US20070287860A1 - Optical resolution of 3-carbamoylmethyl-5-methyl hexanoic acid - Google Patents
Optical resolution of 3-carbamoylmethyl-5-methyl hexanoic acid Download PDFInfo
- Publication number
- US20070287860A1 US20070287860A1 US11/893,300 US89330007A US2007287860A1 US 20070287860 A1 US20070287860 A1 US 20070287860A1 US 89330007 A US89330007 A US 89330007A US 2007287860 A1 US2007287860 A1 US 2007287860A1
- Authority
- US
- United States
- Prior art keywords
- cmh
- precipitate
- salt
- ephedrine
- water
- Prior art date
- Legal status (The legal status is an assumption and is not a legal conclusion. Google has not performed a legal analysis and makes no representation as to the accuracy of the status listed.)
- Abandoned
Links
- 230000003287 optical effect Effects 0.000 title claims abstract description 39
- NPDKTSLVWGFPQG-UHFFFAOYSA-N 3-(2-amino-2-oxoethyl)-5-methylhexanoic acid Chemical compound CC(C)CC(CC(N)=O)CC(O)=O NPDKTSLVWGFPQG-UHFFFAOYSA-N 0.000 title description 9
- 238000000034 method Methods 0.000 claims abstract description 54
- 239000002244 precipitate Substances 0.000 claims description 48
- XLYOFNOQVPJJNP-UHFFFAOYSA-N water Substances O XLYOFNOQVPJJNP-UHFFFAOYSA-N 0.000 claims description 46
- 238000004128 high performance liquid chromatography Methods 0.000 claims description 26
- 239000002002 slurry Substances 0.000 claims description 15
- AYXYPKUFHZROOJ-ZETCQYMHSA-N pregabalin Chemical compound CC(C)C[C@H](CN)CC(O)=O AYXYPKUFHZROOJ-ZETCQYMHSA-N 0.000 abstract description 26
- 229960001233 pregabalin Drugs 0.000 abstract description 22
- 239000012452 mother liquor Substances 0.000 abstract description 10
- 230000015572 biosynthetic process Effects 0.000 abstract description 3
- 238000003786 synthesis reaction Methods 0.000 abstract description 3
- CSCPPACGZOOCGX-UHFFFAOYSA-N Acetone Chemical compound CC(C)=O CSCPPACGZOOCGX-UHFFFAOYSA-N 0.000 description 66
- 239000000203 mixture Substances 0.000 description 62
- LFQSCWFLJHTTHZ-UHFFFAOYSA-N Ethanol Chemical compound CCO LFQSCWFLJHTTHZ-UHFFFAOYSA-N 0.000 description 32
- HEMHJVSKTPXQMS-UHFFFAOYSA-M Sodium hydroxide Chemical compound [OH-].[Na+] HEMHJVSKTPXQMS-UHFFFAOYSA-M 0.000 description 21
- 235000019441 ethanol Nutrition 0.000 description 21
- KWGRBVOPPLSCSI-WPRPVWTQSA-N (-)-ephedrine Chemical compound CN[C@@H](C)[C@H](O)C1=CC=CC=C1 KWGRBVOPPLSCSI-WPRPVWTQSA-N 0.000 description 20
- 235000002639 sodium chloride Nutrition 0.000 description 18
- 239000002253 acid Substances 0.000 description 17
- 239000003153 chemical reaction reagent Substances 0.000 description 15
- 150000002576 ketones Chemical class 0.000 description 15
- 239000008194 pharmaceutical composition Substances 0.000 description 15
- 239000000546 pharmaceutical excipient Substances 0.000 description 14
- 150000003839 salts Chemical class 0.000 description 14
- 239000002904 solvent Substances 0.000 description 14
- 238000002360 preparation method Methods 0.000 description 12
- 239000007788 liquid Substances 0.000 description 11
- -1 alkali metal hydrogen carbonates Chemical class 0.000 description 10
- 239000002552 dosage form Substances 0.000 description 10
- 150000002148 esters Chemical class 0.000 description 10
- 239000008187 granular material Substances 0.000 description 10
- 229910052500 inorganic mineral Inorganic materials 0.000 description 10
- 235000010755 mineral Nutrition 0.000 description 10
- 239000011707 mineral Substances 0.000 description 10
- 238000010992 reflux Methods 0.000 description 10
- OKKJLVBELUTLKV-UHFFFAOYSA-N Methanol Chemical compound OC OKKJLVBELUTLKV-UHFFFAOYSA-N 0.000 description 9
- ZMANZCXQSJIPKH-UHFFFAOYSA-N Triethylamine Chemical group CCN(CC)CC ZMANZCXQSJIPKH-UHFFFAOYSA-N 0.000 description 9
- 239000011541 reaction mixture Substances 0.000 description 9
- 239000000243 solution Substances 0.000 description 9
- HEDRZPFGACZZDS-UHFFFAOYSA-N Chloroform Chemical compound ClC(Cl)Cl HEDRZPFGACZZDS-UHFFFAOYSA-N 0.000 description 8
- KWGRBVOPPLSCSI-UHFFFAOYSA-N d-ephedrine Natural products CNC(C)C(O)C1=CC=CC=C1 KWGRBVOPPLSCSI-UHFFFAOYSA-N 0.000 description 8
- 229960002179 ephedrine Drugs 0.000 description 8
- DLNKOYKMWOXYQA-APPZFPTMSA-N phenylpropanolamine Chemical compound C[C@@H](N)[C@H](O)C1=CC=CC=C1 DLNKOYKMWOXYQA-APPZFPTMSA-N 0.000 description 8
- 239000007787 solid Substances 0.000 description 8
- NPDKTSLVWGFPQG-SSDOTTSWSA-N (3r)-3-(2-amino-2-oxoethyl)-5-methylhexanoic acid Chemical compound CC(C)C[C@H](CC(N)=O)CC(O)=O NPDKTSLVWGFPQG-SSDOTTSWSA-N 0.000 description 7
- 238000004090 dissolution Methods 0.000 description 7
- 238000003756 stirring Methods 0.000 description 7
- XEKOWRVHYACXOJ-UHFFFAOYSA-N Ethyl acetate Chemical group CCOC(C)=O XEKOWRVHYACXOJ-UHFFFAOYSA-N 0.000 description 6
- PEDCQBHIVMGVHV-UHFFFAOYSA-N Glycerine Chemical compound OCC(O)CO PEDCQBHIVMGVHV-UHFFFAOYSA-N 0.000 description 6
- IMNFDUFMRHMDMM-UHFFFAOYSA-N N-Heptane Chemical compound CCCCCCC IMNFDUFMRHMDMM-UHFFFAOYSA-N 0.000 description 6
- DNIAPMSPPWPWGF-UHFFFAOYSA-N Propylene glycol Chemical compound CC(O)CO DNIAPMSPPWPWGF-UHFFFAOYSA-N 0.000 description 6
- 239000004480 active ingredient Substances 0.000 description 6
- KRKNYBCHXYNGOX-UHFFFAOYSA-N citric acid Chemical compound OC(=O)CC(O)(C(O)=O)CC(O)=O KRKNYBCHXYNGOX-UHFFFAOYSA-N 0.000 description 6
- 150000002825 nitriles Chemical class 0.000 description 6
- 239000000843 powder Substances 0.000 description 6
- 239000003826 tablet Substances 0.000 description 6
- 229920002472 Starch Polymers 0.000 description 5
- 150000001412 amines Chemical class 0.000 description 5
- 239000002775 capsule Substances 0.000 description 5
- 239000003795 chemical substances by application Substances 0.000 description 5
- 238000007907 direct compression Methods 0.000 description 5
- DLNKOYKMWOXYQA-UHFFFAOYSA-N dl-pseudophenylpropanolamine Natural products CC(N)C(O)C1=CC=CC=C1 DLNKOYKMWOXYQA-UHFFFAOYSA-N 0.000 description 5
- 238000001914 filtration Methods 0.000 description 5
- 238000004519 manufacturing process Methods 0.000 description 5
- 229960000395 phenylpropanolamine Drugs 0.000 description 5
- 239000008247 solid mixture Substances 0.000 description 5
- 239000008107 starch Substances 0.000 description 5
- 235000019698 starch Nutrition 0.000 description 5
- CLBSRHAQLCOIRN-BKGRZDKDSA-N CC(C)C[C@H](CC(N)=O)CC(=O)[O-].C[C@@H]([NH3+])[C@@H](O)C1=CC=CC=C1 Chemical compound CC(C)C[C@H](CC(N)=O)CC(=O)[O-].C[C@@H]([NH3+])[C@@H](O)C1=CC=CC=C1 CLBSRHAQLCOIRN-BKGRZDKDSA-N 0.000 description 4
- XBTXJCJRQHGXPC-PUDHCILHSA-N CC(C)C[C@H](CC(N)=O)CC(=O)[O-].C[NH2+][C@H](C)[C@@H](O)C1=CC=CC=C1 Chemical compound CC(C)C[C@H](CC(N)=O)CC(=O)[O-].C[NH2+][C@H](C)[C@@H](O)C1=CC=CC=C1 XBTXJCJRQHGXPC-PUDHCILHSA-N 0.000 description 4
- 108010010803 Gelatin Proteins 0.000 description 4
- VEXZGXHMUGYJMC-UHFFFAOYSA-N Hydrochloric acid Chemical compound Cl VEXZGXHMUGYJMC-UHFFFAOYSA-N 0.000 description 4
- WHNWPMSKXPGLAX-UHFFFAOYSA-N N-Vinyl-2-pyrrolidone Chemical compound C=CN1CCCC1=O WHNWPMSKXPGLAX-UHFFFAOYSA-N 0.000 description 4
- FAPWRFPIFSIZLT-UHFFFAOYSA-M Sodium chloride Chemical compound [Na+].[Cl-] FAPWRFPIFSIZLT-UHFFFAOYSA-M 0.000 description 4
- 229920002125 Sokalan® Polymers 0.000 description 4
- 239000002585 base Substances 0.000 description 4
- 239000001913 cellulose Substances 0.000 description 4
- 239000003085 diluting agent Substances 0.000 description 4
- 229920000159 gelatin Polymers 0.000 description 4
- 239000008273 gelatin Substances 0.000 description 4
- 229940014259 gelatin Drugs 0.000 description 4
- 235000019322 gelatine Nutrition 0.000 description 4
- 235000011852 gelatine desserts Nutrition 0.000 description 4
- 239000000314 lubricant Substances 0.000 description 4
- 229920000609 methyl cellulose Polymers 0.000 description 4
- 235000010981 methylcellulose Nutrition 0.000 description 4
- 239000001923 methylcellulose Substances 0.000 description 4
- 229960002900 methylcellulose Drugs 0.000 description 4
- 239000000047 product Substances 0.000 description 4
- 229940032147 starch Drugs 0.000 description 4
- IXPNQXFRVYWDDI-UHFFFAOYSA-N 1-methyl-2,4-dioxo-1,3-diazinane-5-carboximidamide Chemical compound CN1CC(C(N)=N)C(=O)NC1=O IXPNQXFRVYWDDI-UHFFFAOYSA-N 0.000 description 3
- WNWHHMBRJJOGFJ-UHFFFAOYSA-N 16-methylheptadecan-1-ol Chemical class CC(C)CCCCCCCCCCCCCCCO WNWHHMBRJJOGFJ-UHFFFAOYSA-N 0.000 description 3
- 241000220479 Acacia Species 0.000 description 3
- QTBSBXVTEAMEQO-UHFFFAOYSA-N Acetic acid Chemical compound CC(O)=O QTBSBXVTEAMEQO-UHFFFAOYSA-N 0.000 description 3
- WEVYAHXRMPXWCK-UHFFFAOYSA-N Acetonitrile Chemical group CC#N WEVYAHXRMPXWCK-UHFFFAOYSA-N 0.000 description 3
- NIXOWILDQLNWCW-UHFFFAOYSA-N Acrylic acid Chemical compound OC(=O)C=C NIXOWILDQLNWCW-UHFFFAOYSA-N 0.000 description 3
- FBPFZTCFMRRESA-FSIIMWSLSA-N D-Glucitol Natural products OC[C@H](O)[C@H](O)[C@@H](O)[C@H](O)CO FBPFZTCFMRRESA-FSIIMWSLSA-N 0.000 description 3
- FBPFZTCFMRRESA-JGWLITMVSA-N D-glucitol Chemical compound OC[C@H](O)[C@@H](O)[C@H](O)[C@H](O)CO FBPFZTCFMRRESA-JGWLITMVSA-N 0.000 description 3
- WQZGKKKJIJFFOK-GASJEMHNSA-N Glucose Natural products OC[C@H]1OC(O)[C@H](O)[C@@H](O)[C@@H]1O WQZGKKKJIJFFOK-GASJEMHNSA-N 0.000 description 3
- 229920002907 Guar gum Polymers 0.000 description 3
- UFHFLCQGNIYNRP-UHFFFAOYSA-N Hydrogen Chemical compound [H][H] UFHFLCQGNIYNRP-UHFFFAOYSA-N 0.000 description 3
- 235000010643 Leucaena leucocephala Nutrition 0.000 description 3
- 239000005913 Maltodextrin Substances 0.000 description 3
- 229920002774 Maltodextrin Polymers 0.000 description 3
- 229920000168 Microcrystalline cellulose Polymers 0.000 description 3
- 229920000881 Modified starch Polymers 0.000 description 3
- VYPSYNLAJGMNEJ-UHFFFAOYSA-N Silicium dioxide Chemical compound O=[Si]=O VYPSYNLAJGMNEJ-UHFFFAOYSA-N 0.000 description 3
- DPXJVFZANSGRMM-UHFFFAOYSA-N acetic acid;2,3,4,5,6-pentahydroxyhexanal;sodium Chemical compound [Na].CC(O)=O.OCC(O)C(O)C(O)C(O)C=O DPXJVFZANSGRMM-UHFFFAOYSA-N 0.000 description 3
- 235000010443 alginic acid Nutrition 0.000 description 3
- 229920000615 alginic acid Polymers 0.000 description 3
- 239000000783 alginic acid Substances 0.000 description 3
- 229960001126 alginic acid Drugs 0.000 description 3
- 150000004781 alginic acids Chemical class 0.000 description 3
- 150000001414 amino alcohols Chemical class 0.000 description 3
- 230000001773 anti-convulsant effect Effects 0.000 description 3
- 239000001961 anticonvulsive agent Substances 0.000 description 3
- 229960003965 antiepileptics Drugs 0.000 description 3
- 229960001631 carbomer Drugs 0.000 description 3
- 229940063834 carboxymethylcellulose sodium Drugs 0.000 description 3
- 239000000969 carrier Substances 0.000 description 3
- 238000006243 chemical reaction Methods 0.000 description 3
- UAOMVDZJSHZZME-UHFFFAOYSA-N diisopropylamine Chemical group CC(C)NC(C)C UAOMVDZJSHZZME-UHFFFAOYSA-N 0.000 description 3
- 239000007884 disintegrant Substances 0.000 description 3
- 238000001035 drying Methods 0.000 description 3
- 239000000796 flavoring agent Substances 0.000 description 3
- 235000013355 food flavoring agent Nutrition 0.000 description 3
- BTCSSZJGUNDROE-UHFFFAOYSA-N gamma-aminobutyric acid Chemical compound NCCCC(O)=O BTCSSZJGUNDROE-UHFFFAOYSA-N 0.000 description 3
- 235000011187 glycerol Nutrition 0.000 description 3
- 235000010417 guar gum Nutrition 0.000 description 3
- 239000000665 guar gum Substances 0.000 description 3
- 229960002154 guar gum Drugs 0.000 description 3
- 239000007924 injection Substances 0.000 description 3
- 238000002347 injection Methods 0.000 description 3
- 150000007529 inorganic bases Chemical class 0.000 description 3
- 229940035034 maltodextrin Drugs 0.000 description 3
- 235000019813 microcrystalline cellulose Nutrition 0.000 description 3
- 239000008108 microcrystalline cellulose Substances 0.000 description 3
- 229940016286 microcrystalline cellulose Drugs 0.000 description 3
- 150000007530 organic bases Chemical class 0.000 description 3
- 229920003124 powdered cellulose Polymers 0.000 description 3
- 235000019814 powdered cellulose Nutrition 0.000 description 3
- AYXYPKUFHZROOJ-SSDOTTSWSA-N pregabalin Chemical compound CC(C)C[C@@H](CN)CC(O)=O AYXYPKUFHZROOJ-SSDOTTSWSA-N 0.000 description 3
- 235000010413 sodium alginate Nutrition 0.000 description 3
- 239000000661 sodium alginate Substances 0.000 description 3
- 229940005550 sodium alginate Drugs 0.000 description 3
- 239000000600 sorbitol Substances 0.000 description 3
- 235000010356 sorbitol Nutrition 0.000 description 3
- 239000000725 suspension Substances 0.000 description 3
- 239000000454 talc Substances 0.000 description 3
- 229910052623 talc Inorganic materials 0.000 description 3
- 229940033134 talc Drugs 0.000 description 3
- 235000012222 talc Nutrition 0.000 description 3
- 238000005406 washing Methods 0.000 description 3
- RQEUFEKYXDPUSK-SSDOTTSWSA-N (1R)-1-phenylethanamine Chemical compound C[C@@H](N)C1=CC=CC=C1 RQEUFEKYXDPUSK-SSDOTTSWSA-N 0.000 description 2
- VBICKXHEKHSIBG-UHFFFAOYSA-N 1-monostearoylglycerol Chemical compound CCCCCCCCCCCCCCCCCC(=O)OCC(O)CO VBICKXHEKHSIBG-UHFFFAOYSA-N 0.000 description 2
- XPCTZQVDEJYUGT-UHFFFAOYSA-N 3-hydroxy-2-methyl-4-pyrone Chemical compound CC=1OC=CC(=O)C=1O XPCTZQVDEJYUGT-UHFFFAOYSA-N 0.000 description 2
- 241000416162 Astragalus gummifer Species 0.000 description 2
- VTYYLEPIZMXCLO-UHFFFAOYSA-L Calcium carbonate Chemical compound [Ca+2].[O-]C([O-])=O VTYYLEPIZMXCLO-UHFFFAOYSA-L 0.000 description 2
- BVKZGUZCCUSVTD-UHFFFAOYSA-L Carbonate Chemical compound [O-]C([O-])=O BVKZGUZCCUSVTD-UHFFFAOYSA-L 0.000 description 2
- FBPFZTCFMRRESA-KVTDHHQDSA-N D-Mannitol Chemical compound OC[C@@H](O)[C@@H](O)[C@H](O)[C@H](O)CO FBPFZTCFMRRESA-KVTDHHQDSA-N 0.000 description 2
- 229920001353 Dextrin Polymers 0.000 description 2
- 239000004375 Dextrin Substances 0.000 description 2
- 239000004097 EU approved flavor enhancer Substances 0.000 description 2
- 239000001856 Ethyl cellulose Substances 0.000 description 2
- ZZSNKZQZMQGXPY-UHFFFAOYSA-N Ethyl cellulose Chemical compound CCOCC1OC(OC)C(OCC)C(OCC)C1OC1C(O)C(O)C(OC)C(CO)O1 ZZSNKZQZMQGXPY-UHFFFAOYSA-N 0.000 description 2
- VZCYOOQTPOCHFL-OWOJBTEDSA-N Fumaric acid Chemical compound OC(=O)\C=C\C(O)=O VZCYOOQTPOCHFL-OWOJBTEDSA-N 0.000 description 2
- 108091022930 Glutamate decarboxylase Proteins 0.000 description 2
- 239000004354 Hydroxyethyl cellulose Substances 0.000 description 2
- 229920000663 Hydroxyethyl cellulose Polymers 0.000 description 2
