US20110059846A1 - Solid formulations of carboxamide arthropodicides - Google Patents
Solid formulations of carboxamide arthropodicides Download PDFInfo
- Publication number
- US20110059846A1 US20110059846A1 US12/596,676 US59667608A US2011059846A1 US 20110059846 A1 US20110059846 A1 US 20110059846A1 US 59667608 A US59667608 A US 59667608A US 2011059846 A1 US2011059846 A1 US 2011059846A1
- Authority
- US
- United States
- Prior art keywords
- composition
- carboxamide
- component
- constituent
- solid carrier
- Prior art date
- Legal status (The legal status is an assumption and is not a legal conclusion. Google has not performed a legal analysis and makes no representation as to the accuracy of the status listed.)
- Abandoned
Links
- 239000000203 mixture Substances 0.000 title claims abstract description 391
- 239000007787 solid Substances 0.000 title claims abstract description 124
- 125000003917 carbamoyl group Chemical class [H]N([H])C(*)=O 0.000 title abstract 2
- 238000009472 formulation Methods 0.000 title description 29
- 239000000470 constituent Substances 0.000 claims abstract description 140
- 239000004094 surface-active agent Substances 0.000 claims abstract description 98
- 239000002245 particle Substances 0.000 claims abstract description 67
- 239000004615 ingredient Substances 0.000 claims abstract description 38
- 238000009736 wetting Methods 0.000 claims abstract description 21
- 150000003857 carboxamides Chemical class 0.000 claims description 110
- VYPSYNLAJGMNEJ-UHFFFAOYSA-N Silicium dioxide Chemical compound O=[Si]=O VYPSYNLAJGMNEJ-UHFFFAOYSA-N 0.000 claims description 44
- 150000003839 salts Chemical class 0.000 claims description 29
- -1 1-cyclopropylethyl Chemical group 0.000 claims description 27
- 239000000853 adhesive Substances 0.000 claims description 27
- 229910052794 bromium Inorganic materials 0.000 claims description 22
- 229910052801 chlorine Inorganic materials 0.000 claims description 22
- 230000001070 adhesive effect Effects 0.000 claims description 16
- 229910052731 fluorine Inorganic materials 0.000 claims description 16
- 240000008042 Zea mays Species 0.000 claims description 15
- 235000002017 Zea mays subsp mays Nutrition 0.000 claims description 15
- 150000001720 carbohydrates Chemical class 0.000 claims description 12
- 150000001204 N-oxides Chemical class 0.000 claims description 11
- 229910052757 nitrogen Inorganic materials 0.000 claims description 11
- 229920000642 polymer Polymers 0.000 claims description 10
- 239000000377 silicon dioxide Substances 0.000 claims description 10
- 235000016383 Zea mays subsp huehuetenangensis Nutrition 0.000 claims description 9
- 229910052739 hydrogen Inorganic materials 0.000 claims description 9
- 235000009973 maize Nutrition 0.000 claims description 9
- 229920000742 Cotton Polymers 0.000 claims description 8
- 239000002253 acid Substances 0.000 claims description 8
- 150000007513 acids Chemical class 0.000 claims description 8
- 125000000217 alkyl group Chemical group 0.000 claims description 8
- BPQQTUXANYXVAA-UHFFFAOYSA-N Orthosilicate Chemical compound [O-][Si]([O-])([O-])[O-] BPQQTUXANYXVAA-UHFFFAOYSA-N 0.000 claims description 7
- DVBUIBGJRQBEDP-UHFFFAOYSA-N cyantraniliprole Chemical compound CNC(=O)C1=CC(C#N)=CC(C)=C1NC(=O)C1=CC(Br)=NN1C1=NC=CC=C1Cl DVBUIBGJRQBEDP-UHFFFAOYSA-N 0.000 claims description 7
- 229920005682 EO-PO block copolymer Polymers 0.000 claims description 6
- 235000010469 Glycine max Nutrition 0.000 claims description 6
- 244000068988 Glycine max Species 0.000 claims description 6
- 229920001732 Lignosulfonate Polymers 0.000 claims description 6
- 239000000378 calcium silicate Substances 0.000 claims description 6
- 229910052918 calcium silicate Inorganic materials 0.000 claims description 6
- OYACROKNLOSFPA-UHFFFAOYSA-N calcium;dioxido(oxo)silane Chemical compound [Ca+2].[O-][Si]([O-])=O OYACROKNLOSFPA-UHFFFAOYSA-N 0.000 claims description 6
- 125000004432 carbon atom Chemical group C* 0.000 claims description 6
- PSOVNZZNOMJUBI-UHFFFAOYSA-N chlorantraniliprole Chemical compound CNC(=O)C1=CC(Cl)=CC(C)=C1NC(=O)C1=CC(Br)=NN1C1=NC=CC=C1Cl PSOVNZZNOMJUBI-UHFFFAOYSA-N 0.000 claims description 6
- 125000004178 (C1-C4) alkyl group Chemical group 0.000 claims description 5
- PXBFMLJZNCDSMP-UHFFFAOYSA-N 2-Aminobenzamide Chemical class NC(=O)C1=CC=CC=C1N PXBFMLJZNCDSMP-UHFFFAOYSA-N 0.000 claims description 5
- FBPFZTCFMRRESA-JGWLITMVSA-N D-glucitol Chemical class OC[C@H](O)[C@@H](O)[C@H](O)[C@H](O)CO FBPFZTCFMRRESA-JGWLITMVSA-N 0.000 claims description 5
- 240000007594 Oryza sativa Species 0.000 claims description 5
- 235000007164 Oryza sativa Nutrition 0.000 claims description 5
- 229910052740 iodine Inorganic materials 0.000 claims description 5
- 235000009566 rice Nutrition 0.000 claims description 5
- 238000002425 crystallisation Methods 0.000 claims description 4
- 230000008025 crystallization Effects 0.000 claims description 4
- ZGNITFSDLCMLGI-UHFFFAOYSA-N flubendiamide Chemical compound CC1=CC(C(F)(C(F)(F)F)C(F)(F)F)=CC=C1NC(=O)C1=CC=CC(I)=C1C(=O)NC(C)(C)CS(C)(=O)=O ZGNITFSDLCMLGI-UHFFFAOYSA-N 0.000 claims description 4
- 125000003709 fluoroalkyl group Chemical group 0.000 claims description 4
- NAYYNDKKHOIIOD-UHFFFAOYSA-N phthalamide Chemical class NC(=O)C1=CC=CC=C1C(N)=O NAYYNDKKHOIIOD-UHFFFAOYSA-N 0.000 claims description 4
- JNYAEWCLZODPBN-JGWLITMVSA-N (2r,3r,4s)-2-[(1r)-1,2-dihydroxyethyl]oxolane-3,4-diol Chemical class OC[C@@H](O)[C@H]1OC[C@H](O)[C@H]1O JNYAEWCLZODPBN-JGWLITMVSA-N 0.000 claims description 3
- 125000004767 (C1-C4) haloalkoxy group Chemical group 0.000 claims description 3
- 125000004765 (C1-C4) haloalkyl group Chemical group 0.000 claims description 3
- SQAINHDHICKHLX-UHFFFAOYSA-N 1-naphthaldehyde Chemical class C1=CC=C2C(C=O)=CC=CC2=C1 SQAINHDHICKHLX-UHFFFAOYSA-N 0.000 claims description 3
- 125000004186 cyclopropylmethyl group Chemical group [H]C([H])(*)C1([H])C([H])([H])C1([H])[H] 0.000 claims description 3
- 150000003871 sulfonates Chemical class 0.000 claims description 3
- WHNWPMSKXPGLAX-UHFFFAOYSA-N N-Vinyl-2-pyrrolidone Chemical compound C=CN1CCCC1=O WHNWPMSKXPGLAX-UHFFFAOYSA-N 0.000 claims description 2
- 241000219146 Gossypium Species 0.000 claims 1
- 229920013821 hydroxy alkyl cellulose Polymers 0.000 claims 1
- XLYOFNOQVPJJNP-UHFFFAOYSA-N water Substances O XLYOFNOQVPJJNP-UHFFFAOYSA-N 0.000 description 54
- 241000196324 Embryophyta Species 0.000 description 43
- 239000002904 solvent Substances 0.000 description 34
- 238000000576 coating method Methods 0.000 description 32
- 239000011148 porous material Substances 0.000 description 30
- 238000000034 method Methods 0.000 description 28
- 239000011248 coating agent Substances 0.000 description 27
- 239000010408 film Substances 0.000 description 24
- 239000000460 chlorine Chemical group 0.000 description 23
- 241000607479 Yersinia pestis Species 0.000 description 21
- 239000000843 powder Substances 0.000 description 21
- 241000238421 Arthropoda Species 0.000 description 20
- WEVYAHXRMPXWCK-UHFFFAOYSA-N Acetonitrile Chemical compound CC#N WEVYAHXRMPXWCK-UHFFFAOYSA-N 0.000 description 18
- 125000002496 methyl group Chemical group [H]C([H])([H])* 0.000 description 18
- 229940125904 compound 1 Drugs 0.000 description 17
- 150000001875 compounds Chemical class 0.000 description 17
- 239000000243 solution Substances 0.000 description 17
- 239000003795 chemical substances by application Substances 0.000 description 16
- 239000004480 active ingredient Substances 0.000 description 15
- 230000000052 comparative effect Effects 0.000 description 14
- 239000007788 liquid Substances 0.000 description 14
- 239000000463 material Substances 0.000 description 14
- 239000003085 diluting agent Substances 0.000 description 13
- 230000000694 effects Effects 0.000 description 13
- 239000000126 substance Substances 0.000 description 13
- ZMXDDKWLCZADIW-UHFFFAOYSA-N N,N-Dimethylformamide Chemical compound CN(C)C=O ZMXDDKWLCZADIW-UHFFFAOYSA-N 0.000 description 12
- 238000002844 melting Methods 0.000 description 12
- 230000008018 melting Effects 0.000 description 12
- DGAQECJNVWCQMB-PUAWFVPOSA-M Ilexoside XXIX Chemical compound C[C@@H]1CC[C@@]2(CC[C@@]3(C(=CC[C@H]4[C@]3(CC[C@@H]5[C@@]4(CC[C@@H](C5(C)C)OS(=O)(=O)[O-])C)C)[C@@H]2[C@]1(C)O)C)C(=O)O[C@H]6[C@@H]([C@H]([C@@H]([C@H](O6)CO)O)O)O.[Na+] DGAQECJNVWCQMB-PUAWFVPOSA-M 0.000 description 11
- 239000011230 binding agent Substances 0.000 description 11
- 239000008187 granular material Substances 0.000 description 11
- 125000000623 heterocyclic group Chemical group 0.000 description 11
- 239000004563 wettable powder Substances 0.000 description 11
- 229940125782 compound 2 Drugs 0.000 description 10
- 239000000047 product Substances 0.000 description 10
- 239000011734 sodium Substances 0.000 description 10
- 229910052708 sodium Inorganic materials 0.000 description 10
- 238000012360 testing method Methods 0.000 description 10
- IJGRMHOSHXDMSA-UHFFFAOYSA-N Atomic nitrogen Chemical group N#N IJGRMHOSHXDMSA-UHFFFAOYSA-N 0.000 description 9
- OYPRJOBELJOOCE-UHFFFAOYSA-N Calcium Chemical compound [Ca] OYPRJOBELJOOCE-UHFFFAOYSA-N 0.000 description 9
- FYYHWMGAXLPEAU-UHFFFAOYSA-N Magnesium Chemical compound [Mg] FYYHWMGAXLPEAU-UHFFFAOYSA-N 0.000 description 9
- 239000007900 aqueous suspension Substances 0.000 description 9
- 239000011575 calcium Substances 0.000 description 9
- 229910052791 calcium Inorganic materials 0.000 description 9
- 238000009501 film coating Methods 0.000 description 9
- 238000000227 grinding Methods 0.000 description 9
- 239000011777 magnesium Substances 0.000 description 9
- 229910052749 magnesium Inorganic materials 0.000 description 9
- ITQTTZVARXURQS-UHFFFAOYSA-N 3-methylpyridine Chemical compound CC1=CC=CN=C1 ITQTTZVARXURQS-UHFFFAOYSA-N 0.000 description 8
- 239000004375 Dextrin Substances 0.000 description 8
- 229920001353 Dextrin Polymers 0.000 description 8
- CZMRCDWAGMRECN-UGDNZRGBSA-N Sucrose Chemical compound O[C@H]1[C@H](O)[C@@H](CO)O[C@@]1(CO)O[C@@H]1[C@H](O)[C@@H](O)[C@H](O)[C@@H](CO)O1 CZMRCDWAGMRECN-UGDNZRGBSA-N 0.000 description 8
- 229930006000 Sucrose Natural products 0.000 description 8
- 238000010521 absorption reaction Methods 0.000 description 8
- 239000012141 concentrate Substances 0.000 description 8
- 235000008504 concentrate Nutrition 0.000 description 8
- 238000001704 evaporation Methods 0.000 description 8
- 239000007888 film coating Substances 0.000 description 8
- 239000008188 pellet Substances 0.000 description 8
- 230000008569 process Effects 0.000 description 8
- 239000005720 sucrose Substances 0.000 description 8
- WSVLPVUVIUVCRA-KPKNDVKVSA-N Alpha-lactose monohydrate Chemical compound O.O[C@@H]1[C@@H](O)[C@@H](O)[C@@H](CO)O[C@H]1O[C@@H]1[C@@H](CO)O[C@H](O)[C@H](O)[C@H]1O WSVLPVUVIUVCRA-KPKNDVKVSA-N 0.000 description 7
- 244000299507 Gossypium hirsutum Species 0.000 description 7
- ZLMJMSJWJFRBEC-UHFFFAOYSA-N Potassium Chemical compound [K] ZLMJMSJWJFRBEC-UHFFFAOYSA-N 0.000 description 7
- 244000061456 Solanum tuberosum Species 0.000 description 7
- 235000002595 Solanum tuberosum Nutrition 0.000 description 7
- 229910052782 aluminium Inorganic materials 0.000 description 7
- XAGFODPZIPBFFR-UHFFFAOYSA-N aluminium Chemical compound [Al] XAGFODPZIPBFFR-UHFFFAOYSA-N 0.000 description 7
- 239000008199 coating composition Substances 0.000 description 7
- 229920001577 copolymer Polymers 0.000 description 7
- 235000019425 dextrin Nutrition 0.000 description 7
- 239000002270 dispersing agent Substances 0.000 description 7
- 239000006185 dispersion Substances 0.000 description 7
- 239000000428 dust Substances 0.000 description 7
- 239000012530 fluid Substances 0.000 description 7
- 229960001021 lactose monohydrate Drugs 0.000 description 7
- 229910052700 potassium Inorganic materials 0.000 description 7
- 239000011591 potassium Substances 0.000 description 7
- 238000002360 preparation method Methods 0.000 description 7
- WSFSSNUMVMOOMR-UHFFFAOYSA-N Formaldehyde Chemical compound O=C WSFSSNUMVMOOMR-UHFFFAOYSA-N 0.000 description 6
- 229920001213 Polysorbate 20 Polymers 0.000 description 6
- 102000001424 Ryanodine receptors Human genes 0.000 description 6
- 229920002472 Starch Polymers 0.000 description 6
- WYURNTSHIVDZCO-UHFFFAOYSA-N Tetrahydrofuran Chemical compound C1CCOC1 WYURNTSHIVDZCO-UHFFFAOYSA-N 0.000 description 6
- 235000005824 Zea mays ssp. parviglumis Nutrition 0.000 description 6
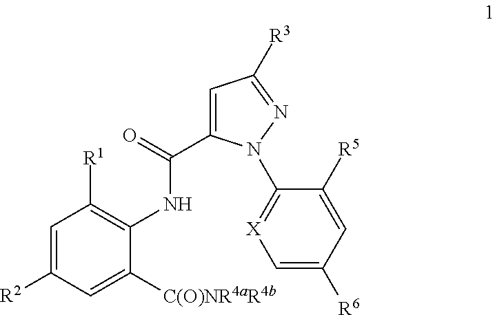
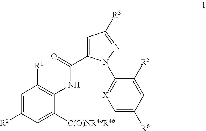
- 0 [1*]C1=C(NC(=O)C2=CC([3*])=NN2C2=CC=C([6*])C=C2[5*])C(C)=CC([2*])=C1 Chemical compound [1*]C1=C(NC(=O)C2=CC([3*])=NN2C2=CC=C([6*])C=C2[5*])C(C)=CC([2*])=C1 0.000 description 6
- 235000005822 corn Nutrition 0.000 description 6
- 238000005520 cutting process Methods 0.000 description 6
- VILAVOFMIJHSJA-UHFFFAOYSA-N dicarbon monoxide Chemical group [C]=C=O VILAVOFMIJHSJA-UHFFFAOYSA-N 0.000 description 6
- YDEXUEFDPVHGHE-GGMCWBHBSA-L disodium;(2r)-3-(2-hydroxy-3-methoxyphenyl)-2-[2-methoxy-4-(3-sulfonatopropyl)phenoxy]propane-1-sulfonate Chemical compound [Na+].[Na+].COC1=CC=CC(C[C@H](CS([O-])(=O)=O)OC=2C(=CC(CCCS([O-])(=O)=O)=CC=2)OC)=C1O YDEXUEFDPVHGHE-GGMCWBHBSA-L 0.000 description 6
- 235000010486 polyoxyethylene sorbitan monolaurate Nutrition 0.000 description 6
- 229920002689 polyvinyl acetate Polymers 0.000 description 6
- 108091052345 ryanodine receptor (TC 1.A.3.1) family Proteins 0.000 description 6
- 150000004760 silicates Chemical class 0.000 description 6
- 239000008247 solid mixture Substances 0.000 description 6
- 239000007921 spray Substances 0.000 description 6
- 238000005507 spraying Methods 0.000 description 6
- 235000019698 starch Nutrition 0.000 description 6
- 235000000346 sugar Nutrition 0.000 description 6
- 238000011282 treatment Methods 0.000 description 6
- 244000291564 Allium cepa Species 0.000 description 5
- 235000002732 Allium cepa var. cepa Nutrition 0.000 description 5
- 241001302798 Bemisia argentifolii Species 0.000 description 5
- OKTJSMMVPCPJKN-UHFFFAOYSA-N Carbon Chemical group [C] OKTJSMMVPCPJKN-UHFFFAOYSA-N 0.000 description 5
- 241000258937 Hemiptera Species 0.000 description 5
- 244000017020 Ipomoea batatas Species 0.000 description 5
- 235000002678 Ipomoea batatas Nutrition 0.000 description 5
- WHXSMMKQMYFTQS-UHFFFAOYSA-N Lithium Chemical compound [Li] WHXSMMKQMYFTQS-UHFFFAOYSA-N 0.000 description 5
- RVGRUAULSDPKGF-UHFFFAOYSA-N Poloxamer Chemical compound C1CO1.CC1CO1 RVGRUAULSDPKGF-UHFFFAOYSA-N 0.000 description 5
- 241000722921 Tulipa gesneriana Species 0.000 description 5
- 238000003556 assay Methods 0.000 description 5
- 229910052799 carbon Inorganic materials 0.000 description 5
- 238000010790 dilution Methods 0.000 description 5
- 239000012895 dilution Substances 0.000 description 5
- 150000004676 glycans Chemical class 0.000 description 5
- 238000005469 granulation Methods 0.000 description 5
- 230000003179 granulation Effects 0.000 description 5
- 125000001188 haloalkyl group Chemical group 0.000 description 5
- NLYAJNPCOHFWQQ-UHFFFAOYSA-N kaolin Chemical compound O.O.O=[Al]O[Si](=O)O[Si](=O)O[Al]=O NLYAJNPCOHFWQQ-UHFFFAOYSA-N 0.000 description 5
- 239000003446 ligand Substances 0.000 description 5
- 229910052744 lithium Inorganic materials 0.000 description 5
- 238000003801 milling Methods 0.000 description 5
- 125000004433 nitrogen atom Chemical group N* 0.000 description 5
- 230000035515 penetration Effects 0.000 description 5
- 229920001282 polysaccharide Polymers 0.000 description 5
- 239000005017 polysaccharide Substances 0.000 description 5
- 229920002451 polyvinyl alcohol Polymers 0.000 description 5
- 235000019422 polyvinyl alcohol Nutrition 0.000 description 5
- 239000000725 suspension Substances 0.000 description 5
- 238000012546 transfer Methods 0.000 description 5
- 239000000080 wetting agent Substances 0.000 description 5
- 235000010167 Allium cepa var aggregatum Nutrition 0.000 description 4
- 235000011645 Allium x proliferum Nutrition 0.000 description 4
- 240000002791 Brassica napus Species 0.000 description 4
- 241000596148 Crocus Species 0.000 description 4
- 235000004237 Crocus Nutrition 0.000 description 4
- 241001057636 Dracaena deremensis Species 0.000 description 4
- IAYPIBMASNFSPL-UHFFFAOYSA-N Ethylene oxide Chemical compound C1CO1 IAYPIBMASNFSPL-UHFFFAOYSA-N 0.000 description 4
- 241001632576 Hyacinthus Species 0.000 description 4
- GUBGYTABKSRVRQ-QKKXKWKRSA-N Lactose Natural products OC[C@H]1O[C@@H](O[C@H]2[C@H](O)[C@@H](O)C(O)O[C@@H]2CO)[C@H](O)[C@@H](O)[C@H]1O GUBGYTABKSRVRQ-QKKXKWKRSA-N 0.000 description 4
- SECXISVLQFMRJM-UHFFFAOYSA-N N-Methylpyrrolidone Chemical compound CN1CCCC1=O SECXISVLQFMRJM-UHFFFAOYSA-N 0.000 description 4
- 239000004372 Polyvinyl alcohol Substances 0.000 description 4
- JUJWROOIHBZHMG-UHFFFAOYSA-N Pyridine Chemical compound C1=CC=NC=C1 JUJWROOIHBZHMG-UHFFFAOYSA-N 0.000 description 4
- 241000256251 Spodoptera frugiperda Species 0.000 description 4
- SVPXDRXYRYOSEX-UHFFFAOYSA-N bentoquatam Chemical compound O.O=[Si]=O.O=[Al]O[Al]=O SVPXDRXYRYOSEX-UHFFFAOYSA-N 0.000 description 4
- 150000001721 carbon Chemical group 0.000 description 4
- 239000000969 carrier Substances 0.000 description 4
- 239000004927 clay Substances 0.000 description 4
- 239000013078 crystal Substances 0.000 description 4
- GVGUFUZHNYFZLC-UHFFFAOYSA-N dodecyl benzenesulfonate;sodium Chemical class [Na].CCCCCCCCCCCCOS(=O)(=O)C1=CC=CC=C1 GVGUFUZHNYFZLC-UHFFFAOYSA-N 0.000 description 4
- 238000001035 drying Methods 0.000 description 4
- 230000012010 growth Effects 0.000 description 4
- 229960001375 lactose Drugs 0.000 description 4
- 239000008101 lactose Substances 0.000 description 4
- 230000001418 larval effect Effects 0.000 description 4
- PSZYNBSKGUBXEH-UHFFFAOYSA-N naphthalene-1-sulfonic acid Chemical class C1=CC=C2C(S(=O)(=O)O)=CC=CC2=C1 PSZYNBSKGUBXEH-UHFFFAOYSA-N 0.000 description 4
- 239000000256 polyoxyethylene sorbitan monolaurate Substances 0.000 description 4
- 239000010409 thin film Substances 0.000 description 4
- 210000001519 tissue Anatomy 0.000 description 4
- 125000002023 trifluoromethyl group Chemical group FC(F)(F)* 0.000 description 4
- NIXOWILDQLNWCW-UHFFFAOYSA-N 2-Propenoic acid Natural products OC(=O)C=C NIXOWILDQLNWCW-UHFFFAOYSA-N 0.000 description 3
- 239000005995 Aluminium silicate Substances 0.000 description 3
- VTYYLEPIZMXCLO-UHFFFAOYSA-L Calcium carbonate Chemical compound [Ca+2].[O-]C([O-])=O VTYYLEPIZMXCLO-UHFFFAOYSA-L 0.000 description 3
- 235000012040 Dahlia pinnata Nutrition 0.000 description 3
- 244000033273 Dahlia variabilis Species 0.000 description 3
- 240000005717 Dioscorea alata Species 0.000 description 3
- 235000002723 Dioscorea alata Nutrition 0.000 description 3
- 235000007056 Dioscorea composita Nutrition 0.000 description 3
- 235000009723 Dioscorea convolvulacea Nutrition 0.000 description 3
- 235000005362 Dioscorea floribunda Nutrition 0.000 description 3
- 235000004868 Dioscorea macrostachya Nutrition 0.000 description 3
- 235000005361 Dioscorea nummularia Nutrition 0.000 description 3
- 235000005360 Dioscorea spiculiflora Nutrition 0.000 description 3
- 239000001692 EU approved anti-caking agent Substances 0.000 description 3
- 235000006350 Ipomoea batatas var. batatas Nutrition 0.000 description 3
- 241000234479 Narcissus Species 0.000 description 3
- ISWSIDIOOBJBQZ-UHFFFAOYSA-N Phenol Chemical compound OC1=CC=CC=C1 ISWSIDIOOBJBQZ-UHFFFAOYSA-N 0.000 description 3
- 229920002043 Pluronic® L 35 Polymers 0.000 description 3
- XUIMIQQOPSSXEZ-UHFFFAOYSA-N Silicon Chemical compound [Si] XUIMIQQOPSSXEZ-UHFFFAOYSA-N 0.000 description 3
- ZMANZCXQSJIPKH-UHFFFAOYSA-N Triethylamine Chemical compound CCN(CC)CC ZMANZCXQSJIPKH-UHFFFAOYSA-N 0.000 description 3
- 150000001298 alcohols Chemical class 0.000 description 3
- 235000010443 alginic acid Nutrition 0.000 description 3
- 229920000615 alginic acid Polymers 0.000 description 3
- 235000012211 aluminium silicate Nutrition 0.000 description 3
- 238000004458 analytical method Methods 0.000 description 3
- 125000000129 anionic group Chemical group 0.000 description 3
- 125000004429 atom Chemical group 0.000 description 3
- 239000000440 bentonite Substances 0.000 description 3
- 229910000278 bentonite Inorganic materials 0.000 description 3
- 125000002837 carbocyclic group Chemical group 0.000 description 3
- 229910001873 dinitrogen Inorganic materials 0.000 description 3
- 235000004879 dioscorea Nutrition 0.000 description 3
- 235000013601 eggs Nutrition 0.000 description 3
- 230000008020 evaporation Effects 0.000 description 3
- 239000000835 fiber Substances 0.000 description 3
- 239000011521 glass Substances 0.000 description 3
- 229920000578 graft copolymer Polymers 0.000 description 3
- 125000004438 haloalkoxy group Chemical group 0.000 description 3
- 238000010438 heat treatment Methods 0.000 description 3
- 238000004128 high performance liquid chromatography Methods 0.000 description 3
- 230000008595 infiltration Effects 0.000 description 3
- 238000001764 infiltration Methods 0.000 description 3
- 231100000636 lethal dose Toxicity 0.000 description 3
- 239000000314 lubricant Substances 0.000 description 3
- QSHDDOUJBYECFT-UHFFFAOYSA-N mercury Chemical compound [Hg] QSHDDOUJBYECFT-UHFFFAOYSA-N 0.000 description 3
- 229910052753 mercury Inorganic materials 0.000 description 3
- 125000004430 oxygen atom Chemical group O* 0.000 description 3
- 239000010451 perlite Substances 0.000 description 3
- 235000019362 perlite Nutrition 0.000 description 3
- 229920003023 plastic Polymers 0.000 description 3
- 239000004033 plastic Substances 0.000 description 3
- 239000011118 polyvinyl acetate Substances 0.000 description 3
- 238000012545 processing Methods 0.000 description 3
- 239000013557 residual solvent Substances 0.000 description 3
- 229910052710 silicon Inorganic materials 0.000 description 3
- 239000003381 stabilizer Substances 0.000 description 3
- 239000008107 starch Substances 0.000 description 3
- 238000003756 stirring Methods 0.000 description 3
- 125000001424 substituent group Chemical group 0.000 description 3
- 150000003512 tertiary amines Chemical class 0.000 description 3
- YLQBMQCUIZJEEH-UHFFFAOYSA-N tetrahydrofuran Natural products C=1C=COC=1 YLQBMQCUIZJEEH-UHFFFAOYSA-N 0.000 description 3
- 239000002023 wood Substances 0.000 description 3
- MWZODTXBCNJLGO-UHFFFAOYSA-N 2-(3-chloropyridin-2-yl)-n-[4-cyano-2-methyl-6-(methylcarbamoyl)phenyl]-5-(trifluoromethyl)pyrazole-3-carboxamide Chemical compound CNC(=O)C1=CC(C#N)=CC(C)=C1NC(=O)C1=CC(C(F)(F)F)=NN1C1=NC=CC=C1Cl MWZODTXBCNJLGO-UHFFFAOYSA-N 0.000 description 2
- WBIQQQGBSDOWNP-UHFFFAOYSA-N 2-dodecylbenzenesulfonic acid Chemical compound CCCCCCCCCCCCC1=CC=CC=C1S(O)(=O)=O WBIQQQGBSDOWNP-UHFFFAOYSA-N 0.000 description 2
- LPLLVINFLBSFRP-UHFFFAOYSA-N 2-methylamino-1-phenylpropan-1-one Chemical compound CNC(C)C(=O)C1=CC=CC=C1 LPLLVINFLBSFRP-UHFFFAOYSA-N 0.000 description 2
- NHQDETIJWKXCTC-UHFFFAOYSA-N 3-chloroperbenzoic acid Chemical compound OOC(=O)C1=CC=CC(Cl)=C1 NHQDETIJWKXCTC-UHFFFAOYSA-N 0.000 description 2
- HRCGXSKXMVJQIK-UHFFFAOYSA-N 5-bromo-2-(2-chlorophenyl)-n-[2,4-dichloro-6-(methylcarbamoyl)phenyl]pyrazole-3-carboxamide Chemical compound CNC(=O)C1=CC(Cl)=CC(Cl)=C1NC(=O)C1=CC(Br)=NN1C1=CC=CC=C1Cl HRCGXSKXMVJQIK-UHFFFAOYSA-N 0.000 description 2
- KQMRZBODTSUMOR-UHFFFAOYSA-N 5-bromo-2-(2-chlorophenyl)-n-[4-cyano-2-methyl-6-(methylcarbamoyl)phenyl]pyrazole-3-carboxamide Chemical compound CNC(=O)C1=CC(C#N)=CC(C)=C1NC(=O)C1=CC(Br)=NN1C1=CC=CC=C1Cl KQMRZBODTSUMOR-UHFFFAOYSA-N 0.000 description 2
- JKNRIVAKCRTTRS-UHFFFAOYSA-N 5-bromo-2-(2-chlorophenyl)-n-[4-cyano-2-methyl-6-(propan-2-ylcarbamoyl)phenyl]pyrazole-3-carboxamide Chemical compound CC(C)NC(=O)C1=CC(C#N)=CC(C)=C1NC(=O)C1=CC(Br)=NN1C1=CC=CC=C1Cl JKNRIVAKCRTTRS-UHFFFAOYSA-N 0.000 description 2
- YPHKIULMTBHKDJ-UHFFFAOYSA-N 5-bromo-2-(3-chloropyridin-2-yl)-n-[4-cyano-2-(1-cyclopropylethylcarbamoyl)-6-methylphenyl]pyrazole-3-carboxamide Chemical compound C1CC1C(C)NC(=O)C1=CC(C#N)=CC(C)=C1NC(=O)C1=CC(Br)=NN1C1=NC=CC=C1Cl YPHKIULMTBHKDJ-UHFFFAOYSA-N 0.000 description 2
- QUVRNVCDFZMSEP-UHFFFAOYSA-N 5-bromo-2-(3-chloropyridin-2-yl)-n-[4-cyano-2-(cyclopropylmethylcarbamoyl)-6-methylphenyl]pyrazole-3-carboxamide Chemical compound C=1C(Br)=NN(C=2C(=CC=CN=2)Cl)C=1C(=O)NC=1C(C)=CC(C#N)=CC=1C(=O)NCC1CC1 QUVRNVCDFZMSEP-UHFFFAOYSA-N 0.000 description 2
- COMKTHXSKXDSHR-UHFFFAOYSA-N 5-bromo-n-[4-chloro-2-(1-cyclopropylethylcarbamoyl)-6-methylphenyl]-2-(3-chloropyridin-2-yl)pyrazole-3-carboxamide Chemical compound C1CC1C(C)NC(=O)C1=CC(Cl)=CC(C)=C1NC(=O)C1=CC(Br)=NN1C1=NC=CC=C1Cl COMKTHXSKXDSHR-UHFFFAOYSA-N 0.000 description 2
- IHDORFGEPXUWJG-UHFFFAOYSA-N 5-bromo-n-[4-chloro-2-(cyclopropylmethylcarbamoyl)-6-methylphenyl]-2-(3-chloropyridin-2-yl)pyrazole-3-carboxamide Chemical compound C=1C(Br)=NN(C=2C(=CC=CN=2)Cl)C=1C(=O)NC=1C(C)=CC(Cl)=CC=1C(=O)NCC1CC1 IHDORFGEPXUWJG-UHFFFAOYSA-N 0.000 description 2
- HYPNXRDZIVZNOC-UHFFFAOYSA-N 5-bromo-n-[4-chloro-2-methyl-6-(propan-2-ylcarbamoyl)phenyl]-2-(3-chloropyridin-2-yl)pyrazole-3-carboxamide Chemical compound CC(C)NC(=O)C1=CC(Cl)=CC(C)=C1NC(=O)C1=CC(Br)=NN1C1=NC=CC=C1Cl HYPNXRDZIVZNOC-UHFFFAOYSA-N 0.000 description 2
- 244000215068 Acacia senegal Species 0.000 description 2
- 240000000073 Achillea millefolium Species 0.000 description 2
- 235000007754 Achillea millefolium Nutrition 0.000 description 2
- 241001223222 Allium schubertii Species 0.000 description 2
- GUBGYTABKSRVRQ-XLOQQCSPSA-N Alpha-Lactose Chemical compound O[C@@H]1[C@@H](O)[C@@H](O)[C@@H](CO)O[C@H]1O[C@@H]1[C@@H](CO)O[C@H](O)[C@H](O)[C@H]1O GUBGYTABKSRVRQ-XLOQQCSPSA-N 0.000 description 2
- QGZKDVFQNNGYKY-UHFFFAOYSA-N Ammonia Chemical compound N QGZKDVFQNNGYKY-UHFFFAOYSA-N 0.000 description 2
- 241001083548 Anemone Species 0.000 description 2
- 240000001436 Antirrhinum majus Species 0.000 description 2
- 235000017060 Arachis glabrata Nutrition 0.000 description 2
- 244000105624 Arachis hypogaea Species 0.000 description 2
- 235000010777 Arachis hypogaea Nutrition 0.000 description 2
- 235000018262 Arachis monticola Nutrition 0.000 description 2
- 244000075850 Avena orientalis Species 0.000 description 2
- 235000007319 Avena orientalis Nutrition 0.000 description 2
- 235000007558 Avena sp Nutrition 0.000 description 2
- 241000464179 Begonia x tuberhybrida Species 0.000 description 2
- 235000016068 Berberis vulgaris Nutrition 0.000 description 2
- 241000335053 Beta vulgaris Species 0.000 description 2
- 244000178993 Brassica juncea Species 0.000 description 2
- 235000005855 Brassica juncea var. subintegrifolia Nutrition 0.000 description 2
- 235000011293 Brassica napus Nutrition 0.000 description 2
- 235000011291 Brassica nigra Nutrition 0.000 description 2
- 244000180419 Brassica nigra Species 0.000 description 2
- 235000000540 Brassica rapa subsp rapa Nutrition 0.000 description 2
- 235000004977 Brassica sinapistrum Nutrition 0.000 description 2
- 240000004457 Breynia fruticosa Species 0.000 description 2
- BHPQYMZQTOCNFJ-UHFFFAOYSA-N Calcium cation Chemical compound [Ca+2] BHPQYMZQTOCNFJ-UHFFFAOYSA-N 0.000 description 2
- 235000005881 Calendula officinalis Nutrition 0.000 description 2
- 241000189662 Calla Species 0.000 description 2
- 244000045232 Canavalia ensiformis Species 0.000 description 2
- 235000002566 Capsicum Nutrition 0.000 description 2
- 244000304921 Charybdis maritima Species 0.000 description 2
- 235000007516 Chrysanthemum Nutrition 0.000 description 2
- 244000189548 Chrysanthemum x morifolium Species 0.000 description 2
- 241001414720 Cicadellidae Species 0.000 description 2
- 244000241235 Citrullus lanatus Species 0.000 description 2
- 235000012828 Citrullus lanatus var citroides Nutrition 0.000 description 2
- 235000021508 Coleus Nutrition 0.000 description 2
- 244000061182 Coleus blumei Species 0.000 description 2
- 240000003023 Cosmos bipinnatus Species 0.000 description 2
- 235000005956 Cosmos caudatus Nutrition 0.000 description 2
- 244000241257 Cucumis melo Species 0.000 description 2
- 235000009847 Cucumis melo var cantalupensis Nutrition 0.000 description 2
- 240000008067 Cucumis sativus Species 0.000 description 2
- 235000010799 Cucumis sativus var sativus Nutrition 0.000 description 2
- 235000009854 Cucurbita moschata Nutrition 0.000 description 2
- 240000001980 Cucurbita pepo Species 0.000 description 2
- 235000009852 Cucurbita pepo Nutrition 0.000 description 2
- 241000612153 Cyclamen Species 0.000 description 2
