, W, D, m and G have the meanings as previously defined.
- Particularly preferred are the compounds of formula (IIIa), (IIIb), (IIIc) and (IIId), in which W is selected in the group consisting from: W1, W2, W3, W9, W10, W11, W12, W13, and W14 and R, R1, R5, R7, R8, R9, R10, R11, m, have the meanings as previously defined.
- In particular, the compounds of formula (IV) are representatives of the compounds of formula (III).
- They correspond to compounds of formula (III), in which W corresponds to a W2 derivative and R, R1, R5, R6, R7, R12, m, q, D and G have the meanings as previously defined and the dashed line may represent a double bond.
- The compounds of formula (IVa), (IVb) and (IVc) are specific representatives of the compound of formula (IV)
- They correspond to the compounds of formula (IV), in which R7 is hydrogen and R, R1, R5, R6, R7, R12, m, q, D and G have the meanings as previously defined and the dashed line may represent a double bond.
- The compounds of formula (V) are equally representatives of the compounds of formula (II).
- They correspond to the compounds of formula (II), in which W is a W2 derivative and Z, R, R1, R6, q, Y, W, D and G have the meanings as previously defined and the dashed line may represent a double bond.
- The compounds of formula (VI) are specific representatives of the compounds of formula (V), in which Y is —CR7 and Z, R, R1, R6, R7, q, Y, W, D and G have the meanings as previously and the dashed line may represent a double bond.
- The compounds of formula (VIa), (VIb) and (VIc) are specific representatives of the compound of formula (VI)
- They correspond to the compounds of formula (VI) in which R7 is hydrogen and R, R1, R6, R8, R9, R10, R11, R12, q, D and G have the meanings as previously defined and the dashed line may represent a double bond.
- Particularly preferred are the compounds of formula (VIa), (VIb) and (VIc), in which Z is selected in a group consisting from: pyrimidine, pyridine, thiazol, pyrazol, triazol and phenyl and R, R1, R6, R8, R9, R10, R11, R12, q, D and G have the meanings as previously defined.
- Even more preferred embodiments of the invention include, but are not limited to, compounds of the formula (I), (IIb), (IIc), (IId), (IIe), (IIf), (IIg), (IIh), (IIi), (IIl), (IIm), (IIn), (IIo), (IIp), (IIq), (IIl), (IIIa), (IIIb), (IIIc), (IIId), (IV), (IVa), (IVb), (IVc), (V), (VI), (Via), (VIb), (VIc) wherein:
- R1 is C1-C3 alkyl group or halo C1-C3 alkyl group, preferably methyl or trifluoromethyl;
- R7 is hydrogen;
- R8, (R9), R10 (R11) are hydrogen;
- R is an aryl group selected from: 2,4-dichlorophenyl, 2-chloro-4-methylphenyl, 2-chloro-4-trifluoromethylphenyl, 2-chloro-4-methoxyphenyl, 2,4,5-trimethylphenyl, 2,4-dimethylphenyl, 2-methyl-4-methoxyphenyl, 2-methyl-4-ethoxyphenyl, 2-methyl-4-isopropoxyphenyl, 2-methyl-4-hydroxyphenyl, 2-methyl-4-chlorophenyl, 2-methyl-4-trifluoromethylphenyl, 2,4-dimethoxyphenyl, 2-methoxy-4-trifluoromethylphenyl, 2-methoxy-4-chlorophenyl, 3-methoxy-4-chlorophenyl, 2,5-dimethoxy-4-chlorophenyl, 2-methoxy-4-isopropylphenyl, 2-methoxy-4-trifluoromethylphenyl, 2-methoxy-4-isopropylphenyl, 2-methoxy-4-methylphenyl, 2-trifluoromethyl-4-chlorophenyl, 2,4-bis-trifluoromethylphenyl, 2-trifluoromethyl-4-methylphenyl, 2-trifluoromethyl-4-methoxyphenyl, 2-difluoromethyl-4-methoxyphenyl, 2-bromo-4-isopropylphenyl, 2-methyl-4-cyanophenyl, 2-chloro-4-cyanophenyl, 2-trifluoromethyl-4-cyanophenyl, 2-trifluoromethoxy-4-cyanophenyl, 2-ethyl-4-cyanophenyl, 2-methyl-4-trifluoromethoxy-phenyl, 4-methyl-6-dimethylaminopyridin-3-yl, 2,6-bismethoxy-pyridin-3-yl, 2-methyl-6-methoxy-pyridin-3-yl, 2-trifluoromethyl-6-methoxy-pyridin-3-yl 3-chloro-5-trichloromethyl-pyridin-2-yl, 2-methyl-4-(pyrazol-1-yl)-phenyl, 2-methoxy-4-(pyrazol-1-yl)-phenyl, 2,4,6-trimethoxyphenyl, 2-methyl-4,5-benzodioxolyl, 2-methyl-3,4-benzodioxolyl.
- Preferred compounds according to the invention are:
- 1-{1-[1-(4-Methoxy-2-methylphenyl)-6-methyl-2,3-dihydro-1H-pyrrolo[2,3-b]pyridin-4-yl]-1H-pyrazol-3-yl}imidazolidin-2-one (compound 1-1);
- 1-{1-[1-(4-Methoxy-2-methylphenyl)-6-methyl-2,3-dihydro-1H-pyrrolo[2,3-b]pyridin-4-yl]-1H-pyrazol-3-yl}-3-methylimidazolidin-2-one (compound 1-2);
- 1-{1-[1-(2,4-Dichlorophenyl)-6-methyl-2,3-dihydro-1H-pyrrolo[2,3-b]pyridin-4-yl]-1H-pyrazol-3-yl}imidazolidin-2-one (compound 1-3);
- 1-(1-{1-[2,4-Bis(trifluoromethyl)phenyl]-6-methyl-2,3-dihydro-1H-pyrrolo[2,3-b]pyridin-4-yl}-1H-pyrazol-3-yl)-2-imidazolidinone (compound 1-4);
- 1-{1-[1-(4-Hydroxy-2-methylphenyl)-6-methyl-2,3-dihydro-1H-pyrrolo[2,3-b]pyridin-4-yl}-1H-pyrazol-3-yl]-2-imidazolidinone (compound 1-5);
- 1-Acetyl-3-(1-{6-methyl-1-[2-methyl-4-(methyloxy)phenyl]-2,3-dihydro-1H-pyrrolo[2,3-b]pyridin-4-yl}-1H-pyrazol-3-yl)-2-imidazolidinone (compound 1-5);
- 1-Acetyl-3-(1-{6-methyl-1-[2-methyl-4-(methyloxy)phenyl]-2,3-dihydro-1H-pyrrolo[2,3-b]pyridin-4-yl}-1H-pyrazol-3-yl)-2-imidazolidinone (compound 1-6);
- 1-(1-{1-[4-(Ethyloxy)-2-methylphenyl]-6-methyl-2,3-dihydro-1H-pyrrolo[2,3-b]pyridin-4-yl}-1H-pyrazol-3-yl)-2-imidazolidinone (compound 1-7);
- 1-[1-(6-Methyl-1-{2-methyl-4-[(1-methylethyl)oxy]phenyl}-2,3-dihydro-1H-pyrrolo[2,3-b]pyridin-4-yl)-1H-pyrazol-3-yl]-2-imidazolidinone (compound 1-8);
- 1-[1-(6-Methyl-1-{2-methyl-4-[(trifluoromethyl)oxy]phenyl}-2,3-dihydro-1H-pyrrolo[2,3-b]pyridin-4-yl)-1H-pyrazol-3-yl]-2-imidazolidinone (compound 1-9);
- 3-Methyl-4-{6-methyl-4-[3-(2-oxo-1-imidazolidinyl)-1H-pyrazol-1-yl]-2,3-dihydro-1H-pyrrolo[2,3-b]pyridin-1-yl}benzonitrile (compound 1-10);
- 1-(1-{6-Methyl-1-[2-methyl-4-(1H-pyrazol-1-yl)phenyl]-2,3-dihydro-1H-pyrrolo[2,3-b]pyridin-4-yl}-1H-pyrazol-3-yl)-2-imidazolidinone (compound 1-11);
- 4-{6-Methyl-4-[3-(2-oxo-1-imidazolidinyl)-1H-pyrazol-1-yl]-2,3-dihydro-1H-pyrrolo[2,3-b]pyridin-1-yl}-3-(trifluoromethyl)benzonitrile (compound 1-12);
- 1-(1-{1-[2-(Difluoromethyl)-4-(methyloxy)phenyl]-6-methyl-2,3-dihydro-1H-pyrrolo[2,3-b]pyridin-4-yl}-1H-pyrazol-3-yl)-2-imidazolidinone (compound 1-13);
- 4-{6-Methyl-4-[3-(2-oxo-1-imidazolidinyl)-1H-pyrazol-1-yl]-2,3-dihydro-1H-pyrrolo[2,3-b]pyridin-1-yl}-3-[(trifluoromethyl)oxy]benzonitrile (compound 1-14);
- 3-Ethyl-4-{6-methyl-4-[3-(2-oxo-1-imidazolidinyl)-1H-pyrazol-1-yl]-2,3-dihydro-1H-pyrrolo[2,3-b]pyridin-1-yl}benzonitrile (compound 1-15);
- 1-(1-{6-Methyl-1-[2-(methyloxy)-4-(1H-pyrazol-1-yl)phenyl]-2,3-dihydro-1H-pyrrolo[2,3-b]pyridin-4-yl}-1H-pyrazol-3-yl)-2-imidazolidinone (compound 1-16);
- 1-{1-[6-Methyl-1-(6-methyl-1,3-benzodioxol-5-yl)-2,3-dihydro-1H-pyrrolo[2,3-b]pyridin-4-yl]-1H-pyrazol-3-yl}-2-imidazolidinone (compound 1-17);
- 1-(1-{6-Methyl-1-[2,4,6-tris(methyloxy)phenyl]-2,3-dihydro-1H-pyrrolo[2,3-b]pyridin-4-yl}-1H-pyrazol-3-yl)-2-imidazolidinone (compound 1-18);
- 1-{1-[6-Methyl-1-(6-methyl-1,3-benzodioxol-5-yl)-2,3-dihydro-1H-pyrrolo[2,3-b]pyridin-4-yl]-1H-pyrazol-3-yl}-2-imidazolidinone (compound 1-19);
- 1-(6-{6-Methyl-1-[2-methyl-4-(methyloxy)phenyl]-2,3-dihydro-1H-pyrrolo[2,3-b]pyridin-4-yl}-2-pyridinyl)-2-imidazolidinone (compound 1-20);
- (4-{6-Methyl-1-[2-methyl-4-(methyloxy)phenyl]-2,3-dihydro-1H-pyrrolo[2,3-b]pyridin-4-yl}-2-pyrimidinyl)-2-imidazolidinone (compound 1-21);
- 1-(2-{6-Methyl-1-[2-methyl-4-(methyloxy)phenyl]-2,3-dihydro-1H-pyrrolo[2,3-b]pyridin-4-yl}-4-pyrimidinyl)-2-imidazolidinone (compound 1-22);
- 1-(1-{6-Methyl-1-[2-methyl-4-(methyloxy)phenyl]-2,3-dihydro-1H-pyrrolo[2,3-b]pyridin-4-yl}-1H-pyrazol-3-yl)-2-imidazolidinone (compound 1-23);
- 1-(1-{2,6-Dimethyl-1-[2-methyl-4-(methyloxy)phenyl]-2,3-dihydro-1H-pyrrolo[2,3-b]pyridin-4-yl}-1H-pyrazol-3-yl)-2-imidazolidinone (compound 1-24);
- 1-(3-{6-Methyl-1-[2-methyl-4-(methyloxy)phenyl]-2,3-dihydro-1H-pyrrolo[2,3-b]pyridin-4-yl}phenyl)-2-imidazolidinone (compound 1-25);
- 1-(5-Methyl-1-{6-methyl-1-[2-methyl-4-(methyloxy)phenyl]-2,3-dihydro-1H-pyrrolo[2,3-b]pyridin-4-yl}-1H-pyrazol-3-yl)-2-imidazolidinone (compound 1-26);
- 1-[1-(1-{4-[(difluoromethyl)oxy]-2-methylphenyl]-6-methyl-2,3-dihydro-1H-pyrrolo[2,3-b]pyridin-4-yl)-1H-pyrazol-3-yl}-2-imidazolidinone (compound 1-27);
- 1-{1-[1-(4-Methoxy-2-methylphenyl)-6-methyl-2,3-dihydro-1H-pyrrolo[2,3-b]pyridin-4-yl]-1H-pyrazol-3-yl}pyrrolidin-2-one (compound 2-1);
- 1-{1-[1-(4-Methoxy-2-methylphenyl)-6-methyl-2,3-dihydro-1H-pyrrolo[2,3-b]pyridin-4-yl]-1H-pyrazol-3-yl}tetrahydropyrimidin-2(1H)-one (compound 3-1);
- 3-(1-{6-Methyl-1-[2-methyl-4-(methyloxy)phenyl]-2,3-dihydro-1H-pyrrolo[2,3-b]pyridin-4-yl}-1H-pyrazol-3-yl)-1,3-oxazolidin-2-one (compound 4-1);
- Methyl 5-(1-{6-methyl-1-[2-methyl-4-(methyloxy)phenyl]-2,3-dihydro-1H-pyrrolo[2,3-b]-pyridin-4-yl}-1H-pyrazol-3-yl)-1,2,5-thiadiazolidine-2-carboxylate 1,1-dioxide) (compound 5-1);
- 4-[3-(1,1-Dioxido-1,2,5-thiadiazolidin-2-yl)-1H-pyrazol-1-yl]-6-methyl-1-[2-methyl-4-(methyloxy)phenyl]-2,3-dihydro-1H-pyrrolo[2,3-b]pyridine (compound 5-2).
- 4-[3-(1,1-Dioxido-2-isothiazolidinyl)-1H-pyrazol-1-yl]-6-methyl-1-[2-methyl-4-(methyloxy)phenyl]-2,3-dihydro-1H-pyrrolo[2,3-b]pyridine (compound 6-1);
- 3-Methyl-1-(1-{6-methyl-1-[2-methyl-4-(methyloxy)phenyl]-2,3-dihydro-1H-pyrrolo[2,3-b]pyridin-4-yl}-1H-pyrazol-3-yl)-2(1H)-pyridinone (compound 7-1);
- 2-(1-{6-Methyl-1-[2-methyl-4-(methyloxy)phenyl]-2,3-dihydro-1H-pyrrolo[2,3-b]pyridin-4-yl}-1H-pyrazol-3-yl)-3(2H)-pyridazinone (compound 8-1);
- 1-(1-{6-Methyl-1-[2-methyl-4-(methyloxy)phenyl]-2,3-dihydro-1H-pyrrolo[2,3-b]pyridin-4-yl}-1H-pyrazol-3-yl)-1,3-dihydro-2H-imidazol-2-one (compound 9-1);
- 1-(1-{6-Methyl-1-[2-methyl-4-(methyloxy)phenyl]-1H-pyrrolo[2,3-b]pyridin-4-yl}-1H-pyrazol-3-yl)-2-imidazolidinone (compound 10-1);
- 1-(6-{6-Methyl-1-[2-methyl-4-(methyloxy)phenyl]-2,3-dihydro-1H-pyrrolo[2,3-b]pyridin-4-yl}-3-pyridinyl)-2-imidazolidinone (compound 11-1);
- 1-{1-[7-(2,4-Dichlorophenyl)-2-methyl-6,7-dihydro-5H-pyrrolo[2,3-d]pyrimidin-4-yl}-1H-pyrazol-3-yl]-2-pyrrolidinone (compound 11-2).
- In general, the compounds of structure (I) may be made according to the organic synthesis techniques known to those skilled in this field, as well as by the representative methods set forth in the Examples.
- Compounds of formula (I), and salts and solvates thereof, may be prepared by the general methods outlined hereinafter. In the following description, the groups R, R1, R2, R3, R4, R5, R6, R7, R8, R9, R10, R11, R12, m, n, q, D, G, Z, W, X, Y have the meanings as previously defined for compounds of formula (I) unless otherwise stated.
- Compounds of formula (II) may be conveniently prepared, starting from compounds of formula (VII), according to the following Scheme 1:
- in which
-
- step a stands for conversion of the leaving group L, selected in a group consisting from: halogen or reactive residue of sulphonic acid (e.g. mesylate, tosylate), preferably chloride, in the compounds (VIII), by reaction with the suitable Z—W derivative;
- step b stands for reduction of the ester group (E) with a suitable reducing agent (such as DIBAI-H) to hydroxy group of compounds (IX);
- step c stands for suitable protection of an NH group eventually present in W group with a P group, such as a p-methoxybenzyl group;
- step d stands for oxidation of the hydroxy group with a suitable oxidizing agent (such as Dess-Martin periodinane) to the aldehyde group of compounds (XI);
- steps e+f stands for formation of the aldehyde group of compounds (XIII) by Wittig reaction in the usual conditions, through formation of enol ether followed by acid hydrolysis (step f);
- step g stands for the optional alkylation of the α position of the aldehyde by deprotonation with a suitable base (such as LiN(SiMe3)2), followed by the addition of a suitable alkylating agent (such as MeI) to form the alkylated aldehyde of compounds (XIV), (XV);
- step h stands for the conversion of the aldehyde group by a Grignard reagent (such as MeMgBr) into an alcohol group of compounds (XVI) and (XVIII);
- step i stands for oxidation of the hydroxy group with a suitable oxidizing agent (such as Dess-Martin periodinane) to the ketone group of compounds (XVII);
- step j stands for conversion of the hydroxy group in the suitable protecting group of compounds (XIX) (such as TBS: tert-butyldimethylsilyl);
- step k stands for a Buchwald coupling reaction with the suitable amine RNH2 to give the compounds of formula (XX);
- step l stands for the deprotection reaction to give the hydroxy group of compounds (XXI);
- step m stands for intramolecular cyclisation after conversion of the hydroxy group of compounds (XXI) in a suitable leaving group (such as bromide, by reaction with CBr4 and PPh3) to give the cyclized compounds (XXII);
- step n stands for the deprotection reaction of the protected NH group eventually present in W group, to give final compounds (II);
- step o stands for oxidation by a suitable oxidating agent (such as DDQ) in order to give formation of the double bond of compounds (II), when D is CHR8 and G is CHR10.
- Compounds of formula (VII) are known compounds or may be prepared according to known method in the literature.
- Alternatively, compounds of formula (IIr) may be conveniently prepared, starting from compounds of formula (XXIII), in which R, R1 Z and W are defined as above, according to the following Scheme 2:
- in which:
-
- step a′ stands for the formation of the pyrrolidinone moiety of compounds (XXIV), which will form the cycle B present in the final compounds (IIr), by reacting the compounds (XXIII) with a reactive derivative of the butyric acid, such as 4-chlorobutyryl chloride; followed by a cyclisation reaction in basic conditions (e.g. KOtBu);
- step b′ stands for amidine formation by reacting the compounds (XXIV) with a 3-aminocrotonate derivative and POCl3 when X1 is oxygen; or stands for alkylation of the amidine formation by reacting the compound (XXIV) with a butynoate derivative, when X1 is NH;
- step c′ stands for the cyclisation of the compounds (XXV) or (XXVa) in basic conditions (e.g. tBuOK) to give the hydroxy pyridine precursor of cycle A in the final compounds (IIr);
- step d′ stands for the formation of a reactive derivative (i.e. a leaving group, Lg) of the hydroxy pyridine (for example selected in a group consisting of triflate, halogen, and mesylate) of compounds (XXVI) by reaction with, for example, triflic anhydride;
- step e′ stands for nucleophilic displacement of the leaving group of compounds (XXVII) to give the halogenated compounds (XXVIII), preferably iodinated or brominated compounds;
- step f′ stands for the arylation reaction with the suitable —Z—W derivative by a metal catalysed coupling reaction (for example a Buchwald reaction or a Suzuki coupling) procedure to give the final compounds (IIr); such —Z—W derivative may be suitably protected with a P group, as defined in Scheme 1,
- step g′ stands for activation of carbon 3 by the addition of an electron-withdrawing group (e.g. acylation to give an ester group such as acylation with diethyl carbonate to give the ethyl ester derivative, E);
- step h′ corresponds to step b)' when X1 is oxygen.
- step i′ stands for a metal-halogen exchange reaction (with a suitable base, such as n-BuLi) followed by a trans-metalation reaction with a suitable metalating agent (such as a trialkylborate or a trialkylstannyl chloride);
- step j′ stands for the cyclisation of the β-amidoester of formula (XXIVb) with a salt (e.g. hydrochloride) of a substituted amidine (such as acetamidine hydrochloride) in order to form the pyrimidine cycle A, when Y is N;
- step m′ stands for conversion of the hydroxy group into an halogen by the halogenation reaction carried out using, for example, treatment with PO(Hal)3, wherein Hal is preferably chlorine.
- In general, the starting compounds of formula (XXIII) are known compounds or may be prepared according to known methods in the literature.
- The process of Scheme 2 is particularly convenient for the preparation of compounds of general formula (IV), (V), (VI).
- The compounds of general formula (XXIV), (XXIVb), (XXVI), (XXVII), (XXVIII), (XXIX) are novel intermediates useful for the preparation of the CRF antagonists object of the present invention or other CRF antagonists, which may be conveniently prepared using such intermediates. Representative CRF antagonists which may be prepared using the above intermediates include, but are not limited to, those disclosed in the above cited patent applications: WO 95/10506, WO 95/33750, WO 02/08895 and WO 03/008412. The above cited publications, including but not limited to patents and patent applications, are herein incorporated by reference as if each individual publication were specifically and individually indicated to be incorporated by reference herein as though fully set forth.
- In particular, the compounds of formula (XXVIA), corresponding to the compounds of formula (XXVI) when Y corresponds to a carbon atom, may exist in the tautomeric form (XXVIB).
- The compounds of general formula (IIt) may be prepared in an alternative way according to the method described in the International Patent Application WO 02/088095, as illustrated in the following Scheme 3.
- in which
-
- step a″ stands for reduction of the ester with a suitable reducing agent (such as DIBAI-H) to give compounds (XXXI);
- step b″ stands for conversion of the hydroxy group in the suitable protecting group of compounds (XXXII) (such as TBS: tert-butyldimethylsilyl);
- step c″ stands for a nucleophilic displacement reaction with the suitable amine RNH2 to give the compounds of formula (XXXIII);
- step d″ stands for the deprotection reaction to give the hydroxy group of compounds (XXXIV);
- step e″ stands for intramolecular cyclisation after conversion of the hydroxy group of compounds (XXXIV) in a suitable leaving group (such as mesylate, by reaction with Et3N and CH3SO2Cl) to give the cyclized compounds (XXXV);
- step f″ stands for a metal mediated coupling reaction with a suitable Z—W derivative to give compounds
- The starting material is already known in literature, as acid derivative (see Snider, Barry B.; Ahn, Yong; Foxman, Bruce M. Synthesis of the tricyclic triamine core of martinelline and martinellic acid. Tetrahedron Letters (1999), 40(17), 3339-3342).
- When the —Z—W moiety of compounds of formula (I) is not a known compound already described in the literature, it may be prepared in analogy to the following Schemes.
- The Schemes represent the preparation of specific derivatives of —Z—W moieties, sometimes without the presence of further substituents as defined above, in order to simplify the understanding of the chemical processes.
- This does not limit at all the availability of such processes for the preparations of derivatives containing more substituents or linked to different moieties.
- Examples of the following preparations can be found in the Experimental section.
- Scheme for the synthesis of a derivative suitable for the preparation of the compounds of formula (II) in which Z corresponds to a pyrazolyl derivative and W is a W2 derivative, for example 1-(1H-pyrazol-3-yl)imidazolidin-2-one (intermediate 8):
- in which
- step a′″ stands for the reaction of 3-aminopyrazole with chloroethyl isocyanate in DMF at 0° C.;
- step b′″ stands for cyclisation reaction with KOt-Bu in THF at r.t.;
- step c′″ stands for deprotection reaction by LiOH in MeOH/H2O at 80° C.
- Scheme for the synthesis of a derivative suitable for the preparation of the compounds of formula (II) in which Z corresponds to a pyrazolyl derivative and W is a W9 derivative, for example of 1-(1H-pyrazol-3-yl)pyrrolidin-2-one (intermediate 10):
- in which
- step aiv stands for reaction of 3-aminopyrazole with 4-chloro butyryl chloride in presence of K2HPO4, and in CH2Cl2;
- step biv stands for cyclisation reaction with NaH, in DMF, at r.t.;
- step civ stands for deprotection reaction by MeONa/MeOH, at r.t.
- Scheme for the synthesis of a derivative suitable for the preparation of the compounds of formula (II), in which Z corresponds to a pyrazolyl derivative and W is a W3 derivative, for example of 1-(1H-pyrazol-3-yl)tetrahydropyrimidin-2(1H)-one (intermediate 13)
- in which
- step av stands for the reaction of 3-aminopyrazole with chloropropyl isocyanate, in DMF, at 0° C.;
- step bv stands for cyclisation reaction with KOt-Bu, in THF, at r.t.;
- step cv stands deprotection reaction by LiOH, in MeOH/H2O, at 80° C.
- Scheme for the synthesis of a derivative suitable for the preparation of the compounds of formula (II), in which Z corresponds to a pyridyl derivative and W is a W2 derivative, for example, protected 1-(6-bromo-2-pyridinyl)-2-imidazolidinone (intermediate 96).
- in which
- step avi stands for the condensation of 1-chloro-2-isocyanatoethane with 6-bromo-2-pyridinamine to give the urea;
- step bvi stands for the cyclisation reaction in basic conditions (t-BuOK in THF);
- step cvi stands for protection of the urea NH group with a suitable protecting group (such as a para-methoxybenzyl group).
- Scheme for the synthesis of derivatives suitable for the preparation of the compounds of formula (II), in which Z corresponds to a pyrimidinyl derivative and W is a W2 derivative, for example, protected 1-(4-bromo-2-pyrimidinyl)-2-imidazolidinone (intermediate 102) and protected 1-(2-bromo-4-pyrimidinyl)-2-imidazolidinone (intermediate 104).
- in which
- step avii stands for the condensation of 1-chloro-2-isocyanatoethane with 4-methoxybenzyl amine to give the urea derivative;
- step bvii stands for the cyclisation reaction in basic conditions (t-BuOK in THF);
- step cvii stands for the nucleophilic substitution of the cyclic urea on 2,4-dichloropyrimidine in basic conditions (such as NaH in DMF);
- step dvii stands for exchange of the chloride group into a bromide group by reaction with TMSBr (trimethylsilyl bromide).
- Scheme for the synthesis of the compounds of formula (II), in which Z is a triazolyl or pyrazolyl derivative. In particular the synthesis of the compounds (IIr) in which Z is triazolyl or pyrazolyl derivative and W is a W2 derivative, 1-(1H-1,2,4-triazol-3-yl)-2-imidazolidinone substituent (R5═H, X═N) and 1-(5-methyl-1H-pyrazol-3-yl)-2-imidazolidinone substituent (R5=Me, X═C)
- in which
- step aviii stands for the arylation reaction with a 3-aminoheterocycle by a metal catalysed coupling reaction (for example a Buchwald reaction) procedure;
- step bviii stands for the condensation of 1-chloro-2-isocyanatoethane with the amino heterocycle to give the urea;
- step cviii stands for the cyclisation reaction in basic conditions (t-BuOK in THF).
- Scheme for the synthesis of a derivative suitable for the preparation of the compounds of formula (II), in which Z corresponds to a phenyl derivative and W is a W2 derivative, for example, 1-phenyl-2-imidazolidinone substituent.
- in which
- step aix stands for step f)′ as defined in Scheme 2 (Suzuki coupling with the boronic acid derivative);
- step bix stands for the condensation of 1-chloro-2-isocyanatoethane with 6-bromo-2-pyridinamine to give the urea;
- step cix stands for the cyclisation reaction in basic conditions (t-BuOK in THF).
- Scheme for the synthesis of a derivative suitable for the preparation of the compounds of formula (II), in which Z corresponds to a pyrazolyl derivative and W is a W11, W13, or a W14 derivative, for example, 3-(1H-pyrazol-3-yl)-1,3-oxazolidin-2-one (intermediate 16), 3-methyl-1-(1H-pyrazol-3-yl)-2(1H)-pyridinone (intermediate 26) and 2-(1H-pyrazol-3-yl)-3(2H)-pyridazinone (intermediate 28).
- In which
- step ax stands for the protection of 3-bromopyrazole with a suitable protecting group (such as a trityl group);
- step bx stands for the copper catalysed coupling reaction between the protected bromopyrazole and 1,3-oxazolidin-2-one, 3-methyl-2(1H)-pyridinone and 3(2H)-pyridazinone, respectively;
- step cx stands for the deprotection reaction to give the desired bicyclic derivative.
- Scheme for the synthesis of a derivative suitable for the preparation of the compounds of formula (IIr), in which Z corresponds to a pyrazolyl derivative and W is a W10 derivative, for example, 2-(1H-pyrazol-3-yl)-1,2,5-thiadiazolidine 1,1-dioxide substituent.
- in which
- step axi stands for alkylation of the amino group using ethyl 2-bromoacetate as an alkylating agent;
- step bxi stands for reduction of the ester group into the alcohol, using a suitable reducing agent (such as LiAlH4);
- step cxi stands for cyclisation of the amino alcohol using Burgess' reagent ((methoxycarbonylsulfamoyl)triethylammonium hydroxide inner salt) to give the cyclic sulfonylurea;
- step dxi stands for the deprotection of the sulfonylurea using basic conditions (such as NaOH in a CH2Cl2/MeOH mixture).
- Scheme for the synthesis of a derivative suitable for the preparation of the compounds of formula (II), in which Z corresponds to a pyrazolyl derivative and W is a W12 derivative, for example, 2-(1H-pyrazol-3-yl)isothiazolidine 1,1-dioxide substituent.
- in which
- step axii stands for alkylation of the amino group using 1,2-oxathiolane 2,2-dioxide as an alkylating agent;
- step bxii stands for the cyclisation step mediated by the addition of POCl3.
- Scheme for the synthesis of a derivative suitable for the preparation of the compounds of formula (IIr), in which Z corresponds to a pyrazolyl derivative and W is a W1 derivative, for example, 1-(1H-pyrazol-3-yl)-1,3-dihydro-2H-imidazol-2-one substituent.
- in which
- step axiii stands for the preparation of the phenyl carbamate using phenyl chloroformate;
- step bxiii stands for the addition of aminoacetaldehyde dimethyl acetal to the activated carbamate group;
- step cxiii stands for the cyclisation reaction in the presence of an acid (such as HCl) to give the 2H-imidazol-2-one substituent.
- The R group present in compounds of formula (I) is generally a known compound. When such R group is not a compound already described in the literature, it may be prepared in analogy to the following Schemes.
- The Schemes represent the preparation of specific derivatives of R groups, sometimes without the presence of further substituents J as defined above, in order to simplify the understanding of the chemical processes.
- This does not limit at all the availability of such processes for the preparations of R groups containing more J substituents.
- Examples of the following preparations can be found in the Experimental section. Scheme for the synthesis of 2-(difluoromethyl)-4-(methyloxy)aniline.
- in which
- step axiv stands for reduction of the acid group with a suitable reducing agent (such as cyanuric chloride/NMM/NaBH4);
- step bxiv stands for oxidation of the alcohol to the aldehyde with a suitable oxidizing agent (such as Dess-Martin periodinane);
- step cxiv stands for difluorination of the aldehyde using a suitable fluorinating agent (such as DAST: (diethylamino)sulfur trifluoride);
- step dxiv stands for the reduction of the nitro group with a suitable reducing agent (such as H2, catalysed with palladium on activated charcoal).
- Scheme for the preparation of 2-(Methyloxy)-4-(1H-pyrazol-1-yl)aniline (intermediate 88).
- In which
- step axv stands for the copper catalysed coupling reaction between 4-bromo-2-(methyloxy)aniline and pyrazole.
- Compounds of formula (IIn) may be conveniently prepared according to the following Scheme 4 and where the starting material was prepared according to WO 02/088095 A1
- in which
- step axvi stands for the cyclisation of the p-ketoester of formula (XXIVb) with a salt (e.g. hydrochloride) of a substituted amidine (such as acetamidine hydrochloride);
- step bxvi stands for the transformation of the hydroxy group of formula (XXVIb) into a suitable leaving group, selected in a group consisting from: halogen or reactive residue of sulphonic acid (e.g. mesylate, tosylate), preferably chloride;
- step cxvi stands for conversion of the leaving group L in the compounds (XXVIIIb), by reaction with the suitable —Z—W derivative;
- step dxvi corresponds to previous step o in Scheme 1.
- In particular, when J is a group —OCHF2, this can be introduced directly in the R group by methods already known in the literature or, eventually, the group —OCH3 may be deprotected using one of the methods listed in the Greene's reference cited below. Then, the hydroxyl group may be alkylated by using a suitable fluoroalkylating agent, such as CF2Br2, as exemplified for Intermediate 125.
