US20050171167A1 - Process and formulation containing epothilones and analogs thereof - Google Patents
Process and formulation containing epothilones and analogs thereof Download PDFInfo
- Publication number
- US20050171167A1 US20050171167A1 US10/979,958 US97995804A US2005171167A1 US 20050171167 A1 US20050171167 A1 US 20050171167A1 US 97995804 A US97995804 A US 97995804A US 2005171167 A1 US2005171167 A1 US 2005171167A1
- Authority
- US
- United States
- Prior art keywords
- alkyl
- pharmaceutical preparation
- group
- compound
- formula
- Prior art date
- Legal status (The legal status is an assumption and is not a legal conclusion. Google has not performed a legal analysis and makes no representation as to the accuracy of the status listed.)
- Abandoned
Links
- 229930013356 epothilone Natural products 0.000 title claims abstract description 79
- 239000000203 mixture Substances 0.000 title claims abstract description 65
- 238000009472 formulation Methods 0.000 title claims abstract description 51
- 238000000034 method Methods 0.000 title claims abstract description 35
- 230000008569 process Effects 0.000 title claims abstract description 31
- HESCAJZNRMSMJG-KKQRBIROSA-N epothilone A Chemical class C/C([C@@H]1C[C@@H]2O[C@@H]2CCC[C@@H]([C@@H]([C@@H](C)C(=O)C(C)(C)[C@@H](O)CC(=O)O1)O)C)=C\C1=CSC(C)=N1 HESCAJZNRMSMJG-KKQRBIROSA-N 0.000 title abstract description 34
- 150000003883 epothilone derivatives Chemical class 0.000 claims abstract description 45
- 239000000243 solution Substances 0.000 claims description 67
- HEMHJVSKTPXQMS-UHFFFAOYSA-M Sodium hydroxide Chemical group [OH-].[Na+] HEMHJVSKTPXQMS-UHFFFAOYSA-M 0.000 claims description 66
- 150000001875 compounds Chemical class 0.000 claims description 63
- 239000003981 vehicle Substances 0.000 claims description 48
- 125000000217 alkyl group Chemical group 0.000 claims description 43
- 239000003978 infusion fluid Substances 0.000 claims description 43
- 239000000872 buffer Substances 0.000 claims description 40
- 239000000825 pharmaceutical preparation Substances 0.000 claims description 29
- 125000000547 substituted alkyl group Chemical group 0.000 claims description 28
- 125000003118 aryl group Chemical group 0.000 claims description 26
- LFQSCWFLJHTTHZ-UHFFFAOYSA-N Ethanol Chemical compound CCO LFQSCWFLJHTTHZ-UHFFFAOYSA-N 0.000 claims description 24
- 229910052739 hydrogen Inorganic materials 0.000 claims description 23
- 239000001257 hydrogen Substances 0.000 claims description 23
- 150000002431 hydrogen Chemical class 0.000 claims description 21
- 239000004615 ingredient Substances 0.000 claims description 20
- 239000004094 surface-active agent Substances 0.000 claims description 19
- WMFOQBRAJBCJND-UHFFFAOYSA-M Lithium hydroxide Chemical compound [Li+].[OH-] WMFOQBRAJBCJND-UHFFFAOYSA-M 0.000 claims description 18
- 125000003107 substituted aryl group Chemical group 0.000 claims description 16
- CYDQOEWLBCCFJZ-UHFFFAOYSA-N 4-(4-fluorophenyl)oxane-4-carboxylic acid Chemical group C=1C=C(F)C=CC=1C1(C(=O)O)CCOCC1 CYDQOEWLBCCFJZ-UHFFFAOYSA-N 0.000 claims description 14
- 239000001540 sodium lactate Substances 0.000 claims description 14
- 235000011088 sodium lactate Nutrition 0.000 claims description 14
- 229940005581 sodium lactate Drugs 0.000 claims description 14
- 239000008389 polyethoxylated castor oil Substances 0.000 claims description 13
- UIIMBOGNXHQVGW-UHFFFAOYSA-M Sodium bicarbonate Chemical compound [Na+].OC([O-])=O UIIMBOGNXHQVGW-UHFFFAOYSA-M 0.000 claims description 12
- 229960000935 dehydrated alcohol Drugs 0.000 claims description 12
- 150000003839 salts Chemical class 0.000 claims description 11
- 125000000753 cycloalkyl group Chemical group 0.000 claims description 10
- FAPWRFPIFSIZLT-UHFFFAOYSA-M Sodium chloride Chemical compound [Na+].[Cl-] FAPWRFPIFSIZLT-UHFFFAOYSA-M 0.000 claims description 9
- 239000012530 fluid Substances 0.000 claims description 9
- 239000002904 solvent Substances 0.000 claims description 9
- 229920002685 Polyoxyl 35CastorOil Polymers 0.000 claims description 8
- 239000008156 Ringer's lactate solution Substances 0.000 claims description 8
- QUANRIQJNFHVEU-UHFFFAOYSA-N oxirane;propane-1,2,3-triol Chemical compound C1CO1.OCC(O)CO QUANRIQJNFHVEU-UHFFFAOYSA-N 0.000 claims description 8
- 239000011780 sodium chloride Substances 0.000 claims description 8
- WQZGKKKJIJFFOK-GASJEMHNSA-N Glucose Natural products OC[C@H]1OC(O)[C@H](O)[C@@H](O)[C@@H]1O WQZGKKKJIJFFOK-GASJEMHNSA-N 0.000 claims description 7
- 239000008121 dextrose Substances 0.000 claims description 7
- 125000004356 hydroxy functional group Chemical group O* 0.000 claims description 7
- HNDVDQJCIGZPNO-YFKPBYRVSA-N L-histidine Chemical compound OC(=O)[C@@H](N)CC1=CN=CN1 HNDVDQJCIGZPNO-YFKPBYRVSA-N 0.000 claims description 6
- KWYUFKZDYYNOTN-UHFFFAOYSA-M Potassium hydroxide Chemical compound [OH-].[K+] KWYUFKZDYYNOTN-UHFFFAOYSA-M 0.000 claims description 6
- NINIDFKCEFEMDL-UHFFFAOYSA-N Sulfur Chemical compound [S] NINIDFKCEFEMDL-UHFFFAOYSA-N 0.000 claims description 6
- 229910052736 halogen Inorganic materials 0.000 claims description 6
- 150000002367 halogens Chemical class 0.000 claims description 6
- VTHJTEIRLNZDEV-UHFFFAOYSA-L magnesium dihydroxide Chemical compound [OH-].[OH-].[Mg+2] VTHJTEIRLNZDEV-UHFFFAOYSA-L 0.000 claims description 6
- 239000000347 magnesium hydroxide Substances 0.000 claims description 6
- 229910001862 magnesium hydroxide Inorganic materials 0.000 claims description 6
- 239000002736 nonionic surfactant Substances 0.000 claims description 6
- 229910000030 sodium bicarbonate Inorganic materials 0.000 claims description 6
- QVGXLLKOCUKJST-UHFFFAOYSA-N atomic oxygen Chemical compound [O] QVGXLLKOCUKJST-UHFFFAOYSA-N 0.000 claims description 5
- WQZGKKKJIJFFOK-VFUOTHLCSA-N beta-D-glucose Chemical compound OC[C@H]1O[C@@H](O)[C@H](O)[C@@H](O)[C@@H]1O WQZGKKKJIJFFOK-VFUOTHLCSA-N 0.000 claims description 5
- 229910052760 oxygen Inorganic materials 0.000 claims description 5
- 239000001301 oxygen Substances 0.000 claims description 5
- 229910052717 sulfur Inorganic materials 0.000 claims description 5
- 239000011593 sulfur Substances 0.000 claims description 5
- LMBFAGIMSUYTBN-MPZNNTNKSA-N teixobactin Chemical compound C([C@H](C(=O)N[C@@H]([C@@H](C)CC)C(=O)N[C@@H](CO)C(=O)N[C@H](CCC(N)=O)C(=O)N[C@H]([C@@H](C)CC)C(=O)N[C@@H]([C@@H](C)CC)C(=O)N[C@@H](CO)C(=O)N[C@H]1C(N[C@@H](C)C(=O)N[C@@H](C[C@@H]2NC(=N)NC2)C(=O)N[C@H](C(=O)O[C@H]1C)[C@@H](C)CC)=O)NC)C1=CC=CC=C1 LMBFAGIMSUYTBN-MPZNNTNKSA-N 0.000 claims description 5
- 239000008355 dextrose injection Substances 0.000 claims description 4
- 238000002156 mixing Methods 0.000 claims description 4
- 239000008354 sodium chloride injection Substances 0.000 claims description 4
- QNAYBMKLOCPYGJ-UHFFFAOYSA-N D-alpha-Ala Natural products CC([NH3+])C([O-])=O QNAYBMKLOCPYGJ-UHFFFAOYSA-N 0.000 claims description 3
- QNAYBMKLOCPYGJ-UWTATZPHSA-N L-Alanine Natural products C[C@@H](N)C(O)=O QNAYBMKLOCPYGJ-UWTATZPHSA-N 0.000 claims description 3
- QNAYBMKLOCPYGJ-REOHCLBHSA-N L-alanine Chemical compound C[C@H](N)C(O)=O QNAYBMKLOCPYGJ-REOHCLBHSA-N 0.000 claims description 3
- YKIOKAURTKXMSB-UHFFFAOYSA-N adams's catalyst Chemical compound O=[Pt]=O YKIOKAURTKXMSB-UHFFFAOYSA-N 0.000 claims description 3
- 229960003767 alanine Drugs 0.000 claims description 3
- AXCZMVOFGPJBDE-UHFFFAOYSA-L calcium dihydroxide Chemical compound [OH-].[OH-].[Ca+2] AXCZMVOFGPJBDE-UHFFFAOYSA-L 0.000 claims description 3
- 229960002885 histidine Drugs 0.000 claims description 3
- 238000012792 lyophilization process Methods 0.000 claims description 3
- BWHMMNNQKKPAPP-UHFFFAOYSA-L potassium carbonate Chemical compound [K+].[K+].[O-]C([O-])=O BWHMMNNQKKPAPP-UHFFFAOYSA-L 0.000 claims description 3
- 235000017557 sodium bicarbonate Nutrition 0.000 claims description 3
- 239000001509 sodium citrate Substances 0.000 claims description 3
- NLJMYIDDQXHKNR-UHFFFAOYSA-K sodium citrate Chemical compound O.O.[Na+].[Na+].[Na+].[O-]C(=O)CC(O)(CC([O-])=O)C([O-])=O NLJMYIDDQXHKNR-UHFFFAOYSA-K 0.000 claims description 3
- 229960001790 sodium citrate Drugs 0.000 claims description 3
- 239000001488 sodium phosphate Substances 0.000 claims description 3
- 229910000162 sodium phosphate Inorganic materials 0.000 claims description 3
- 229960003339 sodium phosphate Drugs 0.000 claims description 3
- 239000012453 solvate Substances 0.000 claims description 3
- WPLOVIFNBMNBPD-ATHMIXSHSA-N subtilin Chemical compound CC1SCC(NC2=O)C(=O)NC(CC(N)=O)C(=O)NC(C(=O)NC(CCCCN)C(=O)NC(C(C)CC)C(=O)NC(=C)C(=O)NC(CCCCN)C(O)=O)CSC(C)C2NC(=O)C(CC(C)C)NC(=O)C1NC(=O)C(CCC(N)=O)NC(=O)C(CC(C)C)NC(=O)C(NC(=O)C1NC(=O)C(=C/C)/NC(=O)C(CCC(N)=O)NC(=O)C(CC(C)C)NC(=O)C(C)NC(=O)CNC(=O)C(NC(=O)C(NC(=O)C2NC(=O)CNC(=O)C3CCCN3C(=O)C(NC(=O)C3NC(=O)C(CC(C)C)NC(=O)C(=C)NC(=O)C(CCC(O)=O)NC(=O)C(NC(=O)C(CCCCN)NC(=O)C(N)CC=4C5=CC=CC=C5NC=4)CSC3)C(C)SC2)C(C)C)C(C)SC1)CC1=CC=CC=C1 WPLOVIFNBMNBPD-ATHMIXSHSA-N 0.000 claims description 3
- LENZDBCJOHFCAS-UHFFFAOYSA-N tris Chemical compound OCC(N)(CO)CO LENZDBCJOHFCAS-UHFFFAOYSA-N 0.000 claims description 3
- RYFMWSXOAZQYPI-UHFFFAOYSA-K trisodium phosphate Chemical group [Na+].[Na+].[Na+].[O-]P([O-])([O-])=O RYFMWSXOAZQYPI-UHFFFAOYSA-K 0.000 claims description 3
- 239000003002 pH adjusting agent Substances 0.000 claims 2
- 235000011083 sodium citrates Nutrition 0.000 claims 2
- 235000011008 sodium phosphates Nutrition 0.000 claims 2
- 125000003158 alcohol group Chemical group 0.000 claims 1
- 238000007911 parenteral administration Methods 0.000 abstract description 2
- 239000002585 base Substances 0.000 description 16
- -1 trifluoromethoxy, hydroxy Chemical group 0.000 description 15
- 0 *[C@@]12CCC[C@H](C)[C@H](O)C(C)C(=O)C(C)(C)[C@@H](O)CC(=O)O[C@H](/C(C)=C/C3=CSC(C)=N3)C[C@@H]1O2 Chemical compound *[C@@]12CCC[C@H](C)[C@H](O)C(C)C(=O)C(C)(C)[C@@H](O)CC(=O)O[C@H](/C(C)=C/C3=CSC(C)=N3)C[C@@H]1O2 0.000 description 14
- 206010028980 Neoplasm Diseases 0.000 description 13
- 125000001424 substituent group Chemical group 0.000 description 13
- 238000004108 freeze drying Methods 0.000 description 11
- 239000003085 diluting agent Substances 0.000 description 10
- 208000037265 diseases, disorders, signs and symptoms Diseases 0.000 description 10
- 239000003814 drug Substances 0.000 description 9
- 239000000047 product Substances 0.000 description 9
- 229940127089 cytotoxic agent Drugs 0.000 description 8
- 239000002254 cytotoxic agent Substances 0.000 description 8
- 201000010099 disease Diseases 0.000 description 8
- 230000001093 anti-cancer Effects 0.000 description 7
- 125000004432 carbon atom Chemical group C* 0.000 description 7
- 230000015556 catabolic process Effects 0.000 description 7
- 231100000599 cytotoxic agent Toxicity 0.000 description 7
- 238000006731 degradation reaction Methods 0.000 description 7
- 230000036515 potency Effects 0.000 description 7
- 238000011282 treatment Methods 0.000 description 7
- IJGRMHOSHXDMSA-UHFFFAOYSA-N Atomic nitrogen Chemical compound N#N IJGRMHOSHXDMSA-UHFFFAOYSA-N 0.000 description 6
- 125000003545 alkoxy group Chemical group 0.000 description 6
- 239000002246 antineoplastic agent Substances 0.000 description 6
- 239000003795 chemical substances by application Substances 0.000 description 6
- 229940079593 drug Drugs 0.000 description 6
- 125000000623 heterocyclic group Chemical group 0.000 description 6
- 238000002360 preparation method Methods 0.000 description 6
- 125000002924 primary amino group Chemical group [H]N([H])* 0.000 description 6
- XLYOFNOQVPJJNP-UHFFFAOYSA-N water Chemical compound O XLYOFNOQVPJJNP-UHFFFAOYSA-N 0.000 description 6
- DKGAVHZHDRPRBM-UHFFFAOYSA-N Tert-Butanol Chemical compound CC(C)(C)O DKGAVHZHDRPRBM-UHFFFAOYSA-N 0.000 description 5
- 125000003710 aryl alkyl group Chemical group 0.000 description 5
- 201000011510 cancer Diseases 0.000 description 5
- 238000001035 drying Methods 0.000 description 5
- 230000000694 effects Effects 0.000 description 5
- 125000005842 heteroatom Chemical group 0.000 description 5
- GHASVSINZRGABV-UHFFFAOYSA-N Fluorouracil Chemical compound FC1=CNC(=O)NC1=O GHASVSINZRGABV-UHFFFAOYSA-N 0.000 description 4
- FABUFPQFXZVHFB-PVYNADRNSA-N [H]N1C(=O)C[C@H](O)C(C)(C)C(=O)[C@H](C)[C@@H](O)[C@@H](C)CCC[C@@]2(C)O[C@H]2C[C@H]1/C(C)=C/C1=CSC(C)=N1 Chemical compound [H]N1C(=O)C[C@H](O)C(C)(C)C(=O)[C@H](C)[C@@H](O)[C@@H](C)CCC[C@@]2(C)O[C@H]2C[C@H]1/C(C)=C/C1=CSC(C)=N1 FABUFPQFXZVHFB-PVYNADRNSA-N 0.000 description 4
- RJURFGZVJUQBHK-UHFFFAOYSA-N actinomycin D Natural products CC1OC(=O)C(C(C)C)N(C)C(=O)CN(C)C(=O)C2CCCN2C(=O)C(C(C)C)NC(=O)C1NC(=O)C1=C(N)C(=O)C(C)=C2OC(C(C)=CC=C3C(=O)NC4C(=O)NC(C(N5CCCC5C(=O)N(C)CC(=O)N(C)C(C(C)C)C(=O)OC4C)=O)C(C)C)=C3N=C21 RJURFGZVJUQBHK-UHFFFAOYSA-N 0.000 description 4
- 125000001589 carboacyl group Chemical group 0.000 description 4
- 229960002949 fluorouracil Drugs 0.000 description 4
- 125000005843 halogen group Chemical group 0.000 description 4
- 239000000546 pharmaceutical excipient Substances 0.000 description 4
- 230000002062 proliferating effect Effects 0.000 description 4
- QTBSBXVTEAMEQO-UHFFFAOYSA-N Acetic acid Chemical compound CC(O)=O QTBSBXVTEAMEQO-UHFFFAOYSA-N 0.000 description 3
- GAGWJHPBXLXJQN-UORFTKCHSA-N Capecitabine Chemical compound C1=C(F)C(NC(=O)OCCCCC)=NC(=O)N1[C@H]1[C@H](O)[C@H](O)[C@@H](C)O1 GAGWJHPBXLXJQN-UORFTKCHSA-N 0.000 description 3
- NWIBSHFKIJFRCO-WUDYKRTCSA-N Mytomycin Chemical compound C1N2C(C(C(C)=C(N)C3=O)=O)=C3[C@@H](COC(N)=O)[C@@]2(OC)[C@@H]2[C@H]1N2 NWIBSHFKIJFRCO-WUDYKRTCSA-N 0.000 description 3
- 239000002253 acid Substances 0.000 description 3
- 125000005236 alkanoylamino group Chemical group 0.000 description 3
- 230000006907 apoptotic process Effects 0.000 description 3
- 239000012736 aqueous medium Substances 0.000 description 3
- 206010003246 arthritis Diseases 0.000 description 3
- 125000003917 carbamoyl group Chemical group [H]N([H])C(*)=O 0.000 description 3
- 238000013329 compounding Methods 0.000 description 3
- 239000007924 injection Substances 0.000 description 3
- 238000002347 injection Methods 0.000 description 3
- 238000001990 intravenous administration Methods 0.000 description 3
- GLVAUDGFNGKCSF-UHFFFAOYSA-N mercaptopurine Chemical compound S=C1NC=NC2=C1NC=N2 GLVAUDGFNGKCSF-UHFFFAOYSA-N 0.000 description 3
- 208000015122 neurodegenerative disease Diseases 0.000 description 3
- 229910052757 nitrogen Inorganic materials 0.000 description 3
- 238000000859 sublimation Methods 0.000 description 3
- 230000008022 sublimation Effects 0.000 description 3
- 125000005420 sulfonamido group Chemical group S(=O)(=O)(N*)* 0.000 description 3
- 239000008215 water for injection Substances 0.000 description 3
- 208000024893 Acute lymphoblastic leukemia Diseases 0.000 description 2
- 208000014697 Acute lymphocytic leukaemia Diseases 0.000 description 2
- 208000032467 Aplastic anaemia Diseases 0.000 description 2
- 108010006654 Bleomycin Proteins 0.000 description 2
- GAGWJHPBXLXJQN-UHFFFAOYSA-N Capecitabine Natural products C1=C(F)C(NC(=O)OCCCCC)=NC(=O)N1C1C(O)C(O)C(C)O1 GAGWJHPBXLXJQN-UHFFFAOYSA-N 0.000 description 2
- UHDGCWIWMRVCDJ-CCXZUQQUSA-N Cytarabine Chemical compound O=C1N=C(N)C=CN1[C@H]1[C@@H](O)[C@H](O)[C@@H](CO)O1 UHDGCWIWMRVCDJ-CCXZUQQUSA-N 0.000 description 2
- 108010092160 Dactinomycin Proteins 0.000 description 2
- AOJJSUZBOXZQNB-TZSSRYMLSA-N Doxorubicin Chemical compound O([C@H]1C[C@@](O)(CC=2C(O)=C3C(=O)C=4C=CC=C(C=4C(=O)C3=C(O)C=21)OC)C(=O)CO)[C@H]1C[C@H](N)[C@H](O)[C@H](C)O1 AOJJSUZBOXZQNB-TZSSRYMLSA-N 0.000 description 2
- 201000008808 Fibrosarcoma Diseases 0.000 description 2
- 208000032612 Glial tumor Diseases 0.000 description 2
- 206010018338 Glioma Diseases 0.000 description 2
- CPELXLSAUQHCOX-UHFFFAOYSA-N Hydrogen bromide Chemical compound Br CPELXLSAUQHCOX-UHFFFAOYSA-N 0.000 description 2
- FBOZXECLQNJBKD-ZDUSSCGKSA-N L-methotrexate Chemical compound C=1N=C2N=C(N)N=C(N)C2=NC=1CN(C)C1=CC=C(C(=O)N[C@@H](CCC(O)=O)C(O)=O)C=C1 FBOZXECLQNJBKD-ZDUSSCGKSA-N 0.000 description 2
- 206010025323 Lymphomas Diseases 0.000 description 2
- 241001465754 Metazoa Species 0.000 description 2
- AFVFQIVMOAPDHO-UHFFFAOYSA-N Methanesulfonic acid Chemical compound CS(O)(=O)=O AFVFQIVMOAPDHO-UHFFFAOYSA-N 0.000 description 2
- ZDZOTLJHXYCWBA-VCVYQWHSSA-N N-debenzoyl-N-(tert-butoxycarbonyl)-10-deacetyltaxol Chemical compound O([C@H]1[C@H]2[C@@](C([C@H](O)C3=C(C)[C@@H](OC(=O)[C@H](O)[C@@H](NC(=O)OC(C)(C)C)C=4C=CC=CC=4)C[C@]1(O)C3(C)C)=O)(C)[C@@H](O)C[C@H]1OC[C@]12OC(=O)C)C(=O)C1=CC=CC=C1 ZDZOTLJHXYCWBA-VCVYQWHSSA-N 0.000 description 2
- 206010029260 Neuroblastoma Diseases 0.000 description 2
- 229930012538 Paclitaxel Natural products 0.000 description 2
- WCUXLLCKKVVCTQ-UHFFFAOYSA-M Potassium chloride Chemical compound [Cl-].[K+] WCUXLLCKKVVCTQ-UHFFFAOYSA-M 0.000 description 2
- 208000006664 Precursor Cell Lymphoblastic Leukemia-Lymphoma Diseases 0.000 description 2
- 201000004681 Psoriasis Diseases 0.000 description 2
- 201000010208 Seminoma Diseases 0.000 description 2
- QAOWNCQODCNURD-UHFFFAOYSA-N Sulfuric acid Chemical compound OS(O)(=O)=O QAOWNCQODCNURD-UHFFFAOYSA-N 0.000 description 2
- NKANXQFJJICGDU-QPLCGJKRSA-N Tamoxifen Chemical compound C=1C=CC=CC=1C(/CC)=C(C=1C=CC(OCCN(C)C)=CC=1)/C1=CC=CC=C1 NKANXQFJJICGDU-QPLCGJKRSA-N 0.000 description 2
- DTQVDTLACAAQTR-UHFFFAOYSA-N Trifluoroacetic acid Chemical compound OC(=O)C(F)(F)F DTQVDTLACAAQTR-UHFFFAOYSA-N 0.000 description 2
- JXLYSJRDGCGARV-WWYNWVTFSA-N Vinblastine Natural products O=C(O[C@H]1[C@](O)(C(=O)OC)[C@@H]2N(C)c3c(cc(c(OC)c3)[C@]3(C(=O)OC)c4[nH]c5c(c4CCN4C[C@](O)(CC)C[C@H](C3)C4)cccc5)[C@@]32[C@H]2[C@@]1(CC)C=CCN2CC3)C JXLYSJRDGCGARV-WWYNWVTFSA-N 0.000 description 2
- 208000036142 Viral infection Diseases 0.000 description 2
- 238000005903 acid hydrolysis reaction Methods 0.000 description 2
- RJURFGZVJUQBHK-IIXSONLDSA-N actinomycin D Chemical compound C[C@H]1OC(=O)[C@H](C(C)C)N(C)C(=O)CN(C)C(=O)[C@@H]2CCCN2C(=O)[C@@H](C(C)C)NC(=O)[C@H]1NC(=O)C1=C(N)C(=O)C(C)=C2OC(C(C)=CC=C3C(=O)N[C@@H]4C(=O)N[C@@H](C(N5CCC[C@H]5C(=O)N(C)CC(=O)N(C)[C@@H](C(C)C)C(=O)O[C@@H]4C)=O)C(C)C)=C3N=C21 RJURFGZVJUQBHK-IIXSONLDSA-N 0.000 description 2
