US20110014611A1 - Design and synthesis of cleavable fluorescent nucleotides as reversible terminators for dna sequences by synthesis - Google Patents
Design and synthesis of cleavable fluorescent nucleotides as reversible terminators for dna sequences by synthesis Download PDFInfo
- Publication number
- US20110014611A1 US20110014611A1 US12/734,227 US73422708A US2011014611A1 US 20110014611 A1 US20110014611 A1 US 20110014611A1 US 73422708 A US73422708 A US 73422708A US 2011014611 A1 US2011014611 A1 US 2011014611A1
- Authority
- US
- United States
- Prior art keywords
- nucleic acid
- dntp
- dna
- fluorophore
- primer
- Prior art date
- Legal status (The legal status is an assumption and is not a legal conclusion. Google has not performed a legal analysis and makes no representation as to the accuracy of the status listed.)
- Abandoned
Links
- 125000003729 nucleotide group Chemical group 0.000 title claims description 227
- 239000002773 nucleotide Substances 0.000 title claims description 84
- 230000015572 biosynthetic process Effects 0.000 title description 42
- 238000003786 synthesis reaction Methods 0.000 title description 42
- 230000002441 reversible effect Effects 0.000 title description 29
- 108091028043 Nucleic acid sequence Proteins 0.000 title description 14
- 238000013461 design Methods 0.000 title description 4
- 239000003550 marker Substances 0.000 claims abstract description 28
- 102000039446 nucleic acids Human genes 0.000 claims description 217
- 108020004707 nucleic acids Proteins 0.000 claims description 217
- 150000007523 nucleic acids Chemical class 0.000 claims description 217
- 238000000034 method Methods 0.000 claims description 118
- 238000010348 incorporation Methods 0.000 claims description 64
- 125000003636 chemical group Chemical group 0.000 claims description 61
- ISAKRJDGNUQOIC-UHFFFAOYSA-N Uracil Chemical compound O=C1C=CNC(=O)N1 ISAKRJDGNUQOIC-UHFFFAOYSA-N 0.000 claims description 54
- OPTASPLRGRRNAP-UHFFFAOYSA-N cytosine Chemical compound NC=1C=CNC(=O)N=1 OPTASPLRGRRNAP-UHFFFAOYSA-N 0.000 claims description 54
- UYTPUPDQBNUYGX-UHFFFAOYSA-N guanine Chemical compound O=C1NC(N)=NC2=C1N=CN2 UYTPUPDQBNUYGX-UHFFFAOYSA-N 0.000 claims description 54
- 239000005546 dideoxynucleotide Substances 0.000 claims description 51
- UNXRWKVEANCORM-UHFFFAOYSA-N triphosphoric acid Chemical compound OP(O)(=O)OP(O)(=O)OP(O)(O)=O UNXRWKVEANCORM-UHFFFAOYSA-N 0.000 claims description 51
- RWQNBRDOKXIBIV-UHFFFAOYSA-N thymine Chemical compound CC1=CNC(=O)NC1=O RWQNBRDOKXIBIV-UHFFFAOYSA-N 0.000 claims description 50
- PZBFGYYEXUXCOF-UHFFFAOYSA-N TCEP Chemical compound OC(=O)CCP(CCC(O)=O)CCC(O)=O PZBFGYYEXUXCOF-UHFFFAOYSA-N 0.000 claims description 46
- 239000001226 triphosphate Substances 0.000 claims description 42
- 235000011178 triphosphate Nutrition 0.000 claims description 42
- 239000007787 solid Substances 0.000 claims description 39
- 230000000295 complement effect Effects 0.000 claims description 34
- 229960000643 adenine Drugs 0.000 claims description 28
- 229940104302 cytosine Drugs 0.000 claims description 28
- 229940035893 uracil Drugs 0.000 claims description 28
- GFFGJBXGBJISGV-UHFFFAOYSA-N Adenine Chemical compound NC1=NC=NC2=C1N=CN2 GFFGJBXGBJISGV-UHFFFAOYSA-N 0.000 claims description 27
- 229930024421 Adenine Natural products 0.000 claims description 27
- 229940113082 thymine Drugs 0.000 claims description 26
- -1 azidomethyl group Chemical group 0.000 claims description 23
- 239000000975 dye Substances 0.000 claims description 20
- 238000000295 emission spectrum Methods 0.000 claims description 20
- 238000000695 excitation spectrum Methods 0.000 claims description 20
- 239000000203 mixture Substances 0.000 claims description 17
- 125000004429 atom Chemical group 0.000 claims description 15
- 229910052739 hydrogen Inorganic materials 0.000 claims description 10
- 125000003903 2-propenyl group Chemical group [H]C([*])([H])C([H])=C([H])[H] 0.000 claims description 9
- 239000001257 hydrogen Substances 0.000 claims description 9
- GNFTZDOKVXKIBK-UHFFFAOYSA-N 3-(2-methoxyethoxy)benzohydrazide Chemical compound COCCOC1=CC=CC(C(=O)NN)=C1 GNFTZDOKVXKIBK-UHFFFAOYSA-N 0.000 claims description 6
- 125000004430 oxygen atom Chemical group O* 0.000 claims description 5
- UFHFLCQGNIYNRP-UHFFFAOYSA-N Hydrogen Chemical compound [H][H] UFHFLCQGNIYNRP-UHFFFAOYSA-N 0.000 claims description 4
- UGQMRVRMYYASKQ-KQYNXXCUSA-N Inosine Chemical compound O[C@@H]1[C@H](O)[C@@H](CO)O[C@H]1N1C2=NC=NC(O)=C2N=C1 UGQMRVRMYYASKQ-KQYNXXCUSA-N 0.000 claims description 4
- 229930010555 Inosine Natural products 0.000 claims description 4
- 239000007850 fluorescent dye Substances 0.000 claims description 4
- 229960003786 inosine Drugs 0.000 claims description 4
- OZFPSOBLQZPIAV-UHFFFAOYSA-N 5-nitro-1h-indole Chemical compound [O-][N+](=O)C1=CC=C2NC=CC2=C1 OZFPSOBLQZPIAV-UHFFFAOYSA-N 0.000 claims description 3
- 125000004435 hydrogen atom Chemical class [H]* 0.000 claims 1
- 239000002585 base Substances 0.000 description 182
- 108020004414 DNA Proteins 0.000 description 152
- 239000000047 product Substances 0.000 description 82
- 238000006243 chemical reaction Methods 0.000 description 72
- 125000005647 linker group Chemical group 0.000 description 72
- 238000002670 nicotine replacement therapy Methods 0.000 description 57
- 238000012163 sequencing technique Methods 0.000 description 57
- 238000003776 cleavage reaction Methods 0.000 description 53
- 230000007017 scission Effects 0.000 description 51
- 239000000243 solution Substances 0.000 description 36
- 238000001712 DNA sequencing Methods 0.000 description 28
- 108010014303 DNA-directed DNA polymerase Proteins 0.000 description 28
- 102000016928 DNA-directed DNA polymerase Human genes 0.000 description 28
- 238000013459 approach Methods 0.000 description 28
- 239000000758 substrate Substances 0.000 description 28
- 0 *COP(O)(O)OC[C@]([C@@](C1)O)O[C@]1N(C=C(C(N1)=O)C#CCOC(c2c(C[N-])cccc2)=O)C1=O Chemical compound *COP(O)(O)OC[C@]([C@@](C1)O)O[C@]1N(C=C(C(N1)=O)C#CCOC(c2c(C[N-])cccc2)=O)C1=O 0.000 description 24
- 238000001840 matrix-assisted laser desorption--ionisation time-of-flight mass spectrometry Methods 0.000 description 19
- IJGRMHOSHXDMSA-UHFFFAOYSA-N Atomic nitrogen Chemical compound N#N IJGRMHOSHXDMSA-UHFFFAOYSA-N 0.000 description 18
- 125000000852 azido group Chemical group *N=[N+]=[N-] 0.000 description 16
- JLPZSIOCNSDYAV-UHFFFAOYSA-N CCOC1=CC(CN=[N+]=[N-])=C(C(=O)OC)C=C1 Chemical compound CCOC1=CC(CN=[N+]=[N-])=C(C(=O)OC)C=C1 JLPZSIOCNSDYAV-UHFFFAOYSA-N 0.000 description 14
- 239000011324 bead Substances 0.000 description 14
- 102000053602 DNA Human genes 0.000 description 13
- 238000006722 reduction reaction Methods 0.000 description 13
- 238000001514 detection method Methods 0.000 description 12
- 230000008569 process Effects 0.000 description 12
- 230000009467 reduction Effects 0.000 description 12
- RSZHNHOGMUHTQN-UHFFFAOYSA-N CCCCNC(=O)C1=CC(OCC(N=[N+]=[N-])OCCOCC(=O)NC)=CC=C1 Chemical compound CCCCNC(=O)C1=CC(OCC(N=[N+]=[N-])OCCOCC(=O)NC)=CC=C1 RSZHNHOGMUHTQN-UHFFFAOYSA-N 0.000 description 10
- 238000000018 DNA microarray Methods 0.000 description 10
- 230000002255 enzymatic effect Effects 0.000 description 10
- 230000037452 priming Effects 0.000 description 10
- 230000008901 benefit Effects 0.000 description 9
- 229910052757 nitrogen Inorganic materials 0.000 description 9
- OKKJLVBELUTLKV-MZCSYVLQSA-N Deuterated methanol Chemical compound [2H]OC([2H])([2H])[2H] OKKJLVBELUTLKV-MZCSYVLQSA-N 0.000 description 8
- YMWUJEATGCHHMB-UHFFFAOYSA-N Dichloromethane Chemical compound ClCCl YMWUJEATGCHHMB-UHFFFAOYSA-N 0.000 description 8
- 239000012043 crude product Substances 0.000 description 8
- 238000009396 hybridization Methods 0.000 description 8
- 238000012986 modification Methods 0.000 description 8
- 230000004048 modification Effects 0.000 description 8
- 238000002360 preparation method Methods 0.000 description 8
- 239000011541 reaction mixture Substances 0.000 description 8
- VYPSYNLAJGMNEJ-UHFFFAOYSA-N silicon dioxide Inorganic materials O=[Si]=O VYPSYNLAJGMNEJ-UHFFFAOYSA-N 0.000 description 8
- 125000002264 triphosphate group Chemical class [H]OP(=O)(O[H])OP(=O)(O[H])OP(=O)(O[H])O* 0.000 description 8
- 238000003800 Staudinger reaction Methods 0.000 description 7
- SUYVUBYJARFZHO-RRKCRQDMSA-N dATP Chemical compound C1=NC=2C(N)=NC=NC=2N1[C@H]1C[C@H](O)[C@@H](COP(O)(=O)OP(O)(=O)OP(O)(O)=O)O1 SUYVUBYJARFZHO-RRKCRQDMSA-N 0.000 description 7
- SUYVUBYJARFZHO-UHFFFAOYSA-N dATP Natural products C1=NC=2C(N)=NC=NC=2N1C1CC(O)C(COP(O)(=O)OP(O)(=O)OP(O)(O)=O)O1 SUYVUBYJARFZHO-UHFFFAOYSA-N 0.000 description 7
- 238000001254 matrix assisted laser desorption--ionisation time-of-flight mass spectrum Methods 0.000 description 7
- 238000007480 sanger sequencing Methods 0.000 description 7
- 238000000137 annealing Methods 0.000 description 6
- 239000007864 aqueous solution Substances 0.000 description 6
- RGWHQCVHVJXOKC-SHYZEUOFSA-J dCTP(4-) Chemical compound O=C1N=C(N)C=CN1[C@@H]1O[C@H](COP([O-])(=O)OP([O-])(=O)OP([O-])([O-])=O)[C@@H](O)C1 RGWHQCVHVJXOKC-SHYZEUOFSA-J 0.000 description 6
- HAAZLUGHYHWQIW-KVQBGUIXSA-N dGTP Chemical compound C1=NC=2C(=O)NC(N)=NC=2N1[C@H]1C[C@H](O)[C@@H](COP(O)(=O)OP(O)(=O)OP(O)(O)=O)O1 HAAZLUGHYHWQIW-KVQBGUIXSA-N 0.000 description 6
- NHVNXKFIZYSCEB-XLPZGREQSA-N dTTP Chemical compound O=C1NC(=O)C(C)=CN1[C@@H]1O[C@H](COP(O)(=O)OP(O)(=O)OP(O)(O)=O)[C@@H](O)C1 NHVNXKFIZYSCEB-XLPZGREQSA-N 0.000 description 6
- 238000001917 fluorescence detection Methods 0.000 description 6
- IODKOTRLZXZLAC-UHFFFAOYSA-N CNCCNC(=O)C1=CC(OCC(N=[N+]=[N-])OCCOCC(=O)NC)=CC=C1 Chemical compound CNCCNC(=O)C1=CC(OCC(N=[N+]=[N-])OCCOCC(=O)NC)=CC=C1 IODKOTRLZXZLAC-UHFFFAOYSA-N 0.000 description 5
- OKKJLVBELUTLKV-UHFFFAOYSA-N Methanol Chemical compound OC OKKJLVBELUTLKV-UHFFFAOYSA-N 0.000 description 5
- 238000010367 cloning Methods 0.000 description 5
- 230000000694 effects Effects 0.000 description 5
- 238000011534 incubation Methods 0.000 description 5
- BAVYZALUXZFZLV-UHFFFAOYSA-N mono-methylamine Natural products NC BAVYZALUXZFZLV-UHFFFAOYSA-N 0.000 description 5
- 238000004007 reversed phase HPLC Methods 0.000 description 5
- 230000035945 sensitivity Effects 0.000 description 5
- 239000000741 silica gel Substances 0.000 description 5
- 229910002027 silica gel Inorganic materials 0.000 description 5
- 238000005160 1H NMR spectroscopy Methods 0.000 description 4
- VHYFNPMBLIVWCW-UHFFFAOYSA-N 4-Dimethylaminopyridine Chemical compound CN(C)C1=CC=NC=C1 VHYFNPMBLIVWCW-UHFFFAOYSA-N 0.000 description 4
- BHCPSDYTDAASMD-IVRBFZATSA-K C.C=C(CCCOC1=CC(CN=[N+]=[N-])=C(C(=O)OCC#CC2=CN([C@H]3CC(OCN=[N+]=[N-])[C@@H](COP(=O)([O-])OP(=O)([O-])OP(=O)([O-])O)O3)C(=O)N=C2N)C=C1)CCC1=[N+]2C(C=C1)CC1=C(C)C=C(C)C1[B-]2(F)F Chemical compound C.C=C(CCCOC1=CC(CN=[N+]=[N-])=C(C(=O)OCC#CC2=CN([C@H]3CC(OCN=[N+]=[N-])[C@@H](COP(=O)([O-])OP(=O)([O-])OP(=O)([O-])O)O3)C(=O)N=C2N)C=C1)CCC1=[N+]2C(C=C1)CC1=C(C)C=C(C)C1[B-]2(F)F BHCPSDYTDAASMD-IVRBFZATSA-K 0.000 description 4
- VMZROGKEWJIVLZ-DTFAEPQDSA-D C.CC/C=C1/C=C2OC3=C(C=C(C)C(CCC)=C3)C(C3=CC(C(=O)CCCOC4=CC(CN=[N+]=[N-])=C(OCC(=O)OCC#CC5=CN([C@H]6CC(OCN=[N+]=[N-])[C@@H](COP(=O)([O-])OP(=O)([O-])OP(=O)([O-])O)O6)C(=O)NC5=O)C=C4)=CC=C3C(=O)[O-])=C2C=C1C.[N-]=[N+]=NCOC1C[C@H](N2C=C(C#CCOC(=O)COC3=C(CN=[N+]=[N-])C=C(OCCCC(=O)C4=CC=C(C(=O)[O-])C(C5=C6C=C7CCC[N+]8=C7C(=C6OC6=C5C=C5CCCN7CCCC6=C57)CCC8)=C4)C=C3)C3=C2N=CN=C3N)O[C@@H]1COP(=O)([O-])OP(=O)([O-])OP(=O)([O-])O.[N-]=[N+]=NCOC1C[C@H](N2C=C(C#CCOC(=O)COC3=C(CN=[N+]=[N-])C=C(OCCCC(=O)CCCC(=O)COC4=CC=C(/C=C/C5=[N+]6C(=CC7=CC=C(C8=CC=CS8)N7[B-]6(F)F)C=C5)C=C4)C=C3)C3=C2N=C(N)NC3=O)O[C@@H]1COP(=O)([O-])OP(=O)([O-])OP(=O)([O-])O Chemical compound C.CC/C=C1/C=C2OC3=C(C=C(C)C(CCC)=C3)C(C3=CC(C(=O)CCCOC4=CC(CN=[N+]=[N-])=C(OCC(=O)OCC#CC5=CN([C@H]6CC(OCN=[N+]=[N-])[C@@H](COP(=O)([O-])OP(=O)([O-])OP(=O)([O-])O)O6)C(=O)NC5=O)C=C4)=CC=C3C(=O)[O-])=C2C=C1C.[N-]=[N+]=NCOC1C[C@H](N2C=C(C#CCOC(=O)COC3=C(CN=[N+]=[N-])C=C(OCCCC(=O)C4=CC=C(C(=O)[O-])C(C5=C6C=C7CCC[N+]8=C7C(=C6OC6=C5C=C5CCCN7CCCC6=C57)CCC8)=C4)C=C3)C3=C2N=CN=C3N)O[C@@H]1COP(=O)([O-])OP(=O)([O-])OP(=O)([O-])O.[N-]=[N+]=NCOC1C[C@H](N2C=C(C#CCOC(=O)COC3=C(CN=[N+]=[N-])C=C(OCCCC(=O)CCCC(=O)COC4=CC=C(/C=C/C5=[N+]6C(=CC7=CC=C(C8=CC=CS8)N7[B-]6(F)F)C=C5)C=C4)C=C3)C3=C2N=C(N)NC3=O)O[C@@H]1COP(=O)([O-])OP(=O)([O-])OP(=O)([O-])O VMZROGKEWJIVLZ-DTFAEPQDSA-D 0.000 description 4
- GJGDSCZCAJTZMJ-UHFFFAOYSA-N CCCCNC(=O)C1=CC(OCC(N=[N+]=[N-])OCCOCC(=O)NC)=CC=C1.CCOC1=CC(CN=[N+]=[N-])=C(C(=O)OC)C=C1 Chemical compound CCCCNC(=O)C1=CC(OCC(N=[N+]=[N-])OCCOCC(=O)NC)=CC=C1.CCOC1=CC(CN=[N+]=[N-])=C(C(=O)OC)C=C1 GJGDSCZCAJTZMJ-UHFFFAOYSA-N 0.000 description 4
- 102000004190 Enzymes Human genes 0.000 description 4
- 108090000790 Enzymes Proteins 0.000 description 4
- SDJPDEPUKLUKQP-CAQWOJDYSA-J F.O=P([O-])([O-])OP(=O)([O-])OP(=O)([O-])OC[C@@H]1CC[C@H](C2CC[C@H]2C2CCC2)O1 Chemical compound F.O=P([O-])([O-])OP(=O)([O-])OP(=O)([O-])OC[C@@H]1CC[C@H](C2CC[C@H]2C2CCC2)O1 SDJPDEPUKLUKQP-CAQWOJDYSA-J 0.000 description 4
- 229910021380 Manganese Chloride Inorganic materials 0.000 description 4
- GLFNIEUTAYBVOC-UHFFFAOYSA-L Manganese chloride Chemical compound Cl[Mn]Cl GLFNIEUTAYBVOC-UHFFFAOYSA-L 0.000 description 4
- UIIMBOGNXHQVGW-UHFFFAOYSA-M Sodium bicarbonate Chemical compound [Na+].OC([O-])=O UIIMBOGNXHQVGW-UHFFFAOYSA-M 0.000 description 4
- 238000012512 characterization method Methods 0.000 description 4
- 238000005516 engineering process Methods 0.000 description 4
- 229920001519 homopolymer Polymers 0.000 description 4
- 230000006872 improvement Effects 0.000 description 4
- 230000014759 maintenance of location Effects 0.000 description 4
- 239000011565 manganese chloride Substances 0.000 description 4
- 238000004949 mass spectrometry Methods 0.000 description 4
- 230000007246 mechanism Effects 0.000 description 4
- 239000011535 reaction buffer Substances 0.000 description 4
- 239000002202 Polyethylene glycol Substances 0.000 description 3
- 238000003428 Staudinger Azide reduction reaction Methods 0.000 description 3
- 229910052770 Uranium Inorganic materials 0.000 description 3
- 230000003321 amplification Effects 0.000 description 3
- 238000004873 anchoring Methods 0.000 description 3
- 229910052799 carbon Inorganic materials 0.000 description 3
- 230000009977 dual effect Effects 0.000 description 3
- 239000011521 glass Substances 0.000 description 3
- 150000002431 hydrogen Chemical class 0.000 description 3
- 238000003199 nucleic acid amplification method Methods 0.000 description 3
- 229920001223 polyethylene glycol Polymers 0.000 description 3
- 150000003212 purines Chemical group 0.000 description 3
- 150000003230 pyrimidines Chemical group 0.000 description 3
- 239000000126 substance Substances 0.000 description 3
- 238000005406 washing Methods 0.000 description 3
- AOSZTAHDEDLTLQ-AZKQZHLXSA-N (1S,2S,4R,8S,9S,11S,12R,13S,19S)-6-[(3-chlorophenyl)methyl]-12,19-difluoro-11-hydroxy-8-(2-hydroxyacetyl)-9,13-dimethyl-6-azapentacyclo[10.8.0.02,9.04,8.013,18]icosa-14,17-dien-16-one Chemical compound C([C@@H]1C[C@H]2[C@H]3[C@]([C@]4(C=CC(=O)C=C4[C@@H](F)C3)C)(F)[C@@H](O)C[C@@]2([C@@]1(C1)C(=O)CO)C)N1CC1=CC=CC(Cl)=C1 AOSZTAHDEDLTLQ-AZKQZHLXSA-N 0.000 description 2
- YSUIQYOGTINQIN-UZFYAQMZSA-N 2-amino-9-[(1S,6R,8R,9S,10R,15R,17R,18R)-8-(6-aminopurin-9-yl)-9,18-difluoro-3,12-dihydroxy-3,12-bis(sulfanylidene)-2,4,7,11,13,16-hexaoxa-3lambda5,12lambda5-diphosphatricyclo[13.2.1.06,10]octadecan-17-yl]-1H-purin-6-one Chemical compound NC1=NC2=C(N=CN2[C@@H]2O[C@@H]3COP(S)(=O)O[C@@H]4[C@@H](COP(S)(=O)O[C@@H]2[C@@H]3F)O[C@H]([C@H]4F)N2C=NC3=C2N=CN=C3N)C(=O)N1 YSUIQYOGTINQIN-UZFYAQMZSA-N 0.000 description 2
- NVSJIBNFDDWKHT-BBPRZFOJSA-B C.C.C.C.COC1=CC(CN=[N+]=[N-])=C(C(=O)OCC#CC2=CN([C@H]3CC(OCN=[N+]=[N-])[C@@H](COP(=O)([O-])OP(=O)([O-])OP(=O)([O-])O)O3)C(=O)N=C2N)C=C1.COC1=CC(CN=[N+]=[N-])=C(C(=O)OCC#CC2=CN([C@H]3CC(OCN=[N+]=[N-])[C@@H](COP(=O)([O-])OP(=O)([O-])OP(=O)([O-])O)O3)C(=O)NC2=O)C=C1.COC1=CC(CN=[N+]=[N-])=C(C(=O)OCC#CC2=CN([C@H]3CC(OCN=[N+]=[N-])[C@@H](COP(=O)([O-])OP(=O)([O-])OP(=O)([O-])O)O3)C3=C2C(=O)NC(N)=N3)C=C1.COC1=CC(CN=[N+]=[N-])=C(C(=O)OCC#CC2=CN([C@H]3CC(OCN=[N+]=[N-])[C@@H](COP(=O)([O-])OP(=O)([O-])OP(=O)([O-])O)O3)C3=C2C(N)=NC=N3)C=C1 Chemical compound C.C.C.C.COC1=CC(CN=[N+]=[N-])=C(C(=O)OCC#CC2=CN([C@H]3CC(OCN=[N+]=[N-])[C@@H](COP(=O)([O-])OP(=O)([O-])OP(=O)([O-])O)O3)C(=O)N=C2N)C=C1.COC1=CC(CN=[N+]=[N-])=C(C(=O)OCC#CC2=CN([C@H]3CC(OCN=[N+]=[N-])[C@@H](COP(=O)([O-])OP(=O)([O-])OP(=O)([O-])O)O3)C(=O)NC2=O)C=C1.COC1=CC(CN=[N+]=[N-])=C(C(=O)OCC#CC2=CN([C@H]3CC(OCN=[N+]=[N-])[C@@H](COP(=O)([O-])OP(=O)([O-])OP(=O)([O-])O)O3)C3=C2C(=O)NC(N)=N3)C=C1.COC1=CC(CN=[N+]=[N-])=C(C(=O)OCC#CC2=CN([C@H]3CC(OCN=[N+]=[N-])[C@@H](COP(=O)([O-])OP(=O)([O-])OP(=O)([O-])O)O3)C3=C2C(N)=NC=N3)C=C1 NVSJIBNFDDWKHT-BBPRZFOJSA-B 0.000 description 2
- QMCGIKDWRXFADU-HITVIYLASA-B C.C.C.CCCCNC(=O)C1=CC(OCC(N=[N+]=[N-])OCCOCC(=O)NCC#CC2=CNC3([C@H]4CC[C@@H](COP(=O)([O-])OP(=O)([O-])OP(=O)([O-])O)O4)=C2C(=O)NC(N)=N3)=CC=C1.CCCCNC(=O)C1=CC(OCC(N=[N+]=[N-])OCCOCC(=O)NCC2=CN([C@H]3CC[C@@H](COP(=O)([O-])OP(=O)([O-])OP(=O)([O-])O)O3)C(=O)N=C2=N)=CC=C1.[CH2-]P(=O)([O-])OP(=O)([O-])OP(=O)([O-])OC[C@@H]1CC[C@H](C23=C(C(C#CCNC(=O)COCCOC(COC4=CC=CC(C(=O)NCCCC)=C4)N=[N+]=[N-])=CN2)C(N)=NC=N3)O1.[CH2-]P(=O)([O-])OP(=O)([O-])OP(=O)([O-])OC[C@@H]1CC[C@H](N2C=C(CNC(=O)COCCOC(COC3=CC=CC(C(=O)NCCCC)=C3)N=[N+]=[N-])C(=O)NC2=O)O1 Chemical compound C.C.C.CCCCNC(=O)C1=CC(OCC(N=[N+]=[N-])OCCOCC(=O)NCC#CC2=CNC3([C@H]4CC[C@@H](COP(=O)([O-])OP(=O)([O-])OP(=O)([O-])O)O4)=C2C(=O)NC(N)=N3)=CC=C1.CCCCNC(=O)C1=CC(OCC(N=[N+]=[N-])OCCOCC(=O)NCC2=CN([C@H]3CC[C@@H](COP(=O)([O-])OP(=O)([O-])OP(=O)([O-])O)O3)C(=O)N=C2=N)=CC=C1.[CH2-]P(=O)([O-])OP(=O)([O-])OP(=O)([O-])OC[C@@H]1CC[C@H](C23=C(C(C#CCNC(=O)COCCOC(COC4=CC=CC(C(=O)NCCCC)=C4)N=[N+]=[N-])=CN2)C(N)=NC=N3)O1.[CH2-]P(=O)([O-])OP(=O)([O-])OP(=O)([O-])OC[C@@H]1CC[C@H](N2C=C(CNC(=O)COCCOC(COC3=CC=CC(C(=O)NCCCC)=C3)N=[N+]=[N-])C(=O)NC2=O)O1 QMCGIKDWRXFADU-HITVIYLASA-B 0.000 description 2
- CXSOATIPXOWQBU-SJURGUEASA-J C.CC1=CC(C)=C2C=C3C=CC(CCC(=O)CCCNC(=O)C4=CC(OCC(N=[N+]=[N-])OCCOCC(=O)NCC#CC5=CN([C@H]6CC[C@@H](COP(=O)([O-])OP(=O)([O-])OP(=O)([O-])[O-])O6)C(=O)N=C5N)=CC=C4)=[N+]3[B-](F)(F)N12 Chemical compound C.CC1=CC(C)=C2C=C3C=CC(CCC(=O)CCCNC(=O)C4=CC(OCC(N=[N+]=[N-])OCCOCC(=O)NCC#CC5=CN([C@H]6CC[C@@H](COP(=O)([O-])OP(=O)([O-])OP(=O)([O-])[O-])O6)C(=O)N=C5N)=CC=C4)=[N+]3[B-](F)(F)N12 CXSOATIPXOWQBU-SJURGUEASA-J 0.000 description 2
- AEKNZVBNKDAKJB-JGCMANKXSA-N C.CC1=CN([C@H]2CC(OCN=[N+]=[N-])[C@@H](COP3([O-])=OOP4(=OOP(=O)(O)O4)O3)O2)C(=O)NC1=O.CC1=CN([C@H]2CC(OCN=[N+]=[N-])[C@@H](COP3([O-])=OOP4(=OOP(=O)(O)O4)O3)O2)C(=O)NC1=O.[N-]=[N+]=NCOC1C[C@H](N2C=NC3=C2N=C(N)NC3=O)O[C@@H]1COP1([O-])=OOP2(=OOP(=O)(O)O2)O1.[N-]=[N+]=NCOC1C[C@H](N2C=NC3=C2N=CN=C3N)O[C@@H]1COP1([O-])=OOP2(=OOP(=O)(O)O2)O1 Chemical compound C.CC1=CN([C@H]2CC(OCN=[N+]=[N-])[C@@H](COP3([O-])=OOP4(=OOP(=O)(O)O4)O3)O2)C(=O)NC1=O.CC1=CN([C@H]2CC(OCN=[N+]=[N-])[C@@H](COP3([O-])=OOP4(=OOP(=O)(O)O4)O3)O2)C(=O)NC1=O.[N-]=[N+]=NCOC1C[C@H](N2C=NC3=C2N=C(N)NC3=O)O[C@@H]1COP1([O-])=OOP2(=OOP(=O)(O)O2)O1.[N-]=[N+]=NCOC1C[C@H](N2C=NC3=C2N=CN=C3N)O[C@@H]1COP1([O-])=OOP2(=OOP(=O)(O)O2)O1 AEKNZVBNKDAKJB-JGCMANKXSA-N 0.000 description 2
- PWBQPXJGWQXNSE-RWBYNWAKSA-J CC1C[C@H](C2CCC2)O[C@@H]1COP(=O)([O-])OP(=O)([O-])OP(=O)([O-])[O-] Chemical compound CC1C[C@H](C2CCC2)O[C@@H]1COP(=O)([O-])OP(=O)([O-])OP(=O)([O-])[O-] PWBQPXJGWQXNSE-RWBYNWAKSA-J 0.000 description 2
- CFZGVMJVKJWNME-KGYDVKLMSA-J CC1C[C@H](C2CC[C@H]2C2CCC2)O[C@@H]1COP(=O)([O-])OP(=O)([O-])OP(=O)([O-])[O-].F Chemical compound CC1C[C@H](C2CC[C@H]2C2CCC2)O[C@@H]1COP(=O)([O-])OP(=O)([O-])OP(=O)([O-])[O-].F CFZGVMJVKJWNME-KGYDVKLMSA-J 0.000 description 2
- HEDRZPFGACZZDS-UHFFFAOYSA-N Chloroform Chemical compound ClC(Cl)Cl HEDRZPFGACZZDS-UHFFFAOYSA-N 0.000 description 2
- 108020004635 Complementary DNA Proteins 0.000 description 2
- 229940126657 Compound 17 Drugs 0.000 description 2
- 230000006820 DNA synthesis Effects 0.000 description 2
- 241000588724 Escherichia coli Species 0.000 description 2
- NQTADLQHYWFPDB-UHFFFAOYSA-N N-Hydroxysuccinimide Chemical compound ON1C(=O)CCC1=O NQTADLQHYWFPDB-UHFFFAOYSA-N 0.000 description 2
- 239000004677 Nylon Substances 0.000 description 2
- XYFCBTPGUUZFHI-UHFFFAOYSA-N Phosphine Chemical compound P XYFCBTPGUUZFHI-UHFFFAOYSA-N 0.000 description 2
- CDBYLPFSWZWCQE-UHFFFAOYSA-L Sodium Carbonate Chemical compound [Na+].[Na+].[O-]C([O-])=O CDBYLPFSWZWCQE-UHFFFAOYSA-L 0.000 description 2
- 125000000304 alkynyl group Chemical group 0.000 description 2
- 238000004458 analytical method Methods 0.000 description 2
- KGNDCEVUMONOKF-UGPLYTSKSA-N benzyl n-[(2r)-1-[(2s,4r)-2-[[(2s)-6-amino-1-(1,3-benzoxazol-2-yl)-1,1-dihydroxyhexan-2-yl]carbamoyl]-4-[(4-methylphenyl)methoxy]pyrrolidin-1-yl]-1-oxo-4-phenylbutan-2-yl]carbamate Chemical compound C1=CC(C)=CC=C1CO[C@H]1CN(C(=O)[C@@H](CCC=2C=CC=CC=2)NC(=O)OCC=2C=CC=CC=2)[C@H](C(=O)N[C@@H](CCCCN)C(O)(O)C=2OC3=CC=CC=C3N=2)C1 KGNDCEVUMONOKF-UGPLYTSKSA-N 0.000 description 2
- 239000000872 buffer Substances 0.000 description 2
- 239000003153 chemical reaction reagent Substances 0.000 description 2
- 239000003795 chemical substances by application Substances 0.000 description 2
- 229940125810 compound 20 Drugs 0.000 description 2
- 229940125833 compound 23 Drugs 0.000 description 2
- 230000008878 coupling Effects 0.000 description 2
- 238000010168 coupling process Methods 0.000 description 2
- 238000005859 coupling reaction Methods 0.000 description 2
- 238000004925 denaturation Methods 0.000 description 2
- 230000036425 denaturation Effects 0.000 description 2
- 238000010511 deprotection reaction Methods 0.000 description 2
- 239000000839 emulsion Substances 0.000 description 2
- 230000007717 exclusion Effects 0.000 description 2
- 238000002073 fluorescence micrograph Methods 0.000 description 2
- 238000001506 fluorescence spectroscopy Methods 0.000 description 2
- 239000012634 fragment Substances 0.000 description 2
- 238000012268 genome sequencing Methods 0.000 description 2
- JAXFJECJQZDFJS-XHEPKHHKSA-N gtpl8555 Chemical compound OC(=O)C[C@H](N)C(=O)N[C@@H](CCC(O)=O)C(=O)N[C@@H](C(C)C)C(=O)N[C@@H](C(C)C)C(=O)N1CCC[C@@H]1C(=O)N[C@H](B1O[C@@]2(C)[C@H]3C[C@H](C3(C)C)C[C@H]2O1)CCC1=CC=C(F)C=C1 JAXFJECJQZDFJS-XHEPKHHKSA-N 0.000 description 2
- 230000007062 hydrolysis Effects 0.000 description 2
- 238000006460 hydrolysis reaction Methods 0.000 description 2
- 125000002887 hydroxy group Chemical group [H]O* 0.000 description 2
- 238000003780 insertion Methods 0.000 description 2
- 230000037431 insertion Effects 0.000 description 2
- 230000003993 interaction Effects 0.000 description 2
- 125000001921 locked nucleotide group Chemical group 0.000 description 2
- 235000019689 luncheon sausage Nutrition 0.000 description 2
- 238000004519 manufacturing process Methods 0.000 description 2
- 239000000463 material Substances 0.000 description 2
- 239000011325 microbead Substances 0.000 description 2
- 238000010369 molecular cloning Methods 0.000 description 2
- 125000006502 nitrobenzyl group Chemical group 0.000 description 2
- 229920001778 nylon Polymers 0.000 description 2
- 239000013612 plasmid Substances 0.000 description 2
- 238000012545 processing Methods 0.000 description 2
- 238000000926 separation method Methods 0.000 description 2
- 229910000030 sodium bicarbonate Inorganic materials 0.000 description 2
- 238000012546 transfer Methods 0.000 description 2
- 239000013598 vector Substances 0.000 description 2
- ONBQEOIKXPHGMB-VBSBHUPXSA-N 1-[2-[(2s,3r,4s,5r)-3,4-dihydroxy-5-(hydroxymethyl)oxolan-2-yl]oxy-4,6-dihydroxyphenyl]-3-(4-hydroxyphenyl)propan-1-one Chemical compound O[C@@H]1[C@H](O)[C@@H](CO)O[C@H]1OC1=CC(O)=CC(O)=C1C(=O)CCC1=CC=C(O)C=C1 ONBQEOIKXPHGMB-VBSBHUPXSA-N 0.000 description 1
- MOFDILKXGCXADO-UHFFFAOYSA-N 2-[2-[2-[3-(2-aminoethylcarbamoyl)phenoxy]-1-azidoethoxy]ethoxy]acetic acid Chemical compound NCCNC(=O)C1=CC=CC(OCC(OCCOCC(O)=O)N=[N+]=[N-])=C1 MOFDILKXGCXADO-UHFFFAOYSA-N 0.000 description 1
- 125000006321 2-propynyl amino group Chemical group [H]C#CC([H])([H])N([H])* 0.000 description 1
- 229960000549 4-dimethylaminophenol Drugs 0.000 description 1
- 101100257624 Arabidopsis thaliana SPS4 gene Proteins 0.000 description 1
- RFQQXYNVNFKWJR-GKIXQPISSA-B C.C.C.C.C.COC1=CC(CN=[N+]=[N-])=C(C(=O)OCC#CC2=CN([C@H]3CC(OCN=[N+]=[N-])[C@@H](COP(=O)([O-])OP(=O)([O-])OP(=O)([O-])O)O3)C(=O)N=C2N)C=C1.COC1=CC(CN=[N+]=[N-])=C(C(=O)OCC#CC2=CN([C@H]3CC(OCN=[N+]=[N-])[C@@H](COP(=O)([O-])OP(=O)([O-])OP(=O)([O-])O)O3)C(=O)NC2=O)C=C1.COC1=CC(CN=[N+]=[N-])=C(C(=O)OCC#CC2=CN([C@H]3CC(OCN=[N+]=[N-])[C@@H](COP(=O)([O-])OP(=O)([O-])OP(=O)([O-])O)O3)C3=C2C(=O)NC(N)=N3)C=C1.COC1=CC(CN=[N+]=[N-])=C(C(=O)OCC#CC2=CN([C@H]3CC(OCN=[N+]=[N-])[C@@H](COP(=O)([O-])OP(=O)([O-])OP(=O)([O-])O)O3)C3=C2C(N)=NC=N3)C=C1 Chemical compound C.C.C.C.C.COC1=CC(CN=[N+]=[N-])=C(C(=O)OCC#CC2=CN([C@H]3CC(OCN=[N+]=[N-])[C@@H](COP(=O)([O-])OP(=O)([O-])OP(=O)([O-])O)O3)C(=O)N=C2N)C=C1.COC1=CC(CN=[N+]=[N-])=C(C(=O)OCC#CC2=CN([C@H]3CC(OCN=[N+]=[N-])[C@@H](COP(=O)([O-])OP(=O)([O-])OP(=O)([O-])O)O3)C(=O)NC2=O)C=C1.COC1=CC(CN=[N+]=[N-])=C(C(=O)OCC#CC2=CN([C@H]3CC(OCN=[N+]=[N-])[C@@H](COP(=O)([O-])OP(=O)([O-])OP(=O)([O-])O)O3)C3=C2C(=O)NC(N)=N3)C=C1.COC1=CC(CN=[N+]=[N-])=C(C(=O)OCC#CC2=CN([C@H]3CC(OCN=[N+]=[N-])[C@@H](COP(=O)([O-])OP(=O)([O-])OP(=O)([O-])O)O3)C3=C2C(N)=NC=N3)C=C1 RFQQXYNVNFKWJR-GKIXQPISSA-B 0.000 description 1
- IJFGKUKSMYYGTL-PKWOCHPVSA-B C.C.C.C/C=C/C1=[N+](\CC)C2=C(C=C(C)C=C2)C1(C)C.C/C=C/C=C1/N(CCCC(=O)CCCNC(=O)C2=CC(OCC(N=[N+]=[N-])OCCOCC(=O)NCC#CC3=CN([C@H]4CC[C@@H](COP(=O)([O-])OP(=O)([O-])OP(=O)([O-])O)O4)C4=C3C(=O)NC(N)=N4)=CC=C2)C2=CC=C(C)C=C2C1(C)C.CC/C=C1/C=C2OC3=C(C=C(C)C(CCC)=C3)C(C3=CC(C(=O)CCCNC(=O)C4=CC(OCC(N=[N+]=[N-])OCCOCC(=O)NCC#CC5=CN([C@H]6CC[C@@H](COP(=O)([O-])OP(=O)([O-])OP(=O)([O-])[O-])O6)C(=O)NC5=O)=CC=C4)=CC=C3C(=O)[O-])=C2C=C1C.[N-]=[N+]=NC(COC1=CC=CC(C(=O)NCCCC(=O)C2=CC=C(C(=O)[O-])C(C3=C4C=C5CCC[N+]6=C5C(=C4OC4=C3C=C3CCCN5CCCC4=C35)CCC6)=C2)=C1)OCCOCC(=O)NCC#CC1=CN([C@H]2CC[C@@H](COP(=O)([O-])OP(=O)([O-])OP(=O)([O-])[O-])O2)C2=C1C(N)=NC=N2 Chemical compound C.C.C.C/C=C/C1=[N+](\CC)C2=C(C=C(C)C=C2)C1(C)C.C/C=C/C=C1/N(CCCC(=O)CCCNC(=O)C2=CC(OCC(N=[N+]=[N-])OCCOCC(=O)NCC#CC3=CN([C@H]4CC[C@@H](COP(=O)([O-])OP(=O)([O-])OP(=O)([O-])O)O4)C4=C3C(=O)NC(N)=N4)=CC=C2)C2=CC=C(C)C=C2C1(C)C.CC/C=C1/C=C2OC3=C(C=C(C)C(CCC)=C3)C(C3=CC(C(=O)CCCNC(=O)C4=CC(OCC(N=[N+]=[N-])OCCOCC(=O)NCC#CC5=CN([C@H]6CC[C@@H](COP(=O)([O-])OP(=O)([O-])OP(=O)([O-])[O-])O6)C(=O)NC5=O)=CC=C4)=CC=C3C(=O)[O-])=C2C=C1C.[N-]=[N+]=NC(COC1=CC=CC(C(=O)NCCCC(=O)C2=CC=C(C(=O)[O-])C(C3=C4C=C5CCC[N+]6=C5C(=C4OC4=C3C=C3CCCN5CCCC4=C35)CCC6)=C2)=C1)OCCOCC(=O)NCC#CC1=CN([C@H]2CC[C@@H](COP(=O)([O-])OP(=O)([O-])OP(=O)([O-])[O-])O2)C2=C1C(N)=NC=N2 IJFGKUKSMYYGTL-PKWOCHPVSA-B 0.000 description 1
