US20050227948A1 - Hif hydroxylase inhibitors - Google Patents
Hif hydroxylase inhibitors Download PDFInfo
- Publication number
- US20050227948A1 US20050227948A1 US10/508,423 US50842304A US2005227948A1 US 20050227948 A1 US20050227948 A1 US 20050227948A1 US 50842304 A US50842304 A US 50842304A US 2005227948 A1 US2005227948 A1 US 2005227948A1
- Authority
- US
- United States
- Prior art keywords
- atoms
- optionally containing
- defined above
- chain
- compound according
- Prior art date
- Legal status (The legal status is an assumption and is not a legal conclusion. Google has not performed a legal analysis and makes no representation as to the accuracy of the status listed.)
- Abandoned
Links
- 0 [1*]C(NC(=O)C[5*])C(=O)N([2*])C Chemical compound [1*]C(NC(=O)C[5*])C(=O)N([2*])C 0.000 description 10
Images
Classifications
-
- C—CHEMISTRY; METALLURGY
- C07—ORGANIC CHEMISTRY
- C07D—HETEROCYCLIC COMPOUNDS
- C07D207/00—Heterocyclic compounds containing five-membered rings not condensed with other rings, with one nitrogen atom as the only ring hetero atom
- C07D207/46—Heterocyclic compounds containing five-membered rings not condensed with other rings, with one nitrogen atom as the only ring hetero atom with hetero atoms directly attached to the ring nitrogen atom
-
- A—HUMAN NECESSITIES
- A61—MEDICAL OR VETERINARY SCIENCE; HYGIENE
- A61P—SPECIFIC THERAPEUTIC ACTIVITY OF CHEMICAL COMPOUNDS OR MEDICINAL PREPARATIONS
- A61P17/00—Drugs for dermatological disorders
- A61P17/02—Drugs for dermatological disorders for treating wounds, ulcers, burns, scars, keloids, or the like
-
- A—HUMAN NECESSITIES
- A61—MEDICAL OR VETERINARY SCIENCE; HYGIENE
- A61P—SPECIFIC THERAPEUTIC ACTIVITY OF CHEMICAL COMPOUNDS OR MEDICINAL PREPARATIONS
- A61P25/00—Drugs for disorders of the nervous system
-
- A—HUMAN NECESSITIES
- A61—MEDICAL OR VETERINARY SCIENCE; HYGIENE
- A61P—SPECIFIC THERAPEUTIC ACTIVITY OF CHEMICAL COMPOUNDS OR MEDICINAL PREPARATIONS
- A61P29/00—Non-central analgesic, antipyretic or antiinflammatory agents, e.g. antirheumatic agents; Non-steroidal antiinflammatory drugs [NSAID]
-
- A—HUMAN NECESSITIES
- A61—MEDICAL OR VETERINARY SCIENCE; HYGIENE
- A61P—SPECIFIC THERAPEUTIC ACTIVITY OF CHEMICAL COMPOUNDS OR MEDICINAL PREPARATIONS
- A61P3/00—Drugs for disorders of the metabolism
-
- A—HUMAN NECESSITIES
- A61—MEDICAL OR VETERINARY SCIENCE; HYGIENE
- A61P—SPECIFIC THERAPEUTIC ACTIVITY OF CHEMICAL COMPOUNDS OR MEDICINAL PREPARATIONS
- A61P3/00—Drugs for disorders of the metabolism
- A61P3/08—Drugs for disorders of the metabolism for glucose homeostasis
- A61P3/10—Drugs for disorders of the metabolism for glucose homeostasis for hyperglycaemia, e.g. antidiabetics
-
- A—HUMAN NECESSITIES
- A61—MEDICAL OR VETERINARY SCIENCE; HYGIENE
- A61P—SPECIFIC THERAPEUTIC ACTIVITY OF CHEMICAL COMPOUNDS OR MEDICINAL PREPARATIONS
- A61P35/00—Antineoplastic agents
-
- A—HUMAN NECESSITIES
- A61—MEDICAL OR VETERINARY SCIENCE; HYGIENE
- A61P—SPECIFIC THERAPEUTIC ACTIVITY OF CHEMICAL COMPOUNDS OR MEDICINAL PREPARATIONS
- A61P37/00—Drugs for immunological or allergic disorders
- A61P37/02—Immunomodulators
-
- A—HUMAN NECESSITIES
- A61—MEDICAL OR VETERINARY SCIENCE; HYGIENE
- A61P—SPECIFIC THERAPEUTIC ACTIVITY OF CHEMICAL COMPOUNDS OR MEDICINAL PREPARATIONS
- A61P43/00—Drugs for specific purposes, not provided for in groups A61P1/00-A61P41/00
-
- A—HUMAN NECESSITIES
- A61—MEDICAL OR VETERINARY SCIENCE; HYGIENE
- A61P—SPECIFIC THERAPEUTIC ACTIVITY OF CHEMICAL COMPOUNDS OR MEDICINAL PREPARATIONS
- A61P9/00—Drugs for disorders of the cardiovascular system
- A61P9/08—Vasodilators for multiple indications
-
- A—HUMAN NECESSITIES
- A61—MEDICAL OR VETERINARY SCIENCE; HYGIENE
- A61P—SPECIFIC THERAPEUTIC ACTIVITY OF CHEMICAL COMPOUNDS OR MEDICINAL PREPARATIONS
- A61P9/00—Drugs for disorders of the cardiovascular system
- A61P9/10—Drugs for disorders of the cardiovascular system for treating ischaemic or atherosclerotic diseases, e.g. antianginal drugs, coronary vasodilators, drugs for myocardial infarction, retinopathy, cerebrovascula insufficiency, renal arteriosclerosis
-
- A—HUMAN NECESSITIES
- A61—MEDICAL OR VETERINARY SCIENCE; HYGIENE
- A61P—SPECIFIC THERAPEUTIC ACTIVITY OF CHEMICAL COMPOUNDS OR MEDICINAL PREPARATIONS
- A61P9/00—Drugs for disorders of the cardiovascular system
- A61P9/12—Antihypertensives
-
- C—CHEMISTRY; METALLURGY
- C07—ORGANIC CHEMISTRY
- C07F—ACYCLIC, CARBOCYCLIC OR HETEROCYCLIC COMPOUNDS CONTAINING ELEMENTS OTHER THAN CARBON, HYDROGEN, HALOGEN, OXYGEN, NITROGEN, SULFUR, SELENIUM OR TELLURIUM
- C07F5/00—Compounds containing elements of Groups 3 or 13 of the Periodic Table
- C07F5/02—Boron compounds
- C07F5/025—Boronic and borinic acid compounds
Definitions
- the present invention relates to compounds which modulate 2OG (2-oxoglutarate) dependent oxygenases, in particular prolyl hydroxylases. These may be useful as modulators of HIF (hypoxia inducible factor) alpha (HIF- ⁇ ) prolyl hydroxylase.
- HIF hyperoxia inducible factor
- the transcription factor HIF (hypoxia inducible factor) system is a key regulator of responses to hypoxia, occupying a central position in oxygen homeostasis in a wide range of organisms.
- a large number of transcriptional targets have been identified, with critical roles in angiogenesis, erythropoiesis, energy metabolism, inflammation, vasomotor function, and apoptotic/proliferative responses.
- the system is essential for normal development, and plays a key role in pathophysiological responses to ischaemia/hypoxia.
- HIF is also important in cancer, in which it is commonly upregulated, and has major effects on tumour growth and angiogenesis.
- the HIF DNA binding complex consists of a heterodimer of ⁇ and ⁇ subunits.
- Regulation by oxygen occurs through hydroxylation of the ⁇ -subunits, which are rapidly destroyed by the proteasome in oxygenated cells. This involves binding of HIF- ⁇ -subunits by the von Hippel-Lindau tumour suppressor protein pVHL), with pVHL acting as the, or part of the, recognition component for a ubiquitin ligase that promotes ubiquitin dependent proteolysis through interaction with a specific sequence or sequences in HIF- ⁇ -subunits. In hypoxia, this process is suppressed, so stabilizing HIF-a and permitting transcriptional activation via the HIF ⁇ , ⁇ .
- pVHL von Hippel-Lindau tumour suppressor protein
- the polypeptides have prolyl hydroxylase activity and require Fe(II) for activity.
- polynucleotides which encode the polypeptides as well as expression vectors comprising the polynucleotide and antibodies capable of specifically binding the polypeptide.
- assays for identifying modulators of the activity of the HIF hydroxylase as well as the use of modulators such as inhibitors of the activity of the peptides in the treatment of a condition or disease associated with altered HIF levels with respect to healthy (or normal) levels, and the treatment of conditions where an alteration in the HIF levels or activity would be beneficial.
- Inhibitors of the 2-OG dependent enzyme collagen prolyl-4-hydroxylase are well known in the art and have been previously proposed for use in the treatment of lung fibrosis, skin fibrosis (scleroderma), atherosclerosis and other conditions associated with collagen biosynthesis.
- Inhibitors of para-hydroxyphenylpyruvate oxygenase a non-haem oxygenase employing ferrous iron as a co-factor
- triketones are used as herbicides (Lee D. et al (1998) Pestic. Sci. 54(4) 377-384).
- CPH inhibitors and other components also inhibit the biological (i.e. HPH) activity of an PHD polypeptide.
- a CPH inhibitor or modified CPH inhibitor which inhibits the biological activity of an PHD polypeptide may be used in the treatment of a condition associated with reduced or suboptimal HIF levels or activity, or a condition in which an increase in HIF levels or activity may be beneficial, for example ischaemia, wound healing, auto-, allo-, and xeno-transplantation, systemic high blood pressure, cancer, inflammatory disorders, and metabolic disorders.
- modulators which inhibit, potentiate, increase or stimulate hydroxylation of HIF- ⁇ by an PHD polypeptide are disclosed.
