US20110124510A1 - Methods of labeling polynucleotide with dibenzorhodamine dyes - Google Patents
Methods of labeling polynucleotide with dibenzorhodamine dyes Download PDFInfo
- Publication number
- US20110124510A1 US20110124510A1 US12/899,508 US89950810A US2011124510A1 US 20110124510 A1 US20110124510 A1 US 20110124510A1 US 89950810 A US89950810 A US 89950810A US 2011124510 A1 US2011124510 A1 US 2011124510A1
- Authority
- US
- United States
- Prior art keywords
- group
- dye
- polynucleotide
- dibenzorhodamine
- substituents
- Prior art date
- Legal status (The legal status is an assumption and is not a legal conclusion. Google has not performed a legal analysis and makes no representation as to the accuracy of the status listed.)
- Abandoned
Links
- 0 [1*]NC1=CC(O)=CC2=C1C=CC=C2 Chemical compound [1*]NC1=CC(O)=CC2=C1C=CC=C2 0.000 description 10
- ZYLIHOQQBKNUBA-UHFFFAOYSA-N N=C1C=C2OC3=C(C=C2C2=C1C=CC=C2)C1=C(C=CC=C1)C(N)=C3 Chemical compound N=C1C=C2OC3=C(C=C2C2=C1C=CC=C2)C1=C(C=CC=C1)C(N)=C3 ZYLIHOQQBKNUBA-UHFFFAOYSA-N 0.000 description 4
- ZTBXDGPJGREIPE-UHFFFAOYSA-N NC1=CC(O)=C(C(=O)C2=CC=CC=C2)C2=C1C=CC=C2 Chemical compound NC1=CC(O)=C(C(=O)C2=CC=CC=C2)C2=C1C=CC=C2 ZTBXDGPJGREIPE-UHFFFAOYSA-N 0.000 description 2
- YXFVVABEGXRONW-UHFFFAOYSA-N CC1=CC=CC=C1 Chemical compound CC1=CC=CC=C1 YXFVVABEGXRONW-UHFFFAOYSA-N 0.000 description 1
- DJXIADRXORLNJX-UHFFFAOYSA-N N=C1C=CC2=CC3=C(C=C(N)C=C3)OC2=C1 Chemical compound N=C1C=CC2=CC3=C(C=C(N)C=C3)OC2=C1 DJXIADRXORLNJX-UHFFFAOYSA-N 0.000 description 1
- SEPKIHYXCAVZTN-KXUUBAJSSA-N [2H]C(=O)NCC#C/N=C/[U] Chemical compound [2H]C(=O)NCC#C/N=C/[U] SEPKIHYXCAVZTN-KXUUBAJSSA-N 0.000 description 1
- PNSKPTZIKPHKBR-CCYVCGDDSA-N [H]C1(B[2H])OC([H])(CC)C([H])([W][W])C1([H])[W] Chemical compound [H]C1(B[2H])OC([H])(CC)C([H])([W][W])C1([H])[W] PNSKPTZIKPHKBR-CCYVCGDDSA-N 0.000 description 1
- QDLVFWLUXOFALC-RAMDWTOOSA-N [H]C1(B[2H])OC([H])(COP(=O)(O)OP(=O)(O)OP(=O)(O)O)C([H])(O)C1([H])[H] Chemical compound [H]C1(B[2H])OC([H])(COP(=O)(O)OP(=O)(O)OP(=O)(O)O)C([H])(O)C1([H])[H] QDLVFWLUXOFALC-RAMDWTOOSA-N 0.000 description 1
- GJBGONSEKJOBGW-RAMDWTOOSA-N [H]C1(B[2H])OC([H])(COP(=O)(O)OP(=O)(O)OP(=O)(O)O)C([H])([H])C1([H])[H] Chemical compound [H]C1(B[2H])OC([H])(COP(=O)(O)OP(=O)(O)OP(=O)(O)O)C([H])([H])C1([H])[H] GJBGONSEKJOBGW-RAMDWTOOSA-N 0.000 description 1
Images
Classifications
-
- C—CHEMISTRY; METALLURGY
- C09—DYES; PAINTS; POLISHES; NATURAL RESINS; ADHESIVES; COMPOSITIONS NOT OTHERWISE PROVIDED FOR; APPLICATIONS OF MATERIALS NOT OTHERWISE PROVIDED FOR
- C09B—ORGANIC DYES OR CLOSELY-RELATED COMPOUNDS FOR PRODUCING DYES, e.g. PIGMENTS; MORDANTS; LAKES
- C09B11/00—Diaryl- or thriarylmethane dyes
- C09B11/04—Diaryl- or thriarylmethane dyes derived from triarylmethanes, i.e. central C-atom is substituted by amino, cyano, alkyl
- C09B11/10—Amino derivatives of triarylmethanes
- C09B11/24—Phthaleins containing amino groups ; Phthalanes; Fluoranes; Phthalides; Rhodamine dyes; Phthaleins having heterocyclic aryl rings; Lactone or lactame forms of triarylmethane dyes
-
- C—CHEMISTRY; METALLURGY
- C07—ORGANIC CHEMISTRY
- C07D—HETEROCYCLIC COMPOUNDS
- C07D209/00—Heterocyclic compounds containing five-membered rings, condensed with other rings, with one nitrogen atom as the only ring hetero atom
- C07D209/56—Ring systems containing three or more rings
- C07D209/58—[b]- or [c]-condensed
- C07D209/60—Naphtho [b] pyrroles; Hydrogenated naphtho [b] pyrroles
-
- C—CHEMISTRY; METALLURGY
- C07—ORGANIC CHEMISTRY
- C07D—HETEROCYCLIC COMPOUNDS
- C07D221/00—Heterocyclic compounds containing six-membered rings having one nitrogen atom as the only ring hetero atom, not provided for by groups C07D211/00 - C07D219/00
- C07D221/02—Heterocyclic compounds containing six-membered rings having one nitrogen atom as the only ring hetero atom, not provided for by groups C07D211/00 - C07D219/00 condensed with carbocyclic rings or ring systems
- C07D221/04—Ortho- or peri-condensed ring systems
- C07D221/06—Ring systems of three rings
- C07D221/10—Aza-phenanthrenes
-
- C—CHEMISTRY; METALLURGY
- C07—ORGANIC CHEMISTRY
- C07D—HETEROCYCLIC COMPOUNDS
- C07D311/00—Heterocyclic compounds containing six-membered rings having one oxygen atom as the only hetero atom, condensed with other rings
- C07D311/02—Heterocyclic compounds containing six-membered rings having one oxygen atom as the only hetero atom, condensed with other rings ortho- or peri-condensed with carbocyclic rings or ring systems
- C07D311/78—Ring systems having three or more relevant rings
-
- C—CHEMISTRY; METALLURGY
- C07—ORGANIC CHEMISTRY
- C07D—HETEROCYCLIC COMPOUNDS
- C07D491/00—Heterocyclic compounds containing in the condensed ring system both one or more rings having oxygen atoms as the only ring hetero atoms and one or more rings having nitrogen atoms as the only ring hetero atoms, not provided for by groups C07D451/00 - C07D459/00, C07D463/00, C07D477/00 or C07D489/00
- C07D491/12—Heterocyclic compounds containing in the condensed ring system both one or more rings having oxygen atoms as the only ring hetero atoms and one or more rings having nitrogen atoms as the only ring hetero atoms, not provided for by groups C07D451/00 - C07D459/00, C07D463/00, C07D477/00 or C07D489/00 in which the condensed system contains three hetero rings
- C07D491/14—Ortho-condensed systems
-
- C—CHEMISTRY; METALLURGY
- C07—ORGANIC CHEMISTRY
- C07D—HETEROCYCLIC COMPOUNDS
- C07D491/00—Heterocyclic compounds containing in the condensed ring system both one or more rings having oxygen atoms as the only ring hetero atoms and one or more rings having nitrogen atoms as the only ring hetero atoms, not provided for by groups C07D451/00 - C07D459/00, C07D463/00, C07D477/00 or C07D489/00
- C07D491/12—Heterocyclic compounds containing in the condensed ring system both one or more rings having oxygen atoms as the only ring hetero atoms and one or more rings having nitrogen atoms as the only ring hetero atoms, not provided for by groups C07D451/00 - C07D459/00, C07D463/00, C07D477/00 or C07D489/00 in which the condensed system contains three hetero rings
- C07D491/14—Ortho-condensed systems
- C07D491/147—Ortho-condensed systems the condensed system containing one ring with oxygen as ring hetero atom and two rings with nitrogen as ring hetero atom
-
- C—CHEMISTRY; METALLURGY
- C07—ORGANIC CHEMISTRY
- C07H—SUGARS; DERIVATIVES THEREOF; NUCLEOSIDES; NUCLEOTIDES; NUCLEIC ACIDS
- C07H19/00—Compounds containing a hetero ring sharing one ring hetero atom with a saccharide radical; Nucleosides; Mononucleotides; Anhydro-derivatives thereof
- C07H19/02—Compounds containing a hetero ring sharing one ring hetero atom with a saccharide radical; Nucleosides; Mononucleotides; Anhydro-derivatives thereof sharing nitrogen
- C07H19/04—Heterocyclic radicals containing only nitrogen atoms as ring hetero atom
- C07H19/06—Pyrimidine radicals
- C07H19/10—Pyrimidine radicals with the saccharide radical esterified by phosphoric or polyphosphoric acids
-
- C—CHEMISTRY; METALLURGY
- C07—ORGANIC CHEMISTRY
- C07H—SUGARS; DERIVATIVES THEREOF; NUCLEOSIDES; NUCLEOTIDES; NUCLEIC ACIDS
- C07H19/00—Compounds containing a hetero ring sharing one ring hetero atom with a saccharide radical; Nucleosides; Mononucleotides; Anhydro-derivatives thereof
- C07H19/02—Compounds containing a hetero ring sharing one ring hetero atom with a saccharide radical; Nucleosides; Mononucleotides; Anhydro-derivatives thereof sharing nitrogen
- C07H19/04—Heterocyclic radicals containing only nitrogen atoms as ring hetero atom
- C07H19/16—Purine radicals
- C07H19/20—Purine radicals with the saccharide radical esterified by phosphoric or polyphosphoric acids
-
- C—CHEMISTRY; METALLURGY
- C07—ORGANIC CHEMISTRY
- C07H—SUGARS; DERIVATIVES THEREOF; NUCLEOSIDES; NUCLEOTIDES; NUCLEIC ACIDS
- C07H21/00—Compounds containing two or more mononucleotide units having separate phosphate or polyphosphate groups linked by saccharide radicals of nucleoside groups, e.g. nucleic acids
-
- C—CHEMISTRY; METALLURGY
- C07—ORGANIC CHEMISTRY
- C07H—SUGARS; DERIVATIVES THEREOF; NUCLEOSIDES; NUCLEOTIDES; NUCLEIC ACIDS
- C07H21/00—Compounds containing two or more mononucleotide units having separate phosphate or polyphosphate groups linked by saccharide radicals of nucleoside groups, e.g. nucleic acids
- C07H21/04—Compounds containing two or more mononucleotide units having separate phosphate or polyphosphate groups linked by saccharide radicals of nucleoside groups, e.g. nucleic acids with deoxyribosyl as saccharide radical
-
- C—CHEMISTRY; METALLURGY
- C09—DYES; PAINTS; POLISHES; NATURAL RESINS; ADHESIVES; COMPOSITIONS NOT OTHERWISE PROVIDED FOR; APPLICATIONS OF MATERIALS NOT OTHERWISE PROVIDED FOR
- C09B—ORGANIC DYES OR CLOSELY-RELATED COMPOUNDS FOR PRODUCING DYES, e.g. PIGMENTS; MORDANTS; LAKES
- C09B11/00—Diaryl- or thriarylmethane dyes
- C09B11/02—Diaryl- or thriarylmethane dyes derived from diarylmethanes
-
- C—CHEMISTRY; METALLURGY
- C12—BIOCHEMISTRY; BEER; SPIRITS; WINE; VINEGAR; MICROBIOLOGY; ENZYMOLOGY; MUTATION OR GENETIC ENGINEERING
- C12Q—MEASURING OR TESTING PROCESSES INVOLVING ENZYMES, NUCLEIC ACIDS OR MICROORGANISMS; COMPOSITIONS OR TEST PAPERS THEREFOR; PROCESSES OF PREPARING SUCH COMPOSITIONS; CONDITION-RESPONSIVE CONTROL IN MICROBIOLOGICAL OR ENZYMOLOGICAL PROCESSES
- C12Q1/00—Measuring or testing processes involving enzymes, nucleic acids or microorganisms; Compositions therefor; Processes of preparing such compositions
- C12Q1/68—Measuring or testing processes involving enzymes, nucleic acids or microorganisms; Compositions therefor; Processes of preparing such compositions involving nucleic acids
- C12Q1/6869—Methods for sequencing
-
- Y—GENERAL TAGGING OF NEW TECHNOLOGICAL DEVELOPMENTS; GENERAL TAGGING OF CROSS-SECTIONAL TECHNOLOGIES SPANNING OVER SEVERAL SECTIONS OF THE IPC; TECHNICAL SUBJECTS COVERED BY FORMER USPC CROSS-REFERENCE ART COLLECTIONS [XRACs] AND DIGESTS
- Y10—TECHNICAL SUBJECTS COVERED BY FORMER USPC
- Y10T—TECHNICAL SUBJECTS COVERED BY FORMER US CLASSIFICATION
- Y10T436/00—Chemistry: analytical and immunological testing
- Y10T436/14—Heterocyclic carbon compound [i.e., O, S, N, Se, Te, as only ring hetero atom]
- Y10T436/142222—Hetero-O [e.g., ascorbic acid, etc.]
- Y10T436/143333—Saccharide [e.g., DNA, etc.]
Definitions
- This invention relates generally to fluorescent dye compounds. More specifically, this invention relates to modified rhodamine dyes useful as fluorescent labeling reagents.
- non-radioactive detection of biological analytes utilizing fluorescent labels is an important technology in modern molecular biology. By eliminating the need for radioactive labels, safety is enhanced and the environmental impact and costs associated with reagent disposal is greatly reduced. Examples of methods utilizing such non-radioactive fluorescent detection include 4-color automated DNA sequencing, oligonucleotide hybridization methods, detection of polymerase-chain-reaction products, immunoassays, and the like.
- multiple spectrally distinguishable fluorescent labels in order to achieve independent detection of a plurality of spatially overlapping analytes, e.g., single-tube multiplex DNA probe assays and 4-color automated DNA sequencing methods.
- multiplex DNA probe assays by employing spectrally distinguishable fluorescent labels, the number of reaction tubes may be reduced thereby simplifying experimental protocols and facilitating the production of application-specific reagent kits.
- 4-color automated DNA sequencing multicolor fluorescent labeling allows for the analysis of multiple bases in a single lane thereby increasing throughput over single-color methods and reducing uncertainties associated with inter-lane electrophoretic mobility variations.
- Multi-color fluorescent detection imposes at least six severe constraints on the selection of dye labels, particularly for applications requiring a single excitation light source, an electrophoretic separation, and/or treatment with enzymes, e.g., automated DNA sequencing.
- the fluorescent dyes must be compatible with the chemistry used to create or manipulate the analyte, e.g., DNA synthesis solvents and reagents, buffers, polymerase enzymes, ligase enzymes, and the like. Sixth, the dye must have sufficient photostability to withstand laser excitation.
- the present invention is directed towards our discovery of a class of dibenzorhodamine dye compounds suitable for the creation of sets of spectrally-resolvable fluorescent labels useful for multi-color fluorescent detection.
- the subject dye compounds are particularly well suited for use in automated 4-color DNA sequencing systems using an excitation light source having a wavelength greater than about 630 nm, e.g., a helium-neon gas laser or a solid state diode laser.
- the invention comprises dibenzorhodamine dye compounds having the structure
- the invention comprises intermediates useful for the synthesis of dibenzorhodamine compounds having the structure
- the invention comprises intermediates useful for the synthesis of dibenzorhodamine compounds having the structure
- R 1 taken together with the C-12-bonded nitrogen and the C-12 and C-13 carbons forms a first ring structure having from 4 to 7 members; and/or R 1 taken together with the C-12-bonded nitrogen and the C-11 and C-12 carbons forms a second ring structure having from 5 to 7 members.
- the invention includes energy transfer dye compounds comprising a donor dye, an acceptor dye, and a linker linking the donor and acceptor dyes.
- the donor dye is capable of absorbing light at a first wavelength and emitting excitation energy in response
- the acceptor dye is capable of absorbing the excitation energy emitted by the donor dye and fluorescing at a second wavelength in response.
- the linker serves to facilitate the efficient transfer of energy between the donor dye and the acceptor dye.
- at least one of the donor and acceptor dyes is a dibenzorhodamine dye having the structure set forth above.
- the present invention includes labeled nucleoside/tides having the structure
- NUC is a nucleoside/tide or nucleoside/tide analog and D is a dibenzorhodamine dye compound having the structure set forth above.
- NUC and D are connected by a linkage wherein the linkage is attached to D at one of the substituent positions.
- NUC comprises a purine base
- the linkage is attached to the 8-position of the purine
- NUC comprises a 7-deazapurine base
- the linkage is attached to the 7-position of the 7-deazapurine
- NUC comprises a pyrimidine base
- the linkage is attached to the 5-position of the pyrimidine.
- the invention includes polynucleotide analysis methods comprising the steps of forming a set of labeled polynucleotide fragments labeled with a dibenzorhodamine dye having the structure set forth above, subjecting the labeled polynucleotide fragments to a size-dependent separation process, e.g., electrophoresis, and detecting the labeled polynucleotide fragments subsequent to the separation process.
- a size-dependent separation process e.g., electrophoresis
- the subject dye compounds may be efficiently excited by a low-cost red laser using wavelengths at or above 630 nm; (2) the emission spectra of the subject dye compounds can be modulated by minor variations in the type and location of nitrogen and/or aryl-substituents, allowing for the creation of dye sets having similar absorption characteristics yet spectrally resolvable fluorescence emission spectra; (3) the subject dye compounds may be easily attached to nucleosides/tides or polynucleotides without compromising their favorable fluorescence properties; (4) the subject dye compounds have narrow emission bandwidths, i.e., the emission bandwidth has a full-width at half the maximum emission intensity of below about 50 nm; (5) the subject dye compounds are highly soluble in buffered aqueous solution while retaining a high quantum yield; (6) the subject dye compounds are relatively photostable; and (7) the subject dye compounds have relatively
- FIGS. 1-3 show exemplary synthetic pathways for the synthesis of the 1-amino-3-hydroxynapthalene intermediates of the invention.
- FIG. 4 shows a generalized synthetic pathway for the synthesis of the dibenzorhodamine dye compounds of the invention.
- FIGS. 5 and 6 show exemplary synthetic pathways for the synthesis of the dibenzorhodamine dye compounds of the invention.
- FIG. 7 shows the structures of several exemplary dibenzorhodamine dye compounds of the invention.
- the present invention comprises a novel class of dibenzorhodamine dye compounds useful as fluorescent labels, methods and intermediates for synthesis of such dyes, reagents employing such dyes, and methods utilizing such dyes and reagents in the area of analytical biotechnology.
- the compounds of the present invention find particular application in the area of fluorescent nucleic acid analysis, e.g., automated DNA sequencing and fragment analysis, detection of probe hybridization in hybridization arrays, detection of nucleic acid amplification products, and the like.
- “Spectral resolution” in reference to a set of dyes means that the fluorescent emission bands of the dyes are sufficiently distinct, i.e., sufficiently non-overlapping, that reagents to which the respective dyes are attached, e.g. polynucleotides, can be distinguished on the basis of a fluorescent signal generated by the respective dyes using standard photodetection systems, e.g. employing a system of band pass filters and photomultiplier tubes, charged-coupled devices and spectrographs, or the like, as exemplified by the systems described in U.S. Pat. Nos. 4,230,558, 4,811,218, or in Wheeless et al, pgs. 21-76, in Flow Cytometry: Instrumentation and Data Analysis (Academic Press, New York, 1985).
- Electrode-rich heterocycle means cyclic compounds in which one or more ring atoms are not carbon, i.e., are hetero atoms, and the heteroatoms have unpaired electrons which contribute to a 6- ⁇ electronic system.
- Exemplary electron-rich heterocycles include but are not limited to pyrrole, indole, furan, benzofuran, thiophene, benzothiophene and other like structures.
- Linking group means a moiety capable of reacting with a “complementary functionality” attached to a reagent or member of an energy transfer dye pair, such reaction forming a “linkage” connecting the dye to the reagent or member of the energy transfer dye pair.
- Preferred linking groups include isothiocyanate, sulfonyl chloride, 4,6-dichlorotriazinyl, succinimidyl ester, or other active carboxylate whenever the complementary functionality is amine.
- the linking group is maleimide, halo acetyl, or iodoacetamide whenever the complementary functionality is sulfhydryl. See R.
- the linking group is a N-hydroxysuccinimidyl (NHS) ester and the complementary functionality is an amine, where to form the NHS ester, a dye of the invention including a carboxylate linking group is reacted with dicyclohexylcarbodiimide and N-hydroxysuccinimide.
- NHS N-hydroxysuccinimidyl
- Substituted refers to a molecule wherein one or more hydrogen atoms are replaced with one or more non-hydrogen atoms, functional groups or moieties.
- an unsubstituted nitrogen is —NH 2
- a substituted nitrogen is —NHCH 3 .
- substituents include but are not limited to halo, e.g., fluorine and chlorine, lower alkyl, lower alkene, lower alkyne, sulfate, sulfonate, sulfone, amino, ammonium, amido, nitrile, lower alkoxy, phenoxy, aromatic, phenyl, polycyclic aromatic, electron-rich heterocycle water-solubilizing group, and linking group.
- Polycyclic aromatic means aromatic hydrocarbons having multiple ring structures including biaryls and condensed benzenoid hydrocarbons.
- the biaryls are benzenoid compounds where two or more rings are linked together by a single bond.
- the parent system of this class is biphenyl.
- the condensed benzenoid compounds are characterized by two or more benzene rings fused together at ortho positions in such a way that each pair of rings shares two carbons.
- the simplest members of this group are napthalene, with two rings, and anthracene and phenanthrene, each with three rings.
- “Lower alkyl” denotes straight-chain and branched hydrocarbon moieties containing from 1 to 8 carbon atoms, e.g., methyl, ethyl, propyl, isopropyl, tert-butyl, isobutyl, sec-butyl, neopentyl, tert-pentyl, and the like.
- “Lower alkene” denotes a hydrocarbon containing from 1 to 8 carbon atoms wherein one or more of the carbon-carbon bonds are double bonds.
- “Lower alkyne” denotes a hydrocarbon containing from 1 to 8 carbon atoms wherein one or more of the carbons are bonded with a triple bond.
- Nucleoside refers to a compound consisting of a purine, deazapurine, or pyrimidine nucleoside base, e.g., adenine, guanine, cytosine, uracil, thymine, deazaadenine, deazaguanosine, and the like, linked to a pentose at the 1′ position.
- nucleoside base is purine or 7-deazapurine
- the sugar moiety is attached at the 9-position of the purine or deazapurine
- the nucleoside base is pyrimidine
- the sugar moiety is attached at the 1-position of the pyrimidine, e.g., Kornberg and Baker, DNA Replication, 2nd Ed.
- nucleotide refers to a phosphate ester of a nucleoside, e.g., triphosphate esters, wherein the most common site of esterification is the hydroxyl group attached to the C-5 position of the pentose.
- nucleoside/tide refers to a set of compounds including both nucleosides and nucleotides. “Analogs” in reference to nucleosides/tides include synthetic analogs having modified base moieties, modified sugar moieties and/or modified phosphate moieties, e.g.
- Phosphate analogs comprise analogs of phosphate wherein the phosphorous atom is in the +5 oxidation state and one or more of the oxygen atoms is replaced with a non-oxygen moiety.
- Exemplary analogs include but are not limited to phosphorothioate, phosphorodithioate, phosphoroselenoate, phosphorodiselenoate, phosphoroanilothioate, phosphoranilidate, phosphoramidate, boronophosphates, including associated counterions, e.g., H + , NH 4 + , Na + , if such counterions are present.
- Exemplary base analogs include but are not limited to 2,6-diaminopurine, hypoxanthine, pseudouridine, C-5-propyne, isocytosine, isoguanine, 2-thiopyrimidine, and other like analogs.
- Exemplary sugar analogs include but are not limited to 2′- or 3′-modifications where the 2′- or 3′-position is hydrogen, hydroxy, alkoxy, e.g., methoxy, ethoxy, allyloxy, isopropoxy, butoxy, isobutoxy and phenoxy, amino or alkylamino, fluoro, chloro and bromo.
