US20060141400A1 - Immersion exposure process-use resist protection film forming material, composite film, and resist pattern forming method - Google Patents
Immersion exposure process-use resist protection film forming material, composite film, and resist pattern forming method Download PDFInfo
- Publication number
- US20060141400A1 US20060141400A1 US10/546,358 US54635804A US2006141400A1 US 20060141400 A1 US20060141400 A1 US 20060141400A1 US 54635804 A US54635804 A US 54635804A US 2006141400 A1 US2006141400 A1 US 2006141400A1
- Authority
- US
- United States
- Prior art keywords
- resist
- film
- immersion lithography
- liquid immersion
- liquid
- Prior art date
- Legal status (The legal status is an assumption and is not a legal conclusion. Google has not performed a legal analysis and makes no representation as to the accuracy of the status listed.)
- Abandoned
Links
- 238000000034 method Methods 0.000 title claims abstract description 91
- 239000000463 material Substances 0.000 title claims abstract description 35
- 239000002131 composite material Substances 0.000 title claims abstract description 18
- 238000007654 immersion Methods 0.000 title description 36
- 239000007788 liquid Substances 0.000 claims abstract description 214
- 238000000671 immersion lithography Methods 0.000 claims abstract description 111
- 230000001681 protective effect Effects 0.000 claims abstract description 76
- 230000008569 process Effects 0.000 claims abstract description 50
- 238000002156 mixing Methods 0.000 claims abstract description 10
- 239000011347 resin Substances 0.000 claims description 130
- 229920005989 resin Polymers 0.000 claims description 130
- 239000000203 mixture Substances 0.000 claims description 89
- XLYOFNOQVPJJNP-UHFFFAOYSA-N water Substances O XLYOFNOQVPJJNP-UHFFFAOYSA-N 0.000 claims description 44
- 239000011248 coating agent Substances 0.000 claims description 29
- 238000000576 coating method Methods 0.000 claims description 29
- 229920000642 polymer Polymers 0.000 claims description 27
- 239000000758 substrate Substances 0.000 claims description 24
- 229920002120 photoresistant polymer Polymers 0.000 claims description 23
- 229920000570 polyether Polymers 0.000 claims description 18
- 239000002904 solvent Substances 0.000 claims description 18
- 125000002887 hydroxy group Chemical group [H]O* 0.000 claims description 16
- OFOBLEOULBTSOW-UHFFFAOYSA-N Malonic acid Chemical compound OC(=O)CC(O)=O OFOBLEOULBTSOW-UHFFFAOYSA-N 0.000 claims description 13
- 239000004721 Polyphenylene oxide Substances 0.000 claims description 12
- 238000010276 construction Methods 0.000 claims description 12
- 238000001459 lithography Methods 0.000 claims description 12
- NIXOWILDQLNWCW-UHFFFAOYSA-N acrylic acid group Chemical group C(C=C)(=O)O NIXOWILDQLNWCW-UHFFFAOYSA-N 0.000 claims description 11
- 229910052731 fluorine Inorganic materials 0.000 claims description 10
- 125000005010 perfluoroalkyl group Chemical group 0.000 claims description 10
- 239000000126 substance Substances 0.000 claims description 8
- YCKRFDGAMUMZLT-UHFFFAOYSA-N Fluorine atom Chemical compound [F] YCKRFDGAMUMZLT-UHFFFAOYSA-N 0.000 claims description 7
- 239000011737 fluorine Substances 0.000 claims description 7
- 239000008367 deionised water Substances 0.000 claims description 5
- 229910021641 deionized water Inorganic materials 0.000 claims description 5
- 238000010438 heat treatment Methods 0.000 claims description 2
- 230000001678 irradiating effect Effects 0.000 claims description 2
- 229920005601 base polymer Polymers 0.000 claims 12
- ISWSIDIOOBJBQZ-UHFFFAOYSA-N phenol group Chemical group C1(=CC=CC=C1)O ISWSIDIOOBJBQZ-UHFFFAOYSA-N 0.000 claims 2
- -1 polychlorotrifluoroethylenes Polymers 0.000 description 47
- 239000002253 acid Substances 0.000 description 38
- 125000000217 alkyl group Chemical group 0.000 description 37
- 125000003367 polycyclic group Chemical group 0.000 description 37
- 238000004090 dissolution Methods 0.000 description 25
- 125000004435 hydrogen atom Chemical group [H]* 0.000 description 24
- 230000002401 inhibitory effect Effects 0.000 description 24
- 230000035945 sensitivity Effects 0.000 description 24
- 239000003960 organic solvent Substances 0.000 description 23
- 150000002148 esters Chemical class 0.000 description 21
- LZCLXQDLBQLTDK-UHFFFAOYSA-N ethyl 2-hydroxypropanoate Chemical compound CCOC(=O)C(C)O LZCLXQDLBQLTDK-UHFFFAOYSA-N 0.000 description 20
- 230000008859 change Effects 0.000 description 19
- 239000000243 solution Substances 0.000 description 19
- 229920001577 copolymer Polymers 0.000 description 17
- 230000000052 comparative effect Effects 0.000 description 15
- 125000002496 methyl group Chemical group [H]C([H])([H])* 0.000 description 14
- XUIMIQQOPSSXEZ-UHFFFAOYSA-N Silicon Chemical compound [Si] XUIMIQQOPSSXEZ-UHFFFAOYSA-N 0.000 description 12
- 238000011161 development Methods 0.000 description 12
- 230000018109 developmental process Effects 0.000 description 12
- 239000010410 layer Substances 0.000 description 12
- 239000000178 monomer Substances 0.000 description 12
- 229910052710 silicon Inorganic materials 0.000 description 12
- 239000010703 silicon Substances 0.000 description 12
- 125000001931 aliphatic group Chemical group 0.000 description 11
- 125000004432 carbon atom Chemical group C* 0.000 description 11
- 150000001732 carboxylic acid derivatives Chemical class 0.000 description 11
- GSEJCLTVZPLZKY-UHFFFAOYSA-N Triethanolamine Chemical compound OCCN(CCO)CCO GSEJCLTVZPLZKY-UHFFFAOYSA-N 0.000 description 10
- 229940116333 ethyl lactate Drugs 0.000 description 10
- 239000012046 mixed solvent Substances 0.000 description 10
- WGTYBPLFGIVFAS-UHFFFAOYSA-M tetramethylammonium hydroxide Chemical compound [OH-].C[N+](C)(C)C WGTYBPLFGIVFAS-UHFFFAOYSA-M 0.000 description 10
- SMZOUWXMTYCWNB-UHFFFAOYSA-N 2-(2-methoxy-5-methylphenyl)ethanamine Chemical compound COC1=CC=C(C)C=C1CCN SMZOUWXMTYCWNB-UHFFFAOYSA-N 0.000 description 9
- 230000001476 alcoholic effect Effects 0.000 description 9
- 230000000694 effects Effects 0.000 description 9
- 125000001495 ethyl group Chemical group [H]C([H])([H])C([H])([H])* 0.000 description 9
- 238000011156 evaluation Methods 0.000 description 9
- VLLPVDKADBYKLM-UHFFFAOYSA-M 1,1,2,2,3,3,4,4,4-nonafluorobutane-1-sulfonate;triphenylsulfanium Chemical compound [O-]S(=O)(=O)C(F)(F)C(F)(F)C(F)(F)C(F)(F)F.C1=CC=CC=C1[S+](C=1C=CC=CC=1)C1=CC=CC=C1 VLLPVDKADBYKLM-UHFFFAOYSA-M 0.000 description 8
- 150000001412 amines Chemical class 0.000 description 8
- NBVXSUQYWXRMNV-UHFFFAOYSA-N fluoromethane Chemical compound FC NBVXSUQYWXRMNV-UHFFFAOYSA-N 0.000 description 8
- 150000002430 hydrocarbons Chemical group 0.000 description 8
- 150000002596 lactones Chemical group 0.000 description 8
- YEJRWHAVMIAJKC-UHFFFAOYSA-N 4-Butyrolactone Chemical compound O=C1CCCO1 YEJRWHAVMIAJKC-UHFFFAOYSA-N 0.000 description 7
- 125000005073 adamantyl group Chemical group C12(CC3CC(CC(C1)C3)C2)* 0.000 description 7
- 238000004458 analytical method Methods 0.000 description 7
- 238000001354 calcination Methods 0.000 description 7
- 239000008199 coating composition Substances 0.000 description 7
- 239000003431 cross linking reagent Substances 0.000 description 7
- 238000004519 manufacturing process Methods 0.000 description 7
- RVZRBWKZFJCCIB-UHFFFAOYSA-N perfluorotributylamine Chemical compound FC(F)(F)C(F)(F)C(F)(F)C(F)(F)N(C(F)(F)C(F)(F)C(F)(F)C(F)(F)F)C(F)(F)C(F)(F)C(F)(F)C(F)(F)F RVZRBWKZFJCCIB-UHFFFAOYSA-N 0.000 description 7
- 125000001436 propyl group Chemical group [H]C([*])([H])C([H])([H])C([H])([H])[H] 0.000 description 7
- LLHKCFNBLRBOGN-UHFFFAOYSA-N propylene glycol methyl ether acetate Chemical compound COCC(C)OC(C)=O LLHKCFNBLRBOGN-UHFFFAOYSA-N 0.000 description 7
- WSFSSNUMVMOOMR-UHFFFAOYSA-N Formaldehyde Chemical compound O=C WSFSSNUMVMOOMR-UHFFFAOYSA-N 0.000 description 6
- CERQOIWHTDAKMF-UHFFFAOYSA-N Methacrylic acid Chemical compound CC(=C)C(O)=O CERQOIWHTDAKMF-UHFFFAOYSA-N 0.000 description 6
- ORILYTVJVMAKLC-UHFFFAOYSA-N adamantane Chemical compound C1C(C2)CC3CC1CC2C3 ORILYTVJVMAKLC-UHFFFAOYSA-N 0.000 description 6
- 125000005907 alkyl ester group Chemical group 0.000 description 6
- 239000007864 aqueous solution Substances 0.000 description 6
- 125000003178 carboxy group Chemical group [H]OC(*)=O 0.000 description 6
- 125000004122 cyclic group Chemical group 0.000 description 6
- 238000001312 dry etching Methods 0.000 description 6
- FYJQJMIEZVMYSD-UHFFFAOYSA-N perfluoro-2-butyltetrahydrofuran Chemical compound FC(F)(F)C(F)(F)C(F)(F)C(F)(F)C1(F)OC(F)(F)C(F)(F)C1(F)F FYJQJMIEZVMYSD-UHFFFAOYSA-N 0.000 description 6
- YGSDEFSMJLZEOE-UHFFFAOYSA-N salicylic acid Chemical compound OC(=O)C1=CC=CC=C1O YGSDEFSMJLZEOE-UHFFFAOYSA-N 0.000 description 6
- 230000008961 swelling Effects 0.000 description 6
- NIXOWILDQLNWCW-UHFFFAOYSA-M Acrylate Chemical compound [O-]C(=O)C=C NIXOWILDQLNWCW-UHFFFAOYSA-M 0.000 description 5
- 229920000178 Acrylic resin Polymers 0.000 description 5
- 239000004925 Acrylic resin Substances 0.000 description 5
- 125000001153 fluoro group Chemical group F* 0.000 description 5
- 125000002768 hydroxyalkyl group Chemical group 0.000 description 5
- 125000004108 n-butyl group Chemical group [H]C([H])([H])C([H])([H])C([H])([H])C([H])([H])* 0.000 description 5
- 230000003287 optical effect Effects 0.000 description 5
- 238000007788 roughening Methods 0.000 description 5
- 125000000999 tert-butyl group Chemical group [H]C([H])([H])C(*)(C([H])([H])[H])C([H])([H])[H] 0.000 description 5
- 238000012360 testing method Methods 0.000 description 5
- AWOATHYNVXCSGP-UHFFFAOYSA-M (4-methylphenyl)-diphenylsulfanium;trifluoromethanesulfonate Chemical compound [O-]S(=O)(=O)C(F)(F)F.C1=CC(C)=CC=C1[S+](C=1C=CC=CC=1)C1=CC=CC=C1 AWOATHYNVXCSGP-UHFFFAOYSA-M 0.000 description 4
- VZCYOOQTPOCHFL-OWOJBTEDSA-N Fumaric acid Chemical compound OC(=O)\C=C\C(O)=O VZCYOOQTPOCHFL-OWOJBTEDSA-N 0.000 description 4
- NBIIXXVUZAFLBC-UHFFFAOYSA-N Phosphoric acid Chemical compound OP(O)(O)=O NBIIXXVUZAFLBC-UHFFFAOYSA-N 0.000 description 4
- ZBCBWPMODOFKDW-UHFFFAOYSA-N diethanolamine Chemical compound OCCNCCO ZBCBWPMODOFKDW-UHFFFAOYSA-N 0.000 description 4
- 238000010894 electron beam technology Methods 0.000 description 4
- 238000009472 formulation Methods 0.000 description 4
- 238000005305 interferometry Methods 0.000 description 4
- 125000001449 isopropyl group Chemical group [H]C([H])([H])C([H])(*)C([H])([H])[H] 0.000 description 4
- 150000007524 organic acids Chemical class 0.000 description 4
- WLOQLWBIJZDHET-UHFFFAOYSA-N triphenylsulfonium Chemical class C1=CC=CC=C1[S+](C=1C=CC=CC=1)C1=CC=CC=C1 WLOQLWBIJZDHET-UHFFFAOYSA-N 0.000 description 4
- DTGKSKDOIYIVQL-WEDXCCLWSA-N (+)-borneol Chemical group C1C[C@@]2(C)[C@@H](O)C[C@@H]1C2(C)C DTGKSKDOIYIVQL-WEDXCCLWSA-N 0.000 description 3
- JHPBZFOKBAGZBL-UHFFFAOYSA-N (3-hydroxy-2,2,4-trimethylpentyl) 2-methylprop-2-enoate Chemical compound CC(C)C(O)C(C)(C)COC(=O)C(C)=C JHPBZFOKBAGZBL-UHFFFAOYSA-N 0.000 description 3
- ZWEHNKRNPOVVGH-UHFFFAOYSA-N 2-Butanone Chemical compound CCC(C)=O ZWEHNKRNPOVVGH-UHFFFAOYSA-N 0.000 description 3
- XLLXMBCBJGATSP-UHFFFAOYSA-N 2-phenylethenol Chemical group OC=CC1=CC=CC=C1 XLLXMBCBJGATSP-UHFFFAOYSA-N 0.000 description 3
- CSCPPACGZOOCGX-UHFFFAOYSA-N Acetone Chemical compound CC(C)=O CSCPPACGZOOCGX-UHFFFAOYSA-N 0.000 description 3
- XEKOWRVHYACXOJ-UHFFFAOYSA-N Ethyl acetate Chemical compound CCOC(C)=O XEKOWRVHYACXOJ-UHFFFAOYSA-N 0.000 description 3
- LYCAIKOWRPUZTN-UHFFFAOYSA-N Ethylene glycol Chemical compound OCCO LYCAIKOWRPUZTN-UHFFFAOYSA-N 0.000 description 3
- ABLZXFCXXLZCGV-UHFFFAOYSA-N Phosphorous acid Chemical compound OP(O)=O ABLZXFCXXLZCGV-UHFFFAOYSA-N 0.000 description 3
- DNIAPMSPPWPWGF-UHFFFAOYSA-N Propylene glycol Chemical compound CC(O)CO DNIAPMSPPWPWGF-UHFFFAOYSA-N 0.000 description 3
- ZMANZCXQSJIPKH-UHFFFAOYSA-N Triethylamine Chemical compound CCN(CC)CC ZMANZCXQSJIPKH-UHFFFAOYSA-N 0.000 description 3
- 230000009471 action Effects 0.000 description 3
- 150000001334 alicyclic compounds Chemical class 0.000 description 3
- 230000015572 biosynthetic process Effects 0.000 description 3
- 150000001733 carboxylic acid esters Chemical class 0.000 description 3
- 150000001735 carboxylic acids Chemical class 0.000 description 3
- KRKNYBCHXYNGOX-UHFFFAOYSA-N citric acid Chemical compound OC(=O)CC(O)(C(O)=O)CC(O)=O KRKNYBCHXYNGOX-UHFFFAOYSA-N 0.000 description 3
- 150000001875 compounds Chemical class 0.000 description 3
- 150000001925 cycloalkenes Chemical class 0.000 description 3
- MTHSVFCYNBDYFN-UHFFFAOYSA-N diethylene glycol Chemical compound OCCOCCO MTHSVFCYNBDYFN-UHFFFAOYSA-N 0.000 description 3
- 238000002474 experimental method Methods 0.000 description 3
- 125000000524 functional group Chemical group 0.000 description 3
- 229930195733 hydrocarbon Natural products 0.000 description 3
- 125000004029 hydroxymethyl group Chemical group [H]OC([H])([H])* 0.000 description 3
- UMRZSTCPUPJPOJ-KNVOCYPGSA-N norbornane Chemical compound C1C[C@H]2CC[C@@H]1C2 UMRZSTCPUPJPOJ-KNVOCYPGSA-N 0.000 description 3
- FJKROLUGYXJWQN-UHFFFAOYSA-N papa-hydroxy-benzoic acid Natural products OC(=O)C1=CC=C(O)C=C1 FJKROLUGYXJWQN-UHFFFAOYSA-N 0.000 description 3
- 229960004889 salicylic acid Drugs 0.000 description 3
- 238000004528 spin coating Methods 0.000 description 3
- VZCYOOQTPOCHFL-UHFFFAOYSA-N trans-butenedioic acid Natural products OC(=O)C=CC(O)=O VZCYOOQTPOCHFL-UHFFFAOYSA-N 0.000 description 3
- VZMYODQWFVQXNC-UHFFFAOYSA-M (4-methylphenyl)-diphenylsulfanium;1,1,2,2,3,3,4,4,4-nonafluorobutane-1-sulfonate Chemical compound [O-]S(=O)(=O)C(F)(F)C(F)(F)C(F)(F)C(F)(F)F.C1=CC(C)=CC=C1[S+](C=1C=CC=CC=1)C1=CC=CC=C1 VZMYODQWFVQXNC-UHFFFAOYSA-M 0.000 description 2
- JVZRCNQLWOELDU-UHFFFAOYSA-N 4-Phenylpyridine Chemical compound C1=CC=CC=C1C1=CC=NC=C1 JVZRCNQLWOELDU-UHFFFAOYSA-N 0.000 description 2
- FFWSICBKRCICMR-UHFFFAOYSA-N 5-methyl-2-hexanone Chemical compound CC(C)CCC(C)=O FFWSICBKRCICMR-UHFFFAOYSA-N 0.000 description 2
- WKBOTKDWSSQWDR-UHFFFAOYSA-N Bromine atom Chemical compound [Br] WKBOTKDWSSQWDR-UHFFFAOYSA-N 0.000 description 2
- 239000004215 Carbon black (E152) Substances 0.000 description 2
- ZAMOUSCENKQFHK-UHFFFAOYSA-N Chlorine atom Chemical compound [Cl] ZAMOUSCENKQFHK-UHFFFAOYSA-N 0.000 description 2
- LFQSCWFLJHTTHZ-UHFFFAOYSA-N Ethanol Chemical compound CCO LFQSCWFLJHTTHZ-UHFFFAOYSA-N 0.000 description 2
- QLZHNIAADXEJJP-UHFFFAOYSA-N Phenylphosphonic acid Chemical compound OP(O)(=O)C1=CC=CC=C1 QLZHNIAADXEJJP-UHFFFAOYSA-N 0.000 description 2
- OAICVXFJPJFONN-UHFFFAOYSA-N Phosphorus Chemical compound [P] OAICVXFJPJFONN-UHFFFAOYSA-N 0.000 description 2
- 239000004793 Polystyrene Substances 0.000 description 2
- 239000004809 Teflon Substances 0.000 description 2
- 229920006362 Teflon® Polymers 0.000 description 2
- XSQUKJJJFZCRTK-UHFFFAOYSA-N Urea Chemical compound NC(N)=O XSQUKJJJFZCRTK-UHFFFAOYSA-N 0.000 description 2
- 229910000147 aluminium phosphate Inorganic materials 0.000 description 2
- 125000003277 amino group Chemical group 0.000 description 2
- 230000008901 benefit Effects 0.000 description 2
- WPYMKLBDIGXBTP-UHFFFAOYSA-N benzoic acid Chemical compound OC(=O)C1=CC=CC=C1 WPYMKLBDIGXBTP-UHFFFAOYSA-N 0.000 description 2
- 230000005540 biological transmission Effects 0.000 description 2
- 238000009835 boiling Methods 0.000 description 2
- GDTBXPJZTBHREO-UHFFFAOYSA-N bromine Substances BrBr GDTBXPJZTBHREO-UHFFFAOYSA-N 0.000 description 2
- 229910052794 bromium Inorganic materials 0.000 description 2
- 125000000484 butyl group Chemical group [H]C([*])([H])C([H])([H])C([H])([H])C([H])([H])[H] 0.000 description 2
- 239000000460 chlorine Substances 0.000 description 2
- 229910052801 chlorine Inorganic materials 0.000 description 2
- JHIVVAPYMSGYDF-UHFFFAOYSA-N cyclohexanone Chemical compound O=C1CCCCC1 JHIVVAPYMSGYDF-UHFFFAOYSA-N 0.000 description 2
- 125000002704 decyl group Chemical group [H]C([H])([H])C([H])([H])C([H])([H])C([H])([H])C([H])([H])C([H])([H])C([H])([H])C([H])([H])C([H])([H])C([H])([H])* 0.000 description 2
- 238000007872 degassing Methods 0.000 description 2
- 238000010494 dissociation reaction Methods 0.000 description 2
- 230000005593 dissociations Effects 0.000 description 2
- POULHZVOKOAJMA-UHFFFAOYSA-N dodecanoic acid Chemical compound CCCCCCCCCCCC(O)=O POULHZVOKOAJMA-UHFFFAOYSA-N 0.000 description 2
- 125000003438 dodecyl group Chemical group [H]C([H])([H])C([H])([H])C([H])([H])C([H])([H])C([H])([H])C([H])([H])C([H])([H])C([H])([H])C([H])([H])C([H])([H])C([H])([H])C([H])([H])* 0.000 description 2
- 238000001035 drying Methods 0.000 description 2
- 238000005516 engineering process Methods 0.000 description 2
- 230000002708 enhancing effect Effects 0.000 description 2
- 230000032050 esterification Effects 0.000 description 2
- 238000005886 esterification reaction Methods 0.000 description 2
- 239000001530 fumaric acid Substances 0.000 description 2
- 238000002309 gasification Methods 0.000 description 2
- 230000009477 glass transition Effects 0.000 description 2
- VPVSTMAPERLKKM-UHFFFAOYSA-N glycoluril Chemical compound N1C(=O)NC2NC(=O)NC21 VPVSTMAPERLKKM-UHFFFAOYSA-N 0.000 description 2
- 125000005843 halogen group Chemical group 0.000 description 2
- CATSNJVOTSVZJV-UHFFFAOYSA-N heptan-2-one Chemical compound CCCCCC(C)=O CATSNJVOTSVZJV-UHFFFAOYSA-N 0.000 description 2
- 230000001965 increasing effect Effects 0.000 description 2
- 238000010884 ion-beam technique Methods 0.000 description 2
- 125000000959 isobutyl group Chemical group [H]C([H])([H])C([H])(C([H])([H])[H])C([H])([H])* 0.000 description 2
- 150000004715 keto acids Chemical class 0.000 description 2
- JDSHMPZPIAZGSV-UHFFFAOYSA-N melamine Chemical compound NC1=NC(N)=NC(N)=N1 JDSHMPZPIAZGSV-UHFFFAOYSA-N 0.000 description 2
- ACVYVLVWPXVTIT-UHFFFAOYSA-N phosphinic acid Chemical compound O[PH2]=O ACVYVLVWPXVTIT-UHFFFAOYSA-N 0.000 description 2
- 229910052698 phosphorus Inorganic materials 0.000 description 2
- 239000011574 phosphorus Substances 0.000 description 2
- 229920002223 polystyrene Polymers 0.000 description 2
- 238000002360 preparation method Methods 0.000 description 2
- 230000007261 regionalization Effects 0.000 description 2
- 239000011342 resin composition Substances 0.000 description 2
- 150000003839 salts Chemical class 0.000 description 2
- 125000002914 sec-butyl group Chemical group [H]C([H])([H])C([H])([H])C([H])(*)C([H])([H])[H] 0.000 description 2
- 239000002356 single layer Substances 0.000 description 2
- 238000003860 storage Methods 0.000 description 2
- 125000001424 substituent group Chemical group 0.000 description 2
- 239000004094 surface-active agent Substances 0.000 description 2
- ZMGAJHTTZBFZNT-UHFFFAOYSA-M tert-butyl(phenyl)iodanium;trifluoromethanesulfonate Chemical compound [O-]S(=O)(=O)C(F)(F)F.CC(C)(C)[I+]C1=CC=CC=C1 ZMGAJHTTZBFZNT-UHFFFAOYSA-M 0.000 description 2
- BFKJFAAPBSQJPD-UHFFFAOYSA-N tetrafluoroethene Chemical compound FC(F)=C(F)F BFKJFAAPBSQJPD-UHFFFAOYSA-N 0.000 description 2
- HHMQUQRJNPTPAJ-UHFFFAOYSA-M trifluoromethanesulfonate;tris(4-tert-butylphenyl)sulfanium Chemical compound [O-]S(=O)(=O)C(F)(F)F.C1=CC(C(C)(C)C)=CC=C1[S+](C=1C=CC(=CC=1)C(C)(C)C)C1=CC=C(C(C)(C)C)C=C1 HHMQUQRJNPTPAJ-UHFFFAOYSA-M 0.000 description 2
- GETQZCLCWQTVFV-UHFFFAOYSA-N trimethylamine Chemical compound CN(C)C GETQZCLCWQTVFV-UHFFFAOYSA-N 0.000 description 2
- NAWXUBYGYWOOIX-SFHVURJKSA-N (2s)-2-[[4-[2-(2,4-diaminoquinazolin-6-yl)ethyl]benzoyl]amino]-4-methylidenepentanedioic acid Chemical compound C1=CC2=NC(N)=NC(N)=C2C=C1CCC1=CC=C(C(=O)N[C@@H](CC(=C)C(O)=O)C(O)=O)C=C1 NAWXUBYGYWOOIX-SFHVURJKSA-N 0.000 description 1
- WBUSZOLVSDXDOC-UHFFFAOYSA-M (4-methoxyphenyl)-diphenylsulfanium;trifluoromethanesulfonate Chemical compound [O-]S(=O)(=O)C(F)(F)F.C1=CC(OC)=CC=C1[S+](C=1C=CC=CC=1)C1=CC=CC=C1 WBUSZOLVSDXDOC-UHFFFAOYSA-M 0.000 description 1
- JZDQKBZKFIWSNW-UHFFFAOYSA-N (4-methoxyphenyl)-phenyliodanium Chemical compound C1=CC(OC)=CC=C1[I+]C1=CC=CC=C1 JZDQKBZKFIWSNW-UHFFFAOYSA-N 0.000 description 1
- RLAWXWSZTKMPQQ-UHFFFAOYSA-M (4-tert-butylphenyl)-diphenylsulfanium;trifluoromethanesulfonate Chemical compound [O-]S(=O)(=O)C(F)(F)F.C1=CC(C(C)(C)C)=CC=C1[S+](C=1C=CC=CC=1)C1=CC=CC=C1 RLAWXWSZTKMPQQ-UHFFFAOYSA-M 0.000 description 1
- 125000004169 (C1-C6) alkyl group Chemical group 0.000 description 1
- XVOUMQNXTGKGMA-OWOJBTEDSA-N (E)-glutaconic acid Chemical compound OC(=O)C\C=C\C(O)=O XVOUMQNXTGKGMA-OWOJBTEDSA-N 0.000 description 1
- BJEPYKJPYRNKOW-REOHCLBHSA-N (S)-malic acid Chemical compound OC(=O)[C@@H](O)CC(O)=O BJEPYKJPYRNKOW-REOHCLBHSA-N 0.000 description 1
- OKIYQFLILPKULA-UHFFFAOYSA-N 1,1,1,2,2,3,3,4,4-nonafluoro-4-methoxybutane Chemical compound COC(F)(F)C(F)(F)C(F)(F)C(F)(F)F OKIYQFLILPKULA-UHFFFAOYSA-N 0.000 description 1
- XGQJGMGAMHFMAO-UHFFFAOYSA-N 1,3,4,6-tetrakis(methoxymethyl)-3a,6a-dihydroimidazo[4,5-d]imidazole-2,5-dione Chemical compound COCN1C(=O)N(COC)C2C1N(COC)C(=O)N2COC XGQJGMGAMHFMAO-UHFFFAOYSA-N 0.000 description 1
- XKALZGSIEJZJCZ-UHFFFAOYSA-N 1,3-bis(methoxymethyl)urea Chemical compound COCNC(=O)NCOC XKALZGSIEJZJCZ-UHFFFAOYSA-N 0.000 description 1
- RYHBNJHYFVUHQT-UHFFFAOYSA-N 1,4-Dioxane Chemical compound C1COCCO1 RYHBNJHYFVUHQT-UHFFFAOYSA-N 0.000 description 1
- YLVACWCCJCZITJ-UHFFFAOYSA-N 1,4-dioxane-2,3-diol Chemical compound OC1OCCOC1O YLVACWCCJCZITJ-UHFFFAOYSA-N 0.000 description 1
- DURPTKYDGMDSBL-UHFFFAOYSA-N 1-butoxybutane Chemical compound CCCCOCCCC DURPTKYDGMDSBL-UHFFFAOYSA-N 0.000 description 1
- DFUYAWQUODQGFF-UHFFFAOYSA-N 1-ethoxy-1,1,2,2,3,3,4,4,4-nonafluorobutane Chemical compound CCOC(F)(F)C(F)(F)C(F)(F)C(F)(F)F DFUYAWQUODQGFF-UHFFFAOYSA-N 0.000 description 1
- ARXJGSRGQADJSQ-UHFFFAOYSA-N 1-methoxypropan-2-ol Chemical compound COCC(C)O ARXJGSRGQADJSQ-UHFFFAOYSA-N 0.000 description 1
- UEOZRAZSBQVQKG-UHFFFAOYSA-N 2,2,3,3,4,4,5,5-octafluorooxolane Chemical compound FC1(F)OC(F)(F)C(F)(F)C1(F)F UEOZRAZSBQVQKG-UHFFFAOYSA-N 0.000 description 1
- CINLQQQCBJCXQQ-UHFFFAOYSA-N 2,3-bis(hydroxymethyl)bicyclo[2.2.1]heptan-5-ol Chemical compound C1C(O)C2C(CO)C(CO)C1C2 CINLQQQCBJCXQQ-UHFFFAOYSA-N 0.000 description 1
- XXXFZKQPYACQLD-UHFFFAOYSA-N 2-(2-hydroxyethoxy)ethyl acetate Chemical compound CC(=O)OCCOCCO XXXFZKQPYACQLD-UHFFFAOYSA-N 0.000 description 1
- WCUWXIHEIPVBEI-UHFFFAOYSA-N 2-(2-phenylethenoxy)oxane Chemical group O1CCCCC1OC=CC1=CC=CC=C1 WCUWXIHEIPVBEI-UHFFFAOYSA-N 0.000 description 1
- JAHNSTQSQJOJLO-UHFFFAOYSA-N 2-(3-fluorophenyl)-1h-imidazole Chemical compound FC1=CC=CC(C=2NC=CN=2)=C1 JAHNSTQSQJOJLO-UHFFFAOYSA-N 0.000 description 1
- HXDLWJWIAHWIKI-UHFFFAOYSA-N 2-hydroxyethyl acetate Chemical compound CC(=O)OCCO HXDLWJWIAHWIKI-UHFFFAOYSA-N 0.000 description 1
- PPPFYBPQAPISCT-UHFFFAOYSA-N 2-hydroxypropyl acetate Chemical compound CC(O)COC(C)=O PPPFYBPQAPISCT-UHFFFAOYSA-N 0.000 description 1
- JKOZWMQUOWYZAB-UHFFFAOYSA-N 2-methyladamantan-2-ol Chemical compound C1C(C2)CC3CC1C(C)(O)C2C3 JKOZWMQUOWYZAB-UHFFFAOYSA-N 0.000 description 1
- BNCADMBVWNPPIZ-UHFFFAOYSA-N 2-n,2-n,4-n,4-n,6-n,6-n-hexakis(methoxymethyl)-1,3,5-triazine-2,4,6-triamine Chemical compound COCN(COC)C1=NC(N(COC)COC)=NC(N(COC)COC)=N1 BNCADMBVWNPPIZ-UHFFFAOYSA-N 0.000 description 1
- 125000004199 4-trifluoromethylphenyl group Chemical group [H]C1=C([H])C(=C([H])C([H])=C1*)C(F)(F)F 0.000 description 1
- NOJYODYRROSGIM-UHFFFAOYSA-N 5-(hydroxymethyl)bicyclo[2.2.1]heptane-2,3-diol Chemical compound C1C2C(CO)CC1C(O)C2O NOJYODYRROSGIM-UHFFFAOYSA-N 0.000 description 1
- GZVHEAJQGPRDLQ-UHFFFAOYSA-N 6-phenyl-1,3,5-triazine-2,4-diamine Chemical compound NC1=NC(N)=NC(C=2C=CC=CC=2)=N1 GZVHEAJQGPRDLQ-UHFFFAOYSA-N 0.000 description 1
- LPEKGGXMPWTOCB-UHFFFAOYSA-N 8beta-(2,3-epoxy-2-methylbutyryloxy)-14-acetoxytithifolin Natural products COC(=O)C(C)O LPEKGGXMPWTOCB-UHFFFAOYSA-N 0.000 description 1
- IJGRMHOSHXDMSA-UHFFFAOYSA-N Atomic nitrogen Chemical compound N#N IJGRMHOSHXDMSA-UHFFFAOYSA-N 0.000 description 1
- 239000005711 Benzoic acid Substances 0.000 description 1
- DKPFZGUDAPQIHT-UHFFFAOYSA-N Butyl acetate Natural products CCCCOC(C)=O DKPFZGUDAPQIHT-UHFFFAOYSA-N 0.000 description 1
- OKTJSMMVPCPJKN-UHFFFAOYSA-N Carbon Chemical compound [C] OKTJSMMVPCPJKN-UHFFFAOYSA-N 0.000 description 1
- JYFHYPJRHGVZDY-UHFFFAOYSA-N Dibutyl phosphate Chemical compound CCCCOP(O)(=O)OCCCC JYFHYPJRHGVZDY-UHFFFAOYSA-N 0.000 description 1
- RTZKZFJDLAIYFH-UHFFFAOYSA-N Diethyl ether Chemical compound CCOCC RTZKZFJDLAIYFH-UHFFFAOYSA-N 0.000 description 1
- LCGLNKUTAGEVQW-UHFFFAOYSA-N Dimethyl ether Chemical compound COC LCGLNKUTAGEVQW-UHFFFAOYSA-N 0.000 description 1
- XXRCUYVCPSWGCC-UHFFFAOYSA-N Ethyl pyruvate Chemical compound CCOC(=O)C(C)=O XXRCUYVCPSWGCC-UHFFFAOYSA-N 0.000 description 1
- 101000766096 Halorubrum sodomense Archaerhodopsin-3 Proteins 0.000 description 1
- UFHFLCQGNIYNRP-UHFFFAOYSA-N Hydrogen Chemical compound [H][H] UFHFLCQGNIYNRP-UHFFFAOYSA-N 0.000 description 1
- 229920000877 Melamine resin Polymers 0.000 description 1
- XBDQKXXYIPTUBI-UHFFFAOYSA-M Propionate Chemical compound CCC([O-])=O XBDQKXXYIPTUBI-UHFFFAOYSA-M 0.000 description 1
- KDYFGRWQOYBRFD-UHFFFAOYSA-N Succinic acid Natural products OC(=O)CCC(O)=O KDYFGRWQOYBRFD-UHFFFAOYSA-N 0.000 description 1
- SLINHMUFWFWBMU-UHFFFAOYSA-N Triisopropanolamine Chemical compound CC(O)CN(CC(C)O)CC(C)O SLINHMUFWFWBMU-UHFFFAOYSA-N 0.000 description 1
- ORLQHILJRHBSAY-UHFFFAOYSA-N [1-(hydroxymethyl)cyclohexyl]methanol Chemical compound OCC1(CO)CCCCC1 ORLQHILJRHBSAY-UHFFFAOYSA-N 0.000 description 1
- GLGXSTXZLFQYKJ-UHFFFAOYSA-N [cyclohexylsulfonyl(diazo)methyl]sulfonylcyclohexane Chemical compound C1CCCCC1S(=O)(=O)C(=[N+]=[N-])S(=O)(=O)C1CCCCC1 GLGXSTXZLFQYKJ-UHFFFAOYSA-N 0.000 description 1
- KXKVLQRXCPHEJC-UHFFFAOYSA-N acetic acid trimethyl ester Natural products COC(C)=O KXKVLQRXCPHEJC-UHFFFAOYSA-N 0.000 description 1
- XRLHGXGMYJNYCR-UHFFFAOYSA-N acetic acid;2-(2-hydroxypropoxy)propan-1-ol Chemical compound CC(O)=O.CC(O)COC(C)CO XRLHGXGMYJNYCR-UHFFFAOYSA-N 0.000 description 1
- NJYZCEFQAIUHSD-UHFFFAOYSA-N acetoguanamine Chemical compound CC1=NC(N)=NC(N)=N1 NJYZCEFQAIUHSD-UHFFFAOYSA-N 0.000 description 1
- 239000000654 additive Substances 0.000 description 1
- 230000000996 additive effect Effects 0.000 description 1
- 230000002411 adverse Effects 0.000 description 1
- 125000002723 alicyclic group Chemical group 0.000 description 1
- 125000004183 alkoxy alkyl group Chemical group 0.000 description 1
- 125000004453 alkoxycarbonyl group Chemical group 0.000 description 1
- 125000004849 alkoxymethyl group Chemical group 0.000 description 1
- 125000005250 alkyl acrylate group Chemical group 0.000 description 1
- 150000003973 alkyl amines Chemical class 0.000 description 1
- BJEPYKJPYRNKOW-UHFFFAOYSA-N alpha-hydroxysuccinic acid Natural products OC(=O)C(O)CC(O)=O BJEPYKJPYRNKOW-UHFFFAOYSA-N 0.000 description 1
- 150000001450 anions Chemical class 0.000 description 1
- QVGXLLKOCUKJST-UHFFFAOYSA-N atomic oxygen Chemical compound [O] QVGXLLKOCUKJST-UHFFFAOYSA-N 0.000 description 1