- the purpose of disruption, interference with or modulation of the hydroxylation of HIF- 1 ⁇ by a PHD polypeptide may be to modulate cellular functions such as angiogenesis, erythropoiesis, energy metabolism, inflammation, matrix metabolism, vasomotor function, and apoptotic/proliferative responses and pathophysiological responses to ischaemia/hypoxia, all of which are mediated by HIF ⁇ as discussed above.
- Compounds which modulate 2OG oxygenases, in particular CPH may be useful as modulators of HIF prolyl hydroxylase, or may be used as ‘lead’ compounds which may be modified and/or optimised to develop modulators of HIF prolyl hydroxylase, in particular selective modulators are described.
- R 1 A*B*C*D*(R 2 ) y (A) where the group R 1 is capable of forming an electrostatic interaction with the sidechain of the arginine residue which, together with other residues, binds the 5-carboxylate of 2-oxoglutarate during catalysis
- A*B is a chain of two atoms which are, independently, carbon, oxygen, nitrogen or sulphur, which chain can be functionalised
- y is 0 or 1
- C*D is a chain of two atoms which are, independently, carbon, oxygen, nitrogen, or sulphur, which chain can be functionalised
- A, B, C and D being linked to one another by a single and/or double and/or triple bond such that when y is 0 or 1 at least one of the atoms of which is capable of chelating with a metal group and when y is 1 said chain is attached to R 2 which is capable of chelating with a metal group.
- any amino acid side chain such as alanine, phenylalanine, valine and glutamic acid
- a 4 to 7 membered heterocyclic ring optionally containing 1 or 2 N, S, O or P atoms or a 5 or 6 membered aromatic ring, optionally containing 1 or 2 N, O or S atoms which may be fused to another ring or a said alkyl chain substituted by a said aromatic ring, such as aryloxy alkyl
- a 1 is CH 2 or O
- each of R 2 and R 3 is independently be H, OH, a branched or straight C 1 to C 6 alkyl chain optionally containing 1 or more eg.
- R 2 and R 4 are as defined above and R 4 represents H, a branched or straight chain C 1 to C 6 alkyl group optionally containing 1 or more eg. 2 N, S, O or P chain atoms, a 4 to 7 membered heterocyclic ring, optionally containing 1 or 2 N, S, O or P atoms, or a 5 or 6 membered aromatic ring, optionally containing 1 or 2 N, O or S atoms, which may be fused to another ring, or a salt thereof,
- Another aspect of the invention concerns analogues of 2-oxoglutarate that act as improved (relative to 2-oxoglutarate) co-substrates for the HIF hydroxylases.
- Such a compound is 3-fluoro 2-oxoglutarate.
- Assays in which this compound replaces 2-oxoglutarate demonstrate a higher level of HIF hydroxylation than observed when using 2-oxoglutarate under analogous conditions.
- the present invention provides a compound of formula (A) to (F) for use in the treatment of a condition associated with increased or decreased HIF levels or activity, or a condition in which an increase or decrease in HIF levels or activity may be beneficial, as well as the use of a compound of formula (A) to (F) in the manufacture of a medicament for the treatment of such a condition.
- the said alkyl groups and chains are typically functionalised by alcohol, fluorine, thiol, a carboxylic acid, phosphonic or phosphinic acid, sulphonic acid or other chelating group, in the case of the chains typically via an alkyl group.
- a branched or straight C 1 to C 6 alkyl chain may be a methyl, ethyl, propyl, butyl, iso-butyl, tert-butyl, pentyl, neopentyl, tert-pentyl or a primary, secondary or tertiary hexyl group.
- Hetero atoms such as O, S, N and P may replace one or more of the carbon atoms.
- the alkyl groups are methyl
- the preferred heterocyclic rings are pyrolidine and tetrahydropyran and the preferred aromatic rings are benzene, naphthalene and pyridine.
- each of R 1 and R 5 is independently H, OH, a branched or straight C 1 to C 6 alkyl chain optionally containing 1 or more N, S, O or P chain atoms, which can be functionalised, any amino acid side chain, a 4 to 7 membered heterocyclic ring optionally containing 1 or 2 N, S, O or P atoms or a 5 or 6 membered aromatic ring, optionally containing 1 or 2 N, O or S atoms which may be fused to another ring or a said alkyl chain substituted by a said aromatic ring.
- a 1 is CH 2 .
- a 2 is —XCO 2 R 4 .
- R 11 represents R 10 NH where R 10 is R 1 CO or HOOC(X) x wherein R 1 is as defined above, x is 0 or 1 and X is R 1 R 1 C wherein each R 1 , which are the same or different, is as defined above; or R 10 is an amino acid residue H 2 N(R 1 R 1 C)CO— wherein each R 1 , which are the same or different, is as defined above.
- each of Z 1 and Z 2 is independently hydrogen or an electron withdrawing group.
- R 12 is H.
- R 12 may be straight or branched C 1 to C 6 alkyl.
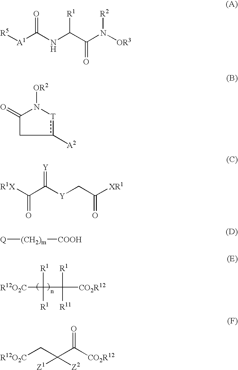
- the compounds of formula (A) are hydroxamates.
- Preferred compounds include those where R 5 is aryloxyalkyl, especially oxyloxymethyl such as phenyloxymethyl or phenylalkyloxymethyl, especially benzyloxymethyl or substituted benzyloxymethyl such as p-hydroxy benzyloxymethyl and/or where R 2 and/or R 3 is HOCH 2 .
- Typical compounds include N-phenoxy-acetyl-(L)-alanine-hydroxamide (Is41) and the corresponding (D) isomer (Is43) as well as the corresponding tyrosine derivatives (Is44 and 45) and L- and D-phenylglycine derivatives (Is46 and 47), along with benzo hydroxamic acid and N-phenoxyacetyl-D-phenylalanine hydroxamic acid (Is42).
- the compounds of formula (B) are cyclic hydroxamates.
- Preferred compounds are those where X is a single bond or methyl and/or R 2 is H or phenylalkyl, especially benzyl and/or R 4 is H or methyl.
- Typical compounds include (1-hydroxy-2,5-dioxo-pyrrolidin-3-yl) acetic acid (Is52), (1-hydroxy-2,5-dioxo-pyrrolidin-3-yl) carboxylic acid (ANU 2) and its N-benzoyloxy derivative (ANU 1) along with (1-benzyloxy-2,5-dioxo-pyrrolidin-3-yl) acetic acid (Is50) and the corresponding methyl ester (Is64), and N-hydroxy succinimide (C1).
- These compounds can be prepared using the general procedure of Schlicht et al. (U.S. Pat. No. 4,446,038).
- the compounds of formula (C) are analogues of 2-oxoglutarate or oxalyl derivatives of hydroxyacetate and mercapto acetic acid.
- Preferred compounds include those where X is O and/or R 1 is H or methyl.
- Typical compounds include dimethyl oxalylglycolate (Is10) as well as its free acid (Is14) and dimethyl oxalylthioglycolate (Is11). These compounds can be prepared following Franklin et al., J. Med. Chem 1992, 35, 2652-2658 or Kwon et al., J. Am. Chem. Soc. 1989, 111, 1854-1860.
- the compounds of formula (D) are carboxylic acids which possess a phosphonic, sulphonic or boronic acid group as well as salts of these.
- R 1 and R 6 are hydrogen.
- Preferred compounds include the phosphoric acids where x is 0, 1 or 2 (C3, 4 and 5, respectively) as well as disodium 3-sulpho-propionate (Is63) and its free acid, and 3-borono-propionic acid (Is62).
- the compounds of formula (E) are N-acylated amino acids or polycarboxylic acids. Typical compounds are those where R 1 is H, and/or R 12 is H or ethyl. When R 11 represents R 0 NH the compounds are typically dipeptides such that R10 is an acyl group of a natural amino acid such as glycine. Typical preferred such compounds include Asp-Gly (C18), cyclo (Asp-Gly) (C19), beta-Asp-Gly (C20), Glu-Gly (C21) and Z-Glu-Gly (C22).
- R 10 is acetyl or benzoyl such as the N-acetylated derivatives of L-aspartic acid (C6) and of L-glutamic acid (C7) i.e. R 10 is acetyl and N-benzoylated derivatives of glutamic acid (C15 and Is90) i.e. R 10 is benzoyl.
- R 11 is —NHOH such as diethyl 2-(hydroxylamino)-glutarate (Is51 being the racemic form of this compound) and those where R 11 is OH such as 2-hydroxyglutaric acid (Is57).
- R 11 is HOOC(X) x
- X is especially CH 2 or CHOH.
- the compounds are typically citric acid (C12), tricarballylic acid (C13) and succinic acid as well as the tri-methyl ester of ethane tricarboxylic acid (Is72).
- the compounds of formula (F) are analogues of 2-oxoglutarate.
- Preferred compounds include 3-fluoro-2-oxoglutarate compounds (i.e. Z 1 is H and Z 2 is F) such as 3-fluoro-2-oxoglutaric acid (Is18) and the corresponding dimethyl ester (Is19).
- the compounds which are acids can be present in the form of salts, such as sodium salts.
- the compound may be used in combination with any other active substance, e.g. for anti-tumour therapy another anti-tumour compound or therapy, such as radiotherapy or chemotherapy.
- the modulator is provided in an isolated and/or purified form, i.e. substantially pure. This may include being in a composition where it represents at least about 90% active ingredient, more preferably at least about 95%, more preferably at least about 98%. Any such composition may, however, include inert carrier materials or other pharmaceutically and physiologically acceptable excipients, such as those required for correct delivery, release and/or stabilisation of the active agent. As noted below, a composition according to the present invention may include in addition to a modulator compound as disclosed, one or more other molecules of therapeutic use, such as an anti-tumour agent.
- compositions wherein the compound is in a mixture with a pharmaceutically acceptable carrier or diluent.
- the carrier may be liquid, e.g. saline, ethanol, glycerol and mixtures thereof, or solid, e.g. in the form of a tablet, or in a semi-solid form such as a gel formulated as a depot formulation or in a transdermally administerable vehicle, such as a transdermal patch.
