US20040266669A1 - Cyclosporin derivatives for the treatment of immune disorders - Google Patents
Cyclosporin derivatives for the treatment of immune disorders Download PDFInfo
- Publication number
- US20040266669A1 US20040266669A1 US10/600,303 US60030303A US2004266669A1 US 20040266669 A1 US20040266669 A1 US 20040266669A1 US 60030303 A US60030303 A US 60030303A US 2004266669 A1 US2004266669 A1 US 2004266669A1
- Authority
- US
- United States
- Prior art keywords
- formula
- compound
- nhc
- alkenyl
- hydrogen
- Prior art date
- Legal status (The legal status is an assumption and is not a legal conclusion. Google has not performed a legal analysis and makes no representation as to the accuracy of the status listed.)
- Abandoned
Links
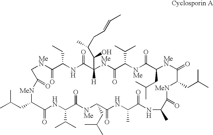
- PMATZTZNYRCHOR-CGLBZJNRSA-N Cyclosporin A Chemical class CC[C@@H]1NC(=O)[C@H]([C@H](O)[C@H](C)C\C=C\C)N(C)C(=O)[C@H](C(C)C)N(C)C(=O)[C@H](CC(C)C)N(C)C(=O)[C@H](CC(C)C)N(C)C(=O)[C@@H](C)NC(=O)[C@H](C)NC(=O)[C@H](CC(C)C)N(C)C(=O)[C@H](C(C)C)NC(=O)[C@H](CC(C)C)N(C)C(=O)CN(C)C1=O PMATZTZNYRCHOR-CGLBZJNRSA-N 0.000 title claims abstract description 44
- 208000026278 immune system disease Diseases 0.000 title claims description 12
- 238000011282 treatment Methods 0.000 title description 19
- 150000001875 compounds Chemical class 0.000 claims abstract description 231
- 238000000034 method Methods 0.000 claims abstract description 44
- 150000003839 salts Chemical class 0.000 claims abstract description 16
- 239000008194 pharmaceutical composition Substances 0.000 claims abstract description 13
- 210000000056 organ Anatomy 0.000 claims abstract description 12
- 238000002054 transplantation Methods 0.000 claims abstract description 10
- 230000008569 process Effects 0.000 claims abstract description 7
- 229940002612 prodrug Drugs 0.000 claims abstract description 7
- 239000000651 prodrug Substances 0.000 claims abstract description 7
- 229910052739 hydrogen Inorganic materials 0.000 claims description 96
- 239000001257 hydrogen Substances 0.000 claims description 92
- UFHFLCQGNIYNRP-UHFFFAOYSA-N Hydrogen Chemical compound [H][H] UFHFLCQGNIYNRP-UHFFFAOYSA-N 0.000 claims description 87
- -1 but not limited to Substances 0.000 claims description 54
- 229910052736 halogen Inorganic materials 0.000 claims description 42
- 150000002367 halogens Chemical group 0.000 claims description 42
- 108010036949 Cyclosporine Proteins 0.000 claims description 31
- 229960001265 ciclosporin Drugs 0.000 claims description 26
- 125000002887 hydroxy group Chemical group [H]O* 0.000 claims description 26
- 229930105110 Cyclosporin A Natural products 0.000 claims description 25
- 125000002496 methyl group Chemical group [H]C([H])([H])* 0.000 claims description 25
- 125000006239 protecting group Chemical group 0.000 claims description 23
- 208000037265 diseases, disorders, signs and symptoms Diseases 0.000 claims description 22
- 201000010099 disease Diseases 0.000 claims description 18
- 125000003118 aryl group Chemical group 0.000 claims description 16
- 125000001072 heteroaryl group Chemical group 0.000 claims description 15
- 125000000592 heterocycloalkyl group Chemical group 0.000 claims description 14
- 125000004435 hydrogen atom Chemical group [H]* 0.000 claims description 13
- 208000006673 asthma Diseases 0.000 claims description 11
- 239000000546 pharmaceutical excipient Substances 0.000 claims description 11
- 239000003153 chemical reaction reagent Substances 0.000 claims description 10
- 125000004169 (C1-C6) alkyl group Chemical group 0.000 claims description 9
- KDLHZDBZIXYQEI-UHFFFAOYSA-N Palladium Chemical compound [Pd] KDLHZDBZIXYQEI-UHFFFAOYSA-N 0.000 claims description 9
- 125000000219 ethylidene group Chemical group [H]C(=[*])C([H])([H])[H] 0.000 claims description 9
- 125000001436 propyl group Chemical group [H]C([*])([H])C([H])([H])C([H])([H])[H] 0.000 claims description 9
- 201000004624 Dermatitis Diseases 0.000 claims description 8
- 239000003937 drug carrier Substances 0.000 claims description 8
- 238000002360 preparation method Methods 0.000 claims description 8
- 125000001495 ethyl group Chemical group [H]C([H])([H])C([H])([H])* 0.000 claims description 7
- 239000003054 catalyst Substances 0.000 claims description 6
- 150000002148 esters Chemical class 0.000 claims description 6
- CZDYPVPMEAXLPK-UHFFFAOYSA-N tetramethylsilane Chemical group C[Si](C)(C)C CZDYPVPMEAXLPK-UHFFFAOYSA-N 0.000 claims description 6
- 208000006545 Chronic Obstructive Pulmonary Disease Diseases 0.000 claims description 5
- 229910052721 tungsten Inorganic materials 0.000 claims description 5
- 125000000882 C2-C6 alkenyl group Chemical group 0.000 claims description 4
- 125000003601 C2-C6 alkynyl group Chemical group 0.000 claims description 4
- YZCKVEUIGOORGS-OUBTZVSYSA-N Deuterium Chemical compound [2H] YZCKVEUIGOORGS-OUBTZVSYSA-N 0.000 claims description 4
- 201000004681 Psoriasis Diseases 0.000 claims description 4
- 206010039085 Rhinitis allergic Diseases 0.000 claims description 4
- 201000010105 allergic rhinitis Diseases 0.000 claims description 4
- 229910052794 bromium Inorganic materials 0.000 claims description 4
- 229910052799 carbon Inorganic materials 0.000 claims description 4
- 125000001559 cyclopropyl group Chemical group [H]C1([H])C([H])([H])C1([H])* 0.000 claims description 4
- 229910052805 deuterium Inorganic materials 0.000 claims description 4
- 125000006575 electron-withdrawing group Chemical group 0.000 claims description 4
- 150000002431 hydrogen Chemical group 0.000 claims description 4
- 230000002757 inflammatory effect Effects 0.000 claims description 4
- 229910052763 palladium Inorganic materials 0.000 claims description 4
- 125000004800 4-bromophenyl group Chemical group [H]C1=C([H])C(*)=C([H])C([H])=C1Br 0.000 claims description 3
- 208000022559 Inflammatory bowel disease Diseases 0.000 claims description 3
- 208000010668 atopic eczema Diseases 0.000 claims description 3
- 206010006451 bronchitis Diseases 0.000 claims description 3
- 230000008030 elimination Effects 0.000 claims description 3
- 238000003379 elimination reaction Methods 0.000 claims description 3
- 238000007248 oxidative elimination reaction Methods 0.000 claims description 3
- 206010039073 rheumatoid arthritis Diseases 0.000 claims description 3
- 125000003107 substituted aryl group Chemical group 0.000 claims description 3
- ITMCEJHCFYSIIV-UHFFFAOYSA-M triflate Chemical compound [O-]S(=O)(=O)C(F)(F)F ITMCEJHCFYSIIV-UHFFFAOYSA-M 0.000 claims description 3
- 206010014561 Emphysema Diseases 0.000 claims description 2
- 239000007818 Grignard reagent Substances 0.000 claims description 2
- 150000001721 carbon Chemical group 0.000 claims description 2
- 150000004795 grignard reagents Chemical class 0.000 claims description 2
- ARNWQMJQALNBBV-UHFFFAOYSA-N lithium carbide Chemical compound [Li+].[Li+].[C-]#[C-] ARNWQMJQALNBBV-UHFFFAOYSA-N 0.000 claims description 2
- VEXZGXHMUGYJMC-UHFFFAOYSA-M Chloride anion Chemical compound [Cl-] VEXZGXHMUGYJMC-UHFFFAOYSA-M 0.000 claims 2
- 239000012359 Methanesulfonyl chloride Substances 0.000 claims 2
- FZFAMSAMCHXGEF-UHFFFAOYSA-N chloro formate Chemical compound ClOC=O FZFAMSAMCHXGEF-UHFFFAOYSA-N 0.000 claims 2
- 239000012039 electrophile Substances 0.000 claims 2
- 208000027866 inflammatory disease Diseases 0.000 claims 2
- QARBMVPHQWIHKH-UHFFFAOYSA-N methanesulfonyl chloride Chemical compound CS(Cl)(=O)=O QARBMVPHQWIHKH-UHFFFAOYSA-N 0.000 claims 2
- 206010006458 Bronchitis chronic Diseases 0.000 claims 1
- 201000003883 Cystic fibrosis Diseases 0.000 claims 1
- 206010012438 Dermatitis atopic Diseases 0.000 claims 1
- 208000027771 Obstructive airways disease Diseases 0.000 claims 1
- 201000008937 atopic dermatitis Diseases 0.000 claims 1
- 208000007451 chronic bronchitis Diseases 0.000 claims 1
- 230000002265 prevention Effects 0.000 abstract description 8
- 238000004519 manufacturing process Methods 0.000 abstract description 5
- 208000023275 Autoimmune disease Diseases 0.000 abstract description 4
- XEKOWRVHYACXOJ-UHFFFAOYSA-N Ethyl acetate Chemical compound CCOC(C)=O XEKOWRVHYACXOJ-UHFFFAOYSA-N 0.000 description 152
- OKKJLVBELUTLKV-UHFFFAOYSA-N Methanol Chemical compound OC OKKJLVBELUTLKV-UHFFFAOYSA-N 0.000 description 75
- 235000019439 ethyl acetate Nutrition 0.000 description 51
- 239000000203 mixture Substances 0.000 description 51
- 239000000243 solution Substances 0.000 description 41
- WYURNTSHIVDZCO-UHFFFAOYSA-N Tetrahydrofuran Chemical compound C1CCOC1 WYURNTSHIVDZCO-UHFFFAOYSA-N 0.000 description 36
- 239000011734 sodium Substances 0.000 description 32
- 239000002904 solvent Substances 0.000 description 32
- YMWUJEATGCHHMB-UHFFFAOYSA-N Dichloromethane Chemical compound ClCCl YMWUJEATGCHHMB-UHFFFAOYSA-N 0.000 description 31
- 238000006243 chemical reaction Methods 0.000 description 30
- BWHMMNNQKKPAPP-UHFFFAOYSA-L potassium carbonate Chemical compound [K+].[K+].[O-]C([O-])=O BWHMMNNQKKPAPP-UHFFFAOYSA-L 0.000 description 24
- 238000012746 preparative thin layer chromatography Methods 0.000 description 23
- 229930182912 cyclosporin Natural products 0.000 description 21
- 230000000694 effects Effects 0.000 description 21
- 239000003814 drug Substances 0.000 description 18
- QGZKDVFQNNGYKY-UHFFFAOYSA-N Ammonia Chemical compound N QGZKDVFQNNGYKY-UHFFFAOYSA-N 0.000 description 17
- 239000012043 crude product Substances 0.000 description 17
- 239000000047 product Substances 0.000 description 17
- 0 CC(C)[C@@]([C@](C)C=*)N Chemical compound CC(C)[C@@]([C@](C)C=*)N 0.000 description 16
- 229940079593 drug Drugs 0.000 description 16
- 239000007787 solid Substances 0.000 description 16
- RTZKZFJDLAIYFH-UHFFFAOYSA-N Diethyl ether Chemical compound CCOCC RTZKZFJDLAIYFH-UHFFFAOYSA-N 0.000 description 15
- 238000004949 mass spectrometry Methods 0.000 description 15
- 125000002924 primary amino group Chemical group [H]N([H])* 0.000 description 15
- 239000000126 substance Substances 0.000 description 15
- DJPTXCYLQDISEC-UHFFFAOYSA-N CC.CC#CCC Chemical compound CC.CC#CCC DJPTXCYLQDISEC-UHFFFAOYSA-N 0.000 description 13
- 238000003786 synthesis reaction Methods 0.000 description 13
- XLYOFNOQVPJJNP-UHFFFAOYSA-N water Substances O XLYOFNOQVPJJNP-UHFFFAOYSA-N 0.000 description 13
- 239000007832 Na2SO4 Substances 0.000 description 12
- VYPSYNLAJGMNEJ-UHFFFAOYSA-N Silicium dioxide Chemical compound O=[Si]=O VYPSYNLAJGMNEJ-UHFFFAOYSA-N 0.000 description 12
- PMZURENOXWZQFD-UHFFFAOYSA-L Sodium Sulfate Chemical compound [Na+].[Na+].[O-]S([O-])(=O)=O PMZURENOXWZQFD-UHFFFAOYSA-L 0.000 description 12
- XXROGKLTLUQVRX-UHFFFAOYSA-N allyl alcohol Chemical compound OCC=C XXROGKLTLUQVRX-UHFFFAOYSA-N 0.000 description 12
- 239000012267 brine Substances 0.000 description 12
- 229910000027 potassium carbonate Inorganic materials 0.000 description 12
- 239000000741 silica gel Substances 0.000 description 12
- 229910002027 silica gel Inorganic materials 0.000 description 12
- 229910052938 sodium sulfate Inorganic materials 0.000 description 12
- HPALAKNZSZLMCH-UHFFFAOYSA-M sodium;chloride;hydrate Chemical compound O.[Na+].[Cl-] HPALAKNZSZLMCH-UHFFFAOYSA-M 0.000 description 12
- 125000001424 substituent group Chemical group 0.000 description 12
- 238000012360 testing method Methods 0.000 description 12
- 125000006710 (C2-C12) alkenyl group Chemical group 0.000 description 11
- 241001465754 Metazoa Species 0.000 description 11
- 210000004027 cell Anatomy 0.000 description 11
- VHYFNPMBLIVWCW-UHFFFAOYSA-N 4-Dimethylaminopyridine Chemical compound CN(C)C1=CC=NC=C1 VHYFNPMBLIVWCW-UHFFFAOYSA-N 0.000 description 10
- 108010036941 Cyclosporins Proteins 0.000 description 10
- LFQSCWFLJHTTHZ-UHFFFAOYSA-N Ethanol Chemical compound CCO LFQSCWFLJHTTHZ-UHFFFAOYSA-N 0.000 description 10
- UIIMBOGNXHQVGW-UHFFFAOYSA-M Sodium bicarbonate Chemical compound [Na+].OC([O-])=O UIIMBOGNXHQVGW-UHFFFAOYSA-M 0.000 description 10
- 125000002777 acetyl group Chemical group [H]C([H])([H])C(*)=O 0.000 description 10
- 239000003795 chemical substances by application Substances 0.000 description 10
- 125000004092 methylthiomethyl group Chemical group [H]C([H])([H])SC([H])([H])* 0.000 description 10
- 125000004400 (C1-C12) alkyl group Chemical group 0.000 description 9
- 108010058846 Ovalbumin Proteins 0.000 description 9
- 229910006074 SO2NH2 Inorganic materials 0.000 description 9
- YXFVVABEGXRONW-UHFFFAOYSA-N Toluene Chemical compound CC1=CC=CC=C1 YXFVVABEGXRONW-UHFFFAOYSA-N 0.000 description 9
- 238000001816 cooling Methods 0.000 description 9
- 230000001506 immunosuppresive effect Effects 0.000 description 9
- 229940092253 ovalbumin Drugs 0.000 description 9
- 238000003756 stirring Methods 0.000 description 9
- RIOQSEWOXXDEQQ-UHFFFAOYSA-N triphenylphosphine Chemical compound C1=CC=CC=C1P(C=1C=CC=CC=1)C1=CC=CC=C1 RIOQSEWOXXDEQQ-UHFFFAOYSA-N 0.000 description 9
- WFDIJRYMOXRFFG-UHFFFAOYSA-N Acetic anhydride Chemical compound CC(=O)OC(C)=O WFDIJRYMOXRFFG-UHFFFAOYSA-N 0.000 description 8
- NLXLAEXVIDQMFP-UHFFFAOYSA-N Ammonia chloride Chemical compound [NH4+].[Cl-] NLXLAEXVIDQMFP-UHFFFAOYSA-N 0.000 description 8
- ZMXDDKWLCZADIW-UHFFFAOYSA-N N,N-Dimethylformamide Chemical compound CN(C)C=O ZMXDDKWLCZADIW-UHFFFAOYSA-N 0.000 description 8
- 230000001404 mediated effect Effects 0.000 description 8
- ZRPFJAPZDXQHSM-UHFFFAOYSA-L 1,3-bis(2,4,6-trimethylphenyl)-4,5-dihydroimidazole;dichloro-[(2-propan-2-yloxyphenyl)methylidene]ruthenium Chemical compound CC(C)OC1=CC=CC=C1C=[Ru](Cl)(Cl)=C1N(C=2C(=CC(C)=CC=2C)C)CCN1C1=C(C)C=C(C)C=C1C ZRPFJAPZDXQHSM-UHFFFAOYSA-L 0.000 description 7
- VLKZOEOYAKHREP-UHFFFAOYSA-N n-Hexane Chemical compound CCCCCC VLKZOEOYAKHREP-UHFFFAOYSA-N 0.000 description 7
- RYHBNJHYFVUHQT-UHFFFAOYSA-N 1,4-Dioxane Chemical compound C1COCCO1 RYHBNJHYFVUHQT-UHFFFAOYSA-N 0.000 description 6
- CSCPPACGZOOCGX-UHFFFAOYSA-N Acetone Chemical compound CC(C)=O CSCPPACGZOOCGX-UHFFFAOYSA-N 0.000 description 6
- 102000004631 Calcineurin Human genes 0.000 description 6
- 108010042955 Calcineurin Proteins 0.000 description 6
- PEDCQBHIVMGVHV-UHFFFAOYSA-N Glycerine Chemical compound OCC(O)CO PEDCQBHIVMGVHV-UHFFFAOYSA-N 0.000 description 6
- VEXZGXHMUGYJMC-UHFFFAOYSA-N Hydrochloric acid Chemical compound Cl VEXZGXHMUGYJMC-UHFFFAOYSA-N 0.000 description 6
- GUBGYTABKSRVRQ-QKKXKWKRSA-N Lactose Natural products OC[C@H]1O[C@@H](O[C@H]2[C@H](O)[C@@H](O)C(O)O[C@@H]2CO)[C@H](O)[C@@H](O)[C@H]1O GUBGYTABKSRVRQ-QKKXKWKRSA-N 0.000 description 6
- DNIAPMSPPWPWGF-UHFFFAOYSA-N Propylene glycol Chemical compound CC(O)CO DNIAPMSPPWPWGF-UHFFFAOYSA-N 0.000 description 6
- FAPWRFPIFSIZLT-UHFFFAOYSA-M Sodium chloride Chemical compound [Na+].[Cl-] FAPWRFPIFSIZLT-UHFFFAOYSA-M 0.000 description 6
- 235000019441 ethanol Nutrition 0.000 description 6
- 239000007924 injection Substances 0.000 description 6
- 238000002347 injection Methods 0.000 description 6
- 238000012986 modification Methods 0.000 description 6
- 230000004048 modification Effects 0.000 description 6
- 229910052757 nitrogen Inorganic materials 0.000 description 6
- 231100000252 nontoxic Toxicity 0.000 description 6
- 230000003000 nontoxic effect Effects 0.000 description 6
- 239000000843 powder Substances 0.000 description 6
- YLQBMQCUIZJEEH-UHFFFAOYSA-N tetrahydrofuran Natural products C=1C=COC=1 YLQBMQCUIZJEEH-UHFFFAOYSA-N 0.000 description 6
- 210000001519 tissue Anatomy 0.000 description 6
- 229960000549 4-dimethylaminophenol Drugs 0.000 description 5
- 206010061218 Inflammation Diseases 0.000 description 5
- KFZMGEQAYNKOFK-UHFFFAOYSA-N Isopropanol Chemical compound CC(C)O KFZMGEQAYNKOFK-UHFFFAOYSA-N 0.000 description 5
- 229910019142 PO4 Inorganic materials 0.000 description 5
- ZMANZCXQSJIPKH-UHFFFAOYSA-N Triethylamine Chemical compound CCN(CC)CC ZMANZCXQSJIPKH-UHFFFAOYSA-N 0.000 description 5
- 150000001993 dienes Chemical class 0.000 description 5
- 229960004132 diethyl ether Drugs 0.000 description 5
- 239000002552 dosage form Substances 0.000 description 5
- 150000002430 hydrocarbons Chemical group 0.000 description 5
- 230000004054 inflammatory process Effects 0.000 description 5
- 230000005764 inhibitory process Effects 0.000 description 5
- 210000004072 lung Anatomy 0.000 description 5
- 210000004698 lymphocyte Anatomy 0.000 description 5
- 239000002609 medium Substances 0.000 description 5
- 239000003921 oil Substances 0.000 description 5
- 235000019198 oils Nutrition 0.000 description 5
- 229910052760 oxygen Inorganic materials 0.000 description 5
- NBIIXXVUZAFLBC-UHFFFAOYSA-K phosphate Chemical compound [O-]P([O-])([O-])=O NBIIXXVUZAFLBC-UHFFFAOYSA-K 0.000 description 5
- 239000010452 phosphate Substances 0.000 description 5
- 229920001223 polyethylene glycol Polymers 0.000 description 5
- 229910000030 sodium bicarbonate Inorganic materials 0.000 description 5
- 208000024891 symptom Diseases 0.000 description 5
- PUPZLCDOIYMWBV-UHFFFAOYSA-N (+/-)-1,3-Butanediol Chemical compound CC(O)CCO PUPZLCDOIYMWBV-UHFFFAOYSA-N 0.000 description 4
- 125000006273 (C1-C3) alkyl group Chemical group 0.000 description 4
- GQHTUMJGOHRCHB-UHFFFAOYSA-N 2,3,4,6,7,8,9,10-octahydropyrimido[1,2-a]azepine Chemical compound C1CCCCN2CCCN=C21 GQHTUMJGOHRCHB-UHFFFAOYSA-N 0.000 description 4
- IJGRMHOSHXDMSA-UHFFFAOYSA-N Atomic nitrogen Chemical group N#N IJGRMHOSHXDMSA-UHFFFAOYSA-N 0.000 description 4
- XTHFKEDIFFGKHM-UHFFFAOYSA-N Dimethoxyethane Chemical compound COCCOC XTHFKEDIFFGKHM-UHFFFAOYSA-N 0.000 description 4
- IAZDPXIOMUYVGZ-UHFFFAOYSA-N Dimethylsulphoxide Chemical compound CS(C)=O IAZDPXIOMUYVGZ-UHFFFAOYSA-N 0.000 description 4
- 241000725303 Human immunodeficiency virus Species 0.000 description 4
- 229920002472 Starch Polymers 0.000 description 4
- DKGAVHZHDRPRBM-UHFFFAOYSA-N Tert-Butanol Chemical compound CC(C)(C)O DKGAVHZHDRPRBM-UHFFFAOYSA-N 0.000 description 4
- 238000010521 absorption reaction Methods 0.000 description 4
- 150000001299 aldehydes Chemical class 0.000 description 4
- 235000010443 alginic acid Nutrition 0.000 description 4
- 229920000615 alginic acid Polymers 0.000 description 4
- 230000003110 anti-inflammatory effect Effects 0.000 description 4
- 239000002246 antineoplastic agent Substances 0.000 description 4
- 230000015572 biosynthetic process Effects 0.000 description 4
- 125000004432 carbon atom Chemical group C* 0.000 description 4
