US20080124288A1 - Method of Applying Makeup by Means of a Magnetic Composition Incorporating at Least one Coloring Agent Having Optical Properties that are Sensitive to an External Stimulus - Google Patents
Method of Applying Makeup by Means of a Magnetic Composition Incorporating at Least one Coloring Agent Having Optical Properties that are Sensitive to an External Stimulus Download PDFInfo
- Publication number
- US20080124288A1 US20080124288A1 US11/664,003 US66400305A US2008124288A1 US 20080124288 A1 US20080124288 A1 US 20080124288A1 US 66400305 A US66400305 A US 66400305A US 2008124288 A1 US2008124288 A1 US 2008124288A1
- Authority
- US
- United States
- Prior art keywords
- magnetic
- composition
- coloring agent
- magnetic field
- agent
- Prior art date
- Legal status (The legal status is an assumption and is not a legal conclusion. Google has not performed a legal analysis and makes no representation as to the accuracy of the status listed.)
- Abandoned
Links
- 0 CC.[1*]C1=CC2=C(C=CC([5*])([6*])O2)C2=C1C=CC=C2.[5*]C1([6*])C=CC2=C(O1)C1=CC=CC=C1C=C2C.[7*]C Chemical compound CC.[1*]C1=CC2=C(C=CC([5*])([6*])O2)C2=C1C=CC=C2.[5*]C1([6*])C=CC2=C(O1)C1=CC=CC=C1C=C2C.[7*]C 0.000 description 10
- WSRORJBWIYCFNN-KTKRTIGZSA-N C1=CC(/C=C\C2=CCC=C2)=CC1 Chemical compound C1=CC(/C=C\C2=CCC=C2)=CC1 WSRORJBWIYCFNN-KTKRTIGZSA-N 0.000 description 1
- GOWYGXPPIQQHCM-UHFFFAOYSA-N CC1=CC2=C3C(=C1)CN3C2 Chemical compound CC1=CC2=C3C(=C1)CN3C2 GOWYGXPPIQQHCM-UHFFFAOYSA-N 0.000 description 1
- LNOHHNLQUULWCG-AWKYBWMHSA-N C[C@]1(C#N)C2=C(CCC2)C2=CC=CC=CC21 Chemical compound C[C@]1(C#N)C2=C(CCC2)C2=CC=CC=CC21 LNOHHNLQUULWCG-AWKYBWMHSA-N 0.000 description 1
Images
Classifications
-
- A—HUMAN NECESSITIES
- A45—HAND OR TRAVELLING ARTICLES
- A45D—HAIRDRESSING OR SHAVING EQUIPMENT; EQUIPMENT FOR COSMETICS OR COSMETIC TREATMENTS, e.g. FOR MANICURING OR PEDICURING
- A45D34/00—Containers or accessories specially adapted for handling liquid toiletry or cosmetic substances, e.g. perfumes
-
- A—HUMAN NECESSITIES
- A45—HAND OR TRAVELLING ARTICLES
- A45D—HAIRDRESSING OR SHAVING EQUIPMENT; EQUIPMENT FOR COSMETICS OR COSMETIC TREATMENTS, e.g. FOR MANICURING OR PEDICURING
- A45D33/00—Containers or accessories specially adapted for handling powdery toiletry or cosmetic substances
-
- A—HUMAN NECESSITIES
- A61—MEDICAL OR VETERINARY SCIENCE; HYGIENE
- A61K—PREPARATIONS FOR MEDICAL, DENTAL OR TOILETRY PURPOSES
- A61K8/00—Cosmetics or similar toiletry preparations
- A61K8/18—Cosmetics or similar toiletry preparations characterised by the composition
- A61K8/19—Cosmetics or similar toiletry preparations characterised by the composition containing inorganic ingredients
-
- A—HUMAN NECESSITIES
- A61—MEDICAL OR VETERINARY SCIENCE; HYGIENE
- A61Q—SPECIFIC USE OF COSMETICS OR SIMILAR TOILETRY PREPARATIONS
- A61Q1/00—Make-up preparations; Body powders; Preparations for removing make-up
-
- A—HUMAN NECESSITIES
- A61—MEDICAL OR VETERINARY SCIENCE; HYGIENE
- A61Q—SPECIFIC USE OF COSMETICS OR SIMILAR TOILETRY PREPARATIONS
- A61Q1/00—Make-up preparations; Body powders; Preparations for removing make-up
- A61Q1/02—Preparations containing skin colorants, e.g. pigments
-
- A—HUMAN NECESSITIES
- A61—MEDICAL OR VETERINARY SCIENCE; HYGIENE
- A61Q—SPECIFIC USE OF COSMETICS OR SIMILAR TOILETRY PREPARATIONS
- A61Q1/00—Make-up preparations; Body powders; Preparations for removing make-up
- A61Q1/02—Preparations containing skin colorants, e.g. pigments
- A61Q1/04—Preparations containing skin colorants, e.g. pigments for lips
- A61Q1/06—Lipsticks
-
- A—HUMAN NECESSITIES
- A61—MEDICAL OR VETERINARY SCIENCE; HYGIENE
- A61Q—SPECIFIC USE OF COSMETICS OR SIMILAR TOILETRY PREPARATIONS
- A61Q3/00—Manicure or pedicure preparations
- A61Q3/02—Nail coatings
-
- A—HUMAN NECESSITIES
- A45—HAND OR TRAVELLING ARTICLES
- A45D—HAIRDRESSING OR SHAVING EQUIPMENT; EQUIPMENT FOR COSMETICS OR COSMETIC TREATMENTS, e.g. FOR MANICURING OR PEDICURING
- A45D29/00—Manicuring or pedicuring implements
- A45D29/004—Masking devices for applying polish to the finger nails
-
- A—HUMAN NECESSITIES
- A61—MEDICAL OR VETERINARY SCIENCE; HYGIENE
- A61K—PREPARATIONS FOR MEDICAL, DENTAL OR TOILETRY PURPOSES
- A61K2800/00—Properties of cosmetic compositions or active ingredients thereof or formulation aids used therein and process related aspects
- A61K2800/40—Chemical, physico-chemical or functional or structural properties of particular ingredients
- A61K2800/42—Colour properties
-
- A—HUMAN NECESSITIES
- A61—MEDICAL OR VETERINARY SCIENCE; HYGIENE
- A61K—PREPARATIONS FOR MEDICAL, DENTAL OR TOILETRY PURPOSES
- A61K2800/00—Properties of cosmetic compositions or active ingredients thereof or formulation aids used therein and process related aspects
- A61K2800/40—Chemical, physico-chemical or functional or structural properties of particular ingredients
- A61K2800/47—Magnetic materials; Paramagnetic compounds
-
- A—HUMAN NECESSITIES
- A61—MEDICAL OR VETERINARY SCIENCE; HYGIENE
- A61K—PREPARATIONS FOR MEDICAL, DENTAL OR TOILETRY PURPOSES
- A61K2800/00—Properties of cosmetic compositions or active ingredients thereof or formulation aids used therein and process related aspects
- A61K2800/80—Process related aspects concerning the preparation of the cosmetic composition or the storage or application thereof
- A61K2800/88—Two- or multipart kits
Definitions
- the present invention relates to a method of applying makeup to a natural surface, such as the skin, the nails, hair, or the lips, or to an artificial surface, such as false nails, and it also relates to a kit for implementing such a method.
- the invention provides a method of applying makeup to keratinous substances, in particular the skin, the lips, the nails, or hair, the method comprising the following steps:
- the invention allows novel esthetic effects to be created, for example by combining effects linked to orientation and/or a displacement of the magnetic bodies and to the coloring agent that is sensitive to an external stimulus.
- the coloring agent that is sensitive to an external stimulus may change form chemically in response to the external stimulus.
- the coloring agent may also keep the same chemical form and pass into an excited state in response to the external stimulus.
- the external stimulus may be light radiation, a temperature variation, or a mechanical or chemical action.
- the bodies with non-zero magnetic susceptibility also termed magnetic bodies, may be composed at least in part by the coloring agent that is sensitive to an external stimulus, or they may be different therefrom.
- the magnetic bodies When the magnetic bodies contribute color, a change in their orientation under the effect of the magnetic field may lead to a change in the appearance of the composition.
- the shape of the deposit of composition may be affected, thereby enabling a portion in relief to be created, for example.
- the composition need not be exposed to the magnetic field while the composition is being applied.
- the magnetic field may be exerted after the composition has been applied.
- the magnetic field may be applied so as to form at least one pattern on the composition, said pattern being linked to the shape of the field lines, for example.
- the invention makes it possible to create novel makeup effects with a cosmetic composition, enabling patterns in relief to be produced, for example, or imparting an impression of relief or various other possibly geometrical patterns.
- Said pattern may be permanently visible or may appear only under certain conditions connected with the coloring agent having optical properties that are sensitive to an external stimulus.
- the pattern may be more visible.
- the coloring agent that is sensitive to an external stimulus may, for example, have a highly saturated color under certain conditions, which renders a pattern connected with a particular orientation of at least one magnetic pigment difficult to see. Under other environmental conditions, the color of the coloring agent is less saturated or even non-existent, and the pattern becomes clear or easier to see.
- the coloring agent that is sensitive to an external stimulus is a thermochromic or photochromic agent
- the pattern may, for example, appear or disappear as a function of the temperature or intensity of UV radiation.
- the coloring agent may also be luminescent, for example mechanoluminescent, phosphorescent, or fluorescent.
- At least one coloring agent that is sensitive to an external stimulus may be fixed to a magnetic body.
- Said coloring agent may, for example, coat a magnetic body at least in part, it may be mixed with or form a matrix loaded with magnetic particles, or it may be grafted to a magnetic body.
- the magnetic field may also be applied so as to model the clarity and/or the color of at least a region of the face or of the body to which the composition has been applied.
- the cosmetic composition when the cosmetic composition is a foundation, orienting the magnetic bodies under the effect of the magnetic field makes it possible to modify the clarity of the composition and thus to model the appearance of the face in the regions exposed to the magnetic field, in particular so as to apply makeup of cameo type, without sharp transitions between the light regions and the dark regions if so desired.
- the magnetic field may be applied so as to darken the sides of the face, so as to make it appear thinner than it really is.
- a layer of a second cosmetic composition is applied to the first containing the magnetic bodies with a view to obtaining a depth, gloss, smoothness, or other effect, for example.
- the second composition may be transparent and may optionally be colored.
- the second composition may be for application to the lips or to the nails.
- the second composition may also be applied to the surface before the first composition, so as to create a colored base, or so as to improve the retention and/or the comfort of the first composition, for example.
- the magnetic field may be applied until the composition containing the magnetic bodies obtains a fixed appearance, i.e. the appearance of said composition ceases to vary even if the magnetic field continues to exist.
- the magnetic field may be applied for a period of time that is shorter than the period of time that causes all of the magnetic bodies in the exposed region to be permanently displaced and/or oriented.
- the user can stop subjecting the magnetic bodies to the field when the first composition presents the desired appearance.
- the magnetic field may be exerted successively on different regions of the surface that are coated with the composition.
- the magnetic field may be exerted on regions of the surface that are disjoint, so as to create separate patterns, for example.
- a region of the surface coated with the composition need not be exposed to the magnetic field, so as not to modify the appearance of the composition in said region after it has been deposited.
- Two regions of the surface may be exposed unequally to the magnetic field.
- the composition may be applied in various ways, e.g. by means of a cosmetics applicator that is preferably non-magnetic and that is selected from brushes, flocked endpieces, foams, woven fabrics, non-woven fabrics, brushes, or combs, for example, or it may be applied without using an applicator, with the composition being spread on with the fingers, or sprayed on, for example.
- a cosmetics applicator that is preferably non-magnetic and that is selected from brushes, flocked endpieces, foams, woven fabrics, non-woven fabrics, brushes, or combs, for example, or it may be applied without using an applicator, with the composition being spread on with the fingers, or sprayed on, for example.
- the composition is applied to the surface through a perforated mask. This makes it possible to produce a predetermined pattern corresponding to the shape of the perforation, for example. At least one region of the surface covered in the first composition may then be exposed to the magnetic field.
- the composition may take on a state that prevents the magnetic bodies from further changing their orientation under the effect of a magnetic field. This applies to a nail varnish, for example.
- the orientation of the magnetic particles may also be modified at any time, in particular when the first composition does not dry, or presents a very long drying time. This may apply to a foundation, for example.
- the magnetic bodies may be presented in various forms.
- magnetic bodies must not be understood in limiting manner and covers particles, fibers, or clumps of particles and/or fibers, of any shape, presenting non-zero magnetic susceptibility.
- the concentration of magnetic bodies in the composition lies in the range about 0.05% to about 50% by weight, for example, in particular in the range about 0.1% to about 40% by weight, better in the range 1% to about 30% by weight.
- the applied composition may include magnetic fibers or other aspherical bodies, such as chains of particles or of fibers.
- the magnetic bodies In the absence of a magnetic field, the magnetic bodies preferably do not present any remanent magnetism.
- the magnetic bodies may comprise any magnetic material that presents sensitivity to the lines of a magnetic field, regardless of whether the field is produced by a permanent magnet or is the result of induction, the material being selected from nickel, cobalt, iron, and alloys and oxides thereof, in particular Fe 3 O 4 , and also from gadolinium, terbium, dysprosium, erbium, and alloys and oxides thereof, for example.
- the magnetic material may be of the “soft” or of the “hard” type. In particular, the magnetic material may be soft iron.
- the magnetic bodies may optionally present a multilayer structure including at least one layer of a magnetic material such as iron, nickel, cobalt, and alloys and oxides thereof, in particular Fe 3 O 4 , for example.
- a magnetic material such as iron, nickel, cobalt, and alloys and oxides thereof, in particular Fe 3 O 4 , for example.
- the magnetic bodies are preferably aspherical, presenting an elongate shape, for example.
- the magnetic bodies are preferably aspherical, presenting an elongate shape, for example.
- the magnetic bodies are substantially spherical particles, their appearance is preferably non-uniform, so that a change in orientation results in a change in appearance.
- the size of the bodies may be in the range 1 nanometers (nm) to 10 millimeters (mm), for example, preferably in the range 10 nm to 5 mm, and more preferably in the range 100 nm to 1 mm, e.g. in the range 0.5 micrometers ( ⁇ m) to 300 ⁇ m or 1 ⁇ m to 150 ⁇ m.
- the size is the size given by the statistical grain size distribution at half the population, referred to as “D50”.
- the bodies are particles that do not have an elongate shape, or that have an elongate shape with a relatively small form factor
- the size of the particles is less than 1 mm, for example.
- the magnetic bodies are magnetic pigments, for example.
- pigments presenting magnetic properties are those sold under the trade names COLORBNA BLACKSTAR BLUE, COLORONA BLACKSTAR GREEN, COLORONA BLACKSTAR GOLD, COLORONA BLACKSTAR RED, CLOISONNE NU ANTIQUE SUPER GREEN, MICRONA MATTE BLACK (17437), MICA BLACK (17260), COLORONA PATINA SILVER (17289), and COLORONA PATINA GOLD (117288) by MERCK, or indeed FLAMENCO TWILIGHT RED, FLAMENCO TWILIGHT GREEN, FLAMENCO TWILIGHT GOLD, FLAMENCO TWILIGHT BLUE, TIMICA NU ANTIQUE SILVER 110 AB, TIMICA NU ANTIQUE GOLD 212 GB, TIMICA NU-ANTIQUE COPPER 340 AB, TIMICA NU ANTIQUE BRONZE 240 AB, CLO
- a magnetic pigment that is suitable for being used in the formulation of the composition, mention may be made of black iron oxide particles, e.g. those sold under the trade name SICOVIT noir E172 by BASF.
- Magnetic pigments may also comprise metallic iron, in particular passivated soft iron, e.g. obtained from carbonyl iron by implementing the method described in U.S. Pat. No. 6,589,331, the contents of which are incorporated herein by reference.
- the particles may include a surface oxide layer.
- Soft-iron based particles are sold in particular under the trade name STAPA® WM IRON VP 041040 by ECKART.
- the magnetic bodies may comprise fibers.
- fibers means generally elongate bodies presenting, for example, a form factor in the range 3.5 to 2500 or 5 to 500, e.g. 5 to 150.
- the form factor is defined by the ratio L/D, where L is the length of the fiber and D is the diameter of the circle in which the widest cross-section of the fiber is inscribed.
- the cross-section of the fibers may be inscribed in a circle having a diameter in the range 2 nm to 500 ⁇ m, e.g. in the range 100 nm to 100 ⁇ m, or even 1 ⁇ m to 50 ⁇ m.
- the fibers may present a length in the range 1 ⁇ m to 10 mm, e.g. 0.1 mm to 5 mm, or even 0.3 mm to 3.5 mm.
- the fibers may present a weight in the range 0.15 denier to 30 denier (weight in grams for 9 km of thread), e.g. 0.18 denier to 18 denier.
- the cross-section of the fibers may be of any shape, e.g. circular, or polygonal, in particular square, hexagonal, or octagonal.
- the composition may contain solid or hollow fibers that may be independent or interlinked, e.g. braided.
- the composition may contain fibers having ends that are blunted and/or rounded, e.g. by polishing.
- the shape of the fibers need not be significantly modified when they are inserted into the composition, with said fibers being initially rectilinear and sufficiently rigid to keep their shape.
- the fibers may present flexibility that enables them to be substantially deformed within the composition.
- the fibers may contain a non-zero amount, that may be as great as 100%, of a magnetic material selected from soft magnetic materials, hard magnetic materials, in particular based on iron, zinc, nickel, cobalt, or manganese, and alloys and oxides thereof, in particular Fe 3 O 4 , rare earths, barium sulfate, iron-silicon alloys, possibly containing molybdenum, Cu 2 MnAl, MnBi, or a mixture thereof, this list not being limiting.
- a magnetic material selected from soft magnetic materials, hard magnetic materials, in particular based on iron, zinc, nickel, cobalt, or manganese, and alloys and oxides thereof, in particular Fe 3 O 4 , rare earths, barium sulfate, iron-silicon alloys, possibly containing molybdenum, Cu 2 MnAl, MnBi, or a mixture thereof, this list not being limiting.
- said magnetic particles may be present at least at the surface of the fibers, or only at the surface of the fibers, or only inside the fibers, or they may even be dispersed within the fibers in substantially uniform manner, for example.
- each fiber may include a non-magnetic core with a plurality of magnetic particles on its surface.
- Each fiber may also include a synthetic matrix containing a plurality of magnetic grains dispersed therein.
- a synthetic material filled with magnetic particles may itself be covered by a non-magnetic membrane.
- a non-magnetic membrane constitutes a barrier isolating the magnetic material(s) from the surrounding environment and/or it can provide color.
- Each fiber may comprise a one-piece magnetic core and be covered by a non-magnetic membrane, or it may comprise a one-piece non-magnetic core and be covered by a magnetic membrane.
- the composition may contain fibers made by extruding or co-extruding one or more polymeric materials, in particular thermoplastics and/or elastomers.
- One of the extruded materials may contain a filler of dispersed magnetic particles.
- Each fiber may comprise a synthetic material selected from polyamides; polyethylene terephthalate (PET); acetates; polyolefins, in particular polyethylene (PE) or polypropylene (PP); polyvinyl chloride (PVC); polyester block amide; plasticized Rilsan®; elastomers, in particular polyester elastomers, polyethylene (PE) elastomers, silicone elastomers, nitrile elastomers; or a mixture of these materials, this list not being limiting.
- PET polyethylene terephthalate
- PVC polyvinyl chloride
- polyester block amide polyester block amide
- plasticized Rilsan® plasticized Rilsan®
- elastomers in particular polyester elastomers, polyethylene (PE) elastomers, silicone elastomers, nitrile elastomers; or a mixture of these materials, this list not being limiting.
- the composition may contain composite fibers each comprising a magnetic core that is covered, at least in part, by at least one non-magnetic, synthetic, or natural material.
- the magnetic core may be covered by co-extruding a membrane made of a non-magnetic material around the core.
- the core may alternatively be covered in some other way, e.g. by polymerization in situ.
- the core may be a single piece or it may include a filler of magnetic grains dispersed in a matrix.
- the composition may also contain composite fibers obtained by covering a non-magnetic, synthetic, or natural core, with a synthetic material filled with magnetic particles, the core being composed of a fiber made of wood; rayon; polyamide; plant matter; or polyolefin, in particular polyethylene, Nylon®, polyimideamide, or aramid, this list not being limiting.
- the composition may also contain magnetic composite particles, in particular a magnetic latex.
- a magnetic composite particle is a composite material constituted by an organic or an inorganic matrix and by magnetic grains. At their surfaces and/or within themselves, the magnetic composite particles may thus include grains of a magnetic material.
- the composite particles may be constituted by a magnetic core covered by an organic or an inorganic matrix, or they may be constituted by an organic or an inorganic core covered by a magnetic matrix.
- the magnetic composite particles include one of the above-mentioned magnetic materials, for example.
- the size of the magnetic composite particles may be in the range 1 nm to 1 mm, for example, preferably in the range 100 nm to 500 ⁇ m, and more preferably in the range 500 nm to 100 ⁇ m.
- size means the size given by the statistical grain size distribution at half the population, referred to as “ID50”.
- KISKER markets inorganic-matrix magnetic composite particles composed of silica.
- DYNAL, SERADYN, ESTAPOR, and ADEMTECH propose organic-matrix magnetic composite particles that are also suitable for being used in the invention.
- ESTAPOR markets magnetic latex constituted by grains of ferrite that are evenly distributed in a polystyrene matrix, said latex including 65% iron oxide, the mean diameter of the polystyrene particles being 890 nm, and the dry material mass content being 10%.
- the composition may contain a ferrofluid, i.e. a stable colloidal suspension of magnetic particles, in particular of magnetic nanoparticles.
- the particles having a size of the order of several tens of nanometers, for example, are dispersed in a solvent (water, oil, organic solvent), either by means of a surfactant or a dispersant, or by electrostatic interactions.
- a solvent water, oil, organic solvent
- the ferrofluids can be prepared by grinding ferrites or other magnetic particles until nanoparticles are obtained, which particles are then dispersed in a fluid containing a surfactant which is absorbed by the particles and stabilizes them, or else they can be prepared by precipitating a metallic-ion solution in a basic medium.
- Each particle of the ferrofluid presents a magnetic moment that is determined by the size of the particle, and by the nature of the magnetic material.
- ferrofluid also encompasses an emulsion of ferrofluid droplets in a solvent. Each drop thus contains colloidal magnetic particles in stable suspension. This makes it possible to have a ferrofluid in any type of solvent.
- the size of the magnetic particles in suspension in the ferrofluid may be in the range 1 nm to 10 ⁇ m, for example, preferably in the range 1 nm to 1 ⁇ m, and more preferably in the range 1 nm to 100 nm.
- size means the size given by the statistical grain size distribution at half the population, referred to as “D50”.
- the composition may contain clumps of particles or fibers having a largest dimension, e.g. length, that may, for example, be in the range 1 nm to 10 mm, e.g. in the range 10 nm to 5 mm, or in the range 100 nm to 1 mm, or even in the range 0.5 ⁇ m to 3.5 mm, e.g. in the range 1 ⁇ m to 150 ⁇ m.
- size means the size given by the statistical grain size distribution at half the population, referred to as “D50”.
- chains of magnetic particles may be obtained by assembling colloidal magnetic particles, as described in the publications “Permanently linked monodisperse paramagnetic chains”, by E. M. Furst, C. Suzuki, M. Fermigier, A. P. Gast, Langmuir, 14, 7334-7336 (1998), “Suspensions of magnetic particles”, by M. Fermigier, Y. Grasselli, Bulletin of the SFP (105) July 1996, and “Flexible magnetic filaments as micromechanical sensors”, by C. Goubault, P. Jop, M. Fermigier, J. Baudry, E. Bertrand, J. Bibette, Phys. Rev. Lett., 91, 26, 260802-1 to 260802-4 (2003), the contents of which are incorporated herein by reference.
- those articles describe how to proceed in order to obtain chains of magnetic-latex particles that include a polystyrene matrix containing grains of iron oxide with functions on the surface, and that are bonded together in permanent manner following a chemical reaction, in particular covalent bonds between the surfaces of adjacent particles; a method is also described of obtaining chains of ferrofluid-emulsion droplets that are bonded together by physical interactions.
- the length and the diameter of the permanent chains obtained in this way can be controlled.
- Such magnetic chains constitute anisotropic magnetic objects that can be oriented and displaced under the effect of a magnetic field.
- the dimensions of the magnetic chains may satisfy the same conditions as for the magnetic fibers.
- composition containing the magnetic bodies may include at least one photochromic agent.
- a photochromic coloring agent is a coloring agent having the property of changing hue when it is lit by ultraviolet light, and of returning to its initial color when it is no longer lit by said light, or even of passing from a non-colored state to a colored state and vice-versa.
- such an agent may present different hues depending on whether or not it is lit by light containing a certain amount of UV radiation.
- the photochromic agent may have a difference ⁇ E of at least 5.
- ⁇ E is the observed difference in hue in the photochromic substance, i.e. in the presence of UV radiation and in the absence of UV radiation.
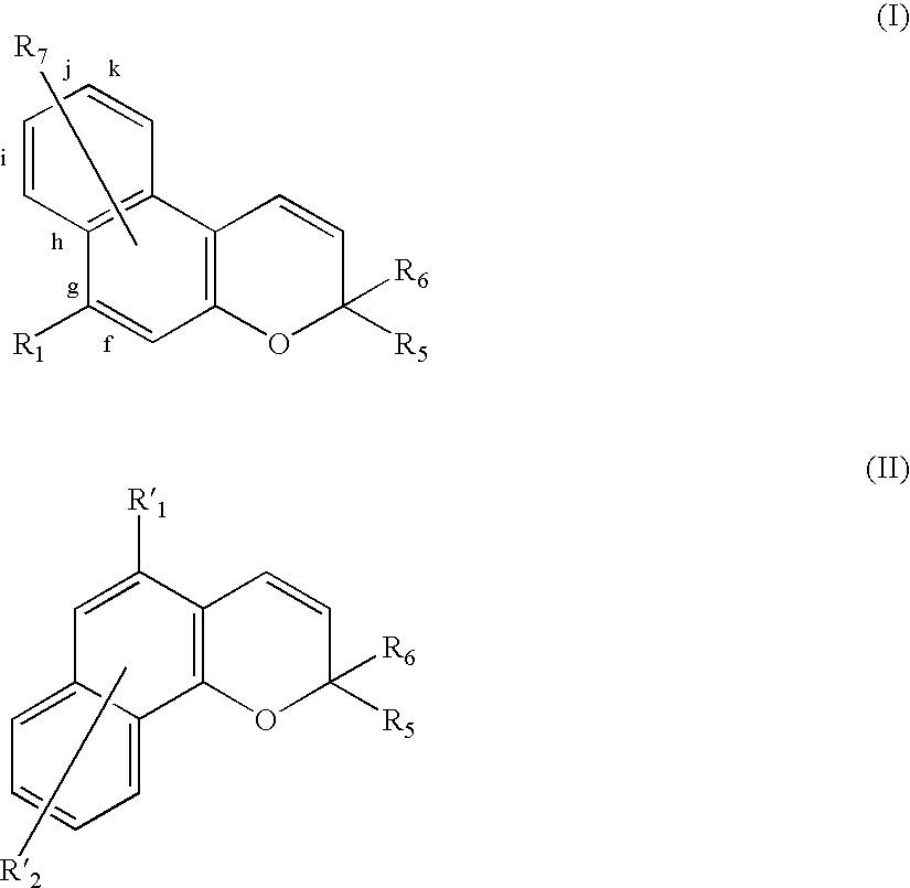
- photochromic agents examples include naphtopyrane derivatives of the 2H-naphto-[2,1-b]-pyrane type with formula (I) or of the 3H-naphto-[2,1-b]-pyrane type with formula (II):
- R1 represents:
- R 4 represents a linear, branched or cyclic, saturated or unsaturated hydrocarbon group containing 1 to 20 carbon atoms, optionally halogenated or perhalogenated, and/or optionally comprising 1 to 5 heteroatoms selected from N, O, S, Si and P;
- R 5 and R 6 independently represent a group selected from:
- cycle comprising N and X is a saturated cycle containing a total of 3 to 30 atoms including nitrogen, the remainder being carbon atoms and/or heteroatoms selected from O, S, Si, P and/or groups selected from —NH and —NR where R represents a linear, branched or cyclic, saturated or unsaturated hydrocarbon radical containing 1 to 20 carbon atoms optionally comprising 1 to 5 heteroatoms selected from N, O, S, Si and P; (ii) indolinoaryl groups with formula (III):
- R 10 and R 11 independently represent a group selected from (i) linear, branched or cyclic, saturated or unsaturated hydrocarbons groups containing 1 to 30 carbon atoms optionally comprising 1 to 5 heteroatoms selected from N, O, S, Si and P and/or optionally halogenated or perhalogenated; (ii) halogen atoms; (iii) —CN (nitrile), —COOH (carboxylate), —NO 2 (nitro) groups; (iv) a hydrogen atom; (v) a group selected from —C(O)NR 2 R 3 , —NR 2 R 3 , —OR 4 or —SR 4 where R 2 , R 3 and R 4 have the meanings given above; (vi) radicals R 10 and R 11 may together form a saturated or unsaturated hydrocarbon cycle containing a total of 5 to 8 atoms (including the atoms of the indoline cycle), said atoms being selected from C, O, S and/or NR where
- R 8 and R 9 independently represent a group selected from (i) linear, branched or cyclic, saturated or unsaturated hydrocarbon groups containing 1 to 30 carbon atoms optionally comprising 1 to 5 heteroatoms selected from N, O, S, Si and P and/or optionally halogenated or perhalogenated; (ii) halogen atoms; (iii) —CN (nitrile), —COOH (carboxylate), —NO 2 (nitro) groups; (iv) a hydrogen atom; (v) a group selected from —C(O)NR 2 R 3 , —NR 2 R 3 , —OR 4 or —SR 4 where R 2 , R 3 and R 4 have the meanings given above;
- R 7 represents a group selected from:
- the radical R 7 may also form, with one of bonds “i”, “j”, “k”, or “g,h” taken with the radical R 1 , or “f” taken with the radical R 1 , a saturated hydrocarbon cycle containing a total of 3 to 8 carbon atoms, optionally comprising 1 to 5 heteroatoms selected from N, O, S, Si and P;
- R′ 1 represents a group selected from:
- R′ 2 represents a group selected from:
- photochromic agents that may be mentioned are diarylethene, with formula
- the photochromic agent may be an organic or inorganic compound.
- An organic photochromic agent may produce a more rapid and intense color change.
- Photochromic agents examples include Photosol® from PPG, which changes color reversibly when activated by UV radiation with a wavelength in the range 300 nm to 360 nm, Reversacol® from J. ROBINSON and Photogenica® from CATALYST & CHEMICALS.
- the photochromic agent may be attached to magnetic bodies, for example by coating magnetic cores with a substance containing said photochromic agent, thereby producing bodies containing magnetic grains and a synthetic matrix comprising the photochromic agent, or by forming chains of particles containing magnetic bodies and a photochromic agent.
- PHOTOGENICA pigments from CATALYST & CHEMICALS may be combined with those known under the reference STAPA WM IRON VP 041040 from ECKART.
- thermochromic agent is a pigment or colorant which can change color as a function of temperature.
- thermochromic agent may have a color that is lost when the temperature exceeds a certain value, for example about 15° C. or about 30° C., depending on the nature of the thermochromic agent.
- thermochromic agent may comprise capsules of a polymer containing a solvent, said solvent, if it has dissolved them, allowing the compounds to come into contact and modify the light absorption properties.
- the color change may be reversible.
- thermochromic agent is, for example, attached to the magnetic bodies, in like manner to the photochromic agent, as discussed above.
- thermochromic agent sold with reference Kromafast® Yellow5GX 02 by KROMACHEM LTD, or Chromazone® as a powder or a dispersion, namely Thermobatch® or Thermostar®, from CHROMAZONE.
- a piezochromic agent can change color in the presence of a mechanical force.
- piezochromic agent is diphenylflavylene.
- a tribochromic agent can change color in the presence of a mechanical force in a manner that lasts longer than with piezochromic agents.
- a solvatochromic agent can change color in the presence of at least one solvent.
- DCRed27 dye is an example. In its anhydrous formulation, that compound is free of color. Adding water reveals a pink color.
- the composition may comprise at least one luminescent agent which is capable of assuming an excited state in the presence of an external stimulus; loss of that excited state is accompanied by emission of light in the visible region.
- luminescent agent which is capable of assuming an excited state in the presence of an external stimulus; loss of that excited state is accompanied by emission of light in the visible region.
- Fluorescent, mechanoluminescent and phosphorescent agents are included in this category of luminescent agents.
- These agents are capable of emitting light when they are subject to mechanical stress such as a compression, shear or friction.
- the mechanoluminescent agent is preferably in the form of particles which are insoluble in the cosmetic medium.
- the mean particle size is between 0.01 ⁇ m and 50 ⁇ m, preferably between 0.1 ⁇ m and 10 ⁇ m, for example.
- mechanoluminescent materials examples include:
- lanthanides such as those described in U.S. Pat. No. 6,071,632, US 2002/0015965 and WO 09/016,429 the contents of which are incorporated by reference.
- the rare earths are preferably selected from europium, terbium, samarium and dysprosium.
- diketones are used as the ligand for the trivalent lanthanide salts. Said materials are in an organic medium.
- Ions of rare earths such as cerium, europium, samarium, neodymium, gadolinium, dysprosium and terbium may be used, alone or as a mixture. Europium and dysprosium are preferred.
- Preferred transition metal ions are copper and manganese.
- Preferred rare earth ions are europium or cerium. Of said materials, ZnS:Mn is preferred.
- the materials listed under b) and c) may be synthesized by solid phase reaction using a dry mixture followed by heat treatment and high temperature sintering, or by a sol-gel process followed by drying, heating and sintering.
- the sintering temperature is more than 1000° C., for example.
- the materials listed under b) are preferred. Of these, SrAl 2 O 4 and SrMgAl 10 O 17 doped with rare earth metals are preferred.
- Mechanoluminescent pigments SrAl 2 O 4 doped with rare earth metal ions are sold with reference TAIKO-M1-1 by TAIKO Refractories Co., Ltd.
- the particles of this pigment have a diameter in the range 5 ⁇ m to 10 ⁇ m and a green luminescence under a small mechanical stress.
- This may be a compound which absorbs light in the ultraviolet and re-emits it in the visible region.
- the fluorescent agent may, for example, comprise silicon nanoparticles such as those obtained using the processes described in WO-A-01/38222 and US 2002/0070121.
- the fluorescent agent may comprise at least one rare earth.
- EP-A-0 962 224 U.S. Pat. No. 6,753,002
- JP-A-2 805 373 JP-A-2 805 373
- FR-A-2 847 812 JP-A-2 805 373
- FR-A-2 847 812 JP-A-2 805 373
- FR-A-2 847 812 JP-A-2 805 373
- FR-A-2 847 812 JP-A-2 805 373
- FR-A-2 847 812 FR-A-2 850 271
- phosphorescent compounds examples include the LumiNova® pigment from Nemoto and Co Ltd, described in U.S. Pat. No. 5,424,006, herewith incorporated by reference.
- Phosphorus sulphide (ZnS:Cu) is another example of a phosphorescent compound.
- the phosphorescent compound may be incorporated into an inert matrix, or it may be coated to isolate it from the ambient medium.
- composition comprising the magnetic bodies may contain at least one coloring agent other than a coloring agent that is sensitive to an external stimulus and producing a color by absorbing at least a fraction of the visible spectrum.
- Said coloring agent may be constituted by a magnetic or non-magnetic pigment, which may be organic, inorganic, or a hybrid comprising both an organic substance and an inorganic substance.
- a color produced by light absorption is still sometimes termed a chemical color, as opposed to colors produced by an interference phenomenon, including diffraction, still termed physical colors. Electron transitions may be the origin of the phenomenon whereby the coloring agent absorbs light.
- the coloring agent may optionally be a particulate compound.
- the particles of a single magnetic pigment constitute both the coloring agent, producing the color by an absorption phenomenon, and the magnetic bodies.
- said colorant may be selected from amongst liposoluble and hydrosoluble colorants.
- liposoluble colorants are Sudan red, D&C Red No. 17, D&C Green No. 6, ⁇ -carotene, soybean oil, Sudan brown, D&C Yellow No. 11, D&C Violet No. 2, D&C orange No. 5, and quinoline yellow.
- hydrosoluble colorants examples include beetroot juice and methylene blue.
- the colorants may represent 0.1% to 20% by weight of the first or second composition, or even 0.1% to 6%, when present.