- 125000004423 acyloxy group Chemical group 0.000 description 2
- 125000004453 alkoxycarbonyl group Chemical group 0.000 description 2
- 125000003282 alkyl amino group Chemical group 0.000 description 2
- 125000004414 alkyl thio group Chemical group 0.000 description 2
- 230000004075 alteration Effects 0.000 description 2
- 229960000473 altretamine Drugs 0.000 description 2
- 125000001691 aryl alkyl amino group Chemical group 0.000 description 2
- 125000001769 aryl amino group Chemical group 0.000 description 2
- 125000004104 aryloxy group Chemical group 0.000 description 2
- VSRXQHXAPYXROS-UHFFFAOYSA-N azanide;cyclobutane-1,1-dicarboxylic acid;platinum(2+) Chemical compound [NH2-].[NH2-].[Pt+2].OC(=O)C1(C(O)=O)CCC1 VSRXQHXAPYXROS-UHFFFAOYSA-N 0.000 description 2
- 230000008901 benefit Effects 0.000 description 2
- 125000002619 bicyclic group Chemical group 0.000 description 2
- BPKIGYQJPYCAOW-FFJTTWKXSA-I calcium;potassium;disodium;(2s)-2-hydroxypropanoate;dichloride;dihydroxide;hydrate Chemical compound O.[OH-].[OH-].[Na+].[Na+].[Cl-].[Cl-].[K+].[Ca+2].C[C@H](O)C([O-])=O BPKIGYQJPYCAOW-FFJTTWKXSA-I 0.000 description 2
- 229960004117 capecitabine Drugs 0.000 description 2
- 150000001721 carbon Chemical group 0.000 description 2
- 229910052799 carbon Inorganic materials 0.000 description 2
- 229960004562 carboplatin Drugs 0.000 description 2
- 210000004027 cell Anatomy 0.000 description 2
- DQLATGHUWYMOKM-UHFFFAOYSA-L cisplatin Chemical compound N[Pt](N)(Cl)Cl DQLATGHUWYMOKM-UHFFFAOYSA-L 0.000 description 2
- 229960004316 cisplatin Drugs 0.000 description 2
- 125000004122 cyclic group Chemical group 0.000 description 2
- 125000006310 cycloalkyl amino group Chemical group 0.000 description 2
- 125000005366 cycloalkylthio group Chemical group 0.000 description 2
- 229960000640 dactinomycin Drugs 0.000 description 2
- 208000035475 disorder Diseases 0.000 description 2
- 238000004090 dissolution Methods 0.000 description 2
- 125000002541 furyl group Chemical group 0.000 description 2
- SDUQYLNIPVEERB-QPPQHZFASA-N gemcitabine Chemical compound O=C1N=C(N)C=CN1[C@H]1C(F)(F)[C@H](O)[C@@H](CO)O1 SDUQYLNIPVEERB-QPPQHZFASA-N 0.000 description 2
- 201000005787 hematologic cancer Diseases 0.000 description 2
- 208000024200 hematopoietic and lymphoid system neoplasm Diseases 0.000 description 2
- 125000004476 heterocycloamino group Chemical group 0.000 description 2
- 125000004470 heterocyclooxy group Chemical group 0.000 description 2
- UUVWYPNAQBNQJQ-UHFFFAOYSA-N hexamethylmelamine Chemical compound CN(C)C1=NC(N(C)C)=NC(N(C)C)=N1 UUVWYPNAQBNQJQ-UHFFFAOYSA-N 0.000 description 2
- 125000002883 imidazolyl group Chemical group 0.000 description 2
- 125000001041 indolyl group Chemical group 0.000 description 2
- 238000001802 infusion Methods 0.000 description 2
- 238000001361 intraarterial administration Methods 0.000 description 2
- 238000007918 intramuscular administration Methods 0.000 description 2
- 125000004628 isothiazolidinyl group Chemical group S1N(CCC1)* 0.000 description 2
- 208000017169 kidney disease Diseases 0.000 description 2
- 201000001441 melanoma Diseases 0.000 description 2
- 229960001428 mercaptopurine Drugs 0.000 description 2
- 229960000485 methotrexate Drugs 0.000 description 2
- 125000002496 methyl group Chemical group [H]C([H])([H])* 0.000 description 2
- 229960004857 mitomycin Drugs 0.000 description 2
- 125000002950 monocyclic group Chemical group 0.000 description 2
- 201000006417 multiple sclerosis Diseases 0.000 description 2
- 210000002346 musculoskeletal system Anatomy 0.000 description 2
- 230000003287 optical effect Effects 0.000 description 2
- 150000002924 oxiranes Chemical class 0.000 description 2
- 229960001592 paclitaxel Drugs 0.000 description 2
- BASFCYQUMIYNBI-UHFFFAOYSA-N platinum Chemical compound [Pt] BASFCYQUMIYNBI-UHFFFAOYSA-N 0.000 description 2
- YJGVMLPVUAXIQN-XVVDYKMHSA-N podophyllotoxin Chemical compound COC1=C(OC)C(OC)=CC([C@@H]2C3=CC=4OCOC=4C=C3[C@H](O)[C@@H]3[C@@H]2C(OC3)=O)=C1 YJGVMLPVUAXIQN-XVVDYKMHSA-N 0.000 description 2
- 125000004076 pyridyl group Chemical group 0.000 description 2
- 125000000714 pyrimidinyl group Chemical group 0.000 description 2
- 208000037803 restenosis Diseases 0.000 description 2
- 229920006395 saturated elastomer Polymers 0.000 description 2
- 230000035945 sensitivity Effects 0.000 description 2
- 241000894007 species Species 0.000 description 2
- 239000003381 stabilizer Substances 0.000 description 2
- 238000007920 subcutaneous administration Methods 0.000 description 2
- RCINICONZNJXQF-MZXODVADSA-N taxol Chemical compound O([C@@H]1[C@@]2(C[C@@H](C(C)=C(C2(C)C)[C@H](C([C@]2(C)[C@@H](O)C[C@H]3OC[C@]3([C@H]21)OC(C)=O)=O)OC(=O)C)OC(=O)[C@H](O)[C@@H](NC(=O)C=1C=CC=CC=1)C=1C=CC=CC=1)O)C(=O)C1=CC=CC=C1 RCINICONZNJXQF-MZXODVADSA-N 0.000 description 2
- RCINICONZNJXQF-XAZOAEDWSA-N taxol® Chemical compound O([C@@H]1[C@@]2(CC(C(C)=C(C2(C)C)[C@H](C([C@]2(C)[C@@H](O)C[C@H]3OC[C@]3(C21)OC(C)=O)=O)OC(=O)C)OC(=O)[C@H](O)[C@@H](NC(=O)C=1C=CC=CC=1)C=1C=CC=CC=1)O)C(=O)C1=CC=CC=C1 RCINICONZNJXQF-XAZOAEDWSA-N 0.000 description 2
- 208000001608 teratocarcinoma Diseases 0.000 description 2
- 229940124597 therapeutic agent Drugs 0.000 description 2
- 125000000335 thiazolyl group Chemical group 0.000 description 2
- 125000001544 thienyl group Chemical group 0.000 description 2
- 125000003396 thiol group Chemical class [H]S* 0.000 description 2
- 210000001685 thyroid gland Anatomy 0.000 description 2
- WYWHKKSPHMUBEB-UHFFFAOYSA-N tioguanine Chemical compound N1C(N)=NC(=S)C2=C1N=CN2 WYWHKKSPHMUBEB-UHFFFAOYSA-N 0.000 description 2
- 239000003558 transferase inhibitor Substances 0.000 description 2
- 125000002023 trifluoromethyl group Chemical group FC(F)(F)* 0.000 description 2
- 125000000391 vinyl group Chemical group [H]C([*])=C([H])[H] 0.000 description 2
- 230000009385 viral infection Effects 0.000 description 2
- SFLSHLFXELFNJZ-QMMMGPOBSA-N (-)-norepinephrine Chemical compound NC[C@H](O)C1=CC=C(O)C(O)=C1 SFLSHLFXELFNJZ-QMMMGPOBSA-N 0.000 description 1
- DEQANNDTNATYII-OULOTJBUSA-N (4r,7s,10s,13r,16s,19r)-10-(4-aminobutyl)-19-[[(2r)-2-amino-3-phenylpropanoyl]amino]-16-benzyl-n-[(2r,3r)-1,3-dihydroxybutan-2-yl]-7-[(1r)-1-hydroxyethyl]-13-(1h-indol-3-ylmethyl)-6,9,12,15,18-pentaoxo-1,2-dithia-5,8,11,14,17-pentazacycloicosane-4-carboxa Chemical compound C([C@@H](N)C(=O)N[C@H]1CSSC[C@H](NC(=O)[C@H]([C@@H](C)O)NC(=O)[C@H](CCCCN)NC(=O)[C@@H](CC=2C3=CC=CC=C3NC=2)NC(=O)[C@H](CC=2C=CC=CC=2)NC1=O)C(=O)N[C@H](CO)[C@H](O)C)C1=CC=CC=C1 DEQANNDTNATYII-OULOTJBUSA-N 0.000 description 1
- FDKXTQMXEQVLRF-ZHACJKMWSA-N (E)-dacarbazine Chemical compound CN(C)\N=N\c1[nH]cnc1C(N)=O FDKXTQMXEQVLRF-ZHACJKMWSA-N 0.000 description 1
- WNXJIVFYUVYPPR-UHFFFAOYSA-N 1,3-dioxolane Chemical compound C1COCO1 WNXJIVFYUVYPPR-UHFFFAOYSA-N 0.000 description 1
- HTSGKJQDMSTCGS-UHFFFAOYSA-N 1,4-bis(4-chlorophenyl)-2-(4-methylphenyl)sulfonylbutane-1,4-dione Chemical compound C1=CC(C)=CC=C1S(=O)(=O)C(C(=O)C=1C=CC(Cl)=CC=1)CC(=O)C1=CC=C(Cl)C=C1 HTSGKJQDMSTCGS-UHFFFAOYSA-N 0.000 description 1
- 102100025573 1-alkyl-2-acetylglycerophosphocholine esterase Human genes 0.000 description 1
- WLXGQMVCYPUOLM-UHFFFAOYSA-N 1-hydroxyethanesulfonic acid Chemical compound CC(O)S(O)(=O)=O WLXGQMVCYPUOLM-UHFFFAOYSA-N 0.000 description 1
- VSNHCAURESNICA-NJFSPNSNSA-N 1-oxidanylurea Chemical compound N[14C](=O)NO VSNHCAURESNICA-NJFSPNSNSA-N 0.000 description 1
- FMGNVEVLMGMCNQ-UHFFFAOYSA-N 15-oxabicyclo[14.1.0]heptadecane-8,12-dione Chemical compound O1CCC(=O)CCCC(=O)CCCCCCC2CC21 FMGNVEVLMGMCNQ-UHFFFAOYSA-N 0.000 description 1
- KFXDYZXVIHNBFD-UHFFFAOYSA-N 2-(thian-2-ylsulfonyl)thiane Chemical compound C1CCCSC1S(=O)(=O)C1CCCCS1 KFXDYZXVIHNBFD-UHFFFAOYSA-N 0.000 description 1
- LBLYYCQCTBFVLH-UHFFFAOYSA-N 2-Methylbenzenesulfonic acid Chemical compound CC1=CC=CC=C1S(O)(=O)=O LBLYYCQCTBFVLH-UHFFFAOYSA-N 0.000 description 1
- ZQXSFZAMFNRZOQ-UHFFFAOYSA-N 2-methylpropan-2-ol;hydrate Chemical compound O.CC(C)(C)O ZQXSFZAMFNRZOQ-UHFFFAOYSA-N 0.000 description 1
- 125000004635 2-oxazepinyl group Chemical group O1N(CC=CC=C1)* 0.000 description 1
- 125000004638 2-oxopiperazinyl group Chemical group O=C1N(CCNC1)* 0.000 description 1
- 125000004637 2-oxopiperidinyl group Chemical group O=C1N(CCCC1)* 0.000 description 1
- 125000004610 3,4-dihydro-4-oxo-quinazolinyl group Chemical group O=C1NC(=NC2=CC=CC=C12)* 0.000 description 1
- NDMPLJNOPCLANR-UHFFFAOYSA-N 3,4-dihydroxy-15-(4-hydroxy-18-methoxycarbonyl-5,18-seco-ibogamin-18-yl)-16-methoxy-1-methyl-6,7-didehydro-aspidospermidine-3-carboxylic acid methyl ester Natural products C1C(CC)(O)CC(CC2(C(=O)OC)C=3C(=CC4=C(C56C(C(C(O)C7(CC)C=CCN(C67)CC5)(O)C(=O)OC)N4C)C=3)OC)CN1CCC1=C2NC2=CC=CC=C12 NDMPLJNOPCLANR-UHFFFAOYSA-N 0.000 description 1
- WUIABRMSWOKTOF-OYALTWQYSA-N 3-[[2-[2-[2-[[(2s,3r)-2-[[(2s,3s,4r)-4-[[(2s,3r)-2-[[6-amino-2-[(1s)-3-amino-1-[[(2s)-2,3-diamino-3-oxopropyl]amino]-3-oxopropyl]-5-methylpyrimidine-4-carbonyl]amino]-3-[(2r,3s,4s,5s,6s)-3-[(2r,3s,4s,5r,6r)-4-carbamoyloxy-3,5-dihydroxy-6-(hydroxymethyl)ox Chemical compound OS([O-])(=O)=O.N([C@H](C(=O)N[C@H](C)[C@@H](O)[C@H](C)C(=O)N[C@@H]([C@H](O)C)C(=O)NCCC=1SC=C(N=1)C=1SC=C(N=1)C(=O)NCCC[S+](C)C)[C@@H](O[C@H]1[C@H]([C@@H](O)[C@H](O)[C@H](CO)O1)O[C@@H]1[C@H]([C@@H](OC(N)=O)[C@H](O)[C@@H](CO)O1)O)C=1NC=NC=1)C(=O)C1=NC([C@H](CC(N)=O)NC[C@H](N)C(N)=O)=NC(N)=C1C WUIABRMSWOKTOF-OYALTWQYSA-N 0.000 description 1
- TVZGACDUOSZQKY-LBPRGKRZSA-N 4-aminofolic acid Chemical compound C1=NC2=NC(N)=NC(N)=C2N=C1CNC1=CC=C(C(=O)N[C@@H](CCC(O)=O)C(O)=O)C=C1 TVZGACDUOSZQKY-LBPRGKRZSA-N 0.000 description 1
- 125000005986 4-piperidonyl group Chemical group 0.000 description 1
- STQGQHZAVUOBTE-UHFFFAOYSA-N 7-Cyan-hept-2t-en-4,6-diinsaeure Natural products C1=2C(O)=C3C(=O)C=4C(OC)=CC=CC=4C(=O)C3=C(O)C=2CC(O)(C(C)=O)CC1OC1CC(N)C(O)C(C)O1 STQGQHZAVUOBTE-UHFFFAOYSA-N 0.000 description 1
- ZCYVEMRRCGMTRW-UHFFFAOYSA-N 7553-56-2 Chemical group [I] ZCYVEMRRCGMTRW-UHFFFAOYSA-N 0.000 description 1
- 208000030507 AIDS Diseases 0.000 description 1
- 206010065040 AIDS dementia complex Diseases 0.000 description 1
- 208000031261 Acute myeloid leukaemia Diseases 0.000 description 1
- 208000036762 Acute promyelocytic leukaemia Diseases 0.000 description 1
- GUBGYTABKSRVRQ-XLOQQCSPSA-N Alpha-Lactose Chemical compound O[C@@H]1[C@@H](O)[C@@H](O)[C@@H](CO)O[C@H]1O[C@@H]1[C@@H](CO)O[C@H](O)[C@H](O)[C@H]1O GUBGYTABKSRVRQ-XLOQQCSPSA-N 0.000 description 1
- 208000024827 Alzheimer disease Diseases 0.000 description 1
- 108010024976 Asparaginase Proteins 0.000 description 1
- BSYNRYMUTXBXSQ-UHFFFAOYSA-N Aspirin Chemical compound CC(=O)OC1=CC=CC=C1C(O)=O BSYNRYMUTXBXSQ-UHFFFAOYSA-N 0.000 description 1
- 206010003571 Astrocytoma Diseases 0.000 description 1
- 201000001320 Atherosclerosis Diseases 0.000 description 1
- 208000023275 Autoimmune disease Diseases 0.000 description 1
- NOWKCMXCCJGMRR-UHFFFAOYSA-N Aziridine Chemical class C1CN1 NOWKCMXCCJGMRR-UHFFFAOYSA-N 0.000 description 1
- 208000003950 B-cell lymphoma Diseases 0.000 description 1
- 208000032791 BCR-ABL1 positive chronic myelogenous leukemia Diseases 0.000 description 1
- 201000004569 Blindness Diseases 0.000 description 1
- WKBOTKDWSSQWDR-UHFFFAOYSA-N Bromine atom Chemical group [Br] WKBOTKDWSSQWDR-UHFFFAOYSA-N 0.000 description 1
- 108010037003 Buserelin Proteins 0.000 description 1
- COVZYZSDYWQREU-UHFFFAOYSA-N Busulfan Chemical compound CS(=O)(=O)OCCCCOS(C)(=O)=O COVZYZSDYWQREU-UHFFFAOYSA-N 0.000 description 1
- IYNFSXQYGDIKGY-FNORWQNLSA-N CCC(C)/C(/N)=C\C Chemical compound CCC(C)/C(/N)=C\C IYNFSXQYGDIKGY-FNORWQNLSA-N 0.000 description 1
- FABUFPQFXZVHFB-HPZHUWBASA-N C[C@@H](CCC[C@@]1(C)O[C@H]1CC(/C(/C)=C/c1c[s]c(C)n1)NC(C[C@@H](C(C)(C)C([C@@H]1C)=O)O)=O)[C@@H]1O Chemical compound C[C@@H](CCC[C@@]1(C)O[C@H]1CC(/C(/C)=C/c1c[s]c(C)n1)NC(C[C@@H](C(C)(C)C([C@@H]1C)=O)O)=O)[C@@H]1O FABUFPQFXZVHFB-HPZHUWBASA-N 0.000 description 1
- FVLVBPDQNARYJU-XAHDHGMMSA-N C[C@H]1CCC(CC1)NC(=O)N(CCCl)N=O Chemical compound C[C@H]1CCC(CC1)NC(=O)N(CCCl)N=O FVLVBPDQNARYJU-XAHDHGMMSA-N 0.000 description 1
- UXVMQQNJUSDDNG-UHFFFAOYSA-L Calcium chloride Chemical compound [Cl-].[Cl-].[Ca+2] UXVMQQNJUSDDNG-UHFFFAOYSA-L 0.000 description 1
- 206010058019 Cancer Pain Diseases 0.000 description 1
- 241000282472 Canis lupus familiaris Species 0.000 description 1
- 201000009030 Carcinoma Diseases 0.000 description 1
- DLGOEMSEDOSKAD-UHFFFAOYSA-N Carmustine Chemical compound ClCCNC(=O)N(N=O)CCCl DLGOEMSEDOSKAD-UHFFFAOYSA-N 0.000 description 1
- JWBOIMRXGHLCPP-UHFFFAOYSA-N Chloditan Chemical compound C=1C=CC=C(Cl)C=1C(C(Cl)Cl)C1=CC=C(Cl)C=C1 JWBOIMRXGHLCPP-UHFFFAOYSA-N 0.000 description 1
- ZAMOUSCENKQFHK-UHFFFAOYSA-N Chlorine atom Chemical group [Cl] ZAMOUSCENKQFHK-UHFFFAOYSA-N 0.000 description 1
- CMSMOCZEIVJLDB-UHFFFAOYSA-N Cyclophosphamide Chemical compound ClCCN(CCCl)P1(=O)NCCCO1 CMSMOCZEIVJLDB-UHFFFAOYSA-N 0.000 description 1
- 201000003883 Cystic fibrosis Diseases 0.000 description 1
- FBPFZTCFMRRESA-KVTDHHQDSA-N D-Mannitol Chemical compound OC[C@@H](O)[C@@H](O)[C@H](O)[C@H](O)CO FBPFZTCFMRRESA-KVTDHHQDSA-N 0.000 description 1
- 229920002307 Dextran Polymers 0.000 description 1
- MWWSFMDVAYGXBV-RUELKSSGSA-N Doxorubicin hydrochloride Chemical compound Cl.O([C@H]1C[C@@](O)(CC=2C(O)=C3C(=O)C=4C=CC=C(C=4C(=O)C3=C(O)C=21)OC)C(=O)CO)[C@H]1C[C@H](N)[C@H](O)[C@H](C)O1 MWWSFMDVAYGXBV-RUELKSSGSA-N 0.000 description 1
- XXPXYPLPSDPERN-UHFFFAOYSA-N Ecteinascidin 743 Natural products COc1cc2C(NCCc2cc1O)C(=O)OCC3N4C(O)C5Cc6cc(C)c(OC)c(O)c6C(C4C(S)c7c(OC(=O)C)c(C)c8OCOc8c37)N5C XXPXYPLPSDPERN-UHFFFAOYSA-N 0.000 description 1
- 241000196324 Embryophyta Species 0.000 description 1
- 108090000790 Enzymes Proteins 0.000 description 1
- 102000004190 Enzymes Human genes 0.000 description 1
- 206010053155 Epigastric discomfort Diseases 0.000 description 1
- 241000282326 Felis catus Species 0.000 description 1
- 108010029961 Filgrastim Proteins 0.000 description 1
- 229940123414 Folate antagonist Drugs 0.000 description 1
- 108700012941 GNRH1 Proteins 0.000 description 1
- 206010018364 Glomerulonephritis Diseases 0.000 description 1
- 239000000579 Gonadotropin-Releasing Hormone Substances 0.000 description 1
- 102100039619 Granulocyte colony-stimulating factor Human genes 0.000 description 1
- 102100039620 Granulocyte-macrophage colony-stimulating factor Human genes 0.000 description 1
- 208000017604 Hodgkin disease Diseases 0.000 description 1
- 208000021519 Hodgkin lymphoma Diseases 0.000 description 1
- 208000010747 Hodgkins lymphoma Diseases 0.000 description 1
- 241000282412 Homo Species 0.000 description 1
- 241000701044 Human gammaherpesvirus 4 Species 0.000 description 1
- VEXZGXHMUGYJMC-UHFFFAOYSA-N Hydrochloric acid Chemical compound Cl VEXZGXHMUGYJMC-UHFFFAOYSA-N 0.000 description 1
- UFHFLCQGNIYNRP-UHFFFAOYSA-N Hydrogen Chemical compound [H][H] UFHFLCQGNIYNRP-UHFFFAOYSA-N 0.000 description 1
- 206010020751 Hypersensitivity Diseases 0.000 description 1
- XDXDZDZNSLXDNA-TZNDIEGXSA-N Idarubicin Chemical compound C1[C@H](N)[C@H](O)[C@H](C)O[C@H]1O[C@@H]1C2=C(O)C(C(=O)C3=CC=CC=C3C3=O)=C3C(O)=C2C[C@@](O)(C(C)=O)C1 XDXDZDZNSLXDNA-TZNDIEGXSA-N 0.000 description 1
- XDXDZDZNSLXDNA-UHFFFAOYSA-N Idarubicin Natural products C1C(N)C(O)C(C)OC1OC1C2=C(O)C(C(=O)C3=CC=CC=C3C3=O)=C3C(O)=C2CC(O)(C(C)=O)C1 XDXDZDZNSLXDNA-UHFFFAOYSA-N 0.000 description 1
- 208000022559 Inflammatory bowel disease Diseases 0.000 description 1
- 102000014150 Interferons Human genes 0.000 description 1
- 108010050904 Interferons Proteins 0.000 description 1
- 108010063738 Interleukins Proteins 0.000 description 1
- 102000015696 Interleukins Human genes 0.000 description 1
- 206010023347 Keratoacanthoma Diseases 0.000 description 1
- 229930194542 Keto Natural products 0.000 description 1
- GUBGYTABKSRVRQ-QKKXKWKRSA-N Lactose Natural products OC[C@H]1O[C@@H](O[C@H]2[C@H](O)[C@@H](O)C(O)O[C@@H]2CO)[C@H](O)[C@@H](O)[C@H]1O GUBGYTABKSRVRQ-QKKXKWKRSA-N 0.000 description 1
- 108010000817 Leuprolide Proteins 0.000 description 1
- JXLYSJRDGCGARV-PJXZDTQASA-N Leurosidine Natural products O=C(O[C@H]1[C@](O)(C(=O)OC)[C@@H]2N(C)c3c(cc(c(OC)c3)[C@]3(C(=O)OC)c4[nH]c5c(c4CCN4C[C@@](O)(CC)C[C@H](C3)C4)cccc5)[C@@]32[C@H]2[C@@]1(CC)C=CCN2CC3)C JXLYSJRDGCGARV-PJXZDTQASA-N 0.000 description 1
- LPGWZGMPDKDHEP-HLTPFJCJSA-N Leurosine Chemical compound C([C@]1([C@@H]2O1)CC)N(CCC=1C3=CC=CC=C3NC=11)C[C@H]2C[C@]1(C(=O)OC)C1=CC([C@]23[C@H]([C@@]([C@H](OC(C)=O)[C@]4(CC)C=CCN([C@H]34)CC2)(O)C(=O)OC)N2C)=C2C=C1OC LPGWZGMPDKDHEP-HLTPFJCJSA-N 0.000 description 1
- LPGWZGMPDKDHEP-GKWAKPNHSA-N Leurosine Natural products O=C(O[C@H]1[C@](O)(C(=O)OC)[C@@H]2N(C)c3c(cc(c(OC)c3)[C@]3(C(=O)OC)c4[nH]c5c(c4CCN4C[C@]6(CC)O[C@@H]6[C@H](C3)C4)cccc5)[C@@]32[C@H]2[C@@]1(CC)C=CCN2CC3)C LPGWZGMPDKDHEP-GKWAKPNHSA-N 0.000 description 1
- HLFSDGLLUJUHTE-SNVBAGLBSA-N Levamisole Chemical compound C1([C@H]2CN3CCSC3=N2)=CC=CC=C1 HLFSDGLLUJUHTE-SNVBAGLBSA-N 0.000 description 1
- GQYIWUVLTXOXAJ-UHFFFAOYSA-N Lomustine Chemical compound ClCCN(N=O)C(=O)NC1CCCCC1 GQYIWUVLTXOXAJ-UHFFFAOYSA-N 0.000 description 1
- 229930195725 Mannitol Natural products 0.000 description 1
- 229930192392 Mitomycin Natural products 0.000 description 1
- HRHKSTOGXBBQCB-UHFFFAOYSA-N Mitomycin E Natural products O=C1C(N)=C(C)C(=O)C2=C1C(COC(N)=O)C1(OC)C3N(C)C3CN12 HRHKSTOGXBBQCB-UHFFFAOYSA-N 0.000 description 1
- 201000003793 Myelodysplastic syndrome Diseases 0.000 description 1
- 208000033761 Myelogenous Chronic BCR-ABL Positive Leukemia Diseases 0.000 description 1
- 208000033776 Myeloid Acute Leukemia Diseases 0.000 description 1
- 125000004633 N-oxo-pyridyl group Chemical group 0.000 description 1
- 206010028813 Nausea Diseases 0.000 description 1
- 208000015914 Non-Hodgkin lymphomas Diseases 0.000 description 1
- 108010016076 Octreotide Proteins 0.000 description 1
- 208000001132 Osteoporosis Diseases 0.000 description 1