- 239000011203 carbon fibre reinforced carbon Substances 0.000 description 4
- 150000002009 diols Chemical class 0.000 description 4
- 238000001704 evaporation Methods 0.000 description 4
- 230000008020 evaporation Effects 0.000 description 4
- 238000009472 formulation Methods 0.000 description 4
- 238000004108 freeze drying Methods 0.000 description 4
- 239000008101 lactose Substances 0.000 description 4
- HQKMJHAJHXVSDF-UHFFFAOYSA-L magnesium stearate Chemical compound [Mg+2].CCCCCCCCCCCCCCCCCC([O-])=O.CCCCCCCCCCCCCCCCCC([O-])=O HQKMJHAJHXVSDF-UHFFFAOYSA-L 0.000 description 4
- YJVFFLUZDVXJQI-UHFFFAOYSA-L palladium(ii) acetate Chemical group [Pd+2].CC([O-])=O.CC([O-])=O YJVFFLUZDVXJQI-UHFFFAOYSA-L 0.000 description 4
- 125000001997 phenyl group Chemical group [H]C1=C([H])C([H])=C(*)C([H])=C1[H] 0.000 description 4
- 125000006413 ring segment Chemical group 0.000 description 4
- JQWHASGSAFIOCM-UHFFFAOYSA-M sodium periodate Chemical compound [Na+].[O-]I(=O)(=O)=O JQWHASGSAFIOCM-UHFFFAOYSA-M 0.000 description 4
- 239000007921 spray Substances 0.000 description 4
- 235000019698 starch Nutrition 0.000 description 4
- 229910052717 sulfur Inorganic materials 0.000 description 4
- 239000000725 suspension Substances 0.000 description 4
- 239000000454 talc Substances 0.000 description 4
- 235000012222 talc Nutrition 0.000 description 4
- 229910052623 talc Inorganic materials 0.000 description 4
- 230000001225 therapeutic effect Effects 0.000 description 4
- 125000000026 trimethylsilyl group Chemical group [H]C([H])([H])[Si]([*])(C([H])([H])[H])C([H])([H])[H] 0.000 description 4
- 239000001993 wax Substances 0.000 description 4
- XJODGRWDFZVTKW-LURJTMIESA-N (2s)-4-methyl-2-(methylamino)pentanoic acid Chemical compound CN[C@H](C(O)=O)CC(C)C XJODGRWDFZVTKW-LURJTMIESA-N 0.000 description 3
- OISVCGZHLKNMSJ-UHFFFAOYSA-N 2,6-dimethylpyridine Chemical compound CC1=CC=CC(C)=N1 OISVCGZHLKNMSJ-UHFFFAOYSA-N 0.000 description 3
- OZAIFHULBGXAKX-UHFFFAOYSA-N 2-(2-cyanopropan-2-yldiazenyl)-2-methylpropanenitrile Chemical compound N#CC(C)(C)N=NC(C)(C)C#N OZAIFHULBGXAKX-UHFFFAOYSA-N 0.000 description 3
- QTBSBXVTEAMEQO-UHFFFAOYSA-N Acetic acid Chemical compound CC(O)=O QTBSBXVTEAMEQO-UHFFFAOYSA-N 0.000 description 3
- 229920001817 Agar Polymers 0.000 description 3
- GUBGYTABKSRVRQ-XLOQQCSPSA-N Alpha-Lactose Chemical compound O[C@@H]1[C@@H](O)[C@@H](O)[C@@H](CO)O[C@H]1O[C@@H]1[C@@H](CO)O[C@H](O)[C@H](O)[C@H]1O GUBGYTABKSRVRQ-XLOQQCSPSA-N 0.000 description 3
- LNRWKGUUIZOGJD-UHFFFAOYSA-N CBC[U]C Chemical compound CBC[U]C LNRWKGUUIZOGJD-UHFFFAOYSA-N 0.000 description 3
- 239000012981 Hank's balanced salt solution Substances 0.000 description 3
- 206010019663 Hepatic failure Diseases 0.000 description 3
- 108010016648 Immunophilins Proteins 0.000 description 3
- 102000000521 Immunophilins Human genes 0.000 description 3
- 206010062016 Immunosuppression Diseases 0.000 description 3
- 241000699670 Mus sp. Species 0.000 description 3
- MZRVEZGGRBJDDB-UHFFFAOYSA-N N-Butyllithium Chemical compound [Li]CCCC MZRVEZGGRBJDDB-UHFFFAOYSA-N 0.000 description 3
- OFOBLEOULBTSOW-UHFFFAOYSA-N Propanedioic acid Natural products OC(=O)CC(O)=O OFOBLEOULBTSOW-UHFFFAOYSA-N 0.000 description 3
- 108010085012 Steroid Receptors Proteins 0.000 description 3
- 229930006000 Sucrose Natural products 0.000 description 3
- CZMRCDWAGMRECN-UGDNZRGBSA-N Sucrose Chemical compound O[C@H]1[C@H](O)[C@@H](CO)O[C@@]1(CO)O[C@@H]1[C@H](O)[C@@H](O)[C@H](O)[C@@H](CO)O1 CZMRCDWAGMRECN-UGDNZRGBSA-N 0.000 description 3
- 239000002253 acid Substances 0.000 description 3
- 235000010419 agar Nutrition 0.000 description 3
- 150000001336 alkenes Chemical class 0.000 description 3
- 208000026935 allergic disease Diseases 0.000 description 3
- 125000003277 amino group Chemical group 0.000 description 3
- 125000003710 aryl alkyl group Chemical group 0.000 description 3
- 230000008901 benefit Effects 0.000 description 3
- 230000037396 body weight Effects 0.000 description 3
- 239000006227 byproduct Substances 0.000 description 3
- 239000002775 capsule Substances 0.000 description 3
- 230000001684 chronic effect Effects 0.000 description 3
- KRKNYBCHXYNGOX-UHFFFAOYSA-N citric acid Chemical compound OC(=O)CC(O)(C(O)=O)CC(O)=O KRKNYBCHXYNGOX-UHFFFAOYSA-N 0.000 description 3
- 208000035475 disorder Diseases 0.000 description 3
- 210000003743 erythrocyte Anatomy 0.000 description 3
- OAYLNYINCPYISS-UHFFFAOYSA-N ethyl acetate;hexane Chemical compound CCCCCC.CCOC(C)=O OAYLNYINCPYISS-UHFFFAOYSA-N 0.000 description 3
- 230000029142 excretion Effects 0.000 description 3
- 239000000945 filler Substances 0.000 description 3
- 230000006870 function Effects 0.000 description 3
- 210000001035 gastrointestinal tract Anatomy 0.000 description 3
- 239000000499 gel Substances 0.000 description 3
- 125000004446 heteroarylalkyl group Chemical group 0.000 description 3
- 229930195733 hydrocarbon Natural products 0.000 description 3
- 230000003463 hyperproliferative effect Effects 0.000 description 3
- 230000036039 immunity Effects 0.000 description 3
- 239000003018 immunosuppressive agent Substances 0.000 description 3
- 238000000338 in vitro Methods 0.000 description 3
- 231100000037 inhalation toxicity test Toxicity 0.000 description 3
- 206010023332 keratitis Diseases 0.000 description 3
- 210000003734 kidney Anatomy 0.000 description 3
- 239000007788 liquid Substances 0.000 description 3
- 210000004185 liver Anatomy 0.000 description 3
- 208000007903 liver failure Diseases 0.000 description 3
- 231100000835 liver failure Toxicity 0.000 description 3
- 239000000463 material Substances 0.000 description 3
- 239000004006 olive oil Substances 0.000 description 3
- 239000003960 organic solvent Substances 0.000 description 3
- 239000001301 oxygen Substances 0.000 description 3
- 239000006187 pill Substances 0.000 description 3
- 229920000642 polymer Polymers 0.000 description 3
- TVDSBUOJIPERQY-UHFFFAOYSA-N prop-2-yn-1-ol Chemical compound OCC#C TVDSBUOJIPERQY-UHFFFAOYSA-N 0.000 description 3
- 230000000069 prophylactic effect Effects 0.000 description 3
- 238000000746 purification Methods 0.000 description 3
- 208000023504 respiratory system disease Diseases 0.000 description 3
- 238000010898 silica gel chromatography Methods 0.000 description 3
- RMAQACBXLXPBSY-UHFFFAOYSA-N silicic acid Chemical compound O[Si](O)(O)O RMAQACBXLXPBSY-UHFFFAOYSA-N 0.000 description 3
- 235000012239 silicon dioxide Nutrition 0.000 description 3
- 239000007909 solid dosage form Substances 0.000 description 3
- 210000000952 spleen Anatomy 0.000 description 3
- 102000005969 steroid hormone receptors Human genes 0.000 description 3
- 239000005720 sucrose Substances 0.000 description 3
- 239000000829 suppository Substances 0.000 description 3
- 238000010189 synthetic method Methods 0.000 description 3
- 239000003826 tablet Substances 0.000 description 3
- VZCYOOQTPOCHFL-UHFFFAOYSA-N trans-butenedioic acid Natural products OC(=O)C=CC(O)=O VZCYOOQTPOCHFL-UHFFFAOYSA-N 0.000 description 3
- 239000003981 vehicle Substances 0.000 description 3
- 239000000080 wetting agent Substances 0.000 description 3
- 125000006559 (C1-C3) alkylamino group Chemical group 0.000 description 2
- 125000004191 (C1-C6) alkoxy group Chemical group 0.000 description 2
- 125000006711 (C2-C12) alkynyl group Chemical group 0.000 description 2
- IAKHMKGGTNLKSZ-INIZCTEOSA-N (S)-colchicine Chemical compound C1([C@@H](NC(C)=O)CC2)=CC(=O)C(OC)=CC=C1C1=C2C=C(OC)C(OC)=C1OC IAKHMKGGTNLKSZ-INIZCTEOSA-N 0.000 description 2
- AHQFCPOIMVMDEZ-UNISNWAASA-N (e,2s,3r,4r)-3-hydroxy-4-methyl-2-(methylamino)oct-6-enoic acid Chemical compound CN[C@H](C(O)=O)[C@H](O)[C@H](C)C\C=C\C AHQFCPOIMVMDEZ-UNISNWAASA-N 0.000 description 2
- LIKMAJRDDDTEIG-UHFFFAOYSA-N 1-hexene Chemical compound CCCCC=C LIKMAJRDDDTEIG-UHFFFAOYSA-N 0.000 description 2
- VBICKXHEKHSIBG-UHFFFAOYSA-N 1-monostearoylglycerol Chemical compound CCCCCCCCCCCCCCCCCC(=O)OCC(O)CO VBICKXHEKHSIBG-UHFFFAOYSA-N 0.000 description 2
- 238000005160 1H NMR spectroscopy Methods 0.000 description 2
- JKMHFZQWWAIEOD-UHFFFAOYSA-N 2-[4-(2-hydroxyethyl)piperazin-1-yl]ethanesulfonic acid Chemical compound OCC[NH+]1CCN(CCS([O-])(=O)=O)CC1 JKMHFZQWWAIEOD-UHFFFAOYSA-N 0.000 description 2
- HBAQYPYDRFILMT-UHFFFAOYSA-N 8-[3-(1-cyclopropylpyrazol-4-yl)-1H-pyrazolo[4,3-d]pyrimidin-5-yl]-3-methyl-3,8-diazabicyclo[3.2.1]octan-2-one Chemical class C1(CC1)N1N=CC(=C1)C1=NNC2=C1N=C(N=C2)N1C2C(N(CC1CC2)C)=O HBAQYPYDRFILMT-UHFFFAOYSA-N 0.000 description 2
- 102100033350 ATP-dependent translocase ABCB1 Human genes 0.000 description 2
- 208000007788 Acute Liver Failure Diseases 0.000 description 2
- 206010000804 Acute hepatic failure Diseases 0.000 description 2
- 208000032467 Aplastic anaemia Diseases 0.000 description 2
- CIWBSHSKHKDKBQ-JLAZNSOCSA-N Ascorbic acid Chemical compound OC[C@H](O)[C@H]1OC(=O)C(O)=C1O CIWBSHSKHKDKBQ-JLAZNSOCSA-N 0.000 description 2
- 241000416162 Astragalus gummifer Species 0.000 description 2
- 208000009137 Behcet syndrome Diseases 0.000 description 2
- PJTCDHLZYXVNER-UHFFFAOYSA-N CC#CC(C)C.CC([Y])=C(C)C(C)C Chemical compound CC#CC(C)C.CC([Y])=C(C)C(C)C PJTCDHLZYXVNER-UHFFFAOYSA-N 0.000 description 2
- FGRKTVUGYPGDCC-MNOVXSKESA-N CC#CC=C[C@@H](C)[C@@H](O)C(C)C Chemical compound CC#CC=C[C@@H](C)[C@@H](O)C(C)C FGRKTVUGYPGDCC-MNOVXSKESA-N 0.000 description 2
- ZPUWXXRZUMWEJR-DHXVBOOMSA-N CC#CC=C[C@@H](C)[C@@H](O[W])C(C)C Chemical compound CC#CC=C[C@@H](C)[C@@H](O[W])C(C)C ZPUWXXRZUMWEJR-DHXVBOOMSA-N 0.000 description 2
- AUUCCGJPBPVIHK-LYCTWNKOSA-N CC([Y])=C(C)C=C[C@@H](C)[C@@H](O)C(C)C Chemical compound CC([Y])=C(C)C=C[C@@H](C)[C@@H](O)C(C)C AUUCCGJPBPVIHK-LYCTWNKOSA-N 0.000 description 2
- SKQZBIHIQMREML-QBKBNCOFSA-N CC([Y])=C(C)C=C[C@@H](C)[C@@H](O[W])C(C)C Chemical compound CC([Y])=C(C)C=C[C@@H](C)[C@@H](O[W])C(C)C SKQZBIHIQMREML-QBKBNCOFSA-N 0.000 description 2
- JOTOKMXOWSFNHF-RJUBDTSPSA-N CC=C[C@@H](C)[C@@H](O[W])C(C)C Chemical compound CC=C[C@@H](C)[C@@H](O[W])C(C)C JOTOKMXOWSFNHF-RJUBDTSPSA-N 0.000 description 2
- VTYYLEPIZMXCLO-UHFFFAOYSA-L Calcium carbonate Chemical compound [Ca+2].[O-]C([O-])=O VTYYLEPIZMXCLO-UHFFFAOYSA-L 0.000 description 2
- 239000004215 Carbon black (E152) Substances 0.000 description 2
- 241000700198 Cavia Species 0.000 description 2
- HEDRZPFGACZZDS-UHFFFAOYSA-N Chloroform Chemical compound ClC(Cl)Cl HEDRZPFGACZZDS-UHFFFAOYSA-N 0.000 description 2
- FEWJPZIEWOKRBE-JCYAYHJZSA-N Dextrotartaric acid Chemical compound OC(=O)[C@H](O)[C@@H](O)C(O)=O FEWJPZIEWOKRBE-JCYAYHJZSA-N 0.000 description 2
- AOJJSUZBOXZQNB-TZSSRYMLSA-N Doxorubicin Chemical compound O([C@H]1C[C@@](O)(CC=2C(O)=C3C(=O)C=4C=CC=C(C=4C(=O)C3=C(O)C=21)OC)C(=O)CO)[C@H]1C[C@H](N)[C@H](O)[C@H](C)O1 AOJJSUZBOXZQNB-TZSSRYMLSA-N 0.000 description 2
- 206010059866 Drug resistance Diseases 0.000 description 2
- 102000004190 Enzymes Human genes 0.000 description 2
- 108090000790 Enzymes Proteins 0.000 description 2
- 108010010803 Gelatin Proteins 0.000 description 2
- 206010018364 Glomerulonephritis Diseases 0.000 description 2
- WQZGKKKJIJFFOK-GASJEMHNSA-N Glucose Natural products OC[C@H]1OC(O)[C@H](O)[C@@H](O)[C@@H]1O WQZGKKKJIJFFOK-GASJEMHNSA-N 0.000 description 2
- 208000009329 Graft vs Host Disease Diseases 0.000 description 2
- 102000002812 Heat-Shock Proteins Human genes 0.000 description 2
- 108010004889 Heat-Shock Proteins Proteins 0.000 description 2
- 206010019799 Hepatitis viral Diseases 0.000 description 2
- NTYJJOPFIAHURM-UHFFFAOYSA-N Histamine Chemical compound NCCC1=CN=CN1 NTYJJOPFIAHURM-UHFFFAOYSA-N 0.000 description 2
- 241000701024 Human betaherpesvirus 5 Species 0.000 description 2
- 206010020751 Hypersensitivity Diseases 0.000 description 2
- 201000002287 Keratoconus Diseases 0.000 description 2
- WHXSMMKQMYFTQS-UHFFFAOYSA-N Lithium Chemical compound [Li] WHXSMMKQMYFTQS-UHFFFAOYSA-N 0.000 description 2
- FYYHWMGAXLPEAU-UHFFFAOYSA-N Magnesium Chemical compound [Mg] FYYHWMGAXLPEAU-UHFFFAOYSA-N 0.000 description 2
- TWRXJAOTZQYOKJ-UHFFFAOYSA-L Magnesium chloride Chemical compound [Mg+2].[Cl-].[Cl-] TWRXJAOTZQYOKJ-UHFFFAOYSA-L 0.000 description 2
- 241000124008 Mammalia Species 0.000 description 2
- 108010047230 Member 1 Subfamily B ATP Binding Cassette Transporter Proteins 0.000 description 2
- AFVFQIVMOAPDHO-UHFFFAOYSA-N Methanesulfonic acid Chemical compound CS(O)(=O)=O AFVFQIVMOAPDHO-UHFFFAOYSA-N 0.000 description 2
- 208000024599 Mooren ulcer Diseases 0.000 description 2
- 241001529936 Murinae Species 0.000 description 2
- LRHPLDYGYMQRHN-UHFFFAOYSA-N N-Butanol Chemical compound CCCCO LRHPLDYGYMQRHN-UHFFFAOYSA-N 0.000 description 2
- SECXISVLQFMRJM-UHFFFAOYSA-N N-Methylpyrrolidone Chemical compound CN1CCCC1=O SECXISVLQFMRJM-UHFFFAOYSA-N 0.000 description 2
- AKCRVYNORCOYQT-YFKPBYRVSA-N N-methyl-L-valine Chemical compound CN[C@@H](C(C)C)C(O)=O AKCRVYNORCOYQT-YFKPBYRVSA-N 0.000 description 2
- LFTLOKWAGJYHHR-UHFFFAOYSA-N N-methylmorpholine N-oxide Chemical compound CN1(=O)CCOCC1 LFTLOKWAGJYHHR-UHFFFAOYSA-N 0.000 description 2
- 229910002651 NO3 Inorganic materials 0.000 description 2
- 206010029240 Neuritis Diseases 0.000 description 2
- NHNBFGGVMKEFGY-UHFFFAOYSA-N Nitrate Chemical compound [O-][N+]([O-])=O NHNBFGGVMKEFGY-UHFFFAOYSA-N 0.000 description 2
- 241001494479 Pecora Species 0.000 description 2
- 108010001441 Phosphopeptides Proteins 0.000 description 2
- NBIIXXVUZAFLBC-UHFFFAOYSA-N Phosphoric acid Chemical compound OP(O)(O)=O NBIIXXVUZAFLBC-UHFFFAOYSA-N 0.000 description 2
- RJKFOVLPORLFTN-LEKSSAKUSA-N Progesterone Chemical compound C1CC2=CC(=O)CC[C@]2(C)[C@@H]2[C@@H]1[C@@H]1CC[C@H](C(=O)C)[C@@]1(C)CC2 RJKFOVLPORLFTN-LEKSSAKUSA-N 0.000 description 2
- JUJWROOIHBZHMG-UHFFFAOYSA-N Pyridine Chemical compound C1=CC=NC=C1 JUJWROOIHBZHMG-UHFFFAOYSA-N 0.000 description 2
- CDBYLPFSWZWCQE-UHFFFAOYSA-L Sodium Carbonate Chemical compound [Na+].[Na+].[O-]C([O-])=O CDBYLPFSWZWCQE-UHFFFAOYSA-L 0.000 description 2
- DBMJMQXJHONAFJ-UHFFFAOYSA-M Sodium laurylsulphate Chemical compound [Na+].CCCCCCCCCCCCOS([O-])(=O)=O DBMJMQXJHONAFJ-UHFFFAOYSA-M 0.000 description 2
- QAOWNCQODCNURD-UHFFFAOYSA-L Sulfate Chemical compound [O-]S([O-])(=O)=O QAOWNCQODCNURD-UHFFFAOYSA-L 0.000 description 2
- NINIDFKCEFEMDL-UHFFFAOYSA-N Sulfur Chemical group [S] NINIDFKCEFEMDL-UHFFFAOYSA-N 0.000 description 2
- QAOWNCQODCNURD-UHFFFAOYSA-N Sulfuric acid Chemical compound OS(O)(=O)=O QAOWNCQODCNURD-UHFFFAOYSA-N 0.000 description 2
- 210000001744 T-lymphocyte Anatomy 0.000 description 2
- QJJXYPPXXYFBGM-LFZNUXCKSA-N Tacrolimus Chemical compound C1C[C@@H](O)[C@H](OC)C[C@@H]1\C=C(/C)[C@@H]1[C@H](C)[C@@H](O)CC(=O)[C@H](CC=C)/C=C(C)/C[C@H](C)C[C@H](OC)[C@H]([C@H](C[C@H]2C)OC)O[C@@]2(O)C(=O)C(=O)N2CCCC[C@H]2C(=O)O1 QJJXYPPXXYFBGM-LFZNUXCKSA-N 0.000 description 2
- 208000007536 Thrombosis Diseases 0.000 description 2
- IQFYYKKMVGJFEH-XLPZGREQSA-N Thymidine Chemical compound O=C1NC(=O)C(C)=CN1[C@@H]1O[C@H](CO)[C@@H](O)C1 IQFYYKKMVGJFEH-XLPZGREQSA-N 0.000 description 2
- 229920001615 Tragacanth Polymers 0.000 description 2
- 206010052779 Transplant rejections Diseases 0.000 description 2
- 206010064996 Ulcerative keratitis Diseases 0.000 description 2
- 241000700605 Viruses Species 0.000 description 2
- XLOMVQKBTHCTTD-UHFFFAOYSA-N Zinc monoxide Chemical compound [Zn]=O XLOMVQKBTHCTTD-UHFFFAOYSA-N 0.000 description 2
- AZDZGHLYUAMPLG-DHXVBOOMSA-N [H]C(C=C[C@@H](C)[C@@H](O)C(C)C)=C(C)[Y] Chemical compound [H]C(C=C[C@@H](C)[C@@H](O)C(C)C)=C(C)[Y] AZDZGHLYUAMPLG-DHXVBOOMSA-N 0.000 description 2
- 239000004480 active ingredient Substances 0.000 description 2
- 230000001154 acute effect Effects 0.000 description 2
- 239000002671 adjuvant Substances 0.000 description 2
- 239000008272 agar Substances 0.000 description 2
- 239000000783 alginic acid Substances 0.000 description 2
- 229960001126 alginic acid Drugs 0.000 description 2
- 150000004781 alginic acids Chemical class 0.000 description 2
- 239000003513 alkali Substances 0.000 description 2
- 229910052784 alkaline earth metal Inorganic materials 0.000 description 2
- 201000009961 allergic asthma Diseases 0.000 description 2
- 230000007815 allergy Effects 0.000 description 2
- WNROFYMDJYEPJX-UHFFFAOYSA-K aluminium hydroxide Chemical compound [OH-].[OH-].[OH-].[Al+3] WNROFYMDJYEPJX-UHFFFAOYSA-K 0.000 description 2
- 229940024606 amino acid Drugs 0.000 description 2
- 235000001014 amino acid Nutrition 0.000 description 2
- 150000001413 amino acids Chemical class 0.000 description 2
- 230000000843 anti-fungal effect Effects 0.000 description 2
- 230000000845 anti-microbial effect Effects 0.000 description 2
- 230000001028 anti-proliverative effect Effects 0.000 description 2
- 230000000840 anti-viral effect Effects 0.000 description 2
- 229940121375 antifungal agent Drugs 0.000 description 2
- 239000000427 antigen Substances 0.000 description 2
- 108091007433 antigens Proteins 0.000 description 2
- 102000036639 antigens Human genes 0.000 description 2
- 229940041181 antineoplastic drug Drugs 0.000 description 2
- 239000000010 aprotic solvent Substances 0.000 description 2
- 150000001502 aryl halides Chemical class 0.000 description 2
- 238000003556 assay Methods 0.000 description 2
- QVGXLLKOCUKJST-UHFFFAOYSA-N atomic oxygen Chemical compound [O] QVGXLLKOCUKJST-UHFFFAOYSA-N 0.000 description 2
- 235000012216 bentonite Nutrition 0.000 description 2
- SESFRYSPDFLNCH-UHFFFAOYSA-N benzyl benzoate Chemical compound C=1C=CC=CC=1C(=O)OCC1=CC=CC=C1 SESFRYSPDFLNCH-UHFFFAOYSA-N 0.000 description 2
- 125000001797 benzyl group Chemical group [H]C1=C([H])C([H])=C(C([H])=C1[H])C([H])([H])* 0.000 description 2
- WQZGKKKJIJFFOK-VFUOTHLCSA-N beta-D-glucose Chemical compound OC[C@H]1O[C@@H](O)[C@H](O)[C@@H](O)[C@@H]1O WQZGKKKJIJFFOK-VFUOTHLCSA-N 0.000 description 2
- 229920002988 biodegradable polymer Polymers 0.000 description 2
- 239000004621 biodegradable polymer Substances 0.000 description 2
- 239000000872 buffer Substances 0.000 description 2
- 239000006172 buffering agent Substances 0.000 description 2
- 235000019437 butane-1,3-diol Nutrition 0.000 description 2
- PFKFTWBEEFSNDU-UHFFFAOYSA-N carbonyldiimidazole Chemical compound C1=CN=CN1C(=O)N1C=CN=C1 PFKFTWBEEFSNDU-UHFFFAOYSA-N 0.000 description 2
- 125000003178 carboxy group Chemical group [H]OC(*)=O 0.000 description 2
- 239000001768 carboxy methyl cellulose Substances 0.000 description 2