- 229920002153 Hydroxypropyl cellulose Polymers 0.000 description 2
- DGAQECJNVWCQMB-PUAWFVPOSA-M Ilexoside XXIX Chemical compound C[C@@H]1CC[C@@]2(CC[C@@]3(C(=CC[C@H]4[C@]3(CC[C@@H]5[C@@]4(CC[C@@H](C5(C)C)OS(=O)(=O)[O-])C)C)[C@@H]2[C@]1(C)O)C)C(=O)O[C@H]6[C@@H]([C@H]([C@@H]([C@H](O6)CO)O)O)O.[Na+] DGAQECJNVWCQMB-PUAWFVPOSA-M 0.000 description 2
- KFZMGEQAYNKOFK-UHFFFAOYSA-N Isopropanol Chemical compound CC(C)O KFZMGEQAYNKOFK-UHFFFAOYSA-N 0.000 description 2
- WHUUTDBJXJRKMK-VKHMYHEASA-N L-glutamic acid Chemical compound OC(=O)[C@@H](N)CCC(O)=O WHUUTDBJXJRKMK-VKHMYHEASA-N 0.000 description 2
- GUBGYTABKSRVRQ-QKKXKWKRSA-N Lactose Natural products OC[C@H]1O[C@@H](O[C@H]2[C@H](O)[C@@H](O)C(O)O[C@@H]2CO)[C@H](O)[C@@H](O)[C@H]1O GUBGYTABKSRVRQ-QKKXKWKRSA-N 0.000 description 2
- 229930195725 Mannitol Natural products 0.000 description 2
- 239000002202 Polyethylene glycol Substances 0.000 description 2
- WCUXLLCKKVVCTQ-UHFFFAOYSA-M Potassium chloride Chemical compound [Cl-].[K+] WCUXLLCKKVVCTQ-UHFFFAOYSA-M 0.000 description 2
- CDBYLPFSWZWCQE-UHFFFAOYSA-L Sodium Carbonate Chemical compound [Na+].[Na+].[O-]C([O-])=O CDBYLPFSWZWCQE-UHFFFAOYSA-L 0.000 description 2
- 229920001615 Tragacanth Polymers 0.000 description 2
- 230000002378 acidificating effect Effects 0.000 description 2
- 239000012615 aggregate Substances 0.000 description 2
- 239000003513 alkali Substances 0.000 description 2
- 229910001854 alkali hydroxide Inorganic materials 0.000 description 2
- 150000008044 alkali metal hydroxides Chemical class 0.000 description 2
- SNAAJJQQZSMGQD-UHFFFAOYSA-N aluminum magnesium Chemical compound [Mg].[Al] SNAAJJQQZSMGQD-UHFFFAOYSA-N 0.000 description 2
- WQZGKKKJIJFFOK-VFUOTHLCSA-N beta-D-glucose Chemical compound OC[C@H]1O[C@@H](O)[C@H](O)[C@@H](O)[C@@H]1O WQZGKKKJIJFFOK-VFUOTHLCSA-N 0.000 description 2
- 239000011230 binding agent Substances 0.000 description 2
- 210000004556 brain Anatomy 0.000 description 2
- GDTBXPJZTBHREO-UHFFFAOYSA-N bromine Chemical compound BrBr GDTBXPJZTBHREO-UHFFFAOYSA-N 0.000 description 2
- OSGAYBCDTDRGGQ-UHFFFAOYSA-L calcium sulfate Chemical compound [Ca+2].[O-]S([O-])(=O)=O OSGAYBCDTDRGGQ-UHFFFAOYSA-L 0.000 description 2
- 229920003123 carboxymethyl cellulose sodium Polymers 0.000 description 2
- 229940084030 carboxymethylcellulose calcium Drugs 0.000 description 2
- 229940082500 cetostearyl alcohol Drugs 0.000 description 2
- HVYWMOMLDIMFJA-DPAQBDIFSA-N cholesterol Chemical compound C1C=C2C[C@@H](O)CC[C@]2(C)[C@@H]2[C@@H]1[C@@H]1CC[C@H]([C@H](C)CCCC(C)C)[C@@]1(C)CC2 HVYWMOMLDIMFJA-DPAQBDIFSA-N 0.000 description 2
- 229940075614 colloidal silicon dioxide Drugs 0.000 description 2
- 239000003086 colorant Substances 0.000 description 2
- 150000001875 compounds Chemical class 0.000 description 2
- 238000001816 cooling Methods 0.000 description 2
- 235000019425 dextrin Nutrition 0.000 description 2
- RBLGLDWTCZMLRW-UHFFFAOYSA-K dicalcium;phosphate;dihydrate Chemical compound O.O.[Ca+2].[Ca+2].[O-]P([O-])([O-])=O RBLGLDWTCZMLRW-UHFFFAOYSA-K 0.000 description 2
- 239000003995 emulsifying agent Substances 0.000 description 2
- 229940093499 ethyl acetate Drugs 0.000 description 2
- 235000019439 ethyl acetate Nutrition 0.000 description 2
- 235000019325 ethyl cellulose Nutrition 0.000 description 2
- 229920001249 ethyl cellulose Polymers 0.000 description 2
- CBOQJANXLMLOSS-UHFFFAOYSA-N ethyl vanillin Chemical group CCOC1=CC(C=O)=CC=C1O CBOQJANXLMLOSS-UHFFFAOYSA-N 0.000 description 2
- 238000011049 filling Methods 0.000 description 2
- 239000000706 filtrate Substances 0.000 description 2
- 235000019264 food flavour enhancer Nutrition 0.000 description 2
- 238000009472 formulation Methods 0.000 description 2
- 229960003692 gamma aminobutyric acid Drugs 0.000 description 2
- 238000010438 heat treatment Methods 0.000 description 2
- BXWNKGSJHAJOGX-UHFFFAOYSA-N hexadecan-1-ol Chemical compound CCCCCCCCCCCCCCCCO BXWNKGSJHAJOGX-UHFFFAOYSA-N 0.000 description 2
- 239000008172 hydrogenated vegetable oil Substances 0.000 description 2
- 235000019447 hydroxyethyl cellulose Nutrition 0.000 description 2
- 235000010977 hydroxypropyl cellulose Nutrition 0.000 description 2
- 239000001863 hydroxypropyl cellulose Substances 0.000 description 2
- 235000010979 hydroxypropyl methyl cellulose Nutrition 0.000 description 2
- 239000001866 hydroxypropyl methyl cellulose Substances 0.000 description 2
- 229920003088 hydroxypropyl methyl cellulose Polymers 0.000 description 2
- UFVKGYZPFZQRLF-UHFFFAOYSA-N hydroxypropyl methyl cellulose Chemical compound OC1C(O)C(OC)OC(CO)C1OC1C(O)C(O)C(OC2C(C(O)C(OC3C(C(O)C(O)C(CO)O3)O)C(CO)O2)O)C(CO)O1 UFVKGYZPFZQRLF-UHFFFAOYSA-N 0.000 description 2
- 238000007918 intramuscular administration Methods 0.000 description 2
- 238000001990 intravenous administration Methods 0.000 description 2
- ZXEKIIBDNHEJCQ-UHFFFAOYSA-N isobutanol Chemical compound CC(C)CO ZXEKIIBDNHEJCQ-UHFFFAOYSA-N 0.000 description 2
- JVTAAEKCZFNVCJ-UHFFFAOYSA-N lactic acid Chemical compound CC(O)C(O)=O JVTAAEKCZFNVCJ-UHFFFAOYSA-N 0.000 description 2
- 239000008101 lactose Substances 0.000 description 2
- HQKMJHAJHXVSDF-UHFFFAOYSA-L magnesium stearate Chemical compound [Mg+2].CCCCCCCCCCCCCCCCCC([O-])=O.CCCCCCCCCCCCCCCCCC([O-])=O HQKMJHAJHXVSDF-UHFFFAOYSA-L 0.000 description 2
- 239000000594 mannitol Substances 0.000 description 2
- 235000010355 mannitol Nutrition 0.000 description 2
- GLDOVTGHNKAZLK-UHFFFAOYSA-N octadecan-1-ol Chemical compound CCCCCCCCCCCCCCCCCCO GLDOVTGHNKAZLK-UHFFFAOYSA-N 0.000 description 2
- 229920000191 poly(N-vinyl pyrrolidone) Polymers 0.000 description 2
- 229920001223 polyethylene glycol Polymers 0.000 description 2
- 229920000193 polymethacrylate Polymers 0.000 description 2
- 229920000036 polyvinylpyrrolidone Polymers 0.000 description 2
- 235000013855 polyvinylpyrrolidone Nutrition 0.000 description 2
- BWHMMNNQKKPAPP-UHFFFAOYSA-L potassium carbonate Chemical compound [K+].[K+].[O-]C([O-])=O BWHMMNNQKKPAPP-UHFFFAOYSA-L 0.000 description 2
- 229940069328 povidone Drugs 0.000 description 2
- 238000004064 recycling Methods 0.000 description 2
- 150000003335 secondary amines Chemical class 0.000 description 2
- 235000015424 sodium Nutrition 0.000 description 2
- 239000011734 sodium Substances 0.000 description 2
- 229910052708 sodium Inorganic materials 0.000 description 2
- WXMKPNITSTVMEF-UHFFFAOYSA-M sodium benzoate Chemical compound [Na+].[O-]C(=O)C1=CC=CC=C1 WXMKPNITSTVMEF-UHFFFAOYSA-M 0.000 description 2
- 239000004299 sodium benzoate Substances 0.000 description 2
- 235000010234 sodium benzoate Nutrition 0.000 description 2
- 239000011780 sodium chloride Substances 0.000 description 2
- 229920003109 sodium starch glycolate Polymers 0.000 description 2
- 239000008109 sodium starch glycolate Substances 0.000 description 2
- 229940079832 sodium starch glycolate Drugs 0.000 description 2
- 238000007920 subcutaneous administration Methods 0.000 description 2
- 239000000126 substance Substances 0.000 description 2
- 239000000829 suppository Substances 0.000 description 2
- 150000003512 tertiary amines Chemical group 0.000 description 2
- OULAJFUGPPVRBK-UHFFFAOYSA-N tetratriacontyl alcohol Natural products CCCCCCCCCCCCCCCCCCCCCCCCCCCCCCCCCCO OULAJFUGPPVRBK-UHFFFAOYSA-N 0.000 description 2
- 235000010487 tragacanth Nutrition 0.000 description 2
- 229940116362 tragacanth Drugs 0.000 description 2
- QORWJWZARLRLPR-UHFFFAOYSA-H tricalcium bis(phosphate) Chemical compound [Ca+2].[Ca+2].[Ca+2].[O-]P([O-])([O-])=O.[O-]P([O-])([O-])=O QORWJWZARLRLPR-UHFFFAOYSA-H 0.000 description 2
- 235000019731 tricalcium phosphate Nutrition 0.000 description 2
- 238000005550 wet granulation Methods 0.000 description 2
- NOOLISFMXDJSKH-UTLUCORTSA-N (+)-Neomenthol Chemical compound CC(C)[C@@H]1CC[C@@H](C)C[C@@H]1O NOOLISFMXDJSKH-UTLUCORTSA-N 0.000 description 1
- OGNSCSPNOLGXSM-UHFFFAOYSA-N (+/-)-DABA Natural products NCCC(N)C(O)=O OGNSCSPNOLGXSM-UHFFFAOYSA-N 0.000 description 1
- LNAZSHAWQACDHT-XIYTZBAFSA-N (2r,3r,4s,5r,6s)-4,5-dimethoxy-2-(methoxymethyl)-3-[(2s,3r,4s,5r,6r)-3,4,5-trimethoxy-6-(methoxymethyl)oxan-2-yl]oxy-6-[(2r,3r,4s,5r,6r)-4,5,6-trimethoxy-2-(methoxymethyl)oxan-3-yl]oxyoxane Chemical compound CO[C@@H]1[C@@H](OC)[C@H](OC)[C@@H](COC)O[C@H]1O[C@H]1[C@H](OC)[C@@H](OC)[C@H](O[C@H]2[C@@H]([C@@H](OC)[C@H](OC)O[C@@H]2COC)OC)O[C@@H]1COC LNAZSHAWQACDHT-XIYTZBAFSA-N 0.000 description 1
- CYDQOEWLBCCFJZ-UHFFFAOYSA-N 4-(4-fluorophenyl)oxane-4-carboxylic acid Chemical compound C=1C=C(F)C=CC=1C1(C(=O)O)CCOCC1 CYDQOEWLBCCFJZ-UHFFFAOYSA-N 0.000 description 1
- HBAQYPYDRFILMT-UHFFFAOYSA-N 8-[3-(1-cyclopropylpyrazol-4-yl)-1H-pyrazolo[4,3-d]pyrimidin-5-yl]-3-methyl-3,8-diazabicyclo[3.2.1]octan-2-one Chemical class C1(CC1)N1N=CC(=C1)C1=NNC2=C1N=C(N=C2)N1C2C(N(CC1CC2)C)=O HBAQYPYDRFILMT-UHFFFAOYSA-N 0.000 description 1
- GUBGYTABKSRVRQ-XLOQQCSPSA-N Alpha-Lactose Chemical compound O[C@@H]1[C@@H](O)[C@@H](O)[C@@H](CO)O[C@H]1O[C@@H]1[C@@H](CO)O[C@H](O)[C@H](O)[C@H]1O GUBGYTABKSRVRQ-XLOQQCSPSA-N 0.000 description 1
- 239000005995 Aluminium silicate Substances 0.000 description 1
- 108010011485 Aspartame Proteins 0.000 description 1
- WKBOTKDWSSQWDR-UHFFFAOYSA-N Bromine atom Chemical compound [Br] WKBOTKDWSSQWDR-UHFFFAOYSA-N 0.000 description 1
- DKPFZGUDAPQIHT-UHFFFAOYSA-N Butyl acetate Natural products CCCCOC(C)=O DKPFZGUDAPQIHT-UHFFFAOYSA-N 0.000 description 1
- 239000004255 Butylated hydroxyanisole Substances 0.000 description 1
- 239000004322 Butylated hydroxytoluene Substances 0.000 description 1
- NLZUEZXRPGMBCV-UHFFFAOYSA-N Butylhydroxytoluene Chemical compound CC1=CC(C(C)(C)C)=C(O)C(C(C)(C)C)=C1 NLZUEZXRPGMBCV-UHFFFAOYSA-N 0.000 description 1
- ZJCFNHIEEPXKSO-UHFFFAOYSA-N C.C.C Chemical compound C.C.C ZJCFNHIEEPXKSO-UHFFFAOYSA-N 0.000 description 1
- VJWPAMHCXRALOP-PQDKXLSFSA-N C.CC(C)CC(CC(N)=O)CC(=O)O.CC(C)C[C@H](CC(N)=O)CC(=O)[OH+][N-]C(C)C1=CC=CC=C1.C[C@@H](N)C1=CC=CC=C1 Chemical compound C.CC(C)CC(CC(N)=O)CC(=O)O.CC(C)C[C@H](CC(N)=O)CC(=O)[OH+][N-]C(C)C1=CC=CC=C1.C[C@@H](N)C1=CC=CC=C1 VJWPAMHCXRALOP-PQDKXLSFSA-N 0.000 description 1
- 108090000489 Carboxy-Lyases Proteins 0.000 description 1
- 108010076119 Caseins Proteins 0.000 description 1
- PTHCMJGKKRQCBF-UHFFFAOYSA-N Cellulose, microcrystalline Chemical compound OC1C(O)C(OC)OC(CO)C1OC1C(O)C(O)C(OC)C(CO)O1 PTHCMJGKKRQCBF-UHFFFAOYSA-N 0.000 description 1
- 241000206576 Chondrus Species 0.000 description 1
- 229920002785 Croscarmellose sodium Polymers 0.000 description 1
- NOOLISFMXDJSKH-UHFFFAOYSA-N DL-menthol Natural products CC(C)C1CCC(C)CC1O NOOLISFMXDJSKH-UHFFFAOYSA-N 0.000 description 1
- FEWJPZIEWOKRBE-JCYAYHJZSA-N Dextrotartaric acid Chemical compound OC(=O)[C@H](O)[C@@H](O)C(O)=O FEWJPZIEWOKRBE-JCYAYHJZSA-N 0.000 description 1
- KCXVZYZYPLLWCC-UHFFFAOYSA-N EDTA Chemical compound OC(=O)CN(CC(O)=O)CCN(CC(O)=O)CC(O)=O KCXVZYZYPLLWCC-UHFFFAOYSA-N 0.000 description 1
- 102000002322 Egg Proteins Human genes 0.000 description 1
- 108010000912 Egg Proteins Proteins 0.000 description 1
- YIKYNHJUKRTCJL-UHFFFAOYSA-N Ethyl maltol Chemical compound CCC=1OC=CC(=O)C=1O YIKYNHJUKRTCJL-UHFFFAOYSA-N 0.000 description 1
- 229920003134 Eudragit® polymer Polymers 0.000 description 1
- 229930091371 Fructose Natural products 0.000 description 1
- 239000005715 Fructose Substances 0.000 description 1
- RFSUNEUAIZKAJO-ARQDHWQXSA-N Fructose Chemical compound OC[C@H]1O[C@](O)(CO)[C@@H](O)[C@@H]1O RFSUNEUAIZKAJO-ARQDHWQXSA-N 0.000 description 1
- CPELXLSAUQHCOX-UHFFFAOYSA-N Hydrogen bromide Chemical compound Br CPELXLSAUQHCOX-UHFFFAOYSA-N 0.000 description 1
- HYMLWHLQFGRFIY-UHFFFAOYSA-N Maltol Natural products CC1OC=CC(=O)C1=O HYMLWHLQFGRFIY-UHFFFAOYSA-N 0.000 description 1
- 229920003091 Methocel™ Polymers 0.000 description 1
- NTIZESTWPVYFNL-UHFFFAOYSA-N Methyl isobutyl ketone Chemical compound CC(C)CC(C)=O NTIZESTWPVYFNL-UHFFFAOYSA-N 0.000 description 1
- UIHCLUNTQKBZGK-UHFFFAOYSA-N Methyl isobutyl ketone Natural products CCC(C)C(C)=O UIHCLUNTQKBZGK-UHFFFAOYSA-N 0.000 description 1
- 241000238367 Mya arenaria Species 0.000 description 1
- 229910002651 NO3 Inorganic materials 0.000 description 1
- NHNBFGGVMKEFGY-UHFFFAOYSA-N Nitrate Chemical compound [O-][N+]([O-])=O NHNBFGGVMKEFGY-UHFFFAOYSA-N 0.000 description 1
- IOVCWXUNBOPUCH-UHFFFAOYSA-M Nitrite anion Chemical compound [O-]N=O IOVCWXUNBOPUCH-UHFFFAOYSA-M 0.000 description 1
- BHHGXPLMPWCGHP-UHFFFAOYSA-N Phenethylamine Chemical compound NCCC1=CC=CC=C1 BHHGXPLMPWCGHP-UHFFFAOYSA-N 0.000 description 1
- 229920003072 Plasdone™ povidone Polymers 0.000 description 1
- 229920001214 Polysorbate 60 Polymers 0.000 description 1
- 239000004372 Polyvinyl alcohol Substances 0.000 description 1
- HDSBZMRLPLPFLQ-UHFFFAOYSA-N Propylene glycol alginate Chemical compound OC1C(O)C(OC)OC(C(O)=O)C1OC1C(O)C(O)C(C)C(C(=O)OCC(C)O)O1 HDSBZMRLPLPFLQ-UHFFFAOYSA-N 0.000 description 1
- WINXNKPZLFISPD-UHFFFAOYSA-M Saccharin sodium Chemical compound [Na+].C1=CC=C2C(=O)[N-]S(=O)(=O)C2=C1 WINXNKPZLFISPD-UHFFFAOYSA-M 0.000 description 1
- VMHLLURERBWHNL-UHFFFAOYSA-M Sodium acetate Chemical compound [Na+].CC([O-])=O VMHLLURERBWHNL-UHFFFAOYSA-M 0.000 description 1
- DBMJMQXJHONAFJ-UHFFFAOYSA-M Sodium laurylsulphate Chemical compound [Na+].CCCCCCCCCCCCOS([O-])(=O)=O DBMJMQXJHONAFJ-UHFFFAOYSA-M 0.000 description 1
- 235000021355 Stearic acid Nutrition 0.000 description 1
- 229930006000 Sucrose Natural products 0.000 description 1
- CZMRCDWAGMRECN-UGDNZRGBSA-N Sucrose Chemical compound O[C@H]1[C@H](O)[C@@H](CO)O[C@@]1(CO)O[C@@H]1[C@H](O)[C@@H](O)[C@H](O)[C@@H](CO)O1 CZMRCDWAGMRECN-UGDNZRGBSA-N 0.000 description 1
- QAOWNCQODCNURD-UHFFFAOYSA-L Sulfate Chemical compound [O-]S([O-])(=O)=O QAOWNCQODCNURD-UHFFFAOYSA-L 0.000 description 1
- QAOWNCQODCNURD-UHFFFAOYSA-N Sulfuric acid Chemical compound OS(O)(=O)=O QAOWNCQODCNURD-UHFFFAOYSA-N 0.000 description 1
- FEWJPZIEWOKRBE-UHFFFAOYSA-N Tartaric acid Natural products [H+].[H+].[O-]C(=O)C(O)C(O)C([O-])=O FEWJPZIEWOKRBE-UHFFFAOYSA-N 0.000 description 1
- 239000003655 absorption accelerator Substances 0.000 description 1
- 235000011054 acetic acid Nutrition 0.000 description 1
- 230000004913 activation Effects 0.000 description 1
- 229910052783 alkali metal Inorganic materials 0.000 description 1
- 235000012211 aluminium silicate Nutrition 0.000 description 1
- 230000000202 analgesic effect Effects 0.000 description 1
- 239000000730 antalgic agent Substances 0.000 description 1
- 230000000949 anxiolytic effect Effects 0.000 description 1
- 239000000605 aspartame Substances 0.000 description 1