- Those skilled in the art will appreciate that in the preparation of the compound of the invention or a solvate thereof it may be necessary and/or desirable to protect one or more sensitive groups in the molecule to prevent undesirable side reactions. Suitable protecting groups for use according to the present invention are well known to those skilled in the art and may be used in a conventional manner. See, for example, “Protective groups in organic synthesis” by T. W. Greene and P. G. M. Wuts (John Wiley & sons 1991) or “Protecting Groups” by P. J. Kocienski (Georg Thieme Verlag 1994). Examples of suitable amino protecting groups include acyl type protecting groups (e.g. formyl, trifluoroacetyl, acetyl), aromatic urethane type protecting groups (e.g. benzyloxycarbonyl (Cbz) and substituted Cbz), aliphatic urethane protecting groups (e.g. 9-fluorenylmethoxycarbonyl (Fmoc), t-butyloxycarbonyl (Boc), isopropyloxycarbonyl, cyclohexyloxycarbonyl) and alkyl type protecting groups (e.g. benzyl, trityl, chlorotrityl). Examples of suitable oxygen protecting groups may include for example alky silyl groups, such as trimethylsilyl or tert-butyldimethylsilyl; alkyl ethers such as tetrahydropyranyl or tert-butyl; or esters such as acetate
- Pharmaceutical acceptable salts may also be prepared from other salts, including other pharmaceutically acceptable salts, of the compound of formula (I) using conventional methods.
- The compounds of formula (I) may readily be isolated in association with solvent molecules by crystallisation or evaporation of an appropriate solvent to give the corresponding solvates.
- When a specific enantiomer of a compound of general formula (I) is required, this may be obtained for example by resolution of a corresponding enantiomeric mixture of a compound of formula (I) using conventional methods. Thus the required enantiomer may be obtained from the racemic compound of formula (I) by use of chiral HPLC procedure.
- The subject invention also includes isotopically-labelled compounds, which are identical to those recited in formula (I) and following, but for the fact that one or more atoms are replaced by an atom having an atomic mass or mass number different from the atomic mass or mass number usually found in nature. Examples of isotopes that can be incorporated into compounds of the invention and pharmaceutically acceptable salts thereof include isotopes of hydrogen, carbon, nitrogen, oxygen, phosphorous, sulphur, fluorine, iodine, and chlorine, such as 2H, 3H, 11C, 13C, 14C, 15N, 17O, 18O, 31P, 32P, 35S, 18F, 36Cl, 123I and 125I.
- Compounds of the present invention and pharmaceutically acceptable salts of said compounds that contain the aforementioned isotopes and/or other isotopes of other atoms are within the scope of the present invention. Isotopically-labelled compounds of the present invention, for example those into which radioactive isotopes such as 3H, 14C are incorporated, are useful in drug and/or substrate tissue distribution assays. Tritiated, i.e., 3H, and carbon-14, i.e., 14C, isotopes are particularly preferred for their ease of preparation and detectability. 11C and 18F isotopes are particularly useful in PET (positron emission tomography), and 125I isotopes are particularly useful in SPECT (single photon emission computerized tomography), all useful in brain imaging. Further, substitution with heavier isotopes such as deuterium, i.e., 2H, can afford certain therapeutic advantages resulting from greater metabolic stability, for example increased in vivo half-life or reduced dosage requirements and, hence, may be preferred in some circumstances. Isotopically labelled compounds of formula I and following of this invention can generally be prepared by carrying out the procedures disclosed in the Schemes and/or in the Examples below, by substituting a readily available isotopically labelled reagent for a non-isotopically labelled reagent.
- The CRF receptor antagonists of the present invention demonstrate activity at the CRF receptor site and may be used in the treatment of conditions mediated by CRF or CRF receptors.
- The effectiveness of a compound as a CRF receptor antagonist may be determined by various assay methods. Suitable CRF antagonists of this invention are capable of inhibiting the specific binding of CRF to its receptor and antagonizing activities associated with CRF. A compound of structure (I) may be assessed for activity as a CRF antagonist by one or more generally accepted assays for this purpose, including (but not limited to) the assays disclosed by DeSouza et al. (J. Neuroscience 7: 88, 1987) and Battaglia et al. (Synapse 1: 572, 1987).
- The CRF receptors-binding assay was performed by using the homogeneous technique of scintillation proximity (SPA). The ligand binds to recombinant membrane preparation expressing the CRF receptors which in turn bind to wheatgerm agglutinin coated SPA beads. In the Experimental Part will be disclosed the details of the experiments.
- With reference to CRF receptor binding affinities, CRF receptor antagonists of this invention have a Ki less than 10 μm.
- Compounds of the invention are useful in the treatment of central nervous system disorders where CRF receptors are involved. In particular in the treatment or prevention of major depressive disorders including bipolar depression, unipolar depression, single or recurrent major depressive episodes with or without psychotic features, catatonic features, melancholic features, atypical features or postpartum onset, the treatment of anxiety and the treatment of panic disorders. Other mood disorders encompassed within the term major depressive disorders include dysthymic disorder with early or late onset and with or without atypical features, neurotic depression, post traumatic stress disorders, post operative stress and social phobia; dementia of the Alzheimer's type, with early or late onset, with depressed mood; vascular dementia with depressed mood; mood disorders induced by alcohol, amphetamines, cocaine, hallucinogens, inhalants, opioids, phencyclidine, sedatives, hypnotics, anxiolytics and other substances; schizoaffective disorder of the depressed type; and adjustment disorder with depressed mood. Major depressive disorders may also result from a general medical condition including, but not limited to, myocardial infarction, diabetes, miscarriage or abortion, etc.
- Compounds of the invention are also useful in the treatment or prevention of schizophrenic disorders including paranoid schizophrenia, disorganised schizophrenia, catatonic schizophrenia, undifferentiated schizophrenia, residual schizophrenia.
- Compounds of the invention are useful as analgesics. In particular they are useful in the treatment of traumatic pain such as postoperative pain; traumatic avulsion pain such as brachial plexus; chronic pain such as arthritic pain such as occurring in osteo-, rheumatoid or psoriatic arthritis; neuropathic pain such as post-herpetic neuralgia, trigeminal neuralgia, segmental or intercostal neuralgia, fibromyalgia, causalgia, peripheral neuropathy, diabetic neuropathy, chemotherapy-induced neuropathy, AIDS related neuropathy, occipital neuralgia, geniculate neuralgia, glossopharyngeal neuralgia, reflex sympathetic dystrophy, phantom limb pain; various forms of headache such as migraine, acute or chronic tension headache, temporomandibular pain, maxillary sinus pain, cluster headache; odontalgia; cancer pain; pain of visceral origin; gastrointestinal pain; nerve entrapment pain; sports injury pain; dysmennorrhoea; menstrual pain; meningitis; arachnoiditis; musculoskeletal pain; low back pain e.g. spinal stenosis; prolapsed disc; sciatica; angina; ankylosing spondyolitis; gout; burns; scar pain; itch; and thalamic pain such as post stroke thalamic pain.
- Compounds of the invention are also useful for the treatment of dysfunction of appetite and food intake and in circumstances such as anorexia, anorexia nervosa and bulimia.
- Compounds of the invention are also useful in the treatment of sleep disorders including dysomnia, insomnia, sleep apnea, narcolepsy, and circadian rhythmic disorders.
- Compounds of the invention are also useful in the treatment or prevention of cognitive disorders. Cognitive disorders include dementia, amnestic disorders and cognitive disorders not otherwise specified.
- Furthermore compounds of the invention are also useful as memory and/or cognition enhancers in healthy humans with no cognitive and/or memory deficit.
- Compounds of the invention are also useful in the treatment of tolerance to and dependence on a number of substances. For example, they are useful in the treatment of dependence on nicotine, alcohol, caffeine, phencyclidine (phencyclidine like compounds), or in the treatment of tolerance to and dependence on opiates (e.g. cannabis, heroin, morphine) or benzodiazepines; in the treatment of cocaine, sedative ipnotic, amphetamine or amphetamine-related drugs (e.g. dextroamphetamine, methylamphetamine) addiction or a combination thereof.
- Compounds of the invention are also useful as anti-inflammatory agents. In particular they are useful in the treatment of inflammation in asthma, influenza, chronic bronchitis and rheumatoid arthritis; in the treatment of inflammatory diseases of the gastrointestinal tract such as Crohn's disease, ulcerative colitis, postoperative gastric ileus (POI), inflammatory bowel disease (IBD) and non-steroidal anti-inflammatory drug induced damage; inflammatory diseases of the skin such as herpes and eczema; inflammatory diseases of the bladder such as cystitis and urge incontinence; and eye and dental inflammation.
- Compounds of the invention are also useful in the treatment of allergic disorders, in particular allergic disorders of the skin such as urticaria, and allergic disorders of the airways such as rhinitis.
- Compounds of the invention are also useful in the treatment of emesis, i.e. nausea, retching and vomiting. Emesis includes acute emesis, delayed emesis and anticipatory emesis. The compounds of the invention are useful in the treatment of emesis however induced. For example, emesis may be induced by drugs such as cancer chemotherapeutic agents such as alkylating agents, e.g. cyclophosphamide, carmustine, lomustine and chlorambucil; cytotoxic antibiotics, e.g. dactinomycin, doxorubicin, mitomycin-C and bleomycin; anti-metabolites, e.g. cytarabine, methotrexate and 5-fluorouracil; vinca alkaloids, e.g. etoposide, vinblastine and vincristine; and others such as cisplatin, dacarbazine, procarbazine and hydroxyurea; and combinations thereof; radiation sickness; radiation therapy, e.g. irradiation of the thorax or abdomen, such as in the treatment of cancer; poisons; toxins such as toxins caused by metabolic disorders or by infection, e.g. gastritis, or released during bacterial or viral gastrointestinal infection; pregnancy; vestibular disorders, such as motion sickness, vertigo, dizziness and Meniere's disease; post-operative sickness; gastrointestinal obstruction; reduced gastrointestinal motility; visceral pain, e.g. myocardial infarction or peritonitis; migraine; increased intercranial pressure; decreased intercranial pressure (e.g. altitude sickness); opioid analgesics, such as morphine; and gastro-oesophageal reflux disease, acid indigestion, over-indulgence of food or drink, acid stomach, sour stomach, waterbrash/regurgitation, heartburn, such as episodic heartburn, nocturnal heartburn, and meal-induced heartburn and dyspepsia.
- Compounds of the invention are of particular use in the treatment of gastrointestinal disorders such as irritable bowel syndrome (IBS); skin disorders such as psoriasis, pruritis and sunburn; vasospastic diseases such as angina, vascular headache and Reynaud's disease; cerebral ischeamia such as cerebral vasospasm following subarachnoid haemorrhage; fibrosing and collagen diseases such as scleroderma and eosinophilic fascioliasis; disorders related to immune enhancement or suppression such as systemic lupus erythematosus and rheumatic diseases such as fibrositis; and cough.
- Compounds of the invention are useful for the treatment of neurotoxic injury which follows cerebral stroke, thromboembolic stroke, hemorrhagic stroke, cerebral ischemia, cerebral vasospam, hypoglycemia, hypoxia, anoxia, perinatal asphyxia cardiac arrest.
- The invention therefore provides a compound of formula (I) or a pharmaceutically acceptable salt or solvate thereof for use in therapy, in particular in human medicine.
- There is also provided as a further aspect of the invention the use of a compound of formula (I) or a pharmaceutically acceptable salt or solvate thereof in the preparation of a medicament for use in the treatment of conditions mediated by CRF.
- In an alternative or further aspect there is provided a method for the treatment of a mammal, including man, in particular in the treatment of condition mediated by CRF, comprising administration of an effective amount of a compound of formula (I) or a pharmaceutically acceptable salt or a solvate thereof.
- While it is possible that, for use in therapy, a compound of the present invention may be administered as the raw chemical, it is preferable to present the active ingredient as a pharmaceutical formulation e.g. when the agent is in admixture with a suitable pharmaceutical excipient, diluent or carrier selected with regard to the intended route of administration and standard pharmaceutical practice.
- In a further aspect, the invention provides a pharmaceutical composition comprising at least one compound of the invention or a pharmaceutically acceptable derivative thereof in association with a pharmaceutically acceptable carrier and/or excipient. The carrier and/or excipient must be “acceptable” in the sense of being compatible with the other ingredients of the formulation and not deletrious to the recipient thereof.
- Accordingly, the present invention further provides a pharmaceutical formulation comprising at least one compound of the invention or a pharmaceutically acceptable derivative thereof, in association with a pharmaceutically acceptable carrier and/or excipient. The carrier and/or excipient must be “acceptable” in the sense of being compatible with the other ingredients of the formulation and not deletrious to the recipient thereof.
- There is further provided by the present invention a process of preparing a pharmaceutical composition, which process comprises mixing at least one compound of the invention or a pharmaceutically acceptable derivative thereof, together with a pharmaceutically acceptable carrier and/or excipient.
- The pharmaceutical compositions may be for human or animal usage in human and veterinary medicine and will typically comprise any one or more of a pharmaceutically acceptable diluent, carrier or excipient. Acceptable carriers or diluents for therapeutic use are well known in the pharmaceutical art, and are described, for example, in Remington's Pharmaceutical Sciences, Mack Publishing Co. (A. R. Gennaro edit. 1985). The choice of pharmaceutical carrier, excipient or diluent can be selected with regard to the intended route of administration and standard pharmaceutical practice. The pharmaceutical compositions may comprise as—or in addition to—the carrier, excipient or diluent any suitable binder(s), lubricant(s), suspending agent(s), coating agent(s), solubilising agent(s).
- Preservatives, stabilisers, dyes and even flavouring agents may be provided in the pharmaceutical composition. Examples of preservatives include sodium benzoate, sorbic acid and esters of p-hydroxybenzoic acid. Antioxidants and suspending agents may be also used.
- There may be different composition/formulation requirements dependent on the different delivery systems. By way of example, the pharmaceutical composition of the present invention may be formulated to be delivered using a mini-pump or by a mucosal route, for example, as a nasal spray or aerosol for inhalation or ingestible solution, or parenterally in which the composition is formulated by an injectable form, for delivery, by, for example, an intravenous, intramuscular or subcutaneous route. Alternatively, the formulation may be designed to be delivered by both routes.
- Where the agent is to be delivered mucosally through the gastrointestinal mucosa, it should be able to remain stable during transit though the gastrointestinal tract; for example, it should be resistant to proteolytic degradation, stable at acid pH and resistant to the detergent effects of bile.
- Where appropriate, the pharmaceutical compositions can be administered by inhalation, in the form of a suppository or pessary, topically in the form of a lotion, solution, cream, ointment or dusting powder, by use of a skin patch, orally in the form of tablets containing excipients such as starch or lactose, or in capsules or ovules either alone or in admixture with excipients, or in the form of elixirs, solutions or suspensions containing flavouring or colouring agents, or they can be injected parenterally, for example intravenously, intramuscularly or subcutaneously. For parenteral administration, the compositions may be best used in the form of a sterile aqueous solution which may contain other substances, for example enough salts or monosaccharides to make the solution isotonic with blood. For buccal or sublingual administration the compositions may be administered in the form of tablets or lozenges which can be formulated in a conventional manner.
- For some embodiments, the agents of the present invention may also be used in combination with a cyclodextrin. Cyclodextrins are known to form inclusion and non-inclusion complexes with drug molecules. Formation of a drug-cyclodextrin complex may modify the solubility, dissolution rate, bioavailability and/or stability property of a drug molecule. Drug-cyclodextrin complexes are generally useful for most dosage forms and administration routes. As an alternative to direct complexation with the drug the cyclodextrin may be used as an auxiliary additive, e.g. as a carrier, diluent or solubiliser. Alpha-, beta and gamma-cyclodextrins are most commonly used and suitable examples are described in WO-A-91/11172, WO-A-94/02518 and WO-A-98/55148.
- In a preferred embodiment, the agents of the present invention are delivered systemically (such as orally, buccally, sublingually), more preferably orally.
- Hence, preferably the agent is in a form that is suitable for oral delivery.
- It is to be understood that not all of the compounds need be administered by the same route. Likewise, if the composition comprises more than one active component, then those components may be administered by different routes.
- The compounds of the invention may be milled using known milling procedures such as wet milling to obtain a particle size appropriate for tablet formation and for other formulation types. Finely divided (nanoparticulate) preparations of the compounds of the invention may be prepared by processes known in the art, for example see International Patent Application No. WO 02/00196 (SmithKline Beecham).
- For oral administration, the pharmaceutical compositions may take the form of, for example, tablets or capsules prepared by conventional means with pharmaceutically acceptable excipients such as binding agents (e.g. pregelatinised maize starch, polyvinylpyrrolidone or hydroxypropyl methylcellulose); fillers (e.g. lactose, microcrystalline cellulose or calcium hydrogen phosphate); lubricants (e.g. magnesium stearate, talc or silica); disintegrants (e.g. potato starch or sodium starch glycollate); or wetting agents (e.g. sodium lauryl sulphate). The tablets may be coated by methods well known in the art. Liquid preparations for oral administration may take the form of, for example, solutions, syrups or suspensions, or they may be presented as a dry product for constitution with water or other suitable vehicle before use. Such liquid preparations may be prepared by conventional means with pharmaceutically acceptable additives such as suspending agents (e.g. sorbitol syrup, cellulose derivatives or hydrogenated edible fats); emulsifying agents (e.g. lecithin or acacia); non-aqueous vehicles (e.g. almond oil, oily esters, ethyl alcohol or fractionated vegetable oils); and preservatives (e.g. methyl or propyl-p-hydroxybenzoates or sorbic acid). The preparations may also contain buffer salts, flavouring, colouring and sweetening agents as appropriate.
- Preparations for oral administration may be suitably formulated to give controlled release of the active compound.
- For buccal administration the composition may take the form of tablets or formulated in conventional manner.
- The compounds of the invention may be formulated for parenteral administration by bolus injection or continuous infusion. Formulations for injection may be presented in unit dosage form e.g. in ampoules or in multi-dose containers, with an added preservative. The compositions may take such forms as suspensions, solutions or emulsions in oily or aqueous vehicles, and may contain formulatory agents such as suspending, stabilising and/or dispersing agents. Alternatively, the active ingredient may be in powder form for constitution with a suitable vehicle, e.g. sterile pyrogen-free water, before use.
- The compounds of the invention may be formulated for topical administration in the form of ointments, creams, gels, lotions, pessaries, aerosols or drops (e.g. eye, ear or nose drops). Ointments and creams may, for example, be formulated with an aqueous or oily base with the addition of suitable thickening and/or gelling agents. Ointments for administration to the eye may be manufactured in a sterile manner using sterilised components.
- Lotions may be formulated with an aqueous or oily base and will in general also contain one or more emulsifying agents, stabilising agents, dispersing agents, suspending agents, thickening agents, or colouring agents. Drops may be formulated with an aqueous or non-aqueous base also comprising one or more dispersing agents, stabilising agents, solubilising agents or suspending agents. They may also contain a preservative.
- The compounds of the invention may also be formulated in rectal compositions such as suppositories or retention enemas, e.g. containing conventional suppository bases such as cocoa butter or other glycerides.
- The compounds of the invention may also be formulated as depot preparations. Such long acting formulations may be administered by implantation (for example subcutaneously or intramuscularly) or by intramuscular injection. Thus, for example, the compounds of the invention may be formulated with suitable polymeric or hydrophobic materials (for example as an emulsion in an acceptable oil) or ion exchange resins, or as sparingly soluble derivatives, for example, as a sparingly soluble salt.
- For intranasal administration, the compounds of the invention may be formulated as solutions for administration via a suitable metered or unitary dose device or alternatively as a powder mix with a suitable carrier for administration using a suitable delivery device.
- A proposed dose of the compounds of the invention is 1 to about 1000 mg per day. It will be appreciated that it may be necessary to make routine variations to the dosage, depending on the age and condition of the patient and the precise dosage will be ultimately at the discretion of the attendant physician or veterinarian. The dosage will also depend on the route of administration and the particular compound selected.
- Thus for parenteral administration a daily dose will typically be in the range of 1 to about 100 mg, preferably 1 to 80 mg per day. For oral administration a daily dose will typically be within the range 1 to 300 mg e.g. 1 to 100 mg.
- In the Intermediates and Examples unless otherwise stated:
- All temperatures refer to ° C. Infrared spectra were measured on a FT-IR instrument. Compounds were analysed by direct infusion of the sample dissolved in acetonitrile into a mass spectra operated in positive electro spray (ES+) ionisation mode. Proton Magnetic Resonance (1H-NMR) spectra were recorded at 400 MHz, chemical shifts are reported in ppm downfield (d) from Me4Si, used as internal standard, and are assigned as singlets (s), broad singlets (bs), doublets (d), doublets of doublets (dd), triplets (t), quartets (q) or multiplets (m). A strategy comprising of NOE (Nuclear Overhauser Effect) correlation and/or 1H,15N long range scalar correlations measurements has been implemented in order to allow elucidation of possible regio-isomers structure of compounds of the present invention. Proposed structures were verified by measurement of the vicinity in the space of key hydrogens, thus 1D Nuclear Overhauser difference spectra were used to measure 1H,1H-dipole-dipole correlations.
- In cases where NOE measurements were not conclusive, 1H,15N long range scalar correlations were measured via 1H,15N-HMBC experiments. A delay corresponding to an average long range scalar coupling 2,3J(1H,15N) of 6 Hz was set for optimal result. Column chromathography was carried out over silica gel (Merck AG Darmstaadt, Germany). The following abbreviations are used in the text: EtOAc=ethyl acetate, cHex=cyclohexane, CH2Cl2=dichloromethane, Et2O=dietyl ether, DMF=N,N′-dimethylformamide, DIPEA=N,N-diisopropylethylamine, DME=ethylene glycol dimethyl ether, MeOH=methanol, Et3N=triethylamine, TFA=trifluoroacetic acid, THF=tetrahydrofuran, DIBAI-H=diisobutylaluminium hydride, DMAP=dimethylaminopyridine, LHMDS=lithiumhexamethyldisilazane, KOtBu=potassium tert-butoxide, NMP=M-methyl-2-pyrrolidinone, MTBE=methyl-tert-butyl ether, IPA=isopropanol, DAST=(diethylamino)sulfur trifluoride, TMSBr=trimethylsilyl bromide, DDQ=2,3-dichloro-5,6-dicyano-1,4-benzoquinone, SCX=strong cation exchanger, Tlc refers to thin layer chromatography on silica plates, and dried refers to a solution dried over anhydrous sodium sulphate, r.t. (RT) refers to room temperature.
- To a solution of Et3N (156 mL, 1 eq) and 4-methoxy-2-methylaniline (150 g, 1.09 mole) in anh. THF (2.4 L), in a 10 L reaction vessel, at 0° C., under N2, was added dropwise a solution of 4-chlorobutyryl chloride (126 mL, 1 eq) in anh. THF (480 mL). The internal temperature was maintained at circa 10° C. and the reaction mixture was stirred for 1.5 hr. It was cooled down to 0° C. and KOt-Bu 1M/THF (2.64 L, 2.4 eq) was added dropwise over a period of 1.5 hr, keeping the internal temperature <10° C. The reaction mixture was stirred at that temperature for 30 min. Water (1.5 L) was then added slowly (20 min) and the phases were separated. The organic layer was treated with conc. HCl (250 mL) and water (1.26 L) and the phases were separated. The combined aqueous layers were extracted with EtOAc (2.6 L) and the combined organic layers were washed with brine (2 L). The solvent was evaporated and the residue purified by flash chromatography (Biotage 150, EtOAc/cHex 8:2) to give the title compound as a pale brown solid (206 g, 92%).
- NMR (1H, CDCl3): δ 7.05 (d, 1H), 6.79-6.72 (m, 2H), 3.75 (s, 3H), 3.64 (t, 2H), 2.18 (s, 6H).
- MS (m/z): 206 [MH]+.
- To a solution of intermediate 1 (8.3 g, 40.49 mmol) in anh. 1,2-dichloroethane (100 mL), at r.t., under N2, was added POCl3 (7.5 mL, 2 eq) dropwise followed by ethyl 3-aminocrotonate (5.17 mL, 1 eq). The reaction mixture was heated at 60° C. for 3.5 hr. It was then cooled down to r.t. and neutralized to pH 7 by the careful addition of sat.aq. NaHCO3. The neutralized solution was extracted with CH2Cl2 (3×50 mL). The combined organic extracts were washed with sat.aq. NaCl and dried over anh. Na2SO4. The solids were filtered and the solvent evaporated. The crude product was used as such in the next step (17.8 g).
- Alternatively, to a solution of intermediate 91 (3 g, 14.7 mmol) in anh. THF (18 mL), at r.t., under N2, was added ethyl-2-butynoate (2.23 mL, 1.3 eq). The reaction mixture was heated to reflux for 14 hr and was then cooled down to r.t. The reaction mixture was evaporated to dryness. The crude oil was used as such in the next step (5.05 g).
- MS (m/z): 317 [MH]+.
- A solution of intermediate 2 (17.8 g, 55 mmol) in anh. DMF (50 mL) was added dropwise to a suspension of NaH 60%/oil (4.5 g, 2 eq) in anh. DMF. The reaction mixture was heated at 100° C. for 8 hr. More NaH 60%/oil (2.25 g, 1 eq) was added and the reaction mixture was heated for an additional 4 hr. It was cooled down to r.t. and carefully poured in sat.aq. NH4Cl. The aqueous solution was extracted with CH2Cl2 (5×50 mL) and the combined organic extracts were dried over anh. Na2SO4. The solids were filtered and the solvent was evaporated. The crude compound was purified by flash chromatography (Biotage 75, CH2Cl2/MeOH 95:5->80:20). The title compound was obtained as a brown oil (952 mg, 9%, two steps)
- Alternatively, to a solution of intermediate 2 (2.46 g, 7.77 mmol) in anh. THF (10 mL), at r.t., under N2, was added 1M t-BuOK/THF (15.6 mL, 2 eq). The reaction mixture was heated to reflux and stirred for 6 hr. The solution was allowed to cool down to r.t., evaporated to circa 10 mL and diluted with MTBE (10 mL). The organic layer was extracted with water (10 mL), the organic phase discarded while the aqueous one was diluted with sat.aq. NH4Cl (10 mL). The aqueous layer was extracted with CH2Cl2 (10 mL). The combined organic extracts were evaporated to dryness and the crude product thus obtained was used as such in the next step (1.32 g).
- NMR (1H, DMSO-d6): δ 9.8 (b, 1H), 7.08 (d, 1H), 6.80 (d, 1H), 6.75 (dd, 1H), 5.92 (s, 1H), 3.72 (s, 3H), 3.68 (t, 2H), 2.89 (t, 2H), 2.12 (s, 3H), 2.02 (s, 3H).
- MS (m/z): 271 [MH]+.
- To a solution of intermediate 3 (9.0 g, 33.3 mmol) in anh. CH2Cl2 (64 mL), at r.t., under N2, was added pyridine (5.08 mL, 1.8 eq). The solution was cooled down to −20° C. and triflic anhydride (5.9 mL, 1.1 eq) was added dropwise over 50 min. The temperature never exceeded −10° C. The reaction mixture was allowed to warm up to ambient and stirred for 30 min. Sat.aq NaHCO3 (31.2 mL) was added and the phases separated. The organic layer was further washed with water (31.2 mL) and concentrated to an oil, which was passed through a pad of silica gel (12.7 g, EtOAc/cHex 1/9). The crude product thus obtained was diluted with MTBE (38.1 mL) and washed twice with 10% HCl (63.5 mL). The combined aqueous layers were treated with conc. NH4OH (38.1 mL) and extracted with CH2Cl2 (25.4 mL). The organic layer was further washed with 10% NaCl (12.7 mL) and evaporated to an oil. The oil was dissolved with IPA (38.1 mL) and seeded with authentic intermediate 4 (0.02 g). The suspension was stirred for 30 min. Water (38 mL) was added over 30 min and the mixture left standing for 1.5 hr. The suspension was filtered, the cake washed with a 1:1 mixture of IPA/water (12.7 mL), collected and dried in the oven at 40° C. under high vacuum for 14 hr. The title compound was obtained as a pale yellow solid (3.8 g, 42%).
- NMR (1H, DMSO-d6): δ 7.17 (d, 1H), 6.85 (d, 1H), 6.77 (dd, 1H), 6.40 (s, 1H), 3.89 (t, 2H), 3.73 (s, 3H), 3.16 (t, 2H), 2.17-2.11 (2s, 6H)
- M/S (m/z): 403 [MH]+
- To a solution of intermediate 4 (913 mg, 2.27 mmol) in anh. NMP (7 mL) was added KI (1.13 g, 3 eq) and the reaction mixture was stirred at 150° C. for 18 hr. It was then cooled down to r.t. and diluted in water/sat.aq. NaCl. The aqueous phase was extracted with EtOAc (3×30 mL) and the combined organic extracts were dried over anh. Na2SO4. The solids were filtered and the solvent evaporated. The crude product was purified by flash chromatography (silica gel, cHex/EtOAc 9:1) to give the title compound as a clear oil, which solidified upon standing (681 mg, 79%).
- NMR (1H, CDCl3): δ 7.14 (d, 1H), 6.81-6.74 (m, 2H), 6.70 (s, 1H), 3.84 (t, 2H), 3.81 (s, 3H), 3.03 (t, 2H), 2.22 (s, 6H).
- MS (m/z): 381 [MH]+.
- To a solution of 3-aminopyrazole (500 mg, 6 mmol) in anh. DMF (3 mL), at 0° C., under N2, was added 3-chloroethyl isocyanate (1.53 mL, 3 eq) and the reaction mixture was stirred at r.t. for 2 hr, after which the solvent was evaporated. The crude product was purified by flash chromatography (silica gel, cHex/EtOAc 1:1) to give the title compound (1.593 g, 89%).
- NMR (1H, DMSO): δ 9.20 (s, 1H), 8.26 (m, 1H), 8.10 (d, 1H), 7.25 (bs, 1H), 6.37 (d, 1H), 3.74 (m, 2H), 3.66 (m, 2H), 3.58 (m, 2H), 3.46 (m, 2H).
- MS (m/z): 296 [MH]+.
- To a solution of intermediate 6 (100 mg, 0.34 mmol) in anh. THF (4 mL), at r.t., under N2, was added KOt-Bu (42 mg, 1.1 eq) and the reaction mixture was stirred for 2 hr. Water (0.5 mL) was added and the solvent was evaporated. The aqueous phase was diluted with H2O and extracted with EtOAc (3×20 mL). The combined organic extracts were dried over anh. Na2SO4. The solids were filtered and the solvent evaporated. The crude product was purified by flash chromatography (silica gel, EtOAc/cHex 8:2, then 9:1) to give the title compound as a white solid (39 mg, 44%)
- NMR (1H, DMSO): δ 8.18 (bt, 1H), 8.11 (d, 1H), 7.14 (bs, 1H), 6.75 (d, 1H), 3.89 (m, 2H), 3.73 (m, 2H), 3.56 (m, 2H), 3.40 (m, 2H).
- MS (m/z): 258 [MH]+.
- To a solution of intermediate 7 (190 mg, 0.74 mmol) in a 2:1 mixture of MeOH/H2O (15 mL), at r.t., under N2, was added LiOH (177 mg, 10 eq) and the reaction mixture was heated at 80° C. for 3 hr. It was cooled down to r.t. and neutralized to pH 7 with 2M HCl. Silica gel was then added and the solvents were evaporated. The adsorbed crude product was purified by flash chromatography (silica gel, EtOAc/MeOH 9:1) to give the title compound as a white solid (80 mg, 71%)
- NMR (1H, DMSO): δ 12.10 (bs, 1H), 7.6 (s, 1H), 6.7 (s, 1H), 6.4 (s, 1H), 3.8 (t, 2H), 3.4 (t, 2H).
- MS (m/z): 152 [MH]+.
- To a solution of 3-aminopyrazole (300 mg, 3.61 mmol) in anh. CH2Cl2 (6 mL), at r.t., under N2, was added K2HPO4 (1.26 g, 2 eq) and the reaction mixture was stirred at r.t. for 15 min. 4-Chloro-butyryl chloride (406 μL, 3.6 mmol) was then added and the reaction mixture was stirred for 24 hr. It was then poured into water and the phases were separated. The aqueous layer was extracted with EtOAc (2×20 mL) and the combined organic extracts were dried over anh. Na2SO4. The solids were filtered and the solvent evaporated. The crude product was purified by flash chromatography (silica gel, cHex/EtOAc 7:3) to give the title compound as a white solid (354 mg, 34%)
- NMR (1H, CDCl3): δ 8.09 (d, 1H), 7.83 (bs, 1H), 6.98 (s, 1H), 3.64 (m, 2H), 3.17 (m, 1H), 2.57 (m, 1H), 2.21 (m, 2H).
- MS (m/z): 292 [M]+.
- To a suspension of NaH 80%/oil (31 mg, 1.1 eq) in anh. DMF (1.5 mL), at r.t., under N2, was added a solution of intermediate 9 (340 mg, 1.16 mmol) in anh. DMF (1 mL). The reaction mixture was stirred at r.t. for 1 hr, after which it was quenched carefully with water. The aqueous phase was extracted with EtOAc (3×20 mL) and the combined organic extracts were washed with sat.aq. NaCl and dried over anh. Na2SO4. The solids were filtered and the solvent evaporated. The crude product (70 mg, 0.27 mmol) was dissolved in anh. MeOH (3 mL), at r.t., under N2, and 1M MeONa/MeOH was added until pH 9 was reached. The reaction mixture was stirred at r.t. for 30 min and water was added. The aqueous phase was extracted with EtOAc (3×20 mL) and the combined organic extracts were washed with sat.aq. NaCl and dried over anh. Na2SO4. The solids were filtered and the solvent evaporated. The crude product was purified by flash chromatography (silica gel, cHex/EtOAc 7:3) to give the title compound as a white solid (35 mg, 20%).
- NMR (1H, CDCl3): δ 7.46 (s, 1H), 6.55 (s, 1H), 3.90 (t, 2H), 2.59 (t, 2H), 2.18 (m, 2H).
- MS (m/z): 152 [M]+.