- VJHJCHVQTMCNLN-PKWOCHPVSA-A C.C.C.C/C=C/C1=[N+](\CC)C2=C(C=C(C)C=C2)C1(C)C.C/C=C/C=C1/N(CCCC(=O)CCCNC(=O)C2=CC(OCC(N=[N+]=[N-])OCCOCC(=O)NCC#CC3=CN([C@H]4CC[C@@H](COP(=O)([O-])OP(=O)([O-])OP(=O)([O-])[O-])O4)C4=C3C(=O)NC(N)=N4)=CC=C2)C2=CC=C(C)C=C2C1(C)C.CC/C=C1/C=C2OC3=C(C=C(C)C(CCC)=C3)C(C3=CC(C(=O)CCCNC(=O)C4=CC(OCC(N=[N+]=[N-])OCCOCC(=O)NCC#CC5=CN([C@H]6CC[C@@H](COP(=O)([O-])OP(=O)([O-])OP(=O)([O-])[O-])O6)C(=O)NC5=O)=CC=C4)=CC=C3C(=O)[O-])=C2C=C1C.[N-]=[N+]=NC(COC1=CC=CC(C(=O)NCCCC(=O)C2=CC=C(C(=O)[O-])C(C3=C4C=C5CCCN6(#[O+])=C5C(=C4OC4=C3C=C3CCCN5CCCC4=C35)CCC6)=C2)=C1)OCCOCC(=O)NCC#CC1=CN([C@H]2CC[C@@H](COP(=O)([O-])OP(=O)([O-])OP(=O)([O-])[O-])O2)C2=C1C(N)=NC=N2 Chemical compound C.C.C.C/C=C/C1=[N+](\CC)C2=C(C=C(C)C=C2)C1(C)C.C/C=C/C=C1/N(CCCC(=O)CCCNC(=O)C2=CC(OCC(N=[N+]=[N-])OCCOCC(=O)NCC#CC3=CN([C@H]4CC[C@@H](COP(=O)([O-])OP(=O)([O-])OP(=O)([O-])[O-])O4)C4=C3C(=O)NC(N)=N4)=CC=C2)C2=CC=C(C)C=C2C1(C)C.CC/C=C1/C=C2OC3=C(C=C(C)C(CCC)=C3)C(C3=CC(C(=O)CCCNC(=O)C4=CC(OCC(N=[N+]=[N-])OCCOCC(=O)NCC#CC5=CN([C@H]6CC[C@@H](COP(=O)([O-])OP(=O)([O-])OP(=O)([O-])[O-])O6)C(=O)NC5=O)=CC=C4)=CC=C3C(=O)[O-])=C2C=C1C.[N-]=[N+]=NC(COC1=CC=CC(C(=O)NCCCC(=O)C2=CC=C(C(=O)[O-])C(C3=C4C=C5CCCN6(#[O+])=C5C(=C4OC4=C3C=C3CCCN5CCCC4=C35)CCC6)=C2)=C1)OCCOCC(=O)NCC#CC1=CN([C@H]2CC[C@@H](COP(=O)([O-])OP(=O)([O-])OP(=O)([O-])[O-])O2)C2=C1C(N)=NC=N2 VJHJCHVQTMCNLN-PKWOCHPVSA-A 0.000 description 1
- CPKHSICXKYJZSC-GYXNOTPPSA-E C.C.C.CNC(=O)C1=CC(OCC(N=[N+]=[N-])OCCOCC(=O)NCC#CC2=CN([C@H]3CC(OCN=[N+]=[N-])[C@@H](COP(=O)([O-])OP(=O)([O-])OP(=O)([O-])O)O3)C(=O)NC2=O)=CC=C1.CNC(=O)C1=CC(OCC(N=[N+]=[N-])OCCOCC(=O)NCC#CC2=CN([C@H]3CC(OCN=[N+]=[N-])[C@@H](COP(=O)([O-])OP(=O)([O-])OP(=O)([O-])O)O3)C3=C2C(=O)NC(N)=N3)=CC=C1.CNC(=O)C1=CC(OCC(N=[N+]=[N-])OCCOCC(=O)NCC#CC2=CN([C@H]3CC(OCN=[N+]=[N-])[C@@H](COP(=O)([O-])OP(=O)([O-])OP(=O)([O-])O)O3)C3=C2C(N)=NC=N3)=CC=C1 Chemical compound C.C.C.CNC(=O)C1=CC(OCC(N=[N+]=[N-])OCCOCC(=O)NCC#CC2=CN([C@H]3CC(OCN=[N+]=[N-])[C@@H](COP(=O)([O-])OP(=O)([O-])OP(=O)([O-])O)O3)C(=O)NC2=O)=CC=C1.CNC(=O)C1=CC(OCC(N=[N+]=[N-])OCCOCC(=O)NCC#CC2=CN([C@H]3CC(OCN=[N+]=[N-])[C@@H](COP(=O)([O-])OP(=O)([O-])OP(=O)([O-])O)O3)C3=C2C(=O)NC(N)=N3)=CC=C1.CNC(=O)C1=CC(OCC(N=[N+]=[N-])OCCOCC(=O)NCC#CC2=CN([C@H]3CC(OCN=[N+]=[N-])[C@@H](COP(=O)([O-])OP(=O)([O-])OP(=O)([O-])O)O3)C3=C2C(N)=NC=N3)=CC=C1 CPKHSICXKYJZSC-GYXNOTPPSA-E 0.000 description 1
- NFYGXLDUUZEHEY-HTRVSXAASA-C C.C.C.CNC(=O)C1=CC(OCC(N=[N+]=[N-])OCCOCC(=O)NCC#CC2=CN([C@H]3CC[C@@H](COP(=O)([O-])OP(=O)([O-])OP(=O)([O-])O)O3)C3=C2C(=O)NC(N)=N3)=CC=C1.CNC(=O)C1=CC(OCC(N=[N+]=[N-])OCCOCC(=O)NCC#CC2=CN([C@H]3CC[C@@H](COP(=O)([O-])OP(=O)([O-])OP(=O)([O-])[O-])O3)C(=O)NC2=O)=CC=C1.CNC(=O)C1=CC(OCC(N=[N+]=[N-])OCCOCC(=O)NCC#CC2=CN([C@H]3CC[C@@H](COP(=O)([O-])OP(=O)([O-])OP(=O)([O-])[O-])O3)C3=C2C(N)=NC=N3)=CC=C1 Chemical compound C.C.C.CNC(=O)C1=CC(OCC(N=[N+]=[N-])OCCOCC(=O)NCC#CC2=CN([C@H]3CC[C@@H](COP(=O)([O-])OP(=O)([O-])OP(=O)([O-])O)O3)C3=C2C(=O)NC(N)=N3)=CC=C1.CNC(=O)C1=CC(OCC(N=[N+]=[N-])OCCOCC(=O)NCC#CC2=CN([C@H]3CC[C@@H](COP(=O)([O-])OP(=O)([O-])OP(=O)([O-])[O-])O3)C(=O)NC2=O)=CC=C1.CNC(=O)C1=CC(OCC(N=[N+]=[N-])OCCOCC(=O)NCC#CC2=CN([C@H]3CC[C@@H](COP(=O)([O-])OP(=O)([O-])OP(=O)([O-])[O-])O3)C3=C2C(N)=NC=N3)=CC=C1 NFYGXLDUUZEHEY-HTRVSXAASA-C 0.000 description 1
- USLSNUKOVPCIEL-RPAPPHJISA-A C.C.C/C=C/C1=[N+](\CC)C2=C(C=C(C)C=C2)C1(C)C.C/C=C/C=C1/N(CCCC(=O)CCCNC(=O)C2=CC(OCC(N=[N+]=[N-])OCCOCC(=O)NCC#CC3=CN([C@H]4CC(OCC)[C@@H](COP(=O)([O-])OP(=O)([O-])OP(=O)([O-])O)O4)C4=C3C(N)NC(N)=N4)=CC=C2)C2=CC=C(C)C=C2C1(C)C.CC/C=C1/C=C2OC3=C(C=C(C)C(CCC)=C3)C(C3=CC(C(=O)CCCNC(=O)C4=CC(OCC(N=[N+]=[N-])OCCOCC(=O)NCC#CC5=CN([C@H]6CC(OCN=[N+]=[N-])[C@@H](COP(=O)([O-])OP(=O)([O-])OP(=O)([O-])[O-])O6)C(=O)NC5=O)=CC=C4)=CC=C3C(=O)[O-])=C2C=C1C.CCOC1C[C@H](N2C=C(C#CCNC(=O)COCCOC(COC3=CC=CC(C(=O)NCCCC(=O)C4=CC=C(C(=O)[O-])C(C5=C6C=C7CCCN8(#[O+])=C7C(=C6OC6=C5C=C5CCCN7CCCC6=C57)CCC8)=C4)=C3)N=[N+]=[N-])C3=C2N=CN=C3N)O[C@@H]1COP(=O)([O-])OP(=O)([O-])OP(=O)([O-])[O-] Chemical compound C.C.C/C=C/C1=[N+](\CC)C2=C(C=C(C)C=C2)C1(C)C.C/C=C/C=C1/N(CCCC(=O)CCCNC(=O)C2=CC(OCC(N=[N+]=[N-])OCCOCC(=O)NCC#CC3=CN([C@H]4CC(OCC)[C@@H](COP(=O)([O-])OP(=O)([O-])OP(=O)([O-])O)O4)C4=C3C(N)NC(N)=N4)=CC=C2)C2=CC=C(C)C=C2C1(C)C.CC/C=C1/C=C2OC3=C(C=C(C)C(CCC)=C3)C(C3=CC(C(=O)CCCNC(=O)C4=CC(OCC(N=[N+]=[N-])OCCOCC(=O)NCC#CC5=CN([C@H]6CC(OCN=[N+]=[N-])[C@@H](COP(=O)([O-])OP(=O)([O-])OP(=O)([O-])[O-])O6)C(=O)NC5=O)=CC=C4)=CC=C3C(=O)[O-])=C2C=C1C.CCOC1C[C@H](N2C=C(C#CCNC(=O)COCCOC(COC3=CC=CC(C(=O)NCCCC(=O)C4=CC=C(C(=O)[O-])C(C5=C6C=C7CCCN8(#[O+])=C7C(=C6OC6=C5C=C5CCCN7CCCC6=C57)CCC8)=C4)=C3)N=[N+]=[N-])C3=C2N=CN=C3N)O[C@@H]1COP(=O)([O-])OP(=O)([O-])OP(=O)([O-])[O-] USLSNUKOVPCIEL-RPAPPHJISA-A 0.000 description 1
- WGKKWTHYBOORRN-NZFKGQRVSA-N C.C.CC1=CN([C@H]2CC(OCN=[N+]=[N-])[C@@H](COP3([O-])=OOP4(=OOP(=O)(O)O4)O3)O2)C(=O)NC1=O.CC1=CN([C@H]2CC(OCN=[N+]=[N-])[C@@H](COP3([O-])=OOP4(=OOP(=O)(O)O4)O3)O2)C(=O)NC1=O.[N-]=[N+]=NCOC1C[C@H](N2/C=N\C3=C2N=C(N)NC3=O)O[C@@H]1COP1([O-])=OOP2(=OOP(=O)(O)O2)O1.[N-]=[N+]=NCOC1C[C@H](N2/C=N\C3=C2N=CN=C3N)O[C@@H]1COP1([O-])=OOP2(=OOP(=O)(O)O2)O1 Chemical compound C.C.CC1=CN([C@H]2CC(OCN=[N+]=[N-])[C@@H](COP3([O-])=OOP4(=OOP(=O)(O)O4)O3)O2)C(=O)NC1=O.CC1=CN([C@H]2CC(OCN=[N+]=[N-])[C@@H](COP3([O-])=OOP4(=OOP(=O)(O)O4)O3)O2)C(=O)NC1=O.[N-]=[N+]=NCOC1C[C@H](N2/C=N\C3=C2N=C(N)NC3=O)O[C@@H]1COP1([O-])=OOP2(=OOP(=O)(O)O2)O1.[N-]=[N+]=NCOC1C[C@H](N2/C=N\C3=C2N=CN=C3N)O[C@@H]1COP1([O-])=OOP2(=OOP(=O)(O)O2)O1 WGKKWTHYBOORRN-NZFKGQRVSA-N 0.000 description 1
- SJNIISFCJTYTEJ-WRZIZJBKSA-J C.CCOC1C[C@H](N2C=C(C#CCNC(=O)COCCOC(COC3=CC=CC(C(=O)NCCCC(=O)CCC4=[N+]5C(=CC6=C(C)C=C(C)N6[B-]5(F)F)C=C4)=C3)N=[N+]=[N-])C(N)=NC2=O)O[C@@H]1COP(=O)([O-])OP(=O)([O-])OP(=O)([O-])[O-] Chemical compound C.CCOC1C[C@H](N2C=C(C#CCNC(=O)COCCOC(COC3=CC=CC(C(=O)NCCCC(=O)CCC4=[N+]5C(=CC6=C(C)C=C(C)N6[B-]5(F)F)C=C4)=C3)N=[N+]=[N-])C(N)=NC2=O)O[C@@H]1COP(=O)([O-])OP(=O)([O-])OP(=O)([O-])[O-] SJNIISFCJTYTEJ-WRZIZJBKSA-J 0.000 description 1
- MDTABIZUSAQZJX-QWSXSRHCSA-K C.CNC(=O)C1=CC(OCC(N=[N+]=[N-])OCCOCC(=O)NCC#CC2=CN([C@H]3CC(OCN=[N+]=[N-])[C@@H](COP(=O)([O-])OP(=O)([O-])OP(=O)([O-])O)O3)C(=O)N=C2=O)=CC=C1 Chemical compound C.CNC(=O)C1=CC(OCC(N=[N+]=[N-])OCCOCC(=O)NCC#CC2=CN([C@H]3CC(OCN=[N+]=[N-])[C@@H](COP(=O)([O-])OP(=O)([O-])OP(=O)([O-])O)O3)C(=O)N=C2=O)=CC=C1 MDTABIZUSAQZJX-QWSXSRHCSA-K 0.000 description 1
- GDXJXYWPOTUADF-GLCCCQKASA-F C.COC1=CC(CN=[N+]=[N-])=C(C(=O)OCC#CC2=CN([C@H]3CC(OCN=[N+]=[N-])[C@@H](COP(=O)([O-])OP(=O)([O-])OP(=O)([O-])O)O3)C(=O)N=C2N)C=C1.COC1=CC(CN=[N+]=[N-])=C(C(=O)OCC#CC2=CN([C@H]3CC(OCN=[N+]=[N-])[C@@H](COP(=O)([O-])OP(=O)([O-])OP(=O)([O-])O)O3)C(=O)NC2=O)C=C1.COC1=CC(CN=[N+]=[N-])=C(C(=O)OCC#CC2=CN([C@H]3CC(OCN=[N+]=[N-])[C@@H](COP(C)(=O)OP(=O)([O-])OP(=O)([O-])O)O3)C3=C2C(=O)NC(N)=N3)C=C1.COC1=CC(CN=[N+]=[N-])=C(C(=O)OCC#CC2=CN([C@H]3CC(OCN=[N+]=[N-])[C@@H](CO[PH](=O)O[PH](=O)O[PH](=O)O)O3)C3=C2C(N)=NC=N3)C=C1 Chemical compound C.COC1=CC(CN=[N+]=[N-])=C(C(=O)OCC#CC2=CN([C@H]3CC(OCN=[N+]=[N-])[C@@H](COP(=O)([O-])OP(=O)([O-])OP(=O)([O-])O)O3)C(=O)N=C2N)C=C1.COC1=CC(CN=[N+]=[N-])=C(C(=O)OCC#CC2=CN([C@H]3CC(OCN=[N+]=[N-])[C@@H](COP(=O)([O-])OP(=O)([O-])OP(=O)([O-])O)O3)C(=O)NC2=O)C=C1.COC1=CC(CN=[N+]=[N-])=C(C(=O)OCC#CC2=CN([C@H]3CC(OCN=[N+]=[N-])[C@@H](COP(C)(=O)OP(=O)([O-])OP(=O)([O-])O)O3)C3=C2C(=O)NC(N)=N3)C=C1.COC1=CC(CN=[N+]=[N-])=C(C(=O)OCC#CC2=CN([C@H]3CC(OCN=[N+]=[N-])[C@@H](CO[PH](=O)O[PH](=O)O[PH](=O)O)O3)C3=C2C(N)=NC=N3)C=C1 GDXJXYWPOTUADF-GLCCCQKASA-F 0.000 description 1
- OJRUSAPKCPIVBY-KQYNXXCUSA-N C1=NC2=C(N=C(N=C2N1[C@H]3[C@@H]([C@@H]([C@H](O3)COP(=O)(CP(=O)(O)O)O)O)O)I)N Chemical compound C1=NC2=C(N=C(N=C2N1[C@H]3[C@@H]([C@@H]([C@H](O3)COP(=O)(CP(=O)(O)O)O)O)O)I)N OJRUSAPKCPIVBY-KQYNXXCUSA-N 0.000 description 1
- KZPORJJBBQIGCQ-XLSWHLDHSA-K CNC(=O)C1=CC(OCC(N=[N+]=[N-])OCCOCC(=O)NCC#CC2=CN([C@H]3CC[C@@H](COP(=O)([O-])OP(=O)([O-])OP(=O)([O-])O)O3)C(=O)N=C2=O)=CC=C1 Chemical compound CNC(=O)C1=CC(OCC(N=[N+]=[N-])OCCOCC(=O)NCC#CC2=CN([C@H]3CC[C@@H](COP(=O)([O-])OP(=O)([O-])OP(=O)([O-])O)O3)C(=O)N=C2=O)=CC=C1 KZPORJJBBQIGCQ-XLSWHLDHSA-K 0.000 description 1
- IJURKGPDWVAWKQ-BREJEQATSA-B COC1=CC(CN=[N+]=[N-])=C(C(=O)OCC#CC2=CN([C@H]3CC(OCN=[N+]=[N-])[C@@H](COP(=O)([O-])OP(=O)([O-])OP(=O)([O-])O)O3)C(=O)N=C2N)C=C1.COC1=CC(CN=[N+]=[N-])=C(C(=O)OCC#CC2=CN([C@H]3CC(OCN=[N+]=[N-])[C@@H](COP(=O)([O-])OP(=O)([O-])OP(=O)([O-])O)O3)C(=O)NC2=O)C=C1.COC1=CC(CN=[N+]=[N-])=C(C(=O)OCC#CC2=CN([C@H]3CC(OCN=[N+]=[N-])[C@@H](COP(=O)([O-])OP(=O)([O-])OP(=O)([O-])O)O3)C3=C2C(=O)NC(N)=N3)C=C1.COC1=CC(CN=[N+]=[N-])=C(C(=O)OCC#CC2=CN([C@H]3CC(OCN=[N+]=[N-])[C@@H](COP(=O)([O-])OP(=O)([O-])OP(=O)([O-])O)O3)C3=C2C(N)=NC=N3)C=C1 Chemical compound COC1=CC(CN=[N+]=[N-])=C(C(=O)OCC#CC2=CN([C@H]3CC(OCN=[N+]=[N-])[C@@H](COP(=O)([O-])OP(=O)([O-])OP(=O)([O-])O)O3)C(=O)N=C2N)C=C1.COC1=CC(CN=[N+]=[N-])=C(C(=O)OCC#CC2=CN([C@H]3CC(OCN=[N+]=[N-])[C@@H](COP(=O)([O-])OP(=O)([O-])OP(=O)([O-])O)O3)C(=O)NC2=O)C=C1.COC1=CC(CN=[N+]=[N-])=C(C(=O)OCC#CC2=CN([C@H]3CC(OCN=[N+]=[N-])[C@@H](COP(=O)([O-])OP(=O)([O-])OP(=O)([O-])O)O3)C3=C2C(=O)NC(N)=N3)C=C1.COC1=CC(CN=[N+]=[N-])=C(C(=O)OCC#CC2=CN([C@H]3CC(OCN=[N+]=[N-])[C@@H](COP(=O)([O-])OP(=O)([O-])OP(=O)([O-])O)O3)C3=C2C(N)=NC=N3)C=C1 IJURKGPDWVAWKQ-BREJEQATSA-B 0.000 description 1
- OKTJSMMVPCPJKN-UHFFFAOYSA-N Carbon Chemical compound [C] OKTJSMMVPCPJKN-UHFFFAOYSA-N 0.000 description 1
- HMFHBZSHGGEWLO-SOOFDHNKSA-N D-ribofuranose Chemical compound OC[C@H]1OC(O)[C@H](O)[C@@H]1O HMFHBZSHGGEWLO-SOOFDHNKSA-N 0.000 description 1
- 108010017826 DNA Polymerase I Proteins 0.000 description 1
- 102000004594 DNA Polymerase I Human genes 0.000 description 1
- 108090000626 DNA-directed RNA polymerases Proteins 0.000 description 1
- 102000004163 DNA-directed RNA polymerases Human genes 0.000 description 1
- KCXVZYZYPLLWCC-UHFFFAOYSA-N EDTA Chemical compound OC(=O)CN(CC(O)=O)CCN(CC(O)=O)CC(O)=O KCXVZYZYPLLWCC-UHFFFAOYSA-N 0.000 description 1
- 241000701533 Escherichia virus T4 Species 0.000 description 1
- PWHULOQIROXLJO-UHFFFAOYSA-N Manganese Chemical compound [Mn] PWHULOQIROXLJO-UHFFFAOYSA-N 0.000 description 1
- 229920000877 Melamine resin Polymers 0.000 description 1
- OPFJDXRVMFKJJO-ZHHKINOHSA-N N-{[3-(2-benzamido-4-methyl-1,3-thiazol-5-yl)-pyrazol-5-yl]carbonyl}-G-dR-G-dD-dD-dD-NH2 Chemical compound S1C(C=2NN=C(C=2)C(=O)NCC(=O)N[C@H](CCCN=C(N)N)C(=O)NCC(=O)N[C@H](CC(O)=O)C(=O)N[C@H](CC(O)=O)C(=O)N[C@H](CC(O)=O)C(N)=O)=C(C)N=C1NC(=O)C1=CC=CC=C1 OPFJDXRVMFKJJO-ZHHKINOHSA-N 0.000 description 1
- JMGKGRQRUFMLTG-UHFFFAOYSA-M NCc(cccc1)c1C(OCC#CC(C(N1)=O)=CN(C(C2)OC(COP([O-])=O)C2O)C1=O)=O Chemical compound NCc(cccc1)c1C(OCC#CC(C(N1)=O)=CN(C(C2)OC(COP([O-])=O)C2O)C1=O)=O JMGKGRQRUFMLTG-UHFFFAOYSA-M 0.000 description 1
- 206010067482 No adverse event Diseases 0.000 description 1
- 108091034117 Oligonucleotide Proteins 0.000 description 1
- 239000004743 Polypropylene Substances 0.000 description 1
- 229920001213 Polysorbate 20 Polymers 0.000 description 1
- PYMYPHUHKUWMLA-LMVFSUKVSA-N Ribose Natural products OC[C@@H](O)[C@@H](O)[C@@H](O)C=O PYMYPHUHKUWMLA-LMVFSUKVSA-N 0.000 description 1
- 241001468001 Salmonella virus SP6 Species 0.000 description 1
- 229920002684 Sepharose Polymers 0.000 description 1
- 108020004682 Single-Stranded DNA Proteins 0.000 description 1
- FAPWRFPIFSIZLT-UHFFFAOYSA-M Sodium chloride Chemical class [Na+].[Cl-] FAPWRFPIFSIZLT-UHFFFAOYSA-M 0.000 description 1
- 101710137500 T7 RNA polymerase Proteins 0.000 description 1
- 108010006785 Taq Polymerase Proteins 0.000 description 1
- LNUFLCYMSVYYNW-ZPJMAFJPSA-N [(2r,3r,4s,5r,6r)-2-[(2r,3r,4s,5r,6r)-6-[(2r,3r,4s,5r,6r)-6-[(2r,3r,4s,5r,6r)-6-[[(3s,5s,8r,9s,10s,13r,14s,17r)-10,13-dimethyl-17-[(2r)-6-methylheptan-2-yl]-2,3,4,5,6,7,8,9,11,12,14,15,16,17-tetradecahydro-1h-cyclopenta[a]phenanthren-3-yl]oxy]-4,5-disulfo Chemical compound O([C@@H]1[C@@H](COS(O)(=O)=O)O[C@@H]([C@@H]([C@H]1OS(O)(=O)=O)OS(O)(=O)=O)O[C@@H]1[C@@H](COS(O)(=O)=O)O[C@@H]([C@@H]([C@H]1OS(O)(=O)=O)OS(O)(=O)=O)O[C@@H]1[C@@H](COS(O)(=O)=O)O[C@H]([C@@H]([C@H]1OS(O)(=O)=O)OS(O)(=O)=O)O[C@@H]1C[C@@H]2CC[C@H]3[C@@H]4CC[C@@H]([C@]4(CC[C@@H]3[C@@]2(C)CC1)C)[C@H](C)CCCC(C)C)[C@H]1O[C@H](COS(O)(=O)=O)[C@@H](OS(O)(=O)=O)[C@H](OS(O)(=O)=O)[C@H]1OS(O)(=O)=O LNUFLCYMSVYYNW-ZPJMAFJPSA-N 0.000 description 1
- 238000010521 absorption reaction Methods 0.000 description 1
- 239000002253 acid Substances 0.000 description 1
- 230000002411 adverse Effects 0.000 description 1
- 239000003513 alkali Substances 0.000 description 1
- 150000001345 alkine derivatives Chemical class 0.000 description 1
- 125000004419 alkynylene group Chemical group 0.000 description 1
- HMFHBZSHGGEWLO-UHFFFAOYSA-N alpha-D-Furanose-Ribose Natural products OCC1OC(O)C(O)C1O HMFHBZSHGGEWLO-UHFFFAOYSA-N 0.000 description 1
- 230000004075 alteration Effects 0.000 description 1
- 150000001412 amines Chemical class 0.000 description 1
- XRWSZZJLZRKHHD-WVWIJVSJSA-N asunaprevir Chemical compound O=C([C@@H]1C[C@H](CN1C(=O)[C@@H](NC(=O)OC(C)(C)C)C(C)(C)C)OC1=NC=C(C2=CC=C(Cl)C=C21)OC)N[C@]1(C(=O)NS(=O)(=O)C2CC2)C[C@H]1C=C XRWSZZJLZRKHHD-WVWIJVSJSA-N 0.000 description 1
- QVGXLLKOCUKJST-UHFFFAOYSA-N atomic oxygen Chemical compound [O] QVGXLLKOCUKJST-UHFFFAOYSA-N 0.000 description 1
- 238000010461 azide-alkyne cycloaddition reaction Methods 0.000 description 1
- 108010028263 bacteriophage T3 RNA polymerase Proteins 0.000 description 1
- 230000033228 biological regulation Effects 0.000 description 1
- PFYXSUNOLOJMDX-UHFFFAOYSA-N bis(2,5-dioxopyrrolidin-1-yl) carbonate Chemical compound O=C1CCC(=O)N1OC(=O)ON1C(=O)CCC1=O PFYXSUNOLOJMDX-UHFFFAOYSA-N 0.000 description 1
- 238000005251 capillar electrophoresis Methods 0.000 description 1
- 239000013599 cloning vector Substances 0.000 description 1
- 239000002299 complementary DNA Substances 0.000 description 1
- 239000002131 composite material Substances 0.000 description 1
- 229940125758 compound 15 Drugs 0.000 description 1
- 229940126142 compound 16 Drugs 0.000 description 1
- 229940126086 compound 21 Drugs 0.000 description 1
- 229940125961 compound 24 Drugs 0.000 description 1
- 238000012790 confirmation Methods 0.000 description 1
- 238000010276 construction Methods 0.000 description 1
- UFJPAQSLHAGEBL-RRKCRQDMSA-N dITP Chemical compound O1[C@H](COP(O)(=O)OP(O)(=O)OP(O)(O)=O)[C@@H](O)C[C@@H]1N1C(N=CNC2=O)=C2N=C1 UFJPAQSLHAGEBL-RRKCRQDMSA-N 0.000 description 1
- 230000007423 decrease Effects 0.000 description 1
- 230000002939 deleterious effect Effects 0.000 description 1
- 239000005547 deoxyribonucleotide Substances 0.000 description 1
- 125000002637 deoxyribonucleotide group Chemical group 0.000 description 1
- 230000001419 dependent effect Effects 0.000 description 1
- 238000011161 development Methods 0.000 description 1
- 239000010432 diamond Substances 0.000 description 1
- 229910003460 diamond Inorganic materials 0.000 description 1
- KZNICNPSHKQLFF-UHFFFAOYSA-N dihydromaleimide Natural products O=C1CCC(=O)N1 KZNICNPSHKQLFF-UHFFFAOYSA-N 0.000 description 1
- 239000001177 diphosphate Substances 0.000 description 1
- XPPKVPWEQAFLFU-UHFFFAOYSA-J diphosphate(4-) Chemical compound [O-]P([O-])(=O)OP([O-])([O-])=O XPPKVPWEQAFLFU-UHFFFAOYSA-J 0.000 description 1
- 235000011180 diphosphates Nutrition 0.000 description 1
- 230000008034 disappearance Effects 0.000 description 1
- 238000010494 dissociation reaction Methods 0.000 description 1
- 230000005593 dissociations Effects 0.000 description 1
- 150000002148 esters Chemical class 0.000 description 1
- 238000011156 evaluation Methods 0.000 description 1
- 230000005284 excitation Effects 0.000 description 1
- 238000002474 experimental method Methods 0.000 description 1
- 239000000835 fiber Substances 0.000 description 1
- 238000011049 filling Methods 0.000 description 1
- 238000009472 formulation Methods 0.000 description 1
- 230000014509 gene expression Effects 0.000 description 1
- 230000008570 general process Effects 0.000 description 1
- PCHJSUWPFVWCPO-UHFFFAOYSA-N gold Chemical group [Au] PCHJSUWPFVWCPO-UHFFFAOYSA-N 0.000 description 1
- 239000010931 gold Substances 0.000 description 1
- 229910052737 gold Inorganic materials 0.000 description 1
- 238000003384 imaging method Methods 0.000 description 1
- 238000002955 isolation Methods 0.000 description 1
- 229910052748 manganese Inorganic materials 0.000 description 1
- 239000011572 manganese Substances 0.000 description 1
- 238000005259 measurement Methods 0.000 description 1
- JDSHMPZPIAZGSV-UHFFFAOYSA-N melamine Chemical compound NC1=NC(N)=NC(N)=N1 JDSHMPZPIAZGSV-UHFFFAOYSA-N 0.000 description 1
- 238000002844 melting Methods 0.000 description 1
- 230000008018 melting Effects 0.000 description 1
- 229910052751 metal Inorganic materials 0.000 description 1
- 239000002184 metal Substances 0.000 description 1
- 125000000250 methylamino group Chemical group [H]N(*)C([H])([H])[H] 0.000 description 1
- 238000002493 microarray Methods 0.000 description 1
- 230000000813 microbial effect Effects 0.000 description 1
- 238000007481 next generation sequencing Methods 0.000 description 1
- 239000002777 nucleoside Substances 0.000 description 1
- 125000003835 nucleoside group Chemical group 0.000 description 1
- 230000009965 odorless effect Effects 0.000 description 1
- 229910052760 oxygen Inorganic materials 0.000 description 1
- 239000001301 oxygen Substances 0.000 description 1
- 239000012071 phase Substances 0.000 description 1
- 229910000073 phosphorus hydride Inorganic materials 0.000 description 1
- 238000006303 photolysis reaction Methods 0.000 description 1
- 230000015843 photosynthesis, light reaction Effects 0.000 description 1
- 239000004033 plastic Substances 0.000 description 1
- 229920003023 plastic Polymers 0.000 description 1
- 239000000256 polyoxyethylene sorbitan monolaurate Substances 0.000 description 1
- 235000010486 polyoxyethylene sorbitan monolaurate Nutrition 0.000 description 1
- 229920001155 polypropylene Polymers 0.000 description 1
- 108090000765 processed proteins & peptides Proteins 0.000 description 1
- 230000002035 prolonged effect Effects 0.000 description 1
- 238000000746 purification Methods 0.000 description 1
- 239000010453 quartz Substances 0.000 description 1
- 238000010791 quenching Methods 0.000 description 1
- 230000035484 reaction time Effects 0.000 description 1
- 238000011160 research Methods 0.000 description 1
- 229920002477 rna polymer Polymers 0.000 description 1
- 235000002020 sage Nutrition 0.000 description 1
- 239000000523 sample Substances 0.000 description 1
- 239000000377 silicon dioxide Substances 0.000 description 1
- 229910052709 silver Inorganic materials 0.000 description 1
- 239000004332 silver Substances 0.000 description 1
- 229910000029 sodium carbonate Inorganic materials 0.000 description 1
- 239000012064 sodium phosphate buffer Substances 0.000 description 1
- 239000007790 solid phase Substances 0.000 description 1
- 230000002269 spontaneous effect Effects 0.000 description 1
- 239000007858 starting material Substances 0.000 description 1
- 229960002317 succinimide Drugs 0.000 description 1
- 230000001360 synchronised effect Effects 0.000 description 1
- 238000012360 testing method Methods 0.000 description 1
- XLYOFNOQVPJJNP-UHFFFAOYSA-N water Substances O XLYOFNOQVPJJNP-UHFFFAOYSA-N 0.000 description 1
Images
Classifications
-
- C—CHEMISTRY; METALLURGY
- C12—BIOCHEMISTRY; BEER; SPIRITS; WINE; VINEGAR; MICROBIOLOGY; ENZYMOLOGY; MUTATION OR GENETIC ENGINEERING
- C12Q—MEASURING OR TESTING PROCESSES INVOLVING ENZYMES, NUCLEIC ACIDS OR MICROORGANISMS; COMPOSITIONS OR TEST PAPERS THEREFOR; PROCESSES OF PREPARING SUCH COMPOSITIONS; CONDITION-RESPONSIVE CONTROL IN MICROBIOLOGICAL OR ENZYMOLOGICAL PROCESSES
- C12Q1/00—Measuring or testing processes involving enzymes, nucleic acids or microorganisms; Compositions therefor; Processes of preparing such compositions
- C12Q1/68—Measuring or testing processes involving enzymes, nucleic acids or microorganisms; Compositions therefor; Processes of preparing such compositions involving nucleic acids
- C12Q1/6869—Methods for sequencing
-
- C—CHEMISTRY; METALLURGY
- C07—ORGANIC CHEMISTRY
- C07H—SUGARS; DERIVATIVES THEREOF; NUCLEOSIDES; NUCLEOTIDES; NUCLEIC ACIDS
- C07H19/00—Compounds containing a hetero ring sharing one ring hetero atom with a saccharide radical; Nucleosides; Mononucleotides; Anhydro-derivatives thereof
- C07H19/02—Compounds containing a hetero ring sharing one ring hetero atom with a saccharide radical; Nucleosides; Mononucleotides; Anhydro-derivatives thereof sharing nitrogen
- C07H19/04—Heterocyclic radicals containing only nitrogen atoms as ring hetero atom
- C07H19/06—Pyrimidine radicals
-
- C—CHEMISTRY; METALLURGY
- C07—ORGANIC CHEMISTRY
- C07H—SUGARS; DERIVATIVES THEREOF; NUCLEOSIDES; NUCLEOTIDES; NUCLEIC ACIDS
- C07H19/00—Compounds containing a hetero ring sharing one ring hetero atom with a saccharide radical; Nucleosides; Mononucleotides; Anhydro-derivatives thereof
- C07H19/02—Compounds containing a hetero ring sharing one ring hetero atom with a saccharide radical; Nucleosides; Mononucleotides; Anhydro-derivatives thereof sharing nitrogen
- C07H19/04—Heterocyclic radicals containing only nitrogen atoms as ring hetero atom
- C07H19/06—Pyrimidine radicals
- C07H19/10—Pyrimidine radicals with the saccharide radical esterified by phosphoric or polyphosphoric acids
-
- C—CHEMISTRY; METALLURGY
- C07—ORGANIC CHEMISTRY
- C07H—SUGARS; DERIVATIVES THEREOF; NUCLEOSIDES; NUCLEOTIDES; NUCLEIC ACIDS
- C07H19/00—Compounds containing a hetero ring sharing one ring hetero atom with a saccharide radical; Nucleosides; Mononucleotides; Anhydro-derivatives thereof
- C07H19/02—Compounds containing a hetero ring sharing one ring hetero atom with a saccharide radical; Nucleosides; Mononucleotides; Anhydro-derivatives thereof sharing nitrogen
- C07H19/04—Heterocyclic radicals containing only nitrogen atoms as ring hetero atom
- C07H19/14—Pyrrolo-pyrimidine radicals
-
- C—CHEMISTRY; METALLURGY
- C07—ORGANIC CHEMISTRY
- C07H—SUGARS; DERIVATIVES THEREOF; NUCLEOSIDES; NUCLEOTIDES; NUCLEIC ACIDS
- C07H19/00—Compounds containing a hetero ring sharing one ring hetero atom with a saccharide radical; Nucleosides; Mononucleotides; Anhydro-derivatives thereof
- C07H19/02—Compounds containing a hetero ring sharing one ring hetero atom with a saccharide radical; Nucleosides; Mononucleotides; Anhydro-derivatives thereof sharing nitrogen
- C07H19/04—Heterocyclic radicals containing only nitrogen atoms as ring hetero atom
- C07H19/16—Purine radicals
-
- C—CHEMISTRY; METALLURGY
- C07—ORGANIC CHEMISTRY
- C07H—SUGARS; DERIVATIVES THEREOF; NUCLEOSIDES; NUCLEOTIDES; NUCLEIC ACIDS
- C07H19/00—Compounds containing a hetero ring sharing one ring hetero atom with a saccharide radical; Nucleosides; Mononucleotides; Anhydro-derivatives thereof
- C07H19/02—Compounds containing a hetero ring sharing one ring hetero atom with a saccharide radical; Nucleosides; Mononucleotides; Anhydro-derivatives thereof sharing nitrogen
- C07H19/04—Heterocyclic radicals containing only nitrogen atoms as ring hetero atom
- C07H19/16—Purine radicals
- C07H19/20—Purine radicals with the saccharide radical esterified by phosphoric or polyphosphoric acids
-
- C—CHEMISTRY; METALLURGY
- C12—BIOCHEMISTRY; BEER; SPIRITS; WINE; VINEGAR; MICROBIOLOGY; ENZYMOLOGY; MUTATION OR GENETIC ENGINEERING
- C12Q—MEASURING OR TESTING PROCESSES INVOLVING ENZYMES, NUCLEIC ACIDS OR MICROORGANISMS; COMPOSITIONS OR TEST PAPERS THEREFOR; PROCESSES OF PREPARING SUCH COMPOSITIONS; CONDITION-RESPONSIVE CONTROL IN MICROBIOLOGICAL OR ENZYMOLOGICAL PROCESSES
- C12Q2525/00—Reactions involving modified oligonucleotides, nucleic acids, or nucleotides
- C12Q2525/30—Oligonucleotides characterised by their secondary structure
- C12Q2525/301—Hairpin oligonucleotides
-
- C—CHEMISTRY; METALLURGY
- C12—BIOCHEMISTRY; BEER; SPIRITS; WINE; VINEGAR; MICROBIOLOGY; ENZYMOLOGY; MUTATION OR GENETIC ENGINEERING
- C12Q—MEASURING OR TESTING PROCESSES INVOLVING ENZYMES, NUCLEIC ACIDS OR MICROORGANISMS; COMPOSITIONS OR TEST PAPERS THEREFOR; PROCESSES OF PREPARING SUCH COMPOSITIONS; CONDITION-RESPONSIVE CONTROL IN MICROBIOLOGICAL OR ENZYMOLOGICAL PROCESSES
- C12Q2537/00—Reactions characterised by the reaction format or use of a specific feature
- C12Q2537/10—Reactions characterised by the reaction format or use of a specific feature the purpose or use of
- C12Q2537/157—A reaction step characterised by the number of molecules incorporated or released
Definitions
- a composition having a first, second and third portion wherein the second portion has the following structure:
- ⁇ represents a point of attachment to the first portion and ⁇ represents a point of attachment to the third portion.
- a method for determining the identity of each of a series of consecutive nucleotide residues in a nucleic acid comprising:
- a method for determining the identity of each of a series of consecutive nucleotide residues in a self-priming nucleic acid comprising:
- a kit for use in sequencing a nucleic acid comprising:
- An array comprising a nucleic acid attached to a solid surface, wherein the nucleic acid comprises an azidomethyl group attached to a 3′ atom thereof and a molecule having the structure:
- ⁇ represents a point of attachment to a 3′ base of the nucleic acid and ⁇ represents a point of attachment to a detectable marker.
- An array comprising a self-priming nucleic acid attached to a solid surface, wherein the nucleic acid comprises an azidomethyl group attached to a 3′ atom thereof and a molecule having the structure:
- ⁇ represents a point of attachment to a 3′ base of the nucleic acid and ⁇ represents a point of attachment to a detectable marker.
- a method for increasing a read length of DNA sequencing by synthesis comprising (a) providing deoxynucleotide triphosphate analogues wherein the deoxynucleotide triphosphate analogues differ from deoxynucleotide triphosphates by having a methylazido group attached to a 3′ atom thereof and by having a detectable marker attached to a 1 nitrogen or a 9 nitrogen of a base thereof through a linker comprising the structure
- a method for determining the identity of each of a series of consecutive nucleotide residues in a nucleic acid comprising:
- a method for determining the identity of each of a series of consecutive nucleotide residues in a self-priming nucleic acid comprising:
- a method for determining the identity of each of a series of consecutive nucleotide residues in a plurality of nucleic acids comprising, the same series of consecutive nucleotides comprising:
- a method for determining the identity of consecutive nucleotide residues in a self-priming nucleic acid comprising:
- a kit for use in sequencing a nucleic acid comprising:
- An array comprising a nucleic acid attached to a solid surface, wherein the nucleic acid comprises an azidomethyl group attached to a 3′ atom thereof and a molecule having the structure:
- An array comprising a self-priming nucleic acid attached to a solid surface, wherein the nucleic acid comprises an azidomethyl group attached to a 3′ atom thereof and a molecule having the structure:
- a method for increasing a read length of DNA sequencing by synthesis coupled with Sanger dideoxynucleotide terminating reaction (a) providing deoxynucleotide triphosphate analogues wherein the deoxynucleotide triphosphate analogues differ from deoxynucleotide triphosphates by having a methylazido group attached to a 3′ atom thereof and providing dideoxynucleotide triphosphate analogues wherein the dideoxynucleotide triphosphate analogues differ from dideoxynucleotide triphosphates by having a detectable marker attached to a 1 nitrogen or a 9 nitrogen of a base thereof through a linker comprising the structure
- FIG. 1 Staudinger reduction with TCEP.
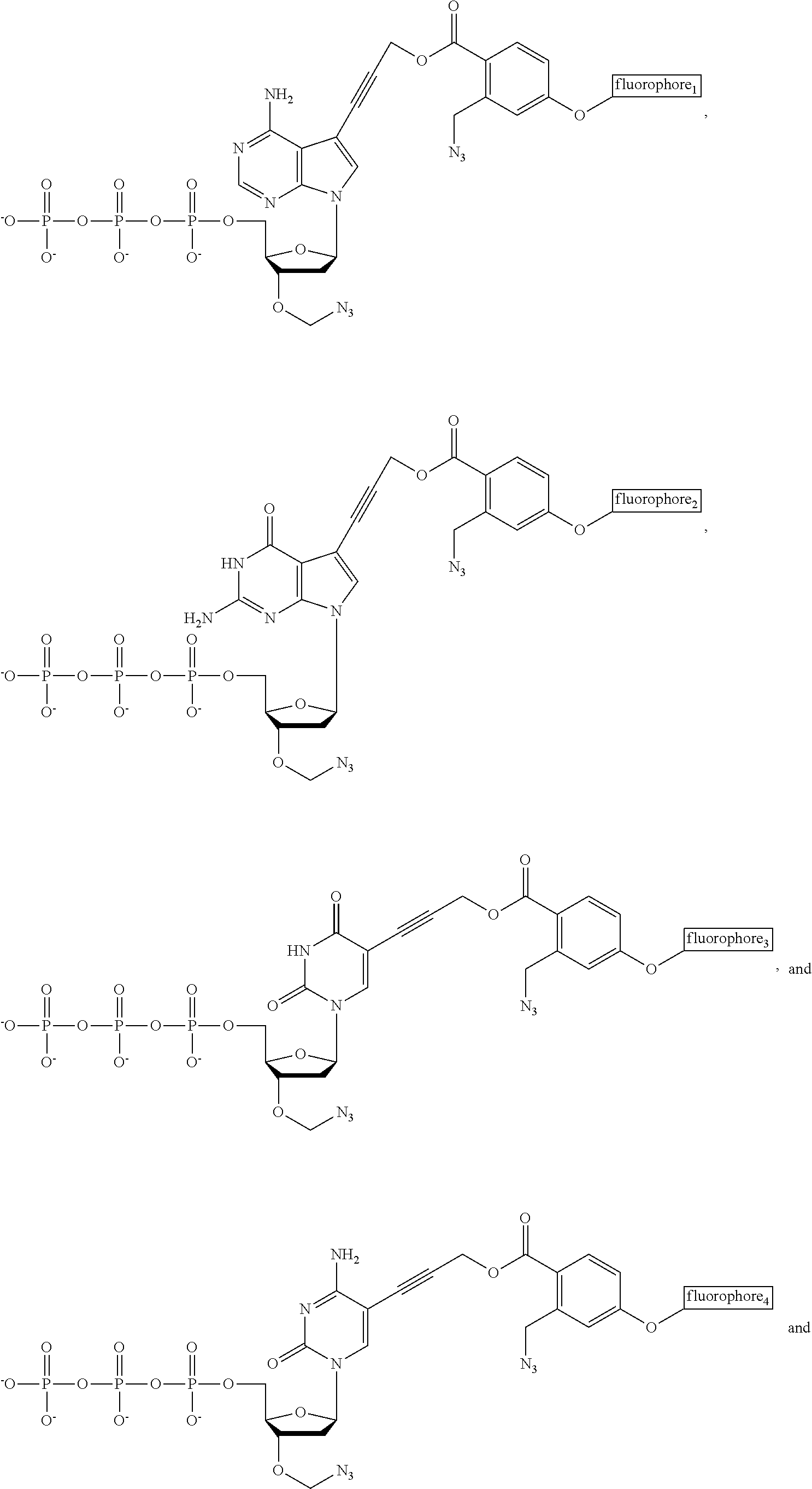
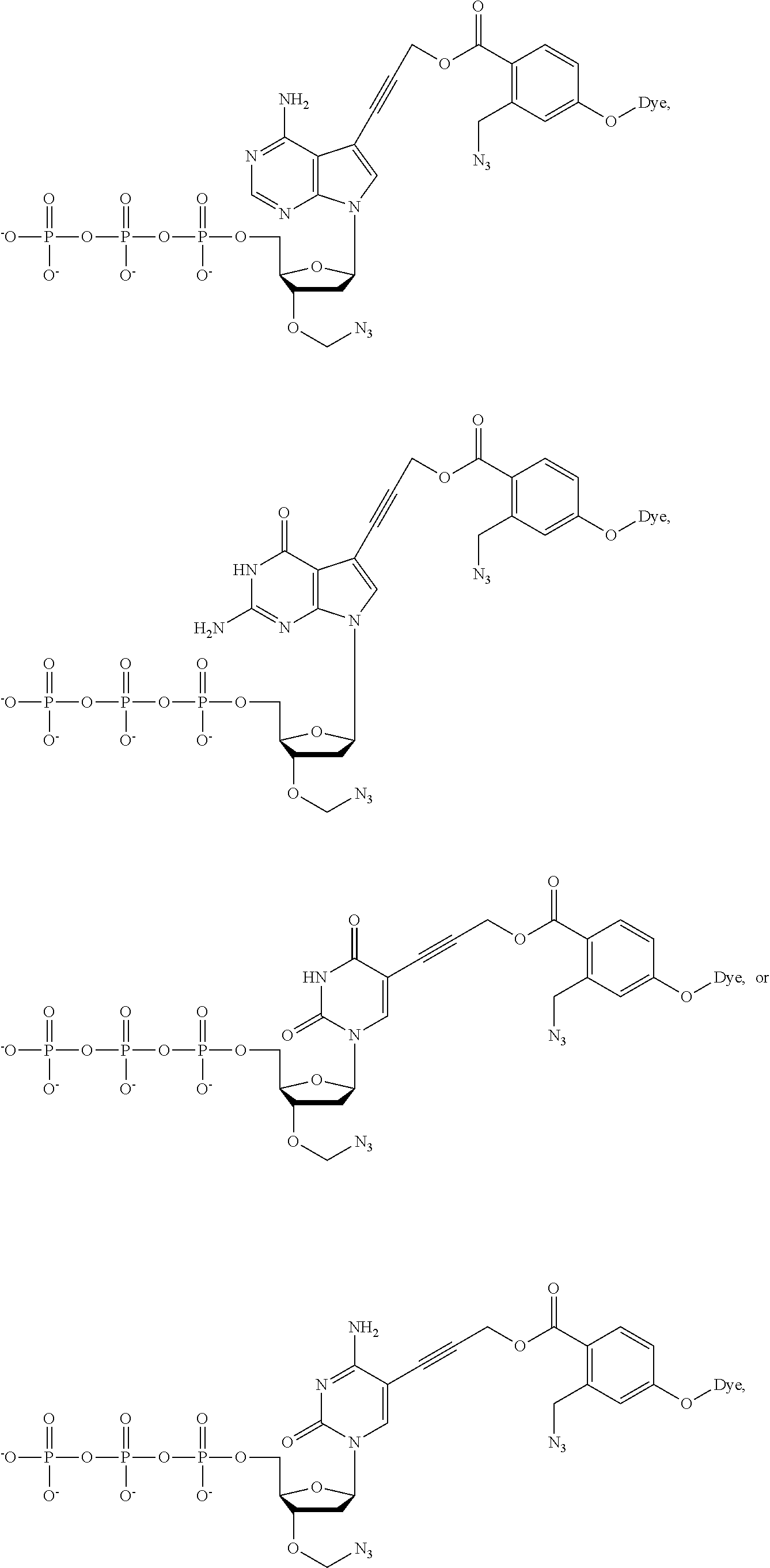
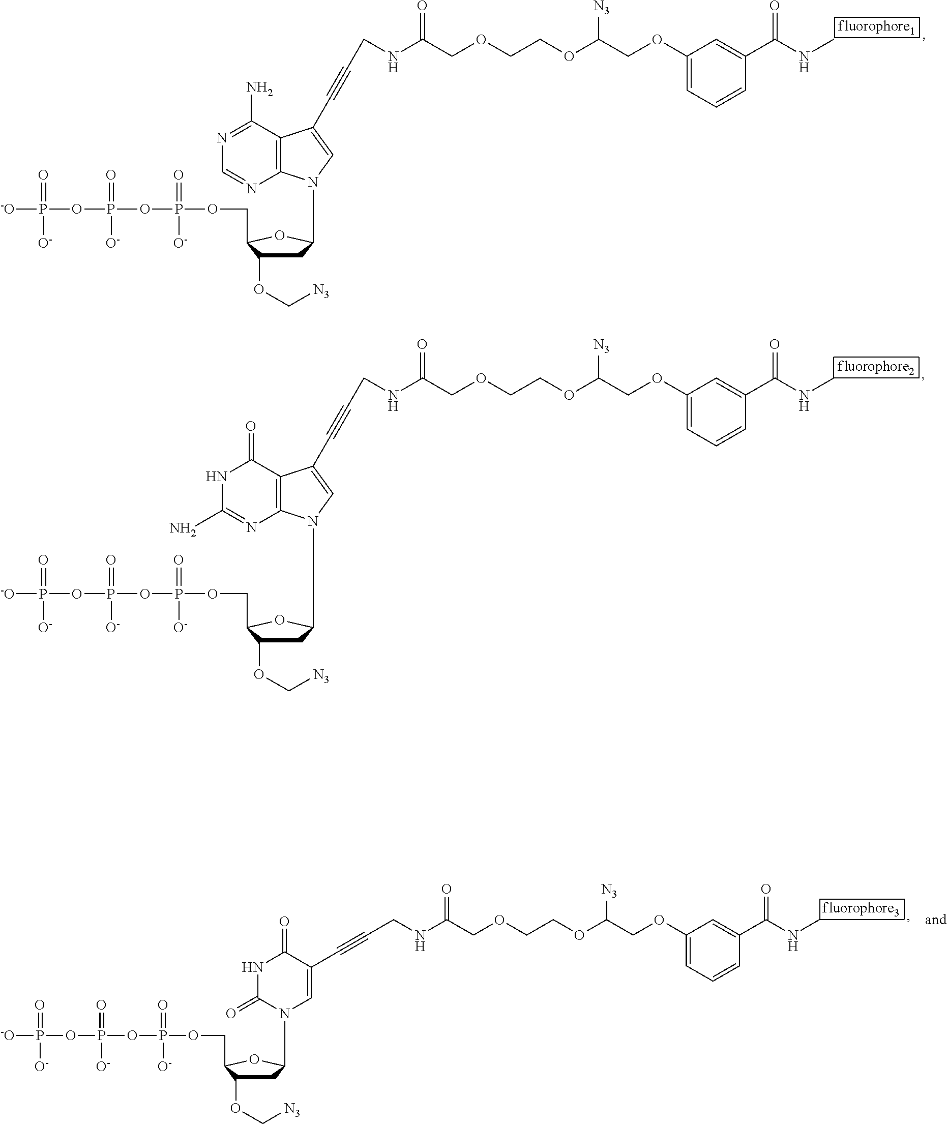
- FIG. 2 3′-O-Azido-dNTPs-Azido-Dye.
