US20070072857A1 - Diaryl and arylheteroaryl urea derivatives as modulators of the 5-HT2A serotonin receptor useful for the prophylaxis and treatment of disorders related thereto - Google Patents
Diaryl and arylheteroaryl urea derivatives as modulators of the 5-HT2A serotonin receptor useful for the prophylaxis and treatment of disorders related thereto Download PDFInfo
- Publication number
- US20070072857A1 US20070072857A1 US11/603,601 US60360106A US2007072857A1 US 20070072857 A1 US20070072857 A1 US 20070072857A1 US 60360106 A US60360106 A US 60360106A US 2007072857 A1 US2007072857 A1 US 2007072857A1
- Authority
- US
- United States
- Prior art keywords
- phenyl
- methyl
- pyrazol
- urea
- chloro
- Prior art date
- Legal status (The legal status is an assumption and is not a legal conclusion. Google has not performed a legal analysis and makes no representation as to the accuracy of the status listed.)
- Abandoned
Links
- 0 *C1=C(*)C(N([7*])C(=C)N([8*])C[1*])=C(*)C(c2nnc([4*])c2[3*])=C1[5*].[2*]C Chemical compound *C1=C(*)C(N([7*])C(=C)N([8*])C[1*])=C(*)C(c2nnc([4*])c2[3*])=C1[5*].[2*]C 0.000 description 45
- ARZCWAAQBCWYOE-UHFFFAOYSA-N CN(C)CCCOC1=C(C2=C(Br)C=NN2C)C=C(NC(=O)NC2=C(F)C=CC=C2)C=C1 Chemical compound CN(C)CCCOC1=C(C2=C(Br)C=NN2C)C=C(NC(=O)NC2=C(F)C=CC=C2)C=C1 ARZCWAAQBCWYOE-UHFFFAOYSA-N 0.000 description 2
- YXRNCYXLPQHVPL-UHFFFAOYSA-N CN(C)CCCOC1=C(C2=C(Cl)C=NN2C)C=C(NC(=O)NC2=C(F)C=C(F)C=C2)C=C1 Chemical compound CN(C)CCCOC1=C(C2=C(Cl)C=NN2C)C=C(NC(=O)NC2=C(F)C=C(F)C=C2)C=C1 YXRNCYXLPQHVPL-UHFFFAOYSA-N 0.000 description 2
- MYHSLJTYIGLHJQ-UHFFFAOYSA-N CN(C)CCCOC1=C(C2=C(Cl)C=NN2C)C=C(NC(=O)NC2=CC=C(Cl)C=C2)C=C1 Chemical compound CN(C)CCCOC1=C(C2=C(Cl)C=NN2C)C=C(NC(=O)NC2=CC=C(Cl)C=C2)C=C1 MYHSLJTYIGLHJQ-UHFFFAOYSA-N 0.000 description 2
- VDIORPXWIXPRPK-UHFFFAOYSA-N CN(C)CCCOC1=C(C2=CC=NN2C)C=C(NC(=O)NC2=C(O)C=C(F)C=C2)C=C1 Chemical compound CN(C)CCCOC1=C(C2=CC=NN2C)C=C(NC(=O)NC2=C(O)C=C(F)C=C2)C=C1 VDIORPXWIXPRPK-UHFFFAOYSA-N 0.000 description 2
- TZYABACDRVMYEB-UHFFFAOYSA-N CN(C)CCOC1=C(C2=C(Br)C=NN2C)C=C(NC(=O)NC2=C(O)C=C(F)C=C2)C=C1 Chemical compound CN(C)CCOC1=C(C2=C(Br)C=NN2C)C=C(NC(=O)NC2=C(O)C=C(F)C=C2)C=C1 TZYABACDRVMYEB-UHFFFAOYSA-N 0.000 description 2
- HYKODOULEFENNR-UHFFFAOYSA-N CN(C)CCOC1=C(C2=C(Br)C=NN2C)C=C(NC(=O)NC2=CC=C(F)C=C2)C=C1 Chemical compound CN(C)CCOC1=C(C2=C(Br)C=NN2C)C=C(NC(=O)NC2=CC=C(F)C=C2)C=C1 HYKODOULEFENNR-UHFFFAOYSA-N 0.000 description 2
- USCDCYATSWIFJG-UHFFFAOYSA-N CN(C)CCOC1=C(C2=C(F)C=NN2C)C=C(NC(=O)NC2=C(F)C=C(F)C=C2)C=C1 Chemical compound CN(C)CCOC1=C(C2=C(F)C=NN2C)C=C(NC(=O)NC2=C(F)C=C(F)C=C2)C=C1 USCDCYATSWIFJG-UHFFFAOYSA-N 0.000 description 2
- AAIDILCUIHXJCF-UHFFFAOYSA-N CN(C)CCOC1=C(C2=CC=NN2C)C=C(NC(=O)NC2=C(O)C=C(Cl)C=C2)C=C1 Chemical compound CN(C)CCOC1=C(C2=CC=NN2C)C=C(NC(=O)NC2=C(O)C=C(Cl)C=C2)C=C1 AAIDILCUIHXJCF-UHFFFAOYSA-N 0.000 description 2
- LSSTXJCXCLJISH-UHFFFAOYSA-N CN1N=CC=C1C1=C(OC(F)(F)F)C=CC(NC(=O)NC2=C(F)C=C(F)C=C2)=C1 Chemical compound CN1N=CC=C1C1=C(OC(F)(F)F)C=CC(NC(=O)NC2=C(F)C=C(F)C=C2)=C1 LSSTXJCXCLJISH-UHFFFAOYSA-N 0.000 description 2
- QUJWBLCKDFIUJD-UHFFFAOYSA-N COC1=C(C2=C(Br)C=NN2C(C)C)C=C(NC(=O)NC2=C(Cl)C=C(C(F)(F)F)C=C2)C=C1 Chemical compound COC1=C(C2=C(Br)C=NN2C(C)C)C=C(NC(=O)NC2=C(Cl)C=C(C(F)(F)F)C=C2)C=C1 QUJWBLCKDFIUJD-UHFFFAOYSA-N 0.000 description 2
- UDZTXQOLLVEQRE-UHFFFAOYSA-N COC1=C(C2=C(Br)C=NN2C(C)C)C=C(NC(=O)NC2=CC=C(Cl)C=C2)C=C1 Chemical compound COC1=C(C2=C(Br)C=NN2C(C)C)C=C(NC(=O)NC2=CC=C(Cl)C=C2)C=C1 UDZTXQOLLVEQRE-UHFFFAOYSA-N 0.000 description 2
- FYBKVSDLSUOGGI-UHFFFAOYSA-N COC1=C(C2=C(Br)C=NN2C)C=C(NC(=O)NC2=C(C(F)(F)F)C=C(Cl)C=C2)C=C1 Chemical compound COC1=C(C2=C(Br)C=NN2C)C=C(NC(=O)NC2=C(C(F)(F)F)C=C(Cl)C=C2)C=C1 FYBKVSDLSUOGGI-UHFFFAOYSA-N 0.000 description 2
- SVAWFKOMRPXLOY-UHFFFAOYSA-N COC1=C(C2=C(Br)C=NN2C)C=C(NC(=O)NC2=C(O)C=C(Cl)C=C2)C=C1 Chemical compound COC1=C(C2=C(Br)C=NN2C)C=C(NC(=O)NC2=C(O)C=C(Cl)C=C2)C=C1 SVAWFKOMRPXLOY-UHFFFAOYSA-N 0.000 description 2
- ZVPGVMRXRHMTEF-UHFFFAOYSA-N COC1=C(C2=C(Br)C=NN2C)C=C(NC(=O)NC2=CC(F)=C(F)C=C2)C=C1 Chemical compound COC1=C(C2=C(Br)C=NN2C)C=C(NC(=O)NC2=CC(F)=C(F)C=C2)C=C1 ZVPGVMRXRHMTEF-UHFFFAOYSA-N 0.000 description 2
- CCOVKCNKOZKYEZ-UHFFFAOYSA-N COC1=C(C2=C(Cl)C=NN2C)C=C(NC(=O)NC2=C(C(F)(F)F)C=C(Cl)C=C2)C=C1 Chemical compound COC1=C(C2=C(Cl)C=NN2C)C=C(NC(=O)NC2=C(C(F)(F)F)C=C(Cl)C=C2)C=C1 CCOVKCNKOZKYEZ-UHFFFAOYSA-N 0.000 description 2
- LOFJTRNMHRVUQZ-UHFFFAOYSA-N COC1=C(C2=C(Cl)C=NN2C)C=C(NC(=O)NC2=C(F)C=CC=C2)C=C1 Chemical compound COC1=C(C2=C(Cl)C=NN2C)C=C(NC(=O)NC2=C(F)C=CC=C2)C=C1 LOFJTRNMHRVUQZ-UHFFFAOYSA-N 0.000 description 2
- FMAVDFQSHWUHRX-UHFFFAOYSA-N COC1=C(C2=C(Cl)C=NN2C)C=C(NC(=O)NC2=CC(C#N)=CC=C2)C=C1 Chemical compound COC1=C(C2=C(Cl)C=NN2C)C=C(NC(=O)NC2=CC(C#N)=CC=C2)C=C1 FMAVDFQSHWUHRX-UHFFFAOYSA-N 0.000 description 2
- DYJGPULWLQKPCM-UHFFFAOYSA-N COC1=C(C2=C(F)C=NN2C)C=C(NC(=O)NC2=CC(Cl)=CC=C2)C=C1 Chemical compound COC1=C(C2=C(F)C=NN2C)C=C(NC(=O)NC2=CC(Cl)=CC=C2)C=C1 DYJGPULWLQKPCM-UHFFFAOYSA-N 0.000 description 2
- BWKMVHDWDBLFHM-UHFFFAOYSA-N COC1=CC=CC(NC(=O)NC2=CC(C3=C(Br)C=NN3C)=C(OC)C=C2)=C1 Chemical compound COC1=CC=CC(NC(=O)NC2=CC(C3=C(Br)C=NN3C)=C(OC)C=C2)=C1 BWKMVHDWDBLFHM-UHFFFAOYSA-N 0.000 description 2
- RSRFVSCYWMVELD-UHFFFAOYSA-N C1=CC=NC=C1.C1=CN=CC=N1.C1=CN=CN=C1.C1=CN=NC=C1.C1=CN=NC=N1.C1=CN=NC=N1.C1=CN=NN=C1.C1=CN=NN=C1.C1=NC=NC=N1.CC(C)C.CC(C)C.CC(C)C.CC(C)C.CC(C)C.CC(C)C.CC(C)C.CC(C)C.CC(C)C Chemical compound C1=CC=NC=C1.C1=CN=CC=N1.C1=CN=CN=C1.C1=CN=NC=C1.C1=CN=NC=N1.C1=CN=NC=N1.C1=CN=NN=C1.C1=CN=NN=C1.C1=NC=NC=N1.CC(C)C.CC(C)C.CC(C)C.CC(C)C.CC(C)C.CC(C)C.CC(C)C.CC(C)C.CC(C)C RSRFVSCYWMVELD-UHFFFAOYSA-N 0.000 description 1
- JIXWNHBRLNYCEF-UHFFFAOYSA-N C1=CNC=C1.C1=CNC=N1.C1=CNN=C1.C1=COC=C1.C1=COC=N1.C1=CON=C1.C1=CSC=C1.C1=CSC=N1.C1=CSN=C1.C1=CSN=N1.C1=NC=NN1.C1=NC=NO1.C1=NC=NS1.C1=NN=CN1.C1=NN=CO1.C1=NN=CS1.CC(C)C.CC(C)C.CC(C)C.CC(C)C.CC(C)C.CC(C)C.CC(C)C.CC(C)C.CC(C)C.CC(C)C.CC(C)C.CC(C)C.CC(C)C.CC(C)C.CC(C)C.CC(C)C Chemical compound C1=CNC=C1.C1=CNC=N1.C1=CNN=C1.C1=COC=C1.C1=COC=N1.C1=CON=C1.C1=CSC=C1.C1=CSC=N1.C1=CSN=C1.C1=CSN=N1.C1=NC=NN1.C1=NC=NO1.C1=NC=NS1.C1=NN=CN1.C1=NN=CO1.C1=NN=CS1.CC(C)C.CC(C)C.CC(C)C.CC(C)C.CC(C)C.CC(C)C.CC(C)C.CC(C)C.CC(C)C.CC(C)C.CC(C)C.CC(C)C.CC(C)C.CC(C)C.CC(C)C.CC(C)C JIXWNHBRLNYCEF-UHFFFAOYSA-N 0.000 description 1
- XJQOBPWUHSCEHB-UHFFFAOYSA-N CC(=O)C1=CC=CC(NC(=O)NC2=CC(C3=CC=NN3C)=C(OC(F)(F)F)C=C2)=C1 Chemical compound CC(=O)C1=CC=CC(NC(=O)NC2=CC(C3=CC=NN3C)=C(OC(F)(F)F)C=C2)=C1 XJQOBPWUHSCEHB-UHFFFAOYSA-N 0.000 description 1
- KYXMICVUYBQTKO-UHFFFAOYSA-N CC(=O)C1=CC=CC(NC(=O)NC2=CC(C3=CC=NN3C)=C(OCCN(C)C)C=C2)=C1 Chemical compound CC(=O)C1=CC=CC(NC(=O)NC2=CC(C3=CC=NN3C)=C(OCCN(C)C)C=C2)=C1 KYXMICVUYBQTKO-UHFFFAOYSA-N 0.000 description 1
- KCOWMRDRZMQFIN-UHFFFAOYSA-N CC(=O)N(C)C(C)C.CC(C)C(=O)N(C)C Chemical compound CC(=O)N(C)C(C)C.CC(C)C(=O)N(C)C KCOWMRDRZMQFIN-UHFFFAOYSA-N 0.000 description 1
- WNHUTOHRUUTULP-UHFFFAOYSA-N CC(=O)NC(C)C.CNC(=O)C(C)C Chemical compound CC(=O)NC(C)C.CNC(=O)C(C)C WNHUTOHRUUTULP-UHFFFAOYSA-N 0.000 description 1
- NCKSRACLURDPJP-UHFFFAOYSA-N CC(=S)N(C)C(C)C.CC(C)C(=S)N(C)C Chemical compound CC(=S)N(C)C(C)C.CC(C)C(=S)N(C)C NCKSRACLURDPJP-UHFFFAOYSA-N 0.000 description 1
- XQAQLOXHTADMTJ-UHFFFAOYSA-N CC(=S)NC(C)C.CNC(=S)C(C)C Chemical compound CC(=S)NC(C)C.CNC(=S)C(C)C XQAQLOXHTADMTJ-UHFFFAOYSA-N 0.000 description 1
- OVJGYUVBHOVELE-UHFFFAOYSA-N CC(C)C#CC(C)C Chemical compound CC(C)C#CC(C)C OVJGYUVBHOVELE-UHFFFAOYSA-N 0.000 description 1
- OXWKIIKVDVBVPA-UHFFFAOYSA-N CC(C)N(C)S(C)(=O)=O.CC(C)S(=O)(=O)N(C)C Chemical compound CC(C)N(C)S(C)(=O)=O.CC(C)S(=O)(=O)N(C)C OXWKIIKVDVBVPA-UHFFFAOYSA-N 0.000 description 1
- ZSGOGNHOXWZAMX-UHFFFAOYSA-N CC(C)NS(C)(=O)=O.CNS(=O)(=O)C(C)C Chemical compound CC(C)NS(C)(=O)=O.CNS(=O)(=O)C(C)C ZSGOGNHOXWZAMX-UHFFFAOYSA-N 0.000 description 1
- IRENRIFYNDPXQK-UHFFFAOYSA-N CC(C)OC1=C(C2=C(Br)C=NN2C)C=C(NC(=O)NC2=CC=C(Cl)C=C2)C=C1 Chemical compound CC(C)OC1=C(C2=C(Br)C=NN2C)C=C(NC(=O)NC2=CC=C(Cl)C=C2)C=C1 IRENRIFYNDPXQK-UHFFFAOYSA-N 0.000 description 1
- GSFWLVBPNPZFLK-UHFFFAOYSA-N CC(C)OC1=C(C2=C(Br)C=NN2C)C=C(NC(=O)NC2=CC=C(F)C=C2)C=C1 Chemical compound CC(C)OC1=C(C2=C(Br)C=NN2C)C=C(NC(=O)NC2=CC=C(F)C=C2)C=C1 GSFWLVBPNPZFLK-UHFFFAOYSA-N 0.000 description 1
- SLZVNMYAQGDTPL-UHFFFAOYSA-N CC(C)S(NC)(=O)=O Chemical compound CC(C)S(NC)(=O)=O SLZVNMYAQGDTPL-UHFFFAOYSA-N 0.000 description 1
- VZKCEKMBIZWJQQ-UHFFFAOYSA-N CC1=CC(NC(=O)NC2=CC(C3=CC=NN3C)=C(OCCCN(C)C)C=C2)=C(F)C=C1 Chemical compound CC1=CC(NC(=O)NC2=CC(C3=CC=NN3C)=C(OCCCN(C)C)C=C2)=C(F)C=C1 VZKCEKMBIZWJQQ-UHFFFAOYSA-N 0.000 description 1
- FJCUYKQCCUSLRM-UHFFFAOYSA-N CC1=CC=C(NC(=O)NC2=CC(C3=CC=NN3C)=C(OCCCN(C)C)C=C2)C=C1 Chemical compound CC1=CC=C(NC(=O)NC2=CC(C3=CC=NN3C)=C(OCCCN(C)C)C=C2)C=C1 FJCUYKQCCUSLRM-UHFFFAOYSA-N 0.000 description 1
- NCGLCBITYFKBDE-UHFFFAOYSA-N CCOC1=C(C2=C(Br)C=NN2C)C=C(NC(=O)NC2=CC=C(Cl)C=C2)C=C1 Chemical compound CCOC1=C(C2=C(Br)C=NN2C)C=C(NC(=O)NC2=CC=C(Cl)C=C2)C=C1 NCGLCBITYFKBDE-UHFFFAOYSA-N 0.000 description 1
- RFUSKRNYKBENCO-UHFFFAOYSA-N CCOC1=C(C2=C(Br)C=NN2C)C=C(NC(=O)NC2=CC=C(F)C=C2)C=C1 Chemical compound CCOC1=C(C2=C(Br)C=NN2C)C=C(NC(=O)NC2=CC=C(F)C=C2)C=C1 RFUSKRNYKBENCO-UHFFFAOYSA-N 0.000 description 1
- AZIKFGCDWVZAQX-UHFFFAOYSA-N CN(C)CCCOC1=C(C2=C(Br)C=NN2C)C=C(NC(=O)NC2=C(Cl)C=CC=C2)C=C1 Chemical compound CN(C)CCCOC1=C(C2=C(Br)C=NN2C)C=C(NC(=O)NC2=C(Cl)C=CC=C2)C=C1 AZIKFGCDWVZAQX-UHFFFAOYSA-N 0.000 description 1
- GMWMTXCEUOKCOK-UHFFFAOYSA-N CN(C)CCCOC1=C(C2=C(Br)C=NN2C)C=C(NC(=O)NC2=C(O)C=C(Cl)C=C2)C=C1 Chemical compound CN(C)CCCOC1=C(C2=C(Br)C=NN2C)C=C(NC(=O)NC2=C(O)C=C(Cl)C=C2)C=C1 GMWMTXCEUOKCOK-UHFFFAOYSA-N 0.000 description 1
- NZRVMJOTVZILPR-UHFFFAOYSA-N CN(C)CCCOC1=C(C2=C(Br)C=NN2C)C=C(NC(=O)NC2=C(O)C=C(F)C=C2)C=C1 Chemical compound CN(C)CCCOC1=C(C2=C(Br)C=NN2C)C=C(NC(=O)NC2=C(O)C=C(F)C=C2)C=C1 NZRVMJOTVZILPR-UHFFFAOYSA-N 0.000 description 1
- RJLNPRYAPYITFD-UHFFFAOYSA-N CN(C)CCCOC1=C(C2=C(Br)C=NN2C)C=C(NC(=O)NC2=CC(F)=C(F)C=C2)C=C1 Chemical compound CN(C)CCCOC1=C(C2=C(Br)C=NN2C)C=C(NC(=O)NC2=CC(F)=C(F)C=C2)C=C1 RJLNPRYAPYITFD-UHFFFAOYSA-N 0.000 description 1
- MJIKSXNRCMYEGV-UHFFFAOYSA-N CN(C)CCCOC1=C(C2=C(Br)C=NN2C)C=C(NC(=O)NC2=CC(O)=C(Cl)C=C2)C=C1 Chemical compound CN(C)CCCOC1=C(C2=C(Br)C=NN2C)C=C(NC(=O)NC2=CC(O)=C(Cl)C=C2)C=C1 MJIKSXNRCMYEGV-UHFFFAOYSA-N 0.000 description 1
- QGKZAXJWMLDBNV-UHFFFAOYSA-N CN(C)CCCOC1=C(C2=C(Br)C=NN2C)C=C(NC(=O)NC2=CC(O)=C(F)C=C2)C=C1 Chemical compound CN(C)CCCOC1=C(C2=C(Br)C=NN2C)C=C(NC(=O)NC2=CC(O)=C(F)C=C2)C=C1 QGKZAXJWMLDBNV-UHFFFAOYSA-N 0.000 description 1
- ACXVWVKKTKKBJY-UHFFFAOYSA-N CN(C)CCCOC1=C(C2=C(Br)C=NN2C)C=C(NC(=O)NC2=CC=C(Cl)C=C2)C=C1 Chemical compound CN(C)CCCOC1=C(C2=C(Br)C=NN2C)C=C(NC(=O)NC2=CC=C(Cl)C=C2)C=C1 ACXVWVKKTKKBJY-UHFFFAOYSA-N 0.000 description 1
- KSSPJOYCBVJDCZ-UHFFFAOYSA-N CN(C)CCCOC1=C(C2=C(Br)C=NN2C)C=C(NC(=O)NC2=CC=C(F)C=C2)C=C1 Chemical compound CN(C)CCCOC1=C(C2=C(Br)C=NN2C)C=C(NC(=O)NC2=CC=C(F)C=C2)C=C1 KSSPJOYCBVJDCZ-UHFFFAOYSA-N 0.000 description 1
- LKXOHEVDKHLNSN-UHFFFAOYSA-N CN(C)CCCOC1=C(C2=C(Cl)C=NN2C)C=C(NC(=O)NC2=C(O)C=C(Cl)C=C2)C=C1 Chemical compound CN(C)CCCOC1=C(C2=C(Cl)C=NN2C)C=C(NC(=O)NC2=C(O)C=C(Cl)C=C2)C=C1 LKXOHEVDKHLNSN-UHFFFAOYSA-N 0.000 description 1
- WYUSGBDLCIYULX-UHFFFAOYSA-N CN(C)CCCOC1=C(C2=C(Cl)C=NN2C)C=C(NC(=O)NC2=C(O)C=C(F)C=C2)C=C1 Chemical compound CN(C)CCCOC1=C(C2=C(Cl)C=NN2C)C=C(NC(=O)NC2=C(O)C=C(F)C=C2)C=C1 WYUSGBDLCIYULX-UHFFFAOYSA-N 0.000 description 1
- LQRDYQRJKRTUNV-UHFFFAOYSA-N CN(C)CCCOC1=C(C2=C(Cl)C=NN2C)C=C(NC(=O)NC2=CC(O)=C(Cl)C=C2)C=C1 Chemical compound CN(C)CCCOC1=C(C2=C(Cl)C=NN2C)C=C(NC(=O)NC2=CC(O)=C(Cl)C=C2)C=C1 LQRDYQRJKRTUNV-UHFFFAOYSA-N 0.000 description 1
- JKZYGTMTZLIMEO-UHFFFAOYSA-N CN(C)CCCOC1=C(C2=C(Cl)C=NN2C)C=C(NC(=O)NC2=CC(O)=C(F)C=C2)C=C1 Chemical compound CN(C)CCCOC1=C(C2=C(Cl)C=NN2C)C=C(NC(=O)NC2=CC(O)=C(F)C=C2)C=C1 JKZYGTMTZLIMEO-UHFFFAOYSA-N 0.000 description 1
- QPOWTVMPLGHGNF-UHFFFAOYSA-N CN(C)CCCOC1=C(C2=C(Cl)C=NN2C)C=C(NC(=O)NC2=CC=C(F)C=C2)C=C1 Chemical compound CN(C)CCCOC1=C(C2=C(Cl)C=NN2C)C=C(NC(=O)NC2=CC=C(F)C=C2)C=C1 QPOWTVMPLGHGNF-UHFFFAOYSA-N 0.000 description 1
- XTTKHALPTNRMOX-UHFFFAOYSA-N CN(C)CCCOC1=C(C2=C(F)C=NN2C)C=C(NC(=O)NC2=C(F)C=C(F)C=C2)C=C1 Chemical compound CN(C)CCCOC1=C(C2=C(F)C=NN2C)C=C(NC(=O)NC2=C(F)C=C(F)C=C2)C=C1 XTTKHALPTNRMOX-UHFFFAOYSA-N 0.000 description 1
- VYLXIDYOEOCWPM-UHFFFAOYSA-N CN(C)CCCOC1=C(C2=C(F)C=NN2C)C=C(NC(=O)NC2=C(O)C=C(Cl)C=C2)C=C1 Chemical compound CN(C)CCCOC1=C(C2=C(F)C=NN2C)C=C(NC(=O)NC2=C(O)C=C(Cl)C=C2)C=C1 VYLXIDYOEOCWPM-UHFFFAOYSA-N 0.000 description 1
- WRHLLLRGVJNFAQ-UHFFFAOYSA-N CN(C)CCCOC1=C(C2=C(F)C=NN2C)C=C(NC(=O)NC2=C(O)C=C(F)C=C2)C=C1 Chemical compound CN(C)CCCOC1=C(C2=C(F)C=NN2C)C=C(NC(=O)NC2=C(O)C=C(F)C=C2)C=C1 WRHLLLRGVJNFAQ-UHFFFAOYSA-N 0.000 description 1
- AJCHXXIUIJVVTL-UHFFFAOYSA-N CN(C)CCCOC1=C(C2=C(F)C=NN2C)C=C(NC(=O)NC2=CC(O)=C(Cl)C=C2)C=C1 Chemical compound CN(C)CCCOC1=C(C2=C(F)C=NN2C)C=C(NC(=O)NC2=CC(O)=C(Cl)C=C2)C=C1 AJCHXXIUIJVVTL-UHFFFAOYSA-N 0.000 description 1
- CXGULMMUUFVBRL-UHFFFAOYSA-N CN(C)CCCOC1=C(C2=C(F)C=NN2C)C=C(NC(=O)NC2=CC(O)=C(F)C=C2)C=C1 Chemical compound CN(C)CCCOC1=C(C2=C(F)C=NN2C)C=C(NC(=O)NC2=CC(O)=C(F)C=C2)C=C1 CXGULMMUUFVBRL-UHFFFAOYSA-N 0.000 description 1
- BQMHXYTXCNZTRA-UHFFFAOYSA-N CN(C)CCCOC1=C(C2=C(F)C=NN2C)C=C(NC(=O)NC2=CC=C(Cl)C=C2)C=C1 Chemical compound CN(C)CCCOC1=C(C2=C(F)C=NN2C)C=C(NC(=O)NC2=CC=C(Cl)C=C2)C=C1 BQMHXYTXCNZTRA-UHFFFAOYSA-N 0.000 description 1
- WSHBKUOEHUSUPL-UHFFFAOYSA-N CN(C)CCCOC1=C(C2=C(F)C=NN2C)C=C(NC(=O)NC2=CC=C(F)C=C2)C=C1 Chemical compound CN(C)CCCOC1=C(C2=C(F)C=NN2C)C=C(NC(=O)NC2=CC=C(F)C=C2)C=C1 WSHBKUOEHUSUPL-UHFFFAOYSA-N 0.000 description 1
- AKRRFFJBSRFAKM-UHFFFAOYSA-N CN(C)CCCOC1=C(C2=CC=NN2C)C=C(NC(=O)NC2=C(Cl)C=CC=C2)C=C1 Chemical compound CN(C)CCCOC1=C(C2=CC=NN2C)C=C(NC(=O)NC2=C(Cl)C=CC=C2)C=C1 AKRRFFJBSRFAKM-UHFFFAOYSA-N 0.000 description 1
- CSHXEKZUWVQYQJ-UHFFFAOYSA-N CN(C)CCCOC1=C(C2=CC=NN2C)C=C(NC(=O)NC2=C(F)C=C(F)C=C2)C=C1 Chemical compound CN(C)CCCOC1=C(C2=CC=NN2C)C=C(NC(=O)NC2=C(F)C=C(F)C=C2)C=C1 CSHXEKZUWVQYQJ-UHFFFAOYSA-N 0.000 description 1
- LWLWVPZXHLKQQG-UHFFFAOYSA-N CN(C)CCCOC1=C(C2=CC=NN2C)C=C(NC(=O)NC2=C(F)C=CC=C2)C=C1 Chemical compound CN(C)CCCOC1=C(C2=CC=NN2C)C=C(NC(=O)NC2=C(F)C=CC=C2)C=C1 LWLWVPZXHLKQQG-UHFFFAOYSA-N 0.000 description 1
- KZGMQZNUVWHEBH-UHFFFAOYSA-N CN(C)CCCOC1=C(C2=CC=NN2C)C=C(NC(=O)NC2=C(O)C=C(Cl)C=C2)C=C1 Chemical compound CN(C)CCCOC1=C(C2=CC=NN2C)C=C(NC(=O)NC2=C(O)C=C(Cl)C=C2)C=C1 KZGMQZNUVWHEBH-UHFFFAOYSA-N 0.000 description 1
- HDZVUUPSYJKDLQ-UHFFFAOYSA-N CN(C)CCCOC1=C(C2=CC=NN2C)C=C(NC(=O)NC2=CC(Cl)=C(F)C=C2)C=C1 Chemical compound CN(C)CCCOC1=C(C2=CC=NN2C)C=C(NC(=O)NC2=CC(Cl)=C(F)C=C2)C=C1 HDZVUUPSYJKDLQ-UHFFFAOYSA-N 0.000 description 1
- FUTGUWWRHLXGAA-UHFFFAOYSA-N CN(C)CCCOC1=C(C2=CC=NN2C)C=C(NC(=O)NC2=CC(Cl)=CC=C2)C=C1 Chemical compound CN(C)CCCOC1=C(C2=CC=NN2C)C=C(NC(=O)NC2=CC(Cl)=CC=C2)C=C1 FUTGUWWRHLXGAA-UHFFFAOYSA-N 0.000 description 1
- JOKWIYRWUVIDFP-UHFFFAOYSA-N CN(C)CCCOC1=C(C2=CC=NN2C)C=C(NC(=O)NC2=CC(F)=C(F)C=C2)C=C1 Chemical compound CN(C)CCCOC1=C(C2=CC=NN2C)C=C(NC(=O)NC2=CC(F)=C(F)C=C2)C=C1 JOKWIYRWUVIDFP-UHFFFAOYSA-N 0.000 description 1
- HMXOLNVQWNOHGP-UHFFFAOYSA-N CN(C)CCCOC1=C(C2=CC=NN2C)C=C(NC(=O)NC2=CC(O)=C(Cl)C=C2)C=C1 Chemical compound CN(C)CCCOC1=C(C2=CC=NN2C)C=C(NC(=O)NC2=CC(O)=C(Cl)C=C2)C=C1 HMXOLNVQWNOHGP-UHFFFAOYSA-N 0.000 description 1
- QSUYKORVKVBYTB-UHFFFAOYSA-N CN(C)CCCOC1=C(C2=CC=NN2C)C=C(NC(=O)NC2=CC(O)=C(F)C=C2)C=C1 Chemical compound CN(C)CCCOC1=C(C2=CC=NN2C)C=C(NC(=O)NC2=CC(O)=C(F)C=C2)C=C1 QSUYKORVKVBYTB-UHFFFAOYSA-N 0.000 description 1
- DEORJTSVKVHKEW-UHFFFAOYSA-N CN(C)CCCOC1=C(C2=CC=NN2C)C=C(NC(=O)NC2=CC3=C(C=C2)OC(F)(F)O3)C=C1 Chemical compound CN(C)CCCOC1=C(C2=CC=NN2C)C=C(NC(=O)NC2=CC3=C(C=C2)OC(F)(F)O3)C=C1 DEORJTSVKVHKEW-UHFFFAOYSA-N 0.000 description 1
- UIOJYOFDDCAGKS-UHFFFAOYSA-N CN(C)CCCOC1=C(C2=CC=NN2C)C=C(NC(=O)NC2=CC=C(C(F)(F)F)C=C2)C=C1 Chemical compound CN(C)CCCOC1=C(C2=CC=NN2C)C=C(NC(=O)NC2=CC=C(C(F)(F)F)C=C2)C=C1 UIOJYOFDDCAGKS-UHFFFAOYSA-N 0.000 description 1
- GATUHOYOBLIPAT-UHFFFAOYSA-N CN(C)CCCOC1=C(C2=CC=NN2C)C=C(NC(=O)NC2=CC=C(Cl)C=C2)C=C1 Chemical compound CN(C)CCCOC1=C(C2=CC=NN2C)C=C(NC(=O)NC2=CC=C(Cl)C=C2)C=C1 GATUHOYOBLIPAT-UHFFFAOYSA-N 0.000 description 1
- VUCQILZEZMZUEU-UHFFFAOYSA-N CN(C)CCCOC1=C(C2=CC=NN2C)C=C(NC(=O)NC2=CC=C(F)C=C2)C=C1 Chemical compound CN(C)CCCOC1=C(C2=CC=NN2C)C=C(NC(=O)NC2=CC=C(F)C=C2)C=C1 VUCQILZEZMZUEU-UHFFFAOYSA-N 0.000 description 1
- IHTUQVCQQPRIIX-UHFFFAOYSA-N CN(C)CCCOC1=C(C2=CC=NN2C)C=C(NC(=O)NC2=CC=CC=C2)C=C1 Chemical compound CN(C)CCCOC1=C(C2=CC=NN2C)C=C(NC(=O)NC2=CC=CC=C2)C=C1 IHTUQVCQQPRIIX-UHFFFAOYSA-N 0.000 description 1
- USPPVBSAUODMIN-UHFFFAOYSA-N CN(C)CCCOC1=C(C2=CC=NN2C)C=C(NC(=O)NCC2=CC=C(Cl)C=C2)C=C1 Chemical compound CN(C)CCCOC1=C(C2=CC=NN2C)C=C(NC(=O)NCC2=CC=C(Cl)C=C2)C=C1 USPPVBSAUODMIN-UHFFFAOYSA-N 0.000 description 1
- KJDRHVUIQFSHGH-UHFFFAOYSA-N CN(C)CCOC1=C(C2=C(Br)C=NN2C)C=C(NC(=O)NC2=C(F)C=C(F)C=C2)C=C1 Chemical compound CN(C)CCOC1=C(C2=C(Br)C=NN2C)C=C(NC(=O)NC2=C(F)C=C(F)C=C2)C=C1 KJDRHVUIQFSHGH-UHFFFAOYSA-N 0.000 description 1
- GBEASCPANNBDJI-UHFFFAOYSA-N CN(C)CCOC1=C(C2=C(Br)C=NN2C)C=C(NC(=O)NC2=C(O)C=C(Cl)C=C2)C=C1 Chemical compound CN(C)CCOC1=C(C2=C(Br)C=NN2C)C=C(NC(=O)NC2=C(O)C=C(Cl)C=C2)C=C1 GBEASCPANNBDJI-UHFFFAOYSA-N 0.000 description 1
- JQBAKPBJNUJINJ-UHFFFAOYSA-N CN(C)CCOC1=C(C2=C(Br)C=NN2C)C=C(NC(=O)NC2=CC(O)=C(Cl)C=C2)C=C1 Chemical compound CN(C)CCOC1=C(C2=C(Br)C=NN2C)C=C(NC(=O)NC2=CC(O)=C(Cl)C=C2)C=C1 JQBAKPBJNUJINJ-UHFFFAOYSA-N 0.000 description 1
- LFOYMHCXQAUULF-UHFFFAOYSA-N CN(C)CCOC1=C(C2=C(Br)C=NN2C)C=C(NC(=O)NC2=CC(O)=C(F)C=C2)C=C1 Chemical compound CN(C)CCOC1=C(C2=C(Br)C=NN2C)C=C(NC(=O)NC2=CC(O)=C(F)C=C2)C=C1 LFOYMHCXQAUULF-UHFFFAOYSA-N 0.000 description 1
- OFDVXEACVAALGN-UHFFFAOYSA-N CN(C)CCOC1=C(C2=C(Br)C=NN2C)C=C(NC(=O)NC2=CC=C(Cl)C=C2)C=C1 Chemical compound CN(C)CCOC1=C(C2=C(Br)C=NN2C)C=C(NC(=O)NC2=CC=C(Cl)C=C2)C=C1 OFDVXEACVAALGN-UHFFFAOYSA-N 0.000 description 1
- YWWVJKTZTYOADA-UHFFFAOYSA-N CN(C)CCOC1=C(C2=C(Cl)C=NN2C)C=C(NC(=O)NC2=C(F)C=C(F)C=C2)C=C1 Chemical compound CN(C)CCOC1=C(C2=C(Cl)C=NN2C)C=C(NC(=O)NC2=C(F)C=C(F)C=C2)C=C1 YWWVJKTZTYOADA-UHFFFAOYSA-N 0.000 description 1
- CFZOQPPLVOSFRY-UHFFFAOYSA-N CN(C)CCOC1=C(C2=C(Cl)C=NN2C)C=C(NC(=O)NC2=C(O)C=C(Cl)C=C2)C=C1 Chemical compound CN(C)CCOC1=C(C2=C(Cl)C=NN2C)C=C(NC(=O)NC2=C(O)C=C(Cl)C=C2)C=C1 CFZOQPPLVOSFRY-UHFFFAOYSA-N 0.000 description 1
- DDKPHYWPDUXKMR-UHFFFAOYSA-N CN(C)CCOC1=C(C2=C(Cl)C=NN2C)C=C(NC(=O)NC2=C(O)C=C(F)C=C2)C=C1 Chemical compound CN(C)CCOC1=C(C2=C(Cl)C=NN2C)C=C(NC(=O)NC2=C(O)C=C(F)C=C2)C=C1 DDKPHYWPDUXKMR-UHFFFAOYSA-N 0.000 description 1
- QKIPQEPOINCSRI-UHFFFAOYSA-N CN(C)CCOC1=C(C2=C(Cl)C=NN2C)C=C(NC(=O)NC2=CC(O)=C(Cl)C=C2)C=C1 Chemical compound CN(C)CCOC1=C(C2=C(Cl)C=NN2C)C=C(NC(=O)NC2=CC(O)=C(Cl)C=C2)C=C1 QKIPQEPOINCSRI-UHFFFAOYSA-N 0.000 description 1
- HLOBWAOVMXWLFD-UHFFFAOYSA-N CN(C)CCOC1=C(C2=C(Cl)C=NN2C)C=C(NC(=O)NC2=CC(O)=C(F)C=C2)C=C1 Chemical compound CN(C)CCOC1=C(C2=C(Cl)C=NN2C)C=C(NC(=O)NC2=CC(O)=C(F)C=C2)C=C1 HLOBWAOVMXWLFD-UHFFFAOYSA-N 0.000 description 1
- AGDWLPMGGWLXAG-UHFFFAOYSA-N CN(C)CCOC1=C(C2=C(Cl)C=NN2C)C=C(NC(=O)NC2=CC=C(Cl)C=C2)C=C1 Chemical compound CN(C)CCOC1=C(C2=C(Cl)C=NN2C)C=C(NC(=O)NC2=CC=C(Cl)C=C2)C=C1 AGDWLPMGGWLXAG-UHFFFAOYSA-N 0.000 description 1
- XVMFGHXVNKVMDU-UHFFFAOYSA-N CN(C)CCOC1=C(C2=C(Cl)C=NN2C)C=C(NC(=O)NC2=CC=C(F)C=C2)C=C1 Chemical compound CN(C)CCOC1=C(C2=C(Cl)C=NN2C)C=C(NC(=O)NC2=CC=C(F)C=C2)C=C1 XVMFGHXVNKVMDU-UHFFFAOYSA-N 0.000 description 1
- MUAIQGSPYXXUFM-UHFFFAOYSA-N CN(C)CCOC1=C(C2=C(F)C=NN2C)C=C(NC(=O)NC2=C(O)C=C(Cl)C=C2)C=C1 Chemical compound CN(C)CCOC1=C(C2=C(F)C=NN2C)C=C(NC(=O)NC2=C(O)C=C(Cl)C=C2)C=C1 MUAIQGSPYXXUFM-UHFFFAOYSA-N 0.000 description 1
- PNEYHNZLRNXKGD-UHFFFAOYSA-N CN(C)CCOC1=C(C2=C(F)C=NN2C)C=C(NC(=O)NC2=C(O)C=C(F)C=C2)C=C1 Chemical compound CN(C)CCOC1=C(C2=C(F)C=NN2C)C=C(NC(=O)NC2=C(O)C=C(F)C=C2)C=C1 PNEYHNZLRNXKGD-UHFFFAOYSA-N 0.000 description 1
- SDGMUFKTBUMBSQ-UHFFFAOYSA-N CN(C)CCOC1=C(C2=C(F)C=NN2C)C=C(NC(=O)NC2=CC(O)=C(Cl)C=C2)C=C1 Chemical compound CN(C)CCOC1=C(C2=C(F)C=NN2C)C=C(NC(=O)NC2=CC(O)=C(Cl)C=C2)C=C1 SDGMUFKTBUMBSQ-UHFFFAOYSA-N 0.000 description 1
- CEIVHYWHLXMUCK-UHFFFAOYSA-N CN(C)CCOC1=C(C2=C(F)C=NN2C)C=C(NC(=O)NC2=CC(O)=C(F)C=C2)C=C1 Chemical compound CN(C)CCOC1=C(C2=C(F)C=NN2C)C=C(NC(=O)NC2=CC(O)=C(F)C=C2)C=C1 CEIVHYWHLXMUCK-UHFFFAOYSA-N 0.000 description 1
- UBGQBODYQLZJRL-UHFFFAOYSA-N CN(C)CCOC1=C(C2=C(F)C=NN2C)C=C(NC(=O)NC2=CC=C(Cl)C=C2)C=C1 Chemical compound CN(C)CCOC1=C(C2=C(F)C=NN2C)C=C(NC(=O)NC2=CC=C(Cl)C=C2)C=C1 UBGQBODYQLZJRL-UHFFFAOYSA-N 0.000 description 1
- HSQNJLBCCOOPOD-UHFFFAOYSA-N CN(C)CCOC1=C(C2=C(F)C=NN2C)C=C(NC(=O)NC2=CC=C(F)C=C2)C=C1 Chemical compound CN(C)CCOC1=C(C2=C(F)C=NN2C)C=C(NC(=O)NC2=CC=C(F)C=C2)C=C1 HSQNJLBCCOOPOD-UHFFFAOYSA-N 0.000 description 1
- KSEJHUHTJQBSMA-UHFFFAOYSA-N CN(C)CCOC1=C(C2=CC=NN2C)C=C(NC(=O)NC2=C(F)C=C(F)C=C2)C=C1 Chemical compound CN(C)CCOC1=C(C2=CC=NN2C)C=C(NC(=O)NC2=C(F)C=C(F)C=C2)C=C1 KSEJHUHTJQBSMA-UHFFFAOYSA-N 0.000 description 1
- UDZPVMHBLOWCAI-UHFFFAOYSA-N CN(C)CCOC1=C(C2=CC=NN2C)C=C(NC(=O)NC2=C(O)C=C(F)C=C2)C=C1 Chemical compound CN(C)CCOC1=C(C2=CC=NN2C)C=C(NC(=O)NC2=C(O)C=C(F)C=C2)C=C1 UDZPVMHBLOWCAI-UHFFFAOYSA-N 0.000 description 1
- KFRQVCIHYIBIDP-UHFFFAOYSA-N CN(C)CCOC1=C(C2=CC=NN2C)C=C(NC(=O)NC2=CC(O)=C(Cl)C=C2)C=C1 Chemical compound CN(C)CCOC1=C(C2=CC=NN2C)C=C(NC(=O)NC2=CC(O)=C(Cl)C=C2)C=C1 KFRQVCIHYIBIDP-UHFFFAOYSA-N 0.000 description 1
- QZZYYOHDAJGCJS-UHFFFAOYSA-N CN(C)CCOC1=C(C2=CC=NN2C)C=C(NC(=O)NC2=CC(O)=C(F)C=C2)C=C1 Chemical compound CN(C)CCOC1=C(C2=CC=NN2C)C=C(NC(=O)NC2=CC(O)=C(F)C=C2)C=C1 QZZYYOHDAJGCJS-UHFFFAOYSA-N 0.000 description 1
- QRHGNFRUBHMYRX-UHFFFAOYSA-N CN(C)CCOC1=C(C2=CC=NN2C)C=C(NC(=O)NC2=CC3=C(C=C2)OC(F)(F)O3)C=C1 Chemical compound CN(C)CCOC1=C(C2=CC=NN2C)C=C(NC(=O)NC2=CC3=C(C=C2)OC(F)(F)O3)C=C1 QRHGNFRUBHMYRX-UHFFFAOYSA-N 0.000 description 1
- KKMCWJNGDVVGCR-UHFFFAOYSA-N CN(C)CCOC1=C(C2=CC=NN2C)C=C(NC(=O)NC2=CC=C(Cl)C=C2)C=C1 Chemical compound CN(C)CCOC1=C(C2=CC=NN2C)C=C(NC(=O)NC2=CC=C(Cl)C=C2)C=C1 KKMCWJNGDVVGCR-UHFFFAOYSA-N 0.000 description 1
- SMXPGZDILBJIOG-UHFFFAOYSA-N CN(C)CCOC1=C(C2=CC=NN2C)C=C(NC(=O)NC2=CC=C(F)C=C2)C=C1 Chemical compound CN(C)CCOC1=C(C2=CC=NN2C)C=C(NC(=O)NC2=CC=C(F)C=C2)C=C1 SMXPGZDILBJIOG-UHFFFAOYSA-N 0.000 description 1
- FWDCJJHZEKJLAA-UHFFFAOYSA-N CN1C=CC(C2=C(O)C=CC(NC(=O)NC3=CC=C(Cl)C=C3)=C2)=N1 Chemical compound CN1C=CC(C2=C(O)C=CC(NC(=O)NC3=CC=C(Cl)C=C3)=C2)=N1 FWDCJJHZEKJLAA-UHFFFAOYSA-N 0.000 description 1
- XSZODQYCJSRFDH-UHFFFAOYSA-N CN1N=CC(Br)=C1C1=C(O)C=CC(NC(=O)NC2=C(F)C=C(F)C=C2)=C1 Chemical compound CN1N=CC(Br)=C1C1=C(O)C=CC(NC(=O)NC2=C(F)C=C(F)C=C2)=C1 XSZODQYCJSRFDH-UHFFFAOYSA-N 0.000 description 1
- YVULDVDQRKNGCM-UHFFFAOYSA-N CN1N=CC(Br)=C1C1=C(O)C=CC(NC(=O)NC2=CC=C(Cl)C=C2)=C1 Chemical compound CN1N=CC(Br)=C1C1=C(O)C=CC(NC(=O)NC2=CC=C(Cl)C=C2)=C1 YVULDVDQRKNGCM-UHFFFAOYSA-N 0.000 description 1
- TYRDAIXCJKHQRL-UHFFFAOYSA-N CN1N=CC(Br)=C1C1=C(OC(F)(F)F)C=CC(NC(=O)NC2=C(F)C=C(F)C=C2)=C1 Chemical compound CN1N=CC(Br)=C1C1=C(OC(F)(F)F)C=CC(NC(=O)NC2=C(F)C=C(F)C=C2)=C1 TYRDAIXCJKHQRL-UHFFFAOYSA-N 0.000 description 1
- JCEKFLMKRPIGFR-UHFFFAOYSA-N CN1N=CC(Br)=C1C1=C(OC(F)(F)F)C=CC(NC(=O)NC2=CC=C(Cl)C=C2)=C1 Chemical compound CN1N=CC(Br)=C1C1=C(OC(F)(F)F)C=CC(NC(=O)NC2=CC=C(Cl)C=C2)=C1 JCEKFLMKRPIGFR-UHFFFAOYSA-N 0.000 description 1
- YIQVLAJBNXPJGN-UHFFFAOYSA-N CN1N=CC(Br)=C1C1=C(OCC(=O)O)C=CC(NC(=O)NC2=CC=C(Cl)C=C2)=C1 Chemical compound CN1N=CC(Br)=C1C1=C(OCC(=O)O)C=CC(NC(=O)NC2=CC=C(Cl)C=C2)=C1 YIQVLAJBNXPJGN-UHFFFAOYSA-N 0.000 description 1
- LHGXUNFGKTTZQP-UHFFFAOYSA-N CN1N=CC(Br)=C1C1=C(OCC2=CC=C(Cl)C=C2)C=CC(NC(=O)NC2=CC=C(Cl)C=C2)=C1 Chemical compound CN1N=CC(Br)=C1C1=C(OCC2=CC=C(Cl)C=C2)C=CC(NC(=O)NC2=CC=C(Cl)C=C2)=C1 LHGXUNFGKTTZQP-UHFFFAOYSA-N 0.000 description 1
- GVLPJAFMLPUQEU-UHFFFAOYSA-N CN1N=CC(Br)=C1C1=C(OCC2=CC=C(Cl)C=C2)C=CC(NC(=O)NC2=CC=C(F)C=C2)=C1 Chemical compound CN1N=CC(Br)=C1C1=C(OCC2=CC=C(Cl)C=C2)C=CC(NC(=O)NC2=CC=C(F)C=C2)=C1 GVLPJAFMLPUQEU-UHFFFAOYSA-N 0.000 description 1
- KNHPQCFZWPOLFQ-UHFFFAOYSA-N CN1N=CC(Br)=C1C1=C(OCC2=CC=CC=C2)C=CC(NC(=O)NC2=CC=C(Cl)C=C2)=C1 Chemical compound CN1N=CC(Br)=C1C1=C(OCC2=CC=CC=C2)C=CC(NC(=O)NC2=CC=C(Cl)C=C2)=C1 KNHPQCFZWPOLFQ-UHFFFAOYSA-N 0.000 description 1
- BGKGIDMABNBWJX-UHFFFAOYSA-N CN1N=CC(Br)=C1C1=C(OCC2=CC=CC=C2)C=CC(NC(=O)NC2=CC=C(F)C=C2)=C1 Chemical compound CN1N=CC(Br)=C1C1=C(OCC2=CC=CC=C2)C=CC(NC(=O)NC2=CC=C(F)C=C2)=C1 BGKGIDMABNBWJX-UHFFFAOYSA-N 0.000 description 1
- DWWNKZZQDZOLGU-UHFFFAOYSA-N CN1N=CC(Br)=C1C1=C(OCCC2=CC=CC=C2)C=CC(NC(=O)NC2=CC=C(Cl)C=C2)=C1 Chemical compound CN1N=CC(Br)=C1C1=C(OCCC2=CC=CC=C2)C=CC(NC(=O)NC2=CC=C(Cl)C=C2)=C1 DWWNKZZQDZOLGU-UHFFFAOYSA-N 0.000 description 1
- HVOHAVCPTFJZNO-UHFFFAOYSA-N CN1N=CC(Br)=C1C1=C(OCCC2=CC=CC=C2)C=CC(NC(=O)NC2=CC=C(F)C=C2)=C1 Chemical compound CN1N=CC(Br)=C1C1=C(OCCC2=CC=CC=C2)C=CC(NC(=O)NC2=CC=C(F)C=C2)=C1 HVOHAVCPTFJZNO-UHFFFAOYSA-N 0.000 description 1
- NRJZJPDCOUXCMY-UHFFFAOYSA-N CN1N=CC(Br)=C1C1=C(OCCNC(=O)OC(C)(C)C)C=CC(NC(=O)NC2=C(F)C=C(F)C=C2)=C1 Chemical compound CN1N=CC(Br)=C1C1=C(OCCNC(=O)OC(C)(C)C)C=CC(NC(=O)NC2=C(F)C=C(F)C=C2)=C1 NRJZJPDCOUXCMY-UHFFFAOYSA-N 0.000 description 1
- NGODPXJZSGNGCT-UHFFFAOYSA-N CN1N=CC(Cl)=C1C1=C(O)C=CC(NC(=O)NC2=C(F)C=C(F)C=C2)=C1 Chemical compound CN1N=CC(Cl)=C1C1=C(O)C=CC(NC(=O)NC2=C(F)C=C(F)C=C2)=C1 NGODPXJZSGNGCT-UHFFFAOYSA-N 0.000 description 1
- MBCYPRFOPAYBAQ-UHFFFAOYSA-N CN1N=CC(Cl)=C1C1=C(O)C=CC(NC(=O)NC2=CC=C(Cl)C=C2)=C1 Chemical compound CN1N=CC(Cl)=C1C1=C(O)C=CC(NC(=O)NC2=CC=C(Cl)C=C2)=C1 MBCYPRFOPAYBAQ-UHFFFAOYSA-N 0.000 description 1
- NLONUUNPZPRXON-UHFFFAOYSA-N CN1N=CC=C1C1=C(O)C=CC(NC(=O)NC2=CC=C(Cl)C=C2)=C1 Chemical compound CN1N=CC=C1C1=C(O)C=CC(NC(=O)NC2=CC=C(Cl)C=C2)=C1 NLONUUNPZPRXON-UHFFFAOYSA-N 0.000 description 1
- QXVITIFEEUQFMP-UHFFFAOYSA-N CN1N=CC=C1C1=C(OC(F)(F)F)C=CC(NC(=O)NC2=CC=C(C(F)(F)F)C=C2)=C1 Chemical compound CN1N=CC=C1C1=C(OC(F)(F)F)C=CC(NC(=O)NC2=CC=C(C(F)(F)F)C=C2)=C1 QXVITIFEEUQFMP-UHFFFAOYSA-N 0.000 description 1
- PRXZJWYJIDOHSL-UHFFFAOYSA-N CN1N=CC=C1C1=C(OC(F)(F)F)C=CC(NC(=O)NC2=CC=C(Cl)C=C2)=C1 Chemical compound CN1N=CC=C1C1=C(OC(F)(F)F)C=CC(NC(=O)NC2=CC=C(Cl)C=C2)=C1 PRXZJWYJIDOHSL-UHFFFAOYSA-N 0.000 description 1
- RINVMEPAFKZZFE-UHFFFAOYSA-N CN1N=CC=C1C1=C(OC(F)(F)F)C=CC(NC(=O)NC2=CC=C(F)C=C2)=C1 Chemical compound CN1N=CC=C1C1=C(OC(F)(F)F)C=CC(NC(=O)NC2=CC=C(F)C=C2)=C1 RINVMEPAFKZZFE-UHFFFAOYSA-N 0.000 description 1
- UQKKKONQLHGKCG-UHFFFAOYSA-N COC1=C(C2=C(Br)C(C(F)(F)F)=NN2C)C=C(NC(=O)NC2=CC=C(Cl)C=C2)C=C1 Chemical compound COC1=C(C2=C(Br)C(C(F)(F)F)=NN2C)C=C(NC(=O)NC2=CC=C(Cl)C=C2)C=C1 UQKKKONQLHGKCG-UHFFFAOYSA-N 0.000 description 1
- RVWOQROZJZAQSC-UHFFFAOYSA-N COC1=C(C2=C(Br)C(C(F)(F)F)=NN2C)C=C(NC(=O)NC2=CC=C(F)C=C2)C=C1 Chemical compound COC1=C(C2=C(Br)C(C(F)(F)F)=NN2C)C=C(NC(=O)NC2=CC=C(F)C=C2)C=C1 RVWOQROZJZAQSC-UHFFFAOYSA-N 0.000 description 1
- NNEYSRJXQACGDI-UHFFFAOYSA-N COC1=C(C2=C(Br)C=NN2)C=C(NC(=O)NC2=C(F)C=C(F)C=C2)C=C1 Chemical compound COC1=C(C2=C(Br)C=NN2)C=C(NC(=O)NC2=C(F)C=C(F)C=C2)C=C1 NNEYSRJXQACGDI-UHFFFAOYSA-N 0.000 description 1
- ASCJYHKWBXDHBH-UHFFFAOYSA-N COC1=C(C2=C(Br)C=NN2C(C)C)C=C(NC(=O)NC2=CC(Cl)=C(F)C=C2)C=C1 Chemical compound COC1=C(C2=C(Br)C=NN2C(C)C)C=C(NC(=O)NC2=CC(Cl)=C(F)C=C2)C=C1 ASCJYHKWBXDHBH-UHFFFAOYSA-N 0.000 description 1
- VFWONNWWJDOQTJ-UHFFFAOYSA-N COC1=C(C2=C(Br)C=NN2C(C)C)C=C(NC(=O)NC2=CC(F)=C(F)C=C2)C=C1 Chemical compound COC1=C(C2=C(Br)C=NN2C(C)C)C=C(NC(=O)NC2=CC(F)=C(F)C=C2)C=C1 VFWONNWWJDOQTJ-UHFFFAOYSA-N 0.000 description 1
- AUGKRYGTYDFPKP-UHFFFAOYSA-N COC1=C(C2=C(Br)C=NN2C(C)C)C=C(NC(=O)NC2=CC=C(F)C=C2)C=C1 Chemical compound COC1=C(C2=C(Br)C=NN2C(C)C)C=C(NC(=O)NC2=CC=C(F)C=C2)C=C1 AUGKRYGTYDFPKP-UHFFFAOYSA-N 0.000 description 1
- HLIGMVZDUSJGKQ-UHFFFAOYSA-N COC1=C(C2=C(Br)C=NN2C)C=C(NC(=O)NC(=O)C2=CC=CC=C2)C=C1 Chemical compound COC1=C(C2=C(Br)C=NN2C)C=C(NC(=O)NC(=O)C2=CC=CC=C2)C=C1 HLIGMVZDUSJGKQ-UHFFFAOYSA-N 0.000 description 1
- HGXSSNYPEAMLIA-UHFFFAOYSA-N COC1=C(C2=C(Br)C=NN2C)C=C(NC(=O)NC2=C(C3=CC=CC=C3)C=CC=C2)C=C1 Chemical compound COC1=C(C2=C(Br)C=NN2C)C=C(NC(=O)NC2=C(C3=CC=CC=C3)C=CC=C2)C=C1 HGXSSNYPEAMLIA-UHFFFAOYSA-N 0.000 description 1
- CLAZIASNFJPUOW-UHFFFAOYSA-N COC1=C(C2=C(Br)C=NN2C)C=C(NC(=O)NC2=C(Cl)C=C(Cl)C=C2)C=C1 Chemical compound COC1=C(C2=C(Br)C=NN2C)C=C(NC(=O)NC2=C(Cl)C=C(Cl)C=C2)C=C1 CLAZIASNFJPUOW-UHFFFAOYSA-N 0.000 description 1
- COSPVUFTLGQDQL-UHFFFAOYSA-N COC1=C(C2=C(Br)C=NN2C)C=C(NC(=O)NC2=C(F)C=C(F)C=C2)C=C1 Chemical compound COC1=C(C2=C(Br)C=NN2C)C=C(NC(=O)NC2=C(F)C=C(F)C=C2)C=C1 COSPVUFTLGQDQL-UHFFFAOYSA-N 0.000 description 1
- CKTGWMCLLCJMCX-UHFFFAOYSA-N COC1=C(C2=C(Br)C=NN2C)C=C(NC(=O)NC2=C(F)C=CC=C2)C=C1 Chemical compound COC1=C(C2=C(Br)C=NN2C)C=C(NC(=O)NC2=C(F)C=CC=C2)C=C1 CKTGWMCLLCJMCX-UHFFFAOYSA-N 0.000 description 1
- SWGGOOBZKMMBEP-UHFFFAOYSA-N COC1=C(C2=C(Br)C=NN2C)C=C(NC(=O)NC2=C(N(C)CCCN(C)C)C=C(Cl)C=C2)C=C1 Chemical compound COC1=C(C2=C(Br)C=NN2C)C=C(NC(=O)NC2=C(N(C)CCCN(C)C)C=C(Cl)C=C2)C=C1 SWGGOOBZKMMBEP-UHFFFAOYSA-N 0.000 description 1
- LLANMPNEDFPLRK-UHFFFAOYSA-N COC1=C(C2=C(Br)C=NN2C)C=C(NC(=O)NC2=C(N(C)CCN(C)C)C=C(Cl)C=C2)C=C1 Chemical compound COC1=C(C2=C(Br)C=NN2C)C=C(NC(=O)NC2=C(N(C)CCN(C)C)C=C(Cl)C=C2)C=C1 LLANMPNEDFPLRK-UHFFFAOYSA-N 0.000 description 1
- HLFVLNHXHMHGEW-UHFFFAOYSA-N COC1=C(C2=C(Br)C=NN2C)C=C(NC(=O)NC2=C(N3CCC(C)CC3)C=C(Cl)C=C2)C=C1 Chemical compound COC1=C(C2=C(Br)C=NN2C)C=C(NC(=O)NC2=C(N3CCC(C)CC3)C=C(Cl)C=C2)C=C1 HLFVLNHXHMHGEW-UHFFFAOYSA-N 0.000 description 1
- DYZDDNAYYZKSFQ-UHFFFAOYSA-N COC1=C(C2=C(Br)C=NN2C)C=C(NC(=O)NC2=C(N3CCN(C)CC3)C=C(Cl)C=C2)C=C1 Chemical compound COC1=C(C2=C(Br)C=NN2C)C=C(NC(=O)NC2=C(N3CCN(C)CC3)C=C(Cl)C=C2)C=C1 DYZDDNAYYZKSFQ-UHFFFAOYSA-N 0.000 description 1
- YHVFJMPNWDEDBR-UHFFFAOYSA-N COC1=C(C2=C(Br)C=NN2C)C=C(NC(=O)NC2=C(N3CCOCC3)C=C(Cl)C=C2)C=C1 Chemical compound COC1=C(C2=C(Br)C=NN2C)C=C(NC(=O)NC2=C(N3CCOCC3)C=C(Cl)C=C2)C=C1 YHVFJMPNWDEDBR-UHFFFAOYSA-N 0.000 description 1
- JOQGLLYOXUZDPR-UHFFFAOYSA-N COC1=C(C2=C(Br)C=NN2C)C=C(NC(=O)NC2=C3C=CC=CC3=CC=C2)C=C1 Chemical compound COC1=C(C2=C(Br)C=NN2C)C=C(NC(=O)NC2=C3C=CC=CC3=CC=C2)C=C1 JOQGLLYOXUZDPR-UHFFFAOYSA-N 0.000 description 1
- COYPOZRBUOHOKT-BRJLIKDPSA-N COC1=C(C2=C(Br)C=NN2C)C=C(NC(=O)NC2=CC(/C(C)=N/O)=CC=C2)C=C1 Chemical compound COC1=C(C2=C(Br)C=NN2C)C=C(NC(=O)NC2=CC(/C(C)=N/O)=CC=C2)C=C1 COYPOZRBUOHOKT-BRJLIKDPSA-N 0.000 description 1
- SXWCGHMZZQORDP-UHFFFAOYSA-N COC1=C(C2=C(Br)C=NN2C)C=C(NC(=O)NC2=CC(C#N)=CC=C2)C=C1 Chemical compound COC1=C(C2=C(Br)C=NN2C)C=C(NC(=O)NC2=CC(C#N)=CC=C2)C=C1 SXWCGHMZZQORDP-UHFFFAOYSA-N 0.000 description 1
- RZKKRHPYWSDEPC-UHFFFAOYSA-N COC1=C(C2=C(Br)C=NN2C)C=C(NC(=O)NC2=CC(C(C)=O)=CC=C2)C=C1 Chemical compound COC1=C(C2=C(Br)C=NN2C)C=C(NC(=O)NC2=CC(C(C)=O)=CC=C2)C=C1 RZKKRHPYWSDEPC-UHFFFAOYSA-N 0.000 description 1
- KHCZRGYYVAKFCF-UHFFFAOYSA-N COC1=C(C2=C(Br)C=NN2C)C=C(NC(=O)NC2=CC(C(C)O)=CC=C2)C=C1 Chemical compound COC1=C(C2=C(Br)C=NN2C)C=C(NC(=O)NC2=CC(C(C)O)=CC=C2)C=C1 KHCZRGYYVAKFCF-UHFFFAOYSA-N 0.000 description 1
- AODZXHQGKFCEBO-UHFFFAOYSA-N COC1=C(C2=C(Br)C=NN2C)C=C(NC(=O)NC2=CC(C(F)(F)F)=C(Cl)C=C2)C=C1 Chemical compound COC1=C(C2=C(Br)C=NN2C)C=C(NC(=O)NC2=CC(C(F)(F)F)=C(Cl)C=C2)C=C1 AODZXHQGKFCEBO-UHFFFAOYSA-N 0.000 description 1
- LGBYNYFPEYOEJE-UHFFFAOYSA-N COC1=C(C2=C(Br)C=NN2C)C=C(NC(=O)NC2=CC(C(F)(F)F)=CC(C(F)(F)F)=C2)C=C1 Chemical compound COC1=C(C2=C(Br)C=NN2C)C=C(NC(=O)NC2=CC(C(F)(F)F)=CC(C(F)(F)F)=C2)C=C1 LGBYNYFPEYOEJE-UHFFFAOYSA-N 0.000 description 1
- FCFLWJSPGSCBSZ-UHFFFAOYSA-N COC1=C(C2=C(Br)C=NN2C)C=C(NC(=O)NC2=CC(C(F)(F)F)=CC=C2)C=C1 Chemical compound COC1=C(C2=C(Br)C=NN2C)C=C(NC(=O)NC2=CC(C(F)(F)F)=CC=C2)C=C1 FCFLWJSPGSCBSZ-UHFFFAOYSA-N 0.000 description 1
- BQDQNHMUANFRRQ-UHFFFAOYSA-N COC1=C(C2=C(Br)C=NN2C)C=C(NC(=O)NC2=CC(Cl)=CC=C2)C=C1 Chemical compound COC1=C(C2=C(Br)C=NN2C)C=C(NC(=O)NC2=CC(Cl)=CC=C2)C=C1 BQDQNHMUANFRRQ-UHFFFAOYSA-N 0.000 description 1
- YMVIRCYNRMVMJQ-UHFFFAOYSA-N COC1=C(C2=C(Br)C=NN2C)C=C(NC(=O)NC2=CC(F)=CC(F)=C2)C=C1 Chemical compound COC1=C(C2=C(Br)C=NN2C)C=C(NC(=O)NC2=CC(F)=CC(F)=C2)C=C1 YMVIRCYNRMVMJQ-UHFFFAOYSA-N 0.000 description 1
- HBIPIGQKQYCXGR-UHFFFAOYSA-N COC1=C(C2=C(Br)C=NN2C)C=C(NC(=O)NC2=CC(F)=CC=C2)C=C1 Chemical compound COC1=C(C2=C(Br)C=NN2C)C=C(NC(=O)NC2=CC(F)=CC=C2)C=C1 HBIPIGQKQYCXGR-UHFFFAOYSA-N 0.000 description 1
- JGJUAKSFTDSGEP-UHFFFAOYSA-N COC1=C(C2=C(Br)C=NN2C)C=C(NC(=O)NC2=CC([N+](=O)[O-])=C(F)C=C2)C=C1 Chemical compound COC1=C(C2=C(Br)C=NN2C)C=C(NC(=O)NC2=CC([N+](=O)[O-])=C(F)C=C2)C=C1 JGJUAKSFTDSGEP-UHFFFAOYSA-N 0.000 description 1
- WFZYMSSWNLITFL-UHFFFAOYSA-N COC1=C(C2=C(Br)C=NN2C)C=C(NC(=O)NC2=CC([N+](=O)[O-])=CC=C2)C=C1 Chemical compound COC1=C(C2=C(Br)C=NN2C)C=C(NC(=O)NC2=CC([N+](=O)[O-])=CC=C2)C=C1 WFZYMSSWNLITFL-UHFFFAOYSA-N 0.000 description 1
- PUIURSKLUWVELG-UHFFFAOYSA-N COC1=C(C2=C(Br)C=NN2C)C=C(NC(=O)NC2=CC3=C(C=C2)OC(F)(F)O3)C=C1 Chemical compound COC1=C(C2=C(Br)C=NN2C)C=C(NC(=O)NC2=CC3=C(C=C2)OC(F)(F)O3)C=C1 PUIURSKLUWVELG-UHFFFAOYSA-N 0.000 description 1
- KAFGOCVYMMREPV-UHFFFAOYSA-N COC1=C(C2=C(Br)C=NN2C)C=C(NC(=O)NC2=CC3=C(C=CC=C3)C=C2)C=C1 Chemical compound COC1=C(C2=C(Br)C=NN2C)C=C(NC(=O)NC2=CC3=C(C=CC=C3)C=C2)C=C1 KAFGOCVYMMREPV-UHFFFAOYSA-N 0.000 description 1
- JOYVKNXZLYVXDI-UHFFFAOYSA-N COC1=C(C2=C(Br)C=NN2C)C=C(NC(=O)NC2=CC=C(Br)C=C2)C=C1 Chemical compound COC1=C(C2=C(Br)C=NN2C)C=C(NC(=O)NC2=CC=C(Br)C=C2)C=C1 JOYVKNXZLYVXDI-UHFFFAOYSA-N 0.000 description 1
- YZVIJLBIWGHYKU-UHFFFAOYSA-N COC1=C(C2=C(Br)C=NN2C)C=C(NC(=O)NC2=CC=C(C(C)C)C=C2)C=C1 Chemical compound COC1=C(C2=C(Br)C=NN2C)C=C(NC(=O)NC2=CC=C(C(C)C)C=C2)C=C1 YZVIJLBIWGHYKU-UHFFFAOYSA-N 0.000 description 1
- PFXSDMITUDDRFI-UHFFFAOYSA-N COC1=C(C2=C(Br)C=NN2C)C=C(NC(=O)NC2=CC=C(C(F)(F)F)C=C2)C=C1 Chemical compound COC1=C(C2=C(Br)C=NN2C)C=C(NC(=O)NC2=CC=C(C(F)(F)F)C=C2)C=C1 PFXSDMITUDDRFI-UHFFFAOYSA-N 0.000 description 1
- OLSNXEOXWIBURX-UHFFFAOYSA-N COC1=C(C2=C(Br)C=NN2C)C=C(NC(=O)NC2=CC=C(Cl)C=C2)C=C1 Chemical compound COC1=C(C2=C(Br)C=NN2C)C=C(NC(=O)NC2=CC=C(Cl)C=C2)C=C1 OLSNXEOXWIBURX-UHFFFAOYSA-N 0.000 description 1
- MUUOYNXCYHNXFB-UHFFFAOYSA-N COC1=C(C2=C(Br)C=NN2C)C=C(NC(=O)NC2=CC=C(F)C=C2)C=C1 Chemical compound COC1=C(C2=C(Br)C=NN2C)C=C(NC(=O)NC2=CC=C(F)C=C2)C=C1 MUUOYNXCYHNXFB-UHFFFAOYSA-N 0.000 description 1
- PLZPXAPBUQCPAL-UHFFFAOYSA-N COC1=C(C2=C(Br)C=NN2C)C=C(NC(=O)NC2=CC=C(N(C)C)C=C2)C=C1 Chemical compound COC1=C(C2=C(Br)C=NN2C)C=C(NC(=O)NC2=CC=C(N(C)C)C=C2)C=C1 PLZPXAPBUQCPAL-UHFFFAOYSA-N 0.000 description 1
- IJYGTSBDPDIOGK-UHFFFAOYSA-N COC1=C(C2=C(Br)C=NN2C)C=C(NC(=O)NC2=CC=C(OC(F)(F)F)C=C2)C=C1 Chemical compound COC1=C(C2=C(Br)C=NN2C)C=C(NC(=O)NC2=CC=C(OC(F)(F)F)C=C2)C=C1 IJYGTSBDPDIOGK-UHFFFAOYSA-N 0.000 description 1
- PECZZGLCSMJOTK-UHFFFAOYSA-N COC1=C(C2=C(Br)C=NN2C)C=C(NC(=O)NCC2=CC=CC=C2)C=C1 Chemical compound COC1=C(C2=C(Br)C=NN2C)C=C(NC(=O)NCC2=CC=CC=C2)C=C1 PECZZGLCSMJOTK-UHFFFAOYSA-N 0.000 description 1
- STMCUYRGCPSYBZ-UHFFFAOYSA-N COC1=C(C2=C(Br)C=NN2C)C=C(NC(=S)NC2=CC=C(Cl)C=C2)C=C1 Chemical compound COC1=C(C2=C(Br)C=NN2C)C=C(NC(=S)NC2=CC=C(Cl)C=C2)C=C1 STMCUYRGCPSYBZ-UHFFFAOYSA-N 0.000 description 1
- ZMNBZSHTIKGQEW-UHFFFAOYSA-N COC1=C(C2=C(Cl)C(C(F)(F)F)=NN2C)C=C(NC(=O)NC2=CC=C(Cl)C=C2)C=C1 Chemical compound COC1=C(C2=C(Cl)C(C(F)(F)F)=NN2C)C=C(NC(=O)NC2=CC=C(Cl)C=C2)C=C1 ZMNBZSHTIKGQEW-UHFFFAOYSA-N 0.000 description 1
- AGTNPXZZKZNHGW-UHFFFAOYSA-N COC1=C(C2=C(Cl)C(C(F)(F)F)=NN2C)C=C(NC(=O)NC2=CC=C(F)C=C2)C=C1 Chemical compound COC1=C(C2=C(Cl)C(C(F)(F)F)=NN2C)C=C(NC(=O)NC2=CC=C(F)C=C2)C=C1 AGTNPXZZKZNHGW-UHFFFAOYSA-N 0.000 description 1
- ZQDVWHAMAZJFAC-UHFFFAOYSA-N COC1=C(C2=C(Cl)C=NN2C(C)C)C=C(NC(=O)NC2=C(Cl)C=C(C(F)(F)F)C=C2)C=C1 Chemical compound COC1=C(C2=C(Cl)C=NN2C(C)C)C=C(NC(=O)NC2=C(Cl)C=C(C(F)(F)F)C=C2)C=C1 ZQDVWHAMAZJFAC-UHFFFAOYSA-N 0.000 description 1
- CBCPHCWQGAIWHN-UHFFFAOYSA-N COC1=C(C2=C(Cl)C=NN2C(C)C)C=C(NC(=O)NC2=CC(Cl)=C(F)C=C2)C=C1 Chemical compound COC1=C(C2=C(Cl)C=NN2C(C)C)C=C(NC(=O)NC2=CC(Cl)=C(F)C=C2)C=C1 CBCPHCWQGAIWHN-UHFFFAOYSA-N 0.000 description 1
- NIFANLFQYSMZOG-UHFFFAOYSA-N COC1=C(C2=C(Cl)C=NN2C(C)C)C=C(NC(=O)NC2=CC(F)=C(F)C=C2)C=C1 Chemical compound COC1=C(C2=C(Cl)C=NN2C(C)C)C=C(NC(=O)NC2=CC(F)=C(F)C=C2)C=C1 NIFANLFQYSMZOG-UHFFFAOYSA-N 0.000 description 1
- UDHJBPYYBAFWGS-UHFFFAOYSA-N COC1=C(C2=C(Cl)C=NN2C(C)C)C=C(NC(=O)NC2=CC=C(Cl)C=C2)C=C1 Chemical compound COC1=C(C2=C(Cl)C=NN2C(C)C)C=C(NC(=O)NC2=CC=C(Cl)C=C2)C=C1 UDHJBPYYBAFWGS-UHFFFAOYSA-N 0.000 description 1
- FSWCOKABHDPPRI-UHFFFAOYSA-N COC1=C(C2=C(Cl)C=NN2C(C)C)C=C(NC(=O)NC2=CC=C(F)C=C2)C=C1 Chemical compound COC1=C(C2=C(Cl)C=NN2C(C)C)C=C(NC(=O)NC2=CC=C(F)C=C2)C=C1 FSWCOKABHDPPRI-UHFFFAOYSA-N 0.000 description 1
- FZPIKPBBUBHBGU-UHFFFAOYSA-N COC1=C(C2=C(Cl)C=NN2C)C=C(NC(=O)NC(=O)C2=CC=CC=C2)C=C1 Chemical compound COC1=C(C2=C(Cl)C=NN2C)C=C(NC(=O)NC(=O)C2=CC=CC=C2)C=C1 FZPIKPBBUBHBGU-UHFFFAOYSA-N 0.000 description 1
- BKUSZIHQKHOKJV-UHFFFAOYSA-N COC1=C(C2=C(Cl)C=NN2C)C=C(NC(=O)NC2=C(Cl)C=C(Cl)C=C2)C=C1 Chemical compound COC1=C(C2=C(Cl)C=NN2C)C=C(NC(=O)NC2=C(Cl)C=C(Cl)C=C2)C=C1 BKUSZIHQKHOKJV-UHFFFAOYSA-N 0.000 description 1
- UKZQBKVXASGHBG-UHFFFAOYSA-N COC1=C(C2=C(Cl)C=NN2C)C=C(NC(=O)NC2=C(F)C=C(F)C=C2)C=C1 Chemical compound COC1=C(C2=C(Cl)C=NN2C)C=C(NC(=O)NC2=C(F)C=C(F)C=C2)C=C1 UKZQBKVXASGHBG-UHFFFAOYSA-N 0.000 description 1
- WGHGHTZXWNJEJX-UHFFFAOYSA-N COC1=C(C2=C(Cl)C=NN2C)C=C(NC(=O)NC2=C(OC(F)(F)F)C=CC=C2)C=C1 Chemical compound COC1=C(C2=C(Cl)C=NN2C)C=C(NC(=O)NC2=C(OC(F)(F)F)C=CC=C2)C=C1 WGHGHTZXWNJEJX-UHFFFAOYSA-N 0.000 description 1
- VUTPFEBLUHTTSC-UHFFFAOYSA-N COC1=C(C2=C(Cl)C=NN2C)C=C(NC(=O)NC2=C3C=CC=CC3=CC=C2)C=C1 Chemical compound COC1=C(C2=C(Cl)C=NN2C)C=C(NC(=O)NC2=C3C=CC=CC3=CC=C2)C=C1 VUTPFEBLUHTTSC-UHFFFAOYSA-N 0.000 description 1
- MUVRETPWYFCQEO-UHFFFAOYSA-N COC1=C(C2=C(Cl)C=NN2C)C=C(NC(=O)NC2=CC(C(C)=O)=CC=C2)C=C1 Chemical compound COC1=C(C2=C(Cl)C=NN2C)C=C(NC(=O)NC2=CC(C(C)=O)=CC=C2)C=C1 MUVRETPWYFCQEO-UHFFFAOYSA-N 0.000 description 1
- GQIUEHHCLZDZIU-UHFFFAOYSA-N COC1=C(C2=C(Cl)C=NN2C)C=C(NC(=O)NC2=CC(C(F)(F)F)=CC(C(F)(F)F)=C2)C=C1 Chemical compound COC1=C(C2=C(Cl)C=NN2C)C=C(NC(=O)NC2=CC(C(F)(F)F)=CC(C(F)(F)F)=C2)C=C1 GQIUEHHCLZDZIU-UHFFFAOYSA-N 0.000 description 1
- PQUIWAHQMWIIPB-UHFFFAOYSA-N COC1=C(C2=C(Cl)C=NN2C)C=C(NC(=O)NC2=CC(Cl)=CC=C2)C=C1 Chemical compound COC1=C(C2=C(Cl)C=NN2C)C=C(NC(=O)NC2=CC(Cl)=CC=C2)C=C1 PQUIWAHQMWIIPB-UHFFFAOYSA-N 0.000 description 1
- YYMVSSUNYFFUMF-UHFFFAOYSA-N COC1=C(C2=C(Cl)C=NN2C)C=C(NC(=O)NC2=CC(F)=C(F)C=C2)C=C1 Chemical compound COC1=C(C2=C(Cl)C=NN2C)C=C(NC(=O)NC2=CC(F)=C(F)C=C2)C=C1 YYMVSSUNYFFUMF-UHFFFAOYSA-N 0.000 description 1
- YFXSUZOHMFBMPW-UHFFFAOYSA-N COC1=C(C2=C(Cl)C=NN2C)C=C(NC(=O)NC2=CC(F)=CC(F)=C2)C=C1 Chemical compound COC1=C(C2=C(Cl)C=NN2C)C=C(NC(=O)NC2=CC(F)=CC(F)=C2)C=C1 YFXSUZOHMFBMPW-UHFFFAOYSA-N 0.000 description 1
- WAWQGZNZRNCSGC-UHFFFAOYSA-N COC1=C(C2=C(Cl)C=NN2C)C=C(NC(=O)NC2=CC(F)=CC=C2)C=C1 Chemical compound COC1=C(C2=C(Cl)C=NN2C)C=C(NC(=O)NC2=CC(F)=CC=C2)C=C1 WAWQGZNZRNCSGC-UHFFFAOYSA-N 0.000 description 1
- OASPFEXQWUQBBX-UHFFFAOYSA-N COC1=C(C2=C(Cl)C=NN2C)C=C(NC(=O)NC2=CC([N+](=O)[O-])=CC=C2)C=C1 Chemical compound COC1=C(C2=C(Cl)C=NN2C)C=C(NC(=O)NC2=CC([N+](=O)[O-])=CC=C2)C=C1 OASPFEXQWUQBBX-UHFFFAOYSA-N 0.000 description 1
- ZCIGOOKMMMEXLR-UHFFFAOYSA-N COC1=C(C2=C(Cl)C=NN2C)C=C(NC(=O)NC2=CC=C(Br)C=C2)C=C1 Chemical compound COC1=C(C2=C(Cl)C=NN2C)C=C(NC(=O)NC2=CC=C(Br)C=C2)C=C1 ZCIGOOKMMMEXLR-UHFFFAOYSA-N 0.000 description 1
- DPGOKSMITZKODW-UHFFFAOYSA-N COC1=C(C2=C(Cl)C=NN2C)C=C(NC(=O)NC2=CC=C(C(C)C)C=C2)C=C1 Chemical compound COC1=C(C2=C(Cl)C=NN2C)C=C(NC(=O)NC2=CC=C(C(C)C)C=C2)C=C1 DPGOKSMITZKODW-UHFFFAOYSA-N 0.000 description 1
- GCIGZBDHWLWUBN-UHFFFAOYSA-N COC1=C(C2=C(Cl)C=NN2C)C=C(NC(=O)NC2=CC=C(C(F)(F)F)C=C2)C=C1 Chemical compound COC1=C(C2=C(Cl)C=NN2C)C=C(NC(=O)NC2=CC=C(C(F)(F)F)C=C2)C=C1 GCIGZBDHWLWUBN-UHFFFAOYSA-N 0.000 description 1
- GGJYDEZYCACGIQ-UHFFFAOYSA-N COC1=C(C2=C(Cl)C=NN2C)C=C(NC(=O)NC2=CC=C(Cl)C=C2)C=C1 Chemical compound COC1=C(C2=C(Cl)C=NN2C)C=C(NC(=O)NC2=CC=C(Cl)C=C2)C=C1 GGJYDEZYCACGIQ-UHFFFAOYSA-N 0.000 description 1
- RJKBZRJRDWQFTQ-UHFFFAOYSA-N COC1=C(C2=C(Cl)C=NN2C)C=C(NC(=O)NC2=CC=C(F)C=C2)C=C1 Chemical compound COC1=C(C2=C(Cl)C=NN2C)C=C(NC(=O)NC2=CC=C(F)C=C2)C=C1 RJKBZRJRDWQFTQ-UHFFFAOYSA-N 0.000 description 1
- YJYCGBOAUZHFER-UHFFFAOYSA-N COC1=C(C2=C(Cl)C=NN2C)C=C(NC(=O)NCC2=CC=CC=C2)C=C1 Chemical compound COC1=C(C2=C(Cl)C=NN2C)C=C(NC(=O)NCC2=CC=CC=C2)C=C1 YJYCGBOAUZHFER-UHFFFAOYSA-N 0.000 description 1
- YOTNHXMZWRVESU-UHFFFAOYSA-N COC1=C(C2=C(F)C=NN2C)C=C(NC(=O)NC2=C(F)C=C(F)C=C2)C=C1 Chemical compound COC1=C(C2=C(F)C=NN2C)C=C(NC(=O)NC2=C(F)C=C(F)C=C2)C=C1 YOTNHXMZWRVESU-UHFFFAOYSA-N 0.000 description 1
- RQKPEVCOQPQZKJ-UHFFFAOYSA-N COC1=C(C2=C(F)C=NN2C)C=C(NC(=O)NC2=CC(C(C)=O)=CC=C2)C=C1 Chemical compound COC1=C(C2=C(F)C=NN2C)C=C(NC(=O)NC2=CC(C(C)=O)=CC=C2)C=C1 RQKPEVCOQPQZKJ-UHFFFAOYSA-N 0.000 description 1
- PSVNDTQJHIOWBY-UHFFFAOYSA-N COC1=C(C2=C(F)C=NN2C)C=C(NC(=O)NC2=CC(C(F)(F)F)=C(Cl)C=C2)C=C1 Chemical compound COC1=C(C2=C(F)C=NN2C)C=C(NC(=O)NC2=CC(C(F)(F)F)=C(Cl)C=C2)C=C1 PSVNDTQJHIOWBY-UHFFFAOYSA-N 0.000 description 1
- QLGNBJHVNQUSKN-UHFFFAOYSA-N COC1=C(C2=C(F)C=NN2C)C=C(NC(=O)NC2=CC(C(F)(F)F)=CC=C2)C=C1 Chemical compound COC1=C(C2=C(F)C=NN2C)C=C(NC(=O)NC2=CC(C(F)(F)F)=CC=C2)C=C1 QLGNBJHVNQUSKN-UHFFFAOYSA-N 0.000 description 1
- IQZBUIXIRRPSOX-UHFFFAOYSA-N COC1=C(C2=C(F)C=NN2C)C=C(NC(=O)NC2=CC(F)=C(F)C=C2)C=C1 Chemical compound COC1=C(C2=C(F)C=NN2C)C=C(NC(=O)NC2=CC(F)=C(F)C=C2)C=C1 IQZBUIXIRRPSOX-UHFFFAOYSA-N 0.000 description 1
- AIPOBJRFKDJUBO-UHFFFAOYSA-N COC1=C(C2=C(F)C=NN2C)C=C(NC(=O)NC2=CC(F)=CC=C2)C=C1 Chemical compound COC1=C(C2=C(F)C=NN2C)C=C(NC(=O)NC2=CC(F)=CC=C2)C=C1 AIPOBJRFKDJUBO-UHFFFAOYSA-N 0.000 description 1
- HWPJTGZJBXZFTG-UHFFFAOYSA-N COC1=C(C2=C(F)C=NN2C)C=C(NC(=O)NC2=CC=C(Br)C=C2)C=C1 Chemical compound COC1=C(C2=C(F)C=NN2C)C=C(NC(=O)NC2=CC=C(Br)C=C2)C=C1 HWPJTGZJBXZFTG-UHFFFAOYSA-N 0.000 description 1
- MPUSRYRCILNLDA-UHFFFAOYSA-N COC1=C(C2=C(F)C=NN2C)C=C(NC(=O)NC2=CC=C(C(F)(F)F)C=C2)C=C1 Chemical compound COC1=C(C2=C(F)C=NN2C)C=C(NC(=O)NC2=CC=C(C(F)(F)F)C=C2)C=C1 MPUSRYRCILNLDA-UHFFFAOYSA-N 0.000 description 1
- UQFSADLSPBTZLQ-UHFFFAOYSA-N COC1=C(C2=C(F)C=NN2C)C=C(NC(=O)NC2=CC=C(Cl)C=C2)C=C1 Chemical compound COC1=C(C2=C(F)C=NN2C)C=C(NC(=O)NC2=CC=C(Cl)C=C2)C=C1 UQFSADLSPBTZLQ-UHFFFAOYSA-N 0.000 description 1
- UBPWMYMZUKXYOZ-UHFFFAOYSA-N COC1=C(C2=C(F)C=NN2C)C=C(NC(=O)NC2=CC=C(F)C=C2)C=C1 Chemical compound COC1=C(C2=C(F)C=NN2C)C=C(NC(=O)NC2=CC=C(F)C=C2)C=C1 UBPWMYMZUKXYOZ-UHFFFAOYSA-N 0.000 description 1
- SOGZYUQBLBTNGD-UHFFFAOYSA-N COC1=C(C2=C(F)C=NN2C)C=C(NC(=S)NC2=CC=C(C(F)(F)F)C=C2)C=C1 Chemical compound COC1=C(C2=C(F)C=NN2C)C=C(NC(=S)NC2=CC=C(C(F)(F)F)C=C2)C=C1 SOGZYUQBLBTNGD-UHFFFAOYSA-N 0.000 description 1
- ZWZOAGHILMEYTI-UHFFFAOYSA-N COC1=C(C2=CC(C(F)(F)F)=NN2C)C=C(NC(=O)NC2=CC=C(Cl)C=C2)C=C1 Chemical compound COC1=C(C2=CC(C(F)(F)F)=NN2C)C=C(NC(=O)NC2=CC=C(Cl)C=C2)C=C1 ZWZOAGHILMEYTI-UHFFFAOYSA-N 0.000 description 1
- WDCATRUABRXGNV-UHFFFAOYSA-N COC1=C(C2=CC=NN2)C=C(NC(=O)NC2=C(F)C=C(F)C=C2)C=C1 Chemical compound COC1=C(C2=CC=NN2)C=C(NC(=O)NC2=C(F)C=C(F)C=C2)C=C1 WDCATRUABRXGNV-UHFFFAOYSA-N 0.000 description 1
- WVQIKIANNVACKY-UHFFFAOYSA-N COC1=C(C2=CC=NN2)C=C(NC(=O)NC2=CC=C(Cl)C=C2)C=C1 Chemical compound COC1=C(C2=CC=NN2)C=C(NC(=O)NC2=CC=C(Cl)C=C2)C=C1 WVQIKIANNVACKY-UHFFFAOYSA-N 0.000 description 1
- QDAFJUUGYIQURA-UHFFFAOYSA-N COC1=C(C2=CC=NN2C(C)C)C=C(NC(=O)NC2=C(Cl)C=C(C(F)(F)F)C=C2)C=C1 Chemical compound COC1=C(C2=CC=NN2C(C)C)C=C(NC(=O)NC2=C(Cl)C=C(C(F)(F)F)C=C2)C=C1 QDAFJUUGYIQURA-UHFFFAOYSA-N 0.000 description 1
- IYFWAPPLASCWAZ-UHFFFAOYSA-N COC1=C(C2=CC=NN2C(C)C)C=C(NC(=O)NC2=CC(Cl)=C(F)C=C2)C=C1 Chemical compound COC1=C(C2=CC=NN2C(C)C)C=C(NC(=O)NC2=CC(Cl)=C(F)C=C2)C=C1 IYFWAPPLASCWAZ-UHFFFAOYSA-N 0.000 description 1
- WUHRMCLLWNDNNN-UHFFFAOYSA-N COC1=C(C2=CC=NN2C(C)C)C=C(NC(=O)NC2=CC(F)=C(F)C=C2)C=C1 Chemical compound COC1=C(C2=CC=NN2C(C)C)C=C(NC(=O)NC2=CC(F)=C(F)C=C2)C=C1 WUHRMCLLWNDNNN-UHFFFAOYSA-N 0.000 description 1
- JIGBFGCWAMHTNH-UHFFFAOYSA-N COC1=C(C2=CC=NN2C(C)C)C=C(NC(=O)NC2=CC=C(Cl)C=C2)C=C1 Chemical compound COC1=C(C2=CC=NN2C(C)C)C=C(NC(=O)NC2=CC=C(Cl)C=C2)C=C1 JIGBFGCWAMHTNH-UHFFFAOYSA-N 0.000 description 1
- VSWTXVPPAUVKLB-UHFFFAOYSA-N COC1=C(C2=CC=NN2C(C)C)C=C(NC(=O)NC2=CC=C(F)C=C2)C=C1 Chemical compound COC1=C(C2=CC=NN2C(C)C)C=C(NC(=O)NC2=CC=C(F)C=C2)C=C1 VSWTXVPPAUVKLB-UHFFFAOYSA-N 0.000 description 1
- VCHNOCSZCQRIQZ-UHFFFAOYSA-N COC1=C(C2=CC=NN2C)C=C(NC(=O)NC2=CC=C(Cl)C=C2)C=C1 Chemical compound COC1=C(C2=CC=NN2C)C=C(NC(=O)NC2=CC=C(Cl)C=C2)C=C1 VCHNOCSZCQRIQZ-UHFFFAOYSA-N 0.000 description 1
- XOBFSDQTMCDCAD-UHFFFAOYSA-N COC1=CC=C(NC(=O)NC2=CC(C3=C(Br)C=NN3C)=C(OC)C=C2)C=C1 Chemical compound COC1=CC=C(NC(=O)NC2=CC(C3=C(Br)C=NN3C)=C(OC)C=C2)C=C1 XOBFSDQTMCDCAD-UHFFFAOYSA-N 0.000 description 1
- UNYNUDJYMCIVLY-UHFFFAOYSA-N COC1=CC=C(NC(=O)NC2=CC(C3=C(F)C=NN3C)=C(OC)C=C2)C=C1 Chemical compound COC1=CC=C(NC(=O)NC2=CC(C3=C(F)C=NN3C)=C(OC)C=C2)C=C1 UNYNUDJYMCIVLY-UHFFFAOYSA-N 0.000 description 1
- JQYJINJCPIPMPW-UHFFFAOYSA-N COC1=CC=C(NC(=O)NC2=CC(C3=CC=NN3C)=C(OCCCN(C)C)C=C2)C=C1 Chemical compound COC1=CC=C(NC(=O)NC2=CC(C3=CC=NN3C)=C(OCCCN(C)C)C=C2)C=C1 JQYJINJCPIPMPW-UHFFFAOYSA-N 0.000 description 1
- WFUOQXLQMJMNRI-UHFFFAOYSA-N COC1=CC=CC(NC(=O)NC2=CC(C3=C(Cl)C=NN3C)=C(OC)C=C2)=C1 Chemical compound COC1=CC=CC(NC(=O)NC2=CC(C3=C(Cl)C=NN3C)=C(OC)C=C2)=C1 WFUOQXLQMJMNRI-UHFFFAOYSA-N 0.000 description 1
- RMWIOWRUYVBMQE-UHFFFAOYSA-N COC1=CC=CC(NC(=O)NC2=CC(C3=CC=NN3C)=C(OCCN(C)C)C=C2)=C1 Chemical compound COC1=CC=CC(NC(=O)NC2=CC(C3=CC=NN3C)=C(OCCN(C)C)C=C2)=C1 RMWIOWRUYVBMQE-UHFFFAOYSA-N 0.000 description 1
Images
Classifications
-
- A—HUMAN NECESSITIES
- A61—MEDICAL OR VETERINARY SCIENCE; HYGIENE
- A61K—PREPARATIONS FOR MEDICAL, DENTAL OR TOILETRY PURPOSES
- A61K31/00—Medicinal preparations containing organic active ingredients
- A61K31/33—Heterocyclic compounds
- A61K31/395—Heterocyclic compounds having nitrogen as a ring hetero atom, e.g. guanethidine or rifamycins
- A61K31/41—Heterocyclic compounds having nitrogen as a ring hetero atom, e.g. guanethidine or rifamycins having five-membered rings with two or more ring hetero atoms, at least one of which being nitrogen, e.g. tetrazole
- A61K31/415—1,2-Diazoles
-
- A—HUMAN NECESSITIES
- A61—MEDICAL OR VETERINARY SCIENCE; HYGIENE
- A61K—PREPARATIONS FOR MEDICAL, DENTAL OR TOILETRY PURPOSES
- A61K31/00—Medicinal preparations containing organic active ingredients
- A61K31/33—Heterocyclic compounds
- A61K31/395—Heterocyclic compounds having nitrogen as a ring hetero atom, e.g. guanethidine or rifamycins
- A61K31/41—Heterocyclic compounds having nitrogen as a ring hetero atom, e.g. guanethidine or rifamycins having five-membered rings with two or more ring hetero atoms, at least one of which being nitrogen, e.g. tetrazole
- A61K31/415—1,2-Diazoles
- A61K31/4155—1,2-Diazoles non condensed and containing further heterocyclic rings
-
- A—HUMAN NECESSITIES
- A61—MEDICAL OR VETERINARY SCIENCE; HYGIENE
- A61K—PREPARATIONS FOR MEDICAL, DENTAL OR TOILETRY PURPOSES
- A61K31/00—Medicinal preparations containing organic active ingredients
- A61K31/33—Heterocyclic compounds
- A61K31/395—Heterocyclic compounds having nitrogen as a ring hetero atom, e.g. guanethidine or rifamycins
- A61K31/435—Heterocyclic compounds having nitrogen as a ring hetero atom, e.g. guanethidine or rifamycins having six-membered rings with one nitrogen as the only ring hetero atom
- A61K31/44—Non condensed pyridines; Hydrogenated derivatives thereof
- A61K31/445—Non condensed piperidines, e.g. piperocaine
- A61K31/4523—Non condensed piperidines, e.g. piperocaine containing further heterocyclic ring systems
- A61K31/454—Non condensed piperidines, e.g. piperocaine containing further heterocyclic ring systems containing a five-membered ring with nitrogen as a ring hetero atom, e.g. pimozide, domperidone
-
- A—HUMAN NECESSITIES
- A61—MEDICAL OR VETERINARY SCIENCE; HYGIENE
- A61K—PREPARATIONS FOR MEDICAL, DENTAL OR TOILETRY PURPOSES
- A61K31/00—Medicinal preparations containing organic active ingredients
- A61K31/33—Heterocyclic compounds
- A61K31/395—Heterocyclic compounds having nitrogen as a ring hetero atom, e.g. guanethidine or rifamycins
- A61K31/495—Heterocyclic compounds having nitrogen as a ring hetero atom, e.g. guanethidine or rifamycins having six-membered rings with two or more nitrogen atoms as the only ring heteroatoms, e.g. piperazine or tetrazines
- A61K31/496—Non-condensed piperazines containing further heterocyclic rings, e.g. rifampin, thiothixene or sparfloxacin
-
- A—HUMAN NECESSITIES
- A61—MEDICAL OR VETERINARY SCIENCE; HYGIENE
- A61K—PREPARATIONS FOR MEDICAL, DENTAL OR TOILETRY PURPOSES
- A61K31/00—Medicinal preparations containing organic active ingredients
- A61K31/33—Heterocyclic compounds
- A61K31/395—Heterocyclic compounds having nitrogen as a ring hetero atom, e.g. guanethidine or rifamycins
- A61K31/535—Heterocyclic compounds having nitrogen as a ring hetero atom, e.g. guanethidine or rifamycins having six-membered rings with at least one nitrogen and one oxygen as the ring hetero atoms, e.g. 1,2-oxazines
- A61K31/5375—1,4-Oxazines, e.g. morpholine
- A61K31/5377—1,4-Oxazines, e.g. morpholine not condensed and containing further heterocyclic rings, e.g. timolol
-
- A—HUMAN NECESSITIES
- A61—MEDICAL OR VETERINARY SCIENCE; HYGIENE
- A61P—SPECIFIC THERAPEUTIC ACTIVITY OF CHEMICAL COMPOUNDS OR MEDICINAL PREPARATIONS
- A61P1/00—Drugs for disorders of the alimentary tract or the digestive system
- A61P1/04—Drugs for disorders of the alimentary tract or the digestive system for ulcers, gastritis or reflux esophagitis, e.g. antacids, inhibitors of acid secretion, mucosal protectants
-
- A—HUMAN NECESSITIES
- A61—MEDICAL OR VETERINARY SCIENCE; HYGIENE
- A61P—SPECIFIC THERAPEUTIC ACTIVITY OF CHEMICAL COMPOUNDS OR MEDICINAL PREPARATIONS
- A61P1/00—Drugs for disorders of the alimentary tract or the digestive system
- A61P1/08—Drugs for disorders of the alimentary tract or the digestive system for nausea, cinetosis or vertigo; Antiemetics
-
- A—HUMAN NECESSITIES
- A61—MEDICAL OR VETERINARY SCIENCE; HYGIENE
- A61P—SPECIFIC THERAPEUTIC ACTIVITY OF CHEMICAL COMPOUNDS OR MEDICINAL PREPARATIONS
- A61P1/00—Drugs for disorders of the alimentary tract or the digestive system
- A61P1/14—Prodigestives, e.g. acids, enzymes, appetite stimulants, antidyspeptics, tonics, antiflatulents
-
- A—HUMAN NECESSITIES
- A61—MEDICAL OR VETERINARY SCIENCE; HYGIENE
- A61P—SPECIFIC THERAPEUTIC ACTIVITY OF CHEMICAL COMPOUNDS OR MEDICINAL PREPARATIONS
- A61P11/00—Drugs for disorders of the respiratory system
-
- A—HUMAN NECESSITIES
- A61—MEDICAL OR VETERINARY SCIENCE; HYGIENE
- A61P—SPECIFIC THERAPEUTIC ACTIVITY OF CHEMICAL COMPOUNDS OR MEDICINAL PREPARATIONS
- A61P11/00—Drugs for disorders of the respiratory system
- A61P11/06—Antiasthmatics
-
- A—HUMAN NECESSITIES
- A61—MEDICAL OR VETERINARY SCIENCE; HYGIENE
- A61P—SPECIFIC THERAPEUTIC ACTIVITY OF CHEMICAL COMPOUNDS OR MEDICINAL PREPARATIONS
- A61P13/00—Drugs for disorders of the urinary system
- A61P13/12—Drugs for disorders of the urinary system of the kidneys
-
- A—HUMAN NECESSITIES
- A61—MEDICAL OR VETERINARY SCIENCE; HYGIENE
- A61P—SPECIFIC THERAPEUTIC ACTIVITY OF CHEMICAL COMPOUNDS OR MEDICINAL PREPARATIONS
- A61P19/00—Drugs for skeletal disorders
- A61P19/02—Drugs for skeletal disorders for joint disorders, e.g. arthritis, arthrosis
-
- A—HUMAN NECESSITIES
- A61—MEDICAL OR VETERINARY SCIENCE; HYGIENE
- A61P—SPECIFIC THERAPEUTIC ACTIVITY OF CHEMICAL COMPOUNDS OR MEDICINAL PREPARATIONS
- A61P25/00—Drugs for disorders of the nervous system
-
- A—HUMAN NECESSITIES
- A61—MEDICAL OR VETERINARY SCIENCE; HYGIENE
- A61P—SPECIFIC THERAPEUTIC ACTIVITY OF CHEMICAL COMPOUNDS OR MEDICINAL PREPARATIONS
- A61P25/00—Drugs for disorders of the nervous system
- A61P25/02—Drugs for disorders of the nervous system for peripheral neuropathies
-
- A—HUMAN NECESSITIES
- A61—MEDICAL OR VETERINARY SCIENCE; HYGIENE
- A61P—SPECIFIC THERAPEUTIC ACTIVITY OF CHEMICAL COMPOUNDS OR MEDICINAL PREPARATIONS
- A61P25/00—Drugs for disorders of the nervous system
- A61P25/08—Antiepileptics; Anticonvulsants
-
- A—HUMAN NECESSITIES
- A61—MEDICAL OR VETERINARY SCIENCE; HYGIENE
- A61P—SPECIFIC THERAPEUTIC ACTIVITY OF CHEMICAL COMPOUNDS OR MEDICINAL PREPARATIONS
- A61P25/00—Drugs for disorders of the nervous system
- A61P25/14—Drugs for disorders of the nervous system for treating abnormal movements, e.g. chorea, dyskinesia
-
- A—HUMAN NECESSITIES
- A61—MEDICAL OR VETERINARY SCIENCE; HYGIENE
- A61P—SPECIFIC THERAPEUTIC ACTIVITY OF CHEMICAL COMPOUNDS OR MEDICINAL PREPARATIONS
- A61P25/00—Drugs for disorders of the nervous system
- A61P25/14—Drugs for disorders of the nervous system for treating abnormal movements, e.g. chorea, dyskinesia
- A61P25/16—Anti-Parkinson drugs
-
- A—HUMAN NECESSITIES
- A61—MEDICAL OR VETERINARY SCIENCE; HYGIENE
- A61P—SPECIFIC THERAPEUTIC ACTIVITY OF CHEMICAL COMPOUNDS OR MEDICINAL PREPARATIONS
- A61P25/00—Drugs for disorders of the nervous system
- A61P25/18—Antipsychotics, i.e. neuroleptics; Drugs for mania or schizophrenia
-
- A—HUMAN NECESSITIES
- A61—MEDICAL OR VETERINARY SCIENCE; HYGIENE
- A61P—SPECIFIC THERAPEUTIC ACTIVITY OF CHEMICAL COMPOUNDS OR MEDICINAL PREPARATIONS
- A61P25/00—Drugs for disorders of the nervous system
- A61P25/20—Hypnotics; Sedatives
-
- A—HUMAN NECESSITIES
- A61—MEDICAL OR VETERINARY SCIENCE; HYGIENE
- A61P—SPECIFIC THERAPEUTIC ACTIVITY OF CHEMICAL COMPOUNDS OR MEDICINAL PREPARATIONS
- A61P25/00—Drugs for disorders of the nervous system
- A61P25/22—Anxiolytics
-
- A—HUMAN NECESSITIES
- A61—MEDICAL OR VETERINARY SCIENCE; HYGIENE
- A61P—SPECIFIC THERAPEUTIC ACTIVITY OF CHEMICAL COMPOUNDS OR MEDICINAL PREPARATIONS
- A61P25/00—Drugs for disorders of the nervous system
- A61P25/28—Drugs for disorders of the nervous system for treating neurodegenerative disorders of the central nervous system, e.g. nootropic agents, cognition enhancers, drugs for treating Alzheimer's disease or other forms of dementia
-
- A—HUMAN NECESSITIES
- A61—MEDICAL OR VETERINARY SCIENCE; HYGIENE
- A61P—SPECIFIC THERAPEUTIC ACTIVITY OF CHEMICAL COMPOUNDS OR MEDICINAL PREPARATIONS
- A61P25/00—Drugs for disorders of the nervous system
- A61P25/30—Drugs for disorders of the nervous system for treating abuse or dependence
- A61P25/32—Alcohol-abuse
-
- A—HUMAN NECESSITIES
- A61—MEDICAL OR VETERINARY SCIENCE; HYGIENE
- A61P—SPECIFIC THERAPEUTIC ACTIVITY OF CHEMICAL COMPOUNDS OR MEDICINAL PREPARATIONS
- A61P27/00—Drugs for disorders of the senses
- A61P27/02—Ophthalmic agents
-
- A—HUMAN NECESSITIES
- A61—MEDICAL OR VETERINARY SCIENCE; HYGIENE
- A61P—SPECIFIC THERAPEUTIC ACTIVITY OF CHEMICAL COMPOUNDS OR MEDICINAL PREPARATIONS
- A61P29/00—Non-central analgesic, antipyretic or antiinflammatory agents, e.g. antirheumatic agents; Non-steroidal antiinflammatory drugs [NSAID]
-
- A—HUMAN NECESSITIES
- A61—MEDICAL OR VETERINARY SCIENCE; HYGIENE
- A61P—SPECIFIC THERAPEUTIC ACTIVITY OF CHEMICAL COMPOUNDS OR MEDICINAL PREPARATIONS
- A61P3/00—Drugs for disorders of the metabolism
- A61P3/08—Drugs for disorders of the metabolism for glucose homeostasis
-
- A—HUMAN NECESSITIES
- A61—MEDICAL OR VETERINARY SCIENCE; HYGIENE
- A61P—SPECIFIC THERAPEUTIC ACTIVITY OF CHEMICAL COMPOUNDS OR MEDICINAL PREPARATIONS
- A61P3/00—Drugs for disorders of the metabolism
- A61P3/08—Drugs for disorders of the metabolism for glucose homeostasis
- A61P3/10—Drugs for disorders of the metabolism for glucose homeostasis for hyperglycaemia, e.g. antidiabetics
-
- A—HUMAN NECESSITIES
- A61—MEDICAL OR VETERINARY SCIENCE; HYGIENE
- A61P—SPECIFIC THERAPEUTIC ACTIVITY OF CHEMICAL COMPOUNDS OR MEDICINAL PREPARATIONS
- A61P43/00—Drugs for specific purposes, not provided for in groups A61P1/00-A61P41/00
-
- A—HUMAN NECESSITIES
- A61—MEDICAL OR VETERINARY SCIENCE; HYGIENE
- A61P—SPECIFIC THERAPEUTIC ACTIVITY OF CHEMICAL COMPOUNDS OR MEDICINAL PREPARATIONS
- A61P7/00—Drugs for disorders of the blood or the extracellular fluid
- A61P7/02—Antithrombotic agents; Anticoagulants; Platelet aggregation inhibitors
-
- A—HUMAN NECESSITIES
- A61—MEDICAL OR VETERINARY SCIENCE; HYGIENE
- A61P—SPECIFIC THERAPEUTIC ACTIVITY OF CHEMICAL COMPOUNDS OR MEDICINAL PREPARATIONS
- A61P7/00—Drugs for disorders of the blood or the extracellular fluid
- A61P7/04—Antihaemorrhagics; Procoagulants; Haemostatic agents; Antifibrinolytic agents
-
- A—HUMAN NECESSITIES
- A61—MEDICAL OR VETERINARY SCIENCE; HYGIENE
- A61P—SPECIFIC THERAPEUTIC ACTIVITY OF CHEMICAL COMPOUNDS OR MEDICINAL PREPARATIONS
- A61P9/00—Drugs for disorders of the cardiovascular system
-
- A—HUMAN NECESSITIES
- A61—MEDICAL OR VETERINARY SCIENCE; HYGIENE
- A61P—SPECIFIC THERAPEUTIC ACTIVITY OF CHEMICAL COMPOUNDS OR MEDICINAL PREPARATIONS
- A61P9/00—Drugs for disorders of the cardiovascular system
- A61P9/10—Drugs for disorders of the cardiovascular system for treating ischaemic or atherosclerotic diseases, e.g. antianginal drugs, coronary vasodilators, drugs for myocardial infarction, retinopathy, cerebrovascula insufficiency, renal arteriosclerosis
-
- C—CHEMISTRY; METALLURGY
- C07—ORGANIC CHEMISTRY
- C07D—HETEROCYCLIC COMPOUNDS
- C07D231/00—Heterocyclic compounds containing 1,2-diazole or hydrogenated 1,2-diazole rings
- C07D231/02—Heterocyclic compounds containing 1,2-diazole or hydrogenated 1,2-diazole rings not condensed with other rings
- C07D231/10—Heterocyclic compounds containing 1,2-diazole or hydrogenated 1,2-diazole rings not condensed with other rings having two or three double bonds between ring members or between ring members and non-ring members
- C07D231/12—Heterocyclic compounds containing 1,2-diazole or hydrogenated 1,2-diazole rings not condensed with other rings having two or three double bonds between ring members or between ring members and non-ring members with only hydrogen atoms, hydrocarbon or substituted hydrocarbon radicals, directly attached to ring carbon atoms
-
- C—CHEMISTRY; METALLURGY
- C07—ORGANIC CHEMISTRY
- C07D—HETEROCYCLIC COMPOUNDS
- C07D231/00—Heterocyclic compounds containing 1,2-diazole or hydrogenated 1,2-diazole rings
- C07D231/02—Heterocyclic compounds containing 1,2-diazole or hydrogenated 1,2-diazole rings not condensed with other rings
- C07D231/10—Heterocyclic compounds containing 1,2-diazole or hydrogenated 1,2-diazole rings not condensed with other rings having two or three double bonds between ring members or between ring members and non-ring members
- C07D231/14—Heterocyclic compounds containing 1,2-diazole or hydrogenated 1,2-diazole rings not condensed with other rings having two or three double bonds between ring members or between ring members and non-ring members with hetero atoms or with carbon atoms having three bonds to hetero atoms with at the most one bond to halogen, e.g. ester or nitrile radicals, directly attached to ring carbon atoms
- C07D231/16—Halogen atoms or nitro radicals
-
- C—CHEMISTRY; METALLURGY
- C07—ORGANIC CHEMISTRY
- C07D—HETEROCYCLIC COMPOUNDS
- C07D401/00—Heterocyclic compounds containing two or more hetero rings, having nitrogen atoms as the only ring hetero atoms, at least one ring being a six-membered ring with only one nitrogen atom
- C07D401/02—Heterocyclic compounds containing two or more hetero rings, having nitrogen atoms as the only ring hetero atoms, at least one ring being a six-membered ring with only one nitrogen atom containing two hetero rings
- C07D401/12—Heterocyclic compounds containing two or more hetero rings, having nitrogen atoms as the only ring hetero atoms, at least one ring being a six-membered ring with only one nitrogen atom containing two hetero rings linked by a chain containing hetero atoms as chain links
-
- C—CHEMISTRY; METALLURGY
- C07—ORGANIC CHEMISTRY
- C07D—HETEROCYCLIC COMPOUNDS
- C07D405/00—Heterocyclic compounds containing both one or more hetero rings having oxygen atoms as the only ring hetero atoms, and one or more rings having nitrogen as the only ring hetero atom
- C07D405/02—Heterocyclic compounds containing both one or more hetero rings having oxygen atoms as the only ring hetero atoms, and one or more rings having nitrogen as the only ring hetero atom containing two hetero rings
- C07D405/12—Heterocyclic compounds containing both one or more hetero rings having oxygen atoms as the only ring hetero atoms, and one or more rings having nitrogen as the only ring hetero atom containing two hetero rings linked by a chain containing hetero atoms as chain links
Definitions
- the present invention relates to certain diaryl and arylheteroaryl urea derivatives of Formula (I) and pharmaceutical compositions thereof that modulate the activity of the 5-HT 2A serotonin receptor.
- Compounds and pharmaceutical compositions thereof are directed to methods useful in the prophylaxis or treatment of platelet aggregation, coronary artery disease, myocardial infarction, transient ischemic attack, angina, stroke, atrial fibrillation, reducing the risk of blood clot formation, asthma or symptoms thereof, agitation or a symptom, behavioral disorders, drug induced psychosis, excitative psychosis, Gilles de la Tourette's syndrome, manic disorder, organic or NOS psychosis, psychotic disorder, psychosis, acute schizophrenia, chronic schizophrenia, NOS schizophrenia and related disorders, sleep disorders, diabetic-related disorders and the like.
- the present invention also relates to the method of prophylaxis or treatment of 5-HT 2A serotonin receptor mediated disorders in combination with a dopamine D2 receptor antagonist such as haloperidol, administered separately or together.