- 239000001913 cellulose Substances 0.000 description 2
- 229920002678 cellulose Polymers 0.000 description 2
- 235000010980 cellulose Nutrition 0.000 description 2
- 229940044683 chemotherapy drug Drugs 0.000 description 2
- 238000000576 coating method Methods 0.000 description 2
- 229940110456 cocoa butter Drugs 0.000 description 2
- 235000019868 cocoa butter Nutrition 0.000 description 2
- 235000012343 cottonseed oil Nutrition 0.000 description 2
- 239000006071 cream Substances 0.000 description 2
- 238000005686 cross metathesis reaction Methods 0.000 description 2
- 230000003111 delayed effect Effects 0.000 description 2
- 125000004663 dialkyl amino group Chemical group 0.000 description 2
- 235000005911 diet Nutrition 0.000 description 2
- 230000037213 diet Effects 0.000 description 2
- 235000014113 dietary fatty acids Nutrition 0.000 description 2
- FAMRKDQNMBBFBR-BQYQJAHWSA-N diethyl azodicarboxylate Substances CCOC(=O)\N=N\C(=O)OCC FAMRKDQNMBBFBR-BQYQJAHWSA-N 0.000 description 2
- 239000003085 diluting agent Substances 0.000 description 2
- MOTZDAYCYVMXPC-UHFFFAOYSA-N dodecyl hydrogen sulfate Chemical compound CCCCCCCCCCCCOS(O)(=O)=O MOTZDAYCYVMXPC-UHFFFAOYSA-N 0.000 description 2
- 229940043264 dodecyl sulfate Drugs 0.000 description 2
- 239000003995 emulsifying agent Substances 0.000 description 2
- 239000000839 emulsion Substances 0.000 description 2
- 238000005516 engineering process Methods 0.000 description 2
- MMXKVMNBHPAILY-UHFFFAOYSA-N ethyl laurate Chemical compound CCCCCCCCCCCC(=O)OCC MMXKVMNBHPAILY-UHFFFAOYSA-N 0.000 description 2
- 125000002534 ethynyl group Chemical group [H]C#C* 0.000 description 2
- 239000000194 fatty acid Substances 0.000 description 2
- 229930195729 fatty acid Natural products 0.000 description 2
- 239000000706 filtrate Substances 0.000 description 2
- 239000000796 flavoring agent Substances 0.000 description 2
- 239000003269 fluorescent indicator Substances 0.000 description 2
- 229920000159 gelatin Polymers 0.000 description 2
- 239000008273 gelatin Substances 0.000 description 2
- 235000019322 gelatine Nutrition 0.000 description 2
- 235000011852 gelatine desserts Nutrition 0.000 description 2
- 239000008103 glucose Substances 0.000 description 2
- 239000008187 granular material Substances 0.000 description 2
- 230000036541 health Effects 0.000 description 2
- 210000002216 heart Anatomy 0.000 description 2
- 125000005842 heteroatom Chemical group 0.000 description 2
- XLYOFNOQVPJJNP-UHFFFAOYSA-M hydroxide Chemical compound [OH-] XLYOFNOQVPJJNP-UHFFFAOYSA-M 0.000 description 2
- 230000002519 immonomodulatory effect Effects 0.000 description 2
- 229960003444 immunosuppressant agent Drugs 0.000 description 2
- 238000010348 incorporation Methods 0.000 description 2
- 239000003701 inert diluent Substances 0.000 description 2
- 239000012442 inert solvent Substances 0.000 description 2
- 238000001802 infusion Methods 0.000 description 2
- 239000007972 injectable composition Substances 0.000 description 2
- 230000000968 intestinal effect Effects 0.000 description 2
- 208000023589 ischemic disease Diseases 0.000 description 2
- 230000000302 ischemic effect Effects 0.000 description 2
- 125000001449 isopropyl group Chemical group [H]C([H])([H])C([H])(*)C([H])([H])[H] 0.000 description 2
- 208000017169 kidney disease Diseases 0.000 description 2
- 239000003446 ligand Substances 0.000 description 2
- 239000008297 liquid dosage form Substances 0.000 description 2
- 229910052744 lithium Inorganic materials 0.000 description 2
- 208000019423 liver disease Diseases 0.000 description 2
- 239000000314 lubricant Substances 0.000 description 2
- 239000011777 magnesium Substances 0.000 description 2
- 229910052749 magnesium Inorganic materials 0.000 description 2
- 235000019359 magnesium stearate Nutrition 0.000 description 2
- VZCYOOQTPOCHFL-UPHRSURJSA-N maleic acid Chemical compound OC(=O)\C=C/C(O)=O VZCYOOQTPOCHFL-UPHRSURJSA-N 0.000 description 2
- 125000004184 methoxymethyl group Chemical group [H]C([H])([H])OC([H])([H])* 0.000 description 2
- GTCAXTIRRLKXRU-UHFFFAOYSA-N methyl carbamate Chemical group COC(N)=O GTCAXTIRRLKXRU-UHFFFAOYSA-N 0.000 description 2
- 239000004530 micro-emulsion Substances 0.000 description 2
- 238000007799 mixed lymphocyte reaction assay Methods 0.000 description 2
- 125000002950 monocyclic group Chemical group 0.000 description 2
- 201000005962 mycosis fungoides Diseases 0.000 description 2
- 239000000346 nonvolatile oil Substances 0.000 description 2
- 230000000414 obstructive effect Effects 0.000 description 2
- 239000002674 ointment Substances 0.000 description 2
- ZQPPMHVWECSIRJ-KTKRTIGZSA-N oleic acid Chemical compound CCCCCCCC\C=C/CCCCCCCC(O)=O ZQPPMHVWECSIRJ-KTKRTIGZSA-N 0.000 description 2
- 235000008390 olive oil Nutrition 0.000 description 2
- 150000007524 organic acids Chemical class 0.000 description 2
- 239000006072 paste Substances 0.000 description 2
- VLTRZXGMWDSKGL-UHFFFAOYSA-N perchloric acid Chemical compound OCl(=O)(=O)=O VLTRZXGMWDSKGL-UHFFFAOYSA-N 0.000 description 2
- 239000002304 perfume Substances 0.000 description 2
- 230000000704 physical effect Effects 0.000 description 2
- 230000003389 potentiating effect Effects 0.000 description 2
- 239000003755 preservative agent Substances 0.000 description 2
- 230000035755 proliferation Effects 0.000 description 2
- 229960004063 propylene glycol Drugs 0.000 description 2
- 201000009732 pulmonary eosinophilia Diseases 0.000 description 2
- 230000009257 reactivity Effects 0.000 description 2
- 238000010992 reflux Methods 0.000 description 2
- 230000010076 replication Effects 0.000 description 2
- 230000004044 response Effects 0.000 description 2
- 238000012552 review Methods 0.000 description 2
- 201000000306 sarcoidosis Diseases 0.000 description 2
- FSYKKLYZXJSNPZ-UHFFFAOYSA-N sarcosine Chemical compound C[NH2+]CC([O-])=O FSYKKLYZXJSNPZ-UHFFFAOYSA-N 0.000 description 2
- 229920006395 saturated elastomer Polymers 0.000 description 2
- 230000035945 sensitivity Effects 0.000 description 2
- 239000008159 sesame oil Substances 0.000 description 2
- 235000011803 sesame oil Nutrition 0.000 description 2
- 230000035939 shock Effects 0.000 description 2
- 210000003491 skin Anatomy 0.000 description 2
- 208000017520 skin disease Diseases 0.000 description 2
- WRIKHQLVHPKCJU-UHFFFAOYSA-N sodium bis(trimethylsilyl)amide Chemical compound C[Si](C)(C)N([Na])[Si](C)(C)C WRIKHQLVHPKCJU-UHFFFAOYSA-N 0.000 description 2
- 239000011780 sodium chloride Substances 0.000 description 2
- 235000019333 sodium laurylsulphate Nutrition 0.000 description 2
- GEHJYWRUCIMESM-UHFFFAOYSA-L sodium sulfite Chemical compound [Na+].[Na+].[O-]S([O-])=O GEHJYWRUCIMESM-UHFFFAOYSA-L 0.000 description 2
- 239000008247 solid mixture Substances 0.000 description 2
- 239000008107 starch Substances 0.000 description 2
- 239000007858 starting material Substances 0.000 description 2
- 150000003431 steroids Chemical class 0.000 description 2
- KDYFGRWQOYBRFD-UHFFFAOYSA-N succinic acid Chemical compound OC(=O)CCC(O)=O KDYFGRWQOYBRFD-UHFFFAOYSA-N 0.000 description 2
- 239000000375 suspending agent Substances 0.000 description 2
- 239000003765 sweetening agent Substances 0.000 description 2
- 230000002194 synthesizing effect Effects 0.000 description 2
- 231100000057 systemic toxicity Toxicity 0.000 description 2
- QJJXYPPXXYFBGM-SHYZHZOCSA-N tacrolimus Natural products CO[C@H]1C[C@H](CC[C@@H]1O)C=C(C)[C@H]2OC(=O)[C@H]3CCCCN3C(=O)C(=O)[C@@]4(O)O[C@@H]([C@H](C[C@H]4C)OC)[C@@H](C[C@H](C)CC(=C[C@@H](CC=C)C(=O)C[C@H](O)[C@H]2C)C)OC QJJXYPPXXYFBGM-SHYZHZOCSA-N 0.000 description 2
- 108010067247 tacrolimus binding protein 4 Proteins 0.000 description 2
- 125000001981 tert-butyldimethylsilyl group Chemical group [H]C([H])([H])[Si]([H])(C([H])([H])[H])[*]C(C([H])([H])[H])(C([H])([H])[H])C([H])([H])[H] 0.000 description 2
- 238000002560 therapeutic procedure Methods 0.000 description 2
- 239000000196 tragacanth Substances 0.000 description 2
- 235000010487 tragacanth Nutrition 0.000 description 2
- 229940116362 tragacanth Drugs 0.000 description 2
- 230000009466 transformation Effects 0.000 description 2
- 238000000844 transformation Methods 0.000 description 2
- DBGVGMSCBYYSLD-UHFFFAOYSA-N tributylstannane Chemical compound CCCC[SnH](CCCC)CCCC DBGVGMSCBYYSLD-UHFFFAOYSA-N 0.000 description 2
- WJKHJLXJJJATHN-UHFFFAOYSA-N triflic anhydride Chemical compound FC(F)(F)S(=O)(=O)OS(=O)(=O)C(F)(F)F WJKHJLXJJJATHN-UHFFFAOYSA-N 0.000 description 2
- 208000027930 type IV hypersensitivity disease Diseases 0.000 description 2
- 229960005486 vaccine Drugs 0.000 description 2
- OGWKCGZFUXNPDA-XQKSVPLYSA-N vincristine Chemical compound C([N@]1C[C@@H](C[C@]2(C(=O)OC)C=3C(=CC4=C([C@]56[C@H]([C@@]([C@H](OC(C)=O)[C@]7(CC)C=CCN([C@H]67)CC5)(O)C(=O)OC)N4C=O)C=3)OC)C[C@@](C1)(O)CC)CC1=C2NC2=CC=CC=C12 OGWKCGZFUXNPDA-XQKSVPLYSA-N 0.000 description 2
- 229960004528 vincristine Drugs 0.000 description 2
- OGWKCGZFUXNPDA-UHFFFAOYSA-N vincristine Natural products C1C(CC)(O)CC(CC2(C(=O)OC)C=3C(=CC4=C(C56C(C(C(OC(C)=O)C7(CC)C=CCN(C67)CC5)(O)C(=O)OC)N4C=O)C=3)OC)CN1CCC1=C2NC2=CC=CC=C12 OGWKCGZFUXNPDA-UHFFFAOYSA-N 0.000 description 2
- 125000000391 vinyl group Chemical group [H]C([*])=C([H])[H] 0.000 description 2
- 229920002554 vinyl polymer Polymers 0.000 description 2
- 238000010792 warming Methods 0.000 description 2
- LSPHULWDVZXLIL-UHFFFAOYSA-N (+/-)-Camphoric acid Chemical compound CC1(C)C(C(O)=O)CCC1(C)C(O)=O LSPHULWDVZXLIL-UHFFFAOYSA-N 0.000 description 1
- JNYAEWCLZODPBN-JGWLITMVSA-N (2r,3r,4s)-2-[(1r)-1,2-dihydroxyethyl]oxolane-3,4-diol Chemical compound OC[C@@H](O)[C@H]1OC[C@H](O)[C@H]1O JNYAEWCLZODPBN-JGWLITMVSA-N 0.000 description 1
- FIFBMHNIXZWKBR-SFYZADRCSA-N (2s,3r)-2-[but-1-enyl(methyl)amino]-3-hydroxybutanoic acid Chemical compound CCC=CN(C)[C@@H]([C@@H](C)O)C(O)=O FIFBMHNIXZWKBR-SFYZADRCSA-N 0.000 description 1
- WRIDQFICGBMAFQ-UHFFFAOYSA-N (E)-8-Octadecenoic acid Natural products CCCCCCCCCC=CCCCCCCC(O)=O WRIDQFICGBMAFQ-UHFFFAOYSA-N 0.000 description 1
- WSLDOOZREJYCGB-UHFFFAOYSA-N 1,2-Dichloroethane Chemical compound ClCCCl WSLDOOZREJYCGB-UHFFFAOYSA-N 0.000 description 1
- 229940058015 1,3-butylene glycol Drugs 0.000 description 1
- WNXJIVFYUVYPPR-UHFFFAOYSA-N 1,3-dioxolane Chemical group C1COCO1 WNXJIVFYUVYPPR-UHFFFAOYSA-N 0.000 description 1
- 125000004972 1-butynyl group Chemical group [H]C([H])([H])C([H])([H])C#C* 0.000 description 1
- NVZWEEGUWXZOKI-UHFFFAOYSA-N 1-ethenyl-2-methylbenzene Chemical compound CC1=CC=CC=C1C=C NVZWEEGUWXZOKI-UHFFFAOYSA-N 0.000 description 1
- 125000000530 1-propynyl group Chemical group [H]C([H])([H])C#C* 0.000 description 1
- 238000001644 13C nuclear magnetic resonance spectroscopy Methods 0.000 description 1
- XILIYVSXLSWUAI-UHFFFAOYSA-N 2-(diethylamino)ethyl n'-phenylcarbamimidothioate;dihydrobromide Chemical compound Br.Br.CCN(CC)CCSC(N)=NC1=CC=CC=C1 XILIYVSXLSWUAI-UHFFFAOYSA-N 0.000 description 1
- XWKFPIODWVPXLX-UHFFFAOYSA-N 2-methyl-5-methylpyridine Natural products CC1=CC=C(C)N=C1 XWKFPIODWVPXLX-UHFFFAOYSA-N 0.000 description 1
- 229940080296 2-naphthalenesulfonate Drugs 0.000 description 1
- 125000000094 2-phenylethyl group Chemical group [H]C1=C([H])C([H])=C(C([H])=C1[H])C([H])([H])C([H])([H])* 0.000 description 1
- LQJBNNIYVWPHFW-UHFFFAOYSA-N 20:1omega9c fatty acid Natural products CCCCCCCCCCC=CCCCCCCCC(O)=O LQJBNNIYVWPHFW-UHFFFAOYSA-N 0.000 description 1
- BMYNFMYTOJXKLE-UHFFFAOYSA-N 3-azaniumyl-2-hydroxypropanoate Chemical compound NCC(O)C(O)=O BMYNFMYTOJXKLE-UHFFFAOYSA-N 0.000 description 1
- ZRPLANDPDWYOMZ-UHFFFAOYSA-N 3-cyclopentylpropionic acid Chemical compound OC(=O)CCC1CCCC1 ZRPLANDPDWYOMZ-UHFFFAOYSA-N 0.000 description 1
- CATOVPRCMWIZLR-UHFFFAOYSA-N 3-ethenylbenzaldehyde Chemical compound C=CC1=CC=CC(C=O)=C1 CATOVPRCMWIZLR-UHFFFAOYSA-N 0.000 description 1
- ZQDPJFUHLCOCRG-UHFFFAOYSA-N 3-hexene Chemical compound CCC=CCC ZQDPJFUHLCOCRG-UHFFFAOYSA-N 0.000 description 1
- 125000006041 3-hexenyl group Chemical group 0.000 description 1
- XMIIGOLPHOKFCH-UHFFFAOYSA-M 3-phenylpropionate Chemical compound [O-]C(=O)CCC1=CC=CC=C1 XMIIGOLPHOKFCH-UHFFFAOYSA-M 0.000 description 1
- SNFXKHJDUXYNSU-UHFFFAOYSA-N 4-(3-chlorophenyl)morpholine Chemical compound ClC1=CC=CC(N2CCOCC2)=C1 SNFXKHJDUXYNSU-UHFFFAOYSA-N 0.000 description 1
- DMAYBPBPEUFIHJ-UHFFFAOYSA-N 4-bromobut-1-ene Chemical compound BrCCC=C DMAYBPBPEUFIHJ-UHFFFAOYSA-N 0.000 description 1
- BCJVBDBJSMFBRW-UHFFFAOYSA-N 4-diphenylphosphanylbutyl(diphenyl)phosphane Chemical compound C=1C=CC=CC=1P(C=1C=CC=CC=1)CCCCP(C=1C=CC=CC=1)C1=CC=CC=C1 BCJVBDBJSMFBRW-UHFFFAOYSA-N 0.000 description 1
- MBVFRSJFKMJRHA-UHFFFAOYSA-N 4-fluoro-1-benzofuran-7-carbaldehyde Chemical compound FC1=CC=C(C=O)C2=C1C=CO2 MBVFRSJFKMJRHA-UHFFFAOYSA-N 0.000 description 1
- FHVDTGUDJYJELY-UHFFFAOYSA-N 6-{[2-carboxy-4,5-dihydroxy-6-(phosphanyloxy)oxan-3-yl]oxy}-4,5-dihydroxy-3-phosphanyloxane-2-carboxylic acid Chemical compound O1C(C(O)=O)C(P)C(O)C(O)C1OC1C(C(O)=O)OC(OP)C(O)C1O FHVDTGUDJYJELY-UHFFFAOYSA-N 0.000 description 1
- ZCYVEMRRCGMTRW-UHFFFAOYSA-N 7553-56-2 Chemical compound [I] ZCYVEMRRCGMTRW-UHFFFAOYSA-N 0.000 description 1
- QSBYPNXLFMSGKH-UHFFFAOYSA-N 9-Heptadecensaeure Natural products CCCCCCCC=CCCCCCCCC(O)=O QSBYPNXLFMSGKH-UHFFFAOYSA-N 0.000 description 1
- OZAIFHULBGXAKX-VAWYXSNFSA-N AIBN Substances N#CC(C)(C)\N=N\C(C)(C)C#N OZAIFHULBGXAKX-VAWYXSNFSA-N 0.000 description 1
- QTBSBXVTEAMEQO-UHFFFAOYSA-M Acetate Chemical group CC([O-])=O QTBSBXVTEAMEQO-UHFFFAOYSA-M 0.000 description 1
- 208000002874 Acne Vulgaris Diseases 0.000 description 1
- 241000251468 Actinopterygii Species 0.000 description 1
- 208000009304 Acute Kidney Injury Diseases 0.000 description 1
- 208000026872 Addison Disease Diseases 0.000 description 1
- 108010072151 Agouti Signaling Protein Proteins 0.000 description 1
- 102000006822 Agouti Signaling Protein Human genes 0.000 description 1
- 201000010000 Agranulocytosis Diseases 0.000 description 1
- 201000004384 Alopecia Diseases 0.000 description 1
- 239000005995 Aluminium silicate Substances 0.000 description 1
- QGZKDVFQNNGYKY-UHFFFAOYSA-O Ammonium Chemical compound [NH4+] QGZKDVFQNNGYKY-UHFFFAOYSA-O 0.000 description 1
- 206010002065 Anaemia megaloblastic Diseases 0.000 description 1
- 208000028185 Angioedema Diseases 0.000 description 1
- 206010002660 Anoxia Diseases 0.000 description 1
- 241000976983 Anoxia Species 0.000 description 1
- 235000003276 Apios tuberosa Nutrition 0.000 description 1
- 244000105624 Arachis hypogaea Species 0.000 description 1
- 235000010777 Arachis hypogaea Nutrition 0.000 description 1
- 235000010744 Arachis villosulicarpa Nutrition 0.000 description 1
- 206010003210 Arteriosclerosis Diseases 0.000 description 1
- 201000001320 Atherosclerosis Diseases 0.000 description 1
- 208000032116 Autoimmune Experimental Encephalomyelitis Diseases 0.000 description 1
- 206010003827 Autoimmune hepatitis Diseases 0.000 description 1
- 241000271566 Aves Species 0.000 description 1
- 208000035143 Bacterial infection Diseases 0.000 description 1
- 208000023328 Basedow disease Diseases 0.000 description 1
- DWRXFEITVBNRMK-UHFFFAOYSA-N Beta-D-1-Arabinofuranosylthymine Natural products O=C1NC(=O)C(C)=CN1C1C(O)C(O)C(CO)O1 DWRXFEITVBNRMK-UHFFFAOYSA-N 0.000 description 1
- 208000008439 Biliary Liver Cirrhosis Diseases 0.000 description 1
- 208000033222 Biliary cirrhosis primary Diseases 0.000 description 1
- 108010006654 Bleomycin Proteins 0.000 description 1
- 208000020084 Bone disease Diseases 0.000 description 1
- BTBUEUYNUDRHOZ-UHFFFAOYSA-N Borate Chemical compound [O-]B([O-])[O-] BTBUEUYNUDRHOZ-UHFFFAOYSA-N 0.000 description 1
- 241000283690 Bos taurus Species 0.000 description 1
- 108091003079 Bovine Serum Albumin Proteins 0.000 description 1
- WKBOTKDWSSQWDR-UHFFFAOYSA-N Bromine atom Chemical compound [Br] WKBOTKDWSSQWDR-UHFFFAOYSA-N 0.000 description 1
- FERIUCNNQQJTOY-UHFFFAOYSA-M Butyrate Chemical compound CCCC([O-])=O FERIUCNNQQJTOY-UHFFFAOYSA-M 0.000 description 1
- FERIUCNNQQJTOY-UHFFFAOYSA-N Butyric acid Natural products CCCC(O)=O FERIUCNNQQJTOY-UHFFFAOYSA-N 0.000 description 1
- PYWRRJCLJVIHES-BOVCWBCZSA-N C#CC(C)C[C@@H](C)[C@@H](O[W])C(C)C.CC Chemical compound C#CC(C)C[C@@H](C)[C@@H](O[W])C(C)C.CC PYWRRJCLJVIHES-BOVCWBCZSA-N 0.000 description 1
- XDQDFTIQRZDMOP-YNLXVRNASA-N C#CC(O)C[C@@H](C)[C@@H](O[W])C(C)C.CC Chemical compound C#CC(O)C[C@@H](C)[C@@H](O[W])C(C)C.CC XDQDFTIQRZDMOP-YNLXVRNASA-N 0.000 description 1
- MOMKHXJBQDTVHF-CSXSGTBDSA-M C/C([Y])=C(/C)C(O)C[C@@H](C)[C@@H](O[W])C(C)C.C/C([Y])=C(/C)[Mg]Br.C/C([Y])=C(C)\C=C\[C@@H](C)[C@@H](O[W])C(C)C.CC(=O)OC(C[C@@H](C)[C@@H](O[W])C(C)C)/C(C)=C(\C)[Y].CC(C)[C@H](O[W])[C@H](C)CC=O Chemical compound C/C([Y])=C(/C)C(O)C[C@@H](C)[C@@H](O[W])C(C)C.C/C([Y])=C(/C)[Mg]Br.C/C([Y])=C(C)\C=C\[C@@H](C)[C@@H](O[W])C(C)C.CC(=O)OC(C[C@@H](C)[C@@H](O[W])C(C)C)/C(C)=C(\C)[Y].CC(C)[C@H](O[W])[C@H](C)CC=O MOMKHXJBQDTVHF-CSXSGTBDSA-M 0.000 description 1
- ZFBQBRBHSSIBAL-UAUJNFOYSA-N C/C=C/C[C@@H](C)C(O)C(C)C.C/C=C/C[C@@H](C)[C@@H](O[W])C(C)C.CC(C)[C@H](O[W])[C@H](C)CC=O Chemical compound C/C=C/C[C@@H](C)C(O)C(C)C.C/C=C/C[C@@H](C)[C@@H](O[W])C(C)C.CC(C)[C@H](O[W])[C@H](C)CC=O ZFBQBRBHSSIBAL-UAUJNFOYSA-N 0.000 description 1
- DRPITFQKMLHKLX-CBFNJNCUSA-N C/C=C\C=C\[C@@H](C)[C@@H](O[W])C(C)C.CC#C/C=C/[C@@H](C)[C@@H](O[W])C(C)C.CC(C)[C@H](O[W])[C@H](C)/C=C/C#C[Ar] Chemical compound C/C=C\C=C\[C@@H](C)[C@@H](O[W])C(C)C.CC#C/C=C/[C@@H](C)[C@@H](O[W])C(C)C.CC(C)[C@H](O[W])[C@H](C)/C=C/C#C[Ar] DRPITFQKMLHKLX-CBFNJNCUSA-N 0.000 description 1
- GCJLIKDHVXPZBX-VYQCCHGNSA-N C1CCOC1.CC#C/C=C/[C@@H](C)[C@@H](O[W])C(C)C.CC#CC(C)C[C@@H](C)[C@@H](O[W])C(C)C.CC#CC(O)C[C@@H](C)[C@@H](O[W])C(C)C.CC(C)[C@H](O[W])[C@H](C)CC=O.[2H]B[U].[Li]C#CC Chemical compound C1CCOC1.CC#C/C=C/[C@@H](C)[C@@H](O[W])C(C)C.CC#CC(C)C[C@@H](C)[C@@H](O[W])C(C)C.CC#CC(O)C[C@@H](C)[C@@H](O[W])C(C)C.CC(C)[C@H](O[W])[C@H](C)CC=O.[2H]B[U].[Li]C#CC GCJLIKDHVXPZBX-VYQCCHGNSA-N 0.000 description 1
- SLMFWJQZLPEDDU-UHFFFAOYSA-N CC#CC(C)C Chemical compound CC#CC(C)C SLMFWJQZLPEDDU-UHFFFAOYSA-N 0.000 description 1
- TXDADDXQCJCGLF-UHFFFAOYSA-N CC([Y])=C(C)C(C)C Chemical compound CC([Y])=C(C)C(C)C TXDADDXQCJCGLF-UHFFFAOYSA-N 0.000 description 1
- HXOMBSBWDGKUCL-ZJUUUORDSA-N CC=C[C@@H](C)[C@@H](C)C(C)C Chemical compound CC=C[C@@H](C)[C@@H](C)C(C)C HXOMBSBWDGKUCL-ZJUUUORDSA-N 0.000 description 1