- FIG. 3 Staudinger Reduction of the Azido Linker.
- FIG. 4 3′-O-Azido-dNTP-PC-Dye.
- FIG. 5 The hybrid DNA sequencing approach between the Sanger dideoxy chain-terminating reaction and sequencing by synthesis.
- four nucleotides (3′-O—R 1 -dNTPs) modified as reversible terminators by capping the 3′-OH with a small reversible moiety R1 so that they are still recognized by DNA polymerase as substrates, are used in combination with a small percentage of four cleavable fluorescent dideoxynucleotides (ddNTP-R 2 -fluorophores) to perform SBS.
- DNA sequences are determined by the unique fluorescence emission of each fluorophore on the DNA products terminated by ddNTPs.
- the polymerase reaction reinitiates to continue the sequence determination.
- FIG. 6 3′-O-Azido-dNTPs.
- FIG. 7 Solution Incorporation and reduction of 3′-O-Azido-dNTPs: polymerase extension and TCEP reduction scheme.
- FIG. 8 MALDI-TOF MS spectra of incorporation products (left column), and MALDI-TOF MS spectra of reduction products (right column).
- FIG. 9 Solution incorporation and reduction scheme of 3′-O-Azido-dNTPs-Azido-Dye.
- FIG. 10 MALDI-TOF MS spectra results for incorporation shown in FIG. 9 .
- FIG. 11 SBS scheme for 3′-O-Azido-dNTPs-Azido-Dye.
- FIG. 12 Results for incorporation shown in FIG. 11 .
- FIG. 13 Mechanisms to cleave the 3′-O-azidomethyl group and the azidolinker-fluorophore from the DNA extension products.
- FIG. 15 Synthesis of ddCTP-N 3 -Bodipy-FL-510
- FIG. 16 Synthesis of ddUTP-N 3 -R6G
- FIG. 17 Synthesis of ddATP-N 3 -ROX
- FIG. 18 Synthesis of ddGTP-N 3 -Cy5
- FIG. 19 A detailed scheme (left half of fig.) of polymerase reaction using all four 3′-O—N 3 -dNTPs to extend with an “3′-O—N 3 -dATP”, “3′-O—N 3 -dCTP”, “3′-O—N 3 -dGTP” and “3′-O—N 3 -dTTP” and the subsequent cleavage reaction to cleave off the azidomethyl moiety capping the 3′-OH of the DNA extension product.
- MALDI-TOF MS spectra verifying base specific incorporation of: (A) 3′-O—N 3 -dCTP (peak at 8,310 m/z), (B) the corresponding cleavage product (8,255 m/z); (C) 3′-O—N 3 -dGTP (peak at 8,639 m/z), (D) the corresponding cleavage product (8,584 m/z); (E) 3′-O—N 3 -dATP (peak at 8,952 m/z), (F) the corresponding cleavage product (8,897 m/z); (G) 3′-O—N 3 -dTTP (peak at 9,256 m/z) and (H) the corresponding cleavage product (9,201 m/z).
- the azidomethyl moiety capping the 3′-OH group of the DNA extension products is completely removed by TCEP aqueous solution to continue the polymerase reaction.
- FIG. 20 A detailed scheme (top half of fig.) of polymerase reaction using all four ddATP-N 3 -fluorophores to extend with an “ddA”, “ddC”, “ddG” and “ddU” and the subsequent cleavage reaction to cleave off the fluorophore from the DNA extension product.
- FIG. 21 (A) Reaction scheme of Sanger/sequencing by synthesis hybrid sequencing on a chip using combination of cleavable fluorescent dideoxynucleotides and 3′-O—N 3 -modified nucleotides.
- FIG. 22 A plot (four-color sequencing data) of raw fluorescence emission intensity obtained by using 3′-O—N3-dNTPs and ddNTP-N3-fluorophores at the four designated emission wavelengths of the four cleavable fluorescent dideoxynucleotides.
- FIG. 23 “Walking” Strategy 1
- FIG. 24 Structures of the nucleotide reversible terminators
- FIG. 25 Structures of cleavable fluorescent dideoxynucleotide terminators
- FIG. 26 Hybrid SBS scheme
- FIG. 27 Template “Walking” Method 1
- FIG. 28 Template “Walking” Method 2
- FIG. 29 Template “Walking” Method 3
- FIG. 30 Template “Walking” Method 4
- FIG. 31 Template “Walking” Method 5
- FIG. 32 Structures of the nucleotide reversible terminators, 3′-O—N 3 -dATP, 3′-O—N 3 -dCTP, 3′-O—N 3 -dGTP, 3′-O—N 3 -dTTP
- FIG. 34 (A) Staudinger reaction with TCEP to regenerate the 3′-OH group of the DNA extension product. (B) Staudinger reaction with TCEP to cleave the N 3 -fluorophore from the dideoxynucleotide.
- FIG. 35 Four-color DNA sequencing by the hybrid SBS approach
- FIG. 36 Four-color DNA sequencing by the hybrid SBS after template “walking”
- FIG. 37 General Scheme for SBS with C—F-NRTs
- FIG. 38 Structure of 3′-O—N 3 -dNTPs-N 3 -fluorophore
- FIG. 39 Four-color DNA SBS with 3′-O—N 3 -dNTPs-N 3 -fluorophore.
- FIG. 40 Template “Walking” Method 1 for SBS with C—F-NRTs
- FIG. 41 Template “Walking” Method 2 for SBS with C—F-NRTs
- FIG. 42 Template “Walking” Method 3 for SBS with C—F-NRTs
- FIG. 43 Template “Walking” Method 4 for SBS with C—F-NRTs
- FIG. 44 Template “Walking” Method 5 for SBS with C—F-NRTs
- FIG. 45 “Walking” Strategy 2
- FIG. 46 “Walking” Strategy 3
- Nucleic acid shall mean any nucleic acid molecule, including, without limitation, DNA, RNA and hybrids thereof.
- the nucleic acid bases that form nucleic acid molecules can be the bases A, C, G, T and U, as well as derivatives thereof. Derivatives of these bases are well known in the art, and are exemplified in PCR Systems, Reagents and Consumables (Perkin Elmer Catalogue 1996-1997, Roche Molecular Systems, Inc., Branchburg, N.J., USA).
- Type of nucleotide refers to A, G, C, T or U.
- Type of base refers to adenine, guanine, cytosine, uracil or thymine.
- Mass tag shall mean a molecular entity of a predetermined size which is capable of being attached by a cleavable bond to another entity.
- Solid substrate shall mean any suitable medium present in the solid phase to which a nucleic acid or an agent may be affixed.
- Non-limiting examples include chips, beads and columns.
- Hybridize shall mean the annealing of one single-stranded nucleic acid to another nucleic acid based on sequence complementarity.
- the propensity for hybridization between nucleic acids depends on the temperature and ionic strength of their milieu, the length of the nucleic acids and the degree of complementarity. The effect of these parameters on hybridization is well known in the art (see Sambrook J, Fritsch E F, Maniatis T. 1989. Molecular cloning: a laboratory manual. Cold Spring Harbor Laboratory Press, New York.)
- a composition having a first, second and third portion wherein the second portion has the following structure:
- ⁇ represents a point of attachment to the first portion and ⁇ represents a point of attachment to the third portion.
- ⁇ may be directly linked to the first portion, e.g. comprising a base, or bonded to the, for example base via, e.g. an alkynylene.
- ⁇ may be directly linked to the third portion, e.g. a detectable marker, or bonded to the third portion, for example via another group.
- the first portion is a deoxynucleotide or a dideoxynucleotide and the third portion is a detectable marker.
- the detectable marker is a fluorescent dye.
- the deoxynucleotide or dideoxynucleotide comprises a methylazido group attached to a 3′ atom thereof.
- the dye in each structure is a fluorescent dye.
- a method for determining the identity of each of a series of consecutive nucleotide residues in a nucleic acid comprising:
- a method for determining the identity of each of a series of consecutive nucleotide residues in a self-priming nucleic acid comprising:
- steps b) and c) can be performed simultaneously, or in the order step b) then step c) or in the order step c) then step b).
- the nucleic acid is DNA and the nucleic acid polymerase is a 9°N thermopolymerase.
- the cleavable chemical group is a methylazido group.
- the four dNTP analogues have the following structures:
- nucleic acid is immobilized on a solid surface.
- solid surface is a chip or a bead.
- a kit for use in sequencing a nucleic acid comprising:
- An array comprising a nucleic acid attached to a solid surface, wherein the nucleic acid comprises an azidomethyl group attached to a 3′ atom thereof and a molecule having the structure:
- ⁇ represents a point of attachment to a 3′ base of the nucleic acid and ⁇ represents a point of attachment to a detectable marker.
- An array comprising a self-priming nucleic acid attached to a solid surface, wherein the nucleic acid comprises an azidomethyl group attached to a 3′ atom thereof and a molecule having the structure:
- ⁇ represents a point of attachment to a 3′ base of the nucleic acid and ⁇ represents a point of attachment to a detectable marker.
- the detectable marker is a fluorophore.
- a method for increasing a read length of DNA sequencing by synthesis comprising (a) providing deoxynucleotide triphosphate analogues wherein the deoxynucleotide triphosphate analogues differ from deoxynucleotide triphosphates by having a methylazido group attached to a 3′ atom thereof and by having a detectable marker attached to a 1 nitrogen or a 9 nitrogen of a base thereof through a linker comprising the structure
- ⁇ represents a point of attachment to a the base and ⁇ represents a point of attachment to the detectable marker
- a method for determining the identity of each of a series of consecutive nucleotide residues in a nucleic acid comprising:
- a method for determining the identity of each of a series of consecutive nucleotide residues in a self-priming nucleic acid comprising:
- steps b) and c) can be performed simultaneously, or in the order step b) then step c) or in the order step c) then step b).
- the nucleic acid is DNA and the nucleic acid polymerase is a 9°N thermopolymerase.
- the cleavable chemical group is a methylazido group.
- the four dNTP analogues have the following structures:
- nucleic acid is immobilized on a solid surface.
- solid surface is a chip or a bead.
- a method for determining the identity of each of a series of consecutive nucleotide residues in a plurality of nucleic acids comprising, the same series of consecutive nucleotides comprising:
- a method for determining the identity of consecutive nucleotide residues in a self-priming nucleic acid comprising:
- steps b) and c) can be performed simultaneously, or in the order step b) then step c) or in the order step c) then step b).
- the nucleic acid is DNA and the nucleic acid polymerase is a 9°N thermopolymerase.
- the cleavable chemical group is a methylazido group.
- the four ddNTP analogues have the following structures:
- the four dNTPs have the following structures:
- nucleic acid is immobilized on a solid surface.
- solid surface is a chip or a bead.
- a kit for use in sequencing a nucleic acid comprising:
- An array comprising a nucleic acid attached to a solid surface, wherein the nucleic acid comprises an azidomethyl group attached to a 3′ atom thereof and a molecule having the structure:
- ⁇ represents a point of attachment to a 3′ base of the nucleic acid and ⁇ represents a point of attachment to a detectable marker.
- An array comprising a self-priming nucleic acid attached to a solid surface, wherein the nucleic acid comprises an azidomethyl group attached to a 3′ atom thereof and a molecule having the structure:
- ⁇ represents a point of attachment to a 3′ base of the nucleic acid and ⁇ represents a point of attachment to a detectable marker.
- the detectable marker is a fluorophore.
- a method for increasing a read length of DNA sequencing by synthesis coupled with Sanger dideoxynucleotide terminating reaction (a) providing deoxynucleotide triphosphate analogues wherein the deoxynucleotide triphosphate analogues differ from deoxynucleotide triphosphates by having a methylazido group attached to a 3′ atom thereof and providing dideoxynucleotide triphosphate analogues wherein the dideoxynucleotide triphosphate analogues differ from dideoxynucleotide triphosphates by having a detectable marker attached to a 1 nitrogen or a 9 nitrogen of a base thereof through a linker comprising the structure
- This invention provides the instant method, wherein the detectable bound to the base via a cleavable linker is a dye, a fluorophore, a chromophore, a combinatorial fluorescence energy transfer tag, a mass tag, or an electrophore.
- a cleavable linker is a dye, a fluorophore, a chromophore, a combinatorial fluorescence energy transfer tag, a mass tag, or an electrophore.
- Combinatorial fluorescence energy tags and methods for production thereof are disclosed in U.S. Pat. No. 6,627,748, which is hereby incorporated by reference.
- This invention also provides the instant method, wherein the primer is a self-priming moiety.
- This invention also provides the instant method, wherein the DNA is bound to a solid substrate.
- This invention also provides the instant method, wherein the DNA is bound to the solid substrate via 1,3-dipolar azide-alkyne cycloaddition chemistry.
- This invention also provides the instant method, wherein the DNA is bound to the solid substrate via a polyethylene glycol molecule.
- This invention also provides the instant method, wherein the DNA is alkyne-labeled.
- This invention also provides the instant method, wherein the DNA is bound to the solid substrate via a polyethylene glycol molecule and the solid substrate is azide-functionalized.
- This invention also provides the instant method, wherein the DNA is immobilized on the solid substrate via an azido linkage, an alkynyl linkage, or biotin-streptavidin interaction. Immobilization of nucleic acids is described in Immobilization of DNA on Chips II, edited by Christine Wittmann (2005), Springer Verlag, Berlin, which is hereby incorporated by reference.
- This invention also provides the instant methods, wherein the DNA is bound to the solid substrate via a polyethylene glycol molecule and the solid substrate is azide-functionalized or the DNA is immobilized on the solid substrate via an azido linkage, an alkynyl linkage, or biotin-streptavidin interaction.
- the DNA or nucleic acid is attached/bound to the solid surface by covalent site-specific coupling chemistry compatible with DNA.
- This invention also provides the instant method, wherein the solid substrate is in the form of a chip, a bead, a well, a capillary tube, a slide, a wafer, a filter, a fiber, a porous media, or a column.
- the solid substrate is gold, quartz, silica, plastic, glass, nylon, diamond, silver, metal, or polypropylene.
- This invention also provides the instant method, wherein the solid substrate is porous.
- Chips or beads may be made from materials common for DNA microarrays, for example glass or nylon. Beads/micro-beads may be in turn immobilized to chips.
- This invention also provides the instant method, wherein about 1000 or fewer copies of the DNA are bound to the solid substrate.
- This invention also provides the instant invention wherein 2 ⁇ 10 7 , 1 ⁇ 10 7 , 1 ⁇ 10 6 or 1 ⁇ 10 4 or fewer copies of the DNA are bound to the solid substrate.
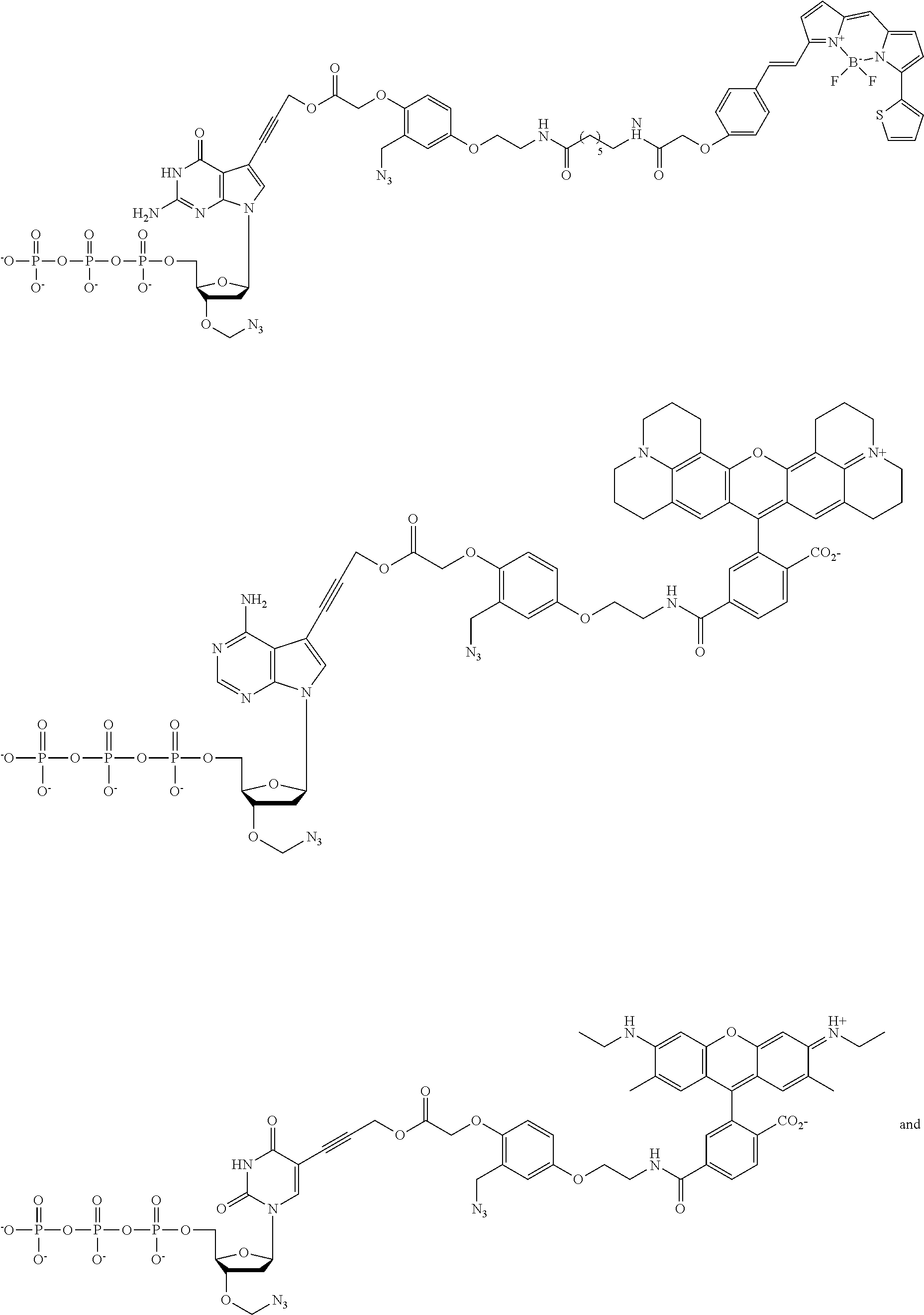
- nucleotide analogues comprise one of the fluorophores Cy5, Bodipy-FL-510, ROX and R6G.
- DNA polymerase is a 9°N polymerase or a variant thereof.
- DNA polymerases which can be used in the instant invention include, for example E. Coli DNA polymerase I, Bacteriophage T4 DNA polymerase, SequenaseTM, Taq DNA polymerase and 9°N polymerase (exo-) A485L/Y409V.
- RNA polymerases which can be used in the instant invention include, for example, Bacteriophage SP6, T7 and T3 RNA polymerases.
- a method for determining the identity of each of a series of consecutive nucleotide residues in a nucleic acid comprising:
- linker in each of step a) and j) independently each comprise the structure:
- a linker is cleaved by contacting the linker with tris(2-carboxyethyl)phosphine.
- one or more linkers are photocleavable or chemically cleavable.
- one or more chemical groups are photocleavable or chemically cleavable.
- R in the structures set forth in steps a) and or j) is independently chosen from a —N 3 group or an allyl group.
- the cleavable chemical group in step g) is independently chosen from a —N 3 group or an allyl group.
- a method for determining the identity of each of a series of consecutive nucleotide residues in a nucleic acid comprising:
- the three types of dNTPs are chosen from the group dATP, dCTP, dGTP, dTTP or dITP.
- linker in each of step a) and j) independently each comprise the structure:
- a linker is cleaved by contacting the linker with tris(2-carboxyethyl)phosphine.
- one or more linkers are photocleavable or chemically cleavable.
- one or more chemical groups are photocleavable or chemically cleavable.
- R in the structures set forth in steps a) and or j) is independently chosen from a —N 3 group or an allyl group.
- the cleavable chemical group in step g) is independently chosen from a —N 3 group or an allyl group.
- a method for determining the identity of each of a series of consecutive nucleotide residues in a nucleic acid comprising:
- step g) the three types of dNTPs are chosen from the group dATP, dCTP, dGTP and dTTP.
- linker in each of step a) and j) independently each comprise the structure:
- a linker is cleaved by contacting the linker with tris(2-carboxyethyl)phosphine.
- one or more linkers are photocleavable or chemically cleavable.
- one or more chemical groups are photocleavable or chemically cleavable.
- R in the structures set forth in steps a) and or j) is independently chosen from a —N 3 group or an allyl group.
- the cleavable chemical group in step g) is independently chosen from the a —N 3 group or an allyl group.
- the methods described herein can be applied mutatis mutandis to sequencing RNA using the appropriate ddNTPS or analogues thereof and dNTPS and analogues thereof.
- base-pairing complementarity allows the sequence of the extended primer or of the target nucleic to be readily determined.
- Hybridize is understood by those skilled in the art to mean to disassociate the hybridized primer (or extended strand thereof) from the target nucleic acid without destroying the target nucleic acid and thus permitting further hybridization of a second primer to the target nucleic acid.
- Hybridization as used herein in one embodiment means stringent hybridization, for examples as described in Sambrook, J., Russell, D. W., (2000) Molecular Cloning: A Laboratory Manual: Third Edition.
- Type of dNTP or ddNTP is used to distinguish dNTP or ddNTPs comprising different bases.
- 3′-O-Allyl-dNTPs and 3′-O-photocleaveble linker(PC)-dNTPs have offered concrete evidence for their implementation in sequencing by synthesis (SBS), a new set of nucleotide analogs, modified with the small azido group (N 3 ), is investigated to seek potential improvement over the current system.
- SBS sequencing by synthesis
- N 3 small azido group
- an azido group can be effectively converted into an amine with phosphine in DNA-friendly aqueous solution (35).
- This efficient reduction is further enhanced through the utilization of Tris(2-Carboxyethyl) phosphine (TCEP), an odorless and stable agent often used to digest peptide disulfide bonds ( FIG. 1 ).
- TCEP Tris(2-Carboxyethyl) phosphine
- nucleotide Similar to allyl and nitrobenzyl alterations previously reported, two positions of the nucleotide need to be modified with the azido moiety to afford a set of 3′-O-Azido-dNTPs-Azido-Dye.
- the small azido methyl group (—CH 2 —N 3 ) is used to cap the 3′ position of the sugar base while a novel azido linker connects unique fluorophores to the 5′ position of C/U and the 7′ position of A/G (see novel structures in FIG. 2 ).
- TCEP reagent
- Staudinger TCEP reduces the azido-methyl capping group to methylamine at the 3′ sugar base. Since the carbon of the methylamine is highly unstable due to its position between two electron-withdrawing elements (oxygen and nitrogen), the methylamine is hydrolyzed in the presence of water that recovers the hydroxyl group at the 3′ position. For the azido linker, the same Straudinger reduction takes place. However immediately after the attachment of TCEP to azido, the intermediate attacks the ester bond to afford total cleavage of the fluorophore ( FIG. 3 ).
- an alternative approach is to attach the fluorophore via a PC (nitrobenzyl) linker while conserving the 3′ capping with the azido methyl group (3′-O-Azido-dNTPs-PC-Dye, FIG. 4 ) and cleaving the azido again using TCEP.
- extension and detection steps for this set of nucleotides are analogous to those for 3′-O-Azido-dNTPs-Azido-Dye.
- An additional photolysis procedure is involved during the deprotection step. This dual cleavage process might offer different advantages for removing the fluorophore than the Staudinger reduction.
- nucleotides modified as reversible terminators by capping the 3′-OH with a small reversible moiety so that they are still recognized as substrates by DNA polymerase, are used in combination with a small percentage of four cleavable fluorescent dideoxynucleotides to perform SBS.
- DNA sequences are determined by the unique fluorescence emission of each fluorophore on the DNA products terminated by ddNTPs.
- the polymerase reaction reinitiates to continue the sequence determination ( FIG. 5 ).
- primer resetting The fundamental rationale behind primer resetting is to regenerate the original primer site or to insert two or more primer sites of known sequences into the target DNA so SBS can be carried out at each site sequentially.
- three steps are involved with this approach: 1) annealing of the first primer, 2) performing SBS, 3) denaturing the sequenced section of the template to recover a single-stranded DNA for the second primer annealing. These steps are carried out repeatedly until the target DNA is sequenced in its entirety.
- the advantage of primer resetting lies in its ability to restore all the templates after the denaturation step, including those that are terminated with ddNTPs, so the next cycle of SBS can restart with potentially the same amount of sequenceable DNA as the previous round.
- the DNA sequence is reset by reattaching the original primer, extending the chain with natural or minimally modified nucleotides to the end of the first round sequence, and then sequencing from that point.
- the second strategy relies on annealing of a second round primer that is longer than the first, containing at its 5′ end the same sequence as the original primer, followed by a run of 20 universal nucleotides such as inosine, from which the second round of sequencing can be primed.
- the two chemically cleavable fluorescent nucleotide analogs were used in an SBS reaction to identify the sequence of a self-primed DNA template (130 base pairs) immobilized on a solid surface.
- a reaction mixture of 3′-O-Azido-dCTP-Azido-BodipyFL, 3′-O-Azido-dUTP-Azido-R6G, 3′-O-Azido-dATP, and 3′-O-Azido-dGTP were prepared for the incorporation.
- a synchronization step was performed with the full set of 3′-O-Azido-dNTPs after incorporation to extend any remaining priming strand.
- sequencing by synthesis of DNA templates attached on solid surface will be carried out.
- the goal will be the achievement of maximum base read length of each template with high consistency.
- 3′-O-azidomethyl-modified NRTs (3′-O—N 3 -dNTPs) ( FIG. 6 ) were synthesized and evaluated for the hybrid SBS.
- the 3′-O-azidomethyl group on the DNA extension product generated by incorporating each of the NRTs was efficiently removed by the Staudinger reaction by using aqueous Tris(2-carboxyethyl) phosphine (TCEP) solution (36,37) followed by hydrolysis to yield a free 3′-OH group for elongating the DNA chain in subsequent cycles of the hybrid SBS ( FIG. 13A ).
- TCEP Tris(2-carboxyethyl) phosphine
- ddNTP-N 3 -fluorophores four cleavable fluorescent dideoxynucleotides ddNTP-N 3 -fluorophores (ddCTP-N 3 -Bodipy-FL-510, ddUTP-N 3 -R6G, ddATP-N 3 -ROX, and ddGTP-N 3 -Cy5) were synthesized ( FIGS. 14-22 ). The ddNTP-N 3 -fluorophores would be combined with the 4 NRTs ( FIG. 6 ) to perform the hybrid SBS.
- Modified DNA polymerases have been shown to be highly tolerant to nucleotide modifications with bulky groups at the 5 position of pyrimidines (C and U) and the 7 position of purines (A and G) (27).
- C and U pyrimidines
- a and G purines
- a unique fluorophore was attached to the 5 position of C/U and the 7 position of A/G through a cleavable linker, which is also based on an azido-modified moiety (37) as a trigger for cleavage, a mechanism that is similar to the removal of the 5′-O-azidomethyl group ( FIG. 13B ).
- the ddNTP-N 3 -fluorophores are found to efficiently incorporate into the growing DNA strand to terminate DNA synthesis for sequence determination.
- the fluorophore on a DNA extension product which is generated by incorporation of the cleavable fluorescent ddNTPs, is removed rapidly and quantitatively by TCEP from the DNA extension
- the MALDI-TOF MS spectrum consist of a distinct peak corresponding to the DNA extension product 5′-primer-C—N 3 3′ (m/z 8,310), which confirms that the NRT can be incorporated base-specifically by DNA polymerase into a growing DNA strand.
- FIG. 19(B) shows the cleavage result on the DNA extension product. The extended DNA mass peak at m/z 8,310 completely disappeared, whereas the peak corresponding to the cleavage product 5′-primer-C-3′ appears as the sole dominant peak at m/z 8,255, which establishes that TCEP incubation completely cleaves the 3′-O-azidomethyl group with high efficiency.
- the next extension reaction was carried out by using this cleaved product, which now has a free 3′-OH group, as a primer to yield a second extension product, 5′-primer-CGN 3 -3′ (m/z 8,639; FIG. 19C ).
- the extension product was cleaved to generate product for further MS analysis yielding a single peak at m/z 8,584 ( FIG. 19(D) ).
- FIGS. 20 A, C, E, and G Single clear mass peaks at 9,180, 8,915, 9,317, and 9,082 (m/z) corresponding to each primer extension product with no leftover starting materials were produced by using ddNTP-N 3 -fluorophores.
- FIGS. 20 A, C, E, and G Brief incubation of the DNA extension products in an aqueous TCEP solution led to the cleavage of the linker tethering the fluorophore to the dideoxynucleotide.
- FIGS. 20 B, D, F, and H shows the cleavage results for the DNA products extended with ddNTP-N 3 -fluorophores.
- the identity of the incorporated nucleotide is determined by the unique fluorescent emission from the four fluorescent dideoxynucleotide terminators, while the role of the 3′-O-modified NRTs is to further extend the DNA strand to continue the determination of the DNA sequence. Therefore, the ratio between the amount of ddNTP-N 3 -fluorophores and 3′-O—N 3 -dNTPs during the polymerase reaction determines how much of the ddNTP-N 3 -fluorophores incorporate and thus the corresponding fluorescent emission strength.
- De novo sequencing reaction on the chip was initiated by extending the self-priming DNA by using a solution consisting of four 3′-O—N 3 -dNTPs and four ddNTP-N 3 -fluorophores, and 9°N DNA polymerase.
- the hybrid SBS allows for the addition of all eight, nucleotide substrates simultaneously to unambiguously determine DNA sequences. This reduces the number of steps needed to complete the sequencing cycle, while increasing the sequencing accuracy because of competition among the substrates in the polymerase reaction.
- the DNA products extended by ddNTP-N 3 -fluorophores, after fluorescence detection for sequence determination and cleavage, are no longer involved in the subsequent polymerase reaction cycles because they are permanently terminated.
- a synchronization step was added to reduce the amount of unextended priming strands after the initial extension reaction shown in the scheme of FIG. 21A .
- a synchronization reaction mixture consisting of just the four 3′-O—N 3 -dNTPs in relatively high concentration was used along with the 9°N DNA polymerase to extend, any remaining priming strands that retain a free 3′-OH group to synchronize the incorporation.
- FIG. 21B The four-color images from a fluorescence scanner for each step of the hybrid SBS on a chip is shown in FIG. 21B .
- the surface was immersed in a TCEP solution to cleave both the fluorophore from the DNA product extended with ddNTP-N 3 -fluorophores and the 3′-O-azidomethyl group from the DNA product extended with 3′-O—N 3 -dNTPs.
- walking The fundamental rationale behind this template “walking” strategy is the removal of the sequenced strand and reattaching of the original primer to allow the extension, or walking, of the template with a combination of natural and modified nucleotides to the end of the first round sequence so that SBS can be carried out from that point. Since the original sequenced strand is stripped away, including those terminated with ddNTPs, all the templates become available for “walking”. Given that “walking” is carried out with either natural or 3′-modified nucleotides, the subsequent round of SBS is performed on nascent DNA strands for maximum read length.
- the advantage of template “walking” is its ability to restore all the templates after the denature step, includes those that are terminated with ddNTPs, so the next cycle of SBS can restart with potentially the same amount of nascent DNA as the previous round.
- the “walking” methodology is applicable to both hybrid SBS and SBS with C—F-NRTs, and has the potential to dramatically increase the read lengths of these SBS technologies ( FIG. 23 ).
- DNA sequencing by synthesis offers a paradigm to efficiently decipher multiple DNA sequences in parallel.
- Hybrid SBS is a hybrid DNA sequencing method between the Sanger dideoxy chain terminating reaction and SBS.
- four nucleotides FIG. 24
- four nucleotides FIG. 24
- FIG. 25 a small percentage of four cleavable fluorescent dideoxynucleotides
- Sequences are determined by the unique fluorescence emission of each fluorophore on the DNA products terminated by ddNTPs, while the role of the 3′-O-modified dNTPs is to further extend the DNA strand to continue the determination of the DNA sequence.
- the polymerase reaction Upon removing the 3′-OH capping group from the DNA products generated by incorporating the 3′-O-modified dNTPs and the fluorophore from the DNA products terminated with the ddNTPs, the polymerase reaction reinitiates to continue the sequence determination ( FIG. 26 ).
- the second stage of SBS is conducted using mixture of nucleotide reversible terminators and fluorescently labeled dideoxynucleotides as incorporation substrates same as described above. Another cluster of bases on the template can be continuously revealed, leading to the doubling of the original read length.
- the SBS-walking-SBS process is repeated to generate maximum read length.
- 3′-O-azidomethyl-modified NRTs (3′-O—N 3 -dNTPs) were synthesized and evaluated ( FIG. 32 ) for use in the hybrid SBS approach.
- the 3′-O-modified NRTs containing an azidomethyl group to cap the 3′-OH on the sugar ring were synthesized based on similar method to that reported by Zavgorodny et al.
- the 3′-O-azidomethyl group on the DNA extension product generated by incorporating each of the NRTs is efficiently removed by the Staudinger reaction using aqueous Tris(2-carboxy-ethyl) phosphine (TCEP) solution followed by hydrolysis to yield a free 3′-OH group for elongating the DNA chain in subsequent cycles of the hybrid SBS ( FIG. 34A ).
- TCEP Tris(2-carboxy-ethyl) phosphine
- ddNTP-N 3 -Fluorophores ddCTP-N 3 -Bodipy-FL-510, ddUTP-N 3 -R6G, ddATP-N 3 -ROX and ddGTP-N 3 -Cy5 ( FIG. 33 ).
- the ddNTP-N 3 -Fluorophore were used in combination with the four NRTs ( FIG. 32 ) to perform the hybrid SBS.
- Modified DNA polymerases have been shown to be highly tolerant to nucleotide modifications with bulky groups at the 5-position of pyrimidines (C and U) and the 7-position of purines (A and G). Thus, a each unique fluorophore was attached to the 5 position of C/U and the 7 position of A/G through a cleavable linker.
- the cleavable linker is also based on an azido modified moiety as a trigger for cleavage, a mechanism that is similar to the removal of the 3′-O-azidomethyl group ( FIG. 34B ).
- Hybrid SBS was performed on a chip-immobilized DNA template using the 3′-O—N 3 -dNTP/ddNTP-N 3 -fluorophore combination and the results are shown in FIG. 35 .
- the general four-color sequencing reaction scheme on a chip is shown in FIG. 35A .
- the de novo sequencing reaction on the chip was initiated by extending the self-priming DNA using a solution containing the combination of the four 3′-O—N 3 -dNTPs and the four ddNTP-N 3 -fluorophores, and 9°N DNA polymerase.
- the four-color images from a fluorescence scanner for each step of the hybrid SBS on a chip is shown in FIG. 35B .
- the entire process of incorporation, synchronization, detection and cleavage was performed multiple times to identify 32 successive bases in the DNA template.
- the plot of the fluorescence intensity vs. the progress of sequencing extension (raw 4-color sequencing data) is shown in FIG. 35C .
- the DNA sequences were unambiguously identified with no errors from the 4-color raw fluorescence data without any processing.
- the same self-priming DNA was immobilized on surface as template.
- the primer was reset for the second round SBS by elongating the original primer over the sequenced region via enzymatic incorporations.
- 9°N DNA polymerase incorporates 3′ unblocked nucleotides more efficiently, leading to certain percentage of primers not fully extended by 3′-O—N 3 -dGTP. To minimize this effect, a synchronization step was added to reduce the amount of out-of-phase primers after the initial extension reaction.
- a synchronization reaction mixture consisting of just 3′-O—N 3 -dGTP in relative high concentration was used along with the 9°N DNA polymerase.
- the 3′-O-azidomethyl group on the DNA extension product generated by incorporating 3′-O—N 3 -dGTP was efficiently removed by using aqueous Tris(2-carboxy-ethyl) phosphine (TCEP) solution to yield a free 3′-OH group for elongating the DNA chain in subsequent cycles of enzymatic incorporation.
- TCEP Tris(2-carboxy-ethyl) phosphine
- the second stage of SBS was conducted using mixture of nucleotide reversible terminators and fluorescently labeled dideoxynucleotides as incorporation substrates same as described above. Another 13 bases were successfully identified after template “walking” ( FIG. 14 ).
- DNA sequencing by synthesis offers a paradigm to efficiently decipher multiple DNA sequences in parallel.
- SBS DNA sequencing by synthesis
- C—F-NRTs modified cleavable fluorescent nucleotide reversible terminators
- C-NRTs 3′-O—R 1 -dNTPs-R 2 -fluorophore
- a set of four C—F-NRTs is produced via dual modifications by capping the 3′-OH group with a small chemical moiety and tethering a fluorophore through a cleavable linker to either the 7-position of the purines (A, G) or the 5-position of the pyrimidines (C, T) so that they are still recognized as substrates by DNA polymerase.
- Another set of four C-NRTs is modified similarly as the C—F-NRTs except no fluorophore is attached, which results in a reduction of the size of C-NRTs and the increment of DNA polymerase incorporation efficiency.
- an extension mixture composed of the C-NRTs with a small percentage of the C—F-NRTs is used to perform SBS. Sequences are determined by the unique fluorescence emission of each fluorophore on the DNA products terminated by the C—F-NRTs. Immediately following the detection step, a synchronization reaction is performed using only the C-NRTs to extend the un-extended DNA strands. A dideoxynucleotides (ddNTPs) capping step is carried out afterwards to completely rid of the remaining un-extended DNA.
- ddNTPs dideoxynucleotides
- the polymerase reaction Upon removing the 3′-OH capping group from the DNA products generated by incorporating both C—F-NRTs and C-NRTs and the fluorophore from the C—F-NRTs, the polymerase reaction reinitiates to continue the sequence determination.
- the following scheme ( FIG. 37 ) illustrates the general process for SBS with C—F-NRTs.
- the azidomethyl capping moiety on the 3′-OH and the fluorophore attached to the DNA extension product via the azido-based cleavable linker are efficiently removed using tris(2-carboxyethyl)phosphine (TCEP) in aqueous solution compatible with DNA.
- TCEP tris(2-carboxyethyl)phosphine
- DNA templates are denatured by heat or mild alkali conditions to rid of the extended primer.
- the same original primer is re-hybridized to the template chain, and one of the five “walking” methods described in the previous section can be applied to reset the start point for the next round of SBS at the end of the first sequencing run ( FIGS. 40 , 41 , 42 , 43 , and 44 ).
- the primer is extended to the end of the previous round of SBS.
- hybrid SBS is carried out to identify the subsequent bases. If the process can be repeated more times, it should be theoretically possible to achieve long and significant read length.
- the reset is achieved not with nucleotide walking, but with the use of a longer primer partially consisting of universal nucleotides for the second round. Attachment of the template DNA to the surface and the first few steps of the procedure are identical to the first method. However, after stripping the first extended primer for the initial 20 base readout, a long primer with the following features will be hybridized to the template: (a) the first half is identical to the initial primer; (b) the second half is composed almost entirely of universal bases.
- the universal base is inosine, which, in its deoxynucleoside form, can base pair with all four nucleotides, though its affinity for C and A is significantly higher than for G and T; a second possibility is 5-nitroindole; (c) the last one or two anchoring bases of the long primers are degenerate with each of the four possible bases being represented. Because the universal bases can form hydrogen bonds with any of the other four bases with some efficiency, they have the capacity to bind to the first 20 or so bases of the sequence. However, the melting temperature of the ensuing hybridization is reduced substantially by the run of inosines, a few of the bases in the first half and the two 3′-anchoring bases can be substituted with locked nucleotides.
- Locked nucleic acids have a chemical bond between the 2′ and 4′ carbons of the ribose. While slower to associate with their complementary base, once hybridized, they tend not to dissociate. Thus, they provide a nice solution to ensure that the long primer remains attached appropriately to the template. In addition, the percentage of locked nucleosides in the primer can be manipulated to achieve higher hybridization strength. After hybridization of the above long primer, a second round of either Hybrid SBS or SBS with C—F—NRTs can be performed ( FIG. 45 ).
- an alternative approach to Strategy 2 is the use of a detachable loop primer, possibly with a labile sugar and glycosylase treatment.
- the loop is removed by enzymatic cleavage and denaturation, and then a new identical loop is attached.
- the new loop primer can be composed of an initial portion identical to the first loop primer, a “loop out” region that bypasses the first set of sequenced nucleotides, and a degenerate anchoring nucleotide to initiate the second round of sequencing.
- one or two additional primer annealing sites are introduced into the DNA to be sequenced at a distance just about equal to the number of bases that can be sequenced from the first primer.
- template preparation for SBS will utilize the cloning of genomic DNA into a specially designed vector containing type IIS or III restriction sites (MmeI and EcoP15 I) flanking the genomic DNA cloning site.
- size fractionated DNA minimum length 100 bp
- the resulting recombinant plasmids will be re-cut at one of the type IIS/III sites and the sticky ends will be filled in with Klenow enzyme.
- specific sequencing primers will be introduced via ligation inside the genomic DNA inserts, 22 bases distant from the first primer in the case of MmeI or 27 bases away in the case of EcoP15 I.
- the constructs After insertion of the internal priming sites, the constructs will be re-cloned in E. coli , the recombinant plasmids isolated and the inserts re-amplified by PCR at vector-insert junctions and attached to the beads for sequencing.
- emulsion or polony PCR strategies can be used to accomplish attachment of single molecules to individual beads or slide locations and their subsequent amplification at a much lower cost than cloning.
- the first round of Hybrid SBS or SBS with C—F-NRTs will be primed from the flanking primer, then after stripping these extended primers, the second set of sequencing reactions will be initiated at the internal primer. It should be noted that with this scheme, the two sequenced portions come from opposite ends of the initial DNA, and are in essence paired end reads.
- the extra cycles would enable some of the sequence reads to run into the next primer, which would help to confirm the direction (e.g., the last sequence might end with the MmeI or EcoP15I site.