- To a solution of 3-aminopyrazole (500 mg, 6 mmol), in anh. DMF (10 mL), at r.t., under N2, was added 3-chloropropyl isocyanate (1.2 mL, 2 eq) and the reaction was stirred for 24 hr. The reaction was not complete and more isocyanate (1.2 mL, 2 eq) was added. The reaction mixture was stirred for an additional 48 hr. It was then poured into CH2Cl2/sat.aq. NaCl and the phases were separated. The aqueous layer was extracted with CH2Cl2 (2×20 mL) and the combined organic extracts were dried over anh. Na2SO4. The solids were filtered and the solvent evaporated. The crude product was purified by flash chromatography (Biotage 40, cHex/EtOAc 7:3) to give the title compound as a white solid (620 mg, 32%).
- NMR (1H, DMSO): δ 9.05 (s, 1H), 8.25 (t, 1H), 8.08 (d, 1H), 7.17 (t, 1H), 6.30 (d, 1H), 4.7-4.6 (m, 4H), 3.37 (q, 2H), 3.26 (q, 2H), 2.05-1.87 (m, 4H).
- MS (m/z): 322 [MH]+.
- To a solution of intermediate 11 (620 mg, 1.93 mmol) in anh. THF (20 mL), at r.t., under N2, was added KOt-Bu (237 mg, 1.1 eq). The reaction mixture was stirred at r.t. for 2 hr. Water was then added and the solvent was evaporated. The aqueous phase was extracted with EtOAc (3×20 mL) and the combined organic extracts were dried over anh. Na2SO4. The solids were filtered and the solvent evaporated. The crude product was purified by flash chromatography (Flash Master, 10 g SiO2, cHex/EtOAc 7:3, then 100% EtOAc) to give the title compound as a white solid (200 mg, 37%)
- NMR (1H, DMSO): δ 8.23 (t, 1H), 8.06 (d, 1H), 6.93 (bs, 1H), 6.82 (d, 1H), 3.86 (t, 2H), 3.57 (t, 2H), 3.34 (m, 2H), 3.19 (m, 2H), 1.98 (m, 2H), 1.91 (m, 2H).
- MS (m/z): 286 [MH]+.
- A solution of intermediate 12 (180 mg, 0.63 mmol) and LiOH (265 mg, 10 eq) in a 2:1 mixture of MeOH/H2O (7.5 mL), in a sealed vial, was subjected to microwave irradiation (80° C.) for 10 min. The reaction mixture was then cooled down to r.t., and the solvent was evaporated to dryness. The residue was purified on an SCX cartridge (EtOAc/MeOH 8:2, then 100% MeOH) to give the title compound as a white solid (102 mg, 98%)
- NMR (1H, DMSO): δ 12.13 (bs, 1H), 7.50 (s, 1H), 6.60 (bs, 1H), 6.46 (s, 1H), 3.73 (m, 2H), 3.15 (m, 2H), 1.88 (m, 2H).
- MS (m/z): 167 [MH]+.
- To a solution of 3-bromo-pyrazole (2.0 g, 13.6 mmol) in anh. CH2Cl2 (40 mL), at r.t., under N2, were added triphenylmethyl chloride (4.17 g, 1.1 eq) and Et3N (2.1 mL, 1.1 eq). The reaction mixture was stirred at r.t. for 4 hr. It was poured into water/CH2Cl2. The phases were separated and the aqueous layer was further extracted with CH2Cl2 (2×30 mL). The combined organic extracts were dried over anh. Na2SO4, the solids were filtered and the solvent evaporated. The residue was purified by flash chromatography (silica gel, 100% CH2Cl2) to give the title compound as a white solid (3.39 g, 64%).
- NMR (1H, DMSO-d6): δ 7.34 (m, 10H), 7.01 (m, 6H), 6.45 (d, 1H).
- MS (m/z): 412 [M+Na]+.
- A mixture of intermediate 14 (389 mg, 1 mmol), 1,3-oxazolidin-2-one (87 mg, 1 mmol), CuI (20 mg, 10 mol %), (1R,2R)-diaminomethylcyclohexane (43 mg, 30 mol %) and K2CO3 (414 mg, 3 mmol) in anh. NMP (2 mL) in a seaded vial was stirred at 130° C. for 4 hr. It was poured into water/EtOAc. The phases were separated and the aqueous layer was further extracted with EtOAc (2×10 mL). The combined organic extracts were dried over anh. Na2SO4, the solids were filtered and the solvent evaporated. The residue was purified by flash chromatography (silica gel, EtOAc/cHex 2:8) to give the title compound as a white solid (210 mg, 53%).
- NMR (1H, CDCl3): δ 7.28 (m, 9H), 7.21 (d, 1H), 7.13 (m, 6H), 6.64 (d, 1H), 4.40 (t, 2H), 3.98 (t, 2H).
- MS (m/z): 418 [M+Na]+.
- To a solution of intermediate 15 (210 mg, 0.53 mmol) in anh. MeOH (4 mL), under N2, was added trifluoroacetic acid (0.2 mL, 2.66 mmol). The reaction mixture was subjected to microwave irradiation (100° C.) for 15 min. The solvent was evaporated and the residue was purified on an SCX cartridge (100% CH2Cl2, then 0.5M NH3/MeOH) to give the title compound as a white solid (30 mg, 37%).
- NMR (1H, DMSO-d6): δ 7.64 (d, 1H), 6.40 (d, 1H), 4.41 (t, 2H), 3.97 (t, 2H).
- MS (m/z): 155 [MH]+.
- To a solution of 3-aminopyrazole (20 g, 0.24 mol) in H2O (36 mL), at 5-10° C., was slowly added NaHCO3 (9.1 g, mol, 3 eq) and then Ac2O (6.79 ml, 2 eq). The reaction mixture was refluxed for 8 hr. It was cooled down to r.t. and was left standing at this temperature for 12 hr to allow crystallization. The white solid was filtered (12.9 g) and the mother liquor volume was reduced. A second batch of white solid (3.4 g) was obtained after crystallization. The two batches were combined to give the title compound (16.3 g, 54%).
- NMR (1H, DMSO-d6): δ 12.22 (bs, 1H), 10.28 (bs, 1H), 7.53 (bs, 1H), 6.43 (bs, 1H), 1.96 (s, 1H).
- MS (m/z): 126 [MH]+, 148 [M+Na]+.
- A mixture of intermediate 5 (500 mg, 1.32 mmol), intermediate 17 (329 mg, 2 eq.), CuI (50 mg, 0.2 eq.), K2CO3 (382 mg, 2.1 eq.), dodecane (60 μL, 0.2 eq.) and (+/−)-trans-1,2-diaminocyclohexane (45 μL, 0.3 eq.) in anh. NMP (5 mL), in a sealed vial, was heated at 150° C. for 4 hr. It was cooled down to r.t. and poured into sat.aq. NH4Cl. EtOAc was added and the phases were separated. The aqueous layer was further extracted with EtOAc (2×10 mL). The combined organic extracts were dried over anh. Na2SO4, the solids were filtered and the solvent evaporated. The residue was purified on an SCX cartridge (silica gel, CH2Cl2, then MeOH, then conc. NH4OH in MeOH, 25:75) and then by flash chromatography (cHex/EtOAc 7:3) to give the title compound as a white solid (358 mg, 72%).
- NMR (1H, DMSO-d6): δ 10.62 (bs, 1H), 8.24 (d, 1H), 7.15 (d, 1H), 6.84 (d, 1H), 6.78-6.73 (m, 3H), 3.83 (t, 2H), 3.74 (s, 3H), 3.4 (t, 2H), 2.16 (s, 3H), 2.14 (s, 3H), 2.04 (s, 3H).
- MS (m/z): 378 [MH]+.
- To a dispersion of intermediate 18 (358 mg, 0.95 mmol) in EtOH (7 mL), at r.t., was added 25% NaOH (2.5 mL) and the reaction mixture was subjected to microwave irradiation (130° C.) for 20 min. The EtOH was evaporated and the crude product was partitioned between EtOAc and sat.aq. NaCl. The phases were separated and the aqueous layer was further extracted with EtOAc (2×10 mL). The combined organic extracts were dried over anh. Na2SO4, the solids were filtered and the solvent evaporated to give the title compound (282 mg, 89%) which was used in the next step without any further purification.
- NMR (1H, DMSO-d6): δ 7.98 (d, 1H), 7.12 (d, 1H), 6.83 (d, 1H), 6.75 (dd, 1H), 6.67 (s, 1H), 5.77 (d, 1H), 5.10 (bs, 2H), 3.78 (t, 2H), 3.74 (s, 3H), 3.35 (t, 2H), 2.13 (s, 3H), 2.12 (s, 3H).
- MS (m/z): 336 [MH]+.
- To a solution of intermediate 19 (200 mg, 0.6 mmol) in anh. DMF (5 mL), at r.t., under N2, was added NaH 60%/oil (26 mg, 1.1 eq). The reaction mixture was stirred at r.t. for 20 min, ethyl 2-bromoacetate (73 μL, 1.1 eq) was then added dropwise and the reaction mixture was heated at 80° C. Continuous additions of the alkyl bromide were done at 80° C. over a period of 7.2 h (5×36 μL, 5×0.55 eq). The reaction mixture was cooled down to r.t. and poured into H2O. EtOAc was added and the phases were separated. The aqueous layer was further extracted with EtOAc (2×10 mL). The combined organic extracts were dried over anh. Na2SO4, the solids were filtered and the solvent evaporated. The residue was purified by flash chromatography (silica gel, cHex/EtOAc 7:3) to give the title compound as a yellow oil (155 mg, 62%).
- NMR (1H, DMSO-d6): δ 8.09 (d, 1H), 7.13 (d, 1H), 6.83 (d, 1H), 6.76 (dd, 1H), 6.37 (s, 1H), 6.17 (t, 1H), 5.86 (d, 1H), 5.73 (s, 1H), 4.09 (q, 2H), 3.89 (d, 2H), 3.77 (t, 2H), 3.74 (s, 3H), 3.36 (t, 2H), 2.13 (bs, 6H), 1.17 (t, 3H).
- MS (m/z): 422 [MH]+.
- To a cold (−78° C.) solution of 1N LiAlH4/THF (0.5 mL, 2.7 eq), under N2, was added dropwise a solution of intermediate 20 (77.5 mg, 0.184 mmol) in anh. THF (5 mL). The reaction mixture was stirred at −78° C. for 20 min. Continuous additions of 1N LiAlH4/THF were done at this temperature over a period of 40 min (3×200 μL, 3×1.09 eq). To the reaction mixture was added water (42 μL), 1N NaOH (42 μL) and water (125 μL) and a precipitate was formed. The solid was filtered and washed with EtOAc (2×) and CH2Cl2 (2×). The combined organic extracts were concentrated and the residue was purified by flash chromatography (silica gel, cHex/EtOAc 7:3) to give the title compound as a yellow solid (25 mg, 36%).
- NMR (1H, DMSO-d6): δ 8.04 (d, 1H), 7.13 (d, 1H), 6.83 (d, 1H), 6.76 (dd, 1H), 6.66 (s, 1H), 5.82 (d, 1H), 5.58 (t, 1H), 4.59 (t, 1H), 3.78 (t, 2H), 3.74 (s, 3H), 3.55 (q, 2H), 3.40 (t, 2H), 3.20 (q, 2H), 2.13 (bs, 6H).
- MS (m/z): 380 [MH]+.
- To a suspension of intermediate 19 (25 mg, 0.0746 mmol) in n-BuOH (1 mL), at r.t., under N2, was added 1,2-oxathiolane 2,2-dioxide (30 μL, 3 eq). The reaction mixture was subjected to microwave irradiation (20+60+60 min, T=150/180° C.). The solvent was evaporated and the residue was purified by flash-chromatography (silica gel, 100% EtOAc→7:3 EtOAc/sol. NH3 in MeOH (0.5 M)) and SCX cartridge (Eluents: MeOH and a sol. of NH3 in MeOH (0.5 M)) to give the title compound as a yellow oil (10 mg, 30%).
- NMR (1H, CDCl3): δ 7.54 (bs, 1H), 7.05 (d, 1H), 6.72 (m, 1H), 6.66 (m, 1H), 6.48 (bs, 1H), 5.78 (bs, 1H), 3.72 (m, 5H), 3.3 (m, 4H), 2.97 (m, 2H), 2.03-2.2 (m, 8H).
- MS (m/z): 458 [MH]+.
- To a suspension of intermediate 19 (391 mg, 1.17 mmol) in anh. CH2Cl2 (8 mL), at 0° C., under N2, were added pyridine (103 μL, 1.1 eq) and phenyl chloroformate (161 μL, 1.1 eq). The reaction mixture was stirred at r.t. for 1 hr. The solvent was evaporated in vacuo, sat.aq. NaCl (50 mL) was then added and the solution extracted with EtOAc (3×15 mL). The combined organic extracts were dried over anh. Na2SO4, the solids were filtered and the solvents evaporated in vacuo. The crude compound thus obtained was purified by flash chromatography (silica gel, MeOH-Ammonia solution in MeOH 0.5 M) to give 284 mg (53%) of the title compound as a white solid.
- NMR (1H, CDCl3): δ 10.8 (bs, 1H) 8.28 (d, 1H), 7.39 (m, 2H), 7.18 (m, 4H), 6.73 (dd, 1H), 6.64 (s, 1H), 3.81 (t, 2H), 3.72 (s, 3H), 3.32 (t, 2H), 2.14 (s, 3H), 2.12 (s, 3H).
- MS (m/z): 456 [MH]+.
- A mixture of intermediate 23 (284 mg, 0.62 mmol), pyridine (50 μL, 1.2 eq) and 2,2-bis(ethyloxy)ethanamine (108 μL, 1.2 eq) was heated for 3 hr at 60° C. H2O (50 mL) was then added and the solution extracted with CH2Cl2 (3×15 mL). The combined organic extracts were dried over anh. Na2SO4, the solids were filtered and the solvent evaporated in vacuo. The crude compound thus obtained was purified by flash chromatography (silica gel, cHex/EtOAc 1:1) to give 214 mg (84%) of the title compound as a white solid.
- NMR (1H, CDCl3): δ 9.21 (s, 1H), 8.24 (d, 1H), 7.15 (d, 1H), 6.95 (bs, 1H), 6.95 (d, 1H), 6.78 (dd, 1H), 6.72 (s, 1H), 6.42 (s, 1H), 4.5 (m, 1H), 3.82 (t, 2H), 3.60 (m, 1H), 3.48 (m, 1H), 3.65 (s, 3H), 3.3 (s, 6H), 3.23 (t, 2H), 3.16 (s, 3H), 2.14 (s, 3H).
- MS (m/z): 495 [MH]+.
- A solution of intermediate 14 (300 mg, 0.77 mmol), 3-methylpyridinone (168 mg, 1 eq), CuI (146 mg, 1 eq), K2CO3 (223 mg, 2.1 eq), N—N′-dimethyl trans-cyclohexanediamine (109 mg, 0.5 eq) in anh. NMP (4 mL) was heated at 150° C. for 24 hr. Sat.aq. NH4Cl (100 mL) was then added and the mixture extracted with CH2Cl2 (250 mL). The organic layer was dried over anh. Na2SO4, the solids were filtered and the solvent evaporated in vacuo. The crude compound thus obtained was purified by flash chromatography (silica gel, cHex/EtOAc 95:5) to give 80 mg (25%) of the title compound as white solid.
- NMR (1H, CDCl3): δ 7.76(d, 1H), 7.30 (m, 11H), 7.15 (m, 6H), 6.98 (d, 1H), 6.06 (t, 1H), 2.15 (s, 3H).
- MS (m/z): 440 [M+Na].
- CF3COOH (3 mL) was added to a solution of intermediate 25 (80 mg, 0.19 mmol) in an anh. mixture of MeOH/CH2Cl2 2:1 (3 mL) at r.t., under N2. The solution was heated at 80° C. for 18 hr. The solvents were evaporated in vacuo. The crude compound thus obtained was purified on an SCX cartridge (1 g, preconditioned with CH2Cl2) to give 13 mg (39%) of the title compound as a white solid.
- NMR (1H, CDCl3): δ 7.61(d, 1H), 7.55 (s, 1H), 7.24 (m, 1H), 7.1 (d, 1H), 6.76 (d, 1H), 6.16 (t, 1H), 2.15 (s, 3H).
- MS (m/z): 176 [MH]+.
- A solution of intermediate 14 (200 mg, 0.52 mmol), pyridazinone (50 mg, 1 eq), CuI (100 mg, 1 eq), K2CO3 (148 mg, 2.eq) and N—N′-dimethyl trans-cyclohexanediamine (73 mg, 0.5 eq.) in anh. NMP (4 mL) was heated at 150° C. for 8 hr. Sat.aq. NH4Cl (100 mL) was then added and the solution extracted with CH2Cl2 (250 mL). The organic layer was dried over anh. Na2SO4, the solids were filtered and the solvents evaporated in vacuo. The crude compound thus obtained was purified by flash chromatography (silica gel, cHex/EtOAc 1:9) to give a solution of the title compound in NMP, which was used in the next step without further purification.
- MS (m/z): 443 [M+K], 427 [M+Na].
- The solution of intermediate 27 obtained above was dissolved in a mixture of MeOH/CH2Cl2 2:1 (3 mL) and CF3COOH (2.5 mL) was added, at r.t., under N2. The reaction mixture was heated at 80° C. for 4 hr. The solvents were evaporated in vacuo. The crude compound thus obtained was purified on an SCX cartridge (1 g, preconditioned with CH2Cl2) to give 20 mg (24%, two steps) of the title compound as a white solid.
- NMR (1H, CDCl3): δ 7.91(d, 1H), 7.59 (m, 1H), 7.24 (m, 1H), 7.07 (m, 1H), 6.76 (d, 1H).
- MS (m/z): 163 [MH]+.
- To a solution of example 1-6 (80 mg, 0.179 mmol) in anh. CH2Cl2 (1.8 mL), at r.t., under N2, was added BBr3 1.0M/CH2Cl2 (0.72 mL, 5 eq) dropwise. The reaction mixture was stirred at r.t. for 90 min. MeOH (1 mL) was added and the solvent was evaporated. The residue was taken up in EtOAc/sat.aq. NaHCO3 and the phases were separated. The aqueous layer was extracted with CH2Cl2 (2×10 mL) and the combined organic extracts were dried over anh. Na2SO4. The solids were filtered and the solvent evaporated. The crude compound was further purified by flash chromatography (silica gel, 100% EtOAc→5% MeOH/EtOAc) to give the title compound as a white solid (29 mg, 37%).
- NMR (1H, DMSO-d6): δ 9.3 (s, 1H), 8.40 (d, 1H), 7.00 (d, 1H), 6.85 (d, 1H), 6.75 (s, 1H), 6.65 (d, 1H), 6.60 (dd, 1H), 4.00-3.70 (m, 6H), 3.40 (t, 2H), 2.45 (s, 3H), 2.15 (s, 3H), 2.05 (s, 3H).
- MS (m/z): 433 [MH]+.
- To a solution of intermediate 29 (13.6 mg, 0.0315 mmol) in anh. DMF (1 mL), at r.t., under N2, was added NaH 60%/oil (2.5 mg, 2 eq) and the reaction mixture was stirred at r.t. for 20 min. Iodoethane (10 μL, 4 eq) was added and the reaction mixture was stirred at r.t. for 1 hr. It was poured into EtOAc/sat.aq. NaCl and the phases were separated. The organic layer was washed with sat.aq. NaCl (2×10 mL) and dried over anh. Na2SO4. The solids were filtered and the solvent was evaporated. The crude compound was purified by flash chromatography (silica gel, cHex/EtOAc 1:1). The mixed fraction were re-purified by flash chromatography (silica gel, cHex/EtOAc 7:3). The title compound was obtained as a white solid (5 mg, 34%)
- NMR (1H,): δ 7.87 (d, 1H), 7.13 (d, 1H), 6.95 (d, 1H), 6.79 (d, 1H), 6.74 (d, 1H), 6.53 (s, 1H), 4.11-3.97 (m, 6H), 3.86 (t, 2H), 3.43 (t, 2H), 2.58 (s, 3H), 2.31 (s, 3H), 2.09 (s, 3H), 1.39 (t, 3H).
- MS (m/z): 461 [MH]+.
- To a solution of intermediate 29 (14 mg, 0.032 mmol) in anh. DMF (1 mL), at r.t., under N2, was added NaH 60%/oil (3 mg, 2 eq) and the reaction mixture was stirred at r.t. for 20 min. 2-Iodopropane (13 μL, 4 eq) was added and the reaction mixture was stirred at r.t. for 1 hr. It was poured into EtOAc/sat.aq. NaCl and the phases were separated. The organic layer was washed with sat.aq. NaCl (2×10 mL) and dried over anh. Na2SO4. The solids were filtered and the solvent was evaporated. The crude compound was purified by flash chromatography (silica gel, cHex/EtOAc 2:8). The title compound was obtained as a clear oil (11 mg, 79%) in an inseparable 2:1 mixture with 1-(1-methylethyl)-3-[1-(6-methyl-1-{2-methyl-4-[(1-methylethyl)oxy]phenyl}-2,3-dihydro-1H-pyrrolo[2,3-b]pyridin-4-yl)-1H-pyrazol-3-yl]-2-imidazolidinone
- MS (m/z): 475 [MH]+.
- As in intermediate 1, except that 2,4-dichloroaniline was used instead of 4-methoxy-2-methylaniline.
- NMR (1H, CDCl3): δ 7.18-7.35 (m, 3H), 3.72 (t, 2H), 2.53 (t, 2H), 2.22 (t, 2H).
- MS (m/z): 230 [MH]+.
- To a solution of intermediate 32 (3.6 g, 15.65 mmol) in (EtO)2CO (25.2 mL, 13.2 eq), at r.t., under N2, was added t-BuOK 1M/THF (47 mL, 3 eq) dropwise. The stirred reaction mixture was heated at 80° C. for 2 hr, then it was cooled to r.t. and poured on ice. The mixture was then acidified with 6N HCl, extracted with CH2Cl2 (300 mL), washed with sat.aq. NaHCO3 (100 mL), sat.aq. NaCl (100 mL) and water (100 mL). The organic layer was dried over anh. Na2SO4, the solids were filtered and the solvent evaporated. The crude product was purified by flash chromatography (silica gel, cHex/EtOAc 6:4) to give the title compound as a yellow oil (3.2 g, 67%).
- NMR (1H, DMSO-d6): δ 7.61 (s, 1H), 7.44 (m, 2H), 4.16 (q, 2H), 3.80 (m, 2H), 3.61 (t, 1H), 2.51 (m, 2H), 1.24 (t, 3H).
- MS (m/z): 302 [MH]+.
- To a mixture of intermediate 33 (0.5 g, 1 eq) and ethyl (2Z)-3-amino-2-butenoate (0.43 g, 2 eq), was added POCl3 (4 mL, 26 eq) and the resulting reaction mixture was stirred at 100° C. for 4 hr. The reaction mixture was then cooled to r.t., evaporated, poured on ice, neutralized with sat.aq. NaHCO3 and extracted with EtOAc (200 mL). The organic layer was dried over anh. Na2SO4, the solids were filtered and the solvent evaporated. The crude product was used in the next step without further purification.
- MS (m/z): 413 [M]+.
- A solution of crude intermediate 34 in anh. DMF (10 mL) was added to a suspension of NaH 60%/oil (111 mg, 2 eq) in anh. DMF (10 mL), at r.t., under N2. The reaction mixture was heated at 100° C. for 6 hr. The mixture was then cooled to r.t. and the pH adjusted to 5 with sat.aq. NH4Cl. The reaction mixture was then partitioned between EtOAc/sat.aq. NH4Cl (200 mL/100 mL). The phases were separated and the organic layer was dried over anh. Na2SO4, the solids were filtered, the solvent evaporated and the crude product was purified by flash chromatography (silica gel, cHex/EtOAc 1:1→EtOAc/MeOH 1:1) to give the title compound as a brown oil (0.038 g, 7%, two steps).
- NMR (1H, CDCl3): δ 7.33 (m, 2H), 7.17 (m, 1H), 6.00 (s, 1H), 2.88 (t, 2H), 2.98 (t, 2H), 2.22 (s, 3H).
- MS (m/z): 295 [M]+.
- As in intermediate 4.
- NMR (1H, CDCl3): δ 7.48 (s, 1H), 7.34 (d, 1H), 7.26 (d, 1H), 6.35 (s, 1H), 4.01 (t, 2H), 3.25 (t, 2H), 2.32 (s, 3H).
- MS (m/z): 427 [M]+.
- As in intermediate 5.
- NMR (1H, CDCl3): δ 7.42 (m, 3H), 6.81 (s, 1H), 3.96 (t, 2H), 3.04 (t, 2H), 2.24 (s, 3H).
- MS (m/z): 405 [M]+.
- To a solution of intermediate 8 (9.73 g, 1.5 eq) in anh. DMF (150 mL), at r.t., under N2, was added NaH 60%/oil (1.7 g, 1 eq) and the reaction mixture was stirred at r.t. for 20 min. A solution of ethyl 2,4-dichloro-6-methyl-3-pyridinecarboxylate (10 g, 42.9 mmol) was then added dropwise and the reaction mixture was stirred at 80° C. for 4 hr. It was then cooled down to r.t. and quenched with ice water. The addition of EtOAc caused a precipitate to form. The white solid was collected by filtration, washed with water and dried in vacuo (5.2 g). The filtrate was transferred into a separatory funnel and the aqueous layer was extracted with EtOAc (2×100 mL). The combined organic layers were washed with sat.aq. NaCl, dried over anh. Na2SO4, the solids were filtered and the solvent evaporated. The crude product was treated with EtOAc and left at r.t. overnight. The precipitate was filtrated, dried in vacuo and combined with the previous batch to give the title compound as a white solid (7.2 g, 48%).
- NMR (1H, DMSO-d6): δ 8.53 (d, 1H), 7.77 (s, 1H), 7.18 (bs, 1H), 6.89 (d, 1H), 4.32 (q, 2H), 3.75 (t, 2H), 3.42 (t, 2H), 3.31 (s, 3H), 1.26 (t, 3H).
- MS (m/z): 350 [MH]+.
- To a suspension of intermediate 38 (7.2 g, 20.6 mmol) in anh. CH2Cl2 (120 mL), at 0° C., under N2, was added dropwise DIBAI-H 1M/CH2Cl2, (41.2 mL, 2 eq). At the end of the addition the resulting solution was allowed to warm to r.t. and stirred for 2 hr. More DIBAI-H was added until the reaction was complete (3×20.5 mL), each time cooling at 0° C. and then stirring at r.t. for 1 hr. The reaction mixture was then cooled to 0° C., quenched by the slow addition of a Rochelle salt solution (50 mL) and stirred at r.t. overnight. The white lattice was treated with 4 L of Roschell's salt solution and 3 L of CH2Cl2 and stirred at r.t. for 20 hr. The two phases were separated and the aqueous layer was extracted with CH2Cl2 (5×500 mL). The combined organic extracts were washed with sat.aq. NaCl, dried over anh. Na2SO4, the solids were filtered and the solvent evaporated to give the title compound as a white solid (4 g, 63%).
- NMR (1H, DMSO-d6): δ 8.36 (d, 1H), 7.49 (s, 1H), 7.12 (bs, 1H), 6.86 (d, 1H), 5.47 (t, 1H), 4.61 (d, 2H), 3.88 (t, 2H), 3.44 (t, 2H), 3.30 (s, 3H).
- MS (m/z): 308 [MH]+.
- To a suspension of intermediate 39 (100 mg, 0.325 mmol) in anh. DMF (6.5 mL), at r.t., under N2, was added NaH 60%/oil (13 mg, 1 eq.). The reaction mixture was stirred at r.t. until a pale yellow solution was obtained (circa 10 min). After cooling to 0° C., 1-(chloromethyl)-4-(methyloxy)benzene (44 μL, 1 eq) was added and the reaction mixture was stirred for 1.5 hr. It was partitioned between EtOAc/sat.aq. NaCl, the phases were separated and the organic layer was dried over anh. Na2SO4. The solids were filtered and the solvent evaporated. The crude product was purified by flash chromatography (silica gel, EtOAc/cHex 6:4→7:3) to give the title compound as a white solid (45.5 mg, 33%).
- NMR (1H, CDCl3): δ 7.85 (d, 1H), 7.20 (dd, 2H), 7.15 (d, 1H), 7.10 (s, 1H), 6.89 (dd, 2H), 4.85 (s, 2H), 4.40 (s, 2H), 3.84 (t, 2H), 3.80 (s, 3H), 3.43 (t, 2H), 2.6 (s, 3H).
- MS (m/z): 428 [MH]+, 450 [M+23]+
- To a solution of intermediate 40 (925 mg, 2.16 mmol) in CH2Cl2 (90 mL), was added Dess Martin periodinane (1.38 g, 1.5 eq) in three portions and the reaction mixture was stirred at r.t. for 2 hr. More Dess Martin periodinane (750 mg, 0.2 eq) was added and the reaction mixture was stirred for an additional 30 min. Na2S2O3 (5 eq) in a sat.aq. NaHCO3 (100 mL) was added and the phases were separated. The aqueous layer was extracted with CH2Cl2 (3×50 mL) and the combined organic extracts were dried over anh. Na2SO4, the solids were filtered and the solvent evaporated. The crude product was purified by flash chromatography (silica gel, EtOAc/cHex 6:4→7:3) to give the title compound as a white solid (520 mg, 57%).
- NMR (1H, CDCl3): δ 10.26 (s, 1H), 7.85 (d, 1H), 7.23 (dd, 2H), 7.20 (s, 1H), 7.13 (d, 1H), 6.89 (dd, 2H), 4.41 (s, 2H), 3.84 (t, 2H), 3.80 (s, 3H), 3.39 (t, 2H), 2.6 (s, 3H).
- MS (m/z): 426 [MH]+.
- n-BuLi 1.6M/Hexane (0.44 mL, 3 eq) was added dropwise to a suspension of (methoxymethyl)-triphenylphosphonium chloride (224 mg, 3 eq) in THF (5 mL) at 0° C., under N2. At the end of the addition the reaction mixture was allowed to warm to r.t. and stirred for 20 min. A solution of intermediate 41 (100 mg, 0.235 mmol) in THF (8 mL) was added and the reaction mixture stirred at r.t. for an additional 1.5 hr. The mixture was treated with water, EtOAc was added and the phases were separated. The organic layer was dried over anh. Na2SO4, the solids were filtered and the solvent evaporated in vacuo to a residue which was purified on an SCX cartridge (100% cHex→cHex/EtOAc 7:3) to give the title compound as a white solid (68 mg, 63%) as a 7:3 mixture of trans:cis isomers.
- NMR (1H, CDCl3): δ 7.36 (d, 1H), 7.24 (m, 3H), 6.99 (d, 1H), 6.87 (d, 2H), 6.58 (d, 2H), 5.59 (d, 2H), 4.40 (s, 2H), 3.89 (m, 2H), 3.78 (s, 3H), 3.64 (s, 3H), 3.37 (m, 2H), 2.50 (s, 3H).
- MS (m/z): 454 [MH]+.
- To a solution of intermediate 42 (5.5 g, 12.5 mmol) in THF (120 mL), at r.t., was added 6.0M HCl (60 mL, 28.4 eq.) and the reaction mixture was stirred for 18 hr. The reaction mixture was quenched with sat.aq. NaHCO3 until neutral pH, the solvent partially removed and the crude mixture partitioned between EtOAc/water. The phases were separated and the organic layer was washed with sat.aq. NaCl (2×10 mL). It was dried over anh. Na2SO4, the solids were filtered and the solvent evaporated. The crude product was purified by flash chromatography (silica gel, cHex/EtOAc 4:6) to give the title compound as a white solid (4.6 g, 86%).
- NMR (1H, CDCl3): δ 9.73 (s, 1H), 7.70 (d, 1H), 7.23 (d, 2H), 7.06 (m, 2H), 6.88 (d, 2H), 4.40 (s, 2H), 4.01 (s, 2H), 3.80 (s, 3H), 3.76 (t, 2H), 3.37 (t, 2H), 2.58 (s, 3H).
- MS (m/z): 440 [MH]+.
- To a solution of intermediate 43 (4.4 g, 9.96 mmol) in anh. MeOH (100 mL) at 0° C., under N2, was added NaBH4 (397 mg, 1.0 eq) in small portions and the reaction mixture was warmed up to r.t. and stirred for 30 min. The reaction mixture was quenched with water, the solvent partially removed and partitioned between EtOAc/water. The phases were separated and the organic layer was washed with sat.aq. NaCl (2×10 mL). It was dried over anh. Na2SO4, the solids were filtered and the solvent evaporated. The crude product was purified by flash chromatography (silica gel, cHex/EtOAc1:1) to give the title compound as a white solid (4.26 g, 96%).
- NMR (1H, CDCl3): δ 7.65 (d, 1H), 7.24 (d, 2H), 7.09 (d, 1H), 6.97 (s, 1H), 6.89 (d, 2H), 4.45 (s, 2H), 3.96 (m, 4H), 3.83 (s, 3H), 3.41 (t, 2H), 3.14 (t, 2H), 2.55 (s, 3H).
- MS (m/z): 442 [MH]+.
- To a solution of intermediate 44 (4.26 g, 7.66 mmol) in anh. DMF (100 mL), at 0° C., under N2, were added imidazole (7.19 g, 11 eq), DMAP (122 mg, 0.1 eq), TBDMSCI (4.07 g, 2.8 eq) and the reaction mixture was warmed up to r.t. and stirred for 1 hr. It was then partitioned between EtOAc/sat.aq. NH4Cl. The phases were separated and the organic layer was washed with sat.aq. NaCl (2×10 mL). It was dried over anh. Na2SO4, the solids were filtered and the solvent evaporated. The crude product was purified by flash chromatography (silica gel, cHex/EtOAc7:3) to give the title compound as a yellow oil (4.92 g, 92%).