- OYPRJOBELJOOCE-UHFFFAOYSA-N Calcium Chemical compound [Ca] OYPRJOBELJOOCE-UHFFFAOYSA-N 0.000 description 1
- UXVMQQNJUSDDNG-UHFFFAOYSA-L Calcium chloride Chemical compound [Cl-].[Cl-].[Ca+2] UXVMQQNJUSDDNG-UHFFFAOYSA-L 0.000 description 1
- 102000000584 Calmodulin Human genes 0.000 description 1
- 108010041952 Calmodulin Proteins 0.000 description 1
- 241000282472 Canis lupus familiaris Species 0.000 description 1
- OKTJSMMVPCPJKN-UHFFFAOYSA-N Carbon Chemical compound [C] OKTJSMMVPCPJKN-UHFFFAOYSA-N 0.000 description 1
- 229920002134 Carboxymethyl cellulose Polymers 0.000 description 1
- 201000009030 Carcinoma Diseases 0.000 description 1
- 208000031229 Cardiomyopathies Diseases 0.000 description 1
- 101710163595 Chaperone protein DnaK Proteins 0.000 description 1
- ZAMOUSCENKQFHK-UHFFFAOYSA-N Chlorine atom Chemical compound [Cl] ZAMOUSCENKQFHK-UHFFFAOYSA-N 0.000 description 1
- 206010008609 Cholangitis sclerosing Diseases 0.000 description 1
- 206010009208 Cirrhosis alcoholic Diseases 0.000 description 1
- KRKNYBCHXYNGOX-UHFFFAOYSA-K Citrate Chemical compound [O-]C(=O)CC(O)(CC([O-])=O)C([O-])=O KRKNYBCHXYNGOX-UHFFFAOYSA-K 0.000 description 1
- 206010009657 Clostridium difficile colitis Diseases 0.000 description 1
- 208000015943 Coeliac disease Diseases 0.000 description 1
- 206010009900 Colitis ulcerative Diseases 0.000 description 1
- 208000027932 Collagen disease Diseases 0.000 description 1
- 208000035473 Communicable disease Diseases 0.000 description 1
- 206010010744 Conjunctivitis allergic Diseases 0.000 description 1
- 229920002261 Corn starch Polymers 0.000 description 1
- 208000006069 Corneal Opacity Diseases 0.000 description 1
- 206010066968 Corneal leukoma Diseases 0.000 description 1
- 208000011231 Crohn disease Diseases 0.000 description 1
- 241000484025 Cuniculus Species 0.000 description 1
- 102000008130 Cyclic AMP-Dependent Protein Kinases Human genes 0.000 description 1
- 108010049894 Cyclic AMP-Dependent Protein Kinases Proteins 0.000 description 1
- 108010072220 Cyclophilin A Proteins 0.000 description 1
- 108010068682 Cyclophilins Proteins 0.000 description 1
- 102000001493 Cyclophilins Human genes 0.000 description 1
- CMSMOCZEIVJLDB-UHFFFAOYSA-N Cyclophosphamide Chemical compound ClCCN(CCCl)P1(=O)NCCCO1 CMSMOCZEIVJLDB-UHFFFAOYSA-N 0.000 description 1
- 206010011831 Cytomegalovirus infection Diseases 0.000 description 1
- FBPFZTCFMRRESA-KVTDHHQDSA-N D-Mannitol Chemical compound OC[C@@H](O)[C@@H](O)[C@H](O)[C@H](O)CO FBPFZTCFMRRESA-KVTDHHQDSA-N 0.000 description 1
- IELOKBJPULMYRW-NJQVLOCASA-N D-alpha-Tocopheryl Acid Succinate Chemical compound OC(=O)CCC(=O)OC1=C(C)C(C)=C2O[C@@](CCC[C@H](C)CCC[C@H](C)CCCC(C)C)(C)CCC2=C1C IELOKBJPULMYRW-NJQVLOCASA-N 0.000 description 1
- RGHNJXZEOKUKBD-SQOUGZDYSA-M D-gluconate Chemical compound OC[C@@H](O)[C@@H](O)[C@H](O)[C@@H](O)C([O-])=O RGHNJXZEOKUKBD-SQOUGZDYSA-M 0.000 description 1
- 230000006820 DNA synthesis Effects 0.000 description 1
- 101100016370 Danio rerio hsp90a.1 gene Proteins 0.000 description 1
- 206010012442 Dermatitis contact Diseases 0.000 description 1
- 208000007342 Diabetic Nephropathies Diseases 0.000 description 1
- 235000019739 Dicalciumphosphate Nutrition 0.000 description 1
- 101100285708 Dictyostelium discoideum hspD gene Proteins 0.000 description 1
- 201000003066 Diffuse Scleroderma Diseases 0.000 description 1
- SNRUBQQJIBEYMU-UHFFFAOYSA-N Dodecane Natural products CCCCCCCCCCCC SNRUBQQJIBEYMU-UHFFFAOYSA-N 0.000 description 1
- KCXVZYZYPLLWCC-UHFFFAOYSA-N EDTA Chemical compound OC(=O)CN(CC(O)=O)CCN(CC(O)=O)CC(O)=O KCXVZYZYPLLWCC-UHFFFAOYSA-N 0.000 description 1
- LVGKNOAMLMIIKO-UHFFFAOYSA-N Elaidinsaeure-aethylester Natural products CCCCCCCCC=CCCCCCCCC(=O)OCC LVGKNOAMLMIIKO-UHFFFAOYSA-N 0.000 description 1
- 206010060742 Endocrine ophthalmopathy Diseases 0.000 description 1
- 206010014950 Eosinophilia Diseases 0.000 description 1
- 206010014954 Eosinophilic fasciitis Diseases 0.000 description 1
- 206010014989 Epidermolysis bullosa Diseases 0.000 description 1
- 241000283086 Equidae Species 0.000 description 1
- 206010015150 Erythema Diseases 0.000 description 1
- 206010015218 Erythema multiforme Diseases 0.000 description 1
- 239000001856 Ethyl cellulose Substances 0.000 description 1
- ZZSNKZQZMQGXPY-UHFFFAOYSA-N Ethyl cellulose Chemical compound CCOCC1OC(OC)C(OCC)C(OCC)C1OC1C(O)C(O)C(OC)C(CO)O1 ZZSNKZQZMQGXPY-UHFFFAOYSA-N 0.000 description 1
- 241000282326 Felis catus Species 0.000 description 1
- 206010016654 Fibrosis Diseases 0.000 description 1
- 239000004606 Fillers/Extenders Substances 0.000 description 1
- PXGOKWXKJXAPGV-UHFFFAOYSA-N Fluorine Chemical compound FF PXGOKWXKJXAPGV-UHFFFAOYSA-N 0.000 description 1
- GHASVSINZRGABV-UHFFFAOYSA-N Fluorouracil Chemical compound FC1=CNC(=O)NC1=O GHASVSINZRGABV-UHFFFAOYSA-N 0.000 description 1
- BDAGIHXWWSANSR-UHFFFAOYSA-M Formate Chemical compound [O-]C=O BDAGIHXWWSANSR-UHFFFAOYSA-M 0.000 description 1
- 241000206672 Gelidium Species 0.000 description 1
- 102000003676 Glucocorticoid Receptors Human genes 0.000 description 1
- 108090000079 Glucocorticoid Receptors Proteins 0.000 description 1
- AEMRFAOFKBGASW-UHFFFAOYSA-N Glycolic acid Polymers OCC(O)=O AEMRFAOFKBGASW-UHFFFAOYSA-N 0.000 description 1
- 208000024869 Goodpasture syndrome Diseases 0.000 description 1
- 206010018691 Granuloma Diseases 0.000 description 1
- 208000035895 Guillain-Barré syndrome Diseases 0.000 description 1
- 239000007995 HEPES buffer Substances 0.000 description 1
- 208000031886 HIV Infections Diseases 0.000 description 1
- 208000030836 Hashimoto thyroiditis Diseases 0.000 description 1
- 101710178376 Heat shock 70 kDa protein Proteins 0.000 description 1
- 101710152018 Heat shock cognate 70 kDa protein Proteins 0.000 description 1
- 208000035186 Hemolytic Autoimmune Anemia Diseases 0.000 description 1
- 208000032759 Hemolytic-Uremic Syndrome Diseases 0.000 description 1
- 208000027761 Hepatic autoimmune disease Diseases 0.000 description 1
- 208000005100 Herpetic Keratitis Diseases 0.000 description 1
- 239000004705 High-molecular-weight polyethylene Substances 0.000 description 1
- 241000282412 Homo Species 0.000 description 1
- 241000713772 Human immunodeficiency virus 1 Species 0.000 description 1
- 241000713340 Human immunodeficiency virus 2 Species 0.000 description 1
- 206010020850 Hyperthyroidism Diseases 0.000 description 1
- 206010020864 Hypertrichosis Diseases 0.000 description 1
- 206010021074 Hypoplastic anaemia Diseases 0.000 description 1
- 206010021143 Hypoxia Diseases 0.000 description 1
- 201000003838 Idiopathic interstitial pneumonia Diseases 0.000 description 1
- 206010021245 Idiopathic thrombocytopenic purpura Diseases 0.000 description 1
- DGAQECJNVWCQMB-PUAWFVPOSA-M Ilexoside XXIX Chemical compound C[C@@H]1CC[C@@]2(CC[C@@]3(C(=CC[C@H]4[C@]3(CC[C@@H]5[C@@]4(CC[C@@H](C5(C)C)OS(=O)(=O)[O-])C)C)[C@@H]2[C@]1(C)O)C)C(=O)O[C@H]6[C@@H]([C@H]([C@@H]([C@H](O6)CO)O)O)O.[Na+] DGAQECJNVWCQMB-PUAWFVPOSA-M 0.000 description 1
- QNAYBMKLOCPYGJ-REOHCLBHSA-N L-alanine Chemical compound C[C@H](N)C(O)=O QNAYBMKLOCPYGJ-REOHCLBHSA-N 0.000 description 1
- CKLJMWTZIZZHCS-REOHCLBHSA-N L-aspartic acid Chemical compound OC(=O)[C@@H](N)CC(O)=O CKLJMWTZIZZHCS-REOHCLBHSA-N 0.000 description 1
- FBOZXECLQNJBKD-ZDUSSCGKSA-N L-methotrexate Chemical compound C=1N=C2N=C(N)N=C(N)C2=NC=1CN(C)C1=CC=C(C(=O)N[C@@H](CCC(O)=O)C(O)=O)C=C1 FBOZXECLQNJBKD-ZDUSSCGKSA-N 0.000 description 1
- KZSNJWFQEVHDMF-BYPYZUCNSA-N L-valine Chemical compound CC(C)[C@H](N)C(O)=O KZSNJWFQEVHDMF-BYPYZUCNSA-N 0.000 description 1
- JVTAAEKCZFNVCJ-UHFFFAOYSA-M Lactate Chemical compound CC(O)C([O-])=O JVTAAEKCZFNVCJ-UHFFFAOYSA-M 0.000 description 1
- 240000007472 Leucaena leucocephala Species 0.000 description 1
- 235000010643 Leucaena leucocephala Nutrition 0.000 description 1
- 206010024380 Leukoderma Diseases 0.000 description 1
- 241001123008 Leukoma Species 0.000 description 1
- 208000012309 Linear IgA disease Diseases 0.000 description 1
- 208000019693 Lung disease Diseases 0.000 description 1
- 206010058467 Lung neoplasm malignant Diseases 0.000 description 1
- 241000701076 Macacine alphaherpesvirus 1 Species 0.000 description 1
- OFOBLEOULBTSOW-UHFFFAOYSA-L Malonate Chemical compound [O-]C(=O)CC([O-])=O OFOBLEOULBTSOW-UHFFFAOYSA-L 0.000 description 1
- 240000003183 Manihot esculenta Species 0.000 description 1
- 235000016735 Manihot esculenta subsp esculenta Nutrition 0.000 description 1
- 229930195725 Mannitol Natural products 0.000 description 1
- 208000000682 Megaloblastic Anemia Diseases 0.000 description 1
- 208000027530 Meniere disease Diseases 0.000 description 1
- 206010027476 Metastases Diseases 0.000 description 1
- 208000019695 Migraine disease Diseases 0.000 description 1
- 206010049567 Miller Fisher syndrome Diseases 0.000 description 1
- 206010027910 Mononeuritis Diseases 0.000 description 1
- 201000010927 Mucositis Diseases 0.000 description 1
- 208000034578 Multiple myelomas Diseases 0.000 description 1
- GXCLVBGFBYZDAG-UHFFFAOYSA-N N-[2-(1H-indol-3-yl)ethyl]-N-methylprop-2-en-1-amine Chemical compound CN(CCC1=CNC2=C1C=CC=C2)CC=C GXCLVBGFBYZDAG-UHFFFAOYSA-N 0.000 description 1
- 206010051606 Necrotising colitis Diseases 0.000 description 1
- 206010029155 Nephropathy toxic Diseases 0.000 description 1
- 206010029164 Nephrotic syndrome Diseases 0.000 description 1
- PVNIIMVLHYAWGP-UHFFFAOYSA-N Niacin Chemical compound OC(=O)C1=CC=CN=C1 PVNIIMVLHYAWGP-UHFFFAOYSA-N 0.000 description 1
- 102000017954 Nuclear factor of activated T cells (NFAT) Human genes 0.000 description 1
- 108050007058 Nuclear factor of activated T cells (NFAT) Proteins 0.000 description 1
- 208000008589 Obesity Diseases 0.000 description 1
- 208000022873 Ocular disease Diseases 0.000 description 1
- 240000007817 Olea europaea Species 0.000 description 1
- 239000005642 Oleic acid Substances 0.000 description 1
- ZQPPMHVWECSIRJ-UHFFFAOYSA-N Oleic acid Natural products CCCCCCCCC=CCCCCCCCC(O)=O ZQPPMHVWECSIRJ-UHFFFAOYSA-N 0.000 description 1
- 206010073938 Ophthalmic herpes simplex Diseases 0.000 description 1
- 208000001132 Osteoporosis Diseases 0.000 description 1
- MUBZPKHOEPUJKR-UHFFFAOYSA-N Oxalic acid Chemical compound OC(=O)C(O)=O MUBZPKHOEPUJKR-UHFFFAOYSA-N 0.000 description 1
- 206010033645 Pancreatitis Diseases 0.000 description 1
- 235000019483 Peanut oil Nutrition 0.000 description 1
- 206010034277 Pemphigoid Diseases 0.000 description 1
- 241000721454 Pemphigus Species 0.000 description 1
- 102100034539 Peptidyl-prolyl cis-trans isomerase A Human genes 0.000 description 1
- 208000031845 Pernicious anaemia Diseases 0.000 description 1
- 108090000608 Phosphoric Monoester Hydrolases Proteins 0.000 description 1
- 102000004160 Phosphoric Monoester Hydrolases Human genes 0.000 description 1
- 206010035226 Plasma cell myeloma Diseases 0.000 description 1
- 239000004952 Polyamide Substances 0.000 description 1
- 229920002732 Polyanhydride Polymers 0.000 description 1
- 239000002202 Polyethylene glycol Substances 0.000 description 1
- 229920000954 Polyglycolide Polymers 0.000 description 1
- 206010036105 Polyneuropathy Diseases 0.000 description 1
- 229920001710 Polyorthoester Polymers 0.000 description 1
- ZLMJMSJWJFRBEC-UHFFFAOYSA-N Potassium Chemical compound [K] ZLMJMSJWJFRBEC-UHFFFAOYSA-N 0.000 description 1
- 208000012654 Primary biliary cholangitis Diseases 0.000 description 1
- 206010036774 Proctitis Diseases 0.000 description 1
- XBDQKXXYIPTUBI-UHFFFAOYSA-M Propionate Chemical compound CCC([O-])=O XBDQKXXYIPTUBI-UHFFFAOYSA-M 0.000 description 1
- 208000003100 Pseudomembranous Enterocolitis Diseases 0.000 description 1
- 206010037128 Pseudomembranous colitis Diseases 0.000 description 1
- 208000003670 Pure Red-Cell Aplasia Diseases 0.000 description 1
- 208000006311 Pyoderma Diseases 0.000 description 1
- 206010037779 Radiculopathy Diseases 0.000 description 1
- 208000033626 Renal failure acute Diseases 0.000 description 1
- 206010063837 Reperfusion injury Diseases 0.000 description 1
- 208000002200 Respiratory Hypersensitivity Diseases 0.000 description 1
- 206010038910 Retinitis Diseases 0.000 description 1
- 235000004443 Ricinus communis Nutrition 0.000 description 1
- KJTLSVCANCCWHF-UHFFFAOYSA-N Ruthenium Chemical compound [Ru] KJTLSVCANCCWHF-UHFFFAOYSA-N 0.000 description 1
- 108010082756 SDZ 33-243 Proteins 0.000 description 1
- 235000019485 Safflower oil Nutrition 0.000 description 1
- 108010077895 Sarcosine Proteins 0.000 description 1
- 101100071627 Schizosaccharomyces pombe (strain 972 / ATCC 24843) swo1 gene Proteins 0.000 description 1
- 206010039705 Scleritis Diseases 0.000 description 1
- 206010039710 Scleroderma Diseases 0.000 description 1
- 206010040047 Sepsis Diseases 0.000 description 1
- 206010040070 Septic Shock Diseases 0.000 description 1
- 208000021386 Sjogren Syndrome Diseases 0.000 description 1
- 235000002595 Solanum tuberosum Nutrition 0.000 description 1
- 244000061456 Solanum tuberosum Species 0.000 description 1
- 238000003477 Sonogashira cross-coupling reaction Methods 0.000 description 1
- SSZBUIDZHHWXNJ-UHFFFAOYSA-N Stearinsaeure-hexadecylester Natural products CCCCCCCCCCCCCCCCCC(=O)OCCCCCCCCCCCCCCCC SSZBUIDZHHWXNJ-UHFFFAOYSA-N 0.000 description 1
- 208000007107 Stomach Ulcer Diseases 0.000 description 1
- 241000282887 Suidae Species 0.000 description 1
- 201000009594 Systemic Scleroderma Diseases 0.000 description 1
- 206010042953 Systemic sclerosis Diseases 0.000 description 1
- 230000006044 T cell activation Effects 0.000 description 1
- 208000031673 T-Cell Cutaneous Lymphoma Diseases 0.000 description 1
- 108010027179 Tacrolimus Binding Proteins Proteins 0.000 description 1
- 102000018679 Tacrolimus Binding Proteins Human genes 0.000 description 1
- 208000001106 Takayasu Arteritis Diseases 0.000 description 1
- FEWJPZIEWOKRBE-UHFFFAOYSA-N Tartaric acid Natural products [H+].[H+].[O-]C(=O)C(O)C(O)C([O-])=O FEWJPZIEWOKRBE-UHFFFAOYSA-N 0.000 description 1
- 206010053615 Thermal burn Diseases 0.000 description 1
- ZMZDMBWJUHKJPS-UHFFFAOYSA-M Thiocyanate anion Chemical compound [S-]C#N ZMZDMBWJUHKJPS-UHFFFAOYSA-M 0.000 description 1
- 208000031981 Thrombocytopenic Idiopathic Purpura Diseases 0.000 description 1
- 231100000579 Toxinosis Toxicity 0.000 description 1
- 206010044565 Tremor Diseases 0.000 description 1
- 239000007983 Tris buffer Substances 0.000 description 1
- 206010067584 Type 1 diabetes mellitus Diseases 0.000 description 1
- 201000006704 Ulcerative Colitis Diseases 0.000 description 1
- 208000024780 Urticaria Diseases 0.000 description 1
- 206010046851 Uveitis Diseases 0.000 description 1
- 208000001445 Uveomeningoencephalitic Syndrome Diseases 0.000 description 1
- KZSNJWFQEVHDMF-UHFFFAOYSA-N Valine Natural products CC(C)C(N)C(O)=O KZSNJWFQEVHDMF-UHFFFAOYSA-N 0.000 description 1
- 208000024248 Vascular System injury Diseases 0.000 description 1
- 208000012339 Vascular injury Diseases 0.000 description 1
- 206010053648 Vascular occlusion Diseases 0.000 description 1
- 206010047112 Vasculitides Diseases 0.000 description 1
- 206010047115 Vasculitis Diseases 0.000 description 1
- JXLYSJRDGCGARV-WWYNWVTFSA-N Vinblastine Natural products O=C(O[C@H]1[C@](O)(C(=O)OC)[C@@H]2N(C)c3c(cc(c(OC)c3)[C@]3(C(=O)OC)c4[nH]c5c(c4CCN4C[C@](O)(CC)C[C@H](C3)C4)cccc5)[C@@]32[C@H]2[C@@]1(CC)C=CCN2CC3)C JXLYSJRDGCGARV-WWYNWVTFSA-N 0.000 description 1
- 208000034705 Vogt-Koyanagi-Harada syndrome Diseases 0.000 description 1
- 208000027418 Wounds and injury Diseases 0.000 description 1
- 240000008042 Zea mays Species 0.000 description 1
- 235000005824 Zea mays ssp. parviglumis Nutrition 0.000 description 1
- 235000002017 Zea mays subsp mays Nutrition 0.000 description 1
- 239000001089 [(2R)-oxolan-2-yl]methanol Substances 0.000 description 1
- PMATZTZNYRCHOR-XDHGZIEGSA-N [H][C@]1([C@H](O)[C@H](C)C/C=C/C)C(=O)N[C@@H](CC)C(=O)N(C)CC(=O)N(C)[C@@H](CC(C)C)C(=O)N[C@@H](C(C)C)C(=O)N(C)[C@H](CC(C)C)C(=O)N[C@@H](C)C(=O)N[C@H](C)C(=O)N(C)[C@@H](CC(C)C)C(=O)N(C)[C@@H](CC(C)C)C(=O)N(C)[C@@H](C(C)C)C(=O)N1C Chemical compound [H][C@]1([C@H](O)[C@H](C)C/C=C/C)C(=O)N[C@@H](CC)C(=O)N(C)CC(=O)N(C)[C@@H](CC(C)C)C(=O)N[C@@H](C(C)C)C(=O)N(C)[C@H](CC(C)C)C(=O)N[C@@H](C)C(=O)N[C@H](C)C(=O)N(C)[C@@H](CC(C)C)C(=O)N(C)[C@@H](CC(C)C)C(=O)N(C)[C@@H](C(C)C)C(=O)N1C PMATZTZNYRCHOR-XDHGZIEGSA-N 0.000 description 1
- WRQSAQPASDQAJV-UHFFFAOYSA-N [Li]C#CC Chemical compound [Li]C#CC WRQSAQPASDQAJV-UHFFFAOYSA-N 0.000 description 1
- SORGEQQSQGNZFI-UHFFFAOYSA-N [azido(phenoxy)phosphoryl]oxybenzene Chemical compound C=1C=CC=CC=1OP(=O)(N=[N+]=[N-])OC1=CC=CC=C1 SORGEQQSQGNZFI-UHFFFAOYSA-N 0.000 description 1
- 238000002835 absorbance Methods 0.000 description 1
- 239000002250 absorbent Substances 0.000 description 1
- 230000002745 absorbent Effects 0.000 description 1
- 239000003655 absorption accelerator Substances 0.000 description 1
- DPXJVFZANSGRMM-UHFFFAOYSA-N acetic acid;2,3,4,5,6-pentahydroxyhexanal;sodium Chemical compound [Na].CC(O)=O.OCC(O)C(O)C(O)C(O)C=O DPXJVFZANSGRMM-UHFFFAOYSA-N 0.000 description 1
- 150000007513 acids Chemical class 0.000 description 1
- 206010000496 acne Diseases 0.000 description 1
- 230000009471 action Effects 0.000 description 1
- 230000003213 activating effect Effects 0.000 description 1
- 231100000836 acute liver failure Toxicity 0.000 description 1
- 125000002252 acyl group Chemical group 0.000 description 1
- WNLRTRBMVRJNCN-UHFFFAOYSA-L adipate(2-) Chemical compound [O-]C(=O)CCCCC([O-])=O WNLRTRBMVRJNCN-UHFFFAOYSA-L 0.000 description 1
- 229940009456 adriamycin Drugs 0.000 description 1
- 206010064930 age-related macular degeneration Diseases 0.000 description 1
- 230000032683 aging Effects 0.000 description 1
- 238000003915 air pollution Methods 0.000 description 1
- 230000010085 airway hyperresponsiveness Effects 0.000 description 1
- 235000004279 alanine Nutrition 0.000 description 1
- 208000010002 alcoholic liver cirrhosis Diseases 0.000 description 1
- 229940072056 alginate Drugs 0.000 description 1
- 238000005865 alkene metathesis reaction Methods 0.000 description 1
- 125000003342 alkenyl group Chemical group 0.000 description 1
- 125000003545 alkoxy group Chemical group 0.000 description 1
- 125000004453 alkoxycarbonyl group Chemical group 0.000 description 1
- 125000003282 alkyl amino group Chemical group 0.000 description 1
