US20080025989A1 - Anti-cd70 antibody-drug conjugates and their use for the treatment of cancer and immune disorders - Google Patents
Anti-cd70 antibody-drug conjugates and their use for the treatment of cancer and immune disorders Download PDFInfo
- Publication number
- US20080025989A1 US20080025989A1 US11/735,376 US73537607A US2008025989A1 US 20080025989 A1 US20080025989 A1 US 20080025989A1 US 73537607 A US73537607 A US 73537607A US 2008025989 A1 US2008025989 A1 US 2008025989A1
- Authority
- US
- United States
- Prior art keywords
- antibody
- seq
- amino acid
- cells
- set forth
- Prior art date
- Legal status (The legal status is an assumption and is not a legal conclusion. Google has not performed a legal analysis and makes no representation as to the accuracy of the status listed.)
- Abandoned
Links
- 206010028980 Neoplasm Diseases 0.000 title claims abstract description 167
- 208000026278 immune system disease Diseases 0.000 title claims abstract description 55
- 238000011282 treatment Methods 0.000 title claims abstract description 46
- 229940049595 antibody-drug conjugate Drugs 0.000 title claims description 250
- 239000000611 antibody drug conjugate Substances 0.000 title claims description 249
- 201000011510 cancer Diseases 0.000 title claims description 88
- 101000934356 Homo sapiens CD70 antigen Proteins 0.000 claims abstract description 343
- 102100025221 CD70 antigen Human genes 0.000 claims abstract description 342
- 238000000034 method Methods 0.000 claims abstract description 171
- 239000003814 drug Substances 0.000 claims abstract description 113
- 230000001472 cytotoxic effect Effects 0.000 claims abstract description 69
- 231100000433 cytotoxic Toxicity 0.000 claims abstract description 68
- 229940079593 drug Drugs 0.000 claims abstract description 59
- 125000003275 alpha amino acid group Chemical group 0.000 claims description 124
- 108090000765 processed proteins & peptides Proteins 0.000 claims description 73
- 230000027455 binding Effects 0.000 claims description 68
- 239000002254 cytotoxic agent Substances 0.000 claims description 66
- 229940127089 cytotoxic agent Drugs 0.000 claims description 60
- 241000282414 Homo sapiens Species 0.000 claims description 59
- 102000004196 processed proteins & peptides Human genes 0.000 claims description 57
- 208000006265 Renal cell carcinoma Diseases 0.000 claims description 56
- 229920001184 polypeptide Polymers 0.000 claims description 54
- 239000003795 chemical substances by application Substances 0.000 claims description 50
- 210000001744 T-lymphocyte Anatomy 0.000 claims description 46
- 231100000599 cytotoxic agent Toxicity 0.000 claims description 44
- 239000000824 cytostatic agent Substances 0.000 claims description 38
- 239000003018 immunosuppressive agent Substances 0.000 claims description 35
- 229940125721 immunosuppressive agent Drugs 0.000 claims description 34
- 210000003719 b-lymphocyte Anatomy 0.000 claims description 27
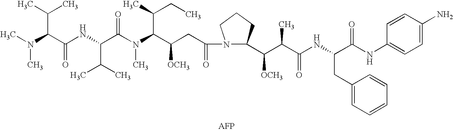
- IEDXPSOJFSVCKU-HOKPPMCLSA-N [4-[[(2S)-5-(carbamoylamino)-2-[[(2S)-2-[6-(2,5-dioxopyrrolidin-1-yl)hexanoylamino]-3-methylbutanoyl]amino]pentanoyl]amino]phenyl]methyl N-[(2S)-1-[[(2S)-1-[[(3R,4S,5S)-1-[(2S)-2-[(1R,2R)-3-[[(1S,2R)-1-hydroxy-1-phenylpropan-2-yl]amino]-1-methoxy-2-methyl-3-oxopropyl]pyrrolidin-1-yl]-3-methoxy-5-methyl-1-oxoheptan-4-yl]-methylamino]-3-methyl-1-oxobutan-2-yl]amino]-3-methyl-1-oxobutan-2-yl]-N-methylcarbamate Chemical compound CC[C@H](C)[C@@H]([C@@H](CC(=O)N1CCC[C@H]1[C@H](OC)[C@@H](C)C(=O)N[C@H](C)[C@@H](O)c1ccccc1)OC)N(C)C(=O)[C@@H](NC(=O)[C@H](C(C)C)N(C)C(=O)OCc1ccc(NC(=O)[C@H](CCCNC(N)=O)NC(=O)[C@@H](NC(=O)CCCCCN2C(=O)CCC2=O)C(C)C)cc1)C(C)C IEDXPSOJFSVCKU-HOKPPMCLSA-N 0.000 claims description 26
- 108091005804 Peptidases Proteins 0.000 claims description 24
- 239000004365 Protease Substances 0.000 claims description 24
- MFRNYXJJRJQHNW-DEMKXPNLSA-N (2s)-2-[[(2r,3r)-3-methoxy-3-[(2s)-1-[(3r,4s,5s)-3-methoxy-5-methyl-4-[methyl-[(2s)-3-methyl-2-[[(2s)-3-methyl-2-(methylamino)butanoyl]amino]butanoyl]amino]heptanoyl]pyrrolidin-2-yl]-2-methylpropanoyl]amino]-3-phenylpropanoic acid Chemical compound CN[C@@H](C(C)C)C(=O)N[C@@H](C(C)C)C(=O)N(C)[C@@H]([C@@H](C)CC)[C@H](OC)CC(=O)N1CCC[C@H]1[C@H](OC)[C@@H](C)C(=O)N[C@H](C(O)=O)CC1=CC=CC=C1 MFRNYXJJRJQHNW-DEMKXPNLSA-N 0.000 claims description 23
- WOWDZACBATWTAU-FEFUEGSOSA-N (2s)-2-[[(2s)-2-(dimethylamino)-3-methylbutanoyl]amino]-n-[(3r,4s,5s)-1-[(2s)-2-[(1r,2r)-3-[[(1s,2r)-1-hydroxy-1-phenylpropan-2-yl]amino]-1-methoxy-2-methyl-3-oxopropyl]pyrrolidin-1-yl]-3-methoxy-5-methyl-1-oxoheptan-4-yl]-n,3-dimethylbutanamide Chemical compound CC(C)[C@H](N(C)C)C(=O)N[C@@H](C(C)C)C(=O)N(C)[C@@H]([C@@H](C)CC)[C@H](OC)CC(=O)N1CCC[C@H]1[C@H](OC)[C@@H](C)C(=O)N[C@H](C)[C@@H](O)C1=CC=CC=C1 WOWDZACBATWTAU-FEFUEGSOSA-N 0.000 claims description 21
- 230000003834 intracellular effect Effects 0.000 claims description 18
- 230000001404 mediated effect Effects 0.000 claims description 18
- 229930188854 dolastatin Natural products 0.000 claims description 17
- 108010016626 Dipeptides Proteins 0.000 claims description 16
- 208000037265 diseases, disorders, signs and symptoms Diseases 0.000 claims description 16
- 208000017604 Hodgkin disease Diseases 0.000 claims description 15
- 208000010747 Hodgkins lymphoma Diseases 0.000 claims description 15
- 108010044540 auristatin Proteins 0.000 claims description 15
- AMRJKAQTDDKMCE-UHFFFAOYSA-N dolastatin Chemical compound CC(C)C(N(C)C)C(=O)NC(C(C)C)C(=O)N(C)C(C(C)C)C(OC)CC(=O)N1CCCC1C(OC)C(C)C(=O)NC(C=1SC=CN=1)CC1=CC=CC=C1 AMRJKAQTDDKMCE-UHFFFAOYSA-N 0.000 claims description 15
- ZDZOTLJHXYCWBA-VCVYQWHSSA-N N-debenzoyl-N-(tert-butoxycarbonyl)-10-deacetyltaxol Chemical compound O([C@H]1[C@H]2[C@@](C([C@H](O)C3=C(C)[C@@H](OC(=O)[C@H](O)[C@@H](NC(=O)OC(C)(C)C)C=4C=CC=CC=4)C[C@]1(O)C3(C)C)=O)(C)[C@@H](O)C[C@H]1OC[C@]12OC(=O)C)C(=O)C1=CC=CC=C1 ZDZOTLJHXYCWBA-VCVYQWHSSA-N 0.000 claims description 14
- 229930012538 Paclitaxel Natural products 0.000 claims description 14
- HESCAJZNRMSMJG-HGYUPSKWSA-N epothilone A Natural products O=C1[C@H](C)[C@H](O)[C@H](C)CCC[C@H]2O[C@H]2C[C@@H](/C(=C\c2nc(C)sc2)/C)OC(=O)C[C@H](O)C1(C)C HESCAJZNRMSMJG-HGYUPSKWSA-N 0.000 claims description 14
- 229960001592 paclitaxel Drugs 0.000 claims description 14
- RCINICONZNJXQF-MZXODVADSA-N taxol Chemical compound O([C@@H]1[C@@]2(C[C@@H](C(C)=C(C2(C)C)[C@H](C([C@]2(C)[C@@H](O)C[C@H]3OC[C@]3([C@H]21)OC(C)=O)=O)OC(=O)C)OC(=O)[C@H](O)[C@@H](NC(=O)C=1C=CC=CC=1)C=1C=CC=CC=1)O)C(=O)C1=CC=CC=C1 RCINICONZNJXQF-MZXODVADSA-N 0.000 claims description 14
- 229940123237 Taxane Drugs 0.000 claims description 13
- 229940122803 Vinca alkaloid Drugs 0.000 claims description 13
- 229960003668 docetaxel Drugs 0.000 claims description 13
- 241000701044 Human gammaherpesvirus 4 Species 0.000 claims description 12
- 229930126263 Maytansine Natural products 0.000 claims description 12
- WKPWGQKGSOKKOO-RSFHAFMBSA-N maytansine Chemical compound CO[C@@H]([C@@]1(O)C[C@](OC(=O)N1)([C@H]([C@@H]1O[C@@]1(C)[C@@H](OC(=O)[C@H](C)N(C)C(C)=O)CC(=O)N1C)C)[H])\C=C\C=C(C)\CC2=CC(OC)=C(Cl)C1=C2 WKPWGQKGSOKKOO-RSFHAFMBSA-N 0.000 claims description 12
- IDBIFFKSXLYUOT-UHFFFAOYSA-N netropsin Chemical compound C1=C(C(=O)NCCC(N)=N)N(C)C=C1NC(=O)C1=CC(NC(=O)CN=C(N)N)=CN1C IDBIFFKSXLYUOT-UHFFFAOYSA-N 0.000 claims description 12
- ANZJBCHSOXCCRQ-FKUXLPTCSA-N mertansine Chemical compound CO[C@@H]([C@@]1(O)C[C@H](OC(=O)N1)[C@@H](C)[C@@H]1O[C@@]1(C)[C@@H](OC(=O)[C@H](C)N(C)C(=O)CCS)CC(=O)N1C)\C=C\C=C(C)\CC2=CC(OC)=C(Cl)C1=C2 ANZJBCHSOXCCRQ-FKUXLPTCSA-N 0.000 claims description 11
- DKPFODGZWDEEBT-QFIAKTPHSA-N taxane Chemical class C([C@]1(C)CCC[C@@H](C)[C@H]1C1)C[C@H]2[C@H](C)CC[C@@H]1C2(C)C DKPFODGZWDEEBT-QFIAKTPHSA-N 0.000 claims description 11
- FBOZXECLQNJBKD-ZDUSSCGKSA-N L-methotrexate Chemical compound C=1N=C2N=C(N)N=C(N)C2=NC=1CN(C)C1=CC=C(C(=O)N[C@@H](CCC(O)=O)C(O)=O)C=C1 FBOZXECLQNJBKD-ZDUSSCGKSA-N 0.000 claims description 10
- 229960000485 methotrexate Drugs 0.000 claims description 10
- RXWNCPJZOCPEPQ-NVWDDTSBSA-N puromycin Chemical compound C1=CC(OC)=CC=C1C[C@H](N)C(=O)N[C@H]1[C@@H](O)[C@H](N2C3=NC=NC(=C3N=C2)N(C)C)O[C@@H]1CO RXWNCPJZOCPEPQ-NVWDDTSBSA-N 0.000 claims description 10
- 229960004528 vincristine Drugs 0.000 claims description 10
- OGWKCGZFUXNPDA-XQKSVPLYSA-N vincristine Chemical compound C([N@]1C[C@@H](C[C@]2(C(=O)OC)C=3C(=CC4=C([C@]56[C@H]([C@@]([C@H](OC(C)=O)[C@]7(CC)C=CCN([C@H]67)CC5)(O)C(=O)OC)N4C=O)C=3)OC)C[C@@](C1)(O)CC)CC1=C2NC2=CC=CC=C12 OGWKCGZFUXNPDA-XQKSVPLYSA-N 0.000 claims description 10
- OGWKCGZFUXNPDA-UHFFFAOYSA-N vincristine Natural products C1C(CC)(O)CC(CC2(C(=O)OC)C=3C(=CC4=C(C56C(C(C(OC(C)=O)C7(CC)C=CCN(C67)CC5)(O)C(=O)OC)N4C=O)C=3)OC)CN1CCC1=C2NC2=CC=CC=C12 OGWKCGZFUXNPDA-UHFFFAOYSA-N 0.000 claims description 10
- ALBODLTZUXKBGZ-JUUVMNCLSA-N (2s)-2-amino-3-phenylpropanoic acid;(2s)-2,6-diaminohexanoic acid Chemical compound NCCCC[C@H](N)C(O)=O.OC(=O)[C@@H](N)CC1=CC=CC=C1 ALBODLTZUXKBGZ-JUUVMNCLSA-N 0.000 claims description 9
- JXLYSJRDGCGARV-WWYNWVTFSA-N Vinblastine Natural products O=C(O[C@H]1[C@](O)(C(=O)OC)[C@@H]2N(C)c3c(cc(c(OC)c3)[C@]3(C(=O)OC)c4[nH]c5c(c4CCN4C[C@](O)(CC)C[C@H](C3)C4)cccc5)[C@@]32[C@H]2[C@@]1(CC)C=CCN2CC3)C JXLYSJRDGCGARV-WWYNWVTFSA-N 0.000 claims description 9
- 239000011230 binding agent Substances 0.000 claims description 9
- 229960003048 vinblastine Drugs 0.000 claims description 9
- 208000035475 disorder Diseases 0.000 claims description 8
- FRPJXPJMRWBBIH-RBRWEJTLSA-N estramustine Chemical compound ClCCN(CCCl)C(=O)OC1=CC=C2[C@H]3CC[C@](C)([C@H](CC4)O)[C@@H]4[C@@H]3CCC2=C1 FRPJXPJMRWBBIH-RBRWEJTLSA-N 0.000 claims description 8
- 229960001842 estramustine Drugs 0.000 claims description 8
- JYGXADMDTFJGBT-VWUMJDOOSA-N hydrocortisone Chemical compound O=C1CC[C@]2(C)[C@H]3[C@@H](O)C[C@](C)([C@@](CC4)(O)C(=O)CO)[C@@H]4[C@@H]3CCC2=C1 JYGXADMDTFJGBT-VWUMJDOOSA-N 0.000 claims description 8
- UOWVMDUEMSNCAV-WYENRQIDSA-N rachelmycin Chemical compound C1([C@]23C[C@@H]2CN1C(=O)C=1NC=2C(OC)=C(O)C4=C(C=2C=1)CCN4C(=O)C1=CC=2C=4CCN(C=4C(O)=C(C=2N1)OC)C(N)=O)=CC(=O)C1=C3C(C)=CN1 UOWVMDUEMSNCAV-WYENRQIDSA-N 0.000 claims description 8
- 229960002066 vinorelbine Drugs 0.000 claims description 8
- AADVCYNFEREWOS-UHFFFAOYSA-N (+)-DDM Natural products C=CC=CC(C)C(OC(N)=O)C(C)C(O)C(C)CC(C)=CC(C)C(O)C(C)C=CC(O)CC1OC(=O)C(C)C(O)C1C AADVCYNFEREWOS-UHFFFAOYSA-N 0.000 claims description 7
- XSAKVDNHFRWJKS-IIZANFQQSA-N (2s)-n-benzyl-1-[(2s)-1-[(2s)-2-[[(2s)-2-[[(2s)-2-(dimethylamino)-3-methylbutanoyl]amino]-3-methylbutanoyl]-methylamino]-3-methylbutanoyl]pyrrolidine-2-carbonyl]pyrrolidine-2-carboxamide Chemical compound CC(C)[C@H](N(C)C)C(=O)N[C@@H](C(C)C)C(=O)N(C)[C@@H](C(C)C)C(=O)N1CCC[C@H]1C(=O)N1[C@H](C(=O)NCC=2C=CC=CC=2)CCC1 XSAKVDNHFRWJKS-IIZANFQQSA-N 0.000 claims description 7
- 229960005532 CC-1065 Drugs 0.000 claims description 7
- CMSMOCZEIVJLDB-UHFFFAOYSA-N Cyclophosphamide Chemical compound ClCCN(CCCl)P1(=O)NCCCO1 CMSMOCZEIVJLDB-UHFFFAOYSA-N 0.000 claims description 7
- AADVCYNFEREWOS-OBRABYBLSA-N Discodermolide Chemical compound C=C\C=C/[C@H](C)[C@H](OC(N)=O)[C@@H](C)[C@H](O)[C@@H](C)C\C(C)=C/[C@H](C)[C@@H](O)[C@@H](C)\C=C/[C@@H](O)C[C@@H]1OC(=O)[C@H](C)[C@@H](O)[C@H]1C AADVCYNFEREWOS-OBRABYBLSA-N 0.000 claims description 7
- LQKSHSFQQRCAFW-UHFFFAOYSA-N Dolastatin 15 Natural products COC1=CC(=O)N(C(=O)C(OC(=O)C2N(CCC2)C(=O)C2N(CCC2)C(=O)C(C(C)C)N(C)C(=O)C(NC(=O)C(C(C)C)N(C)C)C(C)C)C(C)C)C1CC1=CC=CC=C1 LQKSHSFQQRCAFW-UHFFFAOYSA-N 0.000 claims description 7
- QXRSDHAAWVKZLJ-OXZHEXMSSA-N Epothilone B Natural products O=C1[C@H](C)[C@H](O)[C@@H](C)CCC[C@@]2(C)O[C@H]2C[C@@H](/C(=C\c2nc(C)sc2)/C)OC(=O)C[C@H](O)C1(C)C QXRSDHAAWVKZLJ-OXZHEXMSSA-N 0.000 claims description 7
- FADYJNXDPBKVCA-UHFFFAOYSA-N L-Phenylalanyl-L-lysin Natural products NCCCCC(C(O)=O)NC(=O)C(N)CC1=CC=CC=C1 FADYJNXDPBKVCA-UHFFFAOYSA-N 0.000 claims description 7
- 239000000867 Lipoxygenase Inhibitor Substances 0.000 claims description 7
- 208000034578 Multiple myelomas Diseases 0.000 claims description 7
- OWPCHSCAPHNHAV-UHFFFAOYSA-N Rhizoxin Natural products C1C(O)C2(C)OC2C=CC(C)C(OC(=O)C2)CC2CC2OC2C(=O)OC1C(C)C(OC)C(C)=CC=CC(C)=CC1=COC(C)=N1 OWPCHSCAPHNHAV-UHFFFAOYSA-N 0.000 claims description 7
- 108010046713 cemadotin Proteins 0.000 claims description 7
- 229950009017 cemadotin Drugs 0.000 claims description 7
- 229960004397 cyclophosphamide Drugs 0.000 claims description 7
- OFDNQWIFNXBECV-VFSYNPLYSA-N dolastatin 10 Chemical compound CC(C)[C@H](N(C)C)C(=O)N[C@@H](C(C)C)C(=O)N(C)[C@@H]([C@@H](C)CC)[C@H](OC)CC(=O)N1CCC[C@H]1[C@H](OC)[C@@H](C)C(=O)N[C@H](C=1SC=CN=1)CC1=CC=CC=C1 OFDNQWIFNXBECV-VFSYNPLYSA-N 0.000 claims description 7
- 229960005501 duocarmycin Drugs 0.000 claims description 7
- 229930184221 duocarmycin Natural products 0.000 claims description 7
- XOPYFXBZMVTEJF-PDACKIITSA-N eleutherobin Chemical compound C(/[C@H]1[C@H](C(=CC[C@@H]1C(C)C)C)C[C@@H]([C@@]1(C)O[C@@]2(C=C1)OC)OC(=O)\C=C\C=1N=CN(C)C=1)=C2\CO[C@@H]1OC[C@@H](O)[C@@H](O)[C@@H]1OC(C)=O XOPYFXBZMVTEJF-PDACKIITSA-N 0.000 claims description 7
- XOPYFXBZMVTEJF-UHFFFAOYSA-N eleutherobin Natural products C1=CC2(OC)OC1(C)C(OC(=O)C=CC=1N=CN(C)C=1)CC(C(=CCC1C(C)C)C)C1C=C2COC1OCC(O)C(O)C1OC(C)=O XOPYFXBZMVTEJF-UHFFFAOYSA-N 0.000 claims description 7
- HESCAJZNRMSMJG-KKQRBIROSA-N epothilone A Chemical compound C/C([C@@H]1C[C@@H]2O[C@@H]2CCC[C@@H]([C@@H]([C@@H](C)C(=O)C(C)(C)[C@@H](O)CC(=O)O1)O)C)=C\C1=CSC(C)=N1 HESCAJZNRMSMJG-KKQRBIROSA-N 0.000 claims description 7
- QXRSDHAAWVKZLJ-PVYNADRNSA-N epothilone B Chemical compound C/C([C@@H]1C[C@@H]2O[C@]2(C)CCC[C@@H]([C@@H]([C@@H](C)C(=O)C(C)(C)[C@@H](O)CC(=O)O1)O)C)=C\C1=CSC(C)=N1 QXRSDHAAWVKZLJ-PVYNADRNSA-N 0.000 claims description 7
- 229960005420 etoposide Drugs 0.000 claims description 7
- VJJPUSNTGOMMGY-MRVIYFEKSA-N etoposide Chemical compound COC1=C(O)C(OC)=CC([C@@H]2C3=CC=4OCOC=4C=C3[C@@H](O[C@H]3[C@@H]([C@@H](O)[C@@H]4O[C@H](C)OC[C@H]4O3)O)[C@@H]3[C@@H]2C(OC3)=O)=C1 VJJPUSNTGOMMGY-MRVIYFEKSA-N 0.000 claims description 7
- OWPCHSCAPHNHAV-LMONGJCWSA-N rhizoxin Chemical compound C/C([C@H](OC)[C@@H](C)[C@@H]1C[C@H](O)[C@]2(C)O[C@@H]2/C=C/[C@@H](C)[C@]2([H])OC(=O)C[C@@](C2)(C[C@@H]2O[C@H]2C(=O)O1)[H])=C\C=C\C(\C)=C\C1=COC(C)=N1 OWPCHSCAPHNHAV-LMONGJCWSA-N 0.000 claims description 7
- 229960000303 topotecan Drugs 0.000 claims description 7
- INAUWOVKEZHHDM-PEDBPRJASA-N (7s,9s)-6,9,11-trihydroxy-9-(2-hydroxyacetyl)-7-[(2r,4s,5s,6s)-5-hydroxy-6-methyl-4-morpholin-4-yloxan-2-yl]oxy-4-methoxy-8,10-dihydro-7h-tetracene-5,12-dione;hydrochloride Chemical compound Cl.N1([C@H]2C[C@@H](O[C@@H](C)[C@H]2O)O[C@H]2C[C@@](O)(CC=3C(O)=C4C(=O)C=5C=CC=C(C=5C(=O)C4=C(O)C=32)OC)C(=O)CO)CCOCC1 INAUWOVKEZHHDM-PEDBPRJASA-N 0.000 claims description 6
- YIMDLWDNDGKDTJ-QLKYHASDSA-N 3'-deamino-3'-(3-cyanomorpholin-4-yl)doxorubicin Chemical compound N1([C@H]2C[C@@H](O[C@@H](C)[C@H]2O)O[C@H]2C[C@@](O)(CC=3C(O)=C4C(=O)C=5C=CC=C(C=5C(=O)C4=C(O)C=32)OC)C(=O)CO)CCOCC1C#N YIMDLWDNDGKDTJ-QLKYHASDSA-N 0.000 claims description 6
- NDMPLJNOPCLANR-UHFFFAOYSA-N 3,4-dihydroxy-15-(4-hydroxy-18-methoxycarbonyl-5,18-seco-ibogamin-18-yl)-16-methoxy-1-methyl-6,7-didehydro-aspidospermidine-3-carboxylic acid methyl ester Natural products C1C(CC)(O)CC(CC2(C(=O)OC)C=3C(=CC4=C(C56C(C(C(O)C7(CC)C=CCN(C67)CC5)(O)C(=O)OC)N4C)C=3)OC)CN1CCC1=C2NC2=CC=CC=C12 NDMPLJNOPCLANR-UHFFFAOYSA-N 0.000 claims description 6
- LGZKGOGODCLQHG-CYBMUJFWSA-N 5-[(2r)-2-hydroxy-2-(3,4,5-trimethoxyphenyl)ethyl]-2-methoxyphenol Chemical compound C1=C(O)C(OC)=CC=C1C[C@@H](O)C1=CC(OC)=C(OC)C(OC)=C1 LGZKGOGODCLQHG-CYBMUJFWSA-N 0.000 claims description 6
- FJHBVJOVLFPMQE-QFIPXVFZSA-N 7-Ethyl-10-Hydroxy-Camptothecin Chemical compound C1=C(O)C=C2C(CC)=C(CN3C(C4=C([C@@](C(=O)OC4)(O)CC)C=C33)=O)C3=NC2=C1 FJHBVJOVLFPMQE-QFIPXVFZSA-N 0.000 claims description 6
- 229930190007 Baccatin Natural products 0.000 claims description 6
- AUJXLBOHYWTPFV-BLWRDSOESA-N CS[C@H]1SC[C@H]2N(C)C(=O)[C@@H](C)NC(=O)[C@H](COC(=O)[C@@H](C(C)C)N(C)C(=O)[C@@H]1N(C)C(=O)[C@@H](C)NC(=O)[C@H](COC(=O)[C@@H](C(C)C)N(C)C2=O)NC(=O)c1cnc2ccccc2n1)NC(=O)c1cnc2ccccc2n1 Chemical compound CS[C@H]1SC[C@H]2N(C)C(=O)[C@@H](C)NC(=O)[C@H](COC(=O)[C@@H](C(C)C)N(C)C(=O)[C@@H]1N(C)C(=O)[C@@H](C)NC(=O)[C@H](COC(=O)[C@@H](C(C)C)N(C)C2=O)NC(=O)c1cnc2ccccc2n1)NC(=O)c1cnc2ccccc2n1 AUJXLBOHYWTPFV-BLWRDSOESA-N 0.000 claims description 6
- KLWPJMFMVPTNCC-UHFFFAOYSA-N Camptothecin Natural products CCC1(O)C(=O)OCC2=C1C=C3C4Nc5ccccc5C=C4CN3C2=O KLWPJMFMVPTNCC-UHFFFAOYSA-N 0.000 claims description 6
- PMATZTZNYRCHOR-CGLBZJNRSA-N Cyclosporin A Chemical compound CC[C@@H]1NC(=O)[C@H]([C@H](O)[C@H](C)C\C=C\C)N(C)C(=O)[C@H](C(C)C)N(C)C(=O)[C@H](CC(C)C)N(C)C(=O)[C@H](CC(C)C)N(C)C(=O)[C@@H](C)NC(=O)[C@H](C)NC(=O)[C@H](CC(C)C)N(C)C(=O)[C@H](C(C)C)NC(=O)[C@H](CC(C)C)N(C)C(=O)CN(C)C1=O PMATZTZNYRCHOR-CGLBZJNRSA-N 0.000 claims description 6
- 108010036949 Cyclosporine Proteins 0.000 claims description 6
- 108010009858 Echinomycin Proteins 0.000 claims description 6
- 208000002454 Nasopharyngeal Carcinoma Diseases 0.000 claims description 6
- 108010042309 Netropsin Proteins 0.000 claims description 6
- KYRVNWMVYQXFEU-UHFFFAOYSA-N Nocodazole Chemical compound C1=C2NC(NC(=O)OC)=NC2=CC=C1C(=O)C1=CC=CS1 KYRVNWMVYQXFEU-UHFFFAOYSA-N 0.000 claims description 6
- 201000004681 Psoriasis Diseases 0.000 claims description 6
- 229940100198 alkylating agent Drugs 0.000 claims description 6
- 239000002168 alkylating agent Substances 0.000 claims description 6
- 229960002170 azathioprine Drugs 0.000 claims description 6
- LMEKQMALGUDUQG-UHFFFAOYSA-N azathioprine Chemical compound CN1C=NC([N+]([O-])=O)=C1SC1=NC=NC2=C1NC=N2 LMEKQMALGUDUQG-UHFFFAOYSA-N 0.000 claims description 6
- VSJKWCGYPAHWDS-FQEVSTJZSA-N camptothecin Chemical compound C1=CC=C2C=C(CN3C4=CC5=C(C3=O)COC(=O)[C@]5(O)CC)C4=NC2=C1 VSJKWCGYPAHWDS-FQEVSTJZSA-N 0.000 claims description 6
- 229940127093 camptothecin Drugs 0.000 claims description 6
- 229960001265 ciclosporin Drugs 0.000 claims description 6
- LGZKGOGODCLQHG-UHFFFAOYSA-N combretastatin Natural products C1=C(O)C(OC)=CC=C1CC(O)C1=CC(OC)=C(OC)C(OC)=C1 LGZKGOGODCLQHG-UHFFFAOYSA-N 0.000 claims description 6
- 229930182912 cyclosporin Natural products 0.000 claims description 6
- VSJKWCGYPAHWDS-UHFFFAOYSA-N dl-camptothecin Natural products C1=CC=C2C=C(CN3C4=CC5=C(C3=O)COC(=O)C5(O)CC)C4=NC2=C1 VSJKWCGYPAHWDS-UHFFFAOYSA-N 0.000 claims description 6
- 201000003444 follicular lymphoma Diseases 0.000 claims description 6
- 230000002132 lysosomal effect Effects 0.000 claims description 6
- 206010027191 meningioma Diseases 0.000 claims description 6
- 201000006417 multiple sclerosis Diseases 0.000 claims description 6
- 229950006344 nocodazole Drugs 0.000 claims description 6
- AUJXLBOHYWTPFV-UHFFFAOYSA-N quinomycin A Natural products CN1C(=O)C(C)NC(=O)C(NC(=O)C=2N=C3C=CC=CC3=NC=2)COC(=O)C(C(C)C)N(C)C(=O)C2N(C)C(=O)C(C)NC(=O)C(NC(=O)C=3N=C4C=CC=CC4=NC=3)COC(=O)C(C(C)C)N(C)C(=O)C1CSC2SC AUJXLBOHYWTPFV-UHFFFAOYSA-N 0.000 claims description 6
- 206010039073 rheumatoid arthritis Diseases 0.000 claims description 6
- QFJCIRLUMZQUOT-HPLJOQBZSA-N sirolimus Chemical compound C1C[C@@H](O)[C@H](OC)C[C@@H]1C[C@@H](C)[C@H]1OC(=O)[C@@H]2CCCCN2C(=O)C(=O)[C@](O)(O2)[C@H](C)CC[C@H]2C[C@H](OC)/C(C)=C/C=C/C=C/[C@@H](C)C[C@@H](C)C(=O)[C@H](OC)[C@H](O)/C(C)=C/[C@@H](C)C(=O)C1 QFJCIRLUMZQUOT-HPLJOQBZSA-N 0.000 claims description 6
- UGGWPQSBPIFKDZ-KOTLKJBCSA-N vindesine Chemical compound C([C@@H](C[C@]1(C(=O)OC)C=2C(=CC3=C([C@]45[C@H]([C@@]([C@H](O)[C@]6(CC)C=CCN([C@H]56)CC4)(O)C(N)=O)N3C)C=2)OC)C[C@@](C2)(O)CC)N2CCC2=C1N=C1[C]2C=CC=C1 UGGWPQSBPIFKDZ-KOTLKJBCSA-N 0.000 claims description 6
- 229960004355 vindesine Drugs 0.000 claims description 6
- AGGWFDNPHKLBBV-YUMQZZPRSA-N (2s)-2-[[(2s)-2-amino-3-methylbutanoyl]amino]-5-(carbamoylamino)pentanoic acid Chemical compound CC(C)[C@H](N)C(=O)N[C@H](C(O)=O)CCCNC(N)=O AGGWFDNPHKLBBV-YUMQZZPRSA-N 0.000 claims description 5
- QUHGSDZVAPFNLV-UHFFFAOYSA-N 4-[(5-acetamidofuran-2-carbonyl)amino]-n-[3-(dimethylamino)propyl]-1-propylpyrrole-2-carboxamide Chemical compound C1=C(C(=O)NCCCN(C)C)N(CCC)C=C1NC(=O)C1=CC=C(NC(C)=O)O1 QUHGSDZVAPFNLV-UHFFFAOYSA-N 0.000 claims description 5
- OFDNQWIFNXBECV-UHFFFAOYSA-N Dolastatin 10 Natural products CC(C)C(N(C)C)C(=O)NC(C(C)C)C(=O)N(C)C(C(C)CC)C(OC)CC(=O)N1CCCC1C(OC)C(C)C(=O)NC(C=1SC=CN=1)CC1=CC=CC=C1 OFDNQWIFNXBECV-UHFFFAOYSA-N 0.000 claims description 5
- 206010061306 Nasopharyngeal cancer Diseases 0.000 claims description 5
- QJJXYPPXXYFBGM-LFZNUXCKSA-N Tacrolimus Chemical compound C1C[C@@H](O)[C@H](OC)C[C@@H]1\C=C(/C)[C@@H]1[C@H](C)[C@@H](O)CC(=O)[C@H](CC=C)/C=C(C)/C[C@H](C)C[C@H](OC)[C@H]([C@H](C[C@H]2C)OC)O[C@@]2(O)C(=O)C(=O)N2CCCC[C@H]2C(=O)O1 QJJXYPPXXYFBGM-LFZNUXCKSA-N 0.000 claims description 5
- 208000024340 acute graft versus host disease Diseases 0.000 claims description 5
- 206010012818 diffuse large B-cell lymphoma Diseases 0.000 claims description 5
- 108010045524 dolastatin 10 Proteins 0.000 claims description 5
- VQNATVDKACXKTF-XELLLNAOSA-N duocarmycin Chemical compound COC1=C(OC)C(OC)=C2NC(C(=O)N3C4=CC(=O)C5=C([C@@]64C[C@@H]6C3)C=C(N5)C(=O)OC)=CC2=C1 VQNATVDKACXKTF-XELLLNAOSA-N 0.000 claims description 5
- YJGVMLPVUAXIQN-UHFFFAOYSA-N epipodophyllotoxin Natural products COC1=C(OC)C(OC)=CC(C2C3=CC=4OCOC=4C=C3C(O)C3C2C(OC3)=O)=C1 YJGVMLPVUAXIQN-UHFFFAOYSA-N 0.000 claims description 5
- 239000003199 leukotriene receptor blocking agent Substances 0.000 claims description 5
- 108700009084 lexitropsin Proteins 0.000 claims description 5
- 229960004866 mycophenolate mofetil Drugs 0.000 claims description 5
- RTGDFNSFWBGLEC-SYZQJQIISA-N mycophenolate mofetil Chemical compound COC1=C(C)C=2COC(=O)C=2C(O)=C1C\C=C(/C)CCC(=O)OCCN1CCOCC1 RTGDFNSFWBGLEC-SYZQJQIISA-N 0.000 claims description 5
- 201000011216 nasopharynx carcinoma Diseases 0.000 claims description 5
- 229960001237 podophyllotoxin Drugs 0.000 claims description 5
- YJGVMLPVUAXIQN-XVVDYKMHSA-N podophyllotoxin Chemical compound COC1=C(OC)C(OC)=CC([C@@H]2C3=CC=4OCOC=4C=C3[C@H](O)[C@@H]3[C@@H]2C(OC3)=O)=C1 YJGVMLPVUAXIQN-XVVDYKMHSA-N 0.000 claims description 5
- YVCVYCSAAZQOJI-UHFFFAOYSA-N podophyllotoxin Natural products COC1=C(O)C(OC)=CC(C2C3=CC=4OCOC=4C=C3C(O)C3C2C(OC3)=O)=C1 YVCVYCSAAZQOJI-UHFFFAOYSA-N 0.000 claims description 5
- 239000002599 prostaglandin synthase inhibitor Substances 0.000 claims description 5
- 229950010131 puromycin Drugs 0.000 claims description 5
- ZAHRKKWIAAJSAO-UHFFFAOYSA-N rapamycin Natural products COCC(O)C(=C/C(C)C(=O)CC(OC(=O)C1CCCCN1C(=O)C(=O)C2(O)OC(CC(OC)C(=CC=CC=CC(C)CC(C)C(=O)C)C)CCC2C)C(C)CC3CCC(O)C(C3)OC)C ZAHRKKWIAAJSAO-UHFFFAOYSA-N 0.000 claims description 5
- 230000000284 resting effect Effects 0.000 claims description 5
- 229960002930 sirolimus Drugs 0.000 claims description 5
- 208000011580 syndromic disease Diseases 0.000 claims description 5
- 229960001967 tacrolimus Drugs 0.000 claims description 5
- QJJXYPPXXYFBGM-SHYZHZOCSA-N tacrolimus Natural products CO[C@H]1C[C@H](CC[C@@H]1O)C=C(C)[C@H]2OC(=O)[C@H]3CCCCN3C(=O)C(=O)[C@@]4(O)O[C@@H]([C@H](C[C@H]4C)OC)[C@@H](C[C@H](C)CC(=C[C@@H](CC=C)C(=O)C[C@H](O)[C@H]2C)C)OC QJJXYPPXXYFBGM-SHYZHZOCSA-N 0.000 claims description 5
- PQSUYGKTWSAVDQ-ZVIOFETBSA-N Aldosterone Chemical compound C([C@@]1([C@@H](C(=O)CO)CC[C@H]1[C@@H]1CC2)C=O)[C@H](O)[C@@H]1[C@]1(C)C2=CC(=O)CC1 PQSUYGKTWSAVDQ-ZVIOFETBSA-N 0.000 claims description 4
- PQSUYGKTWSAVDQ-UHFFFAOYSA-N Aldosterone Natural products C1CC2C3CCC(C(=O)CO)C3(C=O)CC(O)C2C2(C)C1=CC(=O)CC2 PQSUYGKTWSAVDQ-UHFFFAOYSA-N 0.000 claims description 4
- 206010003571 Astrocytoma Diseases 0.000 claims description 4
- 208000003950 B-cell lymphoma Diseases 0.000 claims description 4
- 208000008439 Biliary Liver Cirrhosis Diseases 0.000 claims description 4
- 208000033222 Biliary cirrhosis primary Diseases 0.000 claims description 4
- 108010008165 Etanercept Proteins 0.000 claims description 4
- 206010072579 Granulomatosis with polyangiitis Diseases 0.000 claims description 4
- 208000003807 Graves Disease Diseases 0.000 claims description 4
- 208000015023 Graves' disease Diseases 0.000 claims description 4
- 208000030836 Hashimoto thyroiditis Diseases 0.000 claims description 4
- 208000025205 Mantle-Cell Lymphoma Diseases 0.000 claims description 4
- 206010029260 Neuroblastoma Diseases 0.000 claims description 4
- 206010035226 Plasma cell myeloma Diseases 0.000 claims description 4
- 208000012654 Primary biliary cholangitis Diseases 0.000 claims description 4
- 208000016025 Waldenstroem macroglobulinemia Diseases 0.000 claims description 4
- 208000033559 Waldenström macroglobulinemia Diseases 0.000 claims description 4
- 229960002478 aldosterone Drugs 0.000 claims description 4
- 229960003957 dexamethasone Drugs 0.000 claims description 4
- UREBDLICKHMUKA-CXSFZGCWSA-N dexamethasone Chemical compound C1CC2=CC(=O)C=C[C@]2(C)[C@]2(F)[C@@H]1[C@@H]1C[C@@H](C)[C@@](C(=O)CO)(O)[C@@]1(C)C[C@@H]2O UREBDLICKHMUKA-CXSFZGCWSA-N 0.000 claims description 4
- 229960000403 etanercept Drugs 0.000 claims description 4
- 229960002963 ganciclovir Drugs 0.000 claims description 4
- IRSCQMHQWWYFCW-UHFFFAOYSA-N ganciclovir Chemical group O=C1NC(N)=NC2=C1N=CN2COC(CO)CO IRSCQMHQWWYFCW-UHFFFAOYSA-N 0.000 claims description 4
- 208000005017 glioblastoma Diseases 0.000 claims description 4
- 229960000890 hydrocortisone Drugs 0.000 claims description 4
- 208000008732 thymoma Diseases 0.000 claims description 4
- 239000003053 toxin Substances 0.000 claims description 4
- 231100000765 toxin Toxicity 0.000 claims description 4
- 229940124125 5 Lipoxygenase inhibitor Drugs 0.000 claims description 3
- 229940122204 Cyclooxygenase inhibitor Drugs 0.000 claims description 3
- 201000008827 tuberculosis Diseases 0.000 claims description 3
- 208000003174 Brain Neoplasms Diseases 0.000 claims description 2
- 208000008839 Kidney Neoplasms Diseases 0.000 claims description 2
- 102100037486 Reverse transcriptase/ribonuclease H Human genes 0.000 claims 5
- UCFGDBYHRUNTLO-QHCPKHFHSA-N topotecan Chemical compound C1=C(O)C(CN(C)C)=C2C=C(CN3C4=CC5=C(C3=O)COC(=O)[C@]5(O)CC)C4=NC2=C1 UCFGDBYHRUNTLO-QHCPKHFHSA-N 0.000 claims 2
- JXLYSJRDGCGARV-XQKSVPLYSA-N vincaleukoblastine Chemical compound C([C@@H](C[C@]1(C(=O)OC)C=2C(=CC3=C([C@]45[C@H]([C@@]([C@H](OC(C)=O)[C@]6(CC)C=CCN([C@H]56)CC4)(O)C(=O)OC)N3C)C=2)OC)C[C@@](C2)(O)CC)N2CCC2=C1NC1=CC=CC=C21 JXLYSJRDGCGARV-XQKSVPLYSA-N 0.000 claims 2
- GBABOYUKABKIAF-GHYRFKGUSA-N vinorelbine Chemical compound C1N(CC=2C3=CC=CC=C3NC=22)CC(CC)=C[C@H]1C[C@]2(C(=O)OC)C1=CC([C@]23[C@H]([C@]([C@H](OC(C)=O)[C@]4(CC)C=CCN([C@H]34)CC2)(O)C(=O)OC)N2C)=C2C=C1OC GBABOYUKABKIAF-GHYRFKGUSA-N 0.000 claims 2
- 208000031671 Large B-Cell Diffuse Lymphoma Diseases 0.000 claims 1
- 201000009365 Thymic carcinoma Diseases 0.000 claims 1
- 229940124597 therapeutic agent Drugs 0.000 abstract description 50
- 230000001506 immunosuppresive effect Effects 0.000 abstract description 28
- 239000008194 pharmaceutical composition Substances 0.000 abstract description 12
- 210000004027 cell Anatomy 0.000 description 228
- 230000014509 gene expression Effects 0.000 description 70
- 125000005647 linker group Chemical group 0.000 description 64
- 108090000623 proteins and genes Proteins 0.000 description 63
- YMWUJEATGCHHMB-UHFFFAOYSA-N Dichloromethane Chemical compound ClCCl YMWUJEATGCHHMB-UHFFFAOYSA-N 0.000 description 50
- 235000018102 proteins Nutrition 0.000 description 47
- 102000004169 proteins and genes Human genes 0.000 description 47
- 235000001014 amino acid Nutrition 0.000 description 43
- 230000001085 cytostatic effect Effects 0.000 description 42
- 150000001413 amino acids Chemical class 0.000 description 41
- -1 for example Substances 0.000 description 39
- 210000002865 immune cell Anatomy 0.000 description 37
- 108010047041 Complementarity Determining Regions Proteins 0.000 description 35
- 239000000427 antigen Substances 0.000 description 34
- 108091007433 antigens Proteins 0.000 description 34
- 102000036639 antigens Human genes 0.000 description 34
- 230000000694 effects Effects 0.000 description 34
- 238000006243 chemical reaction Methods 0.000 description 33
- 230000035755 proliferation Effects 0.000 description 32
- 239000000243 solution Substances 0.000 description 32
- XEKOWRVHYACXOJ-UHFFFAOYSA-N Ethyl acetate Chemical compound CCOC(C)=O XEKOWRVHYACXOJ-UHFFFAOYSA-N 0.000 description 31
- 239000000203 mixture Substances 0.000 description 29
- 239000002773 nucleotide Substances 0.000 description 29
- 125000003729 nucleotide group Chemical group 0.000 description 28
- XLYOFNOQVPJJNP-UHFFFAOYSA-N water Substances O XLYOFNOQVPJJNP-UHFFFAOYSA-N 0.000 description 28
- WEVYAHXRMPXWCK-UHFFFAOYSA-N Acetonitrile Chemical compound CC#N WEVYAHXRMPXWCK-UHFFFAOYSA-N 0.000 description 27
- 239000002299 complementary DNA Substances 0.000 description 26
- 210000004698 lymphocyte Anatomy 0.000 description 26
- 239000011541 reaction mixture Substances 0.000 description 25
- 102100027207 CD27 antigen Human genes 0.000 description 24
- 101000914511 Homo sapiens CD27 antigen Proteins 0.000 description 24
- 239000000562 conjugate Substances 0.000 description 24
- 239000007787 solid Substances 0.000 description 24
- 230000015572 biosynthetic process Effects 0.000 description 22
- IAZDPXIOMUYVGZ-UHFFFAOYSA-N Dimethylsulphoxide Chemical compound CS(C)=O IAZDPXIOMUYVGZ-UHFFFAOYSA-N 0.000 description 21
- 108010093470 monomethyl auristatin E Proteins 0.000 description 20
- 125000006850 spacer group Chemical group 0.000 description 20
- 230000001225 therapeutic effect Effects 0.000 description 20
- 108020004414 DNA Proteins 0.000 description 19
- 241000699670 Mus sp. Species 0.000 description 19
- 102000035195 Peptidases Human genes 0.000 description 19
- 239000012634 fragment Substances 0.000 description 19
- 230000002829 reductive effect Effects 0.000 description 19
- 238000003786 synthesis reaction Methods 0.000 description 19
- 238000003556 assay Methods 0.000 description 18
- 238000000684 flow cytometry Methods 0.000 description 18
- 210000001519 tissue Anatomy 0.000 description 18
- FAPWRFPIFSIZLT-UHFFFAOYSA-M Sodium chloride Chemical compound [Na+].[Cl-] FAPWRFPIFSIZLT-UHFFFAOYSA-M 0.000 description 17
- 210000004443 dendritic cell Anatomy 0.000 description 17
- 239000013598 vector Substances 0.000 description 17
- 230000002401 inhibitory effect Effects 0.000 description 16
- 235000019419 proteases Nutrition 0.000 description 16
- 102100023635 Alpha-fetoprotein Human genes 0.000 description 15
- 108060003951 Immunoglobulin Proteins 0.000 description 15
- 238000010171 animal model Methods 0.000 description 15
- 102000018358 immunoglobulin Human genes 0.000 description 15
- 239000000523 sample Substances 0.000 description 15
- 238000006467 substitution reaction Methods 0.000 description 15
- 208000015914 Non-Hodgkin lymphomas Diseases 0.000 description 14
- 230000001965 increasing effect Effects 0.000 description 14
- 238000003776 cleavage reaction Methods 0.000 description 13
- 235000019439 ethyl acetate Nutrition 0.000 description 13
- 230000007017 scission Effects 0.000 description 13
- AOJJSUZBOXZQNB-TZSSRYMLSA-N Doxorubicin Chemical compound O([C@H]1C[C@@](O)(CC=2C(O)=C3C(=O)C=4C=CC=C(C=4C(=O)C3=C(O)C=21)OC)C(=O)CO)[C@H]1C[C@H](N)[C@H](O)[C@H](C)O1 AOJJSUZBOXZQNB-TZSSRYMLSA-N 0.000 description 12
- 238000002330 electrospray ionisation mass spectrometry Methods 0.000 description 12
- 238000011534 incubation Methods 0.000 description 12
- 208000024891 symptom Diseases 0.000 description 12
- DTQVDTLACAAQTR-UHFFFAOYSA-N trifluoroacetic acid Substances OC(=O)C(F)(F)F DTQVDTLACAAQTR-UHFFFAOYSA-N 0.000 description 12
- 210000000170 cell membrane Anatomy 0.000 description 11
- 150000001875 compounds Chemical class 0.000 description 11
- 239000003921 oil Substances 0.000 description 11
- 235000019198 oils Nutrition 0.000 description 11
- 108010076504 Protein Sorting Signals Proteins 0.000 description 10
- 238000004458 analytical method Methods 0.000 description 10
- 238000006471 dimerization reaction Methods 0.000 description 10
- 239000000975 dye Substances 0.000 description 10
- 238000005516 engineering process Methods 0.000 description 10
- 238000004128 high performance liquid chromatography Methods 0.000 description 10
- 238000009396 hybridization Methods 0.000 description 10
- 150000007523 nucleic acids Chemical group 0.000 description 10
- 230000002265 prevention Effects 0.000 description 10
- 239000000047 product Substances 0.000 description 10
- 102000005962 receptors Human genes 0.000 description 10
- 108020003175 receptors Proteins 0.000 description 10
- 230000009467 reduction Effects 0.000 description 10
- 239000011780 sodium chloride Substances 0.000 description 10
- RWRDLPDLKQPQOW-UHFFFAOYSA-N tetrahydropyrrole Substances C1CCNC1 RWRDLPDLKQPQOW-UHFFFAOYSA-N 0.000 description 10
- 150000003573 thiols Chemical class 0.000 description 10
- 210000004881 tumor cell Anatomy 0.000 description 10
- 208000011691 Burkitt lymphomas Diseases 0.000 description 9
- 102000004190 Enzymes Human genes 0.000 description 9
- 108090000790 Enzymes Proteins 0.000 description 9
- 238000002835 absorbance Methods 0.000 description 9
- KRKNYBCHXYNGOX-UHFFFAOYSA-N citric acid Chemical compound OC(=O)CC(O)(C(O)=O)CC(O)=O KRKNYBCHXYNGOX-UHFFFAOYSA-N 0.000 description 9
- 231100000135 cytotoxicity Toxicity 0.000 description 9
- 229940088598 enzyme Drugs 0.000 description 9
- 210000004408 hybridoma Anatomy 0.000 description 9
- 230000028993 immune response Effects 0.000 description 9
- 230000003993 interaction Effects 0.000 description 9
- 210000003734 kidney Anatomy 0.000 description 9
- 102000039446 nucleic acids Human genes 0.000 description 9
- 108020004707 nucleic acids Proteins 0.000 description 9
- 230000004044 response Effects 0.000 description 9
- 125000003396 thiol group Chemical group [H]S* 0.000 description 9
- JGFZNNIVVJXRND-UHFFFAOYSA-N N,N-Diisopropylethylamine (DIPEA) Chemical compound CCN(C(C)C)C(C)C JGFZNNIVVJXRND-UHFFFAOYSA-N 0.000 description 8
- 230000004913 activation Effects 0.000 description 8
- 125000000539 amino acid group Chemical group 0.000 description 8
- 125000001797 benzyl group Chemical group [H]C1=C([H])C([H])=C(C([H])=C1[H])C([H])([H])* 0.000 description 8
- 230000003013 cytotoxicity Effects 0.000 description 8
- 201000010099 disease Diseases 0.000 description 8
- 208000024908 graft versus host disease Diseases 0.000 description 8
- 238000002513 implantation Methods 0.000 description 8
- 238000001727 in vivo Methods 0.000 description 8
- 125000002924 primary amino group Chemical group [H]N([H])* 0.000 description 8
- 238000004007 reversed phase HPLC Methods 0.000 description 8
- 229920006395 saturated elastomer Polymers 0.000 description 8
- 208000023275 Autoimmune disease Diseases 0.000 description 7
- 208000010839 B-cell chronic lymphocytic leukemia Diseases 0.000 description 7
- 206010009944 Colon cancer Diseases 0.000 description 7
- 206010018338 Glioma Diseases 0.000 description 7
- 241000282412 Homo Species 0.000 description 7
- 206010025323 Lymphomas Diseases 0.000 description 7
- 241001465754 Metazoa Species 0.000 description 7
- 241000699660 Mus musculus Species 0.000 description 7
- 125000003277 amino group Chemical group 0.000 description 7
- 230000008901 benefit Effects 0.000 description 7
- 230000021615 conjugation Effects 0.000 description 7
- 239000013604 expression vector Substances 0.000 description 7
- 230000002489 hematologic effect Effects 0.000 description 7
- 230000005764 inhibitory process Effects 0.000 description 7
- 238000002347 injection Methods 0.000 description 7
- 239000007924 injection Substances 0.000 description 7
- 238000004519 manufacturing process Methods 0.000 description 7
- 125000002496 methyl group Chemical group [H]C([H])([H])* 0.000 description 7
- 230000002018 overexpression Effects 0.000 description 7
- 238000002360 preparation method Methods 0.000 description 7
- 229940002612 prodrug Drugs 0.000 description 7
- 239000000651 prodrug Substances 0.000 description 7
- 230000002441 reversible effect Effects 0.000 description 7
- 210000002966 serum Anatomy 0.000 description 7
- 238000002560 therapeutic procedure Methods 0.000 description 7
- HOFQVRTUGATRFI-XQKSVPLYSA-N vinblastine Chemical compound C([C@@H](C[C@]1(C(=O)OC)C=2C(=CC3=C([C@]45[C@H]([C@@]([C@H](OC(C)=O)[C@]6(CC)C=CCN([C@H]56)CC4)(O)C(=O)OC)N3C)C=2)OC)C[C@@](C2)(O)CC)N2CCC2=C1N=C1[C]2C=CC=C1 HOFQVRTUGATRFI-XQKSVPLYSA-N 0.000 description 7
- KIUMMUBSPKGMOY-UHFFFAOYSA-N 3,3'-Dithiobis(6-nitrobenzoic acid) Chemical compound C1=C([N+]([O-])=O)C(C(=O)O)=CC(SSC=2C=C(C(=CC=2)[N+]([O-])=O)C(O)=O)=C1 KIUMMUBSPKGMOY-UHFFFAOYSA-N 0.000 description 6
- 108020004635 Complementary DNA Proteins 0.000 description 6
- 102000004127 Cytokines Human genes 0.000 description 6
- 108090000695 Cytokines Proteins 0.000 description 6
- 238000002965 ELISA Methods 0.000 description 6
- PEDCQBHIVMGVHV-UHFFFAOYSA-N Glycerine Chemical compound OCC(O)CO PEDCQBHIVMGVHV-UHFFFAOYSA-N 0.000 description 6
- OKKJLVBELUTLKV-UHFFFAOYSA-N Methanol Chemical compound OC OKKJLVBELUTLKV-UHFFFAOYSA-N 0.000 description 6
- 241000699666 Mus <mouse, genus> Species 0.000 description 6
- NWIBSHFKIJFRCO-WUDYKRTCSA-N Mytomycin Chemical compound C1N2C(C(C(C)=C(N)C3=O)=O)=C3[C@@H](COC(N)=O)[C@@]2(OC)[C@@H]2[C@H]1N2 NWIBSHFKIJFRCO-WUDYKRTCSA-N 0.000 description 6
- JUJWROOIHBZHMG-UHFFFAOYSA-N Pyridine Chemical compound C1=CC=NC=C1 JUJWROOIHBZHMG-UHFFFAOYSA-N 0.000 description 6
- UIIMBOGNXHQVGW-UHFFFAOYSA-M Sodium bicarbonate Chemical compound [Na+].OC([O-])=O UIIMBOGNXHQVGW-UHFFFAOYSA-M 0.000 description 6
- IQFYYKKMVGJFEH-XLPZGREQSA-N Thymidine Chemical compound O=C1NC(=O)C(C)=CN1[C@@H]1O[C@H](CO)[C@@H](O)C1 IQFYYKKMVGJFEH-XLPZGREQSA-N 0.000 description 6
- YXFVVABEGXRONW-UHFFFAOYSA-N Toluene Chemical compound CC1=CC=CC=C1 YXFVVABEGXRONW-UHFFFAOYSA-N 0.000 description 6
- ZMANZCXQSJIPKH-UHFFFAOYSA-N Triethylamine Chemical compound CCN(CC)CC ZMANZCXQSJIPKH-UHFFFAOYSA-N 0.000 description 6
- 239000002253 acid Substances 0.000 description 6
- 230000006907 apoptotic process Effects 0.000 description 6
- 238000013459 approach Methods 0.000 description 6
- 210000004369 blood Anatomy 0.000 description 6
- 239000008280 blood Substances 0.000 description 6
- 239000000872 buffer Substances 0.000 description 6
- 230000001413 cellular effect Effects 0.000 description 6
- 235000018417 cysteine Nutrition 0.000 description 6
- 229960004679 doxorubicin Drugs 0.000 description 6
- 230000012010 growth Effects 0.000 description 6
- 238000003018 immunoassay Methods 0.000 description 6
- 238000010348 incorporation Methods 0.000 description 6
- 239000003112 inhibitor Substances 0.000 description 6
- 230000000977 initiatory effect Effects 0.000 description 6
- 230000003211 malignant effect Effects 0.000 description 6
- 239000003550 marker Substances 0.000 description 6
- 230000026731 phosphorylation Effects 0.000 description 6
- 238000006366 phosphorylation reaction Methods 0.000 description 6
- 238000002953 preparative HPLC Methods 0.000 description 6
- 210000001350 reed-sternberg cell Anatomy 0.000 description 6
- 229960004641 rituximab Drugs 0.000 description 6
- 125000004213 tert-butoxy group Chemical group [H]C([H])([H])C(O*)(C([H])([H])[H])C([H])([H])[H] 0.000 description 6
- 238000012360 testing method Methods 0.000 description 6
- 230000004614 tumor growth Effects 0.000 description 6
- FKBHRUQOROFRGD-IELIFDKJSA-N vinorelbine Chemical compound C1N(CC=2[C]3C=CC=CC3=NC=22)CC(CC)=C[C@H]1C[C@]2(C(=O)OC)C1=CC([C@]23[C@H]([C@@]([C@H](OC(C)=O)[C@]4(CC)C=CCN([C@H]34)CC2)(O)C(=O)OC)N2C)=C2C=C1OC FKBHRUQOROFRGD-IELIFDKJSA-N 0.000 description 6
- DGHHQBMTXTWTJV-BQAIUKQQSA-N 119413-54-6 Chemical compound Cl.C1=C(O)C(CN(C)C)=C2C=C(CN3C4=CC5=C(C3=O)COC(=O)[C@]5(O)CC)C4=NC2=C1 DGHHQBMTXTWTJV-BQAIUKQQSA-N 0.000 description 5
- 208000031422 Lymphocytic Chronic B-Cell Leukemia Diseases 0.000 description 5
- 241001529936 Murinae Species 0.000 description 5
- 108091028043 Nucleic acid sequence Proteins 0.000 description 5
- 206010038389 Renal cancer Diseases 0.000 description 5
- 241000283984 Rodentia Species 0.000 description 5
- 238000011579 SCID mouse model Methods 0.000 description 5
- 230000006052 T cell proliferation Effects 0.000 description 5
- 230000001154 acute effect Effects 0.000 description 5
- 125000003545 alkoxy group Chemical group 0.000 description 5
- 230000000735 allogeneic effect Effects 0.000 description 5
- 230000000340 anti-metabolite Effects 0.000 description 5
- 229940100197 antimetabolite Drugs 0.000 description 5
- 239000002256 antimetabolite Substances 0.000 description 5
- 230000001363 autoimmune Effects 0.000 description 5
- 230000000903 blocking effect Effects 0.000 description 5
- 238000004113 cell culture Methods 0.000 description 5
- BJDCWCLMFKKGEE-CMDXXVQNSA-N chembl252518 Chemical compound C([C@@](OO1)(C)O2)C[C@H]3[C@H](C)CC[C@@H]4[C@@]31[C@@H]2O[C@H](O)[C@@H]4C BJDCWCLMFKKGEE-CMDXXVQNSA-N 0.000 description 5
- 239000003153 chemical reaction reagent Substances 0.000 description 5
- 210000001072 colon Anatomy 0.000 description 5
- XUJNEKJLAYXESH-UHFFFAOYSA-N cysteine Natural products SCC(N)C(O)=O XUJNEKJLAYXESH-UHFFFAOYSA-N 0.000 description 5
- 238000010828 elution Methods 0.000 description 5
- 150000002148 esters Chemical class 0.000 description 5
- 206010017758 gastric cancer Diseases 0.000 description 5
- 229910052736 halogen Inorganic materials 0.000 description 5
- 238000006460 hydrolysis reaction Methods 0.000 description 5
- 239000004615 ingredient Substances 0.000 description 5
- 125000001449 isopropyl group Chemical group [H]C([H])([H])C([H])(*)C([H])([H])[H] 0.000 description 5
- 208000032839 leukemia Diseases 0.000 description 5
- 239000003446 ligand Substances 0.000 description 5
- 210000004379 membrane Anatomy 0.000 description 5
- 239000012528 membrane Substances 0.000 description 5
- 230000004048 modification Effects 0.000 description 5
- 238000012986 modification Methods 0.000 description 5
- 238000011580 nude mouse model Methods 0.000 description 5
- 210000003819 peripheral blood mononuclear cell Anatomy 0.000 description 5
- 238000000746 purification Methods 0.000 description 5
- 238000003753 real-time PCR Methods 0.000 description 5
- 238000003259 recombinant expression Methods 0.000 description 5
- 230000001105 regulatory effect Effects 0.000 description 5
- 230000035945 sensitivity Effects 0.000 description 5
- 238000010186 staining Methods 0.000 description 5
- 239000011550 stock solution Substances 0.000 description 5
- 210000002784 stomach Anatomy 0.000 description 5
- 239000000126 substance Substances 0.000 description 5
- 230000008685 targeting Effects 0.000 description 5
- AXKGIPZJYUNAIW-UHFFFAOYSA-N (4-aminophenyl)methanol Chemical compound NC1=CC=C(CO)C=C1 AXKGIPZJYUNAIW-UHFFFAOYSA-N 0.000 description 4
- IAKHMKGGTNLKSZ-INIZCTEOSA-N (S)-colchicine Chemical compound C1([C@@H](NC(C)=O)CC2)=CC(=O)C(OC)=CC=C1C1=C2C=C(OC)C(OC)=C1OC IAKHMKGGTNLKSZ-INIZCTEOSA-N 0.000 description 4
- 239000012103 Alexa Fluor 488 Substances 0.000 description 4
- 208000004736 B-Cell Leukemia Diseases 0.000 description 4
- MLDQJTXFUGDVEO-UHFFFAOYSA-N BAY-43-9006 Chemical compound C1=NC(C(=O)NC)=CC(OC=2C=CC(NC(=O)NC=3C=C(C(Cl)=CC=3)C(F)(F)F)=CC=2)=C1 MLDQJTXFUGDVEO-UHFFFAOYSA-N 0.000 description 4
- 108010046080 CD27 Ligand Proteins 0.000 description 4
- 241000283707 Capra Species 0.000 description 4
- 201000009030 Carcinoma Diseases 0.000 description 4
- LYCAIKOWRPUZTN-UHFFFAOYSA-N Ethylene glycol Chemical compound OCCO LYCAIKOWRPUZTN-UHFFFAOYSA-N 0.000 description 4
- 108010088729 HLA-A*02:01 antigen Proteins 0.000 description 4
- 206010020751 Hypersensitivity Diseases 0.000 description 4
- 108010021625 Immunoglobulin Fragments Proteins 0.000 description 4
- 102000008394 Immunoglobulin Fragments Human genes 0.000 description 4
- 239000005511 L01XE05 - Sorafenib Substances 0.000 description 4
- 102100020870 La-related protein 6 Human genes 0.000 description 4
- 108050008265 La-related protein 6 Proteins 0.000 description 4
- QPCDCPDFJACHGM-UHFFFAOYSA-N N,N-bis{2-[bis(carboxymethyl)amino]ethyl}glycine Chemical compound OC(=O)CN(CC(O)=O)CCN(CC(=O)O)CCN(CC(O)=O)CC(O)=O QPCDCPDFJACHGM-UHFFFAOYSA-N 0.000 description 4
- 238000010240 RT-PCR analysis Methods 0.000 description 4
- VYPSYNLAJGMNEJ-UHFFFAOYSA-N Silicium dioxide Chemical compound O=[Si]=O VYPSYNLAJGMNEJ-UHFFFAOYSA-N 0.000 description 4
- 108091023040 Transcription factor Proteins 0.000 description 4
- 102000040945 Transcription factor Human genes 0.000 description 4
- 108060008682 Tumor Necrosis Factor Proteins 0.000 description 4
- 102000000852 Tumor Necrosis Factor-alpha Human genes 0.000 description 4
- KYIKRXIYLAGAKQ-UHFFFAOYSA-N abcn Chemical compound C1CCCCC1(C#N)N=NC1(C#N)CCCCC1 KYIKRXIYLAGAKQ-UHFFFAOYSA-N 0.000 description 4
- 230000021736 acetylation Effects 0.000 description 4
- 238000006640 acetylation reaction Methods 0.000 description 4
- 150000007513 acids Chemical class 0.000 description 4
- 239000002246 antineoplastic agent Substances 0.000 description 4
- WPYMKLBDIGXBTP-UHFFFAOYSA-N benzoic acid Chemical compound OC(=O)C1=CC=CC=C1 WPYMKLBDIGXBTP-UHFFFAOYSA-N 0.000 description 4
- 230000037396 body weight Effects 0.000 description 4
- 150000001720 carbohydrates Chemical class 0.000 description 4
- 125000003178 carboxy group Chemical group [H]OC(*)=O 0.000 description 4
- 239000000969 carrier Substances 0.000 description 4
- 208000032852 chronic lymphocytic leukemia Diseases 0.000 description 4
- 229960002173 citrulline Drugs 0.000 description 4
- 229940125904 compound 1 Drugs 0.000 description 4
- 238000001514 detection method Methods 0.000 description 4
- 239000003085 diluting agent Substances 0.000 description 4
- 231100000673 dose–response relationship Toxicity 0.000 description 4
- 230000008030 elimination Effects 0.000 description 4
- 238000003379 elimination reaction Methods 0.000 description 4
- 201000002491 encephalomyelitis Diseases 0.000 description 4
- 238000002474 experimental method Methods 0.000 description 4
- 238000003818 flash chromatography Methods 0.000 description 4
- 238000005755 formation reaction Methods 0.000 description 4
- 238000009472 formulation Methods 0.000 description 4
- 230000006870 function Effects 0.000 description 4
- 208000010749 gastric carcinoma Diseases 0.000 description 4
- 108020004445 glyceraldehyde-3-phosphate dehydrogenase Proteins 0.000 description 4
- 230000013595 glycosylation Effects 0.000 description 4
- 238000006206 glycosylation reaction Methods 0.000 description 4
- 230000007062 hydrolysis Effects 0.000 description 4
- 238000001114 immunoprecipitation Methods 0.000 description 4
- 230000006698 induction Effects 0.000 description 4
- 208000015181 infectious disease Diseases 0.000 description 4
- 239000010410 layer Substances 0.000 description 4
- 230000000670 limiting effect Effects 0.000 description 4
- 210000004962 mammalian cell Anatomy 0.000 description 4
- 238000005259 measurement Methods 0.000 description 4
- 238000011275 oncology therapy Methods 0.000 description 4
- BASFCYQUMIYNBI-UHFFFAOYSA-N platinum Chemical compound [Pt] BASFCYQUMIYNBI-UHFFFAOYSA-N 0.000 description 4
- 230000003389 potentiating effect Effects 0.000 description 4
- 206010038038 rectal cancer Diseases 0.000 description 4
- 208000020615 rectal carcinoma Diseases 0.000 description 4
- 201000010174 renal carcinoma Diseases 0.000 description 4
- 230000011664 signaling Effects 0.000 description 4
- 239000000741 silica gel Substances 0.000 description 4
- 229910002027 silica gel Inorganic materials 0.000 description 4
- 239000011734 sodium Substances 0.000 description 4
- 239000002904 solvent Substances 0.000 description 4
- 241000894007 species Species 0.000 description 4
- 230000009870 specific binding Effects 0.000 description 4
- 201000000498 stomach carcinoma Diseases 0.000 description 4
- 229910052717 sulfur Inorganic materials 0.000 description 4
- 125000004434 sulfur atom Chemical group 0.000 description 4
- 201000000596 systemic lupus erythematosus Diseases 0.000 description 4
- WYWHKKSPHMUBEB-UHFFFAOYSA-N tioguanine Chemical compound N1C(N)=NC(=S)C2=C1N=CN2 WYWHKKSPHMUBEB-UHFFFAOYSA-N 0.000 description 4
- FDKXTQMXEQVLRF-ZHACJKMWSA-N (E)-dacarbazine Chemical compound CN(C)\N=N\c1[nH]cnc1C(N)=O FDKXTQMXEQVLRF-ZHACJKMWSA-N 0.000 description 3
- 108091032973 (ribonucleotides)n+m Proteins 0.000 description 3
- RYHBNJHYFVUHQT-UHFFFAOYSA-N 1,4-Dioxane Chemical compound C1COCCO1 RYHBNJHYFVUHQT-UHFFFAOYSA-N 0.000 description 3
- CSCPPACGZOOCGX-UHFFFAOYSA-N Acetone Chemical compound CC(C)=O CSCPPACGZOOCGX-UHFFFAOYSA-N 0.000 description 3
- 208000024893 Acute lymphoblastic leukemia Diseases 0.000 description 3
- 208000014697 Acute lymphocytic leukaemia Diseases 0.000 description 3
- 208000032116 Autoimmune Experimental Encephalomyelitis Diseases 0.000 description 3
- 108091003079 Bovine Serum Albumin Proteins 0.000 description 3
- 102000000844 Cell Surface Receptors Human genes 0.000 description 3
- 108010001857 Cell Surface Receptors Proteins 0.000 description 3
- 208000035473 Communicable disease Diseases 0.000 description 3
- 206010011715 Cyclitis Diseases 0.000 description 3
- 108010008286 DNA nucleotidylexotransferase Proteins 0.000 description 3
- 102100033215 DNA nucleotidylexotransferase Human genes 0.000 description 3
- 230000006820 DNA synthesis Effects 0.000 description 3
- 206010012438 Dermatitis atopic Diseases 0.000 description 3
- LFQSCWFLJHTTHZ-UHFFFAOYSA-N Ethanol Chemical compound CCO LFQSCWFLJHTTHZ-UHFFFAOYSA-N 0.000 description 3
- 102100031181 Glyceraldehyde-3-phosphate dehydrogenase Human genes 0.000 description 3
- DHMQDGOQFOQNFH-UHFFFAOYSA-N Glycine Natural products NCC(O)=O DHMQDGOQFOQNFH-UHFFFAOYSA-N 0.000 description 3
- 239000004471 Glycine Substances 0.000 description 3
- 108700005091 Immunoglobulin Genes Proteins 0.000 description 3
- 206010028851 Necrosis Diseases 0.000 description 3
- 208000006664 Precursor Cell Lymphoblastic Leukemia-Lymphoma Diseases 0.000 description 3
- 108020004511 Recombinant DNA Proteins 0.000 description 3
- 108010008281 Recombinant Fusion Proteins Proteins 0.000 description 3
- 102000007056 Recombinant Fusion Proteins Human genes 0.000 description 3
- 201000009594 Systemic Scleroderma Diseases 0.000 description 3
- 206010042953 Systemic sclerosis Diseases 0.000 description 3
- 108060008683 Tumor Necrosis Factor Receptor Proteins 0.000 description 3
- 230000002776 aggregation Effects 0.000 description 3
- 238000004220 aggregation Methods 0.000 description 3
- 230000001270 agonistic effect Effects 0.000 description 3
- 150000001412 amines Chemical class 0.000 description 3
- 210000000612 antigen-presenting cell Anatomy 0.000 description 3
- 230000007503 antigenic stimulation Effects 0.000 description 3
- 208000006673 asthma Diseases 0.000 description 3
- 201000008937 atopic dermatitis Diseases 0.000 description 3
- 229910021538 borax Inorganic materials 0.000 description 3
- 239000012267 brine Substances 0.000 description 3
- HXCHCVDVKSCDHU-LULTVBGHSA-N calicheamicin Chemical compound C1[C@H](OC)[C@@H](NCC)CO[C@H]1O[C@H]1[C@H](O[C@@H]2C\3=C(NC(=O)OC)C(=O)C[C@](C/3=C/CSSSC)(O)C#C\C=C/C#C2)O[C@H](C)[C@@H](NO[C@@H]2O[C@H](C)[C@@H](SC(=O)C=3C(=C(OC)C(O[C@H]4[C@@H]([C@H](OC)[C@@H](O)[C@H](C)O4)O)=C(I)C=3C)OC)[C@@H](O)C2)[C@@H]1O HXCHCVDVKSCDHU-LULTVBGHSA-N 0.000 description 3
- 229930195731 calicheamicin Natural products 0.000 description 3
- 235000014633 carbohydrates Nutrition 0.000 description 3
- 230000003833 cell viability Effects 0.000 description 3
- 210000004978 chinese hamster ovary cell Anatomy 0.000 description 3
- 238000002648 combination therapy Methods 0.000 description 3
- 238000012875 competitive assay Methods 0.000 description 3
- 238000013270 controlled release Methods 0.000 description 3
- 230000001086 cytosolic effect Effects 0.000 description 3
- 238000013461 design Methods 0.000 description 3
- 238000011161 development Methods 0.000 description 3
- 230000018109 developmental process Effects 0.000 description 3
- WGLUMOCWFMKWIL-UHFFFAOYSA-N dichloromethane;methanol Chemical compound OC.ClCCl WGLUMOCWFMKWIL-UHFFFAOYSA-N 0.000 description 3
- HPNMFZURTQLUMO-UHFFFAOYSA-N diethylamine Chemical compound CCNCC HPNMFZURTQLUMO-UHFFFAOYSA-N 0.000 description 3
- 238000010790 dilution Methods 0.000 description 3
- 239000012895 dilution Substances 0.000 description 3
- 230000002255 enzymatic effect Effects 0.000 description 3
- 239000012091 fetal bovine serum Substances 0.000 description 3
- 238000013467 fragmentation Methods 0.000 description 3
- 238000006062 fragmentation reaction Methods 0.000 description 3
- 239000003102 growth factor Substances 0.000 description 3
- 230000036541 health Effects 0.000 description 3
- 239000000833 heterodimer Substances 0.000 description 3
- 102000053826 human CD70 Human genes 0.000 description 3
- 229910052739 hydrogen Inorganic materials 0.000 description 3
- RAXXELZNTBOGNW-UHFFFAOYSA-N imidazole Natural products C1=CNC=N1 RAXXELZNTBOGNW-UHFFFAOYSA-N 0.000 description 3
- 239000007943 implant Substances 0.000 description 3
- 238000001802 infusion Methods 0.000 description 3
- 238000001990 intravenous administration Methods 0.000 description 3
- 238000001325 log-rank test Methods 0.000 description 3
- 235000018977 lysine Nutrition 0.000 description 3
- 210000003712 lysosome Anatomy 0.000 description 3
- 230000001868 lysosomic effect Effects 0.000 description 3
- 239000000463 material Substances 0.000 description 3
- CFCUWKMKBJTWLW-BKHRDMLASA-N mithramycin Chemical compound O([C@@H]1C[C@@H](O[C@H](C)[C@H]1O)OC=1C=C2C=C3C[C@H]([C@@H](C(=O)C3=C(O)C2=C(O)C=1C)O[C@@H]1O[C@H](C)[C@@H](O)[C@H](O[C@@H]2O[C@H](C)[C@H](O)[C@H](O[C@@H]3O[C@H](C)[C@@H](O)[C@@](C)(O)C3)C2)C1)[C@H](OC)C(=O)[C@@H](O)[C@@H](C)O)[C@H]1C[C@@H](O)[C@H](O)[C@@H](C)O1 CFCUWKMKBJTWLW-BKHRDMLASA-N 0.000 description 3
- 229960004857 mitomycin Drugs 0.000 description 3
- 210000000822 natural killer cell Anatomy 0.000 description 3
- 230000017074 necrotic cell death Effects 0.000 description 3
- 239000012044 organic layer Substances 0.000 description 3
- 230000037361 pathway Effects 0.000 description 3
- 238000002823 phage display Methods 0.000 description 3
- 229960003171 plicamycin Drugs 0.000 description 3
- 239000000843 powder Substances 0.000 description 3
- 239000001990 protein-drug conjugate Substances 0.000 description 3
- UMJSCPRVCHMLSP-UHFFFAOYSA-N pyridine Natural products COC1=CC=CN=C1 UMJSCPRVCHMLSP-UHFFFAOYSA-N 0.000 description 3
- 238000003127 radioimmunoassay Methods 0.000 description 3
- 238000011160 research Methods 0.000 description 3
- 239000011347 resin Substances 0.000 description 3
- 229920005989 resin Polymers 0.000 description 3
- 238000001542 size-exclusion chromatography Methods 0.000 description 3
- 229910000030 sodium bicarbonate Inorganic materials 0.000 description 3
- 235000010339 sodium tetraborate Nutrition 0.000 description 3
- HPALAKNZSZLMCH-UHFFFAOYSA-M sodium;chloride;hydrate Chemical compound O.[Na+].[Cl-] HPALAKNZSZLMCH-UHFFFAOYSA-M 0.000 description 3
- 230000010473 stable expression Effects 0.000 description 3
- 238000007920 subcutaneous administration Methods 0.000 description 3
- 230000004083 survival effect Effects 0.000 description 3
- NRUKOCRGYNPUPR-QBPJDGROSA-N teniposide Chemical compound COC1=C(O)C(OC)=CC([C@@H]2C3=CC=4OCOC=4C=C3[C@@H](O[C@H]3[C@@H]([C@@H](O)[C@@H]4O[C@@H](OC[C@H]4O3)C=3SC=CC=3)O)[C@@H]3[C@@H]2C(OC3)=O)=C1 NRUKOCRGYNPUPR-QBPJDGROSA-N 0.000 description 3
- 125000000999 tert-butyl group Chemical group [H]C([H])([H])C(*)(C([H])([H])[H])C([H])([H])[H] 0.000 description 3
- 231100000331 toxic Toxicity 0.000 description 3
- 230000002588 toxic effect Effects 0.000 description 3
- 108700012359 toxins Proteins 0.000 description 3
- 238000012546 transfer Methods 0.000 description 3
- BSVBQGMMJUBVOD-UHFFFAOYSA-N trisodium borate Chemical compound [Na+].[Na+].[Na+].[O-]B([O-])[O-] BSVBQGMMJUBVOD-UHFFFAOYSA-N 0.000 description 3
- 102000003298 tumor necrosis factor receptor Human genes 0.000 description 3
- 238000001262 western blot Methods 0.000 description 3
- 238000012447 xenograft mouse model Methods 0.000 description 3
- YBJHBAHKTGYVGT-ZKWXMUAHSA-N (+)-Biotin Chemical compound N1C(=O)N[C@@H]2[C@H](CCCCC(=O)O)SC[C@@H]21 YBJHBAHKTGYVGT-ZKWXMUAHSA-N 0.000 description 2
- JWDFQMWEFLOOED-UHFFFAOYSA-N (2,5-dioxopyrrolidin-1-yl) 3-(pyridin-2-yldisulfanyl)propanoate Chemical compound O=C1CCC(=O)N1OC(=O)CCSSC1=CC=CC=N1 JWDFQMWEFLOOED-UHFFFAOYSA-N 0.000 description 2
- JSHOVKSMJRQOGY-UHFFFAOYSA-N (2,5-dioxopyrrolidin-1-yl) 4-(pyridin-2-yldisulfanyl)butanoate Chemical compound O=C1CCC(=O)N1OC(=O)CCCSSC1=CC=CC=N1 JSHOVKSMJRQOGY-UHFFFAOYSA-N 0.000 description 2
- GKSPIZSKQWTXQG-UHFFFAOYSA-N (2,5-dioxopyrrolidin-1-yl) 4-[1-(pyridin-2-yldisulfanyl)ethyl]benzoate Chemical compound C=1C=C(C(=O)ON2C(CCC2=O)=O)C=CC=1C(C)SSC1=CC=CC=N1 GKSPIZSKQWTXQG-UHFFFAOYSA-N 0.000 description 2
- MZOFCQQQCNRIBI-VMXHOPILSA-N (3s)-4-[[(2s)-1-[[(2s)-1-[[(1s)-1-carboxy-2-hydroxyethyl]amino]-4-methyl-1-oxopentan-2-yl]amino]-5-(diaminomethylideneamino)-1-oxopentan-2-yl]amino]-3-[[2-[[(2s)-2,6-diaminohexanoyl]amino]acetyl]amino]-4-oxobutanoic acid Chemical compound OC[C@@H](C(O)=O)NC(=O)[C@H](CC(C)C)NC(=O)[C@H](CCCN=C(N)N)NC(=O)[C@H](CC(O)=O)NC(=O)CNC(=O)[C@@H](N)CCCCN MZOFCQQQCNRIBI-VMXHOPILSA-N 0.000 description 2
- UHDGCWIWMRVCDJ-UHFFFAOYSA-N 1-beta-D-Xylofuranosyl-NH-Cytosine Natural products O=C1N=C(N)C=CN1C1C(O)C(O)C(CO)O1 UHDGCWIWMRVCDJ-UHFFFAOYSA-N 0.000 description 2
- VBICKXHEKHSIBG-UHFFFAOYSA-N 1-monostearoylglycerol Chemical compound CCCCCCCCCCCCCCCCCC(=O)OCC(O)CO VBICKXHEKHSIBG-UHFFFAOYSA-N 0.000 description 2
- 238000005160 1H NMR spectroscopy Methods 0.000 description 2
- HIXDQWDOVZUNNA-UHFFFAOYSA-N 2-(3,4-dimethoxyphenyl)-5-hydroxy-7-methoxychromen-4-one Chemical compound C=1C(OC)=CC(O)=C(C(C=2)=O)C=1OC=2C1=CC=C(OC)C(OC)=C1 HIXDQWDOVZUNNA-UHFFFAOYSA-N 0.000 description 2
- IOOMXAQUNPWDLL-UHFFFAOYSA-N 2-[6-(diethylamino)-3-(diethyliminiumyl)-3h-xanthen-9-yl]-5-sulfobenzene-1-sulfonate Chemical compound C=12C=CC(=[N+](CC)CC)C=C2OC2=CC(N(CC)CC)=CC=C2C=1C1=CC=C(S(O)(=O)=O)C=C1S([O-])(=O)=O IOOMXAQUNPWDLL-UHFFFAOYSA-N 0.000 description 2
- PBSPQZHJEDTHTL-UHFFFAOYSA-N 2-benzoylpentanoic acid Chemical compound CCCC(C(O)=O)C(=O)C1=CC=CC=C1 PBSPQZHJEDTHTL-UHFFFAOYSA-N 0.000 description 2
- KDCGOANMDULRCW-UHFFFAOYSA-N 7H-purine Chemical compound N1=CNC2=NC=NC2=C1 KDCGOANMDULRCW-UHFFFAOYSA-N 0.000 description 2
- GUBGYTABKSRVRQ-XLOQQCSPSA-N Alpha-Lactose Chemical compound O[C@@H]1[C@@H](O)[C@@H](O)[C@@H](CO)O[C@H]1O[C@@H]1[C@@H](CO)O[C@H](O)[C@H](O)[C@H]1O GUBGYTABKSRVRQ-XLOQQCSPSA-N 0.000 description 2
- 206010001889 Alveolitis Diseases 0.000 description 2
- 208000035939 Alveolitis allergic Diseases 0.000 description 2
- XKRFYHLGVUSROY-UHFFFAOYSA-N Argon Chemical compound [Ar] XKRFYHLGVUSROY-UHFFFAOYSA-N 0.000 description 2
- 241000201370 Autographa californica nucleopolyhedrovirus Species 0.000 description 2
- 239000005711 Benzoic acid Substances 0.000 description 2
- 108010006654 Bleomycin Proteins 0.000 description 2
- 238000011740 C57BL/6 mouse Methods 0.000 description 2
- 108090000712 Cathepsin B Proteins 0.000 description 2
- 102000004225 Cathepsin B Human genes 0.000 description 2
- 102000009410 Chemokine receptor Human genes 0.000 description 2
- 108050000299 Chemokine receptor Proteins 0.000 description 2
- 108010012236 Chemokines Proteins 0.000 description 2
- 102000019034 Chemokines Human genes 0.000 description 2
- 101710184994 Complement control protein Proteins 0.000 description 2
- 102000005636 Cyclic AMP Response Element-Binding Protein Human genes 0.000 description 2
- 108010045171 Cyclic AMP Response Element-Binding Protein Proteins 0.000 description 2
- UHDGCWIWMRVCDJ-PSQAKQOGSA-N Cytidine Natural products O=C1N=C(N)C=CN1[C@@H]1[C@@H](O)[C@@H](O)[C@H](CO)O1 UHDGCWIWMRVCDJ-PSQAKQOGSA-N 0.000 description 2
- 238000011765 DBA/2 mouse Methods 0.000 description 2
- 239000012626 DNA minor groove binder Substances 0.000 description 2
- 108010092160 Dactinomycin Proteins 0.000 description 2
- 201000004624 Dermatitis Diseases 0.000 description 2
- UBJVUCKUDDKUJF-UHFFFAOYSA-N Diallyl sulfide Chemical compound C=CCSCC=C UBJVUCKUDDKUJF-UHFFFAOYSA-N 0.000 description 2
- IAZDPXIOMUYVGZ-WFGJKAKNSA-N Dimethyl sulfoxide Chemical compound [2H]C([2H])([2H])S(=O)C([2H])([2H])[2H] IAZDPXIOMUYVGZ-WFGJKAKNSA-N 0.000 description 2
- DYEFUKCXAQOFHX-UHFFFAOYSA-N Ebselen Chemical compound [se]1C2=CC=CC=C2C(=O)N1C1=CC=CC=C1 DYEFUKCXAQOFHX-UHFFFAOYSA-N 0.000 description 2
- 208000007465 Giant cell arteritis Diseases 0.000 description 2
- 208000032612 Glial tumor Diseases 0.000 description 2
- WQZGKKKJIJFFOK-GASJEMHNSA-N Glucose Natural products OC[C@H]1OC(O)[C@H](O)[C@@H](O)[C@@H]1O WQZGKKKJIJFFOK-GASJEMHNSA-N 0.000 description 2
- 208000024869 Goodpasture syndrome Diseases 0.000 description 2
- 102100039619 Granulocyte colony-stimulating factor Human genes 0.000 description 2
- 102100039620 Granulocyte-macrophage colony-stimulating factor Human genes 0.000 description 2
- WZUVPPKBWHMQCE-UHFFFAOYSA-N Haematoxylin Chemical compound C12=CC(O)=C(O)C=C2CC2(O)C1C1=CC=C(O)C(O)=C1OC2 WZUVPPKBWHMQCE-UHFFFAOYSA-N 0.000 description 2
- 101000914514 Homo sapiens T-cell-specific surface glycoprotein CD28 Proteins 0.000 description 2
- OAKJQQAXSVQMHS-UHFFFAOYSA-N Hydrazine Chemical compound NN OAKJQQAXSVQMHS-UHFFFAOYSA-N 0.000 description 2
- XDXDZDZNSLXDNA-TZNDIEGXSA-N Idarubicin Chemical compound C1[C@H](N)[C@H](O)[C@H](C)O[C@H]1O[C@@H]1C2=C(O)C(C(=O)C3=CC=CC=C3C3=O)=C3C(O)=C2C[C@@](O)(C(C)=O)C1 XDXDZDZNSLXDNA-TZNDIEGXSA-N 0.000 description 2
- XDXDZDZNSLXDNA-UHFFFAOYSA-N Idarubicin Natural products C1C(N)C(O)C(C)OC1OC1C2=C(O)C(C(=O)C3=CC=CC=C3C3=O)=C3C(O)=C2CC(O)(C(C)=O)C1 XDXDZDZNSLXDNA-UHFFFAOYSA-N 0.000 description 2
- 108010009817 Immunoglobulin Constant Regions Proteins 0.000 description 2
- 102000009786 Immunoglobulin Constant Regions Human genes 0.000 description 2
- 208000022559 Inflammatory bowel disease Diseases 0.000 description 2
- 108010002350 Interleukin-2 Proteins 0.000 description 2
- 102000000588 Interleukin-2 Human genes 0.000 description 2
- 108090000978 Interleukin-4 Proteins 0.000 description 2
- ROHFNLRQFUQHCH-YFKPBYRVSA-N L-leucine Chemical compound CC(C)C[C@H](N)C(O)=O ROHFNLRQFUQHCH-YFKPBYRVSA-N 0.000 description 2
- GUBGYTABKSRVRQ-QKKXKWKRSA-N Lactose Natural products OC[C@H]1O[C@@H](O[C@H]2[C@H](O)[C@@H](O)C(O)O[C@@H]2CO)[C@H](O)[C@@H](O)[C@H]1O GUBGYTABKSRVRQ-QKKXKWKRSA-N 0.000 description 2
- 108090001090 Lectins Proteins 0.000 description 2
- 102000004856 Lectins Human genes 0.000 description 2
- ROHFNLRQFUQHCH-UHFFFAOYSA-N Leucine Natural products CC(C)CC(N)C(O)=O ROHFNLRQFUQHCH-UHFFFAOYSA-N 0.000 description 2
- GQYIWUVLTXOXAJ-UHFFFAOYSA-N Lomustine Chemical compound ClCCN(N=O)C(=O)NC1CCCCC1 GQYIWUVLTXOXAJ-UHFFFAOYSA-N 0.000 description 2
- 239000004472 Lysine Substances 0.000 description 2
- KDXKERNSBIXSRK-UHFFFAOYSA-N Lysine Natural products NCCCCC(N)C(O)=O KDXKERNSBIXSRK-UHFFFAOYSA-N 0.000 description 2
- CSNNHWWHGAXBCP-UHFFFAOYSA-L Magnesium sulfate Chemical compound [Mg+2].[O-][S+2]([O-])([O-])[O-] CSNNHWWHGAXBCP-UHFFFAOYSA-L 0.000 description 2
- 108700020796 Oncogene Proteins 0.000 description 2
- 102000043276 Oncogene Human genes 0.000 description 2
- 238000009004 PCR Kit Methods 0.000 description 2
- 108091000080 Phosphotransferase Proteins 0.000 description 2
- ZTHYODDOHIVTJV-UHFFFAOYSA-N Propyl gallate Chemical compound CCCOC(=O)C1=CC(O)=C(O)C(O)=C1 ZTHYODDOHIVTJV-UHFFFAOYSA-N 0.000 description 2
- 108010072866 Prostate-Specific Antigen Proteins 0.000 description 2
- 102000007066 Prostate-Specific Antigen Human genes 0.000 description 2
- 206010039085 Rhinitis allergic Diseases 0.000 description 2
- 239000002262 Schiff base Substances 0.000 description 2
- 150000004753 Schiff bases Chemical class 0.000 description 2
- 238000012300 Sequence Analysis Methods 0.000 description 2
- 208000021386 Sjogren Syndrome Diseases 0.000 description 2
- UIIMBOGNXHQVGW-DEQYMQKBSA-M Sodium bicarbonate-14C Chemical compound [Na+].O[14C]([O-])=O UIIMBOGNXHQVGW-DEQYMQKBSA-M 0.000 description 2
- 229920002472 Starch Polymers 0.000 description 2
- 230000024932 T cell mediated immunity Effects 0.000 description 2
- 102100027213 T-cell-specific surface glycoprotein CD28 Human genes 0.000 description 2
- NKANXQFJJICGDU-QPLCGJKRSA-N Tamoxifen Chemical compound C=1C=CC=CC=1C(/CC)=C(C=1C=CC(OCCN(C)C)=CC=1)/C1=CC=CC=C1 NKANXQFJJICGDU-QPLCGJKRSA-N 0.000 description 2
- NAVMQTYZDKMPEU-UHFFFAOYSA-N Targretin Chemical compound CC1=CC(C(CCC2(C)C)(C)C)=C2C=C1C(=C)C1=CC=C(C(O)=O)C=C1 NAVMQTYZDKMPEU-UHFFFAOYSA-N 0.000 description 2
- 208000031981 Thrombocytopenic Idiopathic Purpura Diseases 0.000 description 2
- HEDRZPFGACZZDS-MICDWDOJSA-N Trichloro(2H)methane Chemical compound [2H]C(Cl)(Cl)Cl HEDRZPFGACZZDS-MICDWDOJSA-N 0.000 description 2
- 206010067584 Type 1 diabetes mellitus Diseases 0.000 description 2
- 206010053613 Type IV hypersensitivity reaction Diseases 0.000 description 2
- VGQOVCHZGQWAOI-UHFFFAOYSA-N UNPD55612 Natural products N1C(O)C2CC(C=CC(N)=O)=CN2C(=O)C2=CC=C(C)C(O)=C12 VGQOVCHZGQWAOI-UHFFFAOYSA-N 0.000 description 2
- 206010073328 Undifferentiated nasopharyngeal carcinoma Diseases 0.000 description 2
- HYSPJPGXSALJRR-DHIFEGFHSA-N [4-[[(2s)-5-(carbamoylamino)-2-[[(2s)-2-[6-(2,5-dioxopyrrol-1-yl)hexanoylamino]-3-methylbutanoyl]amino]pentanoyl]amino]phenyl]methyl (4-nitrophenyl) carbonate Chemical compound N([C@@H](C(C)C)C(=O)N[C@@H](CCCNC(N)=O)C(=O)NC=1C=CC(COC(=O)OC=2C=CC(=CC=2)[N+]([O-])=O)=CC=1)C(=O)CCCCCN1C(=O)C=CC1=O HYSPJPGXSALJRR-DHIFEGFHSA-N 0.000 description 2
- 238000009825 accumulation Methods 0.000 description 2
- DPKHZNPWBDQZCN-UHFFFAOYSA-N acridine orange free base Chemical compound C1=CC(N(C)C)=CC2=NC3=CC(N(C)C)=CC=C3C=C21 DPKHZNPWBDQZCN-UHFFFAOYSA-N 0.000 description 2
- RJURFGZVJUQBHK-UHFFFAOYSA-N actinomycin D Natural products CC1OC(=O)C(C(C)C)N(C)C(=O)CN(C)C(=O)C2CCCN2C(=O)C(C(C)C)NC(=O)C1NC(=O)C1=C(N)C(=O)C(C)=C2OC(C(C)=CC=C3C(=O)NC4C(=O)NC(C(N5CCCC5C(=O)N(C)CC(=O)N(C)C(C(C)C)C(=O)OC4C)=O)C(C)C)=C3N=C21 RJURFGZVJUQBHK-UHFFFAOYSA-N 0.000 description 2
- 239000013543 active substance Substances 0.000 description 2
- 238000001042 affinity chromatography Methods 0.000 description 2
- 208000026935 allergic disease Diseases 0.000 description 2
- 201000010105 allergic rhinitis Diseases 0.000 description 2
- 239000003708 ampul Substances 0.000 description 2
- 208000003455 anaphylaxis Diseases 0.000 description 2
- VGQOVCHZGQWAOI-HYUHUPJXSA-N anthramycin Chemical compound N1[C@@H](O)[C@@H]2CC(\C=C\C(N)=O)=CN2C(=O)C2=CC=C(C)C(O)=C12 VGQOVCHZGQWAOI-HYUHUPJXSA-N 0.000 description 2
- 230000001093 anti-cancer Effects 0.000 description 2
- 229940121363 anti-inflammatory agent Drugs 0.000 description 2
- 239000002260 anti-inflammatory agent Substances 0.000 description 2
- 230000000890 antigenic effect Effects 0.000 description 2
- 230000001640 apoptogenic effect Effects 0.000 description 2
- 208000010668 atopic eczema Diseases 0.000 description 2
- VSRXQHXAPYXROS-UHFFFAOYSA-N azanide;cyclobutane-1,1-dicarboxylic acid;platinum(2+) Chemical compound [NH2-].[NH2-].[Pt+2].OC(=O)C1(C(O)=O)CCC1 VSRXQHXAPYXROS-UHFFFAOYSA-N 0.000 description 2
- 230000009286 beneficial effect Effects 0.000 description 2
- 235000010233 benzoic acid Nutrition 0.000 description 2
- 150000001562 benzopyrans Chemical class 0.000 description 2
- DZBUGLKDJFMEHC-UHFFFAOYSA-N benzoquinolinylidene Natural products C1=CC=CC2=CC3=CC=CC=C3N=C21 DZBUGLKDJFMEHC-UHFFFAOYSA-N 0.000 description 2
- WQZGKKKJIJFFOK-VFUOTHLCSA-N beta-D-glucose Chemical compound OC[C@H]1O[C@@H](O)[C@H](O)[C@@H](O)[C@@H]1O WQZGKKKJIJFFOK-VFUOTHLCSA-N 0.000 description 2
- 229960002938 bexarotene Drugs 0.000 description 2
- 238000001574 biopsy Methods 0.000 description 2
- 229960001561 bleomycin Drugs 0.000 description 2
- OYVAGSVQBOHSSS-UAPAGMARSA-O bleomycin A2 Chemical compound N([C@H](C(=O)N[C@H](C)[C@@H](O)[C@H](C)C(=O)N[C@@H]([C@H](O)C)C(=O)NCCC=1SC=C(N=1)C=1SC=C(N=1)C(=O)NCCC[S+](C)C)[C@@H](O[C@H]1[C@H]([C@@H](O)[C@H](O)[C@H](CO)O1)O[C@@H]1[C@H]([C@@H](OC(N)=O)[C@H](O)[C@@H](CO)O1)O)C=1N=CNC=1)C(=O)C1=NC([C@H](CC(N)=O)NC[C@H](N)C(N)=O)=NC(N)=C1C OYVAGSVQBOHSSS-UAPAGMARSA-O 0.000 description 2
- 238000010322 bone marrow transplantation Methods 0.000 description 2
- GXJABQQUPOEUTA-RDJZCZTQSA-N bortezomib Chemical compound C([C@@H](C(=O)N[C@@H](CC(C)C)B(O)O)NC(=O)C=1N=CC=NC=1)C1=CC=CC=C1 GXJABQQUPOEUTA-RDJZCZTQSA-N 0.000 description 2
- 230000000981 bystander Effects 0.000 description 2
- 229910052799 carbon Inorganic materials 0.000 description 2
- 150000001721 carbon Chemical group 0.000 description 2
- 229960004562 carboplatin Drugs 0.000 description 2
- YCIMNLLNPGFGHC-UHFFFAOYSA-N catechol Chemical compound OC1=CC=CC=C1O YCIMNLLNPGFGHC-UHFFFAOYSA-N 0.000 description 2
- 230000003915 cell function Effects 0.000 description 2
- 238000005119 centrifugation Methods 0.000 description 2
- 238000002512 chemotherapy Methods 0.000 description 2
- 238000004587 chromatography analysis Methods 0.000 description 2
- 230000001684 chronic effect Effects 0.000 description 2
- DQLATGHUWYMOKM-UHFFFAOYSA-L cisplatin Chemical compound N[Pt](N)(Cl)Cl DQLATGHUWYMOKM-UHFFFAOYSA-L 0.000 description 2
- 229960004316 cisplatin Drugs 0.000 description 2
- 238000010367 cloning Methods 0.000 description 2
- 229960001338 colchicine Drugs 0.000 description 2