- 208000002193 Pain Diseases 0.000 description 1
- 208000018737 Parkinson disease Diseases 0.000 description 1
- OFOBLEOULBTSOW-UHFFFAOYSA-N Propanedioic acid Natural products OC(=O)CC(O)=O OFOBLEOULBTSOW-UHFFFAOYSA-N 0.000 description 1
- 206010063837 Reperfusion injury Diseases 0.000 description 1
- 208000007014 Retinitis pigmentosa Diseases 0.000 description 1
- 230000018199 S phase Effects 0.000 description 1
- 229910006074 SO2NH2 Inorganic materials 0.000 description 1
- 229930183496 Safracin Natural products 0.000 description 1
- 229930190585 Saframycin Natural products 0.000 description 1
- 241000710960 Sindbis virus Species 0.000 description 1
- 206010042971 T-cell lymphoma Diseases 0.000 description 1
- 208000027585 T-cell non-Hodgkin lymphoma Diseases 0.000 description 1
- 229940123237 Taxane Drugs 0.000 description 1
- FOCVUCIESVLUNU-UHFFFAOYSA-N Thiotepa Chemical compound C1CN1P(N1CC1)(=S)N1CC1 FOCVUCIESVLUNU-UHFFFAOYSA-N 0.000 description 1
- 206010067584 Type 1 diabetes mellitus Diseases 0.000 description 1
- 229940122803 Vinca alkaloid Drugs 0.000 description 1
- 201000006083 Xeroderma Pigmentosum Diseases 0.000 description 1
- JXLYSJRDGCGARV-KSNABSRWSA-N ac1l29ym Chemical compound C([C@H](C[C@]1(C(=O)OC)C=2C(=CC3=C([C@]45[C@H]([C@@]([C@H](OC(C)=O)[C@]6(CC)C=CCN([C@H]56)CC4)(O)C(=O)OC)N3C)C=2)OC)C[C@](C2)(O)CC)N2CCC2=C1NC1=CC=CC=C21 JXLYSJRDGCGARV-KSNABSRWSA-N 0.000 description 1
- 229960001138 acetylsalicylic acid Drugs 0.000 description 1
- 230000009471 action Effects 0.000 description 1
- 230000001154 acute effect Effects 0.000 description 1
- 125000005073 adamantyl group Chemical group C12(CC3CC(CC(C1)C3)C2)* 0.000 description 1
- 229960005310 aldesleukin Drugs 0.000 description 1
- 108700025316 aldesleukin Proteins 0.000 description 1
- 229940045714 alkyl sulfonate alkylating agent Drugs 0.000 description 1
- 150000008052 alkyl sulfonates Chemical class 0.000 description 1
- 125000004390 alkyl sulfonyl group Chemical group 0.000 description 1
- 229940100198 alkylating agent Drugs 0.000 description 1
- 239000002168 alkylating agent Substances 0.000 description 1
- SHGAZHPCJJPHSC-YCNIQYBTSA-N all-trans-retinoic acid Chemical compound OC(=O)\C=C(/C)\C=C\C=C(/C)\C=C\C1=C(C)CCCC1(C)C SHGAZHPCJJPHSC-YCNIQYBTSA-N 0.000 description 1
- 208000026935 allergic disease Diseases 0.000 description 1
- 125000003277 amino group Chemical group 0.000 description 1
- 229960003896 aminopterin Drugs 0.000 description 1
- 125000004397 aminosulfonyl group Chemical group NS(=O)(=O)* 0.000 description 1
- 206010002026 amyotrophic lateral sclerosis Diseases 0.000 description 1
- 239000003098 androgen Substances 0.000 description 1
- 229940030486 androgens Drugs 0.000 description 1
- 208000007502 anemia Diseases 0.000 description 1
- 230000033115 angiogenesis Effects 0.000 description 1
- 239000004037 angiogenesis inhibitor Substances 0.000 description 1
- 229940045799 anthracyclines and related substance Drugs 0.000 description 1
- 239000003242 anti bacterial agent Substances 0.000 description 1
- 230000002280 anti-androgenic effect Effects 0.000 description 1
- 230000003527 anti-angiogenesis Effects 0.000 description 1
- 230000003474 anti-emetic effect Effects 0.000 description 1
- 229940046836 anti-estrogen Drugs 0.000 description 1
- 230000001833 anti-estrogenic effect Effects 0.000 description 1
- 230000000340 anti-metabolite Effects 0.000 description 1
- 239000000051 antiandrogen Substances 0.000 description 1
- 229940030495 antiandrogen sex hormone and modulator of the genital system Drugs 0.000 description 1
- 229940088710 antibiotic agent Drugs 0.000 description 1
- 239000002111 antiemetic agent Substances 0.000 description 1
- 229940125683 antiemetic agent Drugs 0.000 description 1
- 229940125715 antihistaminic agent Drugs 0.000 description 1
- 239000000739 antihistaminic agent Substances 0.000 description 1
- 229940100197 antimetabolite Drugs 0.000 description 1
- 239000002256 antimetabolite Substances 0.000 description 1
- 229940045686 antimetabolites antineoplastic purine analogs Drugs 0.000 description 1
- 229940045719 antineoplastic alkylating agent nitrosoureas Drugs 0.000 description 1
- 229940045688 antineoplastic antimetabolites pyrimidine analogues Drugs 0.000 description 1
- 229940041181 antineoplastic drug Drugs 0.000 description 1
- 229940045696 antineoplastic drug podophyllotoxin derivative Drugs 0.000 description 1
- 230000005775 apoptotic pathway Effects 0.000 description 1
- 239000007864 aqueous solution Substances 0.000 description 1
- 125000005140 aralkylsulfonyl group Chemical group 0.000 description 1
- 125000002029 aromatic hydrocarbon group Chemical group 0.000 description 1
- 125000005239 aroylamino group Chemical group 0.000 description 1
- 230000006793 arrhythmia Effects 0.000 description 1
- 206010003119 arrhythmia Diseases 0.000 description 1
- 125000004659 aryl alkyl thio group Chemical group 0.000 description 1
- 125000004391 aryl sulfonyl group Chemical group 0.000 description 1
- 125000005110 aryl thio group Chemical group 0.000 description 1
- 125000002785 azepinyl group Chemical group 0.000 description 1
- 150000001541 aziridines Chemical class 0.000 description 1
- 230000009286 beneficial effect Effects 0.000 description 1
- SRSXLGNVWSONIS-UHFFFAOYSA-N benzenesulfonic acid Chemical compound OS(=O)(=O)C1=CC=CC=C1 SRSXLGNVWSONIS-UHFFFAOYSA-N 0.000 description 1
- 229940092714 benzenesulfonic acid Drugs 0.000 description 1
- 125000003785 benzimidazolyl group Chemical group N1=C(NC2=C1C=CC=C2)* 0.000 description 1
- 125000004604 benzisothiazolyl group Chemical group S1N=C(C2=C1C=CC=C2)* 0.000 description 1
- 125000004603 benzisoxazolyl group Chemical group O1N=C(C2=C1C=CC=C2)* 0.000 description 1
- 125000004602 benzodiazinyl group Chemical group N1=NC(=CC2=C1C=CC=C2)* 0.000 description 1
- 125000004601 benzofurazanyl group Chemical group N1=C2C(=NO1)C(=CC=C2)* 0.000 description 1
- 125000004618 benzofuryl group Chemical group O1C(=CC2=C1C=CC=C2)* 0.000 description 1
- 125000004619 benzopyranyl group Chemical group O1C(C=CC2=C1C=CC=C2)* 0.000 description 1
- 125000001164 benzothiazolyl group Chemical group S1C(=NC2=C1C=CC=C2)* 0.000 description 1
- 125000004196 benzothienyl group Chemical group S1C(=CC2=C1C=CC=C2)* 0.000 description 1
- 125000004600 benzothiopyranyl group Chemical group S1C(C=CC2=C1C=CC=C2)* 0.000 description 1
- 125000003354 benzotriazolyl group Chemical group N1N=NC2=C1C=CC=C2* 0.000 description 1
- 125000004541 benzoxazolyl group Chemical group O1C(=NC2=C1C=CC=C2)* 0.000 description 1
- 125000004599 benzpyrazolyl group Chemical group N1N=C(C2=C1C=CC=C2)* 0.000 description 1
- 125000001797 benzyl group Chemical group [H]C1=C([H])C([H])=C(C([H])=C1[H])C([H])([H])* 0.000 description 1
- SUMDYPCJJOFFON-UHFFFAOYSA-N beta-hydroxyethanesulfonic acid Natural products OCCS(O)(=O)=O SUMDYPCJJOFFON-UHFFFAOYSA-N 0.000 description 1
- 125000002618 bicyclic heterocycle group Chemical group 0.000 description 1
- OYVAGSVQBOHSSS-UAPAGMARSA-O bleomycin A2 Chemical class N([C@H](C(=O)N[C@H](C)[C@@H](O)[C@H](C)C(=O)N[C@@H]([C@H](O)C)C(=O)NCCC=1SC=C(N=1)C=1SC=C(N=1)C(=O)NCCC[S+](C)C)[C@@H](O[C@H]1[C@H]([C@@H](O)[C@H](O)[C@H](CO)O1)O[C@@H]1[C@H]([C@@H](OC(N)=O)[C@H](O)[C@@H](CO)O1)O)C=1N=CNC=1)C(=O)C1=NC([C@H](CC(N)=O)NC[C@H](N)C(N)=O)=NC(N)=C1C OYVAGSVQBOHSSS-UAPAGMARSA-O 0.000 description 1
- 229960004395 bleomycin sulfate Drugs 0.000 description 1
- 230000037396 body weight Effects 0.000 description 1
- 210000000481 breast Anatomy 0.000 description 1
- GDTBXPJZTBHREO-UHFFFAOYSA-N bromine Chemical group BrBr GDTBXPJZTBHREO-UHFFFAOYSA-N 0.000 description 1
- 229910052794 bromium Inorganic materials 0.000 description 1
- CUWODFFVMXJOKD-UVLQAERKSA-N buserelin Chemical compound CCNC(=O)[C@@H]1CCCN1C(=O)[C@H](CCCN=C(N)N)NC(=O)[C@H](CC(C)C)NC(=O)[C@@H](COC(C)(C)C)NC(=O)[C@@H](NC(=O)[C@H](CO)NC(=O)[C@H](CC=1C2=CC=CC=C2NC=1)NC(=O)[C@H](CC=1NC=NC=1)NC(=O)[C@H]1NC(=O)CC1)CC1=CC=C(O)C=C1 CUWODFFVMXJOKD-UVLQAERKSA-N 0.000 description 1
- 229960002719 buserelin Drugs 0.000 description 1
- 229960002092 busulfan Drugs 0.000 description 1
- 239000001110 calcium chloride Substances 0.000 description 1
- 229910001628 calcium chloride Inorganic materials 0.000 description 1
- 125000001951 carbamoylamino group Chemical group C(N)(=O)N* 0.000 description 1
- 125000002837 carbocyclic group Chemical group 0.000 description 1
- 239000011203 carbon fibre reinforced carbon Substances 0.000 description 1
- 125000002915 carbonyl group Chemical group [*:2]C([*:1])=O 0.000 description 1
- 125000004181 carboxyalkyl group Chemical group 0.000 description 1
- 229930188550 carminomycin Natural products 0.000 description 1
- XREUEWVEMYWFFA-CSKJXFQVSA-N carminomycin Chemical compound C1[C@H](N)[C@H](O)[C@H](C)O[C@H]1O[C@@H]1C2=C(O)C(C(=O)C3=C(O)C=CC=C3C3=O)=C3C(O)=C2C[C@@](O)(C(C)=O)C1 XREUEWVEMYWFFA-CSKJXFQVSA-N 0.000 description 1
- XREUEWVEMYWFFA-UHFFFAOYSA-N carminomycin I Natural products C1C(N)C(O)C(C)OC1OC1C2=C(O)C(C(=O)C3=C(O)C=CC=C3C3=O)=C3C(O)=C2CC(O)(C(C)=O)C1 XREUEWVEMYWFFA-UHFFFAOYSA-N 0.000 description 1
- 229960005243 carmustine Drugs 0.000 description 1
- 229950001725 carubicin Drugs 0.000 description 1
- 230000022131 cell cycle Effects 0.000 description 1
- 230000030833 cell death Effects 0.000 description 1
- 230000001413 cellular effect Effects 0.000 description 1
- 210000003169 central nervous system Anatomy 0.000 description 1
- 208000025434 cerebellar degeneration Diseases 0.000 description 1
- 210000003679 cervix uteri Anatomy 0.000 description 1
- 229960004630 chlorambucil Drugs 0.000 description 1
- JCKYGMPEJWAADB-UHFFFAOYSA-N chlorambucil Chemical compound OC(=O)CCCC1=CC=C(N(CCCl)CCCl)C=C1 JCKYGMPEJWAADB-UHFFFAOYSA-N 0.000 description 1
- 239000000460 chlorine Chemical group 0.000 description 1
- 229910052801 chlorine Inorganic materials 0.000 description 1
- 125000004617 chromonyl group Chemical group O1C(=CC(C2=CC=CC=C12)=O)* 0.000 description 1
- 125000000259 cinnolinyl group Chemical group N1=NC(=CC2=CC=CC=C12)* 0.000 description 1
- 210000001072 colon Anatomy 0.000 description 1
- 125000000332 coumarinyl group Chemical group O1C(=O)C(=CC2=CC=CC=C12)* 0.000 description 1
- 239000002875 cyclin dependent kinase inhibitor Substances 0.000 description 1
- 229940043378 cyclin-dependent kinase inhibitor Drugs 0.000 description 1
- 125000000000 cycloalkoxy group Chemical group 0.000 description 1
- 125000001995 cyclobutyl group Chemical group [H]C1([H])C([H])([H])C([H])(*)C1([H])[H] 0.000 description 1
- 125000000582 cycloheptyl group Chemical group [H]C1([H])C([H])([H])C([H])([H])C([H])([H])C([H])(*)C([H])([H])C1([H])[H] 0.000 description 1
- 125000000113 cyclohexyl group Chemical group [H]C1([H])C([H])([H])C([H])([H])C([H])(*)C([H])([H])C1([H])[H] 0.000 description 1
- 125000000640 cyclooctyl group Chemical group [H]C1([H])C([H])([H])C([H])([H])C([H])([H])C([H])(*)C([H])([H])C([H])([H])C1([H])[H] 0.000 description 1
- 125000001511 cyclopentyl group Chemical group [H]C1([H])C([H])([H])C([H])([H])C([H])(*)C1([H])[H] 0.000 description 1
- 229960004397 cyclophosphamide Drugs 0.000 description 1
- 125000001559 cyclopropyl group Chemical group [H]C1([H])C([H])([H])C1([H])* 0.000 description 1
- 229960000684 cytarabine Drugs 0.000 description 1
- 230000001472 cytotoxic effect Effects 0.000 description 1
- 229960003901 dacarbazine Drugs 0.000 description 1
- 229960000975 daunorubicin Drugs 0.000 description 1
- STQGQHZAVUOBTE-VGBVRHCVSA-N daunorubicin Chemical compound O([C@H]1C[C@@](O)(CC=2C(O)=C3C(=O)C=4C=CC=C(C=4C(=O)C3=C(O)C=21)OC)C(C)=O)[C@H]1C[C@H](N)[C@H](O)[C@H](C)O1 STQGQHZAVUOBTE-VGBVRHCVSA-N 0.000 description 1
- 125000004663 dialkyl amino group Chemical group 0.000 description 1
- 235000005911 diet Nutrition 0.000 description 1
- 230000037213 diet Effects 0.000 description 1
- 125000004598 dihydrobenzofuryl group Chemical group O1C(CC2=C1C=CC=C2)* 0.000 description 1
- 125000004586 dihydrobenzopyranyl group Chemical group O1C(CCC2=C1C=CC=C2)* 0.000 description 1
- 125000004582 dihydrobenzothienyl group Chemical group S1C(CC2=C1C=CC=C2)* 0.000 description 1
- 125000004597 dihydrobenzothiopyranyl group Chemical group S1C(CCC2=C1C=CC=C2)* 0.000 description 1
- WOKPSXJEBSRSAT-UHFFFAOYSA-N dihydrobenzothiopyranyl sulfone group Chemical group S1C(CCC2=C1C=CC=C2)S(=O)(=O)C2SC1=C(CC2)C=CC=C1 WOKPSXJEBSRSAT-UHFFFAOYSA-N 0.000 description 1
- 125000004611 dihydroisoindolyl group Chemical group C1(NCC2=CC=CC=C12)* 0.000 description 1
- 125000004609 dihydroquinazolinyl group Chemical group N1(CN=CC2=CC=CC=C12)* 0.000 description 1
- 230000003292 diminished effect Effects 0.000 description 1
- 125000000532 dioxanyl group Chemical group 0.000 description 1
- 239000003534 dna topoisomerase inhibitor Substances 0.000 description 1
- 229960003668 docetaxel Drugs 0.000 description 1
- 239000002552 dosage form Substances 0.000 description 1
- 229960004679 doxorubicin Drugs 0.000 description 1
- 229960002918 doxorubicin hydrochloride Drugs 0.000 description 1
- 239000000890 drug combination Substances 0.000 description 1
- 235000021463 dry cake Nutrition 0.000 description 1
- 229940088598 enzyme Drugs 0.000 description 1
- YJGVMLPVUAXIQN-UHFFFAOYSA-N epipodophyllotoxin Natural products COC1=C(OC)C(OC)=CC(C2C3=CC=4OCOC=4C=C3C(O)C3C2C(OC3)=O)=C1 YJGVMLPVUAXIQN-UHFFFAOYSA-N 0.000 description 1
- 229960001842 estramustine Drugs 0.000 description 1
- FRPJXPJMRWBBIH-RBRWEJTLSA-N estramustine Chemical compound ClCCN(CCCl)C(=O)OC1=CC=C2[C@H]3CC[C@](C)([C@H](CC4)O)[C@@H]4[C@@H]3CCC2=C1 FRPJXPJMRWBBIH-RBRWEJTLSA-N 0.000 description 1
- 229960001766 estramustine phosphate sodium Drugs 0.000 description 1
- IIUMCNJTGSMNRO-VVSKJQCTSA-L estramustine sodium phosphate Chemical compound [Na+].[Na+].ClCCN(CCCl)C(=O)OC1=CC=C2[C@H]3CC[C@](C)([C@H](CC4)OP([O-])([O-])=O)[C@@H]4[C@@H]3CCC2=C1 IIUMCNJTGSMNRO-VVSKJQCTSA-L 0.000 description 1
- 229940011871 estrogen Drugs 0.000 description 1
- 239000000262 estrogen Substances 0.000 description 1
- 239000000328 estrogen antagonist Substances 0.000 description 1
- 229960004756 ethanol Drugs 0.000 description 1
- 229960005420 etoposide Drugs 0.000 description 1
- VJJPUSNTGOMMGY-MRVIYFEKSA-N etoposide Chemical compound COC1=C(O)C(OC)=CC([C@@H]2C3=CC=4OCOC=4C=C3[C@@H](O[C@H]3[C@@H]([C@@H](O)[C@@H]4O[C@H](C)OC[C@H]4O3)O)[C@@H]3[C@@H]2C(OC3)=O)=C1 VJJPUSNTGOMMGY-MRVIYFEKSA-N 0.000 description 1
- 229960000752 etoposide phosphate Drugs 0.000 description 1
- LIQODXNTTZAGID-OCBXBXKTSA-N etoposide phosphate Chemical compound COC1=C(OP(O)(O)=O)C(OC)=CC([C@@H]2C3=CC=4OCOC=4C=C3[C@@H](O[C@H]3[C@@H]([C@@H](O)[C@@H]4O[C@H](C)OC[C@H]4O3)O)[C@@H]3[C@@H]2C(OC3)=O)=C1 LIQODXNTTZAGID-OCBXBXKTSA-N 0.000 description 1
- 238000001704 evaporation Methods 0.000 description 1
- 230000008020 evaporation Effects 0.000 description 1
- 230000029142 excretion Effects 0.000 description 1
- 229960004177 filgrastim Drugs 0.000 description 1
- 239000013020 final formulation Substances 0.000 description 1
- 229960000390 fludarabine Drugs 0.000 description 1
- GIUYCYHIANZCFB-FJFJXFQQSA-N fludarabine phosphate Chemical compound C1=NC=2C(N)=NC(F)=NC=2N1[C@@H]1O[C@H](COP(O)(O)=O)[C@@H](O)[C@@H]1O GIUYCYHIANZCFB-FJFJXFQQSA-N 0.000 description 1
- 229910052731 fluorine Inorganic materials 0.000 description 1
- 239000011737 fluorine Substances 0.000 description 1
- 125000001153 fluoro group Chemical group F* 0.000 description 1
- MKXKFYHWDHIYRV-UHFFFAOYSA-N flutamide Chemical compound CC(C)C(=O)NC1=CC=C([N+]([O-])=O)C(C(F)(F)F)=C1 MKXKFYHWDHIYRV-UHFFFAOYSA-N 0.000 description 1
- 229960002074 flutamide Drugs 0.000 description 1
- 230000003325 follicular Effects 0.000 description 1
- 125000004615 furo[2,3-b]pyridinyl group Chemical group O1C(=CC=2C1=NC=CC2)* 0.000 description 1
- 125000004613 furo[2,3-c]pyridinyl group Chemical group O1C(=CC=2C1=CN=CC2)* 0.000 description 1
- 125000004614 furo[3,1-b]pyridinyl group Chemical group 0.000 description 1
- 125000004612 furopyridinyl group Chemical group O1C(=CC2=C1C=CC=N2)* 0.000 description 1
- 229960005277 gemcitabine Drugs 0.000 description 1
- 229960005144 gemcitabine hydrochloride Drugs 0.000 description 1
- 239000003862 glucocorticoid Substances 0.000 description 1
- 239000003102 growth factor Substances 0.000 description 1
- 125000002795 guanidino group Chemical group C(N)(=N)N* 0.000 description 1
- JEGUKCSWCFPDGT-UHFFFAOYSA-N h2o hydrate Chemical compound O.O JEGUKCSWCFPDGT-UHFFFAOYSA-N 0.000 description 1
- 230000036541 health Effects 0.000 description 1
- XLYOFNOQVPJJNP-ZSJDYOACSA-N heavy water Substances [2H]O[2H] XLYOFNOQVPJJNP-ZSJDYOACSA-N 0.000 description 1
- 208000014951 hematologic disease Diseases 0.000 description 1
- LZWPOLSJFGLQCE-UHFFFAOYSA-N heptadecane-5,9-dione Chemical compound CCCCCCCCC(=O)CCCC(=O)CCCC LZWPOLSJFGLQCE-UHFFFAOYSA-N 0.000 description 1
- 230000013632 homeostatic process Effects 0.000 description 1
- 229940125697 hormonal agent Drugs 0.000 description 1
- 125000001183 hydrocarbyl group Chemical group 0.000 description 1
- 125000004435 hydrogen atom Chemical group [H]* 0.000 description 1
- 229910000042 hydrogen bromide Inorganic materials 0.000 description 1
- IXCSERBJSXMMFS-UHFFFAOYSA-N hydrogen chloride Substances Cl.Cl IXCSERBJSXMMFS-UHFFFAOYSA-N 0.000 description 1
- 229910000041 hydrogen chloride Inorganic materials 0.000 description 1
- 230000007062 hydrolysis Effects 0.000 description 1
- 238000006460 hydrolysis reaction Methods 0.000 description 1
- 230000003463 hyperproliferative effect Effects 0.000 description 1
- 230000009610 hypersensitivity Effects 0.000 description 1
- 229960000908 idarubicin Drugs 0.000 description 1
- 229960001101 ifosfamide Drugs 0.000 description 1
- HOMGKSMUEGBAAB-UHFFFAOYSA-N ifosfamide Chemical compound ClCCNP1(=O)OCCCN1CCCl HOMGKSMUEGBAAB-UHFFFAOYSA-N 0.000 description 1
- 125000002632 imidazolidinyl group Chemical group 0.000 description 1
- 125000002636 imidazolinyl group Chemical group 0.000 description 1