- FBPFZTCFMRRESA-KVTDHHQDSA-N D-Mannitol Chemical compound OC[C@@H](O)[C@@H](O)[C@H](O)[C@H](O)CO FBPFZTCFMRRESA-KVTDHHQDSA-N 0.000 description 2
- 235000002767 Daucus carota Nutrition 0.000 description 2
- 244000000626 Daucus carota Species 0.000 description 2
- 241001050985 Disco Species 0.000 description 2
- 241000511009 Eustoma exaltatum subsp. russellianum Species 0.000 description 2
- 241000597000 Freesia Species 0.000 description 2
- 241000208152 Geranium Species 0.000 description 2
- 241000735332 Gerbera Species 0.000 description 2
- 241000245654 Gladiolus Species 0.000 description 2
- 240000005322 Gloxinia perennis Species 0.000 description 2
- 229920000084 Gum arabic Polymers 0.000 description 2
- 229920000569 Gum karaya Polymers 0.000 description 2
- 240000003824 Gypsophila paniculata Species 0.000 description 2
- 244000020551 Helianthus annuus Species 0.000 description 2
- 235000003222 Helianthus annuus Nutrition 0.000 description 2
- 101000608720 Helianthus annuus 10 kDa late embryogenesis abundant protein Proteins 0.000 description 2
- 241000238631 Hexapoda Species 0.000 description 2
- 240000005979 Hordeum vulgare Species 0.000 description 2
- 235000007340 Hordeum vulgare Nutrition 0.000 description 2
- VEXZGXHMUGYJMC-UHFFFAOYSA-N Hydrochloric acid Chemical compound Cl VEXZGXHMUGYJMC-UHFFFAOYSA-N 0.000 description 2
- MHAJPDPJQMAIIY-UHFFFAOYSA-N Hydrogen peroxide Chemical compound OO MHAJPDPJQMAIIY-UHFFFAOYSA-N 0.000 description 2
- 241001495448 Impatiens <genus> Species 0.000 description 2
- 235000010702 Insulata Nutrition 0.000 description 2
- 239000005909 Kieselgur Substances 0.000 description 2
- 240000008415 Lactuca sativa Species 0.000 description 2
- 241000234435 Lilium Species 0.000 description 2
- 240000001585 Limonium sinuatum Species 0.000 description 2
- 235000004431 Linum usitatissimum Nutrition 0.000 description 2
- 240000006240 Linum usitatissimum Species 0.000 description 2
- 235000007688 Lycopersicon esculentum Nutrition 0.000 description 2
- 229930195725 Mannitol Natural products 0.000 description 2
- 240000004658 Medicago sativa Species 0.000 description 2
- 235000017587 Medicago sativa ssp. sativa Nutrition 0.000 description 2
- 241001523509 Mentzelia Species 0.000 description 2
- 229920000715 Mucilage Polymers 0.000 description 2
- 241000756100 Muscari Species 0.000 description 2
- 235000016550 Muscari botryoides Nutrition 0.000 description 2
- 235000016549 Muscari comosum Nutrition 0.000 description 2
- 235000003581 Muscari neglectum Nutrition 0.000 description 2
- AFCARXCZXQIEQB-UHFFFAOYSA-N N-[3-oxo-3-(2,4,6,7-tetrahydrotriazolo[4,5-c]pyridin-5-yl)propyl]-2-[[3-(trifluoromethoxy)phenyl]methylamino]pyrimidine-5-carboxamide Chemical compound O=C(CCNC(=O)C=1C=NC(=NC=1)NCC1=CC(=CC=C1)OC(F)(F)F)N1CC2=C(CC1)NN=N2 AFCARXCZXQIEQB-UHFFFAOYSA-N 0.000 description 2
- 244000230712 Narcissus tazetta Species 0.000 description 2
- 235000002637 Nicotiana tabacum Nutrition 0.000 description 2
- 244000061176 Nicotiana tabacum Species 0.000 description 2
- 241000208167 Oxalis Species 0.000 description 2
- 235000008098 Oxalis acetosella Nutrition 0.000 description 2
- 241000282372 Panthera onca Species 0.000 description 2
- 239000006002 Pepper Substances 0.000 description 2
- 240000007377 Petunia x hybrida Species 0.000 description 2
- 235000010617 Phaseolus lunatus Nutrition 0.000 description 2
- NBIIXXVUZAFLBC-UHFFFAOYSA-N Phosphoric acid Chemical compound OP(O)(O)=O NBIIXXVUZAFLBC-UHFFFAOYSA-N 0.000 description 2
- 235000016761 Piper aduncum Nutrition 0.000 description 2
- 240000003889 Piper guineense Species 0.000 description 2
- 235000017804 Piper guineense Nutrition 0.000 description 2
- 235000008184 Piper nigrum Nutrition 0.000 description 2
- 240000004713 Pisum sativum Species 0.000 description 2
- 235000016816 Pisum sativum subsp sativum Nutrition 0.000 description 2
- 239000004698 Polyethylene Substances 0.000 description 2
- WCUXLLCKKVVCTQ-UHFFFAOYSA-M Potassium chloride Chemical compound [Cl-].[K+] WCUXLLCKKVVCTQ-UHFFFAOYSA-M 0.000 description 2
- GOOHAUXETOMSMM-UHFFFAOYSA-N Propylene oxide Chemical compound CC1CO1 GOOHAUXETOMSMM-UHFFFAOYSA-N 0.000 description 2
- 241001609370 Puschkinia scilloides Species 0.000 description 2
- 240000000136 Scabiosa atropurpurea Species 0.000 description 2
- 241001191283 Scilla forbesii Species 0.000 description 2
- 244000082988 Secale cereale Species 0.000 description 2
- 235000007238 Secale cereale Nutrition 0.000 description 2
- 229920002125 Sokalan® Polymers 0.000 description 2
- 240000003768 Solanum lycopersicum Species 0.000 description 2
- 235000002597 Solanum melongena Nutrition 0.000 description 2
- 244000061458 Solanum melongena Species 0.000 description 2
- 240000003829 Sorghum propinquum Species 0.000 description 2
- 235000011684 Sorghum saccharatum Nutrition 0.000 description 2
- 241000934878 Sterculia Species 0.000 description 2
- 240000000785 Tagetes erecta Species 0.000 description 2
- 229920001615 Tragacanth Polymers 0.000 description 2
- 241000209140 Triticum Species 0.000 description 2
- 235000021307 Triticum Nutrition 0.000 description 2
- 235000007264 Triticum durum Nutrition 0.000 description 2
- 241000209143 Triticum turgidum subsp. durum Species 0.000 description 2
- 235000010749 Vicia faba Nutrition 0.000 description 2
- 240000006677 Vicia faba Species 0.000 description 2
- 235000002098 Vicia faba var. major Nutrition 0.000 description 2
- 235000004031 Viola x wittrockiana Nutrition 0.000 description 2
- 244000047670 Viola x wittrockiana Species 0.000 description 2
- 240000003307 Zinnia violacea Species 0.000 description 2
- 241000746966 Zizania Species 0.000 description 2
- 235000002636 Zizania aquatica Nutrition 0.000 description 2
- 235000010489 acacia gum Nutrition 0.000 description 2
- 239000003377 acid catalyst Substances 0.000 description 2
- 239000000443 aerosol Substances 0.000 description 2
- 238000005054 agglomeration Methods 0.000 description 2
- 230000002776 aggregation Effects 0.000 description 2
- 150000004996 alkyl benzenes Chemical class 0.000 description 2
- 239000000305 astragalus gummifer gum Substances 0.000 description 2
- 229920001400 block copolymer Polymers 0.000 description 2
- 210000000081 body of the sternum Anatomy 0.000 description 2
- 125000000484 butyl group Chemical group [H]C([*])([H])C([H])([H])C([H])([H])C([H])([H])[H] 0.000 description 2
- 229910001424 calcium ion Inorganic materials 0.000 description 2
- 229920005551 calcium lignosulfonate Polymers 0.000 description 2
- 229920002678 cellulose Polymers 0.000 description 2
- 230000008859 change Effects 0.000 description 2
- 238000010924 continuous production Methods 0.000 description 2
- 229930186364 cyclamen Natural products 0.000 description 2
- CRPOUZQWHJYTMS-UHFFFAOYSA-N dialuminum;magnesium;disilicate Chemical compound [Mg+2].[Al+3].[Al+3].[O-][Si]([O-])([O-])[O-].[O-][Si]([O-])([O-])[O-] CRPOUZQWHJYTMS-UHFFFAOYSA-N 0.000 description 2
- 238000007598 dipping method Methods 0.000 description 2
- 229940060296 dodecylbenzenesulfonic acid Drugs 0.000 description 2
- 235000005489 dwarf bean Nutrition 0.000 description 2
- 244000013123 dwarf bean Species 0.000 description 2
- 238000005516 engineering process Methods 0.000 description 2
- 230000007613 environmental effect Effects 0.000 description 2
- 235000019325 ethyl cellulose Nutrition 0.000 description 2
- 229920001249 ethyl cellulose Polymers 0.000 description 2
- 238000001125 extrusion Methods 0.000 description 2
- 238000009477 fluid bed granulation Methods 0.000 description 2
- 235000013305 food Nutrition 0.000 description 2
- 229910021485 fumed silica Inorganic materials 0.000 description 2
- 229920000591 gum Polymers 0.000 description 2
- 230000007062 hydrolysis Effects 0.000 description 2
- 238000006460 hydrolysis reaction Methods 0.000 description 2
- 229930190166 impatien Natural products 0.000 description 2
- 229910003480 inorganic solid Inorganic materials 0.000 description 2
- 125000001449 isopropyl group Chemical group [H]C([H])([H])C([H])(*)C([H])([H])[H] 0.000 description 2
- 235000010494 karaya gum Nutrition 0.000 description 2
- 239000000231 karaya gum Substances 0.000 description 2
- 229940039371 karaya gum Drugs 0.000 description 2
- 239000004816 latex Substances 0.000 description 2
- 229920000126 latex Polymers 0.000 description 2
- 239000000594 mannitol Substances 0.000 description 2
- 235000010355 mannitol Nutrition 0.000 description 2
- 238000004519 manufacturing process Methods 0.000 description 2
- 238000005259 measurement Methods 0.000 description 2
- 229920000609 methyl cellulose Polymers 0.000 description 2
- 235000010981 methylcellulose Nutrition 0.000 description 2
- QQRCKFXFWQIUGK-UHFFFAOYSA-N n-[4-chloro-2-methyl-6-(methylcarbamoyl)phenyl]-2-(3-chloropyridin-2-yl)-5-(trifluoromethyl)pyrazole-3-carboxamide Chemical compound CNC(=O)C1=CC(Cl)=CC(C)=C1NC(=O)C1=CC(C(F)(F)F)=NN1C1=NC=CC=C1Cl QQRCKFXFWQIUGK-UHFFFAOYSA-N 0.000 description 2
- XPJUOKKHAANAGZ-UHFFFAOYSA-N n-[4-chloro-2-methyl-6-(propan-2-ylcarbamoyl)phenyl]-2-(3-chloropyridin-2-yl)-5-(trifluoromethyl)pyrazole-3-carboxamide Chemical compound CC(C)NC(=O)C1=CC(Cl)=CC(C)=C1NC(=O)C1=CC(C(F)(F)F)=NN1C1=NC=CC=C1Cl XPJUOKKHAANAGZ-UHFFFAOYSA-N 0.000 description 2
- QJGQUHMNIGDVPM-UHFFFAOYSA-N nitrogen group Chemical group [N] QJGQUHMNIGDVPM-UHFFFAOYSA-N 0.000 description 2
- 230000003647 oxidation Effects 0.000 description 2
- 238000007254 oxidation reaction Methods 0.000 description 2
- 235000010603 pastilles Nutrition 0.000 description 2
- 235000020232 peanut Nutrition 0.000 description 2
- 239000000575 pesticide Substances 0.000 description 2
- 125000001997 phenyl group Chemical group [H]C1=C([H])C([H])=C(*)C([H])=C1[H] 0.000 description 2
- 150000003014 phosphoric acid esters Chemical class 0.000 description 2
- 229920001983 poloxamer Polymers 0.000 description 2
- 229920002432 poly(vinyl methyl ether) polymer Polymers 0.000 description 2
- 238000006116 polymerization reaction Methods 0.000 description 2
- 229940058401 polytetrafluoroethylene Drugs 0.000 description 2
- 229920001343 polytetrafluoroethylene Polymers 0.000 description 2
- 239000004810 polytetrafluoroethylene Substances 0.000 description 2
- 102000004169 proteins and genes Human genes 0.000 description 2
- 108090000623 proteins and genes Proteins 0.000 description 2
- UMJSCPRVCHMLSP-UHFFFAOYSA-N pyridine Natural products COC1=CC=CN=C1 UMJSCPRVCHMLSP-UHFFFAOYSA-N 0.000 description 2
- 150000003254 radicals Chemical class 0.000 description 2
- 230000009467 reduction Effects 0.000 description 2
- 230000010076 replication Effects 0.000 description 2
- 238000004366 reverse phase liquid chromatography Methods 0.000 description 2
- 238000005096 rolling process Methods 0.000 description 2
- LSMIOFMZNVEEBR-ICLSSMQGSA-N scilliroside Chemical compound C=1([C@@H]2[C@@]3(C)CC[C@H]4[C@@]([C@]3(CC2)O)(O)C[C@H](C2=C[C@@H](O[C@H]3[C@@H]([C@@H](O)[C@H](O)[C@@H](CO)O3)O)CC[C@@]24C)OC(=O)C)C=CC(=O)OC=1 LSMIOFMZNVEEBR-ICLSSMQGSA-N 0.000 description 2
- 239000010703 silicon Substances 0.000 description 2
- 235000021309 simple sugar Nutrition 0.000 description 2
- 238000004513 sizing Methods 0.000 description 2
- 229940080264 sodium dodecylbenzenesulfonate Drugs 0.000 description 2
- GEHJYWRUCIMESM-UHFFFAOYSA-L sodium sulfite Chemical compound [Na+].[Na+].[O-]S([O-])=O GEHJYWRUCIMESM-UHFFFAOYSA-L 0.000 description 2
- 239000012265 solid product Substances 0.000 description 2
- 238000000935 solvent evaporation Methods 0.000 description 2
- 235000020354 squash Nutrition 0.000 description 2
- 229910001220 stainless steel Inorganic materials 0.000 description 2
- 239000010935 stainless steel Substances 0.000 description 2
- 238000000825 ultraviolet detection Methods 0.000 description 2
- 230000002792 vascular Effects 0.000 description 2
- 239000010455 vermiculite Substances 0.000 description 2
- 229910052902 vermiculite Inorganic materials 0.000 description 2
- 235000019354 vermiculite Nutrition 0.000 description 2
- 229920002554 vinyl polymer Polymers 0.000 description 2
- 125000004793 2,2,2-trifluoroethoxy group Chemical group FC(CO*)(F)F 0.000 description 1
- 125000004206 2,2,2-trifluoroethyl group Chemical group [H]C([H])(*)C(F)(F)F 0.000 description 1
- TVFWYUWNQVRQRG-UHFFFAOYSA-N 2,3,4-tris(2-phenylethenyl)phenol Chemical compound C=1C=CC=CC=1C=CC1=C(C=CC=2C=CC=CC=2)C(O)=CC=C1C=CC1=CC=CC=C1 TVFWYUWNQVRQRG-UHFFFAOYSA-N 0.000 description 1
- OVSKIKFHRZPJSS-UHFFFAOYSA-N 2,4-D Chemical compound OC(=O)COC1=CC=C(Cl)C=C1Cl OVSKIKFHRZPJSS-UHFFFAOYSA-N 0.000 description 1
- SMZOUWXMTYCWNB-UHFFFAOYSA-N 2-(2-methoxy-5-methylphenyl)ethanamine Chemical compound COC1=CC=C(C)C=C1CCN SMZOUWXMTYCWNB-UHFFFAOYSA-N 0.000 description 1
- OEPOKWHJYJXUGD-UHFFFAOYSA-N 2-(3-phenylmethoxyphenyl)-1,3-thiazole-4-carbaldehyde Chemical compound O=CC1=CSC(C=2C=C(OCC=3C=CC=CC=3)C=CC=2)=N1 OEPOKWHJYJXUGD-UHFFFAOYSA-N 0.000 description 1
- UOCPQZOXOQZEGV-UHFFFAOYSA-N 2-amino-5-cyano-n,3-dimethylbenzamide Chemical compound CNC(=O)C1=CC(C#N)=CC(C)=C1N UOCPQZOXOQZEGV-UHFFFAOYSA-N 0.000 description 1
- FOGYNLXERPKEGN-UHFFFAOYSA-N 3-(2-hydroxy-3-methoxyphenyl)-2-[2-methoxy-4-(3-sulfopropyl)phenoxy]propane-1-sulfonic acid Chemical class COC1=CC=CC(CC(CS(O)(=O)=O)OC=2C(=CC(CCCS(O)(=O)=O)=CC=2)OC)=C1O FOGYNLXERPKEGN-UHFFFAOYSA-N 0.000 description 1
- FORBXGROTPOMEH-UHFFFAOYSA-N 5-bromo-2-(3-chloropyridin-2-yl)pyrazole-3-carboxylic acid Chemical compound OC(=O)C1=CC(Br)=NN1C1=NC=CC=C1Cl FORBXGROTPOMEH-UHFFFAOYSA-N 0.000 description 1
- FHVDTGUDJYJELY-UHFFFAOYSA-N 6-{[2-carboxy-4,5-dihydroxy-6-(phosphanyloxy)oxan-3-yl]oxy}-4,5-dihydroxy-3-phosphanyloxane-2-carboxylic acid Chemical compound O1C(C(O)=O)C(P)C(O)C(O)C1OC1C(C(O)=O)OC(OP)C(O)C1O FHVDTGUDJYJELY-UHFFFAOYSA-N 0.000 description 1
- ZCYVEMRRCGMTRW-UHFFFAOYSA-N 7553-56-2 Chemical compound [I] ZCYVEMRRCGMTRW-UHFFFAOYSA-N 0.000 description 1
- NIXOWILDQLNWCW-UHFFFAOYSA-M Acrylate Chemical compound [O-]C(=O)C=C NIXOWILDQLNWCW-UHFFFAOYSA-M 0.000 description 1
- 229920002126 Acrylic acid copolymer Polymers 0.000 description 1
- 229910002016 Aerosil® 200 Inorganic materials 0.000 description 1
- 241000254124 Aleyrodidae Species 0.000 description 1
- 235000011202 Angiopteris lygodiifolia Nutrition 0.000 description 1
- 241001124076 Aphididae Species 0.000 description 1
- LSNNMFCWUKXFEE-UHFFFAOYSA-M Bisulfite Chemical compound OS([O-])=O LSNNMFCWUKXFEE-UHFFFAOYSA-M 0.000 description 1
- WKBOTKDWSSQWDR-UHFFFAOYSA-N Bromine atom Chemical compound [Br] WKBOTKDWSSQWDR-UHFFFAOYSA-N 0.000 description 1
- FXHOOIRPVKKKFG-UHFFFAOYSA-N CC(=O)N(C)C Chemical compound CC(=O)N(C)C FXHOOIRPVKKKFG-UHFFFAOYSA-N 0.000 description 1
- 229920002134 Carboxymethyl cellulose Polymers 0.000 description 1
- 229920001661 Chitosan Polymers 0.000 description 1
- ZAMOUSCENKQFHK-UHFFFAOYSA-N Chlorine atom Chemical compound [Cl] ZAMOUSCENKQFHK-UHFFFAOYSA-N 0.000 description 1
- 235000013162 Cocos nucifera Nutrition 0.000 description 1
- 244000060011 Cocos nucifera Species 0.000 description 1
- 241000723185 Cyathea Species 0.000 description 1
- 241001466044 Delphacidae Species 0.000 description 1
- LFQSCWFLJHTTHZ-UHFFFAOYSA-N Ethanol Chemical class CCO LFQSCWFLJHTTHZ-UHFFFAOYSA-N 0.000 description 1
- 239000001856 Ethyl cellulose Substances 0.000 description 1
- ZZSNKZQZMQGXPY-UHFFFAOYSA-N Ethyl cellulose Chemical compound CCOCC1OC(OC)C(OCC)C(OCC)C1OC1C(O)C(O)C(OC)C(CO)O1 ZZSNKZQZMQGXPY-UHFFFAOYSA-N 0.000 description 1
- PXGOKWXKJXAPGV-UHFFFAOYSA-N Fluorine Chemical compound FF PXGOKWXKJXAPGV-UHFFFAOYSA-N 0.000 description 1
- 241001466042 Fulgoromorpha Species 0.000 description 1
- 108010010803 Gelatin Proteins 0.000 description 1
- WQZGKKKJIJFFOK-GASJEMHNSA-N Glucose Natural products OC[C@H]1OC(O)[C@H](O)[C@@H](O)[C@@H]1O WQZGKKKJIJFFOK-GASJEMHNSA-N 0.000 description 1
- 235000004341 Gossypium herbaceum Nutrition 0.000 description 1
- 240000002024 Gossypium herbaceum Species 0.000 description 1
- 229920002153 Hydroxypropyl cellulose Polymers 0.000 description 1
- 206010061217 Infestation Diseases 0.000 description 1
- 208000007976 Ketosis Diseases 0.000 description 1
- 241000255777 Lepidoptera Species 0.000 description 1
- 241001465754 Metazoa Species 0.000 description 1
- 239000012359 Methanesulfonyl chloride Substances 0.000 description 1
- VVQNEPGJFQJSBK-UHFFFAOYSA-N Methyl methacrylate Chemical compound COC(=O)C(C)=C VVQNEPGJFQJSBK-UHFFFAOYSA-N 0.000 description 1
- 229920000881 Modified starch Polymers 0.000 description 1
- WPPOGHDFAVQKLN-UHFFFAOYSA-N N-Octyl-2-pyrrolidone Chemical compound CCCCCCCCN1CCCC1=O WPPOGHDFAVQKLN-UHFFFAOYSA-N 0.000 description 1
- 229910019142 PO4 Inorganic materials 0.000 description 1
- 206010033799 Paralysis Diseases 0.000 description 1
- SJEYSFABYSGQBG-UHFFFAOYSA-M Patent blue Chemical compound [Na+].C1=CC(N(CC)CC)=CC=C1C(C=1C(=CC(=CC=1)S([O-])(=O)=O)S([O-])(=O)=O)=C1C=CC(=[N+](CC)CC)C=C1 SJEYSFABYSGQBG-UHFFFAOYSA-M 0.000 description 1
- KFSLWBXXFJQRDL-UHFFFAOYSA-N Peracetic acid Chemical compound CC(=O)OO KFSLWBXXFJQRDL-UHFFFAOYSA-N 0.000 description 1
- 229920003171 Poly (ethylene oxide) Polymers 0.000 description 1
- 239000004743 Polypropylene Substances 0.000 description 1
- 239000004349 Polyvinylpyrrolidone-vinyl acetate copolymer Substances 0.000 description 1
- 229920001800 Shellac Polymers 0.000 description 1
- 239000004115 Sodium Silicate Substances 0.000 description 1
- QAOWNCQODCNURD-UHFFFAOYSA-L Sulfate Chemical compound [O-]S([O-])(=O)=O QAOWNCQODCNURD-UHFFFAOYSA-L 0.000 description 1
- 238000002441 X-ray diffraction Methods 0.000 description 1
- 229920002494 Zein Polymers 0.000 description 1
- 108010055615 Zein Proteins 0.000 description 1
- HCHKCACWOHOZIP-UHFFFAOYSA-N Zinc Chemical compound [Zn] HCHKCACWOHOZIP-UHFFFAOYSA-N 0.000 description 1
- JIAARYAFYJHUJI-UHFFFAOYSA-L Zinc chloride Inorganic materials [Cl-].[Cl-].[Zn+2] JIAARYAFYJHUJI-UHFFFAOYSA-L 0.000 description 1
- YKTSYUJCYHOUJP-UHFFFAOYSA-N [O--].[Al+3].[Al+3].[O-][Si]([O-])([O-])[O-] Chemical compound [O--].[Al+3].[Al+3].[O-][Si]([O-])([O-])[O-] YKTSYUJCYHOUJP-UHFFFAOYSA-N 0.000 description 1
- 239000000205 acacia gum Substances 0.000 description 1
- PBCJIPOGFJYBJE-UHFFFAOYSA-N acetonitrile;hydrate Chemical compound O.CC#N PBCJIPOGFJYBJE-UHFFFAOYSA-N 0.000 description 1
- WGZCUXZFISUUPR-UHFFFAOYSA-N acetonitrile;oxolane Chemical compound CC#N.C1CCOC1 WGZCUXZFISUUPR-UHFFFAOYSA-N 0.000 description 1
- 230000002378 acidificating effect Effects 0.000 description 1
- 229920006243 acrylic copolymer Polymers 0.000 description 1
- 230000009471 action Effects 0.000 description 1
- 239000002313 adhesive film Substances 0.000 description 1
- 239000002998 adhesive polymer Substances 0.000 description 1
- 239000002671 adjuvant Substances 0.000 description 1
- 230000009418 agronomic effect Effects 0.000 description 1
- 150000001323 aldoses Chemical class 0.000 description 1
- 229940072056 alginate Drugs 0.000 description 1
- 229910000318 alkali metal phosphate Inorganic materials 0.000 description 1
- 125000003545 alkoxy group Chemical group 0.000 description 1
- 229910000147 aluminium phosphate Inorganic materials 0.000 description 1
- 229910021529 ammonia Inorganic materials 0.000 description 1
- 150000003863 ammonium salts Chemical class 0.000 description 1
- 239000012736 aqueous medium Substances 0.000 description 1
- 125000003118 aryl group Chemical group 0.000 description 1
- QVGXLLKOCUKJST-UHFFFAOYSA-N atomic oxygen Chemical compound [O] QVGXLLKOCUKJST-UHFFFAOYSA-N 0.000 description 1
- 229960000892 attapulgite Drugs 0.000 description 1
- 229910052788 barium Inorganic materials 0.000 description 1
- DSAJWYNOEDNPEQ-UHFFFAOYSA-N barium atom Chemical compound [Ba] DSAJWYNOEDNPEQ-UHFFFAOYSA-N 0.000 description 1
- 239000002585 base Substances 0.000 description 1
- 238000010923 batch production Methods 0.000 description 1
- 230000008901 benefit Effects 0.000 description 1
- SRSXLGNVWSONIS-UHFFFAOYSA-M benzenesulfonate Chemical compound [O-]S(=O)(=O)C1=CC=CC=C1 SRSXLGNVWSONIS-UHFFFAOYSA-M 0.000 description 1
- 229940077388 benzenesulfonate Drugs 0.000 description 1
- SRSXLGNVWSONIS-UHFFFAOYSA-N benzenesulfonic acid Chemical class OS(=O)(=O)C1=CC=CC=C1 SRSXLGNVWSONIS-UHFFFAOYSA-N 0.000 description 1
- 230000015572 biosynthetic process Effects 0.000 description 1
- 238000009835 boiling Methods 0.000 description 1
- GDTBXPJZTBHREO-UHFFFAOYSA-N bromine Substances BrBr GDTBXPJZTBHREO-UHFFFAOYSA-N 0.000 description 1
- CURLHBZYTFVCRG-UHFFFAOYSA-N butan-2-yl n-(3-chlorophenyl)carbamate Chemical compound CCC(C)OC(=O)NC1=CC=CC(Cl)=C1 CURLHBZYTFVCRG-UHFFFAOYSA-N 0.000 description 1
- 125000004106 butoxy group Chemical group [*]OC([H])([H])C([H])([H])C(C([H])([H])[H])([H])[H] 0.000 description 1
- 229910000281 calcium bentonite Inorganic materials 0.000 description 1
- 229910000019 calcium carbonate Inorganic materials 0.000 description 1
- RYAGRZNBULDMBW-UHFFFAOYSA-L calcium;3-(2-hydroxy-3-methoxyphenyl)-2-[2-methoxy-4-(3-sulfonatopropyl)phenoxy]propane-1-sulfonate Chemical compound [Ca+2].COC1=CC=CC(CC(CS([O-])(=O)=O)OC=2C(=CC(CCCS([O-])(=O)=O)=CC=2)OC)=C1O RYAGRZNBULDMBW-UHFFFAOYSA-L 0.000 description 1
- 238000011088 calibration curve Methods 0.000 description 1
- 235000014633 carbohydrates Nutrition 0.000 description 1
- 150000004649 carbonic acid derivatives Chemical class 0.000 description 1
- 239000001768 carboxy methyl cellulose Substances 0.000 description 1
- 235000010948 carboxy methyl cellulose Nutrition 0.000 description 1
- 150000001732 carboxylic acid derivatives Chemical class 0.000 description 1
- 239000008112 carboxymethyl-cellulose Substances 0.000 description 1
- 235000010980 cellulose Nutrition 0.000 description 1
- 238000003889 chemical engineering Methods 0.000 description 1
- 238000006243 chemical reaction Methods 0.000 description 1
- 230000001055 chewing effect Effects 0.000 description 1
- WBLIXGSTEMXDSM-UHFFFAOYSA-N chloromethane Chemical compound Cl[CH2] WBLIXGSTEMXDSM-UHFFFAOYSA-N 0.000 description 1
- 229910052681 coesite Inorganic materials 0.000 description 1
- 239000000084 colloidal system Substances 0.000 description 1
- 239000003086 colorant Substances 0.000 description 1
- 239000007859 condensation product Substances 0.000 description 1
- 229910052906 cristobalite Inorganic materials 0.000 description 1
- 210000000805 cytoplasm Anatomy 0.000 description 1
- 230000034994 death Effects 0.000 description 1
- 238000000354 decomposition reaction Methods 0.000 description 1
- 230000003247 decreasing effect Effects 0.000 description 1
- 238000013461 design Methods 0.000 description 1
- 239000003599 detergent Substances 0.000 description 1
- 238000011161 development Methods 0.000 description 1
- 230000018109 developmental process Effects 0.000 description 1
- GUJOJGAPFQRJSV-UHFFFAOYSA-N dialuminum;dioxosilane;oxygen(2-);hydrate Chemical compound O.[O-2].[O-2].[O-2].[Al+3].[Al+3].O=[Si]=O.O=[Si]=O.O=[Si]=O.O=[Si]=O GUJOJGAPFQRJSV-UHFFFAOYSA-N 0.000 description 1
- JYIMWRSJCRRYNK-UHFFFAOYSA-N dialuminum;disodium;oxygen(2-);silicon(4+);hydrate Chemical compound O.[O-2].[O-2].[O-2].[O-2].[O-2].[O-2].[Na+].[Na+].[Al+3].[Al+3].[Si+4] JYIMWRSJCRRYNK-UHFFFAOYSA-N 0.000 description 1
- 235000014113 dietary fatty acids Nutrition 0.000 description 1
- 238000000113 differential scanning calorimetry Methods 0.000 description 1
- FFHWGQQFANVOHV-UHFFFAOYSA-N dimethyldioxirane Chemical compound CC1(C)OO1 FFHWGQQFANVOHV-UHFFFAOYSA-N 0.000 description 1
- 150000002009 diols Chemical class 0.000 description 1
- 150000004844 dioxiranes Chemical class 0.000 description 1
- KZTYYGOKRVBIMI-UHFFFAOYSA-N diphenyl sulfone Chemical compound C=1C=CC=CC=1S(=O)(=O)C1=CC=CC=C1 KZTYYGOKRVBIMI-UHFFFAOYSA-N 0.000 description 1
- 150000002016 disaccharides Chemical class 0.000 description 1
- 238000009826 distribution Methods 0.000 description 1
- POULHZVOKOAJMA-UHFFFAOYSA-N dodecanoic acid Chemical class CCCCCCCCCCCC(O)=O POULHZVOKOAJMA-UHFFFAOYSA-N 0.000 description 1
- 231100000673 dose–response relationship Toxicity 0.000 description 1
- 238000010828 elution Methods 0.000 description 1
- 239000004495 emulsifiable concentrate Substances 0.000 description 1
- 239000003995 emulsifying agent Substances 0.000 description 1
- 239000000839 emulsion Substances 0.000 description 1
- 210000001339 epidermal cell Anatomy 0.000 description 1
- 125000004185 ester group Chemical group 0.000 description 1
- 125000001495 ethyl group Chemical group [H]C([H])([H])C([H])([H])* 0.000 description 1
- 238000011156 evaluation Methods 0.000 description 1
- 239000000284 extract Substances 0.000 description 1
- 239000003925 fat Substances 0.000 description 1
- 239000000194 fatty acid Substances 0.000 description 1
- 229930195729 fatty acid Natural products 0.000 description 1
- 150000004665 fatty acids Chemical class 0.000 description 1
- 239000011152 fibreglass Substances 0.000 description 1
- 239000000706 filtrate Substances 0.000 description 1
- 235000013312 flour Nutrition 0.000 description 1
- 239000011737 fluorine Substances 0.000 description 1
- CBYZIWCZNMOEAV-UHFFFAOYSA-N formaldehyde;naphthalene Chemical class O=C.C1=CC=CC2=CC=CC=C21 CBYZIWCZNMOEAV-UHFFFAOYSA-N 0.000 description 1
- 239000012634 fragment Substances 0.000 description 1
- 230000006870 function Effects 0.000 description 1
- 239000007789 gas Substances 0.000 description 1
- 229920000159 gelatin Polymers 0.000 description 1
- 239000008273 gelatin Substances 0.000 description 1
- 235000019322 gelatine Nutrition 0.000 description 1
- 235000011852 gelatine desserts Nutrition 0.000 description 1
- 238000007429 general method Methods 0.000 description 1
- 230000035784 germination Effects 0.000 description 1
- 239000008103 glucose Substances 0.000 description 1
- 229910052736 halogen Inorganic materials 0.000 description 1
- 125000005843 halogen group Chemical group 0.000 description 1
- 150000002367 halogens Chemical class 0.000 description 1
- 230000036541 health Effects 0.000 description 1
- 125000006342 heptafluoro i-propyl group Chemical group FC(F)(F)C(F)(*)C(F)(F)F 0.000 description 1
- 239000010903 husk Substances 0.000 description 1
- 150000004678 hydrides Chemical class 0.000 description 1
- 125000004435 hydrogen atom Chemical group [H]* 0.000 description 1
- 150000004679 hydroxides Chemical class 0.000 description 1
- 229920003063 hydroxymethyl cellulose Polymers 0.000 description 1
- 239000001863 hydroxypropyl cellulose Substances 0.000 description 1
- 235000010977 hydroxypropyl cellulose Nutrition 0.000 description 1
- 239000012535 impurity Substances 0.000 description 1
- 239000011261 inert gas Substances 0.000 description 1
- 229940060367 inert ingredients Drugs 0.000 description 1
- 150000007529 inorganic bases Chemical class 0.000 description 1
- 239000011630 iodine Substances 0.000 description 1
- 239000002655 kraft paper Substances 0.000 description 1
- 229940070765 laurate Drugs 0.000 description 1
- 229930013686 lignan Natural products 0.000 description 1
- 235000009408 lignans Nutrition 0.000 description 1
- 150000005692 lignans Chemical class 0.000 description 1
- 239000012669 liquid formulation Substances 0.000 description 1
- 244000144972 livestock Species 0.000 description 1
- 230000033001 locomotion Effects 0.000 description 1
- 239000008204 material by function Substances 0.000 description 1
- 239000002609 medium Substances 0.000 description 1
- 239000012528 membrane Substances 0.000 description 1
- 230000000442 meristematic effect Effects 0.000 description 1
- 210000000473 mesophyll cell Anatomy 0.000 description 1
- 229910052751 metal Inorganic materials 0.000 description 1
- 239000002184 metal Substances 0.000 description 1
- QARBMVPHQWIHKH-UHFFFAOYSA-N methanesulfonyl chloride Chemical compound CS(Cl)(=O)=O QARBMVPHQWIHKH-UHFFFAOYSA-N 0.000 description 1
- QUFIXTQDTDCCLJ-UHFFFAOYSA-N methyl naphthalene-1-sulfonate Chemical class C1=CC=C2C(S(=O)(=O)OC)=CC=CC2=C1 QUFIXTQDTDCCLJ-UHFFFAOYSA-N 0.000 description 1
- 239000001923 methylcellulose Substances 0.000 description 1
- 239000010445 mica Substances 0.000 description 1
- 229910052618 mica group Inorganic materials 0.000 description 1
- 239000004530 micro-emulsion Substances 0.000 description 1
- 239000011490 mineral wool Substances 0.000 description 1
- 150000007522 mineralic acids Chemical class 0.000 description 1
- 238000002156 mixing Methods 0.000 description 1
- 235000019426 modified starch Nutrition 0.000 description 1