- a dopamine D2 receptor antagonist such as haloperidol
- G Protein coupled receptors share a common structural motif. All these receptors have seven sequences of between 22 to 24 hydrophobic amino acids that form seven alpha helices, each of which spans the membrane. The transmembrane helices are joined by strands of amino acids having a larger loop between the fourth and fifth transmembrane helix on the extracellular side of the membrane. Another larger loop, composed primarily of hydrophilic amino acids, joins transmembrane helices five and six on the intracellular side of the membrane. The carboxy terminus of the receptor lies intracellularly with the amino terminus in the extracellular space. It is thought that the loop joining helices five and six, as well as, the carboxy terminus, interact with the G protein. Currently, Gq, Gs, Gi and Go are G proteins that have been identified. The general structure of G protein coupled receptors is shown in FIG. 1 .
- G protein coupled receptors exist in the cell membrane in equilibrium between two different states or conformations: an “inactive” state and an “active” state. As shown schematically in FIG. 2 , a receptor in an inactive state is unable to link to the intracellular transduction pathway to produce a biological response. Changing the receptor conformation to the active state allows linkage to the transduction pathway and produces a biological response.
- a receptor may be stabilized in an active state by an endogenous ligand or an exogenous agonist ligand.
- Recent discoveries such as, including but not exclusively limited to, modifications to the amino acid sequence of the receptor provide means other than ligands to stabilize the active state conformation. These means effectively stabilize the receptor in an active state by simulating the effect of a ligand binding to the receptor. Stabilization by such ligand-independent means is termed “constitutive receptor activation.”
- Serotonin (5-hydroxytryptamine, 5-HT) are an important class of G protein coupled receptors. Serotonin is thought to play a role in processes related to learning and memory, sleep, thermoregulation, mood, motor activity, pain, sexual and aggressive behaviors, appetite, neurodegenerative regulation, and biological rhythms. Not surprisingly, serotonin is linked to pathophysiological conditions such as anxiety, depression, obsessive compulsive disorders, schizophrenia, suicide, autism, migraine, emesis, alcoholism, and neurodegenerative disorders.
- anti-psychotic treatment approaches focused on the serotonin receptors
- these types of therapeutics can generally be divided into two classes, the “typical” and the “atypical.” Both have anti-psychotic effects, but the typicals also include concomitant motor-related side effects (extra pyramidal syndromes, e.g., lip-smacking, tongue darting, locomotor movement, etc). Such side effects are thought to be associated with the compounds interacting with other receptors, such as the human dopamine D2 receptor in the nigro-striatal pathway. Therefore, an atypical treatment is preferred. Haloperidol is considered a typical anti-psychotic, and clozapine is considered an atypical anti-psychotic.
- Serotonin receptors are divided into seven subfamilies, referred to as 5-HT1 through 5-HT7, inclusive. These subfamilies are further divided into subtypes.
- the 5-HT2 subfamily is divided into three receptor subtypes: 5-HT 2A , 5-HT 2B , and 5-HT 2C .
- the human 5-HT 2C receptor was first isolated and cloned in 1987, and the human 5-HT 2A receptor was first isolated and cloned in 1990. These two receptors are thought to be the site of action of hallucinogenic drugs. Additionally, antagonists to the 5-HT 2A and 5-HT 2C receptors are believed to be useful in treating depression, anxiety, psychosis, and eating disorders.
- U.S. Pat. No. 4,985,352 describes the isolation, characterization, and expression of a functional cDNA clone encoding the entire human 5-HT 1c receptor (now known as the 5-HT 2C receptor).
- U.S. Pat. Nos. 5,661,024 and 6,541,209 describe the isolation, characterization, and expression of a functional cDNA clone encoding the entire human 5-HT 2A receptor.
- Casey describes a mutation of the cysteine residue at position 322 of the rat 5-HT 2A receptor to lysine (C322K), glutamine (C322Q), and arginine (C322R) which reportedly led to constitutive activation.
- Herrick-Davis 1 and Herrick-Davis 2 describe mutations of the serine residue at position 312 of the rat 5-HT 2C receptor to phenylalanine (S312F) and lysine (S312K), which reportedly led to constitutive activation.
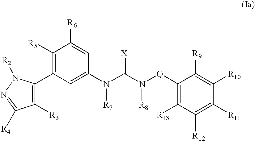
- One aspect of the present invention encompasses certain diaryl and arylheteroaryl urea derivatives as shown in Formula (I): or a pharmaceutically acceptable salt, hydrate or solvate thereof;
- R 1 is aryl or heteroaryl each optionally substituted with R 9 , R 10 , R 11 , R 12 , R 13 , R 14 , and R 15 each selected independently from the group consisting of C 1-6 acyl, C 1-6 acyloxy, C 2-6 alkenyl, C 1-6 alkoxy, C 1-6 alkyl, C 1-6 alkylcarboxamide, C 2-6 alkynyl, C 1-6 alkylsulfonamide, C 1-6 alkylsulfinyl, C 1-6 alkylsulfonyl, C 1-6 alkylthio, C 1-6 alkylureyl, amino, C 1-6 alkylamino, C 2-8 dialkylamino, C 1-6 alkylimino, carbo-C 1-6 -alkoxy, carboxamide, carboxy, cyano, C 3-7 cycloalkyl, C 2-8 dialkylcarboxamide, C 2-8 dialkylsulfonamide, halogen
- R 2 is selected from the group consisting of H, C 1-6 alkyl, C 2-6 alkenyl, C 2-6 alkynyl and C 3-7 cycloalkyl;
- R 3 is selected from the group consisting of H, C 2-6 alkenyl, C 1-6 alkyl, C 1-6 alkylcarboxamide, C 2-6 alkynyl, C 1-6 alkylsulfonamide, carbo-C 1-6 -alkoxy, carboxamide, carboxy, cyano, C 3-7 cycloalkyl, C 2-8 dialkylcarboxamide, halogen, heteroaryl and phenyl; and wherein each of said C 2-6 alkenyl, C 1-6 alkyl, C 2-6 alkynyl, C 1-6 alkylsulfonamide, C 3-7 cycloalkyl, heteroaryl and phenyl groups can be optionally substituted with 1 to 5 substituents selected independently from the group consisting of C 1-5 acyl, C 1-5 acyloxy, C 2-6 alkenyl, C 1-4 alkoxy, C 1-8 alkyl, C 1-6 alkylamino, C 2-8 dialkylamino
- R 4 is selected from the group consisting of H, C 1-6 acyl, C 1-6 acyloxy, C 2-6 alkenyl, C 1-6 alkoxy, C 1-6 alkyl, C 1-6 alkylcarboxamide, C 2-6 alkynyl, C 1-6 alkylsulfonamide, C 1-6 alkylsulfinyl, C 1-6 alkylsulfonyl, C 1-6 alkylthio, C 1-6 alkylureyl, amino, C 1-6 alkylamino, C 2-8 dialkylamino, carbo-C 1-6 -alkoxy, carboxamide, carboxy, cyano, C 3-7 cycloalkyl, C 2-8 dialkylcarboxamide, C 2-8 dialkylsulfonamide, halogen, C 1-6 haloalkoxy, C 1-6 haloalkyl, C 1-6 haloalkylsulfinyl, C 1-6 haloalkylsulfiny
- R 5 is selected from the group consisting of C 1-6 acyl, C 1-6 acyloxy, C 2-6 alkenyl, C 1-6 alkoxy, C 1-6 alkyl, C 1-6 alkylcarboxamide, C 2-6 alkynyl, C 1-6 alkylsulfonamide, C 1-6 alkylsulfinyl, C 1-6 alkylsulfonyl, C 1-6 alkylthio, C 1-6 alkylureyl, amino, C 1-6 alkylamino, C 2-8 dialkylamino, carbo-C- 1-6 -alkoxy, carboxamide, carboxy, cyano, C 3-7 cycloalkyl, C 2-8 dialkylcarboxamide, C 2-8 dialkylsulfonamide, halogen, C 1-6 haloalkoxy, C 1-6 haloalkyl, C 1-6 haloalkylsulfinyl, C 1-6 haloalkylsulfonamide,
- R 6a , R 6b , and R 6c are each independently selected from the group consisting of H, C 1-6 acyl, C 1-6 acyloxy, C 2-6 alkenyl, C 1-6 alkoxy, C 1-6 alkyl, C 1-6 alkylcarboxamide, C 2-6 alkynyl, C 1-6 alkylsulfonamide, C 1-6 alkylsulfinyl, C 1-6 alkylsulfonyl, C 1-6 alkylthio, C 1-6 alkylureyl, amino, C 1-6 alkylamino, C 2-8 dialkylamino, carbo-C 1-6 -alkoxy, carboxamide, carboxy, cyano, C 3-7 cycloalkyl, C 2-8 dialkylcarboxamide, C 2-8 dialkylsulfonamide, halogen, C 1-6 haloalkoxy, C 1-6 haloalkyl, C 1-6 haloalkylsulfinyl
- R 7 and R 8 are independently H or C 1-8 alkyl
- X is O or S
- Q is C 1-3 alkylene optionally substituted with 1 to 4 substituents selected from the group consisting of C 1-3 alkyl, C 1-4 alkoxy, carboxy, cyano, C 1-3 haloalkyl, halogen and oxo; or Q is a bond.
- compositions comprising a compound of the present invention and a pharmaceutically acceptable carrier.
- One aspect of the present invention encompasses methods for modulating the activity of a 5HT 2A serotonin receptor by contacting the receptor with a compound according to any of the embodiments described herein or a pharmaceutical composition.
- One aspect of the present invention encompasses methods for prophylaxis or treatment of platelet aggregation in an individual comprising administering to said individual in need thereof a therapeutically effective amount of a compound according to any of the embodiments described herein or a pharmaceutical composition.
- One aspect of the present invention encompasses methods for prophylaxis or treatment of an indication selected from the group consisting of coronary artery disease, myocardial infarction, transient ischemic attack, angina, stroke, and atrial fibrillation in an individual comprising administering to said individual in need thereof a therapeutically effective amount of a compound according to any of the embodiments described herein or a pharmaceutical composition.
- One aspect of the present invention encompasses methods for prophylaxis or treatment of reducing the risk of blood clot formation in an angioplasty or coronary bypass surgery individual comprising administering to said individual in need thereof a therapeutically effective amount of a compound according to any of the embodiments described herein or a pharmaceutical composition.
- One aspect of the present invention encompasses methods for prophylaxis or treatment of reducing the risk of blood clot formation in an individual suffering from atrial fibrillation, comprising administering to said individual in need thereof a therapeutically effective amount of a compound according to any of the embodiments described herein or a pharmaceutical composition.
- One aspect of the present invention encompasses methods for prophylaxis or treatment of asthma in an individual comprising administering to said individual in need thereof a therapeutically effective amount of a compound according to any of the embodiments described herein or a pharmaceutical composition.
- One aspect of the present invention encompasses methods for prophylaxis or treatment of a symptom of asthma in an individual comprising administering to said individual in need thereof a therapeutically effective amount of a compound according to any of the embodiments described herein or a pharmaceutical composition.
- One aspect of the present invention encompasses methods for prophylaxis or treatment of agitation or a symptom thereof in an individual comprising administering to said individual in need thereof a therapeutically effective amount of a compound according to any of the embodiments described herein or a pharmaceutical composition.
- the individual is a cognitively intact elderly individual.
- One aspect of the present invention encompasses methods for prophylaxis or treatment of agitation or a symptom thereof in an individual suffering from dementia comprising administering to said individual in need thereof a therapeutically effective amount of a compound according to any of the embodiments described herein or a pharmaceutical composition.
- the dementia is due to a degenerative disease of the nervous system.
- the dementia is Alzheimers disease, Lewy Body, Parkinson's disease or Huntington's disease.
- the dementia is due to diseases that affect blood vessels.
- the dementia is due to stroke or multi-infarct dementia.
- One aspect of the present invention encompasses methods for prophylaxis or treatment of an individual suffering from at least one of the indications selected from the group consisting of behavioral disorder, drug induced psychosis, excitative psychosis, Gilles de la Tourette's syndrome, manic disorder, organic or NOS psychosis, psychotic disorder, psychosis, acute schizophrenia, chronic schizophrenia and NOS schizophrenia comprising administering to said individual in need thereof a therapeutically effective amount of a dopamine D2 receptor antagonist and a compound according to any of the embodiments described herein or a pharmaceutical composition.
- the dopamine D2 receptor antagonist is haloperidol.
- One aspect of the present invention encompasses methods for prophylaxis or treatment of an individual with infantile autism, Huntington's chorea, or nausea and vomiting from chemotherapy or chemotherapeutic antibodies comprising administering to said individual in need thereof a therapeutically effective amount of a dopamine D2 receptor antagonist and a compound according to any of the embodiments described herein or a pharmaceutical composition.
- the dopamine D2 receptor antagonist is haloperidol.
- One aspect of the present invention encompasses methods for prophylaxis or treatment of schizophrenia in an individual comprising administering to said individual in need thereof a therapeutically effective amount of a dopamine D2 receptor antagonist and a compound according to any of the embodiments described herein or a pharmaceutical composition.
- the dopamine D2 receptor antagonist is haloperidol.
- One aspect of the present invention encompasses methods for prophylaxis or treatment of alleviating negative symptoms of schizophrenia induced by the administration of haloperidol to an individual suffering from said schizophrenia, comprising administering to said individual in need thereof a therapeutically effective amount of a compound according to any of the embodiments described herein or a pharmaceutical composition.
- the haloperidol and the compound or pharmaceutical composition are administered in separate dosage forms.
- the haloperidol and the compound or pharmaceutical composition are administered in a single dosage form.
- One aspect of the present invention encompasses methods for prophylaxis or treatment of a sleep disorder in an individual comprising administering to said individual in need thereof a therapeutically effective amount of a compound according to any of the embodiments described herein or a pharmaceutical composition.
- the sleep disorder comprises a fragmented sleep architecture.
- the effective amount of a compound according to any of the embodiments described herein, or a pharmaceutical composition described herein promotes sleep consolidation.
- the effective amount of a compound according to any of the embodiments described herein, or a pharmaceutical composition described herein increases delta power.
- the sleep disorder is a dyssomnia.
- the dyssomnia is selected from the group consisting of psychophysiological insomnia, sleep state misperception, idiopathic insomnia, obstructive sleep apnea syndrome, central sleep apnea syndrome, central alveolar hypoventilation syndrome, periodic limb movement disorder, restless leg syndrome, inadequate sleep hygiene, environmental sleep disorder, altitude insomnia, adjustment sleep disorder, insufficient sleep syndrome, limit-setting sleep disorder, sleep-onset association disorder, nocturnal eating or drinking syndrome, hypnotic dependent sleep disorder, stimulant-dependent sleep disorder, alcohol-dependent sleep disorder, toxin-induced sleep disorder, time zone change (et lag) syndrome, shift work sleep disorder, irregular sleep-wake pattern, delayed sleep phase syndrome, advanced sleep phase syndrome and non-24-hour sleep-wake disorder.
- the sleep disorder is a parasomnia.
- the parasomnia is selected from the group consisting of confusional arousals, sleepwalking and sleep terrors, rhythmic movement disorder, sleep starts, sleep talking and nocturnal leg cramps.
- the sleep disorder is associated with a medical or psychiatric disorder.
- the medical or psychiatric disorder is selected from the group consisting of psychoses, mood disorders, anxiety disorders, panic disorders, alcoholism, cerebral degenerative disorders, dementia, parkinsonism, fatal familial insomnia, sleep-related epilepsy, electrical status epilepticus of sleep, sleep-related headaches, sleeping sickness, nocturnal cardiac ischemia, chronic obstructive pulmonary disease, sleep-related asthma, sleep-related gastroesophageal reflux, peptic ulcer disease, fibrositis syndrome, osteoarthritis, rheumatoid arthritis, fibromyalgia and post-surgical sleep disorder.
- One aspect of the present invention encompasses methods for prophylaxis or treatment of a diabetic-related disorder in an individual comprising administering to said individual in need thereof a therapeutically effective amount of a compound according to any of the embodiments described herein or a pharmaceutical composition.
- the diabetic-related disorder is diabetic peripheral neuropathy.
- the diabetic-related disorder is diabetic nephropathy.
- the diabetic-related disorder is diabetic retinopathy.
- One aspect of the present invention encompasses processes for preparing a composition comprising admixing a compound according any embodiments described herein and pharmaceutically acceptable carrier.
- One aspect of the present invention is the use of a compound for the production of a medicament for use in the prophylaxis or treatment of a 5HT 2A mediated disorder.
- One embodiment of the present invention is the use of a compound for the production of a medicament for use in the prophylaxis or treatment of a 5HT 2A mediated disorder wherein the disorder is platelet aggregation.
- One embodiment of the present invention is the use of a compound for the production of a medicament for use in the prophylaxis or treatment of a 5HT 2A mediated disorder wherein the disorder is selected from the group consisting of coronary artery disease, myocardial infarction, transient ischemic attack, angina, stroke, and atrial fibrillation.
- One embodiment of the present invention is the use of a compound for the production of a medicament for use in the prophylaxis or treatment of a 5HT 2A mediated disorder wherein the disorder is a blood clot formation in an angioplasty or coronary bypass surgery individual.
- One embodiment of the present invention is the use of a compound for the production of a medicament for use in the prophylaxis or treatment of a 5HT 2A mediated disorder wherein the disorder is a blood clot formation in an individual suffering from atrial fibrillation.
- One embodiment of the present invention is the use of a compound for the production of a medicament for use in the prophylaxis or treatment of a 5HT 2A mediated disorder wherein the disorder is asthma.
- One embodiment of the present invention is the use of a compound for the production of a medicament for use in the prophylaxis or treatment of a 5HT 2A mediated disorder wherein the disorder is a symptom of asthma.
- One embodiment of the present invention is the use of a compound for the production of a medicament for use in the prophylaxis or treatment of a 5HT 2A mediated disorder wherein the disorder is agitation or a symptom thereof in an individual.
- the individual is a cognitively intact elderly individual.
- One embodiment of the present invention is the use of a compound for the production of a medicament for use in the prophylaxis or treatment of a 5HT 2A mediated disorder wherein the disorder is agitation or a symptom thereof in an individual suffering from dementia.
- the dementia is due to a degenerative disease of the nervous system.
- the dementia is Alzheimers disease, Lewy Body, Parkinson's disease, or Huntington's disease.
- the dementia is due to diseases that affect blood vessels.
- the dementia is due to stroke or multi-infract dementia.
- One embodiment of the present invention is the use of a compound for the production of a medicament for use in the prophylaxis or treatment of a 5HT 2A mediated disorder further comprising a dopamine D2 receptor antagonist wherein the disorder is selected from the group consisting of a behavioral disorder, drug induced psychosis, excitative psychosis, Gilles de la Tourette's syndrome, manic disorder, organic or NOS psychosis, psychotic disorder, psychosis, acute schizophrenia, chronic schizophrenia and NOS schizophrenia.
- the dopamine D2 receptor antagonist is haloperidol.
- One embodiment of the present invention is the use of a compound for the production of a medicament for use in the prophylaxis or treatment of a 5HT 2A mediated disorder further comprising a dopamine D2 receptor antagonist wherein the disorder is infantile autism, Huntington's chorea, or nausea and vomiting from chemotherapy or chemotherapeutic antibodies.
- the dopamine D2 receptor antagonist is haloperidol.
- One embodiment of the present invention is the use of a compound for the production of a medicament for use in the prophylaxis or treatment of a 5HT 2A mediated disorder further comprising a dopamine D2 receptor antagonist wherein the disorder is schizophrenia.
- the dopamine D2 receptor antagonist is haloperidol.
- One embodiment of the present invention is the use of a compound for the production of a medicament for use in the prophylaxis or treatment of a 5HT 2A mediated disorder wherein the disorder is a negative symptom or symptoms of schizophrenia induced by the administration of haloperidol.
- One embodiment of the present invention is the use of a compound for the production of a medicament for use in the prophylaxis or treatment of a 5HT 2A mediated disorder wherein the haloperidol and the compound or pharmaceutical composition are administered in separate dosage forms.
- One embodiment of the present invention is the use of a compound for the production of a medicament for use in the prophylaxis or treatment of a 5HT 2A mediated disorder wherein the haloperidol and the compound or pharmaceutical composition are administered in a single dosage form.
- One aspect of the present invention are compounds according to any of the embodiments described herein for use in a method of treatment of the human or animal body by therapy.
- One aspect of the present invention are compounds according to any of the embodiments described herein for use in a method for the prophylaxis or treatment of a 5HT 2A mediated disorder, as described herein, in the human or animal body by therapy.
- One aspect of the present invention are compounds according to any of the embodiments described herein for use in a method for the prophylaxis or treatment of a sleep disorder, as described herein, in the human or animal body by therapy.
- One aspect of the present invention are compounds according to any of the embodiments described herein for use in a method for the prophylaxis or treatment of platelet aggregation in the human or animal body by therapy.
- bold typeface indicates the location of the mutation in the non-endogenous, constitutively activated receptor relative to the corresponding endogenous receptor.
- FIG. 1 shows a generalized structure of a G protein-coupled receptor with the numbers assigned to the transmembrane helices, the intracellular loops, and the extracellular loops.
- FIG. 2 schematically shows the active and inactive states for a typical G protein-coupled receptor and the linkage of the active state to the second messenger transduction pathway.
- FIG. 3 a provides the nucleic acid sequence of the endogenous human 5-HT 2A receptor (SEQ.ID.NO: 21).
- FIG. 3 b provides the corresponding amino acid sequence of the endogenous human 5-HT 2A receptor (SEQ.ID.NO: 22).
- FIG. 4 a provides the nucleic acid sequence of the endogenous human 5-HT 2C receptor (SEQ.ID.NO: 23).
- FIG. 4 b provides the corresponding amino acid sequence of the endogenous human 5-HT 2C receptor (SEQ.ID.NO: 24).
- FIG. 5 a provides the nucleic acid sequence of a constitutively active form of the human 5-HT 2C receptor (“AP-1 cDNA”-SEQ.ID.NO: 25).
- FIG. 5 b provides the corresponding amino acid sequence of the AP-1 cDNA (“AP-1”-SEQ.ID.NO: 26).
- FIG. 6 a provides the nucleic acid sequence of a constitutively active form of the human 5-HT 2A receptor whereby the IC3 portion and the cytoplasmic-tail portion of the endogenous 5-HT 2A receptor have been replaced with the IC3 portion and the cytoplasmic-tail portion of the human 5-HT 2C receptor (“AP-3 cDNA?-SEQ.ID.NO: 27).
- FIG. 6 b provides the corresponding amino acid sequence of the AP-3 cDNA (“AP-3” SEQ.ID.NO: 28).
- FIG. 6 c provides a schematic representation of AP-3, where the dashed-lines represent the portion obtained from the human 5-HT 2C receptor.
- FIG. 7 a provides the nucleic acid sequence of a constitutively active form of the human 5-HT 2A receptor whereby (1) the region between the proline of TM5 and the proline of TM6 of the endogenous human 5-HT 2A receptor has been replaced with the corresponding region of the human 5-HT 2C receptor (including a S310K point mutation); and (2) the cytoplasmic-tail portion of the endogenous 5-HT 2A receptor has been replaced with the cytoplasmic-tail portion of the endogenous human 5-HT 2C receptor (“AP-4 cDNA”- SEQ.ID.NO:29).
- FIG. 7 b provides the corresponding amino acid sequence of the AP-4 cDNA (“AP-4”-SEQ.ID.NO: 30).
- FIG. 7 c provides a schematic representation of the mutated 5-HT 2A receptor of FIG. 7 b where the dashed-lines represent the portion obtained from the human 5-HT 2C receptor.
- FIG. 8 is a representation of the preferred vector, pCMV, used herein.
- FIG. 9 is a diagram illustrating (1) enhanced ( 35 S)GTP ⁇ S binding to membranes prepared from COS cells expressing the endogenous human 5-HT 2C receptor in response to serotonin, and (2) inhibition by mianserin using wheatgerm agglutinin scintillation proximity beads.
- the concentration of ( 35 S)GTP ⁇ S was held constant at 0.3 nM, and the concentration of GDP was held at 1 ⁇ M.
- the concentration of the membrane protein was 12.5 ⁇ g.
- FIG. 10 is a diagram showing serotonin stimulation of ( 35 S)GTP ⁇ S binding to membranes expressing AP-1 receptors in 293T cells and the inhibition by 30 ⁇ M mianserin on WallacTM scintistrips.
- FIG. 11 is a diagram showing the effects of protein concentration on ( 35 S)GTP ⁇ S binding in membranes prepared from 293T cells transfected with the endogenous human 5-HT 2C receptors and AP-1 receptors compared to cells transfected with the control vector (pCMV) alone in the absence (A) and presence (B) of 10 ⁇ M serotonin.
- the radiolabeled concentration of ( 35 S)GTP ⁇ S was held constant at 0.3 nM, and the GDP concentration was held constant at 1 ⁇ M.
- the assay was performed on 96-well format on WallacTM scintistrips.
- FIG. 12 provides bar-graph comparisons of inositol tris-phosphate (“IP3”) production between the endogenous human 5HT 2A receptor and AP-2, a mutated form of the receptor.
- IP3 inositol tris-phosphate
- FIG. 13 provides bar-graph comparisons of inositol tris-phosphate (“IP3”) production between the endogenous human 5HT 2A receptor and AP-4, a mutated form of the receptor.
- IP3 inositol tris-phosphate
- FIG. 14 provides bar graph comparisons of IP3 production between the endogenous human 5-HT 2A receptor and AP-3, a mutated form of the receptor.
- FIG. 15 provides bar-graph comparisons of IP3 production between the endogenous human 5-HT 2C receptor and AP-1.
- FIGS. 16A, 16B and 16 C shows a grey-scale reproduction of representative autoradiograms demonstrating displacement of 125 I-LSD from brain sections by spiperone and an early lead compound identified by the Inventors, referred to herein as S-1610 and has the following name: [3-(4-Bromo-2-methyl-2H-pyrazol-3-yl)-phenyl]-carbamic acid 4-methoxy-phenyl ester.
- FIG. 17 shows the general synthetic scheme for the preparation of intermediate compounds of the present invention.
- FIG. 17 shows a general coupling method between a pyrazole boronic acid and an aryl triflate, it is understood that similar coupling methods can be used wherein the triflate is a halide, such as, I, Br or Cl.
- FIG. 18 shows the general synthetic scheme for the preparation of intermediate compounds of the present invention.
- FIG. 19 shows the general synthetic scheme for the preparation of intermediate compounds useful in the preparation of compounds of the present invention.
- FIG. 20 shows the general synthetic scheme for the preparation of intermediate compounds useful in the preparation of compounds of the present invention.
- FIG. 21 shows the general synthetic scheme for the preparation of compounds of the present invention.
- FIG. 21 shows a general coupling method between a phenyl amine, as described in previous figures, and an isocyanate or thioisocyanate to give ureas and thioureas respectively.
- FIG. 22 shows the effect of Compound 1 on DOI-induced hypolocomotion in rats.
- FIG. 23 shows the effect of Compound 26 on DOI-induced hypolocomotion in rats.
- FIG. 24 shows the experimental design of 5HT2A occupancy studies in monkeys.
- FIG. 25 shows PET scan images of monkey brains 8 or 24 hours after treatment with Compound 1 compared to a baseline PET scan (transaxial view).
- FIG. 26 shows PET scan images of monkey brains 8 or 24 hours after treatment with Compound 1 compared to a baseline PET scan (sagital view).
- FIG. 27 shows tabulated data for percent occupancy of 5HT2A receptors by Compound 1 in monkeys.
- FIG. 28 shows the effect in rats of Compound 1 and Compound 26 on sleep and wakefulness, as measured by delta power, compared to zolpidem.
- FIG. 29 shows the general synthetic scheme for the preparation of intermediate compounds of the present invention.
- FIG. 29 shows a general coupling method between a pyrazole boronic acid and an aryl triflate, it is understood that similar coupling methods known in the art can also be used, and a halide, such as, I, Br or Cl, can be used in place of the triflate.
- FIG. 30 shows the general synthetic scheme for the preparation of intermediate compounds of the present invention.
- FIG. 30 illustrates the formation of pyrazoles from a variety of substituted chromen-4-ones. Also shown are alkylation and “Mitsunobu-like” examples for modifying the phenol, and illustrative reductions of the nitro to amine.
- FIG. 31 shows the general synthetic scheme for the preparation of intermediate compounds useful in the preparation of compounds of the present invention.
- FIG. 31 illustrates the alkylation and “Mitsunobu-like” examples for modifying the phenol. It is understood that a variety of halo-alkyls and alcohols can be used in these reactions. Some representative alcohols are, 2-dimethylamino ethanol, 3-dimethylamino propanol, and the like.
- FIG. 32 shows the general synthetic scheme for the preparation of intermediate compounds useful in the preparation of compounds of the present invention.
- FIG. 32 illustrates general methods for introducing a variety of halogens into compounds of the invention. It is understood that these halogenation reaction can also be conducted later in the synthesis, for example as the last step.
- FIG. 33 shows the general synthetic scheme for the preparation of compounds of the present invention.
- FIG. 33 shows a general coupling method between a phenyl amine, as described in previous figures, and isocyanates or thioisocyanates to give ureas and thioureas respectively.
- FIG. 33 also shows the general method for introducing R 7 and R 8 into compounds of the invention.
- FIG. 34 shows an alternate general synthetic scheme for the preparation of compounds of the present invention.
- AGONISTS shall mean moieties that interact and activate the receptor, such as the 5-HT 2A receptor, and initiates a physiological or pharmacological response characteristic of that receptor. For example, when moieties activate the intracellular response upon binding to the receptor, or enhance GTP binding to membranes.
- AMINO ACID ABBREVIATIONS used herein are set out in TABLE 1: TABLE 1 ALANINE ALA A ARGININE ARG R ASPARAGINE ASN N ASPARTIC ACID ASP D CYSTEINE CYS C GLUTAMIC ACID GLU E GLUTAMINE GLN Q GLYCINE GLY G HISTIDINE HIS H ISOLEUCINE ILE I LEUCINE LEU L LYSINE LYS K METHIONINE MET M PHENYLALANINE PHE F PROLINE PRO P SERINE SER S THREONINE THR T TRYPTOPHAN TRP W TYROSINE TYR Y VALINE VAL V
- ANTAGONISTS is intended to mean moieties that competitively bind to the receptor at the same site as agonists (for example, the endogenous ligand), but which do not activate the intracellular response initiated by the active form of the receptor, and can thereby inhibit the intracellular responses by agonists or partial agonists. Antagonists do not diminish the baseline intracellular response in the absence of an agonist or partial agonist.
- C 1-6 acyl denotes a C 1-6 alkyl radical attached to a carbonyl wherein the definition of alkyl has the same definition as described herein; some examples include but not limited to, acetyl, propionyl, n-butanoyl, iso-butanoyl, sec-butanoyl, t-butanoyl (i.e., pivaloyl), pentanoyl and the like.
- C 1-6 acyloxy denotes an acyl radical attached to an oxygen atom wherein acyl has the same definition has described herein; some examples include but not limited to acetyloxy, propionyloxy, butanoyloxy, iso-butanoyloxy, sec-butanoyloxy, t-butanoyloxy and the like.
- C 2-6 alkenyl denotes a radical containing 2 to 6 carbons wherein at least one carbon-carbon double bond is present, some embodiments are 2 to 4 carbons, some embodiments are 2 to 3 carbons, and some embodiments have 2 carbons. Both E and Z isomers are embraced by the term “alkenyl.” Furthermore, the term “alkenyl” includes di- and tri-alkenyls. Accordingly, if more than one double bond is present then the bonds may be all E or Z or a mixtures of E and Z.
- alkenyl examples include vinyl, allyl, 2-butenyl, 3-butenyl, 2-pentenyl, 3-pentenyl, 4-pentenyl, 2-hexenyl, 3-hexenyl, 4-hexenyl, 5-hexanyl, 2,4-hexadienyl and the like.
- C 1-6 alkoxy denotes a radical alkyl, as defined herein, attached directly to an oxygen atom. Examples include methoxy, ethoxy, n-propoxy, iso-propoxy, n-butoxy, t-butoxy, iso-butoxy, sec-butoxy and the like.
- C 1-8 alkyl denotes a straight or branched carbon radical containing 1 to 8 carbons, some embodiments are 1 to 6 carbons, some embodiments are 1 to 4 carbons, some embodiments are 1 to 3 carbons, and some embodiments are 1 or 2 carbons.
- alkyl examples include, but not limited to, methyl, ethyl, n-propyl, iso-propyl, n-butyl, sec-butyl, iso-butyl, 1-butyl, pentyl, iso-pentyl, t-pentyl, neo-pentyl, 1-methylbutyl [i.e., —CH(CH 3 )CH 2 CH 2 CH 3 ], 2-methylbutyl [i.e., —CH 2 CH(CH 3 )CH 2 CH 3 ], n-hexyl and the like.
- C 1-6 alkylcarboxamido or “C 1-6 alkylcarboxamide” denotes a single C 1-6 alkyl group attached to the nitrogen of an amide group, wherein alkyl has the same definition as found herein.
- the C 1-6 alkylcarboxamido may be represented by the following: Examples include, but not limited to, N-methylcarboxamide, N-ethylcarboxamide, N-n-propylcarboxamide, N-iso-propylcarboxamide, N-n-butylcarboxamide, N-sec-butylcarboxamide, N-iso-butylcarboxamide, N-t-butylcarboxamide and the like.
- C 1-3 alkylene refers to a C 1-3 divalent straight carbon group.
- C 1-3 alkylene refers to, for example, —CH 2 —, —CH 2 CH 2 —, —CH 2 CH 2 CH 2 —, and the like.
- C 1-3 alkylene refers to —CH—, —CHCH 2 —, —CHCH 2 CH 2 —, and the like wherein these examples relate generally to the variable or claim element “Q”.
- C 1-6 alkylimino denotes a C 1-6 alkyl radical attached directly to the carbon of the —C( ⁇ NH)— group wherein the definition of alkyl has the same definition as described herein; some examples include but not limited to, 1-imino-ethyl [i.e., —C( ⁇ NH)CH 3 ], 1-imino-propyl [i.e., —C( ⁇ NH)CH 2 CH 3 ], 1-imino-2-methyl-propyl [i.e., —C( ⁇ NH)CH(CH 3 ) 2 ], and the like.
- C 1-6 alkylsulfinyl denotes a C 1-6 alkyl radical attached to a sulfoxide radical of the formula: —S(O)— wherein the alkyl radical has the same definition as described herein. Examples include, but not limited to, methylsulfinyl, ethylsulfinyl, n-propylsulfinyl, iso-propylsulfinyl, n-butylsulfinyl, sec-butylsulfinyl, iso-butylsulfinyl, t-butylsulfinyl, and the like.
- C 1-6 alkylsulfonamide refers to the groups wherein C 1 4 alkyl has the same definition as described herein.
- C 1-6 alkylsulfonyl denotes a C 1-6 alkyl radical attached to a sulfone radical of the formula: —S(O) 2 — wherein the alkyl radical has the same definition as described herein. Examples include, but not limited to, methylsulfonyl, ethylsulfonyl, n-propylsulfonyl, iso-propylsulfonyl, n-butylsulfonyl, sec-butylsulfonyl, iso-butylsulfonyl, t-butylsulfonyl, and the like.
- C 1-6 alkylthio denotes a C 1-6 alkyl radical attached to a sulfide of the formula: —S— wherein the alkyl radical has the same definition as described herein. Examples include, but not limited to, methylsulfanyl (i.e., CH 3 S—), ethylsulfanyl, n-propylsulfanyl, iso-propylsulfanyl, n-butylsulfanyl, sec-butylsulfanyl, iso-butylsulfanyl, t-butylsulfanyl, and the like.
- methylsulfanyl i.e., CH 3 S—
- ethylsulfanyl ethylsulfanyl
- n-propylsulfanyl iso-propylsulfanyl
- n-butylsulfanyl sec-butylsulfanyl
- C 1-6 alkylthiocarboxamide denotes a thioamide of the following formulae: wherein C 1-6 alkyl has the same definition as described herein.
- C 1-6 alkylthioureyl denotes the group of the formula: —NC(S)N— wherein one are both of the nitrogens are substituted with the same or different C 1-6 alkyl groups and alkyl has the same definition as described herein.
- alkylthioureyl include, but not limited to, CH 3 NHC(S)NH—, NH 2 C(S)NCH 3 —, (CH 3 ) 2 N(S)NH—, (CH 3 ) 2 N(S)NH—, (CH 3 ) 2 N(S)NCH 3 —, CH 3 CH 2 NHC(S)NH—, CH 3 CH 2 NHC(S)NCH 3 —, and the like.
- C 1-6 alkylureyl denotes the group of the formula: —NC(O)N—wherein one are both of the nitrogens are substituted with the same or different C 1-6 alkyl group wherein alkyl has the same definition as described herein.
- alkylureyl include, but not limited to, CH 3 NHC(O)NH—, NH 2 C(O)NCH 3 —, (CH 3 ) 2 NC(O)NH—, (CH 3 ) 2 NC(O)NH—, (CH 3 ) 2 NC(O)NCH 3 —, CH 3 CH x NHC(O)NH—, CH 3 CH 2 NHC(O)NCH 3 —, and the like.
- C 2-6 alkynyl denotes a radical containing 2 to 6 carbons and at least one carbon-carbon triple bond, some embodiments are 2 to 4 carbons, some embodiments are 2 to 3 carbons, and some embodiments have 2 carbons.
- alkynyl examples include, but not limited to, ethynyl, 1-propynyl, 2-propynyl, 1-butynyl, 2-butynyl, 3-butynyl, 1-pentynyl, 2-pentynyl, 3-pentynyl, 4-pentynyl, 1-hexynyl, 2-hexynyl, 3-hexynyl, 4-hexynyl, 5-hexynyl and the like.
- alkynyl includes di- and tri-ynes.
- amino denotes the group —NH 2 .
- C 1-6 alkylamino denotes one alkyl radical attached to an amino radical wherein the alkyl radical has the same meaning as described herein. Some examples include, but not limited to, methylamino, ethylamino, n-propylamino, iso-propylamino, n-butylamino, sec-butylamino, iso-butylamino, t-butylamino, and the like. Some embodiments are “C 1-2 alkylamino.”
- aryl denotes an aromatic ring radical containing 6 to 10 ring carbons. Examples include phenyl and naphthyl.
- arylalkyl defines a C 1 -C 4 alkylene, such as —CH 2 —, —CH 2 CH 2 — and the like, which is further substituted with an aryl group.
- Examples of an “arylalkyl” include benzyl, phenethylene and the like.
- arylcarboxamido denotes a single aryl group attached to the nitrogen of an amide group, wherein aryl has the same definition as found herein.
- the example is N-phenylcarboxamide.
- arylureyl denotes the group —NC(O)N— where one of the nitrogens are substituted with an aryl.
- benzyl denotes the group —CH 2 C 6 H 5 .
- carbo-C 1-6 -alkoxy refers to a C 1-6 alkyl ester of a carboxylic acid, wherein the alkyl group is as defined herein. Examples include, but not limited to, carbomethoxy, carboethoxy, carbopropoxy, carboisopropoxy, carbobutoxy, carbo-sec-butoxy, carbo-iso-butoxy, carbo-t-butoxy, carbo-n-pentoxy, carbo-iso-pentoxy, carbo-t-pentoxy, carbo-neo-pentoxy, carbo-n-hexyloxy, and the like.
- carboxylate refers to the group —CONH 2 .
- carboxy or “carboxyl” denotes the group —CO 2 H; also referred to as a carboxylic acid group.
- cyano denotes the group —CN.
- C 4-7 cycloalkenyl denotes a non-aromatic ring radical containing 4 to 7 ring carbons and at least one double bond; some embodiments contain 4 to 6 carbons; some embodiments contain 4 to 5 carbons; some embodiments contain 4 carbons. Examples include cyclobutenyl, cyclopentenyl, cyclopentenyl, cyclohexenyl, and the like.
- C 3-7 cycloalkyl denotes a saturated ring radical containing 3 to 7 carbons; some embodiments contain 3 to 6 carbons; some embodiments contain 3 to 5 carbons; some embodiments contain 5 to 7 carbons; some embodiments contain 3 to 4 carbons. Examples include cyclopropyl, cyclobutyl, cyclopentyl, cyclopenyl, cyclohexyl, cycloheptyl and the like.
- C 2-8 dialkylamino denotes an amino substituted with two of the same or different C 1-4 alkyl radicals wherein alkyl radical has the same definition as described herein. Some examples include, but not limited to, dimethylamino, methylethylamino, diethylamino, methylpropylamino, methylisopropylamino, ethylpropylamino, ethylisopropylamino, dipropylamino, propylisopropylamino and the like. Some embodiments are “C 2-4 dialkylamino.”
- C 2-8 dialkylcarboxamido or “C 2-8 dialkylcarboxamide” denotes two alkyl radicals, that are the same or different, attached to an amide group, wherein alkyl has the same definition as described herein.
- a C 2-8 dialkylcarboxamido may be represented by the following groups: wherein C 1-4 has the same definition as described herein.
- Examples of a dialkylcarboxamide include, but not limited to, N,N-dimethylcarboxamide, N-methyl-N-ethylcarboxamide, N,N-diethylcarboxamide, N-methyl-N-isopropylcarboxamide, and the like.
- C 2-8 dialkylsulfonamide refers to one of the following groups shown below:
- C 1-4 has the same definition as described herein, for example but not limited to, methyl, ethyl, n-propyl, isopropyl, and the like.
- C 2-8 dialkylthiocarboxamido or “C 2-8 dialkylthiocarbox-amide” denotes two alkyl radicals, that are the same or different, attached to a thioamide group, wherein alkyl has the same definition as described herein.
- a C 2-8 dialkyithiocarboxamido or C 2-8 dialkyithiocarboxamnide may be represented by the following groups:
- Examples of a dialkyithiocarboxamide include, but not limited to, NNW-dimethylthiocarboxamide, N-methyl-N-ethylthiocarboxamide and the like.
- ethynylene refers to the carbon-carbon triple bond group as represented below:
- C 1-6 haloalkoxy denotes a haloalkyl, as defined herein, which is directly attached to an oxygen atom. Examples include, but not limited to, difluoromethoxy, trifluoromethoxy, 2,2,2-trifluoroethoxy, pentafluoroethoxy and the like.
- C 1-6 haloalkyl denotes an C 1-6 alkyl group, defined herein, wherein the alkyl is substituted with one halogen up to fully substituted and a fully substituted C 1-6 haloalkyl can be represented by the formula C n L 2n+1 wherein L is a halogen and “n” is 1, 2, 3 or 4; when more than one halogen is present then they may be the same or different and selected from the group consisting of F, Cl, Br and I, preferably F.
- C 1-4 haloalkyl groups include, but not limited to, fluoromethyl, difluoromethyl, trifluoromethyl, chlorodifluoromethyl, 2,2,2-trifluoroethyl, pentafluoroethyl and the like.
- C 1-6 haloalkylcarboxamide denotes an alkylcarboxamide group, defined herein, wherein the alkyl is substituted with one halogen up to fully substituted represented by the formula C n L 2n+1 wherein L is a halogen and “n” is 1, 2, 3 or 4. When more than one halogen is present they may be the same or different and selected from the group consisting of F, Cl, Br and I, preferably F.
- C 1-6 haloalkylsulfinyl denotes a haloalkyl radical attached to a sulfoxide group of the formula: —S(O)— wherein the haloalkyl radical has the same definition as described herein. Examples include, but not limited to, trifluoromethylsulfinyl, 2,2,2-trifluoroethylsulfinyl, 2,2-difluoroethylsulfinyl and the like.
- C 1-6 haloalkylsulfonyl denotes a haloalkyl radical attached to a sulfone group of the formula: —S(O) 2 — wherein haloalkyl has the same definition as described herein. Examples include, but not limited to, trifluoromethylsulfonyl, 2,2,2-trifluoroethylsulfonyl, 2,2-difluoroethylsulfonyl and the like.
- C 1-6 haloalkylthio denotes a haloalkyl radical directly attached to a sulfur wherein the haloalkyl has the same meaning as described herein. Examples include, but not limited to, trifluoromethylthio (i.e., CF 3 S—, also referred to as trifluoromethylsulfanyl), 1,1-difluoroethylthio, 2,2,2-trifluoroethylthio and the like.
- halogen or “halo” denotes to a fluoro, chloro, bromo or iodo group.
- heteroaryl denotes an aromatic ring system that may be a single ring, two fused rings or three fused rings wherein at least one ring carbon is replaced with a heteroatom selected from, but not limited to, the group consisting of O, S and N wherein the N can be optionally substituted with H, C 1-4 acyl or C 1-4 alkyl.
- heteroaryl groups include, but not limited to, pyridyl, benzofuranyl, pyrazinyl, pyridazinyl, pyrimidinyl, triazinyl, quinoline, benzoxazole, benzothiazole, 1H-benzimidazole, isoquinoline, quinazoline, quinoxaline and the like.
- the heteroaryl atom is O, S, NH
- examples include, but not limited to, pyrrole, indole, and the like.
- Other examples include, but not limited to, those in TABLE 2, TABLE 3, and the like.
- heterocyclic denotes a non-aromatic carbon ring (i.e., C 3-7 cycloalkyl or C 4-7 cycloalkenyl as defined herein) wherein one, two or three ring carbons are replaced by a heteroatom selected from, but not limited to, the group consisting of O, S, N, wherein the N can be optionally substituted with H, C 1-4 acyl or C 1-4 alkyl, and ring carbon atoms optionally substituted with oxo or a thiooxo thus forming a carbonyl or thiocarbonyl group.
- the heterocyclic group is a 3-, 4-, 5-, 6- or 7-membered containing ring.
- heterocyclic group examples include but not limited to aziridin-1-yl, aziridin-2-yl, azetidin-1-yl, azetidin-2-yl, azetidin-3-yl, piperidin-1-yl, piperidin-4-yl, morpholin-4-yl, piperzin-1-yl, piperzin-4-yl, pyrrolidin-1-yl, pyrrolidin-3-yl, [1,3]-dioxolan-2-yl and the like.
- heterocycliccarboxamido denotes a heterocyclic group, as defined herein, with a ring nitrogen where the ring nitrogen is bonded directly to the carbonyl forming an amide. Examples include, but not limited to,
- heterocyclicsulfonyl denotes a heterocyclic group, as defined herein, with a ring nitrogen where the ring nitrogen is bonded directly to an —SO 2 -group forming an sulfonamide. Examples include, but not limited to, and the like.
- hydroxyl refers to the group —OH.
- hydroxylamino refers to the group —NHOH.
- nitro refers to the group —NO 2 .
- C 4-7 oxo-cycloalkyl refers to a C 4-7 cycloalkyl, as defined herein, wherein one of the ring carbons is replaced with a carbonyl.
- Examples of C 4-7 oxo-cycloalkyl include, but are not limited to, 2-oxo-cyclobutyl, 3-oxo-cyclobutyl, 3-oxo-cyclopentyl, 4-oxo-cyclohexyl, and the like and represented by the following structures respectively:
- perfluoroalkyl denotes the group of the formula —C n F 2n+1 ; stated differently, a perfluoroalkyl is an alkyl as defined herein wherein the alkyl is fully substituted with fluorine atoms and is therefore considered a subset of haloalkyl.
- perfluoroalkyls include CF 3 , CF 2 CF 3 , CF 2 CF 2 CF 3 , CF(CF 3 ) 2 , CF 2 CF 2 CF 2 CF 3 , CF 2 CF(CF 3 ) 2 , CF(CF 3 )CF 2 CF 3 and the like.
- phenoxy refers to the group C 6 H 5 O—.
- phenyl refers to the group C 6 H 5 —.
- sulfonic acid refers to the group —SO 3 H.
- thiol denotes the group —SH.
- CODON shall mean a grouping of three nucleotides (or equivalents to nucleotides) which generally comprise a nucleoside [adenosine (A), guanosine (G), cytidine (C), uridine (U) and thymidine (T)] coupled to a phosphate group and which, when translated, encodes an amino acid.
- A adenosine
- G guanosine
- C cytidine
- U uridine
- T thymidine
- COMPOSITION shall mean a material comprising at least two compounds or two components; for example, and without limitation, a Pharmaceutical Composition is a Composition comprising a compound of the present invention and a pharmaceutically acceptable carrier.
- COMPOUND EFFICACY shall mean a measurement of the ability of a compound to inhibit or stimulate receptor functionality, as opposed to receptor binding affinity.
- CONSTITUTIVELY ACTIVATED RECEPTOR shall mean a receptor subject to constitutive receptor activation.
- CONSTITUTIVE RECEPTOR ACTIVATION shall mean stabilization of a receptor in the active state by means other than binding of the receptor with its endogenous ligand or a chemical equivalent thereof.
- CONTACT or CONTACTING shall mean bringing the indicated moieties together, whether in an in vitro system or an in vivo system.
- “contacting” a 5-HT 2A receptor with a compound of the invention includes the administration of a compound of the present invention to an individual, preferably a human, having a 5-HT 2A receptor, as well as, for example, introducing a compound of the invention into a sample containing a cellular or more purified preparation containing a 5-HT 2A receptor.
- ENDOGENOUS shall mean a material that a mammal naturally produces.
- ENDOGENOUS in reference to, for example and not limitation, the term “receptor” shall mean that which is naturally produced by a mammal (for example, and not limitation, a human) or a virus.
- NON-ENDOGENOUS in this context shall mean that which is not naturally produced by a mammal (for example, and not limitation, a human) or a virus.
- a receptor which is not constitutively active in its endogenous form, but when manipulated becomes constitutively active is most preferably referred to herein as a “non-endogenous, constitutively activated receptor.”
- Both terms can be utilized to describe both “in vivo” and “in vitro” systems.
- the endogenous or non-endogenous receptor may be in reference to an in vitro screening system.
- screening of a candidate compound by means of an in vivo system is viable.
- IN NEED OF PROPHYLAXIS OR TREATMENT refers to a judgment made by a caregiver (e.g. physician, nurse, nurse practitioner, etc. in the case of humans; veterinarian in the case of animals, including non-human mammals) that an individual or animal requires or will benefit from prophylaxis or treatment. This judgment is made based on a variety of factors that are in the realm of a caregiver's expertise, but that includes the knowledge that the individual or animal is ill, or will be ill, as the result of a disease, condition or disorder that is treatable by the compounds of the invention. In general, “in need of prophylaxis” refers to the judgment made by the caregiver that the individual will become ill.
- the compounds of the invention are used in a protective or preventive manner.
- “in need of treatment” refers to the judgment of the caregiver that the individual is already ill, therefore, the compounds of the present invention are used to alleviate, inhibit or ameliorate the disease, condition or disorder.
- INDIVIDUAL refers to any animal, including mammals, preferably mice, rats, other rodents, rabbits, dogs, cats, swine, cattle, sheep, horses, or primates, and most preferably humans.
- INHIBIT or INHIBITING in relationship to the term “response” shall mean that a response is decreased or prevented in the presence of a compound as opposed to in the absence of the compound.
- INVERSE AGONISTS shall mean moieties that bind the endogenous form of the receptor or to the constitutively activated form of the receptor, and which inhibit the baseline intracellular response initiated by the active form of the receptor below the normal base level of activity which is observed in the absence of agonists or partial agonists, or decrease GTP binding to membranes.
- the baseline intracellular response is inhibited in the presence of the inverse agonist by at least 30%, more preferably by at least 50%, and most preferably by at least 75%, as compared with the baseline response in the absence of the inverse agonist.
- LIGAND shall mean an endogenous, naturally occurring molecule specific for an endogenous, naturally occurring receptor.
- MODULATE or MODULATING shall mean to refer to an increase or decrease in the amount, quality, response or effect of a particular activity, function or molecule.
- PHARMACEUTICAL COMPOSITION shall mean a composition comprising at least one active ingredient; including but not limited to, salts, solvates and hydrates of compounds of Formula (I); whereby the composition is amenable to investigation for a specified, efficacious outcome in a mammal (for example, without limitation, a human).
- a mammal for example, without limitation, a human.
- THERAPEUTICALLY EFFECTIVE AMOUNT refers to the amount of active compound or pharmaceutical agent that elicits the biological or medicinal response in a tissue, system, animal, individual or human that is being sought by a researcher, veterinarian, medical doctor or other clinician, which includes one or more of the following:
- Preventing the disease for example, preventing a disease, condition or disorder in an individual that may be predisposed to the disease, condition or disorder but does not yet experience or display the pathology or symptomatology of the disease,
- Inhibiting the disease for example, inhibiting a disease, condition or disorder in an individual that is experiencing or displaying the pathology or symptomatology of the disease, condition or disorder (i.e., arresting further development of the pathology and/or symptomatology), and
- Ameliorating the disease for example, ameliorating a disease, condition or disorder in an individual that is experiencing or displaying the pathology or symptomatology of the disease, condition or disorder (i.e., reversing the pathology and/or symptomatology).
- One aspect of the present invention encompasses certain diaryl and arylheteroaryl urea derivatives as shown in Formula (I): or a pharmaceutically acceptable salt, hydrate or solvate thereof; wherein R 1 , R 2 , R 3 , R 4 , R 5 , R 6a , R 6b , R 6c , R 7 , R 8 , X, and Q have the same definitions as described herein, supra and infra.
- R 1 is aryl or heteroaryl optionally substituted with R 9 , R 10 , R 11 , R 12 , R 13 , R 14 , and R 15 selected independently from the group consisting of C 1-4 acyl, C 1-6 acyloxy, C 2-6 alkenyl, C 1-6 alkoxy, C 1-6 alkyl, C 1-6 alkylcarboxamide, C 2-6 alkynyl, C 1-6 alkylsulfonamide, C 1-4 alkylsulfinyl, C 1-6 alkylsulfonyl, C 1-6 alkylthio, C 1-6 alkylureyl, amino, C 1-6 alkylamino, C 2-8 dialkylamino, carbo-C 1-6 -alkoxy, carboxamide, carboxy, cyano, C 3-7 cycloalkyl, C 2-8 dialkylcarboxamide, C 2-8 dialkylsulfonamide, halogen, C 1-6 haloalkoxy,
- R 2 is selected from the group consisting of C 1-6 alkyl, C 2-6 alkenyl, C 2-6 alkynyl and C 3-7 cycloalkyl;
- R 3 is selected from the group consisting of H, C 2-6 alkenyl, C 1-6 alkyl, C 1-6 alkylcarboxamide, C 2-6 alkynyl, C 1-6 alkylsulfonamide, carbo-C 1-6 -alkoxy, carboxamide, carboxy, cyano, C 3-7 cycloalkyl, C 2-8 dialkylcarboxamide, halogen, heteroaryl and phenyl; and wherein each of said C 2-6 alkenyl, C 1-6 alkyl, C 2-6 alkynyl, C 1-6 alkylsulfonamide, C 3-7 cycloalkyl, heteroaryl and phenyl groups can be optionally substituted with 1 to 5 substituents selected independently from the group consisting of C 1-5 acyl, C 1-5 acyloxy, C 2-6 alkenyl, C 1-4 alkoxy, C 1-8 alkyl, C 1-6 alkylamino, C 2-8 dialkylamino
- R 4 is selected from the group consisting of H, C 1-6 acyl, C 1-6 acyloxy, C 2-6 alkenyl, C 1-6 alkoxy, C 1-6 alkyl, C 1-6 alkylcarboxamide, C 2-6 alkynyl, C 1-6 alkylsulfonamide, C 1-6 alkylsulfinyl, C 1-6 alkylsulfonyl, C 1-6 alkylthio, C 1-6 alkylureyl, amino, C 1-6 alkylamino, C 2-8 dialkylamino, carbo-C 1-6 -alkoxy, carboxamide, carboxy, cyano, C 3-7 cycloalkyl, C 2-8 dialkylcarboxamide, C 2-8 dialkylsulfonamide, halogen, C 1-6 haloalkoxy, C 1-6 haloalkyl, C 1-6 haloalkylsulfinyl, C 1-6 haloalkylsulfiny
- R 5 is selected from the group consisting of C 1-6 acyl, C 1-6 acyloxy, C 2-6 alkenyl, C 1-6 alkoxy, C 1-6 alkyl, C 1-6 alkylcarboxamide, C 2-6 alkynyl, C 1 - alkylsulfonamide, C 1-6 alkylsulfinyl, C 1-6 alkylsulfonyl, C 1-6 alkylthio, C 1-6 alkylureyl, amino, C 1-6 alkylamino, C 2-8 dialkylamino, carbo-C 1-6 -alkoxy, carboxamide, carboxy, cyano, C 3-7 cycloalkyl, C 2-8 dialkylcarboxamide, C 2-8 dialkylsulfonamide, halogen, C 1-6 haloalkoxy, C 1-6 haloalkyl, C 1-6 haloalkylsulfinyl, C 1-6 haloalkylsulfonamide,
- R 6 is selected from the group consisting of H, C 1-6 acyl, C 1-6 acyloxy, C 2-6 alkenyl, C 1-6 alkoxy, C 1-6 alkyl, C 1-6 alkylcarboxamide, C 2-6 alkynyl, C 1-6 alkylsulfonamide, C 1-6 alkylsulfinyl, C 1-6 alkylsulfonyl, C 1-6 alkylthio, C 1-6 alkylureyl, amino, C 1-6 alkylamino, C 2-8 dialkylamino, carbo-C 1-6 -alkoxy, carboxamide, carboxy, cyano, C 3-7 cycloalkyl, C 2-8 dialkylcarboxaminde, C 2-8 dialkylsulfonamide, halogen, C 1-6 haloalkoxy, C 1-6 haloalkyl, C 1-6 haloalkylsulfinyl, C 1-6 haloalkylsulf
- R 7 and R 8 are independently H or C 1-8 alkyl
- X is O or S
- Q is C 1-3 alkylene optionally substituted with 1 to 4 substituents selected from the group consisting of C 1-3 alkyl, C 1-4 alkoxy, carboxy, cyano, C 1-3 haloalkyl, halogen and oxo; or Q is a bond; or a pharmaceutically acceptable salt, hydrate or solvate thereof.
- substituted indicates that at least one hydrogen atom of the chemical group is replaced by a non-hydrogen substituent or group, the non-hydrogen substituent or group can be monovalent or divalent. When the substituent or group is divalent, then it is understood that this group is further substituted with another substituent or group.
- a chemical group herein when “substituted” it may have up to the full valance of substitution; for example, a methyl group can be substituted by 1, 2, or 3 substituents, a methylene group can be substituted by 1 or 2 substituents, a phenyl group can be substituted by 1, 2, 3, 4, or 5 substituents, a naphthyl group can be substituted by 1, 2, 3, 4, 5, 6, or 7 substituents and the like.
- substituted with one or more substituents refers to the substitution of a group with one substituent up to the total number of substituents physically allowed by the group. Further, when a group is substituted with more than one group they can be identical or they can be different.
- Tautomeric forms can be in equilibrium or sterically locked into one form by appropriate substitution. It is understood that the various tautomeric forms are within the scope of the compounds of the present invention.
- Compounds of the invention can also include all isotopes of atoms occurring in the intermediates and/or final compounds.
- Isotopes include those atoms having the same atomic number but different mass numbers.
- isotopes of hydrogen include deuterium and tritium.
- compounds of the present invention may have one or more chiral centers, and therefore can exist as enantiomers and/or diastereomers.
- the invention is understood to extend to and embrace all such enantiomers, diastereomers and mixtures thereof, including but not limited, to racemates.
- some embodiments of the present invention pertain to compounds of the present invention that are R enantiomers.
- some embodiments of the present invention pertain to compounds of the present invention that are S enantiomers.
- some embodiments of the present invention include compounds that are RS or SR enantiomers.
- compounds of the present invention are RR or SS enantiomers. It is understood that compounds of the present invention are intended to represent all individual enantiomers and mixtures thereof, unless stated or shown otherwise.
- R 1 is aryl or heteroaryl each optionally substituted with R 9 , R 10 , R 11 , R 12 , R 13 , R 14 , and R 15 each selected independently from the group consisting of C 1-6 acyl, C 1-6 acyloxy, C 2-6 alkenyl, C 1-6 alkoxy, C 1-6 alkyl, C 1-6 alkylcarboxamide, C 2-6 alkynyl, C 1-6 alkylsulfonamide, C 1-6 alkylsulfinyl, C 1-6 alkylsulfonyl, C 1-6 alkylthio, C 1-6 alkylureyl, amino, C 1-6 alkylamino, C 2-8 dialkylamino, C 1-6 alkylimino, carbo-C 1-6 -alkoxy, carboxamide, carboxy, cyano, C 3-7 cycloalkyl, C 2-8 dialkylcarboxamide, C 2-8 dialkylsulfonamide,
- R 1 is phenyl or naphthyl each optionally substituted with R 9 , R 10 , R 11 , R 12 , R 13 , R 14 , and R 15 each selected independently from the group consisting of C 1-6 acyl, C 1-6 alkoxy, C 1-6 alkyl, C 1-6 alkylsulfonyl, amino, C 1-6 alkylamino, C 2-8 dialkylamino, C 1-6 alkylimino, carbo-C 1-6 -alkoxy, carboxamide, carboxy, cyano, C 3-7 cycloalkyl, halogen, C 1-6 haloalkoxy, C 1-6 haloalkyl, heterocyclic, hydroxyl, nitro, and phenyl, or two adjacent R 9 , R 10 , R 11 , R 12 , R 13 , R 14 , and R 15 together with the atoms to which they are attached form a C 5-7 cycloal
- R 1 is phenyl optionally substituted with R 9 , R 10 , R 11 , R 12 , and R 13 each selected independently from the group consisting of C 1-6 acyl, C 1-6 alkoxy, C 1-6 alkyl, C 1-6 alkylsulfonyl, amino, C 1-6 alkylamino, C 2-8 dialkylamino, C 1-6 alkylimino, carbo-C 1-6 -alkoxy, carboxamide, carboxy, cyano, C 3-7 cycloalkyl, halogen, C 1-6 haloalkoxy, C 1-6 haloalkyl, heterocyclic, hydroxyl, nitro, and phenyl, or two adjacent R 9 , R 10 , R 11 , R 12 , and R 13 together with the atoms to which they are attached form a C 5-7 cycloalkyl group or heterocyclic group each optionally substituted with F; and wherein said C 1-6 acyl, C 1-6 alkoxy,
- R 1 is phenyl or naphthyl each optionally substituted with R 9 , R 10 , R 11 , R 12 , R 13 , R 14 , and R 15 each selected independently from the group consisting of C 1-6 acyl, C 1-6 alkoxy, C 1-6 alkyl, amino, C 1-6 alkylamino, C 2-8 dialkylamino, C 1-6 alkylimino, cyano, halogen, C 1-6 haloalkoxy, C 1-6 haloalkyl, heterocyclic, hydroxyl, nitro, and phenyl, or two adjacent R 9 , R 10 , R 11 , R 12 , R 13 , R 14 , and R 15 together with the atoms to which they are attached form a C 5-7 cycloalkyl group or heterocyclic group each optionally substituted with F; and wherein said C 1-6 alkyl, C 1-6 alkylimino, and heterocyclic are each selected independently from the group consisting of C 1-6
- R 1 is phenyl optionally substituted with R 9 , R 10 , R 11 , R 12 , and R 13 each selected independently from the group consisting of C 1-6 acyl, C 1-6 alkoxy, C 1-6 alkyl, amino, C 1-6 alkylamino, C 2-8 dialkylamino, C 1-6 alkylimino, cyano, halogen, C 1-6 haloalkoxy, C 1-6 haloalkyl, heterocyclic, hydroxyl, nitro, and phenyl, or two adjacent R 9 , R 10 , R 11 , R 12 , and R 13 together with the atoms to which they are attached form a C 5-7 cycloalkyl group or heterocyclic group each optionally substituted with F; and wherein said C 1-6 alkyl, C 1-6 alkylimino, and heterocyclic are each optionally substituted with 1 to 5 substituents selected independently from the group consisting of C 1-6 al
- R 1 is phenyl or naphthyl optionally substituted with R 9 , R 10 , R 11 , R 12 , R 13 , R 14 , and R 15 each selected independently from the group consisting of —C(O)CH 3 , —OCH 3 , —CH 3 , —CH(CH 3 ) 2 , —CH(OH)CH 3 , —N(CH 3 ) 2 , (2-dimethylamino-ethyl)-methyl-amino [i.e., —N(CH 3 )CH 2 CH 2 N(CH 3 ) 2 ], (3-dimethylamino-propyl)-methyl-amino [i.e., —N(CH 3 )CH 2 CH 2 CH 2 N(CH 3 ) 2 ], —C( ⁇ NOH)CH 3 , cyano, —F, —Cl, —Br, —OCF 3 , —
- R 1 is phenyl optionally substituted with R 9 , R 10 , R 11 , R 12 , and R 13 , R 14 each selected independently from the group consisting of —C(O)CH 3 , —OCH 3 , —CH 3 , —CH(CH 3 ) 2 , —CH(OH)CH 3 , —N(CH 3 ) 2 , (2-dimethylamino-ethyl)-methyl-amino [i.e., —N(CH 3 )CH 2 CH 2 N(CH 3 ) 2 ], (3-dimethylamino-propyl)-methyl-amino [i.e., —N(CH 3 )CH 2 CH 2 CH 2 N(CH 3 ) 2 ], —C( ⁇ NOH)CH 3 , cyano, —F, —Cl, —Br, —OCF 3 , —CF 3 , 4-methyl-piperazin
- R 1 is phenyl or naphthyl optionally substituted with R 9 , R 10 , R 11 , R 12 , R 13 , R 14 , and R 15 each selected independently from the group consisting of —OCH 3 , —CH 3 , cyano, —F, —Cl, —Br, —OCF 3 , and —CF 3 .
- R 1 is phenyl optionally substituted with R 9 , R 10 , R 11 , R 12 , and R 13 each selected independently from the group consisting of —OCH 3 , —CH 3 , cyano, —F, —Cl, —Br, —OCF 3 , and —CF 3 .
- R 1 is phenyl and can be represented by the Formula shown below: wherein each variable in the above formula has the same meaning as described herein, supra and infra.
- R 7 and R 8 are both —H, Q is a bond, and X is O.
- R 1 is phenyl and can be represented by Formula (Ia) as shown below:
- R 9 to R 13 substituents are each selected independently from the group consisting of H, C 1-6 acyl, C 1-6 acyloxy, C 1-6 alkoxy, C 1-6 alkyl, C 1-6 alkylcarboxamide, C 1-6 alkylsulfonamide, C 1-6 alkylsulfinyl, C 1-6 alkylsulfonyl, C 1-6 alkylthio, amino, C 1-6 alkylamino, C 2-8 dialkylamino, carbo-C 1-6 -alkoxy, carboxamide, carboxy, cyano, halogen, C 1-6 haloalkoxy, C 1-6 haloalkyl, hydroxyl, nitro and phenyl, or two adjacent substituents together with the phenyl form a C 5-7 cycloalkyl optionally comprising 1 to 2 oxygen atoms; and wherein each said C 1-6 alkyl and phenyl groups can be optionally substituted with 1 to 5 substituents selected independently
- R 1 is phenyl optionally substituted with R 9 to R 13 substituents selected independently from the group consisting of acyl, C 1-6 alkoxy, C 1-6 alkyl, cyano, halogen, C 1-6 haloalkoxy, C 1-6 haloalkyl, nitro and phenyl; and wherein said phenyl can be optionally substituted with 1 to 5 substituents selected independently from the group consisting of C 1-6 alkoxy, C 1-6 alkyl, cyano, halogen, C 1-6 haloalkoxy, C 1-6 haloalkyl and nitro.
- R 1 is phenyl optionally substituted with R 9 to R 13 substituents selected independently from the group consisting of C 1-6 acyl, C 1-6 alkoxy, C 1-6 alkyl, cyano, halogen, C 1-6 haloalkoxy, C 1-6 haloalkyl, nitro and phenyl.
- R 1 is phenyl optionally substituted with R 9 to R 13 substituents selected independently from the group consisting of —C(O)CH 3 , —C(O)CH 2 CH 3 , —C(O)CH(CH 3 ) 2 , —C(O)CH 2 CH 2 CH 3 , —C(O)CH 2 CH(CH 3 ) 2 , —OCH 3 , —OCH 2 CH 3 , —OCH(CH 3 ) 2 , —OCH 2 CH 2 CH 3 , —OCH 2 CH(CH 3 ) 2 , —CH 3 , —CH 2 CH 3 , —CH(CH 3 ) 2 , —CH 2 CH 2 CH 3 , —CH 2 CH 2 CH 3 , cyano, F, Cl, Br, 1,—OCF 3 , —OCHF 2 , —OCFH 2 , —OCF 2 CF 3 , —OCH 2 CF 3 , —CF 3 , —
- R 1 is phenyl optionally substituted with R 9 to R 13 substituents are each selected independently from the group consisting of —C(O)CH 3 , —OCH 3 , —CH 3 , —CH(CH 3 ) 2 , —CH(OH)CH 3 , —N(CH 3 ) 2 , (2-dimethylamino-ethyl)-methyl-amino, (3-dimethylamino-propyl)-methyl-amino, —C( ⁇ NOH)CH 3 , cyano, —F, —Cl, —Br, —OCF 3 , —CF 3 , 4-methyl-piperazin-1-yl, morpholin4-yl, 4-methyl-piperidin-1-yl, hydroxyl, nitro, and phenyl.
- R 1 is phenyl optionally substituted with R 9 , R 10 , R 11 , R 12 and R 13 substituents selected independently from the group consisting of —C(O)CH 3 , —OCH 3 , —CH 3 , cyano, —F, —Cl, —Br, —OCF 3 , —CF 3 , nitro and phenyl.
- R 1 is naphthyl optionally substituted with R 9 R 10 R 11 R 12 R 13 R 14 and R 15 substituents selected independently from the group consisting of C 1-6 acyl, C 1-6 acyloxy, C 1-6 alkoxy, C 1-6 alkyl, C 1-6 alkylcarboxamide, C 1-6 alkylsulfonamide, C 1-6 alkylsulfinyl, C 1-6 alkylsulfonyl, C 1-6 alkylthio, amino, C 1-6 alkylamino, C 2-8 dialkylamino, carbo-C 1-6 -alkoxy, carboxamide, carboxy, cyano, halogen, C 1-6 haloalkoxy, C 1-6 haloalkyl, hydroxyl and nitro; and wherein said C 1-6 alkyl can be optionally substituted with 1 to 5 substituents selected independently from the group consisting of C 1-6 alkoxy, C 1-6 alkyl
- R 1 is naphthyl optionally substituted with R 9 , R 10 , R 11 , R 12 , R 13 , R 14 and R 15 substituents selected independently from the group consisting of C 1-6 acyl, C 1-6 alkoxy, C 1-6 alkyl, cyano, halogen, C 1-6 haloalkoxy, C 1-6 haloalkyl and nitro.
- R 1 is naphthyl optionally substituted with R 9 , R 10 , R 11 , R 12 , R 13 , R 14 and R 15 substituents selected independently from the group consisting of —C(O)CH 3 , C(O)CH 2 CH 3 , —C(O)CH(CH 3 ) 2 , —C(O)CH 2 CH 2 CH 3 , —C(O)CH 2 CH(CH 3 ) 2 , —OCH 3 , —OCH 2 CH 3 , —OCH(CH 3 ) 2 , —OCH 2 CH 2 CH 3 , —OCH 2 CH(CH 3 ) 2 , —CH 3 , —CH 2 CH 3 , —CH(CH 3 ) 2 , —CH 2 CH 2 CH 3 , —CH(CH 3 ) 2 , —CH 2 CH 2 CH 3 , —CH 2 CH(CH 3 ) 2 , —CH 2 CH 2 CH 3 , cyano, —F
- R 1 is naphthyl optionally substituted with R 9 , R 10 , R 11 , R 12 , R 13 , R 14 and R 15 substituents selected independently from the group consisting of —C(O)CH 3 , —C(O)CH 2 CH 3 , —C(O)CH(CH 3 ) 2 , —C(O)CH 2 CH 2 CH 3 , —C(O)CH 2 CH(CH 3 ) 2 , —OCH 3 , —OCH 2 CH 3 , —OCH(CH 3 ) 2 , —OCH 2 CH 2 CH 3 , —OCH 2 CH(CH 3 ) 2 , —CH 3 , —CH 2 CH 3 , —CH(CH 3 ) 2 , —CH 2 CH 2 CH 3 , —CH(CH 3 ) 2 , —CH 2 CH 2 CH 3 , —CH 2 CH(CH 3 ) 2 , —CH 2 CH 2 CH 3 , cyano,
- R 1 is naphthyl optionally substituted with R 9 , R 10 , R 11 , R 12 , R 1 , R 14 and R 15 substituents selected independently from the group consisting of —C(O)CH 3 , —OCH 3 , —CH 3 , cyano, —F, —Cl, —Br, —OCF 3 , —CF 3 and nitro.
- R 1 is heteroaryl optionally substituted with R 9 , R 10 , R 11 , R 12 , and R 13 each selected independently from the group consisting of C 1-6 acyl, C 1-6 alkoxy, C 1-6 alkyl, amino, C 1-6 alkylamino, C 2-8 dialkylamino, C 1-6 alkylimino, cyano, halogen, C 1-6 haloalkoxy, C 1-6 haloalkyl, heterocyclic, hydroxyl, nitro, and phenyl, or two adjacent R 9 , R 10 , R 11 , R 12 , R 13 , R 14 , and R 15 together with the atoms to which they are attached form a C 5-7 cycloalkyl group or heterocyclic group each optionally substituted with F; and wherein said C 1-6 alkyl, C 1-6 alkylimino, and heterocyclic are each optionally substituted with 1 to 5 substituents selected independently from the group
- R 1 is heteroaryl optionally substituted with R 9 , R 10 , R 11 , R 12 , and R 13 each selected independently from the group consisting of —C(O)CH 3 , —OCH 3 , —CH 3 , —CH(CH 3 ) 2 , —CH(OH)CH 3 , —N(CH 3 ) 2 , (2-dimethylamino-ethyl)-methyl-amino, (3-dimethylamino-propyl)-methyl-amino, —C( ⁇ NOH)CH 3 , cyano, —F, —Cl, —Br, —OCF 3 , —CF 3 , 4-methyl-piperazin-1-yl, morpholin-4-yl, 4-methyl-piperidin-1-yl, hydroxyl, nitro, phenyl.
- R 1 is heteroaryl optionally substituted with R 9 , R 10 , R 11 , R 12 , and R 13 each selected independently from the group consisting of —OCH 3 , —CH 3 , cyano, —F, —Cl, —Br, —OCF 3 , and —CF 3 .
- R 1 is heteroaryl optionally substituted with R 9 , R 10 , R 11 , R 12 , and R 13 each selected independently from the group consisting of C 1-6 acyl, C 1-6 acyloxy, C 1-6 alkoxy, C 1-6 alkyl, C 1-6 alkylcarboxamide, C 1-6 alkylsulfonamide, C 1-6 alkylsulfinyl, C 1-6 alkylsulfonyl, C 1-6 alkylthio, amino, C 1-6 alkylamino, C 2-8 dialkylamino, carbo-C 1-6 -alkoxy, carboxamide, carboxy, cyano, halogen, C 1-6 haloalkoxy, C 1-6 haloalkyl, hydroxyl, nitro and phenyl, or two adjacent R 9 , R 10 , R 11 , R 12 , R 13 , R 14 , and R 15 together with the atoms to which they
- R 1 is heteroaryl optionally substituted with R 9 , R 10 , R 11 , R 12 and R 13 each selected independently from the group consisting of C 1-6 acyl, C 1-6 alkoxy, C 1-6 alkyl, cyano, halogen, C 1-6 haloalkoxy, C 1-6 haloalkyl, nitro and phenyl; and wherein said phenyl can be optionally substituted with 1 to 5 substituents selected independently from the group consisting of C 1-6 alkoxy, C 1-6 alkyl, cyano, halogen, C 1-6 haloalkoxy, C 1-6 haloalkyl and nitro.
- R 1 is heteroaryl optionally substituted with R 9 , R 10 , R 11 , R 12 and R 13 each selected independently from the group consisting of C 1-6 acyl, C 1-6 alkoxy, C 1-6 alkyl, cyano, halogen, C 1-6 haloalkoxy, C 1-6 haloalkyl, nitro and phenyl.
- R 1 is heteroaryl optionally substituted with R 9 , R 10 , R 11 , R 12 , and R 13 each selected independently from the group consisting of —C(O)CH 3 , —C(O)CH 2 CH 3 , —C(O)CH(CH 3 ) 2 , —C(O)CH 2 CH 2 CH 3 , —C(O)CH 2 CH(CH 3 ) 2 , —OCH 3 , —OCH 2 CH 3 , —OCH(CH 3 ) 2 , —OCH 2 CH 2 CH 3 , —OCH 2 CH(CH 3 ) 2 , —CH 3 , —CH 2 CH 3 , —CH(CH 3 ) 2 , —CH 2 CH 2 CH 3 , —CH(CH 3 ) 2 , —CH 2 CH 2 CH 3 , —CH 2 CH 2 (CH 3 ) 2 , —CH 2 CH 2 CH 2 CH 3 , cyano, —F, —Cl
- R 1 is heteroaryl optionally substituted with R 9 , R 10 , R 11 , R 12 , and R 13 each selected independently from the group consisting of —C(O)CH 3 , —OCH 3 , —CH 3 , cyano, —F, —Cl, —Br, —OCF 3 , —CF 3 , nitro and phenyl.
- R 1 is heteroaryl optionally substituted with R 9 , R 10 , R 11 , R 12 , and R 13 selected independently from the group consisting of H, —C(O)CH 3 , —OCH 3 , —CH 3 , cyano, —F, —Cl, —Br, —OCF 3 , —CF 3 , nitro and phenyl.
- R 1 is heteroaryl having 5-atoms in the aromatic ring examples of which are represented by the following formulae: TABLE 2 wherein the 5-membered heteroaryl is bonded at any available position of the ring, for example, a imidazolyl ring can be bonded at one of the ring nitrogens (i.e., imidazol-1-yl group) or at one of the ring carbons (i.e., imidazol-2-yl, imidazol-4-yl or imiadazol-5-yl group).
- a imidazolyl ring can be bonded at one of the ring nitrogens (i.e., imidazol-1-yl group) or at one of the ring carbons (i.e., imidazol-2-yl, imidazol-4-yl or imiadazol-5-yl group).
- R 1 is a 6-membered heteroaryl, for example, a 6-membered heteroaryl as shown in TABLE 3: TABLE 3 wherein the heteroaryl group is bonded at any ring carbon.
- R 1 is selected from the group consisting of pyridinyl, pyridazinyl, pyrimidinyl and pyrazinyl. In some embodiments, R 1 is pyridinyl.
- R 1 is a heteroaryl, for example but not limited to those shown in TABLE 2 and 3, optionally substituted with 1 to 3 substituents selected from the group consisting of C 1-6 acyl, C 1-6 acyloxy, C 2-6 alkenyl, C 1-6 alkoxy, C 1-6 alkyl, C 1-6 alkylcarboxamide, C 2-6 alkynyl, C 1-6 alkylsulfonamide, C 1-6 alkylsulfinyl, C 1-6 alkylsulfonyl, C 1-6 alkylthio, C 1-6 alkylureyl, amino, C 1-6 alkylamino, C 2-8 dialkylamino, carbo-C 1-6 -alkoxy, carboxamide, carboxy, cyano, C 3-7 cycloalkyl, C 2-8 dialkylcarboxamide, C 2-8 dialkylsulfonamide, halogen, C 1-6 haloalkoxy, C 1-6 aloalkyl
- Some embodiments of the present invention pertain to compounds wherein R 2 is H or C 1-6 alkyl.
- R 2 is C 1-6 alkyl.
- R 2 is selected from the group consisting of —CH 3 , —CH 2 CH 3 , —CH(CH 3 ) 2 , —CH 2 CH 2 CH 3 , —CH 2 CH(CH 3 ) 2 and —CH 2 CH 2 CH 2 CH 3 .
- R 2 is —CH 3 or —CH(CH 3 ) 2 .
- Some embodiments of the present invention can be represented by Formulae (Ib) and (Ic) respectively as shown below: wherein each variable in Formulae (Ib) and (Ic) has the same meaning as described herein, supra and infra.
- Some embodiments of the present invention pertain to compounds wherein R 2 is H.
- Some embodiments of the present invention pertain to compounds wherein R 2 is C 2-6 alkynyl.
- R 2 is C 3-7 cycloalkyl. In some embodiments, R 2 is cyclopropyl.
- R 3 is selected from the group consisting of H, C 2-6 alkenyl, C 1-6 alkyl, C 1-6 alkylcarboxamide, C 2-6 alkynyl, carbo-C 1-6 -alkoxy, carboxamide, carboxy, cyano, C 3-7 cycloalkyl, halogen, heteroaryl or phenyl; and wherein each of said C 2-6 alkenyl, C 1-6 alkyl, C 2-6 alkynyl, heteroaryl and phenyl groups can be optionally substituted with 1 to 5 substituents selected independently from the group consisting of C 1-6 alkylamino, C 2-8 dialkylamino, C 2-6 alkenyl, C 1-4 alkoxy, C 1-8 alkyl, C 2-6 alkynyl, amino, halogen, C 1-4 haloalkoxy and hydroxyl.
- R 3 is selected from the group consisting of H, C 2-6 alkenyl, C 1-6 alkyl, C 2-6 alkynyl, carbo-C 1-6 -alkoxy, carboxy, cyano, C 3-7 cycloalkyl, halogen, heteroaryl or phenyl; and wherein each of said C 2-6 alkenyl, C 1-6 alkyl, C 2-6 alkynyl and phenyl groups can be optionally substituted with 1 to 5 substituents selected independently from the group consisting of C 2-8 dialkylamino, C 2-6 alkenyl, C 1-4 alkoxy, C 2-6 alkynyl, halogen, C 1-4 haloalkoxy and hydroxyl.
- R 3 is selected from the group consisting of H, —CH ⁇ CH 2 , —CH 3 ,
- R 3 is selected from the group consisting of H, —CH ⁇ CH 2 , —CH 3 , —CH 2 CH 3 , —CH(CH 3 ) 2 , —CH 2 CH 2 CH 3 , —CH 2 CH(CH 3 ) 2 , —CH 2 CH 2 CH 2 CH 3 .
- R 3 is H, F, Cl or Br.
- Some embodiments of the present invention pertain to compounds of Formula (If) as shown below: wherein each variable in Formula (If) has the same meaning as described herein, supra and infra.
- Some embodiments of the present invention pertain to compounds of Formula (g) as shown below; wherein each variable in Formula (Ig) has the same meaning as described herein, supra and infra.
- Some embodiments of the present invention pertain to compounds of Formula (Ih) as shown below: wherein each variable in Formula (Ih) has the same meaning as described herein, supra and infra.
- Some embodiments of the present invention pertain to compounds of Formula (Ii) as shown wherein each variable in Formula (Ii) has the same meaning as described herein, supra and infra.
- Some embodiments of the present invention pertain to compounds of Formula (Ij) as shown below: wherein each variable in Formula (Ij) has the same meaning as described herein, supra and infra.
- Some embodiments of the present invention pertain to compounds of Formula (Ik) as shown below: wherein each variable in Formula (Ik) has the same meaning as described herein, supra and infra.
- Some embodiments of the present invention pertain to compounds of Formula (Ik′) as shown below: wherein each variable in Formula (Ik′) has the same meaning as described herein, supra and infra.
- R 4 is selected from the group consisting of H, C 1-6 alkyl and C 1-6 haloalkyl.
- R 4 is selected from the group consisting of H, —CH 3 , —CH 2 CH 3 , —CH(CH 3 ) 2 , —CH 2 CH 2 CH 3 , —CH 2 CH(CH 3 ) 2 , —CH 2 CH 2 CH 2 CH 3 , —CF 3 , —CHF 2 , —CFH 2 , —CF 2 CF 3 and —CH 2 CF 3 .
- R 4 is selected from the group consisting of H or —CF 3 .
- Some embodiments of the present invention can be represented by Formulae (Im) and (In) as shown below: wherein each variable in Formulae (Im) and (In) has the same meaning as described herein, supra and infra.
- Some embodiments of the present invention can be represented by Formulae (Io) and (Io′) as shown below: wherein each variable in Formulae (Io) and (Io′) has the same meaning as described herein, supra and infra.
- R 5 is selected from the group consisting of C 1-6 alkoxy, C 1-6 alkylthio, amino, C 1-6 alkylamino, C 2-8 dialkylamino, halogen, C 1-6 haloalkoxy, and hydroxyl
- said C 1-6 alkoxy group can be optionally substituted with 1 to 5 substituents selected independently from the group consisting of amino, C 1-6 alkylamino, C 2-8 dialkylamino, amino, carbo-C 1-6 -alkoxy, carboxamide, carboxy, cyano, halogen, and phenyl, and wherein said amino and phenyl are each optionally substituted with 1 to 5 further substituents selected from the group consisting of halogen and carbo-C 1-6 -alkoxy.
- R 5 is C 1-6 alkoxy, or hydroxyl
- said C 1-6 alkoxy group can be optionally substituted with 1 to 5 substituents selected independently from the group consisting of C 1-4 alkoxy, C 1-6 alkylamino, C 2-8 dialkylamino, alkylsulfinyl, C 1-4 alkylsulfonyl, C 1-4 alkylthio, amino, halogen, C 1-4 haloalkoxy, C 1-4 haloalkyl, C 1-4 haloalkylsulfinyl, C 1-4 haloalkylsulfonyl, C 1-4 haloalkylthio, hydroxyl and phenyl, and wherein said phenyl is optionally substituted with 1 to 5 halogen atoms.
- R 5 is selected from the group consisting of C 1-6 alkoxy, C 1-6 haloalkoxy, and hydroxyl
- said C 1-6 alkoxy group can be optionally substituted with 1 to 5 substituents selected independently from the group consisting of amino, C 2-8 dialkylamino, carboxy, and phenyl, and wherein said amino and phenyl are each optionally substituted with 1 to 5 further substituents selected from the group consisting of halogen and carbo-C 1-6 -alkoxy.
- R 5 is C 1-6 alkoxy, or hydroxyl, and wherein said C 1-6 alkoxy group can be optionally substituted with 1 to 5 substituents selected independently from the group consisting of C 1-4 alkoxy, C 1-6 alkylamino, C 2-8 dialkylamino, amino, C 1-4 haloalkoxy, hydroxyl and phenyl, wherein said phenyl is optionally substituted with 1 to 5 halogen atoms.
- R 5 is selected from the group consisting of —OCH 3 , —OCH 2 CH 3 , —OCH(CH 3 ) 2 , —OCF 3 , hydroxyl, benzyloxy, 4-chloro-benzyloxy, phenethyloxy, 2-dimethylamino-ethoxy [i.e., —OCH 2 CH 2 N(CH 3 ) 2 ], 3-dimethylamino-propoxy [i.e., —OCH 2 CH 2 CH 2 N(CH 3 ) 2 ], carboxymethoxy [i.e., —OCHC(O)OH], and 2-tert-butoxycarbonylamino-ethoxy [i.e., —OCH 2 CH 2 NHC(O)OC(CH 3 ) 3 ].
- R 5 is selected from the group consisting of —OCH 3 , —OCH 2 CH 3 , —OCH(CH 3 ) 2 , —OCH 2 CH 2 CH 3 , —OCH 2 CH(CH 3 ) 2 , hydroxyl, —OCH 2 CH 2 OH, —OCH 2 CH 2 OCH 3 , —OCH 2 CH 2 OCH 2 CH 3 , —OCH 2 CH 2 OCH(CH 3 ) 2 , —OCH 2 CH 2 OCH 2 CH 2 CH 3 , —OCH 2 CH 2 OCH 2 CH(CH 3 ) 2 , —OCH 2 CH 2 NH 2 , —OCH 2 CH 2 NHCH 3 , —OCH 2 CH 2 N(CH 3 ) 2 , —OCH 2 CH 2 OCF 3 , —OCH 2 CH 2 OCH F 2 , —OCH 2 CH 2 OCFH 2 , —OCH 2 C 6 H 5 , —OCH 2 CH 3 ,
- R 5 is selected from the group consisting of —OCH 3 , —OCH 2 CH 3 , —OCH(CH 3 ) 2 , hydroxyl, —OCH 2 CH 2 N(CH 3 ) 2 , —OCH 2 C 6 H 5 , —OCH 2 CH 2 C 6 H 5 and —OCH 2 C 6 H 5 -p-Cl.
- R 5 is —OCH 3 .
- R 6 is selected from the group consisting of H, C 1-6 alkoxy, carbo-C 1-6 -alkoxy, carboxamide, carboxy, cyano, halogen and hydroxyl.
- R 6 is H.
- R 6a , R 6b , and R 6c are each independently selected from the group consisting of H, C 1-6 alkoxy, C 1-6 alkyl, amino, C 1-6 alkylamino, C 2-8 dialkylamino, cyano, halogen, C 1-6 haloalkoxy, C 1-6 haloalkyl, hydroxyl, and nitro.
- R 6a , R 6b , and R 6c are each independently selected from the group consisting of H, —OCH 3 , —CH 3 , —N(CH 3 ) 2 , cyano, —F, —Cl, —Br, —OCF 3 , hydroxyl, and nitro.
- R 6a , R 6b , and R 6c are each independently selected from the group consisting of H, C 1-6 alkoxy, carbo-C 1-6 -alkoxy, carboxamide, carboxy, cyano, halogen and hydroxyl.
- Some embodiments of the present invention pertain to compounds wherein R 6a , R 6b , and R 6c are all H.
- Some embodiments of the present invention pertain to compounds wherein R 5 is C 1-6 alkoxy and R 6a , R 6b , and R 6c are all H.
- R 5 is —OCH 3 .
- Some embodiments of the present invention pertain to compounds represented by Formula (Ip) as shown below: wherein each variable in Formula (Ip) has the same meaning as described herein, supra and infra.
- compounds of the present invention have Formula (Ip) and Q is a bond.
- Some embodiments of the present invention pertain to compounds represented by Formula (Iq) as shown below: wherein each variable in Formula (Iq) has the same meaning as described herein, supra and infra.
- compounds of the present invention have Formula (Iq) and Q is a bond.
- Some embodiments of the present invention pertain to compounds wherein R 7 is H or C 1-8 alkyl.
- R 7 is selected from the group consisting of H, —CH 3 , —CH 2 CH 3 , —CH(CH 3 ) 2 , —CH 2 CH 2 CH 3 , —CH 2 CH(CH 3 ) 2 and —CH 2 CH 2 CH 2 CH 3 .
- R 7 is H.
- Some embodiments of the present invention pertain to compounds wherein R 8 is H or C 1-8 alkyl.
- R 8 is selected from the group consisting of H, —CH 3 , —CH 2 CH 3 , —CH(CH 3 ) 2 , —CH 2 CH 2 CH 3 , —CH 2 CH(CH 3 ) 2 and —CH 2 CH 2 CH 2 CH 3 .
- R 8 is H.
- Some embodiments of the present invention pertain to compounds wherein both R 7 and R 8 are H.
- Some embodiments of the present invention pertain to compounds represented by Formula (Ir) as shown below: wherein each variable in Formula (Ir) has the same meaning as described herein, supra and infra.
- Some embodiments of the present invention pertain to compounds represented by Formula (Is) as shown below: wherein each variable in Formula (Is) has the same meaning as described herein, supra and infra.
- Some embodiments of the present invention pertain to compounds wherein X is O (i.e., oxygen).
- Some embodiments of the present invention pertain to compounds wherein X is S (i.e., sulfur).
- Some embodiments of the present invention pertain to compounds wherein Q is C 1-3 alkylene optionally substituted with C 1-3 alkyl, C 1-3 haloalkyl, halogen and oxo.
- Some embodiments of the present invention pertain to compounds wherein Q is a C 1-3 alkylene optionally substituted with oxo.
- oxo refers to a double bonded oxygen.
- Q is —C(O)— (i.e., a carbonyl).
- Q is —CH 2 —.
- Some embodiments of the present invention pertain to compounds wherein Q is a bond.
- R 1 is phenyl and can be represented by Formula (Iv) as shown below: wherein each variable in Formula (Iv) has the same meaning as described herein, supra and infra.
- R 7 and R 8 are both H.
- X is O (i.e., oxygen).
- R 1 is phenyl and can be represented by Formula (1w) as shown below: wherein each variable in Formula (Iw) has the same meaning as described herein, supra and infra.
- R 7 and R 8 are both H.
- X is O (i.e., oxygen).
- Some embodiments of the present invention pertain to compounds of Formula (IIa):
- R 1 is phenyl or naphthyl optionally substituted with R 9 , R 10 , R 11 , R 12 , R 13 , R 14 , and R 15 each selected independently from the group consisting of C 1-6 acyl, C 1-6 alkoxy, C 1-6 alkyl, amino, C 1-6 alkylamino, C 2-8 dialkylamino, C 1-6 alkylimino, cyano, halogen, C 1-6 haloalkoxy, C 1-6 haloalkyl, heterocyclic, hydroxyl, nitro, and phenyl, or two adjacent R 9 , R 10 , R 11 , R 12 , R 13 , R 14 , and R 15 together with the atoms to which they are attached form a C 5-7 cycloalkyl group or heterocyclic group each optionally substituted with F; and wherein said C 1-6 alkyl, C 1-6 alkylimino, and heterocyclic are each optionally substituted with 1 to 5 substituents selected
- R 2 is C 1-6 alkyl
- R 3 is H or halogen
- R 4 is selected from the group consisting of H, C 1-6 alkyl and C 1-6 haloalkyl;
- R 5 is selected from the group consisting of C 1-6 alkoxy, C 1-6 haloalkoxy, and hydroxyl, wherein said C 1-6 alkoxy group can be optionally substituted with 1 to 5 substituents selected independently from the group consisting of amino, C 2-8 dialkylamino, carboxy, and phenyl, and wherein said amino and phenyl are each optionally substituted with 1 to 5 further substituents selected from the group consisting of halogen and carbo-C 1-6 -alkoxy;
- R 6a , R 6b , and R 6c are each independently selected from the group consisting of H, C 1-6 alkoxy, C 1-6 alkyl, amino, C 1-6 alkylamino, C 2-8 dialkylamino, cyano, halogen, C 1-6 haloalkoxy, C 1-6 haloalkyl, hydroxyl, and nitro
- R 7 and R 8 are both H
- X is O
- Some embodiments of the present invention pertain to compounds of Formula (IIa):
- R 1 is phenyl or naphthyl optionally substituted with R 9 , R 10 , R 11 , R 12 , R 13 , R 14 , and R 15 each selected independently from the group consisting of —C(O)CH 3 , —OCH 3 , —CH 3 , —CH(CH 3 ) 2 , —CH(OH)CH 3 , —N(CH 3 ) 2 , (2-dimethylamino-ethyl)-methyl-amino, (3-dimethylamino-propyl)-methyl-amino, —C( ⁇ NOH)CH 3 , cyano, —F, —Cl, —Br, —OCF 3 , —CF 3 , 4-methyl-piperazin-1-yl, morpholin-4-yl, 4-methyl-piperidin-1-yl, hydroxyl, nitro, and phenyl;
- R 2 is —CH 3 or —CH(CH 3 ) 2 ;
- R 3 is H, F, Cl, or Br
- R 4 is —H, or —CF 3 ;
- R 5 is selected from the group consisting of —OCH 3 , —OCH 2 CH 3 , —OCH(CH 3 ) 2 , —OCF 3 , hydroxyl, benzyloxy, 4-chloro-benzyloxy, phenethyloxy, 2-dimethylamino-ethoxy, 3-dimethylamino-propoxy, carboxymethoxy, and 2-tert-butoxycarbonylamino-ethoxy;
- R 6a , R 6b , and R 6c are each independently selected from the group consisting of H, —OCH 3 , —CH 3 , —N(CH 3 ) 2 , cyano, —F, —Cl, —Br, —OCF 3 , hydroxyl, and nitro;
- R 7 and R 8 are both H
- X is O
- Some embodiments of the present invention pertain to compounds of Formula (IIa):
- R 1 is phenyl optionally substituted with R 9 , R 10 , R 11 , R 12 , and R 13 each selected independently from the group consisting of —C(O)CH 3 , —OCH 3 , —CH 3 , —CH(CH 3 ) 2 , —CH(OH)CH 3 , —N(CH 3 ) 2 , (2-dimethylamino-ethyl)-methyl-amino, (3-dimethylamino-propyl)-methyl-amino, —C( ⁇ NOH)CH 3 , cyano, —F, —Cl, —Br, —OCF 3 , —CF 3 , 4-methyl-piperazin-1-yl, morpholin-4-yl, 4-methyl-piperidin-1-yl, hydroxyl, nitro, and phenyl;
- R 2 is —CH 3 or —CH(CH 3 ) 2 ;
- R 3 is —H, —F, —Cl, or —Br;
- R 4 is —H, or —CF 3 ;
- R 5 is selected from the group consisting of —OCH 3 , —OCH 2 CH 3 , —OCH(CH 3 ) 2 , —OCF 3 , hydroxyl, benzyloxy, 4-chloro-benzyloxy, phenethyloxy, 2-dimethylamino-ethoxy, 3-dimethylamino-propoxy, carboxymethoxy, and 2-tert-butoxycarbonylamino-ethoxy;
- R 6a , R 6b , and R 6c are each independently selected from the group consisting of —H, —OCH 3 , —CH 3 , —N(CH 3 ) 2 , cyano, F, Cl, Br, —OCF 3 , hydroxyl, and nitro;
- R 7 and R 8 are both H
- X is O
- Some embodiments of the present invention pertain to compounds of Formula (IIa):
- R 1 is phenyl optionally substituted with R 9 , R 10 , R 11 , R 12 , and R 13 each selected independently from the group consisting of —C(O)CH 3 , —OCH 3 , —CH 3 , —CH(CH 3 ) 2 , —N(CH 3 ) 2 , cyano, —F, —Cl, —Br, —OCF 3 , —CF 3 , hydroxyl, and nitro;
- R 2 is —CH 3 ;
- R 3 is —H, —F, —Cl, or —Br;
- R 4 is —H
- R 5 is selected from the group consisting of —OCH 3 , —OCH 2 CH 3 , —OCH(CH 3 ) 2 , —OCF 3 , hydroxyl, benzyloxy, 4-chloro-benzyloxy, phenethyloxy, 2-dimethylamino-ethoxy, 3-dimethylamino-propoxy, carboxymethoxy, and 2-tert-butoxycarbonylamino-ethoxy;
- R 6a , R 6b , and R 6c are each —H;
- R 7 and R 8 are both —H
- X is O
- Some embodiments of the present invention include compounds illustrated in TABLE A as shown below: TABLE A Cmpd # Structure Chemical Name 1 1-[3-(4-Bromo-2-methyl-2H- pyrazol-3-yl)-4-methoxy-phenyl]-3- (4-chloro-phenyl)-urea 2 1-[3-(4-Bromo-2-methyl-2H- pyrazol-3-yl)-4-methoxy-phenyl]-3- (4-fluoro-phenyl)-urea 3 1-[3-(4-Bromo-2-methyl-2H- pyrazol-3-yl)-4-methoxy-phenyl]-3- (2,4-dichloro-phenyl)-urea 4 1-[3-(4-Bromo-2-methyl-2H- pyrazol-3-yl)-4-methoxy-phenyl]-3- (4-methoxy-phenyl)-urea 5 1-[3-(4-Bromo-2-methyl-2H- pyr
- compounds of the present invention encompass all pharmaceutically acceptable salts, solvates, and particularly hydrates, thereof.
- the compounds of the Formula (I) of the present invention may be prepared according to the general synthetic schemes in FIGS. 17 through 21 and FIGS. 29 through 33 as well as relevant published literature procedures that are used by one skilled in the art. Exemplary reagents and procedures for these reactions appear hereinafter in the working Examples. Protection and deprotection may be carried out by procedures generally known in the art (see, for example, Greene, T. W. and Wuts, P. G. M., Protecting Groups in Organic Synthesis, 3 rd Edition, 1999 [Wiley]; incorporated herein by reference in its entirity).
- the present invention also encompasses diastereomers as well as optical isomers, e.g. mixtures of enantiomers including racemic mixtures, as well as individual enantiomers and diastereomers, which arise as a consequence of structural asymmetry in certain compounds of the invention. Separation of the individual isomers or selective synthesis of the individual isomers is accomplished by application of various methods which are well known to practitioners in the art.
- the compounds disclosed herein are believed to be useful in the treatment of several additional diseases and disorders, and in the amelioration of symptoms thereof. Without limitation, these include the following:
- Antiplatelet agents are prescribed for a variety of conditions. For example, in coronary artery disease they are used to help prevent myocardial infarction or stroke in patients who are at risk of developing obstructive blood clots (e.g., coronary thrombosis).
- obstructive blood clots e.g., coronary thrombosis
- heart attack In a myocardial infarction (heart attack), the heart muscle does not receive enough oxygen-rich blood as a result of a blockage in the coronary blood vessels. If taken while an attack is in progress or immediately afterward (preferably within 30 minutes), antiplatelets can reduce the damage to the heart.
- TIA transient ischemic attack
- mini-stroke A transient ischemic attack
- Antiplatelet drugs have been found to be effective in preventing TIAs.
- Angina is a temporary and often recurring chest pain, pressure or discomfort caused by inadequate oxygen-rich blood flow (ischemia) to some parts of the heart.
- ischemia oxygen-rich blood flow
- antiplatelet therapy can reduce the effects of angina and the risk of myocardial infarction.
- Stroke is an event in which the brain does not receive enough oxygen-rich blood, usually due to blockage of a cerebral blood vessel by a blood clot. In high-risk patients, taking antiplatelets regularly has been found to prevent the formation blood clots that cause first or second strokes.
- Angioplasty is a catheter based technique used to open arteries obstructed by a blood clot. Whether or not stenting is performed immediately after this procedure to keep the artery open, antiplatelets can reduce the risk of forming additional blood clots following the procedure(s).
- Coronary bypass surgery is a surgical procedure in which an artery or vein is taken from elsewhere in the body and grafted to a blocked coronary artery, rerouting blood around the blockage and through the newly attached vessel. After the procedure, antiplatelets can reduce the risk of secondary blood clots.
- Atrial fibrillation is the most common type of sustained irregular heart rhythm (arrythmia). Atrial fibrillation affects about two million Americans every year. In atrial fibrillation, the atria (the heart's upper chambers) rapidly fire electrical signals that cause them to quiver rather than contract normally. The result is an abnormally fast and highly irregular heartbeat. When given after an episode of atrial fibrillation, antiplatelets can reduce the risk of blood clots forming in the heart and traveling to the brain (embolism).
- 5-HT 2A receptors are expressed on smooth muscle of blood vessels and 5-HT secreted by activated platelets causes vasoconstriction as well as activation of additional platelets during clotting.
- 5-HT 2A inverse agonist will inhibit platelet aggregation and thus be a potential treatment as an antiplatelet therapy (see Satimura, K, et al., Clin Cardiol Jan. 25, 2002 (1):28-32; and Wilson, H. C et al., Thromb Haemost Sep. 2, 1991;66(3):355-60).
- the 5-HT 2A inverse agonists disclosed herein provide beneficial improvement in microcirculation to patients in need of antiplatelet therapy by antagonizing the vasoconstrictive products of the aggregating platelets in, for example and not limitation, the indications described above. Accordingly, in some embodiments, the present invention provides methods for reducing platelet aggregation in a patient in need thereof comprising administering to said patient a composition comprising a 5-HT 2A inverse agonist disclosed herein.
- the present invention provides methods for treating coronary artery disease, myocardial infarction, transient ischemic attack, angina, stroke, atrial fibrillation, or a symptom of any of the foregoing in a patient in need of said treatment, comprising administering to said patient a composition comprising a 5-HT 2A inverse agonist disclosed herein.
- the present invention provides methods for reducing risk of blood clot formation in an angioplasty or coronary bypass surgery patient, or a patient suffering from atrial fibrillation, comprising administering to a said patient a composition comprising a 5-HT 2A inverse agonist disclosed herein at a time where such risk exists.
- the present invention provides methods for treating asthma in a patient in need of said treatment, comprising administering to said patient a composition comprising a 5-HT 2A inverse agonist disclosed herein.
- methods for treating a symptom of asthma in a patient in need of said treatment comprising administering to said patient a composition comprising a 5-HT 2A inverse agonist disclosed herein.
- Alzheimer's disease is a common occurrence in the elderly and often associated with dementia such as those caused by Alzheimer's disease, Lewy Body, Parkinson's, and Huntington's, which are degenerative diseases of the nervous system and by diseases that affect blood vessels, such as stroke, or multi-infarct dementia, which is caused by multiple strokes in the brain can also induce dementia.
- Alzheimer's disease accounts for approximately 50 to 70% of all dementias (See Koss E, et al., (1997), Assessing patterns of agitation in Alzheimer's disease patients with the Cohen-Mansfield Agitation Inventory. The Alzheimer's Disease Cooperative Study. Alzheimer Dis Assoc Disord 11(suppl 2):S45-S50).
- Agitated behaviors can also be manifested in cognitively intact elderly people and by those with psychiatric disorders other than dementia.
- the present invention provides methods for treating agitation in a patient in need of such treatment comprising administering to said patient a composition comprising a 5-HT 2A inverse agonist disclosed herein.
- the agitation is due to a psychiatric disorder other than dementia.
- the present invention provides methods for treatment of agitation or a symptom thereof in a patient suffering from dementia comprising administering to said patient a composition comprising a 5-HT 2A inverse agonist disclosed herein.
- the dementia is due to a degenerative disease of the nervous system, for example and without limitation, Alzheimers disease, Lewy Body, Parkinson's disease, and Huntington's disease, or dementia due to diseases that affect blood vessels, including, without limitation, stroke and multi-infarct dementia.
- methods are provided for treating agitation or a symptom thereof in a patient in need of such treatment, where the patient is a cognitively intact elderly patient, comprising administering to said patient a composition comprising a 5-HT 2A inverse agonist disclosed herein.
- Schizophrenia is a psychopathic disorder of unknown origin, which usually appears for the first time in early adulthood and is marked by a number of characteristics, psychotic symptoms, progression, phasic development and deterioration in social behavior and professional capability in the region below the highest level ever attained.
- Characteristic psychotic symptoms are disorders of thought content (multiple, fragmentary, incoherent, implausible or simply delusional contents or ideas of doctrine) and of mentality (loss of association, flight of imagination, incoherence up to incomprehensibility), as well as disorders of perceptibility (hallucinations), of emotions (superficial or inadequate emotions), of self-perception, of intentions and impulses, of interhuman relationships, and finally psychomotoric disorders (such as catatonia). Other symptoms are also associated with this disorder. (See, American Statistical and Diagnostic Handbook).
- Haloperidol is a potent dopamine D2 receptor antagonist. It is widely prescribed for acute schizophrenic symptoms, and is very effective for the positive symptoms of schizophrenia. However, Haldol is not effective for the negative symptoms of schizophrenia and may actually induce negative symptoms as well as cognitive dysfunction. In accordance with some methods of the invention, adding a 5-HT 2A inverse agonist concomitantly with Haldol will provide benefits including the ability to use a lower dose of Haldol without losing its effects on positive symptoms, while reducing or eliminating its inductive effects on negative symptoms, and prolonging relapse to the patient's next schizophrenic event.
- Haloperidol is used for treatment of a variety of behavioral disorders, drug induced psychosis, excitative psychosis, Gilles de la Tourette's syndrome, manic disorders, psychosis (organic and NOS), psychotic disorder, psychosis, schizophrenia (acute, chronic and NOS). Further uses include in the treatment of infantile autism, huntington's chorea, and nausea and vomiting from chemotherapy and chemotherapeutic antibodies. Administration of 5-HT 2A inverse agonists disclosed herein with haloperidol also will provide benefits in these indications.
- the present invention provides methods for treating a behavioral disorder, drug induced psychosis, excitative psychosis, Gilles de la Tourette's syndrome, manic disorders, psychosis (organic and NOS), psychotic disorder, psychosis, schizophrenia (acute, chronic and NOS) comprising administering to said patient a dopamine D2 receptor antagonist and a 5-HT 2A inverse agonist disclosed herein.
- the present invention provides methods for treating a behavioral disorder, drug induced psychosis, excitative psychosis, Gilles de la Tourette's syndrome, manic disorders, psychosis (organic and NOS), psychotic disorder, psychosis, schizophrenia (acute, chronic and NOS) comprising administering to said patient haloperidol and a 5-HT 2A inverse agonist disclosed herein.
- the present invention provides methods for treating infantile autism, huntington's chorea, or nausea and vomiting from chemotherapy or chemotherapeutic antibodies comprising administering to said patient a dopamine D2 receptor antagonist and a 5-HT 2A inverse agonist disclosed herein.
- the present invention provides methods for treating infantile autism, huntington's chorea, or nausea and vomiting from chemotherapy or chemotherapeutic antibodies comprising administering to said patient haloperidol and a 5-HT 2A inverse agonist disclosed herein.
- the present invention provides methods for treating schizophrenia in a patient in need of said treatment comprising administering to said patient a dopamine D2 receptor antagonist and a 5-HT 2A inverse agonist disclosed herein.
- the dopamine D2 receptor antagonist is haloperidol.
- the administration of the dopamine D2 receptor antagonist can be concomitant with administration of the 5-HT 2A inverse agonist, or they can be administered at different times. Those of skill in the art will easily be able to determine appropriate dosing regimes for the most efficacious reduction or elimination of deleterions haloperidol effects.
- haloperidol and the 5-HT 2A inverse agonist are administered in a single dosage form, and in other embodiments, they are administered in separate dosage forms.
- the present invention further provides methods of alleviating negative symptoms of schizophrenia induced by the administration of haloperidol to a patient suffering from said schizophrenia, comprising administering to said patient a 5-HT 2A inverse agonist as disclosed herein.
- the normal sleep cycle and sleep architecture can be disrupted by a variety of organic causes as well as environmental influences. According to the International Classification of Sleep Disorders, there are over 80 recognized sleep disorders. Of these, compounds of the present invention are effective, for example, in any one or more of the following sleep disorders (ICSD—International Classification of Sleep Disorders: Diagnostic and Coding Manual. Diagnostic Classification Steering Committee, American Sleep Disorders Association, 1990):
- insomnia Sleep state misperception, Idiopathic insomnia, Obstructive sleep apnea syndrome, Central sleep apnea syndrome, Central alveolar hypoventilation syndrome, Periodic limb movement disorder, Restless leg syndrome and Intrinsic sleep disorder NOS.
- Inadequate sleep hygiene Environmental sleep disorder, Altitude insomnia, Adjustment sleep disorder, Insufficient sleep syndrome, Limit-setting sleep disorder, SleepOnset association disorder, Nocturnal eating (drinking) syndrome, Hypnotic dependent sleep disorder, Stimulant-dependent sleep disorder, Alcohol-dependent sleep disorder, Toxin-induced sleep disorder and Extrinsic sleep disorder NOS.
- Time zone change (jet lag) syndrome Shift work sleep disorder, Irregular sleep-wake pattern, Delayed sleep phase syndrome, Advanced sleep phase syndrome, Non-24-hour sleep-wake disorder and Circadian rhythm sleep disorder NOS.
- Cerebral degenerative disorders Dementia, Parkinsonism, Fatal familial insomnia, Sleep-related epilepsy, Electrical status epilepticus of sleep and Sleep-related headaches.
- benzodiazepines The most common class of medications for the majority of sleep disorders are the benzodiazepines, but the adverse effect profile of benzodiazepines include daytime sedation, diminished motor coordination, and cognitive impairments. Furthermore, the National Institutes of Health Consensus conference on Sleeping Pills and Insomnia in 1984 have developed guidelines discouraging the use of such sedative-hypnotics beyond 4-6 weeks because of concerns raised over drug misuse, dependency, withdrawal and rebound insomnia. Therefore, it is desirable to have a pharmacological agent for the treatment of insomnia, which is more effective and/or has fewer side effects than those currently used. In addition, benzodiazepines are used to induce sleep, but have little to no effect on the maintenance of sleep, sleep consolidation or slow wave sleep. Therefore, sleep maintenance disorders are not currently well treated.
- Some sleep disorders are sometimes found in conjunction with other conditions and accordingly those conditions are treatable by compounds of Formula (I).
- patients suffering from mood disorders typically suffer from a sleep disorder that can be treatable by compounds of Formula (I).
- Having one pharmacological agent which treats two or more existing or potential conditions, as does the present invention, is more cost effective, leads to better compliance and has fewer side effects than taking two or more agents.
- Compounds of the present invention described herein may be used alone or in combination with a mild sleep inducer (i.e. antihistamine).
- NREM sleep comprises two physiological states: Non rapid eye movement (NREM) and rapid eye movement (REM) sleep.
- NREM sleep consists of four stages, each of which is characterized by progressively slower brain wave patterns, with the slower patterns indicating deeper sleep. So called delta sleep, stages 3 and 4 of NREM sleep, is the deepest and most refreshing type of sleep. Many patients with sleep disorders are unable to adequately achieve the restorative sleep of stages 3 and 4. In clinical terms, patients' sleep patterns are described as fragmented, meaning the patient spends a lot of time alternating between stages 1 and 2 (semi-wakefulness) and being awake and very little time in deep sleep.
- fragmented sleep architecture means an individual, such as a sleep disorder patient, spends the majority of their sleep time in NREM sleep stages 1 and 2, lighter periods of sleep from which the individual can be easily aroused to a Waking state by limited external stimuli. As a result, the individual cycles through frequent bouts of light sleep interrupted by frequent awakenings throughout the sleep period. Many sleep disorders are characterized by a fragmented sleep architecture. For example, many elderly patients with sleep complaints have difficulty achieving long bouts of deep refreshing sleep (NREM stages 3 and 4) and instead spend the majority of their sleep time in NREM sleep stages 1 and 2.
- the term “sleep consolidation” means a state in which the number of NREM sleep bouts, particularly Stages 3 and 4, and the length of those sleep bouts are increased, while the number and length of waking bouts are decreased.
- the architecture of the sleep disorder patient is consolidated to a sleeping state with increased periods of sleep and fewer awakenings during the night and more time is spent in slow wave sleep (Stages 3 and 4) with fewer oscillation Stage 1 and 2 sleep.
- Compounds of the present invention as described are effective in consolidating sleep patterns so that the patient with previously fragmented sleep can now achieve restorative, delta-wave sleep for longer, more consistent periods of time.