- 235000010233 benzoic acid Nutrition 0.000 description 1
- DJBAOXYQCAKLPH-UHFFFAOYSA-M bis(4-tert-butylphenyl)iodanium;1,1,2,2,3,3,4,4,4-nonafluorobutane-1-sulfonate Chemical compound [O-]S(=O)(=O)C(F)(F)C(F)(F)C(F)(F)C(F)(F)F.C1=CC(C(C)(C)C)=CC=C1[I+]C1=CC=C(C(C)(C)C)C=C1 DJBAOXYQCAKLPH-UHFFFAOYSA-M 0.000 description 1
- VGZKCAUAQHHGDK-UHFFFAOYSA-M bis(4-tert-butylphenyl)iodanium;trifluoromethanesulfonate Chemical compound [O-]S(=O)(=O)C(F)(F)F.C1=CC(C(C)(C)C)=CC=C1[I+]C1=CC=C(C(C)(C)C)C=C1 VGZKCAUAQHHGDK-UHFFFAOYSA-M 0.000 description 1
- KDYFGRWQOYBRFD-NUQCWPJISA-N butanedioic acid Chemical compound O[14C](=O)CC[14C](O)=O KDYFGRWQOYBRFD-NUQCWPJISA-N 0.000 description 1
- 239000004202 carbamide Substances 0.000 description 1
- 229910052799 carbon Inorganic materials 0.000 description 1
- 125000003262 carboxylic acid ester group Chemical group [H]C([H])([*:2])OC(=O)C([H])([H])[*:1] 0.000 description 1
- NFJPGAKRJKLOJK-UHFFFAOYSA-N chembl1901631 Chemical compound CCCCOP(=O)OCCCC NFJPGAKRJKLOJK-UHFFFAOYSA-N 0.000 description 1
- 239000003795 chemical substances by application Substances 0.000 description 1
- 235000015165 citric acid Nutrition 0.000 description 1
- 239000011247 coating layer Substances 0.000 description 1
- 239000003086 colorant Substances 0.000 description 1
- 238000007796 conventional method Methods 0.000 description 1
- 238000004132 cross linking Methods 0.000 description 1
- 125000006165 cyclic alkyl group Chemical group 0.000 description 1
- 150000004292 cyclic ethers Chemical class 0.000 description 1
- FSDSKERRNURGGO-UHFFFAOYSA-N cyclohexane-1,3,5-triol Chemical compound OC1CC(O)CC(O)C1 FSDSKERRNURGGO-UHFFFAOYSA-N 0.000 description 1
- 125000000113 cyclohexyl group Chemical group [H]C1([H])C([H])([H])C([H])([H])C([H])(*)C([H])([H])C1([H])[H] 0.000 description 1
- 125000001511 cyclopentyl group Chemical group [H]C1([H])C([H])([H])C([H])([H])C([H])(*)C1([H])[H] 0.000 description 1
- 230000002950 deficient Effects 0.000 description 1
- 230000018044 dehydration Effects 0.000 description 1
- 238000006297 dehydration reaction Methods 0.000 description 1
- HPNMFZURTQLUMO-UHFFFAOYSA-N diethylamine Chemical compound CCNCC HPNMFZURTQLUMO-UHFFFAOYSA-N 0.000 description 1
- YLFBFPXKTIQSSY-UHFFFAOYSA-N dimethoxy(oxo)phosphanium Chemical compound CO[P+](=O)OC YLFBFPXKTIQSSY-UHFFFAOYSA-N 0.000 description 1
- CYQUIWZGOBANMJ-UHFFFAOYSA-M dimethyl(phenyl)sulfanium;trifluoromethanesulfonate Chemical compound [O-]S(=O)(=O)C(F)(F)F.C[S+](C)C1=CC=CC=C1 CYQUIWZGOBANMJ-UHFFFAOYSA-M 0.000 description 1
- 229910001873 dinitrogen Inorganic materials 0.000 description 1
- USIUVYZYUHIAEV-UHFFFAOYSA-N diphenyl ether Chemical compound C=1C=CC=CC=1OC1=CC=CC=C1 USIUVYZYUHIAEV-UHFFFAOYSA-N 0.000 description 1
- ASMQGLCHMVWBQR-UHFFFAOYSA-M diphenyl phosphate Chemical compound C=1C=CC=CC=1OP(=O)([O-])OC1=CC=CC=C1 ASMQGLCHMVWBQR-UHFFFAOYSA-M 0.000 description 1
- NGBMJGUHGGNOQQ-UHFFFAOYSA-M diphenyl-[4-(trifluoromethyl)phenyl]sulfanium;1,1,2,2,3,3,4,4,4-nonafluorobutane-1-sulfonate Chemical compound [O-]S(=O)(=O)C(F)(F)C(F)(F)C(F)(F)C(F)(F)F.C1=CC(C(F)(F)F)=CC=C1[S+](C=1C=CC=CC=1)C1=CC=CC=C1 NGBMJGUHGGNOQQ-UHFFFAOYSA-M 0.000 description 1
- ORPDKMPYOLFUBA-UHFFFAOYSA-M diphenyliodanium;1,1,2,2,3,3,4,4,4-nonafluorobutane-1-sulfonate Chemical compound C=1C=CC=CC=1[I+]C1=CC=CC=C1.[O-]S(=O)(=O)C(F)(F)C(F)(F)C(F)(F)C(F)(F)F ORPDKMPYOLFUBA-UHFFFAOYSA-M 0.000 description 1
- SBQIJPBUMNWUKN-UHFFFAOYSA-M diphenyliodanium;trifluoromethanesulfonate Chemical compound [O-]S(=O)(=O)C(F)(F)F.C=1C=CC=CC=1[I+]C1=CC=CC=C1 SBQIJPBUMNWUKN-UHFFFAOYSA-M 0.000 description 1
- LTYMSROWYAPPGB-UHFFFAOYSA-O diphenylsulfanium Chemical compound C=1C=CC=CC=1[SH+]C1=CC=CC=C1 LTYMSROWYAPPGB-UHFFFAOYSA-O 0.000 description 1
- POLCUAVZOMRGSN-UHFFFAOYSA-N dipropyl ether Chemical compound CCCOCCC POLCUAVZOMRGSN-UHFFFAOYSA-N 0.000 description 1
- WEHWNAOGRSTTBQ-UHFFFAOYSA-N dipropylamine Chemical compound CCCNCCC WEHWNAOGRSTTBQ-UHFFFAOYSA-N 0.000 description 1
- SZXQTJUDPRGNJN-UHFFFAOYSA-N dipropylene glycol Chemical compound OCCCOCCCO SZXQTJUDPRGNJN-UHFFFAOYSA-N 0.000 description 1
- 238000009826 distribution Methods 0.000 description 1
- ODQWQRRAPPTVAG-GZTJUZNOSA-N doxepin Chemical compound C1OC2=CC=CC=C2C(=C/CCN(C)C)/C2=CC=CC=C21 ODQWQRRAPPTVAG-GZTJUZNOSA-N 0.000 description 1
- 230000007613 environmental effect Effects 0.000 description 1
- UHKJHMOIRYZSTH-UHFFFAOYSA-N ethyl 2-ethoxypropanoate Chemical compound CCOC(C)C(=O)OCC UHKJHMOIRYZSTH-UHFFFAOYSA-N 0.000 description 1
- 229940117360 ethyl pyruvate Drugs 0.000 description 1
- 125000003709 fluoroalkyl group Chemical group 0.000 description 1
- 239000007789 gas Substances 0.000 description 1
- 238000005227 gel permeation chromatography Methods 0.000 description 1
- FUZZWVXGSFPDMH-UHFFFAOYSA-M hexanoate Chemical compound CCCCCC([O-])=O FUZZWVXGSFPDMH-UHFFFAOYSA-M 0.000 description 1
- 229920001519 homopolymer Polymers 0.000 description 1
- 239000001257 hydrogen Substances 0.000 description 1
- 229910052739 hydrogen Inorganic materials 0.000 description 1
- 238000005286 illumination Methods 0.000 description 1
- YAMHXTCMCPHKLN-UHFFFAOYSA-N imidazolidin-2-one Chemical compound O=C1NCCN1 YAMHXTCMCPHKLN-UHFFFAOYSA-N 0.000 description 1
- 239000011261 inert gas Substances 0.000 description 1
- 239000003112 inhibitor Substances 0.000 description 1
- 230000009545 invasion Effects 0.000 description 1
- 150000002500 ions Chemical class 0.000 description 1
- 125000001972 isopentyl group Chemical group [H]C([H])([H])C([H])(C([H])([H])[H])C([H])([H])C([H])([H])* 0.000 description 1
- 150000002576 ketones Chemical class 0.000 description 1
- 239000004973 liquid crystal related substance Substances 0.000 description 1
- VZCYOOQTPOCHFL-UPHRSURJSA-N maleic acid Chemical compound OC(=O)\C=C/C(O)=O VZCYOOQTPOCHFL-UPHRSURJSA-N 0.000 description 1
- 239000011976 maleic acid Substances 0.000 description 1
- 239000001630 malic acid Substances 0.000 description 1
- 235000011090 malic acid Nutrition 0.000 description 1
- HNEGQIOMVPPMNR-NSCUHMNNSA-N mesaconic acid Chemical compound OC(=O)C(/C)=C/C(O)=O HNEGQIOMVPPMNR-NSCUHMNNSA-N 0.000 description 1
- BDJSOPWXYLFTNW-UHFFFAOYSA-N methyl 3-methoxypropanoate Chemical compound COCCC(=O)OC BDJSOPWXYLFTNW-UHFFFAOYSA-N 0.000 description 1
- 229940057867 methyl lactate Drugs 0.000 description 1
- CWKLZLBVOJRSOM-UHFFFAOYSA-N methyl pyruvate Chemical compound COC(=O)C(C)=O CWKLZLBVOJRSOM-UHFFFAOYSA-N 0.000 description 1
- LVHBHZANLOWSRM-UHFFFAOYSA-N methylenebutanedioic acid Natural products OC(=O)CC(=C)C(O)=O LVHBHZANLOWSRM-UHFFFAOYSA-N 0.000 description 1
- HNEGQIOMVPPMNR-UHFFFAOYSA-N methylfumaric acid Natural products OC(=O)C(C)=CC(O)=O HNEGQIOMVPPMNR-UHFFFAOYSA-N 0.000 description 1
- 125000002950 monocyclic group Chemical group 0.000 description 1
- 125000001280 n-hexyl group Chemical group C(CCCCC)* 0.000 description 1
- 125000000740 n-pentyl group Chemical group [H]C([H])([H])C([H])([H])C([H])([H])C([H])([H])C([H])([H])* 0.000 description 1
- 125000001971 neopentyl group Chemical group [H]C([*])([H])C(C([H])([H])[H])(C([H])([H])[H])C([H])([H])[H] 0.000 description 1
- 125000002868 norbornyl group Chemical group C12(CCC(CC1)C2)* 0.000 description 1
- 125000002347 octyl group Chemical group [H]C([*])([H])C([H])([H])C([H])([H])C([H])([H])C([H])([H])C([H])([H])C([H])([H])C([H])([H])[H] 0.000 description 1
- 235000005985 organic acids Nutrition 0.000 description 1
- CDXVUROVRIFQMV-UHFFFAOYSA-N oxo(diphenoxy)phosphanium Chemical compound C=1C=CC=CC=1O[P+](=O)OC1=CC=CC=C1 CDXVUROVRIFQMV-UHFFFAOYSA-N 0.000 description 1
- RQKYHDHLEMEVDR-UHFFFAOYSA-N oxo-bis(phenylmethoxy)phosphanium Chemical compound C=1C=CC=CC=1CO[P+](=O)OCC1=CC=CC=C1 RQKYHDHLEMEVDR-UHFFFAOYSA-N 0.000 description 1
- 239000001301 oxygen Substances 0.000 description 1
- 229910052760 oxygen Inorganic materials 0.000 description 1
- 125000004430 oxygen atom Chemical group O* 0.000 description 1
- 230000036961 partial effect Effects 0.000 description 1
- 125000001147 pentyl group Chemical group C(CCCC)* 0.000 description 1
- 229960004624 perflexane Drugs 0.000 description 1
- 229920013653 perfluoroalkoxyethylene Polymers 0.000 description 1
- LGUZHRODIJCVOC-UHFFFAOYSA-N perfluoroheptane Chemical compound FC(F)(F)C(F)(F)C(F)(F)C(F)(F)C(F)(F)C(F)(F)C(F)(F)F LGUZHRODIJCVOC-UHFFFAOYSA-N 0.000 description 1
- ZJIJAJXFLBMLCK-UHFFFAOYSA-N perfluorohexane Chemical compound FC(F)(F)C(F)(F)C(F)(F)C(F)(F)C(F)(F)C(F)(F)F ZJIJAJXFLBMLCK-UHFFFAOYSA-N 0.000 description 1
- MLCHBQKMVKNBOV-UHFFFAOYSA-N phenylphosphinic acid Chemical compound OP(=O)C1=CC=CC=C1 MLCHBQKMVKNBOV-UHFFFAOYSA-N 0.000 description 1
- 239000004014 plasticizer Substances 0.000 description 1
- 229920002493 poly(chlorotrifluoroethylene) Polymers 0.000 description 1
- 229920000058 polyacrylate Polymers 0.000 description 1
- 229920001343 polytetrafluoroethylene Polymers 0.000 description 1
- 230000005855 radiation Effects 0.000 description 1
- 230000009467 reduction Effects 0.000 description 1
- 230000002829 reductive effect Effects 0.000 description 1
- 150000003335 secondary amines Chemical class 0.000 description 1
- 239000004065 semiconductor Substances 0.000 description 1
- 239000007787 solid Substances 0.000 description 1
- 238000005507 spraying Methods 0.000 description 1
- 239000003381 stabilizer Substances 0.000 description 1
- 125000003011 styrenyl group Chemical group [H]\C(*)=C(/[H])C1=C([H])C([H])=C([H])C([H])=C1[H] 0.000 description 1
- 150000005846 sugar alcohols Polymers 0.000 description 1
- ISXSCDLOGDJUNJ-UHFFFAOYSA-N tert-butyl prop-2-enoate Chemical group CC(C)(C)OC(=O)C=C ISXSCDLOGDJUNJ-UHFFFAOYSA-N 0.000 description 1
- 150000003512 tertiary amines Chemical class 0.000 description 1
- MAZWDMBCPDUFDJ-UHFFFAOYSA-N trans-Traumatinsaeure Natural products OC(=O)CCCCCCCCC=CC(O)=O MAZWDMBCPDUFDJ-UHFFFAOYSA-N 0.000 description 1
- MAZWDMBCPDUFDJ-VQHVLOKHSA-N traumatic acid Chemical compound OC(=O)CCCCCCCC\C=C\C(O)=O MAZWDMBCPDUFDJ-VQHVLOKHSA-N 0.000 description 1
- ITMCEJHCFYSIIV-UHFFFAOYSA-M triflate Chemical compound [O-]S(=O)(=O)C(F)(F)F ITMCEJHCFYSIIV-UHFFFAOYSA-M 0.000 description 1
- FAYMLNNRGCYLSR-UHFFFAOYSA-M triphenylsulfonium triflate Chemical compound [O-]S(=O)(=O)C(F)(F)F.C1=CC=CC=C1[S+](C=1C=CC=CC=1)C1=CC=CC=C1 FAYMLNNRGCYLSR-UHFFFAOYSA-M 0.000 description 1
- YFTHZRPMJXBUME-UHFFFAOYSA-N tripropylamine Chemical compound CCCN(CCC)CCC YFTHZRPMJXBUME-UHFFFAOYSA-N 0.000 description 1
- 238000005406 washing Methods 0.000 description 1
Classifications
-
- G—PHYSICS
- G03—PHOTOGRAPHY; CINEMATOGRAPHY; ANALOGOUS TECHNIQUES USING WAVES OTHER THAN OPTICAL WAVES; ELECTROGRAPHY; HOLOGRAPHY
- G03F—PHOTOMECHANICAL PRODUCTION OF TEXTURED OR PATTERNED SURFACES, e.g. FOR PRINTING, FOR PROCESSING OF SEMICONDUCTOR DEVICES; MATERIALS THEREFOR; ORIGINALS THEREFOR; APPARATUS SPECIALLY ADAPTED THEREFOR
- G03F7/00—Photomechanical, e.g. photolithographic, production of textured or patterned surfaces, e.g. printing surfaces; Materials therefor, e.g. comprising photoresists; Apparatus specially adapted therefor
- G03F7/20—Exposure; Apparatus therefor
- G03F7/2041—Exposure; Apparatus therefor in the presence of a fluid, e.g. immersion; using fluid cooling means
-
- G—PHYSICS
- G03—PHOTOGRAPHY; CINEMATOGRAPHY; ANALOGOUS TECHNIQUES USING WAVES OTHER THAN OPTICAL WAVES; ELECTROGRAPHY; HOLOGRAPHY
- G03F—PHOTOMECHANICAL PRODUCTION OF TEXTURED OR PATTERNED SURFACES, e.g. FOR PRINTING, FOR PROCESSING OF SEMICONDUCTOR DEVICES; MATERIALS THEREFOR; ORIGINALS THEREFOR; APPARATUS SPECIALLY ADAPTED THEREFOR
- G03F7/00—Photomechanical, e.g. photolithographic, production of textured or patterned surfaces, e.g. printing surfaces; Materials therefor, e.g. comprising photoresists; Apparatus specially adapted therefor
- G03F7/004—Photosensitive materials
- G03F7/039—Macromolecular compounds which are photodegradable, e.g. positive electron resists
-
- G—PHYSICS
- G03—PHOTOGRAPHY; CINEMATOGRAPHY; ANALOGOUS TECHNIQUES USING WAVES OTHER THAN OPTICAL WAVES; ELECTROGRAPHY; HOLOGRAPHY
- G03F—PHOTOMECHANICAL PRODUCTION OF TEXTURED OR PATTERNED SURFACES, e.g. FOR PRINTING, FOR PROCESSING OF SEMICONDUCTOR DEVICES; MATERIALS THEREFOR; ORIGINALS THEREFOR; APPARATUS SPECIALLY ADAPTED THEREFOR
- G03F7/00—Photomechanical, e.g. photolithographic, production of textured or patterned surfaces, e.g. printing surfaces; Materials therefor, e.g. comprising photoresists; Apparatus specially adapted therefor
- G03F7/004—Photosensitive materials
- G03F7/09—Photosensitive materials characterised by structural details, e.g. supports, auxiliary layers
- G03F7/11—Photosensitive materials characterised by structural details, e.g. supports, auxiliary layers having cover layers or intermediate layers, e.g. subbing layers
Definitions
- the present invention relates to a material for forming a resist protecting film which is advantageously used in a liquid immersion lithography process, especially in a liquid immersion lithography process of the construction in which a resist film is exposed with lithographic exposure light through a liquid present at least on the resist film in a path of the exposure light toward the resist film wherein the liquid has a predetermined thickness and has a refractive index higher than that of air and lower than that of the resist film, thus improving the resolution of a resist pattern.
- the present invention also relates to a resist film having thereon a protective film formed from the material for forming a protecting film, and to a method for forming a resist pattern using the protective film.
- lithography method In the fabrication of a variety of electronic devices with microstructures, such as semiconductor devices and liquid crystal devices, a lithography method is widely used, and, as the device structures are miniaturized, resist patterns in the lithography process are desired to be miniaturized.
- a fine resist pattern having a line width as small as, for example, 90 nm can be formed by the lithography method, and the formation of a further finer pattern will be needed in the future.
- a first point for achieving the formation of such a fine pattern that is smaller than 90 nm, is to develop an improved exposure system and a corresponding resist.
- the point of the development of the improved exposure system generally includes provision of a light source, such as an F 2 laser, an EUV (extreme ultraviolet light), an electron beam, or an X-ray, a soft X-ray, with a shorter wavelength and of a lens having an increased numerical aperture (NA).
- a light source such as an F 2 laser, an EUV (extreme ultraviolet light), an electron beam, or an X-ray, a soft X-ray, with a shorter wavelength and of a lens having an increased numerical aperture (NA).
- the light source having a shorter wavelength has a problem in that it requires a new expensive exposure system, and the increase of NA has a problem in that since there is a trade-off between the resolution and the depth of focus, the increase in the resolution lowers the depth of focus.
- a resist film is exposed through a liquid refractive index medium (refractive index liquid, immersion liquid), such as pure water or a fluorocarbon inert liquid, having a predetermined thickness, with the liquid refractive index medium lying at least on the resist film between a lens and the resist film on a substrate.
- a liquid refractive index medium such as pure water or a fluorocarbon inert liquid
- the space of the path of exposure light which has conventionally been filled with an inert gas, such as air or nitrogen gas, is replaced by a liquid having a larger refractive index (n), for example, pure water, with the result that even though a light source having a wavelength for the exposure conventionally used is employed, high resolution can be achieved without lowering the depth of focus like the case where a light source having a shorter wavelength or a lens having a higher NA is used.
- n refractive index
- liquid immersion lithography By employing the liquid immersion lithography, a resist pattern having a higher resolution and an excellent depth of focus can be formed at a low cost using a lens mounted on the existing exposure system, so that the liquid immersion lithography has attracted a considerable attention.
- the resist film is directly in contact with the refractive index liquid (immersion liquid) during the exposure, and hence the resist film is vulnerable to invasion by the liquid. Therefore, it is necessary to check whether the resist composition conventionally used can be applied as is to the liquid immersion lithography process.
- the resist composition currently commonly used are established compositions that were obtained as a result of examination of a wide variety of candidate resins in respect of the transparency to the exposure light, which is the most essential property to the resist compositions.
- the inventors of the present invention have made experiments and studies with a view to obtaining from the currently proposed resist compositions a resist composition having properties suitable for the liquid immersion lithography as such or after slightly adjusting the formulation of the resist composition. As a result, it has been found that a promising resist composition from a practical point of view is present.
- resist compositions which cannot achieve satisfactory resolution of pattern in the liquid immersion lithography due to a change in their properties by the liquid, but which exhibit fine and high resolution in ordinary lithography employing the exposure through a layer of air.
- Such resist compositions have been established by spending considerable resources on the development, and are excellent in various resist properties, such as transparency to the exposure light, development properties, and storage stability.
- These resist compositions include a number of compositions which are poor only in the resistance to the immersion liquid.
- any objects of the exposure for example, a resist film, a photographic sensitive plate, and an image screen, cause no change in the performance of the optical system, so far as they are inert to the immersion liquid, namely, they are not affected by the immersion liquid, and they do not affect the immersion liquid. Therefore, a check test for this point is not required.
- the effect of the resist film on the immersion liquid in (ii) specifically indicates that the component of the resist film is dissolved in the immersion liquid to change the refractive index of the liquid.
- the refractive index of the immersion liquid changes, the optical resolution of the pattern exposure is sure to change, and experiments are unnecessary. It is enough to simply check whether the component of the resist film immersed in a liquid is dissolved in the liquid to change the formulation or refractive index of the immersion liquid, and it is unnecessary to check the resolution by actual irradiation of a pattern light and development.
- the suitability for liquid immersion lithography of the resist film currently proposed was evaluated by an evaluation test such that “the resist film after the exposure is showered with the immersion liquid and then developed, and the resultant resist pattern is examined in respect of the resolution”.
- the suitability can also be evaluated by simulating the practical production process using a “two-beam interferometry exposure method” that includes using an interfered light caused by a prism as a pattern light for exposure and subjecting a sample immersed in a liquid to exposure.
- resist compositions having qualities slightly lowered but having properties suitable for the liquid immersion lithography are obtained from the currently proposed resist compositions by using the resin compositions as such or by adjusting the formulation of the resin compositions. It has also been confirmed that there are a number of resist films which cannot achieve satisfactory resolution of pattern in the liquid immersion lithography due to the change of properties by the immersion liquid, but which exhibit fine and high resolution in ordinary lithography employing the exposure through a layer of air.
- an object of the invention is to provide a technique for applying a resist film obtained from the conventional resist composition established by spending considerable resources on the development to the liquid immersion lithography.
- an object the invention is to provide a specific protective film temporarily formed on the surface of a conventional resist film, thus making it possible not only to prevent both the resist film and the liquid used from changing in properties during the liquid immersion lithography but also to form a resist pattern with high resolution using the liquid immersion lithography.
- the material for forming a resist protecting film for use in a liquid immersion lithography process of the present invention is a material for forming a resist protecting film which is for use in a liquid immersion lithography process and which is formed on a resist film, wherein the material has the following properties of: being transparent with respect to exposure light; having substantially no compatibility with a liquid for liquid immersion lithography; and causing no mixing with the resist film.
- the composite film for use in a liquid immersion lithography process of the present invention comprises a protective film and a resist film, wherein the protective film has the following properties of: being transparent with respect to exposure light; having substantially no compatibility with a liquid for liquid immersion lithography; and causing no mixing with the resist film, and wherein the protective film is formed on the surface of the resist film.
- the method for forming a resist pattern of the present invention is a method for forming a resist pattern using a liquid immersion lithography process, wherein the method comprises: forming a photoresist film on a substrate; forming, on the resist film, a protective film having the following properties of: being transparent with respect to exposure light, having substantially no compatibility with a liquid for liquid immersion lithography, and causing no mixing with the resist film; directly placing the liquid for liquid immersion lithography having a predetermined thickness at least on the protective film on the substrate having the resist film and the protective film stacked thereon; irradiating the resist film with predetermined pattern light through the liquid for liquid immersion lithography and the protective film, and optionally subjecting the resultant resist film to heat treatment; removing the protective film from the resist film irradiated; and developing the resist film from which the protective film is removed to obtain a resist pattern.
- the liquid immersion lithography process preferably is of the construction in which the resist film is exposed with lithographic exposure light through a liquid for liquid immersion lithography present at least on the resist film in a path of the exposure light toward the resist film, wherein the liquid has a predetermined thickness and has a refractive index larger than that of air and smaller than that of the resist film, thus improving the resolution of a resist pattern.
- the liquid for liquid immersion lithography that can be preferably used includes water substantially comprised of pure water or deionized water, or a fluorocarbon inert liquid, more preferably water from the viewpoint of cost reduction and ease of the post-treatment.
- the resist films that can be used in the present invention include any resist films obtained using a conventional resist composition, and are not limited particularly. This is the most unique feature of the present invention.
- the protective film according to the present invention has essential properties as described above, that the film is transparent to the exposure light and substantially incompatible with the refractive index liquid and causes no mixing with the resist film, and the protective film has excellent adhesion to the resist film and is easily removable from the resist film.
- a protective film material which can be used to form a protective film having such properties includes a composition obtained by dissolving a fluororesin in a fluorocarbon solvent is used.
- fluororesin examples include linear perfluoroalkyl polyethers, cyclic perfluoroalkyl polyethers, polychlorotrifluoroethylenes, polytetrafluoroethylenes, tetrafluoroethylene-perfluoroalkoxyethylene copolymers, and tetrafluoroethylene-hexafluoropropylene copolymers.
- DEMNUM S-20, DEMNUM S-65, DEMNUM S-100, and DEMNUM S-200 which are linear perfluoroalkyl polyethers (each manufactured by DAIKIN INDUSTRIES, LTD.), CYTOP series which are cyclic perfluoroalkyl polyethers (manufactured by ASAHI GLASS CO., LTD.), and TEFLON (R)-AF1600 and TEFLON (R)-AF2400 (each manufactured by DuPont) can be used.
- mixed resins comprised of linear perfluoroalkyl polyethers and cyclic perfluoroalkyl polyethers are preferred.
- the fluorocarbon solvent is not particularly limited as long as it can dissolve the fluororesin.
- the fluorocarbon solvent that can be used include perfluoroalkanes or perfluorocycloalkanes, such as perfluorohexane and perfluoroheptane, perfluoroalkenes having a double bond remaining in the corresponding perfluoroalkanes or perfluorocycloalkanes, perfluoro cyclic ethers, such as perfluorotetrahydrofuran and perfluoro(2-butyltetrahydrofuran), perfluorotributylamine, perfluorotetrapentylamine, and perfluorotetrahexylamine.
- the concentration of the fluororesin is not particularly limited as long as a film can be formed therefrom. However, from the viewpoint of achieving excellent coating properties, it is preferred that the fluororesin concentration be about 0.1 to about 30 wt %.
- a preferred material for the protective film comprises a mixed resin comprised of a linear perfluoroalkyl polyether and a cyclic perfluoroalkyl polyether dissolved in perfluorotributylamine.
- the resist film materials that can be used in the liquid immersion lithography process of the present invention include commonly used positive resists or negative photoresists. Specific examples of positive or negative photoresists are shown below.
- Resin components that can be used in the positive photoresist include an acrylic resin, a cycloolefin resin, or a silsesquioxane resin.
- the acrylic resin include a resin having, for example, constitutional units (al) derived from a (meth)acrylic ester having an acid-dissociative, dissolution inhibiting group and comprising 80 mol % or more, preferably 90 mol % (most preferably 100 mol %) of constitutional units derived from a (meth)acrylic ester including constitutional units derived from another (meth)acrylic ester other than the constitutional units (a1).