- labeled nucleoside/tide refers to nucleosides/tides which are covalently attached to the dye compounds of Formula I through a linkage.
- Water solubilizing group means a substituent which increases the solubility of the compounds of the invention in aqueous solution.
- Exemplary water-solubilizing groups include but are not limited to quaternary amine, sulfate, sulfonate, carboxylate, phosphate, polyether, polyhydroxyl, and boronate.
- Polynucleotide or “oligonucleotide” means polymers of natural nucleotide monomers or analogs thereof, including double and single stranded deoxyribonucleotides, ribonucleotides, ⁇ -anomeric forms thereof, and the like. Usually the nucleoside monomers are linked by phosphodiester linkages, where as used herein, the term “phosphodiester linkage” refers to phosphodiester bonds or bonds including phosphate analogs thereof, including associated counterions, e.g., H + , NH 4 + , Na + , if such counterions are present. Polynucleotides typically range in size from a few monomeric units, e.g.
- A denotes deoxyadenosine
- C denotes deoxycytidine
- G denotes deoxyguanosine
- T denotes deoxythymidine, unless otherwise noted.
- Rhodamine dye refers to dyes including the general polycyclic structure
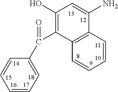
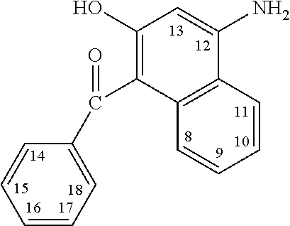
- the present invention comprises a novel class of 1-amino-3-hydroxynapthalene compounds useful as intermediates in the synthesis of dibenzorhodamine dyes.
- These compounds have the general structure shown in Formula I immediately below, including substituted forms thereof, where R 1 taken together with the C-12-bonded nitrogen and the C-12 and C-13 carbons forms a first ring structure having from 4 to 7 members; and/or R 1 taken together with the C-12-bonded nitrogen and the C-11 and C-12 carbons forms a second ring structure having from 5 to 7 members.
- R 1 taken together with the C-12-bonded nitrogen and the C-12 and C-13 carbons forms a first ring structure having from 4 to 7 members
- R 1 taken together with the C-12-bonded nitrogen and the C-11 and C-12 carbons forms a second ring structure having from 5 to 7 members.
- the first ring structure has five members. More preferably, the five membered first ring structure includes one gem disubstituted carbon, e.g., wherein the gem substituents are lower alkyl, e.g., methyl. In an alternative preferred embodiment, the five membered ring is substituted with linking group or water-solubilizing group.
- the second ring structure has six members. More preferably, the six-membered second ring structure includes one gem disubstituted carbon, e.g., wherein the gem substituents are lower alkyl, e.g., methyl. In an alternative preferred embodiment, the five membered ring is substituted with linking group.
- the compound of Formula I includes one or more nitrogen substituents.
- nitrogen substituents include but are not limited to lower alkyl, lower alkene, lower alkyne, phenyl, aromatic, electron-rich heterocycle, polycyclic aromatic, water-solubilizing group, and linking group, including substituted forms thereof.
- the nitrogen substituents are lower alkyl and/or phenyl, including substituted forms thereof. More preferably, the nitrogen substituents are substituted lower alkyl or substituted phenyl, wherein the substituent is linking group, or water-solubilizing group.
- one or more of carbons at positions C-8 to C-11 are substituted.
- substituents include but are not limited to fluorine, chlorine, lower alkyl, lower alkene, lower alkyne, sulfate, sulfonate, sulfone, sulfonamide, sulfoxide, amino, ammonium, amido, nitrile, lower alkoxy, phenoxy, aromatic, phenyl, polycyclic aromatic, electron-rich heterocycle, water-solubilizing group, and linking group, including substituted forms thereof.
- one or more of the substituents is sulfonate.
- FIGS. 1-3 Several representative 1-amino-3-hydroxynapthalene compounds of the invention are shown in FIGS. 1-3 , i.e., compounds 4, 9, 15, 17, 22, 27 and 29.
- FIG. 1 A first preferred synthesis method suitable for the synthesis of 1-substituted-amino-3-hydroxynapthalene compounds, e.g., 1-diethylamino-3-hydroxynapthalene 4, is shown in FIG. 1 .
- a 3-methoxy-1-hydroxy napthalene 1 is reacted with dry triethylamine and trifluoromethanesulfonic anhydride to form a crude 3-methoxynapthalene-1-triflate 2.
- the triflate 2 is then reacted with an amine, e.g., a secondary amine, e.g., diethylamine, using palladium catalyzed triflate/amine coupling to form the substituted amine compound 3.
- Compound 3 is then deprotected using a boron tribromide deprotection procedure to produce the 1-amino-3-hydroxynapthalene product, e.g., 1-diethylamino-3-hydroxynapthalene 4.
- 1-amino-3-hydroxynapthalene product e.g., 1-diethylamino-3-hydroxynapthalene 4.
- FIG. 1 A second preferred synthesis method suitable for the synthesis of benzoindoline compounds, e.g., N-phenyl-3,3-dimethyl-4-hydroxy-benzoindoline 9, is also shown in FIG. 1 .
- the 3-methoxynapthalene-1-triflate 2 is derivatized with a primary amine, e.g., aniline, using a palladium catalyzed triflate coupling reaction to give a secondary amine, e.g., 1-anilino-3-methoxynapthalene 5.
- the secondary amine 5 is acetylated using an acid chloride, e.g., an haloacetylchloride, to give a disubstituted amide, e.g., 1-amido-3-methoxynapthalene 6.
- the tertiary amide 6 is cyclized using a Lewis-acid-catalyzed Friedel-Crafts cyclization procedure to give compound 7, e.g., using AlCl 3 .
- Compound 7 is than reduced, e.g., using LAH, to give compound 8.
- FIG. 2 A third preferred synthesis method suitable for the synthesis of N-substituted-5-hydroxy-(tetrahydro)benzoquinoline compounds, e.g., N-methyl-5-hydroxy-(tetrahydro)benzoquinoline 15, is shown in FIG. 2 .
- compound 10 is synthesized from methoxy-napthaldehyde by condensation with malonic acid using a piperidine catalyst in pyridine.
- Compound 10 is then reduced with hydrogen, followed by LAH reduction, and reacted with trifluoromethanesulfonic anhydride to give the triflate 11.
- the triflate 11 is reacted with NaN 3 to give compound 12.
- Compound 12 is complexed with a Lewis acid, e.g., AlCl 3 , and refluxed yielding the cyclized benzoquinoline derivative 13.
- a nitrogen substituent is added, e.g., the nitrogen is alkylated using a conventional alkylation procedure, e.g., the benzoquinoline derivative 13 is reacted with n-butyl lithium and an alkylating agent, e.g., MeI to give compound 14 or propane sultone to give compound 16.
- the methoxy group is then removed by a boron tribromide procedure giving a N-alkylbenzoquinoline derivative, e.g., compound 15 or 17.
- An example of this synthesis is provided in Example 3 below.
- a fourth preferred synthesis method suitable for the synthesis of N-substituted-2,2,4-trimethyl-5-hydroxy-benzoquinoline compounds e.g. N-methyl-2,2,4-trimethyl-5-hydroxy-(tetrahydro)benzoquinoline 22, is shown in FIG. 3 .
- this method following the procedure of A. Rosowsky and E. J. Modest (J.O.C. 30 1832 1965, and references therein), 1-amino-3-methoxynapthalene 18 is reacted with acetone catalyzed by iodine and then quenched with saturated Na 2 S 2 O 3 to give the benzoquinoline compound 19.
- Compound 19 is then alkylated with an alkylating agent, e.g., MeI, according to a general alkylation procedure to give compound 20.
- the alkylated compound 20 is reduced with H 2 catalyzed by Pd/C to give a N-methyl-methoxyquinoline intermediate 21, and subsequent methoxy group deprotection by a general boron tribromide procedure yields the N-substituted-2,2,4-trimethyl-5-hydroxy-benzoquinoline compound, e.g., N-methyl-2,2,4-trimethyl-5-hydroxy-(tetrahydro)benzoquinoline 22.
- An example of this synthesis is provided in Example 4 below.
- a fifth preferred general synthesis method suitable for the synthesis of N-substituted-3,3-dimethyl-4-hydroxy-benzoindoline compounds is also shown in FIG. 3 .
- a 1-amino-3-methoxynapthalene 18 is acetylated with an acid chloride, e.g., 2-bromo-2-methylpropionyl chloride, to give compound 23.
- an acid chloride e.g., 2-bromo-2-methylpropionyl chloride
- Compound 23 is cyclized by reaction with AlCl 3 to give compound 24.
- Compound 24 is then reduced with LAH to give the 3,3-dimethyl-4-methoxybenzoindoline 25.
- Compound 25 is then alkylated with an alkylating agent, e.g., methyl iodide, to give a N-methyl-3,3-dimethyl-4-methoxybenzoindoline, e.g., compound 26. Subsequent methoxy group deprotection by with boron tribromide gives compound 27.
- an alkylating agent e.g., methyl iodide
- the present invention comprises a novel class of dibenzorhodamine dye compounds useful as molecular labels having the general structure shown in Formula II immediately below, including aryl- and nitrogen-substituted forms thereof.
- the compound in one preferred embodiment, includes a first bridging group which when taken together with the C-12-bonded nitrogen and the C-12 and C-13 carbons forms a first ring structure having from 4 to 7 members, and/or a second bridging group which when taken together with the C-2-bonded-nitrogen and the C-1 and C-2 carbons forms a second ring structure having from 4 to 7 members. More preferably, one or both of the first and second ring structures has five members. In yet a more preferred embodiment, the five membered ring structure includes one gem disubstituted carbon, wherein the gem substituents are lower alkyl, e.g., methyl. In an alternative preferred embodiment, the five membered ring is substituted with linking group.
- the compound of Formula II includes a C-7 substituent selected from the group consisting of acetylene, lower alkyl, lower alkene, cyano, phenyl, heterocyclic aromatic, electron-rich heterocycle, and substituted forms thereof.
- the C-7 substituent is a phenyl or substituted phenyl having the structure
- aryl substituents at positions C-14 to C-18 taken separately may be selected from the group consisting of hydrogen, chlorine, fluorine, lower alkyl, carboxylic acid, sulfonic acid, —CH 2 OH, alkoxy, phenoxy, linking group, and substituted forms thereof.
- the phenyl substituent at C-18 is selected from the group consisting of carboxylic acid and sulfonate, and is most preferably carboxylic acid.
- substituents at positions C-14 and C-17 are chlorine.
- substituents at positions C-14 to C-17 are all chlorine or all fluorine.
- substituents at one of positions C-15 and C-16 is linking group and the other is hydrogen, substituents at positions C-14 and C-17 are chlorine, and a substituent at position C-18 is carboxy.
- the compound of Formula II includes one or more nitrogen substituents.
- such substituents are selected from the group consisting of lower alkyl, lower alkene, lower alkyne, phenyl, aromatic, electron-rich heterocycle, polycyclic aromatic, water-solubilizing group, linking group, and substituted forms thereof.
- the nitrogen substituents are selected from the group consisting of lower alkyl, phenyl, and substituted forms thereof, where exemplary substituents include linking group, and water-solubilizing group.
- the compound of Formula II includes a third bridging group which when taken together with the C-12-bonded nitrogen and the C-11 and C-12 carbons forms a third ring structure having from 5 to 7 members, and/or a fourth bridging group which when taken together with the C-2-bonded nitrogen and the C-2 and C-3 carbons forms a fourth ring structure having from 5 to 7 members.
- the third and fourth ring structures has six members. More preferably, the six membered ring structure includes one gem disubstituted carbon, wherein the gem substituents are lower alkyl, e.g., methyl.
- the compound of Formula II includes aryl substituents at one or more of carbons C-1, C-3 through C-6, C-8 through C-11, and C-13.
- aryl substituents include but are not limited to fluorine, chlorine, lower alkyl, lower alkene, lower alkyne, sulfate, sulfonate, sulfone, sulfonamide, sulfoxide, amino, ammonium, amido, nitrile, lower alkoxy, phenoxy, aromatic, phenyl, polycyclic aromatic, water-solubilizing group, electron-rich heterocycle, and linking group, including substituted forms thereof.
- at least one substituent is sulfonate.
- FIG. 7 Several exemplary dye compounds according to this second aspect of the invention are shown in FIG. 7 , i.e., compounds 41-47.
- the dibenzorhodamine dyes of the present invention are synthesized as follows. See FIG. 4 .
- An anhydride derivative 30, e.g., a phthalic anhydride is mixed with 1-amino-3-methoxy intermediates 31 and 32, and Lewis acid, e.g., ZnCl 2 , where the R— substituents in compound 30 may be the same or different, but are preferably the same.
- Exemplary R-substituents include but are not limited to acetylene, lower alkyl, lower alkene, phenyl, heterocyclic aromatic, electron-rich heterocycle, and substituted forms thereof. The mixture is heated briefly until melting is observed.
- a solvent e.g., 1,2-dichlorobenzene
- the heterogeneous mixture is heated to about 130° C. to about 180° C.
- the crude reaction mixture is cooled and purified by normal phase flash chromatography to yield dye compound 33.
- the anhydride is part of a substituted phthalic anhydride, e.g., compound 34
- two isomers are formed. See FIG. 5 .
- the isomers 35 and 36 are separated by PTLC.
- the isomerically pure dyes are identified by single spots on normal and reverse phase TLC and by their UV/Visible absorption spectra and their long wavelength fluorescent excitation and emission spectra.
- FIG. 6 An alternative procedure for the synthesis of asymmetrical dye compounds is shown in FIG. 6 .
- an anhydride derivative e.g., phthalic anhydride 34
- a 1-amino-3-methoxy intermediate 31 is added with stirring and the reaction is heated.
- the reaction is cooled and suspended in EtOAc.
- the organic layer is washed with saturated NH 4 Cl, brine, dried over Na 2 SO 4 , filtered, and the solvent removed in vacuo.
- the resulting ketone intermediates 37/38 are purified and separated into distinct isomers 37 and 38 (except where substituents at C-14 and C-17 are the same and substituents at C-15 and C-16 are the same) by flash chromatography or recrystallization.
- the methoxy group of the isomerically pure ketone intermediate 37 or 38 is removed according to a general boron tribromide deprotection procedure to give the amino-hydroxynapthalene ketone intermediate 39.
- Amino-hydroxynapthalene ketone intermediate 39 is then reacted with a 1-amino-3-methoxy intermediate 32. The reaction is cooled, giving isomerically pure and asymmetrically substituted product 40 that may be further purified by PTLC.
- the present invention comprises energy transfer dye compounds incorporating the dibenzorhodamine dye compounds of Formula I.
- the energy transfer dyes of the present invention include a donor dye which absorbs light at a first wavelength and emits excitation energy in response, an acceptor dye which is capable of absorbing the excitation energy emitted by the donor dye and fluorescing at a second wavelength in response, and a linker which attaches the donor dye to the acceptor dye, the linker being effective to facilitate efficient energy transfer between the donor and acceptor dyes.
- One linker according to the present invention for linking a donor dye to an acceptor dye in an energy transfer fluorescent dye has the general structure
- R 21 is a lower alkyl attached to the donor dye
- Z 1 is either NH, sulfur or oxygen
- R 22 is a substituent which includes an alkene, diene, alkyne, a five and six membered ring having at least one unsaturated bond or a fused ring structure which is attached to the carbonyl carbon
- R 28 includes a functional group which attaches the linker to the acceptor dye.
- the linker has the general structure
- Z 1 and Z 2 are each independently either NH, sulfur or oxygen, R 29 is a lower alkyl, and the terminal carbonyl group is attached to a ring structure of the acceptor dye.
- Z 2 is nitrogen
- the C(O)R 22 R 29 Z 2 subunit forms an amino acid subunit.
- R 22 in the linker include, but are not limited to cyclopentene, cyclohexene, cyclopentadiene, cyclohexadiene, furan, thiofuran, pyrrole, pyrazole, isoimidazole, pyran, pyrone, benzene, pyridine, pyridazine, pyrimidine, triazine, pyrazine and oxazine.
- fused ring structures include, but are not limited to indene, benzofuran, thionaphthene, indole and naphthalene.
- a preferred embodiment of this linker is where R 21 and R 29 are methylene, Z 1 and Z 2 are NH, and R 22 is benzene, as shown below.
- the linker attaches to the dibenzorhodamine dye component of the energy transfer dye at the C-1 or 13 positions, or, alternatively, where the C-7 substituent is phenyl or substituted phenyl, at one of the C-15 or C-16 positions.
- both members of the energy transfer pair are dibenzorhodamine dyes, and the first member is linked through the C-1 position and the second member is linked through one of the C-15 or C-16 positions.
- a first member the dye pair is a dibenzorhodamine dye
- a second member of the dye pair is cyanine, phthalocyanine, squaraine, bodipy, fluorescein, or dibenzorhodamine dye having different substitutions than the first member.
- the present invention comprises reagents labeled with the dibenzorhodamine dye compounds of Formula I.
- Reagents of the invention can be virtually anything to which the dyes of the invention can be attached.
- the dye is covalently attached to the reagent.
- Reagents may include but are not limited to proteins, polypeptides, polysaccharides, nucleotides, nucleosides, polynucleotides, lipids, solid supports, organic and inorganic polymers, and combinations and assemblages thereof, such as chromosomes, nuclei, living cells, such as bacteria or other microorganisms, mammalian cells, tissues, and the like.
- a preferred class of labeled reagents comprise nucleoside/tides that incorporate the dibenzorhodamine dyes of the invention.
- Such nucleoside/tide reagents are particularly useful in the context of labeling polynucleotides formed by enzymatic synthesis, e.g., nucleotide triphosphates used in the context of PCR amplification, Sanger-type polynucleotide sequencing, and nick-translation reactions.
- the structure of the labeled nucleoside/tide reagent is
- NUC is a nucleoside/tide or nucleoside/tide analog and D is a dibenzorhodamine dye compound of Formula II.
- the linkage linking the nucleoside/tide and the dye may be attached to the dye at any one of substituent positions C-1 to C-18 or at a C-2 bonded nitrogen or a C-12 bonded nitrogen.
- the dye includes a phenyl or substituted phenyl substituent at the C-7 position and is attached to the nucleoside/tide at one of the C-15 or C-16 substituent positions, the other position being a hydrogen atom.
- NUC includes a purine base
- the linkage between NUC and D is attached to the N 8 -position of the purine
- NUC includes a 7-deazapurine base
- the linkage is attached to the N 7 -position of the 7-deazapurine
- NUC includes a pyrimidine base
- the linkage is attached to the N 5 -position of the pyrimidine.
- Nucleoside labeling can be accomplished using any one of a large number of known nucleoside/tide labeling techniques employing known linkages, linking groups, and associated complementary functionalities.
- the linkage linking the dye and nucleoside should (i) not interfere with oligonucleotide-target hybridization, (ii) be compatible with relevant enzymes, e.g., polymerases, ligases, and the like, and (iii) not adversely affect the fluorescence properties of the dye.
- Exemplary base labeling procedures suitable for use in connection with the present invention include the following: Gibson et al, Nucleic Acids Research, 15:6455-6467 (1987); Gebeyehu et al, Nucleic Acids Research, 15: 4513-4535 (1987); Haralambidis et al, Nucleic Acids Research, 15: 4856-4876 (1987); Nelson et al., Nucleosides and Nucleotides, 5(3): 233-241 (1986); Bergstrom, et al., JACS, 111: 374-375 (1989); and U.S. Pat. Nos. 4,855,225, 5,231,191, and 5,449,767.
- the linkages are acetylenic amido or alkenic amido linkages, the linkage between the dye and the nucleoside/tide base being formed by reacting an activated N-hydroxysuccinimide (NHS) ester of the dye with an alkynylamino- or alkenylamino-derivatized base of a nucleoside/tide. More preferably, the resulting linkage is 3-(carboxy)amino-1-propyn-1-yl having the structure
- X is selected from the group consisting of
- n 1 to 5
- n 1 to 5
- R 1 is selected from the group consisting of —H, lower alkyl and protecting group; and R 3 is selected from the group consisting of —H and lower alkyl. See Khan et al., U.S. patent application Ser. No. 08/833,854 filed Apr. 10, 1997.
- alkynylamino-derivatized nucleosides are taught by Hobbs et al. in European Patent Application No. 87305844.0, and Hobbs et al., J. Org. Chem., 54: 3420 (1989). Briefly, the alkynylamino-derivatized nucleotides are formed by placing the appropriate halodideoxynucleoside (usually 5-iodopyrimidine and 7-iodo-7-deazapurine dideoxynucleosides as taught by Hobbs et al.
- halodideoxynucleoside usually 5-iodopyrimidine and 7-iodo-7-deazapurine dideoxynucleosides as taught by Hobbs et al.
- the alkynylamino-nucleoside can be isolated by concentrating the reaction mixture and chromatographing on silica gel using an eluting solvent which contains ammonium hydroxide to neutralize the hydrohalide generated in the coupling reaction.
- methanol/methylene chloride can be added to the reaction mixture, followed by the bicarbonate form of a strongly basic anion exchange resin.
- the slurry can then be stirred for about 45 minutes, filtered, and the resin rinsed with additional methanol/methylene chloride.
- the combined filtrates can be concentrated and purified by flash-chromatography on silica gel using a methanol-methylene chloride gradient.
- the triphosphates are obtained by standard techniques.
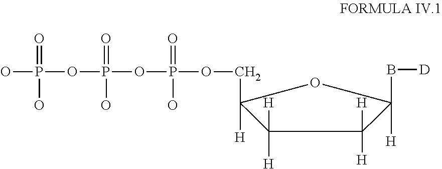
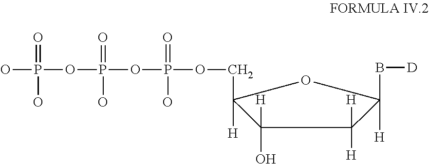
- nucleosides/tides of the present invention are shown below in Formula IV wherein
- B is a nucleoside/tide base, e.g., uracil, cytosine, deazaadenine, or deazaguanosine;
- W 1 and W 2 taken separately are OH or a group capable of blocking polymerase-mediated template-directed polymerization, e.g., H, fluorine and the like;
- W 3 is OH, or mono-, di- or triphosphate or phosphate analog; and D is a dye compound of Formula I.
- the nucleotides of the present invention are dideoxynucleotide triphosphates having the structure shown in Formula IV.1 below, including associated counterions if present.
- Labeled dideoxy nucleotides such as that shown in Formula IV.1 find particular application as chain terminating agents in Sanger-type DNA sequencing methods utilizing fluorescent detection.
- nucleotides of the present invention are deoxynucleotide triphosphates having the structure shown in Formula IV.2 below.
- Labeled deoxynucleotides such as that shown in Formula IV.2 find particular application as reagents for labeling polymerase extension products, e.g., in the polymerase chain reaction or nick-translation.
- Yet another preferred class of reagents of the present invention comprise polynucleotides labeled with the dibenzorhodamine dyes of the invention.
- labeled polynucleotides are useful in a number of important contexts including as DNA sequencing primers, PCR primers, oligonucleotide hybridization probes, oligonucleotide ligation probes, and the like.
- the labeled polynucleotides of the present invention include multiple dyes located such that fluorescence energy transfer takes place between a donor dye and an acceptor dye.
- Such multi-dye energy-transfer polynucleotides find application as spectrally-tunable sequencing primers, e.g., Ju et al., Proc. Natl. Acad. Sci. USA 92: 4347-4351 (1995), and as hybridization probes, e.g., Lee et al. Nucleic Acids Research, 21: 3761-3766 (1993).
- Labeled polynucleotides may be synthesized either enzymatically, e.g., using a DNA polymerase or ligase, e.g., Stryer, Biochemistry, Chapter 24, W.H. Freeman and Company (1981), or by chemical synthesis, e.g., by the phosphoramidite method, the phosphite-triester method, and the like, e.g., Gait, Oligonucleotide Synthesis , IRL Press (1990).
- a DNA polymerase or ligase e.g., Stryer, Biochemistry, Chapter 24, W.H. Freeman and Company (1981
- chemical synthesis e.g., by the phosphoramidite method, the phosphite-triester method, and the like, e.g., Gait, Oligonucleotide Synthesis , IRL Press (1990).
- Labels may be introduced during enzymatic synthesis utilizing labeled nucleotide triphosphate monomers as described above, or introduced during chemical synthesis using labeled non-nucleotide or nucleotide phosphoramidites as described above, or may be introduced subsequent to synthesis.