- 238000011244 combinatorial administration Methods 0.000 description 2
- 238000009833 condensation Methods 0.000 description 2
- 230000005494 condensation Effects 0.000 description 2
- 239000013068 control sample Substances 0.000 description 2
- 239000000599 controlled substance Substances 0.000 description 2
- 238000007796 conventional method Methods 0.000 description 2
- VFLDPWHFBUODDF-FCXRPNKRSA-N curcumin Chemical compound C1=C(O)C(OC)=CC(\C=C\C(=O)CC(=O)\C=C\C=2C=C(OC)C(O)=CC=2)=C1 VFLDPWHFBUODDF-FCXRPNKRSA-N 0.000 description 2
- 108010057085 cytokine receptors Proteins 0.000 description 2
- 102000003675 cytokine receptors Human genes 0.000 description 2
- 230000001461 cytolytic effect Effects 0.000 description 2
- 210000001151 cytotoxic T lymphocyte Anatomy 0.000 description 2
- 229960003901 dacarbazine Drugs 0.000 description 2
- 230000007423 decrease Effects 0.000 description 2
- 238000012217 deletion Methods 0.000 description 2
- 230000037430 deletion Effects 0.000 description 2
- 230000001419 dependent effect Effects 0.000 description 2
- 230000000779 depleting effect Effects 0.000 description 2
- 239000000539 dimer Substances 0.000 description 2
- BFMYDTVEBKDAKJ-UHFFFAOYSA-L disodium;(2',7'-dibromo-3',6'-dioxido-3-oxospiro[2-benzofuran-1,9'-xanthene]-4'-yl)mercury;hydrate Chemical compound O.[Na+].[Na+].O1C(=O)C2=CC=CC=C2C21C1=CC(Br)=C([O-])C([Hg])=C1OC1=C2C=C(Br)C([O-])=C1 BFMYDTVEBKDAKJ-UHFFFAOYSA-L 0.000 description 2
- 238000010494 dissociation reaction Methods 0.000 description 2
- 230000005593 dissociations Effects 0.000 description 2
- 239000002552 dosage form Substances 0.000 description 2
- 239000003937 drug carrier Substances 0.000 description 2
- 238000012377 drug delivery Methods 0.000 description 2
- 229950010033 ebselen Drugs 0.000 description 2
- 230000002124 endocrine Effects 0.000 description 2
- 210000002919 epithelial cell Anatomy 0.000 description 2
- RTZKZFJDLAIYFH-UHFFFAOYSA-N ether Substances CCOCC RTZKZFJDLAIYFH-UHFFFAOYSA-N 0.000 description 2
- ZMMJGEGLRURXTF-UHFFFAOYSA-N ethidium bromide Chemical compound [Br-].C12=CC(N)=CC=C2C2=CC=C(N)C=C2[N+](CC)=C1C1=CC=CC=C1 ZMMJGEGLRURXTF-UHFFFAOYSA-N 0.000 description 2
- 229960005542 ethidium bromide Drugs 0.000 description 2
- 210000003527 eukaryotic cell Anatomy 0.000 description 2
- 208000012997 experimental autoimmune encephalomyelitis Diseases 0.000 description 2
- 201000001155 extrinsic allergic alveolitis Diseases 0.000 description 2
- 239000000706 filtrate Substances 0.000 description 2
- 229930003935 flavonoid Natural products 0.000 description 2
- 150000002215 flavonoids Chemical class 0.000 description 2
- 235000017173 flavonoids Nutrition 0.000 description 2
- ODKNJVUHOIMIIZ-RRKCRQDMSA-N floxuridine Chemical compound C1[C@H](O)[C@@H](CO)O[C@H]1N1C(=O)NC(=O)C(F)=C1 ODKNJVUHOIMIIZ-RRKCRQDMSA-N 0.000 description 2
- 125000000524 functional group Chemical group 0.000 description 2
- VCCRNZQBSJXYJD-UHFFFAOYSA-N galangin Chemical compound C=1C(O)=CC(O)=C(C(C=2O)=O)C=1OC=2C1=CC=CC=C1 VCCRNZQBSJXYJD-UHFFFAOYSA-N 0.000 description 2
- 239000003862 glucocorticoid Substances 0.000 description 2
- 239000001963 growth medium Substances 0.000 description 2
- 208000006454 hepatitis Diseases 0.000 description 2
- 239000000710 homodimer Substances 0.000 description 2
- 239000001257 hydrogen Substances 0.000 description 2
- 150000002431 hydrogen Chemical group 0.000 description 2
- 125000002887 hydroxy group Chemical group [H]O* 0.000 description 2
- WGCNASOHLSPBMP-UHFFFAOYSA-N hydroxyacetaldehyde Natural products OCC=O WGCNASOHLSPBMP-UHFFFAOYSA-N 0.000 description 2
- NPZTUJOABDZTLV-UHFFFAOYSA-N hydroxybenzotriazole Substances O=C1C=CC=C2NNN=C12 NPZTUJOABDZTLV-UHFFFAOYSA-N 0.000 description 2
- 208000022098 hypersensitivity pneumonitis Diseases 0.000 description 2
- 229960000908 idarubicin Drugs 0.000 description 2
- 229960001101 ifosfamide Drugs 0.000 description 2
- HOMGKSMUEGBAAB-UHFFFAOYSA-N ifosfamide Chemical compound ClCCNP1(=O)OCCCN1CCCl HOMGKSMUEGBAAB-UHFFFAOYSA-N 0.000 description 2
- 230000001900 immune effect Effects 0.000 description 2
- 229940127121 immunoconjugate Drugs 0.000 description 2
- 238000003364 immunohistochemistry Methods 0.000 description 2
- 238000009169 immunotherapy Methods 0.000 description 2
- 238000000338 in vitro Methods 0.000 description 2
- 238000010874 in vitro model Methods 0.000 description 2
- 238000011065 in-situ storage Methods 0.000 description 2
- CGIGDMFJXJATDK-UHFFFAOYSA-N indomethacin Chemical compound CC1=C(CC(O)=O)C2=CC(OC)=CC=C2N1C(=O)C1=CC=C(Cl)C=C1 CGIGDMFJXJATDK-UHFFFAOYSA-N 0.000 description 2
- 230000002757 inflammatory effect Effects 0.000 description 2
- 102000006495 integrins Human genes 0.000 description 2
- 108010044426 integrins Proteins 0.000 description 2
- 229960004768 irinotecan Drugs 0.000 description 2
- GURKHSYORGJETM-WAQYZQTGSA-N irinotecan hydrochloride (anhydrous) Chemical compound Cl.C1=C2C(CC)=C3CN(C(C4=C([C@@](C(=O)OC4)(O)CC)C=4)=O)C=4C3=NC2=CC=C1OC(=O)N(CC1)CCC1N1CCCCC1 GURKHSYORGJETM-WAQYZQTGSA-N 0.000 description 2
- 125000000959 isobutyl group Chemical group [H]C([H])([H])C([H])(C([H])([H])[H])C([H])([H])* 0.000 description 2
- 150000002540 isothiocyanates Chemical class 0.000 description 2
- 210000001985 kidney epithelial cell Anatomy 0.000 description 2
- 210000003251 kidney tubule epithelial cell Anatomy 0.000 description 2
- 239000008101 lactose Substances 0.000 description 2
- 239000002523 lectin Substances 0.000 description 2
- 231100000518 lethal Toxicity 0.000 description 2
- 230000001665 lethal effect Effects 0.000 description 2
- 229940065725 leukotriene receptor antagonists for obstructive airway diseases Drugs 0.000 description 2
- 239000007788 liquid Substances 0.000 description 2
- 230000007774 longterm Effects 0.000 description 2
- HQKMJHAJHXVSDF-UHFFFAOYSA-L magnesium stearate Chemical compound [Mg+2].CCCCCCCCCCCCCCCCCC([O-])=O.CCCCCCCCCCCCCCCCCC([O-])=O HQKMJHAJHXVSDF-UHFFFAOYSA-L 0.000 description 2
- 238000012423 maintenance Methods 0.000 description 2
- HCZKYJDFEPMADG-TXEJJXNPSA-N masoprocol Chemical compound C([C@H](C)[C@H](C)CC=1C=C(O)C(O)=CC=1)C1=CC=C(O)C(O)=C1 HCZKYJDFEPMADG-TXEJJXNPSA-N 0.000 description 2
- HAWPXGHAZFHHAD-UHFFFAOYSA-N mechlorethamine Chemical compound ClCCN(C)CCCl HAWPXGHAZFHHAD-UHFFFAOYSA-N 0.000 description 2
- 229960004961 mechlorethamine Drugs 0.000 description 2
- 239000002609 medium Substances 0.000 description 2
- SGDBTWWWUNNDEQ-LBPRGKRZSA-N melphalan Chemical compound OC(=O)[C@@H](N)CC1=CC=C(N(CCCl)CCCl)C=C1 SGDBTWWWUNNDEQ-LBPRGKRZSA-N 0.000 description 2
- 229960001924 melphalan Drugs 0.000 description 2
- GLVAUDGFNGKCSF-UHFFFAOYSA-N mercaptopurine Chemical compound S=C1NC=NC2=C1NC=N2 GLVAUDGFNGKCSF-UHFFFAOYSA-N 0.000 description 2
- KKZJGLLVHKMTCM-UHFFFAOYSA-N mitoxantrone Chemical compound O=C1C2=C(O)C=CC(O)=C2C(=O)C2=C1C(NCCNCCO)=CC=C2NCCNCCO KKZJGLLVHKMTCM-UHFFFAOYSA-N 0.000 description 2
- 229960001156 mitoxantrone Drugs 0.000 description 2
- 238000007799 mixed lymphocyte reaction assay Methods 0.000 description 2
- 238000010369 molecular cloning Methods 0.000 description 2
- 239000000178 monomer Substances 0.000 description 2
- 230000004660 morphological change Effects 0.000 description 2
- 206010028417 myasthenia gravis Diseases 0.000 description 2
- 210000004165 myocardium Anatomy 0.000 description 2
- LBWFXVZLPYTWQI-IPOVEDGCSA-N n-[2-(diethylamino)ethyl]-5-[(z)-(5-fluoro-2-oxo-1h-indol-3-ylidene)methyl]-2,4-dimethyl-1h-pyrrole-3-carboxamide;(2s)-2-hydroxybutanedioic acid Chemical compound OC(=O)[C@@H](O)CC(O)=O.CCN(CC)CCNC(=O)C1=C(C)NC(\C=C/2C3=CC(F)=CC=C3NC\2=O)=C1C LBWFXVZLPYTWQI-IPOVEDGCSA-N 0.000 description 2
- 230000001537 neural effect Effects 0.000 description 2
- 229940080607 nexavar Drugs 0.000 description 2
- IOYHCQBYQJQBSK-UHFFFAOYSA-N orobol Chemical compound C=1C(O)=CC(O)=C(C2=O)C=1OC=C2C1=CC=C(O)C(O)=C1 IOYHCQBYQJQBSK-UHFFFAOYSA-N 0.000 description 2
- 239000000546 pharmaceutical excipient Substances 0.000 description 2
- 150000002990 phenothiazines Chemical class 0.000 description 2
- 102000020233 phosphotransferase Human genes 0.000 description 2
- 239000013612 plasmid Substances 0.000 description 2
- 229940012957 plasmin Drugs 0.000 description 2
- 150000003057 platinum Chemical class 0.000 description 2
- 229910052697 platinum Inorganic materials 0.000 description 2
- 238000003752 polymerase chain reaction Methods 0.000 description 2
- 239000002243 precursor Substances 0.000 description 2
- 229960005205 prednisolone Drugs 0.000 description 2
- OIGNJSKKLXVSLS-VWUMJDOOSA-N prednisolone Chemical compound O=C1C=C[C@]2(C)[C@H]3[C@@H](O)C[C@](C)([C@@](CC4)(O)C(=O)CO)[C@@H]4[C@@H]3CCC2=C1 OIGNJSKKLXVSLS-VWUMJDOOSA-N 0.000 description 2
- 238000012545 processing Methods 0.000 description 2
- 230000006337 proteolytic cleavage Effects 0.000 description 2
- 238000009938 salting Methods 0.000 description 2
- 125000002914 sec-butyl group Chemical group [H]C([H])([H])C([H])([H])C([H])(*)C([H])([H])[H] 0.000 description 2
- 230000003248 secreting effect Effects 0.000 description 2
- 208000002491 severe combined immunodeficiency Diseases 0.000 description 2
- 230000019491 signal transduction Effects 0.000 description 2
- JQWHASGSAFIOCM-UHFFFAOYSA-M sodium periodate Chemical compound [Na+].[O-]I(=O)(=O)=O JQWHASGSAFIOCM-UHFFFAOYSA-M 0.000 description 2
- 229960003787 sorafenib Drugs 0.000 description 2
- 238000010561 standard procedure Methods 0.000 description 2
- 239000008107 starch Substances 0.000 description 2
- 235000019698 starch Nutrition 0.000 description 2
- 150000003431 steroids Chemical class 0.000 description 2
- 238000003756 stirring Methods 0.000 description 2
- 229960001052 streptozocin Drugs 0.000 description 2
- ZSJLQEPLLKMAKR-GKHCUFPYSA-N streptozocin Chemical compound O=NN(C)C(=O)N[C@H]1[C@@H](O)O[C@H](CO)[C@@H](O)[C@@H]1O ZSJLQEPLLKMAKR-GKHCUFPYSA-N 0.000 description 2
- 239000006228 supernatant Substances 0.000 description 2
- 230000008093 supporting effect Effects 0.000 description 2
- 239000000829 suppository Substances 0.000 description 2
- 239000000725 suspension Substances 0.000 description 2
- 230000008961 swelling Effects 0.000 description 2
- 230000009885 systemic effect Effects 0.000 description 2
- 206010043207 temporal arteritis Diseases 0.000 description 2
- 229960001278 teniposide Drugs 0.000 description 2
- 229960000814 tetanus toxoid Drugs 0.000 description 2
- 150000003568 thioethers Chemical class 0.000 description 2
- 206010043778 thyroiditis Diseases 0.000 description 2
- 229960003087 tioguanine Drugs 0.000 description 2
- QAIPRVGONGVQAS-DUXPYHPUSA-N trans-caffeic acid Chemical compound OC(=O)\C=C\C1=CC=C(O)C(O)=C1 QAIPRVGONGVQAS-DUXPYHPUSA-N 0.000 description 2
- 238000011830 transgenic mouse model Methods 0.000 description 2
- 210000005239 tubule Anatomy 0.000 description 2
- 230000005951 type IV hypersensitivity Effects 0.000 description 2
- 208000027930 type IV hypersensitivity disease Diseases 0.000 description 2
- 238000000108 ultra-filtration Methods 0.000 description 2
- 230000035899 viability Effects 0.000 description 2
- HBOMLICNUCNMMY-XLPZGREQSA-N zidovudine Chemical compound O=C1NC(=O)C(C)=CN1[C@@H]1O[C@H](CO)[C@@H](N=[N+]=[N-])C1 HBOMLICNUCNMMY-XLPZGREQSA-N 0.000 description 2
- 229960002555 zidovudine Drugs 0.000 description 2
- BMKDZUISNHGIBY-ZETCQYMHSA-N (+)-dexrazoxane Chemical compound C([C@H](C)N1CC(=O)NC(=O)C1)N1CC(=O)NC(=O)C1 BMKDZUISNHGIBY-ZETCQYMHSA-N 0.000 description 1
- CXQWRCVTCMQVQX-LSDHHAIUSA-N (+)-taxifolin Chemical compound C1([C@@H]2[C@H](C(C3=C(O)C=C(O)C=C3O2)=O)O)=CC=C(O)C(O)=C1 CXQWRCVTCMQVQX-LSDHHAIUSA-N 0.000 description 1
- UFIVODCEJLHUTQ-UHFFFAOYSA-N (2,5-dioxopyrrolidin-1-yl) 2-(1-phenylethyldisulfanyl)-2h-pyridine-1-carboxylate Chemical compound C=1C=CC=CC=1C(C)SSC1C=CC=CN1C(=O)ON1C(=O)CCC1=O UFIVODCEJLHUTQ-UHFFFAOYSA-N 0.000 description 1
- VQZYZXLBKBUOHE-UHFFFAOYSA-N (2,5-dioxopyrrolidin-1-yl) 3-(pyridin-2-yldisulfanyl)butanoate Chemical compound C=1C=CC=NC=1SSC(C)CC(=O)ON1C(=O)CCC1=O VQZYZXLBKBUOHE-UHFFFAOYSA-N 0.000 description 1
- VLARLSIGSPVYHX-UHFFFAOYSA-N (2,5-dioxopyrrolidin-1-yl) 6-(2,5-dioxopyrrol-1-yl)hexanoate Chemical compound O=C1CCC(=O)N1OC(=O)CCCCCN1C(=O)C=CC1=O VLARLSIGSPVYHX-UHFFFAOYSA-N 0.000 description 1
- BSPMWFRGZQDRIU-UHFFFAOYSA-N (2-amino-1h-imidazol-5-yl)methanol Chemical class NC1=NC(CO)=CN1 BSPMWFRGZQDRIU-UHFFFAOYSA-N 0.000 description 1
- XMAYWYJOQHXEEK-OZXSUGGESA-N (2R,4S)-ketoconazole Chemical compound C1CN(C(=O)C)CCN1C(C=C1)=CC=C1OC[C@@H]1O[C@@](CN2C=NC=C2)(C=2C(=CC(Cl)=CC=2)Cl)OC1 XMAYWYJOQHXEEK-OZXSUGGESA-N 0.000 description 1
- MTCFGRXMJLQNBG-REOHCLBHSA-N (2S)-2-Amino-3-hydroxypropansäure Chemical compound OC[C@H](N)C(O)=O MTCFGRXMJLQNBG-REOHCLBHSA-N 0.000 description 1
- ZEYYDOLCHFETHQ-JOCHJYFZSA-N (2r)-2-cyclopentyl-2-[4-(quinolin-2-ylmethoxy)phenyl]acetic acid Chemical compound C1([C@@H](C(=O)O)C=2C=CC(OCC=3N=C4C=CC=CC4=CC=3)=CC=2)CCCC1 ZEYYDOLCHFETHQ-JOCHJYFZSA-N 0.000 description 1
- RDJGLLICXDHJDY-NSHDSACASA-N (2s)-2-(3-phenoxyphenyl)propanoic acid Chemical compound OC(=O)[C@@H](C)C1=CC=CC(OC=2C=CC=CC=2)=C1 RDJGLLICXDHJDY-NSHDSACASA-N 0.000 description 1
- ZYJPUMXJBDHSIF-NSHDSACASA-N (2s)-2-[(2-methylpropan-2-yl)oxycarbonylamino]-3-phenylpropanoic acid Chemical compound CC(C)(C)OC(=O)N[C@H](C(O)=O)CC1=CC=CC=C1 ZYJPUMXJBDHSIF-NSHDSACASA-N 0.000 description 1
- BDITVJHHJUTHBB-DNIGJBFUSA-N (2s)-2-[[(2r,3r)-3-[(2s)-1-[(3r,4s,5s)-4-[[(2s)-2-[[(2s)-2-[[4-[[(2s)-5-(carbamoylamino)-2-[[(2s)-2-[6-(2,5-dioxopyrrol-1-yl)hexanoylamino]-3-methylbutanoyl]amino]pentanoyl]amino]phenyl]methoxycarbonyl-methylamino]-3-methylbutanoyl]amino]-3-methylbutanoyl Chemical compound C([C@H](NC(=O)[C@H](C)[C@@H](OC)[C@@H]1CCCN1C(=O)C[C@H]([C@H]([C@@H](C)CC)N(C)C(=O)[C@@H](NC(=O)[C@H](C(C)C)N(C)C(=O)OCC=1C=CC(NC(=O)[C@H](CCCNC(N)=O)NC(=O)[C@@H](NC(=O)CCCCCN2C(C=CC2=O)=O)C(C)C)=CC=1)C(C)C)OC)C(O)=O)C1=CC=CC=C1 BDITVJHHJUTHBB-DNIGJBFUSA-N 0.000 description 1
- TZVXKBMRRBDDTR-QRPNPIFTSA-N (2s)-2-amino-3-phenylpropanoic acid;benzene-1,2-diamine Chemical compound NC1=CC=CC=C1N.OC(=O)[C@@H](N)CC1=CC=CC=C1 TZVXKBMRRBDDTR-QRPNPIFTSA-N 0.000 description 1
- ZJLNQOIFTYLCHC-VXKWHMMOSA-N (2s)-5-(carbamoylamino)-2-[[(2s)-2-(9h-fluoren-9-ylmethoxycarbonylamino)-3-methylbutanoyl]amino]pentanoic acid Chemical compound C1=CC=C2C(COC(=O)N[C@@H](C(C)C)C(=O)N[C@@H](CCCNC(N)=O)C(O)=O)C3=CC=CC=C3C2=C1 ZJLNQOIFTYLCHC-VXKWHMMOSA-N 0.000 description 1
- AKJHMTWEGVYYSE-DRYRGIGMSA-N (2z,4e,6e,8e)-n-(4-hydroxyphenyl)-3,7-dimethyl-9-(2,6,6-trimethylcyclohexen-1-yl)nona-2,4,6,8-tetraenamide Chemical compound C=1C=C(O)C=CC=1NC(=O)/C=C(/C)\C=C\C=C(/C)\C=C\C1=C(C)CCCC1(C)C AKJHMTWEGVYYSE-DRYRGIGMSA-N 0.000 description 1
- VMWQYEAAXYPFCW-LCYFTJDESA-N (5z)-5-[(3,5-ditert-butyl-4-hydroxyphenyl)methylidene]-1,3-thiazolidine-2,4-dione Chemical compound CC(C)(C)C1=C(O)C(C(C)(C)C)=CC(\C=C/2C(NC(=O)S\2)=O)=C1 VMWQYEAAXYPFCW-LCYFTJDESA-N 0.000 description 1
- YUFFSWGQGVEMMI-JLNKQSITSA-N (7Z,10Z,13Z,16Z,19Z)-docosapentaenoic acid Chemical compound CC\C=C/C\C=C/C\C=C/C\C=C/C\C=C/CCCCCC(O)=O YUFFSWGQGVEMMI-JLNKQSITSA-N 0.000 description 1
- FPVKHBSQESCIEP-UHFFFAOYSA-N (8S)-3-(2-deoxy-beta-D-erythro-pentofuranosyl)-3,6,7,8-tetrahydroimidazo[4,5-d][1,3]diazepin-8-ol Natural products C1C(O)C(CO)OC1N1C(NC=NCC2O)=C2N=C1 FPVKHBSQESCIEP-UHFFFAOYSA-N 0.000 description 1
- 125000004209 (C1-C8) alkyl group Chemical group 0.000 description 1
- ACEAELOMUCBPJP-UHFFFAOYSA-N (E)-3,4,5-trihydroxycinnamic acid Natural products OC(=O)C=CC1=CC(O)=C(O)C(O)=C1 ACEAELOMUCBPJP-UHFFFAOYSA-N 0.000 description 1
- RJDJXOBGMMKPMH-GGWOSOGESA-N (E,E)-di-1-propenyl sulfide Chemical compound C\C=C\S\C=C\C RJDJXOBGMMKPMH-GGWOSOGESA-N 0.000 description 1
- VYEWZWBILJHHCU-OMQUDAQFSA-N (e)-n-[(2s,3r,4r,5r,6r)-2-[(2r,3r,4s,5s,6s)-3-acetamido-5-amino-4-hydroxy-6-(hydroxymethyl)oxan-2-yl]oxy-6-[2-[(2r,3s,4r,5r)-5-(2,4-dioxopyrimidin-1-yl)-3,4-dihydroxyoxolan-2-yl]-2-hydroxyethyl]-4,5-dihydroxyoxan-3-yl]-5-methylhex-2-enamide Chemical compound N1([C@@H]2O[C@@H]([C@H]([C@H]2O)O)C(O)C[C@@H]2[C@H](O)[C@H](O)[C@H]([C@@H](O2)O[C@@H]2[C@@H]([C@@H](O)[C@H](N)[C@@H](CO)O2)NC(C)=O)NC(=O)/C=C/CC(C)C)C=CC(=O)NC1=O VYEWZWBILJHHCU-OMQUDAQFSA-N 0.000 description 1
- ZYOVPHVRMNKWBD-BQYQJAHWSA-N (e)-n-hydroxy-n-methyl-3-(2-methylsulfanylphenyl)prop-2-enamide Chemical compound CSC1=CC=CC=C1\C=C\C(=O)N(C)O ZYOVPHVRMNKWBD-BQYQJAHWSA-N 0.000 description 1
- BUMMZWFWCNQFPS-BTJKTKAUSA-N (z)-but-2-enedioic acid;4-[5-(4-carbamimidoylphenoxy)pentoxy]-3-methoxy-n,n-di(propan-2-yl)benzamide Chemical compound OC(=O)\C=C/C(O)=O.COC1=CC(C(=O)N(C(C)C)C(C)C)=CC=C1OCCCCCOC1=CC=C(C(N)=N)C=C1 BUMMZWFWCNQFPS-BTJKTKAUSA-N 0.000 description 1
- 150000005206 1,2-dihydroxybenzenes Chemical class 0.000 description 1
- CBCKQZAAMUWICA-UHFFFAOYSA-N 1,4-phenylenediamine Chemical compound NC1=CC=C(N)C=C1 CBCKQZAAMUWICA-UHFFFAOYSA-N 0.000 description 1
- IQFYYKKMVGJFEH-OFKYTIFKSA-N 1-[(2r,4s,5r)-4-hydroxy-5-(tritiooxymethyl)oxolan-2-yl]-5-methylpyrimidine-2,4-dione Chemical compound C1[C@H](O)[C@@H](CO[3H])O[C@H]1N1C(=O)NC(=O)C(C)=C1 IQFYYKKMVGJFEH-OFKYTIFKSA-N 0.000 description 1
- KMNLXCBYBKHKSK-BKMJKUGQSA-N 1-[(3s,4r)-4-hydroxy-3-[(4-phenylphenyl)methyl]-3,4-dihydro-2h-chromen-7-yl]cyclopentane-1-carboxylic acid Chemical compound C([C@@H]1[C@H](C2=CC=C(C=C2OC1)C1(CCCC1)C(O)=O)O)C(C=C1)=CC=C1C1=CC=CC=C1 KMNLXCBYBKHKSK-BKMJKUGQSA-N 0.000 description 1
- XXJGBENTLXFVFI-UHFFFAOYSA-N 1-amino-methylene Chemical compound N[CH2] XXJGBENTLXFVFI-UHFFFAOYSA-N 0.000 description 1
- YHAROSAFXOQKCZ-UHFFFAOYSA-N 1-benzofuran-2-ol Chemical class C1=CC=C2OC(O)=CC2=C1 YHAROSAFXOQKCZ-UHFFFAOYSA-N 0.000 description 1
- KJCVRFUGPWSIIH-UHFFFAOYSA-N 1-naphthol Chemical compound C1=CC=C2C(O)=CC=CC2=C1 KJCVRFUGPWSIIH-UHFFFAOYSA-N 0.000 description 1
- VSNHCAURESNICA-NJFSPNSNSA-N 1-oxidanylurea Chemical compound N[14C](=O)NO VSNHCAURESNICA-NJFSPNSNSA-N 0.000 description 1
- OWFVSJHRFRIEAK-UHFFFAOYSA-N 15-hydroxyicosa-2,4,6,8,10-pentaenoic acid Chemical class CCCCCC(O)CCCC=CC=CC=CC=CC=CC(O)=O OWFVSJHRFRIEAK-UHFFFAOYSA-N 0.000 description 1
- WJGPNUBJBMCRQH-UHFFFAOYSA-N 2,2-dimethyl-2,3-dihydro-1-benzofuran-7-ol Chemical compound C1=CC(O)=C2OC(C)(C)CC2=C1 WJGPNUBJBMCRQH-UHFFFAOYSA-N 0.000 description 1
- BTOTXLJHDSNXMW-POYBYMJQSA-N 2,3-dideoxyuridine Chemical compound O1[C@H](CO)CC[C@@H]1N1C(=O)NC(=O)C=C1 BTOTXLJHDSNXMW-POYBYMJQSA-N 0.000 description 1
- UFCRQKWENZPCAD-UHFFFAOYSA-N 2-(2-aminophenyl)propanamide Chemical class NC(=O)C(C)C1=CC=CC=C1N UFCRQKWENZPCAD-UHFFFAOYSA-N 0.000 description 1
- SGTNSNPWRIOYBX-UHFFFAOYSA-N 2-(3,4-dimethoxyphenyl)-5-{[2-(3,4-dimethoxyphenyl)ethyl](methyl)amino}-2-(propan-2-yl)pentanenitrile Chemical compound C1=C(OC)C(OC)=CC=C1CCN(C)CCCC(C#N)(C(C)C)C1=CC=C(OC)C(OC)=C1 SGTNSNPWRIOYBX-UHFFFAOYSA-N 0.000 description 1
- UIJWMSUSZQORDJ-UHFFFAOYSA-N 2-(4-methoxyphenyl)-3-pyridin-4-yl-6,7-dihydro-5h-pyrrolo[1,2-a]imidazole Chemical compound C1=CC(OC)=CC=C1C1=C(C=2C=CN=CC=2)N2CCCC2=N1 UIJWMSUSZQORDJ-UHFFFAOYSA-N 0.000 description 1
- HYNQTSZBTIOFKH-UHFFFAOYSA-N 2-Amino-5-hydroxybenzoic acid Chemical compound NC1=CC=C(O)C=C1C(O)=O HYNQTSZBTIOFKH-UHFFFAOYSA-N 0.000 description 1
- VHVPQPYKVGDNFY-DFMJLFEVSA-N 2-[(2r)-butan-2-yl]-4-[4-[4-[4-[[(2r,4s)-2-(2,4-dichlorophenyl)-2-(1,2,4-triazol-1-ylmethyl)-1,3-dioxolan-4-yl]methoxy]phenyl]piperazin-1-yl]phenyl]-1,2,4-triazol-3-one Chemical compound O=C1N([C@H](C)CC)N=CN1C1=CC=C(N2CCN(CC2)C=2C=CC(OC[C@@H]3O[C@](CN4N=CN=C4)(OC3)C=3C(=CC(Cl)=CC=3)Cl)=CC=2)C=C1 VHVPQPYKVGDNFY-DFMJLFEVSA-N 0.000 description 1
- QXLQZLBNPTZMRK-UHFFFAOYSA-N 2-[(dimethylamino)methyl]-1-(2,4-dimethylphenyl)prop-2-en-1-one Chemical compound CN(C)CC(=C)C(=O)C1=CC=C(C)C=C1C QXLQZLBNPTZMRK-UHFFFAOYSA-N 0.000 description 1
- OZDAOHVKBFBBMZ-UHFFFAOYSA-N 2-aminopentanedioic acid;hydrate Chemical compound O.OC(=O)C(N)CCC(O)=O OZDAOHVKBFBBMZ-UHFFFAOYSA-N 0.000 description 1
- QXPXILGITKUCLM-UHFFFAOYSA-N 2-benzylidenepropane-1,3-diol Chemical compound OCC(CO)=CC1=CC=CC=C1 QXPXILGITKUCLM-UHFFFAOYSA-N 0.000 description 1
- CZTSOXCSVFEFIK-UHFFFAOYSA-N 2-benzylnaphthalen-1-ol Chemical compound C1=CC2=CC=CC=C2C(O)=C1CC1=CC=CC=C1 CZTSOXCSVFEFIK-UHFFFAOYSA-N 0.000 description 1
- NEAQRZUHTPSBBM-UHFFFAOYSA-N 2-hydroxy-3,3-dimethyl-7-nitro-4h-isoquinolin-1-one Chemical class C1=C([N+]([O-])=O)C=C2C(=O)N(O)C(C)(C)CC2=C1 NEAQRZUHTPSBBM-UHFFFAOYSA-N 0.000 description 1
- XTDKZSUYCXHXJM-UHFFFAOYSA-N 2-methoxyoxane Chemical compound COC1CCCCO1 XTDKZSUYCXHXJM-UHFFFAOYSA-N 0.000 description 1
- YZEUHQHUFTYLPH-UHFFFAOYSA-N 2-nitroimidazole Chemical compound [O-][N+](=O)C1=NC=CN1 YZEUHQHUFTYLPH-UHFFFAOYSA-N 0.000 description 1
- CWVRJTMFETXNAD-FWCWNIRPSA-N 3-O-Caffeoylquinic acid Natural products O[C@H]1[C@@H](O)C[C@@](O)(C(O)=O)C[C@H]1OC(=O)\C=C\C1=CC=C(O)C(O)=C1 CWVRJTMFETXNAD-FWCWNIRPSA-N 0.000 description 1
- YWYUQSGYKDEAMJ-QFIPXVFZSA-N 3-[(2s)-7-[3-[2-(cyclopropylmethyl)-3-methoxy-4-(methylcarbamoyl)phenoxy]propoxy]-8-propyl-3,4-dihydro-2h-chromen-2-yl]propanoic acid Chemical compound O([C@H](CCC(O)=O)CCC=1C=C2)C=1C(CCC)=C2OCCCOC1=CC=C(C(=O)NC)C(OC)=C1CC1CC1 YWYUQSGYKDEAMJ-QFIPXVFZSA-N 0.000 description 1
- UZFPOOOQHWICKY-UHFFFAOYSA-N 3-[13-[1-[1-[8,12-bis(2-carboxyethyl)-17-(1-hydroxyethyl)-3,7,13,18-tetramethyl-21,24-dihydroporphyrin-2-yl]ethoxy]ethyl]-18-(2-carboxyethyl)-8-(1-hydroxyethyl)-3,7,12,17-tetramethyl-22,23-dihydroporphyrin-2-yl]propanoic acid Chemical compound N1C(C=C2C(=C(CCC(O)=O)C(C=C3C(=C(C)C(C=C4N5)=N3)CCC(O)=O)=N2)C)=C(C)C(C(C)O)=C1C=C5C(C)=C4C(C)OC(C)C1=C(N2)C=C(N3)C(C)=C(C(O)C)C3=CC(C(C)=C3CCC(O)=O)=NC3=CC(C(CCC(O)=O)=C3C)=NC3=CC2=C1C UZFPOOOQHWICKY-UHFFFAOYSA-N 0.000 description 1
- YWYUQSGYKDEAMJ-UHFFFAOYSA-N 3-[7-[3-[2-(cyclopropylmethyl)-3-methoxy-4-(methylcarbamoyl)phenoxy]propoxy]-8-propyl-3,4-dihydro-2h-chromen-2-yl]propanoic acid Chemical compound C1=CC=2CCC(CCC(O)=O)OC=2C(CCC)=C1OCCCOC1=CC=C(C(=O)NC)C(OC)=C1CC1CC1 YWYUQSGYKDEAMJ-UHFFFAOYSA-N 0.000 description 1
- QQUXZUFSDIOIFJ-HTXNQAPBSA-N 3-[[6-[(e)-2-carboxyethenyl]-5-[8-(4-methoxyphenyl)octoxy]pyridin-2-yl]methylsulfanylmethyl]benzoic acid Chemical compound C1=CC(OC)=CC=C1CCCCCCCCOC(C(=N1)\C=C\C(O)=O)=CC=C1CSCC1=CC=CC(C(O)=O)=C1 QQUXZUFSDIOIFJ-HTXNQAPBSA-N 0.000 description 1
- LNEHHTWYEBGHBY-UHFFFAOYSA-N 3-methoxy-2-methyl-3-[1-[(2-methylpropan-2-yl)oxycarbonyl]pyrrolidin-2-yl]propanoic acid Chemical compound OC(=O)C(C)C(OC)C1CCCN1C(=O)OC(C)(C)C LNEHHTWYEBGHBY-UHFFFAOYSA-N 0.000 description 1
- 238000010600 3H thymidine incorporation assay Methods 0.000 description 1
- CZWWCTHQXBMHDA-UHFFFAOYSA-N 3h-1,3-thiazol-2-one Chemical class OC1=NC=CS1 CZWWCTHQXBMHDA-UHFFFAOYSA-N 0.000 description 1
- AOJJSUZBOXZQNB-VTZDEGQISA-N 4'-epidoxorubicin Chemical compound O([C@H]1C[C@@](O)(CC=2C(O)=C3C(=O)C=4C=CC=C(C=4C(=O)C3=C(O)C=21)OC)C(=O)CO)[C@H]1C[C@H](N)[C@@H](O)[C@H](C)O1 AOJJSUZBOXZQNB-VTZDEGQISA-N 0.000 description 1
- MAAQGZFMFXQVOG-UHFFFAOYSA-N 4,4-diphenylbutan-1-amine Chemical class C=1C=CC=CC=1C(CCCN)C1=CC=CC=C1 MAAQGZFMFXQVOG-UHFFFAOYSA-N 0.000 description 1
- PRLDILURXJMICQ-UHFFFAOYSA-N 4-[(4-aminophenyl)methoxymethyl]aniline Chemical compound C1=CC(N)=CC=C1COCC1=CC=C(N)C=C1 PRLDILURXJMICQ-UHFFFAOYSA-N 0.000 description 1
- KRCUWCAUDKTMPB-UHFFFAOYSA-N 4-[[n-[(3-fluorophenyl)methyl]-4-(quinolin-2-ylmethoxy)anilino]methyl]benzoic acid Chemical compound C1=CC(C(=O)O)=CC=C1CN(C=1C=CC(OCC=2N=C3C=CC=CC3=CC=2)=CC=1)CC1=CC=CC(F)=C1 KRCUWCAUDKTMPB-UHFFFAOYSA-N 0.000 description 1
- WCVPFJVXEXJFLB-UHFFFAOYSA-N 4-aminobutanamide Chemical class NCCCC(N)=O WCVPFJVXEXJFLB-UHFFFAOYSA-N 0.000 description 1
- 125000003143 4-hydroxybenzyl group Chemical group [H]C([*])([H])C1=C([H])C([H])=C(O[H])C([H])=C1[H] 0.000 description 1
- PJJGZPJJTHBVMX-UHFFFAOYSA-N 5,7-Dihydroxyisoflavone Chemical compound C=1C(O)=CC(O)=C(C2=O)C=1OC=C2C1=CC=CC=C1 PJJGZPJJTHBVMX-UHFFFAOYSA-N 0.000 description 1
- NMUSYJAQQFHJEW-UHFFFAOYSA-N 5-Azacytidine Natural products O=C1N=C(N)N=CN1C1C(O)C(O)C(CO)O1 NMUSYJAQQFHJEW-UHFFFAOYSA-N 0.000 description 1
- JOPSSWGWLCLPPF-RUDMXATFSA-N 5-[2-(2-carboxyethyl)-3-[(e)-6-(4-methoxyphenyl)hex-5-enoxy]phenoxy]pentanoic acid Chemical compound C1=CC(OC)=CC=C1\C=C\CCCCOC1=CC=CC(OCCCCC(O)=O)=C1CCC(O)=O JOPSSWGWLCLPPF-RUDMXATFSA-N 0.000 description 1
- IDPUKCWIGUEADI-UHFFFAOYSA-N 5-[bis(2-chloroethyl)amino]uracil Chemical compound ClCCN(CCCl)C1=CNC(=O)NC1=O IDPUKCWIGUEADI-UHFFFAOYSA-N 0.000 description 1
- NMUSYJAQQFHJEW-KVTDHHQDSA-N 5-azacytidine Chemical compound O=C1N=C(N)N=CN1[C@H]1[C@H](O)[C@H](O)[C@@H](CO)O1 NMUSYJAQQFHJEW-KVTDHHQDSA-N 0.000 description 1
- VFFTVZUIDYJUQS-UHFFFAOYSA-N 5-hydroxy-4-oxo-10-propyl-6,7,8,9-tetrahydrobenzo[g]chromene-2-carboxylic acid Chemical compound O1C(C(O)=O)=CC(=O)C2=C1C(CCC)=C1CCCCC1=C2O VFFTVZUIDYJUQS-UHFFFAOYSA-N 0.000 description 1
- VVIAGPKUTFNRDU-UHFFFAOYSA-N 6S-folinic acid Natural products C1NC=2NC(N)=NC(=O)C=2N(C=O)C1CNC1=CC=C(C(=O)NC(CCC(O)=O)C(O)=O)C=C1 VVIAGPKUTFNRDU-UHFFFAOYSA-N 0.000 description 1
- STQGQHZAVUOBTE-UHFFFAOYSA-N 7-Cyan-hept-2t-en-4,6-diinsaeure Natural products C1=2C(O)=C3C(=O)C=4C(OC)=CC=CC=4C(=O)C3=C(O)C=2CC(O)(C(C)=O)CC1OC1CC(N)C(O)C(C)O1 STQGQHZAVUOBTE-UHFFFAOYSA-N 0.000 description 1
- SHGAZHPCJJPHSC-ZVCIMWCZSA-N 9-cis-retinoic acid Chemical compound OC(=O)/C=C(\C)/C=C/C=C(/C)\C=C\C1=C(C)CCCC1(C)C SHGAZHPCJJPHSC-ZVCIMWCZSA-N 0.000 description 1
- 102100031585 ADP-ribosyl cyclase/cyclic ADP-ribose hydrolase 1 Human genes 0.000 description 1
- 108010066676 Abrin Proteins 0.000 description 1
- ORILYTVJVMAKLC-UHFFFAOYSA-N Adamantane Natural products C1C(C2)CC3CC1CC2C3 ORILYTVJVMAKLC-UHFFFAOYSA-N 0.000 description 1
- 208000026872 Addison Disease Diseases 0.000 description 1
- 108010024223 Adenine phosphoribosyltransferase Proteins 0.000 description 1
- 206010062269 Adrenalitis Diseases 0.000 description 1
- PLXMOAALOJOTIY-FPTXNFDTSA-N Aesculin Natural products OC[C@@H]1[C@@H](O)[C@H](O)[C@@H](O)[C@H](O)[C@H]1Oc2cc3C=CC(=O)Oc3cc2O PLXMOAALOJOTIY-FPTXNFDTSA-N 0.000 description 1
- 102100024321 Alkaline phosphatase, placental type Human genes 0.000 description 1
- 206010027654 Allergic conditions Diseases 0.000 description 1
- 201000004384 Alopecia Diseases 0.000 description 1
- 208000024985 Alport syndrome Diseases 0.000 description 1
- 206010001935 American trypanosomiasis Diseases 0.000 description 1
- 206010002198 Anaphylactic reaction Diseases 0.000 description 1
- 206010002412 Angiocentric lymphomas Diseases 0.000 description 1
- 208000003343 Antiphospholipid Syndrome Diseases 0.000 description 1
- 101100107610 Arabidopsis thaliana ABCF4 gene Proteins 0.000 description 1
- 239000004475 Arginine Substances 0.000 description 1
- BFYIZQONLCFLEV-DAELLWKTSA-N Aromasine Chemical compound O=C1C=C[C@]2(C)[C@H]3CC[C@](C)(C(CC4)=O)[C@@H]4[C@@H]3CC(=C)C2=C1 BFYIZQONLCFLEV-DAELLWKTSA-N 0.000 description 1
- 108010024976 Asparaginase Proteins 0.000 description 1
- 102000015790 Asparaginase Human genes 0.000 description 1
- 201000002909 Aspergillosis Diseases 0.000 description 1
- 208000036641 Aspergillus infections Diseases 0.000 description 1
- BSYNRYMUTXBXSQ-UHFFFAOYSA-N Aspirin Chemical compound CC(=O)OC1=CC=CC=C1C(O)=O BSYNRYMUTXBXSQ-UHFFFAOYSA-N 0.000 description 1
- 201000001320 Atherosclerosis Diseases 0.000 description 1
- 208000004300 Atrophic Gastritis Diseases 0.000 description 1
- 206010003827 Autoimmune hepatitis Diseases 0.000 description 1
- 208000031212 Autoimmune polyendocrinopathy Diseases 0.000 description 1
- 206010050245 Autoimmune thrombocytopenia Diseases 0.000 description 1
- 108090001008 Avidin Proteins 0.000 description 1
- 208000028564 B-cell non-Hodgkin lymphoma Diseases 0.000 description 1
- 102100038080 B-cell receptor CD22 Human genes 0.000 description 1
- 102100022005 B-lymphocyte antigen CD20 Human genes 0.000 description 1
- 238000011725 BALB/c mouse Methods 0.000 description 1
- FXNFHKRTJBSTCS-UHFFFAOYSA-N Baicalein Natural products C=1C(=O)C=2C(O)=C(O)C(O)=CC=2OC=1C1=CC=CC=C1 FXNFHKRTJBSTCS-UHFFFAOYSA-N 0.000 description 1
- 108010027344 Basic Helix-Loop-Helix Transcription Factors Proteins 0.000 description 1
- 102000018720 Basic Helix-Loop-Helix Transcription Factors Human genes 0.000 description 1
- 108010001572 Basic-Leucine Zipper Transcription Factors Proteins 0.000 description 1
- 102000000806 Basic-Leucine Zipper Transcription Factors Human genes 0.000 description 1
- 208000009137 Behcet syndrome Diseases 0.000 description 1
- DWRXFEITVBNRMK-UHFFFAOYSA-N Beta-D-1-Arabinofuranosylthymine Natural products O=C1NC(=O)C(C)=CN1C1C(O)C(O)C(CO)O1 DWRXFEITVBNRMK-UHFFFAOYSA-N 0.000 description 1
- 206010065553 Bone marrow failure Diseases 0.000 description 1
- 241000283690 Bos taurus Species 0.000 description 1
- COVZYZSDYWQREU-UHFFFAOYSA-N Busulfan Chemical compound CS(=O)(=O)OCCCCOS(C)(=O)=O COVZYZSDYWQREU-UHFFFAOYSA-N 0.000 description 1
- 108091067344 C/EBP family Proteins 0.000 description 1
- 102000039548 C/EBP family Human genes 0.000 description 1
- 102100024217 CAMPATH-1 antigen Human genes 0.000 description 1
- 101710186200 CCAAT/enhancer-binding protein Proteins 0.000 description 1
- 229940124292 CD20 monoclonal antibody Drugs 0.000 description 1
- 101150013553 CD40 gene Proteins 0.000 description 1
- 108010065524 CD52 Antigen Proteins 0.000 description 1
- 201000002829 CREST Syndrome Diseases 0.000 description 1
- PZIRUHCJZBGLDY-UHFFFAOYSA-N Caffeoylquinic acid Natural products CC(CCC(=O)C(C)C1C(=O)CC2C3CC(O)C4CC(O)CCC4(C)C3CCC12C)C(=O)O PZIRUHCJZBGLDY-UHFFFAOYSA-N 0.000 description 1
- 208000004434 Calcinosis Diseases 0.000 description 1
- OYPRJOBELJOOCE-UHFFFAOYSA-N Calcium Chemical compound [Ca] OYPRJOBELJOOCE-UHFFFAOYSA-N 0.000 description 1
- 241000282472 Canis lupus familiaris Species 0.000 description 1
- GAGWJHPBXLXJQN-UORFTKCHSA-N Capecitabine Chemical compound C1=C(F)C(NC(=O)OCCCCC)=NC(=O)N1[C@H]1[C@H](O)[C@H](O)[C@@H](C)O1 GAGWJHPBXLXJQN-UORFTKCHSA-N 0.000 description 1
- GAGWJHPBXLXJQN-UHFFFAOYSA-N Capecitabine Natural products C1=C(F)C(NC(=O)OCCCCC)=NC(=O)N1C1C(O)C(O)C(C)O1 GAGWJHPBXLXJQN-UHFFFAOYSA-N 0.000 description 1
- 208000020119 Caplan syndrome Diseases 0.000 description 1
- KXDHJXZQYSOELW-UHFFFAOYSA-M Carbamate Chemical compound NC([O-])=O KXDHJXZQYSOELW-UHFFFAOYSA-M 0.000 description 1
- BVKZGUZCCUSVTD-UHFFFAOYSA-L Carbonate Chemical compound [O-]C([O-])=O BVKZGUZCCUSVTD-UHFFFAOYSA-L 0.000 description 1
- 102000000496 Carboxypeptidases A Human genes 0.000 description 1
- 108010080937 Carboxypeptidases A Proteins 0.000 description 1
- 208000031229 Cardiomyopathies Diseases 0.000 description 1
- DLGOEMSEDOSKAD-UHFFFAOYSA-N Carmustine Chemical compound ClCCNC(=O)N(N=O)CCCl DLGOEMSEDOSKAD-UHFFFAOYSA-N 0.000 description 1
- QRYRORQUOLYVBU-VBKZILBWSA-N Carnosic acid Natural products CC([C@@H]1CC2)(C)CCC[C@]1(C(O)=O)C1=C2C=C(C(C)C)C(O)=C1O QRYRORQUOLYVBU-VBKZILBWSA-N 0.000 description 1
- XUSYGBPHQBWGAD-PJSUUKDQSA-N Carnosol Chemical compound CC([C@@H]1C2)(C)CCC[C@@]11C(=O)O[C@@H]2C2=C1C(O)=C(O)C(C(C)C)=C2 XUSYGBPHQBWGAD-PJSUUKDQSA-N 0.000 description 1
- MMFRMKXYTWBMOM-UHFFFAOYSA-N Carnosol Natural products CCc1cc2C3CC4C(C)(C)CCCC4(C(=O)O3)c2c(O)c1O MMFRMKXYTWBMOM-UHFFFAOYSA-N 0.000 description 1
- 102000003902 Cathepsin C Human genes 0.000 description 1
- 108090000267 Cathepsin C Proteins 0.000 description 1
- 108090000258 Cathepsin D Proteins 0.000 description 1
- 102000003908 Cathepsin D Human genes 0.000 description 1
- 102000005600 Cathepsins Human genes 0.000 description 1
- 108010084457 Cathepsins Proteins 0.000 description 1
- 241000700199 Cavia porcellus Species 0.000 description 1
- 208000024699 Chagas disease Diseases 0.000 description 1
- JWBOIMRXGHLCPP-UHFFFAOYSA-N Chloditan Chemical compound C=1C=CC=C(Cl)C=1C(C(Cl)Cl)C1=CC=C(Cl)C=C1 JWBOIMRXGHLCPP-UHFFFAOYSA-N 0.000 description 1
- 108010062540 Chorionic Gonadotropin Proteins 0.000 description 1
- 102000011022 Chorionic Gonadotropin Human genes 0.000 description 1
- 206010008909 Chronic Hepatitis Diseases 0.000 description 1
- WNBCMONIPIJTSB-BGNCJLHMSA-N Cichoriin Natural products O([C@H]1[C@H](O)[C@@H](O)[C@@H](O)[C@@H](CO)O1)c1c(O)cc2c(OC(=O)C=C2)c1 WNBCMONIPIJTSB-BGNCJLHMSA-N 0.000 description 1
- KRKNYBCHXYNGOX-UHFFFAOYSA-K Citrate Chemical compound [O-]C(=O)CC(O)(CC([O-])=O)C([O-])=O KRKNYBCHXYNGOX-UHFFFAOYSA-K 0.000 description 1
- PTOAARAWEBMLNO-KVQBGUIXSA-N Cladribine Chemical compound C1=NC=2C(N)=NC(Cl)=NC=2N1[C@H]1C[C@H](O)[C@@H](CO)O1 PTOAARAWEBMLNO-KVQBGUIXSA-N 0.000 description 1
- 108091026890 Coding region Proteins 0.000 description 1
- 108700010070 Codon Usage Proteins 0.000 description 1
- 206010009900 Colitis ulcerative Diseases 0.000 description 1
- 206010010741 Conjunctivitis Diseases 0.000 description 1
- 241000557626 Corvus corax Species 0.000 description 1
- 208000011231 Crohn disease Diseases 0.000 description 1
- 208000014311 Cushing syndrome Diseases 0.000 description 1
- 102100021906 Cyclin-O Human genes 0.000 description 1
- 102100033270 Cyclin-dependent kinase inhibitor 1 Human genes 0.000 description 1
- UHDGCWIWMRVCDJ-CCXZUQQUSA-N Cytarabine Chemical compound O=C1N=C(N)C=CN1[C@H]1[C@@H](O)[C@H](O)[C@@H](CO)O1 UHDGCWIWMRVCDJ-CCXZUQQUSA-N 0.000 description 1
- FBPFZTCFMRRESA-KVTDHHQDSA-N D-Mannitol Chemical compound OC[C@@H](O)[C@@H](O)[C@H](O)[C@H](O)CO FBPFZTCFMRRESA-KVTDHHQDSA-N 0.000 description 1
- 101150074155 DHFR gene Proteins 0.000 description 1
- 102000004594 DNA Polymerase I Human genes 0.000 description 1
- 108010017826 DNA Polymerase I Proteins 0.000 description 1
- 230000004544 DNA amplification Effects 0.000 description 1
- 102100039128 DNA-3-methyladenine glycosylase Human genes 0.000 description 1
- 108010019673 Darbepoetin alfa Proteins 0.000 description 1
- 206010011968 Decreased immune responsiveness Diseases 0.000 description 1
- 208000001490 Dengue Diseases 0.000 description 1
- 206010012310 Dengue fever Diseases 0.000 description 1
- 206010012468 Dermatitis herpetiformis Diseases 0.000 description 1
- 201000003066 Diffuse Scleroderma Diseases 0.000 description 1
- 229940117937 Dihydrofolate reductase inhibitor Drugs 0.000 description 1
- BWGNESOTFCXPMA-UHFFFAOYSA-N Dihydrogen disulfide Chemical compound SS BWGNESOTFCXPMA-UHFFFAOYSA-N 0.000 description 1
- 108090000204 Dipeptidase 1 Proteins 0.000 description 1
- 108010053187 Diphtheria Toxin Proteins 0.000 description 1
- 102000016607 Diphtheria Toxin Human genes 0.000 description 1
- 208000021866 Dressler syndrome Diseases 0.000 description 1
- 239000006144 Dulbecco’s modified Eagle's medium Substances 0.000 description 1
- KCXVZYZYPLLWCC-UHFFFAOYSA-N EDTA Chemical compound OC(=O)CN(CC(O)=O)CCN(CC(O)=O)CC(O)=O KCXVZYZYPLLWCC-UHFFFAOYSA-N 0.000 description 1
- 102000004533 Endonucleases Human genes 0.000 description 1
- 108010042407 Endonucleases Proteins 0.000 description 1
- 206010014954 Eosinophilic fasciitis Diseases 0.000 description 1
- 101800003838 Epidermal growth factor Proteins 0.000 description 1
- 102400001368 Epidermal growth factor Human genes 0.000 description 1
- YQYJSBFKSSDGFO-UHFFFAOYSA-N Epihygromycin Natural products OC1C(O)C(C(=O)C)OC1OC(C(=C1)O)=CC=C1C=C(C)C(=O)NC1C(O)C(O)C2OCOC2C1O YQYJSBFKSSDGFO-UHFFFAOYSA-N 0.000 description 1
- HTIJFSOGRVMCQR-UHFFFAOYSA-N Epirubicin Natural products COc1cccc2C(=O)c3c(O)c4CC(O)(CC(OC5CC(N)C(=O)C(C)O5)c4c(O)c3C(=O)c12)C(=O)CO HTIJFSOGRVMCQR-UHFFFAOYSA-N 0.000 description 1
- 108010074604 Epoetin Alfa Proteins 0.000 description 1
- 241000283074 Equus asinus Species 0.000 description 1
- 206010015150 Erythema Diseases 0.000 description 1
- 206010015218 Erythema multiforme Diseases 0.000 description 1
- 206010015226 Erythema nodosum Diseases 0.000 description 1
- 206010015251 Erythroblastosis foetalis Diseases 0.000 description 1
- 241000588724 Escherichia coli Species 0.000 description 1
- 208000030644 Esophageal Motility disease Diseases 0.000 description 1
- 108700039887 Essential Genes Proteins 0.000 description 1
- 208000004332 Evans syndrome Diseases 0.000 description 1
- 208000009386 Experimental Arthritis Diseases 0.000 description 1
- 208000027445 Farmer Lung Diseases 0.000 description 1
- 208000028387 Felty syndrome Diseases 0.000 description 1
- 108010088842 Fibrinolysin Proteins 0.000 description 1
- 208000001640 Fibromyalgia Diseases 0.000 description 1
- 201000006353 Filariasis Diseases 0.000 description 1
- 108010029961 Filgrastim Proteins 0.000 description 1
- GHASVSINZRGABV-UHFFFAOYSA-N Fluorouracil Chemical compound FC1=CNC(=O)NC1=O GHASVSINZRGABV-UHFFFAOYSA-N 0.000 description 1
- VWUXBMIQPBEWFH-WCCTWKNTSA-N Fulvestrant Chemical compound OC1=CC=C2[C@H]3CC[C@](C)([C@H](CC4)O)[C@@H]4[C@@H]3[C@H](CCCCCCCCCS(=O)CCCC(F)(F)C(F)(F)F)CC2=C1 VWUXBMIQPBEWFH-WCCTWKNTSA-N 0.000 description 1
- 241000287828 Gallus gallus Species 0.000 description 1
- 108010010803 Gelatin Proteins 0.000 description 1
- 206010018364 Glomerulonephritis Diseases 0.000 description 1
- 108010060309 Glucuronidase Proteins 0.000 description 1
- 102000053187 Glucuronidase Human genes 0.000 description 1
- WHUUTDBJXJRKMK-UHFFFAOYSA-N Glutamic acid Natural products OC(=O)C(N)CCC(O)=O WHUUTDBJXJRKMK-UHFFFAOYSA-N 0.000 description 1
- 108010009504 Gly-Phe-Leu-Gly Chemical group 0.000 description 1
- BLCLNMBMMGCOAS-URPVMXJPSA-N Goserelin Chemical compound C([C@@H](C(=O)N[C@H](COC(C)(C)C)C(=O)N[C@@H](CC(C)C)C(=O)N[C@@H](CCCN=C(N)N)C(=O)N1[C@@H](CCC1)C(=O)NNC(N)=O)NC(=O)[C@H](CO)NC(=O)[C@H](CC=1C2=CC=CC=C2NC=1)NC(=O)[C@H](CC=1NC=NC=1)NC(=O)[C@H]1NC(=O)CC1)C1=CC=C(O)C=C1 BLCLNMBMMGCOAS-URPVMXJPSA-N 0.000 description 1
- 108010069236 Goserelin Proteins 0.000 description 1
- 208000009329 Graft vs Host Disease Diseases 0.000 description 1
- 108010026389 Gramicidin Proteins 0.000 description 1
- 108060003393 Granulin Proteins 0.000 description 1
- 108010017080 Granulocyte Colony-Stimulating Factor Proteins 0.000 description 1
- 108010017213 Granulocyte-Macrophage Colony-Stimulating Factor Proteins 0.000 description 1
- 241000288105 Grus Species 0.000 description 1
- 239000007821 HATU Substances 0.000 description 1
- 208000008899 Habitual abortion Diseases 0.000 description 1
- 101710154606 Hemagglutinin Proteins 0.000 description 1
- 201000004331 Henoch-Schoenlein purpura Diseases 0.000 description 1
- 206010019617 Henoch-Schonlein purpura Diseases 0.000 description 1
- 241000238631 Hexapoda Species 0.000 description 1
- 108010093488 His-His-His-His-His-His Proteins 0.000 description 1
- 208000021519 Hodgkin lymphoma Diseases 0.000 description 1
- 101000777636 Homo sapiens ADP-ribosyl cyclase/cyclic ADP-ribose hydrolase 1 Proteins 0.000 description 1
- 101000884305 Homo sapiens B-cell receptor CD22 Proteins 0.000 description 1
- 101000897405 Homo sapiens B-lymphocyte antigen CD20 Proteins 0.000 description 1
- 101000914324 Homo sapiens Carcinoembryonic antigen-related cell adhesion molecule 5 Proteins 0.000 description 1
- 101000914321 Homo sapiens Carcinoembryonic antigen-related cell adhesion molecule 7 Proteins 0.000 description 1
- 101000897441 Homo sapiens Cyclin-O Proteins 0.000 description 1
- 101000744174 Homo sapiens DNA-3-methyladenine glycosylase Proteins 0.000 description 1
- 101001057504 Homo sapiens Interferon-stimulated gene 20 kDa protein Proteins 0.000 description 1
- 101001055144 Homo sapiens Interleukin-2 receptor subunit alpha Proteins 0.000 description 1
- 101000578784 Homo sapiens Melanoma antigen recognized by T-cells 1 Proteins 0.000 description 1
- 101000934338 Homo sapiens Myeloid cell surface antigen CD33 Proteins 0.000 description 1
- 101000596404 Homo sapiens Neuronal vesicle trafficking-associated protein 1 Proteins 0.000 description 1
- 101000617725 Homo sapiens Pregnancy-specific beta-1-glycoprotein 2 Proteins 0.000 description 1
- 101001012157 Homo sapiens Receptor tyrosine-protein kinase erbB-2 Proteins 0.000 description 1
- 101001094545 Homo sapiens Retrotransposon-like protein 1 Proteins 0.000 description 1
- 101000914484 Homo sapiens T-lymphocyte activation antigen CD80 Proteins 0.000 description 1
- 101000891649 Homo sapiens Transcription elongation factor A protein-like 1 Proteins 0.000 description 1
- 241000701024 Human betaherpesvirus 5 Species 0.000 description 1
- 208000000038 Hypoparathyroidism Diseases 0.000 description 1
- 108010091358 Hypoxanthine Phosphoribosyltransferase Proteins 0.000 description 1
- 102100029098 Hypoxanthine-guanine phosphoribosyltransferase Human genes 0.000 description 1
- XQFRJNBWHJMXHO-RRKCRQDMSA-N IDUR Chemical compound C1[C@H](O)[C@@H](CO)O[C@H]1N1C(=O)NC(=O)C(I)=C1 XQFRJNBWHJMXHO-RRKCRQDMSA-N 0.000 description 1
- HEFNNWSXXWATRW-UHFFFAOYSA-N Ibuprofen Chemical compound CC(C)CC1=CC=C(C(C)C(O)=O)C=C1 HEFNNWSXXWATRW-UHFFFAOYSA-N 0.000 description 1
- 201000009794 Idiopathic Pulmonary Fibrosis Diseases 0.000 description 1
- 206010021245 Idiopathic thrombocytopenic purpura Diseases 0.000 description 1
- 208000031814 IgA Vasculitis Diseases 0.000 description 1
- 208000010159 IgA glomerulonephritis Diseases 0.000 description 1
- 206010021263 IgA nephropathy Diseases 0.000 description 1
- 108010054477 Immunoglobulin Fab Fragments Proteins 0.000 description 1
- 102000001706 Immunoglobulin Fab Fragments Human genes 0.000 description 1
- 206010062016 Immunosuppression Diseases 0.000 description 1
- 108010078049 Interferon alpha-2 Proteins 0.000 description 1
- 102100030694 Interleukin-11 Human genes 0.000 description 1
- 108010038453 Interleukin-2 Receptors Proteins 0.000 description 1
- 102000010789 Interleukin-2 Receptors Human genes 0.000 description 1
- 102100026878 Interleukin-2 receptor subunit alpha Human genes 0.000 description 1
- 206010022557 Intermediate uveitis Diseases 0.000 description 1
- 208000029523 Interstitial Lung disease Diseases 0.000 description 1
- UETNIIAIRMUTSM-UHFFFAOYSA-N Jacareubin Natural products CC1(C)OC2=CC3Oc4c(O)c(O)ccc4C(=O)C3C(=C2C=C1)O UETNIIAIRMUTSM-UHFFFAOYSA-N 0.000 description 1
- 208000011200 Kawasaki disease Diseases 0.000 description 1
- CKLJMWTZIZZHCS-REOHCLBHSA-N L-aspartic acid Chemical compound OC(=O)[C@@H](N)CC(O)=O CKLJMWTZIZZHCS-REOHCLBHSA-N 0.000 description 1
- KJQFBVYMGADDTQ-CVSPRKDYSA-N L-buthionine-(S,R)-sulfoximine Chemical compound CCCCS(=N)(=O)CC[C@H](N)C(O)=O KJQFBVYMGADDTQ-CVSPRKDYSA-N 0.000 description 1
- AYFVYJQAPQTCCC-GBXIJSLDSA-N L-threonine Chemical compound C[C@@H](O)[C@H](N)C(O)=O AYFVYJQAPQTCCC-GBXIJSLDSA-N 0.000 description 1
- OUYCCCASQSFEME-QMMMGPOBSA-N L-tyrosine Chemical compound OC(=O)[C@@H](N)CC1=CC=C(O)C=C1 OUYCCCASQSFEME-QMMMGPOBSA-N 0.000 description 1
- 239000002147 L01XE04 - Sunitinib Substances 0.000 description 1
- 201000010743 Lambert-Eaton myasthenic syndrome Diseases 0.000 description 1
- 241000222732 Leishmania major Species 0.000 description 1
- HLFSDGLLUJUHTE-SNVBAGLBSA-N Levamisole Chemical compound C1([C@H]2CN3CCSC3=N2)=CC=CC=C1 HLFSDGLLUJUHTE-SNVBAGLBSA-N 0.000 description 1
- NNJVILVZKWQKPM-UHFFFAOYSA-N Lidocaine Chemical compound CCN(CC)CC(=O)NC1=C(C)C=CC=C1C NNJVILVZKWQKPM-UHFFFAOYSA-N 0.000 description 1
- 102000004083 Lymphotoxin-alpha Human genes 0.000 description 1
- 108090000542 Lymphotoxin-alpha Proteins 0.000 description 1
- 101001133631 Lysinibacillus sphaericus Penicillin acylase Proteins 0.000 description 1
- PEEHTFAAVSWFBL-UHFFFAOYSA-N Maleimide Chemical compound O=C1NC(=O)C=C1 PEEHTFAAVSWFBL-UHFFFAOYSA-N 0.000 description 1
- 229930195725 Mannitol Natural products 0.000 description 1
- SBDNJUWAMKYJOX-UHFFFAOYSA-N Meclofenamic Acid Chemical compound CC1=CC=C(Cl)C(NC=2C(=CC=CC=2)C(O)=O)=C1Cl SBDNJUWAMKYJOX-UHFFFAOYSA-N 0.000 description 1
- 102100022430 Melanocyte protein PMEL Human genes 0.000 description 1
- 102100028389 Melanoma antigen recognized by T-cells 1 Human genes 0.000 description 1
- XOGTZOOQQBDUSI-UHFFFAOYSA-M Mesna Chemical compound [Na+].[O-]S(=O)(=O)CCS XOGTZOOQQBDUSI-UHFFFAOYSA-M 0.000 description 1
- QXKHYNVANLEOEG-UHFFFAOYSA-N Methoxsalen Chemical compound C1=CC(=O)OC2=C1C=C1C=COC1=C2OC QXKHYNVANLEOEG-UHFFFAOYSA-N 0.000 description 1
- 208000003250 Mixed connective tissue disease Diseases 0.000 description 1
- 102000015728 Mucins Human genes 0.000 description 1
- 108010063954 Mucins Proteins 0.000 description 1
- 108010085220 Multiprotein Complexes Proteins 0.000 description 1
- 102000007474 Multiprotein Complexes Human genes 0.000 description 1
- 206010028424 Myasthenic syndrome Diseases 0.000 description 1
- 102100025243 Myeloid cell surface antigen CD33 Human genes 0.000 description 1
- APGLTERDKORUHK-LURJTMIESA-N N,N-dimethyl-L-Valine Chemical compound CC(C)[C@H](N(C)C)C(O)=O APGLTERDKORUHK-LURJTMIESA-N 0.000 description 1
- GXCLVBGFBYZDAG-UHFFFAOYSA-N N-[2-(1H-indol-3-yl)ethyl]-N-methylprop-2-en-1-amine Chemical compound CN(CCC1=CNC2=C1C=CC=C2)CC=C GXCLVBGFBYZDAG-UHFFFAOYSA-N 0.000 description 1
- 230000004988 N-glycosylation Effects 0.000 description 1
- AKCRVYNORCOYQT-YFKPBYRVSA-N N-methyl-L-valine Chemical compound CN[C@@H](C(C)C)C(O)=O AKCRVYNORCOYQT-YFKPBYRVSA-N 0.000 description 1
- BLXXJMDCKKHMKV-UHFFFAOYSA-N Nabumetone Chemical compound C1=C(CCC(C)=O)C=CC2=CC(OC)=CC=C21 BLXXJMDCKKHMKV-UHFFFAOYSA-N 0.000 description 1
- CMWTZPSULFXXJA-UHFFFAOYSA-N Naproxen Natural products C1=C(C(C)C(O)=O)C=CC2=CC(OC)=CC=C21 CMWTZPSULFXXJA-UHFFFAOYSA-N 0.000 description 1
- CWVRJTMFETXNAD-KLZCAUPSSA-N Neochlorogenin-saeure Natural products O[C@H]1C[C@@](O)(C[C@@H](OC(=O)C=Cc2ccc(O)c(O)c2)[C@@H]1O)C(=O)O CWVRJTMFETXNAD-KLZCAUPSSA-N 0.000 description 1
- PVNIIMVLHYAWGP-UHFFFAOYSA-N Niacin Chemical class OC(=O)C1=CC=CN=C1 PVNIIMVLHYAWGP-UHFFFAOYSA-N 0.000 description 1
- 102000004459 Nitroreductase Human genes 0.000 description 1
- 108091005461 Nucleic proteins Proteins 0.000 description 1
- 241000283973 Oryctolagus cuniculus Species 0.000 description 1
- 240000007594 Oryza sativa Species 0.000 description 1
- 235000007164 Oryza sativa Nutrition 0.000 description 1
- 101710093908 Outer capsid protein VP4 Proteins 0.000 description 1
- 101710135467 Outer capsid protein sigma-1 Proteins 0.000 description 1
- 108010058846 Ovalbumin Proteins 0.000 description 1
- 238000012408 PCR amplification Methods 0.000 description 1
- 229910019142 PO4 Inorganic materials 0.000 description 1
- 208000002193 Pain Diseases 0.000 description 1
- 108090000526 Papain Proteins 0.000 description 1
- 229930040373 Paraformaldehyde Natural products 0.000 description 1
- 235000019483 Peanut oil Nutrition 0.000 description 1
- 241001494479 Pecora Species 0.000 description 1
- 206010034277 Pemphigoid Diseases 0.000 description 1
- 201000011152 Pemphigus Diseases 0.000 description 1
- 241000721454 Pemphigus Species 0.000 description 1
- 101710123388 Penicillin G acylase Proteins 0.000 description 1
- 102000057297 Pepsin A Human genes 0.000 description 1
- 108090000284 Pepsin A Proteins 0.000 description 1
- 108010077524 Peptide Elongation Factor 1 Proteins 0.000 description 1
- 208000031845 Pernicious anaemia Diseases 0.000 description 1
- RFCVXVPWSPOMFJ-STQMWFEESA-N Phe-Leu Chemical group CC(C)C[C@@H](C(O)=O)NC(=O)[C@@H](N)CC1=CC=CC=C1 RFCVXVPWSPOMFJ-STQMWFEESA-N 0.000 description 1
- FADYJNXDPBKVCA-STQMWFEESA-N Phe-Lys Chemical group NCCCC[C@@H](C(O)=O)NC(=O)[C@@H](N)CC1=CC=CC=C1 FADYJNXDPBKVCA-STQMWFEESA-N 0.000 description 1
- 241000276498 Pollachius virens Species 0.000 description 1
- 206010065159 Polychondritis Diseases 0.000 description 1
- 208000007048 Polymyalgia Rheumatica Diseases 0.000 description 1
- 208000009052 Precursor T-Cell Lymphoblastic Leukemia-Lymphoma Diseases 0.000 description 1
- 102100022019 Pregnancy-specific beta-1-glycoprotein 2 Human genes 0.000 description 1
- 241000288906 Primates Species 0.000 description 1
- 102100035703 Prostatic acid phosphatase Human genes 0.000 description 1
- 101710176177 Protein A56 Proteins 0.000 description 1
- 102000001253 Protein Kinase Human genes 0.000 description 1
- 101000762949 Pseudomonas aeruginosa (strain ATCC 15692 / DSM 22644 / CIP 104116 / JCM 14847 / LMG 12228 / 1C / PRS 101 / PAO1) Exotoxin A Proteins 0.000 description 1
- 201000001263 Psoriatic Arthritis Diseases 0.000 description 1
- 208000036824 Psoriatic arthropathy Diseases 0.000 description 1
- WTKZEGDFNFYCGP-UHFFFAOYSA-N Pyrazole Chemical compound C=1C=NNC=1 WTKZEGDFNFYCGP-UHFFFAOYSA-N 0.000 description 1
- 239000012980 RPMI-1640 medium Substances 0.000 description 1
- 208000012322 Raynaud phenomenon Diseases 0.000 description 1
- 102100030086 Receptor tyrosine-protein kinase erbB-2 Human genes 0.000 description 1
- 208000015634 Rectal Neoplasms Diseases 0.000 description 1
- PLXBWHJQWKZRKG-UHFFFAOYSA-N Resazurin Chemical compound C1=CC(=O)C=C2OC3=CC(O)=CC=C3[N+]([O-])=C21 PLXBWHJQWKZRKG-UHFFFAOYSA-N 0.000 description 1
- 206010038748 Restrictive cardiomyopathy Diseases 0.000 description 1
- IWUCXVSUMQZMFG-AFCXAGJDSA-N Ribavirin Chemical compound N1=C(C(=O)N)N=CN1[C@H]1[C@H](O)[C@H](O)[C@@H](CO)O1 IWUCXVSUMQZMFG-AFCXAGJDSA-N 0.000 description 1
- 108010039491 Ricin Proteins 0.000 description 1
- 241000220317 Rosa Species 0.000 description 1
- 240000004808 Saccharomyces cerevisiae Species 0.000 description 1
- 101100068078 Saccharomyces cerevisiae (strain ATCC 204508 / S288c) GCN4 gene Proteins 0.000 description 1
- 241000242680 Schistosoma mansoni Species 0.000 description 1
- 206010039710 Scleroderma Diseases 0.000 description 1
- MTCFGRXMJLQNBG-UHFFFAOYSA-N Serine Natural products OCC(N)C(O)=O MTCFGRXMJLQNBG-UHFFFAOYSA-N 0.000 description 1
- 241000700584 Simplexvirus Species 0.000 description 1
- 241000256251 Spodoptera frugiperda Species 0.000 description 1
- 206010042033 Stevens-Johnson syndrome Diseases 0.000 description 1
- 208000005718 Stomach Neoplasms Diseases 0.000 description 1
- ZSJLQEPLLKMAKR-UHFFFAOYSA-N Streptozotocin Natural products O=NN(C)C(=O)NC1C(O)OC(CO)C(O)C1O ZSJLQEPLLKMAKR-UHFFFAOYSA-N 0.000 description 1
- 238000000692 Student's t-test Methods 0.000 description 1
- 229930006000 Sucrose Natural products 0.000 description 1
- CZMRCDWAGMRECN-UGDNZRGBSA-N Sucrose Chemical compound O[C@H]1[C@H](O)[C@@H](CO)O[C@@]1(CO)O[C@@H]1[C@H](O)[C@@H](O)[C@H](O)[C@@H](CO)O1 CZMRCDWAGMRECN-UGDNZRGBSA-N 0.000 description 1
- 101800001271 Surface protein Proteins 0.000 description 1
- 230000006044 T cell activation Effects 0.000 description 1
- 230000037453 T cell priming Effects 0.000 description 1
- 108010092262 T-Cell Antigen Receptors Proteins 0.000 description 1
- 102000016266 T-Cell Antigen Receptors Human genes 0.000 description 1
- 208000029052 T-cell acute lymphoblastic leukemia Diseases 0.000 description 1
- 208000037913 T-cell disorder Diseases 0.000 description 1
- 102100027222 T-lymphocyte activation antigen CD80 Human genes 0.000 description 1
- 208000001106 Takayasu Arteritis Diseases 0.000 description 1
- 206010043189 Telangiectasia Diseases 0.000 description 1
- BPEGJWRSRHCHSN-UHFFFAOYSA-N Temozolomide Chemical compound O=C1N(C)N=NC2=C(C(N)=O)N=CN21 BPEGJWRSRHCHSN-UHFFFAOYSA-N 0.000 description 1
- 210000000447 Th1 cell Anatomy 0.000 description 1
- FOCVUCIESVLUNU-UHFFFAOYSA-N Thiotepa Chemical compound C1CN1P(N1CC1)(=S)N1CC1 FOCVUCIESVLUNU-UHFFFAOYSA-N 0.000 description 1
- 108091036066 Three prime untranslated region Proteins 0.000 description 1
- AYFVYJQAPQTCCC-UHFFFAOYSA-N Threonine Natural products CC(O)C(N)C(O)=O AYFVYJQAPQTCCC-UHFFFAOYSA-N 0.000 description 1
- 239000004473 Threonine Substances 0.000 description 1
- 102000006601 Thymidine Kinase Human genes 0.000 description 1
- 108020004440 Thymidine kinase Proteins 0.000 description 1
- 206010044223 Toxic epidermal necrolysis Diseases 0.000 description 1
- 231100000087 Toxic epidermal necrolysis Toxicity 0.000 description 1
- 102000007238 Transferrin Receptors Human genes 0.000 description 1
- 108010033576 Transferrin Receptors Proteins 0.000 description 1
- 208000003441 Transfusion reaction Diseases 0.000 description 1
- 108700019146 Transgenes Proteins 0.000 description 1
- 206010052779 Transplant rejections Diseases 0.000 description 1
- GLEVLJDDWXEYCO-UHFFFAOYSA-N Trolox Chemical compound O1C(C)(C(O)=O)CCC2=C1C(C)=C(C)C(O)=C2C GLEVLJDDWXEYCO-UHFFFAOYSA-N 0.000 description 1
- 102100040245 Tumor necrosis factor receptor superfamily member 5 Human genes 0.000 description 1
- YJQCOFNZVFGCAF-UHFFFAOYSA-N Tunicamycin II Natural products O1C(CC(O)C2C(C(O)C(O2)N2C(NC(=O)C=C2)=O)O)C(O)C(O)C(NC(=O)C=CCCCCCCCCC(C)C)C1OC1OC(CO)C(O)C(O)C1NC(C)=O YJQCOFNZVFGCAF-UHFFFAOYSA-N 0.000 description 1
- 108091005906 Type I transmembrane proteins Proteins 0.000 description 1
- 206010053614 Type III immune complex mediated reaction Diseases 0.000 description 1
- GBOGMAARMMDZGR-UHFFFAOYSA-N UNPD149280 Natural products N1C(=O)C23OC(=O)C=CC(O)CCCC(C)CC=CC3C(O)C(=C)C(C)C2C1CC1=CC=CC=C1 GBOGMAARMMDZGR-UHFFFAOYSA-N 0.000 description 1
- 201000006704 Ulcerative Colitis Diseases 0.000 description 1
- 206010046851 Uveitis Diseases 0.000 description 1
- 206010047124 Vasculitis necrotising Diseases 0.000 description 1
- OIRDTQYFTABQOQ-UHTZMRCNSA-N Vidarabine Chemical compound C1=NC=2C(N)=NC=NC=2N1[C@@H]1O[C@H](CO)[C@@H](O)[C@@H]1O OIRDTQYFTABQOQ-UHTZMRCNSA-N 0.000 description 1
- 241000863480 Vinca Species 0.000 description 1
- 241000700605 Viruses Species 0.000 description 1
- PCWZKQSKUXXDDJ-UHFFFAOYSA-N Xanthotoxin Natural products COCc1c2OC(=O)C=Cc2cc3ccoc13 PCWZKQSKUXXDDJ-UHFFFAOYSA-N 0.000 description 1
- DGEZNRSVGBDHLK-UHFFFAOYSA-N [1,10]phenanthroline Chemical compound C1=CN=C2C3=NC=CC=C3C=CC2=C1 DGEZNRSVGBDHLK-UHFFFAOYSA-N 0.000 description 1
- LUOUCHOLMUUZBO-SVSXJNCISA-N [4-[(1e,3e)-5-[2-(4-benzhydryloxypiperidin-1-yl)ethylamino]-5-oxopenta-1,3-dienyl]-2-methoxyphenyl] ethyl carbonate Chemical compound C1=C(OC)C(OC(=O)OCC)=CC=C1\C=C\C=C\C(=O)NCCN1CCC(OC(C=2C=CC=CC=2)C=2C=CC=CC=2)CC1 LUOUCHOLMUUZBO-SVSXJNCISA-N 0.000 description 1
- IKWTVSLWAPBBKU-UHFFFAOYSA-N a1010_sial Chemical compound O=[As]O[As]=O IKWTVSLWAPBBKU-UHFFFAOYSA-N 0.000 description 1
- 230000002159 abnormal effect Effects 0.000 description 1
- 238000010521 absorption reaction Methods 0.000 description 1
- DHKHKXVYLBGOIT-UHFFFAOYSA-N acetaldehyde Diethyl Acetal Natural products CCOC(C)OCC DHKHKXVYLBGOIT-UHFFFAOYSA-N 0.000 description 1
- 150000001241 acetals Chemical class 0.000 description 1
- 229960001138 acetylsalicylic acid Drugs 0.000 description 1
- 229960004150 aciclovir Drugs 0.000 description 1
- MKUXAQIIEYXACX-UHFFFAOYSA-N aciclovir Chemical compound N1C(N)=NC(=O)C2=C1N(COCCO)C=N2 MKUXAQIIEYXACX-UHFFFAOYSA-N 0.000 description 1
- 230000002378 acidificating effect Effects 0.000 description 1
- 229930183665 actinomycin Natural products 0.000 description 1
- RJURFGZVJUQBHK-IIXSONLDSA-N actinomycin D Chemical compound C[C@H]1OC(=O)[C@H](C(C)C)N(C)C(=O)CN(C)C(=O)[C@@H]2CCCN2C(=O)[C@@H](C(C)C)NC(=O)[C@H]1NC(=O)C1=C(N)C(=O)C(C)=C2OC(C(C)=CC=C3C(=O)N[C@@H]4C(=O)N[C@@H](C(N5CCC[C@H]5C(=O)N(C)CC(=O)N(C)[C@@H](C(C)C)C(=O)O[C@@H]4C)=O)C(C)C)=C3N=C21 RJURFGZVJUQBHK-IIXSONLDSA-N 0.000 description 1
- 201000011186 acute T cell leukemia Diseases 0.000 description 1
- 239000000654 additive Substances 0.000 description 1
- 230000000996 additive effect Effects 0.000 description 1
- 239000002671 adjuvant Substances 0.000 description 1
- 230000002411 adverse Effects 0.000 description 1
- 238000007818 agglutination assay Methods 0.000 description 1
- 150000001299 aldehydes Chemical class 0.000 description 1
- 108700025316 aldesleukin Proteins 0.000 description 1
- 229960005310 aldesleukin Drugs 0.000 description 1
- 229960000548 alemtuzumab Drugs 0.000 description 1
- 229960001445 alitretinoin Drugs 0.000 description 1
- SHGAZHPCJJPHSC-YCNIQYBTSA-N all-trans-retinoic acid Chemical compound OC(=O)\C=C(/C)\C=C\C=C(/C)\C=C\C1=C(C)CCCC1(C)C SHGAZHPCJJPHSC-YCNIQYBTSA-N 0.000 description 1
- 230000000172 allergic effect Effects 0.000 description 1
- 208000030961 allergic reaction Diseases 0.000 description 1
- 230000007815 allergy Effects 0.000 description 1
- 229960003459 allopurinol Drugs 0.000 description 1
- OFCNXPDARWKPPY-UHFFFAOYSA-N allopurinol Chemical compound OC1=NC=NC2=C1C=NN2 OFCNXPDARWKPPY-UHFFFAOYSA-N 0.000 description 1
- 231100000360 alopecia Toxicity 0.000 description 1
- 102000013529 alpha-Fetoproteins Human genes 0.000 description 1
- 108010026331 alpha-Fetoproteins Proteins 0.000 description 1
- VREFGVBLTWBCJP-UHFFFAOYSA-N alprazolam Chemical compound C12=CC(Cl)=CC=C2N2C(C)=NN=C2CN=C1C1=CC=CC=C1 VREFGVBLTWBCJP-UHFFFAOYSA-N 0.000 description 1
- 229960000473 altretamine Drugs 0.000 description 1
- DKNWSYNQZKUICI-UHFFFAOYSA-N amantadine Chemical compound C1C(C2)CC3CC2CC1(N)C3 DKNWSYNQZKUICI-UHFFFAOYSA-N 0.000 description 1
- 229960003805 amantadine Drugs 0.000 description 1
- 230000009435 amidation Effects 0.000 description 1
- 238000007112 amidation reaction Methods 0.000 description 1
- 150000001408 amides Chemical class 0.000 description 1
- JKOQGQFVAUAYPM-UHFFFAOYSA-N amifostine Chemical compound NCCCNCCSP(O)(O)=O JKOQGQFVAUAYPM-UHFFFAOYSA-N 0.000 description 1
- 229960001097 amifostine Drugs 0.000 description 1
- 229940126575 aminoglycoside Drugs 0.000 description 1
- 230000003321 amplification Effects 0.000 description 1
- 230000036783 anaphylactic response Effects 0.000 description 1
- 229960002932 anastrozole Drugs 0.000 description 1
- YBBLVLTVTVSKRW-UHFFFAOYSA-N anastrozole Chemical compound N#CC(C)(C)C1=CC(C(C)(C#N)C)=CC(CN2N=CN=C2)=C1 YBBLVLTVTVSKRW-UHFFFAOYSA-N 0.000 description 1
- 239000003098 androgen Substances 0.000 description 1
- 150000008064 anhydrides Chemical class 0.000 description 1
- 230000003042 antagnostic effect Effects 0.000 description 1
- 229940045799 anthracyclines and related substance Drugs 0.000 description 1
- 239000003242 anti bacterial agent Substances 0.000 description 1
- 230000002494 anti-cea effect Effects 0.000 description 1
- 230000003432 anti-folate effect Effects 0.000 description 1
- 229940088710 antibiotic agent Drugs 0.000 description 1
- 229940127074 antifolate Drugs 0.000 description 1
- 229940045719 antineoplastic alkylating agent nitrosoureas Drugs 0.000 description 1
- 239000003963 antioxidant agent Substances 0.000 description 1
- 235000006708 antioxidants Nutrition 0.000 description 1
- 238000003782 apoptosis assay Methods 0.000 description 1
- 239000012062 aqueous buffer Substances 0.000 description 1
- ODKSFYDXXFIFQN-UHFFFAOYSA-N arginine Natural products OC(=O)C(N)CCCNC(N)=N ODKSFYDXXFIFQN-UHFFFAOYSA-N 0.000 description 1
- 229910052786 argon Inorganic materials 0.000 description 1
- 239000012300 argon atmosphere Substances 0.000 description 1
- 150000001491 aromatic compounds Chemical class 0.000 description 1
- 238000003491 array Methods 0.000 description 1
- 229960002594 arsenic trioxide Drugs 0.000 description 1
- GOLCXWYRSKYTSP-UHFFFAOYSA-N arsenic trioxide Inorganic materials O1[As]2O[As]1O2 GOLCXWYRSKYTSP-UHFFFAOYSA-N 0.000 description 1
- 206010003246 arthritis Diseases 0.000 description 1
- 201000009361 ascariasis Diseases 0.000 description 1
- 229960003272 asparaginase Drugs 0.000 description 1
- DCXYFEDJOCDNAF-UHFFFAOYSA-M asparaginate Chemical compound [O-]C(=O)C(N)CC(N)=O DCXYFEDJOCDNAF-UHFFFAOYSA-M 0.000 description 1
- 235000003704 aspartic acid Nutrition 0.000 description 1
- 238000011717 athymic nude mouse Methods 0.000 description 1
- 230000002238 attenuated effect Effects 0.000 description 1
- 230000003305 autocrine Effects 0.000 description 1
- 201000003710 autoimmune thrombocytopenic purpura Diseases 0.000 description 1
- 208000010928 autoimmune thyroid disease Diseases 0.000 description 1
- 201000004982 autoimmune uveitis Diseases 0.000 description 1
- 230000005784 autoimmunity Effects 0.000 description 1
- 229940120638 avastin Drugs 0.000 description 1
- 229960002756 azacitidine Drugs 0.000 description 1
- 230000001580 bacterial effect Effects 0.000 description 1
- UDFLTIRFTXWNJO-UHFFFAOYSA-N baicalein Chemical compound O1C2=CC(=O)C(O)=C(O)C2=C(O)C=C1C1=CC=CC=C1 UDFLTIRFTXWNJO-UHFFFAOYSA-N 0.000 description 1
- 229940015301 baicalein Drugs 0.000 description 1
- XHGZTQKXFVJQDR-UHFFFAOYSA-N benzene-1,2-diol;butane Chemical class CCCC.OC1=CC=CC=C1O XHGZTQKXFVJQDR-UHFFFAOYSA-N 0.000 description 1
- 102000006995 beta-Glucosidase Human genes 0.000 description 1
- 108010047754 beta-Glucosidase Proteins 0.000 description 1
- IQFYYKKMVGJFEH-UHFFFAOYSA-N beta-L-thymidine Natural products O=C1NC(=O)C(C)=CN1C1OC(CO)C(O)C1 IQFYYKKMVGJFEH-UHFFFAOYSA-N 0.000 description 1
- OQFSQFPPLPISGP-UHFFFAOYSA-N beta-carboxyaspartic acid Natural products OC(=O)C(N)C(C(O)=O)C(O)=O OQFSQFPPLPISGP-UHFFFAOYSA-N 0.000 description 1
- 102000006635 beta-lactamase Human genes 0.000 description 1
- 229960000397 bevacizumab Drugs 0.000 description 1
- 230000001588 bifunctional effect Effects 0.000 description 1
- 230000033228 biological regulation Effects 0.000 description 1
- 229960002685 biotin Drugs 0.000 description 1
- 235000020958 biotin Nutrition 0.000 description 1
- 239000011616 biotin Substances 0.000 description 1
- 208000015440 bird fancier lung Diseases 0.000 description 1
- 210000001185 bone marrow Anatomy 0.000 description 1
- 210000002798 bone marrow cell Anatomy 0.000 description 1
- 229960001467 bortezomib Drugs 0.000 description 1
- 239000006172 buffering agent Substances 0.000 description 1
- 229960002092 busulfan Drugs 0.000 description 1
- 229940074360 caffeic acid Drugs 0.000 description 1
- 235000004883 caffeic acid Nutrition 0.000 description 1
- GMRQFYUYWCNGIN-NKMMMXOESA-N calcitriol Chemical compound C1(/[C@@H]2CC[C@@H]([C@]2(CCC1)C)[C@@H](CCCC(C)(C)O)C)=C\C=C1\C[C@@H](O)C[C@H](O)C1=C GMRQFYUYWCNGIN-NKMMMXOESA-N 0.000 description 1
- 229960005084 calcitriol Drugs 0.000 description 1
- 235000020964 calcitriol Nutrition 0.000 description 1
- 239000011612 calcitriol Substances 0.000 description 1
- 239000011575 calcium Substances 0.000 description 1
- 229910052791 calcium Inorganic materials 0.000 description 1
- IVFYLRMMHVYGJH-PVPPCFLZSA-N calusterone Chemical compound C1C[C@]2(C)[C@](O)(C)CC[C@H]2[C@@H]2[C@@H](C)CC3=CC(=O)CC[C@]3(C)[C@H]21 IVFYLRMMHVYGJH-PVPPCFLZSA-N 0.000 description 1
- 229950009823 calusterone Drugs 0.000 description 1
- 229940112129 campath Drugs 0.000 description 1
- 229960004117 capecitabine Drugs 0.000 description 1
- 239000002775 capsule Substances 0.000 description 1
- 150000001718 carbodiimides Chemical class 0.000 description 1
- 125000000837 carbohydrate group Chemical group 0.000 description 1
- 125000002915 carbonyl group Chemical group [*:2]C([*:1])=O 0.000 description 1
- 125000002843 carboxylic acid group Chemical group 0.000 description 1
- 229960005243 carmustine Drugs 0.000 description 1
- 235000004654 carnosol Nutrition 0.000 description 1
- 229960003184 carprofen Drugs 0.000 description 1
- IVUMCTKHWDRRMH-UHFFFAOYSA-N carprofen Chemical compound C1=CC(Cl)=C[C]2C3=CC=C(C(C(O)=O)C)C=C3N=C21 IVUMCTKHWDRRMH-UHFFFAOYSA-N 0.000 description 1
- 229960000590 celecoxib Drugs 0.000 description 1
- RZEKVGVHFLEQIL-UHFFFAOYSA-N celecoxib Chemical compound C1=CC(C)=CC=C1C1=CC(C(F)(F)F)=NN1C1=CC=C(S(N)(=O)=O)C=C1 RZEKVGVHFLEQIL-UHFFFAOYSA-N 0.000 description 1
- 239000006143 cell culture medium Substances 0.000 description 1
- 239000012578 cell culture reagent Substances 0.000 description 1
- 230000024245 cell differentiation Effects 0.000 description 1
- 230000010261 cell growth Effects 0.000 description 1
- 230000004663 cell proliferation Effects 0.000 description 1
- 238000001516 cell proliferation assay Methods 0.000 description 1
- 238000003570 cell viability assay Methods 0.000 description 1
- 230000008614 cellular interaction Effects 0.000 description 1
- 230000004700 cellular uptake Effects 0.000 description 1
- 239000001913 cellulose Substances 0.000 description 1
- 229920002678 cellulose Polymers 0.000 description 1
- 229960005395 cetuximab Drugs 0.000 description 1
- 150000001789 chalcones Chemical class 0.000 description 1
- NDAYQJDHGXTBJL-MWWSRJDJSA-N chembl557217 Chemical compound C1=CC=C2C(C[C@H](NC(=O)[C@@H](CC(C)C)NC(=O)[C@H](CC=3C4=CC=CC=C4NC=3)NC(=O)[C@@H](CC(C)C)NC(=O)[C@H](CC=3C4=CC=CC=C4NC=3)NC(=O)[C@@H](CC(C)C)NC(=O)[C@H](CC=3C4=CC=CC=C4NC=3)NC(=O)[C@@H](C(C)C)NC(=O)[C@H](C(C)C)NC(=O)[C@@H](C(C)C)NC(=O)[C@H](C)NC(=O)[C@H](NC(=O)CNC(=O)[C@@H](NC=O)C(C)C)CC(C)C)C(=O)NCCO)=CNC2=C1 NDAYQJDHGXTBJL-MWWSRJDJSA-N 0.000 description 1
- 238000007385 chemical modification Methods 0.000 description 1
- 230000000973 chemotherapeutic effect Effects 0.000 description 1
- 229940044683 chemotherapy drug Drugs 0.000 description 1
- 229960004630 chlorambucil Drugs 0.000 description 1
- JCKYGMPEJWAADB-UHFFFAOYSA-N chlorambucil Chemical compound OC(=O)CCCC1=CC=C(N(CCCl)CCCl)C=C1 JCKYGMPEJWAADB-UHFFFAOYSA-N 0.000 description 1
- 150000001805 chlorine compounds Chemical class 0.000 description 1
- CWVRJTMFETXNAD-JUHZACGLSA-N chlorogenic acid Chemical compound O[C@@H]1[C@H](O)C[C@@](O)(C(O)=O)C[C@H]1OC(=O)\C=C\C1=CC=C(O)C(O)=C1 CWVRJTMFETXNAD-JUHZACGLSA-N 0.000 description 1
- 229940074393 chlorogenic acid Drugs 0.000 description 1
- 235000001368 chlorogenic acid Nutrition 0.000 description 1
- FFQSDFBBSXGVKF-KHSQJDLVSA-N chlorogenic acid Natural products O[C@@H]1C[C@](O)(C[C@@H](CC(=O)C=Cc2ccc(O)c(O)c2)[C@@H]1O)C(=O)O FFQSDFBBSXGVKF-KHSQJDLVSA-N 0.000 description 1
- 230000010428 chromatin condensation Effects 0.000 description 1
- 210000000349 chromosome Anatomy 0.000 description 1
- 208000016644 chronic atrophic gastritis Diseases 0.000 description 1
- 208000017760 chronic graft versus host disease Diseases 0.000 description 1
- 208000025302 chronic primary adrenal insufficiency Diseases 0.000 description 1
- BMRSEYFENKXDIS-KLZCAUPSSA-N cis-3-O-p-coumaroylquinic acid Natural products O[C@H]1C[C@@](O)(C[C@@H](OC(=O)C=Cc2ccc(O)cc2)[C@@H]1O)C(=O)O BMRSEYFENKXDIS-KLZCAUPSSA-N 0.000 description 1
- QAIPRVGONGVQAS-UHFFFAOYSA-N cis-caffeic acid Natural products OC(=O)C=CC1=CC=C(O)C(O)=C1 QAIPRVGONGVQAS-UHFFFAOYSA-N 0.000 description 1
- 229960002436 cladribine Drugs 0.000 description 1
- 208000029742 colonic neoplasm Diseases 0.000 description 1
- 238000007398 colorimetric assay Methods 0.000 description 1
- 150000004814 combretastatins Chemical class 0.000 description 1
- 230000000052 comparative effect Effects 0.000 description 1
- 230000009137 competitive binding Effects 0.000 description 1
- 230000002860 competitive effect Effects 0.000 description 1
- 239000012141 concentrate Substances 0.000 description 1
- 230000001268 conjugating effect Effects 0.000 description 1
- 238000010276 construction Methods 0.000 description 1
- 238000001816 cooling Methods 0.000 description 1
- 239000003246 corticosteroid Substances 0.000 description 1
- 229960001334 corticosteroids Drugs 0.000 description 1
- 230000000139 costimulatory effect Effects 0.000 description 1
- 239000007822 coupling agent Substances 0.000 description 1
- 201000003278 cryoglobulinemia Diseases 0.000 description 1
- GICLSALZHXCILJ-UHFFFAOYSA-N ctk5a5089 Chemical compound NCC(O)=O.NCC(O)=O GICLSALZHXCILJ-UHFFFAOYSA-N 0.000 description 1
- 210000004748 cultured cell Anatomy 0.000 description 1
- 229940109262 curcumin Drugs 0.000 description 1
- 235000012754 curcumin Nutrition 0.000 description 1
- 239000004148 curcumin Substances 0.000 description 1
- 208000004921 cutaneous lupus erythematosus Diseases 0.000 description 1
- 125000004093 cyano group Chemical group *C#N 0.000 description 1
- 125000004122 cyclic group Chemical group 0.000 description 1
- 125000000113 cyclohexyl group Chemical group [H]C1([H])C([H])([H])C([H])([H])C([H])(*)C([H])([H])C1([H])[H] 0.000 description 1
- 150000001945 cysteines Chemical class 0.000 description 1
- 229960000684 cytarabine Drugs 0.000 description 1
- GBOGMAARMMDZGR-TYHYBEHESA-N cytochalasin B Chemical compound C([C@H]1[C@@H]2[C@@H](C([C@@H](O)[C@@H]3/C=C/C[C@H](C)CCC[C@@H](O)/C=C/C(=O)O[C@@]23C(=O)N1)=C)C)C1=CC=CC=C1 GBOGMAARMMDZGR-TYHYBEHESA-N 0.000 description 1
- GBOGMAARMMDZGR-JREHFAHYSA-N cytochalasin B Natural products C[C@H]1CCC[C@@H](O)C=CC(=O)O[C@@]23[C@H](C=CC1)[C@H](O)C(=C)[C@@H](C)[C@@H]2[C@H](Cc4ccccc4)NC3=O GBOGMAARMMDZGR-JREHFAHYSA-N 0.000 description 1
- 231100000409 cytocidal Toxicity 0.000 description 1
- 230000000445 cytocidal effect Effects 0.000 description 1
- 210000000805 cytoplasm Anatomy 0.000 description 1
- 238000002784 cytotoxicity assay Methods 0.000 description 1
- 231100000263 cytotoxicity test Toxicity 0.000 description 1
- SUYVUBYJARFZHO-RRKCRQDMSA-N dATP Chemical compound C1=NC=2C(N)=NC=NC=2N1[C@H]1C[C@H](O)[C@@H](COP(O)(=O)OP(O)(=O)OP(O)(O)=O)O1 SUYVUBYJARFZHO-RRKCRQDMSA-N 0.000 description 1
- SUYVUBYJARFZHO-UHFFFAOYSA-N dATP Natural products C1=NC=2C(N)=NC=NC=2N1C1CC(O)C(COP(O)(=O)OP(O)(=O)OP(O)(O)=O)O1 SUYVUBYJARFZHO-UHFFFAOYSA-N 0.000 description 1
- RGWHQCVHVJXOKC-SHYZEUOFSA-J dCTP(4-) Chemical compound O=C1N=C(N)C=CN1[C@@H]1O[C@H](COP([O-])(=O)OP([O-])(=O)OP([O-])([O-])=O)[C@@H](O)C1 RGWHQCVHVJXOKC-SHYZEUOFSA-J 0.000 description 1
- HAAZLUGHYHWQIW-KVQBGUIXSA-N dGTP Chemical compound C1=NC=2C(=O)NC(N)=NC=2N1[C@H]1C[C@H](O)[C@@H](COP(O)(=O)OP(O)(=O)OP(O)(O)=O)O1 HAAZLUGHYHWQIW-KVQBGUIXSA-N 0.000 description 1
- NHVNXKFIZYSCEB-XLPZGREQSA-N dTTP Chemical compound O=C1NC(=O)C(C)=CN1[C@@H]1O[C@H](COP(O)(=O)OP(O)(=O)OP(O)(O)=O)[C@@H](O)C1 NHVNXKFIZYSCEB-XLPZGREQSA-N 0.000 description 1
- 229960000640 dactinomycin Drugs 0.000 description 1
- 230000006378 damage Effects 0.000 description 1
- 229960005029 darbepoetin alfa Drugs 0.000 description 1
- 229960000975 daunorubicin Drugs 0.000 description 1
- STQGQHZAVUOBTE-VGBVRHCVSA-N daunorubicin Chemical compound O([C@H]1C[C@@](O)(CC=2C(O)=C3C(=O)C=4C=CC=C(C=4C(=O)C3=C(O)C=21)OC)C(C)=O)[C@H]1C[C@H](N)[C@H](O)[C@H](C)O1 STQGQHZAVUOBTE-VGBVRHCVSA-N 0.000 description 1