- NMR (1H, CDCl3): δ 8.05 (d, 1H), 7.28 (d, 2H), 7.15 (s, 1H), 7.05 (d, 1H), 6.91 (d, 2H), 4.45 (s, 2H), 3.96 (m, 4H), 3.83 (s, 3H), 3.40 (t, 2H), 3.14 (t, 2H), 2.55 (s, 3H), 0.83 (s, 9H), 0.00 (s, 6H).
- MS (m/z): 556 [MH]+.
- To a solution of intermediate 45 (500 mg, 0.703 mmol) in anh. DME (10 mL), at r.t., under N2, were added Pd2(dba)3 (82 mg, 0.1 eq), dicyclohexyl(2′-methyl-2-biphenylyl)phosphane (98 mg, 0.3 eq), K3PO4 (573 mg, 3 eq) and 2-methyl-4-[(trifluoromethyl)oxy]aniline (258 mg, 1.5 eq) and the reaction mixture was stirred and heated at reflux for 3 hr. It was then partitioned between EtOAc/sat.aq. NH4Cl. The phases were separated and the organic layer was washed with sat.aq. NaCl (2×10 mL). It was dried over anh. Na2SO4, the solids were filtered and the solvent evaporated. The crude product was purified by flash chromatography (silica gel, cHex/EtOAc 7:3) to give the title compound as a white solid (555 mg, 86%).
- NMR (1H, CDCl3): δ 7.97 (m 1H), 7.63 (m, 2H), 7.44 (m, 1H), 7.28 (d, 2H), 7.01 (m, 2H), 6.91 (m, 2H), 6.62 (s, 1H), 4.45 (s, 2H), 4.18 (t, 2H), 3.88 (t, 2H), 3.83 (s, 3H), 3.41 (t, 2H), 2.87 (t, 2H), 2.47 (s, 3H), 2.31 (s, 3H), 0.84 (s, 9H), 0.00 (s, 6H).
- MS (m/z): 711 [MH]+.
- To a solution of intermediate 46 (555 mg, 0.930 mmol) in anh. THF (5 mL), at r.t., under N2, was added Et3N.3HF (637 μL, 5 eq) and the reaction mixture was stirred at r.t. for 18 hr. It was then partitioned between EtOAc/water. The phases were separated and the organic layer was washed with sat.aq. NaCl (2×10 mL). It was dried over anh. Na2SO4, the solids were filtered and the solvent evaporated. The crude product was purified by flash chromatography (silica gel, cHex/EtOAc 1:1) to give the title compound as a white solid (281 mg, 60%).
- NMR (1H, CDCl3): δ 7.92 (d, 1H), 7.61 (d, 1H), 7.35 (s, 1H), 7.25 (d, 2H), 7.01 (m, 2H), 6.89 (d, 2H), 6.58 (s, 1H), 4.41 (s, 2H), 4.14 (m, 2H), 3.86 (t, 2H), 3.80 (s, 3H), 3.38 (t, 2H), 2.88 (t, 2H), 2.44 (s, 3H), 2.28 (s, 3H).
- MS (m/z): 597 [MH]+.
- To a solution of intermediate 47 (281 mg, 0.486 mmol) in CH2Cl2 (10 mL), under N2, were added I2 (240 mg, 2 eq), PPh3 (247 mg, 2 eq) and Et3N (131 μL, 2 eq) and the reaction mixture was stirred at r.t. for 2 hr. The solvent was then evaporated and the crude product was purified on an SCX cartridge (100% CH2Cl2→2.0M Et3N in MeOH) and flash chromatography (silica gel, cHex/EtOAc 1:1) to give the title compound as a white solid (168 mg, 62%).
- NMR (1H, CDCl3): δ 7.84 (d, 1H), 7.29 (d, 1H), 7.26 (d, 2H), 7.08 (m, 3H), 6.89 (d, 2H), 6.62 (s, 1H), 4.42 (s, 2H), 3.91 (m, 4H), 3.81 (s, 3H), 3.48 (t, 2H), 3.40 (t, 2H), 2.36 (s, 3H), 2.29 (s, 3H).
- MS (m/z): 579 [MH]+.
- As in intermediate 46, except that 4-amino-3-methylbenzonitrile was used instead of 2-methyl-4-[(trifluoromethyl)oxy]aniline.
- NMR (1H, CDCl3): δ 8.21 (d, 1H), 7.89 (s, 1H), 7.6 (d, 1H), 7.42 (dd, 1H), 7.36 (bs, 1H), 7.23 (d, 2H), 6.99 (d, 1H), 6.87 (d, 2H), 6.71 (s, 1H), 4.41 (s, 2H), 4.19 (m, 2H), 4.04 (broad, 2H), 3.79 (s, 3H), 3.36 (t, 2H), 2.85 (t, 2H), 2.5 (s, 3H), 2.3 (s, 3H), 0.77 (s, 9H), −0.08 (s, 6H).
- MS (m/z): 652 [MH]+.
- As in intermediate 47.
- NMR (1H, CDCl3): δ 8.14 (d, 1H), 7.92 (s, 1H), 7.61 (d, 1H), 7.46 (dd, 1H), 7.4 (bs, 1H), 7.23 (d, 2H), 7.02 (d, 1H), 6.87 (d, 2H), 6.69 (s, 1H), 4.4 (s, 2H), 4.2 (m, 2H), 3.84 (t, 2H), 3.79 (s, 3H), 3.37 (t, 2H), 3.15 (bs, 1H), 2.86 (m, 2H), 2.48 (s, 3H), 2.28 (s, 3H).
- MS (m/z): 538 [MH]+.
- As in intermediate 48.
- NMR (1H, CDCl3): δ 7.83 (d, 1H), 7.54 (bs, 1H), 7.48 (dd, 1H), 7.35 (d, 1H), 7.23 (d, 2H), 7.02 (d, 1H), 6.87 (d, 2H), 6.67 (s, 1H), 4.41 (s, 2H), 3.94 (m, 4H), 3.79 (s, 3H), 3.48 (t, 2H), 3.38 (t, 2H), 2.34 (s, 3H), 2.29 (s, 3H).
- MS (m/z): 520 [MH]+.
- As in intermediate 46, except that intermediate 83 (2-methyl-4-(1H-pyrazol-1-yl)aniline) was used instead of 2-methyl-4-[(trifluoromethyl)oxy]aniline.
- NMR (1H, CDCl3): δ 8.07 (d, 1H), 7.88 (d, 1H), 7.70 (s, 1H), 7.57 (m, 3H), 7.46 (dd, 1H), 7.25 (d, 2H), 7.03 (d, 1H), 6.91 (d, 2H), 6.60 (s, 1H), 6.45 (t, 1H), 4.44 (s, 2H), 4.18 (t, 2H), 3.92 (t, 2H), 3.88 (s, 3H), 3.40 (s, 2H), 2.87 (t, 2H), 2.46 (s, 3H), 2.36 (s, 3), 0.84 (s, 9H), 0.00 (s, 6H).
- MS (m/z): 693 [MH]+.
- As in intermediate 47.
- NMR (1H, CDCl3): δ 7.94 (d, 1H), 7.81 (d, 1H), 7.65 (d, 1H), 7.57 (m, 2H), 7.48 (d, 1H), 7.38 (dd, 1H), 7.22 (d, 2H), 6.97 (d, 1H), 6.86 (d, 2H), 6.54 (s, 1H), 6.37 (t, 1H), 4.38 (t, 2H), 4.10 (m, 2H), 3.82 (t, 2H), 3.78 (s, 3H), 3.32 (t, 2H), 2.83 (t, 2H), 2.40 (s, 3H), 2.27 (s, 3H).
- MS (m/z): 579 [MH]+.
- As in intermediate 48.
- NMR (1H, CDCl3): δ 7.90 (d, 1H), 7.85 (d, 1H), 7.71 (m, 1H), 7.67 (m, 1H), 7.63 (m, 1H), 7.36 (d, 1H), 7.24 (d, 2H), 7.03 (d, 1H), 6.90 (d, 2H), 6.62 (s, 1H), 6.45 (t, 1H), 4.43 (s, 2H), 3.96 (m, 4H), 3.81 (s, 3H), 3.49 (t, 2H), 3.40 (t, 2H), 2.34 (s, 3H), 2.29 (s, 6H).
- MS (m/z): 561 [MH]+.
- As in intermediate 46, except that 4-amino-3-(trifluoromethyl)benzonitrile was used instead of 2-methyl-4-[(trifluoromethyl)oxy]aniline.
- NMR (1H, CDCl3): δ 8.41 (d, 1H), 8.32 (s, 1H), 7.92 (d, 1H), 7.74 (m, 2H), 7.35 (m, 3H), 7.12 (d, 1H), 6.96 (d, 2H), 4.52 (s, 2H), 4.18 (t, 2H), 4.00 (m, 2H), 3.90 (s, 3H), 3.48 (t, 2H), 3.21 (t, 2H), 2.63 (s, 3H), 0.91 (s, 9H), 0.07 (s, 6H).
- MS (m/z): 706 [MH]+.
- As in intermediate 47.
- NMR (1H, CDCl3): δ 8.28 (d, 1H), 8.20 (s, 1H), 7.77 (d, 1H), 7.61 (dd, 1H), 7.56 (d, 1H), 7.16 (d, 2H), 6.98 (d, 1H), 6.81 (d, 2H), 6.72 (s, 1H), 6.14 (t, 1H), 4.35 (s, 2H), 4.06 (t, 2H), 3.78 (t, 2H), 3.73 (s, 3H), 3.32 (t, 2H), 2.84 (t, 2H), 2.43 (s, 3H).
- MS (m/z): 592 [MH]+.
- As in intermediate 48.
- NMR (1H, CDCl3): δ 8.00 (d, 1H), 7.85 (d, 1H), 7.81 (dd, 1H), 7.68 (d, 1H), 7.25 (d, 2H), 7.05 (d, 1H), 6.89 (d, 2H), 6.75 (s, 1H), 4.42 (s, 2H), 3.93 (m, 4H), 3.52 (t, 2H), 3.48 (s, 3H), 3.40 (t, 2H), 2.35 (s, 3H).
- MS (m/z): 574 [MH]+.
- As in intermediate 46, except that intermediate 87 (2-(difluoromethyl)-4-(methyloxy)aniline) was used instead of 2-methyl-4-[(trifluoromethyl)oxy]aniline.
- NMR (1H, CDCl3): δ 7.62 (d, 1H), 7.56 (d, 1H), 7.50 (s, 1H), 7.26 (d, 2H), 7.13 (d, 1H), 7.01-6.98 (m, 2H), 6.87-6.92 (m, 2H), 6.73 (t, 1H, J(H-F)=56.1 Hz), 6.55 (s, 1H), 4.44 (s, 2H), 4.11 (t, 2H), 3.86 (t, 2H), 3.84 (s, 3H), 3.82 (s, 3H), 3.39 (t, 2H), 2.84 (t, 2H), 2.35 (s, 3H), 0.82 (s, 9H), 0.00 (s, 6H).
- MS (m/z): 693 [MH]+.
- As in intermediate 47.
- NMR (1H, DMSO-d6): δ 8.32 (bs, 1H), 8.02 (d, 1H), 7.34-7.30 (m, 1H), 7.21 (d, 2H), 7.05-7.07 (m, 2H), 6.9 (d, 2H), 6.86 (t, 1H, JH-F=54.9 Hz), 6.76 (d, 1H), 6.63 (s, 1H), 5.29 (t, 1H), 4.31 (s, 2H), 3.73-3.84 (m, 10H), 3.34 (t, 2H), 2.77 (t, 2H), 2.19 (s, 3H).
- MS (m/z): 579 [MH]+.
- As in intermediate 48.
- NMR (1H, CDCl3): δ 7.84 (d, 1H), 7.21-7.26 (m, 4H), 7.02-7.06 (m, 2H), 6.87-6.89 (m, 2H), 6.87 (t, 1H, J(H-F)=55.5 Hz), 6.64 (s, 1H), 4.23 (s, 2H), 3.81-3.97 (m, 10H), 3.37-3.49 (m, 4H), 2.32 (s, 3H).
- MS (m/z): 561 [MH]+.
- As in intermediate 46, except that 4-amino-3-[(trifluoromethyl)oxy]benzonitrile was used instead of 2-methyl-4-[(trifluoromethyl)oxy]aniline.
- MS (m/z): 722 [MH]+.
- As in intermediate 47.
- NMR (1H, CDCl3): δ 8.84 (d, 1H), 8.56 (d, 1H), 7.61 (d, 1H), 7.5 (dd, 1H), 7.48 (bs, 1H), 7.23 (d, 2H), 7.02 (d, 1H), 6.87 (d, 2H), 6.87 (d, 2H), 6.74 (s, 1H), 4.4 (s, 2H), 4.2 (m, 2H), 3.84 (t, 2H), 3.79 (s, 3H), 3.37 (t, 2H), 3.1 (bs, 1H), 2.86 (m, 2H), 2.5 (s, 3H).
- MS (m/z): 608 [MH]+.
- As in intermediate 48.
- NMR (1H, CDCl3): δ 8.05 (d, 1H), 7.84 (m, 1H), 7.54 (bs, 1H), 7.5 (m, 1H), 7.23 (m, 1H), 7.03 (m, 1H), 6.87 (d, 2H), 6.78 (s, 1H), 4.41 (s, 2H), 4.11 (m, 2H), 3.91 (m, 2H), 3.79 (s, 3H), 3.5 (t, 2H), 3.38 (t, 2H), 2.41 (s, 3H).
- MS (m/z): 590 [MH]+.
- As in intermediate 46, except that 4-amino-3-ethylbenzonitrile was used instead of 2-methyl-4-[(trifluoromethyl)oxy]aniline.
- MS (m/z): 666 [MH]+.
- As in intermediate 47.
- NMR (1H, CDCl3): δ 8.11 (d, 1H), 7.92 (s, 1H), 7.61 (d, 1H), 7.43 (dd, 1H), 7.42 (bs, 1H), 7.23 (d, 2H), 7.01 (d, 1H), 6.87 (d, 2H), 6.69 (s, 1H), 4.41 (s, 2H), 4.19 (m, 2H), 3.84 (t, 2H), 3.79 (s, 3H), 3.37 (t, 2H), 3.2 (bs, 1H), 2.86 (m, 2H), 2.64 (m, 2H), 2.47 (s, 3H), 1.27 (t, 3H).
- MS (m/z): 552 [MH]+.
- As in intermediate 48.
- NMR (1H, CDCl3): δ 7.83 (d, 1H), 7.6 (bs, 1H), 7.48 (dd, 1H), 7.35 (d, 1H), 7.23 (d, 2H), 7.02 (d, 1H), 6.87 (d, 2H), 6.65 (s, 1H), 4.41 (s, 2H), 3.92 (m, 4H), 3.79 (s, 3H), 3.48 (t, 2H), 3.38 (t, 2H), 2.66 (q, 2H), 2.32 (s, 3H), 1.22 (t, 3H).
- MS (m/z): 534 [MH]+.
- As in intermediate 46, except that intermediate 88 (2-(methyloxy)-4-(1H-pyrazol-1-yl)aniline) was used instead of 2-methyl-4-[(trifluoromethyl)oxy]aniline.
- NMR (1H, CDCl3): δ 7.88 (d, 1H), 7.76 (d, 1H), 7.65 (d, 1H), 7.5 (bs, 1H), 7.35 (d, 1H), 7.21 (m, 3H), 7.16 (dd, 1H), 7.02 (d, 1H), 6.88 (d, 2H), 6.69 (d, 1H), 6.54 (s, 1H), 6.44 (t, 1H), 4.41 (s, 2H), 4.11 (t, 2H), 3.95 (s, 3H), 3.86 (t, 2H), 3.79 (s, 3H), 3.36 (t, 2H), 2.85 (t, 2H), 2.51 (s, 3H), 0.79 (s, 9H), 0.07 (s, 6H).
- MS (m/z): 709 [MH]+
- As in intermediate 47.
- NMR (1H, CDCl3): δ 8.66 (m, 1H), 7.88 (d, 1H), 7.69 (d, 1H), 7.62 (d, 1H), 7.5 (bs, 1H), 7.38 (d, 1H), 7.21 (m, 3H), 7.16 (dd, 1H), 7.02 (d, 1H), 6.88 (d, 2H), 6.54 (s, 1H), 6.44 (t, 1H), 4.41 (s, 2H), 4.11 (t, 2H), 3.98 (s, 3H), 3.9 (t, 2H), 3.79 (s, 3H), 3.40 (t, 2H), 2.9 (t, 2H), 2.49 (s, 3H).
- MS (m/z): 595 [MH]+.
- As in intermediate 48.
- NMR (1H, CDCl3): δ 7.88 (d, 1H), 7.83 (d, 1H), 7.70 (d, 1H), 7.59 (d, 1H), 7.42 (d, 1H), 7.22 (m, 3H), 7.00 (d, 1H), 6.88 (d, 2H), 6.63 (s, 1H), 6.43 (t, 1H), 4.41 (s, 2H), 3.98 (m, 4H), 3.90 (s, 3H), 3.78 (s, 3H), 3.40 (m, 4H), 2.34 (s, 3H).
- As in intermediate 46, except that intermediate 89 (6-methyl-1,3-benzodioxol-5-amine) was used instead of 2-methyl-4-[(trifluoromethyl)oxy]aniline.
- NMR (1H, CDCl3): δ 7.57 (d, 1H), 7.43 (bs, 1H), 7.25 (bs, 1H), 7.21 (d, 2H), 6.94 (d, 1H), 6.86 (d, 2H), 6.64 (d, 1H), 6.48 (bs, 1H), 5.88 (s, 2H), 4.40 (s, 2H), 4.08 (m, 2H), 3.83 (m, 2H), 3.79 (s, 3H), 3.35 (t, 2H), 2.78 (t, 2H), 2.38 (bs, 3H), 2.16 (s, 3H), 0.80 (s, 9H), −0.04 (s, 6H).
- MS (m/z): 671 [MH]+.
- As in intermediate 47.
- NMR (1H, CDCl3): δ 7.59 (d, 1H), 7.39 (bs, 1H), 7.24 (m, 2H), 7.21, 6.99 (d, 1H), 6.87 (d, 2H), 6.70 (bs, 1H), 6.65 (s, 1H), 6.48 (s, 1H), 5.89 (s, 2H), 4.40 (s, 2H), 4.33 (t, 1H), 4.08 (m, 2H), 3.85 (t, 2H), 3.78 (s, 3H), 3.36 (t, 2H), 2.85 (t, 2H), 2.38 (s, 3H), 2.17 (s, 3H).
- MS (m/z): 557 [MH]+.
- As in intermediate 48.
- NMR (1H, CDCl3): δ 7.81 (d, 1H), 7.23 (m, 2H), 6.99 (d, 1H), 6.87 (d, 2H), 6.73 (d, 2H), 6.56 (s, 1H), 5.90 (s, 2H), 4.40 (s, 2H), 3.92 (t, 2H), 3.78 (m, 5H), 3.39 (m, 4H), 2.31 (s, 3H), 2.15 (s, 3H).
- MS (m/z): 539 [MH]+.
- As in intermediate 46, except that 2,4,6-tris(methyloxy)aniline was used instead of 2-methyl-4-[(trifluoromethyl)oxy]aniline.
- MS (m/z): 703 [MH]+.
- As in intermediate 47.
- MS (m/z): 589 [MH]+.
- As in intermediate 48.
- NMR (1H, DMSO-d6): δ 8.84 (d, 1H), 7.24 (bs, 2H), 7.01 (bs, 1H), 6.88-6.83 (d-d, 2H), 6.54 (s, 1H), 6.20 (d, 1H), 6.18 (s, 1H), 4.44 (s, 2H), 3.92-3.84 (m, 2H), 3.81-3.72 (m, 14H), 3.48-3.36 (m, 4H), 2.40 (bs, 3H).
- MS (m/z): 451 [MH]+.
- As in intermediate 46, except that 4-methyl-1,3-benzodioxol-5-amine (prepared as described in the U.S. Pat. No. 5,965,595 A) was used instead of 2-methyl-4-[(trifluoromethyl)oxy]aniline.
- NMR (1H, CDCl3): δ 7.57 (d, 1H), 7.41 (bs, 1H), 7.21 (m, 3H), 7.00 (d, 1H), 6.95 (d, 2H), 6.87 (d, 1H), 6.47 (s, 1H), 5.92 (s, 2H), 4.40 (s, 2H), 4.11 (m, 2H), 3.83 (s, 3H), 3.35 (t, 2H), 2.79 (t, 2H), 2.33 (s, 3H), 2.04 (s, 3H), 0.79 (s, 9H), −0.04 (s, 6H).
- MS (m/z): 671 [MH]+.
- As in intermediate 47.
- NMR (1H, CDCl3): δ 7.59 (d, 1H), 7.20 (m, 3H), 7.10 (d, 1H), 6.99 (d, 1H), 6.87 (d, 2H), 6.70 (d, 1H), 6.47 (s, 1H), 5.93 (s, 2H), 4.40 (s, 2H), 4.08 (m, 2H), 3.85 (t, 2H), 3.78 (s, 3H), 3.36 (t, 2H), 2.85 (t, 2H), 2.35 (s, 3H), 2.09 (s, 3H).
- MS (m/z): 557 [MH]+.
- As in intermediate 48.
- NMR (1H, CDCl3): δ 7.81 (d, 1H), 7.23 (m, 2H), 6.99 (d, 1H), 6.88 (d, 2H), 6.72 (dd, 2H), 6.56 (s, 1H), 5.95 (s, 2H), 4.40 (s, 2H), 3.92 (t, 2H), 3.81 (t, 2H), 3.78 (s, 3H), 3.39 (m, 4H), 2.31 (s, 3H), 2.08 (s, 3H).
- MS (m/z): 539 [MH]+
- As in intermediate 46, except that 2,4-bis(trifluoromethyl)aniline was used instead of 2-methyl-4-[(trifluoromethyl)oxy]aniline.
- NMR (1H, CDCl3): δ 8.33 (d, 1H), 7.99 (bs, 1H), 7.78 (bs, 1H), 7.63 (m, 2H), 7.24 (m, 2H), 6.99 (m, 1H) 6.85 (d, 2H), 6.77 (bs, 1H), 4.40 (s, 2H), 4.05 (m, 2H), 3.83 (m, 2H), 3.78 (s, 3H), 3.36 (t, 2H), 2.90 (t, 2H), 2.49 (s, 3H), 0.73 (s, 9H), −0.11 (s, 6H).
- MS (m/z): 749 [MH]+.
- As in intermediate 47.
- NMR (1H, CDCl3): δ 8.37 (d, 1H), 7.90 (bs, 1H), 7.79 (bs, 1H), 7.67 (m, 2H), 7.61 (d, 1H), 7.51 (m, 1H) 7.03 (bs, 1H), 6.88 (d, 2H), 6.72 (s, 1H), 4.40 (s, 2H), 4.20 (t, 2H), 4.05 (bs, 1H), 3.85 (t, 2H), 3.78 (s, 3H), 3.37 (t, 2H), 2.89 (t, 2H), 2.47 (s, 3H).
- MS (m/z): 635 [MH]+.
- As in intermediate 48.
- NMR (1H, CDCl3): δ 7.96 (s, 1H), 7.84 (d, 1H), 7.79 (bs, 1H), 7.58 (d, 1H), 7.22 (d, 2H), 7.02 (d, 1H), 6.88 (d, 2H) 6.70 (s, 1H), 4.41 (s, 2H), 3.92 (m, 4H), 3.79 (s, 3H), 3.49 (t, 2H), 3.37 (t, 2H), 2.31 (s, 3H).
- MS (m/z): 617 [MH]+.
- To a solution of 4-bromo-2-methylaniline (1 g, 5.37 mmol,) in 1,4-dioxane (11 mL) and H2O (4 mL), at r.t., were added Et3N (2.7 mL, 1.2 eq) and BOC2O (4.2 g, 1.2 eq). The reaction mixture was stirred at r.t. for 96 hr. Sat.aq. NH4Cl and EtOAc (20 mL) were added and the phases were separated. The aqueous layer was further extracted with EtOAc (2×20 mL). The combined organic extracts were dried over anh. Na2SO4, the solids were filtered and the solvent evaporated. The residue was purified on an SCX cartridge (CH2Cl2, MeOH and NH3(0.5 M in MeOH)) to give the title compound as a white solid (1.22 g, 79%).
- NMR (1H, DMSO-d6): δ 8.55 (s, 1H), 7.35 (m, 1H), 7.28 (m, 2H), 2.17 (s, 3H), 1.44 (s, 9H).
- MS (m/z): 230 [MH-tBu]+, 186 [MH-BOC]+.
- A solution of intermediate 82 (200 mg, 0.7 mmol), 1H-pyrazole (95 mg, 2 eq), CuI (133 mg, 1 eq), K2CO3 (290 mg, 2.1 eq) and (1R,2R)-diaminomethylcyclohexane (100 mg, 1 eq) in anh. NMP (1 mL), under N2, was heated at 150° C. for 6 hr. It was cooled down to r.t. and poured into water. EtOAc was added and the phases were separated. The aqueous layer was further extracted with EtOAc (2×10 mL). The combined organic extracts were dried over anh. Na2SO4, the solids were filtered and the solvent evaporated. The residue was purified by flash-chromatography (silica gel, cHex/EtOAc 8:2) to give the title compound as a white solid (85.6 mg, 70%).
- NMR (1H, CDCl3): δ 7.77 (dd, 1H), 7.66 (d, 1H), 7.39 (d, 1H), 7.29 (dd, 1H), 6.72 (d, 1H), 6.40 (t, 1H), 2.85 (bs, 1H).
- MS (m/z): 174 [MH]+.
- To a suspension of cyanuric chloride (1.84 g, 1 eq) in anh. DME (60 mL) at r.t., under N2, was added NMM (1.1 mL, 1 eq). The reaction mixture was stirred for 2 min and a precipitate was formed. A solution of 5-(methyloxy)-2-nitrobenzoic acid (2.0 g, 10 mmol) in anh. DME (20 mL) was added and the reaction mixture was stirred for 4 hr. The suspension was filtered and a solution of NaBH4 (0.57 g, 1.5 eq) in water (30 mL) was added at 0° C. The reaction mixture was stirred for 20 min at 0° C. It was then diluted with Et2O (10 mL) and acidified to pH 5 by addition of sat. aq. NH4Cl. The phases were separated and the aqueous layer was extracted with Et2O (2×100 mL). The combined organic extracts were washed with sat. aq. Na2CO3 and dried over anh. Na2SO4. The solids were filtered and the solvent evaporated to dryness. The crude product was purified by flash chromatography (silica gel, cHex/EtOAc 8:2) to give the title compound (958 mg, 53%).
- NMR (1H, CDCl3): δ 8.15 (d, 1H), 7.19 (m, 1H), 6.85 (dd, 1H), 4.95 (d, 2H), 3.89 (s, 3H), 2.5 (t, 1H).
- To a solution of intermediate 84 (1.44 g, 7.9 mmol) in anh. CH2Cl2 (40 mL) at r.t., under N2, was added Dess-Martin periodinane (3.68 g, 1.1 eq). The reaction mixture was stirred for 3 hr at r.t., then sat.aq. Na2S2O3 (5 mL) and sat.aq. NaHCO3 (20 mL) were added. The phases were separated and the aqueous layer was extracted with EtOAc (2×100 mL). The combined organic extracts were dried over anh. Na2SO4, the solids were filtered and the solvent evaporated to dryness to give 1.45 g (100%) of the title compound.
- NMR (1H, CDCl3): δ 10.47 (s, 1H), 8.14 (d, 1H), 7.31 (d, 1H), 7.13 (dd, 1H), 3.94 (s, 3H).
- To a solution of intermediate 85 (250 mg, 1.38 mmol) in anh. CH2Cl2 (10 mL), at −78° C., under N2, was added slowly DAST (2×0.4 mL, 2.2 eq). The reaction mixture was stirred at r.t. for 1.5 hr, after which was added sat.aq. NaCl. The phases were separated and the aqueous layer was extracted with EtOAc (3×20 mL). The combined organic extracts were dried over anh. Na2SO4, the solids were filtered and the solvent was evaporated to dryness. The crude product was purified by flash chromatography (silica gel, cHex/EtOAc 8:2) to give the title compound (176 mg, 63%) as a yellow oil.
- NMR (1H, CDCl3): δ 8.21 (d, 1H), 7.43 (t, 1H, J(H-F)=54.9 Hz), 7.33 (d, 1H), 7.06 (dd, 1H), 3.95 (s, 3H).
- To a solution of intermediate 86 (176 mg, 0.87 mmol) in anh. MeOH (8.7 mL), at r.t., under N2, was added Pd/C 10% (88 mg, 5% wt). The reaction mixture was placed under an atmosphere of H2 for 5 hr. The catalyst was filtered off and the solution obtained was evaporated to dryness. The crude product was purified by flash chromatography (silica gel, cHex/EtOAc 9:1) to give the title compound (27 mg, 20%) as a yellow oil.
- NMR (1H, CDCl3): δ 6.88-6.80 (m, 2H), 6.7-6.67 (m, 1H), 6.62 (t, 1H, J(H-F)=55.6 Hz), 3.8-3.5 (bs, 2H), 3.76 (s, 3H)
- MS (m/z): 174 [MH]+.
- To a solution of 4-bromo-2-(methyloxy)aniline (400 mg, 1.979 mmol) in anh. NMP (4 mL), at r.t., under N2, were added pyrazole (269 mg, 2 eq), K2CO3 (819 mg, 3 eq), CuI (377 mg, 1 eq) and (1R,2R)-diaminomethylcyclohexane (281 mg, 1 eq). The reaction mixture was stirred at 150° C. for 3 hr. It was cooled down to r.t. and poured into EtOAc/sat.aq. NaCl. The phases were separated and the organic layer was washed with sat.aq. NH4Cl (20 mL) and sat.aq. NaCl (20 mL). The combined aqueous layers were extracted back with EtOAc (20 mL) and the combined organic extracts were dried over anh. Na2SO4. The solids were filtered and the solvent evaporated. The crude product was purified by flash chromatography (silica gel, cHex/EtOAc 7:3) to give the title compound as a brown oil (336 mg, 90%)
- NMR (1H, CDCl3): δ 7.78 (d, 1H), 7.65 (d, 1H), 7.21 (d, 1H), 6.97 (dd, 1H), 6.73 (d, 1H), 6.40 (m, 1H), 4.05 (bs, 2H), 3.87 (s, 3H).
- MS (m/z): 190 [MH]+.
- A mixture of 5-methyl-6-nitro-benzo(1,3)dioxole (50 mg, 0.28 mmol), Fe (54 mg, 3.5 eq) and ammonium chloride (51.2 mg, 3.5 eq) in a 1:1 mixture of MeOH/H2O (2.8 mL) was subjected to microwave irradiation (60 W, P=100 p.s.i.) at 80° C. for four 10 min periods. The brown solution was allowed to cool to r.t. and more Fe (3.5 eq) and ammonium chloride (3.5 eq) were added. The mixture was subjected to microwave irradiation (60 W, P=100 p.s.i.) at 80° C. for an additional 10 min. Fe was filtered off and the solvent evaporated. The crude product was purified on an SCX cartridge (cHex/EtOAc 9:1) to give the title compound as a brown solid (40 mg, 93%).
- NMR (1H, CDCl3): δ 6.54 (s, 1H), 6.27 (s, 1H), 5.80 (s, 2H), 2.27 (bs, 2H), 2.07 (s, 3H).
- MS (m/z): 152 [MH]+.
- A solution of DIPEA (39 mL, 1 eq) and 4-methoxy-2-methylaniline (30 g, 0.22 mol) in anh. DMF (90 mL), under N2, was heated at 100° C. 4-Bromobutanenitrile (21 mL, 1 eq) was added dropwise. The internal temperature was raised to 110° C. and the reaction mixture was stirred for 2 hr. The mixture was cooled down to r.t. and diluted with MTBE (240 mL). Water (270 mL) was added and the phases were separated. The organic layer was further washed with water (150 mL) and evaporated to 150 mL. Fresh MTBE (150 mL) was added and the mixture again evaporated to 150 mL. The mixture was treated with cHex (540 mL) over 20 min and the resulting suspension left at room temperature for 1.5 hr. The suspension was filtered and the cake washed with a mixture MTBE (30 mL)/cHex (90 mL). The title compound was collected as a violet solid (23.8 g, 53%).
- NMR (1H, DMSO-d6): δ 6.65 (d, 1H), 6.63 (dd, 1H), 6.47 (d, 1H), 4.49 (bt, 1H), 3.64 (s, 3H), 3.10 (q, 2H), 2.59 (t, 2H), 2.09 (s, 3H), 1.86 (m, 2H).
- MS (m/z): 205 [MH]+.
- To a suspension of intermediate 90 (35.0 g, 0.173 mol) in anh. IPA (280 mL), at r.t., under N2, was added 6N HCl/IPA (51.45 mL, 1.5 eq). The mixture was heated to reflux for 4 hr, allowed to cool down to r.t. and evaporated to 140 mL. Water (350 mL) was added, the clear solution evaporated again to 140 mL and treated with 10% NaOH (140 mL). The mixture was extracted with CH2Cl2 (350 mL) and the organic layer further washed with 10% NaCl (140 mL). The organic layer was evaporated to dryness. The crude product was used as such in the next step (36.4 g, 100%)
- NMR (1H, DMSO-d6): δ 7.09 (d, 1H), 6.87 (d, 1H), 6.80 (dd, 1H), 5.8-5.4 (b, 1H), 3.75 (s, 1H), 3.54 (t, 2H), 2.51 (t, 2H), 2.11 (s, 3H), 2.01 (m, 2H).
- MS (m/z): 205 [MH]+.