- the labeled polynucleotide is made using enzymatic synthesis, the following procedure may be used.
- a template DNA is denatured and an oligonucleotide primer is annealed to the template DNA.
- a mixture of deoxynucleotide triphosphates is added to the mixture including dGTP, dATP, dCTP, and dTTP where at least a fraction of the deoxynucleotides is labeled with a dye compound of the invention as described above.
- a polymerase enzyme is added under conditions where the polymerase enzyme is active.
- a labeled polynucleotide is formed by the incorporation of the labeled deoxynucleotides during polymerase-mediated strand synthesis.
- two primers are used instead of one, one primer complementary to the + strand and the other complementary to the ⁇ strand of the target, the polymerase is a thermostable polymerase, and the reaction temperature is cycled between a denaturation temperature and an extension temperature, thereby exponentially synthesizing a labeled complement to the target sequence by PCR, e.g., PCR Protocols , Innis et al. eds., Academic Press (1990).
- Labeled polynucleotides may be chemically synthesized using the phosphoramidite method.
- Detailed descriptions of the chemistry used to form polynucleotides by the phosphoramidite method are provided elsewhere, e.g., Caruthers et al., U.S. Pat. Nos. 4,458,066 and 4,415,732; Caruthers et al., Genetic Engineering, 4: 1-17 (1982); Users Manual Model 392 and 394 Polynucleotide Synthesizers , pages 6-1 through 6-22, Applied Biosystems, Part No. 901237 (1991).
- the phosphoramidite method of polynucleotide synthesis is the preferred method because of its efficient and rapid coupling and the stability of the starting materials.
- the synthesis is performed with the growing polynucleotide chain attached to a solid support, so that excess reagents, which are in the liquid phase, can be easily removed by filtration, thereby eliminating the need for purification steps between synthesis cycles.
- a solid support including a protected nucleotide monomer is treated with acid, e.g., trichloroacetic acid, to remove a 5′-hydroxyl protecting group, freeing the hydroxyl for a subsequent coupling reaction.
- acid e.g., trichloroacetic acid
- An activated intermediate is then formed by simultaneously adding a protected phosphoramidite nucleoside monomer and a weak acid, e.g., tetrazole, to the reaction.
- the weak acid protonates the nitrogen of the phosphoramidite forming a reactive intermediate. Nucleoside addition is complete within 30 s.
- a capping step is performed which terminates any polynucleotide chains that did not undergo nucleoside addition.
- Capping is preferably done with acetic anhydride and 1-methylimidazole.
- the internucleotide linkage is then converted from the phosphite to the more stable phosphotriester by oxidation using iodine as the preferred oxidizing agent and water as the oxygen donor.
- the hydroxyl protecting group is removed with a protic acid, e.g., trichloroacetic acid or dichloroacetic acid, and the cycle is repeated until chain elongation is complete.
- the polynucleotide chain is cleaved from the support using a base, e.g., ammonium hydroxide or t-butyl amine.
- a base e.g., ammonium hydroxide or t-butyl amine.
- the cleavage reaction also removes any phosphate protecting groups, e.g., cyanoethyl.
- the protecting groups on the exocyclic amines of the bases and the hydroxyl protecting groups on the dyes are removed by treating the polynucleotide solution in base at an elevated temperature, e.g., 55° C.
- any of the phosphoramidite nucleoside monomers may be dye-labeled phosphoramidites as described above. If the 5′-terminal position of the nucleotide is labeled, a labeled non-nucleotidic phosphoramidite of the invention may be used during the final condensation step. If an internal position of the oligonucleotide is labeled, a labeled nucleotidic phosphoramidite of the invention may be used during any of the condensation steps.
- the polynucleotide may be labeled at a number of positions including the 5′-terminus, e.g., Oligonucleotides and Analogs , Eckstein ed., Chapter 8, IRL Press (1991) and Orgel et al., Nucleic Acids Research 11(18): 6513 (1983); U.S. Pat. No. 5,118,800; the phosphodiester backbone, e.g., ibid., Chapter 9; or at the 3′-terminus, e.g., Nelson, Nucleic Acids Research 20(23): 6253-6259, and U.S. Pat. Nos. 5,401,837 and 5,141,813.
- oligonucleotide labeling procedures see R. Haugland in Excited States of Biopolymers , Steiner ed., Plenum Press, NY (1983).
- an oligonucleotide is labeled as follows.
- a dye including a carboxy linking group is converted to the N-hydroxysuccinimide ester by reacting with approximately 1 equivalent of 1,3-dicyclohexylcarbodiimide and approximately 3 equivalents of N-hydroxysuccinimide in dry ethyl acetate for 3 hours at room temperature.
- the reaction mixture is washed with 5% HCl, dried over magnesium sulfate, filtered, and concentrated to a solid which is resuspended in DMSO.
- the DMSO dye stock is then added in excess (10-20 ⁇ ) to an aminohexyl derivatized oligonucleotide in 0.25 M bicarbonate/carbonate buffer at pH 9.4 and allowed to react for 6 hours, e.g., U.S. Pat. No. 4,757,141.
- the dye labeled oligonucleotide is separated from unreacted dye by passage through a size-exclusion chromatography column eluting with buffer, e.g., 0.1 molar triethylamine acetate (TEAA).
- buffer e.g., 0.1 molar triethylamine acetate (TEAA).
- the fraction containing the crude labeled oligonucleotide is further purified by reverse phase HPLC employing gradient elution.
- the dyes and reagents of the present invention are well suited to any method utilizing fluorescent detection, particularly methods requiring the simultaneous detection of multiple spatially-overlapping analytes.
- Dyes and reagents of the invention are particularly well suited for identifying classes of polynucleotides that have been subjected to a biochemical separation procedure, such as electrophoresis, or that have been distributed among locations in a spatially-addressable hybridization array.
- fragment analysis or “genetic analysis” methods
- labeled polynucleotide fragments are generated through template-directed enzymatic synthesis using labeled primers or nucleotides, e.g., by ligation or polymerase-directed primer extension; the fragments are subjected to a size-dependent separation process, e.g., electrophoresis or chromatography; and, the separated fragments are detected subsequent to the separation, e.g., by laser-induced fluorescence.
- a size-dependent separation process e.g., electrophoresis or chromatography
- the separated fragments are detected subsequent to the separation, e.g., by laser-induced fluorescence.
- multiple classes of polynucleotides are separated simultaneously and the different classes are distinguished by spectrally resolvable labels.
- amplified fragment length polymorphism detection is based on amplified fragment length polymorphisms, i.e., restriction fragment length polymorphisms that are amplified by PCR. These amplified fragments of varying size serve as linked markers for following mutant genes through families. The closer the amplified fragment is to the mutant gene on the chromosome, the higher the linkage correlation. Because genes for many genetic disorders have not been identified, these linkage markers serve to help evaluate disease risk or paternity.
- the polynucleotides may be labeled by using a labeled polynucleotide PCR primer, or by utilizing labeled nucleotide triphosphates in the PCR.
- nick translation a reaction is used to replace unlabeled nucleoside triphosphates in a double-stranded DNA molecule with labeled ones. Free 3′-hydroxyl groups are created within the unlabeled DNA by “nicks” caused by deoxyribonuclease I (DNAase I) treatment. DNA polymerase I then catalyzes the addition of a labeled nucleotide to the 3′-hydroxyl terminus of the nick. At the same time, the 5′ to 3′-exonuclease activity of this enzyme eliminates the nucleotide unit from the 5′-phosphoryl terminus of the nick.
- DNAase I deoxyribonuclease I
- a new nucleotide with a free 3′-OH group is incorporated at the position of the original excised nucleotide, and the nick is shifted along by one nucleotide unit in the 3′ direction. This 3′ shift will result in the sequential addition of new labeled nucleotides to the DNA with the removal of existing unlabeled nucleotides.
- the nick-translated polynucleotide is then analyzed using a separation process, e.g., electrophoresis.
- VNTRs are regions of double-stranded DNA that contain adjacent multiple copies of a particular sequence, with the number of repeating units being variable. Examples of VNTR loci are pYNZ22, pMCT118, and Apo B.
- a subset of VNTR methods are those methods based on the detection of microsatellite repeats, or short tandem repeats (STRs), i.e., tandem repeats of DNA characterized by a short (2-4 bases) repeated sequence.
- STRs short tandem repeats
- classes identified in accordance with the invention are defined in terms of terminal nucleotides so that a correspondence is established between the four possible terminal bases and the members of a set of spectrally resolvable dyes.
- Such sets are readily assembled from the dyes of the invention by measuring emission and absorption bandwidths with commercially available spectrophotometers.
- the classes arise in the context of the chemical or chain termination methods of DNA sequencing, and most preferably the classes arise in the context of the chain termination methods, i.e., dideoxy DNA sequencing, or Sanger-type sequencing.
- Sanger-type sequencing involves the synthesis of a DNA strand by a DNA polymerase in vitro using a single-stranded or double-stranded DNA template whose sequence is to be determined. Synthesis is initiated at a defined site based on where an oligonucleotide primer anneals to the template. The synthesis reaction is terminated by incorporation of a nucleotide analog that will not support continued DNA elongation.
- exemplary chain-terminating nucleotide analogs include the 2′,3′-dideoxynucleoside 5′-triphosphates (ddNTPs) which lack the 3′-OH group necessary for 3′ to 5′ DNA chain elongation.
- dNTPs 2′-deoxynucleoside 5′-triphosphates
- enzyme-catalyzed polymerization will be terminated in a fraction of the population of chains at each site where the ddNTP is incorporated.
- labeled primers or labeled ddNTPs are used for each reaction, the sequence information can be detected by fluorescence after separation by high-resolution electrophoresis.
- dyes of the invention can be attached to either sequencing primers or dideoxynucleotides. Dyes can be linked to a complementary functionality on the 5′-end of the primer, e.g.
- polynucleotides are preferably separated by electrophoretic procedures, e.g. Gould and Matthews, cited above; Rickwood and Hames, Eds., Gel Electrophoresis of Nucleic Acids: A Practical Approach , IRL Press Limited, London, 1981; Osterman, Methods of Protein and Nucleic Acid Research , Vol. 1 Springer-Verlag, Berlin, 1984; or U.S. Pat. Nos. 5,374,527, 5,624,800 and/or 5,552,028.
- the type of electrophoretic matrix is crosslinked or uncrosslinked polyacrylamide having a concentration (weight to volume) of between about 2-20 weight percent. More preferably, the polyacrylamide concentration is between about 4-8 percent.
- the electrophoresis matrix includes a denaturing agent, e.g., urea, formamide, and the like.
- a denaturing agent e.g., urea, formamide, and the like.
- Detailed procedures for constructing such matrices are given by Maniatis et al., “Fractionation of Low Molecular Weight DNA and RNA in Polyacrylamide Gels Containing 98% Formamide or 7 M Urea,” in Methods in Enzymology, 65: 299-305 (1980); Maniatis et al., “Chain Length Determination of Small Double- and Single-Stranded DNA Molecules by Polyacrylamide Gel Electrophoresis,” Biochemistry, 14: 3787-3794 (1975); Maniatis et al., Molecular Cloning: A Laboratory Manual , Cold Spring Harbor Laboratory, New York, pgs.
- the optimal electrophoresis conditions e.g., polymer concentration, pH, temperature, concentration of denaturing agent, employed in a particular separation depends on many factors, including the size range of the nucleic acids to be separated, their base compositions, whether they are single stranded or double stranded, and the nature of the classes for which information is sought by electrophoresis. Accordingly application of the invention may require standard preliminary testing to optimize conditions for particular separations.
- the dye-polynucleotide conjugates are detected by measuring the fluorescence emission from the dye labeled polynucleotides.
- the labeled polynucleotides are illuminated by standard means, e.g. high intensity mercury vapor lamps, lasers, or the like.
- the illumination means is a laser having an illumination beam at a wavelength above about 600 nm.
- the dye-polynucleotides are illuminated by laser light generated by a He—Ne gas laser or a solid-state diode laser.
- the fluorescence is then detected by a light-sensitive detector, e.g., a photomultiplier tube, a charged coupled device, or the like.
- a light-sensitive detector e.g., a photomultiplier tube, a charged coupled device, or the like.
- Exemplary electrophoresis detection systems are described elsewhere, e.g., U.S. Pat. Nos. 5,543,026; 5,274,240; 4,879,012; 5,091,652 and 4,811,218.
- Reverse phase chromatography was performed on octadecyl functionalized silica gel from Aldrich.
- Preparative thin layer chromatography PTLC was performed on 1 and 2 mm pre-made silica gel plates from EM science (VWR).
- TLC was performed on aluminum back silica gel 60 plates from EM science (VWR). Developed spots were visualized with both long and short wavelength UV irradiation.
- Fluorescence detection was performed by a Perkin-Elmer LC 240 fluorescence detector equipped with a red sensitive PMT, and UV detection was performed with a Model LC 295 UV/Vis detector. Pump and detectors were all interfaced with a Perkin-Elmer Model 1022 computer run in two-channel mode. Buffers were made up fresh from the following concentrated stock: 10 ⁇ TBE (0.89 M tris-(hydroxymethyl)aminomethane, 0.89 M borate, 0.02 M ethylenediaminetetraacetic acid disodium salt), and 0.1 M TEAA (triethylamine acetate).
- aqueous workup refers to a purification method comprising the following steps: (i) adding a reaction mixture to a saturated aqueous NH 4 Cl solution, a 5% HCl solution, or a saturated Na 2 S 2 O 3 solution, (ii) extracting the solution three times with an organic solvent, e.g., EtOAc, or CH 2 Cl 2 , (iii) washing the combined organic layer once with saturated NaCl, (iv) drying the solution with Na 2 SO 4 , (v) filtering the drying agent, and (vi) removing the solvent in vacuo.
- an organic solvent e.g., EtOAc, or CH 2 Cl 2
- 3-Methoxy-1-hydroxynapthalene 1 was synthesized from 1,3-dihydroxynapthalene by the method of K. H. Bell and L. F. McCaffery (Aust. J. Chem. 46: 731 (1993)).
- 1-Amino-3-methoxynapthalene 18 was synthesized according the procedure of G. T. Morgan and E. D. Evans (J. Chem. Soc. 115: 1126 (1919)).
- 3-methoxy-1-hydroxy napthalene 1 (1 gm) was suspended in dry CH 2 Cl 2 (30 mL). Dry triethylamine (1.2 equivalents) was added and the reaction was cooled to ⁇ 5° C. Trifluoromethanesulfonic anhydride (1.1 equivalents) suspended in CH 2 Cl 2 (15 mL) was added dropwise with vigorous stirring over a period of 2 hours. The reaction was allowed to come to room temperature and subjected to aqueous work up using 5% HCl and CH 2 Cl 2 . The resulting crude 3-methoxynapthalene-1-triflate 2 was purified by normal phase flash chromatography employing an EtOAc/Hexane (1:10) mobile phase.
- the purified 3-methoxynapthalene-1-triflate 2 was converted to the 1-diethylamino-3-methoxynapthalene 3 using the palladium-catalyzed triflate/amine coupling procedure of Wolfe as follows (J. P. Wolfe and S. L. Buchwald, JOC, 61: 1133 (1996)).
- the 3-methoxynapthalene-1-triflate 2 was derivatized with aniline according to the palladium catalyzed triflate/amine coupling reaction described above in Example 1 to give the 1-anilino-3-methoxynapthalene 5.
- the 1-anilino-3-methoxynapthalene 5 was acetylated by an amino group acetylation procedure as follows.
- the 1-amino-3-methoxynapthalene 5 (500 mg) and 1.2 equivalents of dry Et 3 N were suspended in 10 mL of dry CH 2 Cl 2 and cooled to ⁇ 5° C. using an ice/NaCl bath.
- 1.1 equivalent of 2-bromo-2-methylpropionylchloride was added dropwise and the reaction was stirred for 1 hour at ⁇ 5° C. and stirred at room temperature for an additional 1 hour.
- reaction was allowed to come to room temperature and subjected to aqueous work up using 5% HCl and EtOAc resulting in the crude intermediate 1-(bromoalkyl)amido-3-methoxy-napthalene 6, which was purified by normal phase flash chromatography employing EtOAc:hexane (1:9) as the mobile phase.
- the 1-(bromoalkyl)amido-3-methoxy-napthalene 6 was cyclized using an AlCl 3 catalyzed Friedel-Crafts cyclization procedure as follows. 1 to 3 equivalents of AlCl 3 in nitrobenzene was added to the 1-(bromoalkyl)amido-3-hydroxy-napthalene 6. The reaction was heated to 130° C. and reacted for 1 hour. Aqueous work-up using NH 4 Cl and EtOAc gave the crude N-phenyl-benzoindolinone intermediate 7, which was purified by normal phase flash chromatography employing EtOAc:hexane (1:4) as the mobile phase.
- Methoxy group deprotection of compound 8 was effected using the boron tribromide deprotection procedure described in Example 1, resulting in the N-phenyl-3,3-dimethyl-hydroxy-benzoindoline 9.
- Compound 10 was synthesized by condensation of methoxy-napthaldehyde and malonic acid employing piperidine catalysis in pyridine.
- Compound 10 was reduced with hydrogen over 10% Pd/carbon, followed by LAH reduction, and reacted as outlined for the synthesis of compound 2 above with trifluoromethanesulfonic anhydride to give the triflate 11.
- Triflate 11 was then reacted with NaN 3 (3 equiv.) in DMF at 100° C. for 6 hours. Then, the reaction was allowed to come to room temperature and subjected to aqueous work up using pure water and EtOAc resulting in pure compound 12.
- Compound 12 was suspended in dry CH 2 Cl 2 , complexed with 3 to 5 equivalents of solid AlCl 3 , and refluxed for 2 hours yielding compound 13.
- 1-Amino-3-methoxynapthalene 18 was acetylated with 2-bromo-2-methylpropionyl chloride according to the general amino group acylation procedure described above in Example 2 to give compound 23.
- Compound 23 was cyclized by the Friedel-Crafts cyclization procedure described above in Example 2 to give compound 24.
- compound 24 was reduced with 3 equivalents LAH in THF to give the 4-methoxybenzoindoline 25.
- the 4-methoxybenzoindoline 25 was synthesized as described above in Example 6.
- the crude reaction mixture was cooled, suspended in a minimal amount of MeOH: CH 2 Cl 2 (1:19), loaded directly onto a normal phase flash chromatography column, and the crude dye was eluted with an MeOH: CH 2 Cl 2 (1:19) mobile phase.
- the dye was purified and separated into distinct isomers 35 and 36 by PTLC developed with MeOH: CH 2 Cl 2 (1:9).
- the isomerically pure dye which migrated as a single spot on silica TLC eluting with 1:9 MeOH:CH 2 Cl 2 , was identified by its UV/Visible absorption spectra and its long wavelength fluorescent excitation and emission spectra.
- ketone intermediate 37/38 was purified and separated into distinct isomers 37 and 38 using normal phase flash chromatography using (MeOH: CH 2 Cl 2 , 1:19) as the mobile phase, or by recrystallization.
- the methoxy group of the isomerically pure intermediate 37 or 38 was removed according to the general boron tribromide deprotection procedure described in Example 1 to give amino-hydroxynapthalene ketone 39.
- the amino-hydroxynapthalene ketone 39 (100 mg) was then reacted at 130° C.
Landscapes
- Chemical & Material Sciences (AREA)
- Organic Chemistry (AREA)
- Life Sciences & Earth Sciences (AREA)
- Health & Medical Sciences (AREA)
- Biochemistry (AREA)
- Molecular Biology (AREA)
- Engineering & Computer Science (AREA)
- Biotechnology (AREA)
- General Health & Medical Sciences (AREA)
- Genetics & Genomics (AREA)
- Proteomics, Peptides & Aminoacids (AREA)
- Wood Science & Technology (AREA)
- Zoology (AREA)
- Bioinformatics & Cheminformatics (AREA)
- Immunology (AREA)
- Microbiology (AREA)
- Physics & Mathematics (AREA)
- Biophysics (AREA)
- General Engineering & Computer Science (AREA)
- Analytical Chemistry (AREA)
- Measuring Or Testing Involving Enzymes Or Micro-Organisms (AREA)
- Nitrogen Condensed Heterocyclic Rings (AREA)
- Plural Heterocyclic Compounds (AREA)
- Saccharide Compounds (AREA)
- Pyrane Compounds (AREA)
- Indole Compounds (AREA)
- Organic Low-Molecular-Weight Compounds And Preparation Thereof (AREA)
- Other In-Based Heterocyclic Compounds (AREA)
- Investigating Or Analysing Materials By The Use Of Chemical Reactions (AREA)
- Preparation Of Compounds By Using Micro-Organisms (AREA)
- Investigating Or Analysing Biological Materials (AREA)
- Heterocyclic Carbon Compounds Containing A Hetero Ring Having Oxygen Or Sulfur (AREA)
- Heterocyclic Carbon Compounds Containing A Hetero Ring Having Nitrogen And Oxygen As The Only Ring Hetero Atoms (AREA)
Abstract
Dibenzorhodamine compounds having the structure
are disclosed, including nitrogen- and aryl-substituted forms thereof. In addition, two intermediates useful for synthesizing such compounds are disclosed, a first intermediate having the structure
including nitrogen- and aryl-substituted forms thereof, and a second intermediate having the structure
including nitrogen- and aryl-substituted forms thereof, wherein substituents at positions C-14 to C18 taken separately are selected from the group consisting of hydrogen, chlorine, fluorine, lower alkyl, carboxylic acid, sulfonic acid, —CH2OH, alkoxy, phenoxy, linking group, and substituted forms thereof. The invention further includes energy transfer dyes comprising the dibenzorhodamine compounds, nucleosides labeled with the dibenzorhodamine compounds, and nucleic acid analysis methods employing the dibenzorhodamine compounds.
Description
- This application is a continuation of application Ser. No. 11/466,085, filed Aug. 21, 2006, which is a continuation of application Ser. No. 11/177,233, filed Jul. 7, 2005, which is a continuation of application Ser. No. 10/441,950, filed May 20, 2003, which is a continuation of application Ser. No. 09/969,430 filed Oct. 2, 2001 which is a division of application Ser. No. 09/784,943, filed Feb. 14, 2001, which is a continuation of application Ser. No. 09/556,040, filed Apr. 20, 2000, now U.S. Pat. No. 6,221,606, which is a division of application Ser. No. 09/199,402, filed Nov. 24, 1998, now U.S. Pat. No. 6,111,116, which is a division of application Ser. No. 08/978,775, filed Nov. 25, 1997, now U.S. Pat. No. 5,936,087, which are all incorporated herein by reference.
- This invention relates generally to fluorescent dye compounds. More specifically, this invention relates to modified rhodamine dyes useful as fluorescent labeling reagents.
- The non-radioactive detection of biological analytes utilizing fluorescent labels is an important technology in modern molecular biology. By eliminating the need for radioactive labels, safety is enhanced and the environmental impact and costs associated with reagent disposal is greatly reduced. Examples of methods utilizing such non-radioactive fluorescent detection include 4-color automated DNA sequencing, oligonucleotide hybridization methods, detection of polymerase-chain-reaction products, immunoassays, and the like.
- In many applications it is advantageous to employ multiple spectrally distinguishable fluorescent labels in order to achieve independent detection of a plurality of spatially overlapping analytes, e.g., single-tube multiplex DNA probe assays and 4-color automated DNA sequencing methods. In the case of multiplex DNA probe assays, by employing spectrally distinguishable fluorescent labels, the number of reaction tubes may be reduced thereby simplifying experimental protocols and facilitating the production of application-specific reagent kits. In the case of 4-color automated DNA sequencing, multicolor fluorescent labeling allows for the analysis of multiple bases in a single lane thereby increasing throughput over single-color methods and reducing uncertainties associated with inter-lane electrophoretic mobility variations.
- Assembling a set of multiple spectrally distinguishable fluorescent labels is problematic. Multi-color fluorescent detection imposes at least six severe constraints on the selection of dye labels, particularly for applications requiring a single excitation light source, an electrophoretic separation, and/or treatment with enzymes, e.g., automated DNA sequencing. First, it is difficult to find a set of structurally similar dyes whose emission spectra are spectrally resolved, since the typical emission band half-width for organic fluorescent dyes is about 40-80 nanometers (nm). Second, even if dyes with non-overlapping emission spectra are identified, the set may still not be suitable if the respective fluorescent quantum efficiencies are too low. Third, when several fluorescent dyes are used concurrently, simultaneous excitation becomes difficult because the absorption bands of the dyes are usually widely separated. Fourth, the charge, molecular size, and conformation of the dyes must not adversely affect the electrophoretic mobilities of the analyte. Fifth, the fluorescent dyes must be compatible with the chemistry used to create or manipulate the analyte, e.g., DNA synthesis solvents and reagents, buffers, polymerase enzymes, ligase enzymes, and the like. Sixth, the dye must have sufficient photostability to withstand laser excitation.