- 230000003247 decreasing effect Effects 0.000 description 1
- 238000007257 deesterification reaction Methods 0.000 description 1
- 230000002575 demyelinative effect Effects 0.000 description 1
- 208000025729 dengue disease Diseases 0.000 description 1
- 108010017271 denileukin diftitox Proteins 0.000 description 1
- 229960002923 denileukin diftitox Drugs 0.000 description 1
- CFCUWKMKBJTWLW-UHFFFAOYSA-N deoliosyl-3C-alpha-L-digitoxosyl-MTM Natural products CC=1C(O)=C2C(O)=C3C(=O)C(OC4OC(C)C(O)C(OC5OC(C)C(O)C(OC6OC(C)C(O)C(C)(O)C6)C5)C4)C(C(OC)C(=O)C(O)C(C)O)CC3=CC2=CC=1OC(OC(C)C1O)CC1OC1CC(O)C(O)C(C)O1 CFCUWKMKBJTWLW-UHFFFAOYSA-N 0.000 description 1
- 238000010511 deprotection reaction Methods 0.000 description 1
- 238000001212 derivatisation Methods 0.000 description 1
- 201000001981 dermatomyositis Diseases 0.000 description 1
- 239000003599 detergent Substances 0.000 description 1
- 229960000605 dexrazoxane Drugs 0.000 description 1
- 239000008121 dextrose Substances 0.000 description 1
- 206010012601 diabetes mellitus Diseases 0.000 description 1
- 229960001259 diclofenac Drugs 0.000 description 1
- DCOPUUMXTXDBNB-UHFFFAOYSA-N diclofenac Chemical compound OC(=O)CC1=CC=CC=C1NC1=C(Cl)C=CC=C1Cl DCOPUUMXTXDBNB-UHFFFAOYSA-N 0.000 description 1
- RCKMWOKWVGPNJF-UHFFFAOYSA-N diethylcarbamazine Chemical compound CCN(CC)C(=O)N1CCN(C)CC1 RCKMWOKWVGPNJF-UHFFFAOYSA-N 0.000 description 1
- 229960003974 diethylcarbamazine Drugs 0.000 description 1
- VFLDPWHFBUODDF-UHFFFAOYSA-N diferuloylmethane Natural products C1=C(O)C(OC)=CC(C=CC(=O)CC(=O)C=CC=2C=C(OC)C(O)=CC=2)=C1 VFLDPWHFBUODDF-UHFFFAOYSA-N 0.000 description 1
- HUPFGZXOMWLGNK-UHFFFAOYSA-N diflunisal Chemical compound C1=C(O)C(C(=O)O)=CC(C=2C(=CC(F)=CC=2)F)=C1 HUPFGZXOMWLGNK-UHFFFAOYSA-N 0.000 description 1
- 229960000616 diflunisal Drugs 0.000 description 1
- 239000003166 dihydrofolate reductase inhibitor Substances 0.000 description 1
- XCGZWJIXHMSSQC-UHFFFAOYSA-N dihydroquercetin Natural products OC1=CC2OC(=C(O)C(=O)C2C(O)=C1)c1ccc(O)c(O)c1 XCGZWJIXHMSSQC-UHFFFAOYSA-N 0.000 description 1
- 230000000447 dimerizing effect Effects 0.000 description 1
- 239000003534 dna topoisomerase inhibitor Substances 0.000 description 1
- DVSZKTAMJJTWFG-UHFFFAOYSA-N docosa-2,4,6,8,10,12-hexaenoic acid Chemical class CCCCCCCCCC=CC=CC=CC=CC=CC=CC(O)=O DVSZKTAMJJTWFG-UHFFFAOYSA-N 0.000 description 1
- 235000020669 docosahexaenoic acid Nutrition 0.000 description 1
- NOTIQUSPUUHHEH-UXOVVSIBSA-N dromostanolone propionate Chemical compound C([C@@H]1CC2)C(=O)[C@H](C)C[C@]1(C)[C@@H]1[C@@H]2[C@@H]2CC[C@H](OC(=O)CC)[C@@]2(C)CC1 NOTIQUSPUUHHEH-UXOVVSIBSA-N 0.000 description 1
- 229950004683 drostanolone propionate Drugs 0.000 description 1
- 239000003118 drug derivative Substances 0.000 description 1
- 229940126534 drug product Drugs 0.000 description 1
- 201000011191 dyskinesia of esophagus Diseases 0.000 description 1
- 230000000235 effect on cancer Effects 0.000 description 1
- MGLDCXPLYOWQRP-UHFFFAOYSA-N eicosa-5,8,11,14-tetraynoic acid Chemical compound CCCCCC#CCC#CCC#CCC#CCCCC(O)=O MGLDCXPLYOWQRP-UHFFFAOYSA-N 0.000 description 1
- 150000002066 eicosanoids Chemical class 0.000 description 1
- 239000003995 emulsifying agent Substances 0.000 description 1
- 239000000839 emulsion Substances 0.000 description 1
- 206010014665 endocarditis Diseases 0.000 description 1
- 201000010048 endomyocardial fibrosis Diseases 0.000 description 1
- 206010014801 endophthalmitis Diseases 0.000 description 1
- 210000001163 endosome Anatomy 0.000 description 1
- 239000003623 enhancer Substances 0.000 description 1
- 230000002708 enhancing effect Effects 0.000 description 1
- 230000002327 eosinophilic effect Effects 0.000 description 1
- 229940116977 epidermal growth factor Drugs 0.000 description 1
- 229960001904 epirubicin Drugs 0.000 description 1
- 229960003388 epoetin alfa Drugs 0.000 description 1
- 229940082789 erbitux Drugs 0.000 description 1
- 231100000321 erythema Toxicity 0.000 description 1
- HCZKYJDFEPMADG-UHFFFAOYSA-N erythro-nordihydroguaiaretic acid Natural products C=1C=C(O)C(O)=CC=1CC(C)C(C)CC1=CC=C(O)C(O)=C1 HCZKYJDFEPMADG-UHFFFAOYSA-N 0.000 description 1
- XHCADAYNFIFUHF-TVKJYDDYSA-N esculin Chemical compound O[C@@H]1[C@@H](O)[C@H](O)[C@@H](CO)O[C@H]1OC(C(=C1)O)=CC2=C1OC(=O)C=C2 XHCADAYNFIFUHF-TVKJYDDYSA-N 0.000 description 1
- 229940093496 esculin Drugs 0.000 description 1
- AWRMZKLXZLNBBK-UHFFFAOYSA-N esculin Natural products OC1OC(COc2cc3C=CC(=O)Oc3cc2O)C(O)C(O)C1O AWRMZKLXZLNBBK-UHFFFAOYSA-N 0.000 description 1
- 229940011871 estrogen Drugs 0.000 description 1
- 239000000262 estrogen Substances 0.000 description 1
- 125000001033 ether group Chemical group 0.000 description 1
- VFRSADQPWYCXDG-LEUCUCNGSA-N ethyl (2s,5s)-5-methylpyrrolidine-2-carboxylate;2,2,2-trifluoroacetic acid Chemical compound OC(=O)C(F)(F)F.CCOC(=O)[C@@H]1CC[C@H](C)N1 VFRSADQPWYCXDG-LEUCUCNGSA-N 0.000 description 1
- MHYCRLGKOZWVEF-UHFFFAOYSA-N ethyl acetate;hydrate Chemical compound O.CCOC(C)=O MHYCRLGKOZWVEF-UHFFFAOYSA-N 0.000 description 1
- 230000005284 excitation Effects 0.000 description 1
- 229960000255 exemestane Drugs 0.000 description 1
- 208000024711 extrinsic asthma Diseases 0.000 description 1
- 208000022195 farmer lung disease Diseases 0.000 description 1
- ZPAKPRAICRBAOD-UHFFFAOYSA-N fenbufen Chemical compound C1=CC(C(=O)CCC(=O)O)=CC=C1C1=CC=CC=C1 ZPAKPRAICRBAOD-UHFFFAOYSA-N 0.000 description 1
- 229960001395 fenbufen Drugs 0.000 description 1
- 229960001419 fenoprofen Drugs 0.000 description 1
- 208000001031 fetal erythroblastosis Diseases 0.000 description 1
- 239000000835 fiber Substances 0.000 description 1
- 229960004177 filgrastim Drugs 0.000 description 1
- 238000001914 filtration Methods 0.000 description 1
- 229930003944 flavone Natural products 0.000 description 1
- 150000002213 flavones Chemical class 0.000 description 1
- 235000011949 flavones Nutrition 0.000 description 1
- HVQAJTFOCKOKIN-UHFFFAOYSA-N flavonol Natural products O1C2=CC=CC=C2C(=O)C(O)=C1C1=CC=CC=C1 HVQAJTFOCKOKIN-UHFFFAOYSA-N 0.000 description 1
- 150000007946 flavonol Chemical class 0.000 description 1
- 235000011957 flavonols Nutrition 0.000 description 1
- 238000007667 floating Methods 0.000 description 1
- 235000013312 flour Nutrition 0.000 description 1
- 229960000961 floxuridine Drugs 0.000 description 1
- 229960000390 fludarabine Drugs 0.000 description 1
- GIUYCYHIANZCFB-FJFJXFQQSA-N fludarabine phosphate Chemical compound C1=NC=2C(N)=NC(F)=NC=2N1[C@@H]1O[C@H](COP(O)(O)=O)[C@@H](O)[C@@H]1O GIUYCYHIANZCFB-FJFJXFQQSA-N 0.000 description 1
- IRXSLJNXXZKURP-UHFFFAOYSA-N fluorenylmethyloxycarbonyl chloride Chemical compound C1=CC=C2C(COC(=O)Cl)C3=CC=CC=C3C2=C1 IRXSLJNXXZKURP-UHFFFAOYSA-N 0.000 description 1
- 238000001506 fluorescence spectroscopy Methods 0.000 description 1
- 239000007850 fluorescent dye Substances 0.000 description 1
- 229960002949 fluorouracil Drugs 0.000 description 1
- 239000006260 foam Substances 0.000 description 1
- 239000004052 folic acid antagonist Substances 0.000 description 1
- VVIAGPKUTFNRDU-ABLWVSNPSA-N folinic acid Chemical compound C1NC=2NC(N)=NC(=O)C=2N(C=O)C1CNC1=CC=C(C(=O)N[C@@H](CCC(O)=O)C(O)=O)C=C1 VVIAGPKUTFNRDU-ABLWVSNPSA-N 0.000 description 1
- 235000008191 folinic acid Nutrition 0.000 description 1
- 239000011672 folinic acid Substances 0.000 description 1
- 230000003325 follicular Effects 0.000 description 1
- 230000022244 formylation Effects 0.000 description 1
- 238000006170 formylation reaction Methods 0.000 description 1
- 229960002258 fulvestrant Drugs 0.000 description 1
- 229930185528 fuscoside Natural products 0.000 description 1
- 230000004927 fusion Effects 0.000 description 1
- 108020001507 fusion proteins Proteins 0.000 description 1
- 102000037865 fusion proteins Human genes 0.000 description 1
- CIPSYTVGZURWPT-UHFFFAOYSA-N galangin Natural products OC1=C(Oc2cc(O)c(O)cc2C1=O)c3ccccc3 CIPSYTVGZURWPT-UHFFFAOYSA-N 0.000 description 1
- 108010062699 gamma-Glutamyl Hydrolase Proteins 0.000 description 1
- 210000001035 gastrointestinal tract Anatomy 0.000 description 1
- 238000012817 gel-diffusion technique Methods 0.000 description 1
- 239000008273 gelatin Substances 0.000 description 1
- 229920000159 gelatin Polymers 0.000 description 1
- 235000019322 gelatine Nutrition 0.000 description 1
- 235000011852 gelatine desserts Nutrition 0.000 description 1
- 229960005277 gemcitabine Drugs 0.000 description 1
- SDUQYLNIPVEERB-QPPQHZFASA-N gemcitabine Chemical compound O=C1N=C(N)C=CN1[C@H]1C(F)(F)[C@H](O)[C@@H](CO)O1 SDUQYLNIPVEERB-QPPQHZFASA-N 0.000 description 1
- 229960003297 gemtuzumab ozogamicin Drugs 0.000 description 1
- 210000001102 germinal center b cell Anatomy 0.000 description 1
- 239000008103 glucose Substances 0.000 description 1
- 235000013922 glutamic acid Nutrition 0.000 description 1
- YQEMORVAKMFKLG-UHFFFAOYSA-N glycerine monostearate Natural products CCCCCCCCCCCCCCCCCC(=O)OC(CO)CO YQEMORVAKMFKLG-UHFFFAOYSA-N 0.000 description 1
- SVUQHVRAGMNPLW-UHFFFAOYSA-N glycerol monostearate Natural products CCCCCCCCCCCCCCCCC(=O)OCC(O)CO SVUQHVRAGMNPLW-UHFFFAOYSA-N 0.000 description 1
- 125000003630 glycyl group Chemical group [H]N([H])C([H])([H])C(*)=O 0.000 description 1
- 230000002710 gonadal effect Effects 0.000 description 1
- 229960002913 goserelin Drugs 0.000 description 1
- 230000003394 haemopoietic effect Effects 0.000 description 1
- 150000002367 halogens Chemical class 0.000 description 1
- 210000003958 hematopoietic stem cell Anatomy 0.000 description 1
- 208000007475 hemolytic anemia Diseases 0.000 description 1
- 231100000283 hepatitis Toxicity 0.000 description 1
- 208000003215 hereditary nephritis Diseases 0.000 description 1
- UUVWYPNAQBNQJQ-UHFFFAOYSA-N hexamethylmelamine Chemical compound CN(C)C1=NC(N(C)C)=NC(N(C)C)=N1 UUVWYPNAQBNQJQ-UHFFFAOYSA-N 0.000 description 1
- 208000010726 hind limb paralysis Diseases 0.000 description 1
- HNDVDQJCIGZPNO-UHFFFAOYSA-N histidine Natural products OC(=O)C(N)CC1=CN=CN1 HNDVDQJCIGZPNO-UHFFFAOYSA-N 0.000 description 1
- 229940084986 human chorionic gonadotropin Drugs 0.000 description 1
- BRWIZMBXBAOCCF-UHFFFAOYSA-N hydrazinecarbothioamide Chemical compound NNC(N)=S BRWIZMBXBAOCCF-UHFFFAOYSA-N 0.000 description 1
- 150000007857 hydrazones Chemical class 0.000 description 1
- 150000003840 hydrochlorides Chemical class 0.000 description 1
- 150000002443 hydroxylamines Chemical class 0.000 description 1
- 230000009610 hypersensitivity Effects 0.000 description 1
- 229960001680 ibuprofen Drugs 0.000 description 1
- 229960004716 idoxuridine Drugs 0.000 description 1
- 238000003384 imaging method Methods 0.000 description 1
- 229960003685 imatinib mesylate Drugs 0.000 description 1
- YLMAHDNUQAMNNX-UHFFFAOYSA-N imatinib methanesulfonate Chemical compound CS(O)(=O)=O.C1CN(C)CCN1CC1=CC=C(C(=O)NC=2C=C(NC=3N=C(C=CN=3)C=3C=NC=CC=3)C(C)=CC=2)C=C1 YLMAHDNUQAMNNX-UHFFFAOYSA-N 0.000 description 1
- 150000002463 imidates Chemical class 0.000 description 1
- 230000002519 immonomodulatory effect Effects 0.000 description 1
- 230000014726 immortalization of host cell Effects 0.000 description 1
- 238000003318 immunodepletion Methods 0.000 description 1
- 230000000951 immunodiffusion Effects 0.000 description 1
- 230000002163 immunogen Effects 0.000 description 1
- 208000015446 immunoglobulin a vasculitis Diseases 0.000 description 1
- 229960003444 immunosuppressant agent Drugs 0.000 description 1
- 230000007688 immunotoxicity Effects 0.000 description 1
- 231100000386 immunotoxicity Toxicity 0.000 description 1
- 230000005918 in vitro anti-tumor Effects 0.000 description 1
- 238000000099 in vitro assay Methods 0.000 description 1
- 230000005917 in vivo anti-tumor Effects 0.000 description 1
- 229960000905 indomethacin Drugs 0.000 description 1
- 230000001939 inductive effect Effects 0.000 description 1
- 208000000509 infertility Diseases 0.000 description 1
- 231100000535 infertility Toxicity 0.000 description 1
- 230000036512 infertility Effects 0.000 description 1
- 230000008595 infiltration Effects 0.000 description 1
- 238000001764 infiltration Methods 0.000 description 1
- 208000027866 inflammatory disease Diseases 0.000 description 1
- 206010022000 influenza Diseases 0.000 description 1
- 238000011221 initial treatment Methods 0.000 description 1
- 230000002452 interceptive effect Effects 0.000 description 1
- 229960003521 interferon alfa-2a Drugs 0.000 description 1
- 239000013067 intermediate product Substances 0.000 description 1
- 210000004347 intestinal mucosa Anatomy 0.000 description 1
- 238000007918 intramuscular administration Methods 0.000 description 1
- 238000007912 intraperitoneal administration Methods 0.000 description 1
- 238000010253 intravenous injection Methods 0.000 description 1
- 238000004255 ion exchange chromatography Methods 0.000 description 1
- 239000002555 ionophore Substances 0.000 description 1
- 230000000236 ionophoric effect Effects 0.000 description 1
- 229940075525 iron chelating agent Drugs 0.000 description 1
- 239000000797 iron chelating agent Substances 0.000 description 1
- 239000012948 isocyanate Substances 0.000 description 1
- 150000002513 isocyanates Chemical class 0.000 description 1
- DXDRHHKMWQZJHT-FPYGCLRLSA-N isoliquiritigenin Chemical compound C1=CC(O)=CC=C1\C=C\C(=O)C1=CC=C(O)C=C1O DXDRHHKMWQZJHT-FPYGCLRLSA-N 0.000 description 1
- DXDRHHKMWQZJHT-UHFFFAOYSA-N isoliquiritigenin chalcone Natural products C1=CC(O)=CC=C1C=CC(=O)C1=CC=C(O)C=C1O DXDRHHKMWQZJHT-UHFFFAOYSA-N 0.000 description 1
- 229960004130 itraconazole Drugs 0.000 description 1
- MWDZOUNAPSSOEL-UHFFFAOYSA-N kaempferol Natural products OC1=C(C(=O)c2cc(O)cc(O)c2O1)c3ccc(O)cc3 MWDZOUNAPSSOEL-UHFFFAOYSA-N 0.000 description 1
- 150000004715 keto acids Chemical class 0.000 description 1
- 229960004125 ketoconazole Drugs 0.000 description 1
- DKYWVDODHFEZIM-UHFFFAOYSA-N ketoprofen Chemical compound OC(=O)C(C)C1=CC=CC(C(=O)C=2C=CC=CC=2)=C1 DKYWVDODHFEZIM-UHFFFAOYSA-N 0.000 description 1
- 229960000991 ketoprofen Drugs 0.000 description 1
- 201000010982 kidney cancer Diseases 0.000 description 1
- 210000000738 kidney tubule Anatomy 0.000 description 1
- 230000002147 killing effect Effects 0.000 description 1
- 229940043355 kinase inhibitor Drugs 0.000 description 1
- GOTYRUGSSMKFNF-UHFFFAOYSA-N lenalidomide Chemical compound C1C=2C(N)=CC=CC=2C(=O)N1C1CCC(=O)NC1=O GOTYRUGSSMKFNF-UHFFFAOYSA-N 0.000 description 1
- 229960003881 letrozole Drugs 0.000 description 1
- HPJKCIUCZWXJDR-UHFFFAOYSA-N letrozole Chemical compound C1=CC(C#N)=CC=C1C(N1N=CN=C1)C1=CC=C(C#N)C=C1 HPJKCIUCZWXJDR-UHFFFAOYSA-N 0.000 description 1
- 229960001691 leucovorin Drugs 0.000 description 1
- 150000002617 leukotrienes Chemical class 0.000 description 1
- 229960001614 levamisole Drugs 0.000 description 1
- 229960004194 lidocaine Drugs 0.000 description 1
- 229950002950 lintuzumab Drugs 0.000 description 1
- 238000011068 loading method Methods 0.000 description 1
- 239000003589 local anesthetic agent Substances 0.000 description 1
- 229960002247 lomustine Drugs 0.000 description 1
- 206010025135 lupus erythematosus Diseases 0.000 description 1
- IQPNAANSBPBGFQ-UHFFFAOYSA-N luteolin Chemical compound C=1C(O)=CC(O)=C(C(C=2)=O)C=1OC=2C1=CC=C(O)C(O)=C1 IQPNAANSBPBGFQ-UHFFFAOYSA-N 0.000 description 1
- LRDGATPGVJTWLJ-UHFFFAOYSA-N luteolin Natural products OC1=CC(O)=CC(C=2OC3=CC(O)=CC(O)=C3C(=O)C=2)=C1 LRDGATPGVJTWLJ-UHFFFAOYSA-N 0.000 description 1
- 235000009498 luteolin Nutrition 0.000 description 1
- 230000000998 lymphohematopoietic effect Effects 0.000 description 1
- 208000006116 lymphomatoid granulomatosis Diseases 0.000 description 1
- 239000008176 lyophilized powder Substances 0.000 description 1
- 125000003588 lysine group Chemical group [H]N([H])C([H])([H])C([H])([H])C([H])([H])C([H])([H])C([H])(N([H])[H])C(*)=O 0.000 description 1
- 150000002669 lysines Chemical class 0.000 description 1
- ZLNQQNXFFQJAID-UHFFFAOYSA-L magnesium carbonate Chemical compound [Mg+2].[O-]C([O-])=O ZLNQQNXFFQJAID-UHFFFAOYSA-L 0.000 description 1
- 239000001095 magnesium carbonate Substances 0.000 description 1
- 229910000021 magnesium carbonate Inorganic materials 0.000 description 1
- 235000019359 magnesium stearate Nutrition 0.000 description 1
- 229910052943 magnesium sulfate Inorganic materials 0.000 description 1
- 239000000594 mannitol Substances 0.000 description 1
- 235000010355 mannitol Nutrition 0.000 description 1
- 229960003951 masoprocol Drugs 0.000 description 1
- 230000008774 maternal effect Effects 0.000 description 1
- 230000007246 mechanism Effects 0.000 description 1
- 229960003803 meclofenamic acid Drugs 0.000 description 1
- 229960003464 mefenamic acid Drugs 0.000 description 1
- 229960001786 megestrol Drugs 0.000 description 1
- RQZAXGRLVPAYTJ-GQFGMJRRSA-N megestrol acetate Chemical compound C1=C(C)C2=CC(=O)CC[C@]2(C)[C@@H]2[C@@H]1[C@@H]1CC[C@@](C(C)=O)(OC(=O)C)[C@@]1(C)CC2 RQZAXGRLVPAYTJ-GQFGMJRRSA-N 0.000 description 1
- 229960000901 mepacrine Drugs 0.000 description 1
- 229960001428 mercaptopurine Drugs 0.000 description 1
- 229960004635 mesna Drugs 0.000 description 1
- 230000002503 metabolic effect Effects 0.000 description 1
- 206010061289 metastatic neoplasm Diseases 0.000 description 1
- 229960004469 methoxsalen Drugs 0.000 description 1
- TWCQWABAGCMHLL-ROVQGQOSSA-N methyl (z)-7-[(1r,2r,3r)-2-[(e)-4-ethenyl-4-hydroxyoct-1-enyl]-3-hydroxy-5-oxocyclopentyl]hept-5-enoate Chemical compound CCCCC(O)(C=C)C\C=C\[C@H]1[C@H](O)CC(=O)[C@@H]1C\C=C/CCCC(=O)OC TWCQWABAGCMHLL-ROVQGQOSSA-N 0.000 description 1
- FHWPXRMQJIZPDX-WWAXUJMESA-N methyl 2-[4-[(1r,2r)-2-[(e)-2-naphthalen-2-ylethenyl]cyclopropyl]butanoylamino]benzoate Chemical compound COC(=O)C1=CC=CC=C1NC(=O)CCC[C@H]1[C@H](\C=C\C=2C=C3C=CC=CC3=CC=2)C1 FHWPXRMQJIZPDX-WWAXUJMESA-N 0.000 description 1
- HPNSFSBZBAHARI-UHFFFAOYSA-N micophenolic acid Natural products OC1=C(CC=C(C)CCC(O)=O)C(OC)=C(C)C2=C1C(=O)OC2 HPNSFSBZBAHARI-UHFFFAOYSA-N 0.000 description 1
- 238000010208 microarray analysis Methods 0.000 description 1
- 238000000386 microscopy Methods 0.000 description 1
- 239000002480 mineral oil Substances 0.000 description 1
- 235000010446 mineral oil Nutrition 0.000 description 1
- 229960000350 mitotane Drugs 0.000 description 1
- 239000003068 molecular probe Substances 0.000 description 1
- 238000010172 mouse model Methods 0.000 description 1
- 210000002200 mouth mucosa Anatomy 0.000 description 1
- 208000001725 mucocutaneous lymph node syndrome Diseases 0.000 description 1
- 229960000951 mycophenolic acid Drugs 0.000 description 1
- HPNSFSBZBAHARI-RUDMXATFSA-N mycophenolic acid Chemical compound OC1=C(C\C=C(/C)CCC(O)=O)C(OC)=C(C)C2=C1C(=O)OC2 HPNSFSBZBAHARI-RUDMXATFSA-N 0.000 description 1
- RVXKHAITGKBBAC-SFHVURJKSA-N n-[(1s)-2-cyclohexyl-1-pyridin-2-ylethyl]-5-methyl-1,3-benzoxazol-2-amine Chemical compound C([C@H](NC=1OC2=CC=C(C=C2N=1)C)C=1N=CC=CC=1)C1CCCCC1 RVXKHAITGKBBAC-SFHVURJKSA-N 0.000 description 1
- KSNUCNRMDYJBKT-UHFFFAOYSA-N n-[3-[4-[4-(2-oxo-3,4-dihydroquinolin-1-yl)piperidine-1-carbonyl]phenoxy]propyl]acetamide Chemical compound C1=CC(OCCCNC(=O)C)=CC=C1C(=O)N1CCC(N2C3=CC=CC=C3CCC2=O)CC1 KSNUCNRMDYJBKT-UHFFFAOYSA-N 0.000 description 1
- OWIUPIRUAQMTTK-UHFFFAOYSA-M n-aminocarbamate Chemical compound NNC([O-])=O OWIUPIRUAQMTTK-UHFFFAOYSA-M 0.000 description 1
- 229960004270 nabumetone Drugs 0.000 description 1
- 229960001133 nandrolone phenpropionate Drugs 0.000 description 1
- UBWXUGDQUBIEIZ-QNTYDACNSA-N nandrolone phenpropionate Chemical compound O([C@H]1CC[C@H]2[C@H]3[C@@H]([C@H]4CCC(=O)C=C4CC3)CC[C@@]21C)C(=O)CCC1=CC=CC=C1 UBWXUGDQUBIEIZ-QNTYDACNSA-N 0.000 description 1
- 229960002009 naproxen Drugs 0.000 description 1
- CMWTZPSULFXXJA-VIFPVBQESA-N naproxen Chemical compound C1=C([C@H](C)C(O)=O)C=CC2=CC(OC)=CC=C21 CMWTZPSULFXXJA-VIFPVBQESA-N 0.000 description 1
- 230000007524 negative regulation of DNA replication Effects 0.000 description 1
- 230000035407 negative regulation of cell proliferation Effects 0.000 description 1
- 230000009826 neoplastic cell growth Effects 0.000 description 1
- 230000007935 neutral effect Effects 0.000 description 1
- PGSADBUBUOPOJS-UHFFFAOYSA-N neutral red Chemical compound Cl.C1=C(C)C(N)=CC2=NC3=CC(N(C)C)=CC=C3N=C21 PGSADBUBUOPOJS-UHFFFAOYSA-N 0.000 description 1
- 125000000449 nitro group Chemical group [O-][N+](*)=O 0.000 description 1
- 229910052757 nitrogen Inorganic materials 0.000 description 1
- 239000012299 nitrogen atmosphere Substances 0.000 description 1
- 125000004433 nitrogen atom Chemical group N* 0.000 description 1
- 108020001162 nitroreductase Proteins 0.000 description 1
- 230000036963 noncompetitive effect Effects 0.000 description 1
- 231100000956 nontoxicity Toxicity 0.000 description 1
- 210000000633 nuclear envelope Anatomy 0.000 description 1
- 238000003199 nucleic acid amplification method Methods 0.000 description 1
- 238000001216 nucleic acid method Methods 0.000 description 1
- 238000001668 nucleic acid synthesis Methods 0.000 description 1
- 230000006548 oncogenic transformation Effects 0.000 description 1
- 229950010666 ontazolast Drugs 0.000 description 1
- 229960001840 oprelvekin Drugs 0.000 description 1
- 108010046821 oprelvekin Proteins 0.000 description 1
- 210000000056 organ Anatomy 0.000 description 1
- 150000002905 orthoesters Chemical class 0.000 description 1
- 229940092253 ovalbumin Drugs 0.000 description 1
- 229960001756 oxaliplatin Drugs 0.000 description 1
- DWAFYCQODLXJNR-BNTLRKBRSA-L oxaliplatin Chemical compound O1C(=O)C(=O)O[Pt]11N[C@@H]2CCCC[C@H]2N1 DWAFYCQODLXJNR-BNTLRKBRSA-L 0.000 description 1
- 230000003647 oxidation Effects 0.000 description 1
- 238000007254 oxidation reaction Methods 0.000 description 1
- 150000002923 oximes Chemical class 0.000 description 1
- 125000000636 p-nitrophenyl group Chemical group [H]C1=C([H])C(=C([H])C([H])=C1*)[N+]([O-])=O 0.000 description 1
- 239000006179 pH buffering agent Substances 0.000 description 1
- 210000002741 palatine tonsil Anatomy 0.000 description 1
- CWODDUGJZSCNGB-HQNRRURTSA-N palytoxin Chemical compound O([C@@H]1[C@@H](O)[C@H](O)[C@@H](O)[C@@H](O)[C@H](O)CCCCC[C@H](C)C[C@@H]2[C@@]3(C)C[C@H](C)C[C@@](O3)(CCCCCCC[C@H](O)C[C@@H]3[C@@H]([C@@H](O)[C@@H](O)[C@](O)(C[C@H](O)[C@@H](C)\C=C\[C@@H](O)CC[C@@H](O)[C@@H](O)[C@H]4O[C@H](C[C@@H](O)[C@H](O)C[C@@H]5[C@H]([C@H](O)[C@@H](O)[C@H](C[C@H](O)\C=C/C=C/C[C@@H](O)[C@H](O)[C@H](O)C\C=C/C(=C)CC[C@H](O)[C@@H](O)[C@H](O)[C@H](C)C[C@@H]6[C@@H]([C@@H](O)[C@H](O)[C@@H](\C=C/[C@@H](O)[C@H](O)C[C@H]7O[C@H]8C[C@H](O[C@@H]8CC[C@@H]8[C@@H](C[C@@H](CN)O8)O)C7)O6)O)O5)O)[C@@H](O)[C@H](O)C4)O3)O)O2)[C@H](C[C@H](O)[C@H](O)C(\C)=C\[C@H](O)C[C@@H](C)[C@H](O)C(=O)N\C=C\C(=O)NCCCO)[C@H](O)[C@@H](O)[C@@H]1O CWODDUGJZSCNGB-HQNRRURTSA-N 0.000 description 1
- 229960005548 palytoxin Drugs 0.000 description 1
- 229940046231 pamidronate Drugs 0.000 description 1
- WRUUGTRCQOWXEG-UHFFFAOYSA-N pamidronate Chemical compound NCCC(O)(P(O)(O)=O)P(O)(O)=O WRUUGTRCQOWXEG-UHFFFAOYSA-N 0.000 description 1
- 229940055729 papain Drugs 0.000 description 1
- 235000019834 papain Nutrition 0.000 description 1
- 230000003076 paracrine Effects 0.000 description 1
- 229920002866 paraformaldehyde Polymers 0.000 description 1
- 239000000312 peanut oil Substances 0.000 description 1
- HQQSBEDKMRHYME-UHFFFAOYSA-N pefloxacin mesylate Chemical compound [H+].CS([O-])(=O)=O.C1=C2N(CC)C=C(C(O)=O)C(=O)C2=CC(F)=C1N1CCN(C)CC1 HQQSBEDKMRHYME-UHFFFAOYSA-N 0.000 description 1
- 229960001218 pegademase Drugs 0.000 description 1
- 108010027841 pegademase bovine Proteins 0.000 description 1
- 229960001744 pegaspargase Drugs 0.000 description 1
- 108010001564 pegaspargase Proteins 0.000 description 1
- 229960001373 pegfilgrastim Drugs 0.000 description 1
- 108010044644 pegfilgrastim Proteins 0.000 description 1
- 230000006320 pegylation Effects 0.000 description 1
- 201000001976 pemphigus vulgaris Diseases 0.000 description 1
- 125000000538 pentafluorophenyl group Chemical group FC1=C(F)C(F)=C(*)C(F)=C1F 0.000 description 1
- 229960002340 pentostatin Drugs 0.000 description 1
- FPVKHBSQESCIEP-JQCXWYLXSA-N pentostatin Chemical compound C1[C@H](O)[C@@H](CO)O[C@H]1N1C(N=CNC[C@H]2O)=C2N=C1 FPVKHBSQESCIEP-JQCXWYLXSA-N 0.000 description 1
- 229940111202 pepsin Drugs 0.000 description 1
- KHIWWQKSHDUIBK-UHFFFAOYSA-N periodic acid Chemical compound OI(=O)(=O)=O KHIWWQKSHDUIBK-UHFFFAOYSA-N 0.000 description 1
- 210000005259 peripheral blood Anatomy 0.000 description 1
- 239000011886 peripheral blood Substances 0.000 description 1
- 230000002093 peripheral effect Effects 0.000 description 1
- 230000035699 permeability Effects 0.000 description 1
- 239000003208 petroleum Substances 0.000 description 1
- 229940124531 pharmaceutical excipient Drugs 0.000 description 1
- 239000000825 pharmaceutical preparation Substances 0.000 description 1
- 230000000144 pharmacologic effect Effects 0.000 description 1
- CMCWWLVWPDLCRM-UHFFFAOYSA-N phenidone Chemical compound N1C(=O)CCN1C1=CC=CC=C1 CMCWWLVWPDLCRM-UHFFFAOYSA-N 0.000 description 1
- 150000002989 phenols Chemical class 0.000 description 1
- 125000001997 phenyl group Chemical group [H]C1=C([H])C([H])=C(*)C([H])=C1[H] 0.000 description 1
- 108010073101 phenylalanylleucine Proteins 0.000 description 1
- NBIIXXVUZAFLBC-UHFFFAOYSA-K phosphate Chemical compound [O-]P([O-])([O-])=O NBIIXXVUZAFLBC-UHFFFAOYSA-K 0.000 description 1
- 239000010452 phosphate Substances 0.000 description 1
- 239000003757 phosphotransferase inhibitor Substances 0.000 description 1
- 230000004962 physiological condition Effects 0.000 description 1
- 239000006187 pill Substances 0.000 description 1
- SUYJZKRQHBQNCA-UHFFFAOYSA-N pinobanksin Natural products O1C2=CC(O)=CC(O)=C2C(=O)C(O)C1C1=CC=CC=C1 SUYJZKRQHBQNCA-UHFFFAOYSA-N 0.000 description 1
- 229960000952 pipobroman Drugs 0.000 description 1
- NJBFOOCLYDNZJN-UHFFFAOYSA-N pipobroman Chemical compound BrCCC(=O)N1CCN(C(=O)CCBr)CC1 NJBFOOCLYDNZJN-UHFFFAOYSA-N 0.000 description 1
- 210000002826 placenta Anatomy 0.000 description 1
- 108010031345 placental alkaline phosphatase Proteins 0.000 description 1
- 230000036470 plasma concentration Effects 0.000 description 1
- 210000004180 plasmocyte Anatomy 0.000 description 1
- 230000008488 polyadenylation Effects 0.000 description 1
- 229920000642 polymer Polymers 0.000 description 1
- 208000005987 polymyositis Diseases 0.000 description 1
- 229920000136 polysorbate Polymers 0.000 description 1
- 229950008882 polysorbate Drugs 0.000 description 1
- 229960004293 porfimer sodium Drugs 0.000 description 1
- 229940124606 potential therapeutic agent Drugs 0.000 description 1
- 239000002244 precipitate Substances 0.000 description 1
- 229960004618 prednisone Drugs 0.000 description 1
- XOFYZVNMUHMLCC-ZPOLXVRWSA-N prednisone Chemical compound O=C1C=C[C@]2(C)[C@H]3C(=O)C[C@](C)([C@@](CC4)(O)C(=O)CO)[C@@H]4[C@@H]3CCC2=C1 XOFYZVNMUHMLCC-ZPOLXVRWSA-N 0.000 description 1
- 201000009395 primary hyperaldosteronism Diseases 0.000 description 1
- CPTBDICYNRMXFX-UHFFFAOYSA-N procarbazine Chemical compound CNNCC1=CC=C(C(=O)NC(C)C)C=C1 CPTBDICYNRMXFX-UHFFFAOYSA-N 0.000 description 1
- 229960000624 procarbazine Drugs 0.000 description 1
- 230000008569 process Effects 0.000 description 1
- 230000005522 programmed cell death Effects 0.000 description 1
- 210000001236 prokaryotic cell Anatomy 0.000 description 1
- 230000002035 prolonged effect Effects 0.000 description 1
- 230000001737 promoting effect Effects 0.000 description 1
- 238000011321 prophylaxis Methods 0.000 description 1
- XJMOSONTPMZWPB-UHFFFAOYSA-M propidium iodide Chemical compound [I-].[I-].C12=CC(N)=CC=C2C2=CC=C(N)C=C2[N+](CCC[N+](C)(CC)CC)=C1C1=CC=CC=C1 XJMOSONTPMZWPB-UHFFFAOYSA-M 0.000 description 1
- 235000010388 propyl gallate Nutrition 0.000 description 1
- 239000000473 propyl gallate Substances 0.000 description 1
- 229940075579 propyl gallate Drugs 0.000 description 1
- QQONPFPTGQHPMA-UHFFFAOYSA-N propylene Natural products CC=C QQONPFPTGQHPMA-UHFFFAOYSA-N 0.000 description 1
- 125000004805 propylene group Chemical group [H]C([H])([H])C([H])([*:1])C([H])([H])[*:2] 0.000 description 1
- MYHXHCUNDDAEOZ-FOSBLDSVSA-N prostaglandin A2 Chemical compound CCCCC[C@H](O)\C=C\[C@H]1C=CC(=O)[C@@H]1C\C=C/CCCC(O)=O MYHXHCUNDDAEOZ-FOSBLDSVSA-N 0.000 description 1
- GMVPRGQOIOIIMI-DWKJAMRDSA-N prostaglandin E1 Chemical compound CCCCC[C@H](O)\C=C\[C@H]1[C@H](O)CC(=O)[C@@H]1CCCCCCC(O)=O GMVPRGQOIOIIMI-DWKJAMRDSA-N 0.000 description 1
- 108010043671 prostatic acid phosphatase Proteins 0.000 description 1
- 235000019833 protease Nutrition 0.000 description 1
- 238000003498 protein array Methods 0.000 description 1
- 238000000159 protein binding assay Methods 0.000 description 1
- 230000006916 protein interaction Effects 0.000 description 1
- 108060006633 protein kinase Proteins 0.000 description 1
- 238000001273 protein sequence alignment Methods 0.000 description 1
- 230000004850 protein–protein interaction Effects 0.000 description 1
- 230000002797 proteolythic effect Effects 0.000 description 1
- 229950003082 proxicromil Drugs 0.000 description 1
- 208000005069 pulmonary fibrosis Diseases 0.000 description 1
- 239000000649 purine antagonist Substances 0.000 description 1
- 208000009954 pyoderma gangrenosum Diseases 0.000 description 1
- 150000003230 pyrimidines Chemical class 0.000 description 1
- GPKJTRJOBQGKQK-UHFFFAOYSA-N quinacrine Chemical compound C1=C(OC)C=C2C(NC(C)CCCN(CC)CC)=C(C=CC(Cl)=C3)C3=NC2=C1 GPKJTRJOBQGKQK-UHFFFAOYSA-N 0.000 description 1
- 239000002534 radiation-sensitizing agent Substances 0.000 description 1
- 230000002285 radioactive effect Effects 0.000 description 1
- 238000000163 radioactive labelling Methods 0.000 description 1
- 229960000424 rasburicase Drugs 0.000 description 1
- 108010084837 rasburicase Proteins 0.000 description 1
- 239000011535 reaction buffer Substances 0.000 description 1
- 230000009257 reactivity Effects 0.000 description 1
- 230000007115 recruitment Effects 0.000 description 1
- 201000001275 rectum cancer Diseases 0.000 description 1
- 210000003289 regulatory T cell Anatomy 0.000 description 1
- 208000009169 relapsing polychondritis Diseases 0.000 description 1
- 238000012552 review Methods 0.000 description 1
- 201000003068 rheumatic fever Diseases 0.000 description 1
- 229960000329 ribavirin Drugs 0.000 description 1
- 235000009566 rice Nutrition 0.000 description 1
- 238000007363 ring formation reaction Methods 0.000 description 1
- CVHZOJJKTDOEJC-UHFFFAOYSA-N saccharin Chemical compound C1=CC=C2C(=O)NS(=O)(=O)C2=C1 CVHZOJJKTDOEJC-UHFFFAOYSA-N 0.000 description 1
- 201000000306 sarcoidosis Diseases 0.000 description 1
- 229960002530 sargramostim Drugs 0.000 description 1
- 108010038379 sargramostim Proteins 0.000 description 1
- 201000004409 schistosomiasis Diseases 0.000 description 1
- 238000012216 screening Methods 0.000 description 1
- 230000028327 secretion Effects 0.000 description 1
- 239000006152 selective media Substances 0.000 description 1
- 150000007659 semicarbazones Chemical class 0.000 description 1
- 238000002864 sequence alignment Methods 0.000 description 1
- 238000012163 sequencing technique Methods 0.000 description 1
- 239000008159 sesame oil Substances 0.000 description 1
- 235000011803 sesame oil Nutrition 0.000 description 1
- 102000035025 signaling receptors Human genes 0.000 description 1
- 108091005475 signaling receptors Proteins 0.000 description 1
- 238000010898 silica gel chromatography Methods 0.000 description 1
- 235000020183 skimmed milk Nutrition 0.000 description 1
- 210000003491 skin Anatomy 0.000 description 1
- RYYKJJJTJZKILX-UHFFFAOYSA-M sodium octadecanoate Chemical compound [Na+].CCCCCCCCCCCCCCCCCC([O-])=O RYYKJJJTJZKILX-UHFFFAOYSA-M 0.000 description 1
- 230000000392 somatic effect Effects 0.000 description 1
- 239000003549 soybean oil Substances 0.000 description 1
- 235000012424 soybean oil Nutrition 0.000 description 1
- 230000002269 spontaneous effect Effects 0.000 description 1
- 210000000130 stem cell Anatomy 0.000 description 1
- 239000008223 sterile water Substances 0.000 description 1
- 239000008227 sterile water for injection Substances 0.000 description 1
- 230000004936 stimulating effect Effects 0.000 description 1
- 230000000638 stimulation Effects 0.000 description 1
- 201000011549 stomach cancer Diseases 0.000 description 1
- 208000011834 subacute cutaneous lupus erythematosus Diseases 0.000 description 1
- 239000007929 subcutaneous injection Substances 0.000 description 1
- 238000010254 subcutaneous injection Methods 0.000 description 1
- 239000000758 substrate Substances 0.000 description 1
- KZNICNPSHKQLFF-UHFFFAOYSA-N succinimide Chemical class O=C1CCC(=O)N1 KZNICNPSHKQLFF-UHFFFAOYSA-N 0.000 description 1
- 239000005720 sucrose Substances 0.000 description 1
- NCEXYHBECQHGNR-QZQOTICOSA-N sulfasalazine Chemical compound C1=C(O)C(C(=O)O)=CC(\N=N\C=2C=CC(=CC=2)S(=O)(=O)NC=2N=CC=CC=2)=C1 NCEXYHBECQHGNR-QZQOTICOSA-N 0.000 description 1
- 229960001940 sulfasalazine Drugs 0.000 description 1
- NCEXYHBECQHGNR-UHFFFAOYSA-N sulfasalazine Natural products C1=C(O)C(C(=O)O)=CC(N=NC=2C=CC(=CC=2)S(=O)(=O)NC=2N=CC=CC=2)=C1 NCEXYHBECQHGNR-UHFFFAOYSA-N 0.000 description 1
- YBBRCQOCSYXUOC-UHFFFAOYSA-N sulfuryl dichloride Chemical class ClS(Cl)(=O)=O YBBRCQOCSYXUOC-UHFFFAOYSA-N 0.000 description 1
- MLKXDPUZXIRXEP-MFOYZWKCSA-N sulindac Chemical compound CC1=C(CC(O)=O)C2=CC(F)=CC=C2\C1=C/C1=CC=C(S(C)=O)C=C1 MLKXDPUZXIRXEP-MFOYZWKCSA-N 0.000 description 1
- 229960000894 sulindac Drugs 0.000 description 1
- 229960002812 sunitinib malate Drugs 0.000 description 1
- 239000013589 supplement Substances 0.000 description 1
- 230000001629 suppression Effects 0.000 description 1
- 238000002198 surface plasmon resonance spectroscopy Methods 0.000 description 1
- 238000001356 surgical procedure Methods 0.000 description 1
- 230000002459 sustained effect Effects 0.000 description 1
- 238000013268 sustained release Methods 0.000 description 1
- 239000012730 sustained-release form Substances 0.000 description 1
- 229940034785 sutent Drugs 0.000 description 1
- 230000002195 synergetic effect Effects 0.000 description 1
- 239000003826 tablet Substances 0.000 description 1
- 239000000454 talc Substances 0.000 description 1
- 229910052623 talc Inorganic materials 0.000 description 1
- 229960001603 tamoxifen Drugs 0.000 description 1
- RCINICONZNJXQF-XAZOAEDWSA-N taxol® Chemical compound O([C@@H]1[C@@]2(CC(C(C)=C(C2(C)C)[C@H](C([C@]2(C)[C@@H](O)C[C@H]3OC[C@]3(C21)OC(C)=O)=O)OC(=O)C)OC(=O)[C@H](O)[C@@H](NC(=O)C=1C=CC=CC=1)C=1C=CC=CC=1)O)C(=O)C1=CC=CC=C1 RCINICONZNJXQF-XAZOAEDWSA-N 0.000 description 1
- 229940063683 taxotere Drugs 0.000 description 1
- 208000009056 telangiectasis Diseases 0.000 description 1
- 229960004964 temozolomide Drugs 0.000 description 1
- 229960002871 tenoxicam Drugs 0.000 description 1
- WZWYJBNHTWCXIM-UHFFFAOYSA-N tenoxicam Chemical compound O=C1C=2SC=CC=2S(=O)(=O)N(C)C1=C(O)NC1=CC=CC=N1 WZWYJBNHTWCXIM-UHFFFAOYSA-N 0.000 description 1
- 229960005353 testolactone Drugs 0.000 description 1
- BPEWUONYVDABNZ-DZBHQSCQSA-N testolactone Chemical compound O=C1C=C[C@]2(C)[C@H]3CC[C@](C)(OC(=O)CC4)[C@@H]4[C@@H]3CCC2=C1 BPEWUONYVDABNZ-DZBHQSCQSA-N 0.000 description 1
- 125000003831 tetrazolyl group Chemical group 0.000 description 1
- 231100001274 therapeutic index Toxicity 0.000 description 1
- 238000011285 therapeutic regimen Methods 0.000 description 1
- SRVJKTDHMYAMHA-WUXMJOGZSA-N thioacetazone Chemical compound CC(=O)NC1=CC=C(\C=N\NC(N)=S)C=C1 SRVJKTDHMYAMHA-WUXMJOGZSA-N 0.000 description 1
- CNHYKKNIIGEXAY-UHFFFAOYSA-N thiolan-2-imine Chemical compound N=C1CCCS1 CNHYKKNIIGEXAY-UHFFFAOYSA-N 0.000 description 1
- ATGUDZODTABURZ-UHFFFAOYSA-N thiolan-2-ylideneazanium;chloride Chemical compound Cl.N=C1CCCS1 ATGUDZODTABURZ-UHFFFAOYSA-N 0.000 description 1
- 229960001196 thiotepa Drugs 0.000 description 1
- 230000002992 thymic effect Effects 0.000 description 1
- 229940104230 thymidine Drugs 0.000 description 1
- 208000019375 thymoma type B3 Diseases 0.000 description 1
- UPSPUYADGBWSHF-UHFFFAOYSA-N tolmetin Chemical compound C1=CC(C)=CC=C1C(=O)C1=CC=C(CC(O)=O)N1C UPSPUYADGBWSHF-UHFFFAOYSA-N 0.000 description 1
- 229960001017 tolmetin Drugs 0.000 description 1
- 229940044693 topoisomerase inhibitor Drugs 0.000 description 1
- 229960005026 toremifene Drugs 0.000 description 1
- XFCLJVABOIYOMF-QPLCGJKRSA-N toremifene Chemical compound C1=CC(OCCN(C)C)=CC=C1C(\C=1C=CC=CC=1)=C(\CCCl)C1=CC=CC=C1 XFCLJVABOIYOMF-QPLCGJKRSA-N 0.000 description 1
- 229960005267 tositumomab Drugs 0.000 description 1
- 230000001988 toxicity Effects 0.000 description 1
- 231100000419 toxicity Toxicity 0.000 description 1
- 238000013518 transcription Methods 0.000 description 1
- 230000035897 transcription Effects 0.000 description 1
- 238000012085 transcriptional profiling Methods 0.000 description 1
- 230000001131 transforming effect Effects 0.000 description 1
- 230000009261 transgenic effect Effects 0.000 description 1
- 238000002054 transplantation Methods 0.000 description 1
- 229960000575 trastuzumab Drugs 0.000 description 1
- 229960001727 tretinoin Drugs 0.000 description 1
- 150000003626 triacylglycerols Chemical class 0.000 description 1
- 229960003962 trifluridine Drugs 0.000 description 1
- VSQQQLOSPVPRAZ-RRKCRQDMSA-N trifluridine Chemical compound C1[C@H](O)[C@@H](CO)O[C@H]1N1C(=O)NC(=O)C(C(F)(F)F)=C1 VSQQQLOSPVPRAZ-RRKCRQDMSA-N 0.000 description 1
- GPRLSGONYQIRFK-MNYXATJNSA-N triton Chemical compound [3H+] GPRLSGONYQIRFK-MNYXATJNSA-N 0.000 description 1
- 230000005748 tumor development Effects 0.000 description 1
- 230000006433 tumor necrosis factor production Effects 0.000 description 1
- MEYZYGMYMLNUHJ-UHFFFAOYSA-N tunicamycin Natural products CC(C)CCCCCCCCCC=CC(=O)NC1C(O)C(O)C(CC(O)C2OC(C(O)C2O)N3C=CC(=O)NC3=O)OC1OC4OC(CO)C(O)C(O)C4NC(=O)C MEYZYGMYMLNUHJ-UHFFFAOYSA-N 0.000 description 1
- 238000010396 two-hybrid screening Methods 0.000 description 1
- OUYCCCASQSFEME-UHFFFAOYSA-N tyrosine Natural products OC(=O)C(N)CC1=CC=C(O)C=C1 OUYCCCASQSFEME-UHFFFAOYSA-N 0.000 description 1
- 241000712461 unidentified influenza virus Species 0.000 description 1
- 210000000689 upper leg Anatomy 0.000 description 1
- 229960001055 uracil mustard Drugs 0.000 description 1
- VBEQCZHXXJYVRD-GACYYNSASA-N uroanthelone Chemical compound C([C@@H](C(=O)N[C@H](C(=O)N[C@@H](CS)C(=O)N[C@@H](CC(N)=O)C(=O)N[C@@H](CS)C(=O)N[C@H](C(=O)N[C@@H]([C@@H](C)CC)C(=O)NCC(=O)N[C@@H](CC=1C=CC(O)=CC=1)C(=O)N[C@@H](CO)C(=O)NCC(=O)N[C@@H](CC(O)=O)C(=O)N[C@@H](CCCNC(N)=N)C(=O)N[C@@H](CS)C(=O)N[C@@H](CCC(N)=O)C(=O)N[C@@H]([C@@H](C)O)C(=O)N[C@@H](CCCNC(N)=N)C(=O)N[C@@H](CC(O)=O)C(=O)N[C@@H](CC(C)C)C(=O)N[C@@H](CCCNC(N)=N)C(=O)N[C@@H](CC=1C2=CC=CC=C2NC=1)C(=O)N[C@@H](CC=1C2=CC=CC=C2NC=1)C(=O)N[C@@H](CCC(O)=O)C(=O)N[C@@H](CC(C)C)C(=O)N[C@@H](CCCNC(N)=N)C(O)=O)C(C)C)[C@@H](C)O)NC(=O)[C@H](CO)NC(=O)[C@H](CC(O)=O)NC(=O)[C@H](CC(C)C)NC(=O)[C@H](CO)NC(=O)[C@H](CCC(O)=O)NC(=O)[C@@H](NC(=O)[C@H](CC=1NC=NC=1)NC(=O)[C@H](CCSC)NC(=O)[C@H](CS)NC(=O)[C@@H](NC(=O)CNC(=O)CNC(=O)[C@H](CC(N)=O)NC(=O)[C@H](CC(C)C)NC(=O)[C@H](CS)NC(=O)[C@H](CC=1C=CC(O)=CC=1)NC(=O)CNC(=O)[C@H](CC(O)=O)NC(=O)[C@H](CC=1C=CC(O)=CC=1)NC(=O)[C@H](CO)NC(=O)[C@H](CO)NC(=O)[C@H]1N(CCC1)C(=O)[C@H](CS)NC(=O)CNC(=O)[C@H]1N(CCC1)C(=O)[C@H](CC=1C=CC(O)=CC=1)NC(=O)[C@H](CO)NC(=O)[C@@H](N)CC(N)=O)C(C)C)[C@@H](C)CC)C1=CC=C(O)C=C1 VBEQCZHXXJYVRD-GACYYNSASA-N 0.000 description 1
- 229960000653 valrubicin Drugs 0.000 description 1
- ZOCKGBMQLCSHFP-KQRAQHLDSA-N valrubicin Chemical compound O([C@H]1C[C@](CC2=C(O)C=3C(=O)C4=CC=CC(OC)=C4C(=O)C=3C(O)=C21)(O)C(=O)COC(=O)CCCC)[C@H]1C[C@H](NC(=O)C(F)(F)F)[C@H](O)[C@H](C)O1 ZOCKGBMQLCSHFP-KQRAQHLDSA-N 0.000 description 1
- 235000013311 vegetables Nutrition 0.000 description 1
- 239000003981 vehicle Substances 0.000 description 1
- 229940099039 velcade Drugs 0.000 description 1
- 229960001722 verapamil Drugs 0.000 description 1
- 229960003636 vidarabine Drugs 0.000 description 1
- 229950011361 viprostol Drugs 0.000 description 1
- 230000003612 virological effect Effects 0.000 description 1
- 238000005406 washing Methods 0.000 description 1
- 230000003442 weekly effect Effects 0.000 description 1
- 238000009736 wetting Methods 0.000 description 1
- 239000000080 wetting agent Substances 0.000 description 1
- XRASPMIURGNCCH-UHFFFAOYSA-N zoledronic acid Chemical compound OP(=O)(O)C(P(O)(O)=O)(O)CN1C=CN=C1 XRASPMIURGNCCH-UHFFFAOYSA-N 0.000 description 1
- 229960004276 zoledronic acid Drugs 0.000 description 1
Images
Classifications
-
- C—CHEMISTRY; METALLURGY
- C07—ORGANIC CHEMISTRY
- C07K—PEPTIDES
- C07K16/00—Immunoglobulins [IGs], e.g. monoclonal or polyclonal antibodies
- C07K16/18—Immunoglobulins [IGs], e.g. monoclonal or polyclonal antibodies against material from animals or humans
- C07K16/28—Immunoglobulins [IGs], e.g. monoclonal or polyclonal antibodies against material from animals or humans against receptors, cell surface antigens or cell surface determinants
- C07K16/2875—Immunoglobulins [IGs], e.g. monoclonal or polyclonal antibodies against material from animals or humans against receptors, cell surface antigens or cell surface determinants against the NGF/TNF superfamily, e.g. CD70, CD95L, CD153, CD154
-
- A—HUMAN NECESSITIES
- A61—MEDICAL OR VETERINARY SCIENCE; HYGIENE
- A61K—PREPARATIONS FOR MEDICAL, DENTAL OR TOILETRY PURPOSES
- A61K47/00—Medicinal preparations characterised by the non-active ingredients used, e.g. carriers or inert additives; Targeting or modifying agents chemically bound to the active ingredient
- A61K47/50—Medicinal preparations characterised by the non-active ingredients used, e.g. carriers or inert additives; Targeting or modifying agents chemically bound to the active ingredient the non-active ingredient being chemically bound to the active ingredient, e.g. polymer-drug conjugates
- A61K47/51—Medicinal preparations characterised by the non-active ingredients used, e.g. carriers or inert additives; Targeting or modifying agents chemically bound to the active ingredient the non-active ingredient being chemically bound to the active ingredient, e.g. polymer-drug conjugates the non-active ingredient being a modifying agent
- A61K47/62—Medicinal preparations characterised by the non-active ingredients used, e.g. carriers or inert additives; Targeting or modifying agents chemically bound to the active ingredient the non-active ingredient being chemically bound to the active ingredient, e.g. polymer-drug conjugates the non-active ingredient being a modifying agent the modifying agent being a protein, peptide or polyamino acid
- A61K47/65—Peptidic linkers, binders or spacers, e.g. peptidic enzyme-labile linkers
-
- A—HUMAN NECESSITIES
- A61—MEDICAL OR VETERINARY SCIENCE; HYGIENE
- A61K—PREPARATIONS FOR MEDICAL, DENTAL OR TOILETRY PURPOSES
- A61K47/00—Medicinal preparations characterised by the non-active ingredients used, e.g. carriers or inert additives; Targeting or modifying agents chemically bound to the active ingredient
- A61K47/50—Medicinal preparations characterised by the non-active ingredients used, e.g. carriers or inert additives; Targeting or modifying agents chemically bound to the active ingredient the non-active ingredient being chemically bound to the active ingredient, e.g. polymer-drug conjugates
- A61K47/51—Medicinal preparations characterised by the non-active ingredients used, e.g. carriers or inert additives; Targeting or modifying agents chemically bound to the active ingredient the non-active ingredient being chemically bound to the active ingredient, e.g. polymer-drug conjugates the non-active ingredient being a modifying agent
- A61K47/68—Medicinal preparations characterised by the non-active ingredients used, e.g. carriers or inert additives; Targeting or modifying agents chemically bound to the active ingredient the non-active ingredient being chemically bound to the active ingredient, e.g. polymer-drug conjugates the non-active ingredient being a modifying agent the modifying agent being an antibody, an immunoglobulin or a fragment thereof, e.g. an Fc-fragment
- A61K47/6801—Drug-antibody or immunoglobulin conjugates defined by the pharmacologically or therapeutically active agent
- A61K47/6803—Drugs conjugated to an antibody or immunoglobulin, e.g. cisplatin-antibody conjugates
- A61K47/68031—Drugs conjugated to an antibody or immunoglobulin, e.g. cisplatin-antibody conjugates the drug being an auristatin
-
- A—HUMAN NECESSITIES
- A61—MEDICAL OR VETERINARY SCIENCE; HYGIENE
- A61K—PREPARATIONS FOR MEDICAL, DENTAL OR TOILETRY PURPOSES
- A61K47/00—Medicinal preparations characterised by the non-active ingredients used, e.g. carriers or inert additives; Targeting or modifying agents chemically bound to the active ingredient
- A61K47/50—Medicinal preparations characterised by the non-active ingredients used, e.g. carriers or inert additives; Targeting or modifying agents chemically bound to the active ingredient the non-active ingredient being chemically bound to the active ingredient, e.g. polymer-drug conjugates
- A61K47/51—Medicinal preparations characterised by the non-active ingredients used, e.g. carriers or inert additives; Targeting or modifying agents chemically bound to the active ingredient the non-active ingredient being chemically bound to the active ingredient, e.g. polymer-drug conjugates the non-active ingredient being a modifying agent
- A61K47/68—Medicinal preparations characterised by the non-active ingredients used, e.g. carriers or inert additives; Targeting or modifying agents chemically bound to the active ingredient the non-active ingredient being chemically bound to the active ingredient, e.g. polymer-drug conjugates the non-active ingredient being a modifying agent the modifying agent being an antibody, an immunoglobulin or a fragment thereof, e.g. an Fc-fragment
- A61K47/6835—Medicinal preparations characterised by the non-active ingredients used, e.g. carriers or inert additives; Targeting or modifying agents chemically bound to the active ingredient the non-active ingredient being chemically bound to the active ingredient, e.g. polymer-drug conjugates the non-active ingredient being a modifying agent the modifying agent being an antibody, an immunoglobulin or a fragment thereof, e.g. an Fc-fragment the modifying agent being an antibody or an immunoglobulin bearing at least one antigen-binding site
- A61K47/6849—Medicinal preparations characterised by the non-active ingredients used, e.g. carriers or inert additives; Targeting or modifying agents chemically bound to the active ingredient the non-active ingredient being chemically bound to the active ingredient, e.g. polymer-drug conjugates the non-active ingredient being a modifying agent the modifying agent being an antibody, an immunoglobulin or a fragment thereof, e.g. an Fc-fragment the modifying agent being an antibody or an immunoglobulin bearing at least one antigen-binding site the antibody targeting a receptor, a cell surface antigen or a cell surface determinant
-
- A—HUMAN NECESSITIES
- A61—MEDICAL OR VETERINARY SCIENCE; HYGIENE
- A61K—PREPARATIONS FOR MEDICAL, DENTAL OR TOILETRY PURPOSES
- A61K49/00—Preparations for testing in vivo
- A61K49/0004—Screening or testing of compounds for diagnosis of disorders, assessment of conditions, e.g. renal clearance, gastric emptying, testing for diabetes, allergy, rheuma, pancreas functions
- A61K49/0008—Screening agents using (non-human) animal models or transgenic animal models or chimeric hosts, e.g. Alzheimer disease animal model, transgenic model for heart failure
-
- A—HUMAN NECESSITIES
- A61—MEDICAL OR VETERINARY SCIENCE; HYGIENE
- A61K—PREPARATIONS FOR MEDICAL, DENTAL OR TOILETRY PURPOSES
- A61K49/00—Preparations for testing in vivo
- A61K49/001—Preparation for luminescence or biological staining
- A61K49/0013—Luminescence
- A61K49/0017—Fluorescence in vivo
- A61K49/0019—Fluorescence in vivo characterised by the fluorescent group, e.g. oligomeric, polymeric or dendritic molecules
- A61K49/0021—Fluorescence in vivo characterised by the fluorescent group, e.g. oligomeric, polymeric or dendritic molecules the fluorescent group being a small organic molecule
- A61K49/0041—Xanthene dyes, used in vivo, e.g. administered to a mice, e.g. rhodamines, rose Bengal
-
- A—HUMAN NECESSITIES
- A61—MEDICAL OR VETERINARY SCIENCE; HYGIENE
- A61K—PREPARATIONS FOR MEDICAL, DENTAL OR TOILETRY PURPOSES
- A61K49/00—Preparations for testing in vivo
- A61K49/001—Preparation for luminescence or biological staining
- A61K49/0013—Luminescence
- A61K49/0017—Fluorescence in vivo
- A61K49/005—Fluorescence in vivo characterised by the carrier molecule carrying the fluorescent agent
- A61K49/0058—Antibodies
-
- A—HUMAN NECESSITIES
- A61—MEDICAL OR VETERINARY SCIENCE; HYGIENE
- A61P—SPECIFIC THERAPEUTIC ACTIVITY OF CHEMICAL COMPOUNDS OR MEDICINAL PREPARATIONS
- A61P35/00—Antineoplastic agents
-
- A—HUMAN NECESSITIES
- A61—MEDICAL OR VETERINARY SCIENCE; HYGIENE
- A61K—PREPARATIONS FOR MEDICAL, DENTAL OR TOILETRY PURPOSES
- A61K39/00—Medicinal preparations containing antigens or antibodies
- A61K2039/505—Medicinal preparations containing antigens or antibodies comprising antibodies
-
- C—CHEMISTRY; METALLURGY
- C07—ORGANIC CHEMISTRY
- C07K—PEPTIDES
- C07K2317/00—Immunoglobulins specific features
- C07K2317/50—Immunoglobulins specific features characterized by immunoglobulin fragments
- C07K2317/56—Immunoglobulins specific features characterized by immunoglobulin fragments variable (Fv) region, i.e. VH and/or VL
-
- C—CHEMISTRY; METALLURGY
- C07—ORGANIC CHEMISTRY
- C07K—PEPTIDES
- C07K2317/00—Immunoglobulins specific features
- C07K2317/50—Immunoglobulins specific features characterized by immunoglobulin fragments
- C07K2317/56—Immunoglobulins specific features characterized by immunoglobulin fragments variable (Fv) region, i.e. VH and/or VL
- C07K2317/565—Complementarity determining region [CDR]
-
- C—CHEMISTRY; METALLURGY
- C07—ORGANIC CHEMISTRY
- C07K—PEPTIDES
- C07K2317/00—Immunoglobulins specific features
- C07K2317/70—Immunoglobulins specific features characterized by effect upon binding to a cell or to an antigen
- C07K2317/73—Inducing cell death, e.g. apoptosis, necrosis or inhibition of cell proliferation
Definitions
- CD70 is a member of the tumor necrosis factor (TNF) family of cell membrane-bound and secreted molecules that are expressed by a variety of normal and malignant cell types.
- TNF tumor necrosis factor
- the primary amino acid (AA) sequence of CD70 predicts a transmembrane type II protein with its carboxyl terminus exposed to the outside of cells and its amino terminus found in the cytosolic side of the plasma membrane (Bowman et al., 1994, J Immunol 152:1756-61; Goodwin et al., 1993, Cell 73:447-56).
- Human CD70 is composed of a 20 AA cytoplasmic domain, an 18 AA transmembrane domain, and a 155 AA extracytoplasmic domain with two potential N-linked glycosylation sites (Bowman et al., supra; Goodwin et al., supra). Specific immunoprecipitation of radioisotope-labeled CD70-expressing cells by anti-CD70 antibodies yields polypeptides of 29 and 50 kDa (Goodwin et al., supra; Hintzen et al., 1994, J Immunol 152:1762-73).
- CD70 is expressed on germinal center B cells and rare T cells in tonsils, skin, and gut (Hintzen et al., 1994, Int Immunol 6:477-80). Subsequently, CD70 was reported to be expressed on the cell surface of recently antigen-activated T and B lymphocytes, and its expression wanes after the removal of antigenic stimulation (Lens et al., 1996, Eur J Immunol 26:2964-71; Lens et al., 1997, Immunology 90:38-45).
- CD70 has been detected on thymic medullar epithelial cells (Hintzen et al., 1994, supra; Hishima et al., 2000, Am J Surg Pathol 24:742-46).
- CD70 expression has been reported in different types of cancers including lymphomas, carcinomas, and tumors of neural origin. In malignant B cells, 71% of diffuse large B-cell lymphomas, 33% of follicle center lymphomas, 25% of mantle lymphomas, and 50% of B-CLL have been reported to express CD70 (Lens et al., 1999, Br J Haematol 106:491-503). CD70 is frequently expressed together with other lymphoid activation markers on the malignant Hodgkin and Reed-Sternberg cells of Hodgkin's disease (Gruss and Kadin, 1996, Bailieres Clin Haematol 9:417-46).
- CD70 has also been detected on brain tumor cells, especially glioma cell lines, solid human gliomas, and meningiomas (Held-Feindt and Mentlein, 2002, Int J Cancer 98:352-56; Wischlusen et al., 2002, Can Res 62:2592-99).
- transforming viruses including the Epstein-Barr virus (EBV) and the human T leukemia virus-1 (HTLV-1) can induce CD70 on cells such as epithelial cells that normally do not express CD70 (Agathanggelou et al., supra; Stein et al., 1989, Oxford University Press, p. 446). Therefore, expression of CD70 on malignant B cells could be a reflection of oncogenic transformation (Lens et al., 1999, supra). Also, since CD70 expression is induced on B cells after antigen encounter (Maurer et al., 1990, Eur J Immunol 20:2679-84; Lens et al., 1996, supra), stable expression of CD70 might reflect prolonged antigenic stimulation.
- EBV Epstein-Barr virus
- HTLV-1 human T leukemia virus-1
- CD27 a glycosylated type I transmembrane protein of about 55 kDa (Goodwin et al., 1993, Cell 73:447-56; Hintzen et al., 1994, supra). CD70 is sometimes referred to as CD27L.
- CD27 which exists as a homodimer on the cell surface (Gravestein et al., 1993, Eur J Immunol 23:943-50), is a member of the TNF receptor superfamily as defined by cysteine-rich repeats of about 40 amino acids in the extracellular domain (Smith et al., 1990, Science 248:1019-23; Locksley et al., 2001, Cell 104:487-501).
- CD27 is typically expressed by thymocytes, NK, T, and B cells (Hintzen et al., 1994, Immunol Today 15:307-11; Lens et al., 1998, Semin Immunol 10:491-99). On resting T cells, CD27 is constitutively expressed, yet antigenic triggering further upregulates CD27 expression (de Jong et al., 1991, J Immunol 146:2488-94; Hintzen et al., 1993, J Immunol. 151:2426-35).
- triggering of T cells via their T cell antigen receptor complex alone or in combination with the accessory molecule CD28 releases soluble CD27 from activated T cells (Hintzen et al., 1991, J Immunol 147:29-35).
- Na ⁇ ve B cells do not express CD27, but its expression is induced and, in contrast to CD70, sustained after antigenic triggering of B cells (Jacquot S et al., 1997 J Immunol 159:2652-57; Kobata T et al., 1995, Proc Natl Acad Sci USA 92:11249-53).
- both CD27 and CD70 are frequently co-expressed in many B cell non-Hodgkin's lymphomas and leukemias. This could potentially lead to functional CD27-CD70 interactions on these cells in the form of an autocrine loop, resulting in CD27 signaling and in CD70-induced proliferation, thereby providing a growth advantage to malignant cells (Lens et al., 1999, supra).
- the available data supports a model in which ligation of CD27 on activated lymphocytes by CD70 delivers signals to the CD27-expressing cells, including co-stimulatory signals in T, B, and NK cells.
- ligation of CD27 on activated lymphocytes by CD70 delivers signals to the CD27-expressing cells, including co-stimulatory signals in T, B, and NK cells.
- CD70 antibodies have the ability to enhance T cell proliferation when they are presented to CD70-expressing T cells either cross-linked with a secondary antibody or immobilized on tissue culture plates (Bowman et al., 1994, J Immunol 152:1756-61; Brugnoni, 1997, Immunol Lett 55:99-104).
- B-CLL B chronic lymphocytic leukemia
- CD70/CD27 mediated T cell-T cell interactions may play a role in enhancing T H 1-mediated immune responses rather than T H 2-mediated responses.
- the anti-mouse CD70 mAb FR-70 is also effective in inhibiting T H 1-mediated collagen-induced arthritis (Nakajima et al., 2000, supra).
- GVHD acute graft versus host disease
- BMT bone marrow transplantation
- CD70 has been detected in vivo on CD4+ cells in conditions characterized by allogeneic reaction, as in cases of maternal T cell engraftment in severe combined immune deficiency patients (Brugnoni et al., Immunol Lett 55:99-104).
- Prophylaxis of GVHD is achieved by pan-T cell immunosuppressive agents such as cyclosporine, corticosteroids, or methotrexate.
- pan-T cell immunosuppressive agents such as cyclosporine, corticosteroids, or methotrexate.
- these agents are also associated with significant adverse side effects.
- other therapeutic interventions based on selective targeting of T cells directly participating in allo-recognition and graft rejection are much needed.
- CD70 is a potentially useful target for antibody-directed immunotherapy.
- CD70 has a restricted expression pattern in normal cells: CD70 expression is mostly restricted to recently antigen-activated T and B cells under physiological conditions, and its expression is down-regulated when antigenic stimulation ceases.
- the key role of CD70 is believed to be facilitating plasma cell differentiation and contributing to the generation and maintenance of long-term T cell memory.
- evidence from animal models suggests that unregulated CD70/CD27 interaction may contribute to immunological disorders, and, in humans, experimental data have also pointed towards potential abnormal regulation of the CD70/CD27 pathway in T H 1-mediated immune disorders such as, e.g., rheumatoid arthritis, psoriasis, and multiple sclerosis.
- CD70 is expressed on a variety of transformed cells including lymphoma B cells, Hodgkin and Reed-Sternberg cells, malignant cells of neural origin, and a number of carcinomas.
- anti-CD70 mAb can only partially inhibit in vitro T cell activation induced by allogeneic stimulator cells (Hintzen et al., 1995, supra) and an anti-CD70 mAb showed no therapeutic efficacy in EAE once the disease is established (Nakajima et al., 2000, supra).
- CD70-expressing cells involved in cancers and/or immunological diseases by means other than or in addition to blocking the CD70/CD27 interaction.
- CD70 is expressed on the surface of mature antigen presenting dendritic cells, activated T cells, and activated B cells, agents that can target and inhibit or deplete CD70 + cells may prove to be effective in the removal of antigen presenting cells presenting autoantigens and offending autoreactive activated T or B cells, as wells as CD70-expressing tumor cells.
- ADCs anti-CD70 antibody-drug conjugates
- Such compounds would be useful therapeutic agents against cancers that express CD70 or immune disorders that are mediated by CD70-expressing cells.
- the present invention provides antibody-drug conjugates (ADCs) and ADC derivatives and methods relating to the use of such conjugates to treat CD70-expressing cancers and immunological disorders.
- ADC antibody-drug conjugates
- the antibody, or other targeting moiety in the ADC binds to CD70.
- a drug conjugated to the antibody or targeting moiety exerts a cytotoxic, cytostatic, or immunosuppressive effect on CD70-expressing cells to treat or prevent recurrence of CD70-expressing cancers or immunological disorders.
- methods for the treatment of a CD70-expressing cancer in a subject.
- the methods generally include administering to the subject an effective amount of an antibody-drug conjugate.
- the antibody-drug conjugate includes an antibody that binds to CD70 (“CD70 antibody”).
- the antibody is conjugated to a drug that is a cytotoxic or cytostatic agent.
- the antibody is the monoclonal antibody 1F6 or 2F2.
- the antibody binds to CD70 and competes for binding to CD70 with monoclonal antibody 1F6 or 2F2.
- a CD70 antibody can include at least one polypeptide region selected from (a) an H1 region having at least 80% sequence identity to the amino acid sequence set forth in SEQ ID NO:6; (b) an H2 region having at least 80% sequence identity to the amino acid sequence set forth in SEQ ID NO:8; an H3 region having at least 80% sequence identity to the amino acid sequence set forth in SEQ ID NO:10; (d) an L1 region having at least 80% sequence identity to the amino acid sequence set forth in SEQ ID NO:16; (e) an L2 region having at least 80% sequence identity to the amino acid sequence set forth in SEQ ID NO:18; (f) an L3 region having at least 80% sequence identity to the amino acid sequence set forth in SEQ ID NO:20; (g) an H1 region having at least 80% sequence identity to the amino acid sequence set forth in SEQ ID NO:26; (h) an
- the CD70 antibody includes the H1, H2, and H3 regions of (a), (b), and (c) (supra); or the H1, H2, and H3 regions of (g), (h), and (i) (supra).
- the H1, H2, H3, L1, L2 and L3 regions of the CD70 antibody include polypeptide regions have the amino acid sequences set forth in SEQ ID NO:6, SEQ ID NO:8, SEQ ID NO:10; SEQ ID NO:16, SEQ ID NO:18, and SEQ ID NO:20, respectively.
- the H1, H2, and H3 regions correspond to (a), (b), and (c) (supra) and the L1, L2, and L3 regions correspond to (d), (e), and (f) (supra), respectively; or the H1, H2, and H3 regions correspond to (g), (h), and (i) (supra) and the L1, L2, and L3 regions correspond to (j), (k), and (l) (supra).
- the CD70 antibody comprises a heavy chain variable region having at least 80% sequence identity to the amino acid sequence set forth in SEQ ID NO:2 or SEQ ID NO 22.
- the CD70 heavy chain variable region also can have the amino acid sequence set forth in SEQ ID NO:2 or SEQ ID NO:22.
- the heavy chain variable region has at least 80% sequence identity to SEQ ID NO:2 or SEQ ID NO:22, and the light chain variable region has at least 80% sequence identity to the amino acid sequence set forth in SEQ ID NO:12 or SEQ ID NO:32.
- the light chain variable region also can have the amino acid sequence set forth in SEQ ID NO:12 or SEQ ID NO:32.
- the antibody-drug conjugate is 1F6-val-cit-AFP, 1F6-val-cit-MMAF, 1F6-val-cit-MMAE, 2F2-val-cit-AFP, 2F2-val-cit-MMAF, and 2F2-val-cit-MMAE.
- the CD70 antibody can be, for example, a chimeric, humanized, or human antibody. In certain embodiments, the CD70 antibody is a chimeric antibody having a human constant region. The CD70 antibody can be monovalent or polyvalent.
- Suitable cytotoxic agents can be, for example, an auristatin, a DNA minor groove binding agent, a DNA minor groove alkylating agent, an enediyne, a lexitropsin, a duocarmycin, a taxane, a puromycin, a dolastatin, a maytansinoid, and a vinca alkaloid.
- the cytotoxic agent is AFP, MMAF, MMAE, AEB, AEVB, auristatin E, paclitaxel, docetaxel, CC-1065, SN-38, topotecan, morpholino-doxorubicin, rhizoxin, cyanomorpholino-doxorubicin, dolastatin-10, echinomycin, combretatstatin, chalicheamicin, maytansine, DM-1, or netropsin.
- cytotoxic agents include anti-tubulin agents, such as an auristatin, a vinca alkaloid, a podophyllotoxin, a taxane, a baccatin derivative, a cryptophysin, a maytansinoid, a combretastatin, or a dolastatin.
- anti-tubulin agents such as an auristatin, a vinca alkaloid, a podophyllotoxin, a taxane, a baccatin derivative, a cryptophysin, a maytansinoid, a combretastatin, or a dolastatin.
- the antitubulin agent is AFP, MMAF, MMAE, AEB, AEVB, auristatin E, vincristine, vinblastine, vindesine, vinorelbine, VP-16, camptothecin, paclitaxel, docetaxel, epothilone A, epothilone B, nocodazole, colchicines, colcimid, estramustine, cemadotin, discodermolide, maytansine, DM-1, or eleutherobin.
- the antibody can be conjugated directly to the cytotoxic agent or via a linker.
- Suitable linkers include, for example, cleavable and non-cleavable linkers.
- a cleavable linker is typically susceptible to cleavage under intracellular conditions.
- Suitable cleavable linkers include, for example, a peptide linker cleavable by an intracellular protease, such as lysosomal protease or an endosomal protease.
- the linker can be a dipeptide linker, such as a valine-citrulline (val-cit) or a phenylalanine-lysine (phe-lys) linker.
- Other suitable linkers include linkers hydrolyzable at a pH of less than 5.5, such as a hydrazone linker. Additional suitable cleavable linkers include disulfide linkers.
- An antibody-drug conjugate can be targeted to CD70-expressing cells, such as for example, Hodgkin's disease (e.g., Reed-Sternberg cells); cancers of the B-cell lineage, including, e.g., diffuse large B-cell lymphomas, follicular lymphomas, Burkitt's lymphoma, mantle cell lymphomas, B-cell lymphocytic leukemias (e.g., acute lymphocytic leukemia, chronic lymphocytic leukemia); Epstein Barr Virus positive B cell lymphomas; gliomas; glioblastomas; neuroblastomas; astrocytomas; meningiomas; Waldenstrom macroglobulinemia; multiple myelomas; and colon, stomach, and rectal carcinomas.
- the antibody-drug conjugate also can be targeted to CD70-expressing immune cells, such as an activated T cell, an activated B cell, or a mature dendritic cell.
- methods for treating an immunological disorder.
- the methods generally include administering to a subject an amount effective of an antibody-drug conjugate comprising an antibody that binds CD70.
- the antibody is conjugated to a cytotoxic agent or an immunosuppressive agent.
- the antibody is the monoclonal antibody 1F6 or 2F2.
- the antibody binds to CD70 and competes for binding to CD70 with monoclonal antibody 1F6 or 2F2.
- the CD70 antibody can include at least one polypeptide region selected from (a) an H1 region having at least 80% sequence identity to the amino acid sequence set forth in SEQ ID NO:6; (b) an H2 region having at least 80% sequence identity to the amino acid sequence set forth in SEQ ID NO:8; an H3 region having at least 80% sequence identity to the amino acid sequence set forth in SEQ ID NO:10; (d) an L1 region having at least 80% sequence identity to the amino acid sequence set forth in SEQ ID NO:16; (e) an L2 region having at least 80% sequence identity to the amino acid sequence set forth in SEQ ID NO:18; (f) an L3 region having at least 80% sequence identity to the amino acid sequence set forth in SEQ ID NO:20; (g) an H1 region having at least 80% sequence identity to the amino acid sequence set forth in SEQ ID NO:26; (h) an H2
- the CD70 antibody includes the H1, H2, and H3 regions of (a), (b), and (c) (supra); or the H1, H2, and H3 regions of (g), (h), and (i) (supra), respectively.
- the H1, H2, H3, L1, L2 and L3 regions of the CD70 antibody includes polypeptide regions have the amino acid sequences set forth in SEQ ID NO:6, SEQ ID NO:8, SEQ ID NO:10; SEQ ID NO:16, SEQ ID NO:18, and SEQ ID NO:20, respectively.
- the H1, H2, and H3 regions correspond to (a), (b), and (c) (supra) and the L1, L2, and L3 regions correspond to (d), (e), and (f) (supra), respectively; or the H1, H2, and H3 regions correspond to (g), (h), and (i) (supra) and the L1, L2, and L3 regions correspond to (j), (k), and (l) (supra), respectively.
- the CD70 antibody comprises a heavy chain variable region having at least 80% sequence identity to the amino acid sequence set forth in SEQ ID NO:2 or SEQ ID NO 22.
- the CD70 heavy chain variable region also can have the amino acid sequence set forth in SEQ ID NO:2 or SEQ ID NO:22.
- the heavy chain variable region has at least 80% sequence identity to SEQ ID NO:2 or SEQ ID NO:22, and the light chain variable region has at least 80% sequence identity to the amino acid sequence set forth in SEQ ID NO:12 or SEQ ID NO:32.
- the light chain variable region also can have the amino acid sequence set forth in SEQ ID NO:12 or SEQ ID NO:32.
- the antibody-drug conjugate is 1F6-val-cit-AFP, 1F6-val-cit-MMAF, 1F6-val-cit-MMAE, 2F2-val-cit-AFP, 2F2-val-cit-MMAF, and 2F2-val-cit-MMAE.
- the CD70 antibody can be, for example, a chimeric, humanized, or human antibody. In certain embodiments, the CD70 antibody is a chimeric antibody having a human constant region. The CD70 antibody can be monovalent or polyvalent.
- Suitable cytotoxic agents can be, for example, an auristatin, a DNA minor groove binding agent, a DNA minor groove alkylating agent, an enediyne, a lexitropsin, a duocarmycin, a taxane, a puromycin, a dolastatin, a maytansinoid, and a vinca alkaloid.
- the drug is cytotoxic agent is AFP, MMAF, MMAE, AEB, AEVB, auristatin E, paclitaxel, docetaxel, CC-1065, SN-38, topotecan, morpholino-doxorubicin, rhizoxin, cyanomorpholino-doxorubicin, dolastatin-10, echinomycin, combretatstatin, chalicheamicin, maytansine, DM-1, or netropsin.
- cytotoxic agents include anti-tubulin agents, such as an auristatin, a vinca alkaloid, a podophyllotoxin, a taxane, a baccatin derivative, a cryptophysin, a maytansinoid, a combretastatin, or a dolastatin.
- anti-tubulin agents such as an auristatin, a vinca alkaloid, a podophyllotoxin, a taxane, a baccatin derivative, a cryptophysin, a maytansinoid, a combretastatin, or a dolastatin.
- the antitubulin agent is AFP, MMAF, MMAE, AEB, AEVB, auristatin E, vincristine, vinblastine, vindesine, vinorelbine, VP-16, camptothecin, paclitaxel, docetaxel, epothilone A, epothilone B, nocodazole, colchicines, colcimid, estramustine, cemadotin, discodermolide, maytansine, DM-1, or eleutherobin.
- Suitable immunosuppressive agents include, for example, gancyclovir, etanercept, cyclosporine, tacrolimus, rapamycin, cyclophosphamide, azathioprine, mycophenolate mofetil, methotrexate, cortisol, aldosterone, dexamethasone, a cyclooxygenase inhibitor, a 5-lipoxygenase inhibitor, or a leukotriene receptor antagonist.