- To a solution of intermediate 4 (50.0 g, 0.15 mol) in anh. DMF (175 mL), at r.t., under N2, was added CH3SO3H (58.1 mL, 1.2 eq) followed by NaBr (19.18 g, 1.5 eq) and the resulting mixture was heated at 85° C. for 2 hr. It was then diluted with MTBE (250 mL) and washed with 1N NaOH (250 mL). The aqueous phase was extracted with MTBE (150 mL) and the combined organic extracts washed twice with water (250 mL), then dried over anh. Na2SO4. The solids were filtered and the solvent evaporated to give the title compound (38.g, 76%) as a yellow solid.
- NMR (1H, DMSO-d6): δ 7.17 (d, 1H), 6.87 (d, 1H), 6.80 (dd, 1H), 6.56 (s, 1H), 3.86 (t, 2H), 3.76 (s, 3H), 3.06 (t, 2H), 2.15-2.14 (2s, 6H).
- MS (m/z): 333/335 [MH]+.
- To a mixture of triisopropyl borate (185 μL, 3 eq) and intermediate 5 (100 mg, 1 eq) in an anh. 1:4 mixture of THF/toluene (0.5 mL), at −70° C., under N2, was added n-BuLi (329 μL, 2 eq) dropwise. The reaction mixture was stirred at −70° C. for 2.5 hr. It was warmed up to −20° C. and quenched with 1M HCl (0.5 mL, 2 eq). The mixture was warmed up to r.t. and precipitation of the boronic acid was observed. The solid was filtered and washed with CH3CN. The title compound was obtained as a white solid (70 mg, 89%).
- NMR (1H, CDCl3): δ 7.21 (d, 1H), 6.91 (d, 1H), 6.84 (dd, 1H), 6.61 (d, 1H), 4.02 (bt, 2H), 3.74 (s, 3H), 3.29 (bt, 2H), 2.21 (s, 3H), 2.15 (s, 3H).
- MS (m/z): 299 [MH]+.
- To a solution of 6-bromo-2-pyridinamine (1 g, 5.78 mmol) in anh. THF (25 mL), at r.t., under N2, was added 1-chloro-2-isocyanatoethane (1.2 mL, 2.5 eq) and the reaction mixture was stirred at r.t. for 18 hr. The crude mixture was partitioned between CH2Cl2 and water. The phases were separated and the organic layer was dried over anh.
- Na2SO4. The solids were filtered and the solvent evaporated to give the title compound (1.06 g, 66%) which was used in the next step without further purification.
- NMR DMSO-d6): δ 9.56 (bs, 1H), 7.75 (m, 2H), 7.32 (t, 1H), 7.14 (t, 1H), 3.65 (t, 2H), 3.46 (m, 2H)
- To a solution of intermediate 94 (1.06 g, 3.82 mmol) in anh. THF (25 mL), at 0° C., under N2, was added t-BuOK (644 mg, 1.5 eq) and the reaction mixture was allowed to warm up to r.t. After 1 h at r.t. the reaction mixture was partitioned between CH2Cl2 and water. The organic layer was dried over anh. Na2SO4, the solids were filtered and the solvent evaporated to give the title compound (0.988 g, quantitative) which was used in the next step without further purification.
- NMR DMSO-d6): δ 8.14 (d, 1H), 7.61 (t, 1H), 7.33 (bs, 1H), 7.19 (d, 1H), 3.95 (t, 2H), 3.40 (t, 2H)
- To a solution of intermediate 95 (0.5 g, 2.06 mmol) in anh. DMF (25 mL), at r.t., under N2, was added NaH 60%/oil (82 mg, 1 eq) and p-methoxybenzyl chloride (280 μL, 1 eq) and the mixture was stirred at r.t. for 2 hr. It was then partitioned between CH2Cl2 and water. The organic layer was dried over anh. Na2SO4, the solids were filtered and the solvent evaporated. The resulting crude product was purified by flash chromatography (silica gel, CH2Cl2/MeOH 9:1) to give the title compound (0.635 g, 85%).
- NMR (1H, CDCl3): δ 8.33 (d, 1H), 7.71 (t, 1H), 7.29 (d, 2H), 7.10 (d, 1H), 6.85 (d, 2H), 4.43 (s, 2H), 4.00 (t, 2H), 3.83 (s, 3H), 3.55 (t, 2H)
- To a solution of intermediate 93 (50 mg, 1 eq) and intermediate 96 (121 mg, 2 eq) in a 1:1 mixture of toluene/EtOH (5 mL), at r.t., under N2, were added 2M Na2CO3 (168 μL), Pd(PPh3)4 (19 mg, 0.1 eq) and tetra-n-butylammonium bromide (9 mg, 0.1 eq). The reaction mixture was stirred at 90° C. for 2 hr in a sealed vial. It was partitioned between EtOAc and water. The phases were separated and the organic layer was washed with sat.aq. NaCl. It was dried over anh. Na2SO4, the solids were filtered and the solvent evaporated. The crude product was purified by flash chromatography (silica gel, cHex/EtOAc 8:2) to give the title compound as a white solid (35 mg, 39%).
- NMR (1H, CDCl3): δ 8.32 (d, 1H), 7.71 (d, 1H), 7.30-6.71 (m, 9H), 4.43 (s, 2H), 4.09 (t, 2H), 3.84-3.78 (m, 8H), 3.43-3.33 (m, 4H), 2.33 (s, 3H), 2.24 (s, 3H).
- MS (m/z): 536 [MH]+.
- To a solution of 3,4-dimethoxybenzylamine (2 g, 12 mmol) in anh. THF (25 mL), at r.t., under N2, was added 2-chloroethyl isocyanate (1.02 mL, 1 eq). The reaction was complete after the addition. It was concentrated and the residue was purified by flash chromatography (silica gel, cHex/EtOAc 1:1→7:3 EtOAc/NH3 (0.5 in MeOH)) to give the title compound as a white solid (2.9 g, 89%).
- NMR (1H, DMSO-d6): δ 6.85 (d, 1H), 6.82 (d, 1H), 6.73 (dd, 1H), 6.41 (t, 1H), 6.16 (t, 1H), 4.10 (d, 2H), 3.70 (s, 3H), 3.69 (s, 3H), 3.56 (t, 2H), 3.31 (m, 2H).
- MS (m/z): 273 [MH]+.
- To a suspension of intermediate 98 (1 g, 3.68 mmol) in anh. THF (30 mL), at 0° C., under N2, was added t-BuOK (500 mg, 1.2 eq). The ice bath was removed and the reaction mixture was stirred at r.t. for 1 hr. Sat.aq. NH4Cl was added and the solvents were evaporated to dryness. The residue was purified by flash chromatography (silica gel, 100% EtOAc→EtOAc/MeOH 8:2) to give the title compound as a white solid (555 mg, 64%).
- NMR (' H, DMSO-d6): δ 6.88 (d, 1H), 6.79 (d, 1H), 6.73 (dd, 1H), 6.33 (s, 1H), 4.12 (s, 2H), 3.70 (s, 6H), 3.16 (m, 4H).
- MS (m/z): 237 [MH]+.
- To a solution of 2,4-dichloropyrimidine (600 mg, 2.54 mmol, 1 eq) and intermediate 99 (100 mg, 0.42 mmol) in anh. DMF (27 mL), at r.t., under N2, was added NaH 60%/oil (112 mg, 1.1 eq). The reaction mixture was stirred at r.t. for 1 hr. Water and EtOAc were added and the two phases were separated. The aqueous layer was further extracted with EtOAc (3×20 mL). The combined organic extracts were concentrated and the residue was purified by flash chromatography (silica gel, cHex/EtOAc 7:3) to give intermediate 100 as a white solid (377 mg, 42%). The other regioisomer was collected in mixture with the unreacted intermediate 99. This crude mixture was repurified by flash chromatography (silica gel, CH2Cl2/NH3(0.5 in MeOH) 95:5) to give intermediate 101 as a white solid (193.1 mg, 22%).
- NMR (1H, CDCl3): δ 8.36 (d, 1H), 8.28 (d, 1H), 6.87 (s, 1H), 6.86 (d, 2H), 4.46 (s, 2H), 4.05 (dd, 2H), 3.91 (s, 6H), 3.43 (dd, 2H).
- MS (m/z): 349 [MH]+.
- NMR (1H, DMSO): δ 8.55 (d, 1H), 7.19 (d, 1H), 6.88 (d, 1H), 6.83 (d, 1H), 6.78 (dd, 1H), 4.29 (s, 2H), 3.88 (dd, 2H), 3.70 (s, 3H), 3.69 (s, 3H), 3.28 (dd, 2H).
- MS (m/z): 349 [MH]+.
- To a suspension of intermediate 100 (50 mg, 0.144 mmol) in propionitrile (2 mL), at r.t., under N2, was added TMSBr (38 μL, 2 eq). The reaction mixture was subjected to microwave irradiation (2×10 min, T=100° C.). 2N NaOH and EtOAc were added to the reaction mixture and the two phases were separated. The aqueous layer was further extracted with EtOAc (3×10 mL) and the combined organic extracts were concentrated in vacuo. The residue was purified on an SCX cartridge (100% CH2Cl2→NH3 (0.5 in MeOH)) to give the title compound as a white solid (43 mg, 76%).
- NMR (1H, CDCl3): δ 8.27 (m, 2H), 6.81-6.83 (m, 3H), 4.24 (s, 2H), 4.01 (t, 2H), 3.88 (s, 3H), 3.87 (s, 3H), 3.40 (t, 2H).
- MS (m/z): 393 [MH]+.
- To a solution of intermediate 102 (43 mg, 0.112 mmol) and intermediate 93 (50 mg, 1.5 eq) in a 1:1 mixture of EtOH/toluene (4 mL), at r.t., under N2, were added Pd(PPh3)4 (13 mg, 0.1 eq), tetra-n-butylammonium bromide (4 mg, 0.1 eq) and 2N Na2CO3 (1.6 ml, 28.5 eq). The reaction mixture was heated at 100° C. for 2 hr. It was cooled down to r.t. and poured into water. EtOAc was added and the phases were separated. The aqueous layer was further extracted with EtOAc (2×10 mL). The combined organic extracts were dried over anh. Na2SO4, the solids were filtered and the solvent evaporated. The residue was purified by flash chromatography (silica gel, cHex/EtOAc 9:1) to give the title compound as a yellow solid (71 mg, quantitative).
- NMR (1H, CDCl3): δ 8.61 (dd, 1H), 8.24 (dd, 1H), 7.18-7.26 (m, 4H), 6.76-6.85 (m, 3H), 4.46 (s, 2H), 4.13 (t, 2H), 3.80-3.88 (m, 11H), 3.59 (t, 2H), 3.44 (t, 2H), 2.38 (s, 3H), 2.25 (s, 3H).
- MS (m/z): 567 [MH]+.
- To a suspension of intermediate 101 (188 mg, 0.54 mmol) in propionitrile (2 mL), at r.t., under N2, was added TMSBr (143 μL, 2 eq). The reaction mixture was subjected to microwave irradiation (10 min, P=155 W, T=100° C., p=60 psi). 2N NaOH was added and the reaction mixture was concentrated in vacuo. The residue was purified on a MEGA Bond Elut silica cartridge (CH2Cl2/MeOH 95:5) to give the title compound as a yellow solid (33 mg, 16%).
- NMR (1H, DMSO-d6): δ 8.44 (d, 1H), 7.35 (d, 1H), 6.80-6.90 (m, 3H), 4.31 (s, 2H), 3.90 (t, 2H), 3.73 (s, 3H), 3.72 (s, 3H), 3.22-3.34 (m, 2H).
- MS (m/z): 393 [MH]+.
- To a solution of intermediate 104 (33 mg, 0.084 mmol) and intermediate 93 (37 mg, 1.5 eq) in a 1:1 mixture of EtOH/toluene (3 mL) were added Pd(PPh3)4 (10 mg, 0.1 eq), tetra-n-butylammonium bromide (3 mg, 0.1 eq) and 2N Na2CO3 (1.2 mL, 28.5 eq). The reaction mixture was heated at 100° C. for 2.5 hr. It was cooled down to r.t. and poured into water. EtOAc was added and the phases were separated. The aqueous layer was further extracted with EtOAc (2×10 mL). The combined organic extracts were dried over anh. Na2SO4, the solids were filtered and the solvent evaporated. The residue was purified by flash chromatography (silica gel, CH2Cl2/MeOH 95:5) and on a Strata NH2 deactivated silica cartridge (cHex/EtOAc 1:0→cHex/EtOAc 0:1) to give 13 mg of the title compound still contaminated by unidentified by-products. This crude mixture was used in the next step without further purification.
- NMR (1H, CDCl3): δ 8.73 (d, 1H), 7.43-7.69 (m, 4H), 7.17 (d, 1H), 6.75-6.92 (m, 2H), 6.70 (s, 1H), 4.47 (s, 2H), 4.06-4.15 (m, 2H), 3.80-3.91 (m, 8H), 3.80 (s, 3H), 3.55-3.63 (m, 2H), 3.40 (m, 2H), 2.35 (s, 3H), 2.24 (s, 3H).
- MS (m/z): 567 [MH]+.
- A suspension of intermediate 5 (50 mg, 0.13 mmol), 1H-1,2,4-triazol-3-amine (22 mg, 2 eq), CuI (145 mg, 6 eq), K2CO3 (37 mg, 2.1 eq) and 1-2-N,N′-dimethylcyclohexanediamine (106 mg, 6 eq) in anh. NMP (5 mL) at r.t., under N2, was subjected to microwave irradiation (3×45 min, 150° C.). Sat.aq. NaCl (15 mL) was then added and the reaction mixture extracted with CH2Cl2 (2×15 mL). The combined organic extracts were dried over anh. Na2SO4, the solids were filtered and the solvents evaporated in vacuo The crude compound thus obtained was purified on an SCX cartridge (cHex/EtOAc 1:1→EtOAc/MeOH 9:1) to give the title compound as a white solid (20 mg, 46%).
- NMR (1H, CDCl3): δ 8.7 (s, 1H), 7.2 (d, 1H), 6.8 (d, 1H), 6.7 (dd, 2H), 6.67 (s, 1H), 5.75 (bs, 2H), 3.75 (t, 2H), 3.7 (s, 3H), 3.4 (t, 2H), 2.2 (s, 3H), 2.2 (s, 3H).
- MS (m/z): 337 [MH]+.
- To a solution of intermediate 106 (20 mg, 0.06 mmol) in anh. DMF (2 mL), at 0° C., under N2, was added 3-chloroethyl isocyanate (0.5 mL, excess) and the reaction mixture was stirred at r.t. for 6 days. H2O (15 mL) was then added and the mixture extracted with CH2Cl2 (2×15 mL). The combined organic extracts were dried over anh. Na2SO4, the solids were filtered and the solvents evaporated in vacuo. The crude product was purified on a MEGA Bond Elut silica cartridge (cHex/EtOAc 3:7→7:3) to give the title compound as a white solid (30 mg, 100%).
- MS (m/z): 442 [MH]+.
- To a clear solution of intermediate 43 (160 mg, 0.36 mmol) in anh THF (2 mL), cooled at 0° C., was added 3.0 M MeMgBr/Et2O (0.18 mL, 1.5 eq). The reaction mixture was stirred at 0° C. for 1 h and then slowly warmed to r.t. After 1 h, the reaction was complete. EtOAc and sat.aq. NH4Cl were added and the phases were separated. The organic layer was washed with sat.aq. NaCl and dried over anh. Na2SO4, the solids were filtered and the solvent evaporated. The crude product was purified by flash chromatography (silica gel, EtOAc/cHex 1:1→6:4) to give the title compound as a white solid (138 mg, 84%).
- NMR (1H, CDCl3): δ 7.85 (bs, 1H), 7.65 (d, 1H), 7.21 (d, 2H), 7.1 (d, 1H), 6.88 (d, 2H), 4.45 (q, 1H), 4.3 (m, 1H), 3.9 (t, 2H), 3.7 (s, 3H), 3.4 (t, 2H), 2.95 (d, 2H), 2.5 (s, 3H), 1.25 (d, 3H).
- MS (m/z): 456 [MH]+.
- To a clear solution of intermediate 108 (135 mg, 0.3 mmol) in anh CH2Cl2 (2 mL), at 0° C., under N2, were added 2,6-lutidine (77 μL, 2.2 eq) and tert-butyldimethylsilyl triflate (100 μL, 1.5 eq). The reaction mixture was stirred at r.t. for 4 hr. Sat.aq. NH4Cl was added, the phases were separated and the organic layer was washed with sat.aq. NaCl and dried over anh. Na2SO4. The solids were filtered and the solvent evaporated. The crude product was purified by flash chromatography (silica gel, EtOAc/cHex 1:1) to give the title compound as a white solid (130 mg, 76%).
- NMR (1H, CDCl3): δ 8.35 (bs, 1H), 7.19 (m, 3H), 7.00 (bs, 1H), 6.87 (d, 2H), 4.40 (s, 2H), 4.36 (m, 1H), 3.89 (m, 2H), 3.79 (s, 3H), 3.36 (t, 2H), 2.96 (m, 2H), 2.50 (s, 3H), 1.23 (d, 3H), 0.70 (s, 9H), −0.06 (s, 3H), −0.33 (s, 3H).
- MS (m/z): 570 [MH]+.
- To a mixture of intermediate 109 (130 mg, 0.227 mmol), Pd2(DBA)3 (20.8 mg, 10% mol), K3PO4 (145 mg, 3 eq), 2-(Dicyclohexylphosphino)-2′-methylbiphenyl (24.8 mg, 30% mol) and 4-methoxy-2-methylaniline (47 mg, 1.5 eq), at r.t., under N2, was added anh. DME (2 mL). The reaction mixture was stirred at 90° C. for 3 hr. The mixture was cooled to r.t. and more Pd2(DBA)3 (20.8 mg, 10% mol) and 2-(Dicyclohexylphosphino)-2′-methylbiphenyl (24.8 mg, 30% mol) were added. The reaction was heated at 90° C. for an additional 2 hr and left overnight at r.t. After an addition of Pd2(DBA)3 (20.8 mg, 10% mol) and 2-(Dicyclohexylphosphino)-2′-methylbiphenyl (24.8 mg, 30% mol), the reaction mixture was heated for an additional 2 hr at 90° C. Then it was cooled to r.t., treated with water and EtOAc, and the phases were separated. The organic layer was dried over anh. Na2SO4, the solids were filtered and the solvent concentrated in vacuo. The crude product was purified by flash chromatography (silica gel, cHex/EtOAc 8:2→7:3) to give the title compound as a yellow oil (84 mg), still contaminated with the unreacted aniline. The mixture was used in the next step without further purification.
- MS (m/z): 671 [MH]+.
- To a solution of intermediate 110 (80 mg, 0.12 mmol) in anh. THF (2.5 mL), at r.t., under N2, was added Et3N.3HF (156 μL, 8 eq) and the reaction mixture was stirred at r.t. for 18 hr. EtOAc and water were added, the phases were separated and the organic layer was dried over anh. Na2SO4. The solids were filtered and the solvent evaporated. The crude product was purified by flash chromatography (silica gel, cHex/EtOAc 1:1) to give the title compound as a pale yellow solid (23 mg, 18%, two steps).
- (1H CDCl3): δ 7.63 (d, 1H), 7.57 (d, 1H), 7.21 (d, 2H), 7.00 (d, 1H), 6.87 (d, 2H), 6.74 (s, 1H), 6.72 (m, 2H), 6.44 (s, 1H), 4.74 (m, 1H), 4.40 (s, 2H), 4.35 (m, 1H), 3.87 (m, 2H), 3.78 (s, 3H), 3.77 (s, 3H), 3.36 (t, 2H), 2.81 (d, 1H), 2.78 (d, 1H), 2.34 (s, 3H), 2.22 (s, 3H), 1.33 (d, 3H).
- MS (m/z): 557 [MH]+.
- To a clear solution of intermediate 111 (23 mg, 0.04 mmol) in anh. CH2Cl2 (1 mL), at r.t., under N2, were added Et3N (10 μL, 2 eq), triphenylphosphine (21.7 mg, 2 eq) and I2 (21 mg, 2 eq) and the reaction mixture was stirred at r.t. for 2 hr. CH2Cl2 and water were added, the phases were separated, the organic layer dried over anh. Na2SO4, the solids were filtered and the solvent evaporated. The crude product was purified by flash chromatography (cHex/EtOAc 1:1) to give the title compound as white solid (10 mg, 46%).
- NMR (1H, CDCl3): δ 7.80 (d, 1H), 7.21 (d, 2H), 7.09 (d, 1H), 6.99 (d, 1H), 6.88 (d, 2H), 6.81 (d, 1H), 6.76 (dd, 1H), 6.53 (s, 1H), 4.41 (s, 2H), 4.35 (m, 1H), 3.91 (t, 2H), 3.79 (s, 6H), 3.63 (dd, 1H), 3.42 (t, 2H), 2.96 (dd, 1H), 2.28 (s, 3H), 2.17 (s, 3H), 1.18 (d, 3H).
- MS (m/z): 539 [MH]+.
- Sodium (1.74 g, 3 eq) was added portionwise to anh. MeOH (60 mL), at 0° C., under N2. After consumption of metallic sodium, acetamidine hydrochloride (7.06 g, 3 eq) was added. After 20 min. of stirring the precipitated NaCl was filtered off. A solution of 2-ethoxycarbonyl-succinic acid diethyl ester (6.04 g, 24.5 mmol) in anhydrous CH3OH (20 mL) was added to the solution of free acetamidine and the mixture was stirred at r.t. for 2 days. The reaction mixture was concentrated to dryness in vacuo and the yellow foam (8.69 g) obtained was then mixed with POCl3 (6 eq) and CH3CN (80 mL) and heated at reflux for 18 hours. The resulting solution was cooled to r.t. and poured slowly into ice/water and conc. NH4OH with vigorous stirring. The product was extracted with EtOAc (3×50 mL). The combined organic extracts were washed with brine, dried over anh. Na2SO4, filtered and concentrated in vacuo. The crude oil was purified by flash chromatography (silica gel, cHex/EtOAc 8:2). The title compound was obtained as a yellow solid (98% in two steps)
- NMR (1H, CDCl3): δ 5.85 (m, 1H), 5.15 (dq, 1H), 5.11 (dq, 1H), 3.61 (dt, 2H), 2.67 (s, 3H).
- MS (m/z): 202 [M]+ (2C1).
- To a solution of intermediate 113 (4.0 g, 0.017 mol) in anh. THF (60 mL), at −78° C., under N2, was added DIBAI-H 1M/THF (52.5 mL, 3 eq) dropwise. After the addition was complete, the reaction mixture was stirred at −30° C. for 3 hr. A Rochelle salt solution was then added at 0° C. and the phases were separated. The aqueous layer was extracted with EtOAc (2×50 mL) and the combined organic extracts were dried over anh. Na2SO4. The solids were filtered and the solvent evaporated. The title compound was obtained as a clear oil (3.1 gr, 89%) and was used in the next step without further purification.
- NMR (1H, CDCl3): δ 4.90 (t, 2H), 3.15 (t, 2H), 2.64 (s, 3H), 1.70 (bs, 1H).
- MS (m/z): 207 [MH]+
- To a solution of intermediate 114 (3.1 g, 0.015 mol) in anh. DMF (100 mL), at 0° C., under N2, were added imidazole (17 g, 17 eq), t-butyldimethylsilyl chloride (6.35 gr, 2.8 eq) and DMAP (catalytic amount). The solution was stirred at r.t. for 18 hr. EtOAc (100 mL) and sat.aq. NH4Cl (50 mL) were added and the phases were separated. The organic layer was washed with sat.aq. NaCl (2×100 mL) and dried over anh. Na2SO4. The solids were filtered and the solvent evaporated. The crude compound was purified by flash chromatography (silica gel, cHex/EtOAc 9:1) to give the title compound as a clear oil (4.6 g, 95%).
- NMR (1H, CDCl3): δ 3.86 (t, 2H), 3.12 (t, 2H), 2.66 (s, 3H), 0.85 (s, 9H), 0.01 (s, 6H).
- MS (m/z): 321 [MH]+
- To a solution of 2,4-bis-trifluoromethyl-aniline (984 μL, 1 eq) in anh. DMF (15 mL), at 0° C., under N2, was added NaH 80%/oil (400 mg, 2.2 eq). The reaction mixture was stirred at 0° C. for 30 min and was then added to a solution of intermediate 115 (2 g, 6 mmol) in anh. DMF (15 mL) at r.t., under N2. The reaction mixture was stirred at r.t. for 30 min. The excess NaH was carefully destroyed with sat.aq. NaCl and the reaction mixture was diluted with EtOAc. The phases were separated, the organic layer was washed with sat.aq. NaCl (2×30 mL) and dried over anh. Na2SO4. The solids were filtered and the solvent evaporated. The crude compound was purified by flash chromatography (silica gel, cHex/EtOAc 95:5→90:10). The title compound was obtained as a clear oil (1.84 g, 56%).
- NMR (1H, CDCl3): δ 8.61 (d, 1H), 8.04 (bs, 1H), 7.86 (s, 1H), 7.79 (d, 1H), 4.95 (t, 2H), 3.95 (t, 2H), 2.53 (s, 3H), 0.73 (s, 9H), −0.90 (s, 6H).
- MS (m/z): 514 [MH]+
- To a solution of intermediate 116 (1.84 g, 3.58 mmol) in anh. DMF (30 mL), at r.t., under N2, was added Et3N.3HF (2.4 mL, 3 eq). The reaction mixture was stirred at r.t. for 18 hr. It was then diluted with cold sat.aq. NaCl (50 mL) and extracted with EtOAc (3×50 mL). The combined organic extracts were dried over anh. Na2SO4. The solids were filtered and the solvent evaporated. The title compound was obtained as a clear oil (1.4 gr, 98%) and was used in the next step without further purification.
- NMR (1H, CDCl3): δ 8.59 (bs, 1H), 8.22 (d, 1H), 7.84 (s, 1H), 7.75 (d, 1H), 4.06 (t, 2H), 3.01 (t, 2H), 2.50 (s, 3H)
- MS (m/z): 400 [MH]+
- To a solution of intermediate 117 (514 mg, 1.29 mmol) in anh. CH2Cl2 (20 mL), at 0° C., under N2, were added Et3N (712 μL, 4 eq) and methanesulfonyl chloride (197 μL, 2 eq) and the reaction mixture was stirred at r.t. for 18 hr. Water (20 mL) was then added and the phases were separated. The aqueous layer was extracted with CH2Cl2 (2×20 mL) and the combined organic extracts were dried over anh. Na2SO4. The solids were filtered and the solvent evaporated. The crude product was purified by flash chromatography (silica gel, cHex/EtOAc 8:2) to give the title compound as a white solid (430 mg, 87%).
- NMR (1H, CDCl3): δ 8.04 (s, 1H), 7.93 (s, 1H), 7.53 (d, 1H), 4.00 (t, 2H), 3.24 (t, 2H), 2.42 (s, 3H).
- MS (m/z): 381 [MH]+.
- Intermediate 114 (1.34 g, 6.47 mmol) and 2,4-dichloroaniline (1.06 g, 1 eq) were heated in a sealed vial, at 100° C., under N2, for 18 hr. A 1:1 mixture of H2O/MeOH was added and a white precipitate was formed. The solids were filtered and dried to give the title compound as a white solid (960 mg, 44%).
- MS (m/z): 332 [M]+.
- To a solution of intermediate 119 (960 mg, 2.87 mmol) in anh. CH2Cl2 (10 mL), at 0° C., under N2, were added Et3N (1.21 mL, 3 eq) and MsCl (0.5 ml, 2.3 eq). The reaction mixture was kept at r.t. for 4 hr. Then Et3N (0.6 mL, 2 eq) was added and the mixture was refluxed for 3 hr. The reaction mixture was diluted with CH2Cl2 and washed with 10% HCl (15 mL). The organic phases were separated and washed with sat.aq. NaCl. It was dried over anh. Na2SO4, the solids were filtered and the solvent evaporated. The title compound was obtained as a white solid (900 mg, quantitative yield) and was used as such in the next step without further purification.
- NMR (1H, CDCl3): δ 7.45 (d, 1H), 7.3 (d, 2H), 4.05 (t, 2H), 3.16 (t, 2H), 2.45 (s, 3H).
- MS (m/z): 315 [MH]+.
- A suspension of intermediate 5 (100 mg, 0.263 mmol), 3-aminophenylboronic acid (61 mg, 1.5 eq), Pd(PPh3)4 (30 mg, 0.1 eq), TBAB (8 mg, 0.1 eq) and 2N Na2CO3 (3.7 ml, 28.5 eq), at r.t., under N2, in a 1:1 mixture of anh. EtOH/Toluene (10 mL) was heated at 100° C. for 2.5 h. It was cooled down to r.t. and poured into water. EtOAc was added and the phases were separated. The aqueous layer was further extracted with EtOAc (2×10 mL). The combined organic extracts were dried over anh. Na2SO4, the solids were filtered and the solvent evaporated. The residue was purified on an SCX cartridge (100% CH2Cl2→NH3 (0.5 in MeOH)) and on a MEGA Bond Elut silica cartridge (CH2Cl2/MeOH 95:5) to give the title compound as a white solid (91 mg, quantitative yield).
- NMR (1H, DMSO-d6): δ 7.18 (d, 1H), 7.09 (t, 1H), 6.87 (d, 1H), 6.81 (dd, 1H), 6.76 (d, 1H), 6.69 (d, 2H), 6.61 (d, 2H), 6.41 (s, 1H), 5.18 (bs, 2H), 3.8 (m, 5H), 3.15 (t, 2H), 2.2 (s, 6H).
- MS (m/z): 346 [MH]+.
- To a solution of intermediate 121 (91 mg, 0.26 mmol) in anh. THF (3 mL), at r.t., under N2, was added 2-chloroethyl isocyanate (51 μL, 2 eq). The reaction mixture was stirred at r.t. for 2 hr. It was evaporated to dryness and the residue was purified by flash chromatography (silica gel, cHex/EtOAc 7:3→EtOAc/Et3N 1:0.02) to give the title compound as a white solid (113.4 mg, 97%).
- NMR (1H, DMSO-d6): δ 8.76 (s, 1H), 7.69 (s, 1H), 7.28 (m, 2H), 7.14 (d, 1H), 7.05 (t, 1H), 8.23 (d, 1H), 6.74 (dd, 1H), 6.4 (m, 2H), 3.75 (m, 5H), 3.6 (m, 2H), 3.4 (m, 2H), 3.1 (t, 2H), 2.15 (s, 3H), 2.15 (s, 3H).
- MS (m/z): 451 [MH]+.
- A solution of intermediate 5 (200 mg, 0.52 mmol), 5-methyl-3-aminopyrazole (200 mg, 2 eq), CuI (285 mg, 3 eq), K2CO3 (150 mg, 2.1 eq), N—N′-dimethyltranscyclohexandiamine (213 mg, 3 eq) in anh. NMP (1 mL), was heated at 150° C. for 36 hr. H2O (50 mL) was then added and the solution extracted with CH2Cl2 (3×25 mL). The organic layer was dried over anh. Na2SO4, the solids were filtered and the solvents evaporated in vacuo. The crude compound thus obtained was purified by flash chromatography (silica gel, cHex/EtOAc 9:1→3:7) to give the title compound as a white solid (60 mg, 33%).
- NMR (1H, CDCl3): 7.15 (d, 1H); 6.85 (d, 1H); 6.75 (m, 1H); 6.45 (s, 1H); 5.48 (s, 1H); 4.74 (s, 2H); 3.71 (s, 3H); 3.23 (t, 2H); 3.12 (t, 2H); 2.20 (s, 3H), 2.11 (s, 6H) δ.
- MS (m/z): 350 [MH]+.
- To a solution of intermediate 123 (60 mg, 0.17 mmol) in anh. DMF (2 mL), at 0° C., under N2, was added 2-chloroethyl isocyanate (0.2 mL, excess) and the reaction mixture was stirred at r.t. for 16 hr. H2O (10 mL) was then added and the solution extracted with CH2Cl2 (2×10 mL). The combined organic extracts was dried over anh. Na2SO4, the solids were filtered and the solvents evaporated in vacuo. The crude product was purified on an SCX cartridge (CH2Cl2, then 0.05 M NH3/MeOH) to give the title compound as a white solid (30 mg, 40%).
- MS (m/z): 455 [MH]+.
- To a solution of intermediate 29 (2.87 g, 4.63 mmols) in anh. DMF (80 mL), under N2, at r.t., was added NaH 60%/oil (0.240 g, 1.2 eq). The reaction mixture was stirred at r.t. for 10 min, then the flask was sealed with a rubber septum. CF2Br2 (2.5 mL, 6 eq) was added and the mixture heated at 60° C. for 3 hr. The mixture was cooled down to r.t., quenched with sat.aq. NaHCO3 and extracted with CH2Cl2 (1×50 mL). The organic layer was washed with sat.aq. NaCl and dried over anh. Na2SO4. The solids were filtered and the solvent evaporated. The residue was purified by flash chromatography twice (silica gel, 2.5% MeOH/CH2Cl2) to give 554 mg of a crude compound still contaminated by side products. It was re-purified by fraction lynx chromatography (M+H=483) and the resulting fractions (174 mg), still contaminated, were re-purified by flash chromatography (silica gel, 2% MeOH/CH2Cl2) to give the title compound (76 mg, 3.4%) as a white solid.
- NMR (1H, CDCl3): δ 7.93 (d, 1H), 7.23 (dd, 1H), 7.1-7.0 (m, 3H), 6.63 (s, 1H), 6.54 (t, 1H), 4.07 (m, 4H), 4.03 (t, 2H), 3.53 (t, 2H), 2.63 (s, 3H), 2.40 (bs, 3H), 2.31 (s, 3H).