- the modulator compound or composition comprising it may be formulated as the coating of a coated stent.
- the invention further provides a method of treatment which includes administering to a patient compound as defined above. Exemplary purposes of such treatment are discussed elsewhere herein.
- the therapeutic/prophylactic purpose of such a method or use may be the modulation of the level of HIF ⁇ in a cell by modulation, e.g. disruption or interference, of the hydroxylation of HIF ⁇ , which may occur for example at proline 402, 564 or other proline residue. Hydroxylation of HIF ⁇ promotes pVHL binding which leads to ubiquitin dependent proteolysis of HIF ⁇ as described above.
- the therapeutic/prophylactic purpose may be related to the treatment of a condition associated with reduced or suboptimal or increased HIF levels or activity, or conditions where an alteration in HIF levels or activity may be beneficial such as:
- HIF prolyl hydroxylase activity in a person, an organ, or a group of cells may be exploited in different ways to obtain a therapeutic benefit:
- Non cell autonomous The HIF system is used by cells to influence the production of substances which signal to other cells. These signals may then have effects at (i) a distant site (for example erythropoietin acts on the bone marrow) or (ii) locally (angiogenic growth factors increase the local formation of blood vessels). Manipulating non cell autonomous behaviour via altering hydroxylase activity is therefore useful in the treatment of anaemia, and local ischaemia, for example in the eye, brain, heart and limbs. Many other signals that are involved in aspects of physiological homeostasis may be, or are known to be, adjusted by HIF activation.
- HIF prolyl hydroxylase activity may be used to potentiate or initiate a helpful response for a therapeutic benefit, or to prevent or ameliorate a harmful response.
- this approach can be used to alter appetite, or blood pressure in the systemic or pulmonary beds.
- the present invention thus provides a pharmaceutical composition, medicament, drug or other composition for such a purpose, the composition comprising one or more compounds of formulae (A) to (F), or derivatives thereof, the use of such an composition in a method of medical treatment, a method comprising administration of such a composition to a patient, e.g. for treatment (which may include preventative treatment) of a medical condition as described above, use of such an agent compound or substance in the manufacture of a composition, medicament or drug for administration for any such purpose, e.g. for treatment of a condition as described herein, and a method of making a pharmaceutical composition comprising admixing such an agent, compound or substance with a pharmaceutically acceptable excipient, vehicle or carrier, and optionally other ingredients.
- a pharmaceutical composition comprising admixing such an agent, compound or substance with a pharmaceutically acceptable excipient, vehicle or carrier, and optionally other ingredients.
- the agent may be used as sole active agent or in combination with one another or with any other active substance, e.g. for anti-tumour therapy another anti-tumour compound or therapy, such as radiotherapy or chemotherapy.
- administration is preferably in a “prophylactically effective amount” or a “therapeutically effective amount” (as the case may be, although prophylaxis may be considered therapy), this being sufficient to show benefit to the individual.
- a “prophylactically effective amount” or a “therapeutically effective amount” as the case may be, although prophylaxis may be considered therapy
- the actual amount administered, and rate and time-course of administration, will depend on the nature and severity of what is being treated. Prescription of treatment, e.g. decisions on dosage etc, is within the responsibility of general practitioners and other medical doctors.
- An agent or composition may be administered alone or in combination with other treatments, either simultaneously or sequentially dependent upon the condition to be treated, e.g. as described above.
- compositions according to the present invention may include, in addition to active ingredient, a pharmaceutically acceptable excipient, carrier, buffer, stabiliser or other materials well known to those skilled in the art. Such materials should be non-toxic and should not interfere with the efficacy of the active ingredient.
- a pharmaceutically acceptable excipient such materials should be non-toxic and should not interfere with the efficacy of the active ingredient.
- the precise nature of the carrier or other material will depend on the route of administration, which may be oral, or by injection, e.g. cutaneous, subcutaneous or intravenous.
- the compositions will typically be sterile.
- compositions for oral administration may be in tablet, capsule, powder or liquid form.
- a tablet may include a solid carrier such as gelatin or an adjuvant.
- Liquid pharmaceutical compositions generally include a liquid carrier such as water, petroleum, animal or vegetable oils, mineral oil or synthetic oil. Physiological saline solution, dextrose or other saccharide solution or glycols such as ethylene glycol, propylene glycol or polyethylene glycol may be included.
- the active ingredient will be in the form of a parenterally acceptable aqueous solution which is pyrogen-free and has suitable pH, isotonicity and stability.
- a parenterally acceptable aqueous solution which is pyrogen-free and has suitable pH, isotonicity and stability.
- isotonic vehicles such as Sodium Chloride Injection, Ringer's Injection, Lactated Ringer's Injection.
- Preservatives, stabilisers, buffers, antioxidants and/or other additives may be included, as required.
- Liposomes particularly cationic liposomes, may be used in carrier formulations. Examples of techniques and protocols mentioned above can be found in Remington's Pharmaceutical Sciences, 16th edition, Osol, A. (ed), 1980.
- the substance or composition may be administered in a localised manner to a particular site or may be delivered in a manner in which it targets particular cells or tissues, for example using intra-arterial stent based delivery.
- Targeting therapies may be used to deliver the active substance more specifically to certain types of cell, by the use of targeting systems such as antibody or cell specific ligands. Targeting may be desirable for a variety of reasons, for example if the agent is unacceptably toxic, or if it would otherwise require too high a dosage, or if it would not otherwise be able to enter the target cells.
- FIGS. 1 to 5 show HIF hydroxylase activity in the presence of a particular inhibitor relative to that seen in the absence of the inhibitor (the DMSO/Tris control).
Landscapes
- Health & Medical Sciences (AREA)
- Chemical & Material Sciences (AREA)
- Organic Chemistry (AREA)
- Public Health (AREA)
- Animal Behavior & Ethology (AREA)
- Veterinary Medicine (AREA)
- General Health & Medical Sciences (AREA)
- Life Sciences & Earth Sciences (AREA)
- Pharmacology & Pharmacy (AREA)
- Chemical Kinetics & Catalysis (AREA)
- General Chemical & Material Sciences (AREA)
- Medicinal Chemistry (AREA)
- Nuclear Medicine, Radiotherapy & Molecular Imaging (AREA)
- Engineering & Computer Science (AREA)
- Bioinformatics & Cheminformatics (AREA)
- Diabetes (AREA)
- Heart & Thoracic Surgery (AREA)
- Cardiology (AREA)
- Immunology (AREA)
- Obesity (AREA)
- Hematology (AREA)
- Urology & Nephrology (AREA)
- Pain & Pain Management (AREA)
- Vascular Medicine (AREA)
- Endocrinology (AREA)
- Biomedical Technology (AREA)
- Neurology (AREA)
- Neurosurgery (AREA)
- Emergency Medicine (AREA)
- Rheumatology (AREA)
- Dermatology (AREA)
- Pharmaceuticals Containing Other Organic And Inorganic Compounds (AREA)
- Medicines That Contain Protein Lipid Enzymes And Other Medicines (AREA)
- Acyclic And Carbocyclic Compounds In Medicinal Compositions (AREA)
- Enzymes And Modification Thereof (AREA)
- Medicines Containing Plant Substances (AREA)
- Medicines Containing Material From Animals Or Micro-Organisms (AREA)
Abstract
The invention provides a compound of one of the formulae (A), (B), (C), (D), (E), (F) as herein defined, or a salt thereof, for use in the treatment of a condition associated with increased or decreased HIF levels or activity, or a condition in which an increase or decrease in HIF levels or activity may be beneficial.
Description
- The present invention relates to compounds which modulate 2OG (2-oxoglutarate) dependent oxygenases, in particular prolyl hydroxylases. These may be useful as modulators of HIF (hypoxia inducible factor) alpha (HIF-α) prolyl hydroxylase.
- The transcription factor HIF (hypoxia inducible factor) system is a key regulator of responses to hypoxia, occupying a central position in oxygen homeostasis in a wide range of organisms. A large number of transcriptional targets have been identified, with critical roles in angiogenesis, erythropoiesis, energy metabolism, inflammation, vasomotor function, and apoptotic/proliferative responses. The system is essential for normal development, and plays a key role in pathophysiological responses to ischaemia/hypoxia. HIF is also important in cancer, in which it is commonly upregulated, and has major effects on tumour growth and angiogenesis. The HIF DNA binding complex consists of a heterodimer of α and β subunits. Regulation by oxygen occurs through hydroxylation of the α-subunits, which are rapidly destroyed by the proteasome in oxygenated cells. This involves binding of HIF-α-subunits by the von Hippel-Lindau tumour suppressor protein pVHL), with pVHL acting as the, or part of the, recognition component for a ubiquitin ligase that promotes ubiquitin dependent proteolysis through interaction with a specific sequence or sequences in HIF-α-subunits. In hypoxia, this process is suppressed, so stabilizing HIF-a and permitting transcriptional activation via the HIF α, β.
- In our British Application No. 0118952.1 we disclose a polypeptide comprising:
-
- (a) the amino acid sequence of SEQ ID NO: 2, 4 or 6 having HIF hydroxylase activity;
- (b) a variant thereof having at least 60% identity to the amino acid sequence of SEQ ID NO: 2, 4 or 6 and having hydroxylase activity; or
- (c) a fragment of either thereof having HIF-α hydroxylase activity.
- Preferably, the polypeptides have prolyl hydroxylase activity and require Fe(II) for activity.
- They are related by sequence to non-haem oxygenases for which crystal structures are known, e.g. proline-3-hydroxylase (Clifton et al, Eur. J. Biochem, 2001, 268, 6625-6636).
- It also discloses polynucleotides which encode the polypeptides as well as expression vectors comprising the polynucleotide and antibodies capable of specifically binding the polypeptide. We also disclose assays for identifying modulators of the activity of the HIF hydroxylase as well as the use of modulators such as inhibitors of the activity of the peptides in the treatment of a condition or disease associated with altered HIF levels with respect to healthy (or normal) levels, and the treatment of conditions where an alteration in the HIF levels or activity would be beneficial.