- 125000000217 alkyl group Chemical group 0.000 description 1
- 125000000304 alkynyl group Chemical group 0.000 description 1
- 239000013566 allergen Substances 0.000 description 1
- 208000002205 allergic conjunctivitis Diseases 0.000 description 1
- 231100000360 alopecia Toxicity 0.000 description 1
- 208000004631 alopecia areata Diseases 0.000 description 1
- HSFWRNGVRCDJHI-UHFFFAOYSA-N alpha-acetylene Natural products C#C HSFWRNGVRCDJHI-UHFFFAOYSA-N 0.000 description 1
- AWUCVROLDVIAJX-UHFFFAOYSA-N alpha-glycerophosphate Natural products OCC(O)COP(O)(O)=O AWUCVROLDVIAJX-UHFFFAOYSA-N 0.000 description 1
- 229910021502 aluminium hydroxide Inorganic materials 0.000 description 1
- 229910000147 aluminium phosphate Inorganic materials 0.000 description 1
- 235000012211 aluminium silicate Nutrition 0.000 description 1
- INJRKJPEYSAMPD-UHFFFAOYSA-N aluminum;silicic acid;hydrate Chemical compound O.[Al].[Al].O[Si](O)(O)O INJRKJPEYSAMPD-UHFFFAOYSA-N 0.000 description 1
- 125000000539 amino acid group Chemical group 0.000 description 1
- 238000004458 analytical method Methods 0.000 description 1
- 238000010171 animal model Methods 0.000 description 1
- 230000007953 anoxia Effects 0.000 description 1
- 230000002141 anti-parasite Effects 0.000 description 1
- 239000003963 antioxidant agent Substances 0.000 description 1
- 235000006708 antioxidants Nutrition 0.000 description 1
- 208000011775 arteriosclerosis disease Diseases 0.000 description 1
- 125000005228 aryl sulfonate group Chemical group 0.000 description 1
- 229940072107 ascorbate Drugs 0.000 description 1
- 235000010323 ascorbic acid Nutrition 0.000 description 1
- 239000011668 ascorbic acid Substances 0.000 description 1
- 229940009098 aspartate Drugs 0.000 description 1
- 239000012131 assay buffer Substances 0.000 description 1
- 238000003149 assay kit Methods 0.000 description 1
- 125000004429 atom Chemical group 0.000 description 1
- 230000001363 autoimmune Effects 0.000 description 1
- 201000000448 autoimmune hemolytic anemia Diseases 0.000 description 1
- 201000003710 autoimmune thrombocytopenic purpura Diseases 0.000 description 1
- 229960002170 azathioprine Drugs 0.000 description 1
- LMEKQMALGUDUQG-UHFFFAOYSA-N azathioprine Chemical compound CN1C=NC([N+]([O-])=O)=C1SC1=NC=NC2=C1NC=N2 LMEKQMALGUDUQG-UHFFFAOYSA-N 0.000 description 1
- 208000022362 bacterial infectious disease Diseases 0.000 description 1
- 239000002585 base Substances 0.000 description 1
- 239000000440 bentonite Substances 0.000 description 1
- 229910000278 bentonite Inorganic materials 0.000 description 1
- SVPXDRXYRYOSEX-UHFFFAOYSA-N bentoquatam Chemical compound O.O=[Si]=O.O=[Al]O[Al]=O SVPXDRXYRYOSEX-UHFFFAOYSA-N 0.000 description 1
- 229940077388 benzenesulfonate Drugs 0.000 description 1
- SRSXLGNVWSONIS-UHFFFAOYSA-M benzenesulfonate Chemical compound [O-]S(=O)(=O)C1=CC=CC=C1 SRSXLGNVWSONIS-UHFFFAOYSA-M 0.000 description 1
- 125000003785 benzimidazolyl group Chemical group N1=C(NC2=C1C=CC=C2)* 0.000 description 1
- 229940050390 benzoate Drugs 0.000 description 1
- WPYMKLBDIGXBTP-UHFFFAOYSA-N benzoic acid Chemical compound OC(=O)C1=CC=CC=C1 WPYMKLBDIGXBTP-UHFFFAOYSA-N 0.000 description 1
- 125000005872 benzooxazolyl group Chemical group 0.000 description 1
- 125000003236 benzoyl group Chemical group [H]C1=C([H])C([H])=C(C([H])=C1[H])C(*)=O 0.000 description 1
- 229960002903 benzyl benzoate Drugs 0.000 description 1
- 125000001584 benzyloxycarbonyl group Chemical group C(=O)(OCC1=CC=CC=C1)* 0.000 description 1
- IQFYYKKMVGJFEH-UHFFFAOYSA-N beta-L-thymidine Natural products O=C1NC(=O)C(C)=CN1C1OC(CO)C(O)C1 IQFYYKKMVGJFEH-UHFFFAOYSA-N 0.000 description 1
- XMIIGOLPHOKFCH-UHFFFAOYSA-N beta-phenylpropanoic acid Natural products OC(=O)CCC1=CC=CC=C1 XMIIGOLPHOKFCH-UHFFFAOYSA-N 0.000 description 1
- 239000011230 binding agent Substances 0.000 description 1
- 238000004166 bioassay Methods 0.000 description 1
- 230000004071 biological effect Effects 0.000 description 1
- 230000033228 biological regulation Effects 0.000 description 1
- OYVAGSVQBOHSSS-UAPAGMARSA-O bleomycin A2 Chemical class N([C@H](C(=O)N[C@H](C)[C@@H](O)[C@H](C)C(=O)N[C@@H]([C@H](O)C)C(=O)NCCC=1SC=C(N=1)C=1SC=C(N=1)C(=O)NCCC[S+](C)C)[C@@H](O[C@H]1[C@H]([C@@H](O)[C@H](O)[C@H](CO)O1)O[C@@H]1[C@H]([C@@H](OC(N)=O)[C@H](O)[C@@H](CO)O1)O)C=1N=CNC=1)C(=O)C1=NC([C@H](CC(N)=O)NC[C@H](N)C(N)=O)=NC(N)=C1C OYVAGSVQBOHSSS-UAPAGMARSA-O 0.000 description 1
- 210000004369 blood Anatomy 0.000 description 1
- 239000008280 blood Substances 0.000 description 1
- 210000004204 blood vessel Anatomy 0.000 description 1
- 230000036760 body temperature Effects 0.000 description 1
- 210000000988 bone and bone Anatomy 0.000 description 1
- 229940098773 bovine serum albumin Drugs 0.000 description 1
- 229950010231 brequinar Drugs 0.000 description 1
- PHEZJEYUWHETKO-UHFFFAOYSA-N brequinar Chemical compound N1=C2C=CC(F)=CC2=C(C(O)=O)C(C)=C1C(C=C1)=CC=C1C1=CC=CC=C1F PHEZJEYUWHETKO-UHFFFAOYSA-N 0.000 description 1
- GDTBXPJZTBHREO-UHFFFAOYSA-N bromine Substances BrBr GDTBXPJZTBHREO-UHFFFAOYSA-N 0.000 description 1
- 208000000594 bullous pemphigoid Diseases 0.000 description 1
- 125000004369 butenyl group Chemical group C(=CCC)* 0.000 description 1
- WXMZPPIDLJRXNK-UHFFFAOYSA-N butyl(diphenyl)phosphane Chemical compound C=1C=CC=CC=1P(CCCC)C1=CC=CC=C1 WXMZPPIDLJRXNK-UHFFFAOYSA-N 0.000 description 1
- 108010044481 calcineurin phosphatase Proteins 0.000 description 1
- 239000011575 calcium Substances 0.000 description 1
- 229910052791 calcium Inorganic materials 0.000 description 1
- 229910000019 calcium carbonate Inorganic materials 0.000 description 1
- 235000010216 calcium carbonate Nutrition 0.000 description 1
- 239000001110 calcium chloride Substances 0.000 description 1
- 229910001628 calcium chloride Inorganic materials 0.000 description 1
- FATUQANACHZLRT-KMRXSBRUSA-L calcium glucoheptonate Chemical compound [Ca+2].OC[C@@H](O)[C@@H](O)[C@H](O)[C@@H](O)C(O)C([O-])=O.OC[C@@H](O)[C@@H](O)[C@H](O)[C@@H](O)C(O)C([O-])=O FATUQANACHZLRT-KMRXSBRUSA-L 0.000 description 1
- 239000001506 calcium phosphate Substances 0.000 description 1
- 235000012241 calcium silicate Nutrition 0.000 description 1
- CJZGTCYPCWQAJB-UHFFFAOYSA-L calcium stearate Chemical compound [Ca+2].CCCCCCCCCCCCCCCCCC([O-])=O.CCCCCCCCCCCCCCCCCC([O-])=O CJZGTCYPCWQAJB-UHFFFAOYSA-L 0.000 description 1
- 239000008116 calcium stearate Substances 0.000 description 1
- 235000013539 calcium stearate Nutrition 0.000 description 1
- MIOPJNTWMNEORI-UHFFFAOYSA-N camphorsulfonic acid Chemical compound C1CC2(CS(O)(=O)=O)C(=O)CC1C2(C)C MIOPJNTWMNEORI-UHFFFAOYSA-N 0.000 description 1
- 125000002915 carbonyl group Chemical group [*:2]C([*:1])=O 0.000 description 1
- 150000003857 carboxamides Chemical class 0.000 description 1
- 235000010948 carboxy methyl cellulose Nutrition 0.000 description 1
- 150000007942 carboxylates Chemical class 0.000 description 1
- 239000008112 carboxymethyl-cellulose Substances 0.000 description 1
- 230000000747 cardiac effect Effects 0.000 description 1
- 239000000969 carrier Substances 0.000 description 1
- 239000012876 carrier material Substances 0.000 description 1
- 239000004359 castor oil Substances 0.000 description 1
- 238000009903 catalytic hydrogenation reaction Methods 0.000 description 1
- 230000010261 cell growth Effects 0.000 description 1
- 239000006285 cell suspension Substances 0.000 description 1
- 229920002301 cellulose acetate Polymers 0.000 description 1
- 239000004568 cement Substances 0.000 description 1
- 210000003169 central nervous system Anatomy 0.000 description 1
- 229960000541 cetyl alcohol Drugs 0.000 description 1
- 230000003034 chemosensitisation Effects 0.000 description 1
- 230000000973 chemotherapeutic effect Effects 0.000 description 1
- 239000000460 chlorine Substances 0.000 description 1
- 229910052801 chlorine Inorganic materials 0.000 description 1
- 150000005827 chlorofluoro hydrocarbons Chemical class 0.000 description 1
- 238000004587 chromatography analysis Methods 0.000 description 1
- 208000020832 chronic kidney disease Diseases 0.000 description 1
- 208000025302 chronic primary adrenal insufficiency Diseases 0.000 description 1
- 201000010002 cicatricial pemphigoid Diseases 0.000 description 1
- 230000007882 cirrhosis Effects 0.000 description 1
- 208000019425 cirrhosis of liver Diseases 0.000 description 1
- DQLATGHUWYMOKM-UHFFFAOYSA-L cisplatin Chemical compound N[Pt](N)(Cl)Cl DQLATGHUWYMOKM-UHFFFAOYSA-L 0.000 description 1
- 229960004316 cisplatin Drugs 0.000 description 1
- 239000004927 clay Substances 0.000 description 1
- 239000011248 coating agent Substances 0.000 description 1
- 229960001338 colchicine Drugs 0.000 description 1
- 206010009887 colitis Diseases 0.000 description 1
- 239000003086 colorant Substances 0.000 description 1
- 238000004440 column chromatography Methods 0.000 description 1
- 238000002648 combination therapy Methods 0.000 description 1
- 230000000295 complement effect Effects 0.000 description 1
- 238000007906 compression Methods 0.000 description 1
- 230000006835 compression Effects 0.000 description 1
- 208000010247 contact dermatitis Diseases 0.000 description 1
- 235000005822 corn Nutrition 0.000 description 1
- 235000005687 corn oil Nutrition 0.000 description 1
- 239000002285 corn oil Substances 0.000 description 1
- 239000008120 corn starch Substances 0.000 description 1
- 210000004087 cornea Anatomy 0.000 description 1
- 239000002385 cottonseed oil Substances 0.000 description 1
- 230000008878 coupling Effects 0.000 description 1
- 238000010168 coupling process Methods 0.000 description 1
- 238000005859 coupling reaction Methods 0.000 description 1
- 239000013078 crystal Substances 0.000 description 1
- 238000002425 crystallisation Methods 0.000 description 1
- 230000008025 crystallization Effects 0.000 description 1
- 201000007241 cutaneous T cell lymphoma Diseases 0.000 description 1
- 125000004122 cyclic group Chemical group 0.000 description 1
- 125000001995 cyclobutyl group Chemical group [H]C1([H])C([H])([H])C([H])(*)C1([H])[H] 0.000 description 1
- 125000000113 cyclohexyl group Chemical group [H]C1([H])C([H])([H])C([H])([H])C([H])(*)C([H])([H])C1([H])[H] 0.000 description 1
- 125000001511 cyclopentyl group Chemical group [H]C1([H])C([H])([H])C([H])([H])C([H])(*)C1([H])[H] 0.000 description 1
- 229960004397 cyclophosphamide Drugs 0.000 description 1
- 230000001086 cytosolic effect Effects 0.000 description 1
- 229940127089 cytotoxic agent Drugs 0.000 description 1
- 229940099418 d- alpha-tocopherol succinate Drugs 0.000 description 1
- 230000006378 damage Effects 0.000 description 1
- 125000002704 decyl group Chemical group [H]C([H])([H])C([H])([H])C([H])([H])C([H])([H])C([H])([H])C([H])([H])C([H])([H])C([H])([H])C([H])([H])C([H])([H])* 0.000 description 1
- 238000010511 deprotection reaction Methods 0.000 description 1
- 201000001981 dermatomyositis Diseases 0.000 description 1
- 238000001514 detection method Methods 0.000 description 1
- 229960003957 dexamethasone Drugs 0.000 description 1
- UREBDLICKHMUKA-CXSFZGCWSA-N dexamethasone Chemical compound C1CC2=CC(=O)C=C[C@]2(C)[C@]2(F)[C@@H]1[C@@H]1C[C@@H](C)[C@@](C(=O)CO)(O)[C@@]1(C)C[C@@H]2O UREBDLICKHMUKA-CXSFZGCWSA-N 0.000 description 1
- CDHICTNQMQYRSM-UHFFFAOYSA-N di(propan-2-yl)alumane Chemical compound CC(C)[AlH]C(C)C CDHICTNQMQYRSM-UHFFFAOYSA-N 0.000 description 1
- 208000033679 diabetic kidney disease Diseases 0.000 description 1
- 238000002405 diagnostic procedure Methods 0.000 description 1
- 230000035487 diastolic blood pressure Effects 0.000 description 1
- WMKGGPCROCCUDY-PHEQNACWSA-N dibenzylideneacetone Chemical compound C=1C=CC=CC=1\C=C\C(=O)\C=C\C1=CC=CC=C1 WMKGGPCROCCUDY-PHEQNACWSA-N 0.000 description 1
- NEFBYIFKOOEVPA-UHFFFAOYSA-K dicalcium phosphate Chemical compound [Ca+2].[Ca+2].[O-]P([O-])([O-])=O NEFBYIFKOOEVPA-UHFFFAOYSA-K 0.000 description 1
- 229940038472 dicalcium phosphate Drugs 0.000 description 1
- 229910000390 dicalcium phosphate Inorganic materials 0.000 description 1
- 238000010790 dilution Methods 0.000 description 1
- 239000012895 dilution Substances 0.000 description 1
- PHBAAFDKJNNRNJ-UHFFFAOYSA-N dimethoxymethoxy(dimethoxy)methane Chemical compound COC(OC)OC(OC)OC PHBAAFDKJNNRNJ-UHFFFAOYSA-N 0.000 description 1
- LDCRTTXIJACKKU-ARJAWSKDSA-N dimethyl maleate Chemical compound COC(=O)\C=C/C(=O)OC LDCRTTXIJACKKU-ARJAWSKDSA-N 0.000 description 1
- MKRTXPORKIRPDG-UHFFFAOYSA-N diphenylphosphoryl azide Chemical compound C=1C=CC=CC=1P(=O)(N=[N+]=[N-])C1=CC=CC=C1 MKRTXPORKIRPDG-UHFFFAOYSA-N 0.000 description 1
- 239000002270 dispersing agent Substances 0.000 description 1
- 238000004090 dissolution Methods 0.000 description 1
- VHJLVAABSRFDPM-QWWZWVQMSA-N dithiothreitol Chemical compound SC[C@@H](O)[C@H](O)CS VHJLVAABSRFDPM-QWWZWVQMSA-N 0.000 description 1
- POULHZVOKOAJMA-UHFFFAOYSA-M dodecanoate Chemical compound CCCCCCCCCCCC([O-])=O POULHZVOKOAJMA-UHFFFAOYSA-M 0.000 description 1
- 239000008298 dragée Substances 0.000 description 1
- 239000000890 drug combination Substances 0.000 description 1
- 238000001035 drying Methods 0.000 description 1
- 210000001198 duodenum Anatomy 0.000 description 1
- 239000000428 dust Substances 0.000 description 1
- 239000003221 ear drop Substances 0.000 description 1
- 229940047652 ear drops Drugs 0.000 description 1
- 230000001804 emulsifying effect Effects 0.000 description 1
- 208000030172 endocrine system disease Diseases 0.000 description 1
- 239000003623 enhancer Substances 0.000 description 1
- 239000002702 enteric coating Substances 0.000 description 1
- 238000009505 enteric coating Methods 0.000 description 1
- 238000003912 environmental pollution Methods 0.000 description 1
- 238000006911 enzymatic reaction Methods 0.000 description 1
- 201000001564 eosinophilic gastroenteritis Diseases 0.000 description 1
- 210000000918 epididymis Anatomy 0.000 description 1
- 201000010063 epididymitis Diseases 0.000 description 1
- 231100000321 erythema Toxicity 0.000 description 1
- 125000004185 ester group Chemical group 0.000 description 1
- CCIVGXIOQKPBKL-UHFFFAOYSA-M ethanesulfonate Chemical compound CCS([O-])(=O)=O CCIVGXIOQKPBKL-UHFFFAOYSA-M 0.000 description 1
- 150000002170 ethers Chemical class 0.000 description 1
- 229940052303 ethers for general anesthesia Drugs 0.000 description 1
- 125000003754 ethoxycarbonyl group Chemical group C(=O)(OCC)* 0.000 description 1
- 229940093499 ethyl acetate Drugs 0.000 description 1
- 235000019325 ethyl cellulose Nutrition 0.000 description 1
- 229920001249 ethyl cellulose Polymers 0.000 description 1
- FAMRKDQNMBBFBR-UHFFFAOYSA-N ethyl n-ethoxycarbonyliminocarbamate Chemical compound CCOC(=O)N=NC(=O)OCC FAMRKDQNMBBFBR-UHFFFAOYSA-N 0.000 description 1
- LVGKNOAMLMIIKO-QXMHVHEDSA-N ethyl oleate Chemical compound CCCCCCCC\C=C/CCCCCCCC(=O)OCC LVGKNOAMLMIIKO-QXMHVHEDSA-N 0.000 description 1
- 229940093471 ethyl oleate Drugs 0.000 description 1
- 238000002474 experimental method Methods 0.000 description 1
- 208000024711 extrinsic asthma Diseases 0.000 description 1
- 210000001508 eye Anatomy 0.000 description 1
- 208000030533 eye disease Diseases 0.000 description 1
- 239000003885 eye ointment Substances 0.000 description 1
- 150000004665 fatty acids Chemical class 0.000 description 1
- 238000001914 filtration Methods 0.000 description 1
- 239000012530 fluid Substances 0.000 description 1
- 239000011737 fluorine Substances 0.000 description 1
- 229910052731 fluorine Inorganic materials 0.000 description 1
- 229960002949 fluorouracil Drugs 0.000 description 1
- 230000004907 flux Effects 0.000 description 1
- 235000013305 food Nutrition 0.000 description 1
- 239000012634 fragment Substances 0.000 description 1
- 239000012458 free base Substances 0.000 description 1
- VZCYOOQTPOCHFL-OWOJBTEDSA-L fumarate(2-) Chemical compound [O-]C(=O)\C=C\C([O-])=O VZCYOOQTPOCHFL-OWOJBTEDSA-L 0.000 description 1
- 238000007306 functionalization reaction Methods 0.000 description 1
- 230000002538 fungal effect Effects 0.000 description 1
- 125000002541 furyl group Chemical group 0.000 description 1
- 239000007903 gelatin capsule Substances 0.000 description 1
- 230000014509 gene expression Effects 0.000 description 1
- 230000035784 germination Effects 0.000 description 1
- 229910001679 gibbsite Inorganic materials 0.000 description 1
- 210000004195 gingiva Anatomy 0.000 description 1
- 208000007565 gingivitis Diseases 0.000 description 1
- 229940050410 gluconate Drugs 0.000 description 1
- 235000001727 glucose Nutrition 0.000 description 1
- YQEMORVAKMFKLG-UHFFFAOYSA-N glycerine monostearate Natural products CCCCCCCCCCCCCCCCCC(=O)OC(CO)CO YQEMORVAKMFKLG-UHFFFAOYSA-N 0.000 description 1
- SVUQHVRAGMNPLW-UHFFFAOYSA-N glycerol monostearate Natural products CCCCCCCCCCCCCCCCC(=O)OCC(O)CO SVUQHVRAGMNPLW-UHFFFAOYSA-N 0.000 description 1
- 150000002334 glycols Chemical class 0.000 description 1
- 208000024908 graft versus host disease Diseases 0.000 description 1
- 239000001963 growth medium Substances 0.000 description 1
- 230000003779 hair growth Effects 0.000 description 1
- 150000004820 halides Chemical class 0.000 description 1
- 150000008282 halocarbons Chemical class 0.000 description 1
- 125000005843 halogen group Chemical group 0.000 description 1
- 230000003862 health status Effects 0.000 description 1
- 208000027700 hepatic dysfunction Diseases 0.000 description 1
- 206010019692 hepatic necrosis Diseases 0.000 description 1
- 208000006454 hepatitis Diseases 0.000 description 1
- 231100000283 hepatitis Toxicity 0.000 description 1
- 210000003494 hepatocyte Anatomy 0.000 description 1
- MNWFXJYAOYHMED-UHFFFAOYSA-N heptanoic acid Chemical compound CCCCCCC(O)=O MNWFXJYAOYHMED-UHFFFAOYSA-N 0.000 description 1
- 201000010884 herpes simplex virus keratitis Diseases 0.000 description 1
- 150000002391 heterocyclic compounds Chemical class 0.000 description 1
- BXWNKGSJHAJOGX-UHFFFAOYSA-N hexadecan-1-ol Chemical compound CCCCCCCCCCCCCCCCO BXWNKGSJHAJOGX-UHFFFAOYSA-N 0.000 description 1
- IPCSVZSSVZVIGE-UHFFFAOYSA-M hexadecanoate Chemical compound CCCCCCCCCCCCCCCC([O-])=O IPCSVZSSVZVIGE-UHFFFAOYSA-M 0.000 description 1
- FUZZWVXGSFPDMH-UHFFFAOYSA-N hexanoic acid Chemical compound CCCCCC(O)=O FUZZWVXGSFPDMH-UHFFFAOYSA-N 0.000 description 1