- NREM sleep makes up about 75% of total sleep time; stage 1 accounting for 5-10% of total sleep time, stage 2 for about 45-50%, stage 3 approximately 12%, and stage 4 13-15%. About 90 minutes after sleep onset, NREM sleep gives way to the first REM sleep episode of the night. REM makes up approximately 25% of total sleep time. In contrast to NREM sleep, REM sleep is characterized by high pulse, respiration, and blood pressure, as well as other physiological patterns similar to those seen in the active waking stage. Hence, REM sleep is also known as “paradoxical sleep.” Sleep onset occurs during NREM sleep and takes 10-20 minutes in healthy young adults.
- the four stages of NREM sleep together with a REM phase form one complete sleep cycle that is repeated throughout the duration of sleep, usually four or five times.
- the cyclical nature of sleep is regular and reliable; a REM period occurs about every 90 minutes during the night.
- the first REM period tends to be the shortest, often lasting less than 10 minutes, whereas the later REM periods may last up to 40 minutes.
- the time between retiring and sleep onset increases and the total amount of night-time sleep decreases because of changes in sleep architecture that impair sleep maintenance as well as sleep quality. Both NREM (particularly stages 3 and 4) and REM sleep are reduced.
- stage 1 NREM sleep which is the lightest sleep, increases with age.
- delta power means a measure of the duration of EEG activity in the 0.5 to 3.5 Hz range during NREM sleep and is thought to be a measure of deeper, more refreshing sleep.
- Delta power is hypothesized to be a measure of a theoretical process called Process S and is thought to be inversely related to the amount of sleep an individual experiences during a given sleep period. Sleep is controlled by homeostatic mechanisms; therefore, the less one sleeps the greater the drive to sleep. It is believed that Process S builds throughout the wake period and is discharged most efficiently during delta power sleep. Delta power is a measure of the magnitude of Process S prior to the sleep period. The longer one stays awake, the greater.
- onset, duration or quality of sleep e.g. non-restorative or restorative sleep
- One method is a subjective determination of the patient, e.g., do they feel drowsy or rested upon waking.
- Other methods involve the observation of the patient by another during sleep, e.g., how long it takes the patient to fall asleep, how many times does the patient wake up during the night, how restless is the patient during sleep, etc.
- Another method is to objectively measure the stages of sleep using polysomnography.
- Polysomnography is the monitoring of multiple electrophysiological parameters during sleep and generally includes measurement of EEG activity, electroculographic activity and electromyographic activity, as well as other measurements. These results, along with observations, can measure not only sleep latency (the amount of time required to fall asleep), but also sleep continuity (overall balance of sleep and wakefulness) and sleep consolidation (percent of sleeping time spent in delta-wave or restorative sleep) which may be an indication of the quality of sleep.
- Stage 1 NREM sleep is a transition from wakefulness to sleep and occupies about 5% of time spent asleep in healthy adults.
- Stage 2 NREM sleep which is characterized by specific EEG waveforms (sleep spindles and K complexes), occupies about 50% of time spent asleep.
- Stages 3 and 4 NREM sleep (also known collectively as slow-wave sleep and delta-wave sleep) are the deepest levels of sleep and occupy about 10-20% of sleep time. REM sleep, during which the majority of vivid dreams occur, occupies about 20-25% of total sleep.
- NREM stages 3 and 4 tend to occur in the first one-third to one-half of the night and increase in duration in response to sleep deprivation.
- REM sleep occurs cyclically through the night. Alternating with NREM sleep about every 80-100 minutes. REM sleep periods increase in duration toward the morning. Human sleep also varies characteristically across the life span. After relative stability with large amounts of slow-wave sleep in childhood and early adolescence, sleep continuity and depth deteriorate across the adult age range. This deterioration is reflected by increased wakefulness and stage 1 sleep and decreased stages 3 and 4 sleep.
- the compounds of the invention can be useful for the treatment of the sleep disorders characterized by excessive daytime sleepiness such as narcolepsy.
- Inverse agonists at the serotonin 5HT 2A receptor improve the quality of sleep at nightime which can decrease excessive daytime sleepiness.
- Another aspect of the present invention relates to the therapeutic use of compounds of the present invention for the treatment of Sleep Disorders.
- Compounds of the present invention are potent inverse agonists at the serotonin 5HT 2A receptor and are effective in the treatment of Sleep Disorders by promoting one or more of the following: reducing the sleep onset latency period (measure of sleep induction), reducing the number of nighttime awakenings, and prolonging the amount of time in delta-wave sleep (measure of sleep quality enhancement and sleep consolidation) without effecting REM sleep.
- compounds of the present invention are effective either as a monotherapy or in combination with sleep inducing agents, for example but not limiting, antihistamines.
- DPN diabetic peripheral neuropathy
- DN diabetic nephropathy
- DR diabetic retinopathy
- Serotonin is believed to play a role in vasospasm and increased platelet aggregability. Improving microvascular blood flow is able to benefit diabetic complications.
- sarogrelate was evaluated for the prevention of the development or progression of diabetic nephropathy (Takahashi, T., et al., Diabetes Res Clin Pract. November 2002; 58(2):123-9). In the trial of 24 months of treatment, sarpogrelate significantly reduced urinary albumin excretion level.
- Topical ocular administration of 5-HT2 receptor antagonists result in a decrease in intra ocular pressure (IOP) in monkeys (Chang et al., J. Ocul Pharmacol 1 :137-147 (1985)) and humans (Mastropasqua et al., Acta Ophthalmol Scand Suppl 224:24-25 (1997)) indicating utility for similar compounds such as 5-HT2 A inverse agonists in the treatment of ocular hypertensin associated with glaucoma.
- IOP intra ocular pressure
- the 5-HT2 receptor antagonist ketanserin (Mastropasqua supra) and sarpogrelate (Takenaka et al., Investig Ophthalmol Vis Sci 36:S734 (1995)) have been shown to significantly lower IOP in glaucoma patients.
- One aspect of the present invention encompasses methods for modulating the activity of a 5HT 2A serotonin receptor by contacting the receptor with a compound according to any of the embodiments described herein or a pharmaceutical composition.
- One aspect of the present invention encompasses methods for prophylaxis or treatment of platelet aggregation in an individual comprising administering to said individual in need thereof a therapeutically effective amount of a compound according to any of the embodiments described herein or a pharmaceutical composition.
- One aspect of the present invention encompasses methods for prophylaxis or treatment of an indication selected from the group consisting of coronary artery disease, myocardial infarction, transient ischemic attack, angina, stroke, and atrial fibrillation in an individual comprising administering to said individual in need thereof a therapeutically effective amount of a compound according to any of the embodiments described herein or a pharmaceutical composition.
- One aspect of the present invention encompasses methods for prophylaxis or treatment of reducing the risk of blood clot formation in an angioplasty or coronary bypass surgery individual comprising administering to said individual in need thereof a therapeutically effective amount of a compound according to any of the embodiments described herein or a pharmaceutical composition.
- One aspect of the present invention encompasses methods for prophylaxis or treatment of reducing the risk of blood clot formation in an individual suffering from atrial fibrillation, comprising administering to said individual in need thereof a therapeutically effective amount of a compound according to any of the embodiments described herein or a pharmaceutical composition.
- One aspect of the present invention encompasses methods for prophylaxis or treatment of asthma in an individual comprising administering to said individual in need thereof a therapeutically effective amount of a compound according to any of the embodiments described herein or a pharmaceutical composition.
- One aspect of the present invention encompasses methods for prophylaxis or treatment of a symptom of asthma in an individual comprising administering to said individual in need thereof a therapeutically effective amount of a compound according to any of the embodiments described herein or a pharmaceutical composition.
- One aspect of the present invention encompasses methods for prophylaxis or treatment of agitation or a symptom thereof in an individual comprising administering to said individual in need thereof a therapeutically effective amount of a compound according to any of the embodiments described herein or a pharmaceutical composition.
- the individual is a cognitively intact elderly individual.
- One aspect of the present invention encompasses methods for prophylaxis or treatment of agitation or a symptom thereof in an individual suffering from dementia comprising administering to said individual in need thereof a therapeutically effective amount of a compound according to any of the embodiments described herein or a pharmaceutical composition.
- the dementia is due to a degenerative disease of the nervous system.
- the dementia is Alzheimers disease, Lewy Body, Parkinson's disease or Huntington's disease.
- the dementia is due to diseases that affect blood vessels.
- the dementia is due to stroke or multi-infarct dementia.
- One aspect of the present invention encompasses methods for prophylaxis or treatment of an individual suffering from at least one of the indications selected from the group consisting of behavioral disorder, drug induced psychosis, excitative psychosis, Gilles de la Tourette's syndrome, manic disorder, organic or NOS psychosis, psychotic disorder, psychosis, acute schizophrenia, chronic schizophrenia and NOS schizophrenia comprising administering to said individual in need thereof a therapeutically effective amount of a dopamine D2 receptor antagonist and a compound according to any of the embodiments described herein or a pharmaceutical composition.
- the dopamine D2 receptor antagonist is haloperidol.
- One aspect of the present invention encompasses methods for prophylaxis or treatment of an individual with infantile autism, Huntington's chorea, or nausea and vomiting from chemotherapy or chemotherapeutic antibodies comprising administering to said individual in need thereof a therapeutically effective amount of a dopamine D2 receptor antagonist and a compound according to any of the embodiments described herein or a pharmaceutical composition.
- the dopamine D2 receptor antagonist is haloperidol.
- One aspect of the present invention encompasses methods for prophylaxis or treatment of schizophrenia in an individual comprising administering to said individual in need thereof a therapeutically effective amount of a dopamine D2 receptor antagonist and a compound according to any of the embodiments described herein or a pharmaceutical composition.
- the dopamine D2 receptor antagonist is haloperidol.
- One aspect of the present invention encompasses methods for prophylaxis or treatment of alleviating negative symptoms of schizophrenia induced by the administration of haloperidol to an individual suffering from said schizophrenia, comprising administering to said individual in need thereof a therapeutically effective amount of a compound according to any of the embodiments described herein or a pharmaceutical composition.
- the haloperidol and the compound or pharmaceutical composition are administered in separate dosage forms.
- the haloperidol and the compound or pharmaceutical composition are administered in a single dosage form.
- One aspect of the present invention encompasses methods for prophylaxis or treatment of a sleep disorder in an individual comprising administering to said individual in need thereof a therapeutically effective amount of a compound according to any of the embodiments described herein or a pharmaceutical composition.
- the sleep disorder is a dyssomnia.
- the dyssomnia is selected from the group consisting of psychophysiological insomnia, sleep state misperception, idiopathic insomnia, obstructive sleep apnea syndrome, central sleep apnea syndrome, central alveolar hypoventilation syndrome, periodic limb movement disorder, restless leg syndrome, inadequate sleep hygiene, environmental sleep disorder, altitude insomnia, adjustment sleep disorder, insufficient sleep syndrome, limit-setting sleep disorder, sleep-onset association disorder, nocturnal eating or drinking syndrome, hypnotic dependent sleep disorder, stimulant-dependent sleep disorder, alcohol-dependent sleep disorder, toxin-induced sleep disorder, time zone change (et lag) syndrome, shift work sleep disorder, irregular sleep-wake pattern, delayed sleep phase syndrome, advanced sleep phase syndrome, and non-24-hour sleep-wake disorder.
- the sleep disorder is a parasomnia.
- the parasomnia is selected from the group consisting of confusional arousals, sleepwalking and sleep terrors, rhythmic movement disorder, sleep starts, sleep talking and nocturnal leg cramps.
- the sleep disorder is characterized by excessive daytime sleepiness such as narcolepsy.
- the sleep disorder is associated with a medical or psychiatric disorder.
- the medical or psychiatric disorder is selected from the group consisting of psychoses, mood disorders, anxiety disorders, panic disorders, alcoholism, cerebral degenerative disorders, dementia, parkinsonism, fatal familial insomnia, sleep-related epilepsy, electrical status epilepticus of sleep, sleep-related headaches, sleeping sickness, nocturnal cardiac ischemia, chronic obstructive pulmonary disease, sleep-related asthma, sleep-related gastroesophageal reflux, peptic ulcer disease, fibrositis syndrome, osteoarthritis, rheumatoid arthritis, fibromyalgia and post-surgical sleep disorder.
- One aspect of the present invention encompasses methods for prophylaxis or treatment of a diabetic-related disorder in an individual comprising administering to said individual in need thereof a therapeutically effective amount of a compound according to any of the embodiments described herein or a pharmaceutical composition.
- the diabetic-related disorder is diabetic peripheral neuropathy.
- the diabetic-related disorder is diabetic nephropathy.
- the diabetic-related disorder is diabetic retinopathy.
- One aspect of the present invention encompasses methods for prophylaxis or treatment of glaucoma or other diseases of the eye with abnormal intraocular pressure.
- One aspect of the present invention encompasses processes for preparing a composition comprising admixing a compound according any embodiments described herein and pharmaceutically acceptable carrier.
- One aspect of the present invention is the use of a compound for the production of a medicament for use in the prophylaxis or treatment of a 5HT 2A mediated disorder.
- One embodiment of the present invention is the use of a compound for the production of a medicament for use in the prophylaxis or treatment of a 5HT 2A mediated disorder wherein the disorder is platelet aggregation.
- One embodiment of the present invention is the use of a compound for the production of a medicament for use in the prophylaxis or treatment of a 5HT 2A mediated disorder wherein the disorder is selected from the group consisting of coronary artery disease, myocardial infarction, transient ischemic attack, angina, stroke, and atrial fibrillation.
- One embodiment of the present invention is the use of a compound for the production of a medicament for use in the prophylaxis or treatment of a 5HT 2A mediated disorder wherein the disorder is a blood clot formation in an angioplasty or coronary bypass surgery individual.
- One embodiment of the present invention is the use of a compound for the production of a medicament for use in the prophylaxis or treatment of a 5HT 2A mediated disorder wherein the disorder is a blood clot formation in an individual suffering from atrial fibrillation.
- One embodiment of the present invention is the use of a compound for the production of a medicament for use in the prophylaxis or treatment of a 5HT 2A mediated disorder wherein the disorder is asthma.
- One embodiment of the present invention is the use of a compound for the production of a medicament for use in the prophylaxis or treatment of a 5HT 2A mediated disorder wherein the disorder is a symptom of asthma.
- One embodiment of the present invention is the use of a compound for the production of a medicament for use in the prophylaxis or treatment of a 5HT 2A mediated disorder wherein the disorder is agitation or a symptom thereof in an individual.
- the individual is a cognitively intact elderly individual.
- One embodiment of the present invention is the use of a compound for the production of a medicament for use in the prophylaxis or treatment of a 5HT 2A mediated disorder wherein the disorder is agitation or a symptom thereof in an individual suffering from dementia.
- the dementia is due to a degenerative disease of the nervous system.
- the dementia is Alzheimers disease, Lewy Body, Parkinson's disease, or Huntington's disease.
- the dementia is due to diseases that affect blood vessels.
- the dementia is due to stroke or multi-infract dementia.
- One embodiment of the present invention is the use of a compound for the production of a medicament for use in the prophylaxis or treatment of a 5HT 2A mediated disorder further comprising a dopamine D2 receptor antagonist wherein the disorder is selected from the group consisting of a behavioral disorder, drug induced psychosis, excitative psychosis, Gilles de la Tourette's syndrome, manic disorder, organic or NOS psychosis, psychotic disorder, psychosis, acute schizophrenia, chronic schizophrenia and NOS schizophrenia.
- the dopamine D2 receptor antagonist is haloperidol.
- One embodiment of the present invention is the use of a compound for the production of a medicament for use in the prophylaxis or treatment of a 5HT 2A mediated disorder further comprising a dopamine D2 receptor antagonist wherein the disorder is infantile autism, Huntington's chorea, or nausea and vomiting from chemotherapy or chemotherapeutic antibodies.
- the dopamine D2 receptor antagonist is haloperidol.
- One embodiment of the present invention is the use of a compound for the production of a medicament for use in the prophylaxis or treatment of a 5HT 2A mediated disorder further comprising a dopamine D2 receptor antagonist wherein the disorder is schizophrenia.
- the dopamine D2 receptor antagonist is haloperidol.
- One embodiment of the present invention is the use of a compound for the production of a medicament for use in the prophylaxis or treatment of a 5HT 2A mediated disorder wherein the disorder is a negative symptom or symptoms of schizophrenia induced by the administration of haloperidol.
- One embodiment of the present invention is the use of a compound for the production of a medicament for use in the prophylaxis or treatment of a 5HT 2A mediated disorder wherein the haloperidol and the compound or pharmaceutical composition are administered in separate dosage forms.
- One embodiment of the present invention is the use of a compound for the production of a medicament for use in the prophylaxis or treatment of a 5HT 2A mediated disorder wherein the haloperidol and the compound or pharmaceutical composition are administered in a single dosage form.
- One aspect of the present invention are compounds according to any of the embodiments described herein for use in a method of treatment of the human or animal body by therapy.
- One aspect of the present invention are compounds according to any of the embodiments described herein for use in a method for the prophylaxis or treatment of a 5HT 2A mediated disorder, as described herein, in the human or animal body by therapy.
- One aspect of the present invention are compounds according to any of the embodiments described herein for use in a method for the prophylaxis or treatment of a sleep disorder, as described herein, in the human or animal body by therapy.
- One aspect of the present invention are compounds according to any of the embodiments described herein for use in a method for the prophylaxis or treatment of platelet aggregation in the human or animal body by therapy.
- a further aspect of the present invention pertains to pharmaceutical compositions comprising one or more compounds as described herein and one or more pharmaceutically acceptable carriers. Some embodiments pertain to pharmaceutical compositions comprising a compound of the present invention and a pharmaceutically acceptable carrier.
- Some embodiments of the present invention include a method of producing a pharmaceutical composition comprising admixing at least one compound according to any of the compound embodiments disclosed herein and a pharmaceutically acceptable carrier.
- Formulations may be prepared by any suitable method, typically by uniformly mixing the active compound(s) with liquids or finely divided solid carriers, or both, in the required proportions, and then, if necessary, forming the resulting mixture into a desired shape.
- Liquid preparations for oral administration may be in the form of solutions, emulsions, aqueous or oily suspensions, and syrups.
- the oral preparations may be in the form of dry powder that can be reconstituted with water or another suitable liquid vehicle before use. Additional additives such as suspending or emulsifying agents, non-aqueous vehicles (including edible oils), preservatives, and flavorings and colorants may be added to the liquid preparations.
- Parenteral dosage forms may be prepared by dissolving the compound of the invention in a suitable liquid vehicle and filter sterilizing the solution before filling and sealing an appropriate vial or ampoule. These are just a few examples of the many appropriate methods well known in the art for preparing dosage forms.
- a compound of the present invention can be formulated into pharmaceutical compositions using techniques well known to those in the art. Suitable pharmaceutically-acceptable carriers, outside those mentioned herein, are known in the art; for example, see Remington, The Science and Practice of Pharmacy, 20th Edition, 2000, Lippincott Williams & Wilkins, (Editors: Gennaro, A. R., et al.).
- a compound of the invention may, in an alternative use, be administered as a raw or pure chemical, it is preferable however to present the compound or active ingredient as a pharmaceutical formulation or composition further comprising a pharmaceutically acceptable carrier.
- the invention thus further provides pharmaceutical formulations comprising a compound of the invention or a pharmaceutically acceptable salt or derivative thereof together with one or more pharmaceutically acceptable carriers thereof and/or prophylactic ingredients.
- the carrier(s) must be “acceptable” in the sense of being compatible with the other ingredients of the formulation and not overly deleterious to the recipient thereof.
- Transdermal patches dispense a drug at a controlled rate by presenting the drug for absorption in an efficient manner with a minimum of degradation of the drug.
- transdermal patches comprise an impermeable backing layer, a single pressure sensitive adhesive and a removable protective layer with a release liner.
- the compounds of the invention may thus be placed into the form of pharmaceutical formulations and unit dosages thereof, and in such form may be employed as solids, such as tablets or filled capsules, or liquids such as solutions, suspensions, emulsions, elixirs, gels or capsules filled with the same, all for oral use, in the form of suppositories for rectal administration; or in the form of sterile injectable solutions for parenteral (including subcutaneous) use.
- Such pharmaceutical compositions and unit dosage forms thereof may comprise conventional ingredients in conventional proportions, with or without additional active compounds or principles, and such unit dosage forms may contain any suitable effective amount of the active ingredient commensurate with the intended daily dosage range to be employed.
- the pharmaceutical composition may be in the form of, for example, a tablet, capsule, suspension or liquid.
- the pharmaceutical composition is preferably made in the form of a dosage unit containing a particular amount of the active ingredient.
- dosage units are capsules, tablets, powders, granules or a suspension, with conventional additives such as lactose, mannitol, corn starch or potato starch; with binders such as crystalline cellulose, cellulose derivatives, acacia, corn starch or gelatins; with disintegrators such as corn starch, potato starch or sodium carboxymethyl-cellulose; and with lubricants such as talc or magnesium stearate.
- the active ingredient may also be administered by injection as a composition wherein, for example, saline, dextrose or water may be used as a suitable pharmaceutically acceptable carrier.
- active ingredient is defined in the context of a “pharmaceutical composition” and shall mean a component of a pharmaceutical composition that provides the primary pharmacological effect, as opposed to an “inactive ingredient” which would generally be recognized as providing no pharmaceutical benefit.
- the dose when using the compounds of the present invention can vary within wide limits, and as is customary and is known to the physician, it is to be tailored to the individual conditions in each individual case. It depends, for example, on the nature and severity of the illness to be treated, on the condition of the patient, on the compound employed or on whether an acute or chronic disease state is treated or prophylaxis is conducted or on whether further active compounds are administered in addition to the compounds of the present invention.
- Representative doses of the present invention include, but not limited to, about 0.001 mg to about 5000 mg, about 0.001 mg to about 2500 mg, about 0.001 mg to about 1000 mg, 0.001 mg to about 500 mg, 0.001 mg to about 250 mg, about 0.001 mg to 100 mg, about 0.001 mg to about 50 mg, and about 0.001 mg to about 25 mg.
- Multiple doses may be administered during the day, especially when relatively large amounts are deemed to be needed, for example 2, 3 or 4, doses. Depending on the individual and as deemed appropriate from the patient's physician or care-giver it may be necessary to deviate upward or downward from the doses described herein.
- the amount of active ingredient, or an active salt or derivative thereof, required for use in treatment will vary not only with the particular salt selected but also with the route of administration, the nature of the condition being treated and the age and condition of the patient and will ultimately be at the discretion of the attendant physician or clinician.
- a model system typically an animal model
- these extrapolations may merely be based on the weight of the animal model in comparison to another, such as a mammal, preferably a human, however, more often, these extrapolations are not simply based on weights, but rather incorporate a variety of factors.
- compositions of this invention are selected in accordance with a variety factors as cited above.
- the actual dosage regimen employed may vary widely and therefore may deviate from a preferred dosage regimen and one skilled in the art will recognize that dosage and dosage regimen outside these typical ranges can be tested and, where appropriate, may be used in the methods of this invention.
- the desired dose may conveniently be presented in a single dose or as divided doses administered at appropriate intervals, for example, as two, three, four or more sub-doses per day.
- the sub-dose itself may be further divided, e.g., into a number of discrete loosely spaced administrations.
- the daily dose can be divided, especially when relatively large amounts are administered as deemed appropriate, into several, for example 2, 3 or 4, part administrations. If appropriate, depending on individual behavior, it may be necessary to deviate upward or downward from the daily dose indicated.
- the compounds of the present invention can be administrated in a wide variety of oral and parenteral dosage forms. It will be obvious to those skilled in the art that the following dosage forms may comprise, as the active component, either a compound of the invention or a pharmaceutically acceptable salt of a compound of the invention.
- a suitable pharmaceutically acceptable carrier can be either solid, liquid or a mixture of both.
- Solid form preparations include powders, tablets, pills, capsules, cachets, suppositories, and dispersible granules.
- a solid carrier can be one or more substances which may also act as diluents, flavouring agents, solubilizers, lubricants, suspending agents, binders, preservatives, tablet disintegrating agents, or an encapsulating material.
- the carrier is a finely divided solid which is in a mixture with the finely divided active component.
- the active component is mixed with the carrier having the necessary binding capacity in suitable proportions and compacted to the desire shape and size.
- the powders and tablets may contain varying percentage amounts of the active compound.
- a representative amount in a powder or tablet may contain from 0.5 to about 90 percent of the active compound; however, an artisan would know when amounts outside of this range are necessary.
- Suitable carriers for powders and tablets are magnesium carbonate, magnesium stearate, talc, sugar, lactose, pectin, dextrin, starch, gelatin, tragacanth, methylcellulose, sodium carboxymethylcellulose, a low melting wax, cocoa butter, and the like.
- the term “preparation” is intended to include the formulation of the active compound with encapsulating material as carrier providing a capsule in which the active component, with or without carriers, is surrounded by a carrier, which is thus in association with it.
- cachets and lozenges are included. Tablets, powders, capsules, pills, cachets, and lozenges can be used as solid forms suitable for oral administration.
- a low melting wax such as an admixture of fatty acid glycerides or cocoa butter
- the active component is dispersed homogeneously therein, as by stirring.
- the molten homogenous mixture is then poured into convenient sized molds, allowed to cool, and thereby to solidify.
- Formulations suitable for vaginal administration may be presented as pessaries, tampons, creams, gels, pastes, foams or sprays containing in addition to the active ingredient such carriers as are known in the art to be appropriate.
- Liquid form preparations include solutions, suspensions, and emulsions, for example, water or water-propylene glycol solutions.
- parenteral injection liquid preparations can be formulated as solutions in aqueous polyethylene glycol solution.
- injectable preparations for example, sterile injectable aqueous or oleaginous suspensions may be formulated according to the known art using suitable dispersing or wetting agents and suspending agents.
- the sterile injectable preparation may also be a sterile injectable solution or suspension in a nontoxic parenterally acceptable diluent or solvent, for example, as a solution in 1,3-butanediol.
- Suitable vehicles and solvents that may be employed are water, Ringer's solution, and isotonic sodium chloride solution.
- sterile, fixed oils are conventionally employed as a solvent or suspending medium.
- any bland fixed oil may be employed including synthetic mono- or diglycerides.
- fatty acids such as oleic acid find use in the preparation of injectables.
- the compounds according to the present invention may thus be formulated for parenteral administration (e.g. by injection, for example bolus injection or continuous infusion) and may be presented in unit dose form in ampoules, pre-filled syringes, small volume infusion or in multi-dose containers with an added preservative.
- the pharmaceutical compositions may take such forms as suspensions, solutions, or emulsions in oily or aqueous vehicles, and may contain formulatory agents such as suspending, stabilizing and/or dispersing agents.
- the active ingredient may be in powder form, obtained by aseptic isolation of sterile solid or by lyophilization from solution, for constitution with a suitable vehicle, e.g. sterile, pyrogen-free water, before use.
- Aqueous formulations suitable for oral use can be prepared by dissolving or suspending the active component in water and adding suitable colorants, flavours, stabilizing and thickening agents, as desired.
- Aqueous suspensions suitable for oral use can be made by dispersing the finely divided active component in water with viscous material, such as natural or synthetic gums, resins, methylcellulose, sodium carboxymethylcellulose, or other well known suspending agents.
- viscous material such as natural or synthetic gums, resins, methylcellulose, sodium carboxymethylcellulose, or other well known suspending agents.
- solid form preparations which are intended to be converted, shortly before use, to liquid form preparations for oral administration.
- liquid forms include solutions, suspensions, and emulsions.
- These preparations may contain, in addition to the active component, colorants, flavors, stabilizers, buffers, artificial and natural sweeteners, dispersants, thickeners, solubilizing agents, and the like.
- the compounds according to the invention may be formulated as ointments, creams or lotions, or as a transdermal patch.
- Ointments and creams may, for example, be formulated with an aqueous or oily base with the addition of suitable thickening and/or gelling agents.
- Lotions may be formulated with an aqueous or oily base and will in general also contain one or more emulsifying agents, stabilizing agents, dispersing agents, suspending agents, thickening agents, or coloring agents.
- Formulations suitable for topical administration in the mouth include lozenges comprising active agent in a flavored base, usually sucrose and acacia or tragacanth; pastilles comprising the active ingredient in an inert base such as gelatin and glycerin or sucrose and acacia; and mouthwashes comprising the active ingredient in a suitable liquid carrier.
- Solutions or suspensions are applied directly to the nasal cavity by conventional means, for example with a dropper, pipette or spray.
- the formulations may be provided in single or multi-dose form. In the latter case of a dropper or pipette, this may be achieved by the patient administering an appropriate, predetermined volume of the solution or suspension. In the case of a spray, this may be achieved for example by means of a metering atomizing spray pump.
- Administration to the respiratory tract may also be achieved by means of an aerosol formulation in which the active ingredient is provided in a pressurized pack with a suitable propellant.
- aerosol formulation in which the active ingredient is provided in a pressurized pack with a suitable propellant.
- the compounds of the present invention or pharmaceutical compositions comprising them are administered as aerosols, for example as nasal aerosols or by inhalation, this can be carried out, for example, using a spray, a nebulizer, a pump nebulizer, an inhalation apparatus, a metered inhaler or a dry powder inhaler.
- Pharmaceutical forms for administration of the compounds of the present invention as an aerosol can be prepared by processes well-known to the person skilled in the art.
- solutions or dispersions of the compounds of the present invention in water, water/alcohol mixtures or suitable saline solutions can be employed using customary additives, for example benzyl alcohol or other suitable preservatives, absorption enhancers for increasing the bioavailability, solubilizers, dispersants and others, and, if appropriate, customary propellants, for example include carbon dioxide, CFC's, such as, dichlorodifluoromethane, trichlorofluoromethane, or dichlorotetrafluoroethane; and the like.
- the aerosol may conveniently also contain a surfactant such as lecithin.
- the dose of drug may be controlled by provision of a metered valve.
- the compound In formulations intended for administration to the respiratory tract, including intranasal formulations, the compound will generally have a small particle size for example of the order of 10 microns or less. Such a particle size may be obtained by means known in the art, for example by micronization. When desired, formulations adapted to give sustained release of the active ingredient may be employed.
- the active ingredients may be provided in the form of a dry powder, for example, a powder mix of the compound in a suitable powder base such as lactose, starch, starch derivatives such as hydroxypropylmethyl cellulose and polyvinylpyrrolidone (PVP).
- a powder mix of the compound in a suitable powder base such as lactose, starch, starch derivatives such as hydroxypropylmethyl cellulose and polyvinylpyrrolidone (PVP).
- PVP polyvinylpyrrolidone
- the powder carrier will form a gel in the nasal cavity.
- the powder composition may be presented in unit dose form for example in capsules or cartridges of, e.g., gelatin, or blister packs from which the powder may be administered by means of an inhaler.
- the pharmaceutical preparations are preferably in unit dosage forms.
- the preparation is subdivided into unit doses containing appropriate quantities of the active component.
- the unit dosage form can be a packaged preparation, the package containing discrete quantities of preparation, such as packeted tablets, capsules, and powders in vials or ampoules.
- the unit dosage form can be a capsule, tablet, cachet, or lozenge itself, or it can be the appropriate number of any of these in packaged form.
- Tablets or capsules for oral administration and liquids for intravenous administration are preferred compositions.
- the compounds according to the invention may optionally exist as pharmaceutically acceptable salts including pharmaceutically acceptable acid addition salts prepared from pharmaceutically acceptable non-toxic acids including inorganic and organic acids.
- Representative acids include, but are not limited to, acetic, benzenesulfonic, benzoic, camphorsulfonic, citric, ethenesulfonic, dichloroacetic, formic, fumaric, gluconic, glutamic, hippuric, hydrobromic, hydrochloric, isethionic, lactic, maleic, malic, mandelic, methanesulfonic, mucic, nitric, oxalic, pamoic, pantothenic, phosphoric, succinic, sulfuric, tartaric, oxalic, p-toluenesulfonic and the like, such as those pharmaceutically acceptable salts listed in Journal of Pharmaceutical Science, 66, 2 (1977); incorporated herein by reference in its entirety.
- the acid addition salts may be obtained as the direct products of compound synthesis.
- the free base may be dissolved in a suitable solvent containing the appropriate acid, and the salt isolated by evaporating the solvent or otherwise separating the salt and solvent.
- the compounds of this invention may form solvates with standard low molecular weight solvents using methods known to the skilled artisan.
- pro-drugs refers to compounds that have been modified with specific chemical groups known in the art and when administered into an individual these groups undergo biotransformation to give the parent compound. Pro-drugs can thus be viewed as compounds of the invention containing one or more specialized non- toxic protective groups used in a transient manner to alter or to eliminate a property of the compound. In one general aspect, the “pro-drug” approach is utilized to facilitate oral absorption.
- T. Higuchi and V. Stella “Pro-drugs as Novel Delivery Systems,” Vol. 14 of the A.C.S. Symposium Series; and in Bioreversible Carriers in Drug Design, ed. Edward B. Roche, American Pharmaceutical Association and Pergamon Press, 1987, both of which are hereby incorporated by reference in their entirety.
- Some embodiments of the present invention include a method of producing a pharmaceutical composition for “combination-therapy” comprising admixing at least one compound according to any of the compound embodiments disclosed herein, together with at least one known pharmaceutical agent as described herein and a pharmaceutically acceptable carrier.
- 5-HT 2A receptor modulators when utilized as active ingredients in a pharmaceutical composition, these are not intended for use only in humans, but in other non-human mammals as well. Indeed, recent advances in the area of animal health-care mandate that consideration be given for the use of active agents, such as 5-HT2A receptor modulators, for the treatment of a 5-HT 2A mediated disease or disorder in domestic animals (e.g., cats and dogs) and in other domestic animals (e.g., such as cows, chickens, fish, etc.). Those of ordinary skill in the art are readily credited with understanding the utility of such compounds in such settings.
- Another object of the present invention relates to radio-labeled compounds of the present invention that would be useful not only in radio-imaging but also in assays, both in vitro and in vivo, for localizing and quantitating the 5-HT 2A receptor in tissue samples, including human, and for identifying 5-HT 2A receptor ligands by inhibition binding of a radio-labeled compound. It is a further object of this invention to develop novel 5-HT 2A receptor assays of which comprise such radio-labeled compounds.
- the present invention embraces isotopically-labeled compounds of the present invention.
- An “isotopically” or “radio-labeled” compounds are those which are identical to compounds disclosed herein, but for the fact that one or more atoms are replaced or substituted by an atom having an atomic mass or mass number different from the atomic mass or mass number typically found in nature (i.e., naturally occurring).
- Suitable radionuclides that may be incorporated in compounds of the present invention include but are not limited to 2 H (also written as D for deuterium), 3 H (also written as T for tritium), 11 C, 13 C, 14 C, 13 N, 15 N, 15 O, 17 O, 18 O, 18 F, 35 S, 36 Cl, 82 Br, 75 Br, 76 B, 77 Br, 123 I, 124 I, 125 and 131 I.
- the radionuclide that is incorporated in the instant radio-labeled compounds will depend on the specific application of that radio-labeled compound.
- a “radio-labeled” or “labeled compound” is a compound of Formula (I) that has incorporated at least one radionuclide; in some embodiments the radionuclide is selected from the group consisting of 3 H, 14 C, 125 I , 35 S and 82 Br. Certain isotopically-labeled compounds of the present invention are useful in compound and/or substrate tissue distribution assays. In some embodiments the radionuclide 3 H and/or 14 C isotopes are useful in these studies.
- isotopically labeled compounds of the present invention can generally be prepared by following procedures analogous to those disclosed in the Schemes supra and Examples infra, by substituting an isotopically labeled reagent for a non-isotopically labeled reagent. Other synthetic methods that are useful are discussed infra. Moreover, it should be understood that all of the atoms represented in the compounds of the invention can be either the most commonly occurring isotope of such atoms or the more scarce radio-isotope or nonradio-active isotope.
- Synthetic methods for incorporating radio-isotopes into organic compounds are applicable to compounds of the invention and are well known in the art. These synthetic methods, for example, incorporating activity levels of tritium into target molecules, are as follows:
- Tritium Gas Exposure Labeling This procedure involves exposing precursors containing exchangeable protons to tritium gas in the presence of a suitable catalyst.
- Synthetic methods for incorporating activity levels of 125 I into target molecules include:
- Aryl and heteroaryl bromide exchange with 125 I This method is generally a two step process.
- the first step is the conversion of the aryl or heteroaryl bromide to the corresponding tri-alkyltin intermediate using for example, a Pd catalyzed reaction [i.e. Pd(Ph 3 P)4] or through an aryl or heteroaryl lithium, in the presence of a tri-alkyltinhalide or hexaalkylditin [e.g., (CH 3 ) 3 SnSn(CH 3 ) 3 ].
- Pd catalyzed reaction i.e. Pd(Ph 3 P)4
- a tri-alkyltinhalide or hexaalkylditin e.g., (CH 3 ) 3 SnSn(CH 3 ) 3 ].
- a radio-labeled 5-HT 2A receptor compound of Formula (I) can be used in a screening assay to identify/evaluate compounds.
- a newly synthesized or identified compound i.e., test compound
- the ability of a test compound to compete with the “radio-labeled compound of Formula (I)” for the binding to the 5-HT 2A receptor directly correlates to its binding affinity.
- the labeled compounds of the present invention bind to the 5-HT 2A receptor.
- the labeled compound has an IC 50 less than about 500 ⁇ M, in another embodiment the labeled compound has an IC 50 less than about 100 ⁇ M, in yet another embodiment the labeled compound has an IC 50 less than about 10 ⁇ M, in yet another embodiment the labeled compound has an IC 50 less than about 1 ⁇ M, and in still yet another embodiment the labeled inhibitor has an IC 50 less than about0.1 ⁇ M.
- FIGS. 17 through 21 and FIGS. 29 through 34 Illustrated syntheses for compounds of the present invention are shown in FIGS. 17 through 21 and FIGS. 29 through 34 where the symbols have the same definitions as used throughout this disclosure.
- TLC Thin-layer chromatography
- PK6F silica gel 60 A 1 mm plates (Whatman)
- column chromatography was carried out on a silica gel column using Kieselgel 60, 0.063-0.200 mm (Merck). Evaporation was done in vacuo on a Buchi rotary evaporator. Celite 545® was used during palladium filtrations.
- LCMS specs 1) PC: HPLC-pumps: LC-10AD VP, Shimadzu Inc.; HPLC system controller: SCL-10A VP, Shimadzu Inc; UV-Detector: SPD-10A VP, Shimadzu Inc; Autosampler: CTC HTS, PAL, Leap Scientific; Mass spectrometer: API 150EX with Turbo Ion Spray source, AB/MDS Sciex; Software: Analyst 1.2. 2) Mac: HPLC-pumps: LC-8A VP, Shimadzu Inc; HPLC system controller: SCL-10A VP, Shimadzu Inc.
- UV-Detector SPD-10A VP, Shimadzu Inc; Autosampler: 215 Liquid Handler, Gilson Inc; Mass spectrometer: API 150EX with Turbo Ion Spray source, AB/MDS Sciex Software: Masschrom 1.5.2.
- Trifluoro-methanesulfonic acid 2-methoxy-5-nitro-phenyl ester To a stirred solution of 2-methoxy-5-nitrophenol (5.092 g, 30 mmol) in a mixture of CH 2 Cl 2 (3 mL) and pyridine (20 mL) was added triflic anhydride (16.478 g, 9.8 mL, 2.0 eq.) dropwise at 0° C. The mixture was warmed to room temperature and stirred for 2 hrs. Most of the pyridine was removed under vacuum. The residue was diluted with EtOAc, washed with 1N HCl and water, the aqueous phase was then extracted with EtOAc (3 ⁇ 100 mL).
- A. 5-(2-Isopropoxy-5-nitro-phenyl)-1-methyl-1H-pyrazole To a stirred solution of 2-(2-methyl-2H-pyrazol-3-yl)-4-nitro-phenol (0.061 g, 0.28 mmol) in DMF (3 mL) was added K 2 CO 3 (0.077 g, 0.56 mmol, 2.0 equiv.) at r.t., it was stirred for 30 mins and isopropyl bromide ( 110 ⁇ L, 0.146 g, 1.16 mmol, 4.0 equiv.) was added. The mixture was stirred at 50° C. until the consumption of starting material was complete.
- Reduction Method A 4-Fluoro-5-(2-methoxy-5-nitro-phenyl)-1-methyl-1H-pyrazole (205 mg, 0.817 mmol) in EtOH (25 mL) was treated with Sn(II) chloride dihydrate (626.3 mg, 2.45 mmol) and heated to 50° C. for 12 hours. The reaction was allowed to cool to room temperature and 10% NaOH (100 ml) was added. EtOAc (50 ml) was added and the organic layer was separated. The aqueous layer was extracted with EtOAc (2 ⁇ 50 mL) and the organics combined, dried over Na 2 SO 4 , filtered, and the solvent removed under reduced pressure.
Landscapes
- Health & Medical Sciences (AREA)
- Chemical & Material Sciences (AREA)
- Organic Chemistry (AREA)
- Animal Behavior & Ethology (AREA)
- Veterinary Medicine (AREA)
- Pharmacology & Pharmacy (AREA)
- General Health & Medical Sciences (AREA)
- Public Health (AREA)
- Medicinal Chemistry (AREA)
- Life Sciences & Earth Sciences (AREA)
- Bioinformatics & Cheminformatics (AREA)
- Engineering & Computer Science (AREA)
- Nuclear Medicine, Radiotherapy & Molecular Imaging (AREA)
- General Chemical & Material Sciences (AREA)
- Chemical Kinetics & Catalysis (AREA)
- Biomedical Technology (AREA)
- Neurosurgery (AREA)
- Neurology (AREA)
- Epidemiology (AREA)
- Diabetes (AREA)
- Hematology (AREA)
- Psychiatry (AREA)
- Pulmonology (AREA)
- Urology & Nephrology (AREA)
- Rheumatology (AREA)
- Heart & Thoracic Surgery (AREA)
- Cardiology (AREA)
- Obesity (AREA)
- Psychology (AREA)
- Emergency Medicine (AREA)
- Addiction (AREA)
- Endocrinology (AREA)
- Hospice & Palliative Care (AREA)
- Pain & Pain Management (AREA)
- Anesthesiology (AREA)
- Ophthalmology & Optometry (AREA)
- Immunology (AREA)
- Orthopedic Medicine & Surgery (AREA)
- Physical Education & Sports Medicine (AREA)
- Otolaryngology (AREA)
Abstract
The present invention relates to certain pyrazole derivatives of Formula (I) and pharmaceutical compositions thereof that modulate the activity of the 5-HT2A serotonin receptor.
Compounds and pharmaceutical compositions thereof are directed to methods useful in the prophylaxis or treatment of platelet aggreagation, coronary artery disease, myocardial infarction, transient ischemic attack, angina, stroke, atrial fibrillation, reducing the risk of blood clot formation, asthma or symptoms thereof, agitation or a symptom, behavioral disorders, drug induced psychosis, excitative psychosis, Gilles de la Tourette's syndrome, manic disorder, organic or NOS psychosis, psychotic disorder, psychosis, acute schizophrenia, chronic schizophrenia, NOS schizophrenia and related disorders, and sleep disorders, sleep disorders, diabetic-related disorders and the like.
The present invention also relates to the method of prophylaxis or treatment of 5-HT2A serotonin receptor mediated disorders in combination with a dopamine D2 receptor antagonist such as haloperidol, administered separately or together.
Description
- This application is a continuation of U.S. Ser. No. 10/895,789, filed Jul. 21, 2004, which in turn claims the benefit of U.S. Provisional Appl. Ser. Nos. 60/489,572, filed Jul. 22, 2003 and 60/503,586, filed Sep. 16, 2003, each of which is hereby incorporated by reference in its entirety.
- The present invention relates to certain diaryl and arylheteroaryl urea derivatives of Formula (I) and pharmaceutical compositions thereof that modulate the activity of the 5-HT2A serotonin receptor. Compounds and pharmaceutical compositions thereof are directed to methods useful in the prophylaxis or treatment of platelet aggregation, coronary artery disease, myocardial infarction, transient ischemic attack, angina, stroke, atrial fibrillation, reducing the risk of blood clot formation, asthma or symptoms thereof, agitation or a symptom, behavioral disorders, drug induced psychosis, excitative psychosis, Gilles de la Tourette's syndrome, manic disorder, organic or NOS psychosis, psychotic disorder, psychosis, acute schizophrenia, chronic schizophrenia, NOS schizophrenia and related disorders, sleep disorders, diabetic-related disorders and the like.
- The present invention also relates to the method of prophylaxis or treatment of 5-HT2A serotonin receptor mediated disorders in combination with a dopamine D2 receptor antagonist such as haloperidol, administered separately or together.
- G Protein Coupled Receptors
- G Protein coupled receptors share a common structural motif. All these receptors have seven sequences of between 22 to 24 hydrophobic amino acids that form seven alpha helices, each of which spans the membrane. The transmembrane helices are joined by strands of amino acids having a larger loop between the fourth and fifth transmembrane helix on the extracellular side of the membrane. Another larger loop, composed primarily of hydrophilic amino acids, joins transmembrane helices five and six on the intracellular side of the membrane. The carboxy terminus of the receptor lies intracellularly with the amino terminus in the extracellular space. It is thought that the loop joining helices five and six, as well as, the carboxy terminus, interact with the G protein. Currently, Gq, Gs, Gi and Go are G proteins that have been identified. The general structure of G protein coupled receptors is shown in
FIG. 1 . - Under physiological conditions, G protein coupled receptors exist in the cell membrane in equilibrium between two different states or conformations: an “inactive” state and an “active” state. As shown schematically in
FIG. 2 , a receptor in an inactive state is unable to link to the intracellular transduction pathway to produce a biological response. Changing the receptor conformation to the active state allows linkage to the transduction pathway and produces a biological response. - A receptor may be stabilized in an active state by an endogenous ligand or an exogenous agonist ligand. Recent discoveries such as, including but not exclusively limited to, modifications to the amino acid sequence of the receptor provide means other than ligands to stabilize the active state conformation. These means effectively stabilize the receptor in an active state by simulating the effect of a ligand binding to the receptor. Stabilization by such ligand-independent means is termed “constitutive receptor activation.”
- Serotonin Receptors
- Receptors for serotonin (5-hydroxytryptamine, 5-HT) are an important class of G protein coupled receptors. Serotonin is thought to play a role in processes related to learning and memory, sleep, thermoregulation, mood, motor activity, pain, sexual and aggressive behaviors, appetite, neurodegenerative regulation, and biological rhythms. Not surprisingly, serotonin is linked to pathophysiological conditions such as anxiety, depression, obsessive compulsive disorders, schizophrenia, suicide, autism, migraine, emesis, alcoholism, and neurodegenerative disorders. With respect to anti-psychotic treatment approaches focused on the serotonin receptors, these types of therapeutics can generally be divided into two classes, the “typical” and the “atypical.” Both have anti-psychotic effects, but the typicals also include concomitant motor-related side effects (extra pyramidal syndromes, e.g., lip-smacking, tongue darting, locomotor movement, etc). Such side effects are thought to be associated with the compounds interacting with other receptors, such as the human dopamine D2 receptor in the nigro-striatal pathway. Therefore, an atypical treatment is preferred. Haloperidol is considered a typical anti-psychotic, and clozapine is considered an atypical anti-psychotic.
- Serotonin receptors are divided into seven subfamilies, referred to as 5-HT1 through 5-HT7, inclusive. These subfamilies are further divided into subtypes. For example, the 5-HT2 subfamily is divided into three receptor subtypes: 5-HT2A, 5-HT2B, and 5-HT2C. The human 5-HT2C receptor was first isolated and cloned in 1987, and the human 5-HT2A receptor was first isolated and cloned in 1990. These two receptors are thought to be the site of action of hallucinogenic drugs. Additionally, antagonists to the 5-HT2A and 5-HT2C receptors are believed to be useful in treating depression, anxiety, psychosis, and eating disorders.
- U.S. Pat. No. 4,985,352 describes the isolation, characterization, and expression of a functional cDNA clone encoding the entire human 5-HT1c receptor (now known as the 5-HT2C receptor). U.S. Pat. Nos. 5,661,024 and 6,541,209 describe the isolation, characterization, and expression of a functional cDNA clone encoding the entire human 5-HT2A receptor.
- Mutations of the endogenous forms of the rat 5-HT2A and rat 5-HT2C receptors have been reported to lead to constitutive activation of these receptors (5-HT2A: Casey, C. et al. (1996) Society for Neuroscience Abstracts, 22:699.10, hereinafter “Casey”; 5-HT2C: Herrick-Davis, K., and Teitler, M. (1996) Society for Neuroscience Abstracts, 22:699.18, hereinafter “Herrick-Davis 1”; and Herrick-Davis, K. et al. (1997) J Neurochemistry 69(3): 1138, hereinafter “Herrick-Davis-2”). Casey describes a mutation of the cysteine residue at position 322 of the rat 5-HT2A receptor to lysine (C322K), glutamine (C322Q), and arginine (C322R) which reportedly led to constitutive activation. Herrick-Davis 1 and Herrick-Davis 2 describe mutations of the serine residue at position 312 of the rat 5-HT2C receptor to phenylalanine (S312F) and lysine (S312K), which reportedly led to constitutive activation.
-
- wherein:
- i) R1 is aryl or heteroaryl each optionally substituted with R9, R10, R11, R12, R13, R14, and R15 each selected independently from the group consisting of C1-6 acyl, C1-6 acyloxy, C2-6 alkenyl, C1-6 alkoxy, C1-6 alkyl, C1-6 alkylcarboxamide, C2-6 alkynyl, C1-6 alkylsulfonamide, C1-6 alkylsulfinyl, C1-6 alkylsulfonyl, C1-6 alkylthio, C1-6 alkylureyl, amino, C1-6 alkylamino, C2-8 dialkylamino, C1-6 alkylimino, carbo-C1-6-alkoxy, carboxamide, carboxy, cyano, C3-7 cycloalkyl, C2-8 dialkylcarboxamide, C2-8 dialkylsulfonamide, halogen, C1-6 haloalkoxy, C1-6 haloalkyl, C1-6 haloalkylsulfinyl, C1-6 haloalkylsulfonyl, C1-6 haloalkylthio, heterocyclic, hydroxyl, thiol, nitro, phenoxy and phenyl, or two adjacent R9, R10, R11, R12, R13, R14, and R15 together with the atoms to which they are attached form a C5-7 cycloalkyl group or heterocyclic group each optionally substituted with F, Cl, or Br; and wherein said C2-6 alkenyl, C1-6 alkyl, C2-6 alkynyl, C1-6 alkylamino, C1-6 alkylimino, C2-8 dialkylamino, heterocyclic, and phenyl are each optionally substituted with 1 to 5 substituents selected independently from the group consisting of C1-6 acyl, C1-6 acyloxy, C2-6 alkenyl, C1-6 alkoxy, C1-6 alkyl, C1-6 alkylcarboxamide, C2-6 alkynyl, C1-6 alkylsulfonamide, C1-6 alkylsulfinyl, C1-6 alkylsulfonyl, C1-6 alkylthio, C1-6 alkylureyl, amino, C1-6 alkylamino, C2-8 dialkylamino, carbo-C1-6-alkoxy, carboxamide, carboxy, cyano, C3-7 cycloalkyl, C2-8 dialkylcarboxamide, halogen, C1-6 haloalkoxy, C1-6 haloalkyl, C1-6 haloalkylsulfinyl, C1-6 haloalkylsulfonyl, C1-6 haloalkylthio, hydroxyl, thiol and nitro;
- ii) R2 is selected from the group consisting of H, C1-6 alkyl, C2-6 alkenyl, C2-6 alkynyl and C3-7 cycloalkyl;
- iii) R3 is selected from the group consisting of H, C2-6 alkenyl, C1-6 alkyl, C1-6 alkylcarboxamide, C2-6 alkynyl, C1-6 alkylsulfonamide, carbo-C1-6-alkoxy, carboxamide, carboxy, cyano, C3-7 cycloalkyl, C2-8 dialkylcarboxamide, halogen, heteroaryl and phenyl; and wherein each of said C2-6 alkenyl, C1-6 alkyl, C2-6 alkynyl, C1-6 alkylsulfonamide, C3-7 cycloalkyl, heteroaryl and phenyl groups can be optionally substituted with 1 to 5 substituents selected independently from the group consisting of C1-5 acyl, C1-5 acyloxy, C2-6 alkenyl, C1-4 alkoxy, C1-8 alkyl, C1-6 alkylamino, C2-8 dialkylamino, C1-4 alkylcarboxamide, C2-6 alkynyl, C1-4 alkylsulfonamide, C1-4 alkylsulfinyl, C1-4 alkylsulfonyl, C1-4 alkylthio, C1-4 alkylureyl, amino, carbo-C1-6-alkoxy, carboxamide, carboxy, cyano, C3-6 cycloalkyl, C2-6 dialkylcarboxamide, halogen, C1-4 haloalkoxy, C1-4 haloalkyl, C1-4 haloalkylsulfinyl, C1-4 haloalkylsulfonyl, C1-4 haloalkylthio, hydroxyl, nitro and sulfonamide;
- iv) R4 is selected from the group consisting of H, C1-6 acyl, C1-6 acyloxy, C2-6 alkenyl, C1-6 alkoxy, C1-6 alkyl, C1-6 alkylcarboxamide, C2-6 alkynyl, C1-6 alkylsulfonamide, C1-6 alkylsulfinyl, C1-6 alkylsulfonyl, C1-6 alkylthio, C1-6 alkylureyl, amino, C1-6 alkylamino, C2-8 dialkylamino, carbo-C1-6-alkoxy, carboxamide, carboxy, cyano, C3-7 cycloalkyl, C2-8 dialkylcarboxamide, C2-8 dialkylsulfonamide, halogen, C1-6 haloalkoxy, C1-6 haloalkyl, C1-6 haloalkylsulfinyl, C1-6 haloalkylsulfonyl, C1-6 haloalkylthio, hydroxyl, thiol, nitro and sulfonamide;
- v) R5 is selected from the group consisting of C1-6 acyl, C1-6 acyloxy, C2-6 alkenyl, C1-6 alkoxy, C1-6 alkyl, C1-6 alkylcarboxamide, C2-6 alkynyl, C1-6 alkylsulfonamide, C1-6 alkylsulfinyl, C1-6 alkylsulfonyl, C1-6 alkylthio, C1-6 alkylureyl, amino, C1-6 alkylamino, C2-8 dialkylamino, carbo-C-1-6-alkoxy, carboxamide, carboxy, cyano, C3-7 cycloalkyl, C2-8 dialkylcarboxamide, C2-8 dialkylsulfonamide, halogen, C1-6 haloalkoxy, C1-6 haloalkyl, C1-6 haloalkylsulfinyl, C1-6 haloalkylsulfonyl, C1-6 haloalkylthio, hydroxyl, thiol, nitro and sulfonamide, wherein said C1-6 alkoxy group can be optionally substituted with 1 to 5 substituents selected independently from the group consisting of C1-5 acyl, C1-5 acyloxy, C2-6 alkenyl, C1-4 alkoxy, C1-8 alkyl, amino, C1-6 alkylamino, C2-8 dialkylamino, C1-4 alkylcarboxamide, C2-6 alkynyl, C1-4 alkylsulfonamide, C1-4 alkylsulfinyl, C1-4 alkylsulfonyl, C1-4 alkylthio, C1-4 alkylureyl, amino, carbo-C1-6-alkoxy, carboxamide, carboxy, cyano, C3-6 cycloalkyl, C2-6 dialkylcarboxamide, halogen, C1-4 haloalkoxy, C1-4 haloalkyl, C1-4 haloalkylsulfinyl, C1-4 haloalkylsulfonyl, C1-4 haloalkylthio, hydroxyl, nitro and phenyl, and wherein said amino and phenyl are each optionally substituted with 1 to 5 further substituents selected from the group consisting of halogen and carbo-C1-6-alkoxy;
- vi) R6a, R6b, and R6c are each independently selected from the group consisting of H, C1-6 acyl, C1-6 acyloxy, C2-6 alkenyl, C1-6 alkoxy, C1-6 alkyl, C1-6 alkylcarboxamide, C2-6 alkynyl, C1-6 alkylsulfonamide, C1-6 alkylsulfinyl, C1-6 alkylsulfonyl, C1-6 alkylthio, C1-6 alkylureyl, amino, C1-6 alkylamino, C2-8 dialkylamino, carbo-C1-6-alkoxy, carboxamide, carboxy, cyano, C3-7 cycloalkyl, C2-8 dialkylcarboxamide, C2-8 dialkylsulfonamide, halogen, C1-6 haloalkoxy, C1-6 haloalkyl, C1-6 haloalkylsulfinyl, C1-6 haloalkylsulfonyl, C1-6 haloalkylthio, hydroxyl, thiol, nitro and sulfonamide;
- vii) R7 and R8 are independently H or C1-8 alkyl;
- viii) X is O or S; and
- ix) Q is C1-3 alkylene optionally substituted with 1 to 4 substituents selected from the group consisting of C1-3 alkyl, C1-4 alkoxy, carboxy, cyano, C1-3 haloalkyl, halogen and oxo; or Q is a bond.
- One aspect of the present invention encompasses pharmaceutical compositions comprising a compound of the present invention and a pharmaceutically acceptable carrier.
- One aspect of the present invention encompasses methods for modulating the activity of a 5HT2A serotonin receptor by contacting the receptor with a compound according to any of the embodiments described herein or a pharmaceutical composition.
- One aspect of the present invention encompasses methods for prophylaxis or treatment of platelet aggregation in an individual comprising administering to said individual in need thereof a therapeutically effective amount of a compound according to any of the embodiments described herein or a pharmaceutical composition.
- One aspect of the present invention encompasses methods for prophylaxis or treatment of an indication selected from the group consisting of coronary artery disease, myocardial infarction, transient ischemic attack, angina, stroke, and atrial fibrillation in an individual comprising administering to said individual in need thereof a therapeutically effective amount of a compound according to any of the embodiments described herein or a pharmaceutical composition.
- One aspect of the present invention encompasses methods for prophylaxis or treatment of reducing the risk of blood clot formation in an angioplasty or coronary bypass surgery individual comprising administering to said individual in need thereof a therapeutically effective amount of a compound according to any of the embodiments described herein or a pharmaceutical composition.
- One aspect of the present invention encompasses methods for prophylaxis or treatment of reducing the risk of blood clot formation in an individual suffering from atrial fibrillation, comprising administering to said individual in need thereof a therapeutically effective amount of a compound according to any of the embodiments described herein or a pharmaceutical composition.
- One aspect of the present invention encompasses methods for prophylaxis or treatment of asthma in an individual comprising administering to said individual in need thereof a therapeutically effective amount of a compound according to any of the embodiments described herein or a pharmaceutical composition.
- One aspect of the present invention encompasses methods for prophylaxis or treatment of a symptom of asthma in an individual comprising administering to said individual in need thereof a therapeutically effective amount of a compound according to any of the embodiments described herein or a pharmaceutical composition.
- One aspect of the present invention encompasses methods for prophylaxis or treatment of agitation or a symptom thereof in an individual comprising administering to said individual in need thereof a therapeutically effective amount of a compound according to any of the embodiments described herein or a pharmaceutical composition. In some embodiments, the individual is a cognitively intact elderly individual.
- One aspect of the present invention encompasses methods for prophylaxis or treatment of agitation or a symptom thereof in an individual suffering from dementia comprising administering to said individual in need thereof a therapeutically effective amount of a compound according to any of the embodiments described herein or a pharmaceutical composition. In some embodiments, the dementia is due to a degenerative disease of the nervous system. In some embodiments, the dementia is Alzheimers disease, Lewy Body, Parkinson's disease or Huntington's disease. In some embodiments, the dementia is due to diseases that affect blood vessels. In some embodiments, the dementia is due to stroke or multi-infarct dementia.
- One aspect of the present invention encompasses methods for prophylaxis or treatment of an individual suffering from at least one of the indications selected from the group consisting of behavioral disorder, drug induced psychosis, excitative psychosis, Gilles de la Tourette's syndrome, manic disorder, organic or NOS psychosis, psychotic disorder, psychosis, acute schizophrenia, chronic schizophrenia and NOS schizophrenia comprising administering to said individual in need thereof a therapeutically effective amount of a dopamine D2 receptor antagonist and a compound according to any of the embodiments described herein or a pharmaceutical composition. In some embodiments, the dopamine D2 receptor antagonist is haloperidol.
- One aspect of the present invention encompasses methods for prophylaxis or treatment of an individual with infantile autism, Huntington's chorea, or nausea and vomiting from chemotherapy or chemotherapeutic antibodies comprising administering to said individual in need thereof a therapeutically effective amount of a dopamine D2 receptor antagonist and a compound according to any of the embodiments described herein or a pharmaceutical composition. In some embodiments, the dopamine D2 receptor antagonist is haloperidol.
- One aspect of the present invention encompasses methods for prophylaxis or treatment of schizophrenia in an individual comprising administering to said individual in need thereof a therapeutically effective amount of a dopamine D2 receptor antagonist and a compound according to any of the embodiments described herein or a pharmaceutical composition. In some embodiments, the dopamine D2 receptor antagonist is haloperidol.
- One aspect of the present invention encompasses methods for prophylaxis or treatment of alleviating negative symptoms of schizophrenia induced by the administration of haloperidol to an individual suffering from said schizophrenia, comprising administering to said individual in need thereof a therapeutically effective amount of a compound according to any of the embodiments described herein or a pharmaceutical composition. In some embodiments, the haloperidol and the compound or pharmaceutical composition are administered in separate dosage forms. In some embodiments, the haloperidol and the compound or pharmaceutical composition are administered in a single dosage form.
- One aspect of the present invention encompasses methods for prophylaxis or treatment of a sleep disorder in an individual comprising administering to said individual in need thereof a therapeutically effective amount of a compound according to any of the embodiments described herein or a pharmaceutical composition. In some embodiments, the sleep disorder comprises a fragmented sleep architecture. In some embodiments, the effective amount of a compound according to any of the embodiments described herein, or a pharmaceutical composition described herein, promotes sleep consolidation. In some embodiments, the effective amount of a compound according to any of the embodiments described herein, or a pharmaceutical composition described herein, increases delta power.
- In some embodiments, the sleep disorder is a dyssomnia. In some embodiments, the dyssomnia is selected from the group consisting of psychophysiological insomnia, sleep state misperception, idiopathic insomnia, obstructive sleep apnea syndrome, central sleep apnea syndrome, central alveolar hypoventilation syndrome, periodic limb movement disorder, restless leg syndrome, inadequate sleep hygiene, environmental sleep disorder, altitude insomnia, adjustment sleep disorder, insufficient sleep syndrome, limit-setting sleep disorder, sleep-onset association disorder, nocturnal eating or drinking syndrome, hypnotic dependent sleep disorder, stimulant-dependent sleep disorder, alcohol-dependent sleep disorder, toxin-induced sleep disorder, time zone change (et lag) syndrome, shift work sleep disorder, irregular sleep-wake pattern, delayed sleep phase syndrome, advanced sleep phase syndrome and non-24-hour sleep-wake disorder.
- In some embodiments, the sleep disorder is a parasomnia. In some embodiments, the parasomnia is selected from the group consisting of confusional arousals, sleepwalking and sleep terrors, rhythmic movement disorder, sleep starts, sleep talking and nocturnal leg cramps.
- In some embodiments, the sleep disorder is associated with a medical or psychiatric disorder. In some embodiments, the medical or psychiatric disorder is selected from the group consisting of psychoses, mood disorders, anxiety disorders, panic disorders, alcoholism, cerebral degenerative disorders, dementia, parkinsonism, fatal familial insomnia, sleep-related epilepsy, electrical status epilepticus of sleep, sleep-related headaches, sleeping sickness, nocturnal cardiac ischemia, chronic obstructive pulmonary disease, sleep-related asthma, sleep-related gastroesophageal reflux, peptic ulcer disease, fibrositis syndrome, osteoarthritis, rheumatoid arthritis, fibromyalgia and post-surgical sleep disorder.
- One aspect of the present invention encompasses methods for prophylaxis or treatment of a diabetic-related disorder in an individual comprising administering to said individual in need thereof a therapeutically effective amount of a compound according to any of the embodiments described herein or a pharmaceutical composition.
- In some embodiments, the diabetic-related disorder is diabetic peripheral neuropathy.
- In some embodiments, the diabetic-related disorder is diabetic nephropathy.
- In some embodiments, the diabetic-related disorder is diabetic retinopathy.
- One aspect of the present invention encompasses processes for preparing a composition comprising admixing a compound according any embodiments described herein and pharmaceutically acceptable carrier.
- One aspect of the present invention is the use of a compound for the production of a medicament for use in the prophylaxis or treatment of a 5HT2A mediated disorder.
- One embodiment of the present invention is the use of a compound for the production of a medicament for use in the prophylaxis or treatment of a 5HT2A mediated disorder wherein the disorder is platelet aggregation.
- One embodiment of the present invention is the use of a compound for the production of a medicament for use in the prophylaxis or treatment of a 5HT2A mediated disorder wherein the disorder is selected from the group consisting of coronary artery disease, myocardial infarction, transient ischemic attack, angina, stroke, and atrial fibrillation.
- One embodiment of the present invention is the use of a compound for the production of a medicament for use in the prophylaxis or treatment of a 5HT2A mediated disorder wherein the disorder is a blood clot formation in an angioplasty or coronary bypass surgery individual.
- One embodiment of the present invention is the use of a compound for the production of a medicament for use in the prophylaxis or treatment of a 5HT2A mediated disorder wherein the disorder is a blood clot formation in an individual suffering from atrial fibrillation.
- One embodiment of the present invention is the use of a compound for the production of a medicament for use in the prophylaxis or treatment of a 5HT2A mediated disorder wherein the disorder is asthma.
- One embodiment of the present invention is the use of a compound for the production of a medicament for use in the prophylaxis or treatment of a 5HT2A mediated disorder wherein the disorder is a symptom of asthma.
- One embodiment of the present invention is the use of a compound for the production of a medicament for use in the prophylaxis or treatment of a 5HT2A mediated disorder wherein the disorder is agitation or a symptom thereof in an individual. In some embodiments the individual is a cognitively intact elderly individual.
- One embodiment of the present invention is the use of a compound for the production of a medicament for use in the prophylaxis or treatment of a 5HT2A mediated disorder wherein the disorder is agitation or a symptom thereof in an individual suffering from dementia. In some embodiments the dementia is due to a degenerative disease of the nervous system. In some embodiment the dementia is Alzheimers disease, Lewy Body, Parkinson's disease, or Huntington's disease. In some embodiments the dementia is due to diseases that affect blood vessels. In some embodiments the dementia is due to stroke or multi-infract dementia.
- One embodiment of the present invention is the use of a compound for the production of a medicament for use in the prophylaxis or treatment of a 5HT2A mediated disorder further comprising a dopamine D2 receptor antagonist wherein the disorder is selected from the group consisting of a behavioral disorder, drug induced psychosis, excitative psychosis, Gilles de la Tourette's syndrome, manic disorder, organic or NOS psychosis, psychotic disorder, psychosis, acute schizophrenia, chronic schizophrenia and NOS schizophrenia. In some embodiments the dopamine D2 receptor antagonist is haloperidol.
- One embodiment of the present invention is the use of a compound for the production of a medicament for use in the prophylaxis or treatment of a 5HT2A mediated disorder further comprising a dopamine D2 receptor antagonist wherein the disorder is infantile autism, Huntington's chorea, or nausea and vomiting from chemotherapy or chemotherapeutic antibodies. In some embodiments the dopamine D2 receptor antagonist is haloperidol.
- One embodiment of the present invention is the use of a compound for the production of a medicament for use in the prophylaxis or treatment of a 5HT2A mediated disorder further comprising a dopamine D2 receptor antagonist wherein the disorder is schizophrenia. In some embodiments the dopamine D2 receptor antagonist is haloperidol.
- One embodiment of the present invention is the use of a compound for the production of a medicament for use in the prophylaxis or treatment of a 5HT2A mediated disorder wherein the disorder is a negative symptom or symptoms of schizophrenia induced by the administration of haloperidol.
- One embodiment of the present invention is the use of a compound for the production of a medicament for use in the prophylaxis or treatment of a 5HT2A mediated disorder wherein the haloperidol and the compound or pharmaceutical composition are administered in separate dosage forms.
- One embodiment of the present invention is the use of a compound for the production of a medicament for use in the prophylaxis or treatment of a 5HT2A mediated disorder wherein the haloperidol and the compound or pharmaceutical composition are administered in a single dosage form.
- One aspect of the present invention are compounds according to any of the embodiments described herein for use in a method of treatment of the human or animal body by therapy.
- One aspect of the present invention are compounds according to any of the embodiments described herein for use in a method for the prophylaxis or treatment of a 5HT2A mediated disorder, as described herein, in the human or animal body by therapy.
- One aspect of the present invention are compounds according to any of the embodiments described herein for use in a method for the prophylaxis or treatment of a sleep disorder, as described herein, in the human or animal body by therapy.
- One aspect of the present invention are compounds according to any of the embodiments described herein for use in a method for the prophylaxis or treatment of platelet aggregation in the human or animal body by therapy.
- These and other aspects of the invention disclosed herein will be set forth in greater detail as the patent disclosure proceeds.
- In the following figures, bold typeface indicates the location of the mutation in the non-endogenous, constitutively activated receptor relative to the corresponding endogenous receptor.
-
FIG. 1 shows a generalized structure of a G protein-coupled receptor with the numbers assigned to the transmembrane helices, the intracellular loops, and the extracellular loops. -
FIG. 2 schematically shows the active and inactive states for a typical G protein-coupled receptor and the linkage of the active state to the second messenger transduction pathway. -
FIG. 3 a provides the nucleic acid sequence of the endogenous human 5-HT2A receptor (SEQ.ID.NO: 21). -
FIG. 3 b provides the corresponding amino acid sequence of the endogenous human 5-HT2A receptor (SEQ.ID.NO: 22). -
FIG. 4 a provides the nucleic acid sequence of the endogenous human 5-HT2C receptor (SEQ.ID.NO: 23). -
FIG. 4 b provides the corresponding amino acid sequence of the endogenous human 5-HT2C receptor (SEQ.ID.NO: 24). -
FIG. 5 a provides the nucleic acid sequence of a constitutively active form of the human 5-HT2C receptor (“AP-1 cDNA”-SEQ.ID.NO: 25). -
FIG. 5 b provides the corresponding amino acid sequence of the AP-1 cDNA (“AP-1”-SEQ.ID.NO: 26). -
FIG. 6 a provides the nucleic acid sequence of a constitutively active form of the human 5-HT2A receptor whereby the IC3 portion and the cytoplasmic-tail portion of the endogenous 5-HT2A receptor have been replaced with the IC3 portion and the cytoplasmic-tail portion of the human 5-HT2C receptor (“AP-3 cDNA?-SEQ.ID.NO: 27). -
FIG. 6 b provides the corresponding amino acid sequence of the AP-3 cDNA (“AP-3” SEQ.ID.NO: 28). -
FIG. 6 c provides a schematic representation of AP-3, where the dashed-lines represent the portion obtained from the human 5-HT2C receptor. -
FIG. 7 a provides the nucleic acid sequence of a constitutively active form of the human 5-HT2A receptor whereby (1) the region between the proline of TM5 and the proline of TM6 of the endogenous human 5-HT2A receptor has been replaced with the corresponding region of the human 5-HT2C receptor (including a S310K point mutation); and (2) the cytoplasmic-tail portion of the endogenous 5-HT2A receptor has been replaced with the cytoplasmic-tail portion of the endogenous human 5-HT2C receptor (“AP-4 cDNA”- SEQ.ID.NO:29). -
FIG. 7 b provides the corresponding amino acid sequence of the AP-4 cDNA (“AP-4”-SEQ.ID.NO: 30). -
FIG. 7 c provides a schematic representation of the mutated 5-HT2A receptor ofFIG. 7 b where the dashed-lines represent the portion obtained from the human 5-HT2C receptor. -
FIG. 8 is a representation of the preferred vector, pCMV, used herein. -
FIG. 9 is a diagram illustrating (1) enhanced (35S)GTPγS binding to membranes prepared from COS cells expressing the endogenous human 5-HT2C receptor in response to serotonin, and (2) inhibition by mianserin using wheatgerm agglutinin scintillation proximity beads. The concentration of (35S)GTPγS was held constant at 0.3 nM, and the concentration of GDP was held at 1 μM. The concentration of the membrane protein was 12.5 μg. -
FIG. 10 is a diagram showing serotonin stimulation of (35S)GTPγS binding to membranes expressing AP-1 receptors in 293T cells and the inhibition by 30 μM mianserin on Wallac™ scintistrips. -
FIG. 11 is a diagram showing the effects of protein concentration on (35S)GTPγS binding in membranes prepared from 293T cells transfected with the endogenous human 5-HT2C receptors and AP-1 receptors compared to cells transfected with the control vector (pCMV) alone in the absence (A) and presence (B) of 10 μM serotonin. The radiolabeled concentration of (35S)GTPγS was held constant at 0.3 nM, and the GDP concentration was held constant at 1 μM. The assay was performed on 96-well format on Wallac™ scintistrips. -
FIG. 12 provides bar-graph comparisons of inositol tris-phosphate (“IP3”) production between the endogenous human 5HT2A receptor and AP-2, a mutated form of the receptor. -
FIG. 13 provides bar-graph comparisons of inositol tris-phosphate (“IP3”) production between the endogenous human 5HT2A receptor and AP-4, a mutated form of the receptor. -
FIG. 14 provides bar graph comparisons of IP3 production between the endogenous human 5-HT2A receptor and AP-3, a mutated form of the receptor. -
FIG. 15 provides bar-graph comparisons of IP3 production between the endogenous human 5-HT2C receptor and AP-1. -
FIGS. 16A, 16B and 16C shows a grey-scale reproduction of representative autoradiograms demonstrating displacement of 125I-LSD from brain sections by spiperone and an early lead compound identified by the Inventors, referred to herein as S-1610 and has the following name: [3-(4-Bromo-2-methyl-2H-pyrazol-3-yl)-phenyl]-carbamic acid 4-methoxy-phenyl ester. -
FIG. 17 shows the general synthetic scheme for the preparation of intermediate compounds of the present invention.FIG. 17 shows a general coupling method between a pyrazole boronic acid and an aryl triflate, it is understood that similar coupling methods can be used wherein the triflate is a halide, such as, I, Br or Cl. -
FIG. 18 shows the general synthetic scheme for the preparation of intermediate compounds of the present invention. -
FIG. 19 shows the general synthetic scheme for the preparation of intermediate compounds useful in the preparation of compounds of the present invention. -
FIG. 20 shows the general synthetic scheme for the preparation of intermediate compounds useful in the preparation of compounds of the present invention. -
FIG. 21 shows the general synthetic scheme for the preparation of compounds of the present invention.FIG. 21 shows a general coupling method between a phenyl amine, as described in previous figures, and an isocyanate or thioisocyanate to give ureas and thioureas respectively. -
FIG. 22 shows the effect ofCompound 1 on DOI-induced hypolocomotion in rats. -
FIG. 23 shows the effect ofCompound 26 on DOI-induced hypolocomotion in rats. -
FIG. 24 shows the experimental design of 5HT2A occupancy studies in monkeys. -
FIG. 25 shows PET scan images of 8 or 24 hours after treatment withmonkey brains Compound 1 compared to a baseline PET scan (transaxial view). -
FIG. 26 shows PET scan images of 8 or 24 hours after treatment withmonkey brains Compound 1 compared to a baseline PET scan (sagital view). -
FIG. 27 shows tabulated data for percent occupancy of 5HT2A receptors byCompound 1 in monkeys. -
FIG. 28 shows the effect in rats ofCompound 1 andCompound 26 on sleep and wakefulness, as measured by delta power, compared to zolpidem. -
FIG. 29 shows the general synthetic scheme for the preparation of intermediate compounds of the present invention.FIG. 29 shows a general coupling method between a pyrazole boronic acid and an aryl triflate, it is understood that similar coupling methods known in the art can also be used, and a halide, such as, I, Br or Cl, can be used in place of the triflate. -
FIG. 30 shows the general synthetic scheme for the preparation of intermediate compounds of the present invention.FIG. 30 illustrates the formation of pyrazoles from a variety of substituted chromen-4-ones. Also shown are alkylation and “Mitsunobu-like” examples for modifying the phenol, and illustrative reductions of the nitro to amine. -
FIG. 31 shows the general synthetic scheme for the preparation of intermediate compounds useful in the preparation of compounds of the present invention.FIG. 31 illustrates the alkylation and “Mitsunobu-like” examples for modifying the phenol. It is understood that a variety of halo-alkyls and alcohols can be used in these reactions. Some representative alcohols are, 2-dimethylamino ethanol, 3-dimethylamino propanol, and the like. -
FIG. 32 shows the general synthetic scheme for the preparation of intermediate compounds useful in the preparation of compounds of the present invention.FIG. 32 illustrates general methods for introducing a variety of halogens into compounds of the invention. It is understood that these halogenation reaction can also be conducted later in the synthesis, for example as the last step. -
FIG. 33 shows the general synthetic scheme for the preparation of compounds of the present invention.FIG. 33 shows a general coupling method between a phenyl amine, as described in previous figures, and isocyanates or thioisocyanates to give ureas and thioureas respectively.FIG. 33 also shows the general method for introducing R7 and R8 into compounds of the invention. -
FIG. 34 shows an alternate general synthetic scheme for the preparation of compounds of the present invention. - The scientific literature that has evolved around receptors has adopted a number of terms to refer to ligands having various effects on receptors. For clarity and consistency, the following definitions will be used throughout this patent document.
- AGONISTS shall mean moieties that interact and activate the receptor, such as the 5-HT2A receptor, and initiates a physiological or pharmacological response characteristic of that receptor. For example, when moieties activate the intracellular response upon binding to the receptor, or enhance GTP binding to membranes.
- AMINO ACID ABBREVIATIONS used herein are set out in TABLE 1:
TABLE 1 ALANINE ALA A ARGININE ARG R ASPARAGINE ASN N ASPARTIC ACID ASP D CYSTEINE CYS C GLUTAMIC ACID GLU E GLUTAMINE GLN Q GLYCINE GLY G HISTIDINE HIS H ISOLEUCINE ILE I LEUCINE LEU L LYSINE LYS K METHIONINE MET M PHENYLALANINE PHE F PROLINE PRO P SERINE SER S THREONINE THR T TRYPTOPHAN TRP W TYROSINE TYR Y VALINE VAL V - The term ANTAGONISTS is intended to mean moieties that competitively bind to the receptor at the same site as agonists (for example, the endogenous ligand), but which do not activate the intracellular response initiated by the active form of the receptor, and can thereby inhibit the intracellular responses by agonists or partial agonists. Antagonists do not diminish the baseline intracellular response in the absence of an agonist or partial agonist.
- Chemical Group, Moiety or Radical:
- The term “C1-6 acyl” denotes a C1-6 alkyl radical attached to a carbonyl wherein the definition of alkyl has the same definition as described herein; some examples include but not limited to, acetyl, propionyl, n-butanoyl, iso-butanoyl, sec-butanoyl, t-butanoyl (i.e., pivaloyl), pentanoyl and the like.
- The term “C1-6 acyloxy” denotes an acyl radical attached to an oxygen atom wherein acyl has the same definition has described herein; some examples include but not limited to acetyloxy, propionyloxy, butanoyloxy, iso-butanoyloxy, sec-butanoyloxy, t-butanoyloxy and the like.
- The term “C2-6 alkenyl” denotes a radical containing 2 to 6 carbons wherein at least one carbon-carbon double bond is present, some embodiments are 2 to 4 carbons, some embodiments are 2 to 3 carbons, and some embodiments have 2 carbons. Both E and Z isomers are embraced by the term “alkenyl.” Furthermore, the term “alkenyl” includes di- and tri-alkenyls. Accordingly, if more than one double bond is present then the bonds may be all E or Z or a mixtures of E and Z. Examples of an alkenyl include vinyl, allyl, 2-butenyl, 3-butenyl, 2-pentenyl, 3-pentenyl, 4-pentenyl, 2-hexenyl, 3-hexenyl, 4-hexenyl, 5-hexanyl, 2,4-hexadienyl and the like.
- The term “C1-6 alkoxy” as used herein denotes a radical alkyl, as defined herein, attached directly to an oxygen atom. Examples include methoxy, ethoxy, n-propoxy, iso-propoxy, n-butoxy, t-butoxy, iso-butoxy, sec-butoxy and the like.
- The term “C1-8 alkyl” denotes a straight or branched carbon radical containing 1 to 8 carbons, some embodiments are 1 to 6 carbons, some embodiments are 1 to 4 carbons, some embodiments are 1 to 3 carbons, and some embodiments are 1 or 2 carbons. Examples of an alkyl include, but not limited to, methyl, ethyl, n-propyl, iso-propyl, n-butyl, sec-butyl, iso-butyl, 1-butyl, pentyl, iso-pentyl, t-pentyl, neo-pentyl, 1-methylbutyl [i.e., —CH(CH3)CH2CH2CH3], 2-methylbutyl [i.e., —CH2CH(CH3)CH2CH3], n-hexyl and the like.
- The term “C1-6 alkylcarboxamido” or “C1-6 alkylcarboxamide” denotes a single C1-6 alkyl group attached to the nitrogen of an amide group, wherein alkyl has the same definition as found herein. The C1-6 alkylcarboxamido may be represented by the following:
Examples include, but not limited to, N-methylcarboxamide, N-ethylcarboxamide, N-n-propylcarboxamide, N-iso-propylcarboxamide, N-n-butylcarboxamide, N-sec-butylcarboxamide, N-iso-butylcarboxamide, N-t-butylcarboxamide and the like. - The term “C1-3 alkylene” refers to a C1-3 divalent straight carbon group. In some embodiments C1-3 alkylene refers to, for example, —CH2—, —CH2CH2—, —CH2CH2CH2—, and the like. In some embodiments, C1-3 alkylene refers to —CH—, —CHCH2—, —CHCH2CH2—, and the like wherein these examples relate generally to the variable or claim element “Q”.
- The term “C1-6 alkylimino” denotes a C1-6 alkyl radical attached directly to the carbon of the —C(═NH)— group wherein the definition of alkyl has the same definition as described herein; some examples include but not limited to, 1-imino-ethyl [i.e., —C(═NH)CH3], 1-imino-propyl [i.e., —C(═NH)CH2CH3], 1-imino-2-methyl-propyl [i.e., —C(═NH)CH(CH3)2], and the like.
- The term “C1-6 alkylsulfinyl” denotes a C1-6 alkyl radical attached to a sulfoxide radical of the formula: —S(O)— wherein the alkyl radical has the same definition as described herein. Examples include, but not limited to, methylsulfinyl, ethylsulfinyl, n-propylsulfinyl, iso-propylsulfinyl, n-butylsulfinyl, sec-butylsulfinyl, iso-butylsulfinyl, t-butylsulfinyl, and the like.
-
- The term “C1-6 alkylsulfonyl” denotes a C1-6 alkyl radical attached to a sulfone radical of the formula: —S(O)2— wherein the alkyl radical has the same definition as described herein. Examples include, but not limited to, methylsulfonyl, ethylsulfonyl, n-propylsulfonyl, iso-propylsulfonyl, n-butylsulfonyl, sec-butylsulfonyl, iso-butylsulfonyl, t-butylsulfonyl, and the like.
- The term “C1-6 alkylthio” denotes a C1-6 alkyl radical attached to a sulfide of the formula: —S— wherein the alkyl radical has the same definition as described herein. Examples include, but not limited to, methylsulfanyl (i.e., CH3S—), ethylsulfanyl, n-propylsulfanyl, iso-propylsulfanyl, n-butylsulfanyl, sec-butylsulfanyl, iso-butylsulfanyl, t-butylsulfanyl, and the like.
-
- The term “C1-6 alkylthioureyl” denotes the group of the formula: —NC(S)N— wherein one are both of the nitrogens are substituted with the same or different C1-6 alkyl groups and alkyl has the same definition as described herein. Examples of an alkylthioureyl include, but not limited to, CH3NHC(S)NH—, NH2C(S)NCH3—, (CH3)2N(S)NH—, (CH3)2N(S)NH—, (CH3)2N(S)NCH3—, CH3CH2NHC(S)NH—, CH3CH2NHC(S)NCH3—, and the like.
- The term “C1-6 alkylureyl” denotes the group of the formula: —NC(O)N—wherein one are both of the nitrogens are substituted with the same or different C1-6 alkyl group wherein alkyl has the same definition as described herein. Examples of an alkylureyl include, but not limited to, CH3NHC(O)NH—, NH2C(O)NCH3—, (CH3)2NC(O)NH—, (CH3)2NC(O)NH—, (CH3)2NC(O)NCH3—, CH3CHxNHC(O)NH—, CH3CH2NHC(O)NCH3—, and the like.
- The term “C2-6 alkynyl” denotes a radical containing 2 to 6 carbons and at least one carbon-carbon triple bond, some embodiments are 2 to 4 carbons, some embodiments are 2 to 3 carbons, and some embodiments have 2 carbons. Examples of an alkynyl include, but not limited to, ethynyl, 1-propynyl, 2-propynyl, 1-butynyl, 2-butynyl, 3-butynyl, 1-pentynyl, 2-pentynyl, 3-pentynyl, 4-pentynyl, 1-hexynyl, 2-hexynyl, 3-hexynyl, 4-hexynyl, 5-hexynyl and the like. The term “alkynyl” includes di- and tri-ynes.
- The term “amino” denotes the group —NH2.
- The term “C1-6 alkylamino” denotes one alkyl radical attached to an amino radical wherein the alkyl radical has the same meaning as described herein. Some examples include, but not limited to, methylamino, ethylamino, n-propylamino, iso-propylamino, n-butylamino, sec-butylamino, iso-butylamino, t-butylamino, and the like. Some embodiments are “C1-2 alkylamino.”
- The term “aryl” denotes an aromatic ring radical containing 6 to 10 ring carbons. Examples include phenyl and naphthyl.
- The term “arylalkyl” defines a C1-C4 alkylene, such as —CH2—, —CH2CH2— and the like, which is further substituted with an aryl group. Examples of an “arylalkyl” include benzyl, phenethylene and the like.
- The term “arylcarboxamido” denotes a single aryl group attached to the nitrogen of an amide group, wherein aryl has the same definition as found herein. The example is N-phenylcarboxamide.
- The term “arylureyl” denotes the group —NC(O)N— where one of the nitrogens are substituted with an aryl.
- The term “benzyl” denotes the group —CH2C6H5.
- The term “carbo-C1-6-alkoxy” refers to a C1-6 alkyl ester of a carboxylic acid, wherein the alkyl group is as defined herein. Examples include, but not limited to, carbomethoxy, carboethoxy, carbopropoxy, carboisopropoxy, carbobutoxy, carbo-sec-butoxy, carbo-iso-butoxy, carbo-t-butoxy, carbo-n-pentoxy, carbo-iso-pentoxy, carbo-t-pentoxy, carbo-neo-pentoxy, carbo-n-hexyloxy, and the like.
- The term “carboxamide” refers to the group —CONH2.
- The term “carboxy” or “carboxyl” denotes the group —CO2H; also referred to as a carboxylic acid group.
- The term “cyano” denotes the group —CN.
- The term “C4-7 cycloalkenyl” denotes a non-aromatic ring radical containing 4 to 7 ring carbons and at least one double bond; some embodiments contain 4 to 6 carbons; some embodiments contain 4 to 5 carbons; some embodiments contain 4 carbons. Examples include cyclobutenyl, cyclopentenyl, cyclopentenyl, cyclohexenyl, and the like.
- The term “C3-7 cycloalkyl” denotes a saturated ring radical containing 3 to 7 carbons; some embodiments contain 3 to 6 carbons; some embodiments contain 3 to 5 carbons; some embodiments contain 5 to 7 carbons; some embodiments contain 3 to 4 carbons. Examples include cyclopropyl, cyclobutyl, cyclopentyl, cyclopenyl, cyclohexyl, cycloheptyl and the like.
- The term “C2-8 dialkylamino” denotes an amino substituted with two of the same or different C1-4 alkyl radicals wherein alkyl radical has the same definition as described herein. Some examples include, but not limited to, dimethylamino, methylethylamino, diethylamino, methylpropylamino, methylisopropylamino, ethylpropylamino, ethylisopropylamino, dipropylamino, propylisopropylamino and the like. Some embodiments are “C2-4 dialkylamino.”
- The term “C2-8 dialkylcarboxamido” or “C2-8 dialkylcarboxamide” denotes two alkyl radicals, that are the same or different, attached to an amide group, wherein alkyl has the same definition as described herein. A C2-8 dialkylcarboxamido may be represented by the following groups:
wherein C1-4 has the same definition as described herein. Examples of a dialkylcarboxamide include, but not limited to, N,N-dimethylcarboxamide, N-methyl-N-ethylcarboxamide, N,N-diethylcarboxamide, N-methyl-N-isopropylcarboxamide, and the like. -
- wherein C1-4 has the same definition as described herein, for example but not limited to, methyl, ethyl, n-propyl, isopropyl, and the like.
The term “C2-8 dialkylthiocarboxamido” or “C2-8 dialkylthiocarbox-amide” denotes two alkyl radicals, that are the same or different, attached to a thioamide group, wherein alkyl has the same definition as described herein. A C2-8 dialkyithiocarboxamido or C2-8 dialkyithiocarboxamnide may be represented by the following groups:
Examples of a dialkyithiocarboxamide include, but not limited to, NNW-dimethylthiocarboxamide, N-methyl-N-ethylthiocarboxamide and the like. -
- The term “formyl” refers to the group —CHO.
- The term “C1-6 haloalkoxy” denotes a haloalkyl, as defined herein, which is directly attached to an oxygen atom. Examples include, but not limited to, difluoromethoxy, trifluoromethoxy, 2,2,2-trifluoroethoxy, pentafluoroethoxy and the like.
- The term “C1-6 haloalkyl” denotes an C1-6 alkyl group, defined herein, wherein the alkyl is substituted with one halogen up to fully substituted and a fully substituted C1-6 haloalkyl can be represented by the formula CnL2n+1 wherein L is a halogen and “n” is 1, 2, 3 or 4; when more than one halogen is present then they may be the same or different and selected from the group consisting of F, Cl, Br and I, preferably F. Examples Of C1-4 haloalkyl groups include, but not limited to, fluoromethyl, difluoromethyl, trifluoromethyl, chlorodifluoromethyl, 2,2,2-trifluoroethyl, pentafluoroethyl and the like.
- The term “C1-6 haloalkylcarboxamide” denotes an alkylcarboxamide group, defined herein, wherein the alkyl is substituted with one halogen up to fully substituted represented by the formula CnL2n+1 wherein L is a halogen and “n” is 1, 2, 3 or 4. When more than one halogen is present they may be the same or different and selected from the group consisting of F, Cl, Br and I, preferably F.
- The term “C1-6 haloalkylsulfinyl” denotes a haloalkyl radical attached to a sulfoxide group of the formula: —S(O)— wherein the haloalkyl radical has the same definition as described herein. Examples include, but not limited to, trifluoromethylsulfinyl, 2,2,2-trifluoroethylsulfinyl, 2,2-difluoroethylsulfinyl and the like.
- The term “C1-6 haloalkylsulfonyl” denotes a haloalkyl radical attached to a sulfone group of the formula: —S(O)2— wherein haloalkyl has the same definition as described herein. Examples include, but not limited to, trifluoromethylsulfonyl, 2,2,2-trifluoroethylsulfonyl, 2,2-difluoroethylsulfonyl and the like.
- The term “C1-6 haloalkylthio” denotes a haloalkyl radical directly attached to a sulfur wherein the haloalkyl has the same meaning as described herein. Examples include, but not limited to, trifluoromethylthio (i.e., CF3S—, also referred to as trifluoromethylsulfanyl), 1,1-difluoroethylthio, 2,2,2-trifluoroethylthio and the like.
- The term “halogen” or “halo” denotes to a fluoro, chloro, bromo or iodo group. The term “heteroaryl” denotes an aromatic ring system that may be a single ring, two fused rings or three fused rings wherein at least one ring carbon is replaced with a heteroatom selected from, but not limited to, the group consisting of O, S and N wherein the N can be optionally substituted with H, C1-4 acyl or C1-4 alkyl. Examples of heteroaryl groups include, but not limited to, pyridyl, benzofuranyl, pyrazinyl, pyridazinyl, pyrimidinyl, triazinyl, quinoline, benzoxazole, benzothiazole, 1H-benzimidazole, isoquinoline, quinazoline, quinoxaline and the like. In some embodiments, the heteroaryl atom is O, S, NH, examples include, but not limited to, pyrrole, indole, and the like. Other examples include, but not limited to, those in TABLE 2, TABLE 3, and the like.
- The term “heterocyclic” denotes a non-aromatic carbon ring (i.e., C3-7 cycloalkyl or C4-7 cycloalkenyl as defined herein) wherein one, two or three ring carbons are replaced by a heteroatom selected from, but not limited to, the group consisting of O, S, N, wherein the N can be optionally substituted with H, C1-4 acyl or C1-4 alkyl, and ring carbon atoms optionally substituted with oxo or a thiooxo thus forming a carbonyl or thiocarbonyl group. The heterocyclic group is a 3-, 4-, 5-, 6- or 7-membered containing ring. Examples of a heterocyclic group include but not limited to aziridin-1-yl, aziridin-2-yl, azetidin-1-yl, azetidin-2-yl, azetidin-3-yl, piperidin-1-yl, piperidin-4-yl, morpholin-4-yl, piperzin-1-yl, piperzin-4-yl, pyrrolidin-1-yl, pyrrolidin-3-yl, [1,3]-dioxolan-2-yl and the like.
-
-
- The term “hydroxyl” refers to the group —OH.
- The term “hydroxylamino” refers to the group —NHOH.
- The term “nitro” refers to the group —NO2.
- The term “C4-7 oxo-cycloalkyl” refers to a C4-7 cycloalkyl, as defined herein, wherein one of the ring carbons is replaced with a carbonyl. Examples of C4-7 oxo-cycloalkyl include, but are not limited to, 2-oxo-cyclobutyl, 3-oxo-cyclobutyl, 3-oxo-cyclopentyl, 4-oxo-cyclohexyl, and the like and represented by the following structures respectively:
- The term “perfluoroalkyl” denotes the group of the formula —CnF2n+1; stated differently, a perfluoroalkyl is an alkyl as defined herein wherein the alkyl is fully substituted with fluorine atoms and is therefore considered a subset of haloalkyl. Examples of perfluoroalkyls include CF3, CF2CF3, CF2CF2CF3, CF(CF3)2, CF2CF2CF2CF3, CF2CF(CF3)2, CF(CF3)CF2CF3 and the like.
- The term “phenoxy” refers to the group C6H5O—.
- The term “phenyl” refers to the group C6H5—.
- The term“sulfonic acid” refers to the group —SO3H.
- The term “thiol” denotes the group —SH.
- CODON shall mean a grouping of three nucleotides (or equivalents to nucleotides) which generally comprise a nucleoside [adenosine (A), guanosine (G), cytidine (C), uridine (U) and thymidine (T)] coupled to a phosphate group and which, when translated, encodes an amino acid.
- COMPOSITION shall mean a material comprising at least two compounds or two components; for example, and without limitation, a Pharmaceutical Composition is a Composition comprising a compound of the present invention and a pharmaceutically acceptable carrier.
- COMPOUND EFFICACY shall mean a measurement of the ability of a compound to inhibit or stimulate receptor functionality, as opposed to receptor binding affinity.
- CONSTITUTIVELY ACTIVATED RECEPTOR shall mean a receptor subject to constitutive receptor activation.
- CONSTITUTIVE RECEPTOR ACTIVATION shall mean stabilization of a receptor in the active state by means other than binding of the receptor with its endogenous ligand or a chemical equivalent thereof.
- CONTACT or CONTACTING shall mean bringing the indicated moieties together, whether in an in vitro system or an in vivo system. Thus, “contacting” a 5-HT2A receptor with a compound of the invention includes the administration of a compound of the present invention to an individual, preferably a human, having a 5-HT2A receptor, as well as, for example, introducing a compound of the invention into a sample containing a cellular or more purified preparation containing a 5-HT2A receptor.
- ENDOGENOUS shall mean a material that a mammal naturally produces. ENDOGENOUS in reference to, for example and not limitation, the term “receptor” shall mean that which is naturally produced by a mammal (for example, and not limitation, a human) or a virus.
- In contrast, the term NON-ENDOGENOUS in this context shall mean that which is not naturally produced by a mammal (for example, and not limitation, a human) or a virus. For example, and not limitation, a receptor which is not constitutively active in its endogenous form, but when manipulated becomes constitutively active, is most preferably referred to herein as a “non-endogenous, constitutively activated receptor.” Both terms can be utilized to describe both “in vivo” and “in vitro” systems. For example, and not a limitation, in a screening approach, the endogenous or non-endogenous receptor may be in reference to an in vitro screening system. As a further example and not limitation, where the genome of a mammal has been manipulated to include a non-endogenous constitutively activated receptor, screening of a candidate compound by means of an in vivo system is viable.
- IN NEED OF PROPHYLAXIS OR TREATMENT as used herein refers to a judgment made by a caregiver (e.g. physician, nurse, nurse practitioner, etc. in the case of humans; veterinarian in the case of animals, including non-human mammals) that an individual or animal requires or will benefit from prophylaxis or treatment. This judgment is made based on a variety of factors that are in the realm of a caregiver's expertise, but that includes the knowledge that the individual or animal is ill, or will be ill, as the result of a disease, condition or disorder that is treatable by the compounds of the invention. In general, “in need of prophylaxis” refers to the judgment made by the caregiver that the individual will become ill. In this context, the compounds of the invention are used in a protective or preventive manner. However, “in need of treatment” refers to the judgment of the caregiver that the individual is already ill, therefore, the compounds of the present invention are used to alleviate, inhibit or ameliorate the disease, condition or disorder.
- INDIVIDUAL as used herein refers to any animal, including mammals, preferably mice, rats, other rodents, rabbits, dogs, cats, swine, cattle, sheep, horses, or primates, and most preferably humans.
- INHIBIT or INHIBITING, in relationship to the term “response” shall mean that a response is decreased or prevented in the presence of a compound as opposed to in the absence of the compound.
- INVERSE AGONISTS shall mean moieties that bind the endogenous form of the receptor or to the constitutively activated form of the receptor, and which inhibit the baseline intracellular response initiated by the active form of the receptor below the normal base level of activity which is observed in the absence of agonists or partial agonists, or decrease GTP binding to membranes. Preferably, the baseline intracellular response is inhibited in the presence of the inverse agonist by at least 30%, more preferably by at least 50%, and most preferably by at least 75%, as compared with the baseline response in the absence of the inverse agonist.
- LIGAND shall mean an endogenous, naturally occurring molecule specific for an endogenous, naturally occurring receptor.
- As used herein, the terms MODULATE or MODULATING shall mean to refer to an increase or decrease in the amount, quality, response or effect of a particular activity, function or molecule.
- PHARMACEUTICAL COMPOSITION shall mean a composition comprising at least one active ingredient; including but not limited to, salts, solvates and hydrates of compounds of Formula (I); whereby the composition is amenable to investigation for a specified, efficacious outcome in a mammal (for example, without limitation, a human). Those of ordinary skill in the art will understand and appreciate the techniques appropriate for determining whether an active ingredient has a desired efficacious outcome based upon the needs of the artisan.
- THERAPEUTICALLY EFFECTIVE AMOUNT as used herein refers to the amount of active compound or pharmaceutical agent that elicits the biological or medicinal response in a tissue, system, animal, individual or human that is being sought by a researcher, veterinarian, medical doctor or other clinician, which includes one or more of the following:
- (1) Preventing the disease; for example, preventing a disease, condition or disorder in an individual that may be predisposed to the disease, condition or disorder but does not yet experience or display the pathology or symptomatology of the disease,
- (2) Inhibiting the disease; for example, inhibiting a disease, condition or disorder in an individual that is experiencing or displaying the pathology or symptomatology of the disease, condition or disorder (i.e., arresting further development of the pathology and/or symptomatology), and
- (3) Ameliorating the disease; for example, ameliorating a disease, condition or disorder in an individual that is experiencing or displaying the pathology or symptomatology of the disease, condition or disorder (i.e., reversing the pathology and/or symptomatology).
- One aspect of the present invention encompasses certain diaryl and arylheteroaryl urea derivatives as shown in Formula (I):
or a pharmaceutically acceptable salt, hydrate or solvate thereof; wherein R1, R2, R3, R4, R5, R6a, R6b, R6c, R7, R8, X, and Q have the same definitions as described herein, supra and infra. -
- wherein:
- i) R1 is aryl or heteroaryl optionally substituted with R9, R10, R11, R12, R13, R14, and R15 selected independently from the group consisting of C1-4 acyl, C1-6 acyloxy, C2-6 alkenyl, C1-6 alkoxy, C1-6 alkyl, C1-6 alkylcarboxamide, C2-6 alkynyl, C1-6 alkylsulfonamide, C1-4 alkylsulfinyl, C1-6 alkylsulfonyl, C1-6 alkylthio, C1-6 alkylureyl, amino, C1-6 alkylamino, C2-8 dialkylamino, carbo-C1-6-alkoxy, carboxamide, carboxy, cyano, C3-7 cycloalkyl, C2-8 dialkylcarboxamide, C2-8 dialkylsulfonamide, halogen, C1-6 haloalkoxy, C1-6 haloalkyl, C1-6 haloalkylsulfinyl, C1-6 haloalkylsulfonyl, C1-6 haloalkylthio, hydroxyl, thiol, nitro, phenoxy and phenyl, or two adjacent R9, R10, R11, R12, R13, R14, and R15 together with the atoms to which they are attached form a C5-7 cycloalkyl group or heterocyclic group each optionally substituted with F, Cl, or Br; and wherein each of said C2-6 alkenyl, C1-6 alkyl, C2-6 alkynyl and phenyl groups can be optionally substituted with 1 to 5 substituents selected independently from the group consisting of C1-6 acyl, C1-6 acyloxy, C2-6 alkenyl, C1-4 alkoxy, C1-6 alkyl, C1-6 alkylcarboxamide, C2-6 alkynyl, C1-6 alkylsulfonamide, C1-6 alkylsulfinyl, C1-6 alkylsulfonyl, C1-6 alkylthio, C1-6 alkylureyl, amino, C1-6 alkylamino, C2-8 dialkylamino, carbo-C1-6-alkoxy, carboxamide, carboxy, cyano, C3-7 cycloalkyl, C2-8 dialkylcarboxamide, halogen, C1-6 haloalkoxy, C1-6 haloalkyl, C1-6 haloalkylsulfinyl, C1-6 haloalkylsulfonyl, C1-4 haloalkylthio, hydroxyl, thiol and nitro;
- ii) R2 is selected from the group consisting of C1-6 alkyl, C2-6 alkenyl, C2-6 alkynyl and C3-7 cycloalkyl;
- iii) R3 is selected from the group consisting of H, C2-6 alkenyl, C1-6 alkyl, C1-6 alkylcarboxamide, C2-6 alkynyl, C1-6 alkylsulfonamide, carbo-C1-6-alkoxy, carboxamide, carboxy, cyano, C3-7 cycloalkyl, C2-8 dialkylcarboxamide, halogen, heteroaryl and phenyl; and wherein each of said C2-6 alkenyl, C1-6 alkyl, C2-6 alkynyl, C1-6 alkylsulfonamide, C3-7 cycloalkyl, heteroaryl and phenyl groups can be optionally substituted with 1 to 5 substituents selected independently from the group consisting of C1-5 acyl, C1-5 acyloxy, C2-6 alkenyl, C1-4 alkoxy, C1-8 alkyl, C1-6 alkylamino, C2-8 dialkylamino, C1-4 alkylcarboxamide, C2-6 alkynyl, C1-4 alkylsulfonamide, C1-4 alkylsulfinyl, C1-4 alkylsulfonyl, C1-4 alkylthio, C1-4 alkylureyl, amino, carbo-C1-6-alkoxy, carboxamide, carboxy, cyano, C3-6 cycloalkyl, C2-6 dialkylcarboxamide, halogen, C1-4 haloalkoxy, C1-4 haloalkyl, C1-4 haloalkylsulfinyl, C1-4 haloalkylsulfonyl, C1-4 haloalkylthio, hydroxyl, nitro and sulfonamide;
- iv) R4 is selected from the group consisting of H, C1-6 acyl, C1-6 acyloxy, C2-6 alkenyl, C1-6 alkoxy, C1-6 alkyl, C1-6 alkylcarboxamide, C2-6 alkynyl, C1-6 alkylsulfonamide, C1-6 alkylsulfinyl, C1-6 alkylsulfonyl, C1-6 alkylthio, C1-6 alkylureyl, amino, C1-6 alkylamino, C2-8 dialkylamino, carbo-C1-6-alkoxy, carboxamide, carboxy, cyano, C3-7 cycloalkyl, C2-8 dialkylcarboxamide, C2-8 dialkylsulfonamide, halogen, C1-6 haloalkoxy, C1-6 haloalkyl, C1-6 haloalkylsulfinyl, C1-6 haloalkylsulfonyl, C1-6 haloalkylthio, hydroxyl, thiol, nitro and sulfonamide;
- v) R5 is selected from the group consisting of C1-6 acyl, C1-6 acyloxy, C2-6 alkenyl, C1-6 alkoxy, C1-6 alkyl, C1-6 alkylcarboxamide, C2-6 alkynyl, C1- alkylsulfonamide, C1-6 alkylsulfinyl, C1-6 alkylsulfonyl, C1-6 alkylthio, C1-6 alkylureyl, amino, C1-6 alkylamino, C2-8 dialkylamino, carbo-C1-6-alkoxy, carboxamide, carboxy, cyano, C3-7 cycloalkyl, C2-8 dialkylcarboxamide, C2-8 dialkylsulfonamide, halogen, C1-6 haloalkoxy, C1-6 haloalkyl, C1-6 haloalkylsulfinyl, C1-6 haloalkylsulfonyl, C1-6 haloalkylthio, hydroxyl, thiol, nitro and sulfonamide, wherein said C1-6 alkoxy group can be optionally substituted with 1 to 5 substituents selected independently from the group consisting of C1-5 acyl, C1-5 acyloxy, C2-6 alkenyl, C1-4 alkoxy, C1-8 alkyl, C1-6 alkylamino, C2-8 dialkylamino, C1-4 alkylcarboxamide, C2-6 alkynyl, C1-4 alkylsulfonamide, C1-4 alkylsulfinyl, C1-4 alkylsulfonyl, C1-4 alkylthio, C1-4 alkylureyl, amino, carbo-C1-6-alkoxy, carboxamide, carboxy, cyano, C3-6 cycloalkyl, C2-6 dialkylcarboxamide, halogen, C1-4 haloalkoxy, C1-4 haloalkyl, C1-4 haloalkylsulfinyl, C1-4 haloalkylsulfonyl, C1-4 haloalkylthio, hydroxyl, nitro and phenyl, and wherein said phenyl is optionally substituted with 1 to 5 halogen atoms;
- vi) R6 is selected from the group consisting of H, C1-6 acyl, C1-6 acyloxy, C2-6 alkenyl, C1-6 alkoxy, C1-6 alkyl, C1-6 alkylcarboxamide, C2-6 alkynyl, C1-6 alkylsulfonamide, C1-6 alkylsulfinyl, C1-6 alkylsulfonyl, C1-6 alkylthio, C1-6 alkylureyl, amino, C1-6 alkylamino, C2-8 dialkylamino, carbo-C1-6-alkoxy, carboxamide, carboxy, cyano, C3-7 cycloalkyl, C2-8 dialkylcarboxaminde, C2-8 dialkylsulfonamide, halogen, C1-6 haloalkoxy, C1-6 haloalkyl, C1-6 haloalkylsulfinyl, C1-6 haloalkylsulfonyl, C1-6 haloalkylthio, hydroxyl, thiol, nitro and sulfonamide;
- vii) R7 and R8 are independently H or C1-8 alkyl;
- viii) X is O or S; and
- ix) Q is C1-3 alkylene optionally substituted with 1 to 4 substituents selected from the group consisting of C1-3 alkyl, C1-4 alkoxy, carboxy, cyano, C1-3 haloalkyl, halogen and oxo; or Q is a bond; or a pharmaceutically acceptable salt, hydrate or solvate thereof.
- It is appreciated that certain features of the invention, which are, for clarity, described in the context of separate embodiments, may also be provided in combination in a single embodiment. Conversely, various features of the invention which are, for brevity, described in the context of a single embodiment, may also be provided separately or in any suitable subcombination.
- As used herein, “substituted” indicates that at least one hydrogen atom of the chemical group is replaced by a non-hydrogen substituent or group, the non-hydrogen substituent or group can be monovalent or divalent. When the substituent or group is divalent, then it is understood that this group is further substituted with another substituent or group. When a chemical group herein is “substituted” it may have up to the full valance of substitution; for example, a methyl group can be substituted by 1, 2, or 3 substituents, a methylene group can be substituted by 1 or 2 substituents, a phenyl group can be substituted by 1, 2, 3, 4, or 5 substituents, a naphthyl group can be substituted by 1, 2, 3, 4, 5, 6, or 7 substituents and the like. Likewise, “substituted with one or more substituents” refers to the substitution of a group with one substituent up to the total number of substituents physically allowed by the group. Further, when a group is substituted with more than one group they can be identical or they can be different.
- Compounds of the invention can also include tautomeric forms, such as keto-enol tautomers, and the like. Tautomeric forms can be in equilibrium or sterically locked into one form by appropriate substitution. It is understood that the various tautomeric forms are within the scope of the compounds of the present invention.
- Compounds of the invention can also include all isotopes of atoms occurring in the intermediates and/or final compounds. Isotopes include those atoms having the same atomic number but different mass numbers. For example, isotopes of hydrogen include deuterium and tritium.
- It is understood and appreciated that compounds of the present invention may have one or more chiral centers, and therefore can exist as enantiomers and/or diastereomers. The invention is understood to extend to and embrace all such enantiomers, diastereomers and mixtures thereof, including but not limited, to racemates. Accordingly, some embodiments of the present invention pertain to compounds of the present invention that are R enantiomers. Further, some embodiments of the present invention pertain to compounds of the present invention that are S enantiomers. In examples where more than one chiral center is present, then, some embodiments of the present invention include compounds that are RS or SR enantiomers. In further embodiments, compounds of the present invention are RR or SS enantiomers. It is understood that compounds of the present invention are intended to represent all individual enantiomers and mixtures thereof, unless stated or shown otherwise.
- In some embodiments, R1 is aryl or heteroaryl each optionally substituted with R9, R10, R11, R12, R13, R14, and R15 each selected independently from the group consisting of C1-6 acyl, C1-6 acyloxy, C2-6 alkenyl, C1-6 alkoxy, C1-6 alkyl, C1-6 alkylcarboxamide, C2-6 alkynyl, C1-6 alkylsulfonamide, C1-6 alkylsulfinyl, C1-6 alkylsulfonyl, C1-6 alkylthio, C1-6 alkylureyl, amino, C1-6 alkylamino, C2-8 dialkylamino, C1-6 alkylimino, carbo-C1-6-alkoxy, carboxamide, carboxy, cyano, C3-7 cycloalkyl, C2-8 dialkylcarboxamide, C2-8 dialkylsulfonamide, halogen, C1-4 haloalkoxy, C1-6 haloalkyl, C1-6 haloalkylsulfinyl, C1-6 haloalkylsulfonyl, C1-6 haloalkylthio, heterocyclic, hydroxyl, thiol, nitro, phenoxy and phenyl, wherein said C2-6 alkenyl, C1-6 alkyl, C2-6 alkynyl, C1-6 alkylamino, C1-6 alkylimino, C2-8 dialkylamino, heterocyclic, and phenyl are each optionally substituted with 1 to 5 substituents selected independently from the group consisting of C1-6 acyl, C1-6 acyloxy, C2-6 alkenyl, C1-6 alkoxy, C1-6 alkyl, C1-6 alkylcarboxamide, C2-6 alkynyl, C1-6 alkylsulfonamide, C1-6 alkylsulfinyl, C1-6 alkylsulfonyl, C1-6 alkylthio, C1-6 alkylureyl, amino, C1-6 alkylamino, C2-8 dialkylamino, carbo-C1-6-alkoxy, carboxamide, carboxy, cyano, C3-7 cycloalkyl, C2-8 dialkylcarboxamide, halogen, C1-6 haloalkoxy, C1-6 haloalkyl, C1-6 haloalkylsulfinyl, C1-6 haloalkylsulfonyl, C1-6 haloalkylthio, hydroxyl, thiol and nitro;
- Some embodiments of the present invention pertain to compounds wherein R1 is phenyl or naphthyl each optionally substituted with R9, R10, R11, R12, R13, R14, and R15 each selected independently from the group consisting of C1-6 acyl, C1-6 alkoxy, C1-6 alkyl, C1-6 alkylsulfonyl, amino, C1-6 alkylamino, C2-8 dialkylamino, C1-6 alkylimino, carbo-C1-6-alkoxy, carboxamide, carboxy, cyano, C3-7 cycloalkyl, halogen, C1-6 haloalkoxy, C1-6 haloalkyl, heterocyclic, hydroxyl, nitro, and phenyl, or two adjacent R9, R10, R11, R12, R13, R14, and R15 together with the atoms to which they are attached form a C5-7 cycloalkyl group or heterocyclic group each optionally substituted with F; and wherein said C1-6 alkyl, C1-6 alkylimino, and heterocyclic are each optionally substituted with 1 to 5 substituents selected independently from the group consisting of C1-6 acyl, C1-6 alkoxy, C1-6 alkyl, C1-6 alkylsulfonyl, amino, C1-6 alkylamino, C2-8 dialkylamino, carboxamide, cyano, C3-7 cycloalkyl, halogen, C1-6 haloalkoxy, C1-6 haloalkyl, and hydroxyl.
- Some embodiments of the present invention pertain to compounds wherein R1 is phenyl optionally substituted with R9, R10, R11, R12, and R13 each selected independently from the group consisting of C1-6 acyl, C1-6 alkoxy, C1-6 alkyl, C1-6 alkylsulfonyl, amino, C1-6 alkylamino, C2-8 dialkylamino, C1-6 alkylimino, carbo-C1-6-alkoxy, carboxamide, carboxy, cyano, C3-7 cycloalkyl, halogen, C1-6 haloalkoxy, C1-6 haloalkyl, heterocyclic, hydroxyl, nitro, and phenyl, or two adjacent R9, R10, R11, R12, and R13 together with the atoms to which they are attached form a C5-7 cycloalkyl group or heterocyclic group each optionally substituted with F; and wherein said C1-6 alkyl, C1-6 alkylimino, and heterocyclic are each optionally substituted with 1 to 5 substituents selected independently from the group consisting of C1-6 acyl, C1-6 alkoxy, C1-6 alkyl, C1-6 alkylsulfonyl, amino, C1-6 alkylamino, C2-8 dialkylamino, carboxamide, cyano, C3-7 cycloalkyl, halogen, C1-6 haloalkoxy, C1-6 haloalkyl, and hydroxyl.