- Inhibitors of the 2-OG dependent enzyme collagen prolyl-4-hydroxylase (CPH) are well known in the art and have been previously proposed for use in the treatment of lung fibrosis, skin fibrosis (scleroderma), atherosclerosis and other conditions associated with collagen biosynthesis. Inhibitors of para-hydroxyphenylpyruvate oxygenase (a non-haem oxygenase employing ferrous iron as a co-factor) such as triketones are used as herbicides (Lee D. et al (1998) Pestic. Sci. 54(4) 377-384). We have disclosed that certain of these CPH inhibitors (and other components) also inhibit the biological (i.e. HPH) activity of an PHD polypeptide. A CPH inhibitor or modified CPH inhibitor which inhibits the biological activity of an PHD polypeptide may be used in the treatment of a condition associated with reduced or suboptimal HIF levels or activity, or a condition in which an increase in HIF levels or activity may be beneficial, for example ischaemia, wound healing, auto-, allo-, and xeno-transplantation, systemic high blood pressure, cancer, inflammatory disorders, and metabolic disorders.
- Various methods and uses of modulators which inhibit, potentiate, increase or stimulate hydroxylation of HIF-α by an PHD polypeptide are disclosed. The purpose of disruption, interference with or modulation of the hydroxylation of HIF-1α by a PHD polypeptide may be to modulate cellular functions such as angiogenesis, erythropoiesis, energy metabolism, inflammation, matrix metabolism, vasomotor function, and apoptotic/proliferative responses and pathophysiological responses to ischaemia/hypoxia, all of which are mediated by HIFα as discussed above.
- Compounds which modulate 2OG oxygenases, in particular CPH may be useful as modulators of HIF prolyl hydroxylase, or may be used as ‘lead’ compounds which may be modified and/or optimised to develop modulators of HIF prolyl hydroxylase, in particular selective modulators are described.
- Some of these compounds generally possess the formula:
R1A*B*C*D*(R2)y (A)
where the group R1 is capable of forming an electrostatic interaction with the sidechain of the arginine residue which, together with other residues, binds the 5-carboxylate of 2-oxoglutarate during catalysis, A*B is a chain of two atoms which are, independently, carbon, oxygen, nitrogen or sulphur, which chain can be functionalised, y is 0 or 1 and C*D is a chain of two atoms which are, independently, carbon, oxygen, nitrogen, or sulphur, which chain can be functionalised, A, B, C and D being linked to one another by a single and/or double and/or triple bond such that when y is 0 or 1 at least one of the atoms of which is capable of chelating with a metal group and when y is 1 said chain is attached to R2 which is capable of chelating with a metal group. Generally at least one of A, B, C and D is not carbon. Typical chains include C—N—C—C and C—O—C—C and C—C—C═O. The chain atoms can form part of a ring. - New classes of modulators of HIF prolyl hydroxylase have been found, according to the present invention. These possess the following formulae (A) to (F)
where each of R1 and R5 is independently H, OH, SH, a branched or straight C1 to C6 alkyl chain optionally containing 1 or more eg. 2 N, S, O or P chain atoms, especially methyl, which can be functionalised, any amino acid side chain, such as alanine, phenylalanine, valine and glutamic acid, a 4 to 7 membered heterocyclic ring optionally containing 1 or 2 N, S, O or P atoms or a 5 or 6 membered aromatic ring, optionally containing 1 or 2 N, O or S atoms which may be fused to another ring or a said alkyl chain substituted by a said aromatic ring, such as aryloxy alkyl, A1 is CH2 or O, and each of R2 and R3 is independently be H, OH, a branched or straight C1 to C6 alkyl chain optionally containing 1 or more eg. 2 N, S, O or P chain atoms which can be functionalised, optionally with 1, 2, 3, 4 or 5 halo substitutions, a 4 to 7 membered heterocyclic ring optionally containing 1 or 2 N, S, O or P atoms, or a 5 or 6 membered aromatic ring, optionally containing 1 or 2 N, O or S atoms which may be fused to another ring or a said alkyl chain substituted by a said aromatic ring,
wherein R2 is as defined above,
is a single bond and T is CH2 or C═O, or
is a double bond and T is CH; A2 is H or —XCO2R4; X is a single bond or a branched or straight C1 to C6 alkyl chain, optionally containing 1 or more eg. 2 N, S, O or P chain atoms and optionally substituted by eg. halo, OH, NHR2 or NHCOR4 where R2 and R4 are as defined above and R4 represents H, a branched or straight chain C1 to C6 alkyl group optionally containing 1 or more eg. 2 N, S, O or P chain atoms, a 4 to 7 membered heterocyclic ring, optionally containing 1 or 2 N, S, O or P atoms, or a 5 or 6 membered aromatic ring, optionally containing 1 or 2 N, O or S atoms, which may be fused to another ring, or a salt thereof, -
- where each X which may be the same or different is NH, NR″, where R″ is OH, a branched or straight C1 to C6 alkyl chain optionally containing 1 or more eg. 2 N, S, O or P chain atoms which can be functionalised, or O i.e. XR1 is typically OH or O-alkyl having a branched or straight C1 to C6 alkyl chain, especially MeO, each Y, which may be the same or different, is O or S and each R1, which may be the same or different, is as defined above,
Q-(CH2)m—COOH (D)
where m is 0 or 1, Q represents (R1R6)xZ where x is 0, 1 or 2, R1 is as defined above and R6 is as defined for R1, and Z is P═O(OH)2, B(OH)2 or SO3H, or a salt thereof, typically a sodium salt, or
where each R1, which are the same or different, is as defined above; R11 represents OH or R10 NH where R10 is HO, R1CO or HOOC(X)x wherein R1 is as defined above, x is 0 or 1 and X is R1R1C wherein each R1, which are the same or different, is as defined above; or R10 is an amino acid residue H2N(R1R1C)CO— wherein each R1, which are the same or different, is as defined above; n is 1 or 2 and R12 is H or straight or branched C1 to C6 alkyl; or a salt thereof. Typically X is CH2 or CHOH.
- where each X which may be the same or different is NH, NR″, where R″ is OH, a branched or straight C1 to C6 alkyl chain optionally containing 1 or more eg. 2 N, S, O or P chain atoms which can be functionalised, or O i.e. XR1 is typically OH or O-alkyl having a branched or straight C1 to C6 alkyl chain, especially MeO, each Y, which may be the same or different, is O or S and each R1, which may be the same or different, is as defined above,
- Another aspect of the invention concerns analogues of 2-oxoglutarate that act as improved (relative to 2-oxoglutarate) co-substrates for the HIF hydroxylases. Such a compound is 3-fluoro 2-oxoglutarate. Assays in which this compound replaces 2-oxoglutarate demonstrate a higher level of HIF hydroxylation than observed when using 2-oxoglutarate under analogous conditions.
-
-
- wherein each of Z1 and Z2 is independently hydrogen, SH or an electron withdrawing group such as halogen, preferably fluorine, or alkoxy such as methoxy, and R12 is as defined above, or a salt thereof. Preferably one of Z1 and Z2 is hydrogen and the other is fluorine (3-F-2-OG).
- Accordingly the present invention provides a compound of formula (A) to (F) for use in the treatment of a condition associated with increased or decreased HIF levels or activity, or a condition in which an increase or decrease in HIF levels or activity may be beneficial, as well as the use of a compound of formula (A) to (F) in the manufacture of a medicament for the treatment of such a condition.
- The said alkyl groups and chains are typically functionalised by alcohol, fluorine, thiol, a carboxylic acid, phosphonic or phosphinic acid, sulphonic acid or other chelating group, in the case of the chains typically via an alkyl group.
- In the formulae described herein, a branched or straight C1 to C6 alkyl chain may be a methyl, ethyl, propyl, butyl, iso-butyl, tert-butyl, pentyl, neopentyl, tert-pentyl or a primary, secondary or tertiary hexyl group. Hetero atoms such as O, S, N and P may replace one or more of the carbon atoms. Preferably the alkyl groups are methyl, the preferred heterocyclic rings are pyrolidine and tetrahydropyran and the preferred aromatic rings are benzene, naphthalene and pyridine.
- Typically, each of R1 and R5 is independently H, OH, a branched or straight C1 to C6 alkyl chain optionally containing 1 or more N, S, O or P chain atoms, which can be functionalised, any amino acid side chain, a 4 to 7 membered heterocyclic ring optionally containing 1 or 2 N, S, O or P atoms or a 5 or 6 membered aromatic ring, optionally containing 1 or 2 N, O or S atoms which may be fused to another ring or a said alkyl chain substituted by a said aromatic ring.
- Typically, A1 is CH2.
- Typically, A2 is —XCO2R4.
- Typically, R11 represents R10NH where R10 is R1CO or HOOC(X)x wherein R1 is as defined above, x is 0 or 1 and X is R1R1C wherein each R1, which are the same or different, is as defined above; or R10 is an amino acid residue H2N(R1R1C)CO— wherein each R1, which are the same or different, is as defined above.
- Typically, each of Z1 and Z2 is independently hydrogen or an electron withdrawing group.
- Typically, in the compounds of formula (F), R12 is H. Alternatively, R12 may be straight or branched C1 to C6 alkyl.
- The compounds of formula (A) are hydroxamates. Preferred compounds include those where R5 is aryloxyalkyl, especially oxyloxymethyl such as phenyloxymethyl or phenylalkyloxymethyl, especially benzyloxymethyl or substituted benzyloxymethyl such as p-hydroxy benzyloxymethyl and/or where R2 and/or R3 is HOCH2.
- Typical compounds include N-phenoxy-acetyl-(L)-alanine-hydroxamide (Is41) and the corresponding (D) isomer (Is43) as well as the corresponding tyrosine derivatives (Is44 and 45) and L- and D-phenylglycine derivatives (Is46 and 47), along with benzo hydroxamic acid and N-phenoxyacetyl-D-phenylalanine hydroxamic acid (Is42).