- 238000004128 high performance liquid chromatography Methods 0.000 description 1
- 229960001340 histamine Drugs 0.000 description 1
- 239000003906 humectant Substances 0.000 description 1
- XMBWDFGMSWQBCA-UHFFFAOYSA-N hydrogen iodide Chemical compound I XMBWDFGMSWQBCA-UHFFFAOYSA-N 0.000 description 1
- ZMZDMBWJUHKJPS-UHFFFAOYSA-N hydrogen thiocyanate Natural products SC#N ZMZDMBWJUHKJPS-UHFFFAOYSA-N 0.000 description 1
- 238000005984 hydrogenation reaction Methods 0.000 description 1
- QAOWNCQODCNURD-UHFFFAOYSA-M hydrogensulfate Chemical compound OS([O-])(=O)=O QAOWNCQODCNURD-UHFFFAOYSA-M 0.000 description 1
- 206010020718 hyperplasia Diseases 0.000 description 1
- 206010021198 ichthyosis Diseases 0.000 description 1
- 201000002597 ichthyosis vulgaris Diseases 0.000 description 1
- 229960004716 idoxuridine Drugs 0.000 description 1
- 125000002632 imidazolidinyl group Chemical group 0.000 description 1
- 125000002636 imidazolinyl group Chemical group 0.000 description 1
- 125000002883 imidazolyl group Chemical group 0.000 description 1
- 238000007654 immersion Methods 0.000 description 1
- 230000028993 immune response Effects 0.000 description 1
- 230000002163 immunogen Effects 0.000 description 1
- 230000001861 immunosuppressant effect Effects 0.000 description 1
- 229940125721 immunosuppressive agent Drugs 0.000 description 1
- 230000006872 improvement Effects 0.000 description 1
- 238000011065 in-situ storage Methods 0.000 description 1
- 238000011534 incubation Methods 0.000 description 1
- 125000003392 indanyl group Chemical group C1(CCC2=CC=CC=C12)* 0.000 description 1
- 230000006698 induction Effects 0.000 description 1
- 208000015181 infectious disease Diseases 0.000 description 1
- 208000030603 inherited susceptibility to asthma Diseases 0.000 description 1
- 239000003112 inhibitor Substances 0.000 description 1
- 230000002401 inhibitory effect Effects 0.000 description 1
- 229940102223 injectable solution Drugs 0.000 description 1
- 229940102213 injectable suspension Drugs 0.000 description 1
- 208000014674 injury Diseases 0.000 description 1
- 239000000543 intermediate Substances 0.000 description 1
- 201000006334 interstitial nephritis Diseases 0.000 description 1
- 208000028774 intestinal disease Diseases 0.000 description 1
- 230000003903 intestinal lesions Effects 0.000 description 1
- 238000001361 intraarterial administration Methods 0.000 description 1
- 238000007917 intracranial administration Methods 0.000 description 1
- 238000007918 intramuscular administration Methods 0.000 description 1
- 238000010255 intramuscular injection Methods 0.000 description 1
- 239000007927 intramuscular injection Substances 0.000 description 1
- 238000007919 intrasynovial administration Methods 0.000 description 1
- 238000007913 intrathecal administration Methods 0.000 description 1
- 238000001990 intravenous administration Methods 0.000 description 1
- 201000010659 intrinsic asthma Diseases 0.000 description 1
- 239000011630 iodine Substances 0.000 description 1
- 229910052740 iodine Inorganic materials 0.000 description 1
- 238000005342 ion exchange Methods 0.000 description 1
- 230000007794 irritation Effects 0.000 description 1
- 208000012947 ischemia reperfusion injury Diseases 0.000 description 1
- 208000023569 ischemic bowel disease Diseases 0.000 description 1
- SUMDYPCJJOFFON-UHFFFAOYSA-N isethionic acid Chemical compound OCCS(O)(=O)=O SUMDYPCJJOFFON-UHFFFAOYSA-N 0.000 description 1
- 238000002955 isolation Methods 0.000 description 1
- QXJSBBXBKPUZAA-UHFFFAOYSA-N isooleic acid Natural products CCCCCCCC=CCCCCCCCCC(O)=O QXJSBBXBKPUZAA-UHFFFAOYSA-N 0.000 description 1
- 125000002183 isoquinolinyl group Chemical group C1(=NC=CC2=CC=CC=C12)* 0.000 description 1
- 125000004628 isothiazolidinyl group Chemical group S1N(CCC1)* 0.000 description 1
- 125000003965 isoxazolidinyl group Chemical group 0.000 description 1
- NLYAJNPCOHFWQQ-UHFFFAOYSA-N kaolin Chemical compound O.O.O=[Al]O[Si](=O)O[Si](=O)O[Al]=O NLYAJNPCOHFWQQ-UHFFFAOYSA-N 0.000 description 1
- 201000010666 keratoconjunctivitis Diseases 0.000 description 1
- 230000003907 kidney function Effects 0.000 description 1
- 229940001447 lactate Drugs 0.000 description 1
- 229940099584 lactobionate Drugs 0.000 description 1
- JYTUSYBCFIZPBE-AMTLMPIISA-M lactobionate Chemical compound [O-]C(=O)[C@H](O)[C@@H](O)[C@@H]([C@H](O)CO)O[C@@H]1O[C@H](CO)[C@H](O)[C@H](O)[C@H]1O JYTUSYBCFIZPBE-AMTLMPIISA-M 0.000 description 1
- 229940070765 laurate Drugs 0.000 description 1
- 229960000681 leflunomide Drugs 0.000 description 1
- VHOGYURTWQBHIL-UHFFFAOYSA-N leflunomide Chemical compound O1N=CC(C(=O)NC=2C=CC(=CC=2)C(F)(F)F)=C1C VHOGYURTWQBHIL-UHFFFAOYSA-N 0.000 description 1
- 201000010260 leiomyoma Diseases 0.000 description 1
- 230000003902 lesion Effects 0.000 description 1
- VNYSSYRCGWBHLG-AMOLWHMGSA-M leukotriene B4(1-) Chemical compound CCCCC\C=C/C[C@@H](O)\C=C\C=C\C=C/[C@@H](O)CCCC([O-])=O VNYSSYRCGWBHLG-AMOLWHMGSA-M 0.000 description 1
- GWNVDXQDILPJIG-NXOLIXFESA-N leukotriene C4 Chemical compound CCCCC\C=C/C\C=C/C=C/C=C/[C@H]([C@@H](O)CCCC(O)=O)SC[C@@H](C(=O)NCC(O)=O)NC(=O)CC[C@H](N)C(O)=O GWNVDXQDILPJIG-NXOLIXFESA-N 0.000 description 1
- 201000011486 lichen planus Diseases 0.000 description 1
- 230000000670 limiting effect Effects 0.000 description 1
- 239000002502 liposome Substances 0.000 description 1
- 239000006194 liquid suspension Substances 0.000 description 1
- 239000012280 lithium aluminium hydride Substances 0.000 description 1
- DLEDOFVPSDKWEF-UHFFFAOYSA-N lithium butane Chemical compound [Li+].CCC[CH2-] DLEDOFVPSDKWEF-UHFFFAOYSA-N 0.000 description 1
- 231100000149 liver necrosis Toxicity 0.000 description 1
- 230000007774 longterm Effects 0.000 description 1
- 239000006210 lotion Substances 0.000 description 1
- 201000005202 lung cancer Diseases 0.000 description 1
- 208000020816 lung neoplasm Diseases 0.000 description 1
- 206010025135 lupus erythematosus Diseases 0.000 description 1
- 210000004324 lymphatic system Anatomy 0.000 description 1
- 229910001629 magnesium chloride Inorganic materials 0.000 description 1
- VTHJTEIRLNZDEV-UHFFFAOYSA-L magnesium dihydroxide Chemical compound [OH-].[OH-].[Mg+2] VTHJTEIRLNZDEV-UHFFFAOYSA-L 0.000 description 1
- 239000000347 magnesium hydroxide Substances 0.000 description 1
- 229910001862 magnesium hydroxide Inorganic materials 0.000 description 1
- RMGJCSHZTFKPNO-UHFFFAOYSA-M magnesium;ethene;bromide Chemical compound [Mg+2].[Br-].[CH-]=C RMGJCSHZTFKPNO-UHFFFAOYSA-M 0.000 description 1
- WQMNNHNWITXOAH-UHFFFAOYSA-M magnesium;prop-1-ene;bromide Chemical compound [Mg+2].[Br-].CC=[CH-] WQMNNHNWITXOAH-UHFFFAOYSA-M 0.000 description 1
- 238000012423 maintenance Methods 0.000 description 1
- 229940049920 malate Drugs 0.000 description 1
- BJEPYKJPYRNKOW-UHFFFAOYSA-L malate(2-) Chemical compound [O-]C(=O)C(O)CC([O-])=O BJEPYKJPYRNKOW-UHFFFAOYSA-L 0.000 description 1
- 239000011976 maleic acid Substances 0.000 description 1
- 239000000594 mannitol Substances 0.000 description 1
- 235000010355 mannitol Nutrition 0.000 description 1
- 239000003550 marker Substances 0.000 description 1
- 208000008585 mastocytosis Diseases 0.000 description 1
- 239000011159 matrix material Substances 0.000 description 1
- 238000005259 measurement Methods 0.000 description 1
- 231100001016 megaloblastic anemia Toxicity 0.000 description 1
- 239000012528 membrane Substances 0.000 description 1
- 230000004060 metabolic process Effects 0.000 description 1
- 239000002207 metabolite Substances 0.000 description 1
- 230000009401 metastasis Effects 0.000 description 1
- 238000005649 metathesis reaction Methods 0.000 description 1
- 229960000485 methotrexate Drugs 0.000 description 1
- 125000001160 methoxycarbonyl group Chemical group [H]C([H])([H])OC(*)=O 0.000 description 1
- 229920000609 methyl cellulose Polymers 0.000 description 1
- 239000001923 methylcellulose Substances 0.000 description 1
- HPNSFSBZBAHARI-UHFFFAOYSA-N micophenolic acid Natural products OC1=C(CC=C(C)CCC(O)=O)C(OC)=C(C)C2=C1C(=O)OC2 HPNSFSBZBAHARI-UHFFFAOYSA-N 0.000 description 1
- 244000000010 microbial pathogen Species 0.000 description 1
- 206010027599 migraine Diseases 0.000 description 1
- 150000007522 mineralic acids Chemical class 0.000 description 1
- 230000011278 mitosis Effects 0.000 description 1
- 238000002156 mixing Methods 0.000 description 1
- CQDGTJPVBWZJAZ-UHFFFAOYSA-N monoethyl carbonate Chemical compound CCOC(O)=O CQDGTJPVBWZJAZ-UHFFFAOYSA-N 0.000 description 1
- 208000013734 mononeuritis simplex Diseases 0.000 description 1
- 201000005518 mononeuropathy Diseases 0.000 description 1
- 125000002757 morpholinyl group Chemical group 0.000 description 1
- 210000000214 mouth Anatomy 0.000 description 1
- 201000006417 multiple sclerosis Diseases 0.000 description 1
- 210000003205 muscle Anatomy 0.000 description 1
- 201000006938 muscular dystrophy Diseases 0.000 description 1
- 206010028417 myasthenia gravis Diseases 0.000 description 1
- 229960000951 mycophenolic acid Drugs 0.000 description 1
- HPNSFSBZBAHARI-RUDMXATFSA-N mycophenolic acid Chemical compound OC1=C(C\C=C(/C)CCC(O)=O)C(OC)=C(C)C2=C1C(=O)OC2 HPNSFSBZBAHARI-RUDMXATFSA-N 0.000 description 1
- PSHKMPUSSFXUIA-UHFFFAOYSA-N n,n-dimethylpyridin-2-amine Chemical compound CN(C)C1=CC=CC=N1 PSHKMPUSSFXUIA-UHFFFAOYSA-N 0.000 description 1
- 125000004108 n-butyl group Chemical group [H]C([H])([H])C([H])([H])C([H])([H])C([H])([H])* 0.000 description 1
- 125000001298 n-hexoxy group Chemical group [H]C([H])([H])C([H])([H])C([H])([H])C([H])([H])C([H])([H])C([H])([H])O* 0.000 description 1
- 125000001280 n-hexyl group Chemical group C(CCCCC)* 0.000 description 1
- KVBGVZZKJNLNJU-UHFFFAOYSA-M naphthalene-2-sulfonate Chemical compound C1=CC=CC2=CC(S(=O)(=O)[O-])=CC=C21 KVBGVZZKJNLNJU-UHFFFAOYSA-M 0.000 description 1
- 125000001624 naphthyl group Chemical group 0.000 description 1
- 229930014626 natural product Natural products 0.000 description 1
- 230000017074 necrotic cell death Effects 0.000 description 1
- 208000004995 necrotizing enterocolitis Diseases 0.000 description 1
- 125000001971 neopentyl group Chemical group [H]C([*])([H])C(C([H])([H])[H])(C([H])([H])[H])C([H])([H])[H] 0.000 description 1
- 230000007694 nephrotoxicity Effects 0.000 description 1
- 231100000417 nephrotoxicity Toxicity 0.000 description 1
- 235000001968 nicotinic acid Nutrition 0.000 description 1
- 239000011664 nicotinic acid Substances 0.000 description 1
- 125000004433 nitrogen atom Chemical group N* 0.000 description 1
- QJGQUHMNIGDVPM-UHFFFAOYSA-N nitrogen group Chemical group [N] QJGQUHMNIGDVPM-UHFFFAOYSA-N 0.000 description 1
- 231100000344 non-irritating Toxicity 0.000 description 1
- QIQXTHQIDYTFRH-UHFFFAOYSA-N octadecanoic acid Chemical compound CCCCCCCCCCCCCCCCCC(O)=O QIQXTHQIDYTFRH-UHFFFAOYSA-N 0.000 description 1
- 125000002347 octyl group Chemical group [H]C([*])([H])C([H])([H])C([H])([H])C([H])([H])C([H])([H])C([H])([H])C([H])([H])C([H])([H])[H] 0.000 description 1
- 229940049964 oleate Drugs 0.000 description 1
- 230000003287 optical effect Effects 0.000 description 1
- 235000005985 organic acids Nutrition 0.000 description 1
- 229940046781 other immunosuppressants in atc Drugs 0.000 description 1
- 125000001715 oxadiazolyl group Chemical group 0.000 description 1
- 125000000160 oxazolidinyl group Chemical group 0.000 description 1
- 125000002971 oxazolyl group Chemical group 0.000 description 1
- 239000007800 oxidant agent Substances 0.000 description 1
- 125000004430 oxygen atom Chemical group O* 0.000 description 1
- 238000005949 ozonolysis reaction Methods 0.000 description 1
- WXHIJDCHNDBCNY-UHFFFAOYSA-N palladium dihydride Chemical compound [PdH2] WXHIJDCHNDBCNY-UHFFFAOYSA-N 0.000 description 1
- NFHFRUOZVGFOOS-UHFFFAOYSA-N palladium;triphenylphosphane Chemical compound [Pd].C1=CC=CC=C1P(C=1C=CC=CC=1)C1=CC=CC=C1.C1=CC=CC=C1P(C=1C=CC=CC=1)C1=CC=CC=C1.C1=CC=CC=C1P(C=1C=CC=CC=1)C1=CC=CC=C1.C1=CC=CC=C1P(C=1C=CC=CC=1)C1=CC=CC=C1 NFHFRUOZVGFOOS-UHFFFAOYSA-N 0.000 description 1
- 210000000496 pancreas Anatomy 0.000 description 1
- 239000012188 paraffin wax Substances 0.000 description 1
- 230000036961 partial effect Effects 0.000 description 1
- 239000000312 peanut oil Substances 0.000 description 1
- 239000008188 pellet Substances 0.000 description 1
- 230000035515 penetration Effects 0.000 description 1
- WEXRUCMBJFQVBZ-UHFFFAOYSA-N pentobarbital Chemical compound CCCC(C)C1(CC)C(=O)NC(=O)NC1=O WEXRUCMBJFQVBZ-UHFFFAOYSA-N 0.000 description 1
- 229960001412 pentobarbital Drugs 0.000 description 1
- 201000006195 perinatal necrotizing enterocolitis Diseases 0.000 description 1
- 208000028169 periodontal disease Diseases 0.000 description 1
- 201000001245 periodontitis Diseases 0.000 description 1
- 210000004261 periodontium Anatomy 0.000 description 1
- JRKICGRDRMAZLK-UHFFFAOYSA-L peroxydisulfate Chemical compound [O-]S(=O)(=O)OOS([O-])(=O)=O JRKICGRDRMAZLK-UHFFFAOYSA-L 0.000 description 1
- 229940066827 pertussis vaccine Drugs 0.000 description 1
- 230000000144 pharmacologic effect Effects 0.000 description 1
- WVDDGKGOMKODPV-ZQBYOMGUSA-N phenyl(114C)methanol Chemical compound O[14CH2]C1=CC=CC=C1 WVDDGKGOMKODPV-ZQBYOMGUSA-N 0.000 description 1
- UYWQUFXKFGHYNT-UHFFFAOYSA-N phenylmethyl ester of formic acid Chemical group O=COCC1=CC=CC=C1 UYWQUFXKFGHYNT-UHFFFAOYSA-N 0.000 description 1
- 239000008363 phosphate buffer Substances 0.000 description 1
- 229940075930 picrate Drugs 0.000 description 1
- OXNIZHLAWKMVMX-UHFFFAOYSA-M picrate anion Chemical compound [O-]C1=C([N+]([O-])=O)C=C([N+]([O-])=O)C=C1[N+]([O-])=O OXNIZHLAWKMVMX-UHFFFAOYSA-M 0.000 description 1
- 125000004193 piperazinyl group Chemical group 0.000 description 1
- 125000003386 piperidinyl group Chemical group 0.000 description 1
- IUGYQRQAERSCNH-UHFFFAOYSA-M pivalate Chemical compound CC(C)(C)C([O-])=O IUGYQRQAERSCNH-UHFFFAOYSA-M 0.000 description 1
- 229950010765 pivalate Drugs 0.000 description 1
- 229920002647 polyamide Polymers 0.000 description 1
- 201000006292 polyarteritis nodosa Diseases 0.000 description 1
- 238000006116 polymerization reaction Methods 0.000 description 1
- 208000005987 polymyositis Diseases 0.000 description 1
- 208000019629 polyneuritis Diseases 0.000 description 1
- 229920001296 polysiloxane Polymers 0.000 description 1
- 230000023603 positive regulation of transcription initiation, DNA-dependent Effects 0.000 description 1
- 239000011591 potassium Substances 0.000 description 1
- 229910052700 potassium Inorganic materials 0.000 description 1
- 229920001592 potato starch Polymers 0.000 description 1
- 239000002244 precipitate Substances 0.000 description 1
- 239000002243 precursor Substances 0.000 description 1
- 229960005205 prednisolone Drugs 0.000 description 1
- OIGNJSKKLXVSLS-VWUMJDOOSA-N prednisolone Chemical compound O=C1C=C[C@]2(C)[C@H]3[C@@H](O)C[C@](C)([C@@](CC4)(O)C(=O)CO)[C@@H]4[C@@H]3CCC2=C1 OIGNJSKKLXVSLS-VWUMJDOOSA-N 0.000 description 1
- XOFYZVNMUHMLCC-ZPOLXVRWSA-N prednisone Chemical compound O=C1C=C[C@]2(C)[C@H]3C(=O)C[C@](C)([C@@](CC4)(O)C(=O)CO)[C@@H]4[C@@H]3CCC2=C1 XOFYZVNMUHMLCC-ZPOLXVRWSA-N 0.000 description 1
- 238000004321 preservation Methods 0.000 description 1
- 208000025638 primary cutaneous T-cell non-Hodgkin lymphoma Diseases 0.000 description 1
- 201000000742 primary sclerosing cholangitis Diseases 0.000 description 1
- 108090000765 processed proteins & peptides Proteins 0.000 description 1
- 229960003387 progesterone Drugs 0.000 description 1
- 239000000186 progesterone Substances 0.000 description 1
- 230000002062 proliferating effect Effects 0.000 description 1
- 230000001737 promoting effect Effects 0.000 description 1
- BDERNNFJNOPAEC-UHFFFAOYSA-N propan-1-ol Chemical compound CCCO BDERNNFJNOPAEC-UHFFFAOYSA-N 0.000 description 1
- 239000003380 propellant Substances 0.000 description 1
- 125000004368 propenyl group Chemical group C(=CC)* 0.000 description 1
- 238000011321 prophylaxis Methods 0.000 description 1
- 125000006308 propyl amino group Chemical group 0.000 description 1
- 238000000159 protein binding assay Methods 0.000 description 1
- 125000003373 pyrazinyl group Chemical group 0.000 description 1
- 125000003072 pyrazolidinyl group Chemical group 0.000 description 1
- 125000002755 pyrazolinyl group Chemical group 0.000 description 1
- 125000003226 pyrazolyl group Chemical group 0.000 description 1
- UMJSCPRVCHMLSP-UHFFFAOYSA-N pyridine Natural products COC1=CC=CN=C1 UMJSCPRVCHMLSP-UHFFFAOYSA-N 0.000 description 1
- 125000006513 pyridinyl methyl group Chemical group 0.000 description 1
- 125000004076 pyridyl group Chemical group 0.000 description 1
- 125000000714 pyrimidinyl group Chemical group 0.000 description 1
- 125000000719 pyrrolidinyl group Chemical group 0.000 description 1
- 125000000168 pyrrolyl group Chemical group 0.000 description 1
- 150000003856 quaternary ammonium compounds Chemical class 0.000 description 1
- 125000001453 quaternary ammonium group Chemical group 0.000 description 1
- 125000002943 quinolinyl group Chemical group N1=C(C=CC2=CC=CC=C12)* 0.000 description 1
- 125000001567 quinoxalinyl group Chemical group N1=C(C=NC2=CC=CC=C12)* 0.000 description 1
- 230000005855 radiation Effects 0.000 description 1
- ZAHRKKWIAAJSAO-UHFFFAOYSA-N rapamycin Natural products COCC(O)C(=C/C(C)C(=O)CC(OC(=O)C1CCCCN1C(=O)C(=O)C2(O)OC(CC(OC)C(=CC=CC=CC(C)CC(C)C(=O)C)C)CCC2C)C(C)CC3CCC(O)C(C3)OC)C ZAHRKKWIAAJSAO-UHFFFAOYSA-N 0.000 description 1
- 239000011541 reaction mixture Substances 0.000 description 1
- 238000001953 recrystallisation Methods 0.000 description 1
- 210000000664 rectum Anatomy 0.000 description 1
- 230000009467 reduction Effects 0.000 description 1
- 230000002829 reductive effect Effects 0.000 description 1
- 238000003571 reporter gene assay Methods 0.000 description 1
- 238000002271 resection Methods 0.000 description 1
- 208000037803 restenosis Diseases 0.000 description 1
- 230000000717 retained effect Effects 0.000 description 1
- 239000003340 retarding agent Substances 0.000 description 1
- 230000001177 retroviral effect Effects 0.000 description 1
- 230000002441 reversible effect Effects 0.000 description 1
- 206010039083 rhinitis Diseases 0.000 description 1
- 229910052707 ruthenium Inorganic materials 0.000 description 1
- 235000005713 safflower oil Nutrition 0.000 description 1