-
- in which
- Y is —CR7;
- W is a W2 derivative:
- Z is a pyrazolyl, phenyl, pyridyl, pyrimidinyl, trazolyl, derivative and
- m is an integer from 0 to 2;
- q is an integer from 0 to 4.
- In a sealed vial, at r.t., under N2, are mixed together intermediate 5 (60 mg, 0.158 mmol), CuI (6 mg, 0.2 eq) and K2CO3 (4.5 mg, 2.5 eq). A solution of dodecane (14.3 μL, 0.4 eq), trans-cyclohexanediamine (14 μL, 0.6 eq) and intermediate 8 (48 mg, 2 eq) in anh. NMP (5 mL) was added and the reaction mixture was stirred at 130° C. for 3.5 hr. It was then cooled down to r.t. and poured in EtOAc/H2O. The phases were separated and the aqueous layer was extracted with EtOAc (2×10 mL). The combined organic extracts were dried over anh. Na2SO4, the solids were filtered and the solvent evaporated. The crude product was purified by flash chromatography (EtOAc/cHex 6:4, then 1:1, then 3:7) followed by an SCX cartridge (100% MeOH, then 2M NH3/MeOH) to give the title compound as a white solid (34 mg, 53%).
- Alternatively, to a suspension of CuI (8 mg, 0.02 eq) in anh. DMF (1.8 mL), at r.t., under N2, was added (1R,2R)—N,N′-dimethyl-1,2-cyclohexanediamine (90 mg, 0.3 eq) and the blue solution obtained stirred at r.t. for 1.5 hr. Intermediate 8 (0.80 g, 2.5 eq) and K2CO3 (0.87 g, 3.0 eq) were added followed by intermediate 92 (0.7 g, 21 mmol) in anh. DMF (1.8 mL). The resulting mixture was heated at 125° C. for 30 hr. The mixture was cooled at 60° C. and water (10 mL) was added dropwise. The suspension was stirred at room temperature for 1 hr and the white precipitate was filtered and washed once with a 1:2 mixture of DMF/water (10 mL), then twice with water (10 mL). The collected solid was dried at 80° C. for 24 hr. The crude solid thus obtained was dissolved at r.t. in a 9:1 mixture of CH2Cl2/MeOH (10 mL). The solution was filtered through a carbon pad and the cake washed with the same solvent (10 mL). Heptane (20 mL) was added dropwise at r.t., the resulting suspension was left standing for 2 hr, filtered and washed with MeOH. The collected solid was dried at 80° C. for 24 hr to obtain the title compound (410 mg, 48%) as a white solid.
- To a solution of example 1 (20 mg, 0.05 mmol) in anh. THF (1 mL), at r.t., under N2, was added KOt-Bu (5 mg, 1 eq) and the reaction mixture was stirred for 15 min. Methyl iodide (6 μL, 2 eq) was then added and the reaction mixture was stirred at r.t. for 3 hr. It was then poured into EtOAc/H2O and the phases were separated. The aqueous layer was extracted with EtOAc (2×20 mL) and the combined organic extracts were dried over anh. Na2SO4. The solids were filtered and the solvent evaporated. The crude product was purified by flash chromatography (silica gel, cHex/EtOAc 1:1) to give the title compound as a yellow solid (6 mg, 29%).
- To a solution of intermediate 37 (25 mg, 0.062 mmol) and 1-(1H-pyrazol-3-yl)-2-imidazolidinone (18.8 mg, 2 eq) in anh. NMP (2 mL), at r.t., under N2, were added K2CO3 (26 mg, 3 eq), CuI (1.2 mg, 0.1 eq) and (1R,2R)-diaminoethylcyclohexane (2.9 mg, 0.3 eq) and the reaction mixture was stirred at 100° C. for 1 hr, at 120° C. for 1 hr, at 150° C. for 1 hr and at 180° C. for 2 hr. The reaction mixture was then cooled to r.t., then partitioned between EtOAc/sat.aq. NaCl (100 mL/50 mL). The phases were separated and the organic layer was dried over anh. Na2SO4, the solids were filtered, the solvent evaporated and the crude product was purified by flash chromatography (silica gel, cHex/EtOAc 2:8) to give the title compound as a white solid (2 mg, 7%).
- To a solution of intermediate 81 (120 mg, 0.19 mmol) in TFA (12 mL), at r.t., under N2, was added anisole (61 μL, 3 eq) and the reaction mixture was stirred at 80° C. for 2 hr. The solution was concentrated in vacuo. The residue was diluted with CH2Cl2 and washed with sat.aq. NaHCO3. The organic layer was dried over anh. Na2SO4, the solids were filtered and the solvent evaporated. The crude product was purified by flash chromatography (CH2Cl2→CH2Cl2/MeOH 95:5) to give the title compound as a white solid (80 mg, 84%).
- To a solution of example 1 (131 mg, 0.324 mmol) in anh. CH2Cl2 (6.5 mL), at 0° C., under N2, was added BBr3 1M/CH2Cl2 (1.6 mL, 5 eq) and the reaction mixture was stirred at 0° C. for 3 hr. MeOH (5 mL) was slowly added and the solvents were evaporated. The residue was taken up in CH2Cl2 and the organic layer was washed with sat.aq. NaHCO3 (2×20 mL) and dried over anh. Na2SO4. The solids were filtered and the solvent evaporated. The crude compound was purified by flash chromatography (silica gel, 100% EtOAc→5% MeOH/EtOAc) to give the title compound as a yellow solid (65 mg, 51%).
- To a solution of example 1 (205 mg, 0.507 mmol) in anh. DMF (10 mL), at r.t., under N2, was added NaH 60%/oil (24 mg, 1.2 eq). The reaction mixture was stirred at r.t. for 20 min. It was then cooled to 0° C. and acetyl chloride (72 μL, 2 eq) was added slowly. The reaction mixture was stirred at 0° C. for 15 min (a white precipitate formed) and at r.t. for 30 min. It was then poured into EtOAc/sat.aq. NaCl and the phases were separated. The organic layer was washed with sat.aq. NaCl (2×20 mL) and the combined aqueous phases extracted back with CH2Cl2 (2×20 mL). The combined organic extracts were dried over anh. Na2SO4, the solids were filtered and the solvent evaporated. The crude compound was purified by flash chromatography (silica gel, 2.5% MeOH/CH2Cl2). The title compound was obtained as a yellow solid (190 mg, 84%)
- To a solution of intermediate 30 (5 mg, 0.011 mmol) in an anh. 3:1 mixture of MeOH/CH2Cl2 (1 mL), at r.t., under N2, was added Cs2CO3 (18 mg, 5 eq) and the reaction mixture was stirred at r.t. for 1 hr. The solvent was evaporated and the residue purified by flash chromatography (MEGA-BondElut, 500 mg, cHex/EtOAc 1:1) to give the title compound (2.3 mg, 50%) as a white solid.
- To a solution of intermediate 31 (11 mg, 0.023 mmol) in an anh. 3:1 mixture of MeOH/CH2Cl2 (1 mL), at r.t., under N2, was added Cs2CO3 (38 mg, 5 eq) and the reaction mixture was stirred at r.t. for 2 hr. The solvent was evaporated and the residue purified by flash chromatography (MEGA-BondElut, 1 gr, cHex/EtOAc 1:1) to give the title compound (2.1 mg, 21%) as a white solid.
- To a solution of intermediate 48 (140 mg, 0.242 mmol) in TFA (3.0 mL), under N2, was added anisole (263 μL, 10 eq) and the reaction mixture was stirred and heated at 80° C. for 2 hr. It was then cooled down to r.t., TFA was evaporated and the reaction mixture was partitioned between CH2Cl2/sat.aq. NaHCO3. The phases were separated and the organic layer was washed with sat. aq. NaCl (2×10 mL). It was dried over anh. Na2SO4, the solids were filtered and the solvent evaporated. The crude product was purified by flash chromatography (silica gel, CH2Cl2/MeOH 95:5) to give the title compound as a white solid (110 mg, 99%).
- To a solution of intermediate 51 (120 mg, 0.23 mmol) in TFA (15 mL), at r.t., under N2, was added anisole (75 μL, 3 eq) and the reaction mixture was stirred at 80° C. for 1.5 hr. The solution was concentrated in vacuo. The residue was diluted with CH2Cl2 and washed with a sat.aq. NaHCO3. The organic layer was dried over anh. Na2SO4, the solids were filtered and the solvent evaporated. The crude product was purified on an SCX cartridge (CH2Cl2→CH2Cl2/MeOH 95:5) to give the title compound as a white solid (58 mg, 63%).
- To a solution of intermediate 54 (95 mg, 0.169 mmol) in TFA (2.0 mL), under N2, was added anisole (184 μL, 10 eq) and the reaction mixture was stirred and heated at 80° C. for 2 hr. It was then cooled down to r.t., TFA was evaporated and the reaction mixture was partitioned between CH2Cl2/sat.aq. NaHCO3. The phases were separated and the organic layer was washed with sat.aq. NaCl (2×10 mL). It was dried over anh. Na2SO4, the solids were filtered and the solvent evaporated. The crude product was purified by flash chromatography (silica gel, CH2Cl2/MeOH 95:5) to give the title compound as a white solid (77 mg, 99%).
- To a solution of intermediate 57 (70 mg, 0.122 mmol) in TFA (2.0 mL), under N2, was added anisole (133 μL, 10 eq) and the reaction mixture was stirred and heated at 80° C. for 2 hr. It was then cooled down to r.t., TFA was evaporated and the crude product was directly purified on an SCX cartridge (100% CH2Cl2→CH2Cl2/MeOH and then 2.0M Et3N/MeOH) to give the title compound as a white solid (55 mg, 99%).
- To a solution of intermediate 60 (19.6 mg, 0.035 mmol) in TFA (4 mL), at r.t., under N2, was added anisole (12 μL, 0.003 eq). The reaction mixture was stirred for 2 hr. Sat.aq. NaHCO3 was added until neutral pH and the mixture was evaporated to dryness. The residue was purified on an SCX cartridge (0.5M NH3/MeOH) to give the title compound as a white foam (7.2 mg, 47%).
- To a solution of intermediate 63 (115 mg, 0.19 mmol) in TFA (12 mL), at r.t., under N2, was added anisole (61 μL, 3 eq) and the reaction mixture was stirred at 80° C. for 1.5 hr. The solution was concentrated in vacuo. The residue was diluted with CH2Cl2 and washed with sat.aq. NaHCO3. The organic layer was dried over anh. Na2SO4, the solids were filtered and the solvent evaporated. The crude product was purified on an SCX cartridge (CH2Cl2→CH2Cl2/MeOH 95:5) to give the title compound as a white solid (52.9 mg, 59%).
- To a solution of intermediate 66 (70 mg, 0.13 mmol) in TFA (9 mL), at r.t., under N2, was added anisole (42 μL, 3 eq) and the reaction mixture was stirred at 80° C. for 1 hr. The solution was concentrated in vacuo. The residue was diluted with CH2Cl2 and washed with sat.aq.NaHCO3. The organic layer was dried over anh. Na2SO4, the solids were filtered and the solvent evaporated. The crude product was purified on an SCX cartridge (100% CH2Cl2→CH2Cl2/MeOH 95:5) to give the title compound as a white solid (29 mg, 54%).
- To a solution of intermediate 69 (72 mg, 0.12 mmol) in TFA (7.5 mL), at r.t., under N2, was added anisole (41 μL, 3 eq) and the reaction mixture was stirred at 80° C. for 1.5 hr. The solution was concentrated in vacuo. The residue was diluted with CH2Cl2 and washed with sat.aq. NaHCO3. The organic layer was dried over anh. Na2SO4, the solids were filtered and the solvent evaporated. The crude product was purified on an SCX cartridge (CH2Cl2/0.5M NH3/MeOH 95:5) to give the title compound as a white solid (35 mg, 64%).
- To a solution of intermediate 72 (41 mg, 0.076 mmol) in TFA (4.7 mL), at r.t., under N2, was added anisole (25 μL, 3 eq) and the reaction mixture was stirred at 80° C. for 1.5 hr. The solution was concentrated in vacuo. The residue was diluted with CH2Cl2 and washed with sat.aq. NaHCO3. The organic layer was dried over anh. Na2SO4, the solids were filtered and the solvent evaporated. The crude product was purified on an SCX cartridge (100% CH2Cl2→CH2Cl2/MeOH 98:2) to give the title compound as a white solid (25 mg, 79%).
- To intermediate 75 (16 mg, 0.028 mmol) were added TFA (1 mL) and anisole (10 μL, 3 eq). The reaction mixture was stirred at r.t. for 3 hr, and the solvent was evaporated under reduced pressure. The crude mixture was partitioned between CH2Cl2/sat.aq. NaHCO3. The phases were separated and the organic layer was dried over anh. Na2SO4, the solids were filtered and the solvent evaporated. The crude product was purified by flash chromatography (silica gel, 100% CH2Cl2→CH2Cl2/MeOH 97:3) followed by a further purification on an SCX SPE cartridge (100% CH2Cl2 to CH2Cl2/MeOH/2M NH3 in MeOH 80:19:1) to give the title compound as a white solid (9.5 mg, 71%).
- To a solution of intermediate 78 (20 mg, 0.037 mmol) in TFA (2.3 mL), at r.t., under N2, was added anisole (12 μL, 3 eq.) and the reaction mixture was stirred at 80° C. for 2 hr. The solution was concentrated in vacuo. The residue was diluted with CH2Cl2 and washed with sat.aq. NaHCO3. The organic layer was dried over anh. Na2SO4, the solids were filtered and the solvent evaporated. The crude product was purified on an SCX cartridge (CH2Cl2→CH2Cl2/MeOH 98:2) to give the title compound as a white solid (12.4 mg, 76%).
- To a solution of intermediate 97 (30 mg, 1 eq) in TFA (0.75 ml), at r.t., under N2, were added Anisole (18.3 μL, 3 eq) and a drop of H2SO4. The reaction mixture was refluxed for 3 h. It was concentrated and then partitioned between EtOAc and NaHCO3ss. The phases were separated and the organic layer was washed with sat.aq. NaCl. It was dried over anh. Na2SO4, the solids were filtered and the solvent evaporated. The compound was obtained as a white solid (22 mg, 98%).
- To a solution of intermediate 103 (71 mg, 0.125 mmol) in TFA (1 mL), at r.t., under N2, was added anisole (50 μL, 3.7 eq). The reaction mixture was refluxed for 3 hr. No traces of the desired product were detected by MS analysis. To the cooled reaction mixture was added conc. H2SO4 (2 drops). The reaction mixture was refluxed for 75 min, cooled down to r.t. and neutralized with solid Na2CO3. The solvents were evaporated and the residue was purified on a MEGA Bond Elut silica cartridge (CH2Cl2/Et2O/EtOAc 1:1:2→CH2Cl2/MeOH/Et3N 1:1:0.02) to give the title compound as a yellow solid (24.2 mg, 47%).
- To a solution of intermediate 105 (13 mg, 0.023 mmol) in TFA (1 mL), at r.t., under N2, was added anisole (10 μL, 4 eq) and conc. H2SO4 (2 drops). The reaction mixture was refluxed for 2 hr and neutralized with solid NaHCO3. The reaction mixture was partitioned between EtOAc and water. The aqueous layer was further extracted with EtOAc (3×10 mL) and the combined organic extracts were concentrated in vacuo. The residue was purified by flash chromatography (silica gel, 100% CH2Cl2→CH2Cl2/MeOH 95:5) and on an SCX cartridge (100% CH2Cl2→NH3 (0.5 in MeOH)) to give the title compound as a white solid (2.8 mg, 10%, 2 steps).
- To a solution of intermediate 107 (30 mg, 0.06 mmol) in anh. THF (2 mL), at r.t., under N2, was added KOt-Bu (9 mg, 1.2 eq) and the reaction mixture was stirred for 1 hr. Water (0.5 mL) was added and the solvent was evaporated. The aqueous phase was diluted with H2O and extracted with CH2Cl2 (3×20 mL). The combined organic extracts were dried over anh. Na2SO4. The solids were filtered and the solvent evaporated. The crude product was purified on a MEGA Bond Elut silica cartridge (100% EtOAc→EtOAc/MeOH 9:1) to give the title compound as a white solid (6 mg, 25%).
- To a solution of intermediate 112 (10 mg, 0.018 mmol) in TFA (1.1 mL), at r.t., under N2, was added anisole (10 μL, 5 eq) and the reaction mixture was stirred at 80° C. for 1.5 hr. The solution was then concentrated in vacuo. The residue was diluted with CH2Cl2, washed with sat.aq. NaHCO3 and the phases were separated. The organic layer was dried over anh. Na2SO4, the solids were filtered and the solvent evaporated. The crude product was purified on a MEGA Bond Elut silica cartridge (100% CH2Cl2→CH2Cl2/MeOH 98:2) to give the title compound (racemate) as a white solid (6 mg, 80%).
- To a suspension of intermediate 122 (60 mg, 0.13 mmol) in anh. THF (3 mL), at r.t., under N2, was added t-BuOK (18 mg, 1.2 eq). The reaction mixture was stirred at r.t. for 3 hr. Sat.aq. NH4Cl and EtOAc were added and the phases were separated. The aqueous layer was further extracted with EtOAc (2×10 mL). The combined organic extracts were dried over anh. Na2SO4, the solids were filtered and the solvent evaporated. The residue was purified by flash chromatography (silica gel, cHex/EtOAc 8:2→100% EtOAc) to give the desired compound still contaminated with aliphatic impurities. This crude product was further purified by preparative HPLC (Column: X Terra MS C18 5 mm, 30×75 mm, Mobile phase: A: H2O+0.1% TFA, B: CH3CN+0.1% TFA, Gradient: 10% (B) for 1 min, from 10% (B) to 90% (B) in 12 min, Flow rate (ml/min):43, UV wavelength range (nm):200-400 Mass range (amu):100-900, Ionization: ES+) to give the title compound as a white solid (31.3 mg, 58%).
- To a solution of intermediate 124 (35 mg, 0.072 mmol) in anh. THF (2 mL), at r.t., under N2, was added t-BuOK (9.8 mg, 1.2 eq) and the reaction mixture was stirred at r.t. for 18 hr. Water (0.5 mL) was added and the solvent was evaporated. The aqueous phase was diluted with H2O and extracted with CH2Cl2 (3×10 mL). The combined organic extracts were dried over anh. Na2SO4. The solids were filtered and the solvent evaporated. The crude product was purified on a MEGA Bond Elut silica cartridge (EtOAc/cHex 2:8→3:7) to give the title compound as a white solid (12 mg, 39%).
- To a suspension of intermediate 125 (76 mg, 0.156 mmol) in a 3:1 mixture of MeOH/CH2Cl2 (10 mL), at r.t., was added Cs2CO3 (0.257 g, 5 eq). The mixture was stirred at r.t. for 1 hr. The solvent was evaporated and the residue purified by flash chromatography (silica gel, 2% MeOH/CH2Cl2) to give the title compound (45 mg, 71%) as white solid.
- All the analytical data are set forth in the following Table 1-1 and in which:
- R5 is hydrogen;
R6 is hydrogen,
R7 is hydrogen;
D corresponds to —CR8R9;
G corresponds to —CR10R11;
R8, R9, R10, R11 are all hydrogen, except for example 1-24 where R10 is a methyl group. -
Cpd. No. R R12 Z Analytical Data 1-1 2-methyl-4-methoxy- phenyl H NMR (1H, CDCl3): δ 8.29 (d. 1H), 7.15 (d, 1H), 7.04 (s, 1H), 6.85 (d, 1H), 6.79-6.74 (m, 3H), 3.91 (t, 2H), 3.82 (t, 2H), 3.75 (s, 3H), 3.44 (t, 4H), 2.17 (s, 3H), 2.15 (s, 3H) Structure confirmed by NOE experiment MS (m/z): 405 [MH]+ 1-2 2-methyl-4-methoxy- phenyl CH3 NMR (1H, CDCl3): δ 7.76 (d, 1H), 7.15 (d, 1H), 6.93 (d, 1H), 6.77 (d, 1H), 6.75 (dd, 1H), 6.52 (s, 1H), 3.96 (t, 2H), 3.84 (t, 2H), 3.77 (s, 3H), 3.50 (t, 2H), 3.42 (t, 2H), 3.89 (s, 3H), 2.28 (s, 3H), 2.20 (s, 3H) MS (m/z): 419 [MH]+ 1-3 2,4-dichloro-phenyl H NMR (1H, CDCl3): δ 7.82δ (s, 1H), 7.44 (s, 1H), 7.42 (s, 1H), 7.26 (s, 1H), 6.95 (s, 1H), 6.66 (s, 1H), 4.57 (bs, 1H), 4.09 (t, 1H), 3.96 (t, 1H), 3.61 (t, 1H), 3.48 (t, 1H), 2.34 (s, 3H). Structure confirmed by NOE experiment MS (m/z): 429 [M]+ 1-4 2,4-bis-trifluoromethyl- phenyl H NMR (1H, CDCl3): δ 7.96 (s, 1H), 7.83 (d, 1H), 7.80 (bs, 1H), 7.61 (d, 1H), 6.97 (d, 1H), 6.70 (s, 1H), 4.66 (bs, 1H), 4.08 (t, 2H), 3.91 (t, 2H), 3.61 (t, 2H), 3.50 (t, 2H), 2.31 (s, 3H). MS (m/z): 497 [MH]+ 1-5 2-methyl-4-hydroxy- phenyl H NMR (1H, DMSO-d6): δ 9.31 (bs, 1H), 8.31 (d, 1H), 7.07 (bs, 1H), 7.04 (d, 1H), 6.78 (d, 1H), 6.75 (s, 1H), 6.68 (d, 1H), 6.62 (dd, 1H), 3.93 (t, 2H), 3.81 (t, 2H), 3.46 (m, 4H), 3.18 (s, 3H), 2.10 (s, 3H). MS (m/z): 391 [MH]+. 1-6 2-methyl-4-methoxy- phenyl Ac NMR (1H, CDCl3): δ 7.85 (d, 1H), 7.15 (d, 1H), 6.95 (d, 1H), 6.80 (d, 1H), 6.75 (dd, 1H), 6.55 (s, 1H), 4.00 (m, 4H), 3.85 (t, 2H), 3.80 (s, 3H), 3.45 (t, 2H), 2.60 (s, 3H), 2.30 (s, 3H), 2.20 (s, 3H). MS (m/z): 447 [MH]+. 1-7 2-methyl-4-ethoxy-phenyl H NMR (1H,): δ 7.82 (d, 1H), 7.15 (d, 1H), 6.90 (d, 1H), 6.78 (d, 1H), 6.75 (dd, 1H), 6.70 (dd, 1H), 4.70 (bs, 1H), 4.2-4.0 (m, 4H), 3.80 (t, 2H), 3.60 (t, 2H), 3.40 (t, 2H), 2.30 (s, 3H), 2.25 (s, 2H), 1.45 (t, 3H). Structure confirmed by NOE experiment MS (m/z): 419 [MH]+. 1-8 2-methyl-4-isopropoxy- phenyl H NMR (1H,): δ 7.90 (d, 1H), 7.10 (d, 1H), 6.90 (d, 1H), 6.8-6.7 (m, 2H), 6.55 (s, 1H), 4.60 (bs, 1H), 4.50 (m, 1H), 4.10 (t, 2H), 3.90 (t, 2H), 3.60 (t, 2H), 3.45 (t, 2H), 2.30 (s, 3H), 2.20 (s, 3H), 1.26 (d, 6H). MS (m/z): 475 [MH]+. 1-9 2-methyl-4- trifluoromethyloxy-phenyl H NMR (1H, CDCl3): δ 7.84 (d, 1H), 7.30 (d, 1H), 7.12 (s, 1H), 7.09 (d, 1H), 6.98 (d, 1H), 6.63 (s, 1H), 4.68 (s, 1H), 4.10 (t, 2H), 3.91 (t, 2H), 3.63 (t, 2H), 3.50 (t, 2H), 2.36 (s, 3H), 2.29 (s, 3H). MS (m/z): 459 [MH]+. 1-10 2-methyl-4-cyano-phenyl H NMR (1H, CDCl3): δ 7.82 (d, 1H), 7.54 (bs, 1H), 7.48 (dd, 1H), 7.36 (d, 1H), 6.96 (d, 1H), 6.67 (s, 1H), 4.55 (bs, 1H), 4.11 (t, 2H), 3.95 (t, 2H), 3.62 (t, 2H), 3.49 (t, 2H), 2.34 (s, 3H), 2.29 (s, 3H). MS (m/z): 400 [MH]+. 1-11 2-methyl-4-(pyrazol-1-yl)- phenyl H NMR (1H, CDCl3): δ 7.90 (d, 1H), 7.84 (d, 1H), 7.72 (d, 1H), 7.68 (m, 1H), 7.64 (m, 1H), 7.37 (d, 1H), 6.97 (d, 1H), 6.62 (s, 1H), 6.45 (t, 1H), 4.77 (s, 1H), 4.11 (t, 2H), 3.94 (t, 2H), 3.63 (t, 2H), 3.50 (t, 2H), 2.34 (s, 6H). MS (m/z): 441 [MH]+. 1-12 2-trifluoromethyl-4-cyano- phenyl H NMR (1H, CDCl3): δ 8.01 (d, 1H), 7.85 (d, 1H), 7.84 (dd, 1H), 7.69 (d, 1H), 7.00 (d, 1H), 6.75 (s, 1H), 4.65 (s, 1H), 4.10 (t, 2H), 3.98 (t, 2H), 3.64 (t, 2H), 3.51 (t, 2H), 2.36 (s, 3H). MS (m/z): 454 [MH]+. 1-13 2-difluoromethyl-4- methoxy H NMR (1H, CDCl3): δ 7.84 (d, 1H), 7.21 (m, 2H), 7.02 (dd, 1H), 6.87 (t, 1H, J(H—F) = 57 Hz), 6.97 (d, 1H), 6.64 (s, 1H), 4.84 (bs, 1H), 4.13 (t, 2H), 3.93 (t, 2H), 3.9 (s, 3H), 3.66 (t, 2H), 3.53 (t, 2H), 2.33 (s, 3H). MS (m/z): 441 [MH]+. 1-14 2-trifluoromethyloxy-4- cyano-phenyl H NMR (1H, CDCl3): δ 8.05 (d, 1H), 7.84 (m, 1H), 7.54 (bs, 1H), 7.5 (m, 1H), 6.98 (m, 1H), 6.78 (s, 1H),4.63 (bs, 1H), 4.11 (m, 4H), 3.62 (t, 2H), 3.48 (t, 2H), 2.41 (s, 3H). MS (m/z): 470 [MH]+. 1-15 2-ethyl-4-cyano-phenyl H NMR (1H, CDCl3): δ 7.82 (d, 1H), 7.6 (bs, 1H), 7.49 (m, 1H), 7.34 (m, 1H), 6.96 (d, 1H), 6.65 (s, 1H), 4.7 (bs, 1H), 4.11 (t, 2H), 3.92 (t, 2H), 3.62 (t, 2H), 3.49 (t, 2H), 2.66 (m, 2H), 2.41 (s, 3H), 1.22 (t, 3H). MS (m/z): 414 [MH]+. 1-16 2-methoxy-4- (pyrazol-1-yl)-phenyl H NMR (1H, CDCl3): δ 7.89 (d, 1H), 7.82 (d, 1H), 7.69 (d, 1H), 7.58 (d, 1H), 7.42 (d, 1H), 7.16 (dd, 1H), 6.94 (d, 1H), 6.62 (s, 1H), 6.44 (t, 1H), 4.68 (bs, 1H), 4.13-3.66 (t/t, 4H), 3.89 (s, 3H), 3.93-3.53 (t/t, 4H), 2.34 (s, 3H). MS (m/z): 457 [MH]+. 1-17 2-methyl-4,5- benzodioxolyl H NMR (1H, CDCl3): δ 7.8 (d, 1H), 6.95 (d, 1H), 6.8 (s/s, 2H), 6.5 (s, 1H), 5.95 (s, 2H), 4.5 (bs, 1H), 4.1-3.5 (t/t, 4H), 3.8-3.6 (t/t, 4H), 2.2 (s, 3H), 2.1 (s, 3H). MS (m/z): 419 [MH]+. 1-18 2,4,6-trimethoxy-phenyl H NMR (1H, DMSO-d6): δ 8.26 (bs, 1H), 7.04 (bs, 1H), 6.76 (bs, 1H), 6.65 (bs, 1H), 6.29 (bs, 1H), 3.92-3.46 (t,t, 4H), 3.81-3.46 (t,t, 4H), 3.79 (s, 3H), 3.69 (s, 6H), 2.13 (s, 3H). MS (m/z): 451 [MH]+. 1-19 2-methyl-3,4- benzodioxolyl H NMR (1H, CDCl3): δ 7.81 (d, 1H), 6.94 (d, 1H), 6.75 (dd, 2H), 6.56 (s, 1H), 5.95 (s, 2H), 4.61 (bs, 1H), 4.09 (t, 2H), 3.84 (t, 2H), 3.60 (t, 2H), 3.43 (t, 2H), 2.31 (s, 3H), 2.08 (s, 3H). MS (m/z): 419 [MH]+ 1-20 2-methyl-4-methoxy- phenyl H NMR (1H, CDCl3): 8.15 (d, 1H), 7.77 (t, 1H), 7.42 (d, 1H), 7.14 (d, 1H), 6.86 (d, 1H), 6.8 (m, 1H), 6.79 (s, 1H), 4.22 (t, 2H), 3.84 (t, 2H), 3.78 (s, 3H), 3.51 (m, 4H), 2.26 (s, 3H), 2.21 (s, 3H)δ. MS (m/z): 416 [MH]+. 1-21 2-methyl-4-methoxy- phenyl H NMR (1H, DMSO-d6): δ 8.62 (d, 1H), 8.1 (d, 1H), 7.65 (bs, 1H), 7.21 (s, 1H), 7.18 (d, 1H), 6.86 (d, 1H), 6.79 (d, 1H), 4.13 (t, 2H), 3.85 (t, 2H), 3.75 (s, 3H), 3.57 (t, 2H), 3.47 (t, 2H), 2.21 (s, 3H), 2.16 (s, 3H). Structure confirmed by NOE experiment MS (m/z): 417 [MH]+. 1-22 2-methyl-4-methoxy- phenyl H NMR (1H, CDCl3): δ 8.77 (d, 1H), 7.29 (d, 1H), 7.2 (d, 1H), 6.83 (d, 1H), 6.76 (dd, 1H), 6.71 (s, 1H), 4.95 (bs, 1H), 4.28 (t, 2H), 3.93 (t, 2H), 3.81 (s, 3H), 3.61 (t, 2H), 3.58 (t, 2H), 2.37 (s, 3H), 2.25 (s, 3H). Structure confirmed by NOE experiment MS (m/z): 417 [MH]+. 1-23 2-methyl-4-methoxy- phenyl H NMR (1H, CDCl3): δ 8.98 (s, 1H), 7.14 (d, 1H), 7.05 (s, 1H), 6.83 (d, 1H), 6.76 (m, 2H), 3.89 (t, 2H), 3.37 (t, 2H), 3.82 (t, 2H), 3.41 (t, 2H), 3.71 (s, 3H), 2.17 (s, 3H), 2.11 (s, 3H). Structure confirmed by NOE experiment MS (m/z): 406 [MH]+. 1-24 2-methyl-4-methoxy- phenyl H NMR (1H, CDCl3): δ 7.80 (d, 1H), 7.09 (d, 1H), 6.93 (d, 1H), 6.81 (d, 1H), 6.77 (dd, 1H), 6.53 (s, 1H), 4.56 (bs, 1H), 4.25 (m, 1H), 4.10 (t, 2H), 3.79 (s, 3H), 3.61 (m, 3H), 2.97 (dd, 1H), 2.27 (s, 3H), 2.17 (s, 3H), 1.21 (d, 3H). MS (m/z): 419 [MH]+. 1-25 2-methyl-4-methoxy- phenyl NMR (1H, DMSO-d6): δ 7.79 (s, 1H), 7.6 (d, 1H), 7.43 (t, 1H), 7.2 (d, 2H), 7.02 (bs, 1H), 6.89 (d, 1H), 6.83 (dd, 1H), 6.49 (s, 1H), 3.85 (t, 2H), 3.8 (t, 2H), 3.77 (s, 3H), 3.4 (t, 2H), 3.2 (t, 2H), 2.21 (s, 6H). MS (m/z): 415 [MH]+. 1-26 2-methyl-4-methoxy- phenyl H NMR (1H, CDCl3): δ 7.18 (d, 1H); 6.9 (d, 1H); 7.85 (d, 1H); 6.77 (m, 1H); 6.53 (s, 2H); 6.43 (s, 1H); 3.80 (t, 2H); 3.75 (s, 3H); 3.41 (t, 2H); 3.3 (s, 3H); 3.15 (t, 2H); 2.34 (s, 3H), 2.18 (s, 3H), 2.17 (s, 3H). MS (m/z): 418.2 [MH]+. 1-27 2-methyl-4-difluoro- methyloxyphenyl H NMR (1H, CDCl3): δ 7.87 (d, 1H), 7.30 (dd, 1H), 7.08 (d, 1H), 7.01 (dd, 1H), 7.00 (d, 1H), 6.64 (s, 1H), 6.53 (t, 1H), 4.66 (s, 1H), 4.14 (t, 2H), 3.92 (t, 2H), 3.66 (t, (2H), 3.51 (t, 2H), 2.38 (bs, 3H), 2.31 (s, 3H). MS (m/z): 441 [MH]+ -
- in which
- Y is —CR7;
- W is a W9 derivative:
- Z is a pyrazolyl derivative
- m is an integer from 0 to 2;
- n is an integer from 0 to 6.