- the resin component comprises units (a1) and a combination of a plurality of monomer units having different functions other than the units (a1), for example, the following constitutional units.
- constitutional units derived from a (meth)acrylic ester having a lactone unit hereinafter, “(a2)” or “units (a2)”
- constitutional units derived from a (meth)acrylic ester having an alcoholic hydroxyl group-containing polycyclic group hereinafter, “(a3)” or “units (a3)”
- constitutional units having a polycyclic group different from the acid-dissociative, dissolution inhibiting group in the units (a1), the lactone unit in the units (a2), and the alcoholic hydroxyl group-containing polycyclic group in the units (a3) hereinafter, “(a4)” or “units (a4)”.
- (a2), (a3), and/or (a4) can be appropriately combined depending on, for example, the properties required.
- the resin component comprises (a1) and at least one type of units selected from (a2), (a3), and (a4), excellent resolution and excellent resist pattern form can be achieved.
- a plurality of different units may be used in combination.
- the constitutional units derived from a methacrylic ester and the constitutional units derived from an acrylic ester are advantageously used in such a manner that there are 10 to 85 mol %, preferably 20 to 80 mol % of the constitutional units derived from the methacrylic ester and 15 to 90 mol %, preferably 20 to 80 mol % of the constitutional units derived from the acrylic ester based on the total mole of the constitutional units derived from the methacrylic ester and the constitutional units derived from the acrylic ester.
- the units (a1) are constitutional units derived from a (meth)acrylic ester having an acid-dissociative, dissolution inhibiting group.
- the acid-dissociative, dissolution inhibiting group in (a1) is not particularly limited as long as the group has alkali-dissolution inhibiting properties such that it makes the entire resin component alkali-insoluble before the exposure and the group dissociates due to the action of acid generated after the exposure to change the entire resin component to be alkali-soluble.
- groups that form cyclic or chain tertiary alkyl esters with the carboxyl group of (meth)acrylic acid, tertiary alkoxycarbonyl groups, and chain alkoxyalkyl groups are widely known.
- Examples of the acid-dissociative, dissolution inhibiting group in (a1) that can be preferably used include acid-dissociative, dissolution inhibiting groups containing aliphatic polycyclic groups.
- polycyclic groups examples include groups obtained by eliminating one hydrogen element from a bicycloalkane, a tricycloalkane, or a teroracycloalkane, which may be unsubstituted or substituted with a fluorine atom or a fluoroalkyl group.
- groups obtained by eliminating one hydrogen atom from a polycycloalkane such as adamantane, norbornane, isobornane, tricyclodecane, or tetracyclododecane.
- Such a polycyclic group can be appropriately selected from a number of polycyclic groups proposed for ArF resists. Among these, preferred are an adamantyl group, a norbornyl group, and a tetracyclododecanyl group from an industrial point of view.
- R represents a hydrogen atom or a methyl group
- R 1 represents a lower alkyl group
- each of R 2 and R 3 independently represents a lower alkyl group
- R 4 represents a tertiary alkyl group
- R 5 represents a methyl group
- R 6 represents a lower alkyl group
- R 7 represents a lower alkyl group.
- Each of R 1 to R 3 , R 6 , and R 7 is preferably a linear or branched lower alkyl group having 1 to 5 carbon atoms, and examples thereof include a methyl group, an ethyl group, a propyl group, an isopropyl group, an n-butyl group, an isobutyl group, a tert-butyl group, a pentyl group, an isopentyl group, and a neopentyl group. From an industrial point of view, preferred is a methyl group or an ethyl group.
- R 4 is a tertiary alkyl group, such as a tert-butyl group or a tert-amyl group, and preferred is a tert-butyl group from an industrial point of view.
- constitutional units represented by the general formula (1), (2), or (3) are more preferred since a pattern having high transparency and high resolution as well as excellent resistence to dry etching can be formed therefrom.
- the units (a2) above have a lactone unit, and hence are effective in enhancing the hydrophilicity with a developer solution.
- the units (a2) may be any units that have a lactone unit and are copolymerizable with the other constitutional units in the resin component.
- Examples of monocyclic lactone units include groups obtained by eliminating one hydrogen atom from ⁇ -butyro-lactone.
- Examples of polycyclic lactone units include groups obtained by eliminating one hydrogen atom from a lactone-containing polycycloalkane.
- a (meth) acrylic acid ⁇ -butyrolactone ester having an ester linkage at the ⁇ -carbon represented by the general formula (12) above and a (meth)acrylic acid norbornane lactone ester represented by the general formula (10) or (11) above are especially preferred since they are easily commercially available.
- the units (a3) above are constitutional units derived from a (meth)acrylic ester having an alcoholic hydroxyl group-containing polycyclic group.
- the hydroxyl group in the alcoholic hydroxyl group-containing polycyclic group is a polar group, and therefore the use of this increases the collective hydrophilicity of the resin component with a developer solution to improve the exposed portion in alkali-solubility.
- the resin component having (a3) preferably improves the resolution.
- the polycyclic group in (a3) can be appropriately selected from the aliphatic polycyclic groups described above as examples in connection with (a1).
- the alcoholic hydroxyl group-containing polycyclic group in (a3) is not particularly limited.
- a hydroxyl group-containing adamantyl group is preferably used.
- the hydroxyl group-containing adamantyl group represented by the general formula (13) below is preferred since it has an effect of improving the resistance to dry etching and squareness of the pattern cross-sectional form.
- 1 is an integer of 1 to 3.
- the units (a3) may be any units that have the above-described alcoholic hydroxyl group-containing polycyclic group and being copolymerizable with the other constitutional units in the resin component.
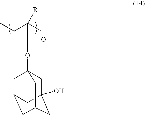
- constitutional units represented by the general formula (14) below are preferred.
- R represents a hydrogen atom or a methyl group.
- the polycyclic group “different from the acid-dissociative, dissolution inhibiting group, the lactone unit, and the alcoholic hydroxyl group-containing polycyclic group” means that the polycyclic group in units (a4) in the resin component overlaps neither the acid-dissociative, dissolution inhibiting group in units (a1), the lactone unit in units (a2), nor the alcoholic hydroxyl group-containing polycyclic group in units (a3), that is, units (a4) have neither the acid-dissociative, dissolution inhibiting group in units (a1), the lactone unit in units (a2), nor the alcoholic hydroxyl group-containing polycyclic group in units (a3) that constitute the resin component.
- the polycyclic group in the units (a4) is not particularly limited as long as it is selected so as not to overlap the constitutional units used as the units (a1) to (a3) in the same resin component.
- the polycyclic group in units (a4) the aliphatic polycyclic group as exemplified in connection with the units (a1) can be used, and a number of groups conventionally known in the ArF positive resist materials can be used.
- the units (a4) may be any units that have the above-described polycyclic group and are copolymerizable with the other constitutional units in the resin component.
- the amount of units (a1) may be 20 to 60 mol %, preferably 30 to 50 mol %, based on the total mole of the constitutional units constituting the resin component, since excellent resolution can be achieved.
- the amount of units (a2) may be 20 to 60 mol %, preferably 30 to 50 mol %, based on the total mole of the constitutional units constituting the resin component, since excellent resolution can be achieved.
- the amount of the units (a3) may be 5 to 50 mol %, preferably 10 to 40 mol %, based on the total mole of the constitutional units constituting the resin component, since excellent resist pattern form can be achieved.
- the amount of the units (a4) may be 1 to 30 mol %, preferably 5 to 20 mol %, based on the total mole of the constitutional units constituting the resin component, since the separate pattern or semi-dense pattern is excellent in resolution.
- the units (a1) and at least one type of units selected from the units (a2), (a3), and (a4) can be appropriately used in combination depending on the purpose.
- a ternary polymer comprising units (a1) and units (a2) and (a3) is preferred since the resist pattern form, the exposure margin, the heat resistance, and the resolution are excellent.
- the content of (a1) is 20 to 60 mol %
- the content of (a2) is 20 to 60 mol %
- the content of (a3) is 5 to 50 mol %.
- a mass average molecular weight (as measured using polystyrene for molecular weight calibration; this applies to the following description) of the resin in the resin component in the present invention is not particularly limited and it is preferably 5,000 to 30,000, more preferably 8,000 to 20,000.
- the mass average molecular weight is larger than the upper limit of the range, the solubility in a resist solvent may become poor, and, when it is smaller than the lower limit of the range, the resistance to dry etching or the resist pattern cross-sectional form may become poor.
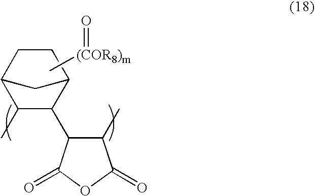
- the cycloolefin resin is preferably a resin comprising constitutional units (a5) represented by the general formula (18) below, which are optionally copolymerized with one or more of the constitutional units obtained from (a1): wherein R 8 represents a substituent mentioned above as an example of the acid-dissociative, dissolution inhibiting group in the units (a1), and m is an integer of 0 to 3.
- silsesquioxane resins examples include resins having constitutional units (a6) represented by the following general formula (19), and resins having constitutional units (a7) represented by the following general formula (20): wherein R 9 represents an acid-dissociative, dissolution inhibiting group comprised of a hydrocarbon group containing an aliphatic monocyclic or polycyclic group, Rlo represents a.linear, branched, or cyclic saturated aliphatic hydrocarbon group, X represents an alkyl group having 1 to 8 carbon atoms and having at least one hydrogen atom replaced by a fluorine atom, and m is an integer of 1 to 3; wherein R 11 represents a hydrogen atom or a linear, branched, or cyclic alkyl group, R 12 represents a linear, branched, or cyclic saturated aliphatic hydrocarbon group, and X represents an alkyl group having 1 to 8 carbon atoms and having at least one hydrogen atom replaced by a fluorine atom.
- R 9 represents an acid
- the acid-dissociative, dissolution inhibiting group of R 9 is a group which has alkali-dissolution inhibiting properties such that it makes the entire silsesquioxane resin alkali-insoluble before the exposure, and which dissociates due to the action of an acid generated from the acid generator after the exposure to change the entire silsesquioxane resin to be alkali-soluble.
- Examples of such acid-dissociative, dissolution inhibiting groups include acid-dissociative, dissolution inhibiting groups represented by the general formulae (21) to (25) below include hydrocarbon groups containing a bulky aliphatic monocyclic or polycyclic group.
- R 9 has preferably 7 to 15, more preferably 9 to 13 carbon atoms since the dissolution inhibiting group after dissociation is unlikely to undergo gasification and appropriate solubility in a resist solvent or in a developer solution can be obtained.
- the acid-dissociative, dissolution inhibiting group can be appropriately selected from a number of groups proposed for the resins for use in, for example, ArF excimer laser resist compositions depending on the light source used as long as it is an acid-dissociative, dissolution inhibiting group comprised of a hydrocarbon group containing an aliphatic monocyclic or polycyclic group.
- an acid-dissociative, dissolution inhibiting group comprised of a hydrocarbon group containing an aliphatic monocyclic or polycyclic group.
- those groups that form cyclic tertiary alkyl esters with a carboxyl group of (meth)acrylic acid are widely known.
- the acid-dissociative, dissolution inhibiting group contains an aliphatic polycyclic group.
- the aliphatic polycyclic group can be appropriately selected from a number of aliphatic polycyclic groups proposed for the ArF resist. Examples of the aliphatic polycyclic groups include those groups obtained by eliminating one hydrogen atom from a bicycloalkane, a tricycloalkane, or a tetracycloalkane, and more specifically, those groups obtained by eliminating one hydrogen atom from a polycycloalkane such as adamantane, norbornane, isobornane, tricyclodecane, or tetracyclododecane.
- silsesquioxane resins having any one of the 2-methyl-2-adamantyl group represented by the general formula (23) and the 2-ethyl-2-adamantyl group represented by the general formula (24) or both are preferred since they are unlikely to cause degasification and have excellent resist properties including resolution and heat resistance.
- Each of R 10 and R 11 has preferably 1 to 20, more preferably 5 to 12 carbon atoms from the viewpoint of controlling the solubility in resist solvents and the molecular size.
- a saturated cyclic aliphatic hydrocarbon group preferably has advantages in that the resultant silsesquioxane resin has high transparency to high-energy light, and has a high glass transition temperature (Tg), which makes easy controlling the acid generation from an acid generator during the PEB (post-exposure bake).
- the saturated cyclic aliphatic hydrocarbon group may be either a monocyclic group or a polycyclic group.
- the polycyclic groups include those groups obtained by eliminating two hydrogen atoms from a bicycloalkane, a tricycloalkane, or a teroracycloalkane, more specifically, those groups obtained by eliminating two hydrogen atoms from a polycycloalkane such as adamantane, norbornane, isobornane, tricyclodecane, or tetracyclododecane.
- R 10 and R 12 include those groups obtained by eliminating two hydrogen atoms from respective alicyclic compounds represented by the general formulae (26) to (31) below or derivatives thereof.
- the derivatives mean the alicyclic compounds of the chemical formulae (26) to (31) above having at least one hydrogen atom replaced by a group, e.g., a lower alkyl group, such as a methyl group or an ethyl group; an oxygen atom; or a halogen atom, such as fluorine, chlorine, or bromine.
- a group e.g., a lower alkyl group, such as a methyl group or an ethyl group
- an oxygen atom such as a halogen atom, such as fluorine, chlorine, or bromine.
- a halogen atom such as fluorine, chlorine, or bromine.
- preferred is a group obtained by eliminating two hydrogen atoms from an alicyclic compound selected from the group consisting of the chemical formulae (26) to (31) since high transparency is obtained and it is easily industrially available.
- R 11 is a lower alkyl group having preferably 1 to 10, more preferably 1 to 4 from the viewpoint of obtaining appropriate solubility in resist solvents. More specific examples of alkyl groups include a methyl group, an ethyl group, a propyl group, an isopropyl group, an n-butyl group, a sec-butyl group, a tert-butyl group, a cyclopentyl group, a cyclohexyl group, a 2-ethylhexyl group, and an n-octyl group.
- R 11 can be appropriately selected from the above candidate examples depending on the desired alkali-solubility of the silsesquioxane resin.
- R 11 is a hydrogen atom
- the alkali-solubility of the silsesquioxane resin is highest.
- the alkali-solubility is higher, there can be obtained an advantage in that the sensitivity is improved.
- the alkali-solubility is lowered, the resistance to an alkaline developer solution is enhanced, and therefore the exposure margin in forming a resist pattern using the silsesquioxane resin is improved and thus the size change caused during the exposure is reduced. In addition, uneven development is prevented, suppressing roughness of the resultant resist pattern at the edge portion.
- X is especially preferably a linear alkyl group.
- the alkyl group may be a lower alkyl group having 1 to 8, preferably 1 to 4 carbon atoms from the viewpoint of obtaining the silsesquioxane resin having appropriate glass transition (Tg) temperature or solubility in a resist solvent.
- the alkyl group preferably has more hydrogen atoms replaced by fluorine atoms since the transparency to high-energy light or electron beam of 200 nm or shorter is improved, and the alkyl group is most preferably a perfluoroalkyl group having its all hydrogen atoms replaced by fluorine atoms.
- X's may be the same or different.
- m may be an integer of to 1 to 3, preferably 1 for permitting the acid-dissociative, dissolution inhibiting group to easily dissociate.
- silsesquioxane resins include those resins represented by the following general formula (32) or (33): wherein R 5 , Root R 12 , and n are as defined above.
- the amount of the constitutional units represented by (a6) and (a7) may be 30 to 100 mol %, preferably 70 to 100%, more preferably 100 mol %, based on the total mole of the constitutional units constituting the silsesquioxane resin in the present invention.
- the amount of the constitutional units represented by (a6) is preferably 5 to 70 mol %, more preferably 10 to 40 mol %, based on the total mole of the constitutional units represented by (a6) and (a7).
- the amount of the constitutional units represented by (a7) is preferably 30 to 95 mol %, more preferably 60 to 90 mol %, based on the total mole of the constitutional units represented by (a6) and (a7).
- the amount of the constitutional units represented by (a6) falls in the above range, the amount of the acid-dissociative, dissolution inhibiting group is naturally determined, so that the silsesquioxane resin as a base resin of the positive resist composition advantageously changes in alkali-solubility before and after the exposure.
- the silsesquioxane resin may have constitutional units other than the constitutional units represented by (a6) and (a7) in such an amount that the effect aimed at by the present invention is not sacrificed.
- constitutional units other than the constitutional units represented by (a6) and (a7) in such an amount that the effect aimed at by the present invention is not sacrificed.
- Examples thereof include those units used in a silsesquioxane resin for ArF excimer laser resist compositions, e.g., alkylsilsesquioxane units represented by the general formula (34) below, having an alkyl group (R′), such as a methyl group, an ethyl group, a propyl group, or a butyl group.
- the mass average molecular weight (Mw) (as measured by gel permeation chromatography using polystyrene for molecular weight calibration) of the silsesquioxane resin is not particularly limited, and it is preferably 2,000 to 15,000, more preferably 3,000 to 8,000.
- Mw mass average molecular weight
- the solubility in a resist solvent may become poor, and, when it is smaller than the lower limit of the range, the resist pattern cross-sectional form may become poor.
- the mass average molecular weight (Mw)/number average molecular weight (Mn), i.e., polymer distribution is not particularly limited, and it is preferably 1.0 to 6.0, more preferably 1.5 to 2.5. When it is larger than the upper limit of the range, the resolution and the pattern form may become poor.
- the silsesquioxane resin in the present invention is a polymer having in its basic skeleton a silsesquioxane comprising the constitutional units represented by (a6) and (a7), and hence has high transparency to high-energy light or electron beam of 200 nm or shorter. Therefore, the positive resist composition containing the silsesquioxane resin in the present invention is advantageously used in lithography using a light source at a wavelength shorter than that of, e.g., an ArF excimer laser, and, particularly in a single-layer process, the resist composition can form a fine resist pattern having a line width as small as 150 nm or less, and further 120 nm or less. When using a two-layer resist laminate as an upper layer, the resist composition is advantageously used in a process forming a fine resist pattern as small as 120 nm or less, and further 100 nm or less.
- the resin component used in the negative resist composition is not particularly limited as long as it is a resin component commonly used. Specific preferred examples thereof are as follows.
- a resin (a8) constituting a resin component that becomes alkali-insoluble due to acid, and having in its molecule two types of functional groups which can react with each other to form an ester, and which undergo dehydration due to the action of the acid generated from an acid generator added to the resist material together with the resin to form an ester, thus making the resin component alkali-insoluble.
- the two types of functional groups which can react with each other to form an ester mean, for example, a hydroxyl group and a carboxyl group or a carboxylic acid ester for forming a carboxylic acid ester. In other words, they mean two types of functional groups for forming an ester.
- Preferred examples of such resins include those resins having a hydroxyalkyl group and at least one of a carboxyl group and a carboxylic acid ester group at the side chain of the main skeleton of the resin.
- the resin component is preferably a resin component (a9) comprised of a polymer having dicarboxylic acid monoester units.
- (a8) is a resin component having at least constitutional units represented by the following general formula (35): wherein R 13 represents a hydrogen atom, a C 1 -C 6 alkyl group, or an alkyl group having a polycyclic ring skeleton, such as a bornyl group, an adamantyl group, a tetracyclododecyl group, or a tricyclodecyl group.
- Preferred examples of such resins include polymers (homopolymers or copolymers) (a8-1) comprised of at least one type of monomers selected from an ⁇ -(hydroxyalkyl)-acrylic acid and an alkyl ⁇ -(hydroxyalkyl)acrylate, and copolymers (a8-2) comprised of at least one type of monomers selected from an ax-(hydroxyalkyl)acrylic acid and an alkyl ⁇ -(hydroxyalkyl)acrylate and at least one type of monomers selected from another ethylenically unsaturated carboxylic acid and an ester of another ethylenically unsaturated carboxylic acid.
- the polymers (a8-1) preferably include copolymers of an ⁇ -(hydroxyalkyl)acrylic acid and an alkyl ⁇ -(hydroxy-alkyl)acrylate
- the copolymer (a8-2) preferably include copolymers that contain, as the another ethylenically unsaturated carboxylic acid or ester of another ethylenically unsaturated carboxylic acid, at least one member selected from acrylic acid, methacrylic acid, an alkyl acrylate, and an alkyl methacrylate.
- hydroxyalkyl groups in the ⁇ -(hydroxyalkyl)acrylic acid or alkyl ⁇ -(hydroxyalkyl)-acrylate include lower hydroxyalkyl groups, such as a hydroxymethyl group, a hydroxyethyl group, a hydroxypropyl group, and a hydroxybutyl group. Among these, preferred is a hydroxyethyl group or a hydroxymethyl group since it readily forms an ester.
- alkyl groups in the alkyl ester portion of the alkyl ⁇ -(hydroxyalkyl)acrylate include lower alkyl groups, such as a methyl group, an ethyl group, a propyl group, an isopropyl group, an n-butyl group, a sec-butyl group, a tert-butyl group, and an amyl group; and bridged polycyclic ring hydrocarbon groups, such as a bicyclo[2.2.1]heptyl group, a bornyl group, an adamantyl group, a tetracyclo[4.4.0.1 2.5 .1 7.10 ]dodecyl group, and a tricyclo[5.2.1.0 2.6 ]decyl group.
- lower alkyl groups such as a methyl group, an ethyl group, a propyl group, an isopropyl group, an n-butyl group, a sec-butyl group, a
- the alkyl group in the ester portion is a polycyclic ring hydrocarbon group
- the resultant polymer is effective in enhancing the resistance to dry etching.
- alkyl groups especially preferred are lower alkyl groups, such as a methyl group, an ethyl group, a propyl group, and a butyl group, since an inexpensive and easily available alcohol component for forming an ester can be used.
- a lower alkyl ester undergoes esterification with a hydroxyalkyl group, but an ester of a bridged polycyclic ring hydrocarbon is unlikely to undergo such esterification. Therefore, when the ester of a bridged polycyclic ring hydrocarbon is introduced into the resin, it is preferred that a carboxyl group be also present in the side chain of the resin.
- examples of another ethylenically unsaturated carboxylic acids and esters of the ethylenically unsaturated carboxylic acid in (a8-2) include unsaturated carboxylic acids, such as acrylic acid, methacrylic acid, maleic acid, and fumaric acid, and alkyl esters of the unsaturated carboxylic acid, such as methyl, ethyl, propyl, isopropyl, n-butyl, isobutyl, n-hexyl, and octyl esters.
- an ester of acrylic acid or methacrylic acid having a bridged polycyclic ring hydrocarbon group such as a bicyclo[2.2.1]heptyl group, a bornyl group, an adamantyl group, a tetracyclo[4.4.0.1 2.5 .1 7.10 ]dodecyl group, or a tricyclo[5.2.1.0 2.6 ]decyl group.
- a bicyclo[2.2.1]heptyl group such as a bicyclo[2.2.1]heptyl group, a bornyl group, an adamantyl group, a tetracyclo[4.4.0.1 2.5 .1 7.10 ]dodecyl group, or a tricyclo[5.2.1.0 2.6 ]decyl group.
- acrylic acid, methacrylic acid, and lower alkyl esters thereof such as methyl, ethyl, propyl, and n-butyl esters, since they are inexpensive and easily available
- the molar ratio of at least one type of monomer units selected from an ⁇ -(hydroxyalkyl)acrylic acid and an alkyl ⁇ -(hydroxyalkyl)acrylate to at least one type of monomer units selected from anther ethylenically unsaturated carboxylic acid and an ethylenically unsaturated carboxylic acid ester is preferably in the range of from 20:80 to 95:5, especially preferably 50:50 to 90:10.
- the ratio between the units falls in the above range, an ester is easily formed in the molecule or between the molecules, so that excellent resist patterns can be obtained.
- the resin component (a9) is a resin component having at least constitutional units represented by the following general formula (36) or (37): wherein each of R 14 and R 15 represents an alkyl chain having 0 to 8 carbon atoms, R 16 represents a substituent having at least two or more alicyclic structures, and each of R 17 and R 18 represents a hydrogen atom or an alkyl group having 1 to 8 carbon atoms.
- the negative resist composition containing a resin component having the dicarboxylic acid monoester monomer units is preferred from the viewpoint of improved resolution and suppressed line edge roughness.
- the negative resist composition improves the swelling resistance and is more preferably used in the liquid immersion lithography process.
- dicarboxylic acid monoester compounds examples include fumaric acid, itaconic acid, mesaconic acid, glutaconic acid, and traumatic acid.
- resins having the dicarboxylic acid monoester units include polymers or copolymers (a9-1) comprised of dicarboxylic acid monoester monomers, and copolymers (a9-2) comprised of dicarboxylic acid monoester monomers and at least one type of monomers selected from the ⁇ -(hydroxyalkyl)acrylic acid, alkyl ⁇ -(hydroxyalkyl)-acrylate, another ethylenically unsaturated carboxylic acid, and ester of another ethylenically unsaturated carboxylic acid.
- the resin components used in the negative resist may be used individually or in combination.
- the resin component may have a weight average molecular weight of 1,000 to 50,000, preferably 2,000 to 3,0000.
- the positive resist that includes the acrylic resin ((a1) to (a4)) among the above resins corresponds to a positive resist containing a resin having a relatively high resistance to water liquid immersion.
- the resolution of a pattern formed from this resist tends to be lowered as the size is closer to the resolution limit in the liquid immersion lithography.
- the cause of lowering of the resolution is not a single factor, and, for removing such factors, it is considerably effective to form the protective film of the present invention to completely separate the immersion liquid from the resist film.
- the positive resist that includes the silsesquioxane resin ((a6) and (a7)) or the negative resist that includes any one of the specific resins (aB) and (a9) or both is considered to have poor liquid immersion resistance, as compared to the positive resist using the acrylic resin, and the suitability of this resist for the liquid immersion lithography can be improved by using the protective film of the present invention.
- the resist that includes a cycloolefin resin has a very poor liquid immersion lithography resistance, which makes it impossible to form a pattern. Even the positive resist containing such a resin can be applied to the liquid immersion lithography by using the protective film of the present invention.
- the acid generator used in combination with the resin component of the positive or negative resist may be any acid generators appropriately selected from known acid generators used in a conventional chemically amplified resist.
- the acid generators include onium salts, such as diphenyliodonium trifluoromethanesulfonate, (4-methoxyphenyl)phenyliodonium trifluotomethanesulfonate, bis(p-tert-butylphenyl)iodonium trifluoromethanesulfonate, triphenylsulfonium trifluoromethanesulfonate, (4-methoxy-phenyl)diphenylsulfonium trifluoromethanesulfonate, (4-methylphenyl)diphenylsulfonium trifluoromethanesulfonate, (4-methylphenyl)diphenylsulfonium nonafluorobutanesulfonate, (p-tert-butylphenyl)diphenylsulfonium trifluoromethane-sulfonate, diphenyliodonium nonafluorobutanesulfon
- triphenylsulfonium salts are preferably used since they are unlikely to decompose to generate organic gas.
- the amount of the triphenylsulfonium salt incorporated is preferably 50 to 100 mol %, more preferably 70 to 100 mol %, most preferably 100 mol %, based on the total mole of the acid generators.
- a triphenylsulfonium salt represented by the general formula (38) below having a perfluoroalkylsulfonic acid ion as anion is especially preferably used since high sensitivity can be achieved: wherein each of R 19 , R 20 , and R 21 independently represents a hydrogen atom, a lower alkyl group having 1 to 8, preferably 1 to 4 carbon atoms, or a halogen atom, such as chlorine, fluorine, or bromine; and p is an integer of 1 to 12, preferably 1 to 8, and more preferably 1 to 4.
- the acid generators may be used individually or in combination.
- the amount of the acid generator incorporated may be 0.5 part by mass, preferably 1 to 10 parts by mass, based on 100 parts by mass of the resin component.
- amount of the acid generator is less than 0.5 part by mass, pattern formation is not satisfactorily achieved, and, when the amount is more than 30 parts by mass, a uniform solution is difficult to obtain, leading to the lowering of the storage stability.
- the positive or negative resist composition in the present invention is produced by dissolving the resin component and the acid generator and the arbitrary component mentioned below preferably in an organic solvent.
- the organic solvent may be any organic solvents as long as they can dissolve the resin component and the acid generator to form a uniform solution. Any one or more types of solvent appropriately selected from the known solvents for conventional chemically amplified resists can be used.
- organic solvents examples include ketones, such as acetone, methyl ethyl ketone, cyclohexanone, methyl isoamyl ketone, and 2-heptanone; polyhydric alcohols and derivatives thereof, such as monomethyl ether, monoethyl ether, monopropyl ether, monobutyl ether, or monophenyl ether of ethylene glycol, ethylene glycol monoacetate, diethylene glycol, diethylene glycol monoacetate, propylene glycol, propylene glycol monoacetate, dipropylene glycol, or dipropylene glycol monoacetate; cyclic ethers, such as dioxane; and esters, such as methyl lactate, ethyl lactate, methyl acetate, ethyl acetate, butyl acetate, methyl pyruvate, ethyl pyruvate, methyl methoxypropionate, and ethyl ethoxypropionat
- the positive or negative resist may further contain, as a quencher, a known amine, preferably a secondary lower aliphatic amine or a tertiary lower aliphatic amine, or an organic acid, such as an organic carboxylic acid or an oxo-acid of phosphorus.
- a quencher a known amine, preferably a secondary lower aliphatic amine or a tertiary lower aliphatic amine, or an organic acid, such as an organic carboxylic acid or an oxo-acid of phosphorus.
- the lower aliphatic amine means an alkylamine or alkylalcoholamine having 5 carbon atoms or less
- examples of the secondary or tertiary amines include trimethylamine, diethylamine, triethylamine, di-n-propylamine, tri-n-propylamine, tribentylamine, diethanolamine, and triethanolamine, and especially preferred is an alkanolamine, such as triethanolamine.
- These amines may be used individually or in combination.
- the amine is used in an amount in the range of generally from 0.01 to 2.0% by mass, based on the mass of the resin component.
- Example of preferred organic carboxylic acids include malonic acid, citric acid, malic acid, succinic acid, benzoic acid, and salicylic acid.
- Examples of the oxo-acids of phosphorus and derivatives thereof include phosphoric acid and derivatives thereof, e.g., esters, such as phosphoric acid, di-n-butyl phosphate, and diphenyl phosphate; phosphonic acid and derivatives thereof, e.g., esters, such as phosphonic acid, dimethyl phosphonate, di-n-butyl phosphonate, phenylphosphonic acid, diphenyl phosphonate, and dibenzyl phosphonate; and phosphinic acid, such as phosphinic acid and phenylphosphinic acid, and derivatives thereof, e.g., esters. Of these, especially preferred is phosphonic acid.
- esters such as phosphoric acid, di-n-butyl phosphate, and diphenyl phosphate
- phosphonic acid and derivatives thereof e.g., esters, such as phosphonic acid, dimethyl phosphonate, di-n
- the organic acid is used in an amount of 0.01 to 5.0 parts by mass, based on 100 parts by mass of the resin component.
- the organic acids may be used individually or in combination.
- the amount of the organic acid used is preferably in the range of the equimolar amount to the amine or smaller.
- the positive resist composition of the present invention may if desired contain an additive miscible with the composition, for example, an additional resin for improving the performance of the resist film, or a surfactant, a dissolution inhibitor, a plasticizer, a stabilizer, a coloring agent, or a halation preventing agent for improving the coating properties.
- an additive miscible with the composition for example, an additional resin for improving the performance of the resist film, or a surfactant, a dissolution inhibitor, a plasticizer, a stabilizer, a coloring agent, or a halation preventing agent for improving the coating properties.
- the negative resist composition of the present invention may if necessary be blended with a cross-linking agent for further increasing the cross-linking density to improve the form or resolution of the resist pattern or the resistance to dry etching.
- the cross-linking agent is not particularly limited, and any cross-linking agent appropriately selected from known cross-linking agents for use in a conventional chemically amplified negative resist can be used.
- the cross-linking agents include alicyclic hydrocarbons having any one of a hydroxyl group and a hydroxyalkyl group or both and oxygen-containing derivatives thereof, such as 2,3-dihydroxy-5-hydroxymethylnorbornane, 2-hydroxy-5,6-bis(hydroxymethyl)norbornane, cyclohexanedimethanol, 3,4,8(or 9)-trihydroxytricyclodecane, 2-methyl-2-adamantanol, 1,4-dioxan-2,3-diol, and 1,3,5-trihydroxycyclohexane; and compounds obtained by reacting an amino group-containing compound, such as melamine, acetoguanamine, benzoguanamine, urea, ethyleneurea, or glycoluril, with formaldehyde or formaldehyde and
- tetrabutoxymethylglycoluril examples thereof include hexamethoxymethylmelamine, bismethoxymethylurea, bismethoxymethylbismethoxyethyleneurea, tetramethoxymethylglycoluril, and tetrabutoxymethylglycoluril, with tetrabutoxymethylglycoluril being especially preferred.
- the cross-linking agents may be used individually or in combination.
- a conventional resist composition is first applied onto a substrate, such as a silicon wafer, by means of, e.g., a spinner, and then subjected to prebake (PAB treatment).
- a substrate such as a silicon wafer
- PAB treatment prebake
- An organic or inorganic antireflection coating film can be formed between the substrate and the coating layer of the resist composition to form a two-layer laminate.
- the above steps can be conducted using a conventionally known method. It is preferred that the conditions for procedure are appropriately selected depending on the formulation or properties of the resist composition used.
- a protective film-forming material composition for example, “composition obtained by dissolving a mixed resin comprised of chain perfluoroalkyl polyether and cyclic perfluoroalkyl polyether in perfluorotributylamine” is uniformly applied to the surface of the above-cured resist film (comprised of a single layer or multiple layers), and then cured to form a resist protecting film.
- the thus obtained substrate having the resist film covered with the protective film is immersed in a refractive index liquid (liquid having a refractive index larger than the refractive index of air and smaller than the refractive index of the resist film).