- the antibody can be conjugated directly to the cytotoxic agent or immunosuppressive agent, or via a linker.
- Suitable linkers include, for example, cleavable and non-cleavable linkers.
- a cleavable linker is typically susceptible to cleavage under intracellular conditions.
- Suitable cleavable linkers include, for example, a peptide linker cleavable by an intracellular protease, such as lysosomal protease or an endosomal protease.
- the linker can be a dipeptide linker, such as a valine-citrulline (val-cit) or a phenylalanine-lysine (phe-lys) linker.
- a dipeptide linker such as a valine-citrulline (val-cit) or a phenylalanine-lysine (phe-lys) linker.
- Other suitable linkers include cleavable linker hydrolyzable at a pH of less than 5.5, such as a hydrazone linker. Further suitable cleavable linkers include disulfide linkers.
- the ADC can be targeted to cells of an immunological disorder, such as, for example, Th1-mediated immunological disorders.
- Th1-mediated immunological disorders include, for example, rheumatoid arthritis, multiple sclerosis, psoriasis, Sjorgren's syndrome, Hashimoto's thyroiditis, Grave's disease, primary biliary cirrhosis, Wegener's granulomatosis, tuberculosis, or acute graft versus host disease.
- Other immunological disorders include, for example, an activated B-lymphocyte disorder.
- the subject can be a human or a non-human animal.
- antibody-drug conjugates include an antibody that binds to CD70.
- the antibody is conjugated to a cytotoxic agent or an immunosuppressive agent.
- the antibody-drug conjugate can exerts a cytotoxic or cytostatic effect on a CD70-expressing cancer cell line, and/or a cytotoxic, cytostatic, or immunosuppressive effect on a CD70-expressing immune cell.
- the antibody is the monoclonal antibody 1F6 or 2F2. In other embodiments, the antibody binds to CD70 and competes for binding to CD70 with monoclonal antibody 1F6 or 2F2.
- the CD70 antibody can include at least one polypeptide region selected from (a) an H1 region having at least 80% sequence identity to the amino acid sequence set forth in SEQ ID NO:6; (b) an H2 region having at least 80% sequence identity to the amino acid sequence set forth in SEQ ID NO:8; (c) an H3 region having at least 80% sequence identity to the amino acid sequence set forth in SEQ ID NO:10; (d) an L1 region having at least 80% sequence identity to the amino acid sequence set forth in SEQ ID NO:16; (e) an L2 region having at least 80% sequence identity to the amino acid sequence set forth in SEQ ID NO:18; (f) an L3 region having at least 80% sequence identity to the amino acid sequence set forth in SEQ ID NO:20; (g) an H1 region having at least 80% sequence
- the CD70 antibody includes the H1, H2, and H3 regions of (a), (b), and (c) (supra); or the H1, H2, and H3 regions of (g), (h), and (i) (supra), respectively.
- the H1, H2, H3, L1, L2 and L3 regions of the CD70 antibody includes polypeptide regions have the amino acid sequences set forth in SEQ ID NO:6, SEQ ID NO:8, SEQ ID NO:10; SEQ ID NO:16, SEQ ID NO:18, and SEQ ID NO:20, respectively.
- the H1, H2, and H3 regions correspond to (a), (b), and (c) (supra) and the L1, L2, and L3 regions correspond to (d), (e), and (f) (supra), respectively; or the H1, H2, and H3 regions correspond to (g), (h), and (i) (supra) and the L1, L2, and L3 regions correspond to (j), (k), and (l) (supra), respectively.
- the CD70 antibody comprises a heavy chain variable region having at least 80% sequence identity to the amino acid sequence set forth in SEQ ID NO:2 or SEQ ID NO 22.
- the CD70 heavy chain variable region also can have the amino acid sequence set forth in SEQ ID NO:2 or SEQ ID NO:22.
- the heavy chain variable region has at least 80% sequence identity to SEQ ID NO:2 or SEQ ID NO:22, and the light chain variable region has at least 80% sequence identity to the amino acid sequence set forth in SEQ ID NO:12 or SEQ ID NO:32.
- the light chain variable region also can have the amino acid sequence set forth in SEQ ID NO:12 or SEQ ID NO:32.
- the antibody-drug conjugate is 1F6-val-cit-AFP, 1F6-val-cit-MMAF, 1F6-val-cit-MMAE, 2F2-val-cit-AFP, 2F2-val-cit-MMAF, and 2F2-val-cit-MMAE.
- the CD70 antibody can be, for example, a chimeric, humanized, or human antibody. In certain embodiments, the CD70 antibody is a chimeric antibody having a human constant region. The CD70 antibody can be monovalent or polyvalent.
- Suitable cytotoxic agents can be, for example, an auristatin, a DNA minor groove binding agent, a DNA minor groove alkylating agent, an enediyne, a lexitropsin, a duocarmycin, a taxane, a puromycin, a dolastatin, a maytansinoid, and a vinca alkaloid.
- the drug is cytotoxic agent is AFP, MMAF, MMAE, AEB, AEVB, auristatin E, paclitaxel, docetaxel, CC-1065, SN-38, topotecan, morpholino-doxorubicin, rhizoxin, cyanomorpholino-doxorubicin, dolastatin-10, echinomycin, combretatstatin, chalicheamicin, maytansine, DM-1, or netropsin.
- cytotoxic agents include anti-tubulin agents, such as an auristatin, a vinca alkaloid, a podophyllotoxin, a taxane, a baccatin derivative, a cryptophysin, a maytansinoid, a combretastatin, or a dolastatin.
- anti-tubulin agents such as an auristatin, a vinca alkaloid, a podophyllotoxin, a taxane, a baccatin derivative, a cryptophysin, a maytansinoid, a combretastatin, or a dolastatin.
- the antitubulin agent is AFP, MMAF, MMAE, AEB, AEVB, auristatin E, vincristine, vinblastine, vindesine, vinorelbine, VP-16, camptothecin, paclitaxel, docetaxel, epothilone A, epothilone B, nocodazole, colchicines, colcimid, estramustine, cemadotin, discodermolide, maytansine, DM-1, or eleutherobin.
- Suitable immunosuppressive agents include, for example, gancyclovir, etanercept, cyclosporine, tacrolimus, rapamycin, cyclophosphamide, azathioprine, mycophenolate mofetil, methotrexate, cortisol, aldosterone, dexamethasone, a cyclooxygenase inhibitor, a 5-lipoxygenase inhibitor, or a leukotriene receptor antagonist.
- the antibody can be conjugated directly to the cytotoxic agent or immunosuppressive agent, or via a linker.
- Suitable linkers include, for example, cleavable and non-cleavable linkers.
- a cleavable linker is typically susceptible to cleavage under intracellular conditions.
- Suitable cleavable linkers include, for example, a peptide linker cleavable by an intracellular protease, such as a lysosomal protease or an endosomal protease.
- Antibody drug conjugates can be targeted to CD70-expressing cancer cells, such as for example, Hodgkin's disease (e.g., Reed-Sternberg cells); cancers of the B-cell lineage, including, e.g., diffuse large B-cell lymphomas, follicular lymphomas, Burkitt's lymphoma, mantle cell lymphomas, B-cell lymphocytic leukemias (e.g., acute lymphocytic leukemia, chronic lymphocytic leukemia); Epstein Barr Virus positive B cell lymphomas; gliomas; glioblastomas; neuroblastomas; astrocytomas; meningiomas; Waldenstrom macroglobulinemia; multiple myelomas; and colon, stomach, and rectal carcinomas.
- the antibody-drug conjugate also can be targeted to CD70-expressing immune cells, such as an activated T cell, an activated B cell, or a mature dendritic cell.
- compositions are provided for the treatment of a CD70-expressing cancer or an immunological disorder.
- the pharmaceutical compositions include an antibody-drug conjugate and at least one pharmaceutically compatible ingredient.
- pharmaceutical kits are provided.
- the kits include a container containing an antibody-drug conjugate.
- the antibody-drug conjugate is typically lyophilized.
- the kits can further include a second container containing a pharmaceutically acceptable diluent.
- FIG. 1 The 1F6 V L and V H cDNA and amino acid sequences.
- the coding and amino acid sequences for the light (V L , upper 2 panels) and heavy chain (V H , lower 2 panels) variable regions of 1F6 were determined.
- the complementarity determining regions (CDRs) for the V L and V H were identified according to criteria described in Kabat et al., 1991, Sequences of proteins of Immunogical Interest , Washington, D.C., US Department of Health and Public Services; Chothia and Lesk, 1987, J Mol Biol 196: 901-917. Amino acid residues corresponding to the CDRs are underlined.
- the signal peptide for the V L and V H are identified to be amino residues ⁇ 20 to 0 and ⁇ 19 to 0, respectively.
- FIG. 2 The 2F2 V L and V H cDNA and amino acid sequences.
- the coding and amino acid sequences for the light (V L , upper 2 panels) and heavy chain (V H , lower 2 panels) variable regions of 2F2 were determined.
- the complementarity determining regions (CDRs) for the V L and V H were identified according to criteria described in Kabat et al., 1991, Sequences of Proteins of Immunogical Interest , Washington, D.C., US Department of Health and Public Services; Chothia and Lesk, 1987, J. Mol. Biol. 196:901-917. Amino acid residues corresponding to the CDRs are underlined.
- the signal peptides for the V L and V H were identified to be amino residues ⁇ 20 to 0 and ⁇ 19 to 0, respectively.
- FIG. 3 Amino acid sequence comparison between the 1F6 and 2F2 CDRs.
- the amino acid sequences of 1F6 and 2F2 CDRs are aligned. Underlined residues represent conservative substitutions and boxed and italic residues represent divergent substitutions.
- FIG. 4 Expression of CD70 on hematologic cell lines. CD70 expression on the surface of a panel of hematologic cell lines of different tissue origins and sources was determined by flow cytometry. CD70 expression was expressed as binding ratios between the anti-CD70 mAb and control IgG.
- FIG. 5 Effects of anti-CD70 ADCs on the proliferation of transformed hematologic cell lines.
- a subset of the CD70 + cell lines shown in FIG. 4 and the CD70 ⁇ Jurkat cell line were tested for their sensitivity toward 1F6 ADCs.
- Graded doses of the 1F6-vcMMAE, 1F6-vcAFP, or the corresponding non-binding control IgG (IgG) ADCs were added to cells at the initiation of culture. Cells were exposed to the ADCs continuously for a total of 96 hours. Proliferation was determined by pulsing with 3 H-TdR during the last 16 hours of incubation.
- the upper panels show the response of the WSU-NHL and Jurkat lines.
- the lower panel summaries the responses by the tested cell lines to 1F6-vcMMAE and 1F6-vcAFP in form of IC 50 s.
- FIG. 6 Cancer Profiling Array (CPA) analysis of the expression of CD70 message in multiple cancer types.
- CPA Cancer Profiling Array
- Expression of CD70 in 241 tumor isolates and the corresponding adjacent normal tissues on a CPA was determined by hybridization with a CD70 cDNA probe. Thirteen tumor types are present on the array as indicated in the figure. Each pair of dots represents a tumor sample (right side, T) and the corresponding normal tissue (left side, N).
- T tumor sample
- N normal tissue
- the cDNA sample on the upper left spot is derived from the normal tissue, the upper right from the metastatic tumor, and the lower right from the primary tumor.
- Asterisks denote cDNA pairs in which CD70 transcript over-expression was detected in the tumor cDNA (tumor:normal ratio of >2-fold, based on hybridization intensity).
- FIG. 7 Over-expression of CD70 transcripts in renal cell carcinoma (RCC) detected by quantitative PCR.
- CD70 expression in RCC cDNA samples was compared to that detected in a pool of 4 normal kidneys by quantitative PCR using an ABI PRISM 7000 Sequence Detection System and the ⁇ Ct method. Numbers represent the fold of CD70 transcript expression in RCC compared to that in normal kidneys.
- FIGS. 8A and B CD70 protein expression in frozen tumor sections of RCC.
- A Binding of the anti-CD70 mAb 2F2 (right column) and a control IgG (left column) to serial frozen tumor sections derived two RCC donors was determined by immunohistochemistry staining. Photomicrographs were taken under 40 ⁇ magnification.
- B The same pair of antibodies was used to stain serial frozen normal tissue sections adjacent to the tumor obtained from the same RCC donors used in (A).
- FIGS. 9A and B Expression of CD70 on renal cell carcinoma cell lines (RCC).
- CD70 expression on the surface of a panel of RCC was determined by flow cytometry.
- A The staining profiles of an anti-CD70 (open curves) and a control IgG (closed curves) on four representative RCC cell lines 786-O, Caki-1, Caki-2, and Hs 835.T and two normal renal tubule epithelial lines RPTEC and HRCE are shown.
- B CD70 expression on additional RCC cell lines (CAL54, SK-RC-6, SK-RC-7, 786-O, A498, and ACHN) is compared to cell lines shown in (A).
- Mean fluorescence intensity of anti-CD70 staining and background fluorescence are plotted. Numbers on top of each bar indicate either mean fluorescence intensity obtained from anti-CD70 binding or background fluorescence.
- FIG. 10 Growth inhibitory and cytotoxicity activities of 1F6-vcAFP. 786-O or Caki-1 cells were incubated with graded doses of 1F6-vcAFP or the non-binding control IgG-vcAFP. Cells were incubated for a total of 96 hours. 3 H-thymidine incorporation (upper panel) and reduction of alamarBlue (lower panel) were used to determine proliferation and cell viability, respectively. Data points are expressed as percentages of the untreated control. Error bars represent the standard deviations of values obtained from quadruplicate wells.
- FIG. 11 Effects of anti-CD70 ADCs on the proliferation of RCC cell lines. Dose-response curves on growth inhibitory or cytotoxicity of 1F6 ADCs were determined as described in FIG. 10 to obtain IC 50 values.
- FIG. 12 In vivo efficacy of 1F6-vcAFP in a RCC model. Tumors were initiated in nude mice by implanting tissue tumor blocks (30 mm 3 in size) containing Caki-1 cells. Treatment began when average tumor size within a treatment group was around 100 mm 3 . In the upper panel, treatment for the IgG and 1F6 groups began 17 days post implantation (filled arrow), while treatment for the 1F6-vcAFP and IgG-vcAFP groups began 25 days post implantation (open arrow). Indicated doses of either unconjugated mAbs or their ADCs were given for one course on a q4d ⁇ 4 schedule. The lower panel shows results from a repeat experiment when treatment began 14 days (filled arrow) after tumor implantation with 3 mg/kg and a q4d ⁇ 4 schedule of 1F6-vcAFP or IgG-vcAFP.
- FIG. 13 Activation-induced CD70 expression on a T cell clone.
- a representative T cell clone C1A was activated by phytohemaggutinin A-L (PHA-L), irradiated feeder cells, IL-2, and IL-4.
- CD25 (left panel) and CD70 (right panel) expression on days 0, 2, 4, and 8 were determined by flow cytometric analysis.
- FIG. 14 Effects of anti-CD70 ADCs on the proliferation of activated T cell clones.
- Resting T cell clones C2A, 40D8, and 4.01.1 were induced to express CD70 as described.
- cells were harvested and treated with graded doses of 1F6-vcMMAE, 1F6-vcAFP, or the corresponding non-binding control IgG (IgG) ADCs as indicated in the figure in the presence of rhIL-2 and rhIL-4. Cells were exposed to the ADCs continuously for an additional 72 hours. T cell proliferation was determined by pulsing with 3 H-TdR during the last 16 hours of incubation.
- FIG. 15 Effects of anti-CD70 ADCs on mixed lymphocyte reaction.
- An MLR was set up between PBMCs and irradiated allogeneic CESS cells. Expression of CD70 on activated allo-reactive T cells is shown on the upper panel. Binding of anti-CD70 mAb and control IgG is indicated by the open and closed curves, respectively. Graded doses of either 1F6-vcMMAE or 1F6-vcAFP were added to the culture at initiation. Cultures were exposed to the ADCs for a total of 120 hours. T cell proliferation was determined by pulsing with 3 H-thymidine during the last 16 hours of incubation (lower panel).
- FIG. 16 Effects of anti-CD70 or anti-CD70 ADC on antigen-induced T cell proliferation.
- T cells enriched for tetanus toxoid reactivity were stimulated with autologous dendritic cells and tetanus toxoid in the presence of graded doses of 1F6, 1F6-vcMMAE, or 1F6-vcAFP for a total of 96 hours.
- T cell proliferation was determined by pulsing with 3 H-thymidine during the last 16 hours of incubation.
- FIG. 17 CD70 induction during antigen-specific T cell expansion.
- PBMCs from a normal HLA-A0201 donor were stimulated with the M1 peptide derived from the influenza virus matrix protein.
- A Expansion of M1 peptide-specific CD8 + cells expressing TCR V ⁇ 17 chain was followed by flow cytometry (upper panels). The lower left panel shows the percentage of CD8 + /V ⁇ 17 + cells expressing CD70 and the lower right panel shows the intensity of CD70 expression on the expanding CD8 + /V ⁇ 17 + cells.
- B A representative example of specific CD70 induction on the expanding CD8 + /V ⁇ 17 + after stimulation with the M1 peptide for five days. Binding of the control IgG (open curves) and anti-CD70 mAb (closed curves) on the CD8 + /V ⁇ 17 ⁇ or CD8 + /V ⁇ 17 + cells are shown.
- FIG. 18 Specific deletion of antigen-specific CD8 + /V ⁇ 17 + T cells by anti-CD70 ADCs.
- PBMCs from a normal HLA-A0201 donor were stimulated with the M1 peptide for 5 days.
- 1F6 ADCs or control non-binding IgG (cIgG) ADCs were added to cells to a final concentration of 1 ⁇ g/ml.
- Total viable cell counts were conducted at 24, 48, and 76 hours post drug addition.
- the percentage of CD8 + /V ⁇ 17 + in each culture condition was determined by flow cytometry as shown in FIG. 17 .
- Total numbers of CD8 + /V ⁇ 17 + for each culture condition are calculated (upper panel).
- the numbers of CD8 + /V ⁇ 17 + and CD8 + /V ⁇ 17 ⁇ cells in the 1F6-ADC treated cultures are expressed as percentages of the untreated control cultures (lower panel).
- FIG. 19 Dose-response comparison of anti-CD70 ADCs on deletion of antigen-specific CD8 + /V ⁇ 17 + cells.
- PBMCs from a normal HLA-A0201 donor were stimulated with the M1 peptide for 5 days.
- 1F6 ADCs or control non-binding IgG (cIgG) ADCs were given to cells to the specified final concentrations.
- the percentages of CD8 + /V ⁇ 17 + cells 4 days post ADC addition was determined by flow cytometry as in FIG. 17 .
- FIG. 20 Limited effects of 1F6 ADCs on the proliferation capacity of the CD70 ⁇ bystander T cells.
- PBMCs from a normal HLA-A0201 donor were stimulated with the M1 peptide for 5 days. Cells were either allowed to expand or treated with 1 ⁇ g/ml 1F6-vcMMAF for an additional 4 days. Percentages of CD8 + /V ⁇ 17 + cells were determined by flow cytometry (left column). In order to assess the proliferation capacity of the CD70 ⁇ bystander, antigen non-specific T cells, V ⁇ 17 + T cells were eliminated from the cultures by immuno-depletion (center column).
- V ⁇ 17 ⁇ cells were then stimulated with graded doses of immobilized anti-CD3 and anti-CD28 mAb for a total of 96 hours, and DNA synthesis was detected by pulsing with 3 H-TdR during the last 18 hours of incubation.
- FIG. 21 Mouse Xenograft model of Renal Cell Carcinoma.
- h1F6-mcMMAF4 or h1F6-vcMMAE4 at the indicated doses was administered at a q4d ⁇ 4 schedule beginning on day 17 after tumor implantation, as indicated by the arrows. Cross-strikes indicate when animals with tumors >1000 mm 3 were euthanized.
- B 786-O tumor implantation and treatment initiation are the same as given in (A).
- FIG. 22 Mouse Xenograft Model of Multiple Myeloma.
- the log-rank test was used to generate p values between treatment groups and the control groups.
- Bone marrow cells were recovered from the femurs of euthanized mice due to the above disease symptoms or on day 122 post tumor cell implantation when the experiment was terminated. The percentage of CD138-expressing MM-1S cells in the femers of each mouse was determined by flow cytometry. The Mann-Whitney test was used to derived p values between the indicated groups.
- FIG. 23 Mouse Xenograft model of Multiple Myeloma.
- B Serum samples were obtained from mice 40 days after tumor implant. The concentration of human ⁇ light chain in the serum of each mice was determined by ELISA. The Mann-Whitney test was used to derived p values between the indicated groups.
- ADCs antibody-drug conjugates
- ADC derivatives that bind to CD70.
- a drug conjugated to the antibody exerts a cytotoxic, cytostatic, or immunosuppressive effect on CD70-expressing cells to treat or immunological disorders or CD70-expressing cancers.
- the methods and compositions relate to antibodies and derivatives thereof that compete with monoclonal antibody 1F6 or 2F2 for binding to CD70 and that, when conjugated to a cytotoxic agent, exert a cytotoxic or cytostatic effect to deplete or inhibit the proliferation of CD70-expressing cells.
- Antibodies to CD70 which can be used in accordance with the methods and compositions described herein include monoclonal antibodies as well as chimeric, humanized, or human antibodies (e.g., a humanized or chimeric form of 1F6 or 2F2), and such antibodies conjugated to cytotoxic or immunosuppressive agents such as, for example, chemotherapeutic drugs.
- inhibitor or “inhibition of” as used herein means to a reduce by a measurable amount, or to prevent entirely.
- agent means an element, compound, or molecular entity, including, e.g., a pharmaceutical, therapeutic, or pharmacologic compound. Agents can be natural or synthetic or a combination thereof.
- a “therapeutic agent” is an agent that exerts a therapeutic (e.g., beneficial) effect on cancer cells or activated immune cells, either alone or in combination with another agent (e.g., a prodrug converting enzyme in combination with a prodrug).
- therapeutic agents useful in accordance with the methods and compositions described herein are those that exert a cytotoxic, cytostatic, or immunosuppressive effect.
- Cytotoxic effect in reference to the effect of an agent on a cell, means killing of the cell. “Cytostatic effect” means an inhibition of cell proliferation.
- a “cytotoxic agent” means an agent that has a cytotoxic or cytostatic effect on a cell, thereby depleting or inhibiting the growth of, respectively, cells within a cell population.
- plete in the context of the effect of a CD70-targeting moiety-drug conjugate on CD70-expressing cells, refers to a reduction or elimination of the CD70-expressing cells.
- immunosuppressive agent means an agent that inhibits the development or maintenance of an immunologic response. Such inhibition by an immunosuppressive agent can be effected by, for example, elimination of immune cells (e.g., T or B lymphocytes); induction or generation of immune cells that can modulate (e.g., down-regulate) the functional capacity of other cells; induction of an unresponsive state in immune cells (e.g., anergy); or increasing, decreasing or changing the activity or function of immune cells, including, for example, altering the pattern of proteins expressed by these cells (e.g., altered production and/or secretion of certain clases of molecules such as cytokines, chemokines, growth factors, transcription factors, kinases, costimulatory molecules or other cell surface receptors, and the like).
- an immunosuppressive agent has a cytotoxic or cytostatic effect on an immune cell that promotes an immune response.
- Immunocell as used herein means any cell of hematopoietic lineage involved in regulating an immune response against an antigen (e.g., an autoantigen).
- an immune cell is a T lymphocyte, a B lymphocyte, or a dendritic cell.
- polypeptide refers to a polymer of amino acids and its equivalent and does not refer to a specific length of a product; thus, “peptides” and “proteins” are included within the definition of a polypeptide. Also included within the definition of polypeptides are “antibodies” as defined herein.
- a “polypeptide region” refers to a segment of a polypeptide, which segment may contain, for example, one or more domains or motifs (e.g., a polypeptide region of an antibody can contain, for example, one or more CDRs).
- fragment refers to a portion of a polypeptide typically having at least 20 contiguous or at least 50 contiguous amino acids of the polypeptide.
- a “derivative” includes a polypeptide or fragment thereof having conservative amino acid substitutions relative to a second polypeptide; or a polypeptide or fragment thereof that is modified by covalent attachment of a second molecule such as, e.g., by attachment of a heterologous polypeptide, or by glycosylation, acetylation, phosphorylation, and the like.
- polypeptide Further included within the definition of “polypeptide” are, for example, polypeptides containing one or more analogs of an amino acid (e.g., unnatural amino acids and the like), polypeptides with unsubstituted linkages, as well as other modifications known in the art, both naturally and non-naturally occurring.
- antibody refers to (a) immunoglobulin polypeptides and immunologically active portions of immunoglobulin polypeptides, i.e., polypeptides of the immunoglobulin family, or fragments thereof, that contain an antigen binding site that immunospecifically binds to a specific antigen (e.g., CD70), or (b) conservatively substituted derivatives of such immunoglobulin polypeptides or fragments that immunospecifically bind to the antigen (e.g., CD70).
- Antibodies are generally described in, for example, Harlow & Lane, Antibodies: A Laboratory Manual (Cold Spring Harbor Laboratory Press, 1988).
- “conservative substitution” means one or more amino acid substitutions that do not substantially reduce specific binding (e.g., as measured by the K D ) of the immunoglobulin polypeptide or fragment thereof to an antigen (i.e., substitutions that increase binding, that do not significantly alter binding, or that reduce binding by no more than about 40%, typically no more than about 30%, more typically no more than about 20%, even more typically no more than about 10%, or most typically no more than about 5%, as determined by standard binding assays such as, e.g., ELISA).
- an “antibody derivative” as used herein means an antibody, as defined above, that is modified by covalent attachment of a heterologous molecule such as, e.g., by attachment of a heterologous polypeptide, or by glycosylation, acetylation or phosphorylation not normally associated with the antibody, and the like.
- the term “monoclonal antibody” refers to an antibody that is derived from a single cell clone, including any eukaryotic or prokaryotic cell clone, or a phage clone, and not the method by which it is produced. Thus, the term “monoclonal antibody” as used herein is not limited to antibodies produced through hybridoma technology.
- heterologous in the context of a polypeptide, means from a different source (e.g., a cell, tissue, organism, or species) as compared with another polypeptide, so that the two polypeptides are different.
- a heterologous polypeptide is from a different species.
- the term “functional,” in the context of an anti-CD70 antibody or derivative thereof to be used in accordance with the methods described herein, indicates that the antibody or derivative thereof is (1) capable of binding to CD70 and (2) depletes or inhibits the proliferation of CD70-expressing cells when conjugated to a cytotoxic agent, or has an immunosuppressive effect on an immune cell when conjugated to an immunosuppressive agent.
- nucleic acids or polypeptide sequences refer to two or more sequences or subsequences that are the same or have a specified percentage of nucleotides or amino acid residues that are the same, when compared and aligned for maximum correspondence. To determine the percent identity, the sequences are aligned for optimal comparison purposes (e.g., gaps can be introduced in the sequence of a first amino acid or nucleic acid sequence for optimal alignment with a second amino or nucleic acid sequence). The amino acid residues or nucleotides at corresponding amino acid positions or nucleotide positions are then compared.
- the molecules are identical at that position.
- substantially identical in the context of two nucleic acids or polypeptides, refers to two or more sequences or subsequences that have at least 50%, at least 55%, at least 60%, or at least 65% identity; typically at least 70% or at least 75% identity; more typically at least 80% or at least 85% identity; and even more typically at least 90%, at least 95%, or at least 98% identity (as determined using one of the methods set forth infra).
- Similarity or “percent similarity” in the context of two or more polypeptide sequences, refer to two or more sequences or subsequences that have a specified percentage of amino acid residues that are the same or conservatively substituted when compared and aligned for maximum correspondence, as measured using one of the methods set forth infra.
- a first amino acid sequence can be considered similar to a second amino acid sequence when the first amino acid sequence is at least 50%, 60%, 70%, 75%, 80%, 90%, or even 95% identical, or conservatively substituted, to the second amino acid sequence when compared to an equal number of amino acids as the number contained in the first sequence, or when compared to an alignment of polypeptides that has been aligned by a computer similarity program known in the art (see infra).
- substantially similarity indicates that a polypeptide region has a sequence with at least 70%, typically at least 80%, more typically at least 85%, and even more typically at least 90% or at least 95% sequence similarity to a reference sequence.
- a polypeptide is substantially similar to a second polypeptide, for example, where the two peptides differ by one or more conservative substitutions.
- a protein that has one or more polypeptide regions substantially identical or substantially similar to one or more antigen-binding regions (e.g., a heavy or light chain variable region, or a heavy or light chain CDR) of an anti-CD70 antibody retains specific binding to an epitope of CD70 recognized by the anti-CD70 antibody, as determined using any of various standard immunoassays known in the art or as referred to herein.
- the determination of percent identity or percent similarity between two sequences can be accomplished using a mathematical algorithm.
- a preferred, non-limiting example of a mathematical algorithm utilized for the comparison of two sequences is the algorithm of Karlin and Altschul, 1990, Proc. Natl. Acad. Sci. USA 87:2264-2268, modified as in Karlin and Altschul, 1993, Proc. Natl. Acad. Sci. USA 90:5873-5877.
- Such an algorithm is incorporated into the NBLAST and XBLAST programs of Altschul, et al., 1990, J. Mol. Biol. 215:403-410.
- Gapped BLAST can be utilized as described in Altschul et al., 1997, Nucleic Acids Res. 25:3389-3402.
- PSI-Blast can be used to perform an iterated search which detects distant relationships between molecules (Id.).
- BLAST Gapped BLAST
- PSI-Blast programs the default parameters of the respective programs (e.g., XBLAST and NBLAST) can be used.
- XBLAST and NBLAST See, e.g., the NCBI internet web site.
- Another preferred, non-limiting example of a mathematical algorithm utilized for the comparison of sequences is the algorithm of Myers and Miller, CABIOS (1989). Such an algorithm is incorporated into the ALIGN program (version 2.0) which is part of the GCG sequence alignment software package.
- ALIGN program version 2.0
- a PAM120 weight residue table a gap length penalty of 12, and a gap penalty of 4 can be used.
- protein sequence alignment may be carried out using the CLUSTAL W algorithm, as described by Higgins et al., 1996, Methods Enzymol. 266:383-402.
- prevention and “prevent” refer to administration of an anti-CD70 antibody-drug conjugate (ADC) or ADC derivative to a subject before the onset of a clinical or diagnostic symptom of a CD70-expressing cancer or immunological disorder (e.g., administration to an individual with a predisposition or at a high risk of acquiring the CD70-expressing cancer or immunological disorder) to (a) block the occurrence or onset of the CD70-expressing cancer or immunological disorder, or one or more of clinical or diagnostic symptoms thereof, (b) inhibit the severity of onset of the CD70-expressing cancer or immunological disorder, or (c) to lessen the likelihood of the onset of the CD70-expressing cancer or immunological disorder.
- ADC anti-CD70 antibody-drug conjugate
- ADC anti-CD70 antibody-drug conjugate
- treatment refers to slowing, stopping, or reversing the progression of a CD70-expressing cancer or immunological disorder in a subject, as evidenced by a decrease or elimination of a clinical or diagnostic symptom of the disease, by administration of an anti-CD70 ADC or ADC derivative to the subject after the onset of the clinical or diagnostic symptom of the CD70-expressing cancer or immunological disorder at any clinical stage.
- Treatment can include, for example, a decrease in the severity of a symptom, the number of symptoms, or frequency of relapse.
- pharmaceutically acceptable means approved by a regulatory agency of the Federal or a state government or listed in the U.S. Pharmacopeia or other generally recognized pharmacopeia for use in animals, and more particularly in humans.
- pharmaceutically compatible ingredient refers to a pharmaceutically acceptable diluent, adjuvant, excipient, or vehicle with which a CD70-targeting moiety-drug conjugate is administered.
- an effective amount in the context of the administration of an anti-CD70 ADC or ADC derivative, refers to the amount of the ADC or ADC derivative that is sufficient to inhibit the occurrence or ameliorate one or more clinical or diagnostic symptoms of a CD70-expressing cancer or immunological disorder in a subject.
- An effective amount of an agent is administered according to the methods described herein in an “effective regime.”
- the term “effective regime” refers to a combination of amount of the agent and dosage frequency adequate to accomplish treatment or prevention of a CD70-expressing cancer or immunological disorder.
- AFP refers to dimethylvaline-valine-dolaisoleuine-dolaproine-phenylalanine-p-phenylenediamine (see Formula XVI infra).
- MMAE monomethyl auristatin E (see Formula XI infra).
- AEB refers to an ester produced by reacting auristatin E with paraacetyl benzoic acid (see Formula XX infra)
- AEVB refers to an ester produced by reacting auristatin E with benzoylvaleric acid (see Formula XXI infra).
- MMAF dovaline-valine-dolaisoleuine-dolaproine-phenylalanine (see Formula IVIV infra).
- vc and “val-cit” refer to the linker valine-citrulline.
- compositions described herein encompass the use of antibodies, or a derivative thereof, as ADCs that (a) specifically bind to CD70 and (b) when conjugated to a therapeutic agent, the therapeutic agent exerts a cytotoxic, cytostatic or immunosuppressive effect on CD70-expressing cancer cells or activated immune cells.
- the term “derivative,” in the context of an anti-CD70 antibody refers to a molecule that (i) has an antigen-binding region of an anti-CD70 antibody, or a region derived therefrom (e.g., by conservative substitution), and at least one polypeptide region or other moiety heterologous to the anti-CD70 antibody, and (ii) specifically binds to CD70 via the antigen-binding region or region derived therefrom.
- the anti-CD70 antibody is mAb 1F6 or 2F2 or a derivative thereof.
- the anti-CD70 antibody or derivative thereof competes with monoclonal antibody 1F6 or 2F2 for binding to CD70.
- the anti-CD70 antibody or derivative thereof when conjugated to a cytotoxic agent, exerts a cytotoxic or cytostatic effect on CD70-expressing cancer cells, or, when conjugated to a cytotoxic or immunosuppressive agent, exerts a cytotoxic, cytostatic, or immunosuppressive effect on activated lymphocytes or dendritic cells, for the treatment of a CD70-expressing cancer or an immunological disorder, respectively, in a subject (e.g., the extracellular domain of human CD70).
- a subject e.g., the extracellular domain of human CD70
- Anti-CD70 antibodies suitable for use in accordance with the present compositions and methods are typically monoclonal and can include, for example, chimeric (e.g., having a human constant region and mouse variable region), humanized, or human antibodies; single chain antibodies; or the like.
- the immunoglobulin molecules can be of any type (e.g., IgG, IgE, IgM, IgD, IgA and IgY), class (e.g., IgG1, IgG2, IgG3, IgG4, IgA1 and IgA2) or subclass of immunoglobulin molecule.
- the antibody is an antigen-binding antibody fragment such as, for example, a Fab, a F(ab′), a F(ab′) 2 , a Fd chain, a single-chain Fv (scFv), a single-chain antibody, a disulfide-linked Fv (sdFv), a fragment comprising either a V L or V H domain, or fragments produced by a Fab expression library, or a CD70-binding fragments of any of the above antibodies described supra.
- Antigen-binding antibody fragments, including single-chain antibodies can comprise the variable region(s) alone or in combination with the entirety or a portion of the following: hinge region, C H 1, C H 2, C H 3 and C L domains.
- antigen-binding fragments can comprise any combination of variable region(s) with a hinge region, C H 1, C H 2, C H 3 and C L domains.
- the antibodies are human, rodent (e.g., mouse and rat), donkey, sheep, rabbit, goat, guinea pig, camelid, horse, or chicken.
- “human” antibodies include antibodies having the amino acid sequence of a human immunoglobulin and include antibodies isolated from human immunoglobulin libraries, from human B cells, or from animals transgenic for one or more human immunoglobulin, as described infra and, for example in U.S. Pat. Nos. 5,939,598 and 6,111,166.
- the antibodies may be monospecific, bispecific, trispecific, or of greater multispecificity. Multispecific antibodies may be specific for different epitopes of CD70 or may be specific for both CD70 as well as for a heterologous protein.
- Multispecific antibodies useful for practicing the methods described herein are antibodies that immunospecifically bind to both CD70 (including but not limited to antibodies that have the CDRs and/or heavy chains of the monoclonal antibodies 2F2 and 1F6) and a second cell surface receptor or receptor complex, such as an immunoglobulin gene superfamily member, a TNF receptor superfamily member, an integrin, a cytokine receptor, a chemokine receptor, a major histocompatibility protein, a lectin (C-type, S-type, or I-type), or a complement control protein.
- the binding of the portion of the multispecific antibody to the second cell surface molecule or receptor complex enhances the cytotoxic or cytostatic effect of an anti-CD70 antibody-d
- the anti-CD70 antibody is agonistic, non-agonistic or antagonistic with respective to CD70.
- the anti-CD70 antibody does not block binding of CD70 ligand to CD70.
- the anti-CD70 antibody or derivative thereof is a blocking antibody (i.e., an antibody that blocks the binding of CD27 to CD70).
- an anti-CD70 antibody comprises one or more complementarity determining regions (CDRs) substantially identical or substantially similar to one or more CDR(s) of monoclonal antibody 1F6 (see Table 1).
- the antibody can include a heavy chain CDR and/or a light chain CDR that is substantially identical or substantially similar to a corresponding heavy chain CDR (H1, H2, or H3 regions) or corresponding light chain CDR (L1, L2, or L3 regions) of mAb 1F6 (SEQ ID NO:6; SEQ ID NO:8; SEQ ID NO:10; SEQ ID NO:16; SEQ ID NO:18; or SEQ ID NO:20, respectively).
- the anti-CD70 antibody has two or three heavy chain CDRs and/or two or three light chain CDRs that are substantially identical or substantially similar to corresponding heavy and/or light chain CDRs of mAb 1F6.
- a CDR substantially identical or substantially similar to a heavy or light chain CDR of 1F6 has the amino acid sequence set forth in SEQ ID NO:6, SEQ ID NO:8, SEQ ID NO:10, SEQ ID NO:16, SEQ ID NO:18, or SEQ ID NO:20.
- an anti-CD70 antibody has at least one heavy chain CDR substantially identical or substantially similar to a heavy chain CDR of mAb 1F6, the antibody or derivative thereof further includes at least one light chain CDR that is substantially identical or substantially similar to a light chain CDR of mAb 1F6.
- an anti-CD70 antibody includes a heavy or light chain variable domain, the variable domain having (a) a set of three CDRs substantially identical or substantially similar to corresponding CDRs of mAb 1F6, and (b) a set of four framework regions.
- an anti-CD70 antibody can include a heavy or light chain variable domain, the variable domain having (a) a set of three CDRs, in which the set of CDRs are from monoclonal antibody 1F6, and (b) a set of four framework regions, in which the set of framework regions are identical to or different from the set of framework regions in mAb 1F6.
- the anti-CD70 antibody includes a heavy chain variable region that is substantially identical or substantially similar to the heavy chain variable region of mAb 1F6 (i.e., substantially identical or substantially similar to the amino acid sequences set forth in SEQ ID NO:2, see Table 1) and/or a light chain variable region that is substantially identical or substantially similar to the light chain variable regions of mAb 1F6 (i.e., substantially identical or substantially similar to the amino acid sequences set forth in SEQ ID NO:12, see Table 1).
- the antibody can include a heavy chain variable region having the amino acid sequence set forth in SEQ ID NO:2 and, optionally, can further include a light chain variable region having the amino acid sequence set forth in SEQ ID NO:12.
- the anti-CD70 antibody is mAb 1F6.
- an anti-CD70 antibody comprises one or more CDRs substantially identical or substantially similar to one or more CDR(s) of monoclonal antibody 2F2 (see Table 1).
- the antibody can include a heavy chain CDR and/or a light chain CDR that is substantially identical or substantially similar to a corresponding heavy chain CDR (H1, H2, or H3 regions) or corresponding light chain CDR (L1, L2, or L3 regions) of mAb 2F2 (SEQ ID NO:26, SEQ ID NO:28; SEQ ID NO:30; SEQ ID NO:36, SEQ ID NO:38 or SEQ ID NO:40).
- the anti-CD70 antibody has two or three heavy chain CDRs and/or two or three light chain CDRs that are substantially identical or substantially similar to corresponding heavy and/or light chain CDRs of mAb 2F2.
- a CDR substantially identical or substantially similar to a heavy or light chain CDR of 2F2 has the amino acid sequence set forth in SEQ ID NO:26, SEQ ID NO:28, SEQ ID NO:30; SEQ ID NO:36, SEQ ID NO:38, or SEQ ID NO:40.
- an anti-CD70 antibody has at least one heavy chain CDR substantially identical or substantially similar to a heavy chain CDR of mAb 2F2
- the antibody or derivative thereof further includes at least one light chain CDR that is substantially identical or substantially similar to a light chain CDR of mAb 2F2.
- an anti-CD70 antibody includes a heavy or light chain variable domain, the variable domain having (a) a set of three CDRs substantially identical or substantially similar to corresponding CDRs of mAb 2F2, and (b) a set of four framework regions.
- an anti-CD70 antibody can include a heavy or light chain variable domain, the variable domain having (a) a set of three CDRs, in which the set of CDRs are from monoclonal antibody 2F2, and (b) a set of four framework regions, in which the set of framework regions is identical to or different from the set of framework regions in mAb 2F2.
- the anti-CD70 antibody includes a heavy chain variable region that is substantially identical or substantially similar to the heavy chain variable region of mAb 2F2 (i.e., substantially identical or substantially similar to the amino acid sequences set forth in SEQ ID NO:22, see Table 1) and/or a light chain variable region that is substantially identical or substantially similar to the light chain variable regions of mAb 2F2 (i.e., substantially identical or substantially similar to the amino acid sequences set forth in SEQ ID NO:32, see Table 1).
- the antibody can include a heavy chain variable region having the amino acid sequence set forth in SEQ ID NO:22 and, optionally, can further include a light chain variable region having the amino acid sequence set forth in SEQ ID NO:32.
- the anti-CD70 antibody is mAb 2F2.
- a table indicating the region of 1F6 or 2F2 to which each SEQ ID NO. corresponds is provided below: TABLE 1 NUCLEOTIDE MOLECULE OR AMINO ACID SEQ ID NO 1F6 Heavy Chain Variable Region Nucleotide 1 1F6 Heavy Chain Variable Region Amino Acid 2 1F6 Heavy Chain Signal Peptide Nucleotide 3 1F6 Heavy Chain Signal Peptide Amino Acid 4 1F6 Heavy Chain-CDR1(H1) Nucleotide 5 1F6 Heavy Chain-CDR1(H1) Amino Acid 6 1F6 Heavy Chain-CDR2(H2) Nucleotide 7 1F6 Heavy Chain-CDR2(H2) Amino Acid 8 1F6 Heavy Chain-CDR3(H3) Nucleotide 9 1F6 Heavy Chain-CDR3(H3) Amino Acid 10 1F6 Light Chain Variable Region Nucleotide 11 1F6 Light Chain Variable Region Amino Acid 12 1F6 Light Chain Signal Peptide Nucleotide 13 1F
- Anti-CD70 antibodies useful in the methods set forth herein may also be described or specified in terms of their binding affinity to CD70.
- Typical binding affinities include those with a dissociation constant or Kd less than 5 ⁇ 10 ⁇ 2 M, 10 ⁇ 2 M, 5 ⁇ 10 ⁇ 3 M, 10 ⁇ 3 M, 5 ⁇ 10 ⁇ 4 M, 10 ⁇ 4 M, 5 ⁇ 10 ⁇ 5 M, 10 ⁇ 5 M, 5 ⁇ 10 ⁇ 6 M, 10 ⁇ 6 M, 5 ⁇ 10 ⁇ 7 M, 10 ⁇ 7 M, 5 ⁇ 10 ⁇ 8 M, 10 ⁇ 8 M, 5 ⁇ 10 ⁇ 9 M, 10 ⁇ 9 M, 5 ⁇ 10 ⁇ 10 M, 10 ⁇ 10 M, 5 ⁇ 10 ⁇ 11 M, 10 ⁇ 11 M, 5 ⁇ 10 ⁇ 12 M, 10 ⁇ 12 M, 5 ⁇ 10 ⁇ 13 M, 10 ⁇ 13 M, 5 ⁇ 10 ⁇ 14 M, 10 ⁇ 14 M, 5 ⁇ 10 ⁇ 15 M, or 10 ⁇ 15 M.
- the antibodies that may be used in the treatment of immunological disorders or CD70-expressing cancers can be generated by any suitable method known in the art.
- monoclonal antibodies can be prepared using a wide variety of techniques including, e.g., the use of hybridoma, recombinant, and phage display technologies, or a combination thereof.
- Hybridoma techniques are generally discussed in, for example, Harlow et al., Antibodies: A Laboratory Manual , (Cold Spring Harbor Laboratory Press, 2nd ed., 1988); and Hammerling, et al., In Monoclonal Antibodies and T - Cell Hybridomas , pp. 563-681 (Elsevier, N.Y., 1981).
- phage display methods that can be used to make the anti-CD70 antibodies include, e.g., those disclosed in Brinkman et al., 1995, J Immunol Methods 182:41-50; Ames et al., 1995, J Immunol Methods 184:177-186; Kettleborough et al., 1994, Eur J Immunol 24:952-958; Persic et al., 1997, Gene 187:9-18; Burton et al., 1994, Advances in Immunology 57:191-280; PCT Application No.
- Fab and F(ab′) 2 fragments can be produced by proteolytic cleavage of immunoglobulin molecules, using enzymes such as papain (to produce Fab fragments) or pepsin (to produce F(ab′)2 fragments).
- F(ab′)2 fragments contain the variable region, the light chain constant region and the C H 1 domain of the heavy chain.
- the anti-CD70 antibody is a chimeric antibody.
- a chimeric antibody is a molecule in which different portions of the antibody are derived from different animal species, such as for example antibodies having a variable region derived from a murine monoclonal antibody and a human immunoglobulin constant region. Methods for producing chimeric antibodies are known in the art. (See e.g., Morrison, Science, 1985, 229:1202; Oi et al., 1986, BioTechniques 4:214; Gillies et al., 1989, J. Immunol. Methods 125:191-202; U.S. Pat. Nos. 5,807,715; 4,816,567; and 4,816,397.)
- An anti-CD70 antibody can also be a humanized antibody.
- Humanized antibodies are antibody molecules that bind the desired antigen and have one or more CDRs from a non-human species, and framework and constant regions from a human immunoglobulin molecule. Often, framework residues in the human framework regions will be substituted with the corresponding residue from the CDR donor antibody to alter, preferably improve, antigen binding. These framework substitutions are identified by methods well known in the art, e.g., by modeling of the interactions of the CDR and framework residues to identify framework residues important for antigen binding and sequence comparison to identify unusual framework residues at particular positions. (See, e.g., Queen et al., U.S. Pat. No.
- Antibodies can be humanized using a variety of techniques known in the art including, for example, CDR-grafting (EP 0 239 400; PCT publication WO 91/09967; U.S. Pat. Nos. 5,225,539; 5,530,101; and 5,585,089), veneering or resurfacing (EP 0 592 106; EP 0 519 596; Padlan, Molecular Immunology, 1991, 28(4/5):489-498; Studnicka et al., 1994, Protein Engineering 7(6):805-814; Roguska et al., 1994, Proc. Natl. Acad. Sci. 91:969-973), and chain shuffling (U.S. Pat. No. 5,565,332) (all of these references are incorporated by reference herein).
- the antibody is a humanized 1F6 or 2F2 antibody, as disclosed in U.S. Provisional Patent Application No. 60/673,070, filed Apr. 19, 2005; and in PCT International Publication No. WO 2006/113909; the disclosures of which are incorporated by reference herein.
- the anti-CD70 antibody is a human antibody.
- Human antibodies can be made by a variety of methods known in the art including, e.g., phage display methods (see supra) using antibody libraries derived from human immunoglobulin sequences. See also, e.g., U.S. Pat. Nos. 4,444,887 and 4,716,111; and PCT publications WO 98/46645, WO 98/50433, WO 98/24893, WO 98/16654, WO 96/34096, WO 96/33735, and WO 91/10741.
- a human antibody recognizing a selected epitope can be generated using a technique referred to as “guided selection,” in which a selected non-human monoclonal antibody, e.g., a mouse antibody, is used to guide the selection of a completely human antibody recognizing the same epitope (see, e.g., Jespers et al., 1994, Bio/technology 12:899-903).
- Human antibodies can also be produced using transgenic mice that express human immunoglobulin genes. Monoclonal antibodies directed against the antigen can be obtained from the immunized, transgenic mice using conventional hybridoma technology. For an overview of this technology for producing human antibodies, see Lonberg and Huszar, 1995, Int. Rev. Immunol. 13:65-93.
- an anti-CD70 antibody derivative comprises an anti-CD70 antibody (including, e.g., an antigen-binding fragment or conservatively substituted polypeptides) and at least one polypeptide region or other moiety heterologous to the anti-CD70 antibody.
- an anti-CD70 antibody can be modified, e.g., by the covalent attachment of any type of molecule, such that covalent attachment does not prevent the antibody derivative from specifically binding to CD70 via the antigen-binding region or region derived therefrom, or the conjugated drug from exerting (a) a cytostatic or cytotoxic effect on CD70-expressing cancer cells, or (b) a cytostatic, cytotoxic, or immunosuppressive effect on activated lymphocytes.
- Typical modifications include, e.g., glycosylation, acetylation, pegylation, phosphorylation, amidation, derivatization by known protecting/blocking groups, proteolytic cleavage, linkage to a cellular ligand or other protein, and the like. Any of numerous chemical modifications may be carried out by known techniques, including, but not limited to specific chemical cleavage, acetylation, formylation, metabolic synthesis of tunicamycin, etc. Additionally, the derivative may contain one or more non-classical amino acids.
- the antibody derivative is a multimer, such as, for example, a dimer, comprising one or more monomers, where each monomer includes (i) an antigen-binding region of an anti-CD70 antibody, or a polypeptide region derived therefrom (such as, e.g., by conservative substitution of one or more amino acids), and (ii) a multimerizing (e.g., dimerizing) polypeptide region, such that the antibody derivative forms multimers (e.g., homodimers) that specifically bind to CD70.
- a multimerizing (e.g., dimerizing) polypeptide region such that the antibody derivative forms multimers (e.g., homodimers) that specifically bind to CD70.
- an antigen binding region of an anti-CD70 antibody, or a polypeptide region derived therefrom is recombinantly or chemically fused with a heterologous protein, wherein the heterologous protein comprises a dimerization or multimerization domain.
- the derivative Prior to administration of the antibody derivative to a subject for the purpose of treating or preventing immunological disorders or CD70-expressing cancers, the derivative is subjected to conditions that allow formation of a homodimer or heterodimer.
- a heterodimer as used herein, may comprise identical dimerization domains but different CD70 antigen-binding regions, identical CD70 antigen-binding regions but different dimerization domains, or different CD70 antigen-binding regions and dimerization domains.
- dimerization domains are those that originate from transcription factors.
- the dimerization domain is that of a basic region leucine zipper (“bZIP”).
- bZIP basic region leucine zipper
- Useful leucine zipper domains include, for example, those of the yeast transcription factor GCN4, the mammalian transcription factor CCAAT/enhancer-binding protein C/EBP, and the nuclear transform in oncogene products, Fos and Jun. (See Landschultz et al., 1988, Science 240:1759-1764; Baxevanis and Vinson, 1993, Curr. Op. Gen. Devel.
- the dimerization domain is that of a basic-region helix-loop-helix (“bHLH”) protein.
- bHLH basic-region helix-loop-helix
- Particularly useful hHLH proteins are myc, max, and mac.
- the dimerization domain is an immunoglobulin constant region such as, for example, a heavy chain constant region or a domain thereof (e.g., a C H 1 domain, a C H 2 domain, or a C H 3 domain).
- a heavy chain constant region e.g., a C H 1 domain, a C H 2 domain, or a C H 3 domain.
- an anti-CD70 antibody derivative is an anti-CD70 antibody conjugated to a second antibody (an “antibody heteroconjugate”) (see U.S. Pat. No. 4,676,980).
- Heteroconjugates useful for practicing the present methods comprise an antibody that binds to CD70 (e.g., an antibody that has the CDRs and/or heavy chains of the monoclonal antibodies 2F2 or 1F6) and an antibody that binds to a surface receptor or receptor complex, such as an immunoglobulin gene superfamily member, a TNF receptor superfamily member, an integrin, a cytokine receptor, a chemokine receptor, a major histocompatibility protein, a lectin (C-type, S-type, or I-type), or a complement control protein.
- a surface receptor or receptor complex such as an immunoglobulin gene superfamily member, a TNF receptor superfamily member, an integrin, a cytokine receptor, a chemokine receptor, a major his
- the anti-CD70 antibody or derivative thereof competitively inhibits binding of mAb 1F6 or 2F2 to CD70, as determined by any method known in the art for determining competitive binding (such as, e.g., the immunoassays described herein).
- the antibody competitively inhibits binding of 1F6 or 2F2 to CD70 by at least 50%, more typically at least 60%, yet more typically at least 70%, and most typically at least 75%.
- the antibody competitively inhibits binding of 1F6 or 2F2 to CD70 by at least 80%, at least 85%, at least 90%, or at least 95%.
- Antibodies can be assayed for specific binding to CD70 by any of various known methods.
- Immunoassays which can be used include, for example, competitive and non-competitive assay systems using techniques such as Western blots, radioimmunoassays, ELISA (enzyme linked immunosorbent assay), “sandwich” immunoassays, immunoprecipitation assays, precipitin reactions, gel diffusion precipitin reactions, immunodiffusion assays, agglutination assays, complement-fixation assays, immunoradiometric assays, fluorescent immunoassays, protein A immunoassays, to name but a few.
- Such assays are routine and well-known in the art.
- the binding affinity of an antibody to CD70 and the off-rate of an antibody CD70 interaction can be determined by competitive binding assays.
- a competitive binding assay is a radioimmunoassay comprising the incubation of labeled CD70 (e.g., 3 H or 125 I) with the antibody of interest in the presence of increasing amounts of unlabeled CD70, and the detection of the antibody bound to the labeled CD70.
- the affinity of the antibody for CD70 and the binding off-rates can then be determined from the data by Scatchard plot analysis.
- Competition with a second antibody such as, e.g., mAb 1F6 or 2F2
- a second antibody such as, e.g., mAb 1F6 or 2F2
- CD70 is incubated with the antibody of interest conjugated to a labeled compound (e.g., 3 H or 125 I) in the presence of increasing amounts of an unlabeled second antibody.
- a labeled compound e.g., 3 H or 125 I
- the binding affinity of an antibody to CD70 and the on- and off-rates of an antibody-CD70 interaction can be determined by surface plasmon resonance.
- anti-CD70 antibodies or derivatives thereof when conjugated to a therapeutic agent, can be internalized and accumulate within a CD70-expressing cell, where the therapeutic agent exerts an effect (e.g., a cytotoxic, cytostatic, or immunosuppressive effect).
- anti-CD70 antibodies or derivatives thereof, when conjugated to a therapeutic agent can be targeted to and accumulate on the membrane of a CD70-expressing cell, where the therapeutic agent exerts an effect (e.g., a cytotoxic, cytostatic, or immunosuppressive effect).
- anti-CD70 antibodies or derivatives thereof when conjugated to a therapeutic agent, can be targeted to a biological molecules in a cell (e.g., an inflammatory agent) and accumulate at or adjacent cells secreting or binding the biological molecule, where the therapeutic agent exerts an effect (e.g., a cytotoxic, cytostatic, or immunosuppressive effect).
- a biological molecules in a cell e.g., an inflammatory agent
- the therapeutic agent exerts an effect (e.g., a cytotoxic, cytostatic, or immunosuppressive effect).
- Whether a given anti-CD70 antibody or derivative, when conjugated to a therapeutic agent, exerts a corresponding therapeutic effect upon binding a CD70-expressing cell can be readily determined, e.g., by (1) incubating CD70-expressing cells independently with the anti-CD70 antibody or derivative thereof, (2) incubating the cells with a secondary reagent that is conjugated to the therapeutic agent and that specifically binds to the antibody or derivative thereof, and (3) assaying the cells for the corresponding therapeutic effect.
- Multiple antibodies or antibody derivatives can be readily evaluated via such assays using a secondary reagent that specifically binds a polypeptide region shared by each antibody or derivative thereof (e.g., an anti-Ig antibody).
- an anti-CD70 mAb that binds CD70 and exerts a cytotoxic effect when conjugated to a cytotoxic agent can be identified by an indirect immunotoxicity assay such as, for example, described by Chun et al., 2003, Supplement to Clinical Cancer Research , Vol. 9.
- the cytotoxic agent is conjugated to a secondary antibody (e.g., for murine mAbs, a polyclonal anti-mouse IgG); CD70-expressing cells are incubated with both the primary and cytotoxic agent-conjugated secondary antibody (e.g., in 96-well plates, using hybridoma supernatant for the primary antibody); and primary antibody-dependent cytotoxicity is assessed in a standard cytotoxicity assay (e.g., an MTT cell viability assay). (See id.)
- a standard cytotoxicity assay e.g., an MTT cell viability assay.
- the anti-CD70 antibodies and derivatives thereof that are useful in the present methods can be produced by any method known in the art for the synthesis of proteins, typically, e.g., by recombinant expression techniques.
- Recombinant expression of an antibody or derivative thereof that binds to CD70 and depletes or inhibits the proliferation of CD70-expressing cells requires construction of an expression vector containing a nucleic acid that encodes the antibody or derivative thereof. Once a nucleic acid encoding such a protein has been obtained, the vector for the production of the protein molecule may be produced by recombinant DNA technology using techniques well known in the art.
- Standard techniques such as, for example, those described in Sambrook and Russell, Molecular Cloning: A Laboratory Manual (Cold Spring Harbor Laboratory Press, Cold Spring Harbor, N.Y., 3rd ed., 2001); Sambrook et al., Molecular Cloning: A Laboratory Manual (Cold Spring Harbor Laboratory Press, Cold Spring Harbor, N.Y., 2nd ed., 1989); Short Protocols in Molecular Biology (Ausubel et al., John Wiley & Sons, New York, 4th ed., 1999); and Glick & Pasternak, Molecular Biotechnology: Principles and Applications of Recombinant DNA (ASM Press, Washington, D.C., 2nd ed., 1998) can be used for recombinant nucleic acid methods, nucleic acid synthesis, cell culture, transgene incorporation, and recombinant protein expression.
- an expression vector may encode a heavy or light chain thereof, or a heavy or light chain variable domain, operably linked to a promoter.
- An expression vector may include, for example, the nucleotide sequence encoding the constant region of the antibody molecule (see, e.g., PCT Publication WO 86/05807; PCT Publication WO 89/01036; and U.S. Pat. No. 5,122,464), and the variable domain of the antibody may be cloned into such a vector for expression of the entire heavy or light chain.
- the expression vector is transferred to a host cell by conventional techniques, and the transfected cells are then cultured by conventional techniques to produce the anti-CD70 antibody.
- vectors encoding both the heavy and light chains can be co-expressed in the host cell for expression of the entire immunoglobulin molecule.
- prokaryotic and eukaryotic host-expression vector systems can be utilized to express an anti-CD70 antibody or derivative thereof.
- eukaryotic cells particularly for whole recombinant anti-CD70 antibody molecules, are used for the expression of the recombinant protein.
- mammalian cells such as Chinese hamster ovary cells (CHO), in conjunction with a vector such as the major intermediate early gene promoter element from human cytomegalovirus, is an effective expression system for the production of anti-CD70 antiobies and derivatives thereof (see, e.g., Foecking et al., 1986, Gene 45:101; Cockett et al., 1990, Bio/Technology 8:2).
- host-expression systems include, for example, plasmid-based expression systems in bacterial cells (see, e.g., Ruther et al., 1983, EMBO 1, 2:1791; Inouye & Inouye, 1985, Nucleic Acids Res. 13:3101-3109; Van Heeke & Schuster, 1989, J. Biol. Chem.
- insect systems such as, e.g., the use of Autographa californica nuclear polyhedrosis virus (AcNPV) expression vector in Spodoptera frugiperda cells
- viral-based expression systems in mammalian cells such as, e.g., adenoviral-based systems (see, e.g., Logan & Shenk, 1984, Proc. Natl. Acad. Sci. USA 81:355-359; Bittner et al., 1987, Methods in Enzymol. 153:51-544).
- a host cell strain can be chosen that modulates the expression of the inserted sequences, or modifies and processes the gene product in the specific fashion desired.
- Appropriate cell lines or host systems can be chosen to ensure the correct modification and processing (e.g., glycosylation, phosphorylation, and cleavage) of the foreign protein expressed.
- eukaryotic host cells which possess the cellular machinery for proper processing of the primary transcript and gene product can be used.
- mammalian host cells include, for example, CHO, VERO, BHK, HeLa, COS, MDCK, 293, 3T3, and W138.
- a stable expression system is typically used for long-term, high-yield production of recombinant anti-CD70 antibody or derivative thereof.
- cell lines that stably express the anti-CD70 antibody or derivative thereof can be engineered by transformation of host cells with DNA controlled by appropriate expression control elements (e.g., promoter, enhancer, sequences, transcription terminators, polyadenylation sites) and a selectable marker, followed by growth of the transformed cells in a selective media.
- expression control elements e.g., promoter, enhancer, sequences, transcription terminators, polyadenylation sites
- selectable marker confers resistance to the selection and allows cells to stably integrate the DNA into their chromosomes and grow to form foci which in turn can be cloned and expanded into cell lines.
- a number of selection systems can be used, including, for example, the herpes simplex virus thymidine kinase, hypoxanthineguanine phosphoribosyltransferase, and adenine phosphoribosyltransferase genes, which can be employed in tk ⁇ , hgprt ⁇ or aprt ⁇ cells, respectively.
- antimetabolite resistance can be used as the basis of selection for the following genes: dhfr, which confers resistance to methotrexate; gpt, which confers resistance to mycophenolic acid; neo, which confers resistance to the aminoglycoside G-418; and hygro, which confers resistance to hygromycin.
- dhfr which confers resistance to methotrexate
- gpt which confers resistance to mycophenolic acid
- neo which confers resistance to the aminoglycoside G-418
- hygro which confers resistance to hygromycin.
- the expression levels of an antibody or derivative can be increased by vector amplification.
- vector amplification See generally, e.g., Bebbington & Hentschel, The Use of Vectors Based on Gene Amplification for the Expression of Cloned Genes in Mammalian Cells in DNA Cloning, Vol. 3 (Academic Press, New York, 1987).
- a marker in the vector system expressing an anti-CD70 antibody or derivative thereof is amplifiable
- an increase in the level of inhibitor present in host cell culture media will select host cells that have increased copy number of a marker gene conferring resistance to the inhibitor.
- the copy number of an associated antibody gene will also be increased, thereby increasing expression of the antibody or derivative thereof (see Crouse et al., 1983, Mol. Cell. Biol. 3:257).
- Expression levels can also be increased by optimizating the vector, and in particular the nucleic acids encoding the antibody or derivative, for the host organism (e.g., by modifying the codon usage, CpG content, and
- the host cell may be co-transfected with two expression vectors, the first vector encoding the heavy chain protein and the second vector encoding the light chain protein.
- the two vectors may contain identical selectable markers which enable equal expression of heavy and light chain proteins.
- a single vector may be used which encodes, and is capable of expressing, both heavy and light chain proteins.
- the light chain is typically placed before the heavy chain to avoid an excess of toxic free heavy chain (see Proudfoot, 1986, Nature 322:52; Kohler, 1980, Proc. Natl. Acad. Sci. USA 77:2197).
- the coding sequences for the heavy and light chains may comprise cDNA or genomic DNA.
- an anti-CD70 antibody or derivative thereof can be purified by any suitable method for purification of proteins, including, for example, by chromatography (e.g., ion exchange or affinity chromatography (such as, for example, Protein A chromatography for purification of antibodies having an intact Fc region)), centrifugation, differential solubility, or by any other standard technique for the purification of proteins.
- An anti-CD70 antibody or derivative thereof can, for example, be fused to a marker sequence, such as a peptide, to facilitate purification by affinity chromatography.
- Suitable marker amino acid sequences include, e.g., a hexa-histidine peptide, such as the tag provided in a pQE vector (QIAGEN, Inc., 9259 Eton Avenue, Chatsworth, Calif., 91311), and the “HA” tag, which corresponds to an epitope derived from the influenza hemagglutinin protein (Wilson et al., 1984, Cell 37:767), and the “flag” tag.
- a hexa-histidine peptide such as the tag provided in a pQE vector (QIAGEN, Inc., 9259 Eton Avenue, Chatsworth, Calif., 91311)
- the “HA” tag which corresponds to an epitope derived from the influenza hemagglutinin protein (Wilson et al., 1984, Cell 37:767), and the “flag” tag.
- an anti-CD70 antibody or derivative thereof is produced, its ability to exert a cytostatic or cytotoxic effect on CD70-expressing cancer cells (when conjugated to a cytotoxic agent) or an immunosuppressive effect on a CD70-expressing immune cell (when conjugated to an immunosuppressive agent) is determined by the methods described infra or as known in the art.
- compositions useful in the treatment of a CD70-expressing cancer or an immunological disorder comprise anti-CD70 antibody-drug conjugates (ADCs) or anti-CD70 ADC derivatives.
- ADCs anti-CD70 antibody-drug conjugates
- An “anti-CD70 ADC” as used herein refers to an anti-CD70 antibody (as described in Section II, supra) conjugated to a therapeutic agent.
- An “anti-CD70 derivative” as used herein refers to a derivative of an anti-CD70 antibody (as described in Section II, supra) conjugated to a therapeutic agent.
- the ADC comprises an anti-CD70 antibody (e.g., mAb 1F6 or 2F2 or a fragment or derivative thereof, including, for example, a chimeric or humanized form thereof).
- the ADCs or ADC derivatives as described herein produce clinically beneficial effects on CD70-expressing cells when administered to a subject with a CD70-expressing cancer or an immunological disorder, typically when administered alone but also in combination with
- the anti-CD70 antibody or derivative thereof is conjugated to a cytotoxic or immunosuppressive agent, such that the resulting ADC or ADC derivative exerts a cytotoxic or cytostatic effect on a CD70-expressing cancer cell, or a cytotoxic, cytostatic, or immunosuppressive effect on an immune cell (e.g., an activated lymphocyte or dendritic cell) when taken up or internalized by the cell.
- a cytotoxic or immunosuppressive agent such that the resulting ADC or ADC derivative exerts a cytotoxic or cytostatic effect on a CD70-expressing cancer cell, or a cytotoxic, cytostatic, or immunosuppressive effect on an immune cell (e.g., an activated lymphocyte or dendritic cell) when taken up or internalized by the cell.
- an immune cell e.g., an activated lymphocyte or dendritic cell
- moieties for conjugation to antibodies or antibody derivatives are chemotherapeutic agents, prodrug converting enzymes,
- an anti-CD70 antibody or derivative thereof can be conjugated to a cytotoxic agent such as a chemotherapeutic agent (see infra), or a toxin (e.g., a cytostatic or cytocidal agent such as, e.g., abrin, ricin A, pseudomonas exotoxin, or diphtheria toxin).
- a cytotoxic agent such as a chemotherapeutic agent (see infra)
- a toxin e.g., a cytostatic or cytocidal agent such as, e.g., abrin, ricin A, pseudomonas exotoxin, or diphtheria toxin.
- the anti-CD70 antibody or derivative thereof is conjugated to a pro-drug converting enzyme.
- the pro-drug converting enzyme can be recombinantly fused to the antibody or derivative thereof or chemically conjugated thereto using known methods.
- Exemplary pro-drug converting enzymes are carboxypeptidase G2, beta-glucuronidase, penicillin-V-amidase, penicillin-G-amidase, ⁇ -lactamase, ⁇ -glucosidase, nitroreductase and carboxypeptidase A.
- the anti-CD70 ADC or ADC derivative is internalized and accumulates within a CD70-expressing cell, where the ADC or ADC derivative exerts a therapeutic effect (e.g., a cytotoxic, cytostatic, or immunosuppressive effect).
- a therapeutic effect e.g., a cytotoxic, cytostatic, or immunosuppressive effect.
- an anti-CD70 antibody or derivative thereof conjugated to a therapeutic agent e.g., a drug or a prodrug converting enzyme
- the agent is preferentially active when internalized by cells of the cancer to be treated or by activated immune cells (e.g., activated lymphocytes or dendritic cells).
- activated immune cells e.g., activated lymphocytes or dendritic cells.
- the anti-CD70 ADC or ADC derivative is not internalized, and the drug is effective to deplete or inhibit CD70-expressing cells by binding to the cell membrane.
- anti-CD70 antibodies ADC or ADC derivatives thereof can be targeted to a biological molecules in a cell (e.g., an inflammatory agent) and accumulate at or adjacent cells secreting or binding the biological molecule, where the therapeutic agent exerts an effect (e.g., a cytotoxic, cytostatic, or immunosuppressive effect).
- a biological molecules in a cell e.g., an inflammatory agent
- the therapeutic agent exerts an effect (e.g., a cytotoxic, cytostatic, or immunosuppressive effect).
- an antibody that specifically binds to cell membrane-bound CD70, but not to soluble CD70 can be used, so that the therapeutic agent is concentrated at the cell surface of the activated immune cell or CD70-expressing cancer cell.
- the therapeutic agent is conjugated in a manner that reduces its activity unless it is cleaved off the antibody (e.g., by hydrolysis or by a cleaving agent).
- the therapeutic agent is attached to the antibody or derivative thereof with a cleavable linker that is sensitive to cleavage in the intracellular environment of the activated immune cell or CD70-expressing cancer cell but is not substantially sensitive to the extracellular environment, such that the conjugate is cleaved from the antibody or derivative thereof when it is internalized by the activated immune cell or CD70-expressing cancer cell (e.g., in the endosomal or, for example by virtue of pH sensitivity or protease sensitivity, in the lysosomal environment or in a caveolea). (See Section III(A), infra.)
- the ADC or ADC derivative comprises a therapeutic agent that is charged relative to the plasma membrane, thereby further minimizing the ability of the agent to cross the plasma membrane once internalized by a cell.
- a “charged agent” means an agent that (a) is polarized, such that one region of the agent has a charge relative to the plasma membrane, or (b) has a net charge relative to the plasma membrane.
- the anti-CD70 antibody-drug conjugate (ADC) or ADC derivative is substantially purified (e.g., substantially free from substances that limit its effect or produce undesired side-effects).
- the anti-CD70 ADC or ADC derivative is 40% pure, more typically about 50% pure, and most typically about 60% pure.
- the anti-CD70 ADC or ADC derivative is at least approximately 60-65%, 65-70%, 70-75%, 75-80%, 80-85%, 85-90%, 90-95%, or 95-98% pure.
- the anti-CD70 ADC or ADC derivative is approximately 99% pure.
- the ADC or ADC derivative comprises a linker region between the therapeutic agent and the anti-CD70 antibody or derivative thereof.
- the linker is cleavable under intracellular conditions, such that cleavage of the linker releases the therapeutic agent from the antibody in the intracellular environment.
- the linker is cleavable by a cleaving agent that is present in the intracellular environment (e.g., within a lysosome or endosome or caveolea).
- the linker can be, e.g., a peptidyl linker that is cleaved by an intracellular peptidase or protease enzyme, including, but not limited to, a lysosomal or endosomal protease.
- the peptidyl linker is at least two amino acids long or at least three amino acids long.
- Cleaving agents can include cathepsins B and D and plasmin, all of which are known to hydrolyze dipeptide drug derivatives resulting in the release of active drug inside target cells (see, e.g., Dubowchik and Walker, 1999, Pharm. Therapeutics 83:67-123).
- Most typical are peptidyl linkers that are cleavable by enzymes that are present in CD70-expressing cells.
- a peptidyl linker that is cleavable by the thiol-dependent protease cathepsin-B, which is highly expressed in cancerous tissue can be used (e.g., a Phe-Leu or a Gly-Phe-Leu-Gly linker).
- the peptidyl linker cleavable by an intracellular protease is a Val-Cit linker or a Phe-Lys linker (see, e.g., U.S. Pat. No. 6,214,345, which describes the synthesis of doxorubicin with the val-cit linker).
- One advantage of using intracellular proteolytic release of the therapeutic agent is that the agent is typically attenuated when conjugated and the serum stabilities of the conjugates are typically high.
- the cleavable linker is pH-sensitive, i.e., sensitive to hydrolysis at certain pH values.
- the pH-sensitive linker hydrolyzable under acidic conditions.
- an acid-labile linker that is hydrolyzable in the lysosome e.g., a hydrazone, semicarbazone, thiosemicarbazone, cis-aconitic amide, orthoester, acetal, ketal, or the like
- an acid-labile linker that is hydrolyzable in the lysosome e.g., a hydrazone, semicarbazone, thiosemicarbazone, cis-aconitic amide, orthoester, acetal, ketal, or the like
- the hydrolyzable linker is a thioether linker (such as, e.g., a thioether attached to the therapeutic agent via an acylhydrazone bond (see, e.g., U.S. Pat. No. 5,622,929)).
- the linker is cleavable under reducing conditions (e.g., a disulfide linker).
- a disulfide linker e.g., a disulfide linker.
- disulfide linkers are known in the art, including, for example, those that can be formed using SATA (N-succinimidyl-5-acetylthioacetate), SPDP (N-succinimidyl-3-(2-pyridyldithio)propionate), SPDB (N-succinimidyl-3-(2-pyridyldithio)butyrate) and SMPT (N-succinimidyl-oxycarbonyl-alpha-methyl-alpha-(2-pyridyl-dithio)toluene), SPDB and SMPT (See, e.g., Thorpe et al., 1987, Cancer Res.
- the linker is a malonate linker (Johnson et al., 1995, Anticancer Res. 15:1387-93), a maleimidobenzoyl linker (Lau et al., 1995, Bioorg - Med - Chem. 3(10):1299-1304), or a 3′-N-amide analog (Lau et al., 1995, Bioorg - Med - Chem. 3(10):1305-12).
- the linker is not substantially sensitive to the extracellular environment.
- “not substantially sensitive to the extracellular environment,” in the context of a linker means that no more than about 20%, typically no more than about 15%, more typically no more than about 10%, and even more typically no more than about 5%, no more than about 3%, or no more than about 1% of the linkers, in a sample of ADC or ADC derivative, are cleaved when the ADC or ADC derivative present in an extracellular environment (e.g., in plasma).
- Whether a linker is not substantially sensitive to the extracellular environment can be determined, for example, by incubating independently with plasma both (a) the ADC or ADC derivative (the “ADC sample”) and (b) an equal molar amount of unconjugated antibody or therapeutic agent (the “control sample”) for a predetermined time period (e.g., 2, 4, 8, 16, or 24 hours) and then comparing the amount of unconjugated antibody or therapeutic agent present in the ADC sample with that present in control sample, as measured, for example, by high performance liquid chromatography.
- a predetermined time period e.g., 2, 4, 8, 16, or 24 hours
- the linker promotes cellular internalization. In certain embodiments, the linker promotes cellular internalization when conjugated to the therapeutic agent (i.e., in the milieu of the linker-therapeutic agent moiety of the ADC or ADC derivate as described herein). In yet other embodiments, the linker promotes cellular internalization when conjugated to both the therapeutic agent and the anti-CD70 antibody or derivative thereof (i.e., in the milieu of the ADC or ADC derivative as described herein).
- linkers that can be used with the present compositions and methods are described in WO 2004010957 entitled “Drug Conjugates and Their Use for Treating Cancer, An Autoimmune Disease or an Infectious Disease” filed Jul. 31, 2003, and U.S. Provisional Application No. 60/400,403, entitled “Drug Conjugates and their use for treating cancer, an autoimmune disease or an infectious disease”, filed Jul. 31, 2002 (the disclosure of which is incorporated by reference herein).
- the linker unit has the following general formula: -T a -W w —Y y —
- a is 0 or 1
- each —W— is independently an amino acid unit
- w is independently an integer ranging from 2 to 12;
- —Y— is a spacer unit
- y 0, 1 or 2.
- Useful functional groups that can be present on an anti-CD70 antibody, either naturally or via chemical manipulation include, but are not limited to, sulfhydryl, amino, hydroxyl, the anomeric hydroxyl group of a carbohydrate, and carboxyl. Suitable functional groups are sulfhydryl and amino. Sulfhydryl groups can be generated by reduction of the intramolecular disulfide bonds of an anti-CD70 antibody.
- sulfhydryl groups can be generated by reaction of an amino group of a lysine moiety of an anti-CD70 antibody with 2-iminothiolane (Traut's reagent) or other sulfhydryl generating reagents.
- the anti-CD70 antibody is a recombinant antibody and is engineered to carry one or more lysines.
- the recombinant anti-CD70 antibody is engineered to carry additional sulfhydryl groups, e.g., additional cysteines.
- the stretcher unit forms a bond with a sulfur atom of the anti-CD70 antibody unit.
- the sulfur atom can be derived from a sulfhydryl (—SH) group of a reduced anti-CD70 antibody (A).
- Representative stretcher units of these embodiments are depicted within the square brackets of Formulas (Ia) and (Ib; see infra), wherein A-, —W—, —Y—, -D, w and y are as defined above and R 1 is selected from —C 1 -C 10 alkylene-, —C 3 -C 8 carbocyclo-, —O—(C 1 -C 8 alkyl)-, -arylene-, —C 1 -C 10 alkylene-arylene-, -arylene-C 1 -C 10 alkylene-, —C 1 -C 10 alkylene-(C 3 -C 8 carbocyclo)-, —(C 3 -C 8 carbocyclo)-C 1 -C 10 alkylene-, —C 3 -C 8 heterocyclo-, —C 1 -C 10 alkylene-(C 3 -C 8 heterocyclo)-, —(C 3 -C 8 heterocyclo)
- An illustrative stretcher unit is that of formula (Ia) where R 1 is —(CH 2 ) 5 —:
- Another illustrative stretcher unit is that of formula (Ia) where R 1 is —(CH 2 CH 2 O) r —CH 2 — and r is 2:
- Still another illustrative stretcher unit is that of formula (Ib) where R 1 is —(CH 2 ) 5 —:
- the stretcher unit is linked to the anti-CD70 antibody unit (A) via a disulfide bond between a sulfur atom of the anti-CD70 antibody unit and a sulfur atom of the stretcher unit.
- a representative stretcher unit of this embodiment is depicted within the square brackets of Formula (II), wherein R 1 , A-, —W—, —Y—, -D, w and y are as defined above.
- R 1 , A-, —W—, —Y—, -D, w and y are as defined above.
- the reactive group of the stretcher contains a reactive site that can be reactive to an amino group of an anti-CD70 antibody.
- the amino group can be that of an arginine or a lysine.
- Suitable amine reactive sites include, but are not limited to, activated esters such as succinimide esters, 4-nitrophenyl esters, pentafluorophenyl esters, anhydrides, acid chlorides, sulfonyl chlorides, isocyanates and isothiocyanates.
- Representative stretcher units of these embodiments are depicted within the square brackets of Formulas (IIIa) and (IIIb), wherein R 1 , A-, —W—, —Y—, -D, w and y are as defined above;
- the reactive function of the stretcher contains a reactive site that is reactive to a modified carbohydrate group that can be present on an anti-CD70 antibody.
- the anti-CD70 antibody is glycosylated enzymatically to provide a carbohydrate moiety.
- the carbohydrate may be mildly oxidized with a reagent such as sodium periodate and the resulting carbonyl unit of the oxidized carbohydrate can be condensed with a stretcher that contains a functionality such as a hydrazide, an oxime, a reactive amine, a hydrazine, a thiosemicarbazide, a hydrazine carboxylate, or an arylhydrazide such as those described by Kaneko et al., 1991, Bioconju gate Chem 2:133-41.
- Representative stretcher units of this embodiment are depicted within the square brackets of Formulas (IVa)-(IVc), wherein R 1 , A-, —W—, —Y—, -D, w and y are as defined above.
- the amino acid unit (—W—) links the stretcher unit (-T-) to the Spacer unit (—Y—) if the Spacer unit is present, and links the stretcher unit to the cytotoxic or cytostatic agent (Drug unit; D) if the spacer unit is absent.
- W w — is a dipeptide, tripeptide, tetrapeptide, pentapeptide, hexapeptide, heptapeptide, octapeptide, nonapeptide, decapeptide, undecapeptide or dodecapeptide unit.
- Each —W— unit independently has the formula denoted below in the square brackets, and w is an integer ranging from 2 to 12: wherein R 2 is hydrogen, methyl, isopropyl, isobutyl, sec-butyl, benzyl, p-hydroxybenzyl, —CH 2 OH, —CH(OH)CH 3 , —CH 2 CH 2 SCH 3 , —CH 2 CONH 2 , —CH 2 COOH, —CH 2 CH 2 CONH 2 , —CH 2 CH 2 COOH, —(CH 2 ) 3 NHC( ⁇ NH)NH 2 , —(CH 2 ) 3 NH 2 , —(CH 2 ) 3 NHCOCH 3 , —(CH 2 ) 3 NHCHO, —(CH 2 ) 4 NHC( ⁇ NH)NH 2 , —(CH 2 ) 4 NH 2 , —(CH 2 ) 4 NHCOCH 3 , —(CH 2 ) 4 NHCHO,
- the amino acid unit of the linker unit can be enzymatically cleaved by an enzyme including, but not limited to, a tumor-associated protease to liberate the drug unit (-D) which is protonated in vivo upon release to provide a cytotoxic drug (D).
- an enzyme including, but not limited to, a tumor-associated protease to liberate the drug unit (-D) which is protonated in vivo upon release to provide a cytotoxic drug (D).
- W w units are represented by formulas (V)-(VII):
- R 3 and R 4 are as follows: R 3 R 4 Benzyl (CH 2 ) 4 NH 2 ; Methyl (CH 2 ) 4 NH 2 ; Isopropyl (CH 2 ) 4 NH 2 ; Isopropyl (CH 2 ) 3 NHCONH 2 ; Benzyl (CH 2 ) 3 NHCONH 2 ; Isobutyl (CH 2 ) 3 NHCONH 2 ; sec-butyl (CH 2 ) 3 NHCONH 2 ; (CH 2 ) 3 NHCONH 2 ; Benzyl methyl; and Benzyl (CH 2 ) 3 NHC( ⁇ NH)NH 2 ;
- R 3 , R 4 and R 5 are as follows: R 3 R 4 R 5 Benzyl benzyl (CH 2 ) 4 NH 2 ; Isopropyl benzyl (CH 2 ) 4 NH 2 ; and H benzyl (CH 2 ) 4 NH 2 ; or
- R 3 , R 4 , R 5 and R 6 are as follows: R 3 R 4 R 5 R 6 H Benzyl isobutyl H; and methyl Isobutyl methyl isobutyl.
- Suitable amino acid units include, but are not limited to, units of formula (V) where: R 3 is benzyl and R 4 is —(CH 2 ) 4 NH 2 ; R 3 is isopropyl and R 4 is —(CH 2 ) 4 NH 2 ; or R 3 is isopropyl and R 4 is —(CH 2 ) 3 NHCONH 2 .
- Another suitable amino acid unit is a unit of formula (VI), where: R 3 is benzyl, R 4 is benzyl, and R 5 is —(CH 2 ) 4 NH 2 .
- W w — units can be designed and optimized in their selectivity for enzymatic cleavage by a particular tumor-associated protease.
- the suitable -Ww- units are those whose cleavage is catalyzed by the proteases, cathepsin B, C and D, and plasmin.
- —W w — is a dipeptide, tripeptide or tetrapeptide unit.
- R 2 , R 3 , R 4 , R 5 or R 6 is other than hydrogen
- the carbon atom to which R 2 , R 3 , R 4 , R 5 or R 6 is attached is chiral.
- Each carbon atom to which R 2 , R 3 , R 4 , R 5 or R 6 is attached is independently in the (S) or (R) configuration.
- the amino acid unit is a phenylalanine-lysine dipeptide (Phe-Lys or FK linker). In another embodiment, the amino acid unit is a valine-citrulline dipeptide (Val-Cit or VC linker).
- the spacer unit when present, links an amino acid unit to the drug unit.
- Spacer units are of two general types: self-immolative and non self-immolative.
- a non self-immolative spacer unit is one in which part or all of the spacer unit remains bound to the drug unit after enzymatic cleavage of an amino acid unit from the anti-CD70 antibody-linker-drug conjugate or the drug-linker compound.
- Examples of a non self-immolative spacer unit include, but are not limited to a (glycine-glycine) spacer unit and a glycine spacer unit (both depicted in Scheme 1).
- an anti-CD70 antibody-linker-drug conjugate containing a glycine-glycine spacer unit or a glycine spacer unit undergoes enzymatic cleavage via a tumor-cell associated-protease, a cancer-cell-associated protease or a lymphocyte-associated protease, a glycine-glycine-drug moiety or a glycine-drug moiety is cleaved from A-T-W w —.
- an independent hydrolysis reaction should take place within the target cell to cleave the glycine-drug unit bond.
- —Y y — is a p-aminobenzyl ether which can be substituted with Q m where Q is —C 1 -C 8 alkyl, —C 1 -C 8 alkoxy, -halogen, -nitro or -cyano; and m is an integer ranging from 0-4.
- a non self-immolative spacer unit (—Y—) is -Gly-Gly-.
- a non self-immolative the spacer unit (—Y—) is -Gly-.
- an anti-CD70 antibody-linker-drug conjugate containing a self-immolative spacer unit can release the drug (D) without the need for a separate hydrolysis step.
- —Y— is a p-aminobenzyl alcohol (PAB) unit that is linked to —W w — via the nitrogen atom of the PAB group, and connected directly to -D via a carbonate, carbamate or ether group (Scheme 2 and Scheme 3).
- Q is —C 1 -C 8 alkyl, —C 1 -C 8 alkoxy, -halogen, -nitro or -cyano
- m is an integer ranging from 0-4
- p is an integer ranging from 1-20.
- Q is —C 1 -C 8 alkyl, —C 1 -C 8 alkoxy, -halogen, -nitro or -cyano; m is an integer ranging from 0-4; and p is an integer ranging from 1-20.
- self-immolative spacers include, but are not limited to, aromatic compounds that are electronically equivalent to the PAB group such as 2-aminoimidazol-5-methanol derivatives (see Hay et al., 1999, Bioorg. Med. Chem. Lett. 9:2237 for examples) and ortho or para-aminobenzylacetals.
- Spacers can be used that undergo facile cyclization upon amide bond hydrolysis, such as substituted and unsubstituted 4-aminobutyric acid amides (Rodrigues et al., 1995, Chemistry Biology 2:223), appropriately substituted bicyclo[2.2.1] and bicyclo[2.2.2] ring systems (Storm et al., 1972, J. Amer. Chem.
- the spacer unit is a branched bis(hydroxymethyl)styrene (BHMS) unit (Scheme 4), which can be used to incorporate additional drugs.
- Q is —C 1 -C 8 alkyl, —C 1 -C 8 alkoxy, -halogen, -nitro or -cyano;
- m is an integer ranging from 0-4;
- n is 0 or 1; and
- p is an integer raging from 1-20.
- the two -D moieties are the same.
- the two -D moieties are different.
- Typical spacer units (—Y y —) are represented by Formulas (VIII)-(X): where Q is C 1 -C 8 alkyl, C 1 -C 8 alkoxy, halogen, nitro or cyano; and m is an integer ranging from 0-4;
- any agent that exerts a therapeutic effect on cancer cells or activated immune cells can be used as the therapeutic agent for conjugation to an anti-CD70 antibody or derivative thereof.
- the therapeutic agent is a cytotoxic or immunosuppressive agent.
- an anti-CD70 drug conjugate or derivative conjugate comprises from about 1 to about 20 therapeutic agents per conjugate.
- an anti-CD70 drug conjugate or derivative conjugate comprises from about 2 to about 10, from about 2 to about 8, about 4 or about 6 therapeutic agents per conjugate.
- cytotoxic or immunosuppressive agents include, for example, antitubulin agents, auristatins, DNA minor groove binders, DNA replication inhibitors, alkylating agents (e.g., platinum complexes such as cis-platin, mono(platinum), bis(platinum) and tri-nuclear platinum complexes and carboplatin), anthracyclines, antibiotics, antifolates, antimetabolites, chemotherapy sensitizers, duocarmycins, etoposides, fluorinated pyrimidines, ionophores, lexitropsins, nitrosoureas, platinols, pre-forming compounds, purine antimetabolites, puromycins, radiation sensitizers, steroids, taxanes, topoisomerase inhibitors, vinca alkaloids, or the like.
- alkylating agents e.g., platinum complexes such as cis-platin, mono(platinum), bis(platinum) and tri
- cytotoxic or immunosuppressive agents include, for example, an androgen, anthramycin (AMC), asparaginase, 5-azacytidine, azathioprine, bleomycin, busulfan, buthionine sulfoximine, camptothecin, carboplatin, carmustine (BSNU), CC-1065, chlorambucil, cisplatin, colchicine, cyclophosphamide, cytarabine, cytidine arabinoside, cytochalasin B, dacarbazine, dactinomycin (formerly actinomycin), daunorubicin, decarbazine, docetaxel, doxorubicin, an estrogen, 5-fluordeoxyuridine, 5-fluorouracil, gramicidin D, hydroxyurea, idarubicin, ifosfamide, irinotecan, lomustine (CCNU), mechlorethamine, melphal
- the therapeutic agent is a cytotoxic agent.
- Suitable cytotoxic agents include, for example, dolastatins (e.g., auristatin E, AFP, MMAF, MMAE), DNA minor groove binders (e.g., enediynes and lexitropsins), duocarmycins, taxanes (e.g., paclitaxel and docetaxel), puromycins, vinca alkaloids, CC-1065, SN-38, topotecan, morpholino-doxorubicin, rhizoxin, cyanomorpholino-doxorubicin, echinomycin, combretastatin, netropsin, epothilone A and B, estramustine, cryptophysins, cemadotin, maytansinoids, discodermolide, eleutherobin, and mitoxantrone.
- dolastatins e.g., auristatin E,
- the cytotoxic agent is a conventional chemotherapeutic such as, for example, doxorubicin, paclitaxel, melphalan, vinca alkaloids, methotrexate, mitomycin C or etoposide.
- chemotherapeutic such as, for example, doxorubicin, paclitaxel, melphalan, vinca alkaloids, methotrexate, mitomycin C or etoposide.
- potent agents such as CC-1065 analogues, calicheamicin, maytansine, analogues of dolastatin 10, rhizoxin, and palytoxin can be linked to the anti-CD70 antibodies or derivatives thereof.
- the cytotoxic or cytostatic agent is auristatin E (a derivative of dolastatin-10) or a derivative thereof.
- the auristatin E derivative is, e.g., an ester formed between auristatin E and a keto acid.
- auristatin E can be reacted with paraacetyl benzoic acid or benzoylvaleric acid to produce AEB and AEVB, respectively.
- Other typical auristatin derivatives include AFP, MMAF, and MMAE.
- the cytotoxic agent is a DNA minor groove binding agent.
- the minor groove binding agent is a CBI compound.
- the minor groove binding agent is an enediyne (e.g., calicheamicin).
- the ADC or ADC derivative comprises an anti-tubulin agent.
- anti-tubulin agents include, but are not limited to, taxanes (e.g., Taxol® (paclitaxel), Taxotere® (docetaxel)), T67 (Tularik), vinca alkyloids (e.g., vincristine, vinblastine, vindesine, and vinorelbine), and dolastatins (e.g., auristatin E, AFP, MMAF, MMAE, AEB, AEVB).
- taxanes e.g., Taxol® (paclitaxel), Taxotere® (docetaxel)
- T67 Tularik
- vinca alkyloids e.g., vincristine, vinblastine, vindesine, and vinorelbine
- dolastatins e.g., auristatin E, AFP, MMAF, MMAE, AEB, AEVB
- antitubulin agents include, for example, baccatin derivatives, taxane analogs (e.g., epothilone A and B), nocodazole, colchicine and colcimid, estramustine, cryptophysins, cemadotin, maytansinoids, combretastatins, discodermolide, and eleutherobin.
- the cytotoxic agent is a maytansinoid, another group of anti-tubulin agents.
- the maytansinoid is maytansine or DM-1 (ImmunoGen, Inc.; see also Chari et al., 1992, Cancer Res. 52:127-131).
- the therapeutic agent is not a radioisotope. In certain embodiments, the therapeutic agent is not a peptide toxin.
- the cytotoxic or immunosuppressive agent is an antimetabolite.
- the antimetabolite can be, for example, a purine antagonist (e.g. azothioprine or mycophenolate mofetil), a dihydrofolate reductase inhibitor (e.g., methotrexate), acyclovir, gangcyclovir, zidovudine, vidarabine, ribavarin, azidothymidine, cytidine arabinoside, amantadine, dideoxyuridine, iododeoxyuridine, poscarnet, or trifluridine.
- a purine antagonist e.g. azothioprine or mycophenolate mofetil
- a dihydrofolate reductase inhibitor e.g., methotrexate
- acyclovir gangcyclovir
- zidovudine vidarabine
- ribavarin azidothymidine
- the cytotoxic or immunosuppressive agent is tacrolimus, cyclosporine or rapamycin.
- the cytoxic agent is aldesleukin, alemtuzumab, alitretinoin, allopurinol, altretamine, amifostine, anastrozole, arsenic trioxide, bexarotene, bexarotene, calusterone, capecitabine, celecoxib, cladribine, Darbepoetin alfa, Denileukin diftitox, dexrazoxane, dromostanolone propionate, epirubicin, Epoetin alfa, estramustine, exemestane, Filgrastim, floxuridine, fludarabine, fulvestrant, gemcitabine, gemtuzumab ozogamicin, goserelin, idarubicin, ifosfamide, im
- the drug is a humanized anti HER2 monoclonal antibody, RITUXAN (rituximab; Genentech; a chimeric anti CD20 monoclonal antibody); OVAREX (AltaRex Corporation, MA); PANOREX (Glaxo Wellcome, NC; a murine IgG2a antibody); Cetuximab Erbitux (Imclone Systems Inc., NY; an anti-EGFR IgG chimeric antibody); Vitaxin (MedImmune, Inc., MD; Campath I/H (Leukosite, MA; a humanized IgG1 antibody); lintuzumab (Protein Design Labs, Inc.
- Suitable antibodies include, but are not limited to, antibodies against the following antigens: CA125, CA15-3, CA19-9, L6, Lewis Y, Lewis X, alpha fetoprotein, CA 242, placental alkaline phosphatase, prostate specific antigen, prostatic acid phosphatase, epidermal growth factor, MAGE-1, MAGE-2, MAGE-3, MAGE-4, anti transferrin receptor, p97, MUC1-KLH, CEA, gp100, MART1, Prostate Specific Antigen, IL-2 receptor, CD20, CD52, CD33, CD22, human chorionic gonadotropin, CD38, CD40, mucin, P21, MPG, and Neu oncogene product.
- antigens CA125, CA15-3, CA19-9, L6, Lewis Y, Lewis X, alpha fetoprotein, CA 242, placental alkaline phosphatase, prostate specific antigen, prostatic acid phosphatase, epidermal growth factor,
- the therapeutic agent is an immunosuppressive agent.
- the immunosuppressive agent can be, for example, gancyclovir, etanercept, tacrolimus, cyclosporine, rapamycin, cyclophosphamide, azathioprine, mycophenolate mofetil or methotrexate.
- the immunosuppressive agent can be, for example, a glucocorticoid (e.g., cortisol or aldosterone) or a glucocorticoid analogue (e.g. prednisone or dexamethasone).
- the immunosuppressive agent is an anti-inflammatory agent, such as arylcarboxylic derivatives, pyrazole-containing derivatives, oxicam derivatives and nicotinic acid derivatives.