- Other tricks would include modifying the ends of the primers to allow looping and reverse direction sequencing, incorporation of one or two decoding bases in the internal primers to confirm directions, and deconvoluting the results after all the data is generated.
- the four NRTs (3′-O—N 3 -dATP, 3′-O—N 3 -dCTP, 3′-O—N 3 -dGTP and 3′-O—N 3 -dTTP) have been characterized, by performing four continuous DNA-extension reactions sequentially using a self-priming DNA template (5′-ATCGGCGCCGCGCCTTGGCGCGGCGC-3′ (SEQ ID No:1).
- the four nucleotides in the template immediately adjacent to the annealing site of the primer are 3′-GCTA-5′, which allows the evaluation of the incorporation and cleavage efficiency of the 4 NRTs.
- a polymerase extension reaction using a pool of all four NRTs along with the self-priming DNA template was performed producing a single base extension product.
- the reaction mixture for this, and all subsequent extension reactions consisted of 80 pmol of self-priming DNA template, 160 pmol of 3′-O—N 3 -dNTPs, 1 ⁇ Thermopol II reaction buffer (New England Biolabs), 40 nmol of MnCl 2 and 1 unit of 9°N DNA polymerase (exo-) A485L/Y409V (New England Biolabs) in a total reaction volume of 20 ⁇ l.
- the reaction consisted of incubation at 94° C. for 5 min, 4° C. for 5 min, and 65° C. for 20 min.
- extension product was desalted by using a ZipTip and analyzed by Voyager DE MALDI-TOF mass spectrometry (Applied Biosystems).
- the desalted DNA extension product bearing the 3′-O-azidomethyl group was first resuspended with 5 ⁇ l of 50 mM EDTA solution to quench the polymerase activity.
- This DNA solution was then mixed with 10 ⁇ l of 225 mM TCEP solution (pH 9.0) and incubated at 65° C. for 15 min to yield a cleaved DNA product which was characterized by MALDI-TOF MS.
- the DNA product with the 3′-O-azidomethyl group removed to generate a free 3′-OH group was purified by using an Oligonucleotide Purification Cartridge (Applied Biosystems) and used as a primer for a second extension reaction using 3′-O—N 3 -dNTPs.
- the second extended DNA product was then purified by ZipTip and cleaved as described above.
- the third and the fourth extensions were carried out in a similar manner by using the previously extended and cleaved product as the primer.
- ddNTP-N3-fluorophores ddCTP-N3-Bodipy-FL-510, ddUTP-N3-R6G, ddATP-N3-ROX, and ddGTP-N3-Cy5
- ddNTP-N3-fluorophores ddCTP-N3-Bodipy-FL-510, ddUTP-N3-R6G, ddATP-N3-ROX, and ddGTP-N3-Cy5
- Each of the extension reactions consisted of all four ddNTP-N 3 -fluorophores (e.g., 120 pmol each of ddCTP-N 3 -Bodipy-FL-510, ddUTP-N 3 -R6G, ddATP-N 3 -ROX, and ddGTP-N 3 -Cy5) along with 60 pmol of the self-priming DNA template, 1 ⁇ Thermopol II reaction buffer, 40 nmol of MnCl 2 and 1 unit of 9°N DNA polymerase (exo-) A485L/Y4Q9V in a total reaction volume of 20 ⁇ l.
- the reaction consisted of incubations at 94° C. for 5 min, 4° C.
- the extension product was purified by reverse-phase HPLC using established procedures (40). The fraction containing the desired product was collected and freeze-dried for analysis by MALDI-TOF MS and cleavage.
- the purified DNA product was resuspended in 50 ml of 100 mM TCEP solution (pH 9.0) at 65° C. for 15 min and then analyzed by MALDI-TOF MS.
- the nucleotide complementary to the DNA template was allowed to incorporate into the primer at 62° C. for 15 min.
- an extension solution consisting of 38 pmol each of 3′-O—N 3 -dTTP, 3′-O—N 3 -dATP, 3′-O—N 3 -dGTP and 75 pmol of 3′-O—N 3 -dCTP, 1 unit of 9°N mutant DNA polymerase(exo-) A485L/Y409V, 20 nmol of MnCl 2 and 1 ⁇ Thermopol II reaction buffer was added to the same spot and incubated at 62° C. for 15 min.
- the chip After washing with SPSC buffer containing 0.1% Tween 20 for 1 min, the chip was rinsed with dH 2 O, and then scanned with a 4-color fluorescence ScanArray Express scanner (Perkin-Elmer Life Sciences) to detect the fluorescence signal. To perform the cleavage, the DNA chip was placed inside a chamber filled with 100 mM TCEP (pH 9.0) and incubated at 65° C. for 10 min. After washing the surface with dH 2 O, the chip was scanned again to measure the background fluorescence signal.
- TCEP pH 9.0
- the 5′-amino-labeled self-priming DNA template 5′-NH 2 -CAC-TCA-CAT-ATG-TTT-TTT-AGC-TTT-TTT-AAT-TTC-TTA-ATG-ATG-TTG-TTG-CAT-GCG-ACT-TAA-GGC-GCT-TGC-GCC-TTA-AGT-CG-3′ (SEQ ID No:6) was purchased from IDT (Coralville, Iowa).
- the DNA template was dissolved at 40 ⁇ M in 50 mM sodium phosphate buffer, pH 8.5 and spotted using SpotArray 72 arraying robot (Perkin Elmer) onto high density CodeLink microarray slides (GE Healthcare).
- the slides were incubated at ambient temperature ( ⁇ 24° C.) for 20 hours in a humid chamber containing saturated sodium chloride solution ( ⁇ 75% humidity) to allow for 5′-tethering of the spotted amino-modified DNA templates to the slide surface functionalized with succinimide ester groups.
- the slides were removed from the humid chamber and stored in vacuum desiccator at room temperature until further use.
- the principal advantage of the hairpin structure introduced into the 3′-portion of the self-priming DNA template is its higher stability and the increased priming efficiency for DNA polymerases as compared to a separate primer/template complex, which is prone to spontaneous dissociation.
- the SBS cycle was repeated multiple times using the combination mixture of solution A consisting of 3′-O—N 3 -dCTP (3 ⁇ M), 3′- ⁇ -N 3 -dTTP (3 ⁇ M), 3′-O—N 3 -dATP (3 ⁇ M) and 3′-O—N 3 -dGTP (0.5 ⁇ M) and solution B consisting of ddCTP-N 3 -Bodipy-FL-510 (50 nM), ddUTP-N 3 -R6G (100 nM), ddATP-N 3 -ROX (200 nM) and ddGTP-N 3 -Cy5 (100 nM) in each polymerase extension reaction.
- solution A and B in each SBS cycle were used to achieve relatively even fluorescence signals.
- 3′-O-modified cleavable reversible terminator nucleotides (3′-O—N 3 -dNTPs) along with four fluorescent ddNTPs have been synthesized and characterized, and used them to produce 4-color de novo DNA sequencing data on a chip by Sanger/SBS hybrid sequencing approach that has the following advantages.
- 3′-O—N 3 -dNTPs After cleavage of the 3′OH capping group of the DNA extension product, there are no traces of modification left on the growing DNA strand. Therefore, there are no adverse effects on the DNA polymerase for incorporation of the next complementary nucleotide.
- the cleavable fluorescent ddNTPs and 3′-O—N 3 -dNTPs permanent and reversible terminators, respectively, which allow the interrogation of each base in a serial manner, a key procedure enabling accurate determination of homopolymeric regions of DNA.
- all of the steps of the nucleotide incorporation, fluorescence detection for sequence determination, cleavage of the fluorophore, and the 3′-O-azidomethyl group are performed on a DNA chip, there is no longer a need for electrophoretic DNA fragment separation as in the classical Sanger sequencing method.
- the identity of the incorporated nucleotide is determined by the unique fluorescence emission from the four fluorescent dideoxynucleotides, whereas the role of the 3′-O-modified NRTs is to further extend the DNA strand. Therefore, the ratio of the ddNTP-N 3 -fluorophores and 3′-O—N 3 -dNTPs during the polymerase reaction determines how much of the ddNTP-N 3 -fluorophores incorporate and, thus, the corresponding fluorescence emission strength.
- the majority of the priming strands should be extended with 3′-O—N 3 -dNTPs, whereas a relatively smaller amount should be extended with ddNTP-N 3 -fluorophores to produce sufficient fluorescent signals that are above the fluorescence detection system's sensitivity threshold for sequence determination.
- the amount of the ddNTP-N 3 -fluorophores needs to be gradually increased to maintain the fluorescence emission strength for detection.
- the signal strength at base 32 is as strong as that of the first base ( FIG. 21C ), indicating it should be possible to increase the read length of the hybrid SBS further by optimizing the extension conditions to reduce the background fluorescence in the later sequencing cycles.
- the ultimate read length of this hybrid SBS system depends on three factors: the number of starting DNA molecules on each spot of a DNA chip, the reaction efficiency, and the detection sensitivity of the system.
- the read length with the Sanger sequencing method commonly reaches >700 bp.
- the hybrid SBS approach described here may have the potential to reach this read length, especially with improvements in the sensitivity of the fluorescent detection system, where single molecules can be reliably detected.
Landscapes
- Chemical & Material Sciences (AREA)
- Organic Chemistry (AREA)
- Life Sciences & Earth Sciences (AREA)
- Health & Medical Sciences (AREA)
- Engineering & Computer Science (AREA)
- Molecular Biology (AREA)
- Biochemistry (AREA)
- Biotechnology (AREA)
- General Health & Medical Sciences (AREA)
- Genetics & Genomics (AREA)
- Proteomics, Peptides & Aminoacids (AREA)
- Wood Science & Technology (AREA)
- Zoology (AREA)
- Immunology (AREA)
- Microbiology (AREA)
- Bioinformatics & Cheminformatics (AREA)
- General Engineering & Computer Science (AREA)
- Physics & Mathematics (AREA)
- Analytical Chemistry (AREA)
- Biophysics (AREA)
- Measuring Or Testing Involving Enzymes Or Micro-Organisms (AREA)
- Chemical Kinetics & Catalysis (AREA)
- Saccharide Compounds (AREA)
Abstract
Description
- The invention disclosed herein was made with government support NIH grant P50-HG00358205. Accordingly, the U.S. Government has certain rights in this invention.
- Throughout this application, various publications are referenced in parentheses by number. Full citations for these references may be found at the end of the specification immediately preceding the claims. The disclosures of these publications in their entireties are hereby incorporated by reference into this application to more fully describe the state of the art to which this invention pertains.
- The completion of the Human Genome Project (HGP) in early 2000 (1) was a monumental achievement with incredible amount of combined efforts among genome centers and scientists worldwide. The engine behind this decade long project was the Sanger sequencing method, which still currently maintains as the staple of large-scale genome sequencing methodology in high-throughput genome sequencing centers. The main reason behind this prolonged success was in the basic and efficient, yet elegant method that is Sanger dideoxy chain terminating reaction (2). With incremental improvements in this DNA sequencing technology including the use of laser induced fluorescent excitation of energy transfer dyes (3), engineered DNA polymerases (4) and capillary electrophoresis (5) as well as in the areas of sample preparation, informatics, and sequence analysis software (6-9), the Sanger sequencing platform has been able to maintain its status as champion in the sequencing world. Current state-of-the-art Sanger based DNA sequencers can produce over 700 bases of clearly readable sequence in a single run from templates up to 30 kb in length (10-12). However, as is with most of technological inventions, the continual improvements in this sequencing platform has come to a stagnant plateau, with the current cost estimate for producing a high-quality microbial genome draft sequence at around $10,000 per megabase pair. Current DNA sequencers based on the Sanger method allow up to 384 samples to be analyzed in parallel.
- While fluorescent-based SBS methods have almost unlimited ability for parallelization, restricted only by the resolution of the imaging system, to date they have been limited to read lengths of about 35 bases. The successful implementation of sequencing by synthesis (SBS) is effectively dependent on the read length of the target DNA template. One of the major factors that determines the read length when performing SBS is the number of available templates. Our laboratory has recently developed two powerful approaches for SBS: 1) Hybrid SBS with nucleotide reversible terminator (NRTs, 3′-O—R1-dNTPs) in combination with fluorescently labeled dideoxynucleotide (ddNTPs-R2-fluorophore), and 2) SBS with cleavable fluorescent nucleotide reversible terminator (C—F-NRTs, 3′-O—R1-dNTPs-R2-fluorophore). (“Four-color DNA Sequencing with 3′-O-modified Nucleotide Reversible Terminators and Chemically Cleavable Fluorescent Dideoxynucleotides”. J. Guo, N. Xu, Z. Li, S. Zhang, J. Wu, D. Kim, M. S. Marma, Q. Meng, H. Cao, X. Li, S. Shi, L. Yu, S. Kalachikov, J. Russo, N. J. Turro, J. Ju. Proceedings of the National Academy of Sciences USA. 2008, 105, 9145-9150) (“Four-Color DNA Sequencing by Synthesis Using Cleavable Fluorescent Nucleotide Reversible Terminators”. J. Ju, D. Kim, L. Bi, Q. Meng, X. Bai, Z. Li, X. Li, M. S. Marma, S. Shi, J. Wu, J. R. Edwards, A. Romu, N. J. Turro. Proceedings of the National Academy of Sciences USA. 2006, 103, 19635-19640). Since the incorporation of ddNTPs-R2-fluorophore into a strand of DNA permanently terminates further extensions of that template in the first approach and the incorporation and cleavage of C—F-NRTs leaves a tail of the modified nucleotide that causes possible steric hindrance to lower the incorporation efficiency of the subsequent base in the second approach, the total number of sequenceble templates decreases after each cycle of SBS reaction. Various means can be employed to minimize this rate of template reduction. Among those, a powerful method termed template “walking” can potentially diminish the negative effect of template termination or reduction and extend the read length of SBS at least two to three-fold.
- A composition is provided having a first, second and third portion wherein the second portion has the following structure:
- wherein α represents a point of attachment to the first portion and β represents a point of attachment to the third portion.
- A method is provided for determining the identity of each of a series of consecutive nucleotide residues in a nucleic acid comprising:
-
- a) contacting the nucleic acid with (i) at least four different deoxynucleotide triphosphate (dNTP) analogues, each having the structure:
-
- wherein F is a fluorophore, b is a base which is adenine, guanine, cytosine, uracil or thymine, wherein the fluorophore attached through a linker to each type of base differs in its emission or excitation spectra from a fluorophore attached to each of the remaining types of bases, and each of the four dNTP analogues differs from the remaining three dNTP analogues by having a different base, and wherein L is a cleavable linker molecule comprising the structure:
-
- wherein α represents a point of attachment to the base and β represents a point of attachment to the fluorophore, and wherein R is a cleavable chemical group, (ii) a nucleic acid polymerase and (iii) a nucleic acid primer which hybridizes with the nucleic acid,
- under conditions permitting one of the four dNTP analogues that is complementary to the consecutive nucleotide residue to be identified to form a phosphodiester bond with the 3′ end of the nucleic acid primer and thereby extend the primer;
- b) identifying the fluorophore of the dNTP analogue which has formed the phosphodiester bond, thereby identifying the consecutive nucleotide;
- c) contacting the dNTP analogue which has formed the phosphodiester bond with tris(2-carboxyethyl)phosphine so as to thereby (1) cleave the fluorophore and (2) cleave the cleavable chemical group from the dNTP;
- d) iteratively repeating steps a) through c) for each of the consecutive nucleotide residues to be identified until the final consecutive nucleotide residue is to be identified;
- e) repeating steps a) and b) to identify the final consecutive nucleotide residue,
- thereby determining the identity of each of the series of consecutive nucleotide residues in the nucleic acid.
- A method is provided for determining the identity of each of a series of consecutive nucleotide residues in a self-priming nucleic acid comprising:
-
- a) contacting the self-priming nucleic acid with (i) at least four different deoxynucleotide triphosphate (dNTP) analogues, each having the structure:
-
- wherein F is a fluorophore, b is a base which is adenine, guanine, cytosine, uracil or thymine, wherein the fluorophore attached through a linker to each type of base differs in its emission or excitation spectra from a fluorophore attached to each of the remaining types of bases, and each of the four dNTP analogues differs from the remaining three dNTP analogues by having a different base, and wherein L is a cleavable linker molecule comprising the structure:
-
- wherein α represents a point of attachment to the base and β represents a point of attachment to the fluorophore, and wherein R is a cleavable chemical group, and (ii) a nucleic acid polymerase,
- under conditions permitting (a) the self-priming nucleic acid to prime itself and (b) one of the four dNTP analogues that is complementary to the consecutive nucleotide residue to be identified to form a phosphodiester bond with the 3′ end of the self-priming nucleic acid primer and thereby extend the self-priming nucleic acid;
- b) identifying the fluorophore of the dNTP analogue which has formed the phosphodiester bond, thereby identifying the consecutive nucleotide;
- c) contacting the dNTP analogue which has formed the phosphodiester bond with tris(2-carboxyethyl)phosphine so as to thereby (1) cleave the fluorophore and (2) cleave the cleavable chemical group from the dNTP;
- d) iteratively repeating steps a) through c) for each of the consecutive nucleotide residues to be identified until the final consecutive nucleotide residue is to be identified;
- e) repeating steps a) and b) to identify the final consecutive nucleotide residue,
- thereby determining the identity of each of the series of consecutive nucleotide residues in the self-priming nucleic acid.
- A kit is provided for use in sequencing a nucleic acid comprising:
-
- a) a plurality of four nucleotide analogues having the structure:
-
- b) instructions for use.
- An array is provided comprising a nucleic acid attached to a solid surface, wherein the nucleic acid comprises an azidomethyl group attached to a 3′ atom thereof and a molecule having the structure:
- wherein α represents a point of attachment to a 3′ base of the nucleic acid and β represents a point of attachment to a detectable marker.
- An array is provided comprising a self-priming nucleic acid attached to a solid surface, wherein the nucleic acid comprises an azidomethyl group attached to a 3′ atom thereof and a molecule having the structure:
- wherein α represents a point of attachment to a 3′ base of the nucleic acid and β represents a point of attachment to a detectable marker.
- A method is provided for increasing a read length of DNA sequencing by synthesis comprising (a) providing deoxynucleotide triphosphate analogues wherein the deoxynucleotide triphosphate analogues differ from deoxynucleotide triphosphates by having a methylazido group attached to a 3′ atom thereof and by having a detectable marker attached to a 1 nitrogen or a 9 nitrogen of a base thereof through a linker comprising the structure
-
- wherein α represents a point of attachment to a the base and β represents a point of attachment to the detectable marker, (b) incorporating a plurality of the deoxynucleotide triphosphate analogues into a nucleic acid being synthesized in the DNA sequencing by synthesis, and (c) cleaving the methylazido and detectable marker from each incorporated dNTP analogue, so as to thereby increase the readlength of the DNA sequence by synthesis.
- A method for determining the identity of each of a series of consecutive nucleotide residues in a nucleic acid comprising:
-
- a) contacting the nucleic acid with (i) at least four different deoxynucleotide triphosphate (dNTP) analogues, each having the structure:
-
- wherein F is a fluorophore, b is a base which is adenine, guanine, cytosine, uracil or thymine, wherein the fluorophore attached through a linker to each type of base differs in its emission or excitation spectra from a fluorophore attached to each of the remaining types of bases, and each of the four dNTP analogues differs from the remaining three dNTP analogues by having a different base, and wherein L is a cleavable linker molecule comprising the structure:
-
- wherein α represents a point of attachment to the base and β represents a point of attachment to the fluorophore, and wherein R is a cleavable chemical group, (ii) a nucleic acid polymerase and (iii) a nucleic acid primer which hybridizes with the nucleic acid,
- under conditions permitting one of the four dNTP analogues that is complementary to the consecutive nucleotide residue to be identified to form a phosphodiester bond with the 3′ end of the nucleic acid primer and thereby extend the primer;
- b) identifying the fluorophore of the dNTP analogue which has formed the phosphodiester bond, thereby identifying the consecutive nucleotide;
- c) contacting the dNTP analogue which has formed the phosphodiester bond with tris(2-carboxyethyl)phosphine so as to thereby (1) cleave the fluorophore and (2) cleave the cleavable chemical group from the dNTP;
- d) iteratively repeating steps a) through c) for each of the consecutive nucleotide residues to be identified until the final consecutive nucleotide residue is to be identified;
- e) repeating steps a) and b) to identify the final consecutive nucleotide residue,
- thereby determining the identity of each of the series of consecutive nucleotide residues in the nucleic acid.
- A method for determining the identity of each of a series of consecutive nucleotide residues in a self-priming nucleic acid comprising:
-
- a) contacting the self-priming nucleic acid with (i) at least four different deoxynucleotide triphosphate (dNTP) analogues, each having the structure:
-
- wherein F is a fluorophore, b is a base which is adenine, guanine, cytosine, uracil or thymine, wherein the fluorophore attached through a linker to each type of base differs in its emission or excitation spectra from a fluorophore attached to each of the remaining types of bases, and each of the four dNTP analogues differs from the remaining three dNTP analogues by having a different base, and wherein L is a cleavable linker molecule comprising the structure:
-
- wherein α represents a point of attachment to the base and β represents a point of attachment to the fluorophore, and wherein R is a cleavable chemical group, and (ii) a nucleic acid polymerase,
- under conditions permitting (a) the self-priming nucleic acid to prime itself and (b) one of the four dNTP analogues that is complementary to the consecutive nucleotide residue to be identified to form a phosphodiester bond with the 3′ end of the self-priming nucleic acid primer and thereby extend the self-priming nucleic acid;
- b) identifying the fluorophore of the dNTP analogue which has formed the phosphodiester bond, thereby identifying the consecutive nucleotide;
- c) contacting the dNTP analogue which has formed the phosphodiester bond with tris(2-carboxyethyl)phosphine so as to thereby (1) cleave the fluorophore and (2) cleave the cleavable chemical group from the dNTP;
- d) iteratively repeating steps a) through c) for each of the consecutive nucleotide residues to be identified until the final consecutive nucleotide residue is to be identified;
- e) repeating steps a) and b) to identify the final consecutive nucleotide residue,
- thereby determining the identity of each of the series of consecutive nucleotide residues in the self-priming nucleic acid.
- A method for determining the identity of each of a series of consecutive nucleotide residues in a plurality of nucleic acids comprising, the same series of consecutive nucleotides comprising:
-
- a) contacting the nucleic acids with (i) at least four different dideoxynucleotide triphosphate (ddNTP) analogues, each having the structure:
-
- wherein F is a fluorophore, L is a cleavable linker molecule and b is a base which is adenine, guanine, cytosine, uracil or thymine, wherein the fluorophore attached through a linker to each type of base differs in its emission or excitation spectra from a fluorophore attached through a linker to each of the remaining types of bases, and each of the four ddNTP analogues differs from the remaining three ddNTP analogues by having a different base, and wherein L comprises the structure:
-
- wherein α represents a point of attachment to the base of the dideoxynucleotide and β represents a point of attachment to the fluorophore, and
- (ii) at least four different deoxynucleotide triphosphate (dNTP) analogue, each having the structure:
-
- wherein b is a base which is adenine, guanine, cytosine, uracil or thymine, and each of the four dNTP analogues differs from the remaining three dNTP analogues by having a different base, and wherein R is a cleavable chemical group,
- (iii) a nucleic acid polymerase and (iv) at least two primers each of which hybridizes with a separate nucleic acid of the plurality of nucleic acids,
- under conditions permitting a ddNTP analogue that is complementary to the consecutive nucleotide residue in the nucleic acid to be identified to form a phosphodiester bond with the 3′ end of one of the primers and a dNTP analogue that is complementary to the consecutive nucleotide residue to be identified to form a phosphodiester bond with the 3′ end of another of the primers;
- b) identifying the fluorophore of the ddNTP analogue which has formed the phosphodiester bond thereby identifying the identify of the consecutive nucleotide;
- c) cleaving the fluorophore from the ddNTP analogue which has formed the phosphodiester bond and cleaving the cleavable chemical group from the dNTP which has formed the phosphodiester bond;
- d) iteratively repeating steps a) through c) for each of the consecutive nucleotide residues to be identified until the final consecutive nucleotide residue is to be identified;
- e) repeating steps a) and b) to identify the final consecutive nucleotide residue,
- thereby determining the identity of each of the series of consecutive nucleotide residues in the nucleic acid.
- A method for determining the identity of consecutive nucleotide residues in a self-priming nucleic acid comprising:
-
- a) contacting the nucleic acids with (i) at least four different dideoxynucleotide triphosphate (ddNTP) analogues, each having the structure:
-
- wherein F is a fluorophore, L is a cleavable linker molecule and b is a base which is adenine, guanine, cytosine, uracil or thymine, wherein the fluorophore attached through a linker to each type of base differs in its emission or excitation spectra from a fluorophore attached through a linker to each of the remaining types of bases, and each of the four ddNTP analogues differs from the remaining three ddNTP analogues by having a different base, and wherein L comprises the structure:
-
- wherein α represents a point of attachment to the base of the dideoxynucleotide and β represents a point of attachment to the fluorophore, and
- (ii) at least four different deoxynucleotide triphosphate (dNTP) analogue, each having the structure:
-
- wherein b is a base which is adenine, guanine, cytosine, uracil or thymine, and each of the four dNTP analogues differs from the remaining three dNTP analogues by having a different base, and wherein R is a cleavable chemical group,
- (iii) a nucleic acid polymerase and (iv) at least two primers each of which hybridizes with a separate nucleic acid of the plurality of nucleic acids,
- under conditions permitting a ddNTP analogue that is complementary to the consecutive nucleotide residue to be identified to form a phosphodiester bond with the 3′ end of one of the self-priming nucleic acids and a dNTP analogue that is complementary to the consecutive nucleotide residue to be identified to form a phosphodiester bond with the 3′ end of another of the self-priming nucleic acids;
- b) identifying the fluorophore of the ddNTP analogue which has formed the phosphodiester bond thereby identifying the identify of the consecutive nucleotide;
- c) cleaving the fluorophore from the ddNTP analogue which has formed the phosphodiester bond and cleaving the cleavable chemical group from the dNTP which has formed the phosphodiester bond;
- d) iteratively repeating steps a) through c) for each of the consecutive nucleotide residues to be identified until the final consecutive nucleotide residue is to be identified;
- e) repeating steps a) and b) to identify the final consecutive nucleotide residue,
- thereby determining the identity of each of the series of consecutive nucleotide residues in the nucleic acid.
- A kit for use in sequencing a nucleic acid comprising:
-
- a) a plurality of four dideoxynucleotide analogues having the structure:
-
- with
- (b) a plurality of deoxynucleotide analogues having the structure:
-
- and
- (c) instructions for use.
- An array comprising a nucleic acid attached to a solid surface, wherein the nucleic acid comprises an azidomethyl group attached to a 3′ atom thereof and a molecule having the structure:
-
- wherein α represents a point of attachment to a 3′ base of the nucleic acid and β represents a point of attachment to a detectable marker.
- An array comprising a self-priming nucleic acid attached to a solid surface, wherein the nucleic acid comprises an azidomethyl group attached to a 3′ atom thereof and a molecule having the structure:
-
- wherein α represents a point of attachment to a 3′ base of the nucleic acid and β represents a point of attachment to a detectable marker.
- A method is provided for increasing a read length of DNA sequencing by synthesis coupled with Sanger dideoxynucleotide terminating reaction (a) providing deoxynucleotide triphosphate analogues wherein the deoxynucleotide triphosphate analogues differ from deoxynucleotide triphosphates by having a methylazido group attached to a 3′ atom thereof and providing dideoxynucleotide triphosphate analogues wherein the dideoxynucleotide triphosphate analogues differ from dideoxynucleotide triphosphates by having a detectable marker attached to a 1 nitrogen or a 9 nitrogen of a base thereof through a linker comprising the structure
-
- wherein α represents a point of attachment to a the base and β represents a point of attachment to the detectable marker, (b) incorporating a plurality ratio of dideoxynucleotide triphosphate to deoxynucleotide triphosphate analogues into a nucleic acid being synthesized in the DNA sequencing by synthesis and (c) cleaving the methylazido and detectable marker from each incorporated dNTP analogue, so as to thereby increase the readlength of the DNA sequence by synthesis
-
FIG. 1 . Staudinger reduction with TCEP. -
FIG. 2 . 3′-O-Azido-dNTPs-Azido-Dye. -
FIG. 3 . Staudinger Reduction of the Azido Linker. -
FIG. 4 . 3′-O-Azido-dNTP-PC-Dye. -
FIG. 5 . The hybrid DNA sequencing approach between the Sanger dideoxy chain-terminating reaction and sequencing by synthesis. In this approach, four nucleotides (3′-O—R1-dNTPs) modified as reversible terminators by capping the 3′-OH with a small reversible moiety R1 so that they are still recognized by DNA polymerase as substrates, are used in combination with a small percentage of four cleavable fluorescent dideoxynucleotides (ddNTP-R2-fluorophores) to perform SBS. DNA sequences are determined by the unique fluorescence emission of each fluorophore on the DNA products terminated by ddNTPs. On removing the 3′-OH capping group R1 from the DNA products generated by incorporating the 3′-O—R1-dNTPs, and the cleavage of the R2 linker to remove the fluorophore from the DNA products terminated with the ddNTPs, the polymerase reaction reinitiates to continue the sequence determination. -
FIG. 6 . 3′-O-Azido-dNTPs. -
FIG. 7 . Solution Incorporation and reduction of 3′-O-Azido-dNTPs: polymerase extension and TCEP reduction scheme. -
FIG. 8 . MALDI-TOF MS spectra of incorporation products (left column), and MALDI-TOF MS spectra of reduction products (right column). -
FIG. 9 . Solution incorporation and reduction scheme of 3′-O-Azido-dNTPs-Azido-Dye. -
FIG. 10 . MALDI-TOF MS spectra results for incorporation shown inFIG. 9 . -
FIG. 11 . SBS scheme for 3′-O-Azido-dNTPs-Azido-Dye. -
FIG. 12 . Results for incorporation shown inFIG. 11 . -
FIG. 13 . Mechanisms to cleave the 3′-O-azidomethyl group and the azidolinker-fluorophore from the DNA extension products. A) Staudinger reaction with TCEP to regenerate the 3′-OH group of the DNA extension product. B) Staudinger reaction with TCEP to cleave the fluorophore from the dideoxynucleotide. -
FIG. 14 . Structures of cleavable fluorescent dideoxynucleotide terminators ddNTP-N3-fluorophores, with the 4 fluorophores having distinct fluorescent emissions: ddCTP-N3-Bodipy-FL-510 (λabs (max)=502 nm; λem (max)=510 nm), ddUTP-N3-R6G (λabs (max)=525 nm; λem (max)=550 nm), ddATP-N3-ROX (λabs (max)=585 nm; λem (max)=602 nm), and ddGTP-N3-Cy5 (λabs (max)=649 nm; λem (max)=670 nm). -
FIG. 15 . Synthesis of ddCTP-N3-Bodipy-FL-510 -
FIG. 16 . Synthesis of ddUTP-N3-R6G -
FIG. 17 . Synthesis of ddATP-N3-ROX -
FIG. 18 . Synthesis of ddGTP-N3-Cy5 -
FIG. 19 . A detailed scheme (left half of fig.) of polymerase reaction using all four 3′-O—N3-dNTPs to extend with an “3′-O—N3-dATP”, “3′-O—N3-dCTP”, “3′-O—N3-dGTP” and “3′-O—N3-dTTP” and the subsequent cleavage reaction to cleave off the azidomethyl moiety capping the 3′-OH of the DNA extension product. MALDI-TOF MS spectra (right half of fig.) verifying base specific incorporation of: (A) 3′-O—N3-dCTP (peak at 8,310 m/z), (B) the corresponding cleavage product (8,255 m/z); (C) 3′-O—N3-dGTP (peak at 8,639 m/z), (D) the corresponding cleavage product (8,584 m/z); (E) 3′-O—N3-dATP (peak at 8,952 m/z), (F) the corresponding cleavage product (8,897 m/z); (G) 3′-O—N3-dTTP (peak at 9,256 m/z) and (H) the corresponding cleavage product (9,201 m/z). The azidomethyl moiety capping the 3′-OH group of the DNA extension products is completely removed by TCEP aqueous solution to continue the polymerase reaction. -
FIG. 20 . A detailed scheme (top half of fig.) of polymerase reaction using all four ddATP-N3-fluorophores to extend with an “ddA”, “ddC”, “ddG” and “ddU” and the subsequent cleavage reaction to cleave off the fluorophore from the DNA extension product. MALDI-TOF MS spectra (bottom half of fig.) verifying base specific incorporation of: (A) ddATP-N3-ROX (peak at 9,180 m/z) among pool of all four cleavable fluorescent dideoxynucleotides, (B) the corresponding cleavage product (8,417 m/z); (C) ddCTP-N3-Bodipy-FL-510 (peak at 8,915 m/z), (D) the corresponding cleavage product (8,394 m/z); (E) ddGTP-N3-Cy5 (peak at 9,317 m/z), (F) the corresponding cleavage product (8,433 m/z); (G) ddUTP-N3-R6G (peak at 9,082 m/z) and (H) the corresponding cleavage product (8,395 m/z). -
FIG. 21 . (A) Reaction scheme of Sanger/sequencing by synthesis hybrid sequencing on a chip using combination of cleavable fluorescent dideoxynucleotides and 3′-O—N3-modified nucleotides. (B) The scanned 4-color fluorescence images (shown here in grayscale) for each step of Sanger/SBS hybrid sequencing on a chip: (1) incorporation of 3′-O—N3-dCTP and ddATP-N3-Bodipy-FL-510; (2) cleavage of N3-Bodipy-FL-510 and 3′-CH2N3 group; (3) incorporation of 3′-O—N3-dATP and ddATP-N3-ROX; (4) cleavage of N3-ROX and 3′-CH2N3 group; (5) incorporation of 3′-O—N3-dTTP and ddUTP-N3-R6G; (6) cleavage of N3-R6G and 3′-CH2N3 group; (7) incorporation of 3′-O—N3-dGTP and ddGTP-N3-Cy5 and; (8) cleavage of N3-dGTP and 3′-CH2N3 group; images (9) to (63) are similarly produced. (C) A plot (4-color sequencing data) of raw fluorescence emission intensity obtained by using 3′-O—N3-dNTPs and N3-fluorophores. The small groups of peaks between the identified bases are fluorescent background from the DNA chip. -
FIG. 22 . A plot (four-color sequencing data) of raw fluorescence emission intensity obtained by using 3′-O—N3-dNTPs and ddNTP-N3-fluorophores at the four designated emission wavelengths of the four cleavable fluorescent dideoxynucleotides. -
FIG. 23 . “Walking”Strategy 1 -
FIG. 24 . Structures of the nucleotide reversible terminators -
FIG. 25 . Structures of cleavable fluorescent dideoxynucleotide terminators -
FIG. 26 . Hybrid SBS scheme -
FIG. 27 . Template “Walking”Method 1 -
FIG. 28 . Template “Walking”Method 2 -
FIG. 29 . Template “Walking”Method 3 -
FIG. 30 . Template “Walking”Method 4 -
FIG. 31 . Template “Walking”Method 5 -
FIG. 32 . Structures of the nucleotide reversible terminators, 3′-O—N3-dATP, 3′-O—N3-dCTP, 3′-O—N3-dGTP, 3′-O—N3-dTTP -
FIG. 33 . Structures of cleavable fluorescent dideoxynucleotide terminators ddNTP-N3-fluorophores, with the 4 fluorophores having distinct fluorescent emissions: ddCTP-N3-Bodipy-FL-510 (λabs (max)=502 nm; λem (max)=510 nm), ddUTP-N3-R6G (λabs (max)=525 nm; λem (max)=550 nm), ddATP-N3-ROX (λabs (max)=585 nm; λem (max)=602 nm), and ddGTP-N3-Cy5 (λabs (max)=649 nm; λem (max)=670 nm). -
FIG. 34 . (A) Staudinger reaction with TCEP to regenerate the 3′-OH group of the DNA extension product. (B) Staudinger reaction with TCEP to cleave the N3-fluorophore from the dideoxynucleotide. -
FIG. 35 . Four-color DNA sequencing by the hybrid SBS approach -
FIG. 36 . Four-color DNA sequencing by the hybrid SBS after template “walking”FIG. 37 . General Scheme for SBS with C—F-NRTs -
FIG. 38 . Structure of 3′-O—N3-dNTPs-N3-fluorophore -
FIG. 39 . Four-color DNA SBS with 3′-O—N3-dNTPs-N3-fluorophore. (A) A SBS with C—F-NRTs scheme for four-color sequencing on a chip by using four 3′-O—N3-dNTPs-N3-fluorophore and 3′-O—N3-dNTPs with ddNTPs capping. (B) Four-color fluorescence images for each step of the SBS: (1) incorporation of 3′-O—N3-dCTP-N3-Bodipy-Fl-510 and 3′-O—N3-dCTP; (2) cleavage of N3-Bodipy-Fl-510 and 3′-CH2N3 group; (3) incorporation of 3′-O—N3-dATP-N3-Rox and 3′-O—N3-dATP; (4) cleavage of N3-Rox and 3′-CH2N3 group; images 5-47 were produced similarly. (C) A plot (four-color sequencing data) of raw fluorescence emission intensity obtained by using 3′-O—N3-dNTPs-N3-fluorophore and 3′-O—N3-dNTPs. The small groups of peaks between the identified bases are fluorescent background from the DNA chip. -
FIG. 40 . Template “Walking”Method 1 for SBS with C—F-NRTs -
FIG. 41 . Template “Walking”Method 2 for SBS with C—F-NRTs -
FIG. 42 . Template “Walking”Method 3 for SBS with C—F-NRTs -
FIG. 43 . Template “Walking”Method 4 for SBS with C—F-NRTs -
FIG. 44 . Template “Walking”Method 5 for SBS with C—F-NRTs -
FIG. 45 . “Walking”Strategy 2 -
FIG. 46 . “Walking”Strategy 3 - As used herein, and unless stated otherwise, each of the following terms shall have the definition set forth below.
- DNA—Deoxyribonucleic acid;
- RNA—Ribonucleic acid;
- “Nucleic acid” shall mean any nucleic acid molecule, including, without limitation, DNA, RNA and hybrids thereof. The nucleic acid bases that form nucleic acid molecules can be the bases A, C, G, T and U, as well as derivatives thereof. Derivatives of these bases are well known in the art, and are exemplified in PCR Systems, Reagents and Consumables (Perkin Elmer Catalogue 1996-1997, Roche Molecular Systems, Inc., Branchburg, N.J., USA).
- “Type” of nucleotide refers to A, G, C, T or U. “Type” of base refers to adenine, guanine, cytosine, uracil or thymine.
- “Mass tag” shall mean a molecular entity of a predetermined size which is capable of being attached by a cleavable bond to another entity.
- “Solid substrate” shall mean any suitable medium present in the solid phase to which a nucleic acid or an agent may be affixed. Non-limiting examples include chips, beads and columns.
- “Hybridize” shall mean the annealing of one single-stranded nucleic acid to another nucleic acid based on sequence complementarity. The propensity for hybridization between nucleic acids depends on the temperature and ionic strength of their milieu, the length of the nucleic acids and the degree of complementarity. The effect of these parameters on hybridization is well known in the art (see Sambrook J, Fritsch E F, Maniatis T. 1989. Molecular cloning: a laboratory manual. Cold Spring Harbor Laboratory Press, New York.)
- Where a range of values is provided, it is understood that each intervening value, to the tenth of the unit of the lower limit unless the context clearly dictates otherwise, between the upper and lower limit of that range, and any other stated or intervening value in that stated range, is encompassed within the invention. The upper and lower limits of these smaller ranges may independently be included in the smaller ranges, and are also encompassed within the invention, subject to any specifically excluded limit in the stated range.
- Where the stated range includes one or both of the limits, ranges excluding either or both of those included limits are also included in the invention.
- A composition is provided having a first, second and third portion wherein the second portion has the following structure:
- wherein α represents a point of attachment to the first portion and β represents a point of attachment to the third portion.
α may be directly linked to the first portion, e.g. comprising a base, or bonded to the, for example base via, e.g. an alkynylene. β may be directly linked to the third portion, e.g. a detectable marker, or bonded to the third portion, for example via another group. - In an embodiment the first portion is a deoxynucleotide or a dideoxynucleotide and the third portion is a detectable marker. In an embodiment the detectable marker is a fluorescent dye. In an embodiment the deoxynucleotide or dideoxynucleotide comprises a methylazido group attached to a 3′ atom thereof.
- In an embodiment the composition has the structure:
- wherein the dye in each structure is a fluorescent dye.
- In an embodiment the composition has the structure:
- A method is provided for determining the identity of each of a series of consecutive nucleotide residues in a nucleic acid comprising:
-
- a) contacting the nucleic acid with (i) at least four different deoxynucleotide triphosphate (dNTP) analogues, each having the structure:
-
- wherein F is a fluorophore, b is a base which, is adenine, guanine, cytosine, uracil or thymine, wherein the fluorophore attached through a linker to each type of base differs in its emission or excitation spectra from a fluorophore attached to each of the remaining types of bases, and each of the four dNTP analogues differs from the remaining three dNTP analogues by having a different base, and wherein L is a cleavable linker molecule comprising the structure:
-
- wherein α represents a point of attachment to the base and β represents a point of attachment to the fluorophore, and wherein R is a cleavable chemical group, (ii) a nucleic acid polymerase and (iii) a nucleic acid primer which hybridizes with the nucleic acid,
- under conditions permitting one of the four dNTP analogues that is complementary to the consecutive nucleotide residue to be identified to form a phosphodiester bond with the 3′ end of the nucleic acid primer and thereby extend the primer;
- b) identifying the fluorophore of the dNTP analogue which has formed the phosphodiester bond, thereby identifying the consecutive nucleotide;
- c) contacting the dNTP analogue which has formed the phosphodiester bond with tris(2-carboxyethyl)phosphine so as to thereby (1) cleave the fluorophore and (2) cleave the cleavable chemical group from the dNTP;
- d) iteratively repeating steps a) through c) for each of the consecutive nucleotide residues to be identified until the final consecutive nucleotide residue is to be identified;
- e) repeating steps a) and b) to identify the final consecutive nucleotide residue,
- thereby determining the identity of each of the series of consecutive nucleotide residues in the nucleic acid.
- A method is provided for determining the identity of each of a series of consecutive nucleotide residues in a self-priming nucleic acid comprising:
-
- a) contacting the self-priming nucleic acid with (i) at least four different deoxynucleotide triphosphate (dNTP) analogues, each having the structure:
-
- wherein F is a fluorophore, b is a base which is adenine, guanine, cytosine, uracil or thymine, wherein the fluorophore attached through a linker to each type of base differs in its emission or excitation spectra from a fluorophore attached to each of the remaining types of bases, and each of the four dNTP analogues differs from the remaining three dNTP analogues by having a different base, and wherein L is a cleavable linker molecule comprising the structure:
-
- wherein α represents a point of attachment to the base and β represents a point of attachment to the fluorophore, and wherein R is a cleavable chemical group, and (ii) a nucleic acid polymerase,
- under conditions permitting (a) the self-priming nucleic acid to prime itself and (b) one of the four dNTP analogues that is complementary to the consecutive nucleotide residue to be identified to form a phosphodiester bond with the 3′ end of the self-priming nucleic acid primer and thereby extend the self-priming nucleic acid;
- b) identifying the fluorophore of the dNTP analogue which has formed the phosphodiester bond, thereby identifying the consecutive nucleotide;
- c) contacting the dNTP analogue which has formed the phosphodiester bond with tris(2-carboxyethyl)phosphine so as to thereby (1) cleave the fluorophore and (2) cleave the cleavable chemical group from the dNTP;
- d) iteratively repeating steps a) through c) for each of the consecutive nucleotide residues to be identified until the final consecutive nucleotide residue is to be identified;
- e) repeating steps a) and b) to identify the final consecutive nucleotide residue,
- thereby determining the identity of each of the series of consecutive nucleotide residues in the self-priming nucleic acid.
- In an embodiment of the instant methods, steps b) and c) can be performed simultaneously, or in the order step b) then step c) or in the order step c) then step b). In an embodiment of the instant methods, the nucleic acid is DNA and the nucleic acid polymerase is a 9°N thermopolymerase. In an embodiment of the instant methods, the cleavable chemical group is a methylazido group. In an embodiment of the instant methods, the four dNTP analogues have the following structures:
- In an embodiment the four dNTP analogues have the following structures:
- In an embodiment up to 1000 consecutive nucleotides are identified. In an embodiment up to 1×104 consecutive nucleotides are identified. In an embodiment up to 1×106 consecutive nucleotides are identified. In an embodiment the nucleic acid is immobilized on a solid surface. In an embodiment the solid surface is a chip or a bead.
- A kit is provided for use in sequencing a nucleic acid comprising:
-
- a) a plurality of four nucleotide analogues having the structure:
-
- and
- (b) instructions for use.
- In an embodiment four nucleotide analogues having the following structures:
- An array is provided comprising a nucleic acid attached to a solid surface, wherein the nucleic acid comprises an azidomethyl group attached to a 3′ atom thereof and a molecule having the structure:
- wherein α represents a point of attachment to a 3′ base of the nucleic acid and β represents a point of attachment to a detectable marker.
- An array is provided comprising a self-priming nucleic acid attached to a solid surface, wherein the nucleic acid comprises an azidomethyl group attached to a 3′ atom thereof and a molecule having the structure:
- wherein α represents a point of attachment to a 3′ base of the nucleic acid and β represents a point of attachment to a detectable marker.
- In embodiment the detectable marker is a fluorophore.
- A method is provided for increasing a read length of DNA sequencing by synthesis comprising (a) providing deoxynucleotide triphosphate analogues wherein the deoxynucleotide triphosphate analogues differ from deoxynucleotide triphosphates by having a methylazido group attached to a 3′ atom thereof and by having a detectable marker attached to a 1 nitrogen or a 9 nitrogen of a base thereof through a linker comprising the structure
- wherein α represents a point of attachment to a the base and β represents a point of attachment to the detectable marker, (b) incorporating a plurality of the deoxynucleotide triphosphate analogues into a nucleic acid being synthesized in the DNA sequencing by synthesis, and (c) cleaving the methylazido and detectable marker from each dNTP analogue, so as to thereby increase the read length of the DNA sequence by synthesis.
