US20030225149A1 - Process for preparing highly functionalized gamma-butyrolactams and gamma-amino acids - Google Patents
Process for preparing highly functionalized gamma-butyrolactams and gamma-amino acids Download PDFInfo
- Publication number
- US20030225149A1 US20030225149A1 US10/365,430 US36543003A US2003225149A1 US 20030225149 A1 US20030225149 A1 US 20030225149A1 US 36543003 A US36543003 A US 36543003A US 2003225149 A1 US2003225149 A1 US 2003225149A1
- Authority
- US
- United States
- Prior art keywords
- acid
- aryl
- heteroaryl
- heterocyclo
- equivalents
- Prior art date
- Legal status (The legal status is an assumption and is not a legal conclusion. Google has not performed a legal analysis and makes no representation as to the accuracy of the status listed.)
- Abandoned
Links
- 238000004519 manufacturing process Methods 0.000 title claims abstract description 14
- 238000006268 reductive amination reaction Methods 0.000 claims abstract description 45
- 239000002253 acid Substances 0.000 claims abstract description 38
- AYXYPKUFHZROOJ-ZETCQYMHSA-N pregabalin Chemical compound CC(C)C[C@H](CN)CC(O)=O AYXYPKUFHZROOJ-ZETCQYMHSA-N 0.000 claims abstract description 23
- 229960001233 pregabalin Drugs 0.000 claims abstract description 18
- 238000000034 method Methods 0.000 claims description 77
- 230000008569 process Effects 0.000 claims description 56
- -1 alkyphenoxy Chemical group 0.000 claims description 54
- QTBSBXVTEAMEQO-UHFFFAOYSA-N Acetic acid Chemical compound CC(O)=O QTBSBXVTEAMEQO-UHFFFAOYSA-N 0.000 claims description 35
- 239000000203 mixture Substances 0.000 claims description 26
- ZAKLKBFCSHJIRI-UHFFFAOYSA-N mucochloric acid Natural products OC1OC(=O)C(Cl)=C1Cl ZAKLKBFCSHJIRI-UHFFFAOYSA-N 0.000 claims description 25
- 239000003638 chemical reducing agent Substances 0.000 claims description 21
- NCNYEGJDGNOYJX-NSCUHMNNSA-N (e)-2,3-dibromo-4-oxobut-2-enoic acid Chemical compound OC(=O)C(\Br)=C(/Br)C=O NCNYEGJDGNOYJX-NSCUHMNNSA-N 0.000 claims description 20
- PKDBSOOYVOEUQR-UHFFFAOYSA-N mucobromic acid Natural products OC1OC(=O)C(Br)=C1Br PKDBSOOYVOEUQR-UHFFFAOYSA-N 0.000 claims description 19
- 150000001412 amines Chemical class 0.000 claims description 18
- WGQKYBSKWIADBV-UHFFFAOYSA-N benzylamine Chemical compound NCC1=CC=CC=C1 WGQKYBSKWIADBV-UHFFFAOYSA-N 0.000 claims description 18
- 125000003118 aryl group Chemical group 0.000 claims description 17
- KDLHZDBZIXYQEI-UHFFFAOYSA-N Palladium Chemical compound [Pd] KDLHZDBZIXYQEI-UHFFFAOYSA-N 0.000 claims description 16
- 238000005984 hydrogenation reaction Methods 0.000 claims description 16
- ZMANZCXQSJIPKH-UHFFFAOYSA-N Triethylamine Chemical compound CCN(CC)CC ZMANZCXQSJIPKH-UHFFFAOYSA-N 0.000 claims description 15
- 238000006243 chemical reaction Methods 0.000 claims description 15
- 125000006272 (C3-C7) cycloalkyl group Chemical group 0.000 claims description 14
- HEDRZPFGACZZDS-UHFFFAOYSA-N Chloroform Chemical compound ClC(Cl)Cl HEDRZPFGACZZDS-UHFFFAOYSA-N 0.000 claims description 14
- YMWUJEATGCHHMB-UHFFFAOYSA-N Dichloromethane Chemical compound ClCCl YMWUJEATGCHHMB-UHFFFAOYSA-N 0.000 claims description 14
- 125000001072 heteroaryl group Chemical group 0.000 claims description 14
- VZTDIZULWFCMLS-UHFFFAOYSA-N ammonium formate Chemical compound [NH4+].[O-]C=O VZTDIZULWFCMLS-UHFFFAOYSA-N 0.000 claims description 13
- 239000003377 acid catalyst Substances 0.000 claims description 12
- 125000001997 phenyl group Chemical group [H]C1=C([H])C([H])=C(*)C([H])=C1[H] 0.000 claims description 11
- 125000004209 (C1-C8) alkyl group Chemical group 0.000 claims description 10
- WYURNTSHIVDZCO-UHFFFAOYSA-N Tetrahydrofuran Chemical group C1CCOC1 WYURNTSHIVDZCO-UHFFFAOYSA-N 0.000 claims description 10
- WVDDGKGOMKODPV-UHFFFAOYSA-N Benzyl alcohol Chemical compound OCC1=CC=CC=C1 WVDDGKGOMKODPV-UHFFFAOYSA-N 0.000 claims description 9
- 150000001875 compounds Chemical class 0.000 claims description 9
- 230000007062 hydrolysis Effects 0.000 claims description 9
- 238000006460 hydrolysis reaction Methods 0.000 claims description 9
- 239000002904 solvent Substances 0.000 claims description 9
- 239000012321 sodium triacetoxyborohydride Substances 0.000 claims description 8
- 125000004169 (C1-C6) alkyl group Chemical group 0.000 claims description 7
- WSLDOOZREJYCGB-UHFFFAOYSA-N 1,2-Dichloroethane Chemical compound ClCCCl WSLDOOZREJYCGB-UHFFFAOYSA-N 0.000 claims description 7
- WEVYAHXRMPXWCK-UHFFFAOYSA-N Acetonitrile Chemical compound CC#N WEVYAHXRMPXWCK-UHFFFAOYSA-N 0.000 claims description 7
- 229910021589 Copper(I) bromide Inorganic materials 0.000 claims description 7
- 125000003342 alkenyl group Chemical group 0.000 claims description 7
- 230000015572 biosynthetic process Effects 0.000 claims description 7
- ZHXTWWCDMUWMDI-UHFFFAOYSA-N dihydroxyboron Chemical compound O[B]O ZHXTWWCDMUWMDI-UHFFFAOYSA-N 0.000 claims description 7
- VNDYJBBGRKZCSX-UHFFFAOYSA-L zinc bromide Chemical compound Br[Zn]Br VNDYJBBGRKZCSX-UHFFFAOYSA-L 0.000 claims description 6
- JIAARYAFYJHUJI-UHFFFAOYSA-L zinc dichloride Chemical compound [Cl-].[Cl-].[Zn+2] JIAARYAFYJHUJI-UHFFFAOYSA-L 0.000 claims description 6
- 125000005055 alkyl alkoxy group Chemical group 0.000 claims description 5
- 125000005119 alkyl cycloalkyl group Chemical group 0.000 claims description 5
- 125000005037 alkyl phenyl group Chemical group 0.000 claims description 5
- 239000007788 liquid Substances 0.000 claims description 5
- 229940086542 triethylamine Drugs 0.000 claims description 5
- QPFMBZIOSGYJDE-UHFFFAOYSA-N 1,1,2,2-tetrachloroethane Chemical compound ClC(Cl)C(Cl)Cl QPFMBZIOSGYJDE-UHFFFAOYSA-N 0.000 claims description 4
- RQEUFEKYXDPUSK-UHFFFAOYSA-N 1-phenylethylamine Chemical compound CC(N)C1=CC=CC=C1 RQEUFEKYXDPUSK-UHFFFAOYSA-N 0.000 claims description 4
- KZMGYPLQYOPHEL-UHFFFAOYSA-N Boron trifluoride etherate Chemical compound FB(F)F.CCOCC KZMGYPLQYOPHEL-UHFFFAOYSA-N 0.000 claims description 4
- 229910004373 HOAc Inorganic materials 0.000 claims description 4
- TWRXJAOTZQYOKJ-UHFFFAOYSA-L Magnesium chloride Chemical compound [Mg+2].[Cl-].[Cl-] TWRXJAOTZQYOKJ-UHFFFAOYSA-L 0.000 claims description 4
- DTQVDTLACAAQTR-UHFFFAOYSA-N Trifluoroacetic acid Chemical compound OC(=O)C(F)(F)F DTQVDTLACAAQTR-UHFFFAOYSA-N 0.000 claims description 4
- VSCWAEJMTAWNJL-UHFFFAOYSA-K aluminium trichloride Chemical compound Cl[Al](Cl)Cl VSCWAEJMTAWNJL-UHFFFAOYSA-K 0.000 claims description 4
- BDAGIHXWWSANSR-UHFFFAOYSA-N methanoic acid Natural products OC=O BDAGIHXWWSANSR-UHFFFAOYSA-N 0.000 claims description 4
- AQRLNPVMDITEJU-UHFFFAOYSA-N triethylsilane Chemical compound CC[SiH](CC)CC AQRLNPVMDITEJU-UHFFFAOYSA-N 0.000 claims description 4
- 239000011701 zinc Substances 0.000 claims description 4
- 239000011592 zinc chloride Substances 0.000 claims description 4
- 235000019445 benzyl alcohol Nutrition 0.000 claims description 3
- 239000003054 catalyst Substances 0.000 claims description 3
- LYGJENNIWJXYER-UHFFFAOYSA-N nitromethane Chemical compound C[N+]([O-])=O LYGJENNIWJXYER-UHFFFAOYSA-N 0.000 claims description 3
- OSWFIVFLDKOXQC-UHFFFAOYSA-N 4-(3-methoxyphenyl)aniline Chemical compound COC1=CC=CC(C=2C=CC(N)=CC=2)=C1 OSWFIVFLDKOXQC-UHFFFAOYSA-N 0.000 claims description 2
- 229910021578 Iron(III) chloride Inorganic materials 0.000 claims description 2
- MPCRDALPQLDDFX-UHFFFAOYSA-L Magnesium perchlorate Chemical compound [Mg+2].[O-]Cl(=O)(=O)=O.[O-]Cl(=O)(=O)=O MPCRDALPQLDDFX-UHFFFAOYSA-L 0.000 claims description 2
- 229910020889 NaBH3 Inorganic materials 0.000 claims description 2
- 229910003910 SiCl4 Inorganic materials 0.000 claims description 2
- 229910003074 TiCl4 Inorganic materials 0.000 claims description 2
- 229910021627 Tin(IV) chloride Inorganic materials 0.000 claims description 2
- HCHKCACWOHOZIP-UHFFFAOYSA-N Zinc Chemical compound [Zn] HCHKCACWOHOZIP-UHFFFAOYSA-N 0.000 claims description 2
- PQLAYKMGZDUDLQ-UHFFFAOYSA-K aluminium bromide Chemical compound Br[Al](Br)Br PQLAYKMGZDUDLQ-UHFFFAOYSA-K 0.000 claims description 2
- HRYZWHHZPQKTII-UHFFFAOYSA-N chloroethane Chemical compound CCCl HRYZWHHZPQKTII-UHFFFAOYSA-N 0.000 claims description 2
- 235000019253 formic acid Nutrition 0.000 claims description 2
- RBTARNINKXHZNM-UHFFFAOYSA-K iron trichloride Chemical compound Cl[Fe](Cl)Cl RBTARNINKXHZNM-UHFFFAOYSA-K 0.000 claims description 2
- 229910001629 magnesium chloride Inorganic materials 0.000 claims description 2
- BZQRBEVTLZHKEA-UHFFFAOYSA-L magnesium;trifluoromethanesulfonate Chemical compound [Mg+2].[O-]S(=O)(=O)C(F)(F)F.[O-]S(=O)(=O)C(F)(F)F BZQRBEVTLZHKEA-UHFFFAOYSA-L 0.000 claims description 2
- 239000011347 resin Substances 0.000 claims description 2
- 229920005989 resin Polymers 0.000 claims description 2
- FDNAPBUWERUEDA-UHFFFAOYSA-N silicon tetrachloride Chemical compound Cl[Si](Cl)(Cl)Cl FDNAPBUWERUEDA-UHFFFAOYSA-N 0.000 claims description 2
- BEOOHQFXGBMRKU-UHFFFAOYSA-N sodium cyanoborohydride Chemical compound [Na+].[B-]C#N BEOOHQFXGBMRKU-UHFFFAOYSA-N 0.000 claims description 2
- YLQBMQCUIZJEEH-UHFFFAOYSA-N tetrahydrofuran Natural products C=1C=COC=1 YLQBMQCUIZJEEH-UHFFFAOYSA-N 0.000 claims description 2
- HPGGPRDJHPYFRM-UHFFFAOYSA-J tin(iv) chloride Chemical compound Cl[Sn](Cl)(Cl)Cl HPGGPRDJHPYFRM-UHFFFAOYSA-J 0.000 claims description 2
- XJDNKRIXUMDJCW-UHFFFAOYSA-J titanium tetrachloride Chemical compound Cl[Ti](Cl)(Cl)Cl XJDNKRIXUMDJCW-UHFFFAOYSA-J 0.000 claims description 2
- VXUYXOFXAQZZMF-UHFFFAOYSA-N titanium(IV) isopropoxide Chemical compound CC(C)O[Ti](OC(C)C)(OC(C)C)OC(C)C VXUYXOFXAQZZMF-UHFFFAOYSA-N 0.000 claims description 2
- YNJBWRMUSHSURL-UHFFFAOYSA-N trichloroacetic acid Chemical compound OC(=O)C(Cl)(Cl)Cl YNJBWRMUSHSURL-UHFFFAOYSA-N 0.000 claims description 2
- 229910052725 zinc Inorganic materials 0.000 claims description 2
- 235000005074 zinc chloride Nutrition 0.000 claims description 2
- LUMLZKVIXLWTCI-NSCUHMNNSA-N (e)-2,3-dichloro-4-oxobut-2-enoic acid Chemical compound OC(=O)C(\Cl)=C(/Cl)C=O LUMLZKVIXLWTCI-NSCUHMNNSA-N 0.000 claims 8
- 125000000218 acetic acid group Chemical group C(C)(=O)* 0.000 claims 2
- 239000003586 protic polar solvent Substances 0.000 claims 1
- BTCSSZJGUNDROE-UHFFFAOYSA-N gamma-aminobutyric acid Chemical class NCCCC(O)=O BTCSSZJGUNDROE-UHFFFAOYSA-N 0.000 abstract description 19
- 230000000694 effects Effects 0.000 abstract description 2
- 0 *C1=C(*)C(O)OC1=O.CC(C)C[C@H](CN)CC(=O)O Chemical compound *C1=C(*)C(O)OC1=O.CC(C)C[C@H](CN)CC(=O)O 0.000 description 39
- LUMLZKVIXLWTCI-IHWYPQMZSA-N (z)-2,3-dichloro-4-oxobut-2-enoic acid Chemical compound OC(=O)C(\Cl)=C(\Cl)C=O LUMLZKVIXLWTCI-IHWYPQMZSA-N 0.000 description 21
- 239000000047 product Substances 0.000 description 17
- YXFVVABEGXRONW-UHFFFAOYSA-N Toluene Chemical compound CC1=CC=CC=C1 YXFVVABEGXRONW-UHFFFAOYSA-N 0.000 description 15
- 238000007792 addition Methods 0.000 description 13
- XEKOWRVHYACXOJ-UHFFFAOYSA-N Ethyl acetate Chemical compound CCOC(C)=O XEKOWRVHYACXOJ-UHFFFAOYSA-N 0.000 description 12
- 125000004432 carbon atom Chemical group C* 0.000 description 9
- 125000000217 alkyl group Chemical group 0.000 description 8
- 229940024606 amino acid Drugs 0.000 description 8
- 238000003786 synthesis reaction Methods 0.000 description 8
- OGNSCSPNOLGXSM-UHFFFAOYSA-N (+/-)-DABA Natural products NCCC(N)C(O)=O OGNSCSPNOLGXSM-UHFFFAOYSA-N 0.000 description 7
- 239000004215 Carbon black (E152) Substances 0.000 description 7
- 229960003692 gamma aminobutyric acid Drugs 0.000 description 7
- 229930195733 hydrocarbon Natural products 0.000 description 7
- OKKJLVBELUTLKV-UHFFFAOYSA-N Methanol Chemical compound OC OKKJLVBELUTLKV-UHFFFAOYSA-N 0.000 description 6
- IMNFDUFMRHMDMM-UHFFFAOYSA-N N-Heptane Chemical compound CCCCCCC IMNFDUFMRHMDMM-UHFFFAOYSA-N 0.000 description 6
- 125000000753 cycloalkyl group Chemical group 0.000 description 6
- 238000000921 elemental analysis Methods 0.000 description 6
- 229910052739 hydrogen Inorganic materials 0.000 description 6
- 239000001257 hydrogen Substances 0.000 description 6
- 150000003951 lactams Chemical class 0.000 description 6
- PAYRUJLWNCNPSJ-UHFFFAOYSA-N Aniline Chemical compound NC1=CC=CC=C1 PAYRUJLWNCNPSJ-UHFFFAOYSA-N 0.000 description 5
- UFHFLCQGNIYNRP-UHFFFAOYSA-N Hydrogen Chemical compound [H][H] UFHFLCQGNIYNRP-UHFFFAOYSA-N 0.000 description 5
- 125000003545 alkoxy group Chemical group 0.000 description 5
- 239000003153 chemical reaction reagent Substances 0.000 description 5
- 125000005843 halogen group Chemical group 0.000 description 5
- 238000000746 purification Methods 0.000 description 5
- XLYOFNOQVPJJNP-UHFFFAOYSA-N water Substances O XLYOFNOQVPJJNP-UHFFFAOYSA-N 0.000 description 5
- 238000005160 1H NMR spectroscopy Methods 0.000 description 4
- NLXLAEXVIDQMFP-UHFFFAOYSA-N Ammonia chloride Chemical compound [NH4+].[Cl-] NLXLAEXVIDQMFP-UHFFFAOYSA-N 0.000 description 4
- CSNNHWWHGAXBCP-UHFFFAOYSA-L Magnesium sulfate Chemical compound [Mg+2].[O-][S+2]([O-])([O-])[O-] CSNNHWWHGAXBCP-UHFFFAOYSA-L 0.000 description 4
- VYPSYNLAJGMNEJ-UHFFFAOYSA-N Silicium dioxide Chemical compound O=[Si]=O VYPSYNLAJGMNEJ-UHFFFAOYSA-N 0.000 description 4
- HEDRZPFGACZZDS-MICDWDOJSA-N Trichloro(2H)methane Chemical compound [2H]C(Cl)(Cl)Cl HEDRZPFGACZZDS-MICDWDOJSA-N 0.000 description 4
- 235000001014 amino acid Nutrition 0.000 description 4
- 150000001413 amino acids Chemical class 0.000 description 4
- 150000001448 anilines Chemical class 0.000 description 4
- 150000002596 lactones Chemical group 0.000 description 4
- 239000011541 reaction mixture Substances 0.000 description 4
- 239000000741 silica gel Substances 0.000 description 4
- 229910002027 silica gel Inorganic materials 0.000 description 4
- BNBQOYDTSHCIDF-UHFFFAOYSA-N 4-bromo-2-phenylmethoxy-3-propan-2-yl-2h-furan-5-one Chemical compound CC(C)C1=C(Br)C(=O)OC1OCC1=CC=CC=C1 BNBQOYDTSHCIDF-UHFFFAOYSA-N 0.000 description 3