- In a sealed vial, at r.t., under N2, are mixed together intermediate 5 (50 mg, 0.16 mmol), CuI (6 mg, 0.2 eq) and K2CO3 (46 mg, 2.1 eq). A solution of dodecane (14.5 μL, 0.4 eq), trans-cyclohexanediamine (11.5 μL, 0.6 eq) and intermediate 10 (30 mg, 1.2 eq) in anh. NMP (1.5 mL) was added and the reaction mixture was subjected to microwave irradiation (150° C.) for three cycles (5 min, 10 min, 15 min). It was then cooled down to r.t. and poured in EtOAc/H2O. The phases were separated and the aqueous layer was extracted with EtOAc (2×10 mL). The combined organic extracts were dried over anh. Na2SO4, the solids were filtered and the solvent evaporated. The crude product was purified on a first SCX cartridge (cHex/EtOAc 9:1), a second SCX cartridge (CH2Cl2/MeOH 9:1) and finally preparative HPLC (Column: X Terra MS C18 5 um, 50×4.6 mm, Mobile phase: A: H2O+0.1% TFA.; B: CH3CN+0.1% TFA, Gradient: 10% (B) for 1 min, from 10% (B) to 90% (B) in 12 min, Flow rate: 1 ml/min, UV wavelength range: 200-400 nm, Mass range: 150-900 amu, Ionization: ES+) to give the title compound as a pale yellow solid (21 mg, 35%)
- All the analytical data are set forth in the following Table 2-1 and in which:
- R1 is —CH3;
- R5 is hydrogen;
- R6 is hydrogen,
- R7 is hydrogen;
- D corresponds to —CR8R9;
- G corresponds to —CR10R11;
- R8, R9, R10, R11 are all hydrogen.
-
Cpd. No. R Analytical Data 2-1 2-methyl-4-methoxy- NMR (1H, DMSO): δ 8.35 (d, 1H), phenyl 7.20 (d, 1H), 6.95 (d, 1H), 6.85 (d, 1H), 6.75 (m, 2H), 3.90 (m, 4H), 3.70 (s, 3H), 3.45 (t, 2H), 2.50 (m, 2H), 2.15 (s, 3H), 2.10 (m, 2H), 2.10 (s, 3H). MS (m/z): 404 [MH]+ -
- in which
- Y is —CR7;
- W is a W3 derivative:
- Z is a pyrazolyl derivative
- m is an integer from 0 to 2;
- n is an integer from 0 to 6.
- In a sealed vial, at r.t., under N2, are mixed together intermediate 5 (15 mg, 0.04 mmol), CuI (1.5 mg, 0.2 eq) and K2CO3 (11.6 mg, 2.1 eq). A solution of dodecane (2 μL, 0.2 eq), trans-cyclohexanediamine (2 μL, 0.3 eq) and intermediate 13 (8 mg, 1 eq) in anh. NMP (2 mL) was added and the reaction mixture was stirred at 130° C. for 6 hr. It was then cooled down to r.t. and poured in EtOAc/H2O. The phases were separated and the aqueous layer was extracted with EtOAc (2×10 mL). The combined organic extracts were dried over anh. Na2SO4, the solids were filtered and the solvent evaporated The crude product was purified on an SCX cartridge (EtOAc/cHex 6:4, then 100% EtOAc, then, 5% MeOH/EtOAc) to give the title compound as a white solid (5.1 mg, 25%)
- All the analytical data are set forth in the following Table 3-1 and in which:
- R1 is —CH3;
- R5 is hydrogen;
- R6 is hydrogen,
- R7 is hydrogen;
- R12 is hydrogen;
- D corresponds to —CR8R3;
- G corresponds to —CR10R11;
- R8, R9, R10, R11 are all hydrogen.
-
Cpd. No. R Analytical Data 3-1 2-methyl-4-methoxy- NMR (1H, CDCl3): δ 7.80 (d, 1H), 7.2 (d, phenyl 1H), 7.0 (d, 1H), 6.80 (d, 1H), 6.75 (dd, 1H), 6.60 (s, 1H), 4.95 (bs, 1H), 4.05 (dd, 2H), 3.90 (t, 2H), 3.80 (s, 3H), 3.45 (t, 2H), 3.40 (bm, 2H), 2.45 (s, 3H), 2.25 (s, 3H), 2.05 (m, 2H). MS (m/z): 419 [MH]+ -
- in which
- Y is —CR7;
- W is a W11 derivative:
- Z is a pyrazolyl derivative
- m is an integer from 0 to 2;
- q is an integer from 0 to 4.
- To a vial under N2 were added intermediate 5 (38 mg, 0.1 mmol), intermediate 16 (15 mg, 0.1 mmol), CuI (1.9 mg, 0.1 eq), (1R,2R)-diaminomethylcyclohexane (4.3 mg, 0.3 eq), K2CO3 (41 mg, 0.3 mmol) and anh. NMP (1 mL). The vial was sealed and the reaction mixture was stirred at 130° C. for 4 hr. It was poured into water/EtOAc. The phases were separated and the aqueous layer was further extracted with EtOAc (2×10 mL). The combined organic extracts were dried over anh. Na2SO4, the solids were filtered and the solvent evaporated. The residue was purified by flash chromatography (silica gel, EtOAc/cHex 1:1) to give the title compound as a white solid (20 mg, 49%).
- All the analytical data are set forth in the following Table 4-1 and in which:
- R1 is —CH3;
- R5 is hydrogen;
- R6 is hydrogen,
- R7 is hydrogen;
- D corresponds to —CR8R9;
- G corresponds to —CR10R11;
- R8, R9, R10, R11 are all hydrogen.
-
Cpd. No. R Analytical Data 4-1 2-methyl-4-methoxy- NMR (1H, CDCl3): δ 7.85 (d, 1H), phenyl 7.16 (d, 1H), 6.93 (d, 1H), 6.81 (d, 1H), 6.77 (dd, 1H), 6.55 (s, 1H), 4.54 (t, 2H), 4.2 (t, 2H), 3.87 (t, 2H), 3.8 (s, 3H), 3.44 (t, 2H), 2.32 (s, 3H), 2.24 (s, 3H). MS (m/z): 406 [MH]+. -
- in which
- Y is —CR7;
- W is a W10 derivative:
- Z is a pyrazolyl derivative
- m is an integer from 0 to 2;
- q is an integer from 0 to 4.
- To a vial under N2 were added intermediate 21 (20 mg, 0.052 mmol), (methoxycarbonylsulfamoyl)triethylammonium hydroxide inner salt (40 mg, 3.2 eq) and anh. THF (1 mL). The reaction mixture was refluxed for 1 hr. It was cooled down to r.t. and diluted with CH2Cl2. 1N HCl was added and the phases were separated. The aqueous layer was further extracted with CH2Cl2 (3×10 mL). The combined organic extracts were concentrated and the residue was purified by flash chromatography (silica gel, cHex/EtOAc 7:3) to give the title compound as a white solid (8.2 mg, 32%).
- To a solution of example 5-1 (7.2 mg, 0.0144 mmol) in anh. MeOH (1 mL) and anh. CH2Cl2 (2 mL), at r.t., under N2, was added 25% NaOH (40 μL). The reaction mixture was stirred at r.t. for 30 min. It was then poured into sat.aq. NaHCO3 and CH2Cl2 was added. The phases were separated and the aqueous layer was further extracted with CH2Cl2 (2×10 mL). The combined organic extracts were dried over anh. Na2SO4, the solids were filtered and the solvent evaporated to give the title compound (6.4 mg, quantitative yield) as a white solid.
- All the analytical data are set forth in the following Table 5-1 and in which:
- R1 is —CH3;
- R5 is hydrogen;
- R6 is hydrogen,
- R7 is hydrogen;
- D corresponds to —CR8R9;
- G corresponds to —CR10R11;
- R8, R9, R10, R11 are all hydrogen.
-
Cpd. No. R R12 Analytical Data 5-1 2-methyl-4- CO2Me NMR (1H, CDCl3): δ 7.88 (d, 1H), methoxy- 7.17 (d, 1H), 6.82 (d, 1H), 6.77 (dd, 1H), phenyl 6.51 (s, 1H), 6.5 (d, 1H), 4.1 (bst, 4H), 3.95 (s, 3H), 3.87 (t, 2H), 3.81 (s, 3H), 3.46 (t, 2H), 2.32 (s, 3H), 2.24 (s, 3H). MS (m/z): 499 [MH]+ 5-2 2-methyl- H NMR (1H, DMSO-d6): δ 8.37 (d, 1H), 4-methoxy- 7.71 (bs, 1H), 7.15 (d, 1H), 6.84 (d, phenyl 1H), 6.76 (dd, 1H), 6.74 (s, 1H), 6.31 (d, 1H), 3.93 (t, 2H), 3.82 (t, 2H), 3.74 (s, 3H), 3.50 (t, 2H), 3.42 (t, 2H), 2.16 (s, 3H), 2.13 (s, 3H). MS (m/z): 441 [MH]+ -
- in which
- Y is —CR7;
- W is a W12 derivative:
- Z is a pyrazolyl derivative
- m is an integer from 0 to 2;
- n is an integer from 0 to 6.
- Intermediate 22 (10 mg, 0.022 mmol) and POCl3 (1 mL) were mixed together in a vial under N2. The reaction mixture was refluxed for 1 hr. Sat.aq. NaHCO3 was added until neutral pH and the mixture was partitioned between water and EtOAc. The two phases were separated and the aqueous layer was further extracted with EtOAc (3×10 mL). The combined organic extracts were concentrated and the residue was purified by flash chromatography (silica gel, cHex/EtOAc 1:1→EtOAc/sol. NH3 in MeOH (0.5 M) 7:3) to give the title compound as a white solid (4.2 mg, 50%).
- All the analytical data are set forth in the following Table 6-1 and in which:
- R1 is —CH3;
- R5 is hydrogen;
- R6 is hydrogen,
- R7 is hydrogen;
- D corresponds to —CR8R9;
- G corresponds to —CR10R11;
- R8, R9, R10, R11 are all hydrogen.
-
Cpd. No. R Analytical Data 6-1 2-methyl-4-methoxy- NMR (1H, CDCl3): δ 7.84 (d, 1H), phenyl 7.16 (d, 1H), 6.82 (d, 1H), 6.77 (dd, 1H), 6.52 (s, 1H), 6.51 (d, 1H), 3.98 (t, 2H), 3.87 (t, 2H), 3.80 (s, 3H), 3.46 (m, 2H), 3.37 (t, 2H), 2.57 (m, 2H), 2.32 (s, 3H), 2.23 (s, 3H). IR (film, cm−1): — MS (m/z): 439 [M]+. -
- in which
- Y is —CR7;
- W is a W13 derivative:
- Z is a pyrazolyl derivative
- m is an integer from 0 to 2;
- q is an integer from 0 to 4.
- A solution of intermediate 5 (20 mg, 0.05 mmol), intermediate 26 (14 mg, 2 eq), CuI (10 mg, 1 eq), K2CO3 (15 mg, 2.1 eq) and N—N′-dimethyl trans-cyclohexanediamine (9 mg, 1 eq) in anh. NMP (1 mL) at r.t., was heated at 150° C. for 18 hr. Sat.aq. NH4Cl (10 mL) was then added and the solution extracted with CH2Cl2 (25 mL). The organic layer was dried over anh. Na2SO4, the solids were filtered and the solvents evaporated in vacuo The crude compound thus obtained was purified by flash chromatography (silica gel, cHex/EtOAc 1:9) to give 5.5 mg (44%) of the title compound as a white solid.
- All the analytical data are set forth in the following Table 7-1 and in which:
- R1 is —CH3;
- R5 is hydrogen;
- R6 is hydrogen,
- R7 is hydrogen;
- D corresponds to —CR8R9;
- G corresponds to —CR10R11;
- R8, R9, R10, R11 are all hydrogen.
-
Cpd. No. R Analytical Data 7-1 2-methyl- NMR (1H, CDCl3): δ 8.00 (dd, 1H), 4-methoxy- 7.9 (d, 1H), 7.3 (m, 2H), 7.25 (d, 1H), phenyl 6.8 (m, 2H), 6.7 (s, 1H), 6.2 (t, 1H), 3.9 (t, 2H), 3.4 (t, 2H), 3.7 (s, 3H), 2.4 (s, 3H), 2.3 (s, 3H), 2.25 (s, 3H), MS (m/z): 428 [MH]+. -
- in which
- Y is —CR7;
- W is a W14 derivative:
- Z is a pyrazolyl derivative
- m is an integer from 0 to 2;
- p is an integer from 0 to 3.
- A solution of intermediate 5 (25 mg, 0.06 mmol), intermediate 28 (20 mg, 2 eq), CuI (10 mg, 1 eq), K2CO3 (15 mg, 2.1 eq) and N—N′-dimethyl trans-cyclohexanediamine (9 mg, 1 eq) in anh. NMP (1 mL) was heated at 150° C. for 3 days. Sat.aq. NH4Cl (10 mL) was then added and the solution extracted with CH2Cl2 (25 ml). The organic layer was dried over anh. Na2SO4, the solids were filtered and the solvents evaporated in vacuo. The crude compound thus obtained was purified by flash chromatography (silica gel, cHex/EtOAc 1:9) to give 6 mg (24%) of the title compound as a white solid.
- All the analytical data are set forth in the following Table 8-1 and in which:
- R1 is —CH3;
- R5 is hydrogen;
- R6 is hydrogen,
- R7 is hydrogen;
- D corresponds to —CR8R9;
- G corresponds to —CR10R11;
- R8, R9, R10, R11 are all hydrogen.
-
Cpd. No. R Analytical Data 8-1 2-methyl-4- NMR (1H, CDCl3): δ 7.96 (dd-d, 2H), methoxy-phenyl 7.27 (dd, 1H), 7.16 (d, 1H), 6.98 (d, 1H), 6.82 (d, 1H), 6.77 (dd, 1H), 6.64 (s, 1H), 3.88 (t, 2H), 3.8 (s, 3H), 3.46 (t, 2H), 2.33 (s, 3H), 2.23 (s, 3H). MS (m/z): 415 [MH]+. -
- in which
- Y is —CR7;
- W is a W1 derivative:
- Z is a pyrazolyl derivative
- m is an integer from 0 to 2.
- To a solution of intermediate 24 (50 mg, 0.1 mmol), in anh. CH2Cl2 (2 mL) was added HCl N (200 μL). The reaction mixture was stirred at rt. for 45 min. It was then neutralized with 1M NaHCO3 (1 mL) and the solvents were evaporated in vacuo. The crude compound thus obtained was purified by flash chromatography (silica gel, cHex/EtOAc 1:1) to give 18 mg (45%) of the title compound as a white solid.
- All the analytical data are set forth in the following Table 9-1 and in which:
- R1 is —CH3;
- R5 is hydrogen;
- R6 is hydrogen,
- R7 is hydrogen;
- R12 is hydrogen;
- D corresponds to —CR8R9;
- G corresponds to —CR10R11;
- R8, R9, R10, R11 are all hydrogen.
-
Cpd. No. R Analytical Data 9-1 2-methyl-4-methoxy- NMR (1H, CDCl3): δ 7.85 (d, 1H), phenyl 7.79 (bs, 1H), 7.12 (d, 1H), 7.03 (d, 1H), 6.96 (m, 1H), 6.76 (d, 1H), 6.72 (dd, 1H), 6.52 (s, 1H), 6.33 (m, 1H), 3.82 (t, 2H), 3.74 (s, 3H), 3.41 (t, 2H), 3.27 (s, 3H), 2.18 (s, 3H). MS (m/z): 403 [MH]+. -
- in which
- Y is —CR7;
- W is a W2 derivative:
- Z is a pyrazolyl derivative
- m is an integer from 0 to 2;
- q is an integer from 0 to 4.
- To a solution of example 1 (90 mg, 0.223 mmol) in anh. CH2Cl2 (6 mL) at r.t., under N2, was added DDQ (56 mg, 5 eq). The reaction mixture was stirred at r.t. for 24 hr. The solvent was evaporated in vacuo. The crude compound thus obtained was purified by flash chromatography (silica gel, cHex/EtOAc 1:1) to give 14.8 mg of a white solid, which was further purified by Mass Direct Autoprep (Fraction Lynks), affording the title compound as white solid (9 mg, 10%).
- All the analytical data are set forth in the following Table 10-1 and in which:
- R5 is hydrogen;
R6 is hydrogen,
R7 is hydrogen;
R12 is hydrogen;
D corresponds to —CR8;
G corresponds to —CR10;
D and G are double bonded;
R8, R10 are all hydrogen. -
Cpd. No. R Analytical Data 10-1 2-methyl-4-methoxy- NMR (1H, CDCl3): 8.57 (d, 1H), 7.42 (d, phenyl 1H), 7.37 (s, 1H), 7.21 (d, 1H), 7.18 (d, 1H), 7.09 (bs, 1H), 6.97 (d, 1H), 6.89 (dd, 1H), 4.00 (m, 2H), 3.81 (s, 3H), 3.48 (m, 2H), 2.46 (s, 3H), 1.95 (s, 3H)δ. MS (m/z): 403 [MH]+. -
- in which
- Y is nitrogen;
- W is a W2 derivative for example 11-1:
-
- is a W11 derivative for example 11-2
- Z is a pyrazolyl derivative
- m is an integer from 0 to 2;
- q is an integer from 0 to 4.
- To a solution of intermediate 8 (7 mg, 2 eq) in anh. DMF (3.5 mL), at r.t., under N2, was added NaH 60%/oil (2 mg, 2 eq). The reaction mixture was stirred at r.t. for 20 min. A solution of intermediate 118 (8 mg, 0.021 mmol) in anh. DMF (3 mL) was added to the reaction mixture and it was heated at 80° C. for 5 hr. Water and EtOAc were added and the phases were separated. The aqueous layer was further extracted with EtOAc (2×10 mL). The combined organic extracts were dried over anh. Na2SO4, the solids were filtered and the solvent evaporated. The residue was purified on a MEGA Bond Elut silica cartridge (100% cHex→100% EtOAc) to give the title compound as a white solid (1.2 mg, 12%).
- To a suspension of NaH 60%/oil (5 mg, 3.0 eq) in anh. DMF (1 mL) at r.t., under N2, was added intermediate 10 (30 mg, 3 eq). The reaction mixture was stirred at 80° C. for 30 min. Intermediate 120 (20 mg, 0.064 mmol) was then added and the reaction mixture was heated at 100° C. for 5 h. It was then cooled down to r.t., poured into EtOAc, washed with sat.aq. NaCl (3×10 mL) and dried over anh. Na2SO4. The solid was filtered and the solvent evaporated. The crude product was purified by flash chromatography (silica gel, cHex/EtOAc 7:3) to give the title compound as white solid (10 mg, 35%).
- All the analytical data are set forth in the following Table 11-1 and in which:
- R1 is —CH3;
- R5 is hydrogen;
- R6 is hydrogen,
- R12 is hydrogen;
- D corresponds to —CR8R9;
- G corresponds to —CR10R11;
- R8, R9, R10, R11 are all hydrogen.
-
Cpd. No. R W Analytical Data 11-1 2,4-bis-tri- fluoro- methyl- phenyl NMR (1H, CDCl3): δ 8.43 (d, 1H), 7.94 (d, 1H), 7.83(dd, 1H), 7.45 (d, 1H), 6.88 (d, 1H), 4.05 (t, 2H), 3.89 (t, 2H), 3.85 (t, 2H), 3.85 (t, 2H), 2.35 (s, 3H). MS (m/z): 498 [MH]+. 11-2 2,4-dichloro- phenyl NMR (1H, CDCl3): δ 8.50 (d, 1H), 7.47 (d, 1H), 7.34 (d, 1H), 7.29 (dd, 1H), 7.08 (d, 1H), 4.08 (m, 4H), 3.60 (t, 4H), 2.60 (t, 2H), 2.42 (s, 2H), 2.19 (t, 2H). MS(m/z): 429 [MH]+. - CRF binding affinity has been determined in vitro by the compounds' ability to displace 125I-oCRF and 125I-Sauvagine for CRF1 and CRF2 SPA, respectively, from recombinant human CRF receptors expressed in Chinese Hamster Ovary (CHO) cell membranes. For membrane preparation, CHO cells from confluent T-flasks were collected in SPA buffer (HEPES/KOH 50 mM, EDTA 2 mM, MgCl2 10 mM, pH 7.4) in 50 mL centrifuge tubes, homogenized with a Polytron and centrifuged (50′000 g for 5 min at 4° C.: Beckman centrifuge with JA20 rotor). The pellet was resuspended, homogenized and centrifuged as before.
- The SPA experiment has been carried out in Optiplate by the addition of 100 μL the reagent mixture to 1 μL of compound dilution (100% DMSO solution) per well. The assay mixture was prepared by mixing SPA buffer, WGA SPA beads (2.5 mg/mL), BSA (1 mg/mL) and membranes (50 and 5 μg of protein/mL for CRF1 and CRF2 respectively) and 50 μM of radioligand.
- The plate was incubated overnight (>18 hrs) at room temperature and read with the Packard Topcount with a WGA-SPA 125I counting protocol.
- Compounds of the invention were characterised in a functional assay for the determination of their inhibitory effect. Human CRF—CHO cells were stimulated with CRF and the receptor activation was evaluated by measuring the accumulation of cAMP. CHO cells from a confluent T-flask were resuspended with culture medium without G418 and dispensed in a 96-well plate, 25′000 c/well, 100 μL/well and incubated overnight. After the incubation the medium was replaced with 100 μL of cAMP IBMX buffer warmed at 37° C. (5 mM KCl, 5 mM NaHCO3, 154 mM NaCl, 5 mM HEPES, 2.3 mM CaCl2, 1 mM MgCl2, 1 g/L glucose, pH 7.4 additioned by 1 mg/mL BSA and 1 mM IBMX) and 1 μL of antagonist dilution in neat DMSO. After 10 additional minutes of incubation at 37° C. in a plate incubator without CO2, 1 μL of agonist dilution in neat DMSO was added. As before, the plate was incubated for 10 minutes and then cAMP cellular content was measured by using the Amersham RPA 538 kit.
- All publications, including but not limited to patents and patent applications, cited in this specification are herein incorporated by reference as if each individual publication were specifically and individually indicated to be incorporated by reference herein as though fully set forth.
- It is to be understood that the present invention covers all combinations of particular and preferred groups described herein above.
- The application of which this description and claims forms part may be used as a basis for priority in respect of any subsequent application. The claims of such subsequent application may be directed to any feature or combination of features described herein. They may take the form of product, composition, process, or use claims and may include, by way of example and without limitation, the following claims:
Claims (25)
1. A compound according to formula (IV)
wherein:
R is aryl or heteroaryl, each of which may be substituted by 1 to 4 groups J selected from:
halogen, C1-C6 alkyl, C1-C6 alkoxy, halo C1-C6 alkyl, C2-C6 alkenyl, C2-C6 alkynyl, halo C1-C6 alkoxy, —C(O)R2, nitro, hydroxy, —NR3R4, cyano and a group Z;
R1 is hydrogen or C1-C6 alkyl;
R2 is C1-C4 alkyl;
R3 is hydrogen or C1-C6 alkyl;
R4 is hydrogen or C1-C6 alkyl;
R5 is a C1-C6 alkyl, halo C1-C6 alkyl, C1-C6 alkoxy, halo C1-C6 alkoxy, C3-C7 cycloalkyl, hydroxy, halogen, nitro, cyano, —NR3R4, or —C(O)R2;
R6 is C1-C6 alkyl, halo C1-C6 alkyl, C1-C6 alkoxy, halo C1-C6 alkoxy, C3-C7 cycloalkyl, hydroxy, halogen, nitro, cyano, —NR3R4, or —C(O)R2;
R7 is hydrogen;
R8 is hydrogen;
R9 is hydrogen;
R10 is hydrogen;
R11 is hydrogen;
R12 is R3 or —C(O)R2;
D is CR8R9;
G is CR10R11;
Z is a 5-6 membered heterocycle, which may be substituted by 1 to 8 R5 groups or a phenyl ring, which may be substituted by 1 to 4 R5 groups;
m is an integer from 0 to 2; and
q is an integer from 0 to 2; or a pharmaceutically acceptable salt thereof.
2. A compound according to claim 1 wherein:
R is aryl or heteroaryl, each of which may be substituted by 1 to 4 groups J selected from:
halogen, C1-C6 alkyl, C1-C6 alkoxy, halo C1-C6 alkyl, C2-C6 alkenyl, C2-C6 alkynyl, halo C1-C6 alkoxy, —C(O)R2, nitro, hydroxy, —NR3R4, cyano or a group Z;
R1 is hydrogen, C1-C6 alkyl;
R2 is a C1-C4 alkyl;
R3 is hydrogen or C1-C6 alkyl;
R4 is hydrogen or C1-C6 alkyl;
R5 is a C1-C6 alkyl, halo C1-C6 alkyl, C1-C6 alkoxy, halo C1-C6 alkoxy, C3-C7 cycloalkyl, hydroxy, halogen, nitro, cyano, —NR3R4, or —C(O)R2;
R6 is a C1-C6 alkyl, halo C1-C6 alkyl, C1-C6 alkoxy, halo C1-C6 alkoxy, C3-C7 cycloalkyl, hydroxy, halogen, nitro, cyano, —NR3R4 or —C(O)R2;
R7 is hydrogen;
R8 is hydrogen;
R9 is hydrogen;
R10 is hydrogen;
R11 is hydrogen;
R12 is hydrogen;
D is CR8R9;
G is CR10R11;
Z is a 5-6 membered heterocycle, which may be substituted by 1 to 8 R5 groups or a phenyl ring, which may be substituted by 1 to 4 R5 groups;
m is an integer from 0 to 2; and
q is 0; or a pharmaceutically acceptable salt thereof.
3. A compound according to claim 2 wherein Z is selected from the group consisting of pyrimidinyl, pyridinyl, thiazolyl, pyrazolyl, triazolyl and phenyl; or a pharmaceutically acceptable salt thereof.
4. A compound according to claim 2 wherein R is an aryl group selected from: 2,4-dichlorophenyl, 2-chloro-4-methylphenyl, 2-chloro-4-trifluoromethylphenyl, 2-chloro-4-methoxyphenyl, 2,4,5-trimethylphenyl, 2,4-dimethylphenyl, 2-methyl-4-methoxyphenyl, 2-methyl-4-ethoxyphenyl, 2-methyl-4-isopropoxyphenyl, 2-methyl-4-hydroxyphenyl, 2-methyl-4-chlorophenyl, 2-methyl-4-trifluoromethylphenyl, 2,4-dimethoxyphenyl, 2-methoxy-4-trifluoromethylphenyl, 2-methoxy-4-chlorophenyl, 3-methoxy-4-chlorophenyl, 2,5-dimethoxy-4-chlorophenyl, 2-methoxy-4-isopropylphenyl, 2-methoxy-4-trifluoromethylphenyl, 2-methoxy-4-isopropylphenyl, 2-methoxy-4-methylphenyl, 2-trifluoromethyl-4-chlorophenyl, 2,4-bis-trifluoromethylphenyl, 2-trifluoromethyl-4-methylphenyl, 2-trifluoromethyl-4-methoxyphenyl, 2-difluoromethyl-4-methoxyphenyl, 2-bromo-4-isopropylphenyl, 2-methyl-4-cyanophenyl, 2-chloro-4-cyanophenyl, 2-trifluoromethyl-4-cyanophenyl, 2-trifluoromethoxy-4-cyanophenyl, 2-ethyl-4-cyanophenyl, 2-methyl-4-trifluoromethoxyphenyl, 4-methyl-6-dimethylaminopyridin-3-yl, 2,6-bismethoxy-pyridin-3-yl, 2-methyl-6-methoxy-pyridin-3-yl, 2-trifluoromethyl-6-methoxy-pyridin-3-yl 3-chloro-5-trichloromethyl-pyridin-2-yl, 2-methyl-4-(pyrazol-1-yl)-phenyl, 2-methoxy-4-(pyrazol-1-yl)-phenyl, 2,4,6-trimethoxyphenyl, 2-methyl-4,5-benzodioxolyl, and 2-methyl-3,4-benzodioxolyl; or a pharmaceutically acceptable salt thereof.
5. A compound according to claim 1 selected from:
1-{1-[1-(4-Methoxy-2-methylphenyl)-6-methyl-2,3-dihydro-1H-pyrrolo[2,3-b]pyridin-4-yl]-1H-pyrazol-3-yl}-3-methylimidazolidin-2-one;
1-{1-[1-(2,4-Dichlorophenyl)-6-methyl-2,3-dihydro-1H-pyrrolo[2,3-b]pyridin-4-yl]-1H-pyrazol-3-yl}imidazolidin-2-one;
1-(1-{1-[2,4-Bis(trifluoromethyl)phenyl]-6-methyl-2,3-dihydro-1H-pyrrolo[2,3-b]pyridin-4-yl}-1H-pyrazol-3-yl)-2-imidazolidinone;
1-{1-[1-(4-Hydroxy-2-methylphenyl)-6-methyl-2,3-dihydro-1H-pyrrolo[2,3-b]pyridin-4-yl]-1H-pyrazol-3-yl}-2-imidazolidinone;
1-(1-{1-[4-(Ethyloxy)-2-methylphenyl]-6-methyl-2,3-dihydro-1H-pyrrolo[2,3-b]pyridin-4-yl}-1H-pyrazol-3-yl)-2-imidazolidinone;
1-[1-(6-Methyl-1-{2-methyl-4-[(1-methylethyl)oxy]phenyl}-2,3-dihydro-1H-pyrrolo[2,3-b]pyridin-4-yl)-1H-pyrazol-3-yl]-2-imidazolidinone;
1-[1-(6-Methyl-1-{2-methyl-4-[(trifluoromethyl)oxy]phenyl}-2,3-dihydro-1H-pyrrolo[2,3-b]pyridin-4-yl)-1H-pyrazol-3-yl]-2-imidazolidinone;
3-Methyl-4-{6-methyl-4-[3-(2-oxo-1-imidazolidinyl)-1H-pyrazol-1-yl]-2,3-dihydro-1H-pyrrolo[2,3-b]pyridin-1-yl}benzonitrile;
1-(1-{6-Methyl-1-[2-methyl-4-(1H-pyrazol-1-yl)phenyl]-2,3-dihydro-1H-pyrrolo[2,3-b]pyridin-4-yl}-1H-pyrazol-3-yl)-2-imidazolidinone;
4-{6-Methyl-4-[3-(2-oxo-1-imidazolidinyl)-1H-pyrazol-1-yl]-2,3-dihydro-1H-pyrrolo[2,3-b]pyridin-1-yl}-3-(trifluoromethyl)benzonitrile;
1-(1-{1-[2-(Difluoromethyl)-4-(methyloxy)phenyl]-6-methyl-2,3-dihydro-1H-pyrrolo[2,3-b]pyridin-4-yl}-1H-pyrazol-3-yl)-2-imidazolidinone;
4-{6-Methyl-4-[3-(2-oxo-1-imidazolidinyl)-1H-pyrazol-1-yl]-2,3-dihydro-1H-pyrrolo[2,3-b]pyridin-1-yl}-3-[(trifluoromethyl)oxy]benzonitrile;
3-Ethyl-4-{6-methyl-4-[3-(2-oxo-1-imidazolidinyl)-1H-pyrazol-1-yl]-2,3-dihydro-1H-pyrrolo[2,3-b]pyridin-1-yl}benzonitrile;
1-(1-{6-Methyl-1-[2-(methyloxy)-4-(1H-pyrazol-1-yl)phenyl]-2,3-dihydro-1H-pyrrolo[2,3-b]pyridin-4-yl}-1H-pyrazol-3-yl)-2-imidazolidinone;
1-{1-[6-Methyl-1-(6-methyl-1,3-benzodioxol-5-yl)-2,3-dihydro-1H-pyrrolo[2,3-b]pyridin-4-yl]-1H-pyrazol-3-yl}-2-imidazolidinone;
1-(1-{6-Methyl-1-[2,4,6-tris(methyloxy)phenyl]-2,3-dihydro-1H-pyrrolo[2,3-b]pyridin-4-yl}-1H-pyrazol-3-yl)-2-imidazolidinone;
1-{1-[6-Methyl-1-(6-methyl-1,3-benzodioxol-5-yl)-2,3-dihydro-1H-pyrrolo[2,3-b]pyridin-4-yl]-1H-pyrazol-3-yl}-2-imidazolidinone;
1-(1-{2,6-Dimethyl-1-[2-methyl-4-(methyloxy)phenyl]-2,3-dihydro-1H-pyrrolo[2,3-b]pyridin-4-yl}-1H-pyrazol-3-yl)-2-imidazolidinone;
1-(5-Methyl-1-{6-methyl-1-[2-methyl-4-(methyloxy)phenyl]-2,3-dihydro-1H-pyrrolo[2,3-b]pyridin-4-yl}-1H-pyrazol-3-yl)-2-imidazolidinone; and
1-[1-(1-{4-[(difluoromethyl)oxy]-2-methylphenyl}-6-methyl-2,3-dihydro-1H-pyrrolo[2,3-b]pyridin-4-yl)-1H-pyrazol-3-yl]-2-imidazolidinone; or a pharmaceutically acceptable salt thereof.
6. A pharmaceutical composition comprising a compound according to claim 1 , or a pharmaceutically acceptable salt thereof, in admixture with one or more physiologically acceptable carriers or excipients.
7. A method for the treatment of a condition mediated by CRF (corticotropin-releasing factor), comprising administration of an effective amount of a compound according claim 1 , or a pharmaceutically acceptable salt thereof, to a mammal in need of treatment thereof.