- 150000004682 monohydrates Chemical class 0.000 description 1
- 239000000178 monomer Substances 0.000 description 1
- 229910052901 montmorillonite Inorganic materials 0.000 description 1
- 210000000663 muscle cell Anatomy 0.000 description 1
- 125000004123 n-propyl group Chemical group [H]C([H])([H])C([H])([H])C([H])([H])* 0.000 description 1
- 229920005615 natural polymer Polymers 0.000 description 1
- 150000002825 nitriles Chemical class 0.000 description 1
- 239000003921 oil Substances 0.000 description 1
- 238000000399 optical microscopy Methods 0.000 description 1
- 150000007524 organic acids Chemical class 0.000 description 1
- 235000005985 organic acids Nutrition 0.000 description 1
- 150000007530 organic bases Chemical class 0.000 description 1
- 229910052760 oxygen Inorganic materials 0.000 description 1
- 239000001301 oxygen Substances 0.000 description 1
- 238000004806 packaging method and process Methods 0.000 description 1
- 229910052625 palygorskite Inorganic materials 0.000 description 1
- 239000011236 particulate material Substances 0.000 description 1
- 239000003415 peat Substances 0.000 description 1
- 125000006340 pentafluoro ethyl group Chemical group FC(F)(F)C(F)(F)* 0.000 description 1
- NQPDZGIKBAWPEJ-UHFFFAOYSA-N pentanoic acid group Chemical class C(CCCC)(=O)O NQPDZGIKBAWPEJ-UHFFFAOYSA-N 0.000 description 1
- 150000004965 peroxy acids Chemical class 0.000 description 1
- 235000020030 perry Nutrition 0.000 description 1
- 235000021317 phosphate Nutrition 0.000 description 1
- 150000003013 phosphoric acid derivatives Chemical class 0.000 description 1
- 230000004962 physiological condition Effects 0.000 description 1
- 230000000885 phytotoxic effect Effects 0.000 description 1
- 239000004476 plant protection product Substances 0.000 description 1
- 229920001084 poly(chloroprene) Polymers 0.000 description 1
- 229920000573 polyethylene Polymers 0.000 description 1
- 229920001155 polypropylene Polymers 0.000 description 1
- 229920001296 polysiloxane Polymers 0.000 description 1
- 229920000036 polyvinylpyrrolidone Polymers 0.000 description 1
- 235000013855 polyvinylpyrrolidone Nutrition 0.000 description 1
- 235000019448 polyvinylpyrrolidone-vinyl acetate copolymer Nutrition 0.000 description 1
- 239000001103 potassium chloride Substances 0.000 description 1
- 235000011164 potassium chloride Nutrition 0.000 description 1
- 230000002028 premature Effects 0.000 description 1
- 239000011814 protection agent Substances 0.000 description 1
- 238000010926 purge Methods 0.000 description 1
- 239000010453 quartz Substances 0.000 description 1
- 239000011541 reaction mixture Substances 0.000 description 1
- 230000008707 rearrangement Effects 0.000 description 1
- 238000011084 recovery Methods 0.000 description 1
- 238000012552 review Methods 0.000 description 1
- 239000004576 sand Substances 0.000 description 1
- 238000000926 separation method Methods 0.000 description 1
- 235000013874 shellac Nutrition 0.000 description 1
- WXMKPNITSTVMEF-UHFFFAOYSA-M sodium benzoate Chemical compound [Na+].[O-]C(=O)C1=CC=CC=C1 WXMKPNITSTVMEF-UHFFFAOYSA-M 0.000 description 1
- 239000004299 sodium benzoate Substances 0.000 description 1
- 235000010234 sodium benzoate Nutrition 0.000 description 1
- FAPWRFPIFSIZLT-UHFFFAOYSA-M sodium chloride Inorganic materials [Na+].[Cl-] FAPWRFPIFSIZLT-UHFFFAOYSA-M 0.000 description 1
- 239000011780 sodium chloride Substances 0.000 description 1
- 229920005552 sodium lignosulfonate Polymers 0.000 description 1
- 229960001922 sodium perborate Drugs 0.000 description 1
- 159000000000 sodium salts Chemical class 0.000 description 1
- NTHWMYGWWRZVTN-UHFFFAOYSA-N sodium silicate Chemical compound [Na+].[Na+].[O-][Si]([O-])=O NTHWMYGWWRZVTN-UHFFFAOYSA-N 0.000 description 1
- 229910052911 sodium silicate Inorganic materials 0.000 description 1
- 235000010265 sodium sulphite Nutrition 0.000 description 1
- KZOJQMWTKJDSQJ-UHFFFAOYSA-M sodium;2,3-dibutylnaphthalene-1-sulfonate Chemical compound [Na+].C1=CC=C2C(S([O-])(=O)=O)=C(CCCC)C(CCCC)=CC2=C1 KZOJQMWTKJDSQJ-UHFFFAOYSA-M 0.000 description 1
- YKLJGMBLPUQQOI-UHFFFAOYSA-M sodium;oxidooxy(oxo)borane Chemical compound [Na+].[O-]OB=O YKLJGMBLPUQQOI-UHFFFAOYSA-M 0.000 description 1
- 239000002689 soil Substances 0.000 description 1
- 241000894007 species Species 0.000 description 1
- 239000012086 standard solution Substances 0.000 description 1
- 230000004936 stimulating effect Effects 0.000 description 1
- 229910052682 stishovite Inorganic materials 0.000 description 1
- 238000003860 storage Methods 0.000 description 1
- 150000008163 sugars Chemical class 0.000 description 1
- BDHFUVZGWQCTTF-UHFFFAOYSA-M sulfonate Chemical compound [O-]S(=O)=O BDHFUVZGWQCTTF-UHFFFAOYSA-M 0.000 description 1
- 150000003467 sulfuric acid derivatives Chemical class 0.000 description 1
- 238000003786 synthesis reaction Methods 0.000 description 1
- 238000010189 synthetic method Methods 0.000 description 1
- 235000020357 syrup Nutrition 0.000 description 1
- 239000006188 syrup Substances 0.000 description 1
- 239000000454 talc Substances 0.000 description 1
- 229910052623 talc Inorganic materials 0.000 description 1
- 239000004557 technical material Substances 0.000 description 1
- CIHOLLKRGTVIJN-UHFFFAOYSA-N tert‐butyl hydroperoxide Chemical compound CC(C)(C)OO CIHOLLKRGTVIJN-UHFFFAOYSA-N 0.000 description 1
- 230000005945 translocation Effects 0.000 description 1
- 229910052905 tridymite Inorganic materials 0.000 description 1
- 125000000876 trifluoromethoxy group Chemical group FC(F)(F)O* 0.000 description 1
- 150000004043 trisaccharides Chemical class 0.000 description 1
- 239000001993 wax Substances 0.000 description 1
- 239000011592 zinc chloride Substances 0.000 description 1
- 239000004711 α-olefin Substances 0.000 description 1
Classifications
-
- A—HUMAN NECESSITIES
- A01—AGRICULTURE; FORESTRY; ANIMAL HUSBANDRY; HUNTING; TRAPPING; FISHING
- A01N—PRESERVATION OF BODIES OF HUMANS OR ANIMALS OR PLANTS OR PARTS THEREOF; BIOCIDES, e.g. AS DISINFECTANTS, AS PESTICIDES OR AS HERBICIDES; PEST REPELLANTS OR ATTRACTANTS; PLANT GROWTH REGULATORS
- A01N37/00—Biocides, pest repellants or attractants, or plant growth regulators containing organic compounds containing a carbon atom having three bonds to hetero atoms with at the most two bonds to halogen, e.g. carboxylic acids
- A01N37/18—Biocides, pest repellants or attractants, or plant growth regulators containing organic compounds containing a carbon atom having three bonds to hetero atoms with at the most two bonds to halogen, e.g. carboxylic acids containing the group —CO—N<, e.g. carboxylic acid amides or imides; Thio analogues thereof
-
- A—HUMAN NECESSITIES
- A01—AGRICULTURE; FORESTRY; ANIMAL HUSBANDRY; HUNTING; TRAPPING; FISHING
- A01N—PRESERVATION OF BODIES OF HUMANS OR ANIMALS OR PLANTS OR PARTS THEREOF; BIOCIDES, e.g. AS DISINFECTANTS, AS PESTICIDES OR AS HERBICIDES; PEST REPELLANTS OR ATTRACTANTS; PLANT GROWTH REGULATORS
- A01N25/00—Biocides, pest repellants or attractants, or plant growth regulators, characterised by their forms, or by their non-active ingredients or by their methods of application, e.g. seed treatment or sequential application; Substances for reducing the noxious effect of the active ingredients to organisms other than pests
-
- A—HUMAN NECESSITIES
- A01—AGRICULTURE; FORESTRY; ANIMAL HUSBANDRY; HUNTING; TRAPPING; FISHING
- A01N—PRESERVATION OF BODIES OF HUMANS OR ANIMALS OR PLANTS OR PARTS THEREOF; BIOCIDES, e.g. AS DISINFECTANTS, AS PESTICIDES OR AS HERBICIDES; PEST REPELLANTS OR ATTRACTANTS; PLANT GROWTH REGULATORS
- A01N25/00—Biocides, pest repellants or attractants, or plant growth regulators, characterised by their forms, or by their non-active ingredients or by their methods of application, e.g. seed treatment or sequential application; Substances for reducing the noxious effect of the active ingredients to organisms other than pests
- A01N25/08—Biocides, pest repellants or attractants, or plant growth regulators, characterised by their forms, or by their non-active ingredients or by their methods of application, e.g. seed treatment or sequential application; Substances for reducing the noxious effect of the active ingredients to organisms other than pests containing solids as carriers or diluents
-
- A—HUMAN NECESSITIES
- A01—AGRICULTURE; FORESTRY; ANIMAL HUSBANDRY; HUNTING; TRAPPING; FISHING
- A01N—PRESERVATION OF BODIES OF HUMANS OR ANIMALS OR PLANTS OR PARTS THEREOF; BIOCIDES, e.g. AS DISINFECTANTS, AS PESTICIDES OR AS HERBICIDES; PEST REPELLANTS OR ATTRACTANTS; PLANT GROWTH REGULATORS
- A01N25/00—Biocides, pest repellants or attractants, or plant growth regulators, characterised by their forms, or by their non-active ingredients or by their methods of application, e.g. seed treatment or sequential application; Substances for reducing the noxious effect of the active ingredients to organisms other than pests
- A01N25/12—Powders or granules
- A01N25/14—Powders or granules wettable
-
- A—HUMAN NECESSITIES
- A01—AGRICULTURE; FORESTRY; ANIMAL HUSBANDRY; HUNTING; TRAPPING; FISHING
- A01N—PRESERVATION OF BODIES OF HUMANS OR ANIMALS OR PLANTS OR PARTS THEREOF; BIOCIDES, e.g. AS DISINFECTANTS, AS PESTICIDES OR AS HERBICIDES; PEST REPELLANTS OR ATTRACTANTS; PLANT GROWTH REGULATORS
- A01N25/00—Biocides, pest repellants or attractants, or plant growth regulators, characterised by their forms, or by their non-active ingredients or by their methods of application, e.g. seed treatment or sequential application; Substances for reducing the noxious effect of the active ingredients to organisms other than pests
- A01N25/30—Biocides, pest repellants or attractants, or plant growth regulators, characterised by their forms, or by their non-active ingredients or by their methods of application, e.g. seed treatment or sequential application; Substances for reducing the noxious effect of the active ingredients to organisms other than pests characterised by the surfactants
-
- A—HUMAN NECESSITIES
- A01—AGRICULTURE; FORESTRY; ANIMAL HUSBANDRY; HUNTING; TRAPPING; FISHING
- A01N—PRESERVATION OF BODIES OF HUMANS OR ANIMALS OR PLANTS OR PARTS THEREOF; BIOCIDES, e.g. AS DISINFECTANTS, AS PESTICIDES OR AS HERBICIDES; PEST REPELLANTS OR ATTRACTANTS; PLANT GROWTH REGULATORS
- A01N37/00—Biocides, pest repellants or attractants, or plant growth regulators containing organic compounds containing a carbon atom having three bonds to hetero atoms with at the most two bonds to halogen, e.g. carboxylic acids
- A01N37/18—Biocides, pest repellants or attractants, or plant growth regulators containing organic compounds containing a carbon atom having three bonds to hetero atoms with at the most two bonds to halogen, e.g. carboxylic acids containing the group —CO—N<, e.g. carboxylic acid amides or imides; Thio analogues thereof
- A01N37/30—Biocides, pest repellants or attractants, or plant growth regulators containing organic compounds containing a carbon atom having three bonds to hetero atoms with at the most two bonds to halogen, e.g. carboxylic acids containing the group —CO—N<, e.g. carboxylic acid amides or imides; Thio analogues thereof containing the groups —CO—N< and, both being directly attached by their carbon atoms to the same carbon skeleton, e.g. H2N—NH—CO—C6H4—COOCH3; Thio-analogues thereof
-
- A—HUMAN NECESSITIES
- A01—AGRICULTURE; FORESTRY; ANIMAL HUSBANDRY; HUNTING; TRAPPING; FISHING
- A01N—PRESERVATION OF BODIES OF HUMANS OR ANIMALS OR PLANTS OR PARTS THEREOF; BIOCIDES, e.g. AS DISINFECTANTS, AS PESTICIDES OR AS HERBICIDES; PEST REPELLANTS OR ATTRACTANTS; PLANT GROWTH REGULATORS
- A01N41/00—Biocides, pest repellants or attractants, or plant growth regulators containing organic compounds containing a sulfur atom bound to a hetero atom
- A01N41/02—Biocides, pest repellants or attractants, or plant growth regulators containing organic compounds containing a sulfur atom bound to a hetero atom containing a sulfur-to-oxygen double bond
-
- A—HUMAN NECESSITIES
- A01—AGRICULTURE; FORESTRY; ANIMAL HUSBANDRY; HUNTING; TRAPPING; FISHING
- A01N—PRESERVATION OF BODIES OF HUMANS OR ANIMALS OR PLANTS OR PARTS THEREOF; BIOCIDES, e.g. AS DISINFECTANTS, AS PESTICIDES OR AS HERBICIDES; PEST REPELLANTS OR ATTRACTANTS; PLANT GROWTH REGULATORS
- A01N41/00—Biocides, pest repellants or attractants, or plant growth regulators containing organic compounds containing a sulfur atom bound to a hetero atom
- A01N41/02—Biocides, pest repellants or attractants, or plant growth regulators containing organic compounds containing a sulfur atom bound to a hetero atom containing a sulfur-to-oxygen double bond
- A01N41/10—Sulfones; Sulfoxides
-
- A—HUMAN NECESSITIES
- A01—AGRICULTURE; FORESTRY; ANIMAL HUSBANDRY; HUNTING; TRAPPING; FISHING
- A01N—PRESERVATION OF BODIES OF HUMANS OR ANIMALS OR PLANTS OR PARTS THEREOF; BIOCIDES, e.g. AS DISINFECTANTS, AS PESTICIDES OR AS HERBICIDES; PEST REPELLANTS OR ATTRACTANTS; PLANT GROWTH REGULATORS
- A01N43/00—Biocides, pest repellants or attractants, or plant growth regulators containing heterocyclic compounds
- A01N43/48—Biocides, pest repellants or attractants, or plant growth regulators containing heterocyclic compounds having rings with two nitrogen atoms as the only ring hetero atoms
- A01N43/56—1,2-Diazoles; Hydrogenated 1,2-diazoles
Definitions
- This invention relates to certain solid formulations of carboxamide arthropodicides.
- arthropod pests The control of arthropod pests is extremely important in achieving high crop efficiency. Damage by arthropod pests to growing and stored agronomic crops can cause significant reduction in productivity and thereby result in increased costs to the consumer.
- the control of arthropod pests in forestry, greenhouse crops, ornamentals, nursery crops, stored food and fiber products, livestock, household, turf, wood products, and public and animal health is also important.
- Anthranilamides (see U.S. Pat. No. 6,747,947, PCT Publications WO 2003/015519 and WO 2004/067528) and phthalic diamides (see U.S. Pat. No. 6,603,044) are recently discovered classes of carboxamide arthropodicides having activity against numerous arthropod pests of economic importance.
- compositions comprising the active compound(s) and inert ingredients such as carriers and adjuvants.
- formulations can be applied by the user to the target pests or plants to be protected either in undiluted form or after dilution with water.
- Formulated compositions of plant protection products can be generally categorized as solid or liquid formulations.
- Liquid compositions include solutions (including emulsifiable concentrates), suspensions and emulsions (including microemulsions and/or suspoemulsions).
- Solid compositions include dusts, powders, granules, pellets, prills, pastilles and tablets.
- Each formulation type has advantages and disadvantages relative to other formulation types, and the optimal type for each application will depend upon the physical and biological characteristics of the active ingredient, and the conditions of storage and use, including pests to be controlled, plant parts or other locus to be protected, environmental conditions, etc.
- arthropod pests that primarily obtain nourishment by extracting plant sap from the internal structures of plant parts such as leaves.
- arthropod pests are piercing-sucking pests of the order Homoptera, such as members of the family Aleyrodidae (whiteflies), the family Aphidadae (aphids), the family Delphacidae (planthoppers) and the family Cicadellidae (leafhoppers).
- penetration of arthropodicide active ingredients into propagules, including seeds, is desirable for controlling not only piercing-sucking pests but also chewing arthropod pests of the order Lepidoptera . Not only does penetration of the arthropodicide into the propagule protect the propagule, but if the arthropodicide is capable of translocation through plant vascular tissues, foliage developing from the propagule can be protected as well.
- Active ingredients that are crystalline solids at room temperature can typically be easily formulated as solid compositions, because the brittle nature of crystalline solids facilitates milling operations to provide small crystals. In contrast, amorphous solids tend to smear and cake during milling. However, the attractive forces within the lattice of crystals thermodynamically impedes release of active ingredients for penetration into the waxy cuticle of a leaf or the testa of a seed.
- carboxamide arthropodicides are typically crystalline solids at room temperature. Accordingly they are generally easily formulated as solid compositions. Carboxamide arthropodicides also typically have low solubility in water. Therefore dilution in water of a solid formulation comprising a carboxamide arthropodicide typically forms a suspension of arthropodicide crystals that bind the active ingredient and thus retard absorption into plant tissues and limit efficacy in controlling sucking pests. Nevertheless, solid formulated compositions comprising a carboxamide arthropodicide active ingredient that release the active ingredient for penetration into a waxy leaf cuticle or seed testa have now been discovered.
- This invention is directed to a solid arthropodicide composition
- a solid arthropodicide composition comprising by weight
- compositions comprising, “comprising,” “includes,” “including,” “has,” “having” or any other variation thereof, are intended to cover a non-exclusive inclusion.
- a composition, process, method, article, or apparatus that comprises a list of elements is not necessarily limited to only those elements but may include other elements not expressly listed or inherent to such composition, process, method, article, or apparatus.
- “or” refers to an inclusive or and not to an exclusive or. For example, a condition A or B is satisfied by any one of the following: A is true (or present) and B is false (or not present), A is false (or not present) and B is true (or present), and both A and B are true (or present).
- sica refers to a solid chemical substance consisting mostly (e.g., at least 90 or 95% by weight) of silicon and oxygen atoms in a ratio of about two oxygen atoms to one silicon atom, thus having the empirical formula of SiO 2 .
- Silicas include, for example, precipitated silicas, fumed silicas, amorphous silicas, diatomaceous silicas (also known as diatomaceous earths) as well as silanized forms of these silicas.
- silicate refers to a solid chemical substance consisting mostly (e.g., at least 90 or 95% by weight) of atoms of silicon, oxygen and at least one metal (e.g., lithium, sodium, potassium, magnesium, calcium, aluminum).
- saccharides refers to chemical compounds that are either simple sugars (aldose or ketose monosaccharides) (e.g., glucose) or compounds in which simple sugars are connected together through glycosidic linkages to form disaccharides (e.g., sucrose, lactose), trisaccharides or polysaccharides.
- Polysaccharides include starches. Saccharides do not include compounds in which the substituents on the sugar molecule have been modified. For example, mannitol is not a sugar or saccharide, but can be regarded as a modified sugar or sugar derivative.
- pore refers to a cavity in a particle (or particle agglomerate), the cavity having dimensions such that it is deeper than it is wide. Pores relevant to such measurements as pore diameter do not include closed pores (i.e. pores inaccessible to an external fluid and totally isolated from their neighbors). Accordingly, unless otherwise indicated in the present disclosure and claims, the term “pore” refers to an open pore (i.e. a pore accessible to a fluid external to the particulate component.) Pores allow infiltration (i.e. absorption) of a fluid into the interior of the particle. Intrusion volume is the volume of fluid that can be so accommodated per unit mass of the porous particulate. The unit used herein for intrusion volume is cm 3 /g.
- Internal surface area is the aggregate surface area of the pores or cavities per unit mass of the porous particulate.
- the unit used herein for internal surface area is m 2 /g.
- Mean pore diameter relates to the average diameter of the pores and is specified herein using the unit of ⁇ m (i.e. micron).
- intrusion volume, internal surface area and mean pore diameter of a porous substance can be measured using a mercury intrusion porosimeter, such as the model marketed by Porous Materials, Inc. (Ithaca, N.Y., USA).
- the values stated herein for intrusion volume, internal surface area and mean pore diameter refer to the values measured using a mercury intrusion porosimeter.
- cylindrical pores are assumed so that the mean pore diameter multiplied by the internal surface area equals the intrusion volume multiplied by 4.
- the term “propagule” means a seed or a regenerable plant part.
- the term “regenerable plant part” means a part of a plant other than a seed from which a whole plant may be grown or regenerated when the plant part is placed in horticultural or agricultural growing media such as moistened soil, peat moss, sand, vermiculite, perlite, rock wool, fiberglass, coconut husk fiber, tree fern fiber and the like, or even a completely liquid medium such as water.
- Regenerable plant parts commonly include rhizomes, tubers, bulbs and corms of such geophytic plant species as potato, sweet potato, yam, onion, dahlia, tulip, narcissus, etc.
- Regenerable plant parts include plant parts that are divided (e.g., cut) to preserve their ability to grow into a new plant. Therefore regenerable plant parts include viable divisions of rhizomes, tubers, bulbs and corms which retain meristematic tissue, such as an eye.
- Regenerable plant parts can also include other plant parts such as cut or separated stems and leaves from which some species of plants can be grown using horticultural or agricultural growing media.
- the term “seed” includes both unsprouted seeds and sprouted seeds in which the testa (seed coat) still surrounds part of the emerging shoot and root.
- Embodiment 10B The composition of Embodiment 10A wherein the solid carrier in component (a) has an internal surface area of no more than about 200 m 2 /g.
- carboxamide arthropodicide in the present context denotes a compound useful for controlling arthropod pests which comprises one or more carboxamide moieties in its molecular structure. Because carboxamide moieties are polar and support hydrogen-bonding, carboxamide arthropodicides are typically crystalline solids in their pure form at room temperature (e.g., 20° C.). Although the present invention is not limited to carboxamide arthropodicides that are crystalline solids at room temperature, it is particularly well suited and advantageous for them.
- At least one of the one or more carboxamide arthropodicides of constituent (i) has a melting point higher than about 20° C., more typically higher than about 50° C., more typically higher than about 80° C., even more typically above about 100° C., and most typically above about 120, 160, 180 or even 200° C.
- all of the one or more carboxamide arthropodicides of constituent (i) have melting points higher than about 80° C., above about 100° C., or even above about 120, 160, 180 or 200° C.
- the one or more carboxamide arthropodicides of constituent (i) have water solubility less than about 10 g/L and more typically less than about 5 g/L.
- the term “carboxamide” refers to a moiety comprising a carbon, nitrogen and oxygen atom bonded in the configuration shown as Formula A.
- the carbon atom in Formula A is bonded to a carbon atom in a radical to which the carboxamide moiety is bonded.
- the nitrogen atom in Formula A is bonded to the carbonyl carbon of Formula A and also bonded to two other atoms, at least one atom of which is selected from a hydrogen atom or a carbon atom of another radical to which the carboxamide moiety is bonded.
- the present compositions comprise at least one carboxamide arthropodicide that is solid at room temperature and contains at least two carboxamide moieties.
- at least one carboxamide arthropodicide contains at least two carboxamide moieties vicinally bonded to carbon atoms (i.e. in ortho arrangement, and in other words, two vicinal carboxamide moieties bonded to carbon atoms) of a carbocyclic or heterocyclic ring.
- each carboxamide moiety can be independently bonded through the carbonyl carbon of Formula A or the nitrogen atom of Formula A to a carbon atom of the carbocyclic or heterocyclic ring.
- each carboxamide moiety in the vicinal arrangement can be bonded through the carbonyl carbon, or each carboxamide moiety can be bonded through the nitrogen atom, or one carboxamide moiety can be bonded through the carbonyl carbon and the other carboxamide moiety can be bonded through the nitrogen atom.
- the presence of two vicinal carboxamide moieties in the molecular structure can provide strong crystal lattice attractions and relatively high melting points.
- the carbocyclic or heterocyclic ring of at least one carboxamide arthropodicide is aromatic (i.e. satisfies the Hückel 4n+2 rule for aromaticity).
- carboxamide arthropodicides useful in compositions of the present invention are those of Formula 1, N-oxides and salts thereof, and Formula 2 and salts thereof
- alkyl used either alone or in compound words such as “haloalkyl” or “fluoroalkyl” includes straight-chain or branched alkyl, such as, methyl, ethyl, n-propyl, i-propyl, or the different butyl isomers.
- Alkoxy includes, for example, methoxy, ethoxy, n-propyloxy, isopropyloxy and the different butoxy isomers.
- halogen either alone or in compound words such as “haloalkyl”, includes fluorine, chlorine, bromine or iodine.
- haloalkyl when used in compound words such as “haloalkyl” or “haloalkoxy”, said alkyl may be partially or fully substituted with halogen atoms which may be the same or different.
- haloalkyl include CF 3 , CH 2 Cl, CH 2 CF 3 and CCl 2 CF 3 .
- haloalkoxy are defined analogously to the term “haloalkyl”.
- haloalkoxy include OCF 3 , OCH 2 Cl 3 , OCH 2 CH 2 CHF 2 and OCH 2 CF 3 .
- C i -C j The total number of carbon atoms in a substituent group is indicated by the “C i -C j ” prefix where i and j are numbers from 1 to 4.
- C 1 -C 4 alkyl designates methyl through butyl, including the various isomers.
- carboxamide arthropodicide compounds of Formulae 1 and 2 are described as ryanodine receptor ligands.
- PCT Publication WO 2004/027042 describes an assay for ryanodine receptor ligands.
- compounds of Formulae 1 and 2 in their pure states are typically crystalline solids with relatively high melting points, i.e. above about 150° C., and often above even 200° C. Accordingly, the composition of the present invention can facilitate the arthropodicidal efficacy of these compounds. Therefore of note is the composition of the present invention wherein constituent (i) (i.e.
- the one or more carboxamide arthropodicides in component (a)) comprises at least one carboxamide arthropodicide that is a ryanodine receptor ligand.
- constituent (i) is selected from carboxamide arthropodicides that are ryanodine receptor ligands.
- Compounds of Formulae 1 and 2 and methods for their preparation are reported in the patent literature; see, for example, U.S. Pat. No. 6,747,047, and PCT Publications WO 2003/015518, WO 2003/015519 and WO 2004/067528 regarding Formula 1, and U.S. Pat. No. 6,603,044 regarding Formula 2.
- constituent (i) i.e. the one or more carboxamide arthropodicides
- constituent (i) comprises a carboxamide arthropodicide selected from the group consisting of:
- carboxamide arthropodicides in the present composition are 3-bromo-1-(3-chloro-2-pyridinyl)-N-[4-cyano-2-methyl-6-[(methylamino)carbonyl]phenyl]-1H-pyrazole-5-carboxamide and 3-bromo-N-[4-chloro-2-methyl-6-[(methylamino)carbonyl]-phenyl]-1-(3-chloro-2-pyridinyl)-1H-pyrazole-5-carboxamide.
- the carboxamide arthropodicides (e.g., Formula 1) in the present compositions can also be in the form of N-oxides.
- N-oxides One skilled in the art will appreciate that not all nitrogen-containing heterocyclic rings can form N-oxides since the nitrogen requires an available lone pair for oxidation to the oxide; one skilled in the art will recognize those nitrogen-containing heterocyclic rings which can form N-oxides.
- tertiary amines can form N-oxides.