- a refractive index liquid liquid having a refractive index larger than the refractive index of air and smaller than the refractive index of the resist film.
- the resist film on the substrate immersed in the liquid is selectively exposed through a desired mask pattern.
- the exposure light passes through the refractive index liquid and protective film and reaches the resist film.
- the resist film is completely protected by the protective film from the refractive index liquid, so that the resist film does not undergo a change in properties, such as swelling, due to attack of the refractive index liquid, or a component of the resist film is not dissolved in the refractive index liquid to change the refractive index liquid in optical properties, e.g., refractive index.
- the wavelength of light used in the above exposure is not particularly limited, and radiation, such as an ArF excimer laser, a KrF excimer laser, an F 2 excimer laser, an EUV (extreme ultraviolet light), a VUV (vacuum ultraviolet light), an electron beam, an X-ray, or a soft X-ray can be used.
- radiation such as an ArF excimer laser, a KrF excimer laser, an F 2 excimer laser, an EUV (extreme ultraviolet light), a VUV (vacuum ultraviolet light), an electron beam, an X-ray, or a soft X-ray can be used.
- the wavelength is determined mainly by the characteristic of the resist film.
- the resist film is exposed through a liquid having a refractive index larger than that of air and smaller than that of the resist film used (refractive index liquid), the liquid being present on the resist film.
- refractive index liquid include water and fluorocarbon inert liquids.
- fluorocarbon inert liquids include liquids comprised mainly of fluorocarbon compounds, such as C 3 HCl 2 F 5 , C 4 F 9 OCH 3 , C 4 F 9 OC 2 H 5 , or C 5 H 3 F 7 .
- water is preferably used from the viewpoint of the cost, safety, environmental issues, and general purpose properties.
- the refractive index of the refractive index liquid used is not particularly limited as long as the refractive index is “larger than the refractive index of air and smaller than the refractive index of the resist composition used”.
- the substrate After completion of the step of the exposure in an immersed state, the substrate is taken out of the refractive index liquid, and the liquid is removed from the substrate, and then the protective film is removed.
- a fluorine solvent capable of dissolving the fluororesin can be directly used. From the viewpoint of facilitating the drying after washing, a solvent having a boiling point of about 150° C. or lower is preferably used, and preferred is perfluoro(2-butyltetra-hydrofuran)(boiling point: 102° C.) from this point of view.
- the resist film exposed is subjected to PEB (post-exposure bake), and then developed using an alkaline developer solution comprised of an alkaline aqueous solution.
- PEB post-exposure bake
- the PEB may be conducted before the step of removing the protective film.
- Post-bake may be conducted after the development treatment.
- rinsing is carried out using pure water. The rinsing with water is made by, for example, allowing water to fall dropwise or spraying water against the surface of the substrate while rotating the substrate to wash away the developer solution on the substrate and the resist composition dissolved by the developer solution. Then, drying is conducted to obtain a resist pattern having a form patterned in the resist film according to the mask pattern.
- a resist pattern having a fine line width, especially a line and space pattern having a small pitch with excellent resolution can be produced.
- the pitch in the line and space pattern means the total distance of a resist pattern width and a space width in the direction of the line width of the pattern.
- the resin component 100 parts by mass of a methacrylate-acrylate copolymer comprising three types of constitutional units represented by the chemical formulae (39a), (39b), and (39c) below was used.
- the resin component prepared had a mass average molecular weight of 10,000.
- organic solvent 1,900 parts by mass of a mixed solvent of propylene glycol monomethyl ether acetate and ethyl lactate (mass ratio: 6:4) was used.
- An organic antireflection coating composition “AR-19” (trade name; manufactured by Shipley Limited) was first applied onto a silicon wafer using a spinner, and dried by calcination on a hot plate at 215° C. for 60 seconds to form an organic antireflection coating film having a thickness of 82 nm. Then, positive resist composition 1 was applied onto the antireflection coating film using a spinner, and dried by prebake on a hot plate at 115° C. for 90 seconds to form a resist film having a thickness of 150 nm on the antireflection coating film.
- DEMNUM S-20 manufactured by DAIKIN INDUSTRIES, Ltd.
- CYTOP manufactured by ASAHI GLASS CO., LTD.
- the step has a simplified construction such that pure water as a refractive index liquid (immersion liquid) is applied to the resist film after the exposure in order to achieve an evaluation of only the effect of the immersion liquid on the resist film which is previously exposed.
- immersion liquid a refractive index liquid
- the resultant resist film was subjected to PEB treatment under conditions at 115° C. for 90 seconds, and then the protective film was removed using perfluoro(2-butyltetra-hydrofuran). Then, the resist film was developed using an alkaline developer solution at 23° C. for 60 seconds.
- the alkaline developer solution a 2.38% by mass aqueous solution of tetramethylammonium hydroxide was used.
- the thus obtained resist pattern having a 130 nm line and space of 1:1 was examined under a scanning electron microscope (SEM). As a result, the pattern profile was found to be excellent such that no fluctuation was observed.
- An antireflection coating film, an ArF positive resist, and a protective film were formed on a substrate in accordance with the same procedure as that in Example 1.
- the substrate having the protective film formed thereon was subjected to immersion lithography (the bottom surface of the prism was in contact with the protective film through water).
- the resultant substrate was subjected to PEB treatment in the same manner as that in Example 1, and the protective film was removed using perfluoro(2-butyltetrahydrofuran). Then, the resist film was developed under the same conditions as those used in Example 1.
- the thus obtained resist pattern having a 65 nm line and space of 1:1 was examined under a scanning electron microscope (SEM). As a result, the pattern profile was found to be excellent such that no fluctuation was observed. Further, the pattern obtained was examined for a cross-sectional form under a focused ion beam SEM (Altura 835; manufactured by FEI). As a result, it was found that the cross-sectional form had excellent squareness.
- SEM scanning electron microscope
- a resist pattern was formed in accordance with substantially the same procedure as that in Example 2 except that no protective film was formed.
- the resin component 100 parts by mass of a polymer comprising constitutional units represented by the chemical formula (40) below was used.
- the resin component prepared had a mass average molecular weight of 10,000.
- organic solvent 1,900 parts by mass of a mixed solvent of propylene glycol monomethyl ether acetate and ethyl lactate (mass ratio: 6:4) was used.
- An organic antireflection coating composition “AR-19” (trade name; manufactured by Shipley Limited) was first applied onto a silicon wafer using a spinner, and dried by calcination on a hot plate at 215° C. for 60 seconds to form an organic antireflection coating film having a thickness of 82 nm. Then, positive resist composition 1 was applied onto the antireflection coating film using a spinner, and dried by prebake on a hot plate at 115° C. for 90 seconds to form a resist film having a thickness of 150 nm on the antireflection coating film.
- the step has a simplified construction such that pure water as a refractive index liquid (immersion liquid) is applied to the resist film after the exposure in order to achieve an evaluation of only the effect of the immersion liquid on the resist film which is previously exposed.
- immersion liquid a refractive index liquid
- the resultant resist film was subjected to PEB treatment under conditions at 115° C. for 90 seconds, and developed using an alkaline developer solution at 23° C. for 60 seconds.
- an alkaline developer solution a 2.38% by mass aqueous solution of tetramethylammonium hydroxide was used.
- a resist pattern was formed by exposure through a layer of air by the method conventionally used without employing the liquid immersion lithography treatment.
- the sensitivity was found to be 8.4 mJ/cm 2 .
- a ratio of the sensitivity in the liquid immersion lithography treatment to the sensitivity in the normal exposure (9.1/8.4) was determined to be 108.3.
- the resin component 100 parts by mass of a copolymer comprising constitutional units comprising 63 mol % of hydroxystyrene units, 24 mol % of styrene units, and 13 mol % of tert-butyl acrylate units was used.
- the resin component prepared had a mass average molecular weight of 12,000.
- organic solvent 600 parts by mass of ethyl lactate was used.
- nitrogen-containing organic compound 0.26 part by mass of triethanolamine was used, and 0.28 part by mass of phenylphosphonic acid was used as another component.
- An organic antireflection coating composition “AR-3” (trade name; manufactured by Shipley Limited) was first applied onto a silicon wafer using a spinner, and dried by calcination on a hot plate at 220° C. for 60 seconds to form an organic antireflection coating film having a thickness of 62 nm. Then, positive resist composition 3 was applied onto the antireflection coating film using a spinner, and dried by prebake on a hot plate at 110° C. for 90 seconds to form a resist film having a thickness of 280 nm on the antireflection coating film.
- the step has a simplified construction such that pure water as a refractive index liquid (immersion liquid) is applied to the resist film after the exposure in order to achieve an evaluation of only the effect of the immersion liquid on the resist film which is previously exposed.
- immersion liquid a refractive index liquid
- the resultant resist film was subjected to PEB treatment under conditions at 115° C. for 90 seconds, and developed using an alkaline developer solution at 23° C. for 60 seconds.
- an alkaline developer solution a 2.38% by mass aqueous solution of tetramethylammonium hydroxide was used.
- resist pattern having a 140 nm line and space of 1:1 was examined under a scanning electron microscope (SEM), and sensitivity (Eth) at that time was determined. As a result, it was found that the sensitivity was 22.0 mJ/cm 2 .
- the resist pattern had a T-top form and surface roughening was observed.
- a resist pattern was formed by exposure through a layer of air by the method conventionally used without employing the liquid immersion lithography treatment, and the sensitivity was found to be 20.0 mJ/cm 2 .
- a ratio of the sensitivity in the liquid immersion lithography treatment to the sensitivity in the normal exposure (22.0/20.0) was determined to be 108.8.
- the resist pattern was excellent such that no surface roughening was observed.
- the acid generator 4 parts by mass of bis(cyclohexylsulfonyl)diazomethane and 1 part by mass of tert-butylphenyliodonium trifluoromethanesulfonate were used.
- organic solvent 600 parts by mass of a mixed solvent of propylene glycol monomethyl ether acetate and ethyl lactate (mass ratio: 6:4) was used.
- nitrogen-containing organic compound 0.52 part by mass of triisopropanolamine was used, and 0.54 part by mass of dodecanoic acid was used as another component.
- An organic antireflection coating composition “DUV-44” (trade name; manufactured by Brewer Science) was first applied onto a silicon wafer using a spinner, and dried by calcination on a hot plate at 225° C. for 90 seconds to form an organic antireflection coating film having a thickness of 65 nm. Then, positive resist composition 4 was applied onto the antireflection coating film using a spinner, and dried by prebake on a hot plate at 90° C. for 90 seconds to form a resist film having a thickness of 280 nm on the antireflection coating film.
- the step has a simplified construction such that pure water as a refractive index liquid (immersion liquid) is applied to the resist film after the exposure in order to achieve an evaluation of only the effect of the immersion liquid on the resist film which is previously exposed.
- immersion liquid a refractive index liquid
- the resultant resist film was subjected to PEB treatment under conditions at 110° C. for 90 seconds, and developed using an alkaline developer solution at 23° C. for 60 seconds.
- an alkaline developer solution a 2.38% by mass aqueous solution of tetramethylammonium hydroxide was used.
- the thus obtained resist pattern having a 140 nm line and space of 1:1 was examined under a scanning electron microscope (SEM), and sensitivity (Eth) at that time was determined. As a result, it was found that the sensitivity was 26.5 mJ/cm 2 .
- the resist pattern had a.T-top form and surface roughening was observed.
- a resist pattern- was formed by exposure through a layer of air by the method conventionally used without employing the liquid immersion lithography treatment, and the sensitivity was found to be 16.5 mJ/cm 2 .
- a ratio of the sensitivity in the liquid immersion lithography treatment to the sensitivity in the normal exposure (26.5/16.5) was determined to be 156.6.
- the resist pattern was excellent such that no surface roughening was observed.
- Examples 1 and 2 indicate that, in the liquid immersion lithography in which a protective film is formed, a pattern of 130 nm line and space having excellent profile can be obtained without lowering the properties required for pattern formation, e.g., sensitivity.
- the resist film used in the Examples which is a positive resist film, can be applied to a negative resist film.
- the resin component, acid generator, and nitrogen-containing organic compound shown below were uniformly dissolved in an organic solvent to prepare a positive resist.
- the resin component 100 parts by mass of a polymer comprising constitutional units indicated by the above formula (40).
- the resin component prepared had a mass average molecular weight of 10,000.
- organic solvent 1,900 parts by mass of a mixed solvent of propylene glycol monomethyl ether acetate and ethyl lactate (mass ratio: 6:4) was used.
- nitrogen-containing organic compound 0.3 part by mass of triethanolamine was used.
- An antireflection coating film, an ArF positive resist, and a protective film were formed on a substrate in accordance with substantially the same procedure as in Example 1 except that the above-prepared positive resist composition was used (the thickness of the resist film was changed to 140 nm).
- the substrate having the protective film formed thereon was subjected to immersion lithography in the same manner as in Example 2.
- the protective film was removed from the resist film under the same conditions as those used in Example 1, and the resist film was subjected to PEB treatment, followed by development.
- the thus obtained resist pattern having a 90 nm line and space of 1:1 was examined under a scanning electron microscope (SEM), and, as a result, the pattern profile was found to be excellent such that no fluctuation (pattern narrowing) was observed.
- SEM scanning electron microscope
- a resist pattern having a 90 nm line and space of 1:1 was formed in accordance with entirely the same procedure as in Example 3 except that the positive photoresist shown in Example 3 was used and that no protective film was formed, and it was examined under a scanning electron microscope (SEM), but the fluctuation and swelling of the pattern were too large to observe the pattern.
- SEM scanning electron microscope
- the resin component, acid generator, and nitrogen-containing organic compound shown below were uniformly dissolved in an organic solvent to prepare a positive resist composition.
- the resin component a polymer comprising constitutional units represented by the general formulae (41) and (42) below (85 parts by mass of the units of formula (41) and 15 parts by mass of the units of formula (42)) was used.
- the resin component had a mass average molecular weight of 10,000.
- organic solvent 1,900 parts by mass of a mixed solvent of propylene glycol monomethyl ether acetate and ethyl lactate (mass ratio: 6:4) was used.
- An antireflection coating film, an ArF positive resist, and a protective film were formed on a substrate in accordance with the same procedure as in Example 1 except that the above-prepared positive resist composition was used (the thickness of the resist film was changed to 140 nm).
- the substrate having the protective film formed thereon was subjected to immersion lithography in the same manner as in Example 2.
- the protective film was removed from the resist film under the same conditions as those used in Example 1, and the resist film was subjected to PEB treatment, followed by development.
- the thus obtained resist pattern having a 90 nm line and space of 1:1 was examined under a scanning electron microscope (SEM), and, as a result, the pattern profile was found to be excellent such that no fluctuation (pattern narrowing) was observed.
- SEM scanning electron microscope
- a resist pattern having a 90 nm line and space of 1:1 was formed in accordance with entirely the same procedure as in Example 4 except that the positive photoresist shown in Example 3 was used and that no protective film was formed, and it was examined under a scanning electron microscope (SEM), but the fluctuation and swelling of the pattern occurred slightly.
- SEM scanning electron microscope
- the resin component, acid generator, and nitrogen-containing organic compound shown below were uniformly dissolved in an organic solvent to prepare a negative resist composition.
- the resin component a polymer comprising constitutional units represented by the general formula (43) was used.
- An organic antireflection coating composition “AR-19” (trade name; manufactured by Shipley Limited) was first applied onto a silicon wafer using a spinner, and dried by calcination on a hot plate at 215° C. for 60 seconds to form an organic antireflection coating film having a thickness of 32 nm. Then, the negative resist composition was applied onto the antireflection coating film using a spinner, and dried by prebake on a hot plate at 110° C. for 60 seconds to form a resist film having a thickness of 300 nm on the antireflection coating film.
- DEMNUM S-10 manufactured by DAIKIN INDUSTRIES, Ltd.
- CYTOP manufactured by ASAHI GLASS CO., LTD.
- the substrate having the protective film formed thereon was subjected to exposure in the same manner as in Example 1, and then water was allowed to fall dropwise against the resist film (the treatment of allowing water to fall dropwise was continued for 2 minutes).
- the protective film was removed from the resist film under the same conditions as those used in Example 1, and the resist film was subjected to PEB treatment, followed by development.
- the thus obtained resist pattern having a 160 nm line and space of 1:1 was examined under a scanning electron microscope (SEM), and, as a result, the pattern profile was found to be excellent such that no fluctuation (pattern narrowing) and swelling were observed at all.
- SEM scanning electron microscope
- a resist pattern having a 160 nm line and space of 1:1 was formed in accordance with entirely the same procedure as in Example 4 except that the negative photoresist shown in Example 5 was used and that no protective film was formed, and it was examined under a scanning electron microscope (SEM), but the fluctuation and swelling of the pattern occurred slightly.
- SEM scanning electron microscope
- liquid having a refractive index larger than that of air and smaller than that of the resist film designate the same medium.
- the resin component, acid generator, and nitrogen-containing organic compound shown below were uniformly dissolved in an organic solvent to prepare a positive resist composition.
- the resin component 100 parts by mass of a methacrylate copolymer comprising three types of constitutional units represented by the general formula (44) below was used.
- the resin component prepared had a mass average molecular weight of 10,000.
- organic solvent a mixed solvent of 1,520 parts by mass of a mixed solvent of propylene glycol monomethyl ether acetate and ethyl lactate (mass ratio: 6:4) and 380 parts by mass of ⁇ -butyrolactone was used.
- nitrogen-containing organic compound 0.25 part by mass of triethanolamine was used.
- An organic antireflection coating composition “AR-19” (trade name; manufactured by Shipley Limited) was first applied onto a silicon wafer using a spinner, and dried by calcination on a hot plate at 215° C. for 60 seconds to form an organic antireflection coating film having a thickness of 82 nm. Then, the positive resist composition was applied onto the antireflection coating film using a spinner, and dried by prebake on a hot plate at 130° C. for 90 seconds to form a resist film having a thickness of 200 nm on the antireflection coating film.
- the step has a simplified construction such that pure water as a refractive index liquid (immersion liquid) is applied to the resist film after the exposure in order to achieve an evaluation of only the effect of the immersion liquid on the resist film which is previously exposed.
- immersion liquid a refractive index liquid
- the resultant resist film was subjected to PEB treatment under conditions at 130° C. for 90 seconds, and then the protective film was removed using perfluoro(2-butyltetra-hydrofuran). Then, the resist film was developed using an alkaline developer solution at 23° C. for 60 seconds.
- the alkaline developer solution a 2.38% by mass aqueous solution of tetramethylammonium hydroxide was used.
- the sensitivity was 17.0 mJ/cm 2 , and the depth of focus was 1.0 ⁇ m.
- An exposure margin in which a 130 nm line pattern was obtained within ⁇ 10% was as excellent as 13.15%.
- the resin component, acid generator, and nitrogen-containing organic compound shown below were uniformly dissolved in an organic solvent to prepare a positive resist composition.
- the resin component a polymer comprising constitutional units represented by the general formulae (41) and (45) below (85 parts by mass of the units of formula (41) and 15 parts by mass of the units of formula (45)) was used.
- the resin component had a mass average molecular weight of 10,000.
- organic solvent 1,900 parts by mass of a mixed solvent of propylene glycol monomethyl ether acetate and ethyl lactate (mass ratio: 6:4) was used.
- nitrogen-containing organic compound 0.27 part by mass of triethanolamine was used.
- An antireflection coating film, a positive resist using the resist composition, and a protective film were formed on a substrate in accordance with substantially the same procedure as in Example 1 (except that the thickness of the resist film was changed to 150 nm, that the prebake conditions were changed to those at 95° C. for 90 seconds, and that the PEB conditions were changed to those at 90° C. for 90 seconds).
- the substrate having the protective film formed thereon was subjected to immersion lithography in the same manner as in Example 2.
- the resist film was subjected to PEB treatment, and then the protective film was removed under the same conditions as those used in Example 1, and allowed to stand in a place having an amine concentration of about 5 ppb in air for 180 seconds, followed by development.
- resist pattern having a 130 nm line and space of 1:1 was examined under a scanning electron microscope (SEM), and, as a result, the pattern profile was found to be excellent such that no fluctuation (pattern narrowing) was observed.
- the sensitivity was 26.0 mJ/cm 2 .
- Example 7 The resist composition prepared in Example 7 was allowed to stand for 180 seconds in the same manner as in Example 7, and then a resist pattern was formed in substantially the same manner as in Example 7 except that no protective film was used.
- the resist pattern having a 130 nm line and space of 1:1 was examined under a scanning electron microscope (SEM), and, as a result, the pattern profile was found to have a T-TOP form.
- the sensitivity was 33.0 mJ/cm 2 .
- Example 7 As can be seen from the results of Example 7 and Comparative Example 8, the use of the protective film can prevent the resist film from being adversely affected by the amine contained in air. That is, the post exposure delay is drastically improved.
- component (A) a mixed resin of 85 parts by mass of a silsesquioxane resin of the chemical formula (46) below and 15 parts by mass of a methacrylate-acrylate copolymer comprising three types of constitutional units represented by the chemical formula (47) below was used.
- component (B) 2.4 parts by mass of triphenylsulfonium nonafluorobutanesulfonate was used.
- component (C) 1,900 parts by mass of a mixed solvent of ethyl lactate and ⁇ -butyrolactone (mass ratio: 8:2) was used.
- an organic antireflection coating composition “AR-19” (trade name; manufactured by Shipley Limited) was applied onto a silicon wafer using a spinner, and dried by calcination on a hot plate at 215° C. for 60 seconds to form an organic antireflection coating film having a thickness of 82 nm.
- the positive resist composition was applied onto the antireflection coating film using a spinner, and dried by prebake on a hot plate at 95° C. for 90 seconds to form a resist layer having a thickness of 150 nm on the antireflection coating film.
- Example 8 In the immersion lithography in Example 8, a solvent layer of water as an immersion solvent was formed between the top surface of the protective film and the bottom surface of the prism.
- the exposure energy was selected so that the L&S pattern was constantly obtained.
- the resist film was subjected to PEB treatment under conditions at 90° C. for 90 seconds, and the protective film was removed using perfluoro(2-butyltetrahydrofuran).
- the resist film was developed in the same manner as in Example 1 to obtain a 65 nm line and space (1:1).
- the pattern form obtained had high squareness.
- a resist pattern with high resolution can be obtained by a liquid immersion lithography process wherein the resist pattern is advantageous not only in that the resist pattern does not suffer surface roughening, e.g., T-top form and has high sensitivity and excellent resist pattern profile form, but also in that the resist pattern has excellent depth of focus and excellent exposure margin as well as excellent post exposure delay. Therefore, the use of the protective film according to the present invention makes it possible to effectively form a resist pattern using the liquid immersion lithography process.
Landscapes
- Physics & Mathematics (AREA)
- General Physics & Mathematics (AREA)
- Engineering & Computer Science (AREA)
- Architecture (AREA)
- Structural Engineering (AREA)
- Spectroscopy & Molecular Physics (AREA)
- Materials For Photolithography (AREA)
- Exposure Of Semiconductors, Excluding Electron Or Ion Beam Exposure (AREA)
- Exposure And Positioning Against Photoresist Photosensitive Materials (AREA)
Abstract
Provided are a material for forming a resist protecting film which is for use in a liquid immersion lithography process and which is formed on a resist film, wherein the material has the following properties of: being transparent with respect to exposure light; having substantially no compatibility with a liquid for liquid immersion lithography; and causing no mixing with the resist film, a composite film comprising a protective film formed from the material and a resist film, and a method for forming a resist pattern using them. These can prevent both the resist film and the liquid used from changing in properties during the liquid immersion lithography, so that a resist pattern with high resolution can be formed using the liquid immersion lithography.
Description
- The present invention relates to a material for forming a resist protecting film which is advantageously used in a liquid immersion lithography process, especially in a liquid immersion lithography process of the construction in which a resist film is exposed with lithographic exposure light through a liquid present at least on the resist film in a path of the exposure light toward the resist film wherein the liquid has a predetermined thickness and has a refractive index higher than that of air and lower than that of the resist film, thus improving the resolution of a resist pattern. The present invention also relates to a resist film having thereon a protective film formed from the material for forming a protecting film, and to a method for forming a resist pattern using the protective film.
- In the fabrication of a variety of electronic devices with microstructures, such as semiconductor devices and liquid crystal devices, a lithography method is widely used, and, as the device structures are miniaturized, resist patterns in the lithography process are desired to be miniaturized.
- Currently, in a state-of-the-art lithography technique, a fine resist pattern having a line width as small as, for example, 90 nm can be formed by the lithography method, and the formation of a further finer pattern will be needed in the future.
- A first point for achieving the formation of such a fine pattern that is smaller than 90 nm, is to develop an improved exposure system and a corresponding resist. The point of the development of the improved exposure system generally includes provision of a light source, such as an F2 laser, an EUV (extreme ultraviolet light), an electron beam, or an X-ray, a soft X-ray, with a shorter wavelength and of a lens having an increased numerical aperture (NA).
- However, the light source having a shorter wavelength has a problem in that it requires a new expensive exposure system, and the increase of NA has a problem in that since there is a trade-off between the resolution and the depth of focus, the increase in the resolution lowers the depth of focus.
- Recently, as a lithography technique which can solve the problems, a liquid immersion lithography method has been reported (cf., for example, Literature 1 (J. Vac. Sci. Technol. B(1999) 17(6), p3306-3309), Literature 2 (J. Vac. Sci. Technol. B(2001) 19(6), p2353-2356, and Literature 3 (Proceedings of SPIE Vol. 4691 (2002), p459-465). In this method, a resist film is exposed through a liquid refractive index medium (refractive index liquid, immersion liquid), such as pure water or a fluorocarbon inert liquid, having a predetermined thickness, with the liquid refractive index medium lying at least on the resist film between a lens and the resist film on a substrate. In this method, the space of the path of exposure light, which has conventionally been filled with an inert gas, such as air or nitrogen gas, is replaced by a liquid having a larger refractive index (n), for example, pure water, with the result that even though a light source having a wavelength for the exposure conventionally used is employed, high resolution can be achieved without lowering the depth of focus like the case where a light source having a shorter wavelength or a lens having a higher NA is used.
- By employing the liquid immersion lithography, a resist pattern having a higher resolution and an excellent depth of focus can be formed at a low cost using a lens mounted on the existing exposure system, so that the liquid immersion lithography has attracted a considerable attention.
- However, in the liquid immersion lithography process, the resist film is directly in contact with the refractive index liquid (immersion liquid) during the exposure, and hence the resist film is vulnerable to invasion by the liquid. Therefore, it is necessary to check whether the resist composition conventionally used can be applied as is to the liquid immersion lithography process.
- The resist composition currently commonly used are established compositions that were obtained as a result of examination of a wide variety of candidate resins in respect of the transparency to the exposure light, which is the most essential property to the resist compositions. The inventors of the present invention have made experiments and studies with a view to obtaining from the currently proposed resist compositions a resist composition having properties suitable for the liquid immersion lithography as such or after slightly adjusting the formulation of the resist composition. As a result, it has been found that a promising resist composition from a practical point of view is present. On the other hand, it has been confirmed that there are a number of resist compositions which cannot achieve satisfactory resolution of pattern in the liquid immersion lithography due to a change in their properties by the liquid, but which exhibit fine and high resolution in ordinary lithography employing the exposure through a layer of air. Such resist compositions have been established by spending considerable resources on the development, and are excellent in various resist properties, such as transparency to the exposure light, development properties, and storage stability. These resist compositions include a number of compositions which are poor only in the resistance to the immersion liquid. Some examples of the compositions, which are not suitable for the liquid immersion lithography but achieve high resolution in the lithography through a layer of air, are shown in the Comparative Examples of the present invention described later.
- It has also been confirmed that, even when the resist film suitable for the liquid immersion lithography is used in the liquid immersion lithography, the quality and non-defective yield are slightly poor, as compared to those obtained in the exposure through a layer of air.
- The suitability for liquid immersion lithography of the conventional resist film was evaluated based on the following analysis on the liquid immersion lithography process.
- Specifically, for evaluating the performance of formation of a resist pattern by the liquid immersion lithography, it is considered to be necessary and sufficient to confirm three points, i.e., (i) the performance of the optical system in the liquid immersion lithography process, (ii) the effect of the resist film on the immersion liquid, and (iii) the change of properties of the resist film due to the immersion liquid.
- With respect to the performance of the optical system in (i), as is apparent from the case where for example, a photographic sensitive plate having a surface resistance to water is immersed in water and the surface of the plate is irradiated with a pattern light, there will be no problem in principle if no light transmission loss, such as reflection, occurs at the water surface and the interface between the water and the surface of the sensitive plate. The light transmission loss in this case can be easily removed by optimizing the angle of incidence of the exposure light. Thus, it is considered that any objects of the exposure, for example, a resist film, a photographic sensitive plate, and an image screen, cause no change in the performance of the optical system, so far as they are inert to the immersion liquid, namely, they are not affected by the immersion liquid, and they do not affect the immersion liquid. Therefore, a check test for this point is not required.
- The effect of the resist film on the immersion liquid in (ii) specifically indicates that the component of the resist film is dissolved in the immersion liquid to change the refractive index of the liquid. Theoretically, when the refractive index of the immersion liquid changes, the optical resolution of the pattern exposure is sure to change, and experiments are unnecessary. It is enough to simply check whether the component of the resist film immersed in a liquid is dissolved in the liquid to change the formulation or refractive index of the immersion liquid, and it is unnecessary to check the resolution by actual irradiation of a pattern light and development.
- Conversely, when the resist film immersed in the liquid is irradiated with a pattern light and developed to check the resolution, it is possible to know as to whether the resolution is excellent or poor. However, it is difficult to judge whether the resolution is affected by the change of properties of the immersion liquid or the change of properties of the resist material or both.
- With respect to the phenomenon in which the resolution is lowered by the change of properties of the resist film due to the immersion liquid in (iii), an evaluation test such that “the resist film after the exposure is showered with the immersion liquid and then developed, and the resultant resist pattern is examined in respect of the resolution” is satisfactory. In this evaluation method, the resist film is directly showered with the liquid, and hence the conditions for immersion are very stringent. In this point, in the test in which the resist film completely immersed in the liquid is exposed, it is difficult to judge whether the resolution is changed by the change of properties of the immersion liquid, the change of properties of the resist composition due to the immersion liquid, or both.
- The phenomena (ii) and (iii) above are two sides of the same coin, and can be grasped by merely checking the change of properties of the resist film due to the liquid.
- Based on the results of the analysis, the suitability for liquid immersion lithography of the resist film currently proposed was evaluated by an evaluation test such that “the resist film after the exposure is showered with the immersion liquid and then developed, and the resultant resist pattern is examined in respect of the resolution”. The suitability can also be evaluated by simulating the practical production process using a “two-beam interferometry exposure method” that includes using an interfered light caused by a prism as a pattern light for exposure and subjecting a sample immersed in a liquid to exposure.
- As mentioned above, for producing a new resist film suitable for the liquid immersion lithography, a large investment of resources for the development is surely needed. On the other hand, it has been confirmed that resist compositions having qualities slightly lowered but having properties suitable for the liquid immersion lithography are obtained from the currently proposed resist compositions by using the resin compositions as such or by adjusting the formulation of the resin compositions. It has also been confirmed that there are a number of resist films which cannot achieve satisfactory resolution of pattern in the liquid immersion lithography due to the change of properties by the immersion liquid, but which exhibit fine and high resolution in ordinary lithography employing the exposure through a layer of air.
- The present invention has been achieved in view of the above problems accompanying the conventional technique, and an object of the invention is to provide a technique for applying a resist film obtained from the conventional resist composition established by spending considerable resources on the development to the liquid immersion lithography. Specifically, an object the invention is to provide a specific protective film temporarily formed on the surface of a conventional resist film, thus making it possible not only to prevent both the resist film and the liquid used from changing in properties during the liquid immersion lithography but also to form a resist pattern with high resolution using the liquid immersion lithography.
- For solving the above problems, the material for forming a resist protecting film for use in a liquid immersion lithography process of the present invention is a material for forming a resist protecting film which is for use in a liquid immersion lithography process and which is formed on a resist film, wherein the material has the following properties of: being transparent with respect to exposure light; having substantially no compatibility with a liquid for liquid immersion lithography; and causing no mixing with the resist film.
- The composite film for use in a liquid immersion lithography process of the present invention comprises a protective film and a resist film, wherein the protective film has the following properties of: being transparent with respect to exposure light; having substantially no compatibility with a liquid for liquid immersion lithography; and causing no mixing with the resist film, and wherein the protective film is formed on the surface of the resist film.
- The method for forming a resist pattern of the present invention is a method for forming a resist pattern using a liquid immersion lithography process, wherein the method comprises: forming a photoresist film on a substrate; forming, on the resist film, a protective film having the following properties of: being transparent with respect to exposure light, having substantially no compatibility with a liquid for liquid immersion lithography, and causing no mixing with the resist film; directly placing the liquid for liquid immersion lithography having a predetermined thickness at least on the protective film on the substrate having the resist film and the protective film stacked thereon; irradiating the resist film with predetermined pattern light through the liquid for liquid immersion lithography and the protective film, and optionally subjecting the resultant resist film to heat treatment; removing the protective film from the resist film irradiated; and developing the resist film from which the protective film is removed to obtain a resist pattern.
- Among the above-mentioned constructions, the liquid immersion lithography process preferably is of the construction in which the resist film is exposed with lithographic exposure light through a liquid for liquid immersion lithography present at least on the resist film in a path of the exposure light toward the resist film, wherein the liquid has a predetermined thickness and has a refractive index larger than that of air and smaller than that of the resist film, thus improving the resolution of a resist pattern.
- In the present invention having the above construction, the liquid for liquid immersion lithography that can be preferably used includes water substantially comprised of pure water or deionized water, or a fluorocarbon inert liquid, more preferably water from the viewpoint of cost reduction and ease of the post-treatment.
- The resist films that can be used in the present invention include any resist films obtained using a conventional resist composition, and are not limited particularly. This is the most unique feature of the present invention.