- Classes of anti-inflammatory agents include, for example, cyclooxygenase inhibitors, 5-lipoxygenase inhibitors, or leukotriene receptor antagonists.
- Suitable cyclooxygenase inhibitors include meclofenamic acid, mefenamic acid, carprofen, diclofenac, diflunisal, fenbufen, fenoprofen, ibuprofen, indomethacin, ketoprofen, nabumetone, naproxen, sulindac, tenoxicam, tolmetin, and acetylsalicylic acid.
- Suitable lipoxygenase inhibitors include redox inhibitors (e.g., catechol butane derivatives, nordihydroguaiaretic acid (NDGA), masoprocol, phenidone, Ianopalen, indazolinones, naphazatrom, benzofuranol, alkylhydroxylamine), and non-redox inhibitors (e.g., hydroxythiazoles, methoxyalkylthiazoles, benzopyrans and derivatives thereof, methoxytetrahydropyran, boswellic acids and acetylated derivatives of boswellic acids, and quinolinemethoxyphenylacetic acids substituted with cycloalkyl radicals), and precursors of redox inhibitors.
- redox inhibitors e.g., catechol butane derivatives, nordihydroguaiaretic acid (NDGA), masoprocol, phenidone, Ianopalen, indazolinones, naphaz
- lipoxygenase inhibitors include antioxidants (e.g., phenols, propyl gallate, flavonoids and/or naturally occurring substrates containing flavonoids, hydroxylated derivatives of the flavones, flavonol, dihydroquercetin, luteolin, galangin, orobol, derivatives of chalcone, 4,2′,4′-trihydroxychalcone, ortho-aminophenols, N-hydroxyureas, benzofuranols, ebselen and species that increase the activity of the reducing selenoenzymes), iron chelating agents (e.g., hydroxamic acids and derivatives thereof, N-hydroxyureas, 2-benzyl-1-naphthol, catechols, hydroxylamines, carnosol trolox C, catechol, naphthol, sulfasalazine, zyleuton, 5-hydroxyanthranilic acid and 4-(omega-arylalkyl
- lipoxygenase inhibitors include inhibitors of eicosanoids (e.g., octadecatetraenoic, eicosatetraenoic, docosapentaenoic, eicosahexaenoic and docosahexaenoic acids and esters thereof, PGE1 (prostaglandin E1), PGA2 (prostaglandin A2), viprostol, 15-monohydroxyeicosatetraenoic, 15-monohydroxy-eicosatrienoic and 15-monohydroxyeicosapentaenoic acids, and leukotrienes B5, C5 and D5), compounds interfering with calcium flows, phenothiazines, diphenylbutylamines, verapamil, fuscoside, curcumin, chlorogenic acid, caffeic acid, 5,8,11,14-eicosatetrayenoic acid (ETYA), hydroxyphenylretinamide,
- Leukotriene receptor antagonists include calcitriol, ontazolast, Bayer Bay-x-1005, Ciba-Geigy CGS-25019C, ebselen, Leo Denmark ETH-615, Lilly LY-293111, Ono ONO-4057, Terumo TMK-688, Boehringer Ingleheim BI-RM-270, Lilly LY 213024, Lilly LY 264086, Lilly LY 292728, Ono ONO LB457, Pfizer 105696, Perdue Frederick PF 10042, Rhone-Poulenc Rorer RP 66153, SmithKline Beecham SB-201146, SmithKline Beecham SB-201993, SmithKline Beecham SB-209247, Searle SC-53228, Sumitamo SM 15178, American Home Products WAY 121006, Bayer Bay-o-8276, Warner-Lambert CI-987, Warner-Lambert CI-987BPC-15LY 223982, Lilly
- the cytotoxic or cytostatic agent is a dolastatin.
- the dolastatin is of the auristatin class.
- the term dolastatin encompasses naturally occurring auristatins and non-naturally occurring derivatives, for example MMAE.
- the cytotoxic or cytostatic agent is MMAE (Formula XI).
- the cytotoxic or cytostatic agent is AFP (Formula XVI).
- the cytotoxic or cytostatic agent is a dolastatin of formulas XII-XXI.
- the generation of anti-CD70 ADCs and ADC derivatives can be accomplished by any technique known to the skilled artisan.
- the anti-CD70 ADCs comprise an anti-CD70 antibody, a drug, and optionally a linker that joins the drug and the antibody.
- a number of different reactions are available for covalent attachment of drugs to antibodies. This is often accomplished by reaction of the amino acid residues of the antibody molecule, including the amine groups of lysine, the free carboxylic acid groups of glutamic and aspartic acid, the sulfhydryl groups of cysteine and the various moieties of the aromatic amino acids.
- One of the most commonly used non-specific methods of covalent attachment is the carbodiimide reaction to link a carboxy (or amino) group of a compound to amino (or carboxy) groups of the antibody.
- bifunctional agents such as dialdehydes or imidoesters have been used to link the amino group of a compound to amino groups of the antibody molecule.
- the Schiff base reaction also available for attachment of drugs to antibodies. This method involves the periodate oxidation of a drug that contains glycol or hydroxy groups, thus forming an aldehyde which is then reacted with the antibody molecule. Attachment occurs via formation of a Schiff base with amino groups of the antibody molecule.
- Isothiocyanates can also be used as coupling agents for covalently attaching drugs to antibodies.
- an intermediate which is the precursor of the linker, is reacted with the drug under appropriate conditions.
- reactive groups are used on the drug and/or the intermediate. The product of the reaction between the drug and the intermediate, or the derivatized drug, is subsequently reacted with the anti-CD70 antibody under appropriate conditions.
- the CD70-targeting moiety need not be an antibody to be useful in accordance with the methods described herein. Accordingly, a CD70-targeting moiety can include one or more CDRs from an antibody that binds to CD70 and depletes or inhibits the proliferation of CD70-expressing cells when conjugated to a cytotoxic agent, or from an antibody that binds to CD70 and exerts an immunosuppressive effect when conjugated to an immunosuppressive agent.
- the protein is a multimer, most typically a dimer.
- CD70-binding proteins useful in accordance with the methods provided herein include fusion proteins, i.e., proteins that are recombinantly fused or chemically conjugated (including both covalent and non-covalent conjugation) to heterologous proteins (of typically at least 10, 20, 30, 40, 50, 60, 70, 80, 90 or at least 100 amino acids).
- fusion proteins i.e., proteins that are recombinantly fused or chemically conjugated (including both covalent and non-covalent conjugation) to heterologous proteins (of typically at least 10, 20, 30, 40, 50, 60, 70, 80, 90 or at least 100 amino acids).
- the fusion does not necessarily need to be direct, but may occur through linker sequences.
- CD70-targeting moieties useful in the present methods can be produced recombinantly by fusing the coding region of one or more of the CDRs of an anti-CD70 antibody in frame with a sequence coding for a heterologous protein.
- the heterologous protein may provide one or more of the following characteristics: added therapeutic benefits; promote stable expression; provide a means of facilitating high yield recombinant expression; and/or provide a multimerization domain.
- CD70-targeting moieties can include CD27 and variants or fragments thereof that bind to CD70.
- CD70-targeting moieties can further include peptides, ligands and other molecules that specifically bind to CD70.
- CD70-targeting moieties useful in the methods described herein can be identified using any method suitable for screening for protein-protein interactions.
- proteins are initially identified by their ability to specifically bind to CD70, then their ability to exert a cytostatic or cytotoxic effect on activated lymphocytes or CD70-expressing cancer cells when conjugated to a cytotoxic or cytostatic agent, or an immunosuppressive effect on an immune cell when conjugated to an immunosuppressive agent.
- interactions cytostatic or cytotoxic effect on activated lymphocytes or CD70-expressing cancer cells when conjugated to a cytotoxic or cytostatic agent, or an immunosuppressive effect on an immune cell when conjugated to an immunosuppressive agent.
- interaction cloning techniques which entail probing expression libraries with labeled CD70 in a manner similar to the technique of antibody probing of ⁇ gt11 libraries.
- a cDNA clone encoding CD70 (or a 1F6 or 2F2 binding domain thereof) is modified at the terminus by inserting the phosphorylation site for the heart muscle kinase (HMK) (see, e.g., Blanar and Rutter, 1992, Science 256:1014-1018).
- HMK heart muscle kinase
- CD70-binding protein Once a CD70-binding protein is identified, its ability (alone or when multimerized or fused to a dimerization or multimerization domain) to exert a cytostatic or cytotoxic effect on CD70-expressing cancer cells (when conjugated to a cytotoxic agent) or an immunosuppressive effect on a CD70-expressing immune cell (when conjugated to an immunosuppressive agent) is determined by the methods described infra.
- an anti-CD70 ADC or ADC derivative exerts a cytotoxic or cytostatic effect on a CD70-expressing cancer cell, or a cytotoxic, cytostatic, or immunosuppressive effect on activated CD70-expressing immune cell (e.g., activated lymphocyte or dendritic cell).
- Activated lymphocytes that can be assayed for a cytotoxic, cytostatic, or immunosuppressive effect of an anti-CD70 ADC or ADC derivative can be cultured cell lines (e.g., CESS, which is available from the ATCC; or KMH2 and L428, both of which are available from Deutsche Sammlung von Mikroorganismen und Zellkulturen GmbH), or from lymphocytes prepared from a fresh blood sample or other sources. Lymphocytes can be activated by the appropriate cocktails of antibodies and cytokines.
- CESS which is available from the ATCC
- T lymphocytes can be activated using allogeneic stimulator cells or antigen-pulsed autologous antigen presenting cells and T cell clones can be activated by PHA and cytokines in the presence of feeder cells, as described in Example 9, infra.
- CD70-expressing cancer cells that can be assayed for a cytotoxic or cytotoxic effect can be tissue culture cell lines as described in Examples 7, infra, or from CD70-expressing cancer cells prepared from a subject.
- an anti-CD70 ADC or ADC derivative is confirmed as exerting a cytotoxic or cytostatic on CD70-expressing cancer cells or a cytotoxic, cytostatic, or immunosuppressive effect on activated immune cells, its therapeutic value can be validated in an animal model.
- Exemplary animal models of immunological disorders or CD70-expressing cancers are described in Section VI, infra.
- a thymidine incorporation assay may be used.
- activated immune cells e.g., activated lymphocytes
- CD70-expressing cancer cells at a density of 5,000 cells/well of a 96-well plated can be cultured for a 72-hour period and exposed to 0.5 ⁇ Ci of 3 H-thymidine during the final 8 hours of the 72-hour period, and the incorporation of 3 H-thymidine into cells of the culture is measured in the presence and absence of the ADC or ADC derivative.
- necrosis or apoptosis can be measured.
- necrosis is typically accompanied by increased permeability of the plasma membrane; swelling of the cell, and rupture of the plasma membrane.
- Apoptosis is typically characterized by membrane blebbing, condensation of cytoplasm, and the activation of endogenous endonucleases. Determination of any of these effects on activated immune cells or CD70 expressing cancer cells indicates that an anti-CD70 ADC or ADC derivative is useful in the treatment or prevention of immunological disorders and CD70-expressing cancers.
- Cell viability can be measured by determining in a cell the uptake of a dye such as neutral red, typan blue, or ALAMARTM blue (see, e.g., Page et al., 1993, Intl. J. of Oncology 3:473-476).
- a dye such as neutral red, typan blue, or ALAMARTM blue
- the cells are incubated in media containing the dye, the cells are washed, and the remaining dye, reflecting cellular uptake of the dye, is measured spectrophotometrically.
- the protein-binding dye sulforhodamine B (SRB) can also be used to measure cytoxicity (Skehan et al., 1990, J. Nat'l Cancer Inst. 82:1107-12).
- a tetrazolium salt such as MTT
- MTT a tetrazolium salt
- Apoptosis can be quantitated by measuring, for example, DNA fragmentation.
- Commercial photometric methods for the quantitative in vitro determination of DNA fragmentation are available. Examples of such assays, including TUNEL (which detects incorporation of labeled nucleotides in fragmented DNA) and ELISA-based assays, are described in Biochemica, 1999, no. 2, pp. 34-37 (Roche Molecular Biochemicals).
- Apoptosis can also be determined by measuring morphological changes in a cell. For example, as with necrosis, loss of plasma membrane integrity can be determined by measuring uptake of certain dyes (e.g., a fluorescent dye such as, for example, acridine orange or ethidium bromide).
- a fluorescent dye such as, for example, acridine orange or ethidium bromide.
- a method for measuring apoptotic cell number has previously been described by Duke and Cohen, Current Protocols In Immunology (Coligan et al. eds., 1992, pp. 3.17.1-3.17.16).
- Cells can be also labeled with a DNA dye (e.g., acridine orange, ethidium bromide, or propidium iodide) and the cells observed for chromatin condensation and margination along the inner nuclear membrane.
- Other morphological changes that can be measured to determine apoptosis include, e.g., cytoplasmic
- the presence of apoptotic cells can be measured in both the attached and “floating” compartments of the cultures.
- both compartments can be collected by removing the supernatant, trypsining the attached cells, combining the preparations following a centrifugation wash step (e.g., 10 minutes, 2000 rpm), and detecting apoptosis (e.g., by measuring DNA fragmentation).
- a centrifugation wash step e.g. 10 minutes, 2000 rpm
- detecting apoptosis e.g., by measuring DNA fragmentation.
- Immunosuppressive effects can be measured, for example, by assaying for a cytotoxic or cytostatic effect (as described supra) on an activated immune cell involved in promoting immune responses (e.g., CD8 + cytotoxic T cells, CD4 + Th1 cells, B cells, or mature dendritic cells).
- a cytotoxic or cytostatic effect as described supra
- an activated immune cell involved in promoting immune responses e.g., CD8 + cytotoxic T cells, CD4 + Th1 cells, B cells, or mature dendritic cells.
- an immunosuppressive effect can be determined by examination of the presence or absence of specific immune cell populations (using, e.g., flow cytometry) such as, for example, the presence of T regulatory cells involved in suppression of an immune response; measurement of the functional capacity of immune cells, including, e.g., the cytolytic capacity of cytotoxic T cells; measurements of the cytokines, chemokines, cell surface molecules, antibodies or other secreted or cell-surface molecules of the cells (e.g., by flow cytometry, enzyme-linked immunosorbent assays, Western blot analysis, protein microarray analysis, immunoprecipitation analysis); or measurement of biochemical markers of activation of immune cells or signaling pathways within immune cells (e.g., Western blot and immunoprecipitation analysis of tyrosine, serine or threonine phosphorylation, polypeptide cleavage, and formation or dissociation of protein complexes; protein array analysis; DNA transcriptional profiling using DNA arrays or subtractive hybrid
- the anti-CD70 ADCs or ADC derivatives can be tested or validated in animal models of immunological disorders or CD70-expressing cancers.
- animal models of immunological disorders or CD70-expressing cancers are known to the skilled artisan, any of which can be used to assay the efficacy of the ADC or ADC derivative. Non-limiting examples of such models are described infra.
- animal models of systemic and organ-specific autoimmune diseases including diabetes, systemic lupus erythematosus, systemic sclerosis, Sjögren's Syndrome, experimental autoimmune encephalomyelitis (multiple sclerosis), thyroiditis, myasthenia gravis, arthritis, uveitis, inflammatory bowel disease have been described by Bigazzi, “Animal Models of Autoimmunity: Spontaneous and Induced,” in The Autoimmune Diseases (Rose & Mackay eds., Academic Press, 1998) and in “Animal Models for Autoimmune and Inflammatory Disease,” in Current Protocols in Immunology (Coligan et al. eds., Wiley & Sons, 1997).
- Allergic conditions can also be modeled in rodents.
- Airway hypersensitivity can be induced in mice by ovalbumin (Tomkinson et al., 2001, J. Immunol. 166:5792-5800) or Schistosoma mansoni egg antigen (Tesciuba et al., 2001, J. Immunol. 167:1996-2003).
- the Nc/Nga strain of mice show marked increase in serum IgE and spontaneously develop atopic dermatitis-like leisons (Vestergaard et al., 2000, Mol. Med. Today 6:209-210; Watanabe et al., 1997, Int. Immunol. 9:461-466; Saskawa et al., 2001, Int. Arch. Allergy Immunol. 126:239-247).
- Injection of immuno-competent donor lymphocytes into a lethally irradiated histo-incompatible host is a classical approach to induce acute GVHD in mice.
- the parent B6D2F1 murine model provides a system to induce both acute and chronic GVHD.
- the B6D2F1 mice are F1 progeny from a cross between the parental strains of C57BL/6 and DBA/2 mice. Transfer of DBA/2 lymphoid cells into non-irradiated B6D2F1 mice causes chronic GVHD, whereas transfer of C57BL/6, C57BL/10 or B10.D2 lymphoid cells causes acute GVHD (Slayback et al., 2000, Bone Marrow Transpl. 26:931-938; Kataoka et al., 2001, Immunology 103:310-318).
- both human hematopoietic stem cells and mature peripheral blood lymphoid cells can be engrafted into SCID mice, and these human lympho-hematopoietic cells remain functional in the SCID mice (McCune et al., 1988, Science 241:1632-1639; Kamel-Reid and Dick, 1988, Science 242:1706-1709; Mosier et al., 1988, Nature 335:256-259).
- This has provided a small animal model system for the direct testing of potential therapeutic agents on human lymphoid cells. See, e.g., Tournoy et al., 2001, J. Immunol. 166:6982-6991).
- small animal models to examine the in vivo efficacies of the anti-CD70 ADCs or ADC derivatives can be created by implanting CD70-expressing human tumor cell lines into appropriate immunodeficient rodent strains, e.g., athymic nude mice or SCID mice.
- CD70-expressing human lymphoma cell lines include, for example, Daudi (Ghetie et al., 1994, Blood 83:1329-36; Ghetie et al., 1990, Int J Cancer 15:481-5; de Mont et al., 2001, Cancer Res 61:7654-59), HS-Sultan (Cattan & Maung, 1996, Cancer Chemother Pharmacol 38:548-52; Cattan and Douglas, 1994, LeukRes 18:513-22), and Raji (Ochakovskaya et al., 2001, Clin Cancer Res 7:1505-10; Breisto et al., 1999, Cancer Res 59:2944-49).
- CD70-expressing Hodgkin's lymphoma line is L428 (Drexler, 1993, Leukemia and Lymphoma 9:1-25; Dewan et al., 2005, Cancer Sci. 96:466-473).
- Non-limiting examples of CD70 expressing human renal cell carcinoma cell lines include 786-O (Ananth et al., 1999, Cancer Res 59:2210-6; Datta et al., 2001, Cancer Res 61:1768-75), ACHN (Hara et al., 2001, J Urol. 166:2491-4; Miyake et al., 2002, J Urol. 167:2203-8), Caki-1 (Prewett et al., 1998, Clin.
- Non-limiting examples of CD70-expressing nasopharyngeal carcinoma cell lines include C15 and C17 (Busson et al., 1988, Int. J. Cancer 42:599-606; Bernheim et al., 1993, Cancer Genet. Cytogenet. 66:11-5).
- Non-limiting examples of CD70-expressing human glioma cell lines include U373 (Palma et al., 2000, Br. J.
- Non-limiting examples of multiple myeloma cell lines include MM.1S (Greenstein et al., 2003, Experimental Hematology 31:271-282) and L363 (Diehl et al., 1978, Blut 36:331-338). (See also Drexler and Matsuo, 2000, Leukemia Research 24:681-703). These tumor cell lines can be established in immunodeficient rodent hosts either as solid tumor by subcutaneous injections or as disseminated tumors by intravenous injections. Once established within a host, these tumor models can be applied to evaluate the therapeutic efficacies of the anti-CD70 ADCs or ADC derivatives as described herein on modulating in vivo tumor growth.
- the anti-CD70 ADCs and ADC derivatives as described herein are useful for treating or preventing an immunological disorder characterized by inappropriate activation of immune cells (e.g., lymphocytes or dendritic cells).
- Treatment or prevention of the immunological disorder is achieved by administering to a subject in need of such treatment or prevention an effective amount of the anti-CD70 ADC or ADC derivative, whereby the ADC or ADC derivative (i) binds to activated immune cells that express CD70 and that are associated with the disease state and (ii) exerts a cytotoxic, cytostatic, or immunosuppressive effect on the activated immune cells.
- Immunological diseases that are characterized by inappropriate activation of immune cells and that can be treated or prevented by the methods described herein can be classified, for example, by the type(s) of hypersensitivity reaction(s) that underlie the disorder. These reactions are typically classified into four types: anaphylactic reactions, cytotoxic (cytolytic) reactions, immune complex reactions, or cell-mediated immunity (CMI) reactions (also referred to as delayed-type hypersensitivity (DTH) reactions).
- CMI cell-mediated immunity
- DTH delayed-type hypersensitivity
- immunological diseases include the following: rheumatoid arthritis, psoriatic arthritis, autoimmune demyelinative diseases (e.g., multiple sclerosis, allergic encephalomyelitis), endocrine opthalmopathy, uveoretinitis, systemic lupus erythematosus, myasthenia gravis, Grave's disease, glomerulonephritis, autoimmune hepatological disorder, inflammatory bowel disease (e.g., Crohn's disease), anaphylaxis, allergic reaction, Sjogren's syndrome, type I diabetes mellitus, primary biliary cirrhosis, Wegener's granulomatosis, fibromyalgia, polymyositis, dermatomyositis, multiple endocrine failure, Schmidt's syndrome, autoimmune uveitis, Addison's disease, adrenalitis, thyroiditis, Hashimoto's thyroiditis, autoimmune thyroid disease
- the methods described herein encompass treatment of disorders of B lymphocytes (e.g., systemic lupus erythematosus, Goodpasture's syndrome, rheumatoid arthritis, and type I diabetes), Th 1 -lymphocytes (e.g., rheumatoid arthritis, multiple sclerosis, psoriasis, Sjorgren's syndrome, Hashimoto's thyroiditis, Grave's disease, primary biliary cirrhosis, Wegener's granulomatosis, tuberculosis, or acute graft versus host disease), or Th 2 -lymphocytes (e.g., atopic dermatitis, systemic lupus erythematosus, atopic asthma, rhinoconjunctivitis, allergic rhinitis, Omenn's syndrome, systemic sclerosis, or chronic graft versus host disease).
- disorders involving dendritic cells involve disorders of Th 1 -
- the immunological disorder is a T cell-mediated immunological disorder, such as a T cell disorder in which activated T cell associated with the disorder express CD70.
- ADCs or ADC derivatives can be administered to deplete such CD70-expressing activated T cells.
- administration of ADCs or ADC derivatives can deplete CD70-expressing activated T cells, while resting T cells are not substantially depleted by the ADC or ADC derivative.
- “not substantially depleted” means that less than about 60%, or less than about 70% or less than about 80% of resting T cells are not depleted.
- the anti-CD70 ADCs and ADC derivatives as described herein are also useful for treating or preventing a CD70-expressing cancer.
- Treatment or prevention of a CD70-expressing cancer is achieved by administering to a subject in need of such treatment or prevention an effective amount of the anti-CD70 ADC or ADC derivative, whereby the ADC or ADC derivative (i) binds to CD70-expressing cancer cells and (ii) exerts a cytotoxic or cytostatic effect to deplete or inhibit the proliferation of the CD70-expressing cancer cells.
- CD70-expressing cancers that can be treated or prevented by the methods described herein include, for example, different subtypes of Non-Hodgkin's Lymphoma (indolent NHLs, follicular NHLs, small lymphocytic lymphomas, lymphoplasmacytic NHLs, or marginal zone NHLs); Hodgkin's disease (e.g., Reed-Sternberg cells); cancers of the B-cell lineage, including, e.g., diffuse large B-cell lymphomas, follicular lymphomas, Burkitt's lymphoma, mantle cell lymphomas, B-cell lymphocytic leukemias (e.g., acute lymphocytic leukemia, chronic lymphocytic leukemia); Epstein Barr Virus positive B cell lymphomas; renal cell carcinomas (e.g., clear cell and papillary); nasopharyngeal carcinomas; thymic carcinomas; gliomas; glioblastomas; neuroblastomas
- a CD70-expressing cancer has at least about 15,000, at least about 10,000 or at least about 5,000 CD70 molecules/cell.
- compositions Comprising Anti-CD70 ADCs and ADC Derivatives and Administration Thereof
- a composition comprising an anti-CD70 ADC or ADC derivative as described herein is administered to a subject having or at risk of having an immunological disorder or a CD70-expressing cancer.
- subject as used herein means any mammalian patient to which a CD70-binding protein-drug conjugate may be administered, including, e.g., humans and non-human mammals, such as primates, rodents, and dogs. Subjects specifically intended for treatment using the methods described herein include humans.
- the ADCs or ADC derivatives can be administered either alone or in combination with other compositions in the prevention or treatment of the immunological disorder or CD70-expressing cancer.
- ADCs or ADC derivatives can be administered, for example by infusion or bolus injection, by absorption through epithelial or mucocutaneous linings (e.g., oral mucosa, rectal and intestinal mucosa, and the like) and can be administered together with other biologically active agents such as chemotherapeutic agents. Administration can be systemic or local.
- the anti-CD70 ADC or ADC derivative composition is administered by injection, by means of a catheter, by means of a suppository, or by means of an implant, the implant being of a porous, non-porous, or gelatinous material, including a membrane, such as a sialastic membrane, or a fiber.
- the implant being of a porous, non-porous, or gelatinous material, including a membrane, such as a sialastic membrane, or a fiber.
- materials to which the ADC or ADC derivative does not absorb are used.
- the ADC or ADC derivative is delivered in a controlled release system.
- a pump may be used (see Langer, 1990, Science 249:1527-1533; Sefton, 1989, CRC Crit. Ref Biomed. Eng. 14:201; Buchwald et al., 1980, Surgery 88:507; Saudek et al., 1989, N. Engl. J. Med. 321:574).
- polymeric materials can be used.
- the anti-CD70 ADCs or ADC derivatives are administered as pharmaceutical compositions comprising a therapeutically effective amount of the ADC or ADC derivative and one or more pharmaceutically compatible ingredients.
- the pharmaceutical composition typically includes one or more pharmaceutical carriers (e.g., sterile liquids, such as water and oils, including those of petroleum, animal, vegetable or synthetic origin, such as peanut oil, soybean oil, mineral oil, sesame oil and the like). Water is a more typical carrier when the pharmaceutical composition is administered intravenously. Saline solutions and aqueous dextrose and glycerol solutions can also be employed as liquid carriers, particularly for injectable solutions.
- Suitable pharmaceutical excipients include, for example, starch, glucose, lactose, sucrose, gelatin, malt, rice, flour, chalk, silica gel, sodium stearate, glycerol monostearate, talc, sodium chloride, dried skim milk, glycerol, propylene, glycol, water, ethanol, and the like.
- the composition if desired, can also contain minor amounts of wetting or emulsifying agents, or pH buffering agents. These compositions can take the form of solutions, suspensions, emulsion, tablets, pills, capsules, powders, sustained-release formulations and the like.
- the composition can be formulated as a suppository, with traditional binders and carriers such as triglycerides.
- Oral formulation can include standard carriers such as pharmaceutical grades of mannitol, lactose, starch, magnesium stearate, sodium saccharine, cellulose, magnesium carbonate, etc. Examples of suitable pharmaceutical carriers are described in “Remington's Pharmaceutical Sciences” by E. W. Martin. Such compositions will contain a therapeutically effective amount of the nucleic acid or protein, typically in purified form, together with a suitable amount of carrier so as to provide the form for proper administration to the patient. The formulations correspond to the mode of administration.
- the pharmaceutical composition is formulated in accordance with routine procedures as a pharmaceutical composition adapted for intravenous administration to human beings.
- compositions for intravenous administration are solutions in sterile isotonic aqueous buffer.
- the pharmaceutical can also include a buffering agent (e.g., a phosphate, citrate or amino acid, such as histidine), a solubilizing agent (e.g., nonionic detergents such as a polysorbate, triton, or polyoxamer; or an amino acid) and/or a local anesthetic such as lignocaine to ease pain at the site of the injection.
- a buffering agent e.g., a phosphate, citrate or amino acid, such as histidine
- solubilizing agent e.g., nonionic detergents such as a polysorbate, triton, or polyoxamer; or an amino acid
- a local anesthetic such as lignocaine to ease pain at the site of the injection.
- the ingredients are supplied either separately or mixed together in unit dosage form, for example, as a dry lyophilized powder or water free concentrate in a hermetically sealed container such as an ampoule or sachette indicating the quantity of active agent.
- a hermetically sealed container such as an ampoule or sachette indicating the quantity of active agent.
- the pharmaceutical is to be administered by infusion, it can be dispensed with an infusion bottle containing sterile pharmaceutical grade water or saline.
- an ampoule of sterile water for injection or saline can be provided so that the ingredients can be mixed prior to administration.
- the pharmaceutical compositions comprising the anti-CD70 ADC or ADC derivative can further comprise a second therapeutic agent (e.g., a second ADC or ADC derivative or a non-conjugated cytotoxic or immunosuppressive agent such as, for example, any of those described herein).
- a second therapeutic agent e.g., a second ADC or ADC derivative or a non-conjugated cytotoxic or immunosuppressive agent such as, for example, any of those described herein.
- the pharmaceutical composition can be provided as a pharmaceutical kit comprising (a) a container containing an anti-CD70 ADC or ADC derivative in lyophilized form and (b) a second container containing a pharmaceutically acceptable diluent (e.g., sterile water) for injection.
- a pharmaceutically acceptable diluent e.g., sterile water
- the pharmaceutically acceptable diluent can be used for reconstitution or dilution of the lyophilized ADC or ADC derivative.
- Optionally associated with such container(s) can be a notice in the form prescribed by a governmental agency regulating the manufacture, use or sale of pharmaceuticals or biological products, which notice reflects approval by the agency of manufacture, use or sale for human administration.
- the amount of the ADC or ADC derivative that is effective in the treatment or prevention of an immunological disorder or CD70-expressing cancer can be determined by standard clinical techniques.
- in vitro assays may optionally be employed to help identify optimal dosage ranges.
- the precise dose to be employed in the formulation will also depend on the route of administration, and the stage of immunological disorder or CD70-expressing cancer, and should be decided according to the judgment of the practitioner and each patient's circumstances. Effective doses may be extrapolated from dose-response curves derived from in vitro or animal model test systems.
- toxicity and therapeutic efficacy of the ADCs or ADC derivatives can be determined in cell cultures or experimental animals by standard pharmaceutical procedures for determining the LD 50 (the dose lethal to 50% of the population) and the ED 50 (the dose therapeutically effective in 50% of the population).
- the dose ratio between toxic and therapeutic effects is the therapeutic index and it can be expressed as the ratio LD 50 /ED 50 .
- ADCs or ADC derivatives that exhibit large therapeutic indices are preferred.
- a delivery system that targets the ADC or ADC derivative to the site of affected tissue can be used to minimize potential damage non-CD70-expressing cells and, thereby, reduce side effects.
- the data obtained from the cell culture assays and animal studies can be used in formulating a range of dosage for use in humans.
- the dosage of the anti-CD70 ADC or ADC derivative typically lies within a range of circulating concentrations that include the ED 50 with little or no toxicity. The dosage may vary within this range depending upon the dosage form employed and the route of administration utilized.
- the therapeutically effective dose can be estimated initially from cell culture assays.
- a dose can be formulated in animal models to achieve a circulating plasma concentration range that includes the IC 50 (i.e., the concentration of the test compound that achieves a half-maximal inhibition of symptoms) as determined in cell culture.
- IC 50 i.e., the concentration of the test compound that achieves a half-maximal inhibition of symptoms
- levels in plasma can be measured, for example, by high performance liquid chromatography.
- the dosage of an anti-CD70 ADC or ADC derivative administered to a patient with an immunological disorder or CD70-expressing cancer is typically 0.1 mg/kg to 100 mg/kg of the subject's body weight. More typically, the dosage administered to a subject is 0.1 mg/kg to 50 mg/kg of the subject's body weight, even more typically 1 mg/kg to 30 mg/kg, 1 mg/kg to 20 mg/kg, 1 mg/kg to 15 mg/kg, 1 mg/kg to 12 mg/kg, 1 mg/kg to 10 mg/kg, or 1 mg/kg to 7.5 mg/kg of the subject's body weight.
- human antibodies have a longer half-life within the human body than antibodies from other species due to the immune response to the foreign proteins. Thus, lower dosages of ADCs comprising humanized, chimeric or human antibodies and less frequent administration is often possible.
- a dose of an anti-CD70 ADC or ADC derivative can be administered, for example, daily, once per week (weekly), twice per week, thrice per week, four times per week, five times per week, biweekly, monthly or otherwise as needed.
- the dosage of an anti-CD70 ADC or ADC derivative corresponds to a sub-optimal dosage (i.e., below the EC 50 for the anti-CD70 ADC or ADC derivative).
- the dosage of an anti-CD70 ADC or ADC derivative can comprise a dosage selected from the lowest 25%, lowest 15%, lowest 10% or lowest 5% of the therapeutic window.
- the term “therapeutic window” refers to the range of dosage of a drug or of its concentration in a bodily system that provides safe and effective therapy.
- the dosage of an anti-CD70 ADC or ADC derivative is from about 0.05 mg/kg to about 2 mg/kg, about 0.05 mg/kg to about 1 mg/kg, or about 0.1 mg/kg to about 0.9 mg/kg, or about 0.15 to about 0.75 mg/kg of the subject's body weight. Such a dosage can be administered from 1 to about 15 times per week. Each dose can be the same or different. For example, a dosage of about 0.15 mg/kg of an anti-CD70 ADC or ADC derivative can be administered from 1 to 10 times per four day, five day, six day or seven day period.
- the anti-CD70 ADC or ADC derivative can be administered in combination with one or more other therapeutic agents for the treatment or prevention of immunological disorders or CD70-expressing cancers.
- combination therapy can include a second cytostatic, cytotoxic, or immunosuppressive agent (for example, an unconjugated cytostatic, cytotoxic, or immunosuppressive agent such as those conventionally used for the treatment of cancers or immunological disorders (e.g., standard of care therapies)).
- Combination therapy can also include, e.g., administration of an agent that targets a receptor or receptor complex other than CD70 on the surface of activated lymphocytes, dendritic cells or CD70-expressing cancer cells.
- an agent is a second, non-CD70 antibody that binds to a molecule at the surface of an activated lymphocyte, dendritic cells or CD70-expressing cancer cells.
- Another example is a ligand that targets such a receptor or receptor complex.
- such an antibody or ligand binds to a cell surface receptor on activated lymphocytes, dendritic cells or CD70-expressing cancer cells and enhances the cytotoxic or cytostatic effect of the anti-CD70 antibody by delivering a cytostatic or cytotoxic signal to the activated lymphocytes, dendritic cells or CD70-expressing cancer cells.
- the therapeutic agent is an anti-VEGF agent, such as AVASTIN (bevacizumab) or NEXAVAR (Sorafenib); a PDGF blocker, such as SUTENT (sunitinib malate); an immunomodulatory agent such as Revlimid (lenalidomide); a cytokine such as G-CSF, GM-CSF or IL-2; VELCADE (bortezomib); a kinase inhibitor, such as NEXAVAR (sorafenib tosylateor); a steroid; or an immunosuppressants, such as Rapamycin (Sirolimus).
- AVASTIN bevacizumab
- NEXAVAR Sorafenib
- a PDGF blocker such as SUTENT (sunitinib malate)
- an immunomodulatory agent such as Revlimid (lenalidomide)
- a cytokine such as G-C
- the therapeutic agent can be a combined therapy, such as CHOP (Cyclophosphamide, Doxorubicin, Prednisolone and Vincristine), CHOP-R (Cyclophosphamide, Doxorubicin Vincristine, Prednisolone, and rituximab) or ABVD (Doxorubicin, Bleomycin, Vinblastine and dacarbazine).
- the therapeutic agent can be an antibody, such as an anti-CD40 antibody (see, e.g., U.S. Pat. No. 6,838,261) or RITUXAN (Rituximab).
- Such combinatorial administration can have an additive or synergistic effect on disease parameters (e.g., severity of a symptom, the number of symptoms, or frequency of relapse).
- disease parameters e.g., severity of a symptom, the number of symptoms, or frequency of relapse.
- an anti-CD70 ADC or ADC derivative is administered concurrently with a second therapeutic agent.
- the second therapeutic agent is administered prior or subsequent to administration of the anti-CD70 ADC or ADC derivative, by at least an hour and up to several months, for example at least an hour, five hours, 12 hours, a day, a week, a month, or three months, prior or subsequent to administration of the ADC or ADC derivative.
- the gene-specific primers mIgcK1 5′-CTT CCA CTT GAC ATT GAT GTC TTT G-3′ (SEQ ID NO:41) and mIgG1 5′-CAG GTC ACT GTC ACT GGC TCA G-3′ (SEQ ID NO:42) were applied to reverse transcribe the light chain variable (V L ) and heavy chain variable (V H ) first strand cDNAs from both RNA preparations, respectively.
- First strand cDNA reactions were run using the SuperScriptTM First Strand Synthesis System for RT-PCR from Invitrogen (Carlsbad, Calif.).
- V L and V H cDNAs were then poly-G tailed using terminal deoxynucleotidyl transferase (TdT) (Invitrogen) and the supplied TdT buffer in conditions specified by the manufacturer. Poly-G tailed V L and V H first strand cDNAs were then subjected to PCR amplification.
- the forward primer for both the V L and V H PCRs was ANCTAIL 5′ GTC GAT GAG CTC TAG AAT TCG TGC CCC CCC CCC C-3′ (SEQ ID NO:43).
- the reverse primer for amplifying the V L was BBS-mck 5′-CGT CAT GTC GAC GGA TCC AAG CTT CAA GAA GCA CAC GAC TGA GGC AC-3′ (SEQ ID NO:44).
- the reverse primer for amplifying the V H was HBS-mG1 5′-CGT CAT GTC GAC GGA TCC AAG CTT GTC ACC ATG GAG TTA GTT TGG GC-3′ (SEQ ID NO:45). PCRs were run with Ex Taq (Fisher Scientific, Pittsburgh, Pa.) and the supplied reaction buffer in conditions specified by the manufacturer.
- V L and V H PCR products were then cut by HindIII and EcoRI and cloned into HindIII/EcoRI-cut pUC19. Recombinant plasmid clones were identified, and the nucleotide sequences for the 1F6 and 2F2 hybridomas were determined.
- Complementarity determining regions (CDRs) in the heavy and light chains of 1F6 and 2F2 mAbs were determined according to the criteria described in Kabat et al., 1991, Sequences of Proteins of Immunological Interest , Washington D.C., US Department of Health and Public Services; Chothia and Lesk, 1987, J. Mol. Biol. 196:901-17 ( FIGS. 1 and 2 ). Sequence alignments at both the cDNA and amino acid levels revealed closely related light chain genes were probably utilized in both hybridomas. There is a 92% sequence identity between 1F6 V L and 2F2 V L on the amino acid levels.
- Sequence comparison of the CDRs shows that 5 of 10 residues are different between 1F6 CDR-H1 and 2F2 CDR-H1 (3 of the 5 substitutions are divergent), 12 of 17 residues are different between 1F6 CDR-H2 and 2F2 CDR-H2 (9 of the 12 substitutions are divergent), and 5 of 9 residues are different between 1F6 CDR-H3 and 2F2 CDR-H3 (4 of the 5 substitutions are divergent) ( FIG. 3 ).
- anti-CD70 to deliver a potent cytotoxic drug in the form of an antibody drug conjugate (ADC) to eliminate CD70-expressing cells was tested.
- ADC antibody drug conjugate
- MMAE Monomethyl auristatin E
- AFP auristatin phenylalanine phenylenediamine
- MMAF monomethyl auristatin phenylalanine
- the drugs were linked to the anti-CD70 mAb 1F6 by the valine-citruline (vc) dipeptide linker to give the 1F6-vcMMAE, 1F6-vcAFP conjugates and 1F6-vcMMAF.
- auristatin E has been previously described (U.S. Pat. No. 5,635,483; Pettit, 1999, Prog. Chem. Org. Nat. Prod. 70:1-79).
- the monomethyl derivative of Auristatin E (MMAE) was prepared by replacing a protected form of monomethylvaline for N,N-dimethylvaline in the synthesis of auristatin E (Senter et al., U.S. Provisional Application No. 60/400,403; and PCT/US03/24209 (supra)).
- MMAE (1.69 g, 2.35 mmol)
- the reaction mixture was concentrated to provide a dark oil, which was diluted with 3 mL of DMF.
- the DMF solution was purified using flash column chromatography (silica gel, eluant gradient:100% dichloromethane to 4:1 dichloromethane-MeOH). The relevant fractions were combined and concentrated to provide an oil that solidified under high vacuum to provide a mixture of the desired drug-linker compound and unreacted MMAE as a dirty yellow solid (R f 0.40 in 9:1 dichloromethane-MeOH).
- the dirty yellow solid was diluted with DMF and purified using reverse-phase preparative-HPLC (Varian Dynamax C18 column 41.4 mm ⁇ 25 cm, 8 ⁇ , 100 ⁇ , using a gradient run of MeCN and 0.1% aqueous TFA at 45 mL/min from 10% to 100% over 40 min followed by 100% MeCN for 20 min) to provide the desired drug-linker compound as an amorphous white powder (Rf 0.40 in 9:1 dichloromethane-MeOH) which was >95% pure by HPLC and which contained less than 1% of MMAE. Yield: 1.78 g (57%); ES-MS m/z 1316.7 [M+H]+; UV ⁇ max 215, 248 nm.
- the thiol/Ab value was found to be 9.8 by determining the reduced antibody concentration from the solution's 280 nm absorbance, and the thiol concentration by reaction with DTNB (Aldrich) and determination of the absorbance at 412 nm.
- the reduced mAb was chilled on ice.
- V and [Ab] are the volume and molar concentration of the reduced antibody solution, respectively.
- 0.904 ⁇ L cold H 2 O was added to the reduced antibody solution, followed by 500 ⁇ L cold acetonitrile.
- 30.5 ⁇ L of 10.2 mM drug-linker compound stock solution was diluted into 1.47 mL acetonitrile.
- the acetonitrile drug-linker solution was chilled on ice, then added to the reduced antibody solution.
- the reaction was terminated after 0.5 hr by the addition of a 20 fold molar excess of cysteine over maleimide.
- the reaction mixture was concentrated by centrifugal ultrafiltration and purified by elution through de-salting G25 in PBS at 4° C. 1F6-vcMMAE was then filtered through 0.2 micron filters under sterile conditions and immediately frozen at ⁇ 80° C.
- 1F6-vcMMAE was analyzed for 1) concentration, by UV absorbance; 2) aggregation, by size exclusion chromatography; 3) drug/Ab, by measuring unreacted thiols with DTNB, and 4) residual free drug, by reverse phase HPLC.
- Boc-phenylalanine (1.0 g, 3.8 mmol) was added to a suspension of 1,4-diaminobenzene.HCl (3.5 g, 19.0 mmol, 5.0 eq.) in triethylamine (10.7 mL, 76.0 mmol, 20 eq.) and dichloromethane (50 mL). To the resulting solution was added DEPC (3.2 mL, 19.0 mmol, 5.0 eq.) via syringe. HPLC showed no remaining Boc-phe after 24 hr. The reaction mixture was filtered, and the filtrate was concentrated to provide a dark solid.
- the reddish-white intermediate (0.49 g, 0.85 mmol), was diluted with 10 mL of dichloromethane, and then treated with 5 mL of trifluoroacetic acid. The reaction was complete in 30 min according to reverse-phase HPLC. The reaction mixture was concentrated and the resulting residue was precipitated with ether to provide an off-white solid. The off-white solid was filtered and dried to provide an amorphous powder, which was added to a solution of Boc-Dolaproine (prepared as described in Tetrahedron, 1993, 49(9):1913-1924) (0.24 g, 0.85 mmol) in dichloromethane (10 mL).
- the white solid intermediate (85 mg, 0.11 mmol) and N-Methylval-val-dil-O-t-butyl (55 mg, 0.11 mmol, prepared as described in Pettit et al. 1996, J. Chem. Soc. Perk. I p. 859) were diluted with dichloromethane (5 mL), and then treated with 2.5 mL of trifluoroacetic acid under a nitrogen atmosphere for two hours at room temperature. The reaction completion was confirmed by RP-HPLC. The solvent was removed in vacuo and the resulting residue was azeotropically dried twice with toluene, and then dried under high vacuum for 12 hours.
- the yellow oil was diluted with dichloromethane (10 mL) and to the resulting solution diethylamine (5 mL) was added. According to HPLC, reaction was completed after 2 hr. The reaction mixture was concentrated to provide an oil. The oil was diluted with DMSO, and the DMSO solution was purified using reverse phase preparative-HPLC (Varian Dynamax column 21.4 mm ⁇ 25 cm, 5 ⁇ , 100 ⁇ , using a gradient run of MeCN and 0.1% TFA at 20 mL/min from 10% to 100% over 40 min followed by 100% MeCN for 20 min). The relevant fractions were combined and concentrated to provide the desired drug as an off-white solid. Overall yield: 42 mg (44% overall); ES-MS m/z 837.8 [M+H] + , 858.5 [M+Na]+; UV ⁇ max 215, 248 nm.
- the trifluoroacetate salt of AFP (0.37 g, 0.39 mmol, 1.0 eq.) and Fmoc-val-cit (0.30 g, 0.58 mmol, 1.5 eq., prepared according to Dubowchik et al., 2002, Bioconjugate Chem. 13:855-896) were diluted with DMF (5 mL, 0.1 M), and to the resulting solution was added pyridine (95 ⁇ L, 1.2 mmol, 3.0 eq.).
- HATU (0.23 g, 0.58 mmol, 1.5 eq.
- reaction progressed slowly, and 4 hr later, 1.0 eq. of diisopropylethylamine was added. The reaction was complete in 1 hr.
- the reaction mixture was concentrated in vacuo and the resulting residue was purified using prep-HPLC (Varian Dynamax C18 column 41.4 mm ⁇ 25 cm, 5 ⁇ , 100 ⁇ , using a gradient run of MeCN and 0.1% aqueous TFA at 45 mL/min from 10% to 100% over 40 min followed by 100% MeCN for 20 min) to provide a faint pink solid intermediate.
- the pink solid intermediate was diluted with DMF (30 mL) and to the resulting solution was added diethylamine (15 mL). Reaction was complete by HPLC in 2 hr. The reaction mixture was concentrated and the resulting residue was washed twice with ether. The solid intermediate was dried under high vacuum and then used directly in the next step.
- the solid intermediate was diluted with DMF (20 mL) and to the resulting solution was added 6-(2,5-dioxy-2,5-dihydro-pyrrol-1-yl)-hexanoic acid 2,5-dioxy-pyrrolidin-1-yl ester (0.12 g, 0.39 mmol, 1.0 eq.) (EMCS, Molecular Biosciences Inc., Boulder, Colo.).
- reaction mixture was concentrated to provide an oil which was purified using prep-HPLC (Varian Dynamax C18 column 41.4 mm ⁇ 25 cm, 5 ⁇ , 100 ⁇ , using a gradient run of MeCN and 0.1% aqueous TFA at 45 mL/min from 10% to 100% over 40 min followed by 100% MeCN for 20 min) to provide the desired drug-linker compound as a white flaky solid. Yield: 0.21 g (38% overall); ES-MS m/z 1285.9 [M+H] + ; 13.07.8 [M+Na] + ; UV ⁇ max 215, 266 nm.
- the thiol/Ab value was found to be 10.3 by determining the reduced antibody concentration from the solution's 280 nm absorbance, and the thiol concentration by reaction with DTNB (Aldrich) and determination of the absorbance at 412 nm.
- the reduced mAb was chilled on ice.
- 984 ⁇ L cold PBS/DTPA was added to the reduced antibody solution, followed by 400 ⁇ L acetonitrile, and the mixture chilled on ice. 26.4 ⁇ L of 8.3 mM drug-linker compound stock solution was then added to the reduced antibody/DMSO solution.
- the reaction was terminated after 1 hr by the addition of a 40 ⁇ L of 100 mM cysteine.
- the reaction mixture was concentrated by centrifugal ultrafiltration and purified by elution through de-salting G25 in PBS at 4° C.
- 1F6-vcAFP was then filtered through 0.2 micron filters under sterile conditions and immediately frozen at ⁇ 80° C.
- 1F6-vcAFP was analyzed for 1) concentration, by UV absorbance; 2) aggregation, by size exclusion chromatography; 3) drug/Ab, by measuring unreacted thiols by treatment with DTT, followed by DTNB, and 4) residual free drug, by reverse phase HPLC.
- MMAF was prepared from its t-butyl ester (Compound 1) as is described below.
- Phenylalanine t-butyl ester HCl salt (868 mg, 3 mmol)
- N-Boc-Dolaproine (668 mg, 1 eq.)
- DEPC 820 ⁇ L, 1.5 eq.
- DIEA 1.2 mL
- dichloromethane 3 mL
- the reaction mixture was diluted with dichloromethane (20 mL), washed successively with saturated aqueous (aq.) NaHCO 3 (2 ⁇ 10 mL), saturated aq. NaCl (2 ⁇ 10 mL).
- the organic layer was separated and concentrated.
- MMAF was prepared from Compound 1 (30 mg, 0.038 mmol) by treatment with 4M HCl/dioxane (4 ml) for 7 h at room temperature. The solvent was removed, and the residue was dried in a vacuum overnight to give provide MMAF as a hydroscopic white solid: 35 mg (120% calculated for HCl salt). ES-MS m/z 732.56 [M+H] + .
- MC-Val-Cit-PAB-MMAF-O-t-butyl ester (45 mg, 32 ⁇ mol) was suspended in methylene chloride (6 mL) followed by the addition of TFA (3 mL). The resulting solution stood for 2 h. The reaction mixture was concentrated in vacuo and purified by prep-HPLC (C 12 —RP column, 5 ⁇ , 100 ⁇ , linear gradient of MeCN in water (containing 0.1% TFA) 10 to 100% in 40 min followed by 20 min at 100%, at a flow rate of 25 mL/min). The desired fractions were concentrated to provide MC-Val-Cit-PAB-MMAF as an off-white solid. Yield: 11 mg (25%). ES-MS m/z 1330.29 [M+H] + , 1352.24 [M+Na] + ; UV ⁇ max 205, 248 nm.
- the reduced mAb was chilled on ice.
- the reduced antibody (785 ⁇ l of 1.77 mg/ml) was added to the mixture of 7.2 ⁇ l of 12.9 mM MCvcMMAF in 92 ⁇ l of acetonitrile and mixed rapidly.
- reaction mixture was allowed to incubate on ice for 1 h and followed by addition of a 40 ⁇ L of 100 mM cysteine.
- the reaction mixture was purified by G25 column equilibrated in PBS at 4° C.
- 1F6-vcAFP was then filtered through 0.2 micron filters under sterile conditions and immediately frozen at ⁇ 80° C.
- 1F6-vcMMAF was analyzed for 1) concentration, by UV absorbance; 2) aggregation, by size exclusion chromatography; 3) drug/Ab, by measuring unreacted thiols by treatment with DTT, followed by DTNB, and 4) residual free drug, by reverse phase HPLC.
- CD70 was examined using flow cytometry.
- 0.2 ⁇ 10 6 cells were incubated with 50 ⁇ l of staining medium (RPMI-1640 supplemented with 5-10% FBS) containing a fluorochrome-conjugated mAb (10 ⁇ g/ml) for single-color flow cytometry or a cocktail of fluorochrome-conjugated mAbs for multiple-color flow cytometry. Incubations were carried out on ice for 20-30 minutes. Cells were then washed 3 times with the staining buffer and fixed in PBS containing 1% of paraformaldehyde.
- Flow cytometric analysis was performed with a FACScan (BD Immunocytometry, San Jose, Calif.) and data were analyzed by either the CellQuest (BD Immunocytometry) or the WinMDI software.
- the anti-human CD70 monoclonal antibodies (mAb) 1F6 and 2F2 were obtained from the Central Laboratory of the Netherlands Red Cross Blood Transfusion Service (Amsterdam, The Netherlands). 1F6 was conjugated to AlexaFluor488 (AF) (Molecular Probes, Eugene, Oreg.) according to the manufacturer's instruction, and AF-conjugated 1F6 was used to detect CD70 by flow cytometry whenever necessary.
- the anti-CD70 mAb Ki-24 and anti-CD3 mAb were purchased from BD PharMingen (San Diego, Calif.).
- cell surface CD70 was surveyed on a panel of hematologic cell lines. This panel included both Epstein-Barr Virus (EBV) negative American Burkitt's lymphoma (BL) and EBV + African Burkitt's lymphoma lines, a variety of non-Hodgkin's lymphoma (NHL) lines which are EBV ⁇ , 2 Hodgkin's disease (HD) lines, 2 EBV-transformed B lymphoblastoid cell lines (EBV-LCL), and an acute T cell leukemia line Jurkat ( FIG. 4 ). The cell lines were maintained in culture conditions specified by the ATCC or DSMZ.
- EBV Epstein-Barr Virus
- HD Hodgkin's disease
- EBV-LCL EBV-transformed B lymphoblastoid cell lines
- Jurkat FIG. 4
- AF-conjugated or a commercially available anti-CD70 purchased from BD PharMingen was used.
- all of the BL lines, both EBV + and EBV ⁇ examined expressed detectable, albeit low levels of CD70.
- Five out of ten NHL cell lines expressed CD70.
- Both HD and EBV-LCL also expressed CD70 at levels that were generally higher than those of BL and NHL lines.
- the acute T leukemia cell line Jurkat was found to be CD70 ⁇ .
- CD70 + hematologic lines listed in FIG. 4 was tested for sensitivity to the 1F6 ADCs. These lines were seeded at 5,000 cells per well in 96-well plates in quadruplicates in a total of 200 ⁇ l of culture medium containing graded doses of the ADCs as indicated in the FIG. 5 and the accompanying figure legend. Proliferation assays were carried out for 96 hours. Tritiated thymidine (3H-TdR) incorporation during the last 16 hours of incubation was used to assess DNA synthesis. The responses of a CD70 + B lymphoma cell line WSU-NHL and the CD70 ⁇ Jurkat cells are shown in the upper panels of FIG. 5 .
- the proliferation inhibitory activity of the 1F6 ADCs on target positive cells resulted from specific binding of ADCs to CD70 expressed on the target cells.
- the responses of other CD70 + cell lines tested are summarized in the lower panel of FIG. 5 .
- Significant proliferation inhibition by the 1F6 ADCs was observed in 2 of the 3 B lineage non-Hodgkin's lymphoma cell lines (MC116 and WSU-NHL), 2 of 2 Hodgkin's disease lines, and the EBV-transformed B lymphoblastoid cell line CESS.
- 1F6-vcAFP was demonstrated to exert more potent inhibitory activity than 1F6-vcMMAE.
- EBV-LCLs are phenotypically very similar to activated normal B cells. Both EBV-LCLs and activated normal B cells are also efficient antigen presenting cells possessing strong T cell stimulatory activities.
- anti-CD70 ADC can efficiently suppress the proliferation of EBV-LCL CESS cells indicates that anti-CD70 ADCs can also be applied to suppress immune responses by eliminating activated B cells.
- Hodgkin's disease (HD) and nasopharyngeal carcinoma (NPC) are two examples of conditions that frequently associate with EBV and a prominent lymphoid stroma at the tumor sites.
- the role of this lymphoid stroma is uncertain and may represent infiltration of lymphocytes to tumors as part of the immune response to tumor-associated antigens.
- the recruitment of lymphocytes by tumor cells may be a mechanism through which tumor cells derive cytokine and growth factors from the infiltrating lymphocytes in a paracrine fashion. Some of these growth factors may contribute to tumor development by supporting tumor cell proliferation as hypothesized for HD (Gruss et al., 1997, Immunol. Today 18:156-63).
- CD70 has been found to be present on the Reed-Sternberg cells in HD, and FIG. 4 demonstrates the expression of CD70 on HD cell lines.
- FIG. 4 demonstrates the expression of CD70 on HD cell lines.
- EBV-tumors including thymic carcinomas (Hishima et al., 2000, Am. J. Surg. Path. 24:742-746), gliomas, and meningiomas (Held-Feindt and Mentlein, 2002, Int. J. Cancer 98:352-56).
- CD70 in additional carcinoma types was further surveyed using the Cancer Profiling Array (CPA) (BD Biosciences Clontech, Palo Alto, Calif.).
- CPA Cancer Profiling Array
- the CPA includes normalized cDNA from 241 tumor and corresponding normal tissues from individual patients.
- a piece of cDNA corresponding to 3′ untranslated region of nucleotides 734-874 of the CD70 message was amplified using the reverse transcriptase polymerase chain reaction (RT-PCR) approach.
- RT-PCR reverse transcriptase polymerase chain reaction
- First strand cDNA was synthesized from total RNA isolated from the Burkitt's lymphoma cell line Ramos (ATCC) using the SuperScriptTM First Strand Synthesis System for RT-PCR from Invitrogen (Carlsbad, Calif.).
- the forward primer 5′-CCA CTG CTG CTG ATT AG-3′ (SEQ ID NO:46), the reverse primer 5′-CAA TGC CTT CTC TTG TCC-3′ (SEQ ID NO:47), and the Advantage 2 PCR Kit (Clontech, Palo Alto, Calif.) were used for the PCR.
- the PCR product was cloned into the pCR4-TOPO vector and sequence verified.
- PCR was run using the cloned cDNA as the template, the above primer pairs, and the Advantage 2 PCR Kit (Clontech).
- 32 P-dGTP 200 ng of the purified PCR product were combined with 75 ng of random hexamer, 33 ⁇ M each of dATP, dTTP and dCTP, 5 ⁇ l of ⁇ - 32 P dGTP (approximately 3000 Ci/mmol, 10 mCi/ml, Amersham Pharmacia Biotech, Piscataway, N.J.), 1 ⁇ l of Klenow fragment (New England Biolabs, Beverly, Mass.), and 1 ⁇ EcoPol buffer (New England Biolabs) in a total volume of 50 ⁇ l.
- Quantitative PCR was used to quantify CD70 transcript expression in 8 RCC and 4 normal kidney cDNA samples, all obtained from BioChain (Hayward, Calif.).
- the RCC cDNA samples were from donors independent of those on the CPA in FIG. 6 .
- QPCR analysis was performed using TaqManTM MGB chemistry (Applied Biosystems, Foster City, Calif.) containing a reporter dye at the 5′ end (FAM or VIC) and a non-fluorescent quencher (NFQ) at the 3′ end on an ABI PRISM 7000 Sequence Detection System (Applied Biosystems).
- CD70 Applied Biosystems Assay# Hs00174297_m1
- control gene GAPDH Applied Biosystems PDAR# 4326317E
- Comparison of CD70 transcript expression between normal kidney and RCC tissues was conducted based on the comparative threshold cycle (Ct) method as previously reported (Winer et al., 1999, Anal. Biochem. 270: 41-49; Aarskog and Vedeler, 2000, Hum. Genet. 107: 494-498). Ct values for the CD70 and a housekeeping gene GAPDH from two independent reactions were generated.
- CD70 transcript over-expression was observed in 6 of the 8 RCC cDNA samples, consistent with the results obtained form the CPA experiment ( FIG. 6 ).
- Over-expression of CD70 transcripts ranged from 2.5- to 133.7-fold ( FIG. 7 ).
- Immunohistochemistry was used to determine if over-expression of CD70 transcript in RCC was paralleled by CD70 protein expression.
- Frozen RCC tissue sections and normal adjacent tissue sections from two patients independent of those used in CD70 transcript analysis ( FIGS. 6 and 7 ) were fixed in acetone at ⁇ 20° C. for 10 minutes. After rehydration in PBS, sections were blocked with PBS containing 5% normal goat serum and Avidin D for 30 minutes at room temperature, and washed in PBS. Sections were incubated with the anti-CD70 mAb 2F2 or non-binding IgG at 2 ⁇ g/ml in PBS containing 5% normal goat serum with biotin for 60 minutes at room temperature.
- biotinylated anti-mouse IgG VECTASTAIN ABC Kit, Vector Laboratories, Burlingame, Calif.
- VECTASTAIN ABC Kit Vector Laboratories, Burlingame, Calif.
- PBS containing 5% normal goat serum was used to detect bound primary antibody by incubating for 30 minutes at room temperature.
- Excess biotinylated anti-mouse IgG was removed by PBS washes. Sections were quenched with 1% H 2 O 2 in PBS for 30 minutes at room temperature, washed, and then incubated with the VECTASTAIN ABC complex made up according to the manufacturer's instructions.
- FIG. 8A Intense binding of 2F2 to RCC tumor sections from 2 different donors was observed ( FIG. 8A , right panels). In contrast, a control IgG did not bind to serial tumor sections, confirming the specificity of 2F2 for CD70 ( FIG. 8A , left panels). 2F2 also did not demonstrate binding beyond that of the control IgG to normal adjacent tissues from the same RCC samples ( FIG. 8B ), suggesting minimal or no CD70 protein expression in normal kidneys. These results confirm the over-expression of CD70 transcripts in RCC and provide direct evidence for in situ CD70 protein expression in RCC.
- the RCC lines Hs 835.T, Caki-1, Caki-2, 786-O, 769-P, and ACHN were obtained from the ATCC (Manassas, Va.) and were maintained in conditions specified by the ATCC.
- the RCC lines CAL54 and A498 were obtained from Deutsche Sammlung von Mikroorganismen und Zellkulturen GmbH (Braunschweig, Germany). Cell lines were maintained in the conditions specified the vendors.
- the RCC lines SK-RC-6 and SK-RC-7 have been reported previously (Murakami et al., 1984, Hepatology 42:192-8).
- FIG. 9A shows that the RCC lines 786-O, Caki-1, and Caki-2 expressed CD70 while Hs 835.T did not. Low, but detectable, levels of CD70 expression were also observed on the normal kidney tubule epithelial lines PRTEC and HRCE.
- FIG. 9B summarizes the relative levels of CD70 expressed on RCC lines and normal kidney epithelial cells lines based on the mean fluorescence intensity obtain from flow cytometry. Of the 10 RCC lines tested 9 were found to be CD70 expressing. These results demonstrate that the presence of CD70 transcripts and protein in kidney carcinomas was accompanied by surface expression of CD70 on the cancer cells.
- FIG. 10 shows the effects of 1F6-vcAFP on the proliferation ( 3 H-TDR incorporation) and viability (alamarBlueTM reduction) on two representative CD70 + RCC lines.
- 1F6-vcAFP demonstrated potent proliferation inhibitory ( FIG. 10 , upper panel) and cytotoxic ( FIG. 10 , lower panel) activities on Caki-1 and 786-O cells, maximal effects were achieved at concentrations lower than 0.1 ⁇ g/ml.
- non-binding control IgG-vcAFP at concentrations lower than 1 ⁇ g/ml exerted minimal effects on these cells.
- FIG. 11 summarizes the IC 50 s for 1F6-vcMMAE, 1F6-vcAFP, and 1F6-vcMMAF on inhibiting the proliferation and inducing cytotoxicity in RCC and normal kidney tubule epithelial cells.
- 1F6-vcMMAE was very effective in suppressing the proliferation of Caki-1 and Caki-2 cells with IC 50 values lower than 20 ng/ml. However, it was not active on other CD70 + RCC lines, the CD70 ⁇ Hs 835.T cells, or the normal kidney epithelial lines RPTEC and HRCE.
- IC 50 values for proliferation inhibition by 1F6-vcAFP ranged from 2-247 ng/ml for CD70 + RCC lines.
- IC 50 values for 1F6-vcAFP on the CD70 ⁇ Hs 835.T suggesting specific targeting of CD70.1F6-vcMMAF were also active in inhibiting proliferation in all CD70 + RCC lines tested, with IC 50 values lower than 30 ng/ml. Proliferation inhibition was paralleled with cytotoxicity. IC 50 values for 1F6-vcAFP to induce cytotoxicity were below 20 ng/ml in 4 of the 7 CD70 + RCC lines tested, while those for 1F6-vcMMAF were below 30 ng/ml in 5 of 7 CD70 + RCC lines tested.
- Subcutaneous xenografts of Caki-1 cells have been successfully used as models for RCC to test the efficacy of antibody-based therapeutics including an anti-VEGF antibody (Dagnaes-Hansen et al., 2003, Anticancer Res. 23: 1625-30) as well as an ADC consisting of calicheamicin thetal1 conjugated to an anti-gamma-glutamyltransferase antibody (Knoll et al., 2000, Cancer Res. 60: 6089-94).
- an anti-VEGF antibody Dagnaes-Hansen et al., 2003, Anticancer Res. 23: 1625-30
- ADC consisting of calicheamicin thetal1 conjugated to an anti-gamma-glutamyltransferase antibody (Knoll et al., 2000, Cancer Res. 60: 6089-94).
- nude mice were injected subcutaneously with 5 ⁇ 10 6 Caki-1 cells in 0.2 ml PBS. Average tumor size increased to more than 500 mm 3 within 55 days post injection. Caki-1-containing tumors were excised from tumor bearing mice and tumor tissue blocks of approximately 30 mm 3 were prepared. Na ⁇ ve nude mice to be used for evaluating in vivo antitumor activity of anti-CD70 ADC were each implanted subcutaneously with one tumor block of 30 mm 3 . Following implantation, tumor sizes increased to more than 800 mm 3 within 40 days in the absence of any treatment ( FIG. 12 ). Treatment was initiated when the average tumor size within a group was approximately 100 mm 3 ( FIG. 12 , arrows).
- mice treated with 1F6 were virtually identical to either the untreated control or the IgG-treated group.
- treatment of mice with 1F6-vcAFP significantly inhibited tumor growth.
- T cell clones The generation and maintenance of the T cell clones have been described in U.S. Provisional Patent Application No. 60/331,750 and in International Patent Application PCT/US02/37223, both of which are incorporated herein by reference in their entireties.
- RPMI-1640 supplemented with 10% FBS and 2 mM L-glutamine with PHA-L (1-2 ⁇ g/ml) (Sigma), 10 ⁇ 10 6 irradiated feeder cells (CESS), rhIL-2 (200 IU/ml) (Proleukin, Chiron, Emeryville, Calif.), and IL-4 (10 ng/ml) (R&D Systems, Minneapolis, Minn.).
- T cell clones were usually allowed to expand for 10-14 days before re-stimulation.
- a panel of antigen non-specific T cell clones was examined for the expression of CD70.
- Table 2 summarizes the characteristics of the T cell clones examined. This panel contains both CD4 + and CD8 + T cells clones that appear to belong to different T cell differentiation pathways as suggested by their cytokine profiles. Significant levels of CD70 were detectable on all of the clones examined.
- T cell clones were activated by PHA, irradiated feeder cells (CESS), and rIL-2 and the expression of CD25 and CD70 was monitored by flow cytometric analysis. Clone C1A, representative of other T cell clones, showed extensive upregulation of CD25, which peaked on day 2 ( FIG.
- CD70 Phenotype T cell T-lineage CD70 clone marker expression Cytokine profile Designation 3.27.2 CD3, CD4 15 IL-4, IL5, IL-13, IFN ⁇ Th0 4.01.1 CD3, CD4 7 IL-4, IL5, IL-13, IFN ⁇ Th0 20G5 CD3, CD4 3 IL-4, IL-13 Th2 40D8 CD3, CD4 8 IL-4, IL-13 Th2 C1A CD3, CD8 3 IL-4, IL-13, IFN ⁇ Tc0 C2A CD3, CD8 12 IL-4, IL-13, IFN ⁇ Tc0 *Ratio between the mean log fluorescence intensities for anti-CD70 binding and control IgG binding
- Standard proliferation assays in 96-well format in quadruplicates were used to evaluate the effects of anti-CD70 ADCs on activated T cells.
- MLR PBMCs were seeded at 50,000 cells/well with 50,000 irradiated allogeneic CESS cells in a total volume of 2001 of medium.
- tetanus toxoid-induced T cell proliferation tetanus toxoid-reactive T cells were seeded at 20,000 cells/well with 2,000 autologous DCs in a total volume of 200 ⁇ l.
- Dialyzed and clarified tetanus toxoid (Colorado Serum Company, Denver, Colo.) was used at a final concentration of 1:50 dilution.
- T cell clones Two-day activated T cell clones were seeded at 10,000 cells per well. Proliferation assays was usually carried out for 72 to 120 hours. Tritiated thymidine ( 3 H-TdR) incorporation during the last 16 hours of incubation and scintillation counting were used to assess DNA synthesis. For analysis, the amount of thymidine incorporated by the treated cells was compared to that of the untreated control cells.
- the responses of T cell clones to 1F6 ADCs were examined. Resting T cell clones were activated to induce CD70 expression as described in FIG. 13 and the accompanying figure legend. After 2 days of activation, a portion of the cells was analyzed for CD25 and CD70 expression by flow cytometry to confirm cellular activation and CD70 induction. The remaining cells were pelleted and resuspended in new medium containing 200 IU/ml of rIL-2 or 200 IU/ml of IL-2 and 10 ng/ml IL-4.
- 1F6-vcAFP appeared to be more active than 1F6-vcMMAE; the IC 50 s for 1F6-vcAFP on all 3 clones were found to be below 0.05 ⁇ g/ml.
- the control ADC cIgG-vcMMAE and cIgG-vcAFP did not significantly inhibit proliferation at concentrations below 2 ⁇ g/ml, confirming the antigen specificity of the 1F6 ADCs.
- an MLR was set up between PBMC and an irradiated allogeneic stimulator CESS. Allogeneic activation of peripheral blood T cells was achieved by conventional mixed lymphoycte reactions (MLR). MLR were initiated by mixing PBMCs and irradiated allogeneic Epstein-Barr virus (EBV)-transformed B lymphoblastoid CESS cells (ATCC, Manassas, Va.) at a ratio of one T cell to ten irradiated CESS cells. T cell density was adjusted to 0.25 ⁇ 10 6 T cells/ml of RPMI-1640 supplemented with 10% FBS and 2 mM L-glutamine.
- EMV Epstein-Barr virus
- FIG. 15 shows the expression of CD70 at the end of the MLR (120 hours after initiation).
- graded doses of either 1F6-vcMMAE or 1F6-vcAFP were included in the cultures at initiation. DNA synthesis was assayed during the last 16 hours of the 5-day culture by a pulse of 3 H-TdR.
- Both 1F6-vcMMAE and 1F6-vcAFP substantially inhibited T cell proliferation ( FIG. 15 , lower panel).
- 1F6-vcAFP was more active than 1F6-vcMMAE, with an IC 50 of approximately 0.1 ⁇ g/ml.
- T cells specific against tetanus toxoid were enriched from PBMC by multiple rounds of antigenic stimulation with tetanus toxoid in the presence of autologous DCs.
- mature autologous DCs pulsed with tetanus toxoid were prepared as described above.
- Autologous PBMC were then co-cultured with antigen-pulsed mature DCs at a ratio of 10 PBMC to 1 DC.
- T cell activation and expansion were allowed to continue for 7 days.
- Viable T cells were harvested from the culture and re-stimulated with tetanus toxoid-pulsed autologous mature DCs again under conditions identical to those in first round of activation. Two additional, identical rounds of activation were conducted to further enrich for tetanus toxoid-specific T cells.
- Tetanus toxoid-specific T cells were enriched and expanded by four consecutive rounds of stimulation by tetanus toxoid and autologous DCs as described above. After the 4th round of stimulation, resting tetanus toxoid-specific T cells were plated in 96-well plates at 20,000 cells/well in the presence of autologous DCs (at 2,000 cells/well) and tetanus toxoid. Graded doses of 1F6, 1F6-vcMMAE, and 1F6-vcAFP were also included in the cultures at the initiation. DNA synthesis was assay during the last 16 hours by 3 H-TdR incorporation.
- a 9-amino acid peptide (GILGFVFTL, M1 peptide; SEQ ID NO:48) derived from the influenza virus matrix protein binds to the peptide-binding groove of the HLA-A0201 molecule.
- Presentation of the M1 peptide by HLA-A0201 expressing antigen presenting cells to autologous T cells specifically stimulates the activation and expansion of CD8 + cytotoxic T cells expressing the T cell receptor V ⁇ 17 chain (Lehner et al., 1995, J. Exp. Med. 181:79-91), constituting a convenient in vitro experimental system to track the activation and expansion of antigen-specific T cells to their cognate antigen.
- PBMCs from a normal donor expressing HLA-A0201 were stimulated with the M1 peptide.
- PBMCs were seeded at 2 ⁇ 10 6 cells/ml with 5 ⁇ g/ml of M1 peptide in AIMV medium supplemented with 5% human AB serum.
- IL-2 Proleukin, Chiron
- IL-15 R&D Systems, MN
- FIGS. 17A and B Results from a representative experiment are shown in FIGS. 17A and B.
- FIG. 17A upper panels, shows that only 0.9% of the cells within the lymphocyte population were CD8 + /V ⁇ 17 + two days after culture initiation. T cell expansion was only evident within the CD8 + /V ⁇ 17 + population. The percentage of CD8 + /V ⁇ 17 + progressively increased to 23% on day 11. CD70 expression became detectable 3 days after antigen stimulation ( FIG. 17A , lower panel). On day 7, approximately 60% of the expanding CD8 + /V ⁇ 17 + cells expressed CD70 ( FIG. 17A , lower left panel).
- PBMCs from a normal donor expressing HLA-A0201 were stimulated with the M1 peptide as described in Example 11. On day 5, cells were harvested, washed, and re-seeded at 0.5-1 ⁇ 10 6 cells/ml (approximately 100,000 of CD8 + /V ⁇ 17 + T cells) in fresh AIMV medium supplemented with 5% human AB, 20 IU/ml of IL-2, and 5 ng/ml of IL-15. 1F6 or control non-binding IgG (cIgG) ADCs were added to some cultures to a final concentration of 1 ⁇ g/ml. Total viable cell counts were conducted 24, 48, and 76 hours after ADC addition.
- Two-color flow cytometry was conducted to determine the percentages of CD8 + /V ⁇ 17 + cells among the viable cells.
- the absolute number of CD8 + /VP17 + T cells in each culture was then calculated.
- the number of CD8 + /V ⁇ 17 + T cells in the two control cultures increased to more than 800,000 after 76 hours ( FIG. 18 , upper panel).
- Substantial inhibition of CD8 + /V ⁇ 17 + T cell expansion was seen in the 1F6 ADC-treated cultures.
- the number of CD8 + /V ⁇ 17 + T cells was approximately 400,000 in the 1F6-vcMMAE-treated culture, compared to >800,000 in the cIgG-vcMMAE-treated culture.
- FIG. 18 shows that the CD8 + /V ⁇ 17 + cells in the 1F6-vcAFP- and 1F6-vcMMAE-treated cultures were ⁇ 40% and ⁇ 20%, respectively, of the control untreated culture at the end of the experiment.
- the potency of three 1F6 ADCs was then compared.
- HLA-A0201 PBMCs were stimulated with the M1 peptide and re-seeded as described for FIG. 18 with the various ADCs at the indicated concentrations ( FIG. 19 ).
- the percent of CD8 + /V ⁇ 17 + T cells after a 96-hour incubation was determined.
- a dose-dependent inhibition of CD8 + /VP17 + T cell expansion was observed with 1F6-vcMMAE, -vcAFP, and -vcMMAF, while the corresponding IgG control ADCs at the top concentration of 1 ⁇ g/ml showed no detectable inhibitory activity compared to the no drug control culture.
- the IC 50 values for 1F6-vcAFP and 1F6-vcMMAF were between 0.1 and 0.01 ⁇ g/ml.
- a re-stimulation assay was used to evaluate the functional capacity of the bystander, antigen non-specific CD8 + /V ⁇ 17 ⁇ T cells.
- HLA-A0201 expressing PBMCs were stimulated with the M1 peptide and then treated with 1 ⁇ g/ml of 1F6-vcMMAF on day 5 to delete the CD70 + /CD8 + /V ⁇ 17 + T cells as described in FIGS. 18 and 19 .
- the number of CD8 + /V ⁇ 17 + T cells in the ADC-treated culture was lower than the untreated culture, 14% versus 47% ( FIG. 20 , left column). Responses of the remaining cells to a mitogenic re-stimulation were assessed.
- V ⁇ 17 ⁇ T cells were enriched by negative immunoselection. Briefly, day 9 cells were harvested, washed, and resuspended to 5 ⁇ 10 7 cells/ml in medium containing an anti-TCRV ⁇ 17 mAb (clone E17.5F3) at 1-2 ⁇ g/10 6 target T cells. After incubation at 4° C. for 30 minutes, unbound anti-TCRV ⁇ 17 mAb was removed by washing the cells twice with PBS containing 0.1% human serum.
- an anti-TCRV ⁇ 17 mAb clone E17.5F3
- the cells were resuspended at a concentration of 2-5 ⁇ 10 6 /ml two washes in medium and Dynabeads M-450 goat anti-mouse IgG paramagnetic beads (Dynal Biotech Inc., Lake Success, N.Y.) were added at a ratio of 4 paramagnetic beads to 1 target T cell. The mixture was rotated at 4° C. for 30 minutes. Paramagnetic beads with bound V ⁇ 17 + T cells were then separated from the rest of the cells by a magnetic device. Removal of V ⁇ 17 + T cells was confirmed by two-color flow cytometry. FIG. 20 , middle column, shows that only 3% and 5% of the cells were left in the 1F6-vcMMAF-treated and untreated cultures, respectively.
- V ⁇ 17 ⁇ T cells enriched from the 1F6-vcMMAF-treated culture demonstrated a dose-dependent response to anti-CD3 plus anti-CD28 re-stimulation comparable to that of the untreated cells.
- V ⁇ 17 ⁇ T cells were incubated with the CD8 + /V ⁇ 17 + cells in the presence of 1F6-vcMMAF for 4 days, they had retained their proliferation capacity. More importantly, their ability to mount a proliferation response in the absence of any exogenous IL-2 illustrates that they were also functionally intact with regard to their ability to express and secrete the necessary cytokine(s) needed for their proliferation. Taken together, these results suggest that anti-CD70 ADCs can selectively delete CD70 + activated T cells without causing substantial collateral damage to bystander T cells. This characteristic suggests that they can be applied as immunosuppressive agents that may have minimum impact on the immune repertoire of the host.
- EAE experimental allergic encephalomyelitis
- MS demylelinating disease multiple sclerosis
- ADC an antibody that (a) is conjugated to AFP or MMAE with a val-cit (vc) linker and (b) recognizes an epitope of murine CD70 corresponding the 1F6 epitope of human CD70.
- EAE Experimental allergic encephalomyelitis
- the signs of EAE are scored on a 0 to 5 scale as follows: (0) normal; (1) limp tail or hind limb weakness; (2) limp tail and hind-limb weakness (waddling gait); (3) partial hind-limb paralysis; (4) complete hind-limb paralysis; and (5) moribund.
- a relapse is defined as a sustained increase (more than 2 days) in at least one full grade in clinical score after the animal had improved previously at least a full clinical score and had stabilized for at least 2 days.
- the data are plotted as the mean clinical score for all animals in a particular treatment group or as the relapse rate (total number of relapses in a group divided by the total number of mice in that group).
- Anti-CD70 ADC (0.1-3 mg/g body weight) is administered intraperitoneally in a total volume of 100 ⁇ l. Mice are treated 3 times per week for 3 consecutive weeks (9 total treatments). Treatment is initiated before disease onset (day 7) or at the peak of acute disease (day 14). As a control, one group of EAE-induced mice are left untreated.
- TNF- ⁇ and IFN- ⁇ induction The demonstration of induction of TNF- ⁇ and IFN- ⁇ in brains of EAE shows an inflammatory disease process indicative of EAE disease progression and inhibition of these cytokines in brains of SJL mice treated with anti-CD70 ADC indicates the value of anti-CD70 ADC therapy in preventing or treating EAE.
- Brains are obtained from at least three animals treated preclinically (at day 13, after three treatments, and day 26, after nine treatments) and at peak of acute disease (at day 20, after three treatments, and day 33, after nine treatments). Brains are fixed (10% buffered formalin), and tissues are embedded in paraffin and sectioned.
- Sections are then independently stained for TNF- ⁇ or IFN- ⁇ by incubation with a primary antibody specific for the respective cytokine, followed by incubation with a secondary antibody conjugated to FITC. Tissue sections are then mounted in mounting media and analyzed by immunofluorescence microscopy. Decreased levels of TNF- ⁇ or INF- ⁇ staining in ADC-treated mice versus the untreated EAE-induced mice shows inhibition of inflammatory cytokine induction using anti-CD70 ADC therapy.
- EAE-induced SJL mice in the treatment group are compared with untreated EAE-induced mice to assess the efficacy of anti-CD70 ADC therapy in either preventing disease onset or treating established disease.
- a decrease in the mean score for EAE disease as compared to the untreated control group, demonstrates the efficacy of anti-CD70 ADC therapy in preventing disease.
- mice treated at the peak of acute disease either (a) a decrease in the relapse rate or (b) a decrease in the post-treatment mean score for EAE, as compared to the untreated control group, demonstrates the efficacy of anti-CD70 ADC therapy in treating established disease.
- a 786-O subcutaneous xenograft model was used to evaluate the antitumor activity of anti-CD70 ADCs administered at different dosages and schedules.
- Tumor growth was also assessed by time needed for tumors to quadruple in size (see FIG. 21B ).
- Cell surface CD70 expression was evaluated in a panel of multiple myeloma cell lines (Table 3). Copy number of CD70 molecules expressed by each cell line was determined by quantitative flow cytometry using the QIFIKit® (Dako, Carpinteria, Calif.). Response of these cells to anti-CD70 ADC-mediated cytotoxicity was determined. Both chimeric 1F6(c1F6)-vcMMAF4 and c1F6-mcMMAF4 were cytotoxic against CD70-expressing multiple myeloma cells. The IC 50 values obtained with c1F6-vcMMAF4 ranged from 1.2-160 ng/mL while that obtained with c1F6-mcMMAF4 ranged from 1.7-500 ng/mL.
- Both h1F6-vcMMAF4 and h1F6-mcMMAF4 provided significant survival benefits to tumor bearing mice compared to control non-binding IgG-vcMMAF4 and IgG-mcMMAF4 (see FIG. 22A ).
- Tumor burden in the MM-1S model was also assessed by enumerating the number of bone marrow cells expressing human CD138, a plasma cell marker expressed by the MM-1S cells. Bone marrow cells were recovered from mice that were euthanized due to manifestation of symptom or at the end of the experiment on day 122, and the number of CD138-expressing MM-1S cells was determined by flow cytometry.
- Purified human ⁇ LC (Bethyl labs, #P80-127, Montgomery, Tex.) was used as the standard. After one hour of incubation at room temperature, wells were washed 5 times with 1 ⁇ PBST. HRP-goat anti-human lambda chain specific F(ab′) 2 (Southern Biotech #2072-05) at 1:4000 dilution in 1% BSA/PBST was added. After an additional one hour incubation at room temperature, wells were washed 5 times with 1 ⁇ PBST. TMB substrate 100 ⁇ L/well (Sigma, #T8665, St. Louis, Mo.) was used to detect captured ⁇ LC.
- CD70 expression was also evaluated in panels of Hodgkin's disease (Table 4) and glioblastoma cell lines (Table 5). The copy number of CD70 molecules expressed by each cell line was determined by quantitative flow cytometry using the QIFIKit® (Dako, Carpinteria, Calif.). The response of these cells to anti-CD70 ADC-mediated cytotoxicity was determined. Both chimeric 1F6(c1F6)-vcMMAF4 and c1F6-mcMMA 4 were cytotoxic against these CD70-expressing cell lines.
- the IC 50 values obtained with c1F6-vcMMAF4 ranged from 0.41-42 ng/mL while that obtained with c1F6-mcMMAF4 ranged from 5.2-310 ng/mL (Table 5).
- the IC 50 values obtained with h1F6-vcMMAF4 ranged from 2.3-27 ng/mL while that obtained with h1F6-mcMMAF4 ranged from 15-110 ng/mL (Table 4).
Landscapes
- Health & Medical Sciences (AREA)
- Life Sciences & Earth Sciences (AREA)
- Engineering & Computer Science (AREA)
- General Health & Medical Sciences (AREA)
- Chemical & Material Sciences (AREA)
- Public Health (AREA)
- Veterinary Medicine (AREA)
- Animal Behavior & Ethology (AREA)
- Bioinformatics & Cheminformatics (AREA)
- Epidemiology (AREA)
- Immunology (AREA)
- Medicinal Chemistry (AREA)
- Pharmacology & Pharmacy (AREA)
- Biomedical Technology (AREA)
- Organic Chemistry (AREA)
- Proteomics, Peptides & Aminoacids (AREA)
- Gastroenterology & Hepatology (AREA)
- Diabetes (AREA)
- Rheumatology (AREA)
- Biochemistry (AREA)
- Biophysics (AREA)
- Genetics & Genomics (AREA)
- Pathology (AREA)
- Molecular Biology (AREA)
- Toxicology (AREA)
- Urology & Nephrology (AREA)
- Endocrinology (AREA)
- Zoology (AREA)
- Cell Biology (AREA)
- Chemical Kinetics & Catalysis (AREA)
- General Chemical & Material Sciences (AREA)
- Nuclear Medicine, Radiotherapy & Molecular Imaging (AREA)
- Peptides Or Proteins (AREA)
- Medicines Containing Antibodies Or Antigens For Use As Internal Diagnostic Agents (AREA)
Abstract
Disclosed are anti-CD70 antibodies and derivatives thereof conjugated to cytotoxic, immunosuppressive, or other therapeutic agents, as well as pharmaceutical compositions and kits comprising the antibody- and antibody derivative-drug conjugates. Also disclosed are methods, for the treatment of CD70-expressing cancers and immunological disorders, comprising administering to a subject the disclosed pharmaceutical compositions.
Description
- This application is a continuation-in-part of U.S. patent application Ser. No. 10/546,304, filed Aug. 19, 2005, which is a national stage application of PCT Application No. PCT/US04/005247, filed Feb. 20, 2004, which claims the benefit of U.S. Provisional Patent Application No. 60/449,055, filed Feb. 20, 2003, all of which are incorporated by reference herein in their entirety. This application also claims the benefit of U.S. Provisional Patent Application No. 60/792,127, filed Apr. 13, 2006, which is incorporated by reference herein in its entirety.
- CD70 is a member of the tumor necrosis factor (TNF) family of cell membrane-bound and secreted molecules that are expressed by a variety of normal and malignant cell types. The primary amino acid (AA) sequence of CD70 predicts a transmembrane type II protein with its carboxyl terminus exposed to the outside of cells and its amino terminus found in the cytosolic side of the plasma membrane (Bowman et al., 1994, J Immunol 152:1756-61; Goodwin et al., 1993, Cell 73:447-56). Human CD70 is composed of a 20 AA cytoplasmic domain, an 18 AA transmembrane domain, and a 155 AA extracytoplasmic domain with two potential N-linked glycosylation sites (Bowman et al., supra; Goodwin et al., supra). Specific immunoprecipitation of radioisotope-labeled CD70-expressing cells by anti-CD70 antibodies yields polypeptides of 29 and 50 kDa (Goodwin et al., supra; Hintzen et al., 1994, J Immunol 152:1762-73). Based on its homology to TNF-alpha and TNF-beta, especially in structural strands C, D, H and I, a trimeric structure is predicted for CD70 (Petsch et al., 1995, Mol Immunol 32:761-72).
- Original immunohistological studies revealed that CD70 is expressed on germinal center B cells and rare T cells in tonsils, skin, and gut (Hintzen et al., 1994, Int Immunol 6:477-80). Subsequently, CD70 was reported to be expressed on the cell surface of recently antigen-activated T and B lymphocytes, and its expression wanes after the removal of antigenic stimulation (Lens et al., 1996, Eur J Immunol 26:2964-71; Lens et al., 1997, Immunology 90:38-45). Within the lymphoid system, natural killer cells (Orengo et al., 1997, Clin Exp Immunol 107:608-13) and mouse mature peripheral dendritic cells (Akiba et al., 2000, J Exp Med 191:375-80) also express CD70. In non-lymphoid lineages, CD70 has been detected on thymic medullar epithelial cells (Hintzen et al., 1994, supra; Hishima et al., 2000, Am J Surg Pathol 24:742-46).
- In addition to expression on normal cells, CD70 expression has been reported in different types of cancers including lymphomas, carcinomas, and tumors of neural origin. In malignant B cells, 71% of diffuse large B-cell lymphomas, 33% of follicle center lymphomas, 25% of mantle lymphomas, and 50% of B-CLL have been reported to express CD70 (Lens et al., 1999, Br J Haematol 106:491-503). CD70 is frequently expressed together with other lymphoid activation markers on the malignant Hodgkin and Reed-Sternberg cells of Hodgkin's disease (Gruss and Kadin, 1996, Bailieres Clin Haematol 9:417-46). One report demonstrates CD70 expression on 88% (7 of 8 cases) of thymic carcinomas and 20% (1 of 5 cases) of atypical thymomas (Hishima et al., 2000, supra). The second type of carcinoma on which CD70 has been detected is nasopharyngeal carcinoma. One study reports the presence of CD70 on 80% (16 of 20 cases) of snap-frozen tumor biopsies obtained from undifferentiated nasopharyngeal carcinomas (Agathanggelou et al., 1995, Am J Path 147:1152-60). CD70 has also been detected on brain tumor cells, especially glioma cell lines, solid human gliomas, and meningiomas (Held-Feindt and Mentlein, 2002, Int J Cancer 98:352-56; Wischlusen et al., 2002, Can Res 62:2592-99).
- It has been proposed that transforming viruses including the Epstein-Barr virus (EBV) and the human T leukemia virus-1 (HTLV-1) can induce CD70 on cells such as epithelial cells that normally do not express CD70 (Agathanggelou et al., supra; Stein et al., 1989, Oxford University Press, p. 446). Therefore, expression of CD70 on malignant B cells could be a reflection of oncogenic transformation (Lens et al., 1999, supra). Also, since CD70 expression is induced on B cells after antigen encounter (Maurer et al., 1990, Eur J Immunol 20:2679-84; Lens et al., 1996, supra), stable expression of CD70 might reflect prolonged antigenic stimulation. This has been postulated to occur in follicular non-Hodgkin's lymphomas based on ongoing somatic hypermutation (Bahler et al., 1992, Proc Natl Acad Sci USA 89:6770-74; Bahler et al., 1992, Cancer Res 52:suppl. 5547S-51S).
- The receptor for CD70 is CD27, a glycosylated type I transmembrane protein of about 55 kDa (Goodwin et al., 1993, Cell 73:447-56; Hintzen et al., 1994, supra). CD70 is sometimes referred to as CD27L. CD27, which exists as a homodimer on the cell surface (Gravestein et al., 1993, Eur J Immunol 23:943-50), is a member of the TNF receptor superfamily as defined by cysteine-rich repeats of about 40 amino acids in the extracellular domain (Smith et al., 1990, Science 248:1019-23; Locksley et al., 2001, Cell 104:487-501). CD27 is typically expressed by thymocytes, NK, T, and B cells (Hintzen et al., 1994, Immunol Today 15:307-11; Lens et al., 1998, Semin Immunol 10:491-99). On resting T cells, CD27 is constitutively expressed, yet antigenic triggering further upregulates CD27 expression (de Jong et al., 1991, J Immunol 146:2488-94; Hintzen et al., 1993, J Immunol. 151:2426-35). Further, triggering of T cells via their T cell antigen receptor complex alone or in combination with the accessory molecule CD28 releases soluble CD27 from activated T cells (Hintzen et al., 1991, J Immunol 147:29-35). Naïve B cells do not express CD27, but its expression is induced and, in contrast to CD70, sustained after antigenic triggering of B cells (Jacquot S et al., 1997 J Immunol 159:2652-57; Kobata T et al., 1995, Proc Natl Acad Sci USA 92:11249-53).
- In marked contrast to the restricted expression of CD27 and CD70 in normal B lineage cells, both CD27 and CD70 are frequently co-expressed in many B cell non-Hodgkin's lymphomas and leukemias. This could potentially lead to functional CD27-CD70 interactions on these cells in the form of an autocrine loop, resulting in CD27 signaling and in CD70-induced proliferation, thereby providing a growth advantage to malignant cells (Lens et al., 1999, supra).
- The available data supports a model in which ligation of CD27 on activated lymphocytes by CD70 delivers signals to the CD27-expressing cells, including co-stimulatory signals in T, B, and NK cells. (See, e.g., Goodwin et al., supra; Hintzen et al., 1995, J Immunol 154:2612-23; Oshima et al., 1998, Int Immunol 10:517-26; Smith et al., supra; Van Lier et al., 1987, J Immunol 139:1589-96; Gravestein et al., 1995, Int Immunol 7:551-7; Tesselaar et al., 1997, J Immunol 159:4959-65; Jacquot et al., supra; Agematsu et al., 1998, Blood 91:173-80; Kobata et al., supra; Agematsu et al., 1997, Eur J Immunol 27:2073-79; Sugita et al., 1992, J Immunol 149:1199-1203; Orengo et al., 1997, Clin Exp Immunol 107:608-13). Antibodies against both murine and human CD70 have been demonstrated to inhibit such activities, presumably by blocking the CD70/CD27 interaction (Hintzen et al., 1994, supra; Hintzen et al., 1995, supra; Oshima et al., supra).
- Limited information is available on the modulation of cellular functions through CD70 signaling upon CD70/CD27 interaction, i.e., ‘reverse signaling’. Some CD70 antibodies have the ability to enhance T cell proliferation when they are presented to CD70-expressing T cells either cross-linked with a secondary antibody or immobilized on tissue culture plates (Bowman et al., 1994, J Immunol 152:1756-61; Brugnoni, 1997, Immunol Lett 55:99-104). Such ‘reverse signaling’ has also been described in a subset of B chronic lymphocytic leukemia (B-CLL) cells, and CD70 can function as a receptor to transduce signals to facilitate proliferation of PMA-stimulated purified B-CLL cells (Lens et al., 1999, supra). These observations suggest situations in which engagement of CD27 and CD70 can result in the delivery of agonistic signals to both the CD27 and CD70 expressing cells.
- The role of CD70/CD27 co-stimulation in cell-mediated autoimmune diseases has been investigated in a model of experimental autoimmune encephalomyelitis (EAE) (Nakajima et al., 2000, J Neuroimmunol 109:188-96). In vivo administration of a particular anti-mouse CD70 mAb (clone FR-70) markedly suppressed the onset of EAE by inhibiting antigen-induced TNF-alpha production without affecting T cell priming, Ig production or
T H1/T H2 cell balance. However, such treatment had little efficacy in established disease. It has been reported that expression of CD70 on T cells was enhanced by TNF-alpha and IL-12 and down regulated by IL4 (Lens et al., 1998, supra). Thus, the CD70/CD27 mediated T cell-T cell interactions may play a role in enhancing TH1-mediated immune responses rather than TH2-mediated responses. Supporting this hypothesis, the anti-mouse CD70 mAb FR-70 is also effective in inhibiting TH1-mediated collagen-induced arthritis (Nakajima et al., 2000, supra). In contrast, the same anti-mouse CD70 mAb did not show any efficacy in modulating lupus in NZB/NZW F1 mice and experimental Leishmania major infection in susceptible BALB/c mice, both of which are predominantly TH2-mediated autoimmue response (Nakajima et al., 1997, J Immunol 158, 1466-72; Akiba et al., 2000, J Exp Med 191:375-380). - The role of CD70 has not yet been investigated in acute graft versus host disease (aGVHD), another TH1-mediated immune response. GVHD is a major and often lethal consequence of allogeneic bone marrow transplantation (BMT) therapy that occurs when histocompatibility antigen differences between the BM donor and the recipient of the transplant are present (den Haan et al., 1995, Science 268:1476). GVHD is caused by mature T cells present in the transplanted marrow, as well as other minor cell populations (Giralt and Champlin, 1994, Blood 84:3603). It is noteworthy that CD70 has been detected in vivo on CD4+ cells in conditions characterized by allogeneic reaction, as in cases of maternal T cell engraftment in severe combined immune deficiency patients (Brugnoni et al., Immunol Lett 55:99-104). Prophylaxis of GVHD is achieved by pan-T cell immunosuppressive agents such as cyclosporine, corticosteroids, or methotrexate. In addition to the lack of specificity, these agents are also associated with significant adverse side effects. To limit these undesirable effects and the disruption of normal T cell functions, other therapeutic interventions based on selective targeting of T cells directly participating in allo-recognition and graft rejection are much needed.