- Currently available multiplex dye sets suitable in 4-color automated DNA sequencing applications require blue or blue-green laser light to adequately excite fluorescence emissions from all of the dyes making up the set, e.g., argon-ion lasers. Use of Blue or blue-green lasers in commercial automated DNA sequencing systems is disadvantageous because of the high cost and limited lifetime of such lasers.
- The present invention is directed towards our discovery of a class of dibenzorhodamine dye compounds suitable for the creation of sets of spectrally-resolvable fluorescent labels useful for multi-color fluorescent detection. The subject dye compounds are particularly well suited for use in automated 4-color DNA sequencing systems using an excitation light source having a wavelength greater than about 630 nm, e.g., a helium-neon gas laser or a solid state diode laser.
- In a first aspect, the invention comprises dibenzorhodamine dye compounds having the structure
- including nitrogen- and aryl-substituted forms thereof.
- In a second aspect, the invention comprises intermediates useful for the synthesis of dibenzorhodamine compounds having the structure
- including nitrogen- and aryl-substituted forms thereof.
- In a third aspect, the invention comprises intermediates useful for the synthesis of dibenzorhodamine compounds having the structure
- including nitrogen- and aryl-substituted forms thereof, wherein R1 taken together with the C-12-bonded nitrogen and the C-12 and C-13 carbons forms a first ring structure having from 4 to 7 members; and/or R1 taken together with the C-12-bonded nitrogen and the C-11 and C-12 carbons forms a second ring structure having from 5 to 7 members.
- In a fourth aspect, the invention includes energy transfer dye compounds comprising a donor dye, an acceptor dye, and a linker linking the donor and acceptor dyes. The donor dye is capable of absorbing light at a first wavelength and emitting excitation energy in response, and the acceptor dye is capable of absorbing the excitation energy emitted by the donor dye and fluorescing at a second wavelength in response. The linker serves to facilitate the efficient transfer of energy between the donor dye and the acceptor dye. According to the present invention, at least one of the donor and acceptor dyes is a dibenzorhodamine dye having the structure set forth above.
- In a fifth aspect, the present invention includes labeled nucleoside/tides having the structure
-
NUC-D - wherein NUC is a nucleoside/tide or nucleoside/tide analog and D is a dibenzorhodamine dye compound having the structure set forth above. According to the invention, NUC and D are connected by a linkage wherein the linkage is attached to D at one of the substituent positions. Furthermore, if NUC comprises a purine base, the linkage is attached to the 8-position of the purine, if NUC comprises a 7-deazapurine base, the linkage is attached to the 7-position of the 7-deazapurine, and if NUC comprises a pyrimidine base, the linkage is attached to the 5-position of the pyrimidine.
- In a sixth aspect, the invention includes polynucleotide analysis methods comprising the steps of forming a set of labeled polynucleotide fragments labeled with a dibenzorhodamine dye having the structure set forth above, subjecting the labeled polynucleotide fragments to a size-dependent separation process, e.g., electrophoresis, and detecting the labeled polynucleotide fragments subsequent to the separation process.
- Various aspects of the above-described invention achieve one or more of the following important advantages over known fluorescent dye compounds useful for multiplex fluorescent detection: (1) the subject dye compounds may be efficiently excited by a low-cost red laser using wavelengths at or above 630 nm; (2) the emission spectra of the subject dye compounds can be modulated by minor variations in the type and location of nitrogen and/or aryl-substituents, allowing for the creation of dye sets having similar absorption characteristics yet spectrally resolvable fluorescence emission spectra; (3) the subject dye compounds may be easily attached to nucleosides/tides or polynucleotides without compromising their favorable fluorescence properties; (4) the subject dye compounds have narrow emission bandwidths, i.e., the emission bandwidth has a full-width at half the maximum emission intensity of below about 50 nm; (5) the subject dye compounds are highly soluble in buffered aqueous solution while retaining a high quantum yield; (6) the subject dye compounds are relatively photostable; and (7) the subject dye compounds have relatively large extinction coefficients, i.e., greater than about 50,000.
- These and other features and advantages of the present invention will become better understood with reference to the following description, figures, and appended claims.
-
FIGS. 1-3 show exemplary synthetic pathways for the synthesis of the 1-amino-3-hydroxynapthalene intermediates of the invention. -
FIG. 4 shows a generalized synthetic pathway for the synthesis of the dibenzorhodamine dye compounds of the invention. -
FIGS. 5 and 6 show exemplary synthetic pathways for the synthesis of the dibenzorhodamine dye compounds of the invention. -
FIG. 7 shows the structures of several exemplary dibenzorhodamine dye compounds of the invention. - Reference will now be made in detail to the preferred embodiments of the invention, examples of which are illustrated in the accompanying drawings. While the invention will be described in conjunction with the preferred embodiments, it will be understood that they are not intended to limit the invention to those embodiments. On the contrary, the invention is intended to cover all alternatives, modifications, and equivalents, which may be included within the invention as defined by the appended claims.
- Generally, the present invention comprises a novel class of dibenzorhodamine dye compounds useful as fluorescent labels, methods and intermediates for synthesis of such dyes, reagents employing such dyes, and methods utilizing such dyes and reagents in the area of analytical biotechnology. The compounds of the present invention find particular application in the area of fluorescent nucleic acid analysis, e.g., automated DNA sequencing and fragment analysis, detection of probe hybridization in hybridization arrays, detection of nucleic acid amplification products, and the like.
- Unless stated otherwise, the following terms and phrases as used herein are intended to have the following meanings:
- “Spectral resolution” in reference to a set of dyes means that the fluorescent emission bands of the dyes are sufficiently distinct, i.e., sufficiently non-overlapping, that reagents to which the respective dyes are attached, e.g. polynucleotides, can be distinguished on the basis of a fluorescent signal generated by the respective dyes using standard photodetection systems, e.g. employing a system of band pass filters and photomultiplier tubes, charged-coupled devices and spectrographs, or the like, as exemplified by the systems described in U.S. Pat. Nos. 4,230,558, 4,811,218, or in Wheeless et al, pgs. 21-76, in Flow Cytometry: Instrumentation and Data Analysis (Academic Press, New York, 1985).
- “Electron-rich heterocycle” means cyclic compounds in which one or more ring atoms are not carbon, i.e., are hetero atoms, and the heteroatoms have unpaired electrons which contribute to a 6-π electronic system. Exemplary electron-rich heterocycles include but are not limited to pyrrole, indole, furan, benzofuran, thiophene, benzothiophene and other like structures.
- “Linking group” means a moiety capable of reacting with a “complementary functionality” attached to a reagent or member of an energy transfer dye pair, such reaction forming a “linkage” connecting the dye to the reagent or member of the energy transfer dye pair. Preferred linking groups include isothiocyanate, sulfonyl chloride, 4,6-dichlorotriazinyl, succinimidyl ester, or other active carboxylate whenever the complementary functionality is amine. Preferably the linking group is maleimide, halo acetyl, or iodoacetamide whenever the complementary functionality is sulfhydryl. See R. Haugland, Molecular Probes Handbook of Fluorescent Probes and Research Chemicals, Molecular probes, Inc. (1992). In a particularly preferred embodiment, the linking group is a N-hydroxysuccinimidyl (NHS) ester and the complementary functionality is an amine, where to form the NHS ester, a dye of the invention including a carboxylate linking group is reacted with dicyclohexylcarbodiimide and N-hydroxysuccinimide.
- “Substituted” as used herein refers to a molecule wherein one or more hydrogen atoms are replaced with one or more non-hydrogen atoms, functional groups or moieties. For example, an unsubstituted nitrogen is —NH2, while a substituted nitrogen is —NHCH3. Exemplary substituents include but are not limited to halo, e.g., fluorine and chlorine, lower alkyl, lower alkene, lower alkyne, sulfate, sulfonate, sulfone, amino, ammonium, amido, nitrile, lower alkoxy, phenoxy, aromatic, phenyl, polycyclic aromatic, electron-rich heterocycle water-solubilizing group, and linking group.
- “Polycyclic aromatic” means aromatic hydrocarbons having multiple ring structures including biaryls and condensed benzenoid hydrocarbons. The biaryls are benzenoid compounds where two or more rings are linked together by a single bond. The parent system of this class is biphenyl. The condensed benzenoid compounds are characterized by two or more benzene rings fused together at ortho positions in such a way that each pair of rings shares two carbons. The simplest members of this group are napthalene, with two rings, and anthracene and phenanthrene, each with three rings.
- “Lower alkyl” denotes straight-chain and branched hydrocarbon moieties containing from 1 to 8 carbon atoms, e.g., methyl, ethyl, propyl, isopropyl, tert-butyl, isobutyl, sec-butyl, neopentyl, tert-pentyl, and the like.
- “Lower alkene” denotes a hydrocarbon containing from 1 to 8 carbon atoms wherein one or more of the carbon-carbon bonds are double bonds.
- “Lower alkyne” denotes a hydrocarbon containing from 1 to 8 carbon atoms wherein one or more of the carbons are bonded with a triple bond.
- “Nucleoside” refers to a compound consisting of a purine, deazapurine, or pyrimidine nucleoside base, e.g., adenine, guanine, cytosine, uracil, thymine, deazaadenine, deazaguanosine, and the like, linked to a pentose at the 1′ position. When the nucleoside base is purine or 7-deazapurine, the sugar moiety is attached at the 9-position of the purine or deazapurine, and when the nucleoside base is pyrimidine, the sugar moiety is attached at the 1-position of the pyrimidine, e.g., Kornberg and Baker, DNA Replication, 2nd Ed. (Freeman, San Francisco, 1992). The term “nucleotide” as used herein refers to a phosphate ester of a nucleoside, e.g., triphosphate esters, wherein the most common site of esterification is the hydroxyl group attached to the C-5 position of the pentose. The term “nucleoside/tide” as used herein refers to a set of compounds including both nucleosides and nucleotides. “Analogs” in reference to nucleosides/tides include synthetic analogs having modified base moieties, modified sugar moieties and/or modified phosphate moieties, e.g. described generally by Scheit, Nucleotide Analogs (John Wiley, New York, 1980). Phosphate analogs comprise analogs of phosphate wherein the phosphorous atom is in the +5 oxidation state and one or more of the oxygen atoms is replaced with a non-oxygen moiety. Exemplary analogs include but are not limited to phosphorothioate, phosphorodithioate, phosphoroselenoate, phosphorodiselenoate, phosphoroanilothioate, phosphoranilidate, phosphoramidate, boronophosphates, including associated counterions, e.g., H+, NH4 +, Na+, if such counterions are present. Exemplary base analogs include but are not limited to 2,6-diaminopurine, hypoxanthine, pseudouridine, C-5-propyne, isocytosine, isoguanine, 2-thiopyrimidine, and other like analogs. Exemplary sugar analogs include but are not limited to 2′- or 3′-modifications where the 2′- or 3′-position is hydrogen, hydroxy, alkoxy, e.g., methoxy, ethoxy, allyloxy, isopropoxy, butoxy, isobutoxy and phenoxy, amino or alkylamino, fluoro, chloro and bromo. The term “labeled nucleoside/tide” refers to nucleosides/tides which are covalently attached to the dye compounds of Formula I through a linkage.
- “Water solubilizing group” means a substituent which increases the solubility of the compounds of the invention in aqueous solution. Exemplary water-solubilizing groups include but are not limited to quaternary amine, sulfate, sulfonate, carboxylate, phosphate, polyether, polyhydroxyl, and boronate.
- “Polynucleotide” or “oligonucleotide” means polymers of natural nucleotide monomers or analogs thereof, including double and single stranded deoxyribonucleotides, ribonucleotides, α-anomeric forms thereof, and the like. Usually the nucleoside monomers are linked by phosphodiester linkages, where as used herein, the term “phosphodiester linkage” refers to phosphodiester bonds or bonds including phosphate analogs thereof, including associated counterions, e.g., H+, NH4 +, Na+, if such counterions are present. Polynucleotides typically range in size from a few monomeric units, e.g. 5-40, to several thousands of monomeric units. Whenever a polynucleotide is represented by a sequence of letters, such as “ATGCCTG,” it will be understood that the nucleotides are in 5′->3′ order from left to right and that “A” denotes deoxyadenosine, “C” denotes deoxycytidine, “G” denotes deoxyguanosine, and “T” denotes deoxythymidine, unless otherwise noted.
- “Rhodamine dye” refers to dyes including the general polycyclic structure
- including any and all substituted versions thereof.
- In a first aspect, the present invention comprises a novel class of 1-amino-3-hydroxynapthalene compounds useful as intermediates in the synthesis of dibenzorhodamine dyes. These compounds have the general structure shown in Formula I immediately below, including substituted forms thereof, where R1 taken together with the C-12-bonded nitrogen and the C-12 and C-13 carbons forms a first ring structure having from 4 to 7 members; and/or R1 taken together with the C-12-bonded nitrogen and the C-11 and C-12 carbons forms a second ring structure having from 5 to 7 members. (Note that all molecular structures provided herein are intended to encompass not only the exact electronic structures presented, but also include all resonant structures, protonation states and associated counterions thereof.)
- In the compound of Formula I, preferably the first ring structure has five members. More preferably, the five membered first ring structure includes one gem disubstituted carbon, e.g., wherein the gem substituents are lower alkyl, e.g., methyl. In an alternative preferred embodiment, the five membered ring is substituted with linking group or water-solubilizing group.
- In another preferred embodiment of the intermediate of Formula I, the second ring structure has six members. More preferably, the six-membered second ring structure includes one gem disubstituted carbon, e.g., wherein the gem substituents are lower alkyl, e.g., methyl. In an alternative preferred embodiment, the five membered ring is substituted with linking group.
- Preferably, the compound of Formula I includes one or more nitrogen substituents. Exemplary nitrogen substituents include but are not limited to lower alkyl, lower alkene, lower alkyne, phenyl, aromatic, electron-rich heterocycle, polycyclic aromatic, water-solubilizing group, and linking group, including substituted forms thereof. In a particularly preferred embodiment, the nitrogen substituents are lower alkyl and/or phenyl, including substituted forms thereof. More preferably, the nitrogen substituents are substituted lower alkyl or substituted phenyl, wherein the substituent is linking group, or water-solubilizing group.
- In an additional preferred embodiment, one or more of carbons at positions C-8 to C-11 are substituted. Exemplary substituents include but are not limited to fluorine, chlorine, lower alkyl, lower alkene, lower alkyne, sulfate, sulfonate, sulfone, sulfonamide, sulfoxide, amino, ammonium, amido, nitrile, lower alkoxy, phenoxy, aromatic, phenyl, polycyclic aromatic, electron-rich heterocycle, water-solubilizing group, and linking group, including substituted forms thereof. Preferably, one or more of the substituents is sulfonate.
- Several representative 1-amino-3-hydroxynapthalene compounds of the invention are shown in
FIGS. 1-3 , i.e., compounds 4, 9, 15, 17, 22, 27 and 29. - Several synthetic methods are available for the synthesis of the 1-amino-3-hydroxynapthalene compounds described above, different methods being preferred depending on the nature of the ring structure and the nitrogen substituents of the particular compound to be synthesized.
- A first preferred synthesis method suitable for the synthesis of 1-substituted-amino-3-hydroxynapthalene compounds, e.g., 1-diethylamino-3-
hydroxynapthalene 4, is shown inFIG. 1 . In this first method, a 3-methoxy-1-hydroxy napthalene 1 is reacted with dry triethylamine and trifluoromethanesulfonic anhydride to form a crude 3-methoxynapthalene-1-triflate 2. Thetriflate 2 is then reacted with an amine, e.g., a secondary amine, e.g., diethylamine, using palladium catalyzed triflate/amine coupling to form the substitutedamine compound 3.Compound 3 is then deprotected using a boron tribromide deprotection procedure to produce the 1-amino-3-hydroxynapthalene product, e.g., 1-diethylamino-3-hydroxynapthalene 4. An example of this synthesis is provided in Example 1 below. - A second preferred synthesis method suitable for the synthesis of benzoindoline compounds, e.g., N-phenyl-3,3-dimethyl-4-hydroxy-
benzoindoline 9, is also shown inFIG. 1 . In this method, the 3-methoxynapthalene-1-triflate 2 is derivatized with a primary amine, e.g., aniline, using a palladium catalyzed triflate coupling reaction to give a secondary amine, e.g., 1-anilino-3-methoxynapthalene 5. Thesecondary amine 5 is acetylated using an acid chloride, e.g., an haloacetylchloride, to give a disubstituted amide, e.g., 1-amido-3-methoxynapthalene 6. Thetertiary amide 6 is cyclized using a Lewis-acid-catalyzed Friedel-Crafts cyclization procedure to givecompound 7, e.g., using AlCl3.Compound 7 is than reduced, e.g., using LAH, to givecompound 8. Subsequent methoxy group deprotection by a boron tribromide deprotection procedure gives the benzoindoline, e.g., N-phenyl-3,3-dimethyl-4-hydroxy-benzoindoline 9. An example of this synthesis is provided in Example 2 below. - A third preferred synthesis method suitable for the synthesis of N-substituted-5-hydroxy-(tetrahydro)benzoquinoline compounds, e.g., N-methyl-5-hydroxy-(tetrahydro)
benzoquinoline 15, is shown inFIG. 2 . In this method,compound 10 is synthesized from methoxy-napthaldehyde by condensation with malonic acid using a piperidine catalyst in pyridine.Compound 10 is then reduced with hydrogen, followed by LAH reduction, and reacted with trifluoromethanesulfonic anhydride to give thetriflate 11. Thetriflate 11 is reacted with NaN3 to givecompound 12.Compound 12 is complexed with a Lewis acid, e.g., AlCl3, and refluxed yielding the cyclizedbenzoquinoline derivative 13. Next, a nitrogen substituent is added, e.g., the nitrogen is alkylated using a conventional alkylation procedure, e.g., thebenzoquinoline derivative 13 is reacted with n-butyl lithium and an alkylating agent, e.g., MeI to givecompound 14 or propane sultone to givecompound 16. The methoxy group is then removed by a boron tribromide procedure giving a N-alkylbenzoquinoline derivative, e.g., 15 or 17. An example of this synthesis is provided in Example 3 below.compound - A fourth preferred synthesis method suitable for the synthesis of N-substituted-2,2,4-trimethyl-5-hydroxy-benzoquinoline compounds, e.g. N-methyl-2,2,4-trimethyl-5-hydroxy-(tetrahydro)
benzoquinoline 22, is shown inFIG. 3 . In this method, following the procedure of A. Rosowsky and E. J. Modest (J.O.C. 30 1832 1965, and references therein), 1-amino-3-methoxynapthalene 18 is reacted with acetone catalyzed by iodine and then quenched with saturated Na2S2O3 to give thebenzoquinoline compound 19.Compound 19 is then alkylated with an alkylating agent, e.g., MeI, according to a general alkylation procedure to givecompound 20. Thealkylated compound 20 is reduced with H2 catalyzed by Pd/C to give a N-methyl-methoxyquinoline intermediate 21, and subsequent methoxy group deprotection by a general boron tribromide procedure yields the N-substituted-2,2,4-trimethyl-5-hydroxy-benzoquinoline compound, e.g., N-methyl-2,2,4-trimethyl-5-hydroxy-(tetrahydro)benzoquinoline 22. An example of this synthesis is provided in Example 4 below. - A fifth preferred general synthesis method suitable for the synthesis of N-substituted-3,3-dimethyl-4-hydroxy-benzoindoline compounds, e.g N-methyl-3,3-dimethyl-4-hydroxy-
benzoindoline 27, is also shown inFIG. 3 . In this method, a 1-amino-3-methoxynapthalene 18 is acetylated with an acid chloride, e.g., 2-bromo-2-methylpropionyl chloride, to givecompound 23.Compound 23 is cyclized by reaction with AlCl3 to givecompound 24.Compound 24 is then reduced with LAH to give the 3,3-dimethyl-4-methoxybenzoindoline 25.Compound 25 is then alkylated with an alkylating agent, e.g., methyl iodide, to give a N-methyl-3,3-dimethyl-4-methoxybenzoindoline, e.g.,compound 26. Subsequent methoxy group deprotection by with boron tribromide givescompound 27. An example of this synthesis is provided in Example 5 below. - In a second aspect, the present invention comprises a novel class of dibenzorhodamine dye compounds useful as molecular labels having the general structure shown in Formula II immediately below, including aryl- and nitrogen-substituted forms thereof.
- In one preferred embodiment of the compound of Formula II, the compound includes a first bridging group which when taken together with the C-12-bonded nitrogen and the C-12 and C-13 carbons forms a first ring structure having from 4 to 7 members, and/or a second bridging group which when taken together with the C-2-bonded-nitrogen and the C-1 and C-2 carbons forms a second ring structure having from 4 to 7 members. More preferably, one or both of the first and second ring structures has five members. In yet a more preferred embodiment, the five membered ring structure includes one gem disubstituted carbon, wherein the gem substituents are lower alkyl, e.g., methyl. In an alternative preferred embodiment, the five membered ring is substituted with linking group.
- In another preferred embodiment, the compound of Formula II includes a C-7 substituent selected from the group consisting of acetylene, lower alkyl, lower alkene, cyano, phenyl, heterocyclic aromatic, electron-rich heterocycle, and substituted forms thereof. In a more preferred embodiment, the C-7 substituent is a phenyl or substituted phenyl having the structure
- wherein aryl substituents at positions C-14 to C-18 taken separately may be selected from the group consisting of hydrogen, chlorine, fluorine, lower alkyl, carboxylic acid, sulfonic acid, —CH2OH, alkoxy, phenoxy, linking group, and substituted forms thereof. Preferably, the phenyl substituent at C-18 is selected from the group consisting of carboxylic acid and sulfonate, and is most preferably carboxylic acid. In another preferred embodiment, substituents at positions C-14 and C-17 are chlorine. In yet another preferred embodiment, substituents at positions C-14 to C-17 are all chlorine or all fluorine. In a particularly preferred embodiment, substituents at one of positions C-15 and C-16 is linking group and the other is hydrogen, substituents at positions C-14 and C-17 are chlorine, and a substituent at position C-18 is carboxy.
- In yet another preferred embodiment of the invention, the compound of Formula II includes one or more nitrogen substituents. Preferably, such substituents are selected from the group consisting of lower alkyl, lower alkene, lower alkyne, phenyl, aromatic, electron-rich heterocycle, polycyclic aromatic, water-solubilizing group, linking group, and substituted forms thereof. More preferably, the nitrogen substituents are selected from the group consisting of lower alkyl, phenyl, and substituted forms thereof, where exemplary substituents include linking group, and water-solubilizing group.
- In another preferred embodiment of this second aspect of the invention, the compound of Formula II includes a third bridging group which when taken together with the C-12-bonded nitrogen and the C-11 and C-12 carbons forms a third ring structure having from 5 to 7 members, and/or a fourth bridging group which when taken together with the C-2-bonded nitrogen and the C-2 and C-3 carbons forms a fourth ring structure having from 5 to 7 members. Preferably, one or both of the third and fourth ring structures has six members. More preferably, the six membered ring structure includes one gem disubstituted carbon, wherein the gem substituents are lower alkyl, e.g., methyl.
- In another preferred embodiment of the invention, the compound of Formula II includes aryl substituents at one or more of carbons C-1, C-3 through C-6, C-8 through C-11, and C-13. Exemplary aryl substituents include but are not limited to fluorine, chlorine, lower alkyl, lower alkene, lower alkyne, sulfate, sulfonate, sulfone, sulfonamide, sulfoxide, amino, ammonium, amido, nitrile, lower alkoxy, phenoxy, aromatic, phenyl, polycyclic aromatic, water-solubilizing group, electron-rich heterocycle, and linking group, including substituted forms thereof. In a particularly preferred embodiment, at least one substituent is sulfonate.