- N-oxides of heterocyclic rings and tertiary amines are very well known by one skilled in the art including the oxidation of heterocyclic rings and tertiary amines with peroxy acids such as peracetic and m-chloroperbenzoic acid (MCPBA), hydrogen peroxide, alkyl hydroperoxides such as t-butyl hydroperoxide, sodium perborate, and dioxiranes such as dimethyldioxirane.
- MCPBA peroxy acids
- alkyl hydroperoxides such as t-butyl hydroperoxide
- sodium perborate sodium perborate
- dioxiranes such as dimethyldioxirane
- salts of carboxamide arthropodicides are useful in the present compositions (i.e. are agriculturally suitable).
- Such salts include acid-addition salts with inorganic or organic acids such as hydrobromic, hydrochloric, nitric, phosphoric, sulfuric, acetic, butyric, fumaric, lactic, maleic, malonic, oxalic, propionic, salicylic, tartaric, 4-toluenesulfonic or valeric acids.
- Salts can also include those formed with organic bases (e.g., pyridine, triethylamine or ammonia) or inorganic bases (e.g., hydrides, hydroxides or carbonates of sodium, potassium, lithium, calcium, magnesium or barium) when the carboxamide arthropodicide contains an acidic moiety such as a carboxylic acid or phenol.
- organic bases e.g., pyridine, triethylamine or ammonia
- inorganic bases e.g., hydrides, hydroxides or carbonates of sodium, potassium, lithium, calcium, magnesium or barium
- composition of the present invention generally comprises by weight from about 0.3% to as much as 100% of a particulate component (a) comprising particles of a solid carrier infiltrated with a mixture comprising (i) one or more carboxamide arthropodicides and (ii) a surfactant constituent.
- a particulate component comprising particles of a solid carrier infiltrated with a mixture comprising (i) one or more carboxamide arthropodicides and (ii) a surfactant constituent.
- the present composition comprises from about 1% to about 80% and more typically from about 10% to about 60% of component (a) by weight.
- surfactant means “surface-active agent” and refers to a chemical substance or mixture of chemical substances that when added to a liquid changes the properties of that liquid at a surface.
- the change in properties generally comprises change, typically reduction, in surface tension.
- the surfactant constituent (ii) preferably suppresses the crystallization of the one or more carboxamides of constituent (i) to form a mixture wherein the carboxamide arthropodicide constituent (i) is at least partially amorphous. More preferably, the carboxamide arthropodicide constituent (i) is primarily (i.e. more than 50%) amorphous in the mixture of the carboxamide arthropodicide constituent (i) with the surfactant constituent (ii). Most preferably, constituent (i) is more than about 80%, 90% or even 95% amorphous in the mixture.
- Surfactant constituent (ii) may contain a single surfactant compound or a mixture of surfactant compounds.
- a variety of surfactant molecular types are useful in forming surfactant constituent (ii). However, surfactants providing best results typically have low melting points and preferably are liquids or amorphous solids at room temperature.
- surfactants of constituent (ii) are preferably soluble in solvents useful for dissolving the one or more carboxamide arthropodicides of constituent (i).
- Surfactants providing best results also typically are soluble in water and promote wetting.
- the wetting property of surfactants increases the ability of a liquid to spread and penetrate by lowering the liquid's surface tension. In the context of the present invention this wetting property can help draw water into the solid carrier particles and facilitate mobilization of the one or more carboxamide arthropodicides of constituent (i).
- Surfactant constituent (ii) may also have other properties known for surfactants, such as dispersant and defoaming effects.
- alkylbenzenesulfonic acids and their salts alkylpolyglycosides, ethylene oxide-propylene oxide block copolymers, and ethoxylated sorbitol esters.
- the ester group in ethoxylated sorbitol ester surfactants is typically derived from a fatty acid.
- alkylbenzenesulfonic acids and their salts are dodecylbenzenesulfonic acid and sodium dodecylbenzenesulfonates.
- alkylpolyglycosides is (C 12 -C 16 alkyl)polyglycoside having an average degree of polymerization of 1.4 (e.g., AGNIQUE PG 264-G).
- An example of ethylene oxide-propylene oxide block copolymers is a block copolymer consisting of about 11 ethylene oxide-derived units, then about 16 propylene-oxide-derived units, and then about 11 ethylene oxide-derived units (e.g., PLURONIC L35).
- An example of ethoxylated sorbitol esters is polyoxyethylene (20) sorbitan monolaurate, i.e. sorbitan to which about 20 ethylene oxide-derived units are attached, capped with about 1 laurate ester group per molecule (e.g., TWEEN 20).
- Optimal surfactants for combining with particular carboxamide arthropodicides in particulate component (a) can be identified by a simple procedure of evaporating a drop of solution containing surfactant and carboxamide arthropodicide in solvent on a microscope slide and using optical microscopy to verify lack of crystallinity indicated by birefringence and/or lack of regular shape or a shape different from that of original crystalline particles. Lack of crystallinity of the evaporated deposit can be further confirmed by such techniques as differential scanning calorimetry and x-ray diffraction.
- the weight ratio of constituent (ii) (i.e. the surfactant constituent) to constituent (i) (i.e. the one or more carboxamide arthropodicides) in particulate component (a) is at least about 1:2, more typically at least about 1:1.
- the weight ratio of constituent (ii) to constituent (i) is no more than about 50:1, more typically no more than about 5:1, and most typically no more than about 2:1.
- component (a) of the present composition a mixture of constituent (i) and constituent (ii) is infiltrated (i.e. absorbed) into particles of the solid carrier.
- the carrier provides support for the mixture of constituents (i) and (ii) and also provides mechanical strength during further formulation processing, e.g., milling, granulation. Therefore solid carriers are formed from porous absorptive materials.
- the composition of the present invention is typically not used as an arthropodicidal bait, and the carrier typically does not comprise food materials attractive to arthropod pests.
- the solid carrier needs to have sufficient internal surface area and intrusion volume to accommodate the mixture and also a large enough pore diameter to facilitate absorption of the mixture.
- the intrusion volume is between 1 and 20 cm 3 /g, more typically between 3 and 10 cm 3 /g and most typically between 5 and 10 cm 3 /g.
- the internal surface area is typically between 20 and 400 m 2 /g and more typically between 100 and 200 m 2 /g.
- the mean pore diameter is typically between 0.05 and 2 ⁇ m, more typically between 0.05 and 1 ⁇ m, and most typically between 0.1 and 0.5 ⁇ m.
- Classes of materials with such properties include precipitated, amorphous and fumed silicas, silicates of lithium, sodium, magnesium, potassium, calcium and aluminum, diatomaceous earths, and bentonite, kaolin and attapulgite clays.
- silicas include Degussa FK-35, SIPERNAT D-17, SIPERNAT 22 and SIPERNAT 50S (all precipitated silicas), Degussa AEROSIL 200 (a fumed silica), Davison SYLOID 244 (an amorphous silica), Johns-Manville CELITE 209 (diatomaceous earth).
- silicates examples include Johns-Manville MICROCEL E (calcium silicate), Huber HUBERSORB 600 (precipitated amorphous calcium silicate), Harbourlite Perlite 2005 (amorphous aluminum silicate) and Huber ZEOLEX 7A (sodium silicate).
- clays include American Colloid VOLCLAY 325 (bentonite), HUBER Barden clay (kaolin) and Englehard MICROSORB LVM (attapulgite).
- Solid carriers comprising a silica compound work particularly well in component (a) of the composition of the present invention. Therefore of note is the composition of the invention wherein the solid carrier in component (a) comprises at least one silica or silicate selected from the group consisting silicas and silicates of lithium, sodium, potassium, magnesium, calcium and aluminum (including mixtures thereof), and particularly of magnesium, calcium and aluminum (including mixtures thereof).
- the solid carrier in component (a) comprises at least one silica or silicate selected from the group consisting silicas and silicates of lithium, sodium, potassium, magnesium, calcium and aluminum (including mixtures thereof), and particularly of magnesium, calcium and aluminum (including mixtures thereof).
- calcium silicate which is commercially available in forms (e.g., MICROCEL E) with pore size and other properties making it especially useful as a solid carrier in component (a) of the present composition.
- the water solubility of solid carrier in component (a) may or may not be important. If the solid carrier is readily soluble in water, dilution of the composition in water prior to spraying will typically form a dispersion of constituent (i) (i.e. the one or more carboxamide arthropodicides) instead of a dispersion of particles of the solid carrier infiltrated with a mixture comprising constituent (i) and constituent (ii) (i.e. a surfactant constituent). Although this can still provide good arthropodicidal efficacy, separation of constituent (i) from constituent (ii) can result in crystallization of constituent (i), and thus reduce efficacy.
- constituent (i) i.e. the one or more carboxamide arthropodicides
- the solid carrier in component (a) should be relatively water insoluble.
- the solid carrier in component (a) of the present composition is relatively water insoluble.
- the expression “relatively water insoluble” in the context of the present disclosure and claims means that stirring the solid carrier in powder form in water at 20° C. for 6 h results in no more than 10 g of solid carrier dissolving in 1 L of water. Preferably under these conditions no more than about 5 g, and more preferably no more than about 2 or 1 g of solid carrier dissolves in 1 L of water.
- Clays, silicas and silicates of magnesium, calcium and aluminum typically have water solubility of less than, and often much less than, 2 g per L.
- Pore diameter places a lower limit on particle size, as particles cannot be smaller than their pores. Therefore typically the mean particle size (i.e. volume moment mean, De Brouker mean) of the particles of the solid carrier is at least 0.1 ⁇ m and more typically at least 5 ⁇ m.
- the particles in the composition must be smaller than the spray head orifice. Therefore typically the mean particle size of the particles of the solid carrier is no more than 200 ⁇ m and more typically no more than 20 ⁇ m.
- the weight ratio of the mixture comprising one or more carboxamide arthropodicides and the surfactant constituent to the solid carrier in component (a) is at least about 1:2 and more typically at least about 2:3. As the solvent dissolving the mixture takes up volume until it is evaporated, obtaining higher weight ratios of the mixture to the solid carrier may require repeated cycles of application followed by solvent evaporation.
- the weight ratio of the mixture to the solid carrier is no more than about 5:1, more typically no more than about 4:1 or 3:1, and most typically not more than about 2:1.
- component (b) is a surfactant component having dispersing and wetting properties. Because constituent (ii) of component (a) itself provides surfactant properties, component (b) is optional (i.e. may be 0% of the composition). However, the one or more surfactants of constituent (ii) are generally selected primarily for their capacity to produce amorphous mixtures with the one or more carboxamide arthropodicides of constituent (i) and secondarily their wetting ability rather than ability to disperse particles on dilution with water. Furthermore surfactant constituent (ii) of component (a) may be present in only relatively small amounts, as component (a) can itself be as little as 0.3% of the composition by weight.
- the composition of the present invention comprises as component (b) up to about 50% by weight of a surfactant component having dispersing and wetting properties.
- the present composition more typically comprises from about 1% to about 30%, most typically from about 3% to about 15% of component (b) by weight.
- the surfactant component (b) has both dispersing and wetting properties.
- Surfactant component (b) may also have other properties known for surfactants, such as defoaming effect.
- the dispersing property of surfactants reduces the cohesive attraction between particles of similar composition and thus the tendency of particles to stick together after dilution with water. Particles sticking together results in formation of agglomerates that do not disperse well in water.
- Dispersants also called dispersing agents, can reduce attractive forces between particles in close proximity.
- the wetting property of surfactants increases the ability of a liquid to spread and penetrate by lowering the liquid's surface tension. Wetting as well as dispersing properties facilitate forming aqueous dispersions of particles from solid formulations.
- the surfactant component (b) comprises a least two surfactants, at least one of which is regarded as a dispersant and at least one of which is regarded as a wetting agent.
- dispersants include, but are not limited to, sodium, calcium and ammonium salts of lignosulfonates (optionally polyethoxylated) (e.g., MARASPERSE N22), formaldehyde condensates of naphthalene-sulfonates or alkylnaphthalenesulfonates (e.g., MORWET D425), condensed methylnaphthalenesulfonates (e.g., SUPRAGIL MNS/90), anionic condensation products of alkylphenol, formaldehyde and optionally sodium sulfite, salts of polycarboxylic acids (e.g., polyacrylic acids and copolymers) (e.g., METASPERSE 550), phosphate esters of tristyrylphenol ethoxylates (e.g., SOPROPHOR 3D33), polyethylene/polypropylene block polymers (e.g., PLURONIC F108, AT
- wetting agents include, but are not limited to, alkyl sulfosuccinates (e.g., AEROSOL OTB), laurates, sulfate and phosphate esters of long chain alcohols, acetylenic diols, ethoxyfluorinated alcohols, ethoxylated silicones, alkyl phenol ethoxylates, benzene sulfonates, alkyl-substituted benzene sulfonates such as sodium dodecylbenzenesulfonates (e.g., RHODACAL DS10), alkyl ⁇ -olefin sulfonates, naphthalene sulfonates, alkyl-substituted naphthalene sulfonates (e.g., MORWET EFW), and alcohol ethoxylates.
- alkyl sulfosuccinates e.g., A
- Particularly useful dispersants for the compositions of the present invention include lignosulfonate salts such as MARASPERSE N22, anionic salts of acrylic acid polymers and copolymers such as METASPERSE 550 and alkyl naphthalene sulfonate formaldehyde condensates such as MORWET D425.
- Particularly useful wetting agents for the compositions of the present invention include anionic alkyl-substituted naphthalene sulfonates such as MORWET EFW, anionic sulfates of long chain alcohols, alkyl sulfosuccinates such as AEROSOL OTB, alkyl-substituted benzene sulfonates such as sodium dodecylbenzene sulfonate (RHODACAL DS10).
- anionic alkyl-substituted naphthalene sulfonates such as MORWET EFW
- anionic sulfates of long chain alcohols such as AEROSOL OTB
- alkyl-substituted benzene sulfonates such as sodium dodecylbenzene sulfonate (RHODACAL DS10).
- component (c) comprises one or more additional formulating ingredients.
- component (c) is optional (i.e. may be 0% of the present composition)
- typically the composition comprises at least about 1% of component (c) by weight.
- the composition of the present invention may comprise up to about 99.7% of component (c) by weight, typically component (c) amounts to no more than about 80%, more typically no more than about 70% of the composition by weight.
- the additional formulating ingredients of component (c) may be selected from the wide variety of ingredients known in the art of formulation. Many of these ingredients are described in McCutcheon's 2001 Volume 2 : Functional Materials published by MC Publishing Company.
- Additional formulating ingredients include, for example, lubricants, anticaking agents, chemical stabilizers, adhesive agents, film-forming agents and solid diluents. Additional formulating ingredients particularly useful in forming the present compositions are solid diluents that are grinding aids, binders and water-soluble diluents (other than binders, film-forming agents and adhesive agents).
- Grinding aids are typically brittle, non-smearing inorganic chemicals such as clays, silicas and diatomaceous earths. Grinding aids prevent build-up in mechanical impact mills. Particularly useful grinding aids in the compositions of the present invention are Barden clay, bentonite clays, attapulgite clays, and precipitated and fumed silicas.
- the composition of the present invention typically comprises from about 1% to about 15% of one or more grinding agents by weight of composition. Typically the one or more grinding agents in the present composition are selected from clays.
- Binders increase the mechanical strength of granules by binding formulation components together.
- binders are known in the art of formulation.
- Particularly useful binders in the compositions of the present invention are certain saccharides and modified saccharides. These include certain sugars (e.g., sucrose), sugar derivatives (e.g., mannitol) and starches and modified starches such as dextrin.
- Dextrin is produced by dry roasting starch alone or in the presence of trace levels of acid catalysts (which causes hydrolysis of the starch followed by molecular rearrangement and combination of the resulting fragments).
- Particularly useful dextrins are yellow dextrins, which are available from many commercial sources.
- Yellow dextrins are typically obtained by dry roasting starch, often at temperatures above 150° C., in the presence of trace levels of acid catalysts. Yellow dextrins are yellowish powders that are substantially soluble in water near room temperature. Optimal amounts of binders can be determined by simple experimentation. When sucrose is used as the binder, it is typically included in the present composition in an amount from about 0.1% and about 5% by weight of the composition.
- Film-forming agents (alternatively identified as film formers or film coating compositions) and adhesive agents (alternatively identified as adhesives or sticking agents) are used to prepare compositions for coating seeds and other propagules. These ingredients are discussed in detail below as components in coating compositions.
- Water-soluble diluents rapidly dissolve in water, and thus expose the water-dispersible or soluble skeleton of the granule to water and accelerate granule break-up and dispersion.
- a wide range of water-soluble diluents are known in the art of formulation. These include salts or carbohydrates that dissolve rapidly in water; non-limiting examples include alkali metal phosphates, alkaline earth phosphates, sulfates of sodium, potassium, magnesium and zinc, sodium and potassium chloride, sodium benzoate, lactose and sucrose.
- Many of the saccharide and modified saccharide binders are water-soluble and thus promote granule break-up and dispersion on contact with water.
- water-soluble diluents have only weak binding capability and thus their principal usefulness is as water-soluble diluent.
- a weakly binding, water-soluble diluent particularly useful in the present composition is lactose, typically in the form of lactose monohydrate. When lactose is included, it typically is in an amount (as its monohydrate) between about 1% and about 80%, more typically between about 1% and about 35%, and most typically between about 1% and 25% of the present composition by weight.
- composition of the present invention can be formed in any of the types of solid compositions commonly used for formulating arthropodicide active ingredients. These types include dusts, powders, granules, pellets, prills, pastilles, tablets and the like. Typically the composition of the present invention is first prepared as a wettable powder.
- the other solid composition types can be prepared from the wettable powder using general methodologies well known in the art of formulation. For methodologies involving exposure to water, the solid carrier of component (b) should be relatively water insoluble.
- a wettable powder of the composition of the present invention can be prepared by absorbing a solution of constituent (i) and constituent (ii) in a solvent onto the solid carrier, evaporating the solvent, mixing the constituent-infiltrated carrier with the other formulating ingredients, and finally milling the mixture.
- one or more carboxamide arthropodicides i.e. constituent (i)
- the surfactant constituent (ii) are dissolved in a suitable solvent.
- Constituent (i) and constituent (ii) can be dissolved in any order.
- Suitable solvents are those in which constituents (i) and (ii) are soluble and stable and which are sufficiently volatile to enable solvent evaporation at temperatures not decomposing constituents (i) and (ii).
- Suitable solvents include pyridine and its derivatives such as 3-picoline, ethereal solvents such as tetrahydrofuran, nitrile solvents such as acetonitrile, and carboxamide solvents such as N,N-dimethylformamide (DMF), 1-methyl-2-pyrrolidinone (NMP) and 1-octyl-2-pyrrolidinone (NOP), as well as mixtures of these solvents.
- Hydroxylic solvents can promote hydrolysis of carboxamide arthropodicides and thus are not preferred.
- the solution of constituents (i) and (ii) is then absorbed onto the solid carrier.
- the solid carrier can be added to the solution of constituents (i) and (ii)
- best results are typically achieved by slowly adding the solution to the solid carrier.
- the solution can be added dropwise to the solid carrier, but on a larger scale using a spray system to apply the solution to the solid carrier may be convenient.
- the mixture is then typically gently stirred using, for example, a rotary mixer at low speed to thoroughly distribute the solution over the solid carrier. Because of the presence of the solvent, the infiltrated carrier powder may be sticky.
- the solvent is then evaporated from the solution of constituents (i) and (ii) infiltrated into the solid carrier.
- the solution-infiltrated solid carrier can be subjected to vacuum (i.e. reducing the pressure below ambient).
- vacuum i.e. reducing the pressure below ambient.
- conditions are selected to allow evaporating the solvent at temperatures at or slightly above room temperature, for example preferably about 20-50° C. and more preferably about 20-40° C.
- the solvent is evaporated at about 20-30° C. if the solvent is sufficiently volatile (i.e. has a low enough boiling point). Passing an inert gas (e.g., nitrogen) over the solution-infiltrated carrier can facilitate removal of solvent vapor.
- a solvent recovery system can be used to reduce cost and environmental impact.
- the process of applying the solution of constituents (i) and (ii) to the carrier and then evaporating the solvent can be repeated one or more times.
- the constituent-infiltrated carrier can be most conveniently mixed with other formulating ingredients using a blender. Premixing with a blender mixes the ingredients on a macro-scale before they are milled. Screw, paddle, cone and ribbon blenders are all suitable for premixing ingredients.
- the main purpose of milling is to generate intimate contact between formulating ingredients.
- Many impact mills are suitable, for example, a hammer mill with a 300 US mesh screen.
- Granules are particularly useful types of solid compositions according to the present invention.
- Granules can be prepared starting from wettable powders using such well-known general methods as pan granulation, fluid-bed granulation and extrusion. These granulation methods typically comprise adding a granulation liquid such as water to the milled wettable powder, granulating according the particular method, and finally drying the granulated product.
- Pan granulation and fluid-bed granulation involve agglomeration techniques; see Browning, “Agglomeration”, Chemical Engineering , Dec. 4, 1967, pp 147-48 , Perry's Chemical Engineer's Handbook, 4th Ed., McGraw-Hill, New York, 1963 and U.S. Pat. No.
- Paste extrusion involves forcing a moistened mixture, typically fed by an auger, through a die using procedures analogous to those described in PCT Patent Publication WO 2004/023876.
- Pellets and tablets can be prepared by dry-compressing wettable powders using a briquetting press (e.g., Model 220 Komarek Roll Briquetter, K. R. Komarek Inc., Elk Grove Village, Ill., USA), roll compactor (e.g., TF-MINI, Freund Sangyo K.K.) or tablet press using procedures analogous to those described in U.S. Pat. Nos. 4,172,714, 5,180,587, 5,208,030 and 5,232,701. For recent reviews of formulation methods, see T.
- the composition of the present invention comprises as an essential element a particulate component comprising particles of a solid carrier infiltrated with a mixture comprising (i) one or more carboxamide arthropodicides and (ii) a surfactant constituent. Accordingly the mixture of one or more carboxamide arthropodicides with the surfactant constituent is absorbed into pores in the solid carrier.
- the pores can be in the form of channels or other cavities in the solid carrier particles, but must be open to the exterior of the particles to allow infiltration of the carboxamide arthropodicide-surfactant mixture into the particles during composition manufacture, and then later egress of the arthropodicide-surfactant mixture into a leaf cuticle, seed testa or other contacted plant part without needing to disrupt the solid carrier.
- the solid carrier is primarily intended to provide support, and the material of the solid carrier itself generally does not comprise either a carboxamide arthropodicide or a surfactant.
- the surfactant constituent in the mixture infiltrated into the solid carrier can help draw water into the carrier particles and facilitate mobilization of the one or more carboxamide arthropodicides of constituent (i).
- the surfactant constituent suppresses the crystallinity of the one or more carboxamide arthropodicides. Maintaining a carboxamide arthropodicide in an amorphous form, particularly in mixture with a surfactant, has been discovered to facilitate absorption of the carboxamide arthropodicide into a leaf cuticle, seed testa or other plant part.
- the mixture comprising one or more carboxamide arthropodicides and a surfactant constituent also can comprise solvent residue left after infiltration of a solution of the arthropodicides and surfactant constituent in a solvent followed by evaporation of the solvent.
- the residual solvent is regarded as an impurity, not a principal component of the infiltrated mixture after evaporation.
- the amount of residual solvent is not more than about 25%, and more typically not more than about 10% of the infiltrated mixture by weight.
- the infiltrated mixture consists essentially of the one or more arthropodicides, the surfactant constituent and residual solvent.
- the one or more carboxamide arthropodicides are typically primarily (i.e., at least about 80%, more typically at least about 90%, most typically at least about 95%) disposed within the particles of the solid carrier rather than being on the surface of the particles or between the particles.
- a surfactant component having dispersing and wetting properties is optionally on the surface of the particles or between the particles.
- one or more surfactants in this surfactant component are also present in the surfactant constituent mixed with the one or more arthropodicides, but more typically the surfactants are different.
- the surfactant component having dispersing and wetting properties helps disperse the infiltrated particles in an aqueous medium (e.g., in a mixture for spraying on plant foliage or propagules).
- other formulating ingredients can also be present on the surface of the particles or between the particles. Water is typically present in application media (e.g., spray mixtures) and the environment.
- formulating ingredients surrounding the particles have a variety of useful functions and may have correspondingly diverse properties, they typically are selected so that the material on the surface of the particles and between the particles (all of which may be considered to be coating the particles) dissolves or disintegrates in water or at least is weakened or made porous by water, so that transfer of the carboxamide arthropodicides from the particulate component to a leaf cuticle, seed testa or other plant part is not impeded.
- the material surrounding the particles desirably should not retard this transfer.
- the composition of the present invention can be applied directly (e.g., as a dust) to the arthropod pest to be controlled (e.g., suppressed or killed) or its environment, such as plant foliage, but usually the composition is first diluted to form a dispersion in water and then sprayed on the arthropod pest or its environment.
- spraying the foliage of the plant to be protected with present composition dispersed in water facilitates absorption of the carboxamide arthropodicide active ingredient through the cuticle of the foliage.
- the solid carrier is relatively water insoluble
- addition of the present composition to water typically forms a suspension, i.e. a suspension of particles of the solid carrier infiltrated with a mixture comprising the one or more carboxamide arthropodicides and the surfactant constituent and also particles of other insoluble substances such clays.
- composition of the present invention can also be applied to seeds and other propagules, typically as a coating formulation also comprising a film former or adhesive agent (in component (c)).
- the composition of the present invention has been discovered to facilitate absorption of carboxamide arthropodicides into seeds and other propagules to protect the seeds and propagules from attack by phytophagous arthropods.
- a carboxamide arthropodicide to translocate to foliage and roots developing from the propagule, these other plant parts can be protected as well.
- coating a seed or other propagule with a composition of the present invention can provide an apparent growth stimulating effect on the foliage developing from the seed or other propagule even when phytophagous arthropod pest populations in the environment appear to be insignificant.
- Propagules coated with compositions of this invention include seeds. Suitable seeds include seeds of wheat, durum wheat, barley, oat, rye, maize, sorghum, rice, wild rice, cotton, flax, sunflower, soybean, garden bean, lima bean, broad bean, garden pea, peanut, alfalfa, beet, garden lettuce, rapeseed, cole crop, turnip, leaf mustard, black mustard, tomato, potato, pepper, eggplant, tobacco, cucumber, muskmelon, watermelon, squash, carrot, zinnia, cosmos, chrysanthemum, sweet scabious, snapdragon, gerbera, babys-breath, statice, blazing star, lisianthus, yarrow, marigold, pansy, impatiens, petunia, geranium and coleus.
- compositions of this invention also include rhizomes, tubers, bulbs or corms, or viable divisions thereof.
- Suitable rhizomes, tubers, bulbs and corms, or viable divisions thereof include those of potato, sweet potato, yam, garden onion, tulip, gladiolus, lily, narcissus, dahlia, iris, crocus, anemone, hyacinth, grape-hyacinth, freesia, ornamental onion, wood-sorrel, squill, cyclamen, glory-of-the-snow, striped squill, calla lily, gloxinia and tuberous begonia.
- compositions of this invention also include stems and leaf cuttings.
- the composition When the present composition is applied to seeds and other propagules as a dust or powder, preferably the composition includes an adhesive agent (i.e. sticking agent) in component (c) to cause the dust or power to stick to the propagule.
- the present composition is preferably a film-forming formulation (i.e. composition) comprising a film former in component (c).
- the film coatings formed by film-forming compositions are generally more durable than coatings comprising adhesive powders.
- the thickness of coatings can vary from adhering dusts to thin films to pellet layers about 0.5 to 5 mm thick.
- Propagule coatings according to this invention can comprise more than one adhering layers, only one of which need comprise a composition of the present invention.
- pellets are most satisfactory for small seeds, because their ability to provide a biologically effective amount of a carboxamide arthropodicide is not limited by the surface area of the seed, and pelleting small seeds also facilitates seed transfer and planting operations. Because of their larger size and surface area, large seeds and bulbs, tubers, corms and rhizomes and their viable cuttings are generally not pelleted, but instead coated with powders or thin films.
- the composition of this invention is applied to a propagule such that the amount of constituent (i) (i.e. one or more carboxamide arthropodicides) in the composition coating the propagule is in the range from about 0.001 to 50% of the weight of the propagule, for seeds more often in the range of about 0.01 to 50% of the seed weight, and most typically for large seeds in the range of about 0.1 to 10% of the seed weight.
- larger amount up to about 100% or more are useful, particularly for pelleting small seed for extended arthropod pest control protection.
- the composition is applied in an amount such that constituent (i) ranges from about 0.001% to 5% of the propagule weight, with higher percentages used for smaller propagules.
- constituent (i) ranges from about 0.001% to 5% of the propagule weight, with higher percentages used for smaller propagules.
- One skilled in the art can easily determine the biologically effective amount for contacting with (i.e. applying to) the propagule necessary for the desired level of phytophagous arthropod pest control.
- the film former or adhesive agent in component (c) of the present composition used to coat a propagule is preferably selected from adhesive polymers that may be natural or synthetic and are without phytotoxic effect on the propagule to be coated.
- the film former or sticking agent is typically selected from polyvinyl acetates, polyvinyl acetate copolymers, hydrolyzed polyvinyl acetates, polyvinylpyrrolidone-vinyl acetate copolymer, polyvinyl alcohols, polyvinyl alcohol copolymers, polyvinyl methyl ether, polyvinyl methyl ether-maleic anhydride copolymer, waxes, latex polymers, celluloses including ethylcelluloses and methylcelluloses, hydroxymethylcelluloses, hydroxypropylcellulose, hydroxymethylpropyl-celluloses, polyvinylpyrrolidones, alginates, dextrins, malto-dextrins, polysaccharides, fats, oils,
- Methylcellulose and gum arabic are of note as adhesives (or sticking agents) in component (c) of compositions of the present invention applied to propagules as dusts or powders.
- Acrylic latex polymers, polyvinyl alcohol (PVA) and polyvinyl acetate (PVAc) are of particular note as film formers in component (c) of film-forming compositions of the present invention, which are applied to propagules as film coatings.
- component (c) i.e. the one or more additional formulating ingredients of a composition of the present invention for propagule coating typically, although not always, comprises an adhesive or film former constituent, which in the context of the present disclosure and claims denotes to a constituent consisting of one or more adhesive agents and/or film formers.
- the adhesive or film former constituent is in an amount of between about 1% and about 90% of the composition by weight. More typically the adhesive or film former constituent is in amount between about 3% and about 75%, and most typically between about 9% and 50% of the composition by weight.
- the amount of the adhesive or film former constituent in the composition applied to the propagule is generally in the range of about 0.001 to 100% of the weight of the propagule.
- the amount of adhesive or film former constituent is typically in the range of about 0.05 to 5% of the seed weight; for small seeds the amount is typically in the range of about 1 to 100%, but can be greater than 100% of seed weight in pelleting.
- the amount of the adhesive or film former constituent is typically in the range of 0.001 to 2% of the propagule weight.
- the weight ratio of component (a) to the film former in component (c) is in a range from about 100:1 to about 1:10, more typically in a range from about 30:1 to about 1:3, and most typically in a range from about 10:1 to about 1:1.
- component (c) of the present composition used as propagule coating can also comprise other formulating ingredients.
- Solid carriers e.g., wood flours, clays, activated carbon, diatomaceous earth, fine-grain inorganic solids, calcium carbonate
- Clays and inorganic solids which can be used include, for example, calcium bentonite, kaolin, china clay, talc, perlite, mica, vermiculite, silicas, quartz powder, montmorillonite and mixtures thereof.
- a composition of the present invention particularly useful as a film-forming formulation typically contains little or no solid carrier in component (c); however, component (a) itself comprises a particulate component comprising particles of a solid carrier.
- Component (c) of a composition of the present invention for propagule coating typically comprises at least one dye (e.g., Acid Blue 1, Pro-lzed® Colorant Red) to visually indicate that the propagule has been treated with a plant protection agent.
- a composition of the present invention for coating a propagule can include component (b) (i.e. a surfactant component having dispersing and wetting properties).
- component (b) i.e. a surfactant component having dispersing and wetting properties.
- Component (b) can facilitate dispersion of the particles of component (a) and wetting of the propagule during the coating process.
- Dusts or powders can be applied by tumbling the propagule with a composition of the present invention comprising a sticking agent in component (c) to cause the dust or powder to adhere to the propagule and not fall off during packaging or transportation. Dusts or powders can also be applied by adding a dust or powder comprising component (a) directly to the tumbling bed of propagules, followed by spraying a carrier liquid, e.g., an aqueous mixture comprising component (c) and optionally component (b), onto the seed and drying.
- a carrier liquid e.g., an aqueous mixture comprising component (c) and optionally component (b
- Dusts and powders can also be applied by treating (e.g., dipping) a least a portion of the propagule with a solvent such as water, optionally comprising a sticking agent as component (c), and dipping the treated portion into a supply of the dry dust or powder comprising component (a).
- a solvent such as water
- a sticking agent as component (c)
- This method can be particularly useful for coating stem cuttings.
- a composition of the present invention suitable for use as a film-forming formulation generally comprises a film former in component (c).
- component (a) is first prepared in the form of a wettable powder by absorbing a solution of constituent (i) and constituent (ii) in a solvent onto the solid carrier and then evaporating the solvent, as already described.
- an aqueous mixture is prepared comprising component (c) containing at least one film former and also typically at least one dye, and optionally component (b) (i.e. a surfactant component having dispersing and wetting properties.
- the wettable powder is then mixed into the aqueous mixture to form an aqueous suspension concentrate (i.e. an aqueous suspension).
- the aqueous suspension concentrate can also be formed using different orders of addition of component (a), component (c), water and optionally component (b).
- the aqueous suspension concentrate is then applied to the propagules (e.g., seeds), and the water evaporated to leave the composition of the present invention as a film on the surface of the propagule. Drying should be conducted in a way not to injure the propagule or induce premature germination or sprouting.
- This process is particularly useful for applying film coatings to seeds.
- the seed and coating material are mixed in any of a variety of conventional seed coating apparatus.
- Suitable processes include those listed in P. Kosters et al., Seed Treatment: Progress and Prospects, 1994 BCPC Monograph No. 57 and the references listed therein.