- IAOZJIPTCAWIRG-QWRGUYRKSA-N aspartame Chemical compound OC(=O)C[C@H](N)C(=O)N[C@H](C(=O)OC)CC1=CC=CC=C1 IAOZJIPTCAWIRG-QWRGUYRKSA-N 0.000 description 1
- 235000010357 aspartame Nutrition 0.000 description 1
- 229960003438 aspartame Drugs 0.000 description 1
- 239000000305 astragalus gummifer gum Substances 0.000 description 1
- 239000000440 bentonite Substances 0.000 description 1
- 229910000278 bentonite Inorganic materials 0.000 description 1
- 229940092782 bentonite Drugs 0.000 description 1
- SVPXDRXYRYOSEX-UHFFFAOYSA-N bentoquatam Chemical compound O.O=[Si]=O.O=[Al]O[Al]=O SVPXDRXYRYOSEX-UHFFFAOYSA-N 0.000 description 1
- 239000008280 blood Substances 0.000 description 1
- 210000004369 blood Anatomy 0.000 description 1
- 229910052794 bromium Inorganic materials 0.000 description 1
- 239000004067 bulking agent Substances 0.000 description 1
- 229940043232 butyl acetate Drugs 0.000 description 1
- 235000019282 butylated hydroxyanisole Nutrition 0.000 description 1
- CZBZUDVBLSSABA-UHFFFAOYSA-N butylated hydroxyanisole Chemical compound COC1=CC=C(O)C(C(C)(C)C)=C1.COC1=CC=C(O)C=C1C(C)(C)C CZBZUDVBLSSABA-UHFFFAOYSA-N 0.000 description 1
- 229940043253 butylated hydroxyanisole Drugs 0.000 description 1
- 235000010354 butylated hydroxytoluene Nutrition 0.000 description 1
- 229940095259 butylated hydroxytoluene Drugs 0.000 description 1
- 229910000019 calcium carbonate Inorganic materials 0.000 description 1
- XAAHAAMILDNBPS-UHFFFAOYSA-L calcium hydrogenphosphate dihydrate Chemical compound O.O.[Ca+2].OP([O-])([O-])=O XAAHAAMILDNBPS-UHFFFAOYSA-L 0.000 description 1
- CJZGTCYPCWQAJB-UHFFFAOYSA-L calcium stearate Chemical compound [Ca+2].CCCCCCCCCCCCCCCCCC([O-])=O.CCCCCCCCCCCCCCCCCC([O-])=O CJZGTCYPCWQAJB-UHFFFAOYSA-L 0.000 description 1
- 235000013539 calcium stearate Nutrition 0.000 description 1
- 239000008116 calcium stearate Substances 0.000 description 1
- 229940078456 calcium stearate Drugs 0.000 description 1
- 230000000711 cancerogenic effect Effects 0.000 description 1
- 150000001732 carboxylic acid derivatives Chemical group 0.000 description 1
- 150000001735 carboxylic acids Chemical class 0.000 description 1
- 231100000315 carcinogenic Toxicity 0.000 description 1
- 239000005018 casein Substances 0.000 description 1
- BECPQYXYKAMYBN-UHFFFAOYSA-N casein, tech. Chemical compound NCCCCC(C(O)=O)N=C(O)C(CC(O)=O)N=C(O)C(CCC(O)=N)N=C(O)C(CC(C)C)N=C(O)C(CCC(O)=O)N=C(O)C(CC(O)=O)N=C(O)C(CCC(O)=O)N=C(O)C(C(C)O)N=C(O)C(CCC(O)=N)N=C(O)C(CCC(O)=N)N=C(O)C(CCC(O)=N)N=C(O)C(CCC(O)=O)N=C(O)C(CCC(O)=O)N=C(O)C(COP(O)(O)=O)N=C(O)C(CCC(O)=N)N=C(O)C(N)CC1=CC=CC=C1 BECPQYXYKAMYBN-UHFFFAOYSA-N 0.000 description 1
- 235000021240 caseins Nutrition 0.000 description 1
- 239000004359 castor oil Substances 0.000 description 1
- 235000019438 castor oil Nutrition 0.000 description 1
- 230000015556 catabolic process Effects 0.000 description 1
- 235000010980 cellulose Nutrition 0.000 description 1
- 229920002678 cellulose Polymers 0.000 description 1
- 229960000541 cetyl alcohol Drugs 0.000 description 1
- 239000002738 chelating agent Substances 0.000 description 1
- 238000012822 chemical development Methods 0.000 description 1
- 238000004296 chiral HPLC Methods 0.000 description 1
- 235000012000 cholesterol Nutrition 0.000 description 1
- 229960004106 citric acid Drugs 0.000 description 1
- 235000015165 citric acid Nutrition 0.000 description 1
- 239000008119 colloidal silica Substances 0.000 description 1
- 238000005056 compaction Methods 0.000 description 1
- 238000007906 compression Methods 0.000 description 1
- 230000006835 compression Effects 0.000 description 1
- 229960001681 croscarmellose sodium Drugs 0.000 description 1
- 229960000913 crospovidone Drugs 0.000 description 1
- 235000010947 crosslinked sodium carboxy methyl cellulose Nutrition 0.000 description 1
- 238000006731 degradation reaction Methods 0.000 description 1
- 238000011161 development Methods 0.000 description 1
- 229940096516 dextrates Drugs 0.000 description 1
- 239000008121 dextrose Substances 0.000 description 1
- 235000014113 dietary fatty acids Nutrition 0.000 description 1
- 229940043279 diisopropylamine Drugs 0.000 description 1
- GXGAKHNRMVGRPK-UHFFFAOYSA-N dimagnesium;dioxido-bis[[oxido(oxo)silyl]oxy]silane Chemical compound [Mg+2].[Mg+2].[O-][Si](=O)O[Si]([O-])([O-])O[Si]([O-])=O GXGAKHNRMVGRPK-UHFFFAOYSA-N 0.000 description 1
- WEHWNAOGRSTTBQ-UHFFFAOYSA-N dipropylamine Chemical compound CCCNCCC WEHWNAOGRSTTBQ-UHFFFAOYSA-N 0.000 description 1
- 231100000673 dose–response relationship Toxicity 0.000 description 1
- 229940079593 drug Drugs 0.000 description 1
- 239000003814 drug Substances 0.000 description 1
- 238000007908 dry granulation Methods 0.000 description 1
- 229960001484 edetic acid Drugs 0.000 description 1
- 235000013345 egg yolk Nutrition 0.000 description 1
- 210000002969 egg yolk Anatomy 0.000 description 1
- 239000003480 eluent Substances 0.000 description 1
- 239000000839 emulsion Substances 0.000 description 1
- 230000002708 enhancing effect Effects 0.000 description 1
- MVPICKVDHDWCJQ-UHFFFAOYSA-N ethyl 3-pyrrolidin-1-ylpropanoate Chemical compound CCOC(=O)CCN1CCCC1 MVPICKVDHDWCJQ-UHFFFAOYSA-N 0.000 description 1
- 229960004667 ethyl cellulose Drugs 0.000 description 1
- 229940093503 ethyl maltol Drugs 0.000 description 1
- 229940073505 ethyl vanillin Drugs 0.000 description 1
- 239000000194 fatty acid Substances 0.000 description 1
- 229930195729 fatty acid Natural products 0.000 description 1
- 239000000945 filler Substances 0.000 description 1
- 230000037406 food intake Effects 0.000 description 1
- 235000003599 food sweetener Nutrition 0.000 description 1
- 229960002737 fructose Drugs 0.000 description 1
- 239000001530 fumaric acid Substances 0.000 description 1
- 229960002598 fumaric acid Drugs 0.000 description 1
- 210000001035 gastrointestinal tract Anatomy 0.000 description 1
- 239000008103 glucose Substances 0.000 description 1
- 229960002989 glutamic acid Drugs 0.000 description 1
- ZEMPKEQAKRGZGQ-XOQCFJPHSA-N glycerol triricinoleate Natural products CCCCCC[C@@H](O)CC=CCCCCCCCC(=O)OC[C@@H](COC(=O)CCCCCCCC=CC[C@@H](O)CCCCCC)OC(=O)CCCCCCCC=CC[C@H](O)CCCCCC ZEMPKEQAKRGZGQ-XOQCFJPHSA-N 0.000 description 1
- 229940075507 glyceryl monostearate Drugs 0.000 description 1
- FETSQPAGYOVAQU-UHFFFAOYSA-N glyceryl palmitostearate Chemical compound OCC(O)CO.CCCCCCCCCCCCCCCC(O)=O.CCCCCCCCCCCCCCCCCC(O)=O FETSQPAGYOVAQU-UHFFFAOYSA-N 0.000 description 1
- 229940046813 glyceryl palmitostearate Drugs 0.000 description 1
- FUZZWVXGSFPDMH-UHFFFAOYSA-N hexanoic acid Chemical compound CCCCCC(O)=O FUZZWVXGSFPDMH-UHFFFAOYSA-N 0.000 description 1
- 239000005414 inactive ingredient Substances 0.000 description 1
- 239000004615 ingredient Substances 0.000 description 1
- 239000003112 inhibitor Substances 0.000 description 1
- 230000002401 inhibitory effect Effects 0.000 description 1
- 229960004903 invert sugar Drugs 0.000 description 1
- 238000002955 isolation Methods 0.000 description 1
- JMMWKPVZQRWMSS-UHFFFAOYSA-N isopropanol acetate Natural products CC(C)OC(C)=O JMMWKPVZQRWMSS-UHFFFAOYSA-N 0.000 description 1
- 229940011051 isopropyl acetate Drugs 0.000 description 1
- GWYFCOCPABKNJV-UHFFFAOYSA-N isovaleric acid Chemical compound CC(C)CC(O)=O GWYFCOCPABKNJV-UHFFFAOYSA-N 0.000 description 1
- NLYAJNPCOHFWQQ-UHFFFAOYSA-N kaolin Chemical compound O.O.O=[Al]O[Si](=O)O[Si](=O)O[Al]=O NLYAJNPCOHFWQQ-UHFFFAOYSA-N 0.000 description 1
- 239000004310 lactic acid Substances 0.000 description 1
- 235000014655 lactic acid Nutrition 0.000 description 1
- ZLNQQNXFFQJAID-UHFFFAOYSA-L magnesium carbonate Chemical compound [Mg+2].[O-]C([O-])=O ZLNQQNXFFQJAID-UHFFFAOYSA-L 0.000 description 1
- 239000001095 magnesium carbonate Substances 0.000 description 1
- 229910000021 magnesium carbonate Inorganic materials 0.000 description 1
- 235000014380 magnesium carbonate Nutrition 0.000 description 1
- 239000000395 magnesium oxide Substances 0.000 description 1
- CPLXHLVBOLITMK-UHFFFAOYSA-N magnesium oxide Inorganic materials [Mg]=O CPLXHLVBOLITMK-UHFFFAOYSA-N 0.000 description 1
- 235000012245 magnesium oxide Nutrition 0.000 description 1
- 239000000391 magnesium silicate Substances 0.000 description 1
- 235000019359 magnesium stearate Nutrition 0.000 description 1
- 229940057948 magnesium stearate Drugs 0.000 description 1
- 229940099273 magnesium trisilicate Drugs 0.000 description 1
- 235000019793 magnesium trisilicate Nutrition 0.000 description 1
- 229910000386 magnesium trisilicate Inorganic materials 0.000 description 1
- AXZKOIWUVFPNLO-UHFFFAOYSA-N magnesium;oxygen(2-) Chemical compound [O-2].[Mg+2] AXZKOIWUVFPNLO-UHFFFAOYSA-N 0.000 description 1
- 230000014759 maintenance of location Effects 0.000 description 1
- 229940043353 maltol Drugs 0.000 description 1
- 229960001855 mannitol Drugs 0.000 description 1
- 229940041616 menthol Drugs 0.000 description 1
- 229940043265 methyl isobutyl ketone Drugs 0.000 description 1
- 239000002480 mineral oil Substances 0.000 description 1
- 235000010446 mineral oil Nutrition 0.000 description 1
- 238000002156 mixing Methods 0.000 description 1
- 239000001788 mono and diglycerides of fatty acids Substances 0.000 description 1
- 239000002858 neurotransmitter agent Substances 0.000 description 1
- QIQXTHQIDYTFRH-UHFFFAOYSA-N octadecanoic acid Chemical compound CCCCCCCCCCCCCCCCCC(O)=O QIQXTHQIDYTFRH-UHFFFAOYSA-N 0.000 description 1
- OQCDKBAXFALNLD-UHFFFAOYSA-N octadecanoic acid Natural products CCCCCCCC(C)CCCCCCCCC(O)=O OQCDKBAXFALNLD-UHFFFAOYSA-N 0.000 description 1
- 238000012856 packing Methods 0.000 description 1
- 239000002245 particle Substances 0.000 description 1
- 235000010987 pectin Nutrition 0.000 description 1
- 239000001814 pectin Substances 0.000 description 1
- 229920001277 pectin Polymers 0.000 description 1
- 229960000292 pectin Drugs 0.000 description 1
- 239000000825 pharmaceutical preparation Substances 0.000 description 1
- 229940127557 pharmaceutical product Drugs 0.000 description 1
- 239000003186 pharmaceutical solution Substances 0.000 description 1
- 239000007971 pharmaceutical suspension Substances 0.000 description 1
- 239000006187 pill Substances 0.000 description 1
- 239000004014 plasticizer Substances 0.000 description 1
- 229960000540 polacrilin potassium Drugs 0.000 description 1
- 229920002451 polyvinyl alcohol Polymers 0.000 description 1
- 229940068984 polyvinyl alcohol Drugs 0.000 description 1
- 235000013809 polyvinylpolypyrrolidone Nutrition 0.000 description 1
- 229920000523 polyvinylpolypyrrolidone Polymers 0.000 description 1
- 229910000027 potassium carbonate Inorganic materials 0.000 description 1
- 239000001103 potassium chloride Substances 0.000 description 1
- 235000011164 potassium chloride Nutrition 0.000 description 1
- WVWZXTJUCNEUAE-UHFFFAOYSA-M potassium;1,2-bis(ethenyl)benzene;2-methylprop-2-enoate Chemical compound [K+].CC(=C)C([O-])=O.C=CC1=CC=CC=C1C=C WVWZXTJUCNEUAE-UHFFFAOYSA-M 0.000 description 1
- 238000001556 precipitation Methods 0.000 description 1
- 239000003755 preservative agent Substances 0.000 description 1
- 230000001737 promoting effect Effects 0.000 description 1
- 235000010409 propane-1,2-diol alginate Nutrition 0.000 description 1
- 239000000770 propane-1,2-diol alginate Substances 0.000 description 1
- RUOJZAUFBMNUDX-UHFFFAOYSA-N propylene carbonate Chemical compound CC1COC(=O)O1 RUOJZAUFBMNUDX-UHFFFAOYSA-N 0.000 description 1
- 229940032159 propylene carbonate Drugs 0.000 description 1
- 230000001681 protective effect Effects 0.000 description 1
- 238000011160 research Methods 0.000 description 1
- 235000019204 saccharin Nutrition 0.000 description 1
- 229940081974 saccharin Drugs 0.000 description 1
- 239000000901 saccharin and its Na,K and Ca salt Substances 0.000 description 1
- 238000010956 selective crystallization Methods 0.000 description 1
- 239000001632 sodium acetate Substances 0.000 description 1
- 235000017281 sodium acetate Nutrition 0.000 description 1
- 229960003885 sodium benzoate Drugs 0.000 description 1
- 229910000029 sodium carbonate Inorganic materials 0.000 description 1
- 239000001509 sodium citrate Substances 0.000 description 1
- NLJMYIDDQXHKNR-UHFFFAOYSA-K sodium citrate Chemical compound O.O.[Na+].[Na+].[Na+].[O-]C(=O)CC(O)(CC([O-])=O)C([O-])=O NLJMYIDDQXHKNR-UHFFFAOYSA-K 0.000 description 1
- 235000011083 sodium citrates Nutrition 0.000 description 1
- 239000001540 sodium lactate Substances 0.000 description 1
- 229940005581 sodium lactate Drugs 0.000 description 1
- 235000011088 sodium lactate Nutrition 0.000 description 1
- 235000019333 sodium laurylsulphate Nutrition 0.000 description 1
- 229940080313 sodium starch Drugs 0.000 description 1
- 229940045902 sodium stearyl fumarate Drugs 0.000 description 1
- 239000008279 sol Substances 0.000 description 1
- 239000007909 solid dosage form Substances 0.000 description 1
- 239000012439 solid excipient Substances 0.000 description 1
- 239000011877 solvent mixture Substances 0.000 description 1
- 239000007921 spray Substances 0.000 description 1
- 238000010561 standard procedure Methods 0.000 description 1
- 239000008117 stearic acid Substances 0.000 description 1
- 229960004274 stearic acid Drugs 0.000 description 1
- 210000002784 stomach Anatomy 0.000 description 1
- 238000003860 storage Methods 0.000 description 1
- 239000005720 sucrose Substances 0.000 description 1
- 229960004793 sucrose Drugs 0.000 description 1
- 239000004094 surface-active agent Substances 0.000 description 1
- 239000003765 sweetening agent Substances 0.000 description 1
- 208000024891 symptom Diseases 0.000 description 1
- 210000000225 synapse Anatomy 0.000 description 1
- 238000010189 synthetic method Methods 0.000 description 1
- 239000006188 syrup Substances 0.000 description 1
- 235000020357 syrup Nutrition 0.000 description 1
- 239000011975 tartaric acid Substances 0.000 description 1
- 235000002906 tartaric acid Nutrition 0.000 description 1
- 229960001367 tartaric acid Drugs 0.000 description 1
- 238000002560 therapeutic procedure Methods 0.000 description 1
- 239000000196 tragacanth Substances 0.000 description 1
- VZCYOOQTPOCHFL-UHFFFAOYSA-N trans-butenedioic acid Natural products OC(=O)C=CC(O)=O VZCYOOQTPOCHFL-UHFFFAOYSA-N 0.000 description 1
- IMFACGCPASFAPR-UHFFFAOYSA-N tributylamine Chemical compound CCCCN(CCCC)CCCC IMFACGCPASFAPR-UHFFFAOYSA-N 0.000 description 1
- 235000015112 vegetable and seed oil Nutrition 0.000 description 1