- These compounds can generally be prepared following the method of Walter et al., Tetrahedron 1997, 53, 7275-7290 and Biorg. Chem 1999, 27, 35-40.
- The compounds of formula (B) are cyclic hydroxamates. Preferred compounds are those where X is a single bond or methyl and/or R2 is H or phenylalkyl, especially benzyl and/or R4 is H or methyl. Typical compounds include (1-hydroxy-2,5-dioxo-pyrrolidin-3-yl) acetic acid (Is52), (1-hydroxy-2,5-dioxo-pyrrolidin-3-yl) carboxylic acid (ANU 2) and its N-benzoyloxy derivative (ANU 1) along with (1-benzyloxy-2,5-dioxo-pyrrolidin-3-yl) acetic acid (Is50) and the corresponding methyl ester (Is64), and N-hydroxy succinimide (C1). Note that Is52 (R2═H, T=C═O, X═CH2R4═H) is highly active reflecting its structural analogy with 2-oxoglutarate. These compounds can be prepared using the general procedure of Schlicht et al. (U.S. Pat. No. 4,446,038).
- The compounds of formula (C) are analogues of 2-oxoglutarate or oxalyl derivatives of hydroxyacetate and mercapto acetic acid. Preferred compounds include those where X is O and/or R1 is H or methyl. Typical compounds include dimethyl oxalylglycolate (Is10) as well as its free acid (Is14) and dimethyl oxalylthioglycolate (Is11). These compounds can be prepared following Franklin et al., J. Med. Chem 1992, 35, 2652-2658 or Kwon et al., J. Am. Chem. Soc. 1989, 111, 1854-1860.
- The compounds of formula (D) are carboxylic acids which possess a phosphonic, sulphonic or boronic acid group as well as salts of these. Typically R1 and R6 are hydrogen. Preferred compounds include the phosphoric acids where x is 0, 1 or 2 (C3, 4 and 5, respectively) as well as disodium 3-sulpho-propionate (Is63) and its free acid, and 3-borono-propionic acid (Is62).
- The compounds of formula (E) are N-acylated amino acids or polycarboxylic acids. Typical compounds are those where R1 is H, and/or R12 is H or ethyl. When R11 represents R0NH the compounds are typically dipeptides such that R10 is an acyl group of a natural amino acid such as glycine. Typical preferred such compounds include Asp-Gly (C18), cyclo (Asp-Gly) (C19), beta-Asp-Gly (C20), Glu-Gly (C21) and Z-Glu-Gly (C22). Other typical compounds include those where R10 is acetyl or benzoyl such as the N-acetylated derivatives of L-aspartic acid (C6) and of L-glutamic acid (C7) i.e. R10 is acetyl and N-benzoylated derivatives of glutamic acid (C15 and Is90) i.e. R10 is benzoyl. Other typical compounds include those where R11 is —NHOH such as diethyl 2-(hydroxylamino)-glutarate (Is51 being the racemic form of this compound) and those where R11 is OH such as 2-hydroxyglutaric acid (Is57). When R11 is HOOC(X)x, X is especially CH2 or CHOH. The compounds are typically citric acid (C12), tricarballylic acid (C13) and succinic acid as well as the tri-methyl ester of ethane tricarboxylic acid (Is72).
- The compounds of formula (F) are analogues of 2-oxoglutarate. Preferred compounds include 3-fluoro-2-oxoglutarate compounds (i.e. Z1 is H and Z2 is F) such as 3-fluoro-2-oxoglutaric acid (Is18) and the corresponding dimethyl ester (Is19).
- The compounds which are acids can be present in the form of salts, such as sodium salts.
- For therapeutic treatment, the compound may be used in combination with any other active substance, e.g. for anti-tumour therapy another anti-tumour compound or therapy, such as radiotherapy or chemotherapy.
- Generally, the modulator is provided in an isolated and/or purified form, i.e. substantially pure. This may include being in a composition where it represents at least about 90% active ingredient, more preferably at least about 95%, more preferably at least about 98%. Any such composition may, however, include inert carrier materials or other pharmaceutically and physiologically acceptable excipients, such as those required for correct delivery, release and/or stabilisation of the active agent. As noted below, a composition according to the present invention may include in addition to a modulator compound as disclosed, one or more other molecules of therapeutic use, such as an anti-tumour agent.
- In general they take the form of compositions wherein the compound is in a mixture with a pharmaceutically acceptable carrier or diluent. The carrier may be liquid, e.g. saline, ethanol, glycerol and mixtures thereof, or solid, e.g. in the form of a tablet, or in a semi-solid form such as a gel formulated as a depot formulation or in a transdermally administerable vehicle, such as a transdermal patch. The modulator compound or composition comprising it may be formulated as the coating of a coated stent.
- The invention further provides a method of treatment which includes administering to a patient compound as defined above. Exemplary purposes of such treatment are discussed elsewhere herein.
- The therapeutic/prophylactic purpose of such a method or use may be the modulation of the level of HIFα in a cell by modulation, e.g. disruption or interference, of the hydroxylation of HIFα, which may occur for example at proline 402, 564 or other proline residue. Hydroxylation of HIFα promotes pVHL binding which leads to ubiquitin dependent proteolysis of HIFα as described above.
- The therapeutic/prophylactic purpose may be related to the treatment of a condition associated with reduced or suboptimal or increased HIF levels or activity, or conditions where an alteration in HIF levels or activity may be beneficial such as:
- (i) ischaemic conditions, for example organ ischaemia, including coronary, cerebrovascular and peripheral vascular insufficiency. The therapy may be applied in two ways; following declared tissue damage, e.g. myocardial infarction (in order to limit tissue damage), or prophylactically to prevent or ameliorate ischaemia, e.g. promotion of coronary collaterals in the treatment of angina.
- (ii) wound healing and organ regeneration.
- (iii) auto-, allo-, and xeno-transplantation.
- (iv) systemic blood pressure.
- (v) cancer; HIFα is commonly up-regulated in tumour cells and has major effects on tumour growth and angiogenesis.
- (vi) inflammatory disorders.
- (vii) pulmonary arterial blood pressure, neurodegenerative disease.
- (viii) metabolic disorders, e.g. diabetes.
- Modulating HIF prolyl hydroxylase activity in a person, an organ, or a group of cells may be exploited in different ways to obtain a therapeutic benefit:
- (a) Non cell autonomous: The HIF system is used by cells to influence the production of substances which signal to other cells. These signals may then have effects at (i) a distant site (for example erythropoietin acts on the bone marrow) or (ii) locally (angiogenic growth factors increase the local formation of blood vessels). Manipulating non cell autonomous behaviour via altering hydroxylase activity is therefore useful in the treatment of anaemia, and local ischaemia, for example in the eye, brain, heart and limbs. Many other signals that are involved in aspects of physiological homeostasis may be, or are known to be, adjusted by HIF activation. Consequently altering HIF prolyl hydroxylase activity may be used to potentiate or initiate a helpful response for a therapeutic benefit, or to prevent or ameliorate a harmful response. For example, this approach can be used to alter appetite, or blood pressure in the systemic or pulmonary beds.
- (b) Cell autonomous: the HIF system is also used by cells to regulate cellular metabolism, and decisions concerning differentiation, proliferation and apoptosis. Therefore manipulating the HIF system can be used to alter the viability and behaviour of cells. An increase in cell viability can be achieved by increasing HIF activation, for example in an ischaemic tissue. This approach can also be used in improving pancreatic beta cell viability as a way of ameliorating diabetes, or of improving the viability or function of a group or groups of neurons in Parkinson's disease, motorneurone disease or forms of dementia. In a different approach, the HIF signal can be manipulated to prevent a group of cells proliferating, or to promote its death or differentiation. For example transient activation of the HIF system in a malignant tumour can be used to provoke death of a substantial number of tumour cells.
- Pharmaceutical Compositions
- In various further aspects, the present invention thus provides a pharmaceutical composition, medicament, drug or other composition for such a purpose, the composition comprising one or more compounds of formulae (A) to (F), or derivatives thereof, the use of such an composition in a method of medical treatment, a method comprising administration of such a composition to a patient, e.g. for treatment (which may include preventative treatment) of a medical condition as described above, use of such an agent compound or substance in the manufacture of a composition, medicament or drug for administration for any such purpose, e.g. for treatment of a condition as described herein, and a method of making a pharmaceutical composition comprising admixing such an agent, compound or substance with a pharmaceutically acceptable excipient, vehicle or carrier, and optionally other ingredients.
- The agent may be used as sole active agent or in combination with one another or with any other active substance, e.g. for anti-tumour therapy another anti-tumour compound or therapy, such as radiotherapy or chemotherapy.
- Whatever the agent used in a method of medical treatment of the present invention, administration is preferably in a “prophylactically effective amount” or a “therapeutically effective amount” (as the case may be, although prophylaxis may be considered therapy), this being sufficient to show benefit to the individual. The actual amount administered, and rate and time-course of administration, will depend on the nature and severity of what is being treated. Prescription of treatment, e.g. decisions on dosage etc, is within the responsibility of general practitioners and other medical doctors.
- An agent or composition may be administered alone or in combination with other treatments, either simultaneously or sequentially dependent upon the condition to be treated, e.g. as described above.
- Pharmaceutical compositions according to the present invention, and for use in accordance with the present invention, may include, in addition to active ingredient, a pharmaceutically acceptable excipient, carrier, buffer, stabiliser or other materials well known to those skilled in the art. Such materials should be non-toxic and should not interfere with the efficacy of the active ingredient. The precise nature of the carrier or other material will depend on the route of administration, which may be oral, or by injection, e.g. cutaneous, subcutaneous or intravenous. The compositions will typically be sterile.
- Pharmaceutical compositions for oral administration may be in tablet, capsule, powder or liquid form. A tablet may include a solid carrier such as gelatin or an adjuvant. Liquid pharmaceutical compositions generally include a liquid carrier such as water, petroleum, animal or vegetable oils, mineral oil or synthetic oil. Physiological saline solution, dextrose or other saccharide solution or glycols such as ethylene glycol, propylene glycol or polyethylene glycol may be included.