- The protective film according to the present invention has essential properties as described above, that the film is transparent to the exposure light and substantially incompatible with the refractive index liquid and causes no mixing with the resist film, and the protective film has excellent adhesion to the resist film and is easily removable from the resist film. A protective film material which can be used to form a protective film having such properties includes a composition obtained by dissolving a fluororesin in a fluorocarbon solvent is used.
- Examples of the fluororesin that can be used include linear perfluoroalkyl polyethers, cyclic perfluoroalkyl polyethers, polychlorotrifluoroethylenes, polytetrafluoroethylenes, tetrafluoroethylene-perfluoroalkoxyethylene copolymers, and tetrafluoroethylene-hexafluoropropylene copolymers.
- In practice, among commercially available fluororesins, DEMNUM S-20, DEMNUM S-65, DEMNUM S-100, and DEMNUM S-200 which are linear perfluoroalkyl polyethers (each manufactured by DAIKIN INDUSTRIES, LTD.), CYTOP series which are cyclic perfluoroalkyl polyethers (manufactured by ASAHI GLASS CO., LTD.), and TEFLON (R)-AF1600 and TEFLON (R)-AF2400 (each manufactured by DuPont) can be used.
- Among the fluororesins, mixed resins comprised of linear perfluoroalkyl polyethers and cyclic perfluoroalkyl polyethers are preferred.
- The fluorocarbon solvent is not particularly limited as long as it can dissolve the fluororesin. Examples of the fluorocarbon solvent that can be used include perfluoroalkanes or perfluorocycloalkanes, such as perfluorohexane and perfluoroheptane, perfluoroalkenes having a double bond remaining in the corresponding perfluoroalkanes or perfluorocycloalkanes, perfluoro cyclic ethers, such as perfluorotetrahydrofuran and perfluoro(2-butyltetrahydrofuran), perfluorotributylamine, perfluorotetrapentylamine, and perfluorotetrahexylamine.
- Other organic solvents compatible with the fluorine solvent, surfactants and so on can be appropriately used in admixture.
- The concentration of the fluororesin is not particularly limited as long as a film can be formed therefrom. However, from the viewpoint of achieving excellent coating properties, it is preferred that the fluororesin concentration be about 0.1 to about 30 wt %.
- A preferred material for the protective film comprises a mixed resin comprised of a linear perfluoroalkyl polyether and a cyclic perfluoroalkyl polyether dissolved in perfluorotributylamine.
- As mentioned above, the resist film materials that can be used in the liquid immersion lithography process of the present invention include commonly used positive resists or negative photoresists. Specific examples of positive or negative photoresists are shown below.
- Resin components that can be used in the positive photoresist include an acrylic resin, a cycloolefin resin, or a silsesquioxane resin.
- Preferred examples of the acrylic resin include a resin having, for example, constitutional units (al) derived from a (meth)acrylic ester having an acid-dissociative, dissolution inhibiting group and comprising 80 mol % or more, preferably 90 mol % (most preferably 100 mol %) of constitutional units derived from a (meth)acrylic ester including constitutional units derived from another (meth)acrylic ester other than the constitutional units (a1).
- For achieving excellent resolution and excellent resistance to dry etching as well as fine pattern form, the resin component comprises units (a1) and a combination of a plurality of monomer units having different functions other than the units (a1), for example, the following constitutional units.
- Specifically, there can be mentioned constitutional units derived from a (meth)acrylic ester having a lactone unit (hereinafter, “(a2)” or “units (a2)”), constitutional units derived from a (meth)acrylic ester having an alcoholic hydroxyl group-containing polycyclic group (hereinafter, “(a3)” or “units (a3)”), and constitutional units having a polycyclic group different from the acid-dissociative, dissolution inhibiting group in the units (a1), the lactone unit in the units (a2), and the alcoholic hydroxyl group-containing polycyclic group in the units (a3) (hereinafter, “(a4)” or “units (a4)”). (a2), (a3), and/or (a4) can be appropriately combined depending on, for example, the properties required. Preferably, when the resin component comprises (a1) and at least one type of units selected from (a2), (a3), and (a4), excellent resolution and excellent resist pattern form can be achieved. With respect to each of the units (a1) to (a4), a plurality of different units may be used in combination.
- The constitutional units derived from a methacrylic ester and the constitutional units derived from an acrylic ester are advantageously used in such a manner that there are 10 to 85 mol %, preferably 20 to 80 mol % of the constitutional units derived from the methacrylic ester and 15 to 90 mol %, preferably 20 to 80 mol % of the constitutional units derived from the acrylic ester based on the total mole of the constitutional units derived from the methacrylic ester and the constitutional units derived from the acrylic ester.
- Next, the units (a1) to (a4) are described in detail.
- The units (a1) are constitutional units derived from a (meth)acrylic ester having an acid-dissociative, dissolution inhibiting group. The acid-dissociative, dissolution inhibiting group in (a1) is not particularly limited as long as the group has alkali-dissolution inhibiting properties such that it makes the entire resin component alkali-insoluble before the exposure and the group dissociates due to the action of acid generated after the exposure to change the entire resin component to be alkali-soluble. Generally, groups that form cyclic or chain tertiary alkyl esters with the carboxyl group of (meth)acrylic acid, tertiary alkoxycarbonyl groups, and chain alkoxyalkyl groups are widely known.
- Examples of the acid-dissociative, dissolution inhibiting group in (a1) that can be preferably used include acid-dissociative, dissolution inhibiting groups containing aliphatic polycyclic groups.
- Examples of the polycyclic groups include groups obtained by eliminating one hydrogen element from a bicycloalkane, a tricycloalkane, or a teroracycloalkane, which may be unsubstituted or substituted with a fluorine atom or a fluoroalkyl group. Specific examples thereof include groups obtained by eliminating one hydrogen atom from a polycycloalkane, such as adamantane, norbornane, isobornane, tricyclodecane, or tetracyclododecane. Such a polycyclic group can be appropriately selected from a number of polycyclic groups proposed for ArF resists. Among these, preferred are an adamantyl group, a norbornyl group, and a tetracyclododecanyl group from an industrial point of view.
- Monomer units represented by the general formulae (1) to (7) below are preferred as (a1) above. In the general formulae (1) to (7), R represents a hydrogen atom or a methyl group, R1 represents a lower alkyl group, each of R2 and R3 independently represents a lower alkyl group, R4 represents a tertiary alkyl group, R5 represents a methyl group, R6 represents a lower alkyl group, and R7 represents a lower alkyl group.
- Each of R1 to R3, R6, and R7 is preferably a linear or branched lower alkyl group having 1 to 5 carbon atoms, and examples thereof include a methyl group, an ethyl group, a propyl group, an isopropyl group, an n-butyl group, an isobutyl group, a tert-butyl group, a pentyl group, an isopentyl group, and a neopentyl group. From an industrial point of view, preferred is a methyl group or an ethyl group.
-
- Among the above examples of units (a1), especially, constitutional units represented by the general formula (1), (2), or (3) are more preferred since a pattern having high transparency and high resolution as well as excellent resistence to dry etching can be formed therefrom.
- The units (a2) above have a lactone unit, and hence are effective in enhancing the hydrophilicity with a developer solution.
- The units (a2) may be any units that have a lactone unit and are copolymerizable with the other constitutional units in the resin component.
- Examples of monocyclic lactone units include groups obtained by eliminating one hydrogen atom from γ-butyro-lactone. Examples of polycyclic lactone units include groups obtained by eliminating one hydrogen atom from a lactone-containing polycycloalkane.
-
- A (meth) acrylic acid γ-butyrolactone ester having an ester linkage at the α-carbon represented by the general formula (12) above and a (meth)acrylic acid norbornane lactone ester represented by the general formula (10) or (11) above are especially preferred since they are easily commercially available.
- The units (a3) above are constitutional units derived from a (meth)acrylic ester having an alcoholic hydroxyl group-containing polycyclic group.
- The hydroxyl group in the alcoholic hydroxyl group-containing polycyclic group is a polar group, and therefore the use of this increases the collective hydrophilicity of the resin component with a developer solution to improve the exposed portion in alkali-solubility. Thus, the resin component having (a3) preferably improves the resolution.
- The polycyclic group in (a3) can be appropriately selected from the aliphatic polycyclic groups described above as examples in connection with (a1).
- The alcoholic hydroxyl group-containing polycyclic group in (a3) is not particularly limited. For example, a hydroxyl group-containing adamantyl group is preferably used.
-
- The units (a3) may be any units that have the above-described alcoholic hydroxyl group-containing polycyclic group and being copolymerizable with the other constitutional units in the resin component.
-
- In the units (a4), the polycyclic group “different from the acid-dissociative, dissolution inhibiting group, the lactone unit, and the alcoholic hydroxyl group-containing polycyclic group” means that the polycyclic group in units (a4) in the resin component overlaps neither the acid-dissociative, dissolution inhibiting group in units (a1), the lactone unit in units (a2), nor the alcoholic hydroxyl group-containing polycyclic group in units (a3), that is, units (a4) have neither the acid-dissociative, dissolution inhibiting group in units (a1), the lactone unit in units (a2), nor the alcoholic hydroxyl group-containing polycyclic group in units (a3) that constitute the resin component.
- The polycyclic group in the units (a4) is not particularly limited as long as it is selected so as not to overlap the constitutional units used as the units (a1) to (a3) in the same resin component. For example, as the polycyclic group in units (a4), the aliphatic polycyclic group as exemplified in connection with the units (a1) can be used, and a number of groups conventionally known in the ArF positive resist materials can be used.
- Especially preferred is at least one member selected from the tricyclodecanyl group, adamantyl group, and tetracyclododecanyl group from the viewpoint of easy industrial availability.
- The units (a4) may be any units that have the above-described polycyclic group and are copolymerizable with the other constitutional units in the resin component.
-
- With respect to the composition of the acrylic resin component, the amount of units (a1) may be 20 to 60 mol %, preferably 30 to 50 mol %, based on the total mole of the constitutional units constituting the resin component, since excellent resolution can be achieved.
- The amount of units (a2) may be 20 to 60 mol %, preferably 30 to 50 mol %, based on the total mole of the constitutional units constituting the resin component, since excellent resolution can be achieved.
- When the units (a3) are used, the amount of the units (a3) may be 5 to 50 mol %, preferably 10 to 40 mol %, based on the total mole of the constitutional units constituting the resin component, since excellent resist pattern form can be achieved.
- When the units (a4) are used, the amount of the units (a4) may be 1 to 30 mol %, preferably 5 to 20 mol %, based on the total mole of the constitutional units constituting the resin component, since the separate pattern or semi-dense pattern is excellent in resolution.
- The units (a1) and at least one type of units selected from the units (a2), (a3), and (a4) can be appropriately used in combination depending on the purpose. However, a ternary polymer comprising units (a1) and units (a2) and (a3) is preferred since the resist pattern form, the exposure margin, the heat resistance, and the resolution are excellent. In this case, with respect to the respective contents of the constitutional units (a1) to (a3), it is preferred that the content of (a1) is 20 to 60 mol %, the content of (a2) is 20 to 60 mol %, and the content of (a3) is 5 to 50 mol %.
- A mass average molecular weight (as measured using polystyrene for molecular weight calibration; this applies to the following description) of the resin in the resin component in the present invention is not particularly limited and it is preferably 5,000 to 30,000, more preferably 8,000 to 20,000. When the mass average molecular weight is larger than the upper limit of the range, the solubility in a resist solvent may become poor, and, when it is smaller than the lower limit of the range, the resistance to dry etching or the resist pattern cross-sectional form may become poor.
- The cycloolefin resin is preferably a resin comprising constitutional units (a5) represented by the general formula (18) below, which are optionally copolymerized with one or more of the constitutional units obtained from (a1):
wherein R8 represents a substituent mentioned above as an example of the acid-dissociative, dissolution inhibiting group in the units (a1), and m is an integer of 0 to 3. - In the units (a5), when m is 0, copolymers having units (a1) are preferably used.
- Examples of the silsesquioxane resins include resins having constitutional units (a6) represented by the following general formula (19), and resins having constitutional units (a7) represented by the following general formula (20):
wherein R9 represents an acid-dissociative, dissolution inhibiting group comprised of a hydrocarbon group containing an aliphatic monocyclic or polycyclic group, Rlo represents a.linear, branched, or cyclic saturated aliphatic hydrocarbon group, X represents an alkyl group having 1 to 8 carbon atoms and having at least one hydrogen atom replaced by a fluorine atom, and m is an integer of 1 to 3;
wherein R11 represents a hydrogen atom or a linear, branched, or cyclic alkyl group, R12 represents a linear, branched, or cyclic saturated aliphatic hydrocarbon group, and X represents an alkyl group having 1 to 8 carbon atoms and having at least one hydrogen atom replaced by a fluorine atom. - In (a6) and (a7), the acid-dissociative, dissolution inhibiting group of R9 is a group which has alkali-dissolution inhibiting properties such that it makes the entire silsesquioxane resin alkali-insoluble before the exposure, and which dissociates due to the action of an acid generated from the acid generator after the exposure to change the entire silsesquioxane resin to be alkali-soluble.
- Examples of such acid-dissociative, dissolution inhibiting groups include acid-dissociative, dissolution inhibiting groups represented by the general formulae (21) to (25) below include hydrocarbon groups containing a bulky aliphatic monocyclic or polycyclic group. By using the acid-dissociative, dissolution inhibiting group, the dissolution inhibiting group after dissociation is unlikely to undergo gasification, thus preventing a degasification phenomenon.
- R9 has preferably 7 to 15, more preferably 9 to 13 carbon atoms since the dissolution inhibiting group after dissociation is unlikely to undergo gasification and appropriate solubility in a resist solvent or in a developer solution can be obtained.
- The acid-dissociative, dissolution inhibiting group can be appropriately selected from a number of groups proposed for the resins for use in, for example, ArF excimer laser resist compositions depending on the light source used as long as it is an acid-dissociative, dissolution inhibiting group comprised of a hydrocarbon group containing an aliphatic monocyclic or polycyclic group. Generally, those groups that form cyclic tertiary alkyl esters with a carboxyl group of (meth)acrylic acid are widely known.
- It is especially preferred that the acid-dissociative, dissolution inhibiting group contains an aliphatic polycyclic group. The aliphatic polycyclic group can be appropriately selected from a number of aliphatic polycyclic groups proposed for the ArF resist. Examples of the aliphatic polycyclic groups include those groups obtained by eliminating one hydrogen atom from a bicycloalkane, a tricycloalkane, or a tetracycloalkane, and more specifically, those groups obtained by eliminating one hydrogen atom from a polycycloalkane such as adamantane, norbornane, isobornane, tricyclodecane, or tetracyclododecane.
- Among the above general formulae, those silsesquioxane resins having any one of the 2-methyl-2-adamantyl group represented by the general formula (23) and the 2-ethyl-2-adamantyl group represented by the general formula (24) or both are preferred since they are unlikely to cause degasification and have excellent resist properties including resolution and heat resistance.
- Each of R10 and R11 has preferably 1 to 20, more preferably 5 to 12 carbon atoms from the viewpoint of controlling the solubility in resist solvents and the molecular size. Particularly, a saturated cyclic aliphatic hydrocarbon group preferably has advantages in that the resultant silsesquioxane resin has high transparency to high-energy light, and has a high glass transition temperature (Tg), which makes easy controlling the acid generation from an acid generator during the PEB (post-exposure bake).
- The saturated cyclic aliphatic hydrocarbon group may be either a monocyclic group or a polycyclic group. Examples of the polycyclic groups include those groups obtained by eliminating two hydrogen atoms from a bicycloalkane, a tricycloalkane, or a teroracycloalkane, more specifically, those groups obtained by eliminating two hydrogen atoms from a polycycloalkane such as adamantane, norbornane, isobornane, tricyclodecane, or tetracyclododecane.
-
- The derivatives mean the alicyclic compounds of the chemical formulae (26) to (31) above having at least one hydrogen atom replaced by a group, e.g., a lower alkyl group, such as a methyl group or an ethyl group; an oxygen atom; or a halogen atom, such as fluorine, chlorine, or bromine. Among these, preferred is a group obtained by eliminating two hydrogen atoms from an alicyclic compound selected from the group consisting of the chemical formulae (26) to (31) since high transparency is obtained and it is easily industrially available.
- R11 is a lower alkyl group having preferably 1 to 10, more preferably 1 to 4 from the viewpoint of obtaining appropriate solubility in resist solvents. More specific examples of alkyl groups include a methyl group, an ethyl group, a propyl group, an isopropyl group, an n-butyl group, a sec-butyl group, a tert-butyl group, a cyclopentyl group, a cyclohexyl group, a 2-ethylhexyl group, and an n-octyl group.
- R11 can be appropriately selected from the above candidate examples depending on the desired alkali-solubility of the silsesquioxane resin. When R11 is a hydrogen atom, the alkali-solubility of the silsesquioxane resin is highest. When the alkali-solubility is higher, there can be obtained an advantage in that the sensitivity is improved.
- On the other hand, the larger the number of carbon atoms of the alkyl group, or the more bulky the alkyl group, the lower the alkali-solubility of the silsesquioxane resin. When the alkali-solubility is lowered, the resistance to an alkaline developer solution is enhanced, and therefore the exposure margin in forming a resist pattern using the silsesquioxane resin is improved and thus the size change caused during the exposure is reduced. In addition, uneven development is prevented, suppressing roughness of the resultant resist pattern at the edge portion.
- In the general formulae (19) and (20) above, X is especially preferably a linear alkyl group. The alkyl group may be a lower alkyl group having 1 to 8, preferably 1 to 4 carbon atoms from the viewpoint of obtaining the silsesquioxane resin having appropriate glass transition (Tg) temperature or solubility in a resist solvent. The alkyl group preferably has more hydrogen atoms replaced by fluorine atoms since the transparency to high-energy light or electron beam of 200 nm or shorter is improved, and the alkyl group is most preferably a perfluoroalkyl group having its all hydrogen atoms replaced by fluorine atoms. X's may be the same or different. In the general formula (19), m may be an integer of to 1 to 3, preferably 1 for permitting the acid-dissociative, dissolution inhibiting group to easily dissociate.
-
- The amount of the constitutional units represented by (a6) and (a7) may be 30 to 100 mol %, preferably 70 to 100%, more preferably 100 mol %, based on the total mole of the constitutional units constituting the silsesquioxane resin in the present invention.
- The amount of the constitutional units represented by (a6) is preferably 5 to 70 mol %, more preferably 10 to 40 mol %, based on the total mole of the constitutional units represented by (a6) and (a7). The amount of the constitutional units represented by (a7) is preferably 30 to 95 mol %, more preferably 60 to 90 mol %, based on the total mole of the constitutional units represented by (a6) and (a7).
- When the amount of the constitutional units represented by (a6) falls in the above range, the amount of the acid-dissociative, dissolution inhibiting group is naturally determined, so that the silsesquioxane resin as a base resin of the positive resist composition advantageously changes in alkali-solubility before and after the exposure.
- The silsesquioxane resin may have constitutional units other than the constitutional units represented by (a6) and (a7) in such an amount that the effect aimed at by the present invention is not sacrificed. Examples thereof include those units used in a silsesquioxane resin for ArF excimer laser resist compositions, e.g., alkylsilsesquioxane units represented by the general formula (34) below, having an alkyl group (R′), such as a methyl group, an ethyl group, a propyl group, or a butyl group.
- The mass average molecular weight (Mw) (as measured by gel permeation chromatography using polystyrene for molecular weight calibration) of the silsesquioxane resin is not particularly limited, and it is preferably 2,000 to 15,000, more preferably 3,000 to 8,000. When the mass average molecular weight is larger than the upper limit of the range, the solubility in a resist solvent may become poor, and, when it is smaller than the lower limit of the range, the resist pattern cross-sectional form may become poor.
- The mass average molecular weight (Mw)/number average molecular weight (Mn), i.e., polymer distribution is not particularly limited, and it is preferably 1.0 to 6.0, more preferably 1.5 to 2.5. When it is larger than the upper limit of the range, the resolution and the pattern form may become poor.
- The silsesquioxane resin in the present invention is a polymer having in its basic skeleton a silsesquioxane comprising the constitutional units represented by (a6) and (a7), and hence has high transparency to high-energy light or electron beam of 200 nm or shorter. Therefore, the positive resist composition containing the silsesquioxane resin in the present invention is advantageously used in lithography using a light source at a wavelength shorter than that of, e.g., an ArF excimer laser, and, particularly in a single-layer process, the resist composition can form a fine resist pattern having a line width as small as 150 nm or less, and further 120 nm or less. When using a two-layer resist laminate as an upper layer, the resist composition is advantageously used in a process forming a fine resist pattern as small as 120 nm or less, and further 100 nm or less.
- The resin component used in the negative resist composition is not particularly limited as long as it is a resin component commonly used. Specific preferred examples thereof are as follows.
- As the resin component, there is preferably used a resin (a8) constituting a resin component that becomes alkali-insoluble due to acid, and having in its molecule two types of functional groups which can react with each other to form an ester, and which undergo dehydration due to the action of the acid generated from an acid generator added to the resist material together with the resin to form an ester, thus making the resin component alkali-insoluble. The two types of functional groups which can react with each other to form an ester mean, for example, a hydroxyl group and a carboxyl group or a carboxylic acid ester for forming a carboxylic acid ester. In other words, they mean two types of functional groups for forming an ester. Preferred examples of such resins include those resins having a hydroxyalkyl group and at least one of a carboxyl group and a carboxylic acid ester group at the side chain of the main skeleton of the resin.
- Further, the resin component is preferably a resin component (a9) comprised of a polymer having dicarboxylic acid monoester units.
- In other words, (a8) is a resin component having at least constitutional units represented by the following general formula (35):
wherein R13 represents a hydrogen atom, a C1-C6 alkyl group, or an alkyl group having a polycyclic ring skeleton, such as a bornyl group, an adamantyl group, a tetracyclododecyl group, or a tricyclodecyl group. - Preferred examples of such resins include polymers (homopolymers or copolymers) (a8-1) comprised of at least one type of monomers selected from an α-(hydroxyalkyl)-acrylic acid and an alkyl α-(hydroxyalkyl)acrylate, and copolymers (a8-2) comprised of at least one type of monomers selected from an ax-(hydroxyalkyl)acrylic acid and an alkyl α-(hydroxyalkyl)acrylate and at least one type of monomers selected from another ethylenically unsaturated carboxylic acid and an ester of another ethylenically unsaturated carboxylic acid.
- The polymers (a8-1) preferably include copolymers of an α-(hydroxyalkyl)acrylic acid and an alkyl α-(hydroxy-alkyl)acrylate, and, the copolymer (a8-2) preferably include copolymers that contain, as the another ethylenically unsaturated carboxylic acid or ester of another ethylenically unsaturated carboxylic acid, at least one member selected from acrylic acid, methacrylic acid, an alkyl acrylate, and an alkyl methacrylate.
- Examples of the hydroxyalkyl groups in the α-(hydroxyalkyl)acrylic acid or alkyl α-(hydroxyalkyl)-acrylate include lower hydroxyalkyl groups, such as a hydroxymethyl group, a hydroxyethyl group, a hydroxypropyl group, and a hydroxybutyl group. Among these, preferred is a hydroxyethyl group or a hydroxymethyl group since it readily forms an ester.
- Examples of the alkyl groups in the alkyl ester portion of the alkyl α-(hydroxyalkyl)acrylate include lower alkyl groups, such as a methyl group, an ethyl group, a propyl group, an isopropyl group, an n-butyl group, a sec-butyl group, a tert-butyl group, and an amyl group; and bridged polycyclic ring hydrocarbon groups, such as a bicyclo[2.2.1]heptyl group, a bornyl group, an adamantyl group, a tetracyclo[4.4.0.12.5.17.10]dodecyl group, and a tricyclo[5.2.1.02.6]decyl group. When the alkyl group in the ester portion is a polycyclic ring hydrocarbon group, the resultant polymer is effective in enhancing the resistance to dry etching. Among these alkyl groups, especially preferred are lower alkyl groups, such as a methyl group, an ethyl group, a propyl group, and a butyl group, since an inexpensive and easily available alcohol component for forming an ester can be used.
- Like a carboxyl group, a lower alkyl ester undergoes esterification with a hydroxyalkyl group, but an ester of a bridged polycyclic ring hydrocarbon is unlikely to undergo such esterification. Therefore, when the ester of a bridged polycyclic ring hydrocarbon is introduced into the resin, it is preferred that a carboxyl group be also present in the side chain of the resin.
- On the other hand, examples of another ethylenically unsaturated carboxylic acids and esters of the ethylenically unsaturated carboxylic acid in (a8-2) include unsaturated carboxylic acids, such as acrylic acid, methacrylic acid, maleic acid, and fumaric acid, and alkyl esters of the unsaturated carboxylic acid, such as methyl, ethyl, propyl, isopropyl, n-butyl, isobutyl, n-hexyl, and octyl esters. As the alkyl group in the ester portion, there can be used an ester of acrylic acid or methacrylic acid having a bridged polycyclic ring hydrocarbon group, such as a bicyclo[2.2.1]heptyl group, a bornyl group, an adamantyl group, a tetracyclo[4.4.0.12.5.17.10]dodecyl group, or a tricyclo[5.2.1.02.6]decyl group. Among these, preferred are acrylic acid, methacrylic acid, and lower alkyl esters thereof, such as methyl, ethyl, propyl, and n-butyl esters, since they are inexpensive and easily available.
- In the resin in resin component (a8-2), the molar ratio of at least one type of monomer units selected from an α-(hydroxyalkyl)acrylic acid and an alkyl α-(hydroxyalkyl)acrylate to at least one type of monomer units selected from anther ethylenically unsaturated carboxylic acid and an ethylenically unsaturated carboxylic acid ester is preferably in the range of from 20:80 to 95:5, especially preferably 50:50 to 90:10. When the ratio between the units falls in the above range, an ester is easily formed in the molecule or between the molecules, so that excellent resist patterns can be obtained.
- The resin component (a9) is a resin component having at least constitutional units represented by the following general formula (36) or (37):
wherein each of R14 and R15 represents an alkyl chain having 0 to 8 carbon atoms, R16 represents a substituent having at least two or more alicyclic structures, and each of R17 and R18 represents a hydrogen atom or an alkyl group having 1 to 8 carbon atoms. - The negative resist composition containing a resin component having the dicarboxylic acid monoester monomer units is preferred from the viewpoint of improved resolution and suppressed line edge roughness. In addition, the negative resist composition improves the swelling resistance and is more preferably used in the liquid immersion lithography process.
- Examples of the dicarboxylic acid monoester compounds include fumaric acid, itaconic acid, mesaconic acid, glutaconic acid, and traumatic acid.
- Preferred examples of resins having the dicarboxylic acid monoester units include polymers or copolymers (a9-1) comprised of dicarboxylic acid monoester monomers, and copolymers (a9-2) comprised of dicarboxylic acid monoester monomers and at least one type of monomers selected from the α-(hydroxyalkyl)acrylic acid, alkyl α-(hydroxyalkyl)-acrylate, another ethylenically unsaturated carboxylic acid, and ester of another ethylenically unsaturated carboxylic acid.
- The resin components used in the negative resist may be used individually or in combination. The resin component may have a weight average molecular weight of 1,000 to 50,000, preferably 2,000 to 3,0000.
- The positive resist that includes the acrylic resin ((a1) to (a4)) among the above resins corresponds to a positive resist containing a resin having a relatively high resistance to water liquid immersion. However, the resolution of a pattern formed from this resist tends to be lowered as the size is closer to the resolution limit in the liquid immersion lithography. The cause of lowering of the resolution is not a single factor, and, for removing such factors, it is considerably effective to form the protective film of the present invention to completely separate the immersion liquid from the resist film.
- The positive resist that includes the silsesquioxane resin ((a6) and (a7)) or the negative resist that includes any one of the specific resins (aB) and (a9) or both is considered to have poor liquid immersion resistance, as compared to the positive resist using the acrylic resin, and the suitability of this resist for the liquid immersion lithography can be improved by using the protective film of the present invention.
- Further, as seen in the Comparative Examples in the present invention, it is known that the resist that includes a cycloolefin resin has a very poor liquid immersion lithography resistance, which makes it impossible to form a pattern. Even the positive resist containing such a resin can be applied to the liquid immersion lithography by using the protective film of the present invention.
- The acid generator used in combination with the resin component of the positive or negative resist may be any acid generators appropriately selected from known acid generators used in a conventional chemically amplified resist.
- Specific examples of the acid generators include onium salts, such as diphenyliodonium trifluoromethanesulfonate, (4-methoxyphenyl)phenyliodonium trifluotomethanesulfonate, bis(p-tert-butylphenyl)iodonium trifluoromethanesulfonate, triphenylsulfonium trifluoromethanesulfonate, (4-methoxy-phenyl)diphenylsulfonium trifluoromethanesulfonate, (4-methylphenyl)diphenylsulfonium trifluoromethanesulfonate, (4-methylphenyl)diphenylsulfonium nonafluorobutanesulfonate, (p-tert-butylphenyl)diphenylsulfonium trifluoromethane-sulfonate, diphenyliodonium nonafluorobutanesulfonate, bis(p-tert-butylphenyl)iodonium nonafluorobutanesulfonate, triphenylsulfonium nonafluorobutanesulfonate, (4-trifluoro-methylphenyl)diphenylsulfonium trifluoromethanesulfonate, (4-trifluoromethylphenyl)diphenylsulfonium nonafluoro-butanesulfonate, and tri(p-tert-butylphenyl)sulfonium trifluoromethanesulfonate.
- Of the onium salts, triphenylsulfonium salts are preferably used since they are unlikely to decompose to generate organic gas. The amount of the triphenylsulfonium salt incorporated is preferably 50 to 100 mol %, more preferably 70 to 100 mol %, most preferably 100 mol %, based on the total mole of the acid generators.
- Among the triphenylsulfonium salts, a triphenylsulfonium salt represented by the general formula (38) below having a perfluoroalkylsulfonic acid ion as anion is especially preferably used since high sensitivity can be achieved:
wherein each of R19, R20, and R21 independently represents a hydrogen atom, a lower alkyl group having 1 to 8, preferably 1 to 4 carbon atoms, or a halogen atom, such as chlorine, fluorine, or bromine; and p is an integer of 1 to 12, preferably 1 to 8, and more preferably 1 to 4. - The acid generators may be used individually or in combination.
- The amount of the acid generator incorporated may be 0.5 part by mass, preferably 1 to 10 parts by mass, based on 100 parts by mass of the resin component. When the amount of the acid generator is less than 0.5 part by mass, pattern formation is not satisfactorily achieved, and, when the amount is more than 30 parts by mass, a uniform solution is difficult to obtain, leading to the lowering of the storage stability.
- The positive or negative resist composition in the present invention is produced by dissolving the resin component and the acid generator and the arbitrary component mentioned below preferably in an organic solvent.
- The organic solvent may be any organic solvents as long as they can dissolve the resin component and the acid generator to form a uniform solution. Any one or more types of solvent appropriately selected from the known solvents for conventional chemically amplified resists can be used.
- Examples of the organic solvents include ketones, such as acetone, methyl ethyl ketone, cyclohexanone, methyl isoamyl ketone, and 2-heptanone; polyhydric alcohols and derivatives thereof, such as monomethyl ether, monoethyl ether, monopropyl ether, monobutyl ether, or monophenyl ether of ethylene glycol, ethylene glycol monoacetate, diethylene glycol, diethylene glycol monoacetate, propylene glycol, propylene glycol monoacetate, dipropylene glycol, or dipropylene glycol monoacetate; cyclic ethers, such as dioxane; and esters, such as methyl lactate, ethyl lactate, methyl acetate, ethyl acetate, butyl acetate, methyl pyruvate, ethyl pyruvate, methyl methoxypropionate, and ethyl ethoxypropionate. These organic solvents may be used individually or in the form of a mixed solvent composed of two or more of them.
- To improve the form and stability with time of the resist pattern, the positive or negative resist may further contain, as a quencher, a known amine, preferably a secondary lower aliphatic amine or a tertiary lower aliphatic amine, or an organic acid, such as an organic carboxylic acid or an oxo-acid of phosphorus.
- The lower aliphatic amine means an alkylamine or alkylalcoholamine having 5 carbon atoms or less, and examples of the secondary or tertiary amines include trimethylamine, diethylamine, triethylamine, di-n-propylamine, tri-n-propylamine, tribentylamine, diethanolamine, and triethanolamine, and especially preferred is an alkanolamine, such as triethanolamine. These amines may be used individually or in combination.
- The amine is used in an amount in the range of generally from 0.01 to 2.0% by mass, based on the mass of the resin component.
- Example of preferred organic carboxylic acids include malonic acid, citric acid, malic acid, succinic acid, benzoic acid, and salicylic acid.
- Examples of the oxo-acids of phosphorus and derivatives thereof include phosphoric acid and derivatives thereof, e.g., esters, such as phosphoric acid, di-n-butyl phosphate, and diphenyl phosphate; phosphonic acid and derivatives thereof, e.g., esters, such as phosphonic acid, dimethyl phosphonate, di-n-butyl phosphonate, phenylphosphonic acid, diphenyl phosphonate, and dibenzyl phosphonate; and phosphinic acid, such as phosphinic acid and phenylphosphinic acid, and derivatives thereof, e.g., esters. Of these, especially preferred is phosphonic acid.
- The organic acid is used in an amount of 0.01 to 5.0 parts by mass, based on 100 parts by mass of the resin component. The organic acids may be used individually or in combination.
- The amount of the organic acid used is preferably in the range of the equimolar amount to the amine or smaller.
- The positive resist composition of the present invention may if desired contain an additive miscible with the composition, for example, an additional resin for improving the performance of the resist film, or a surfactant, a dissolution inhibitor, a plasticizer, a stabilizer, a coloring agent, or a halation preventing agent for improving the coating properties.
- The negative resist composition of the present invention may if necessary be blended with a cross-linking agent for further increasing the cross-linking density to improve the form or resolution of the resist pattern or the resistance to dry etching.