- 239000008158 vegetable oil Substances 0.000 description 1
- 239000000080 wetting agent Substances 0.000 description 1
- 235000010493 xanthan gum Nutrition 0.000 description 1
- 239000000230 xanthan gum Substances 0.000 description 1
- 229920001285 xanthan gum Polymers 0.000 description 1
- 229940082509 xanthan gum Drugs 0.000 description 1
- XOOUIPVCVHRTMJ-UHFFFAOYSA-L zinc stearate Chemical compound [Zn+2].CCCCCCCCCCCCCCCCCC([O-])=O.CCCCCCCCCCCCCCCCCC([O-])=O XOOUIPVCVHRTMJ-UHFFFAOYSA-L 0.000 description 1
- 229940057977 zinc stearate Drugs 0.000 description 1
Classifications
-
- C—CHEMISTRY; METALLURGY
- C07—ORGANIC CHEMISTRY
- C07C—ACYCLIC OR CARBOCYCLIC COMPOUNDS
- C07C233/00—Carboxylic acid amides
- C07C233/01—Carboxylic acid amides having carbon atoms of carboxamide groups bound to hydrogen atoms or to acyclic carbon atoms
- C07C233/16—Carboxylic acid amides having carbon atoms of carboxamide groups bound to hydrogen atoms or to acyclic carbon atoms having the nitrogen atom of at least one of the carboxamide groups bound to a carbon atom of a hydrocarbon radical substituted by singly-bound oxygen atoms
- C07C233/17—Carboxylic acid amides having carbon atoms of carboxamide groups bound to hydrogen atoms or to acyclic carbon atoms having the nitrogen atom of at least one of the carboxamide groups bound to a carbon atom of a hydrocarbon radical substituted by singly-bound oxygen atoms with the substituted hydrocarbon radical bound to the nitrogen atom of the carboxamide group by an acyclic carbon atom
- C07C233/18—Carboxylic acid amides having carbon atoms of carboxamide groups bound to hydrogen atoms or to acyclic carbon atoms having the nitrogen atom of at least one of the carboxamide groups bound to a carbon atom of a hydrocarbon radical substituted by singly-bound oxygen atoms with the substituted hydrocarbon radical bound to the nitrogen atom of the carboxamide group by an acyclic carbon atom having the carbon atom of the carboxamide group bound to a hydrogen atom or to a carbon atom of an acyclic saturated carbon skeleton
-
- C—CHEMISTRY; METALLURGY
- C07—ORGANIC CHEMISTRY
- C07C—ACYCLIC OR CARBOCYCLIC COMPOUNDS
- C07C215/00—Compounds containing amino and hydroxy groups bound to the same carbon skeleton
- C07C215/02—Compounds containing amino and hydroxy groups bound to the same carbon skeleton having hydroxy groups and amino groups bound to acyclic carbon atoms of the same carbon skeleton
- C07C215/22—Compounds containing amino and hydroxy groups bound to the same carbon skeleton having hydroxy groups and amino groups bound to acyclic carbon atoms of the same carbon skeleton the carbon skeleton being unsaturated
- C07C215/28—Compounds containing amino and hydroxy groups bound to the same carbon skeleton having hydroxy groups and amino groups bound to acyclic carbon atoms of the same carbon skeleton the carbon skeleton being unsaturated and containing six-membered aromatic rings
- C07C215/30—Compounds containing amino and hydroxy groups bound to the same carbon skeleton having hydroxy groups and amino groups bound to acyclic carbon atoms of the same carbon skeleton the carbon skeleton being unsaturated and containing six-membered aromatic rings containing hydroxy groups and carbon atoms of six-membered aromatic rings bound to the same carbon atom of the carbon skeleton
-
- A—HUMAN NECESSITIES
- A61—MEDICAL OR VETERINARY SCIENCE; HYGIENE
- A61P—SPECIFIC THERAPEUTIC ACTIVITY OF CHEMICAL COMPOUNDS OR MEDICINAL PREPARATIONS
- A61P25/00—Drugs for disorders of the nervous system
- A61P25/08—Antiepileptics; Anticonvulsants
-
- C—CHEMISTRY; METALLURGY
- C07—ORGANIC CHEMISTRY
- C07C—ACYCLIC OR CARBOCYCLIC COMPOUNDS
- C07C227/00—Preparation of compounds containing amino and carboxyl groups bound to the same carbon skeleton
- C07C227/14—Preparation of compounds containing amino and carboxyl groups bound to the same carbon skeleton from compounds containing already amino and carboxyl groups or derivatives thereof
- C07C227/16—Preparation of compounds containing amino and carboxyl groups bound to the same carbon skeleton from compounds containing already amino and carboxyl groups or derivatives thereof by reactions not involving the amino or carboxyl groups
-
- C—CHEMISTRY; METALLURGY
- C07—ORGANIC CHEMISTRY
- C07C—ACYCLIC OR CARBOCYCLIC COMPOUNDS
- C07C229/00—Compounds containing amino and carboxyl groups bound to the same carbon skeleton
- C07C229/02—Compounds containing amino and carboxyl groups bound to the same carbon skeleton having amino and carboxyl groups bound to acyclic carbon atoms of the same carbon skeleton
- C07C229/04—Compounds containing amino and carboxyl groups bound to the same carbon skeleton having amino and carboxyl groups bound to acyclic carbon atoms of the same carbon skeleton the carbon skeleton being acyclic and saturated
- C07C229/06—Compounds containing amino and carboxyl groups bound to the same carbon skeleton having amino and carboxyl groups bound to acyclic carbon atoms of the same carbon skeleton the carbon skeleton being acyclic and saturated having only one amino and one carboxyl group bound to the carbon skeleton
- C07C229/08—Compounds containing amino and carboxyl groups bound to the same carbon skeleton having amino and carboxyl groups bound to acyclic carbon atoms of the same carbon skeleton the carbon skeleton being acyclic and saturated having only one amino and one carboxyl group bound to the carbon skeleton the nitrogen atom of the amino group being further bound to hydrogen atoms
-
- C—CHEMISTRY; METALLURGY
- C07—ORGANIC CHEMISTRY
- C07C—ACYCLIC OR CARBOCYCLIC COMPOUNDS
- C07C231/00—Preparation of carboxylic acid amides
- C07C231/16—Preparation of optical isomers
- C07C231/20—Preparation of optical isomers by separation of optical isomers
-
- C—CHEMISTRY; METALLURGY
- C07—ORGANIC CHEMISTRY
- C07C—ACYCLIC OR CARBOCYCLIC COMPOUNDS
- C07C233/00—Carboxylic acid amides
- C07C233/01—Carboxylic acid amides having carbon atoms of carboxamide groups bound to hydrogen atoms or to acyclic carbon atoms
- C07C233/02—Carboxylic acid amides having carbon atoms of carboxamide groups bound to hydrogen atoms or to acyclic carbon atoms having nitrogen atoms of carboxamide groups bound to hydrogen atoms or to carbon atoms of unsubstituted hydrocarbon radicals
- C07C233/04—Carboxylic acid amides having carbon atoms of carboxamide groups bound to hydrogen atoms or to acyclic carbon atoms having nitrogen atoms of carboxamide groups bound to hydrogen atoms or to carbon atoms of unsubstituted hydrocarbon radicals with carbon atoms of carboxamide groups bound to acyclic carbon atoms of an acyclic saturated carbon skeleton
- C07C233/05—Carboxylic acid amides having carbon atoms of carboxamide groups bound to hydrogen atoms or to acyclic carbon atoms having nitrogen atoms of carboxamide groups bound to hydrogen atoms or to carbon atoms of unsubstituted hydrocarbon radicals with carbon atoms of carboxamide groups bound to acyclic carbon atoms of an acyclic saturated carbon skeleton having the nitrogen atoms of the carboxamide groups bound to hydrogen atoms or to acyclic carbon atoms
Definitions
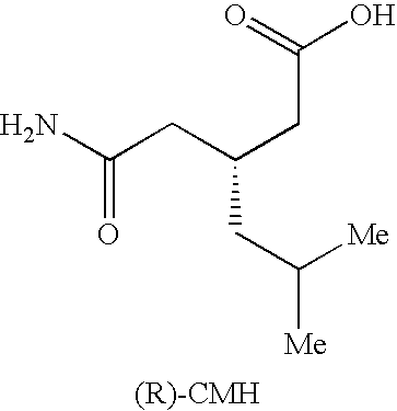
- the present invention is directed to pure (R)—CMH, the optical resolution of 3-carbamoylmethyl-5-methyl hexanoic acid-racemate (CMH-racemate), the process for optically purifying (R)—CMH and the process for isolating (S)—CMH from the mother liquor.
- (S)-Pregabalin (S)-(+)-3-(aminomethyl)-5-methylhexanoic acid, a compound having the chemical structure, is also known as ⁇ -amino butyric acid or (S)-3-isobutyl GABA.
- (S)-Pregabalin has been found to activate GAD (L-glutamic acid decarboxylase).
- GAD L-glutamic acid decarboxylase
- (S)-Pregabalin has a dose dependent protective effect on-seizure, and is a CNS-active compound.
- (S)-Pregabalin is useful in anticonvulsant therapy, due to its activation of GAD, promoting the production of GABA, one of the brain's major inhibitory neurotransmitters, which is released at 30 percent of the brains synapses.
- (S)-Pregabalin has analgesic, anticonvulsant, and anxiolytic activity.
- Optical resolution of a racemic mixture is performed via a diastereomeric salt.
- An example of this method is depicted in the following scheme, The salt is formed by reacting the racemic mixture with a chiral resolving reagent. Then, a selective crystallization of only one of the diastereomers is done to isolate the desired diastereomer salt, while the undesired remains in the solution. The crystalline salt is then isolated and the chiral resolving reagent is removed to give the desired enantiomer.
- CMH which has a carboxylic acid function can be reacted with an appropriate chiral amine to obtain the salt of the desirable enantiomer (R-enantiomer), which is then isolated followed by removing the chiral amine to give (R)—CMH.
- the present invention provides (R)—CMH containing less than about 0.2% area by HPLC of (S)—CMH.
- the present invention provides (R)—CMH containing less than about 0.1% area by HPLC of (S)—CMH.
- the present invention provides a process for the optical resolution of ( ⁇ )-3-(carbamoylmethyl)-5-methylhexanoic acid (referred to as CMH-racemate), comprising combining CMH-racemate, a solvent selected from the group consisting of ketone, ester, nitrile, C 1-4 alcohol, water, or mixtures thereof, a chiral resolving reagent of amino alcohol and salts thereof; recovering; and adding a solvent selected from the group consisting of ketone, C 1-8 alcohol, water or mixtures thereof, and a strong mineral acid, wherein; any individual stereoisomer of the chiral resolving reagent may be used.
- the present invention also provides a process for the optical resolution CMH-racemate that comprises two steps: the first is the preparation of the (R)—CMH amine salt and the second, recovering (R)—CMH from the salt.
- the process comprises combining CMH-racemate, a solvent selected from the group consisting of ketone, ester, nitrite, C 1-4 alcohol, water, or mixtures thereof, a chiral resolving reagent selected from ephedrine, ephedrine salt, norephedrine, and norephedrine salt to obtain a precipitate, wherein the precipitate is of (R)—CMH-ephedrine salt of the following structure: or of (R)—CMH-norephedrine salt of the following structure:
- the precipitate is further isolated and thereafter combined with a solvent selected from the group consisting of ketone, C 1-8 alcohol, water, or mixtures thereof, and with a strong mineral acid to obtain a precipitate of (R)—CMH of the following structure
- the present invention provides a process for the optical resolution of ( ⁇ )-3-(carbamoylmethyl)-5-methylhexanoic acid (referred to as CMH-racemate) comprising combining CMH-racemate, a solvent selected from ketone, ester, nitrile, C 1-4 alcohol, water, or mixtures thereof, and 1R,2S-( ⁇ )-ephedrine to obtain a reaction mixture.
- the obtained reaction mixture is then heated to a temperature of about 50° C. to about 140° C.
- the reaction mixture is then cooled to a temperature of about ambient to about 2° C. to obtain a precipitate, wherein the precipitate is of (R)—CMH-ephedrine salt of the following structure: or of (R)—CMH-norephedrine salt of the following structure:
- the precipitate is further isolated and thereafter combined with a solvent selected from the group consisting of ketone, C 1-8 alcohol, water or mixtures thereof, and with a strong mineral acid to obtain a slurry and the slurry is then cooled to a temperature of about 10° C. to about 2° C. to obtain a precipitate of (R)—CMH of the following structure
- the present invention provides (R)—CMH-Ephedrine salt.
- the present invention provides a process for improving the optical purity of (R)—CMH comprising combining (R)—CMH with water.
- the present invention provides a process for isolating (S)—CMH from the remaining mother liquor comprising combining the mother liquor obtained after the filtration of (R)—CMH with water, and heating to dissolution.
- the solution is then cooled and combined with an acid to obtain a precipitate of CMH containing about a specific amount of (S)—CMH.
- the precipitate is then filtered and resolved again with acetone, and ephedrine as a chiral resolving reagent to obtain a second precipitate of R—CMH-ephedrine salt that is then removed.
- the remaining mother liquor, which contains (S)—CMH-ephedrine salt is then evaporated to dryness, and the residue is treated with an acid to obtain (S)—CMH, which is further recovered
- the present invention provides a process for preparing (S)—Pregabalin comprising preparing (R)—CMH by the process of the present invention, and converting it to (S)—Pregabalin.
- chiral resolving reagent refers to an acidic or basic structure re that can lead to the precipitation of the diastereomer containing the desired enantiomer in high chemical and optical yields.
- racemate refers to a mixture that contains an equal amount of enantiomers.
- the present invention provides (R)—CMH containing less than about 0.2% area by HPLC of (S)—CMH.
- the present invention provides (R)—CMH containing less than about 0.1% area by HPLC of (S)—CMH.
- the process of the present invention performs resolution at the stage of CMH-racemate, of the following structure without using carcinogenic solvents as chloroform, while also recycling the undesired enantiomer.
- some processes of the prior art perform the optical resolution on Pregabalin itself while, recycling (R)-Pregabalin is very difficult, thus leading to a non-efficient and non-economical process.
- the present invention provides a process for the optical resolution of ( ⁇ )-3-(carbamoylmethyl)-5-methylhexanoic acid (referred to as CMH-racemate), comprising combining CMH-racemate, a solvent selected from the group consisting of ketone, ester, nitrile, C 1-4 alcohol, water, or mixtures thereof, a chiral resolving reagent of amino alcohol and salts thereof to obtain a precipitate; isolating the precipitate; and adding a solvent selected from the group consisting of ketone, C 1-8 alcohol, water or mixtures thereof, and a strong mineral acid, wherein; any individual stereoisomer of the chiral resolving reagent may be used.
- the present invention also provides a process for the optical resolution CMH-racemate that comprises two steps: the first is the preparation of the (R)—CMH amine salt and the second, recovering (R)—CMH from the salt.