- For intravenous, cutaneous or subcutaneous injection, or injection at the site of affliction, the active ingredient will be in the form of a parenterally acceptable aqueous solution which is pyrogen-free and has suitable pH, isotonicity and stability. Those of relevant skill in the art are well able to prepare suitable solutions using, for example, isotonic vehicles such as Sodium Chloride Injection, Ringer's Injection, Lactated Ringer's Injection. Preservatives, stabilisers, buffers, antioxidants and/or other additives may be included, as required.
- Liposomes, particularly cationic liposomes, may be used in carrier formulations. Examples of techniques and protocols mentioned above can be found in Remington's Pharmaceutical Sciences, 16th edition, Osol, A. (ed), 1980.
- The substance or composition may be administered in a localised manner to a particular site or may be delivered in a manner in which it targets particular cells or tissues, for example using intra-arterial stent based delivery.
- Targeting therapies may be used to deliver the active substance more specifically to certain types of cell, by the use of targeting systems such as antibody or cell specific ligands. Targeting may be desirable for a variety of reasons, for example if the agent is unacceptably toxic, or if it would otherwise require too high a dosage, or if it would not otherwise be able to enter the target cells.
- The following Examples farther illustrate the present invention.
- In vitro screening of potential inhibitors of HIF modification was performed using a capture assay. A Ga1/HIF-1α/VP16 fusion protein expressing HIF-1α residues 549-582 was prepared by IVTT (see British Application No. 0118952.1) and used as a substrate in the assay. The unlabelled substrate was immunopurified on beads, washed, and aliquots incubated in the presence of RCC4 cell extract, with 100 μM FeCl2 and 2 mM of the potential inhibitor. The inhibitors were either dissolved in DMSO or Tris as indicated. Controls, where no inhibitor but the equivalent amount of DMSO or Tris was added, were also performed. After washing, the beads were assayed for their ability to interact with 35-S labelled pVHL IVTT. Hydroxylation of the fusion protein by HIF hydroxylase present in the cell extract leads to the ability to capture the labelled pVHL and the amount of labelled protein bound to the fusion protein can then be measured to determine relative HIF hydroxylase activity. FIGS. 1 to 5 show HIF hydroxylase activity in the presence of a particular inhibitor relative to that seen in the absence of the inhibitor (the DMSO/Tris control).
Claims (13)
1. A compound of one of the formulae
where each of R1 and R5 is independently H, OH, SH, a branched or straight C1 to C6 alkyl chain optionally containing 1 or more N, S, O or P chain atoms, which can be functionalised, any amino acid side chain, a 4 to 7 membered heterocyclic ring optionally containing 1 or 2 N, S, O or P atoms or a 5 or 6 membered aromatic ring, optionally containing 1 or 2 N, O or S atoms which may be fused to another ring or a said alkyl chain substituted by a said aromatic ring, A1 is CH2 or O, and each of R2 and R3 is independently H, OH, a branched or straight C1 to C6 alkyl chain optionally containing 1 or more N, S, O or P chain atoms which can be functionalised, optionally with 1, 2, 3, 4 or 5 halo substitutions, a 4 to 7 membered heterocyclic ring optionally containing 1 or 2 N, S, O or P atoms, or a 5 or 6 membered aromatic ring, optionally containing 1 or 2 N, O or S atoms which may be fused to another ring or a said alkyl chain substituted by said aromatic ring,
wherein R2 is as defined above,
is a single bond and T is CH2 or C═O, or
is a double bond and T is CH; A2 is H or —XCO2R4; X is a single bond or a branched or straight C1 to C6 alkyl chain optionally containing 1 or more N, S, O or P chain atoms, and optionally substituted by halo, OH, OR4, NRR2 or NHCOR4 where R2, R3 and R4 are as defined above and R4 represents H, a branched or straight chain C1 to C6 alkyl group, a 4 to 7 membered heterocyclic ring, optionally containing 1 or 2 N, S, O or P atoms, or a 5 or 6 membered aromatic ring, optionally containing 1 or 2 N, O or S atoms, which may be fused to another ring,
where each X which may be the same or different is NH, NR″, where R″ is OH, a branched or straight C1 to C6 alkyl chain optionally containing 1 or more eg. 2 N, S, O or P chain atoms which can be functionalised, or 0, each Y, which may be the same or different, is O or S and each R1, which may be the same or different, is as defined above,
Q-(CH2)m—COOH (D)
where m is 0 or 1, Q represents (CR1R6)xZ where x is 0, 1 or 2, R1 is as defined above and R6 is as defined for R1 and Z is P═O(OH)2, B(OH)2 or SO3H, or a salt thereof, or
where each R1, which are the same or different, is as defined above; R11 represents OH or R10NH where R10 is HO, R1CO or HOOC(X)x wherein R1 is as defined above, x is 0 or 1 and X is R1R1C wherein each R1, which are the same or different, is as defined above; or R10 is an amino acid residue H2N(R1R1C)CO— wherein each R1, which are the same or different, is as defined above; n is 1 or 2 and R12 is H or straight or branched C1 to C6 alkyl; or a salt thereof,
wherein each of Z1 and Z2 is independently hydrogen, SH or an electron withdrawing group, and R12 is as defined above, or a salt thereof for use in the treatment of a condition associated with increased or decreased HIF levels or activity, or a condition in which an increase or decrease in HIF levels or activity may be beneficial.
2. A compound according to claim 1 which is of formula (A) where R1 is aryloxymethyl, R2 is hydrogen and R3 is hydrogen.
3. A compound according to claim 2 wherein R1 is phenyloxymethyl, benzyloxymethyl or p-hydroxybenzylmethyl.
4. A compound according to claim 1 of formula (B) where X is a single bond or methyl, R2 is H or phenyl alkyl and R4 is H or methyl.
5. A compound according to claim 1 of formula (C) wherein X is O and R1 is H or methyl.
6. A compound according to claim 1 of formula (D) wherein x is 1, and R1 and R6 are both hydrogen.
7. A compound according to claim 1 of formula (E) wherein R1 is H and R12 is H or ethyl.
8. A compound according to claim 7 wherein R11 represents R10NH and R10 is H an acyl group of a natural amino acid, acetyl or benzoyl.
9. A compound according to claim 7 wherein R11 is HOOC(X)x.
10. A method for the treatment of a condition associated with increased or decreased HIF levels or activity, or a condition in which an increase or decrease in HIF levels or activity may be beneficial, comprising administering the compound of claim 1 to an individual in need thereof in an amount sufficient to increase or decrease HIF levels or activity.
11. (canceled)
12. A pharmaceutical composition which comprises a compound as defined in claim 1 together with a pharmaceutically acceptable excipient vehicle or carrier.
13. (canceled)
Priority Applications (1)
| Application Number | Priority Date | Filing Date | Title |
|---|---|---|---|
| US11/518,157 US7662854B2 (en) | 2002-03-21 | 2006-09-11 | HIF hydroxylase inhibitors |
Applications Claiming Priority (3)
| Application Number | Priority Date | Filing Date | Title |
|---|---|---|---|
| GB0206711.4 | 2002-03-21 | ||
| GBGB0206711.4A GB0206711D0 (en) | 2002-03-21 | 2002-03-21 | HIF Inhibitor |
| PCT/GB2003/001239 WO2003080566A2 (en) | 2002-03-21 | 2003-03-21 | Hif hydroxylase inhibitors |
Related Child Applications (1)
| Application Number | Title | Priority Date | Filing Date |
|---|---|---|---|
| US11/518,157 Continuation US7662854B2 (en) | 2002-03-21 | 2006-09-11 | HIF hydroxylase inhibitors |
Publications (1)
| Publication Number | Publication Date |
|---|---|
| US20050227948A1 true US20050227948A1 (en) | 2005-10-13 |
Family
ID=9933457
Family Applications (2)
| Application Number | Title | Priority Date | Filing Date |
|---|---|---|---|
| US10/508,423 Abandoned US20050227948A1 (en) | 2002-03-21 | 2003-03-21 | Hif hydroxylase inhibitors |
| US11/518,157 Expired - Fee Related US7662854B2 (en) | 2002-03-21 | 2006-09-11 | HIF hydroxylase inhibitors |
Family Applications After (1)
| Application Number | Title | Priority Date | Filing Date |
|---|---|---|---|
| US11/518,157 Expired - Fee Related US7662854B2 (en) | 2002-03-21 | 2006-09-11 | HIF hydroxylase inhibitors |
Country Status (13)
| Country | Link |
|---|---|
| US (2) | US20050227948A1 (en) |
| EP (2) | EP1485347B1 (en) |
| JP (1) | JP2005520859A (en) |