- RWZXVBZTOSYNEV-UHFFFAOYSA-N 5-phenylmethoxy-4-propan-2-yloxolan-2-one Chemical compound CC(C)C1CC(=O)OC1OCC1=CC=CC=C1 RWZXVBZTOSYNEV-UHFFFAOYSA-N 0.000 description 3
- NCBZRJODKRCREW-UHFFFAOYSA-N COC1=CC(N)=CC=C1 Chemical compound COC1=CC(N)=CC=C1 NCBZRJODKRCREW-UHFFFAOYSA-N 0.000 description 3
- RTZKZFJDLAIYFH-UHFFFAOYSA-N Diethyl ether Chemical compound CCOCC RTZKZFJDLAIYFH-UHFFFAOYSA-N 0.000 description 3
- SECXISVLQFMRJM-UHFFFAOYSA-N N-Methylpyrrolidone Chemical compound CN1CCCC1=O SECXISVLQFMRJM-UHFFFAOYSA-N 0.000 description 3
- RHDGNLCLDBVESU-UHFFFAOYSA-N but-3-en-4-olide Chemical compound O=C1CC=CO1 RHDGNLCLDBVESU-UHFFFAOYSA-N 0.000 description 3
- 125000003178 carboxy group Chemical group [H]OC(*)=O 0.000 description 3
- 238000004440 column chromatography Methods 0.000 description 3
- 239000012043 crude product Substances 0.000 description 3
- 238000011065 in-situ storage Methods 0.000 description 3
- 239000003880 polar aprotic solvent Substances 0.000 description 3
- 125000001424 substituent group Chemical group 0.000 description 3
- JOXIMZWYDAKGHI-UHFFFAOYSA-N toluene-4-sulfonic acid Chemical compound CC1=CC=C(S(O)(=O)=O)C=C1 JOXIMZWYDAKGHI-UHFFFAOYSA-N 0.000 description 3
- 230000009466 transformation Effects 0.000 description 3
- RQEUFEKYXDPUSK-SSDOTTSWSA-N (1R)-1-phenylethanamine Chemical compound C[C@@H](N)C1=CC=CC=C1 RQEUFEKYXDPUSK-SSDOTTSWSA-N 0.000 description 2
- MTCFGRXMJLQNBG-REOHCLBHSA-N (2S)-2-Amino-3-hydroxypropansäure Chemical compound OC[C@H](N)C(O)=O MTCFGRXMJLQNBG-REOHCLBHSA-N 0.000 description 2
- 125000006701 (C1-C7) alkyl group Chemical group 0.000 description 2
- DQEFVHGRVORUCL-UHFFFAOYSA-N 1-benzyl-3,4-dichloro-2h-pyrrol-5-one Chemical compound C1C(Cl)=C(Cl)C(=O)N1CC1=CC=CC=C1 DQEFVHGRVORUCL-UHFFFAOYSA-N 0.000 description 2
- 125000003903 2-propenyl group Chemical group [H]C([*])([H])C([H])=C([H])[H] 0.000 description 2
- WAEVOCGNHJCCCG-UHFFFAOYSA-N 4-chloro-2-phenylmethoxy-3-propan-2-yl-2h-furan-5-one Chemical compound CC(C)C1=C(Cl)C(=O)OC1OCC1=CC=CC=C1 WAEVOCGNHJCCCG-UHFFFAOYSA-N 0.000 description 2
- MHPUGCYGQWGLJL-UHFFFAOYSA-N 5-methyl-hexanoic acid Chemical compound CC(C)CCCC(O)=O MHPUGCYGQWGLJL-UHFFFAOYSA-N 0.000 description 2
- XLAKQDZSIXTZEU-ODPOAJPDSA-N CC(C)C1CNC(=O)C1.[2H][2H].[2H][2H] Chemical compound CC(C)C1CNC(=O)C1.[2H][2H].[2H][2H] XLAKQDZSIXTZEU-ODPOAJPDSA-N 0.000 description 2
- LABVIZGAQRASHF-QGAMPUOQSA-N CC/C=C\CN.NC1=NC=CC=C1 Chemical compound CC/C=C\CN.NC1=NC=CC=C1 LABVIZGAQRASHF-QGAMPUOQSA-N 0.000 description 2
- 239000007818 Grignard reagent Substances 0.000 description 2
- OAKJQQAXSVQMHS-UHFFFAOYSA-N Hydrazine Chemical compound NN OAKJQQAXSVQMHS-UHFFFAOYSA-N 0.000 description 2
- AHLPHDHHMVZTML-BYPYZUCNSA-N L-Ornithine Chemical compound NCCC[C@H](N)C(O)=O AHLPHDHHMVZTML-BYPYZUCNSA-N 0.000 description 2
- RHGKLRLOHDJJDR-BYPYZUCNSA-N L-citrulline Chemical compound NC(=O)NCCC[C@H]([NH3+])C([O-])=O RHGKLRLOHDJJDR-BYPYZUCNSA-N 0.000 description 2
- HNDVDQJCIGZPNO-YFKPBYRVSA-N L-histidine Chemical compound OC(=O)[C@@H](N)CC1=CN=CN1 HNDVDQJCIGZPNO-YFKPBYRVSA-N 0.000 description 2
- ROHFNLRQFUQHCH-YFKPBYRVSA-N L-leucine Chemical compound CC(C)C[C@H](N)C(O)=O ROHFNLRQFUQHCH-YFKPBYRVSA-N 0.000 description 2
- OUYCCCASQSFEME-QMMMGPOBSA-N L-tyrosine Chemical compound OC(=O)[C@@H](N)CC1=CC=C(O)C=C1 OUYCCCASQSFEME-QMMMGPOBSA-N 0.000 description 2
- KZSNJWFQEVHDMF-BYPYZUCNSA-N L-valine Chemical compound CC(C)[C@H](N)C(O)=O KZSNJWFQEVHDMF-BYPYZUCNSA-N 0.000 description 2
- BZLVMXJERCGZMT-UHFFFAOYSA-N Methyl tert-butyl ether Chemical compound COC(C)(C)C BZLVMXJERCGZMT-UHFFFAOYSA-N 0.000 description 2
- PNPCRKVUWYDDST-UHFFFAOYSA-N NC1=CC=CC(Cl)=C1 Chemical compound NC1=CC=CC(Cl)=C1 PNPCRKVUWYDDST-UHFFFAOYSA-N 0.000 description 2
- CWLKGDAVCFYWJK-UHFFFAOYSA-N NC1=CC=CC(O)=C1 Chemical compound NC1=CC=CC(O)=C1 CWLKGDAVCFYWJK-UHFFFAOYSA-N 0.000 description 2
- XSIWMDVWENJUPA-UHFFFAOYSA-N O=C1C(Cl)=C(Cl)CN1C1=CC(O)=CC=C1 Chemical compound O=C1C(Cl)=C(Cl)CN1C1=CC(O)=CC=C1 XSIWMDVWENJUPA-UHFFFAOYSA-N 0.000 description 2
- 238000006069 Suzuki reaction reaction Methods 0.000 description 2
- 150000007513 acids Chemical class 0.000 description 2
- 150000001299 aldehydes Chemical class 0.000 description 2
- 125000000304 alkynyl group Chemical group 0.000 description 2
- 235000019270 ammonium chloride Nutrition 0.000 description 2
- 238000013459 approach Methods 0.000 description 2
- 230000008901 benefit Effects 0.000 description 2
- XJHCXCQVJFPJIK-UHFFFAOYSA-M caesium fluoride Chemical compound [F-].[Cs+] XJHCXCQVJFPJIK-UHFFFAOYSA-M 0.000 description 2
- 238000012512 characterization method Methods 0.000 description 2
- 238000013375 chromatographic separation Methods 0.000 description 2
- 239000012230 colorless oil Substances 0.000 description 2
- GBRBMTNGQBKBQE-UHFFFAOYSA-L copper;diiodide Chemical compound I[Cu]I GBRBMTNGQBKBQE-UHFFFAOYSA-L 0.000 description 2
- 238000002425 crystallisation Methods 0.000 description 2
- 230000008025 crystallization Effects 0.000 description 2
- 125000004122 cyclic group Chemical group 0.000 description 2
- 230000008030 elimination Effects 0.000 description 2
- 238000003379 elimination reaction Methods 0.000 description 2
- 125000000524 functional group Chemical group 0.000 description 2
- YMAWOPBAYDPSLA-UHFFFAOYSA-N glycylglycine Chemical compound [NH3+]CC(=O)NCC([O-])=O YMAWOPBAYDPSLA-UHFFFAOYSA-N 0.000 description 2
- 150000004795 grignard reagents Chemical class 0.000 description 2
- 150000004820 halides Chemical class 0.000 description 2
- 125000000592 heterocycloalkyl group Chemical group 0.000 description 2
- 125000004356 hydroxy functional group Chemical group O* 0.000 description 2
- 125000001449 isopropyl group Chemical group [H]C([H])([H])C([H])(*)C([H])([H])[H] 0.000 description 2
- 229910052943 magnesium sulfate Inorganic materials 0.000 description 2
- 235000019341 magnesium sulphate Nutrition 0.000 description 2
- 230000007246 mechanism Effects 0.000 description 2
- 239000003921 oil Substances 0.000 description 2
- 235000019198 oils Nutrition 0.000 description 2
- 230000008447 perception Effects 0.000 description 2
- 108090000765 processed proteins & peptides Proteins 0.000 description 2
- 238000001953 recrystallisation Methods 0.000 description 2
- 238000010992 reflux Methods 0.000 description 2
- 238000010898 silica gel chromatography Methods 0.000 description 2
- 239000000243 solution Substances 0.000 description 2
- 239000007858 starting material Substances 0.000 description 2
- WPLOVIFNBMNBPD-ATHMIXSHSA-N subtilin Chemical compound CC1SCC(NC2=O)C(=O)NC(CC(N)=O)C(=O)NC(C(=O)NC(CCCCN)C(=O)NC(C(C)CC)C(=O)NC(=C)C(=O)NC(CCCCN)C(O)=O)CSC(C)C2NC(=O)C(CC(C)C)NC(=O)C1NC(=O)C(CCC(N)=O)NC(=O)C(CC(C)C)NC(=O)C(NC(=O)C1NC(=O)C(=C/C)/NC(=O)C(CCC(N)=O)NC(=O)C(CC(C)C)NC(=O)C(C)NC(=O)CNC(=O)C(NC(=O)C(NC(=O)C2NC(=O)CNC(=O)C3CCCN3C(=O)C(NC(=O)C3NC(=O)C(CC(C)C)NC(=O)C(=C)NC(=O)C(CCC(O)=O)NC(=O)C(NC(=O)C(CCCCN)NC(=O)C(N)CC=4C5=CC=CC=C5NC=4)CSC3)C(C)SC2)C(C)C)C(C)SC1)CC1=CC=CC=C1 WPLOVIFNBMNBPD-ATHMIXSHSA-N 0.000 description 2
- 150000003573 thiols Chemical class 0.000 description 2
- 238000000844 transformation Methods 0.000 description 2
- 229920002554 vinyl polymer Polymers 0.000 description 2
- 150000003953 γ-lactams Chemical class 0.000 description 2
- SUUWYOYAXFUOLX-ZBRNBAAYSA-N (2s)-2-aminobutanedioic acid;(2s)-2-amino-5-(diaminomethylideneamino)pentanoic acid Chemical compound OC(=O)[C@@H](N)CC(O)=O.OC(=O)[C@@H](N)CCCN=C(N)N SUUWYOYAXFUOLX-ZBRNBAAYSA-N 0.000 description 1
- SJSSFUMSAFMFNM-NSHDSACASA-N (2s)-5-(diaminomethylideneamino)-2-(phenylmethoxycarbonylamino)pentanoic acid Chemical compound NC(N)=NCCC[C@@H](C(O)=O)NC(=O)OCC1=CC=CC=C1 SJSSFUMSAFMFNM-NSHDSACASA-N 0.000 description 1
- 125000004768 (C1-C4) alkylsulfinyl group Chemical group 0.000 description 1
- 125000004191 (C1-C6) alkoxy group Chemical group 0.000 description 1
- 125000004454 (C1-C6) alkoxycarbonyl group Chemical group 0.000 description 1
- CDCHBOQVXIGZHA-UHFFFAOYSA-N 1,2-dihydropyrrol-5-one Chemical class O=C1NCC=C1 CDCHBOQVXIGZHA-UHFFFAOYSA-N 0.000 description 1
- RYHBNJHYFVUHQT-UHFFFAOYSA-N 1,4-Dioxane Chemical compound C1COCCO1 RYHBNJHYFVUHQT-UHFFFAOYSA-N 0.000 description 1
- ZTUKZKYDJMGJDC-UHFFFAOYSA-N 1-[2-(phenylmethoxycarbonylamino)acetyl]pyrrolidine-2-carboxylic acid Chemical compound OC(=O)C1CCCN1C(=O)CNC(=O)OCC1=CC=CC=C1 ZTUKZKYDJMGJDC-UHFFFAOYSA-N 0.000 description 1
- PKJBWOWQJHHAHG-UHFFFAOYSA-N 1-bromo-4-phenylbenzene Chemical group C1=CC(Br)=CC=C1C1=CC=CC=C1 PKJBWOWQJHHAHG-UHFFFAOYSA-N 0.000 description 1
- 125000004973 1-butenyl group Chemical group C(=CCC)* 0.000 description 1
- 125000006039 1-hexenyl group Chemical group 0.000 description 1
- 125000006023 1-pentenyl group Chemical group 0.000 description 1
- 125000006017 1-propenyl group Chemical group 0.000 description 1
- AAILEWXSEQLMNI-UHFFFAOYSA-N 1h-pyridazin-6-one Chemical class OC1=CC=CN=N1 AAILEWXSEQLMNI-UHFFFAOYSA-N 0.000 description 1
- QDGAVODICPCDMU-UHFFFAOYSA-N 2-amino-3-[3-[bis(2-chloroethyl)amino]phenyl]propanoic acid Chemical compound OC(=O)C(N)CC1=CC=CC(N(CCCl)CCCl)=C1 QDGAVODICPCDMU-UHFFFAOYSA-N 0.000 description 1
- 125000004974 2-butenyl group Chemical group C(C=CC)* 0.000 description 1
- 125000006040 2-hexenyl group Chemical group 0.000 description 1
- 125000006022 2-methyl-2-propenyl group Chemical group 0.000 description 1
- 125000006024 2-pentenyl group Chemical group 0.000 description 1
- VHUIICFLKOWJLG-UHFFFAOYSA-N 3,4-dibromo-2-phenylmethoxy-2h-furan-5-one Chemical compound BrC1=C(Br)C(=O)OC1OCC1=CC=CC=C1 VHUIICFLKOWJLG-UHFFFAOYSA-N 0.000 description 1
- VBJSHLWWXHWSEC-UHFFFAOYSA-N 3,4-dichloro-2-phenylmethoxy-2h-furan-5-one Chemical compound ClC1=C(Cl)C(=O)OC1OCC1=CC=CC=C1 VBJSHLWWXHWSEC-UHFFFAOYSA-N 0.000 description 1
- OFCINXZTAMJWLA-UHFFFAOYSA-N 3-(azaniumylmethyl)-4-methylpentanoate Chemical compound CC(C)C(CN)CC(O)=O OFCINXZTAMJWLA-UHFFFAOYSA-N 0.000 description 1
- AYXYPKUFHZROOJ-UHFFFAOYSA-N 3-(azaniumylmethyl)-5-methylhexanoate Chemical compound CC(C)CC(CN)CC(O)=O AYXYPKUFHZROOJ-UHFFFAOYSA-N 0.000 description 1
- 125000004975 3-butenyl group Chemical group C(CC=C)* 0.000 description 1
- 125000006041 3-hexenyl group Chemical group 0.000 description 1
- 125000004207 3-methoxyphenyl group Chemical group [H]C1=C([H])C(*)=C([H])C(OC([H])([H])[H])=C1[H] 0.000 description 1
- 125000006032 3-methyl-3-butenyl group Chemical group 0.000 description 1
- 125000006042 4-hexenyl group Chemical group 0.000 description 1
- 125000003119 4-methyl-3-pentenyl group Chemical group [H]\C(=C(/C([H])([H])[H])C([H])([H])[H])C([H])([H])C([H])([H])* 0.000 description 1
- YWJNZEJGGLBELP-UHFFFAOYSA-N 4-propan-2-ylpyrrolidin-2-one Chemical compound CC(C)C1CNC(=O)C1 YWJNZEJGGLBELP-UHFFFAOYSA-N 0.000 description 1
- 125000006043 5-hexenyl group Chemical group 0.000 description 1
- ODHCTXKNWHHXJC-VKHMYHEASA-N 5-oxo-L-proline Chemical compound OC(=O)[C@@H]1CCC(=O)N1 ODHCTXKNWHHXJC-VKHMYHEASA-N 0.000 description 1
- USFZMSVCRYTOJT-UHFFFAOYSA-N Ammonium acetate Chemical compound N.CC(O)=O USFZMSVCRYTOJT-UHFFFAOYSA-N 0.000 description 1
- 239000005695 Ammonium acetate Substances 0.000 description 1
- OMLWNBVRVJYMBQ-YUMQZZPRSA-N Arg-Arg Chemical compound NC(N)=NCCC[C@H](N)C(=O)N[C@@H](CCCN=C(N)N)C(O)=O OMLWNBVRVJYMBQ-YUMQZZPRSA-N 0.000 description 1
- CPELXLSAUQHCOX-UHFFFAOYSA-M Bromide Chemical compound [Br-] CPELXLSAUQHCOX-UHFFFAOYSA-M 0.000 description 1
- KAUCBZRKNYJAIA-JPALGDSYSA-T C#C.NCC1=CC=CC=C1.O=C1OC(O)C(Cl)=C1Cl.O=C1[OH+]C(O)C(Cl)=C1Cl.[Ac]OO[Ac].[H+].[H+].[H+].[H-].[H]C(/C(Cl)=C(/Cl)C(=O)O)=[N+](/[H])CC1=CC=CC=C1.[H]C(/C(Cl)=C(/Cl)C(=O)O)=[N+](/[H])CC1=CC=CC=C1.[H]C(=N\CC1=CC=CC=C1)/C(Cl)=C(/Cl)C(=O)O.[H]C(=O)/C(Cl)=C(/Cl)C(=O)O.[H]C([H])(NCC1=CC=CC=C1)/C(Cl)=C(/Cl)C(=O)O.[H]N(CC1=CC=CC=C1)C/C(Cl)=C(/Cl)C(=O)O.[Na]BO[Ac].[OH-] Chemical compound C#C.NCC1=CC=CC=C1.O=C1OC(O)C(Cl)=C1Cl.O=C1[OH+]C(O)C(Cl)=C1Cl.[Ac]OO[Ac].[H+].[H+].[H+].[H-].[H]C(/C(Cl)=C(/Cl)C(=O)O)=[N+](/[H])CC1=CC=CC=C1.[H]C(/C(Cl)=C(/Cl)C(=O)O)=[N+](/[H])CC1=CC=CC=C1.[H]C(=N\CC1=CC=CC=C1)/C(Cl)=C(/Cl)C(=O)O.[H]C(=O)/C(Cl)=C(/Cl)C(=O)O.[H]C([H])(NCC1=CC=CC=C1)/C(Cl)=C(/Cl)C(=O)O.[H]N(CC1=CC=CC=C1)C/C(Cl)=C(/Cl)C(=O)O.[Na]BO[Ac].[OH-] KAUCBZRKNYJAIA-JPALGDSYSA-T 0.000 description 1
- ZAJNARALONHSFI-UHFFFAOYSA-N C.C.C.CC(=O)OB[Na].CC(=O)OOC(C)=O.O=C1OC(O)C(Cl)=C1Cl Chemical compound C.C.C.CC(=O)OB[Na].CC(=O)OOC(C)=O.O=C1OC(O)C(Cl)=C1Cl ZAJNARALONHSFI-UHFFFAOYSA-N 0.000 description 1
- IHCZUWQOIYKEFI-UHFFFAOYSA-N C.CC(=O)OB[Na].CC(=O)OOC(C)=O.NCC1=CC=CC=C1.O=C1C(Cl)=C(Cl)CN1CC1=CC=CC=C1.O=C1OC(O)C(Cl)=C1Cl Chemical compound C.CC(=O)OB[Na].CC(=O)OOC(C)=O.NCC1=CC=CC=C1.O=C1C(Cl)=C(Cl)CN1CC1=CC=CC=C1.O=C1OC(O)C(Cl)=C1Cl IHCZUWQOIYKEFI-UHFFFAOYSA-N 0.000 description 1
- DFTBWBKBBHQGFA-UHFFFAOYSA-N C.CC(=O)OB[Na].CC(=O)OOC(C)=O.O=C1OC(O)C(Cl)=C1Cl Chemical compound C.CC(=O)OB[Na].CC(=O)OOC(C)=O.O=C1OC(O)C(Cl)=C1Cl DFTBWBKBBHQGFA-UHFFFAOYSA-N 0.000 description 1
- RWRDLPDLKQPQOW-UHFFFAOYSA-N C1CCNC1 Chemical compound C1CCNC1 RWRDLPDLKQPQOW-UHFFFAOYSA-N 0.000 description 1
- GPRYKVSEZCQIHD-UHFFFAOYSA-N CC(=O)C1=CC=C(N)C=C1 Chemical compound CC(=O)C1=CC=C(N)C=C1 GPRYKVSEZCQIHD-UHFFFAOYSA-N 0.000 description 1
- YECWHOHIMNQDRV-UHFFFAOYSA-N CC(=O)C1=CC=C(N2CC(Cl)=C(Cl)C2=O)C=C1 Chemical compound CC(=O)C1=CC=C(N2CC(Cl)=C(Cl)C2=O)C=C1 YECWHOHIMNQDRV-UHFFFAOYSA-N 0.000 description 1
- GRKUXCWELVWVMZ-UHFFFAOYSA-N CC(=O)ON Chemical compound CC(=O)ON GRKUXCWELVWVMZ-UHFFFAOYSA-N 0.000 description 1
- FWJRSOGVYOIVOC-UHFFFAOYSA-N CC(C)=CB(O)O Chemical compound CC(C)=CB(O)O FWJRSOGVYOIVOC-UHFFFAOYSA-N 0.000 description 1
- KSHNENOHFJQWJE-UHFFFAOYSA-N CC(C)C1COC(=O)C1 Chemical compound CC(C)C1COC(=O)C1 KSHNENOHFJQWJE-UHFFFAOYSA-N 0.000 description 1
- OYDLLLPGXYVFPN-UHFFFAOYSA-N CC1=C(C)C(=O)CC1.CC1=C(C)C(O)OC1=O.[HH] Chemical compound CC1=C(C)C(=O)CC1.CC1=C(C)C(O)OC1=O.[HH] OYDLLLPGXYVFPN-UHFFFAOYSA-N 0.000 description 1