- the coloring agents may also be a lake or an organic pigment selected from the following materials and mixtures thereof:
- Organic pigments that may be mentioned include those with the following denominations: D&C Blue No. 4, D&C Brown No. 1, D&C Green No. 5, D&C Green No. 6, D&C Orange No. 4, D&C Orange No. 5, D&C Orange No. 10, D&C Orange No. 11, D&C Red No. 6, D&C Red No. 7, D&C Red No. 17, D&C Red No. 21, D&C Red No. 22, D&C Red No. 27, D&C Red No. 28, D&C Red No. 30, D&C Red No. 31, D&C Red No. 33, D&C Red No. 34, D&C Red No. 36, D&C Violet No. 2, D&C Yellow No. 7, D&C Yellow No. 8, D&C Yellow No. 10, D&C Yellow No. 11, FD&C Blue No. 1, FD&C Green No. 3, FD&C Red No. 40, FD&C Yellow No. 5, FD&C Yellow No. 6.
- the coloring agent may be an organic lake supported by an organic support such as colophane or aluminum benzoate, for example.
- Particular organic lakes include those with the following denominations: D&C Red No. 2 Aluminum lake, D&C Red No. 3 Aluminum lake, D&C Red No. 4 Aluminum lake, D&C Red No. 6 Aluminum lake, D&C Red No. 6 Barium lake, D&C Red No. 6 Barium/Strontium lake, D&C Red No. 6 Strontium lake, D&C Red No. 6 Potassium lake, D&C Red No. 7 Aluminum lake, D&C Red No. 7 Barium lake, D&C Red No. 7 Calcium lake, D&C Red No. 7 Calcium/Strontium lake, D&C Red No. 7 Zirconium lake, D&C Red No. 8 Sodium lake, D&C Red No. 9 Aluminum lake, D&C Red No.
- the coloring agent producing a color by absorbing at least a fraction of the visible spectrum may advantageously be a composite pigment including a core that is coated at least in part by a membrane.
- a composite pigment may be composed of particles comprising:
- At least one binder may advantageously contribute to fixing the organic coloring substance onto the inorganic core.
- the particles of composite pigment may have a variety of forms.
- said particles may be in the form of flakes or they may be globular, in particular spherical, and may be hollow or solid.
- the term “in the form of flakes” means particles for which the ratio of the largest dimension to the thickness is 5 or more.
- a composite pigment may, for example, have a specific surface area in the range 1 square meter per gram (m 2 /g) to 1000 m 2 /g, in particular in the range about 10 m 2 /g to about 600 m 2 /g, and in particular in the range about 20 m 2 /g to about 400 m 2 /g.
- the specific surface area is the value measured using the BET (Brunauer-Emmett-Teller) method.
- the proportion by weight of the core may exceed 50% relative to the total weight of the composite pigment, for example lying in the range 50% to 70%, e.g. in the range 60% to 70%.
- the composite pigment may be different from an interferential pigment as described in U.S. Pat. No. 6,428,773, for example.
- an interferential pigment includes a plurality of layers of constant thickness of materials selected so as to be able to produce optical interferences.
- the saturation C* of the composite pigment may be greater than or equal to 30, measured in accordance with the following protocol.
- Pure composite pigment is compacted in a rectangular dish having dimensions of 2 centimeters (cm) ⁇ 1.5 cm and a depth of 3 mm, by applying pressure of 100 bars.
- the inorganic core may have any form that is suitable for fixing particles of organic coloring substance, for example spherical, globular, granular, polyhedral, acicular, spindle-shaped, flattened in the form of a flake, a rice grain, or a scale, and a combination of these forms, this list not being limiting.
- the ratio of the largest dimension of the core to its smallest dimension may be in the range 1 to 50.
- the inorganic core may have a mean size in the range about 1 nm to about 100 nm, or even in the range about 5 nm to about 75 nm, for example in the range about 10 nm to about 50 nm, in particular 20 nm or 25 nm.
- mean size means the size given by the statistical grain size distribution at half the population, referred to as “D50”.
- the mean size may be a number mean size determined by image analysis (electron microscopy).
- the inorganic core may present a refractive index that is greater than or equal to 2, or even greater than or equal to 2.1, e.g. greater than or equal to 2.2.
- the inorganic core may be formed from an optionally-magnetic material selected from a non-limiting list comprising metallic salts and metal oxides, in particular oxides of titanium, zirconium, cerium, zinc, iron, iron blue, aluminum, and chromium, aluminas, glasses, ceramics, graphite, silicas, silicates, in particular aluminosilicates and borosilicates, synthetic mica, and mixtures thereof.
- metallic salts and metal oxides in particular oxides of titanium, zirconium, cerium, zinc, iron, iron blue, aluminum, and chromium, aluminas, glasses, ceramics, graphite, silicas, silicates, in particular aluminosilicates and borosilicates, synthetic mica, and mixtures thereof.
- the inorganic core may have a specific surface area, measured using the BET method, in the range about 1 m 2 /g to about 1000 m 2 /g, preferably in the range about 10 m 2 /g to about 600 m 2 /g, for example in the range about 20 m 2 /g to about 400 m 2 /g.
- the inorganic core may be colored if appropriate.
- the organic coloring material may comprise at least one organic pigment, e.g. at least one organic lake.
- the organic coloring material may be selected from the insoluble particulate compounds in the physiologically acceptable medium of the composition.
- the organic coloring material may comprise pigments, e.g. organic lakes or other organic coloring materials, that may be selected from the following compounds and mixtures thereof:
- Organic pigments that may be mentioned include those with the following denominations: D&C Blue No. 4, D&C Brown No. 1, D&C Green No. 5, D&C Green No. 6, D&C Orange No. 4, D&C Orange No. 5, D&C Orange No. 10, D&C Orange No. 11, D&C Red No. 6, D&C Red No. 7, D&C Red No. 17, D&C Red No. 21, D&C Red No. 22, D&C Red No. 27, D&C Red No. 28, D&C Red No. 30, D&C Red No. 31, D&C Red No. 33, D&C Red No. 34, D&C Red No. 36, D&C Violet No. 2, D&C Yellow No. 7, D&C Yellow No. 8, D&C Yellow No. 10, D&C Yellow No. 11, FD&C Blue No. 1, FD&C Green No. 3, FD&C Red No. 40, FD&C Yellow No. 5, FD&C Yellow No. 6.
- the organic coloring substance may comprise an organic lake supported by an organic support such as colophane or aluminum benzoate, for example.
- Particular organic lakes include those with the following denominations: D&C Red No. 2 Aluminum lake, D&C Red No. 3 Aluminum lake, D&C Red No. 4 Aluminum lake, D&C Red No. 6 Aluminum lake, D&C Red No. 6 Barium lake, D&C Red No. 6 Barium/Strontium lake, D&C Red No. 6 Strontium lake, D&C Red No. 6 Potassium lake, D&C Red No. 7 Aluminum lake, D&C Red No. 7 Barium lake, D&C Red No. 7 Calcium lake, D&C Red No. 7 Calcium/Strontium lake, D&C Red No. 7 Zirconium lake, D&C Red No. 8 Sodium lake, D&C Red No. 9 Aluminum lake, D&C Red No.
- the proportion by weight of organic coloring material may lie in the range about 10 parts to about 500 parts by weight per 100 parts of inorganic core, or even in the range about 20 parts to about 250 parts by weight, e.g. in the range about 40 parts to about 125 parts by weight per 100 parts of inorganic core.
- the total content of organic coloring material of the composition, coming from the composite pigment and from other possible pigments, may be less than 10%, for example, relative to the total weight of the composition.
- the proportion of organic coloring material may exceed 30% relative to the total weight of the composite pigment, for example lying in the range 30% to 50%, e.g. in the range 30% to 40%.
- the composite-pigment binder may be of any type provided that it allows the organic coloring substance to adhere to the surface of the inorganic core.
- the binder may be selected from the following non-limiting list: silicone materials, polymeric, oligomeric or similar materials, in particular from organosilanes, fluoroalkylated organosilanes and polysiloxanes, for example polymethylhydrogen siloxane, as well as a variety of coupling agents such as coupling agents based on silanes, titanates, aluminates, zirconates, and mixtures thereof.
- the silicone compound may be selected from the following non limiting list:
- the organosilane compounds (I) may be obtained from alkoxysilane compounds represented by formula (I):
- alkoxysilane compounds may include alkoxysilanes selected from: methyltriethoxysilane, dimethyldiethoxysilane, phenyltriethoxysilane, diphenyldiethoxysilane, methyltrimethoxysilane, dimethyldimethoxysilane, phenyltrimethoxysilane, diphenyldimethoxysilane, isobutyltrimethoxysilane, decyltrimethoxysilane, and the like, in particular from methyltriethoxysilane, phenyltriethoxysilane, methyltrimethoxysilane, dimethyldimethoxysilane, isobutyltrimethoxysilane, more preferably from methyltriethoxysilane, methyltrimethoxysilane, and phenyltriethoxysilane.
- the polysiloxanes (2) may in particular have formula (II):
- R 2 represents H— or CH 3 — and d lies in the range 15 to 450.
- the modified polysiloxanes (2A) may in particular have the following formula (III):
- R 3 represents —(CH 2 ) h —;
- R 4 represents —(CH 2 ) i —CH 3 ;
- R 5 represents —OH, —COOH, —CH ⁇ CH 2 , —C(CH 3 ) ⁇ CH 2 or —(CH 2 ) j —CH 3 ;
- R 6 represents —(CH 2 ) k —CH 3 ;
- g and h lie independently in the range 1 to 15; j and k lie independently in the range 0 to 15;
- e lies in the range 1 to 50, and f lies in the range 1 to 300;
- R 7 , R 8 , and R 9 independently represent —(CH 2 ) q —;
- R 10 represents —OH, —COOH, —CH ⁇ CH 2 , —C(CH 3 ) ⁇ CH 2 or —(CH 2 ) r —CH 3 ;
- R 11 represents —(CH 2 ) n —CH 3 ;
- n and q lie independently in the range 1 to 15, r and s lie independently in the range 0 to 15;
- e lies in the range 1 to 50, and f lies in the range 1 to 300,
- R 12 represents —(CH 2 ) v —; v lies in the range 1 to 15; t lies in the range 1 to 50, and u lies in the range 1 to 300; or mixtures thereof.
- Preferred modified polysiloxanes (2A) are modified polysiloxanes carrying polyethers with formula (III).
- Polysiloxanes modified at the terminal portion (2B) may have formula (VI):
- R 13 and R 14 may represent —OH, R 16 —OH, or R 17 —COOH, independently of each other;
- R 15 represents —CH 3 or —C 6 H 5 ;
- R 16 and R 17 represent —(CH 2 ) y —; y lies in the range 1 to 15; w lies in the range 1 to 200; and x lies in the range 0 to 100.
- Preferred polysiloxanes modified on at least one end include those carrying at least a radical (R 16 and/or R 17 ) carrying a carboxylic acid group on at least one terminal silicon atom.
- Fluoroalkylated organosilane compounds (3) may be obtained from fluoroalkylsilanes represented by formula (VII):
- the fluoroalkylsilanes may be selected from the following non limiting list: trifluoropropyltrimethoxysilane, tridecafluorooctyltrimethoxysilane, heptadecafluorodecyltrimethoxysilane, heptadecafluorodecylmethyldimethoxysilane, trifluoropropyltriethoxysilane, tridecafluorooctyltriethoxysilane, heptadecafluorodecyltriethoxysilane, heptadecafluorodecylmethyldiethoxysilane and the like, in particular trifluoropropyltrimethoxysilane, tridecafluorooctyltrimethoxysilane and heptadecafluorodecyltrimethoxysilane, and more preferably trifluoropropyl trimethoxysi
- the silane-based coupling agents may be selected from the following non limiting list: vinyltrimethoxysilane, vinyltriethoxysilane, ⁇ -aminopropyl-triethoxysilane, ⁇ -glycidoxypropyltrimethoxysilane, ⁇ -mercaptopropyltrimethoxysilane, ⁇ -methacryloxypropyltrimethoxysilane, N- ⁇ (aminoethyl)- ⁇ -aminopropyltrimethoxysilane, ⁇ -glycidoxypropylmethyldimethoxysilane, ⁇ -chloropropyltrimethoxysilane, and the like.
- the titanate-based coupling agents may be selected from the following list: isopropylstearoyl titanate, isopropyltris(dioctylpyrophosphate) titanate, isopropyltri(N-aminoethyl-aminoethyl)titanate, tetraoctyl-bis(ditridecylphosphate)titanate, tetra(2,2-diaryloxymethyl-1-butyl)bis(ditridecyl)phosphate titanate, bis(dioctylpyrophosphate)oxyacetate titanate, bis(dioctylpyrophosphate)ethylene titanate, and the like.
- the aluminate-based coupling agents may be selected from acetoalkoxyaluminum diisopropylate, aluminum diisopropoxymonoethylacetoacetate, aluminum triethylacetoacetate, aluminum triacetylacetonate, and the like.
- the zirconate-based coupling agents may be selected from the following list: zirconium tetrakisacetylacetonate, zirconium dibutoxybisacetylacetonate, zirconium tetrakisethylacetoacetate, zirconium tributoxymonoethylacetoacetate, zirconium tributoxyacetylacetonate, and the like.
- the compounds acting as a binder may have a molar mass in the range 300 to 100 000.
- the binder is preferably in the liquid state or is soluble in water or other solvents.
- the quantity of binder may lie in the range 0.01% to 15%, in particular from 0.02% to 12.5%, and more particularly from 0.03% to 10% by weight (calculated with respect to C or Si) relative to the weight of particles comprising the core and the binder. Further details regarding the calculation of the relative quantity of binder can be found in patent application EP 1 184 426 A2.
- the relative proportion of binder may be less than or equal to 5%, e.g. less than or equal to 3%, relative to the total weight of the composite pigment.
- the composite pigment may be prepared using any appropriate method, e.g. a mechanical/chemical method or a method of precipitation in solution, with the organic coloring material being dissolved, then precipitated onto the surface of the core.
- a binder may optionally be used.
- a method comprising mechanically mixing an organic pigment and the inorganic core is preferred.
- a binder may be added or mixed to the inorganic core before the organic coloring material is introduced.
- the composite pigment may, for example, be produced using one of the processes described in European patent applications EP 1 184 426 and EP 1 217 046, the contents of which are hereby incorporated by reference, and advantageously by the process described in EP 1 184 426.
- the particles intended to constitute the inorganic core are first mixed with the binder.
- the binder can adhere uniformly to the surface of the inorganic core, it is preferable to pass said particles initially through a mill to disaggregate them.
- the mixing and agitation conditions are selected so that the core is uniformly coated with binder.
- Such conditions may be controlled so that the linear load is in the range 19.6 N/cm (newtons/centimeter) to 19160 N/cm, in particular in the range 98 N/cm to 14170 N/cm and preferably in the range 147 N/cm to 980 N/cm;
- the treatment time is in the range 5 minutes to 24 hours, preferably in the range 10 minutes to 20 hours;
- the rotation rate may be in the range 2 rpm (revolutions per minute) to 1000 rpm, in particular in the range 5 rpm to 1000 rpm, and more preferably in the range 10 rpm to 800 rpm.
- the organic coloring substance is added and mixed with agitation so that it adheres to the layer of binder.
- Mixing and agitation may be carried out using an apparatus which can apply a sharp shearing and/or compressive force to the mixture of powders.
- apparatus of that type are roller mixers, blade mixers, and the like. Roller mixers are particularly suitable. A list of suitable apparatus is given in EP 1 184 426 A2.
- the organic coloring substance is dissolved in ethanol and the inorganic cores are then dispersed in said ethanolic solution.
- the composition may include at least one interferential or diffractive pigment and/or reflective particles.
- the first composition contains at least one goniochromatic coloring agent in which a color change can be observed as a function of the angle of observation.
- the goniochromatic coloring agent may optionally be magnetic.
- the coloring agent may be selected so that its range of colors passes substantially through the color of the magnetic particles.
- this can make the magnetic particles more difficult to detect so long as they are not oriented under the effect of a magnetic field.
- composition containing the magnetic bodies may contain at least one interferential coloring agent, in particular a goniochromatic coloring agent, which may present magnetic properties, where appropriate.
- goniochromatic coloring agent means a coloring agent that makes it possible, when the composition is spread on a surface, to obtain a color path in the a*b* plane of the 1976 CIE color space which corresponds to a variation Dh o of the hue angle h o of at least 200 when the angle of observation is varied relative to the normal in the range 0° to 80° for light at an angle of incidence of 45°.
- the color path may be measured by means of a spectrogonioreflectometer, from INSTRUMENT SYSTEMS and referenced GON 360 GONIOMETER, after the first composition has been spread in the fluid state to a thickness of 300 ⁇ m by means of an automatic spreader on a contrast card from ERICHSEN and referenced Typ 24/5, the measurements being performed on the black background of the card.
- a spectrogonioreflectometer from INSTRUMENT SYSTEMS and referenced GON 360 GONIOMETER
- the goniochromatic coloring agent may be selected from multilayer interference structures and liquid crystal coloring agents.
- a multilayer structure may comprise at least two layers, each layer being produced, for example, from at least one material selected from the group constituted by the following materials: MgF 2 , CeF 3 , ZnS, ZnSe, Si, SiO 2 , Ge, Te, Fe 2 O 3 , Pt, Va, Al 2 O 3 , MgO, Y 2 O 3 , S 2 O 3 , SiO, HfO 2 , ZrO 2 , CeO 2 , Nb 2 O 5 , Ta 2 O 5 , TiO 2 , Ag, Al, Au, Cu, Rb, Ti, Ta, W, Zn, MOS 2 , cryolite, alloys, polymers, and combinations thereof.
- the multilayer structure may optionally be symmetrical with respect to a central layer as regards the chemical nature of the stacked layers. Depending on the thickness and nature of the various layers, different effects are obtained.
- Examples of symmetrical multilayer interference structures are as follows: Fe 2 O 3 /SiO 2 /Fe 2 O 3 /SiO 2 /Fe 2 O 3 , a pigment having this structure being sold under the trade name SICOPEARL by BASF; MoS 2 /SiO 2 /mica-oxide/SiO 2 /MoS 2 ; Fe 2 O 3 /SiO 2 /mica-oxide/SiO 2 /Fe 2 O 3 ; TiO 2 /SiO 2 /TiO 2 and TiO 2 /Al 2 O 3 /TiO 2 , pigments with these structures being sold under the trade name XIRONA by MERCK (Darmstadt).
- liquid crystal coloring agents comprise silicones, or cellulose ethers onto which mesomorphic groups have been grafted.
- suitable liquid crystal goniochromatic particles are those sold by CHENIX, and those sold under the trade name HELICONE® HC by WACKER.
- Suitable goniochromatic coloring agents are some nacres; pigments having effects on synthetic substrates, in particular alumina, silica, borosilicate, iron oxide, or aluminum type substrates; or holographic interference flakes coming from a polyterephthalate film.
- the material may further contain dispersed goniochromatic fibers. Such fibers could present a length that is less than 80 ⁇ m, for example.
- composition containing the magnetic bodies may also include at least one diffractive pigment, which may present magnetic properties, where appropriate.
- diffractive pigment means a pigment that is capable of producing a variation in color depending on the angle of observation when lit by white light, because of the presence of a structure which diffracts the light. Such a pigment is also sometimes referred to as a holographic or rainbow-effect pigment.
- a diffractive pigment may include a diffraction grating that is capable of diffracting an incident ray of monochromatic light in defined directions.
- the diffraction grating may comprise a periodic pattern, in particular a line, with the distance between two adjacent patterns being the same as the wavelength of the incident light.
- the diffraction grating separates the various spectral components of the light and produces a rainbow effect.
- the diffractive pigment may be made with patterns having various profiles, in particular triangular, optionally symmetrical, notched, of optionally constant width, sinusoidal, or stepped.
- the spatial frequency of the grating and the depth of the patterns are selected as a function of the degree of separation of the various desired orders.
- the frequency may be in the range 500 lines per mm to 3000 lines per mm, for example.
- Each of the particles of the diffractive pigment preferably presents a flat shape, and in particular a wafer shape.
- a single pigment particle may include two crossed diffraction gratings that are optionally perpendicular, and that optionally have the same ruling.
- the diffractive pigment may present a multilayer structure comprising a layer of reflective material that is covered on at least one side by a layer of dielectric material.
- the dielectric material may make the diffractive pigment stiffer and longer lasting.
- the dielectric material may thus be selected from the following materials: MgF 2 , SiO 2 , Al 2 O 3 , AlF 3 , CeF 3 , LaF 3 , NdF 3 , SmF 2 , BaF 2 , CaF 2 , LiF, and combinations thereof.
- the reflective material may be selected from metals and alloys thereof, and also from non-metallic reflective materials: Metals that may be used include Al, Ag, Cu, Au, Pt, Sn, Ti, Pd, Ni, Co, Rd, Nb, Cr, and materials, combinations, or alloys thereof. Such a reflective material may, on its own, constitute the diffractive pigment which then comprises a single layer.
- the diffractive pigment may include a multilayer structure comprising a core of dielectric material with a reflective layer covering at least one side, or indeed completely encapsulating, the core.
- a layer of dielectric material may also cover the reflective layer(s).
- the dielectric material used is thus preferably inorganic, and may, for example, be selected from metal fluorides, metal oxides, metal sulfides, metal nitrides, metal carbides, and combinations thereof.
- the dielectric material may be in the crystalline, semi-crystalline, or amorphous state.
- the dielectric material may, for example, be selected from the following materials: MgF 2 , SiO, SiO 2 , Al 2 O 3 , TiO 2 , WO, AlN, BN, B 4 C, WC, TiC, TiN, N 4 Si 3 , ZnS, glass particles, diamond-type carbons, and combinations thereof.
- the diffractive pigment may be composed of a preformed dielectric or ceramic material such as a naturally lamellar mineral, e.g. mica peroskovite or talc; or synthetic platelets formed from glass, alumina, SiO 2 , carbon, an iron oxide/mica, mica covered in BN, BC, graphite, or bismuth oxychloride, and combinations thereof.
- a naturally lamellar mineral e.g. mica peroskovite or talc
- synthetic platelets formed from glass, alumina, SiO 2 , carbon, an iron oxide/mica, mica covered in BN, BC, graphite, or bismuth oxychloride, and combinations thereof.
- Such materials may include silicone, metal silicides, semiconductor materials formed from elements of groups III, IV, and V, metals having a body centered cubic crystal structure, metal-ceramic compositions or materials, semiconductor glasses, and various combinations thereof.
- the diffractive pigment used may be selected from those described in US patent application No. 2003/0031870 published on Feb. 13, 2003.
- a diffractive pigment may, for example, have the following structure: MgF 2 /Al/MgF 2 , a diffractive pigment having this structure being sold by FLEX PRODUCTS under the trade names SPECTRAFLAIR 1400 Pigment Silver or SPECTRAFLAIR 1400 Pigment Silver FG.
- the proportion by weight of MgF 2 may be in the range 80% to 95% of the total weight of the pigment.
- diffractive pigments are sold under the trade names Metalure® Prismatic by ECKART®.
- Fe/Al/Fe or Al/Fe/Al which present non-zero magnetic susceptibility.
- the quantity of diffractive pigment may be in the range 0.1% to 5% by weight relative to the total weight of the first composition.
- the size of the diffractive pigment may be in the range 5 ⁇ m to 200 ⁇ m, and preferably in the range 5 ⁇ m to 100 ⁇ m, e.g. in the range 5 ⁇ m to 30 ⁇ m.
- the thickness of the diffractive-pigment particles may be less than or equal to 3 ⁇ m or preferably 2 ⁇ m, e.g. about 1 ⁇ m.
- composition containing the magnetic bodies may include reflective particles, in particular optionally-magnetic flakes, amongst others.
- reflective particles means particles the size and structure of which, in particular the thickness of the layer or layers constituting them and their physical and chemical natures, and their surface state, allow them to reflect incident light. If appropriate, said reflection may have sufficient intensity to create highlight points on the surface of the composition or of the mixture, when the composition or the mixture is applied to the surface to be made up, which highlight points are visible to the naked eye, i.e. they are points of greater brightness that contrast with their environment and appear to shine.
- the reflective particles may be selected in a manner such that they do not significantly alter the coloring effect generated by the coloring agents associated therewith, and more particularly to optimize that effect in terms of color yield. More particularly, they may have a yellow, pink, red, bronze, orangey, brown, and/or copper glint.
- the reflective particles may be present in the first composition in an amount in the range 0.5% to 60% by weight relative to the total weight of the first composition, specifically 1% to 30% by weight, and in particular 3% to 10% by weight.
- Said particles may be in various forms, in particular they may be in the form of flakes, or they may be globular, in particular spherical.
- the reflective particles may optionally have a multilayer structure; for example, with a multilayer structure, they may have at least one layer of uniform thickness, in particular of a reflective material.
- the reflective particles may, for example, be composed of metal oxides, in particular oxides of titanium or iron obtained by synthesis.
- the reflective particles may, for example, comprise a natural or synthetic substrate, in particular a synthetic substrate which is at least partially coated with at least one layer of a reflective material, in particular at least one metal or metallic material.
- the substrate may be a single material or multiple materials, and it may be organic and/or inorganic.
- glasses More particularly, it may be selected from glasses, ceramics, graphite, metal oxides, aluminas, silicas, silicates, in particular aluminosilicates and borosilicates, synthetic mica, and mixtures thereof, this list not being limiting.
- the reflective material may comprise a layer of metal or of a metallic material.
- Reflective particles have been described in particular in Japanese patent documents JP-A-09188830, JP-A-10158450, JP-A-10158541, JP-A-07258460 and JP-A-05017710.
- reflective particles comprising a mineral substrate coated with a metal layer are particles comprising a substrate of borosilicate coated with silver.
- Glass substrate particles coated with silver in the form of flakes are sold under the trade name MICROGLASS METASHINE REFSX 2025 PS by TOYAL.
- Glass substrate particles coated with nickel/chromium/molybdenum alloy are sold under the trade name CRYSTAL STAR GF 550, GF 2525 by the same company.
- Reflective particles of any form may also be selected from particles of synthetic substrate at least partially coated with at least one layer of at least one metallic material, in particular a metal oxide selected, for example, from oxides of titanium, in particular TiO 2 , of iron, in particular Fe 2 O 3 , of tin, or of chromium, barium sulfate, and the following materials: MgF 2 , CrF 3 , ZnS, ZnSe, SiO 2 , Al 2 O 3 , MgO, Y 2 O 3 , SeO 3 , SiO, HfO 2 , ZrO 2 , CeO 2 , Nb 2 O 5 , Ta 2 O 5 , MoS 2 , and their mixtures or alloys.
- a metal oxide selected, for example, from oxides of titanium, in particular TiO 2 , of iron, in particular Fe 2 O 3 , of tin, or of chromium, barium sulfate, and the following materials: MgF 2 , CrF 3
- particles comprising a substrate of synthetic mica coated with titanium dioxide, or glass particles coated either with brown iron oxide, titanium oxide, tin oxide, or one of their mixtures such as those sold under the trade name REFLECKS® by ENGELHARD.
- composition containing the magnetic bodies may include at least one optionally-magnetic nacre.
- nacre means colored particles of any form, which may optionally be iridescent, as produced in the shells of certain mollusks, or which are synthesized, and which exhibit a “pearlescent” coloring effect by optical interference.
- Nacres may be selected from nacre pigments such as mica titanium coated with iron oxide, mica coated with bismuth oxychloride, mica titanium coated with chromium oxide, mica titanium coated with an organic colorant, in particular of the type mentioned above, and nacre pigments based on bismuth oxychloride. They may also be particles of mica on the surface of which at least two successive layers of metal oxides and/or organic coloring substances have been superimposed.
- the nacres may have a yellow, pink, red, bronze, orangey, brown, gold, and/or coppery color or glint.
- nacres suitable for being introduced into the first composition are gold color nacres, in particular those sold by ENGELHARD under the trade names Brillant gold 212G (Timica), Gold 222C (Cloisonne), Sparkle gold (Timica), Gold 4504 (Chromalite), and Monarch gold 233X (Cloisonne); bronze nacres, in particular those sold by MERCK under the trade names Bronze fine (17384) (Colorona) and Bronze (17353) (Colorona), and by ENGELHARD under the trade name Super bronze (Cloisonne); orange nacres especially those sold by ENGELHARD under the trade names Orange 363C (Cloisonne) and Orange MCR 101 (Cosmica), and by MERCK under the trade names Passion orange (Colorona) and Matte orange (17449) (Microna); brown-tinted nacres sold by ENGELHARD under the trade names Nu-antique copper 340XB (Cloisonne)
- the composition containing the magnetic bodies includes a physiologically acceptable medium.
- physiologically acceptable medium means a non-toxic medium that can be applied to the skin, to the nails, to hair, or to the lips of human beings.
- the physiologically acceptable medium is generally adapted to the nature of the surface onto which the composition is to be applied, and to the form in which the composition is packaged.
- composition may include ingredients other than those described above, in particular at least one solvent, one oily phase, one film-forming polymer, and/or one dermatologically or cosmetically active ingredient, in particular as a function of its dosage or “galenical” form.
- composition containing the magnetic bodies may include at least one aqueous or organic solvent, in particular a volatile organic solvent.
- the first composition may advantageously include a volatile solvent, in particular a volatile organic solvent.
- volatile solvent as used in the context of the present invention means a solvent that is liquid at ambient temperature, having a non-zero vapor pressure at ambient temperature and atmospheric pressure, in particular a vapor pressure in the range 0.13 pascals (Pa) to 40000 Pa (10 ⁇ 3 millimeters of mercury (mm Hg) to 300 mm Hg), and preferably in the range 1.3 Pa to 13000 Pa (0.01 mm Hg to 100 mm Hg), and preferably in the range 1.3 Pa to 1300 Pa (0.01 mm Hg to 10 mm Hg).
- the solvents may be present in an amount in the range 0.1% to 99%, relative to the total weight of the composition under consideration.
- the quantity of solvent(s), in particular organic solvent(s), depends on the nature of the surface to which the composition is intended to be applied.
- the first composition may include at least one volatile solvent constituted by a volatile oil.
- the oil may be a silicone oil or a hydrocarbon oil, or may include a mixture of such oils.
- silicon oil as used in the context of the present invention means an oil including at least one silicon atom, and in particular at least one Si—O group.
- hydrocarbon oil means an oil containing mainly hydrogen and carbon atoms and possibly oxygen, nitrogen, sulfur, and/or phosphorus atoms.
- the volatile hydrocarbon oils may be selected from hydrocarbon oils having 8 to 16 carbon atoms, and in particular C8-C16 branched alkanes (also termed isoparaffins) such as isododecane (also termed 2,2,4,4,6-pentamethylheptane), isodecane, isohexadecane, and oils sold under the trade names Isopars® or Permethyls®, for example.
- isoparaffins also termed isododecane (also termed 2,2,4,4,6-pentamethylheptane)
- isodecane also termed 2,2,4,4,6-pentamethylheptane
- isodecane also termed 2,2,4,4,6-pentamethylheptane
- isodecane isohexadecane
- oils sold under the trade names Isopars® or Permethyls® for example.
- Volatile oils that may also be used are volatile silicones, such as volatile linear or cyclic silicone oils, for example, in particular oils having a viscosity ⁇ 8 centistokes (cSt) (8 ⁇ 10 ⁇ 6 square meters per second (m 2 /s)), and having in particular 2 to 10 silicon atoms, and in particular 2 to 7 silicon atoms, the silicones possibly including alkyl or alkoxy groups having 1 to 10 carbon atoms.
- volatile silicones such as volatile linear or cyclic silicone oils, for example, in particular oils having a viscosity ⁇ 8 centistokes (cSt) (8 ⁇ 10 ⁇ 6 square meters per second (m 2 /s)), and having in particular 2 to 10 silicon atoms, and in particular 2 to 7 silicon atoms, the silicones possibly including alkyl or alkoxy groups having 1 to 10 carbon atoms.
- cSt centistokes
- suitable volatile silicone oils are in particular dimethicones having a viscosity of 5 cSt to 6 cSt, octamethylcyclotetrasiloxane, decamethylcyclopentasiloxane, dodecamethylcyclohexasiloxane, heptamethylhexyltrisiloxane, heptamethyloctyltrisiloxane, hexamethyldisiloxane, octamethyltrisiloxane, decamethyltetrasiloxane, dodecamethylpentasiloxane, and mixtures thereof.
- R represents an alkyl group comprising 2 to 4 carbon atoms and having one or more hydrogen atoms that can be substituted by a fluoride or chloride atom.
- fluorinated volatile oils such as nonafluoromethoxybutane or perfluoromethylcyclopentane, and mixtures thereof.
- a composition of the invention may contain 0.01% to 95% by weight of volatile oil relative to the total weight of the composition, for example, and preferably 1% to 75% by weight.
- composition may comprise at least one organic solvent selected from the following list:
- the composition may also comprise water or a mixture of water and hydrophilic organic solvents which are routinely used in cosmetics, such as alcohols, in particular linear or branched lower monoalcohols containing 2 to 5 carbon atoms, such as ethanol, isopropanol or n-propanol, polyols such as glycerine, diglycerine, propylene glycol, sorbitol, penthylene glycol, or polyethylene glycols.
- the first composition may also contain hydrophilic C 2 ethers and C 2 -C 4 aldehydes.
- the water or mixture of water and hydrophilic organic solvents may be present in the first and/or second composition in an amount in the range 0% to 90%, in particular 0.1% to 90% by weight, and preferably 0% to 60% by weight, more particularly 0.1% to 60% by weight relative to the total weight of the composition.
- the composition may, for example, include an oily phase and in particular at least one fat that is liquid at ambient temperature (25° C.) and/or a fat that is solid at ambient temperature, such as waxes, pasty fats, gums, and mixtures thereof.
- the oily phase may also contain lipophilic organic solvents.
- the composition may have a continuous oily phase which may contain less than 5% water, in particular less than 1% water relative to its total weight, and in particular it may be in the anhydrous form.
- Fats that are liquid at ambient temperature are: hydrocarbon-containing vegetable oils such as liquid fatty acid triglycerides containing 4 to 10 carbon atoms, for example heptanoic or octanoic acid triglycerides, or sunflower, corn, soybean, grapeseed, sesame seed, apricot kernel, macadamia nut, castor, or avocado stone oil, caprylic/capric acid triglycerides, jojoba oil, shea nut butter oil, lanolin, acetylated lanolin; linear or branched hydrocarbons of mineral or synthetic origin, such as paraffin oils and their derivatives, Vaseline, polydecenes, hydrogenated polyisobutene such as Parleam; synthesized esters and ethers, in particular fatty acids such as Purcellin oil, isopropyl myristate, 2-ethylhexyl palmitate, 2-octyldodecy
- hydrocarbon-containing vegetable oils such as liquid
- the presence of an oily phase may impart a gloss effect, and may present a refractive index in the range 1.47 to 1.51, for example, and preferably in the range 1.48 to 1.50.
- the refractive index is measured at ambient temperature (25° C.) by means of a refractometer.
- the composition may include at least one structuring agent for the liquid oily phase (formed by the above-described volatile or non-volatile organic solvents and/or oils) selected from waxes, semi-crystalline polymers, lipophilic gelling agents, and mixtures thereof.
- structuring agent for the liquid oily phase formed by the above-described volatile or non-volatile organic solvents and/or oils selected from waxes, semi-crystalline polymers, lipophilic gelling agents, and mixtures thereof.
- Pasty fats are generally hydrocarbon-containing compounds with a melting point in the range 25° C. to 60.C, preferably in the range 30° C. to 45° C., and/or with hardness in the range 0.001 megapascals (MPa) to 0.5 MPa, preferably in the range 0.005 MPa to 0.4 MPa, such as lanolins and derivatives thereof.
- MPa megapascals
- Waxes may be solid at ambient temperature (25° C.) with a reversible solid/liquid change of state, with a melting point of more than 30° C. and up to 200° C., a hardness of more than 0.5 MPa, and with an anisotropic crystalline organization in the solid state.
- the waxes may have a melting point of more than 25° C., and preferably more than 45° C.
- the waxes may be hydrocarbon-containing, fluorinated and/or silicone-containing and may be of animal, mineral, vegetable and/or synthetic origin.
- Suitable waxes that may be mentioned are beeswax, carnauba wax or candellila wax, paraffin, microcrystalline waxes, ceresin, or ozokerite; synthetic waxes such as polyethylene or Fischer-Tropsch waxes or silicone waxes such as alkyl or alkoxydimethicone containing 16 to 45 carbon atoms.
- the composition may contain 0 to 50% by weight of waxes relative to the total weight of the composition, or even 1% to 30% by weight.
- Suitable gums are generally high molecular weight polydimethylsiloxanes (PDMS) or cellulose gums or polysaccharides.
- the composition may also include a film-forming polymer, in particular for a mascara, a nail varnish, or a foundation.
- film-forming polymer means a polymer that can form, by itself or in the presence of an additional film-forming agent, a continuous film that adheres to a surface, in particular to keratinous substances.
- Suitable film-forming polymers for use in the composition in accordance with the invention include synthetic polymers, of the radical or polycondensate type, natural polymers such as nitrocellulose or cellulose esters, and mixtures thereof.