- Some embodiments of the present invention pertain to compounds wherein R1 is phenyl or naphthyl each optionally substituted with R9, R10, R11, R12, R13, R14, and R15 each selected independently from the group consisting of C1-6 acyl, C1-6 alkoxy, C1-6 alkyl, amino, C1-6 alkylamino, C2-8 dialkylamino, C1-6 alkylimino, cyano, halogen, C1-6 haloalkoxy, C1-6 haloalkyl, heterocyclic, hydroxyl, nitro, and phenyl, or two adjacent R9, R10, R11, R12, R13, R14, and R15 together with the atoms to which they are attached form a C5-7 cycloalkyl group or heterocyclic group each optionally substituted with F; and wherein said C1-6 alkyl, C1-6 alkylimino, and heterocyclic are each optionally substituted with 1 to 5 substituents selected independently from the group consisting of C1-6 alkyl, amino, C1-6 alkylamino, C2-8 dialkylamino, and hydroxyl.
- Some embodiments of the present invention pertain to compounds wherein R1 is phenyl optionally substituted with R9, R10, R11, R12, and R13 each selected independently from the group consisting of C1-6 acyl, C1-6 alkoxy, C1-6 alkyl, amino, C1-6 alkylamino, C2-8 dialkylamino, C1-6 alkylimino, cyano, halogen, C1-6 haloalkoxy, C1-6 haloalkyl, heterocyclic, hydroxyl, nitro, and phenyl, or two adjacent R9, R10, R11, R12, and R13 together with the atoms to which they are attached form a C5-7 cycloalkyl group or heterocyclic group each optionally substituted with F; and wherein said C1-6 alkyl, C1-6 alkylimino, and heterocyclic are each optionally substituted with 1 to 5 substituents selected independently from the group consisting of C1-6 alkyl, amino, C1-6 alkylamino, C2-8 dialkylamino, and hydroxyl.
- Some embodiments of the present invention pertain to compounds wherein R1 is phenyl or naphthyl optionally substituted with R9, R10 , R11, R12, R13, R14, and R15 each selected independently from the group consisting of —C(O)CH3, —OCH3, —CH3, —CH(CH3)2, —CH(OH)CH3, —N(CH3)2, (2-dimethylamino-ethyl)-methyl-amino [i.e., —N(CH3)CH2CH2N(CH3)2], (3-dimethylamino-propyl)-methyl-amino [i.e., —N(CH3)CH2CH2CH2N(CH3)2], —C(═NOH)CH3, cyano, —F, —Cl, —Br, —OCF3, —CF3, 4-methyl-piperazin-1-yl, morpholin-4-yl, 4-methyl-piperidin-1-yl, hydroxyl, nitro, and phenyl.
- Some embodiments of the present invention pertain to compounds wherein R1 is phenyl optionally substituted with R9, R10, R11, R12, and R13, R14 each selected independently from the group consisting of —C(O)CH3, —OCH3, —CH3, —CH(CH3)2, —CH(OH)CH3, —N(CH3)2, (2-dimethylamino-ethyl)-methyl-amino [i.e., —N(CH3)CH2CH2N(CH3)2], (3-dimethylamino-propyl)-methyl-amino [i.e., —N(CH3)CH2CH2CH2N(CH3)2], —C(═NOH)CH3, cyano, —F, —Cl, —Br, —OCF3, —CF3, 4-methyl-piperazin-1-yl, morpholin-4-yl, 4-methyl-piperidin-1-yl, hydroxyl, nitro, and phenyl.
- Some embodiments of the present invention pertain to compounds wherein R1 is phenyl or naphthyl optionally substituted with R9, R10, R11, R12, R13, R14, and R15 each selected independently from the group consisting of —OCH3, —CH3, cyano, —F, —Cl, —Br, —OCF3, and —CF3.
- Some embodiments of the present invention pertain to compounds wherein R1 is phenyl optionally substituted with R9, R10, R11, R12, and R13 each selected independently from the group consisting of —OCH3, —CH3, cyano, —F, —Cl, —Br, —OCF3, and —CF3.
- Some embodiments of the present invention pertain to compounds wherein R1 is phenyl and can be represented by the Formula shown below:
wherein each variable in the above formula has the same meaning as described herein, supra and infra. In some embodiments, R7 and R8 are both —H, Q is a bond, and X is O. -
- wherein:
- R9 to R13 substituents are each selected independently from the group consisting of H, C1-6 acyl, C1-6 acyloxy, C1-6 alkoxy, C1-6 alkyl, C1-6 alkylcarboxamide, C1-6 alkylsulfonamide, C1-6 alkylsulfinyl, C1-6 alkylsulfonyl, C1-6 alkylthio, amino, C1-6 alkylamino, C2-8 dialkylamino, carbo-C1-6-alkoxy, carboxamide, carboxy, cyano, halogen, C1-6 haloalkoxy, C1-6 haloalkyl, hydroxyl, nitro and phenyl, or two adjacent substituents together with the phenyl form a C5-7 cycloalkyl optionally comprising 1 to 2 oxygen atoms; and wherein each said C1-6 alkyl and phenyl groups can be optionally substituted with 1 to 5 substituents selected independently from the group consisting of C1-6 alkoxy, C1-6 alkyl, amino, cyano, halogen, C1-6 haloalkoxy, C1-6 haloalkyl, hydroxyl and nitro.
- In some embodiments, R1 is phenyl optionally substituted with R9 to R13 substituents selected independently from the group consisting of acyl, C1-6 alkoxy, C1-6 alkyl, cyano, halogen, C1-6 haloalkoxy, C1-6 haloalkyl, nitro and phenyl; and wherein said phenyl can be optionally substituted with 1 to 5 substituents selected independently from the group consisting of C1-6 alkoxy, C1-6 alkyl, cyano, halogen, C1-6 haloalkoxy, C1-6 haloalkyl and nitro.
- In some embodiments, R1 is phenyl optionally substituted with R9 to R13 substituents selected independently from the group consisting of C1-6 acyl, C1-6 alkoxy, C1-6 alkyl, cyano, halogen, C1-6 haloalkoxy, C1-6 haloalkyl, nitro and phenyl.
- In some embodiments, R1 is phenyl optionally substituted with R9 to R13 substituents selected independently from the group consisting of —C(O)CH3, —C(O)CH2CH3, —C(O)CH(CH3)2, —C(O)CH2CH2CH3, —C(O)CH2CH(CH3)2, —OCH3, —OCH2CH3, —OCH(CH3)2, —OCH2CH2CH3, —OCH2CH(CH3)2, —CH3, —CH2CH3, —CH(CH3)2, —CH2CH2CH3, —CH2CH2CH3, cyano, F, Cl, Br, 1,—OCF3, —OCHF2, —OCFH2, —OCF2CF3, —OCH2CF3, —CF3, —CHF2, —CFH2, —CF2CF3, —CH2CF3, nitro and phenyl.
- In some embodiments, R1 is phenyl optionally substituted with R9 to R13 substituents are each selected independently from the group consisting of —C(O)CH3, —OCH3, —CH3, —CH(CH3)2, —CH(OH)CH3, —N(CH3)2, (2-dimethylamino-ethyl)-methyl-amino, (3-dimethylamino-propyl)-methyl-amino, —C(═NOH)CH3, cyano, —F, —Cl, —Br, —OCF3, —CF3, 4-methyl-piperazin-1-yl, morpholin4-yl, 4-methyl-piperidin-1-yl, hydroxyl, nitro, and phenyl.
- In some embodiments, R1 is phenyl optionally substituted with R9, R10, R11, R12 and R13 substituents selected independently from the group consisting of —C(O)CH3, —OCH3, —CH3, cyano, —F, —Cl, —Br, —OCF3, —CF3, nitro and phenyl.
- Some embodiments of the present invention pertain to compounds wherein R1 is naphthyl optionally substituted with R9 R10 R11 R12 R13 R14 and R15 substituents selected independently from the group consisting of C1-6 acyl, C1-6 acyloxy, C1-6 alkoxy, C1-6 alkyl, C1-6 alkylcarboxamide, C1-6 alkylsulfonamide, C1-6 alkylsulfinyl, C1-6 alkylsulfonyl, C1-6 alkylthio, amino, C1-6 alkylamino, C2-8 dialkylamino, carbo-C1-6-alkoxy, carboxamide, carboxy, cyano, halogen, C1-6 haloalkoxy, C1-6 haloalkyl, hydroxyl and nitro; and wherein said C1-6 alkyl can be optionally substituted with 1 to 5 substituents selected independently from the group consisting of C1-6 alkoxy, C1-6 alkyl, amino, cyano, halogen, C1-6 haloalkoxy, C1-6 haloalkyl, hydroxyl and nitro.
- In some embodiments, R1 is naphthyl optionally substituted with R9, R10, R11, R12, R13, R14 and R15 substituents selected independently from the group consisting of C1-6 acyl, C1-6 alkoxy, C1-6 alkyl, cyano, halogen, C1-6 haloalkoxy, C1-6 haloalkyl and nitro.
- In some embodiments, R1 is naphthyl optionally substituted with R9, R10, R11, R12, R13, R14 and R15 substituents selected independently from the group consisting of —C(O)CH3, C(O)CH2CH3, —C(O)CH(CH3)2, —C(O)CH2CH2CH3, —C(O)CH2CH(CH3)2, —OCH3, —OCH2CH3, —OCH(CH3)2, —OCH2CH2CH3, —OCH2CH(CH3)2, —CH3, —CH2CH3, —CH(CH3)2, —CH2CH2CH3, —CH2CH(CH3)2, —CH2CH2CH2CH3, cyano, —F, —Cl, —Br, —I, —OCF3, —OCHF2, —OCFH2, —OCF2CF3, —OCH2CF3, —CF3, —CHF2, —CFH2, —CF2CF3, —CH2CF3 and nitro.
- In some embodiments, R1 is naphthyl optionally substituted with R9, R10, R11, R12, R13, R14 and R15 substituents selected independently from the group consisting of —C(O)CH3, —C(O)CH2CH3, —C(O)CH(CH3)2, —C(O)CH2CH2CH3, —C(O)CH2CH(CH3)2, —OCH3, —OCH2CH3, —OCH(CH3)2, —OCH2CH2CH3, —OCH2CH(CH3)2, —CH3, —CH2CH3, —CH(CH3)2, —CH2CH2CH3, —CH2CH(CH3)2, —CH2CH2CH2CH3, cyano, —F, —Cl, —Br, —I, —OCF3, —OCHF2, —OCFH2, —OCF2CF3, —OCH2CF3, —CF3, —CHF2, —CFH2, —CF2CF3, —CH2CF3 and nitro.
- In some embodiments, R1 is naphthyl optionally substituted with R9, R10, R11, R12, R1, R14 and R15 substituents selected independently from the group consisting of —C(O)CH3, —OCH3, —CH3, cyano, —F, —Cl, —Br, —OCF3, —CF3 and nitro.
- Some embodiments of the present invention pertain to compounds wherein R1 is heteroaryl optionally substituted with R9, R10, R11, R12, and R13 each selected independently from the group consisting of C1-6 acyl, C1-6 alkoxy, C1-6 alkyl, amino, C1-6 alkylamino, C2-8 dialkylamino, C1-6 alkylimino, cyano, halogen, C1-6 haloalkoxy, C1-6 haloalkyl, heterocyclic, hydroxyl, nitro, and phenyl, or two adjacent R9, R10, R11, R12, R13, R14, and R15 together with the atoms to which they are attached form a C5-7 cycloalkyl group or heterocyclic group each optionally substituted with F; and wherein said C1-6 alkyl, C1-6 alkylimino, and heterocyclic are each optionally substituted with 1 to 5 substituents selected independently from the group consisting of C1-6 alkyl, amino, C1-6 alkylamino, C2-8 dialkylamino, and hydroxyl.
- Some embodiments of the present invention pertain to compounds wherein R1 is heteroaryl optionally substituted with R9, R10, R11, R12, and R13 each selected independently from the group consisting of —C(O)CH3, —OCH3, —CH3, —CH(CH3)2, —CH(OH)CH3, —N(CH3)2, (2-dimethylamino-ethyl)-methyl-amino, (3-dimethylamino-propyl)-methyl-amino, —C(═NOH)CH3, cyano, —F, —Cl, —Br, —OCF3, —CF3, 4-methyl-piperazin-1-yl, morpholin-4-yl, 4-methyl-piperidin-1-yl, hydroxyl, nitro, phenyl.
- Some embodiments of the present invention pertain to compounds wherein R1 is heteroaryl optionally substituted with R9, R10, R11, R12, and R13 each selected independently from the group consisting of —OCH3, —CH3, cyano, —F, —Cl, —Br, —OCF3, and —CF3.
- Some embodiments of the present invention pertain to compounds wherein R1 is heteroaryl optionally substituted with R9, R10, R11, R12, and R13 each selected independently from the group consisting of C1-6 acyl, C1-6 acyloxy, C1-6 alkoxy, C1-6 alkyl, C1-6 alkylcarboxamide, C1-6 alkylsulfonamide, C1-6 alkylsulfinyl, C1-6 alkylsulfonyl, C1-6 alkylthio, amino, C1-6 alkylamino, C2-8 dialkylamino, carbo-C1-6-alkoxy, carboxamide, carboxy, cyano, halogen, C1-6 haloalkoxy, C1-6 haloalkyl, hydroxyl, nitro and phenyl, or two adjacent R9, R10, R11, R12, R13, R14, and R15 together with the atoms to which they are attached form a C5-7 cycloalkyl group or heterocyclic group; and wherein each of said C1-6 alkyl and phenyl groups can be optionally substituted with 1 to 5 substituents selected independently from the group consisting of C1-6 alkoxy, C1-6 alkyl, amino, cyano, halogen, C1-6 haloalkoxy, C1-6 haloalkyl, hydroxyl and nitro.
- In some embodiments, R1 is heteroaryl optionally substituted with R9, R10, R11, R12 and R13 each selected independently from the group consisting of C1-6 acyl, C1-6 alkoxy, C1-6 alkyl, cyano, halogen, C1-6 haloalkoxy, C1-6 haloalkyl, nitro and phenyl; and wherein said phenyl can be optionally substituted with 1 to 5 substituents selected independently from the group consisting of C1-6 alkoxy, C1-6 alkyl, cyano, halogen, C1-6 haloalkoxy, C1-6 haloalkyl and nitro.
- In some embodiments, R1 is heteroaryl optionally substituted with R9, R10, R11, R12 and R13 each selected independently from the group consisting of C1-6 acyl, C1-6 alkoxy, C1-6 alkyl, cyano, halogen, C1-6 haloalkoxy, C1-6 haloalkyl, nitro and phenyl.
- In some embodiments, R1 is heteroaryl optionally substituted with R9, R10, R11, R12, and R13 each selected independently from the group consisting of —C(O)CH3, —C(O)CH2CH3, —C(O)CH(CH3)2, —C(O)CH2CH2CH3, —C(O)CH2CH(CH3)2, —OCH3, —OCH2CH3, —OCH(CH3)2, —OCH2CH2CH3, —OCH2CH(CH3)2, —CH3, —CH2CH3, —CH(CH3)2, —CH2CH2CH3, —CH2CH2(CH3)2, —CH2CH2CH2CH3, cyano, —F, —Cl, —Br, —I, —OCF3, —OCHF2, —OCFH2, —OCF2CF3, —OCH2CF3, —CF3, —CHF2, CFH2, —CF2CF3, —CH2CF3, nitro and phenyl.
- In some embodiments, R1 is heteroaryl optionally substituted with R9, R10, R11, R12, and R13 each selected independently from the group consisting of —C(O)CH3, —OCH3, —CH3, cyano, —F, —Cl, —Br, —OCF3, —CF3, nitro and phenyl. In some embodiments, R1 is heteroaryl optionally substituted with R9, R10, R11, R12, and R13 selected independently from the group consisting of H, —C(O)CH3, —OCH3, —CH3, cyano, —F, —Cl, —Br, —OCF3, —CF3, nitro and phenyl.
- In some embodiments R1 is heteroaryl having 5-atoms in the aromatic ring examples of which are represented by the following formulae:
TABLE 2
wherein the 5-membered heteroaryl is bonded at any available position of the ring, for example, a imidazolyl ring can be bonded at one of the ring nitrogens (i.e., imidazol-1-yl group) or at one of the ring carbons (i.e., imidazol-2-yl, imidazol-4-yl or imiadazol-5-yl group). - In some embodiments, R1 is a 6-membered heteroaryl, for example, a 6-membered heteroaryl as shown in TABLE 3:
TABLE 3
wherein the heteroaryl group is bonded at any ring carbon. In some embodiments, R1 is selected from the group consisting of pyridinyl, pyridazinyl, pyrimidinyl and pyrazinyl. In some embodiments, R1 is pyridinyl. - In some embodiments R1 is a heteroaryl, for example but not limited to those shown in TABLE 2 and 3, optionally substituted with 1 to 3 substituents selected from the group consisting of C1-6 acyl, C1-6 acyloxy, C2-6 alkenyl, C1-6 alkoxy, C1-6 alkyl, C1-6 alkylcarboxamide, C2-6 alkynyl, C1-6 alkylsulfonamide, C1-6 alkylsulfinyl, C1-6 alkylsulfonyl, C1-6 alkylthio, C1-6 alkylureyl, amino, C1-6 alkylamino, C2-8 dialkylamino, carbo-C1-6-alkoxy, carboxamide, carboxy, cyano, C3-7 cycloalkyl, C2-8 dialkylcarboxamide, C2-8 dialkylsulfonamide, halogen, C1-6 haloalkoxy, C1-6 aloalkyl, C1-6 haloalkylsulfinyl, C1-6 haloalkylsulfonyl, C1-6 haloalkylthio, hydroxyl, thiol, nitro, phenoxy and phenyl; and wherein each of said C1-6 alkenyl, C1-6 alkyl, C1-6 alkynyl and phenyl groups can be optionally substituted with 1 to 5 substituents selected independently from the group consisting of C1-6 acyl, C1-6 acyloxy, C2-6 alkenyl, C1-6 alkoxy, C1-6 alkyl, C1-6 alkylcarboxamide, C1-6 alkynyl, C1-6 alkylsulfonamide, C1-6 alkylsulfinyl, C1-6 alkylsulfonyl, C1-6 alkylthio, C1-6 alkylureyl, amino, C1-6 alkylamino, C2-8 dialkylamino, carbo-C1-6-alkoxy, carboxamide, carboxy, cyano, C3-7 cycloalkyl, C2-8 dialkylcarboxamide, halogen, C1-6 haloalkoxy, C1-6 haloalkyl, C1-6 haloalkylsulfinyl, C1-6 haloalkylsulfonyl, C1-6 haloalkylthio, hydroxyl, thiol and nitro.
- Some embodiments of the present invention pertain to compounds wherein R2 is H or C1-6 alkyl.
- Some embodiments of the present invention pertain to compounds wherein R2 is C1-6 alkyl. In some embodiments, R2 is selected from the group consisting of —CH3, —CH2CH3, —CH(CH3)2, —CH2CH2CH3, —CH2CH(CH3)2 and —CH2CH2CH2CH3. In some embodiments, R2 is —CH3 or —CH(CH3)2.
-
- Some embodiments of the present invention pertain to compounds wherein R2 is H.
- It is understood that when R2 is H, then tautomers are possible. It is well understood and appreciated in the art that pyrazoles can exist in various tautomeric forms. Two possible tautomeric forms are illustrated below:
It is further understood that tautomeric forms can also have corresponding nomenclature for each represented tautomer, for example, Formula (Id) and Formula (Id′) can be represented by the general chemical names 1H-pyrazol-3-yl and 2H-pyrazole-3-yl respectively. Therefore, the present invention includes all tautomers and the various nomenclature designations. - Some embodiments of the present invention pertain to compounds wherein R2 is C2-6 alkenyl. In some embodiments, R2 is —CH2CH═CH2.
- Some embodiments of the present invention pertain to compounds wherein R2 is C2-6 alkynyl.
- Some embodiments of the present invention pertain to compounds wherein R2 is C3-7 cycloalkyl. In some embodiments, R2 is cyclopropyl.
- Some embodiments of the present invention pertain to compounds wherein R3 is selected from the group consisting of H, C2-6 alkenyl, C1-6 alkyl, C1-6 alkylcarboxamide, C2-6 alkynyl, carbo-C1-6-alkoxy, carboxamide, carboxy, cyano, C3-7 cycloalkyl, halogen, heteroaryl or phenyl; and wherein each of said C2-6 alkenyl, C1-6 alkyl, C2-6 alkynyl, heteroaryl and phenyl groups can be optionally substituted with 1 to 5 substituents selected independently from the group consisting of C1-6 alkylamino, C2-8 dialkylamino, C2-6 alkenyl, C1-4 alkoxy, C1-8 alkyl, C2-6 alkynyl, amino, halogen, C1-4 haloalkoxy and hydroxyl.
- In some embodiments, R3 is selected from the group consisting of H, C2-6 alkenyl, C1-6 alkyl, C2-6 alkynyl, carbo-C1-6-alkoxy, carboxy, cyano, C3-7 cycloalkyl, halogen, heteroaryl or phenyl; and wherein each of said C2-6 alkenyl, C1-6 alkyl, C2-6 alkynyl and phenyl groups can be optionally substituted with 1 to 5 substituents selected independently from the group consisting of C2-8 dialkylamino, C2-6 alkenyl, C1-4 alkoxy, C2-6 alkynyl, halogen, C1-4 haloalkoxy and hydroxyl.
- In some embodiments, R3 is selected from the group consisting of H, —CH═CH2, —CH3,
- In some embodiments, R3 is selected from the group consisting of H, —CH═CH2, —CH3, —CH2CH3, —CH(CH3)2, —CH2CH2CH3, —CH2CH(CH3)2, —CH2CH2CH2CH3. —C≡CH, —C(O)OCH3, —C(O)OCH2CH3, carboxy, cyano, cyclopropyl, F, Cl, Br, I, thiophen-2-yl, thiophen-3-yl, phenyl, —CH2CH2N(CH3)2, 2-methoxyphenyl, 3-methoxyphenyl, 4-methoxyphenyl, —CH═CH—C≡CH, 4-fluorophenyl, 4-trifluoromethoxyphenyl, —CH2OH and —CH2CH2OH.
- In some embodiments, R3 is H, F, Cl or Br.
- Some embodiments of the present invention pertain to compounds of Formula (Ie) as shown
-
-
-
-
-
-
-
-
- Some embodiments of the present invention pertain to compounds wherein R4 is selected from the group consisting of H, C1-6 alkyl and C1-6 haloalkyl.
- In some embodiments, R4 is selected from the group consisting of H, —CH3, —CH2CH3, —CH(CH3)2, —CH2CH2CH3, —CH2CH(CH3)2, —CH2CH2CH2CH3, —CF3, —CHF2, —CFH2, —CF2CF3 and —CH2CF3.
- In some embodiments, R4 is selected from the group consisting of H or —CF3.
-
-
- Some embodiments of the present invention pertain to compounds wherein R5 is selected from the group consisting of C1-6 alkoxy, C1-6 alkylthio, amino, C1-6 alkylamino, C2-8 dialkylamino, halogen, C1-6 haloalkoxy, and hydroxyl, wherein said C1-6 alkoxy group can be optionally substituted with 1 to 5 substituents selected independently from the group consisting of amino, C1-6 alkylamino, C2-8 dialkylamino, amino, carbo-C1-6-alkoxy, carboxamide, carboxy, cyano, halogen, and phenyl, and wherein said amino and phenyl are each optionally substituted with 1 to 5 further substituents selected from the group consisting of halogen and carbo-C1-6-alkoxy.
- Some embodiments of the present invention pertain to compounds wherein R5 is C1-6 alkoxy, or hydroxyl, wherein said C1-6 alkoxy group can be optionally substituted with 1 to 5 substituents selected independently from the group consisting of C1-4 alkoxy, C1-6 alkylamino, C2-8 dialkylamino, alkylsulfinyl, C1-4 alkylsulfonyl, C1-4 alkylthio, amino, halogen, C1-4 haloalkoxy, C1-4 haloalkyl, C1-4 haloalkylsulfinyl, C1-4 haloalkylsulfonyl, C1-4 haloalkylthio, hydroxyl and phenyl, and wherein said phenyl is optionally substituted with 1 to 5 halogen atoms.
- Some embodiments of the present invention pertain to compounds wherein R5 is selected from the group consisting of C1-6 alkoxy, C1-6 haloalkoxy, and hydroxyl, wherein said C1-6 alkoxy group can be optionally substituted with 1 to 5 substituents selected independently from the group consisting of amino, C2-8 dialkylamino, carboxy, and phenyl, and wherein said amino and phenyl are each optionally substituted with 1 to 5 further substituents selected from the group consisting of halogen and carbo-C1-6-alkoxy.
- In some embodiments, R5 is C1-6 alkoxy, or hydroxyl, and wherein said C1-6 alkoxy group can be optionally substituted with 1 to 5 substituents selected independently from the group consisting of C1-4 alkoxy, C1-6 alkylamino, C2-8 dialkylamino, amino, C1-4 haloalkoxy, hydroxyl and phenyl, wherein said phenyl is optionally substituted with 1 to 5 halogen atoms.
- Some embodiments of the present invention pertain to compounds wherein R5 is selected from the group consisting of —OCH3, —OCH2CH3, —OCH(CH3)2, —OCF3, hydroxyl, benzyloxy, 4-chloro-benzyloxy, phenethyloxy, 2-dimethylamino-ethoxy [i.e., —OCH2CH2N(CH3)2], 3-dimethylamino-propoxy [i.e., —OCH2CH2CH2N(CH3)2], carboxymethoxy [i.e., —OCHC(O)OH], and 2-tert-butoxycarbonylamino-ethoxy [i.e., —OCH2CH2NHC(O)OC(CH3)3].
- In some embodiments, R5 is selected from the group consisting of —OCH3, —OCH2CH3, —OCH(CH3)2, —OCH2CH2CH3, —OCH2CH(CH3)2, hydroxyl, —OCH2CH2OH, —OCH2CH2OCH3, —OCH2CH2OCH2CH3, —OCH2CH2OCH(CH3)2, —OCH2CH2OCH2CH2CH3, —OCH2CH2OCH2CH(CH3)2, —OCH2CH2NH2, —OCH2CH2NHCH3, —OCH2CH2N(CH3)2, —OCH2CH2OCF3, —OCH2CH2OCH F2, —OCH2CH2OCFH2, —OCH2C6H5, —OCH2CH2C6H5, —OCH2C6H5-o-Cl, —OCH2C6H5-m-Cl and —OCH2C6H5-p-Cl.
- In some embodiments, R5 is selected from the group consisting of —OCH3, —OCH2CH3, —OCH(CH3)2, hydroxyl, —OCH2CH2N(CH3)2, —OCH2C6H5, —OCH2CH2C6H5 and —OCH2C6H5-p-Cl.
- In some embodiments, R5 is —OCH3.
- Some embodiments of the present invention pertains to compounds wherein R6 is selected from the group consisting of H, C1-6 alkoxy, carbo-C1-6-alkoxy, carboxamide, carboxy, cyano, halogen and hydroxyl.
- In some embodiments, R6 is H.
- Some embodiments of the present invention pertain to compounds wherein R6a, R6b, and R6c are each independently selected from the group consisting of H, C1-6 alkoxy, C1-6 alkyl, amino, C1-6 alkylamino, C2-8 dialkylamino, cyano, halogen, C1-6 haloalkoxy, C1-6 haloalkyl, hydroxyl, and nitro.
- Some embodiments of the present invention pertain to compounds wherein R6a, R6b, and R6c are each independently selected from the group consisting of H, —OCH3, —CH3, —N(CH3)2, cyano, —F, —Cl, —Br, —OCF3, hydroxyl, and nitro.
- Some embodiments of the present invention pertain to compounds wherein R6a, R6b, and R6c are each independently selected from the group consisting of H, C1-6 alkoxy, carbo-C1-6-alkoxy, carboxamide, carboxy, cyano, halogen and hydroxyl.
- Some embodiments of the present invention pertain to compounds wherein R6a, R6b, and R6c are all H.
- Some embodiments of the present invention pertain to compounds wherein R5 is C1-6 alkoxy and R6a, R6b, and R6c are all H.
- In some embodiments, R5 is —OCH3.
-
-
- Some embodiments of the present invention pertain to compounds wherein R7 is H or C1-8 alkyl.
- In some embodiments, R7 is selected from the group consisting of H, —CH3, —CH2CH3, —CH(CH3)2, —CH2CH2CH3, —CH2CH(CH3)2 and —CH2CH2CH2CH3.
- In some embodiments, R7 is H.
- Some embodiments of the present invention pertain to compounds wherein R8 is H or C1-8 alkyl.
- In some embodiments, R8 is selected from the group consisting of H, —CH3, —CH2CH3, —CH(CH3)2, —CH2CH2CH3, —CH2CH(CH3)2 and —CH2CH2CH2CH3.
- In some embodiments, R8 is H.
- Some embodiments of the present invention pertain to compounds wherein both R7 and R8 are H.
-
-
- Some embodiments of the present invention pertain to compounds wherein X is O (i.e., oxygen).
- Some embodiments of the present invention pertain to compounds wherein X is S (i.e., sulfur).
- Some embodiments of the present invention pertain to compounds wherein Q is C1-3 alkylene optionally substituted with C1-3 alkyl, C1-3 haloalkyl, halogen and oxo.
- Some embodiments of the present invention pertain to compounds wherein Q is a C1-3 alkylene optionally substituted with oxo. As used herein, oxo refers to a double bonded oxygen. In some embodiments, Q is —C(O)— (i.e., a carbonyl).
- In some embodiments, Q is —CH2—.
- Some embodiments of the present invention pertain to compounds wherein Q is a bond.
-
-
-
-
-
- wherein:
- R1 is phenyl or naphthyl optionally substituted with R9, R10, R11, R12, R13, R14, and R15 each selected independently from the group consisting of C1-6 acyl, C1-6 alkoxy, C1-6 alkyl, amino, C1-6 alkylamino, C2-8 dialkylamino, C1-6 alkylimino, cyano, halogen, C1-6 haloalkoxy, C1-6 haloalkyl, heterocyclic, hydroxyl, nitro, and phenyl, or two adjacent R9, R10, R11, R12, R13, R14, and R15 together with the atoms to which they are attached form a C5-7 cycloalkyl group or heterocyclic group each optionally substituted with F; and wherein said C1-6 alkyl, C1-6 alkylimino, and heterocyclic are each optionally substituted with 1 to 5 substituents selected independently from the group consisting of C1-6 alkyl, amino, C1-6 alkylamino, C2-8 dialkylamino, and hydroxyl;
- R2 is C1-6 alkyl;
- R3 is H or halogen;
- R4 is selected from the group consisting of H, C1-6 alkyl and C1-6 haloalkyl;
- R5 is selected from the group consisting of C1-6 alkoxy, C1-6 haloalkoxy, and hydroxyl, wherein said C1-6 alkoxy group can be optionally substituted with 1 to 5 substituents selected independently from the group consisting of amino, C2-8 dialkylamino, carboxy, and phenyl, and wherein said amino and phenyl are each optionally substituted with 1 to 5 further substituents selected from the group consisting of halogen and carbo-C1-6-alkoxy;
- R6a, R6b, and R6c are each independently selected from the group consisting of H, C1-6 alkoxy, C1-6 alkyl, amino, C1-6 alkylamino, C2-8 dialkylamino, cyano, halogen, C1-6 haloalkoxy, C1-6 haloalkyl, hydroxyl, and nitro
- R7 and R8 are both H;
- X is O; and
- Q is a bond.
-
- wherein:
- R1 is phenyl or naphthyl optionally substituted with R9, R10, R11, R12, R13, R14, and R15 each selected independently from the group consisting of —C(O)CH3, —OCH3, —CH3, —CH(CH3)2, —CH(OH)CH3, —N(CH3)2, (2-dimethylamino-ethyl)-methyl-amino, (3-dimethylamino-propyl)-methyl-amino, —C(═NOH)CH3, cyano, —F, —Cl, —Br, —OCF3, —CF3, 4-methyl-piperazin-1-yl, morpholin-4-yl, 4-methyl-piperidin-1-yl, hydroxyl, nitro, and phenyl;
- R2 is —CH3 or —CH(CH3)2;
- R3 is H, F, Cl, or Br;
- R4 is —H, or —CF3;
- R5 is selected from the group consisting of —OCH3, —OCH2CH3, —OCH(CH3)2, —OCF3, hydroxyl, benzyloxy, 4-chloro-benzyloxy, phenethyloxy, 2-dimethylamino-ethoxy, 3-dimethylamino-propoxy, carboxymethoxy, and 2-tert-butoxycarbonylamino-ethoxy;
- R6a, R6b, and R6c are each independently selected from the group consisting of H, —OCH3, —CH3, —N(CH3)2, cyano, —F, —Cl, —Br, —OCF3, hydroxyl, and nitro;
- R7 and R8 are both H;
- X is O; and
- Q is a bond.
-
- wherein:
- R1 is phenyl optionally substituted with R9, R10, R11 , R12, and R13 each selected independently from the group consisting of —C(O)CH3, —OCH3, —CH3, —CH(CH3)2, —CH(OH)CH3, —N(CH3)2, (2-dimethylamino-ethyl)-methyl-amino, (3-dimethylamino-propyl)-methyl-amino, —C(═NOH)CH3, cyano, —F, —Cl, —Br, —OCF3, —CF3, 4-methyl-piperazin-1-yl, morpholin-4-yl, 4-methyl-piperidin-1-yl, hydroxyl, nitro, and phenyl;
- R2 is —CH3 or —CH(CH3)2;
- R3 is —H, —F, —Cl, or —Br;
- R4 is —H, or —CF3;
- R5 is selected from the group consisting of —OCH3, —OCH2CH3, —OCH(CH3)2, —OCF3, hydroxyl, benzyloxy, 4-chloro-benzyloxy, phenethyloxy, 2-dimethylamino-ethoxy, 3-dimethylamino-propoxy, carboxymethoxy, and 2-tert-butoxycarbonylamino-ethoxy;
- R6a, R6b, and R6c are each independently selected from the group consisting of —H, —OCH3, —CH3, —N(CH3)2, cyano, F, Cl, Br, —OCF3, hydroxyl, and nitro;
- R7 and R8 are both H;
- X is O; and
- Q is a bond.
-
- wherein:
- R1 is phenyl optionally substituted with R9, R10, R11, R12, and R13 each selected independently from the group consisting of —C(O)CH3, —OCH3, —CH3, —CH(CH3)2, —N(CH3)2, cyano, —F, —Cl, —Br, —OCF3, —CF3, hydroxyl, and nitro;
- R2 is —CH3;
- R3 is —H, —F, —Cl, or —Br;
- R4 is —H;
- R5 is selected from the group consisting of —OCH3, —OCH2CH3, —OCH(CH3)2, —OCF3, hydroxyl, benzyloxy, 4-chloro-benzyloxy, phenethyloxy, 2-dimethylamino-ethoxy, 3-dimethylamino-propoxy, carboxymethoxy, and 2-tert-butoxycarbonylamino-ethoxy;
- R6a, R6b, and R6c are each —H;
- R7 and R8 are both —H;
- X is O; and
- Q is a bond.
- Some embodiments of the present invention include compounds illustrated in TABLE A as shown below:
TABLE A Cmpd # Structure Chemical Name 1 1-[3-(4-Bromo-2-methyl-2H- pyrazol-3-yl)-4-methoxy-phenyl]-3- (4-chloro-phenyl)- urea 2 1-[3-(4-Bromo-2-methyl-2H- pyrazol-3-yl)-4-methoxy-phenyl]-3- (4-fluoro-phenyl)- urea 3 1-[3-(4-Bromo-2-methyl-2H- pyrazol-3-yl)-4-methoxy-phenyl]-3- (2,4-dichloro-phenyl)-urea 4 1-[3-(4-Bromo-2-methyl-2H- pyrazol-3-yl)-4-methoxy-phenyl]-3- (4-methoxy-phenyl)-urea 5 1-[3-(4-Bromo-2-methyl-2H- pyrazol-3-yl)-4-methoxy-phenyl]-3- (4-bromo-phenyl)-urea 6 1-[3-(4-Bromo-2-methyl-2H- pyrazol-3-yl)-4-methoxy-phenyl]-3- (4-chloro-3-trifluoromethyl- phenyl)-urea 7 1-[3-(4-Bromo-2-methyl-2H- pyrazol-3-yl)-4-methoxy-phenyl]-3- (3,5-difluoro-phenyl)- urea 8 1-[3-(4-Bromo-2-methyl-2H- pyrazol-3-yl)-4-methoxy-phenyl]-3- (2,4-difluoro-phenyl)-urea 9 1-[3-(4-Bromo-2-methyl-2H- pyrazol-3-yl)-4-methoxy-phenyl]-3- (4-chloro-2-trifluoromethyl- phenyl)- urea 10 1-[3-(4-Bromo-2-methyl-2H- pyrazol-3-yl)-4-methoxy-phenyl]-3- (3,4-difluoro-phenyl)- urea 11 1-[3-(4-Bromo-2-methyl-2H- pyrazol-3-yl)-4-methoxy-phenyl]-3- (3-trifluoromethyl-phenyl)-urea 12 1-[3-(4-Bromo-2-methyl-2H- pyrazol-3-yl)-4-methoxy-phenyl]-3- (4-trifluoromethyl-phenyl)- urea 13 1-(3,5-Bis-trifluoromethyl-phenyl)- 3-[3-(4-bromo-2-methyl-2H- pyrazol-3-yl)-4-methoxy-phenyl]- urea 14 1-[3-(4-Bromo-2-methyl-2H- pyrazol-3-yl)-4-methoxy-phenyl]-3- naphthalen-2-yl-urea 15 1-[3-(4-Bromo-2-methyl-2H- pyrazol-3-yl)-4-methoxy-phenyl]-3- (3-nitro-phenyl)-urea 16 1-[3-(4-Bromo-2-methyl-2H- pyrazol-3-yl)-4-methoxy-phenyl]-3- (4-fluoro-3-nitro-phenyl)- urea 17 1-(3-Acetyl-phenyl)-3-[3-(4-bromo- 2-methyl-2H-pyrazol-3-yl)-4- methoxy-phenyl]- urea 18 1-[3-(4-Bromo-2-methyl-2H- pyrazol-3-yl)-4-methoxy-phenyl]-3- (3-fluoro-phenyl)-urea 19 1-[3-(4-Bromo-2-methyl-2H- pyrazol-3-yl)-4-methoxy-phenyl]-3- (4-trifluoromethoxy-phenyl)- urea 20 1-[3-(4-Bromo-2-methyl-2H- pyrazol-3-yl)-4-methoxy-phenyl]-3- (3-chloro-phenyl)-urea 21 1-[3-(4-Bromo-2-methyl-2H- pyrazol-3-yl)-4-methoxy-phenyl]-3- (3-cyano-phenyl)-urea 22 1-Biphenyl-2-yl-3-[3-(4-bromo-2- methyl-2H-pyrazol-3-yl)-4- methoxy-phenyl]- urea 23 1-[3-(4-Bromo-2-methyl-2H- pyrazol-3-yl)-4-methoxy-phenyl]-3- (4-isopropyl-phenyl)- urea 24 1-[3-(4-Bromo-2-methyl-2H- pyrazol-3-yl)-4-methoxy-phenyl]-3- naphthalen-1-yl-urea 25 1-[3-(4-Bromo-2-methyl-2H- pyrazol-3-yl)-4-methoxy-phenyl]-3- (2-fluoro-phenyl)- urea 26 1-[3-(4-Chloro-2-methyl-2H- pyrazol-3-yl)-4-methoxy-phenyl]-3- (4-chloro-phenyl)-urea 27 1-(4-Chloro-phenyl)-3-[3-(4-fluoro- 2-methyl-2H-pyrazol-3-yl)-4- methoxy-phenyl]-urea 28 1-[3-(4-Chloro-2-methyl-2H- pyrazol-3-yl)-4-methoxy-phenyl]-3- (4-fluoro-phenyl)-urea 29 1-[3-(4-Chloro-2-methyl-2H- pyrazol-3-yl)-4-methoxy-phenyl]-3- (2,4-difluoro-phenyl)- urea 30 1-[3-(4-Chloro-2-methyl-2H- pyrazol-3-yl)-4-methoxy-phenyl]-3- (3-methoxy-phenyl)-urea 31 1-[3-(4-Fluoro-2-methyl-2H- pyrazol-3-yl)-4-methoxy-phenyl]-3- (4-fluoro-phenyl)-urea 32 1-(3,4-Difluoro-phenyl)-3-[3-(4- fluoro-2-methyl-2H-pyrazol-3-yl)- 4-methoxy-phenyl]-urea 33 1-[3-(4-Fluoro-2-methyl-2H- pyrazol-3-yl)-4-methoxy-phenyl]-3- (3-fluoro-phenyl)-urea 34 1-[3-(4-Chloro-2-methyl-2H- pyrazol-3-yl)-4-methoxy-phenyl]-3- (2-trifluoromethoxy-phenyl)-urea 35 1-(3-Acetyl-phenyl)-3-[3-(4-chloro- 2-methyl-2H-pyrazol-3-yl)-4- methoxy-phenyl]-urea 36 1-[3-(4-Chloro-2-methyl-2H- pyrazol-3-yl)-4-methoxy-phenyl]-3- (3-fluoro-phenyl)-urea 37 1-(2,4-Difluoro-phenyl)-3-[3-(4- fluoro-2-methyl-2H-pyrazol-3-yl)- 4-methoxy-phenyl]-urea 38 1-[3-(4-Bromo-2-methyl-5- trifluoromethyl-2H-pyrazol-3-yl)-4- methoxy-phenyl]-3-(4-chloro- phenyl)-urea 39 1-[3-(4-Bromo-2-methyl-5- trifluoromethyl-2H-pyrazol-3-yl)-4- methoxy-phenyl]-3-(4-fluoro- phenyl)- urea 40 1-[3-(4-Chloro-2-methyl-5- trifluoromethyl-2H-pyrazol-3-yl)-4- methoxy-phenyl]-3-(4-fluoro- phenyl)-urea 41 1-[3-(4-Chloro-2-methyl-5- trifluoromethyl-2H-pyrazol-3-yl)-4- methoxy-phenyl]-3-(4-chloro- phenyl)-urea 42 1-(4-Chloro-phenyl)-3-[4-methoxy- 3-(2-methyl-5-trifluoromethyl-2H- pyrazol-3-yl)-phenyl]-urea 43 1-(4-Chloro-phenyl)-3-[3-(2- isopropyl-2H-pyrazol-3-yl)-4- methoxy-phenyl]-urea 44 1-(4-Fluoro-phenyl)-3-[3-(2- isopropyl-2H-pyrazol-3-yl)-4- methoxy-phenyl]-urea 45 1-[3-(4-Chloro-2-isopropyl-2H- pyrazol-3-yl)-4-methoxy-phenyl]-3- (4-chloro-phenyl)-urea 46 1-(3,4-Difluoro-phenyl)-3-[3-(2- isopropyl-2H-pyrazol-3-yl)-4- methoxy-phenyl]-urea 47 1-(3-Chloro-4-fluoro-phenyl)-3-[3- (2-isopropyl-2H-pyrazol-3-yl)-4- methoxy-phenyl]-urea 48 1-(2-Chloro-4-trifluoromethyl- phenyl)-3-[3-(2-isopropyl-2H- pyrazol-3-yl)-4-methoxy-phenyl]- urea 49 1-[3-(4-Bromo-2-isopropyl-2H- pyrazol-3-yl)-4-methoxy-phenyl]-3- (4-chloro-phenyl)- urea 50 1-[3-(4-Bromo-2-isopropyl-2H- pyrazol-3-yl)-4-methoxy-phenyl]-3- (4-fluoro-phenyl)-urea 51 1-[3-(4-Bromo-2-isopropyl-2H- pyrazol-3-yl)-4-methoxy-phenyl]-3- (3,4-difluoro-phenyl)-urea 52 1-[3-(4-Bromo-2-isopropyl-2H- pyrazol-3-yl)-4-methoxy-phenyl]-3- (3-chloro-4-fluoro-phenyl)-urea 53 1-[3-(4-Bromo-2-isopropyl-2H- pyrazol-3-yl)-4-methoxy-phenyl]-3- (2-Chloro-4-trifluoromethyl- phenyl)-urea 54 1-[3-(4-Cbloro-2-isoropyl-2H- pyrazol-3-yl)-4-methoxy-phenyl]-3- (4-fluoro-phenyl)-urea 55 1-[3-(4-Chloro-2-isopropyl-2H- pyrazol-3-yl)-4-methoxy-phenyl]-3- (3,4-difluoro-phenyl)-urea 56 1-(3-Chloro-4-fluoro-phenyl)-3-[3- (4-Chloro-2-isopropyl-2H-pyrazol- 3-yl)-4-methoxy-phenyl]-urea 57 1-[3-(4-Chloro-2-isopropyl-2H- pyrazol-3-yl)-4-methoxy-phenyl]-3- (2-Chloro-4-trifluoromethyl- phenyl)-urea 58 1-[3-(4-Bromo-2-methyl-2H- pyrazol-3-yl)-4-hydroxy-phenyl]-3- (4-chloro-phenyl)-urea 59 1-[3-(4-Bromo-2-methyl-2H- pyrazol-3-yl)-4-isopropoxy- phenyl]-3-(4-chloro-phenyl)- urea 60 1-[3-(4-Bromo-2-methyl-2H- pyrazol-3-yl)-4-isopropoxy- phenyl]-3-(4-fluoro-phenyl)-urea 61 1-[4-Benzyloxy-3-(4-bromo-2- methyl-2H-pyrazol-3-yl)-phenyl]-3- (4-chloro-phenyl)-urea 62 1-[4-Benzyloxy-3-(4-bromo-2- methyl-2H-pyrazol-3-yl)-phenyl]-3- (4-fluoro-phenyl)-urea 63 1-[3-(4-Bromo-2-methyl-2H- pyrazol-3-yl)-4-(4-chloro- benzyloxy)-phenyl]-3-(4-chloro- phenyl)-urea 64 1-[3-(4-Bromo-2-methyl-2H- pyrazol-3-yl)-4-(4-chloro- benzyloxy)-phenyl]-3-(4-fluoro- phenyl)-urea 65 1-[3-(4-Bromo-2-methyl-2H- pyrazol-3-yl)-4-phenethyloxy- phenyl]-3-(4-fluoro-phenyl)-urea 66 1-[3-(4-Bromo-2-methyl-2H- pyrazol-3-yl)-4-phenethyloxy- phenyl]-3-(4-chloro-phenyl)-urea 67 1-[3-(4-Bromo-2-methyl-2H- pyrazol-3-yl)-4-ethoxy-phenyl]-3- (4-chloro-phenyl)-urea 68 1-[3-(4-Bromo-2-methyl-2H- pyrazol-3-yl)-4-ethoxy-phenyl]-3- (4-fluoro-phenyl)-urea 69 1-[3-(4-Bromo-2-methyl-2H- pyrazol-3-yl)-4-(2-dimethylamino- ethoxy)-phenyl]-3-(4-chloro- phenyl)- urea 70 1-[3-(4-Bromo-2-methyl-2H- pyrazol-3-yl)-4-(2-dimethylamino- ethoxy)-phenyl]-3-(4-fluoro- phenyl)- urea 71 1-[3-(4-Bromo-2-methyl-2H- pyrazol-3-yl)-4-methoxy-phenyl]-3- (4-chloro-phenyl)- thiourea 72 1-[3-(4-Bromo-2-methyl-2H- pyrazol-3-yl)-4-methoxy-phenyl]-3- (3-methoxy-phenyl)-urea 73 1-Benzoyl-3-[3-(4-bromo-2-methyl- 2H-pyrazol-3-yl)-4-methoxy- phenyl]-urea 74 1-Benzyl-3-[3-(4-bromo-2-methyl- 2H-pyrazol-3-yl)-4-methoxy- phenyl]-urea 75 1-(4-Chloro-phenyl)-3-[4-methoxy- 3-(2-methyl-2H-pyrazol-3-yl)- phenyl]- urea 76 1-[3-(4-Chloro-2-methyl-2H- pyrazol-3-yl)-4-methoxy-phenyl]-3- (4-isopropyl-phenyl)- urea 77 1-[3-(4-Chloro-2-methyl-2H- pyrazol-3-yl)-4-methoxy-phenyl]-3- (2,4-dichloro-phenyl)-urea 78 1-[3-(4-Chloro-2-methyl-2H- pyrazol-3-yl)-4-methoxy-phenyl]-3- naphthalen-1-yl- urea 79 1-[3-(4-Chloro-2-methyl-2H- pyrazol-3-yl)-4-methoxy-phenyl]-3- (4-chloro-2-trifluoromethyl- phenyl)- urea 80 1-[3-(4-Chloro-2-methyl-2H- pyrazol-3-yl)-4-methoxy-phenyl]-3- (4-trifluoromethyl-phenyl)-urea 81 1-(4-Bromo-phenyl)-3-[3-(4-chloro- 2-methyl-2H-pyrazol-3-yl)-4- methoxy-phenyl]-urea 82 1-(3,5-Bis-trifluoromethyl-phenyl)- 3-[3-(4-chloro-2-methyl-2H- pyrazol-3-yl)-4-methoxy-phenyl]- urea 83 1-(3-Chloro-phenyl)-3-[3-(4-fluoro- 2-methyl-2H-pyrazol-3-yl)-4- methoxy-phenyl]- urea 84 1-(4-Chloro-3-trifluoromethyl- phenyl)-3-[3-(4-fluoro-2-methyl- 2H-pyrazol-3-yl)-4-methoxy- phenyl]- urea 85 1-(4-Bromo-phenyl)-3-[3-(4-fluoro- 2-methyl-2H-pyrazol-3-yl)-4- methoxy-phenyl]-urea 86 1-[3-(4-Fluoro-2-methyl-2H- pyrazol-3-yl)-4-methoxy-phenyl]-3- (4-trifluoromethyl-phenyl)-thiourea 87 1-[3-(4-Fluoro-2-methyl-2H- pyrazol-3-yl)-4-methoxy-phenyl]-3- (4-methoxy-phenyl)-urea 88 1-(3-Acetyl-phenyl)-3-[3-(4-fluoro- 2-methyl-2H-pyrazol-3-yl)-4- methoxy-phenyl]-urea 89 1-[3-(4-Fluoro-2-methyl-2H- pyrazol-3-yl)-4-methoxy-phenyl]-3- (4-trifluoromethyl-phenyl)- urea 90 1-[3-(4-Fluoro-2-methyl-2H- pyrazol-3-yl)-4-methoxy-phenyl]-3- (3-trifluoromethyl-phenyl)- urea 91 1-[3-(4-Chloro-2-methyl-2H- pyrazol-3-yl)-4-methoxy-phenyl]-3- (3-chloro-phenyl)-urea 92 1-[3-(4-Chloro-2-methyl-2H- pyrazol-3-yl)-4-methoxy-phenyl]-3- (3,4-difluoro-phenyl)-urea 93 1-[3-(4-Chloro-2-methyl-2H- pyrazol-3-yl)-4-methoxy-phenyl]-3- (3,5-difluoro-phenyl)-urea 94 1-[3-(4-Bromo-2-methyl-2H- pyrazol-3-yl)-4-methoxy-phenyl]-3- [3-(1-hydroxy-ethyl)-phenyl 3-urea 95 1-Benzoyl-3-[3-(4-chloro-2-methyl- 2H-pyrazol-3-yl)-4-methoxy- phenyl]-urea 96 1-[3-(4-Bromo-2-methyl-2H- pyrazol-3-yl)-4-methoxy-phenyl]-3- [3-(1-hydroxyimino-ethyl)-phenyl]- urea 97 1-[3-(4-Chloro-2-methyl-2H- pyrazol-3-yl)-4-methoxy-phenyl]-3- (2-fluoro-phenyl)-urea 98 1-(4-Chloro-phenyl)-3-[3-(2- methyl-2H-pyrazol-3-yl)-4- trifluoromethoxy-phenyl]-urea 99 1-(2,4-Difluoro-phenyl)-3-[3-(2- methyl-2H-pyrazol-3-yl)-4- trifluoromethoxy-phenyl]-urea 100 1-(4-Fluoro-phenyl)-3-[3-(2- methyl-2H-pyrazol-3-yl)-4- trifluoromethoxy-phenyl]-urea 101 1-[3-(2-Methyl-2H-pyrazol-3-yl)-4- trifluoromethoxy-phenyl]-3-(4- trifluoromethyl-phenyl)-urea 102 1-[3-(4-Bromo-2-methyl-2H- pyrazol-3-yl)-4-methoxy-phenyl]-3- [4-chloro-2-(4-methyl-piperazin-1- yl)-phenyl]-urea 103 1-[3-(4-Bromo-2-methyl-2H- pyrazol-3-yl)-4-hydroxy-phenyl]-3- (2,4-difluoro-phenyl)-urea 104 1-[3-(4-Bromo-2-methyl-2H- pyrazol-3-yl)-4-methoxy-phenyl]-3- (4-chloro-2-morpholin-4-yl- phenyl)-urea 105 1-Benzyl-3-[3-(4-chloro-2-methyl- 2H-pyrazol-3-yl)-4-methoxy- phenyl]-urea 106 1-[3-(4-Bromo-2-methyl-2H- pyrazol-3-yl)-4-methoxy-phenyl]-3- [4-chloro-2-(4-methyl-piperidin-1- yl)-phenyl]-urea 107 1-[3-(4-Bromo-2-methyl-2H- pyrazol-3-yl)-4-methoxy-phenyl]-3- (4-chloro-2-hydroxy-phenyl)-urea 108 1-[3-(4-Bromo-2-methyl-2H- pyrazol-3-yl)-4-trifluoromethoxy- phenyl]-3-(4-chloro-phenyl)-urea 109 1-[3-(4-Chloro-2-methyl-2H- pyrazol-3-yl)-4-methoxy-phenyl]-3- (3-cyano-phenyl)- urea 110 1-[3-(4-Chloro-2-methyl-2H- pyrazol-3-yl)-4-methoxy-phenyl]-3- (3-nitro-phenyl)-urea 111 1-[3-(4-Bromo-2-methyl-2H- pyrazol-3-yl)-4-methoxy-phenyl]-3- {4-chloro-2-[(2-dimethylamino- ethyl)-methyl-amino]-phenyl}-urea 112 1-[3-(4-Bromo-2-methyl-2H- pyrazol-3-yl)-4-methoxy-phenyl]-3- {4-chloro-2-[(3-dimethylamino- propyl)-methyl-amino]-phenyl}- urea 113 1-[3-(4-Bromo-2-methyl-2H- pyrazol-3-yl)-4-trifluoromethoxy- phenyl]-3-(2,4-difluoro-phenyl)- urea 114 1-(3-Acetyl-phenyl)-3-[3-(2- methyl-2H-pyrazol-3-yl)-4- trifluoromethoxy-phenyl]-urea 115 1-[3-(4-Bromo-2-methyl-2H- pyrazol-3-yl)-4-methoxy-phenyl]-3- (2,2-difluoro-benzo[1,3]dioxol-5- yl)-urea 116 1-[3-(4-Bromo-2-methyl-2H- pyrazol-3-yl)-4-methoxy-phenyl]-3- (4-dimethylamino-phenyl)-urea 117 1-[3-(4-Bromo-2-methyl-2H- pyrazol-3-yl)-4-(3-dimethylamino- propoxy)-phenyl]-3-(4-chloro- phenyl)-urea 118 {2-(4-Bromo-2-methyl-2H-pyrazol- 3-yl)-4-[3-(4-chloro-phenyl)- ureido]-phenoxy}-acetic acid 119 1-(4-Chloro-phenyl)-3-[4-hydroxy- 3-(2-methyl-2H-pyrazol-3-yl)- phenyl]-urea 120 1-[3-(4-Chloro-2-methyl-2H- pyrazol-3-yl)-4-hydroxy-phenyl]-3- (2,4-difluoro-phenyl)-urea 121 1-[3-(4-Chloro-2-methyl-2H- pyrazol-3-yl)-4-hydroxy-phenyl]-3- (4-chloro-phenyl)-urea 122 1-(4-Chloro-phenyl)-3-[4-(3- dimethylamino-propoxy)-3-(2- methyl-2H-pyrazol-3-yl)-phenyl]- urea 123 1-[3-(4-Bromo-2-methyl-2H- pyrazol-3-yl)-4-(2-dimethylamino- ethoxy)-phenyl]-3-(2,4-difluoro- phenyl)-urea 124 1-(2,4-Difluoro-phenyl)-3-[4-(3- dimethylamino-propoxy)-3-(2- methyl-2H-pyrazol-3-yl)-phenyl]- urea 125 1-[4-(3-Dimethylamino-propoxy)-3- (2-methyl-2H-pyrazol-3-yl)- phenyl]-3-(4-fluoro-phenyl)-urea 126 1-(4-Chloro-benzyl)-3-[4-(3- dimethylamino-propoxy)-3-(2- methyl-2H-pyrazol-3-yl)-phenyl]- urea 127 1-(4-Chloro-phenyl)-3-[4-(2- dimethylamino-ethoxy)-3-(2- methyl-2H-pyrazol-3-yl)-phenyl]- urea 128 1-[3-(4-Chloro-2-methyl-2H- pyrazol-3-yl)-4-(3-dimethylamino- propoxy)-phenyl]-3-(4-chloro- phenyl)-urea 129 1-(2,2-Difluoro-benzo[1,3]dioxol-5- yl)-3-[4-(3-dimethylamino- propoxy)-3-(2-methyl-2H-pyrazol- 3-yl)-phenyl]-urea 130 1-[4-(3-Dimethylamino-propoxy)-3- (2-methyl-2H-pyrazol-3-yl)- phenyl]-3-p-tolyl-urea 131 1-[4-(3-Dimethylamino-propoxy)-3- (2-methyl-2H-pyrazol-3-yl)- phenyl]-3-(4-methoxy-phenyl)-urea 132 1-[3-(4-Chloro-2-methyl-2H- pyrazol-3-yl)-4-(2-dimethylamino- ethoxy)-phenyl]-3-(2,4-difluoro- phenyl)-urea 133 1-[3-(4-Chloro-2-methyl-2H- pyrazol-3-yl)-4-(3-dimethylamino- propoxy)-phenyl]-3-(2,4-difluoro- phenyl)-urea 134 1-(3-Chloro-phenyl)-3-[4-(3- dimethylamino-propoxy)-3-(2- methyl-2H-pyrazol-3-yl)-phenyl]urea 135 1-(3-Chloro-4-fluoro-phenyl)-3-[4- (3-dimethylamino-propoxy)-3-(2- methyl-2H-pyrazol-3-yl)-phenyl]- urea 136 1-(3,4-Difluoro-phenyl)-3-[4-(3- dimethylamino-propoxy)-3-(2- methyl-2H-pyrazol-3-yl)-phenyl]- urea 137 1-[4-(3-Dimethylamino-propoxy)-3- (2-methyl-2H-pyrazol-3-yl)- phenyl]-3-(4-trifluoromethyl- phenyl)-urea 138 1-[4-(3-Dimethylamino-propoxy)-3- (2-methyl-2H-pyrazol-3-yl)- phenyl]-3-(2-fluoro-phenyl)-urea 139 1-[4-(3-Dimethylamino-propoxy)-3- (2-methyl-2H-pyrazol-3-yl)- phenyl]-3-(2-fluoro-5-methyl- phenyl)-urea 140 1-(2-Chloro-phenyl)-3-[4-(3- dimethylamino-propoxy)-3-(2- methyl-2H-pyrazol-3-yl)-phenyl]- urea 141 1-(2,4-Difluoro-phenyl)-3-[4-(2- dimethylamino-ethoxy)-3-(2- methyl-2H-pyrazol-3-yl)-phenyl]- urea 142 1-[4-(2-Dimethylamino-ethoxy)-3- (2-methyl-2H-pyrazol-3-yl)- phenyl]-3-(4-fluoro-phenyl)-urea 143 1-(3-Acetyl-phenyl)-3-[4-(2- dimethylamino-ethoxy)-3-(2- methyl-2H-pyrazol-3-yl)-phenyl]- urea 144 1-(2,2-Difluoro-benzo[1,3]dioxol-5- yl)-3-[4-(2-dimethylamino-ethoxy)- 3-(2-methyl-2H-pyrazol-3-yl) phenyl]-urea 145 1-[4-(3-Dimethylamino-propoxy)-3- (2-methyl-2H-pyrazol-3-yl)- phenyl]-3-phenyl-urea 146 1-[4-(2-Dimethylamino-ethoxy)-3- (2-methyl-2H-pyrazol-3-yl)- phenyl]-3-(3-methoxy-phenyl)-urea 147 (2-{2-(4-Bromo-2-methyl-2H- pyrazol-3-yl)-4-[3-(2,4-difluoro- phenyl)-ureido]-phenoxy}-ethyl)- carbamic acid tert-butyl ester 148 1-[3-(4-Bromo-2-methyl-2H- pyrazol-3-yl)-4-(3-dimethylamino- propoxy)-phenyl]-3-(3,4-difluoro- phenyl)-urea 149 1-[3-(4-Bromo-2-methyl-2H- pyrazol-3-yl)-4-(3-dimethylamino- propoxy)-phenyl]-3-(2-chloro- phenyl)-urea 150 1-[3-(4-Bromo-2-methyl-2H- pyrazol-3-yl)-4-(3-dimethylamino- propoxy)-phenyl]-3-(2-fluoro- phenyl)-urea 151 1-(4-Chloro-phenyl)-3-[4-methoxy- 3-(2H-pyrazol-3-yl)-phenyl]-urea 152 1-[3-(4-Bromo-2H-pyrazol-3-yl)-4- methoxy-phenyl]-3-(2,4-difluoro- phenyl)-urea 153 1-(2,4-Difluoro-phenyl)-3-[4- methoxy-3-(2H-pyrazol-3-yl)- phenyl]-urea 154 1-(4-Chloro-phenyl)-3-[4-hydroxy- 3-(1-methyl-1H-pyrazol-3-yl)- phenyl]-urea 155 1-(4-Chloro-phenyl)-3-[4-(2- dimethylamino-ethoxy)-3-(4-fluoro- 2-methyl-2 H-pyrazol-3-yl)-phenyl]- urea 156 1-[4-(2-Dimethylamino-ethoxy)-3- (4-fluoro-2-methyl-2H-pyrazol-3- yl)-phenyl]-3-(4-fluoro-phenyl)- urea 157 1-(2,4-Difluoro-phenyl)-3-[4-(2- dimethylamino-ethoxy)-3-(4-fluoro- 2-methyl-2H-pyrazol-3-yl)-phenyl]- urea 158 1-(4-Chloro-2-hydroxy-phenyl)-3- [4-(2-dimethylamino-ethoxy)-3-(4- fluoro-2-methyl-2H-pyrazol-3-yl)- phenyl]-urea 159 1-[4-(2-Dimethylamino-ethoxy)-3- (4-fluoro-2-methyl-2H-pyrazol-3- yl)-phenyl]-3-(4-fluoro-2-hydroxy- phenyl)-urea 160 1-(4-Chloro-3-hydroxy-phenyl)-3- [4-(2-dimethylamino-ethoxy)-3-(4- fluoro-2-methyl-2H-pyrazol-3-yl)- phenyl]-urea 161 1-[4-(2-Dimethylamino-ethoxy)-3- (4-fluoro-2-methyl-2H-pyrazol-3- yl)-phenyl]-3-(4-fluoro-3-hydroxy- phenyl)-urea 162 1-[3-(4-Chloro-2-methyl-2H- pyrazol-3-yl)-4-(2-dimethylamino- ethoxy)-phenyl]-3-(4-chloro- phenyl)-urea 163 1-[3-(4-Chloro-2-methyl-2H- pyrazol-3-yl)-4-(2-dimethylamino- ethoxy)-phenyl]-3-(4-fluoro- phenyl)-urea 164 1-(4-Chloro-2-hydroxy-phenyl)-3- [3-(4-chloro-2-methyl-2H-pyrazol- 3-yl)-4-(2-dimethylamino-ethoxy)- phenyl]-urea 165 1-[3-(4-Chloro-2-methyl-2H- pyrazol-3-yl)-4-(2-dimethylamino- ethoxy)-phenyl]-3-(4-fluoro-2- hydroxy-phenyl)-urea 166 1-(4-Chloro-3-hydroxy-phenyl)-3- [3-(4-chloro-2-methyl-2H-pyrazol- 3-yl)-4-(2-dimethylamino-ethoxy)- phenyl]-urea 167 1-[3-(4-Chloro-2-methyl-2H- pyrazol-3-yl)-4-(2-dimethylamino- ethoxy)-phenyl]-3-(4-fluoro-3- hydroxy-phenyl)-urea 168 1-(4-Chloro-2-hydroxy-phenyl)-3- [4-(2-dimethylamino-ethoxy)-3-(2- methyl-2H-pyrazol-3-yl)-phenyl]- urea 169 1-[4-(2-Dimethylamino-ethoxy)-3- (2-methyl-2H-pyrazol-3-yl)- phenyl]-3-(4-fluoro-2-hydroxy- phenyl)-urea 170 1-(4-Chloro-3-hydroxy-phenyl)-3- [4-(2-dimethylamino-ethoxy)-3-(2- methyl-2H-pyrazol-3-yl)-phenyl]- urea 171 1-[4-(2-Dimethylamino-ethoxy)-3- (2-methyl-2H-pyrazol-3-yl)- phenyl]-3-(4-fluoro-3-hydroxy- phenyl)-urea 172 1-[3-(4-Bromo-2-methyl-2H- pyrazol-3-yl)-4-(2-dimethylamino- ethoxy)-phenyl]-3-(4-chloro-2- hydroxy-phenyl)-urea 173 1-[3-(4-Bromo-2-methyl-2H- pyrazol-3-yl)-4-(2-dimethylamino- ethoxy)-phenyl]-3-(4-fluoro-2- hydroxy-phenyl)-urea 174 1-[3-(4-Bromo-2-methyl-2H- pyrazol-3-yl)-4-(2-dimethylamino- ethoxy)-phenyl]-3-(4-chloro-3- hydroxy-phenyl)-urea 175 1-[3-(4-Bromo-2-methyl-2H- pyrazol-3-yl)-4-(2-dimethylamino- ethoxy)-phenyl]-3-(4-fluoro-3- hydroxy-phenyl)-urea 176 1-(4-Chloro-phenyl)-3-[4-(3- dimethylamino-propoxy)-3-(4- fluoro-2-methyl-2H-pyrazol-3-yl)- phenyl]-urea 177 1-[4-(3-Dimethylamino-propoxy)-3- (4-fluoro-2-methyl-2H-pyrazol-3- yl)-phenyl]-3-(4-fluoro-phenyl)- urea 178 1-(2,4-Difluoro-phenyl)-3-[4-(3- dimethylamino-propoxy)-3-(4- fluoro-2-methyl-2H-pyrazol-3-yl)- phenyl]-urea 179 1-(4-Chloro-2-hydroxy-phenyl)-3- [4-(3-dimethylamino-propoxy)-3- (4-fluoro-2-methyl-2H-pyrazol-3- yl)-phenyl]-urea 180 1-[4-(3-Dimethylamino-propoxy)-3- (4-fluoro-2-methyl-2H-pyrazol-3- yl)-phenyl]-3-(4-fluoro-2-hydroxy- phenyl)-urea 181 1-(4-Chloro-3-hydroxy-phenyl)-3- [4-(3-dimethylamino-propoxy)-3- (4-fluoro-2-methyl-2H-pyrazol-3- yl)-phenyl]-urea 182 1-[4-(3-Dimethylamino-propoxy)-3- (4-fluoro-2-methyl-2H-pyrazol-3- yl)-phenyl]-3-(4-fluoro-3-hydroxy- phenyl)-urea 183 1-[3-(4-Chloro-2-methyl-2H- pyrazol-3-yl)-4-(3-dimethylamino- propoxy)-phenyl]-3-(4-fluoro- phenyl)-urea 184 1-(4-Chloro-2-hydroxy-phenyl)-3- [3-(4-chloro-2-methyl-2H-pyrazol- 3-yl)-4-(3-dimethylamino- propoxy)-phenyl]-urea 185 1-[3-(4-Chloro-2-methyl-2H- pyrazol-3-yl)-4-(3-dimethylamino- propoxy)-phenyl]-3-(4-fluoro-2- hydroxy-phenyl)-urea 186 1-(4-Chloro-3-hydroxy-phenyl)-3- [3-(4-chloro-2-methyl-2H-pyrazol- 3-yl)-4-(3-dimethylamino- propoxy)-phenyl]-urea 187 1-[3-(4-Chloro-2-methyl-2H- pyrazol-3-yl)-4-(3-dimethylamino- propoxy)-phenyl]-3-(4-fluoro-3- hydroxy-phenyl)-urea 188 1-(4-Chloro-2-hydroxy-phenyl)-3- [4-(3-dimethylamino-propoxy)-3- (2-methyl-2H-pyrazol-3-yl)- phenyl]-urea 189 1-[4-(3-Dimethylamino-propoxy)-3- (2-methyl-2H-pyrazol-3-yl)- phenyl]-3-(4-fluoro-2-hydroxy- phenyl)-urea 190 1-(4-Chloro-3-hydroxy-phenyl)-3- [4-(3-dimethylamino-propoxy)-3- (2-methyl-2H-pyrazol-3-yl)- phenyl]-urea 191 1-[4-(3-Dimethylamino-propoxy)-3- (2-methyl-2H-pyrazol-3-yl)- phenyl]-3-(4-fluoro-3-hydroxy- phenyl)-urea 192 1-[3-(4-Bromo-2-methyl-2H- pyrazol-3-yl)-4-(3-dimethylamino- propoxy)-phenyl]-3-(4-fluoro- phenyl)-urea 193 1-[3-(4-Bromo-2-methyl-2H- pyrazol-3-yl)-4-(3-dimethylamino- propoxy)-phenyl]-3-(4-chloro-2- hydroxy-phenyl)-urea 194 1-[3-(4-Bromo-2-methyl-2H- pyrazol-3-yl)-4-(3-dimethylamino- propoxy)-phenyl]-3-(4-fluoro-2- hydroxy-phenyl)-urea 195 1-[3-(4-Bromo-2-methyl-2H- pyrazol-3-yl)-4-(3-dimethylamino- propoxy)-phenyl]-3-(4-chloro-3- hydroxy-phenyl)-urea 196 1-[3-(4-Bromo-2-methyl-2H- pyrazol-3-yl)-4-(3-dimethylamino- propoxy)-phenyl]-3-(4-fluoro-3- hydroxy-phenyl)-urea - Additionally, compounds of the present invention, such as Formula (I) and related Formulae, encompass all pharmaceutically acceptable salts, solvates, and particularly hydrates, thereof.
- The compounds of the Formula (I) of the present invention may be prepared according to the general synthetic schemes in
FIGS. 17 through 21 andFIGS. 29 through 33 as well as relevant published literature procedures that are used by one skilled in the art. Exemplary reagents and procedures for these reactions appear hereinafter in the working Examples. Protection and deprotection may be carried out by procedures generally known in the art (see, for example, Greene, T. W. and Wuts, P. G. M., Protecting Groups in Organic Synthesis, 3rd Edition, 1999 [Wiley]; incorporated herein by reference in its entirity). - The present invention also encompasses diastereomers as well as optical isomers, e.g. mixtures of enantiomers including racemic mixtures, as well as individual enantiomers and diastereomers, which arise as a consequence of structural asymmetry in certain compounds of the invention. Separation of the individual isomers or selective synthesis of the individual isomers is accomplished by application of various methods which are well known to practitioners in the art.
- Constitutively Active Human 5HT2A
- For convenience, the sequence information regarding the non-endogenous, constitutively active human 5-HT2A and identifiers are set forth in TABLE 4:
TABLE 4 IDENTIFIER RECEPTOR SEQ.ID.NO: FIGURE AP-3 cDNA 5-HT2A 27 6a AP-3 5-HT2A 28 6b AP-4 cDNA 5-HT2A 29 7a AP-4 5- HT 2A30 7b
Indications and Methods of Prophylaxis and/or Treatment - In addition to the foregoing beneficial uses for the modulators of 5-HT2A receptor activity disclosed herein, the compounds disclosed herein are believed to be useful in the treatment of several additional diseases and disorders, and in the amelioration of symptoms thereof. Without limitation, these include the following:
- 1. Antiplatelet Therapies (5-HT2A Mediated Platelet Aggregation):
- Antiplatelet agents (antiplatelets) are prescribed for a variety of conditions. For example, in coronary artery disease they are used to help prevent myocardial infarction or stroke in patients who are at risk of developing obstructive blood clots (e.g., coronary thrombosis).
- In a myocardial infarction (heart attack), the heart muscle does not receive enough oxygen-rich blood as a result of a blockage in the coronary blood vessels. If taken while an attack is in progress or immediately afterward (preferably within 30 minutes), antiplatelets can reduce the damage to the heart.
- A transient ischemic attack (“TIA” or “mini-stroke”) is a brief interruption of oxygen flow to the brain due to decreased blood flow through arteries, usually due to an obstructing blood clot. Antiplatelet drugs have been found to be effective in preventing TIAs.
- Angina is a temporary and often recurring chest pain, pressure or discomfort caused by inadequate oxygen-rich blood flow (ischemia) to some parts of the heart. In patients with angina, antiplatelet therapy can reduce the effects of angina and the risk of myocardial infarction.
- Stroke is an event in which the brain does not receive enough oxygen-rich blood, usually due to blockage of a cerebral blood vessel by a blood clot. In high-risk patients, taking antiplatelets regularly has been found to prevent the formation blood clots that cause first or second strokes.
- Angioplasty is a catheter based technique used to open arteries obstructed by a blood clot. Whether or not stenting is performed immediately after this procedure to keep the artery open, antiplatelets can reduce the risk of forming additional blood clots following the procedure(s).
- Coronary bypass surgery is a surgical procedure in which an artery or vein is taken from elsewhere in the body and grafted to a blocked coronary artery, rerouting blood around the blockage and through the newly attached vessel. After the procedure, antiplatelets can reduce the risk of secondary blood clots.
- Atrial fibrillation is the most common type of sustained irregular heart rhythm (arrythmia). Atrial fibrillation affects about two million Americans every year. In atrial fibrillation, the atria (the heart's upper chambers) rapidly fire electrical signals that cause them to quiver rather than contract normally. The result is an abnormally fast and highly irregular heartbeat. When given after an episode of atrial fibrillation, antiplatelets can reduce the risk of blood clots forming in the heart and traveling to the brain (embolism).
- 5-HT2A receptors are expressed on smooth muscle of blood vessels and 5-HT secreted by activated platelets causes vasoconstriction as well as activation of additional platelets during clotting. There is evidence that a 5-HT2A inverse agonist will inhibit platelet aggregation and thus be a potential treatment as an antiplatelet therapy (see Satimura, K, et al., Clin Cardiol Jan. 25, 2002 (1):28-32; and Wilson, H. C et al., Thromb Haemost Sep. 2, 1991;66(3):355-60).
- The 5-HT2A inverse agonists disclosed herein provide beneficial improvement in microcirculation to patients in need of antiplatelet therapy by antagonizing the vasoconstrictive products of the aggregating platelets in, for example and not limitation, the indications described above. Accordingly, in some embodiments, the present invention provides methods for reducing platelet aggregation in a patient in need thereof comprising administering to said patient a composition comprising a 5-HT2A inverse agonist disclosed herein. In further embodiments, the present invention provides methods for treating coronary artery disease, myocardial infarction, transient ischemic attack, angina, stroke, atrial fibrillation, or a symptom of any of the foregoing in a patient in need of said treatment, comprising administering to said patient a composition comprising a 5-HT2A inverse agonist disclosed herein.
- In further embodiments, the present invention provides methods for reducing risk of blood clot formation in an angioplasty or coronary bypass surgery patient, or a patient suffering from atrial fibrillation, comprising administering to a said patient a composition comprising a 5-HT2A inverse agonist disclosed herein at a time where such risk exists.
- 2. Asthma
- It has been suggested that 5-HT (5-hydroxytryptamine) plays a role in the pathophysiology of acute asthma (see Cazzola, M. and Matera, M. G., TIPS, 2000, 21, 13; and De Bie, J. J. et al., British J. Pharm., 1998, 124, 857-864). The compounds of the present invention disclosed herein are useful in the treatment of asthma, and the treatment of the symptoms thereof. Accordingly, in some embodiments, the present invention provides methods for treating asthma in a patient in need of said treatment, comprising administering to said patient a composition comprising a 5-HT2A inverse agonist disclosed herein. In further embodiments, methods are provided for treating a symptom of asthma in a patient in need of said treatment, comprising administering to said patient a composition comprising a 5-HT2A inverse agonist disclosed herein.
- 3. Agitation
- Agitation is a well-recognized behavioral syndrome with a range of symptoms, including hostility, extreme excitement, poor impulse control, tension and uncooperativeness (See Cohen-Mansfield J, and Billig, N., (1986), Agitated Behaviors in the Elderly. I. A Conceptual Review. J Am Geriatr Soc 34(10): 711-721).
- Agitation is a common occurrence in the elderly and often associated with dementia such as those caused by Alzheimer's disease, Lewy Body, Parkinson's, and Huntington's, which are degenerative diseases of the nervous system and by diseases that affect blood vessels, such as stroke, or multi-infarct dementia, which is caused by multiple strokes in the brain can also induce dementia. Alzheimer's disease accounts for approximately 50 to 70% of all dementias (See Koss E, et al., (1997), Assessing patterns of agitation in Alzheimer's disease patients with the Cohen-Mansfield Agitation Inventory. The Alzheimer's Disease Cooperative Study. Alzheimer Dis Assoc Disord 11(suppl 2):S45-S50).
- An estimated five percent of people aged 65 and older and up to 20 percent of those aged 80 and older are affected by dementia; of these sufferers, nearly half exhibit behavioral disturbances, such as agitation, wandering and violent outbursts.
- Agitated behaviors can also be manifested in cognitively intact elderly people and by those with psychiatric disorders other than dementia.
- Agitation is often treated with antipsychotic medications such as haloperidol in nursing home and other assisted care settings. There is emerging evidence that agents acting at the 5-HT2A receptors in the brain have the effects of reducing agitation in patients, including Alzheimer's dementia (See Katz, I. R., et al., J Clin Psychiatry February 1999, 60(2):107-115; and Street, J. S., et al., Arch Gen Psychiatry October 2000 57(10):968-976).
- The compounds of the invention disclosed herein are useful for treating agitation and symptoms thereof. Thus, in some embodiments, the present invention provides methods for treating agitation in a patient in need of such treatment comprising administering to said patient a composition comprising a 5-HT2A inverse agonist disclosed herein. In some embodiments, the agitation is due to a psychiatric disorder other than dementia. In some embodiments, the present invention provides methods for treatment of agitation or a symptom thereof in a patient suffering from dementia comprising administering to said patient a composition comprising a 5-HT2A inverse agonist disclosed herein. In some embodiments of such methods, the dementia is due to a degenerative disease of the nervous system, for example and without limitation, Alzheimers disease, Lewy Body, Parkinson's disease, and Huntington's disease, or dementia due to diseases that affect blood vessels, including, without limitation, stroke and multi-infarct dementia. In some embodiments, methods are provided for treating agitation or a symptom thereof in a patient in need of such treatment, where the patient is a cognitively intact elderly patient, comprising administering to said patient a composition comprising a 5-HT2A inverse agonist disclosed herein.
- 4. Add-On Therapy to Haloperidol in the Treatment of Schizophrenia and other Disorders:
- Schizophrenia is a psychopathic disorder of unknown origin, which usually appears for the first time in early adulthood and is marked by a number of characteristics, psychotic symptoms, progression, phasic development and deterioration in social behavior and professional capability in the region below the highest level ever attained. Characteristic psychotic symptoms are disorders of thought content (multiple, fragmentary, incoherent, implausible or simply delusional contents or ideas of persecution) and of mentality (loss of association, flight of imagination, incoherence up to incomprehensibility), as well as disorders of perceptibility (hallucinations), of emotions (superficial or inadequate emotions), of self-perception, of intentions and impulses, of interhuman relationships, and finally psychomotoric disorders (such as catatonia). Other symptoms are also associated with this disorder. (See, American Statistical and Diagnostic Handbook).
- Haloperidol (Haldol) is a potent dopamine D2 receptor antagonist. It is widely prescribed for acute schizophrenic symptoms, and is very effective for the positive symptoms of schizophrenia. However, Haldol is not effective for the negative symptoms of schizophrenia and may actually induce negative symptoms as well as cognitive dysfunction. In accordance with some methods of the invention, adding a 5-HT2A inverse agonist concomitantly with Haldol will provide benefits including the ability to use a lower dose of Haldol without losing its effects on positive symptoms, while reducing or eliminating its inductive effects on negative symptoms, and prolonging relapse to the patient's next schizophrenic event.
- Haloperidol is used for treatment of a variety of behavioral disorders, drug induced psychosis, excitative psychosis, Gilles de la Tourette's syndrome, manic disorders, psychosis (organic and NOS), psychotic disorder, psychosis, schizophrenia (acute, chronic and NOS). Further uses include in the treatment of infantile autism, huntington's chorea, and nausea and vomiting from chemotherapy and chemotherapeutic antibodies. Administration of 5-HT2A inverse agonists disclosed herein with haloperidol also will provide benefits in these indications.
- In some embodiments, the present invention provides methods for treating a behavioral disorder, drug induced psychosis, excitative psychosis, Gilles de la Tourette's syndrome, manic disorders, psychosis (organic and NOS), psychotic disorder, psychosis, schizophrenia (acute, chronic and NOS) comprising administering to said patient a dopamine D2 receptor antagonist and a 5-HT2A inverse agonist disclosed herein.
- In some embodiments, the present invention provides methods for treating a behavioral disorder, drug induced psychosis, excitative psychosis, Gilles de la Tourette's syndrome, manic disorders, psychosis (organic and NOS), psychotic disorder, psychosis, schizophrenia (acute, chronic and NOS) comprising administering to said patient haloperidol and a 5-HT2A inverse agonist disclosed herein.
- In some embodiments, the present invention provides methods for treating infantile autism, huntington's chorea, or nausea and vomiting from chemotherapy or chemotherapeutic antibodies comprising administering to said patient a dopamine D2 receptor antagonist and a 5-HT2A inverse agonist disclosed herein.
- In some embodiments, the present invention provides methods for treating infantile autism, huntington's chorea, or nausea and vomiting from chemotherapy or chemotherapeutic antibodies comprising administering to said patient haloperidol and a 5-HT2A inverse agonist disclosed herein.
- In further embodiments, the present invention provides methods for treating schizophrenia in a patient in need of said treatment comprising administering to said patient a dopamine D2 receptor antagonist and a 5-HT2A inverse agonist disclosed herein. Preferably, the dopamine D2 receptor antagonist is haloperidol.
- The administration of the dopamine D2 receptor antagonist can be concomitant with administration of the 5-HT2A inverse agonist, or they can be administered at different times. Those of skill in the art will easily be able to determine appropriate dosing regimes for the most efficacious reduction or elimination of deleterions haloperidol effects. In some embodiments, haloperidol and the 5-HT2A inverse agonist are administered in a single dosage form, and in other embodiments, they are administered in separate dosage forms.
- The present invention further provides methods of alleviating negative symptoms of schizophrenia induced by the administration of haloperidol to a patient suffering from said schizophrenia, comprising administering to said patient a 5-HT2A inverse agonist as disclosed herein.
- 5. Sleep Disorders
- It is reported in the National Sleep Foundation's 2002 Sleep In America Poll, more than one-half of the adults surveyed (58%) report having experienced one or more symptoms of insomnia at least a few nights a week in the past year. Additionally, about three in ten (35%) say they have experienced insomnia-like symptoms every night or almost every night.
- The normal sleep cycle and sleep architecture can be disrupted by a variety of organic causes as well as environmental influences. According to the International Classification of Sleep Disorders, there are over 80 recognized sleep disorders. Of these, compounds of the present invention are effective, for example, in any one or more of the following sleep disorders (ICSD—International Classification of Sleep Disorders: Diagnostic and Coding Manual. Diagnostic Classification Steering Committee, American Sleep Disorders Association, 1990):
- A. Dyssomnias
- a. Intrinsic Sleep Disorders:
- Psychophysiological insomnia, Sleep state misperception, Idiopathic insomnia, Obstructive sleep apnea syndrome, Central sleep apnea syndrome, Central alveolar hypoventilation syndrome, Periodic limb movement disorder, Restless leg syndrome and Intrinsic sleep disorder NOS.
- b. Extrinsic Sleep Disorders:
- Inadequate sleep hygiene, Environmental sleep disorder, Altitude insomnia, Adjustment sleep disorder, Insufficient sleep syndrome, Limit-setting sleep disorder, SleepOnset association disorder, Nocturnal eating (drinking) syndrome, Hypnotic dependent sleep disorder, Stimulant-dependent sleep disorder, Alcohol-dependent sleep disorder, Toxin-induced sleep disorder and Extrinsic sleep disorder NOS.
- c. Circadian Rhythm Sleep Disorders:
- Time zone change (jet lag) syndrome, Shift work sleep disorder, Irregular sleep-wake pattern, Delayed sleep phase syndrome, Advanced sleep phase syndrome, Non-24-hour sleep-wake disorder and Circadian rhythm sleep disorder NOS.
- B. Parasomnias
- a. Arousal Disorders:
- Confusional arousals, Sleepwalking and Sleep terrors.
- b. Sleep-Wake Transition Disorders:
- Rhythmic movement disorder, Sleep starts, Sleep talking and Nocturnal leg cramps.
- C. Sleep Disorders Associated with Medical/Psychiatric Disorders
- a. Associated with Mental Disorders:
- Psychoses, Mood disorders, Anxiety disorders, Panic disorders and Alcoholism.
- b. Associated with Neurological Disorders:
- Cerebral degenerative disorders, Dementia, Parkinsonism, Fatal familial insomnia, Sleep-related epilepsy, Electrical status epilepticus of sleep and Sleep-related headaches.
- c. Associated with other Medical Disorders:
- Sleeping sickness, Nocturnal cardiac ischemia, Chronic obstructive pulmonary disease, Sleep-related asthma, Sleep-related gastroesophageal reflux, Peptic ulcer disease, Fibrositis syndrome, Osteoarthritis, Rheumatoid arthritis, Fibromyalgia and Post-surgical.
- The effects of sleep deprivation are more than excessive daytime sleepiness. Chronic insomniacs report elevated levels of stress, anxiety, depression and medical illnesses (National Institutes of Health, National Heart, Lung, and Blood Institute, Insomnia Facts Sheet, October 1995). Preliminary evidence suggests that having a sleep disorder that causes significant loss of sleep may contribute to increased susceptibility to infections due to immunosuppression, cardiovascular complications such as hypertension, cardiac arrhythmias, stroke, and myocardial infarction, comprimised glucose tolerance, increased obesity and metabolic syndrome. Compounds of the present invention are useful to prevent or alleviate these complications by improving sleep quality.
- The most common class of medications for the majority of sleep disorders are the benzodiazepines, but the adverse effect profile of benzodiazepines include daytime sedation, diminished motor coordination, and cognitive impairments. Furthermore, the National Institutes of Health Consensus conference on Sleeping Pills and Insomnia in 1984 have developed guidelines discouraging the use of such sedative-hypnotics beyond 4-6 weeks because of concerns raised over drug misuse, dependency, withdrawal and rebound insomnia. Therefore, it is desirable to have a pharmacological agent for the treatment of insomnia, which is more effective and/or has fewer side effects than those currently used. In addition, benzodiazepines are used to induce sleep, but have little to no effect on the maintenance of sleep, sleep consolidation or slow wave sleep. Therefore, sleep maintenance disorders are not currently well treated.
- Clinical studies with agents of a similar mechanism of action as are compounds of the present invention have demonstrated significant improvements on objective and subjective sleep parameters in normal, healthy volunteers as well as patients with sleep disorders and mood disorders [Sharpley A L, et al. Slow Wave Sleep in Humans: Role of 5HT2A and 5HT2C Receptors. Neuropharmacology, 1994, Vol. 33(3/4):467-71; Winokur A, et al. Acute Effects of Mirtazapine on Sleep Continuity and Sleep Architecture in Depressed Patients: A Pilot Study. Soc of Biol Psych, 2000, Vol.48:75-78; and Landolt H P, et al. Serotonin-2 Receptors and Human Sleep: Effect of Selective Antagonist on EEG Power Spectra. Neuropsychopharmacology, 1999, Vol. 21(3):455-66].
- Some sleep disorders are sometimes found in conjunction with other conditions and accordingly those conditions are treatable by compounds of Formula (I). For example but not limiting, patients suffering from mood disorders typically suffer from a sleep disorder that can be treatable by compounds of Formula (I). Having one pharmacological agent which treats two or more existing or potential conditions, as does the present invention, is more cost effective, leads to better compliance and has fewer side effects than taking two or more agents.
- It is an object of the present invention to provide a therapeutic agent for the use in treating Sleep Disorders. It is another object of the present invention to provide one pharmaceutical agent, which may be useful in treating two or more conditions wherein one of the conditions is a sleep disorder. Compounds of the present invention described herein may be used alone or in combination with a mild sleep inducer (i.e. antihistamine).
- Sleep Architecture:
- Sleep comprises two physiological states: Non rapid eye movement (NREM) and rapid eye movement (REM) sleep. NREM sleep consists of four stages, each of which is characterized by progressively slower brain wave patterns, with the slower patterns indicating deeper sleep. So called delta sleep, stages 3 and 4 of NREM sleep, is the deepest and most refreshing type of sleep. Many patients with sleep disorders are unable to adequately achieve the restorative sleep of
stages 3 and 4. In clinical terms, patients' sleep patterns are described as fragmented, meaning the patient spends a lot of time alternating betweenstages 1 and 2 (semi-wakefulness) and being awake and very little time in deep sleep. As used herein, the term “fragmented sleep architecture” means an individual, such as a sleep disorder patient, spends the majority of their sleep time in NREM sleep stages 1 and 2, lighter periods of sleep from which the individual can be easily aroused to a Waking state by limited external stimuli. As a result, the individual cycles through frequent bouts of light sleep interrupted by frequent awakenings throughout the sleep period. Many sleep disorders are characterized by a fragmented sleep architecture. For example, many elderly patients with sleep complaints have difficulty achieving long bouts of deep refreshing sleep (NREM stages 3 and 4) and instead spend the majority of their sleep time in NREM sleep stages 1 and 2. - In contrast to fragmented sleep architecture, as used herein the term “sleep consolidation” means a state in which the number of NREM sleep bouts, particularly Stages 3 and 4, and the length of those sleep bouts are increased, while the number and length of waking bouts are decreased. In essence, the architecture of the sleep disorder patient is consolidated to a sleeping state with increased periods of sleep and fewer awakenings during the night and more time is spent in slow wave sleep (
Stages 3 and 4) with 1 and 2 sleep. Compounds of the present invention as described are effective in consolidating sleep patterns so that the patient with previously fragmented sleep can now achieve restorative, delta-wave sleep for longer, more consistent periods of time.fewer oscillation Stage - As sleep moves from
stage 1 into later stages, heart rate and blood pressure drop, metabolic rate and glucose consumption fall, and muscles relax. In normal sleep architecture, NREM sleep makes up about 75% of total sleep time;stage 1 accounting for 5-10% of total sleep time,stage 2 for about 45-50%,stage 3 approximately 12%, and stage 4 13-15%. About 90 minutes after sleep onset, NREM sleep gives way to the first REM sleep episode of the night. REM makes up approximately 25% of total sleep time. In contrast to NREM sleep, REM sleep is characterized by high pulse, respiration, and blood pressure, as well as other physiological patterns similar to those seen in the active waking stage. Hence, REM sleep is also known as “paradoxical sleep.” Sleep onset occurs during NREM sleep and takes 10-20 minutes in healthy young adults. The four stages of NREM sleep together with a REM phase form one complete sleep cycle that is repeated throughout the duration of sleep, usually four or five times. The cyclical nature of sleep is regular and reliable; a REM period occurs about every 90 minutes during the night. However, the first REM period tends to be the shortest, often lasting less than 10 minutes, whereas the later REM periods may last up to 40 minutes. With aging, the time between retiring and sleep onset increases and the total amount of night-time sleep decreases because of changes in sleep architecture that impair sleep maintenance as well as sleep quality. Both NREM (particularly stages 3 and 4) and REM sleep are reduced. However,stage 1 NREM sleep, which is the lightest sleep, increases with age. - As disclosed herein, compounds of the present invention also have the ability to increase delta power (see
FIG. 28 ). As used herein, the term “delta power” means a measure of the duration of EEG activity in the 0.5 to 3.5 Hz range during NREM sleep and is thought to be a measure of deeper, more refreshing sleep. Delta power is hypothesized to be a measure of a theoretical process called Process S and is thought to be inversely related to the amount of sleep an individual experiences during a given sleep period. Sleep is controlled by homeostatic mechanisms; therefore, the less one sleeps the greater the drive to sleep. It is believed that Process S builds throughout the wake period and is discharged most efficiently during delta power sleep. Delta power is a measure of the magnitude of Process S prior to the sleep period. The longer one stays awake, the greater. Process S or drive to sleep and thus the greater the delta power during NREM sleep. However, individuals with sleep disorders have difficulty achieving and maintaining delta wave sleep, and thus have a large build-up of Process S with limited ability to discharge this buildup during sleep. 5-HT2A inverse agonists tested preclinically and clinically mimic the effect of sleep deprivation on delta power, suggesting that subjects with sleep disorders treated with a 5-HT2A inverse agonist will be able to achieve deeper more refreshing sleep. These same effects have not been observed with currently marketed pharmacotherapies. In addition, currently marketed pharmacotherapies for sleep have side effects such as hangover effects or addiction that are associated with the GABA receptor. 5-HT2A inverse agonist do not target the GABA receptor and so these side effects are not a concern. - Subjective and Objective Determinations of Sleep Disorders:
- There are a number of ways to determine whether the onset, duration or quality of sleep (e.g. non-restorative or restorative sleep) is impaired or improved. One method is a subjective determination of the patient, e.g., do they feel drowsy or rested upon waking. Other methods involve the observation of the patient by another during sleep, e.g., how long it takes the patient to fall asleep, how many times does the patient wake up during the night, how restless is the patient during sleep, etc. Another method is to objectively measure the stages of sleep using polysomnography.
- Polysomnography is the monitoring of multiple electrophysiological parameters during sleep and generally includes measurement of EEG activity, electroculographic activity and electromyographic activity, as well as other measurements. These results, along with observations, can measure not only sleep latency (the amount of time required to fall asleep), but also sleep continuity (overall balance of sleep and wakefulness) and sleep consolidation (percent of sleeping time spent in delta-wave or restorative sleep) which may be an indication of the quality of sleep.
- There are five distinct sleep stages, which can be measured by polysomnography: rapid eye movement (REM) sleep and four stages of non-rapid eye movement (NREM) sleep (
1, 2, 3 and 4).stages Stage 1 NREM sleep is a transition from wakefulness to sleep and occupies about 5% of time spent asleep in healthy adults.Stage 2 NREM sleep, which is characterized by specific EEG waveforms (sleep spindles and K complexes), occupies about 50% of time spent asleep.Stages 3 and 4 NREM sleep (also known collectively as slow-wave sleep and delta-wave sleep) are the deepest levels of sleep and occupy about 10-20% of sleep time. REM sleep, during which the majority of vivid dreams occur, occupies about 20-25% of total sleep. - These sleep stages have a characteristic temporal organization across the night. NREM stages 3 and 4 tend to occur in the first one-third to one-half of the night and increase in duration in response to sleep deprivation. REM sleep occurs cyclically through the night. Alternating with NREM sleep about every 80-100 minutes. REM sleep periods increase in duration toward the morning. Human sleep also varies characteristically across the life span. After relative stability with large amounts of slow-wave sleep in childhood and early adolescence, sleep continuity and depth deteriorate across the adult age range. This deterioration is reflected by increased wakefulness and
stage 1 sleep and decreasedstages 3 and 4 sleep. - In addition, the compounds of the invention can be useful for the treatment of the sleep disorders characterized by excessive daytime sleepiness such as narcolepsy. Inverse agonists at the serotonin 5HT2A receptor improve the quality of sleep at nightime which can decrease excessive daytime sleepiness.
- Accordingly, another aspect of the present invention relates to the therapeutic use of compounds of the present invention for the treatment of Sleep Disorders. Compounds of the present invention are potent inverse agonists at the serotonin 5HT2A receptor and are effective in the treatment of Sleep Disorders by promoting one or more of the following: reducing the sleep onset latency period (measure of sleep induction), reducing the number of nighttime awakenings, and prolonging the amount of time in delta-wave sleep (measure of sleep quality enhancement and sleep consolidation) without effecting REM sleep. In addition, compounds of the present invention are effective either as a monotherapy or in combination with sleep inducing agents, for example but not limiting, antihistamines.
- 6. Diabetic-Related Pathologies:
- Although hyperglycemia is the major cause for the pathogenesis of diabetic complications such as diabetic peripheral neuropathy (DPN), diabetic nephropathy (DN) and diabetic retinopathy (DR), increased plasma serotonin concentration in diabetic patients has also been implicated to play a role in disease progression (Pietraszek, M. H., et al. Thrombosis Res. 1992, 66(6), 765-74; and Andrzejewska-Buczko J, et al., Klin Oczna. 1996; 98(2), 101-4). Serotonin is believed to play a role in vasospasm and increased platelet aggregability. Improving microvascular blood flow is able to benefit diabetic complications.
- A recent study by Cameron and Cotter in Naunyn Schmiedebergs Arch Pharmacol. June 2003; 367(6):607-14, used a 5HT2A antagonist experimental drug AT-1015, and other non-specific 5HT2A antagonists including ritanserin and sarpogrelate. These studies found that all three drugs were able to produce a marked correction (82.6-99.7%) of a 19.8% sciatic motor conduction deficit in diabetic rats. Similarly, 44.7% and 14.9% reductions in sciatic endoneurial blood flow and saphenous sensory conduction velocity were completely reversed.
- In a separate patient study, sarogrelate was evaluated for the prevention of the development or progression of diabetic nephropathy (Takahashi, T., et al., Diabetes Res Clin Pract. November 2002; 58(2):123-9). In the trial of 24 months of treatment, sarpogrelate significantly reduced urinary albumin excretion level.
- 7. Glaucoma
- Topical ocular administration of 5-HT2 receptor antagonists result in a decrease in intra ocular pressure (IOP) in monkeys (Chang et al., J. Ocul Pharmacol 1 :137-147 (1985)) and humans (Mastropasqua et al., Acta Ophthalmol Scand Suppl 224:24-25 (1997)) indicating utility for similar compounds such as 5-HT2A inverse agonists in the treatment of ocular hypertensin associated with glaucoma. The 5-HT2 receptor antagonist ketanserin (Mastropasqua supra) and sarpogrelate (Takenaka et al., Investig Ophthalmol Vis Sci 36:S734 (1995)) have been shown to significantly lower IOP in glaucoma patients.
- Representative Methods of the Invention:
- One aspect of the present invention encompasses methods for modulating the activity of a 5HT2A serotonin receptor by contacting the receptor with a compound according to any of the embodiments described herein or a pharmaceutical composition.
- One aspect of the present invention encompasses methods for prophylaxis or treatment of platelet aggregation in an individual comprising administering to said individual in need thereof a therapeutically effective amount of a compound according to any of the embodiments described herein or a pharmaceutical composition.
- One aspect of the present invention encompasses methods for prophylaxis or treatment of an indication selected from the group consisting of coronary artery disease, myocardial infarction, transient ischemic attack, angina, stroke, and atrial fibrillation in an individual comprising administering to said individual in need thereof a therapeutically effective amount of a compound according to any of the embodiments described herein or a pharmaceutical composition.
- One aspect of the present invention encompasses methods for prophylaxis or treatment of reducing the risk of blood clot formation in an angioplasty or coronary bypass surgery individual comprising administering to said individual in need thereof a therapeutically effective amount of a compound according to any of the embodiments described herein or a pharmaceutical composition.
- One aspect of the present invention encompasses methods for prophylaxis or treatment of reducing the risk of blood clot formation in an individual suffering from atrial fibrillation, comprising administering to said individual in need thereof a therapeutically effective amount of a compound according to any of the embodiments described herein or a pharmaceutical composition.
- One aspect of the present invention encompasses methods for prophylaxis or treatment of asthma in an individual comprising administering to said individual in need thereof a therapeutically effective amount of a compound according to any of the embodiments described herein or a pharmaceutical composition.
- One aspect of the present invention encompasses methods for prophylaxis or treatment of a symptom of asthma in an individual comprising administering to said individual in need thereof a therapeutically effective amount of a compound according to any of the embodiments described herein or a pharmaceutical composition.
- One aspect of the present invention encompasses methods for prophylaxis or treatment of agitation or a symptom thereof in an individual comprising administering to said individual in need thereof a therapeutically effective amount of a compound according to any of the embodiments described herein or a pharmaceutical composition. In some embodiments, the individual is a cognitively intact elderly individual.
- One aspect of the present invention encompasses methods for prophylaxis or treatment of agitation or a symptom thereof in an individual suffering from dementia comprising administering to said individual in need thereof a therapeutically effective amount of a compound according to any of the embodiments described herein or a pharmaceutical composition. In some embodiments, the dementia is due to a degenerative disease of the nervous system. In some embodiments, the dementia is Alzheimers disease, Lewy Body, Parkinson's disease or Huntington's disease. In some embodiments, the dementia is due to diseases that affect blood vessels. In some embodiments, the dementia is due to stroke or multi-infarct dementia.
- One aspect of the present invention encompasses methods for prophylaxis or treatment of an individual suffering from at least one of the indications selected from the group consisting of behavioral disorder, drug induced psychosis, excitative psychosis, Gilles de la Tourette's syndrome, manic disorder, organic or NOS psychosis, psychotic disorder, psychosis, acute schizophrenia, chronic schizophrenia and NOS schizophrenia comprising administering to said individual in need thereof a therapeutically effective amount of a dopamine D2 receptor antagonist and a compound according to any of the embodiments described herein or a pharmaceutical composition. In some embodiments, the dopamine D2 receptor antagonist is haloperidol.
- One aspect of the present invention encompasses methods for prophylaxis or treatment of an individual with infantile autism, Huntington's chorea, or nausea and vomiting from chemotherapy or chemotherapeutic antibodies comprising administering to said individual in need thereof a therapeutically effective amount of a dopamine D2 receptor antagonist and a compound according to any of the embodiments described herein or a pharmaceutical composition. In some embodiments, the dopamine D2 receptor antagonist is haloperidol.
- One aspect of the present invention encompasses methods for prophylaxis or treatment of schizophrenia in an individual comprising administering to said individual in need thereof a therapeutically effective amount of a dopamine D2 receptor antagonist and a compound according to any of the embodiments described herein or a pharmaceutical composition. In some embodiments, the dopamine D2 receptor antagonist is haloperidol.
- One aspect of the present invention encompasses methods for prophylaxis or treatment of alleviating negative symptoms of schizophrenia induced by the administration of haloperidol to an individual suffering from said schizophrenia, comprising administering to said individual in need thereof a therapeutically effective amount of a compound according to any of the embodiments described herein or a pharmaceutical composition. In some embodiments, the haloperidol and the compound or pharmaceutical composition are administered in separate dosage forms. In some embodiments, the haloperidol and the compound or pharmaceutical composition are administered in a single dosage form.
- One aspect of the present invention encompasses methods for prophylaxis or treatment of a sleep disorder in an individual comprising administering to said individual in need thereof a therapeutically effective amount of a compound according to any of the embodiments described herein or a pharmaceutical composition.
- In some embodiments, the sleep disorder is a dyssomnia. In some embodiments, the dyssomnia is selected from the group consisting of psychophysiological insomnia, sleep state misperception, idiopathic insomnia, obstructive sleep apnea syndrome, central sleep apnea syndrome, central alveolar hypoventilation syndrome, periodic limb movement disorder, restless leg syndrome, inadequate sleep hygiene, environmental sleep disorder, altitude insomnia, adjustment sleep disorder, insufficient sleep syndrome, limit-setting sleep disorder, sleep-onset association disorder, nocturnal eating or drinking syndrome, hypnotic dependent sleep disorder, stimulant-dependent sleep disorder, alcohol-dependent sleep disorder, toxin-induced sleep disorder, time zone change (et lag) syndrome, shift work sleep disorder, irregular sleep-wake pattern, delayed sleep phase syndrome, advanced sleep phase syndrome, and non-24-hour sleep-wake disorder.
- In some embodiments, the sleep disorder is a parasomnia. In some embodiments, the parasomnia is selected from the group consisting of confusional arousals, sleepwalking and sleep terrors, rhythmic movement disorder, sleep starts, sleep talking and nocturnal leg cramps. In some embodiments, the sleep disorder is characterized by excessive daytime sleepiness such as narcolepsy.
- In some embodiments, the sleep disorder is associated with a medical or psychiatric disorder. In some embodiments, the medical or psychiatric disorder is selected from the group consisting of psychoses, mood disorders, anxiety disorders, panic disorders, alcoholism, cerebral degenerative disorders, dementia, parkinsonism, fatal familial insomnia, sleep-related epilepsy, electrical status epilepticus of sleep, sleep-related headaches, sleeping sickness, nocturnal cardiac ischemia, chronic obstructive pulmonary disease, sleep-related asthma, sleep-related gastroesophageal reflux, peptic ulcer disease, fibrositis syndrome, osteoarthritis, rheumatoid arthritis, fibromyalgia and post-surgical sleep disorder.
- One aspect of the present invention encompasses methods for prophylaxis or treatment of a diabetic-related disorder in an individual comprising administering to said individual in need thereof a therapeutically effective amount of a compound according to any of the embodiments described herein or a pharmaceutical composition.
- In some embodiments, the diabetic-related disorder is diabetic peripheral neuropathy.
- In some embodiments, the diabetic-related disorder is diabetic nephropathy.
- In some embodiments, the diabetic-related disorder is diabetic retinopathy.
- One aspect of the present invention encompasses methods for prophylaxis or treatment of glaucoma or other diseases of the eye with abnormal intraocular pressure.
- One aspect of the present invention encompasses processes for preparing a composition comprising admixing a compound according any embodiments described herein and pharmaceutically acceptable carrier.
- One aspect of the present invention is the use of a compound for the production of a medicament for use in the prophylaxis or treatment of a 5HT2A mediated disorder.
- One embodiment of the present invention is the use of a compound for the production of a medicament for use in the prophylaxis or treatment of a 5HT2A mediated disorder wherein the disorder is platelet aggregation.
- One embodiment of the present invention is the use of a compound for the production of a medicament for use in the prophylaxis or treatment of a 5HT2A mediated disorder wherein the disorder is selected from the group consisting of coronary artery disease, myocardial infarction, transient ischemic attack, angina, stroke, and atrial fibrillation.
- One embodiment of the present invention is the use of a compound for the production of a medicament for use in the prophylaxis or treatment of a 5HT2A mediated disorder wherein the disorder is a blood clot formation in an angioplasty or coronary bypass surgery individual.
- One embodiment of the present invention is the use of a compound for the production of a medicament for use in the prophylaxis or treatment of a 5HT2A mediated disorder wherein the disorder is a blood clot formation in an individual suffering from atrial fibrillation.
- One embodiment of the present invention is the use of a compound for the production of a medicament for use in the prophylaxis or treatment of a 5HT2A mediated disorder wherein the disorder is asthma.
- One embodiment of the present invention is the use of a compound for the production of a medicament for use in the prophylaxis or treatment of a 5HT2A mediated disorder wherein the disorder is a symptom of asthma.
- One embodiment of the present invention is the use of a compound for the production of a medicament for use in the prophylaxis or treatment of a 5HT2A mediated disorder wherein the disorder is agitation or a symptom thereof in an individual. In some embodiments the individual is a cognitively intact elderly individual.
- One embodiment of the present invention is the use of a compound for the production of a medicament for use in the prophylaxis or treatment of a 5HT2A mediated disorder wherein the disorder is agitation or a symptom thereof in an individual suffering from dementia. In some embodiments the dementia is due to a degenerative disease of the nervous system. In some embodiment the dementia is Alzheimers disease, Lewy Body, Parkinson's disease, or Huntington's disease. In some embodiments the dementia is due to diseases that affect blood vessels. In some embodiments the dementia is due to stroke or multi-infract dementia.
- One embodiment of the present invention is the use of a compound for the production of a medicament for use in the prophylaxis or treatment of a 5HT2A mediated disorder further comprising a dopamine D2 receptor antagonist wherein the disorder is selected from the group consisting of a behavioral disorder, drug induced psychosis, excitative psychosis, Gilles de la Tourette's syndrome, manic disorder, organic or NOS psychosis, psychotic disorder, psychosis, acute schizophrenia, chronic schizophrenia and NOS schizophrenia. In some embodiments the dopamine D2 receptor antagonist is haloperidol.
- One embodiment of the present invention is the use of a compound for the production of a medicament for use in the prophylaxis or treatment of a 5HT2A mediated disorder further comprising a dopamine D2 receptor antagonist wherein the disorder is infantile autism, Huntington's chorea, or nausea and vomiting from chemotherapy or chemotherapeutic antibodies. In some embodiments the dopamine D2 receptor antagonist is haloperidol.
- One embodiment of the present invention is the use of a compound for the production of a medicament for use in the prophylaxis or treatment of a 5HT2A mediated disorder further comprising a dopamine D2 receptor antagonist wherein the disorder is schizophrenia. In some embodiments the dopamine D2 receptor antagonist is haloperidol.
- One embodiment of the present invention is the use of a compound for the production of a medicament for use in the prophylaxis or treatment of a 5HT2A mediated disorder wherein the disorder is a negative symptom or symptoms of schizophrenia induced by the administration of haloperidol.
- One embodiment of the present invention is the use of a compound for the production of a medicament for use in the prophylaxis or treatment of a 5HT2A mediated disorder wherein the haloperidol and the compound or pharmaceutical composition are administered in separate dosage forms.
- One embodiment of the present invention is the use of a compound for the production of a medicament for use in the prophylaxis or treatment of a 5HT2A mediated disorder wherein the haloperidol and the compound or pharmaceutical composition are administered in a single dosage form.
- One aspect of the present invention are compounds according to any of the embodiments described herein for use in a method of treatment of the human or animal body by therapy.
- One aspect of the present invention are compounds according to any of the embodiments described herein for use in a method for the prophylaxis or treatment of a 5HT2A mediated disorder, as described herein, in the human or animal body by therapy.
- One aspect of the present invention are compounds according to any of the embodiments described herein for use in a method for the prophylaxis or treatment of a sleep disorder, as described herein, in the human or animal body by therapy.
- One aspect of the present invention are compounds according to any of the embodiments described herein for use in a method for the prophylaxis or treatment of platelet aggregation in the human or animal body by therapy.
- Pharmaceutical Composition
- A further aspect of the present invention pertains to pharmaceutical compositions comprising one or more compounds as described herein and one or more pharmaceutically acceptable carriers. Some embodiments pertain to pharmaceutical compositions comprising a compound of the present invention and a pharmaceutically acceptable carrier.
- Some embodiments of the present invention include a method of producing a pharmaceutical composition comprising admixing at least one compound according to any of the compound embodiments disclosed herein and a pharmaceutically acceptable carrier.
- Formulations may be prepared by any suitable method, typically by uniformly mixing the active compound(s) with liquids or finely divided solid carriers, or both, in the required proportions, and then, if necessary, forming the resulting mixture into a desired shape.
- Conventional excipients, such as binding agents, fillers, acceptable wetting agents, tabletting lubricants, and disintegrants may be used in tablets and capsules for oral administration. Liquid preparations for oral administration may be in the form of solutions, emulsions, aqueous or oily suspensions, and syrups. Alternatively, the oral preparations may be in the form of dry powder that can be reconstituted with water or another suitable liquid vehicle before use. Additional additives such as suspending or emulsifying agents, non-aqueous vehicles (including edible oils), preservatives, and flavorings and colorants may be added to the liquid preparations. Parenteral dosage forms may be prepared by dissolving the compound of the invention in a suitable liquid vehicle and filter sterilizing the solution before filling and sealing an appropriate vial or ampoule. These are just a few examples of the many appropriate methods well known in the art for preparing dosage forms.
- A compound of the present invention can be formulated into pharmaceutical compositions using techniques well known to those in the art. Suitable pharmaceutically-acceptable carriers, outside those mentioned herein, are known in the art; for example, see Remington, The Science and Practice of Pharmacy, 20th Edition, 2000, Lippincott Williams & Wilkins, (Editors: Gennaro, A. R., et al.).
- While it is possible that, for use in the prophylaxis or treatment, a compound of the invention may, in an alternative use, be administered as a raw or pure chemical, it is preferable however to present the compound or active ingredient as a pharmaceutical formulation or composition further comprising a pharmaceutically acceptable carrier.
- The invention thus further provides pharmaceutical formulations comprising a compound of the invention or a pharmaceutically acceptable salt or derivative thereof together with one or more pharmaceutically acceptable carriers thereof and/or prophylactic ingredients. The carrier(s) must be “acceptable” in the sense of being compatible with the other ingredients of the formulation and not overly deleterious to the recipient thereof.
- Pharmaceutical formulations include those suitable for oral, rectal, nasal, topical (including buccal and sub-lingual), vaginal or parenteral (including intramuscular, sub-cutaneous and intravenous) administration or in a form suitable for administration by inhalation, insulation or by a transdermal patch. Transdermal patches dispense a drug at a controlled rate by presenting the drug for absorption in an efficient manner with a minimum of degradation of the drug. Typically, transdermal patches comprise an impermeable backing layer, a single pressure sensitive adhesive and a removable protective layer with a release liner. One of ordinary skill in the art will understand and appreciate the techniques appropriate for manufacturing a desired efficacious transdermal patch based upon the needs of the artisan.
- The compounds of the invention, together with a conventional adjuvant, carrier, or diluent, may thus be placed into the form of pharmaceutical formulations and unit dosages thereof, and in such form may be employed as solids, such as tablets or filled capsules, or liquids such as solutions, suspensions, emulsions, elixirs, gels or capsules filled with the same, all for oral use, in the form of suppositories for rectal administration; or in the form of sterile injectable solutions for parenteral (including subcutaneous) use. Such pharmaceutical compositions and unit dosage forms thereof may comprise conventional ingredients in conventional proportions, with or without additional active compounds or principles, and such unit dosage forms may contain any suitable effective amount of the active ingredient commensurate with the intended daily dosage range to be employed.