- 230000028993 immune response Effects 0.000 description 1
- 239000000367 immunologic factor Substances 0.000 description 1
- 125000003453 indazolyl group Chemical group N1N=C(C2=C1C=CC=C2)* 0.000 description 1
- 125000003387 indolinyl group Chemical group N1(CCC2=CC=CC=C12)* 0.000 description 1
- 125000003406 indolizinyl group Chemical group C=1(C=CN2C=CC=CC12)* 0.000 description 1
- 230000002757 inflammatory effect Effects 0.000 description 1
- 229940079322 interferon Drugs 0.000 description 1
- 229940047122 interleukins Drugs 0.000 description 1
- 238000010253 intravenous injection Methods 0.000 description 1
- 239000011630 iodine Chemical group 0.000 description 1
- 229910052740 iodine Chemical group 0.000 description 1
- 229960000779 irinotecan hydrochloride Drugs 0.000 description 1
- GURKHSYORGJETM-WAQYZQTGSA-N irinotecan hydrochloride (anhydrous) Chemical compound Cl.C1=C2C(CC)=C3CN(C(C4=C([C@@](C(=O)OC4)(O)CC)C=4)=O)C=4C3=NC2=CC=C1OC(=O)N(CC1)CCC1N1CCCCC1 GURKHSYORGJETM-WAQYZQTGSA-N 0.000 description 1
- 208000037906 ischaemic injury Diseases 0.000 description 1
- 125000003384 isochromanyl group Chemical group C1(OCCC2=CC=CC=C12)* 0.000 description 1
- 125000004594 isoindolinyl group Chemical group C1(NCC2=CC=CC=C12)* 0.000 description 1
- FZWBNHMXJMCXLU-BLAUPYHCSA-N isomaltotriose Chemical compound O[C@@H]1[C@@H](O)[C@H](O)[C@@H](CO)O[C@@H]1OC[C@@H]1[C@@H](O)[C@H](O)[C@@H](O)[C@@H](OC[C@@H](O)[C@@H](O)[C@H](O)[C@@H](O)C=O)O1 FZWBNHMXJMCXLU-BLAUPYHCSA-N 0.000 description 1
- 125000002183 isoquinolinyl group Chemical group C1(=NC=CC2=CC=CC=C12)* 0.000 description 1
- 125000001786 isothiazolyl group Chemical group 0.000 description 1
- 125000003971 isoxazolinyl group Chemical group 0.000 description 1
- 125000000842 isoxazolyl group Chemical group 0.000 description 1
- 125000000468 ketone group Chemical group 0.000 description 1
- 210000003734 kidney Anatomy 0.000 description 1
- 239000008101 lactose Substances 0.000 description 1
- 230000003902 lesion Effects 0.000 description 1
- 208000032839 leukemia Diseases 0.000 description 1
- GFIJNRVAKGFPGQ-LIJARHBVSA-N leuprolide Chemical compound CCNC(=O)[C@@H]1CCCN1C(=O)[C@H](CCCNC(N)=N)NC(=O)[C@H](CC(C)C)NC(=O)[C@@H](CC(C)C)NC(=O)[C@@H](NC(=O)[C@H](CO)NC(=O)[C@H](CC=1C2=CC=CC=C2NC=1)NC(=O)[C@H](CC=1N=CNC=1)NC(=O)[C@H]1NC(=O)CC1)CC1=CC=C(O)C=C1 GFIJNRVAKGFPGQ-LIJARHBVSA-N 0.000 description 1
- 229960004338 leuprorelin Drugs 0.000 description 1
- 229960001614 levamisole Drugs 0.000 description 1
- 239000007788 liquid Substances 0.000 description 1
- 210000004185 liver Anatomy 0.000 description 1
- 208000019423 liver disease Diseases 0.000 description 1
- 229960002247 lomustine Drugs 0.000 description 1
- 210000004072 lung Anatomy 0.000 description 1
- 239000003120 macrolide antibiotic agent Substances 0.000 description 1
- VZCYOOQTPOCHFL-UPHRSURJSA-N maleic acid Chemical compound OC(=O)\C=C/C(O)=O VZCYOOQTPOCHFL-UPHRSURJSA-N 0.000 description 1
- 239000011976 maleic acid Substances 0.000 description 1
- 239000000594 mannitol Substances 0.000 description 1
- 235000010355 mannitol Nutrition 0.000 description 1
- 238000004519 manufacturing process Methods 0.000 description 1
- 230000007246 mechanism Effects 0.000 description 1
- 229960004961 mechlorethamine Drugs 0.000 description 1
- HAWPXGHAZFHHAD-UHFFFAOYSA-N mechlorethamine Chemical compound ClCCN(C)CCCl HAWPXGHAZFHHAD-UHFFFAOYSA-N 0.000 description 1
- 230000001404 mediated effect Effects 0.000 description 1
- 239000002609 medium Substances 0.000 description 1
- 229960001924 melphalan Drugs 0.000 description 1
- SGDBTWWWUNNDEQ-LBPRGKRZSA-N melphalan Chemical compound OC(=O)[C@@H](N)CC1=CC=C(N(CCCl)CCCl)C=C1 SGDBTWWWUNNDEQ-LBPRGKRZSA-N 0.000 description 1
- 239000012528 membrane Substances 0.000 description 1
- 230000002503 metabolic effect Effects 0.000 description 1
- 229940098779 methanesulfonic acid Drugs 0.000 description 1
- FBOZXECLQNJBKD-UHFFFAOYSA-N methotrexate Chemical compound C=1N=C2N=C(N)N=C(N)C2=NC=1CN(C)C1=CC=C(C(=O)NC(CCC(O)=O)C(O)=O)C=C1 FBOZXECLQNJBKD-UHFFFAOYSA-N 0.000 description 1
- HRHKSTOGXBBQCB-VFWICMBZSA-N methylmitomycin Chemical compound O=C1C(N)=C(C)C(=O)C2=C1[C@@H](COC(N)=O)[C@@]1(OC)[C@H]3N(C)[C@H]3CN12 HRHKSTOGXBBQCB-VFWICMBZSA-N 0.000 description 1
- 244000005700 microbiome Species 0.000 description 1
- 150000007522 mineralic acids Chemical class 0.000 description 1
- CFCUWKMKBJTWLW-BKHRDMLASA-N mithramycin Chemical compound O([C@@H]1C[C@@H](O[C@H](C)[C@H]1O)OC=1C=C2C=C3C[C@H]([C@@H](C(=O)C3=C(O)C2=C(O)C=1C)O[C@@H]1O[C@H](C)[C@@H](O)[C@H](O[C@@H]2O[C@H](C)[C@H](O)[C@H](O[C@@H]3O[C@H](C)[C@@H](O)[C@@](C)(O)C3)C2)C1)[C@H](OC)C(=O)[C@@H](O)[C@@H](C)O)[C@H]1C[C@@H](O)[C@H](O)[C@@H](C)O1 CFCUWKMKBJTWLW-BKHRDMLASA-N 0.000 description 1
- 229960000350 mitotane Drugs 0.000 description 1
- 125000002911 monocyclic heterocycle group Chemical group 0.000 description 1
- 125000002757 morpholinyl group Chemical group 0.000 description 1
- 208000010125 myocardial infarction Diseases 0.000 description 1
- 125000001624 naphthyl group Chemical group 0.000 description 1
- 125000004593 naphthyridinyl group Chemical group N1=C(C=CC2=CC=CN=C12)* 0.000 description 1
- 230000008693 nausea Effects 0.000 description 1
- 208000007538 neurilemmoma Diseases 0.000 description 1
- 125000000449 nitro group Chemical group [O-][N+](*)=O 0.000 description 1
- 125000004433 nitrogen atom Chemical group N* 0.000 description 1
- QJGQUHMNIGDVPM-UHFFFAOYSA-N nitrogen group Chemical group [N] QJGQUHMNIGDVPM-UHFFFAOYSA-N 0.000 description 1
- 229960001494 octreotide acetate Drugs 0.000 description 1
- 150000007524 organic acids Chemical class 0.000 description 1
- 201000008968 osteosarcoma Diseases 0.000 description 1
- 229940127084 other anti-cancer agent Drugs 0.000 description 1
- 210000001672 ovary Anatomy 0.000 description 1
- 125000001715 oxadiazolyl group Chemical group 0.000 description 1
- 125000000160 oxazolidinyl group Chemical group 0.000 description 1
- 125000002971 oxazolyl group Chemical group 0.000 description 1
- 125000003566 oxetanyl group Chemical group 0.000 description 1
- 125000005476 oxopyrrolidinyl group Chemical group 0.000 description 1
- 125000004430 oxygen atom Chemical group O* 0.000 description 1
- 210000000496 pancreas Anatomy 0.000 description 1
- 230000008506 pathogenesis Effects 0.000 description 1
- 210000001428 peripheral nervous system Anatomy 0.000 description 1
- 239000008194 pharmaceutical composition Substances 0.000 description 1
- 125000001997 phenyl group Chemical group [H]C1=C([H])C([H])=C(*)C([H])=C1[H] 0.000 description 1
- 125000004592 phthalazinyl group Chemical group C1(=NN=CC2=CC=CC=C12)* 0.000 description 1
- 125000004193 piperazinyl group Chemical group 0.000 description 1
- 125000003386 piperidinyl group Chemical group 0.000 description 1
- 229960005235 piperonyl butoxide Drugs 0.000 description 1
- 125000004591 piperonyl group Chemical group C(C1=CC=2OCOC2C=C1)* 0.000 description 1
- 229910052697 platinum Inorganic materials 0.000 description 1
- 229960003171 plicamycin Drugs 0.000 description 1
- 229960001237 podophyllotoxin Drugs 0.000 description 1
- YVCVYCSAAZQOJI-UHFFFAOYSA-N podophyllotoxin Natural products COC1=C(O)C(OC)=CC(C2C3=CC=4OCOC=4C=C3C(O)C3C2C(OC3)=O)=C1 YVCVYCSAAZQOJI-UHFFFAOYSA-N 0.000 description 1
- 239000003600 podophyllotoxin derivative Substances 0.000 description 1
- 229950004406 porfiromycin Drugs 0.000 description 1
- 239000001103 potassium chloride Substances 0.000 description 1
- 235000011164 potassium chloride Nutrition 0.000 description 1
- 239000000843 powder Substances 0.000 description 1
- 238000000634 powder X-ray diffraction Methods 0.000 description 1
- 239000002244 precipitate Substances 0.000 description 1
- CPTBDICYNRMXFX-UHFFFAOYSA-N procarbazine Chemical compound CNNCC1=CC=C(C(=O)NC(C)C)C=C1 CPTBDICYNRMXFX-UHFFFAOYSA-N 0.000 description 1
- 229960000624 procarbazine Drugs 0.000 description 1
- 229940002612 prodrug Drugs 0.000 description 1
- 239000000651 prodrug Substances 0.000 description 1
- 239000000583 progesterone congener Substances 0.000 description 1
- 239000003528 protein farnesyltransferase inhibitor Substances 0.000 description 1
- 150000003195 pteridines Chemical class 0.000 description 1
- 150000003212 purines Chemical class 0.000 description 1
- 125000000561 purinyl group Chemical group N1=C(N=C2N=CNC2=C1)* 0.000 description 1
- 125000003373 pyrazinyl group Chemical group 0.000 description 1
- 125000002755 pyrazolinyl group Chemical group 0.000 description 1
- 125000003226 pyrazolyl group Chemical group 0.000 description 1
- 125000002098 pyridazinyl group Chemical group 0.000 description 1
- 125000004590 pyridopyridyl group Chemical group N1=C(C=CC2=C1C=CC=N2)* 0.000 description 1
- 150000003230 pyrimidines Chemical class 0.000 description 1
- 125000000719 pyrrolidinyl group Chemical group 0.000 description 1
- 125000006085 pyrrolopyridyl group Chemical group 0.000 description 1
- 125000000168 pyrrolyl group Chemical group 0.000 description 1
- 125000002294 quinazolinyl group Chemical group N1=C(N=CC2=CC=CC=C12)* 0.000 description 1
- 125000002943 quinolinyl group Chemical group N1=C(C=CC2=CC=CC=C12)* 0.000 description 1
- 125000004620 quinolinyl-N-oxide group Chemical group 0.000 description 1
- 125000001567 quinoxalinyl group Chemical group N1=C(C=NC2=CC=CC=C12)* 0.000 description 1
- 125000004621 quinuclidinyl group Chemical group N12C(CC(CC1)CC2)* 0.000 description 1
- 238000001959 radiotherapy Methods 0.000 description 1
- 239000013557 residual solvent Substances 0.000 description 1
- 230000004276 retinal vascularization Effects 0.000 description 1
- 206010039073 rheumatoid arthritis Diseases 0.000 description 1
- 229960004641 rituximab Drugs 0.000 description 1
- 229960002530 sargramostim Drugs 0.000 description 1
- 108010038379 sargramostim Proteins 0.000 description 1
- 229930195734 saturated hydrocarbon Natural products 0.000 description 1
- 229960003440 semustine Drugs 0.000 description 1
- 201000009890 sinusitis Diseases 0.000 description 1
- 210000003491 skin Anatomy 0.000 description 1
- 208000002320 spinal muscular atrophy Diseases 0.000 description 1
- 206010041823 squamous cell carcinoma Diseases 0.000 description 1
- 238000003756 stirring Methods 0.000 description 1
- 210000002784 stomach Anatomy 0.000 description 1
- 229960001052 streptozocin Drugs 0.000 description 1
- ZSJLQEPLLKMAKR-GKHCUFPYSA-N streptozocin Chemical compound O=NN(C)C(=O)N[C@H]1[C@@H](O)O[C@H](CO)[C@@H](O)[C@@H]1O ZSJLQEPLLKMAKR-GKHCUFPYSA-N 0.000 description 1
- 239000000126 substance Substances 0.000 description 1
- 125000004434 sulfur atom Chemical group 0.000 description 1
- 230000002194 synthesizing effect Effects 0.000 description 1
- 229940037128 systemic glucocorticoids Drugs 0.000 description 1
- 201000000596 systemic lupus erythematosus Diseases 0.000 description 1
- 229960001603 tamoxifen Drugs 0.000 description 1
- 229940063683 taxotere Drugs 0.000 description 1
- 229960001278 teniposide Drugs 0.000 description 1
- NRUKOCRGYNPUPR-QBPJDGROSA-N teniposide Chemical compound COC1=C(O)C(OC)=CC([C@@H]2C3=CC=4OCOC=4C=C3[C@@H](O[C@H]3[C@@H]([C@@H](O)[C@@H]4O[C@@H](OC[C@H]4O3)C=3SC=CC=3)O)[C@@H]3[C@@H]2C(OC3)=O)=C1 NRUKOCRGYNPUPR-QBPJDGROSA-N 0.000 description 1
- 125000006092 tetrahydro-1,1-dioxothienyl group Chemical group 0.000 description 1
- 125000003718 tetrahydrofuranyl group Chemical group 0.000 description 1
- 125000003039 tetrahydroisoquinolinyl group Chemical group C1(NCCC2=CC=CC=C12)* 0.000 description 1
- 125000001412 tetrahydropyranyl group Chemical group 0.000 description 1
- 125000000147 tetrahydroquinolinyl group Chemical group N1(CCCC2=CC=CC=C12)* 0.000 description 1
- 125000004632 tetrahydrothiopyranyl group Chemical group S1C(CCCC1)* 0.000 description 1
- 230000001225 therapeutic effect Effects 0.000 description 1
- 238000002560 therapeutic procedure Methods 0.000 description 1
- 125000001113 thiadiazolyl group Chemical group 0.000 description 1
- 125000001984 thiazolidinyl group Chemical group 0.000 description 1
- 125000004589 thienofuryl group Chemical group O1C(=CC2=C1C=CS2)* 0.000 description 1
- 125000004588 thienopyridyl group Chemical group S1C(=CC2=C1C=CC=N2)* 0.000 description 1
- 125000004587 thienothienyl group Chemical group S1C(=CC2=C1C=CS2)* 0.000 description 1
- 125000002053 thietanyl group Chemical group 0.000 description 1
- 125000001730 thiiranyl group Chemical group 0.000 description 1
- 125000004568 thiomorpholinyl group Chemical group 0.000 description 1
- WCNFFKHKJLERFM-UHFFFAOYSA-N thiomorpholinyl sulfone group Chemical group N1(CCSCC1)S(=O)(=O)N1CCSCC1 WCNFFKHKJLERFM-UHFFFAOYSA-N 0.000 description 1
- ZCAGUOCUDGWENZ-UHFFFAOYSA-N thiomorpholinyl sulfoxide group Chemical group N1(CCSCC1)S(=O)N1CCSCC1 ZCAGUOCUDGWENZ-UHFFFAOYSA-N 0.000 description 1
- 229960001196 thiotepa Drugs 0.000 description 1
- 229960003087 tioguanine Drugs 0.000 description 1
- 229940044693 topoisomerase inhibitor Drugs 0.000 description 1
- 239000003053 toxin Substances 0.000 description 1
- 231100000765 toxin Toxicity 0.000 description 1
- 108700012359 toxins Proteins 0.000 description 1
- 229960000977 trabectedin Drugs 0.000 description 1
- PKVRCIRHQMSYJX-AIFWHQITSA-N trabectedin Chemical compound C([C@@]1(C(OC2)=O)NCCC3=C1C=C(C(=C3)O)OC)S[C@@H]1C3=C(OC(C)=O)C(C)=C4OCOC4=C3[C@H]2N2[C@@H](O)[C@H](CC=3C4=C(O)C(OC)=C(C)C=3)N(C)[C@H]4[C@@H]21 PKVRCIRHQMSYJX-AIFWHQITSA-N 0.000 description 1
- VZCYOOQTPOCHFL-UHFFFAOYSA-N trans-butenedioic acid Natural products OC(=O)C=CC(O)=O VZCYOOQTPOCHFL-UHFFFAOYSA-N 0.000 description 1
- 229960001727 tretinoin Drugs 0.000 description 1
- 150000004654 triazenes Chemical class 0.000 description 1
- 125000004306 triazinyl group Chemical group 0.000 description 1
- 125000001425 triazolyl group Chemical group 0.000 description 1
- 230000004614 tumor growth Effects 0.000 description 1
- 241000701161 unidentified adenovirus Species 0.000 description 1
- 241001529453 unidentified herpesvirus Species 0.000 description 1
- 210000003932 urinary bladder Anatomy 0.000 description 1
- 229960003048 vinblastine Drugs 0.000 description 1
- JXLYSJRDGCGARV-XQKSVPLYSA-N vincaleukoblastine Chemical compound C([C@@H](C[C@]1(C(=O)OC)C=2C(=CC3=C([C@]45[C@H]([C@@]([C@H](OC(C)=O)[C@]6(CC)C=CCN([C@H]56)CC4)(O)C(=O)OC)N3C)C=2)OC)C[C@@](C2)(O)CC)N2CCC2=C1NC1=CC=CC=C21 JXLYSJRDGCGARV-XQKSVPLYSA-N 0.000 description 1
- 229960004528 vincristine Drugs 0.000 description 1
- OGWKCGZFUXNPDA-XQKSVPLYSA-N vincristine Chemical compound C([N@]1C[C@@H](C[C@]2(C(=O)OC)C=3C(=CC4=C([C@]56[C@H]([C@@]([C@H](OC(C)=O)[C@]7(CC)C=CCN([C@H]67)CC5)(O)C(=O)OC)N4C=O)C=3)OC)C[C@@](C1)(O)CC)CC1=C2NC2=CC=CC=C12 OGWKCGZFUXNPDA-XQKSVPLYSA-N 0.000 description 1
- OGWKCGZFUXNPDA-UHFFFAOYSA-N vincristine Natural products C1C(CC)(O)CC(CC2(C(=O)OC)C=3C(=CC4=C(C56C(C(C(OC(C)=O)C7(CC)C=CCN(C67)CC5)(O)C(=O)OC)N4C=O)C=3)OC)CN1CCC1=C2NC2=CC=CC=C12 OGWKCGZFUXNPDA-UHFFFAOYSA-N 0.000 description 1
- 229960004355 vindesine Drugs 0.000 description 1
- UGGWPQSBPIFKDZ-KOTLKJBCSA-N vindesine Chemical compound C([C@@H](C[C@]1(C(=O)OC)C=2C(=CC3=C([C@]45[C@H]([C@@]([C@H](O)[C@]6(CC)C=CCN([C@H]56)CC4)(O)C(N)=O)N3C)C=2)OC)C[C@@](C2)(O)CC)N2CCC2=C1N=C1[C]2C=CC=C1 UGGWPQSBPIFKDZ-KOTLKJBCSA-N 0.000 description 1
- 229960002166 vinorelbine tartrate Drugs 0.000 description 1
- GBABOYUKABKIAF-IWWDSPBFSA-N vinorelbinetartrate Chemical compound C1N(CC=2C3=CC=CC=C3NC=22)CC(CC)=C[C@H]1C[C@]2(C(=O)OC)C1=CC(C23[C@H]([C@@]([C@H](OC(C)=O)[C@]4(CC)C=CCN([C@H]34)CC2)(O)C(=O)OC)N2C)=C2C=C1OC GBABOYUKABKIAF-IWWDSPBFSA-N 0.000 description 1
- 238000009736 wetting Methods 0.000 description 1
- 229940053867 xeloda Drugs 0.000 description 1
Classifications
-
- A—HUMAN NECESSITIES
- A61—MEDICAL OR VETERINARY SCIENCE; HYGIENE
- A61K—PREPARATIONS FOR MEDICAL, DENTAL OR TOILETRY PURPOSES
- A61K31/00—Medicinal preparations containing organic active ingredients
- A61K31/33—Heterocyclic compounds
- A61K31/395—Heterocyclic compounds having nitrogen as a ring hetero atom, e.g. guanethidine or rifamycins
- A61K31/41—Heterocyclic compounds having nitrogen as a ring hetero atom, e.g. guanethidine or rifamycins having five-membered rings with two or more ring hetero atoms, at least one of which being nitrogen, e.g. tetrazole
- A61K31/425—Thiazoles
Definitions
- the present invention relates to a process and formulation for preparing certain epothilones and analogs thereof for administration to patients, in which there is achieved enhanced control of infusion pH, leading to increased infusion stability.
- Epothilones are macrolide compounds having utility in the pharmaceutical field.
- Epothilones A and B are naturally-occurring compounds that can be isolated from certain microorganisms, having the structures:
- Known epothilones exert microtubule-stabilizing effects similar to TAXOL® and therefore exhibit cytotoxic activity against rapidly proliferating cells, such as occur in cancer and other hyperproliferative cellular diseases (See Angew. Chem. Int. Ed. Engl ., Vol. 35, No. 13/14, 1996 and D. M. Bollag, Exp. Opin. Invest. Drugs, 6(7): 867-873, 1997).
- epothilones Before epothilones can be used to treat diseases in patients, however, they must be formulated into a pharmaceutical composition that can be administered to the patient; for example, into a dosage form suitable for oral, mucosal (e.g., nasal, sublingual, vaginal, buccal, or rectal), parenteral (e.g., subcutaneous, intravenous, bolus injection, intramuscular, or intraarterial), or transdermal administration.
- mucosal e.g., nasal, sublingual, vaginal, buccal, or rectal
- parenteral e.g., subcutaneous, intravenous, bolus injection, intramuscular, or intraarterial
- transdermal administration e.g., transdermal administration.
- the invention comprises a formulation for intravenous injection using cost-effective and readily-available infusion fluids such as saline and/or dextrose.