- Radical type film-forming polymers may in particular be vinyl polymers or copolymers, in particular acrylic polymers.
- Vinyl film-forming polymers may result from polymerizing monomers with an ethylenically unsaturated bond containing at least one acid group and/or esters of said acid monomers and/or amides of said acid monomers, such as ⁇ , ⁇ -ethylenically unsaturated carboxylic acids, for example acrylic acid, methacrylic acid, crotonic acid, maleic acid, or itaconic acid.
- monomers with an ethylenically unsaturated bond containing at least one acid group and/or esters of said acid monomers and/or amides of said acid monomers, such as ⁇ , ⁇ -ethylenically unsaturated carboxylic acids, for example acrylic acid, methacrylic acid, crotonic acid, maleic acid, or itaconic acid.
- Vinyl film-forming polymers may also result from homopolymerizing or copolymerizing monomers selected from vinyl esters such as vinyl acetate, vinyl neodecanoate, vinyl pivalate, vinyl benzoate, and vinyl t-butyl benzoate, and styrene monomers such as styrene and alphamethyl styrene.
- vinyl esters such as vinyl acetate, vinyl neodecanoate, vinyl pivalate, vinyl benzoate, and vinyl t-butyl benzoate
- styrene monomers such as styrene and alphamethyl styrene.
- film-forming polycondensates examples include polyurethanes, polyesters, polyester amides, polyamides, and polyureas, this list not being limiting.
- Polymers of natural origin may be selected from shellac resin, gum sandarac, dammar resin, gum elemi, copal resin, cellulose polymers such as nitrocellulose, ethylcellulose, or nitrocellulose esters selected, for example, from cellulose acetate, cellulose acetobutyrate, and cellulose acetopropionate, and mixtures thereof.
- the film-forming polymer may be present in the form of solid particles in an aqueous or oily dispersion, generally known as latexes or psuedolatexes.
- the film-forming polymer may comprise one or more stable dispersions of generally spherical polymer particles of one or more polymers in a physiologically acceptable liquid oily phase.
- Said dispersions are generally termed polymer NADs (non-aqueous dispersions), in contrast to latexes which are aqueous polymer dispersions.
- Said dispersions may be in the form of nanoparticles of polymers in stable dispersion in said oily phase.
- the nanoparticle size is preferably in the range 5 nm to 600 nm. Techniques for preparing said dispersions are well known to the person skilled in the art.
- Aqueous film-forming polymer dispersions which may be used are acrylic dispersions sold under the trade names NEOCRYL XK-90®, NEOCRYL A-1070®, NEOCRYL A-1090®, NEOCRYL BT-620, NEOCRYL A-1079®, NEOCRYL A-523® by AVECIA-NEORESINS, and DOW LATEX 432® by DOW CHEMICAL; DAITOSOL 5000 AD® by DAITO KASEI KOGYO; or aqueous polyurethane dispersions sold under the trade names NEOREZ R-9810 and NEOREZ R-9740 by AVECIA-NEORESINS; AVALURE UR-405®, AVALURE UR-410®, AVALURE UR-425®, AVALURE UR-450®, SANCURE 875®, SANCURE 861®, SANCURE 878®, and SANCURE 2060® by GOODRICH; IMPRANIL 85® by
- the composition includes at least one film-forming polymer that is a film-forming linear sequenced ethylene polymer.
- the polymer preferably comprises at least a first sequence and at least a second sequence having different glass transition temperatures (Tg), said first and second sequences being connected together by an intermediate sequence comprising at least one monomer that constitutes the first sequence and at least one monomer that constitutes the second sequence.
- the first and second sequences of the sequenced polymer are advantageously incompatible with each other.
- composition containing the magnetic bodies may contain at least one optionally-magnetic filler.
- filler means particles of any form which are insoluble in the composition medium regardless of the temperature at which the composition is manufactured. A filler primarily acts to modify the rheology or texture of the composition. The nature and quantity of the particles could depend on the desired mechanical properties and textures.
- fillers examples include amongst others talc, mica, silica, kaolin, and sericite, and powders of polyamide, polyolefin, e.g. polyethylene, polytetrafluoroethylene, polymethylmethacrylate, or polyurethane, powdered starch, and silicone resin beads.
- the fillers may be intended to create a fuzzy effect, in particular for a foundation, so as to conceal skin imperfections.
- composition containing the magnetic bodies may also include a film-forming auxiliary agent that encourages the formation of a film with the film-forming polymer.
- the composition may include at least one cosmetically or dermatologically active ingredient.
- Suitable cosmetically, dermatologically, hygienically, or pharmaceutically active ingredients for use in the compositions of the invention are moisturizing agents (polyols such as glycerine), vitamins (C, A, E, F, B, or PP), essential fatty acids, essential oils, ceramides, sphingolipids, liposoluble or nanoparticle sun screens, and specific skin treatment active ingredients (protective agents, antibacterials, anti-wrinkle agents, etc), self-tanning agents.
- Said active ingredients may be used in concentrations in the range 0 to 20%, for example, in particular in the range 0.001% to 15% relative to the total weight of the composition.
- composition may also contain ingredients that are routinely used in cosmetics, such as thickeners, surfactants, oligo-elements, moisturizing agents, softeners, sequestrating agents, fragrances, alkalinizing or acidifying agents, preservatives, antioxidants, UV filters, colorants, or mixtures thereof.
- ingredients that are routinely used in cosmetics such as thickeners, surfactants, oligo-elements, moisturizing agents, softeners, sequestrating agents, fragrances, alkalinizing or acidifying agents, preservatives, antioxidants, UV filters, colorants, or mixtures thereof.
- composition of the invention may include constituents which are conventionally used in the fields under consideration, and which are present in quantities appropriate to the desired dosage form.
- the composition may be in a variety of forms, depending on its purpose.
- the composition may thus be in any dosage form that is normally used for topical application, in particular in the anhydrous form, in the form of an oily or aqueous solution, an oily or aqueous gel, an oil-in-water or a water-in-oil emulsion, a waxin-water or a water-in-wax emulsion, a multiple emulsion or a dispersion of oil in water due to vesicles located on the oil/water interface.
- the composition may be in the form of a powder, or even a gel.
- the magnetic device may comprise a permanent magnet or an electromagnet powered by at least one optionallyrechargeable battery, for example.
- the magnetic device may include a switch enabling the electromagnet to be powered selectively with electricity.
- the magnetic device may be arranged so as to create a magnetic field of orientation that varies over time.
- the magnetic device may, for example, include a motor enabling the magnet to be rotated.
- the magnetic device may comprise a plurality of solenoids disposed so as to generate a rotating magnetic field when powered sequentially with electricity.
- a rotating magnetic field may make it possible to obtain a pattern presenting circular symmetry, e.g. a pattern giving the impression of a sphere in relief.
- the electromagnet(s) may be powered continuously or intermittently, as desired by the user.
- the magnetic device may be arranged so that the electromagnets(s) need not be powered while the magnetic device is not correctly positioned close to the surface coated with the first composition.
- the magnetic field is at least 50 milli teslas (mT), for example, even at least 66 mT, better at least 0.2 T, or even at least 1 T (10000 Gauss).
- the magnetic device may include a member enabling it to be positioned relative to the surface on which the composition has been deposited. This makes it possible to prevent the magnetic device from accidentally coming into contact with the composition and/or makes it possible to center the pattern formed on the region under consideration.
- the magnetic device is secured to an applicator that is used to apply the cosmetic composition. This makes it possible to reduce the number of objects that need to be manipulated by the user and makes it easier to apply makeup.
- the magnetic device comprises a magnet mounted at a first end of a rod having a second end that is connected to a handle of an applicator that is used to apply the cosmetic composition.
- the magnetic field may also be exerted by means of a magnetic structure, in particular a flexible structure, including alternate N and S poles.
- a magnetic structure in particular a flexible structure, including alternate N and S poles.
- such a structure may make it possible to form repeated patterns, e.g. stripes, on the first composition.
- the invention also provides, a kit for implementing the method as defined above, said kit comprising:
- the magnetic device may be arranged so as to generate a magnetic field that is sufficiently strong to be able to modify the orientation and/or the position of the magnetic bodies within the composition after it has been applied to a surface such as the skin, the lips, the nails, or hair, in order to change their appearance.
- the magnetic field is exerted shortly after it has been deposited, so as to change the appearance of said composition before it has dried.
- the composition may be a nail varnish, a foundation, or a lipstick, and may present the characteristics as defined above.
- the magnetic device may be as defined above.
- the kit may comprise a compact housing the first cosmetic composition and the magnetic device.
- the compact may, for example, include a plurality of magnets of various shapes in order to produce different patterns.
- the kit may also include an additional cosmetic composition for applying to the above-mentioned composition, or to the surface before the above-mentioned composition is applied.
- the invention also provides a method of promoting the sale of a composition presenting magnetic properties, the method comprising the step consisting in demonstrating the possibility of creating a pattern or a portion in relief by applying a magnetic field and/or the possibility of changing appearance by exposure to an external stimulus such as a variation in temperature, or exposure to UV radiation, for example.
- FIG. 1 is a diagram showing an example of a kit of the invention
- FIG. 2 is a diagrammatic and fragmentary axial section view showing the magnetic device of FIG. 1 ;
- FIGS. 3 and 4 are diagrams showing the kit being used
- FIG. 5 shows an example of a pattern that can be obtained by means of the invention
- FIG. 6 is a diagram showing a receptacle containing an additional composition that is suitable for being applied to the surface
- FIG. 7 is a diagram showing, in isolation, another example of a magnetic device that can be used.
- FIG. 8 is a diagram showing the FIG. 7 magnetic device provided with a positioning member for positioning the magnet facing the made-up surface;
- FIGS. 9 and 10 are diagrams of other examples of kits of the invention.
- FIG. 11 shows the FIG. 10 kit being used
- FIG. 12 is a diagram showing, in elevation and in isolation, an example of an applicator secured to a magnetic device
- FIG. 13 is an axial and diagrammatic section of another example of a kit of the invention.
- FIG. 14 is a diagram showing another example of a kit of the invention.
- FIG. 15 shows another example of a packaging device for the composition
- FIG. 16 shows a perforated mask that is suitable for being used during implementation of the method of the invention.
- FIG. 17 shows a magnetic sheet that is suitable for being used during implementation of the method of the invention.
- FIG. 1 shows a kit 1 comprising a cosmetic composition C 1 containing magnetic particles P having orientation and/or position that affects the appearance of the composition after it has been deposited on a surface such as the skin, the lips, the nails, hair, or even false nails.
- the composition C 1 is a nail varnish contained in a receptacle 2 that is closed by a cap 3 .
- the cap supports a non-magnetic cosmetics applicator 4 including an applicator member 5 constituted by a brush enabling the varnish to be applied to the nails.
- the kit 1 further comprises a magnetic device 10 that makes it possible to generate a magnetic field that is useful for changing the appearance of the composition C 1 without making contact therewith.
- the magnetic device 10 comprises a permanent magnet 12 supported by a support member 13 of longitudinal axis X, the polar axis of the magnet 12 being substantially perpendicular to the axis X.
- the magnetic device 10 is arranged to generate a rotating magnetic field, and includes a motor (not shown), housed in a casing 15 , so as to rotate the support member 13 about it axis X.
- a switch 16 is present on the casing 15 so as to enable the user to switch on the motor, thereby rotating the support member 13 together with the magnet 12 .
- the rotating magnetic field is generated by a plurality of solenoids that are powered sequentially so as to generate a rotating field.
- the user can begin, as shown in FIG. 3 , by applying the composition C 1 by means of an applicator 4 to the surface S to be made up, specifically a fingernail.
- the user brings the magnetic device 10 over a central region R of the surface S and actuates the switch 16 so as to make the magnet 12 turn.
- the magnetic particles contained in the composition C 1 tend to come into alignment with the field lines of the magnet 12 and change orientation, thereby leading to a change in the appearance of the composition C 1 .
- the user can choose the length of time the magnetic field is to be applied as a function of the desired result.
- the pattern obtained can give the impression of a sphere in relief, as shown in FIG. 5 .
- a second composition C 2 e.g. a transparent varnish, contained in a receptacle shown in FIG. 6 , once the composition C 1 has dried.
- Applying the second composition C 2 makes it possible to create an effect of additional depth, for example.
- composition C 1 may have the following formulation, with quantities being expressed in percentages by weight in all of the examples below.
- the pattern generated by magnetic induction is frozen. Its color depends on the photochromic coloring agent. Depending on the magnetic excitation, the pigment presents a dull or lively color, thus optionally enhancing the decorative effect obtained by the magnetic pigment.
- said second composition has the following formulation.
- Such a composition makes it possible to create an effect of additional depth.
- the second composition may be intended to create a colored base, and it is applied before the first.
- the second composition then has the following formulation.
- thermochromic coloring agent Depending on the magnetic excitation, the thermochromic pigment presents a dull or lively color as a function of the temperature, thus optionally enhancing the decorative effect obtained by the magnetic pigment.
- FIG. 7 shows a magnetic device which, at its end, includes a permanent magnet 12 in the form of a bar.
- the user can, for example, move the magnet into the vicinity of the composition C 1 as a function of the desired result.
- the magnetic device may include a member enabling it to be positioned relative to the surface S.
- the positioning member serves to prevent the magnetic device from touching the composition while the magnetic field is being exerted.
- the positioning member can also serve to center the pattern that is produced relative to the surface S, e.g. the nail.
- the positioning member could take various forms, e.g. that of an extension 17 offering an abutment surface for engaging the end of the finger, as shown in FIG. 8 .
- FIG. 9 shows another embodiment of a kit 1 of the invention, including a first composition C 1 constituted in this embodiment by a liquid lipstick or a lipgloss.
- the applicator 4 comprises a flocked endpiece 20 supported by the cap 3 of the receptacle 2 .
- the magnetic device 10 is in the form of a flexible structure, e.g. made of plastics material filled with magnetized particles, creating alternate N and S poles, thereby making it possible to form repeated patterns, e.g. stripes, on the surface coated with the first composition.
- composition C 1 presents the following formulation.
- Octyl-2 dodecanol 10 Ditertiobutyl 4-hydroxytoluene 0.07 Polybutene (monoolefins/isoparaffins 95/5) 50 (PM: 2060) A mixture of isopropyl, isobutyl, and n-butyl 0.4 p-hydroxybenzoates (40/30/30) Pentaerythrityl tetraisostearate 11.33 Tridecyle trimellitate 13 2-decyl tetradecanoic acid triglyceride 14.8 (GUERBET C24) Magnetic pigment* 0.2 Solvatochromic coloring agent 0.2 *Colorona blackstar gold from Merck **DCRED27
- the pattern is generated by magnetic induction. Its color depends on the solvatochromic coloring agent. Depending on the magnetic excitation, the compound presents a color that is pink or not as a function of the hydration, thus optionally enhancing the decorative effect obtained by the magnetic pigment.
- kit 1 Another kit 1 of the invention is shown in FIG. 10 .
- the kit 1 includes a compact 30 constituted by a base body 31 and a lid 32 hinged thereon.
- the base body 31 includes a compartment 33 housing the composition C 1 , which, in the embodiment shown, is constituted by a foundation in the form of a paste.
- the base body 31 includes a housing 34 arranged to receive at least one magnet 12 .
- the magnet 12 may present an adhesive face 25 or any other mounting means enabling the user to fix it to the end of a finger so as to bring it into the vicinity of the made-up zone, e.g. a region of the face as shown in FIG. 11 .
- the user can modify the clarity of said composition by exposing it to the magnetic field generated by the magnet 12 .
- composition for making up the skin can have the following formulation.
- the magnet 12 may, where appropriate, be incorporated in the applicator.
- the closure cap 3 is surmounted by the magnet 12 on the side remote from the applicator member 5 .
- the magnet 12 is supported by a support member 13 surmounted by a cap 51 , and can, when not in use, be housed in a compartment 50 of the cap 3 for closing the receptacle 2 containing the first composition C 1 .
- the cap 51 serves as a handle for the magnet 12 , and also serves to close the compartment 50 .
- the magnetic field is not beyond the ambit of the present invention for the magnetic field to be generated by an electromagnet instead of by a permanent magnet.
- FIG. 14 shows a kit 1 comprising a receptacle 2 constituted by a pot containing the first composition C 1 , and a magnetic device 10 comprising an electromagnet 40 at one end of a casing 44 housing the power supply.
- a switch 45 enables the electromagnet 40 to be switched on selectively by the user.
- composition C 1 Various devices other than those described above for packaging and/or dispensing or applying the composition C 1 can be used.
- the composition C 1 can be deposited on the surface S without using an applicator, but in the form of a spray, e.g. by using a pump 60 as shown in FIG. 15 .
- the spray can also be generated by means of an airbrush or by a pressurized receptacle, for example.
- a perforated mask 70 as shown in FIG. 16 in which its perforation pattern 71 is in the shape of a star, can be interposed between the spray and the surface to be made up.
- An optionally-perforated sheet 75 that is permeable to the magnetic field can be interposed between the magnet 12 or the electromagnet 40 and the surface S, so as to change the shape of the field lines and create novel effects.
- the kit may include a plurality of magnets having various shapes, so as to create various patterns.
Landscapes
- Health & Medical Sciences (AREA)
- Life Sciences & Earth Sciences (AREA)
- Animal Behavior & Ethology (AREA)
- General Health & Medical Sciences (AREA)
- Public Health (AREA)
- Veterinary Medicine (AREA)
- Chemical & Material Sciences (AREA)
- Inorganic Chemistry (AREA)
- Birds (AREA)
- Epidemiology (AREA)
- Cosmetics (AREA)
Abstract
The present invention relates to method of applying makeup to keratinous substances, in particular the skin, the nails, hair, or the lips, the method comprising the following steps:
-
- depositing at least one cosmetic composition on the surface, the cosmetic composition comprising:
- bodies that present magnetic susceptibility that is non-zero; and
- at least one coloring agent having optical properties that are sensitive to an external stimulus; and
- exposing at least part of the composition to a magnetic field to modify the orientation and/or to displace at least some of the magnetic bodies.
- depositing at least one cosmetic composition on the surface, the cosmetic composition comprising:
Description
- The present invention relates to a method of applying makeup to a natural surface, such as the skin, the nails, hair, or the lips, or to an artificial surface, such as false nails, and it also relates to a kit for implementing such a method.
- A need exists to benefit from novel appearance effects in the field of makeup and the invention seeks to satisfy that need.
- According to one of its aspects, the invention provides a method of applying makeup to keratinous substances, in particular the skin, the lips, the nails, or hair, the method comprising the following steps:
-
- depositing at least one cosmetic composition on the surface, the cosmetic composition comprising:
- bodies that present magnetic susceptibility that is non-zero; and
- at least one coloring agent having optical properties that are sensitive to an external stimulus; and
- exposing at least part of the composition to a magnetic field to modify the orientation and/or to displace at least some of the magnetic bodies.
- depositing at least one cosmetic composition on the surface, the cosmetic composition comprising:
- The invention allows novel esthetic effects to be created, for example by combining effects linked to orientation and/or a displacement of the magnetic bodies and to the coloring agent that is sensitive to an external stimulus.
- The coloring agent that is sensitive to an external stimulus may change form chemically in response to the external stimulus. The coloring agent may also keep the same chemical form and pass into an excited state in response to the external stimulus.
- The external stimulus may be light radiation, a temperature variation, or a mechanical or chemical action.
- The bodies with non-zero magnetic susceptibility, also termed magnetic bodies, may be composed at least in part by the coloring agent that is sensitive to an external stimulus, or they may be different therefrom.
- When the magnetic bodies contribute color, a change in their orientation under the effect of the magnetic field may lead to a change in the appearance of the composition.
- When the magnetic bodies are displaced, the shape of the deposit of composition may be affected, thereby enabling a portion in relief to be created, for example.
- The composition need not be exposed to the magnetic field while the composition is being applied. The magnetic field may be exerted after the composition has been applied.
- The magnetic field may be applied so as to form at least one pattern on the composition, said pattern being linked to the shape of the field lines, for example.
- The invention makes it possible to create novel makeup effects with a cosmetic composition, enabling patterns in relief to be produced, for example, or imparting an impression of relief or various other possibly geometrical patterns.
- Said pattern may be permanently visible or may appear only under certain conditions connected with the coloring agent having optical properties that are sensitive to an external stimulus.
- As an example, under certain environmental conditions, the pattern may be more visible. The coloring agent that is sensitive to an external stimulus may, for example, have a highly saturated color under certain conditions, which renders a pattern connected with a particular orientation of at least one magnetic pigment difficult to see. Under other environmental conditions, the color of the coloring agent is less saturated or even non-existent, and the pattern becomes clear or easier to see.
- When the coloring agent that is sensitive to an external stimulus is a thermochromic or photochromic agent, the pattern may, for example, appear or disappear as a function of the temperature or intensity of UV radiation.
- The coloring agent may also be luminescent, for example mechanoluminescent, phosphorescent, or fluorescent.
- At least one coloring agent that is sensitive to an external stimulus may be fixed to a magnetic body. Said coloring agent may, for example, coat a magnetic body at least in part, it may be mixed with or form a matrix loaded with magnetic particles, or it may be grafted to a magnetic body.
- The magnetic field may also be applied so as to model the clarity and/or the color of at least a region of the face or of the body to which the composition has been applied.
- For example, when the cosmetic composition is a foundation, orienting the magnetic bodies under the effect of the magnetic field makes it possible to modify the clarity of the composition and thus to model the appearance of the face in the regions exposed to the magnetic field, in particular so as to apply makeup of cameo type, without sharp transitions between the light regions and the dark regions if so desired. By way of example, the magnetic field may be applied so as to darken the sides of the face, so as to make it appear thinner than it really is.
- In an implementation of the invention, a layer of a second cosmetic composition is applied to the first containing the magnetic bodies with a view to obtaining a depth, gloss, smoothness, or other effect, for example. The second composition may be transparent and may optionally be colored. By way of example, the second composition may be for application to the lips or to the nails. The second composition may also be applied to the surface before the first composition, so as to create a colored base, or so as to improve the retention and/or the comfort of the first composition, for example.
- The magnetic field may be applied until the composition containing the magnetic bodies obtains a fixed appearance, i.e. the appearance of said composition ceases to vary even if the magnetic field continues to exist. In a variant, the magnetic field may be applied for a period of time that is shorter than the period of time that causes all of the magnetic bodies in the exposed region to be permanently displaced and/or oriented.
- Since the clarity and/or the color of the first composition change progressively under the effect of the magnetic field, the user can stop subjecting the magnetic bodies to the field when the first composition presents the desired appearance.
- The magnetic field may be exerted successively on different regions of the surface that are coated with the composition.
- The magnetic field may be exerted on regions of the surface that are disjoint, so as to create separate patterns, for example.
- A region of the surface coated with the composition need not be exposed to the magnetic field, so as not to modify the appearance of the composition in said region after it has been deposited. Two regions of the surface may be exposed unequally to the magnetic field.
- The composition may be applied in various ways, e.g. by means of a cosmetics applicator that is preferably non-magnetic and that is selected from brushes, flocked endpieces, foams, woven fabrics, non-woven fabrics, brushes, or combs, for example, or it may be applied without using an applicator, with the composition being spread on with the fingers, or sprayed on, for example.
- In an implementation of the invention, the composition is applied to the surface through a perforated mask. This makes it possible to produce a predetermined pattern corresponding to the shape of the perforation, for example. At least one region of the surface covered in the first composition may then be exposed to the magnetic field.
- After a given drying time, the composition may take on a state that prevents the magnetic bodies from further changing their orientation under the effect of a magnetic field. This applies to a nail varnish, for example. In some circumstances, the orientation of the magnetic particles may also be modified at any time, in particular when the first composition does not dry, or presents a very long drying time. This may apply to a foundation, for example.
- The magnetic bodies may be presented in various forms.
- The expression “magnetic bodies” must not be understood in limiting manner and covers particles, fibers, or clumps of particles and/or fibers, of any shape, presenting non-zero magnetic susceptibility.
- The concentration of magnetic bodies in the composition lies in the range about 0.05% to about 50% by weight, for example, in particular in the range about 0.1% to about 40% by weight, better in the
range 1% to about 30% by weight. - The applied composition may include magnetic fibers or other aspherical bodies, such as chains of particles or of fibers.
- In the absence of a magnetic field, the magnetic bodies preferably do not present any remanent magnetism.
- The magnetic bodies may comprise any magnetic material that presents sensitivity to the lines of a magnetic field, regardless of whether the field is produced by a permanent magnet or is the result of induction, the material being selected from nickel, cobalt, iron, and alloys and oxides thereof, in particular Fe3O4, and also from gadolinium, terbium, dysprosium, erbium, and alloys and oxides thereof, for example. The magnetic material may be of the “soft” or of the “hard” type. In particular, the magnetic material may be soft iron.
- The magnetic bodies may optionally present a multilayer structure including at least one layer of a magnetic material such as iron, nickel, cobalt, and alloys and oxides thereof, in particular Fe3O4, for example.
- The magnetic bodies are preferably aspherical, presenting an elongate shape, for example. Thus, when the particles are subjected to the magnetic field, they tend to become oriented with their longitudinal axes in alignment with the field lines, and they are subjected to a change in orientation which results in the first composition changing in appearance.
- When the magnetic bodies are substantially spherical particles, their appearance is preferably non-uniform, so that a change in orientation results in a change in appearance.
- Regardless of their form, the size of the bodies may be in the
range 1 nanometers (nm) to 10 millimeters (mm), for example, preferably in therange 10 nm to 5 mm, and more preferably in the range 100 nm to 1 mm, e.g. in the range 0.5 micrometers (μm) to 300 μm or 1 μm to 150 μm. The size is the size given by the statistical grain size distribution at half the population, referred to as “D50”. - When the bodies are particles that do not have an elongate shape, or that have an elongate shape with a relatively small form factor, the size of the particles is less than 1 mm, for example.
- The magnetic bodies are magnetic pigments, for example.
- Particularly suitable pigments are nacres comprising iron oxide Fe3O4. By way of example, pigments presenting magnetic properties are those sold under the trade names COLORBNA BLACKSTAR BLUE, COLORONA BLACKSTAR GREEN, COLORONA BLACKSTAR GOLD, COLORONA BLACKSTAR RED, CLOISONNE NU ANTIQUE SUPER GREEN, MICRONA MATTE BLACK (17437), MICA BLACK (17260), COLORONA PATINA SILVER (17289), and COLORONA PATINA GOLD (117288) by MERCK, or indeed FLAMENCO TWILIGHT RED, FLAMENCO TWILIGHT GREEN, FLAMENCO TWILIGHT GOLD, FLAMENCO TWILIGHT BLUE, TIMICA NU ANTIQUE SILVER 110 AB, TIMICA NU ANTIQUE GOLD 212 GB, TIMICA NU-ANTIQUE COPPER 340 AB, TIMICA NU ANTIQUE BRONZE 240 AB, CLOISONNE NU ANTIQUE GREEN 828 CB, CLOISONNE NU ANTIQUE BLUE 626 CB, GEMTONE MOONSTONE G 004, CLOISONNE NU ANTIQUE RED 424 CHROMA-LITE, BLACK (4498), CLOISONNE NU ANTIQUE ROUGE FLAMBE (code 440 XB), CLOISONNE NU ANTIQUE BRONZE (240 XB), CLOISONNE NU ANTIQUE GOLD (222 CB), and CLOISONNE NU ANTIQUE COPPER (340 XB) by ENGELHARD.
- Still by way of example of a magnetic pigment that is suitable for being used in the formulation of the composition, mention may be made of black iron oxide particles, e.g. those sold under the trade name SICOVIT noir E172 by BASF.
- Magnetic pigments may also comprise metallic iron, in particular passivated soft iron, e.g. obtained from carbonyl iron by implementing the method described in U.S. Pat. No. 6,589,331, the contents of which are incorporated herein by reference. The particles may include a surface oxide layer.
- Soft-iron based particles are sold in particular under the trade name STAPA® WM IRON VP 041040 by ECKART.
- The magnetic bodies may comprise fibers.
- The term “fibers” means generally elongate bodies presenting, for example, a form factor in the range 3.5 to 2500 or 5 to 500, e.g. 5 to 150. The form factor is defined by the ratio L/D, where L is the length of the fiber and D is the diameter of the circle in which the widest cross-section of the fiber is inscribed.
- By way of example, the cross-section of the fibers may be inscribed in a circle having a diameter in the
range 2 nm to 500 μm, e.g. in the range 100 nm to 100 μm, or even 1 μm to 50 μm. - By way of example, the fibers may present a length in the
range 1 μm to 10 mm, e.g. 0.1 mm to 5 mm, or even 0.3 mm to 3.5 mm. - By way of example, the fibers may present a weight in the range 0.15 denier to 30 denier (weight in grams for 9 km of thread), e.g. 0.18 denier to 18 denier.
- The cross-section of the fibers may be of any shape, e.g. circular, or polygonal, in particular square, hexagonal, or octagonal.
- The composition may contain solid or hollow fibers that may be independent or interlinked, e.g. braided.
- The composition may contain fibers having ends that are blunted and/or rounded, e.g. by polishing.
- The shape of the fibers need not be significantly modified when they are inserted into the composition, with said fibers being initially rectilinear and sufficiently rigid to keep their shape. In a variant, the fibers may present flexibility that enables them to be substantially deformed within the composition.
- The fibers may contain a non-zero amount, that may be as great as 100%, of a magnetic material selected from soft magnetic materials, hard magnetic materials, in particular based on iron, zinc, nickel, cobalt, or manganese, and alloys and oxides thereof, in particular Fe3O4, rare earths, barium sulfate, iron-silicon alloys, possibly containing molybdenum, Cu2MnAl, MnBi, or a mixture thereof, this list not being limiting.
- When the composition contains fibers containing magnetic particles, said magnetic particles may be present at least at the surface of the fibers, or only at the surface of the fibers, or only inside the fibers, or they may even be dispersed within the fibers in substantially uniform manner, for example.
- By way of example, each fiber may include a non-magnetic core with a plurality of magnetic particles on its surface.
- Each fiber may also include a synthetic matrix containing a plurality of magnetic grains dispersed therein.
- Where appropriate, a synthetic material filled with magnetic particles may itself be covered by a non-magnetic membrane. By way of example, such a membrane constitutes a barrier isolating the magnetic material(s) from the surrounding environment and/or it can provide color. Each fiber may comprise a one-piece magnetic core and be covered by a non-magnetic membrane, or it may comprise a one-piece non-magnetic core and be covered by a magnetic membrane.
- The composition may contain fibers made by extruding or co-extruding one or more polymeric materials, in particular thermoplastics and/or elastomers. One of the extruded materials may contain a filler of dispersed magnetic particles.
- Each fiber may comprise a synthetic material selected from polyamides; polyethylene terephthalate (PET); acetates; polyolefins, in particular polyethylene (PE) or polypropylene (PP); polyvinyl chloride (PVC); polyester block amide; plasticized Rilsan®; elastomers, in particular polyester elastomers, polyethylene (PE) elastomers, silicone elastomers, nitrile elastomers; or a mixture of these materials, this list not being limiting.
- The composition may contain composite fibers each comprising a magnetic core that is covered, at least in part, by at least one non-magnetic, synthetic, or natural material. By way of example, the magnetic core may be covered by co-extruding a membrane made of a non-magnetic material around the core.
- The core may alternatively be covered in some other way, e.g. by polymerization in situ.
- The core may be a single piece or it may include a filler of magnetic grains dispersed in a matrix.
- The composition may also contain composite fibers obtained by covering a non-magnetic, synthetic, or natural core, with a synthetic material filled with magnetic particles, the core being composed of a fiber made of wood; rayon; polyamide; plant matter; or polyolefin, in particular polyethylene, Nylon®, polyimideamide, or aramid, this list not being limiting.
- The composition may also contain magnetic composite particles, in particular a magnetic latex.
- A magnetic composite particle is a composite material constituted by an organic or an inorganic matrix and by magnetic grains. At their surfaces and/or within themselves, the magnetic composite particles may thus include grains of a magnetic material. The composite particles may be constituted by a magnetic core covered by an organic or an inorganic matrix, or they may be constituted by an organic or an inorganic core covered by a magnetic matrix.
- The magnetic composite particles include one of the above-mentioned magnetic materials, for example.
- The size of the magnetic composite particles may be in the
range 1 nm to 1 mm, for example, preferably in the range 100 nm to 500 μm, and more preferably in the range 500 nm to 100 μm. The term “size” means the size given by the statistical grain size distribution at half the population, referred to as “ID50”. - The thesis by C. GOUBAULT, dated Mar. 23, 2004, and incorporated herein by reference, refers, in
chapter 1, to the prior art on the subject of magnetic composite particles, and draws up a list of preparation methods that are suitable for being used to prepare magnetic composite particles, namely separately synthesizing the magnetic grains and the matrix, synthesizing the magnetic grains in contact with the matrix, or synthesizing the matrix in the presence of the magnetic grains. - KISKER markets inorganic-matrix magnetic composite particles composed of silica. DYNAL, SERADYN, ESTAPOR, and ADEMTECH propose organic-matrix magnetic composite particles that are also suitable for being used in the invention.
- More particularly, under the reference M1-070/60, ESTAPOR markets magnetic latex constituted by grains of ferrite that are evenly distributed in a polystyrene matrix, said latex including 65% iron oxide, the mean diameter of the polystyrene particles being 890 nm, and the dry material mass content being 10%.
- The composition may contain a ferrofluid, i.e. a stable colloidal suspension of magnetic particles, in particular of magnetic nanoparticles.
- The particles, having a size of the order of several tens of nanometers, for example, are dispersed in a solvent (water, oil, organic solvent), either by means of a surfactant or a dispersant, or by electrostatic interactions.
- By way of example, the ferrofluids can be prepared by grinding ferrites or other magnetic particles until nanoparticles are obtained, which particles are then dispersed in a fluid containing a surfactant which is absorbed by the particles and stabilizes them, or else they can be prepared by precipitating a metallic-ion solution in a basic medium.
- Each particle of the ferrofluid presents a magnetic moment that is determined by the size of the particle, and by the nature of the magnetic material.
- Under the action of a magnetic field, the magnetic moments of the particles tend to come into alignment with the field lines, with non-zero magnetization appearing in the liquid. If the field is removed, there is no hysteresis and magnetization drops to zero.
- Beyond a field threshold value, it is also possible to cause macroscopic changes in the liquid, e.g. the appearance of peaks, or a change in rheological properties.
- The term “ferrofluid” also encompasses an emulsion of ferrofluid droplets in a solvent. Each drop thus contains colloidal magnetic particles in stable suspension. This makes it possible to have a ferrofluid in any type of solvent. The size of the magnetic particles in suspension in the ferrofluid may be in the
range 1 nm to 10 μm, for example, preferably in therange 1 nm to 1 μm, and more preferably in therange 1 nm to 100 nm. The term “size” means the size given by the statistical grain size distribution at half the population, referred to as “D50”. - Mention can be made in particular of ferrofluids sold by Liquids Research LTD under the references:
-
- WHKS1S9 (A, B, or C), which is a water-based ferrofluid containing magnetite (Fe3O4), having particles of 10 nm in diameter.
- WHJS1 (A, B, or C), which is an isoparaffin-based ferrofluid, containing magnetite (Fe3O4) particles that are 10 nm in diameter.
- BKS25_dextran, which is a water-based ferrofluid stabilized by dextran, containing magnetite (Fe3O4) particles that are 9 nm in diameter.
- The composition may contain clumps of particles or fibers having a largest dimension, e.g. length, that may, for example, be in the
range 1 nm to 10 mm, e.g. in therange 10 nm to 5 mm, or in the range 100 nm to 1 mm, or even in the range 0.5 μm to 3.5 mm, e.g. in therange 1 μm to 150 μm. The term “size” means the size given by the statistical grain size distribution at half the population, referred to as “D50”. - By way of example, chains of magnetic particles may be obtained by assembling colloidal magnetic particles, as described in the publications “Permanently linked monodisperse paramagnetic chains”, by E. M. Furst, C. Suzuki, M. Fermigier, A. P. Gast, Langmuir, 14, 7334-7336 (1998), “Suspensions of magnetic particles”, by M. Fermigier, Y. Grasselli, Bulletin of the SFP (105) July 1996, and “Flexible magnetic filaments as micromechanical sensors”, by C. Goubault, P. Jop, M. Fermigier, J. Baudry, E. Bertrand, J. Bibette, Phys. Rev. Lett., 91, 26, 260802-1 to 260802-4 (2003), the contents of which are incorporated herein by reference.
- In particular, those articles describe how to proceed in order to obtain chains of magnetic-latex particles that include a polystyrene matrix containing grains of iron oxide with functions on the surface, and that are bonded together in permanent manner following a chemical reaction, in particular covalent bonds between the surfaces of adjacent particles; a method is also described of obtaining chains of ferrofluid-emulsion droplets that are bonded together by physical interactions. The length and the diameter of the permanent chains obtained in this way can be controlled. Such magnetic chains constitute anisotropic magnetic objects that can be oriented and displaced under the effect of a magnetic field.