- For oral administration, the pharmaceutical composition may be in the form of, for example, a tablet, capsule, suspension or liquid. The pharmaceutical composition is preferably made in the form of a dosage unit containing a particular amount of the active ingredient. Examples of such dosage units are capsules, tablets, powders, granules or a suspension, with conventional additives such as lactose, mannitol, corn starch or potato starch; with binders such as crystalline cellulose, cellulose derivatives, acacia, corn starch or gelatins; with disintegrators such as corn starch, potato starch or sodium carboxymethyl-cellulose; and with lubricants such as talc or magnesium stearate. The active ingredient may also be administered by injection as a composition wherein, for example, saline, dextrose or water may be used as a suitable pharmaceutically acceptable carrier.
- Compounds of the present invention or a solvate or physiologically functional derivative thereof can be used as active ingredients in pharmaceutical compositions, specifically as 5-HT2A receptor modulators. By the term “active ingredient” is defined in the context of a “pharmaceutical composition” and shall mean a component of a pharmaceutical composition that provides the primary pharmacological effect, as opposed to an “inactive ingredient” which would generally be recognized as providing no pharmaceutical benefit.
- The dose when using the compounds of the present invention can vary within wide limits, and as is customary and is known to the physician, it is to be tailored to the individual conditions in each individual case. It depends, for example, on the nature and severity of the illness to be treated, on the condition of the patient, on the compound employed or on whether an acute or chronic disease state is treated or prophylaxis is conducted or on whether further active compounds are administered in addition to the compounds of the present invention. Representative doses of the present invention include, but not limited to, about 0.001 mg to about 5000 mg, about 0.001 mg to about 2500 mg, about 0.001 mg to about 1000 mg, 0.001 mg to about 500 mg, 0.001 mg to about 250 mg, about 0.001 mg to 100 mg, about 0.001 mg to about 50 mg, and about 0.001 mg to about 25 mg. Multiple doses may be administered during the day, especially when relatively large amounts are deemed to be needed, for example 2, 3 or 4, doses. Depending on the individual and as deemed appropriate from the patient's physician or care-giver it may be necessary to deviate upward or downward from the doses described herein.
- The amount of active ingredient, or an active salt or derivative thereof, required for use in treatment will vary not only with the particular salt selected but also with the route of administration, the nature of the condition being treated and the age and condition of the patient and will ultimately be at the discretion of the attendant physician or clinician. In general, one skilled in the art understands how to extrapolate in vivo data obtained in a model system, typically an animal model, to another, such as a human. In some circumstances, these extrapolations may merely be based on the weight of the animal model in comparison to another, such as a mammal, preferably a human, however, more often, these extrapolations are not simply based on weights, but rather incorporate a variety of factors. Representative factors include the type, age, weight, sex, diet and medical condition of the patient, the severity of the disease, the route of administration, pharmacological considerations such as the activity, efficacy, pharmacokinetic and toxicology profiles of the particular compound employed, whether a drug delivery system is utilized, on whether an acute or chronic disease state is being treated or prophylaxis is conducted or on whether further active compounds are administered in addition to the compounds of the present invention and as part of a drug combination. The dosage regimen for treating a disease condition with the compounds and/or compositions of this invention is selected in accordance with a variety factors as cited above. Thus, the actual dosage regimen employed may vary widely and therefore may deviate from a preferred dosage regimen and one skilled in the art will recognize that dosage and dosage regimen outside these typical ranges can be tested and, where appropriate, may be used in the methods of this invention.
- The desired dose may conveniently be presented in a single dose or as divided doses administered at appropriate intervals, for example, as two, three, four or more sub-doses per day. The sub-dose itself may be further divided, e.g., into a number of discrete loosely spaced administrations. The daily dose can be divided, especially when relatively large amounts are administered as deemed appropriate, into several, for example 2, 3 or 4, part administrations. If appropriate, depending on individual behavior, it may be necessary to deviate upward or downward from the daily dose indicated.
- The compounds of the present invention can be administrated in a wide variety of oral and parenteral dosage forms. It will be obvious to those skilled in the art that the following dosage forms may comprise, as the active component, either a compound of the invention or a pharmaceutically acceptable salt of a compound of the invention.
- For preparing pharmaceutical compositions from the compounds of the present invention, the selection of a suitable pharmaceutically acceptable carrier can be either solid, liquid or a mixture of both. Solid form preparations include powders, tablets, pills, capsules, cachets, suppositories, and dispersible granules. A solid carrier can be one or more substances which may also act as diluents, flavouring agents, solubilizers, lubricants, suspending agents, binders, preservatives, tablet disintegrating agents, or an encapsulating material.
- In powders, the carrier is a finely divided solid which is in a mixture with the finely divided active component.
- In tablets, the active component is mixed with the carrier having the necessary binding capacity in suitable proportions and compacted to the desire shape and size.
- The powders and tablets may contain varying percentage amounts of the active compound. A representative amount in a powder or tablet may contain from 0.5 to about 90 percent of the active compound; however, an artisan would know when amounts outside of this range are necessary. Suitable carriers for powders and tablets are magnesium carbonate, magnesium stearate, talc, sugar, lactose, pectin, dextrin, starch, gelatin, tragacanth, methylcellulose, sodium carboxymethylcellulose, a low melting wax, cocoa butter, and the like. The term “preparation” is intended to include the formulation of the active compound with encapsulating material as carrier providing a capsule in which the active component, with or without carriers, is surrounded by a carrier, which is thus in association with it. Similarly, cachets and lozenges are included. Tablets, powders, capsules, pills, cachets, and lozenges can be used as solid forms suitable for oral administration.
- For preparing suppositories, a low melting wax, such as an admixture of fatty acid glycerides or cocoa butter, is first melted and the active component is dispersed homogeneously therein, as by stirring. The molten homogenous mixture is then poured into convenient sized molds, allowed to cool, and thereby to solidify.
- Formulations suitable for vaginal administration may be presented as pessaries, tampons, creams, gels, pastes, foams or sprays containing in addition to the active ingredient such carriers as are known in the art to be appropriate.
- Liquid form preparations include solutions, suspensions, and emulsions, for example, water or water-propylene glycol solutions. For example, parenteral injection liquid preparations can be formulated as solutions in aqueous polyethylene glycol solution. Injectable preparations, for example, sterile injectable aqueous or oleaginous suspensions may be formulated according to the known art using suitable dispersing or wetting agents and suspending agents. The sterile injectable preparation may also be a sterile injectable solution or suspension in a nontoxic parenterally acceptable diluent or solvent, for example, as a solution in 1,3-butanediol. Among the acceptable vehicles and solvents that may be employed are water, Ringer's solution, and isotonic sodium chloride solution. In addition, sterile, fixed oils are conventionally employed as a solvent or suspending medium. For this purpose any bland fixed oil may be employed including synthetic mono- or diglycerides. In addition, fatty acids such as oleic acid find use in the preparation of injectables.
- The compounds according to the present invention may thus be formulated for parenteral administration (e.g. by injection, for example bolus injection or continuous infusion) and may be presented in unit dose form in ampoules, pre-filled syringes, small volume infusion or in multi-dose containers with an added preservative. The pharmaceutical compositions may take such forms as suspensions, solutions, or emulsions in oily or aqueous vehicles, and may contain formulatory agents such as suspending, stabilizing and/or dispersing agents. Alternatively, the active ingredient may be in powder form, obtained by aseptic isolation of sterile solid or by lyophilization from solution, for constitution with a suitable vehicle, e.g. sterile, pyrogen-free water, before use.
- Aqueous formulations suitable for oral use can be prepared by dissolving or suspending the active component in water and adding suitable colorants, flavours, stabilizing and thickening agents, as desired.
- Aqueous suspensions suitable for oral use can be made by dispersing the finely divided active component in water with viscous material, such as natural or synthetic gums, resins, methylcellulose, sodium carboxymethylcellulose, or other well known suspending agents.
- Also included are solid form preparations which are intended to be converted, shortly before use, to liquid form preparations for oral administration. Such liquid forms include solutions, suspensions, and emulsions. These preparations may contain, in addition to the active component, colorants, flavors, stabilizers, buffers, artificial and natural sweeteners, dispersants, thickeners, solubilizing agents, and the like.
- For topical administration to the epidermis the compounds according to the invention may be formulated as ointments, creams or lotions, or as a transdermal patch.
- Ointments and creams may, for example, be formulated with an aqueous or oily base with the addition of suitable thickening and/or gelling agents. Lotions may be formulated with an aqueous or oily base and will in general also contain one or more emulsifying agents, stabilizing agents, dispersing agents, suspending agents, thickening agents, or coloring agents.
- Formulations suitable for topical administration in the mouth include lozenges comprising active agent in a flavored base, usually sucrose and acacia or tragacanth; pastilles comprising the active ingredient in an inert base such as gelatin and glycerin or sucrose and acacia; and mouthwashes comprising the active ingredient in a suitable liquid carrier.
- Solutions or suspensions are applied directly to the nasal cavity by conventional means, for example with a dropper, pipette or spray. The formulations may be provided in single or multi-dose form. In the latter case of a dropper or pipette, this may be achieved by the patient administering an appropriate, predetermined volume of the solution or suspension. In the case of a spray, this may be achieved for example by means of a metering atomizing spray pump.
- Administration to the respiratory tract may also be achieved by means of an aerosol formulation in which the active ingredient is provided in a pressurized pack with a suitable propellant. If the compounds of the present invention or pharmaceutical compositions comprising them are administered as aerosols, for example as nasal aerosols or by inhalation, this can be carried out, for example, using a spray, a nebulizer, a pump nebulizer, an inhalation apparatus, a metered inhaler or a dry powder inhaler. Pharmaceutical forms for administration of the compounds of the present invention as an aerosol can be prepared by processes well-known to the person skilled in the art. For their preparation, for example, solutions or dispersions of the compounds of the present invention in water, water/alcohol mixtures or suitable saline solutions can be employed using customary additives, for example benzyl alcohol or other suitable preservatives, absorption enhancers for increasing the bioavailability, solubilizers, dispersants and others, and, if appropriate, customary propellants, for example include carbon dioxide, CFC's, such as, dichlorodifluoromethane, trichlorofluoromethane, or dichlorotetrafluoroethane; and the like. The aerosol may conveniently also contain a surfactant such as lecithin. The dose of drug may be controlled by provision of a metered valve.
- In formulations intended for administration to the respiratory tract, including intranasal formulations, the compound will generally have a small particle size for example of the order of 10 microns or less. Such a particle size may be obtained by means known in the art, for example by micronization. When desired, formulations adapted to give sustained release of the active ingredient may be employed.
- Alternatively the active ingredients may be provided in the form of a dry powder, for example, a powder mix of the compound in a suitable powder base such as lactose, starch, starch derivatives such as hydroxypropylmethyl cellulose and polyvinylpyrrolidone (PVP). Conveniently the powder carrier will form a gel in the nasal cavity. The powder composition may be presented in unit dose form for example in capsules or cartridges of, e.g., gelatin, or blister packs from which the powder may be administered by means of an inhaler.
- The pharmaceutical preparations are preferably in unit dosage forms. In such form, the preparation is subdivided into unit doses containing appropriate quantities of the active component. The unit dosage form can be a packaged preparation, the package containing discrete quantities of preparation, such as packeted tablets, capsules, and powders in vials or ampoules. Also, the unit dosage form can be a capsule, tablet, cachet, or lozenge itself, or it can be the appropriate number of any of these in packaged form.
- Tablets or capsules for oral administration and liquids for intravenous administration are preferred compositions.
- The compounds according to the invention may optionally exist as pharmaceutically acceptable salts including pharmaceutically acceptable acid addition salts prepared from pharmaceutically acceptable non-toxic acids including inorganic and organic acids. Representative acids include, but are not limited to, acetic, benzenesulfonic, benzoic, camphorsulfonic, citric, ethenesulfonic, dichloroacetic, formic, fumaric, gluconic, glutamic, hippuric, hydrobromic, hydrochloric, isethionic, lactic, maleic, malic, mandelic, methanesulfonic, mucic, nitric, oxalic, pamoic, pantothenic, phosphoric, succinic, sulfuric, tartaric, oxalic, p-toluenesulfonic and the like, such as those pharmaceutically acceptable salts listed in Journal of Pharmaceutical Science, 66, 2 (1977); incorporated herein by reference in its entirety.
- The acid addition salts may be obtained as the direct products of compound synthesis. In the alternative, the free base may be dissolved in a suitable solvent containing the appropriate acid, and the salt isolated by evaporating the solvent or otherwise separating the salt and solvent. The compounds of this invention may form solvates with standard low molecular weight solvents using methods known to the skilled artisan.
- Compounds of the present invention can be converted to “pro-drugs.” The term “pro-drugs” refers to compounds that have been modified with specific chemical groups known in the art and when administered into an individual these groups undergo biotransformation to give the parent compound. Pro-drugs can thus be viewed as compounds of the invention containing one or more specialized non- toxic protective groups used in a transient manner to alter or to eliminate a property of the compound. In one general aspect, the “pro-drug” approach is utilized to facilitate oral absorption. A thorough discussion is provided in T. Higuchi and V. Stella, “Pro-drugs as Novel Delivery Systems,” Vol. 14 of the A.C.S. Symposium Series; and in Bioreversible Carriers in Drug Design, ed. Edward B. Roche, American Pharmaceutical Association and Pergamon Press, 1987, both of which are hereby incorporated by reference in their entirety.
- Some embodiments of the present invention include a method of producing a pharmaceutical composition for “combination-therapy” comprising admixing at least one compound according to any of the compound embodiments disclosed herein, together with at least one known pharmaceutical agent as described herein and a pharmaceutically acceptable carrier.
- It is noted that when the 5-HT2A receptor modulators are utilized as active ingredients in a pharmaceutical composition, these are not intended for use only in humans, but in other non-human mammals as well. Indeed, recent advances in the area of animal health-care mandate that consideration be given for the use of active agents, such as 5-HT2A receptor modulators, for the treatment of a 5-HT2A mediated disease or disorder in domestic animals (e.g., cats and dogs) and in other domestic animals (e.g., such as cows, chickens, fish, etc.). Those of ordinary skill in the art are readily credited with understanding the utility of such compounds in such settings.
- Other Utilities
- Another object of the present invention relates to radio-labeled compounds of the present invention that would be useful not only in radio-imaging but also in assays, both in vitro and in vivo, for localizing and quantitating the 5-HT2A receptor in tissue samples, including human, and for identifying 5-HT2A receptor ligands by inhibition binding of a radio-labeled compound. It is a further object of this invention to develop novel 5-HT2A receptor assays of which comprise such radio-labeled compounds.
- The present invention embraces isotopically-labeled compounds of the present invention. An “isotopically” or “radio-labeled” compounds are those which are identical to compounds disclosed herein, but for the fact that one or more atoms are replaced or substituted by an atom having an atomic mass or mass number different from the atomic mass or mass number typically found in nature (i.e., naturally occurring). Suitable radionuclides that may be incorporated in compounds of the present invention include but are not limited to 2H (also written as D for deuterium), 3H (also written as T for tritium), 11C, 13C, 14C, 13N, 15N, 15O, 17O, 18O, 18F, 35S, 36Cl, 82Br, 75Br, 76B, 77Br, 123I, 124I, 125 and 131I. The radionuclide that is incorporated in the instant radio-labeled compounds will depend on the specific application of that radio-labeled compound. For example, for in vitro 5-HT2A receptor labeling and competition assays, compounds that incorporate 3H, 14C, 82Br, 125I , 131I, 35S or will generally be most useful. For radio-imaging applications 18C, 18F, 125I, 123I, 124I, 131I, 75Br, 76Br or 77Br will generally be most useful.
- It is understood that a “radio-labeled” or “labeled compound” is a compound of Formula (I) that has incorporated at least one radionuclide; in some embodiments the radionuclide is selected from the group consisting of 3H, 14C, 125I , 35S and 82Br. Certain isotopically-labeled compounds of the present invention are useful in compound and/or substrate tissue distribution assays. In some embodiments the radionuclide 3H and/or 14C isotopes are useful in these studies. Further, substitution with heavier isotopes such as deuterium (i.e., 2H) may afford certain therapeutic advantages resulting from greater metabolic stability (e.g., increased in vivo half-life or reduced dosage requirements) and hence may be preferred in some circumstances. Isotopically labeled compounds of the present invention can generally be prepared by following procedures analogous to those disclosed in the Schemes supra and Examples infra, by substituting an isotopically labeled reagent for a non-isotopically labeled reagent. Other synthetic methods that are useful are discussed infra. Moreover, it should be understood that all of the atoms represented in the compounds of the invention can be either the most commonly occurring isotope of such atoms or the more scarce radio-isotope or nonradio-active isotope.
- Synthetic methods for incorporating radio-isotopes into organic compounds are applicable to compounds of the invention and are well known in the art. These synthetic methods, for example, incorporating activity levels of tritium into target molecules, are as follows:
- A. Catalytic Reduction with Tritium Gas - This procedure normally yields high specific activity products and requires halogenated or unsaturated precursors.
- B. Reduction with Sodium Borohydride [3H]—This procedure is rather inexpensive and requires precursors containing reducible functional groups such as aldehydes, ketones, lactones, esters, and the like.
- C. Reduction with Lithium Aluminum Hydride [3H ]—This procedure offers products at almost theoretical specific activities. It also requires precursors containing reducible functional groups such as aldehydes, ketones, lactones, esters, and the like.
- D. Tritium Gas Exposure Labeling—This procedure involves exposing precursors containing exchangeable protons to tritium gas in the presence of a suitable catalyst.
- E. N-Methylation using Methyl Iodide [3H]—This procedure is usually employed to prepare O-methyl or N-methyl (3H) products by treating appropriate precursors with high specific activity methyl iodide (3H). This method in general allows for higher specific activity, such as for example, about 70-90 Ci/mmol.
- Synthetic methods for incorporating activity levels of 125I into target molecules include:
- A. Sandmeyer and like reactions—This procedure transforms an aryl or heteroaryl amine into a diazonium salt, such as a tetrafluoroborate salt, and subsequently to 125I labeled compound using Na125I. A represented procedure was reported by Zhu, D.-G. and co-workers in J. Org. Chem. 2002, 67, 943-948.
- B. Ortho 125Iodination of phenols—This procedure allows for the incorporation of 125I at the ortho position of a phenol as reported by Collier, T. L. and co-workers in J. Labeled Compd Radiopharm. 1999, 42, S264-S266.
- C. Aryl and heteroaryl bromide exchange with 125I—This method is generally a two step process. The first step is the conversion of the aryl or heteroaryl bromide to the corresponding tri-alkyltin intermediate using for example, a Pd catalyzed reaction [i.e. Pd(Ph3P)4] or through an aryl or heteroaryl lithium, in the presence of a tri-alkyltinhalide or hexaalkylditin [e.g., (CH3)3SnSn(CH3)3]. A represented procedure was reported by Bas, M.-D. and co-workers in J. Labeled Compd Radiopharm. 2001, 44, S280-S282.
- A radio-labeled 5-HT2A receptor compound of Formula (I) can be used in a screening assay to identify/evaluate compounds. In general terms, a newly synthesized or identified compound (i.e., test compound) can be evaluated for its ability to reduce binding of the “radio-labeled compound of Formula (I)” to the 5-HT2A receptor. Accordingly, the ability of a test compound to compete with the “radio-labeled compound of Formula (I)” for the binding to the 5-HT2A receptor directly correlates to its binding affinity.
- The labeled compounds of the present invention bind to the 5-HT2A receptor. In one embodiment the labeled compound has an IC50 less than about 500 μM, in another embodiment the labeled compound has an IC50 less than about 100 μM, in yet another embodiment the labeled compound has an IC50 less than about 10 μM, in yet another embodiment the labeled compound has an IC50 less than about 1 μM, and in still yet another embodiment the labeled inhibitor has an IC50 less than about0.1 μM.
- Other uses of the disclosed receptors and methods will become apparent to those in the art based upon, inter alia, a review of this disclosure.
- As will be recognized, the steps of the methods of the present invention need not be performed any particular number of times or in any particular sequence. Additional objects, advantages, and novel features of this invention will become apparent to those skilled in the art upon examination of the following examples thereof, which are intended to be illustrative and not intended to be limiting.
- Illustrated syntheses for compounds of the present invention are shown in
FIGS. 17 through 21 andFIGS. 29 through 34 where the symbols have the same definitions as used throughout this disclosure. - The compounds of the invention and their synthesis are further illustrated by the following examples. The following examples are provided to further define the invention without, however, limiting the invention to the particulars of these examples. The compounds described herein, supra and infra, are named according to the CS Chem Draw Ultra Version 7.0.1, AutoNom version 2.2. In certain instances common names are used and it is understood that these common names would be recognized by those skilled in the art.
- Chemistry: Proton nuclear magnetic resonance (1H NMR) spectra were recorded on a Varian Mercury Vx-400 equipped with a 4 nucleus auto switchable probe and z-gradient or a Bruker Avance-400 equipped with a QNP (Quad Nucleus Probe) or a BBI (Broad Band Inverse) and z-gradient. Chemical shifts are given in parts per million (ppm) with the residual solvent signal used as reference. NMR abbreviations are used as follows: s=singlet, d=doublet, t=triplet, q=quartet, m=multiplet, br=broad. Microwave irradiations were carried out using the Emyrs Synthesizer (Personal Chemistry). Thin-layer chromatography (TLC) was performed on silica gel 60 F254 (Merck), preparatory thin-layer chromatography (prep TLC) was preformed on PK6F silica gel 60 A 1 mm plates (Whatman), and column chromatography was carried out on a silica gel
column using Kieselgel 60, 0.063-0.200 mm (Merck). Evaporation was done in vacuo on a Buchi rotary evaporator. Celite 545® was used during palladium filtrations. - LCMS specs: 1) PC: HPLC-pumps: LC-10AD VP, Shimadzu Inc.; HPLC system controller: SCL-10A VP, Shimadzu Inc; UV-Detector: SPD-10A VP, Shimadzu Inc; Autosampler: CTC HTS, PAL, Leap Scientific; Mass spectrometer: API 150EX with Turbo Ion Spray source, AB/MDS Sciex; Software: Analyst 1.2. 2) Mac: HPLC-pumps: LC-8A VP, Shimadzu Inc; HPLC system controller: SCL-10A VP, Shimadzu Inc. UV-Detector: SPD-10A VP, Shimadzu Inc; Autosampler: 215 Liquid Handler, Gilson Inc; Mass spectrometer: API 150EX with Turbo Ion Spray source, AB/MDS Sciex Software: Masschrom 1.5.2.
- To a stirred solution of 4-bromo-5-(2-methoxy-5-nitro-phenyl)-1 -methyl-1H-pyrazole (1.799 g, 5.76 mmol) in EtOH (20 mL) was added SnCl2H2O (5.306 g, 23.05 mmol, 4.0 eq.), the mixture was stirred at reflux for 2 hrs and ETOH was removed under vacuum. The resulting solid was dissolved in EtOAc, 1N NaOH (30 mL) was added, and the mixture was stirred overnight. The white precipitate was filtered off through celite, and the aqueous phase was extracted with EtOAc (3×80 mL). The combined organic phase was dried over anhydrous MgSO4, filtered and evaporated. The crude reaction mixture was purified by SiO2 column chromatography (Eluent: EtOAc/Hexane=1/3 then 1/1) to give 3-(4-bromo-2-methyl-2H-pyrazol-3-yl)-4-methoxy-phenylamine (1.430 g, 5.07 mmol, 88%) as a white solid: LCMS m/z (%)=282 (M+H79Br, 98), 284 (M+H81Br, 100). 1H NMR (400 MHz, CDCl3) δ: 7.52 (s, 1H), 6.86 (d, J=8.8 Hz, 1H), 6.80 (dd, J=2.8, 8.8 Hz, 1H), 6.22 (d, J=2.4 Hz, 1H), 4.25 ( broad s, 2H), 3.72 (s, 3H), 3.71 (s, 3H).
- The intermediate 4-bromo-5-(2-methoxy-5-nitro-phenyl)-1-methyl-1H-pyrazole was prepared in the following manner:
- A. 2-Methyl-2H-pyrazole-3-boronic acid: N-methyl pyrazole (25 mL, 0.3 mol) was dissolved in 500 mL of THF. The solution was then cooled to −78° C. in a dry ice/isopropanol bath. Once the solution reached −78° C., n-BuLi (140 mL, 0.40 mol) was added dropwise by canula. The reaction mixture was stirred at −78° C. for 1.5 hours. Then, triisopropyl borate (280 mL, 1.2 mol) was added to the above mixture via canula. While stirring overnight, the reaction temperature was gradually increased from −78° C. to 0° C. The pH of the mixture was adjusted to 6 with 1N HCl. THF was removed under reduced pressure, and the aqueous residue was extracted with EtOAc (2×100 mL). The solid was then filtered to yield 108 g (100%) of 2-methyl-2H-pyrazole-3-boronic acid as a yellow solid. (Final product contains about 60% inorganic salt).
- B. Trifluoro-methanesulfonic acid 2-methoxy-5-nitro-phenyl ester: To a stirred solution of 2-methoxy-5-nitrophenol (5.092 g, 30 mmol) in a mixture of CH2Cl2 (3 mL) and pyridine (20 mL) was added triflic anhydride (16.478 g, 9.8 mL, 2.0 eq.) dropwise at 0° C. The mixture was warmed to room temperature and stirred for 2 hrs. Most of the pyridine was removed under vacuum. The residue was diluted with EtOAc, washed with 1N HCl and water, the aqueous phase was then extracted with EtOAc (3×100 mL). The combined organic phase was washed with brine, dried over anhydrous MgSO4, filtered and evaporated. The crude reaction mixture was purified by SiO2 column chromatography (Eluent: EtOAc/Hexane=1/3 then 1/2) to give the triflated compound trifluoro-methanesulfonic acid 2-methoxy-5-nitro-phenyl ester (8.943 g, 30 mmol, 100%) as a yellow solid: LCMS m/z (%)=302 (M+H, 100). 1H NMR (400 MHz, CDCl3) δ: 8.30 (dd, J=4.0, 8.0 Hz, 1H), 8.16 (d, J=4.0 Hz, 1H), 7.15 ( d, J=8.0 Hz, 1H), 4.06 (s, 3H).
- C. 5-(2-Methoxy-5-nitro-phenyl)-1-methyl-1H-pyrazole: Trifluoro-methanesulfonic acid 2-methoxy-5-nitro-phenyl ester from Step B. (2.561 g, 8.50 mmol), 2-methyl-2H-pyrazole-3-boronic acid from Step A. (4.283 g, 34.01 mmol, 4.0 eq.) and Na2CO3 (10.816 g, 102.04 mmol, 12.0 eq.) were dissolved in a mixture of THF (200 mL) and H2O (100 mL). The resulting mixture was degassed with N2 for 5 mins, followed by the addition of Pd(PPh3)4 (0.486 g, 0.42 mmol, 0.05 eq.). After degassing for another 5 mins it was stirred under Ar at 70° C. overnight. Once the reaction was complete, THF was removed under reduced pressure and the aqueous phase was extracted with EtOAc (4×100 mL). The combined organic phase was dried over anhydrous MgSO4, filtered and evaporated. The crude reaction mixture was purified by SiO2 column chromatography ( Eluent: EtOAc/Hexane=1/1) to afford compound 5-(2-methoxy-5-nitro-phenyl)-1-methyl-1H-pyrazole (1.799 g, 7.71 mmol, 91%) as a white solid: LCMS m/z (%)=234 (M+H, 100). 1H NMR (400 MHz, CDCl3) δ: 8.34 (dd, J=2.8,9.2 Hz, 1H), 8.19 (d, J=2.8 Hz, 1H), 7.56 ( d, J=2.0 Hz, 1H), 7.08 (d, J=9.2 Hz, 1H), 6.31 (d, J=1.6 Hz, 1H), 3.96 (s, 3H), 3.74 (s, 3H).
- D. 4-Bromo-5-(2-methoxy-5-nitro-phenyl)-1-methyl-1H-pyrazole: To a stirred solution of 5-(2-methoxy-5-nitro-phenyl)-1-methyl-1H-pyrazole (1.787 g, 7.66 mmol) in DMF (20 mL) was added NBS (1.515 g, 8.43 mmol, 1.1 eq.) in DMF (5 mL) dropwise at 0° C. After stirring at 0° C. for 3 hrs, TLC showed completion of the reaction. The mixture was diluted with EtOAc (300 mL), washed with water (3×10 mL) and brine. The EtOAc phase was dried over anhydrous MgSO4, filtered and evaporated. The crude reaction mixture was purified by SiO2 column chromatography (Eluent: EtOAc/Hexane=1/3 then 1/1) to give the product 4-bromo-5-(2-methoxy-5-nitro-phenyl)-1-methyl-1H-pyrazole (2.214 g, 7.09 mmol, 93%) as light yellow solid: LCMS m/z (%)=312 (M+H79Br, 100), 314 (M+H81Br, 100). 1H NMR (400 MHz, CDCl3δ: 8.40 (dd, J=2.4, 6.9 Hz, 1H), 8.22 (m, 1H), 7.57 (s, 1H), 7.14 (d, J=9.2 Hz, 1H), 3.98 (s, 3H), 3.74 (s, 3H).
- Urea synthesis (General Procedure): To a stirred solution of 3-(4-bromo-2-methyl-2H-pyrazol-3-yl)-4-methoxy-phenylamine (0.034 g, 0.12 mol, Example 1.1) in CH2Cl2 (1 mL) was added 4-chloro-2-(trifluoromethyl)phenyl isocyanate (0.029 g, 20.0 μL, 0.13 mmol, 1.05 equiv.) at room temperature. White solid precipitated and was filtered and washed with cold CH2Cl2 to afford Compound 9 (0.037 g, 0.074 mmol, 60%) as a white solid. LCMS m/z (%)=503 (M+H79Br, 77), 439 (M+H81Br, 100). 1H NMR (400 MHz, acetone-d6) δ: 8.82 (s, 1H), 8.22 (d, J=9.6 Hz, 1H), 7.62-7.72 (m, 4H), 7.49 (s, 1H), 7.43 (d, J=2.6 Hz, 1H), 7.15 (d, J=9.0 Hz, 1H), 3.83 (s, 3H), 3.68 (s, 3H).
- 3-(4-Bromo-2-methyl-2H-pyrazol-3-yl)-4-methoxy-phenylamine (2.965 g, 10.5 mmol) was treated with 4-fluorophenyl isocyanate (1.601 g, 1.31 mL, 11.6 mmol, 1.1 equiv.) in CH2Cl2 (20 mL), in a similar manner as described in Example 1.2 to afford Compound 2 (3.755 g, 8.94 mmol, 85%) as a white solid. LCMS m/z (%)=419 (M+H79Br, 99), 421 (M+H81Br, 100). 1H NMR (400 MHz, acetone-d6) δ: 8.49 (broad s, 2H), 7.77 (d, J=9.0 Hz, 1H), 7.50-7.58 (m, 2H), 7.50 (s, 1H), 7.43 (s, 1H), 7.12 (d, J=8.9 Hz, 1H), 6.98-7.06 (m, 2H), 3.81 (s, 3H), 3.68 (s, 3H).
- 3-(4-Bromo-2-methyl-2H-pyrazol-3-yl)-4-methoxy-phenylamine (0.031 g, 0.11 mmol) was treated with 2,4-dichlorophenyl isocyanate (0.021 g, 0.11 mmol, 1.0 equiv.) in CH2Cl2 (2 mL), in a similar manner as described in Example 1.2 to afford Compound 3 (0.036 g, 0.076 mmol, 69%) as a white solid. LCMS m/z (%)=469 (M+H79Br35Cl35Cl, 60), 471 (M+H79Br35Cl37Cl&81Br35Cl35Cl, 100), 473 (M+H81Br35Cl37Cl79Br37Cl37Cl, 54), 475 (M+H81Br37Cl37Cl, 4). 1H NMR (400 MHz, acetone-d6) δ: 8.81 (s, 1H), 8.36 (d, J=9.0 Hz, 1H), 7.91 (s, 1H), 7.69 (dd, J=2.7, 9.0 Hz, 1H), 7.50 (s, 1H), 7.48 (d, J=2.4 Hz, 1H), 7.45 (d, J=2.7 Hz, 1H), 7.34 (dd, J=2.4, 9.0 Hz, 1H), 7.15 (d, J=9.0 Hz, 1H), 3.83 (s, 3H), 3.69 (s, 3H).
- 3-(4-Bromo-2-methyl-2H-pyrazol-3-yl)-4-methoxy-phenylamine (0.031 g, 0.11 mmol) was treated with 4-methoxyphenyl isocyanate (0.016 g, 14.2 μL, 0.11 mmol, 1.0 equiv.) in CH2Cl2 (2 mL), in a similar manner as described in Example 1.2 to afford Compound 4 (0.037 g, 0.086 mmol, 78%) as a white solid. LCMS m/z (%)=431 (M+H79Br, 89), 433 (M+H81Br, 100). 1H NMR (400 MHz, acetone-d6) δ: 8.02 (s, 1H), 7.89 (s, 1H), 7.67 (dd, J=2.7, 9.0 Hz, 1H), 7.49 (s, 1H), 7.43 (s, 1H), 7.42 (d, J=9.0 Hz, 2H), 7.12 (d, J=9.0 Hz, 1H), 6.85 (d, J=9.0 Hz, 2H), 3.81 (s, 3H), 3.75 (s, 3H), 3.68 (s, 3H).
- 3-(4-Bromo-2-methyl-2H-pyrazol-3-yl)-4-methoxy-phenylamine (0.032 g, 0.11 mmol) was treated with 4-bromophenyl isocyanate (0.022 g, 0.11 mmol, 1.0 equiv.) in CH2Cl2 (2 mL), in a similar manner as described in Example 1.2 to afford Compound 5 (0.040 g, 0.08 mmol, 75%) as a white solid. LCMS m/z (%)=479 (M+H79Br79Br, 51), 481 (M+H79Br81Br, 100), 483 (M+H81 Br81Br, 50). 1H NMR (400 MHz, acetone-d6) δ: 8.22 (s, 1H), 8.14 (s, 1H), 7.68 (dd, J=2.7, 9.0 Hz, 1H), 7.48-7.54 (m, 3H), 7.39-7.46 (m, 3H), 7.14 (d, J=9.0 Hz, 1H), 3.82 (s, 3H), 3.68 (s, 3H).
- 3-(4-Bromo-2-methyl-2H-pyrazol-3-yl)-4-methoxy-phenylamine (0.035 g, 0.12 mmol) was treated with 4-chloro-3-(trifluoromethyl)phenyl isocyanate (0.027 g, 0.12 mmol, 1.0 equiv.) in CH2Cl2 (2 mL), in a similar manner as described in Example 1.2 to afford Compound 6 (0.051 g, 0.10 mmol, 81%) as a white solid. LCMS m/z (%)=503 (M+H79Br35Cl, 78), 505 (M+H81Br35Cl, 100), 507 (M+H81Br37Cl, 28). 1H NMR (400 MHz, acetone-d6) δ: 8.52 (s, 1H), 8.27 (s, 1H), 8.13 (s, 1H), 7.74 (d, J=8.7 Hz, 1H), 7.68 (d, J=9.0 Hz, 1H), 7.53 (d, J=8.7 Hz, 1H), 7.49 (s, 1H), 7.43 (s, 1H), 7.14 (d, J=9.0 Hz, 1H), 3.82 (s, 3H), 3.68 (s, 3H).
- 3-(4-Bromo-2-methyl-2H-pyrazol-3-yl)-4-methoxy-phenylamine (0.032 g, 0.11 mmol) was treated with 3,5-difluorophenyl isocyanate (0.018 g, 14 μL, 0.11 mmol, 1.0 equiv.) in CH2Cl2 (2 mL), in a similar manner as described in Example 1.2 to afford Compound 7 (0.038 g, 0.09 mmol, 77%) as a white solid. LCMS m/z (%)=437 (M+H79Br, 100), 439 (M+H81Br, 100). 1H NMR (400 MHz, acetone-d6) δ: 8.47 (s, 1H), 8.23 (s, 1H), 7.68 (dd, J=2.7, 9.0 Hz, 1H), 7.50 (s, 1H), 7.42 (d, J=2.7 Hz, 1H), 7.18-7.27 (m, 2H), 7.15 (d, J=9.0 Hz, 1H), 6.59 (ttt, J=2.3, 9.1, 9.1 Hz, 1H), 3.82 (s, 3H), 3.68 (s, 3H).
- 3-(4-Bromo-2-methyl-2H-pyrazol-3-yl)-4-methoxy-phenylamine (0.027 g, 0.095 mmol) was treated with 2,4-difluorophenyl isocyanate (0.015 g, 11.5 μL, 0.095 mmol, 1.0 equiv.) in CH2Cl2 (2 mL), in a similar manner as described in Example 1.2 to afford Compound 8 (0.030 g, 0.069 mmol, 71%) as a white solid. LCMS m/z (%)=437 (M+H79Br, 100), 439 (M+H81Br, 91). 1H NMR (400 MHz, acetone-d6) δ: 8.45 (s, 1H), 8.23 (dt, J=6.1, 9.2 Hz, 1H), 7.93 (s, 1H), 7.68 (dd, J=2.6, 9.0 Hz, 1H), 7.49 (s, 1H), 7.44 (d, J=2.6 Hz, 1H), 7.14 (d, J=9.0 Hz, 1H), 7.07 (ddd, J=2.7, 8.7, 11.3 Hz, 1H), 6.93-7.02 (m, 1H), 3.82 (s, 3H), 3.69 (s, 3H).
- To a stirred solution of 3-(4-Bromo-2-methyl-2H-pyrazol-3-yl)-4-methoxy-phenylamine (0.015 g, 0.051 mmol) in CH2Cl2 (1 mL) was added 3-chlorophenyl isocyanate (0.008 g, 7 μL, 0.054 mol, 1.05 equiv.). After the TLC showed the consumption of the starting material, it was isolated by preparative thin layer chromatography (TLC) (Eluent: EtOAc/Hexane=1/1) and Compound 20 (0.020 g, 0.047 mmol, 92%) was obtained as a solid film. LCMS m/z (%)=435 (M+H79Br, 68), 437 (M+H81Br, 100). 1H NMR (400 MHz, acetone-d6) δ: 8.29 (s, 1H), 8.19 (s, 1H), 7.80 (t, J=1.9 Hz, 1H), 7.29 (dd, J=2.7, 9.0 Hz, 1H), 7.49 (s, 1H), 7.43 (d, J=2.7 Hz, 1H), 7.34 (d, J=8.4 Hz, 1H), 7.26 (t, J=8.0 Hz, 1H), 7.14 (d, J=9.0 Hz, 1H), 7.00 (d, J=7.8 Hz, 1H), 3.82 (s, 3H), 3.68 (s, 3H).
- 3-(4-Bromo-2-methyl-2H-pyrazol-3-yl)-4-methoxy-phenylamine (0.037 g, 0.13 mmol) was treated with 3-cyanophenyl isocyanate (0.020 g, 0.14 mol, 1.05 equiv.) in CH2Cl2 (1 mL), in a similar manner as described in Example 1.10 to afford Compound 21 (0.032 g, 0.08 mmol, 58%) as a white powder. LCMS m/z (%)=426 (M+H79Br, 99), 428 (M+H81Br, 100). 1H NMR (400 MHz, acetone-d6) δ: 8.45 (s, 1H), 8.26 (d, J=9.6 Hz, 1H), 8.05 (t, J=1.7 Hz, 1H), 7.74 (dd, J=1.5, 8.2 Hz, 1H), 7.70 (dd, J=2.7,9.0 Hz, 1H), 7.50 (s, 1H), 7.48 (t, J=8.1 Hz, 1H), 7.43 (d, J=2.7 Hz, 1H), 7.36 (d, J=7.6 Hz, 1H), 7.15 (d, J=9.0 Hz, 1H), 3.83 (s, 3H), 3.69 (s, 3H).
- 3-(4-Bromo-2-methyl-2H-pyrazol-3-yl)-4-methoxy-phenylamine (0.035 g, 0.12 mmol) was treated with 3,4-difluorophenyl isocyanate (0.021 g, 16.0 μL, 0.13 mmol, 1.05 equiv.) in CH2Cl2 (1 mL), in a similar manner as described in Example 1.2 to afford Compound 10 (0.021 g, 0.047 mmol, 38%) as a white solid. LCMS m/z (%) 437 (M+H79Br, 100), 439 (M+H81Br, 99). 1H NMR (400 MHz, acetone-d6) δ: 8.29 (s, 1H), 8.16 (s, 1H), 7.74 (dddd, J=2.5, 7.4, 13.4 Hz, 1H), 7.68 (dd, J=2.7, 9.0 Hz, 1H), 7.49 (s, 1H), 7.42 (d, J=2.7 Hz, 1H), 7.11-7.26 (m, 2H), 7.13 (d, J=9.0 Hz, 1H), 3.82 (s, 3H), 3.69 (s, 3H).
- Preparation of 1-Biphenyl-2-yl-3-[3-(4-bromo-2-methyl-2H-pyrazol-3-yl)-4-methoxy-phenyl]-urea (Compound 22)
- 3-(4-Bromo-2-methyl-2H-pyrazol-3-yl)-4-methoxy-phenylamine (0.036 g, 0.13 mmol) was treated with 2-biphenylyl isocyanate (0.027 g, 24.0 μL, 0.14 mmol, 1.05 equiv.) in CH2Cl2 (1 mL), in a similar manner as described in Example 1.10 to afford Compound 22 (0.031 g, 0.06 mmol, 51%) as a white powder. LCMS m/z (%)=477 (M+H79Br, 100), 479 (M+H81Br, 100). 1H NMR (400 MHz, acetone-d6) δ: 8.41 (s, 1H), 8.17 (d, J=8.3 Hz, 1H),7.60 (d, J=2.7, 9.0 Hz, 1H), 7.43-7.51 (m, 3H), 7.37-7.43 (m,3H), 7.29-7.37 (m, 2H), 7.24 (s, 1H), 7.20 (dd, J=1.6, 7.6 Hz, 1H), 7.11 (dd, J=1.0, 7.4 Hz, 1H), 7.08 (d, J=9.0 Hz, 1H), 3.80 (s, 3H), 3.66 (s, 3H).
- 3-(4-Bromo-2-methyl-2H-pyrazol-3-yl)-4-methoxy-phenylamine (0.035 g, 0.12 mmol) was treated with a,a,a-trifluoro-m-tolyl isocyanate (0.025 g, 18.0 μL, 0.13 mmol, 1.05 equiv.) in CH2Cl2 (1 mL), in a similar manner as described in Example 1.2 to afford Compound 11 (0.038 g, 0.080 mmol, 65%) as a white solid. LCMS m/z (%)=469 (M+H79Br, 91), 471 (M+H81Br, 100). 1H NMR (400 MHz, acetone-d6) δ: 8.42 (s, 1H), 8.23 (s, 1H), 8.07 (s, 1H), 7.64-7.73 (m, 2H), 7.45-7.53 (m, 2H), 7.44 (s, 1H), 7.30 (d, J=7.6 Hz, 1H), 7.15 (d, J=8.9 Hz, 1H),3.82 (s,3H),3.69 (s, 3H).
- 3-(4-Bromo-2-methyl-2H-pyrazol-3-yl)-4-methoxy-phenylamine (0.035 g, 0.12 mmol) was treated with α,α,α-trifluoro-p-tolyl isocyanate (0.024 g, 19.0 μL, 0.13 mmol, 1.05 equiv.) in CH2Cl2 (1 mL), in a similar manner as described in Example 1.2 to afford Compound 12 (0.048 g, 0.102 mmol, 83 %) as a white solid. LCMS m/z (%)=469 (M+H79Br, 92), 471 (M+H81Br, 100). 1H NMR (400 MHz, acetone-d6) δ: 8.51 (s, 1H), 8.27 (s, 1H), 7.76 (d, J=8.3 Hz, 2H), 7.71 (dd, J=2.3, 9.0 Hz, 1H), 7.62 (d, J=8.4 Hz, 2H), 7.52 (s, 1H), 7.46 (d, J=2.3 Hz, 1H), 7.16 (d, J=8.9 Hz, 1H), 3.84 (s, 3H), 3.70 (s, 3H).
- 3-(4-Bromo-2-methyl-2H-pyrazol-3-yl)-4-methoxy-phenylamine (0.260 g, 0.92 mmol) was treated with 4-chlorophenyl isocyanate (0.144 g, 0.92 mmol, 1.0 equiv.) in CH2Cl2 (5 mL), in a similar manner as described in Example 1.2 to afford Compound 1 (0.340 g, 0.78 mmol, 84%) as a white solid. LCMS m/z (%)=435 (M+H79Br35Cl, 77), 437 (M+H81Br35Cl, 100), 439 (M+H81Br37Cl, 25). 1H NMR (400 MHz, CDCl3) 5: 7.56 (s, 1H), 7.44 (dd, J=2.7, 8.9 Hz, 1H), 7.34 (d, J=9.0 Hz, 1H), 7.29 (d, J=9.0 Hz, 1H), 7.19 (d, J=2.7 Hz, 1H), 6.59 (s, 1H), 6.47 (s, 1H), 3.84 (s, 3H), 3.74 (s, 3H).
- 3-(4-Bromo-2-methyl-2H-pyrazol-3-yl)-4-methoxy-phenylamine (0.037 g, 0.13 mmol) was treated with 3,5-bis(trifluoromethyl)phenyl isocyanate (0.036 g, 24.0 μL, 0.14 mmol, 1.05 equiv.) in CH2Cl2 (1 mL), in a similar manner as described in Example 1.2 to afford Compound 13 (0.030 g, 0.06 mmol, 43%) as a white solid. LCMS m/z (%)=537 (M+H79Br, 99), 539 (M+H81Br, 100). 1H NMR (400 MHz, acetone-d6) δ: 8.77 (s, 1H), 8.42 (s, 1H), 8.22 (s, 2H), 7.73 (dd, J=2.5, 9.0 Hz, 1H), 7.51 (s, 1H), 7.46 (d, J=2.5 Hz, 1H), 7.18 (d, J=9.0 Hz, 1H), 3.85 (s, 3H), 3.71 (s, 3H).
- 3-(4-Bromo-2-methyl-2H-pyrazol-3-yl)-4-methoxy-phenylamine (0.035 g, 0.12 mmol) was treated with 4-isopropylphenyl isocyanate (0.022 g, 21.0 μL, 0.13 mmol, 1.05 equiv.) in CH2Cl2 (1 mL), in a similar manner as described in Example 1.10 to afford Compound 23 (0.028 g, 0.06 mmol, 50%) as a solid film. LCMS m/z (%)=443 (M+H79Br, 100), 445 (M+H81Br, 99). 1H NMR (400 MHz, acetone-d6) δ: 8.08 (s, 1H), 8.00 (s, 1H), 7.68 (dd, J=2.6, 8.9 Hz, 1H), 7.49(s, 1H), 7.40-7.46 (m, 3H), 7.09-7.17 (m, 3H), 3.81 (s, 3H), 3.68 (s, 3H), 2.78-2.92 (m, 1H), 1.21 (s, 3H), 1.20 (s, 3H).
- 3-(4-Bromo-2-methyl-2H-pyrazol-3-yl)-4-methoxy-phenylamine (0.035 g, 0.12 mmol) was treated with 2-naphthyl isocyanate (0.023 g, 0.13 mmol, 1.05 equiv.) in CH2Cl2 (1 mL), in a similar manner as described in Example 1.2 to afford Compound 14 (0.040 g, 0.09 mmol, 70%) as a white solid. LCMS m/z (%)=451 (M+H79Br, 95), 453 (M+H81Br, 100). 1H NMR (400 MHz, acetone-d6) δ: 8.30 (s, 1H), 8.20 (s, 1H), 8.19 (d, J=1.8 Hz, 1H), 7.56-7.84 (m, 3H), 7.72 (dd, J=2.7, 9.0 Hz, 1H), 7.56 (dd, J=2.1, 8.8 Hz, 1H), 7.50 (s, 1H), 7.48 (d, J=2.7 Hz, 1H), 7.44 (t, J=8.0 Hz, 1H), 7.14 (t, J=8.0 Hz, 1H), 3.83 (s, 3H), 3.70 (s, 3H).
- 3-(4-Bromo-2-methyl-2H-pyrazol-3-yl)-4-methoxy-phenylamine (0.036 g, 0.13 mmol) was treated with l-naphthyl isocyanate (0.023 g, 0.14 mmol, 1.05 equiv.) in CH2Cl2 (1 mL), in a similar manner as described in Example 1.10 to afford Compound 24 (0.039 g, 0.09 mmol, 68%) as a white powder. LCMS m/z (%)=451 (M+H79Br, 95), 453 (M+H81Br, 100). 1H NMR (400 MHz, acetone-d6) δ: 8.58 (s, 1H), 8.32 (s, 1H), 8.16 (d, J=7.0 Hz, 1H), 8.10 (d, J=7.3 Hz, 1H), 7.91 (d, J=9.4 Hz, 1H), 7.75 (dd, J=2.7, 9.0 Hz, 1H), 7.65 (d, J=8.2 Hz, 1H), 7.44-7.57 (m, 5H), 7.14 (d, J=9.0 Hz, 1H), 3.83 (s, 31H), 3.69 (s, 31H).
- 3-(4-Bromo-2-methyl-2H-pyrazol-3-yl)-4-methoxy-phenylamine (0.037 g, 0.13 mmol) was treated with 4-chlorophenyl isothiocyanate (0.024 g, 0.14 mmol, 1.05 equiv.) in CH2Cl2 (1 mL), in a similar manner as described in Example 1.10 to afford Compound 71 (0.048 g, 0.10 mmol, 80%) as a solid film. LCMS m/z (%)=451 (M+H79Br35Cl, 85), 453 (M+H81Br35Cl, 100), 455 (M+H81Br37Cl, 35). 1H NMR (400 MHz, CDCl3) δ: 8.00 (s, 1H), 7.85 (s, 1H), 7.53 (s, 1H), 7.48 (dd, J=2.7, 8.8 Hz, 1H), 7.37 (s, 4H), 7.30 (d, J=2.7 Hz, 1H), 7.08 (d, J=8.8 Hz, 1H), 3.87 (s, 3H), 3.75 (s, 3H).
- 1-[3-(4-Bromo-2-methyl-2H-pyrazol-3-yl)-4-methoxy-phenyl]-3-(3-nitro-phenyl) urea (Compound 15)
- 3-(4-Bromo-2-methyl-2H-pyrazol-3-yl)-4-methoxy-phenylamine (0.036 g, 0.13 mmol) was treated with 3-nitrophenyl isocyanate (0.023 g, 0.13 mmol, 1.05 equiv.) in CH2Cl2 (1 mL), in a similar manner as described in Example 1.2 to afford Compound 15 (0.040 g, 0.09 mmol, 70%) as a yellow solid. LCMS m/z (%)=446 (M+H79Br, 100), 448 (M+H81Br, 89). 1H NMR (400 MHz, acetone-d6) δ: 8.63 (s, 1H), 8.58 (s, 1H), 8.28 (s, 1H), 7.80-7.86 (m, 2H), 7.72 (dd, J=2.7, 9.0 Hz, 1H), 7.55 (t, J=8.2 Hz, 1H), 7.50 (s, 1H), 7.45 (d, J=2.7 Hz, 1H), 7.16 (d, J=9.0 Hz, 1H), 3.83 (s, 3H), 3.69 (s, 3H).
- 3-(4-Bromo-2-methyl-2H-pyrazol-3-yl)-4-methoxy-phenylamine (0.037 g, 0.13 mmol) was treated with 4-fluoro-3-nitrophenyl isocyanate (0.025 g, 0.14 mmol, 1.05 equiv.) in CH2Cl2 (1 mL), in a similar manner as described in Example 1.2 to afford Compound 16 (0.042 g, 0.09 mmol, 69%) as a yellow solid. LCMS m/z (%)=464 (M+H79Br, 100), 466 (M+H81Br, 96). 1H NMR (400 MHz, acetone-d6) δ: 8.55 (s, 1H), 8.44-8.50 (m, 1H), 8.29 (s, 1H), 7.77-7.83 (s, 1H), 7.70 (dd, J=2.7, 9.0 Hz, 1H), 7.49 (s, 1H), 7.37-7.46 (m, 2H), 7.16 (d, J=8.9 Hz, 1H), 3.83 (s, 3H), 3.69 (s, 3H).
- 3-(4-Bromo-2-methyl-2H-pyrazol-3-yl)-4-methoxy-phenylamine (0.031 g, 0.11 mmol) was treated with 3-acetylphenyl isocyanate (0.019 g, 15.8 μL, 0.11 mmol, 1.05 equiv.) in CH2Cl2 (1 mL), in a similar manner as described in Example 1.2 to afford Compound 17 (0.038 g, 0.09 mmol, 79%) as a white solid. LCMS m/z (%)=443 (M+H79Br, 99),466 (M+H81Br, 100). 1H NMR (400 MHz, acetone-d6) δ: 8.30 (s, 1H), 8.19 (s, 1H), 8.13 (t, J=1.8 Hz, 1H), 7.80 (dd, J=1.4, 8.1 Hz, 1H), 7.70 (dd, J=2.7,9.0 Hz, 1H), 7.62 (d, J=7.7 Hz, 1H), 7.49 (s, 1H), 7.44 (d, J=2.7 Hz, 1H), 7.41 (t, J=7.9 Hz, 1H), 7.15 (d, J=9.0 Hz, 1H).
- 3-(4-Bromo-2-methyl-2H-pyrazol-3-yl)-4-methoxy-phenylamine (0.032 g, 0.12 mmol) was treated with 3-methoxyphenyl isocyanate (0.018 g, 16.0 μL, 0.14 mmol, 1.05 equiv.) in CH2Cl2 (1 mL), in a similar manner as described in Example 1.10 to afford Compound 72 (0.047 g, 0.11 mmol, 94%) as a solid film. LCMS m/z (%)=431 (M+H79Br, 100), 433 (M+H81Br, 93). 1H NMR (400 MHz, acetone-d6) δ: 8.13 (s, 2H), 7.68 (d, J=8.9 Hz, 1H), 7.49 (s, 1H), 7.43 (s, 1H), 7.30 (s, 1H), 7.16 (d, J=8.1 Hz, 1H), 7.12 (d, J=7.3 Hz, 1H), 6.98 (d, J=8.0 Hz, 1H), 3.81 (s, 3H), 3.76 (s, 3H). 3.68 (s, 3H).
- 3-(4-Bromo-2-methyl-2H-pyrazol-3-yl)-4-methoxy-phenylamine (0.033 g, 0.12 mmol) was treated with 3-fluorophenyl isocyanate (0.017 g, 14.3 μL, 0.12 mmol, 1.05 equiv.) in CH2Cl2 (1 mL), in a similar manner as described in Example 1.2 to afford Compound 18 (0.040 g, 0.09 mmol, 82%) as a white solid. LCMS m/z (%)=419 (M+H79Br, 100), 421 (M+H81Br, 91). 1H NMR (400 MHz, acetone-d6) δ: 8.31 (s, 1H), 8.17 (s, 1H), 7.69 (dd, J=2.7, 9.0 Hz, 1H), 7.59 (dt, J=2.2, 12.0 Hz, 1H), 7.50 (s, 1H), 7.43 (d, J=2.6 Hz, 1H), 7.27 (dd, J=8.1, 15.0 Hz, 1H), 7.11-7.19 (m, 2H), 6.73 (ddd, J=2.4, 8.4 Hz, 1H), 3.82 (s, 1H), 3.69 (s, 1H).
- 3-(4-Bromo-2-methyl-2H-pyrazol-3-yl)-4-methoxy-phenylamine (0.034 g, 0.12 mmol) was treated with 2-fluorophenyl isocyanate (0.018 g, 14.4 μL, 0.12 mmol, 1.05 equiv.) in CH2Cl2 (1 mL), in a similar manner as described in Example 1.10 to afford Compound 25 (0.045 g, 0.11 mmol, 91%) as a solid film. LCMS m/z (%)=419 (M+H79Br, 99), 421 (M+H81Br, 100). 1H NMR (400 MHz, CDCl3) δ: 8.08 (t, J=8.1 Hz, 1H), 7.59 (s, 1H), 7.54 (s, 1H), 7.53-7.59 (m, 1H), 7.40 (s, 1H), 7.12 (d, J=1.5 Hz, 1H), 6.95-7.12 (m, 3H), 6.94 (d, J=5.7 Hz, 1H), 3.77 (s, 3H), 3.70 (s, 3H).
- 3-(4-Bromo-2-methyl-2H-pyrazol-3-yl)-4-methoxy-phenylamine (0.032 g, 0.11 mmol) was treated with 4-(trifluoromethoxy)phenyl isocyanate (0.025 g, 18.4 μL, 0.12 mmol, 1.05 equiv.) in CH2Cl2 (1 mL), in a similar manner as described in Example 1.2 to afford Compound 19 (0.032 g, 0.07 mmol, 58%) as a white solid. LCMS m/z (%)=485 (M+H79Br, 92), 487 (M+H81Br, 100). 1H NMR (400 MHz, acetone-d6) δ: 8.31 (s, 1H), 8.19 (s, 1H), 7.70 (d, J=9.0 Hz, 1H), 7.66 (d, J=8.4 Hz, 2H), 7.51 (s, 1H), 7.45 (s, 1H), 7.25 (d, J=8.4 Hz, 2H), 7.15 (d, J=8.9 Hz, 1H), 3.83 (s, 3H), 3.70 (s, 3H).
- 3-(4-Bromo-2-methyl-2H-pyrazol-3-yl)-4-methoxy-phenylamine (0.033 g, 0.12 mmol) was treated with benzoyl isocyanate (0.020 g, 0.12 mmol, 1.05 equiv.) in CH2Cl2 (1 mL), in a similar manner as described in Example 1.2 to afford Compound 73 (0.036 g, 0.08 mmol, 72%) as a white solid. LCMS m/z (%)=429 (M+H79Br, 99), 431 (M+H81Br, 100). 1H NMR (400 MHz, acetone-d6) δ: 10.92 (s, 1H), 9.85 (s, 1H), 8.12 (d, J=7.4 Hz, 2H), 7.76 (dd, J=2.6, 9.0 Hz, 1H), 7.68 (t, J=7.3 Hz, 1H), 7.62 (d, J=2.6 Hz, 1H), 7.57 (t, J=7.8 Hz, 2H), 7.51 (s, 1H), 7.21 (d, J=9.0 Hz, 1H), 3.86 (s, 3H), 3.71 (s, 3H).
- 3-(4-Bromo-2-methyl-2H-pyrazol-3-yl)-4-methoxy-phenylamine (0.034 g, 0.12 mmol) was treated with benzyl isocyanate (0.017 g, 16.0 μL, 0.13 mmol, 1.05 equiv.) in CH2Cl2 (1 mL), in a similar manner as described in Example 1.10 to afford Compound 74 (0.031 g, 0.08 mmol, 62%) as a solid film. LCMS m/z (%)=415 (M+H79Br, 86), 417 (M+H81Br, 100). 1H NMR (400 MHz, acetone-d6) δ: 8.05 (s, 1H), 7.64 (dd, J=2.7, 9.0 Hz, 1H), 7.47 (s, 1H), 7.40 (d, J=2.7 Hz, 1H), 7.27-7.37 (m, 4H), 7.22 (t, J=7.0 Hz, 1H), 7.07 (d, J=9.0 Hz, 1H), 6.21 (s, 1H), 4.41 (d, J=4.0 Hz, 2H), 3.79 (s, 3H), 3.66 (s, 3H).
- 3-(4-Bromo-2-methyl-2H-pyrazol-3-yl)-4-ethoxy-phenylamine was prepared in a similar manner as described in Example 1.1 using 4-bromo-5-(2-ethoxy-5-nitro-phenyl)-1-methyl-1H-pyrazole, SnCl2-2H2O in EtOH [0.225 g, 0.76 mmol, 81% for three steps from 2-(2-methyl-2H-pyrazol-3-yl)-4-nitro-phenol]. LCMS m/z (%)=296 (M+H79Br, 100), 298 (M+H81Br, 98). 1H NMR (400 MHz, CDCl3) δ: 7.52 (s, 1H), 6.86 (d, J=8.7 Hz, 1H), 6.77 (dd, J=2.2, 8.5 Hz, 1H), 6.62 (d, J=2.3 Hz, 1H), 3.82-4.00 (m, 2H), 3.73 (s, 3H), 3.24-3.58 (broad s, 2H), 1.24 (t, J=6.8 Hz, 3H).
- The intermediate 4-bromo-5-(2-ethoxy-5-nitro-phenyl)-1-methyl-1H-pyrazole was prepared in the following manner:
- A. 2-(2-Methyl-2H-pyrazol-3-yl)-4-nitro-phenol: To methyl hydrazine (1.106 g, 1.3 mL, 23.5 mmol, 4.0 equiv.) was added 4-nitrochromone in DMSO (1.159 g/40 mL, 5.88 mmol, 1.0 equiv.) dropwise via syringe pump at 70° C., the crude reaction mixture was isolated by HPLC to afford 2-(2-methyl-2H-pyrazol-3-yl)-4-nitro-phenol (0.567 g, 2.59 mmol, 44%) as a white solid. LCMS m/z=220 (M+H). 1H NMR (400 MHz, acetone-d6) δ: 8.24 (dd, J=2.9, 9.0 Hz, 1H), 8.13 (d, J=2.8 Hz, 1H), 7.46 (d, J=1.8 Hz, 1H), 7.26 (d, J=9.0 Hz, 1H), 6.36 (d, J=1.8 Hz, 1H), 3.77 (s, 3H).
- B. 5-(2-Ethoxy-5-nitro-phenyl)-1-methyl-1H-pyrazole (General Alklyation Procedure): To a stirred solution of 2-(2-methyl-2H-pyrazol-3-yl)-4-nitro-phenol (0.206 g, 0.94 mmol) in a mixture of DMF/THF (1 mL/5 mL) was added NaH (60%, 0.082 g, 1.88 mmol, 2.0 equiv.) at 0° C. It was stirred for 30 mins, iodoethane (0.444 g, 0.23 mL, 3.0 equiv.) was then added, the mixture was warmed up to 70° C. and stirred until the consumption of the starting material. It was quenched with saturated NH4Cl, diluted with EtOAc, washed with water and the aqueous phase was extracted with EtOAc (3×50 mL). The combined organic phase was washed with brine, dried over MgSO4, filtered and evaporated. The crude reaction mixture was subjected to the bromination without any purification. LCMS m/z=248 (M+H). 1H NMR (400 MHz, CDCl3) δ: 8.33 (dd, J=2.5, 9.1 Hz, 1H), 8.21 (d, J=2.5 Hz, 1H), 7.57 (d, J=1.3 Hz, 1H), 7.07 (d, J=9.1 Hz, 1H), 6.34 (s, 1H), 4.22 (dd, J=7.0, 13.9 Hz, 2H), 3.78 (s, 3H), 1.44 (t, J=6.8 Hz, 3H).
- C. 4-Bromo-5-(2-ethoxy-5-nitro-phenyl)-1-methyl-1H-pyrazole: The crude reaction mixture of 5-(2-ethoxy-5-nitro-phenyl)-1-methyl-1H-pyrazole was treated with NBS in DMF, in a similar manner as described in Example 1. 1, Step D, provided brominated compound 4-bromo-5-(2-ethoxy-5-nitro-phenyl)-1-methyl-1H-pyrazole. It was reduced directly to the aniline as described in this example above. LCMS m/z (%)=326 (M+H79Br, 88), 328 (M+H81Br, 100). 1H NMR (400 MHz, CDCl3) δ: 8.38 (dd, J=2.7, 9.2 Hz, 1H), 8.22 (d, J=2.7 Hz, 1H), 7.59 (s, 1H), 7.11 (d, J=9.2 Hz, 1H), 4.14-4.32 (m, 2H), 3.76 (s, 3H), 1.43 (t, J=6.8 Hz, 3H).
- 3-(4-Bromo-2-methyl-2H-pyrazol-3-yl)-4-ethoxy-phenylamine (0.040 g, 0.13 mmol) was treated with 4-chlorophenyl isocyanate (0.023 g, 0.15 mmol, 1.1 equiv.) in CH2Cl2 (1 mL), in a similar manner as described in Example 1.2 to afford Compound 67 (0.034 g, 0.08 mmol, 56%) as a white solid. LCMS m/z (%)=449 (M+H79Br35Cl, 72), 451 (M+H81Br35Cl, 100), 453 (M+H81Br37Cl, 26). 1H NMR (400 MHz, acetone-d6) δ: 8.22 (s, 1H), 8.14 (s, 1H), 7.66 (dd, J=2.7, 9.0 Hz, 1H), 7.56 (d, J=8.8 Hz, 2H), 7.49 (s, 1H), 7.43 (d, J=2.7 Hz, 1H), 7.28 (d, J=8.8 Hz, 2H), 7.12 (d, J=9.0 Hz, 1H), 3.98-4.18 (m, 2H), 3.71 (s, 3H), 1.28 (t, J=7.1 Hz, 3H).
- 3-(4-Bromo-2-methyl-2H-pyrazol-3-yl)-4-ethoxy-phenylamine (0.039 g, 0.13 mmol) was treated with 4-fluorophenyl isocyanate (0.020 g, 16.6 μL, 0.14 mmol, 1.1 equiv.) in CH2Cl2 (1 mL), in a similar manner as described in Example 1.2 to afford Compound 68 (0.034 g, 0.08 mmol, 59%) as a white solid. LCMS m/z (%)=433 (M+H79Br, 100), 435 (M+H81Br, 99). 1H NMR (400 MHz, acetone-d6) δ: 8.13 (s, 1H), 8.11 (s, 1H), 7.66 (dd, J=2.7, 8.9 Hz, 1H), 7.50-7.57 (m, 2H), 7.49 (s, 1H), 7.42 (d, J=2.7 Hz, 1H), 7.11 (d, J=8.9 Hz, 1H), 7.04 (t, J=8.8 Hz, 2H), 3.964.18 (m, 2H), 3.71 (s, 3H), 1.28 (t, J=7.1 Hz, 3H).
- The crude reaction mixture of 4-bromo-5-(2-isopropoxy-5-nitro-phenyl)-l1-methyl-1H-pyrazole (as described below) was reduced in the presence of SnCl2.2H2O, in a similar manner as described in Example 1.1, providing 3-(4-bromo-2-methyl-2H-pyrazol-3-yl)-4-isopropoxy-phenylamine (0.043 g, 0.14 mmol, 50% for three steps). LCMS m/z (%)=310 (M+H79Br, 99), 312 (M+H81Br, 100). 1H NMR (400 MHz, CDCl3) δ: 7.51 (s, 1H), 6.89 (d, J=8.8 Hz, 1H), 6.76 (dd, J=2.7, 8.6 Hz, 1H), 6.62 (d, J=2.7 Hz, 1H), 4.08 (ddd, J=6.1, 6.1, 12,2 Hz, 1H), 3.74 (s, 3H), 1.21 (d, J=6.1 Hz, 3H), 1.01 (d, J=6.1 Hz, 33H).
- Intermediate 4-bromo-5-(2-isopropoxy-5-nitro-phenyl)-1-methyl-1H-pyrazole was prepared in the following manner:
- A. 5-(2-Isopropoxy-5-nitro-phenyl)-1-methyl-1H-pyrazole: To a stirred solution of 2-(2-methyl-2H-pyrazol-3-yl)-4-nitro-phenol (0.061 g, 0.28 mmol) in DMF (3 mL) was added K2CO3 (0.077 g, 0.56 mmol, 2.0 equiv.) at r.t., it was stirred for 30 mins and isopropyl bromide ( 110 μL, 0.146 g, 1.16 mmol, 4.0 equiv.) was added. The mixture was stirred at 50° C. until the consumption of starting material was complete. The reaction mixture was diluted with EtOAc, washed with water and the aqueous phase was extracted with EtOAc. The combined organic phase was washed with brine, dried over MgSO4, filtered and evaporated. LCMS m/z=262 (M+H). 1H NMR (400 MHz, CDCl3) δ: 8.31 (dd, J=2.8, 9.2 Hz, 1H), 8.20 (d, J=2.8 Hz, 1H), 7.56 (s, 1H), 7.06 (d, J=9.2 Hz, 1H), 6.3 (s, 1H), 4.74 (ddd, J=6.1, 6.1, 12.1 Hz, 1H), 1.37 (s, 3H), 1.36 (s, 3H).
- B. 4-Bromo-5-(2-isopropoxy-5-nitro-phenyl)-1-methyl-1H-pyrazole: The crude reaction mixture of 5-(2-isopropoxy-5-nitro-phenyl)-1-methyl-1H-pyrazole was brominated, in a similar manner as described in Example 1. 1, Step D, providing 4-bromo-5-(2-isopropoxy-5-nitro-phenyl)-1-methyl-1H-pyrazole. LCMS m/z (%)=340 (M+H79Br, 85), 342 (M+H81Br, 100). 1H NMR (400 MHz, CDCl3) δ: 8.36 (dd, J=2.8, 9.2 Hz, 1H), 8.20 (d, J=2.8 Hz, 1H), 7.57 (s, 1H), 7.10 (d, J=9.2 Hz, 1H), 4.73 (ddd, J=6.1, 6.1, 12.1 Hz, 1H), 1.39 (d, J=6.1 Hz, 31H), 1.32 (d, J=6.0 Hz, 3H).
- 3-(4-Bromo-2-methyl-2H-pyrazol-3-yl)-4-isopropoxy-phenylamine (0.024 g, 0.08 mmol) was treated with 4-chlorophenyl isocyanate (0.014 g, 0.09 mmol, 1.1 equiv.) in CH2Cl2 (1 mL), in a similar manner as described in Example 1.10 to afford Compound 59 (0.034 g, 0.07 mmol, 91%) as a white solid. LCMS m/z (%) 463 (M+H79Br35Cl, 82), 465 (M+H81Br35Cl, 100), 467 (M+H81Br37Cl, 29). 1H NMR (400 MHz, acetone-d6) δ: 8.24 (s, 1H), 8.17 (s, 1H), 7.65 (dd, J=2.5, 8.9 Hz, 1H), 7.55 (d, J=8.6 Hz, 2H), 7.49 (s, 1H), 7.42 (d, J=2.5 Hz, 1H), 7.28 (d, J=8.6 Hz, 2H), 4.42-4.52 (m, 1H), 3.70 (s, 3H), 1.26 (d, J=6.0 Hz, 3H), 1.11 (d, J=6.0 Hz, 31H).
- 3-(4-Bromo-2-methyl-2H-pyrazol-3-yl)-4-isopropoxy-phenylamine (0.027 g, 0.09 mmol) was treated with 4-fluorophenyl isocyanate (0.013 g, 11.0 μL, 0.10 mmol, 1.1 equiv.) in CH2Cl2 (1 mL), in a similar manner as described in Example 1.2 to afford Compound 60 (0.015 g, 0.03 mmol, 38%) as a white solid. LCMS m/z (%)=447 (M+H79Br, 98), 449 (M+H81Br, 100). 1H NMR (400 MHz, acetone-d6) δ: 8.11 (s, 2H), 7.65 (dd, J=2.4, 8.9 Hz, 1H), 7.54 (dd, J=4.9, 8.7 Hz, 2H), 7.49 (s, 1H), 7.41 (d, J=2.6 Hz, 1H), 7.12 (d, J=8.9 Hz, 1H), 7.04 (t, J=8.8 Hz, 2H), 4.404.52 (m, 1H), 3.70 (s, 3H), 1.26 (d, J=6.0 Hz, 3H), 1.11 (d, J=6.0 Hz, 3H).
- The reaction mixture of 5-(2-benzyloxy-5-nitro-phenyl)-4-bromo-l1-methyl-1H-pyrazole was reduced in the presence of SnCl2.2H2O, in a similar manner as described in Example 1. 1, providing 4-benzyloxy-3-(4-bromo-2-methyl-2H-pyrazol-3-yl)-phenylamine (0.079 g, 0.22 mmol, 39% for three steps). LCMS m/z (%)=358 (M+H79Br, 98), 360 (M+H81Br, 100). 1H NMR (400 MHz, CDCl3) δ: 7.45 (s, 1H), 7.15-7.26 (m, 3H), 7.10 (d, J=6.6 Hz, 2H), 6.83 (d, J=8.7 Hz, 1H), 6.66 (dd, J=2.8, 8.6 Hz, 1H), 6.55 (d, J=2.8 Hz, 1H), 4.83 (AB quartet, J=12.0, 17.2 Hz, 2H), 3.62 (s, 3H).
- The intermediate 5-(2-benzyloxy-5-nitro-phenyl)-4-bromo-1-methyl-1H-pyrazole was prepared in the following manner:
- A. 5-(2-Benzyloxy-5-nitro-phenyl)-1-methyl-1H-pyrazole: 2-(2-Methyl-2H-pyrazol-3-yl)-4-nitro-phenol (0.124 g, 0.57 mmol) was treated with NaH (0.049 g, 1.13 mmol, 2.0 equiv.) and benzyl bromide (0.297 g, 0.21 mL, 1.70 mmol, 3.0 equiv.) in a mixture of DMF[THF (2 mL/4 mL), in a similar manner as described in Example 1.31, Step B, providing 5-(2-benzyloxy-5-nitro-phenyl)-1-methyl-1H-pyrazole. LCMS m/z=310 (M+H). 1H NMR (400 MHz, CDCl3) δ: 8.32 (dd, J=2.8, 9.1 Hz, 1H), 8.24 (d, J=2.8 Hz, 1H), 7.59 (d, J=1.7 Hz, 1H), 7.22-7.45 (m, 5H), 7.16 (d, J=9.1 Hz, 1H), 6.37 (d, J=1.7 Hz, 1H), 5.25 (s, 2H), 3.77 (s, 3H).
- B. 5-(2-Benzyloxy-5-nitro-phenyl)-4-bromo-1-methyl-1H-pyrazole: The crude reaction mixture of5-(2-benzyloxy-5-nitro-phenyl)-1-methyl-1H-pyrazole was treated with NBS (0.113 g, 0.63 mmol, 1.1 equiv.), in a similar manner as described in Example 1. 1, Step D, providing to 5-(2-Benzyloxy-5-nitro-phenyl)-4-bromo-1-methyl-1H-pyrazole. LCMS m/z (%)=388 (M+H79Br, 100), 390 (M+H81Br, 94). 1H NMR (400 MHz, CDCl3) δ: 8.36 (dd, J=2.8, 9.2 Hz, 1H), 8.23 (d, J=2.8 Hz, 1H), 7.59 (s, 1H), 7.25-7.42 (m, 5H), 7.19 (d, J=9.2 Hz, 1H), 5.24 (s, 2H), 3.73 (s, 3H).
- 4-Benzyloxy-3-(4-bromo-2-methyl-2H-pyrazol-3-yl)-phenylamine (0.023 g, 0.09 mmol) was treated with 4-chlorophenyl isocyanate (0.016 g, 0.100 mmol, 1.1 equiv.) in CH2Cl2 (1 mL), in a similar manner as described in Example 1.2 to afford Compound 61 (0.019 g, 0.04 mmol, 42%) as a white solid. LCMS m/z (%)=511 (M+H79Br35Cl, 82), 513 (M+H81Br35Cl, 100), 515 (M+H81Br37Cl, 33). 1H NMR (400 MHz, acetone-d6) δ: 8.22 (s, 1H), 8.16 (s, 1H), 7.66 (dd, J=2.4, 8.9 Hz, 1H), 7.55 (d, J=8.7 Hz, 2H), 7.50 (s, 1H), 7.46 (d, J=2.5 Hz, 1H), 7.28-7.35 (m, 5H), 7.28 (d, J=8.7 Hz, 2H), 7.22 (d, J=8.9 Hz, 1H), 5.13 (AB quartet, J=12.0, 24.3 Hz, 2H), 3.69 (s, 3H).
- 4-Benzyloxy-3-(4-bromo-2-methyl-2H-pyrazol-3-yl)-phenylamine (0.031 g, 0.09 mmol) was treated with 4-fluorophenyl isocyanate (0.013 g, 11.0 μL, 0.10 mmol, 1.1 equiv.) in CH2Cl2 (1 mL), in a similar manner as described in Example 1.2 to afford Compound 62 (0.011 g, 0.02 mmol, 26%) as a white solid. LCMS m/z (%)=511 (M+H79Br, 82), 513 (M+H81Br, 100). 1H NMR (400 MHz, acetone-d6) δ: 8.12 (s, 2H), 7.66 (dd, J=2.6, 8.9 Hz, 1H), 7.54 (dd, J=4.8, 9.0 Hz, 2H), 7.50 (s, 1H), 7.47 (d, J=2.6 Hz, 1H), 7.25-7.36 (m, 5H), 7.22 (d, J=8.9 Hz, 1H), 7.04 (t, J=8.8 Hz, 2H), 5.13 (AB quartet, J=12.0, 24.4 Hz, 2H), 3.69 (s, 3H).
- The crude reaction mixture of 4-bromo-5-[2-(4-chloro-benzyloxy)-5-nitro-phenyl]-1-methyl-1H-pyrazole (as described below) was treated with SnCl2.2H2O (0.378 g, 1.64 mmol, 4.0 equiv.) in EtOH (5 mL), in a similar manner as described in Example 1.1, providing aniline 3-(4-bromo-2-methyl-2H-pyrazol-3-yl)-4-(4-chloro-benzyloxy)-phenylamine (0.114 g, 0.29 mmol, 71% for two steps). LCMS m/z (%)=392 (M+H79Br35Cl, 70), 394 (M+H81Br35Cl, 100), 396 (M+H81Br37Cl, 23). 1H NMR (400 MHz, CDCl3) δ: 7.54 (s, 1H), 7.28 (d, J=8.2 Hz, 2H), 7.11 (d, J=8.2 Hz, 2H), 6.90 (d, J=8.7 Hz, 1H), 6.76 (dd, J=2.7, 8.7 Hz, 1H), 6.63 (d, J=2.7 Hz, 1H), 4.86 (AB quartet, J=12.1, 20.9 Hz, 2H), 3.71 (s, 3H).
- The intermediate 4-bromo-5-[2-(4-chloro-benzyloxy)-5-nitro-phenyl]-1-methyl-1H-pyrazole was prepared in the following manner:
- A. 5-[2-(4-Chloro-benzyloxy)-5-nitro-phenyl]-1-methyl-1H-pyrazole: 2-(2-Methyl-2H-pyrazol-3-yl)-4-nitro-phenol (0.143 g, 0.65 mmol) was treated with NaH (0.057 g, 1.30 mmol, 2.0 equiv.) and 4-chlorobenzyl bromide (0.332 g, 1.96 mmol, 3.0 equiv.) in a mixture of DMF/THF (0.9 mL/2.5 mL), in a similar manner as described in Example 1.31, Step B, providing 5-[2-(4-chloro-benzyloxy)-5-nitro-phenyl]-1-methyl-1H-pyrazole (0.142 g, 0.41 mmol, 63%) as an oil. LCMS m/z (%)=344 (M+H35Cl, 100), 346 (M+H37Cl, 39). 1H NMR (400 MHz, CDCl3) δ: 8.33 (dd, J=2.8, 9.1 Hz, 1H), 8.23 (d, J=9.1 Hz, 1H), 7.58 (d, J=1.7 Hz, 1H), 7.36 (d, J=8.3 Hz, 2H), 7.21 (d, J=8.3 Hz, 1H), 7.13 (d, J=9.1 Hz, 1H), 6.36 (d, J=1.7 Hz, 1H), 5.20 (s, 2H), 3.75 (s, 3H).
- B. 4-Bromo-5-[2-(4-chloro-benzyloxy)-5-nitro-phenyl]-1-methyl-1H-pyrazole: 5-[2-(4-Chloro-benzyloxy)-5-nitro-phenyl]-1-methyl-1 H-pyrazole was treated with NBS (0.082 g, 0.45 mmol, 1.05 equiv.), in a similar manner as described in Example 1.1, Step D, providing 4-bromo-5-[2-(4-chloro-benzyloxy-5-nitro-phenyl]-1-methyl-1H-pyrazole. LCMS m/z (%)=422 (M+H79Br35Cl, 85), 424 (M+H81Br35Cl, 100), 426 (M+H81Br37Cl, 26). 1H NMR (400 MHz, CDCl3) δ: 8.37 (dd, J=2.7, 9.2 Hz, 1H), 8.22 (d, J=2.7 Hz, 1H), 7.59 (s, 1H), 7.34 (d, J=8.3 Hz, 2H), 7.21 (d, J=8.3 Hz, 2H), 7.16 (d, J=9.2 Hz, 1H), 5.20 (AB quartet, J=12.1, 15.2 Hz, 2H), 3.72 (s, 3H).
- 3-(4-Bromo-2-methyl-2H-pyrazol-3-yl)-4-(4-chloro-benzyloxy)-phenylamine (0.029 g, 0.08 mmol) was treated with 4-chlorophenyl isocyanate (0.014 g, 0.09 mmol, 1.2 equiv.) in CH2Cl2 (1 mL), in a similar manner as described in Example 1.2 to afford Compound 63 (0.027 g, 0.05 mmol, 65%) as a white solid. LCMS m/z (%)=545 (M+H79Br35Cl35Cl, 65), 547 (M+H79Br35Cl37Cl81Br35C35Cl, 100), 549 (M+H81Br35Cl37Cl79Br37Cl37Cl, 45), 551 (M+H81Br37Cl37Cl, 6). 1H NMR (400 MHz, acetone-d6) δ: 8.23 (s, 1H), 8.17 (s, 1H), 7.66 (dd, J=2.7, 9.0 Hz, 1H), 7.56 (d, J=8.9 Hz,.2H), 7.50 (s, 1H), 7.46 (d, J=2.7 Hz, 1H), 7.37 (d, J=8.7 Hz, 2H), 7.33 (d, J=8.7 Hz, 2H), 7.28 (d, J=8.9 Hz, 2H), 7.22 (d, J=9.0 Hz, 1H), 5.14 (AB quartet, J=12.3, 24.8 Hz, 2H), 3.69 (s, 3H).
- 3-(4-Bromo-2-methyl-2H-pyrazol-3-yl)-4-(4-chloro-benzyloxy)-phenylamine (0.032 g, 0.08 mmol) was treated with 4-fluorophenyl isocyanate (0.014 g, 11.1 μL, 0.10 mmol, 1.2 equiv.) in CH2Cl2 (1 mL), in a similar manner as described in Example 1.2 to afford Compound 64 (0.023 g, 0.04 mmol, 54%) as a white solid. LCMS m/z (%)=545 (M+H79Br35Cl, 65), 547 (M+H81Br35Cl, 100), 549 (M+H81Br37Cl, 25). 1H NMR (400 MHz, acetone-d6) δ: 8.13 (s, 2H), 7.66 (dd, J=2.7, 9.0 Hz, 1H), 7.51-7.56 (m, 3H), 7.50 (s, 1H), 7.46 (d, J=2.7 Hz, 1H), 7.37 (d, J=8.7 Hz, 2H), 7.33 (d, J=8.7 Hz, 2H), 7.21 (d, J=9.0 Hz, 1H), 7.05-7.75 (m, 2H), 5.14 (AB quartet, J=12.3, 24.8 Hz, 2H), 3.69 (s, 3H).
- The crude reaction mixture of 4-bromo-1-methyl-5-(5-nitro-2-phenethyloxy-phenyl)-1H-pyrazole (as described below) was reduced with SnCl2.2H2O (0.387 g, 1.68 mmol, 4.0 equiv.) in EtOH, in a similar manner as described in Example 1. 1, providing aniline 3-(4-Bromo-2-methyl-2H-pyrazol-3- yl)-4-phenethyloxy-phenylamine (0.124 g, 0.33 mmol, 80% for two steps) as an oil. LCMS m/z (%)=372 (M+H79Br, 94), 394 (M+H81Br, 100). 1H NMR (400 MHz, CDCl3) δ: 7.54 (s, 1H), 7.18-7.33 (m, 3H), 7.08 (d, J=7.7 Hz, 2H), 6.85 (d, J=8.7 Hz, 1H), 6.77 (dd, J=2.7, 8.7 Hz, 1H), 6.61 (d, J=2.6 Hz, 1H), 3.99-4.15 (m, 2H), 3.53 (s, 3H), 3.10-3.40 (broad s, 2H), 2.83-3.00 (m, 2H).
- The intermediate 4-bromo-1-methyl-5-(5-nitro-2-phenethyloxy-phenyl)-H-pyrazole was prepared in the following manner:
- A. 1-Methyl-5-(5-nitro-2-phenethyloxy-phenyl)-1H-pyrazole: 2-(2-Methyl-2H-pyrazol-3-yl)-4-nitro-phenol (0.125 g, 0.57 mmol) was treated with NaH (0.049 g, 1.14 mmol, 2.0 equiv.) and (2-bromoethyl)benzene (0.323 g, 0.24 mL, 1.71 mmol, 3.0 equiv.) in a mixture of DMF/THF (0.9 mL/2.5 mL), in a similar manner as described in Example 1.31, Step B, providing 1-methyl-5-(5-nitro-2-phenethyloxy-phenyl)-1H-pyrazole (0.137 g, 0.42 mmol, 74%) as an oil. LCMS m/z (%) =324 (M+H). 1H NMR(400 MHz, CDCl3) δ: 8.31 (dd, J=2.8, 9.1 Hz, 1H), 8.17 (d, J=2.8 Hz, 1H), 7.59 (s, 1H), 7.20-7.36 (m, 3H), 7.09 (d, J=7.1 Hz, 2H), 7.05 (d, J=9.2 Hz, 1H), 6.26 (s, 1H), 4.33 (t, J=6.6 Hz, 2H), 3.55 (s, 3H), 3.05 (t, J=6.6 Hz, 2H).
- B. 4-Bromo-1-methyl-5-(5-nitro-2-phenethyloxy-phenyl)-1H-pyrazole: 1-Methyl-5-(5-nitro-2-phenethyloxy-phenyl)-1H-pyrazole (0.137 g, 0.42 mmol) was treated with NBS (0.084 g, 0.46 mmol, 1.05 equiv.) in DMF (5 mL), in a similar manner as described in Example 1. 1, Step D, providing 4-bromo-1-methyl-5-(5-nitro-2-phenethyloxy-phenyl)-1H-pyrazole. LCMS m/z (%) =402 (M+H79Br, 100), 404 (M+H81Br, 97). 1H NMR (400 MHz, CDCl3) δ: 8.27 (dd, J=2.8, 9.2 Hz, 1H), 8.10 (d, J=2.8 Hz, 1H), 7.52 (s, 1H), 7.16-7.24 (m, 3H), 6.94-7.03 (m, 3H), 4.18-4.28 (m, 2H), 3.37 (s, 3H), 2.88-3.02 (m, 2H).
- 3-(4-Bromo-2-methyl-2H-pyrazol-3-yl)-4-phenethyloxy-phenylamine (0.028 g, 0.07 mmol) was treated with 4-chlorophenyl isocyanate (0.014 g, 0.09 mmol, 1.2 equiv.) in CH2Cl2 (1 mL), in a similar manner as described in Example 1.10 to afford Compound 66 (0.025 g, 0.05 mmol, 66%) as a solid film. LCMS m/z (%)=525 (M+H79Br35Cl, 85), 527 (M+H81Br35Cl, 100), 529 (M+H81Br37Cl, 31). 1H NMR (400 MHz, acetone-d6) δ: 8.34 (s, 1H), 8.26 (s, 1H), 7.65 (dd, J=2.7, 8.9Hz, 1H), 7.56 (d, J=8.9 Hz, 2H), 7.53 (s, 1H), 7.43 (d, J=2.7Hz, 1H), 7.16-7.31 (m, 5 H), 7.09-7.16 (m, 3H), 4.11-4.30 (m, 2H), 3.51 (s, 3H), 2.86-3.06 (m, 2H).
- 3-(4-Bromo-2-methyl-2H-pyrazol-3-yl)-4-phenethyloxy-phenylamine (0.029 g, 0.08 mmol) was treated with 4-fluorophenyl isocyanate (0.013 g, 11.0 μL, 0.09 mmol, 1.2 equiv.) in CH2Cl2 (1 mL), in a similar manner as described in Example 1.10 to afford Compound 65 (0.030 g, 0.06 mmol, 74%) as a solid film. LCMS m/z (%)=509 (M+H79Br, 100), 511 (M+H81Br, 97). 1H NMR (400 MHz, acetone-d6) δ: 8.22 (s, 2H), 7.63 (d, J=8.9 Hz, 1H), 7.48-7.56 (m, 3H), 7.41 (s, 1H), 7.15-7.28 (m, 3H), 7.08-7.16 (m, 3H), 7.03 (t, J=8.7 Hz, 2H), 4.08-4.30 (m, 2H), 3.50 (s, 3H), 2.86-3.06 (m, 2H).
- {2-[2-(4-Bromo-2-methyl-2H-pyrazol-3-yl)-4-nitro-phenoxy]-ethyl }-dimethyl-amine (0.128 g, 0.35 mmol) was treated with SnCl22H2O (0.319 g, 1.39 mmol, 4.0 equiv.) in EtOH (20 mL), in a similar manner as described in Example 1.1, providing 3-(4-bromo-2-methyl-2H-pyrazol-3-yl)-4-(2-dimethylamino-ethoxy)-phenylamine (0.067 g, 0.20 mmol, 56%) as an oil. LCMS m/z (%)=339 (M+H79Br, 78), 341 (M+H81Br, 100). 1H NMR (400 MHz, acetone-d6) δ: 7.68 (dd, J=2.5, 8.9 Hz, 1H), 7.55 (s, 1H), 7.45-7.51 (m, 2H), 4.62-4.82 (m, 2H), 3.76 (s, 3H), 3.65-3.76 (m, 2H), 2.87 (s, 6H).
- The intermediate {2-[2-(4-bromo-2-methyl-2H-pyrazol-3-yl)-4-nitro-phenoxy]-ethyl}-dimethyl-amine was prepared in the following manner:
- A. Dimethyl-{2-[2-(2-methyl-2H-pyrazol-3-yl)-4-nitro-phenoxy]-ethyl}-amine: 2-(2-Methyl-2H-pyrazol-3-yl)-4-nitro-phenol (0.344 g, 1.57 mmol) was treated with NaH (0.252 g, 6.29 mmol, 4.0 equiv.) and 2-(dimethylamino)ethyl chloride hydrochloride (0.458 g, 3.14 mmol, 2.0 equiv.) in a mixture of DMF/THF (2 mL/10 mL), in a similar manner as described in Example 1.31, Step B, providing dimethyl-{2-[2-(2-methyl-2H-pyrazol-3-yl)-4-nitro-phenoxy]-ethyl}-amine (0.280 g, 0.96 mmol, 62%) as a yellow solid. LCMS m/z (%)=291 (M+H). 1H NMR (400 MHz, CDCl3) δ: 8.31 (dd, J=2.8, 9.1 Hz, 1H), 8.18 (d, J=2.8 Hz, 1H), 7.52 (d, J=1.9 Hz, 1H), 7.08 (d, J=9.1 Hz, 1H), 6.30 (d, J=1.9 Hz, 1H), 4.20 (t, J=5.7 Hz, 2H), 3.76 (s, 3H), 2.69 (t, J=5.7 Hz, 2H), 2.22 (s, 6H).
- B. {2-[2-(4-Bromo-2-methyl-2H-pyrazol-3-yl)-4-nitro-phenoxy]-ethyl}-dimethyl-amine: Dimethyl-{2-[2-(2-methyl-2H-pyrazol-3-yl)-4-nitro-phenoxy]-ethyl}-amine (0.239 g, 0.82 mmol) in CH2Cl2 (10 mL) was added Br2 (47 μL, 0.145 g, 0.91 mmol, 1.1 equiv.) in CH2Cl2 (3.5 mL) dropwise at 0° C., the mixture was stirred at this temperature for 3 hrs. More Br2 (40 μL) was added and the mixture was stirred for another 2 hrs in order to consume the rest of the starting material. It was quenched by saturated Na2S2O3, washed with saturated NaHCO3 and the aqueous phase was extracted with EtOAc. The combined organic phase was washed with brine, dried over MgSO4, filtered and evaporated. The crude reaction mixture was purified by HPLC to provide {2-[2-(4-bromo-2-methyl-2H-pyrazol-3-yl)-4-nitro-phenoxy]-ethyl}-dimethyl-amine (0.128 g, 0.35 mmol, 42%). LCMS m/z (%)=369 (M+H79Br, 100), 371 (M+H81Br, 97). 1H NMR (400 MHz, CDCl3) δ: 8.45 (dd, J=2.6, 9.2 Hz, 1H), 8.21 (d, J=2.6 Hz, 1H), 7.59 (s, 1H), 7.19 (d, J=9.2 Hz, 1H), 4.34-4.56 (m, 2H), 3.60 (s, 3H), 3.23-3.50 (m, 2H), 2.59 (s, 6H).
- To a stirred solution of 3-(4-bromo-2-methyl-2H-pyrazol-3-yl)-4-(2-dimethylamino-ethoxy)-phenylamine (0.033 g, 0.10 mmol) in CH2Cl2 (2.0 mL) was added 4-chlorophenyl isocyanate (0.017 g, 0.11 mmol, 1.1 equiv.). The solvent was removed after the completion of the reaction and it was purified by the HPLC. The pure fractions were collected and CH3CN was evaporated under vacuum. The residue was diluted with EtOAc and neutralized with saturated NaHCO3, the EtOAc phase was washed with brine, dried over MgSO4, filtered and evaporated. Compound 69 was obtained in 85% yield. LCMS m/z (%)=492 (M+H79Br35Cl, 78), 494 (M+H81Br35Cl, 100), 496 (M+H81Br37Cl, 28). 1H NMR (400 MHz, acetone-d6) δ: 8.27 (s, 1H), 8.20 (1H), 7.66 (dd, J=2.7, 9.0 Hz, 1H), 7.56 (d, J=8.9 Hz, 2H), 7.48 (s, 1H), 7.43 (d, J=2.7 Hz, 1H), 7.29 (d, J=8.9 Hz, 2H), 7.14 (d, J=9.0 Hz, 1H), 3.98-4.20 (m, 2H), 3.73 (s, 1H), 2.48-2.68 (m, 2H), 2.16 (s, 6H).
- 3-(4-Bromo-2-methyl-2H-pyrazol-3-yl)-4-(2-dimethylamino-ethoxy)-phenylamine (0.034 g, 0.10 mmol) was treated with 4-fluorophenyl isocyanate (0.015 g, 12.5 μL, 0.11 mmol, 1.1 equiv.) in CH2Cl2 (2 mL), in a similar manner as described in Example 1.47 to afford Compound 70 (0.020 g, 0.04 mmol, 42%). LCMS m/z (%)=476 (M+H79Br, 100), 478 (M+H81Br, 87). 1H NMR (400 MHz, acetone-d6) δ: 8.17 (s, 2H), 7.66 (dd, J=2.7, 9.0 Hz, 1H), 7.50-7.58 (m, 2H), 7.48 (s, 1H), 7.43 (d, J=2.7 Hz, 1H), 7.13 (d, J=9.0 Hz, 1H), 7.04 (t, J=8.8 Hz, 2H), 3.98-4.20 (m, 2H), 3.73 (s, 3H), 2.49-2.66 (m, 2H), 2.16 (s, 6H).
- To Compound 1 (see Example 1.16) in CH2Cl2 (1.170 g, 2.68 mmol) was added anhydrous AlCl3 (1.432 g, 10.74 mmol, 4.0 equiv.) slowly at 0° C., it was stirred under reflux overnight and then quenched with saturated NaHCO3. The mixture was extracted with EtOAc, the combined organic phase was washed with water and brine, dried over MgSO4, filtered and evaporated. It was first purified with SiO2 column chromatography (Eluent: EtOAc/Hexane=1/3 to 1/1) and the major fractions containing Compound 58 were then purified by HPLC. The pure fractions were neutralized with saturated NaHCO3, extracted with EtOAc and dried with anhydrous MgSO4. MgSO4 was filtered and the solvent was removed under vacuum to provide Compound 58 as a white solid. LCMS m/z (%)=421 (M+H79Br35Cl, 69), 423 (M+H81Br35Cl, 100), 425 (M+H81Br37Cl, 21). 1H NMR (400 MHz, acetone-d6) δ: 8.47 (s, 1H), 8.16 (s, 1H), 8.04 (s, 1H), 7.44 (d, J=8.9 Hz, 2H), 7.38-7.43 (m, 1H), 7.35 (s, 1H), 7.26 (d, J=2.6 Hz, 1H), 7.15 (d, J=8.9 Hz, 2H), 6.87 (d, J=8.8 Hz, 1H), 3.62 (s, 3H).
- 5-(2-Methoxy-5-nitro-phenyl)-1-methyl-1H-pyrazole (2.11 g, 9.06 mmol) was treated with SnCl2.2H2O (8.341 g, 36.22 mmol, 4.0 equiv.) in EtOH (50 mL), in a similar manner as described in Example 1.1, providing 4-methoxy-3-(2-methyl-2H-pyrazol-3-yl)-phenylamine (1.592 g, 7.8 3 mmol, 87%) as an oil. LCMS m/z (%)=204 (M+H). 1H NMR (400 MHz, CDCl3) δ: 7.51 (d, J=1.8 Hz, 1H), 6.83 (d, J=8.7 Hz, 1H), 6.76 (dd, J=2.8, 8.7 Hz, 1H), 6.62 (d, J=2.8 Hz, 1H), 6.22 (d, J=1.8 Hz, 1H), 3.74 (s, 3H), 3.73 (s, 3H), 3.24-3.55 (broad s, 2H).
- 4-Methoxy-3-(2-methyl-2H-pyrazol-3-yl)-phenylamine (0.291 g, 1.43 mmol) was treated with 4-chlorophenyl isocyanate (0.247 g, 1.57 mmol, 1.1 equiv.) in CH2Cl2 (5 mL), in a similar manner as described in Example 1.2 to afford Compound 75 (0.415 g, 1.16 mmol, 81%) as a white solid. LCMS m/z (%)=357(M+H). 1H NMR (400 MHz, acetone-d6) δ: 8.21 (s, 1H), 8.07 (s, 1H), 7.58 (dd, J=2.8, 8.9 Hz, 1H), 7.56 (d, J=8.8 Hz, 2H), 7.44 (d, J=2.7 Hz, 1H), 7.39 (d, J=1.8 Hz, 1H), 7.28 (d, J=8.8 Hz, 2H), 7.08 (d, J=8.9 Hz, 1H), 6.20 (d, J=1.8 Hz, 1H), 3.81 (s, 31H), 3.68 (s, 3H).
- 4-Chloro-5-(2-methoxy-5-nitro-phenyl)-1-methyl-1H-pyrazole (2.27g, 8.5 mmol) was dissolved in dry EtOH (150 mL) and heated to 75° C. The heated solution was then treated with Sn(II) chloride dihydrate (9.6 g, 42.5 mmol) and stirred at 75° C. After three hours, the reaction was found to be complete by TLC and LCMS. The solvent was removed under reduced pressure. The residue was subsequently diluted with EtOAc (100 mL) and IN NaOH, neutralizing the reaction to a pH of approximately 6 or 7. The mix was then filtered through celite. The organic layer was separated, and the aqueous layer was extracted with EtOAc (2×50 mL). The organic layers were combined, dried over Na2SO4, filtered, and the solvent removed under reduced pressure. The residue was then purified by flash chromatography (Biotage, SiO2, Hexanes/EtOAc gradient elution) to afford 1.73 g (86%) of 3-(4-chloro-2-methyl-2H-pyrazol-3-yl)-4-methoxy-phenylamine as a light brown solid. LCMS m/z (%)=240 (M+H37Cl, 37), 238 (M+H35Cl, 100). 1H NMR (400 MHz, CDCl3) δ: 7.48 (s, 1H), 6.87 (d, J=8, 1H), 6.81 (dd, Jt=8, J2=4, 1H), 6.63 (d, J=4, 1H), 3.72 (s, 3H), 3.70 (s, 3H).
- The intermediate 4-chloro-5-(2-methoxy-5-nitro-phenyl)-1-methyl-1H-pyrazole was prepared in the following manner:
- 5-(2-Methoxy-5-nitro-phenyl)-1-methyl-1H-pyrazole (2.37 g, 10.17 mmol) was dissolved in DMF (100 mL). The solution was then heated to 80° C. N-Chlorosuccinimide (1.49g, 11.1 mmol) was added at 80° C. under Argon gas. After two hours of continuous stirring, the reaction was checked by TLC and LCMS, and found to be incomplete. An additional aliquot of NCS (0.5 g, 3.7 mmol) was added, bringing the reaction to completion after 1.5 hours. While stirring, a portion of water (200 mL) was added to force the product to precipitate out of solution. After the precipitation was complete, the flask containing the solid was cooled in an ice water bath for 10 minutes. The solid was then filtered under vacuum and rinsed with water, yielding 2.4 g (89%) of 4-chloro-5-(2-methoxy-5-nitro-phenyl)-1-methyl-1H-pyrazole. This material was used in the next step without purification. LCMS m/z (%)=267 (M+H, 100). 1H NMR (400 MHz, CDCl3) δ: 8.41 (dd, J1=8 Hz, J2=4 Hz, 1H), 8.22 (d, J=4 Hz, 1H), 7.53 (s, 1H), 7.14 (d, J=12 Hz, 1H), 3.97 (s, 3H), 3.72 (s, 3H).
- 3-(4-Chloro-2-methyl-2H-pyrazol-3-yl)-4-methoxy-phenylamine (20mg, 0.08 mmol) was dissolved in anhydrous CH2Cl2 (150 mL) and treated with 4-Fluorophenyl isocyanate, Compound 28 began to precipitate out immediately as a white solid. The reaction was stirred at room temperature for three hours. Then, the flask containing the solid was cooled in an ice water bath for 20 minutes. The solid was then filtered under vacuum and rinsed with CH2Cl2, yielding 17.7 mg (26%) of Compound 28. LCMS m/z (%)=377 (M+H37Cl, 39), 375 (M+H35Cl, 100). 1H NMR (400 MHz, DMSO-d6) δ: 8.95 (s, 1H), 8.93 (s, 1H), 7.86 (s, 1H), 7.81 (dd, J1=8 Hz, J2=4 Hz, 1H), 7.71 (dd, J1=8 Hz, J2=4 Hz, 2H), 7.62 (d, J=2, 1H), 7.41 (d, J=12 Hz, 1H), 7.38 (t, J=12 Hz, 2H), 4.01 (s, 3H), 3.86 (s, 3H).
- 3-(4-Chloro-2-methyl-2H-pyrazol-3-yl)-4-methoxy-phenylamine was treated with 3-Fluorophenyl isocyanate in a similar manner to as described in Example 1.53, providing 0.5 mg (1%) of Compound 36: LCMS m/z (%)=377 (M+H37Cl, 40), 375 (M+H35Cl, 100). 1H NMR (400 MHz, acetone-d6) δ: 8.23 (s, 1H), 7.45 (dt, J1=12, J2=4, J3=2 Hz, 1H), 7.37 (s, 1H), 7.17 (d, J=24 Hz, 1H), 7.15 (dd, J1=8 Hz, J2=2 Hz, 1H), 7.03 (dd, J1=8 Hz, J2=4 Hz, 1H), 6.77 (d, J=2 Hz, 1H), 6.63 (td, J1=8 Hz, J2=4 Hz, 1H), 3.68 (s, 3H), 3.52 (s, 3H).
- 3-(4-Chloro-2-methyl-2H-pyrazol-3-yl)-4-methoxy-phenylamine was treated with 2,4-difluorophenyl isocyanate in a similar manner as described in Example 1.53, providing 26.7 mg (36%) of Compound 29: LCMS m/z (%)=395 (M+H37Cl, 35), 393 (M+H35Cl, 100). 1H NMR (400 MHz, DMSO-d6) δ: 9.00 (s, 1H), 8.43 (s, 1H), 8.03 (m, J1=12 Hz, J2=4 Hz, 1H), 7.56 (s, 1H), 7.50 (d, J1=8 Hz, J2=4 Hz, 1H), 7.34 (d, J=4 Hz, 1H),7.28 (m, J1=12 Hz, J2=4 Hz, 1H), 7.12 (d, J=8 Hz, 1H),7.01 (m, J1=8 Hz, J2=2 Hz, 1H), 3.72 (s, 3H), 3.56 (s, 3H).
- 3-(4-Chloro-2-methyl-2H-pyrazol-3-yl)-4-methoxy-phenylamine was treated with 3-Methoxyphenyl isocyanate in a similar manner as described in Example 1.53, providing 7.5 mg (27%) of Compound 30 (Note:
Compound 30 did not precipitate out. Therefore, the CH2Cl2 was removed under reduced pressure, the residue was dissolved in 5 mL DMSO, and purified by preparative HPLC): LCMS m/z (%)=389 (M+H37Cl, 39), 387 (M+H35Cl, 100). 1H NMR (400 MHz, acetone-d6) δ: 7.99 (s, 1H), 7.49 (dd, J1=8 Hz, J2=2 Hz, 1H), 7.29 (d,J=8 Hz, 1H), 7.28 (s, 1H), 7.12 (t, J=2 Hz, 1H), 6.95 (d, J=2 Hz, 1H), 6.93 (d, J=4 Hz, 1H), 6.81 (dd, J1=8 Hz, J2=4 Hz, 1H), 6.37 (dd,J 18 Hz, J2=4 Hz, 1H), 3.63 (s, 3H), 3.57 (s, 3H), 3.47 (s, 3H). - 3-(4-Chloro-2-methyl-2H-pyrazol-3-yl)-4-methoxy-phenylamine was treated with 2-trifluoromethoxyphenyl isocyanate in a similar manner as described in Example 1.53, providing 1.5 mg (3%) of Compound 34: LCMS m/z (%)=440 (M+H37Cl, 14), 438 (M+H35Cl, 14). 1H NMR (400 MHz, acetone-d6) δ: 8.19 (s, 1H), 7.90 (s, 1H), 7.43 (d, J=4 Hz, 1H), 7.25 (s, 1H), 7.04 (t, J=12 Hz, 2H), 6.99 (dd, J1=8 Hz, J2=2 Hz, 1H), 6.75 (d, J=4 Hz, 1H), 6.72 (d, J=4 Hz, 1H), 6.66 (d, J=2 Hz, 1H), 3.63 (s, 3H), 3.45 (s, 3H).
- 3-(4-Chloro-2-methyl-2H-pyrazol-3-yl)-4-methoxy-phenylamine was treated with 3-Acetylphenyl isocyanate in a similar manner as described in Example 1.53, providing 3.7 mg (6%) of Compound 35 (Note: Compound 35 did not precipitate out. Therefore, the CH2Cl2 was removed under reduced pressure, the residue was dissolved in 5 mL DMSO, and purified by preparative HPLC): LCMS m/z (%)=401 (M+H37Cl, 27), 399 (M+H35Cl, 100). 1H NMR (400 MHz, acetone-d6) δ: 8.91 (s, 1H), 8.80 (s, 1H), 8.23 (s, 1H), 7.84 (d, J=8 Hz, 1H), 7.75 (dd, J1=12 Hz, J2=3 Hz, 1H), 7.62 (d, J=8 Hz, 1H), 7.56 (d, J=4 Hz, 1H), 7.49 (s, 1H), 7.43 (t, J=8 Hz, 1H), 7.16 (d, J=8 Hz, 1H), 3.69 (s, 3H), 3.42 (s, 3H).
- 3-(4-Chloro-2-methyl-2H-pyrazol-3-yl)-4-methoxy-phenylamine was treated with 4-chlorophenyl isocyanate in a similar manner as described in Example 1.53, providing 12 mg (30%) of Compound 26: LCMS m/z (%)=393 (M+H37Cl, 60), 391 (M+H35Cl, 100). 1H NMR (400 MHz, DMSO-d6) δ: 8.80 (s, 1H), 8.71 (s, 1H), 7.62 (s, 1H), 7.57 (dd, J1=8 Hz, H2=4 Hz, 1H), 7.49 )dd,
J 18 Hz, J2=2 Hz, 2H), 7.39 (d, J=4 Hz, 1H), 7.33 (dd, J1=8 Hz, J2=2 Hz, 2H), 7.17 (d, J=8 Hz, 1H), 3.77 (s, 3H), 3.62 (s, 3H). - 3-(4-Chloro-2-methyl-2H-pyrazol-3-yl)-4-methoxy-phenylamine was treated with 4-isopropylphenyl isocyanate in a similar manner as described in Example 1.53, providing 1.3 mg (2%) of Compound 76 (Note:
Compound 76 did not precipitate out). Therefore, the CH2Cl2 was removed under reduced pressure, the residue was dissolved in 5 mL DMSO, and purified by preparative HPLC): LCMS m/z (%)=401 (M+H37Cl, 31), 399 (M+H35Cl, 100). 1H NMR (400 MHz, acetone-d6) δ: 8.63 (s, 1H), 8.52 (s, 1H), 7.59 (dd, J1=8 Hz, J2=4 Hz, 1H), 7.41 (d, J=2 Hz, 1H), 7.37 (dd, J1=12 Hz, J2=2 Hz, 2H), 7.33 (s, 1H), 7.17 (dd, J1=8 Hz, J2=2 Hz, 2H), 7.00 (d, J=12 Hz, 1H), 3.68 (s, 3H), 3.54 (s, 3H). - 3-(4-Chloro-2-methyl-2H-pyrazol-3-yl)-4-methoxy-phenylamine was treated with 2,4-dichlorophenyl isocyanate in a similar manner as described in Example 1.53, providing 16.4 mg (24%) of Comound 77 (Note:
Comound 77 did not precipitate out. Therefore, the CH2Cl2 was removed under reduced pressure, the residue was dissolved in 5 mL DMSO, and purified by preparative HPLC): LCMS m/z (%)=427 (M+H37Cl, 72), 425 (M+H35Cl, 100). 1H NMR (400 MHz, acetone-d6) δ: 8.85 (s, 1H), 8.26 (dd, J1=12 Hz, J2=4 Hz, 1H) 7.90 (s, 1H), 7.59 (dd, J1=8 Hz, J2=4 Hz, 1H), 7.38 (d, J=4 Hz, 1H), 7.36 (s, 1H), 7.36 (s, 1H), 7.24 (dd, J1=12 Hz, J2=4 Hz, 1H), 7.05 (d, J=8 Hz, 1H), 3.72 (s, 3H), 3.56 (s, 3H). - 3-(4-Chloro-2-methyl-2H-pyrazol-3-yl)-4-methoxy-phenylamine was treated with 1-naphthyl isocyanate in a similar manner as described in Example 1.53, providing 21.1 mg (60%) of Compound 78: LCMS m/z (%)=409 (M+H37Cl, 38), 407 (M+H35Cl, 100). 1H NMR (400 MHz, DMSO-d6)δ: 9.02 (s, 1H), 8.71 (s, 1H), 8.10 (d, J=8 Hz, 1H), 7.96 (d, J=8 Hz, 1H), 7.91 (d, J=8 Hz, 1H), 7.61 (s, 1H), 7.59 (t, J=4 Hz, 1H), 7.58 (s, 1H), 7.56 (t, J=2 Hz, 1H), 7.54 (dd, J, =4 Hz, J2 Hz, 1H), 7.45 (d, J=8 Hz, 1H), 7.41 (d, J=4 Hz, 1H), 7.16 (d, J=8 Hz, 1H), 3.75 (s, 3H), 3.60 (s, 3H).
- 3-(4-Chloro-2-methyl-2H-pyrazol-3-yl)-4-methoxy-phenylamine was treated with 4-chloro-2-trifluoromethylphenyl isocyanate in a similar manner as described in Example 1.53, providing 4.4 mg (8%) of Compound 79 (Note:
Compound 79 did not precipitate out. Therefore, the CH2Cl2 was removed under reduced pressure, the residue was dissolved in 5 mL DMSO, and purified by preparative HPLC): LCMS m/z (%)=461 (M+H37Cl, 60), 459 (M+H35Cl, 100). 1H NMR (400 MHz, acetone-d6) δ: 8.99 (s, 1H), 8.30 (s, 1H), 8.16 (dd, J1=8 Hz, J2=2 Hz, 1H), 8.01 (d, J=8 Hz, 1H), 7.66 (s, 1H), 7.64 (d, J=4 Hz, 1H), 7.45 (d, J=4 Hz, 1H), 7.43 (s, 1H), 7.12 (d, J=8 Hz, 1H), 3.79 (s, 3H), 3.63 (s, 3H). - 3-(4-Chloro-2-methyl-2H-pyrazol-3-yl)-4-methoxy-phenylamine was treated with 4-trifluoromethylphenyl isocyanate in a similar manner as described in Example 1.53, providing 8 mg (15%) of Compound 80 (Note:
Compound 80 did not precipitate out. Therefore, the CH2Cl2 was removed under reduced pressure, the residue was dissolved in 5 mL DMSO, and purified by preparative HPLC): LCMS m/z (%)=427 (M+H37Cl, 22), 425 (M+H35Cl, 100). 1H NMR (400 MHz, acetone-d6) δ: 8.48 (s, 1H), 8.24 (s, 1H), 7.56 (d, J=8 Hz, 2H), 7.50 (dd, J1=8 Hz, J2=2 Hz, 1H), 7.40 (d, J=8 Hz, 1H), 7.28 (d, J=4 Hz, 1H), 7.27 (s, 1H), 6.96 (d, J=12 Hz, 1H), 3.62 (s, 3H), 3.46 (s, 3H). - 3-(4-Chloro-2-methyl-2H-pyrazol-3-yl)-4-methoxy-phenylamine was treated with 4-bromophenyl isocyanate in a similar manner as described in Example 1.53, providing 2.3 mg (6%) of Compound 81: LCMS m/z (%)=437 (M+H37Cl, 100), 435 (M+H35Cl, 82). 1H NMR (400 MHz, DMSO-d6) δ: 8.97 (d, J=2 Hz, 2H), 8.80 (s, 1H), 8.70 (s, 1H), 7.61 (s, 1H), 7.53 (dd, J1=12 Hz, J2=8 Hz, 1H), 7.44 (t, J=4 Hz, 2H), 7.35 (d, J=4 Hz, 1H), 7.13 (d, J=8 Hz, 1H), 3.74 (s, 3H), 3.58 (s, 3H).
- 3-(4-Chloro-2-methyl-2H-pyrazol-3-yl)-4-methoxy-phenylamine was treated with 3,5-Bis(trifluoromethyl)phenyl isocyanate in a similar manner as described in Example 1.53, providing 21.5 mg (32%) of Compound 82: LCMS m/z (%)=495 (M+H37Cl, 41), 493 (M+H35Cl, 100). 1H NMR (400 MHz, DMSO-d6) δ: 9.58 (s, 1H), 9.18 (s, 1H), 8.31 (s, 2H), 7.80 (s, 1H), 7.79 (s, 1H), 7.79 (dd, J1=8 Hz, J2=4 Hz, 1H), 7.59 (d, J=2 Hz, 1H), 7.36 (d, =8 Hz, 1H), 3.96 (s, 3H), 3.80 (s, 3H).