- The cross-linking agent is not particularly limited, and any cross-linking agent appropriately selected from known cross-linking agents for use in a conventional chemically amplified negative resist can be used. Examples of the cross-linking agents include alicyclic hydrocarbons having any one of a hydroxyl group and a hydroxyalkyl group or both and oxygen-containing derivatives thereof, such as 2,3-dihydroxy-5-hydroxymethylnorbornane, 2-hydroxy-5,6-bis(hydroxymethyl)norbornane, cyclohexanedimethanol, 3,4,8(or 9)-trihydroxytricyclodecane, 2-methyl-2-adamantanol, 1,4-dioxan-2,3-diol, and 1,3,5-trihydroxycyclohexane; and compounds obtained by reacting an amino group-containing compound, such as melamine, acetoguanamine, benzoguanamine, urea, ethyleneurea, or glycoluril, with formaldehyde or formaldehyde and a lower alcohol to replace a hydrogen atom in the amino group by a hydroxymethyl group or a lower alkoxymethyl group. Specific examples thereof include hexamethoxymethylmelamine, bismethoxymethylurea, bismethoxymethylbismethoxyethyleneurea, tetramethoxymethylglycoluril, and tetrabutoxymethylglycoluril, with tetrabutoxymethylglycoluril being especially preferred.
- The cross-linking agents may be used individually or in combination.
- Next, a method for forming a resist pattern by a liquid immersion lithography process using the protective film of the present invention is described.
- A conventional resist composition is first applied onto a substrate, such as a silicon wafer, by means of, e.g., a spinner, and then subjected to prebake (PAB treatment).
- An organic or inorganic antireflection coating film can be formed between the substrate and the coating layer of the resist composition to form a two-layer laminate.
- The above steps can be conducted using a conventionally known method. It is preferred that the conditions for procedure are appropriately selected depending on the formulation or properties of the resist composition used.
- Subsequently, a protective film-forming material composition, for example, “composition obtained by dissolving a mixed resin comprised of chain perfluoroalkyl polyether and cyclic perfluoroalkyl polyether in perfluorotributylamine” is uniformly applied to the surface of the above-cured resist film (comprised of a single layer or multiple layers), and then cured to form a resist protecting film.
- The thus obtained substrate having the resist film covered with the protective film is immersed in a refractive index liquid (liquid having a refractive index larger than the refractive index of air and smaller than the refractive index of the resist film).
- The resist film on the substrate immersed in the liquid is selectively exposed through a desired mask pattern. In this instance, the exposure light passes through the refractive index liquid and protective film and reaches the resist film.
- In this case, the resist film is completely protected by the protective film from the refractive index liquid, so that the resist film does not undergo a change in properties, such as swelling, due to attack of the refractive index liquid, or a component of the resist film is not dissolved in the refractive index liquid to change the refractive index liquid in optical properties, e.g., refractive index.
- The wavelength of light used in the above exposure is not particularly limited, and radiation, such as an ArF excimer laser, a KrF excimer laser, an F2 excimer laser, an EUV (extreme ultraviolet light), a VUV (vacuum ultraviolet light), an electron beam, an X-ray, or a soft X-ray can be used. The wavelength is determined mainly by the characteristic of the resist film.
- As mentioned above, in the method for forming a resist pattern of the present invention, the resist film is exposed through a liquid having a refractive index larger than that of air and smaller than that of the resist film used (refractive index liquid), the liquid being present on the resist film. Examples of such refractive index liquid include water and fluorocarbon inert liquids. Specific examples of the fluorocarbon inert liquids include liquids comprised mainly of fluorocarbon compounds, such as C3HCl2F5, C4F9OCH3, C4F9OC2H5, or C5H3F7. Among these, water is preferably used from the viewpoint of the cost, safety, environmental issues, and general purpose properties.
- The refractive index of the refractive index liquid used is not particularly limited as long as the refractive index is “larger than the refractive index of air and smaller than the refractive index of the resist composition used”.
- After completion of the step of the exposure in an immersed state, the substrate is taken out of the refractive index liquid, and the liquid is removed from the substrate, and then the protective film is removed. In the removal of the protective film, a fluorine solvent capable of dissolving the fluororesin can be directly used. From the viewpoint of facilitating the drying after washing, a solvent having a boiling point of about 150° C. or lower is preferably used, and preferred is perfluoro(2-butyltetra-hydrofuran)(boiling point: 102° C.) from this point of view.
- Subsequently, the resist film exposed is subjected to PEB (post-exposure bake), and then developed using an alkaline developer solution comprised of an alkaline aqueous solution. The PEB may be conducted before the step of removing the protective film. Post-bake may be conducted after the development treatment. Preferably, rinsing is carried out using pure water. The rinsing with water is made by, for example, allowing water to fall dropwise or spraying water against the surface of the substrate while rotating the substrate to wash away the developer solution on the substrate and the resist composition dissolved by the developer solution. Then, drying is conducted to obtain a resist pattern having a form patterned in the resist film according to the mask pattern.
- By forming a resist pattern by the above method, a resist pattern having a fine line width, especially a line and space pattern having a small pitch with excellent resolution can be produced. The pitch in the line and space pattern means the total distance of a resist pattern width and a space width in the direction of the line width of the pattern.
- While Examples of the present invention will be explained below, these examples merely exemplify the invention preferably, and do not limit the invention. In the following explanations, Comparative Examples are described along with the Examples.
- The resin component, acid generator, and nitrogen-containing organic compound shown below were uniformly dissolved in an organic solvent to prepare positive resist composition 1.
- As the resin component, 100 parts by mass of a methacrylate-acrylate copolymer comprising three types of constitutional units represented by the chemical formulae (39a), (39b), and (39c) below was used. In the constitutional units used in the preparation of the resin component, p, q, and r are as follows: p=50 mol %, q=30 mol %, and r=20 mol %. The resin component prepared had a mass average molecular weight of 10,000.
- As the acid generator, 3.5 parts by mass of triphenylsulfonium nonafluorobutanesulfonate and 1.0 part by mass of (4-methylphenyl)diphenylsulfonium trifluoromethanesulfonate were used.
- As the organic solvent, 1,900 parts by mass of a mixed solvent of propylene glycol monomethyl ether acetate and ethyl lactate (mass ratio: 6:4) was used.
- Further, as the nitrogen-containing organic compound, 0.3 part by mass of triethanolamine was used.
- Using the above-prepared positive resist composition 1, a resist pattern was formed.
- An organic antireflection coating composition “AR-19” (trade name; manufactured by Shipley Limited) was first applied onto a silicon wafer using a spinner, and dried by calcination on a hot plate at 215° C. for 60 seconds to form an organic antireflection coating film having a thickness of 82 nm. Then, positive resist composition 1 was applied onto the antireflection coating film using a spinner, and dried by prebake on a hot plate at 115° C. for 90 seconds to form a resist film having a thickness of 150 nm on the antireflection coating film.
- A protective film material, which was obtained by dissolving a mixed resin comprised of DEMNUM S-20 (manufactured by DAIKIN INDUSTRIES, Ltd.) and CYTOP (manufactured by ASAHI GLASS CO., LTD.)(weight ratio=1:5) in perfluorotributylamine to have a resin concentration of 2.5 wt %, was applied onto the resist film by spin coating, and heated at 90° C. for 60 seconds to form a protective film having a thickness of 37 nm.
- Subsequently, the resist film was irradiated (exposed) through a mask pattern with pattern light using an ArF excimer laser (wavelength: 193 nm) by means of an exposure system NSR-S302B (manufactured by Nikon Corporation, NA (numerical aperture)=0.60, σ=0.75). Then, in a liquid immersion lithography, while rotating the silicon wafer having the resist film exposed, pure water at 23° C. was allowed to fall dropwise against the resist film for 5 minutes. This step corresponds to the step in the practical production process in which the resist film completely immersed in the liquid is exposed. However, the step has a simplified construction such that pure water as a refractive index liquid (immersion liquid) is applied to the resist film after the exposure in order to achieve an evaluation of only the effect of the immersion liquid on the resist film which is previously exposed. This is because based on the above-stated analysis on the liquid immersion lithography method, completion of the exposure in the optics is theoretically guaranteed.
- After the step of allowing pure water to fall dropwise, the resultant resist film was subjected to PEB treatment under conditions at 115° C. for 90 seconds, and then the protective film was removed using perfluoro(2-butyltetra-hydrofuran). Then, the resist film was developed using an alkaline developer solution at 23° C. for 60 seconds. As the alkaline developer solution, a 2.38% by mass aqueous solution of tetramethylammonium hydroxide was used.
- The thus obtained resist pattern having a 130 nm line and space of 1:1 was examined under a scanning electron microscope (SEM). As a result, the pattern profile was found to be excellent such that no fluctuation was observed.
- An antireflection coating film, an ArF positive resist, and a protective film were formed on a substrate in accordance with the same procedure as that in Example 1.
- Using laboratory equipment prepared by Nikon Corporation using a prism and a liquid and two-beam interferometry exposure at a wavelength of 193 nm, the substrate having the protective film formed thereon was subjected to immersion lithography (the bottom surface of the prism was in contact with the protective film through water).
- The resultant substrate was subjected to PEB treatment in the same manner as that in Example 1, and the protective film was removed using perfluoro(2-butyltetrahydrofuran). Then, the resist film was developed under the same conditions as those used in Example 1.
- The thus obtained resist pattern having a 65 nm line and space of 1:1 was examined under a scanning electron microscope (SEM). As a result, the pattern profile was found to be excellent such that no fluctuation was observed. Further, the pattern obtained was examined for a cross-sectional form under a focused ion beam SEM (Altura 835; manufactured by FEI). As a result, it was found that the cross-sectional form had excellent squareness.
- A resist pattern was formed in accordance with substantially the same procedure as that in Example 2 except that no protective film was formed.
- As a result, although no change in the sensitivity was found, slight fluctuation (partial narrowing of lines) was observed in the pattern profile. Further, the pattern obtained was examined for a cross-sectional form under a focused ion beam SEM (Altura 835; manufactured by FEI). As a result, a slight T-top form was observed.
- The resin component, acid generator, and nitrogen-containing organic compound shown below were uniformly dissolved in an organic solvent to prepare positive resist composition 2.
-
- As the acid generator, 3.5 parts by mass of triphenylsulfonium nonafluorobutanesulfonate and 1.0 part by mass of (4-methylphenyl)diphenylsulfonium trifluoromethanesulfonate were used.
- As the organic solvent, 1,900 parts by mass of a mixed solvent of propylene glycol monomethyl ether acetate and ethyl lactate (mass ratio: 6:4) was used.
- Further, as the nitrogen-containing organic compound, 0.3 part by mass of triethanolamine was used.
- Using the above-prepared positive resist composition 2, a resist pattern was formed.
- An organic antireflection coating composition “AR-19” (trade name; manufactured by Shipley Limited) was first applied onto a silicon wafer using a spinner, and dried by calcination on a hot plate at 215° C. for 60 seconds to form an organic antireflection coating film having a thickness of 82 nm. Then, positive resist composition 1 was applied onto the antireflection coating film using a spinner, and dried by prebake on a hot plate at 115° C. for 90 seconds to form a resist film having a thickness of 150 nm on the antireflection coating film.
- Subsequently, the resist film was irradiated (exposed) through a mask pattern with pattern light using an ArF excimer laser (wavelength: 193 nm) by means of an exposure system NSR-S302B (manufactured by Nikon Corporation, NA (numerical aperture)=0.60, σ=0.75). Then, in a liquid immersion lithography, while rotating the silicon wafer having the resist film exposed, pure water at 23° C. was allowed to fall dropwise against the resist film for 5 minutes. This step corresponds to the step in the practical production process in which the resist film completely immersed in the liquid is exposed. However, the step has a simplified construction such that pure water as a refractive index liquid (immersion liquid) is applied to the resist film after the exposure in order to achieve an evaluation of only the effect of the immersion liquid on the resist film which is previously exposed. This is because based on the above-stated analysis on the liquid immersion lithography method, completion of the exposure in the optics is theoretically guaranteed.
- Subsequently, the resultant resist film was subjected to PEB treatment under conditions at 115° C. for 90 seconds, and developed using an alkaline developer solution at 23° C. for 60 seconds. As the alkaline developer solution, a 2.38% by mass aqueous solution of tetramethylammonium hydroxide was used.
- The thus obtained resist pattern having a 130 nm line and space of 1:1 was examined under a scanning electron microscope (SEM), and a sensitivity (Eth) was determined. As a result, it was found that the sensitivity measured was 9.1 mJ/cm2 and the lowering of the sensitivity was considerable as seen from the comparisons made below.
- Separately, using resist composition 2 in the present Comparative Example 2, a resist pattern was formed by exposure through a layer of air by the method conventionally used without employing the liquid immersion lithography treatment. As a result, the sensitivity was found to be 8.4 mJ/cm2. A ratio of the sensitivity in the liquid immersion lithography treatment to the sensitivity in the normal exposure (9.1/8.4) was determined to be 108.3.
- The resin component, acid generator, and nitrogen-containing organic compound shown below were uniformly dissolved in an organic solvent to prepare positive resist composition 3.
- As the resin component, 100 parts by mass of a copolymer comprising constitutional units comprising 63 mol % of hydroxystyrene units, 24 mol % of styrene units, and 13 mol % of tert-butyl acrylate units was used. The resin component prepared had a mass average molecular weight of 12,000.
- As the acid generator, 2.8 parts by mass of bis(tert-butylphenyliodonium trifluoromethanesulfonate and 1.0 part by mass of dimethylmonophenylsulfonium trifluoromethanesulfonate were used.
- As the organic solvent, 600 parts by mass of ethyl lactate was used.
- As the nitrogen-containing organic compound, 0.26 part by mass of triethanolamine was used, and 0.28 part by mass of phenylphosphonic acid was used as another component.
- Using the above-prepared positive resist composition 3, a resist pattern was formed.
- An organic antireflection coating composition “AR-3” (trade name; manufactured by Shipley Limited) was first applied onto a silicon wafer using a spinner, and dried by calcination on a hot plate at 220° C. for 60 seconds to form an organic antireflection coating film having a thickness of 62 nm. Then, positive resist composition 3 was applied onto the antireflection coating film using a spinner, and dried by prebake on a hot plate at 110° C. for 90 seconds to form a resist film having a thickness of 280 nm on the antireflection coating film.
- Subsequently, the resist film was irradiated (exposed) through a mask pattern with pattern light using a KrF excimer laser (wavelength: 248 nm) by means of an exposure system NSR-S203 (manufactured by Nikon Corporation, NA (numerical aperture)=0.60, σ=0.75). Then, in a liquid immersion lithography, while rotating the silicon-wafer having the resist film exposed, pure water at 23° C. was allowed to fall dropwise against the resist film for 5 minutes. This step corresponds to the step in the practical production process in which the resist film completely immersed in the liquid is exposed. However, the step has a simplified construction such that pure water as a refractive index liquid (immersion liquid) is applied to the resist film after the exposure in order to achieve an evaluation of only the effect of the immersion liquid on the resist film which is previously exposed. This is because based on the above-stated analysis on the liquid immersion lithography method, completion of the exposure in the optics is theoretically guaranteed.
- Subsequently, the resultant resist film was subjected to PEB treatment under conditions at 115° C. for 90 seconds, and developed using an alkaline developer solution at 23° C. for 60 seconds. As the alkaline developer solution, a 2.38% by mass aqueous solution of tetramethylammonium hydroxide was used.
- Thus obtained resist pattern having a 140 nm line and space of 1:1 was examined under a scanning electron microscope (SEM), and sensitivity (Eth) at that time was determined. As a result, it was found that the sensitivity was 22.0 mJ/cm2. The resist pattern had a T-top form and surface roughening was observed.
- Separately, using resist composition 3 in the present Comparative Example, a resist pattern was formed by exposure through a layer of air by the method conventionally used without employing the liquid immersion lithography treatment, and the sensitivity was found to be 20.0 mJ/cm2. A ratio of the sensitivity in the liquid immersion lithography treatment to the sensitivity in the normal exposure (22.0/20.0) was determined to be 108.8. The resist pattern was excellent such that no surface roughening was observed.
- The resin component, acid generator, and nitrogen-containing organic compound shown below were uniformly dissolved in an organic solvent to prepare positive resist composition 4.
- As the resin component, a mixed resin of 70 parts by mass of a copolymer comprising constitutional units comprising 64 mol % of hydroxystyrene units and 36 mol % of 1-ethoxy-1-ethyloxystyrene units and 30 parts by mass of a copolymer comprising constitutional units comprising 67 mol % of hydroxystyrene units and 33 mol % of tetrahydropyranyloxystyrene units was used. The resin components prepared independently had a mass average molecular weight of 8,000.
- As the acid generator, 4 parts by mass of bis(cyclohexylsulfonyl)diazomethane and 1 part by mass of tert-butylphenyliodonium trifluoromethanesulfonate were used.
- As the organic solvent, 600 parts by mass of a mixed solvent of propylene glycol monomethyl ether acetate and ethyl lactate (mass ratio: 6:4) was used.
- As the nitrogen-containing organic compound, 0.52 part by mass of triisopropanolamine was used, and 0.54 part by mass of dodecanoic acid was used as another component.
- Using the above-prepared positive resist composition 4, a resist pattern was formed.
- An organic antireflection coating composition “DUV-44” (trade name; manufactured by Brewer Science) was first applied onto a silicon wafer using a spinner, and dried by calcination on a hot plate at 225° C. for 90 seconds to form an organic antireflection coating film having a thickness of 65 nm. Then, positive resist composition 4 was applied onto the antireflection coating film using a spinner, and dried by prebake on a hot plate at 90° C. for 90 seconds to form a resist film having a thickness of 280 nm on the antireflection coating film.
- Subsequently, the resist film was irradiated (exposed) through a mask pattern with pattern light using a KrF excimer laser (wavelength: 248 nm) by means of an exposure system NSR-S203 (manufactured by Nikon Corporation, NA (numerical aperture)=060, (=0.75). Then, in a liquid immersion lithography, while rotating the silicon wafer having the resist film exposed, pure water at 23° C. was allowed to fall dropwise against the resist film for 5 minutes. This step corresponds to the step in the practical production process in which the resist film completely immersed in the liquid is exposed. However, the step has a simplified construction such that pure water as a refractive index liquid (immersion liquid) is applied to the resist film after the exposure in order to achieve an evaluation of only the effect of the immersion liquid on the resist film which is previously exposed. This is because based on the above-stated analysis on the liquid immersion lithography method, completion of the exposure in the optics is theoretically guaranteed.
- Next, the resultant resist film was subjected to PEB treatment under conditions at 110° C. for 90 seconds, and developed using an alkaline developer solution at 23° C. for 60 seconds. As the alkaline developer solution, a 2.38% by mass aqueous solution of tetramethylammonium hydroxide was used.
- The thus obtained resist pattern having a 140 nm line and space of 1:1 was examined under a scanning electron microscope (SEM), and sensitivity (Eth) at that time was determined. As a result, it was found that the sensitivity was 26.5 mJ/cm2. The resist pattern had a.T-top form and surface roughening was observed.
- Separately, using resist composition 4 in the present Comparative Example, a resist pattern-was formed by exposure through a layer of air by the method conventionally used without employing the liquid immersion lithography treatment, and the sensitivity was found to be 16.5 mJ/cm2. A ratio of the sensitivity in the liquid immersion lithography treatment to the sensitivity in the normal exposure (26.5/16.5) was determined to be 156.6. The resist pattern was excellent such that no surface roughening was observed.
- Examples 1 and 2 indicate that, in the liquid immersion lithography in which a protective film is formed, a pattern of 130 nm line and space having excellent profile can be obtained without lowering the properties required for pattern formation, e.g., sensitivity. In addition, it is apparent that the resist film used in the Examples, which is a positive resist film, can be applied to a negative resist film.
- The resin component, acid generator, and nitrogen-containing organic compound shown below were uniformly dissolved in an organic solvent to prepare a positive resist.
- As the resin component, 100 parts by mass of a polymer comprising constitutional units indicated by the above formula (40). The resin component prepared had a mass average molecular weight of 10,000.
- As the acid generator, 3.5 parts by mass of triphenylsulfonium nonafluorobutanesulfonate and 1.0 part by mass of (4-methylphenyl)diphenylsulfonium trifluoromethanesulfonate were used.
- As the organic solvent, 1,900 parts by mass of a mixed solvent of propylene glycol monomethyl ether acetate and ethyl lactate (mass ratio: 6:4) was used.
- As the nitrogen-containing organic compound, 0.3 part by mass of triethanolamine was used.
- An antireflection coating film, an ArF positive resist, and a protective film were formed on a substrate in accordance with substantially the same procedure as in Example 1 except that the above-prepared positive resist composition was used (the thickness of the resist film was changed to 140 nm).
- The substrate having the protective film formed thereon was subjected to immersion lithography in the same manner as in Example 2.
- The protective film was removed from the resist film under the same conditions as those used in Example 1, and the resist film was subjected to PEB treatment, followed by development.
- The thus obtained resist pattern having a 90 nm line and space of 1:1 was examined under a scanning electron microscope (SEM), and, as a result, the pattern profile was found to be excellent such that no fluctuation (pattern narrowing) was observed.
- A resist pattern having a 90 nm line and space of 1:1 was formed in accordance with entirely the same procedure as in Example 3 except that the positive photoresist shown in Example 3 was used and that no protective film was formed, and it was examined under a scanning electron microscope (SEM), but the fluctuation and swelling of the pattern were too large to observe the pattern.
- The resin component, acid generator, and nitrogen-containing organic compound shown below were uniformly dissolved in an organic solvent to prepare a positive resist composition.
- As the resin component, a polymer comprising constitutional units represented by the general formulae (41) and (42) below (85 parts by mass of the units of formula (41) and 15 parts by mass of the units of formula (42)) was used. The resin component had a mass average molecular weight of 10,000.
- As the acid generator, 3.0 parts by mass of triphenylsulfonium nonafluorobutanesulfonate was used.
- As the organic solvent, 1,900 parts by mass of a mixed solvent of propylene glycol monomethyl ether acetate and ethyl lactate (mass ratio: 6:4) was used.
-
- An antireflection coating film, an ArF positive resist, and a protective film were formed on a substrate in accordance with the same procedure as in Example 1 except that the above-prepared positive resist composition was used (the thickness of the resist film was changed to 140 nm).
- The substrate having the protective film formed thereon was subjected to immersion lithography in the same manner as in Example 2.
- The protective film was removed from the resist film under the same conditions as those used in Example 1, and the resist film was subjected to PEB treatment, followed by development.
- The thus obtained resist pattern having a 90 nm line and space of 1:1 was examined under a scanning electron microscope (SEM), and, as a result, the pattern profile was found to be excellent such that no fluctuation (pattern narrowing) was observed.
- A resist pattern having a 90 nm line and space of 1:1 was formed in accordance with entirely the same procedure as in Example 4 except that the positive photoresist shown in Example 3 was used and that no protective film was formed, and it was examined under a scanning electron microscope (SEM), but the fluctuation and swelling of the pattern occurred slightly.
- The resin component, acid generator, and nitrogen-containing organic compound shown below were uniformly dissolved in an organic solvent to prepare a negative resist composition.
- As the resin component, a polymer comprising constitutional units represented by the general formula (43) was used.
- Based on the mass of the resin component, 10% by mass of a cross-linking agent comprised of tetrabutoxymethylated glycoluril, 1% by mass of an acid generator comprised of triphenylsulfonium nonafluorobutanesulfonate, and 0.6% by mass of an amine component comprised of 4-phenylpyridine were dissolved in propylene glycol monomethyl ether, and the resultant negative resist material having a solids content of 8.1% by mass was used.
wherein m:n is 84:16 (mol %). - Using the above-prepared negative resist composition, a resist pattern was formed.
- An organic antireflection coating composition “AR-19” (trade name; manufactured by Shipley Limited) was first applied onto a silicon wafer using a spinner, and dried by calcination on a hot plate at 215° C. for 60 seconds to form an organic antireflection coating film having a thickness of 32 nm. Then, the negative resist composition was applied onto the antireflection coating film using a spinner, and dried by prebake on a hot plate at 110° C. for 60 seconds to form a resist film having a thickness of 300 nm on the antireflection coating film.
- A protective film material, which was obtained by dissolving a mixed resin comprised of DEMNUM S-10 (manufactured by DAIKIN INDUSTRIES, Ltd.) and CYTOP (manufactured by ASAHI GLASS CO., LTD.)(weight ratio=1:5) in perfluorotributylamine to have the resin concentration 2.5 wt %, was applied onto the resist film by spin coating, and heated at 90° C. for 60 seconds to form a protective film having a thickness of 37 nm.
- The substrate having the protective film formed thereon was subjected to exposure in the same manner as in Example 1, and then water was allowed to fall dropwise against the resist film (the treatment of allowing water to fall dropwise was continued for 2 minutes).
- The protective film was removed from the resist film under the same conditions as those used in Example 1, and the resist film was subjected to PEB treatment, followed by development.
- The thus obtained resist pattern having a 160 nm line and space of 1:1 was examined under a scanning electron microscope (SEM), and, as a result, the pattern profile was found to be excellent such that no fluctuation (pattern narrowing) and swelling were observed at all.
- A resist pattern having a 160 nm line and space of 1:1 was formed in accordance with entirely the same procedure as in Example 4 except that the negative photoresist shown in Example 5 was used and that no protective film was formed, and it was examined under a scanning electron microscope (SEM), but the fluctuation and swelling of the pattern occurred slightly.
- In the descriptions in the present invention, the following wording and different terms: “liquid having a refractive index larger than that of air and smaller than that of the resist film”; liquid refractive index medium; refractive index liquid; and immersion liquid, which were used for convenience of explanation, designate the same medium.
- The resin component, acid generator, and nitrogen-containing organic compound shown below were uniformly dissolved in an organic solvent to prepare a positive resist composition.
- As the resin component, 100 parts by mass of a methacrylate copolymer comprising three types of constitutional units represented by the general formula (44) below was used. In the constitutional units used in the preparation of the resin component, s, t, and u are as follows: s=40 mol %, t=40 mol %, and u=20 mol %. The resin component prepared had a mass average molecular weight of 10,000.
- As the acid generator, 0.8 part by mass of tri-(4-tert-butylphenyl)sulfonium trifluoromethanesulfonate and 2.0 parts by mass of (4-methylphenyl)diphenylsulfonium nonafluorobutanesulfonate were used.
- As the organic solvent, a mixed solvent of 1,520 parts by mass of a mixed solvent of propylene glycol monomethyl ether acetate and ethyl lactate (mass ratio: 6:4) and 380 parts by mass of γ-butyrolactone was used.
- As the nitrogen-containing organic compound, 0.25 part by mass of triethanolamine was used.
- Using the above-prepared positive resist composition, a resist pattern was formed.
- An organic antireflection coating composition “AR-19” (trade name; manufactured by Shipley Limited) was first applied onto a silicon wafer using a spinner, and dried by calcination on a hot plate at 215° C. for 60 seconds to form an organic antireflection coating film having a thickness of 82 nm. Then, the positive resist composition was applied onto the antireflection coating film using a spinner, and dried by prebake on a hot plate at 130° C. for 90 seconds to form a resist film having a thickness of 200 nm on the antireflection coating film.
- A protective film material, which was obtained by dissolving a mixed resin comprised of DEMNUM S-20 (manufactured by DAIKIN INDUSTRIES, Ltd.) and CYTOP (manufactured by ASAHI GLASS CO., LTD.)(weight ratio=1:5) in perfluorotributylamine to have the resin concentration 2.5 wt %, was applied onto the resist film by spin coating, and heated at 90° C. for 60 seconds to form a protective film having a thickness of 37 nm.
- Subsequently, the resist film was irradiated (exposed) through a mask pattern with pattern light using an ArF excimer laser (wavelength: 193 nm) by means of an exposure system NSR-S302B (manufactured by Nikon Corporation, NA (numerical aperture)=0.60, ⅔ annular illumination). Then, in a liquid immersion lithography, while rotating the silicon wafer having the resist film exposed, pure water at 23° C. was allowed to fall dropwise against the resist film for 2 minutes. This step corresponds to the step in the practical production process in which the resist film completely immersed in the liquid is exposed. However, the step has a simplified construction such that pure water as a refractive index liquid (immersion liquid) is applied to the resist film after the exposure in order to achieve an evaluation of only the effect of the immersion liquid on the resist film which is previously exposed. This is because based on the above-stated analysis on the liquid immersion lithography method, completion of the exposure in the optics is theoretically guaranteed.
- After the step of allowing pure water to fall dropwise, the resultant resist film was subjected to PEB treatment under conditions at 130° C. for 90 seconds, and then the protective film was removed using perfluoro(2-butyltetra-hydrofuran). Then, the resist film was developed using an alkaline developer solution at 23° C. for 60 seconds. As the alkaline developer solution, a 2.38% by mass aqueous solution of tetramethylammonium hydroxide was used.
- Thus obtained resist pattern having a 130 nm line and space of 1:1 was examined under a scanning electron microscope (SEM), and, as a result, the pattern profile was found to be excellent such that no fluctuation was observed at all.
- The sensitivity was 17.0 mJ/cm2, and the depth of focus was 1.0 μm. An exposure margin in which a 130 nm line pattern was obtained within ±10% was as excellent as 13.15%.
- The resin component, acid generator, and nitrogen-containing organic compound shown below were uniformly dissolved in an organic solvent to prepare a positive resist composition.
- As the resin component, a polymer comprising constitutional units represented by the general formulae (41) and (45) below (85 parts by mass of the units of formula (41) and 15 parts by mass of the units of formula (45)) was used. The resin component had a mass average molecular weight of 10,000.
- As the acid generator, 2.4 parts by mass of triphenylsulfonium nonafluorobutanesulfonate was used.
- As the organic solvent, 1,900 parts by mass of a mixed solvent of propylene glycol monomethyl ether acetate and ethyl lactate (mass ratio: 6:4) was used.
-
- An antireflection coating film, a positive resist using the resist composition, and a protective film were formed on a substrate in accordance with substantially the same procedure as in Example 1 (except that the thickness of the resist film was changed to 150 nm, that the prebake conditions were changed to those at 95° C. for 90 seconds, and that the PEB conditions were changed to those at 90° C. for 90 seconds).
- The substrate having the protective film formed thereon was subjected to immersion lithography in the same manner as in Example 2.
- The resist film was subjected to PEB treatment, and then the protective film was removed under the same conditions as those used in Example 1, and allowed to stand in a place having an amine concentration of about 5 ppb in air for 180 seconds, followed by development.
- Thus obtained resist pattern having a 130 nm line and space of 1:1 was examined under a scanning electron microscope (SEM), and, as a result, the pattern profile was found to be excellent such that no fluctuation (pattern narrowing) was observed. The sensitivity was 26.0 mJ/cm2.
- The resist composition prepared in Example 7 was allowed to stand for 180 seconds in the same manner as in Example 7, and then a resist pattern was formed in substantially the same manner as in Example 7 except that no protective film was used.
- The resist pattern having a 130 nm line and space of 1:1 was examined under a scanning electron microscope (SEM), and, as a result, the pattern profile was found to have a T-TOP form. The sensitivity was 33.0 mJ/cm2.
- The reason for this resides in that no protective film was used and hence amine contained in air deactivated acid on the resist film.
- As can be seen from the results of Example 7 and Comparative Example 8, the use of the protective film can prevent the resist film from being adversely affected by the amine contained in air. That is, the post exposure delay is drastically improved.
- As component (A), a mixed resin of 85 parts by mass of a silsesquioxane resin of the chemical formula (46) below and 15 parts by mass of a methacrylate-acrylate copolymer comprising three types of constitutional units represented by the chemical formula (47) below was used. In the constitutional units in the copolymer of the chemical formula (47), v, w, and x are as follows: v=40 mol %, w=40 mol %, and x=20 mol %, and the copolymer had a mass average molecular weight of 10,000.
- As component (B), 2.4 parts by mass of triphenylsulfonium nonafluorobutanesulfonate was used.
- As component (C), 1,900 parts by mass of a mixed solvent of ethyl lactate and γ-butyrolactone (mass ratio: 8:2) was used.
- As component (D), 0.27 part by mass of triethanolamine was used.
- As component (E), 0.26 part by mass of salicylic acid was used.
- Next, an organic antireflection coating composition “AR-19” (trade name; manufactured by Shipley Limited) was applied onto a silicon wafer using a spinner, and dried by calcination on a hot plate at 215° C. for 60 seconds to form an organic antireflection coating film having a thickness of 82 nm. The positive resist composition was applied onto the antireflection coating film using a spinner, and dried by prebake on a hot plate at 95° C. for 90 seconds to form a resist layer having a thickness of 150 nm on the antireflection coating film. Then, the resist film was spin-coated with a fluorine protective film material having a resin concentration of 2.5 wt %, which was prepared by dissolving a mixed resin of DEMNUM S-10 (manufactured by DAIKIN INDUSTRIES, Ltd.) and CYTOP (manufactured by ASAHI GLASS CO., LTD.)(weight ratio=1:5) in perfluorotributylamine, and heated at 90° C. for 60 seconds to form a protective film having a thickness of 37 nm.
- Then, in the evaluation test 2, using laboratory equipment prepared by Nikon Corporation, the resultant resist film was subjected to immersion lithography by 193-nm two-beam interferometry using a prism and water (two-beam interferometry experiment). A similar method is disclosed in the document 2 (J. Vac. Sci. Technol. B(2001) 19(6), p2353-2356) above, which is known as a method by which a L&S pattern can be easily obtained in a laboratory scale.
- In the immersion lithography in Example 8, a solvent layer of water as an immersion solvent was formed between the top surface of the protective film and the bottom surface of the prism.