- The dimensions of the magnetic chains may satisfy the same conditions as for the magnetic fibers.
- The composition containing the magnetic bodies may include at least one photochromic agent.
- In general, a photochromic coloring agent is a coloring agent having the property of changing hue when it is lit by ultraviolet light, and of returning to its initial color when it is no longer lit by said light, or even of passing from a non-colored state to a colored state and vice-versa. In other words, such an agent may present different hues depending on whether or not it is lit by light containing a certain amount of UV radiation.
- The photochromic agent may have a difference ΔE of at least 5. ΔE is the observed difference in hue in the photochromic substance, i.e. in the presence of UV radiation and in the absence of UV radiation.
- Reference may usefully be made to the examples of photochromic agents described in US 2004/0228818, the contents of which are hereby incorporated by reference, especially those with a ΔE of more than 5, as measured in the test presented in that document.
- Examples of photochromic agents that may be mentioned are naphtopyrane derivatives of the 2H-naphto-[2,1-b]-pyrane type with formula (I) or of the 3H-naphto-[2,1-b]-pyrane type with formula (II):
- in which:
- R1 represents:
- (i) a hydrogen atom;
- (ii) a linear, branched or cyclic, saturated or unsaturated hydrocarbon group containing 1 to 30 carbon atoms, optionally comprising 1 to 5 heteroatoms selected from N, O, S, Si and P and/or optionally halogenated or perhalogenated;
- (iii) a hydrocarbon cycle formed with one of the “f” or “gh” bonds and the radical R7; or
- (iv) a group selected from —COOR4, —C(O)NR2R3, —NR2R3, —OR4 and —SR4, in which:
-
- R2 and R3 either independently of each other represent a linear, branched or cyclic, saturated or unsaturated hydrocarbon group containing 1 to 20 carbon atoms, optionally comprising 1 to 5 heteroatoms selected from N, O, S, Si and P; or
- taken together with the nitrogen atom to which they are bonded, they form a saturated or unsaturated hydrocarbon heterocycle comprising 3 to 10 carbon atoms and optionally 1 to 5 other heteroatoms selected from N, O, S, Si and P, said cycle optionally being substituted with at least one linear, branched or cyclic, saturated or unsaturated hydrocarbon radical containing 1 to 20 carbon atoms optionally comprising 1 to 5 heteroatoms selected from N, O, S, Si and P;
- R4 represents a linear, branched or cyclic, saturated or unsaturated hydrocarbon group containing 1 to 20 carbon atoms, optionally halogenated or perhalogenated, and/or optionally comprising 1 to 5 heteroatoms selected from N, O, S, Si and P;
- R5 and R6 independently represent a group selected from:
- (i) saturated cyclic aminoaryl groups with formula (IIA) or (IIB):
- in which the cycle comprising N and X is a saturated cycle containing a total of 3 to 30 atoms including nitrogen, the remainder being carbon atoms and/or heteroatoms selected from O, S, Si, P and/or groups selected from —NH and —NR where R represents a linear, branched or cyclic, saturated or unsaturated hydrocarbon radical containing 1 to 20 carbon atoms optionally comprising 1 to 5 heteroatoms selected from N, O, S, Si and P;
(ii) indolinoaryl groups with formula (III): - in which R10 and R11 independently represent a group selected from (i) linear, branched or cyclic, saturated or unsaturated hydrocarbons groups containing 1 to 30 carbon atoms optionally comprising 1 to 5 heteroatoms selected from N, O, S, Si and P and/or optionally halogenated or perhalogenated; (ii) halogen atoms; (iii) —CN (nitrile), —COOH (carboxylate), —NO2 (nitro) groups; (iv) a hydrogen atom; (v) a group selected from —C(O)NR2R3, —NR2R3, —OR4 or —SR4 where R2, R3 and R4 have the meanings given above; (vi) radicals R10 and R11 may together form a saturated or unsaturated hydrocarbon cycle containing a total of 5 to 8 atoms (including the atoms of the indoline cycle), said atoms being selected from C, O, S and/or NR where R represents H or a linear, branched or cyclic, saturated or unsaturated hydrocarbon radical containing 1 to 20 carbon atoms optionally comprising 1 to 5 heteroatoms selected from N, O, S, Si and P;
- (iii) groups with formula (IV):
- in which m and p are independently whole numbers from 2 to 5;
- (iv) unsaturated cyclic aminoaryl groups with formulae (VA), (VB) or (VC):
- in which R8 and R9 independently represent a group selected from (i) linear, branched or cyclic, saturated or unsaturated hydrocarbon groups containing 1 to 30 carbon atoms optionally comprising 1 to 5 heteroatoms selected from N, O, S, Si and P and/or optionally halogenated or perhalogenated; (ii) halogen atoms; (iii) —CN (nitrile), —COOH (carboxylate), —NO2 (nitro) groups; (iv) a hydrogen atom; (v) a group selected from —C(O)NR2R3, —NR2R3, —OR4 or —SR4 where R2, R3 and R4 have the meanings given above;
- (v) a linear, branched or cyclic, saturated or unsaturated hydrocarbon group containing 1 to 30 carbon atoms optionally comprising 1 to 5 heteroatoms selected from N, O, S, Si and P; and especially a group selected from —C6H4—CONR2R3, —C6H4—NR2R3 and —C6H4—OR4 where R2, R3 and R4 have the meanings given above;
- R7 represents a group selected from:
- (i) linear, branched or cyclic, saturated or unsaturated hydrocarbon groups containing 1 to 30 carbon atoms optionally comprising 1 to 5 heteroatoms selected from N, O, S, Si and P and/or optionally halogenated or perhalogenated;
- (ii) halogen atoms;
- (iii) —CN (nitrile), —COOH (carboxylate), —NO2 (nitro); —N═N— (azo); ═NH (imino); —CONH2 (amide) groups;
- (iv) a hydrogen atom;
- (v) a group selected from —C(O)NR2R3, —NR2R3, —OR4 or —SR4 where R2, R3 and R4 have the meanings given above;
- (vi) the radical R7 may also form, with one of bonds “i”, “j”, “k”, or “g,h” taken with the radical R1, or “f” taken with the radical R1, a saturated hydrocarbon cycle containing a total of 3 to 8 carbon atoms, optionally comprising 1 to 5 heteroatoms selected from N, O, S, Si and P;
- R′1 represents a group selected from:
- (i) a hydrogen atom;
- (ii) a linear, branched or cyclic, saturated or unsaturated hydrocarbon group containing 1 to 30 carbon atoms optionally comprising 1 to 5 heteroatoms selected from N, O, S, Si and P and/or optionally halogenated or perhalogenated;
- (iii) a group selected from —C(O)NR2R3, —NR2R3, —OR4 and —SR4, where R2, R3 and R4 have the meanings given above;
- R′2 represents a group selected from:
- (i) linear, branched or cyclic, saturated or unsaturated hydrocarbon groups containing 1 to 30 carbon atoms optionally comprising 1 to 5 heteroatoms selected from N, O, S, Si and P and/or optionally halogenated or perhalogenated;
- (ii) halogen atoms;
- (iii) —CN (nitrile), —COOH (carboxylate), —NO2 (nitro); —N═N-(azo); ═NH (imino); —CONH2 (amide) groups;
- (iv) a hydrogen atom;
- (v) a group selected from —C(O)NR2R3, —NR2R3, —OR4 or —SR4 where R2, R3 and R4 have the meanings given above.
- Further examples of photochromic agents that may be mentioned are diarylethene, with formula
- its derivatives;
- le dihydroazulene/vinylheptafulvene, with formula
- its derivatives;
- spironaphthoxazine, with formula
- its derivatives.
- The photochromic agent may be an organic or inorganic compound. An organic photochromic agent may produce a more rapid and intense color change.
- Examples of photochromic agents that may be mentioned are Photosol® from PPG, which changes color reversibly when activated by UV radiation with a wavelength in the range 300 nm to 360 nm, Reversacol® from J. ROBINSON and Photogenica® from CATALYST & CHEMICALS.
- The photochromic agent may be attached to magnetic bodies, for example by coating magnetic cores with a substance containing said photochromic agent, thereby producing bodies containing magnetic grains and a synthetic matrix comprising the photochromic agent, or by forming chains of particles containing magnetic bodies and a photochromic agent. As an example, PHOTOGENICA pigments from CATALYST & CHEMICALS may be combined with those known under the reference STAPA WM IRON VP 041040 from ECKART.
- A thermochromic agent is a pigment or colorant which can change color as a function of temperature.
- As an example, the thermochromic agent may have a color that is lost when the temperature exceeds a certain value, for example about 15° C. or about 30° C., depending on the nature of the thermochromic agent.
- The thermochromic agent may comprise capsules of a polymer containing a solvent, said solvent, if it has dissolved them, allowing the compounds to come into contact and modify the light absorption properties.
- The color change may be reversible.
- The thermochromic agent is, for example, attached to the magnetic bodies, in like manner to the photochromic agent, as discussed above.
- As an example, it is possible to use the thermochromic agent sold with reference Kromafast® Yellow5GX 02 by KROMACHEM LTD, or Chromazone® as a powder or a dispersion, namely Thermobatch® or Thermostar®, from CHROMAZONE.
- A piezochromic agent can change color in the presence of a mechanical force.
- An example of a piezochromic agent that may be mentioned is diphenylflavylene.
- A tribochromic agent can change color in the presence of a mechanical force in a manner that lasts longer than with piezochromic agents.
- Reference should be made in this regard to the patent publication WO-A-94/26729, the content of which is incorporated by reference.
- A solvatochromic agent can change color in the presence of at least one solvent.
- DCRed27 dye is an example. In its anhydrous formulation, that compound is free of color. Adding water reveals a pink color.
- The composition may comprise at least one luminescent agent which is capable of assuming an excited state in the presence of an external stimulus; loss of that excited state is accompanied by emission of light in the visible region. Fluorescent, mechanoluminescent and phosphorescent agents are included in this category of luminescent agents.
- These agents are capable of emitting light when they are subject to mechanical stress such as a compression, shear or friction.
- The mechanoluminescent agent is preferably in the form of particles which are insoluble in the cosmetic medium. The mean particle size is between 0.01 μm and 50 μm, preferably between 0.1 μm and 10 μm, for example.
- Examples of mechanoluminescent materials that may be mentioned are:
- a) complexes and chelates of lanthanides, such as those described in U.S. Pat. No. 6,071,632, US 2002/0015965 and WO 09/016,429 the contents of which are incorporated by reference. The rare earths are preferably selected from europium, terbium, samarium and dysprosium. In said materials, diketones are used as the ligand for the trivalent lanthanide salts. Said materials are in an organic medium.
- b) Aluminates, silicates and aluminosilicates doped with rare earth ions such as those described in U.S. Pat. No. 6,280,655,
EP 1 318 184, JP 2002/194349, JP 2004/59746, the contents of which are incorporated by reference, especially (Sr,Mg,Ba,Zn,Ca)Al2O4, (SrLa,SrY)Al3O7(Sr2,SrMg,SrCa,SrBa)Al6O11, Sr2(Mg,Al) (Al,Si) SiO7, Sr(Zn,Mn,Fe,Mg) Si2O6. The elements in parentheses are completely or partially interchangeable. Ions of rare earths such as cerium, europium, samarium, neodymium, gadolinium, dysprosium and terbium may be used, alone or as a mixture. Europium and dysprosium are preferred. - c) Zinc sulfide, manganese sulfide, copper sulfide, cadmium sulfide or zinc oxide, optionally doped with transition metal ions or rare earth ions, as described in U.S. Pat. No. 6,117,574 and JP 2004/43656 the contents of which are incorporated by reference. Preferred transition metal ions are copper and manganese. Preferred rare earth ions are europium or cerium. Of said materials, ZnS:Mn is preferred.
- The materials listed under b) and c) may be synthesized by solid phase reaction using a dry mixture followed by heat treatment and high temperature sintering, or by a sol-gel process followed by drying, heating and sintering. The sintering temperature is more than 1000° C., for example.
- The materials listed under b) are preferred. Of these, SrAl2O4 and SrMgAl10O17 doped with rare earth metals are preferred.
- Mechanoluminescent pigments SrAl2O4 doped with rare earth metal ions are sold with reference TAIKO-M1-1 by TAIKO Refractories Co., Ltd. The particles of this pigment have a diameter in the
range 5 μm to 10 μm and a green luminescence under a small mechanical stress. - This may be a compound which absorbs light in the ultraviolet and re-emits it in the visible region.
- The fluorescent agent may, for example, comprise silicon nanoparticles such as those obtained using the processes described in WO-A-01/38222 and US 2002/0070121.
- The fluorescent agent may comprise at least one rare earth.
- The following publications: EP-A-0 962 224, U.S. Pat. No. 6,753,002, JP-A-2 805 373, FR-A-2 847 812 and FR-A-2 850 271 describe other photoluminescent agents.
- These are compounds which emit light in darkness.
- Examples of phosphorescent compounds that may be mentioned are the LumiNova® pigment from Nemoto and Co Ltd, described in U.S. Pat. No. 5,424,006, herewith incorporated by reference.
- Phosphorus sulphide (ZnS:Cu) is another example of a phosphorescent compound.
- The phosphorescent compound may be incorporated into an inert matrix, or it may be coated to isolate it from the ambient medium.
- The composition comprising the magnetic bodies may contain at least one coloring agent other than a coloring agent that is sensitive to an external stimulus and producing a color by absorbing at least a fraction of the visible spectrum. Said coloring agent may be constituted by a magnetic or non-magnetic pigment, which may be organic, inorganic, or a hybrid comprising both an organic substance and an inorganic substance.
- A color produced by light absorption is still sometimes termed a chemical color, as opposed to colors produced by an interference phenomenon, including diffraction, still termed physical colors. Electron transitions may be the origin of the phenomenon whereby the coloring agent absorbs light.
- The coloring agent may optionally be a particulate compound.
- Where appropriate, the particles of a single magnetic pigment constitute both the coloring agent, producing the color by an absorption phenomenon, and the magnetic bodies.
- When the coloring agent includes a colorant, said colorant may be selected from amongst liposoluble and hydrosoluble colorants.
- Examples of liposoluble colorants are Sudan red, D&C Red No. 17, D&C Green No. 6, β-carotene, soybean oil, Sudan brown, D&C Yellow No. 11, D&C Violet No. 2, D&C orange No. 5, and quinoline yellow.
- Examples of hydrosoluble colorants are beetroot juice and methylene blue.
- By way of example, the colorants may represent 0.1% to 20% by weight of the first or second composition, or even 0.1% to 6%, when present.
- The coloring agents may also be a lake or an organic pigment selected from the following materials and mixtures thereof:
-
- cochineal carmine;
- the organic pigments of azo, anthraquinone, indigo, xanthene, pyrene, quinoline, triphenylmethane, or fluorane dyes;
- organic lakes or insoluble salts of sodium, potassium, calcium, barium, aluminum, zirconium, strontium, titanium, or of acid dyes such as azo, anthraquinone, indigo, xanthene, pyrene, quinoline, triphenylmethane, or fluorine dyes, which dyes may comprise at least one carboxylic or sulfonic acid group.
- Organic pigments that may be mentioned include those with the following denominations: D&C Blue No. 4, D&C Brown No. 1, D&C Green No. 5, D&C Green No. 6, D&C Orange No. 4, D&C Orange No. 5, D&C Orange No. 10, D&C Orange No. 11, D&C Red No. 6, D&C Red No. 7, D&C Red No. 17, D&C Red No. 21, D&C Red No. 22, D&C Red No. 27, D&C Red No. 28, D&C Red No. 30, D&C Red No. 31, D&C Red No. 33, D&C Red No. 34, D&C Red No. 36, D&C Violet No. 2, D&C Yellow No. 7, D&C Yellow No. 8, D&C Yellow No. 10, D&C Yellow No. 11, FD&C Blue No. 1, FD&C Green No. 3, FD&C Red No. 40, FD&C Yellow No. 5, FD&C Yellow No. 6.
- The coloring agent may be an organic lake supported by an organic support such as colophane or aluminum benzoate, for example.
- Particular organic lakes that may be mentioned include those with the following denominations: D&C Red No. 2 Aluminum lake, D&C Red No. 3 Aluminum lake, D&C Red No. 4 Aluminum lake, D&C Red No. 6 Aluminum lake, D&C Red No. 6 Barium lake, D&C Red No. 6 Barium/Strontium lake, D&C Red No. 6 Strontium lake, D&C Red No. 6 Potassium lake, D&C Red No. 7 Aluminum lake, D&C Red No. 7 Barium lake, D&C Red No. 7 Calcium lake, D&C Red No. 7 Calcium/Strontium lake, D&C Red No. 7 Zirconium lake, D&C Red No. 8 Sodium lake, D&C Red No. 9 Aluminum lake, D&C Red No. 9 Barium lake, D&C Red No. 9 Barium/Strontium lake, D&C Red No. 9 Zirconium lake, D&C Red No. 10 Sodium lake, D&C Red No. 19 Aluminum lake, D&C Red No. 19 Barium lake, D&C Red No. 19 Zirconium lake, D&C Red No. 21 Aluminum lake, D&C Red No. 21 Zirconium lake, D&C Red No. 22 Aluminum lake, D&C Red No. 27 Aluminum lake, D&C Red No. 27 Aluminum/Titanium/Zirconium lake, D&C Red No. 27 Barium lake, D&C Red No. 27 Calcium lake, D&C Red No. 27 Zirconium lake, D&C Red No. 28 Aluminum lake, D&C Red No. 30 lake, D&C Red No. 31 Calcium lake, D&C Red No. 33 Aluminum lake, D&C Red No. 34 Calcium lake, D&C Red No. 36 lake, D&C Red No. 40 Aluminum lake, D&C Blue No. 1 Aluminum lake, D&C Green No. 3 Aluminum lake, D&C Orange No. 4 Aluminum lake, D&C Orange No. 5 Aluminum lake, D&C Orange No. 5 Zirconium lake, D&C Orange No. 10 Aluminum lake, D&C Orange No. 17 Barium lake, D&C Yellow No. 5 Aluminum lake, D&C Yellow No. 5 Zirconium lake, D&C Yellow No. 6 Aluminum lake, D&C Yellow No. 7 Zirconium lake, D&C Yellow No. 10 Aluminum lake, FD&C Blue No. 1 Aluminum lake, FD&C Red No. 4 Aluminum lake, FD&C Red No. 40 Aluminum lake, FD&C Yellow No. 5 Aluminum lake, FD&C Yellow No. 6 Aluminum lake.
- The chemical materials corresponding to each of the organic coloring substances listed above are mentioned in the work entitled “International Cosmetic Ingredient Dictionary and Handbook”, 1997 edition, pages 371 to 386 and 524 to 528, published by “The Cosmetic, Toiletry, and Fragrance Association”, the contents of which are incorporated herein by reference.
- The coloring agent producing a color by absorbing at least a fraction of the visible spectrum may advantageously be a composite pigment including a core that is coated at least in part by a membrane.
- A composite pigment may be composed of particles comprising:
-
- an inorganic core; and
- at least one at least partial coating of at least one organic coloring substance.
- At least one binder may advantageously contribute to fixing the organic coloring substance onto the inorganic core.
- The particles of composite pigment may have a variety of forms. In particular, said particles may be in the form of flakes or they may be globular, in particular spherical, and may be hollow or solid. The term “in the form of flakes” means particles for which the ratio of the largest dimension to the thickness is 5 or more.
- A composite pigment may, for example, have a specific surface area in the
range 1 square meter per gram (m2/g) to 1000 m2/g, in particular in the range about 10 m2/g to about 600 m2/g, and in particular in the range about 20 m2/g to about 400 m2/g. The specific surface area is the value measured using the BET (Brunauer-Emmett-Teller) method. - The proportion by weight of the core may exceed 50% relative to the total weight of the composite pigment, for example lying in the
range 50% to 70%, e.g. in therange 60% to 70%. - The composite pigment may be different from an interferential pigment as described in U.S. Pat. No. 6,428,773, for example. By way of example, an interferential pigment includes a plurality of layers of constant thickness of materials selected so as to be able to produce optical interferences.
- The saturation C* of the composite pigment may be greater than or equal to 30, measured in accordance with the following protocol.
- The values a* and b* in the CIE L*a*b* space of the composite pigment are measured as follows:
- Pure composite pigment is compacted in a rectangular dish having dimensions of 2 centimeters (cm)×1.5 cm and a depth of 3 mm, by applying pressure of 100 bars.
- The values a* and b* of the compacted pigment are measured with a MINOLTA 3700d spectrophotometer, in excluded specular mode, under D65 lighting, medium aperture. Saturation is given by C*=(a*2+b*2)1/2.
- The inorganic core may have any form that is suitable for fixing particles of organic coloring substance, for example spherical, globular, granular, polyhedral, acicular, spindle-shaped, flattened in the form of a flake, a rice grain, or a scale, and a combination of these forms, this list not being limiting.
- Preferably, the ratio of the largest dimension of the core to its smallest dimension may be in the
range 1 to 50. - The inorganic core may have a mean size in the range about 1 nm to about 100 nm, or even in the range about 5 nm to about 75 nm, for example in the range about 10 nm to about 50 nm, in particular 20 nm or 25 nm.
- The term “mean size” means the size given by the statistical grain size distribution at half the population, referred to as “D50”. The mean size may be a number mean size determined by image analysis (electron microscopy).
- The inorganic core may present a refractive index that is greater than or equal to 2, or even greater than or equal to 2.1, e.g. greater than or equal to 2.2.
- The inorganic core may be formed from an optionally-magnetic material selected from a non-limiting list comprising metallic salts and metal oxides, in particular oxides of titanium, zirconium, cerium, zinc, iron, iron blue, aluminum, and chromium, aluminas, glasses, ceramics, graphite, silicas, silicates, in particular aluminosilicates and borosilicates, synthetic mica, and mixtures thereof.
- Oxides of titanium, in particular TiO2, of iron, especially Fe2O3, of cerium, zinc, and aluminum, silicates, in particular aluminosilicates and borosilicates, are particularly suitable.
- The inorganic core may have a specific surface area, measured using the BET method, in the range about 1 m2/g to about 1000 m2/g, preferably in the range about 10 m2/g to about 600 m2/g, for example in the range about 20 m2/g to about 400 m2/g.
- The inorganic core may be colored if appropriate.
- By way of example, the organic coloring material may comprise at least one organic pigment, e.g. at least one organic lake.
- By way of example, the organic coloring material may be selected from the insoluble particulate compounds in the physiologically acceptable medium of the composition.
- By way of example, the organic coloring material may comprise pigments, e.g. organic lakes or other organic coloring materials, that may be selected from the following compounds and mixtures thereof:
-
- cochineal carmine;
- the organic pigments of azo, anthraquinone, indigo, xanthene, pyrene, quinoline, triphenylmethane, or fluorane dyes;
- organic lakes or insoluble salts of sodium, potassium, calcium, barium, aluminum, zirconium, strontium, titanium, or of acid dyes such as azo, anthraquinone, indigo, xanthene, pyrene, quinoline, triphenylmethane, or fluorine dyes, which dyes may comprise at least one carboxylic or sulfonic acid group.
- Organic pigments that may be mentioned include those with the following denominations: D&C Blue No. 4, D&C Brown No. 1, D&C Green No. 5, D&C Green No. 6, D&C Orange No. 4, D&C Orange No. 5, D&C Orange No. 10, D&C Orange No. 11, D&C Red No. 6, D&C Red No. 7, D&C Red No. 17, D&C Red No. 21, D&C Red No. 22, D&C Red No. 27, D&C Red No. 28, D&C Red No. 30, D&C Red No. 31, D&C Red No. 33, D&C Red No. 34, D&C Red No. 36, D&C Violet No. 2, D&C Yellow No. 7, D&C Yellow No. 8, D&C Yellow No. 10, D&C Yellow No. 11, FD&C Blue No. 1, FD&C Green No. 3, FD&C Red No. 40, FD&C Yellow No. 5, FD&C Yellow No. 6.
- The organic coloring substance may comprise an organic lake supported by an organic support such as colophane or aluminum benzoate, for example.
- Particular organic lakes that may be mentioned include those with the following denominations: D&C Red No. 2 Aluminum lake, D&C Red No. 3 Aluminum lake, D&C Red No. 4 Aluminum lake, D&C Red No. 6 Aluminum lake, D&C Red No. 6 Barium lake, D&C Red No. 6 Barium/Strontium lake, D&C Red No. 6 Strontium lake, D&C Red No. 6 Potassium lake, D&C Red No. 7 Aluminum lake, D&C Red No. 7 Barium lake, D&C Red No. 7 Calcium lake, D&C Red No. 7 Calcium/Strontium lake, D&C Red No. 7 Zirconium lake, D&C Red No. 8 Sodium lake, D&C Red No. 9 Aluminum lake, D&C Red No. 9 Barium lake, D&C Red No. 9 Barium/Strontium lake, D&C Red No. 9 Zirconium lake, D&C Red No. 10 Sodium lake, D&C Red No. 19 Aluminum lake, D&C Red No. 19 Barium lake, D&C Red No. 19 Zirconium lake, D&C Red No. 21 Aluminum lake, D&C Red No. 21 Zirconium lake, D&C Red No. 22 Aluminum lake, D&C Red No. 27 Aluminum lake, D&C Red No. 27 Aluminum/Titanium/Zirconium lake, D&C Red No. 27 Barium lake, D&C Red No. 27 Calcium lake, D&C Red No. 27 Zirconium lake, D&C Red No. 28 Aluminum lake, D&C Red No. 30 lake, D&C Red No. 31 Calcium lake, D&C Red No. 33 Aluminum lake, D&C Red No. 34 Calcium lake, D&C Red No. 36 lake, D&C Red No. 40 Aluminum lake, D&C Blue No. 1 Aluminum lake, D&C Green No. 3 Aluminum lake, D&C Orange No. 4 Aluminum lake, D&C Orange No. 5 Aluminum lake, D&C Orange No. 5 Zirconium lake, D&C Orange No. 10 Aluminum lake, D&C Orange No. 17 Barium lake, D&C Yellow No. 5 Aluminum lake, D&C Yellow No. 5 Zirconium lake, D&C Yellow No. 6 Aluminum lake, D&C Yellow No. 7 Zirconium lake, D&C Yellow No. 10 Aluminum lake, FD&C Blue No. 1 Aluminum lake, FD&C Red No. 4 Aluminum lake, FD&C Red No. 40 Aluminum lake, FD&C Yellow No. 5 Aluminum lake, FD&C Yellow No. 6 Aluminum lake.
- The chemical compounds corresponding to each of the organic coloring substances listed above are mentioned in the work entitled “International Cosmetic Ingredient Dictionary and Handbook”, 1997 edition, pages 371 to 386 and 524 to 528, published by “The Cosmetic, Toiletry, and Fragrance Association”, the contents of which are incorporated herein by reference.
- The proportion by weight of organic coloring material may lie in the range about 10 parts to about 500 parts by weight per 100 parts of inorganic core, or even in the range about 20 parts to about 250 parts by weight, e.g. in the range about 40 parts to about 125 parts by weight per 100 parts of inorganic core.
- The total content of organic coloring material of the composition, coming from the composite pigment and from other possible pigments, may be less than 10%, for example, relative to the total weight of the composition.
- The proportion of organic coloring material may exceed 30% relative to the total weight of the composite pigment, for example lying in the
range 30% to 50%, e.g. in therange 30% to 40%. - The composite-pigment binder may be of any type provided that it allows the organic coloring substance to adhere to the surface of the inorganic core.
- In particular, the binder may be selected from the following non-limiting list: silicone materials, polymeric, oligomeric or similar materials, in particular from organosilanes, fluoroalkylated organosilanes and polysiloxanes, for example polymethylhydrogen siloxane, as well as a variety of coupling agents such as coupling agents based on silanes, titanates, aluminates, zirconates, and mixtures thereof.
- The silicone compound may be selected from the following non limiting list:
-
- organosilanes (1) obtained from alkoxysilanes;
- polysiloxanes (2) which may optionally be modified, selected from the following non limiting list:
- modified polysiloxanes (2A) comprising at least one radical selected in particular from polyethers, polyesters and epoxy compounds (henceforth termed “modified polysiloxanes”);
- polysiloxanes (2B) carrying, on one silicon atom located at the end of the polymer, at least one group selected from the following non-limiting list: carboxylic acids, alcohols, and hydroxyl groups; and
- fluoroalkylated organosilane compounds (3) obtained from fluoroalkylsilanes.
- The organosilane compounds (I) may be obtained from alkoxysilane compounds represented by formula (I):
-
R1 aSiX4-a (I) - in which:
-
- R1 represents C6H5—, (CH3)2CH—CH2— or a CbH2b+1— type radical (in which b lies in the
range 1 to 18); - X represents CH3O— or C2H5O—; and
- a lies in the range 0 to 3.
- R1 represents C6H5—, (CH3)2CH—CH2— or a CbH2b+1— type radical (in which b lies in the
- Specific examples of alkoxysilane compounds may include alkoxysilanes selected from: methyltriethoxysilane, dimethyldiethoxysilane, phenyltriethoxysilane, diphenyldiethoxysilane, methyltrimethoxysilane, dimethyldimethoxysilane, phenyltrimethoxysilane, diphenyldimethoxysilane, isobutyltrimethoxysilane, decyltrimethoxysilane, and the like, in particular from methyltriethoxysilane, phenyltriethoxysilane, methyltrimethoxysilane, dimethyldimethoxysilane, isobutyltrimethoxysilane, more preferably from methyltriethoxysilane, methyltrimethoxysilane, and phenyltriethoxysilane.
- The polysiloxanes (2) may in particular have formula (II):
- in which R2 represents H— or CH3— and d lies in the
range 15 to 450. - Polysiloxanes for which R2 represents H are preferred.
- The modified polysiloxanes (2A) may in particular have the following formula (III):
-
- (a1) modified polysiloxanes carrying polyethers, represented by formula (III):
- in which R3 represents —(CH2)h—; R4 represents —(CH2)i—CH3; R5 represents —OH, —COOH, —CH═CH2, —C(CH3)═CH2 or —(CH2)j—CH3; R6 represents —(CH2)k—CH3; g and h lie independently in the
range 1 to 15; j and k lie independently in the range 0 to 15; e lies in therange 1 to 50, and f lies in therange 1 to 300; -
- (a2) modified polysiloxanes carrying polyesters, represented by formula (IV):
- in which R7, R8, and R9 independently represent —(CH2)q—; R10 represents —OH, —COOH, —CH═CH2, —C(CH3)═CH2 or —(CH2)r—CH3; R11 represents —(CH2)n—CH3; n and q lie independently in the
range 1 to 15, r and s lie independently in the range 0 to 15; e lies in therange 1 to 50, and f lies in therange 1 to 300, -
- (a3) modified polysiloxanes carrying epoxy radicals represented by formula (V):
- in which R12 represents —(CH2)v—; v lies in the
range 1 to 15; t lies in therange 1 to 50, and u lies in therange 1 to 300; or mixtures thereof. - Preferred modified polysiloxanes (2A) are modified polysiloxanes carrying polyethers with formula (III).
- Polysiloxanes modified at the terminal portion (2B) may have formula (VI):
- in which R13 and R14 may represent —OH, R16—OH, or R17—COOH, independently of each other; R15 represents —CH3 or —C6H5; R16 and R17 represent —(CH2)y—; y lies in the
range 1 to 15; w lies in therange 1 to 200; and x lies in the range 0 to 100. - Preferred polysiloxanes modified on at least one end include those carrying at least a radical (R16 and/or R17) carrying a carboxylic acid group on at least one terminal silicon atom.
- Fluoroalkylated organosilane compounds (3) may be obtained from fluoroalkylsilanes represented by formula (VII):
-
CF3(CF2)zCH2CH2(R18)aSiX4-a (VII) - in which:
-
- R18 represents CH3—, C2H5—, CH3O— or C2H5O—;
- X represents CH3O— or C2H5O—;
- z lies in the range 0 to 15 and a lies in the range 0 to 3.
- In particular, the fluoroalkylsilanes may be selected from the following non limiting list: trifluoropropyltrimethoxysilane, tridecafluorooctyltrimethoxysilane, heptadecafluorodecyltrimethoxysilane, heptadecafluorodecylmethyldimethoxysilane, trifluoropropyltriethoxysilane, tridecafluorooctyltriethoxysilane, heptadecafluorodecyltriethoxysilane, heptadecafluorodecylmethyldiethoxysilane and the like, in particular trifluoropropyltrimethoxysilane, tridecafluorooctyltrimethoxysilane and heptadecafluorodecyltrimethoxysilane, and more preferably trifluoropropyl trimethoxysilane and tridecafluorooctyltrimethoxysilane.
- The silane-based coupling agents may be selected from the following non limiting list: vinyltrimethoxysilane, vinyltriethoxysilane, γ-aminopropyl-triethoxysilane, γ-glycidoxypropyltrimethoxysilane, γ-mercaptopropyltrimethoxysilane, γ-methacryloxypropyltrimethoxysilane, N-β(aminoethyl)-γ-aminopropyltrimethoxysilane, γ-glycidoxypropylmethyldimethoxysilane, γ-chloropropyltrimethoxysilane, and the like.
- The titanate-based coupling agents may be selected from the following list: isopropylstearoyl titanate, isopropyltris(dioctylpyrophosphate) titanate, isopropyltri(N-aminoethyl-aminoethyl)titanate, tetraoctyl-bis(ditridecylphosphate)titanate, tetra(2,2-diaryloxymethyl-1-butyl)bis(ditridecyl)phosphate titanate, bis(dioctylpyrophosphate)oxyacetate titanate, bis(dioctylpyrophosphate)ethylene titanate, and the like.
- The aluminate-based coupling agents may be selected from acetoalkoxyaluminum diisopropylate, aluminum diisopropoxymonoethylacetoacetate, aluminum triethylacetoacetate, aluminum triacetylacetonate, and the like.
- The zirconate-based coupling agents may be selected from the following list: zirconium tetrakisacetylacetonate, zirconium dibutoxybisacetylacetonate, zirconium tetrakisethylacetoacetate, zirconium tributoxymonoethylacetoacetate, zirconium tributoxyacetylacetonate, and the like.
- The compounds acting as a binder may have a molar mass in the range 300 to 100 000.
- To obtain a layer which uniformly coats the inorganic cores, the binder is preferably in the liquid state or is soluble in water or other solvents.
- The quantity of binder may lie in the range 0.01% to 15%, in particular from 0.02% to 12.5%, and more particularly from 0.03% to 10% by weight (calculated with respect to C or Si) relative to the weight of particles comprising the core and the binder. Further details regarding the calculation of the relative quantity of binder can be found in
patent application EP 1 184 426 A2. The relative proportion of binder may be less than or equal to 5%, e.g. less than or equal to 3%, relative to the total weight of the composite pigment. - The composite pigment may be prepared using any appropriate method, e.g. a mechanical/chemical method or a method of precipitation in solution, with the organic coloring material being dissolved, then precipitated onto the surface of the core.
- A binder may optionally be used.
- A method comprising mechanically mixing an organic pigment and the inorganic core is preferred.
- A binder may be added or mixed to the inorganic core before the organic coloring material is introduced.
- The composite pigment may, for example, be produced using one of the processes described in European
patent applications EP 1 184 426 andEP 1 217 046, the contents of which are hereby incorporated by reference, and advantageously by the process described inEP 1 184 426. - In one implementation, the particles intended to constitute the inorganic core are first mixed with the binder.
- So that the binder can adhere uniformly to the surface of the inorganic core, it is preferable to pass said particles initially through a mill to disaggregate them.
- The mixing and agitation conditions are selected so that the core is uniformly coated with binder. Such conditions may be controlled so that the linear load is in the range 19.6 N/cm (newtons/centimeter) to 19160 N/cm, in particular in the range 98 N/cm to 14170 N/cm and preferably in the range 147 N/cm to 980 N/cm; the treatment time is in the
range 5 minutes to 24 hours, preferably in therange 10 minutes to 20 hours; the rotation rate may be in therange 2 rpm (revolutions per minute) to 1000 rpm, in particular in therange 5 rpm to 1000 rpm, and more preferably in therange 10 rpm to 800 rpm. - After coating the inorganic core with binder, the organic coloring substance is added and mixed with agitation so that it adheres to the layer of binder.
- Examples of addition methods are continuous addition in large quantities, or in small quantities.
- Mixing and agitation, whether of the inorganic cores with the binder or of the organic coloring substance with the inorganic cores coated with binder, may be carried out using an apparatus which can apply a sharp shearing and/or compressive force to the mixture of powders. Examples of apparatus of that type are roller mixers, blade mixers, and the like. Roller mixers are particularly suitable. A list of suitable apparatus is given in
EP 1 184 426 A2. - A further method for manufacturing a composite pigment has been described in Japanese patent JP 3286463, which discloses a solution precipitation process.
- The organic coloring substance is dissolved in ethanol and the inorganic cores are then dispersed in said ethanolic solution.