- the process comprises combining CMH-racemate, a solvent selected from the group consisting of ketone, ester, nitrile, C 1-4 alcohol, water, or mixtures thereof, a chiral resolving reagent selected from ephedrine, ephedrine salt, norephedrine, and norephedrine salt to obtain a precipitate, wherein the precipitate is of (R)—CMH-ephedrine salt of the following structure: or of (R)—CMH-norephedrine salt of the following structure:
- the precipitate is further isolated and thereafter combined with a solvent selected from the group consisting of ketone, C 1-8 alcohol, water, or mixtures thereof, and with a strong mineral acid to obtain a precipitate of (R)—CMH of the following structure
- the present invention provides a process for the optical resolution of CMH-racemate comprising combining CMH-racemate, a solvent selected from ketone, ester, nitrile, C 1-4 alcohol, water, or mixtures thereof, and 1R,2S-( ⁇ )-ephedrine to obtain a reaction mixture.
- the obtained reaction mixture is then heated to a temperature of about 50° C. to about 140° C.
- the reaction mixture is then cooled to a temperature of about 20° C. to about ⁇ 20° C. to obtain a precipitate, wherein the precipitate is of (R)—CMH-ephedrine salt of the following structure: or of (R)—CMH-norephedrine salt of the following structure:
- the precipitate is further isolated and thereafter combined with a solvent selected from the group consisting of ketone, C 1-8 alcohol, water or mixtures thereof, and with a strong mineral acid to obtain a slurry and the slurry is then cooled to a temperature of about 10° C. to about 2° C. to obtain a precipitate of (R)—CMH of the following structure
- the chiral resolving reagent of amino alcohol and salts thereof is selected from the group consisting of ephedrine, ephedrine salt, norephedrine, and norephedrine salt. More preferably, the chiral resolving reagent is ephedrine or ephedrine salt. Most preferably, the chiral resolving reagent is 1R,2S-( ⁇ )-ephedrine.
- the salt of ephedrine or norephedrine is a hydrochloride, nitrate, or sulfate. More preferably, the salt is a hydrochloride.
- a base is further added with the resolving reagent.
- the chiral resolving reagent is the salt of ephedrine or of norephedrine
- a base must also be used.
- the base is either an organic base or an inorganic base.
- the organic base is an amine.
- the amine is tertiary or secondary amine.
- the tertiary amine is triethylamine or tributylamine.
- the secondary amine is diisopropylamine or n-dipropylamine.
- the more preferred organic base is triethylamine.
- the inorganic base is alkali metal hydrogen carbonates, alkali hydroxide or alkali carbonate.
- the alkali hydroxide is either NaOH or KOH.
- the alkali carbonate is either K 2 CO 3 or Na 2 CO 3 .
- the more preferred inorganic base is NaOH.
- the ketone is a C 2 to C 6 ketone, more preferably a C 2 to C 5 ketone, more preferably, acetone or methylisobutyl ketone, most preferably, acetone.
- the C 1-4 alcohol is selected from the group consisting of methanol, ethanol, isopropanol, or isobutanol. More preferably, the C 1-4 alcohol is methanol.
- the ester is selected from a C 3 to C 8 , more preferably a C 4 to C 6 ester, such as a C 2 to C 4 alkylacetate.
- the ester is selected from the group consisting of ethyl acetate, butylacetate and isopropyl acetate. Most preferably, the ester is Ethylacetate.
- the nitrile is acetonitrile.
- the most preferred solvent is acetone or a mixture of acetone and water.
- the mixture is heated to a temperature of about 50° C. to about 100° C. obtain a reaction mixture, which is maintained at this temperature for about 0.5 hour to about 5 hours, more preferably, for about 0.5 hour to about 2 hours.
- the reaction mixture is a solution.
- the obtained reaction mixture is cooled to a temperature of about 20° C. to about ⁇ 20° C., and is preferably maintained for about an hour to about 24 hours, more preferably, for an hour to about 12 hours.
- the isolation is by recovering.
- the strong mineral acid is HCl, HBr, H 2 SO 4 , or H 2 PO 3 .
- the more preferred strong mineral acid is HCl.
- a pH of about 0 to about 4 is obtained, more preferably, a pH of about 1 to about 3 is obtained.
- the slurry is cooled to a temperature of about 2° C.
- the slurry is maintained at a temperature of about 2° C. to about ambient temperature, more preferably, of about 2° C. to about 10° C., for about 0.5 hours to about 24 hours, more preferably, for about 0.5 hours to about 2 hours.
- the (R)—CMH is further recovered.
- (R)—CMH, (R)—CMH-ephedrine salt and (R)—CMH-norephedrine salt may be recovered by known methods in the art, such as filtering, washing, and drying in a vacuum oven. After the filtration step, the remaining mother liquor is obtained.
- the (R)—CMH obtained by the process of the invention contains less than about 7% area by HPLC, more preferably, less than about 4% area by HPLC, most preferably, less than about 0.2% area by HPLC and even most preferably, less than 0.1% area by HPLC of (S)—CMH.
- the present invention provides (R)—CMH-Ephedrine salt.
- the present invention provides a process for optically purifying (R)—CMH comprising combining (R)—CMH with water.
- the water is in an amount of 8-15 vol.
- the (R)—CMH has a specific optical purity as measured by HPLC.
- the combination of (R)—CMH and water results in a slurry.
- the obtained slurry is stirred to obtain a precipitate of (R)—CMH.
- the obtained slurry is stirred at a temperature of about 2° C. to about 30° C. for about one hour to about 24 hours, more preferably, at a temperature of about 15° C. to about 20° C. for about 0.5 hour to about 24 hours, most preferably, at a temperature of about 20° C. for about one hour to about 2 hours.
- the starting (R)—CMH may be obtained by the processes described before, having a purity of about 90% to about 99% area by HPLC, more preferably, of about 96.5% to about 99% area by HPLC.
- (R)—CMH obtained by the above process contains less than about 1% area by HPLC, more preferably, less than about 0.2% area by HPLC, most preferably, less than 0.1% area by HPLC of (S)—CMH.
- the precipitate is recovered.
- the precipitate may be recovered by any method known in the art, such as filtering, washing, and drying.
- the present invention provides a process for isolating (S)—CMH from the remaining mother liquor comprising combining the mother liquor obtained after the flirtation of (R)—CMH with water, and heating to dissolution.
- the solution is then cooled and combined with an acid to obtain a precipitate of CMH containing about a specific amount of (S)—CMH.
- the precipitate is then filtered and resolved again with acetone, and 1R,2S-( ⁇ )-ephedrine to obtain a second precipitate of R—CMH-ephedrine salt that is then removed.
- the remaining mother liquor, which contains (S)—CMH-ephedrine salt is then evaporated to dryness, and the residue is treated with an acid to obtain (S)—CMH, which is further recovered.
- the precipitate of (S)—CMH may be recovered by known methods in the art, such as filtering, washing and drying in a vacuum oven.
- the present invention provides a process for preparing (S)-Pregabalin comprising preparing (R)—CMH by the process of the present invention, and converting it to (S)-Pregabalin.
- the conversion of (R)—CMH to (S)-Pregabalin comprises reacting (R)—CMH with bromine in a Hoffman reaction under basic conditions at a temperature of about 60° C. to about 85° C., to obtain a basic mixture, followed by an addition of a strong mineral acid, to obtain an acidic mixture containing a complex of (S)-Pregabalin with the strong mineral acid, as disclosed in Co-application No. 60/689,699, or by any other process known to one skilled in the art.
- the (S)-Pregabalin contains less than about 0.2% area by HPLC of (R)-Pregabalin. More preferably, (S)-Pregabalin contains less than about 0.1% area by HPLC of (R)-Pregabalin.
- the present invention provides a pharmaceutical composition
- a pharmaceutical composition comprising (S)-Pregabalin made by the process of the present invention and at least one pharmaceutically acceptable excipient.
- the present invention provides a process for preparing a pharmaceutical formulation comprising combining (S)-Pregabalin made by the process of the present invention, with at least one pharmaceutically acceptable excipient.
- the present invention provides the use of (S)-Pregabalin made by the process of the present invention for the manufacture of a pharmaceutical composition.
- compositions of the present invention can be administered in various preparations depending on the age, sex, and symptoms of the patient.
- the pharmaceutical compositions can be administered, for example, as tablets, pills, powders, liquids, suspensions, emulsions, granules, capsules, suppositories, injection preparations (solutions and suspensions), and the like.
- compositions of the present invention can optionally be mixed with (S)-Pregabalin obtained in the present invention and other active ingredients.
- pharmaceutical compositions of the present invention can contain inactive ingredients such as diluents, carriers, fillers, bulking agents, binders, disintegrants, disintegration inhibitors, absorption accelerators, wetting agents, lubricants, glidants, surface active agents, flavoring agents, and the like.
- Diluents increase the bulk of a solid pharmaceutical composition, and may make a pharmaceutical dosage form containing the composition easier for the patient and care giver to handle.
- Diluents for solid compositions include, for example, microcrystalline cellulose (e.g. AVICEL®), microfine cellulose, lactose, starch, pregelatinized starch, calcium carbonate, calcium sulfate, sugar, dextrates, dextrin, dextrose, dibasic calcium phosphate dihydrate, tribasic calcium phosphate, kaolin, magnesium carbonate, magnesium oxide, maltodextrin, mannitol, polymethacrylates (e.g. EUDRAGIT®), potassium chloride, powdered cellulose, sodium chloride, sorbitol and talc.
- microcrystalline cellulose e.g. AVICEL®
- microfine cellulose lactose
- starch pregelatinized starch
- calcium carbonate calcium sulfate
- sugar dextrates
- Solid pharmaceutical compositions that are compacted into a dosage form, such as a tablet may include excipients whose functions include helping to bind the active ingredient and other excipients together after compression.
- Binders for solid pharmaceutical compositions include acacia, alginic acid, carbomer (e.g. carbopol), carboxymethylcellulose sodium, dextrin, ethyl cellulose, gelatin, guar gum, hydrogenated vegetable oil, hydroxyethyl cellulose, hydroxypropyl cellulose (e.g. KLUCEL®), hydroxypropyl methyl cellulose (e.g. METHOCEL®), liquid glucose, magnesium aluminum silicate, maltodextrin, methylcellulose, polymethacrylates, povidone (e.g. KOLLIDON®, PLASDONE®), pregelatinized starch, sodium alginate and starch.
- carbomer e.g. carbopol
- carboxymethylcellulose sodium, dextrin ethyl cellulose
- the dissolution rate of a compacted solid pharmaceutical composition in the patient's stomach may be increased by the addition of a disintegrant to the composition.
- Disintegrants include alginic acid, carboxymethylcellulose calcium, carboxymethylcellulose sodium (e.g. AC-DI-SOL®, PRIMELLOSE®), colloidal silicon dioxide, croscarmellose sodium, crospovidone (e.g. KOLLIDON®, POLYPLASDONE®), guar gum, magnesium aluminum silicate, methyl cellulose, microcrystalline cellulose, polacrilin potassium, powdered cellulose, pregelatinized starch, sodium alginate, sodium starch glycolate (e.g. EXPLOTAB®) and starch.
- Glidants can be added to improve the flowability of a non-compacted solid composition and to improve the accuracy of dosing.
- Excipients that may function as glidants include colloidal silicon dioxide, magnesium trisilicate, powdered cellulose, starch, talc, and tribasic calcium phosphate.
- a dosage form such as a tablet
- the composition is subjected to pressure from a punch and dye.
- Some excipients and active ingredients have a tendency to adhere to the surfaces of the punch and dye, which can cause the product to have pitting and other surface irregularities.
- a lubricant can be added to the composition to reduce adhesion and ease the release of the product from the dye.
- Lubricants include magnesium stearate, calcium stearate, glyceryl monostearate, glyceryl palmitostearate, hydrogenated castor oil, hydrogenated vegetable oil, mineral oil, polyethylene glycol, sodium benzoate, sodium lauryl sulfate, sodium stearyl fumarate, stearic acid, talc and zinc stearate.
- Flavoring agents and flavor enhancers make the dosage form more palatable to the patient.
- Common flavoring agents and flavor enhancers for pharmaceutical products include maltol, vanillin, ethyl vanillin, menthol, citric acid, fumaric acid, ethyl maltol, and tartaric acid.
- Solid and liquid compositions may also be dyed using any pharmaceutically acceptable colorant to improve their appearance and/or facilitate patient identification of the product and unit dosage level.
- liquid pharmaceutical compositions of the present invention the (S)-Pregabalin and any other solid excipients are dissolved or suspended in a liquid carrier such as water vegetable oil, alcohol, polyethylene glycol, propylene glycol or glycerin.
- a liquid carrier such as water vegetable oil, alcohol, polyethylene glycol, propylene glycol or glycerin.
- Liquid pharmaceutical compositions may contain emulsifying agents to disperse uniformly throughout the composition an active ingredient or other excipient that is not soluble in the liquid carrier.
- Emulsifying agents that may be useful in liquid compositions of the present invention include, for example, gelatin, egg yolk, casein, cholesterol, acacia, tragacanth, chondrus, pectin, methyl cellulose, carbomer, cetostearyl alcohol, and cetyl alcohol.
- Liquid pharmaceutical compositions of the present invention may also contain a viscosity enhancing agent to improve the mouth-feel of the product and/or coat the lining of the gastrointestinal tract.
- a viscosity enhancing agent include acacia, alginic acid bentonite, carbomer, carboxymethylcellulose calcium or sodium, cetostearyl alcohol, methyl cellulose, ethylcellulose, gelatin guar gum, hydroxyethyl cellulose, hydroxypropyl cellulose, hydroxypropyl methyl cellulose, maltodextrin, polyvinyl alcohol, povidone, propylene carbonate, propylene glycol alginate, sodium alginate, sodium starch glycolate, starch tragacanth and xanthan gum.
- Sweetening agents such as sorbitol, saccharin, sodium saccharin, sucrose, aspartame, fructose, mannitol, and invert sugar may be added to improve the taste.
- Preservatives and chelating agents such as alcohol, sodium benzoate, butylated hydroxy toluene, butylated hydroxyanisole, and ethylenediamine tetraacetic acid may be added at levels safe for ingestion to improve storage stability.
- a liquid composition may also contain a buffer such as guconic acid, lactic acid, citric acid or acetic acid, sodium guconate, sodium lactate, sodium citrate or sodium acetate. Selection of excipients and the amounts used may be readily determined by the formulation scientist based upon experience and consideration of standard procedures and reference works in the field.
- a buffer such as guconic acid, lactic acid, citric acid or acetic acid, sodium guconate, sodium lactate, sodium citrate or sodium acetate.
- injectable (parenteral) pharmaceutical compositions When preparing injectable (parenteral) pharmaceutical compositions, solutions and suspensions are sterilized and are preferably made isotonic to blood.
- Injection preparations may use carriers commonly known in the art.
- carriers for injectable preparations include, but are not limited to, water, ethyl alcohol, propylene glycol, ethoxylated isostearyl alcohol, polyoxylated isostearyl alcohol, and fatty acid esters of polyoxyethylene sorbitan.
- One of ordinary skill in the art can easily determine with little or no experimentation the amount of sodium chloride, glucose, or glycerin necessary to make the injectable preparation isotonic. Additional ingredients, such as dissolving agents, buffer agents, and analgesic agents may be added.
- the solid compositions of the present invention include powders, granulates, aggregates and compacted compositions.
- the dosages include dosages suitable for oral, buccal, rectal, parenteral (including subcutaneous, intramuscular, and intravenous), inhalant and ophthalmic administration. Although the most suitable administration in any given case will depend on the nature and severity of the condition being treated, the most preferred route of the present invention is oral.
- the dosages may be conveniently presented in unit dosage form and prepared by any of the methods well-known in the pharmaceutical arts.
- Dosage forms include solid dosage forms like tablets, powders, capsules, suppositories, sachets, troches and losenges, as well as liquid syrups, suspensions and elixirs.
- the dosage form of the present invention may be a capsule containing the composition, preferably a powdered or granulated solid composition of the invention, within either a hard or soft shell.
- the shell may be made from gelatin and optionally contain a plasticizer such as glycerin and sorbitol, and an opacifying agent or colorant.
- compositions and dosage forms may be formulated into compositions and dosage forms according to methods known in the art.
- a composition for tableting or capsule filling may be prepared by wet granulation.
- wet granulation some or all of the active ingredients and excipients in powder form are blended and then further mixed in the presence of a liquid, typically water, that causes the powders to clump into granules.
- the granulate is screened and/or milled, dried and then screened and/or milled to the desired particle size.
- the granulate may then be tableted, or other excipients may be added prior to tableting, such as a glidant and/or a lubricant.
- a tableting composition may be prepared conventionally by dry blending.
- the blended composition of the actives and excipients may be compacted into a slug or a sheet and then comminuted into compacted granules. The compacted granules may subsequently be compressed into a tablet.
- a blended composition may be compressed directly into a compacted dosage form using direct compression techniques.
- Direct compression produces a more uniform tablet without granules.
- Excipients that are particularly well suited for direct compression tableting include microcrystalline cellulose, spray dried lactose, dicalcium phosphate dihydrate, and colloidal silica. The proper use of these and other excipients in direct compression tableting is known to those in the art with experience and skill in particular formulation challenges of direct compression tableting.
- a capsule filling of the present invention may comprise any of the aforementioned blends and granulates that were described with reference to tableting, however, they are not subjected to a final tableting step.
- the solid compositions of the present invention include powders, granulates, aggregates and compacted compositions.
- the dosages include dosages suitable for oral, buccal, rectal, parenteral (including subcutaneous, intramuscular, and intravenous), inhalant and ophthalmic administration. Although the most suitable route in any given case will depend on the nature and severity of the condition being treated, the most preferred route of the present invention is oral.
- the dosages can be conveniently presented in unit dosage form and prepared by any of the methods well-known in the pharmaceutical arts.
Landscapes
- Chemical & Material Sciences (AREA)
- Organic Chemistry (AREA)
- Chemical Kinetics & Catalysis (AREA)
- Health & Medical Sciences (AREA)
- Analytical Chemistry (AREA)
- Neurosurgery (AREA)
- Medicinal Chemistry (AREA)
- Bioinformatics & Cheminformatics (AREA)
- Biomedical Technology (AREA)
- Neurology (AREA)
- Pain & Pain Management (AREA)
- General Chemical & Material Sciences (AREA)
- Engineering & Computer Science (AREA)
- Nuclear Medicine, Radiotherapy & Molecular Imaging (AREA)
- Pharmacology & Pharmacy (AREA)
- Life Sciences & Earth Sciences (AREA)
- Animal Behavior & Ethology (AREA)
- General Health & Medical Sciences (AREA)
- Public Health (AREA)
- Veterinary Medicine (AREA)
- Organic Low-Molecular-Weight Compounds And Preparation Thereof (AREA)
Abstract
The invention relates to pure (R)—CMH and to the optical resolution of CMH-racemate, a key intermediate in the synthesis of (S)-Pregabalin. The invention also relates to the process for optically purifying (R)—CMH and to the process for isolating (S)—CMH from the mother liquor.