- CD70 is a potentially useful target for antibody-directed immunotherapy. As indicated supra, CD70 has a restricted expression pattern in normal cells: CD70 expression is mostly restricted to recently antigen-activated T and B cells under physiological conditions, and its expression is down-regulated when antigenic stimulation ceases. The key role of CD70 is believed to be facilitating plasma cell differentiation and contributing to the generation and maintenance of long-term T cell memory. Further, evidence from animal models suggests that unregulated CD70/CD27 interaction may contribute to immunological disorders, and, in humans, experimental data have also pointed towards potential abnormal regulation of the CD70/CD27 pathway in TH1-mediated immune disorders such as, e.g., rheumatoid arthritis, psoriasis, and multiple sclerosis. It is of particular interest that CD70 is expressed on a variety of transformed cells including lymphoma B cells, Hodgkin and Reed-Sternberg cells, malignant cells of neural origin, and a number of carcinomas.
- Several groups have demonstrated the inhibitory effect of anti-CD70 mAb in both in vitro models of lymphocyte activation and animal models of TH1-mediated responses. The focus has been on the use of antibodies to block the CD70/CD27 co-stimulation pathway to achieve therapeutic efficacy. However, one main shortcoming of such an approach is the large number of signaling receptors, e.g., the CD28/CD80/CD86 co-stimulatory pathway, known to participate in immunological diseases. Consequently, blocking one specific signaling pathway may only have minimal impact on disease development. This is supported by the observations that anti-CD70 mAb can only partially inhibit in vitro T cell activation induced by allogeneic stimulator cells (Hintzen et al., 1995, supra) and an anti-CD70 mAb showed no therapeutic efficacy in EAE once the disease is established (Nakajima et al., 2000, supra).
- Thus, there is a need in the art for developing an approach for depleting or inhibiting the growth of CD70-expressing cells involved in cancers and/or immunological diseases by means other than or in addition to blocking the CD70/CD27 interaction. As CD70 is expressed on the surface of mature antigen presenting dendritic cells, activated T cells, and activated B cells, agents that can target and inhibit or deplete CD70+ cells may prove to be effective in the removal of antigen presenting cells presenting autoantigens and offending autoreactive activated T or B cells, as wells as CD70-expressing tumor cells.
- Approaches that have been used for increasing the therapeutic efficacy of antibodies are radiolabeling and combination with chemotherapy; however, these approaches include associated with undesirable side effects. For example, isotope therapy is associated with myelosuppression (Witzig, 2001, Cancer Chemother Pharmacol 48 (Suppl 1):S91-5), and combining therapy with antibodies and chemotherapeutics is associated with immunosuppression. Further, isotopically labeled substances are difficult to produce, and patients often experience relapse after initial treatment with isotopically labeled substances.
- Accordingly, there is a need for anti-CD70 antibody-drug conjugates (ADCs) that are constructed in such a manner so as to be capable exerting a clinically useful cytotoxic, cytostatic, or immunosuppressive effect on CD70-expressing cells, particularly without exerting undesirable effects on non-CD70-expressing cells. Such compounds would be useful therapeutic agents against cancers that express CD70 or immune disorders that are mediated by CD70-expressing cells. (The recitation of any reference in this application is not an admission that the reference is prior art to this application.)
- The present invention provides antibody-drug conjugates (ADCs) and ADC derivatives and methods relating to the use of such conjugates to treat CD70-expressing cancers and immunological disorders. The antibody, or other targeting moiety in the ADC, binds to CD70. A drug conjugated to the antibody or targeting moiety exerts a cytotoxic, cytostatic, or immunosuppressive effect on CD70-expressing cells to treat or prevent recurrence of CD70-expressing cancers or immunological disorders.
- In one aspect, methods are provided for the treatment of a CD70-expressing cancer in a subject. The methods generally include administering to the subject an effective amount of an antibody-drug conjugate. The antibody-drug conjugate includes an antibody that binds to CD70 (“CD70 antibody”). The antibody is conjugated to a drug that is a cytotoxic or cytostatic agent. In certain embodiments, the antibody is the monoclonal antibody 1F6 or 2F2.
- In other embodiments, the antibody binds to CD70 and competes for binding to CD70 with monoclonal antibody 1F6 or 2F2. Such a CD70 antibody can include at least one polypeptide region selected from (a) an H1 region having at least 80% sequence identity to the amino acid sequence set forth in SEQ ID NO:6; (b) an H2 region having at least 80% sequence identity to the amino acid sequence set forth in SEQ ID NO:8; an H3 region having at least 80% sequence identity to the amino acid sequence set forth in SEQ ID NO:10; (d) an L1 region having at least 80% sequence identity to the amino acid sequence set forth in SEQ ID NO:16; (e) an L2 region having at least 80% sequence identity to the amino acid sequence set forth in SEQ ID NO:18; (f) an L3 region having at least 80% sequence identity to the amino acid sequence set forth in SEQ ID NO:20; (g) an H1 region having at least 80% sequence identity to the amino acid sequence set forth in SEQ ID NO:26; (h) an H2 region having at least 80% sequence identity to the amino acid sequence set forth in SEQ ID NO:28; (i) an H3 region having at least 80% sequence identity to the amino acid sequence set forth in SEQ ID NO:30; (j) an L1 region having at least 80% sequence identity to the amino acid sequence set forth in SEQ ID NO:36; (k) an L2 region having at least 80% sequence identity to the amino acid sequence set forth in SEQ ID NO:38; and (l) an L3 region having at least 80% sequence identity to the amino acid sequence set forth in SEQ ID NO:40.
- In certain embodiments, the CD70 antibody includes the H1, H2, and H3 regions of (a), (b), and (c) (supra); or the H1, H2, and H3 regions of (g), (h), and (i) (supra). In additional embodiments, the H1, H2, H3, L1, L2 and L3 regions of the CD70 antibody include polypeptide regions have the amino acid sequences set forth in SEQ ID NO:6, SEQ ID NO:8, SEQ ID NO:10; SEQ ID NO:16, SEQ ID NO:18, and SEQ ID NO:20, respectively.
- In additional embodiments, the H1, H2, and H3 regions correspond to (a), (b), and (c) (supra) and the L1, L2, and L3 regions correspond to (d), (e), and (f) (supra), respectively; or the H1, H2, and H3 regions correspond to (g), (h), and (i) (supra) and the L1, L2, and L3 regions correspond to (j), (k), and (l) (supra). In further embodiments, the CD70 antibody comprises a heavy chain variable region having at least 80% sequence identity to the amino acid sequence set forth in SEQ ID NO:2 or SEQ ID NO 22. The CD70 heavy chain variable region also can have the amino acid sequence set forth in SEQ ID NO:2 or SEQ ID NO:22.
- In yet other embodiments, the heavy chain variable region has at least 80% sequence identity to SEQ ID NO:2 or SEQ ID NO:22, and the light chain variable region has at least 80% sequence identity to the amino acid sequence set forth in SEQ ID NO:12 or SEQ ID NO:32. The light chain variable region also can have the amino acid sequence set forth in SEQ ID NO:12 or SEQ ID NO:32.
- In exemplary embodiments, the antibody-drug conjugate is 1F6-val-cit-AFP, 1F6-val-cit-MMAF, 1F6-val-cit-MMAE, 2F2-val-cit-AFP, 2F2-val-cit-MMAF, and 2F2-val-cit-MMAE.
- The CD70 antibody can be, for example, a chimeric, humanized, or human antibody. In certain embodiments, the CD70 antibody is a chimeric antibody having a human constant region. The CD70 antibody can be monovalent or polyvalent.
- Suitable cytotoxic agents can be, for example, an auristatin, a DNA minor groove binding agent, a DNA minor groove alkylating agent, an enediyne, a lexitropsin, a duocarmycin, a taxane, a puromycin, a dolastatin, a maytansinoid, and a vinca alkaloid. In specific embodiments, the cytotoxic agent is AFP, MMAF, MMAE, AEB, AEVB, auristatin E, paclitaxel, docetaxel, CC-1065, SN-38, topotecan, morpholino-doxorubicin, rhizoxin, cyanomorpholino-doxorubicin, dolastatin-10, echinomycin, combretatstatin, chalicheamicin, maytansine, DM-1, or netropsin. Other suitable cytotoxic agents include anti-tubulin agents, such as an auristatin, a vinca alkaloid, a podophyllotoxin, a taxane, a baccatin derivative, a cryptophysin, a maytansinoid, a combretastatin, or a dolastatin. In specific embodiments, the antitubulin agent is AFP, MMAF, MMAE, AEB, AEVB, auristatin E, vincristine, vinblastine, vindesine, vinorelbine, VP-16, camptothecin, paclitaxel, docetaxel, epothilone A, epothilone B, nocodazole, colchicines, colcimid, estramustine, cemadotin, discodermolide, maytansine, DM-1, or eleutherobin.
- In antibody drug conjugates, the antibody can be conjugated directly to the cytotoxic agent or via a linker. Suitable linkers include, for example, cleavable and non-cleavable linkers. A cleavable linker is typically susceptible to cleavage under intracellular conditions. Suitable cleavable linkers include, for example, a peptide linker cleavable by an intracellular protease, such as lysosomal protease or an endosomal protease. In exemplary embodiments, the linker can be a dipeptide linker, such as a valine-citrulline (val-cit) or a phenylalanine-lysine (phe-lys) linker. Other suitable linkers include linkers hydrolyzable at a pH of less than 5.5, such as a hydrazone linker. Additional suitable cleavable linkers include disulfide linkers.
- An antibody-drug conjugate can be targeted to CD70-expressing cells, such as for example, Hodgkin's disease (e.g., Reed-Sternberg cells); cancers of the B-cell lineage, including, e.g., diffuse large B-cell lymphomas, follicular lymphomas, Burkitt's lymphoma, mantle cell lymphomas, B-cell lymphocytic leukemias (e.g., acute lymphocytic leukemia, chronic lymphocytic leukemia); Epstein Barr Virus positive B cell lymphomas; gliomas; glioblastomas; neuroblastomas; astrocytomas; meningiomas; Waldenstrom macroglobulinemia; multiple myelomas; and colon, stomach, and rectal carcinomas. The antibody-drug conjugate also can be targeted to CD70-expressing immune cells, such as an activated T cell, an activated B cell, or a mature dendritic cell. The antibody-drug conjugates can be administered to humans or to non-human animals.
- In another aspect, methods are provided for treating an immunological disorder. The methods generally include administering to a subject an amount effective of an antibody-drug conjugate comprising an antibody that binds CD70. The antibody is conjugated to a cytotoxic agent or an immunosuppressive agent. In certain embodiments, the antibody is the monoclonal antibody 1F6 or 2F2.
- In other embodiments, the antibody binds to CD70 and competes for binding to CD70 with monoclonal antibody 1F6 or 2F2. The CD70 antibody can include at least one polypeptide region selected from (a) an H1 region having at least 80% sequence identity to the amino acid sequence set forth in SEQ ID NO:6; (b) an H2 region having at least 80% sequence identity to the amino acid sequence set forth in SEQ ID NO:8; an H3 region having at least 80% sequence identity to the amino acid sequence set forth in SEQ ID NO:10; (d) an L1 region having at least 80% sequence identity to the amino acid sequence set forth in SEQ ID NO:16; (e) an L2 region having at least 80% sequence identity to the amino acid sequence set forth in SEQ ID NO:18; (f) an L3 region having at least 80% sequence identity to the amino acid sequence set forth in SEQ ID NO:20; (g) an H1 region having at least 80% sequence identity to the amino acid sequence set forth in SEQ ID NO:26; (h) an H2 region having at least 80% sequence identity to the amino acid sequence set forth in SEQ ID NO:28; (i) an H3 region having at least 80% sequence identity to the amino acid sequence set forth in SEQ ID NO:30; (j) an L1 region having at least 80% sequence identity to the amino acid sequence set forth in SEQ ID NO:36; (k) an L2 region having at least 80% sequence identity to the amino acid sequence set forth in SEQ ID NO:38; and (l) an L3 region having at least 80% sequence identity to the amino acid sequence set forth in SEQ ID NO:40.
- In certain embodiments, the CD70 antibody includes the H1, H2, and H3 regions of (a), (b), and (c) (supra); or the H1, H2, and H3 regions of (g), (h), and (i) (supra), respectively. In additional embodiments, the H1, H2, H3, L1, L2 and L3 regions of the CD70 antibody includes polypeptide regions have the amino acid sequences set forth in SEQ ID NO:6, SEQ ID NO:8, SEQ ID NO:10; SEQ ID NO:16, SEQ ID NO:18, and SEQ ID NO:20, respectively.
- In additional embodiments, the H1, H2, and H3 regions correspond to (a), (b), and (c) (supra) and the L1, L2, and L3 regions correspond to (d), (e), and (f) (supra), respectively; or the H1, H2, and H3 regions correspond to (g), (h), and (i) (supra) and the L1, L2, and L3 regions correspond to (j), (k), and (l) (supra), respectively. In further embodiments, the CD70 antibody comprises a heavy chain variable region having at least 80% sequence identity to the amino acid sequence set forth in SEQ ID NO:2 or SEQ ID NO 22. The CD70 heavy chain variable region also can have the amino acid sequence set forth in SEQ ID NO:2 or SEQ ID NO:22.
- In yet other embodiments, the heavy chain variable region has at least 80% sequence identity to SEQ ID NO:2 or SEQ ID NO:22, and the light chain variable region has at least 80% sequence identity to the amino acid sequence set forth in SEQ ID NO:12 or SEQ ID NO:32. The light chain variable region also can have the amino acid sequence set forth in SEQ ID NO:12 or SEQ ID NO:32.
- In exemplary embodiments, the antibody-drug conjugate is 1F6-val-cit-AFP, 1F6-val-cit-MMAF, 1F6-val-cit-MMAE, 2F2-val-cit-AFP, 2F2-val-cit-MMAF, and 2F2-val-cit-MMAE.
- The CD70 antibody can be, for example, a chimeric, humanized, or human antibody. In certain embodiments, the CD70 antibody is a chimeric antibody having a human constant region. The CD70 antibody can be monovalent or polyvalent.
- Suitable cytotoxic agents can be, for example, an auristatin, a DNA minor groove binding agent, a DNA minor groove alkylating agent, an enediyne, a lexitropsin, a duocarmycin, a taxane, a puromycin, a dolastatin, a maytansinoid, and a vinca alkaloid. In specific embodiments, the drug is cytotoxic agent is AFP, MMAF, MMAE, AEB, AEVB, auristatin E, paclitaxel, docetaxel, CC-1065, SN-38, topotecan, morpholino-doxorubicin, rhizoxin, cyanomorpholino-doxorubicin, dolastatin-10, echinomycin, combretatstatin, chalicheamicin, maytansine, DM-1, or netropsin. Other suitable cytotoxic agents include anti-tubulin agents, such as an auristatin, a vinca alkaloid, a podophyllotoxin, a taxane, a baccatin derivative, a cryptophysin, a maytansinoid, a combretastatin, or a dolastatin. In specific embodiments, the antitubulin agent is AFP, MMAF, MMAE, AEB, AEVB, auristatin E, vincristine, vinblastine, vindesine, vinorelbine, VP-16, camptothecin, paclitaxel, docetaxel, epothilone A, epothilone B, nocodazole, colchicines, colcimid, estramustine, cemadotin, discodermolide, maytansine, DM-1, or eleutherobin.
- Suitable immunosuppressive agents include, for example, gancyclovir, etanercept, cyclosporine, tacrolimus, rapamycin, cyclophosphamide, azathioprine, mycophenolate mofetil, methotrexate, cortisol, aldosterone, dexamethasone, a cyclooxygenase inhibitor, a 5-lipoxygenase inhibitor, or a leukotriene receptor antagonist.
- In antibody drug conjugates, the antibody can be conjugated directly to the cytotoxic agent or immunosuppressive agent, or via a linker. Suitable linkers include, for example, cleavable and non-cleavable linkers. A cleavable linker is typically susceptible to cleavage under intracellular conditions. Suitable cleavable linkers include, for example, a peptide linker cleavable by an intracellular protease, such as lysosomal protease or an endosomal protease.
- In exemplary embodiments, the linker can be a dipeptide linker, such as a valine-citrulline (val-cit) or a phenylalanine-lysine (phe-lys) linker. Other suitable linkers include cleavable linker hydrolyzable at a pH of less than 5.5, such as a hydrazone linker. Further suitable cleavable linkers include disulfide linkers.
- The ADC can be targeted to cells of an immunological disorder, such as, for example, Th1-mediated immunological disorders. Th1-mediated immunological disorders include, for example, rheumatoid arthritis, multiple sclerosis, psoriasis, Sjorgren's syndrome, Hashimoto's thyroiditis, Grave's disease, primary biliary cirrhosis, Wegener's granulomatosis, tuberculosis, or acute graft versus host disease. Other immunological disorders include, for example, an activated B-lymphocyte disorder. The subject can be a human or a non-human animal.
- In yet another aspect, antibody-drug conjugates are provided. The antibody-drug conjugates include an antibody that binds to CD70. The antibody is conjugated to a cytotoxic agent or an immunosuppressive agent. The antibody-drug conjugate can exerts a cytotoxic or cytostatic effect on a CD70-expressing cancer cell line, and/or a cytotoxic, cytostatic, or immunosuppressive effect on a CD70-expressing immune cell.
- In certain embodiments, the antibody is the monoclonal antibody 1F6 or 2F2. In other embodiments, the antibody binds to CD70 and competes for binding to CD70 with monoclonal antibody 1F6 or 2F2. The CD70 antibody can include at least one polypeptide region selected from (a) an H1 region having at least 80% sequence identity to the amino acid sequence set forth in SEQ ID NO:6; (b) an H2 region having at least 80% sequence identity to the amino acid sequence set forth in SEQ ID NO:8; (c) an H3 region having at least 80% sequence identity to the amino acid sequence set forth in SEQ ID NO:10; (d) an L1 region having at least 80% sequence identity to the amino acid sequence set forth in SEQ ID NO:16; (e) an L2 region having at least 80% sequence identity to the amino acid sequence set forth in SEQ ID NO:18; (f) an L3 region having at least 80% sequence identity to the amino acid sequence set forth in SEQ ID NO:20; (g) an H1 region having at least 80% sequence identity to the amino acid sequence set forth in SEQ ID NO:26; (h) an H2 region having at least 80% sequence identity to the amino acid sequence set forth in SEQ ID NO:28; (i) an H3 region having at least 80% sequence identity to the amino acid sequence set forth in SEQ ID NO:30; (j) an L1 region having at least 80% sequence identity to the amino acid sequence set forth in SEQ ID NO:36; (k) an L2 region having at least 80% sequence identity to the amino acid sequence set forth in SEQ ID NO:38; and (l) an L3 region having at least 80% sequence identity to the amino acid sequence set forth in SEQ ID NO:40.
- In certain embodiments, the CD70 antibody includes the H1, H2, and H3 regions of (a), (b), and (c) (supra); or the H1, H2, and H3 regions of (g), (h), and (i) (supra), respectively. In additional embodiments, the H1, H2, H3, L1, L2 and L3 regions of the CD70 antibody includes polypeptide regions have the amino acid sequences set forth in SEQ ID NO:6, SEQ ID NO:8, SEQ ID NO:10; SEQ ID NO:16, SEQ ID NO:18, and SEQ ID NO:20, respectively.
- In additional embodiments, the H1, H2, and H3 regions correspond to (a), (b), and (c) (supra) and the L1, L2, and L3 regions correspond to (d), (e), and (f) (supra), respectively; or the H1, H2, and H3 regions correspond to (g), (h), and (i) (supra) and the L1, L2, and L3 regions correspond to (j), (k), and (l) (supra), respectively. In further embodiments, the CD70 antibody comprises a heavy chain variable region having at least 80% sequence identity to the amino acid sequence set forth in SEQ ID NO:2 or SEQ ID NO 22. The CD70 heavy chain variable region also can have the amino acid sequence set forth in SEQ ID NO:2 or SEQ ID NO:22.
- In yet other embodiments, the heavy chain variable region has at least 80% sequence identity to SEQ ID NO:2 or SEQ ID NO:22, and the light chain variable region has at least 80% sequence identity to the amino acid sequence set forth in SEQ ID NO:12 or SEQ ID NO:32. The light chain variable region also can have the amino acid sequence set forth in SEQ ID NO:12 or SEQ ID NO:32.
- In exemplary embodiments, the antibody-drug conjugate is 1F6-val-cit-AFP, 1F6-val-cit-MMAF, 1F6-val-cit-MMAE, 2F2-val-cit-AFP, 2F2-val-cit-MMAF, and 2F2-val-cit-MMAE.
- The CD70 antibody can be, for example, a chimeric, humanized, or human antibody. In certain embodiments, the CD70 antibody is a chimeric antibody having a human constant region. The CD70 antibody can be monovalent or polyvalent.
- Suitable cytotoxic agents can be, for example, an auristatin, a DNA minor groove binding agent, a DNA minor groove alkylating agent, an enediyne, a lexitropsin, a duocarmycin, a taxane, a puromycin, a dolastatin, a maytansinoid, and a vinca alkaloid. In specific embodiments, the drug is cytotoxic agent is AFP, MMAF, MMAE, AEB, AEVB, auristatin E, paclitaxel, docetaxel, CC-1065, SN-38, topotecan, morpholino-doxorubicin, rhizoxin, cyanomorpholino-doxorubicin, dolastatin-10, echinomycin, combretatstatin, chalicheamicin, maytansine, DM-1, or netropsin. Other suitable cytotoxic agents include anti-tubulin agents, such as an auristatin, a vinca alkaloid, a podophyllotoxin, a taxane, a baccatin derivative, a cryptophysin, a maytansinoid, a combretastatin, or a dolastatin. In specific embodiments, the antitubulin agent is AFP, MMAF, MMAE, AEB, AEVB, auristatin E, vincristine, vinblastine, vindesine, vinorelbine, VP-16, camptothecin, paclitaxel, docetaxel, epothilone A, epothilone B, nocodazole, colchicines, colcimid, estramustine, cemadotin, discodermolide, maytansine, DM-1, or eleutherobin.
- Suitable immunosuppressive agents include, for example, gancyclovir, etanercept, cyclosporine, tacrolimus, rapamycin, cyclophosphamide, azathioprine, mycophenolate mofetil, methotrexate, cortisol, aldosterone, dexamethasone, a cyclooxygenase inhibitor, a 5-lipoxygenase inhibitor, or a leukotriene receptor antagonist.
- In antibody drug conjugates, the antibody can be conjugated directly to the cytotoxic agent or immunosuppressive agent, or via a linker. Suitable linkers include, for example, cleavable and non-cleavable linkers. A cleavable linker is typically susceptible to cleavage under intracellular conditions. Suitable cleavable linkers include, for example, a peptide linker cleavable by an intracellular protease, such as a lysosomal protease or an endosomal protease.
- Antibody drug conjugates can be targeted to CD70-expressing cancer cells, such as for example, Hodgkin's disease (e.g., Reed-Sternberg cells); cancers of the B-cell lineage, including, e.g., diffuse large B-cell lymphomas, follicular lymphomas, Burkitt's lymphoma, mantle cell lymphomas, B-cell lymphocytic leukemias (e.g., acute lymphocytic leukemia, chronic lymphocytic leukemia); Epstein Barr Virus positive B cell lymphomas; gliomas; glioblastomas; neuroblastomas; astrocytomas; meningiomas; Waldenstrom macroglobulinemia; multiple myelomas; and colon, stomach, and rectal carcinomas. The antibody-drug conjugate also can be targeted to CD70-expressing immune cells, such as an activated T cell, an activated B cell, or a mature dendritic cell.
- In yet additional aspects, pharmaceutical compositions are provided for the treatment of a CD70-expressing cancer or an immunological disorder. The pharmaceutical compositions include an antibody-drug conjugate and at least one pharmaceutically compatible ingredient. In a related aspect, pharmaceutical kits are provided. The kits include a container containing an antibody-drug conjugate. The antibody-drug conjugate is typically lyophilized. The kits can further include a second container containing a pharmaceutically acceptable diluent.
- The present invention may be more fully understood by reference to the following detailed description of the invention, non-limiting examples of specific embodiments of the invention and the appended figures.
-
FIG. 1 : The 1F6 VL and VH cDNA and amino acid sequences. The coding and amino acid sequences for the light (VL, upper 2 panels) and heavy chain (VH, lower 2 panels) variable regions of 1F6 were determined. The complementarity determining regions (CDRs) for the VL and VH were identified according to criteria described in Kabat et al., 1991, Sequences of proteins of Immunogical Interest, Washington, D.C., US Department of Health and Public Services; Chothia and Lesk, 1987, J Mol Biol 196: 901-917. Amino acid residues corresponding to the CDRs are underlined. The signal peptide for the VL and VH are identified to be amino residues −20 to 0 and −19 to 0, respectively. -
FIG. 2 : The 2F2 VL and VH cDNA and amino acid sequences. The coding and amino acid sequences for the light (VL, upper 2 panels) and heavy chain (VH, lower 2 panels) variable regions of 2F2 were determined. The complementarity determining regions (CDRs) for the VL and VH were identified according to criteria described in Kabat et al., 1991, Sequences of Proteins of Immunogical Interest, Washington, D.C., US Department of Health and Public Services; Chothia and Lesk, 1987, J. Mol. Biol. 196:901-917. Amino acid residues corresponding to the CDRs are underlined. The signal peptides for the VL and VH were identified to be amino residues −20 to 0 and −19 to 0, respectively. -
FIG. 3 : Amino acid sequence comparison between the 1F6 and 2F2 CDRs. The amino acid sequences of 1F6 and 2F2 CDRs are aligned. Underlined residues represent conservative substitutions and boxed and italic residues represent divergent substitutions. -
FIG. 4 : Expression of CD70 on hematologic cell lines. CD70 expression on the surface of a panel of hematologic cell lines of different tissue origins and sources was determined by flow cytometry. CD70 expression was expressed as binding ratios between the anti-CD70 mAb and control IgG. -
FIG. 5 : Effects of anti-CD70 ADCs on the proliferation of transformed hematologic cell lines. A subset of the CD70+ cell lines shown inFIG. 4 and the CD70− Jurkat cell line were tested for their sensitivity toward 1F6 ADCs. Graded doses of the 1F6-vcMMAE, 1F6-vcAFP, or the corresponding non-binding control IgG (IgG) ADCs were added to cells at the initiation of culture. Cells were exposed to the ADCs continuously for a total of 96 hours. Proliferation was determined by pulsing with 3H-TdR during the last 16 hours of incubation. The upper panels show the response of the WSU-NHL and Jurkat lines. The lower panel summaries the responses by the tested cell lines to 1F6-vcMMAE and 1F6-vcAFP in form of IC50s. -
FIG. 6 : Cancer Profiling Array (CPA) analysis of the expression of CD70 message in multiple cancer types. Expression of CD70 in 241 tumor isolates and the corresponding adjacent normal tissues on a CPA was determined by hybridization with a CD70 cDNA probe. Thirteen tumor types are present on the array as indicated in the figure. Each pair of dots represents a tumor sample (right side, T) and the corresponding normal tissue (left side, N). For some cDNA sets, as exemplified by the boxed sample set, the cDNA sample on the upper left spot is derived from the normal tissue, the upper right from the metastatic tumor, and the lower right from the primary tumor. Asterisks denote cDNA pairs in which CD70 transcript over-expression was detected in the tumor cDNA (tumor:normal ratio of >2-fold, based on hybridization intensity). -
FIG. 7 : Over-expression of CD70 transcripts in renal cell carcinoma (RCC) detected by quantitative PCR. CD70 expression in RCC cDNA samples was compared to that detected in a pool of 4 normal kidneys by quantitative PCR using an ABI PRISM 7000 Sequence Detection System and the ΔCt method. Numbers represent the fold of CD70 transcript expression in RCC compared to that in normal kidneys. -
FIGS. 8A and B: CD70 protein expression in frozen tumor sections of RCC. (A) Binding of the anti-CD70 mAb 2F2 (right column) and a control IgG (left column) to serial frozen tumor sections derived two RCC donors was determined by immunohistochemistry staining. Photomicrographs were taken under 40× magnification. (B) The same pair of antibodies was used to stain serial frozen normal tissue sections adjacent to the tumor obtained from the same RCC donors used in (A). -
FIGS. 9A and B: Expression of CD70 on renal cell carcinoma cell lines (RCC). CD70 expression on the surface of a panel of RCC was determined by flow cytometry. (A) The staining profiles of an anti-CD70 (open curves) and a control IgG (closed curves) on four representative RCC cell lines 786-O, Caki-1, Caki-2, and Hs 835.T and two normal renal tubule epithelial lines RPTEC and HRCE are shown. (B) CD70 expression on additional RCC cell lines (CAL54, SK-RC-6, SK-RC-7, 786-O, A498, and ACHN) is compared to cell lines shown in (A). Mean fluorescence intensity of anti-CD70 staining and background fluorescence are plotted. Numbers on top of each bar indicate either mean fluorescence intensity obtained from anti-CD70 binding or background fluorescence. -
FIG. 10 : Growth inhibitory and cytotoxicity activities of 1F6-vcAFP. 786-O or Caki-1 cells were incubated with graded doses of 1F6-vcAFP or the non-binding control IgG-vcAFP. Cells were incubated for a total of 96 hours. 3H-thymidine incorporation (upper panel) and reduction of alamarBlue (lower panel) were used to determine proliferation and cell viability, respectively. Data points are expressed as percentages of the untreated control. Error bars represent the standard deviations of values obtained from quadruplicate wells. -
FIG. 11 : Effects of anti-CD70 ADCs on the proliferation of RCC cell lines. Dose-response curves on growth inhibitory or cytotoxicity of 1F6 ADCs were determined as described inFIG. 10 to obtain IC50 values. The IC50s of 1F6-vcMMAE, 1F6-vcMMAF, 1F6-vcAFP, or two control non-binding IgG (IgG) ADCs on the proliferation of CD70+ RCC lines (Caki-1, Caki-2, 786-O, 769-P, SK-RC-6, SK-RC-7, ACHN, CAL54, and A498), a CD70− RCC line (Hs 835.T), and normal kidney tubule epithelial cell lines (RPTEC and HRCE) are summarized. Effects of 1F6-vcMMAF and 1F6-vcAFP on the viability of a subset of the cell lines are also summarized. -
FIG. 12 : In vivo efficacy of 1F6-vcAFP in a RCC model. Tumors were initiated in nude mice by implanting tissue tumor blocks (30 mm3 in size) containing Caki-1 cells. Treatment began when average tumor size within a treatment group was around 100 mm3. In the upper panel, treatment for the IgG and 1F6 groups began 17 days post implantation (filled arrow), while treatment for the 1F6-vcAFP and IgG-vcAFP groups began 25 days post implantation (open arrow). Indicated doses of either unconjugated mAbs or their ADCs were given for one course on a q4d×4 schedule. The lower panel shows results from a repeat experiment when treatment began 14 days (filled arrow) after tumor implantation with 3 mg/kg and a q4d×4 schedule of 1F6-vcAFP or IgG-vcAFP. -
FIG. 13 : Activation-induced CD70 expression on a T cell clone. A representative T cell clone C1A was activated by phytohemaggutinin A-L (PHA-L), irradiated feeder cells, IL-2, and IL-4. CD25 (left panel) and CD70 (right panel) expression on 0, 2, 4, and 8 were determined by flow cytometric analysis.days -
FIG. 14 : Effects of anti-CD70 ADCs on the proliferation of activated T cell clones. Resting T cell clones C2A, 40D8, and 4.01.1 were induced to express CD70 as described. At the peak of CD70 expression (2 days after activation), cells were harvested and treated with graded doses of 1F6-vcMMAE, 1F6-vcAFP, or the corresponding non-binding control IgG (IgG) ADCs as indicated in the figure in the presence of rhIL-2 and rhIL-4. Cells were exposed to the ADCs continuously for an additional 72 hours. T cell proliferation was determined by pulsing with 3H-TdR during the last 16 hours of incubation. -
FIG. 15 : Effects of anti-CD70 ADCs on mixed lymphocyte reaction. An MLR was set up between PBMCs and irradiated allogeneic CESS cells. Expression of CD70 on activated allo-reactive T cells is shown on the upper panel. Binding of anti-CD70 mAb and control IgG is indicated by the open and closed curves, respectively. Graded doses of either 1F6-vcMMAE or 1F6-vcAFP were added to the culture at initiation. Cultures were exposed to the ADCs for a total of 120 hours. T cell proliferation was determined by pulsing with 3H-thymidine during the last 16 hours of incubation (lower panel). -
FIG. 16 : Effects of anti-CD70 or anti-CD70 ADC on antigen-induced T cell proliferation. T cells enriched for tetanus toxoid reactivity were stimulated with autologous dendritic cells and tetanus toxoid in the presence of graded doses of 1F6, 1F6-vcMMAE, or 1F6-vcAFP for a total of 96 hours. T cell proliferation was determined by pulsing with 3H-thymidine during the last 16 hours of incubation. -
FIG. 17 : CD70 induction during antigen-specific T cell expansion. PBMCs from a normal HLA-A0201 donor were stimulated with the M1 peptide derived from the influenza virus matrix protein. (A) Expansion of M1 peptide-specific CD8+ cells expressing TCR Vβ17 chain was followed by flow cytometry (upper panels). The lower left panel shows the percentage of CD8+/Vβ17+ cells expressing CD70 and the lower right panel shows the intensity of CD70 expression on the expanding CD8+/Vβ17+ cells. (B) A representative example of specific CD70 induction on the expanding CD8+/Vβ17+ after stimulation with the M1 peptide for five days. Binding of the control IgG (open curves) and anti-CD70 mAb (closed curves) on the CD8+/Vβ17− or CD8+/Vβ17+ cells are shown. -
FIG. 18 : Specific deletion of antigen-specific CD8+/Vβ17+ T cells by anti-CD70 ADCs. PBMCs from a normal HLA-A0201 donor were stimulated with the M1 peptide for 5 days. 1F6 ADCs or control non-binding IgG (cIgG) ADCs were added to cells to a final concentration of 1 μg/ml. Total viable cell counts were conducted at 24, 48, and 76 hours post drug addition. The percentage of CD8+/Vβ17+ in each culture condition was determined by flow cytometry as shown inFIG. 17 . Total numbers of CD8+/Vβ17+ for each culture condition are calculated (upper panel). The numbers of CD8+/Vβ17+ and CD8+/Vβ17− cells in the 1F6-ADC treated cultures are expressed as percentages of the untreated control cultures (lower panel). -
FIG. 19 : Dose-response comparison of anti-CD70 ADCs on deletion of antigen-specific CD8+/Vβ17+ cells. PBMCs from a normal HLA-A0201 donor were stimulated with the M1 peptide for 5 days. 1F6 ADCs or control non-binding IgG (cIgG) ADCs were given to cells to the specified final concentrations. The percentages of CD8+/Vβ17+ cells 4 days post ADC addition was determined by flow cytometry as inFIG. 17 . -
FIG. 20 : Limited effects of 1F6 ADCs on the proliferation capacity of the CD70− bystander T cells. PBMCs from a normal HLA-A0201 donor were stimulated with the M1 peptide for 5 days. Cells were either allowed to expand or treated with 1 μg/ml 1F6-vcMMAF for an additional 4 days. Percentages of CD8+/Vβ17+ cells were determined by flow cytometry (left column). In order to assess the proliferation capacity of the CD70− bystander, antigen non-specific T cells, Vβ17+ T cells were eliminated from the cultures by immuno-depletion (center column). The resulting Vβ17− cells were then stimulated with graded doses of immobilized anti-CD3 and anti-CD28 mAb for a total of 96 hours, and DNA synthesis was detected by pulsing with 3H-TdR during the last 18 hours of incubation. -
FIG. 21 : Mouse Xenograft model of Renal Cell Carcinoma. (A) Subcutaneous 786-O tumors were initiated in nude mice by implanting tumor fragments (N=5 or 6/group) of approximately 30 mm3. Tumor growth was allowed to establish and treatment began when average tumor size within each group was approximately 100 mm3. h1F6-mcMMAF4 or h1F6-vcMMAE4 at the indicated doses was administered at a q4d×4 schedule beginning onday 17 after tumor implantation, as indicated by the arrows. Cross-strikes indicate when animals with tumors >1000 mm3 were euthanized. (B) 786-O tumor implantation and treatment initiation are the same as given in (A). Groups of mice (N=5-7) were administered with h1F6-mcMMAF4 or h1F6-vcMMAE4 at 0.17 mg/kg at a q4d×4 or q4d×10 schedule beginning onday 13 after tumor implantation. Tumor growth is represented by Kaplan-Meier plots. An event was registered when a mouse with a tumor quadrupled in size compared today 13 when treatment began. Mice with tumor that did not quadruple in size at the end of the experiment on day 43 were censored. The log-rank test was used to generate p values between treatment groups and the untreated group. -
FIG. 22 : Mouse Xenograft Model of Multiple Myeloma. (A) Ten million MM-1S cells were injected intravenously into each SCID mouse. Groups of mice (N=8-10) were left untreated, received IgG-vcMMAF4, IgG-mcMMAF4, h1F6-vcMMAF4, or h1F6-mcMMAF4 at the specified doses on a q7d×5 schedule, as indicated by the arrows. Mice showing symptoms of hind limb paralysis, hunched posture, cranial swelling, and/or scruffy coat were euthanized, and the percent survival of each group was plotted. The log-rank test was used to generate p values between treatment groups and the control groups. (B) Bone marrow cells were recovered from the femurs of euthanized mice due to the above disease symptoms or on day 122 post tumor cell implantation when the experiment was terminated. The percentage of CD138-expressing MM-1S cells in the femers of each mouse was determined by flow cytometry. The Mann-Whitney test was used to derived p values between the indicated groups. -
FIG. 23 : Mouse Xenograft model of Multiple Myeloma. (A) Ten million L363 cells were injected intravenously into each SCID mouse. Groups of mice (N=7) were left untreated, received IgG-vcMMAF4, or h1F6-vcMMAF4 at the specified doses on a q7d×5 schedule as indicated by the arrows. Mice showing palpable tumor masses were euthanized, and the percent survival of each group was plotted. The log-rank test was used to generate the p value between the treated group and the untreated group. (B) Serum samples were obtained frommice 40 days after tumor implant. The concentration of human λ light chain in the serum of each mice was determined by ELISA. The Mann-Whitney test was used to derived p values between the indicated groups. - Provided are methods and compositions relating to the use of antibody-drug conjugates (ADCs) and ADC derivatives that bind to CD70. A drug conjugated to the antibody exerts a cytotoxic, cytostatic, or immunosuppressive effect on CD70-expressing cells to treat or immunological disorders or CD70-expressing cancers. In one aspect, the methods and compositions relate to antibodies and derivatives thereof that compete with monoclonal antibody 1F6 or 2F2 for binding to CD70 and that, when conjugated to a cytotoxic agent, exert a cytotoxic or cytostatic effect to deplete or inhibit the proliferation of CD70-expressing cells. Antibodies to CD70 which can be used in accordance with the methods and compositions described herein include monoclonal antibodies as well as chimeric, humanized, or human antibodies (e.g., a humanized or chimeric form of 1F6 or 2F2), and such antibodies conjugated to cytotoxic or immunosuppressive agents such as, for example, chemotherapeutic drugs.
- For clarity of disclosure, and not by way of limitation, the detailed description of the invention is divided into the subsections which follow.
- I. Definitions and Abbreviations
- Unless defined otherwise, all technical and scientific terms used herein have the same meaning as commonly understood by one of ordinary skill in the art pertinent to the methods and compositions described. As used herein, the following terms and phrases have the meanings ascribed to them unless specified otherwise.
- The term “inhibit” or “inhibition of” as used herein means to a reduce by a measurable amount, or to prevent entirely.
- The term “agent” as used herein means an element, compound, or molecular entity, including, e.g., a pharmaceutical, therapeutic, or pharmacologic compound. Agents can be natural or synthetic or a combination thereof. A “therapeutic agent” is an agent that exerts a therapeutic (e.g., beneficial) effect on cancer cells or activated immune cells, either alone or in combination with another agent (e.g., a prodrug converting enzyme in combination with a prodrug). Typically, therapeutic agents useful in accordance with the methods and compositions described herein are those that exert a cytotoxic, cytostatic, or immunosuppressive effect.
- “Cytotoxic effect,” in reference to the effect of an agent on a cell, means killing of the cell. “Cytostatic effect” means an inhibition of cell proliferation. A “cytotoxic agent” means an agent that has a cytotoxic or cytostatic effect on a cell, thereby depleting or inhibiting the growth of, respectively, cells within a cell population.
- The term “deplete,” in the context of the effect of a CD70-targeting moiety-drug conjugate on CD70-expressing cells, refers to a reduction or elimination of the CD70-expressing cells.
- The term “immunosuppressive agent” as used herein means an agent that inhibits the development or maintenance of an immunologic response. Such inhibition by an immunosuppressive agent can be effected by, for example, elimination of immune cells (e.g., T or B lymphocytes); induction or generation of immune cells that can modulate (e.g., down-regulate) the functional capacity of other cells; induction of an unresponsive state in immune cells (e.g., anergy); or increasing, decreasing or changing the activity or function of immune cells, including, for example, altering the pattern of proteins expressed by these cells (e.g., altered production and/or secretion of certain clases of molecules such as cytokines, chemokines, growth factors, transcription factors, kinases, costimulatory molecules or other cell surface receptors, and the like). In typical embodiments, an immunosuppressive agent has a cytotoxic or cytostatic effect on an immune cell that promotes an immune response.
- “Immune cell” as used herein means any cell of hematopoietic lineage involved in regulating an immune response against an antigen (e.g., an autoantigen). In typical embodiments, an immune cell is a T lymphocyte, a B lymphocyte, or a dendritic cell.
- The term “polypeptide” refers to a polymer of amino acids and its equivalent and does not refer to a specific length of a product; thus, “peptides” and “proteins” are included within the definition of a polypeptide. Also included within the definition of polypeptides are “antibodies” as defined herein. A “polypeptide region” refers to a segment of a polypeptide, which segment may contain, for example, one or more domains or motifs (e.g., a polypeptide region of an antibody can contain, for example, one or more CDRs). The term “fragment” refers to a portion of a polypeptide typically having at least 20 contiguous or at least 50 contiguous amino acids of the polypeptide. A “derivative” includes a polypeptide or fragment thereof having conservative amino acid substitutions relative to a second polypeptide; or a polypeptide or fragment thereof that is modified by covalent attachment of a second molecule such as, e.g., by attachment of a heterologous polypeptide, or by glycosylation, acetylation, phosphorylation, and the like. Further included within the definition of “polypeptide” are, for example, polypeptides containing one or more analogs of an amino acid (e.g., unnatural amino acids and the like), polypeptides with unsubstituted linkages, as well as other modifications known in the art, both naturally and non-naturally occurring.
- The term “antibody” as used herein refers to (a) immunoglobulin polypeptides and immunologically active portions of immunoglobulin polypeptides, i.e., polypeptides of the immunoglobulin family, or fragments thereof, that contain an antigen binding site that immunospecifically binds to a specific antigen (e.g., CD70), or (b) conservatively substituted derivatives of such immunoglobulin polypeptides or fragments that immunospecifically bind to the antigen (e.g., CD70). Antibodies are generally described in, for example, Harlow & Lane, Antibodies: A Laboratory Manual (Cold Spring Harbor Laboratory Press, 1988).
- In the context of immunoglobulin polypeptides or fragments thereof as defined above, “conservative substitution” means one or more amino acid substitutions that do not substantially reduce specific binding (e.g., as measured by the KD) of the immunoglobulin polypeptide or fragment thereof to an antigen (i.e., substitutions that increase binding, that do not significantly alter binding, or that reduce binding by no more than about 40%, typically no more than about 30%, more typically no more than about 20%, even more typically no more than about 10%, or most typically no more than about 5%, as determined by standard binding assays such as, e.g., ELISA).
- An “antibody derivative” as used herein means an antibody, as defined above, that is modified by covalent attachment of a heterologous molecule such as, e.g., by attachment of a heterologous polypeptide, or by glycosylation, acetylation or phosphorylation not normally associated with the antibody, and the like.
- The term “monoclonal antibody” refers to an antibody that is derived from a single cell clone, including any eukaryotic or prokaryotic cell clone, or a phage clone, and not the method by which it is produced. Thus, the term “monoclonal antibody” as used herein is not limited to antibodies produced through hybridoma technology.
- The term “heterologous,” in the context of a polypeptide, means from a different source (e.g., a cell, tissue, organism, or species) as compared with another polypeptide, so that the two polypeptides are different. Typically, a heterologous polypeptide is from a different species.
- As used herein, the term “functional,” in the context of an anti-CD70 antibody or derivative thereof to be used in accordance with the methods described herein, indicates that the antibody or derivative thereof is (1) capable of binding to CD70 and (2) depletes or inhibits the proliferation of CD70-expressing cells when conjugated to a cytotoxic agent, or has an immunosuppressive effect on an immune cell when conjugated to an immunosuppressive agent.
- The terms “identical” or “percent identity,” in the context of two or more nucleic acids or polypeptide sequences, refer to two or more sequences or subsequences that are the same or have a specified percentage of nucleotides or amino acid residues that are the same, when compared and aligned for maximum correspondence. To determine the percent identity, the sequences are aligned for optimal comparison purposes (e.g., gaps can be introduced in the sequence of a first amino acid or nucleic acid sequence for optimal alignment with a second amino or nucleic acid sequence). The amino acid residues or nucleotides at corresponding amino acid positions or nucleotide positions are then compared. When a position in the first sequence is occupied by the same amino acid residue or nucleotide as the corresponding position in the second sequence, then the molecules are identical at that position. The percent identity between the two sequences is a function of the number of identical positions shared by the sequences (i.e., % identity=# of identical positions/total # of positions (e.g., overlapping positions)×100). In certain embodiments, the two sequences are the same length.
- The term “substantially identical,” in the context of two nucleic acids or polypeptides, refers to two or more sequences or subsequences that have at least 50%, at least 55%, at least 60%, or at least 65% identity; typically at least 70% or at least 75% identity; more typically at least 80% or at least 85% identity; and even more typically at least 90%, at least 95%, or at least 98% identity (as determined using one of the methods set forth infra).
- “Similarity” or “percent similarity” in the context of two or more polypeptide sequences, refer to two or more sequences or subsequences that have a specified percentage of amino acid residues that are the same or conservatively substituted when compared and aligned for maximum correspondence, as measured using one of the methods set forth infra. By way of example, a first amino acid sequence can be considered similar to a second amino acid sequence when the first amino acid sequence is at least 50%, 60%, 70%, 75%, 80%, 90%, or even 95% identical, or conservatively substituted, to the second amino acid sequence when compared to an equal number of amino acids as the number contained in the first sequence, or when compared to an alignment of polypeptides that has been aligned by a computer similarity program known in the art (see infra).
- The terms “substantial similarity” or “substantial similarity,” in the context of polypeptide sequences, indicates that a polypeptide region has a sequence with at least 70%, typically at least 80%, more typically at least 85%, and even more typically at least 90% or at least 95% sequence similarity to a reference sequence. For example, a polypeptide is substantially similar to a second polypeptide, for example, where the two peptides differ by one or more conservative substitutions.
- In the context of anti-CD70 antibodies or derivatives thereof, a protein that has one or more polypeptide regions substantially identical or substantially similar to one or more antigen-binding regions (e.g., a heavy or light chain variable region, or a heavy or light chain CDR) of an anti-CD70 antibody retains specific binding to an epitope of CD70 recognized by the anti-CD70 antibody, as determined using any of various standard immunoassays known in the art or as referred to herein.
- The determination of percent identity or percent similarity between two sequences can be accomplished using a mathematical algorithm. A preferred, non-limiting example of a mathematical algorithm utilized for the comparison of two sequences is the algorithm of Karlin and Altschul, 1990, Proc. Natl. Acad. Sci. USA 87:2264-2268, modified as in Karlin and Altschul, 1993, Proc. Natl. Acad. Sci. USA 90:5873-5877. Such an algorithm is incorporated into the NBLAST and XBLAST programs of Altschul, et al., 1990, J. Mol. Biol. 215:403-410. BLAST nucleotide searches can be performed with the NBLAST program, score=100, wordlength=12 to obtain nucleotide sequences homologous to a nucleic acid encoding a protein of interest. BLAST protein searches can be performed with the XBLAST program, score=50, wordlength=3 to obtain amino acid sequences homologous to protein of interest. To obtain gapped alignments for comparison purposes, Gapped BLAST can be utilized as described in Altschul et al., 1997, Nucleic Acids Res. 25:3389-3402. Alternatively, PSI-Blast can be used to perform an iterated search which detects distant relationships between molecules (Id.). When utilizing BLAST, Gapped BLAST, and PSI-Blast programs, the default parameters of the respective programs (e.g., XBLAST and NBLAST) can be used. (See, e.g., the NCBI internet web site.) Another preferred, non-limiting example of a mathematical algorithm utilized for the comparison of sequences is the algorithm of Myers and Miller, CABIOS (1989). Such an algorithm is incorporated into the ALIGN program (version 2.0) which is part of the GCG sequence alignment software package. When utilizing the ALIGN program for comparing amino acid sequences, a PAM120 weight residue table, a gap length penalty of 12, and a gap penalty of 4 can be used. Additional algorithms for sequence analysis are known in the art and include ADVANCE and ADAM as described in Torellis and Robotti, 1994, Comput. Appl. Biosci. 10:3-5; and FASTA described in Pearson and Lipman, 1988, Proc. Natl. Acad. Sci. 85:2444-8. Within FASTA, ktup is a control option that sets the sensitivity and speed of the search. If ktup=2, similar regions in the two sequences being compared are found by looking at pairs of aligned residues; if ktup=1, single aligned amino acids are examined. ktup can be set to 2 or 1 for protein sequences, or from 1 to 6 for DNA sequences. The default if ktup is not specified is 2 for proteins and 6 for DNA. For a further description of FASTA parameters, see, e.g., the documentation at the Pasteur Institute web site, the contents of which are incorporated herein by reference.
- Alternatively, protein sequence alignment may be carried out using the CLUSTAL W algorithm, as described by Higgins et al., 1996, Methods Enzymol. 266:383-402.
- As used herein, the terms “prevention” and “prevent” refer to administration of an anti-CD70 antibody-drug conjugate (ADC) or ADC derivative to a subject before the onset of a clinical or diagnostic symptom of a CD70-expressing cancer or immunological disorder (e.g., administration to an individual with a predisposition or at a high risk of acquiring the CD70-expressing cancer or immunological disorder) to (a) block the occurrence or onset of the CD70-expressing cancer or immunological disorder, or one or more of clinical or diagnostic symptoms thereof, (b) inhibit the severity of onset of the CD70-expressing cancer or immunological disorder, or (c) to lessen the likelihood of the onset of the CD70-expressing cancer or immunological disorder.
- As used herein, the terms “treatment” or “treat” refer to slowing, stopping, or reversing the progression of a CD70-expressing cancer or immunological disorder in a subject, as evidenced by a decrease or elimination of a clinical or diagnostic symptom of the disease, by administration of an anti-CD70 ADC or ADC derivative to the subject after the onset of the clinical or diagnostic symptom of the CD70-expressing cancer or immunological disorder at any clinical stage. Treatment can include, for example, a decrease in the severity of a symptom, the number of symptoms, or frequency of relapse.
- The term “pharmaceutically acceptable” as used herein means approved by a regulatory agency of the Federal or a state government or listed in the U.S. Pharmacopeia or other generally recognized pharmacopeia for use in animals, and more particularly in humans. The term “pharmaceutically compatible ingredient” refers to a pharmaceutically acceptable diluent, adjuvant, excipient, or vehicle with which a CD70-targeting moiety-drug conjugate is administered.
- The term “effective amount,” in the context of the administration of an anti-CD70 ADC or ADC derivative, refers to the amount of the ADC or ADC derivative that is sufficient to inhibit the occurrence or ameliorate one or more clinical or diagnostic symptoms of a CD70-expressing cancer or immunological disorder in a subject. An effective amount of an agent is administered according to the methods described herein in an “effective regime.” The term “effective regime” refers to a combination of amount of the agent and dosage frequency adequate to accomplish treatment or prevention of a CD70-expressing cancer or immunological disorder.
- The abbreviation “AFP” refers to dimethylvaline-valine-dolaisoleuine-dolaproine-phenylalanine-p-phenylenediamine (see Formula XVI infra).
- The abbreviation “MMAE” refers to monomethyl auristatin E (see Formula XI infra).
- The abbreviation “AEB” refers to an ester produced by reacting auristatin E with paraacetyl benzoic acid (see Formula XX infra)
- The abbreviation “AEVB” refers to an ester produced by reacting auristatin E with benzoylvaleric acid (see Formula XXI infra).
- The abbreviation “MMAF” refers to dovaline-valine-dolaisoleuine-dolaproine-phenylalanine (see Formula IVIV infra).
- The abbreviations “fk” and “phe-lys” refer to the linker phenylalanine-lysine.
- The abbreviations “vc” and “val-cit” refer to the linker valine-citrulline.
- II. Anti-CD70 Antibodies and Derivatives Thereof
- The methods and compositions described herein encompass the use of antibodies, or a derivative thereof, as ADCs that (a) specifically bind to CD70 and (b) when conjugated to a therapeutic agent, the therapeutic agent exerts a cytotoxic, cytostatic or immunosuppressive effect on CD70-expressing cancer cells or activated immune cells. As used herein, the term “derivative,” in the context of an anti-CD70 antibody, refers to a molecule that (i) has an antigen-binding region of an anti-CD70 antibody, or a region derived therefrom (e.g., by conservative substitution), and at least one polypeptide region or other moiety heterologous to the anti-CD70 antibody, and (ii) specifically binds to CD70 via the antigen-binding region or region derived therefrom. In specific embodiments, the anti-CD70 antibody is mAb 1F6 or 2F2 or a derivative thereof. In certain aspects, the anti-CD70 antibody or derivative thereof competes with monoclonal antibody 1F6 or 2F2 for binding to CD70.
- In typical embodiments, the anti-CD70 antibody or derivative thereof, when conjugated to a cytotoxic agent, exerts a cytotoxic or cytostatic effect on CD70-expressing cancer cells, or, when conjugated to a cytotoxic or immunosuppressive agent, exerts a cytotoxic, cytostatic, or immunosuppressive effect on activated lymphocytes or dendritic cells, for the treatment of a CD70-expressing cancer or an immunological disorder, respectively, in a subject (e.g., the extracellular domain of human CD70).
- Anti-CD70 antibodies suitable for use in accordance with the present compositions and methods are typically monoclonal and can include, for example, chimeric (e.g., having a human constant region and mouse variable region), humanized, or human antibodies; single chain antibodies; or the like. The immunoglobulin molecules can be of any type (e.g., IgG, IgE, IgM, IgD, IgA and IgY), class (e.g., IgG1, IgG2, IgG3, IgG4, IgA1 and IgA2) or subclass of immunoglobulin molecule.
- In certain embodiments, the antibody is an antigen-binding antibody fragment such as, for example, a Fab, a F(ab′), a F(ab′)2, a Fd chain, a single-chain Fv (scFv), a single-chain antibody, a disulfide-linked Fv (sdFv), a fragment comprising either a VL or VH domain, or fragments produced by a Fab expression library, or a CD70-binding fragments of any of the above antibodies described supra. Antigen-binding antibody fragments, including single-chain antibodies, can comprise the variable region(s) alone or in combination with the entirety or a portion of the following: hinge region,
C H1,C H2,C H3 and CL domains. Also, antigen-binding fragments can comprise any combination of variable region(s) with a hinge region,C H1,C H2,C H3 and CL domains. Typically, the antibodies are human, rodent (e.g., mouse and rat), donkey, sheep, rabbit, goat, guinea pig, camelid, horse, or chicken. As used herein, “human” antibodies include antibodies having the amino acid sequence of a human immunoglobulin and include antibodies isolated from human immunoglobulin libraries, from human B cells, or from animals transgenic for one or more human immunoglobulin, as described infra and, for example in U.S. Pat. Nos. 5,939,598 and 6,111,166. - The antibodies may be monospecific, bispecific, trispecific, or of greater multispecificity. Multispecific antibodies may be specific for different epitopes of CD70 or may be specific for both CD70 as well as for a heterologous protein. (See, e.g., PCT publications WO 93/17715; WO 92/08802; WO 91/00360; and WO 92/05793; Tutt et al., 1991, J Immunol 147:60-69; U.S. Pat. Nos. 4,474,893; 4,714,681; 4,925,648; 5,573,920; and 5,601,819; Kostelny et al., 1992, J Immunol 148:1547-1553.) Multispecific antibodies, including bispecific and trispecific antibodies, useful for practicing the methods described herein are antibodies that immunospecifically bind to both CD70 (including but not limited to antibodies that have the CDRs and/or heavy chains of the monoclonal antibodies 2F2 and 1F6) and a second cell surface receptor or receptor complex, such as an immunoglobulin gene superfamily member, a TNF receptor superfamily member, an integrin, a cytokine receptor, a chemokine receptor, a major histocompatibility protein, a lectin (C-type, S-type, or I-type), or a complement control protein. In a typical embodiment, the binding of the portion of the multispecific antibody to the second cell surface molecule or receptor complex enhances the cytotoxic or cytostatic effect of an anti-CD70 antibody-drug conjugate.
- In certain specific embodiments, the anti-CD70 antibody is agonistic, non-agonistic or antagonistic with respective to CD70. In another specific embodiment, the anti-CD70 antibody does not block binding of CD70 ligand to CD70. In yet another embodiment, the anti-CD70 antibody or derivative thereof is a blocking antibody (i.e., an antibody that blocks the binding of CD27 to CD70).
- In one aspect, an anti-CD70 antibody comprises one or more complementarity determining regions (CDRs) substantially identical or substantially similar to one or more CDR(s) of monoclonal antibody 1F6 (see Table 1). For example, the antibody can include a heavy chain CDR and/or a light chain CDR that is substantially identical or substantially similar to a corresponding heavy chain CDR (H1, H2, or H3 regions) or corresponding light chain CDR (L1, L2, or L3 regions) of mAb 1F6 (SEQ ID NO:6; SEQ ID NO:8; SEQ ID NO:10; SEQ ID NO:16; SEQ ID NO:18; or SEQ ID NO:20, respectively). In typical embodiments, the anti-CD70 antibody has two or three heavy chain CDRs and/or two or three light chain CDRs that are substantially identical or substantially similar to corresponding heavy and/or light chain CDRs of mAb 1F6. In specific embodiments, a CDR substantially identical or substantially similar to a heavy or light chain CDR of 1F6 has the amino acid sequence set forth in SEQ ID NO:6, SEQ ID NO:8, SEQ ID NO:10, SEQ ID NO:16, SEQ ID NO:18, or SEQ ID NO:20.
- For example, in certain embodiments, where an anti-CD70 antibody has at least one heavy chain CDR substantially identical or substantially similar to a heavy chain CDR of mAb 1F6, the antibody or derivative thereof further includes at least one light chain CDR that is substantially identical or substantially similar to a light chain CDR of mAb 1F6.
- In certain typical embodiments, an anti-CD70 antibody includes a heavy or light chain variable domain, the variable domain having (a) a set of three CDRs substantially identical or substantially similar to corresponding CDRs of mAb 1F6, and (b) a set of four framework regions. For example, an anti-CD70 antibody can include a heavy or light chain variable domain, the variable domain having (a) a set of three CDRs, in which the set of CDRs are from monoclonal antibody 1F6, and (b) a set of four framework regions, in which the set of framework regions are identical to or different from the set of framework regions in mAb 1F6.
- In a specific embodiment, the anti-CD70 antibody includes a heavy chain variable region that is substantially identical or substantially similar to the heavy chain variable region of mAb 1F6 (i.e., substantially identical or substantially similar to the amino acid sequences set forth in SEQ ID NO:2, see Table 1) and/or a light chain variable region that is substantially identical or substantially similar to the light chain variable regions of mAb 1F6 (i.e., substantially identical or substantially similar to the amino acid sequences set forth in SEQ ID NO:12, see Table 1). For example, the antibody can include a heavy chain variable region having the amino acid sequence set forth in SEQ ID NO:2 and, optionally, can further include a light chain variable region having the amino acid sequence set forth in SEQ ID NO:12. In one exemplary embodiment, the anti-CD70 antibody is mAb 1F6.
- In another aspect, an anti-CD70 antibody comprises one or more CDRs substantially identical or substantially similar to one or more CDR(s) of monoclonal antibody 2F2 (see Table 1). For example, the antibody can include a heavy chain CDR and/or a light chain CDR that is substantially identical or substantially similar to a corresponding heavy chain CDR (H1, H2, or H3 regions) or corresponding light chain CDR (L1, L2, or L3 regions) of mAb 2F2 (SEQ ID NO:26, SEQ ID NO:28; SEQ ID NO:30; SEQ ID NO:36, SEQ ID NO:38 or SEQ ID NO:40). In typical embodiments, the anti-CD70 antibody has two or three heavy chain CDRs and/or two or three light chain CDRs that are substantially identical or substantially similar to corresponding heavy and/or light chain CDRs of mAb 2F2. In specific embodiments, a CDR substantially identical or substantially similar to a heavy or light chain CDR of 2F2 has the amino acid sequence set forth in SEQ ID NO:26, SEQ ID NO:28, SEQ ID NO:30; SEQ ID NO:36, SEQ ID NO:38, or SEQ ID NO:40.
- For example, in certain embodiments, where an anti-CD70 antibody has at least one heavy chain CDR substantially identical or substantially similar to a heavy chain CDR of mAb 2F2, the antibody or derivative thereof further includes at least one light chain CDR that is substantially identical or substantially similar to a light chain CDR of mAb 2F2.
- In certain typical embodiments, an anti-CD70 antibody includes a heavy or light chain variable domain, the variable domain having (a) a set of three CDRs substantially identical or substantially similar to corresponding CDRs of mAb 2F2, and (b) a set of four framework regions. For example, an anti-CD70 antibody can include a heavy or light chain variable domain, the variable domain having (a) a set of three CDRs, in which the set of CDRs are from monoclonal antibody 2F2, and (b) a set of four framework regions, in which the set of framework regions is identical to or different from the set of framework regions in mAb 2F2.
- In a specific embodiment, the anti-CD70 antibody includes a heavy chain variable region that is substantially identical or substantially similar to the heavy chain variable region of mAb 2F2 (i.e., substantially identical or substantially similar to the amino acid sequences set forth in SEQ ID NO:22, see Table 1) and/or a light chain variable region that is substantially identical or substantially similar to the light chain variable regions of mAb 2F2 (i.e., substantially identical or substantially similar to the amino acid sequences set forth in SEQ ID NO:32, see Table 1). For example, the antibody can include a heavy chain variable region having the amino acid sequence set forth in SEQ ID NO:22 and, optionally, can further include a light chain variable region having the amino acid sequence set forth in SEQ ID NO:32. In one exemplary embodiment, the anti-CD70 antibody is mAb 2F2.
- A table indicating the region of 1F6 or 2F2 to which each SEQ ID NO. corresponds is provided below:
TABLE 1 NUCLEOTIDE MOLECULE OR AMINO ACID SEQ ID NO 1F6 Heavy Chain Variable Region Nucleotide 1 1F6 Heavy Chain Variable Region Amino Acid 2 1F6 Heavy Chain Signal Peptide Nucleotide 3 1F6 Heavy Chain Signal Peptide Amino Acid 4 1F6 Heavy Chain-CDR1(H1) Nucleotide 5 1F6 Heavy Chain-CDR1(H1) Amino Acid 6 1F6 Heavy Chain-CDR2(H2) Nucleotide 7 1F6 Heavy Chain-CDR2(H2) Amino Acid 8 1F6 Heavy Chain-CDR3(H3) Nucleotide 9 1F6 Heavy Chain-CDR3(H3) Amino Acid 10 1F6 Light Chain Variable Region Nucleotide 11 1F6 Light Chain Variable Region Amino Acid 12 1F6 Light Chain Signal Peptide Nucleotide 13 1F6 Light Chain Signal Peptide Amino Acid 14 1F6 Light Chain-CDR1(L1) Nucleotide 15 1F6 Light Chain-CDR1(L1) Amino Acid 16 1F6 Light Chain-CDR2(L2) Nucleotide 17 1F6 Light Chain-CDR2(L2) Amino Acid 18 1F6 Light Chain-CDR3(L3) Nucleotide 19 1F6 Light Chain-CDR3(L3) Amino Acid 20 2F2 Heavy Chain Variable Region Nucleotide 21 2F2 Heavy Chain Variable Region Amino Acid 22 2F2 Heavy Chain Signal Peptide Nucleotide 23 2F2 Heavy Chain Signal Peptide Amino Acid 24 2F2 Heavy Chain-CDR1(H1) Nucleotide 25 2F2 Heavy Chain-CDR1(H1) Amino Acid 26 2F2 Heavy Chain-CDR2(H2) Nucleotide 27 2F2 Heavy Chain-CDR2(H2) Amino Acid 28 2F2 Heavy Chain-CDR3(H3) Nucleotide 29 2F2 Heavy Chain-CDR3(H3) Amino Acid 30 2F2 Light Chain Variable Region Nucleotide 31 2F2 Light Chain Variable Region Amino Acid 32 2F2 Light Chain Signal Peptide Nucleotide 33 2F2 Light Chain Signal Peptide Amino Acid 34 2F2 Light Chain-CDR1(L1) Nucleotide 35 2F2 Light Chain-CDR1(L1) Amino Acid 36 2F2 Light Chain-CDR2(L2) Nucleotide 37 2F2 Light Chain-CDR2(L2) Amino Acid 38 2F2 Light Chain-CDR3(L3) Nucleotide 39 2F2 Light Chain-CDR3(L3) Amino Acid 40 - Anti-CD70 antibodies useful in the methods set forth herein may also be described or specified in terms of their binding affinity to CD70. Typical binding affinities include those with a dissociation constant or Kd less than 5×10−2 M, 10−2 M, 5×10−3 M, 10−3 M, 5×10−4 M, 10−4 M, 5×10−5 M, 10−5 M, 5×10−6 M, 10−6 M, 5×10−7 M, 10−7 M, 5×10−8 M, 10−8 M, 5×10−9 M, 10−9 M, 5×10−10 M, 10−10 M, 5×10−11 M, 10−11 M, 5×10−12 M, 10−12 M, 5×10−13 M, 10−13 M, 5×10−14 M, 10−14 M, 5×10−15 M, or 10−15 M.
- The antibodies that may be used in the treatment of immunological disorders or CD70-expressing cancers can be generated by any suitable method known in the art. For example, monoclonal antibodies can be prepared using a wide variety of techniques including, e.g., the use of hybridoma, recombinant, and phage display technologies, or a combination thereof. Hybridoma techniques are generally discussed in, for example, Harlow et al., Antibodies: A Laboratory Manual, (Cold Spring Harbor Laboratory Press, 2nd ed., 1988); and Hammerling, et al., In Monoclonal Antibodies and T-Cell Hybridomas, pp. 563-681 (Elsevier, N.Y., 1981). Examples of phage display methods that can be used to make the anti-CD70 antibodies include, e.g., those disclosed in Brinkman et al., 1995, J Immunol Methods 182:41-50; Ames et al., 1995, J Immunol Methods 184:177-186; Kettleborough et al., 1994, Eur J Immunol 24:952-958; Persic et al., 1997, Gene 187:9-18; Burton et al., 1994, Advances in Immunology 57:191-280; PCT Application No. PCT/GB91/01134; PCT Publications WO 90/02809; WO 91/10737; WO 92/01047; WO 92/18619; WO 93/11236; WO 95/15982; WO 95/20401; and U.S. Pat. Nos. 5,698,426; 5,223,409; 5,403,484; 5,580,717; 5,427,908; 5,750,753; 5,821,047; 5,571,698; 5,427,908; 5,516,637; 5,780,225; 5,658,727; 5,733,743 and 5,969,108 (the disclosures of which are incorporated by reference herein).
- Techniques for generating antibody fragments that recognize specific epitopes are also generally known in the art. For example, Fab and F(ab′)2 fragments can be produced by proteolytic cleavage of immunoglobulin molecules, using enzymes such as papain (to produce Fab fragments) or pepsin (to produce F(ab′)2 fragments). F(ab′)2 fragments contain the variable region, the light chain constant region and the
C H1 domain of the heavy chain. Techniques to recombinantly produce Fab, Fab′ and F(ab′)2 fragments can also be employed using, e.g., methods disclosed in PCT publication WO 92/22324; Mullinax et al., 1992, BioTechniques 12(6):864-869; and Sawai et al., 1995, AJRI 34:26-34; and Better et al., 1988, Science 240:1041-1043 (the disclosures of which are incorporated by reference herein). - Examples of techniques that can be used to produce single-chain Fvs and antibodies include those described in U.S. Pat. Nos. 4,946,778 and 5,258,498; Huston et al., 1991, Methods in Enzymology 203:46-88; Shu et al., 1993, Proc Natl Acad Sci USA 90:7995-7999; and Skerra et al., 1988, Science 240:1038-1040.
- In certain embodiments, the anti-CD70 antibody is a chimeric antibody. A chimeric antibody is a molecule in which different portions of the antibody are derived from different animal species, such as for example antibodies having a variable region derived from a murine monoclonal antibody and a human immunoglobulin constant region. Methods for producing chimeric antibodies are known in the art. (See e.g., Morrison, Science, 1985, 229:1202; Oi et al., 1986, BioTechniques 4:214; Gillies et al., 1989, J. Immunol. Methods 125:191-202; U.S. Pat. Nos. 5,807,715; 4,816,567; and 4,816,397.)
- An anti-CD70 antibody can also be a humanized antibody. Humanized antibodies are antibody molecules that bind the desired antigen and have one or more CDRs from a non-human species, and framework and constant regions from a human immunoglobulin molecule. Often, framework residues in the human framework regions will be substituted with the corresponding residue from the CDR donor antibody to alter, preferably improve, antigen binding. These framework substitutions are identified by methods well known in the art, e.g., by modeling of the interactions of the CDR and framework residues to identify framework residues important for antigen binding and sequence comparison to identify unusual framework residues at particular positions. (See, e.g., Queen et al., U.S. Pat. No. 5,585,089; Riechmann et al., 1988, Nature 332:323). Antibodies can be humanized using a variety of techniques known in the art including, for example, CDR-grafting (
EP 0 239 400; PCT publication WO 91/09967; U.S. Pat. Nos. 5,225,539; 5,530,101; and 5,585,089), veneering or resurfacing (EP 0 592 106;EP 0 519 596; Padlan, Molecular Immunology, 1991, 28(4/5):489-498; Studnicka et al., 1994, Protein Engineering 7(6):805-814; Roguska et al., 1994, Proc. Natl. Acad. Sci. 91:969-973), and chain shuffling (U.S. Pat. No. 5,565,332) (all of these references are incorporated by reference herein). - In some embodiments, the antibody is a humanized 1F6 or 2F2 antibody, as disclosed in U.S. Provisional Patent Application No. 60/673,070, filed Apr. 19, 2005; and in PCT International Publication No. WO 2006/113909; the disclosures of which are incorporated by reference herein.
- In yet other embodiments, the anti-CD70 antibody is a human antibody. Human antibodies can be made by a variety of methods known in the art including, e.g., phage display methods (see supra) using antibody libraries derived from human immunoglobulin sequences. See also, e.g., U.S. Pat. Nos. 4,444,887 and 4,716,111; and PCT publications WO 98/46645, WO 98/50433, WO 98/24893, WO 98/16654, WO 96/34096, WO 96/33735, and WO 91/10741. In addition, a human antibody recognizing a selected epitope can be generated using a technique referred to as “guided selection,” in which a selected non-human monoclonal antibody, e.g., a mouse antibody, is used to guide the selection of a completely human antibody recognizing the same epitope (see, e.g., Jespers et al., 1994, Bio/technology 12:899-903). Human antibodies can also be produced using transgenic mice that express human immunoglobulin genes. Monoclonal antibodies directed against the antigen can be obtained from the immunized, transgenic mice using conventional hybridoma technology. For an overview of this technology for producing human antibodies, see Lonberg and Huszar, 1995, Int. Rev. Immunol. 13:65-93. For a detailed discussion of this technology for producing human antibodies and human monoclonal antibodies and protocols for producing such antibodies, see, e.g., PCT publications WO 98/24893; WO 92/01047; WO 96/34096; WO 96/33735; European Patent No. 0 598, 877; U.S. Pat. Nos. 5,413,923; 5,625,126; 5,633,425; 5,569,825; 5,661,016; 5,545,806; 5,814,318; 5,885,793; 5,916,771; and 5,939,598. In addition, companies such as Abgenix, Inc. (now Amgen, Fremont, Calif.) and Medarex (Princeton, N.J.) can be engaged to provide human antibodies directed against a selected antigen using technology similar to that described above.
- As set forth supra, a derivative of an anti-CD70 antibody can also be used in the practice of present methods. Generally, an anti-CD70 antibody derivative comprises an anti-CD70 antibody (including, e.g., an antigen-binding fragment or conservatively substituted polypeptides) and at least one polypeptide region or other moiety heterologous to the anti-CD70 antibody. For example, an anti-CD70 antibody can be modified, e.g., by the covalent attachment of any type of molecule, such that covalent attachment does not prevent the antibody derivative from specifically binding to CD70 via the antigen-binding region or region derived therefrom, or the conjugated drug from exerting (a) a cytostatic or cytotoxic effect on CD70-expressing cancer cells, or (b) a cytostatic, cytotoxic, or immunosuppressive effect on activated lymphocytes. Typical modifications include, e.g., glycosylation, acetylation, pegylation, phosphorylation, amidation, derivatization by known protecting/blocking groups, proteolytic cleavage, linkage to a cellular ligand or other protein, and the like. Any of numerous chemical modifications may be carried out by known techniques, including, but not limited to specific chemical cleavage, acetylation, formylation, metabolic synthesis of tunicamycin, etc. Additionally, the derivative may contain one or more non-classical amino acids.
- In certain embodiments, the antibody derivative is a multimer, such as, for example, a dimer, comprising one or more monomers, where each monomer includes (i) an antigen-binding region of an anti-CD70 antibody, or a polypeptide region derived therefrom (such as, e.g., by conservative substitution of one or more amino acids), and (ii) a multimerizing (e.g., dimerizing) polypeptide region, such that the antibody derivative forms multimers (e.g., homodimers) that specifically bind to CD70. In typical embodiments, an antigen binding region of an anti-CD70 antibody, or a polypeptide region derived therefrom, is recombinantly or chemically fused with a heterologous protein, wherein the heterologous protein comprises a dimerization or multimerization domain. Prior to administration of the antibody derivative to a subject for the purpose of treating or preventing immunological disorders or CD70-expressing cancers, the derivative is subjected to conditions that allow formation of a homodimer or heterodimer. A heterodimer, as used herein, may comprise identical dimerization domains but different CD70 antigen-binding regions, identical CD70 antigen-binding regions but different dimerization domains, or different CD70 antigen-binding regions and dimerization domains.
- Typical dimerization domains are those that originate from transcription factors. In one embodiment, the dimerization domain is that of a basic region leucine zipper (“bZIP”). (See C. Vinson et al., 1989, Science 246:911-916). Useful leucine zipper domains include, for example, those of the yeast transcription factor GCN4, the mammalian transcription factor CCAAT/enhancer-binding protein C/EBP, and the nuclear transform in oncogene products, Fos and Jun. (See Landschultz et al., 1988, Science 240:1759-1764; Baxevanis and Vinson, 1993, Curr. Op. Gen. Devel. 3:278-285; O'Shea et al., 1989, Science 243:538-542.) In another embodiment, the dimerization domain is that of a basic-region helix-loop-helix (“bHLH”) protein. (See Murre et al., 1989, Cell 56:777-783. See also Davis et al., 1990, Cell 60:733-746; Voronova and Baltimore, 1990, Proc Natl Acad Sci USA 87:4722-4726.) Particularly useful hHLH proteins are myc, max, and mac.
- In yet other embodiments, the dimerization domain is an immunoglobulin constant region such as, for example, a heavy chain constant region or a domain thereof (e.g., a
C H1 domain, aC H2 domain, or aC H3 domain). (See, e.g., U.S. Pat. Nos. 5,155,027; 5,336,603; 5,359,046; and 5,349,053;EP 0 367 166; WO 96/04388.) - Heterodimers are known to form between Fos and Jun (Bohmann et al., 1987, Science 238:1386-1392), among members of the ATF/CREB family (Hai et al., 1989, Genes Dev. 3:2083-2090), among members of the C/EBP family (Cao et al., 1991, Genes Dev. 5:1538-1552; Williams et al., 1991, Genes Dev. 5:1553-1567; Roman et al., 1990, Genes Dev. 4:1404-1415), and between members of the ATF/CREB and Fos/Jun families Hai and Curran, 1991, Proc Natl Acad Sci USA 88:3720-3724). Therefore, when a CD70-binding protein-drug conjugate is administered to a subject as a heterodimer comprising different dimerization domains, any combination of the foregoing may be used.
- In other embodiments, an anti-CD70 antibody derivative is an anti-CD70 antibody conjugated to a second antibody (an “antibody heteroconjugate”) (see U.S. Pat. No. 4,676,980). Heteroconjugates useful for practicing the present methods comprise an antibody that binds to CD70 (e.g., an antibody that has the CDRs and/or heavy chains of the monoclonal antibodies 2F2 or 1F6) and an antibody that binds to a surface receptor or receptor complex, such as an immunoglobulin gene superfamily member, a TNF receptor superfamily member, an integrin, a cytokine receptor, a chemokine receptor, a major histocompatibility protein, a lectin (C-type, S-type, or I-type), or a complement control protein.
- In certain embodiments, the anti-CD70 antibody or derivative thereof competitively inhibits binding of mAb 1F6 or 2F2 to CD70, as determined by any method known in the art for determining competitive binding (such as, e.g., the immunoassays described herein). In typical embodiments, the antibody competitively inhibits binding of 1F6 or 2F2 to CD70 by at least 50%, more typically at least 60%, yet more typically at least 70%, and most typically at least 75%. In other embodiments, the antibody competitively inhibits binding of 1F6 or 2F2 to CD70 by at least 80%, at least 85%, at least 90%, or at least 95%.
- Antibodies can be assayed for specific binding to CD70 by any of various known methods. Immunoassays which can be used include, for example, competitive and non-competitive assay systems using techniques such as Western blots, radioimmunoassays, ELISA (enzyme linked immunosorbent assay), “sandwich” immunoassays, immunoprecipitation assays, precipitin reactions, gel diffusion precipitin reactions, immunodiffusion assays, agglutination assays, complement-fixation assays, immunoradiometric assays, fluorescent immunoassays, protein A immunoassays, to name but a few. Such assays are routine and well-known in the art. (See, e.g., Ausubel et al., eds., Short Protocols in Molecular Biology (John Wiley & Sons, Inc., New York, 4th ed. 1999); Harlow & Lane, Using Antibodies: A Laboratory Manual (Cold Spring Harbor Laboratory Press, Cold Spring Harbor, N.Y., 1999.)
- Further, the binding affinity of an antibody to CD70 and the off-rate of an antibody CD70 interaction can be determined by competitive binding assays. One example of a competitive binding assay is a radioimmunoassay comprising the incubation of labeled CD70 (e.g., 3H or 125I) with the antibody of interest in the presence of increasing amounts of unlabeled CD70, and the detection of the antibody bound to the labeled CD70. The affinity of the antibody for CD70 and the binding off-rates can then be determined from the data by Scatchard plot analysis. Competition with a second antibody (such as, e.g., mAb 1F6 or 2F2) can also be determined using radioimmunoassays. In this case, CD70 is incubated with the antibody of interest conjugated to a labeled compound (e.g., 3H or 125I) in the presence of increasing amounts of an unlabeled second antibody. Alternatively, the binding affinity of an antibody to CD70 and the on- and off-rates of an antibody-CD70 interaction can be determined by surface plasmon resonance.
- In accordance with the methods described herein, anti-CD70 antibodies or derivatives thereof, when conjugated to a therapeutic agent, can be internalized and accumulate within a CD70-expressing cell, where the therapeutic agent exerts an effect (e.g., a cytotoxic, cytostatic, or immunosuppressive effect). In additional embodiments, anti-CD70 antibodies or derivatives thereof, when conjugated to a therapeutic agent, can be targeted to and accumulate on the membrane of a CD70-expressing cell, where the therapeutic agent exerts an effect (e.g., a cytotoxic, cytostatic, or immunosuppressive effect). In yet other embodiments, anti-CD70 antibodies or derivatives thereof, when conjugated to a therapeutic agent, can be targeted to a biological molecules in a cell (e.g., an inflammatory agent) and accumulate at or adjacent cells secreting or binding the biological molecule, where the therapeutic agent exerts an effect (e.g., a cytotoxic, cytostatic, or immunosuppressive effect).
- Whether a given anti-CD70 antibody or derivative, when conjugated to a therapeutic agent, exerts a corresponding therapeutic effect upon binding a CD70-expressing cell can be readily determined, e.g., by (1) incubating CD70-expressing cells independently with the anti-CD70 antibody or derivative thereof, (2) incubating the cells with a secondary reagent that is conjugated to the therapeutic agent and that specifically binds to the antibody or derivative thereof, and (3) assaying the cells for the corresponding therapeutic effect. Multiple antibodies or antibody derivatives can be readily evaluated via such assays using a secondary reagent that specifically binds a polypeptide region shared by each antibody or derivative thereof (e.g., an anti-Ig antibody). For example, an anti-CD70 mAb that binds CD70 and exerts a cytotoxic effect when conjugated to a cytotoxic agent (e.g., an auristatin such as, for example, AFP, MMAF, or MMAE) can be identified by an indirect immunotoxicity assay such as, for example, described by Chun et al., 2003, Supplement to Clinical Cancer Research, Vol. 9. Briefly, the cytotoxic agent is conjugated to a secondary antibody (e.g., for murine mAbs, a polyclonal anti-mouse IgG); CD70-expressing cells are incubated with both the primary and cytotoxic agent-conjugated secondary antibody (e.g., in 96-well plates, using hybridoma supernatant for the primary antibody); and primary antibody-dependent cytotoxicity is assessed in a standard cytotoxicity assay (e.g., an MTT cell viability assay). (See id.)
- The anti-CD70 antibodies and derivatives thereof that are useful in the present methods can be produced by any method known in the art for the synthesis of proteins, typically, e.g., by recombinant expression techniques. Recombinant expression of an antibody or derivative thereof that binds to CD70 and depletes or inhibits the proliferation of CD70-expressing cells requires construction of an expression vector containing a nucleic acid that encodes the antibody or derivative thereof. Once a nucleic acid encoding such a protein has been obtained, the vector for the production of the protein molecule may be produced by recombinant DNA technology using techniques well known in the art. Standard techniques such as, for example, those described in Sambrook and Russell, Molecular Cloning: A Laboratory Manual (Cold Spring Harbor Laboratory Press, Cold Spring Harbor, N.Y., 3rd ed., 2001); Sambrook et al., Molecular Cloning: A Laboratory Manual (Cold Spring Harbor Laboratory Press, Cold Spring Harbor, N.Y., 2nd ed., 1989); Short Protocols in Molecular Biology (Ausubel et al., John Wiley & Sons, New York, 4th ed., 1999); and Glick & Pasternak, Molecular Biotechnology: Principles and Applications of Recombinant DNA (ASM Press, Washington, D.C., 2nd ed., 1998) can be used for recombinant nucleic acid methods, nucleic acid synthesis, cell culture, transgene incorporation, and recombinant protein expression.
- For example, for recombinant expression of an anti-CD70 antibody, an expression vector may encode a heavy or light chain thereof, or a heavy or light chain variable domain, operably linked to a promoter. An expression vector may include, for example, the nucleotide sequence encoding the constant region of the antibody molecule (see, e.g., PCT Publication WO 86/05807; PCT Publication WO 89/01036; and U.S. Pat. No. 5,122,464), and the variable domain of the antibody may be cloned into such a vector for expression of the entire heavy or light chain. The expression vector is transferred to a host cell by conventional techniques, and the transfected cells are then cultured by conventional techniques to produce the anti-CD70 antibody. In typical embodiments for the expression of double-chained antibodies, vectors encoding both the heavy and light chains can be co-expressed in the host cell for expression of the entire immunoglobulin molecule.
- A variety of prokaryotic and eukaryotic host-expression vector systems can be utilized to express an anti-CD70 antibody or derivative thereof. Typically, eukaryotic cells, particularly for whole recombinant anti-CD70 antibody molecules, are used for the expression of the recombinant protein. For example, mammalian cells such as Chinese hamster ovary cells (CHO), in conjunction with a vector such as the major intermediate early gene promoter element from human cytomegalovirus, is an effective expression system for the production of anti-CD70 antiobies and derivatives thereof (see, e.g., Foecking et al., 1986, Gene 45:101; Cockett et al., 1990, Bio/Technology 8:2).
- Other host-expression systems include, for example, plasmid-based expression systems in bacterial cells (see, e.g., Ruther et al., 1983,
EMBO 1, 2:1791; Inouye & Inouye, 1985, Nucleic Acids Res. 13:3101-3109; Van Heeke & Schuster, 1989, J. Biol. Chem. 24:5503-5509); insect systems such as, e.g., the use of Autographa californica nuclear polyhedrosis virus (AcNPV) expression vector in Spodoptera frugiperda cells; and viral-based expression systems in mammalian cells, such as, e.g., adenoviral-based systems (see, e.g., Logan & Shenk, 1984, Proc. Natl. Acad. Sci. USA 81:355-359; Bittner et al., 1987, Methods in Enzymol. 153:51-544). - In addition, a host cell strain can be chosen that modulates the expression of the inserted sequences, or modifies and processes the gene product in the specific fashion desired. Appropriate cell lines or host systems can be chosen to ensure the correct modification and processing (e.g., glycosylation, phosphorylation, and cleavage) of the foreign protein expressed. To this end, eukaryotic host cells which possess the cellular machinery for proper processing of the primary transcript and gene product can be used. Such mammalian host cells include, for example, CHO, VERO, BHK, HeLa, COS, MDCK, 293, 3T3, and W138.
- A stable expression system is typically used for long-term, high-yield production of recombinant anti-CD70 antibody or derivative thereof. For example, cell lines that stably express the anti-CD70 antibody or derivative thereof can be engineered by transformation of host cells with DNA controlled by appropriate expression control elements (e.g., promoter, enhancer, sequences, transcription terminators, polyadenylation sites) and a selectable marker, followed by growth of the transformed cells in a selective media. The selectable marker confers resistance to the selection and allows cells to stably integrate the DNA into their chromosomes and grow to form foci which in turn can be cloned and expanded into cell lines. A number of selection systems can be used, including, for example, the herpes simplex virus thymidine kinase, hypoxanthineguanine phosphoribosyltransferase, and adenine phosphoribosyltransferase genes, which can be employed in tk−, hgprt− or aprt− cells, respectively. Also, antimetabolite resistance can be used as the basis of selection for the following genes: dhfr, which confers resistance to methotrexate; gpt, which confers resistance to mycophenolic acid; neo, which confers resistance to the aminoglycoside G-418; and hygro, which confers resistance to hygromycin. Methods commonly known in the art of recombinant DNA technology can be routinely applied to select the desired recombinant clone, and such methods are described, for example, in Current Protocols in Molecular Biology (Ausubel et al. eds., John Wiley & Sons, N.Y., 1993); Kriegler, Gene Transfer and Expression, A Laboratory Manual (Stockton Press, N.Y., 1990); Current Protocols in Human Genetics (Dracopoli et al. eds., John Wiley & Sons, N.Y., 1994,
Chapters 12 and 13); and Colberre-Garapin et al., 1981, J. Mol. Biol. 150:1. - The expression levels of an antibody or derivative can be increased by vector amplification. (See generally, e.g., Bebbington & Hentschel, The Use of Vectors Based on Gene Amplification for the Expression of Cloned Genes in Mammalian Cells in DNA Cloning, Vol. 3 (Academic Press, New York, 1987).) When a marker in the vector system expressing an anti-CD70 antibody or derivative thereof is amplifiable, an increase in the level of inhibitor present in host cell culture media will select host cells that have increased copy number of a marker gene conferring resistance to the inhibitor. The copy number of an associated antibody gene will also be increased, thereby increasing expression of the antibody or derivative thereof (see Crouse et al., 1983, Mol. Cell. Biol. 3:257). Expression levels can also be increased by optimizating the vector, and in particular the nucleic acids encoding the antibody or derivative, for the host organism (e.g., by modifying the codon usage, CpG content, and the like).
- Where the anti-CD70 antibody comprises both a heavy and a light chain or derivatives thereof, the host cell may be co-transfected with two expression vectors, the first vector encoding the heavy chain protein and the second vector encoding the light chain protein. The two vectors may contain identical selectable markers which enable equal expression of heavy and light chain proteins. Alternatively, a single vector may be used which encodes, and is capable of expressing, both heavy and light chain proteins. In such situations, the light chain is typically placed before the heavy chain to avoid an excess of toxic free heavy chain (see Proudfoot, 1986, Nature 322:52; Kohler, 1980, Proc. Natl. Acad. Sci. USA 77:2197). The coding sequences for the heavy and light chains may comprise cDNA or genomic DNA.
- Once an anti-CD70 antibody or derivative thereof has been produced (e.g., by an animal, chemical synthesis, or recombinant expression), it can be purified by any suitable method for purification of proteins, including, for example, by chromatography (e.g., ion exchange or affinity chromatography (such as, for example, Protein A chromatography for purification of antibodies having an intact Fc region)), centrifugation, differential solubility, or by any other standard technique for the purification of proteins. An anti-CD70 antibody or derivative thereof can, for example, be fused to a marker sequence, such as a peptide, to facilitate purification by affinity chromatography. Suitable marker amino acid sequences include, e.g., a hexa-histidine peptide, such as the tag provided in a pQE vector (QIAGEN, Inc., 9259 Eton Avenue, Chatsworth, Calif., 91311), and the “HA” tag, which corresponds to an epitope derived from the influenza hemagglutinin protein (Wilson et al., 1984, Cell 37:767), and the “flag” tag.
- Once an anti-CD70 antibody or derivative thereof is produced, its ability to exert a cytostatic or cytotoxic effect on CD70-expressing cancer cells (when conjugated to a cytotoxic agent) or an immunosuppressive effect on a CD70-expressing immune cell (when conjugated to an immunosuppressive agent) is determined by the methods described infra or as known in the art.
- III. Anti-CD70 Antibody-Drug Conjugates
- Compositions useful in the treatment of a CD70-expressing cancer or an immunological disorder comprise anti-CD70 antibody-drug conjugates (ADCs) or anti-CD70 ADC derivatives. An “anti-CD70 ADC” as used herein refers to an anti-CD70 antibody (as described in Section II, supra) conjugated to a therapeutic agent. An “anti-CD70 derivative” as used herein refers to a derivative of an anti-CD70 antibody (as described in Section II, supra) conjugated to a therapeutic agent. In certain embodiments, the ADC comprises an anti-CD70 antibody (e.g., mAb 1F6 or 2F2 or a fragment or derivative thereof, including, for example, a chimeric or humanized form thereof). The ADCs or ADC derivatives as described herein produce clinically beneficial effects on CD70-expressing cells when administered to a subject with a CD70-expressing cancer or an immunological disorder, typically when administered alone but also in combination with other therapeutic agents.
- In typical embodiments, the anti-CD70 antibody or derivative thereof is conjugated to a cytotoxic or immunosuppressive agent, such that the resulting ADC or ADC derivative exerts a cytotoxic or cytostatic effect on a CD70-expressing cancer cell, or a cytotoxic, cytostatic, or immunosuppressive effect on an immune cell (e.g., an activated lymphocyte or dendritic cell) when taken up or internalized by the cell. Particularly suitable moieties for conjugation to antibodies or antibody derivatives are chemotherapeutic agents, prodrug converting enzymes, radioactive isotopes or compounds, or toxins. For example, an anti-CD70 antibody or derivative thereof can be conjugated to a cytotoxic agent such as a chemotherapeutic agent (see infra), or a toxin (e.g., a cytostatic or cytocidal agent such as, e.g., abrin, ricin A, pseudomonas exotoxin, or diphtheria toxin). Examples of additional agents that are useful for conjugation to the anti-CD70 molecules are provided infra.
- In other embodiments, the anti-CD70 antibody or derivative thereof is conjugated to a pro-drug converting enzyme. The pro-drug converting enzyme can be recombinantly fused to the antibody or derivative thereof or chemically conjugated thereto using known methods. Exemplary pro-drug converting enzymes are carboxypeptidase G2, beta-glucuronidase, penicillin-V-amidase, penicillin-G-amidase, β-lactamase, β-glucosidase, nitroreductase and carboxypeptidase A.
- Techniques for conjugating therapeutic agents to proteins, and in particular to antibodies, are well-known. (See, e.g., Arnon et al., “Monoclonal Antibodies For Immunotargeting Of Drugs In Cancer Therapy,” in Monoclonal Antibodies And Cancer Therapy (Reisfeld et al. eds., Alan R. Liss, Inc., 1985); Hellstrom et al., “Antibodies For Drug Delivery,” in Controlled Drug Delivery (Robinson et al. eds., Marcel Dekker, Inc., 2nd ed. 1987); Thorpe, “Antibody Carriers Of Cytotoxic Agents In Cancer Therapy: A Review,” in Monoclonal Antibodies '84: Biological And Clinical Applications (Pinchera et al. eds., 1985); “Analysis, Results, and Future Prospective of the Therapeutic Use of Radiolabeled Antibody In Cancer Therapy,” in Monoclonal Antibodies For Cancer Detection And Therapy (Baldwin et al. eds., Academic Press, 1985); and Thorpe et al., 1982, Immunol. Rev. 62:119-58. See also, e.g., PCT publication WO 89/12624.)
- In accordance with the methods described herein, the anti-CD70 ADC or ADC derivative is internalized and accumulates within a CD70-expressing cell, where the ADC or ADC derivative exerts a therapeutic effect (e.g., a cytotoxic, cytostatic, or immunosuppressive effect). Methods for determining accumulation and rates of accumulation are found in U.S. Provisional Application Ser. No. 60/400,404, filed Jul. 31, 2002; the disclosure of which is incorporated by reference herein.
- Typically, when using an anti-CD70 antibody or derivative thereof conjugated to a therapeutic agent (e.g., a drug or a prodrug converting enzyme), the agent is preferentially active when internalized by cells of the cancer to be treated or by activated immune cells (e.g., activated lymphocytes or dendritic cells). In other embodiments, the anti-CD70 ADC or ADC derivative is not internalized, and the drug is effective to deplete or inhibit CD70-expressing cells by binding to the cell membrane. In yet other embodiments, anti-CD70 antibodies ADC or ADC derivatives thereof can be targeted to a biological molecules in a cell (e.g., an inflammatory agent) and accumulate at or adjacent cells secreting or binding the biological molecule, where the therapeutic agent exerts an effect (e.g., a cytotoxic, cytostatic, or immunosuppressive effect).