- A method for determining the identity of each of a series of consecutive nucleotide residues in a nucleic acid comprising:
-
- a) contacting the nucleic acid with (i) at least four different deoxynucleotide triphosphate (dNTP) analogues, each having the structure:
-
- wherein F is a fluorophore, b is a base which is adenine, guanine, cytosine, uracil or thymine, wherein the fluorophore attached through a linker to each type of base differs in its emission or excitation spectra from a fluorophore attached to each of the remaining types of bases, and each of the four dNTP analogues differs from the remaining three dNTP analogues by having a different base, and wherein L is a cleavable linker molecule comprising the structure:
-
- wherein α represents a point of attachment to the base and β represents a point of attachment to the fluorophore, and wherein R is a cleavable chemical group, (ii) a nucleic acid polymerase and (iii) a nucleic acid primer which hybridizes with the nucleic acid,
- under conditions permitting one of the four dNTP analogues that is complementary to the consecutive nucleotide residue to be identified to form a phosphodiester bond with the 3′ end of the nucleic acid primer and thereby extend the primer;
- b) identifying the fluorophore of the dNTP analogue which has formed the phosphodiester bond, thereby identifying the consecutive nucleotide;
- c) contacting the dNTP analogue which has formed the phosphodiester bond with tris(2-carboxyethyl)phosphine so as to thereby (1) cleave the fluorophore and (2) cleave the cleavable chemical group from the dNTP;
- d) iteratively repeating steps a) through c) for each of the consecutive nucleotide residues to be identified until the final consecutive nucleotide residue is to be identified;
- e) repeating steps a) and b) to identify the final consecutive nucleotide residue,
- thereby determining the identity of each of the series of consecutive nucleotide residues in the nucleic acid.
- A method for determining the identity of each of a series of consecutive nucleotide residues in a self-priming nucleic acid comprising:
-
- a) contacting the self-priming nucleic acid with (i) at least four different deoxynucleotide triphosphate (dNTP) analogues, each having the structure:
-
- wherein F is a fluorophore, b is a base which is adenine, guanine, cytosine, uracil or thymine, wherein the fluorophore attached through a linker to each type of base differs in its emission or excitation spectra from a fluorophore attached to each of the remaining types of bases, and each of the four dNTP analogues differs from the remaining three dNTP analogues by having a different base, and wherein L is a cleavable linker molecule comprising the structure:
-
- wherein α represents a point of attachment to the base and β represents a point of attachment to the fluorophore, and wherein R is a cleavable chemical group, and (ii) a nucleic acid polymerase,
- under conditions permitting (a) the self-priming nucleic acid to prime itself and (b) one of the four dNTP analogues that is complementary to the consecutive nucleotide residue to be identified to form a phosphodiester bond with the 3′ end of the self-priming nucleic acid primer and thereby extend the self-priming nucleic acid;
- b) identifying the fluorophore of the dNTP analogue which has formed the phosphodiester bond, thereby identifying the consecutive nucleotide;
- c) contacting the dNTP analogue which has formed the phosphodiester bond with tris(2-carboxyethyl)phosphine so as to thereby (1) cleave the fluorophore and (2) cleave the cleavable chemical group from the dNTP;
- d) iteratively repeating steps a) through c) for each of the consecutive nucleotide residues to be identified until the final consecutive nucleotide residue is to be identified;
- e) repeating steps a) and b) to identify the final consecutive nucleotide residue,
- thereby determining the identity of each of the series of consecutive nucleotide residues in the self-priming nucleic acid.
- In an embodiment of the instant methods, steps b) and c) can be performed simultaneously, or in the order step b) then step c) or in the order step c) then step b). In an embodiment of the instant methods, the nucleic acid is DNA and the nucleic acid polymerase is a 9°N thermopolymerase. In an embodiment of the instant methods, the cleavable chemical group is a methylazido group. In an embodiment of the instant methods, the four dNTP analogues have the following structures:
- In an embodiment the four dNTP analogues have the following structures:
- In an embodiment up to 1000 consecutive nucleotides are identified. In an embodiment up to 1×104 consecutive nucleotides are identified. In an embodiment up to 1×106 consecutive nucleotides are identified. In an embodiment the nucleic acid is immobilized on a solid surface. In an embodiment the solid surface is a chip or a bead.
- A method for determining the identity of each of a series of consecutive nucleotide residues in a plurality of nucleic acids comprising, the same series of consecutive nucleotides comprising:
-
- a) contacting the nucleic acids with (i) at least four different dideoxynucleotide triphosphate (ddNTP) analogues, each having the structure:
-
- wherein F is a fluorophore, L is a cleavable linker molecule and b is a base which is adenine, guanine, cytosine, uracil or thymine, wherein the fluorophore attached through a linker to each type of base differs in its emission or excitation spectra from a fluorophore attached through a linker to each of the remaining types of bases, and each of the four ddNTP analogues differs from the remaining three ddNTP analogues by having a different base, and wherein L comprises the structure:
-
- wherein α represents a point of attachment to the base of the dideoxynucleotide and β represents a point of attachment to the fluorophore, and
- (ii) at least four different deoxynucleotide triphosphate (dNTP) analogue, each having the structure:
-
- wherein b is a base which is adenine, guanine, cytosine, uracil or thymine, and each of the four dNTP analogues differs from the remaining three dNTP analogues by having a different base, and wherein R is a cleavable chemical group,
- (iii) a nucleic acid polymerase and (iv) at least two primers each of which hybridizes with a separate nucleic acid of the plurality of nucleic acids,
- under conditions permitting a ddNTP analogue that is complementary to the consecutive nucleotide residue in the nucleic acid to be identified to form a phosphodiester bond with the 3′ end of one of the primers and a dNTP analogue that is complementary to the consecutive nucleotide residue to be identified to form a phosphodiester bond with the 3′ end of another of the primers;
- b) identifying the fluorophore of the ddNTP analogue which has formed the phosphodiester bond thereby identifying the identify of the consecutive nucleotide;
- c) cleaving the fluorophore from the ddNTP analogue which has formed the phosphodiester bond and cleaving the cleavable chemical group from the dNTP which has formed the phosphodiester bond;
- d) iteratively repeating steps a) through c) for each of the consecutive nucleotide residues to be identified until the final consecutive nucleotide residue is to be identified;
- e) repeating steps a) and b) to identify the final consecutive nucleotide residue,
- thereby determining the identity of each of the series of consecutive nucleotide residues in the nucleic acid.
- A method for determining the identity of consecutive nucleotide residues in a self-priming nucleic acid comprising:
-
- a) contacting the nucleic acids with (i) at least four different dideoxynucleotide triphosphate (ddNTP) analogues, each having the structure:
-
- wherein F is a fluorophore, L is a cleavable linker molecule and b is a base which is adenine, guanine, cytosine, uracil or thymine, wherein the fluorophore attached through a linker to each type of base differs in its emission or excitation spectra from a fluorophore attached through a linker to each of the remaining types of bases, and each of the four ddNTP analogues differs from the remaining three ddNTP analogues by having a different base, wherein L comprises the structure:
-
- wherein α represents a point of attachment to the base of the dideoxynucleotide and β represents a point of attachment to the fluorophore, and
- (ii) at least four different deoxynucleotide triphosphate (dNTP) analogue, each having the structure:
-
- wherein b is a base which is adenine, guanine, cytosine, uracil or thymine, and each of the four dNTP analogues differs from the remaining three dNTP analogues by having a different base, and wherein R is a cleavable chemical group,
- (iii) a nucleic acid polymerase and (iv) at least two primers each of which hybridizes with a separate nucleic acid of the plurality of nucleic acids,
- under conditions permitting a ddNTP analogue that is complementary to the consecutive nucleotide residue to be identified to form a phosphodiester bond with the 3′ end of one of the self-priming nucleic acids and a dNTP analogue that is complementary to the consecutive nucleotide residue to be identified to form a phosphodiester bond with the 3′ end of another of the self-priming nucleic acids;
- b) identifying the fluorophore of the ddNTP analogue which has formed the phosphodiester bond thereby identifying the identify of the consecutive nucleotide;
- c) cleaving the fluorophore from the ddNTP analogue which has formed the phosphodiester bond and cleaving the cleavable chemical group from the dNTP which has formed the phosphodiester bond;
- d) iteratively repeating steps a) through c) for each of the consecutive nucleotide residues to be identified until the final consecutive nucleotide residue is to be identified;
- e) repeating steps a) and b) to identify the final consecutive nucleotide residue,
- thereby determining the identity of each of the series of consecutive nucleotide residues in the nucleic acid.
- In an embodiment of the instant methods, steps b) and c) can be performed simultaneously, or in the order step b) then step c) or in the order step c) then step b). In an embodiment of the instant methods, the nucleic acid is DNA and the nucleic acid polymerase is a 9°N thermopolymerase. In an embodiment of the instant methods, the cleavable chemical group is a methylazido group.
- In an embodiment of the instant methods, the four ddNTP analogues have the following structures:
- In an embodiment, the four dNTPs have the following structures:
- In an embodiment the four ddNTP analogues have the following structures:
- In an embodiment up to 1000 consecutive nucleotides are identified. In an embodiment up to 1×104 consecutive nucleotides are identified. In an embodiment up to 1×106 consecutive nucleotides are identified. In an embodiment the nucleic acid is immobilized on a solid surface. In an embodiment the solid surface is a chip or a bead.
- A kit is provided for use in sequencing a nucleic acid comprising:
-
- b) a plurality of four nucleotide analogues having the structure:
- with
-
- (b) a plurality of deoxynucleotide analogues having the structure:
-
- and
- (c) instructions for use.
- In an embodiment, four dideoxynucleotide analogues having the following structures:
- An array is provided comprising a nucleic acid attached to a solid surface, wherein the nucleic acid comprises an azidomethyl group attached to a 3′ atom thereof and a molecule having the structure:
- wherein α represents a point of attachment to a 3′ base of the nucleic acid and β represents a point of attachment to a detectable marker.
- An array is provided comprising a self-priming nucleic acid attached to a solid surface, wherein the nucleic acid comprises an azidomethyl group attached to a 3′ atom thereof and a molecule having the structure:
- wherein α represents a point of attachment to a 3′ base of the nucleic acid and β represents a point of attachment to a detectable marker.
- In embodiment the detectable marker is a fluorophore.
- A method is provided for increasing a read length of DNA sequencing by synthesis coupled with Sanger dideoxynucleotide terminating reaction (a) providing deoxynucleotide triphosphate analogues wherein the deoxynucleotide triphosphate analogues differ from deoxynucleotide triphosphates by having a methylazido group attached to a 3′ atom thereof and providing dideoxynucleotide triphosphate analogues wherein the dideoxynucleotide triphosphate analogues differ from dideoxynucleotide triphosphates by having a detectable marker attached to a 1 nitrogen or a 9 nitrogen of a base thereof through a linker comprising the structure
-
- wherein α represents a point of attachment to a the base and β represents a point of attachment to the detectable marker and (b) incorporating a plurality ratio of dideoxynucleotide triphosphate to deoxynucleotide triphosphate analogues into a nucleic acid being synthesized in the DNA sequencing by synthesis.
- This invention provides the instant method, wherein the detectable bound to the base via a cleavable linker is a dye, a fluorophore, a chromophore, a combinatorial fluorescence energy transfer tag, a mass tag, or an electrophore. Combinatorial fluorescence energy tags and methods for production thereof are disclosed in U.S. Pat. No. 6,627,748, which is hereby incorporated by reference.
- Detectable tags and methods of affixing nucleic acids to surfaces which can be used in embodiments of the methods described herein are disclosed in U.S. Pat. Nos. 6,664,079 and 7,074,597 which are hereby incorporated by reference.
- This invention also provides the instant method, wherein the primer is a self-priming moiety.
- This invention also provides the instant method, wherein the DNA is bound to a solid substrate. This invention also provides the instant method, wherein the DNA is bound to the solid substrate via 1,3-dipolar azide-alkyne cycloaddition chemistry. This invention also provides the instant method, wherein the DNA is bound to the solid substrate via a polyethylene glycol molecule. This invention also provides the instant method, wherein the DNA is alkyne-labeled. This invention also provides the instant method, wherein the DNA is bound to the solid substrate via a polyethylene glycol molecule and the solid substrate is azide-functionalized. This invention also provides the instant method, wherein the DNA is immobilized on the solid substrate via an azido linkage, an alkynyl linkage, or biotin-streptavidin interaction. Immobilization of nucleic acids is described in Immobilization of DNA on Chips II, edited by Christine Wittmann (2005), Springer Verlag, Berlin, which is hereby incorporated by reference. This invention also provides the instant methods, wherein the DNA is bound to the solid substrate via a polyethylene glycol molecule and the solid substrate is azide-functionalized or the DNA is immobilized on the solid substrate via an azido linkage, an alkynyl linkage, or biotin-streptavidin interaction. In an embodiment, the DNA or nucleic acid is attached/bound to the solid surface by covalent site-specific coupling chemistry compatible with DNA.
- This invention also provides the instant method, wherein the solid substrate is in the form of a chip, a bead, a well, a capillary tube, a slide, a wafer, a filter, a fiber, a porous media, or a column. This invention also provides the instant method, wherein the solid substrate is gold, quartz, silica, plastic, glass, nylon, diamond, silver, metal, or polypropylene. This invention also provides the instant method, wherein the solid substrate is porous. Chips or beads may be made from materials common for DNA microarrays, for example glass or nylon. Beads/micro-beads may be in turn immobilized to chips.
- This invention also provides the instant method, wherein about 1000 or fewer copies of the DNA are bound to the solid substrate. This invention also provides the instant invention wherein 2×107, 1×107, 1×106 or 1×104 or fewer copies of the DNA are bound to the solid substrate.
- This invention also provides the instant method, wherein the nucleotide analogues comprise one of the fluorophores Cy5, Bodipy-FL-510, ROX and R6G.
- This invention also provides the instant method, wherein the DNA polymerase is a 9°N polymerase or a variant thereof. DNA polymerases which can be used in the instant invention include, for example E. Coli DNA polymerase I, Bacteriophage T4 DNA polymerase, Sequenase™, Taq DNA polymerase and 9°N polymerase (exo-) A485L/Y409V. RNA polymerases which can be used in the instant invention include, for example, Bacteriophage SP6, T7 and T3 RNA polymerases.
- Methods for production of cleavably capped and/or cleavably linked nucleotide analogues are disclosed in U.S. Pat. No. 6,664,079, which is hereby incorporated by reference.
- A method for determining the identity of each of a series of consecutive nucleotide residues in a nucleic acid comprising:
-
- a) contacting the nucleic acid with (i) at least four different deoxynucleotide triphosphate (dNTP) analogues, each having the structure:
-
- wherein F is a fluorophore, b is a base which is adenine, guanine, cytosine, uracil or thymine, wherein the fluorophore attached through a linker to each type of base differs in its emission or excitation spectra from a fluorophore attached to each of the remaining types of bases, and each of the four dNTP analogues differs from the remaining three dNTP analogues by having a different base, wherein L is a cleavable linker molecule, and R is a cleavable chemical group which is not hydrogen, (ii) a nucleic acid polymerase and (iii) a nucleic acid primer which hybridizes with the nucleic acid,
- under conditions permitting one of the four dNTP analogues that is complementary to the consecutive nucleotide residue to be identified to form a phosphodiester bond with the 3′ end of the nucleic acid primer and thereby extend the primer;
- b) identifying the fluorophore of the dNTP analogue which has formed the phosphodiester bond, thereby identifying the consecutive nucleotide;
- c) cleaving the linker attaching the fluorophore of the dNTP analogue which has formed the phosphodiester bond and cleaving the cleavable chemical group from the dNTP;
- d) iteratively repeating steps a) through c) for each of the consecutive nucleotide residues to be identified until the final consecutive nucleotide residue is to be identified;
- e) repeating steps a) and b) to identify the final consecutive nucleotide residue,
- f) denaturing the extended primer so as to de-hybridize it from the nucleic acid;
- g) contacting the nucleic acid with (i) at least four different deoxynucleotide triphosphate (dNTP) analogues, each comprising an adenine, guanine, cytosine, uracil, inosine or 5-nitroindole base and each differing from a deoxynucleotide triphosphate by having a cleavable chemical group attached to the 3′ O-atom of the dNTP, (ii) a nucleic acid polymerase and (iii) a second nucleic acid primer which hybridizes with the nucleic acid, under conditions permitting one of the four dNTP analogues that is complementary to the consecutive nucleotide residue to be identified to form a phosphodiester bond with the 3′ end of the second nucleic acid primer and thereby extend the second primer;
- h) cleaving the chemical group from the 3′ O-atom of the dNTP analogue which has formed the phosphodiester bond so as to thereby permit incorporation of a further dNTP analogue into the extended second nucleic acid primer;
- i) iteratively repeating steps g) and h) until the second primer is extended up to and including a residue corresponding to the final consecutive nucleotide residue identified in step e);
- j) contacting the extended second primer with (i) at least four different deoxynucleotide triphosphate (dNTP) analogues, each having the structure:
-
- wherein F is a fluorophore, b is a base which is adenine, guanine, cytosine, uracil or thymine, wherein the fluorophore attached through a linker to each type of base differs in its emission or excitation spectra from a fluorophore attached to each of the remaining types of bases, and each of the four dNTP analogues differs from the remaining three dNTP analogues by having a different base, wherein L is a cleavable linker molecule, and R is a cleavable chemical group which is not hydrogen, under conditions permitting one of the four dNTP analogues that is complementary to the next consecutive nucleotide residue to be identified to form a phosphodiester bond with the 3′ end of the extended second nucleic acid primer and thereby further extend the second primer;
- k) identifying the fluorophore of the dNTP analogue which has formed the phosphodiester bond, thereby identifying the consecutive nucleotide;
- l) cleaving the fluorophore and the cleavable chemical group from the dNTP analogue which formed the phosphodiester bond so as to thereby permit incorporation of a further dNTP analogue into the extended second nucleic acid primer;
- m) iteratively repeating steps j) through l) for each of the consecutive nucleotide residues to be identified until the final consecutive nucleotide residue is to be identified;
- n) repeating steps j) and k) to identify the final consecutive nucleotide residue,
- so as to thereby determine the identity of each of the series of consecutive nucleotide residues in the nucleic acid.
- In an embodiment the linker in each of step a) and j) independently each comprise the structure:
-
- wherein α represents a point of attachment to the base and β represents a point of attachment to the fluorophore, and wherein R is a cleavable chemical group.
- In an embodiment a linker is cleaved by contacting the linker with tris(2-carboxyethyl)phosphine.
- In an embodiment one or more linkers are photocleavable or chemically cleavable.
- In an embodiment one or more chemical groups are photocleavable or chemically cleavable.
- In an embodiment R in the structures set forth in steps a) and or j) is independently chosen from a —N3 group or an allyl group.
- In an embodiment the cleavable chemical group in step g) is independently chosen from a —N3 group or an allyl group.
- A method for determining the identity of each of a series of consecutive nucleotide residues in a nucleic acid comprising:
-
- a) contacting the nucleic acid with (i) at least four different deoxynucleotide triphosphate (dNTP) analogues, each having the structure:
-
- wherein F is a fluorophore, b is a base which is adenine, guanine, cytosine, uracil or thymine, wherein the fluorophore attached through a linker to each type of base differs in its emission or excitation spectra from a fluorophore attached to each of the remaining types of bases, and each of the four dNTP analogues differs from the remaining three dNTP analogues by having a different base, wherein L is a cleavable linker molecule, and R is a cleavable chemical group which is not hydrogen, (ii) a nucleic acid polymerase and (iii) a nucleic acid primer which hybridizes with the nucleic acid,
- under conditions permitting one of the four dNTP analogues that is complementary to the consecutive nucleotide residue to be identified to form a phosphodiester bond with the 3′ end of the nucleic acid primer and thereby extend the primer;
- b) identifying the fluorophore of the dNTP analogue which has formed the phosphodiester bond, thereby identifying the consecutive nucleotide;
- c) cleaving the linker attaching the fluorophore of the dNTP analogue which has formed the phosphodiester bond and cleaving the cleavable chemical group from the dNTP;
- d) iteratively repeating steps a) through c) for each of the consecutive nucleotide residues to be identified until the final consecutive nucleotide residue is to be identified;
- e) repeating steps a) and b) to identify the final consecutive nucleotide residue,
- f) denaturing the extended primer so as to de-hybridize it from the nucleic acid;
- g) contacting the nucleic acid with (i) three different types of deoxynucleotide triphosphate, (ii) a nucleic acid polymerase and (iii) a second nucleic acid primer which hybridizes with the nucleic acid, under conditions permitting one of the three dNTP analogues that is complementary to the consecutive nucleotide residue to be identified to form a phosphodiester bond with the 3′ end of the second nucleic acid primer and thereby extend the second nucleic acid primer;
- h) contacting the nucleic acid with (i) three different types of deoxynucleotide triphosphate, wherein at least one of the types of deoxynucleotide triphosphate is not used in step g), under conditions permitting one of the three dNTP analogues that is complementary to the consecutive nucleotide residue to be identified to form a phosphodiester bond with the 3′ end of the extended second nucleic acid primer and thereby further extend the second nucleic acid primer;
- i) repeating steps g) and h) until the second nucleic acid primer is extended up to and including a residue corresponding to the final consecutive nucleotide residue identified in step e)
- j) contacting the extended second nucleic acid primer with (i) at least four different deoxynucleotide triphosphate (dNTP) analogues, each having the structure:
-
- wherein F is a fluorophore, b is a base which is adenine, guanine, cytosine, uracil or thymine, wherein the fluorophore attached through a linker to each type of base differs in its emission or excitation spectra from a fluorophore attached to each of the remaining types of bases, and each of the four dNTP analogues differs from the remaining three dNTP analogues by having a different base, wherein L is a cleavable linker molecule, and R is a cleavable chemical group which is not hydrogen, under conditions permitting one of the four dNTP analogues that is complementary to the next consecutive nucleotide residue to be identified to form a phosphodiester bond with the 3′ end of the extended second nucleic acid primer and thereby further extend the second primer;
- k) identifying the fluorophore of the dNTP analogue which has formed the phosphodiester bond, thereby identifying the consecutive nucleotide;
- l) cleaving the fluorophore and the cleavable chemical group from the dNTP analogue which formed the phosphodiester bond so as to thereby permit incorporation of a further dNTP analogue into the extended second nucleic acid primer;
- m) iteratively repeating steps j) through l) for each of the consecutive nucleotide residues to be identified until the final consecutive nucleotide residue is to be identified;
- n) repeating steps j) and k) to identify the final consecutive nucleotide residue,
- so as to thereby determining the identity of each of the series of consecutive nucleotide residues in the nucleic acid.
- In an embodiment in steps g) and h) the three types of dNTPs are chosen from the group dATP, dCTP, dGTP, dTTP or dITP.
- In an embodiment the linker in each of step a) and j) independently each comprise the structure:
-
- wherein α represents a point of attachment to the base and β represents a point of attachment to the fluorophore, and wherein R is a cleavable chemical group.
- In an embodiment a linker is cleaved by contacting the linker with tris(2-carboxyethyl)phosphine.
- In an embodiment one or more linkers are photocleavable or chemically cleavable.
- In an embodiment one or more chemical groups are photocleavable or chemically cleavable.
- In an embodiment R in the structures set forth in steps a) and or j) is independently chosen from a —N3 group or an allyl group.
- In an embodiment the cleavable chemical group in step g) is independently chosen from a —N3 group or an allyl group.
- A method for determining the identity of each of a series of consecutive nucleotide residues in a nucleic acid comprising:
-
- a) contacting the nucleic acid with (i) at least four different deoxynucleotide triphosphate (dNTP) analogues, each having the structure:
-
- wherein F is a fluorophore, b is a base which is adenine, guanine, cytosine, uracil or thymine, wherein the fluorophore attached through a linker to each type of base differs in its emission or excitation spectra from a fluorophore attached to each of the remaining types of bases, and each of the four dNTP analogues differs from the remaining three dNTP analogues by having a different base, wherein L is a cleavable linker molecule, and R is a cleavable chemical group which is not hydrogen, (ii) a nucleic acid polymerase and (iii) a nucleic acid primer which hybridizes with the nucleic acid,
- under conditions permitting one of the four dNTP analogues that is complementary to the consecutive nucleotide residue to be identified to form a phosphodiester bond with the 3′ end of the nucleic acid primer and thereby extend the primer;
- b) identifying the fluorophore of the dNTP analogue which has formed the phosphodiester bond, thereby identifying the consecutive nucleotide;
- c) cleaving the linker attaching the fluorophore of the dNTP analogue which has formed the phosphodiester bond and cleaving the cleavable chemical group from the dNTP;
- d) iteratively repeating steps a) through c) for each of the consecutive nucleotide residues to be identified until the final consecutive nucleotide residue is to be identified;
- e) repeating steps a) and b) to identify the final consecutive nucleotide residue,
- f) denaturing the extended primer so as to de-hybridize it from the nucleic acid;
- g) contacting the nucleic acid with (i) three different types of deoxynucleotide triphosphates, (ii) a deoxynucleotide triphosphate analogue, differing from a deoxynucleotide triphosphate by having a cleavable chemical group attached to the 3′ O-atom of the dNTP analogue and differing from the three different types of deoxynucleotide triphosphates by having a different base therefrom, (iii) a nucleic acid polymerase and (iv) a second nucleic acid primer which hybridizes with the nucleic acid, under conditions permitting one of the three dNTPs or the dNTP analogue that is complementary to the consecutive nucleotide residue to be identified to form a phosphodiester bond with the 3′ end of the second nucleic acid primer and thereby extend the second nucleic acid primer;
- h) cleaving the cleavable chemical group from the 3′-O—R group;
- repeating steps g) and h) until the second nucleic acid primer is extended up to and including a residue corresponding to the final consecutive nucleotide residue identified in step e)
- i) contacting the extended second nucleic acid primer with (i) at least four different deoxynucleotide triphosphate (dNTP) analogues, each having the structure:
-
- wherein F is a fluorophore, b is a base which is adenine, guanine, cytosine, uracil or thymine, wherein the fluorophore attached through a linker to each type of base differs in its emission or excitation spectra from a fluorophore attached to each of the remaining types of bases, and each of the four dNTP analogues differs from the remaining three dNTP analogues by having a different base, wherein L is a cleavable linker molecule, and R is a cleavable chemical group which is not hydrogen, under conditions permitting one of the four dNTP analogues that is complementary to the next consecutive nucleotide residue to be identified to form a phosphodiester bond with the 3′ end of the extended second nucleic acid primer and thereby further extend the second primer;
- j) identifying the fluorophore of the dNTP analogue which has formed the phosphodiester bond, thereby identifying the consecutive nucleotide;
- k) cleaving the fluorophore and the cleavable chemical group from the dNTP analogue which formed the phosphodiester bond so as to thereby permit incorporation of a further dNTP analogue into the extended second nucleic acid primer;
- l) iteratively repeating steps j) through l) for each of the consecutive nucleotide residues to be identified until the final consecutive nucleotide residue is to be identified;
- m) repeating steps j) and k) to identify the final consecutive nucleotide residue,
- so as to thereby determine the identity of each of the series of consecutive nucleotide residues in the nucleic acid.
- In an embodiment in step g) the three types of dNTPs are chosen from the group dATP, dCTP, dGTP and dTTP.
- In an embodiment the linker in each of step a) and j) independently each comprise the structure:
-
- wherein α represents a point of attachment to the base and β represents a point of attachment to the fluorophore, and wherein R is a cleavable chemical group.
- In an embodiment a linker is cleaved by contacting the linker with tris(2-carboxyethyl)phosphine.
- In an embodiment one or more linkers are photocleavable or chemically cleavable.
- In an embodiment one or more chemical groups are photocleavable or chemically cleavable.
- In an embodiment R in the structures set forth in steps a) and or j) is independently chosen from a —N3 group or an allyl group.
- In an embodiment the cleavable chemical group in step g) is independently chosen from the a —N3 group or an allyl group.
- The methods described herein can be applied mutatis mutandis to sequencing RNA using the appropriate ddNTPS or analogues thereof and dNTPS and analogues thereof.
- In the methods, base-pairing complementarity allows the sequence of the extended primer or of the target nucleic to be readily determined.
- Dehybridize is understood by those skilled in the art to mean to disassociate the hybridized primer (or extended strand thereof) from the target nucleic acid without destroying the target nucleic acid and thus permitting further hybridization of a second primer to the target nucleic acid. Hybridization as used herein in one embodiment means stringent hybridization, for examples as described in Sambrook, J., Russell, D. W., (2000) Molecular Cloning: A Laboratory Manual: Third Edition.
- “Type” of dNTP or ddNTP is used to distinguish dNTP or ddNTPs comprising different bases.
- All combinations of the various elements described herein are within the scope of the invention.
- This invention will be better understood by reference to the Experimental Details which follow, but those skilled in the art will readily appreciate that the specific experiments detailed are only illustrative of the invention as described more fully in the claims which follow thereafter.
- While both 3′-O-Allyl-dNTPs and 3′-O-photocleaveble linker(PC)-dNTPs have offered concrete evidence for their implementation in sequencing by synthesis (SBS), a new set of nucleotide analogs, modified with the small azido group (N3), is investigated to seek potential improvement over the current system. There are several advantages for using azido moiety as 3′ capping group and also as a dye linker (3′-O-Azido-dNTPs-Azido-Dye), first and foremost being the application of extremely mild cleavage conditions. As disclosed herein, an example of the Staudinger reaction, an azido group can be effectively converted into an amine with phosphine in DNA-friendly aqueous solution (35). This efficient reduction is further enhanced through the utilization of Tris(2-Carboxyethyl) phosphine (TCEP), an odorless and stable agent often used to digest peptide disulfide bonds (
FIG. 1 ). - Similar to allyl and nitrobenzyl alterations previously reported, two positions of the nucleotide need to be modified with the azido moiety to afford a set of 3′-O-Azido-dNTPs-Azido-Dye. The small azido methyl group (—CH2—N3) is used to cap the 3′ position of the sugar base while a novel azido linker connects unique fluorophores to the 5′ position of C/U and the 7′ position of A/G (see novel structures in
FIG. 2 ). - With such a formulation the same reagent (TCEP) can be used to cleave the azido groups at both positions simultaneous, although the mechanisms of cleavage differ slightly. According to Staudinger, TCEP reduces the azido-methyl capping group to methylamine at the 3′ sugar base. Since the carbon of the methylamine is highly unstable due to its position between two electron-withdrawing elements (oxygen and nitrogen), the methylamine is hydrolyzed in the presence of water that recovers the hydroxyl group at the 3′ position. For the azido linker, the same Straudinger reduction takes place. However immediately after the attachment of TCEP to azido, the intermediate attacks the ester bond to afford total cleavage of the fluorophore (
FIG. 3 ). - In addition to the dual azido/azido modification, an alternative approach is to attach the fluorophore via a PC (nitrobenzyl) linker while conserving the 3′ capping with the azido methyl group (3′-O-Azido-dNTPs-PC-Dye,
FIG. 4 ) and cleaving the azido again using TCEP. - The extension and detection steps for this set of nucleotides are analogous to those for 3′-O-Azido-dNTPs-Azido-Dye. An additional photolysis procedure is involved during the deprotection step. This dual cleavage process might offer different advantages for removing the fluorophore than the Staudinger reduction.
- An Alternative Sequencing Method that is a Hybrid Between the Sanger Dideoxy Chain Terminating Reaction, and SBS.
- In this approach, four nucleotides, modified as reversible terminators by capping the 3′-OH with a small reversible moiety so that they are still recognized as substrates by DNA polymerase, are used in combination with a small percentage of four cleavable fluorescent dideoxynucleotides to perform SBS. DNA sequences are determined by the unique fluorescence emission of each fluorophore on the DNA products terminated by ddNTPs. Upon removing the 3′-OH capping group from the DNA products generated by incorporating the 3′-O-modified dNTPs and the fluorophore from the DNA products terminated with the ddNTPs, the polymerase reaction reinitiates to continue the sequence determination (
FIG. 5 ). - Using an azidomethyl group as a chemically reversible capping moiety in the 3′-O-modified dNTPs, and an azido-based cleavable linker to attach the fluorophores to ddNTPs, four 3′-O—N3-dNTPs and four ddNTP-N3-fluorophores were synthesized for the hybrid SBS. The azidomethyl capping moiety on the 3′-OH group and the cleavable fluorophore on the DNA extension products are efficiently removed after fluorescence detection for sequence determination using a chemical method that is compatible to DNA. Various DNA templates, including those with homopolymer regions, were accurately sequenced with read length of over 30 bases using this hybrid SBS method.
- Sequence by Synthesis with Template “Walking”
- The fundamental rationale behind primer resetting is to regenerate the original primer site or to insert two or more primer sites of known sequences into the target DNA so SBS can be carried out at each site sequentially. In general, three steps are involved with this approach: 1) annealing of the first primer, 2) performing SBS, 3) denaturing the sequenced section of the template to recover a single-stranded DNA for the second primer annealing. These steps are carried out repeatedly until the target DNA is sequenced in its entirety. The advantage of primer resetting lies in its ability to restore all the templates after the denaturation step, including those that are terminated with ddNTPs, so the next cycle of SBS can restart with potentially the same amount of sequenceable DNA as the previous round.
- Three approaches for achieving longer read lengths that rely on this template “walking” concept are described. In the first strategy, the DNA sequence is reset by reattaching the original primer, extending the chain with natural or minimally modified nucleotides to the end of the first round sequence, and then sequencing from that point. The second strategy relies on annealing of a second round primer that is longer than the first, containing at its 5′ end the same sequence as the original primer, followed by a run of 20 universal nucleotides such as inosine, from which the second round of sequencing can be primed. If the duplex stability of this highly degenerate primer with DNA templates is found to be low, a number of locked nucleotides can be added at either end of the primer to increase the stability of the primer-template complex. In the third strategy, extra priming sites are inserted within a template strand via Type IIS or Type III restriction-recircularization. Each of these approaches has distinct advantages and some difficulties that need to be overcome. None of the three aforementioned strategies are sensitive to the type of library (genomic, cDNA or other), to the method of amplification prior to sequencing (spotting of clones, ePCR, polony PCR), or the mode of sequencing (Hybrid SBS and SBS with C—F-NRTs). Hence they are all sequence unbiased, thus greatly increasing their range of applications in sequencing technologies.
- Solution Extension with 3′-O-Azido-dNTPs
- To verify the feasibility of using azido-modified nucleotides in SBS, a set of 3′-O-Azido-dNTPs (
FIG. 6 ) were first designed and synthesized. - Each nucleotide analog (3′-O-Azido-dATP, mw=541; 3′-O-Azido-dGTP, mw=558; 3′-O-Azido-dCTP, mw=518; 3′-O-Azido-dTTP, mw=533) was incorporated into its corresponding looped primer in solution with manganese (Mn2+, 20 mM) and the mutant 9°N Thermopolymerase. The extensions were carried out at 65° C. for various time spans ranging from 20 minutes to 5 minutes. Even with the shortest reaction time of 5 minutes, 100% incorporation was confirmed with MALDI-TOF mass spectroscopy (MS) by observing the total disappearance of primer peak (m/z=7966) and the emergence of extended product peak (˜m/z=8320,
FIG. 7 ). After obtaining the extended product for each nucleotide, deprotection was carried out with varying conditions such as time (1˜20 minutes), temperature (20˜60° C.), and concentration of TCEP (1˜50 mM). It was determined that at 50° C. with 5 mM of TCEP, the 3′ azido methyl capping group could be removed completely under 5 minutes. MALDI-TOF mass spectroscopy was again used to ascertain the results (FIG. 8 ). - Solution Extension with 3′-O-Azido-dNTPs-Azido-Dye Immediately after establishing the protocol to work with azido-modified nucleotides in SBS, synthetic work for the set of 3′-O-Azido-dNTPs-Azido Linker-Dye was set forth. Two nucleotides, 3′-O-Azido-dCTP-PC-BodipyFL and 3′-O-Azido-dUTP-PC-R6G were successfully synthesized and characterized. To test the incorporation of each nucleotide, extension reactions in solution, similar to those with 3′-O-Azido-dNTPs, were carried out with looped primer (m/z=7966), 9°N Thermopolymerase enzyme, and Mn2+ at 65° C. for 25 minutes. The products were verified through MALDI-TOF MS (
FIG. 9 ). After obtaining the extension products, reduction reactions were performed under various conditions to optimize the process. It was observed that both azido linker and 3′ protection group were removed with 100 mM TCEP with pH=10 at 65° C. for 25 minutes (MALDI-TOF MS spectra inFIG. 10 ). - Surface Extension with 3′-O-Azido-dNTPs-Azido Linker-Dye
- As a part of the preliminary study, the two chemically cleavable fluorescent nucleotide analogs were used in an SBS reaction to identify the sequence of a self-primed DNA template (130 base pairs) immobilized on a solid surface. A reaction mixture of 3′-O-Azido-dCTP-Azido-BodipyFL, 3′-O-Azido-dUTP-Azido-R6G, 3′-O-Azido-dATP, and 3′-O-Azido-dGTP were prepared for the incorporation. A synchronization step was performed with the full set of 3′-O-Azido-dNTPs after incorporation to extend any remaining priming strand. After detection of the fluorescent signal, the chip surface was immersed in reduction solution (100 mM TCEP, pH=10) and incubated for 25 minutes at 65° C. to cleave both the fluorophore and 3′-O-Azido group. Upon confirmation of the removal of fluorophore, the cycles of extension, detection, and reduction were repeated to sequence the following bases (
FIGS. 11 and 12 ). - SBS on Surface with 3′-O-Azido-dNTPs-PC/Azido-Dye
- Upon completing the synthesis of both 3′-O-Azido-dNTPs-PC-Dye and 3′-O-Azido-dNTPs-Azido-Dye sets, sequencing by synthesis of DNA templates attached on solid surface will be carried out. By carefully optimizing incorporation and cleavage conditions, the goal will be the achievement of maximum base read length of each template with high consistency.
- To expand the efficiency and increase the throughput of SBS, it is ideal to attach large quantities of different DNA templates to solid surface so that each one of these templates can be sequenced during a single cycle of SBS simultaneously. One approach will be to affix PCR product on a single bead, and then immobilize copious amount of such beads on one glass chip. Various types of beads, such as magnetic, melamine, and sepharose, will be tested in order to select one with efficient attachment to surface, durable stability during reaction cycles, and minimal unspecific absorption of fluorophores. By coupling the micro-beads chip with the azido modified reversible terminator nucleotides, SBS technology will reach the next plateau of high-throughput DNA sequencing.
- Four 3′-O-azidomethyl-modified NRTs (3′-O—N3-dNTPs) (
FIG. 6 ) were synthesized and evaluated for the hybrid SBS. The 3′-O-azidomethyl group on the DNA extension product generated by incorporating each of the NRTs was efficiently removed by the Staudinger reaction by using aqueous Tris(2-carboxyethyl) phosphine (TCEP) solution (36,37) followed by hydrolysis to yield a free 3′-OH group for elongating the DNA chain in subsequent cycles of the hybrid SBS (FIG. 13A ). - To demonstrate the feasibility of carrying out the hybrid SBS on a DNA chip, four cleavable fluorescent dideoxynucleotides ddNTP-N3-fluorophores (ddCTP-N3-Bodipy-FL-510, ddUTP-N3-R6G, ddATP-N3-ROX, and ddGTP-N3-Cy5) were synthesized (
FIGS. 14-22 ). The ddNTP-N3-fluorophores would be combined with the 4 NRTs (FIG. 6 ) to perform the hybrid SBS. Modified DNA polymerases have been shown to be highly tolerant to nucleotide modifications with bulky groups at the 5 position of pyrimidines (C and U) and the 7 position of purines (A and G) (27). Thus, a unique fluorophore was attached to the 5 position of C/U and the 7 position of A/G through a cleavable linker, which is also based on an azido-modified moiety (37) as a trigger for cleavage, a mechanism that is similar to the removal of the 5′-O-azidomethyl group (FIG. 13B ). The ddNTP-N3-fluorophores are found to efficiently incorporate into the growing DNA strand to terminate DNA synthesis for sequence determination. The fluorophore on a DNA extension product, which is generated by incorporation of the cleavable fluorescent ddNTPs, is removed rapidly and quantitatively by TCEP from the DNA extension product in aqueous solution. - To verify that the 3′-O—N3-dNTPs incorporate accurately in a base specific manner, four continuous DNA extension reaction and cleavage were carried out in solution by using 3′-O—N3-dNTPs as substrates. This allowed the isolation of the DNA product at each step for detailed molecular structure characterization as shown in
FIG. 19 . Thefirst extension product 5′-primer-C—N3-3′ was desalted and analyzed using MALDI-TOF MS (FIG. 19(A) ). This product was then incubated in aqueous solution to remove the azidomethyl moiety to yield the cleavage product with a free 3′OH group, which was also analyzed using MALDI-TOF MS (FIG. 19(B) ). As can be seen fromFIG. 19(A) , the MALDI-TOF MS spectrum consist of a distinct peak corresponding to theDNA extension product 5′-primer-C—N 33′ (m/z 8,310), which confirms that the NRT can be incorporated base-specifically by DNA polymerase into a growing DNA strand.FIG. 19(B) shows the cleavage result on the DNA extension product. The extended DNA mass peak at m/z 8,310 completely disappeared, whereas the peak corresponding to thecleavage product 5′-primer-C-3′ appears as the sole dominant peak at m/z 8,255, which establishes that TCEP incubation completely cleaves the 3′-O-azidomethyl group with high efficiency. The next extension reaction was carried out by using this cleaved product, which now has a free 3′-OH group, as a primer to yield a second extension product, 5′-primer-CGN3-3′ (m/z 8,639;FIG. 19C ). As described above, the extension product was cleaved to generate product for further MS analysis yielding a single peak at m/z 8,584 (FIG. 19(D) ). The third extension reaction to yield 5′-primer-CGA-N3-3′ (m/z 8,952; FIG. 19(E)), the fourth extension to yield 5′-primer-CGAT-N3-3′ (m/z 9,256;FIG. 19(G) ) and their cleavage to yield products (m/z 8,897;FIG. 19(F) ) and (m/z 9,201;FIG. 19(H) ) were similarly carried out and analyzed by MALDI-TOF MS. These results demonstrate that all four 3′-O—N3-dNTPs are successfully synthesized and efficiently incorporated base-specifically into the growing DNA strand in a continuous polymerase reaction as reversible terminators and the 3′-OH capping group on the DNA extension products is quantitatively cleaved by TCEP. - To verify that the four cleavable fluorescent ddNTPs (ddCTP-N3-Bodipy-FL-510, ddUTP-N3-R6G, ddATP-N3-ROX, and ddGTP-N3-Cy5) (
FIG. 14 ) are incorporated accurately in a base-specific manner in a polymerase reaction, single-base extension reactions with four different self-priming DNA templates whose next complementary base was either A, C, G, or T were carried out in solution. After the reaction, the four different primer extension products were analyzed by MALDI-TOF MS as shown inFIG. 20 . Single clear mass peaks at 9,180, 8,915, 9,317, and 9,082 (m/z) corresponding to each primer extension product with no leftover starting materials were produced by using ddNTP-N3-fluorophores (FIGS. 20 A, C, E, and G). Brief incubation of the DNA extension products in an aqueous TCEP solution led to the cleavage of the linker tethering the fluorophore to the dideoxynucleotide.FIGS. 20 B, D, F, and H shows the cleavage results for the DNA products extended with ddNTP-N3-fluorophores. The mass peaks at 9,180, 8,915, 9,317, and 9,082 (m/z) have completely disappeared, whereas single peaks corresponding to the cleavage products appear at 8,417, 8,394, 8,433, and 8,395 (m/z), respectively. These results demonstrate that cleavable fluorescent ddNTPs are successfully synthesized and efficiently terminated the DNA synthesis in a polymerase reaction and that the fluorophores are quantitatively cleaved by TCEP. Thus, these ddNTP analogues meet the key requirements necessary for performing the hybrid SBS in combination with the NRTs. - In the four-color hybrid SBS approach, the identity of the incorporated nucleotide is determined by the unique fluorescent emission from the four fluorescent dideoxynucleotide terminators, while the role of the 3′-O-modified NRTs is to further extend the DNA strand to continue the determination of the DNA sequence. Therefore, the ratio between the amount of ddNTP-N3-fluorophores and 3′-O—N3-dNTPs during the polymerase reaction determines how much of the ddNTP-N3-fluorophores incorporate and thus the corresponding fluorescent emission strength. With a finite amount of immobilized DNA template on a solid surface, initially the majority of the priming strands should be extended with 3′-O—N3-dNTPs, while a relative smaller amount should be extended with ddNTP-N3-fluorophores to produce fluorescent signals that are above the fluorescent detection system's sensitivity threshold for sequence determination. As the sequencing cycle continues, the amount of the ddNTP-N3-fluorophores need to be gradually increased to maintain the fluorescence emission strength for detection. Following these guidelines, we performed the hybrid SBS on a chip-immobilized DNA template using the 3′-O—N3-dNTP/ddNTP-N3-fluorophore combination and the results are shown in
FIG. 21 . The general four-color sequencing reaction scheme on a chip is shown inFIG. 21A . - De novo sequencing reaction on the chip was initiated by extending the self-priming DNA by using a solution consisting of four 3′-O—N3-dNTPs and four ddNTP-N3-fluorophores, and 9°N DNA polymerase. The hybrid SBS allows for the addition of all eight, nucleotide substrates simultaneously to unambiguously determine DNA sequences. This reduces the number of steps needed to complete the sequencing cycle, while increasing the sequencing accuracy because of competition among the substrates in the polymerase reaction. The DNA products extended by ddNTP-N3-fluorophores, after fluorescence detection for sequence determination and cleavage, are no longer involved in the subsequent polymerase reaction cycles because they are permanently terminated. Therefore, further polymerase reaction only occurs on a DNA strand that incorporates the 3′-O—N3-dNTPs, which subsequently turn back into natural nucleotide on cleavage of the 3′-OH capping group, and should have no deleterious effect on the polymerase binding to incorporate subsequent nucleotides for growing the DNA chains. However, successive addition of the previously designed cleavable fluorescent NRTs (22, 37, 38) into a growing DNA strand during SBS leads to a newly synthesized DNA chain with a leftover propargyl amino group at each nucleobase. This may interfere with the ability of the enzyme to efficiently incorporate the next incoming nucleotide, which will lead to loss of synchrony and thereby reduction in the read length. This challenge might potentially be overcome by reengineering DNA polymerases that efficiently recognize and accept the modified DNA strand, or by alternative design of the fluorescent NRTs (39).