- Three well-known techniques include the use of drum coaters, fluidized bed techniques and spouted beds. Propagules such as seeds may be pre-sized prior to coating. After coating the propagules are dried and then optionally sized by transfer to a sizing machine. These machines are known in the art for example, a typical machine used when sizing corn (maize) seed in the industry.
- aqueous suspension concentrate is typically sprayed onto the seeds.
- a two-fluid nozzle i.e. having a gas inlet and a liquid inlet
- Common seed coating apparatus designs present the seeds to the nozzle by tumbling them in a rotating pan or fluidizing them in a fluid bed coater.
- a satisfactory seed coating apparatus comprises a rotating type pan with lifting vanes turned at sufficient speed to maintain a rolling action of the seed, facilitating uniform coverage. The rate of rolling and application of coating depends upon the seed.
- the seed coating should be applied over sufficient time to allow drying to minimize clumping of the seed.
- Using forced air or heated forced air can allow increasing the rate of application.
- this process may be a batch or continuous process. As the name implies, a continuous process allows the seeds to flow continuously throughout the product run. New seeds enter the pan in a steady stream to replace coated seeds exiting the pan.
- composition of the present invention is not limited to thin film coating and may also be used for seed pelleting.
- the pelleting process typically increases the seed weight from 2 to 100 times and can be used to also improve the shape of the seed for use in mechanical seeders.
- a composition of the present composition for pelleting generally comprises in component (c), a solid diluent, which is typically an insoluble particulate material, such as clay, ground limestone, powdered silica, etc.
- a binder such as an artificial polymer (e.g., polyvinyl alcohol, hydrolyzed polyvinyl acetates, polyvinyl methyl ether, polyvinyl methyl ether-maleic anhydride copolymer, and polyvinyl-pyrrolidinone) or natural polymer (e.g., alginates, karaya gum, jaguar gum, tragacanth gum, polysaccharide gum, mucilage).
- an artificial polymer e.g., polyvinyl alcohol, hydrolyzed polyvinyl acetates, polyvinyl methyl ether, polyvinyl methyl ether-maleic anhydride copolymer, and polyvinyl-pyrrolidinone
- natural polymer e.g., alginates, karaya gum, jaguar gum, tragacanth gum, polysaccharide gum, mucilage.
- Examples 1-10 describe preparation of compositions of the present invention.
- Comparative Examples 1-2 describe preparation of compositions made for comparative purposes. The identities of proprietary ingredients used in these compositions are described in Table 1.
- the IKA M20 mill referred to in the preparation descriptions was a Model M20 S3 Universal Mill (Universalmuehle) manufactured by IKA Labortechnik, Stauffen, Germany. This mill comprises a rapidly revolving blade cutter in a grinding chamber.
- the sample of Compound 1 used in the present Examples and Comparative Examples was prepared as described in Reference Example 1. Amounts listed for Compound 1 refer the amount of technical grade (“tech. grade”) material. The assay of Compound 1 in the technical material varied slightly due to the ability of the material to adsorb varying amounts of water. HPLC analysis of the particular sample used to prepare Comparative Examples 1 and 2 indicated the technical grade material contained 93.4% Compound 1 by weight.
- the sample of Compound 2 used in the present Examples was prepared by one or more of the methods described in PCT Publications WO 03/015519 A1 and WO 2006/062978, and melted in the range between 232 and 235° C.
- the reaction mixture was filtered to collect the solid product, which was successively washed with acetonitrile-water (2:1, 2 ⁇ 12.3 kg) and acetonitrile (2 ⁇ 10.4 kg).
- the solid was then dried at about 50° C. under reduced pressure and a flow of nitrogen gas to give the title product as a white crystalline solid, which was directly used in the present formulation Examples and Comparative Examples.
- a moderate rate of heating heating to about 150° C. over 5 minutes and then decreasing rate of heating from about 4-5° C./minute to about 3° C./minute to reach 210° C. over about 15 minutes more
- melting occurred in the range between 204 and 210° C.
- Table 2 lists weight percentage amounts of ingredients used to prepare compositions according to the present invention.
- the compositions of Examples 1-5 were prepared on a 10 g scale, and therefore the amounts of ingredients used were 10 g multiplied by the listed percentages.
- surfactants were selected from AGNIQUE PG 264-G, dodecylbenzenesulfonic acid, PLURONIC L35, sodium dodecylbenzenesulfonate and TWEEN 20 as the surfactant constituent (ii) of the present compositions. According to the general procedure followed, 0.15 g of the selected surfactant was added to between 2.3 and 3 g of 3-picoline solution containing 5% technical grade Compound 1 in a 10-mL glass vial.
- the suspension was mixed to dissolve the surfactant.
- the resulting solution was added dropwise to 2-3 g of MICROCEL E in a 10-mL glass vial while gently stirring the mixture by hand with a spatula until the mixture became sticky and no longer free flowing.
- the mixture was then placed in a vacuum oven (at room temperature and under vacuum at 2.7-3.1 kPa pressure) which was purged with nitrogen gas to remove the 3-picoline solvent.
- the resulting material was then sieved through a 16-mesh (US) stainless steel screen to reduce particle size and make the material more homogeneous prior to further formulation.
- the sieved powder was transferred into a plastic bag, and the appropriate amounts of MORWET EFW, MARASPERSE N22, MORWET D425, Barden clay, sucrose and lactose monohydrate were added.
- the bag was closed and then inverted several times to blend the ingredients.
- the mixture was milled for 15 seconds in the IKA M20 mill, and then the finished product was collected.
- Table 2 also lists the concentration of Compound 1 in each finished product.
- concentration an approximately 1.2-g sample of finished product was added to 80 mL of an 80:20 (volume) mixture of acetonitrile and tetrahydrofuran. The mixture was then sonicated for about 10 minutes in an ultrasonic bath and allowed to come to room temperature. The mixture was then diluted to 100 mL by adding 80:20 acetonitrile-tetrahydrofuran and filtered through an ACRODISC 0.2 ⁇ m pore size polytetrafluoro-ethylene (PTFE) membrane (Pall Corp., East Hills, N.Y., USA).
- PTFE polytetrafluoro-ethylene
- the filtrate was then promptly analyzed using reversed-phase liquid chromatography with a 15-cm ZORBAX SB-Phenyl (3.5 ⁇ m particles) column (Agilent Technologies, Santa Clara, Calif., USA), elution with mixtures of acetonitrile and water adjusted to pH 2.5 using phosphoric acid, and UV detection at 260 nm.
- the weight percent of Compound 1 in each sample was determined based on a peak area-concentration curve created by analysis of solutions of Compound 1 of known concentrations.
- two wettable granule formulations not comprising particles of a solid carrier infiltrated with one or more carboxamide arthropodicides and a surfactant constituent were prepared.
- the ingredients were weighed into a plastic bag according to the proportions specified in Table 3 to prepare 700 g of premix.
- the ingredients were manually blended by inverting the closed bag several times. Then the entire contents of the bag was milled using a hammer mill with 60 mesh screen.
- the milled premix was transferred to a paddle kneader, and sufficient water was added to bring the moisture content to 12%.
- the moistened premix was kneaded in the paddle kneader for 4 minutes and then was transferred to a volumetric screw feeder.
- the screw feeder moved the premix at a rate of about 450 g/min to a dome extruder.
- Extruded granules were collected and dried using a fluid bed dryer. Granules obtained by this procedure with the ingredients listed in Table 3 extruded easily and dispersed rapidly in water.
- the wettable powder component of each seed coating composition was prepared from the relative amounts of Compound 2, MICROCEL E and TERSPERSE 2500 surfactant listed in Table 4 below.
- the resulting wettable powder (0.206 g for Examples 6, 7, 9 and 10, and 0.412 g for Example 8) for each seed coating composition was incorporated into a mixture of water (5.0 g) and DISCO L244 film coating composition (0.087 g) to form an aqueous suspension concentrate, which was mixed using a rotor-stator mixer for 30 s at 14,000 rpm.
- the aqueous suspension concentrate was sprayed at a rate of 1 mL/minute onto 100 corn (maize) seeds tumbling in a pan oriented at a 45-degree angle and rotating at 20 revolutions per minute (rpm). Hot air was blown over the seeds to remove water and keep the seeds from sticking together.
- the average amount of active ingredient applied per seed was analytically measured by ultrasonically extracting with tetrahydrofuran a sample of 4 treated seeds.
- the amount of Compound 2 in the extract was determined by reversed-phase liquid chromatography using a 4.6 mm ⁇ 15 cm ACE 3 C18 Ultra Inert Base Deactivated Analytical HPLC Column having 3- ⁇ m particle size (Catalog No. ACE-111-1546, MacMod Analytical Inc., Chadds Ford, Pa., USA), mixtures of pH 3-buffered water and acetonitrile as eluant, UV detection at 275 nm, phenyl sulfone as internal standard, and calibration curves (peak area ratio vs. amount ratio) prepared from analysis of standard solutions. Dividing the amount of extracted Compound 2 by the number of seeds determined the average amount of active ingredient per seed, which is listed in Table 5.
- Cotton plants grown in Redi-earth media were used for testing. Test plants with two true leaves were introduced into cages where adults of silverleaf whitefly ( Bemisia argentifolii ) were allowed to lay eggs for approximately 24 h. Only plants showing egg lay were used for testing of formulated compositions. Prior to application of the compositions, plants were checked again for egg hatch and crawler (newly hatched whitefly immature) settlement. One leaf per plant was considered as one replication; four replications were used per treatment.
- compositions were mixed in water using four different concentrations of each composition. Plants were sprayed using a TeeJet flat fan spray nozzle positioned 19 cm above the tallest plant. Spray flow provided an application rate equivalent to 468 L/ha. After spraying, plants were allowed to dry in a ventilated enclosure and then moved to a growth chamber operated with 16/8 h daytime/night photoperiod and 28/24° C. daytime/night temperatures and 50% relative humidity.
- compositions of Comparative Examples 1 and 2 exhibited little activity controlling silverleaf whitefly in this test. In contrast, all of the compositions of the present invention showed significant activity.
- Table A2 shows that even the compositions of Examples 3 and 5, which exhibited the least activity of the present compositions tested, provided 90% kill of whitefly at application rates of less than 2 kg a.i./ha. Furthermore, the compositions of Examples 1, 2 and 4 provided 90% kill of whitefly at application rates of less than 300 g a.i./ha.
- Corn (maize) seeds coated with compositions of the present invention according to Examples 6 through 10 as well as untreated seeds as controls were planted in an outside field. Each treatment and the control involved 16 corn plants. When the plants had produced six leaves the third and fifth leaves were excised for testing against Spodoptera frugiperda . The leaves were cut and placed into wells (one piece per well) of a 16-well translucent plastic tray. One third-instar S. frugiperda larva was also placed in each well. The trays were held in a growth chamber (16 h/8 h light/dark cycle, 25° C., 50% RH). Insect mortality and leaf feeding damage were determined 96 h after the infestation.
- the corn plants were further grown in the field until they produced their ninth leaf. Phytophagous arthropod pest populations appeared to be low, and even the foliage of the untreated control plants did not obviously exhibit substantial arthropod damage.
- the corn stalks were cut at ground level and weighed. Average fresh stalk weight for each treatment and the control are reported in Table B2.
- Table B1 shows seed treatments with a composition of the present invention providing sufficient concentrations of Compound 2 in the developing foliage to kill substantial numbers of S. frugiperda larvae and greatly reduce leaf feeding.
- Table B2 shows that under field conditions, corn seeds treated with a composition of the present invention produced corn plants having substantially greater plant weights even though the foliage of the untreated corn plants did not appear to exhibit substantial arthropod damage.
Landscapes
- Life Sciences & Earth Sciences (AREA)
- Health & Medical Sciences (AREA)
- General Health & Medical Sciences (AREA)
- Dentistry (AREA)
- Plant Pathology (AREA)
- Engineering & Computer Science (AREA)
- Pest Control & Pesticides (AREA)
- Agronomy & Crop Science (AREA)
- Wood Science & Technology (AREA)
- Zoology (AREA)
- Environmental Sciences (AREA)
- Toxicology (AREA)
- Agricultural Chemicals And Associated Chemicals (AREA)
Abstract
Disclosed is a solid arthropodicide composition comprising by weight
-
- (a) from 0.3 to 100% of a particulate component comprising particles of a solid carrier infiltrated with a mixture comprising (i) one or more carboxamide arthropodicides and (ii) a surfactant constituent;
- (b) from 0 to 50% of a surfactant component having dispersing and wetting properties; and
- (c) from 0 to 99.7% of one or more additional formulating ingredients.
Also disclosed is a propagule contacted with a biologically effective amount of said composition.
Description
- This invention relates to certain solid formulations of carboxamide arthropodicides.
- The control of arthropod pests is extremely important in achieving high crop efficiency. Damage by arthropod pests to growing and stored agronomic crops can cause significant reduction in productivity and thereby result in increased costs to the consumer. The control of arthropod pests in forestry, greenhouse crops, ornamentals, nursery crops, stored food and fiber products, livestock, household, turf, wood products, and public and animal health is also important.
- Anthranilamides (see U.S. Pat. No. 6,747,947, PCT Publications WO 2003/015519 and WO 2004/067528) and phthalic diamides (see U.S. Pat. No. 6,603,044) are recently discovered classes of carboxamide arthropodicides having activity against numerous arthropod pests of economic importance.
- Typically chemical active ingredients for protecting plants, e.g., arthropodicides, are formulated as compositions (formulations) comprising the active compound(s) and inert ingredients such as carriers and adjuvants. These compositions can be applied by the user to the target pests or plants to be protected either in undiluted form or after dilution with water. Formulated compositions of plant protection products can be generally categorized as solid or liquid formulations. Liquid compositions include solutions (including emulsifiable concentrates), suspensions and emulsions (including microemulsions and/or suspoemulsions). Solid compositions include dusts, powders, granules, pellets, prills, pastilles and tablets. Each formulation type has advantages and disadvantages relative to other formulation types, and the optimal type for each application will depend upon the physical and biological characteristics of the active ingredient, and the conditions of storage and use, including pests to be controlled, plant parts or other locus to be protected, environmental conditions, etc.
- The penetration and translaminar movement of arthropodicide active ingredients through the waxy leaf cuticle and epidermal cells, and their subsequent distribution in the mesophyll cells, vascular system and other tissues is particularly desirable for controlling arthropod pests that primarily obtain nourishment by extracting plant sap from the internal structures of plant parts such as leaves. Particularly noteworthy examples of such arthropod pests are piercing-sucking pests of the order Homoptera, such as members of the family Aleyrodidae (whiteflies), the family Aphidadae (aphids), the family Delphacidae (planthoppers) and the family Cicadellidae (leafhoppers). Also, penetration of arthropodicide active ingredients into propagules, including seeds, is desirable for controlling not only piercing-sucking pests but also chewing arthropod pests of the order Lepidoptera. Not only does penetration of the arthropodicide into the propagule protect the propagule, but if the arthropodicide is capable of translocation through plant vascular tissues, foliage developing from the propagule can be protected as well.
- Active ingredients that are crystalline solids at room temperature can typically be easily formulated as solid compositions, because the brittle nature of crystalline solids facilitates milling operations to provide small crystals. In contrast, amorphous solids tend to smear and cake during milling. However, the attractive forces within the lattice of crystals thermodynamically impedes release of active ingredients for penetration into the waxy cuticle of a leaf or the testa of a seed.
- Because carboxamide moieties are polar and support hydrogen-bonding, carboxamide arthropodicides are typically crystalline solids at room temperature. Accordingly they are generally easily formulated as solid compositions. Carboxamide arthropodicides also typically have low solubility in water. Therefore dilution in water of a solid formulation comprising a carboxamide arthropodicide typically forms a suspension of arthropodicide crystals that bind the active ingredient and thus retard absorption into plant tissues and limit efficacy in controlling sucking pests. Nevertheless, solid formulated compositions comprising a carboxamide arthropodicide active ingredient that release the active ingredient for penetration into a waxy leaf cuticle or seed testa have now been discovered.
- This invention is directed to a solid arthropodicide composition comprising by weight
-
- (a) from 0.3 to 100% of a particulate component comprising particles of a solid carrier infiltrated with a mixture comprising (i) one or more carboxamide arthropodicides and (ii) a surfactant constituent;
- (b) from 0 to 50% of a surfactant component having dispersing and wetting properties; and
- (c) from 0 to 99.7% of one or more additional formulating ingredients.
This invention also relates to a propagule contacted with a biologically effective amount of said composition.
- As used herein, the terms “comprises,” “comprising,” “includes,” “including,” “has,” “having” or any other variation thereof, are intended to cover a non-exclusive inclusion. For example, a composition, process, method, article, or apparatus that comprises a list of elements is not necessarily limited to only those elements but may include other elements not expressly listed or inherent to such composition, process, method, article, or apparatus. Further, unless expressly stated to the contrary, “or” refers to an inclusive or and not to an exclusive or. For example, a condition A or B is satisfied by any one of the following: A is true (or present) and B is false (or not present), A is false (or not present) and B is true (or present), and both A and B are true (or present).
- Also, the indefinite articles “a” and “an” preceding an element or component of the invention are intended to be nonrestrictive regarding the number of instances (i.e. occurrences) of the element or component. Therefore “a” or “an” should be read to include one or at least one, and the singular word form of the element or component also includes the plural unless the number is obviously meant to be singular.
- As used herein, the term “silica” refers to a solid chemical substance consisting mostly (e.g., at least 90 or 95% by weight) of silicon and oxygen atoms in a ratio of about two oxygen atoms to one silicon atom, thus having the empirical formula of SiO2. Silicas include, for example, precipitated silicas, fumed silicas, amorphous silicas, diatomaceous silicas (also known as diatomaceous earths) as well as silanized forms of these silicas. The term “silicate” refers to a solid chemical substance consisting mostly (e.g., at least 90 or 95% by weight) of atoms of silicon, oxygen and at least one metal (e.g., lithium, sodium, potassium, magnesium, calcium, aluminum).
- As commonly known in the art, the term “saccharides” refers to chemical compounds that are either simple sugars (aldose or ketose monosaccharides) (e.g., glucose) or compounds in which simple sugars are connected together through glycosidic linkages to form disaccharides (e.g., sucrose, lactose), trisaccharides or polysaccharides. Polysaccharides include starches. Saccharides do not include compounds in which the substituents on the sugar molecule have been modified. For example, mannitol is not a sugar or saccharide, but can be regarded as a modified sugar or sugar derivative.
- The term “pore” refers to a cavity in a particle (or particle agglomerate), the cavity having dimensions such that it is deeper than it is wide. Pores relevant to such measurements as pore diameter do not include closed pores (i.e. pores inaccessible to an external fluid and totally isolated from their neighbors). Accordingly, unless otherwise indicated in the present disclosure and claims, the term “pore” refers to an open pore (i.e. a pore accessible to a fluid external to the particulate component.) Pores allow infiltration (i.e. absorption) of a fluid into the interior of the particle. Intrusion volume is the volume of fluid that can be so accommodated per unit mass of the porous particulate. The unit used herein for intrusion volume is cm3/g. Internal surface area is the aggregate surface area of the pores or cavities per unit mass of the porous particulate. The unit used herein for internal surface area is m2/g. Mean pore diameter relates to the average diameter of the pores and is specified herein using the unit of μm (i.e. micron). As is well known in the art, intrusion volume, internal surface area and mean pore diameter of a porous substance can be measured using a mercury intrusion porosimeter, such as the model marketed by Porous Materials, Inc. (Ithaca, N.Y., USA). The values stated herein for intrusion volume, internal surface area and mean pore diameter refer to the values measured using a mercury intrusion porosimeter. For porosity measurements using a mercury intrusion porosimeter, cylindrical pores are assumed so that the mean pore diameter multiplied by the internal surface area equals the intrusion volume multiplied by 4.
- As referred to in the present disclosure and claims, the term “propagule” means a seed or a regenerable plant part. The term “regenerable plant part” means a part of a plant other than a seed from which a whole plant may be grown or regenerated when the plant part is placed in horticultural or agricultural growing media such as moistened soil, peat moss, sand, vermiculite, perlite, rock wool, fiberglass, coconut husk fiber, tree fern fiber and the like, or even a completely liquid medium such as water. Regenerable plant parts commonly include rhizomes, tubers, bulbs and corms of such geophytic plant species as potato, sweet potato, yam, onion, dahlia, tulip, narcissus, etc. Regenerable plant parts include plant parts that are divided (e.g., cut) to preserve their ability to grow into a new plant. Therefore regenerable plant parts include viable divisions of rhizomes, tubers, bulbs and corms which retain meristematic tissue, such as an eye. Regenerable plant parts can also include other plant parts such as cut or separated stems and leaves from which some species of plants can be grown using horticultural or agricultural growing media. As referred to in the present disclosure and claims, unless otherwise indicated, the term “seed” includes both unsprouted seeds and sprouted seeds in which the testa (seed coat) still surrounds part of the emerging shoot and root.
- Embodiments of the present invention include:
-
- Embodiment 1. The composition described in the Summary of the Invention wherein constituent (i) (i.e. the one or more carboxamide arthropodicides in component (a), which is the particulate component comprising particles of a solid carrier infiltrated with a mixture comprising one or more carboxamide arthropodicides and a surfactant constituent) comprises a carboxamide arthropodicide comprising (at least) two vicinal carboxamide moieties bonded to carbon atoms.
- Embodiment 1A. The composition described in the Summary of the Invention or Embodiment 1 wherein constituent (i) is selected from carboxamide arthropodicides that are ryanodine receptor ligands.
- Embodiment 2. The composition described in the Summary of the Invention or Embodiment 1 or 1A wherein constituent (i) (i.e. the one or more carboxamide arthropodicides in component (a), which is the particulate component comprising particles of a solid carrier infiltrated with a mixture comprising one or more carboxamide arthropodicides and a surfactant constituent) is selected from anthranilamides of Formula 1, N-oxides, and salts thereof,
-
- wherein
- X is N, CF, CCl, CBr or CI;
- R1 is CH3, Cl, Br or F;
- R2 is H, F, Cl, Br or —CN;
- R3 is F, Cl, Br, C1-C4 haloalkyl or C1-C4 haloalkoxy;
- R4a is H, C1-C4 alkyl, cyclopropylmethyl or 1-cyclopropylethyl;
- R4b is H or CH3;
- R5 is H, F, Cl or Br; and
- R6 is H, F, Cl or Br.
- Embodiment 2A. The composition of Embodiment 2 wherein constituent (i) is selected from anthranilamides of Formula 1, N-oxides, and salts thereof, wherein X is N; R1 is CH3; R2 is Cl or —CN; R3 is Cl, Br or CF3; R4a is C1-C4 alkyl; R4b is H; R5 is Cl; and R6 is H.
- Embodiment 2B. The composition of Embodiment 2A wherein constituent (i) is selected from anthranilamides of Formula 1, N-oxides, and salts thereof, wherein X is N; R1 is CH3; R2 is Cl or —CN; R3 is Cl, Br or CF3; R4a is Me or CH(CH3)2; R4b is H; R5 is Cl; and R6 is H.
- Embodiment 2C. The composition of Embodiment 2B wherein constituent (i) is selected from the group consisting of:
- wherein
- N-[4-chloro-2-methyl-6-[[(1-methylethyl)amino]carbonyl]phenyl]-1-(3-chloro-2-pyridinyl)-3-(trifluoromethyl)-1H-pyrazole-5-carboxamide,
- N-[4-chloro-2-methyl-6-[(methylamino)carbonyl]phenyl]-1-(3-chloro-2-pyridinyl)-3-(trifluoromethyl)-1H-pyrazole-5-carboxamide,
- 3-bromo-N-[4-chloro-2-methyl-6-[[(1-methylethyl)amino]carbonyl]phenyl]-1-(3-chloro-2-pyridinyl)-1H-pyrazole-5-carboxamide,
- 3-bromo-N-[4-chloro-2-methyl-6-[(methylamino)carbonyl]phenyl]-1-(3-chloro-2-pyridinyl)-1H-pyrazole-5-carboxamide,
- 3-bromo-1-(3-chloro-2-pyridinyl)-N-[4-cyano-2-methyl-6-[(methylamino)-carbonyl]phenyl]-1H-pyrazole-5-carboxamide,
- 1-(3-chloro-2-pyridinyl)-N-[4-cyano-2-methyl-6-[(methylamino)carbonyl]-phenyl]-3-(trifluoromethyl)-1H-pyrazole-5-carboxamide,
- 3-bromo-1-(2-chlorophenyl)-N-[4-cyano-2-methyl-6-[[(1-methylethyl)-amino]carbonyl]phenyl]-1H-pyrazole-5-carboxamide,
- 3-bromo-1-(2-chlorophenyl)-N-[4-cyano-2-methyl-6-[(methylamino)-carbonyl]phenyl]-1H-pyrazole-5-carboxamide,
- 3-bromo-1-(2-chlorophenyl)-N-[2,4-dichloro-6-[(methylamino)carbonyl]-phenyl]-1H-pyrazole-5-carboxamide,
- 3-bromo-N-[4-chloro-2-[[(cyclopropylmethyl)amino]carbonyl]-6-methyl-phenyl]-1-(3-chloro-2-pyridinyl)-1H-pyrazole-5-carboxamide,
- 3-bromo-1-(3-chloro-2-pyridinyl)-N-[4-cyano-2-[[(cyclopropylmethyl)-amino]-carbonyl]-6-methylphenyl]-1H-pyrazole-5-carboxamide,
- 3-bromo-N-[4-chloro-2-[[(1-cyclopropylethyl)amino]carbonyl]-6-methyl-phenyl]-1-(3-chloro-2-pyridinyl)-1H-pyrazole-5-carboxamide, and
- 3-bromo-1-(3-chloro-2-pyridinyl)-N-[4-cyano-2-[[(1-cyclopropylethyl)-amino]carbonyl]-6-methylphenyl]-1H-pyrazole-5-carboxamide.
- Embodiment 2D. The composition of any one of Embodiments 2 through 2C wherein component (a) comprises 3-bromo-1-(3-chloro-2-pyridinyl)-N-[4-cyano-2-methyl-6-[(methylamino)carbonyl]phenyl]-1H-pyrazole-5-carboxamide.
- Embodiment 2E. The composition of any one of Embodiments 2 through 2C wherein component (a) comprises 3-bromo-N-[4-chloro-2-methyl-6-[(methylamino)carbonyl]phenyl]-1-(3-chloro-2-pyridinyl)-1H-pyrazole-5-carboxamide.
- Embodiment 3. The composition described in the Summary of the Invention or Embodiment 1 or 1A wherein constituent (i) is selected from phthalic diamides of Formula 2 and salts thereof,
-
- wherein
- R11 is CH3, Cl, Br or I;
- R12 is CH3 or Cl;
- R13 is C1-C3 fluoroalkyl;
- R14 is H or CH3;
- R15 is H or CH3;
- R16 is C1-C2 alkyl; and
- n is 0, 1 or 2.
- Embodiment 3A. The composition of Embodiment 3 wherein constituent (i) is selected from phthalic diamides of Formula 2 and salts thereof, wherein R11 is Cl, Br or I; R12 is CH3; R13 is CF3, CF2CF3 or CF(CF3)2; and R16 is CH3.
- Embodiment 3B. The composition of Embodiment 3A wherein constituent (i) is N2-[1,1-dimethyl-2-(methylsulfonyl)ethyl]-3-iodo-N1-[2-methyl-4-[1,2,2,2-tetrafluoro-1-(trifluoromethyl)ethyl]phenyl]-1,2-benzenedicarboxamide.
- Embodiment 3C. The composition of Embodiment 3 or 3A wherein component (a) comprises N2-[1,1-dimethyl-2-(methylsulfonyl)ethyl]-3-iodo-N1-[2-methyl-4-[1,2,2,2-tetrafluoro-1-(trifluoromethyl)ethyl]phenyl]-1,2-benzenedicarboxamide.
- Embodiment 4. The composition described in the Summary of the Invention or any one of Embodiments 1 through 3B wherein constituent (i) (i.e. the one or more carboxamide arthropodicides in component (a), which is the particulate component comprising particles of a solid carrier infiltrated with a mixture comprising one or more carboxamide arthropodicides and a surfactant constituent) has a melting point above about 80° C. (neat, in the absence of other constituents or components).
- Embodiment 4A. The composition of Embodiment 4 wherein constituent (i) has a melting point above about 100° C.
- Embodiment 4B. The composition of Embodiment 4A wherein constituent (i) has a melting point above about 120° C.
- Embodiment 4C. The composition of Embodiment 4B wherein constituent (i) has a melting point above about 160° C.
- Embodiment 4D. The composition of Embodiment 4C wherein constituent (i) has a melting point above about 180° C.
- Embodiment 4E. The composition of Embodiment 4D wherein constituent (i) has a melting point above about 200° C.
- Embodiment 5. The composition described in the Summary of the Invention or any one of Embodiments 1 through 4E wherein the mean particle size (i.e. volume moment mean, De Brouker mean) of the particles of the solid carrier in component (a) (i.e. the particulate component comprising particles of a solid carrier infiltrated with a water-immiscible liquid constituent) is at least about 0.1 μm.
- Embodiment 5A. The composition of Embodiment 5 wherein the mean particle size of the particles of the solid carrier in component (a) is at least about 5 μm.
- Embodiment 6. The composition described in the Summary of the Invention or any one of Embodiments 1 through 5A wherein the mean particle size of the particles of the solid carrier in component (a) is no more than about 200 μm.
- Embodiment 6A. The composition of Embodiment 6 wherein the mean particle size of particles of the solid carrier in component (a) is no more than about 20 μm.
- Embodiment 7. The composition described in the Summary of the Invention or any one of Embodiments 1 through 6A wherein the solid carrier in component (a) has a mean pore diameter of at least about 0.05 μm.
- Embodiment 7A. The composition of Embodiment 7 wherein the solid carrier in component (a) has a mean pore diameter of at least about 0.1 μm.
- Embodiment 8. The composition described in the Summary of the Invention or any one of Embodiments 1 through 7A wherein the solid carrier in component (a) has a mean pore diameter of no more than about 2 μm.
- Embodiment 8A. The composition of Embodiment 8 wherein the solid carrier in component (a) has a mean pore diameter of no more than about 1 μm.
- Embodiment 8B. The composition of Embodiment 8A wherein the solid carrier in component (a) has a mean pore diameter of no more than about 0.5 μm.
- Embodiment 9. The composition described in the Summary of the Invention or any one of Embodiments 1 through 8B wherein the solid carrier in component (a) has an internal surface area of at least about 1 m2/g.
- Embodiment 9A. The composition of Embodiment 9 wherein the solid carrier in component (a) has an internal surface area of at least about 20 m2/g.
- Embodiment 9B. The composition of Embodiment 9A wherein the solid carrier in component (a) has an internal surface area of at least about 80 m2/g.
- Embodiment 9C. The composition of Embodiment 9B wherein the solid carrier in component (a) has an internal surface area of at least about 90 m2/g.
- Embodiment 9D. The composition of Embodiment 9C wherein the solid carrier in component (a) has an internal surface area of at least about 100 m2/g.
- Embodiment 10. The composition described in the Summary of the Invention or any one of Embodiments 1 through 9D wherein the solid carrier in component (a) has an internal surface area of no more than about 600 m2/g.
- Embodiment 10A. The composition of Embodiment 10 wherein the solid carrier in component (a) has an internal surface area of no more than about 400 m2/g.
- wherein
- Embodiment 10B. The composition of Embodiment 10A wherein the solid carrier in component (a) has an internal surface area of no more than about 200 m2/g.
-
- Embodiment 11. The composition described in the Summary of the Invention or any one of Embodiments 1 through 10B wherein the solid carrier in component (a) has an intrusion volume of at least about 1 cm3/g.
- Embodiment 11A. The composition of Embodiment 11 wherein the solid carrier in component (a) has an intrusion volume of at least about 2 cm3/g.
- Embodiment 11B. The composition of Embodiment 11A wherein the solid carrier in component (a) has an intrusion volume of at least about 3 cm3/g.
- Embodiment 11C. The composition of Embodiment 11B wherein the solid carrier in component (a) has an intrusion volume of at least about 4 cm3/g.
- Embodiment 11D. The composition of Embodiment 11C wherein the solid carrier in component (a) has an intrusion volume of at least about 5 cm3/g.
- Embodiment 12. The composition described in the Summary of the Invention or any one of Embodiments 1 through 11D wherein the solid carrier in component (a) has an intrusion volume of no more than about 20 cm3/g.
- Embodiment 12A. The composition of Embodiment 12 wherein the solid carrier in component (a) has an intrusion volume of no more than about 10 cm3/g.
- Embodiment 13. The composition described in the Summary of the Invention or any one of Embodiments 1 through 12A wherein the solid carrier in component (a) comprises at least one silica or silicate.
- Embodiment 13A. The composition of Embodiment 13 wherein the solid carrier in component (a) comprises at least one silica or silicate selected from the group consisting of silicas and silicates of lithium, sodium, potassium, magnesium, calcium and aluminum (including mixtures thereof).
- Embodiment 13B. The composition of Embodiment 13A wherein the solid carrier in component (a) comprises at least one silica or silicate selected from the group consisting of silicas and silicates of magnesium, calcium and aluminum (including mixtures thereof).
- Embodiment 13C. The composition of Embodiment 13B wherein the solid carrier in component (a) comprises calcium silicate.
- Embodiment 14. The composition described in the Summary of the Invention or any one of Embodiments 1 through 13C wherein the solid carrier has water solubility at 20° C. of not more than about 10 g/L.
- Embodiment 14A. The composition of Embodiment 14 wherein the solid carrier has water solubility at 20° C. of not more than about 5 g/L.
- Embodiment 14B. The composition of Embodiment 14A wherein the solid carrier has water solubility at 20° C. of not more than about 2 g/L.
- Embodiment 14C. The composition of Embodiment 14B wherein the solid carrier has water solubility at 20° C. of not more than about 1 g/L.
- Embodiment 15. The composition described in the Summary of the Invention or any one of Embodiments 1 through 14C wherein the surfactant constituent in component (a) comprises one or more surfactants that inhibit the crystallization of at least one carboxamide arthropodicide in component (a).
- Embodiment 15A. The composition described in the Summary of the Invention or any one of Embodiments 1 through 15 wherein constituent (i) (i.e. the one or more carboxamide arthropodicides) in the mixture infiltrated into the solid carrier is at least about 50% amorphous.