- An aqueous alkaline solution of sodium or potassium carbonate is then slowly added to these mixtures and finally, an ethanolic calcium chloride solution is slowly added, with constant agitation.
- In addition to a coloring agent absorbing light by an absorption phenomenon, the composition may include at least one interferential or diffractive pigment and/or reflective particles.
- In an implementation of the invention, the first composition contains at least one goniochromatic coloring agent in which a color change can be observed as a function of the angle of observation. The goniochromatic coloring agent may optionally be magnetic.
- When the first composition contains magnetic particles of a certain color and a non-magnetic goniochromatic coloring agent, said coloring agent may be selected so that its range of colors passes substantially through the color of the magnetic particles.
- By way of example, this can make the magnetic particles more difficult to detect so long as they are not oriented under the effect of a magnetic field.
- This can also allow the pattern induced by orienting the magnetic particles to appear only when the made-up surface is under certain observation and/or lighting conditions, thereby making it possible to create pattern disposition and appearance effects that are particularly attractive.
- The composition containing the magnetic bodies may contain at least one interferential coloring agent, in particular a goniochromatic coloring agent, which may present magnetic properties, where appropriate.
- The term “goniochromatic coloring agent” as used in the context of the present invention means a coloring agent that makes it possible, when the composition is spread on a surface, to obtain a color path in the a*b* plane of the 1976 CIE color space which corresponds to a variation Dho of the hue angle ho of at least 200 when the angle of observation is varied relative to the normal in the range 0° to 80° for light at an angle of incidence of 45°.
- By way of example, the color path may be measured by means of a spectrogonioreflectometer, from INSTRUMENT SYSTEMS and referenced GON 360 GONIOMETER, after the first composition has been spread in the fluid state to a thickness of 300 μm by means of an automatic spreader on a contrast card from ERICHSEN and referenced Typ 24/5, the measurements being performed on the black background of the card.
- By way of example, the goniochromatic coloring agent may be selected from multilayer interference structures and liquid crystal coloring agents.
- By way of example, a multilayer structure may comprise at least two layers, each layer being produced, for example, from at least one material selected from the group constituted by the following materials: MgF2, CeF3, ZnS, ZnSe, Si, SiO2, Ge, Te, Fe2O3, Pt, Va, Al2O3, MgO, Y2O3, S2O3, SiO, HfO2, ZrO2, CeO2, Nb2O5, Ta2O5, TiO2, Ag, Al, Au, Cu, Rb, Ti, Ta, W, Zn, MOS2, cryolite, alloys, polymers, and combinations thereof.
- The multilayer structure may optionally be symmetrical with respect to a central layer as regards the chemical nature of the stacked layers. Depending on the thickness and nature of the various layers, different effects are obtained.
- Examples of symmetrical multilayer interference structures are as follows: Fe2O3/SiO2/Fe2O3/SiO2/Fe2O3, a pigment having this structure being sold under the trade name SICOPEARL by BASF; MoS2/SiO2/mica-oxide/SiO2/MoS2; Fe2O3/SiO2/mica-oxide/SiO2/Fe2O3; TiO2/SiO2/TiO2 and TiO2/Al2O3/TiO2, pigments with these structures being sold under the trade name XIRONA by MERCK (Darmstadt).
- By way of example, liquid crystal coloring agents comprise silicones, or cellulose ethers onto which mesomorphic groups have been grafted. Examples of suitable liquid crystal goniochromatic particles are those sold by CHENIX, and those sold under the trade name HELICONE® HC by WACKER.
- Suitable goniochromatic coloring agents are some nacres; pigments having effects on synthetic substrates, in particular alumina, silica, borosilicate, iron oxide, or aluminum type substrates; or holographic interference flakes coming from a polyterephthalate film.
- The material may further contain dispersed goniochromatic fibers. Such fibers could present a length that is less than 80 μm, for example.
- The composition containing the magnetic bodies may also include at least one diffractive pigment, which may present magnetic properties, where appropriate.
- The term “diffractive pigment” as used in the context of the present invention means a pigment that is capable of producing a variation in color depending on the angle of observation when lit by white light, because of the presence of a structure which diffracts the light. Such a pigment is also sometimes referred to as a holographic or rainbow-effect pigment.
- A diffractive pigment may include a diffraction grating that is capable of diffracting an incident ray of monochromatic light in defined directions.
- The diffraction grating may comprise a periodic pattern, in particular a line, with the distance between two adjacent patterns being the same as the wavelength of the incident light.
- When the incident light is polychromatic, the diffraction grating separates the various spectral components of the light and produces a rainbow effect.
- With regard to the structure of diffractive pigments, reference can usefully be made to the article “Pigments Exhibiting Diffractive Effects” by Alberto Argoitia and Matt Witzman, 2002, Society of Vacuum coaters, 45th Annual Technical Conference Proceedings 2002, the contents of which are incorporated herein by reference.
- The diffractive pigment may be made with patterns having various profiles, in particular triangular, optionally symmetrical, notched, of optionally constant width, sinusoidal, or stepped.
- The spatial frequency of the grating and the depth of the patterns are selected as a function of the degree of separation of the various desired orders. The frequency may be in the range 500 lines per mm to 3000 lines per mm, for example.
- Each of the particles of the diffractive pigment preferably presents a flat shape, and in particular a wafer shape.
- A single pigment particle may include two crossed diffraction gratings that are optionally perpendicular, and that optionally have the same ruling.
- The diffractive pigment may present a multilayer structure comprising a layer of reflective material that is covered on at least one side by a layer of dielectric material. The dielectric material may make the diffractive pigment stiffer and longer lasting. For example, the dielectric material may thus be selected from the following materials: MgF2, SiO2, Al2O3, AlF3, CeF3, LaF3, NdF3, SmF2, BaF2, CaF2, LiF, and combinations thereof. For example, the reflective material may be selected from metals and alloys thereof, and also from non-metallic reflective materials: Metals that may be used include Al, Ag, Cu, Au, Pt, Sn, Ti, Pd, Ni, Co, Rd, Nb, Cr, and materials, combinations, or alloys thereof. Such a reflective material may, on its own, constitute the diffractive pigment which then comprises a single layer.
- In a variant, the diffractive pigment may include a multilayer structure comprising a core of dielectric material with a reflective layer covering at least one side, or indeed completely encapsulating, the core. A layer of dielectric material may also cover the reflective layer(s). The dielectric material used is thus preferably inorganic, and may, for example, be selected from metal fluorides, metal oxides, metal sulfides, metal nitrides, metal carbides, and combinations thereof. The dielectric material may be in the crystalline, semi-crystalline, or amorphous state. In this configuration, the dielectric material may, for example, be selected from the following materials: MgF2, SiO, SiO2, Al2O3, TiO2, WO, AlN, BN, B4C, WC, TiC, TiN, N4Si3, ZnS, glass particles, diamond-type carbons, and combinations thereof.
- In a variant, the diffractive pigment may be composed of a preformed dielectric or ceramic material such as a naturally lamellar mineral, e.g. mica peroskovite or talc; or synthetic platelets formed from glass, alumina, SiO2, carbon, an iron oxide/mica, mica covered in BN, BC, graphite, or bismuth oxychloride, and combinations thereof.
- Instead of a layer of dielectric material, other materials that improve the mechanical properties may be suitable. Such materials may include silicone, metal silicides, semiconductor materials formed from elements of groups III, IV, and V, metals having a body centered cubic crystal structure, metal-ceramic compositions or materials, semiconductor glasses, and various combinations thereof.
- In particular, the diffractive pigment used may be selected from those described in US patent application No. 2003/0031870 published on Feb. 13, 2003.
- A diffractive pigment may, for example, have the following structure: MgF2/Al/MgF2, a diffractive pigment having this structure being sold by FLEX PRODUCTS under the trade names SPECTRAFLAIR 1400 Pigment Silver or SPECTRAFLAIR 1400 Pigment Silver FG. The proportion by weight of MgF2 may be in the range 80% to 95% of the total weight of the pigment.
- Other diffractive pigments are sold under the trade names Metalure® Prismatic by ECKART®.
- Other possible structures are Fe/Al/Fe or Al/Fe/Al, which present non-zero magnetic susceptibility.
- By way of example, the quantity of diffractive pigment may be in the range 0.1% to 5% by weight relative to the total weight of the first composition.
- By way of example, the size of the diffractive pigment may be in the
range 5 μm to 200 μm, and preferably in therange 5 μm to 100 μm, e.g. in therange 5 μm to 30 μm. - The thickness of the diffractive-pigment particles may be less than or equal to 3 μm or preferably 2 μm, e.g. about 1 μm.
- The composition containing the magnetic bodies may include reflective particles, in particular optionally-magnetic flakes, amongst others.
- The term “reflective particles” means particles the size and structure of which, in particular the thickness of the layer or layers constituting them and their physical and chemical natures, and their surface state, allow them to reflect incident light. If appropriate, said reflection may have sufficient intensity to create highlight points on the surface of the composition or of the mixture, when the composition or the mixture is applied to the surface to be made up, which highlight points are visible to the naked eye, i.e. they are points of greater brightness that contrast with their environment and appear to shine.
- The reflective particles may be selected in a manner such that they do not significantly alter the coloring effect generated by the coloring agents associated therewith, and more particularly to optimize that effect in terms of color yield. More particularly, they may have a yellow, pink, red, bronze, orangey, brown, and/or copper glint.
- The reflective particles may be present in the first composition in an amount in the range 0.5% to 60% by weight relative to the total weight of the first composition, specifically 1% to 30% by weight, and in particular 3% to 10% by weight.
- Said particles may be in various forms, in particular they may be in the form of flakes, or they may be globular, in particular spherical.
- Regardless of their form, the reflective particles may optionally have a multilayer structure; for example, with a multilayer structure, they may have at least one layer of uniform thickness, in particular of a reflective material.
- When the reflective particles do not have a multilayer structure, they may, for example, be composed of metal oxides, in particular oxides of titanium or iron obtained by synthesis.
- When the reflective particles have a multilayer structure they may, for example, comprise a natural or synthetic substrate, in particular a synthetic substrate which is at least partially coated with at least one layer of a reflective material, in particular at least one metal or metallic material. The substrate may be a single material or multiple materials, and it may be organic and/or inorganic.
- More particularly, it may be selected from glasses, ceramics, graphite, metal oxides, aluminas, silicas, silicates, in particular aluminosilicates and borosilicates, synthetic mica, and mixtures thereof, this list not being limiting.
- The reflective material may comprise a layer of metal or of a metallic material.
- Reflective particles have been described in particular in Japanese patent documents JP-A-09188830, JP-A-10158450, JP-A-10158541, JP-A-07258460 and JP-A-05017710.
- Further examples of reflective particles comprising a mineral substrate coated with a metal layer that may be mentioned are particles comprising a substrate of borosilicate coated with silver.
- Glass substrate particles coated with silver in the form of flakes are sold under the trade name MICROGLASS METASHINE REFSX 2025 PS by TOYAL. Glass substrate particles coated with nickel/chromium/molybdenum alloy are sold under the trade name CRYSTAL STAR GF 550, GF 2525 by the same company.
- Reflective particles of any form may also be selected from particles of synthetic substrate at least partially coated with at least one layer of at least one metallic material, in particular a metal oxide selected, for example, from oxides of titanium, in particular TiO2, of iron, in particular Fe2O3, of tin, or of chromium, barium sulfate, and the following materials: MgF2, CrF3, ZnS, ZnSe, SiO2, Al2O3, MgO, Y2O3, SeO3, SiO, HfO2, ZrO2, CeO2, Nb2O5, Ta2O5, MoS2, and their mixtures or alloys.
- Examples of such particles that may be mentioned are particles comprising a substrate of synthetic mica coated with titanium dioxide, or glass particles coated either with brown iron oxide, titanium oxide, tin oxide, or one of their mixtures such as those sold under the trade name REFLECKS® by ENGELHARD.
- The composition containing the magnetic bodies may include at least one optionally-magnetic nacre.
- The term “nacre” means colored particles of any form, which may optionally be iridescent, as produced in the shells of certain mollusks, or which are synthesized, and which exhibit a “pearlescent” coloring effect by optical interference.
- Nacres may be selected from nacre pigments such as mica titanium coated with iron oxide, mica coated with bismuth oxychloride, mica titanium coated with chromium oxide, mica titanium coated with an organic colorant, in particular of the type mentioned above, and nacre pigments based on bismuth oxychloride. They may also be particles of mica on the surface of which at least two successive layers of metal oxides and/or organic coloring substances have been superimposed.
- More particularly, the nacres may have a yellow, pink, red, bronze, orangey, brown, gold, and/or coppery color or glint.
- Illustrative examples of nacres suitable for being introduced into the first composition and that may be mentioned are gold color nacres, in particular those sold by ENGELHARD under the trade names Brillant gold 212G (Timica), Gold 222C (Cloisonne), Sparkle gold (Timica), Gold 4504 (Chromalite), and Monarch gold 233X (Cloisonne); bronze nacres, in particular those sold by MERCK under the trade names Bronze fine (17384) (Colorona) and Bronze (17353) (Colorona), and by ENGELHARD under the trade name Super bronze (Cloisonne); orange nacres especially those sold by ENGELHARD under the trade names Orange 363C (Cloisonne) and Orange MCR 101 (Cosmica), and by MERCK under the trade names Passion orange (Colorona) and Matte orange (17449) (Microna); brown-tinted nacres sold by ENGELHARD under the trade names Nu-antique copper 340XB (Cloisonne) and Brown CL4509 (Chromalite); nacres with a copper glint sold by ENGELHARD under the trade name Copper 340A (Timica); nacres with a red glint, especially those sold by MERCK under the trade name Sienna fine (17386) (Colorona); nacres with a yellow glint, especially those sold by ENGELHARD under the trade name Yellow (4502) (Chromalite); red-tinted nacres with gold glints, especially those sold by ENGELHARD under the trade name Sunstone G012 (Gemtone); pink nacres, especially those sold by ENGELHARD under the trade name Tan opale G005 (Gemtone); black nacres with a glint, especially those sold by ENGELHARD under the trade name Nu antique bronze 240 AB (Timica); blue nacres, especially those sold by MERCK under the trade name Matte blue (17433) (Microna); white nacres with silvery glints, especially those sold by MERCK under the trade name Xirona Silver; and orangepink green-gold highlight nacres sold by MERCK under the trade names Indian summer (Xirona) and mixtures thereof.
- Typically, the composition containing the magnetic bodies includes a physiologically acceptable medium. The term “physiologically acceptable medium” means a non-toxic medium that can be applied to the skin, to the nails, to hair, or to the lips of human beings. The physiologically acceptable medium is generally adapted to the nature of the surface onto which the composition is to be applied, and to the form in which the composition is packaged.
- The composition may include ingredients other than those described above, in particular at least one solvent, one oily phase, one film-forming polymer, and/or one dermatologically or cosmetically active ingredient, in particular as a function of its dosage or “galenical” form.
- The composition containing the magnetic bodies may include at least one aqueous or organic solvent, in particular a volatile organic solvent.
- The first composition may advantageously include a volatile solvent, in particular a volatile organic solvent.
- The term “volatile solvent” as used in the context of the present invention means a solvent that is liquid at ambient temperature, having a non-zero vapor pressure at ambient temperature and atmospheric pressure, in particular a vapor pressure in the range 0.13 pascals (Pa) to 40000 Pa (10−3 millimeters of mercury (mm Hg) to 300 mm Hg), and preferably in the range 1.3 Pa to 13000 Pa (0.01 mm Hg to 100 mm Hg), and preferably in the range 1.3 Pa to 1300 Pa (0.01 mm Hg to 10 mm Hg).
- When the composition contains one or more organic solvents, the solvents may be present in an amount in the range 0.1% to 99%, relative to the total weight of the composition under consideration.
- In general, the quantity of solvent(s), in particular organic solvent(s), depends on the nature of the surface to which the composition is intended to be applied.
- The first composition may include at least one volatile solvent constituted by a volatile oil.
- The oil may be a silicone oil or a hydrocarbon oil, or may include a mixture of such oils.
- The term “silicone oil” as used in the context of the present invention means an oil including at least one silicon atom, and in particular at least one Si—O group.
- The term “hydrocarbon oil” means an oil containing mainly hydrogen and carbon atoms and possibly oxygen, nitrogen, sulfur, and/or phosphorus atoms.
- The volatile hydrocarbon oils may be selected from hydrocarbon oils having 8 to 16 carbon atoms, and in particular C8-C16 branched alkanes (also termed isoparaffins) such as isododecane (also termed 2,2,4,4,6-pentamethylheptane), isodecane, isohexadecane, and oils sold under the trade names Isopars® or Permethyls®, for example.
- Volatile oils that may also be used are volatile silicones, such as volatile linear or cyclic silicone oils, for example, in particular oils having a viscosity ≦8 centistokes (cSt) (8×10−6 square meters per second (m2/s)), and having in particular 2 to 10 silicon atoms, and in particular 2 to 7 silicon atoms, the silicones possibly including alkyl or alkoxy groups having 1 to 10 carbon atoms. In the invention, suitable volatile silicone oils that may be mentioned are in particular dimethicones having a viscosity of 5 cSt to 6 cSt, octamethylcyclotetrasiloxane, decamethylcyclopentasiloxane, dodecamethylcyclohexasiloxane, heptamethylhexyltrisiloxane, heptamethyloctyltrisiloxane, hexamethyldisiloxane, octamethyltrisiloxane, decamethyltetrasiloxane, dodecamethylpentasiloxane, and mixtures thereof.
- Mention may also be made of volatile alkyltrisiloxane linear oils of general formula (I):
- in which R represents an alkyl group comprising 2 to 4 carbon atoms and having one or more hydrogen atoms that can be substituted by a fluoride or chloride atom.
- Amongst the oils of general formula (I), mention can be made of:
- 3-
1,1,1,3,5,5,5-heptamethyltrisiloxane;butyl - 3-
1,1,1,3,5,5,5-heptamethyltrisiloxane; andpropyl - 3-
1,1,1,3,5,5,5-heptamethyltrisiloxane;ethyl
corresponding to oils of formula (I) for which R is respectively a butyl group, a propyl group, or an ethyl group. - It is also possible to use fluorinated volatile oils such as nonafluoromethoxybutane or perfluoromethylcyclopentane, and mixtures thereof.
- A composition of the invention may contain 0.01% to 95% by weight of volatile oil relative to the total weight of the composition, for example, and preferably 1% to 75% by weight.
- The composition may comprise at least one organic solvent selected from the following list:
-
- ketones that are liquid at ambient temperature, such as methylethylketone, methylisobutylketone, diisobutylketone, isophorone, cyclohexanone, or acetone;
- alcohols that are liquid at ambient temperature, such as ethanol, isopropanol, diacetone alcohol, 2-butoxyethanol, or cyclohexanol;
- glycols that are liquid at ambient temperature, such as ethylene glycol, propylene glycol, pentylene glycol, or glycerol;
- propylene glycol ethers that are liquid at ambient temperature, such as propylene glycol monomethyl ether, the acetate of propylene glycol monomethyl ether, or dipropylene glycol mono n-butyl ether;
- short-chain esters (containing a total of 3 to 8 carbon atoms), such as ethyl acetate, methyl acetate, propyl acetate, n-butyl acetate, or isopentyl acetate; and
- alkanes that are liquid at ambient temperature, such as decane, heptane, dodecane, or cyclohexane.
- The composition may also comprise water or a mixture of water and hydrophilic organic solvents which are routinely used in cosmetics, such as alcohols, in particular linear or branched lower monoalcohols containing 2 to 5 carbon atoms, such as ethanol, isopropanol or n-propanol, polyols such as glycerine, diglycerine, propylene glycol, sorbitol, penthylene glycol, or polyethylene glycols. The first composition may also contain hydrophilic C2 ethers and C2-C4 aldehydes. The water or mixture of water and hydrophilic organic solvents may be present in the first and/or second composition in an amount in the range 0% to 90%, in particular 0.1% to 90% by weight, and preferably 0% to 60% by weight, more particularly 0.1% to 60% by weight relative to the total weight of the composition.
- When it is to be applied to the lips, the composition may, for example, include an oily phase and in particular at least one fat that is liquid at ambient temperature (25° C.) and/or a fat that is solid at ambient temperature, such as waxes, pasty fats, gums, and mixtures thereof. The oily phase may also contain lipophilic organic solvents.
- By way of example, the composition may have a continuous oily phase which may contain less than 5% water, in particular less than 1% water relative to its total weight, and in particular it may be in the anhydrous form.
- Fats that are liquid at ambient temperature, usually termed “oils”, that may be mentioned are: hydrocarbon-containing vegetable oils such as liquid fatty acid triglycerides containing 4 to 10 carbon atoms, for example heptanoic or octanoic acid triglycerides, or sunflower, corn, soybean, grapeseed, sesame seed, apricot kernel, macadamia nut, castor, or avocado stone oil, caprylic/capric acid triglycerides, jojoba oil, shea nut butter oil, lanolin, acetylated lanolin; linear or branched hydrocarbons of mineral or synthetic origin, such as paraffin oils and their derivatives, Vaseline, polydecenes, hydrogenated polyisobutene such as Parleam; synthesized esters and ethers, in particular fatty acids such as Purcellin oil, isopropyl myristate, 2-ethylhexyl palmitate, 2-octyldodecyl stearate, 2-octyldodecyl erucate, isostearyl isostearate; hydroxylated esters such as isostearyl lactate, octylhydroxystearate, octyldodecyl hydroxystearate, diisostearylmalate, triisocetyl citrate, fatty alcohol heptanoates, octanoates, or decanoates; isononyl isonanoate, isopropyl lanolate, tridecyl trimellilate, diisostearyl malate; polyol esters such as propylene glycol dioctanoate, neopentylglycol diheptanoate, diethyleneglycol diisononanoate; and pentaerythritol esters; fatty alcohols containing 12 to 26 carbon atoms, such as octyldodecanol, 2-butyloctanol, 2-hexyldecanol, 2-undecylpentadecanol, or oleic alcohol; hydrocarbon-containing and/or silicone-containing fluorinated oils; silicone oils such as volatile or non-volatile, linear or cyclic polymethylsiloxanes (PDMS) which may be liquid or pasty at ambient temperature, such as cyclomethicones or dimethicones, optionally comprising a phenyl group, such as phenyl trimethicones, phenyltrimethylsiloxydiphenyl siloxanes, diphenylmethyldimethyltrisiloxanes, diphenyl dimethicones, phenyl dimethicones, polymethylphenylsiloxanes; and mixtures thereof. The oils may be present in an amount in the range 0.01% to 90%, and preferably 0.1% to 85% by weight relative to the total weight of the composition.
- The presence of an oily phase may impart a gloss effect, and may present a refractive index in the range 1.47 to 1.51, for example, and preferably in the range 1.48 to 1.50. The refractive index is measured at ambient temperature (25° C.) by means of a refractometer.
- The composition may include at least one structuring agent for the liquid oily phase (formed by the above-described volatile or non-volatile organic solvents and/or oils) selected from waxes, semi-crystalline polymers, lipophilic gelling agents, and mixtures thereof.
- Pasty fats are generally hydrocarbon-containing compounds with a melting point in the
range 25° C. to 60.C, preferably in therange 30° C. to 45° C., and/or with hardness in the range 0.001 megapascals (MPa) to 0.5 MPa, preferably in the range 0.005 MPa to 0.4 MPa, such as lanolins and derivatives thereof. - Waxes may be solid at ambient temperature (25° C.) with a reversible solid/liquid change of state, with a melting point of more than 30° C. and up to 200° C., a hardness of more than 0.5 MPa, and with an anisotropic crystalline organization in the solid state. In particular, the waxes may have a melting point of more than 25° C., and preferably more than 45° C. The waxes may be hydrocarbon-containing, fluorinated and/or silicone-containing and may be of animal, mineral, vegetable and/or synthetic origin. Suitable waxes that may be mentioned are beeswax, carnauba wax or candellila wax, paraffin, microcrystalline waxes, ceresin, or ozokerite; synthetic waxes such as polyethylene or Fischer-Tropsch waxes or silicone waxes such as alkyl or alkoxydimethicone containing 16 to 45 carbon atoms. The composition may contain 0 to 50% by weight of waxes relative to the total weight of the composition, or even 1% to 30% by weight.
- Suitable gums are generally high molecular weight polydimethylsiloxanes (PDMS) or cellulose gums or polysaccharides.
- By way of example, the composition may also include a film-forming polymer, in particular for a mascara, a nail varnish, or a foundation. The term “film-forming polymer” means a polymer that can form, by itself or in the presence of an additional film-forming agent, a continuous film that adheres to a surface, in particular to keratinous substances.
- Suitable film-forming polymers for use in the composition in accordance with the invention that may be mentioned include synthetic polymers, of the radical or polycondensate type, natural polymers such as nitrocellulose or cellulose esters, and mixtures thereof.
- Radical type film-forming polymers may in particular be vinyl polymers or copolymers, in particular acrylic polymers.
- Vinyl film-forming polymers may result from polymerizing monomers with an ethylenically unsaturated bond containing at least one acid group and/or esters of said acid monomers and/or amides of said acid monomers, such as α,β-ethylenically unsaturated carboxylic acids, for example acrylic acid, methacrylic acid, crotonic acid, maleic acid, or itaconic acid.
- Vinyl film-forming polymers may also result from homopolymerizing or copolymerizing monomers selected from vinyl esters such as vinyl acetate, vinyl neodecanoate, vinyl pivalate, vinyl benzoate, and vinyl t-butyl benzoate, and styrene monomers such as styrene and alphamethyl styrene.
- Examples of film-forming polycondensates that may be mentioned include polyurethanes, polyesters, polyester amides, polyamides, and polyureas, this list not being limiting.
- Polymers of natural origin, which may optionally be modified, may be selected from shellac resin, gum sandarac, dammar resin, gum elemi, copal resin, cellulose polymers such as nitrocellulose, ethylcellulose, or nitrocellulose esters selected, for example, from cellulose acetate, cellulose acetobutyrate, and cellulose acetopropionate, and mixtures thereof.
- The film-forming polymer may be present in the form of solid particles in an aqueous or oily dispersion, generally known as latexes or psuedolatexes. The film-forming polymer may comprise one or more stable dispersions of generally spherical polymer particles of one or more polymers in a physiologically acceptable liquid oily phase. Said dispersions are generally termed polymer NADs (non-aqueous dispersions), in contrast to latexes which are aqueous polymer dispersions. Said dispersions may be in the form of nanoparticles of polymers in stable dispersion in said oily phase. The nanoparticle size is preferably in the
range 5 nm to 600 nm. Techniques for preparing said dispersions are well known to the person skilled in the art. - Aqueous film-forming polymer dispersions which may be used are acrylic dispersions sold under the trade names NEOCRYL XK-90®, NEOCRYL A-1070®, NEOCRYL A-1090®, NEOCRYL BT-620, NEOCRYL A-1079®, NEOCRYL A-523® by AVECIA-NEORESINS, and DOW LATEX 432® by DOW CHEMICAL; DAITOSOL 5000 AD® by DAITO KASEI KOGYO; or aqueous polyurethane dispersions sold under the trade names NEOREZ R-9810 and NEOREZ R-9740 by AVECIA-NEORESINS; AVALURE UR-405®, AVALURE UR-410®, AVALURE UR-425®, AVALURE UR-450®, SANCURE 875®, SANCURE 861®, SANCURE 878®, and SANCURE 2060® by GOODRICH; IMPRANIL 85® by BAYER; AQUAMERE H-1511® by HYDROMER; and sulfopolyesters sold under the trade mark Eastman AQ by Eastman Chemical Products.
- In an embodiment of the invention, the composition includes at least one film-forming polymer that is a film-forming linear sequenced ethylene polymer. The polymer preferably comprises at least a first sequence and at least a second sequence having different glass transition temperatures (Tg), said first and second sequences being connected together by an intermediate sequence comprising at least one monomer that constitutes the first sequence and at least one monomer that constitutes the second sequence.
- The first and second sequences of the sequenced polymer are advantageously incompatible with each other.
- By way of example, such polymers are described in
documents EP 1 411 069 or WO04/028488 which are incorporated herein by reference. - The composition containing the magnetic bodies may contain at least one optionally-magnetic filler.
- The term “filler” means particles of any form which are insoluble in the composition medium regardless of the temperature at which the composition is manufactured. A filler primarily acts to modify the rheology or texture of the composition. The nature and quantity of the particles could depend on the desired mechanical properties and textures.
- Examples of fillers that may be mentioned include amongst others talc, mica, silica, kaolin, and sericite, and powders of polyamide, polyolefin, e.g. polyethylene, polytetrafluoroethylene, polymethylmethacrylate, or polyurethane, powdered starch, and silicone resin beads.
- Amongst other things, the fillers may be intended to create a fuzzy effect, in particular for a foundation, so as to conceal skin imperfections.
- The composition containing the magnetic bodies may also include a film-forming auxiliary agent that encourages the formation of a film with the film-forming polymer.
- The composition may include at least one cosmetically or dermatologically active ingredient.
- Suitable cosmetically, dermatologically, hygienically, or pharmaceutically active ingredients for use in the compositions of the invention that may be mentioned are moisturizing agents (polyols such as glycerine), vitamins (C, A, E, F, B, or PP), essential fatty acids, essential oils, ceramides, sphingolipids, liposoluble or nanoparticle sun screens, and specific skin treatment active ingredients (protective agents, antibacterials, anti-wrinkle agents, etc), self-tanning agents. Said active ingredients may be used in concentrations in the range 0 to 20%, for example, in particular in the range 0.001% to 15% relative to the total weight of the composition.
- The composition may also contain ingredients that are routinely used in cosmetics, such as thickeners, surfactants, oligo-elements, moisturizing agents, softeners, sequestrating agents, fragrances, alkalinizing or acidifying agents, preservatives, antioxidants, UV filters, colorants, or mixtures thereof.
- Depending on the envisaged application, the composition of the invention may include constituents which are conventionally used in the fields under consideration, and which are present in quantities appropriate to the desired dosage form.
- The composition may be in a variety of forms, depending on its purpose. The composition may thus be in any dosage form that is normally used for topical application, in particular in the anhydrous form, in the form of an oily or aqueous solution, an oily or aqueous gel, an oil-in-water or a water-in-oil emulsion, a waxin-water or a water-in-wax emulsion, a multiple emulsion or a dispersion of oil in water due to vesicles located on the oil/water interface.
- The composition may be in the form of a powder, or even a gel.
- The magnetic device may comprise a permanent magnet or an electromagnet powered by at least one optionallyrechargeable battery, for example. For a battery, the magnetic device may include a switch enabling the electromagnet to be powered selectively with electricity.
- The magnetic device may be arranged so as to create a magnetic field of orientation that varies over time. When the magnetic device comprises a magnet, the device may, for example, include a motor enabling the magnet to be rotated. In a variant, the magnetic device may comprise a plurality of solenoids disposed so as to generate a rotating magnetic field when powered sequentially with electricity.
- By way of example, a rotating magnetic field may make it possible to obtain a pattern presenting circular symmetry, e.g. a pattern giving the impression of a sphere in relief.
- The electromagnet(s) may be powered continuously or intermittently, as desired by the user. In particular, the magnetic device may be arranged so that the electromagnets(s) need not be powered while the magnetic device is not correctly positioned close to the surface coated with the first composition.
- The magnetic field is at least 50 milli teslas (mT), for example, even at least 66 mT, better at least 0.2 T, or even at least 1 T (10000 Gauss).
- In order to make it easier to apply the magnetic field, the magnetic device may include a member enabling it to be positioned relative to the surface on which the composition has been deposited. This makes it possible to prevent the magnetic device from accidentally coming into contact with the composition and/or makes it possible to center the pattern formed on the region under consideration.
- In an implementation of the invention, the magnetic device is secured to an applicator that is used to apply the cosmetic composition. This makes it possible to reduce the number of objects that need to be manipulated by the user and makes it easier to apply makeup.
- In another implementation of the invention, the magnetic device comprises a magnet mounted at a first end of a rod having a second end that is connected to a handle of an applicator that is used to apply the cosmetic composition.
- The magnetic field may also be exerted by means of a magnetic structure, in particular a flexible structure, including alternate N and S poles. By way of example, such a structure may make it possible to form repeated patterns, e.g. stripes, on the first composition.
- In another of its aspects, the invention also provides, a kit for implementing the method as defined above, said kit comprising:
-
- a magnetic device enabling a magnetic field to be generated; and
- a cosmetic composition including:
- at least one body that presents non-zero magnetic susceptibility and that is movable under the effect of a magnetic field; and
- at least one coloring agent having optical properties that are sensitive to an external stimulus; the magnetic device being capable of creating a magnetic field that is capable, when the keratinous substance covered in a deposit of said composition is inserted in said magnetic field, of modifying the orientation and/or the position of the magnetic bodies inside the deposit.
- In particular, the magnetic device may be arranged so as to generate a magnetic field that is sufficiently strong to be able to modify the orientation and/or the position of the magnetic bodies within the composition after it has been applied to a surface such as the skin, the lips, the nails, or hair, in order to change their appearance.
- By way of example, when the first composition contains a volatile solvent, the magnetic field is exerted shortly after it has been deposited, so as to change the appearance of said composition before it has dried.
- By way of example, the composition may be a nail varnish, a foundation, or a lipstick, and may present the characteristics as defined above.
- The magnetic device may be as defined above.
- The kit may comprise a compact housing the first cosmetic composition and the magnetic device. In this event, the compact may, for example, include a plurality of magnets of various shapes in order to produce different patterns.
- The kit may also include an additional cosmetic composition for applying to the above-mentioned composition, or to the surface before the above-mentioned composition is applied.
- The invention also provides a method of promoting the sale of a composition presenting magnetic properties, the method comprising the step consisting in demonstrating the possibility of creating a pattern or a portion in relief by applying a magnetic field and/or the possibility of changing appearance by exposure to an external stimulus such as a variation in temperature, or exposure to UV radiation, for example.
- The invention can be better understood on reading the following detailed description of non-limiting implementations thereof, and on examining the accompanying drawings, in which:
-
FIG. 1 is a diagram showing an example of a kit of the invention; -
FIG. 2 is a diagrammatic and fragmentary axial section view showing the magnetic device ofFIG. 1 ; -
FIGS. 3 and 4 are diagrams showing the kit being used; -
FIG. 5 shows an example of a pattern that can be obtained by means of the invention; -
FIG. 6 is a diagram showing a receptacle containing an additional composition that is suitable for being applied to the surface; -
FIG. 7 is a diagram showing, in isolation, another example of a magnetic device that can be used; -
FIG. 8 is a diagram showing theFIG. 7 magnetic device provided with a positioning member for positioning the magnet facing the made-up surface; -
FIGS. 9 and 10 are diagrams of other examples of kits of the invention; -
FIG. 11 shows theFIG. 10 kit being used; -
FIG. 12 is a diagram showing, in elevation and in isolation, an example of an applicator secured to a magnetic device; -
FIG. 13 is an axial and diagrammatic section of another example of a kit of the invention; -
FIG. 14 is a diagram showing another example of a kit of the invention; -
FIG. 15 shows another example of a packaging device for the composition; -
FIG. 16 shows a perforated mask that is suitable for being used during implementation of the method of the invention; and -
FIG. 17 shows a magnetic sheet that is suitable for being used during implementation of the method of the invention; and - In the figures, magnetic bodies are shown in the form of dots in order to make the drawings easy to understand, but in reality the individual bodies need not be visible to the naked eye.
-
FIG. 1 shows akit 1 comprising a cosmetic composition C1 containing magnetic particles P having orientation and/or position that affects the appearance of the composition after it has been deposited on a surface such as the skin, the lips, the nails, hair, or even false nails. - In the embodiment shown, the composition C1 is a nail varnish contained in a
receptacle 2 that is closed by acap 3. The cap supports anon-magnetic cosmetics applicator 4 including anapplicator member 5 constituted by a brush enabling the varnish to be applied to the nails. - The
kit 1 further comprises amagnetic device 10 that makes it possible to generate a magnetic field that is useful for changing the appearance of the composition C1 without making contact therewith. - In the embodiment under consideration, the
magnetic device 10 comprises apermanent magnet 12 supported by asupport member 13 of longitudinal axis X, the polar axis of themagnet 12 being substantially perpendicular to the axis X. - In the embodiment under consideration, the
magnetic device 10 is arranged to generate a rotating magnetic field, and includes a motor (not shown), housed in acasing 15, so as to rotate thesupport member 13 about it axis X. - A
switch 16 is present on thecasing 15 so as to enable the user to switch on the motor, thereby rotating thesupport member 13 together with themagnet 12. - In a variant not shown, the rotating magnetic field is generated by a plurality of solenoids that are powered sequentially so as to generate a rotating field.