- To negate any lagging fluorescence signal that is caused by a previously unextended priming strand, a synchronization step was added to reduce the amount of unextended priming strands after the initial extension reaction shown in the scheme of
FIG. 21A . A synchronization reaction mixture consisting of just the four 3′-O—N3-dNTPs in relatively high concentration was used along with the 9°N DNA polymerase to extend, any remaining priming strands that retain a free 3′-OH group to synchronize the incorporation. - The four-color images from a fluorescence scanner for each step of the hybrid SBS on a chip is shown in
FIG. 21B , The first extension of the primer by the complementary fluorescent ddNTP, ddCTP-N3-Bodipy-FL-510, was confirmed by observing a blue signal (the emission from. Bodipy-FL-510) [FIG. 21B (1)]. After fluorescent signal detection, the surface was immersed in a TCEP solution to cleave both the fluorophore from the DNA product extended with ddNTP-N3-fluorophores and the 3′-O-azidomethyl group from the DNA product extended with 3′-O—N3-dNTPs. The surface of the chip was then washed, and a negligible residual fluorescent signal was detected, confirming cleavage of the fluorophore [FIG. 21B (2)]. This was followed by another extension reaction with the 3′-O—N3-dNTP/ddNTP-N3-fluorophore solution to incorporate the next nucleotide complementary to the subsequent base on the template. The entire process of incorporation, synchronization, detection, and cleavage was performed multiple times to identify 32 successive bases in the DNA template. The plot of the fluorescence intensity vs. the progress of sequencing extension (raw four-color sequencing data) is shown inFIG. 21C . The DNA sequences are unambiguously identified with no errors from the four-color raw fluorescence data without any processing. Similar four color sequencing data were obtained for a variety of DNA template (FIG. 22 ) - The fundamental rationale behind this template “walking” strategy is the removal of the sequenced strand and reattaching of the original primer to allow the extension, or walking, of the template with a combination of natural and modified nucleotides to the end of the first round sequence so that SBS can be carried out from that point. Since the original sequenced strand is stripped away, including those terminated with ddNTPs, all the templates become available for “walking”. Given that “walking” is carried out with either natural or 3′-modified nucleotides, the subsequent round of SBS is performed on nascent DNA strands for maximum read length. The advantage of template “walking” is its ability to restore all the templates after the denature step, includes those that are terminated with ddNTPs, so the next cycle of SBS can restart with potentially the same amount of nascent DNA as the previous round. The “walking” methodology is applicable to both hybrid SBS and SBS with C—F-NRTs, and has the potential to dramatically increase the read lengths of these SBS technologies (
FIG. 23 ). - DNA sequencing by synthesis (SBS) on a solid surface during polymerase reaction offers a paradigm to efficiently decipher multiple DNA sequences in parallel. Hybrid SBS is a hybrid DNA sequencing method between the Sanger dideoxy chain terminating reaction and SBS. In this approach, four nucleotides (
FIG. 24 ) modified as reversible terminators by capping the 3′-OH with a small reversible moiety so that they are still recognized by DNA polymerase as substrates to extend the DNA chain, are used in combination with a small percentage of four cleavable fluorescent dideoxynucleotides (FIG. 25 ) to perform SBS. Sequences are determined by the unique fluorescence emission of each fluorophore on the DNA products terminated by ddNTPs, while the role of the 3′-O-modified dNTPs is to further extend the DNA strand to continue the determination of the DNA sequence. Upon removing the 3′-OH capping group from the DNA products generated by incorporating the 3′-O-modified dNTPs and the fluorophore from the DNA products terminated with the ddNTPs, the polymerase reaction reinitiates to continue the sequence determination (FIG. 26 ). Such incorporation, fluorescence measurement and dye removal is repeatedly conducted until the detectable fluorescence intensity is not distinguishable, indicating a situation in which all the elongated primers are terminated with ddNTP. To overcome this “halted sequencing” due to ddNTP termination, a “walking” step is carried out to reset the templates. - Immediately after the first round of SBS, all of the elongated primers ended terminated with ddNTPs are removed from the template by denaturing. The templates are freed again and available for further sequencing reactions. To achieve template “walking”, the same starting primer is annealed to the template again and enzymatic incorporation is conducted to fill the gap between first and second stages of SBS. Five strategies are available for the walking process. Each approach has its advantages and shortcomings, which are summarized in the following.
-
-
Method 1. Nucleotide reversible terminators (3′-O—R1-dNTPs) are used as substrates to perform enzymatic incorporation (FIG. 27 ). After incorporation, specific chemical reaction is applied to regenerate 3′-OH to ensure the subsequent incorporation. The number of repeated cycles of such incorporation and cleavage will exactly match the actual read length in the first stage of SBS, so that this “filling gap” incorporation stops at the same point where the longest ddNTP primer reaches. -
2, 3, and 4. Enzymatic incorporation is conducted using two sets of nucleotides as substrates (Methods FIG. 28 ). For example, the first set of nucleotides composed of dCTP, dATP, and dGTP (sans dTTP) was used to perform incorporation, so that the polymerase reaction stops once it reaches a base “A” in template. Then enzymatic incorporation is resumed with the second set of nucleotides composed of dTTP, dATP, and dGTP (sans dCTP), resulting in a polymerase reaction that stops at the base “G” in template. The repeated cycles of such incorporations fill the gap between first and second stages of SBS. - To minimize the mis-incorporation rate, another enzyme substrate which can be recognized but not incorporated by the polymerase is assigned to each set of nucleotides. For instance, if the DNA polymerase used can only incorporate dNTP but not 3′ blocked nucleotides, 3′-O—R1-dTTP will be combined with dCTP, dATP and dGTP as the first set, while 3′-O—R1-dCTP will be combined with dTTP, dATP and dGTP as the second set to elongate the primer (
FIG. 29 ). - Alternatively, deoxyribonucleotides diphosphate can also play such role, replacing the 3′-O—R1-dNTPs, during enzymatic incorporation (
FIG. 30 ). -
Method 5. Enzymatic incorporation is conducted using three dNTPs and another nucleotide reversible terminator as substrates (FIG. 31 ). Primer elongation will only be stopped once it incorporates nucleotide reversible terminator.
-
- After incorporation, specific chemical reaction is applied to regenerate 3′-OH which ensure consecutive incorporation of the next round. Repeated cycles of such incorporation and cleavage will fill the gap between first and second stages of SBS.
- Once the “walking” process is completed, the second stage of SBS is conducted using mixture of nucleotide reversible terminators and fluorescently labeled dideoxynucleotides as incorporation substrates same as described above. Another cluster of bases on the template can be continuously revealed, leading to the doubling of the original read length. The SBS-walking-SBS process is repeated to generate maximum read length.
- Four 3′-O-azidomethyl-modified NRTs (3′-O—N3-dNTPs) were synthesized and evaluated (
FIG. 32 ) for use in the hybrid SBS approach. The 3′-O-modified NRTs containing an azidomethyl group to cap the 3′-OH on the sugar ring were synthesized based on similar method to that reported by Zavgorodny et al. The 3′-O-azidomethyl group on the DNA extension product generated by incorporating each of the NRTs is efficiently removed by the Staudinger reaction using aqueous Tris(2-carboxy-ethyl) phosphine (TCEP) solution followed by hydrolysis to yield a free 3′-OH group for elongating the DNA chain in subsequent cycles of the hybrid SBS (FIG. 34A ). - To demonstrate the feasibility of carrying out the hybrid SBS on a DNA chip, four cleavable fluorescent dideoxynucleotide terminators were designed and synthesized, ddNTP-N3-Fluorophores (ddCTP-N3-Bodipy-FL-510, ddUTP-N3-R6G, ddATP-N3-ROX and ddGTP-N3-Cy5) (
FIG. 33 ). The ddNTP-N3-Fluorophore were used in combination with the four NRTs (FIG. 32 ) to perform the hybrid SBS. Modified DNA polymerases have been shown to be highly tolerant to nucleotide modifications with bulky groups at the 5-position of pyrimidines (C and U) and the 7-position of purines (A and G). Thus, a each unique fluorophore was attached to the 5 position of C/U and the 7 position of A/G through a cleavable linker. The cleavable linker is also based on an azido modified moiety as a trigger for cleavage, a mechanism that is similar to the removal of the 3′-O-azidomethyl group (FIG. 34B ). - Hybrid SBS was performed on a chip-immobilized DNA template using the 3′-O—N3-dNTP/ddNTP-N3-fluorophore combination and the results are shown in
FIG. 35 . The general four-color sequencing reaction scheme on a chip is shown inFIG. 35A . The de novo sequencing reaction on the chip was initiated by extending the self-priming DNA using a solution containing the combination of the four 3′-O—N3-dNTPs and the four ddNTP-N3-fluorophores, and 9°N DNA polymerase. - The four-color images from a fluorescence scanner for each step of the hybrid SBS on a chip is shown in
FIG. 35B . The entire process of incorporation, synchronization, detection and cleavage was performed multiple times to identify 32 successive bases in the DNA template. The plot of the fluorescence intensity vs. the progress of sequencing extension (raw 4-color sequencing data) is shown inFIG. 35C . The DNA sequences were unambiguously identified with no errors from the 4-color raw fluorescence data without any processing. - To demonstrate the concept of walking, the same self-priming DNA was immobilized on surface as template. After identifying the first 32 bases unambiguously with no errors by the first round hybrid SBS, the primer was reset for the second round SBS by elongating the original primer over the sequenced region via enzymatic incorporations. A solution containing dATP, dTTP, dCTP and 3′-O—N3-dGTP was used to perform the polymerase reaction. 9°N DNA polymerase incorporates 3′ unblocked nucleotides more efficiently, leading to certain percentage of primers not fully extended by 3′-O—N3-dGTP. To minimize this effect, a synchronization step was added to reduce the amount of out-of-phase primers after the initial extension reaction. A synchronization reaction mixture consisting of just 3′-O—N3-dGTP in relative high concentration was used along with the 9°N DNA polymerase. The 3′-O-azidomethyl group on the DNA extension product generated by incorporating 3′-O—N3-dGTP was efficiently removed by using aqueous Tris(2-carboxy-ethyl) phosphine (TCEP) solution to yield a free 3′-OH group for elongating the DNA chain in subsequent cycles of enzymatic incorporation. The entire process of incorporation, synchronization and cleavage were conducted repeatedly until the sequenced bases during the first round SBS were “walked” over. After the primer was reset by the enzymatic incorporation, the second stage of SBS was conducted using mixture of nucleotide reversible terminators and fluorescently labeled dideoxynucleotides as incorporation substrates same as described above. Another 13 bases were successfully identified after template “walking” (
FIG. 14 ). - Template “Walking” for SBS with CFNRTs
1. SBS with C—F-NRTs - DNA sequencing by synthesis (SBS) on a solid surface during polymerase reaction offers a paradigm to efficiently decipher multiple DNA sequences in parallel. Disclosed is the development of a DNA sequencing method that involves the extension of target DNA strand with modified cleavable fluorescent nucleotide reversible terminators (C—F-NRTs, 3′-O—R1-dNTPs-R2-fluorophore) in combination with cleavable nucleotide reversible terminators (C-NRTs, dNTPs). A set of four C—F-NRTs is produced via dual modifications by capping the 3′-OH group with a small chemical moiety and tethering a fluorophore through a cleavable linker to either the 7-position of the purines (A, G) or the 5-position of the pyrimidines (C, T) so that they are still recognized as substrates by DNA polymerase. Another set of four C-NRTs is modified similarly as the C—F-NRTs except no fluorophore is attached, which results in a reduction of the size of C-NRTs and the increment of DNA polymerase incorporation efficiency. In this approach, an extension mixture composed of the C-NRTs with a small percentage of the C—F-NRTs is used to perform SBS. Sequences are determined by the unique fluorescence emission of each fluorophore on the DNA products terminated by the C—F-NRTs. Immediately following the detection step, a synchronization reaction is performed using only the C-NRTs to extend the un-extended DNA strands. A dideoxynucleotides (ddNTPs) capping step is carried out afterwards to completely rid of the remaining un-extended DNA. Upon removing the 3′-OH capping group from the DNA products generated by incorporating both C—F-NRTs and C-NRTs and the fluorophore from the C—F-NRTs, the polymerase reaction reinitiates to continue the sequence determination. The following scheme (
FIG. 37 ) illustrates the general process for SBS with C—F-NRTs. - Four 3′-O—N3-dNTPs-N3-fluorophore (
FIG. 38 ) and four 3′-O—N3-dNTPs (FIG. 32 ) were synthesized, using an azidomethyl group as a chemically reversible capping moiety in the 3′-O-modified C—F-NRTs and C-NRTs, and an azido-based cleavable linker to attach the fluorophores to the C—F-NRTs, - After fluorescence detection for sequence determination, the azidomethyl capping moiety on the 3′-OH and the fluorophore attached to the DNA extension product via the azido-based cleavable linker are efficiently removed using tris(2-carboxyethyl)phosphine (TCEP) in aqueous solution compatible with DNA. Various DNA templates, including those with homopolymer regions were accurately sequenced with read length of over 20 bases using this SBS method on a chip and a four-color fluorescent scanner (
FIG. 39 ). - Four C—F-NRTs (3′-O—N3-dNTPs-N3-fluorophore) were synthesize along with four C-NRTs (3′-O—N3-dNTPs) for the implementation of our four-color de novo DNA sequencing by synthesis approach. During the incorporation stage of SBS, a mixture of the two sets of NRTs is used to extend the DNA strand. Only a small percentage of the 3′-O—N3-dNTPs-N3-fluorophore is used in the mixture so that the majority of the product is extended with the less bulky 3′-O—N3-dNTPs. This approach leads to a more efficient DNA polymerase reaction since the smaller 3′-O—N3-dNTPs are much easier to incorporate. Another advantage of having most of the DNA extended with 3′-O—N3-dNTPs is the fact that after cleavage of the 3′-OH capping group on the product, nascent strand of DNA that have no traces of modification is restored. Such DNA does not have any adverse effect on the DNA polymerase during the subsequent incorporation of the complementary nucleotide. For DNA extended with the 3′-O—N3-dNTPs-N3-fluorophore, which serve as the signal producer, the 3′-OH is also restored after the cleavage step so that the next stage of SBS can be carried out. Therefore, it is possible to recover all the DNA templates after each round of sequencing, dramatically increasing the potential read-length of our SBS methodology. After the incorporation reaction, two separate capping steps, first with 3′-O—N3-dNTPs and then with ddNTPs, are performed. The rationale behind the first capping reaction is to maximize the amount of extension products and to ensure the minimal loss of templates. In case there is any un-extended product after the first capping step, the second capping with ddNTPs is mostly likely to permanently terminate these DNA strands so that all templates are synchronized. Without these precautionary synchronization procedures, mixed fluorescent signals will prevent the identification of the correct nucleotide incorporated. Since both 3′-O—N3-dNTPs-N3-fluorophore and 3′-O—N3-dNTPs are reversible terminators, which allow the sequencing of each base in a serial manner, they can accurately determine the homopolymeric regions of DNA. In addition, due to the fact that all of the steps of our SBS approach are performed on a DNA chip, there is no longer a need for electrophoretic DNA fragment separation as in the classical Sanger sequencing method.
- Even though theoretically SBS with C—F-NRTs can be executed without losing templates, the utilization of ddNTPs capping does reduce the number of available templates during the actual sequencing reaction. In addition, the incorporation and cleavage of C—F-NRTs leave a tail on the modified nucleotides that can potentially reduce the incorporation efficiency the subsequent base. Hence template “walking” can be applied to increase read length for this SBS methodology.
- Immediately after the first round of SBS, DNA templates are denatured by heat or mild alkali conditions to rid of the extended primer. The same original primer is re-hybridized to the template chain, and one of the five “walking” methods described in the previous section can be applied to reset the start point for the next round of SBS at the end of the first sequencing run (
FIGS. 40 , 41, 42, 43, and 44). - 3. Re-Initiation of SBS with C—F-NRTs
- Once the “walking” process is completed, the primer is extended to the end of the previous round of SBS. At this point, hybrid SBS is carried out to identify the subsequent bases. If the process can be repeated more times, it should be theoretically possible to achieve long and significant read length.
- Strategy 2: Template “Walking” with Universal Bases
- In this variation on the
Strategy 1, the reset is achieved not with nucleotide walking, but with the use of a longer primer partially consisting of universal nucleotides for the second round. Attachment of the template DNA to the surface and the first few steps of the procedure are identical to the first method. However, after stripping the first extended primer for the initial 20 base readout, a long primer with the following features will be hybridized to the template: (a) the first half is identical to the initial primer; (b) the second half is composed almost entirely of universal bases. One possible candidate for the universal base is inosine, which, in its deoxynucleoside form, can base pair with all four nucleotides, though its affinity for C and A is significantly higher than for G and T; a second possibility is 5-nitroindole; (c) the last one or two anchoring bases of the long primers are degenerate with each of the four possible bases being represented. Because the universal bases can form hydrogen bonds with any of the other four bases with some efficiency, they have the capacity to bind to the first 20 or so bases of the sequence. However, the melting temperature of the ensuing hybridization is reduced substantially by the run of inosines, a few of the bases in the first half and the two 3′-anchoring bases can be substituted with locked nucleotides. Locked nucleic acids have a chemical bond between the 2′ and 4′ carbons of the ribose. While slower to associate with their complementary base, once hybridized, they tend not to dissociate. Thus, they provide a nice solution to ensure that the long primer remains attached appropriately to the template. In addition, the percentage of locked nucleosides in the primer can be manipulated to achieve higher hybridization strength. After hybridization of the above long primer, a second round of either Hybrid SBS or SBS with C—F—NRTs can be performed (FIG. 45 ). - An alternative approach to
Strategy 2 is the use of a detachable loop primer, possibly with a labile sugar and glycosylase treatment. After the first round of sequencing, the loop is removed by enzymatic cleavage and denaturation, and then a new identical loop is attached. In a modification that is a composite of “walking” 1 and 2, the new loop primer can be composed of an initial portion identical to the first loop primer, a “loop out” region that bypasses the first set of sequenced nucleotides, and a degenerate anchoring nucleotide to initiate the second round of sequencing.Strategy - In this third strategy, one or two additional primer annealing sites are introduced into the DNA to be sequenced at a distance just about equal to the number of bases that can be sequenced from the first primer.
- As illustrated in
FIG. 46 , template preparation for SBS will utilize the cloning of genomic DNA into a specially designed vector containing type IIS or III restriction sites (MmeI and EcoP15 I) flanking the genomic DNA cloning site. In this procedure size fractionated DNA (minimal length 100 bp) will be ligated into the cloning vector using blunt-end ligation. Upon cloning, the resulting recombinant plasmids will be re-cut at one of the type IIS/III sites and the sticky ends will be filled in with Klenow enzyme. Next, specific sequencing primers will be introduced via ligation inside the genomic DNA inserts, 22 bases distant from the first primer in the case of MmeI or 27 bases away in the case of EcoP15 I. After insertion of the internal priming sites, the constructs will be re-cloned in E. coli, the recombinant plasmids isolated and the inserts re-amplified by PCR at vector-insert junctions and attached to the beads for sequencing. Alternatively, emulsion or polony PCR strategies can be used to accomplish attachment of single molecules to individual beads or slide locations and their subsequent amplification at a much lower cost than cloning. In any case, once the DNA is immobilized, the first round of Hybrid SBS or SBS with C—F-NRTs will be primed from the flanking primer, then after stripping these extended primers, the second set of sequencing reactions will be initiated at the internal primer. It should be noted that with this scheme, the two sequenced portions come from opposite ends of the initial DNA, and are in essence paired end reads. - Several novel modifications of this approach can address the desire of many investigators to sequence an entire 100-base stretch of DNA, the length of a typical exon including surrounding intronic bases adjacent to the splice site. For instance, one can prepare a construct with two internal primers. In this case, the initial vector will be designed with MmeI at one flank and EcoP15I on the other; using two consecutive restriction, cloning and circularization steps, the final construct will consist of four alternative priming sites (two on the insert flanks and two internal), which in the case of 100 by segments of genomic DNA will guarantee their complete sequencing with 25-30 cycles of SBS and three primer resets. The extra cycles would enable some of the sequence reads to run into the next primer, which would help to confirm the direction (e.g., the last sequence might end with the MmeI or EcoP15I site. Other tricks would include modifying the ends of the primers to allow looping and reverse direction sequencing, incorporation of one or two decoding bases in the internal primers to confirm directions, and deconvoluting the results after all the data is generated. One would want to have a single set of primers for sequencing, regardless of which strand is attached. In order to achieve this, and to overcome the non-directional nature of their insertion, the internal primer or primers will be designed as palindromes so that sequencing can be initiated in either direction.
- Synthesis of ddCTP-N3-Bodipy-FL-510
-
- a. Azido-Bodipy-FL-510 (
FIG. 15 , Compound 15). (2-{2-[3-(2-Amino-ethylcarbamoyl)-phenoxy]-1-azido-ethoxy}-ethoxy)-acetic acid 14 (7.0 mg, 0.019 mmol) prepared according to the literature1 was dissolved in DMF (300 μl) and 1 M NaHCO3 aqueous solution (100 μl). A solution of Bodipy-FL-510 NHS (N-hydroxysuccinimide) ester (Invitrogen) (5.0 mg, 0.013 mmol) in DMF (400 μl) was added slowly to the above reaction mixture and then stirred at room temperature for 5 hours with exclusion of light. The crude product was purified on a preparative silica gel TLC plate (CHCl3/CH3OH, 1:4) to afford 15 (7.6 mg; 91%). 1H NMR (400 MHz, CD3OD) δ7.34-7.42 (m, 4H), 710-7.14 (m, 1H), 6.90 (d, J=4.0 Hz, 1H), 6.29 (d, J=4.0 Hz, 1H), 6.20 (s, 1H), 5.00 (t, J=5.2 Hz, 1H), 4.22-4.25 (m, 1H), 4.10-4.14 (m, 1H), 3.96-4.01 (m, 2H), 3.91 (s, 2H), 3.83-3.88 (m, 1H), 3.70-3.71 (m, 2H), 3.43-3.48 (m, 3H), 3.20-3.24 (m, 2H), 2.61-2.65 (m, 2H), 2.57 (s, 3H), 2.49 (s, 3H); MS (Fab+) calcd for C29H34BF2N7O7 [(M+H)+]: 642.4. found: 642.5. - b. ddCTP-N3-Bodipy-FL-510 (
FIG. 15 , Compound 17). To a stirred solution of 15 in dry DMF (2 ml), DSC (N,N′-disuccinimidyl carbonate) (3.4 mg, 13.2 μmol) and DMAP (4-dimethylaminopyridine) (1.6 mg, 13.2 μmol) were added. The reaction mixture was stirred at room temperature for 2 hours. TLC indicated that 15 was completely converted to compound 16, which was directly used to couple with amino-ddCTP (13 μmol) in NaHCO3/Na2CO3 buffer (pH=8.7, 0.1 M) (300 μl). The reaction mixture was stirred at room temperature for 3 hours with exclusion of light. The reaction mixture was purified by a preparative silica gel TLC plate (CH3OH/CH2Cl2, 1:1). The crude product was further purified on reverse-phase HPLC to afford 17 (retention time=34.0 min).Compound 17 was further evaluated by performing a single base extension reaction to yield a DNA extension product which was characterized by MALDI-TOF MS (m/z 8915) (FIG. 20C ).
Synthesis of ddUTP-N3-R6G - a. Azido-R6G (
FIG. 16 , Compound 18). The preparation procedure was similar to the synthesis of 15. The crude product was purified by a preparative silica gel TLC plate (CH3OH/CH2Cl2, 2:5) to afford 18 (8.2 mg; 89%). 1H NMR (400 MHz, CD3OD) δ 8.12-8.08 (m, 2H), 7.68 (d, J=1.6 Hz, 1H), 7.49-7.45 (m, 1H), 7.38-7.36 (m, 2H), 7.32-7.30 (m, 1H), 7.26-7.22 (m, 1H), 7.14-7.12 (m, 1H), 7.06-7.05 (m, 1H), 6.96 (s, 2H), 6.87 (s, 3H), 5.05 (t, J=5.0 Hz, 1H), 4.15-4.14 (m, 1H), 4.04-4.03 (m, 1H), 3.94-3.92 (m, 2H), 3.86-3.80 (m, 3H), 3.67-3.62 (m, 6H), 3.51 (q, J=7.2 Hz, 4H), 2.08 (s, 6H), 1.36 (t, J=7.2 Hz, 6H); HRMS (Fab+) calcd for C42H46N7O10 [(M+H)+]: 808.3306. found 808.3267. - b. ddUTP-N3-R6G (
FIG. 16 , Compound 20). The preparation procedure was similar to the synthesis of 17. The crude product was purified on reverse-phase HPLC to afford 20 (retention time=32.9 min).Compound 20 was further evaluated by performing a single base extension reaction to yield a DNA extension product which was characterized by MALDI-TOF MS (m/z 9082) (FIG. 20G ).
Synthesis of ddATP-N3-ROX - a. Azido-ROX (
FIG. 17 , Compound 21). The preparation procedure was similar to the synthesis of 15. The crude product was purified by a preparative silica gel TLC plate (CH3OH/CH2Cl2, 2:5) to afford 21 (6.3 mg; 90%). 1H NMR (400 MHz, CD3OD) δ 8.24 (d, J=3.2 Hz, 2H), 7.65 (s, 1H), 7.49-7.46 (m, 1H), 7.38-7.35 (m, 1H), 7.32-7.30 (m, 1H), 7.26-7.23 (m, 1H), 7.14-7.12 (m, 1H), 7.05-7.04 (m, 1H), 6.70 (s, 2H), 6.87 (s, 3H), 5.02 (t, J=4.0 Hz, 1H), 4.26-4.23 (m, 1H), 4.16-4.12 (m, 2H), 4.00-3.97 (m, 2H), 3.90-3.71 (m, 3H), 3.67-3.45 (m, 8H), 3.04-3.01 (m, 4H), 2.66-2.56 (m, 4H), 2.09-2.08 (m, 4H), 1.90-1.89 (m, 4H); HRMS (Fab+) calcd for C48H50N7O10 [(M+H)+]: 884.3619. found 884.3622. - b. ddATP-azido-ROX (
FIG. 17 , Compound 23). The preparation procedure was similar to the synthesis of 17. The crude product was purified on reverse-phase HPLC to afford 23 (retention time=36.1 min).Compound 23 was further evaluated by performing a single base extension reaction to yield a DNA extension product which was characterized by MALDI-TOF MS (m/z 9180) (FIG. 20A ).
Synthesis of ddGTP-N3-Cy5 - a. Azido-Cy5 (
FIG. 18 , Compound 24). The preparation procedure was similar to the synthesis of 15. The crude product was purified by a preparative silica gel TLC plate (CH3OH/CH2Cl2, 2:5) to afford 18 (5.6 mg; 84%). 1H NMR (400 MHz, CD3OD) δ 8.35-8.28 (m, 2H), 7.90-7.86 (m, 3H), 7.46-7.44 (m, 2H), 7.37-7.35 (m, 2H), 7.30-7.28 (d, J=8.0 Hz, 1H), 7.12-7.10 (m, 1H), 6.72 (t, J=12.4 Hz, 1H), 6.37-6.29 (m, 1H), 5.03 (t, J=4.8 Hz, 1H), 4.25-4.24 (m, 1H), 4.22-4.10 (m, 3H), 4.04-3.98 (m, 3H), 3.92 (s, 2H), 3.89-3.86 (m, 1H), 3.72-3.71 (m, 2H), 3.50-3.47 (m, 2H), 3.41-3.38 (m, 2H), 2.57 (m, 1H), 2.24-2.20 (m, 2H), 1.76 (s, 12H), 1.69-1.65 (m, 2H), 1.43-1.36 (m, 6H); MS (Fab+) calcd for C48H58N7O13S2 [(M+H)+]: 1006.4. found 1006.6. - b. ddGTP-N3-Cy5 (
FIG. 18 , Compound 26). The preparation procedure was similar to the synthesis of 17. The crude product was purified on reverse-phase HPLC to afford 26 (retention time=31.6 min).Compound 26 was further evaluated by performing a single base extension reaction to yield a DNA extension product which was characterized by MALDI-TOF MS (m/z 9261) (FIG. 20E ).
- a. Azido-Bodipy-FL-510 (
- The four NRTs (3′-O—N3-dATP, 3′-O—N3-dCTP, 3′-O—N3-dGTP and 3′-O—N3-dTTP) have been characterized, by performing four continuous DNA-extension reactions sequentially using a self-priming DNA template (5′-ATCGGCGCCGCGCCTTGGCGCGGCGC-3′ (SEQ ID No:1). The four nucleotides in the template immediately adjacent to the annealing site of the primer are 3′-GCTA-5′, which allows the evaluation of the incorporation and cleavage efficiency of the 4 NRTs. First, a polymerase extension reaction using a pool of all four NRTs along with the self-priming DNA template was performed producing a single base extension product. The reaction mixture for this, and all subsequent extension reactions, consisted of 80 pmol of self-priming DNA template, 160 pmol of 3′-O—N3-dNTPs, 1× Thermopol II reaction buffer (New England Biolabs), 40 nmol of MnCl2 and 1 unit of 9°N DNA polymerase (exo-) A485L/Y409V (New England Biolabs) in a total reaction volume of 20 μl. The reaction consisted of incubation at 94° C. for 5 min, 4° C. for 5 min, and 65° C. for 20 min. Subsequently, the extension product was desalted by using a ZipTip and analyzed by Voyager DE MALDI-TOF mass spectrometry (Applied Biosystems). For cleavage, the desalted DNA extension product bearing the 3′-O-azidomethyl group was first resuspended with 5 μl of 50 mM EDTA solution to quench the polymerase activity.
- This DNA solution was then mixed with 10 μl of 225 mM TCEP solution (pH 9.0) and incubated at 65° C. for 15 min to yield a cleaved DNA product which was characterized by MALDI-TOF MS. The DNA product with the 3′-O-azidomethyl group removed to generate a free 3′-OH group was purified by using an Oligonucleotide Purification Cartridge (Applied Biosystems) and used as a primer for a second extension reaction using 3′-O—N3-dNTPs. The second extended DNA product was then purified by ZipTip and cleaved as described above. The third and the fourth extensions were carried out in a similar manner by using the previously extended and cleaved product as the primer.
- The four cleavable fluorescent dideoxynucleotide terminators, ddNTP-N3-fluorophores (ddCTP-N3-Bodipy-FL-510, ddUTP-N3-R6G, ddATP-N3-ROX, and ddGTP-N3-Cy5) have been characterized, by performing four separate DNA-extension reactions, each with a different self-priming DNA template allowing the four ddNTP analogues to be incorporated. The resulting DNA extension products were analyzed by MALDI-TOF MS. The following four self-priming DNA templates (26-mer hairpin DNA with a 4-
base 5′-overhang) were used for the extension: 5′-GACTGCGCCGCGCCTTGGCGCGGCGC-3′ (SEQ ID No:2) for ddATP-N3-ROX; 5′-ATCGGCGCCGCGCCTTGGCGCGGCGC-3′ (SEQ ID No:3) for ddCTP-N3-Bodipy-FL-510; 5′-GATCGCGCCGCGCCTTGGCGCGGCGC-3′ (SEQ ID No:4) for ddGTP-N3-Cy5; and 5′-GTCAGCGCCGCGCCTTGGCGCGGCGC-3′ (SEQ ID No:5) for ddUTP-N3-R6G. Each of the extension reactions consisted of all four ddNTP-N3-fluorophores (e.g., 120 pmol each of ddCTP-N3-Bodipy-FL-510, ddUTP-N3-R6G, ddATP-N3-ROX, and ddGTP-N3-Cy5) along with 60 pmol of the self-priming DNA template, 1× Thermopol II reaction buffer, 40 nmol of MnCl2 and 1 unit of 9°N DNA polymerase (exo-) A485L/Y4Q9V in a total reaction volume of 20 μl. The reaction consisted of incubations at 94° C. for 5 min, 4° C. for 5 min, and 65° C. for 20 min. Subsequently, the extension product was purified by reverse-phase HPLC using established procedures (40). The fraction containing the desired product was collected and freeze-dried for analysis by MALDI-TOF MS and cleavage. For cleavage of the DNA extension product bearing the ddNTP-N3-fluorophores, the purified DNA product was resuspended in 50 ml of 100 mM TCEP solution (pH 9.0) at 65° C. for 15 min and then analyzed by MALDI-TOF MS. - 4-Color DNA Sequencing by Synthesis on a Chip Using Photocleavable Fluorescent Dideoxynucleotide/3′-Modified Photocleavable Nucleotide Combination Remnant of Sanger Sequencing.
- Ten microliters of a solution consisting of ddCTP-N3-Bodipy-FL-510 (10 fmol), ddUTP-N3-R6G (20 fmol), ddATP-N3-ROX (40 fmol), ddGTP-N3-Cy5 (20 fmol), 3′-O—N3-dCTP (22 pmol), 3′-O—N3-dTTP (22 pmol), 3′-O—N3-dATP (22 pmol), 3′-O—N3-dGTP (4 pmol), 1 unit of 9°N mutant DNA polymerase(exo-) A485L/Y409V, 20 nmol of MnCl2 and 1× Thermopol II reaction buffer was spotted on the DNA chip. The nucleotide complementary to the DNA template was allowed to incorporate into the primer at 62° C. for 15 min. To synchronize any unextended templates, an extension solution consisting of 38 pmol each of 3′-O—N3-dTTP, 3′-O—N3-dATP, 3′-O—N3-dGTP and 75 pmol of 3′-O—N3-dCTP, 1 unit of 9°N mutant DNA polymerase(exo-) A485L/Y409V, 20 nmol of MnCl2 and 1×Thermopol II reaction buffer was added to the same spot and incubated at 62° C. for 15 min. After washing with SPSC buffer containing 0.1
% Tween 20 for 1 min, the chip was rinsed with dH2O, and then scanned with a 4-color fluorescence ScanArray Express scanner (Perkin-Elmer Life Sciences) to detect the fluorescence signal. To perform the cleavage, the DNA chip was placed inside a chamber filled with 100 mM TCEP (pH 9.0) and incubated at 65° C. for 10 min. After washing the surface with dH2O, the chip was scanned again to measure the background fluorescence signal. This process was followed by the next polymerase extension reaction using the 3′-O—N3-dNTP/ddNTP-N3-fluorophore solution with the subsequent synchronization, washing, fluorescence detection, and cleavage processes performed as described above. The 3′-O—N3-dNTP/ddNTP-N3-fluorophore ratio was adjusted to obtain relatively even fluorescence signals. The above reaction cycles were repeated multiple times to obtain de novo DNA sequencing data on a DNA template immobilized on a chip. - Construction of a Chip with Immobilized Self-Priming DNA Template
- The 5′-amino-labeled self-priming
DNA template 5′-NH2-CAC-TCA-CAT-ATG-TTT-TTT-AGC-TTT-TTT-AAT-TTC-TTA-ATG-ATG-TTG-TTG-CAT-GCG-ACT-TAA-GGC-GCT-TGC-GCC-TTA-AGT-CG-3′ (SEQ ID No:6) was purchased from IDT (Coralville, Iowa). The DNA template was dissolved at 40 μM in 50 mM sodium phosphate buffer, pH 8.5 and spotted using SpotArray 72 arraying robot (Perkin Elmer) onto high density CodeLink microarray slides (GE Healthcare). After spotting, the slides were incubated at ambient temperature (˜24° C.) for 20 hours in a humid chamber containing saturated sodium chloride solution (˜75% humidity) to allow for 5′-tethering of the spotted amino-modified DNA templates to the slide surface functionalized with succinimide ester groups. Upon the incubation the slides were removed from the humid chamber and stored in vacuum desiccator at room temperature until further use. The principal advantage of the hairpin structure introduced into the 3′-portion of the self-priming DNA template is its higher stability and the increased priming efficiency for DNA polymerases as compared to a separate primer/template complex, which is prone to spontaneous dissociation. - 3′-O—N3-dNTP/ddNTP-N3-Fluorophore Ratio Used for Four-Color DNA Sequencing on a Chip
- To obtain de novo DNA sequencing data on a DNA template immobilized on a chip, the SBS cycle was repeated multiple times using the combination mixture of solution A consisting of 3′-O—N3-dCTP (3 μM), 3′-β-N3-dTTP (3 μM), 3′-O—N3-dATP (3 μM) and 3′-O—N3-dGTP (0.5 μM) and solution B consisting of ddCTP-N3-Bodipy-FL-510 (50 nM), ddUTP-N3-R6G (100 nM), ddATP-N3-ROX (200 nM) and ddGTP-N3-Cy5 (100 nM) in each polymerase extension reaction. The following volumes of solution A and B in each SBS cycle were used to achieve relatively even fluorescence signals.
-
SBS Solution Solution Cycle A (μl) B (μl) 1st 7.3 0.2 2nd 7.3 0.2 3rd 7.3 0.2 4th 7.3 0.2 5th 7.2 0.3 6th 7.2 0.3 7th 7.2 0.3 8th 7.2 0.3 9th 7.0 0.5 10th 7.0 0.5 11th 7.0 0.5 12th 7.0 0.5 13th 6.5 1.0 14th 6.5 1.0 15th 6.5 1.0 16th 6.5 1.0 17th 6.0 1.5 18th 6.0 1.5 19th 6.0 1.5 20th 5.5 2.0 21st 5.5 2.0 22nd 5.5 2.0 23rd 5.0 2.5 24th 5.0 2.5 25th 5.0 2.5 26th 4.5 3.0 27th 4.0 3.5 28th 3.5 4.0 29th 3.0 4.5 30th 2.5 5.0 31st 2.0 5.5 32nd 0 7.5 - Four 3′-O-modified cleavable reversible terminator nucleotides (3′-O—N3-dNTPs) along with four fluorescent ddNTPs have been synthesized and characterized, and used them to produce 4-color de novo DNA sequencing data on a chip by Sanger/SBS hybrid sequencing approach that has the following advantages. With the 3′-O—N3-dNTPs, after cleavage of the 3′OH capping group of the DNA extension product, there are no traces of modification left on the growing DNA strand. Therefore, there are no adverse effects on the DNA polymerase for incorporation of the next complementary nucleotide. Second, the cleavable fluorescent ddNTPs and 3′-O—N3-dNTPs permanent and reversible terminators, respectively, which allow the interrogation of each base in a serial manner, a key procedure enabling accurate determination of homopolymeric regions of DNA. In addition, because all of the steps of the nucleotide incorporation, fluorescence detection for sequence determination, cleavage of the fluorophore, and the 3′-O-azidomethyl group are performed on a DNA chip, there is no longer a need for electrophoretic DNA fragment separation as in the classical Sanger sequencing method.
- In the four-color hybrid SBS approach, the identity of the incorporated nucleotide is determined by the unique fluorescence emission from the four fluorescent dideoxynucleotides, whereas the role of the 3′-O-modified NRTs is to further extend the DNA strand. Therefore, the ratio of the ddNTP-N3-fluorophores and 3′-O—N3-dNTPs during the polymerase reaction determines how much of the ddNTP-N3-fluorophores incorporate and, thus, the corresponding fluorescence emission strength. With a finite amount of immobilized DNA template on a solid surface, initially the majority of the priming strands should be extended with 3′-O—N3-dNTPs, whereas a relatively smaller amount should be extended with ddNTP-N3-fluorophores to produce sufficient fluorescent signals that are above the fluorescence detection system's sensitivity threshold for sequence determination. As the sequencing cycle continues, the amount of the ddNTP-N3-fluorophores needs to be gradually increased to maintain the fluorescence emission strength for detection.
- We have experimentally determined the ratio of the 3′-O-N3-dNTPs and ddNTP-N3-fluorophores to yield sequencing read length of 32 bases. The signal strength at
base 32 is as strong as that of the first base (FIG. 21C ), indicating it should be possible to increase the read length of the hybrid SBS further by optimizing the extension conditions to reduce the background fluorescence in the later sequencing cycles. The ultimate read length of this hybrid SBS system depends on three factors: the number of starting DNA molecules on each spot of a DNA chip, the reaction efficiency, and the detection sensitivity of the system. The read length with the Sanger sequencing method commonly reaches >700 bp. The hybrid SBS approach described here may have the potential to reach this read length, especially with improvements in the sensitivity of the fluorescent detection system, where single molecules can be reliably detected. - With sequencing read length from 14 to 30 bases in the next generation DNA sequencing systems, massive parallel digital gene expression analogous to a high-throughput SAGE (41) approach has been reported reaching single copy transcript sensitivity (42), and CHIP-Seq (43-45) based on sequencing tags of ˜25 bases has led to many new discoveries in genome function and regulation. It is well established that millions of different PCR template's can be generated on a solid surface through emulsion PCR or clonal amplification (45, 20). Thus, future implementation of the hybrid SBS approach on a high-density bead array platform will provide a high-throughput, and accurate DNA sequencing system with wide applications in genome biology and biomedical research.
-
- 1. Walter, G.; Allan, M., Nucleotide Sequence of the Lac Operator. Proceedings of the National Academy of
Science 1973, 17, 3581-3584. - 2. Sanger, F.; Nicklen, S.; Coulson, A. R., DNA Sequencing with Chain-terminating Inhibitors. Proceedings of the National Academy of Science 1977, 74, 5463-5467.
- 3. Ju, J.; Ruan, C.; Fuller, C. W.; Glazer, A. N.; Mathies, R. A., Fluorescence Energy Transer Dye-Labeled Primers for DNA Sequencing and Analysis. Proceedings of the National Academy of Science 1995, 92, 4347-4351.
- 4. Kan, C. W.; Doherty, E. A.; Barron, A. E., A Novel Thermogelling Matrix for Microchannel DNA Sequencing Based on Poly-N-alkooxyalkylacrylamide Copoloymers.
Electrophoresis 2003, 24, 4161-4169. - 5. Prober, J. M.; Trainor, G. L.; Dam, R. J.; Hobbs, F. W.; Robertson, C. W.; Zagursky, R. J.; Cocuzza, A. J.; Jensen, M. A.; Baumeister, K., A System for Rapid DNA Sequencing with Fluorescent Chain-Terminating Dideoxynucleotides. Science 1987, 238, 336-341.
- 6. Smith, L. M.; Sanders, J. Z.; Kaiser, R. J.; Hughes, P.; Dodd, C.; Connell, C. R.; Heiner, C.; Kent, S. B.; Hood, L. E., Fluorescence Detection in Automated DNA Sequence Analysis. Nature 1986, 321, 674-679.
- 7. Bai, X.; Edwards, J. R.; Ju, J., Molecular Engineering Approaches for DNA Sequencing and Analysis. Expert Review of
Molecular diagnostics 2005, 5, 797-808. - 8. Collins, F. S.; Green, E. D.; Guttmacher, A. E.; Guyer, M. S., A Vision for the Future of Genomics Research. Nature 2003, 422, 835-847.
- 9. Drmanac, S.; Kita, D.; Labat, I.; Hauser, B.; Schmidt, C.; Burczak, J. D.; Drmanac, R., Accurate Sequencing by Hybridization for DNA Diagnostics and Individual Genomics.
Nature Biotechnology 1998, 16, 54-58. - 10. Edwards, J. R.; Itagaki, Y.; Ju, J., DNA Sequencing Using Biotinylated Dideoxynucleotides and Mass. Spectrometry.
Nucleic Acids Research 2001, 29, e104-e104. - 11. Fu, D. J.; Tang, K.; Braun, A.; Reuter, D.; Darnofer-Demar, B.; Little, D. P.; O'Donnell, M. J.; Cantor, C. R.; Koster, H.,
Sequencing Exons 5 to 8 of the p53 Gene by MALDI-TOF Mass Spectrometry.Nature Biotechnology 1998, 16, 381-384. - 12. Roskey, M. T.; Juhasz, P.; Smirnov, I. P.; Takach, E. J.; Martin, S. A.; Haff, L. A., DNA Sequencing by Delayed Extraction-matrix-assisted Laser Desorption/ionization Time of Flight Mass Spectrometry. Proceedings of the National Academy of Science 1996, 93, 4724-4729.
- 13. Kasianowicz, J. J.; Brandin, E.; Branton, D.; Deamer, D. W., Characterization of Individual Polynucleotide Molecules Using a Membrane Channel. Proceedings of the National Academy of Science 1996, 93, 13770-13773.
- 14. Meller, A.; Nivon, L.; Brandin, E.; Golovchenko, J.; Branton, D., Rapid Nanopore Discrimination Between Single Polynucleotide Molecules. Proceedings of the National Academy of Science 2000, 97, 1079-1084.
- 15. Vercoutere, W.; Hilt, S. T.; Olsen, H.; Deamer, D.; Haussier, D.; Akeson, M., Rapid Discrimination Among Individual DNA Hairpin Molecules at Single-nucleotide Resolution Using an Ion Channel.
Nature Biotechnology 2001, 17, 248-252. - 16. Howorka, S.; Cheley, S.; Bayley, H., Sequence-specific Detection of Individual DNA Strands Using Engineered Nanopores.
Nature Biotechnology 2001, 19, 636-639. - 17. Gu, L. Q.; Braha, O.; Conlan, S.; Cheley, S.; Bayley, H., Stochastic Sensing of Organic Analytes by a Pore-forming Protein Containing a Molecular Adapter. Nature 1999, 398, 686-670.
- 18. Shendure, J.; Porreca, G. J.; Reppas, N. B.; Lin, X.; McCutcheon, J. P.; Rosenbaum, A. M.; Wang, M. D.; Zhang, K.; Mitra, R. D.; Church, G. M., Accurate Multiplex Polony Sequencing of an Evolved Bacterial Genome. Science 2005, 309, 1728-1732.
- 19. Hyman, E. D., A New Method of Sequencing DNA. Analytical Biochemistry 1988, 174, 423-436.
- 20. Margulies, M.; Egholm, M.; Altman, W. E.; Attiya, S.; Bader, J. S.; Bemben, L. A.; Berka, J.; Braverman, M. S.; Chen, Y. J.; Chen, Z.; et al., Genome Sequencing in Microfabricated High-density Picolitre Reactors. Nature 2005, 437, 376-380.
- 21. Ronaghi, M., Pyrosequencing Sheds Light on DNA Sequencing.