- Embodiment 15B. The composition of Embodiment 15A wherein constituent (i) is at least about 80% amorphous.
- Embodiment 15C. The composition of Embodiment 15B wherein constituent (i) is at least about 90% amorphous.
- Embodiment 15D. The composition of Embodiment 15C wherein constituent (i) is at least about 95% amorphous.
- Embodiment 15E. The composition described in the Summary of the Invention or any one of Embodiments 1 through 15D wherein the mixture comprising constituent (i) (i.e. the one or more carboxamide arthropodicides) and constituent (ii) (i.e. the surfactant constituent) is amorphous (i.e. not crystalline).
- Embodiment 15F. The composition described in the Summary of the Invention or any one of Embodiments 1 through 15E wherein the surfactant constituent comprises one or more surfactants selected from the group consisting of alkylbenzenesulfonic acids and their salts, alkylpolyglycosides, hydroxylalkylcelluloses, ethylene oxide-propylene oxide block copolymers, vinylpyrrolidone polymers, ethoxylated sorbitan esters and ethoxylated sorbitol esters.
- Embodiment 15G. The composition of Embodiment 15F wherein the surfactant constituent comprises one or more surfactants selected from the group consisting of alkylbenzenesulfonic acids and their salts, alkylpolyglycosides, ethylene oxide-propylene oxide block copolymers, and ethoxylated sorbitol esters.
- Embodiment 16. The composition described in the Summary of the Invention or any one of Embodiments 1 through 15G wherein the weight ratio of the mixture comprising the one or more carboxamide arthropodicides and the surfactant constituent in component (a) to the solid carrier in component (a) is at least about 1:2.
- Embodiment 16A. The composition of Embodiment 16 wherein the weight ratio of the mixture to the solid carrier in component (a) is at least about 2:3.
- Embodiment 17. The composition described in the Summary of the Invention or any one of Embodiments 1 through 16A wherein the weight ratio of the mixture comprising the one or more carboxamide arthropodicides and the surfactant constituent in component (a) to the solid carrier in component (a) is no more than about 5:1.
- Embodiment 17A. The composition of Embodiment 17 wherein the weight ratio of the mixture to the solid carrier in component (a) is no more than about 4:1.
- Embodiment 17B. The composition of Embodiment 17A wherein the weight ratio of the mixture to the solid carrier in component (a) is no more than about 3:1.
- Embodiment 17C. The composition of Embodiment 17B wherein the weight ratio of the mixture to the solid carrier in component (a) is no more than about 2:1.
- Embodiment 18. The composition described in the Summary of the Invention or any one of Embodiments 1 through 17C wherein the weight ratio of constituent (ii) (i.e. the surfactant constituent) to constituent (i) (i.e. the one or more carboxamide arthropodicides) in component (a) is at least about 1:2.
- Embodiment 18A. The composition of Embodiment 18 wherein the weight ratio of constituent (ii) to constituent (i) is at least about 1:1.
- Embodiment 19. The composition described in the Summary of the Invention or any one of Embodiments 1 through 18A wherein the weight ratio of constituent (ii) to constituent (i) is no more than about 50:1.
- Embodiment 19A. The composition of Embodiment 19 wherein the weight ratio of constituent (ii) to constituent (i) is no more than about 5:1.
- Embodiment 19B. The composition of Embodiment 19A wherein the weight ratio of constituent (ii) to constituent (i) is no more than about 2:1.
- Embodiment 20. The composition described in the Summary of the Invention or any one of Embodiments 1 through 19B wherein component (a) is at least about 1% of the composition by weight.
- Embodiment 20A. The composition of Embodiment 20 wherein component (a) is at least about 10% of the composition by weight.
- Embodiment 21. The composition described in the Summary of the Invention or any one of Embodiments 1 through 20A wherein component (a) is no more than about 80% of the composition by weight.
- Embodiment 21A. The composition of Embodiment 21 wherein component (a) is no more than about 60% of the composition by weight.
- Embodiment 22. The composition described in the Summary of the Invention or any one of Embodiments 1 through 21A wherein component (b) (i.e. the surfactant component having dispersing and wetting properties) comprises one or more surfactants selected from the group consisting of alkylnaphthalenesulfonates (i.e. salts of alkylnaphthalenesulfonic acids), salts of naphthalene formaldehyde condensate sulfonates (i.e. salts of sulfonated naphthalene formaldehyde condensates), and lignosulfonates (i.e. salts of lignosulfonic acid).
- Embodiment 22A. The composition of Embodiment 22 wherein component (b) comprises one or more lignosulfonates.
- Embodiment 22B. The composition of Embodiment 22A wherein component (b) comprises one or more sodium, potassium or calcium lignosulfonates.
- Embodiment 23. The composition described in the Summary of the Invention or any one of Embodiments 1 through 22B wherein component (b) is at least about 1% of the composition by weight.
- Embodiment 23A. The composition of Embodiment 23 wherein component (b) is at least about 3% of the composition by weight.
- Embodiment 24. The composition described in the Summary of the Invention or any one of Embodiments 1 through 23A wherein component (b) is no more than about 30% of the composition by weight.
- Embodiment 24A. The composition of Embodiment 24 wherein component (b) is no more than about 15% of the composition by weight.
- Embodiment 25. The composition described in the Summary of the Invention or any one of Embodiments 1 through 24A wherein component (c) (i.e. the one or more additional formulating ingredients) comprises one or more formulating ingredients selected from the group consisting of lubricants, anticaking agents, chemical stabilizers, adhesive agents, film-forming agents and solid diluents.
- Embodiment 25A. The composition described in the Summary of the Invention or any one of Embodiments 1 through 25 wherein component (c) comprises one or more formulating ingredients selected from the group consisting of lubricants, anticaking agents, chemical stabilizers and solid diluents
- Embodiment 25B. The composition described in the Summary of the Invention or any one of Embodiments 1 through 25A wherein component (c) comprises one or more formulating ingredients selected from the group consisting of grinding agents, binders, film-forming agents, adhesive agents and water-soluble diluents.
- Embodiment 25C. The composition of Embodiment 25B wherein component (c) comprises one or more formulating ingredients selected from the group consisting of grinding agents, binders and water-soluble diluents.
- Embodiment 25D. The composition described in the Summary of the Invention or any one of Embodiments 1 through 25C wherein component (c) comprises one or more clays in an amount ranging from about 1 to about 15% of the composition by weight.
- Embodiment 25D. The composition described in the Summary of the Invention or any one of Embodiments 1 through 25C wherein component (c) comprises one or more saccharides in an amount ranging from about 1 to about 85% of the composition by weight.
- Embodiment 25E. The composition of Embodiment 25D wherein component (c) comprises one or more saccharides in an amount ranging from about 5 to about 35% of the composition by weight.
- Embodiment 25F. The composition of Embodiment 25E wherein component (c) comprises one or more saccharides in an amount ranging from about 5 to about 25% of the composition by weight.
- Embodiment 25G. The composition of Embodiment 25D wherein component (c) comprises lactose monohydrate in an amount ranging from about 1 to about 80% of the composition by weight.
- Embodiment 25H. The composition of Embodiment 25G wherein component (c) comprises lactose monohydrate in an amount ranging from about 1 to about 35% of the composition by weight.
- Embodiment 25I. The composition of Embodiment 25H wherein component (c) comprises lactose monohydrate in an amount ranging from about 1 to about 25% of the composition by weight.
- Embodiment 25J. The composition of Embodiment 25D wherein component (c) comprises sucrose in an amount ranging from about 0.1 to about 5% of the composition by weight.
- Embodiment 26. The composition described in the Summary of the Invention or any one of Embodiments 1 through 25J wherein component (c) is at least about 1% of the composition by weight.
- Embodiment 26B. The composition of Embodiment 26A wherein component (c) is at least about 20% of the composition by weight.
- Embodiment 27. The composition described in the Summary of the Invention or any one of Embodiments 1 through 26B wherein component (c) is no more than about 80% of composition by weight.
- Embodiment 27A. The composition of Embodiment 27 wherein component (c) is no more than about 70% of the composition by weight.
- Embodiment 28. The composition described in the Summary of the Invention or any one of Embodiments 1 through 27A wherein component (c) comprises an adhesive or film former constituent in an amount of at least about 1% of the composition by weight.
- Embodiment 28A. The composition of Embodiment 28 wherein the adhesive or film former constituent is at least about 3% of the composition by weight.
- Embodiment 28B. The composition of Embodiment 28A wherein the adhesive or film former constituent is least about 9% of the composition by weight.
- Embodiment 28C. The composition of any one of Embodiments 28 through 28B wherein the adhesive or film former constituent is no more than about 90% of the composition by weight.
- Embodiment 28D. The composition of Embodiment 28C wherein the adhesive or film former constituent is no more than about 75% of the composition by weight.
- Embodiment 28E. The composition of Embodiment 28D wherein the adhesive or film former constituent is no more than about 50% of the composition by weight.
- Embodiment 29. A propagule contacted with a biologically effective amount of the composition described in the Summary of the Invention or any one of Embodiments 28 through 28E.
- Embodiment 29A. The propagule of Embodiment 29 which is a seed.
- Embodiment 29B. The propagule of Embodiment 29A which is a seed of wheat, durum wheat, barley, oat, rye, maize, sorghum, rice, wild rice, cotton, flax, sunflower, soybean, garden bean, lima bean, broad bean, garden pea, peanut, alfalfa, beet, garden lettuce, rapeseed, cole crop, turnip, leaf mustard, black mustard, tomato, potato, pepper, eggplant, tobacco, cucumber, muskmelon, watermelon, squash, carrot, zinnia, cosmos, chrysanthemum, sweet scabious, snapdragon, gerbera, babys-breath, statice, blazing star, lisianthus, yarrow, marigold, pansy, impatiens, petunia, geranium or coleus.
- Embodiment 29C. The propagule of Embodiment 29B which is a seed of cotton, maize, soybean or rice.
- Embodiment 29D. The propagule of Embodiment 29 which is a rhizome, tuber, bulb or corm, or viable division thereof.
- Embodiment 29E. The propagule of Embodiment 29D which is a rhizome, tuber, bulb or corm, or viable division thereof, of potato, sweet potato, yam, garden onion, tulip, gladiolus, lily, narcissus, dahlia, iris, crocus, anemone, hyacinth, grape-hyacinth, freesia, ornamental onion, wood-sorrel, squill, cyclamen, glory-of-the-snow, striped squill, calla lily, gloxinia or tuberous begonia.
- Embodiment 29F. The propagule of Embodiment 29E which is a rhizome, tuber, bulb or corm, or viable division thereof, of potato, sweet potato, garden onion, tulip, daffodil, crocus or hyacinth.
- Embodiment 29G. The propagule of Embodiment 29 which is a stem or leaf cutting.
- Embodiments of this invention can be combined in any manner.
- The term “carboxamide arthropodicide” in the present context denotes a compound useful for controlling arthropod pests which comprises one or more carboxamide moieties in its molecular structure. Because carboxamide moieties are polar and support hydrogen-bonding, carboxamide arthropodicides are typically crystalline solids in their pure form at room temperature (e.g., 20° C.). Although the present invention is not limited to carboxamide arthropodicides that are crystalline solids at room temperature, it is particularly well suited and advantageous for them. Therefore typically at least one of the one or more carboxamide arthropodicides of constituent (i) has a melting point higher than about 20° C., more typically higher than about 50° C., more typically higher than about 80° C., even more typically above about 100° C., and most typically above about 120, 160, 180 or even 200° C. Usually all of the one or more carboxamide arthropodicides of constituent (i) have melting points higher than about 80° C., above about 100° C., or even above about 120, 160, 180 or 200° C. Typically the one or more carboxamide arthropodicides of constituent (i) have water solubility less than about 10 g/L and more typically less than about 5 g/L.
- As is well known in the art, the term “carboxamide” refers to a moiety comprising a carbon, nitrogen and oxygen atom bonded in the configuration shown as Formula A. The carbon atom in Formula A is bonded to a carbon atom in a radical to which the carboxamide moiety is bonded. The nitrogen atom in Formula A is bonded to the carbonyl carbon of Formula A and also bonded to two other atoms, at least one atom of which is selected from a hydrogen atom or a carbon atom of another radical to which the carboxamide moiety is bonded.
- In one embodiment the present compositions comprise at least one carboxamide arthropodicide that is solid at room temperature and contains at least two carboxamide moieties. In another embodiment at least one carboxamide arthropodicide contains at least two carboxamide moieties vicinally bonded to carbon atoms (i.e. in ortho arrangement, and in other words, two vicinal carboxamide moieties bonded to carbon atoms) of a carbocyclic or heterocyclic ring. Thereby each carboxamide moiety can be independently bonded through the carbonyl carbon of Formula A or the nitrogen atom of Formula A to a carbon atom of the carbocyclic or heterocyclic ring. Accordingly each carboxamide moiety in the vicinal arrangement can be bonded through the carbonyl carbon, or each carboxamide moiety can be bonded through the nitrogen atom, or one carboxamide moiety can be bonded through the carbonyl carbon and the other carboxamide moiety can be bonded through the nitrogen atom. The presence of two vicinal carboxamide moieties in the molecular structure can provide strong crystal lattice attractions and relatively high melting points. In a further embodiment the carbocyclic or heterocyclic ring of at least one carboxamide arthropodicide is aromatic (i.e. satisfies the Hückel 4n+2 rule for aromaticity).
- Of particular note as carboxamide arthropodicides useful in compositions of the present invention are those of Formula 1, N-oxides and salts thereof, and Formula 2 and salts thereof
-
- wherein
- X is N, CF, CCl, CBr or CI;
- R1 is CH3, Cl, Br or F;
- R2 is H, F, Cl, Br or —CN;
- R3 is F, Cl, Br, C1-C4 haloalkyl or C1-C4 haloalkoxy;
- R4a is H, C1-C4 alkyl, cyclopropylmethyl or 1-cyclopropylethyl;
- R4b is H or CH3;
- R5 is H, F, Cl or Br; and
- R6 is H, F, Cl or Br.
- wherein
-
- wherein
- R11 is CH3, Cl, Br or I;
- R12 is CH3 or Cl;
- R13 is C1-C3 fluoroalkyl;
- R14 is H or CH3;
- R15 is H or CH3;
- n is 0, 1 or 2.
- wherein
- In the above recitations, the term “alkyl”, used either alone or in compound words such as “haloalkyl” or “fluoroalkyl” includes straight-chain or branched alkyl, such as, methyl, ethyl, n-propyl, i-propyl, or the different butyl isomers. “Alkoxy” includes, for example, methoxy, ethoxy, n-propyloxy, isopropyloxy and the different butoxy isomers. The term “halogen”, either alone or in compound words such as “haloalkyl”, includes fluorine, chlorine, bromine or iodine. Further, when used in compound words such as “haloalkyl” or “haloalkoxy”, said alkyl may be partially or fully substituted with halogen atoms which may be the same or different. Examples of “haloalkyl” include CF3, CH2Cl, CH2CF3 and CCl2CF3. The terms “haloalkoxy”, and the like, are defined analogously to the term “haloalkyl”. Examples of “haloalkoxy” include OCF3, OCH2Cl3, OCH2CH2CHF2 and OCH2CF3.
- The total number of carbon atoms in a substituent group is indicated by the “Ci-Cj” prefix where i and j are numbers from 1 to 4. For example, C1-C4 alkyl designates methyl through butyl, including the various isomers.
- Compounds of Formula 1 and Formula 2 wherein substituents are as specified above each have vicinal carboxamide substituents bonded to the carbon atoms of a phenyl ring. In Formula 1 one carboxamide moiety is bonded through the carbonyl carbon and the other carboxamide moiety is bonded through the nitrogen atom, and in Formula 2 both carboxamide moieties are bonded through the carbonyl carbon to the phenyl ring supporting the vicinal positioning of the carboxamide moieties. The arthropodicidal activity of the Formula 1 and Formula 2 compounds is believed to involve binding to ryanodine receptors in muscle cells, causing the channel to open and release calcium ions into the cytoplasm. Depletion of calcium ion stores results in arthropod paralysis and death. Accordingly, carboxamide arthropodicide compounds of Formulae 1 and 2 are described as ryanodine receptor ligands. PCT Publication WO 2004/027042 describes an assay for ryanodine receptor ligands. Partly because of the two carboxamide moieties in their molecular structures, compounds of Formulae 1 and 2 in their pure states are typically crystalline solids with relatively high melting points, i.e. above about 150° C., and often above even 200° C. Accordingly, the composition of the present invention can facilitate the arthropodicidal efficacy of these compounds. Therefore of note is the composition of the present invention wherein constituent (i) (i.e. the one or more carboxamide arthropodicides in component (a)) comprises at least one carboxamide arthropodicide that is a ryanodine receptor ligand. Also of note is the composition of the present invention wherein constituent (i) is selected from carboxamide arthropodicides that are ryanodine receptor ligands. Compounds of Formulae 1 and 2 and methods for their preparation are reported in the patent literature; see, for example, U.S. Pat. No. 6,747,047, and PCT Publications WO 2003/015518, WO 2003/015519 and WO 2004/067528 regarding Formula 1, and U.S. Pat. No. 6,603,044 regarding Formula 2.
- Of particular note is the composition described in the Summary of the Invention wherein constituent (i) (i.e. the one or more carboxamide arthropodicides) comprises a carboxamide arthropodicide selected from the group consisting of:
- 3-bromo-1-(3-chloro-2-pyridinyl)-N-[4-cyano-2-methyl-6-[(methylamino)carbonyl]-phenyl]-1H-pyrazole-5-carboxamide (Formula 1),
- 3-bromo-N-[4-chloro-2-methyl-6-[(methylamino)carbonyl]phenyl]-1-(3-chloro-2-pyridinyl)-1H-pyrazole-5-carboxamide (Formula 1),
- N-[4-chloro-2-methyl-6-[[(1-methylethyl)amino]carbonyl]phenyl]-1-(3-chloro-2-pyridinyl)-3-(trifluoromethyl)-1H-pyrazole-5-carboxamide (Formula 1),
- N-[4-chloro-2-methyl-6-[(methylamino)carbonyl]phenyl]-1-(3-chloro-2-pyridinyl)-3-(trifluoromethyl)-1H-pyrazole-5-carboxamide (Formula 1),
- 3-bromo-N-[4-chloro-2-methyl-6-[[(1-methylethyl)amino]carbonyl]phenyl]-1-(3-chloro-2-pyridinyl)-1H-pyrazole-5-carboxamide (Formula 1),
- 1-(3-chloro-2-pyridinyl)-N-[4-cyano-2-methyl-6-[(methylamino)carbonyl]phenyl]-3-(trifluoromethyl)-1H-pyrazole-5-carboxamide (Formula 1),
- 3-bromo-1-(2-chlorophenyl)-N-[4-cyano-2-methyl-6-[[(1-methylethyl)amino]-carbonyl]-phenyl]-1H-pyrazole-5-carboxamide (Formula 1),
- 3-bromo-1-(2-chlorophenyl)-N-[4-cyano-2-methyl-6-[(methylamino)carbonyl]phenyl]-1H-pyrazole-5-carboxamide (Formula 1),
- 3-bromo-1-(2-chlorophenyl)-N-[2,4-dichloro-6-[(methylamino)carbonyl]phenyl]-1H-pyrazole-5-carboxamide (Formula 1),
- 3-bromo-N-[4-chloro-2-[[(cyclopropylmethyl)amino]carbonyl]-6-methylphenyl]-1-(3-chloro-2-pyridinyl)-1H-pyrazole-5-carboxamide (Formula 1),
- 3-bromo-1-(3-chloro-2-pyridinyl)-N-[4-cyano-2-[[(cyclopropylmethyl)amino]-carbonyl]-6-methylphenyl]-1H-pyrazole-5-carboxamide (Formula 1),
- 3-bromo-N-[4-chloro-2-[[(1-cyclopropylethyl)amino]carbonyl]-6-methylphenyl]-1-(3-chloro-2-pyridinyl)-1H-pyrazole-5-carboxamide (Formula 1),
- 3-bromo-1-(3-chloro-2-pyridinyl)-N-[4-cyano-2-[[(1-cyclopropylethyl)amino]carbonyl]-6-methylphenyl]-1H-pyrazole-5-carboxamide (Formula 1), and
- N2-[1,1-dimethyl-2-(methylsulfonyl)ethyl]-3-iodo-N1-[2-methyl-4-[1,2,2,2-tetrafluoro-1-(trifluoromethyl)ethyl]phenyl]-1,2-benzenedicarboxamide (Formula 2).
- Of particular note as carboxamide arthropodicides in the present composition are 3-bromo-1-(3-chloro-2-pyridinyl)-N-[4-cyano-2-methyl-6-[(methylamino)carbonyl]phenyl]-1H-pyrazole-5-carboxamide and 3-bromo-N-[4-chloro-2-methyl-6-[(methylamino)carbonyl]-phenyl]-1-(3-chloro-2-pyridinyl)-1H-pyrazole-5-carboxamide.
- The carboxamide arthropodicides (e.g., Formula 1) in the present compositions can also be in the form of N-oxides. One skilled in the art will appreciate that not all nitrogen-containing heterocyclic rings can form N-oxides since the nitrogen requires an available lone pair for oxidation to the oxide; one skilled in the art will recognize those nitrogen-containing heterocyclic rings which can form N-oxides. One skilled in the art will also recognize that tertiary amines can form N-oxides. Synthetic methods for the preparation of N-oxides of heterocyclic rings and tertiary amines are very well known by one skilled in the art including the oxidation of heterocyclic rings and tertiary amines with peroxy acids such as peracetic and m-chloroperbenzoic acid (MCPBA), hydrogen peroxide, alkyl hydroperoxides such as t-butyl hydroperoxide, sodium perborate, and dioxiranes such as dimethyldioxirane. These methods for the preparation of N-oxides have been extensively described and reviewed in the literature, see for example: T. L. Gilchrist in Comprehensive Organic Synthesis, vol. 7, pp 748-750, S. V. Ley, Ed., Pergamon Press; M. Tisler and B. Stanovnik in Comprehensive Heterocyclic Chemistry, vol. 3, pp 18-20, A. J. Boulton and A. McKillop, Eds., Pergamon Press; M. R. Grimmett and B. R. T. Keene in Advances in Heterocyclic Chemistry, vol. 43, pp 149-161, A. R. Katritzky, Ed., Academic Press; M. Tisler and B. Stanovnik in Advances in Heterocyclic Chemistry, vol. 9, pp 285-291, A. R. Katritzky and A. J. Boulton, Eds., Academic Press; and G. W. H. Cheeseman and E. S. G. Werstiuk in Advances in Heterocyclic Chemistry, vol. 22, pp 390-392, A. R. Katritzky and A. J. Boulton, Eds., Academic Press.
- One skilled in the art recognizes that because in the environment and under physiological conditions salts of chemical compounds are in equilibrium with their corresponding nonsalt forms, salts share the biological utility of the nonsalt forms. Thus a wide variety of salts of carboxamide arthropodicides (e.g., Formulae 1 or 2) are useful in the present compositions (i.e. are agriculturally suitable). Such salts include acid-addition salts with inorganic or organic acids such as hydrobromic, hydrochloric, nitric, phosphoric, sulfuric, acetic, butyric, fumaric, lactic, maleic, malonic, oxalic, propionic, salicylic, tartaric, 4-toluenesulfonic or valeric acids. Salts can also include those formed with organic bases (e.g., pyridine, triethylamine or ammonia) or inorganic bases (e.g., hydrides, hydroxides or carbonates of sodium, potassium, lithium, calcium, magnesium or barium) when the carboxamide arthropodicide contains an acidic moiety such as a carboxylic acid or phenol.
- The composition of the present invention generally comprises by weight from about 0.3% to as much as 100% of a particulate component (a) comprising particles of a solid carrier infiltrated with a mixture comprising (i) one or more carboxamide arthropodicides and (ii) a surfactant constituent. Typically the present composition comprises from about 1% to about 80% and more typically from about 10% to about 60% of component (a) by weight.
- As generally understood in the art of formulation, the term “surfactant” means “surface-active agent” and refers to a chemical substance or mixture of chemical substances that when added to a liquid changes the properties of that liquid at a surface. The change in properties generally comprises change, typically reduction, in surface tension.
- In the present composition the surfactant constituent (ii) preferably suppresses the crystallization of the one or more carboxamides of constituent (i) to form a mixture wherein the carboxamide arthropodicide constituent (i) is at least partially amorphous. More preferably, the carboxamide arthropodicide constituent (i) is primarily (i.e. more than 50%) amorphous in the mixture of the carboxamide arthropodicide constituent (i) with the surfactant constituent (ii). Most preferably, constituent (i) is more than about 80%, 90% or even 95% amorphous in the mixture. (The aforesaid percentages are by weight; for example, if 20% by weight of constituent (i) is present in one or more crystalline phases, and thus 80% by weight is present in one or more noncrystalline (i.e. amorphous) phases, then constituent (i) is 80% amorphous.) Surfactant constituent (ii) may contain a single surfactant compound or a mixture of surfactant compounds. A variety of surfactant molecular types are useful in forming surfactant constituent (ii). However, surfactants providing best results typically have low melting points and preferably are liquids or amorphous solids at room temperature. To facilitate absorption into the solid carrier particles, surfactants of constituent (ii) are preferably soluble in solvents useful for dissolving the one or more carboxamide arthropodicides of constituent (i). Surfactants providing best results also typically are soluble in water and promote wetting. The wetting property of surfactants increases the ability of a liquid to spread and penetrate by lowering the liquid's surface tension. In the context of the present invention this wetting property can help draw water into the solid carrier particles and facilitate mobilization of the one or more carboxamide arthropodicides of constituent (i). Surfactant constituent (ii) may also have other properties known for surfactants, such as dispersant and defoaming effects.
- Illustrative of the variety of surfactant molecular types that work particularly well in surfactant constituent (ii) are alkylbenzenesulfonic acids and their salts, alkylpolyglycosides, ethylene oxide-propylene oxide block copolymers, and ethoxylated sorbitol esters. The ester group in ethoxylated sorbitol ester surfactants is typically derived from a fatty acid. Examples of alkylbenzenesulfonic acids and their salts are dodecylbenzenesulfonic acid and sodium dodecylbenzenesulfonates. An example of alkylpolyglycosides is (C12-C16 alkyl)polyglycoside having an average degree of polymerization of 1.4 (e.g., AGNIQUE PG 264-G). An example of ethylene oxide-propylene oxide block copolymers is a block copolymer consisting of about 11 ethylene oxide-derived units, then about 16 propylene-oxide-derived units, and then about 11 ethylene oxide-derived units (e.g., PLURONIC L35). An example of ethoxylated sorbitol esters is polyoxyethylene (20) sorbitan monolaurate, i.e. sorbitan to which about 20 ethylene oxide-derived units are attached, capped with about 1 laurate ester group per molecule (e.g., TWEEN 20).
- Optimal surfactants for combining with particular carboxamide arthropodicides in particulate component (a) can be identified by a simple procedure of evaporating a drop of solution containing surfactant and carboxamide arthropodicide in solvent on a microscope slide and using optical microscopy to verify lack of crystallinity indicated by birefringence and/or lack of regular shape or a shape different from that of original crystalline particles. Lack of crystallinity of the evaporated deposit can be further confirmed by such techniques as differential scanning calorimetry and x-ray diffraction.
- Typically the weight ratio of constituent (ii) (i.e. the surfactant constituent) to constituent (i) (i.e. the one or more carboxamide arthropodicides) in particulate component (a) is at least about 1:2, more typically at least about 1:1. Typically the weight ratio of constituent (ii) to constituent (i) is no more than about 50:1, more typically no more than about 5:1, and most typically no more than about 2:1.
- In component (a) of the present composition a mixture of constituent (i) and constituent (ii) is infiltrated (i.e. absorbed) into particles of the solid carrier. The carrier provides support for the mixture of constituents (i) and (ii) and also provides mechanical strength during further formulation processing, e.g., milling, granulation. Therefore solid carriers are formed from porous absorptive materials. The composition of the present invention is typically not used as an arthropodicidal bait, and the carrier typically does not comprise food materials attractive to arthropod pests. To absorb a desired amount of the mixture of constituent (i) and constituent (ii), typically dissolved in a solvent, the solid carrier needs to have sufficient internal surface area and intrusion volume to accommodate the mixture and also a large enough pore diameter to facilitate absorption of the mixture. Typically the intrusion volume is between 1 and 20 cm3/g, more typically between 3 and 10 cm3/g and most typically between 5 and 10 cm3/g. The internal surface area is typically between 20 and 400 m2/g and more typically between 100 and 200 m2/g. The mean pore diameter is typically between 0.05 and 2 μm, more typically between 0.05 and 1 μm, and most typically between 0.1 and 0.5 μm. Classes of materials with such properties include precipitated, amorphous and fumed silicas, silicates of lithium, sodium, magnesium, potassium, calcium and aluminum, diatomaceous earths, and bentonite, kaolin and attapulgite clays. Examples of silicas include Degussa FK-35, SIPERNAT D-17, SIPERNAT 22 and SIPERNAT 50S (all precipitated silicas), Degussa AEROSIL 200 (a fumed silica), Davison SYLOID 244 (an amorphous silica), Johns-Manville CELITE 209 (diatomaceous earth). Examples of silicates include Johns-Manville MICROCEL E (calcium silicate), Huber HUBERSORB 600 (precipitated amorphous calcium silicate), Harbourlite Perlite 2005 (amorphous aluminum silicate) and Huber ZEOLEX 7A (sodium silicate). Examples of clays include American Colloid VOLCLAY 325 (bentonite), HUBER Barden clay (kaolin) and Englehard MICROSORB LVM (attapulgite).
- Solid carriers comprising a silica compound (i.e. a silica or silicate) work particularly well in component (a) of the composition of the present invention. Therefore of note is the composition of the invention wherein the solid carrier in component (a) comprises at least one silica or silicate selected from the group consisting silicas and silicates of lithium, sodium, potassium, magnesium, calcium and aluminum (including mixtures thereof), and particularly of magnesium, calcium and aluminum (including mixtures thereof). Of particular note is calcium silicate, which is commercially available in forms (e.g., MICROCEL E) with pore size and other properties making it especially useful as a solid carrier in component (a) of the present composition.
- Depending upon formulation processing, application and use of the composition, the water solubility of solid carrier in component (a) may or may not be important. If the solid carrier is readily soluble in water, dilution of the composition in water prior to spraying will typically form a dispersion of constituent (i) (i.e. the one or more carboxamide arthropodicides) instead of a dispersion of particles of the solid carrier infiltrated with a mixture comprising constituent (i) and constituent (ii) (i.e. a surfactant constituent). Although this can still provide good arthropodicidal efficacy, separation of constituent (i) from constituent (ii) can result in crystallization of constituent (i), and thus reduce efficacy. If formulation processing involves water, such as for granulating a wettable powder, the solid carrier in component (a) should be relatively water insoluble. Typically the solid carrier in component (a) of the present composition is relatively water insoluble. The expression “relatively water insoluble” in the context of the present disclosure and claims means that stirring the solid carrier in powder form in water at 20° C. for 6 h results in no more than 10 g of solid carrier dissolving in 1 L of water. Preferably under these conditions no more than about 5 g, and more preferably no more than about 2 or 1 g of solid carrier dissolves in 1 L of water. Clays, silicas and silicates of magnesium, calcium and aluminum typically have water solubility of less than, and often much less than, 2 g per L.
- Pore diameter places a lower limit on particle size, as particles cannot be smaller than their pores. Therefore typically the mean particle size (i.e. volume moment mean, De Brouker mean) of the particles of the solid carrier is at least 0.1 μm and more typically at least 5 μm. The speed of absorption of the mixture of constituents (i) and (ii), typically dissolved in a solvent, may decrease with increasing particle size due to increasing distance between the particle surface and center. Furthermore, if the diluted composition is to be sprayed, the particles in the composition must be smaller than the spray head orifice. Therefore typically the mean particle size of the particles of the solid carrier is no more than 200 μm and more typically no more than 20 μm.
- Typically the weight ratio of the mixture comprising one or more carboxamide arthropodicides and the surfactant constituent to the solid carrier in component (a) is at least about 1:2 and more typically at least about 2:3. As the solvent dissolving the mixture takes up volume until it is evaporated, obtaining higher weight ratios of the mixture to the solid carrier may require repeated cycles of application followed by solvent evaporation. Typically the weight ratio of the mixture to the solid carrier is no more than about 5:1, more typically no more than about 4:1 or 3:1, and most typically not more than about 2:1.
- In the composition of the present invention, component (b) is a surfactant component having dispersing and wetting properties. Because constituent (ii) of component (a) itself provides surfactant properties, component (b) is optional (i.e. may be 0% of the composition). However, the one or more surfactants of constituent (ii) are generally selected primarily for their capacity to produce amorphous mixtures with the one or more carboxamide arthropodicides of constituent (i) and secondarily their wetting ability rather than ability to disperse particles on dilution with water. Furthermore surfactant constituent (ii) of component (a) may be present in only relatively small amounts, as component (a) can itself be as little as 0.3% of the composition by weight. Therefore typically the composition of the present invention comprises as component (b) up to about 50% by weight of a surfactant component having dispersing and wetting properties. The present composition more typically comprises from about 1% to about 30%, most typically from about 3% to about 15% of component (b) by weight.
- In the present compositions the surfactant component (b) has both dispersing and wetting properties. Surfactant component (b) may also have other properties known for surfactants, such as defoaming effect. The dispersing property of surfactants reduces the cohesive attraction between particles of similar composition and thus the tendency of particles to stick together after dilution with water. Particles sticking together results in formation of agglomerates that do not disperse well in water. Dispersants, also called dispersing agents, can reduce attractive forces between particles in close proximity. The wetting property of surfactants increases the ability of a liquid to spread and penetrate by lowering the liquid's surface tension. Wetting as well as dispersing properties facilitate forming aqueous dispersions of particles from solid formulations. Wetting agents can also help spread spray mixtures across foliage surfaces to provide better coverage. Some surfactants have both dispersing and wetting properties. However, usually a surfactant will be most useful for either a dispersing or a wetting effect. Therefore typically the surfactant component (b) comprises a least two surfactants, at least one of which is regarded as a dispersant and at least one of which is regarded as a wetting agent.