8. A method, according to claim 7 , for the treatment of depression or anxiety, comprising administration of an effective amount of a compound according to claim 1 , or a pharmaceutically acceptable salt thereof.
9. A method, according to claim 7 , for the treatment of IBS (irritable bowel disease) or IBD (inflammatory bowel disease), comprising administration of an effective amount of a compound according to claim 1 , or a pharmaceutically acceptable salt thereof.
10. A process for the preparation of the compound according to claim 1 , corresponding to a compound of formula (IIr) in which:
R is 4-methoxy-2-methyl-phenyl;
X1 is oxygen;
Y is CH—;
Lg is triflate and
Z—W is:
starting from the corresponding compound of formula (XXIII), comprising the following steps as in Scheme 2:
in which:
step a′ stands for the formation of the pyrrolidinone moiety of compounds (XXIV), which will form the cycle B present in the final compounds (IIr), by reacting the compounds (XXIII) with a reactive derivative of the butyric acid, such as 4-chlorobutyryl chloride; followed by a cyclisation reaction in basic conditions;
step b′ stands for amidine formation by reacting the compounds (XXIV) with a 3-aminocrotonate derivative and POCl3 when X1 is oxygen; or
stands for alkylation of the amidine formation by reacting the compound (XXIV) with a butynoate derivative, when X1 is NH;
step c′ stands for the cyclisation of the compounds (XXV) or (XXVa) in basic conditions to give the hydroxy pyridine precursor of cycle A in the final compounds (IIr);
step d′ stands for the formation of a reactive derivative of the hydroxy pyridine of compounds (XXVI) by reaction with, triflic anhydride;
step e′ stands for nucleophilic displacement of the leaving group of compounds (XXVII) to give the halogenated compounds (XXVIII);
step f′ stands for the arylation reaction with the suitable —Z—W derivative by a metal catalysed coupling reaction procedure to give the final compounds (IIr); such —Z—W derivative may be suitably protected with a P group, as defined in Scheme 1,
step g′ stands for activation of carbon 3 by the addition of an electron-withdrawing group;
step h′ corresponds to step b)′ when X1 is oxygen.
step i′ stands for a metal-halogen exchange reaction followed by a trans-metalation reaction with a suitable metalating agent;
step j′ stands for the cyclisation of the p-amidoester of formula (XXIVb) with a salt of a substituted amidine in order to form the pyrimidine cycle A, when Y is N;
step m′ stands for conversion of the hydroxy group into an halogen by the halogenation reaction carried out using treatment with PO(Hal)3.
11. An intermediate compound which is 1-(4-Methoxy-2-methylphenyl)pyrrolidin-2-one.
12. An intermediate compound which is ethyl 3-{[1-(4-methoxy-2-methylphenyl)pyrrolidin-2-ylidene]amino}but-2-enoate.
13. An intermediate compound which is 1-(4-Methoxy-2-methylphenyl)-6-methyl-1,2,3,7-tetrahydro-4H-pyrrolo[2,3-b]pyridin-4-one.
14. An intermediate compound which is 1-(4-Methoxy-2-methylphenyl)-6-methyl-2,3-dihydro-1H-pyrrolo[2,3-b]pyridin-4-yl trifluoromethanesulfonate.
15. An intermediate compound which is 4-Iodo-6-methyl-1-[2-methyl-4-(methyloxy)phenyl]-2,3-dihydro-1H-pyrrolo[2,3-b]pyridine.
16. An intermediate compound which is 1-[2-Methyl-4-(methyloxy)phenyl]-2-pyrrolidinimine.
17. An intermediate compound which is 4-{[2-Methyl-4-(methyloxy)phenyl]amino}butanenitrile.
18. An intermediate compound which is N-(2-Chloroethyl)-3-({[(2-chloroethyl)amino]carbonyl}amino)-1H-pyrazole-1-carboxamide.
19. An intermediate compound which is N-(2-Chloroethyl)-3-(2-oxoimidazolidin-1-yl)-1H-pyrazole-1-carboxamide.
20. An intermediate compound which is 1-(1H-Pyrazol-3-yl)imidazolidin-2-one.
21. An intermediate compound which is 4-{[2-Methyl-4-(methyloxy)phenyl]amino}butanenitrile.
22. An intermediate compound which is 1-[2-Methyl-4-(methyloxy)phenyl]-2-pyrrolidinimine.
23. A method for the treatment of a condition mediated by CRF (corticotropin-releasing factor), comprising administration of an effective amount of the compound 1-{1-[1-(4-Methoxy-2-methylphenyl)-6-methyl-2,3-dihydro-1H-pyrrolo[2,3-b]pyridin-4-yl]-1H-pyrazol-3-yl}imidazolidin-2-one, or a pharmaceutically acceptable salt thereof, to a mammal in need of treatment thereof.
24. A method, according to claim 23 , for the treatment of depression or anxiety, comprising administration of an effective amount of a compound according to claim 1 , or a pharmaceutically acceptable salt thereof.
25. A method, according to claim 23 , for the treatment of IBS (irritable bowel disease) or IBD (inflammatory bowel disease), comprising administration of an effective amount of a compound according to claim 1 , or a pharmaceutically acceptable salt thereof.
Priority Applications (1)
| Application Number | Priority Date | Filing Date | Title |
|---|---|---|---|
| US11/931,313 US20110172255A1 (en) | 2003-04-09 | 2007-10-31 | Condensed N-Heterocyclic Compounds and their Use as CRF Receptor Antagonists |
Applications Claiming Priority (6)
| Application Number | Priority Date | Filing Date | Title |
|---|---|---|---|
| GB0308208.8 | 2003-04-09 | ||
| GBGB0308208.8A GB0308208D0 (en) | 2003-04-09 | 2003-04-09 | Chemical compounds |
| US48532203P | 2003-07-07 | 2003-07-07 | |
| PCT/IB2004/001350 WO2004094420A1 (en) | 2003-04-09 | 2004-04-07 | Condensed n-heterocyclic compounds and their use as crf receptor antagonists |
| US10/552,493 US7427630B2 (en) | 2003-04-09 | 2004-04-07 | Condensed N-heterocyclic compounds and their use as CRF receptor antagonists |
| US11/931,313 US20110172255A1 (en) | 2003-04-09 | 2007-10-31 | Condensed N-Heterocyclic Compounds and their Use as CRF Receptor Antagonists |
Related Parent Applications (1)
| Application Number | Title | Priority Date | Filing Date |
|---|---|---|---|
| US11/552,493 Continuation US20080101624A1 (en) | 2006-10-24 | 2006-10-24 | Speaker directionality for user interface enhancement |
Publications (1)
| Publication Number | Publication Date |
|---|---|
| US20110172255A1 true US20110172255A1 (en) | 2011-07-14 |
Family
ID=33312357
Family Applications (2)
| Application Number | Title | Priority Date | Filing Date |
|---|---|---|---|
| US10/552,493 Expired - Lifetime US7427630B2 (en) | 2003-04-09 | 2004-04-07 | Condensed N-heterocyclic compounds and their use as CRF receptor antagonists |
| US11/931,313 Abandoned US20110172255A1 (en) | 2003-04-09 | 2007-10-31 | Condensed N-Heterocyclic Compounds and their Use as CRF Receptor Antagonists |
Family Applications Before (1)
| Application Number | Title | Priority Date | Filing Date |
|---|---|---|---|
| US10/552,493 Expired - Lifetime US7427630B2 (en) | 2003-04-09 | 2004-04-07 | Condensed N-heterocyclic compounds and their use as CRF receptor antagonists |
Country Status (21)
| Country | Link |
|---|---|
| US (2) | US7427630B2 (en) |
| EP (3) | EP2186813A1 (en) |
| JP (2) | JP4866722B2 (en) |
| KR (1) | KR20060021826A (en) |
| CN (1) | CN1805958A (en) |
| AR (1) | AR044005A1 (en) |
| AT (2) | ATE473226T1 (en) |
| AU (1) | AU2004232551C1 (en) |
| BR (1) | BRPI0409117A (en) |
| CA (1) | CA2521929C (en) |
| DE (2) | DE602004027998D1 (en) |
| GB (1) | GB0308208D0 (en) |
| IS (1) | IS8119A (en) |
| MA (1) | MA27796A1 (en) |
| MX (1) | MXPA05010874A (en) |
| NO (1) | NO20055238L (en) |
| NZ (1) | NZ542780A (en) |
| PL (1) | PL378755A1 (en) |
| RU (1) | RU2382785C2 (en) |
| TW (1) | TW200508232A (en) |
| WO (2) | WO2004094420A1 (en) |
Cited By (1)
| Publication number | Priority date | Publication date | Assignee | Title |
|---|---|---|---|---|
| US20090186879A1 (en) * | 2008-01-22 | 2009-07-23 | Takeda Pharmaceutical Company Limited | Tricyclic compounds and use thereof |
Families Citing this family (54)
| Publication number | Priority date | Publication date | Assignee | Title |
|---|---|---|---|---|
| GB0117396D0 (en) | 2001-07-17 | 2001-09-05 | Glaxo Group Ltd | Chemical compounds |
| MXPA06003150A (en) | 2003-09-17 | 2006-08-31 | Johnson & Johnson | Fused heterocyclic compounds. |
| US7737154B2 (en) * | 2003-12-22 | 2010-06-15 | Smithkline Beecham (Cork) Limited | CRF receptor antagonists and methods relating thereto |
| WO2005103690A2 (en) * | 2004-04-24 | 2005-11-03 | Bayer Healthcare Ag | Diagnostics and therapeutics for diseases associated with corticotropin releasing hormone receptor 2 (crhr2) |
| GB0519957D0 (en) * | 2005-09-30 | 2005-11-09 | Sb Pharmco Inc | Chemical compound |
| ATE430746T1 (en) * | 2004-10-19 | 2009-05-15 | Smithkline Beecham Cork Ltd | CRF RECEPTOR ANTAGONISTS AND ASSOCIATED METHODS |
| GB0507198D0 (en) * | 2005-04-08 | 2005-05-18 | Sb Pharmco Inc | Process for preparing bicyclic compounds |
| GB0507195D0 (en) * | 2005-04-08 | 2005-05-18 | Sb Pharmco Inc | Process for preparing bicyclic compounds |
| US7598255B2 (en) | 2005-08-04 | 2009-10-06 | Janssen Pharmaceutica Nv | Pyrimidine compounds as serotonin receptor modulators |
| US8088779B2 (en) * | 2005-09-30 | 2012-01-03 | Smithkline Beecham (Cork) Limited | Pyrazolo [1,5-alpha] pyrimidinyl derivatives useful as corticotropin-releasing factor (CRF) receptor antagonists |
| ES2372955T3 (en) | 2006-07-06 | 2012-01-30 | Array Biopharma, Inc. | CICLOPENTA [D] PYRIMIDINS AS INHIBITORS OF THE PROTEIN CINASA AKT. |
| US8063050B2 (en) * | 2006-07-06 | 2011-11-22 | Array Biopharma Inc. | Hydroxylated and methoxylated pyrimidyl cyclopentanes as AKT protein kinase inhibitors |
| CA2656566C (en) | 2006-07-06 | 2014-06-17 | Array Biopharma Inc. | Dihydrofuro pyrimidines as akt protein kinase inhibitors |
| WO2008006039A1 (en) | 2006-07-06 | 2008-01-10 | Array Biopharma Inc. | Dihydrothieno pyrimidines as akt protein kinase inhibitors |
| JP5542282B2 (en) | 2007-07-05 | 2014-07-09 | アレイ バイオファーマ、インコーポレイテッド | Pyrimidylcyclopentane as an AKT protein kinase inhibitor |
| KR20150089099A (en) | 2007-07-05 | 2015-08-04 | 어레이 바이오파마 인크. | Pyrimidyl cyclopentanes as akt protein kinase inhibitors |
| US8846683B2 (en) | 2007-07-05 | 2014-09-30 | Array Biopharma, Inc. | Pyrimidyl cyclopentanes as Akt protein kinase inhibitors |
| US9409886B2 (en) | 2007-07-05 | 2016-08-09 | Array Biopharma Inc. | Pyrimidyl cyclopentanes as AKT protein kinase inhibitors |
| US20090118276A1 (en) * | 2007-11-02 | 2009-05-07 | Wyeth | Thienopyrimidines, thienopyridines, and pyrrolopyrimidines as b-raf inhibitors |
| JP5539225B2 (en) * | 2008-01-09 | 2014-07-02 | アレイ バイオファーマ、インコーポレイテッド | Hydroxylated pyrimidylcyclopentane as an AKT protein kinase inhibitor |
| US8835434B2 (en) * | 2008-01-09 | 2014-09-16 | Array Biopharma, Inc. | Hydroxylated pyrimidyl cyclopentanes as akt protein kinase inhibitors |
| MX2010008745A (en) * | 2008-02-28 | 2010-08-30 | Nippon Shinyaku Co Ltd | Fibrosis inhibitor. |
| CL2009001152A1 (en) * | 2008-05-13 | 2009-10-16 | Array Biopharma Inc | Compounds derived from n- (4- (nitrogen cycloalkyl-1-yl) -1h-pyrrolo [2,3-b] pyridin-3-yl) amide, kinase inhibitors; Preparation process; pharmaceutical composition; and its use for the treatment of a proliferative disease. |
| US8754114B2 (en) | 2010-12-22 | 2014-06-17 | Incyte Corporation | Substituted imidazopyridazines and benzimidazoles as inhibitors of FGFR3 |
| RU2013148817A (en) | 2011-04-01 | 2015-05-10 | Дженентек, Инк. | COMBINATIONS OF ACT AND MEK INHIBITOR COMPOUNDS AND WAYS OF THEIR APPLICATION |
| WO2012135753A1 (en) | 2011-04-01 | 2012-10-04 | Genentech, Inc. | Combinations of akt inhibitor compounds and erlotinib, and methods of use |
| GB201113538D0 (en) | 2011-08-04 | 2011-09-21 | Karobio Ab | Novel estrogen receptor ligands |
| WO2013160317A2 (en) * | 2012-04-23 | 2013-10-31 | Holsboermaschmeyer Neurochemie Gmbh | Crhr1 antagonists for use in the treatment of patients having crh overactivity |
| CN107652289B (en) | 2012-06-13 | 2020-07-21 | 因塞特控股公司 | Substituted tricyclic compounds as FGFR inhibitors |
| GB201210686D0 (en) | 2012-06-15 | 2012-08-01 | Holsboermaschmeyer Neurochemie Gmbh | V1B receptor antagonist for use in the treatment of patients having an elevated AVP level and/or an elevated copeptin level |
| US9388185B2 (en) | 2012-08-10 | 2016-07-12 | Incyte Holdings Corporation | Substituted pyrrolo[2,3-b]pyrazines as FGFR inhibitors |
| US9266892B2 (en) | 2012-12-19 | 2016-02-23 | Incyte Holdings Corporation | Fused pyrazoles as FGFR inhibitors |
| KR102269032B1 (en) | 2013-04-19 | 2021-06-24 | 인사이트 홀딩스 코포레이션 | Bicyclic heterocycles as fgfr inhibitors |
| GB201310782D0 (en) | 2013-06-17 | 2013-07-31 | Max Planck Innovation Gmbh | Method for predicting a treatment response to a CRHR1 antagonist and/or V1B antagonist in a patient with depressive and/or anxiety symptoms |
| US10851105B2 (en) | 2014-10-22 | 2020-12-01 | Incyte Corporation | Bicyclic heterocycles as FGFR4 inhibitors |
| PE20171514A1 (en) | 2015-02-20 | 2017-10-20 | Incyte Corp | BICYCLE HETEROCYCLES AS FGFR INHIBITORS |
| WO2016134294A1 (en) | 2015-02-20 | 2016-08-25 | Incyte Corporation | Bicyclic heterocycles as fgfr4 inhibitors |
| MA41551A (en) | 2015-02-20 | 2017-12-26 | Incyte Corp | BICYCLIC HETEROCYCLES USED AS FGFR4 INHIBITORS |
| AR111960A1 (en) | 2017-05-26 | 2019-09-04 | Incyte Corp | CRYSTALLINE FORMS OF A FGFR INHIBITOR AND PROCESSES FOR ITS PREPARATION |
| BR112020022373A2 (en) | 2018-05-04 | 2021-02-02 | Incyte Corporation | salts of a fgfr inhibitor |
| SG11202010636VA (en) | 2018-05-04 | 2020-11-27 | Incyte Corp | Solid forms of an fgfr inhibitor and processes for preparing the same |
| WO2020185532A1 (en) | 2019-03-08 | 2020-09-17 | Incyte Corporation | Methods of treating cancer with an fgfr inhibitor |
| WO2021007269A1 (en) | 2019-07-09 | 2021-01-14 | Incyte Corporation | Bicyclic heterocycles as fgfr inhibitors |
| WO2021067374A1 (en) | 2019-10-01 | 2021-04-08 | Incyte Corporation | Bicyclic heterocycles as fgfr inhibitors |
| WO2021076602A1 (en) | 2019-10-14 | 2021-04-22 | Incyte Corporation | Bicyclic heterocycles as fgfr inhibitors |
| WO2021076728A1 (en) | 2019-10-16 | 2021-04-22 | Incyte Corporation | Bicyclic heterocycles as fgfr inhibitors |
| JP7720840B2 (en) | 2019-12-04 | 2025-08-08 | インサイト・コーポレイション | Tricyclic heterocycles as FGFR inhibitors |
| CN115151539A (en) | 2019-12-04 | 2022-10-04 | 因赛特公司 | Derivatives of FGFR Inhibitors |
| WO2021146424A1 (en) | 2020-01-15 | 2021-07-22 | Incyte Corporation | Bicyclic heterocycles as fgfr inhibitors |
| US12065494B2 (en) | 2021-04-12 | 2024-08-20 | Incyte Corporation | Combination therapy comprising an FGFR inhibitor and a Nectin-4 targeting agent |
| AR126102A1 (en) | 2021-06-09 | 2023-09-13 | Incyte Corp | TRICYCLIC HETEROCYCLES AS FGFR INHIBITORS |
| CA3220155A1 (en) | 2021-06-09 | 2022-12-15 | Incyte Corporation | Tricyclic heterocycles as fgfr inhibitors |
| WO2023166067A1 (en) | 2022-03-02 | 2023-09-07 | Syngenta Crop Protection Ag | Microbiocidal pyridazinone amide derivatives |
| WO2024132895A1 (en) | 2022-12-19 | 2024-06-27 | Syngenta Crop Protection Ag | Microbiocidal dihydrooxadiazinyl pyridazinone compounds |
Family Cites Families (53)
| Publication number | Priority date | Publication date | Assignee | Title |
|---|---|---|---|---|
| US5169857A (en) | 1988-01-20 | 1992-12-08 | Bayer Aktiengesellschaft | 7-(polysubstituted pyridyl)-hept-6-endates useful for treating hyperproteinaemia, lipoproteinaemia or arteriosclerosis |
| NO177005C (en) | 1988-01-20 | 1995-07-05 | Bayer Ag | Analogous process for the preparation of substituted pyridines, as well as intermediates for use in the preparation |
| GB8810553D0 (en) | 1988-05-05 | 1988-06-08 | Smith D W | Integrated hydraulic pedal |
| GB2248618B (en) | 1988-06-17 | 1993-01-06 | Wyeth John & Brother Ltd | Process for preparing pyridine derivatives |
| US5378700A (en) | 1989-10-11 | 1995-01-03 | Teijin Limited | Fused pyrimidine derivative, process for preparation of same and pharmaceutical preparation comprising same as active ingredient |
| DE4022414A1 (en) | 1990-07-13 | 1992-01-16 | Bayer Ag | SUBSTITUTED PYRROLO-PYRIDINE |
| AU665184B2 (en) | 1991-01-23 | 1995-12-21 | Gensia, Inc. | Adenosine kinase inhibitors |
| GB9125842D0 (en) | 1991-12-04 | 1992-02-05 | Ici Plc | Heterocyclic derivatives |
| US5502187A (en) | 1992-04-03 | 1996-03-26 | The Upjohn Company | Pharmaceutically active bicyclic-heterocyclic amines |
| PL175347B1 (en) | 1992-04-03 | 1998-12-31 | Upjohn Co | Tricyclic pharmaceutically active heterocyclic amines |
| JPH0710876A (en) | 1993-06-24 | 1995-01-13 | Teijin Ltd | Pyrrolo [2,3-d] pyrimidine having a cyclic amino group at the 4-position |
| EP0723533A1 (en) | 1993-10-12 | 1996-07-31 | The Du Pont Merck Pharmaceutical Company | 1n-alkyl-n-arylpyrimidinamines and derivatives thereof |
| CN1142817A (en) | 1993-10-12 | 1997-02-12 | 杜邦麦克制药有限公司 | 1N-alkyl-N-arylpyrimidinamines and derivatives thereof |
| TW574214B (en) | 1994-06-08 | 2004-02-01 | Pfizer | Corticotropin releasing factor antagonists |
| JP2891544B2 (en) | 1994-06-16 | 1999-05-17 | ファイザー・インコーポレーテッド | Pyrazolo and pyrrolopyridines |
| EP0729758A3 (en) | 1995-03-02 | 1997-10-29 | Pfizer | Pyrazolopyrimidines and pyrrolopyrimidines to treat neuronal disorders and other diseases |
| US6403599B1 (en) | 1995-11-08 | 2002-06-11 | Pfizer Inc | Corticotropin releasing factor antagonists |
| AU738304B2 (en) | 1995-10-13 | 2001-09-13 | Neurogen Corporation | Certain pyrrolopyridine derivatives; novel CRF 1 specific ligands |
| US5955613A (en) | 1995-10-13 | 1999-09-21 | Neurogen Corporation | Certain pyrrolopyridine derivatives; novel CRF1 specific ligands |
| PL331602A1 (en) | 1996-08-06 | 1999-08-02 | Pfizer | Pyrido- or pyrimido-substituted 6,6- or 6,7-bicyclic derivatives |
| TW477787B (en) | 1996-08-27 | 2002-03-01 | Pfizer | Pyrido six-membered nitrogen-containing cyclic ring derivatives having corticotropin releasing factor antagonist activity and pharmaceutical composition containing same |
| JP3621706B2 (en) | 1996-08-28 | 2005-02-16 | ファイザー・インク | Substituted 6,5-hetero-bicyclic derivatives |
| WO1998035967A2 (en) | 1997-02-18 | 1998-08-20 | Neurocrine Biosciences, Inc. | Biazacyclic crf antagonists |
| ID24300A (en) | 1997-08-05 | 2000-07-13 | Pfizer Prod Inc | 4-AMINOPIROL (3,2-d) PYRIMIDINE AS AN NEUROPEPTIDE RECEPTOR ANTAGONISTS |
| US6310063B1 (en) * | 1998-04-02 | 2001-10-30 | Neurogen Corporation | Aminoalkyl substituted pyrrolo [3,2-E]pyridine and pyrollo [2,3-b]pyrimidine derivatives: modulators of CRF1 receptors |
| JPH11335376A (en) | 1998-05-25 | 1999-12-07 | Taisho Pharmaceut Co Ltd | Aryltetrahydropyridine derivative |
| JP2000086663A (en) | 1998-09-09 | 2000-03-28 | Taisho Pharmaceut Co Ltd | Aryltetrahydropyridine derivative |
| EP1165555B1 (en) | 1999-03-11 | 2003-07-16 | Neurogen Corporation | Aryl fused 2,4-disubstituted pyridines: nk3 receptor ligands |
| EP1165542B1 (en) | 1999-03-29 | 2003-08-20 | Neurogen Corporation | 4-substituted quinoline derivatives as nk-3 and/or gaba(a) receptor ligands |
| FR2791675B1 (en) | 1999-03-30 | 2001-05-04 | Synthelabo | DERIVATIVES OF N- [2- (4-AMINOPHENYL) ETHYL] -2,3-DIHYDRO-1,4- BENZODIOXINNE-2-METHANAMINE, THEIR PREPARATION AND THEIR THERAPEUTIC APPLICATION |
| EP1040831A3 (en) | 1999-04-02 | 2003-05-02 | Pfizer Products Inc. | Use of corticotropin releasing factor (CRF) antagonists to prevent sudden death |
| CA2371271A1 (en) | 1999-04-30 | 2000-11-09 | Neurogen Corporation | 9h-pyrimido[4,5-b]indole derivatives: crf1 specific ligands |
| PL354784A1 (en) | 1999-09-30 | 2004-02-23 | Neurogen Corporation | Certain alkylene diamine-substituted heterocycles |
| US6525067B1 (en) | 1999-11-23 | 2003-02-25 | Pfizer Inc | Substituted heterocyclic derivatives |
| KR20020063934A (en) | 2000-01-18 | 2002-08-07 | 화이자 프로덕츠 인코포레이티드 | Corticotropin releasing factor antagonists |
| AR028782A1 (en) | 2000-07-05 | 2003-05-21 | Taisho Pharmaceutical Co Ltd | TETRAHYDROPIRIDINE OR PIPERIDINE HETEROCICLIC DERIVATIVES |
| WO2002019975A1 (en) | 2000-09-05 | 2002-03-14 | Taisho Pharmaceutical Co., Ltd. | Hair growth stimulants |
| GB0100622D0 (en) | 2001-01-10 | 2001-02-21 | Vernalis Res Ltd | Chemical compounds V111 |
| US20040110785A1 (en) | 2001-02-02 | 2004-06-10 | Tao Wang | Composition and antiviral activity of substituted azaindoleoxoacetic piperazine derivatives |
| NZ528364A (en) | 2001-04-30 | 2005-12-23 | Glaxo Group Ltd | CRF receptor antagonists |
| ES2301633T3 (en) * | 2001-04-30 | 2008-07-01 | Glaxo Group Limited | PYRIMIDINS CONDENSED AS ANTAGONISTS OF THE CORTICOTROPINE RELEASE FACTOR (CRF). |
| CN1529705A (en) | 2001-05-21 | 2004-09-15 | Ŧ����������ѧ��˾ | Tri- and Tetra-Azaacenaphthylene Derivatives as CRF Receptor Antagonists |
| EP1395591B1 (en) | 2001-06-12 | 2008-06-04 | Glaxo Group Limited | Corticotropin releasing factor antagonists |
| GB0117396D0 (en) * | 2001-07-17 | 2001-09-05 | Glaxo Group Ltd | Chemical compounds |
| US7273871B2 (en) | 2001-07-17 | 2007-09-25 | Sb Pharmco Puerto Rico Inc. | Phenyl-5,6,6A,7,8,9-hexahydro-4H-1,4,9-triaza-phenalene derivatives as CRF antagonists |
| WO2003022214A2 (en) | 2001-09-06 | 2003-03-20 | Millennium Pharmaceuticals, Inc. | Piperazine and homopiperazine compounds |
| SE0201980D0 (en) | 2002-06-24 | 2002-06-24 | Astrazeneca Ab | Novel compounds |
| US20070066640A1 (en) | 2003-01-16 | 2007-03-22 | Emiliano Castiglioni | Heteroaryl-substituted pyrrolo'2,3-b1 pyridine derivatives as crf receptor antagonists |
| EP1610782A1 (en) * | 2003-03-27 | 2006-01-04 | Boehringer Ingelheim International GmbH | Antiviral combination of a dipyridodiazepinone and a further antiretroviral compound |
| US20070021429A1 (en) | 2003-04-09 | 2007-01-25 | Yves St-Denis | Condensed n-heterocyclic compounds and their use as crf receptor antagonists |
| US20070293508A1 (en) | 2003-12-22 | 2007-12-20 | Sb Pharmco Puerto Rico Inc And Neurocrine Biosciences, Inc. | Crf Receptor Antagonists and Methods Relating Thereto |
| US7737154B2 (en) | 2003-12-22 | 2010-06-15 | Smithkline Beecham (Cork) Limited | CRF receptor antagonists and methods relating thereto |
| WO2005063756A1 (en) | 2003-12-22 | 2005-07-14 | Sb Pharmco Puerto Rico Inc | Crf receptor antagonists and methods relating thereto |
-
2003
- 2003-04-09 GB GBGB0308208.8A patent/GB0308208D0/en not_active Ceased
-
2004
- 2004-04-07 AT AT04726237T patent/ATE473226T1/en not_active IP Right Cessation
- 2004-04-07 AU AU2004232551A patent/AU2004232551C1/en not_active Ceased
- 2004-04-07 CA CA2521929A patent/CA2521929C/en not_active Expired - Fee Related
- 2004-04-07 TW TW093109539A patent/TW200508232A/en unknown
- 2004-04-07 BR BRPI0409117-5A patent/BRPI0409117A/en not_active IP Right Cessation
- 2004-04-07 WO PCT/IB2004/001350 patent/WO2004094420A1/en not_active Ceased
- 2004-04-07 KR KR1020057019098A patent/KR20060021826A/en not_active Ceased
- 2004-04-07 DE DE602004027998T patent/DE602004027998D1/en not_active Expired - Lifetime
- 2004-04-07 US US10/552,493 patent/US7427630B2/en not_active Expired - Lifetime
- 2004-04-07 NZ NZ542780A patent/NZ542780A/en unknown
- 2004-04-07 EP EP08169936A patent/EP2186813A1/en not_active Withdrawn
- 2004-04-07 RU RU2005134652/04A patent/RU2382785C2/en not_active IP Right Cessation
- 2004-04-07 EP EP04726237A patent/EP1611133B1/en not_active Expired - Lifetime
- 2004-04-07 AR ARP040101187A patent/AR044005A1/en unknown
- 2004-04-07 MX MXPA05010874A patent/MXPA05010874A/en active IP Right Grant
- 2004-04-07 CN CNA2004800161898A patent/CN1805958A/en active Pending
- 2004-04-07 PL PL378755A patent/PL378755A1/en not_active Application Discontinuation
- 2004-04-07 JP JP2006506558A patent/JP4866722B2/en not_active Expired - Fee Related
- 2004-04-08 JP JP2006506536A patent/JP2006522798A/en active Pending
- 2004-04-08 EP EP04726587A patent/EP1618107B1/en not_active Expired - Lifetime
- 2004-04-08 AT AT04726587T patent/ATE472547T1/en not_active IP Right Cessation
- 2004-04-08 WO PCT/IB2004/001283 patent/WO2004094419A1/en not_active Ceased
- 2004-04-08 DE DE602004027900T patent/DE602004027900D1/en not_active Expired - Lifetime
-
2005
- 2005-11-08 MA MA28585A patent/MA27796A1/en unknown
- 2005-11-08 IS IS8119A patent/IS8119A/en unknown
- 2005-11-08 NO NO20055238A patent/NO20055238L/en not_active Application Discontinuation
-
2007
- 2007-10-31 US US11/931,313 patent/US20110172255A1/en not_active Abandoned
Cited By (4)
| Publication number | Priority date | Publication date | Assignee | Title |
|---|---|---|---|---|
| US20090186879A1 (en) * | 2008-01-22 | 2009-07-23 | Takeda Pharmaceutical Company Limited | Tricyclic compounds and use thereof |
| US20100298287A1 (en) * | 2008-01-22 | 2010-11-25 | Kazuyoshi Aso | Tricyclic compounds having corticotropin-releasing factor antagonistic activity and pharmaceutical compositions containing them |
| US8785460B2 (en) | 2008-01-22 | 2014-07-22 | Takeda Pharmaceutical Company Limited | Tricyclic compounds and use thereof |
| US8901141B2 (en) | 2008-01-22 | 2014-12-02 | Takeda Pharmaceutical Company, Limited | Tricyclic compounds having corticotropin-releasing factor antagonistic activity and pharmaceutical compositions containing them |
Also Published As
Similar Documents
| Publication | Publication Date | Title |
|---|---|---|
| US7427630B2 (en) | Condensed N-heterocyclic compounds and their use as CRF receptor antagonists | |
| EP1383747B1 (en) | Fused pyrimidines as antagonists of the corticotropin releasing factor (crf) | |
| US20070219232A1 (en) | Chemical Compounds | |
| EP1583531B1 (en) | Heteroaryl-substituted pyrrolo[2, 3- b]pyridine derivatives as crf receptor antagonists | |
| AU2002328899A1 (en) | Hetero-bicyclic CRF antagonists | |
| US7462622B2 (en) | Pyrrolo[2, 3-d] pyrimidine derivatives as corticotropin releasing factor antagonists | |
| US20070021429A1 (en) | Condensed n-heterocyclic compounds and their use as crf receptor antagonists | |
| AU2002354916A1 (en) | Chemical compounds | |
| EP1425281A1 (en) | Chemical compounds | |
| US7273871B2 (en) | Phenyl-5,6,6A,7,8,9-hexahydro-4H-1,4,9-triaza-phenalene derivatives as CRF antagonists | |
| ES2348918T3 (en) | CONDENSED N-HETEROCYCLIC COMPOUND AND USE OF THE SAME AS AN ANTEGONIST OF THE CRF RECEIVER. | |
| HK1066535B (en) | Hetero-bicyclic crf antagonists |
Legal Events
| Date | Code | Title | Description |
|---|---|---|---|
| AS | Assignment |
Owner name: SMITHKLINE BEECHAM (CORK) LIMITED, IRELAND Free format text: ASSIGNMENT OF ASSIGNORS INTEREST;ASSIGNOR:SB PHARMCO PUERTO RICO INC.;REEL/FRAME:021411/0785 Effective date: 20080821 |
|
| STCB | Information on status: application discontinuation |
Free format text: ABANDONED -- FAILURE TO RESPOND TO AN OFFICE ACTION |






































































