- The exposure energy was selected so that the L&S pattern was constantly obtained. Subsequently, the resist film was subjected to PEB treatment under conditions at 90° C. for 90 seconds, and the protective film was removed using perfluoro(2-butyltetrahydrofuran). Then, the resist film was developed in the same manner as in Example 1 to obtain a 65 nm line and space (1:1). The pattern form obtained had high squareness.
- As described above, in the present invention, even when a resist film is formed using any resist composition commonly used, a resist pattern with high resolution can be obtained by a liquid immersion lithography process wherein the resist pattern is advantageous not only in that the resist pattern does not suffer surface roughening, e.g., T-top form and has high sensitivity and excellent resist pattern profile form, but also in that the resist pattern has excellent depth of focus and excellent exposure margin as well as excellent post exposure delay. Therefore, the use of the protective film according to the present invention makes it possible to effectively form a resist pattern using the liquid immersion lithography process.
-
- 1. Journal of Vacuum Science & Technology B (J. Vac. Sci. Technol. B) (Published in the United States) 1999, Vol. 17, 6th edition, pp.3306-3309
- 2. Journal of Vacuum Science & Technology B (J. Vac. Sci. Technol. B) (Published in the United States) 2001, Vol. 19, 6th edition, pp.2353-2356
- 3. Proceedings of SPIE Vol. 4691 (Published in the United States) 2002, Vol. 4691, pp.459-465
Claims (28)
1. A material for forming a resist protecting film which is for use in a liquid immersion lithography process and which is formed on a resist film,
the material having the following properties of:
being transparent with respect to exposure light;
having substantially no compatibility with a liquid for liquid immersion lithography; and
causing no mixing with the resist film.
2. The material for forming a resist protecting film for use in a liquid immersion lithography process according to claim 1 , wherein the liquid immersion lithography process is of a construction in which the resist film is exposed through the liquid for liquid immersion lithography present at least on the resist film in a path of the lithography exposure light toward the resist film, wherein the liquid has a predetermined thickness and has a refractive index larger than that of air and smaller than that of the resist film, whereby improving the resolution of a resist pattern.
3. The material for forming a resist protecting film for use in a liquid immersion lithography process according to claim 1 , wherein the liquid for liquid immersion lithography is water substantially comprised of pure water or deionized water.
4. The material for forming a resist protecting film for use in a liquid immersion lithography process according to claim 1 , wherein the resist film is formed from a resist composition comprised of a base polymer which is a polymer comprising (meth)acrylic ester units.
5. The material for forming a resist protecting film for use in a liquid immersion lithography process according to claim 1 , wherein the resist film is formed from a resist composition comprised of a base polymer which is a polymer having dicarboxylic acid anhydride-containing constitutional units.
6. The material for forming a resist protecting film for use in a liquid immersion lithography process according to claim 1 , wherein the resist film is formed from a resist composition comprised of a base polymer which is a polymer having phenolic hydroxyl group-containing constitutional units.
7. The material for forming a resist protecting film for use in a liquid immersion lithography process according to claim 1 , wherein the resist film is formed from a resist composition comprised of a base polymer which is a silsesquioxane resin.
8. The material for forming a resist protecting film for use in a liquid immersion lithography process according to claim 1 , wherein the resist film is formed from a resist composition comprised of a base polymer which is a polymer having α-(hydroxyalkyl)acrylic acid units.
9. The material for forming a resist protecting film for use in a liquid immersion lithography process according to claim 1 , wherein the resist film is formed from a resist composition comprised of a base polymer which is a polymer having dicarboxylic acid monoester units.
10. The material for forming a resist protecting film for use in a liquid immersion lithography process according to claim 1 , which has the following properties:
having substantially no compatibility with pure water or deionized water; and
causing no mixing with the resist film.
11. The material for forming a resist protecting film for use in a liquid immersion lithography process according to claim 1 , which is a composition comprising at least a fluorine-substituted polymer.
12. The material for forming a resist protecting film for use in a liquid immersion lithography process according to claim 11 , wherein the fluorine-substituted polymer is comprised of any one of cyclic perfluoroalkyl polyether and chain perfluoroalkyl polyether or both.
13. The material for forming a resist protecting film for use in a liquid immersion lithography process according to claim 12 , wherein the composition is obtained by dissolving any one of the cyclic perfluoroalkyl polyether and the chain perfluoroalkyl polyether or both in a fluorine solvent.
14. A composite film for use in a liquid immersion lithography process,
the composite film comprising a protective film and a resist film,
wherein the protective film has the following properties:
being transparent with respect to exposure light;
having substantially no compatibility with a liquid for liquid immersion lithography; and
causing no mixing with the resist film, and
wherein the protective film is formed on the resist film.
15. The composite film for liquid immersion lithography process according to claim 14 , wherein the liquid immersion lithography process is of a construction in which the composite film is exposed through the liquid for liquid immersion lithography present at least on the resist film in a path of the lithography exposure light toward the resist film, wherein the liquid has a predetermined thickness and has a refractive index larger than that of air and smaller than that of the resist film, thus improving the resolution of a resist pattern.
16. The composite film for liquid immersion lithography process according to claim 14 , wherein the liquid for liquid immersion lithography is water substantially comprised of pure water or deionized water.
17. The composite film for liquid immersion lithography process according to claim 14 , wherein the protective film has the following properties:
having no compatibility with pure water or deionized water; and
causing no chemical mixing with the resist film.
18. The composite film for liquid immersion lithography process according to claim 14 , wherein the protective film is a coating film of a composition comprising at least a fluorine-substituted polymer.
19. The composite film for liquid immersion lithography process according to claim 18 , wherein the fluorine-substituted polymer is comprised of any one of cyclic perfluoroalkyl polyether and chain perfluoroalkyl polyether or both.
20. The composite film for liquid immersion lithography process according to claim 19 , wherein the composition is obtained by dissolving any one of the cyclic perfluoroalkyl polyether and the chain perfluoroalkyl polyether or both in a fluorine solvent.
21. The composite film for liquid immersion lithography process according to claim 14 , wherein the resist film is formed from a resist composition comprised of a base polymer which is a polymer comprising (meth)acrylic ester units.
22. The composite film for liquid immersion lithography process according to claim 14 , wherein the resist film is formed from a resist composition comprised of a base polymer which is a polymer having dicarboxylic acid anhydride-containing constitutional units.
23. The composite film for liquid immersion lithography process according to claim 14 , wherein the resist film is formed from a resist composition comprised of a base polymer which is a polymer having phenolic hydroxyl group-containing constitutional units.
24. The composite film for liquid immersion lithography process according to claim 14 , wherein the resist film is formed from a resist composition comprised of a base polymer which is a silsesquioxane resin.
25. The composite film for liquid immersion lithography process according to claim 14 , wherein the resist film is formed from a resist composition comprised of a base polymer which is a polymer having α-(hydroxyalkyl)acrylic acid units.
26. The composite film for liquid immersion lithography process according to claim 14 , wherein the resist film is formed from a resist composition comprised of a base polymer which is a polymer having dicarboxylic acid monoester units.
27. A method for forming a resist pattern using a liquid immersion lithography process, the method comprising:
forming a photoresist film on a substrate;
forming, on the resist film, a protective film having the following properties of: being transparent with respect to exposure light, having substantially no compatibility with a liquid for liquid immersion lithography, and causing no mixing with the resist film;
directly placing the liquid for liquid immersion lithography having a predetermined thickness at least on the protective film on the substrate having the resist film and the protective film stacked thereon;
selectively irradiating the resist film with light through the liquid for liquid immersion lithography and the protective film, and optionally subjecting the resultant resist film to heat treatment;
removing the protective film from the resist film irradiated; and
developing the resist film from which the protective film is removed to obtain a resist pattern.
28. The method for forming a resist pattern according to claim 27 , wherein the liquid immersion lithography process is of a construction in which the resist film is exposed through the liquid for liquid immersion lithography present at least on the resist film in a ray of the lithography exposure light toward the resist film, wherein the liquid has a predetermined thickness and has a refractive index larger than that of air and smaller than that of the resist film, whereby improving the resolution of a resist pattern.
Priority Applications (1)
| Application Number | Priority Date | Filing Date | Title |
|---|---|---|---|
| US11/702,602 US7371510B2 (en) | 2003-02-20 | 2007-02-06 | Material for forming resist protecting film for use in liquid immersion lithography process, composite film, and method for forming resist pattern |
Applications Claiming Priority (9)
| Application Number | Priority Date | Filing Date | Title |
|---|---|---|---|
| JP2003-043394 | 2003-02-20 | ||
| JP2003043394 | 2003-02-20 | ||
| JP2003132288 | 2003-05-09 | ||
| JP2003-132288 | 2003-05-09 | ||
| JP2003-195409 | 2003-07-10 | ||
| JP2003195409 | 2003-07-10 | ||
| JP2003205001 | 2003-07-31 | ||
| JP2003-205001 | 2003-07-31 | ||
| PCT/JP2004/001956 WO2004074937A1 (en) | 2003-02-20 | 2004-02-20 | Immersion exposure process-use resist protection film forming material, composite film, and resist pattern forming method |
Related Parent Applications (1)
| Application Number | Title | Priority Date | Filing Date |
|---|---|---|---|
| PCT/JP2004/001956 A-371-Of-International WO2004074937A1 (en) | 2003-02-20 | 2004-02-20 | Immersion exposure process-use resist protection film forming material, composite film, and resist pattern forming method |
Related Child Applications (1)
| Application Number | Title | Priority Date | Filing Date |
|---|---|---|---|
| US11/702,602 Division US7371510B2 (en) | 2003-02-20 | 2007-02-06 | Material for forming resist protecting film for use in liquid immersion lithography process, composite film, and method for forming resist pattern |
Publications (1)
| Publication Number | Publication Date |
|---|---|
| US20060141400A1 true US20060141400A1 (en) | 2006-06-29 |
Family
ID=32913150
Family Applications (2)
| Application Number | Title | Priority Date | Filing Date |
|---|---|---|---|
| US10/546,358 Abandoned US20060141400A1 (en) | 2003-02-20 | 2004-02-20 | Immersion exposure process-use resist protection film forming material, composite film, and resist pattern forming method |
| US11/702,602 Expired - Lifetime US7371510B2 (en) | 2003-02-20 | 2007-02-06 | Material for forming resist protecting film for use in liquid immersion lithography process, composite film, and method for forming resist pattern |
Family Applications After (1)
| Application Number | Title | Priority Date | Filing Date |
|---|---|---|---|
| US11/702,602 Expired - Lifetime US7371510B2 (en) | 2003-02-20 | 2007-02-06 | Material for forming resist protecting film for use in liquid immersion lithography process, composite film, and method for forming resist pattern |
Country Status (6)
| Country | Link |
|---|---|
| US (2) | US20060141400A1 (en) |
| EP (1) | EP1596251A4 (en) |
| JP (1) | JP4437473B2 (en) |
| KR (1) | KR100853063B1 (en) |
| TW (1) | TW200424767A (en) |
| WO (1) | WO2004074937A1 (en) |
Cited By (59)
| Publication number | Priority date | Publication date | Assignee | Title |
|---|---|---|---|---|
| US20050036184A1 (en) * | 2003-08-11 | 2005-02-17 | Yee-Chia Yeo | Lithography apparatus for manufacture of integrated circuits |
| US20050036183A1 (en) * | 2003-08-11 | 2005-02-17 | Yee-Chia Yeo | Immersion fluid for immersion Lithography, and method of performing immersion lithography |
| US20050042554A1 (en) * | 2003-07-28 | 2005-02-24 | Asml Netherlands B.V. | Lithographic apparatus, device manufacturing method and a substrate |
| US20050175940A1 (en) * | 2004-02-11 | 2005-08-11 | Asml Netherlands B.V. | Device manufacturing method and a substrate |
| US20050208419A1 (en) * | 2004-03-18 | 2005-09-22 | Fuji Photo Film Co., Ltd. | Positive resist composition for immersion exposure and pattern-forming method using the same |
| US20060008746A1 (en) * | 2004-07-07 | 2006-01-12 | Yasunobu Onishi | Method for manufacturing semiconductor device |
| US20060036005A1 (en) * | 2004-08-11 | 2006-02-16 | Fuji Photo Film Co., Ltd. | Protective film-forming composition for immersion exposure and pattern forming method using the same |
| US20060098177A1 (en) * | 2003-05-23 | 2006-05-11 | Nikon Corporation | Exposure method, exposure apparatus, and exposure method for producing device |
| US20060104635A1 (en) * | 2004-11-11 | 2006-05-18 | Dainippon Screen Mfg. Co., Ltd. | Substrate processing apparatus and substrate processing method |
| US20060105272A1 (en) * | 2004-07-02 | 2006-05-18 | Rohm And Haas Electronic Materials Llc | Compositions and processes for immersion lithography |
| US20060139614A1 (en) * | 2003-06-13 | 2006-06-29 | Nikon Corporation | Exposure method, substrate stage, exposure apparatus, and device manufacturing method |
| US20060148266A1 (en) * | 2005-01-06 | 2006-07-06 | Matsushita Electric Industrial Co., Ltd. | Pattern formation method |
| US20060152693A1 (en) * | 2004-12-06 | 2006-07-13 | Dainippon Screen Mfg. Co., Ltd. | Substrate processing apparatus |
| US20060154170A1 (en) * | 2003-03-28 | 2006-07-13 | Kotaro Endo | Resist composition for liquid immersion exposure process and method of forming resist pattern therewith |
| US20070008377A1 (en) * | 2005-07-01 | 2007-01-11 | Xerox Corporation | Pressure compensation structure for microelectromechanical systems |
| US20070072112A1 (en) * | 2005-05-04 | 2007-03-29 | Rohm And Haas Electronic Materials Llc | Coating compositions |
| US20070115450A1 (en) * | 2003-12-03 | 2007-05-24 | Nikon Corporation | Exposure apparatus, exposure method, method for producing device, and optical part |
| US20070212638A1 (en) * | 2006-03-10 | 2007-09-13 | David Abdallah | Base soluble polymers for photoresist compositions |
| US20080008954A1 (en) * | 2006-06-22 | 2008-01-10 | Abdallah David J | High silicon-content thin film thermosets |
| US20080070167A1 (en) * | 2006-09-15 | 2008-03-20 | Tokyo Electron Limited | Exposure and developing method |
| US20080153035A1 (en) * | 2006-12-20 | 2008-06-26 | David Abdallah | Antireflective Coating Compositions |
| US20080196626A1 (en) * | 2007-02-20 | 2008-08-21 | Hengpeng Wu | Silicone coating composition |
| US20080299503A1 (en) * | 2004-12-27 | 2008-12-04 | Tokyo Ohka Kogyo Co., Ltd. | Material for Forming Resist Protection Films and Method for Resist Pattern Formation with the Same |
| US20090181323A1 (en) * | 2004-07-07 | 2009-07-16 | Fujifilm Corporation | Positive type resist composition for use in liquid immersion exposure and a method of forming the pattern using the same |
| US20090244514A1 (en) * | 2008-03-26 | 2009-10-01 | Samsung Electronics Co., Ltd. | Distance measuring sensors including vertical photogate and three-dimensional color image sensors including distance measuring sensors |
| US20090311624A1 (en) * | 2006-08-28 | 2009-12-17 | Nissan Chemical Industries, Ltd. | Resist underlayer film forming composition containing liquid additive |
| US20100068661A1 (en) * | 2006-01-23 | 2010-03-18 | Fujifilm Corporation | Pattern forming method |
| US20100086879A1 (en) * | 2006-09-20 | 2010-04-08 | Toshikazu Takayama | Material for formation of protective film, method for formation of photoresist pattern, and solution for washing/removal of protective film |
| US20100093969A1 (en) * | 2007-02-26 | 2010-04-15 | Ruzhi Zhang | Process for making siloxane polymers |
| US20100129526A1 (en) * | 2004-12-06 | 2010-05-27 | Sokudo Co., Ltd. | Substrate processing apparatus |
| US20100136257A1 (en) * | 2004-12-06 | 2010-06-03 | Sokudo Co., Ltd. | Substrate processing apparatus |
| US20100136492A1 (en) * | 2004-12-06 | 2010-06-03 | Sokudo Co., Ltd. | Substrate processing apparatus and substrate processing method |
| US20100177289A1 (en) * | 2004-03-18 | 2010-07-15 | Taiwan Semiconductor Manufacturing Company, Ltd. | Immersion Fluid for Immersion Lithography, and Method of Performing Immersion Lithography |
| US20100221664A1 (en) * | 2007-10-01 | 2010-09-02 | Jsr Corporation | Radiation-sensitive composition |
| US20100239986A1 (en) * | 2005-09-25 | 2010-09-23 | Sokudo Co., Ltd. | Substrate processing apparatus |
| US20100321652A1 (en) * | 2003-05-30 | 2010-12-23 | Asml Netherlands B.V. | Lithographic apparatus and device manufacturing method |
| US8076053B2 (en) | 2005-10-27 | 2011-12-13 | Jsr Corporation | Upper layer-forming composition and photoresist patterning method |
| US8192914B2 (en) | 2005-12-12 | 2012-06-05 | Tokyo Ohka Kogyo Co., Ltd. | Resist composition for immersion exposure and method of forming resist pattern |
| US8496761B2 (en) | 2004-11-10 | 2013-07-30 | Sokudo Co., Ltd. | Substrate processing apparatus and substrate processing method |
| US8524441B2 (en) | 2007-02-27 | 2013-09-03 | Az Electronic Materials Usa Corp. | Silicon-based antireflective coating compositions |
| US8932799B2 (en) | 2013-03-12 | 2015-01-13 | Taiwan Semiconductor Manufacturing Company, Ltd. | Photoresist system and method |
| US9017934B2 (en) | 2013-03-08 | 2015-04-28 | Taiwan Semiconductor Manufacturing Company, Ltd. | Photoresist defect reduction system and method |
| US20150152004A1 (en) * | 2012-08-09 | 2015-06-04 | Asahi Glass Company, Limited | Glass sheet/fluororesin laminate |
| US9110376B2 (en) | 2013-03-12 | 2015-08-18 | Taiwan Semiconductor Manufacturing Company, Ltd. | Photoresist system and method |
| US9117881B2 (en) | 2013-03-15 | 2015-08-25 | Taiwan Semiconductor Manufacturing Company, Ltd. | Conductive line system and process |
| US9175173B2 (en) | 2013-03-12 | 2015-11-03 | Taiwan Semiconductor Manufacturing Company, Ltd. | Unlocking layer and method |
| US9245751B2 (en) | 2013-03-12 | 2016-01-26 | Taiwan Semiconductor Manufacturing Company, Ltd. | Anti-reflective layer and method |
| US9256128B2 (en) | 2013-03-12 | 2016-02-09 | Taiwan Semiconductor Manufacturing Company, Ltd. | Method for manufacturing semiconductor device |
| US9341945B2 (en) | 2013-08-22 | 2016-05-17 | Taiwan Semiconductor Manufacturing Company, Ltd. | Photoresist and method of formation and use |
| US9354521B2 (en) | 2013-03-12 | 2016-05-31 | Taiwan Semiconductor Manufacturing Company, Ltd. | Photoresist system and method |
| US9502231B2 (en) | 2013-03-12 | 2016-11-22 | Taiwan Semiconductor Manufacturing Company, Ltd. | Photoresist layer and method |
| US9543147B2 (en) | 2013-03-12 | 2017-01-10 | Taiwan Semiconductor Manufacturing Company, Ltd. | Photoresist and method of manufacture |
| US9581908B2 (en) | 2014-05-16 | 2017-02-28 | Taiwan Semiconductor Manufacturing Company, Ltd. | Photoresist and method |
| US9599896B2 (en) | 2014-03-14 | 2017-03-21 | Taiwan Semiconductor Manufacturing Company, Ltd. | Photoresist system and method |
| US9761449B2 (en) | 2013-12-30 | 2017-09-12 | Taiwan Semiconductor Manufacturing Company, Ltd. | Gap filling materials and methods |
| KR20170128114A (en) * | 2016-05-12 | 2017-11-22 | 제이에스알 가부시끼가이샤 | Process for forming resist pattern |
| US10036953B2 (en) | 2013-11-08 | 2018-07-31 | Taiwan Semiconductor Manufacturing Company | Photoresist system and method |
| US10095113B2 (en) | 2013-12-06 | 2018-10-09 | Taiwan Semiconductor Manufacturing Company | Photoresist and method |
| US10564546B2 (en) | 2016-05-12 | 2020-02-18 | Jsr Corporation | Resist pattern-forming method |
Families Citing this family (84)
| Publication number | Priority date | Publication date | Assignee | Title |
|---|---|---|---|---|
| JP4376718B2 (en) * | 2003-07-28 | 2009-12-02 | エーエスエムエル ネザーランズ ビー.ブイ. | Lithographic apparatus, device manufacturing method, and substrate |
| TWI300165B (en) * | 2003-08-13 | 2008-08-21 | Tokyo Ohka Kogyo Co Ltd | Resin for resist, positive resist composition and resist pattern formation method |
| JP4265766B2 (en) * | 2003-08-25 | 2009-05-20 | 東京応化工業株式会社 | Resist protective film forming material for immersion exposure process, resist protective film comprising the protective film forming material, and resist pattern forming method using the resist protective film |
| US7528929B2 (en) | 2003-11-14 | 2009-05-05 | Asml Netherlands B.V. | Lithographic apparatus and device manufacturing method |
| JP4300131B2 (en) * | 2004-02-16 | 2009-07-22 | 富士フイルム株式会社 | Chemically amplified resist composition for immersion process and pattern forming method using the same |
| JP4452634B2 (en) * | 2004-02-20 | 2010-04-21 | 富士フイルム株式会社 | Positive resist composition for immersion exposure and pattern forming method using the same |
| JP3954066B2 (en) | 2004-02-25 | 2007-08-08 | 松下電器産業株式会社 | Barrier film forming material and pattern forming method using the same |
| JP4622340B2 (en) * | 2004-03-04 | 2011-02-02 | 株式会社ニコン | Exposure apparatus and device manufacturing method |
| JP4494060B2 (en) | 2004-03-30 | 2010-06-30 | 東京応化工業株式会社 | Positive resist composition |
| JP4355944B2 (en) | 2004-04-16 | 2009-11-04 | 信越化学工業株式会社 | Pattern forming method and resist upper layer film material used therefor |
| JP4343022B2 (en) * | 2004-05-10 | 2009-10-14 | 東京エレクトロン株式会社 | Substrate processing method and substrate processing apparatus |
| KR101257960B1 (en) * | 2004-06-04 | 2013-04-24 | 칼 짜이스 에스엠테 게엠베하 | System for measuring the image quality of an optical imaging system |
| US7763412B2 (en) | 2004-06-08 | 2010-07-27 | Tokyo Ohka Kogyo Co., Ltd. | Polymer, positive resist composition and method for forming resist pattern |
| JP4551701B2 (en) * | 2004-06-14 | 2010-09-29 | 富士フイルム株式会社 | Protective film forming composition for immersion exposure and pattern forming method using the same |
| JP4740666B2 (en) * | 2004-07-07 | 2011-08-03 | 富士フイルム株式会社 | Positive resist composition for immersion exposure and pattern forming method using the same |
| JP4551704B2 (en) * | 2004-07-08 | 2010-09-29 | 富士フイルム株式会社 | Protective film forming composition for immersion exposure and pattern forming method using the same |
| JP4551706B2 (en) * | 2004-07-16 | 2010-09-29 | 富士フイルム株式会社 | Protective film forming composition for immersion exposure and pattern forming method using the same |
| WO2006009169A1 (en) * | 2004-07-21 | 2006-01-26 | Nikon Corporation | Exposure method and method for producing device |
| WO2006011427A1 (en) | 2004-07-30 | 2006-02-02 | Asahi Glass Company, Limited | Fluorine-containing compound, fluorine-containing polymer, resist composition and resist protective film composition |
| JP4368267B2 (en) | 2004-07-30 | 2009-11-18 | 東京応化工業株式会社 | Resist protective film forming material and resist pattern forming method using the same |
| JP4368266B2 (en) | 2004-07-30 | 2009-11-18 | 東京応化工業株式会社 | Resist protective film forming material and resist pattern forming method using the same |
| JP4545524B2 (en) * | 2004-08-23 | 2010-09-15 | 東京応化工業株式会社 | Laminated body and resist pattern forming method |
| EP1804279A4 (en) * | 2004-09-17 | 2008-04-09 | Nikon Corp | EXPOSURE SUBSTRATE, EXPOSURE METHOD, AND DEVICE MANUFACTURING METHOD |
| JP4386359B2 (en) * | 2004-09-29 | 2009-12-16 | 株式会社Sokudo | Protective film forming apparatus, substrate processing system, and removal method |
| JP4494159B2 (en) * | 2004-10-13 | 2010-06-30 | 東京応化工業株式会社 | POLYMER COMPOUND, POSITIVE RESIST COMPOSITION AND METHOD FOR FORMING RESIST PATTERN |
| JP4494161B2 (en) * | 2004-10-14 | 2010-06-30 | 東京応化工業株式会社 | POLYMER COMPOUND, POSITIVE RESIST COMPOSITION AND METHOD FOR FORMING RESIST PATTERN |
| US20090213342A1 (en) * | 2004-10-22 | 2009-08-27 | Carl Zeiss Smt Ag | Projection exposure apparatus for microlithography |
| JP5154008B2 (en) * | 2004-11-10 | 2013-02-27 | 株式会社Sokudo | Substrate processing apparatus and substrate processing method |
| US7119035B2 (en) * | 2004-11-22 | 2006-10-10 | Taiwan Semiconductor Manufacturing Company, Ltd. | Method using specific contact angle for immersion lithography |
| JP4084798B2 (en) * | 2004-12-10 | 2008-04-30 | 松下電器産業株式会社 | Barrier film forming material and pattern forming method using the same |
| JP4499544B2 (en) * | 2004-12-10 | 2010-07-07 | パナソニック株式会社 | Chemically amplified positive resist material for immersion exposure and pattern forming method using the same |
| JP2006196575A (en) * | 2005-01-12 | 2006-07-27 | Jsr Corp | Method of forming resist pattern by immersion type exposure method |
| JP4955976B2 (en) * | 2005-01-21 | 2012-06-20 | 東京エレクトロン株式会社 | Coating and developing apparatus and method thereof |
| JP4955977B2 (en) * | 2005-01-21 | 2012-06-20 | 東京エレクトロン株式会社 | Coating and developing apparatus and method thereof |
| US7267497B2 (en) * | 2005-01-21 | 2007-09-11 | Tokyo Electron Limited | Coating and developing system and coating and developing method |
| JP2006220847A (en) * | 2005-02-09 | 2006-08-24 | Toshiba Corp | Resist pattern forming method |
| JP2006222284A (en) * | 2005-02-10 | 2006-08-24 | Toshiba Corp | Pattern forming method and semiconductor device manufacturing method |
| JP4616040B2 (en) * | 2005-03-03 | 2011-01-19 | 富士通株式会社 | Resist cover film forming material, resist pattern forming method, electronic device and manufacturing method thereof |
| EP1698937B1 (en) | 2005-03-04 | 2015-12-23 | FUJIFILM Corporation | Positive resist composition and pattern-forming method using the same |
| JP2006278693A (en) * | 2005-03-29 | 2006-10-12 | Asahi Glass Co Ltd | Water purge agent and resist pattern forming method using the same |
| JP4644014B2 (en) * | 2005-03-29 | 2011-03-02 | 富士通株式会社 | Resist cover film forming material, resist pattern forming method, semiconductor device and manufacturing method thereof |
| JP4482760B2 (en) * | 2005-04-26 | 2010-06-16 | 信越化学工業株式会社 | Resist protective film material and pattern forming method |
| EP1720072B1 (en) * | 2005-05-01 | 2019-06-05 | Rohm and Haas Electronic Materials, L.L.C. | Compositons and processes for immersion lithography |
| JP4718893B2 (en) * | 2005-05-13 | 2011-07-06 | 株式会社東芝 | Pattern formation method |
| WO2006123643A1 (en) * | 2005-05-17 | 2006-11-23 | Tokyo Ohka Kogyo Co., Ltd. | Material for protective film formation for liquid immersion exposure process, and method for photoresist pattern formation using the same |
| JP4589809B2 (en) * | 2005-06-06 | 2010-12-01 | パナソニック株式会社 | Barrier film forming material and pattern forming method using the same |
| JP4861767B2 (en) * | 2005-07-26 | 2012-01-25 | 富士フイルム株式会社 | Positive resist composition and pattern forming method using the same |
| JP5055453B2 (en) * | 2005-07-26 | 2012-10-24 | 富士フイルム株式会社 | Positive resist composition and pattern forming method using the same |
| JP2007078744A (en) * | 2005-09-09 | 2007-03-29 | Tokyo Ohka Kogyo Co Ltd | Protective film forming material and photoresist pattern forming method using the same |
| WO2007029767A1 (en) * | 2005-09-09 | 2007-03-15 | Tokyo Ohka Kogyo Co., Ltd. | Washing agent for photolithography and method of forming photoresist pattern using the same |
| JP4568668B2 (en) * | 2005-09-22 | 2010-10-27 | 富士フイルム株式会社 | Positive resist composition for immersion exposure and pattern forming method using the same |
| JP4804950B2 (en) | 2005-09-26 | 2011-11-02 | 東京応化工業株式会社 | Method for measuring immersion lithography dissolved component of organic film |
| JP5114022B2 (en) * | 2006-01-23 | 2013-01-09 | 富士フイルム株式会社 | Pattern formation method |
| JP2007206229A (en) * | 2006-01-31 | 2007-08-16 | Renesas Technology Corp | Resist pattern forming method and semiconductor device manufacturing method |
| US7771913B2 (en) * | 2006-04-04 | 2010-08-10 | Shin-Etsu Chemical Co., Ltd. | Resist composition and patterning process using the same |
| JPWO2007125971A1 (en) * | 2006-04-27 | 2009-09-10 | Jsr株式会社 | Resist pattern forming method |
| TWI395065B (en) * | 2006-07-06 | 2013-05-01 | Shinetsu Chemical Co | Positive resist compositions and patterning process |
| JP2008037857A (en) * | 2006-07-14 | 2008-02-21 | Tokyo Ohka Kogyo Co Ltd | Compound, acid-generating agent, resist composition and resist pattern-forming method |
| JP4615497B2 (en) | 2006-09-20 | 2011-01-19 | 東京応化工業株式会社 | Resist protective film forming composition and resist pattern forming method using the same |
| JP4554665B2 (en) | 2006-12-25 | 2010-09-29 | 富士フイルム株式会社 | PATTERN FORMATION METHOD, POSITIVE RESIST COMPOSITION FOR MULTIPLE DEVELOPMENT USED FOR THE PATTERN FORMATION METHOD, NEGATIVE DEVELOPMENT SOLUTION USED FOR THE PATTERN FORMATION METHOD, AND NEGATIVE DEVELOPMENT RINSE SOLUTION USED FOR THE PATTERN FORMATION METHOD |
| US8530148B2 (en) | 2006-12-25 | 2013-09-10 | Fujifilm Corporation | Pattern forming method, resist composition for multiple development used in the pattern forming method, developer for negative development used in the pattern forming method, and rinsing solution for negative development used in the pattern forming method |
| US8637229B2 (en) | 2006-12-25 | 2014-01-28 | Fujifilm Corporation | Pattern forming method, resist composition for multiple development used in the pattern forming method, developer for negative development used in the pattern forming method, and rinsing solution for negative development used in the pattern forming method |
| US8603733B2 (en) | 2007-04-13 | 2013-12-10 | Fujifilm Corporation | Pattern forming method, and resist composition, developer and rinsing solution used in the pattern forming method |
| US8034547B2 (en) | 2007-04-13 | 2011-10-11 | Fujifilm Corporation | Pattern forming method, resist composition to be used in the pattern forming method, negative developing solution to be used in the pattern forming method and rinsing solution for negative development to be used in the pattern forming method |
| WO2008129964A1 (en) | 2007-04-13 | 2008-10-30 | Fujifilm Corporation | Method for pattern formation, and resist composition, developing solution and rinsing liquid for use in the method for pattern formation |
| US7985534B2 (en) | 2007-05-15 | 2011-07-26 | Fujifilm Corporation | Pattern forming method |