Genome Research 2001, 11, 3-11. - 22. Ju, J.; Kim, D. H.; Bi, L.; Meng, Q.; Bai, X.; Li, Z.; Li, X.; Marma, M. S.; Shi, S.; Wu, J.; Edwards, J. R.; Romu, A.; Turro, N. J., Four-color DNA Sequencing by Synthesis Using Cleavable Fluorescent Nucleotide Reversible Terminators. Proceedings of the National Academy of Science 2006, 103, 19635-19640.
- 23. Metzker, M. L.; Raghavachari, R.; Richards, S.; Jacutin, S. E.; Civitello, A.; Burgess, K.; Gibbs, R. A., Termination of DNA Synthesis by
Novel 3′-modified-deoxyribonucleoside 5′-triphosphates.Nucleic Acids Research 1994, 22, 4259-4267. - 24. Lu, G.; Burgess, K., A Diversity Oriented Synthesis of 3′-O-modified Nucleoside Triphosphates for DNA ‘Sequencing by Synthesis’. Bioorganic &
Medicinal Chemistry Letters 2006, 16, 3902-3905. - 25. Metzker, M. L., Emerging Technologies in DNA Sequencing.
Genome Research 2005, 15, 1767-1776. - 26. Pelletier, H.; Sawaya, M. R.; Kumar, A.; Wilson, S. H.; Kraut, J., Structures of Ternary Complexes of Rat DNA Polymerase Beta, a DNA Template-primer, and ddCTP. Science 1994, 264, 1891-1903.
- 27. Rosenblum, B. B.; Lee, L. G.; Spurgeon, S. L.; Khan, S. H.; Menchen, S. M.; Heiner, C. R.; Chen, S. M., New Dye-labeled Terminators for Improved DNA Sequencing Patterns.
Nucleic Acids Research 1997, 25, (4500-4504). - 28. Zhu, Z.; Chao, J.; Yu, H.; Waggoner, A. S., Directly Labeled DNA Probes Using Fluorescent Nucleotides with Different Length Linkers.
Nucleic Acids Research 1994, 22, 3418-3422. - 29. Seo, T. S.; Bai, X.; Kim, D. H.; Meng, Q.; Shi, S.; Ruparel, H.; Li, Z.; Turro, N. J.; Ju, J., Four-color DNA Sequencing by Synthesis on a Chip Using Photocleavable Fluorescent Nucleotides. Proceedings of the National Academy of Science 2005, 102, (5926-5931).
- 30. Kolb, H. C.; Finn, M. G.; Sharpless, K. B., Click Chemistry: Diverse Chemical Function from a Few Good Reactions. Angewandte
Chemie International Edition 2001, 40, 2004-2021. - 31. Seo, T. S.; Li, Z.; Ruparel, H.; Ju, J., Click Chemistry to Construct Fluorescent Oligonucleotides for DNA Sequencing. Journal of Organic Chemistry 2003, 68, 609-612.
- 32. Bi, L.; Kim, D. H.; Ju, J., Design and Synthesis of a Chemically Cleavable Fluorescent Nucleotide, 3′-O-Allyl-dGTP-allyl-Bodipy-FL-510, as a Reversible Terminator for DNA Sequencing by Synthesis. Journal of American Chemical Society 2006, 128, (2542-2543).
- 33. Pillai, V. N. R., Photoremovable Protecting Groups in Organic Synthesis.
Synthesis 1980, 1, 1-26. - 34. Meng, Q.; Kim, D. H.; Bai, X.; Bi, L.; Turro, N. J.; Ju, J., Design and Synthesis of a
Photocleavable Fluorescent Nucleotide 3′-O-Allyl-dGTP-PC-Bodipy-FL-510 as a Reversible Terminator for DNA Sequencing by Synthesis. Journal of Organic Chemistry 2006, 71, 3248-3252. - 35. Gololobov, Y. G.; Zhmurova, I. N.; Kasukin, L. F., Sixty Years of Staudinger Reaction.
Tetrahedron 1981, 37, 437-472. - 36. Saxon E, Bertozzi C R (2000) Science 287:2007-2010.
- 37. Milton J, Ruediger S, Liu X (2006) United States Patent Application US20060160081A1.
- 38. Barnes, C., Balasubramanian, S., Liu, X., Swerdlow, H., Milton, J. (2006) U.S. Pat. No. 7,057,026.
- 39. Wu, W., et al. (2007) Nucleic Acid Research 35:6339-6349
- 40. Zavgorodny S, et al. (2000) Nucleosides, Nucleotides Nucleic Acids 19:1977-1991.
- 41. Velculescu V E, Zhang L, Vogelstein B, Kinzler K W (1995) Science 270:484-487.
- 42. Kim J B, Porreca G J, Song L, Greenway S C, Gorham J M, Church G M, Seidman C E, Seidman J G (2007) Science 316:1481-1484.
- 43. Mikkelsen T S, Ku M, Jaffe D B, Issac B, Lieberman E, Giannoukos G, Alvarez P, Brockman W, Kim T K, Koche R P, et al. (2007) Nature 448:553-560.
- 44. Johnson D S, Mortazavi A, Myers R M, Wold B (2007) Science 316: 1497-1502.
- 45. Barski A, Cuddapah S, Cui K, Roh T Y, Schones D E, Wang Z, Wei G, Chepelev I, Zhao K (2007) Cell 129: 823-837.
Claims (17)
Priority Applications (1)
| Application Number | Priority Date | Filing Date | Title |
|---|---|---|---|
| US12/734,227 US20110014611A1 (en) | 2007-10-19 | 2008-10-17 | Design and synthesis of cleavable fluorescent nucleotides as reversible terminators for dna sequences by synthesis |
Applications Claiming Priority (3)
| Application Number | Priority Date | Filing Date | Title |
|---|---|---|---|
| US99957607P | 2007-10-19 | 2007-10-19 | |
| PCT/US2008/011891 WO2009051807A1 (en) | 2007-10-19 | 2008-10-17 | Design and synthesis of cleavable fluorescent nucleotides as reversible terminators for dna sequencing by synthesis |
| US12/734,227 US20110014611A1 (en) | 2007-10-19 | 2008-10-17 | Design and synthesis of cleavable fluorescent nucleotides as reversible terminators for dna sequences by synthesis |
Related Parent Applications (1)
| Application Number | Title | Priority Date | Filing Date |
|---|---|---|---|
| PCT/US2008/011891 A-371-Of-International WO2009051807A1 (en) | 2007-10-19 | 2008-10-17 | Design and synthesis of cleavable fluorescent nucleotides as reversible terminators for dna sequencing by synthesis |
Related Child Applications (1)
| Application Number | Title | Priority Date | Filing Date |
|---|---|---|---|
| US13/951,269 Continuation US9175342B2 (en) | 2007-10-19 | 2013-07-25 | Synthesis of cleavable fluorescent nucleotides as reversible terminators for DNA sequencing by synthesis |
Publications (1)
| Publication Number | Publication Date |
|---|---|
| US20110014611A1 true US20110014611A1 (en) | 2011-01-20 |
Family
ID=40567704
Family Applications (7)
| Application Number | Title | Priority Date | Filing Date |
|---|---|---|---|
| US12/734,227 Abandoned US20110014611A1 (en) | 2007-10-19 | 2008-10-17 | Design and synthesis of cleavable fluorescent nucleotides as reversible terminators for dna sequences by synthesis |
| US13/951,269 Active 2029-02-19 US9175342B2 (en) | 2007-10-19 | 2013-07-25 | Synthesis of cleavable fluorescent nucleotides as reversible terminators for DNA sequencing by synthesis |
| US14/859,853 Active US9670539B2 (en) | 2007-10-19 | 2015-09-21 | Synthesis of cleavable fluorescent nucleotides as reversible terminators for DNA sequencing by synthesis |
| US15/596,379 Active US10144961B2 (en) | 2007-10-19 | 2017-05-16 | Synthesis of cleavable fluorescent nucleotides as reversible terminators for DNA sequencing by synthesis |
| US16/208,379 Active 2029-12-01 US11208691B2 (en) | 2007-10-19 | 2018-12-03 | Synthesis of cleavable fluorescent nucleotides as reversible terminators for DNA sequencing by synthesis |
| US17/560,928 Active 2028-12-27 US12180544B2 (en) | 2007-10-19 | 2021-12-23 | Synthesis of cleavable fluorescent nucleotides as reversible terminators for DNA sequencing by synthesis |
| US19/001,296 Pending US20250243537A1 (en) | 2007-10-19 | 2024-12-24 | Synthesis of cleavable fluorescent nucleotides as reversible terminators for dna sequencing by synthesis |
Family Applications After (6)
| Application Number | Title | Priority Date | Filing Date |
|---|---|---|---|
| US13/951,269 Active 2029-02-19 US9175342B2 (en) | 2007-10-19 | 2013-07-25 | Synthesis of cleavable fluorescent nucleotides as reversible terminators for DNA sequencing by synthesis |
| US14/859,853 Active US9670539B2 (en) | 2007-10-19 | 2015-09-21 | Synthesis of cleavable fluorescent nucleotides as reversible terminators for DNA sequencing by synthesis |
| US15/596,379 Active US10144961B2 (en) | 2007-10-19 | 2017-05-16 | Synthesis of cleavable fluorescent nucleotides as reversible terminators for DNA sequencing by synthesis |
| US16/208,379 Active 2029-12-01 US11208691B2 (en) | 2007-10-19 | 2018-12-03 | Synthesis of cleavable fluorescent nucleotides as reversible terminators for DNA sequencing by synthesis |
| US17/560,928 Active 2028-12-27 US12180544B2 (en) | 2007-10-19 | 2021-12-23 | Synthesis of cleavable fluorescent nucleotides as reversible terminators for DNA sequencing by synthesis |
| US19/001,296 Pending US20250243537A1 (en) | 2007-10-19 | 2024-12-24 | Synthesis of cleavable fluorescent nucleotides as reversible terminators for dna sequencing by synthesis |
Country Status (3)
| Country | Link |
|---|---|
| US (7) | US20110014611A1 (en) |
| EP (3) | EP2940029B1 (en) |
| WO (1) | WO2009051807A1 (en) |
Cited By (37)
| Publication number | Priority date | Publication date | Assignee | Title |
|---|---|---|---|---|
| US20090263791A1 (en) * | 2005-10-31 | 2009-10-22 | Jingyue Ju | Chemically Cleavable 3'-O-Allyl-DNTP-Allyl-Fluorophore Fluorescent Nucleotide Analogues and Related Methods |
| US20090298072A1 (en) * | 2006-06-07 | 2009-12-03 | The Trustees Of Columbia University In The City Of | DNA Sequencing by Nanopore Using Modified Nucleotides |
| US20090325154A1 (en) * | 2005-06-21 | 2009-12-31 | The Trustees Of Columbia University In The City Of New York | Pyrosequencing Methods and Related Compositions |
| US20110039259A1 (en) * | 2007-10-19 | 2011-02-17 | Jingyue Ju | Dna sequence with non-fluorescent nucleotide reversible terminators and cleavable label modified nucleotide terminators |
| WO2012162429A3 (en) * | 2011-05-23 | 2014-05-08 | The Trustees Of Columbia University In The City Of New York | Dna sequencing by synthesis using raman and infrared spectroscopy detection |
| US8845880B2 (en) | 2010-12-22 | 2014-09-30 | Genia Technologies, Inc. | Nanopore-based single DNA molecule characterization, identification and isolation using speed bumps |
| US9133511B2 (en) | 2000-10-06 | 2015-09-15 | The Trustees Of Columbia University In The City Of New York | Massive parallel method for decoding DNA and RNA |
| US9146248B2 (en) | 2013-03-14 | 2015-09-29 | Intelligent Bio-Systems, Inc. | Apparatus and methods for purging flow cells in nucleic acid sequencing instruments |
| US9175342B2 (en) | 2007-10-19 | 2015-11-03 | The Trustees Of Columbia University In The City Of New York | Synthesis of cleavable fluorescent nucleotides as reversible terminators for DNA sequencing by synthesis |
| US9255292B2 (en) | 2005-10-31 | 2016-02-09 | The Trustees Of Columbia University In The City Of New York | Synthesis of four-color 3′-O-allyl modified photocleavable fluorescent nucleotides and related methods |
| US9322062B2 (en) | 2013-10-23 | 2016-04-26 | Genia Technologies, Inc. | Process for biosensor well formation |
| US9494554B2 (en) | 2012-06-15 | 2016-11-15 | Genia Technologies, Inc. | Chip set-up and high-accuracy nucleic acid sequencing |
| US9528151B2 (en) | 2006-12-01 | 2016-12-27 | The Trustees Of Columbia University In The City Of New York | Four-color DNA sequencing by synthesis using cleavable fluorescent nucleotide reversible terminators |
| WO2017019278A1 (en) * | 2015-07-30 | 2017-02-02 | Illumina, Inc. | Orthogonal deblocking of nucleotides |
| WO2017027783A1 (en) * | 2015-08-13 | 2017-02-16 | Centrillion Technology Holdings Corporation | Methods for synchronising nucleic acid molecules |
| US9591268B2 (en) | 2013-03-15 | 2017-03-07 | Qiagen Waltham, Inc. | Flow cell alignment methods and systems |
| US9605309B2 (en) | 2012-11-09 | 2017-03-28 | Genia Technologies, Inc. | Nucleic acid sequencing using tags |
| US9708358B2 (en) | 2000-10-06 | 2017-07-18 | The Trustees Of Columbia University In The City Of New York | Massive parallel method for decoding DNA and RNA |
| US10190162B2 (en) | 2014-10-23 | 2019-01-29 | Complete Genomics, Inc. | Signal confinement sequencing (SCS) and nucleotide analogues for signal confinement sequencing |
| US10240195B2 (en) | 2014-03-24 | 2019-03-26 | The Trustees Of Columbia University In The City Of New York | Chemical methods for producing tagged nucleotides |
| US10246479B2 (en) | 2012-04-09 | 2019-04-02 | The Trustees Of Columbia University In The City Of New York | Method of preparation of nanopore and uses thereof |
| US10421995B2 (en) | 2013-10-23 | 2019-09-24 | Genia Technologies, Inc. | High speed molecular sensing with nanopores |
| US10443096B2 (en) | 2010-12-17 | 2019-10-15 | The Trustees Of Columbia University In The City Of New York | DNA sequencing by synthesis using modified nucleotides and nanopore detection |
| US10648026B2 (en) | 2013-03-15 | 2020-05-12 | The Trustees Of Columbia University In The City Of New York | Raman cluster tagged molecules for biological imaging |
| WO2020146397A1 (en) * | 2019-01-08 | 2020-07-16 | Singular Genomics Systems, Inc. | Nucleotide cleavable linkers and uses thereof |
| US10732183B2 (en) | 2013-03-15 | 2020-08-04 | The Trustees Of Columbia University In The City Of New York | Method for detecting multiple predetermined compounds in a sample |
| WO2020159447A1 (en) * | 2019-01-31 | 2020-08-06 | Agency For Science, Technology And Research | Method of synthesizing single-stranded nucleotide sequence, blocked nucleoside triphosphates and related methods |
| US11085076B2 (en) | 2015-09-28 | 2021-08-10 | The Trustees Of Columbia University In The City Of New York | Synthesis of novel disulfide linker based nucleotides as reversible terminators for DNA sequencing by synthesis |
| US11174281B1 (en) | 2020-04-24 | 2021-11-16 | Singular Genomics Systems, Inc. | Modified nucleotides and uses thereof |
| CN114958995A (en) * | 2022-04-27 | 2022-08-30 | 深圳赛陆医疗科技有限公司 | Gene sequencing method |
| US11591647B2 (en) | 2017-03-06 | 2023-02-28 | Singular Genomics Systems, Inc. | Nucleic acid sequencing-by-synthesis (SBS) methods that combine SBS cycle steps |
| US11878993B2 (en) | 2018-10-25 | 2024-01-23 | Singular Genomics Systems, Inc. | Nucleotide analogues |
| US11946103B2 (en) | 2021-12-10 | 2024-04-02 | Singular Genomics Systems, Inc. | Cleavable disulfide linkers and uses thereof |
| US12018325B2 (en) | 2017-03-28 | 2024-06-25 | The Trustees Of Columbia University In The City Of New York | 3′-O-modified nucleotide analogues with different cleavable linkers for attaching fluorescent labels to the base for DNA sequencing by synthesis |
| US12188086B2 (en) | 2018-03-15 | 2025-01-07 | The Trustees Of Columbia University In The City Of New York | Nucleotide analogues and use thereof for nucleic acid sequencing and analysis preliminary class |
| US12215124B2 (en) | 2018-02-21 | 2025-02-04 | Singular Genomics Systems, Inc. | Fluorinated nucleotides and uses thereof |
| US12337009B2 (en) | 2016-05-23 | 2025-06-24 | The Trustees Of Columbia University In The City Of New York | Nucleotide derivatives and methods of use thereof |
Families Citing this family (31)
| Publication number | Priority date | Publication date | Assignee | Title |
|---|---|---|---|---|
| US11008359B2 (en) | 2002-08-23 | 2021-05-18 | Illumina Cambridge Limited | Labelled nucleotides |
| EP2021415B1 (en) | 2006-05-18 | 2017-03-15 | Illumina Cambridge Limited | Dye compounds and the use of their labelled conjugates |
| EP2456892B1 (en) | 2009-07-24 | 2014-10-01 | Illumina, Inc. | Method for sequencing a polynucleotide template |
| US8324914B2 (en) | 2010-02-08 | 2012-12-04 | Genia Technologies, Inc. | Systems and methods for characterizing a molecule |
| US9678055B2 (en) | 2010-02-08 | 2017-06-13 | Genia Technologies, Inc. | Methods for forming a nanopore in a lipid bilayer |
| US9605307B2 (en) | 2010-02-08 | 2017-03-28 | Genia Technologies, Inc. | Systems and methods for forming a nanopore in a lipid bilayer |
| US9581563B2 (en) | 2011-01-24 | 2017-02-28 | Genia Technologies, Inc. | System for communicating information from an array of sensors |
| US9110478B2 (en) | 2011-01-27 | 2015-08-18 | Genia Technologies, Inc. | Temperature regulation of measurement arrays |
| CA3104322C (en) * | 2011-09-23 | 2023-06-13 | Illumina, Inc. | Methods and compositions for nucleic acid sequencing |
| US8986629B2 (en) | 2012-02-27 | 2015-03-24 | Genia Technologies, Inc. | Sensor circuit for controlling, detecting, and measuring a molecular complex |
| US20150119259A1 (en) | 2012-06-20 | 2015-04-30 | Jingyue Ju | Nucleic acid sequencing by nanopore detection of tag molecules |
| US9759711B2 (en) | 2013-02-05 | 2017-09-12 | Genia Technologies, Inc. | Nanopore arrays |
| US8754244B1 (en) | 2013-03-08 | 2014-06-17 | Illumina Cambridge Limited | Rhodamine compounds and their use as fluorescent labels |
| CN104292117B (en) * | 2013-07-15 | 2016-10-05 | 上海交通大学 | Acid-sensitive connects the synthesis of unit and the purposes in DNA sequencing thereof |
| US9551697B2 (en) | 2013-10-17 | 2017-01-24 | Genia Technologies, Inc. | Non-faradaic, capacitively coupled measurement in a nanopore cell array |
| GB201414098D0 (en) * | 2014-08-08 | 2014-09-24 | Illumina Cambridge Ltd | Modified nucleotide linkers |
| US9933431B2 (en) | 2014-08-22 | 2018-04-03 | Arizona Board Of Regents On Behalf Of Arizona State University | System and method for iterative detection of biological molecules |
| EP3268050B1 (en) | 2015-03-09 | 2021-07-14 | The Trustees of Columbia University in the City of New York | Pore-forming protein conjugate compositions and methods |
| WO2018102554A1 (en) * | 2016-12-01 | 2018-06-07 | President And Fellows Of Harvard College | Cleavable nucleotide analogs and uses thereof |
| WO2020006421A1 (en) | 2018-06-29 | 2020-01-02 | Pacific Biosciences Of California, Inc. | Methods and compositions for delivery of molecules and complexes to reaction sites |
| WO2020023405A1 (en) | 2018-07-23 | 2020-01-30 | The Trustees Of Columbia University In The City Of New York | Single-molecule electronic multiplex nanopore immunoassays for biomarker detection |
| JP2022521730A (en) | 2019-02-19 | 2022-04-12 | ウルティマ・ゲノミクス・インコーポレーテッド | Linkers and methods for photodetection and sequencing |
| CN114981283A (en) * | 2019-07-09 | 2022-08-30 | 纽约市哥伦比亚大学信托人 | Novel nucleotide analogs and methods of use |
| MX2021010496A (en) | 2019-12-16 | 2022-01-18 | Illumina Inc | KITS AND FLOW CELLS. |
| US12281134B2 (en) | 2020-02-04 | 2025-04-22 | Microsoft Technology Licensing, Llc | Electrochemically-cleavable linkers |
| US11807851B1 (en) | 2020-02-18 | 2023-11-07 | Ultima Genomics, Inc. | Modified polynucleotides and uses thereof |
| CN114634488B (en) * | 2020-12-15 | 2024-07-12 | 湖北华大基因研究院 | Succinimide esters and methods for preparing, treating and detecting the same |
| US11591361B2 (en) * | 2020-12-29 | 2023-02-28 | Microsoft Technology Licensing, Llc | Linker structures with minimal scar for enzymatic synthesis |
| CA3214986A1 (en) * | 2021-04-01 | 2022-10-06 | Bgi Shenzhen | Nucleotide analogue for sequencing |
| WO2024006953A2 (en) * | 2022-06-30 | 2024-01-04 | Alnylam Pharmaceuticals, Inc. | Monomers and methods for synthesis of modified oligonucleotides |
| WO2026019720A1 (en) | 2024-07-15 | 2026-01-22 | Pacific Biosciences Of California, Inc. | Improved loading of molecules and complexes to reaction sites |
Citations (92)
| Publication number | Priority date | Publication date | Assignee | Title |
|---|---|---|---|---|
| US4772691A (en) * | 1985-06-05 | 1988-09-20 | The Medical College Of Wisconsin, Inc. | Chemically cleavable nucleotides |
| US4824775A (en) * | 1985-01-03 | 1989-04-25 | Molecular Diagnostics, Inc. | Cells labeled with multiple Fluorophores bound to a nucleic acid carrier |
| US4863849A (en) * | 1985-07-18 | 1989-09-05 | New York Medical College | Automatable process for sequencing nucleotide |
| US5043272A (en) * | 1989-04-27 | 1991-08-27 | Life Technologies, Incorporated | Amplification of nucleic acid sequences using oligonucleotides of random sequence as primers |
| US5118605A (en) * | 1984-10-16 | 1992-06-02 | Chiron Corporation | Polynucleotide determination with selectable cleavage sites |
| US5308990A (en) * | 1991-05-15 | 1994-05-03 | Hitachi, Ltd. | Method for measuring microparticles, quantitative measuring method therefor and instrument for measuring microparticles |
| US5328824A (en) * | 1981-04-17 | 1994-07-12 | Yale University | Methods of using labeled nucleotides |
| US5332666A (en) * | 1986-07-02 | 1994-07-26 | E. I. Du Pont De Nemours And Company | Method, system and reagents for DNA sequencing |
| US5436143A (en) * | 1992-12-23 | 1995-07-25 | Hyman; Edward D. | Method for enzymatic synthesis of oligonucleotides |
| US5437975A (en) * | 1991-02-25 | 1995-08-01 | California Institute Of Biological Research | Consensus sequence primed polymerase chain reaction method for fingerprinting genomes |
| US5516664A (en) * | 1992-12-23 | 1996-05-14 | Hyman; Edward D. | Enzymatic synthesis of repeat regions of oligonucleotides |
| US5534424A (en) * | 1992-05-12 | 1996-07-09 | Cemu Bioteknik Ab | Chemical method for the analysis of DNA sequences |
| US5547839A (en) * | 1989-06-07 | 1996-08-20 | Affymax Technologies N.V. | Sequencing of surface immobilized polymers utilizing microflourescence detection |
| US5547859A (en) * | 1993-08-02 | 1996-08-20 | Goodman; Myron F. | Chain-terminating nucleotides for DNA sequencing methods |
| US5556748A (en) * | 1991-07-30 | 1996-09-17 | Xenopore Corporation | Methods of sandwich hybridization for the quantitative analysis of oligonucleotides |
| US5599675A (en) * | 1994-04-04 | 1997-02-04 | Spectragen, Inc. | DNA sequencing by stepwise ligation and cleavage |
| US5637469A (en) * | 1992-05-01 | 1997-06-10 | Trustees Of The University Of Pennsylvania | Methods and apparatus for the detection of an analyte utilizing mesoscale flow systems |
| US5654419A (en) * | 1994-02-01 | 1997-08-05 | The Regents Of The University Of California | Fluorescent labels and their use in separations |
| US5658736A (en) * | 1996-01-16 | 1997-08-19 | Genetics Institute, Inc. | Oligonucleotide population preparation |
| US5709999A (en) * | 1994-08-12 | 1998-01-20 | Myriad Genetics Inc. | Linked breast and ovarian cancer susceptibility gene |
| US5728528A (en) * | 1995-09-20 | 1998-03-17 | The Regents Of The University Of California | Universal spacer/energy transfer dyes |
| US5763594A (en) * | 1994-09-02 | 1998-06-09 | Andrew C. Hiatt | 3' protected nucleotides for enzyme catalyzed template-independent creation of phosphodiester bonds |
| US5770367A (en) * | 1993-07-30 | 1998-06-23 | Oxford Gene Technology Limited | Tag reagent and assay method |
| US5770365A (en) * | 1995-08-25 | 1998-06-23 | Tm Technologies, Inc. | Nucleic acid capture moieties |
| US5789167A (en) * | 1993-09-10 | 1998-08-04 | Genevue, Inc. | Optical detection of position of oligonucleotides on large DNA molecules |
| US5798210A (en) * | 1993-03-26 | 1998-08-25 | Institut Pasteur | Derivatives utilizable in nucleic acid sequencing |
| US5808045A (en) * | 1994-09-02 | 1998-09-15 | Andrew C. Hiatt | Compositions for enzyme catalyzed template-independent creation of phosphodiester bonds using protected nucleotides |
| US5821356A (en) * | 1996-08-12 | 1998-10-13 | The Perkin Elmer Corporation | Propargylethoxyamino nucleotides |
| US5834203A (en) * | 1997-08-25 | 1998-11-10 | Applied Spectral Imaging | Method for classification of pixels into groups according to their spectra using a plurality of wide band filters and hardwire therefore |
| US5856104A (en) * | 1996-10-28 | 1999-01-05 | Affymetrix, Inc. | Polymorphisms in the glucose-6 phosphate dehydrogenase locus |
| US5869255A (en) * | 1994-02-01 | 1999-02-09 | The Regents Of The University Of California | Probes labeled with energy transfer couples dyes exemplified with DNA fragment analysis |
| US5872244A (en) * | 1994-09-02 | 1999-02-16 | Andrew C. Hiatt | 3' protected nucleotides for enzyme catalyzed template-independent creation of phosphodiester bonds |
| US5885775A (en) * | 1996-10-04 | 1999-03-23 | Perseptive Biosystems, Inc. | Methods for determining sequences information in polynucleotides using mass spectrometry |
| US5908755A (en) * | 1996-06-14 | 1999-06-01 | Sarnoff Corporation | Sequential step method for sequencing and identifying polynucleotides |
| US5945283A (en) * | 1995-12-18 | 1999-08-31 | Washington University | Methods and kits for nucleic acid analysis using fluorescence resonance energy transfer |
| US5962228A (en) * | 1995-11-17 | 1999-10-05 | Lynx Therapeutics, Inc. | DNA extension and analysis with rolling primers |
| US6028190A (en) * | 1994-02-01 | 2000-02-22 | The Regents Of The University Of California | Probes labeled with energy transfer coupled dyes |
| US6074823A (en) * | 1993-03-19 | 2000-06-13 | Sequenom, Inc. | DNA sequencing by mass spectrometry via exonuclease degradation |
| US6087095A (en) * | 1992-04-22 | 2000-07-11 | Medical Research Council | DNA sequencing method |
| US6136543A (en) * | 1997-01-31 | 2000-10-24 | Hitachi, Ltd. | Method for determining nucleic acids base sequence and apparatus therefor |
| US6175107B1 (en) * | 1998-05-27 | 2001-01-16 | Owens-Brockway Glass Container Inc. | Inspection of containers employing a single area array sensor and alternately strobed light sources |
| US6197557B1 (en) * | 1997-03-05 | 2001-03-06 | The Regents Of The University Of Michigan | Compositions and methods for analysis of nucleic acids |
| US6210891B1 (en) * | 1996-09-27 | 2001-04-03 | Pyrosequencing Ab | Method of sequencing DNA |
| US6214987B1 (en) * | 1994-09-02 | 2001-04-10 | Andrew C. Hiatt | Compositions for enzyme catalyzed template-independent formation of phosphodiester bonds using protected nucleotides |
| US6218530B1 (en) * | 1998-06-02 | 2001-04-17 | Ambergen Inc. | Compounds and methods for detecting biomolecules |
| US6218118B1 (en) * | 1998-07-09 | 2001-04-17 | Agilent Technologies, Inc. | Method and mixture reagents for analyzing the nucleotide sequence of nucleic acids by mass spectrometry |
| US6221592B1 (en) * | 1998-10-20 | 2001-04-24 | Wisconsin Alumi Research Foundation | Computer-based methods and systems for sequencing of individual nucleic acid molecules |
| US6232465B1 (en) * | 1994-09-02 | 2001-05-15 | Andrew C. Hiatt | Compositions for enzyme catalyzed template-independent creation of phosphodiester bonds using protected nucleotides |
| US6242193B1 (en) * | 1999-07-30 | 2001-06-05 | Hitachi, Ltd. | Apparatus for determining base sequence of nucleic acid |
| US6245507B1 (en) * | 1998-08-18 | 2001-06-12 | Orchid Biosciences, Inc. | In-line complete hyperspectral fluorescent imaging of nucleic acid molecules |
| US6255475B1 (en) * | 1995-01-31 | 2001-07-03 | Marek Kwiatkowski | Chain terminators, the use thereof for nucleic acid sequencing and synthesis and a method of their preparation |
| US6274320B1 (en) * | 1999-09-16 | 2001-08-14 | Curagen Corporation | Method of sequencing a nucleic acid |
| US6277607B1 (en) * | 1999-05-24 | 2001-08-21 | Sanjay Tyagi | High specificity primers, amplification methods and kits |
| US6287821B1 (en) * | 1998-06-11 | 2001-09-11 | Orchid Biosciences, Inc. | Nucleotide analogues with 3'-pro-fluorescent fluorophores in nucleic acid sequence analysis |
| US6294324B1 (en) * | 1994-02-11 | 2001-09-25 | Institut Pasteur | Processing for attaching an end of a nucleic acid to a surface by utilizing pH |
| US6309836B1 (en) * | 1999-10-05 | 2001-10-30 | Marek Kwiatkowski | Compounds for protecting hydroxyls and methods for their use |
| US20020012966A1 (en) * | 1999-08-16 | 2002-01-31 | Yanggu Shi | 18 Human secreted proteins |
| US6361940B1 (en) * | 1996-09-24 | 2002-03-26 | Qiagen Genomics, Inc. | Compositions and methods for enhancing hybridization and priming specificity |
| US6380378B1 (en) * | 1998-12-24 | 2002-04-30 | Toagosei Company, Ltd. | Nucleotide compound, nucleotide block oligonucleotide, and method for producing them |
| US20030008285A1 (en) * | 2001-06-29 | 2003-01-09 | Fischer Steven M. | Method of DNA sequencing using cleavable tags |
| US20030022225A1 (en) * | 1996-12-10 | 2003-01-30 | Monforte Joseph A. | Releasable nonvolatile mass-label molecules |
| US6524829B1 (en) * | 1998-09-30 | 2003-02-25 | Molecular Machines & Industries Gmbh | Method for DNA- or RNA-sequencing |
| US20030044871A1 (en) * | 2001-08-27 | 2003-03-06 | Pharmanetics Incorporated | Coagulation assay reagents containing lanthanides and a protein C assay using such a lanthanide-containing reagent |
| US20030054360A1 (en) * | 1999-01-19 | 2003-03-20 | Larry Gold | Method and apparatus for the automated generation of nucleic acid ligands |
| US6555349B1 (en) * | 1993-01-22 | 2003-04-29 | Cornell Research Foundation, Inc. | Methods for amplifying and sequencing nucleic acid molecules using a three component polymerase |
| US20030099972A1 (en) * | 2001-07-13 | 2003-05-29 | Ambergen, Inc. | Nucleotide compositions comprising photocleavable markers and methods of preparation thereof |
| US6613508B1 (en) * | 1996-01-23 | 2003-09-02 | Qiagen Genomics, Inc. | Methods and compositions for analyzing nucleic acid molecules utilizing sizing techniques |
| US20030166282A1 (en) * | 2002-02-01 | 2003-09-04 | David Brown | High potency siRNAS for reducing the expression of target genes |
| US20030186256A1 (en) * | 1999-12-23 | 2003-10-02 | Achim Fischer | Method for carrying out the parallel sequencing of a nucleic acid mixture on a surface |
| US20030190680A1 (en) * | 1994-05-11 | 2003-10-09 | The Trustees Of Boston University | Photocleavable bioreactive agents |
| US20030198982A1 (en) * | 2000-08-03 | 2003-10-23 | Frank Seela | Nucleic acid binding compounds containing pyrazolo[3,4-d]pyrimidine analogues of purin-2,6-diamine and their uses |
| US20040014096A1 (en) * | 2002-04-12 | 2004-01-22 | Stratagene | Dual-labeled nucleotides |
| US6713255B1 (en) * | 1999-06-07 | 2004-03-30 | Fuji Photo Film Co., Ltd. | DNA chip, PNA chip, and their preparation methods |
| US20040096825A1 (en) * | 1999-04-30 | 2004-05-20 | Aclara Biosciences, Inc. | Methods and compositions for enhancing detection in determinations employing cleavable electrophoretic tag reagents |
| US6780591B2 (en) * | 1998-05-01 | 2004-08-24 | Arizona Board Of Regents | Method of determining the nucleotide sequence of oligonucleotides and DNA molecules |
| US6787308B2 (en) * | 1998-07-30 | 2004-09-07 | Solexa Ltd. | Arrayed biomolecules and their use in sequencing |
| US20040185466A1 (en) * | 2000-10-06 | 2004-09-23 | The Trustees Of Columbia University In The City Of New York. | Massive parallel method for decoding DNA and RNA |
| US6864052B1 (en) * | 1999-01-06 | 2005-03-08 | Callida Genomics, Inc. | Enhanced sequencing by hybridization using pools of probes |
| US6911345B2 (en) * | 1999-06-28 | 2005-06-28 | California Institute Of Technology | Methods and apparatus for analyzing polynucleotide sequences |
| US20050170367A1 (en) * | 2003-06-10 | 2005-08-04 | Quake Stephen R. | Fluorescently labeled nucleoside triphosphates and analogs thereof for sequencing nucleic acids |
| US6934636B1 (en) * | 1999-10-22 | 2005-08-23 | Genset, S.A. | Methods of genetic cluster analysis and uses thereof |
| US20050239134A1 (en) * | 2004-04-21 | 2005-10-27 | Board Of Regents, The University Of Texas System | Combinatorial selection of phosphorothioate single-stranded DNA aptamers for TGF-beta-1 protein |
| US6982146B1 (en) * | 1999-08-30 | 2006-01-03 | The United States Of America As Represented By The Department Of Health And Human Services | High speed parallel molecular nucleic acid sequencing |
| US7037687B2 (en) * | 1998-05-01 | 2006-05-02 | Arizona Board Of Regents | Method of determining the nucleotide sequence of oligonucleotides and DNA molecules |
| US20060105461A1 (en) * | 2004-10-22 | 2006-05-18 | May Tom-Moy | Nanopore analysis system |
| US7056661B2 (en) * | 1999-05-19 | 2006-06-06 | Cornell Research Foundation, Inc. | Method for sequencing nucleic acid molecules |
| US7078499B2 (en) * | 2000-06-01 | 2006-07-18 | Ge Healthcare Uk Limited | Nucleotide analogues comprising a reporter moiety and a polymerase enzyme blocking moiety |
| US20060160081A1 (en) * | 2002-08-23 | 2006-07-20 | John Milton | Labelled nucleotides |
| US7105300B2 (en) * | 1999-02-23 | 2006-09-12 | Caliper Life Sciences, Inc. | Sequencing by incorporation |
| US20060240439A1 (en) * | 2003-09-11 | 2006-10-26 | Smith Geoffrey P | Modified polymerases for improved incorporation of nucleotide analogues |
| US20070166705A1 (en) * | 2002-08-23 | 2007-07-19 | John Milton | Modified nucleotides |
| US7427673B2 (en) * | 2001-12-04 | 2008-09-23 | Illumina Cambridge Limited | Labelled nucleotides |
Family Cites Families (90)
| Publication number | Priority date | Publication date | Assignee | Title |
|---|---|---|---|---|
| US5175269A (en) | 1984-01-30 | 1992-12-29 | Enzo Diagnostics, Inc. | Compound and detectable molecules having an oligo- or polynucleotide with modifiable reactive group |
| US4888274A (en) | 1985-09-18 | 1989-12-19 | Yale University | RecA nucleoprotein filament and methods |
| SE8801070D0 (en) | 1988-03-23 | 1988-03-23 | Pharmacia Ab | METHOD FOR IMMOBILIZING A DNA SEQUENCE ON A SOLID SUPPORT |
| US5174962A (en) | 1988-06-20 | 1992-12-29 | Genomyx, Inc. | Apparatus for determining DNA sequences by mass spectrometry |
| GB8910880D0 (en) | 1989-05-11 | 1989-06-28 | Amersham Int Plc | Sequencing method |
| US5302509A (en) | 1989-08-14 | 1994-04-12 | Beckman Instruments, Inc. | Method for sequencing polynucleotides |
| CA2044616A1 (en) | 1989-10-26 | 1991-04-27 | Roger Y. Tsien | Dna sequencing |
| WO1993005183A1 (en) | 1991-09-09 | 1993-03-18 | Baylor College Of Medicine | Method and device for rapid dna or rna sequencing determination by a base addition sequencing scheme |
| DE4141178A1 (en) | 1991-12-13 | 1993-06-17 | Europ Lab Molekularbiolog | New nucleic acid sequencing method - using one labelled nucleotide at one time in cycles comprising elongation, wash, label detection and removal of the label, then repeating |
| DE4141698A1 (en) | 1991-12-18 | 1993-07-01 | Bosch Gmbh Robert | CLOSING TIME CONTROL METHOD |
| US5959089A (en) | 1993-07-19 | 1999-09-28 | Hannessian; Stephen | Amino-cyclodextrin syntheses |
| JPH09505397A (en) | 1993-11-17 | 1997-05-27 | アマーシャム・インターナショナル・ピーエルシー | Nucleic acid sequencing by primer extension mass spectrometry |
| US20020168642A1 (en) | 1994-06-06 | 2002-11-14 | Andrzej Drukier | Sequencing duplex DNA by mass spectroscopy |
| US6013445A (en) | 1996-06-06 | 2000-01-11 | Lynx Therapeutics, Inc. | Massively parallel signature sequencing by ligation of encoded adaptors |
| WO1996027025A1 (en) | 1995-02-27 | 1996-09-06 | Ely Michael Rabani | Device, compounds, algorithms, and methods of molecular characterization and manipulation with molecular parallelism |
| EP0745686A1 (en) | 1995-06-01 | 1996-12-04 | Roche Diagnostics GmbH | The use of DNA polymerase 3'-intrinsic editing activity |
| CA2185590A1 (en) * | 1995-09-18 | 1997-03-19 | Kazunori Okano | Dna sequencing method and dna sample preparation method |
| US6312893B1 (en) | 1996-01-23 | 2001-11-06 | Qiagen Genomics, Inc. | Methods and compositions for determining the sequence of nucleic acid molecules |
| EP0992511B1 (en) | 1996-01-23 | 2009-03-11 | Operon Biotechnologies, Inc. | Methods and compositions for determining the sequence of nucleic acid molecules |
| JP2002515738A (en) | 1996-01-23 | 2002-05-28 | アフィメトリックス,インコーポレイティド | Nucleic acid analysis |
| WO1997035033A1 (en) | 1996-03-19 | 1997-09-25 | Molecular Tool, Inc. | Method for determining the nucleotide sequence of a polynucleotide |
| EP0854935B1 (en) * | 1996-07-16 | 2005-04-13 | Periannan Senapathy | Method for contiguous genome sequencing |
| US5853992A (en) | 1996-10-04 | 1998-12-29 | The Regents Of The University Of California | Cyanine dyes with high-absorbance cross section as donor chromophores in energy transfer labels |
| WO1998030720A1 (en) | 1997-01-08 | 1998-07-16 | Proligo Llc | Bioconjugation of oligonucleotides |
| US5876936A (en) | 1997-01-15 | 1999-03-02 | Incyte Pharmaceuticals, Inc. | Nucleic acid sequencing with solid phase capturable terminators |
| US6046005A (en) | 1997-01-15 | 2000-04-04 | Incyte Pharmaceuticals, Inc. | Nucleic acid sequencing with solid phase capturable terminators comprising a cleavable linking group |
| US5804386A (en) | 1997-01-15 | 1998-09-08 | Incyte Pharmaceuticals, Inc. | Sets of labeled energy transfer fluorescent primers and their use in multi component analysis |
| ES2230631T3 (en) | 1997-03-20 | 2005-05-01 | F. Hoffmann-La Roche Ag | MODIFIED PRIMERS. |
| EP3034626A1 (en) | 1997-04-01 | 2016-06-22 | Illumina Cambridge Limited | Method of nucleic acid sequencing |
| US6309829B1 (en) | 1997-05-27 | 2001-10-30 | Pe Corporation (Ny) | Length determination of nucleic acid repeat sequences by discontinuous primer extension |
| CN1152140C (en) | 1997-07-28 | 2004-06-02 | 医疗生物系统有限公司 | Nucleic acid sequence analysis |
| US6008379A (en) | 1997-10-01 | 1999-12-28 | The Perkin-Elmer Corporation | Aromatic-substituted xanthene dyes |
| US6485944B1 (en) | 1997-10-10 | 2002-11-26 | President And Fellows Of Harvard College | Replica amplification of nucleic acid arrays |
| US6511803B1 (en) | 1997-10-10 | 2003-01-28 | President And Fellows Of Harvard College | Replica amplification of nucleic acid arrays |
| GB9815163D0 (en) | 1998-07-13 | 1998-09-09 | Brax Genomics Ltd | Compounds |
| US6096875A (en) | 1998-05-29 | 2000-08-01 | The Perlein-Elmer Corporation | Nucleotide compounds including a rigid linker |
| US6335155B1 (en) * | 1998-06-26 | 2002-01-01 | Sunesis Pharmaceuticals, Inc. | Methods for rapidly identifying small organic molecule ligands for binding to biological target molecules |
| GB0002310D0 (en) | 2000-02-01 | 2000-03-22 | Solexa Ltd | Polynucleotide sequencing |
| DE69928265T3 (en) | 1998-07-30 | 2013-11-28 | Illumina Cambridge Ltd. | MATRICES OF BIOMOLECULES AND THEIR USE IN SEQUENCING |
| AU5479599A (en) | 1998-08-11 | 2000-03-06 | Caliper Technologies Corporation | Methods and systems for sequencing dna by distinguishing the decay times of fluorescent probes |
| US20020012913A1 (en) | 1998-09-15 | 2002-01-31 | Kevin L. Gunderson | Nucleic acid analysis using complete n-mer arrays |
| US6500650B1 (en) | 1998-10-01 | 2002-12-31 | Variagenics, Inc. | Method for identifying polymorphisms |
| US6207831B1 (en) | 1998-12-21 | 2001-03-27 | Novartis Ag | Fluorescent dyes (AIDA) for solid phase and solution phase screening |
| US7270951B1 (en) | 1999-03-10 | 2007-09-18 | Asm Scientific, Inc. | Method for direct nucleic acid sequencing |
| US6316230B1 (en) | 1999-08-13 | 2001-11-13 | Applera Corporation | Polymerase extension at 3′ terminus of PNA-DNA chimera |
| AU7086800A (en) | 1999-08-30 | 2001-03-26 | Government Of The United States Of America, As Represented By The Secretary Of The Department Of Health And Human Services, The | High speed parallel molecular nucleic acid sequencing |
| US6664399B1 (en) | 1999-09-02 | 2003-12-16 | E. I. Du Pont De Nemours & Company | Triazole linked carbohydrates |
| EP1218543A2 (en) | 1999-09-29 | 2002-07-03 | Solexa Ltd. | Polynucleotide sequencing |
| ATE461451T1 (en) | 1999-10-08 | 2010-04-15 | Robert C Leif | MARKER COMPLEXES MADE OF CONJUGATE POLYMERS |
| AU1471001A (en) | 1999-11-04 | 2001-05-14 | California Institute Of Technology | Methods and apparatus for analyzing polynucleotide sequences |
| GB0002389D0 (en) | 2000-02-02 | 2000-03-22 | Solexa Ltd | Molecular arrays |
| EP1182267B1 (en) | 2000-03-30 | 2012-01-18 | Toyota Jidosha Kabushiki Kaisha | Method of determining base sequence of single nucleic acid molecule |
| GB0016473D0 (en) | 2000-07-05 | 2000-08-23 | Amersham Pharm Biotech Uk Ltd | Sequencing method |
| JP2004508838A (en) | 2000-09-11 | 2004-03-25 | ザ・トラスティーズ・オブ・コランビア・ユニバーシティー・イン・ザ・シティー・オブ・ニューヨーク | Combination fluorescent energy transfer tags and their use |
| US20060057565A1 (en) | 2000-09-11 | 2006-03-16 | Jingyue Ju | Combinatorial fluorescence energy transfer tags and uses thereof |
| US6627748B1 (en) | 2000-09-11 | 2003-09-30 | The Trustees Of Columbia University In The City Of New York | Combinatorial fluorescence energy transfer tags and their applications for multiplex genetic analyses |
| JP2004523243A (en) | 2001-03-12 | 2004-08-05 | カリフォルニア インスティチュート オブ テクノロジー | Method and apparatus for analyzing polynucleotide sequences by asynchronous base extension |
| US20030027140A1 (en) | 2001-03-30 | 2003-02-06 | Jingyue Ju | High-fidelity DNA sequencing using solid phase capturable dideoxynucleotides and mass spectrometry |
| DE10120797B4 (en) | 2001-04-27 | 2005-12-22 | Genovoxx Gmbh | Method for analyzing nucleic acid chains |
| DE10120798B4 (en) | 2001-04-27 | 2005-12-29 | Genovoxx Gmbh | Method for determining gene expression |