- Several exemplary dye compounds according to this second aspect of the invention are shown in
FIG. 7 , i.e., compounds 41-47. - Generally, the dibenzorhodamine dyes of the present invention are synthesized as follows. See
FIG. 4 . Ananhydride derivative 30, e.g., a phthalic anhydride, is mixed with 1-amino-3- 31 and 32, and Lewis acid, e.g., ZnCl2, where the R— substituents inmethoxy intermediates compound 30 may be the same or different, but are preferably the same. Exemplary R-substituents include but are not limited to acetylene, lower alkyl, lower alkene, phenyl, heterocyclic aromatic, electron-rich heterocycle, and substituted forms thereof. The mixture is heated briefly until melting is observed. A solvent, e.g., 1,2-dichlorobenzene, is added to the reaction mixture, and the heterogeneous mixture is heated to about 130° C. to about 180° C. The crude reaction mixture is cooled and purified by normal phase flash chromatography to yielddye compound 33. When the anhydride is part of a substituted phthalic anhydride, e.g.,compound 34, two isomers are formed. SeeFIG. 5 . The 35 and 36 are separated by PTLC. The isomerically pure dyes are identified by single spots on normal and reverse phase TLC and by their UV/Visible absorption spectra and their long wavelength fluorescent excitation and emission spectra.isomers - An alternative procedure for the synthesis of asymmetrical dye compounds is shown in
FIG. 6 . In this process, an anhydride derivative, e.g.,phthalic anhydride 34, is mixed with dry nitrobenzene and heated. The mixture is cooled to room temperature and anhydrous AlCl3 is added with stirring. Subsequently a 1-amino-3-methoxy intermediate 31 is added with stirring and the reaction is heated. The reaction is cooled and suspended in EtOAc. The organic layer is washed with saturated NH4Cl, brine, dried over Na2SO4, filtered, and the solvent removed in vacuo. The resulting ketone intermediates 37/38 are purified and separated intodistinct isomers 37 and 38 (except where substituents at C-14 and C-17 are the same and substituents at C-15 and C-16 are the same) by flash chromatography or recrystallization. The methoxy group of the isomerically pure ketone intermediate 37 or 38 is removed according to a general boron tribromide deprotection procedure to give the amino-hydroxynapthalene ketone intermediate 39. Amino-hydroxynapthalene ketone intermediate 39 is then reacted with a 1-amino-3-methoxy intermediate 32. The reaction is cooled, giving isomerically pure and asymmetrically substitutedproduct 40 that may be further purified by PTLC. - In another aspect, the present invention comprises energy transfer dye compounds incorporating the dibenzorhodamine dye compounds of Formula I. Generally, the energy transfer dyes of the present invention include a donor dye which absorbs light at a first wavelength and emits excitation energy in response, an acceptor dye which is capable of absorbing the excitation energy emitted by the donor dye and fluorescing at a second wavelength in response, and a linker which attaches the donor dye to the acceptor dye, the linker being effective to facilitate efficient energy transfer between the donor and acceptor dyes. A through discussion of the structure, synthesis and use of such energy transfer dyes is provided by Lee et al., U.S. patent application Ser. No. 08/726,462, and Mathies et al., U.S. Pat. No. 5,654,419.
- One linker according to the present invention for linking a donor dye to an acceptor dye in an energy transfer fluorescent dye has the general structure
- where R21 is a lower alkyl attached to the donor dye, Z1 is either NH, sulfur or oxygen, R22 is a substituent which includes an alkene, diene, alkyne, a five and six membered ring having at least one unsaturated bond or a fused ring structure which is attached to the carbonyl carbon, and R28 includes a functional group which attaches the linker to the acceptor dye.
- In one embodiment of this linker, illustrated below, the linker has the general structure
- where R21 and R22 are as detailed above, Z1 and Z2 are each independently either NH, sulfur or oxygen, R29 is a lower alkyl, and the terminal carbonyl group is attached to a ring structure of the acceptor dye. In the variation where Z2 is nitrogen, the C(O)R22R29Z2 subunit forms an amino acid subunit. Particular examples of five or six membered rings which may be used as R22 in the linker include, but are not limited to cyclopentene, cyclohexene, cyclopentadiene, cyclohexadiene, furan, thiofuran, pyrrole, pyrazole, isoimidazole, pyran, pyrone, benzene, pyridine, pyridazine, pyrimidine, triazine, pyrazine and oxazine. Examples of fused ring structures include, but are not limited to indene, benzofuran, thionaphthene, indole and naphthalene. A preferred embodiment of this linker is where R21 and R29 are methylene, Z1 and Z2 are NH, and R22 is benzene, as shown below.
- In another preferred embodiment of the energy-transfer-dye aspect of the present invention, the linker attaches to the dibenzorhodamine dye component of the energy transfer dye at the C-1 or 13 positions, or, alternatively, where the C-7 substituent is phenyl or substituted phenyl, at one of the C-15 or C-16 positions. In a particularly preferred embodiment, both members of the energy transfer pair are dibenzorhodamine dyes, and the first member is linked through the C-1 position and the second member is linked through one of the C-15 or C-16 positions.
- In yet another preferred embodiment of the energy-transfer-dye aspect of the present invention, a first member the dye pair is a dibenzorhodamine dye, and a second member of the dye pair is cyanine, phthalocyanine, squaraine, bodipy, fluorescein, or dibenzorhodamine dye having different substitutions than the first member.
- In another aspect, the present invention comprises reagents labeled with the dibenzorhodamine dye compounds of Formula I. Reagents of the invention can be virtually anything to which the dyes of the invention can be attached. Preferably, the dye is covalently attached to the reagent. Reagents may include but are not limited to proteins, polypeptides, polysaccharides, nucleotides, nucleosides, polynucleotides, lipids, solid supports, organic and inorganic polymers, and combinations and assemblages thereof, such as chromosomes, nuclei, living cells, such as bacteria or other microorganisms, mammalian cells, tissues, and the like.
- 1.5.1. Nucleoside/Tide Reagents
- A preferred class of labeled reagents comprise nucleoside/tides that incorporate the dibenzorhodamine dyes of the invention. Such nucleoside/tide reagents are particularly useful in the context of labeling polynucleotides formed by enzymatic synthesis, e.g., nucleotide triphosphates used in the context of PCR amplification, Sanger-type polynucleotide sequencing, and nick-translation reactions.
- Generally, the structure of the labeled nucleoside/tide reagent is
-
NUC-D FORMULA III - where NUC is a nucleoside/tide or nucleoside/tide analog and D is a dibenzorhodamine dye compound of Formula II.
- The linkage linking the nucleoside/tide and the dye may be attached to the dye at any one of substituent positions C-1 to C-18 or at a C-2 bonded nitrogen or a C-12 bonded nitrogen. Preferably, the dye includes a phenyl or substituted phenyl substituent at the C-7 position and is attached to the nucleoside/tide at one of the C-15 or C-16 substituent positions, the other position being a hydrogen atom.
- When NUC includes a purine base, the linkage between NUC and D is attached to the N8-position of the purine, when NUC includes a 7-deazapurine base, the linkage is attached to the N7-position of the 7-deazapurine, and when NUC includes a pyrimidine base, the linkage is attached to the N5-position of the pyrimidine.
- Nucleoside labeling can be accomplished using any one of a large number of known nucleoside/tide labeling techniques employing known linkages, linking groups, and associated complementary functionalities. Generally, the linkage linking the dye and nucleoside should (i) not interfere with oligonucleotide-target hybridization, (ii) be compatible with relevant enzymes, e.g., polymerases, ligases, and the like, and (iii) not adversely affect the fluorescence properties of the dye. Exemplary base labeling procedures suitable for use in connection with the present invention include the following: Gibson et al, Nucleic Acids Research, 15:6455-6467 (1987); Gebeyehu et al, Nucleic Acids Research, 15: 4513-4535 (1987); Haralambidis et al, Nucleic Acids Research, 15: 4856-4876 (1987); Nelson et al., Nucleosides and Nucleotides, 5(3): 233-241 (1986); Bergstrom, et al., JACS, 111: 374-375 (1989); and U.S. Pat. Nos. 4,855,225, 5,231,191, and 5,449,767.
- Preferably, the linkages are acetylenic amido or alkenic amido linkages, the linkage between the dye and the nucleoside/tide base being formed by reacting an activated N-hydroxysuccinimide (NHS) ester of the dye with an alkynylamino- or alkenylamino-derivatized base of a nucleoside/tide. More preferably, the resulting linkage is 3-(carboxy)amino-1-propyn-1-yl having the structure
- Alternative preferred linkages include substituted propargylethoxyamido linkages having the structure
-
NUC-C≡C—CH2OCH2CH2NR3X-D - wherein X is selected from the group consisting of
- where n ranges from 1 to 5,
- where n ranges from 1 to 5,
- R1 is selected from the group consisting of —H, lower alkyl and protecting group; and R3 is selected from the group consisting of —H and lower alkyl. See Khan et al., U.S. patent application Ser. No. 08/833,854 filed Apr. 10, 1997.
- The synthesis of alkynylamino-derivatized nucleosides is taught by Hobbs et al. in European Patent Application No. 87305844.0, and Hobbs et al., J. Org. Chem., 54: 3420 (1989). Briefly, the alkynylamino-derivatized nucleotides are formed by placing the appropriate halodideoxynucleoside (usually 5-iodopyrimidine and 7-iodo-7-deazapurine dideoxynucleosides as taught by Hobbs et al. (cited above)) and Cu(I) in a flask, flushing with argon to remove air, adding dry DMF, followed by addition of an alkynylamine, triethyl-amine and Pd(0). The reaction mixture is stirred for several hours, or until thin layer chromatography indicates consumption of the halodideoxynucleoside. When an unprotected alkynylamine is used, the alkynylamino-nucleoside can be isolated by concentrating the reaction mixture and chromatographing on silica gel using an eluting solvent which contains ammonium hydroxide to neutralize the hydrohalide generated in the coupling reaction. When a protected alkynylamine is used, methanol/methylene chloride can be added to the reaction mixture, followed by the bicarbonate form of a strongly basic anion exchange resin. The slurry can then be stirred for about 45 minutes, filtered, and the resin rinsed with additional methanol/methylene chloride. The combined filtrates can be concentrated and purified by flash-chromatography on silica gel using a methanol-methylene chloride gradient. The triphosphates are obtained by standard techniques.
- Particularly preferred nucleosides/tides of the present invention are shown below in Formula IV wherein
- B is a nucleoside/tide base, e.g., uracil, cytosine, deazaadenine, or deazaguanosine; W1 and W2 taken separately are OH or a group capable of blocking polymerase-mediated template-directed polymerization, e.g., H, fluorine and the like; W3 is OH, or mono-, di- or triphosphate or phosphate analog; and D is a dye compound of Formula I. In one particularly preferred embodiment, the nucleotides of the present invention are dideoxynucleotide triphosphates having the structure shown in Formula IV.1 below, including associated counterions if present.
- Labeled dideoxy nucleotides such as that shown in Formula IV.1 find particular application as chain terminating agents in Sanger-type DNA sequencing methods utilizing fluorescent detection.
- In a second particularly preferred embodiment, the nucleotides of the present invention are deoxynucleotide triphosphates having the structure shown in Formula IV.2 below.
- Labeled deoxynucleotides such as that shown in Formula IV.2 find particular application as reagents for labeling polymerase extension products, e.g., in the polymerase chain reaction or nick-translation.
- 1.5.2. Polynucleotide Reagents
- Yet another preferred class of reagents of the present invention comprise polynucleotides labeled with the dibenzorhodamine dyes of the invention. Such labeled polynucleotides are useful in a number of important contexts including as DNA sequencing primers, PCR primers, oligonucleotide hybridization probes, oligonucleotide ligation probes, and the like.
- In one preferred embodiment, the labeled polynucleotides of the present invention include multiple dyes located such that fluorescence energy transfer takes place between a donor dye and an acceptor dye. Such multi-dye energy-transfer polynucleotides find application as spectrally-tunable sequencing primers, e.g., Ju et al., Proc. Natl. Acad. Sci. USA 92: 4347-4351 (1995), and as hybridization probes, e.g., Lee et al. Nucleic Acids Research, 21: 3761-3766 (1993).
- Labeled polynucleotides may be synthesized either enzymatically, e.g., using a DNA polymerase or ligase, e.g., Stryer, Biochemistry,
Chapter 24, W.H. Freeman and Company (1981), or by chemical synthesis, e.g., by the phosphoramidite method, the phosphite-triester method, and the like, e.g., Gait, Oligonucleotide Synthesis, IRL Press (1990). Labels may be introduced during enzymatic synthesis utilizing labeled nucleotide triphosphate monomers as described above, or introduced during chemical synthesis using labeled non-nucleotide or nucleotide phosphoramidites as described above, or may be introduced subsequent to synthesis. - Generally, if the labeled polynucleotide is made using enzymatic synthesis, the following procedure may be used. A template DNA is denatured and an oligonucleotide primer is annealed to the template DNA. A mixture of deoxynucleotide triphosphates is added to the mixture including dGTP, dATP, dCTP, and dTTP where at least a fraction of the deoxynucleotides is labeled with a dye compound of the invention as described above. Next, a polymerase enzyme is added under conditions where the polymerase enzyme is active. A labeled polynucleotide is formed by the incorporation of the labeled deoxynucleotides during polymerase-mediated strand synthesis. In an alternative enzymatic synthesis method, two primers are used instead of one, one primer complementary to the + strand and the other complementary to the − strand of the target, the polymerase is a thermostable polymerase, and the reaction temperature is cycled between a denaturation temperature and an extension temperature, thereby exponentially synthesizing a labeled complement to the target sequence by PCR, e.g., PCR Protocols, Innis et al. eds., Academic Press (1990).
- Labeled polynucleotides may be chemically synthesized using the phosphoramidite method. Detailed descriptions of the chemistry used to form polynucleotides by the phosphoramidite method are provided elsewhere, e.g., Caruthers et al., U.S. Pat. Nos. 4,458,066 and 4,415,732; Caruthers et al., Genetic Engineering, 4: 1-17 (1982); Users Manual Model 392 and 394 Polynucleotide Synthesizers, pages 6-1 through 6-22, Applied Biosystems, Part No. 901237 (1991).
- The phosphoramidite method of polynucleotide synthesis is the preferred method because of its efficient and rapid coupling and the stability of the starting materials. The synthesis is performed with the growing polynucleotide chain attached to a solid support, so that excess reagents, which are in the liquid phase, can be easily removed by filtration, thereby eliminating the need for purification steps between synthesis cycles.
- The following briefly describes the steps of a typical polynucleotide synthesis cycle using the phosphoramidite method. First, a solid support including a protected nucleotide monomer is treated with acid, e.g., trichloroacetic acid, to remove a 5′-hydroxyl protecting group, freeing the hydroxyl for a subsequent coupling reaction. An activated intermediate is then formed by simultaneously adding a protected phosphoramidite nucleoside monomer and a weak acid, e.g., tetrazole, to the reaction. The weak acid protonates the nitrogen of the phosphoramidite forming a reactive intermediate. Nucleoside addition is complete within 30 s. Next, a capping step is performed which terminates any polynucleotide chains that did not undergo nucleoside addition. Capping is preferably done with acetic anhydride and 1-methylimidazole. The internucleotide linkage is then converted from the phosphite to the more stable phosphotriester by oxidation using iodine as the preferred oxidizing agent and water as the oxygen donor. After oxidation, the hydroxyl protecting group is removed with a protic acid, e.g., trichloroacetic acid or dichloroacetic acid, and the cycle is repeated until chain elongation is complete. After synthesis, the polynucleotide chain is cleaved from the support using a base, e.g., ammonium hydroxide or t-butyl amine. The cleavage reaction also removes any phosphate protecting groups, e.g., cyanoethyl. Finally, the protecting groups on the exocyclic amines of the bases and the hydroxyl protecting groups on the dyes are removed by treating the polynucleotide solution in base at an elevated temperature, e.g., 55° C.
- Any of the phosphoramidite nucleoside monomers may be dye-labeled phosphoramidites as described above. If the 5′-terminal position of the nucleotide is labeled, a labeled non-nucleotidic phosphoramidite of the invention may be used during the final condensation step. If an internal position of the oligonucleotide is labeled, a labeled nucleotidic phosphoramidite of the invention may be used during any of the condensation steps.
- Subsequent to synthesis, the polynucleotide may be labeled at a number of positions including the 5′-terminus, e.g., Oligonucleotides and Analogs, Eckstein ed.,
Chapter 8, IRL Press (1991) and Orgel et al., Nucleic Acids Research 11(18): 6513 (1983); U.S. Pat. No. 5,118,800; the phosphodiester backbone, e.g., ibid.,Chapter 9; or at the 3′-terminus, e.g., Nelson, Nucleic Acids Research 20(23): 6253-6259, and U.S. Pat. Nos. 5,401,837 and 5,141,813. For a through review of oligonucleotide labeling procedures see R. Haugland in Excited States of Biopolymers, Steiner ed., Plenum Press, NY (1983). - In one preferred post-synthesis chemical labeling method an oligonucleotide is labeled as follows. A dye including a carboxy linking group is converted to the N-hydroxysuccinimide ester by reacting with approximately 1 equivalent of 1,3-dicyclohexylcarbodiimide and approximately 3 equivalents of N-hydroxysuccinimide in dry ethyl acetate for 3 hours at room temperature. The reaction mixture is washed with 5% HCl, dried over magnesium sulfate, filtered, and concentrated to a solid which is resuspended in DMSO. The DMSO dye stock is then added in excess (10-20×) to an aminohexyl derivatized oligonucleotide in 0.25 M bicarbonate/carbonate buffer at pH 9.4 and allowed to react for 6 hours, e.g., U.S. Pat. No. 4,757,141. The dye labeled oligonucleotide is separated from unreacted dye by passage through a size-exclusion chromatography column eluting with buffer, e.g., 0.1 molar triethylamine acetate (TEAA). The fraction containing the crude labeled oligonucleotide is further purified by reverse phase HPLC employing gradient elution.
- The dyes and reagents of the present invention are well suited to any method utilizing fluorescent detection, particularly methods requiring the simultaneous detection of multiple spatially-overlapping analytes. Dyes and reagents of the invention are particularly well suited for identifying classes of polynucleotides that have been subjected to a biochemical separation procedure, such as electrophoresis, or that have been distributed among locations in a spatially-addressable hybridization array.
- In a preferred category of methods referred to herein as “fragment analysis” or “genetic analysis” methods, labeled polynucleotide fragments are generated through template-directed enzymatic synthesis using labeled primers or nucleotides, e.g., by ligation or polymerase-directed primer extension; the fragments are subjected to a size-dependent separation process, e.g., electrophoresis or chromatography; and, the separated fragments are detected subsequent to the separation, e.g., by laser-induced fluorescence. In a particularly preferred embodiment, multiple classes of polynucleotides are separated simultaneously and the different classes are distinguished by spectrally resolvable labels.
- One such fragment analysis method known as amplified fragment length polymorphism detection (AmpFLP) is based on amplified fragment length polymorphisms, i.e., restriction fragment length polymorphisms that are amplified by PCR. These amplified fragments of varying size serve as linked markers for following mutant genes through families. The closer the amplified fragment is to the mutant gene on the chromosome, the higher the linkage correlation. Because genes for many genetic disorders have not been identified, these linkage markers serve to help evaluate disease risk or paternity. In the AmpFLPs technique, the polynucleotides may be labeled by using a labeled polynucleotide PCR primer, or by utilizing labeled nucleotide triphosphates in the PCR.
- In another such fragment analysis method known as nick translation, a reaction is used to replace unlabeled nucleoside triphosphates in a double-stranded DNA molecule with labeled ones. Free 3′-hydroxyl groups are created within the unlabeled DNA by “nicks” caused by deoxyribonuclease I (DNAase I) treatment. DNA polymerase I then catalyzes the addition of a labeled nucleotide to the 3′-hydroxyl terminus of the nick. At the same time, the 5′ to 3′-exonuclease activity of this enzyme eliminates the nucleotide unit from the 5′-phosphoryl terminus of the nick. A new nucleotide with a free 3′-OH group is incorporated at the position of the original excised nucleotide, and the nick is shifted along by one nucleotide unit in the 3′ direction. This 3′ shift will result in the sequential addition of new labeled nucleotides to the DNA with the removal of existing unlabeled nucleotides. The nick-translated polynucleotide is then analyzed using a separation process, e.g., electrophoresis.
- Another exemplary fragment analysis method is based on variable number of tandem repeats, or VNTRs. VNTRs are regions of double-stranded DNA that contain adjacent multiple copies of a particular sequence, with the number of repeating units being variable. Examples of VNTR loci are pYNZ22, pMCT118, and Apo B. A subset of VNTR methods are those methods based on the detection of microsatellite repeats, or short tandem repeats (STRs), i.e., tandem repeats of DNA characterized by a short (2-4 bases) repeated sequence. One of the most abundant interspersed repetitive DNA families in humans is the (dC-dA)n-(dG-dT)n dinucleotide repeat family (also called the (CA)n dinucleotide repeat family). There are thought to be as many as 50,000 to 100,000 (CA)n repeat regions in the human genome, typically with 15-30 repeats per block. Many of these repeat regions are polymorphic in length and can therefore serve as useful genetic markers. Preferably, in VNTR or STR methods, label is introduced into the polynucleotide fragments by using a dye-labeled PCR primer.
- In a particularly preferred fragment analysis method, classes identified in accordance with the invention are defined in terms of terminal nucleotides so that a correspondence is established between the four possible terminal bases and the members of a set of spectrally resolvable dyes. Such sets are readily assembled from the dyes of the invention by measuring emission and absorption bandwidths with commercially available spectrophotometers. More preferably, the classes arise in the context of the chemical or chain termination methods of DNA sequencing, and most preferably the classes arise in the context of the chain termination methods, i.e., dideoxy DNA sequencing, or Sanger-type sequencing.
- Sanger-type sequencing involves the synthesis of a DNA strand by a DNA polymerase in vitro using a single-stranded or double-stranded DNA template whose sequence is to be determined. Synthesis is initiated at a defined site based on where an oligonucleotide primer anneals to the template. The synthesis reaction is terminated by incorporation of a nucleotide analog that will not support continued DNA elongation. Exemplary chain-terminating nucleotide analogs include the 2′,3′-
dideoxynucleoside 5′-triphosphates (ddNTPs) which lack the 3′-OH group necessary for 3′ to 5′ DNA chain elongation. When proper proportions of dNTPs (2′-deoxynucleoside 5′-triphosphates) and one of the four ddNTPs are used, enzyme-catalyzed polymerization will be terminated in a fraction of the population of chains at each site where the ddNTP is incorporated. If labeled primers or labeled ddNTPs are used for each reaction, the sequence information can be detected by fluorescence after separation by high-resolution electrophoresis. In the chain termination method, dyes of the invention can be attached to either sequencing primers or dideoxynucleotides. Dyes can be linked to a complementary functionality on the 5′-end of the primer, e.g. following the teaching in Fung et al, U.S. Pat. No. 4,757,141; on the base of a primer; or on the base of a dideoxynucleotide, e.g. via the alkynylamino linking groups disclosed by Hobbs et al, supra. - In each of the above fragment analysis methods labeled polynucleotides are preferably separated by electrophoretic procedures, e.g. Gould and Matthews, cited above; Rickwood and Hames, Eds., Gel Electrophoresis of Nucleic Acids: A Practical Approach, IRL Press Limited, London, 1981; Osterman, Methods of Protein and Nucleic Acid Research, Vol. 1 Springer-Verlag, Berlin, 1984; or U.S. Pat. Nos. 5,374,527, 5,624,800 and/or 5,552,028. Preferably the type of electrophoretic matrix is crosslinked or uncrosslinked polyacrylamide having a concentration (weight to volume) of between about 2-20 weight percent. More preferably, the polyacrylamide concentration is between about 4-8 percent. Preferably in the context of DNA sequencing in particular, the electrophoresis matrix includes a denaturing agent, e.g., urea, formamide, and the like. Detailed procedures for constructing such matrices are given by Maniatis et al., “Fractionation of Low Molecular Weight DNA and RNA in Polyacrylamide Gels Containing 98% Formamide or 7 M Urea,” in Methods in Enzymology, 65: 299-305 (1980); Maniatis et al., “Chain Length Determination of Small Double- and Single-Stranded DNA Molecules by Polyacrylamide Gel Electrophoresis,” Biochemistry, 14: 3787-3794 (1975); Maniatis et al., Molecular Cloning: A Laboratory Manual, Cold Spring Harbor Laboratory, New York, pgs. 179-185 (1982); and ABI PRISM™ 377 DNA Sequencer User's Manual, Rev. A, January 1995, Chapter 2 (p/n 903433, The Perkin-Elmer Corporation, Foster City, Calif.). The optimal electrophoresis conditions, e.g., polymer concentration, pH, temperature, concentration of denaturing agent, employed in a particular separation depends on many factors, including the size range of the nucleic acids to be separated, their base compositions, whether they are single stranded or double stranded, and the nature of the classes for which information is sought by electrophoresis. Accordingly application of the invention may require standard preliminary testing to optimize conditions for particular separations.