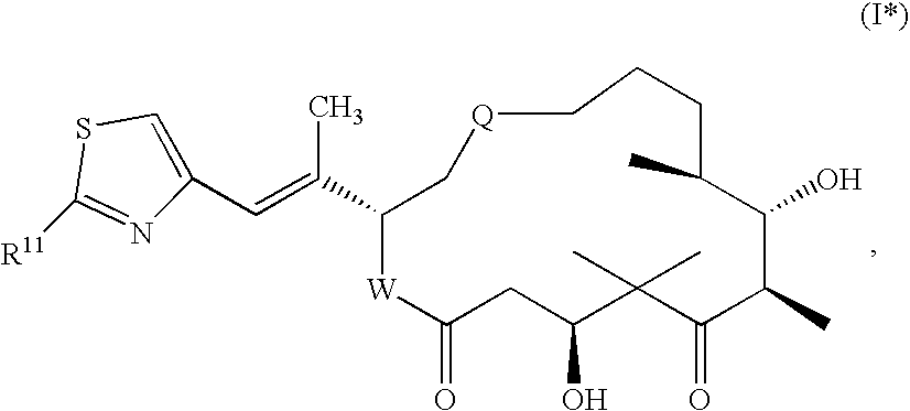
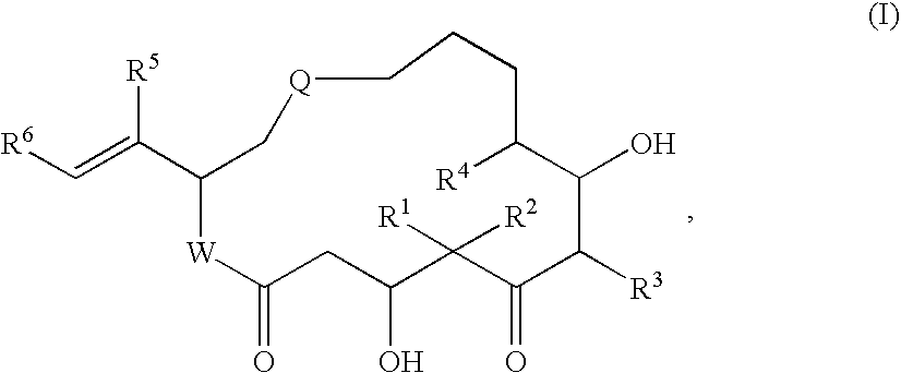
- the present invention describes a pharmaceutical preparation comprising epothilones and analogs thereof, of formula I: wherein the various symbols are as defined below.
- a process of formulating at least one epothilone or analog thereof for administration to a patient comprising dissolving the epothilone, or analog thereof, with a solution vehicle which includes at least one buffer and a pH-adjusting ingredient, to define an epothilone solution.
- the epothilone solution is then further diluted in an infusion fluid to provide a formulation for administration, wherein the pH of the formulation for administration is controlled by the buffer and pH-adjusting ingredient in the first solution vehicle.
- an epothilone analog is lyophilized, and then the lyophilized epothilone analog is dissolved in solution vehicle (in this embodiment, the solution vehicle defines a vehicle for reconstitution of the lyophilized epothilone analog) to provide an epothilone solution, wherein the solution vehicle includes a surfactant, dehydrated alcohol, a buffer, and a base, and then the epothilone solution is diluted with an infusion fluid to a concentration appropriate for a formulation for administration, thereby achieving a formulation that can be administered without appreciable loss of potency.
- solution vehicle defines a vehicle for reconstitution of the lyophilized epothilone analog
- alkyl refers to optionally substituted straight- or branched-chain saturated hydrocarbon groups having from 1 to about 20 carbon atoms, preferably from 1 to about 7 carbon atoms.
- lower alkyl refers to alkyl groups having from 1 to 4 carbon atoms.
- a “substituted lower alkyl” refers to an alkyl group having from 1 to 4 carbon atoms and one, two, or three (preferably one or two) substituents selected from those recited for “substituted alkyl” groups.
- substituted alkyl refers to an alkyl group substituted by, for example, one to four substituents (preferably one to two substituents), such as, halo, trifluoromethyl, trifluoromethoxy, hydroxy, alkoxy, cycloalkyoxy, heterocyclooxy, oxo ( ⁇ O), alkanoyl, aryl, aryloxy, aralkyl, alkanoyloxy, amino, alkylamino, arylamino, aralkylamino, cycloalkylamino, heterocycloamino, disubstituted amino (in which the two substituents on the amino group are selected from alkyl, aryl, and/or aralkyl), alkanoylamino, aroylamino, aralkanoylamino, substituted alkanoylamino, substituted arylamino, substituted aralkanoylamino, thiol, alkanoylamino
- substituents themselves are further substituted, such further substituents are selected from the group consisting of halogen, alkyl, alkoxy, aryl and aralkyl.
- alkyl and substituted alkyl apply as well to the alkyl portion of alkoxy groups.
- halogen refers to fluorine, chlorine, bromine, and iodine.
- aryl refers to monocyclic or bicyclic aromatic hydrocarbon groups having from about 6 to about 12 carbon atoms in the ring portion, for example, phenyl, and naphthyl.
- aralkyl refers to an aryl group bonded to a larger entity through an alkyl group, for example, a benzyl group.
- substituted aryl refers to an aryl group substituted by, for example, one to four substituents (preferably one to two substituents) such as alkyl, substituted alkyl, halo, trifluoromethyl, trifluoromethoxy, hydroxy, alkoxy, cycloalkyloxy, heterocyclooxy, alkanoyl, alkanoyloxy, amino, alkylamino, dialkylamino, aralkylamino, cycloalkylamino, heterocycloamino, alkanoylamino, thiol, alkylthio, cycloalkylthio, heterocyclothio, ureido, nitro, cyano, carboxy, carboxyalkyl, carbamyl, alkoxycarbonyl, alkylthiono, arylthiono, alkysulfonyl, sulfonamido, aryloxy, and the like.
- substituent may benzo
- cycloalkyl refers to optionally substituted saturated cyclic hydrocarbon ring systems, preferably containing 1 to 3 rings and 3 to 7 carbons per ring, which may be further fused with an unsaturated C 3 -C 7 carbocyclic ring.
- exemplary groups include cyclopropyl, cyclobutyl, cyclopentyl, cyclohexyl, cycloheptyl, cyclooctyl, cyclodecyl, cyclododecyl, and adamantyl.
- substituents include one or more alkyl or substituted alkyl groups as described above, or one or more of the groups described above as substituents for alkyl groups.
- a cycloalkyl may contain a carbon-carbon bridge of one to two bridgehead carbon atoms, and/or one or two (preferably one) of the ring carbon atoms optionally may be replaced with a carbonyl group (substituted with keto).
- heterocycle refers to an optionally substituted, unsaturated, partially saturated, or fully saturated, aromatic or nonaromatic cyclic group, for example, which is a 4 to 7 membered monocyclic, 7 to 11 membered bicyclic, or 10 to 15 membered tricyclic ring system, which has at least one heteroatom in at least one carbon atom-containing ring.
- Each ring of the heterocyclic group containing a heteroatom may have 1, 2, or 3 heteroatoms selected from nitrogen atoms, oxygen atoms and sulfur atoms, where the nitrogen and sulfur heteroatoms may also optionally be oxidized and the nitrogen heteroatoms may also optionally be quaternized.
- the heterocyclic group may be attached at any heteroatom or carbon atom.
- Exemplary monocyclic heterocyclic groups include pyrrolidinyl, pyrrolyl, pyrazolyl, oxetanyl, pyrazolinyl, imidazolyl, imidazolinyl, imidazolidinyl, oxazolyl, oxazolidinyl, isoxazolinyl, isoxazolyl, thiazolyl, thiadiazolyl, thiazolidinyl, isothiazolyl, isothiazolidinyl, furyl, tetrahydrofuryl, thienyl, oxadiazolyl, piperidinyl, piperazinyl, 2-oxopiperazinyl, 2-oxopiperidinyl, 2-oxopyrrolidinyl, 2-oxazepinyl, azepinyl, 4-piperidonyl, pyridyl, N-oxo-pyridyl, pyrazinyl,
- bicyclic heterocyclic groups include benzothiazolyl, benzoxazolyl, benzothienyl, quinuclidinyl, quinolinyl, quinolinyl-N-oxide, tetrahydroisoquinolinyl, isoquinolinyl, benzimidazolyl, benzopyranyl, indolizinyl, benzofuryl, chromonyl, coumarinyl, cinnolinyl, quinoxalinyl, indazolyl, pyrrolopyridyl, furopyridinyl (such as furo[2,3-c]pyridinyl, furo[3,1-b]pyridinyl] or furo[2,3-b]pyridinyl), dihydroisoindolyl, dihydroquinazolinyl (such as 3,4-dihydro-4-oxo-quinazolinyl), benzisothiazolyl,
- substituents for the groups “heterocycle,” “heterocyclic,” and “heterocyclo” include alkyl, substituted alkyl, or one or more substituent groups as described above for substituted alkyl or substituted aryl groups.
- alkanoyl refers to —C(O)-alkyl.
- substituted alkanoyl refers to —C(O)-substituted alkyl.
- heteroatoms shall include oxygen, sulfur, and nitrogen.
- pH-adjusting ingredient denotes an acid, base, or mixtures thereof (preferably a base, such as sodium hydroxide, potassium hydroxide, lithium hydroxide), which is selected to adjust the pH of the infusion fluid that is used for delivery of the epothilones and analogs thereof.
- the pH-adjusting ingredient is preferably selected in amount and type sufficient to achieve, for the formulation for administration, a pH that approximates the epothilone or epothilone analog's pH of maximum stability.
- low pH means a pH below 7, more preferably a pH below 6.
- pH differential refers to the difference between (a) the pH of maximum stability for the epothilone or analog thereof to be administered to a patient, and (b) the pH of the infusion fluid selected to be used to administer the epothilone, or analog thereof, to a patient.
- pH of maximum stability means the pH at which a compound (or mixture of compounds) is least likely to degrade, or at which the compound (or mixtures of compounds) will degrade most slowly.
- Each compound or mixture of compounds will have a pH of maximum stability.
- the pH of maximum stability also may encompass a range of pH's. For example, it may be determined that a compound is equally stable at the pH of 7 and 7.2, but less stable at pH 6.9. In this case, the pH of maximum stability is 7.1 ⁇ 0.1.
- fluid for administration to a patient, such as via parenteral (e.g., subcutaneous, intravenous, bolus injection, intramuscular, or intraarterial) administration.
- parenteral e.g., subcutaneous, intravenous, bolus injection, intramuscular, or intraarterial
- the term “enhanced stability” is intended to mean that the epothilones, or analogs thereof, included in the formulation will degrade less rapidly as compared with the same epothilones, or analogs thereof, included in a formulation having the same ingredients except without the buffer and pH-adjusting ingredient included.
- the formulation according to the invention will have an enhanced stability of about 25% or greater determined over a period of up to 24 hours (in the range of 0 to 24 hours).
- the compounds represented by formula I form salts with a variety of organic and inorganic acids.
- Such salts include those formed with hydrogen chloride, hydrogen bromide, methanesulfonic acid, hydroxyethanesulfonic acid, sulfuric acid, acetic acid, trifluoroacetic acid, maleic acid, benzenesulfonic acid, toluenesulfonic acid and various others as are recognized by those of ordinary skill in the art of pharmaceutical compounding.
- Such salts are formed by reacting a compound represented by formula I in an equivalent amount of the acid in a medium in which the salt precipitates or in an aqueous medium followed by evaporation.
- inner salts can be formed and are included within the term salts as used herein.
- the present invention also provides a process for the formulation of an epothilone analog of formula I.
- the present invention further provides a process for preparing a pharmaceutical preparation for parenteral administration.
- Preferred epothilone analogs of formula I advantageous for use in the present invention include compounds of formula (I*), and pharmaceutically acceptable salts and solvates thereof, wherein,
- R 11 is selected from lower alkyl (more preferably methyl), optionally substituted with hydroxy, lower alkoxy, amino, or C 1-4 alkylamino (more preferably hydroxy or amino, even more preferably amino).
- a particularly preferred example of an epothilone analog of formula I is [I S-[1R*,3R*(E),7R*,10S*,11R*,12R*,16S*]]-7,11-Dihydroxy-8,8,10,12,16-pentamethyl-3-[1-methyl-2-(2-methyl-4-thiazolyl)ethenyl]-4-aza-7 oxabicyclo[14.1.0]heptadecane-5,9-dione (represented by formula II):
- Compounds represented by formulae I and II are microtubule-stabilizing agents. They are thus useful in the treatment of a variety of cancers and other proliferative diseases including, but not limited to, the following:
- Compounds represented by formulae I and II will also inhibit angiogenesis, thereby affecting the growth of tumors and providing treatment of tumors and tumor-related disorders.
- Such anti-angiogenesis properties will also be useful in the treatment of other conditions responsive to anti-angiogenic agents including, but not limited to, certain forms of blindness related to retinal vascularization, arthritis, especially inflammatory arthritis, multiple sclerosis, restenosis, and psoriasis.
- Compounds represented by formulae I and II will induce or inhibit apoptosis, a physiological cell death process critical for normal development and homeostasis. Alterations of apoptotic pathways contribute to the pathogenesis of a variety of human diseases. Compounds represented by formula I and II, as modulators of apoptosis, will be useful in the treatment of a variety of human diseases with aberrations in apoptosis including, but not limited to, cancer and precancerous lesions, immune response related diseases, viral infections, kidney disease, and degenerative diseases of the musculoskeletal system.
- Compounds represented by formulae I and II may also be formulated or co-administered with other therapeutic agents that are selected for their particular usefulness in administering therapies associated with the aforementioned conditions.
- methods for administering compounds of formula I and II are described in U.S. patent application Ser. No. 10/091,061, filed Mar. 5, 2002, incorporated herein by reference in its entirety.
- Compounds of formulae I and II may be formulated with agents to prevent nausea, hypersensitivity, and gastric irritation, such as anti-emetics, and H 1 and H 2 antihistamines.
- the above therapeutic agents, when employed in combination with a compound of formulae I or II may be used in those amounts indicated in the Physicians' Desk Reference (PDR) or as otherwise determined by one of ordinary skill in the art.
- PDR Physicians' Desk Reference
- compounds represented by formulae I and II may be administered in combination with other anti-cancer and cytotoxic agents and treatments useful in the treatment of cancer or other proliferative diseases.
- anti-cancer and cytotoxic drug combinations wherein the second drug chosen acts in a different manner or different phase of the cell cycle, e.g., S phase, than the present compounds of formulae I and II which exert their effects at the G 2 -M phase.
- anti-cancer and cytotoxic agents include, but are not limited to, alkylating agents, such as nitrogen mustards, alkyl sulfonates, nitrosoureas, ethylenimines, and triazenes; antimetabolites, such as folate antagonists, purine analogues, and pyrimidine analogues; antibiotics, such as anthracyclines, bleomycins, mitomycin, dactinomycin, and plicamycin; enzymes, such as L-asparaginase; farnesyl-protein transferase inhibitors; hormonal agents, such as glucocorticoids, estrogens/antiestrogens, androgens/antiandrogens, progestins, and luteinizing hormone-releasing hormone anatagonists, octreotide acetate; microtubule-disruptor agents, such as ecteinascidins or their analogs and derivatives; microtubule-disrupt
- anti-cancer and cytotoxic agents include, but are not limited to, mechlorethamine hydrochlordie, cyclophosphamide, chlorambucil, melphalan, ifosfamide, busulfan, carmustin, lomustine, semustine, streptozocin, thiotepa, dacarbazine, methotrexate, thioguanine, mercaptopurine, fludarabine, pentastatin, cladribin, cytarabine, fluorouracil, doxorubicin (including salts such as doxorubicin hydrochloride), daunorubicin, idarubicin, bleomycin sulfate, mitomycin C, actinomycin D, safracins, saframycins, quinocarcins, discodermolides, vincristine, vinblastine, vinorelbine tartrate, etopo
- anticancer and cytotoxic agents include, but are not limited to, cisplatin, carboplatin, carminomycin, aminopterin, methotrexate, methopterin, ecteinascidin 743, porfiromycin, 5-fluorouracil (5-FU), 6-mercaptopurine, gemcitabine, cytosine arabinoside, podophyllotoxin or podophyllotoxin derivatives, leurosidine, vindesine, and leurosine.
- the compounds of formulae I and II may be administered in combination with particular anticancer and cytotoxic agents falling within these classes of agents, for example, the compounds of formulae I and II may be administered in combination with any 5-FU agents, and/or prodrugs thereof, including without limitation capecitabine (XELODA®).
- anti-cancer and other cytotoxic agents include the following: cyclin dependent kinase inhibitors as found in WO 99/24416; and prenyl-protein transferase inhibitors as found in WO 97/30992 and WO 98/54966.
- the compounds represented by formulae I and II may also be used to treat conditions other than cancer or other proliferative diseases.
- Such conditions include, but are not limited to viral infections such as herpesvirus, poxvirus, Epstein-Barr virus, Sindbis virus and adenovirus; autoimmune diseases such as systemic lupus erythematosus, immune mediated glomerulonephritis, rheumatoid arthritis, psoriasis, inflammatory bowel diseases, and autoimmune diabetes mellitus; neurodegenerative disorders such as Alzheimer's disease, AIDS-related dementia, Parkinson's disease, amyotrophic lateral sclerosis, retinitis pigmentosa, spinal muscular atrophy, and cerebellar degeneration; AIDS; myelodysplastic syndromes; aplastic anemia; ischemic injury associated myocardial infarctions; stroke and reperfusion injury; restenosis; arrhythmia; atherosclerosis; toxin-
- the effective amount of a compound represented by formulae I and II may be determined by one of ordinary skill in the art. Exemplary dosage amounts may be found in U.S. patent application Ser. No. 10/055,653, filed Jan. 23, 2002, incorporated herein by reference.
- compounds of formula I and II may be administered in a single dose or in the form of individual divided doses, such as from 1 to about 4 times per day.
- the compounds used in the present invention may be administered in a dosage of less than about 100 mg/kg/day, in a single dose or in about 2 to about 4 divided doses.
- the specific dose level and frequency of dosage for any particular subject may be varied and will depend upon a variety of factors including the activity of the specific compound employed, the metabolic stability and length of action of that compound, the species, age, body weight, general health, sex, and diet of the subject, the mode and time of administration, rate of excretion, drug combination, and severity of the particular condition.
- Subjects for treatment include animals, including species such as humans, and domestic animals such as dogs, cats and the like, subject to the aforementioned disorders.
- the compounds represented by formulae I and II present challenges from the viewpoint of pharmaceutical compounding for administration to patients for a number of reasons.
- compounds of formula I and II present a number of solubility and stability issues, e.g., they possess low solubility and can degrade when in contact with aqueous media and/or when exposed to light.
- compounds of formulae I and II can degrade when exposed to low pH, e.g., certain compounds of formula I presumably are susceptible to acid-catalyzed hydrolysis.
- the time for 5% drug loss (t 95 ) at 25° C. for an aqueous solution of compound II is approximately 2 h at pH 7, but less than 0.2 h at pH 2.5.
- Lactated Ringer's Injection contains Sodium Chloride USP 0.6 g, Sodium Lactate 0.31 g, Potassium chloride USP 0.03 g and Calcium Chloride.2H 2 O USP 0.02 g.
- the osmolarity is 275 mOsmol/L, which is very close to isotonicity, and it has a pH of 6.0 to 7.5.
- LRI may not be as widely-available as saline or dextrose infusion fluids, and it is more expensive. If the pH drawbacks associated with saline and dextrose could be overcome, these infusion fluids would be advantageous, as they are readily available world-wide, are commonly-used, and are less expensive than some other infusion fluids, such as LRI.
- the epothilone, or analog thereof is dissolved in a first, solution vehicle to provide an epothilone solution, wherein the solution vehicle includes (in addition to solvent) at least one buffer and at least one pH-adjusting ingredient, e.g., a base, and then the epothilone solution is mixed with an infusion fluid to provide a formulation for administration.
- the selection and concentration of the buffer is determined as a function of the dose of epothilone, or analog thereof.
- the solution vehicle is advantageously prepared to achieve a pH for the epothilone solution whereby, when the epothilone solution is mixed with the infusion fluid, the pH of the formulation for administration is approximately equal to the pH of maximum stability of the epothilone, or analog thereof.
- the pH of maximum stability is about 7.0.
- a preferred dose of this epothilone analog when diluted in the infusion fluid is approximately in the range of about 0.05 to about 1.0 mg/mL, more preferably in the range of about 0.1 to about 0.8 mg/mL, and most preferably in the range of about 0.2 to about 0.6 mg/mL.
- an advantageous buffer is sodium lactate
- a preferred concentration of this buffer in the formulation for administration is in the range of about 3 to about 30 mg/mL, more preferably in the range of about 10 to about 20 mg/mL, even more preferably at a concentration of about 15 mg/mL.
- an advantageous concentration of sodium lactate solution (60% sodium lactate) buffer in the solution is about 20 to 30 mg/mL, more preferably about 25 mg/mL.
- the solution vehicle is then preferably prepared (e.g., using the type and amount of base selected for this objective) to achieve a pH in the range of about 6 to about 9, more preferably in the range 8.0 to 8.8, even more preferably in the range 8.2 to 8.6, and most preferably at 8.4 ⁇ 0.1.
- the final concentration of sodium hydroxide in the solution vehicle advantageously ranges from about 0.01 mg/mL to about 1 mg/mL.
- the pH of the formulation for administration is advantageously in the range of 6.0 to 10.0, more preferably in the range 7.0 to 9.0.
- the pH of the solution vehicle can be adjusted (e.g., by choice and concentration of buffer and base) to control the pH of the formulation for administration, depending upon the selection and dose of the particular epothilone or analog thereof, the choice and concentration of buffer, and the composition or components of the infusion fluid.
- the invention may be carried out in a number of ways.
- the solution vehicle may be prepared by mixing sodium lactate with an anhydrous alcohol, such as Dehydrated Alcohol followed by the addition of sodium hydroxide (1N or 2N solution) and Cremophor EL® surfactant.
- the solution vehicle can be prepared by mixing sodium lactate with an anhydrous alcohol, such as Dehydrated Alcohol and Cremophor EL surfactant followed by the addition of sufficient sodium hydroxide solution (2N).
- the inventors herein have discovered a preparation including use of a buffer and base, wherein when the preparation is added to the epothilone, or analog thereof, dissolved in solution, the pH of the subsequent formulation for administration, i.e., prepared upon addition of the infusion fluid, can be controlled in the range of 6.0 to 10, for example, 6.5 to 7.5.
- the pH differential between the infusion fluid pH, and the pH of maximum stability for the compound being administered can be reduced.
- the ability to control the formulation pH thus provides for a formulation for administration wherein the epothilones or analogs thereof have enhanced stability and thus, increased potency, as compared with the same formulation without buffer and base included.
- a formulation including the compound of formula II was diluted in a 0.9% Sodium Chloride Injection infusion fluid to a concentration of 0.2 mg/mL, without buffer and base. Over a six hour hold time, this formulation demonstrated a loss of potency (degradation in active compound) of about 6%. However, when the present invention was applied with the same formulation but including the use of buffer and base, the loss of potency (degradation of active compound) over the six hour hold time was about 3.6%, representing an approximately 40% enhancement in stability. As a further illustration, a formulation including the compound of formula II was diluted in a 5% dextrose injection fluid to a concentration of 0.2 mg/mL, without buffer and base.
- this formulation demonstrated a loss of potency (degradation in active compound) of about 13%.
- the loss of potency (degradation of active compound) over the six hour hold time was about 4%, representing an enhancement of stability of greater than 65%.
- the preferred buffer is sodium lactate, more preferably 60% Sodium Lactate, USP, and a preferred base is sodium hydroxide, more preferably added to the solution as 1N or 2N sodium hydroxide solutions.
- exemplary buffers include, but are not limited to sodium phosphate, sodium citrate, L-lysine, L-histidine, L-alanine, and tris-hydroxymethyl aminomethane.
- Exemplary bases include, but are not limited to platinum oxide (PtO 2 ), potassium hydroxide (KOH), sodium hydroxide (NaOH), lithium hydroxide (LiOH), potassium carbonate (K 2 CO 3 ), sodium bicarbonate (NaHCO 3 ), magnesium hydroxide (Mg(OH) 2 ), and Calcium Hydroxide (Ca(OH) 2 ).
- PtO 2 platinum oxide
- KOH potassium hydroxide
- NaOH sodium hydroxide
- LiOH lithium hydroxide
- K 2 CO 3 potassium carbonate
- NaHCO 3 sodium bicarbonate
- Mg(OH) 2 magnesium hydroxide
- Ca(OH) 2 Calcium Hydroxide
- the solution vehicle used to dissolve the epothilones, or analogs thereof, in addition to buffer and base will naturally include one or more solvents and advantageously one or more surfactants.
- solvents and surfactants are described in U.S. patent application Ser. Nos. 10/051,727 filed Jan. 17, 2002, Ser. No. 10/055,653, filed Jan. 23, 2002, and Ser. No. 10/404,324, filed Apr. 1, 2003, each of which is assigned to the present assignee and incorporated herein by reference in its entirety.