- Two reduction methods were utilized in the preparation of the 3-(4-Fluoro-2-methyl-2H-pyrazol-3-yl)-4-methoxy-phenylamine as shown below:
- Reduction Method A: 4-Fluoro-5-(2-methoxy-5-nitro-phenyl)-1-methyl-1H-pyrazole (205 mg, 0.817 mmol) in EtOH (25 mL) was treated with Sn(II) chloride dihydrate (626.3 mg, 2.45 mmol) and heated to 50° C. for 12 hours. The reaction was allowed to cool to room temperature and 10% NaOH (100 ml) was added. EtOAc (50 ml) was added and the organic layer was separated. The aqueous layer was extracted with EtOAc (2×50 mL) and the organics combined, dried over Na2SO4, filtered, and the solvent removed under reduced pressure. The residue was dissolved in DMSO (5 ml), and purified by preparative HPLC to afford 85 mg (47%) of 3-(4-fluoro-2-methyl-2H-pyrazol-3-yl)-4-methoxy-phenylamine as a light brown oil. LCMS m/z (%)=222 (M+H, 100). 1H NMR (400 MHz, CDCl3) δ: 7.38 (d, JH,F=4.8 Hz, 1H), 6.86 (d, J=8.8 Hz, 1H), 6.79 (dd, J, =8.8 Hz, J2=2.8 Hz, 1H), 6.64 (d, J=2.8 Hz, 1H), 3.75 (s, 3H), 3.69 (s,3H), 3.21 (s, 2H). 19F NMR (376 MHz, CDCl3) δ: 175.50 (d, JH,F=5.3 Hz, 1F).
- Reduction Method B: 4-Fluoro-5-(2-methoxy-5-nitro-phenyl)-1-methyl-1H-pyrazole (109 mg, 0.434 mmol) in EtOH (10 mL) was treated with Pd—C (10 wt. %, Degussa) and a balloon of H2 was allowed to bubble through the slurry. The reaction mixture was filtered through celite and the solvent was removed under reduced pressure to afford 93 mg (97%) of 3-(4-fluoro-2-methyl-2H-pyrazol-3-yl)-4-methoxy-phenylamine as a light brown oil. LCMS m/z (%)=222 (M+H, 100). 1H NMR (400 MHz, CDCl3) δ: 7.38 (d, JH,F=4.4 Hz, 1H), 6.86 (d, J=8.8 Hz, 1H), 6.78 (dd, J1=8.8 Hz, J2=2.8 Hz, 1H), 6.63 (d, J=2.8 Hz, 1H), 3.74 (s, 3H), 3.68 (s,3H), 3.53 (s, 2H). 19F NMR (376 MHz, CDCl3) δ: −175.50 (d, JH,F=5.3 Hz, 1F).
- The intermediate 4-fluoro-5-(2-methoxy-5-nitro-phenyl)-1-methyl-i H-pyrazole used in Reduction Methods A and B was prepared in the following manner:
- 5-(2-Methoxy-5-nitro-phenyl)-1-methyl-1H-pyrazole (300.0 mg, 1.29 mmol) was dissolved in ACN (15 ml) in a
polypropylene 20 mL scintillation vial. To this solution, Selectfluor (913.9 mg, 2.58 mmol) was added and the mixture was degassed with argon and heated to 80° C. for 6 hours. The solvent was removed under reduced pressure and the residue was dissolved in 50 mL EtOAc and 30 mL 3N HCl. The organic layer was separated and the aqueous layer was extracted with EtOAc (2×50 ml). The organic layers were combined, dried over Na2SO4, filtered, and the solvent removed under reduced pressure. The residue was then purified by flash chromatography (Biotage SiO2, Hexanes (0.01%TEA)/EtOAc gradient elution) to afford 108 mg (33%) of 4-fluoro-5-(2-methoxy-5-nitro-phenyl)-1-methyl-1H-pyrazole as a white solid. LCMS m/z (%)=252 (M+H, 100). 1H NMR (400 MHz, CDCl3) δ: 8.39 (d, J=9.2 Hz, 1H), 8.22 (s, 1H), 7.44 (d, JH,F=4.4 Hz, 1H), 7.12 (d, J=9.2 Hz, 1H) 3.98 (s, 3H), 3.77 (s,3H). 19F NMR (376 MHz, CDCl3) δ: −175.50 (d, JH,F=5.3 Hz, 1F). - 3-(4-Fluoro-2-methyl-2H-pyrazol-3-yl)-4-methoxy-phenylamine (49 mg, 0.22 mmol) was dissolved in 3 mL of CH2Cl2, treated with 4-chlorophenylisocyanate (40 mg, 0.27 mmol), and stirred at room temperature overnight. The solvent was removed under reduced pressure, dissolved in DMSO (5 ml), and purified by preparative HPLC to afford Compound 27 as a white solid, 41 mg, 49% yield: LCMS m/z (%)=377 (M+H37Cl, 31), 375 (M+H35Cl, 100). 1H NMR (400 MHz, acetone-d6) δ: 8.77 (s, 1H), 8.67 (s, 1H), 7.66 (ddd, J1=9.0 Hz, J2=2.6 Hz, 1H), 7.60 (d, J=9.2 Hz, 2H), 7.54 (d, J=2.8 Hz, 1H), 7.38 (d, JH,F=4.4 Hz, 1H), 7.27 (d, J=8.8 Hz, 2H), 7.12 (d, J=8.8 Hz, 1H), 3.83 (s, 3H), 3.65 (s, 3H). 19F NMR (376 MHz, acetone-d6) δ: −177.39 (d, JH,F=5.3 Hz, 1F).
- 3-(4-Fluoro-2-methyl-2H-pyrazol-3-yl)-4-methoxy-phenylamine (45 mg, 0.20 mmol) was dissolved in 3 mL of CH2Cl2, treated with 4-fluorophenylisocyanate (28 uL, 0.24 mmol), and stirred at room temperature overnight. The compound of interest precipitated out of solution and was filtered and washed with CH2Cl2 to afford Compound 31 as a white solid, 56 mg, 77% yield: LCMS m/z (%)=359 (M+H, 100). 1H NMR (400 MHz, acetone-d6) δ: 8.12 (s, 1H), 8.08 (s, 1H), 7.63 (ddd, J1=9.0 Hz, J2=2.6 Hz, 1H), 7.54 (m, 2H), 7.48 (d, J=2.8 Hz, 1H), 7.38 (d, JH,F=4.8 Hz, 1H), 7.13 (d, J=8.8 Hz, 1H), 7.05 (dd, J1=9.0 Hz, J2=9.0 Hz, 2H), 3.83 (s, 3H), 3.65 (s, 3H), 19F NMR (376 MHz, acetone-d6) δ: −123.08 (m, 1F), −177.41 (d, JH,F=5.3 Hz, 1F).
- 3-(4-Fluoro-2-methyl-2H-pyrazol-3-yl)-4-methoxy-phenylamine was treated with 3,4-difluorophenylisocyanate, in a similar manner as described in Example 1.69, providing 27 mg (63% yield) of Compound 32: LCMS m/z (%)=377 (M+H, 100). 1H NMR (400 MHz, acetone-d6) δ: 8.28 (s, 1H), 8.12 (s, 1H), 7.74 (ddd, J1=13.5 Hz, J2=7.3 Hz, J3=2.5 Hz, 1H), 7.63 (ddd, J1=8.8 Hz, J2=2.8 Hz, 1H), 7.47 (d, J=2.8 Hz, 1H), 7.38 (d, JH,F=4.4 Hz, 1H), 7.16 (m, 3H), 3.84 (s, 3H), 3.65 (s, 3H), 19F NMR (376 MHz, acetone-d6) δ: −138.89 (m, 1F), −148.38 (m, 1F), −177.40 (d, JH,F=5.3 Hz, 1F).
- 3-(4-Fluoro-2-methyl-2H-pyrazol-3-yl)-4-methoxy-phenylamine was treated with 3-fluorophenylisocyanate, in a similar manner as described in Example 1.68, providing 15 mg (55% yield) of Compound 33: LCMS m/z (%)=359 (M+H, 100). 1H NMR (400 MHz, J acetone-d6) δ: 8.38 (s, 1H), 8.21 (s, 1H), 7.64 (dd, J1=9.0 Hz, J2=2.6 Hz, 1H), 7.59 (d, J=12.0 Hz, 1H), 7.48 (d, J=2.8 Hz, 1H), 7.39 (d, JH,F=4.8 Hz, 1H), 7.27 (dd, J1=14.8 Hz, J2=8.0 Hz, 1H), 7.15 (d, J=9.6 Hz, 1H), 7.12 (s, 1H), 6.72 (dd, J1=9.6 Hz, J2=7.2 Hz, 1H), 3.83 (s, 3H), 3.65 (s, 3H). 19F NMR (376 MHz, acetone-d6) δ: −114.00 (m, 1F), −177.35 (d, JH,F=3.8 Hz, 1F).
- 3-(4-Fluoro-2-methyl-2H-pyrazol-3-yl)-4-methoxy-phenylamine was treated with 2,4-difluorophenylisocyanate, in a similar manner as described in Example 1.68, providing 21 mg (58% yield) of Compound 37: LCMS m/z (%)=377 (M+H, 100). 1H NMR (400 MHz, acetone-d6) δ: 8.50 (s, 1H), 8.24 (m, 1H), 7.98 (s, 1H), 7.64 (dd, J1=9.0 Hz, J2=2.6 Hz, 1H), 7.51 (d, J=2.4 Hz, 1H), 7.38 (d, JH,F=4.8 Hz, 1H), 7.14 (d, J=8.8 Hz, 1H), 7.06 (ddd, J1=11.4Hz, J2=8.6 Hz, J3=2.8 Hz, 1H), 6.99 (dd, J1=9.6 Hz, J2=9.6 Hz, 1H), 3.83 (s, 3H), 3.65 (s, 3H). 19F NMR (376 MHz, acetone-d6) δ; −119.93 (m, 1F), −127.63 (m, 1F) −177.41 (d, JH,F=4.1 Hz, 1F).
- 3-(4-Fluoro-2-methyl-2H-pyrazol-3-yl)-4-methoxy-phenylamine was treated with 3-chlorophenylisocyanate, in a similar manner as described in Example 1.68. An additional purification by flash chromatography (SiO2, Hexanes/EtOAc gradient elution) was necessary, providing a 10 mg (27% yield) of Compound 83: LCMS m/z (%)=377 (M+H37Cl, 25), 375 (M+H35Cl, 100). 1 H NMR (400 MHz, acetone-d6) δ: 8.28 (s, 1H), 8.16 (s, 1H), 7.80 (s, 1H), 7.64 (dd, J1=8.8 Hz, J2=2.8 Hz, 1H), 7.48 (d, J=2.8 Hz, 1H), 7.38 (d, JH,F=4.8 Hz, 1H), 7.34 (dd, J1=9.2 Hz, H2=0.8 Hz 1H), 7.26 (dd, J1=8.2, J2=8.2 Hz, 1H), 7.13 (d, J=8.8 Hz, 1H), 7.00 (dd, J1=8.8 Hz, J2=0.8 Hz, 1H), 3.83 (s, 3H), 3.65 (s, 3H). 19F NMR (376 MHz, acetone-d6) δ: −177.35 (d, JH,F=4.1 Hz, 1F).
- 3-(4-Fluoro-2-methyl-2H-pyrazol-3-yl)-4-methoxy-phenylamine was treated with 4-bromophenylisocyanate, in a similar manner as described in Example 1.68, providing 27 mg (60% yield) of Compound 85: LCMS m/z (%)=421 (M+H81Br, 100), 419 (M+H79Br, 100). 1H NMR (400 MHz, acetone-d6) δ: 8.24 (s, 1H), 8.13 (s, 1H), 7.63 (dd, J1=9.0 Hz, J2=2.6 Hz, 1H), 7.51 (d, J=8.8 Hz, 2H), 7.48 (d, J=2.8 Hz, 1H), 7.42 (d, J=8.8 Hz, 2H), 7.38 (d, JH,F=4.4 Hz, 1H), 7.13 (d, J=9.2 Hz, 1H), 3.83 (s, 3H), 3.65 (s, 3H). 19F NMR (376 MHz, acetone-d6) δ: −177.39 (d, JH,F=5.3 Hz, 1F).
- 3-(4-Fluoro-2-methyl-2H-pyrazol-3-yl)-4-methoxy-phenylamine was treated with 4-trifluoromethylphenylthioisocyanate, in a similar manner as described in Example 1.69. An additional purification by flash chromatography (Biotage SiO2, Hexanes/EtOAc gradient elution) was necessary, providing 38 mg (68% yield) of Compound 86: LCMS m/z (%)=425 (M+H, 100). 1H NMR (400 MHz, acetone-d6) δ: 9.32 (d, J=20.0 Hz, 2H), 7.83 (d, J=8.4 Hz, 2H), 7.67 (d, J=8.8 Hz, 2H), 7.61 (dd, J1=8.8 Hz, J2=2.8 Hz, 1H), 7.45 (d, J=2.4 Hz, 1H), 7.38 (d, JH,F=4.8 Hz, 1H), 7.20 (d, j=8.8 Hz, 1H), 3.88 (s, 3H), 3.67 (s, 3H). 19F NMR (376 MHz, acetone-d6) δ: 63.10 (s, 3F), −176.49 (d, JH,F=4.1 Hz, 1F).
- 3-(4-Fluoro-2-methyl-2H-pyrazol-3-yl)-4-methoxy-phenylamine was treated with 4-chloro-3-trifluoromethylphenylisocyanate, in a similar manner as described in Example 1.68, providing 15 mg (29% yield) of Compound 84: LCMS m/z (%)=445 (M+H37Cl, 34), 443 (M+H35Cl, 100). 1H NMR (400 MHz, acetone-d6) δ: 8.69 (s, 1H), 8.39 (s, 1H), 8.15 (d, J=2.4 Hz, 1H), 7.74 (dd, J1=8.6 Hz, J2=2.2 Hz 1H), 7.65 (dd, J1=9.0 Hz, J2=2.6 Hz, 1H), 7.53 (d, J=8.8 Hz, 1H), 7.49 (d, J=2.4 Hz, 1H), 7.38 (d, JH,F=4.4 Hz, 1H), 7.14 (d, J=9.2 Hz, 1H) 3.83 (s, 3H), 3.65 (s, 3H). 19F NMR (376 MHz, acetone-d6) δ: −63.75 (s, 3F), −177.40 (d, JH,F=5.3 Hz, 1F).
- 3-(4-Fluoro-2-methyl-2H-pyrazol-3-yl)-4-methoxy-phenylamine was treated with 4-methoxyphenylisocyanate, in a similar manner as described in Example 1.68. Additionally the residue was washed with CH2Cl2, providing 18 mg (29% yield) of Compound 87: LCMS m/z (%)=371 (M+H, 100). 1H NMR (400 MHz, acetone-d6) δ: 8.06 (s, 1H), 7.95 (s, 1H), 7.63 (dd, J=8.8 Hz, J2=2.8 Hz, 1H), 7.49 (d, J=2.8 Hz, 1H), 7.42 (d, J=8.4 Hz, 2H), 7.37 (d, JH,F=4.4 Hz, 1H), 7.11 (d, J=9.2 Hz, 1H), 6.85 (d, J=9.2 Hz, 2H), 3.82 (s, 3H), 3.75 (s, 3H), 3.65 (s, 3H). 19F NMR(376 MHz, acetone-d6) δ: −177.41 (d, JH,F=4.1 Hz, 1F).
- 3-(4-Fluoro-2-methyl-2H-pyrazol-3-yl)-4-methoxy-phenylamine was treated with 3-acetylphenylisocyanate, in a similar manner as described in Example 1.68. An additional purification by flash chromatography (SiO2, Hexanes/EtOAc gradient elution) was necessary, providing 36 mg (53% yield) of Compound 88: LCMS m/z (%)=383 (M+H, 100). 1H NMR (400 MHz, acetone-d6) δ: 8.31 (s, 1H), 8.17 (s, 1H), 8.13 (s, 1H), 7.79 (dd, J1=9.0 Hz, J2=2.2 Hz, 1H), 7.63 (d, J1=15.5 Hz, J2 =8.3 Hz, J3=2.7 Hz, 1H), 7.50 (d, J=2.4 Hz, 1H), 7.41 (m, 3H), 7.14 (d, J=9.2 Hz, 1H), 3.84 (s, 3H), 3.65 (s, 3H), 2.56 (s, 3H). 19F NMR (376 MHz, acetone-d6) δ: −177.39 (d, JH,F=4.1 Hz, 1F).
- 3-(4-Fluoro-2-methyl-2H-pyrazol-3-yl)-4-methoxy-phenylamine was treated with 4-trifluoromethylphenylisocyanate, in a similar manner as described in Example 1.69, providing 24 mg (49% yield) of Compound 89: LCMS m/z (%)=409 (M+H, 100). 1H NMR (400 MHz, acetone-d6) δ: 8.56 (s, 1H), 8.29 (s, 1H), 7.75 (d, J=8.8 Hz, 2H), 7.65 (dd, J1=9.0 Hz, J2=2.6 Hz, 1H), 7.60 (d, J=8.4 Hz, 2H), 7.50 (d, J=2.4 Hz, 1H), 7.38 (d, JH,F=4.4 Hz, 1H), 7.14 (d, J=8.8 Hz, 1H), 3.84 (s, 3H), 3.65 (s, 3H). 19F NMR (376 MHz, acetone-d6) δ: −62.80 (s, 3F), −177.39 (d, H,F=4.1 Hz, 1F).
- 3-(4-Fluoro-2-methyl-2H-pyrazol-3-yl)-4-methoxy-phenylamine was treated with 3-trifluoromethylphenylisocyanate, in a similar manner as described in Example 1.69, providing 37 mg (48% yield) of Compound 90: LCMS m/z (%)=409 (M+H, 100). 1H NMR (400 MHz, acetone-d6) δ: 8.50 (s, 1H), 8.27 (s, 1H), 8.07 (s, 1H), 7.67 (d, J=8.8 Hz, 1H), 7.64 (d, J=2.4 Hz, 1H), 7.49 (m, 2H), 7.38 (d, JH,F=4.8 Hz, 1H), 7.30 (d, J=8.0 Hz, 1H), 7.14 (d, J=8.8 Hz, 1H), 3.84 (s, 3H). 19F NMR (376 MHz, acetone-d6) δ: −63.85 (s, 3F), −177.42 (d, JH,F=4.1 Hz, 1F).
- To a solution of 4-bromo-1-isopropyl-5-(2-methoxy-5-nitro-phenyl)-1H-pyrazole (0.50 g, 1.47 mmol) in ethanol (5.0 mL), was added SnCl2.2H20 (1.3 g, 5.88 mmol) and the mixture was heated at 55° C. overnight. The ethanol was evaporated and the residue was taken up in ethyl acetate (50 mL) and washed with 10% NaOH (10 mL). The organic layer was dried over MgSO4 and evaporated to yield a light yellow solid. The crude material was purified via Biotage silica chromatography (hexane/EtOAc, 3/1) to yield a pale yellow solid of 3-(4-bromo-2-isopropyl-2H-pyrazol-3-yl)-4-methoxy-phenylamine (0.38 g, 85%). LCMS m/z (%)=311 M+H+, (79Br, 100), (81Br, 96.5), 1H NMR (400 MHz, CDCl3) δ: 7.47 (s, 1H), 6.78 (d, J=8.08 Hz, 1H), 6.72 (dd, J1=8.01 Hz, J2=2.78 Hz, 1H), 6.54 (d, J=2.78 Hz, 1H), 4.14 (m, 1H), 3.63 (s, 3H), 1.4 (d, J=6.57 Hz, 3H), 1.23 (d, J=6.57 Hz, 3H).
- The intermediate 4-Bromo-1-isopropyl-5-(2-methoxy-5-nitro-phenyl)-1H-pyrazole was prepared in the following manner:
- A. 1-Isopropyl-1H-pyrazole: To a solution of pyrazole (50.0 g, 735.3 mmol) in aqueous sodium hydroxide (123.5 g NaOH/200 mL of water), was added isopropyl bromide (180.0 g, 1470.1 mmol) and the mixture was then heated to reflux for 6-7 days. The reaction mixture was cooled and extracted with ethyl acetate (3×300ml). The combined organic layers were dried over MgSO4. Removal of the volatiles in vacuo provided a light yellow oil, which was distilled via Kugelrohr at 140° C. and 10 Torr, to provide 1-isopropyl-1H-pyrazole as a colorless oil (43 g, 53%). LCMS m/z (%) =111 M+H+, (100). 1H NMR (400 MHz, DMSO-d6) δ: 7.72 (d, J=2.3 Hz, 1H), 7.41 (t, 1H), 6.21 (t, 1H), 4.5 (q, 1H), 1.41-1.37 (d, J=11.1 Hz).
- B. 2-Isopropyl-2H-pyrazole-3-boronic acid: n-BuLi (17.46 g, 110 mL, 273 mM, in hexanes) was slowly added over 30 minutes at −78° C. to a THF solution of 1-isopropyl-1H-pyrazole (25.0 g, 227 mmol). The reaction mixture was stirred at −78° C. for 2 hours. A solution of cooled triisopropoxy boronate (170.0 g, 909 mmol) was added slowly via canula over 45 minutes. The reaction mixture was allowed to warm to room temperature and stirred overnight. The reaction mixture was adjusted to pH 6-7 with HCl (1M, 170 mL). The solvent was evaporated to dryness and the resulting residue was triturated with 1:1 ethylacetate:dichloromethane, the suspension filtered and the solvent was evaporated in vacuo to yield 2-isopropyl-2H-pyrazole-3-boronic acid as a colorless solid (20.0 g, 58%). LCMS m/z (%)=154 M+H+, (100). 1H NMR (400 MHz, DMSO-d6) δ: 8.14 (s, 2H), 7.2 (s, 1H), 6.5 (s, 1H), 5.05 (m, 1H), 1.2 (d, J=9.0 Hz, 6H).
- C. 1-Isopropyl-5-(2-methoxy-5-nitro-phenyl)-1H-pyrazole: To a mixture of trifluoromethanesulfonic acid 2-methoxy-5-nitro-phenyl ester, (4.1 g, 13.6 mmol; see Example 1.1, Step B for preparation), 2-isopropyl-2H-pyrazole-3-boronic acid (5.2 g, 34.1 mmol), and anhydrous Cs2CO3 (17.7 g, 54.4 mmol) in DME under argon was added Pd (PPh3) 4 (0.79 g, 0.68 mmol) and the mixture was heated at 80° C. for 16 h. The reaction mixture was cooled, filtered through Celite and evaporated to dryness. The residue was taken up in ethyl acetate and the solution was washed with water. The organic layer was dried over MgSO4 and evaporated to afford a crude product as a brown solid. The crude material was purified via Biotage silica chromatography (hexane/EtOAc, 3/1) to yield a colorless solid, 1-isopropyl-5-(2-methoxy-5-nitro-phenyl)-1H-pyrazole (1.88 g, 52%). LCMS m/z (%)=261 M+H+ (100), 1H NMR (400 MHz, CDCl3) δ: 8.36 (dd, J1=9.09 Hz, J2=2.5 Hz, 1H), 8.18 (d, J=8.18 Hz, 1H), 7.65 (s, 1H), 7.09 (d, J=8.08 Hz, 1H), 6.25 (s, 1H), 4.16 (dd, J1=13.14 Hz, J2=6.57 Hz, 1H), 3.95 (s, 3H), 1.45 (d, J=6.82 Hz, 6H).
- D. 4-Bromo-1-isopropyl-5-(2-methoxy-5-nitro-phenyl)-1H-pyrazole: To a stirred, ice-cooled solution of 1-isopropyl-5-(2-methoxy-5-nitro-phenyl)-1H-pyrazole (1.0 g, 3.83 mmol) in DMF (10 mL) was added NBS (0.75 g, 4.22 mmol) slowly over a period of 10 minutes. The reaction mixture was warmed to ambient temperature and stirred for 2 h. The reaction was poured into an ice-water mixture with vigorous stirring to form a white solid, which was filtered and washed with cold water until free of DMF. The solid was dried in vacuo to give colorless solid 4-bromo-1-isopropyl-5-(2-methoxy-5-nitro-phenyl)-1H-pyrazole (1.25 g, 96%). LCMS m/z (%)=340 M+H+, (79Br, 100), 342 (81Br, 96.5). 1H NMR (400 MHz, CDCl3) δ: 8.4 (dd, J1=9.09 Hz, J2=2.78 Hz, 1H), 8.19 (d, J=2.78), 7.6 (s, 1H), 7.14 (d,J=9.35 Hz, 1H), 4.11 (m, 1H), 3.96 (s, 3H), 1.49 (d, J=6.52 Hz, 3H), 1.36 (d, J=6.52 Hz, 3H).
- To a solution of 4-chloro-1-isopropyl-5-(2-methoxy-5-nitro-phenyl)-1H-pyrazole (0.18 g, 0.61 mmol) in ethanol (5.0 mL), was added SnCl2.2H2O (0.56 g, 2.44 mmol) and the mixture was heated at 55° C. overnight. The ethanol was evaporated and the residue was taken up in ethyl acetate (50 mL) and washed with 10% NaOH (10 mL). The organic layer was dried over MgSO4 and evaporated to yield a light yellow solid. The crude material was purified via Biotage silica chromatography (hexane/EtOAc, 3/1) to yield a pale yellow solid of 3-(4-chloro-2-isopropyl-2H-pyrazol-3-yl)-4-methoxy-phenylamine (0.116 g, 75%). LCMS m/z (%)=267 M+H+, (35Cl, 100), 269 (37Cl, 28.5)), 1H NMR (400 MHz, CDCl3) δ: 7.47 (s, 1H), 6.78 (d, J=8.08 Hz, 1H), 6.72 (dd, J1=8.01 Hz, J2=2.78 Hz, 1H), 6.54 (d, J=2.78 Hz, 1H), 4.14 (m, 1H), 3.63 (s, 3H), 1.4 (d, J=6.57 Hz, 3H), 1.23 (d, J=6.57 Hz, 3H).
- The intermediate 4-chloro-1-isopropyl-5-(2-methoxy-5-nitro-phenyl)-1H-pyrazole was prepared in the following manner:
- To a stirred, ice-cooled solution of 1-isopropyl-5-(2-methoxy-5-nitro-phenyl)-1H-pyrazole from Example 1.81, Step C (1.0 g, 3.83 mmol) in DMF (10 mL) was added NCS (0.56 g, 4.22 mmol) over a period of 10 minutes. The reaction mixture was warmed to ambient temperature and stirred at 55° C. for 6 h. The reaction mixture was cooled and poured into an ice-water mixture with vigorous stirring to form a white solid, which was filtered and washed with cold water until free of DMF. The solid was dried in vacuo to yield 4-chloro-1-isopropyl-5-(2-methoxy-5-nitro-phenyl)-1H-pyrazole (1.1 g, 97%). LCMS m/z (%)=296 M+H+, (35Cl, 100), 298 (37Cl, 28.5). 1H NMR (400 MHz, CDCl3) δ: 8.4 (dd, J1=9.09Hz, J2=2.78Hz, 1H), 8.19 (d, J=2.8 Hz), 7.6 (s, 1H), 7.14 (d,J=9.1 Hz, 1H), 4.10 (m, 1H), 3.94 (s, 3H), 1.49 (d, J=6.62 Hz, 3H), 1.36 (d, J=6.62 Hz, 3H).
- To a solution of 1-isopropyl-5-(2-methoxy-5-nitro-phenyl)-1H-pyrazole, from Example 1.81, Step C (0.57 g, 2.18 mmol) in ethanol (5.0 mL), was added SnCl2.2H2O (1.97 g, 8.74 mmol) an mixture was heated at 55° C. overnight. The ethanol was evaporated and the residue was taken in ethyl acetate (50 mL) and washed with 10% NaOH (10 mL). The organic layer was dried over MgSO4 and evaporated to yield a light yellow solid. The crude material was purified via Biotage silica chromatography (hexane/EtOAc, 3/1) to yield a pale yellow solid of 3-(2-isopropyl-2H-pyrazol-3-yl)-4-methoxy-phenylamine (0.465 g,94%). LCMS m/z (%)=232 M+H+ (100), 1H NMR (400 MHz, CDCl3) δ: 7.47 (s, 1H), 6.78 (d, J=8.08 Hz, 1H), 6.72 (dd, J1=8.01 Hz, J2=2.78 Hz, 1H), 6.54 (d, J=2.78 Hz, 1H),6.25 (s, 1H), 4.14 (m, 1H),3.63 (s,3H), 1.4 (d, J=6.57 Hz, 3H), 1.23 (d, J=6.57 Hz, 3H).
- To a solution of 3-(2-isopropyl-2H-pyrazol-3-yl)-4-methoxy-phenylamine (0.1 g, 0.433 mmol) in CH2Cl2, was added 4-chlorophenyl isocyanate (0.0733 g, 0.476 mmol) and stirred overnight. The resulting precipitate was filtered and washed with methylene chloride/hexane (1:1), and dried in vacuo to yield Compound 43 as a colorless solid (0.050 g, 30%). LCMS m/z (%)=386 M+H+ (37Cl, 26), 385 M+H+ (35Cl, 94), 1H NMR (400 MHz, DMSO-d6) δ: 8.84 (bs, 1H), 8.77 (bs, 1H), 7.48 (d, J=1.91 Hz, 1H), 7.46 (d, J=1.84 Hz, 1H), 7.44 (d, J=3.65 Hz, 1H), 7.33 (t, 1H), 7.3 (s, 1H), 7.29 (d, J=7.68 Hz, 2H), 7.07 (d, J=8.9 Hz, 2H), 6.13 (d, J=1.83 Hz, 1H), 4.25 (m, 1H), 3.7 (s, 3H), 1.3 (d, J=6.76 Hz, 6H).
- To a solution of 3-(2-isopropyl-2H-pyrazol-3-yl)-4-methoxy-phenylamine (0.1 g, 0.433 mmol) in CH2Cl2, was added 4-fluoro phenyl isocyanate (0.0652 g, 0.476 mmol) and stirred overnight. The resulting precipitate was filtered and washed with methylene chloride/hexane (1:1), and dried in vacuo to yield Compound 44 as a colorless solid (0.050 g, 30%). LCMS m/z (%)=369 M+H+, (100), 1H NMR (400 MHz, DMSO-d6) δ: 8.59 (bs, 1H), 8.52 (bs, 1H), 7.42-7.35 (m, 4H), 7.28-7.27(d, J=2.7 Hz, 1H), 7.057(m, 3H), 6.07 (d, J=1.76 Hz, 1H), 4.10 (m, 1H), 3.66 (s, 3H), 1.24 (d, J=6.56 Hz, 6H).
- To a solution of 3-(2-isopropyl-2H-pyrazol-3-yl)-4-methoxy-phenylamine (0.1 g, 0.433 mmol) in CH2Cl2, was added 3,4-difluoro phenyl isocyanate (0.067 g, 0.476 mmol) and stirred overnight. The resulting precipitate was filtered and washed with methylene chloride/hexane (1:1), and dried in vacuo to yield Compound 46 as a colorless solid (0.078 g,42%). LCMS m/z (%)=387 M+H+, (100), 1H NMR (400 MHz, acetone-d6) δ: 8.45 (bs, 1H), 8.27 (bs, 1H), 7.65-7.59 (m, 3H), 7.485(d, J=2.56 H), 1H), 7.228-7.009 (m, 4H), 6.245 (d, J=1.73 Hz, 1H), 4.36 (m, 1H), 3.82 (s, 3H), 1.418 (d, J=6.61 Hz, 6H).
- To a solution of 3-(2-isopropyl-2H-pyrazol-3-yl)-4-methoxy-phenylamine (0.1 g,0.433 mmol) in CH2Cl2, was added 3-chloro-4-fluoro phenyl isocyanate (0.075 g, 0.476 mmol) and stirred overnight. The resulting precipitate was filtered and washed with methylene chloride/hexane (1:1), and dried in vacuo to yield Compound 47 as a colorless solid (0.090 g, 52%). LCMS m/z (%)=405 M+H+ (37Cl, 23) 403 M+H+ (35Cl, 60), 1H NMR (400 MHz, acetone-d6) δ: 8.3 (bs, 1H), 8.1 (bs, 1H), 7.82-7.796 (dd, J1=6.75 Hz, J2=2.58 Hz, 1H), 7.536 (d, J=2.67 Hz, 2H), 7.514 (d, J=2.67 Hz, 2H), 7.43 (d, J=1.57 Hz,1H), 7.368 (d, J=2.65 Hz, 1H), 7.299 (d, J=1.23 Hz, 1H), 7.136 (t, 1H), 6.079 (d, J=1.69 Hz, 1H), 4.224 (m, 1H), 3.73 (s, 3H), 1.308 (d, J=6.61 Hz, 6H).
- To a solution of 3-(2-isopropyl-2H-pyrazol-3-yl)-4-methoxy-phenylamine (0.1 g, 0.433 mmol) in CH2Cl2, was added 2-Chloro-4-trifluoromethylphenyl isocyanate (0.106 g, 0.476 mmol) and stirred overnight. The resulting precipitate was filtered and washed with methylene chloride/hexane (1:1), and dried in vacuo to yield Compound 48 as a colorless solid (0.109 g, 56%). LCMS m/z (%)=455 M+H+ (37Cl, 35),453 M+H+ (35Cl, 100), 1H NMR (400 MHz, acetone-d6) δ: 8.78 (bs, 1H), 8.48 (d, J=8.97 Hz, 1H), 7.99 (bs, 1H), 7.615 (s, 1H), 7.52-7.46(m, 1H), 7.375 (d, J=1.41 Hz, 1H), 7.337 (d,J=2.64 Hz, 1H), 6.973 (d, J=8.92 Hz, 1H), 6.027 (d, J=1.63 Hz, 1H), 4.151 (m, 1H), 3.676 (s, 3H), 1.244 (d, J=6.61 Hz, 6H).
- To a solution of 3-(4-bromo-2-isopropyl-2H-pyrazol-3-yl)-4-methoxy-phenylamine (0.08 g, 0.258 mmol) in CH2Cl2, was added 4-chloro phenyl isocyanate (0.041 g, 0.263 mmol) and stirred overnight. The resulting precipitate was filtered and washed with methylene chloride/hexane (1:1), and dried in vacuo to yield Compound 49 as a colorless solid (0.052 g, 42%). LCMS m/z (%)=463 (M+H+79Br, 35Cl, 41), 465 M+H+ (81Br 35Cl 88), 467 H+ (81 Br 37Cl, 21), 1H NMR (400 MHz, acetone-d6) δ: 8.30 (bs, 1H), 8.24 (bs, 1H), 7.685 (d, J=2.66 Hz, 1H), 7.577 (d, J=1.92 Hz, 2H), 7.74 (d, J=2.65, 1H), 7.292 (d, J=1.9 Hz, 2H), 7.280 (d, J=1.6 Hz, 1H), 7.135 (d, J=9.01 Hz, 1H), 4.256 (m, 1H), 3.811 (s, 3H), 1.447 (d, J=6.61 Hz, 3H), 1.288 (d, J=6.61 Hz, 3H).
- To a solution of 3-(4-bromo-2-isopropyl-2H-pyrazol-3-yl)-4-methoxy-phenylamine (0.08 g, 0.258 mmol) in CH2Cl2, was added 4-fluoro phenyl isocyanate (0.036 g, 0.263 mmol) and stirred overnight. The resulting precipitate was filtered and washed with methylene chloride/hexane (1:1), and dried in vacuo to yield
Compound 50 as a colorless solid (0.037 g, 32%). LCMS m/z (%)=449 M+H+ (81Br, 58), 447 M+H+ (79 Br, 63), 1H NMR (400 MHz, CDCl3) δ: 7.5 (s, 1H), 7.346 (d, 1.95 Hz, 2H), 7.326 9bs, 1H), 7.151 (d, J=4.77 Hz, 1H), 7.124 (t, 1H), 6.995 (d, J=1.87 Hz, 2H), 6.869 (d, J=5.42 Hz, 1H), 6.847 (d, J=4.71 Hz, 1H), 4.045 (m, 1H),3.651 (s,3H), 1.333 (d, J=6.61 Hz, 3H), 1.160 (d, J=6.61 Hz, 3H). - To a solution of 3-(4-bromo-2-isopropyl-2H-pyrazol-3-yl)-4-methoxy-phenylamine (0.08 g, 0.258 mmol) in CH2Cl2, was added 3,4-difluoro phenyl isocyanate (0.041 g, 0.263 mmol) and stirred overnight. The resulting precipitate was filtered and washed with methylene chloride/hexane (1:1), and dried in vacuo to yield Compound 51 as a colorless solid (0.096 g, 80%). LCMS m/z (%)=467 M+H+ (81Br, 88), 465, M+H+ (79Br, 95), 1H NMR (400 MHz, DMSO-d6) δ: 8.816 (bs, 1H), 8.681 (bs, 1H), 7.5 (s, 1H), 7.412 (d, J=2.51 Hz, 2H), 7.389 (d, J=2.51 Hz, 2H), 7.199 (t, 1H), 7.167 (s, 1H), 6.983 (t, 1H), 3.989 (m, 1H), 3.596 (s, 3H), 1.225 (d, J=6.61 Hz, 3H), 1.078 (d, J=6.61 Hz, 3H).
- To a solution of 3-(4-bromo-2-isopropyl-2H-pyrazol-3-yl)-4-methoxy-phenylamine (0.08 g, 0.258 mmol) in CH2Cl2, was added 3-chloro-4-fluoro phenyl isocyanate (0.045 g, 0.263 mmol) and stirred overnight. The resulting precipitate was filtered and washed with methylene chloride/hexane (1:1), and dried in vacuo to yield Compound 52 as a colorless solid (0.067 g, 54%). LCMS m/z (%)=485 M+H+ (81Br 37Cl, 30), 483 M+H+ (81Br 35Cl, 100), 481 M+H+ (79Br, 335Cl, 72), 1H NMR (400 MHz, CDCl3) δ: 7.7 (s, 1H), 7.4 (d, J=1.8 Hz, 1H), 7.3 (d, J=1.8 Hz, 1H), 7.25 (s, 1H), 7.1-6.8 (m, 3H), 4.2 (m, 1H), 3.8 (s, 3H), 1.5 (d, J=6.61 Hz, 3H), 1.3 (d, J=6.61 Hz, 3H).
- To a solution of 3-(4-bromo-2-isopropyl-2H-pyrazol-3-yl)-4-methoxy-phenylamine (0.08 g, 0.258 mmol) in CH2Cl2, was added 3-chloro-4-trifluoromethyl-phenyl isocyanate (0.059 g, 0.263 mmol) and stirred overnight at ambient temperature. The resulting precipitate was filtered and washed with methylene chloride/hexane (1:1), and dried in vacuo to yield Compound 53 as a colorless solid (0.1 g, 73%). LCMS m/z (%)=535 M+H+ (81Br 37 Cl, 39), 533 M+H+ (81Br 35Cl, 100), 531 M+H+ (79Br 35Cl, 63), 1H NMR (400 MHz, DMSO-d6) δ: 8.582 (bs, 1H), 8.456 (bs, 1H), 7.864 (s, 1H), 7.654 (d, J=8.28 Hz, 1H), 7.557 (d, J=2.76 Hz, 1H), 7.536 (d, J=2.76 Hz, 1H), 7.369 (d, J=9.13 Hz, 1H), 4.133 (m, 1H), 3.752 (s, 3H), 1.375 (d, J=6.61 Hz, 3H), 1.217 (d, J=6.61 Hz, 3H).
- To a solution of 3-(4-chloro-2-isopropyl-2H-pyrazol-3-yl)-4-methoxy-phenylamine (0.1 g, 0.433 mmol) in CH2Cl2, was added 4-chloro-phenyl isocyanate (0.073g, 0.476 mmol) and stirred overnight. The resulting precipitate was filtered and washed with methylene chloride/hexane (1:1), and dried in vacuo to yield Compound 45 as a colorless solid (0.097 g, 54%). LCMS m/z (%)=421 M+H+ (37Cl, 53), 419 M+H+ (35Cl, 77) 1H NMR (400 MHz, CDCl3) δ: 7.689 (bs, 2H), 7.460 (d, J=2.62 Hz, 1H), 7.438 (d, J=2.52 Hz, 1H), 7.22-7.28 (m, 3H), 6.947 (d, J=8.93 Hz, 1H), 4.245 (m, 1H), 3.808 (s, 3H), 1.575 (d, J=6.35 Hz, 3H), 1.381 (d, J=6.35 Hz, 3H).
- To a solution of 3-(4-chloro-2-isopropyl-2H-pyrazol-3-yl)-4-methoxy-phenylamine (0.1 g, 0.433 mmol) in CH2Cl2, was added 4-fluoro-phenyl isocyanate (0.065 g, 0.476 mmol) and stirred overnight. The resulting precipitate was filtered and washed with methylene chloride/hexane (1:1), and dried in vacuo to yield Compound 54 as a colorless solid (0.055 g, 33%). LCMS m/z (%)=405 M+H+(37Cl, 20), 404 M+H+ (35Cl, 50), 1H NMR (400 MHz, acetone-d6) δ: 8.62 (bs, 1H), 8.101 (s, 1H), 8.081 (d, J=2.3 Hz, 2H), 7.967 (t, 1H), 7.885 (d, J=2.21 Hz, 2H), 7.558 (d, J=8.91 Hz, 1H), 7.473 (t, 1H), 4.67 (m, 1H), 4.238 (s, 3H), 1.873(d, J=6.61 Hz, 3H), 1.713 (d, J=6.61 Hz, 3H), 1.713 (d, J=6.61 Hz, 3H).
- To a solution of 3-(4-chloro-2-isopropyl-2H-pyrazol-3-yl)-4-methoxy-phenylamine (0.1 g, 0.433 mmol) in CH2Cl2, was added 3,4-difluoro-phenyl isocyanate (0.075 g, 0.476 mmol) and stirred overnight. The resulting precipitate was filtered and washed with methylene chloride/hexane (1:1), and dried in vacuo to yield Compound 55 as a colorless solid (0.062 g, 35%). LCMS m/z (%)=423 M+H+ (37Cl, 23), 421 M+H+ (35Cl, 67), 1H NMR (400 MHz, acetone-d6) δ: 8.199 (d, J=2.44 Hz, 1H), 8.181 (d, J=2.42 Hz, 1H), 8.166 (d, J=2.37 Hz, 1H), 8.147 (d, J=2.08 Hz, 1H), 8.106 (d, J=2.65 Hz, 1H), 8.085 (d, J=2.68 Hz, 1H), 7.967 (s, 1H), 7.880 (d, J=2.61 Hz, 1H), 7.627 (t, 1H), 7.594 (d, J=3.86 Hz, 1H) 7.563 (d, J=8.96 Hz, 1H), 4.669 (m, 1H), 4.242 (s, 3H), 1.874 (d, J=6.61 Hz, 3H), 1.713 (d, J=6.61 Hz, 3H).
- To a solution of 3-(4-chloro-2-isopropyl-2H-pyrazol-3-yl)-4-methoxy-phenylamine (0.1 g, 0.433 mmol) in CH2Cl2, was added 3-chloro-4-fluoro-phenyl isocyanate (0.082 g, 0.476 mmol) and stirred overnight. The resulting precipitate was filtered and washed with methylene chloride/hexane (1:1), and dried in vacuo to yield Compound 56 as a colorless solid (0.052 g, 28%). LCMS m/z (%)=439 M+H+ (37Cl, 29), 437 M+H+ (35Cl, 46), 1H NMR (400 MHz, acetone-d6) δ: 8.764 (bs, 1H), 8.673 (bs, 1H), 8.31-8.28 (m, 1H), 8.110 (d, J=2.72 Hz, 1H), 8.088 (d, J=2.71 Hz, 1H), 7.974 (s, 1H), 7.878 (d, J=2.68 Hz, 1H), 7.828-7.788 (m, 1H), 7.68-7.64 (m, 1H), 7.635-7.563 (m, 1H), 4.668 (m, 1H), 4.246 (s, 3H), 1.874 (d, J=6.61 Hz, 3H), 1.713 (d, J=6.61 Hz, 3H).
- To a solution of 3-(4-chloro-2-isopropyl-2H-pyrazol-3-yl)-4-methoxy-phenylamine (0.1 g, 0.433 mmol) in CH2Cl2, was added 2-chloro-4-trifluoromethyl-phenyl isocyanate (0.107 g, 0.476 mmol) and stirred overnight. The resulting precipitate was filtered and washed with methylene chloride/hexane (1:1), and dried in vacuo to yield Compound 57 as a colorless solid (0.085 g, 40%). LCMS m/z (%)=489 M+H+ (37Cl, 25), 488 M+H+ (35Cl 37Cl, 25), 487 M+H+ (35Cl, 100), 1H NMR (400 MHz, acetone-d6) δ: 8.88 (bs, 1H), 8.544 (bs, 1H), 8.063 (s, 1H), 7.669 (d, J=1.54 Hz, 1H), 7.606 (d, J=2.69 Hz, 1H), 7.58 (t, 1H), 7.549 (d, J=1.51 Hz, 1H), 7.385 (d, J=2.68 Hz, 1H), 7.68-7.64 (m, 1H), 7.080 (d, J=8.98 Hz, 1H), 4.145 (m, 1H), 3.742 (s, 3H), 1.345 (d, J=6.61 Hz, 3H), 1.188 (d, J=6.61 Hz, 3H).
- To a stirred solution of 4-bromo-5-(2-methoxy-5-nitro-phenyl)-1-methyl-3-trifluoromethyl-1H-pyrazole (0.08 g, 0.20 mmol) in EtOH (0.7 mL) was added SnCl22H2O (0.18 g, 0.80 mmol, 4.0 eq.) and the mixture was stirred at reflux for 2 hours followed by the removal of EtOH under vacuum. The resulting solid was dissolved in EtOAc and 1N NaOH was added until the pH was adjusted to 6. The mixture was stirred overnight and filtered through celite. The aqueous phase was extracted with EtOAc (3×50 mL). The combined organic phase was dried over anhydrous MgSO4, filtered and evaporated to give 3-(4-bromo-2-methyl-5-trifluoromethyl-2H-pyrazol-3-yl)-4-methoxy-phenylamine (0.06 g, 0.17 mmol, 99% yield after two steps) as a white solid: LCMS m/z (%)=350 (M+H79Br, 95), 352 (M+H81Br, 100). 1H NMR (400 MHz, CDCl3) δ: 6.78 (dd, J=14.0, 6.0 Hz, 1H), 6.76 (dd, J=8.0, 4.0 Hz, 1H), 6.54 (d, J=4.0 Hz, 1H), 3.67 (s, 3H), 3.66 (s, 3H) 3.36 ( broad s, 2H).
- The intermediate 4-bromo-5-(2-methoxy-5-nitro-phenyl)-1-methyl-3-trifluoromethyl-1H-pyrazole was prepared in the following manner:
- A. 2-Methyl-5-trifluoromethyl-2H-pyrazole-3-boronic acid: 1-methyl-3-trifluromethyl-1H-pyrazole (1.00 g, 6.66 mmol) was dissolved in THF (25 mL) in an oven-dried round bottom flask and cooled to −78° C. in an acetone/dry ice bath. 2.5 M n-butyl lithium/hexane (3.196 mL, 7.99 mmol) was added drop wise to the stirred solution followed by drop wise addition of triisopropyl borate (5.01 g, 26.64 mmol). The mixture was warmed to room temperature and stirred for three hours. The reaction mixture was adjusted to pH 6 with 1N HCl solution followed by the removal of THF under vacuum. The aqueous phase was extracted with EtOAc (3×100 mL). The combined organic phase was washed with brine and dried over anhydrous MgSO4, filtered and evaporated to give 2-methyl-5-trifluoromethyl-2H-pyrazole-3-boronic acid (1.12 g, 5.80 mmol, 87% yield) as a white solid: LCMS m/z (%)=195 (M+H, 100). 1H NMR (400 MHz, DMSO-d6) δ: 8.37-8.40 (m, 2H), 7.57 (dd, J=4.0 Hz, 1H), 4.06 (s, 3H).
- B. 5-(2-Methoxy-5-nitro-phenyl)-1-methyl-3-trifluoromethyl-1H-pyrazole: Trifluoro-methanesulfonic acid 2-methoxy-5-nitro-phenyl ester (0.10 g, 0.34 mmol), 2-methyl-5-trifluoromethyl-2H-pyrazole-3-boronic acid (0.10 g, 0.52 mmol, 1.5 eq.) and Na2CO3 (0.04 g, 0.41 mmol, dissolved in a mixture of DME (6 mL) and H2O (0.6 mL) in an argon flushed round bottom flask. The mixture was degassed with argon for 5 minutes, followed by the addition of Pd(PPh3)4 (0.04 g, 0.03 mmol, 0.01 eq.). The reaction mixture was degassed under argon for another 5 minutes and stirred at 70° C. overnight. Once the reaction was complete, the DME was removed under vacuum and the crude reaction mixture was purified by SiO2 column chromatography (Eluent: EtOAc/Hexane=5% to 30%). Final purification was achieved via reverse phase C-18 HPLC to afford 5-(2-methoxy-5-nitro-phenyl)-1-methyl-3-trifluoromethyl-1H-pyrazole (0.05 g, 0.17 mmol, 49% yield): LCMS m/z (%)=302 (M+H, 100). 1H NMR (400 MHz, CDCl3) δ: 8.38 (dd, J=10.0, 2.0 Hz, 1H), 8.19 (d, J=4.0 Hz, 1H), 7.12 (d, J=8.0 Hz, 1H), 6.57 (s, 1H), 3.98 (s, 3H), 3.78 (s, 3H).
- C. 4-Bromo-5-(2-methoxy-5-nitro-phenyl)-1-methyl-3-trifluoromethyl-1H-pyrazole: NBS (0.03 g, 0.18 mmol, 1.1 eq.) in DMF (⅓ mL) was added drop wise to a stirred solution at 0° C. of 5-(2-methoxy-5-nitro-phenyl)-1-methyl-3-trifluoromethyl-1H-pyrazole (0.05 g, 0.17 mmol) in DMF (⅔ mL). The reaction mixture was stirred at 0° C. for 4 hrs and TLC indicated no product. An additional equivalent of NBS was added and the reaction mixture was stirred at 70° C. overnight. A second and third equivalent of NBS was added the following day which resulted in completion of the reaction. The DMF was removed under vacuum and the crude mixture was diluted with EtOAc (50 mL), washed with brine (3×10 mL). The EtOAc phase was dried over anhydrous MgSO4, filtered and evaporated to give the partially purified product 4-bromo-5-(2-methoxy-5-nitro-phenyl)-1-methyl-3-trifluoromethyl-1H-pyrazole (0.08 g) as a light yellow solid: LCMS m/z (%)=380 (M+H79Br, 80), 382 (M+H81Br, 100). 1H NMR (400 MHz, CDCl3) δ: 8.44 (dd, J=8.0, 4.0 Hz, 1H), 8.22 (d, 1H), 7.15 (d, J=8.0 Hz, 1H), 3.98 (s, 31H), 3.78 (s, 3H).
- To a stirred solution of 4-chloro-5-(2-methoxy-5-nitro-phenyl)-1-methyl-3-trifluoromethyl-1H-pyrazole (0.11 g, 0.33 mmol) in EtOH (1.0 mL) was added SnCl22H2O (0.30 g, 1.31 mmol, 4.0 the mixture was stirred at reflux for 2 hours followed by the removal of EtOH under vacuum. The resulting solid was dissolved in EtOAc and IN NaOH was added until the pH was adjusted to 6. The mixture was stirred overnight and filtered through celite. The aqueous phase was extracted with EtOAc (3×50 mL). The combined organic phase was dried over anhydrous MgSO4, filtered and evaporated to give 3-(4-chloro-2-methyl-5-trifluoromethyl-2H-pyrazol-3-yl)-4-methoxy-phenylamine (0.067 g, 0.22 mmol, 66% yield after two steps) as a white solid: LCMS m/z (%)=306 (M+H35Cl, 100), 308 (M+H37Cl, 33). 1H NMR (400 MHz, CDCl3) δ: 6.86 (dd, J=14.0, 6.0 Hz, 1H), 6.84 (dd, J=8.0, 4.0 Hz, 1H), 6.63 (d, J=4.0 Hz, 1H), 3.74 (s, 3H), 3.72 (s, 3H).
- The intermediate 4-chloro-5-(2-methoxy-5-nitro-phenyl)-1-methyl-3-trifluoromethyl-1H-pyrazole was prepared in the following manner:
- NCS (0.05 g, 0.37 mmol, 1.1 eq.) dissolved in DMF (⅔ mL) was added drop wise to a stirred solution of 5-(2-methoxy-5-nitro-phenyl)-1-methyl-3-trifluoromethyl-1H-pyrazole, see Example 1.99 (0.1 g, 0.33 mmol) in DMF (1⅓ mL) at 0° C. The reaction mixture was stirred 0° C. and TLC indicated no product. An additional equivalent of NCS was added and the reaction mixture was stirred at 80° C. overnight which resulted in completion of the reaction. The DMF was removed under vacuum and the crude mixture was diluted with EtOAc (50 mL) and washed with brine (3×10 mL). The EtOAc phase was dried over anhydrous MgSO4, filtered and evaporated to give the partially purified product 4-chloro-5-(2-methoxy-5-nitro-phenyl)-1-methyl-3-trifluoromethyl-1H-pyrazole (0.13 g) as a light yellow solid: LCMS m/z (%)=336 (M+H35Cl, 100), 382 (M+H37Cl, 33). 1H NMR (400 MHz, CDCl3) δ: 8.37 (dd, J=8.0, 4.0 Hz, 1H), 8.16 (d, J=4.0 Hz 1H), 7.09 (d, J=8.0 Hz, 1H), 3.92 (s, 3H), 3.69 (s, 3H).
- SnCl2.2H2O (0.15 g, 0.66 mmol, 4.0 eq.) was added to a stirred solution of 5-(2-methoxy-5-nitro-phenyl)-1-methyl-3-trifluoromethyl-1H-pyrazole, see Example 1.99, (0.05 g, 0.16 mmol) in EtOH (2.0 mL). The mixture was stirred at reflux for 4 hrs and EtOH was removed under vacuum. The resulting solid was dissolved in EtOAc and 1N NaOH was added until the pH was adjusted to 6. The mixture was stirred overnight and filtered through celite. The aqueous phase was extracted with EtOAc (3×50 mL). The combined organic phase was dried over anhydrous MgSO4, filtered and evaporated to give 4-methoxy-3-(2-methyl-5-trifluoromethyl-2H-pyrazol-3-yl)-phenylamine (0.04 g, 0.15 mmol, 97% yield): LCMS m/z (%)=272 (M+H, 100). 1H NMR (400 MHz, CDCl3) δ: 6.82 (dd, J=16.0, 4.0 Hz, 1H), 6.79 (dd, J=10.0, 2.0 Hz, 1H), 6.61 (d, 1H), 6.46 (s, 1H), 3.76 (s, 3H), 3.74 (s, 3H).
- Urea synthesis for Compound 38 (general procedure for Examples 1.103-1.106): To a stirred solution of aniline 3-(4-bromo-2-methyl-5-trifluoromethyl-2H-pyrazol-3-yl)-4-methoxy-phenylamine (0.03 g, 0.08 mmol) in CH2Cl2 (1 mL) was added 4-chlorophenyl isocyanate (0.01 g, 0.08 mmol, 1.0 eq.) at room temperature. White solid precipitated and was filtered and washed with cold CH2Cl2 to afford Compound 38 (0.02 g, 0.04 mmol, 50% yield) as a white solid: LCMS m/z (%)=503 (M+H79Br, 67), 505 (M+H81Br, 100). 1H NMR (400 MHz, MeOH-d4) δ: 7.59 (dd, J=6.0, 2.0 Hz, 1H), 7.42 (d, J=8.0 Hz, 2H), 7.38 (d, J=4.0 Hz, 1H), 7.27 (d, J=8.0 Hz, 2H), 7.16 (d, J=8.0 Hz, 1H), 3.84 (s, 3H), 3.75 (s, 3H).
- 3-(4-Bromo-2-methyl-5-trifluoromethyl-2H-pyrazol-3-yl)-4-methoxy-phenylamine (0.03 g, 0.08 mmol) was treated with 4-fluorophenyl isocyanate (0.01 g, 8.99 μL, 0.08 mmol, 1.1 equiv.) in CH2Cl2 (2.0 mL), in a similar manner as described in Example 1.102, to afford Compound 39 (0.03 g, 0.05 mmol, 64% yield) as a white solid: LCMS m/z (%)=487 (M+H79Br, 100), 489 (M+H81Br, 93). 1H NMR (400 MHz, MeOH-d4) δ: 7.58 (dd, J=10.0, 2.0 Hz, 1H), 7.42 (dd, J=4.0 Hz, 2H), 7.38 (dd, J=10.0, 2.0 Hz, 1H), 7.16 (d, J=12.0 Hz, 1H), 7.03 (dd, J=12.0, 8.0 Hz, 2H), 3.84 (s, 3H), 3.75 (s, 3H).
- 3-(4-Chloro-2-methyl-5-trifluoromethyl-2H-pyrazol-3-yl)-4-methoxy-phenylamine (0.03 g, 0.11 mmol) was treated with 4-fluorophenyl isocyanate (0.02 g, 14.6 μL, 0.13 mmol, 1.2 equiv.) in CH2Cl2 (4.0 mL), in a similar manner as described in Example 1.102. The product was further purified via reverse phase C-18 HPLC to afford Compound 40 (0.03 g, 0.07 mmol, 63% yield) as a white solid: LCMS m/z (%)=443 (M+H37Cl, 100), 445 (M+H35Cl, 36). 1H NMR (400 MHz, MeOH-d4) δ: 7.58 (dd, J=10.0, 2.0 Hz, 1H), 7.42 (dd, J=4.0 Hz, 2H), 7.40 (dd, J=8.0, 4.0 Hz, 1H), 7.16 (d, J=8.0 Hz, 1H), 7.03 (dd, J=10.0, 6.0 Hz, 2H), 3.84 (s, 3H), 3.74 (s, 3H).
- 3-(4-Chloro-2-methyl-5-trifluoromethyl-2H-pyrazol-3-yl)-4-methoxy-phenylamine (0.03 g, 0.11 mmol) was treated with 4-chlorophenyl isocyanate (0.02 g, 0.13 mmol, 1.2 equiv.) in CH2Cl2 (4.0 mL), in a similar manner as described in Example 1.102. The product was further purified via reverse phase C-18 HPLC to afford Compound 41 (0.03 g, 0.06 mmol, 56% yield) as a white solid: LCMS m/z (%)=459 (M+H35Cl, 100), 461 (M+H35Cl37Cl, 84), 463 (M+H37Cl, 10). 1H NMR (400 MHz, MeOH-d4) δ: 7.59 (dd, J=8.0, 4.0 Hz, 1H), 7.41 (dd, J=8.0, 8.0 Hz, 2H), 7.40 (dd, J=8.0, 1H), 7.27 (d, J=8.0 Hz, 2H), 7.17 (d, J=12.0 Hz, 1H), 3.84 (s, 3H), 3.74 (s, 3H).
- 4-Methoxy-3-(2-methyl-5-trifluoromethyl-2H-pyrazol-3-yl)-phenylamine (0.02 g, 0.08 mmol) was treated with 4-chlorophenyl isocyanate (0.01 g, 10.45 μL, 0.093 mmol, 1.2 equiv.) in CH2Cl2 (3.0 mL), in a similar manner as described in Example 1.102. The product was further purified via reverse phase C-18 HPLC to afford Compound 42 (0.03 g, 0.07 mmol, 88% yield) as a white solid: LCMS m/z (%)=425 (M+H37Cl, 100), 427 (M+H35Cl, 34). 1H NMR (400 MHz, MeOH-d4) δ: 7.50 (dd, J=10.0, 2.0 Hz, 1H), 7.42 (dd, J=8.0 Hz, 3H), 7.27 (dd, J=6.0, 2.0 Hz, 2H), 7.12 (d, J=8.0 Hz, 1H), 3.84 (s, 3H), 3.76 (s, 3H).
- Step 1: Preparation of 6-amino-chromen-4-one.
- To a solution of 6-nitrochromone (2.0 g, 10.5 mmol) in Methanol/Ethyl acetate (100 mL/20 mL) purged with argon, was added 5% Pd/C (Degussa-wet, 0.5 g) catalyst. Hydrogen gas was bubbled through the slurry with stirring until (2 hrs.) LCMS and TLC showed no starting material. The spent palladium catalyst was filtered off through a celite, and the solid was washed with methanol. The combined filtrate and washings were evaporated to produce 6-amino-chromen-4-one as a light yellow solid (1.58 g, 94%). LCMS m/z (%)=162 (M+H, 100), 1H NMR (400 MHz, CDCl3) δ: 7.79-7.81 (d, J=5.96 Hz, 1H), 7.38 (d, J=2.86 Hz, 1H), 7.29-7.31 (d, J=8.88 Hz, 1H), 7.01-7.04 (dd, J=8.80, 2.8 Hz, 1H), 6.26-6.28 (d, J=5.96 Hz, 1H), 5.299 (s, 2H).
- Step 2: Preparation of 1-(4-chloro-phenyl)-3-(4-oxo-4H-chromen-6-yl)-urea.
- To the slurry of 6-aminochromone (3.0 g, 18.6 mmol) stirred and heated to 80° C. in toluene (200 mL) was added 4-chlorophenyl isocyanate (3.2 g, 20.5 mmol) and the mixture was refluxed for 18 hrs. The reaction mixture was cooled and the precipitate was filtered and washed with methanol. The residue was dried in vacuo to afford a yellow powder (5.8 g, 99%) of 1-(4-chloro-phenyl)-3-(4-oxo-4H-chromen-6-yl)-urea. LCMS m/z (%)=315 (M+H, 35Cl 100), 317 (M+H, 37Cl 32.2) 1H NMR (400 MHz, DMSO-d6) δ: 9.098 (bs, 1H), 8.94 (bs, 1H), 8.28-8.30 (d, J=5.99 Hz, 1H), 8.20-8.21 (d, J=2.69 Hz, 1H), 7.81-7.84 (dd, J=9.0, 2.75 Hz, 1H), 7.62-7.64 (d, J=9.07 Hz, 1H), 7.52-7.55 (dd, J=6.84, 2.16 Hz, 2H), 7.35-7.37 (dd, J=6.85, 2.11 Hz, 2H), 6.33-6.34 (d, J=5.98 Hz, 1H).
- To a cooled and stirred solution of methyl hydrazine (1.46 g, 31.6 mmol) in pyridine was added slurry of 1-(4-Chloro-phenyl)-3-(4-oxo-4H-chromen-6-yl)-urea (2.5 g, 7.9 mmol) in pyridine over a period of 10 mins. The reaction mixture was left at this temperature for another 2 hrs and then warmed to room temperature slowly. After 6 hrs the reaction mixture turned clear. The reaction was stirred at this temperature for 18 hrs and pyridine was evaporated. The dark colored residue was dissolved in DMSO and purified using Varian Prep. HPLC system. (The two regioisomers were separated. The fractions containing Compound 119 were dried in vacuo to produce a colorless powder (1.78 g, 47%) 1-(4-Chloro-phenyl)-3-[4-hydroxy-3-(2-methyl-2H-pyrazol-3-yl)-phenyl]-urea. LCMS m/z (%)=343 (M+H, 35Cl 100), 345 (M+H, 37Cl, 32.5). 1H NMR (400 MHz, DMSO-d6) δ: 9.59 (bs, 1H), 8.72 (bs, 1H), 8.48 (bs, 1H), 7.43-7.46 (dd, J=6.8,2.07 Hz, 2H), 7.41 (d, J=1.83 Hz, 1H), 7.28-7.30 (dd, J=7.13, 2.09 Hz,2H), 7.26 (d, J=2.72 Hz, 1H),6.88-6.90 (d, J=9.36 Hz, 1H), 6.21 (d, J=1.84 Hz, 1H), 3.67 (s, 3H).
- To a cooled and stirred solution of methyl hydrazine (1.46 g, 31.6 mmol) in pyridine was added slurry of Compound 119 (2.5 g, 7.9 mmol) in pyridine over a period of 10 mins. The reaction mixture was left at this temperature for another 2hrs and then warmed to room temperature slowly. After 6 hrs the reaction mixture turned clear. The reaction was stirred at this temperature for 18 hrs. Then pyridine was evaporated. The dark colored residue was dissolved in DMSO and purified using Varian Preperative HPLC system at a flow rate of 60 mL/Min. and λ=240. The regio isomers were separated. The fractions containing Compound 154 were dried in vacuo to produce an off-white solid 1-(4-Chloro-phenyl)-3-[4-hydroxy-3-(1-methyl-1H-pyrazol-3-yl)-phenyl]-urea (0.3 g, 12%). LCMS m/z (%)=343 (M+H, 35Cl 100), 345 (M+H, 37Cl, 32.5). 1H NMR (400 MHz, DMSO-d6) δ: 10.26 (bs, 1H), 8.73 (bs, 1H), 8.46 (bs, 1H), 7.82 (d, J=2.32 Hz, 1H), 7.77 (d, J=3.62 Hz, 1H), 7.44-7.49 (m, 2H), 7.16-7.19 (dd, J=8.74, 2.62 Hz, 1H), 6.83-6.85 (d, J=8.72 Hz, 1H), 6.71-6.72 (d, J=2.36 Hz, 1H), 3.91 (s, 3H).
- To a stirred and cooled solution of Compound 119 (0.22 g, 0.63 mmol), in DMF (2.0 mL) was added N-chlorosuccinimide (0.168, 1.26 mmol). The reaction was stirred until the LCMS showed no starting material (2.5 hrs). The reaction mixture was poured into ice cooled water containing Na2S2O3 and NaHCO3 and the resulting solid was filtered, washed with ice-cooled water and dried in vacuo to afford a off-white solid 1-[3-(4-Chloro-2-methyl-2H-pyrazol-3-yl)-4-hydroxy-phenyl]-3-(4-chloro-phenyl)-urea (0.14 g, 58%). LCMS m/z (%)=377 (M+H, 35Cl, 35Cl, 100), 379 (M+H, 35Cl, 37Cl, 59.4), 381 (M+H, 37Cl, 37Cl, 10.0). 1H NMR (400 MHz, DMSO-d6) δ: 9.76 (bs, 1H), 8.73 (bs, 1H), 8.56 (bs, 1H), 7.58 (s, 1H), 7.44-7.46 (dd, J=8.6, 2.03 Hz, 2H), 7.34-7.37 (dd, J=8.79, 2.7 Hz, 1H), 7.29 (dd, J=8.85, 2.07 Hz, 3H), 6.92-6.94 (d, J=6.78 Hz, IH), 3.64 (s, 3H).
- To a stirred and cooled solution of Compound 119, 1-(4-Chloro-phenyl)-3-[4-hydroxy-3-(2-methyl-2H-pyrazol-3-yl)-phenyl]-urea, (0.1 g, 0.2923 mmol), triphenyl phosphine (0.291 g, 1.1078 mmol) and 3-dimethyl amino propanol (0.114 g, 1.099 mmol) in THF (25 mL) was added diisopropyl azodicarboxylate (0.224 g, 1.104 mmol) slowly over 10 minutes. The reaction mixture was allowed to warm to room temperature and stirred for 4hrs at this temperature. The THF was evaporated and the syrup was dissolved in DMSO and purified using preperative HPLC at 60 mL/min flow and λ=240. The fractions containing the product were evaporated. The pink colored residue was subjected to 2nd purification using SiO2 flash chromatography (eluant: 1% methanol in DCM to 15% methanol in DCM). The fractions containing the product were evaporated to afford a colorless solid. To a cooled solution of the solid in methanol was added a solution of N-chlorosuccinimide (0.044 g, 0.3215 mmol) in methanol. The reaction mixture was stirred for 60 minutes. Next, the methanol was evaporated and the residue was purified using silica and 15% methanol in DCM as eluant. The fractions containing the product were evaporated and dried in vacuo to produce a off-white solid of 1-[3-(4-Chloro-2-methyl-2H-pyrazol-3-yl)-4-(3-dimethylamino-propoxy)-phenyl]-3-(4-chloro-phenyl)-urea (0.015 g, 12%). LCMS m/z (%)=462 (M+H 35Cl, 35Cl 100), 464 (M+H, 35Cl, 37Cl, 70.2), 466 (M+H, 37Cl, 37Cl, 11.2) 1H NMR (400 MHz, acetone-d6) δ: 8.29 (bs, 1H), 8.21 (bs, 1H), 7.61-7.64 (dd, J=8.94, 2.73 Hz, 1H), 7.53-7.56 (dd, J=7.09, 2.09 Hz, 2H), 7.46 (s, 1H), 7.43-7.46 (d, J=2.7 Hz, 1H), 7.26-7.28 (dd, J=7.09, 2.07 Hz, 2H), 7.11-7.13 (d, J=8.98 Hz, 1H), 3.98-4.1 (m, 2H), 3.67 (s, 3H), 2.21-2.25 (m, 2H), 2.09 (s, 6H), 1.75-1.79 (m, 2H).
- To a cooled and stirred solution of Compound 136 (0.03 g, 0.0698 mmol), in methanol, was added N-bromosuccinimide (0.014 g, 0.077 mmol). The reaction mixture was stirred at this temperature for 10 minutes and warmed to ambient temperature. Methanol was evaporated and the residue was purified on silica using 1% MeOH/DCM to 15%MeOH/DCM as eluent. The fractions containing the product were evaporated in vacuo to produce 1-[3-(4-bromo-2-methyl-2H-pyrazol-3-yl)-4-(3-dimethylamino-propoxy)-phenyl]-3-(3,4-difluoro-phenyl)-urea as an off-white solid (0.014 g, 40%). LCMS m/z (%)=508 (M+H, 79Br, 100), 510 (M+H, 81Br, 82.6), 1H NMR (400 MHz, acetone-d6) δ: 8.69 (bs, 1H), 8.53 (bs, 1H), 7.70-7.76 (m, 1H), 7.59-7.62 (dd, J=8.95, 2.74 Hz, 1H), 7.46 (s, 6H), (d, J=2.7 Hz, 1H), 7.08-7.16 (m, 3H), 3.98-4.1 (m, 2H), 3.67 (s, 3H), 2.43-2.47 (m, 2H), 2.25 (s, 6H), 1.85-1.91 (m, 2H).
- To a cooled and stirred solution of Compound 140 (0.04 g, 0.0936 mmol), in methanol, was added N-bromosuccinimide (0.018 g, 0.102 mmol). The reaction mixture was stirred at this temperature for 10 minutes and warmed to ambient temperature. Methanol was evaporated and the residue was purified on silica using 1% MeOH/DCM to 15% MeOH/DCM as eluent. The fractions containing the product were evaporated in vacuo to produce 1-[3-(4-bromo-2-methyl-2H-pyrazol-3-yl)-4-(3-dimethylamino-propoxy)-phenyl]-3-(2-chloro-phenyl)-urea as an off-white solid (0.02 g, 42%). LCMS m/z (%)=506 (M+H 79Br, 35Cl, 83.9), 508 (M+H, 81Br, 35Cl, 100), 510 (M+H, 81Br, 37 Cl, 30) 1H NMR (400 MHz, acetone-d6) ε: 8.59 (bs, 1H), 8.09-9.12 (dd, J=9.3, 1.51 Hz, 1H) 7.63 (bs, 1H), 7.43-7.46 (dd, J1=8.95 Hz, J2=2.75 Hz, 1H), 7.27 (s, 1H), 7.22-7.29 (d, J=2.72 Hz, 1H), 7.16-7.18 (dd, J=8.63, 1.4 Hz, 1H), 7.05-7.08 (m, 1H), 6.91-6.93 (d, J=8.98 Hz, 1H), 6.77-6.81 (m, 1H), 3.48-3.91 (m, 2H), 3.48 (s, 3H), 2.01-2.05 (m, 2H), 1.89 (s, 6H), 1.56-1.61 (m, 2H).
- To a cooled and stirred solution of Compound 138 (0.04 g, 0.0972 mmol), in methanol, was added N-bromosuccinimide (0.019 g, 0.107 mmol). The reaction mixture was stirred at this temperature for 10 minutes and warmed to ambient temperature. Methanol was evaporated and the residue was purified on silica using 1% MeOH/DCM to 15% MeOH/DCM as eluant. The fractions containing the product were evaporated in vacuo to produce 1-[3-(4-bromo-2-methyl-2H-pyrazol-3-yl)-4-(3-dimethylamino-propoxy)-phenyl)-3-(2-fluoro-phenyl)-urea as a off-white solid (0.02 g, 42%). LCMS m/z (%)=490 (M+H 79Br,100), 492 (M+H, 81Br, 99.9). 1H NMR (400 MHz, acetone-d6) δ: 8.59 (bs, 1H), 8.37 (d, J=1.57Hz, 1H) 8.1 (bs, 1H), 7.72-7.75(dd, J=8.95, 2.75, 1H), 7.57 (s, 1H), 7.52-7.53 (d, J=2.72 Hz, 1H), 7.18-7.22 (m, 3H), 7.07 (m,1H) 4.07-4.19 (m, 2H), 3.78 (s, 3H), 2.3-2.35 (m, 2H), 2.19 (s, 6H), 1.85-1.88 (m, 2H).
- 1-[3-(4-Bromo-2-methyl-2H-pyrazol-3-yl)-4-methoxy-phenyl]-3-(2,4-difluoro-phenyl)-urea (
Compound 8, 1.44 g, 3.30 mmol) was dissolved in anhydrous CH2Cl2 (30 mL). The solution was stirred while cooling the temperature to 0° C. in an ice water bath. After allowing it to stir for another 10 minutes, AlCl3 (1.76 g, 13.20 mmol) was added slowly. This was followed by stirring the reaction for an additional 20 minutes, and subsequently increasing the temperature to 80° C. After one hour, the reaction was shown to be complete by TLC and LC/MS. It was worked up with EtOAc (2×50 mL) and 10% Potassium Sodium Tartrate (2×50 mL). Upon being treated to this work up, the aluminum was removed from the solution. The organic layer was then dried with Na2SO4, filtered, and the solvent was removed under reduced pressure. The residue was then purified by HPLC, yielding 1.43 g (100%) of Compound 103 LCMS m/z (%)=425 (M+H81Br, 100), 423 (M+H79Br, 88). 1H NMR (400 MHz, DMSO-d6) δ 9.74 (s, 1H), 8.87 (s, 1H), 8.40 (s, 1H), 8.08-8.03 (m, 1H), 7.58 (s, 1H), 7.36 (dd, J1=8 Hz, J2=4 Hz, 1H), 7.33-7.27 (m, 1H), 7.28 (d, J=2 Hz, 1H), 7.04-7.01 (m, 1H), 6.95 (d, J=8 Hz, 1H), 3.67 (s, 3H). - Compound 103 (73.7 mg, 0.17 mmol) was dissolved in anhydrous THF (5 mL). PPh3 (173 mg, 0.64 mmol) and 2-Dimethylamino ethanol (65.5 μL, 0.63 mmol) were then added to the solution, and the reaction was stirred at room temperature. After stirring for five minutes, DIAD (127 μL, 0.64 mmol) was added to the reaction dropwise. The reaction was found to be complete by TLC and LC/MS after 30 minutes. The solvent was then removed under reduced pressure. The residue was purified twice by flash chromatography (Biotage, SiO2, Dichloromethane/Methanol gradient elution) and twice by HPLC to afford 26.4 mg (31%) of Compound 123 as a light brown oil: LCMS m/z (%)=496 (M+H81Br, 100), 494 (M+H79Br, 94). 1H NMR (400 MHz, DMSO-d6) δ 8.99 (s, 1H), 8.44 (s, 1H), 8.07-8.01 (m, 1H), 7.59 (s, 1H), 7.52 (dd, J1=8 Hz, J2=4 Hz, 1H), 7.35 (d, J=4, 1H), 7.32-7.26 (m, 1H), 7.17 (d, J=12 Hz, 1H), 7.05-7.00 (m, 1H), 4.11 (dm, 2H), 3.65 (s, 3H), 2.58 (dm, 2H), 2.11 (s, 6H).
- Compound 147 was prepared in a similar manner as described in Example 1.116 using N-Boc-aminoethanol and DEAD, providing 25 mg (39%) of Compound 147. LCMS m/z (%)=566 (M+H79Br, 21), 568 (M+H81Br, 12). 1H NMR (400 MHz, DMSO-d6) δ 9.00 (s, 1H), 8.45 (s, 1H), 8.07-8.00 (m, 1H), 7.59 (s, 1H), 7.51 (dd, J1=8 Hz, J2=2 Hz, 1H), 7.35 (d, J=4 Hz, 1H), 7.32 (m, 1H), 7.16 (d, J=8 Hz, 1H), 7.05-7.00 (m, 1H), 6.89-6.87 (m, 1H), 4.03-3.98 (m, 1H), 3.98-3.92 (m, 1H), 3.64 (s, 3H), 3.34-3.29 (m, 1H), 3.22-3.17 (m, 1H), 1.36 (s, 9H).
-
Compound 1, (1.56 g, 3.58 mmol) was dissolved in anhydrous CH2Cl2 (50 mL). The solution was stirred while cooling the temperature to 0° C. in an ice water bath. After allowing it to stir for another 10 minutes, AlCl3 (1.91 g, 14.32 mmol) was added slowly. This was followed by stirring the reaction for an additional 20 minutes, and subsequently increasing the temperature to 80° C. After one hour, the reaction was shown to be complete by TLC and LC/MS. It was worked up with EtOAc (2×50 mL) and 10% Potassium Sodium Tartrate (2×50 mL). Upon being treated to this work up, the aluminum was removed from the solution. The organic layer was then dried with Na2SO4, filtered, and the solvent was removed under reduced pressure. The residue was purified by HPLC to afford Compound 58 (402 mg, 27%): LCMS m/z (%)=423 (M+H37Cl, 100), 421 (M+H35Cl, 98). 1H NMR (400 MHz, DMSO-d6) δ 9.74 (s, 1H), 8.76 (s, 1H), 8.59 (s, 1H), 7.60 (s, 1H), 7.48 (d, J=8 Hz, 2H), 7.39 (dd, J1=8 Hz, J2=4 Hz, 1H), 7.32 (d, J=8 Hz, 2H), 7.28 (d, J=2 Hz, 1H), 6.96 (d, J=12 Hz, 1H), 3.67 (s, 3H). - 3-(4-Chloro-2-methyl-2H-pyrazol-3-yl)-4-methoxy-phenylamine (30 mg, 0.13 mmol) was treated with 3-Chlorophenyl isocyanate (17 μL, 0.14 mmol) in a similar manner to Example 1.53, providing 25 mg (46%) of Compound 91: LCMS m/z (%)=391 (M+H35Cl, 100), 393 (M+H37Cl, 70). 1H NMR (400 MHz, acetone-d6) δ: 8.51 (s, 1H), 8.41 (s, 1H), 7.84 (t, 1H), 7.71 (dd, J1=8 Hz, J2=4 Hz, 1H), 7.49 (s, 1H), 7.49 (d, J=2 Hz, 1H), 7.38 (d, J=8 Hz, 1H), 7.29 (t, 1H), 71.6 (d, J=8 Hz, 1H), 7.01 (d, J=8 Hz, 1H), 3.84 (s, 3H), 3.68 (s, 3H).
- 3-(4-Chloro-2-methyl-2H-pyrazol-3-yl)-4-methoxy-phenylamine (30 mg, 0.13 mmol) was treated with 3,4-Difluorophenyl isocyanate (17 μL, 0.14 mmol) in a similar manner to Example 1.53, providing 18.6 mg (34%) of Compound 92: LCMS m/z (%)=393 (M+H35Cl, 100), 395 (M+H37Cl, 38). 1H NMR (400 MHz, acetone-d6) δ: 8.18 (s, 1H), 8.05 (s, 1H), 7.65 (m, 1H), 7.57 (dd, J1=8 Hz, J2=4 Hz, 1H), 7.36 (s, 1H), 7.33 (d, J=2 Hz, 1H), 7.09 (d, J=4 Hz, 1H), 7.06 (d, J=2 Hz, 1H), 7.04 (d, J=8 Hz, 1H), 3.72 (s, 3H), 3.55 (s, 3H).
- 3-(4-Chloro-2-methyl-2H-pyrazol-3-yl)-4-methoxy-phenylamine (30 mg, 0.13 mmol) was treated with 3,4-Difluorophenyl isocyanate (17 μL, 0.14 mmol) in a similar manner to Example 1.53, providing 24.6 mg (44%) of Compound 93: LCMS m/z (%)=393 (M+H35Cl, 100), 395 (M+H37Cl, 47). 1H NMR (400 MHz, acetone-d6) δ: 8.26 (s, 1H), 8.01 (s, 1H), 7.47 (dd, J, =8 Hz, J2=2 Hz, 1H), 7.26 (s, 1H), 7.22 (d, J=2 Hz, 1H), 7.04 (dd, J1=12 Hz, J2=4 Hz, 2H), 6.95 (d, J=8 Hz, 1h), 6.40 (m, 1H), 3.62 (s, 3H), 3.48 (s, 3H).
- 3-(4-Chloro-2-methyl-2H-pyrazol-3-yl)-4-methoxy-phenylamine (20 mg, 0.08 mmol) was treated with benzyl isocyanate (14 mg, 0.09 mmol) in a similar manner to Example 1.53, providing 10 mg (31%) of Compound 95: LCMS m/z (%)=385 (M+H35Cl, 11), 387 (M+H37Cl, 4). 1H NMR (400 MHz, CDCl3) δ: 10.85 (s, 1H), 9.15 (s, 1H), 7.88 (d, J=12 Hz, 2H), 7.58 (dd, J1=8 Hz, J2=2 Hz, 1H), 7.54 (d, J=8 Hz, 1H), 7.49 (s, 1H), 7.43 (d, J=4 Hz, 1H), 7.41 (d, J=8 Hz, 2H), 6.95 (d, J=8 Hz, 1H), 3.75 (s, 3H), 3.64 (s, 3H).
- 3-(4-Chloro-2-methyl-2H-pyrazol-3-yl)-4-methoxy-phenylamine (20 mg, 0.08 mmol) was treated with 2-Fluorophenyl isocyanate (10 μL, 0.09 mmol) in a similar manner to Example 1.53, providing 8.0 mg (26%) of Compound 97: LCMS m/z (%)=375 (M+H35Cl, 100), 377(M+H37Cl, 100), 377(M+H37Cl, 43). 1H NMR (400 MHz, CDCl3) δ: 8.26 (t, 1H), 7.73 (dd, J1=8 Hz, J2=4 Hz, 1H), 7.69 (s, 1H), 7.36 (t, 1H), 7.35 (d, J=4 Hz, 1H), 7.29 (t, 1H), 7.24 (d, J=8 Hz, 1H), 7.19 (d, J=8 Hz, 1H), 7.17 (d, J=8 Hz, 1H), 3.97 (s, 3H), 3.86 (s, 3H).
- 3-(4-Chloro-2-methyl-2H-pyrazol-3-yl)-4-methoxy-phenylamine (55 mg, 0.23 mmol) was treated with 3-Cyanophenyl isocyanate (37 mg, 0.26 mmol) in a similar manner to Example 1.53, providing 57 mg (65%) of Compound 109: LCMS m/z (%)=382 (M+H35Cl, 100), 384 (M+H37Cl, 38). 1H NMR (400 MHz, DMSO-d6) δ: 9.02 (s, 1H), 8.85 (s, 1H), 7.98 (t, 1H), 7.68 (d, J=8 Hz, 1H), 7.62 (s, 1H), 7.59 (dd, J, =12 Hz, J2=2 Hz, 1H), 7.50 (t, 1H), 7.42 (t, 1H), 7.42 (d, J=4 Hz, 1H), 7.18 (d, J=8 Hz, 1H), 3.78 (s, 3H), 3.62 (s, 3H).
- 3-(4-Chloro-2-methyl-2H-pyrazol-3-yl)-4-methoxy-phenylamine (59 mg, 0.25 mmol) was treated with benzyl isocyanate (34 μL, 0.28 mmol) in a similar manner to Example 1.53, providing 42.7 mg (46.1%) of Compound 105: LCMS m/z (%)=371 (M+H35Cl, 100), 373 (M+H37Cl, 40). 1H MNR (400 MHz, DMSO-d6) δ: 8.55 (s, 1H), 7.58 (s, 1H), 7.50 (dd, J1=8 Hz, J2=4 Hz, 1H), 7.33 (m, 5H), 7.30 (d, J=4 Hz, 1H), 7.10 (d, J=12 Hz, 1H), 6.58 (s, 1H), 4.28 (s, 2H), 3.73 (s, 3H), 3.58 (s, 3H).
- 3-(4-Chloro-2-methyl-2H-pyrazol-3-yl)-4-methoxy-phenylamine (36 mg, 0.15 mmol) was treated with 3-Nitrophenyl isocyanate (28 mg, 0.17 mmol) in a similar manner to Example 1.53, providing 8.7 mg (15%) of Compound 110: LCMS m/z(%)=402 (M+H35Cl, 100), 404 (M+H37Cl, 38). 1H NMR (400 MHz, DMSO-d6) δ: 9.22 (s, 1H), 8.84 (s, 1H), 8.55 (s, 1H), 7.83 (dd, J1=8 Hz, J24 Hz, 1H), 7.72 (d, J=8 Hz, 1H), 7.62 (s, 1H), 7.61 (d, J=4 Hz, 1H), 7.58 (s, 1H), 7.58 (t, 1H), 7.41 (d, J=4 Hz, 1H), 7.19 (d, J=12 Hz, 1H), 3.78 (s, 3H), 3.62 (s, 3H).
- Compound 17 (30.2 mg, 0.07 mmol, see Example 1.24) was dissolved in ethanol (5 mL). Sodium Borohydride (3.1 mg, 0.08 mmol) was added under Argon gas. The reaction was stirred overnight and found to be complete by TLC and LC/MS. The mixture was worked up with 1N Hydrogen Chloride solution (10 mL) and EtOAc (2×15 mL). The organic layers were combined and washed with water, dried over Na2SO4, filtered, and the solvent removed under reduced pressure. The residue was then purified by HPLC to afford 19.4 mg (63%) of Compound 94: LCMS m/z (%)=445 (M+H79Br, 25), 447 (M+H81Br, 25). 1H NMR (400 MHz, CDCl3) δ: 7.34 (dd, J1=8 Hz, J2=2 Hz, 1H), 7.26 (s, 1H), 7.20 (s, 1H), 7.14 (s, 1H), 7.11 (d, J=8 Hz, 1H), 7.09 (s, 1H), 7.06 (t, 1H), 6.95 (d, J=4 Hz, 1H), 6.85 (d, J=8 Hz, 1H), 6.76 (d, J=8 Hz, 1H), 4.65 (m, 1H), 3.59 (s, 3H), 3.49 (s, 3H), 1.27 (d, J=4 Hz, 3H).
- Compound 17 (54 mg, 0.12 mmol, see Example 1.24) was dissolved in ethanol (10 mL). Hydroxylamine hydrochloride (17 mg, 0.24 mmol) was added under Argon gas. The pH of the solution was then adjusted to pH=4 with 1N Hydrogen Chloride solution. The reaction was stirred overnight at room temperature and found to be complete by TLC and LC/MS. The ethanol was removed under reduced pressure. Then, the residue was worked up with EtOAc (2×20 mL) and Brine (20 mL). The organic layers were combined, dried over Na2SO4, filtered, and the solvent removed under reduced pressure. The residue was then purified by HPLC to afford 8.8 mg (16%) of Compound 96: LCMS m/z (%)=458 (M+H79Br, 96), 460 (M+H81Br, 100). 1H NMR (400 MHz, CDCl3) δ: 7.78 (s, 1H), 7.70 (s, 1H), 7.68 (s, 1H), 7.48 (dd, J1=12 Hz, J2=4 Hz, 1H), 7.42 (s, 1H), 7.41 (dd, J2=4 Hz, 1H), 7.39 (d, J=4 Hz, 1H), 7.30 (t, 1H), 7.19 (d, J=8 Hz, 1H), 7.15 (s, 1H), 7.08 (dd, J1=12 Hz, J2=4 Hz, 1H), 6.88 (dd, J1=12 Hz, J2=8 Hz, 1H), 3.66 (s, 3H), 3.58 (s, 3H), 1.99 (s, 3H).
- 3-(4-Bromo-2-methyl-2H-pyrazol-3-yl)-4-methoxy-phenylamine (66 mg, 0.23 mmol) was dissolved in Dichloroethane (1.5 mL). In another flask, 4-nitrophenyl chloroformate was dissolved in Dichloroethane (3 mL) and the solution was heated until it fully dissolved using a heat gun. The two solutions were combined with a catalytic amount of pyridine, and stirred at room temperature. Once the carbamate formed in solution, “Stratospheres” scavenger was added. The mixture was stirred rapidly and filtered after two hours. 2-Amino-5-chlorophenol was then dissolved in pyridine (1 mL) and added to the reaction. After 5 hours of stirring, the reaction was found to be complete by TLC and LC/MS. The solvent was removed under reduced pressure and the residue was purified by HPLC providing 36.5 mg (35%) of Compound 107: LCMS m/z (%)=451 (M+H79Br, 80),453 (M+H81Br, 100). 1H NMR (400 MHz, CDCl3) δ: 7.74 (s, 1H), 7.67 (s, 1H), 7.53 (d, J=8 Hz, 1H), 7.28 (s, 1H), 7.28 (d, J=12 Hz, 1H), 7.12 (d, J=8 Hz, 1H), 6.99 (s, 1H), 6.91 (d, J=8 Hz, 1H), 3.89 (s, 3H), 3.82 (s, 3H).
- 3-(4-Bromo-2-methyl-2H-pyrazol-3-yl)-4-methoxy-phenylamine (63 mg, 0.22 mmol) was coupled to 5-Amino-2,2-difluoro-1,3-benzodioxole in a similar manner as described in Example 1.129, providing 32 mg (30%) of Compound 115: LCMS m/z (%)=481 (M+H79Br, 96), 483 (M+H81Br, 100). 1H NMR (400 MHz, acetone-d6) δ: 8.42 (s, 1 H), 8.28 (s, 1H), 7.76 (d, J=4 Hz, 1H), 7.70 (dd, J1=8 Hz, J2=4 Hz, 1H), 7.52 (s, 1H), 7.45 (d, J=2 Hz, 1H), 7.19 (d, J=12 Hz, 1H), 7.16 (d, J=2 Hz, 1H), 7.14 (d, J=4 Hz, 1H), 3.83 (s, 3H), 3.70 (s, 3H).
- Step 1: Preparation of N-[4-Hydroxy-3-(2-methyl-2H-pyrazol-3-yl)-phenyl]-acetamide.
- A mixture of N-[4-methoxy-3-(2-methyl-2H-pyrazol-3-yl)-phenyl]-acetamide (2.0 g, 8.15 mmol) in
anhydrous 1,2-dichloroethane (60 mL) was cooled at 0° C. on an ice bath and stirred for 10 minutes. Anhydrous aluminium chloride (4.35 g, 32.6 mmol) was added and the reaction mixture stirred at 0° C. for 20 minutes, then moved to an oil bath and stirred at 80° C. for 1 hour. Ethyl acetate was added and washed with potasium sodium tartrate (10%) twice. Organic layer was separated, dried over anhydrous Na2SO4, filtered and concentrated to give a crude product that was purified via preparative HPLC. The corresponding fractions were collected and lyophilized to afford N-[4-hydroxy-3-(2-methyl-2H-pyrazol-3-yl)-phenyl]-acetamide as a white solid in 70.0% yield. LCMS m/z (%)=232 (M+H, 100). 1H NMR (400 MHz, DMSO-d6) δ: 7.39 (s,1H), 6.86 (d, J=8.74 Hz, 1H), 6.62 (d, J=8.70 Hz, 1H), 6.47 (s, 1H), 6.15 (s, 1H), 4.80 (bs, 2H), 3.87(t, J=5.80 Hz, 2H), 3.63 (s, 3H), 2.44 (t, J=5.80 Hz, 2H), 2.08 (s, 6H). - Step 2: Preparation of N-[4-(2-dimethylamino-ethoxy)-3-(2-methyl-2H-pyrazol-3-yl)-phenyl]-acetamide.
- To a solution of N-[4-hydroxy-3-(2-methyl-2H-pyrazol-3-yl)-phenyl]-acetamide (0.85 g, 3.7 mmol) in THF (40 mL), triphenyl phosphine (2.91 g, 11.1 mmol) and 2-dimethylamino ethanol (1.11 mL, 11.1 mmol) were added followed by dropwise addition of diisopropyl azodicarboxylate (DIAD) (2.15 mL, 11.1 mmol). The reaction mixture was stirred at room temperature for 2 hours, concentrated to give a crude product that was subjected to a purification on preparative HPLC. The corresponding fractions were collected, neutralized with 1N NaOH and extracted with EtOAc four times to afford N-[4-(2-dimethylamino-ethoxy)-3-(2-methyl-2H-pyrazol-3-yl)-phenyl]-acetamide as a colorless waxy solid in 51.2% yield. LCMS m/z (%)=303 (M+H, 100). 1H NMR (400 MHz, DMSO-d6) δ: 9.94 (s, 1H), 7.63 (d, J=8.93 Hz, 1H), 7.52 (s, 1H), 7.46 (s, 1H), 7.14 (d, J=8.98 Hz, 1H), 6.25 (s, 1H), 4.07 (t, J=5.82Hz, 2H), 3.69 (s, 3H), 2.56 (t, J=5.80 Hz, 2H), 2.15 (s, 6H), 2.05 (s, 3H).
- Step 3: Preparation of 4-(2-dimethylamino-ethoxy)-3-(2-methyl-2H-pyrazol-3-yl)-phenylamine.
- Compound N-[4-(2-dimethylamino-ethoxy)-3-(2-methyl-2H-pyrazol-3-yl)-phenyl]-acetamide (0.50 g, 1.7 mmol) was dissolved in ethanol (25 mL), sodium hydroxide (1.5 g, pallets) in 8 mL of water was added and reaction mixture stirred at 80° C. overnight then concentrated. Water and brine were added then extracted with EtOAc four times. Organic layers were combined, dried over anhydrous Na2SO4 then solvent removed under reduced pressure to afford 4-(2-dimethylamino-ethoxy)-3-(2-methyl-2H-pyrazol-3-yl)-phenylamine as a light brown oil in 87.5% yield. LCMS m/z (%)=261 (M+H, 100). 1H NMR (400 MHz, DMSO-d6) δ: 9.82 (s, 1H), 9.71 (bs, 1H), 7.48-7.45 (m, 3H), 6.93 (d, J=8.74 Hz, 1H), 6.23 (s, 1H), 3.7 (s, 3H), 2.0 (s, 3H).
- A solution of 4-(2-dimethylamino-ethoxy)-3-(2-methyl-2H-pyrazol-3-yl)-phenylamine (26.0 mg, 0.1 mmol) in methylene chloride (1 mL) was treated with 4-chlorophenyl-isocyanate (13.3 μL, 0.105 mmol) then reaction mixture stirred at room temperature overnight and concentrated to give an oily residue that was subjected to a purification by flash chromatography (SiO2, CH2Cl2/MeOH gradient elution) to afford Compound 127 as a white solid in 69.8% yield. LCMS m/z (%)=414 (M+H 35Cl, 100), 416 (M+H 37Cl, 36). 1H NMR (400 MHz, acetone-d6) δ: 8.51 (s,1H), 8.36 (s, 1H), 7.62-7.59 (m, 3H), 7.50 (s, 1H), 7.42 (s, 1H), 7.31 (d, J=8.90 Hz, 2H), 7.12 (d, J=8.92 Hz, 1H), 6.24 (s, 1H), 4.11 (t, J=5.86 Hz, 2H), 3.77 (s, 3H), 2.61 (t, J=5.85 Hz, 2H), 2.20 (s, 6H).
- 4-(2-Dimethylamino-ethoxy)-3-(2-methyl-2H-pyrazol-3-yl)-phenylamine (26.0 mg, 0.1 mmol) was treated with 4-fluorophenyl isocyanate (11.8 μL, 0.105 mmol) in a similar manner as described in Example 1.2 to afford Compound 142 as a white solid in 66.4%yield. LCMS m/z (%)=398 (M+H, 100). 1H NMR (400 MHz, acetone-d6) δ: 8.33 (s,1H), 8.25 (s, 1H), 7.61-7.56 (m, 3H), 8.49 (s, 1H), 7.42 (s, 1H), 7.11-7.04 (m, 3H), 6.24 (s, 1H), 4.11 (t, J=5.85 Hz, 2H), 3.77 (s, 3H), 2.62 (t, J=5.85 Hz, 2H), 2.20 (s, 6H).
- 4-(2-Dimethylamino-ethoxy)-3-(2-methyl-2H-pyrazol-3-yl)-phenylamine (26.0 mg, 0.1 mmol) was treated with 2,4-difluorophenyl isocyanate (12.4 μL, 0.105 mmol) in a similar manner as described in Example 1.2 to afford Compound 141 as a white solid in 73.3% yield. LCMS m/z (%)=416 (M+H, 100). 1H NMR (400 MHz, DMSO-d6) δ: 8.95 (s,1H), 8.46 (s, 1H), 8.08-8.02 (m, 1H), 7.45-7.42 (m, 2H), 7.37 (d, J=2.7 Hz, 1H), 7.33-7.27 (m, 1H), 7.12 (d, J=8.95 Hz, 1H), 7.05-6.98 (m, 1H), 6.24 (d, J=2.7 Hz, 1H), 4.03 (t, J=5.80 Hz, 2H), 3.67 (s, 3H), 2.54 (t, J=5.73 Hz, 2H), 2.12 (s, 6H).
- 4-(2-Dimethylamino-ethoxy)-3-(2-methyl-2H-pyrazol-3-yl)-phenylamine (26.0 mg, 0.1 mmol) was treated with 3-acetylphenyl isocyanate (16.9 μL, 0.105 mmol) in a similar manner as described in Example 1.2 to afford Compound 143 as a colorless waxy solid in 64.3% yield. LCMS m/z (%)=422 (M+H, 100). 1H NMR (400 MHz, DMSO-d6) δ: 8.98 (s,1H), 8.73 (s, 1H), 8.10 (s, 1H), 7.52-7.42 (m, 4H), 7.37 (d, J=8.06 Hz, 1H), 7.37 (d, J=6.75 Hz, 1H), 7.33-7.28 (m, 4H), 7.15 (d, J=8.98 Hz, 1H). 6.28 (s, 1H), 4.08 (t, J=5.80 Hz, 2H), 3.71 (s, 3H), 2.54 (m, 6H), 2.12 (s, 6H).
- 4-(2-Dimethylamino-ethoxy)-3-(2-methyl-2H-pyrazol-3-yl)-phenylamine (26.0 mg, 0.1 mmol) was treated with 3-methoxyphenyl isocyanate (13.8 μL, 0.105 mmol) in a similar manner as described in Example 1.2 to afford Compound 146 as a colorless waxy solid in 71.1% yield. LCMS m/z (%)=410 (M+H, 100). 1H NMR (400 MHz, DMSO-d6) δ: 8.70 (s,1H), 8.63 (s, 1H), 7.45-7.42 (m, 2H), 7.37 (d, J=2.7 Hz, 1H), 7.18-7.10 (m, 3H), 6.91 (dd, J=8.02 Hz, 1.2 Hz, 1H), 6.53 (dd, J=7.71 Hz, 2.05 Hz, 1H), 6.24 (d, J=1.83 Hz, 1H),4.03 (t, J=5.80 Hz, 2H), 3.72 (s,3H),3.67 (s, 3H), 3.67 (s, 3H), 2.52 (t, J=5.80 Hz, 2H), 2.12 (s, 6H).
- To a solution of 4-(2-dimethylamino-ethoxy)-3-(2-methyl-2H-pyrazol-3-yl)-phenylamine (26.0 mg, 0.1 mmol) in methylene chloride (1 mL) pyridine (24.3 μL, 0.3 mmol) and 4-nitrophenyl chloroformate (20.2 mg, 0.1 mmol) were added and the mixture was stirred at room temperature for 1 hour. 5-Amino-2,2-difluoro-1,3-benzodioxole (11.6 μL, 0.1 mmol) was added, the reaction mixture stirred at room temperature for 48 hours and concentrated to give an oily residue that was subjected to a purification by flash chromatography (SiO2, CH2Cl2/MeOH gradient elution) to afford Compound 144 as an off-white solid in 14.0% yield. LCMS m/z (%)=460 (M+H, 100). 1H NMR (400 MHz, DMSO-d6) δ: 10.30 (s,1H), 7.64 (d, J=8.96 Hz, 1H), 7.53 (s, 1H), 7.42 (s, 1H), 7.40-7.34 (m, 4H), 7.13 (d, J=8.92 Hz, 1H), 6.22 (s, 1H), 4.10 (t, J=5.56 Hz, 2H), 3.65 (s, 3H), 3.63 (s, 2H), 2.76-2.65 (m, 2H), 2.22 (s, 6H).
- A mixture of 1-[3-(4-Chloro-2-methyl-2H-pyrazol-3-yl)-4-methoxy-phenyl]-3-(2,4-difluoro-phenyl)urea (
Compound 77, example 1.61) (0.270 g, 0.69 mmol) inanhydrous 1,2-dichloroethane (10 mL) was cooled to 0° C. on an ice bath and stirred for 10 minutes. Anhydrous aluminium chloride (0.368 g, 2.76 mmol) was added and the reaction mixture stirred at 0° C. for 20 minutes, then moved to an oil bath and stirred at 80° C. for 1 hour. Ethyl acetate was added and washed with potasium sodium tartrate (10%) twice. Organic layer was separated, dried over anhydrous Na2SO4, filtered and concentrated to give the crude product that was further purified via HPLC. The corresponding fractions were collected and lyophilized to afford Compound 120 as a white solid in 75.0% yield. LCMS m/z (%)=379 (M+H 35Cl, 100), 381 (M+H 37Cl, 40). 1H NMR (400 MHz. DMSO-d6) δ: 9.81 (s,1H), 8.92 (s,1H), 8.45 (s, 1H), 8.12-8.06 (m, 1H), 7.63 (s, 1H), 7.40-7.31 (m, 3H), 7.09-7.04 (m, 1H), 6.99 (d, J1=8.72 Hz, 1H), 3.69 (s, 3H). - To a solution of 1-[3-(4-chloro-2-methyl-2H-pyrazol-3-yl)-4-hydroxy-phenyl]-3-(2,4-difluoro-phenyl)urea (see above) (0.035 g, 0.09 mmol) in THF (3 mL), triphenyl phosphine (0.071 g, 0.27 mmol) and 2-dimethylamino ethanol (27.1 μL, 0.27 mmol) were added followed by dropwise addition of diisopropyl azodicarboxylate (DIAD) (52.3 μL, 0.27 mmol). The reaction mixture was stirred at room temperature for 2 hours, concentrated to give a crude product that was purified via preparative HPLC. The corresponding fractions were collected, neutralized with 1N NaOH and extracted with EtOAc. A second purification by flash chromatography (SiO2, CH2Cl2/MeOH gradient elution) afforded Compound 132 as an off-white solid in 45.9% yield. LCMS m/z (%)=450 (M+H 35Cl, 100), 452 (M+H 37Cl, 32). 1H NMR (400 MHz. DMSO-d6) δ: 9.11 (s, 1H), 8.56 (s, 1H), 8.06-8.00 (m, 1H), 7.60 (s, 1H), 7.52 (d, J=8.95 Hz, 1H), 7.38 (s, 1H), 7.33-7.27 (m, 1H), 7.17 (d, J=9.04 Hz, 1H), 7.05-6.98 (m, 1H), 4.12-3.95 (m, 2H), 3.65 (s, 3H), 2.55-2.51 (m, 2H), 2.10 (s, 6H).
- To a solution of 1-[3-(4-chloro-2-methyl-2H-pyrazol-3-yl)-4-hydroxy-phenyl]-3-(2,4-difluoro-phenyl)urea (see above) (0.035 g, 0.09 mmol) in THF (3mL), triphenyl phosphine (0.071 g, 0.27 mmol) and 3-dimethylamino propanol (31.6 μL, 0.27 mmol) were added followed by dropwise addition of diisopropyl azodicarboxylate (DIAD) (52.3 μL, 0.27 mmol). The reaction mixture was stirred at room temperature for 2 hours, concentrated to give a crude product that was purified via preparative HPLC. The corresponding fractions were collected, neutralized with 1N NaOH and extracted with EtOAc four times. A second purification by flash chromatography (SiO2, CH2Cl2/MeOH gradient elution) afforded Compound 133 as an off-white solid in 25.4% yield. LCMS m/z (%)=464 (M+H 35Cl, 100), 466 (M+H 37Cl, 39). 1H NMR (400 MHz, DMSO-d6) δ: 9.02 (s,1H), 8.47 (s, 1H), 8.07-8.01 (m, 1H), 7.62 (s, 1H), 7.51 (d, J=8.90 Hz, 1H), 7.38 (s, 1H), 7.33-7.28 (m, 1H), 7.15 (d, J=9.02 Hz, 1H), 7.03-6.97 (m, 1H), 4.11-3.94 (m, 2H), 3.63 (s, 3H), 2.28-2.18 (m, 2H), 2.11 (s, 6H), 1.78-1.69(m, 2H).
- Step A: Preparation of (3-bromo-4-trifluoromethoxy-phenyl)-carbamic acid tert-butyl ester.
- A solution of 3-bromo-4-(trifluoromethoxy)aniline (3.84 g, 15 mmol) in dioxane (15 mL) was treated with di-tert-butyl-dicarbonate (4.91 g, 22.5 mmol) then the reaction mixture heated at 80° C. overnight. The solvent was removed under reduced pressure to give an oily residue that was triturated with hexanes. The precipitate was collected by filtration to give (3-bromo-4-trifluoromethoxy-phenyl)-carbamic acid tert-butyl ester as a white solid in 61.0% yield. 1H NMR (400 MHz, DMSO-d6) δ: 9.78 (bs,1H), 7.87 (s, 1H), 7.54-7.43 (m, 2H),1.51 (s, 9H).
- Step B: Preparation of [3-(2-methyl-2H-pyrazol-3-yl)-4-trifluoromethoxy-phenyl]-carbamic acid tert-butyl ester.
- A 25-mL round -bottom flask was charged with (3-bromo-4-trifluoromethoxy-phenyl)-carbamic acid tert-butyl ester (230.0 mg, 0.65 mmol), 1-methyl pyrazole-5-boronic acid (392.9 mg, 1.93 mmol), sodium carbonate (137.8 mg, 1.3 mmol), DME (5 mL) and water (0.5 mL) under argon atmosphere. Tetrakis(triphenylphosphine)palladium (75.1 mg, 0.065 mmol) was added and reaction mixture purged with argon again. The reaction mixture was heated at 80° C. overnight then cooled to room temperature. Ethyl acetate (10 mL) was added then washed with brine and water. Organic layer was separated, dried over anhydrous sodium sulfate, filtered and concentrated to give a residue that was subjected to a purification by flash chromatography (SiO2, Hexanes/EtOAc gradient elution) to afford [3-(2-methyl-2H-pyrazol-3-yl)-4-trifluoromethoxy-phenyl]-carbamic acid tert-butyl ester as an off-white solid in 36.5% yield. LCMS m/z (%)=358 (M+H, 100). 1H NMR (400 MHz, DMSO-d6) δ: 9.83 (bs,1H), 7.77 (d, J=8.95 Hz, 1H), 7.69 (s, 1H), 7.63 (s, 1H), 7.57 (d, J=8.84 Hz, 1H), 6.45 (s, 1H), 3.78 (s, 3H), 1.60 (s, 9H).
- Step C: Preparation of [3-(2-methyl-2H-pyrazol-3-yl)4-trifluoromethoxy-phenyl]-carbamic acid tert-butyl ester.
- To a solution of [3-(2-methyl-2H-pyrazol-3-yl)-4-trifluoromethoxy-phenyl]-carbamic acid tert-butyl ester (65 mg, 0.18 mmol) in DMF (1.5 mL) N-bromosuccinimide (35.6 mg, 0.2 mmol) was added at 0° C. then reaction mixture stirred at room temperature overnight. The resulting mixture was diluted with ethyl acetate, washed with brine and water. The organic layer was separated, dried over anhydrous sodium sulfate, filtered and concentrated to give a yellow oily residue that was subjected to a purification by flash chromatography (SiO2, Hexanes/EtOAc gradient elution) to afford [3-(2-methyl-2H-pyrazol-3-yl)-4-trifluoromethoxy-phenyl]-carbamic acid tert-butyl ester as a white solid in 89.2% yield. LCMS m/z (%)=436 (M+H 79Br, 100), 438 (M+H 81Br, 98). 1H NMR (400 MHz, CD3OD) δ: 7.79 (d, J=8.90 Hz, 1H), 7.61(s, 1H), 7.55 (s, 1H), 7.43 (d,J=8.94 Hz, 1H), 3.73 (s, 3H), 1.55 (s, 9H).
- Step D: Preparation of 1-13-(4-Bromo-2-methyl-2H-pyrazol-3-yl)-4-trifluoro-methoxy-phenyl]-3-(4-chloro-phenyl)-urea (Compound 108).
- To a solution of [3-(2-methyl-2H-pyrazol-3-yl)-4-trifluoromethoxy-phenyl]-carbamic acid tert-butyl ester (21.8 mg, 0.05 mmol) in methylene chloride (0.5 mL), trifluroacetic acid (0.5 mL) was added and reaction mixture stirred at room temperature for 20 minutes. The solvent was removed under reduced pressure to afford 3-(4-bromo-2-methyl-2H-pyrazol-3-yl)-4-trifluoromethoxy-phenylamine trifluoroacetate as a colorless oil in quantitative yield. LCMS m/z (%)=336 (M+H 79Br, 100), 338 (M+H 81Br, 95). This compound was dissolved in methylene chloride (0.8 mL) then treated with N,N-diisopropylethylamine until pH=7-8. 4-Chlorophenyl isocyanate (8.5 mg, 0.055 mmol) was added and reaction mixture stirred at room temperature overnight and concentrated to give a residue that was subjected to apurification by flash chromatography (SiO2, Hexanes/EtOAc gradient elution) to afford Compound 108 as a white solid in 62.0% yield. LCMS m/z (%)=489 (M+H 79Br 35Cl, 93), 491 (M+H 81Br 35Cl, 100), 493 (M+H 81Br 37Cl, 34). 1H NMR (400 MHz, CD3OD), δ: 7.71 (dd, J=8.98 Hz, 2.72 Hz, 1H), 7.64-7.62 (m, 2H), 7.49-7.45 (m, 3H), 7.33-7.30 (m, 2H), 3.76 (s, 3H).
- To a solution of [3-(2-methyl-2H-pyrazol-3-yl)-4-trifluoromethoxy-phenyl]-carbamic acid tert-butyl ester (21.8 mg, 0.05 mmol) in methylene chloride (0.5 mL), trifluroacetic acid (0.5 mL) was added and reaction mixture stirred at room temperature for 20 minutes. The solvent was removed under reduced pressure to afford 3-(4-bromo-2-methyl-2H-pyrazol-3-yl)-4-trifluoromethoxy-phenylamine trifluoroacetate as a colorless oil in quantitative yield. LCMS m/z (%)=336 (M+H 79Br, 100), 338 (M+H 81Br, 95). This compound was dissolved in methylene chloride (0.8 mL) then treated with N,N-diisopropylethylamine until pH =7-8. 2,4-Difluorophenyl isocyanate (8.5 mg, 0.055 mmol) was added and reaction mixture stirred at room temperature overnight and concentrated to give a residue that was subjected to a purification by flash chromatography (SiO2, Hexanes/EtOAc gradient elution) to afford Compound 113 as a white solid in 46.3% yield. LCMS m/z (%)=491 (M+H 79Br, 100), 493 (M+H 81Br, 98). 1H NMR (400 MHz, CD3OD) δ: 8.06-8.00 (m, 1H), 7.71 (dd, J=9.00 Hz, 2.74 Hz, 1H), 7.65-7.62 (m, 2H), 7.48 (d, J=9.00 Hz, 1H), 7.09-7.00 (m, 1H), 6.99-6.94 (m, 1H), 3.76 (s, 3H).
- To a solution of 4-(3-dimethylamino-propoxy)-3-(2-methyl-2H-pyrazol-3-yl)-phenylamine (21.4 mg, 0.078 mmol) in CH2Cl2 (2 mL) was added 2,4-difluorophenyl isocyanate (0.10 μL, 0.084 mmol) and stirred for two hours. The resulting material was purified by solid phase extraction (SCX, 1 gram cartridge), eluting with methanol (30 mL) followed by 2M NH3 in methanol (30 mL). The NH3 containing fractions were dried in vacuo to afford Compound 124 as a colorless solid (30.2 mg, 73%). LCMS m/z (%)=430 (MH+) (100), 1H NMR (400 MHz, DMSO-d6) δ: 8.94 (bs, 1H), 8.46 (bs, 1H), 8.09-8.00 (m, 1H), 7.45 (d, J=1.80 Hz, 1H), 7.42 (dd, J=8.89, 2.72 Hz, 1H), 7.34-7.26 (m, 1H), 7.09 (d, J=8.94 Hz, 1H), 7.06-6.99 (m, 1H), 6.24 (d, J=1.83 Hz, 1), 3.97 (t, J=6.32 Hz, 2H), 3.65 (s, 3H), 2.23 (t, J=7.07 Hz, 2H), 2.10 (s, 6H), 1.78-1.69 (m, 2H).
- To a solution of 4-(3-dimethylamino-propoxy)-3-(2-methyl-2H-pyrazol-3-yl)-phenylamine (60.6 mg, 0.221 mmol) in CH2Cl2 (2 mL) was added 2-fluorophenyl isocyanate (0.27 μL, 0.240 mmol) and stirred for two hours. The resulting material was purified by solid phase extraction (SCX, 1 gram cartridge), eluting with methanol (30 mL) followed by 2M NH3 in methanol (30 mL). The NH3 containing fractions were dried in vacuo to afford Compound 138 as a colorless solid (85.5 mg, 91%). LCMS m/z (%)=412 (MH+) (100), 1H NMR (400 MHz, DMSO-d6) δ: 9.36 (bs, 1H), 8.25 (bs, 1H), 8.15 (dd, J=8.34, 1.52 Hz, 1H), 7.47-7.42 (m, 3H), 7.40 (d, J=2.78 Hz, 1H), 7.31-7.26 (m, 1H), 7.11 (d, J=9.09 Hz, 1H), 7.05-6.99 (m, 1H), 6.25 (d, J=2.02 Hz, 1H), 3.98 (t, J=6.32 Hz, 2H), 3.66 (s, 3H), 2.19 (t, J=7.07 Hz, 2H), 2.07 (s, 6H), 1.77-1.69 (m, 2H).