- 239000003813 safflower oil Substances 0.000 description 1
- 229940043230 sarcosine Drugs 0.000 description 1
- 230000037390 scarring Effects 0.000 description 1
- 208000010157 sclerosing cholangitis Diseases 0.000 description 1
- 208000004003 siderosis Diseases 0.000 description 1
- 230000019491 signal transduction Effects 0.000 description 1
- 150000004760 silicates Chemical class 0.000 description 1
- 238000009097 single-agent therapy Methods 0.000 description 1
- QFJCIRLUMZQUOT-HPLJOQBZSA-N sirolimus Chemical compound C1C[C@@H](O)[C@H](OC)C[C@@H]1C[C@@H](C)[C@H]1OC(=O)[C@@H]2CCCCN2C(=O)C(=O)[C@](O)(O2)[C@H](C)CC[C@H]2C[C@H](OC)/C(C)=C/C=C/C=C/[C@@H](C)C[C@@H](C)C(=O)[C@H](OC)[C@H](O)/C(C)=C/[C@@H](C)C(=O)C1 QFJCIRLUMZQUOT-HPLJOQBZSA-N 0.000 description 1
- 229960002930 sirolimus Drugs 0.000 description 1
- 210000000329 smooth muscle myocyte Anatomy 0.000 description 1
- AWUCVROLDVIAJX-GSVOUGTGSA-N sn-glycerol 3-phosphate Chemical compound OC[C@@H](O)COP(O)(O)=O AWUCVROLDVIAJX-GSVOUGTGSA-N 0.000 description 1
- 229910052708 sodium Inorganic materials 0.000 description 1
- 229910000029 sodium carbonate Inorganic materials 0.000 description 1
- 235000019812 sodium carboxymethyl cellulose Nutrition 0.000 description 1
- 229920001027 sodium carboxymethylcellulose Polymers 0.000 description 1
- 239000001509 sodium citrate Substances 0.000 description 1
- NLJMYIDDQXHKNR-UHFFFAOYSA-K sodium citrate Chemical compound O.O.[Na+].[Na+].[Na+].[O-]C(=O)CC(O)(CC([O-])=O)C([O-])=O NLJMYIDDQXHKNR-UHFFFAOYSA-K 0.000 description 1
- 235000011152 sodium sulphate Nutrition 0.000 description 1
- 235000010265 sodium sulphite Nutrition 0.000 description 1
- 239000003549 soybean oil Substances 0.000 description 1
- 235000012424 soybean oil Nutrition 0.000 description 1
- 239000008223 sterile water Substances 0.000 description 1
- 239000003206 sterilizing agent Substances 0.000 description 1
- 238000007920 subcutaneous administration Methods 0.000 description 1
- 238000010254 subcutaneous injection Methods 0.000 description 1
- 239000007929 subcutaneous injection Substances 0.000 description 1
- 125000005017 substituted alkenyl group Chemical group 0.000 description 1
- 125000000547 substituted alkyl group Chemical group 0.000 description 1
- 125000004426 substituted alkynyl group Chemical group 0.000 description 1
- KDYFGRWQOYBRFD-UHFFFAOYSA-L succinate(2-) Chemical compound [O-]C(=O)CCC([O-])=O KDYFGRWQOYBRFD-UHFFFAOYSA-L 0.000 description 1
- 239000001384 succinic acid Substances 0.000 description 1
- 235000000346 sugar Nutrition 0.000 description 1
- 150000008163 sugars Chemical class 0.000 description 1
- BDHFUVZGWQCTTF-UHFFFAOYSA-M sulfonate Chemical compound [O-]S(=O)=O BDHFUVZGWQCTTF-UHFFFAOYSA-M 0.000 description 1
- 239000011593 sulfur Chemical group 0.000 description 1
- 239000006188 syrup Substances 0.000 description 1
- 235000020357 syrup Nutrition 0.000 description 1
- 230000009885 systemic effect Effects 0.000 description 1
- 201000000596 systemic lupus erythematosus Diseases 0.000 description 1
- 239000011975 tartaric acid Substances 0.000 description 1
- 235000002906 tartaric acid Nutrition 0.000 description 1
- 229940095064 tartrate Drugs 0.000 description 1
- 125000000999 tert-butyl group Chemical group [H]C([H])([H])C(*)(C([H])([H])[H])C([H])([H])[H] 0.000 description 1
- 125000000037 tert-butyldiphenylsilyl group Chemical group [H]C1=C([H])C([H])=C([H])C([H])=C1[Si]([H])([*]C(C([H])([H])[H])(C([H])([H])[H])C([H])([H])[H])C1=C([H])C([H])=C([H])C([H])=C1[H] 0.000 description 1
- 238000010998 test method Methods 0.000 description 1
- 125000003718 tetrahydrofuranyl group Chemical group 0.000 description 1
- BSYVTEYKTMYBMK-UHFFFAOYSA-N tetrahydrofurfuryl alcohol Chemical compound OCC1CCCO1 BSYVTEYKTMYBMK-UHFFFAOYSA-N 0.000 description 1
- 125000001712 tetrahydronaphthyl group Chemical group C1(CCCC2=CC=CC=C12)* 0.000 description 1
- 230000036575 thermal burns Effects 0.000 description 1
- 125000001113 thiadiazolyl group Chemical group 0.000 description 1
- AYEKOFBPNLCAJY-UHFFFAOYSA-O thiamine pyrophosphate Chemical compound CC1=C(CCOP(O)(=O)OP(O)(O)=O)SC=[N+]1CC1=CN=C(C)N=C1N AYEKOFBPNLCAJY-UHFFFAOYSA-O 0.000 description 1
- 125000001984 thiazolidinyl group Chemical group 0.000 description 1
- 125000000335 thiazolyl group Chemical group 0.000 description 1
- 125000001544 thienyl group Chemical group 0.000 description 1
- 238000004809 thin layer chromatography Methods 0.000 description 1
- 229940104230 thymidine Drugs 0.000 description 1
- JOXIMZWYDAKGHI-UHFFFAOYSA-N toluene-4-sulfonic acid Chemical compound CC1=CC=C(S(O)(=O)=O)C=C1 JOXIMZWYDAKGHI-UHFFFAOYSA-N 0.000 description 1
- 230000000699 topical effect Effects 0.000 description 1
- 231100000419 toxicity Toxicity 0.000 description 1
- 230000001988 toxicity Effects 0.000 description 1
- 239000003053 toxin Substances 0.000 description 1
- 231100000765 toxin Toxicity 0.000 description 1
- 210000003437 trachea Anatomy 0.000 description 1
- 238000011269 treatment regimen Methods 0.000 description 1
- 125000006168 tricyclic group Chemical group 0.000 description 1
- HYWCXWRMUZYRPH-UHFFFAOYSA-N trimethyl(prop-2-enyl)silane Chemical compound C[Si](C)(C)CC=C HYWCXWRMUZYRPH-UHFFFAOYSA-N 0.000 description 1
- CWMFRHBXRUITQE-UHFFFAOYSA-N trimethylsilylacetylene Chemical group C[Si](C)(C)C#C CWMFRHBXRUITQE-UHFFFAOYSA-N 0.000 description 1
- LENZDBCJOHFCAS-UHFFFAOYSA-N tris Chemical compound OCC(N)(CO)CO LENZDBCJOHFCAS-UHFFFAOYSA-N 0.000 description 1
- ZDPHROOEEOARMN-UHFFFAOYSA-N undecanoic acid Chemical compound CCCCCCCCCCC(O)=O ZDPHROOEEOARMN-UHFFFAOYSA-N 0.000 description 1
- NQPDZGIKBAWPEJ-UHFFFAOYSA-N valeric acid Chemical class CCCCC(O)=O NQPDZGIKBAWPEJ-UHFFFAOYSA-N 0.000 description 1
- 239000004474 valine Substances 0.000 description 1
- 230000003966 vascular damage Effects 0.000 description 1
- 208000019553 vascular disease Diseases 0.000 description 1
- 208000021331 vascular occlusion disease Diseases 0.000 description 1
- 235000019871 vegetable fat Nutrition 0.000 description 1
- 201000005539 vernal conjunctivitis Diseases 0.000 description 1
- 229960003048 vinblastine Drugs 0.000 description 1
- JXLYSJRDGCGARV-XQKSVPLYSA-N vincaleukoblastine Chemical compound C([C@@H](C[C@]1(C(=O)OC)C=2C(=CC3=C([C@]45[C@H]([C@@]([C@H](OC(C)=O)[C@]6(CC)C=CCN([C@H]56)CC4)(O)C(=O)OC)N3C)C=2)OC)C[C@@](C2)(O)CC)N2CCC2=C1NC1=CC=CC=C21 JXLYSJRDGCGARV-XQKSVPLYSA-N 0.000 description 1
- 201000001862 viral hepatitis Diseases 0.000 description 1
- 210000003905 vulva Anatomy 0.000 description 1
- 239000011787 zinc oxide Substances 0.000 description 1
- 235000014692 zinc oxide Nutrition 0.000 description 1
Classifications
-
- C—CHEMISTRY; METALLURGY
- C07—ORGANIC CHEMISTRY
- C07K—PEPTIDES
- C07K7/00—Peptides having 5 to 20 amino acids in a fully defined sequence; Derivatives thereof
- C07K7/64—Cyclic peptides containing only normal peptide links
- C07K7/645—Cyclosporins; Related peptides
-
- A—HUMAN NECESSITIES
- A61—MEDICAL OR VETERINARY SCIENCE; HYGIENE
- A61K—PREPARATIONS FOR MEDICAL, DENTAL OR TOILETRY PURPOSES
- A61K38/00—Medicinal preparations containing peptides
- A61K38/04—Peptides having up to 20 amino acids in a fully defined sequence; Derivatives thereof
- A61K38/12—Cyclic peptides, e.g. bacitracins; Polymyxins; Gramicidins S, C; Tyrocidins A, B or C
- A61K38/13—Cyclosporins
-
- A—HUMAN NECESSITIES
- A61—MEDICAL OR VETERINARY SCIENCE; HYGIENE
- A61P—SPECIFIC THERAPEUTIC ACTIVITY OF CHEMICAL COMPOUNDS OR MEDICINAL PREPARATIONS
- A61P43/00—Drugs for specific purposes, not provided for in groups A61P1/00-A61P41/00
Definitions
- the present invention relates to novel semisynthetic cyclosporin analogs for the prevention of organ transplantation rejection and the treatment of immune disorders and inflammation, their use as pharmaceuticals and pharmaceutical compositions comprising them, as well as the processes for their production.
- the cyclosporins comprise a class of structurally distinctive, cyclic, poly-N-methylated undecapeptides, commonly possessing pharmacological, in particular immunosuppressive, anti-inflammatory and antiparasitic activity.
- the first of the cyclosporins to be isolated was the naturally occurring fungal metabolite Ciclosporin or Cyclosporin, also known as cyclosporin A.
- cyclosporine A or CsA The compound cyclosporine has found wide use since its introduction in the fields of organ transplantation and immunomodulation, and has brought about a significant increase in the success rate for transplantation procedures.
- the present invention relates to novel cyclosporin analogs and methods of treatment for the prevention of organ transplantation rejection and the treatment of immune disorders or inflammation in a subject.
- the present invention further relates to pharmaceutical compositions comprising the compounds of the present invention and processes for their production.
- the present invention provides a cyclosporin of the following Formula (I),
- A is of the formula:
- X is selected from hydrogen, halogen, C 1 -C 6 alkyl, or aryl;
- one of Y and Z is selected from: hydrogen, deuterium, halogen, or methyl and the other is independently selected from:
- R 1 is selected from:
- R 2 is selected from:
- G is independently selected from halogen, TMS, R 1 or R 2 as previously defined;
- B is selected from:
- U is selected from:
- W is selected from hydrogen or a hydroxy protecting group.
- amino acid residues referred to by abbreviation eg. -Ala-, -MeLeu-, - ⁇ Abu-, etc.
- -(D)Ala- represents a residue having the D-configuration
- Residue abbreviation preceeded by “Me” as in the case of “MeLeu,” represents an ⁇ -N-methylated residue.
- Individual residues of the cyclosporin molecule are numbered, as in the art, clockwise and starting with the residue, -MeBmt- corresponding to residue 1. The same numerical sequence is employed throughout the present specifications and claims.
- the present invention provides the use of cyclosporin analogs for the treatment of, with or without the concurrent use of other drugs, organ transplantation rejections, immune disorders, and inflammation including, but not limited to, indications such as rheumatoid arthritis, psoriasis, inflammatory bowel diseases, chronic obstructive pulmonary disease, allergic rhinitis, and asthma.
- a first embodiment of the invention is a compound represented by Formula I as described above, or a pharmaceutically acceptable salt, ester or prodrug thereof.
- Representative subgenera of the present invention include, but are not limited to, the following:
- a compound of formula I is of the formula A1:
- a compound of formula I is of the formula A2:
- a compound of formula I: A is of the formula A3:
- a compound of formula I is of the formula A4:
- a compound of formula I is of the formula A5:
- G is as previously defined.
- Representative compounds of the invention include, but are not limited to, the compounds selected from:
- Example 1 A compound of formula I, wherin A is of the formula (1-2) and W is Ac;
- Example 2 A compound of formula I, wherein Q is
- Example 3 A compound of formula I, wherein Q is
- Example 4 A compound of formula I, wherein Q is
- Example 5 A compound of formula I, wherein Q is
- Example 7 A compound of formula I, wherein Q is
- Example 8 A compound of formula I, wherein Q is
- Example 9 A compound of formula I, wherein Q is
- Example 10 A compound of formula I, wherein Q is
- Example 11 A compound of formula I, wherein Q is
- Example 12 A compound of formula I, wherein Q is
- G is H
- W is H
- Example 15 A compound of formula I, wherein Q is
- Example 16 A compound of formula I, wherein Q is
- Example 17 A compound of formula I, wherein Q is
- Example 18 A compound of formula I, wherein Q is
- Example 19 A compound of formula I, wherein Q is
- Example 20 A compound of formula I, wherein Q is
- Example 21 A compound of formula I, wherein Q is
- Example 22 A compound of formula I, wherein Q is
- Example 23 A compound of formula I, wherein Q is
- Example 24 A compound of formula I, wherein Q is
- Example 25 A compound of formula I, wherein Q is
- Example 26 A compound of formula I, wherein Q is
- Example 27 A compound of formula I, wherein Q is
- potent immunomodulatory activity which compounds of the instant invention demonstrate in common in vitro biological assays (for example, calcineurin phosphatase and binding assays, nuclear factor of activated T cells (NFAT) reporter gene assay, murine and human mixed lymphocyte reaction) or animal models (for example delayed-type hypersensitivity response—DTH,-allergan induced pulmonary eosinophilia) indicate that these compounds possess immunosuppressive, antimicrobial, antifungal, antiviral, antiinflammatory, and antiproliferative activity, and possess the ability to reverse chemotherapeutic drug resistance.
- NFAT nuclear factor of activated T cells
- the compounds are useful as prophylactics for the prevention of HIV replication.
- the compounds of the invention would be useful when used alone, or in combination therapy with other immunosuppressants, for example, but not limited to, FK506, rapamycin, cyclosporin A, picibanil, mycophenolic acid, azathioprine, prednisolone, cyclophosphamide, brequinar and leflunomide.
- the compounds of the present invention are useful when administered for the prevention of immune-mediated tissue or organ graft rejection.
- transplanted tissues and organs which suffer from these effects are heart, kidney, liver, medulla ossium, skin, cornea, lung, pancreas, intestinum ***, limb, muscle, nervus, duodenum, small-bowel, pancreatic-islet-cell, and the like; as well as graft-versus-host diseases brought about by medulla ossium transplantation.
- the regulation of the immune response by the compounds of the invention would also find utility in the treatment of autoimmune diseases, such as rheumatoid arthritis, systemic lupus erythematosis, hyperimmunoglobulin E, Hashimoto's thyroiditis, multiple sclerosis, progressive systemic sclerosis, myasthenia gravis, type I diabetes, uveitis, allergic encephalomyelitis, glomerulonephritis, and the like; and further infectious diseases caused by pathogenic microorganisms, such as HIV.
- autoimmune diseases such as rheumatoid arthritis, systemic lupus erythematosis, hyperimmunoglobulin E, Hashimoto's thyroiditis, multiple sclerosis, progressive systemic sclerosis, myasthenia gravis, type I diabetes, uveitis, allergic encephalomyelitis, glomerulonephritis, and the like
- infectious diseases caused by pathogenic microorganisms,
- Further uses include the treatment and prophylaxis of inflammatory and hyperproliferative skin diseases and cutaneous manifestations of immunologically-mediated illnesses, such as psoriasis, atopical dermatitis, contact dermatitis and further eczematous dermatitises, seborrhoeis dermatitis, Lichen planus, Pemphigus, bullous pemphigoid, Epidermolysis bullosa, urticaria, angioedemas, vasculitides, erythemas, cutaneous eosinophilias, Lupus erythematosus, acne and Alopecia areata; various eye diseases (autoimmune and otherwise) such as keratoconjunctivitis, vernal conjunctivitis, keratitis, herpetic keratitis, conical cornea, dystrophia epithelialis corneae, corneal leukoma, ocular pemphigus, Mooren's ulcer
- Other treatable conditions would include, but are not limited to, ischemic bowel diseases, inflammatory bowel diseases, necrotizing enterocolitis, intestinal lesions associated with thermal burns and leukotriene B 4 -mediated diseases; intestinal inflammations/allergies such as Coeliac diseases, proctitis, eosinophilic gastroenteritis, mastocytosis, Crohn's disease and ulcerative colitis; food-related allergic diseases which have symptomatic manifestation remote from the gastro-intestinal tract (e.g., migraine, rhinitis and eczema); renal diseases such as interstitial nephritis, Goodpasture's syndrome, hemolytic-uremic syndrome and diabetic nephropathy; nervous diseases such as multiple myositis, Guillain-Barre syndrome, Meniere's disease, polyneuritis, multiple neuritis, mononeuritis and radiculopathy; endocrine diseases such as hyperthyroidism and Basedow's disease; hematic diseases such as
- the compounds of the invention are useful for the treatment and prevention of hepatic disease such as immunogenic diseases (for example, chronic autoimmune liver diseases such as the group consisting of autoimmune hepatitis, primary biliary cirrhosis and sclerosing cholangitis), partial liver resection, acute liver necrosis (e.g., necrosis caused by toxin, viral hepatitis, shock or anoxia), B-virus hepatitis, non-A/non-B hepatitis, cirrhosis (such as alcoholic cirrhosis) and hepatic failure such as fulminant hepatic failure, late-onset hepatic failure and “acute-on-chronic” liver failure (acute liver failure on chronic liver diseases), and moreover are useful for various diseases because of their useful activity such as augmention of chemotherapeutic effect, preventing or treating activity of cytomegalovirus infection, particularly human cytomegalovirus (HCMV) infection,
- HCMV
- the compounds of the present invention may be used as vaccines to treat immunosuppression in a subject. It is sometimes found that the antigen introduced into the body for the acquisition of immunity from disease also acts as an immunosuppressive agent, and therefore, antibodies are not produced by the body and immunity is not acquired. By introducing a compound of the present invention into the body as a vaccine, the undesired immunosuppression may be overcome and immunity acquired.
- the compounds of the present invention may also find utility in the chemosensitization of drug resistant target cells.
- Cyclosporin A and FK-506 are known to be effective modulators of P-glycoprotein, a substance which binds to and inhibits the action of anticancer drugs by inhibiting P-glycoprotein, as they are capable of increasing the sensitivity of multidrug resistant (MDR) cells to chemotherapeutic agents. It is believed that the compounds of the invention may likewise be effective at overcoming resistance expressed to clinically useful antitumour drugs such as 5-fluorouracil, cisplatin, methotrexate, vincristine, vinblastine and adriamycin, colchicine and vincristine.