- In order to use the
kit 1, the user can begin, as shown inFIG. 3 , by applying the composition C1 by means of anapplicator 4 to the surface S to be made up, specifically a fingernail. - In the subsequent step shown in
FIG. 4 , the user brings themagnetic device 10 over a central region R of the surface S and actuates theswitch 16 so as to make themagnet 12 turn. - The magnetic particles contained in the composition C1 tend to come into alignment with the field lines of the
magnet 12 and change orientation, thereby leading to a change in the appearance of the composition C1. - The user can choose the length of time the magnetic field is to be applied as a function of the desired result.
- By way of example, the pattern obtained can give the impression of a sphere in relief, as shown in
FIG. 5 . - If necessary, the user can apply a second composition C2, e.g. a transparent varnish, contained in a receptacle shown in
FIG. 6 , once the composition C1 has dried. - Applying the second composition C2 makes it possible to create an effect of additional depth, for example.
- In the nail varnish embodiment in
FIGS. 1 to 5 , the composition C1 may have the following formulation, with quantities being expressed in percentages by weight in all of the examples below. -
-
Nitrocellulose 11 N-ethyl o,p- toluenesulfonamide 5 Alkyde resin 10 Isopropanol 4 Magnetic pigment* 0.5 Photochromic coloring agent** 3 Butyl acetate/ ethyl acetate 50/50Qsp 100 *STAPA WM IRON VP 041040 by ECKART **Reversacol from James ROBINSON - Once the composition has dried, the pattern generated by magnetic induction is frozen. Its color depends on the photochromic coloring agent. Depending on the magnetic excitation, the pigment presents a dull or lively color, thus optionally enhancing the decorative effect obtained by the magnetic pigment.
- The appearance of such a nail varnish can be changed by applying a magnetic field before the varnish has had time to dry.
- By way of example, when a second composition C2 is applied to the first, said second composition has the following formulation.
-
-
Nitrocellulose 11 N-ethyl o,p- toluenesulfonamide 5 Alkyde resin 10 Isopropanol 4 Butyl acetate/ ethyl acetate 50/50Qsp 100 - Such a composition makes it possible to create an effect of additional depth.
- In a variant, the second composition may be intended to create a colored base, and it is applied before the first. By way of example, the second composition then has the following formulation.
-
-
Nitrocellulose 11 N-ethyl o,p- toluenesulfonamide 5 Alkyde resin 10 Isopropanol 4 DC RED7 CI 15850 pigment 2 Butyl acetate/ ethyl acetate 50/50Qsp 100 -
-
Nitrocellulose 11 N-ethyl o,p- toluenesulfonamide 5 Alkyde resin 10 Isopropanol 4 Magnetic pigment* 0.5 Thermochromic coloring agent** 3 Butyl acetate/ ethyl acetate 50/50Qsp 100 *Colorona Blackstar Red from Merck **Thermostar ® from CHROMAZONE - Once the composition has dried, the pattern generated by magnetic induction is frozen. Its color depends on the thermochromic coloring agent. Depending on the magnetic excitation, the thermochromic pigment presents a dull or lively color as a function of the temperature, thus optionally enhancing the decorative effect obtained by the magnetic pigment.
- Naturally, whatever the nature of said composition, the magnetic field applied thereto need not rotate. By way of example,
FIG. 7 shows a magnetic device which, at its end, includes apermanent magnet 12 in the form of a bar. - When the magnetic field does not rotate, the user can, for example, move the magnet into the vicinity of the composition C1 as a function of the desired result.
- Whatever its nature, the magnetic device may include a member enabling it to be positioned relative to the surface S.
- By way of example, the positioning member serves to prevent the magnetic device from touching the composition while the magnetic field is being exerted.
- The positioning member can also serve to center the pattern that is produced relative to the surface S, e.g. the nail.
- Depending on the nature of the surface, the positioning member could take various forms, e.g. that of an
extension 17 offering an abutment surface for engaging the end of the finger, as shown inFIG. 8 . -
FIG. 9 shows another embodiment of akit 1 of the invention, including a first composition C1 constituted in this embodiment by a liquid lipstick or a lipgloss. - In this embodiment, the
applicator 4 comprises a flockedendpiece 20 supported by thecap 3 of thereceptacle 2. - By way of example, the
magnetic device 10 is in the form of a flexible structure, e.g. made of plastics material filled with magnetized particles, creating alternate N and S poles, thereby making it possible to form repeated patterns, e.g. stripes, on the surface coated with the first composition. - By way of example, for lipstick, the composition C1 presents the following formulation.
-
-
Octyl-2 dodecanol 10 Ditertiobutyl 4-hydroxytoluene 0.07 Polybutene (monoolefins/isoparaffins 95/5) 50 (PM: 2060) A mixture of isopropyl, isobutyl, and n-butyl 0.4 p-hydroxybenzoates (40/30/30) Pentaerythrityl tetraisostearate 11.33 Tridecyle trimellitate 13 2-decyl tetradecanoic acid triglyceride 14.8 (GUERBET C24) Magnetic pigment* 0.2 Solvatochromic coloring agent 0.2 *Colorona blackstar gold from Merck **DCRED27 - Once the composition has been applied, the pattern is generated by magnetic induction. Its color depends on the solvatochromic coloring agent. Depending on the magnetic excitation, the compound presents a color that is pink or not as a function of the hydration, thus optionally enhancing the decorative effect obtained by the magnetic pigment.
- Another
kit 1 of the invention is shown inFIG. 10 . In this embodiment, thekit 1 includes a compact 30 constituted by abase body 31 and alid 32 hinged thereon. - The
base body 31 includes acompartment 33 housing the composition C1, which, in the embodiment shown, is constituted by a foundation in the form of a paste. - The
base body 31 includes ahousing 34 arranged to receive at least onemagnet 12. - By way of example, the
magnet 12 may present anadhesive face 25 or any other mounting means enabling the user to fix it to the end of a finger so as to bring it into the vicinity of the made-up zone, e.g. a region of the face as shown inFIG. 11 . - After applying the composition C1 to the skin, the user can modify the clarity of said composition by exposing it to the magnetic field generated by the
magnet 12. - By way of example, for a composition for making up the skin, said composition can have the following formulation.
-
-
Magnesium sulfate 1.5 Sodium carboxymethylcellulose 0.5 Distearyldimethylammonium modified hectorite 1 Cyclopenta dimethylsiloxane 15 Glycerol 5 A mixture of oxyethylenated 9 polymethylketyldimethyl methylsiloxane, polyglycerol isostearate (4 moles), hexyl laurate Water 30.6 A mixture of ethylene glycol acetyl stearate, 0.3 glyceryl tristearate Brown iron oxide coated with aluminum stearoyl 1.58 glutamate (97/3) Anatase titanium oxide coated with stearoyl 17.17 glutamate (97/3) Yellow iron oxide coated with aluminum 4.56 stearoyl glutamate (93/3) Black iron oxide coated with aluminum stearoyl 0.69 glutamate (97/3) Polydimethylsiloxane (viscosity: 5 cSt) 6 Magnetic pigment* 0.5 Xchromic coloring agent** 3 1,2- pentanediol 3 *Nacres with at least 14% of Fe3O4, sold by Merck under the reference TIMICA NU ANTIQUE BRONZE 240 AB. **Photogenica ® from CATALYST & CHEMICALS - Whatever the type of applicator, the
magnet 12 may, where appropriate, be incorporated in the applicator. - In the embodiment in
FIG. 12 , theclosure cap 3 is surmounted by themagnet 12 on the side remote from theapplicator member 5. - In the embodiment in
FIG. 13 , themagnet 12 is supported by asupport member 13 surmounted by acap 51, and can, when not in use, be housed in acompartment 50 of thecap 3 for closing thereceptacle 2 containing the first composition C1. Thecap 51 serves as a handle for themagnet 12, and also serves to close thecompartment 50. - It is not beyond the ambit of the present invention for the magnetic field to be generated by an electromagnet instead of by a permanent magnet.
-
FIG. 14 shows akit 1 comprising areceptacle 2 constituted by a pot containing the first composition C1, and amagnetic device 10 comprising anelectromagnet 40 at one end of acasing 44 housing the power supply. - A
switch 45 enables theelectromagnet 40 to be switched on selectively by the user. - Various devices other than those described above for packaging and/or dispensing or applying the composition C1 can be used.
- By way of example, the composition C1 can be deposited on the surface S without using an applicator, but in the form of a spray, e.g. by using a
pump 60 as shown inFIG. 15 . The spray can also be generated by means of an airbrush or by a pressurized receptacle, for example. - A
perforated mask 70, as shown inFIG. 16 in which itsperforation pattern 71 is in the shape of a star, can be interposed between the spray and the surface to be made up. - An optionally-perforated
sheet 75 that is permeable to the magnetic field can be interposed between themagnet 12 or theelectromagnet 40 and the surface S, so as to change the shape of the field lines and create novel effects. - Naturally, the invention is not limited to the examples given above.
- For example, the kit may include a plurality of magnets having various shapes, so as to create various patterns.
- The expression “comprising a” should be understood as being synonymous with “comprising at least one”, and the expression “in the range” should be understood as including the limits of the range.
Claims (44)
1. A method of applying makeup to keratinous substances, comprising:
depositing at least one cosmetic composition on the surface, the cosmetic composition comprising:
bodies that present magnetic susceptibility that is non-zero; and
at least one coloring agent having optical properties that are sensitive to an external stimulus; and
exposing at least part of the composition to a magnetic field to modify the orientation and/or to displace at least some of the magnetic bodies.
2. A method according to claim 1 , in which the coloring agent that is sensitive to an external stimulus changes chemical form in response to the external stimulus.
3. A method according to claim 1 , in which the coloring agent passes into an excited state without changing its chemical form in response to an external stimulus.
4. A method according to claim 1 , in which the coloring agent comprises at least one thermochromic agent.
5. A method according to claim 1 , in which the coloring agent comprises at least one photochromic agent.
6. A method according to claim 1 , in which the coloring agent comprises at least one tribochromic or piezochromic agent.
7. A method according to claim 1 , in which the coloring agent comprises at least one solvatochromic agent.
8. A method according to claim 1 , in which the coloring agent is luminescent.
9. A method according to claim 8 , in which the coloring agent is mechanoluminescent.
10. A method according to claim 8 , in which the coloring agent is phosphorescent.
11. A method according to claim 8 , in which the coloring agent is fluorescent.
12. A method according to claim 1 , in which the coloring agent having optical properties that are sensitive to an external stimulus comprises at least some of the magnetic bodies.
13. A method according to claim 1 , in which the coloring agent having optical properties that are sensitive to an external stimulus is non-magnetic.
14. A method according to claim 1 , in which the magnetic field is applied to form at least one pattern on the composition.
15. A method according to claim 1 , in which the magnetic field is exerted by a permanent magnet.
16. A method according to claim 1 , in which the magnetic field is exerted by an electromagnet.
17. A method according to claim 14 , in which the magnet or electromagnet is driven in rotation.
18. A method according to claim 15 , in which the electromagnet is powered by at least one optionally rechargeable battery.
19. A method according to claim 15 , in which the electromagnet is powered intermittently during formation of a pattern.
20. A method according to claim 1 , in which the magnetic field is applied until the composition attains a frozen appearance.
21. A method according to claim 1 , in which the magnetic field is applied for a period which is shorter than that causing all of the magnetic bodies of the exposed region to be definitively displaced and/or oriented.
22. A method according to claim 1 , in which the magnetic field is exerted in succession over different regions of the surface coated with the composition.
23. A method according to claim 1 , wherein the magnetic field is exerted in succession over disconnected regions of the surface.
24. A method according to claim 1 , in which at least one region of the surface coated with the composition is not exposed to the magnetic field.
25. A method according to claim 1 , in which the composition is applied using a cosmetic applicator.
26. A method according to claim 25 , in which the applicator comprises a brush, a cotton bud, or a foam.
27. A method according to claim 24 , in which the applicator is non-magnetic.
28. A method according to claim 1 , wherein the magnetic bodies comprise a pigment.
29. A method according to claim 1 , wherein the magnetic bodies comprise fibers or chains of particles.
30. A method according to claim 1 , in which the composition includes at least one volatile solvent.
31. A method according to claim 1 , in which the composition includes at least one film-forming polymer.
32. A kit for making-up keratinous substances, the kit comprising:
a magnetic device enabling a magnetic field to be generated; and
a cosmetic composition including:
magnetic bodies that present non-zero magnetic susceptibility and that are movable under the effect of a magnetic field; and
at least one coloring agent having optical properties that are sensitive to an external stimulus;
the magnetic device being capable of creating a magnetic field that is capable, when the keratinous substance covered in a deposit of said composition is inserted in said magnetic field, of modifying the orientation and/or the position of the magnetic bodies inside the deposit.
33. A kit according to claim 32 , in which the composition is a nail polish.
34. A kit according to claim 32 , in which the composition is a foundation.
35. A kit according to claim 32 , in which the composition is a product to be applied to the lips.
36. A kit according to claim 32 , in which the composition is a product to be applied to the keratinous fibers.
37. A kit according to claim 32 , in which the magnetic device comprises a magnet or an electromagnet.
38. A kit according to claim 32 , in which the coloring agent having optical properties that are sensitive to an external stimulus comprises a photochromic agent.
39. A kit according to claim 32 , in which the coloring agent having optical properties that are sensitive to an external stimulus comprises a thermochromic agent.
40. A kit according to any claim 32 , in which the coloring agent having optical properties that are sensitive to an external stimulus comprises a piezochromic or tribochromic agent.
41. A kit according to claim 32 , in which the coloring agent having optical properties that are sensitive to an external stimulus comprises at least one solvatochromic agent.
42. A kit according to claim 32 , in which the coloring agent having optical properties that are sensitive to an external stimulus comprises at least one luminescent agent.
43. A kit according to claim 32 , comprising magnetic bodies comprising metallic iron, especially soft iron.
44. Cosmetic composition comprising:
magnetic bodies that present non-zero magnetic susceptibility and that are movable under the effect of a magnetic field; and
at least one coloring agent having optical properties that are sensitive to an external stimulus;
the magnetic bodies comprising metallic iron.
Priority Applications (1)
| Application Number | Priority Date | Filing Date | Title |
|---|---|---|---|
| US11/664,003 US20080124288A1 (en) | 2004-10-05 | 2005-07-08 | Method of Applying Makeup by Means of a Magnetic Composition Incorporating at Least one Coloring Agent Having Optical Properties that are Sensitive to an External Stimulus |
Applications Claiming Priority (5)
| Application Number | Priority Date | Filing Date | Title |
|---|---|---|---|
| FR0410501A FR2876011B1 (en) | 2004-10-05 | 2004-10-05 | METHOD FOR MAKE-UP A SUPPORT AND KIT FOR IMPLEMENTING SAID METHOD |
| FR0410501 | 2004-10-05 | ||
| US61992804P | 2004-10-20 | 2004-10-20 | |
| US11/664,003 US20080124288A1 (en) | 2004-10-05 | 2005-07-08 | Method of Applying Makeup by Means of a Magnetic Composition Incorporating at Least one Coloring Agent Having Optical Properties that are Sensitive to an External Stimulus |
| PCT/FR2005/050560 WO2006037903A1 (en) | 2004-10-05 | 2005-07-08 | Make-up method using a magnetic composition containing at least one tinting agent having optical properties which are sensitive to an external stimulus |
Related Parent Applications (1)
| Application Number | Title | Priority Date | Filing Date |
|---|---|---|---|
| PCT/FR2005/050560 A-371-Of-International WO2006037903A1 (en) | 2004-10-05 | 2005-07-08 | Make-up method using a magnetic composition containing at least one tinting agent having optical properties which are sensitive to an external stimulus |
Related Child Applications (2)
| Application Number | Title | Priority Date | Filing Date |
|---|---|---|---|
| PCT/FR2005/050564 Continuation-In-Part WO2006037906A1 (en) | 2004-10-05 | 2005-07-08 | Make-up method using a magnetic composition comprising at least one dyeing agent producing a colour by absorption of at least part of the visible spectrum |
| US11/663,776 Continuation-In-Part US20080044443A1 (en) | 2004-10-05 | 2005-07-08 | Method of Applying Makeup by Means of a Magnetic Composition Including at Least One Coloring Agent Producing a Color by Absorbing at Least a Fraction of the Visible Spectrum |
Publications (1)
| Publication Number | Publication Date |
|---|---|
| US20080124288A1 true US20080124288A1 (en) | 2008-05-29 |
Family
ID=34949907
Family Applications (7)
| Application Number | Title | Priority Date | Filing Date |
|---|---|---|---|
| US11/663,776 Abandoned US20080044443A1 (en) | 2004-10-05 | 2005-07-08 | Method of Applying Makeup by Means of a Magnetic Composition Including at Least One Coloring Agent Producing a Color by Absorbing at Least a Fraction of the Visible Spectrum |
| US11/663,977 Abandoned US20090130037A1 (en) | 2004-10-05 | 2005-07-08 | Method of Applying Makeup to a Surface and a Kit for Implementing such a Method |
| US11/663,975 Abandoned US20080127990A1 (en) | 2004-10-05 | 2005-07-08 | Method of Applying Makeup to a Surface by Means of a Magnetic Composition Including Reflective Particles Having Metallic Luster |
| US11/663,978 Abandoned US20080050324A1 (en) | 2004-10-05 | 2005-07-08 | Method of Applying Makeup by Means of a Magnetic Composition Including at Least One Differactive Pigment |
| US11/664,003 Abandoned US20080124288A1 (en) | 2004-10-05 | 2005-07-08 | Method of Applying Makeup by Means of a Magnetic Composition Incorporating at Least one Coloring Agent Having Optical Properties that are Sensitive to an External Stimulus |
| US11/663,772 Active 2030-10-20 US9609934B2 (en) | 2004-10-05 | 2005-07-08 | Method of applying makeup by means of a magnetic composition including at least one interferential pigment |
| US11/242,901 Abandoned US20060088484A1 (en) | 2004-10-05 | 2005-10-05 | Method of applying makeup to a surface and a kit for implementing such a method |
Family Applications Before (4)
| Application Number | Title | Priority Date | Filing Date |
|---|---|---|---|
| US11/663,776 Abandoned US20080044443A1 (en) | 2004-10-05 | 2005-07-08 | Method of Applying Makeup by Means of a Magnetic Composition Including at Least One Coloring Agent Producing a Color by Absorbing at Least a Fraction of the Visible Spectrum |
| US11/663,977 Abandoned US20090130037A1 (en) | 2004-10-05 | 2005-07-08 | Method of Applying Makeup to a Surface and a Kit for Implementing such a Method |
| US11/663,975 Abandoned US20080127990A1 (en) | 2004-10-05 | 2005-07-08 | Method of Applying Makeup to a Surface by Means of a Magnetic Composition Including Reflective Particles Having Metallic Luster |
| US11/663,978 Abandoned US20080050324A1 (en) | 2004-10-05 | 2005-07-08 | Method of Applying Makeup by Means of a Magnetic Composition Including at Least One Differactive Pigment |
Family Applications After (2)
| Application Number | Title | Priority Date | Filing Date |
|---|---|---|---|
| US11/663,772 Active 2030-10-20 US9609934B2 (en) | 2004-10-05 | 2005-07-08 | Method of applying makeup by means of a magnetic composition including at least one interferential pigment |
| US11/242,901 Abandoned US20060088484A1 (en) | 2004-10-05 | 2005-10-05 | Method of applying makeup to a surface and a kit for implementing such a method |
Country Status (6)
| Country | Link |
|---|---|
| US (7) | US20080044443A1 (en) |
| EP (7) | EP1799067B1 (en) |
| JP (7) | JP4879182B2 (en) |
| ES (6) | ES2602181T3 (en) |
| FR (1) | FR2876011B1 (en) |
| WO (8) | WO2006037906A1 (en) |
Cited By (16)
| Publication number | Priority date | Publication date | Assignee | Title |
|---|---|---|---|---|
| US20050238979A1 (en) * | 2004-04-08 | 2005-10-27 | Christophe Dumousseaux | Compositions for application to the skin, to the lips, to the nails, and/or to hair |
| US20050257335A1 (en) * | 2004-04-08 | 2005-11-24 | Christophe Dumousseaux | Composition for application to the skin, to the lips, to the nails, and/or to hair |
| US20060039876A1 (en) * | 2002-10-02 | 2006-02-23 | Christophe Dumousseaux | Compositions to be applied to the skin and the integuments |
| US20060088483A1 (en) * | 2004-10-05 | 2006-04-27 | Ludovic Thevenet | Kit and method of applying makeup |
| US20070125396A1 (en) * | 2005-08-30 | 2007-06-07 | L'oreal | Packaging and applicator assembly including a magnetic device, a magnetic device, a method of forming a pattern on a nail using a magnetic device and a method of manufacturing a magnetic device |
| US20070149091A1 (en) * | 2005-11-03 | 2007-06-28 | Evelyn Viohl | Interactive doll |
| US20080044443A1 (en) * | 2004-10-05 | 2008-02-21 | L'oreal | Method of Applying Makeup by Means of a Magnetic Composition Including at Least One Coloring Agent Producing a Color by Absorbing at Least a Fraction of the Visible Spectrum |
| US20080044366A1 (en) * | 2004-04-08 | 2008-02-21 | L'oreal S.A. | Compositions for application to the skin, to the lips, to the nails, and/or to hair |
| US20090081261A1 (en) * | 2005-07-08 | 2009-03-26 | L'oreal | Liquid foundation, a makeup method, and a kit for implementing such a method |
| US20110057148A1 (en) * | 2009-09-04 | 2011-03-10 | Lee Young-Hun | Green phosphor and plasma display panel including the same |
| US8007772B2 (en) | 2002-10-02 | 2011-08-30 | L'oreal S.A. | Compositions to be applied to the skin and the integuments |
| US20150016857A1 (en) * | 2012-03-01 | 2015-01-15 | Mitsubishi Pencil Company, Limited | Liquid cosmetic |
| US9649261B2 (en) | 2004-10-05 | 2017-05-16 | L'oreal | Method of applying makeup to a surface and a kit for implementing such a method |
| CN108721142A (en) * | 2018-06-20 | 2018-11-02 | 惠州市栢诗新材料有限公司 | A kind of water-based nail polish of quick-dry type and preparation method thereof |
| WO2019169008A1 (en) * | 2018-02-28 | 2019-09-06 | Hunter Laura A | Magnetically attachable eyelash prosthetic system and related methods |
| WO2020180346A1 (en) * | 2019-03-07 | 2020-09-10 | Hunter Laura A | Magnetic mascara compositions and related methods |
Families Citing this family (92)
| Publication number | Priority date | Publication date | Assignee | Title |
|---|---|---|---|---|
| US7875265B2 (en) | 2002-09-26 | 2011-01-25 | L'oreal | Cosmetic composition comprising a sequenced polymer and a plasticizer |
| US8734421B2 (en) | 2003-06-30 | 2014-05-27 | Johnson & Johnson Consumer Companies, Inc. | Methods of treating pores on the skin with electricity |
| US20050260146A1 (en) * | 2004-04-08 | 2005-11-24 | Xavier Blin | Set of at least two solid compositions for application to the skin, to the lips, to the nails, and/or to hair |
| US20070292463A1 (en) * | 2005-12-22 | 2007-12-20 | Donald Spector | Compositions and methods comprising energizable particles for health use |
| US20070148105A1 (en) * | 2005-12-22 | 2007-06-28 | Donald Spector | Compositions and methods comprising magnetic particles for health use |
| US20070183998A1 (en) * | 2005-12-28 | 2007-08-09 | L'oreal | Cosmetic composition |
| US20110028776A1 (en) * | 2006-02-06 | 2011-02-03 | Donald Spector | Packaged Magnetic Therapeutic Topical Preparation |
| FR2901476B1 (en) * | 2006-05-29 | 2011-12-23 | Oreal | METHOD FOR COLORING A DARK SKIN |
| FR2903304A1 (en) * | 2006-07-10 | 2008-01-11 | Oreal | MAKE-UP COMPOSITION |
| WO2008007334A2 (en) * | 2006-07-10 | 2008-01-17 | L'oreal | A makeup composition |
| FR2903891B1 (en) * | 2006-07-21 | 2011-03-04 | Oreal | RANGE OF COSMETIC COMPOSITIONS COMPRISING AT LEAST RED INTERFERENTIAL PIGMENT |
| FR2903897B1 (en) * | 2006-07-21 | 2012-01-13 | Oreal | COSMETIC COMPOSITION COMPRISING AN INTERFERENTIAL PIGMENT AND A COLORING AGENT GENERATING A COLOR BY AN ABSORPTION PHENOMENON |
| FR2903893B1 (en) * | 2006-07-21 | 2012-11-16 | Oreal | COSMETIC COMPOSITION COMPRISING AT LEAST ONE INTERFERENTIAL PIGMENT AND AT LEAST ONE COLORING AGENT SENSITIVE TO AN EXTERNAL STIMULUS |
| EP1897591A3 (en) | 2006-07-21 | 2008-05-14 | L'oreal | Cosmetic composition, in particular with iridescent effect |
| FR2903890B1 (en) * | 2006-07-21 | 2012-12-28 | Oreal | COSMETIC COMPOSITION COMPRISING AT LEAST ONE INTERFERENTIAL GIGMENTS AND MAGNETIC BODIES |
| EP1897529A1 (en) * | 2006-07-21 | 2008-03-12 | L'oreal | Cosmetic composition |
| EP1889599A1 (en) * | 2006-07-21 | 2008-02-20 | L'oreal | Make-up composition and process for dark skin |
| FR2903892B1 (en) * | 2006-07-21 | 2012-08-10 | Oreal | ASSEMBLY COMPRISING TWO COSMETIC COMPOSITIONS FOR APPLICATION SUCCESSIVELY. |
| FR2908638A1 (en) * | 2006-11-17 | 2008-05-23 | Oreal | Cosmetic composition, useful for make-up of keratinous matter, comprises multilayer interference pigment, coloring agent, reflective pigment and diffractive pigment |
| FR2908643A1 (en) * | 2006-11-17 | 2008-05-23 | Oreal | Cosmetic composition, useful for make-up of keratinous matter, comprises multilayer interference pigment, coloring agent, reflective pigment and diffractive pigment |
| FR2908636A1 (en) * | 2006-11-17 | 2008-05-23 | Oreal | Cosmetic composition, useful for make-up of keratinous matter, comprises multilayer interference pigment, coloring agent, reflective pigment and diffractive pigment |
| US20080268003A1 (en) * | 2006-11-17 | 2008-10-30 | L'oreal | Covering cosmetic composition |
| US20080226574A1 (en) * | 2006-11-17 | 2008-09-18 | L'oreal | Line of cosmetic compositions |
| FR2908642A1 (en) * | 2006-11-17 | 2008-05-23 | Oreal | Cosmetic composition, useful for make-up of keratinous matter, comprises multilayer interference pigment, coloring agent, reflective pigment and diffractive pigment |
| FR2910295B3 (en) * | 2006-12-20 | 2009-09-18 | Oreal | METHOD OF MAKE-UP OF KERATINIC MATERIALS AND KIT FOR IMPLEMENTING SUCH A METHOD |
| FR2912041B1 (en) | 2007-02-06 | 2011-03-11 | Oreal | ASSEMBLY FOR THE MAKE-UP OF THE LASHES HAVING AN APPLICATION DEVICE COMPRISING A HEATING SUPPORT |
| DE102007007610A1 (en) * | 2007-02-13 | 2008-08-14 | Beiersdorf Ag | Method for increasing the skin elasticity and / or strengthening the elasticity of the skin |
| US9301589B2 (en) | 2007-08-01 | 2016-04-05 | Aon Products, Inc. | Cosmetic applicator and method of making |
| WO2009080957A2 (en) * | 2007-12-05 | 2009-07-02 | L'oreal | Cosmetic make-up and/or care method using a siloxane resin and a semi-crystalline polymer |
| FR2925320B1 (en) * | 2007-12-20 | 2012-06-08 | Oreal | METHOD FOR MAKING LIP. |
| ATE489435T1 (en) * | 2008-05-26 | 2010-12-15 | Eckart Gmbh | THIN PLATE-SHAPED IRON PIGMENTS, METHOD FOR THE PRODUCTION AND USE OF THE SAME |
| WO2010068675A2 (en) | 2008-12-09 | 2010-06-17 | L'oreal S.A. | Transfer-resistant emulsion containing a surfactant |
| US9308396B2 (en) | 2008-12-16 | 2016-04-12 | L'oreal | Transfer-resistant and long wear foundation in emulsion form containing oil absorbing powders |
| US9040593B2 (en) | 2008-12-16 | 2015-05-26 | L'oreal | Water-insoluble reaction product of a polyamine and an oil-soluble high carbon polar modified polymer |
| FR2940181B1 (en) | 2008-12-23 | 2011-05-13 | Oreal | CONDITIONING ASSEMBLY COMPRISING A MODULE MAGNET DEVICE. |
| US20120089232A1 (en) | 2009-03-27 | 2012-04-12 | Jennifer Hagyoung Kang Choi | Medical devices with galvanic particulates |
| EP2353584B1 (en) * | 2009-06-01 | 2017-08-23 | L'Oréal | Cosmetic composition based on a block polymer and a non volatile ester oil |
| BRPI1003178A2 (en) | 2009-06-29 | 2012-03-20 | L'oreal S.A. | composition |
| ES2662670T3 (en) | 2009-06-29 | 2018-04-09 | L'oreal S.A. | Composition comprising a polyol and an oil soluble polar modified polymer |
| US8652451B2 (en) * | 2009-06-29 | 2014-02-18 | L'oreal | Composition comprising a sugar silicone surfactant and a oil-soluble polar modified polymer |
| US8663609B2 (en) * | 2009-06-29 | 2014-03-04 | L'oreal | Composition comprising a polyol, a sugar silicone surfactant and a oil-soluble polar modified polymer |
| EP2269571A3 (en) * | 2009-06-29 | 2014-05-07 | L'oreal S.A. | Long wear, waterproof mascara composition with water washability |
| US8828366B2 (en) | 2009-06-29 | 2014-09-09 | L'oreal | Hydrating cream foundation in emulsion form |
| JP2012532110A (en) | 2009-06-29 | 2012-12-13 | ロレアル | Gel refresh cream foundation |
| FR2947726A1 (en) * | 2009-07-07 | 2011-01-14 | Oreal | METHOD FOR SMOOTHING THE SKIN BY FILLING HOLLOW PORTIONS |
| JPWO2011052224A1 (en) | 2009-11-02 | 2013-03-14 | 株式会社福元技研 | Skin beauty kneading composition and method for producing the same, and method for using skin beauty kneading composition |
| DE102009054428B3 (en) * | 2009-11-25 | 2010-12-30 | Barthel, Hans-Jürgen | Device for designing surface of fingernail, comprises a decorative mass containing magnetic particle, magnets, which align the magnetic particle inside the mass, and a magnet holder, which holds the magnets in defined distance to the mass |
| EP2519214A4 (en) | 2009-12-29 | 2016-01-20 | Grace W R & Co | COMPOSITIONS FOR FORMING FILMS HAVING DESIRED MASKING DEGREE AND METHODS OF MANUFACTURING AND USE THEREOF |
| KR20110091461A (en) * | 2010-02-05 | 2011-08-11 | 존슨 앤드 존슨 컨수머 캄파니즈, 인코포레이티드 | Lip Composition Comprising Galvanic Fine Particles |
| AR080431A1 (en) * | 2010-03-03 | 2012-04-11 | Sicpa Holding Sa | SECURITY THREAD OR STRIP THAT INCLUDES MAGNETIC PARTICULES ORIENTED IN INK AND PROCEDURE AND MEANS TO PRODUCE THE SAME |
| JP5936599B2 (en) | 2010-03-29 | 2016-06-22 | ロレアルL′Oreal | Equipment for sticking fibers to human keratin fibers |
| US9192561B2 (en) | 2010-05-14 | 2015-11-24 | L'oreal | Compositions containing hyperbranched polyol and acrylic film former |
| US9192550B2 (en) * | 2010-06-22 | 2015-11-24 | Avon Products, Inc. | Magnetically-oriented cosmetic fibers |
| CN103096868B (en) * | 2010-07-08 | 2015-10-21 | 强生消费者公司 | Skin care emulsion composition |
| FR2968520B1 (en) | 2010-12-14 | 2013-08-30 | Oreal | ELEMENT FOR THE APPLICATION OF FIBERS ON HUMAN KERATINIC FIBERS |
| BR112013013474B1 (en) | 2010-12-21 | 2019-07-09 | Dow Global Technologies Llc | PROCESS TO PREPARE PROPILENE |
| US8747868B2 (en) | 2010-12-30 | 2014-06-10 | L'oreal | Reaction product of a polar modified polymer and an alkoxysilane and a composition containing the reaction product |
| ITMI20110221U1 (en) * | 2011-06-28 | 2012-12-29 | Capardoni & C Srl | BOTTLE FOR MAGNETIC ENAMELS |
| US9390676B2 (en) | 2011-09-21 | 2016-07-12 | International Business Machines Corporation | Tactile presentation of information |