- a preferred solvent for the solution vehicle is a Dehydrated Alcohol USP
- a preferred surfactant is a nonionic surfactant, such as a polyethoxylated castor oil surfactant.
- the solvent/surfactant system includes Ethanol and Cremophor EL® surfactant (available from GAF Corp., Mount Olive, N.J., under the tradename Cremophor EL), more preferably in 1:1 amounts thereof.
- the epothilones or analogs thereof are lyophilized prior to being dissolved in the solution vehicle.
- the solution vehicle may be considered a reconstitution vehicle for reconstituting the lyophilized epothilones into a liquid form.
- Techniques and processes for lyophilization are set forth in U.S. patent application Ser. Nos. 10/051,727 and 10/055,653, incorporated herein and further referenced above. More particularly, in one embodiment, the epothilones or analogs thereof can be first placed into a solution involving a mixture of tertiary-butanol and water for injection and then lyophilized from this solution.
- This mixture is preferably about 50% v/v, for example, from about 50% to about 80% v/v tertiary butanol to reduce degradation of the subject epothilones and analogs thereof.
- the initial solution may be prepared using, initially, a greater concentration of alcohol to water, for example, a mixture of about 60% v/v, or from about 60% to about 95% v/v, tertiary butanol and water. Once the solution is made, the requisite amount of water or tertiary-butanol-water mixture can be added to achieve the desired final concentration for lyophilization as stated above.
- the solution for lyophilization is prepared at a temperature below ambient temperature, for example, from about 5° C. to about 15° C., or at 5° C., to minimize degradation of the subject epothilone analogs.
- Both the process of forming the solution and subsequent lyophilization advantageously can be carried out in vessels such that the epothilones or analogs thereof are protected from exposure to light. It is also beneficial to perform the lyophilization in comparatively small batches so that the epothilones or analogs thereof are exposed to an aqueous medium for a minimum amount of time.
- the lyophilization preferably is performed in two stages, wherein the primary drying stage of lyophilization of the solution formed as described above is carried out at temperatures from about ⁇ 10° C. to about ⁇ 40° C., for example, about ⁇ 25° C., under high vacuum, i.e., from about 50 millitorr to about 300 millitorr, for example, about 200 millitorr, for an extended period, i.e., from about 24 hours to about 100 hours, for example, about 48 hours. Lyophilization in this temperature range produces an amorphous product which is desirable for an intravenous preparation.
- conventional procedures such as powder X-ray diffraction, can be utilized to confirm the amorphous nature of the lyophilized product.
- a secondary drying stage preferably is carried out to remove residual solvents.
- This secondary drying stage is preferably carried out at temperatures of from about 10° C. to about 30° C., for example, about 25° C., under high vacuum, i.e., from about 50 millitorr to about 300 millitorr, for example, about 150 millitorr for an extended period, i.e., from about 24 hours to about 96 hours, for example, about 48 hours.
- excipients commonly utilized for such purposes such as lactose, mannitol, dextran, and the like, are not included. Certain of these excipients may have a negative effect on the stability of the lyophilized product (lyophile).
- the epothilone analogs formulated in accordance with the present invention preferably are lyophilized neat, i.e., without any excipient.
- the invention herein may be carried out with use of such excipients which will be known to one skilled in the field.
- chamber pressure is advantageously controlled in the range of about 200 to about 300 microns, more preferably in the range of about 225 to about 275 microns, and most preferably at about 250 microns
- shelf fluid temperature is advantageously controlled in the range of about ⁇ 35° C. to about ⁇ 25° C., more preferably in the range of about ⁇ 32° C. to about ⁇ 28° C., and most preferably at about ⁇ 30° C. Under these conditions, the rate of sublimation is reduced and loss of product is reduced or does not occur.
- the epothilones or analogs thereof and the solution vehicle (or reconstitution vehicle, in the case of lyophilized compound) are each contained in separate vials and sold as a two-vial kit.
- these vials are light-protected.
- the infusion fluids or diluents are generally available in clinical facilities and may or may not be sold in the kit. It is, however, within the scope of the present invention to package the subject epothilones or analogs with a third vial containing sufficient infusion fluid or diluent to prepare the final concentration for administration.
- Varying potencies (such as 0.5 to 100 mg/vial) of the lyophilized epothilones or analogs thereof, maybe packaged in vials.
- vials containing 15 mg/vial, 20 mg/vial, or 30 mg/vial of an epothilone analog of formula I or II may be produced.
- sufficient amount of the reconstitution vehicle may be provided to form a solution having a concentration of about 1 mg/mL to about 10 mg/mL of the epothilone or analog thereof, more preferably a concentration of about 1 mg/mL to 4 mg/mL.
- vials containing the reconstitution vehicle may be provided with varying amounts of reconstitution vehicle, such as 5.5 mL/vial, 8 mL/vial or 16.5 mL/vial.
- the lyophilized compound is dissolved in the reconstitution vehicle, and then the resulting solution is further diluted in a suitable infusion fluid (or diluent) prior to injection into a patient.
- suitable infusion fluid or diluents
- the final concentration for administration could, for example, contain from about 0.1 mg/mL to about 0.9 mg/mL, such as from about 0.2 mg/mL to about 0.6 mg/mL, of the epothilones or analogs thereof, of formula I or II.
- This formulation has a pH of from about 6 to about 10 and exhibits significantly diminished acid-induced hydrolysis of the epoxide ring.
- the solution formed above was promptly lyophilized in a Virtis GENESIS lyophilizer at ⁇ 30° C. under light protected conditions over a period of about 100 hours.
- the resultant lyophilized product (lyophile) was then further dried at 25° C. under high vacuum for about 35 hours. No detectable degradation of the drug was observed during these procedures.
- the lyophile was packaged under sterile conditions into 15 mL vials, each containing 20 mg of drug and standard excess to allow for vial/needle/syringe loss.
- the epothilone lyophile was reconstituted in reconstitution vehicle.
- the reconstitution vehicle was prepared with Dehydrated Alcohol USP, nonionic surfactant such as a polyethoxylated castor oil surfactant (available from GAF Corp., Mount Olive, N.J., under the tradename Cremophor EL), Sodium Lactate Solution, USP and Sodium Hydroxide Solution (such as a 1N or 2N Sodium Hydroxide solution). Sufficient amount of the reconstitution vehicle was provided to form a solution having a concentration of about 1 mg/mL to about 10 mg/mL of the epothilone analog.
- the reconstituted epothilone was further diluted in 0.9% Sodium Chloride Injection or 5% Dextrose Injection to a final concentration of about 0.2 mg/mL to about 0.6 mg/mL.
- the reconstitution vehicle was prepared as follows. The total amount of Dehydrated Alcohol required for the batch was calculated, and then 90% of the total required amount of Dehydrated Alcohol was added to a batch tank. With constant stirring, sufficient Sodium Lactate Solution (USP) was added so that the concentration of sodium lactate in the final formulation would be approximately 15 mg/mL. Next, cleaned Cremophor EL surfactant was added and the batch was mixed for a minimum of 30 minutes. Sodium Hydroxide Solution (2N) was then added to adjust batch pH to 8.2 to 8.6. Then the remaining amount of Dehydrated Alcohol was added and mixed for a minimum of 30 minutes. The solution was then aseptically filtered through a 0.22 ⁇ m membrane filter into a sterilized container. The solution was next filled into sterilized vials. Finally, these vials containing the reconstitution vehicle were fitted aseptically with stoppers and then sealed.
- USP Sodium Lactate Solution
- Example of the quantitative composition of the reconstitution vehicle are shown in Table 1 below.
- TABLE 1 Quantitative Composition of the Reconstitution Vehicle Ingredients Amount per 100 mL Cremophor E1 surfactant, Cleaned 49.0 mL Dehydrated Alcohol, USP 49.0 mL Sodium Lactate Solution, USP 1.91 mL 2N Sodium Hydroxide Solution Qs to pH 8.4
Landscapes
- Health & Medical Sciences (AREA)
- Chemical & Material Sciences (AREA)
- Medicinal Chemistry (AREA)
- Pharmacology & Pharmacy (AREA)
- Epidemiology (AREA)
- Life Sciences & Earth Sciences (AREA)
- Animal Behavior & Ethology (AREA)
- General Health & Medical Sciences (AREA)
- Public Health (AREA)
- Veterinary Medicine (AREA)
- Pharmaceuticals Containing Other Organic And Inorganic Compounds (AREA)
- Heterocyclic Carbon Compounds Containing A Hetero Ring Having Oxygen Or Sulfur (AREA)
Abstract
Description
- The present application claims the priority benefit of U.S. Provisional Application No. 60/517,020, filed Nov. 4, 2003, incorporated herein by reference in its entirety.
- The present invention relates to a process and formulation for preparing certain epothilones and analogs thereof for administration to patients, in which there is achieved enhanced control of infusion pH, leading to increased infusion stability.
-
- Known epothilones exert microtubule-stabilizing effects similar to TAXOL® and therefore exhibit cytotoxic activity against rapidly proliferating cells, such as occur in cancer and other hyperproliferative cellular diseases (See Angew. Chem. Int. Ed. Engl., Vol. 35, No. 13/14, 1996 and D. M. Bollag, Exp. Opin. Invest. Drugs, 6(7): 867-873, 1997).
- Since the introduction of epothilones into the art, many groups have been designing, synthesizing and testing analogs of the naturally occurring epothilones in an attempt to develop useful pharmaceuticals. (See, e.g., D. Schinzer et al., Angew. Chem. Int. Ed. Engl., 1997, 36, No. 3, 523-524; K. C. Nicolaou, et al., J. Amer. Chem. Soc., 1997, 119, 7974-7991; K. C. Nicaloau et al., Angew. Chem. Int. Ed. Engl., 1996, 35, No. 20, 2399-2401; A. Balog et al., Angew. Chem. Int. Ed. Engl., 1996, 35, No. 23/24, 2801-2803).
- Before epothilones can be used to treat diseases in patients, however, they must be formulated into a pharmaceutical composition that can be administered to the patient; for example, into a dosage form suitable for oral, mucosal (e.g., nasal, sublingual, vaginal, buccal, or rectal), parenteral (e.g., subcutaneous, intravenous, bolus injection, intramuscular, or intraarterial), or transdermal administration.
- Certain epothilones and analogs thereof having advantageous activity are represented by formula I:
wherein the various symbols are as defined below. These and other epothilone analogs are further described, for example, in U.S. Pat. Nos. 6,605,599, 6,262,094, 6,288,237 B1, 6,613,912, and U.S. patent application Ser. Nos. 09/836,134 and 10/602,770, each of which is assigned to the present assignee and incorporated herein by reference in its entirety. - While these and other epothilone analogs possess significant therapeutic properties, they also present challenges to those skilled in the art of pharmaceutical compounding as a result of certain chemical properties. For example, certain epothilones and/or analogs thereof are susceptible to acid-catalyzed hydrolysis and thus, can rapidly degrade at low pH. In accordance with the present invention, a process and formulation have been found whereby epothilones and analogs thereof can be administered to a patient while achieving enhanced pH control of the formulation and thus, enhanced stability of the epothilones and analogs thereof. In one embodiment, the invention comprises a formulation for intravenous injection using cost-effective and readily-available infusion fluids such as saline and/or dextrose. Other formulations for administration of epothilones and epothilone analogs are described in U.S. patent application Ser. Nos. 10/051,727 filed Jan. 17, 2002, Ser. No. 10/055,653, filed Jan. 23, 2002, and Ser. No. 10/404,324, filed Apr. 1, 2003, each of which is assigned to the present assignee, and each of which is incorporated herein by reference in its entirety.
- The present invention describes a pharmaceutical preparation comprising epothilones and analogs thereof, of formula I:
wherein the various symbols are as defined below. According to one aspect of the invention, there is provided a process of formulating at least one epothilone or analog thereof for administration to a patient, said process comprising dissolving the epothilone, or analog thereof, with a solution vehicle which includes at least one buffer and a pH-adjusting ingredient, to define an epothilone solution. The epothilone solution is then further diluted in an infusion fluid to provide a formulation for administration, wherein the pH of the formulation for administration is controlled by the buffer and pH-adjusting ingredient in the first solution vehicle. According to one aspect of the invention, an epothilone analog is lyophilized, and then the lyophilized epothilone analog is dissolved in solution vehicle (in this embodiment, the solution vehicle defines a vehicle for reconstitution of the lyophilized epothilone analog) to provide an epothilone solution, wherein the solution vehicle includes a surfactant, dehydrated alcohol, a buffer, and a base, and then the epothilone solution is diluted with an infusion fluid to a concentration appropriate for a formulation for administration, thereby achieving a formulation that can be administered without appreciable loss of potency. - The following are definitions of various terms used herein to describe the present invention. These definitions apply to the terms as they are used throughout this specification, unless otherwise limited in specific instances, either individually or as part of a larger group.
-
-
- Q is selected from the group consisting of:
- W is selected from —O— and —N(R16)—;
- M is selected from the group consisting of oxygen, sulfur, —N(R8)—, and —C(R9R10)—;
- each R1, R2, R3, R4, R5, and R7 is, independently, selected from the group consisting of hydrogen, alkyl, substituted alkyl, aryl, substituted aryl, and heterocyclo, and wherein when R1 and R2 are alkyl, they can be joined to form cycloalkyl;
- R6 is selected from the group consisting of hydrogen, alkyl, substituted alkyl, aryl, substituted aryl, cycloalkyl, heterocyclo, and substituted heterocyclo;
- R8 is selected from the group consisting of hydrogen, alkyl, substituted alkyl, —C(═O)R11, —C(═O)OR12, and —S(O2)R13;
- R9 and R10 are each independently selected from the group consisting of hydrogen, halogen, alkyl, substituted alkyl, aryl, heterocyclo, hydroxy, —C(═O)R14, and —C(═O)OR15; and
- each R11, R12, R13, R14, R15, and R16 is, independently, selected from the group consisting of hydrogen, alkyl, substituted alkyl, aryl, substituted aryl, and heterocyclo.
- Q is selected from the group consisting of:
- The term “alkyl” refers to optionally substituted straight- or branched-chain saturated hydrocarbon groups having from 1 to about 20 carbon atoms, preferably from 1 to about 7 carbon atoms. The expression “lower alkyl” refers to alkyl groups having from 1 to 4 carbon atoms. A “substituted lower alkyl” refers to an alkyl group having from 1 to 4 carbon atoms and one, two, or three (preferably one or two) substituents selected from those recited for “substituted alkyl” groups.
- The term “substituted alkyl” refers to an alkyl group substituted by, for example, one to four substituents (preferably one to two substituents), such as, halo, trifluoromethyl, trifluoromethoxy, hydroxy, alkoxy, cycloalkyoxy, heterocyclooxy, oxo (═O), alkanoyl, aryl, aryloxy, aralkyl, alkanoyloxy, amino, alkylamino, arylamino, aralkylamino, cycloalkylamino, heterocycloamino, disubstituted amino (in which the two substituents on the amino group are selected from alkyl, aryl, and/or aralkyl), alkanoylamino, aroylamino, aralkanoylamino, substituted alkanoylamino, substituted arylamino, substituted aralkanoylamino, thiol, alkylthio, arylthio, aralkylthio, cycloalkylthio, heterocyclothio, alkylthiono, arylthiono, aralkylthiono, alkylsulfonyl, arylsulfonyl, aralkylsulfonyl, sulfonamido (e.g., SO2NH2), substituted sulfonamido, nitro, cyano, carboxy, carbamyl (e.g., CONH2), substituted carbamyl (e.g., CONRR′, wherein R and R′ are selected from hydrogen, alkyl, and/or aryl, provided at least one of R and R′ is other than hydrogen), alkoxycarbonyl, aryl, substituted aryl, guanidino and heterocyclo, such as indolyl, imidazolyl, furyl, thienyl, thiazolyl, pyrrolidyl, pyridyl, pyrimidyl, and the like. Wherein, as noted above, the substituents themselves are further substituted, such further substituents are selected from the group consisting of halogen, alkyl, alkoxy, aryl and aralkyl. The definitions given herein for alkyl and substituted alkyl apply as well to the alkyl portion of alkoxy groups.
- The term “halogen” or “halo” refers to fluorine, chlorine, bromine, and iodine.
- The term “aryl” refers to monocyclic or bicyclic aromatic hydrocarbon groups having from about 6 to about 12 carbon atoms in the ring portion, for example, phenyl, and naphthyl.
- The term “aralkyl” refers to an aryl group bonded to a larger entity through an alkyl group, for example, a benzyl group.
- The term “substituted aryl” refers to an aryl group substituted by, for example, one to four substituents (preferably one to two substituents) such as alkyl, substituted alkyl, halo, trifluoromethyl, trifluoromethoxy, hydroxy, alkoxy, cycloalkyloxy, heterocyclooxy, alkanoyl, alkanoyloxy, amino, alkylamino, dialkylamino, aralkylamino, cycloalkylamino, heterocycloamino, alkanoylamino, thiol, alkylthio, cycloalkylthio, heterocyclothio, ureido, nitro, cyano, carboxy, carboxyalkyl, carbamyl, alkoxycarbonyl, alkylthiono, arylthiono, alkysulfonyl, sulfonamido, aryloxy, and the like. The substituent may be further substituted by one or more members selected from the group consisting of halo, hydroxy, alkyl, alkoxy, aryl, substituted alkyl, substituted aryl, and aralkyl.
- The term “cycloalkyl” refers to optionally substituted saturated cyclic hydrocarbon ring systems, preferably containing 1 to 3 rings and 3 to 7 carbons per ring, which may be further fused with an unsaturated C3-C7 carbocyclic ring. Exemplary groups include cyclopropyl, cyclobutyl, cyclopentyl, cyclohexyl, cycloheptyl, cyclooctyl, cyclodecyl, cyclododecyl, and adamantyl. Exemplary substituents include one or more alkyl or substituted alkyl groups as described above, or one or more of the groups described above as substituents for alkyl groups. Additionally, a cycloalkyl may contain a carbon-carbon bridge of one to two bridgehead carbon atoms, and/or one or two (preferably one) of the ring carbon atoms optionally may be replaced with a carbonyl group (substituted with keto).
- The terms “heterocycle”, “heterocyclic” and “heterocyclo” refer to an optionally substituted, unsaturated, partially saturated, or fully saturated, aromatic or nonaromatic cyclic group, for example, which is a 4 to 7 membered monocyclic, 7 to 11 membered bicyclic, or 10 to 15 membered tricyclic ring system, which has at least one heteroatom in at least one carbon atom-containing ring. Each ring of the heterocyclic group containing a heteroatom may have 1, 2, or 3 heteroatoms selected from nitrogen atoms, oxygen atoms and sulfur atoms, where the nitrogen and sulfur heteroatoms may also optionally be oxidized and the nitrogen heteroatoms may also optionally be quaternized. The heterocyclic group may be attached at any heteroatom or carbon atom.
- Exemplary monocyclic heterocyclic groups include pyrrolidinyl, pyrrolyl, pyrazolyl, oxetanyl, pyrazolinyl, imidazolyl, imidazolinyl, imidazolidinyl, oxazolyl, oxazolidinyl, isoxazolinyl, isoxazolyl, thiazolyl, thiadiazolyl, thiazolidinyl, isothiazolyl, isothiazolidinyl, furyl, tetrahydrofuryl, thienyl, oxadiazolyl, piperidinyl, piperazinyl, 2-oxopiperazinyl, 2-oxopiperidinyl, 2-oxopyrrolidinyl, 2-oxazepinyl, azepinyl, 4-piperidonyl, pyridyl, N-oxo-pyridyl, pyrazinyl, pyrimidinyl, pyridazinyl, tetrahydropyranyl, tetrahydrothiopyranyl, tetrahydrothiopyranyl sulfone, morpholinyl, thiomorpholinyl, thiomorpholinyl sulfoxide, thiomorpholinyl sulfone, 1,3-dioxolane, and tetrahydro-1,1-dioxothienyl, dioxanyl, isothiazolidinyl, thietanyl, thiiranyl, triazinyl, and triazolyl, and the like.
- Exemplary bicyclic heterocyclic groups include benzothiazolyl, benzoxazolyl, benzothienyl, quinuclidinyl, quinolinyl, quinolinyl-N-oxide, tetrahydroisoquinolinyl, isoquinolinyl, benzimidazolyl, benzopyranyl, indolizinyl, benzofuryl, chromonyl, coumarinyl, cinnolinyl, quinoxalinyl, indazolyl, pyrrolopyridyl, furopyridinyl (such as furo[2,3-c]pyridinyl, furo[3,1-b]pyridinyl] or furo[2,3-b]pyridinyl), dihydroisoindolyl, dihydroquinazolinyl (such as 3,4-dihydro-4-oxo-quinazolinyl), benzisothiazolyl, benzisoxazolyl, benzodiazinyl, benzofurazanyl, benzothiopyranyl, benzotriazolyl, benzpyrazolyl, dihydrobenzofuryl, dihydrobenzothienyl, dihydrobenzothiopyranyl, dihydrobenzothiopyranyl sulfone, dihydrobenzopyranyl, indolinyl, isochromanyl, indolyl, isoindolinyl, naphthyridinyl, phthalazinyl, piperonyl, purinyl, pyridopyridyl, quinazolinyl, tetrahydroquinolinyl, thienofuryl, thienopyridyl, thienothienyl, and the like.
- Smaller heterocyclos, such as, epoxides, aziridines, and the like, are also included.
- Exemplary substituents for the groups “heterocycle,” “heterocyclic,” and “heterocyclo” include alkyl, substituted alkyl, or one or more substituent groups as described above for substituted alkyl or substituted aryl groups.
- The term “alkanoyl” refers to —C(O)-alkyl.
- The term “substituted alkanoyl” refers to —C(O)-substituted alkyl.
- The term “heteroatoms” shall include oxygen, sulfur, and nitrogen.
- The term “pH-adjusting ingredient” denotes an acid, base, or mixtures thereof (preferably a base, such as sodium hydroxide, potassium hydroxide, lithium hydroxide), which is selected to adjust the pH of the infusion fluid that is used for delivery of the epothilones and analogs thereof. According to one aspect of the invention, the pH-adjusting ingredient is preferably selected in amount and type sufficient to achieve, for the formulation for administration, a pH that approximates the epothilone or epothilone analog's pH of maximum stability.
- The term “low pH” as used herein means a pH below 7, more preferably a pH below 6.
- The term “pH differential” as used herein refers to the difference between (a) the pH of maximum stability for the epothilone or analog thereof to be administered to a patient, and (b) the pH of the infusion fluid selected to be used to administer the epothilone, or analog thereof, to a patient.
- The term, “pH of maximum stability,” or “maximum stability pH” means the pH at which a compound (or mixture of compounds) is least likely to degrade, or at which the compound (or mixtures of compounds) will degrade most slowly. Each compound or mixture of compounds will have a pH of maximum stability. However, the pH of maximum stability also may encompass a range of pH's. For example, it may be determined that a compound is equally stable at the pH of 7 and 7.2, but less stable at pH 6.9. In this case, the pH of maximum stability is 7.1±0.1.
- The terms “diluent” and “infusion fluid” are used interchangeably herein to denote the fluid for administration to a patient, such as via parenteral (e.g., subcutaneous, intravenous, bolus injection, intramuscular, or intraarterial) administration.
- When it is stated herein that a formulation is provided having enhanced stability, the term “enhanced stability” is intended to mean that the epothilones, or analogs thereof, included in the formulation will degrade less rapidly as compared with the same epothilones, or analogs thereof, included in a formulation having the same ingredients except without the buffer and pH-adjusting ingredient included. Preferably, the formulation according to the invention will have an enhanced stability of about 25% or greater determined over a period of up to 24 hours (in the range of 0 to 24 hours).
- The compounds represented by formula I form salts with a variety of organic and inorganic acids. Such salts include those formed with hydrogen chloride, hydrogen bromide, methanesulfonic acid, hydroxyethanesulfonic acid, sulfuric acid, acetic acid, trifluoroacetic acid, maleic acid, benzenesulfonic acid, toluenesulfonic acid and various others as are recognized by those of ordinary skill in the art of pharmaceutical compounding. Such salts are formed by reacting a compound represented by formula I in an equivalent amount of the acid in a medium in which the salt precipitates or in an aqueous medium followed by evaporation.
- In addition, zwitterions (“inner salts”) can be formed and are included within the term salts as used herein.
- The present invention also provides a process for the formulation of an epothilone analog of formula I. The present invention further provides a process for preparing a pharmaceutical preparation for parenteral administration.
-
-
- Q is selected from the group consisting of:
- W is —O— or NH;
- R7 is hydrogen or lower alkyl (more preferably methyl); and
- Q is selected from the group consisting of:
- R11 is selected from lower alkyl (more preferably methyl), optionally substituted with hydroxy, lower alkoxy, amino, or C1-4alkylamino (more preferably hydroxy or amino, even more preferably amino).
-
- The compounds represented by formulae I and II and processes for their preparation are described in U.S. Pat. No. 6,605,599, and international patent application WO99/02514 published Jan. 21, 1999 (both assigned to the present assignee), as well as U.S. Pat. No. 6,518,421, U.S. Pat. No. 6,262,094, the disclosures of each of which are incorporated herein by reference. The compounds represented by formulae I and II may exist as multiple optical, geometric, and stereoisomers. While the compounds shown herein are depicted for one optical orientation, included within the present invention are all isomers and mixtures thereof.