- To minimize activity of the therapeutic agent outside the activated immune cells or CD70-expressing cancer cells, an antibody that specifically binds to cell membrane-bound CD70, but not to soluble CD70, can be used, so that the therapeutic agent is concentrated at the cell surface of the activated immune cell or CD70-expressing cancer cell. Alternatively, in a more typical embodiment, the therapeutic agent is conjugated in a manner that reduces its activity unless it is cleaved off the antibody (e.g., by hydrolysis or by a cleaving agent). In such embodiments, the therapeutic agent is attached to the antibody or derivative thereof with a cleavable linker that is sensitive to cleavage in the intracellular environment of the activated immune cell or CD70-expressing cancer cell but is not substantially sensitive to the extracellular environment, such that the conjugate is cleaved from the antibody or derivative thereof when it is internalized by the activated immune cell or CD70-expressing cancer cell (e.g., in the endosomal or, for example by virtue of pH sensitivity or protease sensitivity, in the lysosomal environment or in a caveolea). (See Section III(A), infra.)
- Further, in certain embodiments, the ADC or ADC derivative comprises a therapeutic agent that is charged relative to the plasma membrane, thereby further minimizing the ability of the agent to cross the plasma membrane once internalized by a cell. As used herein, a “charged agent” means an agent that (a) is polarized, such that one region of the agent has a charge relative to the plasma membrane, or (b) has a net charge relative to the plasma membrane.
- Typically, the anti-CD70 antibody-drug conjugate (ADC) or ADC derivative is substantially purified (e.g., substantially free from substances that limit its effect or produce undesired side-effects). In certain specific embodiments, the anti-CD70 ADC or ADC derivative is 40% pure, more typically about 50% pure, and most typically about 60% pure. In other specific embodiments, the anti-CD70 ADC or ADC derivative is at least approximately 60-65%, 65-70%, 70-75%, 75-80%, 80-85%, 85-90%, 90-95%, or 95-98% pure. In another specific embodiment, the anti-CD70 ADC or ADC derivative is approximately 99% pure.
- A. Linkers
- Typically, the ADC or ADC derivative comprises a linker region between the therapeutic agent and the anti-CD70 antibody or derivative thereof. As noted supra, in typical embodiments, the linker is cleavable under intracellular conditions, such that cleavage of the linker releases the therapeutic agent from the antibody in the intracellular environment.
- For example, in some embodiments, the linker is cleavable by a cleaving agent that is present in the intracellular environment (e.g., within a lysosome or endosome or caveolea). The linker can be, e.g., a peptidyl linker that is cleaved by an intracellular peptidase or protease enzyme, including, but not limited to, a lysosomal or endosomal protease. Typically, the peptidyl linker is at least two amino acids long or at least three amino acids long. Cleaving agents can include cathepsins B and D and plasmin, all of which are known to hydrolyze dipeptide drug derivatives resulting in the release of active drug inside target cells (see, e.g., Dubowchik and Walker, 1999, Pharm. Therapeutics 83:67-123). Most typical are peptidyl linkers that are cleavable by enzymes that are present in CD70-expressing cells. For example, a peptidyl linker that is cleavable by the thiol-dependent protease cathepsin-B, which is highly expressed in cancerous tissue, can be used (e.g., a Phe-Leu or a Gly-Phe-Leu-Gly linker). Other such linkers are described, e.g., in U.S. Pat. No. 6,214,345. In specific embodiments, the peptidyl linker cleavable by an intracellular protease is a Val-Cit linker or a Phe-Lys linker (see, e.g., U.S. Pat. No. 6,214,345, which describes the synthesis of doxorubicin with the val-cit linker). One advantage of using intracellular proteolytic release of the therapeutic agent is that the agent is typically attenuated when conjugated and the serum stabilities of the conjugates are typically high.
- In other embodiments, the cleavable linker is pH-sensitive, i.e., sensitive to hydrolysis at certain pH values. Typically, the pH-sensitive linker hydrolyzable under acidic conditions. For example, an acid-labile linker that is hydrolyzable in the lysosome (e.g., a hydrazone, semicarbazone, thiosemicarbazone, cis-aconitic amide, orthoester, acetal, ketal, or the like) can be used. (See, e.g. U.S. Pat. Nos. 5,122,368; 5,824,805; 5,622,929; Dubowchik and Walker, 1999, Pharm. Therapeutics 83:67-123; Neville et al., 1989, Biol. Chem. 264:14653-14661.) Such linkers are relatively stable under neutral pH conditions, such as those in the blood, but are unstable at below pH 5.5 or 5.0, the approximate pH of the lysosome. In certain embodiments, the hydrolyzable linker is a thioether linker (such as, e.g., a thioether attached to the therapeutic agent via an acylhydrazone bond (see, e.g., U.S. Pat. No. 5,622,929)).
- In yet other embodiments, the linker is cleavable under reducing conditions (e.g., a disulfide linker). A variety of disulfide linkers are known in the art, including, for example, those that can be formed using SATA (N-succinimidyl-5-acetylthioacetate), SPDP (N-succinimidyl-3-(2-pyridyldithio)propionate), SPDB (N-succinimidyl-3-(2-pyridyldithio)butyrate) and SMPT (N-succinimidyl-oxycarbonyl-alpha-methyl-alpha-(2-pyridyl-dithio)toluene), SPDB and SMPT (See, e.g., Thorpe et al., 1987, Cancer Res. 47:5924-5931; Wawrzynczak et al., In Immunoconjugates: Antibody Conjugates in Radioimagery and Therapy of Cancer (C. W. Vogel ed., Oxford U. Press, 1987. See also U.S. Pat. No. 4,880,935.)
- In yet other specific embodiments, the linker is a malonate linker (Johnson et al., 1995, Anticancer Res. 15:1387-93), a maleimidobenzoyl linker (Lau et al., 1995, Bioorg-Med-Chem. 3(10):1299-1304), or a 3′-N-amide analog (Lau et al., 1995, Bioorg-Med-Chem. 3(10):1305-12).
- Typically, the linker is not substantially sensitive to the extracellular environment. As used herein, “not substantially sensitive to the extracellular environment,” in the context of a linker, means that no more than about 20%, typically no more than about 15%, more typically no more than about 10%, and even more typically no more than about 5%, no more than about 3%, or no more than about 1% of the linkers, in a sample of ADC or ADC derivative, are cleaved when the ADC or ADC derivative present in an extracellular environment (e.g., in plasma). Whether a linker is not substantially sensitive to the extracellular environment can be determined, for example, by incubating independently with plasma both (a) the ADC or ADC derivative (the “ADC sample”) and (b) an equal molar amount of unconjugated antibody or therapeutic agent (the “control sample”) for a predetermined time period (e.g., 2, 4, 8, 16, or 24 hours) and then comparing the amount of unconjugated antibody or therapeutic agent present in the ADC sample with that present in control sample, as measured, for example, by high performance liquid chromatography.
- In other, non-mutually exclusive embodiments, the linker promotes cellular internalization. In certain embodiments, the linker promotes cellular internalization when conjugated to the therapeutic agent (i.e., in the milieu of the linker-therapeutic agent moiety of the ADC or ADC derivate as described herein). In yet other embodiments, the linker promotes cellular internalization when conjugated to both the therapeutic agent and the anti-CD70 antibody or derivative thereof (i.e., in the milieu of the ADC or ADC derivative as described herein).
- A variety of linkers that can be used with the present compositions and methods are described in WO 2004010957 entitled “Drug Conjugates and Their Use for Treating Cancer, An Autoimmune Disease or an Infectious Disease” filed Jul. 31, 2003, and U.S. Provisional Application No. 60/400,403, entitled “Drug Conjugates and their use for treating cancer, an autoimmune disease or an infectious disease”, filed Jul. 31, 2002 (the disclosure of which is incorporated by reference herein).
- In certain embodiments, the linker unit has the following general formula:
-Ta-Ww—Yy— - wherein:
- -T- is a stretcher unit;
- a is 0 or 1;
- each —W— is independently an amino acid unit;
- w is independently an integer ranging from 2 to 12;
- —Y— is a spacer unit; and
- y is 0, 1 or 2.
- 1. The Stretcher Unit
- The stretcher unit (-T-), when present, links the anti-CD70 antibody unit to an amino acid unit (—W—). Useful functional groups that can be present on an anti-CD70 antibody, either naturally or via chemical manipulation include, but are not limited to, sulfhydryl, amino, hydroxyl, the anomeric hydroxyl group of a carbohydrate, and carboxyl. Suitable functional groups are sulfhydryl and amino. Sulfhydryl groups can be generated by reduction of the intramolecular disulfide bonds of an anti-CD70 antibody. Alternatively, sulfhydryl groups can be generated by reaction of an amino group of a lysine moiety of an anti-CD70 antibody with 2-iminothiolane (Traut's reagent) or other sulfhydryl generating reagents. In specific embodiments, the anti-CD70 antibody is a recombinant antibody and is engineered to carry one or more lysines. In other embodiments, the recombinant anti-CD70 antibody is engineered to carry additional sulfhydryl groups, e.g., additional cysteines.
- In certain specific embodiments, the stretcher unit forms a bond with a sulfur atom of the anti-CD70 antibody unit. The sulfur atom can be derived from a sulfhydryl (—SH) group of a reduced anti-CD70 antibody (A). Representative stretcher units of these embodiments are depicted within the square brackets of Formulas (Ia) and (Ib; see infra), wherein A-, —W—, —Y—, -D, w and y are as defined above and R1 is selected from —C1-C10 alkylene-, —C3-C8 carbocyclo-, —O—(C1-C8 alkyl)-, -arylene-, —C1-C10 alkylene-arylene-, -arylene-C1-C10 alkylene-, —C1-C10 alkylene-(C3-C8 carbocyclo)-, —(C3-C8 carbocyclo)-C1-C10 alkylene-, —C3-C8 heterocyclo-, —C1-C10 alkylene-(C3-C8 heterocyclo)-, —(C3-C8 heterocyclo)-C1-C10 alkylene-, —(CH2CH2O)r—, and —(CH2CH2O)r—CH2—; and r is an integer ranging from 1-10.
-
-
-
- In certain other specific embodiments, the stretcher unit is linked to the anti-CD70 antibody unit (A) via a disulfide bond between a sulfur atom of the anti-CD70 antibody unit and a sulfur atom of the stretcher unit. A representative stretcher unit of this embodiment is depicted within the square brackets of Formula (II), wherein R1, A-, —W—, —Y—, -D, w and y are as defined above.
AS—R1—C(O)Ww—Yy-D (II) - In other specific embodiments, the reactive group of the stretcher contains a reactive site that can be reactive to an amino group of an anti-CD70 antibody. The amino group can be that of an arginine or a lysine. Suitable amine reactive sites include, but are not limited to, activated esters such as succinimide esters, 4-nitrophenyl esters, pentafluorophenyl esters, anhydrides, acid chlorides, sulfonyl chlorides, isocyanates and isothiocyanates. Representative stretcher units of these embodiments are depicted within the square brackets of Formulas (IIIa) and (IIIb), wherein R1, A-, —W—, —Y—, -D, w and y are as defined above;
- In yet another aspect, the reactive function of the stretcher contains a reactive site that is reactive to a modified carbohydrate group that can be present on an anti-CD70 antibody. In a specific embodiment, the anti-CD70 antibody is glycosylated enzymatically to provide a carbohydrate moiety. The carbohydrate may be mildly oxidized with a reagent such as sodium periodate and the resulting carbonyl unit of the oxidized carbohydrate can be condensed with a stretcher that contains a functionality such as a hydrazide, an oxime, a reactive amine, a hydrazine, a thiosemicarbazide, a hydrazine carboxylate, or an arylhydrazide such as those described by Kaneko et al., 1991, Bioconju gate Chem 2:133-41. Representative stretcher units of this embodiment are depicted within the square brackets of Formulas (IVa)-(IVc), wherein R1, A-, —W—, —Y—, -D, w and y are as defined above.
- 2. The Amino Acid Unit
- The amino acid unit (—W—) links the stretcher unit (-T-) to the Spacer unit (—Y—) if the Spacer unit is present, and links the stretcher unit to the cytotoxic or cytostatic agent (Drug unit; D) if the spacer unit is absent.
- —Ww— is a dipeptide, tripeptide, tetrapeptide, pentapeptide, hexapeptide, heptapeptide, octapeptide, nonapeptide, decapeptide, undecapeptide or dodecapeptide unit. Each —W— unit independently has the formula denoted below in the square brackets, and w is an integer ranging from 2 to 12:
wherein R2 is hydrogen, methyl, isopropyl, isobutyl, sec-butyl, benzyl, p-hydroxybenzyl, —CH2OH, —CH(OH)CH3, —CH2CH2SCH3, —CH2CONH2, —CH2COOH, —CH2CH2CONH2, —CH2CH2COOH, —(CH2)3NHC(═NH)NH2, —(CH2)3NH2, —(CH2)3NHCOCH3, —(CH2)3NHCHO, —(CH2)4NHC(═NH)NH2, —(CH2)4NH2, —(CH2)4NHCOCH3, —(CH2)4NHCHO, —(CH2)3NHCONH2, —(CH2)4NHCONH2, —CH2CH2CH(OH)CH2NH2, 2-pyridylmethyl-, 3-pyridylmethyl-, 4-pyridylmethyl-, phenyl, cyclohexyl, - The amino acid unit of the linker unit can be enzymatically cleaved by an enzyme including, but not limited to, a tumor-associated protease to liberate the drug unit (-D) which is protonated in vivo upon release to provide a cytotoxic drug (D).
-
-
-
-
- wherein R3, R4, R5 and R6 are as follows:
R3 R4 R5 R6 H Benzyl isobutyl H; and methyl Isobutyl methyl isobutyl. - Suitable amino acid units include, but are not limited to, units of formula (V) where: R3 is benzyl and R4 is —(CH2)4NH2; R3 is isopropyl and R4 is —(CH2)4NH2; or R3 is isopropyl and R4 is —(CH2)3NHCONH2. Another suitable amino acid unit is a unit of formula (VI), where: R3 is benzyl, R4 is benzyl, and R5 is —(CH2)4NH2.
- —Ww— units can be designed and optimized in their selectivity for enzymatic cleavage by a particular tumor-associated protease. The suitable -Ww- units are those whose cleavage is catalyzed by the proteases, cathepsin B, C and D, and plasmin.
- In one embodiment, —Ww— is a dipeptide, tripeptide or tetrapeptide unit.
- Where R2, R3, R4, R5 or R6 is other than hydrogen, the carbon atom to which R2, R3, R4, R5 or R6 is attached is chiral.
- Each carbon atom to which R2, R3, R4, R5 or R6 is attached is independently in the (S) or (R) configuration.
- In a certain embodiment, the amino acid unit is a phenylalanine-lysine dipeptide (Phe-Lys or FK linker). In another embodiment, the amino acid unit is a valine-citrulline dipeptide (Val-Cit or VC linker).
- 3. The Spacer Unit
- The spacer unit (—Y—), when present, links an amino acid unit to the drug unit. Spacer units are of two general types: self-immolative and non self-immolative. A non self-immolative spacer unit is one in which part or all of the spacer unit remains bound to the drug unit after enzymatic cleavage of an amino acid unit from the anti-CD70 antibody-linker-drug conjugate or the drug-linker compound. Examples of a non self-immolative spacer unit include, but are not limited to a (glycine-glycine) spacer unit and a glycine spacer unit (both depicted in Scheme 1). When an anti-CD70 antibody-linker-drug conjugate containing a glycine-glycine spacer unit or a glycine spacer unit undergoes enzymatic cleavage via a tumor-cell associated-protease, a cancer-cell-associated protease or a lymphocyte-associated protease, a glycine-glycine-drug moiety or a glycine-drug moiety is cleaved from A-T-Ww—. To liberate the drug, an independent hydrolysis reaction should take place within the target cell to cleave the glycine-drug unit bond.
- In a typical embodiment, —Yy— is a p-aminobenzyl ether which can be substituted with Qm where Q is —C1-C8 alkyl, —C1-C8 alkoxy, -halogen, -nitro or -cyano; and m is an integer ranging from 0-4.
-
- In another embodiment, a non self-immolative the spacer unit (—Y—) is -Gly-.
- In one embodiment, the drug-linker compound or an anti-CD70 antibody-linker-drug conjugate lacks a spacer unit (y=0).
- Alternatively, an anti-CD70 antibody-linker-drug conjugate containing a self-immolative spacer unit can release the drug (D) without the need for a separate hydrolysis step. In these embodiments, —Y— is a p-aminobenzyl alcohol (PAB) unit that is linked to —Ww— via the nitrogen atom of the PAB group, and connected directly to -D via a carbonate, carbamate or ether group (
Scheme 2 and Scheme 3).
where Q is —C1-C8 alkyl, —C1-C8 alkoxy, -halogen, -nitro or -cyano; m is an integer ranging from 0-4; and p is an integer ranging from 1-20.
where Q is —C1-C8 alkyl, —C1-C8 alkoxy, -halogen, -nitro or -cyano; m is an integer ranging from 0-4; and p is an integer ranging from 1-20. - Other examples of self-immolative spacers include, but are not limited to, aromatic compounds that are electronically equivalent to the PAB group such as 2-aminoimidazol-5-methanol derivatives (see Hay et al., 1999, Bioorg. Med. Chem. Lett. 9:2237 for examples) and ortho or para-aminobenzylacetals. Spacers can be used that undergo facile cyclization upon amide bond hydrolysis, such as substituted and unsubstituted 4-aminobutyric acid amides (Rodrigues et al., 1995, Chemistry Biology 2:223), appropriately substituted bicyclo[2.2.1] and bicyclo[2.2.2] ring systems (Storm et al., 1972, J. Amer. Chem. Soc. 94:5815) and 2-aminophenylpropionic acid amides (Amsberry et al., 1990, J. Org. Chem. 55:5867). Elimination of amine-containing drugs that are substituted at the α-position of glycine (Kingsbury et al., 1984, J. Med. Chem. 27:1447) are also examples of self-immolative spacer strategies that can be applied to the anti-CD70 antibody-linker-drug conjugates.
- In an alternate embodiment, the spacer unit is a branched bis(hydroxymethyl)styrene (BHMS) unit (Scheme 4), which can be used to incorporate additional drugs.
where Q is —C1-C8 alkyl, —C1-C8 alkoxy, -halogen, -nitro or -cyano; m is an integer ranging from 0-4; n is 0 or 1; and p is an integer raging from 1-20. - In one embodiment, the two -D moieties are the same.
- In another embodiment, the two -D moieties are different.
-
- B. Therapeutic Agents
- In accordance with the methods described herein, any agent that exerts a therapeutic effect on cancer cells or activated immune cells can be used as the therapeutic agent for conjugation to an anti-CD70 antibody or derivative thereof. (See, e.g., WO 2004/010957, “Drug Conjugates and Their Use for Treating Cancer, An Autoimmune Disease or an Infectious Disease” (supra) and U.S. Provisional Application No. 60/400,403 (supra)). Typically, the therapeutic agent is a cytotoxic or immunosuppressive agent. In some embodiments, an anti-CD70 drug conjugate or derivative conjugate comprises from about 1 to about 20 therapeutic agents per conjugate. In some embodiments, an anti-CD70 drug conjugate or derivative conjugate comprises from about 2 to about 10, from about 2 to about 8, about 4 or about 6 therapeutic agents per conjugate.
- Useful classes of cytotoxic or immunosuppressive agents include, for example, antitubulin agents, auristatins, DNA minor groove binders, DNA replication inhibitors, alkylating agents (e.g., platinum complexes such as cis-platin, mono(platinum), bis(platinum) and tri-nuclear platinum complexes and carboplatin), anthracyclines, antibiotics, antifolates, antimetabolites, chemotherapy sensitizers, duocarmycins, etoposides, fluorinated pyrimidines, ionophores, lexitropsins, nitrosoureas, platinols, pre-forming compounds, purine antimetabolites, puromycins, radiation sensitizers, steroids, taxanes, topoisomerase inhibitors, vinca alkaloids, or the like.
- Individual cytotoxic or immunosuppressive agents include, for example, an androgen, anthramycin (AMC), asparaginase, 5-azacytidine, azathioprine, bleomycin, busulfan, buthionine sulfoximine, camptothecin, carboplatin, carmustine (BSNU), CC-1065, chlorambucil, cisplatin, colchicine, cyclophosphamide, cytarabine, cytidine arabinoside, cytochalasin B, dacarbazine, dactinomycin (formerly actinomycin), daunorubicin, decarbazine, docetaxel, doxorubicin, an estrogen, 5-fluordeoxyuridine, 5-fluorouracil, gramicidin D, hydroxyurea, idarubicin, ifosfamide, irinotecan, lomustine (CCNU), mechlorethamine, melphalan, 6-mercaptopurine, methotrexate, mithramycin, mitomycin C, mitoxantrone, nitroimidazole, paclitaxel, plicamycin, procarbizine, streptozotocin, tenoposide, 6-thioguanine, thioTEPA, topotecan, vinblastine, vincristine, vinorelbine, VP-16 and VM-26.
- In some typical embodiments, the therapeutic agent is a cytotoxic agent. Suitable cytotoxic agents include, for example, dolastatins (e.g., auristatin E, AFP, MMAF, MMAE), DNA minor groove binders (e.g., enediynes and lexitropsins), duocarmycins, taxanes (e.g., paclitaxel and docetaxel), puromycins, vinca alkaloids, CC-1065, SN-38, topotecan, morpholino-doxorubicin, rhizoxin, cyanomorpholino-doxorubicin, echinomycin, combretastatin, netropsin, epothilone A and B, estramustine, cryptophysins, cemadotin, maytansinoids, discodermolide, eleutherobin, and mitoxantrone.
- In certain embodiments, the cytotoxic agent is a conventional chemotherapeutic such as, for example, doxorubicin, paclitaxel, melphalan, vinca alkaloids, methotrexate, mitomycin C or etoposide. In addition, potent agents such as CC-1065 analogues, calicheamicin, maytansine, analogues of
dolastatin 10, rhizoxin, and palytoxin can be linked to the anti-CD70 antibodies or derivatives thereof. - In specific embodiments, the cytotoxic or cytostatic agent is auristatin E (a derivative of dolastatin-10) or a derivative thereof. Typically, the auristatin E derivative is, e.g., an ester formed between auristatin E and a keto acid. For example, auristatin E can be reacted with paraacetyl benzoic acid or benzoylvaleric acid to produce AEB and AEVB, respectively. Other typical auristatin derivatives include AFP, MMAF, and MMAE. The synthesis and structure of auristatin E and its derivatives are described in U.S. patent application Ser. Nos. 09/845,786 (U.S. Patent Application Publication No. 2003-0083263) and 10/001,191 (U.S. Patent Application Publication No. 2005-0009751); International Patent Application No. PCT/US03/24209, International Patent Application No. PCT/US02/13435, and U.S. Pat. Nos. 6,323,315; 6,239,104; 6,034,065; 5,780,588; 5,665,860; 5,663,149; 5,635,483; 5,599,902; 5,554,725; 5,530,097; 5,521,284; 5,504,191; 5,410,024; 5,138,036; 5,076,973; 4,986,988; 4,978,744; 4,879,278; 4,816,444; and 4,486,414.
- In specific embodiments, the cytotoxic agent is a DNA minor groove binding agent. (See, e.g., U.S. Pat. No. 6,130,237.) For example, in certain embodiments, the minor groove binding agent is a CBI compound. In other embodiments, the minor groove binding agent is an enediyne (e.g., calicheamicin).
- In certain embodiments, the ADC or ADC derivative comprises an anti-tubulin agent. Examples of anti-tubulin agents include, but are not limited to, taxanes (e.g., Taxol® (paclitaxel), Taxotere® (docetaxel)), T67 (Tularik), vinca alkyloids (e.g., vincristine, vinblastine, vindesine, and vinorelbine), and dolastatins (e.g., auristatin E, AFP, MMAF, MMAE, AEB, AEVB). Other antitubulin agents include, for example, baccatin derivatives, taxane analogs (e.g., epothilone A and B), nocodazole, colchicine and colcimid, estramustine, cryptophysins, cemadotin, maytansinoids, combretastatins, discodermolide, and eleutherobin.
- In certain embodiments, the cytotoxic agent is a maytansinoid, another group of anti-tubulin agents. For example, in specific embodiments, the maytansinoid is maytansine or DM-1 (ImmunoGen, Inc.; see also Chari et al., 1992, Cancer Res. 52:127-131).
- In certain embodiments, the therapeutic agent is not a radioisotope. In certain embodiments, the therapeutic agent is not a peptide toxin.
- In certain embodiments, the cytotoxic or immunosuppressive agent is an antimetabolite. The antimetabolite can be, for example, a purine antagonist (e.g. azothioprine or mycophenolate mofetil), a dihydrofolate reductase inhibitor (e.g., methotrexate), acyclovir, gangcyclovir, zidovudine, vidarabine, ribavarin, azidothymidine, cytidine arabinoside, amantadine, dideoxyuridine, iododeoxyuridine, poscarnet, or trifluridine.
- In other embodiments, the cytotoxic or immunosuppressive agent is tacrolimus, cyclosporine or rapamycin. In further embodiments, the cytoxic agent is aldesleukin, alemtuzumab, alitretinoin, allopurinol, altretamine, amifostine, anastrozole, arsenic trioxide, bexarotene, bexarotene, calusterone, capecitabine, celecoxib, cladribine, Darbepoetin alfa, Denileukin diftitox, dexrazoxane, dromostanolone propionate, epirubicin, Epoetin alfa, estramustine, exemestane, Filgrastim, floxuridine, fludarabine, fulvestrant, gemcitabine, gemtuzumab ozogamicin, goserelin, idarubicin, ifosfamide, imatinib mesylate, Interferon alfa-2a, irinotecan, letrozole, leucovorin, levamisole, meclorethamine or nitrogen mustard, megestrol, mesna, methotrexate, methoxsalen, mitomycin C, mitotane, nandrolone phenpropionate, oprelvekin, oxaliplatin, pamidronate, pegademase, pegaspargase, pegfilgrastim, pentostatin, pipobroman, plicamycin, porfimer sodium, procarbazine, quinacrine, rasburicase, Rituximab, Sargramostim, streptozocin, tamoxifen, temozolomide, teniposide, testolactone, thioguanine, toremifene, Tositumomab, Trastuzumab, tretinoin, uracil mustard, valrubicin, vinblastine, vincristine, vinorelbine or zoledronate.
- In additional embodiments, the drug is a humanized anti HER2 monoclonal antibody, RITUXAN (rituximab; Genentech; a chimeric anti CD20 monoclonal antibody); OVAREX (AltaRex Corporation, MA); PANOREX (Glaxo Wellcome, NC; a murine IgG2a antibody); Cetuximab Erbitux (Imclone Systems Inc., NY; an anti-EGFR IgG chimeric antibody); Vitaxin (MedImmune, Inc., MD; Campath I/H (Leukosite, MA; a humanized IgG1 antibody); lintuzumab (Protein Design Labs, Inc. and Seattle Genetics, Inc.; a humanized anti-CD33 IgG antibody); LymphoCide™ (Immunomedics, Inc., NJ; a humanized anti-CD22 IgG antibody); Smart ID10 (Protein Design Labs, Inc., CA; a humanized anti-HLA-DR antibody); Oncolym™ (Techniclone, Inc., CA; a radiolabeled murine anti-HLA-Dr10 antibody); Allomune™ (BioTransplant, CA; a humanized anti-CD2 mAb); Avastin™ (Genentech, Inc., CA; an anti-VEGF humanized antibody); Epratuzamab (Immunomedics, Inc., NJ and Amgen, CA; an anti-CD22 antibody); CEAcide™ (Immunomedics, NJ; a humanized anti-CEA antibody), or an anti-CD40 antibody (e.g., as disclosed in U.S. Pat. No. 6,838,261).
- Other suitable antibodies include, but are not limited to, antibodies against the following antigens: CA125, CA15-3, CA19-9, L6, Lewis Y, Lewis X, alpha fetoprotein, CA 242, placental alkaline phosphatase, prostate specific antigen, prostatic acid phosphatase, epidermal growth factor, MAGE-1, MAGE-2, MAGE-3, MAGE-4, anti transferrin receptor, p97, MUC1-KLH, CEA, gp100, MART1, Prostate Specific Antigen, IL-2 receptor, CD20, CD52, CD33, CD22, human chorionic gonadotropin, CD38, CD40, mucin, P21, MPG, and Neu oncogene product.
- In certain embodiments, the therapeutic agent is an immunosuppressive agent. The immunosuppressive agent can be, for example, gancyclovir, etanercept, tacrolimus, cyclosporine, rapamycin, cyclophosphamide, azathioprine, mycophenolate mofetil or methotrexate. Alternatively, the immunosuppressive agent can be, for example, a glucocorticoid (e.g., cortisol or aldosterone) or a glucocorticoid analogue (e.g. prednisone or dexamethasone).
- In certain typical embodiments, the immunosuppressive agent is an anti-inflammatory agent, such as arylcarboxylic derivatives, pyrazole-containing derivatives, oxicam derivatives and nicotinic acid derivatives. Classes of anti-inflammatory agents include, for example, cyclooxygenase inhibitors, 5-lipoxygenase inhibitors, or leukotriene receptor antagonists.
- Suitable cyclooxygenase inhibitors include meclofenamic acid, mefenamic acid, carprofen, diclofenac, diflunisal, fenbufen, fenoprofen, ibuprofen, indomethacin, ketoprofen, nabumetone, naproxen, sulindac, tenoxicam, tolmetin, and acetylsalicylic acid.
- Suitable lipoxygenase inhibitors include redox inhibitors (e.g., catechol butane derivatives, nordihydroguaiaretic acid (NDGA), masoprocol, phenidone, Ianopalen, indazolinones, naphazatrom, benzofuranol, alkylhydroxylamine), and non-redox inhibitors (e.g., hydroxythiazoles, methoxyalkylthiazoles, benzopyrans and derivatives thereof, methoxytetrahydropyran, boswellic acids and acetylated derivatives of boswellic acids, and quinolinemethoxyphenylacetic acids substituted with cycloalkyl radicals), and precursors of redox inhibitors.
- Other suitable lipoxygenase inhibitors include antioxidants (e.g., phenols, propyl gallate, flavonoids and/or naturally occurring substrates containing flavonoids, hydroxylated derivatives of the flavones, flavonol, dihydroquercetin, luteolin, galangin, orobol, derivatives of chalcone, 4,2′,4′-trihydroxychalcone, ortho-aminophenols, N-hydroxyureas, benzofuranols, ebselen and species that increase the activity of the reducing selenoenzymes), iron chelating agents (e.g., hydroxamic acids and derivatives thereof, N-hydroxyureas, 2-benzyl-1-naphthol, catechols, hydroxylamines, carnosol trolox C, catechol, naphthol, sulfasalazine, zyleuton, 5-hydroxyanthranilic acid and 4-(omega-arylalkyl)phenylalkanoic acids), imidazole-containing compounds (e.g., ketoconazole and itraconazole), phenothiazines, and benzopyran derivatives.
- Yet other suitable lipoxygenase inhibitors include inhibitors of eicosanoids (e.g., octadecatetraenoic, eicosatetraenoic, docosapentaenoic, eicosahexaenoic and docosahexaenoic acids and esters thereof, PGE1 (prostaglandin E1), PGA2 (prostaglandin A2), viprostol, 15-monohydroxyeicosatetraenoic, 15-monohydroxy-eicosatrienoic and 15-monohydroxyeicosapentaenoic acids, and leukotrienes B5, C5 and D5), compounds interfering with calcium flows, phenothiazines, diphenylbutylamines, verapamil, fuscoside, curcumin, chlorogenic acid, caffeic acid, 5,8,11,14-eicosatetrayenoic acid (ETYA), hydroxyphenylretinamide, Ionapalen, esculin, diethylcarbamazine, phenantroline, baicalein, proxicromil, thioethers, diallyl sulfide and di-(1-propenyl) sulfide.
- Leukotriene receptor antagonists include calcitriol, ontazolast, Bayer Bay-x-1005, Ciba-Geigy CGS-25019C, ebselen, Leo Denmark ETH-615, Lilly LY-293111, Ono ONO-4057, Terumo TMK-688, Boehringer Ingleheim BI-RM-270, Lilly LY 213024, Lilly LY 264086, Lilly LY 292728, Ono ONO LB457, Pfizer 105696, Perdue Frederick PF 10042, Rhone-Poulenc Rorer RP 66153, SmithKline Beecham SB-201146, SmithKline Beecham SB-201993, SmithKline Beecham SB-209247, Searle SC-53228, Sumitamo SM 15178, American Home Products WAY 121006, Bayer Bay-o-8276, Warner-Lambert CI-987, Warner-Lambert CI-987BPC-15LY 223982, Lilly LY 233569, Lilly LY-255283, MacroNex MNX-160, Merck and Co. MK-591, Merck and Co. MK-886, Ono ONO-LB-448, Purdue Frederick PF-5901, Rhone-Poulenc Rorer RG 14893, Rhone-Poulenc Rorer RP 66364, Rhone-Poulenc Rorer RP 69698, Shionoogi S-2474, Searle SC-41930, Searle SC-50505, Searle SC-51146, Searle SC-52798, SmithKline Beecham SK&F-104493, Leo Denmark SR-2566, Tanabe T-757 and Teijin TEI-1338.
- 1. Dolastatin Drugs
- In certain embodiments, the cytotoxic or cytostatic agent is a dolastatin. In more specific embodiments, the dolastatin is of the auristatin class. As used herein, the term dolastatin encompasses naturally occurring auristatins and non-naturally occurring derivatives, for example MMAE. Thus, in a specific embodiment, the cytotoxic or cytostatic agent is MMAE (Formula XI). In another specific embodiment, the cytotoxic or cytostatic agent is AFP (Formula XVI).
-
- C. Formation of Anti-CD70 ADCs and ADC Derivatives
- The generation of anti-CD70 ADCs and ADC derivatives can be accomplished by any technique known to the skilled artisan. Briefly, the anti-CD70 ADCs comprise an anti-CD70 antibody, a drug, and optionally a linker that joins the drug and the antibody. A number of different reactions are available for covalent attachment of drugs to antibodies. This is often accomplished by reaction of the amino acid residues of the antibody molecule, including the amine groups of lysine, the free carboxylic acid groups of glutamic and aspartic acid, the sulfhydryl groups of cysteine and the various moieties of the aromatic amino acids. One of the most commonly used non-specific methods of covalent attachment is the carbodiimide reaction to link a carboxy (or amino) group of a compound to amino (or carboxy) groups of the antibody. Additionally, bifunctional agents such as dialdehydes or imidoesters have been used to link the amino group of a compound to amino groups of the antibody molecule. Also available for attachment of drugs to antibodies is the Schiff base reaction. This method involves the periodate oxidation of a drug that contains glycol or hydroxy groups, thus forming an aldehyde which is then reacted with the antibody molecule. Attachment occurs via formation of a Schiff base with amino groups of the antibody molecule. Isothiocyanates can also be used as coupling agents for covalently attaching drugs to antibodies. Other techniques are known to the skilled artisan and within the scope of the present invention. Non-limiting examples of such techniques are described in, e.g., U.S. Pat. Nos. 5,665,358; 5,643,573; and 5,556,623, which are incorporated by reference in their entireties herein.
- In certain embodiments, an intermediate, which is the precursor of the linker, is reacted with the drug under appropriate conditions. In certain embodiments, reactive groups are used on the drug and/or the intermediate. The product of the reaction between the drug and the intermediate, or the derivatized drug, is subsequently reacted with the anti-CD70 antibody under appropriate conditions.
- IV. Other CD70-Targeting Moieties and Protein-Drug Conjugates
- As indicated supra, in other embodiments, the CD70-targeting moiety need not be an antibody to be useful in accordance with the methods described herein. Accordingly, a CD70-targeting moiety can include one or more CDRs from an antibody that binds to CD70 and depletes or inhibits the proliferation of CD70-expressing cells when conjugated to a cytotoxic agent, or from an antibody that binds to CD70 and exerts an immunosuppressive effect when conjugated to an immunosuppressive agent. Typically, the protein is a multimer, most typically a dimer.
- Further, CD70-binding proteins useful in accordance with the methods provided herein include fusion proteins, i.e., proteins that are recombinantly fused or chemically conjugated (including both covalent and non-covalent conjugation) to heterologous proteins (of typically at least 10, 20, 30, 40, 50, 60, 70, 80, 90 or at least 100 amino acids). The fusion does not necessarily need to be direct, but may occur through linker sequences.
- For example, CD70-targeting moieties useful in the present methods can be produced recombinantly by fusing the coding region of one or more of the CDRs of an anti-CD70 antibody in frame with a sequence coding for a heterologous protein. The heterologous protein may provide one or more of the following characteristics: added therapeutic benefits; promote stable expression; provide a means of facilitating high yield recombinant expression; and/or provide a multimerization domain.
- In other aspects, CD70-targeting moieties can include CD27 and variants or fragments thereof that bind to CD70. CD70-targeting moieties can further include peptides, ligands and other molecules that specifically bind to CD70.
- CD70-targeting moieties useful in the methods described herein can be identified using any method suitable for screening for protein-protein interactions. Typically, proteins are initially identified by their ability to specifically bind to CD70, then their ability to exert a cytostatic or cytotoxic effect on activated lymphocytes or CD70-expressing cancer cells when conjugated to a cytotoxic or cytostatic agent, or an immunosuppressive effect on an immune cell when conjugated to an immunosuppressive agent. Among the traditional methods which can be employed are “interaction cloning” techniques which entail probing expression libraries with labeled CD70 in a manner similar to the technique of antibody probing of λgt11 libraries. By way of example and not limitation, this can be achieved as follows: a cDNA clone encoding CD70 (or a 1F6 or 2F2 binding domain thereof) is modified at the terminus by inserting the phosphorylation site for the heart muscle kinase (HMK) (see, e.g., Blanar and Rutter, 1992, Science 256:1014-1018). The recombinant protein is expressed in E. coli and purified on a GDP-affinity column to homogeneity (Edery et al., 1988, Gene 74:517-525) and labeled using γ32P-ATP and bovine heart muscle kinase (Sigma) to a specific activity of 1×108 cpm/μg, and used to screen a human placenta λgt11 cDNA library in a “far-Western assay” (Blanar and Rutter, 1992, Science 256:1014-1018). Plaques which interact with the CD70 probe are isolated. The cDNA inserts of positive λ plaques are released and subcloned into a vector suitable for sequencing, such as pBluescript KS (Stratagene).
- One method which detects protein interactions in vivo, the two-hybrid system, is described in detail for illustration purposes only and not by way of limitation. One version of this system has been described (Chien et al., 1991, Proc. Natl. Acad. Sci. USA 88:9578-9582) and is commercially available from Clontech (Palo Alto, Calif.).
- Once a CD70-binding protein is identified, its ability (alone or when multimerized or fused to a dimerization or multimerization domain) to exert a cytostatic or cytotoxic effect on CD70-expressing cancer cells (when conjugated to a cytotoxic agent) or an immunosuppressive effect on a CD70-expressing immune cell (when conjugated to an immunosuppressive agent) is determined by the methods described infra.
- V. Assays for Cytotoxic Cytostatic, and Immunosuppressive Activities
- In accordance with the methods described herein, an anti-CD70 ADC or ADC derivative exerts a cytotoxic or cytostatic effect on a CD70-expressing cancer cell, or a cytotoxic, cytostatic, or immunosuppressive effect on activated CD70-expressing immune cell (e.g., activated lymphocyte or dendritic cell). Activated lymphocytes that can be assayed for a cytotoxic, cytostatic, or immunosuppressive effect of an anti-CD70 ADC or ADC derivative can be cultured cell lines (e.g., CESS, which is available from the ATCC; or KMH2 and L428, both of which are available from Deutsche Sammlung von Mikroorganismen und Zellkulturen GmbH), or from lymphocytes prepared from a fresh blood sample or other sources. Lymphocytes can be activated by the appropriate cocktails of antibodies and cytokines. For example, T lymphocytes can be activated using allogeneic stimulator cells or antigen-pulsed autologous antigen presenting cells and T cell clones can be activated by PHA and cytokines in the presence of feeder cells, as described in Example 9, infra. CD70-expressing cancer cells that can be assayed for a cytotoxic or cytotoxic effect can be tissue culture cell lines as described in Examples 7, infra, or from CD70-expressing cancer cells prepared from a subject.
- Once an anti-CD70 ADC or ADC derivative is confirmed as exerting a cytotoxic or cytostatic on CD70-expressing cancer cells or a cytotoxic, cytostatic, or immunosuppressive effect on activated immune cells, its therapeutic value can be validated in an animal model. Exemplary animal models of immunological disorders or CD70-expressing cancers are described in Section VI, infra.
- Methods of determining whether an agent exerts a cytostatic or cytotoxic effect on a cell are known. Illustrative examples of such methods are described infra.
- For determining whether an anti-CD70 ADC or ADC derivative exerts a cytostatic effect on activated immune cells or CD70-expressing cancer cells, a thymidine incorporation assay may be used. For example, activated immune cells (e.g., activated lymphocytes) or CD70-expressing cancer cells at a density of 5,000 cells/well of a 96-well plated can be cultured for a 72-hour period and exposed to 0.5 μCi of 3H-thymidine during the final 8 hours of the 72-hour period, and the incorporation of 3H-thymidine into cells of the culture is measured in the presence and absence of the ADC or ADC derivative.
- For determining cytotoxicity, necrosis or apoptosis (programmed cell death) can be measured. Necrosis is typically accompanied by increased permeability of the plasma membrane; swelling of the cell, and rupture of the plasma membrane. Apoptosis is typically characterized by membrane blebbing, condensation of cytoplasm, and the activation of endogenous endonucleases. Determination of any of these effects on activated immune cells or CD70 expressing cancer cells indicates that an anti-CD70 ADC or ADC derivative is useful in the treatment or prevention of immunological disorders and CD70-expressing cancers.
- Cell viability can be measured by determining in a cell the uptake of a dye such as neutral red, typan blue, or ALAMAR™ blue (see, e.g., Page et al., 1993, Intl. J. of Oncology 3:473-476). In such an assay, the cells are incubated in media containing the dye, the cells are washed, and the remaining dye, reflecting cellular uptake of the dye, is measured spectrophotometrically. The protein-binding dye sulforhodamine B (SRB) can also be used to measure cytoxicity (Skehan et al., 1990, J. Nat'l Cancer Inst. 82:1107-12).
- Alternatively, a tetrazolium salt, such as MTT, is used in a quantitative colorimetric assay for mammalian cell survival and proliferation by detecting living, but not dead, cells (see, e.g., Mosmann, 1983, J. Immunol. Methods 65:55-63).
- Apoptosis can be quantitated by measuring, for example, DNA fragmentation. Commercial photometric methods for the quantitative in vitro determination of DNA fragmentation are available. Examples of such assays, including TUNEL (which detects incorporation of labeled nucleotides in fragmented DNA) and ELISA-based assays, are described in Biochemica, 1999, no. 2, pp. 34-37 (Roche Molecular Biochemicals).
- Apoptosis can also be determined by measuring morphological changes in a cell. For example, as with necrosis, loss of plasma membrane integrity can be determined by measuring uptake of certain dyes (e.g., a fluorescent dye such as, for example, acridine orange or ethidium bromide). A method for measuring apoptotic cell number has previously been described by Duke and Cohen, Current Protocols In Immunology (Coligan et al. eds., 1992, pp. 3.17.1-3.17.16). Cells can be also labeled with a DNA dye (e.g., acridine orange, ethidium bromide, or propidium iodide) and the cells observed for chromatin condensation and margination along the inner nuclear membrane. Other morphological changes that can be measured to determine apoptosis include, e.g., cytoplasmic condensation, increased membrane blebbing, and cellular shrinkage.
- The presence of apoptotic cells can be measured in both the attached and “floating” compartments of the cultures. For example, both compartments can be collected by removing the supernatant, trypsining the attached cells, combining the preparations following a centrifugation wash step (e.g., 10 minutes, 2000 rpm), and detecting apoptosis (e.g., by measuring DNA fragmentation). (See, e.g., Piazza et al., 1995, Cancer Research 55:3110-16).
- Immunosuppressive effects can be measured, for example, by assaying for a cytotoxic or cytostatic effect (as described supra) on an activated immune cell involved in promoting immune responses (e.g., CD8+ cytotoxic T cells, CD4+ Th1 cells, B cells, or mature dendritic cells). In addition or alternatively, an immunosuppressive effect can be determined by examination of the presence or absence of specific immune cell populations (using, e.g., flow cytometry) such as, for example, the presence of T regulatory cells involved in suppression of an immune response; measurement of the functional capacity of immune cells, including, e.g., the cytolytic capacity of cytotoxic T cells; measurements of the cytokines, chemokines, cell surface molecules, antibodies or other secreted or cell-surface molecules of the cells (e.g., by flow cytometry, enzyme-linked immunosorbent assays, Western blot analysis, protein microarray analysis, immunoprecipitation analysis); or measurement of biochemical markers of activation of immune cells or signaling pathways within immune cells (e.g., Western blot and immunoprecipitation analysis of tyrosine, serine or threonine phosphorylation, polypeptide cleavage, and formation or dissociation of protein complexes; protein array analysis; DNA transcriptional profiling using DNA arrays or subtractive hybridization).
- VI. Animal Models of Immunological Disorders or CD70-Expressing Cancers
- The anti-CD70 ADCs or ADC derivatives can be tested or validated in animal models of immunological disorders or CD70-expressing cancers. A number of established animal models of immunological disorders or CD70-expressing cancers are known to the skilled artisan, any of which can be used to assay the efficacy of the ADC or ADC derivative. Non-limiting examples of such models are described infra.
- Some examples for animal models of systemic and organ-specific autoimmune diseases including diabetes, systemic lupus erythematosus, systemic sclerosis, Sjögren's Syndrome, experimental autoimmune encephalomyelitis (multiple sclerosis), thyroiditis, myasthenia gravis, arthritis, uveitis, inflammatory bowel disease have been described by Bigazzi, “Animal Models of Autoimmunity: Spontaneous and Induced,” in The Autoimmune Diseases (Rose & Mackay eds., Academic Press, 1998) and in “Animal Models for Autoimmune and Inflammatory Disease,” in Current Protocols in Immunology (Coligan et al. eds., Wiley & Sons, 1997).
- Allergic conditions, e.g., asthma and dermatitis, can also be modeled in rodents. Airway hypersensitivity can be induced in mice by ovalbumin (Tomkinson et al., 2001, J. Immunol. 166:5792-5800) or Schistosoma mansoni egg antigen (Tesciuba et al., 2001, J. Immunol. 167:1996-2003). The Nc/Nga strain of mice show marked increase in serum IgE and spontaneously develop atopic dermatitis-like leisons (Vestergaard et al., 2000, Mol. Med. Today 6:209-210; Watanabe et al., 1997, Int. Immunol. 9:461-466; Saskawa et al., 2001, Int. Arch. Allergy Immunol. 126:239-247).
- Injection of immuno-competent donor lymphocytes into a lethally irradiated histo-incompatible host is a classical approach to induce acute GVHD in mice. Alternatively, the parent B6D2F1 murine model provides a system to induce both acute and chronic GVHD. In this model the B6D2F1 mice are F1 progeny from a cross between the parental strains of C57BL/6 and DBA/2 mice. Transfer of DBA/2 lymphoid cells into non-irradiated B6D2F1 mice causes chronic GVHD, whereas transfer of C57BL/6, C57BL/10 or B10.D2 lymphoid cells causes acute GVHD (Slayback et al., 2000, Bone Marrow Transpl. 26:931-938; Kataoka et al., 2001, Immunology 103:310-318).
- Additionally, both human hematopoietic stem cells and mature peripheral blood lymphoid cells can be engrafted into SCID mice, and these human lympho-hematopoietic cells remain functional in the SCID mice (McCune et al., 1988, Science 241:1632-1639; Kamel-Reid and Dick, 1988, Science 242:1706-1709; Mosier et al., 1988, Nature 335:256-259). This has provided a small animal model system for the direct testing of potential therapeutic agents on human lymphoid cells. (See, e.g., Tournoy et al., 2001, J. Immunol. 166:6982-6991).
- Moreover, small animal models to examine the in vivo efficacies of the anti-CD70 ADCs or ADC derivatives can be created by implanting CD70-expressing human tumor cell lines into appropriate immunodeficient rodent strains, e.g., athymic nude mice or SCID mice. Examples of CD70-expressing human lymphoma cell lines include, for example, Daudi (Ghetie et al., 1994, Blood 83:1329-36; Ghetie et al., 1990, Int J Cancer 15:481-5; de Mont et al., 2001, Cancer Res 61:7654-59), HS-Sultan (Cattan & Maung, 1996, Cancer Chemother Pharmacol 38:548-52; Cattan and Douglas, 1994, LeukRes 18:513-22), and Raji (Ochakovskaya et al., 2001, Clin Cancer Res 7:1505-10; Breisto et al., 1999, Cancer Res 59:2944-49). A non-limiting example of a CD70-expressing Hodgkin's lymphoma line is L428 (Drexler, 1993, Leukemia and Lymphoma 9:1-25; Dewan et al., 2005, Cancer Sci. 96:466-473). Non-limiting examples of CD70 expressing human renal cell carcinoma cell lines include 786-O (Ananth et al., 1999, Cancer Res 59:2210-6; Datta et al., 2001, Cancer Res 61:1768-75), ACHN (Hara et al., 2001, J Urol. 166:2491-4; Miyake et al., 2002, J Urol. 167:2203-8), Caki-1 (Prewett et al., 1998, Clin. Cancer Res. 4:2957-66; Shi and Siemann, 2002, Br. J. Cancer 87:119-26), and Caki-2 (Zellweger et al., 2001, Neoplasia 3:360-7). Non-limiting examples of CD70-expressing nasopharyngeal carcinoma cell lines include C15 and C17 (Busson et al., 1988, Int. J. Cancer 42:599-606; Bernheim et al., 1993, Cancer Genet. Cytogenet. 66:11-5). Non-limiting examples of CD70-expressing human glioma cell lines include U373 (Palma et al., 2000, Br. J. Cancer 82:480-7) and U87MG (Johns et al., 2002, Int. J. Cancer 98:398-408). Non-limiting examples of multiple myeloma cell lines include MM.1S (Greenstein et al., 2003, Experimental Hematology 31:271-282) and L363 (Diehl et al., 1978, Blut 36:331-338). (See also Drexler and Matsuo, 2000, Leukemia Research 24:681-703). These tumor cell lines can be established in immunodeficient rodent hosts either as solid tumor by subcutaneous injections or as disseminated tumors by intravenous injections. Once established within a host, these tumor models can be applied to evaluate the therapeutic efficacies of the anti-CD70 ADCs or ADC derivatives as described herein on modulating in vivo tumor growth.
- VII. Immune Disorders and CD70-Expressing Cancers
- The anti-CD70 ADCs and ADC derivatives as described herein are useful for treating or preventing an immunological disorder characterized by inappropriate activation of immune cells (e.g., lymphocytes or dendritic cells). Treatment or prevention of the immunological disorder, according to the methods described herein, is achieved by administering to a subject in need of such treatment or prevention an effective amount of the anti-CD70 ADC or ADC derivative, whereby the ADC or ADC derivative (i) binds to activated immune cells that express CD70 and that are associated with the disease state and (ii) exerts a cytotoxic, cytostatic, or immunosuppressive effect on the activated immune cells.
- Immunological diseases that are characterized by inappropriate activation of immune cells and that can be treated or prevented by the methods described herein can be classified, for example, by the type(s) of hypersensitivity reaction(s) that underlie the disorder. These reactions are typically classified into four types: anaphylactic reactions, cytotoxic (cytolytic) reactions, immune complex reactions, or cell-mediated immunity (CMI) reactions (also referred to as delayed-type hypersensitivity (DTH) reactions). (See, e.g., Fundamental Immunology (William E. Paul ed., Raven Press, N.Y., 3rd ed. 1993).)
- Specific examples of such immunological diseases include the following: rheumatoid arthritis, psoriatic arthritis, autoimmune demyelinative diseases (e.g., multiple sclerosis, allergic encephalomyelitis), endocrine opthalmopathy, uveoretinitis, systemic lupus erythematosus, myasthenia gravis, Grave's disease, glomerulonephritis, autoimmune hepatological disorder, inflammatory bowel disease (e.g., Crohn's disease), anaphylaxis, allergic reaction, Sjogren's syndrome, type I diabetes mellitus, primary biliary cirrhosis, Wegener's granulomatosis, fibromyalgia, polymyositis, dermatomyositis, multiple endocrine failure, Schmidt's syndrome, autoimmune uveitis, Addison's disease, adrenalitis, thyroiditis, Hashimoto's thyroiditis, autoimmune thyroid disease, pernicious anemia, gastric atrophy, chronic hepatitis, lupoid hepatitis, atherosclerosis, subacute cutaneous lupus erythematosus, hypoparathyroidism, Dressler's syndrome, autoimmune thrombocytopenia, idiopathic thrombocytopenic purpura, hemolytic anemia, pemphigus vulgaris, pemphigus, dermatitis herpetiformis, alopecia arcata, pemphigoid, psoriasis, scleroderma, progressive systemic sclerosis, CREST syndrome (calcinosis, Raynaud's phenomenon, esophageal dysmotility, sclerodactyl), and telangiectasia), male and female autoimmune infertility, ankylosing spondolytis, ulcerative colitis, mixed connective tissue disease, polyarteritis nedosa, systemic necrotizing vasculitis, atopic dermatitis, atopic rhinitis, Goodpasture's syndrome, Chagas' disease, sarcoidosis, rheumatic fever, asthma, recurrent abortion, anti-phospholipid syndrome, farmer's lung, erythema multiforme, post cardiotomy syndrome, Cushing's syndrome, autoimmune chronic active hepatitis, bird-fancier's lung, toxic epidermal necrolysis, Alport's syndrome, alveolitis, allergic alveolitis, fibrosing alveolitis, interstitial lung disease, erythema nodosum, pyoderma gangrenosum, transfusion reaction, Takayasu's arteritis, polymyalgia rheumatica, temporal arteritis, schistosomiasis, giant cell arteritis, ascariasis, aspergillosis, Sampter's syndrome, eczema, lymphomatoid granulomatosis, Behcet's disease, Caplan's syndrome, Kawasaki's disease, dengue, encephalomyelitis, endocarditis, endomyocardial fibrosis, endophthalmitis, erythema elevatum et diutinum, psoriasis, erythroblastosis fetalis, eosinophilic faciitis, Shulman's syndrome, Felty's syndrome, filariasis, cyclitis, chronic cyclitis, heterochronic cyclitis, Fuch's cyclitis, IgA nephropathy, Henoch-Schonlein purpura, graft versus host disease (e.g., following hematopoeitic stem cell transplant), transplantation rejection, cardiomyopathy, Eaton-Lambert syndrome, relapsing polychondritis, cryoglobulinemia, Waldenstrom's macroglobulemia, Evan's syndrome, and autoimmune gonadal failure.
- Accordingly, the methods described herein encompass treatment of disorders of B lymphocytes (e.g., systemic lupus erythematosus, Goodpasture's syndrome, rheumatoid arthritis, and type I diabetes), Th1-lymphocytes (e.g., rheumatoid arthritis, multiple sclerosis, psoriasis, Sjorgren's syndrome, Hashimoto's thyroiditis, Grave's disease, primary biliary cirrhosis, Wegener's granulomatosis, tuberculosis, or acute graft versus host disease), or Th2-lymphocytes (e.g., atopic dermatitis, systemic lupus erythematosus, atopic asthma, rhinoconjunctivitis, allergic rhinitis, Omenn's syndrome, systemic sclerosis, or chronic graft versus host disease). Generally, disorders involving dendritic cells involve disorders of Th1-lymphocytes or Th2-lymphocytes.
- In certain embodiments, the immunological disorder is a T cell-mediated immunological disorder, such as a T cell disorder in which activated T cell associated with the disorder express CD70. ADCs or ADC derivatives can be administered to deplete such CD70-expressing activated T cells. In a specific embodiment, administration of ADCs or ADC derivatives can deplete CD70-expressing activated T cells, while resting T cells are not substantially depleted by the ADC or ADC derivative. In this context, “not substantially depleted” means that less than about 60%, or less than about 70% or less than about 80% of resting T cells are not depleted.
- The anti-CD70 ADCs and ADC derivatives as described herein are also useful for treating or preventing a CD70-expressing cancer. Treatment or prevention of a CD70-expressing cancer, according to the methods described herein, is achieved by administering to a subject in need of such treatment or prevention an effective amount of the anti-CD70 ADC or ADC derivative, whereby the ADC or ADC derivative (i) binds to CD70-expressing cancer cells and (ii) exerts a cytotoxic or cytostatic effect to deplete or inhibit the proliferation of the CD70-expressing cancer cells.
- CD70-expressing cancers that can be treated or prevented by the methods described herein include, for example, different subtypes of Non-Hodgkin's Lymphoma (indolent NHLs, follicular NHLs, small lymphocytic lymphomas, lymphoplasmacytic NHLs, or marginal zone NHLs); Hodgkin's disease (e.g., Reed-Sternberg cells); cancers of the B-cell lineage, including, e.g., diffuse large B-cell lymphomas, follicular lymphomas, Burkitt's lymphoma, mantle cell lymphomas, B-cell lymphocytic leukemias (e.g., acute lymphocytic leukemia, chronic lymphocytic leukemia); Epstein Barr Virus positive B cell lymphomas; renal cell carcinomas (e.g., clear cell and papillary); nasopharyngeal carcinomas; thymic carcinomas; gliomas; glioblastomas; neuroblastomas; astrocytomas; meningiomas; Waldenstrom macroglobulinemia; multiple myelomas; and colon, stomach, and rectal carcinomas.
- In some embodiments, a CD70-expressing cancer has at least about 15,000, at least about 10,000 or at least about 5,000 CD70 molecules/cell.
- VIII. Pharmaceutical Compositions Comprising Anti-CD70 ADCs and ADC Derivatives and Administration Thereof
- In accordance with the present methods, a composition comprising an anti-CD70 ADC or ADC derivative as described herein is administered to a subject having or at risk of having an immunological disorder or a CD70-expressing cancer. The term “subject” as used herein means any mammalian patient to which a CD70-binding protein-drug conjugate may be administered, including, e.g., humans and non-human mammals, such as primates, rodents, and dogs. Subjects specifically intended for treatment using the methods described herein include humans. The ADCs or ADC derivatives can be administered either alone or in combination with other compositions in the prevention or treatment of the immunological disorder or CD70-expressing cancer.
- Various delivery systems are known and can be used to administer the anti-CD70 ADC or ADC derivative. Methods of introduction include but are not limited to intradermal, intramuscular, intraperitoneal, intravenous, subcutaneous, intranasal, epidural, and oral routes. The ADCs or ADC derivatives can be administered, for example by infusion or bolus injection, by absorption through epithelial or mucocutaneous linings (e.g., oral mucosa, rectal and intestinal mucosa, and the like) and can be administered together with other biologically active agents such as chemotherapeutic agents. Administration can be systemic or local.
- In specific embodiments, the anti-CD70 ADC or ADC derivative composition is administered by injection, by means of a catheter, by means of a suppository, or by means of an implant, the implant being of a porous, non-porous, or gelatinous material, including a membrane, such as a sialastic membrane, or a fiber. Typically, when administering the composition, materials to which the ADC or ADC derivative does not absorb are used.
- In other embodiments, the ADC or ADC derivative is delivered in a controlled release system. In one embodiment, a pump may be used (see Langer, 1990, Science 249:1527-1533; Sefton, 1989, CRC Crit. Ref Biomed. Eng. 14:201; Buchwald et al., 1980, Surgery 88:507; Saudek et al., 1989, N. Engl. J. Med. 321:574). In another embodiment, polymeric materials can be used. (See Medical Applications of Controlled Release (Langer & Wise eds., CRC Press, Boca Raton, Fla., 1974); Controlled Drug Bioavailability, Drug Product Design and Performance (Smolen & Ball eds., Wiley, New York, 1984); Ranger & Peppas, 1983, Macromol. Sci. Rev. Macromol. Chem. 23:61. See also Levy et al., 1985, Science 228:190; During et al., 1989, Ann. Neurol. 25:351; Howard et al., 1989, J. Neurosurg. 71:105.) Other controlled release systems are discussed, for example, in Langer, supra.
- The anti-CD70 ADCs or ADC derivatives are administered as pharmaceutical compositions comprising a therapeutically effective amount of the ADC or ADC derivative and one or more pharmaceutically compatible ingredients. For example, the pharmaceutical composition typically includes one or more pharmaceutical carriers (e.g., sterile liquids, such as water and oils, including those of petroleum, animal, vegetable or synthetic origin, such as peanut oil, soybean oil, mineral oil, sesame oil and the like). Water is a more typical carrier when the pharmaceutical composition is administered intravenously. Saline solutions and aqueous dextrose and glycerol solutions can also be employed as liquid carriers, particularly for injectable solutions. Suitable pharmaceutical excipients include, for example, starch, glucose, lactose, sucrose, gelatin, malt, rice, flour, chalk, silica gel, sodium stearate, glycerol monostearate, talc, sodium chloride, dried skim milk, glycerol, propylene, glycol, water, ethanol, and the like. The composition, if desired, can also contain minor amounts of wetting or emulsifying agents, or pH buffering agents. These compositions can take the form of solutions, suspensions, emulsion, tablets, pills, capsules, powders, sustained-release formulations and the like. The composition can be formulated as a suppository, with traditional binders and carriers such as triglycerides. Oral formulation can include standard carriers such as pharmaceutical grades of mannitol, lactose, starch, magnesium stearate, sodium saccharine, cellulose, magnesium carbonate, etc. Examples of suitable pharmaceutical carriers are described in “Remington's Pharmaceutical Sciences” by E. W. Martin. Such compositions will contain a therapeutically effective amount of the nucleic acid or protein, typically in purified form, together with a suitable amount of carrier so as to provide the form for proper administration to the patient. The formulations correspond to the mode of administration.
- In typical embodiments, the pharmaceutical composition is formulated in accordance with routine procedures as a pharmaceutical composition adapted for intravenous administration to human beings. Typically, compositions for intravenous administration are solutions in sterile isotonic aqueous buffer. Where necessary, the pharmaceutical can also include a buffering agent (e.g., a phosphate, citrate or amino acid, such as histidine), a solubilizing agent (e.g., nonionic detergents such as a polysorbate, triton, or polyoxamer; or an amino acid) and/or a local anesthetic such as lignocaine to ease pain at the site of the injection. Generally, the ingredients are supplied either separately or mixed together in unit dosage form, for example, as a dry lyophilized powder or water free concentrate in a hermetically sealed container such as an ampoule or sachette indicating the quantity of active agent. Where the pharmaceutical is to be administered by infusion, it can be dispensed with an infusion bottle containing sterile pharmaceutical grade water or saline. Where the pharmaceutical is administered by injection, an ampoule of sterile water for injection or saline can be provided so that the ingredients can be mixed prior to administration.
- In certain embodiments, the pharmaceutical compositions comprising the anti-CD70 ADC or ADC derivative can further comprise a second therapeutic agent (e.g., a second ADC or ADC derivative or a non-conjugated cytotoxic or immunosuppressive agent such as, for example, any of those described herein).
- Further, the pharmaceutical composition can be provided as a pharmaceutical kit comprising (a) a container containing an anti-CD70 ADC or ADC derivative in lyophilized form and (b) a second container containing a pharmaceutically acceptable diluent (e.g., sterile water) for injection. The pharmaceutically acceptable diluent can be used for reconstitution or dilution of the lyophilized ADC or ADC derivative. Optionally associated with such container(s) can be a notice in the form prescribed by a governmental agency regulating the manufacture, use or sale of pharmaceuticals or biological products, which notice reflects approval by the agency of manufacture, use or sale for human administration.
- The amount of the ADC or ADC derivative that is effective in the treatment or prevention of an immunological disorder or CD70-expressing cancer can be determined by standard clinical techniques. In addition, in vitro assays may optionally be employed to help identify optimal dosage ranges. The precise dose to be employed in the formulation will also depend on the route of administration, and the stage of immunological disorder or CD70-expressing cancer, and should be decided according to the judgment of the practitioner and each patient's circumstances. Effective doses may be extrapolated from dose-response curves derived from in vitro or animal model test systems.
- For example, toxicity and therapeutic efficacy of the ADCs or ADC derivatives can be determined in cell cultures or experimental animals by standard pharmaceutical procedures for determining the LD50 (the dose lethal to 50% of the population) and the ED50 (the dose therapeutically effective in 50% of the population). The dose ratio between toxic and therapeutic effects is the therapeutic index and it can be expressed as the ratio LD50/ED50. ADCs or ADC derivatives that exhibit large therapeutic indices are preferred. Where an ADC or ADC derivative exhibits toxic side effects, a delivery system that targets the ADC or ADC derivative to the site of affected tissue can be used to minimize potential damage non-CD70-expressing cells and, thereby, reduce side effects.
- The data obtained from the cell culture assays and animal studies can be used in formulating a range of dosage for use in humans. The dosage of the anti-CD70 ADC or ADC derivative typically lies within a range of circulating concentrations that include the ED50 with little or no toxicity. The dosage may vary within this range depending upon the dosage form employed and the route of administration utilized. For any ADC or ADC derivative used in the method, the therapeutically effective dose can be estimated initially from cell culture assays. A dose can be formulated in animal models to achieve a circulating plasma concentration range that includes the IC50 (i.e., the concentration of the test compound that achieves a half-maximal inhibition of symptoms) as determined in cell culture. Such information can be used to more accurately determine useful doses in humans. Levels in plasma can be measured, for example, by high performance liquid chromatography.
- Generally, the dosage of an anti-CD70 ADC or ADC derivative administered to a patient with an immunological disorder or CD70-expressing cancer is typically 0.1 mg/kg to 100 mg/kg of the subject's body weight. More typically, the dosage administered to a subject is 0.1 mg/kg to 50 mg/kg of the subject's body weight, even more typically 1 mg/kg to 30 mg/kg, 1 mg/kg to 20 mg/kg, 1 mg/kg to 15 mg/kg, 1 mg/kg to 12 mg/kg, 1 mg/kg to 10 mg/kg, or 1 mg/kg to 7.5 mg/kg of the subject's body weight. Generally, human antibodies have a longer half-life within the human body than antibodies from other species due to the immune response to the foreign proteins. Thus, lower dosages of ADCs comprising humanized, chimeric or human antibodies and less frequent administration is often possible.
- A dose of an anti-CD70 ADC or ADC derivative can be administered, for example, daily, once per week (weekly), twice per week, thrice per week, four times per week, five times per week, biweekly, monthly or otherwise as needed.
- In some embodiments, the dosage of an anti-CD70 ADC or ADC derivative corresponds to a sub-optimal dosage (i.e., below the EC50 for the anti-CD70 ADC or ADC derivative). For example, the dosage of an anti-CD70 ADC or ADC derivative can comprise a dosage selected from the lowest 25%, lowest 15%, lowest 10% or lowest 5% of the therapeutic window. As used herein, the term “therapeutic window” refers to the range of dosage of a drug or of its concentration in a bodily system that provides safe and effective therapy.
- In some embodiments, the dosage of an anti-CD70 ADC or ADC derivative is from about 0.05 mg/kg to about 2 mg/kg, about 0.05 mg/kg to about 1 mg/kg, or about 0.1 mg/kg to about 0.9 mg/kg, or about 0.15 to about 0.75 mg/kg of the subject's body weight. Such a dosage can be administered from 1 to about 15 times per week. Each dose can be the same or different. For example, a dosage of about 0.15 mg/kg of an anti-CD70 ADC or ADC derivative can be administered from 1 to 10 times per four day, five day, six day or seven day period.
- The anti-CD70 ADC or ADC derivative can be administered in combination with one or more other therapeutic agents for the treatment or prevention of immunological disorders or CD70-expressing cancers. For example, combination therapy can include a second cytostatic, cytotoxic, or immunosuppressive agent (for example, an unconjugated cytostatic, cytotoxic, or immunosuppressive agent such as those conventionally used for the treatment of cancers or immunological disorders (e.g., standard of care therapies)). Combination therapy can also include, e.g., administration of an agent that targets a receptor or receptor complex other than CD70 on the surface of activated lymphocytes, dendritic cells or CD70-expressing cancer cells. An example of such an agent is a second, non-CD70 antibody that binds to a molecule at the surface of an activated lymphocyte, dendritic cells or CD70-expressing cancer cells. Another example is a ligand that targets such a receptor or receptor complex. Typically, such an antibody or ligand binds to a cell surface receptor on activated lymphocytes, dendritic cells or CD70-expressing cancer cells and enhances the cytotoxic or cytostatic effect of the anti-CD70 antibody by delivering a cytostatic or cytotoxic signal to the activated lymphocytes, dendritic cells or CD70-expressing cancer cells.
- In certain embodiments, the therapeutic agent is an anti-VEGF agent, such as AVASTIN (bevacizumab) or NEXAVAR (Sorafenib); a PDGF blocker, such as SUTENT (sunitinib malate); an immunomodulatory agent such as Revlimid (lenalidomide); a cytokine such as G-CSF, GM-CSF or IL-2; VELCADE (bortezomib); a kinase inhibitor, such as NEXAVAR (sorafenib tosylateor); a steroid; or an immunosuppressants, such as Rapamycin (Sirolimus). In some embodiments, the therapeutic agent can be a combined therapy, such as CHOP (Cyclophosphamide, Doxorubicin, Prednisolone and Vincristine), CHOP-R (Cyclophosphamide, Doxorubicin Vincristine, Prednisolone, and rituximab) or ABVD (Doxorubicin, Bleomycin, Vinblastine and Dacarbazine). In other embodiments, the therapeutic agent can be an antibody, such as an anti-CD40 antibody (see, e.g., U.S. Pat. No. 6,838,261) or RITUXAN (Rituximab).
- Such combinatorial administration can have an additive or synergistic effect on disease parameters (e.g., severity of a symptom, the number of symptoms, or frequency of relapse).
- With respect to therapeutic regimens for combinatorial administration, in a specific embodiment, an anti-CD70 ADC or ADC derivative is administered concurrently with a second therapeutic agent. In another specific embodiment, the second therapeutic agent is administered prior or subsequent to administration of the anti-CD70 ADC or ADC derivative, by at least an hour and up to several months, for example at least an hour, five hours, 12 hours, a day, a week, a month, or three months, prior or subsequent to administration of the ADC or ADC derivative.
- The present invention is not to be limited in scope by the specific embodiments described herein. Various modifications of the invention in addition to those described herein will become apparent to those skilled in the art from the foregoing description and accompanying figures. Such modifications are intended to fall within the scope of the appended claims.
- The invention is further described in the following examples, which are in not intended to limit the scope of the invention. Cell lines described in the following examples were maintained in culture according to the conditions specified by the American Type Culture Collection (ATCC) or Deutsche Sammlung von Mikroorganismen und Zellkulturen GmbH, Braunschweig, Germany (DMSZ). Cell culture reagents were obtained from Invitrogen Corp., Carlsbad, Calif.
- To determine the cDNA sequences encoding the light (VL) and heavy (VH) chain variable regions of 1F6 and 2F2 mAb, total RNA was isolated from the 1F6 and 2F2 hybridomas using the TRIzol® Reagent (Invitrogen, Carlsbad, Calif.) according to the manufacturer's instructions. The gene-specific primers mIgcK1 5′-CTT CCA CTT GAC ATT GAT GTC TTT G-3′ (SEQ ID NO:41) and
mIgG1 5′-CAG GTC ACT GTC ACT GGC TCA G-3′ (SEQ ID NO:42) were applied to reverse transcribe the light chain variable (VL) and heavy chain variable (VH) first strand cDNAs from both RNA preparations, respectively. First strand cDNA reactions were run using the SuperScript™ First Strand Synthesis System for RT-PCR from Invitrogen (Carlsbad, Calif.). The VL and VH cDNAs were then poly-G tailed using terminal deoxynucleotidyl transferase (TdT) (Invitrogen) and the supplied TdT buffer in conditions specified by the manufacturer. Poly-G tailed VL and VH first strand cDNAs were then subjected to PCR amplification. The forward primer for both the VL and VH PCRs wasANCTAIL 5′ GTC GAT GAG CTC TAG AAT TCG TGC CCC CCC CCC CCC C-3′ (SEQ ID NO:43). The reverse primer for amplifying the VL was BBS-mck 5′-CGT CAT GTC GAC GGA TCC AAG CTT CAA GAA GCA CAC GAC TGA GGC AC-3′ (SEQ ID NO:44). The reverse primer for amplifying the VH was HBS-mG1 5′-CGT CAT GTC GAC GGA TCC AAG CTT GTC ACC ATG GAG TTA GTT TGG GC-3′ (SEQ ID NO:45). PCRs were run with Ex Taq (Fisher Scientific, Pittsburgh, Pa.) and the supplied reaction buffer in conditions specified by the manufacturer. The VL and VH PCR products were then cut by HindIII and EcoRI and cloned into HindIII/EcoRI-cut pUC19. Recombinant plasmid clones were identified, and the nucleotide sequences for the 1F6 and 2F2 hybridomas were determined. - Complementarity determining regions (CDRs) in the heavy and light chains of 1F6 and 2F2 mAbs were determined according to the criteria described in Kabat et al., 1991, Sequences of Proteins of Immunological Interest, Washington D.C., US Department of Health and Public Services; Chothia and Lesk, 1987, J. Mol. Biol. 196:901-17 (
FIGS. 1 and 2 ). Sequence alignments at both the cDNA and amino acid levels revealed closely related light chain genes were probably utilized in both hybridomas. There is a 92% sequence identity between 1F6 VL and 2F2 VL on the amino acid levels. Sequence comparison of the CDRs shows that 1F6 CDR-L1 is identical to 2F2 CDR-L1, only one divergent substitution is present between 1F6 CDR-L2 and 2F2 CDR-L2, and only 2 conservative substitutions are present between 1F6 CDR-L3 and 2F2 CDR-L3 (FIG. 3 ). On the other hand, a higher degree of sequence diversity is present between 1F6 VH and 2F2 VH, about 66 of 137 amino acid residues are different between the 2 VHs. Sequence comparison of the CDRs shows that 5 of 10 residues are different between 1F6 CDR-H1 and 2F2 CDR-H1 (3 of the 5 substitutions are divergent), 12 of 17 residues are different between 1F6 CDR-H2 and 2F2 CDR-H2 (9 of the 12 substitutions are divergent), and 5 of 9 residues are different between 1F6 CDR-H3 and 2F2 CDR-H3 (4 of the 5 substitutions are divergent) (FIG. 3 ). - The ability of anti-CD70 to deliver a potent cytotoxic drug in the form of an antibody drug conjugate (ADC) to eliminate CD70-expressing cells was tested. Monomethyl auristatin E (MMAE), auristatin phenylalanine phenylenediamine (AFP), and monomethyl auristatin phenylalanine (MMAF) were used as the targeted cytotoxic drugs for this study. The drugs were linked to the anti-CD70 mAb 1F6 by the valine-citruline (vc) dipeptide linker to give the 1F6-vcMMAE, 1F6-vcAFP conjugates and 1F6-vcMMAF.
-
- The synthesis of the ADC 1F6-vcMMAE, the general structure of which is depicted above, is described below.
-
- Synthesis of auristatin E has been previously described (U.S. Pat. No. 5,635,483; Pettit, 1999, Prog. Chem. Org. Nat. Prod. 70:1-79). The monomethyl derivative of Auristatin E (MMAE) was prepared by replacing a protected form of monomethylvaline for N,N-dimethylvaline in the synthesis of auristatin E (Senter et al., U.S. Provisional Application No. 60/400,403; and PCT/US03/24209 (supra)).
- To prepare the drug-linker compound, MMAE (1.69 g, 2.35 mmol), maleimidocaproyl-L-valine-L-citrulline-p-aminobenzyl alcohol p-nitrophenylcarbonate (2.6 g, 3.52 mmol, 1.5 eq., prepared as described in Dubowchik et al., 2002, Bioconjugate Chem. 13:855-869) and HOBt (64 mg, 0.45 mmol, 0.2 eq.) were diluted with DMF (25 mL). After 2 min, pyridine (5 mL) was added and the reaction was monitored using reverse-phase HPLC. The reaction was shown to be complete in 24 hr. The reaction mixture was concentrated to provide a dark oil, which was diluted with 3 mL of DMF. The DMF solution was purified using flash column chromatography (silica gel, eluant gradient:100% dichloromethane to 4:1 dichloromethane-MeOH). The relevant fractions were combined and concentrated to provide an oil that solidified under high vacuum to provide a mixture of the desired drug-linker compound and unreacted MMAE as a dirty yellow solid (Rf 0.40 in 9:1 dichloromethane-MeOH). The dirty yellow solid was diluted with DMF and purified using reverse-phase preparative-HPLC (Varian Dynamax C18 column 41.4 mm×25 cm, 8μ, 100 Å, using a gradient run of MeCN and 0.1% aqueous TFA at 45 mL/min from 10% to 100% over 40 min followed by 100% MeCN for 20 min) to provide the desired drug-linker compound as an amorphous white powder (Rf 0.40 in 9:1 dichloromethane-MeOH) which was >95% pure by HPLC and which contained less than 1% of MMAE. Yield: 1.78 g (57%); ES-MS m/z 1316.7 [M+H]+; UV λmax 215, 248 nm.
- 2. Conjugate Preparation
- Antibody Reduction. To 0.7 mL 1F6 (10 mg/mL) was added 90 μL of 500 mM sodium borate/500 mM NaCl, pH 8.0, followed by 90 μL of 100 mM DTT in water, and 20 μL of H2O. After incubation at 37° C. for 30 min, the buffer was exchanged by elution over G25 resin equilibrated and eluted with PBS containing 1 mM DTPA (Aldrich). The thiol/Ab value was found to be 9.8 by determining the reduced antibody concentration from the solution's 280 nm absorbance, and the thiol concentration by reaction with DTNB (Aldrich) and determination of the absorbance at 412 nm.
- Conjugation of the Reduced Antibody. The reduced mAb was chilled on ice. The drug-linker compound was used as a DMSO solution of known concentration, and the quantity of drug-linker added to the reaction mixture was calculated as follows: L stock solution=V×[Ab]×Fold Excess/[Drug-Linker], where V and [Ab] are the volume and molar concentration of the reduced antibody solution, respectively. 0.904 μL cold H2O was added to the reduced antibody solution, followed by 500 μL cold acetonitrile. 30.5 μL of 10.2 mM drug-linker compound stock solution was diluted into 1.47 mL acetonitrile. The acetonitrile drug-linker solution was chilled on ice, then added to the reduced antibody solution. The reaction was terminated after 0.5 hr by the addition of a 20 fold molar excess of cysteine over maleimide. The reaction mixture was concentrated by centrifugal ultrafiltration and purified by elution through de-salting G25 in PBS at 4° C. 1F6-vcMMAE was then filtered through 0.2 micron filters under sterile conditions and immediately frozen at −80° C. 1F6-vcMMAE was analyzed for 1) concentration, by UV absorbance; 2) aggregation, by size exclusion chromatography; 3) drug/Ab, by measuring unreacted thiols with DTNB, and 4) residual free drug, by reverse phase HPLC.
-
- The synthesis of the ADC 1F6-vcAFP, the general structure of which is depicted above, is described below.
-
- Boc-phenylalanine (1.0 g, 3.8 mmol) was added to a suspension of 1,4-diaminobenzene.HCl (3.5 g, 19.0 mmol, 5.0 eq.) in triethylamine (10.7 mL, 76.0 mmol, 20 eq.) and dichloromethane (50 mL). To the resulting solution was added DEPC (3.2 mL, 19.0 mmol, 5.0 eq.) via syringe. HPLC showed no remaining Boc-phe after 24 hr. The reaction mixture was filtered, and the filtrate was concentrated to provide a dark solid. The dark solid residue was partitioned between 1:1 EtOAc-water, and the EtOAc layer was washed sequentially with water and brine. The EtOAc layer was dried and concentrated to provide a dark brown/red residue that was purified using HPLC (Varian Dynamax column 41.4 mm×25 cm, 5μ, 100 Å using a gradient run of MeCN and water at 45 mL/
min form 10% to 100% over 40 min followed by 100% MeCN for 20 min). The relevant fractions were combined and concentrated to provide a red-tan solid intermediate. Yield: 1.4 g (100%); ES-MS m/z 355.9 [M+H]+; UV λmax 215, 265 nm; 1H NMR (CDCl3) δ 7.48 (1H, br s), 7.22-7.37 (5H, m), 7.12 (2H, d, J=8.7 Hz), 7.61 (2H, d, J=8.7 Hz), 5.19 (1H, br s), 4.39-4.48 (1H, m), 3.49 (2H, s), 3.13 (2H, d, J=5.7 Hz), 1.43 (9H, s). - The red-tan solid intermediate (0.5 g, 1.41 mmol) and diisopropylethylamine (0.37 mL, 2.11 mmol, 1.5 eq.) were diluted with dichloromethane (10 mL), and to the resulting solution was added Fmoc-Cl (0.38 g, 1.41 mmol). The reaction was allowed to stir, and a white solid precipitate formed after a few minutes. The reaction was complete according to HPLC after 1 hr. The reaction mixture was filtered, and the filtrate was concentrated to provide an oil. The oil was precipitated with EtOAc, resulting in a reddish-white intermediate product, which was collected by filtration and dried under vacuum. Yield: 0.75 g (93%); ES-MS m/z 578.1 [M+H]+, 595.6 [M+NH4]+.
- The reddish-white intermediate (0.49 g, 0.85 mmol), was diluted with 10 mL of dichloromethane, and then treated with 5 mL of trifluoroacetic acid. The reaction was complete in 30 min according to reverse-phase HPLC. The reaction mixture was concentrated and the resulting residue was precipitated with ether to provide an off-white solid. The off-white solid was filtered and dried to provide an amorphous powder, which was added to a solution of Boc-Dolaproine (prepared as described in Tetrahedron, 1993, 49(9):1913-1924) (0.24 g, 0.85 mmol) in dichloromethane (10 mL). To this solution was added triethylamine (0.36 mL, 2.5 mmol, 3.0 eq.) and PyBrop (0.59 g, 1.3 mmol, 1.5 eq.). The reaction mixture was monitored using reverse-phase HPLC. Upon completion, the reaction mixture was concentrated, and the resulting residue was diluted with EtOAc, and sequentially washed with 10% aqueous citric acid, water, saturated aqueous sodium bicarbonate, water, and brine. The EtOAc layer was dried (MgSO4), filtered, and concentrated. The resulting residue was purified using flash column chromatography (silica gel) to provide an off-white powdered intermediate. Yield: 0.57 g (88%); ES-MS m/z 764.7 [M+NH4]+; UV λmax 215, 265 nm; 1H NMR (DMSO-d6) δ 10.0-10.15 (1H, m), 9.63 (1H, br s), 8.42 (1/2H, d, J=8.4 Hz), 8.22 (1/2H, d, J=8.4 Hz), 7.89 (2H, d, J=7.2 Hz), 7.73 (2H, d, J=7.6 Hz), 7.11-7.55 (13H, m), 4.69-4.75 (1H, m), 4.46 (2H, d, J=6.8 Hz), 4.29 (1H, t, J=6.4 Hz), 3.29 (3H, s), 2.77-3.47 (7H, m), 2.48-2.50 (3H, m), 2.25 (2/3H, dd, J=9.6, 7.2 Hz), 1.41-1.96 (4H, m), 1.36 (9H, s), 1.07 (1H, d, J=6.4 Hz, rotational isomer), 1.00 (1H, d, J=6.4 Hz, rotational isomer).
- The white solid intermediate (85 mg, 0.11 mmol) and N-Methylval-val-dil-O-t-butyl (55 mg, 0.11 mmol, prepared as described in Pettit et al. 1996, J. Chem. Soc. Perk. I p. 859) were diluted with dichloromethane (5 mL), and then treated with 2.5 mL of trifluoroacetic acid under a nitrogen atmosphere for two hours at room temperature. The reaction completion was confirmed by RP-HPLC. The solvent was removed in vacuo and the resulting residue was azeotropically dried twice with toluene, and then dried under high vacuum for 12 hours.
- The residue was diluted with dichloromethane (2 mL), diisopropylethylamine (3 eq.) was added, followed by DEPC (1.2 eq.). After the reaction was completed, the reaction mixture was concentrated under reduced pressure, the resulting residue was diluted with EtOAc, and washed sequentially with 10% aqueous citric acid, water, saturated aqueous sodium bicarbonate, and brine. The EtOAc layer was dried, filtered and concentrated to provide a yellow oil.
- The yellow oil was diluted with dichloromethane (10 mL) and to the resulting solution diethylamine (5 mL) was added. According to HPLC, reaction was completed after 2 hr. The reaction mixture was concentrated to provide an oil. The oil was diluted with DMSO, and the DMSO solution was purified using reverse phase preparative-HPLC (Varian Dynamax column 21.4 mm×25 cm, 5μ, 100 Å, using a gradient run of MeCN and 0.1% TFA at 20 mL/min from 10% to 100% over 40 min followed by 100% MeCN for 20 min). The relevant fractions were combined and concentrated to provide the desired drug as an off-white solid. Overall yield: 42 mg (44% overall); ES-MS m/z 837.8 [M+H]+, 858.5 [M+Na]+; UV λmax 215, 248 nm.
-
- The trifluoroacetate salt of AFP (0.37 g, 0.39 mmol, 1.0 eq.) and Fmoc-val-cit (0.30 g, 0.58 mmol, 1.5 eq., prepared according to Dubowchik et al., 2002, Bioconjugate Chem. 13:855-896) were diluted with DMF (5 mL, 0.1 M), and to the resulting solution was added pyridine (95 μL, 1.2 mmol, 3.0 eq.). HATU (0.23 g, 0.58 mmol, 1.5 eq.) was then added as a solid, and the reaction mixture was allowed to stir under argon atmosphere while being monitored using HPLC. The reaction progressed slowly, and 4 hr later, 1.0 eq. of diisopropylethylamine was added. The reaction was complete in 1 hr. The reaction mixture was concentrated in vacuo and the resulting residue was purified using prep-HPLC (Varian Dynamax C18 column 41.4 mm×25 cm, 5μ, 100 Å, using a gradient run of MeCN and 0.1% aqueous TFA at 45 mL/min from 10% to 100% over 40 min followed by 100% MeCN for 20 min) to provide a faint pink solid intermediate.
- The pink solid intermediate was diluted with DMF (30 mL) and to the resulting solution was added diethylamine (15 mL). Reaction was complete by HPLC in 2 hr. The reaction mixture was concentrated and the resulting residue was washed twice with ether. The solid intermediate was dried under high vacuum and then used directly in the next step.
- The solid intermediate was diluted with DMF (20 mL) and to the resulting solution was added 6-(2,5-dioxy-2,5-dihydro-pyrrol-1-yl)-
hexanoic acid 2,5-dioxy-pyrrolidin-1-yl ester (0.12 g, 0.39 mmol, 1.0 eq.) (EMCS, Molecular Biosciences Inc., Boulder, Colo.). After 4 days, the reaction mixture was concentrated to provide an oil which was purified using prep-HPLC (Varian Dynamax C18 column 41.4 mm×25 cm, 5μ, 100 Å, using a gradient run of MeCN and 0.1% aqueous TFA at 45 mL/min from 10% to 100% over 40 min followed by 100% MeCN for 20 min) to provide the desired drug-linker compound as a white flaky solid. Yield: 0.21 g (38% overall); ES-MS m/z 1285.9 [M+H]+; 13.07.8 [M+Na]+; UV λmax 215, 266 nm. - 3. Conjugate Preparation
- Antibody Reduction. To 0.48 mL 1F6 (10.4 mg/mL) was added 75 mL of 500 mM sodium borate/500 mM NaCl, pH 8.0, followed by 75 μL of 100 mM DTT in water, and 20 μL PBS. After incubation at 37° C. for 30 min, the buffer was exchanged by elution over G25 resin equilibrated and eluted with PBS containing 1 mM DTPA (Aldrich). The thiol/Ab value was found to be 10.3 by determining the reduced antibody concentration from the solution's 280 nm absorbance, and the thiol concentration by reaction with DTNB (Aldrich) and determination of the absorbance at 412 nm.
- Conjugation of the Reduced Antibody. The reduced mAb was chilled on ice. The drug-linker compound was used as a DMSO solution of known concentration, and the quantity of drug-linker added to the reaction mixture was calculated as follows: L stock solution=V×[Ab]×Fold Excess/[Drug-Linker], where V and [Ab] are the volume and molar concentration of the reduced antibody solution, respectively. 984 μL cold PBS/DTPA was added to the reduced antibody solution, followed by 400 μL acetonitrile, and the mixture chilled on ice. 26.4 μL of 8.3 mM drug-linker compound stock solution was then added to the reduced antibody/DMSO solution. The reaction was terminated after 1 hr by the addition of a 40 μL of 100 mM cysteine. The reaction mixture was concentrated by centrifugal ultrafiltration and purified by elution through de-salting G25 in PBS at 4° C. 1F6-vcAFP was then filtered through 0.2 micron filters under sterile conditions and immediately frozen at −80° C. 1F6-vcAFP was analyzed for 1) concentration, by UV absorbance; 2) aggregation, by size exclusion chromatography; 3) drug/Ab, by measuring unreacted thiols by treatment with DTT, followed by DTNB, and 4) residual free drug, by reverse phase HPLC.
-
- The synthesis of the ADC 1F6-vcMMAF, the general structure of which is depicted above, is described below.
-
- MMAF was prepared from its t-butyl ester (Compound 1) as is described below. Phenylalanine t-butyl ester HCl salt (868 mg, 3 mmol), N-Boc-Dolaproine (668 mg, 1 eq.), DEPC (820 μL, 1.5 eq.), and DIEA (1.2 mL) were diluted with dichloromethane (3 mL). After 2 hours (h) at room temperature (about 28 degrees Celsius), the reaction mixture was diluted with dichloromethane (20 mL), washed successively with saturated aqueous (aq.) NaHCO3 (2×10 mL), saturated aq. NaCl (2×10 mL). The organic layer was separated and concentrated. The resulting residue was re-suspended in ethyl acetate and was purified via flash chromatography on silica gel in ethyl acetate. The relevant fractions were combined and concentrated to provide the dipeptide as a white solid: 684 mg (46%). ES-MS m/z 491.3 [M+H]+.
- For selective Boc cleavage in the presence of t-butyl ester, the above dipeptide (500 mg, 1.28 mmol) was diluted with dioxane (2 mL). 4M HCl/dioxane (960 μL, 3 eq.) was added, and the reaction mixture was stirred overnight at room temperature. Almost complete Boc deprotection was observed by RP-HPLC with minimal amount of t-butyl ester cleavage. The mixture was cooled down on an ice bath, and triethylamime (500 μL) was added. After 10 min., the mixture was removed from the cooling bath, diluted with dichloromethane (20 mL), washed successively with saturated aq. NaHCO3 (2×10 mL), saturated aq. NaCl (2×10 mL). The organic layer was concentrated to give a yellow foam: 287 mg (57%). The intermediate was used without further purification.
- The tripeptide N-Fmoc-N-Methylval-val-dil-O-t-butyl (0.73 mmol) was treated with TFA (3 mL), dichloromethane (3 mL) for 2 h at room temperature. The mixture was concentrated to dryness, the residue was co-evaporated with toluene (3×20 mL), and dried in vacuum overnight. The residue was diluted with dichloromethane (5 mL) and added to the deprotected dipeptide Dap-phe-O-t-butyl (287 mg, 0.73 mmol), followed by DIEA (550 μL, 4 eq.), DEPC (201 μL, 1.1 eq.). After 2 h at room temperature the reaction mixture was diluted with ethyl acetate (50 mL), washed successively with 10% aq. citric acid (2×20 mL), saturated aq. NaHCO3 (2×10 mL), saturated aq. NaCl (10 mL). The organic layer was separated and concentrated. The resulting residue was re-suspended in ethyl acetate and was purified via flash chromatography in ethyl acetate. The relevant fractions were combined and concentrated to provide N-Fmoc-N-Methylval-val-dil-dap-phe-O-t-butyl as a white solid: 533 mg (71%). Rf 0.4 (EtOAc). ES-MS m/z 1010.6 [M+H]+.
- The product (200 mg, 0.2 mmol) was diluted with dichloromethane (3 mL), diethylamine (1 mL). The reaction mixture was stirred overnight at room temperature. Solvents were removed to provide an oil that was purified by flash silica gel chromatography in a step gradient 0-10% MeOH in dichloromethane to provide Compound 1 (below) as a white solid: 137 mg (87%). Rf 0.3 (10% MeOH/CH2Cl2). ES-MS m/z 788.6 [M+H]+.
- MMAF was prepared from Compound 1 (30 mg, 0.038 mmol) by treatment with 4M HCl/dioxane (4 ml) for 7 h at room temperature. The solvent was removed, and the residue was dried in a vacuum overnight to give provide MMAF as a hydroscopic white solid: 35 mg (120% calculated for HCl salt). ES-MS m/z 732.56 [M+H]+.
- 2. Preparation of Drug-Linker Compound
- Compound 1 (83 mg, 0.11 mmol), maleimidocaproyl-L-valine-L-citrulline-p-aminobenzyl alcohol p-nitrophenylcarbonate (85 mg, 0.12 mmol, 1.1 eq.), and HOBt (2.8 mg, 21 μmol, 0.2 eq.) were taken up in dry DMF (1.5 mL) and pyridine (0.3 mL) while under argon. After 30 h, the reaction was found to be essentially complete by HPLC. The mixture was evaporated, taken up in a minimal amount of DMSO and purified by prep-HPLC (C12-RP column, 5μ, 100 Å, linear gradient of MeCN in water (containing 0.1% TFA) 10 to 100% in 40 min followed by 20 min at 100%, at a flow rate of 25 mL/min) to provide MC-Val-Cit-PAB-MMAF-O-t-butyl ester as a white solid. Yield: 103 mg (71%). ES-MS m/z 1387.06 [M+H]+, 1409.04 [M+Na]+; UV λmax 205, 248 nm.
- MC-Val-Cit-PAB-MMAF-O-t-butyl ester (45 mg, 32 μmol) was suspended in methylene chloride (6 mL) followed by the addition of TFA (3 mL). The resulting solution stood for 2 h. The reaction mixture was concentrated in vacuo and purified by prep-HPLC (C12—RP column, 5μ, 100 Å, linear gradient of MeCN in water (containing 0.1% TFA) 10 to 100% in 40 min followed by 20 min at 100%, at a flow rate of 25 mL/min). The desired fractions were concentrated to provide MC-Val-Cit-PAB-MMAF as an off-white solid. Yield: 11 mg (25%). ES-MS m/z 1330.29 [M+H]+, 1352.24 [M+Na]+; UV λmax 205, 248 nm.
- 3. Conjugate Preparation
- Antibody Reduction. To 0.75 mL 1F6 (4.2 mg/mL) was added 50 L of 500 mM sodium borate/500 mM NaCl, pH 8.0, followed by 160 μL of 100 mM DTT in water, and 100 μL PBS. After incubation at 37° C. for 30 min, the buffer was exchanged by elution over G25 resin equilibrated and eluted with PBS containing 1 mM DTPA (Aldrich). The thiol/Ab value was found to be 8.9 by determining the reduced antibody concentration from the solution's 280 nm absorbance, and the thiol concentration by reaction with DTNB (Aldrich) and determination of the absorbance at 412 nm.