- VLVGXQHQUHJAIX-GUHKXDMSSA-N CC1=C(C)C(O)OC1=O.[H]C(=O)/C(C)=C(/C)C(=O)O Chemical compound CC1=C(C)C(O)OC1=O.[H]C(=O)/C(C)=C(/C)C(=O)O VLVGXQHQUHJAIX-GUHKXDMSSA-N 0.000 description 1
- QUSNBJAOOMFDIB-UHFFFAOYSA-N CCN Chemical compound CCN QUSNBJAOOMFDIB-UHFFFAOYSA-N 0.000 description 1
- NFWQOAVWZSVTTC-UHFFFAOYSA-N CCN1CC(Cl)=C(Cl)C1=O Chemical compound CCN1CC(Cl)=C(Cl)C1=O NFWQOAVWZSVTTC-UHFFFAOYSA-N 0.000 description 1
- SZIYFMUVKADZDR-KTKRTIGZSA-N CN(C/C(Cl)=C(/Cl)C(=O)O)C1=CC=CC=C1 Chemical compound CN(C/C(Cl)=C(/Cl)C(=O)O)C1=CC=CC=C1 SZIYFMUVKADZDR-KTKRTIGZSA-N 0.000 description 1
- AFBPFSWMIHJQDM-UHFFFAOYSA-N CNC1=CC=CC=C1 Chemical compound CNC1=CC=CC=C1 AFBPFSWMIHJQDM-UHFFFAOYSA-N 0.000 description 1
- WNRGWPVJGDABME-UHFFFAOYSA-N COC1=CC(N)=CC(OC)=C1 Chemical compound COC1=CC(N)=CC(OC)=C1 WNRGWPVJGDABME-UHFFFAOYSA-N 0.000 description 1
- CMGKLIPRYMHUAO-UHFFFAOYSA-N COC1=CC(OC)=CC(N2CC(Cl)=C(Cl)C2=O)=C1 Chemical compound COC1=CC(OC)=CC(N2CC(Cl)=C(Cl)C2=O)=C1 CMGKLIPRYMHUAO-UHFFFAOYSA-N 0.000 description 1
- JLAYXMQALIUENR-UHFFFAOYSA-N COC1=CC=CC(N2CC(Cl)=C(Cl)C2=O)=C1 Chemical compound COC1=CC=CC(N2CC(Cl)=C(Cl)C2=O)=C1 JLAYXMQALIUENR-UHFFFAOYSA-N 0.000 description 1
- JRWLWSIVVOYFBN-MRVPVSSYSA-N C[C@H](C1=CC=CC=C1)N1CC(Cl)=C(Cl)C1=O Chemical compound C[C@H](C1=CC=CC=C1)N1CC(Cl)=C(Cl)C1=O JRWLWSIVVOYFBN-MRVPVSSYSA-N 0.000 description 1
- QNAYBMKLOCPYGJ-UHFFFAOYSA-N D-alpha-Ala Natural products CC([NH3+])C([O-])=O QNAYBMKLOCPYGJ-UHFFFAOYSA-N 0.000 description 1
- JBCLFWXMTIKCCB-VIFPVBQESA-N Gly-Phe Chemical compound NCC(=O)N[C@H](C(O)=O)CC1=CC=CC=C1 JBCLFWXMTIKCCB-VIFPVBQESA-N 0.000 description 1
- DHMQDGOQFOQNFH-UHFFFAOYSA-N Glycine Chemical compound NCC(O)=O DHMQDGOQFOQNFH-UHFFFAOYSA-N 0.000 description 1
- 108010008488 Glycylglycine Proteins 0.000 description 1
- QNAYBMKLOCPYGJ-UWTATZPHSA-N L-Alanine Natural products C[C@@H](N)C(O)=O QNAYBMKLOCPYGJ-UWTATZPHSA-N 0.000 description 1
- FFEARJCKVFRZRR-UHFFFAOYSA-N L-Methionine Natural products CSCCC(N)C(O)=O FFEARJCKVFRZRR-UHFFFAOYSA-N 0.000 description 1
- ONIBWKKTOPOVIA-BYPYZUCNSA-N L-Proline Chemical compound OC(=O)[C@@H]1CCCN1 ONIBWKKTOPOVIA-BYPYZUCNSA-N 0.000 description 1
- QNAYBMKLOCPYGJ-REOHCLBHSA-N L-alanine Chemical compound C[C@H](N)C(O)=O QNAYBMKLOCPYGJ-REOHCLBHSA-N 0.000 description 1
- WHUUTDBJXJRKMK-VKHMYHEASA-N L-glutamic acid Chemical compound OC(=O)[C@@H](N)CCC(O)=O WHUUTDBJXJRKMK-VKHMYHEASA-N 0.000 description 1
- AGPKZVBTJJNPAG-WHFBIAKZSA-N L-isoleucine Chemical compound CC[C@H](C)[C@H](N)C(O)=O AGPKZVBTJJNPAG-WHFBIAKZSA-N 0.000 description 1
- 229930182844 L-isoleucine Natural products 0.000 description 1
- 239000004395 L-leucine Substances 0.000 description 1
- 235000019454 L-leucine Nutrition 0.000 description 1
- FFEARJCKVFRZRR-BYPYZUCNSA-N L-methionine Chemical compound CSCC[C@H](N)C(O)=O FFEARJCKVFRZRR-BYPYZUCNSA-N 0.000 description 1
- 229930195722 L-methionine Natural products 0.000 description 1
- 229930182821 L-proline Natural products 0.000 description 1
- ODRVMWATZWHIGV-UHFFFAOYSA-N N#CC1=CC=CC(N2CC(Cl)=C(Cl)C2=O)=C1 Chemical compound N#CC1=CC=CC(N2CC(Cl)=C(Cl)C2=O)=C1 ODRVMWATZWHIGV-UHFFFAOYSA-N 0.000 description 1
- KZNQNBZMBZJQJO-UHFFFAOYSA-N N-glycyl-L-proline Natural products NCC(=O)N1CCCC1C(O)=O KZNQNBZMBZJQJO-UHFFFAOYSA-N 0.000 description 1
- VONLDUWWYHVSKV-UHFFFAOYSA-N NC(CO)C1=CC=CC=C1.S Chemical compound NC(CO)C1=CC=CC=C1.S VONLDUWWYHVSKV-UHFFFAOYSA-N 0.000 description 1
- ALYNCZNDIQEVRV-UHFFFAOYSA-N NC1=CC=C(C(=O)O)C=C1 Chemical compound NC1=CC=C(C(=O)O)C=C1 ALYNCZNDIQEVRV-UHFFFAOYSA-N 0.000 description 1
- VPSJLVUDZGXJOA-UHFFFAOYSA-N NC1=CC=CC([N+](=O)[O-])=C1.NC1=CC=CC=C1 Chemical compound NC1=CC=CC([N+](=O)[O-])=C1.NC1=CC=CC=C1 VPSJLVUDZGXJOA-UHFFFAOYSA-N 0.000 description 1
- MZDRCKAKSANGJQ-UHFFFAOYSA-N NC1=CC=CC=C1.[C-]#[N+]C1=CC(N)=CC=C1 Chemical compound NC1=CC=CC=C1.[C-]#[N+]C1=CC(N)=CC=C1 MZDRCKAKSANGJQ-UHFFFAOYSA-N 0.000 description 1
- 238000005481 NMR spectroscopy Methods 0.000 description 1
- NJXPYZHXZZCTNI-UHFFFAOYSA-N Nc1cc(C#N)ccc1 Chemical compound Nc1cc(C#N)ccc1 NJXPYZHXZZCTNI-UHFFFAOYSA-N 0.000 description 1
- RPDVZZYIZFTAON-SREVYHEPSA-N O=C(O)/C(Cl)=C(/Cl)CN1CCCC1 Chemical compound O=C(O)/C(Cl)=C(/Cl)CN1CCCC1 RPDVZZYIZFTAON-SREVYHEPSA-N 0.000 description 1
- LZOGFIFVWGMZLS-UHFFFAOYSA-N O=C(O)C1=CC=C(N2CC(Cl)=C(Cl)C2=O)C=C1 Chemical compound O=C(O)C1=CC=C(N2CC(Cl)=C(Cl)C2=O)C=C1 LZOGFIFVWGMZLS-UHFFFAOYSA-N 0.000 description 1
- UQSJSAVIIISRRJ-UHFFFAOYSA-N O=C1C(Cl)=C(Cl)CN1C(CO)C1=CC=CC=C1.S Chemical compound O=C1C(Cl)=C(Cl)CN1C(CO)C1=CC=CC=C1.S UQSJSAVIIISRRJ-UHFFFAOYSA-N 0.000 description 1
- UFYUHVMPCFYOFV-UHFFFAOYSA-N O=C1C(Cl)=C(Cl)CN1C1=CC(Cl)=CC=C1 Chemical compound O=C1C(Cl)=C(Cl)CN1C1=CC(Cl)=CC=C1 UFYUHVMPCFYOFV-UHFFFAOYSA-N 0.000 description 1
- DNZODFLRNPQRKW-UHFFFAOYSA-N O=C1C(Cl)=C(Cl)CN1C1=CC([N+](=O)[O-])=CC=C1 Chemical compound O=C1C(Cl)=C(Cl)CN1C1=CC([N+](=O)[O-])=CC=C1 DNZODFLRNPQRKW-UHFFFAOYSA-N 0.000 description 1
- BKVSHMDLVJXYPU-UHFFFAOYSA-N O=C1C(Cl)=C(Cl)CN1C1=CC=CC=C1 Chemical compound O=C1C(Cl)=C(Cl)CN1C1=CC=CC=C1 BKVSHMDLVJXYPU-UHFFFAOYSA-N 0.000 description 1
- DUGKQEWKVPOJDE-UHFFFAOYSA-N O=C1C(Cl)=C(Cl)CN1C1=NC=CC=C1 Chemical compound O=C1C(Cl)=C(Cl)CN1C1=NC=CC=C1 DUGKQEWKVPOJDE-UHFFFAOYSA-N 0.000 description 1
- YSHWOTKYYOGCEI-UHFFFAOYSA-N O=C1NCC(Cl)=C1Cl.O=C1OCC(Cl)=C1Cl Chemical compound O=C1NCC(Cl)=C1Cl.O=C1OCC(Cl)=C1Cl YSHWOTKYYOGCEI-UHFFFAOYSA-N 0.000 description 1
- NROWOZCHLTVSSP-UHFFFAOYSA-N O=C1OC(O)C(Br)=C1Br.O=C1OC(O)C(Cl)=C1Cl Chemical compound O=C1OC(O)C(Br)=C1Br.O=C1OC(O)C(Cl)=C1Cl NROWOZCHLTVSSP-UHFFFAOYSA-N 0.000 description 1
- ULWRZZDLLPNFEW-UHFFFAOYSA-N O=C1OCC(Cl)=C1Cl Chemical compound O=C1OCC(Cl)=C1Cl ULWRZZDLLPNFEW-UHFFFAOYSA-N 0.000 description 1
- 235000019502 Orange oil Nutrition 0.000 description 1
- AHLPHDHHMVZTML-UHFFFAOYSA-N Orn-delta-NH2 Natural products NCCCC(N)C(O)=O AHLPHDHHMVZTML-UHFFFAOYSA-N 0.000 description 1
- YNHIGQDRGKUECZ-UHFFFAOYSA-L PdCl2(PPh3)2 Substances [Cl-].[Cl-].[Pd+2].C1=CC=CC=C1P(C=1C=CC=CC=1)C1=CC=CC=C1.C1=CC=CC=C1P(C=1C=CC=CC=1)C1=CC=CC=C1 YNHIGQDRGKUECZ-UHFFFAOYSA-L 0.000 description 1
- 238000001069 Raman spectroscopy Methods 0.000 description 1
- MALNXHYEPCSPPU-UWVGGRQHSA-N Ser-Tyr Chemical compound OC[C@H]([NH3+])C(=O)N[C@H](C([O-])=O)CC1=CC=C(O)C=C1 MALNXHYEPCSPPU-UWVGGRQHSA-N 0.000 description 1
- RQGNEYFWHWFECS-UHFFFAOYSA-N [H]C(=O)ON Chemical compound [H]C(=O)ON RQGNEYFWHWFECS-UHFFFAOYSA-N 0.000 description 1
- DHKHKXVYLBGOIT-UHFFFAOYSA-N acetaldehyde Diethyl Acetal Natural products CCOC(C)OCC DHKHKXVYLBGOIT-UHFFFAOYSA-N 0.000 description 1
- ODHCTXKNWHHXJC-UHFFFAOYSA-N acide pyroglutamique Natural products OC(=O)C1CCC(=O)N1 ODHCTXKNWHHXJC-UHFFFAOYSA-N 0.000 description 1
- 230000002378 acidificating effect Effects 0.000 description 1
- 125000005073 adamantyl group Chemical group C12(CC3CC(CC(C1)C3)C2)* 0.000 description 1
- 229960003767 alanine Drugs 0.000 description 1
- 150000001336 alkenes Chemical class 0.000 description 1
- 125000002877 alkyl aryl group Chemical group 0.000 description 1
- 125000004414 alkyl thio group Chemical group 0.000 description 1
- 125000004397 aminosulfonyl group Chemical group NS(=O)(=O)* 0.000 description 1
- 235000019257 ammonium acetate Nutrition 0.000 description 1
- 229940043376 ammonium acetate Drugs 0.000 description 1
- QVGXLLKOCUKJST-UHFFFAOYSA-N atomic oxygen Chemical compound [O] QVGXLLKOCUKJST-UHFFFAOYSA-N 0.000 description 1
- 125000001797 benzyl group Chemical group [H]C1=C([H])C([H])=C(C([H])=C1[H])C([H])([H])* 0.000 description 1
- HTZCNXWZYVXIMZ-UHFFFAOYSA-M benzyl(triethyl)azanium;chloride Chemical compound [Cl-].CC[N+](CC)(CC)CC1=CC=CC=C1 HTZCNXWZYVXIMZ-UHFFFAOYSA-M 0.000 description 1
- ZADPBFCGQRWHPN-UHFFFAOYSA-N boronic acid Chemical compound OBO ZADPBFCGQRWHPN-UHFFFAOYSA-N 0.000 description 1
- 125000001246 bromo group Chemical group Br* 0.000 description 1
- RUEKPBLTWGFBOD-UHFFFAOYSA-N bromoethyne Chemical group BrC#C RUEKPBLTWGFBOD-UHFFFAOYSA-N 0.000 description 1
- 125000003917 carbamoyl group Chemical group [H]N([H])C(*)=O 0.000 description 1
- 239000011203 carbon fibre reinforced carbon Substances 0.000 description 1
- 125000002915 carbonyl group Chemical group [*:2]C([*:1])=O 0.000 description 1
- 125000001309 chloro group Chemical group Cl* 0.000 description 1
- 229960002173 citrulline Drugs 0.000 description 1
- 239000013058 crude material Substances 0.000 description 1
- 125000004093 cyano group Chemical group *C#N 0.000 description 1
- 125000001995 cyclobutyl group Chemical group [H]C1([H])C([H])([H])C([H])(*)C1([H])[H] 0.000 description 1
- 125000000582 cycloheptyl group Chemical group [H]C1([H])C([H])([H])C([H])([H])C([H])([H])C([H])(*)C([H])([H])C1([H])[H] 0.000 description 1
- 125000000113 cyclohexyl group Chemical group [H]C1([H])C([H])([H])C([H])([H])C([H])(*)C([H])([H])C1([H])[H] 0.000 description 1
- 125000001511 cyclopentyl group Chemical group [H]C1([H])C([H])([H])C([H])([H])C([H])(*)C1([H])[H] 0.000 description 1
- 125000001559 cyclopropyl group Chemical group [H]C1([H])C([H])([H])C1([H])* 0.000 description 1
- 125000004855 decalinyl group Chemical group C1(CCCC2CCCCC12)* 0.000 description 1
- 230000002950 deficient Effects 0.000 description 1
- 125000004663 dialkyl amino group Chemical group 0.000 description 1
- 125000005265 dialkylamine group Chemical group 0.000 description 1
- 229910000436 dibromine trioxide Inorganic materials 0.000 description 1
- SAUMVKNLVQDHMJ-UHFFFAOYSA-N dichlorine trioxide Inorganic materials ClOCl(=O)=O SAUMVKNLVQDHMJ-UHFFFAOYSA-N 0.000 description 1
- 125000001028 difluoromethyl group Chemical group [H]C(F)(F)* 0.000 description 1
- 125000006371 dihalo methyl group Chemical group 0.000 description 1
- ZWWQRMFIZFPUAA-UHFFFAOYSA-N dimethyl 2-methylidenebutanedioate Chemical compound COC(=O)CC(=C)C(=O)OC ZWWQRMFIZFPUAA-UHFFFAOYSA-N 0.000 description 1
- 150000002148 esters Chemical class 0.000 description 1
- 125000001495 ethyl group Chemical group [H]C([H])([H])C([H])([H])* 0.000 description 1
- 125000003983 fluorenyl group Chemical group C1(=CC=CC=2C3=CC=CC=C3CC12)* 0.000 description 1
- 125000001153 fluoro group Chemical group F* 0.000 description 1
- 125000004216 fluoromethyl group Chemical group [H]C([H])(F)* 0.000 description 1
- WSFSSNUMVMOOMR-UHFFFAOYSA-N formaldehyde Substances O=C WSFSSNUMVMOOMR-UHFFFAOYSA-N 0.000 description 1
- 229960004279 formaldehyde Drugs 0.000 description 1
- 125000002485 formyl group Chemical group [H]C(*)=O 0.000 description 1
- 150000002241 furanones Chemical class 0.000 description 1
- KZNQNBZMBZJQJO-YFKPBYRVSA-N glyclproline Chemical compound NCC(=O)N1CCC[C@H]1C(O)=O KZNQNBZMBZJQJO-YFKPBYRVSA-N 0.000 description 1
- 229940043257 glycylglycine Drugs 0.000 description 1
- 108010081551 glycylphenylalanine Proteins 0.000 description 1
- 108010077515 glycylproline Proteins 0.000 description 1
- 125000004969 haloethyl group Chemical group 0.000 description 1
- 229910052736 halogen Inorganic materials 0.000 description 1
- 150000002367 halogens Chemical class 0.000 description 1
- 125000004970 halomethyl group Chemical group 0.000 description 1
- 150000002373 hemiacetals Chemical class 0.000 description 1
- 125000005241 heteroarylamino group Chemical group 0.000 description 1
- 125000000623 heterocyclic group Chemical group 0.000 description 1
- 239000008241 heterogeneous mixture Substances 0.000 description 1
- 229960002885 histidine Drugs 0.000 description 1
- 239000008240 homogeneous mixture Substances 0.000 description 1
- 150000002430 hydrocarbons Chemical group 0.000 description 1
- 125000004435 hydrogen atom Chemical group [H]* 0.000 description 1
- 125000004029 hydroxymethyl group Chemical group [H]OC([H])([H])* 0.000 description 1
- 125000002346 iodo group Chemical group I* 0.000 description 1
- 125000000959 isobutyl group Chemical group [H]C([H])([H])C([H])(C([H])([H])[H])C([H])([H])* 0.000 description 1
- 229960000310 isoleucine Drugs 0.000 description 1
- 229960003136 leucine Drugs 0.000 description 1
- DQDWATOXYCARFV-UHFFFAOYSA-M magnesium;2-methanidylpropane;bromide Chemical compound [Mg+2].[Br-].CC(C)[CH2-] DQDWATOXYCARFV-UHFFFAOYSA-M 0.000 description 1
- WSHFRLGXCNEKRX-UHFFFAOYSA-M magnesium;butane;bromide Chemical compound [Mg+2].[Br-].CC[CH-]C WSHFRLGXCNEKRX-UHFFFAOYSA-M 0.000 description 1
- 239000000463 material Substances 0.000 description 1
- 230000007721 medicinal effect Effects 0.000 description 1
- 229960004452 methionine Drugs 0.000 description 1
- 125000002496 methyl group Chemical group [H]C([H])([H])* 0.000 description 1
- 230000004048 modification Effects 0.000 description 1
- 238000012986 modification Methods 0.000 description 1
- 125000004108 n-butyl group Chemical group [H]C([H])([H])C([H])([H])C([H])([H])C([H])([H])* 0.000 description 1
- 125000003136 n-heptyl group Chemical group [H]C([H])([H])C([H])([H])C([H])([H])C([H])([H])C([H])([H])C([H])([H])C([H])([H])* 0.000 description 1
- 125000001280 n-hexyl group Chemical group C(CCCCC)* 0.000 description 1
- 125000000740 n-pentyl group Chemical group [H]C([H])([H])C([H])([H])C([H])([H])C([H])([H])C([H])([H])* 0.000 description 1
- 125000004123 n-propyl group Chemical group [H]C([H])([H])C([H])([H])C([H])([H])* 0.000 description 1
- 125000001624 naphthyl group Chemical group 0.000 description 1
- 230000007935 neutral effect Effects 0.000 description 1
- 125000000449 nitro group Chemical group [O-][N+](*)=O 0.000 description 1
- JRZJOMJEPLMPRA-UHFFFAOYSA-N olefin Natural products CCCCCCCC=C JRZJOMJEPLMPRA-UHFFFAOYSA-N 0.000 description 1
- 239000010502 orange oil Substances 0.000 description 1
- 239000012044 organic layer Substances 0.000 description 1
- 229960003104 ornithine Drugs 0.000 description 1
- 229910052760 oxygen Inorganic materials 0.000 description 1
- 239000001301 oxygen Substances 0.000 description 1
- 229910052763 palladium Inorganic materials 0.000 description 1
- 230000037361 pathway Effects 0.000 description 1