| CN (6) | CN101199512A (en) |
| AT (1) | ATE430127T1 (en) |
| AU (2) | AU2003216857B2 (en) |
| CA (1) | CA2479881A1 (en) |
| DE (1) | DE60327428D1 (en) |
| ES (1) | ES2322992T3 (en) |
| GB (1) | GB0206711D0 (en) |
| MX (1) | MXPA04009155A (en) |
| PL (1) | PL205110B1 (en) |
| WO (1) | WO2003080566A2 (en) |
Cited By (7)
| Publication number | Priority date | Publication date | Assignee | Title |
|---|---|---|---|---|
| US20050136125A1 (en) * | 2003-10-22 | 2005-06-23 | Roth Mark B. | Methods, compositions and devices for inducing stasis in cells, tissues, organs, and organisms |
| US20050147692A1 (en) * | 2003-10-22 | 2005-07-07 | Fred Hutchinson Cancer Research Center | Methods, compositions and devices for inducing stasis in tissues and organs |
| US20050170019A1 (en) * | 2003-10-22 | 2005-08-04 | Fred Hutchinson Cancer Research Center | Methods, compositions and devices for inducing stasis in cells |
| US20070078113A1 (en) * | 2005-04-20 | 2007-04-05 | Roth Mark B | Methods, compositions and articles of manufacture for enhancing survivability of cells, tissues, organs, and organisms |
| US20150018384A1 (en) * | 2012-03-09 | 2015-01-15 | Fibrogen, Inc. | Treatment for high cholesterol |
| US9446031B2 (en) | 2012-01-18 | 2016-09-20 | National University Of Singapore | Compositions and methods for neovascularization |
| WO2018232227A1 (en) * | 2017-06-15 | 2018-12-20 | The Trustees Of Columbia University In The City Of New York | Treatment of neurodegeneration via reprogramming metabolism by inhibiting phd |
Families Citing this family (26)
| Publication number | Priority date | Publication date | Assignee | Title |
|---|---|---|---|---|
| US7618940B2 (en) | 2002-12-06 | 2009-11-17 | Fibrogen, Inc. | Fat regulation |
| US8124582B2 (en) | 2002-12-06 | 2012-02-28 | Fibrogen, Inc. | Treatment of diabetes |
| US7638295B2 (en) | 2004-03-26 | 2009-12-29 | Isis Innovation Limited | Assays for identifying modulators of the hydroxylation of ankyrin repeat proteins by 2-oxoglutarate dependent oxygenase and methods of using the same |
| EP1676591B1 (en) * | 2004-11-24 | 2018-08-01 | LifeScan, Inc. | Compositions and methods to create a vascularized environment for cellular transplantation |
| DE102005019712A1 (en) * | 2005-04-28 | 2006-11-09 | Bayer Healthcare Ag | Dipyridyl-dihydropyrazolone and its use |
| GB0519605D0 (en) | 2005-09-26 | 2005-11-02 | Isis Innovation | Assay |
| CN102351791B (en) | 2006-01-27 | 2014-10-29 | 菲布罗根有限公司 | Cyanoisoquinoline compounds capable of making hypoxia inducible factor (HIF) stable |
| EP3124489B1 (en) | 2006-04-04 | 2020-07-15 | Fibrogen, Inc. | Thiazolo-pyridine compounds as hif modulators |
| AU2008241503A1 (en) * | 2007-04-18 | 2008-10-30 | Merck Sharp & Dohme Corp. | Novel 1,8-naphthyridine compounds |
| CN101917996A (en) * | 2007-11-02 | 2010-12-15 | 法布罗根股份有限公司 | ways to lower blood pressure |
| WO2009073669A1 (en) | 2007-12-03 | 2009-06-11 | Fibrogen, Inc. | Isoxazolopyridine derivatives for use in the treatment of hif-mediated conditions |
| US8952160B2 (en) | 2008-01-11 | 2015-02-10 | Fibrogen, Inc. | Isothiazole-pyridine derivatives as modulators of HIF (hypoxia inducible factor) activity |
| US8324405B2 (en) | 2008-02-05 | 2012-12-04 | Fibrogen, Inc. | Chromene derivatives and use thereof as HIF hydroxylase activity inhibitors |
| WO2009134847A1 (en) * | 2008-04-30 | 2009-11-05 | Smithkline Beecham Corporation | Prolyl hydroxylase inhibitors |
| GB0809262D0 (en) | 2008-05-21 | 2008-06-25 | Isis Innovation | Assay |
| US8217043B2 (en) | 2008-08-20 | 2012-07-10 | Fibrogen, Inc. | Compounds and methods for their use |
| NZ592741A (en) | 2008-11-14 | 2013-03-28 | Fibrogen Inc | Thiochromene derivatives as hif hydroxylase inhibitors |
| AU2011235212B2 (en) | 2010-03-31 | 2014-07-31 | The Scripps Research Institute | Reprogramming cells |
| US8921389B2 (en) | 2011-02-02 | 2014-12-30 | Fibrogen, Inc. | Naphthyridine derivatives as inhibitors of hypoxia inducible factor (HIF) hydroxylase |
| GB201102659D0 (en) | 2011-02-15 | 2011-03-30 | Isis Innovation | Assay |
| GB201113101D0 (en) | 2011-07-28 | 2011-09-14 | Isis Innovation | Assay |
| AU2014209319B2 (en) | 2013-01-24 | 2018-04-19 | Fibrogen, Inc. | Crystalline forms of {[1-cyano-5-(4-chlorophenoxy)-4-hydroxy-isoquinoline-3-carbonyl]-amino}-acetic acid |
| CA3009350A1 (en) * | 2016-01-05 | 2017-07-13 | The Trustees Of Columbia University In The City Of New York | Compositions and methods for regulating activity of inhibitor of dna binding-2 (id2) protein |
| TW202200134A (en) | 2020-04-20 | 2022-01-01 | 美商阿克比治療有限公司 | Methods for treating viral infections, organ injury, and related conditions |
| WO2022150623A1 (en) | 2021-01-08 | 2022-07-14 | Akebia Therapeutics, Inc. | Compounds and composition for the treatment of anemia |
| EP4347022A1 (en) | 2021-05-27 | 2024-04-10 | Keryx Biopharmaceuticals, Inc. | Pediatric formulations of ferric citrate |
Citations (4)
| Publication number | Priority date | Publication date | Assignee | Title |
|---|---|---|---|---|
| US4273779A (en) * | 1976-12-23 | 1981-06-16 | Ciba-Geigy Corporation | Treating hypertension with substituted-5-amino-2-pyridinecarboxylic acids |
| US4446038A (en) * | 1982-09-27 | 1984-05-01 | Texaco, Inc. | Citric imide acid compositions and lubricants containing the same |
| US4623733A (en) * | 1980-09-18 | 1986-11-18 | Takeda Chemical Industries, Ltd. | Antimicrobial peptide |
| US6200974B1 (en) * | 1997-10-24 | 2001-03-13 | Zeneca Limited | Phenanthroline derivatives |
Family Cites Families (27)
| Publication number | Priority date | Publication date | Assignee | Title |
|---|---|---|---|---|
| DE1620359A1 (en) | 1965-12-10 | 1969-12-18 | Norddeutsche Affinerie | Growth-influencing agents |
| AT279048B (en) | 1967-07-04 | 1970-02-25 | Pharmazeutische Fabrik Montavit Gmbh | Process for the preparation of new, soluble and stable organic iron (III) complex compounds and injection solutions thereof |
| FR6969M (en) | 1968-05-19 | 1969-05-19 | ||
| JPS5899453A (en) * | 1981-12-10 | 1983-06-13 | Mitsubishi Chem Ind Ltd | oligopeptide |
| US4551279A (en) * | 1984-01-09 | 1985-11-05 | G. D. Searle & Co. | Protease inhibitors |
| JPS6197229A (en) | 1984-10-18 | 1986-05-15 | Chugai Pharmaceut Co Ltd | Stable erythropoietin preparation |
| ATE49214T1 (en) | 1984-12-17 | 1990-01-15 | American Cyanamid Co | PLATINUM COMPLEXES OF ALIPHATIC TRICARBONIC ACIDS. |
| JPS61218522A (en) | 1985-03-22 | 1986-09-29 | Sachimaru Senoo | Iron hydroxide colloidal solution stable in neutrality/ weak alkalinity |
| JPS61249993A (en) | 1985-04-26 | 1986-11-07 | Tanabe Seiyaku Co Ltd | Novel organoplatinum complex and production thereof |
| US4752602A (en) | 1985-09-09 | 1988-06-21 | Board Of Regents, The University Of Texas System | Dipeptide alkyl esters and their uses |
| DE3544338A1 (en) * | 1985-12-14 | 1987-06-19 | Hoechst Ag | PEPTIDE DERIVATIVES WITH INHIBITORIC EFFECT ON HYDROXYLATING ENZYMS, METHOD FOR THE PRODUCTION THEREOF, THE CONTAINERS THEREOF AND THEIR USE |
| FR2662359A1 (en) | 1986-04-18 | 1991-11-29 | Flork Michel | Novel diuretic and natriuretic peptides |
| CH673459A5 (en) | 1987-05-15 | 1990-03-15 | Eprova Ag | |
| DE3818850A1 (en) * | 1988-06-03 | 1989-12-07 | Hoechst Ag | OLIGOPEPTIDES WITH CYCLIC PROLIN ANALOG AMINO STUFFS |
| US5439930A (en) | 1992-04-14 | 1995-08-08 | Russian-American Institute For New Drug Development | Biologically active n-acylprolydipeptides having antiamnestic, antihypoxic and anorexigenic effects |
| RU2001588C1 (en) | 1992-05-07 | 1993-10-30 | Феликс Семенович Ройтман | Crushed juice |
| JP3595352B2 (en) | 1993-02-01 | 2004-12-02 | 株式会社サンギ | Antitumor and antibacterial agents |
| DE4410453A1 (en) * | 1994-03-25 | 1995-09-28 | Hoechst Ag | Substituted heterocyclic carboxylic acid amide esters, their preparation and their use as medicaments |
| AU1208697A (en) * | 1995-12-28 | 1997-07-28 | Daiichi Radioisotope Laboratories, Ltd. | Diagnostic drugs |
| RU2079307C1 (en) | 1996-07-08 | 1997-05-20 | Михаил Александрович Каплан | Antianemic agent |
| RU2111746C1 (en) | 1996-07-31 | 1998-05-27 | Всероссийский научный центр по безопасности биологически активных веществ | An aqueous solution showing hepatoprotective effect |
| US5972894A (en) * | 1997-08-07 | 1999-10-26 | Cytran, Inc. | Peptides having potassium channel opener activity |
| RU2141943C1 (en) | 1998-11-27 | 1999-11-27 | Научно-исследовательский институт фармакологии при Волгоградской медицинской академии | N-acetyl-l-aspartic acid disodium salt showing antidepressant and nootropic activity |