- Conjugation of the Reduced Antibody. The reduced mAb was chilled on ice. The drug-linker compound was used as a DMSO solution of known concentration, and the quantity of drug-linker added to the reaction mixture was calculated as follows: L stock solution=V×[Ab]×Fold Excess/[Drug-Linker], where V and [Ab] are the volume and molar concentration of the reduced antibody solution, respectively. The reduced antibody (785 μl of 1.77 mg/ml) was added to the mixture of 7.2 μl of 12.9 mM MCvcMMAF in 92 μl of acetonitrile and mixed rapidly. The reaction mixture was allowed to incubate on ice for 1 h and followed by addition of a 40 μL of 100 mM cysteine. The reaction mixture was purified by G25 column equilibrated in PBS at 4° C. 1F6-vcAFP was then filtered through 0.2 micron filters under sterile conditions and immediately frozen at −80° C. 1F6-vcMMAF was analyzed for 1) concentration, by UV absorbance; 2) aggregation, by size exclusion chromatography; 3) drug/Ab, by measuring unreacted thiols by treatment with DTT, followed by DTNB, and 4) residual free drug, by reverse phase HPLC.
- Surface expression of CD70 was examined using flow cytometry. In general, 0.2×106 cells were incubated with 50 μl of staining medium (RPMI-1640 supplemented with 5-10% FBS) containing a fluorochrome-conjugated mAb (10 μg/ml) for single-color flow cytometry or a cocktail of fluorochrome-conjugated mAbs for multiple-color flow cytometry. Incubations were carried out on ice for 20-30 minutes. Cells were then washed 3 times with the staining buffer and fixed in PBS containing 1% of paraformaldehyde. Flow cytometric analysis was performed with a FACScan (BD Immunocytometry, San Jose, Calif.) and data were analyzed by either the CellQuest (BD Immunocytometry) or the WinMDI software. The anti-human CD70 monoclonal antibodies (mAb) 1F6 and 2F2 were obtained from the Central Laboratory of the Netherlands Red Cross Blood Transfusion Service (Amsterdam, The Netherlands). 1F6 was conjugated to AlexaFluor488 (AF) (Molecular Probes, Eugene, Oreg.) according to the manufacturer's instruction, and AF-conjugated 1F6 was used to detect CD70 by flow cytometry whenever necessary. The anti-CD70 mAb Ki-24 and anti-CD3 mAb were purchased from BD PharMingen (San Diego, Calif.).
- The expression of cell surface CD70 was surveyed on a panel of hematologic cell lines. This panel included both Epstein-Barr Virus (EBV) negative American Burkitt's lymphoma (BL) and EBV+ African Burkitt's lymphoma lines, a variety of non-Hodgkin's lymphoma (NHL) lines which are EBV−, 2 Hodgkin's disease (HD) lines, 2 EBV-transformed B lymphoblastoid cell lines (EBV-LCL), and an acute T cell leukemia line Jurkat (
FIG. 4 ). The cell lines were maintained in culture conditions specified by the ATCC or DSMZ. For flow cytometric analysis, AF-conjugated or a commercially available anti-CD70 (clone Ki-24) purchased from BD PharMingen was used. Cell lines on which anti-CD70 showed greater than 2-fold binding compared to the control IgG binding, based on mean fluorescence intensities, were arbitrarily defined as CD70-expressing. Based on this criterion, all of the BL lines, both EBV+ and EBV−, examined expressed detectable, albeit low levels of CD70. Five out of ten NHL cell lines expressed CD70. Both HD and EBV-LCL also expressed CD70 at levels that were generally higher than those of BL and NHL lines. The acute T leukemia cell line Jurkat was found to be CD70−. - A subset of the CD70+ hematologic lines listed in
FIG. 4 was tested for sensitivity to the 1F6 ADCs. These lines were seeded at 5,000 cells per well in 96-well plates in quadruplicates in a total of 200 μl of culture medium containing graded doses of the ADCs as indicated in theFIG. 5 and the accompanying figure legend. Proliferation assays were carried out for 96 hours. Tritiated thymidine (3H-TdR) incorporation during the last 16 hours of incubation was used to assess DNA synthesis. The responses of a CD70+ B lymphoma cell line WSU-NHL and the CD70− Jurkat cells are shown in the upper panels ofFIG. 5 . Both 1F6-vcMMAE and 1F6-vcAFP exerted dose-dependent inhibitory effects on the proliferation of WSU-NHL cells. Proliferation inhibitory effects were apparent when the ADCs were used at concentrations higher than 0.005 μg/ml. The non-binding IgG control ADCs did not exert any significant effects at concentrations lower than 0.5 μg/ml. On the other hand, proliferation of the CD70− Jurkat acute T leukemia cell line was not affected by either 1F6-vcMMAE or 1F6-vcAFP at concentrations as high as 2 μg/ml. Hence, the proliferation inhibitory activity of the 1F6 ADCs on target positive cells resulted from specific binding of ADCs to CD70 expressed on the target cells. The responses of other CD70+ cell lines tested are summarized in the lower panel ofFIG. 5 . Significant proliferation inhibition by the 1F6 ADCs was observed in 2 of the 3 B lineage non-Hodgkin's lymphoma cell lines (MC116 and WSU-NHL), 2 of 2 Hodgkin's disease lines, and the EBV-transformed B lymphoblastoid cell line CESS. In all the responsive cell lines tested, 1F6-vcAFP was demonstrated to exert more potent inhibitory activity than 1F6-vcMMAE. These results suggest that anti-CD70 ADCs can potentially be applied in immunotherapy of CD70+ lymphomas. Moreover, EBV-LCLs are phenotypically very similar to activated normal B cells. Both EBV-LCLs and activated normal B cells are also efficient antigen presenting cells possessing strong T cell stimulatory activities. The observation that anti-CD70 ADC can efficiently suppress the proliferation of EBV-LCL CESS cells indicates that anti-CD70 ADCs can also be applied to suppress immune responses by eliminating activated B cells. - Hodgkin's disease (HD) and nasopharyngeal carcinoma (NPC) are two examples of conditions that frequently associate with EBV and a prominent lymphoid stroma at the tumor sites. The role of this lymphoid stroma is uncertain and may represent infiltration of lymphocytes to tumors as part of the immune response to tumor-associated antigens. Alternatively, the recruitment of lymphocytes by tumor cells may be a mechanism through which tumor cells derive cytokine and growth factors from the infiltrating lymphocytes in a paracrine fashion. Some of these growth factors may contribute to tumor development by supporting tumor cell proliferation as hypothesized for HD (Gruss et al., 1997, Immunol. Today 18:156-63). CD70 has been found to be present on the Reed-Sternberg cells in HD, and
FIG. 4 demonstrates the expression of CD70 on HD cell lines. In a study on frozen tumor biopsies from EBV-associated undifferentiated nasopharyngeal carcinomas, 80% (16 of 20 cases) showed in situ expression of the CD70 protein on tumor cells (Agathanggelou et al., 1995, Am. J. Pathol. 147:1152-60). Others also reported the expression of CD70 on EBV-tumors including thymic carcinomas (Hishima et al., 2000, Am. J. Surg. Path. 24:742-746), gliomas, and meningiomas (Held-Feindt and Mentlein, 2002, Int. J. Cancer 98:352-56). - The potential expression of CD70 in additional carcinoma types was further surveyed using the Cancer Profiling Array (CPA) (BD Biosciences Clontech, Palo Alto, Calif.). The CPA includes normalized cDNA from 241 tumor and corresponding normal tissues from individual patients. In order to examine the expression of CD70 message in these patients, a piece of cDNA corresponding to 3′ untranslated region of nucleotides 734-874 of the CD70 message was amplified using the reverse transcriptase polymerase chain reaction (RT-PCR) approach. First strand cDNA was synthesized from total RNA isolated from the Burkitt's lymphoma cell line Ramos (ATCC) using the SuperScript™ First Strand Synthesis System for RT-PCR from Invitrogen (Carlsbad, Calif.). The
forward primer 5′-CCA CTG CTG CTG ATT AG-3′ (SEQ ID NO:46), thereverse primer 5′-CAA TGC CTT CTC TTG TCC-3′ (SEQ ID NO:47), and theAdvantage 2 PCR Kit (Clontech, Palo Alto, Calif.) were used for the PCR. The PCR product was cloned into the pCR4-TOPO vector and sequence verified. To generate a probe for hybridization, PCR was run using the cloned cDNA as the template, the above primer pairs, and theAdvantage 2 PCR Kit (Clontech). To label the probe with 32P-dGTP, 200 ng of the purified PCR product were combined with 75 ng of random hexamer, 33 μM each of dATP, dTTP and dCTP, 5 μl of α-32P dGTP (approximately 3000 Ci/mmol, 10 mCi/ml, Amersham Pharmacia Biotech, Piscataway, N.J.), 1 μl of Klenow fragment (New England Biolabs, Beverly, Mass.), and 1×EcoPol buffer (New England Biolabs) in a total volume of 50 μl. The reaction mixture was incubated at room temperature for 15 minutes, and EDTA was added to a final concentration of 10 mM to stop the reaction. Labeled probe was purified using ProbeQuant G-50 Micro Columns (Amersham Pharmacia Biotech, Piscataway, N.J.). This probe was hybridized to patient cDNA spotted on a CPA using the BD ExpressHyb hybridization solution (BD Biosciences) according to the manufacturer's instructions. Hybridization signals were quantified by phospho-imaging on a PhosphoImager SI (Amersham). Reprobing the same CPA for the housekeeping EF-1 gene gave tumor:normal ratio of approximately one for each sample pair, confirming comparable loading of cDNA. Therefore ratios between the CD70 hybridization signals obtained from tumor and normal cDNAs were used as a semi-quantitative measurement to CD70 transcript expression. - Differential hybridization of the CD70 probe to tumor cDNA was observed in several cancer types. Most notably, cDNAs from 9 of 20 cases of kidney carcinoma and one case each of colon, stomach, and rectum carcinoma showed more intense hybridization signals than cDNAs from the corresponding normal tissues. The 9 cases (45%) of kidney cancer in
FIG. 6 , all classified as RCC, showed more than 2-fold (range of 2.3 to 8.9) over-expression of CD70 transcripts. In the single case of stomach, colon, and rectum cancer showing differential CD70 cDNA hybridization (FIG. 6 ), the tumor:normal ratios were 2.9, 8.9, and 3.2, respectively. - Quantitative PCR (QPCR) was used to quantify CD70 transcript expression in 8 RCC and 4 normal kidney cDNA samples, all obtained from BioChain (Hayward, Calif.). The RCC cDNA samples were from donors independent of those on the CPA in
FIG. 6 . QPCR analysis was performed using TaqMan™ MGB chemistry (Applied Biosystems, Foster City, Calif.) containing a reporter dye at the 5′ end (FAM or VIC) and a non-fluorescent quencher (NFQ) at the 3′ end on an ABI PRISM 7000 Sequence Detection System (Applied Biosystems). Assays specific for either CD70 (Applied Biosystems Assay# Hs00174297_m1) or control gene GAPDH (Applied Biosystems PDAR# 4326317E) were used to evaluate samples. Comparison of CD70 transcript expression between normal kidney and RCC tissues was conducted based on the comparative threshold cycle (Ct) method as previously reported (Winer et al., 1999, Anal. Biochem. 270: 41-49; Aarskog and Vedeler, 2000, Hum. Genet. 107: 494-498). Ct values for the CD70 and a housekeeping gene GAPDH from two independent reactions were generated. The Ct values for the GAPDH transcripts from normal kidney and RCC samples did not differ significantly from each other (<1 cycle, student's t-test: p=0.405), suggesting that CD70 expression can be normalized against GAPDH for tumor:normal comparison. ΔCt values for CD70 expression in RCC and normal kidney samples were calculated by subtracting CtGAPDH from CtCD70 to give ΔCtTumor and ΔCtNormal, respectively. ΔΔCt values were calculated by subtracting ΔCtNormal from ΔCtTumor. CD70 transcript expression in RCC expressed as fold increase over normal kidneys was then expressed as 2ˆ(−ΔΔCt). CD70 transcript over-expression (>2-fold) was observed in 6 of the 8 RCC cDNA samples, consistent with the results obtained form the CPA experiment (FIG. 6 ). Over-expression of CD70 transcripts ranged from 2.5- to 133.7-fold (FIG. 7 ). - Immunohistochemistry was used to determine if over-expression of CD70 transcript in RCC was paralleled by CD70 protein expression. Frozen RCC tissue sections and normal adjacent tissue sections from two patients independent of those used in CD70 transcript analysis (
FIGS. 6 and 7 ) were fixed in acetone at −20° C. for 10 minutes. After rehydration in PBS, sections were blocked with PBS containing 5% normal goat serum and Avidin D for 30 minutes at room temperature, and washed in PBS. Sections were incubated with the anti-CD70 mAb 2F2 or non-binding IgG at 2 μg/ml in PBS containing 5% normal goat serum with biotin for 60 minutes at room temperature. After washes with PBS, biotinylated anti-mouse IgG (VECTASTAIN ABC Kit, Vector Laboratories, Burlingame, Calif.) at a 1:250 dilution in PBS containing 5% normal goat serum was used to detect bound primary antibody by incubating for 30 minutes at room temperature. Excess biotinylated anti-mouse IgG was removed by PBS washes. Sections were quenched with 1% H2O2 in PBS for 30 minutes at room temperature, washed, and then incubated with the VECTASTAIN ABC complex made up according to the manufacturer's instructions. After PBS washes, sections were incubated for 30 minutes at room temperature with the DAB solution (VECTASTAIN ABC Kit) made up according to the manufacturer's instructions for color development. Sections were then washed in water, counterstained with hematoxylin for 2 minutes, mounted in VectaMount (Vector Laboratories), and then observed using 40× light microscopy. - Intense binding of 2F2 to RCC tumor sections from 2 different donors was observed (
FIG. 8A , right panels). In contrast, a control IgG did not bind to serial tumor sections, confirming the specificity of 2F2 for CD70 (FIG. 8A , left panels). 2F2 also did not demonstrate binding beyond that of the control IgG to normal adjacent tissues from the same RCC samples (FIG. 8B ), suggesting minimal or no CD70 protein expression in normal kidneys. These results confirm the over-expression of CD70 transcripts in RCC and provide direct evidence for in situ CD70 protein expression in RCC. - Expression of the CD70 protein on the RCC cell surface was next examined. A panel of 7 RCC lines was evaluated using flow cytometry. The RCC lines Hs 835.T, Caki-1, Caki-2, 786-O, 769-P, and ACHN were obtained from the ATCC (Manassas, Va.) and were maintained in conditions specified by the ATCC. The RCC lines CAL54 and A498 were obtained from Deutsche Sammlung von Mikroorganismen und Zellkulturen GmbH (Braunschweig, Germany). Cell lines were maintained in the conditions specified the vendors. The RCC lines SK-RC-6 and SK-RC-7 have been reported previously (Murakami et al., 1984, Hepatology 42:192-8). SK-RC-6 and SK-RC-7 was maintained in DMEM supplemented with 10% fetal bovine serum (FBS). Two normal human renal tubule epithelial lines, RPTEC and HRCE (Cambrex, East Rutherford, N.J.) were also included in the analysis.
FIG. 9A shows that the RCC lines 786-O, Caki-1, and Caki-2 expressed CD70 while Hs 835.T did not. Low, but detectable, levels of CD70 expression were also observed on the normal kidney tubule epithelial lines PRTEC and HRCE.FIG. 9B summarizes the relative levels of CD70 expressed on RCC lines and normal kidney epithelial cells lines based on the mean fluorescence intensity obtain from flow cytometry. Of the 10 RCC lines tested 9 were found to be CD70 expressing. These results demonstrate that the presence of CD70 transcripts and protein in kidney carcinomas was accompanied by surface expression of CD70 on the cancer cells. - To examine the responses of CD70+ RCC lines to 1F6 ADCs, cells were seeded between 1,000 to 3,000 cells per well in 100 μl of medium. An additional 100 μl of culture medium containing graded doses of ADCs were added to the wells after cells were allowed to attached overnight. In addition to DNA synthesis, cell viability, as a reflection of the cytotoxic activities of ADCs, was also assayed by the reduction of alamarBlue™ (Biosource International, Camarillo, Calif.). The alamarBlue™ dye was added at a one to four dilution during the last 4 to 24 hours of the incubation. Dye reduction was assessed by fluorescence spectrometry using the excitation and emission wavelengths of 535 nm and 590 nm, respectively. For analysis, the amount of 3H-TdR incorporated or the extent of alamarBlue™ reduction by the treated cells was compared to that of the untreated control cells.
FIG. 10 shows the effects of 1F6-vcAFP on the proliferation (3H-TDR incorporation) and viability (alamarBlue™ reduction) on two representative CD70+ RCC lines. 1F6-vcAFP demonstrated potent proliferation inhibitory (FIG. 10 , upper panel) and cytotoxic (FIG. 10 , lower panel) activities on Caki-1 and 786-O cells, maximal effects were achieved at concentrations lower than 0.1 μg/ml. In contrast, non-binding control IgG-vcAFP at concentrations lower than 1 μg/ml exerted minimal effects on these cells. -
FIG. 11 summarizes the IC50s for 1F6-vcMMAE, 1F6-vcAFP, and 1F6-vcMMAF on inhibiting the proliferation and inducing cytotoxicity in RCC and normal kidney tubule epithelial cells. 1F6-vcMMAE was very effective in suppressing the proliferation of Caki-1 and Caki-2 cells with IC50 values lower than 20 ng/ml. However, it was not active on other CD70+ RCC lines, the CD70− Hs 835.T cells, or the normal kidney epithelial lines RPTEC and HRCE. IC50 values for proliferation inhibition by 1F6-vcAFP ranged from 2-247 ng/ml for CD70+ RCC lines. Substantially higher IC50 values were obtained for 1F6-vcAFP on the CD70− Hs 835.T, suggesting specific targeting of CD70.1F6-vcMMAF were also active in inhibiting proliferation in all CD70+ RCC lines tested, with IC50 values lower than 30 ng/ml. Proliferation inhibition was paralleled with cytotoxicity. IC50 values for 1F6-vcAFP to induce cytotoxicity were below 20 ng/ml in 4 of the 7 CD70+ RCC lines tested, while those for 1F6-vcMMAF were below 30 ng/ml in 5 of 7 CD70+ RCC lines tested. Specific targeting by the 1F6 ADC to CD70 was confirmed by the much higher IC50 values obtained for the control non-binding IgG ADCs, >1000 ng/ml for all the lines tested. Moreover, RCC appeared to be differentially more sensitive to anti-CD70 ADC-mediated proliferation inhibition and cytotoxicity, as despite detectable expression of CD70, normal kidney epithelial cells were very insensitive to 1F6 ADCs when compared to the CD70+ RCC lines. - Subcutaneous xenografts of Caki-1 cells have been successfully used as models for RCC to test the efficacy of antibody-based therapeutics including an anti-VEGF antibody (Dagnaes-Hansen et al., 2003, Anticancer Res. 23: 1625-30) as well as an ADC consisting of calicheamicin thetal1 conjugated to an anti-gamma-glutamyltransferase antibody (Knoll et al., 2000, Cancer Res. 60: 6089-94). Using xenografts of the Caki-1 line in nude mice, the in vitro antitumor activity of 1F6-vcAFP was tested. To establish Caki-1 tumors, nude mice were injected subcutaneously with 5×106 Caki-1 cells in 0.2 ml PBS. Average tumor size increased to more than 500 mm3 within 55 days post injection. Caki-1-containing tumors were excised from tumor bearing mice and tumor tissue blocks of approximately 30 mm3 were prepared. Naïve nude mice to be used for evaluating in vivo antitumor activity of anti-CD70 ADC were each implanted subcutaneously with one tumor block of 30 mm3. Following implantation, tumor sizes increased to more than 800 mm3 within 40 days in the absence of any treatment (
FIG. 12 ). Treatment was initiated when the average tumor size within a group was approximately 100 mm3 (FIG. 12 , arrows). Very little therapeutic activity was detected in 1F6, as tumor growth rate in mice treated with 1F6 was virtually identical to either the untreated control or the IgG-treated group. However, treatment of mice with 1F6-vcAFP significantly inhibited tumor growth. The average tumor size in mice treated with 1 mg/ml of 1F6-vcAFP was <600 mm3 56 days after treatment initiation, whereas in the group treated with IgG-vcAFP at the same dose the average tumor size was already >600 mm=20 days after treatment initiation (FIG. 12 , upper panel). Increasing the dose of 1F6-vcAFP to 3 mg/ml further suppressed tumor growth; average tumor size was kept under 200mm 3 70 days after treatment initiation while IgG-vc-AFP at the same dose resulted in tumors >400 mm3 42 days after treatment initiation (FIG. 12 , upper panel). The potent, specific in vivo antitumor activity of 1F6-vcAFP at 3 mg/kg was from a separate experiment is shown inFIG. 12 , lower panel. - The generation and maintenance of the T cell clones have been described in U.S. Provisional Patent Application No. 60/331,750 and in International Patent Application PCT/US02/37223, both of which are incorporated herein by reference in their entireties. To activate resting T cell clones, 5×106 T cells were incubated in RPMI-1640 supplemented with 10% FBS and 2 mM L-glutamine with PHA-L (1-2 μg/ml) (Sigma), 10×106 irradiated feeder cells (CESS), rhIL-2 (200 IU/ml) (Proleukin, Chiron, Emeryville, Calif.), and IL-4 (10 ng/ml) (R&D Systems, Minneapolis, Minn.). T cell clones were usually allowed to expand for 10-14 days before re-stimulation. A panel of antigen non-specific T cell clones was examined for the expression of CD70. Table 2 summarizes the characteristics of the T cell clones examined. This panel contains both CD4+ and CD8+ T cells clones that appear to belong to different T cell differentiation pathways as suggested by their cytokine profiles. Significant levels of CD70 were detectable on all of the clones examined. T cell clones were activated by PHA, irradiated feeder cells (CESS), and rIL-2 and the expression of CD25 and CD70 was monitored by flow cytometric analysis. Clone C1A, representative of other T cell clones, showed extensive upregulation of CD25, which peaked on day 2 (
FIG. 13 ). This is indicative of T lymphocyte activation. Expression of CD25 gradually declined in the following days. The induction of CD70 expression paralleled that of CD25. The peak CD70 induction was also observed after 2 days of stimulation. Considerable CD70 expression was still detectable onday 8. All T cell clones examined, including those listed in Table 2, showed similar kinetics and magnitudes of activation-induced expression of CD70.TABLE 2 T cell clone phenotypes and activation-induced expression of CD70 Phenotype T cell T-lineage CD70 clone marker expression* Cytokine profile Designation 3.27.2 CD3, CD4 15 IL-4, IL5, IL-13, IFNγ Th0 4.01.1 CD3, CD4 7 IL-4, IL5, IL-13, IFNγ Th0 20G5 CD3, CD4 3 IL-4, IL-13 Th2 40D8 CD3, CD4 8 IL-4, IL-13 Th2 C1A CD3, CD8 3 IL-4, IL-13, IFNγ Tc0 C2A CD3, CD8 12 IL-4, IL-13, IFNγ Tc0
*Ratio between the mean log fluorescence intensities for anti-CD70 binding and control IgG binding
- The effects of 1F6 ADCs on the proliferation of activated T cells were examined using activated T cell clones, mixed lymphocyte reactions (MLR), and antigen-primed T cells.
- Standard proliferation assays in 96-well format in quadruplicates were used to evaluate the effects of anti-CD70 ADCs on activated T cells. For MLR, PBMCs were seeded at 50,000 cells/well with 50,000 irradiated allogeneic CESS cells in a total volume of 2001 of medium. For tetanus toxoid-induced T cell proliferation, tetanus toxoid-reactive T cells were seeded at 20,000 cells/well with 2,000 autologous DCs in a total volume of 200 μl. Dialyzed and clarified tetanus toxoid (Colorado Serum Company, Denver, Colo.) was used at a final concentration of 1:50 dilution. Two-day activated T cell clones were seeded at 10,000 cells per well. Proliferation assays was usually carried out for 72 to 120 hours. Tritiated thymidine (3H-TdR) incorporation during the last 16 hours of incubation and scintillation counting were used to assess DNA synthesis. For analysis, the amount of thymidine incorporated by the treated cells was compared to that of the untreated control cells.
- In the first system, the responses of T cell clones to 1F6 ADCs were examined. Resting T cell clones were activated to induce CD70 expression as described in
FIG. 13 and the accompanying figure legend. After 2 days of activation, a portion of the cells was analyzed for CD25 and CD70 expression by flow cytometry to confirm cellular activation and CD70 induction. The remaining cells were pelleted and resuspended in new medium containing 200 IU/ml of rIL-2 or 200 IU/ml of IL-2 and 10 ng/ml IL-4. Cells were then plated out at 10,000 cells/well in a final volume of 200 μl of medium containing graded concentrations of 1F6 ADCs or the non-binding IgG ADCs. Cells were incubated for an additional 72 hours with the last 16 hours pulsed with 3H-TdR to assess cellular DNA synthesis. The results for the responses of three T cell clones toward ADC treatment was shown inFIG. 14 . 1F6 ADCs at concentrations higher than 0.01 μg/ml significantly inhibited the proliferation of the T cell clones. 1F6-vcAFP appeared to be more active than 1F6-vcMMAE; the IC50s for 1F6-vcAFP on all 3 clones were found to be below 0.05 μg/ml. The control ADC cIgG-vcMMAE and cIgG-vcAFP did not significantly inhibit proliferation at concentrations below 2 μg/ml, confirming the antigen specificity of the 1F6 ADCs. - In the second system, an MLR was set up between PBMC and an irradiated allogeneic stimulator CESS. Allogeneic activation of peripheral blood T cells was achieved by conventional mixed lymphoycte reactions (MLR). MLR were initiated by mixing PBMCs and irradiated allogeneic Epstein-Barr virus (EBV)-transformed B lymphoblastoid CESS cells (ATCC, Manassas, Va.) at a ratio of one T cell to ten irradiated CESS cells. T cell density was adjusted to 0.25×106 T cells/ml of RPMI-1640 supplemented with 10% FBS and 2 mM L-glutamine. Rapid proliferation and expansion of alloreactive T cells was observed after approximately 96 hours of culture. After 5 days of stimulation, cells were assessed for CD70 expression using the anti-CD70 mAb 1F6 by flow cytometry. Flow cytometric analysis showed that most of the cells within the viable gate were CD3+ T cells and that CD70 was expressed on the viable CD3+ T cells.
FIG. 15 , upper panel, shows the expression of CD70 at the end of the MLR (120 hours after initiation). In parallel cultures in 96-well plates, graded doses of either 1F6-vcMMAE or 1F6-vcAFP were included in the cultures at initiation. DNA synthesis was assayed during the last 16 hours of the 5-day culture by a pulse of 3H-TdR. Both 1F6-vcMMAE and 1F6-vcAFP substantially inhibited T cell proliferation (FIG. 15 , lower panel). 1F6-vcAFP was more active than 1F6-vcMMAE, with an IC50 of approximately 0.1 μg/ml. - In the third system, the effect of 1F6 and 1F6 ADCs on antigen-induced T cell proliferation was examined. To evaluate antigen-specific T cell activation, T cells specific against tetanus toxoid were enriched from PBMC by multiple rounds of antigenic stimulation with tetanus toxoid in the presence of autologous DCs. Before antigenic stimulation of T cells, mature autologous DCs pulsed with tetanus toxoid were prepared as described above. Autologous PBMC were then co-cultured with antigen-pulsed mature DCs at a ratio of 10 PBMC to 1 DC. At the density of 0.25-0.5×106 PBMCs/ml of RPMI-1640 supplemented with 10% FBS and 2 mM L-glutamine. T cell activation and expansion were allowed to continue for 7 days. Viable T cells were harvested from the culture and re-stimulated with tetanus toxoid-pulsed autologous mature DCs again under conditions identical to those in first round of activation. Two additional, identical rounds of activation were conducted to further enrich for tetanus toxoid-specific T cells.
- Tetanus toxoid-specific T cells were enriched and expanded by four consecutive rounds of stimulation by tetanus toxoid and autologous DCs as described above. After the 4th round of stimulation, resting tetanus toxoid-specific T cells were plated in 96-well plates at 20,000 cells/well in the presence of autologous DCs (at 2,000 cells/well) and tetanus toxoid. Graded doses of 1F6, 1F6-vcMMAE, and 1F6-vcAFP were also included in the cultures at the initiation. DNA synthesis was assay during the last 16 hours by 3H-TdR incorporation. Unconjugated 1F6 did not show a significant effect on tetanus toxoid-induced T cell proliferation, whereas both 1F6-vcMMAE and 1F6-vcAFP exerted substantial inhibition at doses higher than 0.03 μg/ml (
FIG. 16 ). - A 9-amino acid peptide (GILGFVFTL, M1 peptide; SEQ ID NO:48) derived from the influenza virus matrix protein binds to the peptide-binding groove of the HLA-A0201 molecule. Presentation of the M1 peptide by HLA-A0201 expressing antigen presenting cells to autologous T cells specifically stimulates the activation and expansion of CD8+ cytotoxic T cells expressing the T cell receptor Vβ17 chain (Lehner et al., 1995, J. Exp. Med. 181:79-91), constituting a convenient in vitro experimental system to track the activation and expansion of antigen-specific T cells to their cognate antigen.
- To examine CD70 expression on activated antigen-specific T cells, PBMCs from a normal donor expressing HLA-A0201 were stimulated with the M1 peptide. PBMCs were seeded at 2×106 cells/ml with 5 μg/ml of M1 peptide in AIMV medium supplemented with 5% human AB serum. IL-2 (Proleukin, Chiron) and IL-15 (R&D Systems, MN) were added to final concentrations of 20 IU/ml and 5 ng/ml, respectively, once every two days beginning on
day 2 after culture initiation. The expansion of CD8+/Vβ17+ T cells and induction of CD70 on the CD8+/Vβ17+ was followed by three-color flow cytometry. Vβ17+ T cells were identified by the anti-TCRVβ17 mAb clone E17.5F3 (Beckman Coulter, Miami, Fla.). Results from a representative experiment are shown inFIGS. 17A and B.FIG. 17A , upper panels, shows that only 0.9% of the cells within the lymphocyte population were CD8+/Vβ17+ two days after culture initiation. T cell expansion was only evident within the CD8+/Vβ17+ population. The percentage of CD8+/Vβ17+ progressively increased to 23% onday 11. CD70 expression became detectable 3 days after antigen stimulation (FIG. 17A , lower panel). Onday 7, approximately 60% of the expanding CD8+/Vβ17+ cells expressed CD70 (FIG. 17A , lower left panel). The highest level of CD70 expression as indicated by the mean fluorescence intensity (MFI) was also detected on day 7 (FIG. 17A , lower right panel). The percentage of CD70+/CD8+/Vβ17+ cells and the MFI of CD70 expression on the CD8+/Vβ17+ started to decline thereafter. Whereas CD70 was clearly expressed on the CD8+/Vβ17+ cells, no CD70 could be detected on the CD8+/Vβ17 − cells (FIG. 17B ). These results confirmed that CD70 induction was restricted to the activated T cells responding to the antigenic stimulation but not the bystander, antigen non-specific T cells. - PBMCs from a normal donor expressing HLA-A0201 were stimulated with the M1 peptide as described in Example 11. On
day 5, cells were harvested, washed, and re-seeded at 0.5-1×106 cells/ml (approximately 100,000 of CD8+/Vβ17+ T cells) in fresh AIMV medium supplemented with 5% human AB, 20 IU/ml of IL-2, and 5 ng/ml of IL-15. 1F6 or control non-binding IgG (cIgG) ADCs were added to some cultures to a final concentration of 1 μg/ml. Total viable cell counts were conducted 24, 48, and 76 hours after ADC addition. Two-color flow cytometry was conducted to determine the percentages of CD8+/Vβ17+ cells among the viable cells. The absolute number of CD8+/VP17+ T cells in each culture was then calculated. The number of CD8+/Vβ17+ T cells in the two control cultures increased to more than 800,000 after 76 hours (FIG. 18 , upper panel). Substantial inhibition of CD8+/Vβ17+ T cell expansion was seen in the 1F6 ADC-treated cultures. The number of CD8+/Vβ17+ T cells was approximately 400,000 in the 1F6-vcMMAE-treated culture, compared to >800,000 in the cIgG-vcMMAE-treated culture. Virtually no expansion of CD8+/Vβ17+ T cells occurred in the 1F6-vcAFP-treated culture, whereas >500,000 of CD8+/Vβ17+ T cells were present in the cIgG-vcAFP-treated culture. The effects of 1F6 ADCs on the CD8+/Vβ17− cells were also evaluated.FIG. 18 , lower panel, shows that the CD8+/Vβ17+ cells in the 1F6-vcAFP- and 1F6-vcMMAE-treated cultures were <40% and <20%, respectively, of the control untreated culture at the end of the experiment. In contrast, the antigen non-specific bystander, antigen non-specific CD8+/Vβ17− cells in the ADC-treated cultures were >60% of the untreated culture. These results demonstrate that 1F6 ADCs specifically targeted the CD70+/CD8+/Vβ17+ T cells and exerted limited effects on the CD70−/CD8+/Vβ17− T cells that co-inhabited the same culture, suggesting limited bystander toxicity of the 1F6 ADCs. - The potency of three 1F6 ADCs was then compared. HLA-A0201 PBMCs were stimulated with the M1 peptide and re-seeded as described for
FIG. 18 with the various ADCs at the indicated concentrations (FIG. 19 ). The percent of CD8+/Vβ17+ T cells after a 96-hour incubation was determined. A dose-dependent inhibition of CD8+/VP17+ T cell expansion was observed with 1F6-vcMMAE, -vcAFP, and -vcMMAF, while the corresponding IgG control ADCs at the top concentration of 1 μg/ml showed no detectable inhibitory activity compared to the no drug control culture. The IC50 values for 1F6-vcAFP and 1F6-vcMMAF were between 0.1 and 0.01 μg/ml. The inhibitory activity of 1F6-vcMMAE appeared to be weaker than both 1F6-vcAFP and 1F6-vcMMAF. - A re-stimulation assay was used to evaluate the functional capacity of the bystander, antigen non-specific CD8+/Vβ17− T cells. HLA-A0201 expressing PBMCs were stimulated with the M1 peptide and then treated with 1 μg/ml of 1F6-vcMMAF on
day 5 to delete the CD70+/CD8+/Vβ17+ T cells as described inFIGS. 18 and 19 . As expected the number of CD8+/Vβ17+ T cells in the ADC-treated culture was lower than the untreated culture, 14% versus 47% (FIG. 20 , left column). Responses of the remaining cells to a mitogenic re-stimulation were assessed. In order to normalize for the number of Vβ17− T cells used in the re-stimulation assay and minimize the contribution of CD8+/Vβ17+ T cells to the proliferation response, Vβ17− T cells were enriched by negative immunoselection. Briefly,day 9 cells were harvested, washed, and resuspended to 5×107 cells/ml in medium containing an anti-TCRVβ17 mAb (clone E17.5F3) at 1-2 μg/106 target T cells. After incubation at 4° C. for 30 minutes, unbound anti-TCRVβ17 mAb was removed by washing the cells twice with PBS containing 0.1% human serum. The cells were resuspended at a concentration of 2-5×106/ml two washes in medium and Dynabeads M-450 goat anti-mouse IgG paramagnetic beads (Dynal Biotech Inc., Lake Success, N.Y.) were added at a ratio of 4 paramagnetic beads to 1 target T cell. The mixture was rotated at 4° C. for 30 minutes. Paramagnetic beads with bound Vβ17+ T cells were then separated from the rest of the cells by a magnetic device. Removal of Vβ17+ T cells was confirmed by two-color flow cytometry.FIG. 20 , middle column, shows that only 3% and 5% of the cells were left in the 1F6-vcMMAF-treated and untreated cultures, respectively. Anti-CD3 and anti-CD28 immobilized onto tissue culture wells at graded concentrations were used to re-stimulate the Vβ17− cells in the absence of any exogenous IL-2. Twenty thousand Vβ17− cells were seeded per well in 96-well plates in a total of 200 μl of AIMV medium supplemented with 5% human serum. Cells were cultured for 96 hours, and DNA synthesis was assayed by 3H-TdR incorporation during the last 18 hours of culture. Vβ17− T cells enriched from the 1F6-vcMMAF-treated culture demonstrated a dose-dependent response to anti-CD3 plus anti-CD28 re-stimulation comparable to that of the untreated cells. This suggests that, although the Vβ17− T cells were incubated with the CD8+/Vβ17+ cells in the presence of 1F6-vcMMAF for 4 days, they had retained their proliferation capacity. More importantly, their ability to mount a proliferation response in the absence of any exogenous IL-2 illustrates that they were also functionally intact with regard to their ability to express and secrete the necessary cytokine(s) needed for their proliferation. Taken together, these results suggest that anti-CD70 ADCs can selectively delete CD70+ activated T cells without causing substantial collateral damage to bystander T cells. This characteristic suggests that they can be applied as immunosuppressive agents that may have minimum impact on the immune repertoire of the host. - Studies indicate a role for CD70/CD27-mediated T cell-T cell interactions in enhancing the Th1-mediated immune responses in cell-mediated autoimmune diseases, including, for example, autoimmune demyelinating diseases. In this example, experimental allergic encephalomyelitis (EAE), an animal model of the demylelinating disease multiple sclerosis (MS), is treated with an ADC comprising an antibody that (a) is conjugated to AFP or MMAE with a val-cit (vc) linker and (b) recognizes an epitope of murine CD70 corresponding the 1F6 epitope of human CD70.
- Induction and clinical assessment of Experimental allergic encephalomyelitis (EAE): R-EAE (relapsing EAE) is induced in six- to seven-week-old female SJL mice by subcutaneous immunization with 100 μl of complete Freund's adjuvant (CFA) emulsion containing 200 μg of Mycobacterium tuberculosis H37Ra and 40 μg of the immunodominant epitope of proteolipid protein, PLP139-151. The signs of EAE are scored on a 0 to 5 scale as follows: (0) normal; (1) limp tail or hind limb weakness; (2) limp tail and hind-limb weakness (waddling gait); (3) partial hind-limb paralysis; (4) complete hind-limb paralysis; and (5) moribund. A relapse is defined as a sustained increase (more than 2 days) in at least one full grade in clinical score after the animal had improved previously at least a full clinical score and had stabilized for at least 2 days. The data are plotted as the mean clinical score for all animals in a particular treatment group or as the relapse rate (total number of relapses in a group divided by the total number of mice in that group).
- Anti-CD70 ADC Administration Regimens: Anti-CD70 ADC (0.1-3 mg/g body weight) is administered intraperitoneally in a total volume of 100 μl. Mice are treated 3 times per week for 3 consecutive weeks (9 total treatments). Treatment is initiated before disease onset (day 7) or at the peak of acute disease (day 14). As a control, one group of EAE-induced mice are left untreated.
- Inhibition of TNF-α and IFN-γ induction: The demonstration of induction of TNF-α and IFN-γ in brains of EAE shows an inflammatory disease process indicative of EAE disease progression and inhibition of these cytokines in brains of SJL mice treated with anti-CD70 ADC indicates the value of anti-CD70 ADC therapy in preventing or treating EAE. Brains are obtained from at least three animals treated preclinically (at
day 13, after three treatments, andday 26, after nine treatments) and at peak of acute disease (atday 20, after three treatments, and day 33, after nine treatments). Brains are fixed (10% buffered formalin), and tissues are embedded in paraffin and sectioned. Sections are then independently stained for TNF-α or IFN-γ by incubation with a primary antibody specific for the respective cytokine, followed by incubation with a secondary antibody conjugated to FITC. Tissue sections are then mounted in mounting media and analyzed by immunofluorescence microscopy. Decreased levels of TNF-α or INF-γ staining in ADC-treated mice versus the untreated EAE-induced mice shows inhibition of inflammatory cytokine induction using anti-CD70 ADC therapy. - Inhibition of Disease Symptoms or Relapse Rates: EAE-induced SJL mice in the treatment group are compared with untreated EAE-induced mice to assess the efficacy of anti-CD70 ADC therapy in either preventing disease onset or treating established disease. For mice treated preclinically, a decrease in the mean score for EAE disease, as compared to the untreated control group, demonstrates the efficacy of anti-CD70 ADC therapy in preventing disease. For mice treated at the peak of acute disease, either (a) a decrease in the relapse rate or (b) a decrease in the post-treatment mean score for EAE, as compared to the untreated control group, demonstrates the efficacy of anti-CD70 ADC therapy in treating established disease.
- A 786-O subcutaneous xenograft model was used to evaluate the antitumor activity of anti-CD70 ADCs administered at different dosages and schedules. Subcutaneous 786-O tumors were initiated in nude mice by implanting tumor fragments (N=5 or 6/group) of approximated 30 mm3. Tumor growth was allowed to establish and treatment began when average tumor size was approximately 100 mm3. Tumor dimensions were determined by caliper measurements to monitor growth. Tumor size was calculated using the formula of (length×width2)/2. In the absence of any treatment, mean tumor volume increased to approximately 600 mm3 within 40 to 50 days after tumor implantation (see
FIG. 21A ). A dose-dependent effect in tumor growth suppression was observed in mice received either humanized 1F6 (h1F6)-mcMMAF4 (see U.S. Patent Application Publication No. 2005-0238649; loaded with an average of four MMAF molecules per antibody) or h1F6-vcMMAF4 (loaded with an average of four MMAF molecules per antibody). Detectable delay in tumor growth was observed even at 0.5 and 0.17 mg/kg of h1F6-mcMMAF4 and h1F6-vcMMAF4, respectively. - Tumor growth was also assessed by time needed for tumors to quadruple in size (see
FIG. 21B ). Treatment with either h1F6-mcMMAF4 or h1F6-vcMMAF4 at 0.17 mg/kg significantly delayed the growth of tumors. This delay was observed when the ADCs were given on a q4d×4 or q4d×10 schedule. However, additional administrations as exemplified by the q4d×10 schedule appeared to have a stronger growth inhibitory activity compared to the q4d×4 schedule. - Cell surface CD70 expression was evaluated in a panel of multiple myeloma cell lines (Table 3). Copy number of CD70 molecules expressed by each cell line was determined by quantitative flow cytometry using the QIFIKit® (Dako, Carpinteria, Calif.). Response of these cells to anti-CD70 ADC-mediated cytotoxicity was determined. Both chimeric 1F6(c1F6)-vcMMAF4 and c1F6-mcMMAF4 were cytotoxic against CD70-expressing multiple myeloma cells. The IC50 values obtained with c1F6-vcMMAF4 ranged from 1.2-160 ng/mL while that obtained with c1F6-mcMMAF4 ranged from 1.7-500 ng/mL.
TABLE 3 Cytotoxic Activity of Anti-CD70 ADCs against Multiple Myeloma Cell Lines IC50 (ng/mL) Cell Line CD70 copies/cell c1F6-vcMMAF4 c1F6-mcMMAF4 MM.1S 14,000 20 22 MM.1R 25,000 13 20 AMO-1 92,000 16 38 JJN-3 19,000 46 61 L363 13,000 78 210 LB 45,000 80 500 U266 155,000 1.2 1.7 LP-1 34,000 160 155 MOLP-8 9,000 73 33 - The in vivo activity of anti-CD70 ADCs in xenograft models of multiple myeloma was further examined. Human multiple myeloma cell lines MM-1S or L363 were resuspended in RPMI-1640 medium at the concentration of 10×106 cells/300 μL. To establish
tumors 300 μL of cell suspension were injected intravenously through the tail veins of SCID mice. In the MM-1S model, untreated mice succumbed to the injected tumor cells and manifested symptoms around 40 days post tumor implant including hind limb paralysis, hunched posture, cranial swelling, and/or scruffy coat. Mice were euthanized when they demonstrated one or more of these symptoms. Both h1F6-vcMMAF4 and h1F6-mcMMAF4 provided significant survival benefits to tumor bearing mice compared to control non-binding IgG-vcMMAF4 and IgG-mcMMAF4 (seeFIG. 22A ). Tumor burden in the MM-1S model was also assessed by enumerating the number of bone marrow cells expressing human CD138, a plasma cell marker expressed by the MM-1S cells. Bone marrow cells were recovered from mice that were euthanized due to manifestation of symptom or at the end of the experiment on day 122, and the number of CD138-expressing MM-1S cells was determined by flow cytometry. Compared to untreated mice, both control IgG-vcMMAF4 and IgG-mcMMAF4 did not significantly reduce the number of CD138-expressing cells in the bone marrow. On the other hand, h1F6-vcMMAF4 and h1F6-mcMMAF4 significantly reduce tumor burden as demonstrated by much lower number of bone marrow CD138-expressing cells compared to the control ADCs (seeFIG. 22B ). - In the L363 model, disseminated tumor masses develop at multiple locations in mice receiving no treatment, and tumor masses became palpable around 40 days after tumor injection, at which tumor bearing mice would be euthanized. Similar to the MM-1S model, control IgG-vcMMAF4 provided no survival advantage, whereas h1F6-vcMMAF4 significantly prolonged survival (see
FIG. 23A ). Since L363 cells secrete immunoglobulin lambda light chain (λ LC), tumor burden can be determined by monitoring the level of human λ LC in the plasma of tumor bearing mice. An ELISA was used to detect secreted 1 LC. Ninety six-well flat-bottom Immuno plates (Nunc Maxisorp, #442404, Nalge Nunc international, Rochester, N.Y.) was coated with 100 μL/well of goat anti-human Ig (Southern Biotech #2010-01, Birmingham, Ala.) at 2 μg/mL in 0.1M sodium carbonate/bicarbonate overnight at 4° C. Wells were washed 5× with 1×PBST (PBS, 0.05% Tween-20), and blocked with 200 μL/well of 1% BSA/PBST (0.05% Tween-20) for 1 hour at room temperature. After 5 washes with 1×PBST, serially diluted human λ LC-containing mouse serum samples were added. Purified human λ LC (Bethyl labs, #P80-127, Montgomery, Tex.) was used as the standard. After one hour of incubation at room temperature, wells were washed 5 times with 1×PBST. HRP-goat anti-human lambda chain specific F(ab′)2 (Southern Biotech #2072-05) at 1:4000 dilution in 1% BSA/PBST was added. After an additional one hour incubation at room temperature, wells were washed 5 times with 1×PBST.TMB substrate 100 μL/well (Sigma, #T8665, St. Louis, Mo.) was used to detect captured λ LC. Forty days after L363 cell implant serum λ LC levels were comparable between the untreated mice and the IgG-vcMMAF4-treated mice (FIG. 23B ). In contrast, serum λ LC levels in the h1F6-vcMMAF4-treated mice were significantly lower (FIG. 23B ), confirming the ability of anti-CD70 ADC to reduce tumor burden in mice bearing multiple myeloma xenografts. - Cell surface CD70 expression was also evaluated in panels of Hodgkin's disease (Table 4) and glioblastoma cell lines (Table 5). The copy number of CD70 molecules expressed by each cell line was determined by quantitative flow cytometry using the QIFIKit® (Dako, Carpinteria, Calif.). The response of these cells to anti-CD70 ADC-mediated cytotoxicity was determined. Both chimeric 1F6(c1F6)-vcMMAF4 and c1F6-
mcMMA 4 were cytotoxic against these CD70-expressing cell lines. In the Hodgkin's disease panel, the IC50 values obtained with c1F6-vcMMAF4 ranged from 0.41-42 ng/mL while that obtained with c1F6-mcMMAF4 ranged from 5.2-310 ng/mL (Table 5). In the glioblastoma panel, the IC50 values obtained with h1F6-vcMMAF4 ranged from 2.3-27 ng/mL while that obtained with h1F6-mcMMAF4 ranged from 15-110 ng/mL (Table 4).TABLE 4 Cytotoxic Activity of Anti-CD70 ADCs against Hodgkin's Disease Cell Lines IC50 (ng/mL) Cell Line CD70 copies/cell c1F6-vcMMAF4 C1F6-mcMMAF4 RPMI-6666 21,000 42 230 Hs445 64,000 7.3 310 L428 105,000 1.4 35 KMH2 160,000 0.41 5.2 SUP-HD-1 221,000 6.3 53 -
TABLE 5 Cytotoxic Activity of Anti-CD70 ADCs against Glioblastoma Cell Lines IC50 (ng/mL) Cell Line CD70 copies/cell c1F6-vcMMAF4 c1F6-mcMMAF4 U251 117,000 5.3 15 SNB-19 90,000 12 27 U373MG 70,000 16 35 GMS-10 64,000 27 110 DBTRG-05MG 59,000 2.3 20 - The present invention is not to be limited in scope by the specific embodiments described herein. Indeed, various modifications of the invention in addition to those described herein will become apparent to those skilled in the art from the foregoing description and accompanying figures. Such modifications are intended to fall within the scope of the appended claims.
- Various references, including patent applications, patents, and scientific publications, are cited herein, the disclosures of each of which is incorporated herein by reference in its entirety.
Claims (71)
1. A method for the treatment of a CD70-expressing cancer in a subject, the method comprising:
administering to the subject, in an amount effective for the treatment, an antibody-drug conjugate comprising an antibody that binds to the CD70 and wherein the drug is a cytotoxic agent;
wherein the cancer is multiple myeloma, Hodgkin's disease, a diffuse large B-cell lymphoma, a follicular lymphoma, a mantle cell lymphoma, an Epstein Barr Virus positive B cell lymphomas, a glioblastoma, a neuroblastoma, an astrocytoma, a meningioma or Waldenstrom macroglobulinemia;
wherein the cytotoxic or cytostatic agent is not a peptide toxin.
2. The method of claim 1 , wherein the antibody competes for binding to CD70 with monoclonal antibody 1F6 or 2F2.
3. The method of claim 2 , wherein the antibody comprises at least one polypeptide region selected from the group consisting of
(a) an H1 region having at least 80% sequence identity to the amino acid sequence set forth in SEQ ID NO:6;
(b) an H2 region having at least 80% sequence identity to the amino acid sequence set forth in SEQ ID NO:8;
(c) an H3 region having at least 80% sequence identity to the amino acid sequence set forth in SEQ ID NO:10;
(d) an L1 region having at least 80% sequence identity to the amino acid sequence set forth in SEQ ID NO:16;
(e) an L2 region having at least 80% sequence identity to the amino acid sequence set forth in SEQ ID NO:18;
(f) an L3 region having at least 80% sequence identity to the amino acid sequence set forth in SEQ ID NO:20;
(g) an H1 region having at least 80% sequence identity to the amino acid sequence set forth in SEQ ID NO:26;
(h) an H2 region having at least 80% sequence identity to the amino acid sequence set forth in SEQ ID NO:28;
(i) an H3 region having at least 80% sequence identity to the amino acid sequence set forth in SEQ ID NO:30;
(j) an L1 region having at least 80% sequence identity to the amino acid sequence set forth in SEQ ID NO:36;
(k) an L2 region having at least 80% sequence identity to the amino acid sequence set forth in SEQ ID NO:38; and
(l) an L3 region having at least 80% sequence identity to the amino acid sequence set forth in SEQ ID NO:40.
4. The method of claim 3 , wherein the antibody comprises
the H1, H2, and H3 regions of (a), (b), and (c); or
the H1, H2, and H3 regions of (g), (h), and (i).
5. The method of claim 4 , wherein the polypeptide regions of (a), (b), (c), (d), (e), and (f) have, respectively, the amino acid sequences set forth in SEQ ID NO: 6, SEQ ID NO:8, SEQ ID NO:10; SEQ ID NO:16, SEQ ID NO:18, and SEQ ID NO:20.
6. The method of claim 4 , wherein
the antibody comprising the H1, H2, and H3 regions of (a), (b), and (c) further comprises the L1, L2, and L3 regions of (d), (e), and (f); or
the antibody comprising the H1, H2, and H3 regions of (g), (h), and (i) further comprises the L1, L2, and L3 regions of (j), (k), and (l).
7. The method of claim 4 , wherein the antibody comprises a heavy chain variable region having at least 80% sequence identity to the amino acid sequence set forth in SEQ ID NO:2 or SEQ ID NO 22.
8. The method of claim 7 , wherein the heavy chain variable region has the amino acid sequence set forth in SEQ ID NO:2 or SEQ ID NO:22.
9. The method of claim 7 , wherein the antibody, comprising the heavy chain variable region having at least 80% sequence identity to SEQ ID NO:2 or SEQ ID NO:22, further comprises, respectively, a light chain variable region having at least 80% sequence identity to the amino acid sequence set forth in SEQ ID NO:12 or SEQ ID NO:32.
10. The method of claim 9 , wherein the light chain variable region has the amino acid sequence set forth in SEQ ID NO:12 or SEQ ID NO:32.
11. The method of claim 10 , wherein the antibody is monoclonal antibody 1F6 or 2F2.
12. The method of claim 11 , wherein the antibody-drug conjugate is selected from the group consisting of humanized 1F6-val-cit-MMAE, humanized 1F6-val-cit-MMAF, humanized 1F6-val-cit-AFP, humanized 2F2-val-cit-MMAE, humanized 2F2-val-cit-MMAF, and humanized 2F2-val-cit-AFP.
13. The method of claim 1 , wherein the antibody is a chimeric, humanized, or human antibody.
14. The method of claim 13 , wherein the chimeric antibody comprises a human constant region.
15. The method of claim 1 , wherein the antibody is multivalent.
16. The method of claim 1 , wherein the cytotoxic agent is selected from the group consisting of an auristatin, a DNA minor groove binding agent, a DNA minor groove alkylating agent, an enediyne, a lexitropsin, a duocarmycin, a taxane, a puromycin, a dolastatin, a maytansinoid, and a vinca alkaloid.
17. The method of claim 1 , wherein the cytotoxic agent is AFP, MMAF, MMAE, AEB, AEVB, auristatin E, paclitaxel, docetaxel, CC-1065, SN-38, topotecan, morpholino-doxorubicin, rhizoxin, cyanomorpholino-doxorubicin, dolastatin-10, echinomycin, combretatstatin, chalicheamicin, maytansine, DM-1, or netropsin.
18. The method of claim 1 , wherein the cytotoxic agent is an anti-tubulin agent.
19. The method of claim 18 , wherein the anti-tubulin agent is an auristatin, a vinca alkaloid, a podophyllotoxin, a taxane, a baccatin derivative, a cryptophysin, a maytansinoid, a combretastatin, or a dolastatin.
20. The method of claim 18 , wherein the antitubulin agent is AFP, MMAF, MMAE, AEB, AEVB, auristatin E, vincristine, vinblastine, vindesine, vinorelbine, VP-16, camptothecin, paclitaxel, docetaxel, epothilone A, epothilone B, nocodazole, colchicines, colcimid, estramustine, cemadotin, discodermolide, maytansine, DM-1, or eleutherobin.
21. The method of claim 20 , wherein the cytotoxic agent is AFP, MMAF, or MMAE.
22. The method of claim 1 , wherein the antibody is conjugated to the cytotoxic agent via a linker.
23. The method of claim 22 , wherein the linker is cleavable under intracellular conditions.
24. The method of claim 23 , wherein the cleavable linker is a peptide linker cleavable by an intracellular protease.
25. The method of claim 24 , wherein the peptide linker is a dipeptide linker.
26. The method of claim 25 , wherein the dipeptide linker comprises a val-cit or a phe-lys dipeptide.
27. The method of claim 23 , wherein the cleavable linker is hydrolyzable at a pH of less than 5.5.
28. The method of claim 27 , wherein the hydrolyzable linker is a hydrazone linker.
29. The method of claim 23 , wherein the cleavable linker is a disulfide linker.
30. The method of claim 1 , wherein the subject is human.
31. A method for the treatment of a cancer in a subject, the method comprising:
administering to the subject in need thereof from about one to about ten suboptimal dosages, over a period of about four to about ten days, of an antibody-drug conjugate comprising an antibody that binds CD70 expressed on the cancer and wherein the antibody is conjugated to a cytotoxic agent or an immunosuppressive agent.
thymic carcinoma, a nasopharyngeal carcinoma, and a brain tumor.
32. The method of claim 30 , wherein the kidney tumor is a renal cell carcinoma.
33. The method of claim 35 , wherein the suboptimal dosage is from about 0.05 to 1 mg/kg.
34. The method of claim 1 , wherein the antibody competes for binding to CD70 with monoclonal antibody 1F6 or 2F2.
35. A method for the treatment of an immunological disorder in a subject, the method comprising:
administering to the subject, in an amount effective for the treatment, an antibody-drug conjugate comprising an antibody that binds to CD70 and wherein the antibody is conjugated to a cytotoxic agent or an immunosuppressive agent.
36. The method of claim 35 , wherein the antibody competes for binding to CD70 with monoclonal antibody 1F6 or 2F2.
37. The method of claim 36 , wherein the antibody comprises at least one polypeptide region selected from the group consisting of
(a) an H1 region having at least 80% sequence identity to the amino acid sequence set forth in SEQ ID NO:6;
(b) an H2 region having at least 80% sequence identity to the amino acid sequence set forth in SEQ ID NO:8;
(c) an H3 region having at least 80% sequence identity to the amino acid sequence set forth in SEQ ID NO:10;
(d) an L1 region having at least 80% sequence identity to the amino acid sequence set forth in SEQ ID NO:16;
(e) an L2 region having at least 80% sequence identity to the amino acid sequence set forth in SEQ ID NO:18;
(f) an L3 region having at least 80% sequence identity to the amino acid sequence set forth in SEQ ID NO:20;
(g) an H1 region having at least 80% sequence identity to the amino acid sequence set forth in SEQ ID NO:26;
(h) an H2 region having at least 80% sequence identity to the amino acid sequence set forth in SEQ ID NO:28;
(i) an H3 region having at least 80% sequence identity to the amino acid sequence set forth in SEQ ID NO:30;
(j) an L1 region having at least 80% sequence identity to the amino acid sequence set forth in SEQ ID NO:36;
(k) an L2 region having at least 80% sequence identity to the amino acid sequence set forth in SEQ ID NO:38; and
(l) an L3 region having at least 80% sequence identity to the amino acid sequence set forth in SEQ ID NO:40.
38. The method of claim 37 , wherein the antibody comprises
the H1, H2, and H3 regions of (a), (b), and (c); or
the H1, H2, and H3 regions of (g), (h), and (i).
39. The method of claim 38 , wherein the polypeptide regions of (a), (b), (c), (d), (e), and (f) have, respectively, the amino acid sequences set forth in SEQ ID NO:6, SEQ ID NO:8, SEQ ID NO:10; SEQ ID NO:16, SEQ ID NO:18, and SEQ ID NO:20.
40. The method of claim 38 , wherein
the antibody comprising the H1, H2, and H3 regions of (a), (b), and (c) further comprises the L1, L2, and L3 regions of (d), (e), and (f); or
the antibody comprising the H1, H2, and H3 regions of (g), (h), and (i) further comprises the L1, L2, and L3 regions of (j), (k), and (l).
41. The method of claim 38 , wherein the antibody comprises a heavy chain variable region having at least 80% sequence identity to the amino acid sequence set forth in SEQ ID NO:2 or SEQ ID NO 22.
42. The method of claim 41 , wherein the heavy chain variable region has the amino acid sequence set forth in SEQ ID NO:2 or SEQ ID NO:22.
43. The method of claim 41 , wherein the antibody, comprising the heavy chain variable region having at least 80% sequence identity to SEQ ID NO:2 or SEQ ID NO:22, further comprises, respectively, a light chain variable region having at least 80% sequence identity to the amino acid sequence set forth in SEQ ID NO:12 or SEQ ID NO:32.
44. The method of claim 43 , wherein the light chain variable region has the amino acid sequence set forth in SEQ ID NO:12 or SEQ ID NO:32.
45. The method of claim 44 , wherein the antibody is monoclonal antibody 1F6 or 2F2.
46. The method of claim 45 , wherein the antibody-drug conjugate is selected from the group consisting of humanized 1F6-val-cit-AFP, humanized 1F6-val-cit-MMAF, humanized 1F6-val-cit-MMAE, humanized 2F2-val-cit-AFP, humanized 2F2-val-cit-MMAF, and humanized 2F2-val-cit-MMAE.
47. The method of claim 35 , wherein the antibody is a chimeric, humanized, or human antibody.
48. The method of claim 47 , wherein the chimeric antibody comprises a human constant region.
49. The method of claim 35 , wherein the antibody is multivalent.
50. The method of claim 35 , wherein the cytotoxic agent is selected from the group consisting of an auristatin, a DNA minor groove binding agent, a DNA minor groove alkylating agent, an enediyne, a lexitropsin, a duocarmycin, a taxane, a puromycin, a dolastatin, a maytansinoid, and a vinca alkaloid.
51. The method of claim 35 , wherein the cytotoxic agent is AFP, MMAF, MMAE, AEB, AEVB, auristatin E, paclitaxel, docetaxel, CC-1065, SN-38, topotecan, morpholino-doxorubicin, rhizoxin, cyanomorpholino-doxorubicin, dolastatin-10, echinomycin, combretatstatin, chalicheamicin, maytansine, DM-1, or netropsin.
52. The method of claim 35 , wherein the cytotoxic agent is an anti-tubulin agent.
53. The method of claim 52 , wherein the anti-tubulin agent is an auristatin, a vinca alkaloid, a podophyllotoxin, a taxane, a baccatin derivative, a cryptophysin, a maytansinoid, a combretastatin, or a dolastatin.
54. The method of claim 52 , wherein the antitubulin agent is AFP, MMAF, MMAE, AEB, AEVB, auristatin E, vincristine, vinblastine, vindesine, vinorelbine, VP-16, camptothecin, paclitaxel, docetaxel, epothilone A, epothilone B, nocodazole, colchicines, colcimid, estramustine, cemadotin, discodermolide, maytansine, DM-1, or eleutherobin.
55. The method of claim 54 , wherein the cytotoxic agent is AFP, MMAF, or MMAE.
56. The method of claim 35 , wherein the immunosuppressive agent is gancyclovir, etanercept, cyclosporine, tacrolimus, rapamycin, cyclophosphamide, azathioprine, mycophenolate mofetil, methotrexate, cortisol, aldosterone, dexamethasone, a cyclooxygenase inhibitor, a 5-lipoxygenase inhibitor, or a leukotriene receptor antagonist.
57. The method of claim 35 , wherein the antibody is conjugated to the cytotoxic agent or the immunosuppressive agent via a linker.
58. The method of claim 57 , wherein the linker is cleavable under intracellular conditions.
59. The method of claim 58 , wherein the cleavable linker is a peptide linker cleavable by an intracellular protease.
60. The method of claim 58 , wherein the intracellular protease is a lysosomal protease or an endosomal protease.
61. The method of claim 58 , wherein the peptide linker is a dipeptide linker.
62. The method of claim 61 , wherein the dipeptide linker comprises a val-cit linker or a phe-lys dipeptide.
63. The method of claim 57 , wherein the cleavable linker is hydrolyzable at a pH of less than 5.5.
64. The method of claim 63 , wherein the hydrolyzable linker is a hydrazone linker.
65. The method of claim 57 , wherein the cleavable linker is a disulfide linker.
66. The method of claim 35 , wherein the immunological disorder is a T cell-mediated immunological disorder.
67. The method of claim 66 , wherein the T cell mediated immunological disorder is a T-cell mediated and include activated T cell expressing CD70.
68. The method of claim 67 , wherein resting T cells are not substantially depleted by administration of the antibody-drug conjugate.
69. The method of claim 66 , wherein the T cell-mediated immunological disorder is rheumatoid arthritis, multiple sclerosis, psoriasis, Sjorgren's syndrome, Hashimoto's thyroiditis, Grave's disease, primary biliary cirrhosis, Wegener's granulomatosis, tuberculosis, or acute graft versus host disease.
70. The method of claim 35 , wherein the immunological disorder is an activated B-lymphocyte disorder.
71. The method of claim 35 , wherein the subject is human.
Priority Applications (2)
| Application Number | Priority Date | Filing Date | Title |
|---|---|---|---|
| US11/735,376 US20080025989A1 (en) | 2003-02-20 | 2007-04-13 | Anti-cd70 antibody-drug conjugates and their use for the treatment of cancer and immune disorders |
| US12/891,716 US8663642B2 (en) | 2003-02-20 | 2010-09-27 | Anti-CD70 antibody-drug conjugates and their use for the treatment and prevention of cancer and immune disorders |
Applications Claiming Priority (5)
| Application Number | Priority Date | Filing Date | Title |
|---|---|---|---|
| US44905503P | 2003-02-20 | 2003-02-20 | |
| PCT/US2004/005247 WO2004073656A2 (en) | 2003-02-20 | 2004-02-20 | Anti-cd70 antibody-drug conjugates and their use for the treatment of cancer and immune disorders |
| US10/546,304 US7662387B2 (en) | 2003-02-20 | 2004-02-20 | Anti-cd70 antibody-drug conjugates and their use for the treatment of cancer and immune disorders |
| US79212706P | 2006-04-13 | 2006-04-13 | |
| US11/735,376 US20080025989A1 (en) | 2003-02-20 | 2007-04-13 | Anti-cd70 antibody-drug conjugates and their use for the treatment of cancer and immune disorders |
Related Parent Applications (3)
| Application Number | Title | Priority Date | Filing Date |
|---|---|---|---|
| US10546304 Continuation-In-Part | 2004-02-20 | ||
| PCT/US2004/005247 Continuation-In-Part WO2004073656A2 (en) | 2003-02-20 | 2004-02-20 | Anti-cd70 antibody-drug conjugates and their use for the treatment of cancer and immune disorders |
| US10/546,304 Continuation-In-Part US7662387B2 (en) | 2003-02-20 | 2004-02-20 | Anti-cd70 antibody-drug conjugates and their use for the treatment of cancer and immune disorders |
Related Child Applications (1)
| Application Number | Title | Priority Date | Filing Date |
|---|---|---|---|
| US12/891,716 Continuation US8663642B2 (en) | 2003-02-20 | 2010-09-27 | Anti-CD70 antibody-drug conjugates and their use for the treatment and prevention of cancer and immune disorders |
Publications (1)
| Publication Number | Publication Date |
|---|---|
| US20080025989A1 true US20080025989A1 (en) | 2008-01-31 |
Family
ID=46328663
Family Applications (2)
| Application Number | Title | Priority Date | Filing Date |
|---|---|---|---|
| US11/735,376 Abandoned US20080025989A1 (en) | 2003-02-20 | 2007-04-13 | Anti-cd70 antibody-drug conjugates and their use for the treatment of cancer and immune disorders |
| US12/891,716 Expired - Lifetime US8663642B2 (en) | 2003-02-20 | 2010-09-27 | Anti-CD70 antibody-drug conjugates and their use for the treatment and prevention of cancer and immune disorders |
Family Applications After (1)
| Application Number | Title | Priority Date | Filing Date |
|---|---|---|---|
| US12/891,716 Expired - Lifetime US8663642B2 (en) | 2003-02-20 | 2010-09-27 | Anti-CD70 antibody-drug conjugates and their use for the treatment and prevention of cancer and immune disorders |
Country Status (1)
| Country | Link |
|---|---|
| US (2) | US20080025989A1 (en) |
Cited By (31)
| Publication number | Priority date | Publication date | Assignee | Title |
|---|---|---|---|---|
| US20060233794A1 (en) * | 2003-02-20 | 2006-10-19 | Seattle Genetics, Inc. | Anti-cd70 antibody-drug conjugates and their use for the treatment of cancer and immune disorders |
| US20070292422A1 (en) * | 2004-10-15 | 2007-12-20 | Seattle Genetics, Inc. | Anti-cd70 antibody and its use for the treatment and prevention of cancer and immune disorders |
| US20080138343A1 (en) * | 2004-10-15 | 2008-06-12 | Seattle Genetics, Inc. | Anti-cd70 antibody and its use for the treatment of cancer and immune disorders |
| US20090028872A1 (en) * | 2005-09-26 | 2009-01-29 | Jonathan Alexander Terret | Human monoclonal antibodies to cd70 |
| US20090232806A1 (en) * | 2004-10-15 | 2009-09-17 | Seattle Genetics, Inc. | Anti-CD70 Antibody And Its Use For The Treatment And Prevention Of Cancer And Immune Disorders |
| WO2009126934A3 (en) * | 2008-04-11 | 2009-12-30 | Seattle Genetics, Inc. | Detection and tratment of pancreatic, ovarian and other cancers |
| US20100150950A1 (en) * | 2006-12-14 | 2010-06-17 | Medarex, Inc. | Human antibodies that bind cd70 and uses thereof |
| US20100160351A1 (en) * | 2008-12-19 | 2010-06-24 | Nuon Therapeutics, Inc. | Pharmaceutical compositions and methods for treating hyperuricemia and related disorders |
| WO2010071865A1 (en) | 2008-12-19 | 2010-06-24 | Nuon Therapeutics, Inc. | Pharmaceutical compositions and methods for treating hyperuricemia and related disorders |
| WO2011032175A1 (en) | 2009-09-14 | 2011-03-17 | Nuon Therapeutics, Inc. | Combination formulations of tranilast and allopurinol and methods related thereto |
| US8067546B2 (en) | 2005-04-19 | 2011-11-29 | Seattle Genetics, Inc. | Humanized anti-CD70 binding agents and uses thereof |
| WO2012103165A2 (en) | 2011-01-26 | 2012-08-02 | Kolltan Pharmaceuticals, Inc. | Anti-kit antibodies and uses thereof |
| WO2013063086A1 (en) * | 2011-10-24 | 2013-05-02 | Intellect Neurosciences, Inc. | Compositions and methods for treatment of proteinopathies |
| WO2014018625A1 (en) | 2012-07-25 | 2014-01-30 | Kolltan Pharmaceuticals, Inc. | Anti-kit antibodies and uses thereof |
| US20160128061A1 (en) * | 2014-10-31 | 2016-05-05 | Realtek Semiconductor Corp. | Wireless communication system and associated wireless communication method |
| WO2016070089A3 (en) * | 2014-10-31 | 2016-08-11 | Abbvie Biotherapeutics Inc. | Anti-cs1 antibodies and antibody drug conjugates |
| US20180249437A1 (en) * | 2017-02-27 | 2018-08-30 | Qualcomm Incorporated | Access point (ap) to access point (ap) ranging for passive locationing |
| US20180280532A1 (en) * | 2017-04-03 | 2018-10-04 | Immunomedics, Inc. | Subcutaneous administration of antibody-drug conjugates for cancer therapy |
| CN109021106A (en) * | 2018-08-30 | 2018-12-18 | 浙江蓝盾药业有限公司 | A kind of humanization CD70 antibody LD70 and the preparation method and application thereof |
| US10322192B2 (en) | 2016-03-02 | 2019-06-18 | Eisai R&D Management Co., Ltd. | Eribulin-based antibody-drug conjugates and methods of use |
| WO2019141732A1 (en) * | 2018-01-16 | 2019-07-25 | Argenx Bvba | Cd70 combination therapy |
| US11072665B2 (en) | 2011-03-16 | 2021-07-27 | Argenx Bvba | Antibodies to CD70 |
| US20220000872A1 (en) * | 2018-10-31 | 2022-01-06 | Oncotracker, Inc. | Method of enhancing immune-based therapy |
| WO2022043538A1 (en) * | 2020-08-29 | 2022-03-03 | argenx BV | Method of treatment of patients having reduced sensitivity to a bcl-2 inhibitor |
| US11319526B2 (en) | 2008-05-02 | 2022-05-03 | Seagen Inc. | Methods and compositions for making antibodies and antibody derivatives with reduced core fucosylation |
| WO2022105914A1 (en) * | 2020-11-23 | 2022-05-27 | 江苏先声药业有限公司 | Antibody binding to cd70 and application thereof |
| US11459392B2 (en) | 2012-06-19 | 2022-10-04 | Ambrx, Inc. | Anti-CD70 antibody drug conjugates |
| US11571475B1 (en) | 2014-08-22 | 2023-02-07 | University Of Bern | Anti-CD70 and BCR-ABL inhibitor combination therapy |
| US11712468B2 (en) | 2018-12-18 | 2023-08-01 | argenx BV | CD70 combination therapy |
| US11820827B2 (en) | 2019-12-30 | 2023-11-21 | Seagen Inc. | Methods of treating myelodysplastic syndrome and acute myeloid leukemia with nonfucosylated anti-CD70 antibodies |
| US11987634B2 (en) | 2018-02-01 | 2024-05-21 | Pfizer Inc. | Antibodies specific for CD70 and their uses |
Families Citing this family (13)
| Publication number | Priority date | Publication date | Assignee | Title |
|---|---|---|---|---|
| PT2489364E (en) | 2003-11-06 | 2015-04-16 | Seattle Genetics Inc | Monomethylvaline compounds conjugated to antibodies |
| DK2176296T3 (en) | 2007-07-16 | 2012-05-21 | Genentech Inc | Anti-CD79B antibodies and immune conjugates and methods of use. |
| WO2009012256A1 (en) | 2007-07-16 | 2009-01-22 | Genentech, Inc. | Humanized anti-cd79b antibodies and immunoconjugates and methods of use |
| DK2247620T3 (en) | 2008-01-31 | 2016-08-22 | Genentech Inc | ANTI-CD79b ANTIBODIES AND IMMUNOCONJUGATES AND METHODS OF USE |
| MY173865A (en) | 2011-09-22 | 2020-02-25 | Amgen Inc | Cd27l antigen binding proteins |
| AU2015320678B2 (en) | 2014-09-23 | 2021-07-22 | Genentech, Inc. | Method of using anti-CD79b immunoconjugates |
| WO2017048728A1 (en) * | 2015-09-14 | 2017-03-23 | Rutgers, The State University Of New Jersey | Targeted conjugates |
| MY201573A (en) | 2017-05-12 | 2024-03-02 | Crispr Therapeutics Ag | Materials and methods for engineering cells and uses thereof in immuno-oncology |
| US11166985B2 (en) | 2017-05-12 | 2021-11-09 | Crispr Therapeutics Ag | Materials and methods for engineering cells and uses thereof in immuno-oncology |
| CN112105420A (en) | 2018-05-11 | 2020-12-18 | 克里斯珀医疗股份公司 | Methods and compositions for treating cancer |
| EP3962535A1 (en) | 2019-04-30 | 2022-03-09 | CRISPR Therapeutics AG | Allogeneic cell therapy of b cell malignancies using genetically engineered t cells targeting cd19 |
| WO2022104109A1 (en) | 2020-11-13 | 2022-05-19 | Catamaran Bio, Inc. | Genetically modified natural killer cells and methods of use thereof |
| EP4251645A1 (en) | 2020-11-25 | 2023-10-04 | Catamaran Bio, Inc. | Cellular therapeutics engineered with signal modulators and methods of use thereof |
Citations (18)
| Publication number | Priority date | Publication date | Assignee | Title |
|---|---|---|---|---|
| US5573924A (en) * | 1992-09-08 | 1996-11-12 | Immunex Corporation | CD27 ligand |
| US6214345B1 (en) * | 1993-05-14 | 2001-04-10 | Bristol-Myers Squibb Co. | Lysosomal enzyme-cleavable antitumor drug conjugates |
| US6307218B1 (en) * | 1998-11-20 | 2001-10-23 | Lumileds Lighting, U.S., Llc | Electrode structures for light emitting devices |
| US6342219B1 (en) * | 1999-04-28 | 2002-01-29 | Board Of Regents, The University Of Texas System | Antibody compositions for selectively inhibiting VEGF |
| US20020168360A1 (en) * | 2001-03-02 | 2002-11-14 | Christine Dingivan | Methods of preventing or treating inflammatory or autoimmune disorders by administering integrin alphanubeta3 antagonists in combination with other prophylactic or therapeutic agents |
| US20030083263A1 (en) * | 2001-04-30 | 2003-05-01 | Svetlana Doronina | Pentapeptide compounds and uses related thereto |
| US20030096743A1 (en) * | 2001-09-24 | 2003-05-22 | Seattle Genetics, Inc. | p-Amidobenzylethers in drug delivery agents |
| US20040157782A1 (en) * | 2001-04-30 | 2004-08-12 | Svetlana Doronina | Pentapeptide compounds and uses related thereto |
| US20040180002A1 (en) * | 1999-10-08 | 2004-09-16 | Young David S. F. | Cancerous disease modifying antibodies |
| US6884869B2 (en) * | 2001-04-30 | 2005-04-26 | Seattle Genetics, Inc. | Pentapeptide compounds and uses related thereto |
| US20050118656A1 (en) * | 2001-11-27 | 2005-06-02 | Terrett Jonathan A. | Methods for diagnosis and treatment of epithelial-derived cancers |
| US20050123547A1 (en) * | 2001-11-27 | 2005-06-09 | Terrett Jonathan A. | Methods for diagnosis and treatment of epithelial-derived cancers |
| US20050191299A1 (en) * | 2004-02-09 | 2005-09-01 | The Cbr Institute For Biomedical Research, Inc. | CD70 inhibition for the treatment and prevention of inflammatory bowel disease |
| US20050238649A1 (en) * | 2003-11-06 | 2005-10-27 | Seattle Genetics, Inc. | Monomethylvaline compounds capable of conjugation to ligands |
| US20060074008A1 (en) * | 2002-07-31 | 2006-04-06 | Senter Peter D | Drug conjugates and their use for treating cancer, an autoimmune disease or an infectious disease |
| US20060083736A1 (en) * | 2004-10-15 | 2006-04-20 | Seattle Genetics, Inc. | Anti-CD70 antibody and its use for the treatment and prevention of cancer and immune disorders |
| US20090148942A1 (en) * | 2005-04-19 | 2009-06-11 | Mcdonagh Charlotte | Humanized anti-cd70 binding agents and uses thereof |
| US20090232806A1 (en) * | 2004-10-15 | 2009-09-17 | Seattle Genetics, Inc. | Anti-CD70 Antibody And Its Use For The Treatment And Prevention Of Cancer And Immune Disorders |
Family Cites Families (8)
| Publication number | Priority date | Publication date | Assignee | Title |
|---|---|---|---|---|
| WO2001094629A2 (en) | 2000-06-05 | 2001-12-13 | Avalon Pharmaceuticals | Cancer gene determination and therapeutic screening using signature gene sets |
| US7229960B2 (en) * | 2000-11-03 | 2007-06-12 | University Of Vermont And State Agricultural College | Methods and compositions for inhibiting GRB7 |
| WO2003026577A2 (en) | 2001-09-24 | 2003-04-03 | Seattle Genetics, Inc. | P-amidobenzylethers in drug delivery agents |
| CA2516455C (en) | 2003-02-20 | 2012-05-01 | Seattle Genetics, Inc. | Anti-cd70 antibody-drug conjugates and their use for the treatment of cancer and immune disorders |
| WO2004104045A1 (en) | 2003-05-23 | 2004-12-02 | Stichting Sanquin Bloedvoorziening | Therapeutical use of anti-cd70 antibody for treating or preventing aids |
| US7641903B2 (en) | 2004-10-15 | 2010-01-05 | Seattle Genetics, Inc. | Anti-CD70 antibody and its use for the treatment and prevention of cancer and immune disorders |
| EA016186B1 (en) | 2005-09-26 | 2012-03-30 | Медарекс, Инк. | Human monoclonal antibodies to cd70 and use thereof |
| NZ578354A (en) | 2006-12-14 | 2012-01-12 | Medarex Inc | Antibody-partner molecule conjugates that bind cd70 and uses thereof |
-
2007
- 2007-04-13 US US11/735,376 patent/US20080025989A1/en not_active Abandoned
-
2010
- 2010-09-27 US US12/891,716 patent/US8663642B2/en not_active Expired - Lifetime
Patent Citations (23)
| Publication number | Priority date | Publication date | Assignee | Title |
|---|---|---|---|---|
| US5573924A (en) * | 1992-09-08 | 1996-11-12 | Immunex Corporation | CD27 ligand |
| US6214345B1 (en) * | 1993-05-14 | 2001-04-10 | Bristol-Myers Squibb Co. | Lysosomal enzyme-cleavable antitumor drug conjugates |
| US6307218B1 (en) * | 1998-11-20 | 2001-10-23 | Lumileds Lighting, U.S., Llc | Electrode structures for light emitting devices |
| US6342219B1 (en) * | 1999-04-28 | 2002-01-29 | Board Of Regents, The University Of Texas System | Antibody compositions for selectively inhibiting VEGF |
| US20040180002A1 (en) * | 1999-10-08 | 2004-09-16 | Young David S. F. | Cancerous disease modifying antibodies |
| US20020168360A1 (en) * | 2001-03-02 | 2002-11-14 | Christine Dingivan | Methods of preventing or treating inflammatory or autoimmune disorders by administering integrin alphanubeta3 antagonists in combination with other prophylactic or therapeutic agents |
| US6884869B2 (en) * | 2001-04-30 | 2005-04-26 | Seattle Genetics, Inc. | Pentapeptide compounds and uses related thereto |
| US20040157782A1 (en) * | 2001-04-30 | 2004-08-12 | Svetlana Doronina | Pentapeptide compounds and uses related thereto |
| US20030083263A1 (en) * | 2001-04-30 | 2003-05-01 | Svetlana Doronina | Pentapeptide compounds and uses related thereto |
| US20050113308A1 (en) * | 2001-04-30 | 2005-05-26 | Seattle Genetics, Inc. | Pentapeptide compounds and uses related thereto |
| US20030096743A1 (en) * | 2001-09-24 | 2003-05-22 | Seattle Genetics, Inc. | p-Amidobenzylethers in drug delivery agents |
| US20030130189A1 (en) * | 2001-09-24 | 2003-07-10 | Senter Peter D. | P-amidobenzylethers in drug delivery agents |
| US20050118656A1 (en) * | 2001-11-27 | 2005-06-02 | Terrett Jonathan A. | Methods for diagnosis and treatment of epithelial-derived cancers |
| US20050123547A1 (en) * | 2001-11-27 | 2005-06-09 | Terrett Jonathan A. | Methods for diagnosis and treatment of epithelial-derived cancers |
| US7261892B2 (en) * | 2001-11-27 | 2007-08-28 | Celltech R&D Limited | Methods for diagnosis and treatment of epithelial-derived cancers |
| US20060074008A1 (en) * | 2002-07-31 | 2006-04-06 | Senter Peter D | Drug conjugates and their use for treating cancer, an autoimmune disease or an infectious disease |
| US20050238649A1 (en) * | 2003-11-06 | 2005-10-27 | Seattle Genetics, Inc. | Monomethylvaline compounds capable of conjugation to ligands |
| US20050191299A1 (en) * | 2004-02-09 | 2005-09-01 | The Cbr Institute For Biomedical Research, Inc. | CD70 inhibition for the treatment and prevention of inflammatory bowel disease |
| US20060083736A1 (en) * | 2004-10-15 | 2006-04-20 | Seattle Genetics, Inc. | Anti-CD70 antibody and its use for the treatment and prevention of cancer and immune disorders |
| US7491390B2 (en) * | 2004-10-15 | 2009-02-17 | Seattle Genetics, Inc. | Anti-CD70 antibody and its use for the treatment and prevention of cancer and immune disorders |
| US20090074772A1 (en) * | 2004-10-15 | 2009-03-19 | Seattle Genetics, Inc. | Anti-CD70 Antibody and Its Use for the Treatment of Cancer and Immune Disorders |
| US20090232806A1 (en) * | 2004-10-15 | 2009-09-17 | Seattle Genetics, Inc. | Anti-CD70 Antibody And Its Use For The Treatment And Prevention Of Cancer And Immune Disorders |
| US20090148942A1 (en) * | 2005-04-19 | 2009-06-11 | Mcdonagh Charlotte | Humanized anti-cd70 binding agents and uses thereof |
Cited By (65)
| Publication number | Priority date | Publication date | Assignee | Title |
|---|---|---|---|---|
| US9345785B2 (en) | 2003-02-20 | 2016-05-24 | Seattle Genetics, Inc. | Treatment of renal cell carcinoma with anti-CD70 antibody-drug conjugates |
| US8535678B2 (en) | 2003-02-20 | 2013-09-17 | Seattle Genetics, Inc. | Anti-CD70 antibody-drug conjugates and their use for the treatment of cancer and immune disorders |
| US20100183636A1 (en) * | 2003-02-20 | 2010-07-22 | Seattle Genetics, Inc. | Anti-cd70 antibody-drug conjugates and their use for the treatment of cancer and immune disorders |
| US8609104B2 (en) | 2003-02-20 | 2013-12-17 | Seattle Genetics, Inc. | Treatment of B-cell cancers with anti-CD70 antibody-drug conjugates |
| US20060233794A1 (en) * | 2003-02-20 | 2006-10-19 | Seattle Genetics, Inc. | Anti-cd70 antibody-drug conjugates and their use for the treatment of cancer and immune disorders |
| US20100150925A1 (en) * | 2003-02-20 | 2010-06-17 | Seattle Genetics, Inc. | Treatment of b-cell cancers with anti-cd70 antibody-drug conjugates |
| US7662387B2 (en) | 2003-02-20 | 2010-02-16 | Seattle Genetics | Anti-cd70 antibody-drug conjugates and their use for the treatment of cancer and immune disorders |
| US7641903B2 (en) | 2004-10-15 | 2010-01-05 | Seattle Genetics, Inc. | Anti-CD70 antibody and its use for the treatment and prevention of cancer and immune disorders |
| US8337838B2 (en) | 2004-10-15 | 2012-12-25 | Seattle Genetics, Inc. | Anti-CD70 antibody and its use for the treatment and prevention of cancer and immune disorders |
| US20090232806A1 (en) * | 2004-10-15 | 2009-09-17 | Seattle Genetics, Inc. | Anti-CD70 Antibody And Its Use For The Treatment And Prevention Of Cancer And Immune Disorders |
| US20100129362A1 (en) * | 2004-10-15 | 2010-05-27 | Seattle Genetics, Inc. | Treatment of psoriatic arthritis with anti-cd70 antibody |
| US20090074772A1 (en) * | 2004-10-15 | 2009-03-19 | Seattle Genetics, Inc. | Anti-CD70 Antibody and Its Use for the Treatment of Cancer and Immune Disorders |
| US9051372B2 (en) | 2004-10-15 | 2015-06-09 | Seattle Genetics, Inc. | Anti-CD70 antibody and its use for the treatment of cancer and immune disorders |
| US8647624B2 (en) | 2004-10-15 | 2014-02-11 | Seattle Genetics, Inc. | Treatment of immune disorders with anti-CD70 antibody |
| US20080138341A1 (en) * | 2004-10-15 | 2008-06-12 | Seattle Genetics, Inc. | Anti-CD70 antibody and its use for the treatment of cancer and immune disorders |
| US20080138343A1 (en) * | 2004-10-15 | 2008-06-12 | Seattle Genetics, Inc. | Anti-cd70 antibody and its use for the treatment of cancer and immune disorders |
| US20070292422A1 (en) * | 2004-10-15 | 2007-12-20 | Seattle Genetics, Inc. | Anti-cd70 antibody and its use for the treatment and prevention of cancer and immune disorders |
| US9428585B2 (en) | 2005-04-19 | 2016-08-30 | Seattle Genetics, Inc. | Humanized anti-CD70 binding agents and uses thereof |
| US8067546B2 (en) | 2005-04-19 | 2011-11-29 | Seattle Genetics, Inc. | Humanized anti-CD70 binding agents and uses thereof |
| US9701752B2 (en) | 2005-04-19 | 2017-07-11 | Seattle Genetics, Inc. | Humanized anti-CD70 binding agents and uses thereof |
| US8562987B2 (en) | 2005-04-19 | 2013-10-22 | Seattle Genetics, Inc. | Humanized anti-CD70 binding agents and uses thereof |
| US8124738B2 (en) | 2005-09-26 | 2012-02-28 | Medarex, Inc. | Human monoclonal antibodies to CD70 |
| US20090028872A1 (en) * | 2005-09-26 | 2009-01-29 | Jonathan Alexander Terret | Human monoclonal antibodies to cd70 |
| US20100150950A1 (en) * | 2006-12-14 | 2010-06-17 | Medarex, Inc. | Human antibodies that bind cd70 and uses thereof |
| AU2009234267B2 (en) * | 2008-04-11 | 2014-10-30 | Seagen Inc. | Detection and treatment of pancreatic, ovarian and other cancers |
| WO2009126934A3 (en) * | 2008-04-11 | 2009-12-30 | Seattle Genetics, Inc. | Detection and tratment of pancreatic, ovarian and other cancers |
| US9120854B2 (en) | 2008-04-11 | 2015-09-01 | Seattle Genetics, Inc. | Detection and treatment of pancreatic, ovarian and other cancers |
| US11319526B2 (en) | 2008-05-02 | 2022-05-03 | Seagen Inc. | Methods and compositions for making antibodies and antibody derivatives with reduced core fucosylation |
| US20100160351A1 (en) * | 2008-12-19 | 2010-06-24 | Nuon Therapeutics, Inc. | Pharmaceutical compositions and methods for treating hyperuricemia and related disorders |
| WO2010071865A1 (en) | 2008-12-19 | 2010-06-24 | Nuon Therapeutics, Inc. | Pharmaceutical compositions and methods for treating hyperuricemia and related disorders |
| WO2011032175A1 (en) | 2009-09-14 | 2011-03-17 | Nuon Therapeutics, Inc. | Combination formulations of tranilast and allopurinol and methods related thereto |
| WO2012103165A2 (en) | 2011-01-26 | 2012-08-02 | Kolltan Pharmaceuticals, Inc. | Anti-kit antibodies and uses thereof |
| EP3763740A1 (en) | 2011-01-26 | 2021-01-13 | Celldex Therapeutics, Inc. | Anti-kit antibodies and uses thereof |
| US11434298B2 (en) | 2011-03-16 | 2022-09-06 | argenx BV | Antibodies to CD70 |
| US11072665B2 (en) | 2011-03-16 | 2021-07-27 | Argenx Bvba | Antibodies to CD70 |
| WO2013063086A1 (en) * | 2011-10-24 | 2013-05-02 | Intellect Neurosciences, Inc. | Compositions and methods for treatment of proteinopathies |
| US11459392B2 (en) | 2012-06-19 | 2022-10-04 | Ambrx, Inc. | Anti-CD70 antibody drug conjugates |
| EP3381943A1 (en) | 2012-07-25 | 2018-10-03 | Celldex Therapeutics, Inc. | Anti-kit antibodies and uses thereof |
| WO2014018625A1 (en) | 2012-07-25 | 2014-01-30 | Kolltan Pharmaceuticals, Inc. | Anti-kit antibodies and uses thereof |
| EP4063391A1 (en) | 2012-07-25 | 2022-09-28 | Celldex Therapeutics, Inc. | Anti-kit antibodies and uses thereof |
| US11571475B1 (en) | 2014-08-22 | 2023-02-07 | University Of Bern | Anti-CD70 and BCR-ABL inhibitor combination therapy |
| US10308713B2 (en) | 2014-10-31 | 2019-06-04 | Abbvie Biotherapeutics Inc. | Anti-CS1 antibodies and antibody drug conjugates |
| US20160128061A1 (en) * | 2014-10-31 | 2016-05-05 | Realtek Semiconductor Corp. | Wireless communication system and associated wireless communication method |
| US10011657B2 (en) | 2014-10-31 | 2018-07-03 | Abbvie Biotherapeutics Inc. | Anti-CS1 antibodies and antibody drug conjugates |
| WO2016070089A3 (en) * | 2014-10-31 | 2016-08-11 | Abbvie Biotherapeutics Inc. | Anti-cs1 antibodies and antibody drug conjugates |
| US10548986B2 (en) | 2016-03-02 | 2020-02-04 | Eisai R&D Management Co., Ltd. | Eribulin-based antibody-drug conjugates and methods of use |
| US10322192B2 (en) | 2016-03-02 | 2019-06-18 | Eisai R&D Management Co., Ltd. | Eribulin-based antibody-drug conjugates and methods of use |
| US20180249437A1 (en) * | 2017-02-27 | 2018-08-30 | Qualcomm Incorporated | Access point (ap) to access point (ap) ranging for passive locationing |
| US10799597B2 (en) * | 2017-04-03 | 2020-10-13 | Immunomedics, Inc. | Subcutaneous administration of antibody-drug conjugates for cancer therapy |
| CN110352201A (en) * | 2017-04-03 | 2019-10-18 | 免疫医疗公司 | The subcutaneous administration of antibody drug conjugate for cancer therapy |
| US20180280532A1 (en) * | 2017-04-03 | 2018-10-04 | Immunomedics, Inc. | Subcutaneous administration of antibody-drug conjugates for cancer therapy |
| US11530271B2 (en) | 2018-01-16 | 2022-12-20 | argenx BV | CD70 combination therapy |
| EP4275702A3 (en) * | 2018-01-16 | 2024-02-28 | Argenx BVBA | Cd70 combination therapy |
| AU2019209503B2 (en) * | 2018-01-16 | 2025-08-28 | Argenx Bvba | CD70 combination therapy |
| US12180293B2 (en) | 2018-01-16 | 2024-12-31 | argenx BV | CD70 combination therapy |
| CN111836830A (en) * | 2018-01-16 | 2020-10-27 | 阿根思公司 | CD70 combination therapy |
| WO2019141732A1 (en) * | 2018-01-16 | 2019-07-25 | Argenx Bvba | Cd70 combination therapy |
| US11987634B2 (en) | 2018-02-01 | 2024-05-21 | Pfizer Inc. | Antibodies specific for CD70 and their uses |
| CN109021106A (en) * | 2018-08-30 | 2018-12-18 | 浙江蓝盾药业有限公司 | A kind of humanization CD70 antibody LD70 and the preparation method and application thereof |
| US20220000872A1 (en) * | 2018-10-31 | 2022-01-06 | Oncotracker, Inc. | Method of enhancing immune-based therapy |
| US11712468B2 (en) | 2018-12-18 | 2023-08-01 | argenx BV | CD70 combination therapy |
| US11820827B2 (en) | 2019-12-30 | 2023-11-21 | Seagen Inc. | Methods of treating myelodysplastic syndrome and acute myeloid leukemia with nonfucosylated anti-CD70 antibodies |
| CN116249519A (en) * | 2020-08-29 | 2023-06-09 | 阿根思有限公司 | Methods of treating patients with reduced sensitivity to BCL-2 inhibitors |
| WO2022043538A1 (en) * | 2020-08-29 | 2022-03-03 | argenx BV | Method of treatment of patients having reduced sensitivity to a bcl-2 inhibitor |
| WO2022105914A1 (en) * | 2020-11-23 | 2022-05-27 | 江苏先声药业有限公司 | Antibody binding to cd70 and application thereof |
Also Published As
| Publication number | Publication date |
|---|---|
| US8663642B2 (en) | 2014-03-04 |
| US20110150908A1 (en) | 2011-06-23 |
Similar Documents
| Publication | Publication Date | Title |
|---|---|---|
| US8663642B2 (en) | Anti-CD70 antibody-drug conjugates and their use for the treatment and prevention of cancer and immune disorders | |
| US9345785B2 (en) | Treatment of renal cell carcinoma with anti-CD70 antibody-drug conjugates | |
| US9051372B2 (en) | Anti-CD70 antibody and its use for the treatment of cancer and immune disorders | |
| US8337838B2 (en) | Anti-CD70 antibody and its use for the treatment and prevention of cancer and immune disorders | |
| US20050123536A1 (en) | Treatment of immunological disorders using anti-dc30 antibodies | |
| US20120294863A1 (en) | Anti-CD70 Antibody and Its Use for the Treatment and Prevention of Cancer and Immune Disorders | |
| HK1135324A (en) | Anti-cd70 antibody-drug conjugates and their use for the treatment of cancer and immune disorders | |
| HK1155070B (en) | Anti-cd70 antibody-drug conjugates and their use for the treatment of cancer and immune disorders |
Legal Events
| Date | Code | Title | Description |
|---|---|---|---|
| AS | Assignment |
Owner name: SEATTLE GENETICS, INC., WASHINGTON Free format text: ASSIGNMENT OF ASSIGNORS INTEREST;ASSIGNORS:LAW, CHE-LEUNG;MCEARCHERN, JULIE;DRACHMAN, JONATHAN G.;REEL/FRAME:019188/0555;SIGNING DATES FROM 20070418 TO 20070420 |
|
| STCB | Information on status: application discontinuation |
Free format text: ABANDONED -- FAILURE TO RESPOND TO AN OFFICE ACTION |




