- 125000001792 phenanthrenyl group Chemical group C1(=CC=CC=2C3=CC=CC=C3C=CC12)* 0.000 description 1
- 125000000951 phenoxy group Chemical group [H]C1=C([H])C([H])=C(O*)C([H])=C1[H] 0.000 description 1
- 125000003367 polycyclic group Chemical group 0.000 description 1
- 239000002243 precursor Substances 0.000 description 1
- 125000001844 prenyl group Chemical group [H]C([*])([H])C([H])=C(C([H])([H])[H])C([H])([H])[H] 0.000 description 1
- 125000002924 primary amino group Chemical group [H]N([H])* 0.000 description 1
- 102000004196 processed proteins & peptides Human genes 0.000 description 1
- 229960002429 proline Drugs 0.000 description 1
- 125000001436 propyl group Chemical group [H]C([*])([H])C([H])([H])C([H])([H])[H] 0.000 description 1
- 230000005588 protonation Effects 0.000 description 1
- 238000011403 purification operation Methods 0.000 description 1
- 150000003235 pyrrolidines Chemical class 0.000 description 1
- 230000035484 reaction time Effects 0.000 description 1
- 230000002829 reductive effect Effects 0.000 description 1
- 238000006798 ring closing metathesis reaction Methods 0.000 description 1
- 150000003839 salts Chemical class 0.000 description 1
- 229920006395 saturated elastomer Polymers 0.000 description 1
- 239000012047 saturated solution Substances 0.000 description 1
- 238000013341 scale-up Methods 0.000 description 1
- 125000002914 sec-butyl group Chemical group [H]C([H])([H])C([H])([H])C([H])(*)C([H])([H])[H] 0.000 description 1
- 229960001153 serine Drugs 0.000 description 1
- IFGCUJZIWBUILZ-UHFFFAOYSA-N sodium 2-[[2-[[hydroxy-(3,4,5-trihydroxy-6-methyloxan-2-yl)oxyphosphoryl]amino]-4-methylpentanoyl]amino]-3-(1H-indol-3-yl)propanoic acid Chemical compound [Na+].C=1NC2=CC=CC=C2C=1CC(C(O)=O)NC(=O)C(CC(C)C)NP(O)(=O)OC1OC(C)C(O)C(O)C1O IFGCUJZIWBUILZ-UHFFFAOYSA-N 0.000 description 1
- 239000012279 sodium borohydride Substances 0.000 description 1
- 229910000033 sodium borohydride Inorganic materials 0.000 description 1
- 239000007787 solid Substances 0.000 description 1
- 239000011877 solvent mixture Substances 0.000 description 1
- 230000003595 spectral effect Effects 0.000 description 1
- 238000003756 stirring Methods 0.000 description 1
- 125000005017 substituted alkenyl group Chemical group 0.000 description 1
- 125000000547 substituted alkyl group Chemical group 0.000 description 1
- 125000004426 substituted alkynyl group Chemical group 0.000 description 1
- 125000003107 substituted aryl group Chemical group 0.000 description 1
- 239000000725 suspension Substances 0.000 description 1
- 230000002194 synthesizing effect Effects 0.000 description 1
- 125000000999 tert-butyl group Chemical group [H]C([H])([H])C(*)(C([H])([H])[H])C([H])([H])[H] 0.000 description 1
- 150000003512 tertiary amines Chemical class 0.000 description 1
- 125000005329 tetralinyl group Chemical group C1(CCCC2=CC=CC=C12)* 0.000 description 1
- 125000005309 thioalkoxy group Chemical group 0.000 description 1
- 125000002023 trifluoromethyl group Chemical group FC(F)(F)* 0.000 description 1
- 125000006004 trihaloethyl group Chemical group 0.000 description 1
- 125000004953 trihalomethyl group Chemical group 0.000 description 1
- 229960004441 tyrosine Drugs 0.000 description 1
- 238000002211 ultraviolet spectrum Methods 0.000 description 1
- 229960004295 valine Drugs 0.000 description 1
- 125000000391 vinyl group Chemical group [H]C([*])=C([H])[H] 0.000 description 1
Classifications
-
- C—CHEMISTRY; METALLURGY
- C07—ORGANIC CHEMISTRY
- C07C—ACYCLIC OR CARBOCYCLIC COMPOUNDS
- C07C229/00—Compounds containing amino and carboxyl groups bound to the same carbon skeleton
- C07C229/02—Compounds containing amino and carboxyl groups bound to the same carbon skeleton having amino and carboxyl groups bound to acyclic carbon atoms of the same carbon skeleton
- C07C229/04—Compounds containing amino and carboxyl groups bound to the same carbon skeleton having amino and carboxyl groups bound to acyclic carbon atoms of the same carbon skeleton the carbon skeleton being acyclic and saturated
- C07C229/06—Compounds containing amino and carboxyl groups bound to the same carbon skeleton having amino and carboxyl groups bound to acyclic carbon atoms of the same carbon skeleton the carbon skeleton being acyclic and saturated having only one amino and one carboxyl group bound to the carbon skeleton
- C07C229/08—Compounds containing amino and carboxyl groups bound to the same carbon skeleton having amino and carboxyl groups bound to acyclic carbon atoms of the same carbon skeleton the carbon skeleton being acyclic and saturated having only one amino and one carboxyl group bound to the carbon skeleton the nitrogen atom of the amino group being further bound to hydrogen atoms
-
- C—CHEMISTRY; METALLURGY
- C07—ORGANIC CHEMISTRY
- C07C—ACYCLIC OR CARBOCYCLIC COMPOUNDS
- C07C227/00—Preparation of compounds containing amino and carboxyl groups bound to the same carbon skeleton
- C07C227/22—Preparation of compounds containing amino and carboxyl groups bound to the same carbon skeleton from lactams, cyclic ketones or cyclic oximes, e.g. by reactions involving Beckmann rearrangement
-
- C—CHEMISTRY; METALLURGY
- C07—ORGANIC CHEMISTRY
- C07C—ACYCLIC OR CARBOCYCLIC COMPOUNDS
- C07C229/00—Compounds containing amino and carboxyl groups bound to the same carbon skeleton
- C07C229/02—Compounds containing amino and carboxyl groups bound to the same carbon skeleton having amino and carboxyl groups bound to acyclic carbon atoms of the same carbon skeleton
- C07C229/04—Compounds containing amino and carboxyl groups bound to the same carbon skeleton having amino and carboxyl groups bound to acyclic carbon atoms of the same carbon skeleton the carbon skeleton being acyclic and saturated
- C07C229/06—Compounds containing amino and carboxyl groups bound to the same carbon skeleton having amino and carboxyl groups bound to acyclic carbon atoms of the same carbon skeleton the carbon skeleton being acyclic and saturated having only one amino and one carboxyl group bound to the carbon skeleton
- C07C229/18—Compounds containing amino and carboxyl groups bound to the same carbon skeleton having amino and carboxyl groups bound to acyclic carbon atoms of the same carbon skeleton the carbon skeleton being acyclic and saturated having only one amino and one carboxyl group bound to the carbon skeleton the nitrogen atom of the amino group being further bound to carbon atoms of six-membered aromatic rings
-
- C—CHEMISTRY; METALLURGY
- C07—ORGANIC CHEMISTRY
- C07D—HETEROCYCLIC COMPOUNDS
- C07D207/00—Heterocyclic compounds containing five-membered rings not condensed with other rings, with one nitrogen atom as the only ring hetero atom
- C07D207/02—Heterocyclic compounds containing five-membered rings not condensed with other rings, with one nitrogen atom as the only ring hetero atom with only hydrogen or carbon atoms directly attached to the ring nitrogen atom
- C07D207/30—Heterocyclic compounds containing five-membered rings not condensed with other rings, with one nitrogen atom as the only ring hetero atom with only hydrogen or carbon atoms directly attached to the ring nitrogen atom having two double bonds between ring members or between ring members and non-ring members
- C07D207/34—Heterocyclic compounds containing five-membered rings not condensed with other rings, with one nitrogen atom as the only ring hetero atom with only hydrogen or carbon atoms directly attached to the ring nitrogen atom having two double bonds between ring members or between ring members and non-ring members with hetero atoms or with carbon atoms having three bonds to hetero atoms with at the most one bond to halogen, e.g. ester or nitrile radicals, directly attached to ring carbon atoms
- C07D207/36—Oxygen or sulfur atoms
- C07D207/38—2-Pyrrolones
-
- C—CHEMISTRY; METALLURGY
- C07—ORGANIC CHEMISTRY
- C07D—HETEROCYCLIC COMPOUNDS
- C07D401/00—Heterocyclic compounds containing two or more hetero rings, having nitrogen atoms as the only ring hetero atoms, at least one ring being a six-membered ring with only one nitrogen atom
- C07D401/02—Heterocyclic compounds containing two or more hetero rings, having nitrogen atoms as the only ring hetero atoms, at least one ring being a six-membered ring with only one nitrogen atom containing two hetero rings
- C07D401/04—Heterocyclic compounds containing two or more hetero rings, having nitrogen atoms as the only ring hetero atoms, at least one ring being a six-membered ring with only one nitrogen atom containing two hetero rings directly linked by a ring-member-to-ring-member bond
Definitions
- the invention relates to a process for preparing highly functionalized ⁇ -butyrolactams and ⁇ -amino acids by reductive amination of mucohalic acid or its derivatives, and discloses a process for preparing pregabalin, a GABA analog with desirable medicinal activity.
- Pregabalin (3-Aminomethyl-5-methyl-hexanoic acid) is a 3-substituted ⁇ -amino butyric acid (GABA) analog that exhibits an array of useful medicinal properties, as disclosed in WO 93/23383 and U.S. Pat. No. 6,306,910, both of which are assigned to the same assignee as the instant application.
- GABA ⁇ -amino butyric acid
- Synthetic approaches to pregabalin generally commence from a linear precursor.
- WO 93/23383 discloses a route commencing from 5-methyl-hexanoic acid that requires 8 transformations.
- a recently disclosed alternative strategy commences with the enantioselective conjugate addition of S- ⁇ methylbenzyl amine to 2-Methylene-succinic acid dimethyl ester (Michael J. Mayer, Trip Report, Synthetic Pathways 9 th Symposium on the Latest Trends in Organic Synthesis, Albany Molecular Sciences Technical Report Vol. 5, No. 19 (2001), p. 9; also available at http://albmolecular.logical.net/features/tekreps/vol05/no19/last visited Feb. 6, 2003).
- the reaction provides a mixture of diastereomers, which can be separated, and the requsite diastereomer is then converted to pregabalin via 6 additional steps.
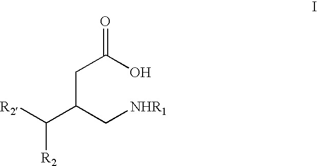
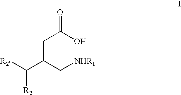
- R 1 is H, (C 1 -C 8 )alkyl, (C 3 -C 7 )cycloalkyl, aryl, (CH 2 ) n -aryl, heterocyclo, (CH 2 ) n -heterocyclo, heteroaryl, or (CH 2 ) n -heteroaryl, wherein n is 0, 1, 2, or 3; and
- R 2 and R 2′ are each independently H, straight or branched (C 1 -C 6 )alkyl, a straight or branched (C 2 -C 7 )alkenyl, (C 3 -C 7 )cycloalkyl, alkylcycloalkyl, alkylalkoxy, alkylphenyl, alkyphenoxy, phenyl or substituted phenyl;
- M 1 is MgBr, CuBr, or
- M 2 is B(OH) 2 , to 2 to provide 3B, wherein “———” is absent or is a bond;
- R 1 is H, (C 1 -C 8 )alkyl, (C 3 -C 7 )cycloalkyl, aryl, (CH 2 ) n -aryl, heterocyclo, (CH 2 ) n -heterocyclo, heteroaryl, or (CH 2 ) n -heteroaryl, wherein n is 0, 1, 2, or 3; and
- R 2 and R 2′ are each independently H, straight or branched (C 1 -C 6 )alkyl, a straight or branched (C 2 -C 7 )alkenyl, (C 3 -C 7 )cycloalkyl, alkylcycloalkyl, alkylalkoxy, alkylphenyl, alkyphenoxy, phenyl or substituted phenyl;
- M 1 is MgBr, CuBr, or
- M 2 is B(OH) 2 , to 2 to provide 3B, wherein “———” is absent or is a bond;
- the invention processes for preparing 3-substituted ⁇ amino butyric acids disclosed herein possess a number of advantages. Firstly, they give rise to 3-substituted ⁇ -amino butyric acids in a minimum number of steps and under mild conditions. Secondly, they make use of generally inexpensive and readily available reagents. Thirdly, they exploit the synthetic potential of mucohalic acid.
- Mucochloric acid 1 (2,3-dichloro-4-oxo-2-butenoic acid) and mucobromic acid (2,3-dibromo-4-oxo-2-butenoic acid) are commercially available and inexpensive starting materials. Both molecules are characterized by the presence of a carbon-carbon double bond with Z configuration, two halogen atoms, and two carbonyl groups. This high degree of functionality makes both mucochloric and mucobromic acid particularly useful building blocks for the synthesis of a variety of biologically active heterocycles, such as substituted 1,5-dihydropyrrol-2-ones, pyrrolidines, and ⁇ -lactams, and ⁇ -amino acids such as pregabalin.
- biologically active heterocycles such as substituted 1,5-dihydropyrrol-2-ones, pyrrolidines, and ⁇ -lactams, and ⁇ -amino acids such as pregabalin.
- Mucobromic and mucochloric acid surprisingly have not been commonly employed in organic synthesis as C-4 building blocks. Presumably, this is because of the many reactive sites in the molecules, their poor stability under basic conditions, and the perception among those of ordinary skill in the art of the difficulties associated with the selective manipulation of the halogen atoms in the presence of the other functional groups.
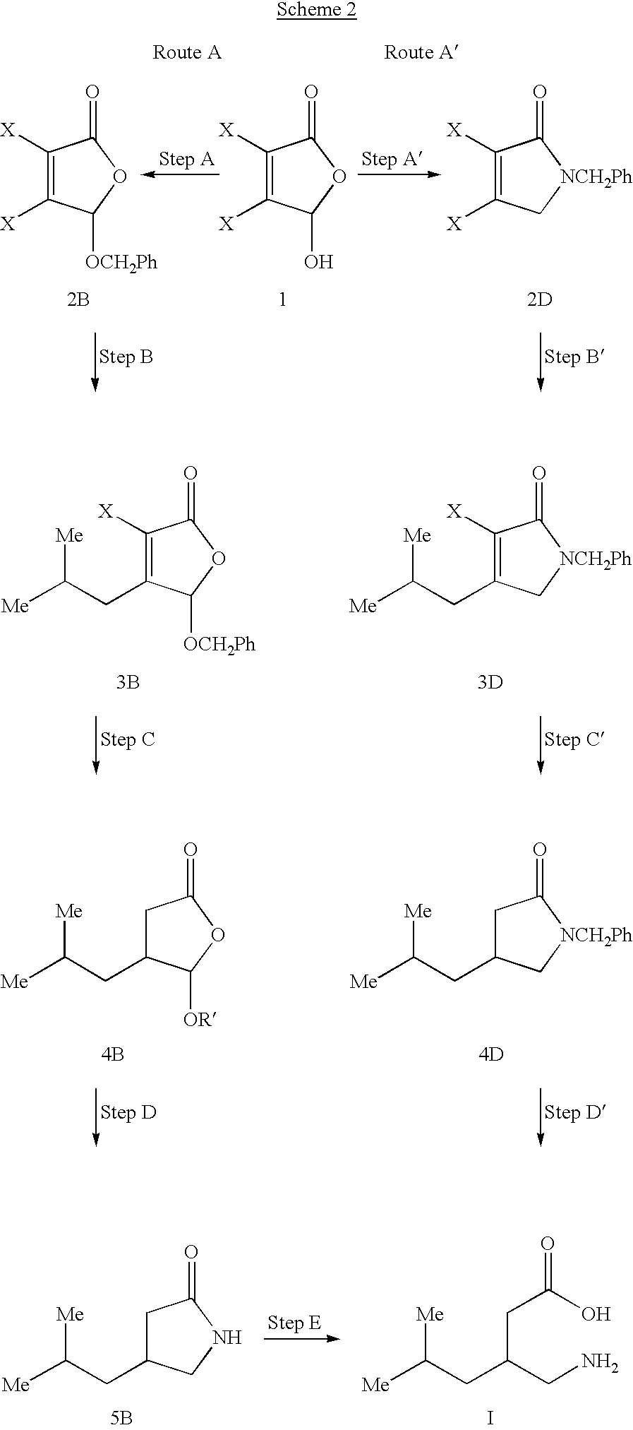
- mucohalic acid is the keystone of the invention processes disclosed herein. As summarized in Scheme 1, the processes differ in the relative sequence of the reaction steps, but both rely on the use of mucohalic acid as a synthetic platform for the elaboration of the 3-substituted ⁇ amino butyric acid framework.
- Route A protection of mucohalic acid in Step A provides the hemiacetal 2B.
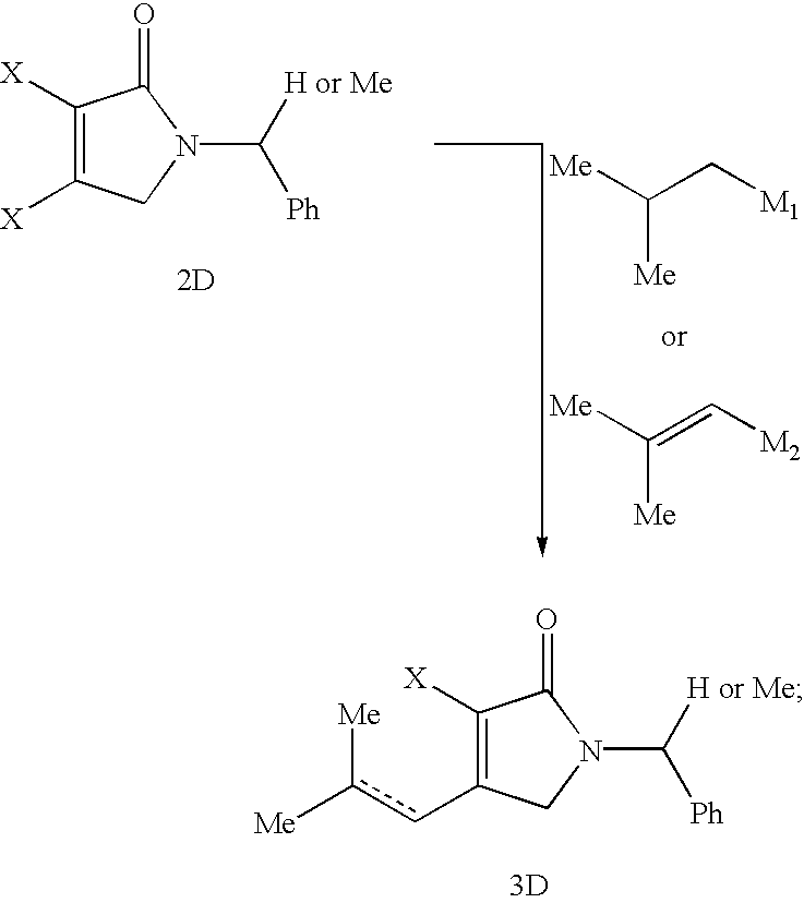
- Step B Conjugate addition of R 2 R 2′ M to 2B, followed by elimination of halide, provides conjugate addition product 3B.
- Reductive amination of 3B in Step C provides lactam 4B, which may undergoes hydrolysis in situ or in a separate step to provide 3-substituted ⁇ amino butyric acid I.
- reductive amination is the first step in the synthetic sequence (Step A′), followed by conjugate addition (Step B′), hydrogenation (Step C′), and hydrolysis (Step D′).
- Pregabalin is readily prepared by either of these routes.
- Route A mucohalic acid is first converted to the O-benzyl acetal 2B.
- Organocuprate additon provides the conjugate addition product 3B.