| US6583299B1 (en) | 1999-05-20 | 2003-06-24 | G.D. Searle & Co. | α-amino-β-sulfonyl hydroxamic acid compounds |
| WO2000074725A1 (en) * | 1999-06-04 | 2000-12-14 | Dana-Farber Cancer Institute, Inc. | Identification of compounds that modify transcriptional responses to hypoxia |
| GB0013655D0 (en) | 2000-06-05 | 2000-07-26 | Prolifix Ltd | Therapeutic compounds |
| EP1379630B1 (en) * | 2001-03-21 | 2012-09-26 | Isis Innovation Limited | Assays, methods and means relating to hypoxia inducible factor (hif) hydroxylase |
-
2002
- 2002-03-21 GB GBGB0206711.4A patent/GB0206711D0/en not_active Ceased
-
2003
- 2003-03-21 CN CNA2007103081674A patent/CN101199512A/en active Pending
- 2003-03-21 AU AU2003216857A patent/AU2003216857B2/en not_active Ceased
- 2003-03-21 EP EP03712396A patent/EP1485347B1/en not_active Revoked
- 2003-03-21 CA CA002479881A patent/CA2479881A1/en not_active Abandoned
- 2003-03-21 MX MXPA04009155A patent/MXPA04009155A/en active IP Right Grant
- 2003-03-21 JP JP2003578322A patent/JP2005520859A/en active Pending
- 2003-03-21 DE DE60327428T patent/DE60327428D1/en not_active Expired - Lifetime
- 2003-03-21 CN CNA2007103081693A patent/CN101199537A/en active Pending
- 2003-03-21 ES ES03712396T patent/ES2322992T3/en not_active Expired - Lifetime
- 2003-03-21 CN CNA2007103081706A patent/CN101199503A/en active Pending
- 2003-03-21 CN CNA2007103081689A patent/CN101199502A/en active Pending
- 2003-03-21 CN CNA200710308166XA patent/CN101199501A/en active Pending
- 2003-03-21 EP EP09001020A patent/EP2065366A3/en not_active Withdrawn
- 2003-03-21 PL PL371515A patent/PL205110B1/en not_active IP Right Cessation
- 2003-03-21 AT AT03712396T patent/ATE430127T1/en not_active IP Right Cessation
- 2003-03-21 CN CNB038109557A patent/CN100369891C/en not_active Expired - Fee Related
- 2003-03-21 WO PCT/GB2003/001239 patent/WO2003080566A2/en not_active Ceased
- 2003-03-21 US US10/508,423 patent/US20050227948A1/en not_active Abandoned
-
2006
- 2006-09-11 US US11/518,157 patent/US7662854B2/en not_active Expired - Fee Related
-
2009
- 2009-06-03 AU AU2009202216A patent/AU2009202216A1/en not_active Abandoned
Patent Citations (4)
| Publication number | Priority date | Publication date | Assignee | Title |
|---|---|---|---|---|
| US4273779A (en) * | 1976-12-23 | 1981-06-16 | Ciba-Geigy Corporation | Treating hypertension with substituted-5-amino-2-pyridinecarboxylic acids |
| US4623733A (en) * | 1980-09-18 | 1986-11-18 | Takeda Chemical Industries, Ltd. | Antimicrobial peptide |
| US4446038A (en) * | 1982-09-27 | 1984-05-01 | Texaco, Inc. | Citric imide acid compositions and lubricants containing the same |
| US6200974B1 (en) * | 1997-10-24 | 2001-03-13 | Zeneca Limited | Phenanthroline derivatives |
Cited By (9)
| Publication number | Priority date | Publication date | Assignee | Title |
|---|---|---|---|---|
| US20050136125A1 (en) * | 2003-10-22 | 2005-06-23 | Roth Mark B. | Methods, compositions and devices for inducing stasis in cells, tissues, organs, and organisms |
| US20050147692A1 (en) * | 2003-10-22 | 2005-07-07 | Fred Hutchinson Cancer Research Center | Methods, compositions and devices for inducing stasis in tissues and organs |
| US20050170019A1 (en) * | 2003-10-22 | 2005-08-04 | Fred Hutchinson Cancer Research Center | Methods, compositions and devices for inducing stasis in cells |
| US7993681B2 (en) | 2003-10-22 | 2011-08-09 | Fred Hutchinson Cancer Research Center | Methods, compositions and devices for inducing stasis in tissues and organs |
| US20070078113A1 (en) * | 2005-04-20 | 2007-04-05 | Roth Mark B | Methods, compositions and articles of manufacture for enhancing survivability of cells, tissues, organs, and organisms |
| US8822535B2 (en) | 2005-04-20 | 2014-09-02 | Fred Hutchinson Cancer Research Center | Methods, compositions and articles of manufacture for enhancing survivability of cells, tissues, organs, and organisms |
| US9446031B2 (en) | 2012-01-18 | 2016-09-20 | National University Of Singapore | Compositions and methods for neovascularization |
| US20150018384A1 (en) * | 2012-03-09 | 2015-01-15 | Fibrogen, Inc. | Treatment for high cholesterol |
| WO2018232227A1 (en) * | 2017-06-15 | 2018-12-20 | The Trustees Of Columbia University In The City Of New York | Treatment of neurodegeneration via reprogramming metabolism by inhibiting phd |
Also Published As
| Publication number | Publication date |
|---|---|
| EP1485347B1 (en) | 2009-04-29 |
| MXPA04009155A (en) | 2004-11-26 |
| CN101199503A (en) | 2008-06-18 |
| WO2003080566A3 (en) | 2003-12-11 |
| WO2003080566A2 (en) | 2003-10-02 |
| AU2009202216A1 (en) | 2009-06-25 |
| JP2005520859A (en) | 2005-07-14 |
| CN100369891C (en) | 2008-02-20 |
| AU2003216857A1 (en) | 2003-10-08 |
| EP2065366A3 (en) | 2009-09-02 |
| EP1485347A2 (en) | 2004-12-15 |
| ATE430127T1 (en) | 2009-05-15 |
| CN1653040A (en) | 2005-08-10 |
| PL205110B1 (en) | 2010-03-31 |
| US7662854B2 (en) | 2010-02-16 |
| EP2065366A2 (en) | 2009-06-03 |
| AU2003216857B2 (en) | 2009-06-11 |
| CN101199501A (en) | 2008-06-18 |
| CN101199502A (en) | 2008-06-18 |
| CA2479881A1 (en) | 2003-10-02 |
| DE60327428D1 (en) | 2009-06-10 |
| ES2322992T3 (en) | 2009-07-03 |
| US20070066576A1 (en) | 2007-03-22 |
| PL371515A1 (en) | 2005-06-27 |
| CN101199537A (en) | 2008-06-18 |
| GB0206711D0 (en) | 2002-05-01 |
| CN101199512A (en) | 2008-06-18 |
Similar Documents
| Publication | Publication Date | Title |
|---|---|---|
| US7662854B2 (en) | HIF hydroxylase inhibitors | |
| Pérez-Sala et al. | Molecular basis for the direct inhibition of AP-1 DNA binding by 15-deoxy-Δ12, 14-prostaglandin J2 | |
| US4997854A (en) | Anti-fibrotic agents and methods for inhibiting the activity of lysyl oxidase in-situ using adjacently positioned diamine analogue substrates | |
| DK1988779T5 (en) | SMALL boron MOLECULES AS ANTI-INFLAMMATORY AGENTS | |
| US7977315B2 (en) | Conjugated nitro alkene anticancer agents based on isoprenoid metabolism | |
| IL173722A (en) | Proteasome inhibitors and methods of using the same | |
| PT721465E (en) | COMPOUNDS ACTIVATED BY GLUTATIONA S-TRANSFERASE | |
| Passarella et al. | Synthesis and biological evaluation of novel thiocolchicine–podophyllotoxin conjugates | |
| Busnel et al. | Synthesis and evaluation of new ω-borono-α-amino acids as rat liver arginase inhibitors | |
| EP3204357B1 (en) | Fluorescent synthetic retinoids | |
| Gao et al. | Multi-target-directed design, syntheses, and characterization of fluorescent bisphosphonate derivatives as multifunctional enzyme inhibitors in mevalonate pathway | |
| Vasta et al. | Selective inhibition of prolyl 4-hydroxylases by bipyridinedicarboxylates | |
| Herbertsson et al. | High‐affinity binding sites for 12 (S)‐hydroxy‐5, 8, 10, 14‐eicosatetraenoic acid (12 (S)‐HETE) in carcinoma cells | |
| JP4226245B2 (en) | IP3 receptor ligand | |
| JP2013545795A (en) | Contrast agent | |
| Sahota | Synthesis and Evaluation of Covalent 14-3-3σ Protein-Protein Interaction Stabilisers | |
| Zhuang | Inhibitors of tubulin polyglycylases and isopentenyl diphosphate isomerase | |
| US20060058379A1 (en) | Connexin 26 inhibitor and cancer metastasis inhibitors | |
| JP5877466B2 (en) | Terpenoid-derived retinoid compounds | |
| Viavattene et al. | Out of Nucleus: Serine 727 Phosphorylation Orchestrates Non-Canonical STAT3 Functions with Relevance to Triple-Negative Breast Cancer | |
| EP3980398A1 (en) | Modulators of sirtuins | |
| CN117321025A (en) | (S) -3-amino-4, 4-dihalocyclopent-1-enecarboxylic acid as selective inactivating agent for human ornithine aminotransferase | |
| Poghosyan et al. | Liana A. Hayriyan, Investigation, validation, methodology | |
| Holewinski | Active site directed covalent modification of human glyoxalase I | |
| JP2016026288A (en) | Method of screening adam action inhibiting substance, method of holding pseudopodium, pseudopodium holding agent, method of screening pseudopodium control substance, and adam action inhibitor |
Legal Events
| Date | Code | Title | Description |
|---|---|---|---|
| AS | Assignment |
Owner name: ISIS INNOVATION LIMITED, UNITED KINGDOM Free format text: ASSIGNMENT OF ASSIGNORS INTEREST;ASSIGNORS:SCHOFIELD, CHRISTOPHER JOSEPH;MAXWELL, PATRICK HENRY;PUGH, CHRISTOPHER WILLIAM;AND OTHERS;REEL/FRAME:015367/0565;SIGNING DATES FROM 20040924 TO 20041004 |
|
| STCB | Information on status: application discontinuation |
Free format text: ABANDONED -- FAILURE TO RESPOND TO AN OFFICE ACTION |