Description
- This application is a divisional of U.S. patent application Ser. No. 11/432,010, filed May 10, 2006, which claims the benefit of priority to U.S. provisional application Nos. 60/679,784, filed May 10, 2005, 60/689,699, filed Jun. 9, 2005, 60/733,009, filed Nov. 2, 2005, 60/735,634, filed Nov. 9, 2005, and 60/740,950, filed Nov. 29, 2005, the contents of which are incorporated herein by reference in their entirety.
- The present invention is directed to pure (R)—CMH, the optical resolution of 3-carbamoylmethyl-5-methyl hexanoic acid-racemate (CMH-racemate), the process for optically purifying (R)—CMH and the process for isolating (S)—CMH from the mother liquor.
- (S)-Pregabalin, (S)-(+)-3-(aminomethyl)-5-methylhexanoic acid, a compound having the chemical structure,
is also known as γ-amino butyric acid or (S)-3-isobutyl GABA. (S)-Pregabalin has been found to activate GAD (L-glutamic acid decarboxylase). (S)-Pregabalin has a dose dependent protective effect on-seizure, and is a CNS-active compound. (S)-Pregabalin is useful in anticonvulsant therapy, due to its activation of GAD, promoting the production of GABA, one of the brain's major inhibitory neurotransmitters, which is released at 30 percent of the brains synapses. (S)-Pregabalin has analgesic, anticonvulsant, and anxiolytic activity. - In the synthesis disclosed in U.S. Pat. No. 5,616,793, (S)-Pregabalin is obtained after optical resolution of the (±)-3-(carbamoylmethyl)-5-methylhexanoic acid racemate (referred to as CMH-racemate), which is accomplished by reaction of the CMH-racemate with chiral phenylethylamine in a solvent mixture of CHCl3 and ethanol to obtain the desired R-enantiomer of CMH according to the following scheme:
However, according to Chemical Development of CI-1008, An Enantiomerically Pure Anticonvulsant, ORGANIC PROCESS RESEARCH & DEVELOPMENT, 1997, 1, 26-38, this synthetic method was avoided because it requires the use of chloroform. - In the synthesis disclosed in DRUGS OF THE FUTURE, 24 (8), 862-870 (1999), CMH-racemate is also resolved with (R)-1-phenylethylamine, yielding the (R)-phenylethylamine salt of (R)—CMH. Combining the salt with an acid liberates the R enantiomer. Finally, Hoffmann degradation with Br2/NaOH provides (S)-Pregabalin. However, the optical resolution is done using a mixture of EtOH and chloroform, and therefore is problematic.
- Optical resolution of a racemic mixture, particularly of carboxylic acids and amines, is performed via a diastereomeric salt. An example of this method is depicted in the following scheme,
The salt is formed by reacting the racemic mixture with a chiral resolving reagent. Then, a selective crystallization of only one of the diastereomers is done to isolate the desired diastereomer salt, while the undesired remains in the solution. The crystalline salt is then isolated and the chiral resolving reagent is removed to give the desired enantiomer. Accordingly, CMH which has a carboxylic acid function can be reacted with an appropriate chiral amine to obtain the salt of the desirable enantiomer (R-enantiomer), which is then isolated followed by removing the chiral amine to give (R)—CMH. - Thus, there is a need for an optical resolution process that overcomes the limitations of the above resolution procedures.
- In one embodiment, the present invention provides (R)—CMH containing less than about 0.2% area by HPLC of (S)—CMH. Preferably, the present invention provides (R)—CMH containing less than about 0.1% area by HPLC of (S)—CMH.
- In another embodiment, the present invention provides a process for the optical resolution of (±)-3-(carbamoylmethyl)-5-methylhexanoic acid (referred to as CMH-racemate),
comprising combining CMH-racemate, a solvent selected from the group consisting of ketone, ester, nitrile, C1-4 alcohol, water, or mixtures thereof, a chiral resolving reagent of amino alcohol and salts thereof; recovering; and adding a solvent selected from the group consisting of ketone, C1-8 alcohol, water or mixtures thereof, and a strong mineral acid, wherein; any individual stereoisomer of the chiral resolving reagent may be used. - In yet another embodiment the present invention also provides a process for the optical resolution CMH-racemate that comprises two steps: the first is the preparation of the (R)—CMH amine salt and the second, recovering (R)—CMH from the salt. The process comprises combining CMH-racemate, a solvent selected from the group consisting of ketone, ester, nitrite, C1-4 alcohol, water, or mixtures thereof, a chiral resolving reagent selected from ephedrine, ephedrine salt, norephedrine, and norephedrine salt to obtain a precipitate, wherein the precipitate is of (R)—CMH-ephedrine salt of the following structure:
or of (R)—CMH-norephedrine salt of the following structure: -
- In one embodiment the present invention provides a process for the optical resolution of (±)-3-(carbamoylmethyl)-5-methylhexanoic acid (referred to as CMH-racemate) comprising combining CMH-racemate, a solvent selected from ketone, ester, nitrile, C1-4 alcohol, water, or mixtures thereof, and 1R,2S-(−)-ephedrine to obtain a reaction mixture. The obtained reaction mixture is then heated to a temperature of about 50° C. to about 140° C. The reaction mixture is then cooled to a temperature of about ambient to about 2° C. to obtain a precipitate, wherein the precipitate is of (R)—CMH-ephedrine salt of the following structure:
or of (R)—CMH-norephedrine salt of the following structure: - The precipitate is further isolated and thereafter combined with a solvent selected from the group consisting of ketone, C1-8 alcohol, water or mixtures thereof, and with a strong mineral acid to obtain a slurry and the slurry is then cooled to a temperature of about 10° C. to about 2° C. to obtain a precipitate of (R)—CMH of the following structure
- In another embodiment, the present invention provides (R)—CMH-Ephedrine salt.
- In yet another embodiment, the present invention provides a process for improving the optical purity of (R)—CMH comprising combining (R)—CMH with water.
- In one embodiment, the present invention provides a process for isolating (S)—CMH from the remaining mother liquor comprising combining the mother liquor obtained after the filtration of (R)—CMH with water, and heating to dissolution. The solution is then cooled and combined with an acid to obtain a precipitate of CMH containing about a specific amount of (S)—CMH. The precipitate is then filtered and resolved again with acetone, and ephedrine as a chiral resolving reagent to obtain a second precipitate of R—CMH-ephedrine salt that is then removed. The remaining mother liquor, which contains (S)—CMH-ephedrine salt, is then evaporated to dryness, and the residue is treated with an acid to obtain (S)—CMH, which is further recovered
- In another embodiment, the present invention provides a process for preparing (S)—Pregabalin comprising preparing (R)—CMH by the process of the present invention, and converting it to (S)—Pregabalin.
- As used herein, the term “chiral resolving reagent” refers to an acidic or basic structure re that can lead to the precipitation of the diastereomer containing the desired enantiomer in high chemical and optical yields.
- As used herein, the term “racemate” refers to a mixture that contains an equal amount of enantiomers.
- The present invention provides (R)—CMH containing less than about 0.2% area by HPLC of (S)—CMH. Preferably, the present invention provides (R)—CMH containing less than about 0.1% area by HPLC of (S)—CMH.
- The process of the present invention performs resolution at the stage of CMH-racemate, of the following structure
without using carcinogenic solvents as chloroform, while also recycling the undesired enantiomer. However, some processes of the prior art perform the optical resolution on Pregabalin itself while, recycling (R)-Pregabalin is very difficult, thus leading to a non-efficient and non-economical process. - The present invention provides a process for the optical resolution of (±)-3-(carbamoylmethyl)-5-methylhexanoic acid (referred to as CMH-racemate),
comprising combining CMH-racemate, a solvent selected from the group consisting of ketone, ester, nitrile, C1-4 alcohol, water, or mixtures thereof, a chiral resolving reagent of amino alcohol and salts thereof to obtain a precipitate; isolating the precipitate; and adding a solvent selected from the group consisting of ketone, C1-8 alcohol, water or mixtures thereof, and a strong mineral acid, wherein; any individual stereoisomer of the chiral resolving reagent may be used. - The present invention also provides a process for the optical resolution CMH-racemate that comprises two steps: the first is the preparation of the (R)—CMH amine salt and the second, recovering (R)—CMH from the salt. The process comprises combining CMH-racemate, a solvent selected from the group consisting of ketone, ester, nitrile, C1-4 alcohol, water, or mixtures thereof, a chiral resolving reagent selected from ephedrine, ephedrine salt, norephedrine, and norephedrine salt to obtain a precipitate, wherein the precipitate is of (R)—CMH-ephedrine salt of the following structure:
or of (R)—CMH-norephedrine salt of the following structure: -
- The present invention provides a process for the optical resolution of CMH-racemate comprising combining CMH-racemate, a solvent selected from ketone, ester, nitrile, C1-4 alcohol, water, or mixtures thereof, and 1R,2S-(−)-ephedrine to obtain a reaction mixture. The obtained reaction mixture is then heated to a temperature of about 50° C. to about 140° C. The reaction mixture is then cooled to a temperature of about 20° C. to about −20° C. to obtain a precipitate, wherein the precipitate is of (R)—CMH-ephedrine salt of the following structure:
or of (R)—CMH-norephedrine salt of the following structure: - The precipitate is further isolated and thereafter combined with a solvent selected from the group consisting of ketone, C1-8 alcohol, water or mixtures thereof, and with a strong mineral acid to obtain a slurry and the slurry is then cooled to a temperature of about 10° C. to about 2° C. to obtain a precipitate of (R)—CMH of the following structure
- Preferably, the chiral resolving reagent of amino alcohol and salts thereof is selected from the group consisting of ephedrine, ephedrine salt, norephedrine, and norephedrine salt. More preferably, the chiral resolving reagent is ephedrine or ephedrine salt. Most preferably, the chiral resolving reagent is 1R,2S-(−)-ephedrine.
- Preferably, the salt of ephedrine or norephedrine is a hydrochloride, nitrate, or sulfate. More preferably, the salt is a hydrochloride.
- Optionally, a base is further added with the resolving reagent. When the chiral resolving reagent is the salt of ephedrine or of norephedrine, a base must also be used. Preferably, the base is either an organic base or an inorganic base. Preferably, the organic base is an amine. Preferably, the amine is tertiary or secondary amine. Preferably, the tertiary amine is triethylamine or tributylamine. Preferably, the secondary amine is diisopropylamine or n-dipropylamine. The more preferred organic base is triethylamine. Preferably, the inorganic base is alkali metal hydrogen carbonates, alkali hydroxide or alkali carbonate. Preferably, the alkali hydroxide is either NaOH or KOH. Preferably, the alkali carbonate is either K2CO3 or Na2CO3. The more preferred inorganic base is NaOH.
- Preferably, the ketone is a C2 to C6 ketone, more preferably a C2 to C5 ketone, more preferably, acetone or methylisobutyl ketone, most preferably, acetone. Preferably, the C1-4 alcohol is selected from the group consisting of methanol, ethanol, isopropanol, or isobutanol. More preferably, the C1-4 alcohol is methanol. Preferably, the ester is selected from a C3 to C8, more preferably a C4 to C6 ester, such as a C2 to C4 alkylacetate. More preferably, the ester is selected from the group consisting of ethyl acetate, butylacetate and isopropyl acetate. Most preferably, the ester is Ethylacetate. Preferably, the nitrile is acetonitrile. The most preferred solvent is acetone or a mixture of acetone and water.
- Preferably, the mixture is heated to a temperature of about 50° C. to about 100° C. obtain a reaction mixture, which is maintained at this temperature for about 0.5 hour to about 5 hours, more preferably, for about 0.5 hour to about 2 hours. Preferably, the reaction mixture is a solution.
- The obtained reaction mixture is cooled to a temperature of about 20° C. to about −20° C., and is preferably maintained for about an hour to about 24 hours, more preferably, for an hour to about 12 hours.
- Preferably, the isolation is by recovering.
- Preferably, the strong mineral acid is HCl, HBr, H2SO4, or H2PO3. The more preferred strong mineral acid is HCl.
- Preferably, after the addition of the acid, a pH of about 0 to about 4 is obtained, more preferably, a pH of about 1 to about 3 is obtained.
- Preferably, the slurry is cooled to a temperature of about 2° C.
- Preferably, the slurry is maintained at a temperature of about 2° C. to about ambient temperature, more preferably, of about 2° C. to about 10° C., for about 0.5 hours to about 24 hours, more preferably, for about 0.5 hours to about 2 hours.
- Preferably, the (R)—CMH is further recovered.
- (R)—CMH, (R)—CMH-ephedrine salt and (R)—CMH-norephedrine salt may be recovered by known methods in the art, such as filtering, washing, and drying in a vacuum oven. After the filtration step, the remaining mother liquor is obtained.
- The (R)—CMH obtained by the process of the invention contains less than about 7% area by HPLC, more preferably, less than about 4% area by HPLC, most preferably, less than about 0.2% area by HPLC and even most preferably, less than 0.1% area by HPLC of (S)—CMH.
- The present invention provides (R)—CMH-Ephedrine salt.
- The present invention provides a process for optically purifying (R)—CMH comprising combining (R)—CMH with water. Preferably, the water is in an amount of 8-15 vol.
- Preferably, the (R)—CMH has a specific optical purity as measured by HPLC. The combination of (R)—CMH and water results in a slurry. Preferably, the obtained slurry is stirred to obtain a precipitate of (R)—CMH. Preferably, the obtained slurry is stirred at a temperature of about 2° C. to about 30° C. for about one hour to about 24 hours, more preferably, at a temperature of about 15° C. to about 20° C. for about 0.5 hour to about 24 hours, most preferably, at a temperature of about 20° C. for about one hour to about 2 hours.
- The starting (R)—CMH may be obtained by the processes described before, having a purity of about 90% to about 99% area by HPLC, more preferably, of about 96.5% to about 99% area by HPLC.
- (R)—CMH obtained by the above process contains less than about 1% area by HPLC, more preferably, less than about 0.2% area by HPLC, most preferably, less than 0.1% area by HPLC of (S)—CMH.
- Preferably, the precipitate is recovered. The precipitate may be recovered by any method known in the art, such as filtering, washing, and drying.
- The present invention provides a process for isolating (S)—CMH from the remaining mother liquor comprising combining the mother liquor obtained after the flirtation of (R)—CMH with water, and heating to dissolution. The solution is then cooled and combined with an acid to obtain a precipitate of CMH containing about a specific amount of (S)—CMH. The precipitate is then filtered and resolved again with acetone, and 1R,2S-(−)-ephedrine to obtain a second precipitate of R—CMH-ephedrine salt that is then removed. The remaining mother liquor, which contains (S)—CMH-ephedrine salt, is then evaporated to dryness, and the residue is treated with an acid to obtain (S)—CMH, which is further recovered.
- Preferably, when the precipitate is resolved again with acetone and ephedrine a base is also added.
- The precipitate of (S)—CMH may be recovered by known methods in the art, such as filtering, washing and drying in a vacuum oven.
- The present invention provides a process for preparing (S)-Pregabalin comprising preparing (R)—CMH by the process of the present invention, and converting it to (S)-Pregabalin. Preferably, the conversion of (R)—CMH to (S)-Pregabalin comprises reacting (R)—CMH with bromine in a Hoffman reaction under basic conditions at a temperature of about 60° C. to about 85° C., to obtain a basic mixture, followed by an addition of a strong mineral acid, to obtain an acidic mixture containing a complex of (S)-Pregabalin with the strong mineral acid, as disclosed in Co-application No. 60/689,699, or by any other process known to one skilled in the art.
- Preferably, the (S)-Pregabalin contains less than about 0.2% area by HPLC of (R)-Pregabalin. More preferably, (S)-Pregabalin contains less than about 0.1% area by HPLC of (R)-Pregabalin.
- The present invention provides a pharmaceutical composition comprising (S)-Pregabalin made by the process of the present invention and at least one pharmaceutically acceptable excipient.
- The present invention provides a process for preparing a pharmaceutical formulation comprising combining (S)-Pregabalin made by the process of the present invention, with at least one pharmaceutically acceptable excipient.
- The present invention provides the use of (S)-Pregabalin made by the process of the present invention for the manufacture of a pharmaceutical composition.
- Methods of administration of a pharmaceutical composition of the present invention can be administered in various preparations depending on the age, sex, and symptoms of the patient. The pharmaceutical compositions can be administered, for example, as tablets, pills, powders, liquids, suspensions, emulsions, granules, capsules, suppositories, injection preparations (solutions and suspensions), and the like.
- Pharmaceutical compositions of the present invention can optionally be mixed with (S)-Pregabalin obtained in the present invention and other active ingredients. In addition, pharmaceutical compositions of the present invention can contain inactive ingredients such as diluents, carriers, fillers, bulking agents, binders, disintegrants, disintegration inhibitors, absorption accelerators, wetting agents, lubricants, glidants, surface active agents, flavoring agents, and the like.
- Diluents increase the bulk of a solid pharmaceutical composition, and may make a pharmaceutical dosage form containing the composition easier for the patient and care giver to handle. Diluents for solid compositions include, for example, microcrystalline cellulose (e.g. AVICEL®), microfine cellulose, lactose, starch, pregelatinized starch, calcium carbonate, calcium sulfate, sugar, dextrates, dextrin, dextrose, dibasic calcium phosphate dihydrate, tribasic calcium phosphate, kaolin, magnesium carbonate, magnesium oxide, maltodextrin, mannitol, polymethacrylates (e.g. EUDRAGIT®), potassium chloride, powdered cellulose, sodium chloride, sorbitol and talc.
- Solid pharmaceutical compositions that are compacted into a dosage form, such as a tablet, may include excipients whose functions include helping to bind the active ingredient and other excipients together after compression. Binders for solid pharmaceutical compositions include acacia, alginic acid, carbomer (e.g. carbopol), carboxymethylcellulose sodium, dextrin, ethyl cellulose, gelatin, guar gum, hydrogenated vegetable oil, hydroxyethyl cellulose, hydroxypropyl cellulose (e.g. KLUCEL®), hydroxypropyl methyl cellulose (e.g. METHOCEL®), liquid glucose, magnesium aluminum silicate, maltodextrin, methylcellulose, polymethacrylates, povidone (e.g. KOLLIDON®, PLASDONE®), pregelatinized starch, sodium alginate and starch.