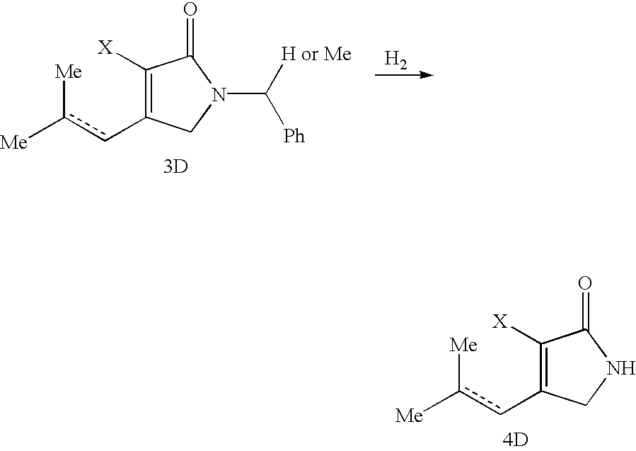
- Hydrogenation and dehalogentation gives rise to 4B.
- Reductive amination under hydrogenation conditions gives rise to lactam 5B, which may be hydrolyzed under basic conditions to provide pregabalin.
- Route A′ of Scheme 2D reductive amination of mucohalic acid in the first step using benzyl amine (shown) or 1-phenylethyl amine provides 2D.
- Conjugate addition, hydrogenation, and hydrolysis as described for Route A provides pregabalin.
- halo is fluoro, chloro, bromo, or iodo.
- Alkyl, alkoxy, alkenyl, alkynyl, etc. denote both straight and branched groups; but reference to an individual radical such as “propyl” embraces only the straight chain radical, a branched chain isomer such as “isopropyl” being specifically referred to.
- alkyl means a straight or branched hydrocarbon radical having from 1 to 8 carbon atoms and includes, for example, methyl, ethyl, n-propyl, isopropyl, n-butyl, sec-butyl, isobutyl, tert-butyl, n-pentyl, n-hexyl, n-heptyl, and the like.
- alkenyl means a straight or branched hydrocarbon radical having from 2 to 7 carbon atoms and includes, for instance, vinyl, allyl, 1-propenyl, 2-propenyl, 1-butenyl, 2-butenyl, 3-butenyl, 2-methyl-2-propenyl, 1-pentenyl, 2-pentenyl, 3-pentenyl, 4-pentenyl, 3-methyl-2-butenyl, 3-methyl-3-butenyl, 1-hexenyl, 2-hexenyl, 3-hexenyl, 4-hexenyl, 5-hexenyl, 4-methyl-3-pentenyl, 1-heptenyl, 2 heptenyl, 3 heptenyl, 2-methyl-1-hexenyl, 2-methyl-2-hexenyl, 3-methyl-2-hexenyl, 3-methyl-3-hexenyl, 3-methyl-1-hexenyl, 4-methyl-1-hexenyl, 5-methyl-1-hexenyl,
- cycloalkyl means a hydrocarbon ring containing from 3 to 7 carbon atoms, for example, cyclopropyl, cyclobutyl, cyclopentyl, cyclohexyl, cycloheptyl, cycloctyl, decalinyl, norpinanyl, and adamantyl.
- the cycloalkyl group may contain double bonds, for example, 3-cyclohexen-1-yl.
- the cycloalkyl ring may be unsubstituted or substituted by one or more substituents selected from alkyl, alkoxy, thioalkoxy, hydroxy, thiol, nitro, halogen, amino, alkyl and dialkylamino, formyl, carboxyl, —CN, —NH—CO—R, —CO—NHR, —CO 2 R, —COR, wherein R is alkyl, cycloalkyl, heterocycloalkyl, aryl, or heteroaryl, wherein alkyl, aryl, and heteroaryl are as defined herein.
- aryl means a cyclic or polycyclic aromatic ring having from 5 to 12 carbon atoms, and being unsubstituted or substituted with one or more of the substituent groups recited above for alkyl, alkenyl, and alkynyl groups.
- aryl groups include phenyl, 2,6-dichlorophenyl, 3-methoxyphenyl, naphthyl, 4-thionaphthyl, tetralinyl, anthracinyl, phenanthrenyl, benzonaphthenyl, fluorenyl, 2-acetamidofluoren-9-yl, and 4′-bromobiphenyl.
- alkoxy means a straight or branched hydrocarbon radical which has from 1 to 8 carbon atoms and is attached to oxygen. Alkoxy includes, for example, methoxy, ethoxy, n-propoxy, isopropoxy, n-butoxy, sec-butoxy, isobutoxy, tert-butoxu, n-pentoxy, n-hexoxy, n-heptoxy, and the like.
- alkylcycloalkyl means a straight or branched hydrocarbon radical having from 1 to 8 carbon atoms as defined above attached to cycloalkyl group as defined above.
- alkylalkoxy means a straight or branched hydrocarbon radical having from 1 to 8 carbon atoms as defined above attached to an alkoxy group as defined above.
- alkylphenyl means a straight or branched hydrocarbon radical having from 1 to 8 carbon atoms as defined above attached to a phenyl or substituted phenyl group.
- alkyphenoxy means a straight or branched hydrocarbon radical having from 1 to 8 carbon atoms as defined above attached to a phenoxy or substituted group.
- the compounds prepared by the invention process may have one or more chiral centers and may exist in and be used or isolated in optically active and racemic forms. It is to be understood that the processes of the present invention can give rise to any racemic or optically-active forms, or mixtures thereof. It is to be further understood the products of the invention process can be isolated as racemic, enantiomeric, or diastereomeric forms, or mixtures thereof. Purification and characterization procedures for such products are known to those of ordinary skill in the art, and include recrystallization techniques, as well as chiral chromatographic separation procedures as well as other methods.
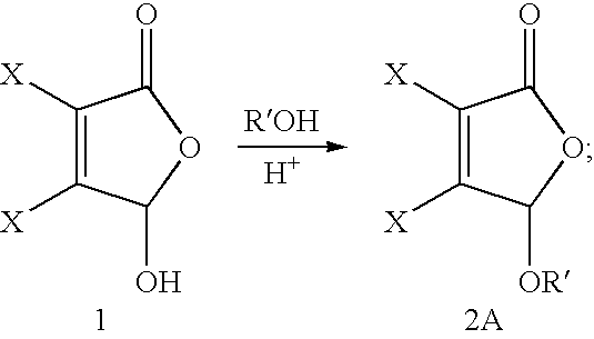
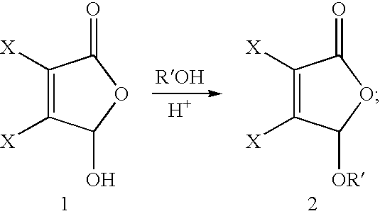
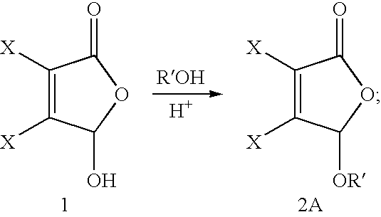
- Step A of Route A mucobromic or mucochloric acid is converted to the corresponding 5-alkoxy-3,4-dihalo-5H-furan-2-one 2A upon treatment with a C 1 -C 6 alcohol or benzyl or substituted benzyl alcohol in the presence of acid.
- a toluene solution of 1 equivalent of mucohalic acid is combined with 1.5 equivalents of benzylacohol and 0.05 equivalent of p-toluene sulfonic acid. The mixture is then heated at reflux for 8 to 24 hours.
- the product furanone is typically obtained in high yield (85-90 percent).
- Step B of Route A conjugate addition of an organocuprate reagent R 2 R 2 CM to 2A, followed by halide elimination, provides the substituted furanone 3A.
- the organocuprate is generated in situ in the presence of N-methypyrrolidinone (NMP) from a commercially available Grignard reagent (e.g., an alkyl- aryl-, or alkylmagnesium bromide) and copper iodide. If the requisite Grignard reagent is not commercially available, it can be readily preparide from the corresponding organohalide compound using one of the many methods available to the skilled artisan.
- the furanone is then added to the organocuprate reagent over 5 to 10 minutes at ⁇ 10 to 0° C., and the resulting mixture is allowed to warm to room temperature.
- Step C of Route A hydrogenation of alkylfuranone 3A according to a method readily available to the skilled artisan provides dihydrofuranone 4A.
- the furanone is dissolved in THF, and combined with a tertiary amine base such as triethyl amine, and Pd/C. This mixture is hydrogenated in a high pressure reactor until hydrogen uptake ceases.
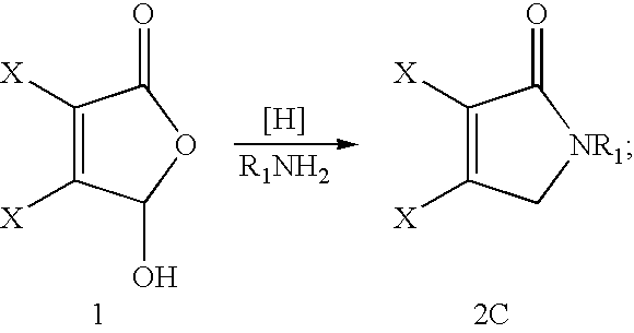
- Step D of Route A reductive amination of dihydrofuranone 4A with ammonium formate or R 1 NH 2 gives rise to lactam 5A, which may be hydrolyzed in situ or isolated and converted to the 3-substituted ⁇ amino butyric acid I in a separate step.
- dihydrofuranone 4A is combined in methanol with ammonium formate, triethyl amine, and Pd/C. This mixture is hydrogenated in a high pressure reactor until hydrogen uptake ceases to give rise to a mixture of the lactoam 5A and the desired ring-opened material I.
- Hydrolysis conditions known to the skilled artisan for example, treatment with aqueous base
- Step E gives rise to I.
- Step A is readily adapted to the synthesis of pregabalin. Step A remains the same. Step B requires the use of sec-butyl magnesium bromide to generate the necessary organocuprate. Alternatively, the sidechain can be attached in a Suzuki-type coupling procedure using
- mucobromic and mucochloric acid are not popular C-4 building blocks because of the many reactive sites in the molecules, their poor stability under basic conditions, and the perception among those of ordinary skill in the art of the difficulties associated with the selective manipulation of the halogen atoms in the presence of the other functionality.
- mucobromic or mucochloric acid may react with hydrazine or arylhydrazines to form pyridazinones (Scheme 3), the reaction conditions are severe: acetic acid as the solvent, a pH of 1 to 2, and temperatures between 60 and 120° C.
- Mucohalic Acid To begin, either mucobromic or mucochloric acid are suitable for use in the reductive amination process.
- Amine also, a wide variety of amines may be used in the reductive amination process, and are represented by the formula R 1 NH 2 , wherein R 1 is selected from hydrogen or C 1 -C 7 alkyl or substituted C 1 -C 7 alkyl, C 3 -C 12 cycloalkyl or substituted C 3 -C 12 cycloalkyl, C 3 -C 12 heterocycloalkyl or substituted C 3 -C 12 heterocycloalkyl, aryl or substituted aryl, or heteroaryl or substituted heteroaryl.
- the primary or secondary alkyl, cycloalkyl, heterocycloalkyl, aryl, or heteroaryl amine used in the invention can be substituted with one or more groups selected from halo, hydroxy, C 1 -C 6 alkoxy, carboxy, C 1 -C 6 alkoxycarbonyl, aminocarbonyl, halomethyl, dihalomethyl, trihalomethyl, haloethyl, dihaloethyl, trihaloethyl, tetrahaloethyl, pentahaloethyl, thiol, (C 1 -C 4 )alkylsulfanyl, (C 1 -C 4 )alkylsulfinyl, and aminosulfonyl,
- substituted alkyl groups include fluoromethyl, difluoromethyl, trifluoromethyl, tribromomethyl, hydroxymethyl, 3-methoxypropyl, 3-carboxypentyl, 3,5-
- substituted alkenyl groups examples include 2-bromoethenyl, 1-amino-2-propen-1-yl, 3-hydroxypent-2-en-1-yl, 4-methoxycarbonyl-hex-2-en-1-yl, and 2-nitro-3-bromo-4-iodo-oct-5-en-1-yl.
- Typical substituted alkynyl groups include 2-hydroxyethynyl, 3-dimethylamino-hex-5-yn-1-yl, and 2-cyano-hept-3-yn-1-yl.
- the amine used in the reductive amination process may be an amino acid or its corresponding ester.
- Typical amino acids include L-lysine, L-alanine, L-arginine L-aspartic acid, N-alpha-benzyloxycarbonyl-L-arginine, L-citrulline, gamma-L-glutamic acid, L-glycine, L-histidine, L-hydroxproline, L-isoleucine, L-leucine, L-lysine, L-methionine, L-ornithine, L-phenylalanine, L-proline, L-pyroglutamic acid, L-serine, L-tryptophan, L-tyrosine, L-valine.
- the amine may also be a carboxy terminal-linked peptide having 1 to 10 amino acids or an addition salt thereof.
- Such peptides may include L-arginyl-L-arginine, N-benzyloxycarbonyl-glycyl-L-proline, L-glutaryl-glycyl-arginine, glycyl-glycine, glycyl-L-phenylalanine, glycyl-L-proline, and L-seryl-L-tyrosine, as well as others.
- the amine used in the reductive amination process of the present invention may have one or more chiral centers and may exist in and be used or isolated in optically active and racemic forms. It is to be understood that the process of the present invention can employ any racemic, optically-active, polymorphic, geometric, or stereoisomeric form, or mixtures thereof, of an amine. It is to be further understood the products of the reductive amination process can be isolated as racemic, optically-active, polymorphic, geometric, or stereoisomeric forms, or mixtures thereof. Purification and characterization procedures for such products are known to those of ordinary skill in the art, and include recrystallization techniques, as well as chiral chromatographic separation procedures as well as other methods.
- Reducing Agent A number of reducing agents can be used in the reductive amination process of the present invention. These reducing agents include sodium triacetoxy borohydride, sodium cyanoborohydride, triethyl silane, Ti(OiPr) 4 /NaBH 3 CN, borohydride exchange resin, Zn/acetic acid, sodium borohydride/magnesium perchlorate, or zinc borohydride/zinc chloride.
- the reducing agent is sodium triacetoxyborohydride.
- Acid Catalyst A variety of acid catalysts can be used in the reductive amination process of the present invention.
- the acid may be a Bronsted, or protic, acid, or a Lewis, or non-protic, acid.
- protic acids suitable for use in the reductive amination process of the present invention include acetic acid, trichloroacetic acid, trifluoroacetic acid, or formic acid.
- non-protic acids suitable for use in the reductive amination process of the instant application include magnesium chloride, magnesium triflate, boron trifluoride etherate, AlCl 3 , FeCl 3 , ZnCl 2 , AlBr 3 , ZnBr 2 , TiCl 4 , SiCl 4 and SnCl 4 .
- the mucohalic acid is contacted with the amine, reducing agent, and acid catalyst.
- Contacted means that the reaction components are typically mixed in a liquid to form a homogeneous or heterogeneous mixture.
- the liquid employed in the reductive amination process of the present invention is selected from a polar aprotic solvent.
- the polar aprotic solvent is selected from tetrahydrofuran, acetonitrile, nitromethane, chloroform, methylene chloride, monochloro ethane, 1,1, or 1,2 dichloroethane, 1,1,1 or 1,1,2 tricholoroethane, or 1,1,1,2, or 1,1,2,2 tetrachloroethane. More preferred solvents include methylene chloride or chloroform. Mixtures of solvents can also be used.
- the molar equivalents of each of the reaction components i.e., mucohalic acid, amine, reducing agent, and acid catalyst used in the reductive amination process if the instant application are:
- the molar equivalents of each of the reaction components i.e., mucohalic acid, amine, reducing agent, and acid catalyst used in the reductive amination process if the instant application are:
- the initial concentration of mucohalic acid in the polar aprotic solvent is typically 0.1 to 0.5 M. More preferably, it is 0.15 to 0.45 M. Most preferably, it is 0.2 to 0.3 M.
- the temperature is typically from about ⁇ 25° C. to about 50° C., with lower temperatures being more suitable for mucobromic acid and higher temperatures being more suitable for mucochloric acid.
- the temperature is more preferably from about about 0° C. to about 40° C., and most preferably from about 10° C. to about 30° C.
- reaction times are typically from about 30 minutes to about 5 days; more preferably, from about 1 hour to 3 days; and most preferably, from about 6 hours to 48 hours.
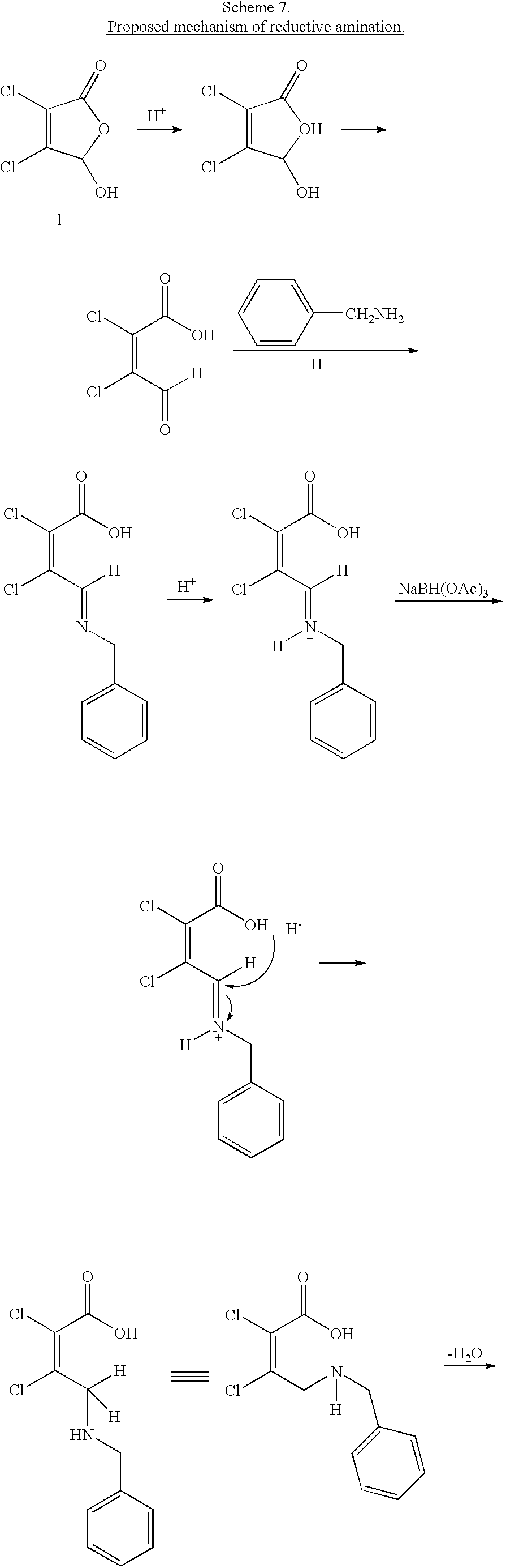
- Mucochloric acid (1) can exist as the open or cyclic form (Scheme 6). However, the ultraviolet spectrum in CHCl 3 indicates 1 exists predominantly in the lactone form. Additional spectral data, i.e. vibrational (IR, Raman) and others (NMR and NQR) suggest that the lactone is the dominant form in both the liquid and solid states. Experimental results further support these observations.
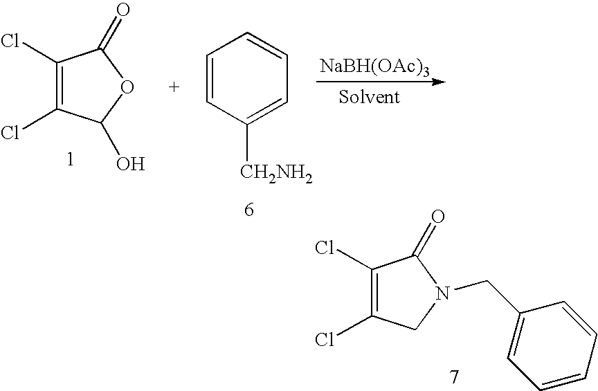
- Step A′ of Scheme 1, Route A′ represents a simple, efficient and selective method to prepare N-benzyl-3,4-dichloro-1,5-dihydropyrrol-2-one, N-aryl (or alkyl)-3,4-dichloro-1,5-dihydropyrrol-2-ones and substituted ⁇ -amino acids.
- These products possess a geometrically defined tetrasubstituted olefin, two differentiated vinyl halides and an acidic sight, and could be used in the synthesis of a variety of compounds.
- Steps B, C, and D of Route B are as provided for Steps B, C, and E of Route A.
- Step A 5-Benzyloxy-3,4-dihalo-5H-furan-2-one.
- Step B 5-Benzyloxy-3-halo-4-isopropyl-5H-furan-2-one.
- the mixture may be submitted to base hydrolysis to provide exclusively pregabalin.
- Step A′ Reductive Amination of Mucohalic Acid with Benzylamine.
Landscapes
- Chemical & Material Sciences (AREA)
- Organic Chemistry (AREA)
- Chemical Kinetics & Catalysis (AREA)
- Organic Low-Molecular-Weight Compounds And Preparation Thereof (AREA)
- Low-Molecular Organic Synthesis Reactions Using Catalysts (AREA)
- Pharmaceuticals Containing Other Organic And Inorganic Compounds (AREA)
- Pyrrole Compounds (AREA)
- Peptides Or Proteins (AREA)
Abstract
Description
- This application claims benefit of priority from U.S. Provisional Application No. 60/376,991, filed on Jun. 14, 2002.