| US8476001B2 (en) | 2007-05-15 | 2013-07-02 | Fujifilm Corporation | Pattern forming method |
| US8334338B2 (en) * | 2007-05-23 | 2012-12-18 | Jsr Corporation | Composition for forming resist lower layer film |
| KR101457927B1 (en) | 2007-06-12 | 2014-11-07 | 후지필름 가부시키가이샤 | Resist composition for negative tone development and pattern forming method using the same |
| JP4590431B2 (en) | 2007-06-12 | 2010-12-01 | 富士フイルム株式会社 | Pattern formation method |
| JP4617337B2 (en) | 2007-06-12 | 2011-01-26 | 富士フイルム株式会社 | Pattern formation method |
| US8617794B2 (en) | 2007-06-12 | 2013-12-31 | Fujifilm Corporation | Method of forming patterns |
| US8632942B2 (en) | 2007-06-12 | 2014-01-21 | Fujifilm Corporation | Method of forming patterns |
| KR100968149B1 (en) * | 2007-10-31 | 2010-07-06 | 주식회사 하이닉스반도체 | Binary mask and its formation method, fine pattern formation method of semiconductor device using binary mask |
| JP4431180B2 (en) * | 2008-02-22 | 2010-03-10 | 東京エレクトロン株式会社 | Substrate processing method |
| JP5311331B2 (en) * | 2008-06-25 | 2013-10-09 | ルネサスエレクトロニクス株式会社 | Development processing method for immersion lithography and electronic device using the development processing method |
| JP5997873B2 (en) * | 2008-06-30 | 2016-09-28 | 富士フイルム株式会社 | Photosensitive composition and pattern forming method using the same |
| KR101715343B1 (en) * | 2009-03-11 | 2017-03-14 | 주식회사 동진쎄미켐 | Method for forming fine pattern in semiconductor device |
| JP5814516B2 (en) * | 2009-06-08 | 2015-11-17 | ローム アンド ハース エレクトロニック マテリアルズ エルエルシーRohm and Haas Electronic Materials LLC | Photolithographic method |
| US8502856B2 (en) | 2010-04-07 | 2013-08-06 | Apple Inc. | In conference display adjustments |
| GB2499663A (en) * | 2012-02-27 | 2013-08-28 | Conductive Inkjet Tech Ltd | Protective coatings for photo-resists that are separately applied with different solvents but removed together using same solvent |
| KR102401993B1 (en) * | 2014-08-01 | 2022-05-25 | 올싸거널 인코포레이티드 | Photolithographic patterning of devices |
| KR101940522B1 (en) | 2014-09-30 | 2019-01-21 | 후지필름 가부시키가이샤 | Pattern formation method, protective-film-forming composition, electronic device manufacturing method, and electronic device |
| KR101994797B1 (en) | 2014-12-17 | 2019-09-24 | 후지필름 가부시키가이샤 | Pattern formation method, composition for protective film formation, and method for producing electronic device |
Citations (7)
| Publication number | Priority date | Publication date | Assignee | Title |
|---|---|---|---|---|
| US3895949A (en) * | 1972-07-24 | 1975-07-22 | Asahi Chemical Ind | Photosensitive element comprising photopolymerizable layer and protective layer |
| US5728508A (en) * | 1994-03-14 | 1998-03-17 | Shin-Etsu Chemical Co., Ltd. | Method of forming resist pattern utilizing fluorinated resin antireflective film layer |
| US6136505A (en) * | 1998-06-12 | 2000-10-24 | Tokyo Ohka Kogyo Co., Ltd. | Liquid coating composition for use in forming antireflective film and photoresist material using said antireflective film |
| US20050123863A1 (en) * | 2003-12-03 | 2005-06-09 | Vencent Chang | Immersion lithography process and mask layer structure applied in the same |
| US20050175940A1 (en) * | 2004-02-11 | 2005-08-11 | Asml Netherlands B.V. | Device manufacturing method and a substrate |
| US20050202347A1 (en) * | 2004-03-09 | 2005-09-15 | Houlihan Francis M. | Process of imaging a deep ultraviolet photoresist with a top coating and materials thereof |
| US7129009B2 (en) * | 2002-05-14 | 2006-10-31 | E. I. Du Pont De Nemours And Company | Polymer-liquid compositions useful in ultraviolet and vacuum ultraviolet uses |
Family Cites Families (18)
| Publication number | Priority date | Publication date | Assignee | Title |
|---|---|---|---|---|
| JPS6265326A (en) * | 1985-09-18 | 1987-03-24 | Hitachi Ltd | Exposure device |
| US5282066A (en) * | 1991-05-31 | 1994-01-25 | Hughes Aircraft Company | Multiple layer holograms |
| JP3344063B2 (en) * | 1994-02-24 | 2002-11-11 | ジェイエスアール株式会社 | Base blocking antireflection film and method for forming resist pattern |
| JPH07253674A (en) * | 1994-03-14 | 1995-10-03 | Shin Etsu Chem Co Ltd | Anti-reflection film material |
| JPH0876382A (en) * | 1994-09-08 | 1996-03-22 | Oki Electric Ind Co Ltd | Method of forming resist pattern |
| JP3747566B2 (en) * | 1997-04-23 | 2006-02-22 | 株式会社ニコン | Immersion exposure equipment |
| AU2747999A (en) * | 1998-03-26 | 1999-10-18 | Nikon Corporation | Projection exposure method and system |
| WO2002062670A1 (en) * | 2001-02-07 | 2002-08-15 | B Young Company Limited | Pallet |
| US6788477B2 (en) * | 2002-10-22 | 2004-09-07 | Taiwan Semiconductor Manufacturing Co., Ltd. | Apparatus for method for immersion lithography |
| JP3954066B2 (en) * | 2004-02-25 | 2007-08-08 | 松下電器産業株式会社 | Barrier film forming material and pattern forming method using the same |
| JP4484603B2 (en) * | 2004-03-31 | 2010-06-16 | セントラル硝子株式会社 | Topcoat composition |
| US7335456B2 (en) * | 2004-05-27 | 2008-02-26 | International Business Machines Corporation | Top coat material and use thereof in lithography processes |
| US7781141B2 (en) * | 2004-07-02 | 2010-08-24 | Rohm And Haas Electronic Materials Llc | Compositions and processes for immersion lithography |
| JP4697406B2 (en) * | 2004-08-05 | 2011-06-08 | 信越化学工業株式会社 | Polymer compound, resist protective film material and pattern forming method |
| KR100574993B1 (en) * | 2004-11-19 | 2006-05-02 | 삼성전자주식회사 | Top coating composition for photoresist and photoresist pattern formation method using the same |
| US7799883B2 (en) * | 2005-02-22 | 2010-09-21 | Promerus Llc | Norbornene-type polymers, compositions thereof and lithographic process using such compositions |
| US7807335B2 (en) * | 2005-06-03 | 2010-10-05 | International Business Machines Corporation | Immersion lithography contamination gettering layer |
| US7205093B2 (en) * | 2005-06-03 | 2007-04-17 | International Business Machines Corporation | Topcoats for use in immersion lithography |
-
2004
- 2004-02-17 TW TW093103779A patent/TW200424767A/en not_active IP Right Cessation
- 2004-02-20 EP EP04713169A patent/EP1596251A4/en not_active Withdrawn
- 2004-02-20 JP JP2005502778A patent/JP4437473B2/en not_active Expired - Fee Related
- 2004-02-20 US US10/546,358 patent/US20060141400A1/en not_active Abandoned
- 2004-02-20 WO PCT/JP2004/001956 patent/WO2004074937A1/en not_active Ceased
- 2004-02-20 KR KR1020057015228A patent/KR100853063B1/en not_active Expired - Fee Related
-
2007
- 2007-02-06 US US11/702,602 patent/US7371510B2/en not_active Expired - Lifetime
Patent Citations (7)
| Publication number | Priority date | Publication date | Assignee | Title |
|---|---|---|---|---|
| US3895949A (en) * | 1972-07-24 | 1975-07-22 | Asahi Chemical Ind | Photosensitive element comprising photopolymerizable layer and protective layer |
| US5728508A (en) * | 1994-03-14 | 1998-03-17 | Shin-Etsu Chemical Co., Ltd. | Method of forming resist pattern utilizing fluorinated resin antireflective film layer |
| US6136505A (en) * | 1998-06-12 | 2000-10-24 | Tokyo Ohka Kogyo Co., Ltd. | Liquid coating composition for use in forming antireflective film and photoresist material using said antireflective film |
| US7129009B2 (en) * | 2002-05-14 | 2006-10-31 | E. I. Du Pont De Nemours And Company | Polymer-liquid compositions useful in ultraviolet and vacuum ultraviolet uses |
| US20050123863A1 (en) * | 2003-12-03 | 2005-06-09 | Vencent Chang | Immersion lithography process and mask layer structure applied in the same |
| US20050175940A1 (en) * | 2004-02-11 | 2005-08-11 | Asml Netherlands B.V. | Device manufacturing method and a substrate |
| US20050202347A1 (en) * | 2004-03-09 | 2005-09-15 | Houlihan Francis M. | Process of imaging a deep ultraviolet photoresist with a top coating and materials thereof |
Cited By (144)
| Publication number | Priority date | Publication date | Assignee | Title |
|---|---|---|---|---|
| US20060154170A1 (en) * | 2003-03-28 | 2006-07-13 | Kotaro Endo | Resist composition for liquid immersion exposure process and method of forming resist pattern therewith |
| US7264918B2 (en) * | 2003-03-28 | 2007-09-04 | Tokyo Ohka Kogyo Co., Ltd. | Resist composition for liquid immersion exposure process and method of forming resist pattern therewith |
| US9285684B2 (en) | 2003-05-23 | 2016-03-15 | Nikon Corporation | Exposure method, exposure apparatus, and method for producing device |
| US8472001B2 (en) | 2003-05-23 | 2013-06-25 | Nikon Corporation | Exposure method, exposure apparatus, and method for producing device |
| US8488108B2 (en) | 2003-05-23 | 2013-07-16 | Nikon Corporation | Exposure method, exposure apparatus, and method for producing device |
| US9354525B2 (en) | 2003-05-23 | 2016-05-31 | Nikon Corporation | Exposure method, exposure apparatus, and method for producing device |
| US20060098177A1 (en) * | 2003-05-23 | 2006-05-11 | Nikon Corporation | Exposure method, exposure apparatus, and exposure method for producing device |
| US7495744B2 (en) * | 2003-05-23 | 2009-02-24 | Nikon Corporation | Exposure method, exposure apparatus, and method for producing device |
| US9933708B2 (en) | 2003-05-23 | 2018-04-03 | Nikon Corporation | Exposure method, exposure apparatus, and method for producing device |
| US9977336B2 (en) | 2003-05-23 | 2018-05-22 | Nikon Corporation | Exposure method, exposure apparatus, and method for producing device |
| US20090009745A1 (en) * | 2003-05-23 | 2009-01-08 | Nikon Corporation | Exposure method, exposure apparatus, and method for producing device |
| US8416385B2 (en) | 2003-05-30 | 2013-04-09 | Asml Netherlands B.V. | Lithographic apparatus and device manufacturing method |
| US20100321652A1 (en) * | 2003-05-30 | 2010-12-23 | Asml Netherlands B.V. | Lithographic apparatus and device manufacturing method |
| US20060227312A1 (en) * | 2003-06-13 | 2006-10-12 | Nikon Corporation | Exposure method, substrate stage, exposure apparatus, and device manufacturing method |
| US20080117394A1 (en) * | 2003-06-13 | 2008-05-22 | Nikon Corporation | Exposure method, substrate stage, exposure apparatus, and device manufacturing method |
| US20090015816A1 (en) * | 2003-06-13 | 2009-01-15 | Nikon Corporation | Exposure method, substrate stage, exposure apparatus, and device manufacturing method |
| US20090015808A1 (en) * | 2003-06-13 | 2009-01-15 | Nikon Corporation | Exposure method, substrate stage, exposure apparatus, and device manufacturing method |
| US20060139614A1 (en) * | 2003-06-13 | 2006-06-29 | Nikon Corporation | Exposure method, substrate stage, exposure apparatus, and device manufacturing method |
| US7483119B2 (en) * | 2003-06-13 | 2009-01-27 | Nikon Corporation | Exposure method, substrate stage, exposure apparatus, and device manufacturing method |
| US9268237B2 (en) | 2003-06-13 | 2016-02-23 | Nikon Corporation | Exposure method, substrate stage, exposure apparatus, and device manufacturing method |
| US9019467B2 (en) | 2003-06-13 | 2015-04-28 | Nikon Corporation | Exposure method, substrate stage, exposure apparatus, and device manufacturing method |
| US9846371B2 (en) | 2003-06-13 | 2017-12-19 | Nikon Corporation | Exposure method, substrate stage, exposure apparatus, and device manufacturing method |
| US8040491B2 (en) | 2003-06-13 | 2011-10-18 | Nikon Corporation | Exposure method, substrate stage, exposure apparatus, and device manufacturing method |
| US8208117B2 (en) | 2003-06-13 | 2012-06-26 | Nikon Corporation | Exposure method, substrate stage, exposure apparatus, and device manufacturing method |
| US8384880B2 (en) | 2003-06-13 | 2013-02-26 | Nikon Corporation | Exposure method, substrate stage, exposure apparatus, and device manufacturing method |
| US20050042554A1 (en) * | 2003-07-28 | 2005-02-24 | Asml Netherlands B.V. | Lithographic apparatus, device manufacturing method and a substrate |
| US20100221660A1 (en) * | 2003-07-28 | 2010-09-02 | Asml Netherlands B.V. | Lithographic apparatus, device manufacturing method and a substrate |
| US20070103655A1 (en) * | 2003-07-28 | 2007-05-10 | Asml Netherlands B.V. | Lithographic apparatus, device manufacturing method and a substrate |
| US7175968B2 (en) * | 2003-07-28 | 2007-02-13 | Asml Netherlands B.V. | Lithographic apparatus, device manufacturing method and a substrate |
| US7746445B2 (en) | 2003-07-28 | 2010-06-29 | Asml Netherlands B.V. | Lithographic apparatus, device manufacturing method and a substrate |
| US20050036184A1 (en) * | 2003-08-11 | 2005-02-17 | Yee-Chia Yeo | Lithography apparatus for manufacture of integrated circuits |
| US7579135B2 (en) * | 2003-08-11 | 2009-08-25 | Taiwan Semiconductor Manufacturing Company, Ltd. | Lithography apparatus for manufacture of integrated circuits |
| US20050036183A1 (en) * | 2003-08-11 | 2005-02-17 | Yee-Chia Yeo | Immersion fluid for immersion Lithography, and method of performing immersion lithography |
| US7700267B2 (en) | 2003-08-11 | 2010-04-20 | Taiwan Semiconductor Manufacturing Company, Ltd. | Immersion fluid for immersion lithography, and method of performing immersion lithography |
| US10088760B2 (en) | 2003-12-03 | 2018-10-02 | Nikon Corporation | Exposure apparatus, exposure method, method for producing device, and optical part |
| US8054447B2 (en) | 2003-12-03 | 2011-11-08 | Nikon Corporation | Exposure apparatus, exposure method, method for producing device, and optical part |
| US9019469B2 (en) | 2003-12-03 | 2015-04-28 | Nikon Corporation | Exposure apparatus, exposure method, method for producing device, and optical part |
| US9182685B2 (en) | 2003-12-03 | 2015-11-10 | Nikon Corporation | Exposure apparatus, exposure method, method for producing device, and optical part |
| US20070115450A1 (en) * | 2003-12-03 | 2007-05-24 | Nikon Corporation | Exposure apparatus, exposure method, method for producing device, and optical part |
| US20070242242A1 (en) * | 2003-12-03 | 2007-10-18 | Nikon Corporation | Exposure Apparatus, Exposure Method, Method for Producing Device, and Optical Part |
| US7326522B2 (en) | 2004-02-11 | 2008-02-05 | Asml Netherlands B.V. | Device manufacturing method and a substrate |
| US20050175940A1 (en) * | 2004-02-11 | 2005-08-11 | Asml Netherlands B.V. | Device manufacturing method and a substrate |
| US20110076622A1 (en) * | 2004-03-18 | 2011-03-31 | Fujifilm Corporation | Positive resist composition for immersion exposure and pattern-forming method using the same |
| US9023576B2 (en) | 2004-03-18 | 2015-05-05 | Fujifilm Corporation | Positive resist composition for immersion exposure and pattern-forming method using the same |
| US7906268B2 (en) | 2004-03-18 | 2011-03-15 | Fujifilm Corporation | Positive resist composition for immersion exposure and pattern-forming method using the same |
| US20050208419A1 (en) * | 2004-03-18 | 2005-09-22 | Fuji Photo Film Co., Ltd. | Positive resist composition for immersion exposure and pattern-forming method using the same |
| US8488102B2 (en) | 2004-03-18 | 2013-07-16 | Taiwan Semiconductor Manufacturing Company, Ltd. | Immersion fluid for immersion lithography, and method of performing immersion lithography |
| US20100177289A1 (en) * | 2004-03-18 | 2010-07-15 | Taiwan Semiconductor Manufacturing Company, Ltd. | Immersion Fluid for Immersion Lithography, and Method of Performing Immersion Lithography |
| US20110123937A1 (en) * | 2004-07-02 | 2011-05-26 | Rohm And Haas Electronic Materials Llc | Compositions and processes for immersion lithography |
| US7781141B2 (en) | 2004-07-02 | 2010-08-24 | Rohm And Haas Electronic Materials Llc | Compositions and processes for immersion lithography |
| US20060105272A1 (en) * | 2004-07-02 | 2006-05-18 | Rohm And Haas Electronic Materials Llc | Compositions and processes for immersion lithography |
| US8911927B2 (en) | 2004-07-02 | 2014-12-16 | Rohm And Haas Electronic Materials Llc | Compositions and processes for immersion lithography |
| US9703196B2 (en) | 2004-07-07 | 2017-07-11 | Fujifilm Corporation | Positive type resist composition for use in liquid immersion exposure and a method of forming the pattern using the same |
| US20060008746A1 (en) * | 2004-07-07 | 2006-01-12 | Yasunobu Onishi | Method for manufacturing semiconductor device |
| US8426109B2 (en) | 2004-07-07 | 2013-04-23 | Fujifilm Corporation | Positive type resist composition for use in liquid immersion exposure and a method of forming the pattern using the same |
| US8828643B2 (en) | 2004-07-07 | 2014-09-09 | Fujifilm Corporation | Positive type resist composition for use in liquid immersion exposure and a method of forming the pattern using the same |
| US9316912B2 (en) | 2004-07-07 | 2016-04-19 | Fujifilm Corporation | Positive type resist composition for use in liquid immersion exposure and a method of forming the pattern using the same |
| US8039197B2 (en) | 2004-07-07 | 2011-10-18 | Fujifilm Corporation | Positive type resist composition for use in liquid immersion exposure and a method of forming the pattern using the same |
| US9798235B2 (en) | 2004-07-07 | 2017-10-24 | Fujifilm Corporation | Positive type resist composition for use in liquid immersion exposure and a method of forming the pattern using the same |
| US20090181323A1 (en) * | 2004-07-07 | 2009-07-16 | Fujifilm Corporation | Positive type resist composition for use in liquid immersion exposure and a method of forming the pattern using the same |
| US9465292B2 (en) | 2004-07-07 | 2016-10-11 | Fujifilm Corporation | Positive type resist composition for use in liquid immersion exposure and a method of forming the pattern using the same |
| US20060036005A1 (en) * | 2004-08-11 | 2006-02-16 | Fuji Photo Film Co., Ltd. | Protective film-forming composition for immersion exposure and pattern forming method using the same |
| US8496761B2 (en) | 2004-11-10 | 2013-07-30 | Sokudo Co., Ltd. | Substrate processing apparatus and substrate processing method |
| US20060104635A1 (en) * | 2004-11-11 | 2006-05-18 | Dainippon Screen Mfg. Co., Ltd. | Substrate processing apparatus and substrate processing method |
| US7726891B2 (en) | 2004-11-11 | 2010-06-01 | Sokudo Co., Ltd. | Substrate processing apparatus and substrate processing method |
| US8040488B2 (en) | 2004-12-06 | 2011-10-18 | Sokudo Co., Ltd. | Substrate processing apparatus |
| US8585830B2 (en) | 2004-12-06 | 2013-11-19 | Sokudo Co., Ltd. | Substrate processing apparatus and substrate processing method |
| US20100136492A1 (en) * | 2004-12-06 | 2010-06-03 | Sokudo Co., Ltd. | Substrate processing apparatus and substrate processing method |
| US20100136257A1 (en) * | 2004-12-06 | 2010-06-03 | Sokudo Co., Ltd. | Substrate processing apparatus |
| US20100129526A1 (en) * | 2004-12-06 | 2010-05-27 | Sokudo Co., Ltd. | Substrate processing apparatus |
| US20060152693A1 (en) * | 2004-12-06 | 2006-07-13 | Dainippon Screen Mfg. Co., Ltd. | Substrate processing apparatus |
| US9703199B2 (en) | 2004-12-06 | 2017-07-11 | Screen Semiconductor Solutions Co., Ltd. | Substrate processing apparatus |
| US20080299503A1 (en) * | 2004-12-27 | 2008-12-04 | Tokyo Ohka Kogyo Co., Ltd. | Material for Forming Resist Protection Films and Method for Resist Pattern Formation with the Same |
| US8278025B2 (en) | 2004-12-27 | 2012-10-02 | Tokyo Ohka Kogyo Co., Ltd. | Material for forming resist protection films and method for resist pattern formation with the same |
| US7556914B2 (en) * | 2005-01-06 | 2009-07-07 | Panasonic Corporation | Pattern formation method |
| US20060148266A1 (en) * | 2005-01-06 | 2006-07-06 | Matsushita Electric Industrial Co., Ltd. | Pattern formation method |
| US20070072112A1 (en) * | 2005-05-04 | 2007-03-29 | Rohm And Haas Electronic Materials Llc | Coating compositions |
| US8889344B2 (en) | 2005-05-04 | 2014-11-18 | Rohm And Haas Electronic Materials Llc | Coating compositions |
| US20070008377A1 (en) * | 2005-07-01 | 2007-01-11 | Xerox Corporation | Pressure compensation structure for microelectromechanical systems |
| US8540824B2 (en) * | 2005-09-25 | 2013-09-24 | Sokudo Co., Ltd. | Substrate processing method |
| US20100239986A1 (en) * | 2005-09-25 | 2010-09-23 | Sokudo Co., Ltd. | Substrate processing apparatus |
| US8435718B2 (en) | 2005-10-27 | 2013-05-07 | Jsr Corporation | Upper layer-forming composition and photoresist patterning method |
| US8076053B2 (en) | 2005-10-27 | 2011-12-13 | Jsr Corporation | Upper layer-forming composition and photoresist patterning method |
| US8574813B2 (en) | 2005-12-12 | 2013-11-05 | Tokyo Ohka Kogyo Co., Ltd. | Resist composition for immersion exposure and method of forming resist pattern |
| US8192914B2 (en) | 2005-12-12 | 2012-06-05 | Tokyo Ohka Kogyo Co., Ltd. | Resist composition for immersion exposure and method of forming resist pattern |
| US20100068661A1 (en) * | 2006-01-23 | 2010-03-18 | Fujifilm Corporation | Pattern forming method |
| US8389200B2 (en) | 2006-01-23 | 2013-03-05 | Fujifilm Corporation | Pattern forming method |
| US20070212638A1 (en) * | 2006-03-10 | 2007-09-13 | David Abdallah | Base soluble polymers for photoresist compositions |
| US7550249B2 (en) * | 2006-03-10 | 2009-06-23 | Az Electronic Materials Usa Corp. | Base soluble polymers for photoresist compositions |
| US20080008954A1 (en) * | 2006-06-22 | 2008-01-10 | Abdallah David J | High silicon-content thin film thermosets |
| US7704670B2 (en) | 2006-06-22 | 2010-04-27 | Az Electronic Materials Usa Corp. | High silicon-content thin film thermosets |
| US8481247B2 (en) * | 2006-08-28 | 2013-07-09 | Nissan Chemical Industries, Ltd. | Resist underlayer film forming composition containing liquid additive |
| US20090311624A1 (en) * | 2006-08-28 | 2009-12-17 | Nissan Chemical Industries, Ltd. | Resist underlayer film forming composition containing liquid additive |
| US20080070167A1 (en) * | 2006-09-15 | 2008-03-20 | Tokyo Electron Limited | Exposure and developing method |
| US20100086879A1 (en) * | 2006-09-20 | 2010-04-08 | Toshikazu Takayama | Material for formation of protective film, method for formation of photoresist pattern, and solution for washing/removal of protective film |
| US8097397B2 (en) | 2006-09-20 | 2012-01-17 | Tokyo Ohka Kogyo Co., Ltd. | Material for formation of protective film, method for formation of photoresist pattern, and solution for washing/removal of protective film |
| US20080153035A1 (en) * | 2006-12-20 | 2008-06-26 | David Abdallah | Antireflective Coating Compositions |
| US7759046B2 (en) | 2006-12-20 | 2010-07-20 | Az Electronic Materials Usa Corp. | Antireflective coating compositions |
| US20080196626A1 (en) * | 2007-02-20 | 2008-08-21 | Hengpeng Wu | Silicone coating composition |
| US8026040B2 (en) | 2007-02-20 | 2011-09-27 | Az Electronic Materials Usa Corp. | Silicone coating composition |
| US20100093969A1 (en) * | 2007-02-26 | 2010-04-15 | Ruzhi Zhang | Process for making siloxane polymers |
| US8524441B2 (en) | 2007-02-27 | 2013-09-03 | Az Electronic Materials Usa Corp. | Silicon-based antireflective coating compositions |
| US20100221664A1 (en) * | 2007-10-01 | 2010-09-02 | Jsr Corporation | Radiation-sensitive composition |
| US8124314B2 (en) | 2007-10-01 | 2012-02-28 | Jsr Corporation | Radiation-sensitive composition |
| US7626685B2 (en) | 2008-03-26 | 2009-12-01 | Samsung Electronics Co., Ltd. | Distance measuring sensors including vertical photogate and three-dimensional color image sensors including distance measuring sensors |
| US20090244514A1 (en) * | 2008-03-26 | 2009-10-01 | Samsung Electronics Co., Ltd. | Distance measuring sensors including vertical photogate and three-dimensional color image sensors including distance measuring sensors |
| US20150152004A1 (en) * | 2012-08-09 | 2015-06-04 | Asahi Glass Company, Limited | Glass sheet/fluororesin laminate |
| US9239520B2 (en) | 2013-03-08 | 2016-01-19 | Taiwan Semiconductor Manufacturing Company, Ltd. | Photoresist defect reduction system and method |
| US9017934B2 (en) | 2013-03-08 | 2015-04-28 | Taiwan Semiconductor Manufacturing Company, Ltd. | Photoresist defect reduction system and method |
| US9436086B2 (en) | 2013-03-12 | 2016-09-06 | Taiwan Semiconductor Manufacturing Company, Ltd. | Anti-reflective layer and method |
| US9989850B2 (en) | 2013-03-12 | 2018-06-05 | Taiwan Semiconductor Manufacturing Company, Ltd. | Photoresist system and method |
| US9460909B2 (en) | 2013-03-12 | 2016-10-04 | Taiwan Semiconductor Manufacturing Company, Ltd. | Method for manufacturing semiconductor device |
| US9354521B2 (en) | 2013-03-12 | 2016-05-31 | Taiwan Semiconductor Manufacturing Company, Ltd. | Photoresist system and method |
| US9502231B2 (en) | 2013-03-12 | 2016-11-22 | Taiwan Semiconductor Manufacturing Company, Ltd. | Photoresist layer and method |
| US9543147B2 (en) | 2013-03-12 | 2017-01-10 | Taiwan Semiconductor Manufacturing Company, Ltd. | Photoresist and method of manufacture |
| US8932799B2 (en) | 2013-03-12 | 2015-01-13 | Taiwan Semiconductor Manufacturing Company, Ltd. | Photoresist system and method |
| US9110376B2 (en) | 2013-03-12 | 2015-08-18 | Taiwan Semiconductor Manufacturing Company, Ltd. | Photoresist system and method |
| US9175173B2 (en) | 2013-03-12 | 2015-11-03 | Taiwan Semiconductor Manufacturing Company, Ltd. | Unlocking layer and method |
| US9256128B2 (en) | 2013-03-12 | 2016-02-09 | Taiwan Semiconductor Manufacturing Company, Ltd. | Method for manufacturing semiconductor device |
| US9245751B2 (en) | 2013-03-12 | 2016-01-26 | Taiwan Semiconductor Manufacturing Company, Ltd. | Anti-reflective layer and method |
| US10269675B2 (en) | 2013-03-15 | 2019-04-23 | Taiwan Semiconductor Manufacturing Company, Ltd. | Conductive line system and process |
| US9368402B2 (en) | 2013-03-15 | 2016-06-14 | Taiwan Semiconductor Manufacturing Company, Ltd. | Conductive line system and process |
| US9842790B2 (en) | 2013-03-15 | 2017-12-12 | Taiwan Semiconductor Manufacturing Company, Ltd. | Conductive line system and process |
| US10643916B2 (en) | 2013-03-15 | 2020-05-05 | Taiwan Semiconductor Manufacturing Company, Ltd. | Conductive line system and process |
| US9117881B2 (en) | 2013-03-15 | 2015-08-25 | Taiwan Semiconductor Manufacturing Company, Ltd. | Conductive line system and process |
| US10761427B2 (en) | 2013-08-22 | 2020-09-01 | Taiwan Semiconductor Manufacturing Company, Ltd. | Photoresist and method of formation and use |
| US11650500B2 (en) | 2013-08-22 | 2023-05-16 | Taiwan Semiconductor Manufacturing Company, Ltd. | Photoresist and method of formation and use |
| US12287575B2 (en) | 2013-08-22 | 2025-04-29 | Taiwan Semiconductor Manufacturing Company, Ltd. | Photoresist and method of formation and use |
| US9341945B2 (en) | 2013-08-22 | 2016-05-17 | Taiwan Semiconductor Manufacturing Company, Ltd. | Photoresist and method of formation and use |
| US10036953B2 (en) | 2013-11-08 | 2018-07-31 | Taiwan Semiconductor Manufacturing Company | Photoresist system and method |
| US11073763B2 (en) | 2013-12-06 | 2021-07-27 | Taiwan Semiconductor Manufacturing Company, Ltd. | Photoresist and method |
| US10095113B2 (en) | 2013-12-06 | 2018-10-09 | Taiwan Semiconductor Manufacturing Company | Photoresist and method |
| US10514603B2 (en) | 2013-12-06 | 2019-12-24 | Taiwan Semiconductor Manufacturing Company, Ltd. | Photoresist and method |
| US10365561B2 (en) | 2013-12-06 | 2019-07-30 | Taiwan Semiconductor Manufacturing Company, Ltd. | Photoresist and method |
| US10163631B2 (en) | 2013-12-30 | 2018-12-25 | Taiwan Semiconductor Manufacturing Company, Ltd. | Polymer resin comprising gap filling materials and methods |
| US9761449B2 (en) | 2013-12-30 | 2017-09-12 | Taiwan Semiconductor Manufacturing Company, Ltd. | Gap filling materials and methods |
| US10755927B2 (en) | 2013-12-30 | 2020-08-25 | Taiwan Semiconductor Manufacturing Company | Anti-reflective gap filling materials and methods |
| US11094541B2 (en) | 2013-12-30 | 2021-08-17 | Taiwan Semiconductor Manufacturing Company | Anti-reflective coating materials |
| US9599896B2 (en) | 2014-03-14 | 2017-03-21 | Taiwan Semiconductor Manufacturing Company, Ltd. | Photoresist system and method |
| US9581908B2 (en) | 2014-05-16 | 2017-02-28 | Taiwan Semiconductor Manufacturing Company, Ltd. | Photoresist and method |
| US10114286B2 (en) | 2014-05-16 | 2018-10-30 | Taiwan Semiconductor Manufacturing Company | Photoresist and method |
| US10564546B2 (en) | 2016-05-12 | 2020-02-18 | Jsr Corporation | Resist pattern-forming method |
| KR20170128114A (en) * | 2016-05-12 | 2017-11-22 | 제이에스알 가부시끼가이샤 | Process for forming resist pattern |
| KR102309953B1 (en) | 2016-05-12 | 2021-10-08 | 제이에스알 가부시끼가이샤 | Process for forming resist pattern |
Also Published As
| Publication number | Publication date |
|---|---|
| KR20050106441A (en) | 2005-11-09 |
| US20070134593A1 (en) | 2007-06-14 |
| US7371510B2 (en) | 2008-05-13 |
| JPWO2004074937A1 (en) | 2006-06-01 |
| TWI311236B (en) | 2009-06-21 |
| EP1596251A1 (en) | 2005-11-16 |
| EP1596251A4 (en) | 2009-05-20 |
| WO2004074937A1 (en) | 2004-09-02 |
| TW200424767A (en) | 2004-11-16 |
| KR100853063B1 (en) | 2008-08-19 |
| JP4437473B2 (en) | 2010-03-24 |
Similar Documents
| Publication | Publication Date | Title |
|---|---|---|
| US7371510B2 (en) | Material for forming resist protecting film for use in liquid immersion lithography process, composite film, and method for forming resist pattern | |
| US7846637B2 (en) | Material for forming resist protective film for use in liquid immersion lithography process and method for forming resist pattern using the protective film | |
| JP5301070B2 (en) | Resist protective film forming material for immersion exposure process, and resist pattern forming method using the protective film | |
| JP4368266B2 (en) | Resist protective film forming material and resist pattern forming method using the same | |
| KR100722044B1 (en) | Immersion liquid for immersion exposure process and resist pattern forming method using such immersion liquid | |
| US7264918B2 (en) | Resist composition for liquid immersion exposure process and method of forming resist pattern therewith | |
| WO2005019937A1 (en) | Material for forming resist-protecting film for immersion exposure process, resist-protecting film made of such material, and method for forming resist pattern using such resist-protecting film | |
| KR100801046B1 (en) | Positive resist composition for immersion exposure and method of forming resist pattern | |
| JP2006227632A (en) | Immersion lithography process-use resist protection film forming material, composite film and resist pattern forming method | |
| JP4368267B2 (en) | Resist protective film forming material and resist pattern forming method using the same | |
| JP2005250511A (en) | Material for forming resist protective film for liquid immersion exposure process, resist film having protective film made of the material for forming protective film, and method for forming resist pattern by using the protective film | |
| JP2005340397A (en) | Immersion liquid for liquid immersion lithography process, and resist-pattern forming method using immersion liquid | |
| CN100440431C (en) | Immersion liquid for liquid immersion exposure process and resist pattern forming method using the same | |
| CN101019075A (en) | Material for formation of resist protection film and method of forming resist pattern therewith | |
| JP5507601B2 (en) | Resist pattern forming method | |
| JP2006048075A (en) | Solvent for removing resist protective film for immersion exposure process and resist pattern forming method using the same | |
| JP2006309257A (en) | Solvent for removing resist protection film used in immersion exposure process, and method for forming resist pattern using the same |
Legal Events
| Date | Code | Title | Description |
|---|---|---|---|
| AS | Assignment |
Owner name: TOKYO OHKA KOGYO CO., LTD., JAPAN Free format text: ASSIGNMENT OF ASSIGNORS INTEREST;ASSIGNORS:HIRAYAMA, TAKU;TASAKU, RYOICHI;SATO, MITSURU;AND OTHERS;REEL/FRAME:017567/0883 Effective date: 20051017 |
|
| STCB | Information on status: application discontinuation |
Free format text: EXPRESSLY ABANDONED -- DURING EXAMINATION |





