- The dissolution rate of a compacted solid pharmaceutical composition in the patient's stomach may be increased by the addition of a disintegrant to the composition. Disintegrants include alginic acid, carboxymethylcellulose calcium, carboxymethylcellulose sodium (e.g. AC-DI-SOL®, PRIMELLOSE®), colloidal silicon dioxide, croscarmellose sodium, crospovidone (e.g. KOLLIDON®, POLYPLASDONE®), guar gum, magnesium aluminum silicate, methyl cellulose, microcrystalline cellulose, polacrilin potassium, powdered cellulose, pregelatinized starch, sodium alginate, sodium starch glycolate (e.g. EXPLOTAB®) and starch.
- Glidants can be added to improve the flowability of a non-compacted solid composition and to improve the accuracy of dosing. Excipients that may function as glidants include colloidal silicon dioxide, magnesium trisilicate, powdered cellulose, starch, talc, and tribasic calcium phosphate.
- When a dosage form such as a tablet is made by the compaction of a powdered composition, the composition is subjected to pressure from a punch and dye. Some excipients and active ingredients have a tendency to adhere to the surfaces of the punch and dye, which can cause the product to have pitting and other surface irregularities. A lubricant can be added to the composition to reduce adhesion and ease the release of the product from the dye. Lubricants include magnesium stearate, calcium stearate, glyceryl monostearate, glyceryl palmitostearate, hydrogenated castor oil, hydrogenated vegetable oil, mineral oil, polyethylene glycol, sodium benzoate, sodium lauryl sulfate, sodium stearyl fumarate, stearic acid, talc and zinc stearate.
- Flavoring agents and flavor enhancers make the dosage form more palatable to the patient. Common flavoring agents and flavor enhancers for pharmaceutical products that may be included in the composition of the present invention include maltol, vanillin, ethyl vanillin, menthol, citric acid, fumaric acid, ethyl maltol, and tartaric acid.
- Solid and liquid compositions may also be dyed using any pharmaceutically acceptable colorant to improve their appearance and/or facilitate patient identification of the product and unit dosage level.
- In liquid pharmaceutical compositions of the present invention, the (S)-Pregabalin and any other solid excipients are dissolved or suspended in a liquid carrier such as water vegetable oil, alcohol, polyethylene glycol, propylene glycol or glycerin.
- Liquid pharmaceutical compositions may contain emulsifying agents to disperse uniformly throughout the composition an active ingredient or other excipient that is not soluble in the liquid carrier. Emulsifying agents that may be useful in liquid compositions of the present invention include, for example, gelatin, egg yolk, casein, cholesterol, acacia, tragacanth, chondrus, pectin, methyl cellulose, carbomer, cetostearyl alcohol, and cetyl alcohol.
- Liquid pharmaceutical compositions of the present invention may also contain a viscosity enhancing agent to improve the mouth-feel of the product and/or coat the lining of the gastrointestinal tract. Such agents include acacia, alginic acid bentonite, carbomer, carboxymethylcellulose calcium or sodium, cetostearyl alcohol, methyl cellulose, ethylcellulose, gelatin guar gum, hydroxyethyl cellulose, hydroxypropyl cellulose, hydroxypropyl methyl cellulose, maltodextrin, polyvinyl alcohol, povidone, propylene carbonate, propylene glycol alginate, sodium alginate, sodium starch glycolate, starch tragacanth and xanthan gum.
- Sweetening agents such as sorbitol, saccharin, sodium saccharin, sucrose, aspartame, fructose, mannitol, and invert sugar may be added to improve the taste.
- Preservatives and chelating agents such as alcohol, sodium benzoate, butylated hydroxy toluene, butylated hydroxyanisole, and ethylenediamine tetraacetic acid may be added at levels safe for ingestion to improve storage stability.
- According to the present invention, a liquid composition may also contain a buffer such as guconic acid, lactic acid, citric acid or acetic acid, sodium guconate, sodium lactate, sodium citrate or sodium acetate. Selection of excipients and the amounts used may be readily determined by the formulation scientist based upon experience and consideration of standard procedures and reference works in the field.
- When preparing injectable (parenteral) pharmaceutical compositions, solutions and suspensions are sterilized and are preferably made isotonic to blood. Injection preparations may use carriers commonly known in the art. For example, carriers for injectable preparations include, but are not limited to, water, ethyl alcohol, propylene glycol, ethoxylated isostearyl alcohol, polyoxylated isostearyl alcohol, and fatty acid esters of polyoxyethylene sorbitan. One of ordinary skill in the art can easily determine with little or no experimentation the amount of sodium chloride, glucose, or glycerin necessary to make the injectable preparation isotonic. Additional ingredients, such as dissolving agents, buffer agents, and analgesic agents may be added.
- The solid compositions of the present invention include powders, granulates, aggregates and compacted compositions. The dosages include dosages suitable for oral, buccal, rectal, parenteral (including subcutaneous, intramuscular, and intravenous), inhalant and ophthalmic administration. Although the most suitable administration in any given case will depend on the nature and severity of the condition being treated, the most preferred route of the present invention is oral. The dosages may be conveniently presented in unit dosage form and prepared by any of the methods well-known in the pharmaceutical arts.
- Dosage forms include solid dosage forms like tablets, powders, capsules, suppositories, sachets, troches and losenges, as well as liquid syrups, suspensions and elixirs.
- The dosage form of the present invention may be a capsule containing the composition, preferably a powdered or granulated solid composition of the invention, within either a hard or soft shell. The shell may be made from gelatin and optionally contain a plasticizer such as glycerin and sorbitol, and an opacifying agent or colorant.
- The active ingredient and excipients may be formulated into compositions and dosage forms according to methods known in the art.
- A composition for tableting or capsule filling may be prepared by wet granulation. In wet granulation, some or all of the active ingredients and excipients in powder form are blended and then further mixed in the presence of a liquid, typically water, that causes the powders to clump into granules. The granulate is screened and/or milled, dried and then screened and/or milled to the desired particle size. The granulate may then be tableted, or other excipients may be added prior to tableting, such as a glidant and/or a lubricant.
- A tableting composition may be prepared conventionally by dry blending. For example, the blended composition of the actives and excipients may be compacted into a slug or a sheet and then comminuted into compacted granules. The compacted granules may subsequently be compressed into a tablet.
- As an alternative to dry granulation, a blended composition may be compressed directly into a compacted dosage form using direct compression techniques. Direct compression produces a more uniform tablet without granules. Excipients that are particularly well suited for direct compression tableting include microcrystalline cellulose, spray dried lactose, dicalcium phosphate dihydrate, and colloidal silica. The proper use of these and other excipients in direct compression tableting is known to those in the art with experience and skill in particular formulation challenges of direct compression tableting.
- A capsule filling of the present invention may comprise any of the aforementioned blends and granulates that were described with reference to tableting, however, they are not subjected to a final tableting step.
- The solid compositions of the present invention include powders, granulates, aggregates and compacted compositions. The dosages include dosages suitable for oral, buccal, rectal, parenteral (including subcutaneous, intramuscular, and intravenous), inhalant and ophthalmic administration. Although the most suitable route in any given case will depend on the nature and severity of the condition being treated, the most preferred route of the present invention is oral. The dosages can be conveniently presented in unit dosage form and prepared by any of the methods well-known in the pharmaceutical arts.
- While the present invention is described with respect to particular examples and preferred embodiments, it is understood that the present invention is not limited to these examples and embodiments. The present invention as claimed therefore includes variations from the particular examples and preferred embodiments described herein, as will be apparent to one of skill in the art.
- Instruments
- HPLC
Enantiomeric purity of R-3-(Carbamoylmethyl)-5-methylhexanoic acid (CMH) by chiral HPLC HPLC Column & packing DAICEL Chiralpak AD-H 250 * 4.6 mm 5 μm P.N. 19325 Eluent: n-Heptane:Ethanol:TFA 850:150:1 TFA from J. T. Baker 9470-01 recommended Stop time: 25 min Flow: 0.5 ml/min Detector: 208 nm. Injection volume: 50 μl. Diluent 85:15 n-Heptane:Ethanol Column temperature 10° C. Autosampler 15° C. temperature
Typical relative retention times are:
R-CMH-R-(+)-3-(Carbamoylmethyl)-5-methylhexanoic acid RRT = 1.00
S-CMH-S-(−)-3-(Carbamoylmethyl)-5-methylhexanoic acid RRT = 1.14
- A 250 ml flask was charged with 100 ml of acetone, 10 ml of methanol, 10 g of CMH-racemate, and 4.4 g of 1R,2S-(−)-ephedrine. The resulting clear solution was evaporated to dryness, and 100 ml of acetone was added to the residue. After stirring for 1 hour at room temperature, the precipitate was filtered, washed with 40 ml of acetone, and dried at 45° C. at a pressure of 10 mm Hg. The (R)—CMH-ephedrine salt was found to have an optical purity of 99.3% area by HPLC.
- A 100 ml flask was charged with 40 ml of acetone, 5 g of CMH-racemate, and 4.4 g of 1R,2S-(−)-ephedrine. The mixture was heated to dissolution, and then cooled to 10° C. After stirring for 1 hour at 10° C., the resulting precipitate was filtered, washed with 10 ml of acetone, and dried at 45° C. at a pressure of 10 mm Hg. The (R)—CMH-ephedrine salt was found to have an optical purity of 97% area by HPLC.
- A 100 ml flask was charged with acetone (80 ml), CMH-racemate (10 gr), Triethylamine (5.4 gr) and 1R,2S-(−)-Ephedrine hydrochloride (10.79 gr). The mixture was heated to reflux and stirred at reflux for 2 h. The mixture was cooled to 10° C., and after stirring for 1 h at 10° C. the precipitate was filtered, washed with acetone (10 ml) and dried at 45° C. under 10 mm Hg. (R)—CMH-ephedrine salt was obtained (9.95 gr), 90.2% optical pure.
- A 100 ml flask was charged with water (22 ml), HCl-32% (2 ml) and CMH-ephedrine salt (GP-4328, 6 gr). The mixture was stirred at room temperature for 15 min, then was cooled to 2° C., and stirred for 2 h. The precipitate was filtered, washed with water (5 ml) and dried at 45° C. under 10 mm Hg. (R)—CMH was obtained (1 gr), 93.6% optical pure.
- A 100 ml flask was charged with acetone (80 ml), CMH-racemate (10 gr), NaOH (2.14 gr) and 1R,2S-(−)-Ephedrine hydrochloride (10.79 gr). The mixture was heated to reflux and stirred at reflux for 2 h. The mixture was cooled to 10° C., and after stirring (1 h) at 10° C. the precipitate was filtered, washed with acetone (10 ml) and dried at 45° C. under 10 mm Hg. (R)—CMH-ephedrine salt was obtained (9.65 gr), 94.6% optical pure.
- A 100 ml flask was charged with water (22 ml), HCl-32% (2 ml) and (R)—CMH-ephedrine salt (6 gr, optical purity of 94.6%).). The mixture was stirred at RT for 15 min, then was cooled to 2° C., and stirred for 2 h. The precipitate was filtered, washed with water (5 ml) and dried at 45° C. under 10 mm Hg. (R)—CMH was obtained (2.1 gr), 98.5% optical pure.
- A 1 L flask was charged with acetone (480 ml), CMH-racemate (60 gr), NaOH (12.84 gr) and 1R,2S-(−)-Ephedrine hydrochloride (64.74 gr). The mixture was heated to reflux and stirred at reflux for 2 h. The mixture was cooled to 10° C., and after stirring (1 h) at 10° C. the precipitate was filtered, washed with acetone (60 ml) and dried at 45° C. under 10 mm Hg. (R)—CMH-ephedrine salt was obtained (56 gr), 98.8% optical pure.
- A 0.5 L flask was charged with water (216 ml), and (R)—CMH-ephedrine salt (54 gr, optical purity of 99.7%). The mixture was stirred at RT until dissolution, and HCl-32% (15 ml) was added to obtain pH=1. The solution was cooled to 2° C., stirred for 1 h, after which the precipitate was filtered, washed with water (54 ml) and dried at 45° C. under 10 mm Hg. (R)—CMH was obtained (20 gr), 99.7% optical pure.
- A mixture of (R)—CMH (40 gr, 96.5% optical pure) in water (400 ml) was stirred for 1 h at RT. The solid was filtered, washed with water (80 ml) and dried at 45° C. under 10 mm Hg. (R)—CMH was obtained (34.5 gr), 99.7% optical pure.
- A 1 L flask was charged with acetone (320 ml), CMH-racemate (40 gr), NaOH (8.56 gr) and 1R,2S-(−)-Ephedrine hydrochloride (43.16 gr). The mixture was heated to reflux and stirred at reflux for 1 h. The mixture was cooled to 2° C., and after stirring (1 h) at 2° C. the precipitate was filtered. Water (320 ml) was added to the wet solid and the mixture was heated until dissolution. After cooling to RT, HCl-32% (10 ml) was added. The solution was cooled to 2° C., stirred for 1 h, after which the precipitate was filtered. Water (320 ml) was added to the cake and the mixture was stirred at 20° C. for 1 h. The precipitate was filtered, washed with water (20 ml) and dried at 45° C. under 10 mm Hg. (R)—CMH was obtained (12.5 gr), 98.4% optical pure.
- 1 l flask was charged with acetone (1600 ml), water (40 ml), CMH-racemate (200 gr), and 1R,2S-(−)-Ephedrine (186.1 gr). The mixture was heated to reflux and stirred at reflux for 1 h. The solution was cooled to 2° C. (during a period of 6 h), and after stirring (10 h) at 2° C. the precipitate was filtered and washed with acetone (400 ml).
- Water (800 ml) was added to the wet solid and then HCl-32% (50 ml) was added dropwise to pH 2. The mixture was cooled to 2° C., stirred for 2 h, after which the precipitate was filtered and washed with water (100 ml).
- Water (1000 ml) was added to the cake and the mixture was stirred at 25° C. for 1 h. The precipitate was filtered, washed with water (100 ml) and dried at 45° C. under 10 mm Hg. R—CMH was obtained (72 gr), 99.94% optical pure.
- The mother liquor residue of example 10, containing (S)—CMH and a residue of (R)—CMH, was dissolved in water and was heated to dissolution. After cooling to RT, HCl-32% (12 ml) was added and mixture was stirred for 30 min at RT. The precipitate, of (R)—CMH was filtered and washed with water (20 ml), while the (S)—CMH remained in the filtrate.
- A 0.5 L flask was charged with the later cake of the filtered (R)—CMH, acetone (150 ml), NaOH (4.3 gr) and 1R,2S-(−)-Ephedrine hydrochloride (21.5 gr). The mixture was stirred at RT for 1 h and the precipitate, of (R)—CMH-ephedrine salt, was filtered. The filtrate containing the remaining (S)—CMH-ephedrine salt, was evaporated to dryness. The residue (44 gr) was dissolved in water (100 ml) and HCl-32% was added until pH=1. The mixture was stirred for 30 min at RT, then the precipitate was filtered, washed with water (20 ml) and dried at 45° C. under 10 mm Hg. (S)—CMH was obtained (11.4 gr), 99.0% optical pure.
Claims (14)
1. A process for optically purifying (R)—CMH comprising combining (R)—CMH with water.
2. The process of claim 1 , wherein the water is in an amount of 8-15 vol.
3. The process of claim 1 , wherein the (R)—CMH has a specific optical purity as measured by HPLC.
4. The process of claim 1 , wherein the (R)—CMH has a purity of about 90% to about 99% area by HPLC.
5. The process of claim 4 , wherein the (R)—CMH has a purity of about 96.5% to about 99% area by HPLC.
6. The process of claim 1 , wherein the combination of (R)—CMH and water results in a slurry.
7. The process of claim 6 , wherein the slurry is stirred to obtain a precipitate of (R)—CMH.
8. The process of claim 7 , wherein the slurry is stirred at a temperature of about 2° C. to about 30° C. for about one hour to about 24 hours.
9. The process of claim 8 , wherein the slurry is stirred at a temperature of about 15° C. to about 20° C. for about 0.5 hour to about 24 hours.