| DE10239504A1 (en) | 2001-08-29 | 2003-04-24 | Genovoxx Gmbh | Parallel sequencing of nucleic acid fragments, useful e.g. for detecting mutations, comprises sequential single-base extension of immobilized fragment-primer complex |
| JP2005535283A (en) * | 2001-11-13 | 2005-11-24 | ルビコン ゲノミクス インコーポレイテッド | DNA amplification and sequencing using DNA molecules generated by random fragmentation |
| GB0128526D0 (en) | 2001-11-29 | 2002-01-23 | Amersham Pharm Biotech Uk Ltd | Nucleotide analogues |
| WO2003066812A2 (en) | 2002-02-05 | 2003-08-14 | Baylor College Of Medecine | Substituted 4,4-difluoro-4-bora-3a, 4a-diaza-s-indacene compounds for 8-color dna sequencing |
| EP1495137B1 (en) | 2002-04-04 | 2005-09-14 | Biotage AB | Primer extension based method employing nucleotides labelled via cleavable linkers |
| US7074597B2 (en) | 2002-07-12 | 2006-07-11 | The Trustees Of Columbia University In The City Of New York | Multiplex genotyping using solid phase capturable dideoxynucleotides and mass spectrometry |
| EP1560838B1 (en) * | 2002-08-23 | 2009-05-13 | Illumina Cambridge Limited | Labelled nucleotides |
| WO2004055160A2 (en) | 2002-12-13 | 2004-07-01 | The Trustees Of Columbia University In The City Of New York | Biomolecular coupling methods using 1,3-dipolar cycloaddition chemistry |
| WO2005084367A2 (en) | 2004-03-03 | 2005-09-15 | The Trustees Of Columbia University In The City Of New York | Photocleavable fluorescent nucleotides for dna sequencing on chip constructed by site-specific coupling chemistry |
| WO2006073436A2 (en) | 2004-04-29 | 2006-07-13 | The Trustees Of Columbia University In The City Of New York | Mass tag pcr for multiplex diagnostics |
| US9035035B2 (en) | 2004-11-05 | 2015-05-19 | Genovoxx Gmbh | Macromolecular nucleotide compounds and methods for using the same |
| US7393533B1 (en) | 2004-11-08 | 2008-07-01 | La Jolla Institute For Allergy And Immunology | H3L envelope protein immunization methods and H3L envelope passive protection methods |
| WO2007002204A2 (en) | 2005-06-21 | 2007-01-04 | The Trustees Of Columbia University In The City Of New York | Pyrosequencing methods and related compostions |
| GB0517097D0 (en) * | 2005-08-19 | 2005-09-28 | Solexa Ltd | Modified nucleosides and nucleotides and uses thereof |
| GB2446083B (en) | 2005-10-31 | 2011-03-02 | Univ Columbia | Chemically cleavable 3'-0-allyl-dntp-allyl-fluorophore fluorescent nucleotide analogues and related methods |
| WO2007053702A2 (en) | 2005-10-31 | 2007-05-10 | The Trustees Of Columbia University In The City Of New York | Synthesis of four color 3'-o-allyl modified photocleavable fluorescent nucleotides and related methods |
| CA2630544A1 (en) | 2005-11-21 | 2007-05-31 | The Trustees Of Columbia University In The City Of New York | Multiplex digital immuno-sensing using a library of photocleavable mass tags |
| EP2021415B1 (en) * | 2006-05-18 | 2017-03-15 | Illumina Cambridge Limited | Dye compounds and the use of their labelled conjugates |
| US8889348B2 (en) | 2006-06-07 | 2014-11-18 | The Trustees Of Columbia University In The City Of New York | DNA sequencing by nanopore using modified nucleotides |
| GB2457402B (en) | 2006-12-01 | 2011-10-19 | Univ Columbia | Four-color DNA sequencing by synthesis using cleavable fluorescent nucleotide reversible terminators |
| US8481259B2 (en) | 2007-02-05 | 2013-07-09 | Intelligent Bio-Systems, Inc. | Methods and devices for sequencing nucleic acids in smaller batches |
| US8612161B2 (en) | 2008-03-19 | 2013-12-17 | Intelligent Biosystems Inc. | Methods and compositions for base calling nucleic acids |
| EP2725107B1 (en) * | 2007-10-19 | 2018-08-29 | The Trustees of Columbia University in the City of New York | DNA sequencing with non-fluorescent nucleotide reversible terminators and cleavable label modified ddNTPs and nucleic acid comprising inosine with reversible terminators |
| EP2940029B1 (en) * | 2007-10-19 | 2023-11-29 | The Trustees of Columbia University in the City of New York | Design and synthesis of cleavable fluorescent nucleotides as reversible terminators for dna sequencing by synthesis |
| US9309569B2 (en) | 2010-08-26 | 2016-04-12 | Intelligent Bio-Systems, Inc. | Methods and compositions for sequencing nucleic acid using charge |
| CN107083421A (en) | 2010-12-17 | 2017-08-22 | 纽约哥伦比亚大学理事会 | The DNA detected using the nucleotides through modification and nano-pore is sequenced in synthesis |
| JP6456816B2 (en) | 2012-04-09 | 2019-01-23 | ザ・トラスティーズ・オブ・コランビア・ユニバーシティー・イン・ザ・シティー・オブ・ニューヨーク | Method for preparing nanopores and uses thereof |
| US20150119259A1 (en) | 2012-06-20 | 2015-04-30 | Jingyue Ju | Nucleic acid sequencing by nanopore detection of tag molecules |
| US10648026B2 (en) | 2013-03-15 | 2020-05-12 | The Trustees Of Columbia University In The City Of New York | Raman cluster tagged molecules for biological imaging |
| CN105102627B (en) | 2013-03-15 | 2018-10-19 | 纽约哥伦比亚大学理事会 | Method for detecting a variety of predetermined compounds in sample |
-
2008
- 2008-10-17 EP EP15165262.5A patent/EP2940029B1/en active Active
- 2008-10-17 EP EP20080839081 patent/EP2207900B1/en active Active
- 2008-10-17 US US12/734,227 patent/US20110014611A1/en not_active Abandoned
- 2008-10-17 EP EP23212547.6A patent/EP4310194A3/en active Pending
- 2008-10-17 WO PCT/US2008/011891 patent/WO2009051807A1/en not_active Ceased
-
2013
- 2013-07-25 US US13/951,269 patent/US9175342B2/en active Active
-
2015
- 2015-09-21 US US14/859,853 patent/US9670539B2/en active Active
-
2017
- 2017-05-16 US US15/596,379 patent/US10144961B2/en active Active
-
2018
- 2018-12-03 US US16/208,379 patent/US11208691B2/en active Active
-
2021
- 2021-12-23 US US17/560,928 patent/US12180544B2/en active Active
-
2024
- 2024-12-24 US US19/001,296 patent/US20250243537A1/en active Pending
Patent Citations (99)
| Publication number | Priority date | Publication date | Assignee | Title |
|---|---|---|---|---|
| US5328824A (en) * | 1981-04-17 | 1994-07-12 | Yale University | Methods of using labeled nucleotides |
| US5449767A (en) * | 1981-04-17 | 1995-09-12 | Yale University | Modified polynucleotides and methods of preparing same |
| US5118605A (en) * | 1984-10-16 | 1992-06-02 | Chiron Corporation | Polynucleotide determination with selectable cleavage sites |
| US4824775A (en) * | 1985-01-03 | 1989-04-25 | Molecular Diagnostics, Inc. | Cells labeled with multiple Fluorophores bound to a nucleic acid carrier |
| US4772691A (en) * | 1985-06-05 | 1988-09-20 | The Medical College Of Wisconsin, Inc. | Chemically cleavable nucleotides |
| US4863849A (en) * | 1985-07-18 | 1989-09-05 | New York Medical College | Automatable process for sequencing nucleotide |
| US5332666A (en) * | 1986-07-02 | 1994-07-26 | E. I. Du Pont De Nemours And Company | Method, system and reagents for DNA sequencing |
| US5043272A (en) * | 1989-04-27 | 1991-08-27 | Life Technologies, Incorporated | Amplification of nucleic acid sequences using oligonucleotides of random sequence as primers |
| US5547839A (en) * | 1989-06-07 | 1996-08-20 | Affymax Technologies N.V. | Sequencing of surface immobilized polymers utilizing microflourescence detection |
| US7329496B2 (en) * | 1990-12-06 | 2008-02-12 | Affymetrix, Inc. | Sequencing of surface immobilized polymers utilizing microflourescence detection |
| US7056666B2 (en) * | 1990-12-06 | 2006-06-06 | Affymetrix, Inc. | Analysis of surface immobilized polymers utilizing microfluorescence detection |
| US5437975A (en) * | 1991-02-25 | 1995-08-01 | California Institute Of Biological Research | Consensus sequence primed polymerase chain reaction method for fingerprinting genomes |
| US5308990A (en) * | 1991-05-15 | 1994-05-03 | Hitachi, Ltd. | Method for measuring microparticles, quantitative measuring method therefor and instrument for measuring microparticles |
| US5556748A (en) * | 1991-07-30 | 1996-09-17 | Xenopore Corporation | Methods of sandwich hybridization for the quantitative analysis of oligonucleotides |
| US6087095A (en) * | 1992-04-22 | 2000-07-11 | Medical Research Council | DNA sequencing method |
| US5637469A (en) * | 1992-05-01 | 1997-06-10 | Trustees Of The University Of Pennsylvania | Methods and apparatus for the detection of an analyte utilizing mesoscale flow systems |
| US5534424A (en) * | 1992-05-12 | 1996-07-09 | Cemu Bioteknik Ab | Chemical method for the analysis of DNA sequences |
| US5516664A (en) * | 1992-12-23 | 1996-05-14 | Hyman; Edward D. | Enzymatic synthesis of repeat regions of oligonucleotides |
| US5436143A (en) * | 1992-12-23 | 1995-07-25 | Hyman; Edward D. | Method for enzymatic synthesis of oligonucleotides |
| US5602000A (en) * | 1992-12-23 | 1997-02-11 | Hyman; Edward D. | Method for enzymatic synthesis of oligonucleotides |
| US6555349B1 (en) * | 1993-01-22 | 2003-04-29 | Cornell Research Foundation, Inc. | Methods for amplifying and sequencing nucleic acid molecules using a three component polymerase |
| US6074823A (en) * | 1993-03-19 | 2000-06-13 | Sequenom, Inc. | DNA sequencing by mass spectrometry via exonuclease degradation |
| US5798210A (en) * | 1993-03-26 | 1998-08-25 | Institut Pasteur | Derivatives utilizable in nucleic acid sequencing |
| US5770367A (en) * | 1993-07-30 | 1998-06-23 | Oxford Gene Technology Limited | Tag reagent and assay method |
| US5547859A (en) * | 1993-08-02 | 1996-08-20 | Goodman; Myron F. | Chain-terminating nucleotides for DNA sequencing methods |
| US5789167A (en) * | 1993-09-10 | 1998-08-04 | Genevue, Inc. | Optical detection of position of oligonucleotides on large DNA molecules |
| US5654419A (en) * | 1994-02-01 | 1997-08-05 | The Regents Of The University Of California | Fluorescent labels and their use in separations |
| US6028190A (en) * | 1994-02-01 | 2000-02-22 | The Regents Of The University Of California | Probes labeled with energy transfer coupled dyes |
| US5869255A (en) * | 1994-02-01 | 1999-02-09 | The Regents Of The University Of California | Probes labeled with energy transfer couples dyes exemplified with DNA fragment analysis |
| US6294324B1 (en) * | 1994-02-11 | 2001-09-25 | Institut Pasteur | Processing for attaching an end of a nucleic acid to a surface by utilizing pH |
| US5599675A (en) * | 1994-04-04 | 1997-02-04 | Spectragen, Inc. | DNA sequencing by stepwise ligation and cleavage |
| US20030190680A1 (en) * | 1994-05-11 | 2003-10-09 | The Trustees Of Boston University | Photocleavable bioreactive agents |
| US5709999A (en) * | 1994-08-12 | 1998-01-20 | Myriad Genetics Inc. | Linked breast and ovarian cancer susceptibility gene |
| US5808045A (en) * | 1994-09-02 | 1998-09-15 | Andrew C. Hiatt | Compositions for enzyme catalyzed template-independent creation of phosphodiester bonds using protected nucleotides |
| US6214987B1 (en) * | 1994-09-02 | 2001-04-10 | Andrew C. Hiatt | Compositions for enzyme catalyzed template-independent formation of phosphodiester bonds using protected nucleotides |
| US5872244A (en) * | 1994-09-02 | 1999-02-16 | Andrew C. Hiatt | 3' protected nucleotides for enzyme catalyzed template-independent creation of phosphodiester bonds |
| US5763594A (en) * | 1994-09-02 | 1998-06-09 | Andrew C. Hiatt | 3' protected nucleotides for enzyme catalyzed template-independent creation of phosphodiester bonds |
| US6232465B1 (en) * | 1994-09-02 | 2001-05-15 | Andrew C. Hiatt | Compositions for enzyme catalyzed template-independent creation of phosphodiester bonds using protected nucleotides |
| US6255475B1 (en) * | 1995-01-31 | 2001-07-03 | Marek Kwiatkowski | Chain terminators, the use thereof for nucleic acid sequencing and synthesis and a method of their preparation |
| US5770365A (en) * | 1995-08-25 | 1998-06-23 | Tm Technologies, Inc. | Nucleic acid capture moieties |
| US5728528A (en) * | 1995-09-20 | 1998-03-17 | The Regents Of The University Of California | Universal spacer/energy transfer dyes |
| US5962228A (en) * | 1995-11-17 | 1999-10-05 | Lynx Therapeutics, Inc. | DNA extension and analysis with rolling primers |
| US5945283A (en) * | 1995-12-18 | 1999-08-31 | Washington University | Methods and kits for nucleic acid analysis using fluorescence resonance energy transfer |
| US5658736A (en) * | 1996-01-16 | 1997-08-19 | Genetics Institute, Inc. | Oligonucleotide population preparation |
| US6613508B1 (en) * | 1996-01-23 | 2003-09-02 | Qiagen Genomics, Inc. | Methods and compositions for analyzing nucleic acid molecules utilizing sizing techniques |
| US5908755A (en) * | 1996-06-14 | 1999-06-01 | Sarnoff Corporation | Sequential step method for sequencing and identifying polynucleotides |
| US5821356A (en) * | 1996-08-12 | 1998-10-13 | The Perkin Elmer Corporation | Propargylethoxyamino nucleotides |
| US6361940B1 (en) * | 1996-09-24 | 2002-03-26 | Qiagen Genomics, Inc. | Compositions and methods for enhancing hybridization and priming specificity |
| US6210891B1 (en) * | 1996-09-27 | 2001-04-03 | Pyrosequencing Ab | Method of sequencing DNA |
| US5885775A (en) * | 1996-10-04 | 1999-03-23 | Perseptive Biosystems, Inc. | Methods for determining sequences information in polynucleotides using mass spectrometry |
| US5856104A (en) * | 1996-10-28 | 1999-01-05 | Affymetrix, Inc. | Polymorphisms in the glucose-6 phosphate dehydrogenase locus |
| US20030022225A1 (en) * | 1996-12-10 | 2003-01-30 | Monforte Joseph A. | Releasable nonvolatile mass-label molecules |
| US6136543A (en) * | 1997-01-31 | 2000-10-24 | Hitachi, Ltd. | Method for determining nucleic acids base sequence and apparatus therefor |
| US6197557B1 (en) * | 1997-03-05 | 2001-03-06 | The Regents Of The University Of Michigan | Compositions and methods for analysis of nucleic acids |
| US5834203A (en) * | 1997-08-25 | 1998-11-10 | Applied Spectral Imaging | Method for classification of pixels into groups according to their spectra using a plurality of wide band filters and hardwire therefore |
| US7037687B2 (en) * | 1998-05-01 | 2006-05-02 | Arizona Board Of Regents | Method of determining the nucleotide sequence of oligonucleotides and DNA molecules |
| US6780591B2 (en) * | 1998-05-01 | 2004-08-24 | Arizona Board Of Regents | Method of determining the nucleotide sequence of oligonucleotides and DNA molecules |
| US6175107B1 (en) * | 1998-05-27 | 2001-01-16 | Owens-Brockway Glass Container Inc. | Inspection of containers employing a single area array sensor and alternately strobed light sources |
| US6218530B1 (en) * | 1998-06-02 | 2001-04-17 | Ambergen Inc. | Compounds and methods for detecting biomolecules |
| US6287821B1 (en) * | 1998-06-11 | 2001-09-11 | Orchid Biosciences, Inc. | Nucleotide analogues with 3'-pro-fluorescent fluorophores in nucleic acid sequence analysis |
| US6218118B1 (en) * | 1998-07-09 | 2001-04-17 | Agilent Technologies, Inc. | Method and mixture reagents for analyzing the nucleotide sequence of nucleic acids by mass spectrometry |
| US6787308B2 (en) * | 1998-07-30 | 2004-09-07 | Solexa Ltd. | Arrayed biomolecules and their use in sequencing |
| US6245507B1 (en) * | 1998-08-18 | 2001-06-12 | Orchid Biosciences, Inc. | In-line complete hyperspectral fluorescent imaging of nucleic acid molecules |
| US6524829B1 (en) * | 1998-09-30 | 2003-02-25 | Molecular Machines & Industries Gmbh | Method for DNA- or RNA-sequencing |
| US6221592B1 (en) * | 1998-10-20 | 2001-04-24 | Wisconsin Alumi Research Foundation | Computer-based methods and systems for sequencing of individual nucleic acid molecules |
| US6380378B1 (en) * | 1998-12-24 | 2002-04-30 | Toagosei Company, Ltd. | Nucleotide compound, nucleotide block oligonucleotide, and method for producing them |
| US6864052B1 (en) * | 1999-01-06 | 2005-03-08 | Callida Genomics, Inc. | Enhanced sequencing by hybridization using pools of probes |
| US20030054360A1 (en) * | 1999-01-19 | 2003-03-20 | Larry Gold | Method and apparatus for the automated generation of nucleic acid ligands |
| US7105300B2 (en) * | 1999-02-23 | 2006-09-12 | Caliper Life Sciences, Inc. | Sequencing by incorporation |
| US20040096825A1 (en) * | 1999-04-30 | 2004-05-20 | Aclara Biosciences, Inc. | Methods and compositions for enhancing detection in determinations employing cleavable electrophoretic tag reagents |
| US7056661B2 (en) * | 1999-05-19 | 2006-06-06 | Cornell Research Foundation, Inc. | Method for sequencing nucleic acid molecules |
| US6277607B1 (en) * | 1999-05-24 | 2001-08-21 | Sanjay Tyagi | High specificity primers, amplification methods and kits |
| US6713255B1 (en) * | 1999-06-07 | 2004-03-30 | Fuji Photo Film Co., Ltd. | DNA chip, PNA chip, and their preparation methods |
| US6911345B2 (en) * | 1999-06-28 | 2005-06-28 | California Institute Of Technology | Methods and apparatus for analyzing polynucleotide sequences |
| US6242193B1 (en) * | 1999-07-30 | 2001-06-05 | Hitachi, Ltd. | Apparatus for determining base sequence of nucleic acid |
| US20020012966A1 (en) * | 1999-08-16 | 2002-01-31 | Yanggu Shi | 18 Human secreted proteins |
| US6982146B1 (en) * | 1999-08-30 | 2006-01-03 | The United States Of America As Represented By The Department Of Health And Human Services | High speed parallel molecular nucleic acid sequencing |
| US6274320B1 (en) * | 1999-09-16 | 2001-08-14 | Curagen Corporation | Method of sequencing a nucleic acid |
| US6639088B2 (en) * | 1999-10-05 | 2003-10-28 | Quiatech Ab | Compounds for protecting hydroxyls and methods for their use |
| US6309836B1 (en) * | 1999-10-05 | 2001-10-30 | Marek Kwiatkowski | Compounds for protecting hydroxyls and methods for their use |
| US6934636B1 (en) * | 1999-10-22 | 2005-08-23 | Genset, S.A. | Methods of genetic cluster analysis and uses thereof |
| US20030186256A1 (en) * | 1999-12-23 | 2003-10-02 | Achim Fischer | Method for carrying out the parallel sequencing of a nucleic acid mixture on a surface |
| US7078499B2 (en) * | 2000-06-01 | 2006-07-18 | Ge Healthcare Uk Limited | Nucleotide analogues comprising a reporter moiety and a polymerase enzyme blocking moiety |
| US20030198982A1 (en) * | 2000-08-03 | 2003-10-23 | Frank Seela | Nucleic acid binding compounds containing pyrazolo[3,4-d]pyrimidine analogues of purin-2,6-diamine and their uses |
| US20040185466A1 (en) * | 2000-10-06 | 2004-09-23 | The Trustees Of Columbia University In The City Of New York. | Massive parallel method for decoding DNA and RNA |
| US20030008285A1 (en) * | 2001-06-29 | 2003-01-09 | Fischer Steven M. | Method of DNA sequencing using cleavable tags |
| US20030099972A1 (en) * | 2001-07-13 | 2003-05-29 | Ambergen, Inc. | Nucleotide compositions comprising photocleavable markers and methods of preparation thereof |
| US20030044871A1 (en) * | 2001-08-27 | 2003-03-06 | Pharmanetics Incorporated | Coagulation assay reagents containing lanthanides and a protein C assay using such a lanthanide-containing reagent |
| US7566537B2 (en) * | 2001-12-04 | 2009-07-28 | Illumina Cambridge Limited | Labelled nucleotides |
| US7427673B2 (en) * | 2001-12-04 | 2008-09-23 | Illumina Cambridge Limited | Labelled nucleotides |
| US20030166282A1 (en) * | 2002-02-01 | 2003-09-04 | David Brown | High potency siRNAS for reducing the expression of target genes |
| US20040014096A1 (en) * | 2002-04-12 | 2004-01-22 | Stratagene | Dual-labeled nucleotides |
| US7414116B2 (en) * | 2002-08-23 | 2008-08-19 | Illumina Cambridge Limited | Labelled nucleotides |
| US20060160081A1 (en) * | 2002-08-23 | 2006-07-20 | John Milton | Labelled nucleotides |
| US20070166705A1 (en) * | 2002-08-23 | 2007-07-19 | John Milton | Modified nucleotides |
| US20050170367A1 (en) * | 2003-06-10 | 2005-08-04 | Quake Stephen R. | Fluorescently labeled nucleoside triphosphates and analogs thereof for sequencing nucleic acids |
| US20060240439A1 (en) * | 2003-09-11 | 2006-10-26 | Smith Geoffrey P | Modified polymerases for improved incorporation of nucleotide analogues |
| US20050239134A1 (en) * | 2004-04-21 | 2005-10-27 | Board Of Regents, The University Of Texas System | Combinatorial selection of phosphorothioate single-stranded DNA aptamers for TGF-beta-1 protein |
| US20060105461A1 (en) * | 2004-10-22 | 2006-05-18 | May Tom-Moy | Nanopore analysis system |
Cited By (101)
| Publication number | Priority date | Publication date | Assignee | Title |
|---|---|---|---|---|
| US10662472B2 (en) | 2000-10-06 | 2020-05-26 | The Trustees Of Columbia University In The City Of New York | Massive parallel method for decoding DNA and RNA |
| US10669577B2 (en) | 2000-10-06 | 2020-06-02 | The Trustees Of Columbia University In The City Of New York | Massive parallel method for decoding DNA and RNA |
| US10435742B2 (en) | 2000-10-06 | 2019-10-08 | The Trustees Of Columbia University In The City Of New York | Massive parallel method for decoding DNA and RNA |
| US10428380B2 (en) | 2000-10-06 | 2019-10-01 | The Trustees Of Columbia University In The City Of New York | Massive parallel method for decoding DNA and RNA |
| US10570446B2 (en) | 2000-10-06 | 2020-02-25 | The Trustee Of Columbia University In The City Of New York | Massive parallel method for decoding DNA and RNA |
| US10407459B2 (en) | 2000-10-06 | 2019-09-10 | The Trustees Of Columbia University In The City Of New York | Massive parallel method for decoding DNA and RNA |
| US10407458B2 (en) | 2000-10-06 | 2019-09-10 | The Trustees Of Columbia University In The City Of New York | Massive parallel method for decoding DNA and RNA |
| US10577652B2 (en) | 2000-10-06 | 2020-03-03 | The Trustees Of Columbia University In The City Of New York | Massive parallel method for decoding DNA and RNA |
| US10633700B2 (en) | 2000-10-06 | 2020-04-28 | The Trustees Of Columbia University In The City Of New York | Massive parallel method for decoding DNA and RNA |
| US10669582B2 (en) | 2000-10-06 | 2020-06-02 | The Trustees Of Columbia University In The City Of New York | Massive parallel method for decoding DNA and RNA |
| US10648028B2 (en) | 2000-10-06 | 2020-05-12 | The Trustees Of Columbia University In The City Of New York | Massive parallel method for decoding DNA and RNA |
| US10457984B2 (en) | 2000-10-06 | 2019-10-29 | The Trustees Of Columbia University In The City Of New York | Massive parallel method for decoding DNA and RNA |
| US9868985B2 (en) | 2000-10-06 | 2018-01-16 | The Trustees Of Columbia University In The City Of New York | Massive parallel method for decoding DNA and RNA |
| US9725480B2 (en) | 2000-10-06 | 2017-08-08 | The Trustees Of Columbia University In The City Of New York | Massive parallel method for decoding DNA and RNA |
| US9718852B2 (en) | 2000-10-06 | 2017-08-01 | The Trustees Of Columbia University In The City Of New York | Massive parallel method for decoding DNA and RNA |
| US9719139B2 (en) | 2000-10-06 | 2017-08-01 | The Trustees Of Columbia University In The City Of New York | Massive parallel method for decoding DNA and RNA |
| US9708358B2 (en) | 2000-10-06 | 2017-07-18 | The Trustees Of Columbia University In The City Of New York | Massive parallel method for decoding DNA and RNA |
| US9133511B2 (en) | 2000-10-06 | 2015-09-15 | The Trustees Of Columbia University In The City Of New York | Massive parallel method for decoding DNA and RNA |
| US20090325154A1 (en) * | 2005-06-21 | 2009-12-31 | The Trustees Of Columbia University In The City Of New York | Pyrosequencing Methods and Related Compositions |
| US9169510B2 (en) | 2005-06-21 | 2015-10-27 | The Trustees Of Columbia University In The City Of New York | Pyrosequencing methods and related compositions |
| US9909177B2 (en) | 2005-06-21 | 2018-03-06 | The Trustees Of Columbia University In The City Of New York | Pyrosequencing methods and related compositions |
| US20090263791A1 (en) * | 2005-10-31 | 2009-10-22 | Jingyue Ju | Chemically Cleavable 3'-O-Allyl-DNTP-Allyl-Fluorophore Fluorescent Nucleotide Analogues and Related Methods |
| US8796432B2 (en) | 2005-10-31 | 2014-08-05 | The Trustees Of Columbia University In The City Of New York | Chemically cleavable 3'-o-allyl-DNTP-allyl-fluorophore fluorescent nucleotide analogues and related methods |
| US9255292B2 (en) | 2005-10-31 | 2016-02-09 | The Trustees Of Columbia University In The City Of New York | Synthesis of four-color 3′-O-allyl modified photocleavable fluorescent nucleotides and related methods |
| US9297042B2 (en) | 2005-10-31 | 2016-03-29 | The Trustees Of Columbia University In The City Of New York | Chemically cleavable 3′-O-allyl-dNTP-allyl-fluorophore fluorescent nucleotide analogues and related methods |
| US8889348B2 (en) | 2006-06-07 | 2014-11-18 | The Trustees Of Columbia University In The City Of New York | DNA sequencing by nanopore using modified nucleotides |
| US20090298072A1 (en) * | 2006-06-07 | 2009-12-03 | The Trustees Of Columbia University In The City Of | DNA Sequencing by Nanopore Using Modified Nucleotides |
| US11939631B2 (en) | 2006-12-01 | 2024-03-26 | The Trustees Of Columbia University In The City Of New York | Four-color DNA sequencing by synthesis using cleavable fluorescent nucleotide reversible terminators |
| US11098353B2 (en) | 2006-12-01 | 2021-08-24 | The Trustees Of Columbia University In The City Of New York | Four-color DNA sequencing by synthesis using cleavable fluorescent nucleotide reversible terminators |
| US9528151B2 (en) | 2006-12-01 | 2016-12-27 | The Trustees Of Columbia University In The City Of New York | Four-color DNA sequencing by synthesis using cleavable fluorescent nucleotide reversible terminators |
| US12180544B2 (en) | 2007-10-19 | 2024-12-31 | The Trustees Of Columbia University In The City Of New York | Synthesis of cleavable fluorescent nucleotides as reversible terminators for DNA sequencing by synthesis |
| US9175342B2 (en) | 2007-10-19 | 2015-11-03 | The Trustees Of Columbia University In The City Of New York | Synthesis of cleavable fluorescent nucleotides as reversible terminators for DNA sequencing by synthesis |
| US20110039259A1 (en) * | 2007-10-19 | 2011-02-17 | Jingyue Ju | Dna sequence with non-fluorescent nucleotide reversible terminators and cleavable label modified nucleotide terminators |
| US10144961B2 (en) | 2007-10-19 | 2018-12-04 | The Trustees Of Columbia University In The City Of New York | Synthesis of cleavable fluorescent nucleotides as reversible terminators for DNA sequencing by synthesis |
| US9670539B2 (en) | 2007-10-19 | 2017-06-06 | The Trustees Of Columbia University In The City Of New York | Synthesis of cleavable fluorescent nucleotides as reversible terminators for DNA sequencing by synthesis |
| US11208691B2 (en) | 2007-10-19 | 2021-12-28 | The Trustees Of Columbia University In The City Of New York | Synthesis of cleavable fluorescent nucleotides as reversible terminators for DNA sequencing by synthesis |
| US12331352B2 (en) | 2007-10-19 | 2025-06-17 | The Trustees Of Columbia University In The City Of New York | DNA sequencing with non-fluorescent nucleotide reversible terminators and cleavable label modified nucleotide terminators |
| US11242561B2 (en) | 2007-10-19 | 2022-02-08 | The Trustees Of Columbia University In The City Of New York | DNA sequencing with non-fluorescent nucleotide reversible terminators and cleavable label modified nucleotide terminators |
| US9115163B2 (en) | 2007-10-19 | 2015-08-25 | The Trustees Of Columbia University In The City Of New York | DNA sequence with non-fluorescent nucleotide reversible terminators and cleavable label modified nucleotide terminators |
| US10260094B2 (en) | 2007-10-19 | 2019-04-16 | The Trustees Of Columbia University In The City Of New York | DNA sequencing with non-fluorescent nucleotide reversible terminators and cleavable label modified nucleotide terminators |
| US12173366B2 (en) | 2010-12-17 | 2024-12-24 | The Trustees Of Columbia University In The City Of New York | DNA sequencing by synthesis using modified nucleotides and nanopore detection |
| US11499186B2 (en) | 2010-12-17 | 2022-11-15 | The Trustees Of Columbia University In The City Of New York | DNA sequencing by synthesis using modified nucleotides and nanopore detection |
| US10443096B2 (en) | 2010-12-17 | 2019-10-15 | The Trustees Of Columbia University In The City Of New York | DNA sequencing by synthesis using modified nucleotides and nanopore detection |
| US9121059B2 (en) | 2010-12-22 | 2015-09-01 | Genia Technologies, Inc. | Nanopore-based single molecule characterization |
| US10400278B2 (en) | 2010-12-22 | 2019-09-03 | Genia Technologies, Inc. | Nanopore-based single DNA molecule characterization, identification and isolation using speed bumps |
| US8845880B2 (en) | 2010-12-22 | 2014-09-30 | Genia Technologies, Inc. | Nanopore-based single DNA molecule characterization, identification and isolation using speed bumps |
| US10920271B2 (en) | 2010-12-22 | 2021-02-16 | Roche Sequencing Solutions, Inc. | Nanopore-based single DNA molecule characterization, identification and isolation using speed bumps |
| US9617593B2 (en) | 2010-12-22 | 2017-04-11 | Genia Technologies, Inc. | Nanopore-based single DNA molecule characterization, identification and isolation using speed bumps |
| US9624539B2 (en) | 2011-05-23 | 2017-04-18 | The Trustees Of Columbia University In The City Of New York | DNA sequencing by synthesis using Raman and infrared spectroscopy detection |
| US10689412B2 (en) | 2011-05-23 | 2020-06-23 | The Trustees Of Columbia University In The City Of New York | DNA sequencing by synthesis using Raman and infrared spectroscopy detection |
| WO2012162429A3 (en) * | 2011-05-23 | 2014-05-08 | The Trustees Of Columbia University In The City Of New York | Dna sequencing by synthesis using raman and infrared spectroscopy detection |
| US11795191B2 (en) | 2012-04-09 | 2023-10-24 | The Trustees Of Columbia University In The City Of New York | Method of preparation of nanopore and uses thereof |
| US10246479B2 (en) | 2012-04-09 | 2019-04-02 | The Trustees Of Columbia University In The City Of New York | Method of preparation of nanopore and uses thereof |
| US9494554B2 (en) | 2012-06-15 | 2016-11-15 | Genia Technologies, Inc. | Chip set-up and high-accuracy nucleic acid sequencing |
| US10822650B2 (en) | 2012-11-09 | 2020-11-03 | Roche Sequencing Solutions, Inc. | Nucleic acid sequencing using tags |
| US11674174B2 (en) | 2012-11-09 | 2023-06-13 | The Trustees Of Columbia University In The City Of New York | Nucleic acid sequences using tags |
| US10526647B2 (en) | 2012-11-09 | 2020-01-07 | The Trustees Of Columbia University In The City Of New York | Nucleic acid sequences using tags |
| US9605309B2 (en) | 2012-11-09 | 2017-03-28 | Genia Technologies, Inc. | Nucleic acid sequencing using tags |
| US9146248B2 (en) | 2013-03-14 | 2015-09-29 | Intelligent Bio-Systems, Inc. | Apparatus and methods for purging flow cells in nucleic acid sequencing instruments |
| US10249038B2 (en) | 2013-03-15 | 2019-04-02 | Qiagen Sciences, Llc | Flow cell alignment methods and systems |
| US10732183B2 (en) | 2013-03-15 | 2020-08-04 | The Trustees Of Columbia University In The City Of New York | Method for detecting multiple predetermined compounds in a sample |
| US10648026B2 (en) | 2013-03-15 | 2020-05-12 | The Trustees Of Columbia University In The City Of New York | Raman cluster tagged molecules for biological imaging |
| US9591268B2 (en) | 2013-03-15 | 2017-03-07 | Qiagen Waltham, Inc. | Flow cell alignment methods and systems |
| US9567630B2 (en) | 2013-10-23 | 2017-02-14 | Genia Technologies, Inc. | Methods for forming lipid bilayers on biochips |
| US9322062B2 (en) | 2013-10-23 | 2016-04-26 | Genia Technologies, Inc. | Process for biosensor well formation |
| US11021745B2 (en) | 2013-10-23 | 2021-06-01 | Roche Sequencing Solutions, Inc. | Methods for forming lipid bilayers on biochips |
| US10421995B2 (en) | 2013-10-23 | 2019-09-24 | Genia Technologies, Inc. | High speed molecular sensing with nanopores |
| US10240195B2 (en) | 2014-03-24 | 2019-03-26 | The Trustees Of Columbia University In The City Of New York | Chemical methods for producing tagged nucleotides |
| US11396677B2 (en) | 2014-03-24 | 2022-07-26 | The Trustees Of Columbia University In The City Of New York | Chemical methods for producing tagged nucleotides |
| US10190162B2 (en) | 2014-10-23 | 2019-01-29 | Complete Genomics, Inc. | Signal confinement sequencing (SCS) and nucleotide analogues for signal confinement sequencing |
| US11155864B2 (en) | 2015-07-30 | 2021-10-26 | Illumina, Inc. | Orthogonal deblocking of nucleotides |
| JP2018518947A (en) * | 2015-07-30 | 2018-07-19 | イラミーナ インコーポレーテッド | Orthogonal deblocking of nucleotides |
| CN114634976A (en) * | 2015-07-30 | 2022-06-17 | 亿明达股份有限公司 | Orthogonal deblocking of nucleotides |
| WO2017019278A1 (en) * | 2015-07-30 | 2017-02-02 | Illumina, Inc. | Orthogonal deblocking of nucleotides |
| CN106434873A (en) * | 2015-08-13 | 2017-02-22 | 生捷科技控股公司 | Methods for synchronizing nucleic acid molecules |
| WO2017027783A1 (en) * | 2015-08-13 | 2017-02-16 | Centrillion Technology Holdings Corporation | Methods for synchronising nucleic acid molecules |
| US10584378B2 (en) | 2015-08-13 | 2020-03-10 | Centrillion Technology Holdings Corporation | Methods for synchronizing nucleic acid molecules |
| US12006540B2 (en) | 2015-09-28 | 2024-06-11 | The Trustees Of Columbia University In The City Of New York | Synthesis of novel disulfide linker based nucleotides as reversible terminators for DNA sequencing by synthesis |
| US11999999B2 (en) | 2015-09-28 | 2024-06-04 | The Trustees Of Columbia University In The City Of New York | Synthesis of novel disulfide linker based nucleotides as reversible terminators for DNA sequencing by synthesis |
| US12503730B2 (en) | 2015-09-28 | 2025-12-23 | The Trustees Of Columbia University In The City Of New York | Detectable nucleotide analogues |
| US11085076B2 (en) | 2015-09-28 | 2021-08-10 | The Trustees Of Columbia University In The City Of New York | Synthesis of novel disulfide linker based nucleotides as reversible terminators for DNA sequencing by synthesis |
| US11959137B2 (en) | 2015-09-28 | 2024-04-16 | The Trustees Of Columbia University In The City Of New York | Synthesis of novel disulfide linker based nucleotides as reversible terminators for DNA sequencing by synthesis |
| US12337009B2 (en) | 2016-05-23 | 2025-06-24 | The Trustees Of Columbia University In The City Of New York | Nucleotide derivatives and methods of use thereof |
| US11773439B2 (en) | 2017-03-06 | 2023-10-03 | Singular Genomics Systems, Inc. | Nucleic acid sequencing-by-synthesis (SBS) methods that combine SBS cycle steps |
| US11591647B2 (en) | 2017-03-06 | 2023-02-28 | Singular Genomics Systems, Inc. | Nucleic acid sequencing-by-synthesis (SBS) methods that combine SBS cycle steps |
| US12018325B2 (en) | 2017-03-28 | 2024-06-25 | The Trustees Of Columbia University In The City Of New York | 3′-O-modified nucleotide analogues with different cleavable linkers for attaching fluorescent labels to the base for DNA sequencing by synthesis |
| US12215124B2 (en) | 2018-02-21 | 2025-02-04 | Singular Genomics Systems, Inc. | Fluorinated nucleotides and uses thereof |
| US12188086B2 (en) | 2018-03-15 | 2025-01-07 | The Trustees Of Columbia University In The City Of New York | Nucleotide analogues and use thereof for nucleic acid sequencing and analysis preliminary class |
| US11958877B2 (en) | 2018-10-25 | 2024-04-16 | Singular Genomics Systems, Inc. | Nucleotide analogues |
| US12215122B2 (en) | 2018-10-25 | 2025-02-04 | Singular Genomics Systems, Inc. | Nucleotide analogues |
| US11878993B2 (en) | 2018-10-25 | 2024-01-23 | Singular Genomics Systems, Inc. | Nucleotide analogues |
| US12145960B2 (en) | 2018-10-25 | 2024-11-19 | Singular Genomics Systems, Inc. | Nucleotide analogues |
| CN113453692A (en) * | 2019-01-08 | 2021-09-28 | 奇异基因组学系统公司 | Nucleotide cleavable linkers and uses thereof |
| US10822653B1 (en) | 2019-01-08 | 2020-11-03 | Singular Genomics Systems, Inc. | Nucleotide cleavable linkers and uses thereof |
| US11970735B2 (en) | 2019-01-08 | 2024-04-30 | Singular Genomics Systems, Inc. | Nucleotide cleavable linkers and uses thereof |
| WO2020146397A1 (en) * | 2019-01-08 | 2020-07-16 | Singular Genomics Systems, Inc. | Nucleotide cleavable linkers and uses thereof |
| WO2020159447A1 (en) * | 2019-01-31 | 2020-08-06 | Agency For Science, Technology And Research | Method of synthesizing single-stranded nucleotide sequence, blocked nucleoside triphosphates and related methods |
| US11174281B1 (en) | 2020-04-24 | 2021-11-16 | Singular Genomics Systems, Inc. | Modified nucleotides and uses thereof |
| US12188089B2 (en) | 2021-12-10 | 2025-01-07 | Singular Genomics Systems, Inc. | Cleavable disulfide linkers and uses thereof |
| US11946103B2 (en) | 2021-12-10 | 2024-04-02 | Singular Genomics Systems, Inc. | Cleavable disulfide linkers and uses thereof |
| CN114958995A (en) * | 2022-04-27 | 2022-08-30 | 深圳赛陆医疗科技有限公司 | Gene sequencing method |
Also Published As
| Publication number | Publication date |
|---|---|
| EP4310194A3 (en) | 2024-10-16 |
| US20190085388A1 (en) | 2019-03-21 |
| HK1217106A1 (en) | 2016-12-23 |
| US20250243537A1 (en) | 2025-07-31 |
| EP2207900A1 (en) | 2010-07-21 |
| US20170321267A1 (en) | 2017-11-09 |
| US20220112552A1 (en) | 2022-04-14 |
| US20140093869A1 (en) | 2014-04-03 |
| EP2207900A4 (en) | 2014-01-15 |
| US9670539B2 (en) | 2017-06-06 |
| US20160090621A1 (en) | 2016-03-31 |
| US9175342B2 (en) | 2015-11-03 |
| US11208691B2 (en) | 2021-12-28 |
| EP2940029B1 (en) | 2023-11-29 |
| EP4310194A2 (en) | 2024-01-24 |
| WO2009051807A1 (en) | 2009-04-23 |
| EP2207900B1 (en) | 2015-04-29 |
| EP2940029A1 (en) | 2015-11-04 |
| US10144961B2 (en) | 2018-12-04 |
| US12180544B2 (en) | 2024-12-31 |
Similar Documents
| Publication | Publication Date | Title |
|---|---|---|
| US12180544B2 (en) | Synthesis of cleavable fluorescent nucleotides as reversible terminators for DNA sequencing by synthesis | |
| US12331352B2 (en) | DNA sequencing with non-fluorescent nucleotide reversible terminators and cleavable label modified nucleotide terminators | |
| US11939631B2 (en) | Four-color DNA sequencing by synthesis using cleavable fluorescent nucleotide reversible terminators | |
| EP2436778A2 (en) | Photocleavable fluorescent nucleotides for DNA sequencing on chip constructed by site-specific coupling chemistry | |
| HK40106063A (en) | Design and synthesis of cleavable fluorescent nucleotides as reversible terminators for dna sequencing by synthesis | |
| HK1217106B (en) | Design and synthesis of cleavable fluorescent nucleotides as reversible terminators for dna sequencing by synthesis |
Legal Events
| Date | Code | Title | Description |
|---|---|---|---|
| AS | Assignment |
Owner name: TRUSTEES OF COLUMBIA UNIVERSITY IN THE CITY OF NEW Free format text: ASSIGNMENT OF ASSIGNORS INTEREST;ASSIGNORS:JU, JINGYUE;CAO, HUANYAN;LI, ZENGMIN;AND OTHERS;SIGNING DATES FROM 20090610 TO 20090612;REEL/FRAME:023212/0241 |
|
| AS | Assignment |
Owner name: NATIONAL INSTITUTES OF HEALTH (NIH), U.S. DEPT. OF Free format text: CONFIRMATORY LICENSE;ASSIGNOR:COLUMBIA UNIV NEW YORK MORNINGSIDE;REEL/FRAME:023224/0344 Effective date: 20081215 |
|
| AS | Assignment |
Owner name: NATIONAL INSTITUTES OF HEALTH (NIH), U.S. DEPT. OF Free format text: CONFIRMATORY LICENSE;ASSIGNOR:COLUMBIA UNIV NEW YORK MORNINGSIDE;REEL/FRAME:023567/0877 Effective date: 20081215 |
|
| AS | Assignment |
Owner name: NEW YORK, TRUSTEES OF COLUMBIA UNIVERSITY IN THE C Free format text: ASSIGNMENT OF ASSIGNORS INTEREST;ASSIGNORS:JU, JINGYUE;CAO, HUANYAN;LI, ZENGMIN;AND OTHERS;SIGNING DATES FROM 20100427 TO 20100721;REEL/FRAME:024976/0176 |
|
| AS | Assignment |
Owner name: NATIONAL INSTITUTES OF HEALTH (NIH), U.S. DEPT. OF Free format text: CONFIRMATORY LICENSE;ASSIGNOR:COLUMBIA UNIV NEW YORK MORNINGSIDE;REEL/FRAME:025676/0823 Effective date: 20110121 |
|
| STCB | Information on status: application discontinuation |
Free format text: ABANDONED -- FAILURE TO PAY ISSUE FEE |
|
| AS | Assignment |
Owner name: NATIONAL INSTITUTES OF HEALTH - DIRECTOR DEITR, MA Free format text: CONFIRMATORY LICENSE;ASSIGNOR:THE TRUSTEES OF COLUMBIA UNIVERSITY IN THE CITY OF NEW YORK;REEL/FRAME:042434/0001 Effective date: 20110121 |



















































