- A wide variety of dispersants and wetting agents are known in the art of formulation, including those described in McCutcheon's Detergents and Emulsifiers Annual, Allured Publ. Corp., Ridgewood, N.J., as well as Sisely and Wood, Encyclopedia of Surface Active Agents, Chemical Publ. Co., Inc., New York, 1964. Examples of dispersants include, but are not limited to, sodium, calcium and ammonium salts of lignosulfonates (optionally polyethoxylated) (e.g., MARASPERSE N22), formaldehyde condensates of naphthalene-sulfonates or alkylnaphthalenesulfonates (e.g., MORWET D425), condensed methylnaphthalenesulfonates (e.g., SUPRAGIL MNS/90), anionic condensation products of alkylphenol, formaldehyde and optionally sodium sulfite, salts of polycarboxylic acids (e.g., polyacrylic acids and copolymers) (e.g., METASPERSE 550), phosphate esters of tristyrylphenol ethoxylates (e.g., SOPROPHOR 3D33), polyethylene/polypropylene block polymers (e.g., PLURONIC F108, ATLOX 4912, ATLAS G-5000, SYNPERONIC PE series copolymers) and ethylene oxide-propylene oxide based acrylic acid graft copolymers such as methyl methacrylate graft copolymers (e.g., ATLOX 4913). Examples of wetting agents include, but are not limited to, alkyl sulfosuccinates (e.g., AEROSOL OTB), laurates, sulfate and phosphate esters of long chain alcohols, acetylenic diols, ethoxyfluorinated alcohols, ethoxylated silicones, alkyl phenol ethoxylates, benzene sulfonates, alkyl-substituted benzene sulfonates such as sodium dodecylbenzenesulfonates (e.g., RHODACAL DS10), alkyl α-olefin sulfonates, naphthalene sulfonates, alkyl-substituted naphthalene sulfonates (e.g., MORWET EFW), and alcohol ethoxylates.
- Particularly useful dispersants for the compositions of the present invention include lignosulfonate salts such as MARASPERSE N22, anionic salts of acrylic acid polymers and copolymers such as METASPERSE 550 and alkyl naphthalene sulfonate formaldehyde condensates such as MORWET D425. Particularly useful wetting agents for the compositions of the present invention include anionic alkyl-substituted naphthalene sulfonates such as MORWET EFW, anionic sulfates of long chain alcohols, alkyl sulfosuccinates such as AEROSOL OTB, alkyl-substituted benzene sulfonates such as sodium dodecylbenzene sulfonate (RHODACAL DS10).
- In the composition of the present invention, component (c) comprises one or more additional formulating ingredients. Although component (c) is optional (i.e. may be 0% of the present composition), typically the composition comprises at least about 1% of component (c) by weight. Although generally the composition of the present invention may comprise up to about 99.7% of component (c) by weight, typically component (c) amounts to no more than about 80%, more typically no more than about 70% of the composition by weight. The additional formulating ingredients of component (c) may be selected from the wide variety of ingredients known in the art of formulation. Many of these ingredients are described in McCutcheon's 2001 Volume 2: Functional Materials published by MC Publishing Company. Additional formulating ingredients include, for example, lubricants, anticaking agents, chemical stabilizers, adhesive agents, film-forming agents and solid diluents. Additional formulating ingredients particularly useful in forming the present compositions are solid diluents that are grinding aids, binders and water-soluble diluents (other than binders, film-forming agents and adhesive agents).
- Grinding aids are typically brittle, non-smearing inorganic chemicals such as clays, silicas and diatomaceous earths. Grinding aids prevent build-up in mechanical impact mills. Particularly useful grinding aids in the compositions of the present invention are Barden clay, bentonite clays, attapulgite clays, and precipitated and fumed silicas. The composition of the present invention typically comprises from about 1% to about 15% of one or more grinding agents by weight of composition. Typically the one or more grinding agents in the present composition are selected from clays.
- Binders increase the mechanical strength of granules by binding formulation components together. A wide variety of binders are known in the art of formulation. Particularly useful binders in the compositions of the present invention are certain saccharides and modified saccharides. These include certain sugars (e.g., sucrose), sugar derivatives (e.g., mannitol) and starches and modified starches such as dextrin. Dextrin is produced by dry roasting starch alone or in the presence of trace levels of acid catalysts (which causes hydrolysis of the starch followed by molecular rearrangement and combination of the resulting fragments). Particularly useful dextrins are yellow dextrins, which are available from many commercial sources. Yellow dextrins are typically obtained by dry roasting starch, often at temperatures above 150° C., in the presence of trace levels of acid catalysts. Yellow dextrins are yellowish powders that are substantially soluble in water near room temperature. Optimal amounts of binders can be determined by simple experimentation. When sucrose is used as the binder, it is typically included in the present composition in an amount from about 0.1% and about 5% by weight of the composition.
- Film-forming agents (alternatively identified as film formers or film coating compositions) and adhesive agents (alternatively identified as adhesives or sticking agents) are used to prepare compositions for coating seeds and other propagules. These ingredients are discussed in detail below as components in coating compositions.
- Water-soluble diluents rapidly dissolve in water, and thus expose the water-dispersible or soluble skeleton of the granule to water and accelerate granule break-up and dispersion. A wide range of water-soluble diluents are known in the art of formulation. These include salts or carbohydrates that dissolve rapidly in water; non-limiting examples include alkali metal phosphates, alkaline earth phosphates, sulfates of sodium, potassium, magnesium and zinc, sodium and potassium chloride, sodium benzoate, lactose and sucrose. Many of the saccharide and modified saccharide binders are water-soluble and thus promote granule break-up and dispersion on contact with water. Some water-soluble diluents have only weak binding capability and thus their principal usefulness is as water-soluble diluent. A weakly binding, water-soluble diluent particularly useful in the present composition is lactose, typically in the form of lactose monohydrate. When lactose is included, it typically is in an amount (as its monohydrate) between about 1% and about 80%, more typically between about 1% and about 35%, and most typically between about 1% and 25% of the present composition by weight.
- The composition of the present invention can be formed in any of the types of solid compositions commonly used for formulating arthropodicide active ingredients. These types include dusts, powders, granules, pellets, prills, pastilles, tablets and the like. Typically the composition of the present invention is first prepared as a wettable powder. The other solid composition types can be prepared from the wettable powder using general methodologies well known in the art of formulation. For methodologies involving exposure to water, the solid carrier of component (b) should be relatively water insoluble.
- A wettable powder of the composition of the present invention can be prepared by absorbing a solution of constituent (i) and constituent (ii) in a solvent onto the solid carrier, evaporating the solvent, mixing the constituent-infiltrated carrier with the other formulating ingredients, and finally milling the mixture.
- Thus in the first step one or more carboxamide arthropodicides (i.e. constituent (i)) and the surfactant constituent (ii) are dissolved in a suitable solvent. Constituent (i) and constituent (ii) can be dissolved in any order. Suitable solvents are those in which constituents (i) and (ii) are soluble and stable and which are sufficiently volatile to enable solvent evaporation at temperatures not decomposing constituents (i) and (ii). Suitable solvents include pyridine and its derivatives such as 3-picoline, ethereal solvents such as tetrahydrofuran, nitrile solvents such as acetonitrile, and carboxamide solvents such as N,N-dimethylformamide (DMF), 1-methyl-2-pyrrolidinone (NMP) and 1-octyl-2-pyrrolidinone (NOP), as well as mixtures of these solvents. Hydroxylic solvents can promote hydrolysis of carboxamide arthropodicides and thus are not preferred.
- The solution of constituents (i) and (ii) is then absorbed onto the solid carrier. Although the solid carrier can be added to the solution of constituents (i) and (ii), best results are typically achieved by slowly adding the solution to the solid carrier. On a small scale the solution can be added dropwise to the solid carrier, but on a larger scale using a spray system to apply the solution to the solid carrier may be convenient. The mixture is then typically gently stirred using, for example, a rotary mixer at low speed to thoroughly distribute the solution over the solid carrier. Because of the presence of the solvent, the infiltrated carrier powder may be sticky.
- The solvent is then evaporated from the solution of constituents (i) and (ii) infiltrated into the solid carrier. To reduce the temperature needed to evaporate the solvent, the solution-infiltrated solid carrier can be subjected to vacuum (i.e. reducing the pressure below ambient). Although increasing temperature increases the rate of evaporation of the solvent, too high of temperature may promote decomposition of carboxamide arthropodicides. Preferably conditions are selected to allow evaporating the solvent at temperatures at or slightly above room temperature, for example preferably about 20-50° C. and more preferably about 20-40° C. Most preferably the solvent is evaporated at about 20-30° C. if the solvent is sufficiently volatile (i.e. has a low enough boiling point). Passing an inert gas (e.g., nitrogen) over the solution-infiltrated carrier can facilitate removal of solvent vapor. A solvent recovery system can be used to reduce cost and environmental impact.
- To increase the weight ratio of the mixture of constituents (i) and (ii) to the solid carrier, the process of applying the solution of constituents (i) and (ii) to the carrier and then evaporating the solvent can be repeated one or more times.
- The constituent-infiltrated carrier can be most conveniently mixed with other formulating ingredients using a blender. Premixing with a blender mixes the ingredients on a macro-scale before they are milled. Screw, paddle, cone and ribbon blenders are all suitable for premixing ingredients.
- The main purpose of milling is to generate intimate contact between formulating ingredients. Many impact mills are suitable, for example, a hammer mill with a 300 US mesh screen.
- In addition to wettable powders, granules are particularly useful types of solid compositions according to the present invention. Granules can be prepared starting from wettable powders using such well-known general methods as pan granulation, fluid-bed granulation and extrusion. These granulation methods typically comprise adding a granulation liquid such as water to the milled wettable powder, granulating according the particular method, and finally drying the granulated product. Pan granulation and fluid-bed granulation involve agglomeration techniques; see Browning, “Agglomeration”, Chemical Engineering, Dec. 4, 1967, pp 147-48, Perry's Chemical Engineer's Handbook, 4th Ed., McGraw-Hill, New York, 1963 and U.S. Pat. No. 3,920,442. Paste extrusion involves forcing a moistened mixture, typically fed by an auger, through a die using procedures analogous to those described in PCT Patent Publication WO 2004/023876. Pellets and tablets can be prepared by dry-compressing wettable powders using a briquetting press (e.g., Model 220 Komarek Roll Briquetter, K. R. Komarek Inc., Elk Grove Village, Ill., USA), roll compactor (e.g., TF-MINI, Freund Sangyo K.K.) or tablet press using procedures analogous to those described in U.S. Pat. Nos. 4,172,714, 5,180,587, 5,208,030 and 5,232,701. For recent reviews of formulation methods, see T. S. Woods, “The Formulator's Toolbox—Product Forms for Modern Agriculture” in Pesticide Chemistry and Bioscience, The Food-Environment Challenge, T. Brooks and T. R. Roberts, Eds., Proceedings of the 9th International Congress on Pesticide Chemistry, The Royal Society of Chemistry, Cambridge, 1999, pp 120-133 and Developments in Formulation Technology, PJB Publications, Richmond, UK, 2000.
- Thus as described herein, the composition of the present invention comprises as an essential element a particulate component comprising particles of a solid carrier infiltrated with a mixture comprising (i) one or more carboxamide arthropodicides and (ii) a surfactant constituent. Accordingly the mixture of one or more carboxamide arthropodicides with the surfactant constituent is absorbed into pores in the solid carrier. The pores can be in the form of channels or other cavities in the solid carrier particles, but must be open to the exterior of the particles to allow infiltration of the carboxamide arthropodicide-surfactant mixture into the particles during composition manufacture, and then later egress of the arthropodicide-surfactant mixture into a leaf cuticle, seed testa or other contacted plant part without needing to disrupt the solid carrier. The solid carrier is primarily intended to provide support, and the material of the solid carrier itself generally does not comprise either a carboxamide arthropodicide or a surfactant.
- The surfactant constituent in the mixture infiltrated into the solid carrier can help draw water into the carrier particles and facilitate mobilization of the one or more carboxamide arthropodicides of constituent (i). In a preferred embodiment, the surfactant constituent suppresses the crystallinity of the one or more carboxamide arthropodicides. Maintaining a carboxamide arthropodicide in an amorphous form, particularly in mixture with a surfactant, has been discovered to facilitate absorption of the carboxamide arthropodicide into a leaf cuticle, seed testa or other plant part. The mixture comprising one or more carboxamide arthropodicides and a surfactant constituent also can comprise solvent residue left after infiltration of a solution of the arthropodicides and surfactant constituent in a solvent followed by evaporation of the solvent. The residual solvent is regarded as an impurity, not a principal component of the infiltrated mixture after evaporation. Typically the amount of residual solvent is not more than about 25%, and more typically not more than about 10% of the infiltrated mixture by weight. Typically the infiltrated mixture consists essentially of the one or more arthropodicides, the surfactant constituent and residual solvent. In the present composition the one or more carboxamide arthropodicides are typically primarily (i.e., at least about 80%, more typically at least about 90%, most typically at least about 95%) disposed within the particles of the solid carrier rather than being on the surface of the particles or between the particles.
- Optionally on the surface of the particles or between the particles is a surfactant component having dispersing and wetting properties. In some embodiments one or more surfactants in this surfactant component are also present in the surfactant constituent mixed with the one or more arthropodicides, but more typically the surfactants are different. The surfactant component having dispersing and wetting properties helps disperse the infiltrated particles in an aqueous medium (e.g., in a mixture for spraying on plant foliage or propagules). As described herein, other formulating ingredients can also be present on the surface of the particles or between the particles. Water is typically present in application media (e.g., spray mixtures) and the environment. Therefore while other formulating ingredients surrounding the particles have a variety of useful functions and may have correspondingly diverse properties, they typically are selected so that the material on the surface of the particles and between the particles (all of which may be considered to be coating the particles) dissolves or disintegrates in water or at least is weakened or made porous by water, so that transfer of the carboxamide arthropodicides from the particulate component to a leaf cuticle, seed testa or other plant part is not impeded. As the mixture of the one or more carboxamide arthropodicides with the surfactant constituent in the particles can promote transfer of the carboxamide arthropodicides to plant parts, the material surrounding the particles desirably should not retard this transfer.
- The composition of the present invention can be applied directly (e.g., as a dust) to the arthropod pest to be controlled (e.g., suppressed or killed) or its environment, such as plant foliage, but usually the composition is first diluted to form a dispersion in water and then sprayed on the arthropod pest or its environment. For control of phytophagous piercing-sucking arthropod pests, spraying the foliage of the plant to be protected with present composition dispersed in water facilitates absorption of the carboxamide arthropodicide active ingredient through the cuticle of the foliage. If the solid carrier is relatively water insoluble, addition of the present composition to water typically forms a suspension, i.e. a suspension of particles of the solid carrier infiltrated with a mixture comprising the one or more carboxamide arthropodicides and the surfactant constituent and also particles of other insoluble substances such clays.
- The composition of the present invention can also be applied to seeds and other propagules, typically as a coating formulation also comprising a film former or adhesive agent (in component (c)). The composition of the present invention has been discovered to facilitate absorption of carboxamide arthropodicides into seeds and other propagules to protect the seeds and propagules from attack by phytophagous arthropods. Depending upon the ability of a carboxamide arthropodicide to translocate to foliage and roots developing from the propagule, these other plant parts can be protected as well. Furthermore, coating a seed or other propagule with a composition of the present invention can provide an apparent growth stimulating effect on the foliage developing from the seed or other propagule even when phytophagous arthropod pest populations in the environment appear to be insignificant.
- Propagules coated with compositions of this invention include seeds. Suitable seeds include seeds of wheat, durum wheat, barley, oat, rye, maize, sorghum, rice, wild rice, cotton, flax, sunflower, soybean, garden bean, lima bean, broad bean, garden pea, peanut, alfalfa, beet, garden lettuce, rapeseed, cole crop, turnip, leaf mustard, black mustard, tomato, potato, pepper, eggplant, tobacco, cucumber, muskmelon, watermelon, squash, carrot, zinnia, cosmos, chrysanthemum, sweet scabious, snapdragon, gerbera, babys-breath, statice, blazing star, lisianthus, yarrow, marigold, pansy, impatiens, petunia, geranium and coleus. Of note are seeds of cotton, maize, soybean and rice. Propagules contacted with compositions of this invention also include rhizomes, tubers, bulbs or corms, or viable divisions thereof. Suitable rhizomes, tubers, bulbs and corms, or viable divisions thereof include those of potato, sweet potato, yam, garden onion, tulip, gladiolus, lily, narcissus, dahlia, iris, crocus, anemone, hyacinth, grape-hyacinth, freesia, ornamental onion, wood-sorrel, squill, cyclamen, glory-of-the-snow, striped squill, calla lily, gloxinia and tuberous begonia. Of note are rhizomes, tubers, bulbs and corms, or viable division thereof of potato, sweet potato, garden onion, tulip, daffodil, crocus and hyacinth. Propagules contacted with compositions of this invention also include stems and leaf cuttings.
- When the present composition is applied to seeds and other propagules as a dust or powder, preferably the composition includes an adhesive agent (i.e. sticking agent) in component (c) to cause the dust or power to stick to the propagule. For coating seeds and other propagules, the present composition is preferably a film-forming formulation (i.e. composition) comprising a film former in component (c). The film coatings formed by film-forming compositions are generally more durable than coatings comprising adhesive powders.
- The thickness of coatings can vary from adhering dusts to thin films to pellet layers about 0.5 to 5 mm thick. Propagule coatings according to this invention can comprise more than one adhering layers, only one of which need comprise a composition of the present invention. Generally pellets are most satisfactory for small seeds, because their ability to provide a biologically effective amount of a carboxamide arthropodicide is not limited by the surface area of the seed, and pelleting small seeds also facilitates seed transfer and planting operations. Because of their larger size and surface area, large seeds and bulbs, tubers, corms and rhizomes and their viable cuttings are generally not pelleted, but instead coated with powders or thin films.
- Thus to prepare a propagule contacted with the composition of the invention and the composition is typically applied as a dust, a thin film or pellet layer. Typically the composition of this invention is applied to a propagule such that the amount of constituent (i) (i.e. one or more carboxamide arthropodicides) in the composition coating the propagule is in the range from about 0.001 to 50% of the weight of the propagule, for seeds more often in the range of about 0.01 to 50% of the seed weight, and most typically for large seeds in the range of about 0.1 to 10% of the seed weight. However, larger amount up to about 100% or more are useful, particularly for pelleting small seed for extended arthropod pest control protection. For propagules such as bulbs, tubers, corms and rhizomes and their viable cuttings, and stem and leaf cuttings, generally the composition is applied in an amount such that constituent (i) ranges from about 0.001% to 5% of the propagule weight, with higher percentages used for smaller propagules. One skilled in the art can easily determine the biologically effective amount for contacting with (i.e. applying to) the propagule necessary for the desired level of phytophagous arthropod pest control.
- The film former or adhesive agent in component (c) of the present composition used to coat a propagule is preferably selected from adhesive polymers that may be natural or synthetic and are without phytotoxic effect on the propagule to be coated. The film former or sticking agent is typically selected from polyvinyl acetates, polyvinyl acetate copolymers, hydrolyzed polyvinyl acetates, polyvinylpyrrolidone-vinyl acetate copolymer, polyvinyl alcohols, polyvinyl alcohol copolymers, polyvinyl methyl ether, polyvinyl methyl ether-maleic anhydride copolymer, waxes, latex polymers, celluloses including ethylcelluloses and methylcelluloses, hydroxymethylcelluloses, hydroxypropylcellulose, hydroxymethylpropyl-celluloses, polyvinylpyrrolidones, alginates, dextrins, malto-dextrins, polysaccharides, fats, oils, proteins, karaya gum, jaguar gum, tragacanth gum, polysaccharide gums, mucilage, gum arabics, shellacs, vinylidene chloride polymers and copolymers, soybean-based protein polymers and copolymers, lignosulfonates, acrylic copolymers, starches, polyvinylacrylates, zeins, gelatin, carboxymethylcellulose, chitosan, polyethylene oxide, acrylimide polymers and copolymers, polyhydroxyethyl acrylate, methylacrylimide monomers, alginate, ethylcellulose, polychloroprene and syrups or mixtures thereof.
- Methylcellulose and gum arabic are of note as adhesives (or sticking agents) in component (c) of compositions of the present invention applied to propagules as dusts or powders. Acrylic latex polymers, polyvinyl alcohol (PVA) and polyvinyl acetate (PVAc) are of particular note as film formers in component (c) of film-forming compositions of the present invention, which are applied to propagules as film coatings.
- As already noted, component (c) (i.e. the one or more additional formulating ingredients) of a composition of the present invention for propagule coating typically, although not always, comprises an adhesive or film former constituent, which in the context of the present disclosure and claims denotes to a constituent consisting of one or more adhesive agents and/or film formers. Typically the adhesive or film former constituent is in an amount of between about 1% and about 90% of the composition by weight. More typically the adhesive or film former constituent is in amount between about 3% and about 75%, and most typically between about 9% and 50% of the composition by weight. The amount of the adhesive or film former constituent in the composition applied to the propagule is generally in the range of about 0.001 to 100% of the weight of the propagule. For large seeds the amount of adhesive or film former constituent is typically in the range of about 0.05 to 5% of the seed weight; for small seeds the amount is typically in the range of about 1 to 100%, but can be greater than 100% of seed weight in pelleting. For other propagules the amount of the adhesive or film former constituent is typically in the range of 0.001 to 2% of the propagule weight. In a composition of the present invention used as a film-forming formulation (i.e. propagule film coating), typically the weight ratio of component (a) to the film former in component (c) is in a range from about 100:1 to about 1:10, more typically in a range from about 30:1 to about 1:3, and most typically in a range from about 10:1 to about 1:1.
- In addition to one or more film formers or sticking agents, component (c) of the present composition used as propagule coating can also comprise other formulating ingredients. Solid carriers (e.g., wood flours, clays, activated carbon, diatomaceous earth, fine-grain inorganic solids, calcium carbonate) are particularly useful in compositions used for pelleting (i.e. forming a thick layer around a propagule, typically a seed). Clays and inorganic solids which can be used include, for example, calcium bentonite, kaolin, china clay, talc, perlite, mica, vermiculite, silicas, quartz powder, montmorillonite and mixtures thereof. A composition of the present invention particularly useful as a film-forming formulation typically contains little or no solid carrier in component (c); however, component (a) itself comprises a particulate component comprising particles of a solid carrier. Component (c) of a composition of the present invention for propagule coating typically comprises at least one dye (e.g., Acid Blue 1, Pro-lzed® Colorant Red) to visually indicate that the propagule has been treated with a plant protection agent.
- A composition of the present invention for coating a propagule can include component (b) (i.e. a surfactant component having dispersing and wetting properties). Component (b) can facilitate dispersion of the particles of component (a) and wetting of the propagule during the coating process.
- Conventional means of applying seed coatings can be used to carry out coating with a composition of the present invention. Dusts or powders can be applied by tumbling the propagule with a composition of the present invention comprising a sticking agent in component (c) to cause the dust or powder to adhere to the propagule and not fall off during packaging or transportation. Dusts or powders can also be applied by adding a dust or powder comprising component (a) directly to the tumbling bed of propagules, followed by spraying a carrier liquid, e.g., an aqueous mixture comprising component (c) and optionally component (b), onto the seed and drying. Dusts and powders can also be applied by treating (e.g., dipping) a least a portion of the propagule with a solvent such as water, optionally comprising a sticking agent as component (c), and dipping the treated portion into a supply of the dry dust or powder comprising component (a). This method can be particularly useful for coating stem cuttings.
- In an embodiment of particular note, propagules are coated with a composition in the present invention in the form of a film, i.e. film coating. As already discussed, a composition of the present invention suitable for use as a film-forming formulation generally comprises a film former in component (c). Typically component (a) is first prepared in the form of a wettable powder by absorbing a solution of constituent (i) and constituent (ii) in a solvent onto the solid carrier and then evaporating the solvent, as already described. Also an aqueous mixture is prepared comprising component (c) containing at least one film former and also typically at least one dye, and optionally component (b) (i.e. a surfactant component having dispersing and wetting properties. The wettable powder is then mixed into the aqueous mixture to form an aqueous suspension concentrate (i.e. an aqueous suspension). The aqueous suspension concentrate can also be formed using different orders of addition of component (a), component (c), water and optionally component (b). The aqueous suspension concentrate is then applied to the propagules (e.g., seeds), and the water evaporated to leave the composition of the present invention as a film on the surface of the propagule. Drying should be conducted in a way not to injure the propagule or induce premature germination or sprouting.
- This process is particularly useful for applying film coatings to seeds. For coating seed, the seed and coating material are mixed in any of a variety of conventional seed coating apparatus. Various coating machines and processes are available to one skilled in the art. Suitable processes include those listed in P. Kosters et al., Seed Treatment: Progress and Prospects, 1994 BCPC Monograph No. 57 and the references listed therein. Three well-known techniques include the use of drum coaters, fluidized bed techniques and spouted beds. Propagules such as seeds may be pre-sized prior to coating. After coating the propagules are dried and then optionally sized by transfer to a sizing machine. These machines are known in the art for example, a typical machine used when sizing corn (maize) seed in the industry.
- Using conventional seed coating apparatus, the aqueous suspension concentrate is typically sprayed onto the seeds. A two-fluid nozzle (i.e. having a gas inlet and a liquid inlet) works well for spraying aqueous suspension concentrates. Common seed coating apparatus designs present the seeds to the nozzle by tumbling them in a rotating pan or fluidizing them in a fluid bed coater. For large oblong seeds such as that of cotton, a satisfactory seed coating apparatus comprises a rotating type pan with lifting vanes turned at sufficient speed to maintain a rolling action of the seed, facilitating uniform coverage. The rate of rolling and application of coating depends upon the seed. For seed coating formulations applied as liquids (e.g., aqueous suspension concentrates), the seed coating should be applied over sufficient time to allow drying to minimize clumping of the seed. Using forced air or heated forced air can allow increasing the rate of application. One skilled in the art will also recognize that this process may be a batch or continuous process. As the name implies, a continuous process allows the seeds to flow continuously throughout the product run. New seeds enter the pan in a steady stream to replace coated seeds exiting the pan.
- The composition of the present invention is not limited to thin film coating and may also be used for seed pelleting. The pelleting process typically increases the seed weight from 2 to 100 times and can be used to also improve the shape of the seed for use in mechanical seeders. A composition of the present composition for pelleting generally comprises in component (c), a solid diluent, which is typically an insoluble particulate material, such as clay, ground limestone, powdered silica, etc. to provide bulk in addition to a binder such as an artificial polymer (e.g., polyvinyl alcohol, hydrolyzed polyvinyl acetates, polyvinyl methyl ether, polyvinyl methyl ether-maleic anhydride copolymer, and polyvinyl-pyrrolidinone) or natural polymer (e.g., alginates, karaya gum, jaguar gum, tragacanth gum, polysaccharide gum, mucilage). After sufficient layers have been built up, the coat is dried and the pellets graded. A method for producing pellets is described in Agrow, The Seed Treatment Market, Chapter 3, PJB Publications Ltd., 1994.
- Without further elaboration, it is believed that one skilled in the art using the preceding description can utilize the present invention to its fullest extent. The following Examples are, therefore, to be construed as merely illustrative, and not limiting of the disclosure in any way.
- Examples 1-10 describe preparation of compositions of the present invention. Comparative Examples 1-2 describe preparation of compositions made for comparative purposes. The identities of proprietary ingredients used in these compositions are described in Table 1. The IKA M20 mill referred to in the preparation descriptions was a Model M20 S3 Universal Mill (Universalmuehle) manufactured by IKA Labortechnik, Stauffen, Germany. This mill comprises a rapidly revolving blade cutter in a grinding chamber.
-
TABLE 1 Identity of Ingredients used in Examples Name Identity Compound 1 3-Bromo-1-(3-chloro-2-pyridinyl)-N-[4-cyano-2-methyl- 6-[(methylamino)carbonyl]phenyl]-1H-pyrazole-5-carboxamide Compound 2 3-bromo-N-[4-chloro-2-methyl-6-[(methylamino)carbonyl]phenyl]- 1-(3-chloro-2-pyridinyl)-1H-pyrazole-5-carboxamide MICROCEL E (Johns-Manville) Porous calcium silicate powder AGNIQUE PG 264-G (Cognis) (C12-C16 alkyl)polyglycoside, average degree of polymerization of 1.4, contains about 48% water PLURONIC L35 (BASF Block copolymer of ethylene oxide and propylene oxide Wyandotte) (EO11-PO16-EO11) DISCO L244 (Incotec) Proprietary film coating composition TERSPERSE 2500 (Huntsman Acrylic graft co-polymer Performance Products) TWEEN 20 (Uniqema) Polyoxyethylene (20) sorbitan monolaurate MARASPERSE N22 (Uniqema) Calcium lignosulfonate MORWET D425 (Witco) Sulfonate of naphthalene formaldehyde condensate, sodium salt Barden Clay Kaolin clay MORWET EFW (Witco) Sodium alkylnaphthalenesulfonate RHODACAL BX78 (Rhodia) Sodium dibutylnaphthalenesulfonate REAX 88B (MeadWestvaco) Sodium lignosulfonate (highly sulfonated kraft lignan polymer) CAB-O-SIL M5 (Cabot Corp.) Fumed silica - The sample of Compound 1 used in the present Examples and Comparative Examples was prepared as described in Reference Example 1. Amounts listed for Compound 1 refer the amount of technical grade (“tech. grade”) material. The assay of Compound 1 in the technical material varied slightly due to the ability of the material to adsorb varying amounts of water. HPLC analysis of the particular sample used to prepare Comparative Examples 1 and 2 indicated the technical grade material contained 93.4% Compound 1 by weight. The sample of Compound 2 used in the present Examples was prepared by one or more of the methods described in PCT Publications WO 03/015519 A1 and WO 2006/062978, and melted in the range between 232 and 235° C.
- To a mixture of 3-bromo-1-(3-chloro-2-pyridinyl)-1H-pyrazole-5-carboxylic acid (20.6 kg) and 2-amino-5-cyano-N,3-dimethylbenzamide (14.1 kg) in acetonitrile (114 kg) was added 3-picoline (22.2 kg). The mixture was cooled to −10 to −14° C., and then methanesulfonyl chloride (10.6 kg) was slowly added so that the temperature did not exceed 5° C. After reaction completion as ascertained by HPLC and NMR analyses, the mixture was worked up by successively adding water (72.6 kg) and concentrated hydrochloric acid (7.94 kg) at such a rate that the temperature did not exceed 5° C. After being maintained at a temperature not exceeding 5° C. for about 30 minutes, the reaction mixture was filtered to collect the solid product, which was successively washed with acetonitrile-water (2:1, 2×12.3 kg) and acetonitrile (2×10.4 kg). The solid was then dried at about 50° C. under reduced pressure and a flow of nitrogen gas to give the title product as a white crystalline solid, which was directly used in the present formulation Examples and Comparative Examples. With a moderate rate of heating (heating to about 150° C. over 5 minutes and then decreasing rate of heating from about 4-5° C./minute to about 3° C./minute to reach 210° C. over about 15 minutes more) to facilitate volatilization of loosely entrained solvents from the solid product, melting occurred in the range between 204 and 210° C.
- Table 2 lists weight percentage amounts of ingredients used to prepare compositions according to the present invention. The compositions of Examples 1-5 were prepared on a 10 g scale, and therefore the amounts of ingredients used were 10 g multiplied by the listed percentages. In Examples 1-5 surfactants were selected from AGNIQUE PG 264-G, dodecylbenzenesulfonic acid, PLURONIC L35, sodium dodecylbenzenesulfonate and TWEEN 20 as the surfactant constituent (ii) of the present compositions. According to the general procedure followed, 0.15 g of the selected surfactant was added to between 2.3 and 3 g of 3-picoline solution containing 5% technical grade Compound 1 in a 10-mL glass vial. The suspension was mixed to dissolve the surfactant. The resulting solution was added dropwise to 2-3 g of MICROCEL E in a 10-mL glass vial while gently stirring the mixture by hand with a spatula until the mixture became sticky and no longer free flowing. The mixture was then placed in a vacuum oven (at room temperature and under vacuum at 2.7-3.1 kPa pressure) which was purged with nitrogen gas to remove the 3-picoline solvent. The resulting material was then sieved through a 16-mesh (US) stainless steel screen to reduce particle size and make the material more homogeneous prior to further formulation. The sieved powder was transferred into a plastic bag, and the appropriate amounts of MORWET EFW, MARASPERSE N22, MORWET D425, Barden clay, sucrose and lactose monohydrate were added. The bag was closed and then inverted several times to blend the ingredients. The mixture was milled for 15 seconds in the IKA M20 mill, and then the finished product was collected.
- Table 2 also lists the concentration of Compound 1 in each finished product. To determine the concentration, an approximately 1.2-g sample of finished product was added to 80 mL of an 80:20 (volume) mixture of acetonitrile and tetrahydrofuran. The mixture was then sonicated for about 10 minutes in an ultrasonic bath and allowed to come to room temperature. The mixture was then diluted to 100 mL by adding 80:20 acetonitrile-tetrahydrofuran and filtered through an ACRODISC 0.2 μm pore size polytetrafluoro-ethylene (PTFE) membrane (Pall Corp., East Hills, N.Y., USA). The filtrate was then promptly analyzed using reversed-phase liquid chromatography with a 15-cm ZORBAX SB-Phenyl (3.5 μm particles) column (Agilent Technologies, Santa Clara, Calif., USA), elution with mixtures of acetonitrile and water adjusted to pH 2.5 using phosphoric acid, and UV detection at 260 nm. The weight percent of Compound 1 in each sample was determined based on a peak area-concentration curve created by analysis of solutions of Compound 1 of known concentrations.