- Compounds represented by formulae I and II are microtubule-stabilizing agents. They are thus useful in the treatment of a variety of cancers and other proliferative diseases including, but not limited to, the following:
-
- carcinoma, including that of the bladder, breast, colon, kidney, liver, lung, ovary, pancreas, stomach, cervix, thyroid, and skin, including squamous cell carcinoma;
- hematopoietic tumors of lymphoid lineage, including leukemia, acute lymphocytic leukemia, acute lymphoblastic leukemia, B-cell lymphoma, T-cell lymphoma, Hodgkins lymphoma, non-Hodgkins lymphoma, hairy cell lymphoma, and Burketts lymphoma;
- hematopoietic tumors of myeloid lineage, including acute and chronic myelogenous leukemias and promyelocytic leukemia;
- tumors of mesenchymal origin, including fibrosarcoma and rhabdomyoscarcoma;
- other tumors, including melanoma, seminoma, teratocarcinoma, neuroblastoma, and glioma;
- tumors of the central and peripheral nervous system, including astrocytoma, neuroblastoma, glioma, and schwannomas;
- tumors of mesenchymal origin, including fibrosarcoma, rhabdomyoscaroma, and osteosarcoma; and
- other tumors, including melanoma, xeroderma pigmentosum, keratoacanthoma, seminoma, thyroid follicular cancer, and teratocarcinoma.
- Compounds represented by formulae I and II will also inhibit angiogenesis, thereby affecting the growth of tumors and providing treatment of tumors and tumor-related disorders. Such anti-angiogenesis properties will also be useful in the treatment of other conditions responsive to anti-angiogenic agents including, but not limited to, certain forms of blindness related to retinal vascularization, arthritis, especially inflammatory arthritis, multiple sclerosis, restenosis, and psoriasis.
- Compounds represented by formulae I and II will induce or inhibit apoptosis, a physiological cell death process critical for normal development and homeostasis. Alterations of apoptotic pathways contribute to the pathogenesis of a variety of human diseases. Compounds represented by formula I and II, as modulators of apoptosis, will be useful in the treatment of a variety of human diseases with aberrations in apoptosis including, but not limited to, cancer and precancerous lesions, immune response related diseases, viral infections, kidney disease, and degenerative diseases of the musculoskeletal system.
- Compounds represented by formulae I and II may also be formulated or co-administered with other therapeutic agents that are selected for their particular usefulness in administering therapies associated with the aforementioned conditions. For example, methods for administering compounds of formula I and II are described in U.S. patent application Ser. No. 10/091,061, filed Mar. 5, 2002, incorporated herein by reference in its entirety. Compounds of formulae I and II may be formulated with agents to prevent nausea, hypersensitivity, and gastric irritation, such as anti-emetics, and H1 and H2 antihistamines. The above therapeutic agents, when employed in combination with a compound of formulae I or II, may be used in those amounts indicated in the Physicians' Desk Reference (PDR) or as otherwise determined by one of ordinary skill in the art.
- Furthermore, compounds represented by formulae I and II may be administered in combination with other anti-cancer and cytotoxic agents and treatments useful in the treatment of cancer or other proliferative diseases. Especially useful are anti-cancer and cytotoxic drug combinations wherein the second drug chosen acts in a different manner or different phase of the cell cycle, e.g., S phase, than the present compounds of formulae I and II which exert their effects at the G2-M phase. Examples of classes of anti-cancer and cytotoxic agents include, but are not limited to, alkylating agents, such as nitrogen mustards, alkyl sulfonates, nitrosoureas, ethylenimines, and triazenes; antimetabolites, such as folate antagonists, purine analogues, and pyrimidine analogues; antibiotics, such as anthracyclines, bleomycins, mitomycin, dactinomycin, and plicamycin; enzymes, such as L-asparaginase; farnesyl-protein transferase inhibitors; hormonal agents, such as glucocorticoids, estrogens/antiestrogens, androgens/antiandrogens, progestins, and luteinizing hormone-releasing hormone anatagonists, octreotide acetate; microtubule-disruptor agents, such as ecteinascidins or their analogs and derivatives; microtubule-stabilizing agents such as paclitaxel (TAXOL®), docetaxel (TAXOTERE®); plant-derived products, such as vinca alkaloids, epipodophyllotoxins, and taxanes; topoisomerase inhibitors; prenyl-protein transferase inhibitors; and miscellaneous agents such as, hydroxyurea, procarbazine, mitotane, hexamethylmelamine, platinum coordination complexes such as cisplatin and carboplatin; and other agents used as anti-cancer and cytotoxic agents such as biological response modifiers, growth factors, immune modulators, and monoclonal antibodies. Compounds represented by formulae I and II may also be used in conjunction with radiation therapy.
- Representative examples of these classes of anti-cancer and cytotoxic agents include, but are not limited to, mechlorethamine hydrochlordie, cyclophosphamide, chlorambucil, melphalan, ifosfamide, busulfan, carmustin, lomustine, semustine, streptozocin, thiotepa, dacarbazine, methotrexate, thioguanine, mercaptopurine, fludarabine, pentastatin, cladribin, cytarabine, fluorouracil, doxorubicin (including salts such as doxorubicin hydrochloride), daunorubicin, idarubicin, bleomycin sulfate, mitomycin C, actinomycin D, safracins, saframycins, quinocarcins, discodermolides, vincristine, vinblastine, vinorelbine tartrate, etoposide (including salts such as etoposide phosphate), teniposide, paclitaxel, tamoxifen, estramustine, estramustine phosphate sodium, flutamide, buserelin, leuprolide, pteridines, diyneses, levamisole, aflacon, interferon, interleukins, aldesleukin, filgrastim, sargramostim, rituximab, BCG, tretinoin, irinotecan hydrochloride, betamethosone, capecitabine, gemcitabine hydrochloride, altretamine, and topoteca and analogs or derivatives thereof.
- Other examples of these classes of anticancer and cytotoxic agents include, but are not limited to, cisplatin, carboplatin, carminomycin, aminopterin, methotrexate, methopterin, ecteinascidin 743, porfiromycin, 5-fluorouracil (5-FU), 6-mercaptopurine, gemcitabine, cytosine arabinoside, podophyllotoxin or podophyllotoxin derivatives, leurosidine, vindesine, and leurosine. It is to be understood the compounds of formulae I and II may be administered in combination with particular anticancer and cytotoxic agents falling within these classes of agents, for example, the compounds of formulae I and II may be administered in combination with any 5-FU agents, and/or prodrugs thereof, including without limitation capecitabine (XELODA®).
- Further examples of anti-cancer and other cytotoxic agents include the following: cyclin dependent kinase inhibitors as found in WO 99/24416; and prenyl-protein transferase inhibitors as found in WO 97/30992 and WO 98/54966.
- Without being bound by any theory regarding mechanism or morphology, the compounds represented by formulae I and II may also be used to treat conditions other than cancer or other proliferative diseases. Such conditions include, but are not limited to viral infections such as herpesvirus, poxvirus, Epstein-Barr virus, Sindbis virus and adenovirus; autoimmune diseases such as systemic lupus erythematosus, immune mediated glomerulonephritis, rheumatoid arthritis, psoriasis, inflammatory bowel diseases, and autoimmune diabetes mellitus; neurodegenerative disorders such as Alzheimer's disease, AIDS-related dementia, Parkinson's disease, amyotrophic lateral sclerosis, retinitis pigmentosa, spinal muscular atrophy, and cerebellar degeneration; AIDS; myelodysplastic syndromes; aplastic anemia; ischemic injury associated myocardial infarctions; stroke and reperfusion injury; restenosis; arrhythmia; atherosclerosis; toxin-induced or alcohol induced liver diseases; hematological diseases such as chronic anemia and aplastic anemia; degenerative diseases of the musculoskeletal system such as osteoporosis and arthritis; aspirin-sensitive rhinosinusitis; cystic fibrosis; multiple sclerosis; kidney diseases; and pain, particularly cancer pain.
- The effective amount of a compound represented by formulae I and II may be determined by one of ordinary skill in the art. Exemplary dosage amounts may be found in U.S. patent application Ser. No. 10/055,653, filed Jan. 23, 2002, incorporated herein by reference. Alternatively, for a human of from about 0.05 mg/kg/day to about 200 mg/kg/day, compounds of formula I and II may be administered in a single dose or in the form of individual divided doses, such as from 1 to about 4 times per day. For example, the compounds used in the present invention may be administered in a dosage of less than about 100 mg/kg/day, in a single dose or in about 2 to about 4 divided doses. It will be understood that the specific dose level and frequency of dosage for any particular subject may be varied and will depend upon a variety of factors including the activity of the specific compound employed, the metabolic stability and length of action of that compound, the species, age, body weight, general health, sex, and diet of the subject, the mode and time of administration, rate of excretion, drug combination, and severity of the particular condition. Subjects for treatment include animals, including species such as humans, and domestic animals such as dogs, cats and the like, subject to the aforementioned disorders.
- The compounds represented by formulae I and II present challenges from the viewpoint of pharmaceutical compounding for administration to patients for a number of reasons. For example, compounds of formula I and II present a number of solubility and stability issues, e.g., they possess low solubility and can degrade when in contact with aqueous media and/or when exposed to light. Of particular concern with the present invention, compounds of formulae I and II can degrade when exposed to low pH, e.g., certain compounds of formula I presumably are susceptible to acid-catalyzed hydrolysis. For example, the time for 5% drug loss (t95) at 25° C. for an aqueous solution of compound II is approximately 2 h at pH 7, but less than 0.2 h at pH 2.5.
- This pH sensitivity presents drawbacks in that a number of readily-available, commonly-used, and cost-effective infusion fluids (such as saline and dextrose) exhibit low pH. In particular, the infusion fluids (or diluents) comprising 0.9% Sodium Chloride Injection (USP) have a relatively low pH ranging from a pH of 4.5 to 7.0, and diluents comprising 5% Dextrose Injection (USP) have a pH of 3.5 to 6.5, and therefore, may lead to instability of the epothilone formulations.
- One alternative to address these drawbacks relating to the pH sensitivity of the epothilones and analogs thereof, is to use an alternative diluent, having a higher pH. For example, U.S. patent application Ser. No. 10/055,653, filed Jan. 23, 2002, states that because of its narrow pH range, Lactated Ringer's Injection (LRI) is preferred as a diluent in that formulation. Per 100 mL, Lactated Ringer's Injection contains Sodium Chloride USP 0.6 g, Sodium Lactate 0.31 g, Potassium chloride USP 0.03 g and Calcium Chloride.2H2O USP 0.02 g. The osmolarity is 275 mOsmol/L, which is very close to isotonicity, and it has a pH of 6.0 to 7.5. However, LRI may not be as widely-available as saline or dextrose infusion fluids, and it is more expensive. If the pH drawbacks associated with saline and dextrose could be overcome, these infusion fluids would be advantageous, as they are readily available world-wide, are commonly-used, and are less expensive than some other infusion fluids, such as LRI.
- Applicants have found a novel process and preparation that enables use of such infusion fluids having low pH, wherein the epothilones and analogs thereof have enhanced stability as compared with previous formulations including the use of such infusion fluids. According to one aspect of the invention, the epothilone, or analog thereof, is dissolved in a first, solution vehicle to provide an epothilone solution, wherein the solution vehicle includes (in addition to solvent) at least one buffer and at least one pH-adjusting ingredient, e.g., a base, and then the epothilone solution is mixed with an infusion fluid to provide a formulation for administration. The selection and concentration of the buffer is determined as a function of the dose of epothilone, or analog thereof. The solution vehicle is advantageously prepared to achieve a pH for the epothilone solution whereby, when the epothilone solution is mixed with the infusion fluid, the pH of the formulation for administration is approximately equal to the pH of maximum stability of the epothilone, or analog thereof.
- For example, in the embodiment involving use of the epothilone analog of formula II, the pH of maximum stability is about 7.0. A preferred dose of this epothilone analog when diluted in the infusion fluid is approximately in the range of about 0.05 to about 1.0 mg/mL, more preferably in the range of about 0.1 to about 0.8 mg/mL, and most preferably in the range of about 0.2 to about 0.6 mg/mL. The inventors herein have determined that for this epothilone analog and preferred dose, an advantageous buffer is sodium lactate, and a preferred concentration of this buffer in the formulation for administration is in the range of about 3 to about 30 mg/mL, more preferably in the range of about 10 to about 20 mg/mL, even more preferably at a concentration of about 15 mg/mL. To achieve this concentration of buffer in the formulation for administration, an advantageous concentration of sodium lactate solution (60% sodium lactate) buffer in the solution is about 20 to 30 mg/mL, more preferably about 25 mg/mL. Using this concentration of buffer, the solution vehicle is then preferably prepared (e.g., using the type and amount of base selected for this objective) to achieve a pH in the range of about 6 to about 9, more preferably in the range 8.0 to 8.8, even more preferably in the range 8.2 to 8.6, and most preferably at 8.4±0.1. To achieve this pH, for example, using 1N or 2N Sodium Hydroxide Solution, the final concentration of sodium hydroxide in the solution vehicle advantageously ranges from about 0.01 mg/mL to about 1 mg/mL. When the solution vehicle containing dissolved epothilone, having the desired pH for said solution vehicle, is then mixed with the infusion fluid, e.g., wherein the infusion fluid advantageously includes saline or dextrose, the pH of the formulation for administration is advantageously in the range of 6.0 to 10.0, more preferably in the range 7.0 to 9.0.
- According to the invention, the pH of the solution vehicle can be adjusted (e.g., by choice and concentration of buffer and base) to control the pH of the formulation for administration, depending upon the selection and dose of the particular epothilone or analog thereof, the choice and concentration of buffer, and the composition or components of the infusion fluid. Applying these concepts, the invention may be carried out in a number of ways. For example, the solution vehicle may be prepared by mixing sodium lactate with an anhydrous alcohol, such as Dehydrated Alcohol followed by the addition of sodium hydroxide (1N or 2N solution) and Cremophor EL® surfactant. Alternatively, the solution vehicle can be prepared by mixing sodium lactate with an anhydrous alcohol, such as Dehydrated Alcohol and Cremophor EL surfactant followed by the addition of sufficient sodium hydroxide solution (2N).
- As may be appreciated from the foregoing, the inventors herein have discovered a preparation including use of a buffer and base, wherein when the preparation is added to the epothilone, or analog thereof, dissolved in solution, the pH of the subsequent formulation for administration, i.e., prepared upon addition of the infusion fluid, can be controlled in the range of 6.0 to 10, for example, 6.5 to 7.5. In other words, with the inventive preparation, the pH differential between the infusion fluid pH, and the pH of maximum stability for the compound being administered, can be reduced. The ability to control the formulation pH thus provides for a formulation for administration wherein the epothilones or analogs thereof have enhanced stability and thus, increased potency, as compared with the same formulation without buffer and base included.
- To illustrate the surprising advantages of the invention, a formulation including the compound of formula II was diluted in a 0.9% Sodium Chloride Injection infusion fluid to a concentration of 0.2 mg/mL, without buffer and base. Over a six hour hold time, this formulation demonstrated a loss of potency (degradation in active compound) of about 6%. However, when the present invention was applied with the same formulation but including the use of buffer and base, the loss of potency (degradation of active compound) over the six hour hold time was about 3.6%, representing an approximately 40% enhancement in stability. As a further illustration, a formulation including the compound of formula II was diluted in a 5% dextrose injection fluid to a concentration of 0.2 mg/mL, without buffer and base. Over a six hour hold time, this formulation demonstrated a loss of potency (degradation in active compound) of about 13%. However, when the present invention was applied with the same formulation but including the use of buffer and base, the loss of potency (degradation of active compound) over the six hour hold time was about 4%, representing an enhancement of stability of greater than 65%.
- In preparing the solution vehicle, the preferred buffer is sodium lactate, more preferably 60% Sodium Lactate, USP, and a preferred base is sodium hydroxide, more preferably added to the solution as 1N or 2N sodium hydroxide solutions. However, other buffers and bases may be used as determined by one skilled in the field. Exemplary buffers that may be used include, but are not limited to sodium phosphate, sodium citrate, L-lysine, L-histidine, L-alanine, and tris-hydroxymethyl aminomethane. Exemplary bases include, but are not limited to platinum oxide (PtO2), potassium hydroxide (KOH), sodium hydroxide (NaOH), lithium hydroxide (LiOH), potassium carbonate (K2CO3), sodium bicarbonate (NaHCO3), magnesium hydroxide (Mg(OH)2), and Calcium Hydroxide (Ca(OH)2).
- Additionally, the solution vehicle used to dissolve the epothilones, or analogs thereof, in addition to buffer and base, will naturally include one or more solvents and advantageously one or more surfactants. One skilled in the field can select appropriate solvents and surfactants for use with the invention. For example, various solvents and surfactants are described in U.S. patent application Ser. Nos. 10/051,727 filed Jan. 17, 2002, Ser. No. 10/055,653, filed Jan. 23, 2002, and Ser. No. 10/404,324, filed Apr. 1, 2003, each of which is assigned to the present assignee and incorporated herein by reference in its entirety. A preferred solvent for the solution vehicle is a Dehydrated Alcohol USP, and a preferred surfactant is a nonionic surfactant, such as a polyethoxylated castor oil surfactant. More preferably the solvent/surfactant system includes Ethanol and Cremophor EL® surfactant (available from GAF Corp., Mount Olive, N.J., under the tradename Cremophor EL), more preferably in 1:1 amounts thereof.
- Advantageously, the epothilones or analogs thereof are lyophilized prior to being dissolved in the solution vehicle. In this embodiment, the solution vehicle may be considered a reconstitution vehicle for reconstituting the lyophilized epothilones into a liquid form. Techniques and processes for lyophilization are set forth in U.S. patent application Ser. Nos. 10/051,727 and 10/055,653, incorporated herein and further referenced above. More particularly, in one embodiment, the epothilones or analogs thereof can be first placed into a solution involving a mixture of tertiary-butanol and water for injection and then lyophilized from this solution. This mixture is preferably about 50% v/v, for example, from about 50% to about 80% v/v tertiary butanol to reduce degradation of the subject epothilones and analogs thereof. Due to poor wetting characteristics of the subject epothilones and analogs thereof, the initial solution may be prepared using, initially, a greater concentration of alcohol to water, for example, a mixture of about 60% v/v, or from about 60% to about 95% v/v, tertiary butanol and water. Once the solution is made, the requisite amount of water or tertiary-butanol-water mixture can be added to achieve the desired final concentration for lyophilization as stated above.
- Advantageously, as previously described in the above-cited U.S. patent applications, the solution for lyophilization is prepared at a temperature below ambient temperature, for example, from about 5° C. to about 15° C., or at 5° C., to minimize degradation of the subject epothilone analogs. Both the process of forming the solution and subsequent lyophilization advantageously can be carried out in vessels such that the epothilones or analogs thereof are protected from exposure to light. It is also beneficial to perform the lyophilization in comparatively small batches so that the epothilones or analogs thereof are exposed to an aqueous medium for a minimum amount of time.
- The lyophilization preferably is performed in two stages, wherein the primary drying stage of lyophilization of the solution formed as described above is carried out at temperatures from about −10° C. to about −40° C., for example, about −25° C., under high vacuum, i.e., from about 50 millitorr to about 300 millitorr, for example, about 200 millitorr, for an extended period, i.e., from about 24 hours to about 100 hours, for example, about 48 hours. Lyophilization in this temperature range produces an amorphous product which is desirable for an intravenous preparation. Those of ordinary skill in the art will appreciate that conventional procedures, such as powder X-ray diffraction, can be utilized to confirm the amorphous nature of the lyophilized product.
- A secondary drying stage preferably is carried out to remove residual solvents. This secondary drying stage is preferably carried out at temperatures of from about 10° C. to about 30° C., for example, about 25° C., under high vacuum, i.e., from about 50 millitorr to about 300 millitorr, for example, about 150 millitorr for an extended period, i.e., from about 24 hours to about 96 hours, for example, about 48 hours.
- In performing the lyophilization, in a preferred embodiment, excipients commonly utilized for such purposes, such as lactose, mannitol, dextran, and the like, are not included. Certain of these excipients may have a negative effect on the stability of the lyophilized product (lyophile). Hence, the epothilone analogs formulated in accordance with the present invention preferably are lyophilized neat, i.e., without any excipient. However, it is contemplated that the invention herein may be carried out with use of such excipients which will be known to one skilled in the field.
- During the lyophilization process, applicants discovered that the successful drying of the product can be achieved by carefully controlling shelf fluid temperature and chamber pressure. Due to the high vapor pressure of tertiary butyl alcohol, the high vacuum conditions that exist during lyophilization can cause portions of the dry cake to break off and be carried out of the vial. It was found that this loss of product from the vial can be prevented by controlling the rate of sublimation. By carefully controlling shelf fluid temperature and chamber pressure, the rate of sublimation can be reduced so that loss of product is prevented. During the primary drying phase of the lyophilization cycle, chamber pressure is advantageously controlled in the range of about 200 to about 300 microns, more preferably in the range of about 225 to about 275 microns, and most preferably at about 250 microns, and shelf fluid temperature is advantageously controlled in the range of about −35° C. to about −25° C., more preferably in the range of about −32° C. to about −28° C., and most preferably at about −30° C. Under these conditions, the rate of sublimation is reduced and loss of product is reduced or does not occur.
- According to one embodiment of the invention, it is contemplated that the epothilones or analogs thereof and the solution vehicle (or reconstitution vehicle, in the case of lyophilized compound) are each contained in separate vials and sold as a two-vial kit. Advantageously, these vials are light-protected. The infusion fluids or diluents are generally available in clinical facilities and may or may not be sold in the kit. It is, however, within the scope of the present invention to package the subject epothilones or analogs with a third vial containing sufficient infusion fluid or diluent to prepare the final concentration for administration.
- Varying potencies (such as 0.5 to 100 mg/vial) of the lyophilized epothilones or analogs thereof, maybe packaged in vials. For example, vials containing 15 mg/vial, 20 mg/vial, or 30 mg/vial of an epothilone analog of formula I or II may be produced. When the solution or reconstitution vehicle is sold in a kit with at least one vial of epothilone or analog thereof, sufficient amount of the reconstitution vehicle may be provided to form a solution having a concentration of about 1 mg/mL to about 10 mg/mL of the epothilone or analog thereof, more preferably a concentration of about 1 mg/mL to 4 mg/mL. For example, vials containing the reconstitution vehicle may be provided with varying amounts of reconstitution vehicle, such as 5.5 mL/vial, 8 mL/vial or 16.5 mL/vial. The lyophilized compound is dissolved in the reconstitution vehicle, and then the resulting solution is further diluted in a suitable infusion fluid (or diluent) prior to injection into a patient. Such infusion fluids or diluents are well known to those of ordinary skill in the art. Upon addition of the diluent, the final concentration for administration could, for example, contain from about 0.1 mg/mL to about 0.9 mg/mL, such as from about 0.2 mg/mL to about 0.6 mg/mL, of the epothilones or analogs thereof, of formula I or II. This formulation has a pH of from about 6 to about 10 and exhibits significantly diminished acid-induced hydrolysis of the epoxide ring.
- [1S-[1R*,3R*(E),7R*,10S*,11R*,12R*,16S*]]-7,11-Dihydroxy-8,8,10,12,16-pentamethyl-3-[1-methyl-2-(2-methyl-4-thiazolyl)ethenyl]-4-aza-17-oxabicyclo[14.1.0]heptadecane-5,9-dione, 4.04 g, was wetted/partially dissolved with 500 mL of a 4:1 mixture of tertiary butanol and Water for Injection USP which had been pre-cooled to 5° C. Once the drug powder had become completely wetted, dissolution was completed by the addition of 300 mL Water for Injection, thereby making the final solution a 1:1 mixture. The dissolution was carried out under protection from light.
- The solution formed above was promptly lyophilized in a Virtis GENESIS lyophilizer at −30° C. under light protected conditions over a period of about 100 hours. The resultant lyophilized product (lyophile) was then further dried at 25° C. under high vacuum for about 35 hours. No detectable degradation of the drug was observed during these procedures. The lyophile was packaged under sterile conditions into 15 mL vials, each containing 20 mg of drug and standard excess to allow for vial/needle/syringe loss.
- The epothilone lyophile was reconstituted in reconstitution vehicle. The reconstitution vehicle was prepared with Dehydrated Alcohol USP, nonionic surfactant such as a polyethoxylated castor oil surfactant (available from GAF Corp., Mount Olive, N.J., under the tradename Cremophor EL), Sodium Lactate Solution, USP and Sodium Hydroxide Solution (such as a 1N or 2N Sodium Hydroxide solution). Sufficient amount of the reconstitution vehicle was provided to form a solution having a concentration of about 1 mg/mL to about 10 mg/mL of the epothilone analog. The reconstituted epothilone was further diluted in 0.9% Sodium Chloride Injection or 5% Dextrose Injection to a final concentration of about 0.2 mg/mL to about 0.6 mg/mL.