- The invention relates to a process for preparing highly functionalized γ-butyrolactams and γ-amino acids by reductive amination of mucohalic acid or its derivatives, and discloses a process for preparing pregabalin, a GABA analog with desirable medicinal activity.
-
- Synthetic approaches to pregabalin generally commence from a linear precursor. For instance, WO 93/23383 discloses a route commencing from 5-methyl-hexanoic acid that requires 8 transformations. A recently disclosed alternative strategy commences with the enantioselective conjugate addition of S-αmethylbenzyl amine to 2-Methylene-succinic acid dimethyl ester (Michael J. Mayer, Trip Report, Synthetic Pathways 9th Symposium on the Latest Trends in Organic Synthesis, Albany Molecular Sciences Technical Report Vol. 5, No. 19 (2001), p. 9; also available at http://albmolecular.logical.net/features/tekreps/vol05/no19/last visited Feb. 6, 2003). The reaction provides a mixture of diastereomers, which can be separated, and the requsite diastereomer is then converted to pregabalin via 6 additional steps.
- A shortcoming of either of these approaches, particularly in scale-up and production contexts, is that they require a multitude of steps and purification operations. As a result, there is a need for a process for synthesizing pregabalin and other 3-substituted γ amino acids that minimizes the total number of synthetic transformations and simplifies purification steps.
-
- wherein:
- R 1 is H, (C1-C8)alkyl, (C3-C7)cycloalkyl, aryl, (CH2)n-aryl, heterocyclo, (CH2)n-heterocyclo, heteroaryl, or (CH2)n-heteroaryl, wherein n is 0, 1, 2, or 3; and
- R 2 and R2′ are each independently H, straight or branched (C1-C6)alkyl, a straight or branched (C2-C7)alkenyl, (C3-C7)cycloalkyl, alkylcycloalkyl, alkylalkoxy, alkylphenyl, alkyphenoxy, phenyl or substituted phenyl;
- comprising:
-
-
-
-
-
- comprising:
-
-
-
-
-
-
-
- wherein:
- R 1 is H, (C1-C8)alkyl, (C3-C7)cycloalkyl, aryl, (CH2)n-aryl, heterocyclo, (CH2)n-heterocyclo, heteroaryl, or (CH2)n-heteroaryl, wherein n is 0, 1, 2, or 3; and
- R 2 and R2′ are each independently H, straight or branched (C1-C6)alkyl, a straight or branched (C2-C7)alkenyl, (C3-C7)cycloalkyl, alkylcycloalkyl, alkylalkoxy, alkylphenyl, alkyphenoxy, phenyl or substituted phenyl;
- comprising:
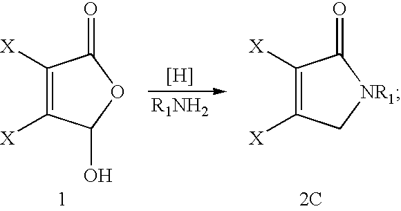
- (a) reductive amination of mucochloric or mucobromic acid 1 wherein X is Cl or Br, using a reducing agent in the presence of ammonium formate or R 1NH2, wherein R1 is (C1-C8)alkyl, (C3-C7)cycloalkyl, aryl, (CH2)n-aryl, heterocyclo, (CH2)n-heterocyclo, heteroaryl, or (CH2)n-heteroaryl, wherein n is 0, 1, 2, or 3, and an acid catralyst, to provide 2C
-
-
-
-
- comprising:
-
-
-
-
-
- ; and
-
- What is also provided is a process for reductively aminating mucohalic acid, comprising:
- (a) contacting mucochloric or mucobromic acid 1 wherein X is Cl or Br with a reducing agent, an acid catalyst, and R 3NH2, wherein R3 is H, (C1-C8)alkyl, (C3-C7)cycloalkyl, aryl, (CH2)n-aryl, heterocyclo, (CH2)n-heterocyclo, heteroaryl, or (CH2)n-heteroaryl, wherein n is 0, 1, 2, or 3; to provide 2E
- The invention processes for preparing 3-substituted γ amino butyric acids disclosed herein possess a number of advantages. Firstly, they give rise to 3-substituted γ-amino butyric acids in a minimum number of steps and under mild conditions. Secondly, they make use of generally inexpensive and readily available reagents. Thirdly, they exploit the synthetic potential of mucohalic acid.
- Mucochloric acid 1 (2,3-dichloro-4-oxo-2-butenoic acid) and mucobromic acid (2,3-dibromo-4-oxo-2-butenoic acid) are commercially available and inexpensive starting materials. Both molecules are characterized by the presence of a carbon-carbon double bond with Z configuration, two halogen atoms, and two carbonyl groups. This high degree of functionality makes both mucochloric and mucobromic acid particularly useful building blocks for the synthesis of a variety of biologically active heterocycles, such as substituted 1,5-dihydropyrrol-2-ones, pyrrolidines, and γ-lactams, and γ-amino acids such as pregabalin.
- Mucobromic and mucochloric acid surprisingly have not been commonly employed in organic synthesis as C-4 building blocks. Presumably, this is because of the many reactive sites in the molecules, their poor stability under basic conditions, and the perception among those of ordinary skill in the art of the difficulties associated with the selective manipulation of the halogen atoms in the presence of the other functional groups.
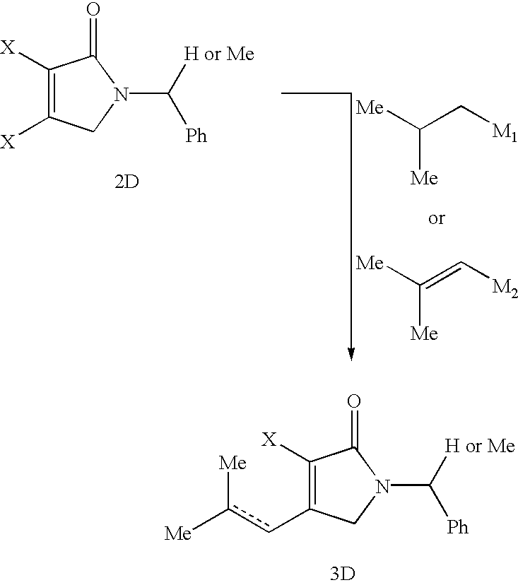
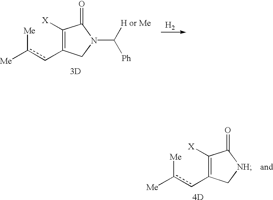
- In spite of these perceived difficulties, mucohalic acid is the keystone of the invention processes disclosed herein. As summarized in Scheme 1, the processes differ in the relative sequence of the reaction steps, but both rely on the use of mucohalic acid as a synthetic platform for the elaboration of the 3-substituted γ amino butyric acid framework. Thus, in Route A, protection of mucohalic acid in Step A provides the hemiacetal 2B. In Step B, Conjugate addition of R 2R2′M to 2B, followed by elimination of halide, provides conjugate addition product 3B. Reductive amination of 3B in Step C provides lactam 4B, which may undergoes hydrolysis in situ or in a separate step to provide 3-substituted γ amino butyric acid I. In contrast, in Route A′, reductive amination is the first step in the synthetic sequence (Step A′), followed by conjugate addition (Step B′), hydrogenation (Step C′), and hydrolysis (Step D′).
- Pregabalin is readily prepared by either of these routes. As depicted in Scheme 2, Route A, mucohalic acid is first converted to the O-benzyl acetal 2B. Organocuprate additon provides the conjugate addition product 3B. Hydrogenation and dehalogentation gives rise to 4B. Reductive amination under hydrogenation conditions gives rise to lactam 5B, which may be hydrolyzed under basic conditions to provide pregabalin. Alternatively, as depicted in Route A′ of Scheme 2, reductive amination of mucohalic acid in the first step using benzyl amine (shown) or 1-phenylethyl amine provides 2D. Conjugate addition, hydrogenation, and hydrolysis as described for Route A, provides pregabalin.
- 1. Definitions
- The following definitions are used, unless otherwise described: halo is fluoro, chloro, bromo, or iodo. Alkyl, alkoxy, alkenyl, alkynyl, etc. denote both straight and branched groups; but reference to an individual radical such as “propyl” embraces only the straight chain radical, a branched chain isomer such as “isopropyl” being specifically referred to.
- Thus the term “alkyl” means a straight or branched hydrocarbon radical having from 1 to 8 carbon atoms and includes, for example, methyl, ethyl, n-propyl, isopropyl, n-butyl, sec-butyl, isobutyl, tert-butyl, n-pentyl, n-hexyl, n-heptyl, and the like.
- The term “alkenyl” means a straight or branched hydrocarbon radical having from 2 to 7 carbon atoms and includes, for instance, vinyl, allyl, 1-propenyl, 2-propenyl, 1-butenyl, 2-butenyl, 3-butenyl, 2-methyl-2-propenyl, 1-pentenyl, 2-pentenyl, 3-pentenyl, 4-pentenyl, 3-methyl-2-butenyl, 3-methyl-3-butenyl, 1-hexenyl, 2-hexenyl, 3-hexenyl, 4-hexenyl, 5-hexenyl, 4-methyl-3-pentenyl, 1-heptenyl, 2 heptenyl, 3 heptenyl, 2-methyl-1-hexenyl, 2-methyl-2-hexenyl, 3-methyl-2-hexenyl, 3-methyl-3-hexenyl, 3-methyl-1-hexenyl, 4-methyl-1-hexenyl, 5-methyl-1-hexenyl;
- The term “cycloalkyl” means a hydrocarbon ring containing from 3 to 7 carbon atoms, for example, cyclopropyl, cyclobutyl, cyclopentyl, cyclohexyl, cycloheptyl, cycloctyl, decalinyl, norpinanyl, and adamantyl. Where possible, the cycloalkyl group may contain double bonds, for example, 3-cyclohexen-1-yl. The cycloalkyl ring may be unsubstituted or substituted by one or more substituents selected from alkyl, alkoxy, thioalkoxy, hydroxy, thiol, nitro, halogen, amino, alkyl and dialkylamino, formyl, carboxyl, —CN, —NH—CO—R, —CO—NHR, —CO 2R, —COR, wherein R is alkyl, cycloalkyl, heterocycloalkyl, aryl, or heteroaryl, wherein alkyl, aryl, and heteroaryl are as defined herein.
- The term “aryl” means a cyclic or polycyclic aromatic ring having from 5 to 12 carbon atoms, and being unsubstituted or substituted with one or more of the substituent groups recited above for alkyl, alkenyl, and alkynyl groups. Examples of aryl groups include phenyl, 2,6-dichlorophenyl, 3-methoxyphenyl, naphthyl, 4-thionaphthyl, tetralinyl, anthracinyl, phenanthrenyl, benzonaphthenyl, fluorenyl, 2-acetamidofluoren-9-yl, and 4′-bromobiphenyl.
- The term “alkoxy” means a straight or branched hydrocarbon radical which has from 1 to 8 carbon atoms and is attached to oxygen. Alkoxy includes, for example, methoxy, ethoxy, n-propoxy, isopropoxy, n-butoxy, sec-butoxy, isobutoxy, tert-butoxu, n-pentoxy, n-hexoxy, n-heptoxy, and the like.
- The term “alkylcycloalkyl” means a straight or branched hydrocarbon radical having from 1 to 8 carbon atoms as defined above attached to cycloalkyl group as defined above.
- The term “alkylalkoxy”, means a straight or branched hydrocarbon radical having from 1 to 8 carbon atoms as defined above attached to an alkoxy group as defined above.
- The term “alkylphenyl” means a straight or branched hydrocarbon radical having from 1 to 8 carbon atoms as defined above attached to a phenyl or substituted phenyl group.
- The term “alkyphenoxy” means a straight or branched hydrocarbon radical having from 1 to 8 carbon atoms as defined above attached to a phenoxy or substituted group.
- The compounds prepared by the invention process may have one or more chiral centers and may exist in and be used or isolated in optically active and racemic forms. It is to be understood that the processes of the present invention can give rise to any racemic or optically-active forms, or mixtures thereof. It is to be further understood the products of the invention process can be isolated as racemic, enantiomeric, or diastereomeric forms, or mixtures thereof. Purification and characterization procedures for such products are known to those of ordinary skill in the art, and include recrystallization techniques, as well as chiral chromatographic separation procedures as well as other methods.
- 2. 3-Substituted γ Amino Butyric Acid Synthesis Via 5-Alkoxy-3,4-dihalo-5H-furan-2-ones (Route A)
- In Scheme 1, Step A of Route A, mucobromic or mucochloric acid is converted to the corresponding 5-alkoxy-3,4-dihalo-5H-furan-2-one 2A upon treatment with a C 1-C6 alcohol or benzyl or substituted benzyl alcohol in the presence of acid. In a typical procedure, a toluene solution of 1 equivalent of mucohalic acid is combined with 1.5 equivalents of benzylacohol and 0.05 equivalent of p-toluene sulfonic acid. The mixture is then heated at reflux for 8 to 24 hours. The product furanone is typically obtained in high yield (85-90 percent).
- In Step B of Route A, conjugate addition of an organocuprate reagent R 2R2CM to 2A, followed by halide elimination, provides the substituted furanone 3A. In a typical procedure, the organocuprate is generated in situ in the presence of N-methypyrrolidinone (NMP) from a commercially available Grignard reagent (e.g., an alkyl- aryl-, or alkylmagnesium bromide) and copper iodide. If the requisite Grignard reagent is not commercially available, it can be readily preparide from the corresponding organohalide compound using one of the many methods available to the skilled artisan. The furanone is then added to the organocuprate reagent over 5 to 10 minutes at −10 to 0° C., and the resulting mixture is allowed to warm to room temperature.
- In Step C of Route A, hydrogenation of alkylfuranone 3A according to a method readily available to the skilled artisan provides dihydrofuranone 4A. In a typical procedure, the furanone is dissolved in THF, and combined with a tertiary amine base such as triethyl amine, and Pd/C. This mixture is hydrogenated in a high pressure reactor until hydrogen uptake ceases.
- In Step D of Route A, reductive amination of dihydrofuranone 4A with ammonium formate or R 1NH2 gives rise to lactam 5A, which may be hydrolyzed in situ or isolated and converted to the 3-substituted γ amino butyric acid I in a separate step. In a typical procedure, dihydrofuranone 4A is combined in methanol with ammonium formate, triethyl amine, and Pd/C. This mixture is hydrogenated in a high pressure reactor until hydrogen uptake ceases to give rise to a mixture of the lactoam 5A and the desired ring-opened material I. Submission of the mixture to hydrolysis conditions known to the skilled artisan (for example, treatment with aqueous base), as depicted in Step E, gives rise to I.
-
- and a palladium catalyst. Steps C, D, and E remain the same.
- 3. 3-Substituted γ Amino Butyric Acid Synthesis Via 3,4-Dihalo-1-Substitued-1,5-dihydro-pyrrol-2-ones (Route A′)
- The first step in Route A′ of Scheme 1 for the synthesis of 3-substituted γ amino butyric acid requires reductive amination of mucohalic acid to provide compound 2C.
- A. Route A′/Step A: Reductive Amination of Mucohalic Acid
- As indicated previously, mucobromic and mucochloric acid are not popular C-4 building blocks because of the many reactive sites in the molecules, their poor stability under basic conditions, and the perception among those of ordinary skill in the art of the difficulties associated with the selective manipulation of the halogen atoms in the presence of the other functionality. As an example, although it is known that in the presence of acetic acid, mucobromic or mucochloric acid may react with hydrazine or arylhydrazines to form pyridazinones (Scheme 3), the reaction conditions are severe: acetic acid as the solvent, a pH of 1 to 2, and temperatures between 60 and 120° C.
- Other than this reported transformation, however, a manifold for the selective manipulation of the functional groups present in mucohalic acid is unknown.
- i. Reagents
- The reductive amination process described herein accommodates a wide variety of reagents and conditions.
- Mucohalic Acid: To begin, either mucobromic or mucochloric acid are suitable for use in the reductive amination process.
- Amine: Also, a wide variety of amines may be used in the reductive amination process, and are represented by the formula R 1NH2, wherein R1 is selected from hydrogen or C1-C7 alkyl or substituted C1-C7 alkyl, C3-C12 cycloalkyl or substituted C3-C12 cycloalkyl, C3-C12 heterocycloalkyl or substituted C3-C12 heterocycloalkyl, aryl or substituted aryl, or heteroaryl or substituted heteroaryl.
- The primary or secondary alkyl, cycloalkyl, heterocycloalkyl, aryl, or heteroaryl amine used in the invention can be substituted with one or more groups selected from halo, hydroxy, C 1-C6 alkoxy, carboxy, C1-C6 alkoxycarbonyl, aminocarbonyl, halomethyl, dihalomethyl, trihalomethyl, haloethyl, dihaloethyl, trihaloethyl, tetrahaloethyl, pentahaloethyl, thiol, (C1-C4)alkylsulfanyl, (C1-C4)alkylsulfinyl, and aminosulfonyl, Examples of substituted alkyl groups include fluoromethyl, difluoromethyl, trifluoromethyl, tribromomethyl, hydroxymethyl, 3-methoxypropyl, 3-carboxypentyl, 3,5-dibromo-6-aminocarbonyldecyl, and 4-ethylsulfinyloctyl. Examples of substituted alkenyl groups include 2-bromoethenyl, 1-amino-2-propen-1-yl, 3-hydroxypent-2-en-1-yl, 4-methoxycarbonyl-hex-2-en-1-yl, and 2-nitro-3-bromo-4-iodo-oct-5-en-1-yl. Typical substituted alkynyl groups include 2-hydroxyethynyl, 3-dimethylamino-hex-5-yn-1-yl, and 2-cyano-hept-3-yn-1-yl.
- The amine used in the reductive amination process may be an amino acid or its corresponding ester. Typical amino acids include L-lysine, L-alanine, L-arginine L-aspartic acid, N-alpha-benzyloxycarbonyl-L-arginine, L-citrulline, gamma-L-glutamic acid, L-glycine, L-histidine, L-hydroxproline, L-isoleucine, L-leucine, L-lysine, L-methionine, L-ornithine, L-phenylalanine, L-proline, L-pyroglutamic acid, L-serine, L-tryptophan, L-tyrosine, L-valine. The amine may also be a carboxy terminal-linked peptide having 1 to 10 amino acids or an addition salt thereof. Such peptides may include L-arginyl-L-arginine, N-benzyloxycarbonyl-glycyl-L-proline, L-glutaryl-glycyl-arginine, glycyl-glycine, glycyl-L-phenylalanine, glycyl-L-proline, and L-seryl-L-tyrosine, as well as others.
- The amine used in the reductive amination process of the present invention may have one or more chiral centers and may exist in and be used or isolated in optically active and racemic forms. It is to be understood that the process of the present invention can employ any racemic, optically-active, polymorphic, geometric, or stereoisomeric form, or mixtures thereof, of an amine. It is to be further understood the products of the reductive amination process can be isolated as racemic, optically-active, polymorphic, geometric, or stereoisomeric forms, or mixtures thereof. Purification and characterization procedures for such products are known to those of ordinary skill in the art, and include recrystallization techniques, as well as chiral chromatographic separation procedures as well as other methods.
- However, typically, benzyl amine or S-1-phenyl-ethyl amine is used.
- Reducing Agent: A number of reducing agents can be used in the reductive amination process of the present invention. These reducing agents include sodium triacetoxy borohydride, sodium cyanoborohydride, triethyl silane, Ti(OiPr) 4/NaBH3CN, borohydride exchange resin, Zn/acetic acid, sodium borohydride/magnesium perchlorate, or zinc borohydride/zinc chloride. Preferably, the reducing agent is sodium triacetoxyborohydride.
- Acid Catalyst: A variety of acid catalysts can be used in the reductive amination process of the present invention. The acid may be a Bronsted, or protic, acid, or a Lewis, or non-protic, acid. Examples of protic acids suitable for use in the reductive amination process of the present invention include acetic acid, trichloroacetic acid, trifluoroacetic acid, or formic acid. Examples of non-protic acids suitable for use in the reductive amination process of the instant application include magnesium chloride, magnesium triflate, boron trifluoride etherate, AlCl 3, FeCl3, ZnCl2, AlBr3, ZnBr2, TiCl4, SiCl4 and SnCl4.
- ii. Procedure and Stochiometry
- In the reductive amination process of the present invention, the mucohalic acid is contacted with the amine, reducing agent, and acid catalyst. “Contacted” means that the reaction components are typically mixed in a liquid to form a homogeneous or heterogeneous mixture. The liquid employed in the reductive amination process of the present invention is selected from a polar aprotic solvent. Preferably, the polar aprotic solvent is selected from tetrahydrofuran, acetonitrile, nitromethane, chloroform, methylene chloride, monochloro ethane, 1,1, or 1,2 dichloroethane, 1,1,1 or 1,1,2 tricholoroethane, or 1,1,1,2, or 1,1,2,2 tetrachloroethane. More preferred solvents include methylene chloride or chloroform. Mixtures of solvents can also be used.