- Subsequent to electrophoretic separation, the dye-polynucleotide conjugates are detected by measuring the fluorescence emission from the dye labeled polynucleotides. To perform such detection, the labeled polynucleotides are illuminated by standard means, e.g. high intensity mercury vapor lamps, lasers, or the like. Preferably the illumination means is a laser having an illumination beam at a wavelength above about 600 nm. More preferably, the dye-polynucleotides are illuminated by laser light generated by a He—Ne gas laser or a solid-state diode laser. The fluorescence is then detected by a light-sensitive detector, e.g., a photomultiplier tube, a charged coupled device, or the like. Exemplary electrophoresis detection systems are described elsewhere, e.g., U.S. Pat. Nos. 5,543,026; 5,274,240; 4,879,012; 5,091,652 and 4,811,218.
- The invention will be further clarified by a consideration of the following examples, which are intended to be purely exemplary of the invention and not to in any way limit its scope.
- All chemicals were purchased from Aldrich Chemical Company unless otherwise noted. Martius yellow was purchased from Fluka. Acetone was dried over CaSO4 and distilled. Dichloromethane (CH2Cl2) and nitrobenzene were dried over CaH2 and distilled. Tetrahydrofuran (THF) was dried over lithium aluminum hydride (LAH) and distilled as needed. Triethylamine (Et3N) was dried over sodium and distilled. DMSO (99.9%) and N,N-diisopropylethylamine (99.5%) were dried and stored over activated molecular sieves. Silica gel (220-400 mesh) from VWR was used for normal phase flash chromatography. Reverse phase chromatography was performed on octadecyl functionalized silica gel from Aldrich. Preparative thin layer chromatography (PTLC) was performed on 1 and 2 mm pre-made silica gel plates from EM science (VWR). TLC was performed on aluminum back silica gel 60 plates from EM science (VWR). Developed spots were visualized with both long and short wavelength UV irradiation.
- Absorption spectroscopy was performed on a Hewlett Packard model 8451A UV/Vis diode array spectrophotometer. Fluorescence measurements were made on a Perkin-Elmer LS-50B luminescence spectrophotometer. NMR spectra were determined on a Varian 300 MHz NMR referenced relative to a solvent peak at 7.26 ppm in CD3Cl or 3.31 ppm in CD3OD. HPLC purification of oligomer labeled dye fragments was performed on a Perkin-Elmer Series 200 pump, employing a reverse phase C-18 column, with both UV and fluorescence emission detection. Fluorescence detection was performed by a Perkin-Elmer LC 240 fluorescence detector equipped with a red sensitive PMT, and UV detection was performed with a Model LC 295 UV/Vis detector. Pump and detectors were all interfaced with a Perkin-Elmer Model 1022 computer run in two-channel mode. Buffers were made up fresh from the following concentrated stock: 10×TBE (0.89 M tris-(hydroxymethyl)aminomethane, 0.89 M borate, 0.02 M ethylenediaminetetraacetic acid disodium salt), and 0.1 M TEAA (triethylamine acetate).
- All reactions were run in an oven-dried round bottom flask, under argon atmosphere, and capped with a rubber septum. Anhydrous solvents were manipulated under an argon atmosphere with oven-dried syringes. As used herein, the term “aqueous workup” refers to a purification method comprising the following steps: (i) adding a reaction mixture to a saturated aqueous NH4Cl solution, a 5% HCl solution, or a saturated Na2S2O3 solution, (ii) extracting the solution three times with an organic solvent, e.g., EtOAc, or CH2Cl2, (iii) washing the combined organic layer once with saturated NaCl, (iv) drying the solution with Na2SO4, (v) filtering the drying agent, and (vi) removing the solvent in vacuo. 3-Methoxy-1-
hydroxynapthalene 1 was synthesized from 1,3-dihydroxynapthalene by the method of K. H. Bell and L. F. McCaffery (Aust. J. Chem. 46: 731 (1993)). 1-Amino-3-methoxynapthalene 18 was synthesized according the procedure of G. T. Morgan and E. D. Evans (J. Chem. Soc. 115: 1126 (1919)). - 3-methoxy-1-hydroxy napthalene 1 (1 gm) was suspended in dry CH2Cl2 (30 mL). Dry triethylamine (1.2 equivalents) was added and the reaction was cooled to −5° C. Trifluoromethanesulfonic anhydride (1.1 equivalents) suspended in CH2Cl2 (15 mL) was added dropwise with vigorous stirring over a period of 2 hours. The reaction was allowed to come to room temperature and subjected to aqueous work up using 5% HCl and CH2Cl2. The resulting crude 3-methoxynapthalene-1-
triflate 2 was purified by normal phase flash chromatography employing an EtOAc/Hexane (1:10) mobile phase. - The purified 3-methoxynapthalene-1-
triflate 2 was converted to the 1-diethylamino-3-methoxynapthalene 3 using the palladium-catalyzed triflate/amine coupling procedure of Wolfe as follows (J. P. Wolfe and S. L. Buchwald, JOC, 61: 1133 (1996)). The 3-methoxy-napthalene-1-triflate 2 (1 gram) was suspended in 100 mL of dry toluene with 0.015 equivalents of (S)-(−)-2,2′-bis(diphenylphosphino)-1,1′-binapthyl (BINAP), 0.005 equivalents of tris(dibenzylideneacetone)dipalladium (Pd2(dba)3), and 3 equivalents of dry diethyl amine. The reaction was purged with argon, and 3.3 equivalents of solid sodium t-butoxide was added with stirring. The reaction was then heated, and stirred for 16 hours at 80° C. in an oil bath. The reaction was allowed to come to room temperature and subjected to aqueous work up using 5% HCl and CH2Cl2 resulting in a crude 1-diethylamino-3-methoxynapthalene 3, which was purified by normal phase flash chromatography employing EtOAc:hexane (1:49) as the mobile phase (1HNMR: CD3Cl d 8.20 (broad d, 1H, J=9 Hz), 7.72 (broad d, 1H, J=7.8 Hz), 7.43 (dt, 1H, J=7.2, 1.2 Hz), 7.34 (dt, 1H, J=7.7, 1.2 Hz), 6.88 (d, 1H, J=2.4 Hz),), 6.82 (d, 1H, J=2.4 Hz), 3.93 (s, 3H), 3.21 (q, 4H, J=7.2 Hz), 1.08 (t, 6H, J=7.2 Hz)). - Next, the methyl group of the 1-diethyl-amino-3-methoxy-
napthalene 3 was removed by boron tribromide deprotection as follows. The 1-amino-3-methoxy-napthalene (100 mg) was suspended in dry CH2Cl2 (5 mL) and the mixture was cooled to −70° C. in a dry ice/acetone bath. Boron tribromide (10 equivalents) was added dropwise and the reaction was stirred for 30 minutes, then placed in a refrigerator (0° C.) overnight. The reaction was quenched at −70° C. by careful addition of MeOH (10 mL). Solid NaHCO3 (30 equivalents) was added and the reaction was warmed to room temperature, then briefly heated to reflux. The mixture was cooled and filtered, the filtrate was acidified with AcOH, and the solvent was removed in vacuo to give the crude 1-diethylamino-3-hydroxynapthalene 4, which was purified by normal phase flash chromatography employing EtOAc:hexane (1:4) as the mobile phase. - The 3-methoxynapthalene-1-
triflate 2 was derivatized with aniline according to the palladium catalyzed triflate/amine coupling reaction described above in Example 1 to give the 1-anilino-3-methoxynapthalene 5. - The 1-anilino-3-
methoxynapthalene 5 was acetylated by an amino group acetylation procedure as follows. The 1-amino-3-methoxynapthalene 5 (500 mg) and 1.2 equivalents of dry Et3N were suspended in 10 mL of dry CH2Cl2 and cooled to −5° C. using an ice/NaCl bath. 1.1 equivalent of 2-bromo-2-methylpropionylchloride was added dropwise and the reaction was stirred for 1 hour at −5° C. and stirred at room temperature for an additional 1 hour. The reaction was allowed to come to room temperature and subjected to aqueous work up using 5% HCl and EtOAc resulting in the crude intermediate 1-(bromoalkyl)amido-3-methoxy-napthalene 6, which was purified by normal phase flash chromatography employing EtOAc:hexane (1:9) as the mobile phase. - The 1-(bromoalkyl)amido-3-methoxy-
napthalene 6 was cyclized using an AlCl3 catalyzed Friedel-Crafts cyclization procedure as follows. 1 to 3 equivalents of AlCl3 in nitrobenzene was added to the 1-(bromoalkyl)amido-3-hydroxy-napthalene 6. The reaction was heated to 130° C. and reacted for 1 hour. Aqueous work-up using NH4Cl and EtOAc gave the crude N-phenyl-benzoindolinone intermediate 7, which was purified by normal phase flash chromatography employing EtOAc:hexane (1:4) as the mobile phase. The amide carbonyl group of the N-phenyl-benzoindoline intermediate 7 was then reduced with LAH to give compound 8 (1HNMR: CD3Cl d 7.71 (d, 1H, J=7.8 Hz), 7.32 (m, 2H), 7.24 (m, 2H), 7.07 (bt, 1H, J=6.6 Hz), 6.96 (m, 3H), 6.84 (s, 1H), 3.97 (s, 3H), 3.92 (s, 2H), 1.44 (s, 6H). - Methoxy group deprotection of
compound 8 was effected using the boron tribromide deprotection procedure described in Example 1, resulting in the N-phenyl-3,3-dimethyl-hydroxy-benzoindoline 9. -
Compound 10 was synthesized by condensation of methoxy-napthaldehyde and malonic acid employing piperidine catalysis in pyridine.Compound 10 was reduced with hydrogen over 10% Pd/carbon, followed by LAH reduction, and reacted as outlined for the synthesis ofcompound 2 above with trifluoromethanesulfonic anhydride to give thetriflate 11.Triflate 11 was then reacted with NaN3 (3 equiv.) in DMF at 100° C. for 6 hours. Then, the reaction was allowed to come to room temperature and subjected to aqueous work up using pure water and EtOAc resulting inpure compound 12.Compound 12 was suspended in dry CH2Cl2, complexed with 3 to 5 equivalents of solid AlCl3, and refluxed for 2hours yielding compound 13. -
Compound 13 was alkylated with MeI according to a general amino group alkylation procedure as follows. The 3-methoxybenzoquinoline derivative (100 mg) 13 was suspended in 5 mL of dry THF and cooled to −5° C. (ice/NaCl). 1.1 equivalents of n-butyl lithium (1 M) was added dropwise, and the reaction was stirred for 1 hour. 3 equivalents of the MeI alkylating agent was added slowly and the reaction was allowed to stir at room temperature for 2 hours. Aqueous work-up using NH4Cl and EtOAc gave a crude alkylated 3-methoxybenzoquinoline intermediate 14.Intermediate 14 was then purified by normal phase flash chromatography employing EtOAc:hexane (1:19) as the mobile phase (1HNMR: CD3Cl d 8.1 (broad d, 1H, J=8.1 Hz), 7.68 (dd, 1 H, J=8.1, 1.8 Hz), 7.34 (m, 2H), 6.8 (s, 1H), 3.92 (s, 3H), 3.21 (m, 2H), 2.94 (s, 3H), 2.77 (t, 2H, J=6.6 Hz), 1.92 (m, 2H)). Subsequent methoxy group deprotection by the general boron tribromide procedure described above in Example 1 resulted in the N-methyl-hydroxybenzoquinoline derivative 15. -
Compound 13 was synthesized according to the procedure outlined above in Example 3 for the synthesis of the N-methyl-hydroxybenzoquinoline derivative 15.Compound 13 was then alkylated according to the general amino group alkylation procedure described above in Example 3, this time using 1,3-propane sultone as the alkylating agent rather than MeI, to give a 5-methoxybenzoquinoline-N-propanesulfonic acid intermediate 16 (1HNMR: CD3OD d 7.94 (d, 1H, J=8.7 Hz), 7.65 (d, 1H, J=8.4 Hz), 7.32 (t, 1H), 7.27 (t, 1H), 6.85 (s, 1H), 4.89 (s, 3H), 3.20 (m, 2H), 3.08 (bt, 2H, J=6 Hz), 2.91 (m, 2H), 2.72 (t, 2H, J=6.6 Hz), 2.33 (m, 2H), 1.89 (m, 2H). Subsequent methoxy group deprotection ofcompound 16 by the general boron tribromide procedure described above in Example 1 resulted in the 3-(5-hydroxybenzoquinolin-1-yl)propanesulfonic acid 17. - Following the procedure of A. Rosowsky and E. J. Modest (J.O.C., 30: 1832 (1965)), 1-amino-3-methoxynapthalene 18 (1 gm) was dissolved in dry acetone (50 mL), and 0.01 equivalent of iodine was added to the solution. The reaction was heated and stirred for 16 hours, cooled, and then quenched with saturated Na2S2O3. The reaction mixture was then subjected to aqueous work up using saturated Na2S2O3 and EtOAc resulting in the
crude methoxybenzoquinoline 19. Themethoxybenzoquinoline 19 was purified by flash chromatography using an EtOAc/hexane 1:9 mobile phase.Compound 19 was then alkylated with MeI according to the general amino group alkylation procedure described above in Example 3 to givecompound 20.Compound 20 was reduced with H2 in a Parr hydrogenator at 70 psi and 10% Pd/C catalysis to give a N-methyl-2,2,4-trimethyl-5-methoxybenzoquinoline intermediate 21 (1HNMR: CD3Cl d 8.20 (bd, 1H, J=7.5 Hz), 7.65 (bd, 1H, J=7.5 Hz), 7.33 (m, 2H), 6.89 (s, 1H), 3.94 (s, 3H), 3.14 (b sextet, 1H, J=6.6 Hz), 2.80 (3, 3H), 1.89 (d, 2H, J=8.7), 1.42 (d, 3H, J=6.9 Hz), 1.34 (s, 3H), 1.05 (s, 3H). Subsequent methoxy group deprotection ofcompound 21 by the general boron tribromide procedure described above in Example 1 gave the N-methyl-5-hydroxy-(tetrahydro)benzoquinoline 22. - 1-Amino-3-
methoxynapthalene 18 was acetylated with 2-bromo-2-methylpropionyl chloride according to the general amino group acylation procedure described above in Example 2 to givecompound 23.Compound 23 was cyclized by the Friedel-Crafts cyclization procedure described above in Example 2 to givecompound 24. Next,compound 24 was reduced with 3 equivalents LAH in THF to give the 4-methoxybenzoindoline 25.Compound 25 was alkylated using the general amino group alkylation procedure described above in Example 3 using methyl iodide as the alkylating agent to give a N-methyl-3,3-dimethyl-4-methoxybenzoindoline intermediate 26 (1HNMR: CD3Cl d 8.07 (bd, 1H, J=8.4 Hz), 7.69 (bd, 1H, J=8.1 Hz), 7.33 (bt, 1H, J=7.8 Hz), 7.22 (bt, 1H, J=8.1 Hz), 6.70 (s, 1H), 3.92 (s, 3H), 3.32 (s, 2H), 3.32 (s, 3H), 1.44 (s, 6H). Subsequent methoxy group deprotection ofcompound 26 by the general boron tribromide procedure described in Example 1 resulted in the N-methyl-3,3-dimethyl-4-hydroxy-benzoindoline 27. - The 4-
methoxybenzoindoline 25 was synthesized as described above in Example 6.Compound 25 was alkylated by the general amino group alkylation procedure described in Example 3 employing ethyl iodide as the alkylating agent to give the N-ethyl-3,3-dimethyl-4-methoxybenzoindoline intermediate 28 (1HNMR: CD3Cl d 7.90 (d, 1H, J=8.7 Hz), 7.68 (d, 1H, J=8.1 Hz), 7.32 (bt, 1H, J=7.5 Hz), 7.22 (bt, 1H, J=6.9 Hz), 6.69 (s, 1H), 3.83 (s, 3H), 3.52 (q, 2H J=7.5 Hz), 3.38 (s, 2H), 1.46 (s, 6H), 1.27 (t, 3H, J=7.5 Hz). Subsequent methoxy group deprotection ofcompound 28 by the general boron tribromide procedure described in Example 1 yielded the N-ethyl-3,3-dimethyl-4-hydroxy-benzoindoline 29. - General Procedure A (
FIG. 5 ). A solidphthalic anhydride derivative 34 was mixed with 1.4 equivalents of an aminohydroxy intermediate 31 and 2.8 equivalents of ZnCl2. The oven dried reaction vessel was capped with a rubber septa and purged with Argon. The solid mixture was heated briefly at 130° C. until melting was observed, e.g., after approximately 15 minutes. 1,2-Dichlorobenzene (approximately 10 equivalents) was added by syringe to the reaction mixture, and the heterogeneous mixture was heated to 130° C. to 170° C. for 4 hours. The crude reaction mixture was cooled, suspended in a minimal amount of MeOH: CH2Cl2 (1:19), loaded directly onto a normal phase flash chromatography column, and the crude dye was eluted with an MeOH: CH2Cl2 (1:19) mobile phase. When necessary, the dye was purified and separated into 35 and 36 by PTLC developed with MeOH: CH2Cl2 (1:9). The isomerically pure dye, which migrated as a single spot on silica TLC eluting with 1:9 MeOH:CH2Cl2, was identified by its UV/Visible absorption spectra and its long wavelength fluorescent excitation and emission spectra.distinct isomers - General Procedure B (
FIG. 6 ). In the general procedure outlined inFIG. 6 , a solid phthalic anhydride derivative 34 (100 mg) was placed in a round bottom flask capped with a rubber septa and purged with dry argon. Dry nitrobenzene (2 mL) was added and heated to dissolve the anhydride. The mixture was cooled to room temperature and 3 to 6 equivalents of anhydrous AlCl3 was added with stirring to dissolve the solid. Subsequently, 1 equivalent of a 1-amino-3-methoxynapthalene intermediate 31 was added with stirring and the reaction was heated to 130° C. for 1 hour. The reaction was then cooled and suspended in EtOAc. The organic layer was washed with saturated NH4Cl and brine, dried over Na2SO4, filtered, and the solvent was removed in vacuo. When necessary, the resulting ketone intermediate 37/38 was purified and separated into 37 and 38 using normal phase flash chromatography using (MeOH: CH2Cl2, 1:19) as the mobile phase, or by recrystallization. The methoxy group of the isomerically pure intermediate 37 or 38 was removed according to the general boron tribromide deprotection procedure described in Example 1 to give amino-distinct isomers hydroxynapthalene ketone 39. The amino-hydroxynapthalene ketone 39 (100 mg) was then reacted at 130° C. with 1 equivalent of a 1-amino-3-napthalene intermediate 32 in dry 1,2-dichlorobenzene (2 mL) for 2 hours. The reaction was cooled, giving isomerically pure and asymmetrically substitutedproduct 40 that was purified as in General Procedure A above. - Synthesis of Dibenzorhodamine Dye 41 (
FIG. 7 ). General procedure A was followed employing dichlorotrimellitic anhydride as the phthalic anhydride derivative, i.e.,compound 34 where the substituents at C-14 and C-17 are Cl and the substituent at C-15 is CO2H, and 1-diethylamino-3-hydroxynapthalene 4 as the aminohydroxy intermediate 31. - Synthesis of Dibenzorhodamine Dye 42 (
FIG. 7 ). General procedure A was followed employing dichlorotrimellitic anhydride as the phthalic anhydride derivative, i.e.,compound 34 where the substituents at C-14 and C-17 are Cl and the substituent at C-15 is CO2H, and N-methyl-5-hydroxy-benzoquinoline 15 as the aminohydroxy intermediate 31. - Synthesis of Dibenzorhodamine Dye 43 (
FIG. 7 ). General procedure A was followed employing dichlorotrimellitic anhydride as the phthalic anhydride derivative, i.e.,compound 34 where the substituents at C-14 and C-17 are Cl and the substituent at C-15 is CO2H, and 5-hydroxy-benzoquinoline 17 as the aminohydroxy intermediate 31. - Synthesis of Dibenzorhodamine Dye 44 (
FIG. 7 ). General procedure A was followed employing dichlorotrimellitic anhydride as the phthalic anhydride derivative, i.e.,compound 34 where the substituents at C-14 and C-17 are Cl and the substituent at C-15 is CO2H, the N-methyl-2,2,4-trimethyl-5-hydroxy-benzoquinoline 22 as the aminohydroxy intermediate 31. - Synthesis of Dibenzorhodamine Dye 45 (
FIG. 7 ). General procedure A was followed employing dichlorotrimellitic anhydride as the phthalic anhydride derivative, i.e.,compound 34 where the substituents at C-14 and C-17 are Cl and the substituent at C-15 is CO2H, and N-methyl-3,3-dimethyl-4-hydroxy-benzoindoline 27 as the aminohydroxy intermediate 31. - Synthesis of Dibenzorhodamine Dye 46 (
FIG. 7 ). General procedure A was followed employing tetrafluorophthalic anhydride as the phthalic anhydride derivative, i.e.,compound 34 where the substituents at C-14 to C-17 are F, and N-ethyl-3,3-dimethyl-4-hydroxy-benzoindoline 29 as the aminohydroxy intermediate 31. - Synthesis of Dibenzorhodamine Dye 47 (
FIG. 7 ). General procedure A was followed employing dichlorotrimellitic anhydride as the phthalic anhydride derivative, i.e.,compound 34 where the substituents at C-14 and C-17 are Cl and the substituent at C-15 is CO2H, and N-phenyl-3,3-dimethyl-4-hydroxy-benzoindoline 9 as the aminohydroxy intermediate 31. - The following table presents important spectral properties of several representative dibenzorhodamine dye compounds of the invention. All spectra were recorded at room temperature, in 1×TBE buffer and 8 M urea, for the free dye having 0.05 absorption at the dye's λmax, abs. Dye concentration was approximately 10−6 M.
-
Absorption Emission Full Width at Dye Maximum (nm) Maximum (nm) Half Max (nm) 41 585 614 59 42 609 634 42 43 597 637 47 44 598 640 50 45 639 650 31 46 639 652 33 47 632 676 66 - All publications, patents, and patent applications referred to herein are hereby incorporated by reference to the same extent as if each individual publication, patent or patent application was specifically and individually indicated to be incorporated by reference.
- Although only a few embodiments have been described in detail above, those having ordinary skill in the chemical arts will clearly understand that many modifications are possible in these embodiments without departing from the teachings thereof. All such modifications are intended to be encompassed within the scope following claims.
Claims (22)
1-105. (canceled)
106. A method of identifying polynucleotide classes comprising the steps of:
providing multiple classes of polynucleotides distributed among locations in an array;
wherein a first class of polynucleotide comprises a dibenzorhodamine dye having a structure of the formula:
including nitrogen- and aryl-substituted forms thereof;
and further wherein other classes of polynucleotides are labeled with dyes configured to be spectrally resolvable from the dibenzorhodamine dye of the first class of polynucleotide and from each other;
illuminating the array with an illumination beam configured to cause the dyes to fluoresce; and
identifying the classes of the polynucleotides in the array by the fluorescence spectrum of the dyes.
107. The method of claim 106 wherein the dibenzorhodamine dye comprises a first bridging group which when taken together with the C-12-bonded nitrogen and the C-12 and C-13 carbons forms a first ring structure having from 4 to 7 members; and/or
a second bridging group which when taken together with the C-2-bonded-nitrogen and the C-1 and C-2 carbons forms a second ring structure having from 4 to 7 members.
108. The method of claim 107 wherein one or both of the first and second ring structures has five members.
109. The method of claim 108 wherein the five membered ring structure includes one gem disubstituted carbon.
110. The method of claim 109 wherein the gem substituents are lower alkyl.
111. The method of claim 110 wherein the gem substituents are methyl.
112. The method of claim 108 wherein the five membered ring is not aromatic.
113. The method of claim 107 wherein the first and second ring structures are the same.
114. The method of claim 107 wherein the first and second ring structures are different.
115. The method of claim 106 wherein the dibenzorhodamine dye comprising one or more nitrogen substituents selected from the group consisting of lower alkyl, lower alkene, lower alkyne, phenyl, aromatic, electron-rich heterocycle, polycyclic aromatic, water-solubilizing group, linking group, including substituted forms thereof.
116. The method of claim 115 wherein the nitrogen substituents are selected from the group consisting of lower alkyl, phenyl, and substituted forms thereof.
117. The method of claim 115 wherein the nitrogen substituents are selected from the group consisting of substituted lower alkyl and substituted phenyl, wherein the substituent is linking group or sulfonate.
118. The method of claim 115 wherein the linking group is isothiocyanate, sulfonyl chloride, 4, 6, dichlorotriazinyl, succinimidyl ester, maleimide, haloacetyl or iodoacetamide.