- To a solution of 4-(3-dimethylamino-propoxy)-3-(2-methyl-2H-pyrazol-3-yl)-phenylamine (45.8 mg, 0.167 mmol) in CH2Cl2 (2 mL) was added 4-(trifluoromethyl)phenyl isocyanate (0.28 μL, 0.196 mmol) and stirred for two hours. The resulting material was purified by solid phase extraction (SCX, 1 gram cartridge), eluting with methanol (30 mL) followed by 2M NH3 in methanol (30 mL). The NH3 containing fractions were dried in vacuo to afford Compound 137 as a colorless solid (25.1 mg, 33%). LCMS m/z (%)=462 (MH+) (100), 1H NMR (400 MHz, DMSO-d6) δ: 9.11 (bs, 1H), 8.75 (bs, 1H), 7.65 (d, J=9.08 Hz, 2H), 7.62 (d, J=9.35 Hz, 2H), 7.47 (dd, J=9.09, 2.78 Hz, 1H), 7.45 (d, J=1.77 Hz, 1H), 7.39 (d, J=2.78 Hz, 1H), 7.10 (d, J=8.84 Hz, 1H), 6.24 (d, J=1.77 Hz, 1H), 3.98 (t, J=6.32 Hz, 2H),3.66 (s, 3H), 2.19 (t, J=7.07 Hz,2H), 2.07 (s, 6H), 1.77-1.69 (m, 2H).
- To a solution of 4-(3-dimethylamino-propoxy)-3-(2-methyl-2H-pyrazol-3-yl)-phenylamine (43.9 mg, 0.160 mmol) in CH2Cl2 (2 mL) was added 2-fluoro-5-methylphenyl isocyanate (0.23 μL, 0.176 mmol) and stirred for two hours. The resulting material was purified by solid phase extraction (SCX, 1 gram cartridge), eluting with methanol (30 mL) followed by 2M NH3 in methanol (30 mL). The NH3 containing fractions were dried in vacuo to afford Compound 139 as a colorless solid (53.2 mg, 78%). LCMS m/z (%)=426 (MH+) (100), 1H NMR (400 MHz, DMSO-d6) δ: 8.98 (bs, 1H), 8.42 (bs, 1H), 7.96 (dd, J=7.89, 1.96 Hz, 1H), 7.45 (d, J=1.82 Hz, 1H), 7.44-7.38 (m, 2H), 7.13-7.06 (m, 2H), 6.82-6.75 (m, 1H), 6.24 (d, J=1.85 Hz, 1H), 3.98 (t, J=6.35 Hz, 2H), 3.66 (s, 3H), 2.25 (s, 3H), 2.19 (t, J=7.03 Hz, 2H), 2.07 (s, 6H), 1.77-1.68 (m, 2H).
- To a solution of 4-(3-dimethylamino-propoxy)-3-(2-methyl-2H-pyrazol-3-yl)-phenylamine (51.4 mg, 0.187 mmol) in CH2Cl2 (2 mL) was added 2-chlorophenyl isocyanate (0.25 μL, 0.207 mmol) and stirred for two hours. The resulting material was purified by solid phase extraction (SCX, 1 gram cartridge), eluting with methanol (30 mL) followed by 2M NH3 in methanol (30 mL). The NH3 containing fractions were dried in vacuo to afford Compound 140 as a colorless solid (76.5 mg, 95%). LCMS m/z (%)=428 (M+H35Cl, 100), 430 (M+H37Cl, 37) 1H NMR (400 MHz, DMSO-d6) δ: 9.36 (bs, 1H), 8.25 (bs, 1H), 8.15 (dd, J=8.33, 1.48 Hz, 1H), 7.48-7.42 (m, 3H), 7.40 (d, J=2.70 Hz, 1H), 7.31-7.26 (m, 1H), 7.11 (d, J=8.92 Hz, 1H), 7.05-6.99 (m, 1H), 6.25 (d, J=1.84 Hz, 1H), 3.98 (t, J=6.36 Hz, 2H), 3.66 (s, 3H), 2.19 (t, J=7.04 Hz, 2H), 2.07 (s, 6H), 1.77-1.69 (m, 2H).
- To a solution of 4-(3-dimethylamino-propoxy)-3-(2-methyl-2H-pyrazol-3-yl)-phenylamine (47.4 mg, 0.173 mmol) in CH2Cl2 (2 mL) was added 3-chlorophenyl isocyanate (0.24 μL, 0.197 mmol) and stirred for two hours. The resulting material was purified by solid phase extraction (SCX, 1 gram cartridge), eluting with methanol (30 mL) followed by 2M NH3 in methanol (30 mL). The NH3 containing fractions were dried in vacuo to afford Compound 134 as a colorless solid (31.0 mg, 42%). LCMS m/z (%)=428 (M+H35Cl, 100), 430 (M+H37Cl, 39), 1H NMR (400 MHz, DMSO-d6) δ: 8.64 (bs, 1H), 8.59 (bs, 1H), 7.47-7.41 (m,3H), 7.45 (d, J=1.79 Hz, 1H), 7.37 (d, J=2.71 Hz, 1H), 7.30-7.23 (m, 2H), 7.09 (d, J=8.97 Hz, 1H), 6.98-6.92 (m, 1H), 6.24 (d, J=1.85 Hz, 1H), 3.97 (t, J=6.36 Hz, 2H), 3.66 (s, 3H), 2.19 (t, J=7.04 Hz, 2H), 2.07 (s, 6H), 1.77-1.69 (m, 2H).
- To a solution of 4-(3-dimethylamino-propoxy)-3-(2-methyl-2H-pyrazol-3-yl)-phenylamine (38.3 mg, 0.140 mmol) in CH2Cl2 (2 mL) was added 4-methoxyphenyl isocyanate (0.21 μL, 0.162 mmol) and stirred for two hours. The resulting material was purified by solid phase extraction (SCX, 1 gram cartridge), eluting with methanol (30 mL) followed by 2M NH3 in methanol (30 mL). The NH3 containing fractions were dried in vacuo to afford Compound 131 as a colorless solid (53.1 mg, 90%). LCMS m/z (%)=424 (MH+) (100), 1H NMR (400 MHz, DMSO-d6) δ: 8.49 (bs, 1H), 8.43 (bs, 1H), 7.44 (d, J=1.86 Hz, 1H), 7.42 (dd, J=8.92, 2.73 Hz, 1H), 7.36 (d, J=2.71 Hz, 1H), 7.33 (d, J=9.09 Hz, 2H), 7.07 (d, J=8.96 Hz, 1H), 6.85 (d, J=9.09 Hz, 2H), 6.23 (d, J=1.82 Hz, 1H), 3.96 (t, J=6.35 Hz, 2H), 3.71 (s, 3H), 3.65 (s,3H), 2.18 (t, J=7.05 Hz, 2H), 2.07 (s, 6H), 1.77-1.69 (m, 2H).
- To a solution of 4-(3-dimethylamino-propoxy)-3-(2-methyl-2H-pyrazol-3-yl)-phenylamine (45.9 mg, 0.167 mmol) in CH2Cl2 (2 mL) was added 4-methylphenyl isocyanate (0.24 μL, 0.191 mmol) and stirred for two hours. The resulting material was purified by solid phase extraction (SCX, 1 gram cartridge), eluting with methanol (30 mL) followed by 2M NH3 in methanol (30 mL). The NH3 containing fractions were dried in vacuo to afford Compound 130 as a colorless solid (61.8 mg, 91%). LCMS m/z (%)=408 (MH+) (100), 1H NMR (400 MHz, DMSO-d6) δ: 8.53 (bs, 1H), 8.52 (bs, 1H), 7.44 (d, J=1.77 Hz, 1H), 7.43 (dd, J=8.91, 2.73 Hz, 1H), 7.36 (d, J=2.70 Hz, 1H), 7.31 (d, J=8.43 Hz, 2H), 7.08 (d, J=8.92 Hz, 1H), 7.06 (d, J=8.32 Hz, 2H), 6.23 (d, J=1,82 Hz, 1H), 3.96 (t, J=6.36 Hz, 2H), 3.65 (s, 3H), 2.23 (s, 3H), 2.19 (t, J=7.05 Hz, 2H), 2.07 (s, 6H), 1.77-1.69 (m, 2H).
- To a solution of 4-(3-dimethylamino-propoxy)-3-(2-methyl-2H-pyrazol-3-yl)-phenylamine (57.3 mg, 0.209 mmol) in CH2Cl2 (2 mL) was added 3-chloro-4-fluorophenyl isocyanate (0.30 μL, 0.241 mmol) and stirred for two hours. The resulting material was purified by solid phase extraction (SCX, 1 gram cartridge), eluting with methanol (30 mL) followed by 2M NH3 in methanol (30 mL). The NH3 containing fractions were dried in vacuo to afford Compound 135 as a colorless solid (66.2 mg, 71%). LCMS m/z (%)=446 (M+H35Cl, 100), 448 (M+H37Cl, 35), 1H NMR (400 MHz, DMSO-d6) δ: 8.87 (bs, 1H), 8.69 (bs, 1H), 7.81-7.77 (m, 1H), 7.47-7.42 (m, 2H), 7.37 (d, J=2.71 Hz, 1H), 7.35-7.26 (m, 2H), 7.09 (d, J=8.98 Hz, 1H), 6.24 (d, J=1.83 Hz, 1H), 3.98 (t, J=6.36 Hz, 2H), 3.65 (s, 3H), 2.19 (t, J=7.04 Hz, 2H), 2.07 (s, 6H), 1.77-1.69 (m, 2H).
- To a solution of 4-(3-dimethylamino-propoxy)-3-(2-methyl-2H-pyrazol-3-yl)-phenylamine (61.1 mg, 0.223 mmol) in CH2Cl2 (2 mL) was added 3,4-difluorophenyl isocyanate (0.30 μL, 0.256 mmol) and stirred for two hours. The resulting material was purified by solid phase extraction (SCX, 1 gram cartridge), eluting with methanol (30 mL) followed by 2M NH3 in methanol (30 mL). The NH3 containing fractions were dried in vacuo to afford Compound 136 as a colorless solid (53.3 mg, 56%). LCMS m/z (%)=430 (M+H, 100), 1H NMR (400 MHz, DMSO-d6) δ: 8.93 (bs, 1H), 8.72 (bs, 1H), 7.71-7.61 (m, 1H), 7.49-7.42 (m, 2H), 7.37 (d, J=2.68 Hz, 1H), 7.35-7.28 (m, 1H), 7.14-7.06 (m, 1H), 7.09 (d, J=8.96 Hz, 1H), 6.23 (d, J=1.82 Hz, 1H), 3.97 (t, J=6.37 Hz, 2H), 3.65 (s, 3H), 2.19 (t, J=7.05 Hz, 2H), 2.07 (s, 6H), 1.77-1.68 (m, 2H).
- To a solution of 4-(3-dimethylamino-propoxy)-3-(2-methyl-2H-pyrazol-3-yl)-phenylamine (45.6 mg, 0.166 mmol) in CH2Cl2 (2 mL) was added phenyl isocyanate (0.20 μL, 0.184 mmol) and stirred for two hours. The resulting material was purified by solid phase extraction (SCX, 1 gram cartridge), eluting with methanol (30 mL) followed by 2M NH3 in methanol (30 mL). The NH3 containing fractions were dried in vacuo to afford Compound 145 as a colorless solid (45.3 mg, 69%). LCMS m/z (%)=394 (M+H, 100), 1H NMR (400 MHz, DMSO-d6) δ: 8.64 (bs, 1H), 8.59 (bs, 1H), 7.48-7.41 (m, 4H), 7.37 (d, J=2.71 Hz, 1H), 7.29-7.23 (m, 2H), 7.09 (d, J=8.97 Hz, 1H), 6.98-6.92 (m, 1H), 6.24 (d, J=1.85 Hz, 1H), 3.97 (t, J=6.36 Hz, 2H), 3.66 (s, 3H), 2.19 (t, J=7.04 Hz, 2H), 2.07 (s, 6H), 1.77-1.68 (m, 2H).
- To a solution of 4-(3-dimethylamino-propoxy)-3-(2-methyl-2H-pyrazol-3-yl)-phenylamine (24.6 mg, 0.090 mmol) in CH2Cl2 (2 mL) was added 4-fluorophenyl isocyanate (0.12 μL, 0.107 mmol) and stirred for two hours. The resulting material was purified by solid phase extraction (SCX, 1 gram cartridge), eluting with methanol (30 mL) followed by 2M NH3 in methanol (30 mL). The NH3 containing fractions were dried in vacuo to afford Compound 125 as a colorless solid (27.0 mg, 73%). LCMS m/z (%)=412 (M+H, 100), 1H NMR (400 MHz, DMSO-d6) δ: 8.67 (bs, 1H), 8.58 (bs, 1H), 7.48-7.41 (m, 4H), 7.36 (d, J=2.70 Hz, 1H), 7.14-7.06 (m, 3H), 6.23 (d, J=1.82 Hz, 1H), 3.97 (t, J=6.34 Hz, 2H), 3.65 (s, 3H), 2.18 (t, J=7.05 Hz, 2H), 2.07 (s, 6H), 1.77-1.68 (m, 2H).
- To a solution of 4-(3-dimethylamino-propoxy)-3-(2-methyl-2H-pyrazol-3-yl)-phenylamine (20.5 mg, 0.075 mmol) in CH2Cl2 (2 mL) was added 4-chlorobenzyl isocyanate (0.17 μL, 0.128 mmol) and stirred overnight. The resulting material was purified by solid phase extraction (SCX, 1 gram cartridge), eluting with methanol (30 mL) followed by 2M NH3 in methanol (30 mL). The NH3 containing fractions were dried in vacuo to afford Compound 126 as a slightly yellow oil (29.8 mg, 90%). LCMS m/z (%)=442 (M+H35Cl, 100), 444 (M+H37Cl, 40) 1H NMR (400 MHz, DMSO-d6) δ: 8.53 (bs, 1H),7.43 (d, J=1.81 Hz, 1H), 7.41-7.36 (m, 4H), 7.34-7.28 (m, 3H), 7.03 (d, J=8.94 Hz, 1H), 6.63 (d, J=6.00 Hz, 1H), 6.20 (d, J=1.83 Hz, 1H), 4.26 (d, J=5.96 Hz, 2H), 3.94 (t, J=6.36 Hz, 2H), 3.63 (s, 3H), 2.18 (t, J=7.05 Hz, 2H), 2.06 (s, 6H), 1.77-1.69 (m, 2H).
- To a solution of 4-nitrophenyl chloroformate (55.1 mg, 0.273 mmol) in 1,2-dichloroethane (7 mL) and pyridine (22 μL, 0.272 mmol) was added 5-amino-2,2-difluoro-1,3-benzodioxole (28 μL, 0.241 mmol) and stirred for one hour. A spatula of StratoSpheres PL-DETA resin was added and stirring continued for an additional hour. The resulting mix was filtered (washing with 3
mL 1,2-dichloroethane) into a flask containing 4-(3-dimethylamino-propoxy)-3-(2-methyl-2H-pyrazol-3-yl)-phenylamine (49.7 mg, 0.181 mmol) and stirring continued overnight. The resulting material was purified by HPLC. The product was dried in vacuo to afford Compound 129 as a white solid (29.0 mg, 34%). LCMS m/z (%)=474 (M+H, 100), 1H NMR (400 MHz, DMSO-d6) δ: 8.91 (bs, 1H), 8.61 (bs, 1H), 7.65 (d, J=2.09 Hz, 1H), 7.44 (d, J=1.86 Hz, 1H), 7.44 (dd, J=8.88, 2.82 Hz, 1H), 7.37 (d, J=2.71 Hz, 1H), 7.29 (d, J=8.75 Hz, 1H), 7.09 (d, J=8.95 Hz, 1H), 7.07 (dd, J=8.78, 2.18 Hz, 1H), 6.23 (d, J=1.81 Hz, 1H), 3.97 (t, J=6.35 Hz, 2H),3.65 (s, 3H), 2.19 (t, J=7.03 Hz, 2H), 2.07 (s, 6H), 1.77-1.67 (m, 2H). - Dimethyl-{3-[2-(2-methyl-2H-pyrazol-3-yl)-4-nitro-phenoxy]-propyl }-amine was synthesized from 2-(2-methyl-2H-pyrazol-3-yl)-4-nitro-phenol (4.064 g) using a similar manner as described in Example 1.139. Yellow oil (3.147 g, 56%). LCMS m/z (%)=305 (M+H, 100), 1H NMR (400 MHz, DMSO-d6) δ: 8.35 (dd, J=9.19, 2.90 Hz, 1H), 8.10 (d, J=2.88 Hz, 1H), 7.50 (d, J=1.86 Hz, 1H), 7.39 (d, J=9.26 Hz, 1H), 6.37 (d, J=1.86 Hz, 1H), 4.21 (t, J=6.40 Hz, 2H), 3.67 (s, 3H), 2.21 (t, J=6.98 Hz, 2H), 2.08 (s, 6H), 1.85-1.76 (m, 2H).
- To a suspension of N-[4-methoxy-3-(2-methyl-2H-pyrazol-3-yl)-phenyl]-acetamide (2.57 g, 10.48 mmol) in 1,2-dichloroethane (75 mL) was added BBr3 (10 mL, 106 mmol) and stirred for three hours. The nonhomogeneous suspension was heated to reflux for 15 minutes and then cooled to room temperature. The reaction was quenched by slow addition of methanol. The resulting material was purified by HPLC. The product was dried in vacuo to afford N-[4-hydroxy-3-(2-methyl-2H-pyrazol-3-yl)-phenyl]-acetamide as a white solid (508 mg, 21%). LCMS m/z (%)=232 (M+H, 100), 1H NMR (400 MHz, DMSO-d6) δ: 9.77 (bs, 1H), 9.66 (bs, 1H), 7.44-7.40 (m, 3H), 6.89 (d, J=8.8 Hz, 1H), 6.37 (d, J=1.81 Hz, 1H), 3.66 (s, 3H), 1.99 (s, 3H).
- N-[4-(3-Dimethylamino-propoxy)-3-(2-methyl-2H-pyrazol-3-yl)-phenyl]-acetamide was synthesized from N-[4-hydroxy-3-(2-methyl-2H-pyrazol-3-yl)-phenyl]-acetamide (489 mg) using a similar manner as described in Example 1.139. Colorless oil (375.1 mg, 56%). LCMS m/z (%)=317 (M+H, 100), 1H NMR (400 MHz, DMSO-d6) δ: 9.89 (bs, 1H), 7.58 (dd, J=8.92, 2.66 Hz, 1H), 7.48 (d, J=2.65 Hz, 1H), 7.44 (d, J=1.84 Hz, 1H), 7.08 (d, J=8.98 Hz, 1H), 6.21 (d, J=1.85 Hz, 1H), 3.97 (t, J=6.37 Hz, 2H), 3.63 (s, 3H), 2.19 (t, J=7.03 Hz, 2H), 2.07 (s, 6H), 2.01 (s, 3H), 1.77-1.68 (m, 2H).
- Method 1: Dimethyl-{3-[2-(2-methyl-2H-pyrazol-3-yl)-4-nitro-phenoxy]-propyl}-amine (1.4047 g, 4.62 mmol) and 5% Pd/C (114 mg) were stirred in methanol (50 mL) under 1 atm of hydrogen for 75 minutes. The suspension was filtered through celite and dried in vacuo to afford 4-(3-dimethylamino-propoxy)-3-(2-methyl-2H-pyrazol-3-yl)-phenylamine as an orange oil (1.27 g, 100%).
-
Method 2. 4-(3-dimethylamino-propoxy)-3-(2-methyl-2H-pyrazol-3-yl)-phenylamine (375 mg, 1.18 mmol) and 50% NaOH in H2O (2.5 mL) were refluxed overnight in methanol (20 mL). The resulting material was purified by HPLC to give an orange oil (230.2 mg, 71%). - LCMS m/z (%)=275 (M+H, 100), 1H NMR (400 MHz, DMSO-d6) δ: 7.40 (d, J=1.81 Hz, 1H), 6.85 (d, J=8.73 Hz, 1H), 6.62 (dd, J=8.68, 2.82 Hz, 1H), 6.47 (d, J=2.80 Hz, 1H), 6.15 (d, J=1.83 Hz, 1H), 4.80 (bs, 2H), 3.81 (t, J=6.35 Hz, 2H), 3.62 (s, 3H), 2.13 (t, J=7.04 Hz, 2H), 2.05 (s, 6H), 1.69-1.59 (m, 2H).
- To 3-(4-bromo-2-methyl-2H-pyrazol-3-yl)-4-methoxy-phenylamine (34.9 mg, 0.124 mmol) in CH2Cl2 (3 mL) was added 4-(dimethylamino)phenyl isocyanate (21 mg, 0.129 mmol) and stirred for two days. The resulting material was purified by HPLC. The product was dried in vacuo to afford Compound 116 as a waxy solid (13.5 mg, 25%). LCMS m/z (%)=444 (M+H79Br, 100), 446 (M+H81Br, 95), 1H NMR (400 MHz, DMSO-d6) δ: 8.51 (bs, 1H), 8.26 (bs, 1H), 7.61 (s, 1H), 7.53 (dd, J=8.97, 2.71 Hz, 1H), 7.34 (d, J=2.70 Hz, 1H), 7.24 (d, J=9.03 Hz, 2H), 7.12 (d, J=9.05 Hz, 1H), 6.68 (d, J=9.07 Hz, 2H), 3.75 (s, 3H), 3.63 (s, 3H), 2.82 (s, 6H).
- Compound 122 was synthesized from Compound 119 (79.2 mg, 0.231 mmol) using a similar manner as described in Example 1.139. White solid (19.6 mg,20%). LCMS m/z (%)=428 (M+H35Cl, 100), 430 (M+H37Cl, 39), 1H NMR (400 MHz, DMSO-d6) δ: 8.80 (bs, 1H), 8.63 (bs, 1H), 7.50-7.42 (m, 4H), 7.36 (d, J=2.71 Hz, 1H), 7.31 (d, J=8.90 Hz, 2H), 7.09 (d, J=8.96 Hz, 1H), 6.23 (d, J=1.81 Hz, 1H), 3.97 (t, J=6.35 Hz, 2H), 3.65 (s, 3H), 2.19 (t, J=7.05 Hz, 2H), 2.07 (s, 6H), 1.77-1.68 (m, 2H).
- Compound 117 was synthesized from Compound 58 (65.1 mg, 0.154 mmol) using a similar manner as described in Example 1.139. White solid (41.8 mg, 53%). LCMS m/z (%)=506 (M+H79Br, 100), 508 (M+H81Br, 81), 1H NMR (400 MHz, DMSO-d6) δ: 8.81 (bs, 1H), 8.71 (bs, 1H), 7.62 (s, 1H). 7.53 (dd, J=8.96, 2.71 Hz, 1H), 7.47 (d, J=8.92 Hz, 2H), 7.35 (d, J=2.70 Hz, 1H), 7.31 (d, J=8.88 Hz, 2H), 7.14 (d, J=9.03 Hz, 1H), 4.07-3.99 (m, 1H), 3.98-3.89 (m, 1H), 3.64 (s, 3H), 2.18 (t, J=6.58 Hz, 2H), 2.07 (s, 6H), 1.77-1.66 (m, 2H).
- {2-(4-Bromo-2-methyl-2H-pyrazol-3-yl)-4-[3-(4-chloro-phenyl)-ureido]-phenoxy}-acetic acid ethyl ester was synthesized from Compound 58 (125.5 mg, 0.298 mmol) using a similar manner as described in Example 1.139. The resulting material was purified by HPLC. The product was dried in vacuo to afford the ethyl ester as an impure brown solid (99.9 mg).
- To a solution of the ethyl ester in methanol (1 mL) and THF (5 mL) was added 1M LiOH in H2O (1 mL). After 30 minutes the resulting material was purified by HPLC. The product was dried in vacuo to afford Compound 118 as a white solid (54.0 mg, 38% over two steps). LCMS m/z (%)=479 (M+H79Br, 71), 481 (M+H81Br, 100), 1H NMR (400 MHz, DMSO-d6) δ: 13.06 (bs, 1H), 8.80 (bs, 1H), 8.73 (bs, 1H), 7.61 (s, 1H), 7.51 (dd, J=9.02, 2.61 Hz, 1H), 7.47 (d, J=8.87 Hz, 2H), 7.38 (d, J=2.67 Hz, 1H), 7.31 (d, J=8.85 Hz, 2H), 7.00 (d, J=9.08 Hz, 1H), 4.75 (d, J=16.65 Hz, 1H), 4.68 (d, J=16.61 Hz, 1H), 3.72 (s, 3H).
- Step 1: Preparation of 3-Diethylamino-1-(2-hydroxy-5-nitro-phenyl)-propenone.
- 6-Nitrochromone (6.64g, 34.78 mmol) was dissolved in pyridine (55 mL) by warming at 55° C. Diethylamine (3.05 g, 41.73 mmol) was added in drops under nitrogen at 55° C. with stirring, and the mixture was stirred for 40 minutes [LCMS showed complete conversion to product, peak at 265(M+H)]. The resulting mixture was cooled to room temperature and solvent removed under vacuum to afford the product as a yellow solid (8.94g, 97%). LCMS m/z (%)=265 (M+H, 100), 1H NMR (Bruker, 400 MHz, CDCl3) δ: 15.3 (s, 1H), 8.61 (s, 1H), 8.22 (dd, J=12,4 Hz, 1H), 8.01 (d, J=12 Hz, 1H), 6.98 (d, J=8 Hz, 1H), 5.85 (d, J=16 Hz, 1H), 3.45 (q, J=8 Hz, 4H), 1.31 (t, J=8 Hz, 6H).
- Step 2: Preparation of 3-Diethylamino-1-(2-methoxy-5-nitro-phenyl)-propenone.
- To a stirred solution of 3-Diethylamino-1-(2-hydroxy-5-nitro-phenyl)-propenone (6.5 g, 24.6 mmole) in acetone (200 mL) was added potassium carbonate (6.8g, 49.2 mmole). After 30 minutes dimethyl sulfate (3.73 g, 29.5 mmole) was added to the reaction mixture and stirred at ambient temperature for 20 hrs. The slurry was filtered off and the filtrate was evaporated to furnish a yellow solid. The crude was purified on silica (Biotage) using hexane to 30% ethyl acetate in hexane as eluant. The fractions containing the product were evaporated in vacuo to afford a light yellow solid (5.2 g, 76%). LCMS m/z (%)=279 (M+H, 100), 1H NMR (Bruker, 400 MHz, CDCl3) δ: 8.5 (bs, 1H), 8.23-8.26 (dd, J=9.1, 2.1 Hz, 1H), 7.6 (bs, 1H), 6.98-7.01 (d, J=9.0 Hz, 1H), 5.51-5.54 (d, J=12.84 Hz, 1H), 3.98 (s, 3 H), 3.28-3.31 (q, J=6.95 Hz, 4H), 1.31 (t, J=6.68 Hz, 6H).
- Step 3: Preparation of 1-(5-Amino-2-methoxy-phenyl}3-diethylamino-propenone.
- To a solution of3-Diethylamino-1-(2-methoxy-5-nitro-phenyl)-propenone (0.6g, 2.16 mmole) in methanol (30 mL) purged with argon was added 5% Pd—C (Degussa, 0.25 g). Then hydrogen gas was bubbled (30 minutes) through the mixture until LCMS and TLC showed complete conversion to product. The slurry was filtered off through a celite and the filtrate was evaporated in vacuo to furnish a yellow solid (0.45 g, 84%). LCMS m/z (%)=249 (M+H, 100), 1H NMR (Bruker, 400 MHz, CDCl3) δ: 6.9 (bs, 1H), 6.76-6.78 (d, J=8.6 Hz, 1H), 6.67-6.71 (dd, J=8.58, 2.61 Hz, 2H), 5.64(bs, 1H), 3.78 (s, 3H), 3.5 (bs, 1H), 3.28-3.31 (q, J=6.95 Hz, 4H), 1.22-1.24 (t, J=6.68 Hz, 6H).
- Step 4: Preparation of 1-[3-(3-Diethylamino-acryloyl)-4-methoxy-phenyl]-3-(2,4-difluoro-phenyl)-urea
- To a solution of 1-(5-Amino-2-methoxy-phenyl)-3-diethylamino-propenone (1.78 g, 7.18 mmole) in methylene chloride (60 mL) was added a solution of 2,4-difluorophenyl isocyanate (1.34 g, 8.62 mmole) in methylene chloride (10 mL) over a period of 10 minutes. The reaction mixture was stirred at ambient temperature for 18 hrs. The solvent was evaporated and the resulting solid was purified on silica (Biotage) using DCM to 30% ethyl acetate in DCM as eluant. The fractions containing the product were evaporated in vacuo to furnish a yellow solid (2.7 g, 96%). LCMS m/z (%)=404 (M+H, 100), 1H NMR (Bruker, 400 MHz, DMSO-d6) δ: 8.91 (bs, 1H), 8.41 (bs, 1H), 8.06-8.12 (m, 1H), 7.46-7.48 (d, J=8.68 Hz 1H), 7.42 (bs, 1H), 7.29-7.35 (m, 1H), 7.01-7.08 (m, 2H), 5.5 (bs, 1H), 3.78(s, 3H), 3.27 (bs, 4H), 1.13-1.2 (t, J=7.01 Hz, 6H).
- Step 5: Preparation of 1-(2,4-Difluoro-phenyl)-3-14-methoxy-3-(2H-pyrazol-3-yl)-phenyl]-urea
- To a solution of 1-[3-(3-Diethylamino-acryloyl)-4-methoxy-phenyl]-3-(2,4-difluoro-phenyl)-urea (1.5 g, 3.72 mmole) in methanol/acetic acid (50 mL/2.0 mL) mixture was added hydrazine (0.82 g, 37.22 mmole). The reaction mixture was refluxed at 55 C for 20 hrs. The methanol/acetic acid was evaporated from the reaction mixture and the solid was triturated with ether/methanol. The solid was filtered and washed with ether. Next, the solid was dried in vacuo to furnish a colorless solid (1.0 g, 76%). LCMS m/z (%)=345 (M+H, 100), 1H NMR (Bruker, 400 MHz, DMSO-d6) δ: 13.0 (bs, 1H), 8.89 (bs, 1H), 8.37 (bs, 1H), 8.09-810 (d, J=6.05 Hz, 1H), 7.74-7.97 (bs, 1H), 7.52-7.64 (bs, 1H), 7.39-7.40 (d, J=5.94 Hz, 1H), 7.27-7.32 (m, 2H), 7.01-7.09 (m, 2H), 6.73 (s, 1H), 3.82 (major tautomer).
- Step 6: Preparation of 1-[3-(4-Bromo-2H-pyrazol-3-yl)-4-methoxy-phenyl]-3-(2,4-difluoro-phenyl)-urea
- To a cooled and stirred solution of 1-(2,4-Difluoro-phenyl)-3-[4-methoxy-3-(2H-pyrazol-3-yl)-phenyl]-urea (0.6 g, 1.74 mmole) in DMF (15 mL) was added N-bromosuccinimide (0.37 g, 2.09 mmole) over a period of 15 minutes. The reaction mixture was warmed slowly to ambient temperature and stirred for another 2 hrs. The reaction mixture was poured into well-stirred ice water containing NaHCO3/Na2S2O3. The resulting solid was filtered and washed with ice water (50 mL). The solid was dried in vacuo to afford off-white solid (0.68g, 92%). LCMS m/z (%)=425 (M+H, 79Br, 100), 427 (M+H, 81Br, 99). 1H NMR (Bruker, 400 MHz, DMSO-d6) δ: 8.96 (bs, IH), 8.44 (bs, 1H), 8.02-8.08 (m, 1H), 7.48 (bs, 2H), 7.27-7.32 (m, 1h), 6.99-7.08 (m, 2H), 3.73 (s, 3H) (major tautomer).
- A. Construction of Constitutively Active 5-HT2C Receptor cDNA
- 1. Endogenous Human 5-HT2C
- The cDNA encoding endogenous human 5-HT2c receptor was obtained from human brain poly-A+RNA by RT-PCR. The 5′ and 3′ primers were derived from the 5′ and 3′ untranslated regions and contained the following sequences:
5′-GACCTCGAGGTTGCTTAAGACTGAAGCA-3′ (SEQ.ID.NO.: 1) 5′-ATTTCTAGACATATGTAGCTTGTACCGT-3′ (SEQ.ID.NO.: 2)
PCR was performed using either TaqPlus™ precision polymerase (Stratagene) or rTth™ polymerase (Perkin Elmer) with the buffer systems provided by the manufacturers, 0.25 μM of each primer, and 0.2 mM of each of the four (4) nucleotides. The cycle condition was 30 cycles of 94° C. for 1 minute, 57° C. for 1 minute and 72° C. for 2 minutes. The 1.5 kb PCR fragment was digested with Xho I and Xba I and subcloned into the Sal I-Xba I site of pBluescript. - The derived cDNA clones were fully sequenced and found to correspond to published sequences.
- 2. AP-1 cDNA
- The cDNA containing a S310K mutation (AP-1 cDNA) in the third intracellular loop of the human 5-HT2C receptor was constructed by replacing the Sty I restriction fragment containing amino acid 310 with synthetic double stranded oligonucleotides encoding the desired mutation. The sense strand sequence utilized had the following sequence:
(SEQ.ID.NO: 3) 5′-CTAGGGGCACCATGCAGGCTATCAACAATGAAAGAAAAGCTAAGAAA GTC-3′ - and the antisense strand sequence utilized had the following sequence:
(SEQ.ID.NO: 4) 5′-CAAGGACTTTCTTAGCTTTTCTTTCATTGTTGATAGCCTGCATGGTG CCC-3′.
B. Construction of Constitutively Active 5-HT2A Receptor cDNA - 1. Human 5-HT2A (C322K; AP-2)
- The cDNA containing the point mutation C322K in the third intracellular loop was constructed by using the Sph I restriction enzyme site, which encompasses amino acid 322. For the PCR procedure, a primer containing the C322K mutation:
(SEQ.ID.NO: 5) 5′-CAAAGAAAGTACTGGGCATCGTCTTCTTCCT-3′ - was used along with the primer from the 3′ untranslated region SEQ.ID.NO:6.
5′-TGCTCTAGATTCCAGATAGGTGAAAA (SEQ.ID.NO: 6) CTTG-3′
The resulting PCR fragment was then used to replace the 3′ end of the wild type 5-HT2A cDNA by the T4 polymerase blunted Sph I site. PCR was performed using pfu polymerase (Stratagene) with the buffer system provided by the manufacturer and 10% DMSO, 0.25 mM of each primer, 0.5 mM of each of the 4 nucleotides. The cycle conditions were 25 cycles of 94° C. for 1 minute, 60° C. for 1 minute, and 72° C. for 1 minute. - 2. AP-3 cDNA
- The human 5-HT2A cDNA with intracellular loop 3 (IC3) or IC3 and cytoplasmic tail replaced by the corresponding human 5-HT2C cDNA was constructed using PCR-based mutagenesis.
- (a) Replacement of IC3 Loop
- The IC3 loop of human 5-HT2A cDNA was first replaced with the corresponding human 5-HT2C cDNA. Two separate PCR procedures were performed to generate the two fragments, Fragment A and Fragment B, that fuse the 5-HT2C IC3 loop to the transmembrane 6 (TM6) of 5-HT2A. The 237 bp fragment, Fragment A, containing 5-HT2C IC3 and the initial 13 bp of 5-HT2A TM6 was amplified by using the following primers:
(SEQ.ID.NO: 7) 5′-CCGCTCGAGTACTGCGCCGACAAGCTTTGAT-3′ (SEQ.ID.NO: 8) 5′-CGATGCCCAGCACTTTCGAAGCTTTTCTTTCATTGTTG-3′
The template used was human 5-HT2C cDNA. - The 529 bp PCR fragment, Fragment B, containing the C-terminal 13 bp of IC3 from 5-HT2C and the C-terminal of 5-HT2A starting at beginning of TM6, was amplified by using the following primers:
(SEQ.ID.NO: 9) 5′-AAAAGCTTCGAAAGTGCTGGGCATCGTCTTCTTCCT-3′ (SEQ.ID.NO: 10) 5′-TGCTCTAGATTCCAGATAGGTGAAAACTTG-3′
The template used was human 5-HT2A cDNA. - Second round PCR was performed using Fragment A and Fragment B as co-templates with SEQ.ID.NO:7 and SEQ.ID.NO:10 (it is noted that the sequences for SEQ.ID.NOS.: 6 and 10 are the same) as primers. The resulting 740 bp PCR fragment, Fragment C, contained the IC3 loop of human 5-H2C fused to TM6 through the end of the cytoplasmic tail of human 5-HT2A. PCR was performed using pft™ polymerase (Stratagene) with the buffer system provided by the manufacturer, and 10% DMSO, 0.25 mM of each primer, and 0.5 mM of each of the four (4) nucleotides. The cycle conditions were 25 cycles of 94° C. for 1 minute, 57° C. (1 st round PCR) or 60° C. (2nd round PCR) for 1 minute, and 72° C. for 1 minute (1st round PCR) or 90 seconds (2nd round PCR).
- To generate a PCR fragment containing a fusion junction between the human 5-HT2A TM5 and the IC3 loop of 5-HT2C, four (4) primers were used. The two external primers, derived from human 5-HT2A, had the following sequences:
5′-CGTGTCTCTCCTTACTTCA-3′ (SEQ.ID.NO.: 11) - The other primer used was SEQ.ID.NO.:6 (see note above regarding SEQ.ID.NOS. 6 and 11). The first internal primer utilized was an antisense strand containing the initial 13 bp of IC3 of 5-HT2C followed by the terminal 23 bp derived from TM5 of 5-HT2A:
(SEQ.ID.NO.: 12) 5′-TCGGCGCAGTACTTTGATAGTTAGAAAGTAGGTGAT-3′ - The second internal primer was a sense strand containing the terminal 14 bp derived from TM5 of 5-HT2A followed by the initial 24 bp derived from IC3 of 5-HT2C:
(SEQ.ID.NO.: 13) 5′-TTCTAACTATCAAAGTACTGCGCCGACAAGCTTTGATG-3′. - PCR was performed using endogenous human 5-HT2A and a co-template, Fragment C, in a 50 mL reaction volume containing 1× pfu buffer, 10% DMSO, 0.5 mM of each of the four (4) nucleotides, 0.25 mM of each external primer (SEQ.ID.NOS. 10 and 11), 0.06 mM of each internal primer (SEQ.ID.NOS. 12 and 13) and 1.9 units of pfu polymerase (Stratagene). The cycle conditions were 25 cycles of 94° C. for 1 minute, 52° C. for 1 minute, and 72° C. for 2 minutes and 10 seconds. The 1.3 kb PCR product was then gel purified and digested with Pst I and EcoR I. The resulting 1 kb Pst I-EcoR I fragment was used to replace the corresponding fragment in the endogenous human 5-HT2A sequence to generate the mutant 5-HT2A sequence encoding the IC3 loop of 5-HT2C.
- (b) Replacement of the Cytoplasmic tail
- To replace the cytoplasmic tail of 5-HT2A with that of 5-HT2C, PCR was performed using a sense primer containing the C-terminal 22 bp of TM7 of endogenous human 5-HT2A followed by the initial 21 bp of the cytoplasmic tail of endogenous human 5-HT2C:
(SEQ.ID.NO: 14) 5′-TTCAGCAGTCAACCCACTAGTCTATACTCTGTTCAACAAAATT-3′ - The antisense primer was derived from the 3′ untranslated region of endogenous human 5-HT2C:
5′- (SEQ.ID.NO: 15) ATTTCTAGACATATGTAGCTTGTACCGT-3′. - The resulting PCR fragment, Fragment D, contained the last 22 bp of endogenous human 5-HT2A TM7 fused to the cytoplasmic tail of endogenous human 5-HT2C. Second round PCR was performed using Fragment D and the co-template was endogenous human 5-HT2A that was previously digested with
Acc 1 to avoid undesired amplification. The antisense primer used was SEQ.ID.NO:15 (the sequences for SEQ.ID.NOS. 15 and 2 are the same) and the sense primer used was derived from endogenous human 5-HT2A:5′-ATCACCTACTTTCTAACTA-3′. (SEQ.ID.NO: 16) - PCR conditions were as set forth in Example 2 section B2(a) for the first round PCR, except that the annealing temperature was 48° C. and the extension time was 90 seconds. The resulting 710 bp PCR product was digested with Apa I and Xba I and used to replace the corresponding Apa I-Xba I fragment of either (a) endogenous human 5-HT2A, or (b) 5-HT2A with 2C IC3 to generate (a) endogenous human 5-HT2A with endogenous human 5-HT2C cytoplasmic tail and (b) AP-3, respectively.
- 4. AP-4 cDNA
- This mutant was created by replacement of the region of endogenous human 5-HT2A from amino acid 247, the middle of TM5 right after Pro246, to amino acid 337, the middle of TM6 just before Pro338, by the corresponding region of AP-I cDNA. For convenience, the junction in TM5 is referred to as the “2A-2C junction,” and the junction in TM6 is referred to as the “2C-2A junction.”
- Three PCR fragments containing the desired hybrid junctions were generated. The 5′ fragment of 561 bp containing the 2A-2C junction in TM5 was generated by PCR using endogenous human 5-HT2A as template, SEQ.ID.NO.:11 as the sense primer, and the antisense primer was derived from 13 bp of 5-HT2C followed by 20 bp of 5-HT2A sequence:
5′- (SEQ.ID.NO: 17) CCATAATCGTCAGGGGAATGAAAAATGACACAA- 3′ - The middle fragment of the 323 bp contains endogenous human 5-HT2C sequence derived from the middle of TM5 to the middle of TM6, flanked by 13 bp of 5-HT2A sequences from the 2A-2C junction and the 2C-2A junction. This middle fragment was generated by using AP-1 cDNA as a template, a sense primer containing 13 bp of 5-HT2A followed by 20 bp of 5-HT2C sequences across the 2A-2C junction and having the sequence:
(SEQ.ID.NO: 18) 5′-ATTTTTCATTCCCCTGACGATTATGGTGATTAC-3′; - and an antisense primer containing 13 bp of 5-HT2A followed by 20 bp of 5-HT2C sequences across the 2C-2A junction and having the sequence:
(SEQ.ID.NO: 19) 5′-TGATGAAGAAAGGGCACCACATGATCAGAAACA-3′. - The 3 ′ fragment of 487 bp containing the 2C-2A junction was generated by PCR using endogenous human 5-HT2A as a template and a sense primer having the following sequence from the 2C-2A junction:
(SEQ.ID.NO: 20) 5′-GATCATGTGGTGCCCTTTCTTCATCACAAACAT-3′
and the antisense primer was SEQ.ID.NO:6 (see note above regarding SEQ.ID.NOS. 6 and 10). - Two second round PCR reactions were performed separately to link the 5′ and middle fragment (5′M PCR) and the middle and 3′ fragment (M3′ PCR). The 5′M PCR co-template used was the 5′ and middle PCR fragment as described above, the sense primer was SEQ.ID.NO:11 and the antisense primer was SEQ.ID.NO.:19. The 5′M PCR procedure resulted in an 857 bp PCR fragment.
- The M3′ PCR used the middle and M3′ PCR fragment described above as the co-template, SEQ.ID.NO.: 18 as the sense primer and SEQ.ID.NO.:6 (see note above regarding SEQ.ID.NOS. 6 and 10) as the antisense primer, and generated a 784 bp amplification product. The final round of PCR was performed using the 857 bp and 784 bp fragments from the second round PCR as the co-template, and SEQ.ID.NO:11 and SEQ.ID.NO: 6 (see note above regarding SEQ.ID.NOS. 6 and 10) as the sense and the antisense primer, respectively. The 1.32 kb amplification product from the final round of PCR was digested with Pst I and Eco RI. Then resulting 1 kb Pst I-Eco RI fragment was used to replace the corresponding fragment of the endogenous human 5-HT2A to generate mutant 5-HT2A with 5-HT2C: S310K/IC3. The Apa I-Xba fragment of AP3 was used to replace the corresponding fragment in mutant 5-HT2A with 5-HT2C: S310K/IC3 to generate AP4.
- Receptor Expression:
- A. pCMV
- Although a variety of expression vectors are available to those in the art, for purposes of utilization for both the endogenous and non-endogenous receptors discussed herein, it is most preferred that the vector utilized be pCMV. This vector was deposited with the American Type Culture Collection (ATCC) on Oct. 13, 1998 (10801 University Blvd., Manassas, Va. 20110-2209 USA) under the provisions of the Budapest Treaty for the International Recognition of the Deposit of Microorganisms for the Purpose of Patent Procedure. The DNA was tested by the ATCC and determined to be viable. The ATCC has assigned the following deposit number to pCMV: ATCC #203351. See
FIG. 8 . - B. Transfection Procedure
- For the generic assay ([35S]GTPγS; Example 4) and the antagonist binding assay (mesulergine; Example 15), transfection of COS-7 or 293T cells was accomplished using the following protocol.
- On day one, 5×106 COS-7 cells or 1×107 293T cells per 150 mm plate were plated out. On day two, two reaction tubes were prepared (the proportions to follow for each tube are per plate): tube A was prepared by mixing 20 μg DNA (e.g., pCMV vector; pCMV vector AP-1 cDNA, etc.) in 1.2 ml serum free DMEM (Irvine Scientific, Irvine, Calif.); tube B was prepared by mixing 120 μl lipofectamine (Gibco BRL) in 1.2 ml serum free DMEM. Tubes A and B were then admixed by inversions (several times), followed by incubation at room temperature for 30-45 min. The admixture is referred to as the “transfection mixture”. Plated COS-7 cells were washed with 1× PBS, followed by addition of 10 ml serum free DMEM. 2.4 ml of the transfection mixture was then added to the cells, followed by incubation for 4 hrs at 37° C./5% CO2. The transfection mixture was then removed by aspiration, followed by the addition of 25 ml of DMEM/10% Fetal Bovine Serum. Cells were then incubated at 37° C./5% CO2. After 72 hr incubation, cells were then harvested and utilized for analysis.
- GTP Membrane Binding Scintillation Proximity Assay
- The advantages of using [35S]GTPγS binding to measure constitutive activation are that: (a) [35S]GTPγS binding is generically applicable to all G protein-coupled receptors; and (b) [35S]GTPγS binding is proximal at the membrane surface, thereby making it less likely to pick-up molecules which affect the intracellular cascade. The assay utilizes the ability of G protein-coupled receptors to stimulate [35S]GTPγS binding to membranes expressing the relevant receptors. Therefore, the assay may be used to directly screen compounds at the disclosed serotonin receptors.
-
FIG. 9 demonstrates the utility of a scintillation proximity assay to monitor the binding of [35S]GTPγS to membranes expressing, e.g., the endogenous human 5-HT2C receptor expressed in COS cells. In brief, a preferred protocol for the assay is such that the assay was incubated in 20 mM HEPES, pH 7.4, binding buffer with 0.3 nM [35S]GTPγS and 12.5 μg membrane protein and 1 μM GDP for 30 minute Wheatgerm agglutinin beads (25 μl; Amersham) were then added and the mixture was incubated for another 30 minutes at room temperature. The tubes were then centrifuged at 1500×g for 5 minutes at room temperature and then counted in a scintillation counter. As shown inFIG. 9 , serotonin, which as the endogenous ligand activates the 5-HT2C receptor, stimulated [35S]GTPγS binding to the membranes in a concentration dependant manner. The stimulated binding was completely inhibited by 30 μM mianserin, a compound considered as a classical 5-HT2C antagonist, but also known as a 5-HT2C inverse agonist. - Although this assay measures agonist-induced binding of [35S]GTPγS to membranes and can be routinely used to measure constitutive activity of receptors, the present cost of wheatgerm agglutinin beads may be prohibitive. A less costly but equally applicable alternative also meets the needs of large-scale screening. Flash plates and Wallac™ scintistrips may be used to format a high throughput [35S]GTPγS binding assay. This technique allows one to monitor the tritiated ligand binding to the receptor while simultaneously monitoring the efficacy via [35S]GTPγS binding. This is possible because the Wallac™ beta counter can switch energy windows to analyze both tritium and 35S-labeled probes.
- Also, this assay may be used for detecting of other types of membrane activation events that result in receptor activation. For example, the assay may be used to monitor 32p phosphorylation of a variety of receptors (including G protein-coupled and tyrosine kinase receptors). When the membranes are centrifuged to the bottom of the well, the bound [35S]GTPγS or the 32P-phosphorylated receptor will activate the scintillant coated on the wells. Use of Scinti® strips (Wallac™) demonstrate this principle. Additionally, this assay may be used for measuring ligand binding to receptors using radiolabeled ligands. In a similar manner, the radiolabeled bound ligand is centrifuged to the bottom of the well and activates the scintillant. The [35S]GTPγS assay results parallel the results obtained in traditional second messenger assays of receptors.
- As shown in
FIG. 10 , serotonin stimulates the binding of [35S]GTPγS to the endogenous human 5-HT2C receptor, while mianserin inhibits this response; furthermore, mianserin acts as a partial inverse agonist by inhibiting the basal constitutive binding of [35S]GTPγS to membranes expressing the endogenous human 5-HT2C receptor. As expected, there is no agonist response in the absence of GDP since there is no GDP present to exchange for [35S]GTPγS. Not only does this assay system demonstrate the response of the native 5HT2C receptor, but it also measures the constitutive activation of other receptors. -
FIG. 11A andFIG. 11B demonstrate the enhanced binding of [35S]GTPγS to membranes prepared from 293T cells expressing the control vector alone, the native human 5-HT2C receptor or the AP-1 receptor was observed (data not shown). The total protein concentration used in the assay affects the total amount of [35S]GTPγS binding for each receptor. The c.p.m. differential between the CMV transfected and the constitutively active mutant receptor increased from approximately 1000 c.p.m at 10 μg/well to approximately 6-8000 c.p.m. at 75 μg/well protein concentration, as shown inFIG. 11 . - The AP-1 receptor showed the highest level of constitutive activation followed by the wild type receptor, which also showed enhanced [35S]GTPγS binding above basal. This is consistent with the ability of the endogenous human 5-HT2C receptor to accumulate intracellular IP3 in the absence of 5HT stimulation (Example 6) and is also consistent with published data claiming that the endogenous human 5-HT2C receptor has a high natural basal activity. Therefore, the AP-1 receptor demonstrates that constitutive activity may be measured by proximal [35S]GTPγS binding events at the membrane interface.
- Serotonin Receptor Agonist/Antagonist Competitive Binding Assay:
- Membranes were prepared from transfected COS-7 cells (see Example 3) by homogenization in 20 mM HEPES and 10 mM EDTA, pH 7.4 and centrifuged at 49,000×g for 15 min. The pellet was resuspended in 20 mM HEPES and 0.1 mM EDTA, pH 7.4, homogenized for 10 sec. using a Polytron homogenizer (Brinkman) at 5000 rpm and centrifuged at 49,000×g for 15 min. The final pellet was resuspended in 20 mM HEPES and 10 mM MgCl2, pH 7.4, homogenized for 10 sec. using polytron homogenizer (Brinkman) at 5000 rpm.
- Assays were performed in triplicate 200 μl volumes in 96 well plates. Assay buffer (20 mM HEPES and 10 mM MgCl2, pH 7.4) was used to dilute membranes, 3H-LSD, 3H-mesulergine, serotonin (used to define non-specific for LSD binding) and mianserin (used to define non-specific for mesulergine binding). Final assay concentrations consisted of 1 nM 3H-LSD or 1 nM 3H-mesulergine, 50 μg membrane protein and 100 μm serotonin or mianserin. LSD assays were incubated for 1 hr at 37° C., while mesulergine assays were incubated for 1 hr at room temperature. Assays were terminated by rapid filtration onto Wallac Filtermat Type B with ice cold binding buffer using Skatron cell harvester. The radioactivity was determined in a Wallac 1205 BetaPlate counter.
- Intracellular IP3 Accumulation Assay:
- For the IP3 accumulation assay, a transfection protocol different from the protocol set forth in Example 3 was utilized. In the following example, the protocols used for days 1-3 were slightly different for the data generated for
FIGS. 12 and 14 and forFIGS. 13 and 15 ; the protocol for day 4 was the same for all conditions. - A. COS-7 and 293 Cells
- On day one, COS-7 cells or 293 cells were plated onto 24 well plates, usually 1×105 cells/well or 2×105 cells/well, respectively. On day two, the cells were transfected by first mixing 0.25 ug DNA (see Example 3) in 50 μl serum-free DMEM/well and then 2 μl lipofectamine in 50 μl serum-free DMEM/well. The solutions (“transfection media”) were gently mixed and incubated for 15-30 minutes at room temperature. The cells were washed with 0.5 ml PBS and then 400 μl of serum free media was mixed with the transfection media and added to the cells. The cells were then incubated for 3-4 hours at 37° C./5% CO2. Then the transfection media was removed and replaced with I ml/well of regular growth media. On
day 3, the media was removed and the cells were washed with 5 ml PBS followed by aspiration. Then 2 ml of trypsin (0.05%) is added per plate. After 20-30 seconds, warm 293 media is added to plates, cells are gently resupended, and cells are counted. Then a total of 55,000 cells are added to sterile poly-D-lysine treated 96 well microtiter plates and cells are allowed to attach over a six-hour incubation in an incubator. Then media is aspirated and 0.1 mL inositol-free/serum-free media (GIBCO BRL) was added to each well with 0.25 μCi of 3H-myo-inositol/well and the cells were incubated for 16-18 hours overnight at 37° C./5% CO2. Protocol A. - B. 293 Cells
- On day one, 13×106 293 cells per 150 mm plate were plated out. On day two, 2 ml of serum OptimemI (Invitrogen Corporation) is added per plate followed by addition of 60 μL of lipofectamine and 16 μg of cDNA. Note that lipofectamine must be added to the OptimemI and mixed well before addition of cDNA. While complexes between lipofectamine and the cDNA are forming, media is carefully aspirated and cells are gently rinsed with 5 ml of OptimemI media followed by careful aspiration. Then 12 ml of OptimemI is added to each plate and 2 ml of transfection solution is added followed by a 5 hour incubation at 37° C. in a 5% CO2 incubator. Plates are then carefully aspirated and 25 mL of Complete Media are added to each plate and cells are then incubated until used. On
day 3, cells are trypsinized with 2 ml of 0.05% trypsin for 20-30 seconds followed by addition of 10 mL of warmed media, gently titurated to dissociate cells, and then 13 additional ml of warmed media is gently added. Cells are then counted and then 55,000 cells are added to 96-well sterile poly-D-lysine trated plates. Cells are allowed to attach over a six hour incubation at 37° C. in a 5% CO2 incubator. Media is then carefully aspirated and 100 μL of warm inositol-free media plus 0.5 μCi 3H-inositol is added to each well and the plates are incubated for 18-20 hours at 37° C. in a 5% CO2 incubator. - On day 4, media is carefully aspirated and then 0.1 ml of assay medium is added containing inositol-free/serum free media, 10 μM pargyline, 10 mM lithium chloride, and test compound at indicated concentrations. The plates were then incubated for three hours at 37° C. and then wells are carefully aspirated. Then 200 μL of ice-cold 0.1 M formic acid is added to each well. Plates can then be frozen at this point at −80° C. until further processed. Frozen plates are then thawed over the course of one hour, and the contents of the wells (approximately 220 μL) are placed over 400 μL of washed ion-exchange resin (AG 1-X8) contained in a Multi Screen Filtration plate and incubated for 10 minutes followed by filtration under vacuum pressure. Resin is then washed nine times with 200 μL of water and then tritiated inositol phosphates are eluted into a collecting plate by the addition of 200 ul of 1M ammonium formate and an additonal 10 minute incubation. The elutant is then transferred to 20 ml scintillation vials, 8 mL of SuperMix or Hi-Safe scintillation cocktails is added, and vials are counted for 0.5-1 minutes in a Wallac 1414 scintilation counter.
-
FIG. 12 is an illustration of IP3 production from the human 5-HT2A receptor which was mutated using the same point mutation as set forth in Casey, which rendered the rat receptor constitutively active. The results represented inFIG. 12 , support the position that when the point mutation shown to activate the rat receptor is introduced into the human receptor, little activation of the receptor is obtained that would allow for appropriate screening of candidate compounds, with the response being only moderately above that of the endogenous human 5-HT2A receptor. Generally, a response of at least 2× above that of the endogenous response is preferred. -
FIG. 13 provides an illustration comparing IP3 production from endogenous 5-HT2A receptor and the AP4 mutation. The results illustrated inFIG. 13 support the position that when the novel mutation disclosed herein is utilized, a robust response of constitutive IP3 accumulation is obtained (e.g., over 2× that of the endogenous receptor). -
FIG. 14 provides an illustration of IP3 production from AP3. The results illustrated inFIG. 14 support the position that when the novel mutation disclosed herein is utilized, a robust response of constitutive IP3 accumulation is obtained. -
FIG. 15 provides bar-graph comparisons of IP3 accumulation between endogenous human 5-HT2C receptor and AP-1. Note that the endogenous receptor has a high degree of natural constitutive activity relative to the control CMV transfected cells (i.e., the endogenous receptor appears to be constitutively activated). - Animals:
- Animals (Sprague-Dawley rats) were sacrificed and brains were rapidly dissected and frozen in isopentane maintained at −42° C. Horizontal sections were prepared on a cryostat and maintained at −20° C.
- LSD Displacement Protocol:
- Lysergic acid diethylamide (LSD) is a potent 5HT2A receptor and dopamine D2 receptor ligand. An indication of the selectivity of compounds for either or both of these receptors involves displacement of radiolabeled-bound LSD from pre-treated brain sections. For these studies, radiolabeled 1251-LSD (NEN Life Sciences, Boston, Mass., Catalogue number NEX-199) was utilized; spiperone (RBI, Natick, Mass. Catalogue number s-128) a 5HT2A receptor and dopamine D2 receptor antagonist, was also utilized. Buffer consisted of 50 nanomolar TRIS-HCl, pH 7.4.
- Brain sections were incubated in (a)
Buffer plus 1 nanomolar 1251-LSD; (b)Buffer plus 1 nanomolar 1251-LSD and 1 micromolar spiperone; or Buffer plus I nanomolar 1251-LSD and 1micromolar Compound 1 for 30 minutes at room temperature. Sections were then washed 2×10 minutes at 4° C. in Buffer, followed by 20 seconds in distilled H2O. Slides were then air-dried. - After drying, sections were apposed to x-ray film (Kodak Hyperfilm) and exposed for 4 days.
- Analysis:
- FIGS. 16A-C provide grey-scale representative autoradiographic sections from this study.
FIG. 16A evidences darker bands (derived from 1251-LSD binding) primarily in both the fourth layer of the cerebral cortex (primarily SHT2A receptors), and the caudate nucleus (primarily dopamine D2 receptors and some SHT2A receptors). As can be seen fromFIG. 16B , spiperone, which is a 5HT2A and dopamine D2 antagonist, displaces the 125-LSD from these receptors on both the cortex and the caudate. As can be further seen fromFIG. 16C , Compound S-1610, [3-(4-Bromo-2-methyl-2H-pyrazol-3-yl)-phenyl]-carbamic acid 4-methoxy-phenyl ester, appears to selectively displace the 125I-LSD from the cortex (5HT2A) and not the caudate (dopamine D2). - Screening Compounds Known to Have 5-HT2C Antagonist Activity Against Non-Endogenous, Constitutively Activated Human Serotonin Receptor: AP-1
- A final concentration of 12.5 μg membranes prepared from COS7 cells (see Example 3) transiently expressing constitutively active mutant human 5HT2C receptor AP-1 were incubated with binding buffer (20 mM HEPES, pH 7.4, 100 mM NaCl, 20 mM MgCl2.6H2O, 0.2% saponin, and 0.2 mM ascobate), GDP(1 μM) and compound in a 96-well plate format for a period of 60 minutes at ambient room temperature. Plates were then centrifuged at 4,000 rpm for 15 minutes followed by aspiration of the reaction mixture and counting for 1 minute in a Wallac™ MicroBeta plate scintillation counter. A series of compounds known to possess reported 5HT2C antagonist activity were determined to be active in the [35S]GTPγS binding assay using AP-1. IC50 determinations were made for these commercially available compounds (RBI, Natick, Mass.). Results are summarized in TABLE 5. For each determination, eight concentrations of test compounds were tested in triplicate. The negative control in these experiments consisted of AP-1 receptor without test compound addition, and the positive control consisted of 12.5 μg/well of COS7 cell membranes expressing the CMV promoter without expressed AP-1 receptor.
TABLE 5 IC50 (nM) in GTP-γ-[35S] Test Compound Known Pharmacology Assay Metergoline 5HT2/lC antagonist 32.0 Mesulergine 5HT2/lC antagonist 21.2 Methysergide 5HT2/lC antagonist 6.1 Methiothepin 5HT1 antagonist 20.4 Normethylclozapin 5HT2/lC antagonist 21.4 Fluoxetine 5HT reuptake inhibitor 114.0 Ritanserin 5HT2/lC antagonist 19.4
The IC50 results confirm that the seven tested compounds showed antagonist activity at the AP-1 receptor. - Receptor Binding Assay
- In addition to the methods described herein, another means for evaluating a test compound is by determining binding affinities to the 5-HT2A receptor. This type of assay generally requires a radiolabelled ligand to the 5-HT2A receptor. Absent the use of known ligands for the 5-HT2A receptor and radiolabels thereof, compounds of the present invention can be labelled with a radioisotope and used in an assay for evaluating the affinity of a test compound to the 5-HT2A receptor.
- A radiolabelled 5-HT2A compound of Formula (I) can be used in a screening assay to identify/evaluate compounds. In general terms, a newly synthesized or identified compound (i.e., test compound) can be evaluated for its ability to reduce binding of the “radiolabelled compound of Formula (I)” to the 5-HT2A receptor. Accordingly, the ability to compete with the “radiolabelled compound of Formula (I)” or Radiolabelled 5-HT2A Ligand for the binding to the 5-HT2A receptor directly correlates to its binding affinity of the test compound to the 5-HT2A receptor.
- Assay Protocol for Determining Receptor Binding for 5-HT2A:
- A. 5-HT2A Receptor Preparation
- 293 cells (human kidney, ATCC), transiently transfected with 10 [g human 5-HT2A receptor and 60 ul Lipofectamine (per 15-cm dish), are grown in the dish for 24 hours (75% confluency) with a media change and removed with 10 ml/dish of Hepes-EDTA buffer (20 mM Hepes+10 mM EDTA, pH 7.4). The cells are then centrifuged in a Beckman Coulter centrifuge for 20 minutes, 17,000 rpm (JA-25.50 rotor). Subsequently, the pellet is resuspended in 20 mM Hepes+1 mM EDTA, pH 7.4 and homogenized with a 50-ml Dounce homogenizer and again centrifuged. After removing the supernatant, the pellets are stored at −80° C., until used in binding assay. When used in the assay, membranes are thawed on ice for 20 minutes and then 10 mL of incubation buffer (20 mM Hepes, 1 mM MgCl2, 100 mM NaCl, pH 7.4) added. The membranes are then vortexed to resuspend the crude membrane pellet and homogenized with a Brinkmann PT-3 100 Polytron homogenizer for 15 seconds at setting 6. The concentration of membrane protein is determined using the BRL Bradford protein assay.
- B. Binding Assay
- For total binding, a total volume of 50 ul of appropriately diluted membranes (diluted in assay buffer containing 50 mM Tris HCl (pH 7.4), 10 mM MgCl2, and 1 mM EDTA; 5-50 μg protein) is added to 96-well polyproylene microtiter plates followed by addition of 100 μl of assay buffer and 50 μl of Radiolabelled 5-HT2A Ligand. For nonspecific binding, 50 μl of assay buffer is added instead of 100 μl and an additional 50 μl of 10 μM cold 5-HT2A is added before 50 μl of Radiolabelled 5-HT2A Ligand is added. Plates are then incubated at room temperature for 60-120 minutes. The binding reaction is terminated by filtering assay plates throh a Microplate Devices GF/C Unifilter filtration plate with a Brandell 96-well plate harvestor followed by washing with cold 50 mM Tris HCl, pH 7.4 containing 0.9% NaCl. Then, the bottom of the filtration plate are sealed, 50 μl of Optiphase Supermix is added to each well, the top of the plates are sealed, and plates are counted in a Trilux MicroBeta scintillation counter. For compound competition studies, instead of adding 100 μl of assay buffer, 100 μl of appropriately diluted test compound is added to appropriate wells followed by addition of 50 μl of Radiolabelled 5-HT2A Ligand.
- C. Calculations
- The test compounds are initially assayed at 1 and 0.1 μM and then at a range of concentrations chosen such that the middle dose would cause about 50% inhibition of a Radio-5-HT2A Ligand binding (i.e., IC50). Specific binding in the absence of test compound (BO) is the difference of total binding (BT) minus non-specific binding (NSB) and similarly specific binding (in the presence of test compound) (B) is the difference of displacement binding (BD) minus non-specific binding (NSB). IC50 is determined from an inhibition response curve, logit-log plot of % B/BO vs concentration of test compound.
- Ki is calculated, for example, by the Cheng and Prustoff transformation:
K i =IC 50/(1+[L]/K D) - where [L] is the concentration of a Radio-5-HT2A Ligand used in the assay and KD is the dissociation constant of a Radio-5-HT2A Ligand determined independently under the same binding conditions.
- Activity Of Compounds Of The Present Invention in the IP3 Accumulation Assay:
- Certain compounds of the present invention and their corresponding activities in the IP Accumulation Assay are shown in TABLE 6.
TABLE 6 5-HT2A (IC50)* Compound No. IP3 Accumulation Assay (nM) 20 0.45 60 1.10 61 8.57 79 13.0 84 12.2
*Reported values are averages of at least two trials.
- The majority of the other compounds of the Examples were tested at least once and they showed IC50 activities in the 5-HT2A IP3 Accumulation Assay of at least about 10 μM.
- Efficacy of Compounds of the Invention in the Attenuation of DOI-Induced Hypolocomotion in Rats.
- In this example, compounds of the invention, such as
Compound 1 andCompound 26, were tested for inverse agonist activity by determining whether these compounds could attenuate DOI-induced hypolocomotion in rats in a novel environment. DOI is a potent 5HT2A/2C receptor agonist that crosses the blood-brain barrier. - Animals:
- Male Sprague-Dawley rats (Harlan, San Diego, Calif.) weighing between 200-300 g were used for all tests. Rats were housed three to four per cage. These rats were naïve to experimental testing and drug treatment. Rats were handled one to three days before testing to acclimate them to experimental manipulation. Rats were fasted overnight prior to testing.
- Compounds:
- (R)-DOI HCl (C11H16INO2HCl) was obtained from Sigma-Aldrich, and was dissolved in 0.9% saline. Compounds of the invention were synthesized at Arena Pharmaceuticals Inc. and were dissolved in 100% PEG400. DOI was injected s.c. in a volume of 1 ml/kg, while compounds of the invention were administered p.o. in a volume of 2 ml/kg.
- Procedure:
- The “Motor Monitor” (Hamilton-Kinder, Poway, Calif.) was used for all activity measurement. This apparatus recorded rears using infrared photobeams.
- Locomotor activity testing was conducted during the light cycle (0630-1830) between 9:00 a.m. and 4:00 p.m. Animals were allowed 30 min acclimation to the testing room before testing began.
- In determining the effects of compounds of the invention on DOI-induced hypoactivity, animals were first injected with vehicle or the compound of the invention (50 μmol/kg) in their home cages. Sixty minutes later, saline or DOI (0.3 mg/kg salt) was injected. 10 min after DOI administration, animals were placed into the activity apparatus and rearing activity was measured for 10 minutes.
- Statistics and Results:
- Results (total rears over 10 minutes) were analyzed by t-test. P<0.05 was considered significant. As shown in
FIG. 22 ,Compound 1 attenuated DOI-induced hypolocomotion in rats. In addition, as shown inFIG. 23 ,Compound 26 also attenuated DOI-induced hypolocomotion in rats. - Serotonin 5-HT2A Receptor Occupancy Studies in Monkey
- In this example, the 5HT2A receptor occupancy of a compound of the invention,
Compound 1, was measured. The study was carried out in rhesus monkeys using PET and 18F-altanserin. - Radioligand:
- The PET radioligand used for the occupancy studies was 18F-altanserin. Radiosynthesis of 18F-altanserin is achieved in high specific activities and is suitable for radiolabeling 5HT2a receptors in vivo (see Staley et al., Nucl. Med. Biol., 28:271-279 (2001) and references cited within). Quality control issues (chemical and radiochemical purity, specific activity, stability etc) and appropriate binding of the radioligand were verified in rat brain slices prior to use in PET experiments.
- Drug Doses and Formulations:
- Briefly, the radiopharmaceutical was dissolved in sterile 0.9% saline, pH approx 6-7. The compounds of the invention (Compound 1) were dissolved in 60% PEG 400-40% sterile saline on the same day of the PET experiment.
- Serotonin 5HT2a occupancy studies in humans have been reported for MI 00,907 (Grunder et al., Neuropsychopharmacology, 17:175-185 (1997), and Talvik-Lofti et al., Psychophamacology, 148:400-403 (2000)). High occupancies of the 5HT2a receptors have been reported for various oral doses (doses studied ranged from 6 to 20 mg). For example, an occupancy of >90% was reported for a dose of 20 mg (Talvik-Lofti et al., supra), which translates to approx. 0.28 mg/kg. It may therefore be anticipated that an i.v. dose of 0.1 to 0.2 mg/kg of M100,907 is likely to provide high receptor occupancy. A 0.5 mg/kg dose of
Compound 1 was used in these studies. - PET Experiments:
- The monkey was anesthetized by using ketamine (10 mg/kg) and was maintained using 0.7 to 1.25% isoflurane. Typically, the monkey had two i.v. lines, one on each arm. One i.v. line was used to administer the radioligand, while the other line was used to draw blood samples for pharmacokinetic data of the radioligand as well as the cold drugs. Generally, rapid blood samples were taken as the radioligand is administered which then taper out by the end of the scan. A volume of approximately 1 ml of blood was taken per time point, which was spun down, and a portion of the plasma was counted for radioactivity in the blood.
- An initial control study was carried out in order to measure baseline receptor densities. PET scans on the monkey were separated by at least two weeks. Unlabeled drug (Compound 1) was administered intravenously, dissolved in 80% PEG 400:40% sterile saline.
- PET Data Analysis:
- PET data were analyzed by using cerebellum as the reference region and using the distribution volume region (DVR) method. This method has been applied for the analysis of 18F-altanserin PET data in nonhuman primate and human studies (Smith et al., Synapse, 30:380-392 (1998).
- The 5HT2A occupancy (rhesus monkey experimental methods) of
Compound 1 is shown inFIGS. 24-27 . The results of both an 8 hour and 24 hour study are shown. The test compound was administered via i.v. infusion in 5.0 ml of 80% PEG400. For the 8 hour study, venous blood samples were drawn at 5 minutes postCompound 1 and 15 minutes before PET scan. For the 24 hour study, venous blood samples were drawn at 5 minutes post 1 and 10 minutes before PET scan.Compound - The results show that 5HT2A receptor occupancy of
Compound 1 at the dose of 0.5 mg/kg after 8 hours following drug administration was approximately 90% in the cortical regions, which is an area of high 5HT2A receptor density. This occupancy dropped to approximately 80% at 24 hours post-injection although no measurable test drug concentrations were apparent in plasma samples after 8 hours. - The Effect of Compounds of the Invention and Zolpidem on Delta Power in Rats
- In this example, the effect of Compounds of the Invention, such as
Compound 1 andCompound 26, on sleep and wakefullness was compared to the reference drug zolpidem. Drugs were administered during the middle of the light period (inactivity period). - Briefly, four compounds of the invention, including Compound 1 (1.0 mg/kg) and Compound 26 (1.4 mg/kg), were tested for their effects on sleep parameters and were compared to zolpidem (5.0 mg/kg, Sigma, St. Louis, Mo.) and vehicle control (80
% Tween 80, Sigma, St. Louis, Mo.). A repeated measures design was employed in which each rat was to receive seven separate dosings via oral gavage. The first and seventh dosings were vehicle and the second through sixth were the test compounds and zolpidem given in counter-balanced order. Since all dosings were administered while the rats were connected to the recording apparatus, 60% CO2/40% O2 gas was employed for light sedation during the oral gavage process. Rats appeared fully recovered within 60 seconds following the procedure. A minimum of three days elapsed between dosings. In order to test the effect of the compounds on sleep consolidation, dosing occurred during the middle of the rats' normal inactive period (6 hours following lights on). Dosing typically occurred between 13:15 and 13:45 using a 24 hour notation. All dosing solutions were made fresh on the day of dosing. Following each dosing, animals were continuously recorded until lights out the following day (˜30 hours). - Animal Recording and Surgical Procedures:
- Animals were housed in a temperature controlled recording room under a 12/12 light/dark cycle (lights on at 7:00 am) and had food and water available ad libitum. Room temperature (24+2° C.), humidity (50+20% relative humidity) and lighting conditions were monitored continuously via computer. Drugs were administered via oral gavage as described above, with a minimum of three days between dosings. Animals were inspected daily in accordance with NIH guidelines.
- Eight male Wistar rats (300+25 g; Charles River, Wilmington, Mass.) were prepared with chronic recording implants for continuous electroencephalograph (EEG) and electromyograph (EMG) recordings. Under isoflurane anesthesia (1-4%), the fur was shaved from the top of the skull and the skin was disinfected with Betadine and alcohol. A dorsal midline incision was made, the temporalis muscle retracted, and the skull cauterized and thoroughly cleaned with a 2% hydrogen peroxide solution. Stainless steel screws (#000) were implanted into the skull and served as epidural electrodes. EEG electrodes were positioned bilaterally at +2.0 mm AP from bregma and 2.0 mm ML and at −6.0 mm AP and 3.0 mm ML. Multi-stranded twisted stainless steel wire electrodes were sutured bilaterally in the neck muscles for recording of the EMG. EMG and EEG electrodes were soldered to a head plug connector that was affixed to the skull with dental acrylic. Incisions were closed with suture (silk 4-0) and antibiotics administered topically. Pain was relieved by a long-lasting analgesic (Buprenorphine) administered intramuscularly once post-operatively. Post-surgery, each animal was placed in a clean cage and observed until it recovered. Animals were permitted a minimum of one week post-operative recovery before study.
- For sleep recordings, animals were connected via a cable and a counter-balanced commutator to a Neurodata model 15 data collection system (Grass-Telefactor, West Warwick, R.I.). The animals were allowed an acclimation period of at least 48 hours before the start of the experiment and were connected to the recording apparatus continuously throughout the experimental period except to replace damaged cables. The amplified EEG and EMG signals were digitized and stored on a computer using SleepSign software (Kissei Comtec, Irvine Calif.).
- Data Analysis:
- EEG and EMG data were scored visually in 10 second epochs for waking (W), REMS, NREMS. Scored data were analyzed and expressed as time spent in each state per half hour. Sleep bout length and number of bouts for each state were calculated in hourly bins. A “bout” consisted of a minimum of two consecutive epochs of a given state. EEG delta power (0.5-3.5 Hz) within NREMS was also analyzed in hourly bins. The EEG spectra during NREMS were obtained offline with a fast Fourier transform algorithm on all epochs without artifact. The delta power was normalized to the average delta power in NREMS between 23:00 and 1:00, a time when delta power is normally lowest.
- Data were analyzed using repeated measures ANOVA. Light phase and dark phase data were analyzed separately. Both the treatment effect within each rat and the time by treatment effect within each rat was analyzed. Since two comparisons were made, a minimum value of P<0.025 was required for post hoc analysis. When statistical significance was found from the ANOVAs, t-tests were performed comparing all compounds to vehicle and the test compounds to zolpidem.
- Results:
- Three rats completed the entire dosing protocol of 7 conditions. The remaining 5 animals completed only 3 to 6 of the 7 conditions, primarily because of loss of the implant. However, all drug conditions were tested on a minimum of 5 rats.
- Although duration of the effect varied with each test compound, delta power was significantly increased (p<0.05) initially after dosing for all test compounds as compared to vehicle (see
FIG. 28 ). There was a trend, and statistical significance in some conditions, for all compounds to increase NREMS bout length, while the number of Waking bouts and NREMS bouts were decreased as compared to vehicle. No significant effects were observed on Waking bout length, REMS bout length and bout number, or total time spent in each state. - These results demonstrate that compounds of the invention promote sleep consolidation in rats during a time in their circadian sleep cycle that their sleep is naturally fragmented. This conclusion is supported by the trend for all compounds to increase NREMS bout length while the number of Waking and NREMS bouts decreased. Delta power during NREMS increased during the same period when sleep consolidation was facilitated, indicating that these compounds can promote “deeper” sleep as well as sleep consolidation. Hence, compounds of the invention can be effective treatments for sleep disorders.
- No significant differences between the treatments were found for waking (
FIGS. 28 and 29 ), NREMS sleep (FIGS. 30 and 31 ), or REMS sleep (FIGS. 32 and 33 ). Delta power during NREMS, however, was significantly different between drug conditions and vehicle control (FIGS. 34 and 35 ).Compound 1 andCompound 26 significantly increased delta power during the second hour following dosing (15:00). - No significant effects were found on either waking sleep bout length or number of bouts (
FIGS. 36 and 37 ). Significant differences were found, however, in both NREMS and REMS bout length.Compound 1 significantly increased NREMS bout length during the second hour (FIG. 38 ). The number of NREMS bouts did not show significance (FIG. 39 ). REMS bout length was significantly increased byCompound 1 andCompound 26 during the fourth hour (FIG. 40 ). The number of REMS bouts did not show significance (FIG. 41 ). - Those skilled in the art will recognize that various modifications, additions, substitutions, and variations to the illustrative examples set forth herein can be made without departing from the spirit of the invention and are, therefore, considered within the scope of the invention. All documents referenced above, including, but not limited to, printed publications, and provisional and regular patent applications, are incorporated herein by reference in their entirety.
Claims (54)
1. A compound of Formula (I):
or a pharmaceutically acceptable salt, hydrate or solvate thereof;
wherein:
i) R1 is aryl or heteroaryl each optionally substituted with R9, R10, R11, R12, R13, R14, and R15 each selected independently from the group consisting of C1-6 acyl, C1-6 acyloxy, C2-6 alkenyl, C1-6 alkoxy, C1-6 alkyl, C1-6 alkylcarboxamide, C2-6 alkynyl, C1-6 alkylsulfonamide, C1-6alkylsulfinyl, C1-6 alkylsulfonyl, C1-6 alkylthio, C1-6 alkylureyl, amino, C1-6 alkylamino, C2-8 dialkylamino, C1-6 alkylimino, carbo-C1-6-alkoxy, carboxamide, carboxy, cyano, C3-7 cycloalkyl, C2-8 dialkylcarboxamide, C2-8 dialkylsulfonamide, halogen, C1-6 haloalkoxy, C1-6 haloalkyl, C1-6 haloalkylsulfinyl, C1-6 haloalkylsulfonyl, C1-6 haloalkylthio, heterocyclic, hydroxyl, thiol, nitro, phenoxy and phenyl, or two adjacent R9, R10, R11, R12, R13, R14, and R15 together with the atoms to which they are attached form a C5-7 cycloalkyl group or heterocyclic group each optionally substituted with F, Cl, or Br; and wherein said C2-6 alkenyl, C1-6 alkyl, C2-6 alkynyl, C1-6 alkylamino, C1-6 alkylimino, C2-8 dialkylamino, heterocyclic, and phenyl are each optionally substituted with 1 to 5 substituents selected independently from the group consisting of C1-6 acyl, C1-6 acyloxy, C2-6 alkenyl, C1-alkoxy, C1-6 alkyl, C1-6 alkylcarboxamide, C2-6 alkynyl, C1-6 alkylsulfonamide, C1-6 alkylsulfinyl, C1-6 alkylsulfonyl, C1-6 alkylthio, C1-6 alkylureyl, amino, C1-6 alkylamino, C2-8 dialkylamino, carbo-C1-6-alkoxy, carboxamide, carboxy, cyano, C3-7 cycloalkyl, C2-8 dialkylcarboxamide, halogen, C1-6 haloalkoxy, C1-6 haloalkyl, C1-6 haloalkylsulfinyl, C1-6 haloalkylsulfonyl, C1-6 haloalkylthio, hydroxyl, thiol and nitro;
ii) R2 is selected from the group consisting of H, C1-6 alkyl, C2-6 alkenyl, C2-6 alkynyl and C3-7 cycloalkyl;
iii) R3 is selected from the group consisting of H, C2-6 alkenyl, C1-6 alkyl, C1-6 alkylcarboxamide, C2-6 alkynyl, C1-6 alkylsulfonamide, carbo-C1-6-alkoxy, carboxamide, carboxy, cyano, C3-7 cycloalkyl, C2-8 dialkylcarboxamide, halogen, heteroaryl and phenyl; and wherein each of said C2-6 alkenyl, C1-6 alkyl, C2-6 alkynyl, C1-6 alkylsulfonamide, C3-7 cycloalkyl, heteroaryl and phenyl groups can be optionally substituted with 1 to 5 substituents selected independently from the group consisting of C1-5 acyl, C1-5 acyloxy, C2-6 alkenyl, C1-4 alkoxy, C1-8 alkyl, C1-6 alkylamino, C2-8 dialkylamino, C1-4 alkylcarboxamide, C2-6 alkynyl, C1-4 alkylsulfonamide, C1-4 alkylsulfinyl, C1-4 alkylsulfonyl, C1-4 alkylthio, C1-4 alkylureyl, amino, carbo-C1-6-alkoxy, carboxamide, carboxy, cyano, C3-6 cycloalkyl, C2-6 dialkylcarboxamide, halogen, C1-4haloalkoxy, C1-4 haloalkyl, C1-4 haloalkylsulfinyl, C1-4 haloalkylsulfonyl, C1-4 haloalkylthio, hydroxyl, nitro and sulfonamide;
iv) R4 is selected from the group consisting of H, C1-6 acyl, C1-6 acyloxy, C2-6 alkenyl, C1-6 alkoxy, C1-6 alkyl, C1-6 alkylcarboxamide, C2-6 alkynyl, C1-4 alkylsulfonamide, C1-6 alkylsulfinyl, C1-4 alkylsulfonyl, C1-6 alkylthio, C1-6 alkylureyl, amino, C1-6 alkylamino, C2-8 dialkylamino, carbo-C1-6-alkoxy, carboxamide, carboxy, cyano, C3-7 cycloalkyl, C2-8 dialkylcarboxamide, C2-8 dialkylsulfonamide, halogen, C1-6 haloalkoxy, C1-6 haloalkyl, C1-6 haloalkylsulfinyl, C1-6 haloalkylsulfonyl, C1-4 haloalkylthio, hydroxyl, thiol, nitro and sulfonamide;
v) R5 is selected from the group consisting of C1-6 acyl, C1-6 acyloxy, C2-6 alkenyl, C1-6 alkoxy, C1-6 alkyl, C1-6 alkylcarboxamide, C2-6 alkynyl, C1-6 alkylsulfonamide, C1-6 alkylsulfinyl, C1-4 alkylsulfonyl, C1-6 alkylthio, C1-6 alkylureyl, amino, C1-6 alkylamino, C2-8 dialkylamino, carbo-C1-6-alkoxy, carboxamide, carboxy, cyano, C3-7 cycloalkyl, C2-8 dialkylcarboxamide, C2-8 dialkylsulfonamide, halogen, C1-6 haloalkoxy, C1-6 haloalkyl, C1-6 haloalkylsulfinyl, C1-6 haloalkylsulfonyl, C1-6 haloalkylthio, hydroxyl, thiol, nitro and sulfonamide, wherein said C1-6 alkoxy group is optionally substituted with 1 to 5 substituents selected independently from the group consisting of C1-5 acyl, C1-5 acyloxy, C2-6 alkenyl, C1-4 alkoxy, C1-8 alkyl, amino, C1-6 alkylamino, C2-8 dialkylamino, C1-4 alkylcarboxamide, C2-6 alkynyl, C1-4alkylsulfonamide, C1-4 alkylsulfinyl, C1-4 alkylsulfonyl, C1-4alkylthio, C1-4 alkylureyl, amino, carbo-C1-6-alkoxy, carboxamide, carboxy, cyano, C3-6 cycloalkyl, C2-6 dialkylcarboxamide, halogen, C1-4haloalkoxy, C1-4 haloalkyl, C1-4 haloalkylsulfinyl, C1-4 haloalkylsulfonyl, C1-4haloalkylthio, hydroxyl, nitro and phenyl, and wherein said amino and phenyl substituents are each optionally substituted with 1 to 5 further substituents selected from the group consisting of halogen and carbo-C1-6-alkoxy;
vi) R6a, R6b, and R6c are each independently selected from the group consisting of H, C1-6 acyl, C1-6 acyloxy, C2-6 alkenyl, C1-6 alkoxy, C1-6 alkyl, C1-6 alkylcarboxamide, C2-6 alkynyl, C1-6 alkylsulfonamide, C1-6 alkylsulfinyl, C1-6 alkylsulfonyl, C1-6 alkylthio, C1-6 alkylureyl, amino, C1-6 alkylamino, C2-8 dialkylamino, carbo-C1-6-alkoxy, carboxamide, carboxy, cyano, C3-7 cycloalkyl, C2-8 dialkylcarboxamide, C2-8 dialkylsulfonamide, halogen, C1-6 haloalkoxy, C1-6 haloalkyl, C1-6 haloalkylsulfinyl, C1-6 haloalkylsulfonyl, C1-6 haloalkylthio, hydroxyl, thiol, nitro and sulfonamide;
vii) R7 and R8 are independently H or C1-8 alkyl;
viii) X is O or S; and
ix) Q is C1-3 alkylene optionally substituted with 1 to 4 substituents selected from the group consisting of C1-3 alkyl, C1-4alkoxy, carboxy, cyano, C1-3 haloalkyl, halogen and oxo; or Q is a bond.
2. The compound according to claim 1 wherein R1 is phenyl or naphthyl each optionally substituted with R9, R10, R11, R12, R13, R14, and R15 each selected independently from the group consisting of C1-6 acyl, C1-6 alkoxy, C1-6 alkyl, C1-6 alkylsulfonyl, amino, C1-6 alkylamino, C2-8 dialkylamino, C1-6 alkylimino, carbo-C1-6-alkoxy, carboxamide, carboxy, cyano, C3-7 cycloalkyl, halogen, C1-6 haloalkoxy, C1-6 haloalkyl, heterocyclic, hydroxyl, nitro, and phenyl, or two adjacent R9, R10, R11, R12, R13, R14, and R15 together with the atoms to which they are attached form a C5-7 cycloalkyl group or heterocyclic group each optionally substituted with F; and wherein said C1-6 alkyl, C1-6 alkylimino, and heterocyclic are each optionally substituted with 1 to substituents selected independently from the group consisting of C1-6 acyl, C1-6 alkoxy, C1-6 alkyl, C1-6 alkylsulfonyl, amino, C1-6 alkylamino, C2-8 dialkylamino, carboxamide, cyano, C3-7 cycloalkyl, halogen, C1-6 haloalkoxy, C1-6 haloalkyl, and hydroxyl.
3. The compound according to claim 1 wherein R1 is phenyl or naphthyl each optionally substituted with R9, R10, R11, R12, R13, R14, and R15 each selected independently from the group consisting of C1-6 acyl, C1-6 alkoxy, C1-4alkyl, amino, CI-6 alkylamino, C2-8 dialkylamino, C1-6 alkylimino, cyano, halogen, C1-6 haloalkoxy, C1-6 haloalkyl, heterocyclic, hydroxyl, nitro, and phenyl, or two adjacent R9, R10, R11, R12, R13, R14, and R15 together with the atoms to which they are attached form a C5-7 cycloalkyl group or heterocyclic group each optionally substituted with F; and wherein said C1-6 alkyl, C1-6 alkylimino, and heterocyclic are each optionally substituted with 1 to 5 substituents selected independently from the group consisting of C1-6 alkyl, amino, C1-6 alkylamino, C2-8 dialkylamino, and hydroxyl.
4. The compound according to claim 1 wherein R1 is phenyl or naphthyl each optionally substituted with R9, R10, R11, R12, R13, R14, and R15 each selected independently from the group consisting of —C(O)CH3, —OCH3, —CH3, —CH(CH3)2, —CH(OH)CH3, —N(CH3)2, (2-dimethylamino-ethyl)-methyl-amino, (3-dimethylamino-propyl)-methyl-amino, —C(═NOH)CH3, cyano, —F, —Cl, —Br, —OCF3, —CF3, 4-methyl-piperazin-1-yl, morpholin-4-yl, 4-methyl-piperidin-1-yl, hydroxyl, nitro, and phenyl.
5. The compound according to claim 1 wherein R1 is phenyl or naphthyl each optionally substituted with R9, R10, R11, R12, R13, R14, and R15 each selected independently from the group consisting of —OCH3, —CH3, cyano, —F, —Cl, —Br, —OCF3, and —CF3.
6. The compound according to claim 1 wherein R1 is heteroaryl optionally substituted with R9, R10, R11, R12, and R13 each selected independently from the group consisting of C1-6 acyl, C1-6 alkoxy, C1-6 alkyl, amino, C1-6 alkylamino, C2-8 dialkylamino, C1-6 alkylimino, cyano, halogen, C1-6 haloalkoxy, C1-6 haloalkyl, heterocyclic, hydroxyl, nitro, and phenyl, or two adjacent R9, R10, R11, R12, R13, R14, and R15 together with the atoms to which they are attached form a C5-7 cycloalkyl group or heterocyclic group each optionally substituted with F; and wherein said C1-6 alkyl, C1-6 alkylimino, and heterocyclic are each optionally substituted with 1 to 5 substituents selected independently from the group consisting of C1-6alkyl, amino, C1-6 alkylamino, C2-8 dialkylamino, and hydroxyl.
7. The compound according to claim 1 wherein R1 is heteroaryl optionally substituted with R9, R10, R11, R12, and R13 each selected independently from the group consisting of —C(O)CH3, —OCH3, —CH3, —CH(CH3)2, —CH(OH)CH3, —N(CH3)2, (2-dimethylamino-ethyl)-methyl-amino, (3-dimethylamino-propyl)-methyl-amino, —C(═NOH)CH3, cyano, —F, —Cl, —Br, —OCF3, —CF3, 4-methyl-piperazin-1-yl, morpholin-4-yl, 4-methyl-piperidin-1-yl, hydroxyl, nitro, and phenyl.
8. The compound according to claim 1 wherein R1 is heteroaryl optionally substituted with R9, R10, R11, R12, and R13 each selected independently from the group consisting of —OCH3, —CH3, cyano, —F, —Cl, —Br, —OCF3, and —CF3.
9. The compound according to claim 1 wherein R2 is H or C1-6 alkyl.
10. The compound according to claim 1 wherein R2 is selected from the group consisting of —CH3, —CH2CH3, —CH(CH3)2, —CH2CH2CH3, —CH2CH(CH3)2 and —CH2CH2CH2CH3.
11. The compound according to claim 1 wherein R2 is —CH3 or —CH(CH3)2.
12. The compound according to claim 1 wherein R2 is H.
13. The compound according to claim 1 wherein R3 is H or halogen.
14. The compound according to claim 1 wherein R3 is H, F, Cl, or Br.
15. The compound according to claim 1 wherein R4 is selected from the group consisting of H, C1-6 alkyl and C1-6 haloalkyl.
16. The compound according to claim 1 wherein R4 is H or —CF3.
17. The compound according to claim 1 wherein R5 is selected from the group consisting of C1-6 alkoxy, C1-6 alkylthio, amino, C1-6 alkylamino, C2-8 dialkylamino, halogen, C1-6 haloalkoxy, and hydroxyl, wherein said C1-6 alkoxy group can be optionally substituted with 1 to 5 substituents selected independently from the group consisting of amino, C1-6 alkylamino, C2-8 dialkylamino, amino, carbo-C1-6-alkoxy, carboxamide, carboxy, cyano, halogen, and phenyl, and wherein said amino and phenyl substituents are each optionally substituted with 1 to 5 further substituents selected from the group consisting of halogen and carbo-C1-6-alkoxy.
18. The compound according to claim 1 wherein R5 is selected from the group consisting of C1-6 alkoxy, C1-6 haloalkoxy, and hydroxyl, wherein said C1-6 alkoxy group can be optionally substituted with 1 to 5 substituents selected independently from the group consisting of amino, C2-8 dialkylamino, carboxy, and phenyl, and wherein said amino and phenyl are each optionally substituted with 1 to 5 further substituents selected from the group consisting of halogen and carbo-C1-6-alkoxy.
19. The compound according to claim 1 wherein R5 is selected from the group consisting of —OCH3, —OCH2CH3, —OCH(CH3)2, —OCF3, hydroxyl, benzyloxy, 4-chloro-benzyloxy, phenethyloxy, 2-dimethylamino-ethoxy, 3-dimethylamino-propoxy, carboxymethoxy, and 2-tert-butoxycarbonylamino-ethoxy.
20. The compound according to claim 1 wherein R6a, R6b, and R6c are each independently selected from the group consisting of H, C1-6 alkoxy, C1-6 alkyl, amino, C1-6 alkylamino, C2-8 dialkylamino, cyano, halogen, C1-6 haloalkoxy, C1-6 haloalkyl, hydroxyl, and nitro.
21. The compound according to claim 1 wherein R6a, R6b, and R6c are each independently selected from the group consisting of —H, —OCH3, —CH3, —N(CH3)2, cyano, —F, —Cl, —Br, —OCF3, hydroxyl, and nitro.
22. The compound according to claim 1 wherein R6a, R6b, and R6c are all —H.
23. The compound according to claim 1 wherein R7 is —H.
24. The compound according to claim 1 wherein R8 is —H.
25. The compound according to claim 1 wherein X is O.
26. The compound according to claim 1 wherein X is S.
27. The compound according to claim 1 wherein Q is —C(O)—.
28. The compound according to claim 1 wherein Q is —CH2—.
29. The compound according to claim 1 wherein Q is a bond.
30. The compound according to claim 1 of Formula (IIa):
wherein:
R1 is phenyl or naphthyl optionally substituted with R9, R10, R11, R12, R13, R14, and R15 each selected independently from the group consisting of C1-6 acyl, C1-6 alkoxy, C1-6 alkyl, amino, C1-6 alkylamino, C2-8 dialkylamino, C1-6 alkylimino, cyano, halogen, C1-6 haloalkoxy, C1-6 haloalkyl, heterocyclic, hydroxyl, nitro, and phenyl, or two adjacent R9, R10, R11, R12, R13, R14, and R15 together with the atoms to which they are attached form a C5-7 cycloalkyl group or heterocyclic group each optionally substituted with F; and wherein said C1-6 alkyl, C1-6 alkylimino, and heterocyclic are each optionally substituted with 1 to 5 substituents selected independently from the group consisting of C1-6 alkyl, amino, C1-6 alkylamino, C2-8 dialkylamino, and hydroxyl;
R2 is C1-6 alkyl;
R3 is H or halogen;
R4 is selected from the group consisting of H, C1-6 alkyl and C1-6 haloalkyl;
R5 is selected from the group consisting of C1-6 alkoxy, C1-6 haloalkoxy, and hydroxyl, wherein said C1-6 alkoxy group can be optionally substituted with 1 to 5 further substituents selected independently from the group consisting of amino, C2-8 dialkylamino, carboxy, and phenyl, and wherein said amino and phenyl are each optionally substituted with 1 to 5 further substituents selected from the group consisting of halogen and carbo-C1-6-alkoxy;
R6a, R6b, and R6c are each independently selected from the group consisting of H, C1-6 alkoxy, C1-6 alkyl, amino, C1-6 alkylamino, C2-8 dialkylamino, cyano, halogen, C1-6 haloalkoxy, C1-6 haloalkyl, hydroxyl, and nitro;
R7 and R8 are both H;
X is O; and
Q is a bond.
31. The compound according to claim 1 of Formula (IIa):
wherein:
R1 is phenyl or naphthyl optionally substituted with R9, R10, R11, R12, R13, R14, and R15 each selected independently from the group consisting of —C(O)CH3, —OCH3, -CH3, —CH(CH3)2, —CH(OH)CH3, —N(CH3)2, (2-dimethylamino-ethyl)-methyl-amino, (3-dimethylamino-propyl)-methyl-amino, —C(═NOH)CH3, cyano, —F, —Cl, —Br, —OCF3, —CF3, 4-methyl-piperazin-1-yl, morpholin-4-yl, 4-methyl-piperidin-1-yl, hydroxyl, nitro, and phenyl;
R2 is —CH3 or —CH(CH3)2;
R3 is —H, —F, —Cl, or —Br;
R4 is —H, or —CF3;
R5 is selected from the group consisting of —OCH3, —OCH2CH3, —OCH(CH3)2, —OCF3, hydroxyl, benzyloxy, 4-chloro-benzyloxy, phenethyloxy, 2-dimethylamino-ethoxy, 3-dimethylamino-propoxy, carboxymethoxy, and 2-tert-butoxycarbonylamino-ethoxy;
R6a, R6b, and R6c are each independently selected from the group consisting of —H, —OCH3, —CH3, —N(CH3)2, cyano, —F, —Cl, —Br, —OCF3, hydroxyl, and nitro;
R7 and R8 are both —H;
X is O; and
Q is a bond.
32. The compound according to claim 1 of Formula (IIa):
wherein:
R1 is phenyl optionally substituted with R9, R10, R11, R12, and R13 each selected independently from the group consisting of —C(O)CH3, —OCH3, —CH3, —CH(CH3)2, —CH(OH)CH3, —N(CH3)2, (2-dimethylamino-ethyl)-methyl-amino, (3-dimethylamino-propyl)-methyl-amino, —C(═NOH)CH3, cyano, —F, —Cl, —Br, —OCF3, —CF3, 4-methyl-piperazin-1-yl, morpholin-4-yl, 4-methyl-piperidin-1-yl, hydroxyl, nitro, and phenyl;
R2 is —CH3 or —CH(CH3)2;
R3 is —H, —F, —Cl, or —Br;
R4 is —H, or —CF3;
R5 is selected from the group consisting of —OCH3, —OCH2CH3, —OCH(CH3)2, —OCF3, hydroxyl, benzyloxy, 4-chloro-benzyloxy, phenethyloxy, 2-dimethylamino-ethoxy, 3-dimethylamino-propoxy, carboxymethoxy, and 2-tert-butoxycarbonylamino-ethoxy;
R6a, R6b, and R6c are each independently selected from the group consisting of —H, —OCH3, —CH3, —N(CH3)2, cyano, —F, —Cl, —Br, —OCF3, hydroxyl, and nitro;
R7 and R8 are both —H;
X is O; and
Q is a bond.
33. The compound according to claim 1 of Formula (IlI):
wherein:
R1 is phenyl optionally substituted with R9, R10, R11, R12, and R13 each selected independently from the group consisting of —C(O)CH3, —OCH3, —CH3, —CH(CH3)2, —N(CH3)2, cyano, —F, —Cl, —Br, —OCF3, —CF3, hydroxyl, and nitro;
R2 is —CH3;
R3 is —H, —F, —Cl, or —Br;
R4 is —H;
R5 is selected from the group consisting of —OCH3, —OCH2CH3, —OCH(CH3)2, —OCF3, hydroxyl, benzyloxy, 4-chloro-benzyloxy, phenethyloxy, 2-dimethylamino-ethoxy, 3-dimethylamino-propoxy, carboxymethoxy, and 2-tert-butoxycarbonylamino-ethoxy;
R6a, R6b, and R6c are each —H;
R7 and R8 are both —H;
X is O; and
Q is a bond.
34. The compound according to claim 1 wherein the compound is selected from the group consisting of:
1-[3-(4-Bromo-2-methyl-2H-pyrazol-3-yl)-4-methoxy-phenyl]-3-(4-chloro-phenyl)-urea;
1-[3-(4-Bromo-2-methyl-2H-pyrazol-3-yl)-4-methoxy-phenyl]-3-(4-fluoro-phenyl)-urea;
1-[3-(4-Bromo-2-methyl-2H-pyrazol-3-yl)-4-methoxy-phenyl]-3-(2,4-dichloro-phenyl urea;
1-[3-(4-Bromo-2-methyl-2H-pyrazol-3-yl)-4-methoxy-phenyl]-3-(4-methoxy-phenyl)-urea;
1-[3-(4-Bromo-2-methyl-2H-pyrazol-3-yl)-4-methoxy-phenyl]-3-(4-bromo-phenyl)-urea;
1-[3-(4-Bromo-2-methyl-2H-pyrazol-3-yl)-4-methoxy-phenyl]-3-(4-chloro-3-trifluoromethyl-phenyl)-urea;
1-[3-(4-Bromo-2-methyl-2H-pyrazol-3-yl)-4-methoxy-phenyl]-3-(3,5-difluoro-phenyl)-urea;
1-[3-(4-Bromo-2-methyl-2H-pyrazol-3-yl)-4-methoxy-phenyl]-3-(2,4-difluoro-phenyl)-urea;
1-[3-(4-Bromo-2-methyl-2H-pyrazol-3-yl)-4-methoxy-phenyl]-3-(4-chloro-2-trifluoromethyl-phenyl)-urea;
1-[3-(4-Bromo-2-methyl-2H-pyrazol-3-yl)-4-methoxy-phenyl]-3-(3,4-difluoro-phenyl)-urea;
1-[3-(4-Bromo-2-methyl-2H-pyrazol-3-yl)-4-methoxy-phenyl]-3-(3-trifluoromethyl-phenyl)-urea;
1-[3-(4-Bromo-2-methyl-2H-pyrazol-3-yl)-4-methoxy-phenyl]-3-(4-trifluoromethyl-phenyl)-urea;
1-(3,5-Bis-trifluoromethyl-phenyl)-3-[3-(4-bromo-2-methyl-2H-pyrazol-3-yl)-4-methoxy-phenyl]-urea;
1-[3-(4-Bromo-2-methyl-2H-pyrazol-3-yl)-4-methoxy-phenyl]-3-naphthalen-2-yl-urea;
1-[3-(4-Bromo-2-methyl-2H-pyrazol-3-yl)-4-methoxy-phenyl]-3-(3-nitro-phenyl)-urea;
1-[3-(4-Bromo-2-methyl-2H-pyrazol-3-yl)-4-methoxy-phenyl]-3-(4-fluoro-3-nitro-phenyl)-urea;
1-(3-Acetyl-phenyl)-3-[3-(4-bromo-2-methyl-2H-pyrazol-3-yl)-4-methoxy-phenyl]-urea;
1-[3-(4-Bromo-2-methyl-2H-pyrazol-3-yl)-4-methoxy-phenyl]-3-(3-fluoro-phenyl-urea;
1-[3-(4-Bromo-2-methyl-2H-pyrazol-3-yl)-4-methoxy-phenyl]-3-(4-trifluoromethoxy-phenyl)-urea;
1-[3-(4-Bromo-2-methyl-2H-pyrazol-3-yl)-4-methoxy-phenyl]-3-(3-chloro-phenyl)-urea;
1-[3-(4-Bromo-2-methyl-2H-pyrazol-3-yl)-4-methoxy-phenyl]-3-(3-cyano-phenyl)-urea;
1-Biphenyl-2-yl-3-[3-(4-bromo-2-methyl-2H-pyrazol-3-yl)-4-methoxy-phenyl]-urea;
1-[3-(4-Bromo-2-methyl-2H-pyrazol-3-yl)-4-methoxy-phenyl]-3-(4-isopropyl-phenyl)-urea;
1-[3-(4-Bromo-2-methyl-2H-pyrazol-3-yl)-4-methoxy-phenyl]-3-naphthalen-1-yl-urea;
1-[3-(4-Bromo-2-methyl-2H-pyrazol-3-yl)-4-methoxy-phenyl]-3-(2-fluoro-phenyl)-urea;
1-[3-(4-Chloro-2-methyl-2H-pyrazol-3-yl)-4-methoxy-phenyl]-3-(4-chloro-phenyl)-urea;
1-(4-Chloro-phenyl)-3-[3-(4-fluoro-2-methyl-2H-pyrazol-3-yl)-4-methoxy-phenyl]-urea;
1-[3-(4-Chloro-2-methyl-2H-pyrazol-3-yl)-4-methoxy-phenyl]-3-(4-fluoro-phenyl)-urea;
1-[3-(4-Chloro-2-methyl-2H-pyrazol-3-yl)-4-methoxy-phenyl]-3-(2,4-difluoro-phenyl)-urea;
1-[3-(4-Chloro-2-methyl-2H-pyrazol-3-yl)-4-methoxy-phenyl]-3-(3-methoxy-phenyl)-urea;
1-[3-(4-Fluoro-2-methyl-2H-pyrazol-3-yl)-4-methoxy-phenyl]-3-(4-fluoro-phenyl)-urea;
1-(3,4-Difluoro-phenyl)-3-[3-(4-fluoro-2-methyl-2H-pyrazol-3-yl)-4-methoxy-phenyl]-urea;
1-[3-(4-Fluoro-2-methyl-2H-pyrazol-3-yl)-4-methoxy-phenyl]-3-(3-fluoro-phenyl)-urea;
1-[3-(4-Chloro-2-methyl-2H-pyrazol-3-yl)-4-methoxy-phenyl]-3-(2-trifluoromethoxy-phenyl)-urea;
1-(3-Acetyl-phenyl)-3-[3-(4-chloro-2-methyl-2H-pyrazol-3-yl)-4-methoxy-phenyl]-urea;
1-[3-(4-Chloro-2-methyl-2H-pyrazol-3-yl)-4-methoxy-phenyl]-3-(3-fluoro-phenyl)-urea;
1-(2,4-Difluoro-phenyl)-3-[3-(4-fluoro-2-methyl-2H-pyrazol-3-yl)-4-methoxy-phenyl]-urea;
1-[3-(4-Bromo-2-methyl-5-trifluoromethyl-2H-pyrazol-3-yl)-4-methoxy-phenyl]-3-(4-chloro-phenyl)-urea;
1-[3-(4-Bromo-2-methyl-5-trifluoromethyl-2H-pyrazol-3-yl)-4-methoxy-phenyl]-3-fluoro-phenyl)-urea;
1-[3-(4-Chloro-2-methyl-5-trifluoromethyl-2H-pyrazol-3-yl)-4-methoxy-phenyl]-3-(4-fluoro-phenyl)-urea;
1-[3-(4-Chloro-2-methyl-5-trifluoromethyl-2H-pyrazol-3-yl)-4-methoxy-phenyl]-3-(4-chloro-phenyl)-urea;
1-(4-Chloro-phenyl)-3-[4-methoxy-3-(2-methyl-5-trifluoromethyl-2H-pyrazol-3-yl)-phenyl]-urea;
1-(3-Chloro-phenyl)-3-[3-(2-isopropyl-2H-pyrazol-3-yl)-4-methoxy-phenyl]-urea;
1-(4-Fluoro-phenyl)-3-[3-(2-isopropyl-2H-pyrazol-3-yl)-4-methoxy-phenyl]-urea;
1-[3-(4-Chloro-2-isopropyl-2H-pyrazol-3-yl)-4-methoxy-phenyl]-3-(4-chloro-phenyl)-urea;
1-(3,4-Difluoro-phenyl)-3-[3-(2-isopropyl-2H-pyrazol-3-yl)-4-methoxy-phenyl]-urea;
1-(3-Chloro-4-fluoro-phenyl)-3-[3-(2-isopropyl-2H-pyrazol-3-yl)-4-methoxy-phenyl]-urea;
1-(2-Chloro-4-trifluoromethyl-phenyl)-3-[3-(2-isopropyl-2H-pyrazol-3-yl)-4-methoxy-phenyl]-urea;
1-[3-(4-Bromo-2-isopropyl-2H-pyrazol-3-yl)-4-methoxy-phenyl]-3-(4-chloro-phenyl)-urea;
1-[3-(4-Bromo-2-isopropyl-2H-pyrazol-3-yl)-4-methoxy-phenyl]-3-(4-fluoro-phenyl)-urea;
1-[3-(4-Bromo-2-isopropyl-2H-pyrazol-3-yl)-4-methoxy-phenyl]-3-(3,4-difluoro-phenyl)-urea;
1-[3-(4-Bromo-2-isopropyl-2H-pyrazol-3-yl)-4-methoxy-phenyl]-3-(3-chloro-4-phenyl)-urea;
1-[3-(4-Bromo-2-isopropyl-2H-pyrazol-3-yl)-4-methoxy-phenyl]-3-(2-Chloro-4-trifluoromethyl-phenyl)-urea;
1-[3-(4-Chloro-2-isopropyl-2H-pyrazol-3-yl)-4-methoxy-phenyl]-3-(4-fluoro-phenyl)-urea;
1-[3-(4-Chloro-2-isopropyl-2H-pyrazol-3-yl)-4-methoxy-phenyl]-3-(3,4-difluoro-phenyl)-urea;
1-(3-Chloro-4-fluoro-phenyl)-3-[3-(4-Chloro-2-isopropyl-2H-pyrazol-3-yl)-4-methoxy-phenyl]-urea;
1-[3-(4-Chloro-2-isopropyl-2H-pyrazol-3-yl)-4-methoxy-phenyl]-3-(2-Chloro-4-trifluoromethyl-phenyl)-urea;
1-[3-(4-Bromo-2-methyl-2H-pyrazol-3-yl)-4-hydroxy-phenyl]-3-(4-chloro-phenyl)-urea;
1-[3-(4-Bromo-2-methyl-2H-pyrazol-3-yl)-4-isopropoxy-phenyl]-3-(4-chloro-phenyl)-urea;
1-[3-(4-Bromo-2-methyl-2H-pyrazol-3-yl)-4-isopropoxy-phenyl]-3-(4-fluoro-phenyl)-urea;
1-[4-Benzyloxy-3-(4-bromo-2-methyl-2H-pyrazol-3-yl)-phenyl]-3-(4-chloro-phenyl)-urea;
1-[4-Benzyloxy-3-(4-bromo-2-methyl-2H-pyrazol-3-yl)-phenyl]-3-(4-fluoro-phenyl)-urea;
1-[3-(4-Bromo-2-methyl-2H-pyrazol-3-yl)-4-(4-chloro-benzyloxy)-phenyl]-3-(4-chloro-phenyl)-urea;
1-[3-(4-Bromo-2-methyl-2H-pyrazol-3-yl)-4-(4-chloro-benzyloxy)-phenyl]-3-(4-fluoro-phenyl)-urea;
1-[3-(4-Bromo-2-methyl-2H-pyrazol-3-yl)-4-phenethyloxy-phenyl]-3-(4-fluoro-phenyl)-urea;
1-[3-(4-Bromo-2-methyl-2H-pyrazol-3-yl)-4-phenethyloxy-phenyl]-3-(4-chloro-phenyl)-urea;
1-[3-(4-Bromo-2-methyl-2H-pyrazol-3-yl)-4-ethoxy-phenyl]-3-(4-chloro-phenyl)-urea;
1-[3-(4-Bromo-2-methyl-2H-pyrazol-3-yl)-4-ethoxy-phenyl]-3-(4-fluoro-phenyl)-urea;
1-[3-(4-Bromo-2-methyl-2H-pyrazol-3-yl)-4-(2-dimethylamino-ethoxy)-phenyl]-3-(4-chloro-phenyl)-urea;
1-[3-(4-Bromo-2-methyl-2H-pyrazol-3-y)-4-(2-dimethylamino-ethoxy)-phenyl]-3-(4-fluoro-phenyl)-urea;
1-[3-(4-Bromo-2-methyl-2 H-pyrazol-3-yl)-4-methoxy-phenyl]-3-(4-chloro-phenyl)-thiourea;
1-[3-(4-Bromo-2-methyl-2H-pyrazol-3-yl)-4-methoxy-phenyl]-3-(3-methoxy-phenyl)-urea;
1-(4-Chloro-phenyl)-3-[4-methoxy-3-(2-methyl-2H-pyrazol-3-yl)-phenyl]-urea;
1-[3-(4-Chloro-2-methyl-2H-pyrazol-3-yl)-4-methoxy-phenyl]-3-(4-isopropyl-phenyl)-urea;
1-[3-(4-Chloro-2-methyl-2H-pyrazol-3-yl)-4-methoxy-phenyl]-3-(2,4-dichloro-phenyl)-urea;
1-[3-(4-Chloro-2-methyl-2H-pyrazol-3-yl)-4-methoxy-phenyl]-3-naphthalen-1-yl-urea;
1-[3-(4-Chloro-2-methyl-2H-pyrazol-3-yl)-4-methoxy-phenyl]-3-(4-chloro-2-trifluoromethyl-phenyl)-urea;
1-[3-(4-Chloro-2-methyl-2H-pyrazol-3-yl)-4-methoxy-phenyl]-3-(4-trifluoromethyl-phenyl)-urea;
1-(4-Bromo-phenyl)-3-[3-(4-chloro-2-methyl-2H-pyrazol-3-yl)-4-methoxy-phenyl]-urea;
1-(3,5-Bis-trifluoromethyl-phenyl)-3-[3-(4-chloro-2-methyl-2H-pyrazol-3-yl)-4-methoxy-phenyl]-urea;
1-(3-Chloro-phenyl)-3-[3-(4-fluoro-2-methyl-2H-pyrazol-3-yl)-4-methoxy-phenyl]-urea;
1-(4-Chloro-3trifluoromethyl-phenyl)-3-[3-(4-fluoro-2methyl-2H-pyrazol-3yl)-4-methoxy-phenyl]-urea;
1-(4-Bromo-phenyl)-3-[3-(4-fluoro-2-methyl-2H-pyrazol-3-yl)-4-methoxy-phenyl]-urea;
1-[3-(4-Fluoro-2-methyl-2H-pyrazol-3-yl)-4-methoxy-phenyl]-3-(4-trifluoromethyl-phenyl)-thiourea;
1-[3-(4-Fluoro-2-methyl-2H-pyrazol-3-yl)-4-methoxy-phenyl]-3-(4-methoxy-phenyl)-urea;
1-(3-Acetyl-phenyl)-3-[3-(4-fluoro-2-methyl-2H-pyrazol-3-yl)-4-methoxy-phenyl]-urea;
1-[3-(4-Fluoro-2-methyl-2H-pyrazol-3-yl)-4-methoxy-phenyl]-3-(4-trifluoromethyl-phenyl)-urea and
1-[3-(4-Fluoro-2-methyl-2H-pyrazol-3-yl)-4-methoxy-phenyl]-3-(3-trifluoromethyl-phenyl)-urea.