-
TABLE 2 Percentage Amounts of Ingredients Used to Prepare the Compositions of Examples 1-5, and Assay of Compound 1 in Prepared Compositions Example 1 2 3 4 5 Surfactant Constituent (ii) AGNIQUE Dodecylbenzene- PLURONIC Sodium dodecyl- PG 264-G sulfonic acid L35 benzenesulfonate TWEEN 20 Amount 1.16 1.29 1.49 1.41 1.24 Compound 1, tech. grade 1.16 1.29 1.49 1.41 1.24 MICROCEL E 18.18 17.92 17.52 17.68 18.02 MORWET EFW 0.50 0.50 0.50 0.50 0.50 MARASPERSE N22 3.00 3.00 3.00 3.00 3.00 MORWET D425 7.00 7.00 7.00 7.00 7.00 Barden Clay 7.00 7.00 7.00 7.00 7.00 Sucrose 1.00 1.00 1.00 1.00 1.00 Lactose monohydrate 61.50 61.50 61.50 61.50 61.50 Compound 1 Assay 1.051 0.918 1.273 1.140 1.044 - For comparison, two wettable granule formulations not comprising particles of a solid carrier infiltrated with one or more carboxamide arthropodicides and a surfactant constituent were prepared. The ingredients were weighed into a plastic bag according to the proportions specified in Table 3 to prepare 700 g of premix. The ingredients were manually blended by inverting the closed bag several times. Then the entire contents of the bag was milled using a hammer mill with 60 mesh screen. The milled premix was transferred to a paddle kneader, and sufficient water was added to bring the moisture content to 12%. The moistened premix was kneaded in the paddle kneader for 4 minutes and then was transferred to a volumetric screw feeder. The screw feeder moved the premix at a rate of about 450 g/min to a dome extruder. Extruded granules were collected and dried using a fluid bed dryer. Granules obtained by this procedure with the ingredients listed in Table 3 extruded easily and dispersed rapidly in water.
-
TABLE 3 Percentage Amounts of Ingredients Used to Prepare the Compositions of Comparative Examples 1-2 Comparative Example 1 2 % % Compound 1, tech. grade 37.0 53.8 RHODACAL BX78 0.5 0.5 MARASPERSE N22 3.0 3.0 REAX 88B 6.0 6.0 CAB-O-SIL M5 0.5 0.5 Barden Clay 2.0 2.0 Sucrose 1.0 1.0 Lactose monohydrate 50.0 33.2 - In these Examples, the wettable powder component of each seed coating composition was prepared from the relative amounts of Compound 2, MICROCEL E and TERSPERSE 2500 surfactant listed in Table 4 below.
-
TABLE 4 Percentage Amounts of Nonvolatile Ingredients Used to Prepare the Wettable Powder Components for Coated Seeds of Examples 6-10 Example 6 7 8 9 10 Compound 2, tech. grade 20 10 14 14 10 MICROCEL E 60 50 72 72 50 TERSPERSE 2500 20 40 14 14 40 - A solution of Compound 2 (technical grade) and TERSPERSE 2500 surfactant in N,N-dimethylformamide (DMF, 2 g per g of MICROCEL E) was added dropwise to MICROCEL E in a 10-mL glass vial while gently stirring the mixture by hand with a spatula. Then the solvent was evaporated by using a vacuum oven (at 40° C. and under vacuum at 2.7-3.1 kPa pressure) and purging the DMF with a flow of nitrogen gas. The resulting material was then sieved through a 16-mesh (US) stainless steel screen to reduce particle size and make the material more homogeneous prior to formulating.
- The resulting wettable powder (0.206 g for Examples 6, 7, 9 and 10, and 0.412 g for Example 8) for each seed coating composition was incorporated into a mixture of water (5.0 g) and DISCO L244 film coating composition (0.087 g) to form an aqueous suspension concentrate, which was mixed using a rotor-stator mixer for 30 s at 14,000 rpm. The aqueous suspension concentrate was sprayed at a rate of 1 mL/minute onto 100 corn (maize) seeds tumbling in a pan oriented at a 45-degree angle and rotating at 20 revolutions per minute (rpm). Hot air was blown over the seeds to remove water and keep the seeds from sticking together.
- The average amount of active ingredient applied per seed was analytically measured by ultrasonically extracting with tetrahydrofuran a sample of 4 treated seeds. The amount of Compound 2 in the extract was determined by reversed-phase liquid chromatography using a 4.6 mm×15 cm ACE 3 C18 Ultra Inert Base Deactivated Analytical HPLC Column having 3-μm particle size (Catalog No. ACE-111-1546, MacMod Analytical Inc., Chadds Ford, Pa., USA), mixtures of pH 3-buffered water and acetonitrile as eluant, UV detection at 275 nm, phenyl sulfone as internal standard, and calibration curves (peak area ratio vs. amount ratio) prepared from analysis of standard solutions. Dividing the amount of extracted Compound 2 by the number of seeds determined the average amount of active ingredient per seed, which is listed in Table 5.
-
TABLE 5 Average Amounts of Compound 2 in Coated Seeds of Examples 6-10 Example 6 7 8 9 10 Compound 2 (mg a.i.) 0.09 0.09 0.12 0.09 0.10 - Cotton plants grown in Redi-earth media (one plant per pot) were used for testing. Test plants with two true leaves were introduced into cages where adults of silverleaf whitefly (Bemisia argentifolii) were allowed to lay eggs for approximately 24 h. Only plants showing egg lay were used for testing of formulated compositions. Prior to application of the compositions, plants were checked again for egg hatch and crawler (newly hatched whitefly immature) settlement. One leaf per plant was considered as one replication; four replications were used per treatment.
- All formulated compositions were mixed in water using four different concentrations of each composition. Plants were sprayed using a TeeJet flat fan spray nozzle positioned 19 cm above the tallest plant. Spray flow provided an application rate equivalent to 468 L/ha. After spraying, plants were allowed to dry in a ventilated enclosure and then moved to a growth chamber operated with 16/8 h daytime/night photoperiod and 28/24° C. daytime/night temperatures and 50% relative humidity.
- Evaluations were made 6 days after plants were sprayed. All leaves were removed from each test plant, and the dead and live nymphs present on the underside of each leaf were counted. The data was analyzed by Logit/Probit dose response/mortality regression, and lethal concentrations LC50 and LC90 were calculated in units of g a.i./ha based on the assay of Compound 1 in the completed formulated compositions. Each Table (Tables A1, A2) corresponds to a set of one or more concurrent tests. LC50 and LC90 values are presented rounded to two significant figures, but the compositions of Comparative Examples 1 and 2 exhibited so little activity that only lower bounds for LC50 and LC90 could be meaningfully determined.
-
TABLE A1 Lethal concentrations of Compound 1 formulated in Comparative Examples in controlling silverleaf whitefly on cotton (*) Composition LC50 LC90 Comparative Example 1 >6000 >190000 Comparative Example 2 >9000 >220000 (*) LC values are in g a.i./ha. Only lower bounds could be determined, as the comparative formulations showed little activity in this test. -
TABLE A2 Lethal concentration of Compound 1 formulated in Examples 1-5 in controlling silverleaf whitefly on cotton (*) Composition LC50 LC90 Example 1 110 270 Example 2 94 230 Example 3 210 820 Example 4 110 250 Example 5 220 1400 (*) LC values are in g a.i./ha. - As can be seen from the results of Table A1, the compositions of Comparative Examples 1 and 2 exhibited little activity controlling silverleaf whitefly in this test. In contrast, all of the compositions of the present invention showed significant activity. Table A2 shows that even the compositions of Examples 3 and 5, which exhibited the least activity of the present compositions tested, provided 90% kill of whitefly at application rates of less than 2 kg a.i./ha. Furthermore, the compositions of Examples 1, 2 and 4 provided 90% kill of whitefly at application rates of less than 300 g a.i./ha.
- Corn (maize) seeds coated with compositions of the present invention according to Examples 6 through 10 as well as untreated seeds as controls were planted in an outside field. Each treatment and the control involved 16 corn plants. When the plants had produced six leaves the third and fifth leaves were excised for testing against Spodoptera frugiperda. The leaves were cut and placed into wells (one piece per well) of a 16-well translucent plastic tray. One third-instar S. frugiperda larva was also placed in each well. The trays were held in a growth chamber (16 h/8 h light/dark cycle, 25° C., 50% RH). Insect mortality and leaf feeding damage were determined 96 h after the infestation. In Table B1 insect mortality is reported on a 0 to 100 percent scale in which 0 means no effect and 100 means 100% mortality. In Table B1 larval leaf feeding is reported on a 0 to 100 percent scale in which 0 means no larval consumption of the leaf and 100 means complete consumption of the leaf.
- The corn plants were further grown in the field until they produced their ninth leaf. Phytophagous arthropod pest populations appeared to be low, and even the foliage of the untreated control plants did not obviously exhibit substantial arthropod damage. The corn stalks were cut at ground level and weighed. Average fresh stalk weight for each treatment and the control are reported in Table B2.
-
TABLE B1 Effect of Seed Coating Compositions on Mortality and Leaf Feeding of S. frugiperda larvae Average amount of Seed Coating active ingredient Percent Larval Percent Larval Composition (mg ai/seed) Mortality Leaf Feeding Example 6 0.09 63 10 Example 7 0.09 41 19 Example 8 0.12 59 12 Example 9 0.09 63 10 Example 10 0.10 42 16 No seed coating 0.00 0 100 - Table B1 shows seed treatments with a composition of the present invention providing sufficient concentrations of Compound 2 in the developing foliage to kill substantial numbers of S. frugiperda larvae and greatly reduce leaf feeding.
-
TABLE B2 Effect of Seed Coating Compositions on Corn Growth Average amount of Seed Coating active ingredient Average Plant Composition (mg ai/seed) Fresh Weight (g) Example 6 0.09 27.2 Example 7 0.09 26.3 Example 8 0.12 25.3 Example 9 0.09 20.3 Example 10 0.10 19.6 No seed coating 0.00 17.0 - Table B2 shows that under field conditions, corn seeds treated with a composition of the present invention produced corn plants having substantially greater plant weights even though the foliage of the untreated corn plants did not appear to exhibit substantial arthropod damage.
Claims (19)
1. A solid arthropodicide composition comprising by weight
(a) from 0.3 to 100% of a particulate component comprising particles of a solid carrier infiltrated with a mixture comprising (i) one or more carboxamide arthropodicides and (ii) a surfactant constituent;
(b) from 0 to 50% of a surfactant component having dispersing and wetting properties; and
(c) from 0 to 99.7% of one or more additional formulating ingredients.
2. The composition of claim 1 wherein the one or more carboxamide arthropodicides comprise a carboxamide arthropodicide comprising at least two vicinal carboxamide moieties bonded to carbon atoms.
3. The composition of claim 2 wherein the one or more carboxamide arthropodicides are selected from anthranilamides of Formula 1, N-oxides, and salts thereof,
4. The composition of claim 3 wherein the one or more carboxamide arthropodicides comprise 3-bromo-1-(3-chloro-2-pyridinyl)-N-[4-cyano-2-methyl-6-[(methylamino)carbonyl]phenyl]-1H-pyrazole-5-carboxamide.
5. The composition of claim 3 wherein the one or more carboxamide arthropodicides comprise 3-bromo-N-[4-chloro-2-methyl-6-[(methylamino)carbonyl]-phenyl]-1-(3-chloro-2-pyridinyl)-1H-pyrazole-5-carboxamide.
6. The composition of claim 2 wherein the one or more carboxamide arthropodicides are selected from phthalic diamides of Formula 2 and salts thereof,
7. The composition of claim 6 wherein the one or more carboxamide arthropodicides comprise N2-[1,1-dimethyl-2-(methylsulfonyl)ethyl]-3-iodo-N1-[2-methyl-4-[1,2,2,2-tetrafluoro-1-(trifluoromethyl)ethyl]phenyl]-1,2-benzenedicarboxamide.
8. The composition of claim 1 wherein the solid carrier comprises at least one silica or silicate.
9. The composition of claim 8 wherein the solid carrier comprises calcium silicate.
10. The composition of claim 1 wherein the surfactant constituent in the mixture infiltrated into the solid carrier comprises one or more surfactants that inhibit the crystallization of at least one carboxamide arthropodicide in the mixture.
11. The composition of claim 10 wherein the surfactant constituent comprises one or more surfactants selected from the group consisting of alkylbenzenesulfonic acids and their salts, alkylpolyglycosides, hydroxyalkylcelluloses, ethylene oxide-propylene oxide block copolymers, vinylpyrrolidone polymers, ethoxylated sorbitan esters and ethoxylated sorbitol esters.
12. The composition of claim 11 wherein the surfactant constituent comprises one or more surfactants selected from the group consisting of alkylbenzenesulfonic acids and their salts, alkylpolyglycosides, ethylene oxide-propylene oxide block copolymers, and ethoxylated sorbitol esters.
13. The composition of claim 1 wherein the surfactant component having dispersing and wetting properties comprises one or more surfactants selected from the group consisting of alkylnaphthalenesulfonates, salts of naphthalene formaldehyde condensate sulfonates, and lignosulfonates.
14. The composition of claim 1 wherein the one or more additional formulating ingredients comprise one or more clays in an amount ranging from 1 to 15% of the composition by weight.
15. The composition of claim 1 wherein the one or more additional formulating ingredients comprise one or more saccharides in an amount ranging from 1 to 85% of the composition by weight.
16. The composition of claim 1 wherein the one or more additional formulating ingredients comprise an adhesive or film former constituent in an amount ranging from 1 to 90% of the composition by weight.
17. A propagule contacted with a biologically effective amount of the composition of claim 1 .
18. The propagule according to claim 17 which is a seed.
19. The propagule of claim 18 which is a seed of cotton, maize, soybean or rice.
Applications Claiming Priority (2)
| Application Number | Priority Date | Filing Date | Title |
|---|---|---|---|
| US93734907P | 2007-06-27 | 2007-06-27 | |
| PCT/US2008/067702 WO2009002856A1 (en) | 2007-06-27 | 2008-06-20 | Solid formulations of carboxamide arthropodicides |
Related Parent Applications (1)
| Application Number | Title | Priority Date | Filing Date |
|---|---|---|---|
| PCT/US2008/067702 A-371-Of-International WO2009002856A1 (en) | 2007-06-27 | 2008-06-20 | Solid formulations of carboxamide arthropodicides |
Related Child Applications (1)
| Application Number | Title | Priority Date | Filing Date |
|---|---|---|---|
| US14/018,786 Continuation US9826737B2 (en) | 2007-06-27 | 2013-09-05 | Solid formulations of carboxamide arthropodicides |
Publications (1)
| Publication Number | Publication Date |
|---|---|
| US20110059846A1 true US20110059846A1 (en) | 2011-03-10 |
Family
ID=39926716
Family Applications (2)
| Application Number | Title | Priority Date | Filing Date |
|---|---|---|---|
| US12/596,676 Abandoned US20110059846A1 (en) | 2007-06-27 | 2008-06-20 | Solid formulations of carboxamide arthropodicides |
| US14/018,786 Active US9826737B2 (en) | 2007-06-27 | 2013-09-05 | Solid formulations of carboxamide arthropodicides |
Family Applications After (1)
| Application Number | Title | Priority Date | Filing Date |
|---|---|---|---|
| US14/018,786 Active US9826737B2 (en) | 2007-06-27 | 2013-09-05 | Solid formulations of carboxamide arthropodicides |
Country Status (25)
| Country | Link |
|---|---|
| US (2) | US20110059846A1 (en) |
| EP (1) | EP2157861A1 (en) |
| JP (1) | JP5237369B2 (en) |
| KR (1) | KR20100041783A (en) |
| CN (1) | CN101677560A (en) |
| AR (1) | AR067364A1 (en) |
| AU (1) | AU2008268564B2 (en) |
| BR (1) | BRPI0809815A2 (en) |
| CA (1) | CA2685081A1 (en) |
| CO (1) | CO6251206A2 (en) |
| CR (1) | CR11155A (en) |
| EA (1) | EA018306B1 (en) |
| EC (1) | ECSP099820A (en) |
| GT (1) | GT200900322A (en) |
| IL (1) | IL202449A0 (en) |
| MA (1) | MA31452B1 (en) |
| MX (1) | MX2009013750A (en) |
| MY (1) | MY149006A (en) |
| NI (1) | NI200900218A (en) |
| NZ (1) | NZ581459A (en) |
| PH (1) | PH12010500029A1 (en) |
| TN (1) | TN2009000545A1 (en) |
| VN (1) | VN23047A1 (en) |
| WO (1) | WO2009002856A1 (en) |
| ZA (1) | ZA200908673B (en) |
Cited By (6)
| Publication number | Priority date | Publication date | Assignee | Title |
|---|---|---|---|---|
| US20080305093A1 (en) * | 2006-01-05 | 2008-12-11 | Oliver Walter Gutsche | Liquid Formulations of Carboxamide Arthropodicides |
| JP2013503900A (en) * | 2009-09-04 | 2013-02-04 | イー・アイ・デュポン・ドウ・ヌムール・アンド・カンパニー | N- (Cyanophenyl) pyrazole carboxamide aqueous preparation |
| US8551913B2 (en) | 2011-02-11 | 2013-10-08 | Becker Underwood, Inc. | Methods and compositions for reducing seed bridging |
| US8637552B2 (en) | 2001-09-21 | 2014-01-28 | E I Du Pont De Nemours And Company | Anthranilamide arthropodicide treatment |
| US8697734B2 (en) | 2001-08-13 | 2014-04-15 | E I Du Pont De Nemours And Company | Method for controlling particular insect pests by applying anthranilamide compounds |
| US9029365B2 (en) | 2001-08-13 | 2015-05-12 | E I Du Pont De Nemours And Company | Arthropodicidal anthranilamides |
Families Citing this family (18)
| Publication number | Priority date | Publication date | Assignee | Title |
|---|---|---|---|---|
| TWI484910B (en) | 2006-12-01 | 2015-05-21 | Du Pont | Liquid formulations of carboxamide arthropodicides |
| JP5551371B2 (en) | 2008-03-24 | 2014-07-16 | 石原産業株式会社 | Solid composition for pest control |
| TWI524848B (en) * | 2008-07-24 | 2016-03-11 | 石原產業股份有限公司 | Pesticidal composition |
| US20120164203A1 (en) * | 2009-06-17 | 2012-06-28 | Raman Premachandran | Process for preparation of stable, microencapsulated and sustained release biocidal actives and composition thereof |
| TWI547238B (en) * | 2009-09-04 | 2016-09-01 | 杜邦股份有限公司 | Anthranilic diamide compositions for propagule coating |
| US8575065B2 (en) | 2010-12-13 | 2013-11-05 | E I Du Pont De Nemours And Company | Acrylate/methacrylate-based star copolymer/anthranilic diamide compositions for propagle coating |
| US8709976B2 (en) * | 2010-12-13 | 2014-04-29 | E I Du Pont De Nemours And Company | Anthranilic diamide compositions for propagle coating |
| US8563470B2 (en) | 2010-12-13 | 2013-10-22 | E I Du Pont De Nemours And Company | Anthranilic diamide and cyclodextrin compositions for propagule coating |
| US8569268B2 (en) * | 2010-12-13 | 2013-10-29 | E I Du Pont De Nemours And Company | Acrylate/methacrylate-based diblock copolymer/anthranilic diamide compositions for propagule coating |
| US8652998B2 (en) | 2010-12-13 | 2014-02-18 | E I Du Pont De Nemours And Company | Branched copolymer/anthranilic diamide compositions for propagule coating |
| US8563469B2 (en) | 2010-12-13 | 2013-10-22 | E I Du Pont De Nemours And Company | Acrylate/methacrylate-based random copolymer/anthranilic diamide compositions for propagule coating |
| WO2014168601A1 (en) * | 2011-12-19 | 2014-10-16 | E. I. Du Pont De Nemours And Company | Acrylate/methacrylate-based triblock copolymer / anthranilic diamide compositions for propagule coating |
| US9149039B2 (en) | 2011-12-19 | 2015-10-06 | E I Du Pont De Nemours And Company | Anthranilic diamide/polymer propagule-coating compositions |
| CA2859530C (en) | 2011-12-19 | 2019-03-05 | E. I. Du Pont De Nemours And Company | Nanoparticles compositions containing polymers and anthranilic acid diamide insecticides for propagule coating |
| GB201511791D0 (en) * | 2015-07-06 | 2015-08-19 | Phillips Charles | Composition and methods for the control of arthropods |
| US10527592B2 (en) | 2015-09-16 | 2020-01-07 | Samsung Medison Co., Ltd. | Ultrasonic probe, ultrasonic imaging apparatus including the same, and method for controlling the ultrasonic imaging apparatus |
| BR112019008838B1 (en) | 2016-12-27 | 2023-01-24 | Ishihara Sangyo Kaisha, Ltd | SOLID PESTICIDE COMPOSITION COMPRISING CYCLANILIPROLE OR ITS SALT AND METHODS FOR PEST CONTROL AND PROTECTION OF PLANT SEEDLINGS |
| CA3165778A1 (en) * | 2020-01-23 | 2021-07-29 | Clearleaf Inc | Methods of using a colloidal silver-based composition in reducing or preventing microbial contamination in plants or explants in tissue culture processes |
Citations (8)
| Publication number | Priority date | Publication date | Assignee | Title |
|---|---|---|---|---|
| US4960796A (en) * | 1987-04-03 | 1990-10-02 | Basf Aktiengesellschaft | Cyclopropanecarboxamides |
| US5413795A (en) * | 1992-08-14 | 1995-05-09 | Buckman Laboratories, International, Inc. | TCMTB on a solid carrier in powdered form, method of manufacture and method of use |
| US5550115A (en) * | 1994-04-15 | 1996-08-27 | Henkel Corporation | Biologically active composition |
| US6603044B1 (en) * | 1998-11-30 | 2003-08-05 | Nihon Nohyaku Co., Ltd. | Phthalamide derivatives, or salt thereof agrohorticultural insecticide, and method for using the same |
| US6747047B2 (en) * | 2000-03-22 | 2004-06-08 | E.I. Du Pont De Nemours And Company | Insecticidal anthranilamides |
| US6869613B2 (en) * | 1998-03-31 | 2005-03-22 | Basf Aktiengesellschaft | Sprayable insecticidal compositions having enhanced efficacy |
| US20060177474A1 (en) * | 2005-02-08 | 2006-08-10 | Hiroshi Kodama | Agricultural and horticultural poison bait preparation |
| US20070293550A1 (en) * | 2004-04-27 | 2007-12-20 | Bayer Cropscience Aktiengesellschaft | Use of Alkyl Carboxylic Acid Amides as Penetration Enhancers |
Family Cites Families (15)
| Publication number | Priority date | Publication date | Assignee | Title |
|---|---|---|---|---|
| US3326632A (en) * | 1962-01-25 | 1967-06-20 | Hojun Kogyo Kabushiki Kaisha | Production of ion exchangeable substances from montmorillonite clay minerals |
| DE3369059D1 (en) * | 1982-10-04 | 1987-02-19 | Itt | Granulated plant protection agent and process for its preparation |
| JPH0717484B2 (en) * | 1986-02-27 | 1995-03-01 | サンケイ化学株式会社 | Oil-repellent insecticide |
| ZA93400B (en) | 1992-01-24 | 1993-08-05 | Ici Australia Operations | Water dispersible granules of liquid pesticides. |
| JPH07179302A (en) * | 1993-12-21 | 1995-07-18 | Sumitomo Chem Co Ltd | Pesticide granules |
| JP4560872B2 (en) | 2000-03-10 | 2010-10-13 | 住友化学株式会社 | Agrochemical granules |
| TWI325302B (en) | 2001-08-13 | 2010-06-01 | Du Pont | Benzoxazinone compounds |
| AR036872A1 (en) | 2001-08-13 | 2004-10-13 | Du Pont | ANTRANILAMIDE COMPOSITE, COMPOSITION THAT INCLUDES IT AND METHOD FOR CONTROLLING AN INVERTEBRATE PEST |
| TW200724033A (en) * | 2001-09-21 | 2007-07-01 | Du Pont | Anthranilamide arthropodicide treatment |
| US7307043B2 (en) * | 2001-09-28 | 2007-12-11 | Syngenta Crop Protection, Inc. | Aqueous neonicotinoid compositions for seed treatment |
| EP1599463B1 (en) | 2003-01-28 | 2013-06-05 | E.I. Du Pont De Nemours And Company | Cyano anthranilamide insecticides |
| SI1717237T1 (en) * | 2004-02-18 | 2011-03-31 | Ishihara Sangyo Kaisha | Anthranilamides, process for the production thereof, and pest controllers containing the same |
| JP5176160B2 (en) | 2004-04-27 | 2013-04-03 | 日本農薬株式会社 | Agrochemical granular composition |
| TWI324908B (en) | 2006-01-05 | 2010-05-21 | Du Pont | Liquid formulations of carboxamide arthropodicides |
| TWI484910B (en) | 2006-12-01 | 2015-05-21 | Du Pont | Liquid formulations of carboxamide arthropodicides |
-
2008
- 2008-06-20 US US12/596,676 patent/US20110059846A1/en not_active Abandoned
- 2008-06-20 WO PCT/US2008/067702 patent/WO2009002856A1/en not_active Ceased
- 2008-06-20 EA EA201070068A patent/EA018306B1/en not_active IP Right Cessation
- 2008-06-20 CN CN200880019896A patent/CN101677560A/en active Pending
- 2008-06-20 AU AU2008268564A patent/AU2008268564B2/en not_active Ceased
- 2008-06-20 MX MX2009013750A patent/MX2009013750A/en active IP Right Grant
- 2008-06-20 KR KR1020107001733A patent/KR20100041783A/en not_active Ceased
- 2008-06-20 MY MYPI20095275A patent/MY149006A/en unknown
- 2008-06-20 JP JP2010515000A patent/JP5237369B2/en active Active
- 2008-06-20 EP EP08771617A patent/EP2157861A1/en not_active Withdrawn
- 2008-06-20 VN VN200902874A patent/VN23047A1/en unknown
- 2008-06-20 NZ NZ581459A patent/NZ581459A/en not_active IP Right Cessation
- 2008-06-20 BR BRPI0809815-8A patent/BRPI0809815A2/en not_active Application Discontinuation
- 2008-06-20 CA CA002685081A patent/CA2685081A1/en not_active Abandoned
- 2008-06-20 PH PH12010500029A patent/PH12010500029A1/en unknown
- 2008-06-27 AR ARP080102814A patent/AR067364A1/en not_active Application Discontinuation
-
2009
- 2009-12-01 IL IL202449A patent/IL202449A0/en unknown
- 2009-12-07 ZA ZA2009/08673A patent/ZA200908673B/en unknown
- 2009-12-09 CR CR11155A patent/CR11155A/en not_active Application Discontinuation
- 2009-12-17 GT GT200900322A patent/GT200900322A/en unknown
- 2009-12-17 MA MA32428A patent/MA31452B1/en unknown
- 2009-12-17 NI NI200900218A patent/NI200900218A/en unknown
- 2009-12-21 EC EC2009009820A patent/ECSP099820A/en unknown
- 2009-12-23 CO CO09147467A patent/CO6251206A2/en not_active Application Discontinuation
- 2009-12-25 TN TNP2009000545A patent/TN2009000545A1/en unknown
-
2013
- 2013-09-05 US US14/018,786 patent/US9826737B2/en active Active
Patent Citations (8)
| Publication number | Priority date | Publication date | Assignee | Title |
|---|---|---|---|---|
| US4960796A (en) * | 1987-04-03 | 1990-10-02 | Basf Aktiengesellschaft | Cyclopropanecarboxamides |
| US5413795A (en) * | 1992-08-14 | 1995-05-09 | Buckman Laboratories, International, Inc. | TCMTB on a solid carrier in powdered form, method of manufacture and method of use |
| US5550115A (en) * | 1994-04-15 | 1996-08-27 | Henkel Corporation | Biologically active composition |
| US6869613B2 (en) * | 1998-03-31 | 2005-03-22 | Basf Aktiengesellschaft | Sprayable insecticidal compositions having enhanced efficacy |
| US6603044B1 (en) * | 1998-11-30 | 2003-08-05 | Nihon Nohyaku Co., Ltd. | Phthalamide derivatives, or salt thereof agrohorticultural insecticide, and method for using the same |
| US6747047B2 (en) * | 2000-03-22 | 2004-06-08 | E.I. Du Pont De Nemours And Company | Insecticidal anthranilamides |
| US20070293550A1 (en) * | 2004-04-27 | 2007-12-20 | Bayer Cropscience Aktiengesellschaft | Use of Alkyl Carboxylic Acid Amides as Penetration Enhancers |
| US20060177474A1 (en) * | 2005-02-08 | 2006-08-10 | Hiroshi Kodama | Agricultural and horticultural poison bait preparation |
Non-Patent Citations (1)
| Title |
|---|
| Infiltrate Definition. [online]. Merriam-Webster On-line Dictionary, 2009 [retrieved on 2013-05-16]. Retrieved from the Internet: 2 pages. * |
Cited By (13)
| Publication number | Priority date | Publication date | Assignee | Title |
|---|---|---|---|---|
| US9084422B2 (en) | 2001-08-13 | 2015-07-21 | E I Du Pont De Nemours And Company | Anthranilamides compositions |
| US8697734B2 (en) | 2001-08-13 | 2014-04-15 | E I Du Pont De Nemours And Company | Method for controlling particular insect pests by applying anthranilamide compounds |
| US9029365B2 (en) | 2001-08-13 | 2015-05-12 | E I Du Pont De Nemours And Company | Arthropodicidal anthranilamides |
| US9049862B2 (en) | 2001-08-13 | 2015-06-09 | E I Du Pont De Nemours And Company | Arthropodicidal anthranilamides |
| US9049861B2 (en) | 2001-08-13 | 2015-06-09 | E I Du Pont De Nemours And Company | Arthropodicidal anthranilamides |
| US9078437B2 (en) | 2001-08-13 | 2015-07-14 | E I Du Pont De Nemours And Company | Arthropodicidal anthranilamides |
| US9113630B2 (en) | 2001-08-13 | 2015-08-25 | E I Du Pont De Nemours And Company | Method of controlling particular insect pests by applying anthranilamide compounds |
| US8637552B2 (en) | 2001-09-21 | 2014-01-28 | E I Du Pont De Nemours And Company | Anthranilamide arthropodicide treatment |
| US9173400B2 (en) | 2001-09-21 | 2015-11-03 | E I Du Pont De Nemours And Company | Anthranilamide arthropodicide treatment |
| US20080305093A1 (en) * | 2006-01-05 | 2008-12-11 | Oliver Walter Gutsche | Liquid Formulations of Carboxamide Arthropodicides |
| US9332756B2 (en) | 2006-01-05 | 2016-05-10 | E I Du Pont De Nemours And Company | Liquid formulations of carboxamide arthropodicides |
| JP2013503900A (en) * | 2009-09-04 | 2013-02-04 | イー・アイ・デュポン・ドウ・ヌムール・アンド・カンパニー | N- (Cyanophenyl) pyrazole carboxamide aqueous preparation |
| US8551913B2 (en) | 2011-02-11 | 2013-10-08 | Becker Underwood, Inc. | Methods and compositions for reducing seed bridging |
Also Published As
| Publication number | Publication date |
|---|---|
| MX2009013750A (en) | 2010-01-25 |
| AU2008268564A1 (en) | 2008-12-31 |
| US20140005048A1 (en) | 2014-01-02 |
| CN101677560A (en) | 2010-03-24 |
| EA018306B1 (en) | 2013-07-30 |
| US9826737B2 (en) | 2017-11-28 |
| CR11155A (en) | 2010-04-20 |
| AR067364A1 (en) | 2009-10-07 |
| CA2685081A1 (en) | 2008-12-31 |
| ZA200908673B (en) | 2011-02-23 |
| PH12010500029A1 (en) | 2008-12-31 |
| NI200900218A (en) | 2010-03-11 |
| JP2010531885A (en) | 2010-09-30 |
| MA31452B1 (en) | 2010-06-01 |
| EA201070068A1 (en) | 2010-08-30 |
| NZ581459A (en) | 2011-12-22 |
| EP2157861A1 (en) | 2010-03-03 |
| CO6251206A2 (en) | 2011-02-21 |
| ECSP099820A (en) | 2010-01-29 |
| AU2008268564B2 (en) | 2013-06-13 |
| GT200900322A (en) | 2011-09-06 |
| MY149006A (en) | 2013-06-28 |
| JP5237369B2 (en) | 2013-07-17 |
| KR20100041783A (en) | 2010-04-22 |
| BRPI0809815A2 (en) | 2014-09-16 |
| WO2009002856A1 (en) | 2008-12-31 |
| VN23047A1 (en) | 2010-06-25 |
| TN2009000545A1 (en) | 2011-03-31 |
| IL202449A0 (en) | 2010-06-30 |
Similar Documents
| Publication | Publication Date | Title |
|---|---|---|
| US9826737B2 (en) | Solid formulations of carboxamide arthropodicides | |
| AU2008268615B2 (en) | Solid formulations of carboxamide arthropodicides | |
| CA2576098C (en) | Controlled-release agricultural chemical formulation | |
| CN102791128B (en) | Agricultural and gardening pest insect control compoistion and method of use | |
| US20070280981A1 (en) | Adherent biologically active ingredient carrier granule | |
| JP2010504740A (en) | Method for enhancing plant-specific productivity | |
| JP7091319B2 (en) | Pesticide composition | |
| JP2010504935A (en) | Method for enhancing plant tolerance | |
| US20070224233A1 (en) | Controlled-Release Agricultural Chemical Formulation | |
| WO2015135424A1 (en) | Pesticidal composition and method for controlling pests | |
| CN106508917B (en) | A kind of slow-release bactericidal insecticide and its application | |
| JP4443101B2 (en) | Improved agrochemical composition | |
| JP2024522751A (en) | Novaluron water-dispersible solid composition | |
| CN102960355A (en) | Improved water dispersive granule | |
| JP2532245B2 (en) | Agrochemical solid formulation | |
| CN113651718B (en) | 1, 1-dicyanooxime ether compound and application thereof | |
| JP2004244353A (en) | Pesticide granular composition having improved caking properties | |
| JP4573983B2 (en) | Coated granular agrochemical composition and method for producing the same | |
| WO2025173008A1 (en) | Solid formulation | |
| JPH08143402A (en) | Sustained-release pesticide granules |
Legal Events
| Date | Code | Title | Description |
|---|---|---|---|
| AS | Assignment |
Owner name: E. I. DU PONT DE NEMOURS AND COMPANY, DELAWARE Free format text: ASSIGNMENT OF ASSIGNORS INTEREST;ASSIGNORS:GUTSCHE, OLIVER WALTER;GREEN, JOHN HENRY;REEL/FRAME:023435/0735 Effective date: 20091008 |
|
| STCB | Information on status: application discontinuation |
Free format text: ABANDONED -- FAILURE TO RESPOND TO AN OFFICE ACTION |