119. The method of claim 115 wherein the linking group is carboxylate.
120. The method of claim 115 wherein the nitrogen substituents are water-solubilizing group.
121. The method of claim 115 wherein the water-solubilizing group is selected from the group consisting of sulfonate, phosphate, quaternary amine, sulfate, polyhydroxyl, and water-soluble polymer.
122. The method of claim 106 wherein the dibenzorhodamine dye and the polynucleotide are connected by a linkage at a position on the polynucleotide selected from the 8-position of a purine nucleobase, the 7- or 8-position of a deazapurine nucleobase, the 5-position of a pyrimidine nucleus, the 5′ terminus, the 3′ terminus, and the phosphodiester backbone.
123. The method of claim 122 wherein the linkage is attached to the linking group substituent of the dibenzorhodamine dye.
124. The method of claim 122 wherein the linkage is an acetylenic amido or alkenic amido linkage.
125. The method of claim 124 wherein the linkage has a structure of one of the following formulae:
wherein NUC is a nucleobase of the polynucleotide; D is the dibenzorhodamine dye; R3 is H or C1-C8 alkyl; and
X is a moiety having a structure of one of the following formulae:
126. The method of claim 106 wherein the dibenzorhodamine dye has a structure of the following formula:
including aryl-substituted forms thereof;
wherein R1 and R2 are independently selected from lower alkyl, lower alkene, lower alkyne, phenyl, aromatic, electron-rich heterocycle, polycyclic aromatic, water-solubilizing group, linking group, including substituted forms thereof; and
the dibenzorhodamine dye is covalently attached to the polynucleotide by a linkage connected to a linking group substituent of R1 or R2.
Priority Applications (1)
| Application Number | Priority Date | Filing Date | Title |
|---|---|---|---|
| US12/899,508 US20110124510A1 (en) | 1997-11-25 | 2010-10-06 | Methods of labeling polynucleotide with dibenzorhodamine dyes |
Applications Claiming Priority (10)
| Application Number | Priority Date | Filing Date | Title |
|---|---|---|---|
| US08/978,775 US5936087A (en) | 1997-11-25 | 1997-11-25 | Dibenzorhodamine dyes |
| US09/199,402 US6111116A (en) | 1997-11-25 | 1998-11-24 | Dibenzorhodamine dyes |
| US09/556,040 US6221606B1 (en) | 1997-11-25 | 2000-04-20 | Dibenzorhodamine dyes |
| US09/784,943 US6326153B2 (en) | 1997-11-25 | 2001-02-14 | Polynucleotides labeled with dibenzorhodamine dyes |
| US09/969,430 US6566071B2 (en) | 1997-11-25 | 2001-10-02 | Methods of labelling polynucleotides with dibenzorhodamine dyes |
| US10/441,950 US6919445B2 (en) | 1997-11-25 | 2003-05-20 | Methods of labelling polynucleotides with dibenzorhodamine dyes |
| US11/177,233 US20060051791A1 (en) | 1997-11-25 | 2005-07-07 | Methods of labelling polynucleotides with dibenzorhodamine dyes |
| US11/466,085 US20070099210A1 (en) | 1997-11-25 | 2006-08-21 | Methods of Labelling Polynucleotides with Dibenzorhodamine Dyes |
| US12/169,624 US7833756B2 (en) | 1997-11-25 | 2008-07-08 | Methods of labelling polynucleotides with dibenzorhodamine dyes |
| US12/899,508 US20110124510A1 (en) | 1997-11-25 | 2010-10-06 | Methods of labeling polynucleotide with dibenzorhodamine dyes |
Related Parent Applications (1)
| Application Number | Title | Priority Date | Filing Date |
|---|---|---|---|
| US12/169,624 Continuation US7833756B2 (en) | 1997-11-25 | 2008-07-08 | Methods of labelling polynucleotides with dibenzorhodamine dyes |
Publications (1)
| Publication Number | Publication Date |
|---|---|
| US20110124510A1 true US20110124510A1 (en) | 2011-05-26 |
Family
ID=25526378
Family Applications (11)
| Application Number | Title | Priority Date | Filing Date |
|---|---|---|---|
| US08/978,775 Expired - Lifetime US5936087A (en) | 1997-11-25 | 1997-11-25 | Dibenzorhodamine dyes |
| US09/193,374 Expired - Lifetime US6051719A (en) | 1997-11-25 | 1998-11-17 | Dibenzorhodamine dyes |
| US09/199,402 Expired - Lifetime US6111116A (en) | 1997-11-25 | 1998-11-24 | Dibenzorhodamine dyes |
| US09/556,040 Expired - Lifetime US6221606B1 (en) | 1997-11-25 | 2000-04-20 | Dibenzorhodamine dyes |
| US09/784,943 Expired - Lifetime US6326153B2 (en) | 1997-11-25 | 2001-02-14 | Polynucleotides labeled with dibenzorhodamine dyes |
| US09/969,430 Expired - Lifetime US6566071B2 (en) | 1997-11-25 | 2001-10-02 | Methods of labelling polynucleotides with dibenzorhodamine dyes |
| US10/441,950 Expired - Fee Related US6919445B2 (en) | 1997-11-25 | 2003-05-20 | Methods of labelling polynucleotides with dibenzorhodamine dyes |
| US11/177,233 Abandoned US20060051791A1 (en) | 1997-11-25 | 2005-07-07 | Methods of labelling polynucleotides with dibenzorhodamine dyes |
| US11/466,085 Abandoned US20070099210A1 (en) | 1997-11-25 | 2006-08-21 | Methods of Labelling Polynucleotides with Dibenzorhodamine Dyes |
| US12/169,624 Expired - Fee Related US7833756B2 (en) | 1997-11-25 | 2008-07-08 | Methods of labelling polynucleotides with dibenzorhodamine dyes |
| US12/899,508 Abandoned US20110124510A1 (en) | 1997-11-25 | 2010-10-06 | Methods of labeling polynucleotide with dibenzorhodamine dyes |
Family Applications Before (10)
| Application Number | Title | Priority Date | Filing Date |
|---|---|---|---|
| US08/978,775 Expired - Lifetime US5936087A (en) | 1997-11-25 | 1997-11-25 | Dibenzorhodamine dyes |
| US09/193,374 Expired - Lifetime US6051719A (en) | 1997-11-25 | 1998-11-17 | Dibenzorhodamine dyes |
| US09/199,402 Expired - Lifetime US6111116A (en) | 1997-11-25 | 1998-11-24 | Dibenzorhodamine dyes |
| US09/556,040 Expired - Lifetime US6221606B1 (en) | 1997-11-25 | 2000-04-20 | Dibenzorhodamine dyes |
| US09/784,943 Expired - Lifetime US6326153B2 (en) | 1997-11-25 | 2001-02-14 | Polynucleotides labeled with dibenzorhodamine dyes |
| US09/969,430 Expired - Lifetime US6566071B2 (en) | 1997-11-25 | 2001-10-02 | Methods of labelling polynucleotides with dibenzorhodamine dyes |
| US10/441,950 Expired - Fee Related US6919445B2 (en) | 1997-11-25 | 2003-05-20 | Methods of labelling polynucleotides with dibenzorhodamine dyes |
| US11/177,233 Abandoned US20060051791A1 (en) | 1997-11-25 | 2005-07-07 | Methods of labelling polynucleotides with dibenzorhodamine dyes |
| US11/466,085 Abandoned US20070099210A1 (en) | 1997-11-25 | 2006-08-21 | Methods of Labelling Polynucleotides with Dibenzorhodamine Dyes |
| US12/169,624 Expired - Fee Related US7833756B2 (en) | 1997-11-25 | 2008-07-08 | Methods of labelling polynucleotides with dibenzorhodamine dyes |
Country Status (6)
| Country | Link |
|---|---|
| US (11) | US5936087A (en) |
| EP (4) | EP1034221B1 (en) |
| JP (3) | JP4038017B2 (en) |
| AU (1) | AU742571B2 (en) |
| CA (1) | CA2311476C (en) |
| WO (1) | WO1999027020A1 (en) |
Cited By (1)
| Publication number | Priority date | Publication date | Assignee | Title |
|---|---|---|---|---|
| USRE49362E1 (en) | 2006-05-18 | 2023-01-10 | Illumina Cambridge Limited | Dye compounds and the use of their labelled conjugates |
Families Citing this family (146)
| Publication number | Priority date | Publication date | Assignee | Title |
|---|---|---|---|---|
| US6080852A (en) | 1996-06-27 | 2000-06-27 | The Perkin-Elmer Corporation | 4,7-dichlororhodamine dyes |
| US7550570B2 (en) | 2000-05-25 | 2009-06-23 | Applied Biosystems, Llc. | 4,7-dichlororhodamine dyes labeled polynucleotides |
| US6403311B1 (en) * | 1997-02-12 | 2002-06-11 | Us Genomics | Methods of analyzing polymers using ordered label strategies |
| WO1998035012A2 (en) * | 1997-02-12 | 1998-08-13 | Chan Eugene Y | Methods and products for analyzing polymers |
| US6583168B1 (en) * | 1997-11-25 | 2003-06-24 | Applera Corporation | Sulfonated diarylrhodamine dyes |
| US5936087A (en) * | 1997-11-25 | 1999-08-10 | The Perkin-Elmer Corporation | Dibenzorhodamine dyes |
| EP1141404A1 (en) * | 1998-12-24 | 2001-10-10 | Aclara BioSciences, Inc. | Individually addressable solid surfaces for multiplexed operations |
| ATE233795T1 (en) | 1999-04-23 | 2003-03-15 | Molecular Probes Inc | XANTHENE DYES AND THEIR APPLICATION AS LUMINESCENCE-CANCELING COMPOUNDS |
| US6248884B1 (en) | 1999-06-03 | 2001-06-19 | The Perkin-Elmer Corporation | Extended rhodamine compounds useful as fluorescent labels |
| US6372907B1 (en) * | 1999-11-03 | 2002-04-16 | Apptera Corporation | Water-soluble rhodamine dye peptide conjugates |
| US6191278B1 (en) | 1999-11-03 | 2001-02-20 | Pe Corporation | Water-soluble rhodamine dyes and conjugates thereof |
| US6436641B1 (en) * | 2000-04-17 | 2002-08-20 | Visible Genetics Inc. | Method and apparatus for DNA sequencing |
| US6465644B1 (en) * | 2000-05-02 | 2002-10-15 | Applera Corporation | Sulfonated [8,9] benzophenoxazine dyes and the use of their labelled conjugates |
| US6887664B2 (en) | 2000-06-06 | 2005-05-03 | Applera Corporation | Asynchronous primed PCR |
| US7169922B2 (en) * | 2000-08-04 | 2007-01-30 | Invitrogen Corporation | Derivatives of 1,2-dihydro-7-hydroxyquinolines containing fused rings |
| WO2002012195A1 (en) | 2000-08-04 | 2002-02-14 | Molecular Probes, Inc. | Derivatives of 1,2-dihydro-7-hydroxyquinolines containing fused rings |
| EP1337541B1 (en) | 2000-10-06 | 2007-03-07 | The Trustees of Columbia University in the City of New York | Massive parallel method for decoding DNA and RNA |
| CA2425663C (en) * | 2000-10-11 | 2009-12-29 | Applera Corporation | Fluorescent nucleobase conjugates having anionic linkers |
| WO2002044425A2 (en) * | 2000-12-01 | 2002-06-06 | Visigen Biotechnologies, Inc. | Enzymatic nucleic acid synthesis: compositions and methods for altering monomer incorporation fidelity |
| US7579463B2 (en) | 2000-12-20 | 2009-08-25 | Life Technologies Corporation | Crown ether derivatives |
| US7129346B2 (en) * | 2000-12-20 | 2006-10-31 | Molecular Probes, Inc. | Crown ether derivatives |
| US6962992B2 (en) | 2000-12-20 | 2005-11-08 | Molecullar Probes, Inc. | Crown ether derivatives |
| CA2439750A1 (en) * | 2001-03-09 | 2002-09-19 | Boston Probes, Inc. | Methods, kits and compositions pertaining to combination oligomers and libraries for their preparation |
| US6979530B2 (en) * | 2001-05-21 | 2005-12-27 | Applera Corporation | Peptide conjugates and fluorescence detection methods for intracellular caspase assay |
| US6887690B2 (en) * | 2001-06-22 | 2005-05-03 | Pe Corporation | Dye-labeled ribonucleotide triphosphates |
| US6764710B2 (en) | 2001-07-18 | 2004-07-20 | Scimed Life Systems, Inc. | Light emitting markers for use with substrates |
| US7052512B2 (en) * | 2001-07-18 | 2006-05-30 | Boston Scientific Scimed, Inc. | Fluorescent dyed lubricant for medical devices |
| US6856390B2 (en) | 2001-07-25 | 2005-02-15 | Applera Corporation | Time-delay integration in electrophoretic detection systems |
| US20050032060A1 (en) * | 2001-08-31 | 2005-02-10 | Shishir Shah | Arrays comprising pre-labeled biological molecules and methods for making and using these arrays |
| WO2003091426A1 (en) | 2001-10-12 | 2003-11-06 | Spectral Genomics, Inc. | Compilations of nucleic acids and arrays and methods of using them |
| US7439346B2 (en) * | 2001-10-12 | 2008-10-21 | Perkinelmer Las Inc. | Nucleic acids arrays and methods of use therefor |
| US20030165935A1 (en) | 2001-11-21 | 2003-09-04 | Vann Charles S. | Digital assay |
| US6686065B2 (en) | 2001-12-12 | 2004-02-03 | Canon Kabushiki Kaisha | [5]-helicene and dibenzofluorene materials for use in organic light emitting devices |
| US6916621B2 (en) * | 2002-03-27 | 2005-07-12 | Spectral Genomics, Inc. | Methods for array-based comparitive binding assays |
| JP2005523707A (en) * | 2002-04-23 | 2005-08-11 | ユー.エス. ジェノミクス, インコーポレイテッド | Compositions and methods for two-arm nucleic acid probes |
| AU2003299466A1 (en) * | 2002-05-03 | 2004-06-07 | Molecular Probes, Inc. | Compositions and methods for detection and isolation of phosphorylated molecules |
| US20040171034A1 (en) * | 2002-05-03 | 2004-09-02 | Brian Agnew | Compositions and methods for detection and isolation of phosphorylated molecules |
| US7445894B2 (en) * | 2002-05-03 | 2008-11-04 | Molecular Probes, Inc. | Compositions and methods for detection and isolation of phosphorylated molecules |
| AU2003251986A1 (en) * | 2002-07-17 | 2004-02-02 | U.S.Genomics, Inc. | Methods and compositions for analyzing polymers using chimeric tags |
| US7582260B2 (en) | 2002-07-18 | 2009-09-01 | Montana State University | Zwitterionic dyes for labeling in proteomic and other biological analyses |
| CA2493104A1 (en) * | 2002-07-18 | 2004-01-29 | Montana State University | Novel zwitterionic fluorescent dyes for labeling in proteomic and other biological analysis |
| AU2003273298B2 (en) * | 2002-09-08 | 2008-03-06 | Applera Corporation | Methods, compositions and libraries pertaining PNA dimer and PNA oligomer synthesis |
| US20050250214A1 (en) * | 2004-05-05 | 2005-11-10 | Gee Kyle R | Zinc binding compounds and their method of use |
| US8445702B2 (en) * | 2003-05-05 | 2013-05-21 | Life Technologies Corporation | Zinc binding compounds and their method of use |
| EP1627025B1 (en) * | 2003-05-09 | 2016-10-12 | Applied Biosystems, LLC | Fluorescent polymeric materials containing lipid soluble rhodamine dyes |
| US7491830B2 (en) * | 2003-05-09 | 2009-02-17 | Applied Biosystems Inc. | Phenyl xanthene dyes |
| CA2445420A1 (en) * | 2003-07-29 | 2005-01-29 | Invitrogen Corporation | Kinase and phosphatase assays |
| US7727752B2 (en) * | 2003-07-29 | 2010-06-01 | Life Technologies Corporation | Kinase and phosphatase assays |
| US7619059B2 (en) * | 2003-07-29 | 2009-11-17 | Life Technologies Corporation | Bimolecular optical probes |
| US7271265B2 (en) * | 2003-08-11 | 2007-09-18 | Invitrogen Corporation | Cyanine compounds and their application as quenching compounds |
| EP2224243A1 (en) * | 2003-09-12 | 2010-09-01 | Life Technologies Corporation | Identifying modulators of enzymatic activity |
| US20060029948A1 (en) * | 2003-09-19 | 2006-02-09 | Gary Lim | Sealing cover and dye compatibility selection |
| US7417726B2 (en) * | 2003-09-19 | 2008-08-26 | Applied Biosystems Inc. | Normalization of data using controls |
| US7570443B2 (en) | 2003-09-19 | 2009-08-04 | Applied Biosystems, Llc | Optical camera alignment |
| US7431915B2 (en) | 2003-10-31 | 2008-10-07 | The Regents Of The University Of California | Peptides whose uptake by cells is controllable |
| US20050214807A1 (en) * | 2003-11-19 | 2005-09-29 | Iain Johnson | Environmental sensitive fluorogenic compounds and their application for singlet oxygen and protein detection |
| DK1538154T3 (en) * | 2003-11-20 | 2009-03-02 | Exiqon As | Quencher compositions containing anthraquinone units |
| US7776529B2 (en) | 2003-12-05 | 2010-08-17 | Life Technologies Corporation | Methine-substituted cyanine dye compounds |
| EP1720944B1 (en) * | 2003-12-05 | 2013-07-17 | Life Technologies Corporation | Cyanine dye compounds |
| JP4127204B2 (en) * | 2003-12-17 | 2008-07-30 | セイコーエプソン株式会社 | Manufacturing method of liquid crystal display device |
| US8029765B2 (en) * | 2003-12-24 | 2011-10-04 | Masimo Laboratories, Inc. | SMMR (small molecule metabolite reporters) for use as in vivo glucose biosensors |
| US20050227309A1 (en) | 2004-01-21 | 2005-10-13 | Corry Schuyler B | Optically-detectable enzyme substrates and their method of use |
| US20050186606A1 (en) * | 2004-02-11 | 2005-08-25 | Schroeder Benjamin G. | Methods and compositions for detecting nucleic acids |
| US20050255485A1 (en) * | 2004-05-14 | 2005-11-17 | Livak Kenneth J | Detection of gene duplications |
| EP1771563A2 (en) * | 2004-05-28 | 2007-04-11 | Ambion, Inc. | METHODS AND COMPOSITIONS INVOLVING MicroRNA |
| WO2006016978A1 (en) * | 2004-06-30 | 2006-02-16 | Applera Corporation | Analog probe complexes |
| US20060024833A1 (en) | 2004-07-27 | 2006-02-02 | Molecular Probes, Inc. | Fluorescent metal ion indicators with large stokes shift |
| ES2503739T3 (en) | 2004-11-12 | 2014-10-07 | Asuragen, Inc. | Procedures and compositions involving miRNA and miRNA inhibitor molecules |
| WO2008073922A2 (en) * | 2006-12-08 | 2008-06-19 | Asuragen, Inc. | Functions and targets of let-7 micro rnas |
| US20060292586A1 (en) * | 2004-12-17 | 2006-12-28 | Schroth Gary P | ID-tag complexes, arrays, and methods of use thereof |
| US20060166238A1 (en) * | 2004-12-22 | 2006-07-27 | Ramsing Niels B | Probes, libraries and kits for analysis of mixtures of nucleic acids and methods for constructing the same |
| EP2208796B1 (en) | 2005-01-06 | 2014-06-18 | Applied Biosystems, LLC | Polypeptides having nucleic acid binding activity and compositions and methods for nucleic acid amplification |
| EP1872135A2 (en) | 2005-03-15 | 2008-01-02 | Applera Corporation | The use of antibody-surrogate antigen systems for detection of analytes |
| JP2008535518A (en) | 2005-04-14 | 2008-09-04 | アプレラ コーポレイション | 3 'modified oligonucleotides containing pseudoisocytosine nucleobase derivatives and their application as primers or probes |
| EP2312317A3 (en) | 2005-05-03 | 2011-06-08 | Life Technologies Corporation | Fluorescent detection system and dye set for use therewith |
| EP1885718B1 (en) | 2005-05-11 | 2017-03-15 | Life Technologies Corporation | Fluorescent chemical compounds having high selectivity for double stranded dna, and methods for their use |
| US20070087360A1 (en) * | 2005-06-20 | 2007-04-19 | Boyd Victoria L | Methods and compositions for detecting nucleotides |
| WO2007030521A1 (en) * | 2005-09-06 | 2007-03-15 | Invitrogen Corporation | Control of chemical modification |
| US20070059713A1 (en) | 2005-09-09 | 2007-03-15 | Lee Jun E | SSB-DNA polymerase fusion proteins |
| US7521577B2 (en) | 2006-01-12 | 2009-04-21 | Molecular Probes, Inc. | Heavy metal binding compounds and their method of use |
| WO2007106690A2 (en) | 2006-03-15 | 2007-09-20 | Siemens Healthcare Diagnostics Inc. | Degenerate nucleobase analogs |
| EP2636755A1 (en) | 2006-05-26 | 2013-09-11 | AltheaDx Incorporated | Biochemical analysis of partitioned cells |
| ES2484142T3 (en) | 2006-09-06 | 2014-08-11 | The Regents Of The University Of California | Molecular diagnosis and classification of malignant melanoma |
| AU2007299748A1 (en) * | 2006-09-19 | 2008-03-27 | Asuragen, Inc. | miR-15, miR-26, miR -31,miR -145, miR-147, miR-188, miR-215, miR-216 miR-331, mmu-miR-292-3p regulated genes and pathways as targets for therapeutic intervention |
| US20080131878A1 (en) * | 2006-12-05 | 2008-06-05 | Asuragen, Inc. | Compositions and Methods for the Detection of Small RNA |
| CN101622349A (en) * | 2006-12-08 | 2010-01-06 | 奥斯瑞根公司 | miR-20 regulated genes and pathways as targets for therapeutic intervention |
| CA2671194A1 (en) * | 2006-12-08 | 2008-06-19 | Asuragen, Inc. | Mir-20 regulated genes and pathways as targets for therapeutic intervention |
| CA2671294A1 (en) * | 2006-12-08 | 2008-06-19 | Asuragen, Inc. | Mir-21 regulated genes and pathways as targets for therapeutic intervention |
| US20090175827A1 (en) * | 2006-12-29 | 2009-07-09 | Byrom Mike W | miR-16 REGULATED GENES AND PATHWAYS AS TARGETS FOR THERAPEUTIC INTERVENTION |
| US8586743B2 (en) | 2007-01-30 | 2013-11-19 | Life Technologies Corporation | Labeling reagents and methods of their use |
| US20080274458A1 (en) * | 2007-05-01 | 2008-11-06 | Latham Gary J | Nucleic acid quantitation methods |
| US20090232893A1 (en) * | 2007-05-22 | 2009-09-17 | Bader Andreas G | miR-143 REGULATED GENES AND PATHWAYS AS TARGETS FOR THERAPEUTIC INTERVENTION |
| US8513451B2 (en) * | 2007-05-30 | 2013-08-20 | Hee Chol Kang | Fluorescent phospholipase A2 indicators |
| CA2689974A1 (en) * | 2007-06-08 | 2008-12-18 | Asuragen, Inc. | Mir-34 regulated genes and pathways as targets for therapeutic intervention |
| US8361714B2 (en) | 2007-09-14 | 2013-01-29 | Asuragen, Inc. | Micrornas differentially expressed in cervical cancer and uses thereof |
| US20090186015A1 (en) * | 2007-10-18 | 2009-07-23 | Latham Gary J | Micrornas differentially expressed in lung diseases and uses thereof |
| US20090247984A1 (en) * | 2007-10-24 | 2009-10-01 | Masimo Laboratories, Inc. | Use of microneedles for small molecule metabolite reporter delivery |
| CN101918367B (en) * | 2007-11-20 | 2016-08-24 | 西门子医疗保健诊断公司 | Acridine compounds Facile N-alkylation in ionic liquid |
| WO2009067632A1 (en) * | 2007-11-20 | 2009-05-28 | Applied Biosystems Inc. | Method of sequencing nucleic acids using elaborated nucleotide phosphorothiolate compounds |