- The molar equivalents of each of the reaction components (i.e., mucohalic acid, amine, reducing agent, and acid catalyst) used in the reductive amination process of the instant application are:
- (a) 1 equivalent of mucohalic acid;
- (b) 1 to 5 equivalents of amine;
- (c) 1 to 10 equivalents of reducing agent; and
- (d) sufficient acid catalyst to maintain a pH of about 2 to about 7.
- More preferably, the molar equivalents of each of the reaction components (i.e., mucohalic acid, amine, reducing agent, and acid catalyst) used in the reductive amination process if the instant application are:
- (a) 1 equivalent of mucohalic acid;
- (b) 1 to 3 equivalents of amine;
- (c) 1 to 5 equivalents of reducing agent; and
- (d) sufficient acid catalyst to maintain a pH of about 3 to about 6.
- Most preferably, the molar equivalents of each of the reaction components (i.e., mucohalic acid, amine, reducing agent, and acid catalyst) used in the reductive amination process if the instant application are:
- (a) 1 equivalent of mucohalic acid;
- (b) 1 to 2 equivalents of amine;
- (c) 1 to 3 equivalents of reducing agent; and
- (d) sufficient acid catalyst to maintain a pH of about 4 to about 5.
- In the reductive amination process of the present invention, the initial concentration of mucohalic acid in the polar aprotic solvent is typically 0.1 to 0.5 M. More preferably, it is 0.15 to 0.45 M. Most preferably, it is 0.2 to 0.3 M.
- In the reductive amination process of the present invention, the temperature is typically from about −25° C. to about 50° C., with lower temperatures being more suitable for mucobromic acid and higher temperatures being more suitable for mucochloric acid. When mucochloric acid is used, the temperature is more preferably from about about 0° C. to about 40° C., and most preferably from about 10° C. to about 30° C.
- In the reductive amination process of the present invention, reaction times are typically from about 30 minutes to about 5 days; more preferably, from about 1 hour to 3 days; and most preferably, from about 6 hours to 48 hours.
- To demonstrate the present invention process, the reactions of mucobromic or mucochloric acid with aniline or benzylamine in acetic acid were investigated (Table 4). A mixture of dichloromethane and acetic acid (1:1 v/v) was chosen as the solvent to maintain the stability and solubility of both starting materials. Sodium triacetoxyborohydride was used as the reducing agent and the reactions were conducted at room temperature. Initially γ-lactam 7 was isolated in 46% yield, but a solvent screen illustrated that 7 could be obtained in 65 to 75% yield once the amount of acetic acid was reduced.
TABLE 4 Reductive amination in different solvents.a entry Solvent Yield (%) 1 CH2Cl2:HOAc 46 (1:1) 2 1,4-dioxane 48 3 THF 52 4 CH3CN 49 5 DCE 68 6 CHCl3 66 7 CH3NO2 35 8 CHCl3 76 # isolated and purified by silica gel chromatography and/or crystallization. Products are estimated to be >95% pure by 1H NMR and elemental analysis. All compounds gave satisfactory elemental analysis data. - The invention process has been further extended to anilines, with electron-donating, electron-withdrawing and neutral substituents, as well as an heteroaromatic amine system (Table 5). Electron-deficient anilines (entries 3, 4 and 9) and electron-rich anilines (entries 2, 5 and 7) reacted with almost equal facility and the heteroaromatic amine (entry 6) also underwent selective reaction with reasonable yield.
TABLE 5 Reductive amination with different “anilines”.a Entry “Aniline” Product Yield (%) 1 50 2 55 3 65 4 42 5 40 6 55 5 40 6 55 7 60 8 68 9 75 10 20 #silica gel chromatography and/or crystallization. Products are estimated to be >95% pure by 1H NMR and elemental analysis. All compounds gave satisfactory elemental analysis data. - Mucochloric acid (1) can exist as the open or cyclic form (Scheme 6). However, the ultraviolet spectrum in CHCl 3 indicates 1 exists predominantly in the lactone form. Additional spectral data, i.e. vibrational (IR, Raman) and others (NMR and NQR) suggest that the lactone is the dominant form in both the liquid and solid states. Experimental results further support these observations.
-
- In accordance with this proposed mechanism, reductive amination with dialkyl amines and N-alkyl anilines provided substituted α,β-unsaturated γ-amino acids. All the attempts were successful and all products were isolated in acceptable yield. (Table 8).
TABLE 8 Reductive amination with different amines.a Entry amine product yield (%) 1 67 2 20 3 48 4 89 5b 50/82 6 80 7 85 - Interestingly, attempted reductive aminations with ammonium formate provided not the expected lactam 8, but instead, lactone 9, in 50% yield. When the reaction was repeated without adding ammonium formate, the yield of 9 increased to 82%. Also, when ammonium acetate was used, the reaction gave lactone 9 in 80% yield.
- In summary, Step A′ of Scheme 1, Route A′ represents a simple, efficient and selective method to prepare N-benzyl-3,4-dichloro-1,5-dihydropyrrol-2-one, N-aryl (or alkyl)-3,4-dichloro-1,5-dihydropyrrol-2-ones and substituted γ-amino acids. These products possess a geometrically defined tetrasubstituted olefin, two differentiated vinyl halides and an acidic sight, and could be used in the synthesis of a variety of compounds.
- B. Route A′/Steps B, C, and D
- Steps B, C, and D of Route B are as provided for Steps B, C, and E of Route A.
- The following examples are intended to illustrate various embodiments of the invention and are not intended to restrict the scope thereof.
- Route A, Scheme 2
- Step A: 5-Benzyloxy-3,4-dihalo-5H-furan-2-one.
- Mucohalic acid (0.4-0.6 mol, 1 equivalent), benzyl alcohol (1.5 equivalents), and para-toluenesulfonic acid (0.05 equivalent) were combined in 1000 mL toluene and in an apparatus equipped with a Dean Stark Strap. The mixture was heated at reflux until water collection in the Dean Stark Trap had ceased. The mixture was then cooled to room temperature. The toluene was removed in vacuo at 35-40° C. to leave the crude product as a very pale amber oil. The crude material was purified by column chromatography on silica gel eluting with 55, then 10% ethyl acetate in heptane.
- 1. 5-Benzyloxy-3,4-dichloro-5H-furan-2-one. Prepared as provided in Procedure A. 95% yield. 1H NMR (CDCl3, 300 MHz) δ7.3 (s, 5H), 5.92 (s, 1H), 4.95 (d, 1H), 4.89 (d, 1H). Elemental Analysis Observed (Theroretical) for C10H8Cl2O3: C, 51.12(50.99); H, 2.92(3.11); N, <0.05(0.00); Cl, 27.19 (27.37).
- 2. 5-Benzyloxy-3,4-dibromo-5H-furan-2-one. Prepared as provided in Procedure A. 100% yield. 1H NMR (CDCl3, 300 MHz) δ7.3 (s, 5H), 5.92 (s, 1H), 4.95 (d, 1H), 4.89 (d, 1H). Elemental Analysis Observed(Theroretical) for C10H8Br2O3: C, 38.62(37.97); H, 2.30(2.32); N, <0.05(0.00); Br, 44.71 (45.92).
- Step B: 5-Benzyloxy-3-halo-4-isopropyl-5H-furan-2-one.
- Alternative 1: Via Cuprate Addition
- 5-Benzyloxy-3,4-dihalo-5H-furan-2-one (0.03-0.15 mol, 1 equivalent), 1-methyl-2-2pyrrolidinone (NMP) (excess), and copper iodide (1 equivalent) were combined and stirred at room temperature under an inert atmosphere. After about 30 minutes, the resulting tan suspension was cooled to about −15 to about −20° C., and isobutylmagnesium bromide (1.5 equivalents) was added dropwise as a 2.0 M solution in diethyl ether. The reaction mixture was then quenched with a saturated solution of aqueous ammonium chloride, and extracted with methyl tertbutyl ether to provide the crude product as an amber oil. Purification by column chromatography on silica gel eluting with 10% ethyl acetate in heptane provided the product as a colorless oil.
- 1. 5-Benzyloxy-3-chloro-4-isopropyl-5H-furan-2-one. 70% yield. MS (AP+) 281.0.
- 2. 5-Benzyloxy-3-bromo-4-isopropyl-5H-furan-2-one. 70% yield. MS (AP+) 325.0.
- Alternative 2: Via Suzuki Coupling
- 5-Benzyloxy-3,4-dihalo-5H-furan-2-one (1 equivalent), boronic acid (2 equivalents, cesium fluoride (2.5 equivalents, PdCl 2(PPh3)2 (0.05 equivalent), and triethylbenzyl ammonium chloride (0.05 equivalent) were combined. To this mixture was added a nitrogen-purged toluene and water solvent mixture. The reaction mixture was stirred at room temperature over night and then quenched with 2N aqueous HCl and extracted with 100 mL toluene. The extract was concentrated in vacuo to provide the crude product as a pale orange oil which was purified by column chromatography on silica gel eluting with 10% ethyl acetate in heptane.
- 2. 5-Benzyloxy-3-bromo-4-isopropyl-5H-furan-2-one. 30% yield. MS (AP+) 325.0.
- Step C: 5-Benzyloxy-4-isopropyl-dihydro-furan-2-one
- A mixture of 5-Benzyloxy-3-halo-4-isopropyl-5H-furan-2-one (5 mmol, 1 equivalent) and triethyl amine (1.2 equivalents) was dissolved in 65 mL THF. The mixture was transferred to a high pressure reactor. Pd/C (0.3 g) was added, and the mixture was hydrogenated with stirring under 40 pounds per square inch (psi) of hydrogen. The mixture was hydrogenated until hydrogen uptake ceased (about 3 hours). The Pd/C catalyst was filtered out and the solvent was removed in vacuo. The residue was diluted with ethyl acetate, washed with saturated aqueous ammonium chloride and dried over magnesium sulfate. The extract was concentrated in vacuo to give the product as a colorless oil.
- 1. From 5-Benzyloxy-3-chloro-4-isopropyl-5H-furan-2-one. 38% yield. MS (AP+) 249.1.
- 2. From 5-Benzyloxy-3-bromo-4-isopropyl-5H-furan-2-one. 83% yield. MS (AP+) 249.1
- Steps D/E: 3-Aminomethyl-4-methyl-pentanoic Acid (Pregabalin)
- 5-Benzyloxy-4-isopropyl-dihydro-furan-2-one was hydrogenated in a high pressure reactor as provided above in Step C. Thus, 1.3 g of 5-benzyloxy-4-isopropyl-dihydro-furan-2-one was combined with 1.7 g of ammonium formate, 0.3 g of 20% Pd/C, 1.7 g of ammonium formate and 0.07 g of [Ir(COD)Cl] 2 in 25 mL of methanol. The mixture was hydrogentated at 70° C. and 20 pounds per square inch of pressure until hydrogen uptake ceased (about 7 hours) to provide a mixture of pregabalin (M+160.1) contaminated with 4-isopropyl-pyrrolidin-2-one (M+142.1).
- The mixture may be submitted to base hydrolysis to provide exclusively pregabalin.
- Route A′, Scheme 1
- Step A′. Reductive Amination of Mucohalic Acid with Benzylamine.
- Sodium triacetoxyborohydride (6.4 g, 3.0 equivalents) was added slowly to a mixture of mucohalic acid (1 equivalent) and benzyl amine (1.1 equivalent) in chloroform (50 mL). The reaction mixture was stirred at approximately 25° C. for 24 hours. The reaction mixture was them quenched with water (200 mL) and washed with water (100 mL). The organic layer was dried over magnesium sulfate and concentrated in vacuo to give 1.28 g of the product which was further purified by silica gel column chromatograpy to provide the lactam (1.59 g, 66% yield. ).
- Reductive Amination of Mucochloric Acid with (R)-1-phenylethylamine.
- Following the procedure as provided above, provided an 89% yield of the product lactam after purification.
- All patents, and patent documents are incorporated by reference herein, as though individually incorporated by reference. The invention has been described with reference to various specific and preferred embodiments and techniques. However, it should be understood that many variations and modifications may be made while remaining within the spirit and scope of the invention.
Claims (30)
1. A process for preparing a compound of formula I
wherein:
R1 is H, (C1-C8)alkyl, (C3-C7)cycloalkyl, aryl, (CH2)n-aryl, heterocyclo, (CH2)n-heterocyclo, heteroaryl, or (CH2)n-heteroaryl, wherein n is 0, 1, 2, or 3; and
R2 and R2′ are each independently H, straight or branched (C1-C6)alkyl, a straight or branched (C2-C7)alkenyl, (C3-C7)cycloalkyl, alkylcycloalkyl, alkylalkoxy, alkylphenyl, alkyphenoxy, phenyl or substituted phenyl;
comprising:
(a) treating mucochloric or mucobromic acid 1 wherein X is Cl or Br with R′OH, wherein R′ is (C1-C6)alkyl, —CH2-phenyl, or —CH2-substituted phenyl in the presence of acid to provide 2A
(b) conjugate addition of R2R2′CM0 wherein R2 and R2′ are as defined above and wherein M0 is MgBr, CuBr, or B(OH)2, to 2A, to provide 3A
(c) hydrogenation of 3A to provide 4A
(d) reductive amination of 4A under hydrogenation conditions using ammonium formate or R1NH2, wherein R1 is H, (C1-C8)alkyl, (C3-C7)cycloalkyl, aryl, (CH2)n-aryl, heterocyclo, (CH2)n-heterocyclo, heteroaryl, or (CH2)n-heteroaryl, wherein n is 0, 1, 2, or 3, followed by hydrolyisis
2. The process of claim 1 , step (a) wherein R′OH is benzyl alcohol.
4. The process of claim 1 , step (c) using Pd/C as a catalyst in the presence of triethyl amine.
5. The process of claim 1 , step (d) wherein the reductive amination is effected under hydrogenation conditions using ammonium formate, triethyl amine, and Pd/C.
6. A process for preparing pregabalin
comprising:
(a) treating mucochloric or mucobromic acid 1 wherein X is Cl or Br with benzyl amine in the presence of acid, to provide 2
(b) conjugate addition of
wherein M1 is MgBr, CuBr, or
wherein M2 is B(OH)2, to 2 to provide 3B, wherein “———” is absent or is a bond;
(c) hydrogenation of 3B to provide 4B
(d) reductive amination of 4B using ammonium formate, followed by hydrolyisis
7. A process for preparing a compound of formula I
wherein:
R1 is H, (C1-C8)alkyl, (C3-C7)cycloalkyl, aryl, (CH2)n-aryl, heterocyclo, (CH2)n-heterocyclo, heteroaryl, or (CH2)n-heteroaryl, wherein n is 0, 1, 2, or 3; and
R2 and R2′ are each independently H, straight or branched (C1-C6)alkyl, a straight or branched (C2-C7)alkenyl, (C3-C7)cycloalkyl, alkylcycloalkyl, alkylalkoxy, alkylphenyl, alkyphenoxy, phenyl or substituted phenyl;
comprising:
(a) reductive amination of mucochloric or mucobromic acid 1 wherein X is Cl or Br, using a reducing agent in the presence of ammonium formate or R1NH2, wherein R1 is (C1-C8)alkyl, (C3-C7)cycloalkyl, aryl, (CH2)n-aryl, heterocyclo, (CH2)n-heterocyclo, heteroaryl, or (CH2)n-heteroaryl, wherein n is 0, 1, 2, or 3, and an acid catralyst, to provide 2C
(b) conjugate addition of R2R2′M0 wherein M0 is MgBr, CuBr, or B(OH)2, to 2C to provide 3C
(c) hydrogenation of 3C to provide 4C
(d) hydrolysis of 4C
8. The process of step (a) of claim 7 , wherein the R1NH2 is benzylamine or 1-phenylethyl amine.
9. The process of step (a) of claim 7 , wherein the reducing agent is selected from sodium triacetoxy borohydride, sodium cyanoborohydride, triethyl silane, Ti(OiPr)4/NaBH3CN, borohydride exchange resin, Zn/acetic acid, sodioum borohydride/magnesium perchlorate, or zinc borohydride/zinc chloride.
10. The process of step (a) of claim 7 , wherein the reducing agent is sodium triacetoxy borohydride.
11. The process of step (a) of claim 7 , wherein the acid catalyst is selected from acetic acid, trichloroacetic acid, trifluoroacetic acid, formic acid, magnesium chloride, magnesium triflate, boron trifluoride etherate, AlCl3, FeCl3, ZnCl2, AlBr3, ZnBr2, TiCl4, SiCl4 and SnCl4.
12. The process of step (a) of claim 7 , wherein the acid catalyst is acetic acid.
13. The process of step (a) of claim 7 , wherein the stochiometry of the reaction components is:
(a) 1 equivalents of mucochloric acid;
(b) 1 to 5 equivalents of amine;
(c) 1 to 10 equivalents of reducing agent; and
(d) HOAc sufficient to maintain a pH of about 2 to about 7.
14. The process of step (a) of claim 7 , wherein the stochiometry of the reaction components is:
(a) 1 equivalents of mucochloric acid;
(b) 1 to 3 equivalents of amine;
(c) 1 to 5 equivalents of reducing agent; and
(d) HOAc sufficient to maintain a pH of about 3 to about 6.
15. The process of step (a) of claim 7 , wherein the stochiometry of the reaction components is:
(a) 1 equivalents of mucochloric acid;
(b) 1 to 2 equivalents of amine;
(c) 1 to 3 equivalents of reducing agent; and
(d) HOAc sufficient to maintain a pH of about 4 to about 5.
16. The process of step (a) of claim 7 , wherein contacting comprises mixing in a liquid at a sufficient concentration and at sufficient temperatures and for sufficient times to allow formation of the resulting product.
17. The process of step (a) of claim 7 , wherein the liquid is a polar non protic solvent and combinations or mixtures thereof.
18. The process of step (a) of claim 7 , wherein the solvent is selected from tetrahydrofuran, acetonitrile, nitromethane, chloroform, methylene chloride, monochloro ethane, 1,1, or 1,2 dichloroethane, 1,1,1 or 1,1,2 tricholoroethane, or 1,1,1,2, or 1,1,2,2 tetrachloroethane, or combinations or mixtures thereof.