35. The according to claim 1 wherein the compound is selected from the group consisting of:
1-[3-(4-Chloro-2-methyl-2H-pyrazol-3-yl)-4-methoxy-phenyl]-3-(3-chloro-phenyl)-urea;
1-[3-(4-Chloro-2-methyl-2H-pyrazol-3-yl)-4-methoxy-phenyl]-3-(3,4-difluoro-phenyl)-urea;
1-[3-(4-Chloro-2-methyl-2H-pyrazol-3-yl)-4-methoxy-phenyl]-3-(3,5-difluoro-phenyl)-urea;
1-[3-(4-Bromo-2-methyl-2H-pyrazol-3-yl)-4-methoxy-phenyl]-3-[3-(1-hydroxy-ethyl)-phenyl]-urea;
1-[3-(4-Bromo-2-methyl-2H-pyrazol-3-yl)-4-methoxy-phenyl]-3-[3-(1-hydroxyimino-ethyl)-phenyl]-urea;
1-[3-(4-Chloro-2-methyl-2H-pyrazol-3-yl)-4-methoxy-phenyl]-3-(2-fluoro-phenyl)-urea;
1-(4-Chloro-phenyl)-3-[3-(2-methyl-2H-pyrazol-3-yl)-4-trifluoromethoxy-phenyl]-urea;
1-(2,4-Difluoro-phenyl)-3-[3-(2-methyl-2H-pyrazol-3-yl)-4-trifluoromethoxy-phenyl]-urea;
1-(4-Fluoro-phenyl)-3-[3-(2-methyl-2H-pyrazol-3-yl)-4-trifluoromethoxy-phenyl]-urea;
1-[3-(2-Methyl-2H-pyrazol-3-yl)-4-trifluoromethoxy-phenyl]-3-(4-trifluoromethyl-phenyl)-urea;
1-[3-(4-Bromo-2-methyl-2H-pyrazol-3-yl)-4-methoxy-phenyl]-3-[4-chloro-2-(4-methyl-piperazin-1-yl)-phenyl]-urea;
1-[3-(4-Bromo-2-methyl-2H-pyrazol-3-yl)-4-hydroxy-phenyl]-3-(2,4-difluoro-phenyl)-urea;
1-[3-(4-Bromo-2-methyl-2H-pyrazol-3-yl)-4-methoxy-phenyl]-3-(4-chloro-2-morpholin-4-yl-phenyl)-urea;
1-[3-(4-Bromo-2-methyl-2H-pyrazol-3-yl)-4-methoxy-phenyl]-3-[4-chloro-2-(4-methyl-piperidin-1-yl)-phenyl]-urea;
1-[3-(4-Bromo-2-methyl-2H-pyrazol-3-yl)-4-methoxy-phenyl]-3-(4-chloro-2-hydroxy-phenyl)-urea;
1-[3-(4-Bromo-2-methyl-2H-pyrazol-3-yl)-4-trifluoromethoxy-phenyl]-3-(4-chloro-phenyl)-urea;
1-[3-(4-Chloro-2-methyl-2H-pyrazol-3-yl)-4-methoxy-phenyl]-3-(3-cyano-phenyl)-urea;
1-[3-(4-Chloro-2-methyl-2H-pyrazol-3-yl)-4-methoxy-phenyl]-3-(3-nitro-phenyl)-urea;
1-[3-(4-Bromo-2-methyl-2H-pyrazol-3-yl)-4-methoxy-phenyl]-3-{4-chloro-2[(2-dimethylamino-ethyl)-methyl-amino]-phenyl }-urea;
1-[3-(4-Bromo-2-methyl-2H-pyrazol-3-yl)-4-methoxy-phenyl]-3-{4-chloro-2[(3-dimethylamino-propyl)-methyl-amino]-phenyl}-urea;
1-[3-(4-Bromo-2-methyl-2H-pyrazol-3-yl)-4-trifluoromethoxy-phenyl]-3-(2,4-difluoro-phenyl)-urea;
1-(3-Acetyl-phenyl)-3-[3-(2-methyl-2H-pyrazol-3-yl)-4-trifluoromethoxy-phenyl]-urea;
1-[3-(4-Bromo-2-methyl-2H-pyrazol-3-yl)-4-methoxy-phenyl]-3-(2,2-difluoro-benzo[1,3]dioxol-5-yl)-urea;
1-[3-(4-Bromo-2-methyl-2H-pyrazol-3-y 1)-4-methoxy-phenyl]-3-(4-dimethylamino-phenyl)-urea;
1-[3-(4-Bromo-2-methyl-2H-pyrazol-3-yl)-4-(3-dimethylamino-propoxy)-phenyl]-3-(4-chloro-phenyl)-urea;
{2-(4-Bromo-2-methyl-2H-pyrazol-3-yl)-4-[3-(4-chloro-phenyl)-ureido]-phenoxy}-acid;
1-(4-Chloro-phenyl)-3-[4-hydroxy-3-(2-methyl-2H-pyrazol-3-yl)-phenyl]-urea;
1-[3-(4-Chloro-2-methyl-2H-pyrazol-3-yl)-4-hydroxy-phenyl]-3-(2,4-difluoro-phenyl)-urea;
1-[3-(4-Chloro-2-methyl-2H-pyrazol-3-yl)-4-hydroxy-phenyl]-3-(4-chloro-phenyl)-urea;
1-(4-Chloro-phenyl)-3-[4-(3-dimethylamino-propoxy)-3-(2-methyl-2H-pyrazol-3-yl)-phenyl]-urea;
1-[3-(4-Bromo-2-methyl-2H-pyrazol-3-yl)-4-(2-dimethylamino-ethoxy)-phenyl]-3-(2,4-difluoro-phenyl)-urea;
1-(2,4-Difluoro-phenyl)-3-[4-(3-dimethylamino-propoxy)-3-(2-methyl-2H-pyrazol-3-yl)-phenyl]-urea;
1-[4-(3-Dimethylamino-propoxy)-3-(2-methyl-2H-pyrazol-3-yl)-phenyl]-3-(4-fluoro-phenyl)-urea;
1-(4-Chloro-phenyl)-3-[4-(2-dimethylamino-ethoxy)-3-(2-methyl-2H-pyrazol-3-yl)-phenyl]-urea;
1-[3-(4-Chloro-2-methyl-2H-pyrazol-3-yl)-4-(3-dimethylamino-propoxy)-phenyl]-3-(4-chloro-phenyl)-urea;
1-(2,2-Difluoro-benzo[1,3]dioxol-5-yl)-3-[4-(3-dimethylamino-propoxy)-3-(2-methyl-2H-pyrazol-3-yl)-phenyl]-urea;
1-[4-(3-Dimethylamino-propoxy)-3-(2-methyl-2H-pyrazol-3-yl)-phenyl]-3-p-tolyl-urea;
1-[4-(3-Dimethylamino-propoxy)-3-(2-methyl-2H-pyrazol-3-yl)-phenyl]-3-(4-methoxy-phenyl)-urea;
1-[3-(4-Chloro-2-methyl-2H-pyrazol-3-yl)-4-(2-dimethylamino-ethoxy)-phenyl]-3-(2,4-difluoro-phenyl)-urea;
1-[3-(4-Chloro-2-methyl-2H-pyrazol-3-yl)-4-(3-dimethylamino-propoxy)-phenyl]-3-(2,4-difluoro-phenyl)-urea;
1-(3-Chloro-phenyl)-3-[4-(3-dimethylamino-propoxy)-3-(2-methyl-2H-pyrazol-3-yl)-phenyl]-urea;
1-(3-Chloro-4-fluoro-phenyl)-3-[4-(3-dimethylamino-propoxy)-3-(2-methyl-2H-pyrazol-3-yl)-phenyl]-urea;
1-(3,4-Difluoro-phenyl)-3-[4-(3-dimethylamino-propoxy)-3-(2-methyl-2H-pyrazol-3-yl)-phenyl]-urea;
1-[4-(3-Dimethylamino-propoxy)-3-(2-methyl-2H-pyrazol-3-yl)-phenyl]-3-(4-trifluoromethyl-phenyl)-urea;
1-[4-(3-Dimethylamino-propoxy)-3-(2-methyl-2H-pyrazol-3-yl)-phenyl]-3-(2-fluoro-phenyl)-urea;
1-[4-(3-Dimethylamino-propoxy)-3-(2-methyl-2H-pyrazol-3-yl)-phenyl]-3-(2-fluoro-5-methyl-phenyl)-urea;
1-(2-Chloro-phenyl)-3-[4-(3-dimethylamino-propoxy)-3-(2-methyl-2H-pyrazol-3-yl)-phenyl]-urea;
1-(2,4-Difluoro-phenyl)-3-[4-(2-dimethylamino-ethoxy)-3-(2-methyl-2H-pyrazol-3-yl)-phenyl]-urea;
1-[4-(2-Dimethylamino-ethoxy)-3-(2-methyl-2H-pyrazol-3-yl)-phenyl]-3-(4-fluoro-phenyl)-urea;
1-(3-Acetyl-phenyl)-3-[4-(2-dimethylamino-ethoxy)-3-(2-methyl-2H-pyrazol-3-yl)-phenyl]-urea;
1-(2,2-Difluoro-benzo[1,3]dioxol-5-yl)-3-[4-(2-dimethylamino-ethoxy)-3-(2-methyl-2H-pyrazol-3-yl)-phenyl]-urea;
1-[4-(3-Dimethylamino-propoxy)-3-(2-methyl-2H-pyrazol-3-yl)-phenyl]-3-phenyl-urea;
1-[4-(2-Dimethylamino-ethoxy)-3-(2-methyl-2H-pyrazol-3-yl)-phenyl]-3-(3-methoxy-phenyl)-urea;
(2-{2-(4-Bromo-2-methyl-2H-pyrazol-3-yl)-4-[3-(2,4-difluoro-phenyl)-ureido]-phenoxy}-ethyl)-carbamic acid tert-butyl ester;
1-[3-(4-Bromo-2-methyl-2H-pyrazol-3-yl)-4-(3-dimethylamino-propoxy)-phenyl]-3-(2,4-difluoro-phenyl)-urea;
1-[3-(4-Bromo-2-methyl-2H-pyrazol-3-yl)-4-(3-dimethylamino-propoxy)-phenyl]-3-(2-chloro-phenyl)-urea;
1-[3-(4-Bromo-2-methyl-2H-pyrazol-3-yl)-4-(3-dimethylamino-propoxy)-phenyl]-3-(2-fluoro-phenyl)-urea;
1-(4-Chloro-phenyl)-3-[4-methoxy-3-(2H-pyrazol-3-yl)-phenyl]-urea;
1-[3-(4-Bromo-2H-pyrazol-3-yl)-4-methoxy-phenyl]-3-(2,4-difluoro-phenyl)-urea;
1-(2,4-Difluoro-phenyl)-3-[4-methoxy-3-(2H-pyrazol-3-yl)-phenyl]-urea; and
1-(4-Chloro-phenyl)-3-[4-hydroxy-3-(1-methyl-1H-pyrazol-3-yl)-phenyl]-urea.
36. The according to claim 1 wherein the compound is selected from the group consisting of:
1-Benzoyl-3-[3-(4-bromo-2-methyl-2H-pyrazol-3-yl)-4-methoxy-phenyl]-urea; and
1-Benzyl-3-[3-(4-bromo-2-methyl-2H-pyrazol-3-yl)-4-methoxy-phenyl]-urea.
37. The according to claim 1 wherein the compound is selected from the group consisting of:
1-Benzoyl-3-[3-(4-chloro-2-methyl-2H-pyrazol-3-yl)-4-methoxy-phenyl]-urea;
1-Benzyl-3-[3-(4-chloro-2-methyl-2H-pyrazol-3-yl)-4-methoxy-phenyl]-urea; and
1-(4-Chloro-benzyl)-3-[4-(3-dimethylamino-propoxy)-3-(2-methyl-2H-pyrazol-3-yl)-phenyl]-urea.
38. The according to claim 1 wherein the compound is selected from the group consisting of:
1-(4-Chloro-phenyl)-3-[4-(2-dimethylamino-ethoxy)-3-(4-fluoro-2-methyl-2H-pyrazol-3-yl)-phenyl]-urea;
1-[4-(2-Dimethylamino-ethoxy)-3-(4-fluoro-2-methyl-2H-pyrazol-3-yl)-phenyl]-3-(4-fluoro-phenyl)-urea;
1-(2,4-Difluoro-phenyl)-3-[4-(2-dimethylamino-ethoxy)-3-(4-fluoro-2-methyl-2H-pyrazol-3-yl)-phenyl]-urea;
1-(4-Chloro-2-hydroxy-phenyl)-3-[4-(2-dimethylamino-ethoxy)-3-(4-fluoro-2-methyl-2H-pyrazol-3-yl)-phenyl]-urea;
1-[4-(2-Dimethylamino-ethoxy)-3-(4-fluoro-2-methyl-2H-pyrazol-3-yl)-phenyl]-3-(4-fluoro-2-hydroxy-phenyl)-urea;
1-(4-Chloro-3-hydroxy-phenyl)-3-[4-(2-dimethylamino-ethoxy)-3-(4-fluoro-2-methyl-2H-pyrazol-3-yl)-phenyl]-urea;
1-[4-(2-Dimethylamino-ethoxy)-3-(4-fluoro-2-methyl-2H-pyrazol-3-yl)-phenyl]-3-(4-fluoro-3-hydroxy-phenyl)-urea;
1-[3-(4-Chloro-2-methyl-2H-pyrazol-3-yl)-4-(2-dimethylamino-ethoxy)-phenyl]-3-(4-chloro-phenyl)-urea;
1-[3-(4-Chloro-2-methyl-2H-pyrazol-3-yl)-4-(2-dimethylamino-ethoxy)-phenyl]-3-(4-fluoro-phenyl)-urea;
1-(4-Chloro-2-hydroxy-phenyl)-3-[3-(4-chloro-2-methyl-2H-pyrazol-3-yl)-4-(2-dimethylamino-ethoxy)-phenyl]-urea;
1-[3-(4-Chloro-2-methyl-2H-pyrazol-3-yl)-4-(2-dimethylamino-ethoxy)-phenyl]-3-(4-fluoro-2-hydroxy-phenyl)-urea;
1-(4-Chloro-3-hydroxy-phenyl)-3-[3-(4-chloro-2-methyl-2H-pyrazol-3-yl)-4-(2-dimethylamino-ethoxy)-phenyl]-urea;
1-[3-(4-Chloro-2-methyl-2H-pyrazol-3-yl)-4-(2-dimethylamino-ethoxy)-phenyl]-3-(4-fluoro-3-hydroxy-phenyl)-urea;
1-(4-Chloro-2-hydroxy-phenyl)-3-[4-(2-dimethylamino-ethoxy)-3-(2-methyl-2H-pyrazol-3-yl)-phenyl]-urea;
1-[4-(2-Dimethylamino-ethoxy)-3-(2-methyl-2H-pyrazol-3-yl)-phenyl]-3-(4-fluoro-2-hydroxy-phenyl)-urea;
1-(4-Chloro-3-hydroxy-phenyl)-3-[4-(2-dimethylamino-ethoxy)-3-(2-methyl-2H-pyrazol-3-yl)-phenyl]-urea;
1-[4-(2-Dimethylamino-ethoxy)-3-(2-methyl-2H-pyrazol-3-yl)-phenyl]-3-(4-fluoro-3-hydroxy-phenyl)-urea;
1-[3-(4-Bromo-2-methyl-2H-pyrazol-3-yl)-4-(2-dimethylamino-ethoxy)-phenyl]-3-(4-chloro-2-hydroxy-phenyl)-urea;
1-[3-(4-Bromo-2-methyl-2H-pyrazol-3-yl)-4-(2-dimethylamino-ethoxy)-phenyl]-3-(4-fluoro-2-hydroxy-phenyl)-urea;
1-[3-(4-Bromo-2-methyl-2H-pyrazol-3-yl)-4-(2-dimethylamino-ethoxy)-phenyl]-3-(4-chloro-3-hydroxy-phenyl)-urea;
1-[3-(4-Bromo-2-methyl-2H-pyrazol-3-yl)-4-(2-dimethylamino-ethoxy)-phenyl]-3-(4-fluoro-3-hydroxy-phenyl)-urea;
1-(4-Chloro-phenyl)-3-[4-(3-dimethylamino-propoxy)-3-(4-fluoro-2-methyl-2H-pyrazol-3-yl)-phenyl]-urea;
1-[4-(3-Dimethylamino-propoxy)-3-(4-fluoro-2-methyl-2H-pyrazol-3-yl)-phenyl]-3-(4-fluoro-phenyl)-urea;
1-(2,4-Difluoro-phenyl)-3-[4-(3-dimethylamino-propoxy)-3-(4-fluoro-2-methyl-2H-pyrazol-3-yl)-phenyl]-urea;
1-(4-Chloro-2-hydroxy-phenyl)-3-[4-(3-dimethylamino-propoxy)-3-(4-fluoro-2-methyl-2H-pyrazol-3-yl)-phenyl]-urea;
1-[4-(3-Dimethylamino-propoxy)-3-(4-fluoro-2-methyl-2H-pyrazol-3-yl)-phenyl]-3-(4-fluoro-2-hydroxy-phenyl)-urea;
1-(4-Chloro-3-hydroxy-phenyl)-3-[4-(3-dimethylamino-propoxy)-3-(4-fluoro-2-methyl-2H-pyrazol-3-yl)-phenyl]-urea;
1-[4-(3-Dimethylamino-propoxy)-3-(4-fluoro-2-methyl-2H-pyrazol-3-yl)-phenyl]-3-(4-fluoro-3-hydroxy-phenyl)-urea;
1-[3-(4-Chloro-2-methyl-2H-pyrazol-3-yl)-4-(3-dimethylamino-propoxy)-phenyl]-3-(4-fluoro-phenyl)-urea;
1-(4-Chloro-2-hydroxy-phenyl)-3-[3-(4-chloro-2-methyl-2H-pyrazol-3-yl)-4-(3-dimethylamino-propoxy)-phenyl]-urea;
1-[3-(4-Chloro-2-methyl-2H-pyrazol-3-yl)-4-(3-dimethylamino-propoxy)-phenyl]-3-(4-fluoro-2-hydroxy-phenyl)-urea;
1-(4-Chloro-3-hydroxy-phenyl)-3-[3-(4-chloro-2-methyl-2H-pyrazol-3-yl)-4-(3-dimethylamino-propoxy)-phenyl]-urea;
1-[3-(4-Chloro-2-methyl-2H-pyrazol-3-yl)-4-(3-dimethylamino-propoxy)-phenyl]-3-(4-fluoro-3-hydroxy-phenyl)-urea;
1-(4-Chloro-2-hydroxy-phenyl)-3-[4-(3-dimethylamino-propoxy)-3-(2-methyl-2H-pyrazol-3-yl)-phenyl]-urea;
1-[4-(3-Dimethylamino-propoxy)-3-(2-methyl-2H-pyrazol-3-yl)-phenyl]-3-(4-fluoro-2-hydroxy-phenyl)-urea;
1-(4-Chloro-3-hydroxy-phenyl)-3-[4-(3-dimethylamino-propoxy)-3-(2-methyl-2H-pyrazol-3-yl)-phenyl]-urea;
1-[4-(3-Dimethylamino-propoxy)-3-(2-methyl-2H-pyrazol-3-yl)-phenyl]-3-(4-fluoro-3-hydroxy-phenyl)-urea;
1-[3-(4-Bromo-2-methyl-2H-pyrazol-3-yl)-4-(3-dimethylamino-propoxy)-phenyl]-3-(4-fluoro-phenyl)-urea;
1-[3-(4-Bromo-2-methyl-2H-pyrazol-3-yl)-4-(3-dimethylamino-propoxy)-phenyl]-3-(4-chloro-2-hydroxy-phenyl)-urea;
1-[3-(4-Bromo-2-methyl-2H-pyrazol-3-yl)-4-(3-dimethylamino-propoxy)-phenyl]-3-(4-fluoro-2-hydroxy-phenyl)-urea;
1-[3-(4-Bromo-2-methyl-2H-pyrazol-3-yl)-4-(3-dimethylamino-propoxy)-phenyl]-3-(4-chloro-3-hydroxy-phenyl)-urea; and
1-[3-(4-Bromo-2-methyl-2H-pyrazol-3-yl)-4-(3-dimethylamino-propoxy)-phenyl]-3-(4-fluoro-3-hydroxy-phenyl)-urea.
39. A pharmaceutical composition comprising a compound according to claim 1 and a pharmaceutically acceptable carrier.
40. A method for modulating the activity of a 5HT2A serotonin receptor by contacting the receptor with a compound according to claim 1 .
41. A method for prophylaxis or treatment of platelet aggregation in an individual comprising administering to said individual in need thereof a therapeutically effective amount of a compound according to claim 1 .
42. A method for prophylaxis or treatment of an indication selected from the group consisting of coronary artery disease, myocardial infarction, transient ischemic attack, angina, stroke, and atrial fibrillation in an individual comprising administering to said individual in need thereof a therapeutically effective amount of a compound according to claim 1 .
43. A method for prophylaxis or treatment of reducing the risk of blood clot formation in an angioplasty or coronary bypass surgery individual comprising administering to said individual in need thereof a therapeutically effective amount of a compound according to claim 1 .
44. A method for prophylaxis or treatment of reducing the risk of blood clot formation in an individual suffering from atrial fibrillation, comprising administering to said individual in need thereof a therapeutically effective amount of a compound according to claim 1 .
45. A method for prophylaxis or treatment of a sleep disorder in an individual comprising administering to said individual in need thereof a therapeutically effective amount of a compound according to claim 1 .
46. The method according to claim 45 wherein said sleep disorder comprises fragmented sleep architecture.
47. The method according to claim 45 wherein said effective amount of a compound according to claim 1 promotes sleep consolidation.
48. The method according to claim 45 wherein said effective amount of a compound according to claim 1 increases delta power.
49. The method according to claim 45 wherein said sleep disorder is a dyssomnia.
50. The method according to claim 49 wherein said dyssomnia is selected from the group consisting of psychophysiological insomnia, sleep state misperception, idiopathic insomnia, obstructive sleep apnea syndrome, central sleep apnea syndrome, central alveolar hypoventilation syndrome, periodic limb movement disorder, restless leg syndrome, inadequate sleep hygiene, environmental sleep disorder, altitude insomnia, adjustment sleep disorder, insufficient sleep syndrome, limit-setting sleep disorder, sleep-onset association disorder, nocturnal eating or drinking syndrome, hypnotic dependent sleep disorder, stimulant-dependent sleep disorder, alcohol-dependent sleep disorder, toxin-induced sleep disorder, time zone change (jet lag) syndrome, shift work sleep disorder, irregular sleep-wake pattern, delayed sleep phase syndrome, advanced sleep phase syndrome and non-24-hour sleep-wake disorder.
51. The method according to claim 45 wherein said sleep disorder is a parasomnia.
52. The method according to claim 51 wherein said parasomnia is selected from the group consisting of confusional arousals, sleepwalking and sleep terrors, rhythmic movement disorder, sleep starts, sleep talking and nocturnal leg cramps.
53. The method according to claim 45 wherein said sleep disorder is associated with a medical or psychiatric disorder.
54. A process for preparing a composition comprising admixing a compound according to claim 1 and pharmaceutically acceptable carrier.
Priority Applications (1)
| Application Number | Priority Date | Filing Date | Title |
|---|---|---|---|
| US11/603,601 US20070072857A1 (en) | 2003-07-22 | 2006-11-22 | Diaryl and arylheteroaryl urea derivatives as modulators of the 5-HT2A serotonin receptor useful for the prophylaxis and treatment of disorders related thereto |
Applications Claiming Priority (4)
| Application Number | Priority Date | Filing Date | Title |
|---|---|---|---|
| US48957203P | 2003-07-22 | 2003-07-22 | |
| US50358603P | 2003-09-16 | 2003-09-16 | |
| US10/895,789 US8754238B2 (en) | 2003-07-22 | 2004-07-21 | Diaryl and arylheteroaryl urea derivatives as modulators of the 5-HT2A serotonin receptor useful for the prophylaxis and treatment of disorders related thereto |
| US11/603,601 US20070072857A1 (en) | 2003-07-22 | 2006-11-22 | Diaryl and arylheteroaryl urea derivatives as modulators of the 5-HT2A serotonin receptor useful for the prophylaxis and treatment of disorders related thereto |
Related Parent Applications (1)
| Application Number | Title | Priority Date | Filing Date |
|---|---|---|---|
| US10/895,789 Continuation US8754238B2 (en) | 2003-07-22 | 2004-07-21 | Diaryl and arylheteroaryl urea derivatives as modulators of the 5-HT2A serotonin receptor useful for the prophylaxis and treatment of disorders related thereto |
Publications (1)
| Publication Number | Publication Date |
|---|---|
| US20070072857A1 true US20070072857A1 (en) | 2007-03-29 |
Family
ID=34118806
Family Applications (9)
| Application Number | Title | Priority Date | Filing Date |
|---|---|---|---|
| US10/895,789 Active 2028-10-05 US8754238B2 (en) | 2003-07-22 | 2004-07-21 | Diaryl and arylheteroaryl urea derivatives as modulators of the 5-HT2A serotonin receptor useful for the prophylaxis and treatment of disorders related thereto |
| US11/603,601 Abandoned US20070072857A1 (en) | 2003-07-22 | 2006-11-22 | Diaryl and arylheteroaryl urea derivatives as modulators of the 5-HT2A serotonin receptor useful for the prophylaxis and treatment of disorders related thereto |
| US11/603,626 Abandoned US20070078134A1 (en) | 2003-07-22 | 2006-11-22 | Diaryl and arylheteroaryl urea derivatives as modulators of the 5-HT2A serotonin receptor useful for the prophylaxis and treatment of disorders related thereto |
| US13/619,137 Expired - Lifetime US8871797B2 (en) | 2003-07-22 | 2012-09-14 | Diaryl and arylheteroaryl urea derivatives as modulators of the 5-HT2A serotonin receptor useful for the prophylaxis and treatment of disorders related thereto |
| US14/332,207 Expired - Lifetime US9273035B2 (en) | 2003-07-22 | 2014-07-15 | Diaryl and arylheteroaryl urea derivatives as modulators of the 5-HT2A serotonin receptor useful for the prophylaxis and treatment of disorders related thereto |
| US15/013,057 Expired - Fee Related US9775829B2 (en) | 2003-07-22 | 2016-02-02 | Diaryl and arylheteroaryl urea derivatives as modulators of the 5-HT2A serotonin receptor useful for the prophylaxis and treatment of disorders related thereto |
| US15/703,688 Abandoned US20180169070A1 (en) | 2003-07-22 | 2017-09-13 | Diaryl and arylheteroaryl urea derivatives as modulators of the 5-ht2a serotonin receptor useful for the prophylaxis and treatment of disorders related thereto |
| US16/799,556 Abandoned US20200397755A1 (en) | 2003-07-22 | 2020-02-24 | Diaryl and arylheteroaryl urea derivatives as modulators of the 5-ht2a serotonin receptor useful for the prophylaxis and treatment of disorders related thereto |
| US18/079,941 Pending US20230277505A1 (en) | 2003-07-22 | 2022-12-13 | Diaryl and arylheteroaryl urea derivatives as modulators of the 5-ht2a serotonin receptor useful for the prophylaxis and treatment of disorders related thereto |
Family Applications Before (1)
| Application Number | Title | Priority Date | Filing Date |
|---|---|---|---|
| US10/895,789 Active 2028-10-05 US8754238B2 (en) | 2003-07-22 | 2004-07-21 | Diaryl and arylheteroaryl urea derivatives as modulators of the 5-HT2A serotonin receptor useful for the prophylaxis and treatment of disorders related thereto |
Family Applications After (7)
| Application Number | Title | Priority Date | Filing Date |
|---|---|---|---|
| US11/603,626 Abandoned US20070078134A1 (en) | 2003-07-22 | 2006-11-22 | Diaryl and arylheteroaryl urea derivatives as modulators of the 5-HT2A serotonin receptor useful for the prophylaxis and treatment of disorders related thereto |
| US13/619,137 Expired - Lifetime US8871797B2 (en) | 2003-07-22 | 2012-09-14 | Diaryl and arylheteroaryl urea derivatives as modulators of the 5-HT2A serotonin receptor useful for the prophylaxis and treatment of disorders related thereto |
| US14/332,207 Expired - Lifetime US9273035B2 (en) | 2003-07-22 | 2014-07-15 | Diaryl and arylheteroaryl urea derivatives as modulators of the 5-HT2A serotonin receptor useful for the prophylaxis and treatment of disorders related thereto |
| US15/013,057 Expired - Fee Related US9775829B2 (en) | 2003-07-22 | 2016-02-02 | Diaryl and arylheteroaryl urea derivatives as modulators of the 5-HT2A serotonin receptor useful for the prophylaxis and treatment of disorders related thereto |
| US15/703,688 Abandoned US20180169070A1 (en) | 2003-07-22 | 2017-09-13 | Diaryl and arylheteroaryl urea derivatives as modulators of the 5-ht2a serotonin receptor useful for the prophylaxis and treatment of disorders related thereto |
| US16/799,556 Abandoned US20200397755A1 (en) | 2003-07-22 | 2020-02-24 | Diaryl and arylheteroaryl urea derivatives as modulators of the 5-ht2a serotonin receptor useful for the prophylaxis and treatment of disorders related thereto |
| US18/079,941 Pending US20230277505A1 (en) | 2003-07-22 | 2022-12-13 | Diaryl and arylheteroaryl urea derivatives as modulators of the 5-ht2a serotonin receptor useful for the prophylaxis and treatment of disorders related thereto |
Country Status (29)
| Country | Link |
|---|---|
| US (9) | US8754238B2 (en) |
| EP (1) | EP1558582B1 (en) |
| JP (3) | JP4198733B2 (en) |
| KR (1) | KR101157272B1 (en) |
| CN (3) | CN101875961B (en) |
| AR (1) | AR045069A1 (en) |
| AT (1) | ATE313532T1 (en) |
| AU (1) | AU2004261582C1 (en) |
| BR (1) | BRPI0412263B1 (en) |
| CA (1) | CA2533369C (en) |
| DE (1) | DE602004000260T2 (en) |
| DK (1) | DK1558582T3 (en) |
| EA (1) | EA009732B1 (en) |
| EC (1) | ECSP066269A (en) |
| ES (1) | ES2258760T3 (en) |
| HR (1) | HRP20060100T3 (en) |
| IL (1) | IL172582A0 (en) |
| IS (1) | IS2232B (en) |
| MA (1) | MA28066A1 (en) |
| MX (1) | MXPA06000795A (en) |
| MY (1) | MY141862A (en) |
| NO (1) | NO20060877L (en) |
| NZ (1) | NZ544331A (en) |
| PL (1) | PL1558582T3 (en) |
| PT (1) | PT1558582E (en) |
| RS (1) | RS20060035A (en) |
| TN (1) | TNSN06017A1 (en) |
| TW (1) | TW200523253A (en) |
| WO (1) | WO2005012254A1 (en) |
Cited By (21)
| Publication number | Priority date | Publication date | Assignee | Title |
|---|---|---|---|---|
| US20050080124A1 (en) * | 2003-07-22 | 2005-04-14 | Bradley Teegarden | Diaryl and arylheteroaryl urea derivatives as modulators of the 5-HT2A serotonin receptor useful for the prophylaxis and treatment of disorders related thereto |
| US20070207994A1 (en) * | 2004-11-19 | 2007-09-06 | Bradley Teegarden | 3-Phenyl-pyrazole derivatives as modulators of the 5-HT2a serotonin receptor useful for the treatment of disorders related thereto |
| US20070293685A1 (en) * | 2004-03-23 | 2007-12-20 | Arena Pharmaceuticals, Inc. | Processes for Preparing Substituted N-Aryl-N'-[3-(1H-Pyrazol-5-Yl) Phenyl] Ureas and Intermediates Thereof |
| US20090186895A1 (en) * | 2006-05-18 | 2009-07-23 | Arena Pharmaceuticals, Inc. | Ethers, secondary amines and derivatives thereof as modulators of the 5-ht2a serotonin receptor useful for the treatment of disorders related thereto |
| US20090197935A1 (en) * | 2006-05-18 | 2009-08-06 | Arena Pharmaceuticals, Inc. | Primary amines and derivatives thereof as modulators of the 5-ht2a serotonin receptor useful for the treatment of disorders related thereto |
| US20100004264A1 (en) * | 2006-10-03 | 2010-01-07 | Yifeng Xiong | Pyrazole derivatives as modulators of the 5-ht2a serotonin receptor useful for the treatment of disorders related thereto |
| US20100234380A1 (en) * | 2006-05-18 | 2010-09-16 | Arena Pharmaceuticals, Inc. | Crystalline forms and processes for the preparation of phenyl-pyrazoles useful as modulators of the 5-ht2a serotonin receptor |
| US20110021538A1 (en) * | 2008-04-02 | 2011-01-27 | Arena Pharmaceuticals, Inc. | Processes for the preparation of pyrazole derivatives useful as modulators of the 5-ht2a serotonin receptor |
| US20110207791A1 (en) * | 2008-10-28 | 2011-08-25 | Arena Pharmaceuticals, Inc. | Composition of a 5-ht2a serotonin receptor modulator useful for the treatment of disorders related thereto |
| RU2491931C2 (en) * | 2007-07-17 | 2013-09-10 | Аллерган, Инк. | Methods of treating anxiety |
| US8980891B2 (en) | 2009-12-18 | 2015-03-17 | Arena Pharmaceuticals, Inc. | Crystalline forms of certain 3-phenyl-pyrazole derivatives as modulators of the 5-HT2A serotonin receptor useful for the treatment of disorders related thereto |
| US9126946B2 (en) | 2008-10-28 | 2015-09-08 | Arena Pharmaceuticals, Inc. | Processes useful for the preparation of 1-[3-(4-bromo-2-methyl-2H-pyrazol-3-yl)-4-methoxy-phenyl]-3-(2,4-difluoro-phenyl)urea and crystalline forms related thereto |
| US9567327B2 (en) | 2007-08-15 | 2017-02-14 | Arena Pharmaceuticals, Inc. | Imidazo[1,2-a]pyridine derivatives as modulators of the 5-HT2A serotonin receptor useful for the treatment of disorders related thereto |
| US10022355B2 (en) | 2015-06-12 | 2018-07-17 | Axovant Sciences Gmbh | Diaryl and arylheteroaryl urea derivatives as modulators of the 5-HT2A serotonin receptor useful for the prophylaxis and treatment of REM sleep behavior disorder |
| US10034859B2 (en) | 2015-07-15 | 2018-07-31 | Axovant Sciences Gmbh | Diaryl and arylheteroaryl urea derivatives as modulators of the 5-HT2A serotonin receptor useful for the prophylaxis and treatment of hallucinations associated with a neurodegenerative disease |
| US11273283B2 (en) | 2017-12-31 | 2022-03-15 | Neuroenhancement Lab, LLC | Method and apparatus for neuroenhancement to enhance emotional response |
| US11364361B2 (en) | 2018-04-20 | 2022-06-21 | Neuroenhancement Lab, LLC | System and method for inducing sleep by transplanting mental states |
| US11452839B2 (en) | 2018-09-14 | 2022-09-27 | Neuroenhancement Lab, LLC | System and method of improving sleep |
| US11717686B2 (en) | 2017-12-04 | 2023-08-08 | Neuroenhancement Lab, LLC | Method and apparatus for neuroenhancement to facilitate learning and performance |
| US11723579B2 (en) | 2017-09-19 | 2023-08-15 | Neuroenhancement Lab, LLC | Method and apparatus for neuroenhancement |
| US12280219B2 (en) | 2017-12-31 | 2025-04-22 | NeuroLight, Inc. | Method and apparatus for neuroenhancement to enhance emotional response |
Families Citing this family (31)
| Publication number | Priority date | Publication date | Assignee | Title |
|---|---|---|---|---|
| WO2006060762A2 (en) * | 2004-12-03 | 2006-06-08 | Arena Pharmaceuticals, Inc. | Pyrazole derivatives as modulators of the 5-ht2a serotonin receptor useful for the treatment of disorders related thereto |
| CN101160127A (en) * | 2005-01-19 | 2008-04-09 | 艾尼纳制药公司 | Diaryl and arylheteroaryl urea derivatives as 5-HT2A serotonin receptor modulators for the prevention or treatment of progressive multifocal leukoencephalopathy |
| AR052886A1 (en) * | 2005-01-26 | 2007-04-11 | Arena Pharm Inc | PROCEDURES TO PREPARE PHENYLPIRAZOL REPLACED UREAS AND TO OBTAIN YOUR SYNTHESIS INTERMEDIARIES |
| WO2006089871A2 (en) * | 2005-02-23 | 2006-08-31 | Neurosearch A/S | Diphenylurea derivatives useful as erg channel openers for the treatment of cardiac arrhythmias |
| JP4559262B2 (en) * | 2005-03-07 | 2010-10-06 | 学校法人関西医科大学 | Determination method of arteriosclerosis and diabetic nephropathy |
| US20090053306A1 (en) * | 2005-09-29 | 2009-02-26 | Agarwal Rajesh K | Pharmaceutical Compositions of a 5-HT2A Serotonin Receptor Modulator Useful for the Treatment of Disorders Related Thereto |
| JP2009537556A (en) * | 2006-05-18 | 2009-10-29 | アリーナ ファーマシューティカルズ, インコーポレイテッド | Acetamide derivatives as modulators of 5-HT2A serotonin receptors useful for the treatment of disorders associated with 5-HT2A serotonin receptors |
| JP2010502618A (en) * | 2006-08-31 | 2010-01-28 | アリーナ ファーマシューティカルズ, インコーポレイテッド | Benzofuran derivatives as modulators of serotonin 5-HT2A receptors |
| WO2009076663A1 (en) | 2007-12-13 | 2009-06-18 | Vanda Pharmaceuticals Inc. | Method and composition for treating an alpha adrenoceptor-mediated condition |
| AU2008334933B2 (en) | 2007-12-13 | 2016-01-21 | Vanda Pharmaceuticals Inc. | Method and composition for treating a serotonin receptor-mediated condition |
| FR2930552B1 (en) * | 2008-04-24 | 2012-10-12 | Centre Nat Rech Scient | N-ACYLTHIOUREES AND N-ACYLUREES INHIBITORS OF THE HEDGEHOG PROTEIN SIGNALING PATHWAY |
| EP2308866A1 (en) * | 2009-10-09 | 2011-04-13 | Bayer CropScience AG | Phenylpyri(mi)dinylpyrazoles and their use as fungicides |
| JP5692838B2 (en) * | 2009-12-15 | 2015-04-01 | 公立大学法人横浜市立大学 | Sensory organ model animal |
| EP2643331A1 (en) * | 2010-11-22 | 2013-10-02 | Allergan, Inc. | Novel compounds as receptor modulators with therapeutic utility |
| US8461179B1 (en) | 2012-06-07 | 2013-06-11 | Deciphera Pharmaceuticals, Llc | Dihydronaphthyridines and related compounds useful as kinase inhibitors for the treatment of proliferative diseases |
| WO2019033068A1 (en) * | 2017-08-10 | 2019-02-14 | Axovant Sciences Gmbh | Use of 5ht2a inverse agonists for treating psychosis |
| EP3710441A1 (en) | 2017-11-17 | 2020-09-23 | Hepagene Therapeutics, Inc. | Urea derivatives as inhibitors of ask1 |
| CA3089630A1 (en) | 2018-01-31 | 2019-08-08 | Deciphera Pharmaceuticals, Llc | Combination therapy for the treatment of mastocytosis |
| SG11202007198WA (en) | 2018-01-31 | 2020-08-28 | Deciphera Pharmaceuticals Llc | Combination therapy for the treatment of gastrointestinal stromal tumors |
| WO2020087031A1 (en) | 2018-10-26 | 2020-04-30 | The Research Foundation For The State University Of New York | Combination serotonin specific reuptake inhibitor and serotonin 1a receptor partial agonist for reducing l-dopa-induced dyskinesia |
| CN109705181A (en) * | 2019-01-24 | 2019-05-03 | 南开大学 | A kind of preparation method of macrolide derivatives |
| WO2020185812A1 (en) | 2019-03-11 | 2020-09-17 | Teva Pharmaceuticals International Gmbh | Solid state forms of ripretinib |
| KR20220045189A (en) | 2019-08-12 | 2022-04-12 | 데시페라 파마슈티칼스, 엘엘씨. | How to treat gastrointestinal stromal tumors |
| TWI878335B (en) | 2019-08-12 | 2025-04-01 | 美商迪賽孚爾製藥有限公司 | Methods of treating gastrointestinal stromal tumors |
| SMT202400484T1 (en) | 2019-12-30 | 2025-01-14 | Deciphera Pharmaceuticals Llc | COMPOSITIONS OF 1-(4-BROMO-5-(1-ETHYL-7-(METHYLAMINO)-2-OXO-1,2-DIHYDRO-1,6-NAPHTHYRIDIN-3-YL)-2-FLUOROPHENYL)-3-PHENYLUREA |
| SMT202300467T1 (en) | 2019-12-30 | 2024-01-10 | Deciphera Pharmaceuticals Llc | Amorphous kinase inhibitor formulations and methods of use thereof |
| CN113855784B (en) * | 2021-09-26 | 2025-04-15 | 深圳辰扬生物科技有限公司 | Antidepressant and anti-anxiety uses of peptides and complexes |
| EP4444298A4 (en) * | 2021-12-10 | 2025-06-04 | GATC Health Corp | METHODS OF TREATING ADDICTION AND NEUROLOGICAL DISORDERS |
| US11779572B1 (en) | 2022-09-02 | 2023-10-10 | Deciphera Pharmaceuticals, Llc | Methods of treating gastrointestinal stromal tumors |
| JPWO2024122617A1 (en) | 2022-12-08 | 2024-06-13 | ||
| WO2025140570A1 (en) * | 2023-12-29 | 2025-07-03 | 北京普祺医药科技股份有限公司 | Nek7 inhibitor, pharmaceutical composition and use thereof |
Citations (23)
| Publication number | Priority date | Publication date | Assignee | Title |
|---|---|---|---|---|
| US4099012A (en) * | 1975-08-28 | 1978-07-04 | Ciba-Geigy Corporation | 2-pyrazolyl-benzophenones |
| US4405644A (en) * | 1979-07-14 | 1983-09-20 | Bayer Aktiengesellschaft | Medicaments for the treatment of disorders of lipometabolism and their use |
| US4985352A (en) * | 1988-02-29 | 1991-01-15 | The Trustees Of Columbia University In The City Of New York | DNA encoding serotonin 1C (5HT1c) receptor, isolated 5HT1c receptor, mammalian cells expressing same and uses thereof |
| US5077409A (en) * | 1990-05-04 | 1991-12-31 | American Cyanamid Company | Method of preparing bis-aryl amide and urea antagonists of platelet activating factor |
| US5128351A (en) * | 1990-05-04 | 1992-07-07 | American Cyanamid Company | Bis-aryl amide and urea antagonists of platelet activating factor |
| US5523280A (en) * | 1991-10-09 | 1996-06-04 | Rhone-Poulenc Agrochimie | Phenylpyrazole fungicides |
| US5594382A (en) * | 1992-10-20 | 1997-01-14 | Fujitsu Ltd. | Constant voltage circuit |
| US5661024A (en) * | 1989-10-31 | 1997-08-26 | Synaptic Pharmaceutical Corporation | DNA encoding a human serotonic (5-HT2) receptor and uses thereof |
| US5886044A (en) * | 1995-02-17 | 1999-03-23 | Smithkline Beecham Corporation | IL-8 receptor antagonists |
| US5905080A (en) * | 1993-08-20 | 1999-05-18 | Smithkline Beecham, P.L.C. | Amide and urea derivatives as 5HT1D receptor antagonists |
| US5990133A (en) * | 1995-02-02 | 1999-11-23 | Smithkline Beecham P.L.C. | Indole derivatives as 5-HT receptor antagonist |
| US6005008A (en) * | 1996-02-16 | 1999-12-21 | Smithkline Beecham Corporation | IL-8 receptor antagonists |
| US6028085A (en) * | 1996-04-04 | 2000-02-22 | Smithkline Beecham Plc | Indole derivatives as 5-HT receptor antagonist |
| US6054472A (en) * | 1996-04-23 | 2000-04-25 | Vertex Pharmaceuticals, Incorporated | Inhibitors of IMPDH enzyme |
| US6140509A (en) * | 1998-06-26 | 2000-10-31 | Arena Pharmaceuticals, Inc. | Non-endogenous, constitutively activated human serotonin receptors and small molecule modulators thereof |
| US6271261B1 (en) * | 1996-06-27 | 2001-08-07 | Smithkline Beecham Corporation | IL-8 receptor antagonists |
| US20020025965A1 (en) * | 2000-06-29 | 2002-02-28 | Gilbert Lavielle | Diphenylurea compounds |
| US6417393B1 (en) * | 1996-05-24 | 2002-07-09 | Neurosearch A/S | Phenyl derivatives containing an acidic group, their preparation and their use as chloride channel blockers |
| US6479519B1 (en) * | 1997-10-31 | 2002-11-12 | Aventis Pharma Limited | Substituted anilides |
| US6479480B1 (en) * | 1998-07-24 | 2002-11-12 | Merck Sharp & Dohme Ltd. | Phenylindole derivatives as 5-ht2a receptor ligands |
| US6541209B1 (en) * | 1997-04-14 | 2003-04-01 | Arena Pharmaceuticals, Inc. | Non-endogenous, constitutively activated human serotonin receptors and small molecule modulators thereof |
| US6706749B2 (en) * | 1998-10-22 | 2004-03-16 | Neurosearch A/S | Substituted phenyl derivatives, their preparation and use |
| US20040102636A1 (en) * | 1997-12-22 | 2004-05-27 | Bayer Corporation | Inhibition of p38 kinase using symmetrical and unsymmetrical diphenyl ureas |
Family Cites Families (235)
| Publication number | Priority date | Publication date | Assignee | Title |
|---|---|---|---|---|
| DE1643310A1 (en) * | 1966-12-29 | 1971-06-03 | Dow Chemical Co | 4-alkyl-2,5-dimethoxy-alpha-methyl-phenaethylamine and its pharmacologically acceptable salts |
| DE2926517A1 (en) * | 1979-06-30 | 1981-01-15 | Beiersdorf Ag | SUBSTITUTED 3-ARYL-PYRAZOLE AND 5-ARYL-ISOXAZOLE AND METHOD FOR THE PRODUCTION THEREOF |
| US4366158A (en) | 1979-11-30 | 1982-12-28 | Burroughs Wellcome Co. | 1-(8-Quinolyl)-2-pyrrolidone and its pharmaceutical compositions |
| IL61721A (en) | 1980-12-16 | 1984-03-30 | Blank Izhak | Nitroglycerin preparations |
| US4555399A (en) | 1983-11-18 | 1985-11-26 | Key Pharmaceuticals, Inc. | Aspirin tablet |
| IT1227626B (en) | 1988-11-28 | 1991-04-23 | Vectorpharma Int | SUPPORTED DRUGS WITH INCREASED DISSOLUTION SPEED AND PROCEDURE FOR THEIR PREPARATION |
| JPH02262627A (en) | 1988-12-08 | 1990-10-25 | Japan Synthetic Rubber Co Ltd | Organic nonlinear optical element |
| EP0412798A3 (en) | 1989-08-08 | 1992-07-01 | Merck Sharp & Dohme Ltd. | Substituted pyridines, their preparation, formulations and use in dementia |
| FR2690440B1 (en) * | 1992-04-27 | 1995-05-19 | Rhone Poulenc Agrochimie | Arylpyrazoles fungicides. |
| GB9300147D0 (en) | 1993-01-06 | 1993-03-03 | Minnesota Mining & Mfg | Photothermographic materials |
| GB9311790D0 (en) | 1993-06-08 | 1993-07-28 | Minnesota Mining & Mfg | Photothermographic materials |
| US5596001A (en) | 1993-10-25 | 1997-01-21 | Pfizer Inc. | 4-aryl-3-(heteroarylureido)quinoline derivatves |
| DK122693D0 (en) | 1993-10-29 | 1993-10-29 | Hempels Skibsfarve Fab J C | MARIN STRUCTURE |
| FR2722369B1 (en) | 1994-07-13 | 1998-07-10 | Rhone Poulenc Agrochimie | FUNGICIDAL COMPOSITIONS BASED ON 3-PHENYL-PYRAZOLES FOR THE TREATMENT OF PLANT MULTIPLICATION MATERIALS, NEW 3-PHENYL-PYRAZOLES DERIVATIVES AND THEIR FUNGICIDAL APPLICATIONS |
| WO1996010559A1 (en) | 1994-10-04 | 1996-04-11 | Fujisawa Pharmaceutical Co., Ltd. | Urea derivatives and their use as acat-inhibitors |
| CA2135253A1 (en) | 1994-11-07 | 1996-05-08 | Michael Dennis | Compound screening based on a window of chemical-messenger-independent activity |
| US6540981B2 (en) | 1997-12-04 | 2003-04-01 | Amersham Health As | Light imaging contrast agents |
| US5576338A (en) | 1995-02-15 | 1996-11-19 | Merck Frosst Canada, Inc. | Bis (biaryl) compounds as inhibitors of leukotriene biosynthesis |
| US5856326A (en) | 1995-03-29 | 1999-01-05 | Merck & Co., Inc. | Inhibitors of farnesyl-protein transferase |
| AU5658496A (en) | 1995-04-20 | 1996-11-07 | Vectorpharma International S.P.A. | Composite with sodium starch glycolate as a support material and products thereof |
| US5861431A (en) | 1995-06-07 | 1999-01-19 | Iotek, Inc. | Incontinence treatment |
| WO1997003967A1 (en) | 1995-07-22 | 1997-02-06 | Rhone-Poulenc Rorer Limited | Substituted aromatic compounds and their pharmaceutical use |
| AUPN842196A0 (en) | 1996-03-05 | 1996-03-28 | Fujisawa Pharmaceutical Co., Ltd. | New compound |
| JP2000510862A (en) | 1996-05-24 | 2000-08-22 | ニューロサーチ・アクティーゼルスカブ | Phenyl derivatives useful as chloride channel blockers |
| EP0932401A1 (en) | 1996-07-01 | 1999-08-04 | Sepracor, Inc. | Methods and compositions for treating urinary incontinence using enantiomerically enriched (r,r)-glycopyrrolate |
| FR2750988B1 (en) | 1996-07-11 | 1998-09-18 | Adir | NOVEL 2- (1H) -QUINOLEINONE DERIVATIVES, THEIR PREPARATION PROCESS AND THE PHARMACEUTICAL COMPOSITIONS CONTAINING THEM |
| JP4863534B2 (en) | 1996-10-25 | 2012-01-25 | スパーナス ファーマシューティカルズ インコーポレイテッド | Soluble form osmotic dose delivery system |
| JP2001508767A (en) | 1996-12-02 | 2001-07-03 | 藤沢薬品工業株式会社 | Indole-urea derivatives having 5-HT antagonism |
| DZ2376A1 (en) | 1996-12-19 | 2002-12-28 | Smithkline Beecham Plc | New sulfonamide derivatives process for their preparation and pharmaceutical compositions containing them. |
| US20010051719A1 (en) | 1996-12-19 | 2001-12-13 | Smithkline Beecham P.L.C. | Novel compounds |
| EP0867477B1 (en) | 1997-03-25 | 2002-05-02 | Ciba SC Holding AG | Polycyclic compounds |
| US6420541B1 (en) * | 1998-04-14 | 2002-07-16 | Arena Pharmaceuticals, Inc. | Non-endogenous, constitutively activated human serotonin receptors and small molecule modulators thereof |
| CA2285424A1 (en) * | 1997-04-22 | 1998-10-29 | Neurosearch A/S | Substituted phenyl derivatives, their preparation and use |
| JP2002501492A (en) | 1997-04-22 | 2002-01-15 | ジヤンセン・フアーマシユーチカ・ナームローゼ・フエンノートシヤツプ | Quino- and quinazolines as CRF antagonists |
| US6696475B2 (en) * | 1997-04-22 | 2004-02-24 | Neurosearch A/S | Substituted phenyl derivatives, their preparation and use |
| ES2235331T3 (en) | 1997-05-28 | 2005-07-01 | Aventis Pharmaceuticals Inc | QUINOLINE AND QUINOXALINE COMPOUNDS THAT INHIBIT THE GROWTH FACTOR DERIVED FROM PLATES AND / OR THYROSINE KINASE P561CK. |
| US6172084B1 (en) | 1997-06-19 | 2001-01-09 | Sepracor, Inc. | Quinoline-indole antimicrobial agents, uses and compositions related thereto |
| US6207679B1 (en) | 1997-06-19 | 2001-03-27 | Sepracor, Inc. | Antimicrobial agents uses and compositions related thereto |
| US6103905A (en) | 1997-06-19 | 2000-08-15 | Sepracor, Inc. | Quinoline-indole antimicrobial agents, uses and compositions related thereto |
| US6376670B1 (en) | 1997-06-19 | 2002-04-23 | Sepracor Inc. | Quinoline-indole antimicrobial agents, uses and compositions related thereto |
| ATE296811T1 (en) | 1997-07-11 | 2005-06-15 | Smithkline Beecham Plc | SULFONAMIDE DERIVATIVES AS 5-HT6 RECEPTOR ANTAGONISTS AND METHOD FOR THE PRODUCTION THEREOF |
| US6028083A (en) | 1997-07-25 | 2000-02-22 | Hoechst Marion Roussel, Inc. | Esters of (+)-α-(2,3-dimethoxyphenyl)-1-[2-(4-fluorophenyl) ethyl]-4-piperidinemethanol |
| AU8673198A (en) | 1997-07-29 | 1999-02-22 | Smithkline Beecham Corporation | Il-8 receptor antagonists |
| WO1999009988A1 (en) | 1997-08-27 | 1999-03-04 | Hexal Ag | New pharmaceutical compositions of meloxicam with improved solubility and bioavailability |
| JPH11183942A (en) | 1997-12-19 | 1999-07-09 | Nippon Mitsubishi Oil Corp | Electrochromic device |
| PT1042305E (en) | 1997-12-22 | 2005-10-31 | Bayer Pharmaceuticals Corp | INHIBITION OF KINASE P38 USING SYMMETRICAL AND ASYMMETRIC DIFENILURE |
| DE69829412T2 (en) | 1997-12-22 | 2005-07-28 | Bayer Pharmaceuticals Corp., West Haven | INHIBITION OF RAF KINASE USING SYMMETRIC AND UNSYMMETRIC SUBSTITUTED UREAS |
| GB9801392D0 (en) | 1998-01-22 | 1998-03-18 | Smithkline Beecham Plc | Novel compounds |
| GB9803411D0 (en) | 1998-02-18 | 1998-04-15 | Smithkline Beecham Plc | Novel compounds |
| US6100291A (en) | 1998-03-16 | 2000-08-08 | Allelix Biopharmaceuticals Inc. | Pyrrolidine-indole compounds having 5-HT6 affinity |
| US6107324A (en) * | 1998-04-14 | 2000-08-22 | Arena Pharmaceuticals Inc. | 5-HT2A receptor inverse agonists |
| US6251893B1 (en) | 1998-06-15 | 2001-06-26 | Nps Allelix Corp. | Bicyclic piperidine and piperazine compounds having 5-HT6 receptor affinity |
| GB9818916D0 (en) | 1998-08-28 | 1998-10-21 | Smithkline Beecham Plc | Use |
| GB9819384D0 (en) | 1998-09-04 | 1998-10-28 | Cerebrus Ltd | Chemical compounds II |
| GB9819382D0 (en) | 1998-09-04 | 1998-10-28 | Cerebrus Ltd | Chemical compounds I |
| GB9820113D0 (en) | 1998-09-15 | 1998-11-11 | Merck Sharp & Dohme | Therapeutic agents |
| US6358698B1 (en) * | 1998-10-07 | 2002-03-19 | Acadia Pharmacueticals Inc. | Methods of identifying inverse agonists of the serotonin 2A receptor |
| US6403808B1 (en) | 1999-12-10 | 2002-06-11 | Virginia Commonwealth University | Selective 5-HT6 receptor ligands |
| US6150393A (en) * | 1998-12-18 | 2000-11-21 | Arena Pharmaceuticals, Inc. | Small molecule modulators of non-endogenous, constitutively activated human serotonin receptors |
| EP1147094A1 (en) | 1999-01-15 | 2001-10-24 | Novo Nordisk A/S | Non-peptide glp-1 agonists |
| US6180138B1 (en) | 1999-01-29 | 2001-01-30 | Abbott Laboratories | Process for preparing solid formulations of lipid-regulating agents with enhanced dissolution and absorption |
| BR0009322A (en) | 1999-03-26 | 2002-04-30 | Euro Celtique Sa | Pyrazoles, imidazoles, oxazoles, thiazoles and pyrroles replaced with aryl and their use |
| EP1165542B1 (en) | 1999-03-29 | 2003-08-20 | Neurogen Corporation | 4-substituted quinoline derivatives as nk-3 and/or gaba(a) receptor ligands |
| ATE375990T1 (en) | 1999-04-21 | 2007-11-15 | Nps Allelix Corp | PIPERIDINE-INDOLE DERIVATIVES WITH 5-HT6 AFFINITY |
| GB9909409D0 (en) | 1999-04-24 | 1999-06-23 | Zeneca Ltd | Chemical compounds |
| US6469006B1 (en) | 1999-06-15 | 2002-10-22 | Bristol-Myers Squibb Company | Antiviral indoleoxoacetyl piperazine derivatives |
| IT1312115B1 (en) | 1999-06-24 | 2002-04-04 | Nicox Sa | AMORPHOUS COMPOUNDS AND RELATED PHARMACEUTICAL COMPOSITIONS |
| JP4829449B2 (en) | 1999-07-28 | 2011-12-07 | アベンティス・ファーマスーティカルズ・インコーポレイテツド | Substituted oxoazaheterocyclyl compounds |
| US6541477B2 (en) | 1999-08-27 | 2003-04-01 | Scios, Inc. | Inhibitors of p38-a kinase |
| US6566372B1 (en) | 1999-08-27 | 2003-05-20 | Ligand Pharmaceuticals Incorporated | Bicyclic androgen and progesterone receptor modulator compounds and methods |
| MY125942A (en) | 1999-09-07 | 2006-09-29 | Upjohn Co | Aminoalkoxy carbazoles for the treatment of cns diseases |
| WO2001021160A2 (en) | 1999-09-23 | 2001-03-29 | Axxima Pharmaceuticals Aktiengesellschaft | Carboxymide and aniline derivatives as selective inhibitors of pathogens |
| WO2001032660A1 (en) | 1999-11-05 | 2001-05-10 | Nps Allelix Corp. | Compounds having 5-ht6 receptor antagonist activity |
| GB9926302D0 (en) | 1999-11-05 | 2000-01-12 | Smithkline Beecham Plc | Novel compounds |
| US6531291B1 (en) * | 1999-11-10 | 2003-03-11 | The Trustees Of Columbia University In The City Of New York | Antimicrobial activity of gemfibrozil and related compounds and derivatives and metabolites thereof |
| UA75055C2 (en) | 1999-11-30 | 2006-03-15 | Пфайзер Продактс Інк. | Benzoimidazole derivatives being used as antiproliferative agent, pharmaceutical composition based thereon |
| EP1108720A1 (en) | 1999-12-08 | 2001-06-20 | Basf Aktiengesellschaft | Herbicidal 2-Pyrazolyl-6-Aryloxy-Pyri(mi)dines |
| US20020025967A1 (en) | 1999-12-16 | 2002-02-28 | Smith Miles P. | N-alkylpiperdine analogs and uses thereof in treating addictions |
| JP2003518107A (en) | 1999-12-20 | 2003-06-03 | ニューロメド テクノロジーズ, インコーポレイテッド | Partially saturated calcium channel blocker |
| WO2001064676A2 (en) | 2000-02-28 | 2001-09-07 | Scios, Inc. | INHIBITORS OF p38-α KINASE |
| JP2001244773A (en) | 2000-02-29 | 2001-09-07 | Miyota Kk | Resin case for surface mount type piezoelectric vibrator, surface mount type piezoelectric vibrator, and manufacturing method thereof |
| US6310212B1 (en) | 2000-03-28 | 2001-10-30 | Neurogen Corporation | 4-substituted quinoline derivatives |
| PE20020063A1 (en) | 2000-06-20 | 2002-01-30 | Upjohn Co | BIS-ARYLSULFONES AS LIGANDS OF THE 5-HT RECEPTOR |
| SE0002754D0 (en) | 2000-07-21 | 2000-07-21 | Pharmacia & Upjohn Ab | New pharmaceutical combination formulation and method of treatment with the combination |
| GB0021450D0 (en) | 2000-08-31 | 2000-10-18 | Smithkline Beecham Plc | Novel compounds |
| US6576644B2 (en) | 2000-09-06 | 2003-06-10 | Bristol-Myers Squibb Co. | Quinoline inhibitors of cGMP phosphodiesterase |
| GB0021885D0 (en) | 2000-09-06 | 2000-10-18 | Fujisawa Pharmaceutical Co | New use |
| EP1332133B1 (en) | 2000-10-02 | 2008-07-09 | Janssen Pharmaceutica N.V. | Metabotropic glutamate receptor antagonists |
| EP1326830A1 (en) | 2000-10-20 | 2003-07-16 | Biovitrum Ab | 2-, 3-, 4-, or 5-substituted-n1-(benzensulfonyl)indoles and their use in therapy |
| DE10053813A1 (en) | 2000-10-30 | 2002-05-08 | Bayer Ag | New use of sulfonamides |
| AU2002220051B2 (en) | 2000-11-02 | 2007-05-24 | Wyeth | 1-aryl- or 1-alkylsulfonyl-heterocyclylbenzazoles as 5-hydroxytryptamine-6 ligands |
| AU2002223492A1 (en) | 2000-11-14 | 2002-05-27 | Neurosearch A/S | Use of malaria parasite anion channel blockers for treating malaria |
| EP1341783A1 (en) | 2000-11-21 | 2003-09-10 | Smithkline Beecham Plc | Isoquinoline derivatives useful in the treatment of cns disorders |
| JP2004517072A (en) | 2000-11-24 | 2004-06-10 | スミスクライン ビーチャム パブリック リミテッド カンパニー | Compounds useful in treating CNS disorders |
| ES2188344B1 (en) | 2000-11-29 | 2004-09-16 | Laboratorios Vita, S.A. | COMPOUNDS DERIVED FROM BENZOTIOPHENE, ITS PROCEDURE FOR OBTAINING AND USING THEMSELVES. |
| AR035521A1 (en) | 2000-12-22 | 2004-06-02 | Lundbeck & Co As H | DERIVATIVES OF 3-INDOLIN AND PHARMACEUTICAL COMPOSITION THAT UNDERSTANDS THEM |
| JP2004520347A (en) | 2001-01-15 | 2004-07-08 | グラクソ グループ リミテッド | Arylpiperidine and piperazine derivatives as inducers of LDL-receptor expression |
| WO2002076464A1 (en) * | 2001-03-22 | 2002-10-03 | Arena Pharmaceuticals, Inc. | Anti-psychosis combination |
| DK1379239T3 (en) | 2001-03-29 | 2008-01-07 | Lilly Co Eli | N (2-aryl-ethyl) -benzylamines as antagonists of the HT6 receptor |
| GB0111186D0 (en) | 2001-05-08 | 2001-06-27 | Smithkline Beecham Plc | Novel compounds |
| DE60218037T2 (en) | 2001-06-07 | 2007-08-23 | F. Hoffmann-La Roche Ag | NEW INDOIND DERIVATIVES WITH AFFINITY TO THE 5-HT6 RECEPTOR |
| BR0210411A (en) | 2001-06-15 | 2004-08-17 | Hoffmann La Roche | 5-ht6 receptor affinity 4-piperazinylindole derivatives |
| ITRM20010356A1 (en) | 2001-06-21 | 2002-12-23 | Sigma Tau Ind Farmaceuti | "5-HALOGEN TRIPTAMIN DERIVATIVES USEFUL AS LIGANDS OF THE 5-HT6 AND / OR 5-HT7 SEROTONIN RECEPTOR. |
| ATE377413T1 (en) | 2001-06-29 | 2007-11-15 | Eurand Pharmaceuticals Ltd | METHOD FOR THE THERMODYNAMIC ACTIVATION OF WATER SOLUBLE DRUGS LOADED IN CROSS-LINKED POLYMERS |
| MXPA04001089A (en) | 2001-08-03 | 2004-05-20 | Upjohn Co | 5-arylsulfonyl indoles having 5-ht6 receptor affinity. |
| JP2005527463A (en) | 2001-08-07 | 2005-09-15 | スミスクライン ビーチャム パブリック リミテッド カンパニー | 3-Arylsulfonyl-7-piperazinyl-indole, -benzofuran and -benzothiophene with 5-HT6 receptor affinity for treating CNS diseases |
| IL159880A0 (en) | 2001-08-10 | 2004-06-20 | Hoffmann La Roche | Arylsulfonyl derivatives with 5-ht6 receptor affinity |
| JP4733877B2 (en) | 2001-08-15 | 2011-07-27 | 富士通セミコンダクター株式会社 | Semiconductor device |
| ES2370634T3 (en) | 2001-08-31 | 2011-12-21 | Novartis Ag | OPTICAL ISOMERS OF AN ILOPERIDONE METABOLITE. |
| UA78232C2 (en) * | 2001-09-21 | 2007-03-15 | Брістол-Майерс Сквібб Компані | Lactam-containing compounds and derivatives thereof as factor xa inhibitors |
| JP2005506368A (en) | 2001-10-23 | 2005-03-03 | ビオヴィトルム・アクチボラゲット | Use of indole and indoline derivatives in the treatment of obesity or for reducing food intake |
| SE0103649D0 (en) | 2001-11-01 | 2001-11-01 | Astrazeneca Ab | Therapeutic quinoline compounds |
| JP2005518414A (en) | 2001-12-21 | 2005-06-23 | スミスクライン ビーチャム パブリック リミテッド カンパニー | 7-sulfonyl-3-benzazepine derivatives as modulators of dopamine receptors and their use for the treatment of CNS disorders |
| EP1509505A2 (en) * | 2002-01-23 | 2005-03-02 | Arena Pharmaceuticals, Inc. | SMALL MOLECULE MODULATORS OF THE 5−HT2A SEROTONIN RECEPTOR USEFUL FOR THE PROPHYLAXIS AND TREATMENT OF DISORDERS RELATED THERETO |
| GB0202679D0 (en) | 2002-02-05 | 2002-03-20 | Glaxo Group Ltd | Novel compounds |
| WO2003066056A1 (en) | 2002-02-05 | 2003-08-14 | Glaxo Group Limited | Method of promoting neuronal growth |
| US20050090485A1 (en) | 2002-02-13 | 2005-04-28 | Bromidge Steven M. | 7-Arylsulfonamido-2,3,4,5-tetrahydro-1h-benzo'diazepine derivatives with 5ht6 receptor affinity for the reatment of cns disorders |
| CA2476173A1 (en) | 2002-02-22 | 2003-09-04 | Ruth E. Tenbrink | Arylsulfone derivatives |
| US6743864B2 (en) | 2002-03-12 | 2004-06-01 | Basell Poliolefine Italia S.P.A. | Polyolefin compositions having high tenacity |
| PT1956004E (en) | 2002-03-27 | 2012-08-31 | Glaxo Group Ltd | Quinoline derivatives and their use as 5-ht6 ligands |
| EP1497291B1 (en) | 2002-03-27 | 2006-11-22 | Glaxo Group Limited | Quinoline and aza-indole derivatives and their use as 5-ht6 ligands |
| KR100636475B1 (en) | 2002-05-13 | 2006-10-18 | 에프. 호프만-라 로슈 아게 | Benzoxazine Derivatives and Uses thereof as 5-HT6 Modulators |
| WO2004034963A2 (en) | 2002-05-17 | 2004-04-29 | Eisai Co., Ltd. | Methods and compositions using cholinesterase inhibitors |
| JP4390698B2 (en) | 2002-06-05 | 2009-12-24 | エフ.ホフマン−ラ ロシュ アーゲー | 1-sulfonyl-4-aminoalkoxyindole derivatives as 5-HT6 receptor modulators for the treatment of CNS disorders |
| NZ536600A (en) | 2002-06-20 | 2007-08-31 | Biovitrum Ab | Substituted sulphone and sulphonamide compounds useful for the treatment of obesity, type II diabetes and CNS disorders |
| US7943639B2 (en) | 2002-06-20 | 2011-05-17 | Proximagen Limited | Compounds |
| ATE362469T1 (en) | 2002-09-17 | 2007-06-15 | Hoffmann La Roche | 2,7-DISUBSTITUTEDINDOLES AND THEIR USE AS 5-HT6 MODULATORS |
| CA2498946A1 (en) | 2002-09-17 | 2004-04-01 | F. Hoffmann-La Roche Ag | 2,4-substituted indoles and their use as 5-ht6 modulators |
| AU2003275093A1 (en) | 2002-09-24 | 2004-04-19 | Arena Pharmaceuticals, Inc. | Process of making phenylpyrazoles useful as selective 5ht2a modulators and intermediates thereof |
| US7635709B2 (en) | 2002-09-26 | 2009-12-22 | The United States Of America As Represented By The Department Of Veterans Affairs | Compositions and methods for bowel care in individuals with chronic intestinal pseudo-obstruction |
| PL376479A1 (en) | 2002-10-18 | 2005-12-27 | F.Hoffmann-La Roche Ag | 4-piperazinyl benzenesulfonyl indoles with 5-ht6 receptor affinity |
| KR100683361B1 (en) | 2002-11-08 | 2007-02-15 | 에프. 호프만-라 로슈 아게 | Substituted Benzoxazineone and Uses thereof |
| TWI258934B (en) | 2002-11-08 | 2006-07-21 | Interdigital Tech Corp | Composite channel quality estimation techniques and systems for wireless receivers |
| JPWO2004046110A1 (en) | 2002-11-15 | 2006-03-16 | アステラス製薬株式会社 | Melanin-concentrating hormone receptor antagonist |
| TWI284124B (en) | 2002-12-03 | 2007-07-21 | Hoffmann La Roche | Aminoalkoxyindoles |
| US20060229335A1 (en) * | 2002-12-24 | 2006-10-12 | Bradley Teegarden | Diarylamine and arylheteroarylamine pyrazole derivatives as modulators of 5ht2a |
| EP1594512A4 (en) | 2003-02-11 | 2007-07-11 | Kemia Inc | Compounds for the treatment of viral infection |
| MXPA05008441A (en) | 2003-02-14 | 2005-10-19 | Wyeth Corp | Heterocyclyl-3-sulfonylazaindole or -azaindazole derivatives as 5-hydroxytryptamine-6 ligands. |
| KR20050101551A (en) | 2003-02-14 | 2005-10-24 | 와이어쓰 | Heterocyclyl-3-sulfonylindazoles as 5-hydroxytryptamine-6 ligands |
| ES2324535T3 (en) | 2003-02-14 | 2009-08-10 | Merck Serono Sa | DERIVATIVES OF PIPERAZINA-2-CARBOXAMIDA. |
| EP1601358B1 (en) | 2003-03-03 | 2007-12-19 | F. Hoffmann-La Roche Ag | 2,5-substituted tetrahydroisoquinolines for use as 5-ht6 modulators |
| GB0305575D0 (en) | 2003-03-11 | 2003-04-16 | Glaxo Group Ltd | Novel compounds |
| TWI289141B (en) | 2003-03-11 | 2007-11-01 | Hoffmann La Roche F. Ag. | Quinolinone derivatives and uses thereof |
| EP1611128A2 (en) | 2003-03-28 | 2006-01-04 | Pharmacia & Upjohn Company LLC | Positive allosteric modulators of the nicotinic acetylcholine receptor |
| GB0309781D0 (en) | 2003-04-29 | 2003-06-04 | Glaxo Group Ltd | Compounds |
| EP1695966A1 (en) | 2003-07-22 | 2006-08-30 | Arena Pharmaceuticals, Inc. | Diaryl and arylheteroaryl urea derivatives as modulators of the 5-ht2a serotonin receptor useful for the prophylaxis and treatment of disorders related thereto |
| PL1558582T3 (en) | 2003-07-22 | 2006-05-31 | Arena Pharm Inc | Diaryl and arylheteroaryl urea derivatives as modulators of the 5-ht2a serotonin receptor useful for the prophylaxis and treatment of disorders related thereto |
| AU2004266233A1 (en) | 2003-08-13 | 2005-03-03 | Amgen, Inc. | Melanin concentrating hormone receptor antagonist |
| US7091236B1 (en) | 2003-08-20 | 2006-08-15 | Sciele Pharma, Inc. | Method for increasing the bioavailability of glycopyrrolate |
| US20050054691A1 (en) * | 2003-08-29 | 2005-03-10 | St. Jude Children's Research Hospital | Carboxylesterase inhibitors |
| GB0320320D0 (en) | 2003-08-29 | 2003-10-01 | Glaxo Group Ltd | Novel compounds |
| WO2005021545A1 (en) | 2003-09-03 | 2005-03-10 | Galapagos Nv | IMIDAZO[1,5-a]PYRIDINE OR IMIDAZO[1,5-a]PIPERIDINE DERIVATIVES AND THEIR USE FOR THE PREPARATION OF MEDICAMENT AGAINST 5-HT2A RECEPTOR-RELATED DISORDERS |
| GB0321473D0 (en) | 2003-09-12 | 2003-10-15 | Glaxo Group Ltd | Novel compounds |
| GB0322510D0 (en) | 2003-09-25 | 2003-10-29 | Glaxo Group Ltd | Novel compounds |
| PT1667975E (en) | 2003-09-26 | 2008-02-29 | Glaxo Group Ltd | A polymorphic form of 3-phenylsulfonyl-8-piperazin-1-yl-quinoline |
| SE0302760D0 (en) | 2003-10-20 | 2003-10-20 | Biovitrum Ab | New compounds |
| WO2005066157A1 (en) | 2004-01-02 | 2005-07-21 | Suven Life Sciences | 3-(pyrolidin-3-l) indoles as 5-ht6 receptor modulators |
| WO2005077345A1 (en) | 2004-02-03 | 2005-08-25 | Astrazeneca Ab | Compounds for the treatment of gastro-esophageal reflux disease |
| US20070293539A1 (en) | 2004-03-18 | 2007-12-20 | Lansbury Peter T | Methods for the treatment of synucleinopathies |
| ATE548353T1 (en) | 2004-03-23 | 2012-03-15 | Arena Pharm Inc | METHOD FOR PRODUCING SUBSTITUTED N-ARYL-N'-Ä3-(1H-PYRAZOLE-5-YL)PHENYLÜ-UREAS AND INTERMEDIATE THEREOF. |
| GB0407025D0 (en) | 2004-03-29 | 2004-04-28 | Glaxo Group Ltd | Novel compounds |
| GB0411421D0 (en) | 2004-05-21 | 2004-06-23 | Glaxo Group Ltd | Novel compounds |
| TW200611695A (en) | 2004-06-09 | 2006-04-16 | Glaxo Group Ltd | Pyrrolopyridine derivatives |
| US20060014705A1 (en) * | 2004-06-30 | 2006-01-19 | Howitz Konrad T | Compositions and methods for selectively activating human sirtuins |
| TW200616608A (en) | 2004-07-09 | 2006-06-01 | Forest Laboratories | Memantine as adjunctive treatment to atypical antipsychotics in schizophrenia patients |
| US20060172992A1 (en) | 2004-08-13 | 2006-08-03 | Eisai Co., Ltd. | Therapeutic agent for overactive bladder resulting from cerebral infarction |
| JP2008509982A (en) | 2004-08-16 | 2008-04-03 | プロシディオン・リミテッド | Aryl urea derivatives |
| US20060063754A1 (en) * | 2004-09-21 | 2006-03-23 | Edgar Dale M | Methods of treating a sleep disorder |
| GB0422263D0 (en) | 2004-10-07 | 2004-11-10 | Glaxo Group Ltd | Novel compounds |
| EP1838296B1 (en) * | 2004-10-20 | 2012-08-08 | Resverlogix Corp. | Flavanoids and isoflavanoids for the prevention and treatment of cardiovascular diseases |
| WO2006049941A2 (en) | 2004-10-27 | 2006-05-11 | Neurogen Corporation | Diaryl ureas as cb1 antagonists |
| US7563785B2 (en) | 2004-10-29 | 2009-07-21 | Hypnion, Inc. | Quetiapine analogs and methods of use thereof |
| KR101358078B1 (en) | 2004-11-01 | 2014-02-06 | 주식회사 유스팜인터내셔널 | Methods and compositions for reducing neurodegeneration in amyotrophic lateral sclerosis |
| GB0425548D0 (en) | 2004-11-19 | 2004-12-22 | Glaxo Group Ltd | Radiolabelled ligands |
| SA05260357B1 (en) | 2004-11-19 | 2008-09-08 | ارينا فارماسيتو تيكالز ، أنك | 3-phenyle-pyrazole derivatives as modulators of the 5-ht 2a serotonin receptor useful for the treatment of disorders related thereto |
| GB0426313D0 (en) | 2004-12-01 | 2005-01-05 | Merck Sharp & Dohme | Therapeutic agents |
| AR051978A1 (en) | 2004-12-01 | 2007-02-21 | Divergence Inc | PESTICIDED COMPOSITIONS AND METHODS |
| WO2006060762A2 (en) * | 2004-12-03 | 2006-06-08 | Arena Pharmaceuticals, Inc. | Pyrazole derivatives as modulators of the 5-ht2a serotonin receptor useful for the treatment of disorders related thereto |
| DE102004061593A1 (en) | 2004-12-21 | 2006-06-22 | Abbott Gmbh & Co. Kg | Substituted N-heterocyclic compounds and their therapeutic use |
| WO2006070394A1 (en) | 2004-12-28 | 2006-07-06 | Council Of Scientific And Industrial Research | Substituted carbamic acid quinolin-6-yl esters useful as acetylcholinesterase inhibitors |
| ES2465469T3 (en) | 2005-01-14 | 2014-06-05 | Gilead Connecticut, Inc. | Diaryl ureas 1,3-substituted as kinase activity modulators |
| CN101160127A (en) | 2005-01-19 | 2008-04-09 | 艾尼纳制药公司 | Diaryl and arylheteroaryl urea derivatives as 5-HT2A serotonin receptor modulators for the prevention or treatment of progressive multifocal leukoencephalopathy |
| WO2006078948A2 (en) | 2005-01-21 | 2006-07-27 | Teva Pharmaceutical Industries Ltd. | Stable pharmaceutical formulations of zonisamide and methods for their manufacture |
| AR052886A1 (en) | 2005-01-26 | 2007-04-11 | Arena Pharm Inc | PROCEDURES TO PREPARE PHENYLPIRAZOL REPLACED UREAS AND TO OBTAIN YOUR SYNTHESIS INTERMEDIARIES |
| ES2391780T3 (en) | 2005-01-27 | 2012-11-29 | Janssen Pharmaceutica Nv | Tetracyclic tetrahydrofuran derivatives as 5HT2 inhibitors in the treatment of CNS disorders |
| GT200600042A (en) | 2005-02-10 | 2006-09-27 | Aventis Pharma Inc | BIS ARILO AND HETEROARILO COMPOUNDS REPLACED AS SELECTIVE ANTAGONISTS OF 5HT2A |
| WO2006089871A2 (en) | 2005-02-23 | 2006-08-31 | Neurosearch A/S | Diphenylurea derivatives useful as erg channel openers for the treatment of cardiac arrhythmias |
| GB0504828D0 (en) | 2005-03-09 | 2005-04-13 | Merck Sharp & Dohme | Therapeutic agents |
| GB0505437D0 (en) | 2005-03-17 | 2005-04-20 | Merck Sharp & Dohme | Therapeutic agents |
| GB0505725D0 (en) | 2005-03-19 | 2005-04-27 | Merck Sharp & Dohme | Therapeutic agents |
| TWI320783B (en) | 2005-04-14 | 2010-02-21 | Otsuka Pharma Co Ltd | Heterocyclic compound |
| DK1877390T3 (en) | 2005-04-26 | 2010-05-31 | Hypnion Inc | Benzisoxazole-piperazine Compounds and Methods for Using Them |
| EP1734039A1 (en) | 2005-06-13 | 2006-12-20 | Esbatech AG | Aryl urea compounds as BETA-secretase inhibitors |
| ES2525217T3 (en) | 2005-06-27 | 2014-12-19 | Exelixis Patent Company Llc | LXR modulators based on imidazole |
| US7754724B2 (en) | 2005-06-30 | 2010-07-13 | Dow Agrosciences Llc | N-substituted piperazines |
| US8093401B2 (en) * | 2005-08-04 | 2012-01-10 | Sirtris Pharmaceuticals, Inc. | Sirtuin modulating compounds |
| US7544685B2 (en) | 2005-08-17 | 2009-06-09 | H. Lundbeck A/S | 2,3-dihydroindole compounds |
| AR055203A1 (en) | 2005-08-31 | 2007-08-08 | Otsuka Pharma Co Ltd | BENZOTIOPHENE DERIVATIVES WITH ANTIPSYTICAL PROPERTIES |
| GB0519765D0 (en) | 2005-09-28 | 2005-11-09 | Glaxo Group Ltd | Novel compounds |
| GB0519758D0 (en) | 2005-09-28 | 2005-11-09 | Glaxo Group Ltd | Novel process |
| GB0519760D0 (en) | 2005-09-28 | 2005-11-09 | Glaxo Group Ltd | Novel compounds |
| US20090053306A1 (en) * | 2005-09-29 | 2009-02-26 | Agarwal Rajesh K | Pharmaceutical Compositions of a 5-HT2A Serotonin Receptor Modulator Useful for the Treatment of Disorders Related Thereto |
| PE20071143A1 (en) | 2006-01-13 | 2008-01-20 | Wyeth Corp | PHARMACEUTICAL COMPOSITION INCLUDING AN ACETYLCHOLINESTERASE INHIBITOR AND A 5-HYDROXITRIPTAMINE-6 ANTAGONIST |
| WO2007103286A2 (en) | 2006-03-02 | 2007-09-13 | Spherics, Inc. | Rate-controlled bioadhesive oral dosage formulations |
| JP2009533442A (en) | 2006-04-10 | 2009-09-17 | アリーナ ファーマシューティカルズ, インコーポレイテッド | 3-pyridinyl-pyrazole derivatives as modulators of 5-HT2A serotonin receptors useful for the treatment of 5-HT2A serotonin receptor related disorders |
| GB0608655D0 (en) | 2006-05-03 | 2006-06-14 | Merck Sharp & Dohme | Therapeutic Treatment |
| ES2536762T3 (en) | 2006-05-18 | 2015-05-28 | Arena Pharmaceuticals, Inc. | Primary amines and their derivatives as 5-HT2A serotonin receptor modulators useful for the treatment of disorders related to this |
| JP2009537556A (en) | 2006-05-18 | 2009-10-29 | アリーナ ファーマシューティカルズ, インコーポレイテッド | Acetamide derivatives as modulators of 5-HT2A serotonin receptors useful for the treatment of disorders associated with 5-HT2A serotonin receptors |
| USRE45337E1 (en) * | 2006-05-18 | 2015-01-13 | Arena Pharmaceuticals, Inc. | Ethers, secondary amines and derivatives thereof as modulators of the 5-HT2A serotonin receptor useful for the treatment of disorders related thereto |
| EA016675B1 (en) | 2006-05-18 | 2012-06-29 | Арена Фармасьютикалз, Инк. | Processes for the preparation of phenyl-pyrazoles and a crystalline form of phenyl-pyrazole derivative |
| JP2010502618A (en) | 2006-08-31 | 2010-01-28 | アリーナ ファーマシューティカルズ, インコーポレイテッド | Benzofuran derivatives as modulators of serotonin 5-HT2A receptors |
| TWI415845B (en) | 2006-10-03 | 2013-11-21 | Arena Pharm Inc | Pyrazole derivatives as modulators of the 5-ht2a serotonin receptor useful for the treatment of disorders related thereto |
| TW200823204A (en) * | 2006-10-17 | 2008-06-01 | Arena Pharm Inc | Biphenyl sulfonyl and phenyl-heteroaryl sulfonyl modulators of the histamine H3-receptor useful for the treatment of disorders related thereto |
| WO2008054748A2 (en) | 2006-10-31 | 2008-05-08 | Arena Pharmaceuticals, Inc. | Indazole derivatives as modulators of the 5-ht2a serotonin receptor useful for the treatment of disorders related thereto |
| US8969402B2 (en) | 2006-11-15 | 2015-03-03 | Steven A. Rich | Combined acetylcholinesterase inhibitor and quaternary ammonium antimuscarinic therapy to alter progression of cognitive diseases |
| US9034890B2 (en) | 2006-11-15 | 2015-05-19 | Steven A. Rich | Combined acetylcholinesterase inhibitor and quaternary ammonium antimuscarinic therapy to alter progression of cognitive diseases |
| US8097633B2 (en) | 2006-11-15 | 2012-01-17 | Rich Steven A | Uses for quaternary ammonium anticholinergic muscarinic receptor antagonists in patients being treated for cognitive impairment or acute delirium |
| EP2121621B1 (en) | 2006-12-08 | 2014-05-07 | Exelixis Patent Company LLC | Lxr and fxr modulators |
| US20100041672A1 (en) | 2007-03-21 | 2010-02-18 | Glaxo Group Limited | Use of quinoline derivatives in the treatment of pain and irritable bowel syndrome |
| WO2009023253A2 (en) | 2007-08-15 | 2009-02-19 | Arena Pharmaceuticals Inc. | IMIDAZO[L,2-α]PYRIDINE DERIVATIVES AS MODULATORS OF THE 5-HT2A SEROTONIN RECEPTOR USEFUL FOR THE TREATMENT OF DISORDERS RELATED THERETO |
| US9084742B2 (en) | 2007-12-12 | 2015-07-21 | Axovant Sciences Ltd. | Combinations comprising 3-phenylsulfonyl-8-piperazinyl-1yl-Quinoline |
| WO2009123714A2 (en) | 2008-04-02 | 2009-10-08 | Arena Pharmaceuticals, Inc. | Processes for the preparation of pyrazole derivatives useful as modulators of the 5-ht2a serotonin receptor |
| CN102170884A (en) | 2008-10-03 | 2011-08-31 | H.隆德贝克有限公司 | Oral formulation |
| US9034911B2 (en) | 2008-10-28 | 2015-05-19 | Arena Pharmaceuticals, Inc. | Composition of a 5-HT2A serotonin receptor modulator useful for the treatment of disorders related thereto |
| WO2010062321A1 (en) | 2008-10-28 | 2010-06-03 | Arena Pharmaceuticals, Inc. | Processes useful for the preparation of 1-[3-(4-bromo-2-methyl-2h-pyrazol-3-yl)-4-methoxy-phenyl]-3-(2,4-difluoro-phenyl)-urea and crystalline forms related thereto |
| GB201111712D0 (en) | 2011-07-08 | 2011-08-24 | Gosforth Ct Holdings Pty Ltd | Pharmaceutical compositions |
| EP3718547A1 (en) | 2011-10-03 | 2020-10-07 | The University of Utah Research Foundation | Application of 5-ht6 receptor antagonists for the alleviation of cognitive deficits of down syndrome |
| JO3459B1 (en) | 2012-09-09 | 2020-07-05 | H Lundbeck As | Pharmaceutical formulations for the treatment of Alzheimer's disease |
| JOP20210047A1 (en) | 2012-10-25 | 2017-06-16 | Otsuka Pharma Co Ltd | Prophylactic and/or therapeutic agent for behavioral and psychological symptoms associated with neurodegenerative disease or impulsive symptoms associated with mental disease containing brexpiprazole or salt thereof |
| WO2014085362A1 (en) | 2012-11-27 | 2014-06-05 | Acadia Pharmaceuticals Inc. | Methods for the treatment of parkinson's disease psychosis using pimavanserin |
| KR101472682B1 (en) | 2013-07-23 | 2014-12-15 | 고려대학교 산학협력단 | Methode for preparing metamaterial, metamaterial film prepared by the same and super-resolution imaging system using the the same |
| US9478471B2 (en) | 2014-02-19 | 2016-10-25 | Taiwan Semiconductor Manufacturing Company, Ltd. | Apparatus and method for verification of bonding alignment |
| JP2018515607A (en) | 2015-05-07 | 2018-06-14 | アクソファント サイエンシーズ ゲーエムベーハーAxovant Sciences Gmbh | Compositions and methods for treating neurodegenerative diseases |
| US20160324851A1 (en) | 2015-05-07 | 2016-11-10 | Axovant Sciences, Ltd. | Methods of treating a neurodegenerative disease |
| CA2992518A1 (en) | 2015-07-15 | 2017-01-19 | Axovant Sciences Gmbh | Diaryl and arylheteroaryl urea derivatives as modulators of the 5-ht2a serotonin receptor useful for the prophylaxis and treatment of hallucinations associated with a neurodegenerative disease |
-
2004
- 2004-07-21 PL PL04758159T patent/PL1558582T3/en unknown
- 2004-07-21 TW TW093121725A patent/TW200523253A/en unknown
- 2004-07-21 DK DK04758159T patent/DK1558582T3/en active
- 2004-07-21 JP JP2006521215A patent/JP4198733B2/en not_active Expired - Fee Related
- 2004-07-21 HR HR20060100T patent/HRP20060100T3/en unknown
- 2004-07-21 NZ NZ544331A patent/NZ544331A/en not_active IP Right Cessation
- 2004-07-21 CN CN201010199162.4A patent/CN101875961B/en not_active Expired - Fee Related
- 2004-07-21 CN CN201010200790A patent/CN101871931A/en active Pending
- 2004-07-21 RS YUP-2006/0035A patent/RS20060035A/en unknown
- 2004-07-21 AT AT04758159T patent/ATE313532T1/en active
- 2004-07-21 PT PT04758159T patent/PT1558582E/en unknown
- 2004-07-21 KR KR1020067001437A patent/KR101157272B1/en not_active Expired - Fee Related
- 2004-07-21 MY MYPI20042936A patent/MY141862A/en unknown
- 2004-07-21 AU AU2004261582A patent/AU2004261582C1/en not_active Ceased
- 2004-07-21 CN CN2004800210095A patent/CN1826322B/en not_active Expired - Fee Related
- 2004-07-21 AR ARP040102586A patent/AR045069A1/en active IP Right Grant
- 2004-07-21 ES ES04758159T patent/ES2258760T3/en not_active Expired - Lifetime
- 2004-07-21 BR BRPI0412263-1A patent/BRPI0412263B1/en not_active IP Right Cessation
- 2004-07-21 DE DE602004000260T patent/DE602004000260T2/en not_active Expired - Lifetime
- 2004-07-21 WO PCT/US2004/023488 patent/WO2005012254A1/en not_active Ceased
- 2004-07-21 US US10/895,789 patent/US8754238B2/en active Active
- 2004-07-21 EP EP04758159A patent/EP1558582B1/en not_active Expired - Lifetime
- 2004-07-21 CA CA002533369A patent/CA2533369C/en not_active Expired - Fee Related
- 2004-07-21 MX MXPA06000795A patent/MXPA06000795A/en active IP Right Grant
- 2004-07-21 EA EA200600295A patent/EA009732B1/en not_active IP Right Cessation
-
2005
- 2005-12-14 IL IL172582A patent/IL172582A0/en unknown
-
2006
- 2006-01-05 EC EC2006006269A patent/ECSP066269A/en unknown
- 2006-01-17 MA MA28732A patent/MA28066A1/en unknown
- 2006-01-19 TN TNP2006000017A patent/TNSN06017A1/en unknown
- 2006-01-19 IS IS8241A patent/IS2232B/en unknown
- 2006-02-22 NO NO20060877A patent/NO20060877L/en not_active Application Discontinuation
- 2006-09-06 JP JP2006242161A patent/JP2007039461A/en not_active Withdrawn
- 2006-11-22 US US11/603,601 patent/US20070072857A1/en not_active Abandoned
- 2006-11-22 US US11/603,626 patent/US20070078134A1/en not_active Abandoned
-
2008
- 2008-01-10 JP JP2008003748A patent/JP2008143908A/en not_active Withdrawn
-
2012
- 2012-09-14 US US13/619,137 patent/US8871797B2/en not_active Expired - Lifetime
-
2014
- 2014-07-15 US US14/332,207 patent/US9273035B2/en not_active Expired - Lifetime
-
2016
- 2016-02-02 US US15/013,057 patent/US9775829B2/en not_active Expired - Fee Related
-
2017
- 2017-09-13 US US15/703,688 patent/US20180169070A1/en not_active Abandoned
-
2020
- 2020-02-24 US US16/799,556 patent/US20200397755A1/en not_active Abandoned
-
2022
- 2022-12-13 US US18/079,941 patent/US20230277505A1/en active Pending
Patent Citations (24)
| Publication number | Priority date | Publication date | Assignee | Title |
|---|---|---|---|---|
| US4099012A (en) * | 1975-08-28 | 1978-07-04 | Ciba-Geigy Corporation | 2-pyrazolyl-benzophenones |
| US4405644A (en) * | 1979-07-14 | 1983-09-20 | Bayer Aktiengesellschaft | Medicaments for the treatment of disorders of lipometabolism and their use |
| US4985352A (en) * | 1988-02-29 | 1991-01-15 | The Trustees Of Columbia University In The City Of New York | DNA encoding serotonin 1C (5HT1c) receptor, isolated 5HT1c receptor, mammalian cells expressing same and uses thereof |
| US5661024A (en) * | 1989-10-31 | 1997-08-26 | Synaptic Pharmaceutical Corporation | DNA encoding a human serotonic (5-HT2) receptor and uses thereof |
| US5077409A (en) * | 1990-05-04 | 1991-12-31 | American Cyanamid Company | Method of preparing bis-aryl amide and urea antagonists of platelet activating factor |
| US5128351A (en) * | 1990-05-04 | 1992-07-07 | American Cyanamid Company | Bis-aryl amide and urea antagonists of platelet activating factor |
| US5523280A (en) * | 1991-10-09 | 1996-06-04 | Rhone-Poulenc Agrochimie | Phenylpyrazole fungicides |
| US5594382A (en) * | 1992-10-20 | 1997-01-14 | Fujitsu Ltd. | Constant voltage circuit |
| US5905080A (en) * | 1993-08-20 | 1999-05-18 | Smithkline Beecham, P.L.C. | Amide and urea derivatives as 5HT1D receptor antagonists |
| US5990133A (en) * | 1995-02-02 | 1999-11-23 | Smithkline Beecham P.L.C. | Indole derivatives as 5-HT receptor antagonist |
| US5886044A (en) * | 1995-02-17 | 1999-03-23 | Smithkline Beecham Corporation | IL-8 receptor antagonists |
| US6005008A (en) * | 1996-02-16 | 1999-12-21 | Smithkline Beecham Corporation | IL-8 receptor antagonists |
| US6028085A (en) * | 1996-04-04 | 2000-02-22 | Smithkline Beecham Plc | Indole derivatives as 5-HT receptor antagonist |
| US6054472A (en) * | 1996-04-23 | 2000-04-25 | Vertex Pharmaceuticals, Incorporated | Inhibitors of IMPDH enzyme |
| US6417393B1 (en) * | 1996-05-24 | 2002-07-09 | Neurosearch A/S | Phenyl derivatives containing an acidic group, their preparation and their use as chloride channel blockers |
| US6271261B1 (en) * | 1996-06-27 | 2001-08-07 | Smithkline Beecham Corporation | IL-8 receptor antagonists |
| US6541209B1 (en) * | 1997-04-14 | 2003-04-01 | Arena Pharmaceuticals, Inc. | Non-endogenous, constitutively activated human serotonin receptors and small molecule modulators thereof |
| US6479519B1 (en) * | 1997-10-31 | 2002-11-12 | Aventis Pharma Limited | Substituted anilides |
| US20040102636A1 (en) * | 1997-12-22 | 2004-05-27 | Bayer Corporation | Inhibition of p38 kinase using symmetrical and unsymmetrical diphenyl ureas |
| US6140509A (en) * | 1998-06-26 | 2000-10-31 | Arena Pharmaceuticals, Inc. | Non-endogenous, constitutively activated human serotonin receptors and small molecule modulators thereof |
| US6479480B1 (en) * | 1998-07-24 | 2002-11-12 | Merck Sharp & Dohme Ltd. | Phenylindole derivatives as 5-ht2a receptor ligands |
| US6706749B2 (en) * | 1998-10-22 | 2004-03-16 | Neurosearch A/S | Substituted phenyl derivatives, their preparation and use |
| US20020025965A1 (en) * | 2000-06-29 | 2002-02-28 | Gilbert Lavielle | Diphenylurea compounds |
| US6784183B2 (en) * | 2000-06-29 | 2004-08-31 | Les Laboratoires Servier | Diphenylurea compounds |
Cited By (62)
| Publication number | Priority date | Publication date | Assignee | Title |
|---|---|---|---|---|
| US9273035B2 (en) | 2003-07-22 | 2016-03-01 | Arena Pharmaceuticals, Inc. | Diaryl and arylheteroaryl urea derivatives as modulators of the 5-HT2A serotonin receptor useful for the prophylaxis and treatment of disorders related thereto |
| US20050080124A1 (en) * | 2003-07-22 | 2005-04-14 | Bradley Teegarden | Diaryl and arylheteroaryl urea derivatives as modulators of the 5-HT2A serotonin receptor useful for the prophylaxis and treatment of disorders related thereto |
| US9775829B2 (en) | 2003-07-22 | 2017-10-03 | Arena Pharmaceuticals, Inc. | Diaryl and arylheteroaryl urea derivatives as modulators of the 5-HT2A serotonin receptor useful for the prophylaxis and treatment of disorders related thereto |
| US8871797B2 (en) | 2003-07-22 | 2014-10-28 | Arena Pharmaceuticals, Inc. | Diaryl and arylheteroaryl urea derivatives as modulators of the 5-HT2A serotonin receptor useful for the prophylaxis and treatment of disorders related thereto |
| US8754238B2 (en) | 2003-07-22 | 2014-06-17 | Arena Pharmaceuticals, Inc. | Diaryl and arylheteroaryl urea derivatives as modulators of the 5-HT2A serotonin receptor useful for the prophylaxis and treatment of disorders related thereto |
| US20070293685A1 (en) * | 2004-03-23 | 2007-12-20 | Arena Pharmaceuticals, Inc. | Processes for Preparing Substituted N-Aryl-N'-[3-(1H-Pyrazol-5-Yl) Phenyl] Ureas and Intermediates Thereof |
| US7812176B2 (en) | 2004-03-23 | 2010-10-12 | Arena Pharmaceuticals, Inc. | Processes for preparing substituted N-aryl-N′-[3-(1H-pyrazol-5-YL) phenyl] ureas and intermediates thereof |
| US20070207994A1 (en) * | 2004-11-19 | 2007-09-06 | Bradley Teegarden | 3-Phenyl-pyrazole derivatives as modulators of the 5-HT2a serotonin receptor useful for the treatment of disorders related thereto |
| US10781180B2 (en) | 2004-11-19 | 2020-09-22 | Arena Pharmaceuticals, Inc. | 3-phenyl-pyrazole derivatives as modulators of the 5-HT2A serotonin receptor useful for the treatment of disorders related thereto |
| US8785441B2 (en) | 2004-11-19 | 2014-07-22 | Arena Pharmaceuticals, Inc. | 3-phenyl-pyrazole derivatives as modulators of the 5-HT2A serotonin receptor useful for the treatment of disorders related thereto |
| US7884101B2 (en) | 2004-11-19 | 2011-02-08 | Arena Pharmaceuticals, Inc. | 3-phenyl-pyrazole derivatives as modulators of the 5-HT2A serotonin receptor useful for the treatment of disorders related thereto |
| US20110105456A1 (en) * | 2004-11-19 | 2011-05-05 | Bradley Teegarden | 3-phenyl-pyrazole derivatives as modulators of the 5-ht2a serotonin receptor useful for the treatment of disorders related thereto |
| US8481535B2 (en) | 2006-05-18 | 2013-07-09 | Arena Pharmaceuticals, Inc. | Crystalline forms and processes for the preparation of phenyl-pyrazoles useful as modulators of the 5-HT2A serotonin receptor |
| US10450276B2 (en) | 2006-05-18 | 2019-10-22 | Arena Pharmaceuticals, Inc. | Ethers, secondary amines and derivatives thereof as modulators of the 5-HT2A serotonin receptor useful for the treatment of disorders related thereto |
| US8148417B2 (en) | 2006-05-18 | 2012-04-03 | Arena Pharmaceuticals, Inc. | Primary amines and derivatives thereof as modulators of the 5-HT2A serotonin receptor useful for the treatment of disorders related thereto |
| US9783502B2 (en) | 2006-05-18 | 2017-10-10 | Arena Pharmaceuticals, Inc. | Crystalline forms and processes for the preparation of phenyl-pyrazoles useful as modulators of the 5-HT2A serotonin receptor |
| US8664258B2 (en) | 2006-05-18 | 2014-03-04 | Arena Pharmaceuticals, Inc. | Primary amines and derivatives thereof as modulators of the 5-HT2A serotonin receptor useful for the treatment of disorders related thereto |
| US8680119B2 (en) | 2006-05-18 | 2014-03-25 | Arena Pharmaceuticals, Inc. | Ethers, secondary amines and derivatives thereof as modulators of the 5-HT2A serotonin receptor useful for the treatment of disorders related thereto |
| US9987252B2 (en) | 2006-05-18 | 2018-06-05 | Arena Pharmaceuticals, Inc. | Primary amines and derivitves thereof as modulators of the 5-HT2A serotonin receptor useful for the treatment of disorders related thereto |
| US8148418B2 (en) | 2006-05-18 | 2012-04-03 | Arena Pharmaceuticals, Inc. | Ethers, secondary amines and derivatives thereof as modulators of the 5-HT2A serotonin receptor useful for the treatment of disorders related thereto |
| US20100234380A1 (en) * | 2006-05-18 | 2010-09-16 | Arena Pharmaceuticals, Inc. | Crystalline forms and processes for the preparation of phenyl-pyrazoles useful as modulators of the 5-ht2a serotonin receptor |
| USRE45337E1 (en) | 2006-05-18 | 2015-01-13 | Arena Pharmaceuticals, Inc. | Ethers, secondary amines and derivatives thereof as modulators of the 5-HT2A serotonin receptor useful for the treatment of disorders related thereto |
| USRE45336E1 (en) | 2006-05-18 | 2015-01-13 | Arena Pharmaceuticals, Inc. | Primary amines and derivatives thereof as modulators of the 5-HT2A serotonin receptor useful for the treatment of disorders related thereto |
| US20090197935A1 (en) * | 2006-05-18 | 2009-08-06 | Arena Pharmaceuticals, Inc. | Primary amines and derivatives thereof as modulators of the 5-ht2a serotonin receptor useful for the treatment of disorders related thereto |
| US20090186895A1 (en) * | 2006-05-18 | 2009-07-23 | Arena Pharmaceuticals, Inc. | Ethers, secondary amines and derivatives thereof as modulators of the 5-ht2a serotonin receptor useful for the treatment of disorders related thereto |
| US9328107B2 (en) | 2006-05-18 | 2016-05-03 | Arena Pharmaceuticals, Inc. | Primary amines and derivatives thereof as modulators of the 5-HT2A serotonin receptor useful for the treatment of disorders related thereto |
| US9199940B2 (en) | 2006-05-18 | 2015-12-01 | Arena Pharmaceuticals, Inc. | Crystalline forms and processes for the preparation of phenyl-pyrazoles useful as modulators of the 5-HT2A serotonin receptor |
| US9221755B2 (en) | 2006-05-18 | 2015-12-29 | Arena Pharmaceuticals, Inc. | Ethers, secondary amines and derivatives thereof as modulators of the 5-HT2A serotonin receptor useful for the treatment of disorders related thereto |
| US9434692B2 (en) | 2006-10-03 | 2016-09-06 | Arena Pharmaceuticals, Inc. | Pyrazole derivatives as modulators of the 5-HT2A serotonin receptor useful for the treatment of disorders related thereto |
| US9732039B2 (en) | 2006-10-03 | 2017-08-15 | Arena Pharmeceuticals, Inc. | Pyrazole derivatives as modulators of the 5-HT2A serotonin receptor useful for the treatment of disorders related thereto |
| US20100004264A1 (en) * | 2006-10-03 | 2010-01-07 | Yifeng Xiong | Pyrazole derivatives as modulators of the 5-ht2a serotonin receptor useful for the treatment of disorders related thereto |
| US10351531B2 (en) | 2006-10-03 | 2019-07-16 | Arena Pharmaceuticals, Inc. | Pyrazole derivatives as modulators of the 5-HT2A serotonin receptor useful for the treatment of disorders related thereto |
| RU2491931C2 (en) * | 2007-07-17 | 2013-09-10 | Аллерган, Инк. | Methods of treating anxiety |
| US9567327B2 (en) | 2007-08-15 | 2017-02-14 | Arena Pharmaceuticals, Inc. | Imidazo[1,2-a]pyridine derivatives as modulators of the 5-HT2A serotonin receptor useful for the treatment of disorders related thereto |
| US10058549B2 (en) | 2007-08-15 | 2018-08-28 | Arena Pharmaceuticals, Inc. | Imidazo[1,2-α]pyridine derivatives as modulators of the 5-HT2A serotonin receptor useful for the treatment of disorders related thereto |
| US20110021538A1 (en) * | 2008-04-02 | 2011-01-27 | Arena Pharmaceuticals, Inc. | Processes for the preparation of pyrazole derivatives useful as modulators of the 5-ht2a serotonin receptor |
| US9556149B2 (en) | 2008-04-02 | 2017-01-31 | Arena Pharmaceuticals, Inc. | Processes for the preparation of pyrazole derivatives useful as modulators of the 5-HT2A serotonin receptor |
| US10787437B2 (en) | 2008-04-02 | 2020-09-29 | Arena Pharmaceuticals, Inc. | Processes for the preparation of pyrazole derivatives useful as modulators of the 5-HT2A serotonin receptor |
| US10583122B2 (en) | 2008-10-28 | 2020-03-10 | Arena Pharmaceuticals, Inc. | Composition of a 5-HT2A serotonin receptor modulator useful for the treatment of disorders related thereto |
| US20110207791A1 (en) * | 2008-10-28 | 2011-08-25 | Arena Pharmaceuticals, Inc. | Composition of a 5-ht2a serotonin receptor modulator useful for the treatment of disorders related thereto |
| US9801856B2 (en) | 2008-10-28 | 2017-10-31 | Arena Pharmaceuticals, Inc. | Composition of a 5-HT2A serotonin receptor modulator useful for the treatment of disorders related thereto |
| US9353064B2 (en) | 2008-10-28 | 2016-05-31 | Arena Pharmaceuticals, Inc. | Processes useful for the preparation of 1-[3-(4-bromo-2-methyl-2H-pyrazol-3-yl)-4-methoxy-phenyl]-3-(2,4-difluoro-phenyl)-urea and crystalline forms related thereto |
| US9126946B2 (en) | 2008-10-28 | 2015-09-08 | Arena Pharmaceuticals, Inc. | Processes useful for the preparation of 1-[3-(4-bromo-2-methyl-2H-pyrazol-3-yl)-4-methoxy-phenyl]-3-(2,4-difluoro-phenyl)urea and crystalline forms related thereto |
| US10071075B2 (en) | 2008-10-28 | 2018-09-11 | Arena Pharmaceuticals, Inc. | Processes useful for the preparation of 1-[3-(4-bromo-2-methyl-2H-pyrazol-3-yl)-4-methoxy-phenyl]-3-(2,4-difluoro-phenyl)-urea and crystalline forms related thereto |
| US10117851B2 (en) | 2008-10-28 | 2018-11-06 | Arena Pharmaceuticals, Inc. | Composition of a 5-HT2A serotonin receptor modulator useful for the treatment of disorders related thereto |
| US9034911B2 (en) | 2008-10-28 | 2015-05-19 | Arena Pharmaceuticals, Inc. | Composition of a 5-HT2A serotonin receptor modulator useful for the treatment of disorders related thereto |
| US10543193B2 (en) | 2008-10-28 | 2020-01-28 | Arena Pharmaceuticals, Inc. | Processes useful for the preparation of 1-[3-(4-bromo-2-methyl-2H-pyrazol-3-yl)-4-methoxy-phenyl]-3-(2,4-difluoro-phenyl)-urea and crystalline forms related thereto |
| US9745270B2 (en) | 2008-10-28 | 2017-08-29 | Arena Pharmaceuticals, Inc. | Processes useful for the preparation of 1-[3-(4-bromo-2-methyl-2H-pyrazol-3-yl)-4-methoxy-phenyl]-3-(2,4-difluoro-phenyl)-urea and crystalline forms related thereto |
| US8980891B2 (en) | 2009-12-18 | 2015-03-17 | Arena Pharmaceuticals, Inc. | Crystalline forms of certain 3-phenyl-pyrazole derivatives as modulators of the 5-HT2A serotonin receptor useful for the treatment of disorders related thereto |
| US10022355B2 (en) | 2015-06-12 | 2018-07-17 | Axovant Sciences Gmbh | Diaryl and arylheteroaryl urea derivatives as modulators of the 5-HT2A serotonin receptor useful for the prophylaxis and treatment of REM sleep behavior disorder |
| US11304932B2 (en) | 2015-07-15 | 2022-04-19 | Axovant Sciences Gmbh | Diaryl and arylheteroaryl urea derivatives as modulators of the 5-HT2A serotonin receptor useful for the prophylaxis and treatment of hallucinations associated with a neurodegenerative disease |
| US10034859B2 (en) | 2015-07-15 | 2018-07-31 | Axovant Sciences Gmbh | Diaryl and arylheteroaryl urea derivatives as modulators of the 5-HT2A serotonin receptor useful for the prophylaxis and treatment of hallucinations associated with a neurodegenerative disease |
| US11723579B2 (en) | 2017-09-19 | 2023-08-15 | Neuroenhancement Lab, LLC | Method and apparatus for neuroenhancement |
| US11717686B2 (en) | 2017-12-04 | 2023-08-08 | Neuroenhancement Lab, LLC | Method and apparatus for neuroenhancement to facilitate learning and performance |
| US11273283B2 (en) | 2017-12-31 | 2022-03-15 | Neuroenhancement Lab, LLC | Method and apparatus for neuroenhancement to enhance emotional response |
| US11318277B2 (en) | 2017-12-31 | 2022-05-03 | Neuroenhancement Lab, LLC | Method and apparatus for neuroenhancement to enhance emotional response |
| US11478603B2 (en) | 2017-12-31 | 2022-10-25 | Neuroenhancement Lab, LLC | Method and apparatus for neuroenhancement to enhance emotional response |
| US12280219B2 (en) | 2017-12-31 | 2025-04-22 | NeuroLight, Inc. | Method and apparatus for neuroenhancement to enhance emotional response |
| US12383696B2 (en) | 2017-12-31 | 2025-08-12 | NeuroLight, Inc. | Method and apparatus for neuroenhancement to enhance emotional response |
| US12397128B2 (en) | 2017-12-31 | 2025-08-26 | NeuroLight, Inc. | Method and apparatus for neuroenhancement to enhance emotional response |
| US11364361B2 (en) | 2018-04-20 | 2022-06-21 | Neuroenhancement Lab, LLC | System and method for inducing sleep by transplanting mental states |
| US11452839B2 (en) | 2018-09-14 | 2022-09-27 | Neuroenhancement Lab, LLC | System and method of improving sleep |
Also Published As
Similar Documents
| Publication | Publication Date | Title |
|---|---|---|
| US20230277505A1 (en) | Diaryl and arylheteroaryl urea derivatives as modulators of the 5-ht2a serotonin receptor useful for the prophylaxis and treatment of disorders related thereto | |
| AU2004261582B2 (en) | Diaryl and arylheteroaryl urea derivatives as modulators of the 5-HT2A serotonin receptor useful for the prophylaxis and treatment of disorders related thereto | |
| JP2006528195A5 (en) | ||
| US20210380537A1 (en) | Pyrazole derivatives as modulators of the 5-ht2a serotonin receptor useful for the treatment of disorders related thereto | |
| US20080015223A1 (en) | Pyrazole Derivatives as Modulators of the 5-Ht2a Serotonin Receptor Useful for the Treatment of Disorders Related Thereto | |
| EP1695966A1 (en) | Diaryl and arylheteroaryl urea derivatives as modulators of the 5-ht2a serotonin receptor useful for the prophylaxis and treatment of disorders related thereto | |
| HK1094205A (en) | Diaryl and arylheteroaryl urea derivatives as modulators of the 5-ht2a serotonin receptor useful for the prophylaxis and treatment of disorders related thereto | |
| HK1072943B (en) | Diaryl and arylheteroaryl urea derivatives as modulators of the 5-ht2a serotonin receptor useful for the prophylaxis and treatment of disorders related thereto | |
| ZA200600596B (en) | Diaryl and arylheteroaryl urea derivatives as modulators of the 5-HT2A serotonin receptor useful for the prophylaxis and treatment of disorders related thereto |
Legal Events
| Date | Code | Title | Description |
|---|---|---|---|
| AS | Assignment |
Owner name: ARENA PHARMACEUTICALS, INC., CALIFORNIA Free format text: CROSS-REFERENCING OF ASSIGNMENT FROM PRIOR APPLICATION, PREVIOUSLY RECORDED ON 11/18/2004 AT REEL 015390/FRAME 0688.;ASSIGNORS:TEEGARDEN, BRADLEY;JAYAKUMAR, HONNAPPA;LI, HONGMEI;AND OTHERS;REEL/FRAME:018726/0823;SIGNING DATES FROM 20041021 TO 20041117 |
|
| STCB | Information on status: application discontinuation |
Free format text: EXPRESSLY ABANDONED -- DURING EXAMINATION |


















































































































































































































