| WO2009067628A1 (en) | 2007-11-20 | 2009-05-28 | Applied Biosystems Inc. | Reversible di-nucleotide terminator sequencing |
| US8071562B2 (en) | 2007-12-01 | 2011-12-06 | Mirna Therapeutics, Inc. | MiR-124 regulated genes and pathways as targets for therapeutic intervention |
| US20090192114A1 (en) * | 2007-12-21 | 2009-07-30 | Dmitriy Ovcharenko | miR-10 Regulated Genes and Pathways as Targets for Therapeutic Intervention |
| EP2260110B1 (en) * | 2008-02-08 | 2014-11-12 | Asuragen, INC. | miRNAs DIFFERENTIALLY EXPRESSED IN LYMPH NODES FROM CANCER PATIENTS |
| EP2257810B1 (en) | 2008-03-05 | 2013-06-05 | The Regents of the University of California | Molecular diagnosis and classification of malignant melanoma |
| EP2098520B1 (en) | 2008-03-05 | 2013-07-03 | Essilor International (Compagnie Générale D'Optique) | Photochromic dichroic naphtho-pyrans and optical articles containing them |
| US20090253780A1 (en) * | 2008-03-26 | 2009-10-08 | Fumitaka Takeshita | COMPOSITIONS AND METHODS RELATED TO miR-16 AND THERAPY OF PROSTATE CANCER |
| US20090258928A1 (en) * | 2008-04-08 | 2009-10-15 | Asuragen, Inc. | Methods and compositions for diagnosing and modulating human papillomavirus (hpv) |
| EP2285960B1 (en) | 2008-05-08 | 2015-07-08 | Asuragen, INC. | Compositions and methods related to mir-184 modulation of neovascularization or angiogenesis |
| US20100179213A1 (en) * | 2008-11-11 | 2010-07-15 | Mirna Therapeutics, Inc. | Methods and Compositions Involving miRNAs In Cancer Stem Cells |
| US20100159452A1 (en) * | 2008-12-22 | 2010-06-24 | Roche Molecular Systems, Inc. | Method For Detecting a Target Nucleic Acid in a Sample |
| EP3597657B1 (en) | 2009-05-21 | 2021-09-01 | Siemens Healthcare Diagnostics Inc. | Universal tags with non-natural nucleobases |
| EP2634266B1 (en) | 2009-05-22 | 2015-10-14 | Asuragen, INC. | miRNA biomarkers of prostate disease |
| WO2011025919A1 (en) | 2009-08-28 | 2011-03-03 | Asuragen, Inc. | Mirna biomarkers of lung disease |
| US8836387B1 (en) * | 2010-01-07 | 2014-09-16 | Marvell International Ltd. | Methods and systems for reducing jitter |
| JP6081366B2 (en) | 2010-10-29 | 2017-02-15 | アスラジェン, インコーポレイテッド | MPCR method for analyzing repeat sequences |
| EP2658998B1 (en) | 2010-12-29 | 2015-04-22 | Life Technologies Corporation | Ddao compounds as fluorescent reference standards |
| AU2012309824A1 (en) | 2011-09-12 | 2013-04-18 | Abbvie Biotherapeutics Inc. | Artificial NK cells and uses thereof |
| WO2013040251A2 (en) | 2011-09-13 | 2013-03-21 | Asurgen, Inc. | Methods and compositions involving mir-135b for distinguishing pancreatic cancer from benign pancreatic disease |
| WO2013078244A1 (en) | 2011-11-21 | 2013-05-30 | Promega Corporation | Carboxy x rhodamine analogs |
| CN104053990B (en) * | 2012-01-24 | 2015-11-25 | 株式会社岛津制作所 | The analytical approach of organic solar batteries dye material and purification process |
| WO2014093291A1 (en) | 2012-12-10 | 2014-06-19 | Advandx, Inc. | Use of probes for mass spectrometric identification of microorganisms or cells and associated conditions of interest |
| WO2014120974A1 (en) | 2013-01-30 | 2014-08-07 | Avelas Biosciences, Inc. | Selective delivery molecules and methods of use |
| CN104099803A (en) * | 2013-04-15 | 2014-10-15 | 金东纸业(江苏)股份有限公司 | Papermaking technology |
| CN105764917B (en) | 2013-09-26 | 2021-10-08 | 新加坡国立大学 | Compositions and methods utilizing lysophosphatidylcholine scaffolds |
| EP3090059B1 (en) | 2014-01-05 | 2018-06-06 | Biomirna Holdings Ltd. | Lung cancer determinations using mirna ratios |
| WO2015120382A1 (en) | 2014-02-07 | 2015-08-13 | The Johns Hopkins University | Predicting response to epigenetic drug therapy |
| CN107109474B (en) | 2014-08-19 | 2021-03-19 | 豪夫迈·罗氏有限公司 | Methods and compositions for nucleic acid detection |
| US10385380B2 (en) | 2014-10-02 | 2019-08-20 | The Regents Of The University Of California | Personalized protease assay to measure protease activity in neoplasms |
| WO2016094330A2 (en) | 2014-12-08 | 2016-06-16 | 20/20 Genesystems, Inc | Methods and machine learning systems for predicting the liklihood or risk of having cancer |
| CN107636165A (en) | 2015-01-12 | 2018-01-26 | 生命科技公司 | For nucleic acid library quality control and quantitative method, system and its composition |
| WO2016177774A1 (en) | 2015-05-04 | 2016-11-10 | Academisch Medisch Centrum | Method of quantifying mirnas using normalization |
| US11214829B2 (en) | 2015-07-23 | 2022-01-04 | Asuragen, Inc. | Methods, compositions, kits, and uses for analysis of nucleic acids comprising repeating A/T-rich segments |
| WO2018045162A1 (en) | 2016-09-01 | 2018-03-08 | Biogen Ma Inc. | Biomarkers predictive of primary progressive multiple sclerosis and uses thereof |
| EP4484952A3 (en) | 2017-08-02 | 2025-04-16 | The Regents of the University of California | Optimized peptides for targeting human nerves and their use in image guided surgery, diagnostics and therapeutic delivery |
| JP2022515153A (en) | 2018-12-20 | 2022-02-17 | ライフ テクノロジーズ コーポレーション | Asymmetric rhodamine dyes and their use in bioassays |
| WO2020132487A1 (en) | 2018-12-20 | 2020-06-25 | Life Technologies Corporation | Modified rhodamine dye and use thereof in biological assays |
| EP3719144A1 (en) | 2019-04-05 | 2020-10-07 | Fundación para la Investigación Biomédica del Hospital Universitario de la Paz (FIBHULP) | Mir-151a-3p as an universal endogenous control for exosome cargo normalization |
| WO2021013592A1 (en) | 2019-07-19 | 2021-01-28 | Fundación Para La Investigación Biomédica Del Hospital Universitario La Paz (Fibhulp) | Method for determining the response to treatment of a patient affected by non-small cell lung carcinoma (nsclc) |
| WO2021072289A1 (en) | 2019-10-10 | 2021-04-15 | Alume Biosciences, Inc. | Methods and systems using peptides for targeting and mapping human nerves in image guided surgery, diagnostics and therapeutic delivery |
| CN110724151B (en) * | 2019-11-18 | 2022-03-04 | 成都睿智化学研究有限公司 | Synthesis method of (3, 4-dihydro-2H-pyrano [2,3-b ] pyridine-6-yl) methanol |
| CN116075597A (en) | 2020-07-23 | 2023-05-05 | 生命技术公司 | Energy transfer dye conjugates for use in biological assays |
| US20230304932A1 (en) | 2020-07-23 | 2023-09-28 | Life Technologies Corporation | Compositions, systems and methods for biological analysis involving energy transfer dye conjugates and analytes comprising the same |
| WO2022120177A1 (en) | 2020-12-04 | 2022-06-09 | Alume Biosciences, Inc. | Nerve targeting peptides and methods of use |
| CN116916971A (en) | 2021-01-14 | 2023-10-20 | 阿鲁莫生物科学公司 | Methods and compositions for visualizing ureters during surgical procedures |
| CN114940669B (en) * | 2022-05-30 | 2024-04-12 | 中国科学院苏州纳米技术与纳米仿生研究所 | Single-component NIR-II region ratiometric fluorescent nanoprobe, preparation method and product |
| CN115850308B (en) * | 2022-11-07 | 2024-06-11 | 淮阴工学院 | A BODIPY near-infrared fluorescent probe containing electron donor and acceptor groups for recognizing Aβ fibers and preparation method thereof |
Citations (18)
| Publication number | Priority date | Publication date | Assignee | Title |
|---|---|---|---|---|
| US2067127A (en) * | 1937-01-05 | Condensation products of the aza | ||
| US4987065A (en) * | 1983-07-05 | 1991-01-22 | Enzo Biochem, Inc. | In vivo labelling of polynucleotide sequences |
| US5405975A (en) * | 1993-03-29 | 1995-04-11 | Molecular Probes, Inc. | Fluorescent ion-selective diaryldiaza crown ether conjugates |
| US5434272A (en) * | 1990-11-07 | 1995-07-18 | Medical Research Council | Photo-labile compounds, their synthesis and use as fluorophores |
| US5614386A (en) * | 1995-06-23 | 1997-03-25 | Baylor College Of Medicine | Alternative dye-labeled primers for automated DNA sequencing |
| US5750409A (en) * | 1991-11-18 | 1998-05-12 | Boehringer Mannheim Gmbh | Pentacyclic compounds and their use as absorption or fluorescent dyes |
| US5800996A (en) * | 1996-05-03 | 1998-09-01 | The Perkin Elmer Corporation | Energy transfer dyes with enchanced fluorescence |
| US5863727A (en) * | 1996-05-03 | 1999-01-26 | The Perkin-Elmer Corporation | Energy transfer dyes with enhanced fluorescence |
| US5936087A (en) * | 1997-11-25 | 1999-08-10 | The Perkin-Elmer Corporation | Dibenzorhodamine dyes |
| US5945526A (en) * | 1996-05-03 | 1999-08-31 | Perkin-Elmer Corporation | Energy transfer dyes with enhanced fluorescence |
| US6008379A (en) * | 1997-10-01 | 1999-12-28 | The Perkin-Elmer Corporation | Aromatic-substituted xanthene dyes |
| US6020481A (en) * | 1996-04-01 | 2000-02-01 | The Perkin-Elmer Corporation | Asymmetric benzoxanthene dyes |
| US6054270A (en) * | 1988-05-03 | 2000-04-25 | Oxford Gene Technology Limited | Analying polynucleotide sequences |
| US6080868A (en) * | 1998-01-23 | 2000-06-27 | The Perkin-Elmer Corporation | Nitro-substituted non-fluorescent asymmetric cyanine dye compounds |
| US6130101A (en) * | 1997-09-23 | 2000-10-10 | Molecular Probes, Inc. | Sulfonated xanthene derivatives |
| US6248884B1 (en) * | 1999-06-03 | 2001-06-19 | The Perkin-Elmer Corporation | Extended rhodamine compounds useful as fluorescent labels |
| US6566059B1 (en) * | 1998-10-01 | 2003-05-20 | Variagenics, Inc. | Method for analyzing polynucleotides |
| US6583168B1 (en) * | 1997-11-25 | 2003-06-24 | Applera Corporation | Sulfonated diarylrhodamine dyes |
Family Cites Families (29)
| Publication number | Priority date | Publication date | Assignee | Title |
|---|---|---|---|---|
| DE548819C (en) * | 1930-05-01 | 1932-04-20 | I G Farbenindustrie Akt Ges | Process for the preparation of oxynaphthocarbazoles |
| JPS523740B2 (en) * | 1973-08-16 | 1977-01-29 | ||
| US4230558A (en) | 1978-10-02 | 1980-10-28 | Coulter Electronics, Inc. | Single drop separator |
| US4458066A (en) | 1980-02-29 | 1984-07-03 | University Patents, Inc. | Process for preparing polynucleotides |
| US4415732A (en) | 1981-03-27 | 1983-11-15 | University Patents, Inc. | Phosphoramidite compounds and processes |
| US4711955A (en) | 1981-04-17 | 1987-12-08 | Yale University | Modified nucleotides and methods of preparing and using same |
| US5118800A (en) | 1983-12-20 | 1992-06-02 | California Institute Of Technology | Oligonucleotides possessing a primary amino group in the terminal nucleotide |
| US4757141A (en) | 1985-08-26 | 1988-07-12 | Applied Biosystems, Incorporated | Amino-derivatized phosphite and phosphate linking agents, phosphoramidite precursors, and useful conjugates thereof |
| US4855225A (en) | 1986-02-07 | 1989-08-08 | Applied Biosystems, Inc. | Method of detecting electrophoretically separated oligonucleotides |
| US4811218A (en) | 1986-06-02 | 1989-03-07 | Applied Biosystems, Inc. | Real time scanning electrophoresis apparatus for DNA sequencing |
| US4879012A (en) | 1987-06-24 | 1989-11-07 | Hitachi, Ltd. | Method for reutilization of electrophoresis gel |
| US5231191A (en) | 1987-12-24 | 1993-07-27 | Applied Biosystems, Inc. | Rhodamine phosphoramidite compounds |
| JPH0250069A (en) * | 1988-08-09 | 1990-02-20 | Sanyo Electric Co Ltd | Heat insulating sheet body |
| JPH0253069A (en) * | 1988-08-18 | 1990-02-22 | Canon Inc | electrophotographic photoreceptor |
| US5141813A (en) | 1989-08-28 | 1992-08-25 | Clontech Laboratories, Inc. | Multifunctional controlled pore glass reagent for solid phase oligonucleotide synthesis |
| US5274240A (en) | 1990-01-12 | 1993-12-28 | The Regents Of The University Of California | Capillary array confocal fluorescence scanner and method |
| US5091652A (en) | 1990-01-12 | 1992-02-25 | The Regents Of The University Of California | Laser excited confocal microscope fluorescence scanner and method |
| DE4137934A1 (en) * | 1991-11-18 | 1993-05-19 | Boehringer Mannheim Gmbh | NEW PENTACYCLIC COMPOUNDS AND THEIR USE AS ABSORPTION OR FLUORESCENT DYES |
| EP0636186B1 (en) | 1992-04-03 | 1998-11-25 | The Perkin-Elmer Corporation | Probe composition and method |
| DE69324494T2 (en) * | 1992-09-03 | 1999-09-23 | The Perkin-Elmer Corp., Foster City | 4,7-DICHLOROFLUOROSZEIN DYES AS MOLECULAR PROBE |
| US5374527A (en) | 1993-01-21 | 1994-12-20 | Applied Biosystems, Inc. | High resolution DNA sequencing method using low viscosity medium |
| AU1254295A (en) | 1993-12-17 | 1995-07-03 | Perkin-Elmer Corporation, The | Uncharged polymers for separation of biomolecules by capillary electrophoresis |
| US5654419A (en) | 1994-02-01 | 1997-08-05 | The Regents Of The University Of California | Fluorescent labels and their use in separations |
| US5543026A (en) | 1994-02-07 | 1996-08-06 | The Perkin-Elmer Corporation | Real-time scanning fluorescence electrophoresis apparatus for the analysis of polynucleotide fragments |
| JP3102800B2 (en) * | 1994-08-19 | 2000-10-23 | パーキン−エルマー コーポレイション | Conjugation methods for amplification and ligation |
| US5847162A (en) * | 1996-06-27 | 1998-12-08 | The Perkin Elmer Corporation | 4, 7-Dichlororhodamine dyes |
| US6080852A (en) | 1996-06-27 | 2000-06-27 | The Perkin-Elmer Corporation | 4,7-dichlororhodamine dyes |
| ATE233795T1 (en) | 1999-04-23 | 2003-03-15 | Molecular Probes Inc | XANTHENE DYES AND THEIR APPLICATION AS LUMINESCENCE-CANCELING COMPOUNDS |
| DE19923168A1 (en) | 1999-05-20 | 2000-11-23 | Roche Diagnostics Gmbh | New fluorescent dyes and their use as fluorescent markers |
-
1997
- 1997-11-25 US US08/978,775 patent/US5936087A/en not_active Expired - Lifetime
-
1998
- 1998-11-17 CA CA002311476A patent/CA2311476C/en not_active Expired - Fee Related
- 1998-11-17 EP EP98958069.1A patent/EP1034221B1/en not_active Expired - Lifetime
- 1998-11-17 JP JP2000522168A patent/JP4038017B2/en not_active Expired - Fee Related
- 1998-11-17 EP EP09016134A patent/EP2186801A3/en not_active Withdrawn
- 1998-11-17 EP EP20040000878 patent/EP1408090A1/en not_active Withdrawn
- 1998-11-17 WO PCT/US1998/024626 patent/WO1999027020A1/en not_active Ceased
- 1998-11-17 EP EP09016133A patent/EP2295503A1/en not_active Withdrawn
- 1998-11-17 US US09/193,374 patent/US6051719A/en not_active Expired - Lifetime
- 1998-11-17 AU AU14182/99A patent/AU742571B2/en not_active Ceased
- 1998-11-24 US US09/199,402 patent/US6111116A/en not_active Expired - Lifetime
-
2000
- 2000-04-20 US US09/556,040 patent/US6221606B1/en not_active Expired - Lifetime
-
2001
- 2001-02-14 US US09/784,943 patent/US6326153B2/en not_active Expired - Lifetime
- 2001-10-02 US US09/969,430 patent/US6566071B2/en not_active Expired - Lifetime
-
2003
- 2003-05-20 US US10/441,950 patent/US6919445B2/en not_active Expired - Fee Related
- 2003-08-25 JP JP2003300011A patent/JP2004107331A/en not_active Withdrawn
-
2005
- 2005-07-07 US US11/177,233 patent/US20060051791A1/en not_active Abandoned
-
2006
- 2006-08-21 US US11/466,085 patent/US20070099210A1/en not_active Abandoned
-
2008
- 2008-07-08 US US12/169,624 patent/US7833756B2/en not_active Expired - Fee Related
-
2010
- 2010-02-08 JP JP2010025761A patent/JP5303486B2/en not_active Expired - Fee Related
- 2010-10-06 US US12/899,508 patent/US20110124510A1/en not_active Abandoned
Patent Citations (26)
| Publication number | Priority date | Publication date | Assignee | Title |
|---|---|---|---|---|
| US2067127A (en) * | 1937-01-05 | Condensation products of the aza | ||
| US4987065A (en) * | 1983-07-05 | 1991-01-22 | Enzo Biochem, Inc. | In vivo labelling of polynucleotide sequences |
| US6054270A (en) * | 1988-05-03 | 2000-04-25 | Oxford Gene Technology Limited | Analying polynucleotide sequences |
| US5434272A (en) * | 1990-11-07 | 1995-07-18 | Medical Research Council | Photo-labile compounds, their synthesis and use as fluorophores |
| US5750409A (en) * | 1991-11-18 | 1998-05-12 | Boehringer Mannheim Gmbh | Pentacyclic compounds and their use as absorption or fluorescent dyes |
| US5405975A (en) * | 1993-03-29 | 1995-04-11 | Molecular Probes, Inc. | Fluorescent ion-selective diaryldiaza crown ether conjugates |
| US5614386A (en) * | 1995-06-23 | 1997-03-25 | Baylor College Of Medicine | Alternative dye-labeled primers for automated DNA sequencing |
| US6020481A (en) * | 1996-04-01 | 2000-02-01 | The Perkin-Elmer Corporation | Asymmetric benzoxanthene dyes |
| US5800996A (en) * | 1996-05-03 | 1998-09-01 | The Perkin Elmer Corporation | Energy transfer dyes with enchanced fluorescence |
| US5945526A (en) * | 1996-05-03 | 1999-08-31 | Perkin-Elmer Corporation | Energy transfer dyes with enhanced fluorescence |
| US5863727A (en) * | 1996-05-03 | 1999-01-26 | The Perkin-Elmer Corporation | Energy transfer dyes with enhanced fluorescence |
| US6130101A (en) * | 1997-09-23 | 2000-10-10 | Molecular Probes, Inc. | Sulfonated xanthene derivatives |
| US6008379A (en) * | 1997-10-01 | 1999-12-28 | The Perkin-Elmer Corporation | Aromatic-substituted xanthene dyes |
| US6051719A (en) * | 1997-11-25 | 2000-04-18 | The Perkin-Elmer Corporation | Dibenzorhodamine dyes |
| US6111116A (en) * | 1997-11-25 | 2000-08-29 | The Perkin-Elmer Corporation | Dibenzorhodamine dyes |
| US5936087A (en) * | 1997-11-25 | 1999-08-10 | The Perkin-Elmer Corporation | Dibenzorhodamine dyes |
| US6221606B1 (en) * | 1997-11-25 | 2001-04-24 | The Perkin-Elmer Corporation | Dibenzorhodamine dyes |
| US6326153B2 (en) * | 1997-11-25 | 2001-12-04 | The Perkin-Elmer Corporation | Polynucleotides labeled with dibenzorhodamine dyes |
| US6566071B2 (en) * | 1997-11-25 | 2003-05-20 | Applera Corporation | Methods of labelling polynucleotides with dibenzorhodamine dyes |
| US6583168B1 (en) * | 1997-11-25 | 2003-06-24 | Applera Corporation | Sulfonated diarylrhodamine dyes |
| US6919445B2 (en) * | 1997-11-25 | 2005-07-19 | Applera Corporation | Methods of labelling polynucleotides with dibenzorhodamine dyes |
| US7018431B2 (en) * | 1997-11-25 | 2006-03-28 | Applera Corporation | Sulfonated diarylrhodamine dyes |
| US7833756B2 (en) * | 1997-11-25 | 2010-11-16 | Applied Biosystems, Llc | Methods of labelling polynucleotides with dibenzorhodamine dyes |
| US6080868A (en) * | 1998-01-23 | 2000-06-27 | The Perkin-Elmer Corporation | Nitro-substituted non-fluorescent asymmetric cyanine dye compounds |
| US6566059B1 (en) * | 1998-10-01 | 2003-05-20 | Variagenics, Inc. | Method for analyzing polynucleotides |
| US6248884B1 (en) * | 1999-06-03 | 2001-06-19 | The Perkin-Elmer Corporation | Extended rhodamine compounds useful as fluorescent labels |
Cited By (1)
| Publication number | Priority date | Publication date | Assignee | Title |
|---|---|---|---|---|
| USRE49362E1 (en) | 2006-05-18 | 2023-01-10 | Illumina Cambridge Limited | Dye compounds and the use of their labelled conjugates |
Also Published As
| Publication number | Publication date |
|---|---|
| EP1034221B1 (en) | 2014-05-14 |
| US5936087A (en) | 1999-08-10 |
| JP4038017B2 (en) | 2008-01-23 |
| CA2311476C (en) | 2007-07-24 |
| EP2186801A2 (en) | 2010-05-19 |
| US6326153B2 (en) | 2001-12-04 |
| US6051719A (en) | 2000-04-18 |
| JP2001524493A (en) | 2001-12-04 |
| AU1418299A (en) | 1999-06-15 |
| US20020034761A1 (en) | 2002-03-21 |
| US20070099210A1 (en) | 2007-05-03 |
| US6111116A (en) | 2000-08-29 |
| WO1999027020A1 (en) | 1999-06-03 |
| CA2311476A1 (en) | 1999-06-03 |
| US20060051791A1 (en) | 2006-03-09 |
| US6919445B2 (en) | 2005-07-19 |
| AU742571B2 (en) | 2002-01-10 |
| US6221606B1 (en) | 2001-04-24 |
| US20010011139A1 (en) | 2001-08-02 |
| EP1034221A1 (en) | 2000-09-13 |
| EP2186801A3 (en) | 2011-06-29 |
| JP5303486B2 (en) | 2013-10-02 |
| US20090068751A1 (en) | 2009-03-12 |
| EP1408090A1 (en) | 2004-04-14 |
| US7833756B2 (en) | 2010-11-16 |
| JP2004107331A (en) | 2004-04-08 |
| US20040072209A1 (en) | 2004-04-15 |
| JP2010159420A (en) | 2010-07-22 |
| US6566071B2 (en) | 2003-05-20 |
| EP2295503A1 (en) | 2011-03-16 |
Similar Documents
| Publication | Publication Date | Title |
|---|---|---|
| US7833756B2 (en) | Methods of labelling polynucleotides with dibenzorhodamine dyes | |
| US6008379A (en) | Aromatic-substituted xanthene dyes | |
| US8129529B2 (en) | UV excitable fluorescent energy transfer dyes | |
| US6617445B2 (en) | Asymmetric benzoxanthene dye labelling reagents |
Legal Events
| Date | Code | Title | Description |
|---|---|---|---|
| STCB | Information on status: application discontinuation |
Free format text: ABANDONED -- FAILURE TO PAY ISSUE FEE |
|
| STCB | Information on status: application discontinuation |
Free format text: ABANDONED -- FAILURE TO PAY ISSUE FEE |
