| CN102512332A (en) * | 2011-12-19 | 2012-06-27 | 袁永欢 | Preparation method for three-dimensional magnetic nail polish and product |
| WO2013093890A2 (en) * | 2011-12-23 | 2013-06-27 | L'oreal | Method for making up the skin |
| FR2984727B1 (en) * | 2011-12-23 | 2014-01-03 | Oreal | METHOD OF MAKE-UP OF THE SKIN |
| WO2013093889A2 (en) | 2011-12-23 | 2013-06-27 | L'oreal | Makeup process |
| FR2984728B1 (en) * | 2011-12-23 | 2014-07-18 | Oreal | SKIN MAKE-UP |
| US9226888B2 (en) | 2011-12-30 | 2016-01-05 | L'oreal | Compositions containing an acrylic film former, a tackifier and an ester |
| JP6038952B2 (en) | 2011-12-30 | 2016-12-07 | ロレアル | Composition containing silicon resin, oil and gelling agent |
| WO2013102060A1 (en) | 2011-12-30 | 2013-07-04 | L'oreal | Compositions containing a silicon resin and a tackifying agent |
| ITMI20120025A1 (en) * | 2012-01-11 | 2013-07-12 | Layla Cosmetics S R L | ENAMEL FOR NAILS AND ITS APPLICATION KIT |
| WO2013180391A1 (en) * | 2012-05-31 | 2013-12-05 | (주)아모레퍼시픽 | Nail art device, system, and method using magnetism |
| TWM445380U (en) * | 2012-06-06 | 2013-01-21 | Chen Yi Ming | Cosmetics container |
| US9320687B2 (en) | 2013-03-13 | 2016-04-26 | Johnson & Johnson Consumer Inc. | Pigmented skin-care compositions |
| US9168209B2 (en) | 2013-03-13 | 2015-10-27 | Johnson & Johnson Consumer Inc. | Pigmented skin-care compositions |
| US9168394B2 (en) | 2013-03-13 | 2015-10-27 | Johnson & Johnson Consumer Inc. | Pigmented skin-care compositions |
| US9168393B2 (en) | 2013-03-13 | 2015-10-27 | Johnson & Johnson Consumer Inc. | Pigmented skin-care compositions |
| JP6452619B2 (en) * | 2013-11-29 | 2019-01-16 | 株式会社 Mtg | Water-based skin care agent |
| FR3014299B1 (en) * | 2013-12-09 | 2015-12-18 | Oreal | COSMETIC PRODUCT NECESSARY COMPRISING AT LEAST ONE BATCH OF COSMETIC PRODUCT AND ONE APPLICATOR |
| FR3014875B1 (en) * | 2013-12-17 | 2016-10-21 | Oreal | DISPERSION OF POLYMER PARTICLES IN A NONAQUEOUS MEDIUM AND USE IN COSMETICS |
| FR3015868B1 (en) | 2013-12-30 | 2017-04-28 | Lvmh Rech | DEVICE FOR PACKAGING AND APPLYING A LIQUID COMPOSITION |
| KR101959642B1 (en) * | 2014-09-17 | 2019-03-18 | 더 프록터 앤드 갬블 캄파니 | Skin care product and method of use |
| ES2838755T3 (en) | 2014-12-18 | 2021-07-02 | Oreal | Compositions and methods to improve the appearance of the skin |
| US9289046B1 (en) * | 2014-12-22 | 2016-03-22 | Jamberry Nails, LLC | Nail stud application tool |
| WO2016110615A1 (en) * | 2015-01-06 | 2016-07-14 | Lvmh Recherche | Poly(ethylene glycol) methacrylate microgels, preparation method and uses |
| CN109069367A (en) | 2016-04-15 | 2018-12-21 | 埃卡特有限公司 | Surface modification effect pigment and nail enamel composition |
| KR102438129B1 (en) | 2017-10-18 | 2022-09-01 | 엑카르트 게엠베하 | Nail Varnish Composition Containing Embossing Effect Pigment and Surface-Modifying Embossing Effect Pigment |
| ES2962228T3 (en) * | 2017-12-21 | 2024-03-18 | Hydraink S R L | dynamic makeup product |
| DE102018113405B4 (en) * | 2018-06-06 | 2020-11-19 | Jürgen Adorff | Artificial eyelashes and methods of applying them |
| FR3083676B1 (en) * | 2018-07-12 | 2020-10-02 | Lvmh Rech | METHOD FOR APPLYING FALSE EYELASHES AND MAKEUP PROCEDURE |
| KR102672917B1 (en) * | 2018-08-27 | 2024-06-07 | 벤티세이디에치 에스.알.엘. | Cosmetic composition comprising color changeable capsule |
| CN111920709A (en) | 2019-05-13 | 2020-11-13 | 帕芙姆斯得科尔有限公司 | Liquid cosmetic |
| US20220096340A1 (en) * | 2020-09-30 | 2022-03-31 | L'oréal | Curling mascara and method of use |
| FR3123789B1 (en) * | 2021-06-10 | 2023-07-21 | Oreal | Magnetic brush with composition distribution for hair cleaning |
| JP7701418B2 (en) * | 2023-08-25 | 2025-07-01 | 光正 内田 | Nail light dyeing device |
Citations (96)
| Publication number | Priority date | Publication date | Assignee | Title |
|---|---|---|---|---|
| US3030967A (en) * | 1959-10-06 | 1962-04-24 | Peyron Antoine Francois | Process for applying cosmetic material to the skin |
| US3516422A (en) * | 1967-06-26 | 1970-06-23 | Chemway Corp | Magnetic false eyelashes and method of affixing to the eyelids |
| US3937811A (en) * | 1973-06-08 | 1976-02-10 | Societe Anonyme Dite: L'oreal | Fatty compositions for use in cosmetic makeup compositions and said cosmetic makeup compositions |
| US4031307A (en) * | 1976-05-03 | 1977-06-21 | Celanese Corporation | Cationic polygalactomannan compositions |
| US4318844A (en) * | 1979-06-20 | 1982-03-09 | Bayer Aktiengesellschaft | Inorganic pigments with improved gloss and distribution in lacquer binders |
| US4425326A (en) * | 1980-04-01 | 1984-01-10 | Societe Anonyme Dite : L'oreal | Anhydrous nail varnishes |
| US4728571A (en) * | 1985-07-19 | 1988-03-01 | Minnesota Mining And Manufacturing Company | Polysiloxane-grafted copolymer release coating sheets and adhesive tapes |
| US4981902A (en) * | 1989-08-07 | 1991-01-01 | Minnesota Mining And Manufacturing Company | Polysiloxane-grafted copolymer non-pressure sensitive topical binder composition and method of coating therewith |
| US5030669A (en) * | 1988-05-27 | 1991-07-09 | Minnesota Mining And Manufacturing Company | Pigment dispersions |
| US5122418A (en) * | 1985-12-09 | 1992-06-16 | Shiseido Company Ltd. | Composite powder and production process |
| US5133805A (en) * | 1987-08-28 | 1992-07-28 | Toda Kogyo Corp. | Plate-like hematite particles, a pigment comprising the same and showing a golden color, and a process for producing the same |
| US5188815A (en) * | 1988-08-31 | 1993-02-23 | Merck Patent Gesellschaft Mit Beschrankter Haftung | Thermochromic mixtures |
| US5188899A (en) * | 1989-12-18 | 1993-02-23 | Toshiba Silicone Co., Ltd. | Silica-core silicone-shell particles, emulsion containing the same dispersed therein, and process for producing the emulsion |
| US5199808A (en) * | 1989-11-30 | 1993-04-06 | L'oreal | Device for application of a liquid or pasty product to a surface |
| US5206011A (en) * | 1989-02-16 | 1993-04-27 | Amalia Inc. | Quick-drying nail enamel compositions |
| US5209924A (en) * | 1989-08-07 | 1993-05-11 | Minnesota Mining And Manufacturing Company | Polysiloxane-grafted copolymer topical binder composition with novel fluorochemical comonomer and method of coating therewith |
| US5219560A (en) * | 1989-03-20 | 1993-06-15 | Kobayashi Kose Co., Ltd. | Cosmetic composition |
| US5291345A (en) * | 1990-07-20 | 1994-03-01 | Mitsubishi Electric Corp. | Apparatus for applying magnetic field and magneto-optical disk storage having such apparatus |
| US5316026A (en) * | 1992-01-31 | 1994-05-31 | Fashion Nails, Inc. | Method and apparatus for applying decoration to nails |
| US5330747A (en) * | 1993-02-03 | 1994-07-19 | Dow Corning Corporation | Cosmetics with enhanced durability |
| US5380359A (en) * | 1992-03-31 | 1995-01-10 | Kyowa Hakko Kogyo Co., Ltd. | Cosmetics based on naturally derived melanin-coated pigments |
| US5393526A (en) * | 1994-02-07 | 1995-02-28 | Elizabeth Arden Company, Division Of Conopco, Inc. | Cosmetic compositions |
| US5424006A (en) * | 1993-04-28 | 1995-06-13 | Nemoto & Co., Ltd. | Phosphorescent phosphor |
| US5486354A (en) * | 1992-01-31 | 1996-01-23 | L'oreal | Cosmetic make-up composition containing a transparent titanium oxide and silicon oxide pigment |
| US5512273A (en) * | 1994-10-31 | 1996-04-30 | Almell, Ltd. | Top nail coat composition |
| US5562706A (en) * | 1995-01-11 | 1996-10-08 | Electro Anti Age, Inc. | Device for cosmetic and relaxation treatment |
| US5625005A (en) * | 1993-07-08 | 1997-04-29 | Avery Dennison Corporation | Acrylic saturated rubber hybrid pressure-sensitive adhesives |
| US5641835A (en) * | 1993-06-24 | 1997-06-24 | The Procter & Gamble Company | Process for producing siloxane modified polyolefin copolymers and products comprising the copolymer |
| US5643672A (en) * | 1992-09-11 | 1997-07-01 | L'oreal | Cosmetic composition containing solid particles coated with an amphoteric polymer |
| US5705093A (en) * | 1993-08-06 | 1998-01-06 | Merck Patent Gesellschaft Mit Beschrankter Haftung | Thermochromic media |
| US5725882A (en) * | 1992-05-12 | 1998-03-10 | Minnesota Mining And Manufacturing Company | Vinyl-silicone copolymers in cosmetics and personal care products |
| US5856653A (en) * | 1996-06-13 | 1999-01-05 | Boudreaux; Nona | Mascara extender |
| US5874069A (en) * | 1997-01-24 | 1999-02-23 | Colgate-Palmolive Company | Cosmetic composition containing silicon-modified amides as thickening agents and method of forming same |
| US5873375A (en) * | 1998-02-26 | 1999-02-23 | Johnson; James | Fingernail stencil system using precut design masks |
| US5913631A (en) * | 1998-01-30 | 1999-06-22 | Landry; Tina M. | Cosmetic applicator |
| US5919441A (en) * | 1996-04-01 | 1999-07-06 | Colgate-Palmolive Company | Cosmetic composition containing thickening agent of siloxane polymer with hydrogen-bonding groups |
| US6033650A (en) * | 1995-06-26 | 2000-03-07 | Revlon Consumer Products Corporation | Glossy transfer resistant cosmetic compositions |
| US6051216A (en) * | 1997-08-01 | 2000-04-18 | Colgate-Palmolive Company | Cosmetic composition containing siloxane based polyamides as thickening agents |
| US6071632A (en) * | 1995-01-06 | 2000-06-06 | Ciba Specialty Chemicals Corporation | Triboluminescent lanthanideIII complexes |
| US6074654A (en) * | 1995-11-07 | 2000-06-13 | The Procter & Gamble Company | Transfer resistant cosmetic compositions |
| US6136907A (en) * | 1997-08-29 | 2000-10-24 | Taisei Chemical Industries, Ltd. | Process for producing dispersion of functional compound |
| US6177093B1 (en) * | 1999-03-17 | 2001-01-23 | Color Access, Inc. | Method and system for color customizing cosmetic mass products |
| US6203781B1 (en) * | 1998-05-14 | 2001-03-20 | L'oreal | Optical brighteners as bleaching agents |
| US6209548B1 (en) * | 1999-03-08 | 2001-04-03 | Beauty Innovations | Method and apparatus for nail coloring |
| US6254876B1 (en) * | 1997-12-22 | 2001-07-03 | L'oreal | Transfer-resistant cosmetic composition comprising a dispersion of polymer particles in a liquid fatty phase |
| US20020012683A1 (en) * | 2000-03-17 | 2002-01-31 | Jean-Christophe Henrion | Cosmetic composition comprising at least one ingredient chosen from compounds of formula (1) and salts thereof, use thereof as colouring agent, and novel compounds of formulae (IIa), (IIIa), (IVa), (Va), and (VIa), and salts thereof |
| US20020015965A1 (en) * | 2000-07-27 | 2002-02-07 | Sweeting Linda Marie | Efficient synthesis of triboluminescent lanthanide complexes |
| US20020031870A1 (en) * | 1993-11-30 | 2002-03-14 | Bryant Frank Randolph | Transistor structure and method for making same |
| US6358495B1 (en) * | 1999-03-26 | 2002-03-19 | Shiseido Co., Ltd. | Titanium-silica complex and cosmetic preparation compounding the same |
| US20020039562A1 (en) * | 1998-10-02 | 2002-04-04 | Masaru Kobayashi | Pigments and extender pigments with enhanced skin adhesion for cosmetic preparations |
| US20020041853A1 (en) * | 2000-06-05 | 2002-04-11 | Showa Denko K.K. | Cosmetic composition |
| US6387498B1 (en) * | 1998-12-07 | 2002-05-14 | Flex Products, Inc. | Bright metal flake based pigments |
| US20020064509A1 (en) * | 2000-10-03 | 2002-05-30 | Sabine Grimm | Method for producing a goniochromatic effect comprising applying to skin a cosmetic composition comprising at least one continuous lipophilic phase and at least one goniochromatic pigment |
| US6403106B1 (en) * | 1996-03-27 | 2002-06-11 | L'oreal, S.A. | Cosmetic use of copolymers with a rigid hydrophilic backbone grafted by flexible hydrophobic macromonomers, and compositions therefor |
| US20020070121A1 (en) * | 1999-10-22 | 2002-06-13 | The Board Of Trustees Of The University Of Illinois | Family of discretely sized slicon nanoparticles and method for producing the same |
| US6477398B1 (en) * | 1997-11-13 | 2002-11-05 | Randell L. Mills | Resonant magnetic susceptibility imaging (ReMSI) |
| US20020182383A1 (en) * | 2001-05-07 | 2002-12-05 | Flex Products, Inc. | Methods for producing imaged coated articles by using magnetic pigments |
| US20020182409A1 (en) * | 2001-06-05 | 2002-12-05 | Gueret Jean-Louis H. | Fiber and device for applying a product, and method of manufacturing device |
| US6503761B1 (en) * | 1999-10-19 | 2003-01-07 | Kimberly-Clark Worldwide, Inc. | Selective removal of contaminants from a surface using articles having magnets |
| US20030007942A1 (en) * | 1999-10-19 | 2003-01-09 | Koenig David W. | Selective removal of contaminants from a surface using colored particles and articles having magnets |
| US20030012752A1 (en) * | 2000-12-12 | 2003-01-16 | Isabelle Bara | Transparent or translucent cosmetic compositions colored by pigments |
| US6517818B1 (en) * | 1998-01-04 | 2003-02-11 | Coty B.V. | Lip or care stick which contains vitamins |
| US6517628B1 (en) * | 1999-04-16 | 2003-02-11 | Merck Patent Gmbh | Pigment mixture |
| US20030031870A1 (en) * | 2001-07-31 | 2003-02-13 | Flex Products, Inc. | Diffractive pigment flakes and compositions |
| US20030039621A1 (en) * | 2001-04-10 | 2003-02-27 | L'oreal | Two-coat make-up product, its use and a kit containing the make-up product |
| US20030064039A1 (en) * | 2001-09-03 | 2003-04-03 | Richard Kolodziej | Foundation composition comprising interference pigments |
| US20030064086A1 (en) * | 2001-08-31 | 2003-04-03 | Danuvio Carrion | Cosmetic compositions comprising nanoparticles and processes for using the same |
| US6545809B1 (en) * | 1999-10-20 | 2003-04-08 | Flex Products, Inc. | Color shifting carbon-containing interference pigments |
| US20030072602A1 (en) * | 2001-04-13 | 2003-04-17 | L'oreal | Device comprising magnetizable particles |
| US6582684B1 (en) * | 1999-03-23 | 2003-06-24 | Xsight International | Body coating composition |
| US20030118531A1 (en) * | 2000-10-31 | 2003-06-26 | Richard Kolodziej | Cosmetic composition containing a photochromic colouring agent and its use for skin and/or skin appendage make-up and/or care |
| US6589331B2 (en) * | 2001-03-23 | 2003-07-08 | Eckart Gmbh & Co. Kg | Soft iron pigments |
| US20030130323A1 (en) * | 2001-08-31 | 2003-07-10 | Gerhard Jaehne | Polysubstituted indan-1-ol- systems for the prophylaxis or treatment of obesity |
| US20030134761A1 (en) * | 2001-07-20 | 2003-07-17 | L'oreal | Foaming composition based on silica and on cationic polymer |
| US20040001869A1 (en) * | 2002-04-10 | 2004-01-01 | Yuko Yago | Cosmetic composition |
| US20040009309A1 (en) * | 2002-07-15 | 2004-01-15 | Flex Products, Inc., A Jds Uniphase Company | Magnetic planarization of pigment flakes |
| US20040012683A1 (en) * | 2001-01-23 | 2004-01-22 | Masafumi Yamasaki | Shake compensating device for optical devices |
| US20040105827A1 (en) * | 2000-10-03 | 2004-06-03 | Sabine Grimm | Use for make-up in particular of a cosmetic composition having a continuous hydrophilic comprising a multilayer goniochromatic pigment |
| US20040109837A1 (en) * | 1995-01-30 | 2004-06-10 | L'oreal | Cosmetic composition comprising a silicone-containing compound and a fatty acid ester |
| US6753002B2 (en) * | 1999-05-26 | 2004-06-22 | Color Access Inc. | Cosmetic compositions containing fluorescent minerals |
| US6846474B2 (en) * | 1999-10-22 | 2005-01-25 | The Board Of Trustees Of The University Of Illinois | Silicon nanoparticle and method for producing the same |
| US20050025728A1 (en) * | 2002-12-24 | 2005-02-03 | L'oreal | Cosmetic compositions and contrast cards for characterizing them |
| US20050036964A1 (en) * | 2002-12-24 | 2005-02-17 | L'oreal | Makeup compositions for dark skins |
| US6884289B2 (en) * | 2001-04-24 | 2005-04-26 | Merck Patent Gmbh | Colored pigments |
| US20050118122A1 (en) * | 2002-07-19 | 2005-06-02 | Societe L'oreal S.A. | Goniochromatic/light reflective cosmetic makeup compositions |
| US20060018854A1 (en) * | 2002-10-02 | 2006-01-26 | Christophe Dumousseaux | Cosmetic compositions |
| US20060041054A1 (en) * | 2002-10-02 | 2006-02-23 | Christophe Dumousseaux | Compositions to be applied to the skin and the integuments |
| US20060051382A1 (en) * | 2004-09-07 | 2006-03-09 | Richard Vidal | Compositions for body hairs and/or head hair |
| US20060088484A1 (en) * | 2004-10-05 | 2006-04-27 | Ludovic Thevenet | Method of applying makeup to a surface and a kit for implementing such a method |
| US20060099160A1 (en) * | 2002-10-02 | 2006-05-11 | Christophe Dumousseaux | Composition intended to be applied to the skin and the integuments |
| US7056498B2 (en) * | 1999-12-20 | 2006-06-06 | L'oreal | Composition containing aminophenol derivative, use thereof, and process for dissolving aminophenol derivative |
| US7060371B2 (en) * | 2001-11-30 | 2006-06-13 | National Institute Of Advanced Industrial Science & Technology | Mechanoluminescence material, producing method thereof, and usage thereof |
| US20070009454A1 (en) * | 2005-07-08 | 2007-01-11 | L'oreal | Make-up method involving a magnetic interaction |
| US20080014158A1 (en) * | 2002-09-26 | 2008-01-17 | L'oreal | Novel Block Polymers and Cosmetic Compositions and Processes Comprising Them |
| US7329719B2 (en) * | 2003-04-22 | 2008-02-12 | Arizona Chemical Company | Ester-terminated poly(ester-amide) in personal care products |
| US7329287B2 (en) * | 2002-12-06 | 2008-02-12 | L'oreal S.A. | Oxidation dye composition for keratin fibers, comprising at least one oxidation dye, at least one associative polymer, at least one nonionic cellulose-based compound not comprising a C8-C30 fatty chain, and at least one cationic polymer with a charge density of greater than 1 meq/g and not comprising a C8-C30 fatty chain |
Family Cites Families (182)
| Publication number | Priority date | Publication date | Assignee | Title |
|---|---|---|---|---|
| US3461885A (en) * | 1967-05-09 | 1969-08-19 | Howard W Coveney | Cosmetic fingernail mask assembly |
| US3623732A (en) | 1969-12-15 | 1971-11-30 | Maurice E Peeples | Golf putting cup with random-direction ball ejection means |
| SE375780B (en) | 1970-01-30 | 1975-04-28 | Gaf Corp | |
| US3910862A (en) * | 1970-01-30 | 1975-10-07 | Gaf Corp | Copolymers of vinyl pyrrolidone containing quarternary ammonium groups |
| US3836537A (en) * | 1970-10-07 | 1974-09-17 | Minnesota Mining & Mfg | Zwitterionic polymer hairsetting compositions and method of using same |
| IT938725B (en) | 1970-11-07 | 1973-02-10 | Magnetfab Bonn Gmbh | PROCEDURE AND DEVICE FOR EIGHT BLACK DRAWINGS IN SURFACE LAYERS BY MEANS OF MAGNETIC FIELDS |
| US3791386A (en) | 1971-09-27 | 1974-02-12 | Mc Donald Medical Lab Instr Co | Tracheotomy method and means |
| DE2313331C2 (en) * | 1973-03-17 | 1986-11-13 | Merck Patent Gmbh, 6100 Darmstadt | Mica flake pigments containing iron oxide |
| FR2268512B1 (en) | 1974-04-23 | 1978-01-20 | Laguerre Rene | |
| AT335617B (en) | 1974-04-23 | 1977-03-25 | Rene Laguerre | METHOD, PRODUCT AND APPARATUS FOR CLEANING UP THE EPIDERMIS |
| JPS5110959A (en) | 1974-07-16 | 1976-01-28 | Teikoku Denki Seisakusho Kk | RYURYOKEI |
| JPS51137733A (en) | 1975-05-26 | 1976-11-27 | Toyota Motor Corp | Method to form a pattern coating with pictures or letters |
| US4055377A (en) * | 1976-08-03 | 1977-10-25 | Minnesota Mining And Manufacturing Company | Magnetically orientable retroreflectorization particles |
| US4223009A (en) | 1977-06-10 | 1980-09-16 | Gaf Corporation | Hair preparation containing vinyl pyrrolidone copolymer |
| CA1091160A (en) | 1977-06-10 | 1980-12-09 | Paritosh M. Chakrabarti | Hair preparation containing vinyl pyrrolidone copolymer |
| US4131576A (en) * | 1977-12-15 | 1978-12-26 | National Starch And Chemical Corporation | Process for the preparation of graft copolymers of a water soluble monomer and polysaccharide employing a two-phase reaction system |
| JPS5581809A (en) * | 1978-12-18 | 1980-06-20 | Inoue Japax Res Inc | Use of toiletry with magnetic substance |
| NL7907879A (en) | 1979-10-26 | 1981-04-28 | Reuchlin Johan George | HOLDER FOR LIQUID. |
| DE3273489D1 (en) | 1981-11-30 | 1986-10-30 | Ciba Geigy Ag | Mixtures of quaternary polymeric acrylic ammonium salts, quaternary mono- or oligomeric ammonium salts and surfactants, their preparation and their use in cosmetic compositions |
| EP0096459A3 (en) | 1982-05-14 | 1985-12-18 | Imperial Chemical Industries Plc | Polymerisation process |
| DE3301024A1 (en) | 1983-01-14 | 1984-07-19 | Bayer Ag, 5090 Leverkusen | METHOD FOR THE PRODUCTION OF STABLE SOLUTIONS OF CATIONIC METHINE DYES AND THEIR USE FOR SPINNING |
| US4614366A (en) | 1983-11-18 | 1986-09-30 | Exactident, Inc. | Nail identification wafer |
| JPS61112008A (en) | 1984-11-05 | 1986-05-30 | Hida Seisakusho:Kk | Production of multi-colored lipstick |
| FR2588759B3 (en) * | 1985-10-23 | 1988-01-15 | Morel Charles | MEANS FOR APPLICATION OF MAGNETIC FIELDS TO BODY CARE |
| FR2594130B1 (en) | 1985-12-09 | 1991-09-27 | Shiseido Co Ltd | COMPOSITE POWDER, ITS PREPARATION METHOD AND ITS COSMETIC USE |
| US4693935A (en) | 1986-05-19 | 1987-09-15 | Minnesota Mining And Manufacturing Company | Polysiloxane-grafted copolymer pressure sensitive adhesive composition and sheet materials coated therewith |
| FR2605011B1 (en) * | 1986-10-10 | 1988-12-30 | Rhone Poulenc Chimie | COLORED PIGMENTS, IN PARTICULAR MAGNETIC PIGMENTS, THEIR PREPARATION METHODS AND THEIR APPLICATIONS, IN PARTICULAR FOR THE PREPARATION OF DEVELOPING POWDERS. |
| JPS63175670A (en) * | 1987-01-13 | 1988-07-20 | Kansai Paint Co Ltd | Forming method for coating film with pattern |
| US5066485A (en) | 1987-02-06 | 1991-11-19 | Revlon, Inc. | Cosmetic compositions comprising oil-in-water emulsion containing pigment |
| US5000688A (en) * | 1987-12-22 | 1991-03-19 | Clamp Esther L | Magnetic stencil letters |
| JPH01242513A (en) | 1988-03-25 | 1989-09-27 | Shiseido Co Ltd | Make-up cosmetic |
| JP2630428B2 (en) | 1988-05-24 | 1997-07-16 | 株式会社コーセー | Color pigments and cosmetics containing the same |
| JPH02111340A (en) | 1988-10-21 | 1990-04-24 | Omron Tateisi Electron Co | Electronic tonometer |
| DE3905580C1 (en) * | 1989-02-23 | 1989-11-16 | Georg Karl Geka-Brush Gmbh, 8809 Bechhofen, De | |
| US5061481A (en) | 1989-03-20 | 1991-10-29 | Kobayashi Kose Co., Ltd. | Cosmetic composition having acryl-silicone graft copolymer |
| US4972037A (en) * | 1989-08-07 | 1990-11-20 | Minnesota Mining And Manufacturing Company | Polysiloxane-grafted copolymer topical binder composition with novel fluorochemical comonomer and method of coating therewith |
| DE69033073T2 (en) | 1989-08-07 | 1999-11-25 | Procter & Gamble | Hair care and fixative |
| US4981903A (en) | 1989-08-07 | 1991-01-01 | Minnesota Mining And Manufacturing Company | Polysiloxane-grafter copolymer topical binder composition with novel hydrophilic monomers and method of coating therewith |
| DK0412707T3 (en) | 1989-08-07 | 1994-06-13 | Procter & Gamble | Hair conditioners and hair conditioners |
| US4991631A (en) | 1989-09-07 | 1991-02-12 | Pease Windamatic Systems, Inc. | Lead straightening and trimming apparatus |
| JP2805373B2 (en) | 1990-03-30 | 1998-09-30 | 株式会社資生堂 | Fluorescent cosmetics |
| JPH03286463A (en) | 1990-03-31 | 1991-12-17 | Toshiba Corp | Cassette loading device |
| US5162410A (en) * | 1990-04-13 | 1992-11-10 | Dow Corning Corporation | Hot-melt silicon pressure sensitive adhesives with phenyl-containing siloxane fluid additive and related methods and articles |
| US5356617A (en) * | 1990-05-14 | 1994-10-18 | Kobo Products, Inc. | Pigment-material-microsphere complexes and their production |
| JPH04108710A (en) * | 1990-08-27 | 1992-04-09 | Yoko Shiga | Magnetic cosmetic |
| JPH04198117A (en) | 1990-11-29 | 1992-07-17 | Mitsubishi Materials Corp | Make-up cosmetic |
| JPH04292664A (en) | 1991-03-19 | 1992-10-16 | Kao Corp | Complex pigment and cosmetic containing the same |
| JPH0517710A (en) | 1991-07-08 | 1993-01-26 | Kansai Paint Co Ltd | Metallic paint and method for coating therewith |
| CA2117914A1 (en) | 1992-05-12 | 1993-11-25 | Kanta Kumar | Polymers in cosmetics and personal care products |
| BR9306363A (en) | 1992-05-15 | 1998-06-30 | Procter & Gamble | Adhesive agent containing polysiloxane-grafted polymer and cosmetic compositions thereof |
| US5520917A (en) | 1992-07-27 | 1996-05-28 | Suzuki Yushi Industries Co., Ltd. | Materials in the form of colored spherical fine particles |
| DE69332875T2 (en) | 1992-07-28 | 2003-12-04 | Mitsubishi Chem Corp | Hair cosmetic composition |
| US5307847A (en) | 1992-09-24 | 1994-05-03 | Stanford Pavenick | Applicator for fluid products |
| JP3393903B2 (en) * | 1992-11-30 | 2003-04-07 | 株式会社資生堂 | Makeup cosmetics |
| GB9309992D0 (en) * | 1993-05-14 | 1993-06-30 | Heller Harry G | Tribochromic compounds and their applications |
| US5472798A (en) | 1993-07-16 | 1995-12-05 | Nissan Motor Co., Ltd. | Coloring structure having reflecting and interfering functions |
| JP3424083B2 (en) | 1993-08-05 | 2003-07-07 | 株式会社コーセー | Oily solid cosmetics |
| SG52692A1 (en) | 1993-08-23 | 1998-09-28 | Procter & Gamble | Silicone grafted thermoplastic elastomeric copolymers and hair and skin care compositions containing the same |
| US5882774A (en) | 1993-12-21 | 1999-03-16 | Minnesota Mining And Manufacturing Company | Optical film |
| US5725483A (en) | 1994-02-22 | 1998-03-10 | Podolsky; Grigory | Massaging device |
| WO1995023537A1 (en) | 1994-03-05 | 1995-09-08 | Peter Nermerich | Fingernail lengthening process and device |
| JP3573481B2 (en) | 1994-03-22 | 2004-10-06 | 帝人化成株式会社 | Resin composition |
| JP3241535B2 (en) | 1994-05-10 | 2001-12-25 | ポーラ化成工業株式会社 | Cosmetics containing organic-inorganic composite pigments |
| JP3286463B2 (en) | 1994-05-10 | 2002-05-27 | ポーラ化成工業株式会社 | Organic-inorganic composite pigment and method for producing the same |
| JPH0838992A (en) | 1994-05-25 | 1996-02-13 | Nisshin Steel Co Ltd | Production of pattern-coated metal plate |
| JP3531214B2 (en) | 1994-05-31 | 2004-05-24 | Nok株式会社 | Method for producing aqueous suspension of resin-coated ferromagnetic fine particles for makeup cosmetics |
| DE4419173A1 (en) | 1994-06-01 | 1995-12-07 | Basf Ag | Magnetizable multi-coated metallic gloss pigments |
| JP3166482B2 (en) | 1994-06-07 | 2001-05-14 | 日産自動車株式会社 | Coloring structure having reflective interference action |
| JPH08127513A (en) | 1994-10-28 | 1996-05-21 | Pola Chem Ind Inc | Cosmetic |
| FR2735689B1 (en) | 1995-06-21 | 1997-08-01 | Oreal | COMPOSITION COMPRISING A DISPERSION OF POLYMER PARTICLES IN A NON-AQUEOUS MEDIUM |
| US5658579A (en) | 1995-07-31 | 1997-08-19 | The Procter & Gamble Company | Cosmetic powder compositions having improved skin coverage |
| US5658574A (en) * | 1995-10-13 | 1997-08-19 | Chesebrough-Pond's Usa Co., Division Of Conopco, Inc. | Cleansing compositions with dendrimers as mildness agents |
| JPH09188830A (en) | 1996-01-05 | 1997-07-22 | Nisshin Steel Co Ltd | Highly bright metallic pigment |
| KR0171254B1 (en) | 1996-01-05 | 1999-02-18 | 안영호 | Cosmetic locker |
| FR2744632B1 (en) | 1996-02-13 | 1998-03-27 | Oreal | USE OF AN AQUEOUS SUSPENSION OF NATURALLY ORIGINAL MICROFIBRILLES FOR THE PREPARATION OF COSMETIC OR DERMATOLOGICAL COMPOSITIONS, COSMETIC OR DERMATOLOGICAL COMPOSITIONS AND APPLICATIONS |
| DE69723347T2 (en) | 1996-04-22 | 2004-04-15 | Merck Patent Gmbh | Coated SiO2 particles |
| US5849318A (en) | 1996-06-26 | 1998-12-15 | Kao Corporation | Oil-based solid cosmetic composition |
| JPH1087437A (en) | 1996-09-10 | 1998-04-07 | Matsui Shikiso Kagaku Kogyosho:Kk | Light-stimulable nail enamel |
| US6306384B1 (en) | 1996-10-01 | 2001-10-23 | E-L Management Corp. | Skin battery cosmetic composition |
| JPH10158541A (en) | 1996-11-27 | 1998-06-16 | Nisshin Steel Co Ltd | Dark silver color metallic pigment excellent in weather resistance and brilliance |
| JPH10158450A (en) | 1996-11-28 | 1998-06-16 | Shin Etsu Polymer Co Ltd | Polyvinyl chloride resin composition for food packaging |
| FR2757054B1 (en) | 1996-12-16 | 1999-01-15 | Oreal | COMPOSITE MELANIC PIGMENT IN THE FORM OF PARTICLES COMPRISING A WAX-BASED SPHERICAL CORE, METHODS OF PREPARATION AND USES IN COSMETICS |
| EP1019454B1 (en) * | 1997-01-09 | 2001-11-07 | Ciba SC Holding AG | Composite pigment |
| FR2758697B1 (en) | 1997-01-28 | 1999-03-12 | Daniel Vadot | METHODS AND DEVICES FOR PROSTHETIC RECONSTRUCTION FOR THE RESTORATION OR MODIFICATION OF A NATURAL NAIL |
| CN1098940C (en) | 1997-04-11 | 2003-01-15 | 帝人株式会社 | Fiber having optical interference function and its use |
| JPH1112493A (en) | 1997-06-24 | 1999-01-19 | Kose Corp | Composite powder and composition containing the same |
| US6186686B1 (en) * | 1997-07-02 | 2001-02-13 | Henlopen Manufacturing Co., Inc. | Applicator for liquid material |
| JP2987770B2 (en) | 1997-10-14 | 1999-12-06 | 光彌 坂本 | Lipstick container |
| US6117574A (en) | 1997-10-20 | 2000-09-12 | Agency Of Industrial Science And Technology | Triboluminescent inorganic material and a method for preparation thereof |
| FR2772771B1 (en) | 1997-12-19 | 2000-01-28 | Oreal | USE OF HYPERBRANCHED POLYMERS AND DENDRIMERS HAVING A PARTICULAR GROUPING, AS A FILM-FORMING AGENT, FILM-FORMING COMPOSITIONS COMPRISING THEM AND THEIR USE IN PARTICULAR IN COSMETICS OR PHARMACY |
| JP3788680B2 (en) | 1997-12-22 | 2006-06-21 | 花王株式会社 | Organic-inorganic composite pigment and method for producing the same |
| KR20010034064A (en) | 1998-01-13 | 2001-04-25 | 스프레이그 로버트 월터 | Color Shifting Film Glitter |
| EP1047731B1 (en) | 1998-01-13 | 2003-06-04 | Minnesota Mining And Manufacturing Company | Visible mirror film glitter |
| FR2776509B1 (en) | 1998-03-31 | 2001-08-10 | Oreal | TOPICAL COMPOSITION CONTAINING AN ESTER OF FATTY ACID OR ALCOHOL BRANCHED IN C24 TO C28 |
| FR2777178B1 (en) | 1998-04-10 | 2000-06-02 | Oreal | MAKEUP KIT COMBINING A GONIOCHROMATIC PIGMENT AND A SINGLE-COLORED PIGMENT HAVING ONE OF THE COLORS OF GONIOCHROMATIC PIGMENT, USES THEREOF |
| US6117435A (en) * | 1998-06-24 | 2000-09-12 | Color Access, Inc. | Natural look cosmetic compositions |
| FR2780281B1 (en) * | 1998-06-26 | 2000-08-18 | Oreal | COMPOSITIONS COMPRISING IRON OXIDE NANOPIGMENTS FOR ARTIFICIAL SKIN COLORING AND USES THEREOF |
| US5981680A (en) | 1998-07-13 | 1999-11-09 | Dow Corning Corporation | Method of making siloxane-based polyamides |
| US6515717B1 (en) | 1998-08-28 | 2003-02-04 | Reveo, Inc. | Computer-based system for producing multi-color multilayer images on substrates using dry multi-colored cholesteric liquid crystal (CLC) pigment materials applied to binder material patterns |
| JP2000168667A (en) | 1998-10-02 | 2000-06-20 | Honda Motor Co Ltd | Motorcycle |
| JP3049641B2 (en) | 1998-11-09 | 2000-06-05 | 勢津子 井伊 | Healthy skin pad using bath salt |
| US5931166A (en) * | 1998-12-22 | 1999-08-03 | Weber; Paul J. | Fingernail decorating |
| CA2257738A1 (en) * | 1999-01-04 | 2000-07-04 | Robyn Barwin | Liquid dispenser and applicator |
| JP4036560B2 (en) * | 1999-02-23 | 2008-01-23 | 三菱鉛筆株式会社 | Liquid cosmetics |
| FR2791560B1 (en) * | 1999-03-31 | 2003-03-07 | Oreal | HAMMERED NAIL VARNISH |
| FR2791570B1 (en) | 1999-03-31 | 2003-04-04 | Oreal | MAGNETIC FIELD EFFECT PATCH |
| US20050191337A1 (en) * | 1999-03-31 | 2005-09-01 | L'oreal S.A. | Patch with a magnetic field effect |
| JP3511083B2 (en) * | 1999-08-06 | 2004-03-29 | 独立行政法人産業技術総合研究所 | High intensity stress luminescent material, manufacturing method thereof, and luminescent method using the same |
| JP3856602B2 (en) | 1999-08-25 | 2006-12-13 | 株式会社資生堂 | Articulated cosmetic container |
| US6327779B1 (en) * | 1999-09-01 | 2001-12-11 | Adam M. Skipper | Magnetic shaving system |
| DE10039377A1 (en) | 1999-09-03 | 2001-03-08 | Merck Patent Gmbh | Thermochromic liquid crystal medium, useful for the production of inks for the security marking of documents, comprises a liquid crystalline mixture and a chiral doping agent. |
| FR2801202B1 (en) | 1999-11-19 | 2002-10-11 | Oreal | COSMETIC COMPOSITION COMPRISING A POLYMER WITH PARTICULAR CHARACTERISTICS AND A THICKENING POLYMER |
| US6299979B1 (en) * | 1999-12-17 | 2001-10-09 | Ppg Industries Ohio, Inc. | Color effect coating compositions having reflective organic pigments |
| US6213131B1 (en) * | 1999-12-23 | 2001-04-10 | Larry Vien | Fingernail stenciling system |
| US6428773B1 (en) | 2000-01-13 | 2002-08-06 | Color Access, Inc. | Shadow-effect cosmetic composition |
| WO2001052794A1 (en) | 2000-01-18 | 2001-07-26 | Sakura Color Products Corporation | Brilliant cosmetics |