- The reconstitution vehicle was prepared as follows. The total amount of Dehydrated Alcohol required for the batch was calculated, and then 90% of the total required amount of Dehydrated Alcohol was added to a batch tank. With constant stirring, sufficient Sodium Lactate Solution (USP) was added so that the concentration of sodium lactate in the final formulation would be approximately 15 mg/mL. Next, cleaned Cremophor EL surfactant was added and the batch was mixed for a minimum of 30 minutes. Sodium Hydroxide Solution (2N) was then added to adjust batch pH to 8.2 to 8.6. Then the remaining amount of Dehydrated Alcohol was added and mixed for a minimum of 30 minutes. The solution was then aseptically filtered through a 0.22 μm membrane filter into a sterilized container. The solution was next filled into sterilized vials. Finally, these vials containing the reconstitution vehicle were fitted aseptically with stoppers and then sealed.
- Example of the quantitative composition of the reconstitution vehicle are shown in Table 1 below.
TABLE 1 Quantitative Composition of the Reconstitution Vehicle Ingredients Amount per 100 mL Cremophor E1 surfactant, Cleaned 49.0 mL Dehydrated Alcohol, USP 49.0 mL Sodium Lactate Solution, USP 1.91 mL 2N Sodium Hydroxide Solution Qs to pH 8.4
Claims (39)
Priority Applications (2)
| Application Number | Priority Date | Filing Date | Title |
|---|---|---|---|
| US10/979,958 US20050171167A1 (en) | 2003-11-04 | 2004-11-03 | Process and formulation containing epothilones and analogs thereof |
| US12/557,822 US8871227B2 (en) | 2003-11-04 | 2009-09-11 | Process and formulation containing epothilones and analogs thereof |
Applications Claiming Priority (2)
| Application Number | Priority Date | Filing Date | Title |
|---|---|---|---|
| US51702003P | 2003-11-04 | 2003-11-04 | |
| US10/979,958 US20050171167A1 (en) | 2003-11-04 | 2004-11-03 | Process and formulation containing epothilones and analogs thereof |
Related Child Applications (1)
| Application Number | Title | Priority Date | Filing Date |
|---|---|---|---|
| US12/557,822 Continuation US8871227B2 (en) | 2003-11-04 | 2009-09-11 | Process and formulation containing epothilones and analogs thereof |
Publications (1)
| Publication Number | Publication Date |
|---|---|
| US20050171167A1 true US20050171167A1 (en) | 2005-08-04 |
Family
ID=34572906
Family Applications (2)
| Application Number | Title | Priority Date | Filing Date |
|---|---|---|---|
| US10/979,958 Abandoned US20050171167A1 (en) | 2003-11-04 | 2004-11-03 | Process and formulation containing epothilones and analogs thereof |
| US12/557,822 Expired - Lifetime US8871227B2 (en) | 2003-11-04 | 2009-09-11 | Process and formulation containing epothilones and analogs thereof |
Family Applications After (1)
| Application Number | Title | Priority Date | Filing Date |
|---|---|---|---|
| US12/557,822 Expired - Lifetime US8871227B2 (en) | 2003-11-04 | 2009-09-11 | Process and formulation containing epothilones and analogs thereof |
Country Status (3)
| Country | Link |
|---|---|
| US (2) | US20050171167A1 (en) |
| EP (1) | EP1682128A2 (en) |
| WO (1) | WO2005044198A2 (en) |
Cited By (3)
| Publication number | Priority date | Publication date | Assignee | Title |
|---|---|---|---|---|
| US20060134214A1 (en) * | 2004-11-18 | 2006-06-22 | Ismat Ullah | Enteric coated bead comprising epothilone or epothilone analog, and preparation and administration thereof |
| US20060153917A1 (en) * | 2004-11-18 | 2006-07-13 | Ismat Ullah | Enteric coated bead comprising ixabepilone, and preparation and administration thereof |
| US20090004277A1 (en) * | 2004-05-18 | 2009-01-01 | Franchini Miriam K | Nanoparticle dispersion containing lactam compound |
Families Citing this family (1)
| Publication number | Priority date | Publication date | Assignee | Title |
|---|---|---|---|---|
| EP2210584A1 (en) | 2009-01-27 | 2010-07-28 | Bayer Schering Pharma Aktiengesellschaft | Stable polymeric composition comprising an epothilone and an amphiphilic block copolymer |
Citations (45)
| Publication number | Priority date | Publication date | Assignee | Title |
|---|---|---|---|---|
| US6291684B1 (en) * | 1999-03-29 | 2001-09-18 | Bristol-Myers Squibb Company | Process for the preparation of aziridinyl epothilones from oxiranyl epothilones |
| US6294374B1 (en) * | 1999-10-08 | 2001-09-25 | The Scripps Research Institute | Use of catalytic antibodies for synthesizing epothilone |
| US6302838B1 (en) * | 1998-02-25 | 2001-10-16 | Novartis Ag | Cancer treatment with epothilones |
| US6303342B1 (en) * | 1998-11-20 | 2001-10-16 | Kason Biosciences, Inc. | Recombinant methods and materials for producing epothilones C and D |
| US20010034452A1 (en) * | 1995-11-17 | 2001-10-25 | Gerhard Hoefle | Epothilons C and D, preparation and compositions |
| US6309881B2 (en) * | 1999-10-08 | 2001-10-30 | The Scripps Research Institute | Antibody catalysis of enantio- and diastereo-selective aldol reactions |
| US6320045B1 (en) * | 1997-12-04 | 2001-11-20 | Bristol-Myers Squibb Company | Process for the reduction of oxiranyl epothilones to olefinic epothilones |
| US6365749B1 (en) * | 1997-12-04 | 2002-04-02 | Bristol-Myers Squibb Company | Process for the preparation of ring-opened epothilone intermediates which are useful for the preparation of epothilone analogs |
| US6380394B1 (en) * | 1996-12-13 | 2002-04-30 | The Scripps Research Institute | Epothilone analogs |
| US6380395B1 (en) * | 1998-04-21 | 2002-04-30 | Bristol-Myers Squibb Company | 12, 13-cyclopropane epothilone derivatives |
| US6387927B1 (en) * | 1998-12-22 | 2002-05-14 | Novatis Ag | Epothilone derivatives and their use as antitumor agents |
| US6391832B2 (en) * | 1997-09-23 | 2002-05-21 | Scimed Life Systems, Inc. | Medical emulsion for lubrication and delivery of drugs |
| US6410301B1 (en) * | 1998-11-20 | 2002-06-25 | Kosan Biosciences, Inc. | Myxococcus host cells for the production of epothilones |
| US6441186B1 (en) * | 1996-12-13 | 2002-08-27 | The Scripps Research Institute | Epothilone analogs |
| US20020137152A1 (en) * | 2000-07-25 | 2002-09-26 | Daniel Santi | Fermentation process for epothilones |
| US20020143038A1 (en) * | 2001-01-25 | 2002-10-03 | Rebanta Bandyopadhyay | Parenteral formulation for epothilone analogs |
| US6489314B1 (en) * | 2001-04-03 | 2002-12-03 | Kosan Biosciences, Inc. | Epothilone derivatives and methods for making and using the same |
| US20030019877A1 (en) * | 2001-07-25 | 2003-01-30 | Dionisio Scarabelli | Hermetically sealable container with internal partial vacuum making facilities |
| US6518421B1 (en) * | 2000-03-20 | 2003-02-11 | Bristol-Myers Squibb Company | Process for the preparation of epothilone analogs |
| US20030045711A1 (en) * | 2001-02-13 | 2003-03-06 | Gary Ashley | Epothilone derivatives and methods for making and using the same |
| US20030073677A1 (en) * | 2001-03-14 | 2003-04-17 | Lee Francis Y.F. | Combination of epothilone analogs and chemotherapeutic agents for the treatment of proliferative diseases |
| US20030092478A1 (en) * | 2001-11-09 | 2003-05-15 | Weil Allan L. | Prepaid account card lottery system and method |
| US6576651B2 (en) * | 2001-01-25 | 2003-06-10 | Bristol-Myers Squibb Company | Pharmaceutical compositions, dosage forms and methods for oral administration of epothilones |
| US6589968B2 (en) * | 2001-02-13 | 2003-07-08 | Kosan Biosciences, Inc. | Epothilone compounds and methods for making and using the same |
| US6593115B2 (en) * | 2000-03-24 | 2003-07-15 | Bristol-Myers Squibb Co. | Preparation of epothilone intermediates |
| US6605599B1 (en) * | 1997-07-08 | 2003-08-12 | Bristol-Myers Squibb Company | Epothilone derivatives |
| US6624310B1 (en) * | 1998-06-18 | 2003-09-23 | Gesellschaft Fuer Biotechnologische Forschung, Mbh (Gbf) | Epothilone minor constituents |
| US20030187039A1 (en) * | 2002-02-15 | 2003-10-02 | Denis Favreau | Method of preparation of 21-amino epothilone derivatives |
| US20030203876A1 (en) * | 1998-02-05 | 2003-10-30 | Hoogevest Peter Van | Organic compounds |
| US20030220378A1 (en) * | 2002-04-04 | 2003-11-27 | Lee Francis Y. F. | Oral administration of epothilones |
| US6660758B1 (en) * | 1996-12-13 | 2003-12-09 | The Scripps Research Institute | Epothilone analogs |
| US6670384B2 (en) * | 2001-01-25 | 2003-12-30 | Bristol-Myers Squibb Company | Methods of administering epothilone analogs for the treatment of cancer |
| US20040014982A1 (en) * | 2000-09-22 | 2004-01-22 | Gerhard Hoefle | Triazolo-epothilones |
| US6683100B2 (en) * | 1999-01-19 | 2004-01-27 | Novartis Ag | Organic compounds |
| US6686380B2 (en) * | 2001-02-20 | 2004-02-03 | Bristol-Myers Squibb Company | Treatment of refractory tumors using epothilone derivatives |
| US20040024032A1 (en) * | 2002-06-14 | 2004-02-05 | Maurizio Voi | Combination of epothilone analogs and chemotherapeutic agents for the treatment of proliferative diseases |
| US6689802B2 (en) * | 2000-08-16 | 2004-02-10 | Bristol-Myers Squibb Company | Polymorphs of an epothilone analog |
| US20040053978A1 (en) * | 2002-05-15 | 2004-03-18 | Lee Francis Y. F. | Pharmaceutical compositions and methods of using C-21 modified epothilone derivatives |
| US20040072882A1 (en) * | 2002-05-20 | 2004-04-15 | Kosan Biosciences, Inc., A Delaware Corporation | Methods to administer epothilone D |
| US6727276B2 (en) * | 2001-02-20 | 2004-04-27 | Bristol-Myers Squibb Company | Epothilone derivatives for the treatment of refractory tumors |
| US20040132754A1 (en) * | 2001-02-27 | 2004-07-08 | Ralf Brandt | Combination comprising a signal transduction inhibitor and an epothilone derivative |
| US20040132146A1 (en) * | 2002-09-23 | 2004-07-08 | Daniel Benigni | Methods for the preparation, isolation and purification of epothilone B, and x-ray crystal structures of epothilone B |
| US6780620B1 (en) * | 1998-12-23 | 2004-08-24 | Bristol-Myers Squibb Company | Microbial transformation method for the preparation of an epothilone |
| US6800653B2 (en) * | 2001-06-01 | 2004-10-05 | Bristol-Myers Squibb Compnay | Epothilone derivatives |
| US20040235796A1 (en) * | 2001-07-19 | 2004-11-25 | Chen Tianling | Combinations comprising epothilones and pharmaceutical uses thereof |
Family Cites Families (9)
| Publication number | Priority date | Publication date | Assignee | Title |
|---|---|---|---|---|
| DE4138042C2 (en) | 1991-11-19 | 1993-10-14 | Biotechnolog Forschung Gmbh | Epothilones, their production processes and agents containing these compounds |
| DK0941227T5 (en) | 1996-11-18 | 2009-10-05 | Biotechnolog Forschung Gmbh | Epothilone D, its preparation and its use as a cytostatic agent and as a plant protection agent |
| SK15602000A3 (en) * | 1998-04-16 | 2001-03-12 | Texas Biotechnology Corporation | Compounds that inhibit the binding of integrins to their receptors |
| KR100685336B1 (en) * | 1999-02-22 | 2007-02-23 | 게젤샤프트 퓌어 비오테크놀로기쉐 포르슝 엠베하(게베에프) | C-21 modified epothilone |
| US6495534B2 (en) * | 2000-05-15 | 2002-12-17 | Pharmacia & Upjohn Spa | Stabilized aqueous suspensions for parenteral use |
| EP2070534A3 (en) | 2001-08-23 | 2009-08-26 | Novartis Ag | Cyclopropyl and cyclobutyl epothilone analogs |
| TWI287986B (en) | 2001-12-13 | 2007-10-11 | Novartis Ag | Use of Epothilones for the treatment of the carcinoid syndrome |
| IL162595A0 (en) | 2002-01-14 | 2005-11-20 | Novartis Ag | Combinations comprising epothilones and antimetabolites |
| WO2004043390A2 (en) * | 2002-11-08 | 2004-05-27 | Bristol-Myers Squibb Company | Pharmaceutical compositions and methods of using taxane derivatives |
-
2004
- 2004-11-03 US US10/979,958 patent/US20050171167A1/en not_active Abandoned
- 2004-11-04 EP EP04810277A patent/EP1682128A2/en not_active Withdrawn
- 2004-11-04 WO PCT/US2004/036645 patent/WO2005044198A2/en not_active Ceased
-
2009
- 2009-09-11 US US12/557,822 patent/US8871227B2/en not_active Expired - Lifetime
Patent Citations (57)
| Publication number | Priority date | Publication date | Assignee | Title |
|---|---|---|---|---|
| US6613912B2 (en) * | 1995-11-17 | 2003-09-02 | Gesellschaft Fur Biotechnologische Forschung Mbh (Gbf) | Epothilons C and D, preparation and compositions |
| US20010034452A1 (en) * | 1995-11-17 | 2001-10-25 | Gerhard Hoefle | Epothilons C and D, preparation and compositions |
| US6660758B1 (en) * | 1996-12-13 | 2003-12-09 | The Scripps Research Institute | Epothilone analogs |
| US20040127432A1 (en) * | 1996-12-13 | 2004-07-01 | The Scripps Research Institute | Epothilone analogs |
| US6441186B1 (en) * | 1996-12-13 | 2002-08-27 | The Scripps Research Institute | Epothilone analogs |
| US6380394B1 (en) * | 1996-12-13 | 2002-04-30 | The Scripps Research Institute | Epothilone analogs |
| US6605599B1 (en) * | 1997-07-08 | 2003-08-12 | Bristol-Myers Squibb Company | Epothilone derivatives |
| US20030220295A1 (en) * | 1997-07-08 | 2003-11-27 | Vite Gregory D. | Epothilone derivatives |
| US6391832B2 (en) * | 1997-09-23 | 2002-05-21 | Scimed Life Systems, Inc. | Medical emulsion for lubrication and delivery of drugs |
| US6320045B1 (en) * | 1997-12-04 | 2001-11-20 | Bristol-Myers Squibb Company | Process for the reduction of oxiranyl epothilones to olefinic epothilones |
| US6365749B1 (en) * | 1997-12-04 | 2002-04-02 | Bristol-Myers Squibb Company | Process for the preparation of ring-opened epothilone intermediates which are useful for the preparation of epothilone analogs |
| US20030203876A1 (en) * | 1998-02-05 | 2003-10-30 | Hoogevest Peter Van | Organic compounds |
| US6302838B1 (en) * | 1998-02-25 | 2001-10-16 | Novartis Ag | Cancer treatment with epothilones |
| US6380395B1 (en) * | 1998-04-21 | 2002-04-30 | Bristol-Myers Squibb Company | 12, 13-cyclopropane epothilone derivatives |
| US20040049051A1 (en) * | 1998-06-18 | 2004-03-11 | Gesellschaft Fuer Biotechnologische Forschung, Mbh (Gbf) | Epothilone side components |
| US6624310B1 (en) * | 1998-06-18 | 2003-09-23 | Gesellschaft Fuer Biotechnologische Forschung, Mbh (Gbf) | Epothilone minor constituents |
| US6531497B1 (en) * | 1998-06-22 | 2003-03-11 | The Scripps Research Institute | Epothilone derivatives and their synthesis and use |
| US20030203938A1 (en) * | 1998-06-22 | 2003-10-30 | The Scripps Research Institute | Epothilone derivatives and their synthesis and use |
| US20040253697A1 (en) * | 1998-11-20 | 2004-12-16 | Bryan Julien | Recombinant methods and materials for producing epothilone and epothilone derivatives |
| US6303342B1 (en) * | 1998-11-20 | 2001-10-16 | Kason Biosciences, Inc. | Recombinant methods and materials for producing epothilones C and D |
| US6410301B1 (en) * | 1998-11-20 | 2002-06-25 | Kosan Biosciences, Inc. | Myxococcus host cells for the production of epothilones |
| US6583290B1 (en) * | 1998-11-20 | 2003-06-24 | Kosam Biosciences, Inc. | 14-methyl epothilone derivatives |
| US6387927B1 (en) * | 1998-12-22 | 2002-05-14 | Novatis Ag | Epothilone derivatives and their use as antitumor agents |
| US6780620B1 (en) * | 1998-12-23 | 2004-08-24 | Bristol-Myers Squibb Company | Microbial transformation method for the preparation of an epothilone |
| US6683100B2 (en) * | 1999-01-19 | 2004-01-27 | Novartis Ag | Organic compounds |
| US6291684B1 (en) * | 1999-03-29 | 2001-09-18 | Bristol-Myers Squibb Company | Process for the preparation of aziridinyl epothilones from oxiranyl epothilones |
| US6309881B2 (en) * | 1999-10-08 | 2001-10-30 | The Scripps Research Institute | Antibody catalysis of enantio- and diastereo-selective aldol reactions |
| US6294374B1 (en) * | 1999-10-08 | 2001-09-25 | The Scripps Research Institute | Use of catalytic antibodies for synthesizing epothilone |
| US6518421B1 (en) * | 2000-03-20 | 2003-02-11 | Bristol-Myers Squibb Company | Process for the preparation of epothilone analogs |
| US6593115B2 (en) * | 2000-03-24 | 2003-07-15 | Bristol-Myers Squibb Co. | Preparation of epothilone intermediates |
| US20040023345A1 (en) * | 2000-03-24 | 2004-02-05 | Vite Gregory D. | Preparation of epothilone intermediates |
| US20020137152A1 (en) * | 2000-07-25 | 2002-09-26 | Daniel Santi | Fermentation process for epothilones |
| US20040157897A1 (en) * | 2000-08-16 | 2004-08-12 | Dimarco John D. | Polymorphs of an epothilone analog |
| US6689802B2 (en) * | 2000-08-16 | 2004-02-10 | Bristol-Myers Squibb Company | Polymorphs of an epothilone analog |
| US20040014982A1 (en) * | 2000-09-22 | 2004-01-22 | Gerhard Hoefle | Triazolo-epothilones |
| US20060013836A1 (en) * | 2001-01-25 | 2006-01-19 | Rebanta Bandyopadhyay | Parenteral formulation for epothilone analogs |
| US6576651B2 (en) * | 2001-01-25 | 2003-06-10 | Bristol-Myers Squibb Company | Pharmaceutical compositions, dosage forms and methods for oral administration of epothilones |
| US6670384B2 (en) * | 2001-01-25 | 2003-12-30 | Bristol-Myers Squibb Company | Methods of administering epothilone analogs for the treatment of cancer |
| US20020143038A1 (en) * | 2001-01-25 | 2002-10-03 | Rebanta Bandyopadhyay | Parenteral formulation for epothilone analogs |
| US6589968B2 (en) * | 2001-02-13 | 2003-07-08 | Kosan Biosciences, Inc. | Epothilone compounds and methods for making and using the same |
| US20030045711A1 (en) * | 2001-02-13 | 2003-03-06 | Gary Ashley | Epothilone derivatives and methods for making and using the same |
| US6727276B2 (en) * | 2001-02-20 | 2004-04-27 | Bristol-Myers Squibb Company | Epothilone derivatives for the treatment of refractory tumors |
| US6686380B2 (en) * | 2001-02-20 | 2004-02-03 | Bristol-Myers Squibb Company | Treatment of refractory tumors using epothilone derivatives |
| US20040132754A1 (en) * | 2001-02-27 | 2004-07-08 | Ralf Brandt | Combination comprising a signal transduction inhibitor and an epothilone derivative |
| US20030073677A1 (en) * | 2001-03-14 | 2003-04-17 | Lee Francis Y.F. | Combination of epothilone analogs and chemotherapeutic agents for the treatment of proliferative diseases |
| US20040214871A1 (en) * | 2001-03-14 | 2004-10-28 | Lee Francis Y F | Combination of epothilone analogs and chemotherapeutic agents for the treatment of proliferative diseases |
| US6489314B1 (en) * | 2001-04-03 | 2002-12-03 | Kosan Biosciences, Inc. | Epothilone derivatives and methods for making and using the same |
| US6800653B2 (en) * | 2001-06-01 | 2004-10-05 | Bristol-Myers Squibb Compnay | Epothilone derivatives |
| US20040235796A1 (en) * | 2001-07-19 | 2004-11-25 | Chen Tianling | Combinations comprising epothilones and pharmaceutical uses thereof |
| US20030019877A1 (en) * | 2001-07-25 | 2003-01-30 | Dionisio Scarabelli | Hermetically sealable container with internal partial vacuum making facilities |
| US20030092478A1 (en) * | 2001-11-09 | 2003-05-15 | Weil Allan L. | Prepaid account card lottery system and method |
| US20030187039A1 (en) * | 2002-02-15 | 2003-10-02 | Denis Favreau | Method of preparation of 21-amino epothilone derivatives |
| US20030220378A1 (en) * | 2002-04-04 | 2003-11-27 | Lee Francis Y. F. | Oral administration of epothilones |
| US20040053978A1 (en) * | 2002-05-15 | 2004-03-18 | Lee Francis Y. F. | Pharmaceutical compositions and methods of using C-21 modified epothilone derivatives |
| US20040072882A1 (en) * | 2002-05-20 | 2004-04-15 | Kosan Biosciences, Inc., A Delaware Corporation | Methods to administer epothilone D |
| US20040024032A1 (en) * | 2002-06-14 | 2004-02-05 | Maurizio Voi | Combination of epothilone analogs and chemotherapeutic agents for the treatment of proliferative diseases |
| US20040132146A1 (en) * | 2002-09-23 | 2004-07-08 | Daniel Benigni | Methods for the preparation, isolation and purification of epothilone B, and x-ray crystal structures of epothilone B |
Cited By (3)
| Publication number | Priority date | Publication date | Assignee | Title |
|---|---|---|---|---|
| US20090004277A1 (en) * | 2004-05-18 | 2009-01-01 | Franchini Miriam K | Nanoparticle dispersion containing lactam compound |
| US20060134214A1 (en) * | 2004-11-18 | 2006-06-22 | Ismat Ullah | Enteric coated bead comprising epothilone or epothilone analog, and preparation and administration thereof |
| US20060153917A1 (en) * | 2004-11-18 | 2006-07-13 | Ismat Ullah | Enteric coated bead comprising ixabepilone, and preparation and administration thereof |
Also Published As
| Publication number | Publication date |
|---|---|
| US8871227B2 (en) | 2014-10-28 |
| WO2005044198A2 (en) | 2005-05-19 |
| WO2005044198A3 (en) | 2005-07-28 |
| EP1682128A2 (en) | 2006-07-26 |
| US20100016385A1 (en) | 2010-01-21 |
Similar Documents
| Publication | Publication Date | Title |
|---|---|---|
| US7022330B2 (en) | Parenteral formulation for epothilone analogs | |
| EP1938821B1 (en) | Dosage forms of an epothilone analogue for the treatment of cancer | |
| US7053069B2 (en) | Pharmaceutical compositions and methods of using C-21 modified epothilone derivatives | |
| US8871227B2 (en) | Process and formulation containing epothilones and analogs thereof | |
| CA2434526C (en) | Methods of administering epothilone analogs for the treatment of cancer | |
| AU2002245296A1 (en) | Methods of administering epothilone analogs for the treatment of cancer | |
| US20090004277A1 (en) | Nanoparticle dispersion containing lactam compound | |
| AU2002243548A1 (en) | Parenteral formulation containing epothilone analogs | |
| HK1116339B (en) | Methods of administering epothilone analogs for the treatment of cancer |
Legal Events
| Date | Code | Title | Description |
|---|---|---|---|
| AS | Assignment |
Owner name: BRISTOL-MYERS SQUIBB COMPANY, NEW JERSEY Free format text: ASSIGNMENT OF ASSIGNORS INTEREST;ASSIGNORS:HABY, THOMAS A.;GOGATE, UDAY S.;NARINGREKAR, VIJAY H.;REEL/FRAME:016078/0984 Effective date: 20041206 |
|
| STCB | Information on status: application discontinuation |
Free format text: ABANDONED -- FAILURE TO RESPOND TO AN OFFICE ACTION |
|
| AS | Assignment |
Owner name: R-PHARM US OPERATING LLC, NEW JERSEY Free format text: ASSIGNMENT OF ASSIGNORS INTEREST;ASSIGNOR:BRISTOL-MYERS SQUIBB COMPANY;REEL/FRAME:036585/0956 Effective date: 20150701 |
