19. The process of step (a) of claim 7 , wherein the temperature is from about −25° C. to about 50° C.
20. The process of step (a) of claim 7 , wherein the temperature is from about 0° C. to about 40° C.
21. The process of step (a) of claim 7 , wherein the temeperature is form about 10° C. to about 30° C.
22. The process of step (a) of claim 7 , wherein the temperature is from about 12.5° C. to about 27.5° C.
23. The process of step (a) of claim 7 , wherein the time is from about 30 minutes to about 5 days.
24. The process of step (a) of claim 7 , wherein the time is from about 1 hour to about 3 days.
25. The process of step (a) of claim 7 , wherein the time is from about 6 hours to 48 hours.
26. The process of step (a) of claim 7 , wherein the time is from about 12 hours to 36 hours.
27. The process of step (b) of claim 7 as provided in claim 3 .
28. The process of step (c) of claim 7 as provided in claim 4 .
29. A process for preparing pregabalin
comprising:
(a) reductive amination of mucochloric or mucobromic acid 1 wherein X is Cl or Br using sodium triacetoxy borohydride in the presence of benzylamine or 1-phenyl-ethylamine to provide 2D
(b) conjugate addition of
to provide 3B, wherein “———” is absent or is a bond;
(c) hydrogenation of 3D to provide 4D
(d) base hydrolysis of 4D
30. A process for reductively aminating mucohalic acid, comprising:
(a) contacting mucochloric or mucobromic acid 1 wherein X is Cl or Br with sodium triacetoxyborohydride, acetic acid, and R3NH2, wherein R3 is H, (C1-C8)alkyl, (C3-C7)cycloalkyl, aryl, (CH2)n-aryl, heterocyclo, (CH2)n-heterocyclo, heteroaryl, or (CH2)n-heteroaryl, wherein n is 0, 1, 2, or 3; to provide 2E
Priority Applications (1)
| Application Number | Priority Date | Filing Date | Title |
|---|---|---|---|
| US10/365,430 US20030225149A1 (en) | 2002-04-30 | 2003-02-13 | Process for preparing highly functionalized gamma-butyrolactams and gamma-amino acids |
Applications Claiming Priority (2)
| Application Number | Priority Date | Filing Date | Title |
|---|---|---|---|
| US37699102P | 2002-04-30 | 2002-04-30 | |
| US10/365,430 US20030225149A1 (en) | 2002-04-30 | 2003-02-13 | Process for preparing highly functionalized gamma-butyrolactams and gamma-amino acids |
Publications (1)
| Publication Number | Publication Date |
|---|---|
| US20030225149A1 true US20030225149A1 (en) | 2003-12-04 |
Family
ID=29401429
Family Applications (2)
| Application Number | Title | Priority Date | Filing Date |
|---|---|---|---|
| US10/365,430 Abandoned US20030225149A1 (en) | 2002-04-30 | 2003-02-13 | Process for preparing highly functionalized gamma-butyrolactams and gamma-amino acids |
| US10/421,350 Expired - Fee Related US6924377B2 (en) | 2002-04-30 | 2003-04-23 | Process for preparing highly functionalized γ-butyrolactams and γ-amino acids |
Family Applications After (1)
| Application Number | Title | Priority Date | Filing Date |
|---|---|---|---|
| US10/421,350 Expired - Fee Related US6924377B2 (en) | 2002-04-30 | 2003-04-23 | Process for preparing highly functionalized γ-butyrolactams and γ-amino acids |
Country Status (15)
| Country | Link |
|---|---|
| US (2) | US20030225149A1 (en) |
| EP (1) | EP1499583A1 (en) |
| JP (1) | JP2005523932A (en) |
| KR (1) | KR20040106415A (en) |
| CN (1) | CN1649827A (en) |
| AR (1) | AR039467A1 (en) |
| AU (1) | AU2003219425A1 (en) |
| BR (1) | BR0309743A (en) |
| CA (1) | CA2483830A1 (en) |
| IL (1) | IL164781A0 (en) |
| MX (1) | MXPA04010771A (en) |
| PL (1) | PL373296A1 (en) |
| RU (1) | RU2004131840A (en) |
| TW (1) | TW200400929A (en) |
| WO (1) | WO2003093220A1 (en) |
Cited By (15)
| Publication number | Priority date | Publication date | Assignee | Title |
|---|---|---|---|---|
| US20060276543A1 (en) * | 2005-04-06 | 2006-12-07 | Judith Aronhime | Crystalline forms of pregabalin |
| US20060281816A1 (en) * | 2005-04-11 | 2006-12-14 | Lilach Hedvati | Pregabalin free of lactam and a process for preparation thereof |
| US20070043241A1 (en) * | 2005-05-10 | 2007-02-22 | Lilach Hedvati | Optical resolution of 3-carbamoylmethyl-5-methylhexanoic acid |
| US20070066846A1 (en) * | 2005-04-11 | 2007-03-22 | Asher Maymon | Process for making (S)-Pregabalin |
| US20070073085A1 (en) * | 2005-05-10 | 2007-03-29 | Lilach Hedvati | Method for the preparation of pregabalin and salts thereof |
| US20070191636A1 (en) * | 2005-09-19 | 2007-08-16 | Kansal Vinod K | Chiral 3-carbamoylmethyl-5-methyl hexanoic acids, key intermediates for the synthesis of (S)-Pregabalin |
| US20070259917A1 (en) * | 2006-04-24 | 2007-11-08 | Kansal Vinod K | Processes for the synthesis of 3-isobutylglutaric acid |
| US20070293694A1 (en) * | 2006-05-24 | 2007-12-20 | Lilach Hedvati | Processes for the preparation of R-(+)-3-(carbamoyl methyl)-5-methylhexanoic acid and salts thereof |
| US20080015385A1 (en) * | 2006-05-31 | 2008-01-17 | Lilach Hedvati | Preparation of (S)-pregabalin-nitrile |
| US20080026433A1 (en) * | 2006-05-31 | 2008-01-31 | Lilach Hedvati | Use of enzymatic resolution for the preparation of intermediates of pregabalin |
| US7462737B2 (en) | 2005-05-10 | 2008-12-09 | Teva Pharmaceutical Industries Ltd. | Pregabalin free of isobutylglutaric acid and a process for preparation thereof |
| US20080306292A1 (en) * | 2007-03-22 | 2008-12-11 | Vinod Kumar Kansal | Synthesis of (S)-(+)-3-(aminomethyl)-5-methyl hexanoic acid |
| US20090137842A1 (en) * | 2007-10-03 | 2009-05-28 | Vollerner Yuri | Pregabalin -4-eliminate, pregabalin 5-eliminate, their use as reference marker and standard, and method to produce pregabalin containing low levels thereof |
| US20100087525A1 (en) * | 2008-06-23 | 2010-04-08 | Lilach Hedvati | Stereoselective enzymatic synthesis of (s) or (r)-iso-butyl-glutaric ester |
| WO2011086565A1 (en) * | 2010-01-15 | 2011-07-21 | Lupin Limited | Method for preparation of enantiomerically enriched and/or racemic gamma-amino acids |
Families Citing this family (14)
| Publication number | Priority date | Publication date | Assignee | Title |
|---|---|---|---|---|
| CN1094757C (en) | 1996-07-24 | 2002-11-27 | 沃尼尔·朗伯公司 | Isobutylgaba and its derivatives for the treatment of pain |
| PT1831154E (en) * | 2004-06-21 | 2010-02-19 | Warner Lambert Co | Preparation of pregabalin and related compounds |
| CA2575613C (en) | 2004-08-04 | 2015-05-19 | Foam Supplies, Inc. | Reactivity drift and catalyst degradation in polyurethane foam |
| CZ297970B6 (en) * | 2005-08-10 | 2007-05-09 | Zentiva, A. S | Process for preparing (S)-3-(aminomethyl)-5-methyl-hexanoic acid (pregabalin) |
| WO2008127646A2 (en) * | 2007-04-11 | 2008-10-23 | Dsm Ip Assets B.V. | Transaminase-based processes for preparation of pregabalin |
| US20080302694A1 (en) * | 2007-06-05 | 2008-12-11 | Kenneth J. Gardner | Radiation curable coating composition derived from epoxidized vegetable oils |
| CA2710152A1 (en) * | 2007-12-26 | 2009-07-02 | Generics (Uk) Limited | Processes to pregabalin |
| EP2116618A1 (en) | 2008-05-09 | 2009-11-11 | Agency for Science, Technology And Research | Diagnosis and treatment of Kawasaki disease |
| MY173945A (en) | 2009-03-05 | 2020-02-28 | Akzo Nobel Coatings Int Bv | Hydroxyl functional oil polyol acrylic graft copolymers |
| EP2658893B2 (en) | 2010-12-28 | 2019-01-02 | Akzo Nobel Coatings International B.V. | Radiation curable coating compositions for metal |
| GB201121317D0 (en) | 2011-12-09 | 2012-01-25 | Syngenta Ltd | Herbicidal compounds |
| EP2794703B1 (en) | 2011-12-21 | 2016-07-20 | Akzo Nobel Coatings International B.V. | Solvent-based coating compositions |
| US9260625B2 (en) | 2011-12-21 | 2016-02-16 | Akzo Nobel Coatings International B.V. | Water-based coating compositions |
| CN105051022B (en) * | 2013-03-27 | 2017-10-27 | 辉瑞爱尔兰制药公司 | Processes and intermediates for the preparation of pregabalin |
Family Cites Families (5)
| Publication number | Priority date | Publication date | Assignee | Title |
|---|---|---|---|---|
| US3935210A (en) * | 1971-07-29 | 1976-01-27 | Sandoz, Inc. | Preparation of 1-aryl-4,5-dihalo-pyridazone-6 |
| HU222776B1 (en) * | 1992-05-20 | 2003-10-28 | Northwestern University | Intermediates for the preparation of (S) - (+) - 4-amino-3- (2-methylpropyl) butanoic acid, intermediates of the new hexanoic acid and butanedioic acid and their preparation |
| DZ2770A1 (en) * | 1998-04-17 | 2003-12-01 | Lilly Co Eli | Process for the preparation of 1h-indol-3 glyoxamides substituted in position 4. |
| JP2002520277A (en) * | 1998-07-09 | 2002-07-09 | ワーナー−ランバート・カンパニー | How to treat insomnia |
| EA004398B1 (en) * | 1999-06-10 | 2004-04-29 | Уорнер-Ламберт Компани | Mono- and disubstituted 3-propyl gamma-aminobutyric acids |
-
2003
- 2003-02-13 US US10/365,430 patent/US20030225149A1/en not_active Abandoned
- 2003-04-17 JP JP2004501360A patent/JP2005523932A/en not_active Withdrawn
- 2003-04-17 WO PCT/IB2003/001646 patent/WO2003093220A1/en not_active Ceased
- 2003-04-17 KR KR10-2004-7017412A patent/KR20040106415A/en not_active Ceased
- 2003-04-17 AU AU2003219425A patent/AU2003219425A1/en not_active Abandoned
- 2003-04-17 RU RU2004131840/04A patent/RU2004131840A/en not_active Application Discontinuation
- 2003-04-17 EP EP03715236A patent/EP1499583A1/en not_active Withdrawn
- 2003-04-17 PL PL03373296A patent/PL373296A1/en not_active Application Discontinuation
- 2003-04-17 BR BR0309743-9A patent/BR0309743A/en not_active IP Right Cessation
- 2003-04-17 CN CNA038096412A patent/CN1649827A/en active Pending
- 2003-04-17 CA CA002483830A patent/CA2483830A1/en not_active Abandoned
- 2003-04-17 MX MXPA04010771A patent/MXPA04010771A/en not_active Application Discontinuation
- 2003-04-23 US US10/421,350 patent/US6924377B2/en not_active Expired - Fee Related
- 2003-04-28 AR ARP030101461A patent/AR039467A1/en unknown
- 2003-04-29 TW TW092110024A patent/TW200400929A/en unknown
-
2004
- 2004-10-21 IL IL16478104A patent/IL164781A0/en unknown
Cited By (44)
| Publication number | Priority date | Publication date | Assignee | Title |
|---|---|---|---|---|
| US7417165B2 (en) | 2005-04-06 | 2008-08-26 | Teva Pharmaceutical Industries Ltd. | Crystalline forms of pregabalin |
| US20060276543A1 (en) * | 2005-04-06 | 2006-12-07 | Judith Aronhime | Crystalline forms of pregabalin |
| US20070066846A1 (en) * | 2005-04-11 | 2007-03-22 | Asher Maymon | Process for making (S)-Pregabalin |
| US20060281816A1 (en) * | 2005-04-11 | 2006-12-14 | Lilach Hedvati | Pregabalin free of lactam and a process for preparation thereof |
| US7488846B2 (en) | 2005-04-11 | 2009-02-10 | Teva Pharmaceuical Industries Ltd. | Pregabalin free of lactam and a process for preparation thereof |
| US20070043241A1 (en) * | 2005-05-10 | 2007-02-22 | Lilach Hedvati | Optical resolution of 3-carbamoylmethyl-5-methylhexanoic acid |
| US20070073085A1 (en) * | 2005-05-10 | 2007-03-29 | Lilach Hedvati | Method for the preparation of pregabalin and salts thereof |
| US7763749B2 (en) | 2005-05-10 | 2010-07-27 | Teva Pharmaceutical Industries Ltd. | Method for the preparation of Pregabalin and salts thereof |
| US7678938B2 (en) | 2005-05-10 | 2010-03-16 | Teva Pharmaceutical Industries Ltd. | Optical resolution of 3-carbamoylmethyl-5-methyl hexanoic acid |
| US20070287860A1 (en) * | 2005-05-10 | 2007-12-13 | Lilach Hedvati | Optical resolution of 3-carbamoylmethyl-5-methyl hexanoic acid |
| US20070287748A1 (en) * | 2005-05-10 | 2007-12-13 | Lilach Hedvati | Optical resolution of-3-carbamoylmethyl-5-methyl hexanoic acid |
| US20070287859A1 (en) * | 2005-05-10 | 2007-12-13 | Lilach Hedvati | Optical resolution of 3-carbamoylmethyl-5-methyl hexanoic acid |
| US7619112B2 (en) | 2005-05-10 | 2009-11-17 | Teva Pharmaceutical Industries Ltd. | Optical resolution of 3-carbamoylmethyl-5-methyl hexanoic acid |
| US7462737B2 (en) | 2005-05-10 | 2008-12-09 | Teva Pharmaceutical Industries Ltd. | Pregabalin free of isobutylglutaric acid and a process for preparation thereof |
| US7687656B2 (en) | 2005-09-19 | 2010-03-30 | Teva Pharmaceutical Industries Ltd. | Asymmetric synthesis of (S)-(+)-3-(aminomethyl)-5-methylhexanoic acid |
| US20070191636A1 (en) * | 2005-09-19 | 2007-08-16 | Kansal Vinod K | Chiral 3-carbamoylmethyl-5-methyl hexanoic acids, key intermediates for the synthesis of (S)-Pregabalin |
| US7446220B2 (en) | 2005-09-19 | 2008-11-04 | Teva Pharmaceutical Industries Ltd. | Asymmetric synthesis of (S)-(+)-3-(aminomethyl)-5-methylhexanoic acid |
| US8212071B2 (en) | 2005-09-19 | 2012-07-03 | Teva Pharmaceutical Industries Ltd. | Asymmetric synthesis of (S)-(+)-3-(aminomethyl)-5-methylhexanoic acid |
| US7973196B2 (en) | 2005-09-19 | 2011-07-05 | Teva Pharmaceutical Industries Ltd. | Asymmetric synthesis of (S)-(+)-3-(aminomethyl)-5-methylhexanoic acid |
| US7960583B2 (en) | 2005-09-19 | 2011-06-14 | Teva Pharmaceutical Industries Ltd. | Asymmetric synthesis of (S)-(+)-3-(aminomethyl)-5-methylhexanoic acid |
| US7465826B2 (en) | 2005-09-19 | 2008-12-16 | Teva Pharmaceutical Industries Ltd. | Chiral 3-carbamoylmethyl-5-methyl hexanoic acids, key intermediates for the synthesis of (S)-pregabalin |
| US7470812B2 (en) | 2005-09-19 | 2008-12-30 | Teva Pharmaceutical Industries Ltd. | Chiral 3-carbamoylmethyl-5-methyl hexanoic acids, key intermediates for the synthesis of (S)-Pregabalin |
| US7923575B2 (en) | 2005-09-19 | 2011-04-12 | Teva Pharmaceutical Industries Limited | Asymmetric synthesis of (S)-(+)-3-(aminomethyl)-5-methylhexanoic acid |
| US20090062562A1 (en) * | 2005-09-19 | 2009-03-05 | Vinod Kumar Kansal | Novel asymmetric synthesis of (S)-(+)-3-(Aminomethyl)-5-methylhexanoic acid |
| US20090069578A1 (en) * | 2005-09-19 | 2009-03-12 | Vinod Kumar Kansal | Novel asymmetric synthesis of (S)-(+)-3-(aminomethyl)-5-methylhexanoic acid |
| US20090069593A1 (en) * | 2005-09-19 | 2009-03-12 | Vinod Kumar Kansal | Novel asymmetric synthesis of (S)-(+)-3-(aminomethyl)-5-methylhexanoic acid |
| US20090069596A1 (en) * | 2005-09-19 | 2009-03-12 | Vinod Kumar Kansal | Novel asymmetric synthesis of (S)-(+)-3-(aminomethyl)-5-methylhexanoic acid |
| US20090069600A1 (en) * | 2005-09-19 | 2009-03-12 | Vinod Kumar Kansal | Novel asymmetric synthesis of (S)-(+)-3-(aminomethyl)-5-methylhexanoic acid |
| US7851651B2 (en) | 2005-09-19 | 2010-12-14 | Teva Pharmaceutical Industries Ltd. | Asymmetric synthesis of (S)-(+)-3-(aminomethyl)-5-methylhexanoic acid |
| US7563923B2 (en) | 2005-09-19 | 2009-07-21 | Teva Pharmaceutical Industries Ltd. | Chiral 3-carbamoylmethyl-5-methyl hexanoic acids, key intermediates for the synthesis of (S)-Pregabalin |
| US7586005B2 (en) | 2005-09-19 | 2009-09-08 | Teva Pharmaceutical Industries Ltd. | Asymmetric synthesis of (S)-(+)-3-(aminomethyl)-5-methylhexanoic acid |
| US20080045747A1 (en) * | 2005-09-19 | 2008-02-21 | Kansal Vinod K | Chiral 3-carbamoylmethyl-5-methyl hexanoic acids, key intermediates for the synthesis of (S)-pregabalin |
| US20100081841A1 (en) * | 2005-09-19 | 2010-04-01 | Vinod Kumar Kansal | Novel asymmetric synthesis of (s)-(+)-3-(AMINOMETHYL)-5- methylhexanoic acid |
| US20070197827A1 (en) * | 2005-09-19 | 2007-08-23 | Kansal Vinod K | Novel asymmetric synthesis of (S)-(+)-3-(aminomethyl)-5-methylhexanoic acid |
| US20070259917A1 (en) * | 2006-04-24 | 2007-11-08 | Kansal Vinod K | Processes for the synthesis of 3-isobutylglutaric acid |
| US20070293694A1 (en) * | 2006-05-24 | 2007-12-20 | Lilach Hedvati | Processes for the preparation of R-(+)-3-(carbamoyl methyl)-5-methylhexanoic acid and salts thereof |
| US7462738B2 (en) | 2006-05-24 | 2008-12-09 | Teva Pharmaceutical Industries Ltd. | Processes for the preparation of R-(+)-3-(carbamoyl methyl)-5-methylhexanoic acid and salts thereof |
| US20080015385A1 (en) * | 2006-05-31 | 2008-01-17 | Lilach Hedvati | Preparation of (S)-pregabalin-nitrile |
| US20080026433A1 (en) * | 2006-05-31 | 2008-01-31 | Lilach Hedvati | Use of enzymatic resolution for the preparation of intermediates of pregabalin |
| US20080306292A1 (en) * | 2007-03-22 | 2008-12-11 | Vinod Kumar Kansal | Synthesis of (S)-(+)-3-(aminomethyl)-5-methyl hexanoic acid |
| US8097754B2 (en) | 2007-03-22 | 2012-01-17 | Teva Pharmaceutical Industries Ltd. | Synthesis of (S)-(+)-3-(aminomethyl)-5-methyl hexanoic acid |
| US20090137842A1 (en) * | 2007-10-03 | 2009-05-28 | Vollerner Yuri | Pregabalin -4-eliminate, pregabalin 5-eliminate, their use as reference marker and standard, and method to produce pregabalin containing low levels thereof |
| US20100087525A1 (en) * | 2008-06-23 | 2010-04-08 | Lilach Hedvati | Stereoselective enzymatic synthesis of (s) or (r)-iso-butyl-glutaric ester |
| WO2011086565A1 (en) * | 2010-01-15 | 2011-07-21 | Lupin Limited | Method for preparation of enantiomerically enriched and/or racemic gamma-amino acids |
Also Published As
| Publication number | Publication date |
|---|---|
| MXPA04010771A (en) | 2005-03-07 |
| EP1499583A1 (en) | 2005-01-26 |
| CN1649827A (en) | 2005-08-03 |
| RU2004131840A (en) | 2005-05-27 |
| JP2005523932A (en) | 2005-08-11 |
| TW200400929A (en) | 2004-01-16 |
| US20030236415A1 (en) | 2003-12-25 |
| PL373296A1 (en) | 2005-08-22 |
| KR20040106415A (en) | 2004-12-17 |
| IL164781A0 (en) | 2005-12-18 |
| AU2003219425A1 (en) | 2003-11-17 |
| US6924377B2 (en) | 2005-08-02 |
| BR0309743A (en) | 2005-02-09 |
| WO2003093220A1 (en) | 2003-11-13 |
| CA2483830A1 (en) | 2003-11-13 |
| AR039467A1 (en) | 2005-02-23 |
Similar Documents
| Publication | Publication Date | Title |
|---|---|---|
| US20030225149A1 (en) | Process for preparing highly functionalized gamma-butyrolactams and gamma-amino acids | |
| JP4172717B2 (en) | Process for producing substituted 2,5-diamino-3-hydroxyhexane | |
| EP0889874B1 (en) | 7-amino-2-heptenoates and their use in the preparation of methylphenidate | |
| US8378119B2 (en) | Method for producing asymmetric tetrasubstituted carbon atom-containing compound | |
| US6635773B2 (en) | Process for preparing citalopram | |
| EP2240442B1 (en) | Preparation process useful in synthesis of atorvastatin | |
| Sagirova et al. | Palladium-catalyzed diastereoselective hydrogenation of N-substituted 3-methyleneisoindolin-1-ones | |
| US5639895A (en) | Process for producing β-nitroenamine | |
| KR100574343B1 (en) | Method for preparing stereoselective 4-hydroxy-2-piperidinone | |
| KR100566318B1 (en) | Method for preparing carbazole-on derivatives | |
| KR100532042B1 (en) | Process for the preparation of n,n-substituted-7-amino-3,5-dihydroxy heptanoic acid derivatives | |
| JP2002284761A (en) | Optically active 3-aminopyrrolidine-2,5-dione derivative and method of producing optically active 3- aminopyrrolidine derivative | |
| JPH05239054A (en) | Method for synthesis of enantiomers of 3-aminocoumarone compound | |
| JP2002212155A (en) | Optically active asparagine ester derivative, optically active 3-aminopyrolidine-2,5-dione derivative and optically active 3-aminopyrrolidine derivative | |
| JP2002053536A (en) | Spiroaminopyrrolidine derivative and method for producing the same | |
| HK1011677B (en) | Intermediates for the preparation of a substituted 2,5-diamino -3-hydroxyhexane |
Legal Events
| Date | Code | Title | Description |
|---|---|---|---|
| STCB | Information on status: application discontinuation |
Free format text: EXPRESSLY ABANDONED -- DURING EXAMINATION |




































































