| JP2001270805A (en) * | 2000-01-18 | 2001-10-02 | Sakura Color Prod Corp | Brilliant cosmetic |
| FR2805720B1 (en) * | 2000-03-03 | 2002-08-16 | Oreal | DEVICE INCLUDING AN APPLICATOR AND / OR A MAGNETIC SPINNER |
| JP2001302432A (en) * | 2000-04-28 | 2001-10-31 | Nittetsu Mining Co Ltd | Cosmetic |
| EP1196062B1 (en) | 2000-07-12 | 2005-10-26 | L'oreal | Device for packaging and/or applying a product containing fibres comprising at least a magnetised or magnetizable element |
| JP4145496B2 (en) * | 2000-08-31 | 2008-09-03 | 三好化成株式会社 | New composite powder and cosmetics containing the same |
| US7022752B2 (en) | 2000-09-01 | 2006-04-04 | Toda Kogyo Corporation | Composite particles, process for producing the same, and pigment, paint and resin composition using the same |
| KR100805218B1 (en) * | 2000-09-11 | 2008-02-21 | 쇼와 덴코 가부시키가이샤 | Cosmetic composition |
| JP2002114641A (en) * | 2000-10-10 | 2002-04-16 | Asanuma Corporation | Water-based manicure preparation |
| JP2002138010A (en) * | 2000-10-31 | 2002-05-14 | Nippon Sheet Glass Co Ltd | Cosmetic |
| JP2002188021A (en) | 2000-12-19 | 2002-07-05 | Toda Kogyo Corp | Black composite iron oxide pigment, coating material and resin composition given by using the black composite iron oxide pigment |
| JP2002194349A (en) | 2000-12-27 | 2002-07-10 | National Institute Of Advanced Industrial & Technology | Stress-stimulated luminescent material and method of manufacturing the same |
| WO2002053114A1 (en) | 2001-01-03 | 2002-07-11 | Giovanni Cosmetics, Inc. | Magnetic body care compositions |
| DE10114446A1 (en) * | 2001-03-23 | 2002-09-26 | Eckart Standard Bronzepulver | Flat iron pigment used paints, plastics, printing, glass, ceramics and cosmetics comprises reduced carbonyl iron powder |
| FR2823103B1 (en) * | 2001-04-10 | 2003-05-23 | Oreal | TWO-LAYER MAKEUP PRODUCT CONTAINING A GONIOCHROMATIC PIGMENT AND A SINGLE COLORED PIGMENT AND MAKEUP KIT CONTAINING THIS PRODUCT |
| DE10128354B4 (en) * | 2001-06-13 | 2004-11-18 | Georg Fischer Rohrverbindungstechnik Gmbh | Device for preventing unintentional restart |
| JP4790931B2 (en) | 2001-06-18 | 2011-10-12 | 株式会社コーセー | Multicolor cosmetic filling method and multicolor cosmetic obtained by the method |
| JP3798266B2 (en) * | 2001-06-25 | 2006-07-19 | 花王株式会社 | Colored mica titanium |
| US20030082121A1 (en) * | 2001-07-13 | 2003-05-01 | Benny Borsakian | Color changing nail polish |
| WO2003016409A1 (en) | 2001-08-10 | 2003-02-27 | Nihonkoken Kougyo Kabushiki Kaisha | Titanium oxide composition having high brilliant color, composition comprising coating and cosmetic composition, and method for their preparation |
| GB0119726D0 (en) | 2001-08-14 | 2001-10-03 | Qinetiq Ltd | Triboluminescent materials and devices |
| EP1427382A1 (en) | 2001-09-03 | 2004-06-16 | L'oreal | Foundation composition containing interference pigments |
| JP3737411B2 (en) | 2001-10-24 | 2006-01-18 | パイロットインキ株式会社 | Metallic luster heat discoloration liquid composition |
| JP2003199620A (en) * | 2001-12-28 | 2003-07-15 | Masachika Hattori | Beautification system |
| US6679825B2 (en) * | 2002-02-05 | 2004-01-20 | Pedro J. Alicea | Pain eliminator |
| JP2005527548A (en) | 2002-03-28 | 2005-09-15 | ザ プロクター アンド ギャンブル カンパニー | Particle stabilizing composition |
| DE10219296B4 (en) * | 2002-04-25 | 2013-08-08 | Coty B.V. | Temperature-dependent mascara |
| DE10219196B4 (en) | 2002-04-29 | 2010-03-18 | Kermi Gmbh | End fittings |
| US8637055B2 (en) | 2002-06-24 | 2014-01-28 | Ahava-Dead Sea Laboratories Ltd. | Cosmetic compositions containing small magnetic particles |
| JP4456797B2 (en) | 2002-07-12 | 2010-04-28 | 花王株式会社 | Lip cosmetics |
| JP4159025B2 (en) | 2002-07-12 | 2008-10-01 | 独立行政法人科学技術振興機構 | High brightness mechanoluminescence material and method for producing the same |
| FR2842417B1 (en) | 2002-07-19 | 2005-01-21 | Oreal | COSMETIC COMPOSITION |
| DE20211045U1 (en) | 2002-07-23 | 2002-09-19 | Nordmann, Michael, 48268 Greven | Device for heat treatment of the human vaginal or colon area |
| JP3918051B2 (en) | 2002-07-29 | 2007-05-23 | 独立行政法人産業技術総合研究所 | Mechanoluminescence material and method for producing the same |
| US20060118663A1 (en) | 2002-08-20 | 2006-06-08 | Steiner Gmbh & Co. Kg | Copper-based metal flakes, in particular comprising aluminum, and method for production thereof |
| US7306809B2 (en) | 2002-09-13 | 2007-12-11 | Lipo Chemicals, Inc. | Optically activated particles for use in cosmetic compositions |
| US7875265B2 (en) * | 2002-09-26 | 2011-01-25 | L'oreal | Cosmetic composition comprising a sequenced polymer and a plasticizer |
| FR2845277B1 (en) | 2002-10-02 | 2006-06-16 | Oreal | COMPOSITION FOR APPLICATION TO SKIN AND SKIN |
| JP2004123681A (en) | 2002-10-07 | 2004-04-22 | Kao Corp | Makeup cosmetics |
| EP1410784B1 (en) | 2002-10-18 | 2007-02-07 | L'oreal | Cosmetic composition comprising an oil phase and a naphthopyran dye and method |
| EP1410786B1 (en) | 2002-10-18 | 2008-01-02 | L'oreal | Cosmetic composition comprising at least two dyes whereof at least one is photochromic |
| FR2845899B1 (en) | 2002-10-18 | 2006-05-19 | Oreal | COSMETIC COMPOSITION COMPRISING OILY PHASE AND NAPTOPYRAN COLOR, AND METHODS OF COSMETIC TREATMENT |
| US20040228818A1 (en) * | 2002-10-18 | 2004-11-18 | L'oreal | Cosmetic composition combining at least two dyes including at least one photochromic dye |
| US20050276767A1 (en) | 2002-10-18 | 2005-12-15 | L'oreal | Composition containing an oily phase and a naphthopyran dye, cosmetic treatment processes |
| FR2846277B1 (en) | 2002-10-28 | 2005-01-21 | Brieuc Chauris | METHOD FOR MANUFACTURING ASSEMBLABLE COVER PARTS OF A SURFACE |
| JP4040957B2 (en) * | 2002-11-18 | 2008-01-30 | Agcエスアイテック株式会社 | Silica-containing cosmetics |
| FR2847812B1 (en) | 2002-11-28 | 2006-04-14 | Louis Dubertret | COSMETIC COMPOSITION COMPRISING FLUORESCENT NANOPARTICLES AS PIGMENTS |
| FR2848826B1 (en) | 2002-12-24 | 2005-03-18 | Oreal | COSMETIC COMPOSITIONS AND CONTRAST CARDS FOR CHARACTERIZING THEM |
| JP2004224782A (en) * | 2003-01-22 | 2004-08-12 | Yukipuramu Company:Kk | Cosmetics containing magnetic powder |
| US20070231940A1 (en) | 2003-01-27 | 2007-10-04 | L'oreal S.A. | Composition and method of dyeing keratin fibers comprising luminescent semiconductive nanoparticles |
| FR2850271B1 (en) | 2003-01-27 | 2006-08-04 | Oreal | USE OF LUMINESCENT SEMICONDUCTOR NANOPARTICLES IN COSMETICS |
| JP2004231610A (en) | 2003-01-31 | 2004-08-19 | Kao Corp | Water-in-oil emulsion cosmetics |
| FR2851463B1 (en) | 2003-02-25 | 2006-06-30 | Oreal | COSMETIC BILOUCHE PRODUCT, USES THEREOF, AND MAKE-UP KIT CONTAINING THE SAME |
| US20040228890A1 (en) | 2003-02-25 | 2004-11-18 | Xavier Blin | Two-coat cosmetic product, its uses, and makeup kit including the product |
| US20040175338A1 (en) * | 2003-03-06 | 2004-09-09 | L'oreal | Cosmetic composition containing an ester and a pasty compound |
| JP2004307424A (en) | 2003-04-09 | 2004-11-04 | Kao Corp | Makeup cosmetics |
| JP4277738B2 (en) | 2003-06-05 | 2009-06-10 | 山栄化学株式会社 | Hair dye |
| JP4186191B2 (en) | 2003-06-05 | 2008-11-26 | 山栄化学株式会社 | Plant sterol ester-containing hair cosmetic feel improver |
| JP4634019B2 (en) | 2003-08-26 | 2011-02-16 | チタン工業株式会社 | Low magnetization black pigment powder, production method thereof and use thereof |
| WO2005094760A1 (en) | 2004-03-31 | 2005-10-13 | Schwan-Stabilo Cosmetics Gmbh & Co. Kg. | Cosmetic preparation |
| US20050257715A1 (en) | 2004-04-08 | 2005-11-24 | Christophe Dumousseaux | Compositions for application to the skin, to the lips, to the nails, and/or to hair |
| US7981404B2 (en) | 2004-04-08 | 2011-07-19 | L'oreal S.A. | Composition for application to the skin, to the lips, to the nails, and/or to hair |
| US20050260146A1 (en) | 2004-04-08 | 2005-11-24 | Xavier Blin | Set of at least two solid compositions for application to the skin, to the lips, to the nails, and/or to hair |
| US20050238979A1 (en) | 2004-04-08 | 2005-10-27 | Christophe Dumousseaux | Compositions for application to the skin, to the lips, to the nails, and/or to hair |
| FR2869510B1 (en) | 2004-04-28 | 2006-07-14 | Oreal | CONDITIONING AND APPLICATION DEVICE COMPRISING A MAGNETIC MEDIUM AND AN APPLICATION BODY |
| US7648298B2 (en) | 2004-04-28 | 2010-01-19 | L'oreal | Packaging and applicator device comprising a support and a distribution member, and a method of applying a product with such a device |
| US9205918B2 (en) | 2013-11-08 | 2015-12-08 | Goodrich Corporation | System and method for maximum braking |
-
2004
- 2004-10-05 FR FR0410501A patent/FR2876011B1/en not_active Expired - Lifetime
-
2005
- 2005-07-08 JP JP2007535207A patent/JP4879182B2/en not_active Expired - Lifetime
- 2005-07-08 JP JP2007535204A patent/JP4841555B2/en not_active Expired - Fee Related
- 2005-07-08 US US11/663,776 patent/US20080044443A1/en not_active Abandoned
- 2005-07-08 US US11/663,977 patent/US20090130037A1/en not_active Abandoned
- 2005-07-08 EP EP05790048.2A patent/EP1799067B1/en not_active Expired - Lifetime
- 2005-07-08 ES ES05790006.0T patent/ES2602181T3/en not_active Expired - Lifetime
- 2005-07-08 EP EP05789912A patent/EP1796503B1/en not_active Expired - Lifetime
- 2005-07-08 JP JP2007535205A patent/JP4866360B2/en not_active Expired - Fee Related
- 2005-07-08 US US11/663,975 patent/US20080127990A1/en not_active Abandoned
- 2005-07-08 ES ES05789912T patent/ES2393790T3/en not_active Expired - Lifetime
- 2005-07-08 ES ES05790048.2T patent/ES2601704T3/en not_active Expired - Lifetime
- 2005-07-08 JP JP2007535206A patent/JP4841556B2/en not_active Expired - Fee Related
- 2005-07-08 WO PCT/FR2005/050564 patent/WO2006037906A1/en not_active Ceased
- 2005-07-08 US US11/663,978 patent/US20080050324A1/en not_active Abandoned
- 2005-07-08 WO PCT/FR2005/050559 patent/WO2006037902A1/en not_active Ceased
- 2005-07-08 ES ES05790058.1T patent/ES2602182T3/en not_active Expired - Lifetime
- 2005-07-08 ES ES05789860.3T patent/ES2602734T3/en not_active Expired - Lifetime
- 2005-07-08 EP EP05790006.0A patent/EP1799066B1/en not_active Expired - Lifetime
- 2005-07-08 JP JP2007534056A patent/JP4834669B2/en not_active Expired - Lifetime
- 2005-07-08 WO PCT/FR2005/050563 patent/WO2006037905A1/en not_active Ceased
- 2005-07-08 WO PCT/FR2005/050565 patent/WO2006037907A1/en not_active Ceased
- 2005-07-08 WO PCT/FR2005/050557 patent/WO2006037900A1/en not_active Ceased
- 2005-07-08 EP EP05790059A patent/EP1799069A1/en not_active Withdrawn
- 2005-07-08 EP EP05789998.1A patent/EP1799065B1/en not_active Expired - Lifetime
- 2005-07-08 EP EP05790058.1A patent/EP1799068B1/en not_active Expired - Lifetime
- 2005-07-08 JP JP2007534053A patent/JP4800315B2/en not_active Expired - Lifetime
- 2005-07-08 JP JP2007534055A patent/JP4828540B2/en not_active Expired - Lifetime
- 2005-07-08 WO PCT/FR2005/050562 patent/WO2006037904A1/en not_active Ceased
- 2005-07-08 WO PCT/FR2005/050561 patent/WO2006054002A1/en not_active Ceased
- 2005-07-08 US US11/664,003 patent/US20080124288A1/en not_active Abandoned
- 2005-07-08 WO PCT/FR2005/050560 patent/WO2006037903A1/en not_active Ceased
- 2005-07-08 US US11/663,772 patent/US9609934B2/en active Active
- 2005-07-08 ES ES05789998.1T patent/ES2602735T3/en not_active Expired - Lifetime
- 2005-07-08 EP EP05789860.3A patent/EP1799064B1/en not_active Expired - Lifetime
- 2005-10-05 US US11/242,901 patent/US20060088484A1/en not_active Abandoned
Patent Citations (103)
| Publication number | Priority date | Publication date | Assignee | Title |
|---|---|---|---|---|
| US3030967A (en) * | 1959-10-06 | 1962-04-24 | Peyron Antoine Francois | Process for applying cosmetic material to the skin |
| US3516422A (en) * | 1967-06-26 | 1970-06-23 | Chemway Corp | Magnetic false eyelashes and method of affixing to the eyelids |
| US3937811A (en) * | 1973-06-08 | 1976-02-10 | Societe Anonyme Dite: L'oreal | Fatty compositions for use in cosmetic makeup compositions and said cosmetic makeup compositions |
| US4031307A (en) * | 1976-05-03 | 1977-06-21 | Celanese Corporation | Cationic polygalactomannan compositions |
| US4318844A (en) * | 1979-06-20 | 1982-03-09 | Bayer Aktiengesellschaft | Inorganic pigments with improved gloss and distribution in lacquer binders |
| US4425326A (en) * | 1980-04-01 | 1984-01-10 | Societe Anonyme Dite : L'oreal | Anhydrous nail varnishes |
| US4728571A (en) * | 1985-07-19 | 1988-03-01 | Minnesota Mining And Manufacturing Company | Polysiloxane-grafted copolymer release coating sheets and adhesive tapes |
| US5122418A (en) * | 1985-12-09 | 1992-06-16 | Shiseido Company Ltd. | Composite powder and production process |
| US5133805A (en) * | 1987-08-28 | 1992-07-28 | Toda Kogyo Corp. | Plate-like hematite particles, a pigment comprising the same and showing a golden color, and a process for producing the same |
| US5030669A (en) * | 1988-05-27 | 1991-07-09 | Minnesota Mining And Manufacturing Company | Pigment dispersions |
| US5188815A (en) * | 1988-08-31 | 1993-02-23 | Merck Patent Gesellschaft Mit Beschrankter Haftung | Thermochromic mixtures |
| US5206011A (en) * | 1989-02-16 | 1993-04-27 | Amalia Inc. | Quick-drying nail enamel compositions |
| US5219560A (en) * | 1989-03-20 | 1993-06-15 | Kobayashi Kose Co., Ltd. | Cosmetic composition |
| US4981902A (en) * | 1989-08-07 | 1991-01-01 | Minnesota Mining And Manufacturing Company | Polysiloxane-grafted copolymer non-pressure sensitive topical binder composition and method of coating therewith |
| US5209924A (en) * | 1989-08-07 | 1993-05-11 | Minnesota Mining And Manufacturing Company | Polysiloxane-grafted copolymer topical binder composition with novel fluorochemical comonomer and method of coating therewith |
| US5199808A (en) * | 1989-11-30 | 1993-04-06 | L'oreal | Device for application of a liquid or pasty product to a surface |
| US5188899A (en) * | 1989-12-18 | 1993-02-23 | Toshiba Silicone Co., Ltd. | Silica-core silicone-shell particles, emulsion containing the same dispersed therein, and process for producing the emulsion |
| US5291345A (en) * | 1990-07-20 | 1994-03-01 | Mitsubishi Electric Corp. | Apparatus for applying magnetic field and magneto-optical disk storage having such apparatus |
| US5316026A (en) * | 1992-01-31 | 1994-05-31 | Fashion Nails, Inc. | Method and apparatus for applying decoration to nails |
| US5486354A (en) * | 1992-01-31 | 1996-01-23 | L'oreal | Cosmetic make-up composition containing a transparent titanium oxide and silicon oxide pigment |
| US5380359A (en) * | 1992-03-31 | 1995-01-10 | Kyowa Hakko Kogyo Co., Ltd. | Cosmetics based on naturally derived melanin-coated pigments |
| US5725882A (en) * | 1992-05-12 | 1998-03-10 | Minnesota Mining And Manufacturing Company | Vinyl-silicone copolymers in cosmetics and personal care products |
| US5643672A (en) * | 1992-09-11 | 1997-07-01 | L'oreal | Cosmetic composition containing solid particles coated with an amphoteric polymer |
| US5330747A (en) * | 1993-02-03 | 1994-07-19 | Dow Corning Corporation | Cosmetics with enhanced durability |
| US5424006A (en) * | 1993-04-28 | 1995-06-13 | Nemoto & Co., Ltd. | Phosphorescent phosphor |
| US5641835A (en) * | 1993-06-24 | 1997-06-24 | The Procter & Gamble Company | Process for producing siloxane modified polyolefin copolymers and products comprising the copolymer |
| US5625005A (en) * | 1993-07-08 | 1997-04-29 | Avery Dennison Corporation | Acrylic saturated rubber hybrid pressure-sensitive adhesives |
| US5705093A (en) * | 1993-08-06 | 1998-01-06 | Merck Patent Gesellschaft Mit Beschrankter Haftung | Thermochromic media |
| US20020031870A1 (en) * | 1993-11-30 | 2002-03-14 | Bryant Frank Randolph | Transistor structure and method for making same |
| US5393526A (en) * | 1994-02-07 | 1995-02-28 | Elizabeth Arden Company, Division Of Conopco, Inc. | Cosmetic compositions |
| US5512273A (en) * | 1994-10-31 | 1996-04-30 | Almell, Ltd. | Top nail coat composition |
| US6071632A (en) * | 1995-01-06 | 2000-06-06 | Ciba Specialty Chemicals Corporation | Triboluminescent lanthanideIII complexes |
| US5562706A (en) * | 1995-01-11 | 1996-10-08 | Electro Anti Age, Inc. | Device for cosmetic and relaxation treatment |
| US20040109837A1 (en) * | 1995-01-30 | 2004-06-10 | L'oreal | Cosmetic composition comprising a silicone-containing compound and a fatty acid ester |
| US6033650A (en) * | 1995-06-26 | 2000-03-07 | Revlon Consumer Products Corporation | Glossy transfer resistant cosmetic compositions |
| US6074654A (en) * | 1995-11-07 | 2000-06-13 | The Procter & Gamble Company | Transfer resistant cosmetic compositions |
| US6403106B1 (en) * | 1996-03-27 | 2002-06-11 | L'oreal, S.A. | Cosmetic use of copolymers with a rigid hydrophilic backbone grafted by flexible hydrophobic macromonomers, and compositions therefor |
| US5919441A (en) * | 1996-04-01 | 1999-07-06 | Colgate-Palmolive Company | Cosmetic composition containing thickening agent of siloxane polymer with hydrogen-bonding groups |
| US5856653A (en) * | 1996-06-13 | 1999-01-05 | Boudreaux; Nona | Mascara extender |
| US5874069A (en) * | 1997-01-24 | 1999-02-23 | Colgate-Palmolive Company | Cosmetic composition containing silicon-modified amides as thickening agents and method of forming same |
| US6051216A (en) * | 1997-08-01 | 2000-04-18 | Colgate-Palmolive Company | Cosmetic composition containing siloxane based polyamides as thickening agents |
| US6136907A (en) * | 1997-08-29 | 2000-10-24 | Taisei Chemical Industries, Ltd. | Process for producing dispersion of functional compound |
| US6477398B1 (en) * | 1997-11-13 | 2002-11-05 | Randell L. Mills | Resonant magnetic susceptibility imaging (ReMSI) |
| US6254876B1 (en) * | 1997-12-22 | 2001-07-03 | L'oreal | Transfer-resistant cosmetic composition comprising a dispersion of polymer particles in a liquid fatty phase |
| US6517818B1 (en) * | 1998-01-04 | 2003-02-11 | Coty B.V. | Lip or care stick which contains vitamins |
| US5913631A (en) * | 1998-01-30 | 1999-06-22 | Landry; Tina M. | Cosmetic applicator |
| US5873375A (en) * | 1998-02-26 | 1999-02-23 | Johnson; James | Fingernail stencil system using precut design masks |
| US6203781B1 (en) * | 1998-05-14 | 2001-03-20 | L'oreal | Optical brighteners as bleaching agents |
| US20020039562A1 (en) * | 1998-10-02 | 2002-04-04 | Masaru Kobayashi | Pigments and extender pigments with enhanced skin adhesion for cosmetic preparations |
| US6387498B1 (en) * | 1998-12-07 | 2002-05-14 | Flex Products, Inc. | Bright metal flake based pigments |
| US6209548B1 (en) * | 1999-03-08 | 2001-04-03 | Beauty Innovations | Method and apparatus for nail coloring |
| US6177093B1 (en) * | 1999-03-17 | 2001-01-23 | Color Access, Inc. | Method and system for color customizing cosmetic mass products |
| US6582684B1 (en) * | 1999-03-23 | 2003-06-24 | Xsight International | Body coating composition |
| US6358495B1 (en) * | 1999-03-26 | 2002-03-19 | Shiseido Co., Ltd. | Titanium-silica complex and cosmetic preparation compounding the same |
| US6517628B1 (en) * | 1999-04-16 | 2003-02-11 | Merck Patent Gmbh | Pigment mixture |
| US6753002B2 (en) * | 1999-05-26 | 2004-06-22 | Color Access Inc. | Cosmetic compositions containing fluorescent minerals |
| US6503761B1 (en) * | 1999-10-19 | 2003-01-07 | Kimberly-Clark Worldwide, Inc. | Selective removal of contaminants from a surface using articles having magnets |
| US20030007942A1 (en) * | 1999-10-19 | 2003-01-09 | Koenig David W. | Selective removal of contaminants from a surface using colored particles and articles having magnets |
| US6545809B1 (en) * | 1999-10-20 | 2003-04-08 | Flex Products, Inc. | Color shifting carbon-containing interference pigments |
| US6846474B2 (en) * | 1999-10-22 | 2005-01-25 | The Board Of Trustees Of The University Of Illinois | Silicon nanoparticle and method for producing the same |
| US20020070121A1 (en) * | 1999-10-22 | 2002-06-13 | The Board Of Trustees Of The University Of Illinois | Family of discretely sized slicon nanoparticles and method for producing the same |
| US7056498B2 (en) * | 1999-12-20 | 2006-06-06 | L'oreal | Composition containing aminophenol derivative, use thereof, and process for dissolving aminophenol derivative |
| US20020012683A1 (en) * | 2000-03-17 | 2002-01-31 | Jean-Christophe Henrion | Cosmetic composition comprising at least one ingredient chosen from compounds of formula (1) and salts thereof, use thereof as colouring agent, and novel compounds of formulae (IIa), (IIIa), (IVa), (Va), and (VIa), and salts thereof |
| US20020041853A1 (en) * | 2000-06-05 | 2002-04-11 | Showa Denko K.K. | Cosmetic composition |
| US20020015965A1 (en) * | 2000-07-27 | 2002-02-07 | Sweeting Linda Marie | Efficient synthesis of triboluminescent lanthanide complexes |
| US20040105827A1 (en) * | 2000-10-03 | 2004-06-03 | Sabine Grimm | Use for make-up in particular of a cosmetic composition having a continuous hydrophilic comprising a multilayer goniochromatic pigment |
| US20020064509A1 (en) * | 2000-10-03 | 2002-05-30 | Sabine Grimm | Method for producing a goniochromatic effect comprising applying to skin a cosmetic composition comprising at least one continuous lipophilic phase and at least one goniochromatic pigment |
| US20030118531A1 (en) * | 2000-10-31 | 2003-06-26 | Richard Kolodziej | Cosmetic composition containing a photochromic colouring agent and its use for skin and/or skin appendage make-up and/or care |
| US20030012752A1 (en) * | 2000-12-12 | 2003-01-16 | Isabelle Bara | Transparent or translucent cosmetic compositions colored by pigments |
| US20040012683A1 (en) * | 2001-01-23 | 2004-01-22 | Masafumi Yamasaki | Shake compensating device for optical devices |
| US6589331B2 (en) * | 2001-03-23 | 2003-07-08 | Eckart Gmbh & Co. Kg | Soft iron pigments |
| US20030039621A1 (en) * | 2001-04-10 | 2003-02-27 | L'oreal | Two-coat make-up product, its use and a kit containing the make-up product |
| US20030072602A1 (en) * | 2001-04-13 | 2003-04-17 | L'oreal | Device comprising magnetizable particles |
| US6884289B2 (en) * | 2001-04-24 | 2005-04-26 | Merck Patent Gmbh | Colored pigments |
| US20020182383A1 (en) * | 2001-05-07 | 2002-12-05 | Flex Products, Inc. | Methods for producing imaged coated articles by using magnetic pigments |
| US20020182409A1 (en) * | 2001-06-05 | 2002-12-05 | Gueret Jean-Louis H. | Fiber and device for applying a product, and method of manufacturing device |
| US20030134761A1 (en) * | 2001-07-20 | 2003-07-17 | L'oreal | Foaming composition based on silica and on cationic polymer |
| US20030031870A1 (en) * | 2001-07-31 | 2003-02-13 | Flex Products, Inc. | Diffractive pigment flakes and compositions |
| US6686397B2 (en) * | 2001-08-31 | 2004-02-03 | Aventis Pharma Deutschland Gmbh | Polysubstituted indan-1-ol systems for the prophylaxis or treatment of obesity |
| US20030130323A1 (en) * | 2001-08-31 | 2003-07-10 | Gerhard Jaehne | Polysubstituted indan-1-ol- systems for the prophylaxis or treatment of obesity |
| US20030064086A1 (en) * | 2001-08-31 | 2003-04-03 | Danuvio Carrion | Cosmetic compositions comprising nanoparticles and processes for using the same |
| US20030064039A1 (en) * | 2001-09-03 | 2003-04-03 | Richard Kolodziej | Foundation composition comprising interference pigments |
| US7060371B2 (en) * | 2001-11-30 | 2006-06-13 | National Institute Of Advanced Industrial Science & Technology | Mechanoluminescence material, producing method thereof, and usage thereof |
| US20040001869A1 (en) * | 2002-04-10 | 2004-01-01 | Yuko Yago | Cosmetic composition |
| US20040009309A1 (en) * | 2002-07-15 | 2004-01-15 | Flex Products, Inc., A Jds Uniphase Company | Magnetic planarization of pigment flakes |
| US20050118122A1 (en) * | 2002-07-19 | 2005-06-02 | Societe L'oreal S.A. | Goniochromatic/light reflective cosmetic makeup compositions |
| US20080014158A1 (en) * | 2002-09-26 | 2008-01-17 | L'oreal | Novel Block Polymers and Cosmetic Compositions and Processes Comprising Them |
| US20060099160A1 (en) * | 2002-10-02 | 2006-05-11 | Christophe Dumousseaux | Composition intended to be applied to the skin and the integuments |
| US20060041054A1 (en) * | 2002-10-02 | 2006-02-23 | Christophe Dumousseaux | Compositions to be applied to the skin and the integuments |
| US20060039876A1 (en) * | 2002-10-02 | 2006-02-23 | Christophe Dumousseaux | Compositions to be applied to the skin and the integuments |
| US20060018854A1 (en) * | 2002-10-02 | 2006-01-26 | Christophe Dumousseaux | Cosmetic compositions |
| US7329287B2 (en) * | 2002-12-06 | 2008-02-12 | L'oreal S.A. | Oxidation dye composition for keratin fibers, comprising at least one oxidation dye, at least one associative polymer, at least one nonionic cellulose-based compound not comprising a C8-C30 fatty chain, and at least one cationic polymer with a charge density of greater than 1 meq/g and not comprising a C8-C30 fatty chain |
| US20050036964A1 (en) * | 2002-12-24 | 2005-02-17 | L'oreal | Makeup compositions for dark skins |
| US20050025728A1 (en) * | 2002-12-24 | 2005-02-03 | L'oreal | Cosmetic compositions and contrast cards for characterizing them |
| US7329719B2 (en) * | 2003-04-22 | 2008-02-12 | Arizona Chemical Company | Ester-terminated poly(ester-amide) in personal care products |
| US20060051382A1 (en) * | 2004-09-07 | 2006-03-09 | Richard Vidal | Compositions for body hairs and/or head hair |
| US20060088484A1 (en) * | 2004-10-05 | 2006-04-27 | Ludovic Thevenet | Method of applying makeup to a surface and a kit for implementing such a method |
| US20080044443A1 (en) * | 2004-10-05 | 2008-02-21 | L'oreal | Method of Applying Makeup by Means of a Magnetic Composition Including at Least One Coloring Agent Producing a Color by Absorbing at Least a Fraction of the Visible Spectrum |
| US20080050324A1 (en) * | 2004-10-05 | 2008-02-28 | L'oreal | Method of Applying Makeup by Means of a Magnetic Composition Including at Least One Differactive Pigment |
| US20080105272A1 (en) * | 2004-10-05 | 2008-05-08 | L'oreal | Method Of Applying Makeup By Means Of A Magnetic Composition Including At Least One Interferential Pigment |
| US20080127990A1 (en) * | 2004-10-05 | 2008-06-05 | L'oreal | Method of Applying Makeup to a Surface by Means of a Magnetic Composition Including Reflective Particles Having Metallic Luster |
| US20090130037A1 (en) * | 2004-10-05 | 2009-05-21 | L'oreal | Method of Applying Makeup to a Surface and a Kit for Implementing such a Method |
| US20070009454A1 (en) * | 2005-07-08 | 2007-01-11 | L'oreal | Make-up method involving a magnetic interaction |
Non-Patent Citations (6)
| Title |
|---|
| 21-USC-Chapter-9-subchapter -II, definition of "cosmetic," p. 32. * |
| Blakely, Richard J.; "Potential Theory in Gravity and Magnetic Applications," 1996, Cambridge University Press; pp. 87-90. * |
| FR 2 845 899 translation of description and claims. * |
| Kurtus, Ron; "Detection of a Magnetic Field," dated 23-MAY-2004, as captured by internet archive () on 04-JUN-2004 from , pp. 1-5 as provided. * |
| Merriam-Webster(TM) "Merriam-Webster's Collegiate Dictionary, 11th edition," 2003; MERRIAM-WEBSTERS INC; entry for "cosmetic," pp. 1-20. * |
| Roeben, Scott; "Ferreting Out Funny Money: Fighting Counterfeiting," as captured by interet archive () on 03-FEB-2004 from , pp. 1-7 as provided. * |
Cited By (24)
| Publication number | Priority date | Publication date | Assignee | Title |
|---|---|---|---|---|
| US20060039876A1 (en) * | 2002-10-02 | 2006-02-23 | Christophe Dumousseaux | Compositions to be applied to the skin and the integuments |
| US8007772B2 (en) | 2002-10-02 | 2011-08-30 | L'oreal S.A. | Compositions to be applied to the skin and the integuments |
| US20080044366A1 (en) * | 2004-04-08 | 2008-02-21 | L'oreal S.A. | Compositions for application to the skin, to the lips, to the nails, and/or to hair |
| US20050257335A1 (en) * | 2004-04-08 | 2005-11-24 | Christophe Dumousseaux | Composition for application to the skin, to the lips, to the nails, and/or to hair |
| US20050238979A1 (en) * | 2004-04-08 | 2005-10-27 | Christophe Dumousseaux | Compositions for application to the skin, to the lips, to the nails, and/or to hair |
| US7981404B2 (en) | 2004-04-08 | 2011-07-19 | L'oreal S.A. | Composition for application to the skin, to the lips, to the nails, and/or to hair |
| US9609934B2 (en) | 2004-10-05 | 2017-04-04 | L'oreal | Method of applying makeup by means of a magnetic composition including at least one interferential pigment |
| US9649261B2 (en) | 2004-10-05 | 2017-05-16 | L'oreal | Method of applying makeup to a surface and a kit for implementing such a method |
| US20080050324A1 (en) * | 2004-10-05 | 2008-02-28 | L'oreal | Method of Applying Makeup by Means of a Magnetic Composition Including at Least One Differactive Pigment |
| US20080105272A1 (en) * | 2004-10-05 | 2008-05-08 | L'oreal | Method Of Applying Makeup By Means Of A Magnetic Composition Including At Least One Interferential Pigment |
| US20080044443A1 (en) * | 2004-10-05 | 2008-02-21 | L'oreal | Method of Applying Makeup by Means of a Magnetic Composition Including at Least One Coloring Agent Producing a Color by Absorbing at Least a Fraction of the Visible Spectrum |
| US20090130037A1 (en) * | 2004-10-05 | 2009-05-21 | L'oreal | Method of Applying Makeup to a Surface and a Kit for Implementing such a Method |
| US20060088483A1 (en) * | 2004-10-05 | 2006-04-27 | Ludovic Thevenet | Kit and method of applying makeup |
| US20090081261A1 (en) * | 2005-07-08 | 2009-03-26 | L'oreal | Liquid foundation, a makeup method, and a kit for implementing such a method |
| US20070125396A1 (en) * | 2005-08-30 | 2007-06-07 | L'oreal | Packaging and applicator assembly including a magnetic device, a magnetic device, a method of forming a pattern on a nail using a magnetic device and a method of manufacturing a magnetic device |
| US8544475B2 (en) * | 2005-08-30 | 2013-10-01 | L'oreal | Packaging and applicator assembly including a magnetic device, a magnetic device, a method of forming a pattern on a nail using a magnetic device and a method of manufacturing a magnetic device |
| US20070149091A1 (en) * | 2005-11-03 | 2007-06-28 | Evelyn Viohl | Interactive doll |
| US8017038B2 (en) * | 2009-09-04 | 2011-09-13 | Samsung Sdi Co., Ltd. | Green phosphor and plasma display panel including the same |
| US20110057148A1 (en) * | 2009-09-04 | 2011-03-10 | Lee Young-Hun | Green phosphor and plasma display panel including the same |
| US20150016857A1 (en) * | 2012-03-01 | 2015-01-15 | Mitsubishi Pencil Company, Limited | Liquid cosmetic |
| US10028564B2 (en) * | 2012-03-01 | 2018-07-24 | Mitsubishi Pencil Company, Limited | Liquid cosmetic |
| WO2019169008A1 (en) * | 2018-02-28 | 2019-09-06 | Hunter Laura A | Magnetically attachable eyelash prosthetic system and related methods |
| CN108721142A (en) * | 2018-06-20 | 2018-11-02 | 惠州市栢诗新材料有限公司 | A kind of water-based nail polish of quick-dry type and preparation method thereof |
| WO2020180346A1 (en) * | 2019-03-07 | 2020-09-10 | Hunter Laura A | Magnetic mascara compositions and related methods |
Also Published As
Similar Documents
| Publication | Publication Date | Title |
|---|---|---|
| US20080124288A1 (en) | Method of Applying Makeup by Means of a Magnetic Composition Incorporating at Least one Coloring Agent Having Optical Properties that are Sensitive to an External Stimulus | |
| US9649261B2 (en) | Method of applying makeup to a surface and a kit for implementing such a method | |
| US20060088483A1 (en) | Kit and method of applying makeup | |
| US20070009454A1 (en) | Make-up method involving a magnetic interaction | |
| CN1679508B (en) | Composition for application to skin, lips, nails and/or hair | |
| US20080019933A1 (en) | Method of making-up dark skin | |
| US20080241086A1 (en) | Line of cosmetic compositions | |
| JP4799559B2 (en) | Kit and method for applying makeup | |
| US20080095723A1 (en) | Cosmetic composition | |
| WO2007007219A1 (en) | A display unit for cosmetic compositions having non-zero magnetic properties |
Legal Events
| Date | Code | Title | Description |
|---|---|---|---|
| AS | Assignment |
Owner name: L'OREAL, FRANCE Free format text: ASSIGNMENT OF ASSIGNORS INTEREST;ASSIGNOR:THEVENET, LUDOVIC;REEL/FRAME:019715/0509 Effective date: 20070705 |
|
| STCB | Information on status: application discontinuation |
Free format text: ABANDONED -- FAILURE TO RESPOND TO AN OFFICE ACTION |