10. The process of claim 9 , wherein the slurry is stirred for about one hour to about 2 hours.
11. The process of claim 1 , wherein the obtained (R)—CMH contains less than about 1% area by HPLC of (S)—CMH.
12. The process of claim 11 , wherein the obtained (R)—CMH contains less than about 0.2% area by HPLC of (S)—CMH.
13. The process of claim 12 , wherein the obtained (R)—CMH contains less than about 0.1% area by HPLC of (S)—CMH.
14. The process of claim 7 , further comprising recovering the precipitate.
Priority Applications (1)
| Application Number | Priority Date | Filing Date | Title |
|---|---|---|---|
| US11/893,300 US20070287860A1 (en) | 2005-05-10 | 2007-08-14 | Optical resolution of 3-carbamoylmethyl-5-methyl hexanoic acid |
Applications Claiming Priority (7)
| Application Number | Priority Date | Filing Date | Title |
|---|---|---|---|
| US67978405P | 2005-05-10 | 2005-05-10 | |
| US68969905P | 2005-06-09 | 2005-06-09 | |
| US73300905P | 2005-11-02 | 2005-11-02 | |
| US73563405P | 2005-11-09 | 2005-11-09 | |
| US74095005P | 2005-11-29 | 2005-11-29 | |
| US11/432,010 US20070043241A1 (en) | 2005-05-10 | 2006-05-10 | Optical resolution of 3-carbamoylmethyl-5-methylhexanoic acid |
| US11/893,300 US20070287860A1 (en) | 2005-05-10 | 2007-08-14 | Optical resolution of 3-carbamoylmethyl-5-methyl hexanoic acid |
Related Parent Applications (1)
| Application Number | Title | Priority Date | Filing Date |
|---|---|---|---|
| US11/432,010 Division US20070043241A1 (en) | 2005-05-10 | 2006-05-10 | Optical resolution of 3-carbamoylmethyl-5-methylhexanoic acid |
Publications (1)
| Publication Number | Publication Date |
|---|---|
| US20070287860A1 true US20070287860A1 (en) | 2007-12-13 |
Family
ID=36940669
Family Applications (4)
| Application Number | Title | Priority Date | Filing Date |
|---|---|---|---|
| US11/432,010 Abandoned US20070043241A1 (en) | 2005-05-10 | 2006-05-10 | Optical resolution of 3-carbamoylmethyl-5-methylhexanoic acid |
| US11/893,235 Expired - Fee Related US7678938B2 (en) | 2005-05-10 | 2007-08-14 | Optical resolution of 3-carbamoylmethyl-5-methyl hexanoic acid |
| US11/893,216 Expired - Fee Related US7619112B2 (en) | 2005-05-10 | 2007-08-14 | Optical resolution of 3-carbamoylmethyl-5-methyl hexanoic acid |
| US11/893,300 Abandoned US20070287860A1 (en) | 2005-05-10 | 2007-08-14 | Optical resolution of 3-carbamoylmethyl-5-methyl hexanoic acid |
Family Applications Before (3)
| Application Number | Title | Priority Date | Filing Date |
|---|---|---|---|
| US11/432,010 Abandoned US20070043241A1 (en) | 2005-05-10 | 2006-05-10 | Optical resolution of 3-carbamoylmethyl-5-methylhexanoic acid |
| US11/893,235 Expired - Fee Related US7678938B2 (en) | 2005-05-10 | 2007-08-14 | Optical resolution of 3-carbamoylmethyl-5-methyl hexanoic acid |
| US11/893,216 Expired - Fee Related US7619112B2 (en) | 2005-05-10 | 2007-08-14 | Optical resolution of 3-carbamoylmethyl-5-methyl hexanoic acid |
Country Status (9)
| Country | Link |
|---|---|
| US (4) | US20070043241A1 (en) |
| EP (1) | EP1879854B1 (en) |
| KR (2) | KR20070118305A (en) |
| AT (1) | ATE523484T1 (en) |
| CA (1) | CA2604624A1 (en) |
| ES (1) | ES2372700T3 (en) |
| IL (1) | IL185032A0 (en) |
| MX (1) | MX2007014129A (en) |
| WO (1) | WO2006122259A1 (en) |
Families Citing this family (5)
| Publication number | Priority date | Publication date | Assignee | Title |
|---|---|---|---|---|
| WO2009004643A2 (en) * | 2007-05-08 | 2009-01-08 | Cadila Healthcare Limited | An improved process for preparation of (s)-pregabalin and intermediates thereof |
| WO2009125427A2 (en) * | 2008-02-18 | 2009-10-15 | Matrix Laboratories Limited | Process for preparing (s)-3-(aminomethyl)-5-methylhexanoic acid |
| MX2010012698A (en) | 2008-05-21 | 2011-03-15 | Sandoz Ag | Process for the stereoselective enzymatic hydrolysis of 5-methyl-3-nitromethyl-hexanoic acid ester. |
| WO2016075082A1 (en) | 2014-11-10 | 2016-05-19 | Sandoz Ag | Stereoselective reductive amination of alpha-chiral aldehydes using omega-transaminases for the synthesis of precursors of pregabalin and brivaracetam |
| CN113801031B (en) * | 2021-10-26 | 2023-12-26 | 浙江华海药业股份有限公司 | A kind of purification method of pregabalin |
Citations (23)
| Publication number | Priority date | Publication date | Assignee | Title |
|---|---|---|---|---|
| US5010189A (en) * | 1986-08-13 | 1991-04-23 | Ciba-Geigy Corporation | Processes for the preparation of 5-amino-4-hydroxy-valeric acid derivatives |
| US5599973A (en) * | 1990-11-27 | 1997-02-04 | Northwestern University | GABA and L-glutamic acid analogs for antiseizure treatment |
| US5616793A (en) * | 1995-06-02 | 1997-04-01 | Warner-Lambert Company | Methods of making (S)-3-(aminomethyl)-5-methylhexanoic acid |
| US5637737A (en) * | 1995-08-21 | 1997-06-10 | Bayer Aktiengesellschaft | Process for the preparation of 2,2-difluorobenzo[1.3]dioxolecarbaldehydes |
| US5637767A (en) * | 1995-06-07 | 1997-06-10 | Warner-Lambert Company | Method of making (S)-3-(aminomethyl)-5-methylhexanoic acid |
| US6001876A (en) * | 1996-07-24 | 1999-12-14 | Warner-Lambert Company | Isobutylgaba and its derivatives for the treatment of pain |
| US6187930B1 (en) * | 1997-07-10 | 2001-02-13 | Laboratorios Del Dr. Esteve, S.A. | Resolution of amines |
| US6333198B1 (en) * | 1998-06-10 | 2001-12-25 | Glaxo Wellcome, Inc. | Compound and its use |
| US6488964B2 (en) * | 1998-08-03 | 2002-12-03 | Societe Laboratoires Des Products Ethiques - Ethypharm | Process for manufacturing coated gabapentin or pregabalin particles |
| US6580003B2 (en) * | 2000-04-04 | 2003-06-17 | Brandeis University | Catalytic asymmetric desymmetrization of meso compounds |
| US6642398B2 (en) * | 1999-06-10 | 2003-11-04 | Warner-Lambert Company | Mono-and disubstituted 3-propyl gamma-aminobutyric acids |
| US20030212290A1 (en) * | 2000-01-27 | 2003-11-13 | Burk Mark Joseph | Asymmetric synthesis of pregabalin |
| US20030225149A1 (en) * | 2002-04-30 | 2003-12-04 | Blazecka Peter G. | Process for preparing highly functionalized gamma-butyrolactams and gamma-amino acids |
| US6833458B2 (en) * | 2000-06-05 | 2004-12-21 | Development Center For Biotechnology | Practical syntheses of chiral trans-3, 4-disubstituted piperidines and the intermediates |
| US20050222464A1 (en) * | 2004-04-01 | 2005-10-06 | Hoge Garrett S Ii | Preparation of P-chirogenic phospholanes and their use in asymmetric synthesis |
| US20050228190A1 (en) * | 2004-03-12 | 2005-10-13 | Jian Bao | C1-symmetric bisphosphine ligands and their use in the asymmetric synthesis of pregabalin |
| US20050283023A1 (en) * | 2004-06-21 | 2005-12-22 | Shanghui Hu | Preparation of pregabalin and related compounds |
| US7141695B2 (en) * | 2002-01-25 | 2006-11-28 | Grunenthal Gmbh | Methods for producing substituted acrylic acid esters and use of the latter for producing substituted γ-amino acids |
| US20060270871A1 (en) * | 2005-05-30 | 2006-11-30 | Khanduri Chandra H | Polymorphic form i of pregabalin and processes for its preparation |
| US20070073085A1 (en) * | 2005-05-10 | 2007-03-29 | Lilach Hedvati | Method for the preparation of pregabalin and salts thereof |
| US20070191636A1 (en) * | 2005-09-19 | 2007-08-16 | Kansal Vinod K | Chiral 3-carbamoylmethyl-5-methyl hexanoic acids, key intermediates for the synthesis of (S)-Pregabalin |
| US20080014280A1 (en) * | 2006-07-17 | 2008-01-17 | Glenmark Pharmaceuticals Limited | Amorphous pregabalin and process for the preparation thereof |
| US20080311635A1 (en) * | 2007-05-14 | 2008-12-18 | Dipharma Francis S.R.L. | Process for the preparation of (s)(+)-3-(aminomethyl)-5-methylhexanoic acid |
Family Cites Families (17)
| Publication number | Priority date | Publication date | Assignee | Title |
|---|---|---|---|---|
| ATE317280T1 (en) * | 2001-09-03 | 2006-02-15 | Newron Pharm Spa | PHARMACEUTICAL COMPOSITION CONTAINING GABAPENTIN OR ITS ANALOGUE AND AN ALPHA-AMINOAMIDE AND ANALGESIC USE OF THIS COMPOSITION |
| US6942377B1 (en) * | 2003-02-19 | 2005-09-13 | Robert B Goldstein | Thermoreactive beverage stirrer |
| UA82292C2 (en) | 2004-04-14 | 2008-03-25 | Пфайзер Продактс Инк. | A method for stereoselective byconversion of aliphatic dinitriles into cyanocarboxylic acids (variants) |
| WO2006008640A1 (en) | 2004-07-15 | 2006-01-26 | Pharmacia & Upjohn Company Llc | Non-aqueous suspension containing a drug having an unpleasant taste |
| CN1634869A (en) | 2004-12-06 | 2005-07-06 | 北京阜康仁生物制药科技有限公司 | Novel pregabalin crystalline form and its preparing process |
| US20070066846A1 (en) | 2005-04-11 | 2007-03-22 | Asher Maymon | Process for making (S)-Pregabalin |
| WO2006121557A1 (en) | 2005-05-10 | 2006-11-16 | Teva Pharmaceutical Industries Ltd. | Pregabalin free of lactam and a process for preparation thereof |
| KR20070067077A (en) | 2005-05-10 | 2007-06-27 | 테바 파마슈티컬 인더스트리즈 리미티드 | Pregabalin free of isobutyl glutaric acid and preparation method thereof |
| CN100410242C (en) | 2005-06-23 | 2008-08-13 | 江苏恩华药业股份有限公司 | Pregabalin intermediate and preparation method thereof |
| CZ297970B6 (en) | 2005-08-10 | 2007-05-09 | Zentiva, A. S | Process for preparing (S)-3-(aminomethyl)-5-methyl-hexanoic acid (pregabalin) |
| ITMI20061297A1 (en) | 2006-07-04 | 2008-01-05 | Laboratorio Chimico Int Spa | PROCEDURE FOR THE PREPARATION OF ACID (R) - (-) - 3- (CARBAMYLMETHYL) -5-METHYLESANOIC AND PREGABALIN AND INTERMEDIATE OF SYNTHESIS |
| CA2657544C (en) | 2006-07-12 | 2013-05-28 | Generics [Uk] Limited | Process for preparing pregabalin |
| GB0614133D0 (en) | 2006-07-15 | 2006-08-23 | Pliva Istrazivanje I Razvoj D | Process for preparing a pharmaceutical compound |
| WO2008062460A2 (en) | 2006-10-06 | 2008-05-29 | Cadila Healthcare Limited | Crystalline forms of pregabalin |
| GB0619888D0 (en) | 2006-10-07 | 2006-11-15 | Pliva Istrazivanje I Razvoj D | New polymorphic forms of pregabalin |
| EP2017273A1 (en) | 2007-07-18 | 2009-01-21 | Laboratorios del Dr. Esteve S.A. | Process for the enantioselective preparation of pregabalin |
| ITMI20072262A1 (en) * | 2007-12-03 | 2009-06-04 | Dipharma Francis Srl | PROCEDURE FOR THE PREPARATION OF ACID (S) (+) - 3- (AMINOMETHYL) -5-METHYLESANOIC |
-
2006
- 2006-05-10 US US11/432,010 patent/US20070043241A1/en not_active Abandoned
- 2006-05-10 KR KR1020077025955A patent/KR20070118305A/en not_active Ceased
- 2006-05-10 MX MX2007014129A patent/MX2007014129A/en not_active Application Discontinuation
- 2006-05-10 AT AT06759590T patent/ATE523484T1/en not_active IP Right Cessation
- 2006-05-10 CA CA002604624A patent/CA2604624A1/en not_active Abandoned
- 2006-05-10 KR KR1020097001670A patent/KR20090019016A/en not_active Withdrawn
- 2006-05-10 WO PCT/US2006/018273 patent/WO2006122259A1/en not_active Ceased
- 2006-05-10 ES ES06759590T patent/ES2372700T3/en active Active
- 2006-05-10 EP EP06759590A patent/EP1879854B1/en not_active Not-in-force
-
2007
- 2007-08-02 IL IL185032A patent/IL185032A0/en unknown
- 2007-08-14 US US11/893,235 patent/US7678938B2/en not_active Expired - Fee Related
- 2007-08-14 US US11/893,216 patent/US7619112B2/en not_active Expired - Fee Related
- 2007-08-14 US US11/893,300 patent/US20070287860A1/en not_active Abandoned
Patent Citations (29)
| Publication number | Priority date | Publication date | Assignee | Title |
|---|---|---|---|---|
| US5010189A (en) * | 1986-08-13 | 1991-04-23 | Ciba-Geigy Corporation | Processes for the preparation of 5-amino-4-hydroxy-valeric acid derivatives |
| US6197819B1 (en) * | 1990-11-27 | 2001-03-06 | Northwestern University | Gamma amino butyric acid analogs and optical isomers |
| US5599973A (en) * | 1990-11-27 | 1997-02-04 | Northwestern University | GABA and L-glutamic acid analogs for antiseizure treatment |
| US5616793A (en) * | 1995-06-02 | 1997-04-01 | Warner-Lambert Company | Methods of making (S)-3-(aminomethyl)-5-methylhexanoic acid |
| US5629447A (en) * | 1995-06-02 | 1997-05-13 | Warner-Lambert Company | Methods of making (S)-3-(aminomethyl)-5-methylhexanoic acid |
| US20010016665A1 (en) * | 1995-06-07 | 2001-08-23 | Todd Michel Grote | Method of making (s)-3-(aminomethyl) -5- methylhexanoic acid |
| US5637767A (en) * | 1995-06-07 | 1997-06-10 | Warner-Lambert Company | Method of making (S)-3-(aminomethyl)-5-methylhexanoic acid |
| US5637737A (en) * | 1995-08-21 | 1997-06-10 | Bayer Aktiengesellschaft | Process for the preparation of 2,2-difluorobenzo[1.3]dioxolecarbaldehydes |
| US6001876A (en) * | 1996-07-24 | 1999-12-14 | Warner-Lambert Company | Isobutylgaba and its derivatives for the treatment of pain |
| US6187930B1 (en) * | 1997-07-10 | 2001-02-13 | Laboratorios Del Dr. Esteve, S.A. | Resolution of amines |
| US6333198B1 (en) * | 1998-06-10 | 2001-12-25 | Glaxo Wellcome, Inc. | Compound and its use |
| US6488964B2 (en) * | 1998-08-03 | 2002-12-03 | Societe Laboratoires Des Products Ethiques - Ethypharm | Process for manufacturing coated gabapentin or pregabalin particles |
| US6642398B2 (en) * | 1999-06-10 | 2003-11-04 | Warner-Lambert Company | Mono-and disubstituted 3-propyl gamma-aminobutyric acids |
| US20030212290A1 (en) * | 2000-01-27 | 2003-11-13 | Burk Mark Joseph | Asymmetric synthesis of pregabalin |
| US6891059B2 (en) * | 2000-01-27 | 2005-05-10 | Warner-Lambert Company | Asymmetric synthesis of pregabalin |
| US6580003B2 (en) * | 2000-04-04 | 2003-06-17 | Brandeis University | Catalytic asymmetric desymmetrization of meso compounds |
| US6833458B2 (en) * | 2000-06-05 | 2004-12-21 | Development Center For Biotechnology | Practical syntheses of chiral trans-3, 4-disubstituted piperidines and the intermediates |
| US7141695B2 (en) * | 2002-01-25 | 2006-11-28 | Grunenthal Gmbh | Methods for producing substituted acrylic acid esters and use of the latter for producing substituted γ-amino acids |
| US20030225149A1 (en) * | 2002-04-30 | 2003-12-04 | Blazecka Peter G. | Process for preparing highly functionalized gamma-butyrolactams and gamma-amino acids |
| US6924377B2 (en) * | 2002-04-30 | 2005-08-02 | Warner-Lambert Company | Process for preparing highly functionalized γ-butyrolactams and γ-amino acids |
| US20050228190A1 (en) * | 2004-03-12 | 2005-10-13 | Jian Bao | C1-symmetric bisphosphine ligands and their use in the asymmetric synthesis of pregabalin |
| US20050222464A1 (en) * | 2004-04-01 | 2005-10-06 | Hoge Garrett S Ii | Preparation of P-chirogenic phospholanes and their use in asymmetric synthesis |
| US20050283023A1 (en) * | 2004-06-21 | 2005-12-22 | Shanghui Hu | Preparation of pregabalin and related compounds |
| US20070073085A1 (en) * | 2005-05-10 | 2007-03-29 | Lilach Hedvati | Method for the preparation of pregabalin and salts thereof |
| US20060270871A1 (en) * | 2005-05-30 | 2006-11-30 | Khanduri Chandra H | Polymorphic form i of pregabalin and processes for its preparation |
| US20070191636A1 (en) * | 2005-09-19 | 2007-08-16 | Kansal Vinod K | Chiral 3-carbamoylmethyl-5-methyl hexanoic acids, key intermediates for the synthesis of (S)-Pregabalin |
| US20070197827A1 (en) * | 2005-09-19 | 2007-08-23 | Kansal Vinod K | Novel asymmetric synthesis of (S)-(+)-3-(aminomethyl)-5-methylhexanoic acid |
| US20080014280A1 (en) * | 2006-07-17 | 2008-01-17 | Glenmark Pharmaceuticals Limited | Amorphous pregabalin and process for the preparation thereof |
| US20080311635A1 (en) * | 2007-05-14 | 2008-12-18 | Dipharma Francis S.R.L. | Process for the preparation of (s)(+)-3-(aminomethyl)-5-methylhexanoic acid |
Also Published As
| Publication number | Publication date |
|---|---|
| IL185032A0 (en) | 2007-12-03 |
| US20070287748A1 (en) | 2007-12-13 |
| EP1879854A1 (en) | 2008-01-23 |
| MX2007014129A (en) | 2008-01-11 |
| ES2372700T3 (en) | 2012-01-25 |
| US7619112B2 (en) | 2009-11-17 |
| WO2006122259A1 (en) | 2006-11-16 |
| US7678938B2 (en) | 2010-03-16 |
| KR20070118305A (en) | 2007-12-14 |
| EP1879854B1 (en) | 2011-09-07 |
| US20070043241A1 (en) | 2007-02-22 |
| CA2604624A1 (en) | 2006-11-16 |
| KR20090019016A (en) | 2009-02-24 |
| US20070287859A1 (en) | 2007-12-13 |
| ATE523484T1 (en) | 2011-09-15 |
Similar Documents
| Publication | Publication Date | Title |
|---|---|---|
| US8212071B2 (en) | Asymmetric synthesis of (S)-(+)-3-(aminomethyl)-5-methylhexanoic acid | |
| US7619112B2 (en) | Optical resolution of 3-carbamoylmethyl-5-methyl hexanoic acid | |
| US20110124909A1 (en) | Novel process | |
| US7417165B2 (en) | Crystalline forms of pregabalin | |
| CN100443466C (en) | Cycloalkyl amino acid compound and its preparation method and use | |
| CN101495427A (en) | Resolution of alpha-(phenoxy)phenylacetic acid derivatives with naphthyl-alkylamines | |
| CN101171229A (en) | Optical Resolution of 3-Carbamoylmethyl-5-methylhexanoic Acid | |
| US20110230666A1 (en) | process for the separation of enantiomerically pure compounds | |
| US11192848B2 (en) | Process for the preparation of droxidopa and its intermediate | |
| MXPA97007834A (en) | Preparation of 5-aminocarbonil-5h-dibenzo - [a, d] ciclohepten- 5,10-quiral imines, through opt separation | |
| JP2002155035A (en) | 3-amino-1-indanol, method for synthesizing the same and optical isomer separating agent comprising the same |
Legal Events
| Date | Code | Title | Description |
|---|---|---|---|
| STCB | Information on status: application discontinuation |
Free format text: ABANDONED -- FAILURE TO RESPOND TO AN OFFICE ACTION |


