- MDR multidrug resistant
- steroid receptor-associated heat shock proteins hsp
- hsp56 or hsp59 belong to the class of immunophilin proteins (see “HSP70 induction by cyclosporin A in cultured rat hepatocytes: effect of vitamin E succinate,” Andres, David et al., Instituto de Bioqimica, Facultad de Farmacia, Universidad Complutense, Madrid, Spain. J. Hepatol. (2000) 33(4), 570-579; “Cyclosporin A Induces an Atypical Heat Shock Response,” Paslaru, Liliana, et al., Unite de Genetique Moleisme, Paris, Fr. Biochem.
- a steroid receptor-associated heat shock protein to bind the immunosuppressive CsA suggests that the steroid receptor and immunophilin signal transduction pathways are functionally interrelated.
- the combined treatment of compounds of the present invention and low concentrations of a steroid ligand result in a significant enhancement of target gene expression over that seen in response to ligand alone.
- a steroid ligand for e.g., progesterone, dexamethasone
- Aqueous liquid compositions of the present invention may be particularly useful for the treatment and prevention of various diseases of the eye such as autoimmune diseases (including, for example, conical cornea, keratitis, dysophia epithelialis corneae, leukoma, Mooren's ulcer, sclevitis and Graves' ophthalmopathy) and rejection of corneal transplantation.
- autoimmune diseases including, for example, conical cornea, keratitis, dysophia epithelialis corneae, leukoma, Mooren's ulcer, sclevitis and Graves' ophthalmopathy
- compositions of the present invention comprise a therapeutically effective amount of a cyclosporin analog of the invention (e.g. those of the formulae delineated herein) in combination with a pharmaceutically acceptable carrier or excipient.
- a cyclosporin analog of the invention e.g. those of the formulae delineated herein
- compositions pertaining to the present invention are useful for treating a subject for immune-mediated organ or tissue allograft rejection, a graft-versus-host disease, an autoimmune disease, an obstructive airway disease, a hyperproliferative disease, or an ischemic or inflammatory intestinal or bowel disease.
- the present invention also relates to method(s) of treatment of immune disorders and inflammation or prevention of organ transplant rejection in a subject by administering to the subject therapeutically effective amounts of the cyclosporin analogs of the present invention with or without the concurrent use of other drugs or pharmaceutically acceptable excipients, as described throughout the present specification.
- the methods of the present invention comprise treating a subject in need of immunosuppresive, anti-inflammatory, antimicrobial, antifungal, antiviral or antiproliferative therapy, or requiring the reversal of chemotherapeutic drug resistance, by administering a therapeutically effective amount of a compound of the invention for such time and in such amounts as is necessary to produce the desired result.
- the method includes administering to the subject (including a subject identified as in need of such treatment) an effective amount of a compound described herein, or a composition described herein to produce such effect. Identifying a subject in need of such treatment can be in the judgment of a subject or a health care professional and can be subjective (e.g. opinion) or objective (e.g. measurable by a test or diagnostic method).
- the packaged product includes a container, one of the aforementioned compounds in the container, and a legend (e.g., a label or an insert) associated with the container and indicating administration of the compound for treating a disorder associated with bacterial infection, including the diseases delineated herein.
- a legend e.g., a label or an insert
- the present invention also contemplates processes to make any cyclosporin derivative delineated herein via any synthetic method delineated herein.
- C 1 -C 3 alkyl refers to saturated, straight- or branched-chain hydrocarbon radicals containing between one and three, one and twelve, or one and six carbon atoms, respectively.
- C 1 -C 3 alkyl radicals include methyl, ethyl, propyl and isopropyl radicals
- examples of C 1 -C 6 alkyl radicals include, but are not limited to, methyl, ethyl, propyl, isopropyl, n-butyl, tert-butyl, neopentyl and n-hexyl radicals
- examples of C 1 -C 12 alkyl radicals include, but are not limited to, ethyl, propyl, isopropyl, n-hexyl, octyl, decyl, dodecyl radicals.
- substituted alkyl refers to a “C 2 -C 12 alkyl” or “C 1 -C 6 alkyl” group as previously defined, substituted by independent replacement or one, two, or three of the hydrogen atoms thereon with substituents including, but not limited to, —F, —Cl, —Br, —I, —OH, protected hydroxy, —NO 2 , —CN, —C 1 -C 12 -alkyl optionally substituted with halogen, C 2 -C 12 -alkenyl optionally substituted with halogen, —C 2 -C 12 -alkynyl optionally substituted with halogen, —NH 2 , protected amino, —NH—C 1 -C 12 -alkyl, —NH—C 2 -C 12 -alkenyl, —NH—C 2 -C 12 -alkenyl, —NH—C 3 -
- C 2 -C 12 alkenyl or “C 2 -C 6 alkenyl,” as used herein, denote a monovalent group derived from a hydrocarbon moiety containing from two to twelve or two to six carbon atoms having at least one carbon-carbon double bond.
- Alkenyl groups include, but are not limited to, for example, ethenyl, propenyl, butenyl, 1-methyl-2-buten-1-yl, 3-hexenyl, and the like.
- substituted alkenyl refers to a “C 2 -C 12 alkenyl” or “C 2 -C 6 alkenyl” group as previously defined, substituted by independent replacement or one, two, or three of the hydrogen atoms thereon with substituents including, but not limited to, —F, —Cl, —Br, —I, —OH, protected hydroxy, —NO 2 , —CN, —C 1 -C 12 -alkyl optionally substituted with halogen, C 2 -C 12 -alkenyl optionally substituted with halogen, —C 2 -C 12 -alkynyl optionally substituted with halogen, —NH 2 , protected amino, —NH—C 1 -C 12 -alkyl, —NH—C 2 -C 12 -alkenyl, —NH—C 2 -C 12 -alkenyl, —NH—C 2 -C 12 -alkenyl, —NH
- C 2 -C 12 alkynyl or “C 2 -C 6 alkynyl,” as used herein, denote a monovalent group derived from a hydrocarbon moiety containing from two to twelve or two to six carbon atoms having at least one carbon-carbon triple bond by the removal of a single hydrogen atom.
- Representative alkynyl groups include, but are not limited to, for example, ethynyl, 1-propynyl, 1-butynyl, and the like.
- substituted alkynyl refers to a “C 2 -C 12 alkynyl” or “C 2 -C 6 alkynyl” group as previously defined, substituted by independent replacement or one, two, or three of the hydrogen atoms thereon with substituents including, but not limited to, —F, —Cl, —Br, —I, —OH, protected hydroxy, —NO 2 , —CN, —C 1 -C 12 -alkyl optionally substituted with halogen, C 2 -C 12 -alkenyl optionally substituted with halogen, —C 2 -C 12 -alkynyl optionally substituted with halogen, —NH 2 , protected amino, —NH—C 1 -C 12 -alkyl, —NH—C 2 -C 12 -alkenyl, —NH—C 2 -C 12 -alkenyl, —NH—C 2 -C 12 -alkenyl,
- C 1 -C 6 alkoxy refers to a C 1 -C 6 alkyl group, as previously defined, attached to the parent molecular moiety through an oxygen atom.
- Examples of C 1 -C 6 -alkoxy include, but are not limited to, methoxy, ethoxy, propoxy, isopropoxy, n-butoxy, tert-butoxy, neopentoxy and n-hexoxy.
- halo and “halogen,” as used herein, refer to an atom selected from fluorine, chlorine, bromine and iodine.
- aryl refers to a mono- or bicyclic carbocyclic ring system having one or two aromatic rings including, but not limited to, phenyl, naphthyl, tetrahydronaphthyl, indanyl, idenyl and the like.
- substituted aryl refers to an aryl group, as previously defined, substituted by independent replacement or one, two, or three of the hydrogen atoms thereon with substituents including, but not limited to, —F, —Cl, —Br, —I, —OH, protected hydroxy, —NO 2 , —CN, —C 1 -C 12 -alkyl optionally substituted with halogen, C 2 -C 12 -alkenyl optionally substituted with halogen, —C 2 -C 12 -alkynyl optionally substituted with halogen, —NH 2 , protected amino, —NH—C 1 -C 12 -alkyl, —NH—C 2 -C 12 -alkenyl, —NH—C 2 -C 12 -alkenyl, —NH—C 3 -C 12 -cycloalkyl, —NH-aryl, —NH
- arylalkyl refers to a C 1 -C 3 alkyl or C 1 -C 6 alkyl residue attached to an aryl ring. Examples include, but are not limited to, benzyl, phenethyl and the like.
- substituted arylalkyl refers to an arylalkyl group, as previously defined, substituted by independent replacement or one, two, or three of the hydrogen atoms thereon with substituents including, but not limited to, but not limited to, —F, —Cl, —Br, —I, —OH, protected hydroxy, —NO 2 , —CN, —C 1 -C 12 -alkyl optionally substituted with halogen, C 2 -C 12 -alkenyl optionally substituted with halogen, —C 2 -C 12 -alkynyl optionally substituted with halogen, —NH 2 , protected amino, —NH—C 1 -C 12 -alkyl, —NH—C 2 -C 12 -alkenyl, —NH—C 2 -C 12 -alkenyl, —NH—C 3 -C 12 -cycloalkyl
- heteroaryl refers to a mono-, bi-, or tri-cyclic aromatic radical or ring having from five to ten ring atoms of which one ring atom is selected from S, O and N; zero, one or two ring atoms are additional heteroatoms independently selected from S, O and N; and the remaining ring atoms are carbon, wherein any N or S contained within the ring may be optionally oxidized.
- Heteroaryl includes, but is not limited to, pyridinyl, pyrazinyl, pyrimidinyl, pyrrolyl, pyrazolyl, imidazolyl, thiazolyl, oxazolyl, isooxazolyl, thiadiazolyl, oxadiazolyl, thiophenyl, furanyl, quinolinyl, isoquinolinyl, benzimidazolyl, benzooxazolyl, quinoxalinyl, and the like.
- substituted heteroaryl refers to a heteroaryl group as previously defined, substituted by independent replacement or one, two, or three of the hydrogen atoms thereon with substituents including, but not limited to, —F, —Cl, —Br, —I, —OH, protected hydroxy, —NO 2 , —CN, —C 1 -C 12 -alkyl optionally substituted with halogen, C 2 -C 12 -alkenyl optionally substituted with halogen, —C 2 -C 12 -alkynyl optionally substituted with halogen, —NH 2 , protected amino, —NH—C 1 -C 12 -alkyl, —NH—C 2 -C 12 -alkenyl, —NH—C 2 -C 12 -alkenyl, —NH—C 3 -C 12 -cycloalkyl, —NH-aryl, —NH
- C 3 -C 12 -Cycloalkyl denotes a monovalent group derived from a monocyclic or bicyclic saturated carbocyclic ring compound by the removal of a single hydrogen atom. Examples include, but not limited to, cyclopropyl, cyclobutyl, cyclopentyl, cyclohexyl, bicyclo [2.2.1] heptyl, and bicyclo [2.2.2] octyl.
- substituted C 3 -C 12 -cycloalkyl refers to a C 3 -C 12 -cycloalkyl group as previously defined, substituted by independent replacement or one, two, or three of the hydrogen atoms thereon with substituents including, but not limited to, —F, —Cl, —Br, —I, —OH, protected hydroxy, —NO 2 , —CN, —C 1 -C 12 -alkyl optionally substituted with halogen, C 2 -C 12 -alkenyl optionally substituted with halogen, —C 2 -C 12 -alkynyl optionally substituted with halogen, —NH 2 , protected amino, —NH—C 1 -C 12 -alkyl, —NH—C 2 -C 12 -alkenyl, —NH—C 2 -C 12 -alkenyl, —NH—C 3 -
- heterocycloalkyl refers to a non-aromatic 5-, 6- or 7-membered hydrocarbon ring or a bi- or tri-cyclic group fused hydrocarbon system, where (i) each ring contains between one and three heteroatoms independently selected from oxygen, sulfur and nitrogen, (ii) each 5-membered ring has 0 to 1 double bonds and each 6-membered ring has 0 to 2 double bonds, (iii) the nitrogen and sulfur heteroatoms may optionally be oxidized, (iv) the nitrogen heteroatom may optionally be quaternized, and (iv) any of the above rings may be fused to a benzene ring.
- heterocycloalkyl groups include, but are not limited to, [1,3]dioxolane, pyrrolidinyl, pyrazolinyl, pyrazolidinyl, imidazolinyl, imidazolidinyl, piperidinyl, piperazinyl, oxazolidinyl, isoxazolidinyl, morpholinyl, thiazolidinyl, isothiazolidinyl, and tetrahydrofuryl.
- substituted heterocycloalkyl refers to a heterocycloalkyl group, as previously defined, substituted by independent replacement or one, two, or three of the hydrogen atoms thereon with substituents including, but not limited to, —F, —Cl, —Br, —I, —OH, protected hydroxy, —NO 2 , —CN, —C 1 -C 12 -alkyl optionally substituted with halogen, C 2 -C 12 -alkenyl optionally substituted with halogen, —C 2 -C 12 -alkynyl optionally substituted with halogen, —NH 2 , protected amino, —NH—C 1 -C 12 -alkyl, —NH—C 2 -C 12 -alkenyl, —NH—C 2 -C 12 -alkenyl, —NH—C 3 -C 12 -cycloalkyl, —NH—F, —Cl, —Br, —
- heteroarylalkyl refers to a C 1 -C 3 alkyl or C 1 -C 6 alkyl residue residue attached to a heteroaryl ring. Examples include, but are not limited to, pyridinylmethyl, pyrimidinylethyl and the like.
- substituted heteroarylalkyl refers to a heteroarylalkyl group, as previously defined, substituted by independent replacement or one, two, or three of the hydrogen atoms thereon with substituents including, but not limited to, —F, —Cl, —Br, —I, —OH, protected hydroxy, —NO 2 , —CN, —C 1 -C 12 -alkyl optionally substituted with halogen, C 2 -C 12 -alkenyl optionally substituted with halogen, —C 2 -C 12 -alkynyl optionally substituted with halogen, —NH 2 , protected amino, —NH—C 1 -C 12 -alkyl, —NH—C 2 -C 12 -alkenyl, —NH—C 2 -C 12 -alkenyl, —NH—C 3 -C 12 -cycloalkyl, —NH—F, —Cl, —Br, —
- C 1 -C 3 -alkyl-amino refers to one or two C 1 -C 3 -alkyl groups, as previously defined, attached to the parent molecular moiety through a nitrogen atom.
- Examples of C 1 -C 3 -alkyl-amino include, but are not limited to, methylamino, dimethylamino, ethylamino, diethylamino, and propylamino.
- alkylamino refers to a group having the structure —NH(C 1 -C 12 alkyl) where C 1 -C 12 alkyl is as previously defined.
- dialkylamino refers to a group having the structure —N(C 1 -C 12 alkyl) (C 1 -C 12 alkyl), where C 1 -C 12 alkyl is as previously defined.
- Examples of dialkylamino are, but not limited to, dimethylamino, diethylamino, methylethylamino, piperidino, and the like.
- alkoxycarbonyl represents an ester group, i.e., an alkoxy group, attached to the parent molecular moiety through a carbonyl group such as methoxycarbonyl, ethoxycarbonyl, and the like.
- carboxylate refers to a group of formula —C(O)NH(C 1 -C 12 alkyl) or —C(O)N(C 1 -C 12 alkyl) (C 1 -C 12 alkyl), —C(O)NH 2 , and the like.
- hydroxy protecting group refers to a labile chemical moiety which is known in the art to protect a hydroxyl group against undesired reactions during synthetic procedures. After said synthetic procedure(s) the hydroxy protecting group as described herein may be selectively removed. Hydroxy protecting groups as known in the are described generally in T. H. Greene and P. G. M. Wuts, Protective Groups in Organic Synthesis, 3rd edition, John Wiley & Sons, New York (1999). Examples of hydroxy protecting groups include, but are not limited to, methylthiomethyl, tert-butyl-dimethylsilyl, tert-butyldiphenylsilyl, acyl substituted with an aromatic group and the like.
- protected hydroxy refers to a hydroxy group protected with a hydroxy protecting group, as defined above, including benzoyl, acetyl, trimethylsilyl, triethylsilyl, methoxymethyl groups, for example.
- amino protecting group refers to a labile chemical moiety which is known in the art to protect an amino group against undesired reactions during synthetic procedures. After said synthetic procedure(s) the amino protecting group as described herein may be selectively removed.
- Amino protecting groups as known in the are described generally in T. H. Greene and P. G. M. Wuts, Protective Groups in Organic Synthesis, 3rd edition, John Wiley & Sons, New York (1999). Examples of amino protecting groups include, but are not limited to, t-butoxycarbonyl, 9-fluorenylmethoxycarbonyl, benzyloxycarbonyl, and the like.
- protected amino refers to an amino group protected with an amino protecting group as defined above.
- aprotic solvent refers to a solvent that is relatively inert to proton activity, i.e., not acting as a proton-donor.
- examples include, but are not limited to, hydrocarbons, such as hexane and toluene, for example, halogenated hydrocarbons, such as, for example, methylene chloride, ethylene chloride, chloroform, and the like, heterocyclic compounds, such as, for example, tetrahydrofuran and N-methylpyrrolidinone, and ethers such as diethyl ether, bis-methoxymethyl ether.
- protogenic organic solvent refers to a solvent that tends to provide protons, such as an alcohol, for example, methanol, ethanol, propanol, isopropanol, butanol, t-butanol, and the like.
- solvents are well known to those skilled in the art, and it will be obvious to those skilled in the art that individual solvents or mixtures thereof may be preferred for specific compounds and reaction conditions, depending upon such factors as the solubility of reagents, reactivity of reagents and preferred temperature ranges, for example.
- an effective amount refers to an amount of a compound which confers a therapeutic effect on the treated subject.
- the therapeutic effect may be objective (i.e., measurable by some test or marker) or subjective (i.e., subject gives an indication of or feels an effect).
- An effective amount of the compound described above may range from about 0.1 mg/Kg to about 500 mg/Kg, preferably from about 1 to about 50 mg/Kg. Effective doses will also vary depending on route of administration, as well as the possibility of co-usage with other agents.
- the synthesized compounds can be separated from a reaction mixture and further purified by a method such as column chromatography, high pressure liquid chromatography, or recrystallization.
- a method such as column chromatography, high pressure liquid chromatography, or recrystallization.
- further methods of synthesizing the compounds of the formulae herein will be evident to those of ordinary skill in the art. Additionally, the various synthetic steps may be performed in an alternate sequence or order to give the desired compounds.
- Synthetic chemistry transformations and protecting group methodologies (protection and deprotection) useful in synthesizing the compounds described herein are known in the art and include, for example, those such as described in R. Larock, Comprehensive Organic Transformations, VCH Publishers (1989); T. W. Greene and P. G. M.
- subject refers to an animal.
- the animal is a mammal. More preferably the mammal is a human.
- a subject also refers to, for example, dogs, cats, horses, cows, pigs, guinea pigs, fish, birds and the like.
- the compounds of this invention may be modified by appending appropriate functionalities to enhance selective biological properties.
- modifications are known in the art and may include those which increase biological penetration into a given biological system (e.g., blood, lymphatic system, central nervous system), increase oral availability, increase solubility to allow administration by injection, alter metabolism and alter rate of excretion.
- the compounds described herein contain one or more asymmetric centers and thus give rise to enantiomers, diastereomers, and other stereoisomeric forms that may be defined, in terms of absolute stereochemistry, as (R)— or (S)—, or as (D)- or (L)- for amino acids.
- the present invention is meant to include all such possible isomers, as well as their racemic and optically pure forms.
- Optical isomers may be prepared from their respective optically active precursors by the procedures described above, or by resolving the racemic mixtures. The resolution can be carried out in the presence of a resolving agent, by chromatography or by repeated crystallization or by some combination of these techniques which are known to those skilled in the art.
- any carbon-carbon double bond appearing herein is selected for convenience only and is not intended to designate a particular configuration unless the text so states; thus a carbon-carbon double bond or carbon-heteroatom double bond depicted arbitrarily herein as trans may be cis, trans, or a mixture of the two in any proportion.
- the term “pharmaceutically acceptable salt” refers to those salts which are, within the scope of sound medical judgment, suitable for use in contact with the tissues of humans and lower animals without undue toxicity, irritation, allergic response and the like, and are commensurate with a reasonable benefit/risk ratio.
- Pharmaceutically acceptable salts are well known in the art. For example, S. M. Berge, et aL. describes pharmaceutically acceptable salts in detail in J. Pharmaceutical Sciences, 66: 1-19 (1977). The salts can be prepared in situ during the final isolation and purification of the compounds of the invention, or separately by reacting the free base function with a suitable organic acid.
- nontoxic acid addition salts are salts of an amino group formed with inorganic acids such as hydrochloric acid, hydrobromic acid, phosphoric acid, sulfuric acid and perchloric acid or with organic acids such as acetic acid, maleic acid, tartaric acid, citric acid, succinic acid or malonic acid or by using other methods used in the art such as ion exchange.
- salts include, but are not limited to, adipate, alginate, ascorbate, aspartate, benzenesulfonate, benzoate, bisulfate, borate, butyrate, camphorate, camphorsulfonate, citrate, cyclopentanepropionate, digluconate, dodecylsulfate, ethanesulfonate, formate, fumarate, glucoheptonate, glycerophosphate, gluconate, hemisulfate, heptanoate, hexanoate, hydroiodide, 2-hydroxy-ethanesulfonate, lactobionate, lactate, laurate, lauryl sulfate, malate, maleate, malonate, methanesulfonate, 2-naphthalenesulfonate, nicotinate, nitrate, oleate, oxalate, palmitate, pamo
- alkali or alkaline earth metal salts include sodium, lithium, potassium, calcium, magnesium, and the like.
- Further pharmaceutically acceptable salts include, when appropriate, nontoxic ammonium, quaternary ammonium, and amine cations formed using counterions such as halide, hydroxide, carboxylate, sulfate, phosphate, nitrate, alkyl having from 1 to 6 carbon atoms, sulfonate and aryl sulfonate.
- the compounds of this invention including the compounds of formulae described herein, are defined to include pharmaceutically acceptable derivatives or prodrugs thereof.
- a “pharmaceutically acceptable derivative or prodrug” means any pharmaceutically acceptable salt, ester, salt of an ester, or other derivative of a compound of this invention which, upon administration to a recipient, is capable of providing (directly or indirectly) a compound of this invention.
- compositions of this invention comprise a combination of a compound of the formulae described herein and one or more additional therapeutic or prophylactic agents
- both the compound and the additional agent should be present at dosage levels of between about 1 to 100%, and more preferably between about 5 to 95% of the dosage normally administered in a monotherapy regimen.
- the additional agents may be administered separately, as part of a multiple dose regimen, from the compounds of this invention. Alternatively, those agents may be part of a single dosage form, mixed together with the compounds of this invention in a single composition.
- compositions of the present invention comprise a therapeutically effective amount of a compound or compounds of the present invention (e.g. those of the formulae delineated herein) formulated together with one or more pharmaceutically acceptable carriers or excipients.
- the term “pharmaceutically acceptable carrier or excipient” means a non-toxic, inert solid, semi-solid or liquid filler, diluent, encapsulating material or formulation auxiliary of any type.
- materials which can serve as pharmaceutically acceptable carriers are sugars such as lactose, glucose and sucrose; starches such as corn starch and potato starch; cellulose and its derivatives such as sodium carboxymethyl cellulose, ethyl cellulose and cellulose acetate; powdered tragacanth; malt; gelatin; talc; excipients such as cocoa butter and suppository waxes; oils such as peanut oil, cottonseed oil, safflower oil, sesame oil, olive oil, corn oil and soybean oil; glycols such as propylene glycol; esters such as ethyl oleate and ethyl laurate; agar; buffering agents such as magnesium hydroxide and aluminun hydroxide
- compositions of this invention may be administered orally, parenterally, by inhalation spray, topically, rectally, nasally, buccally, vaginally or via an implanted reservoir, preferably by oral administration or administration by injection.
- the pharmaceutical compositions of this invention may contain any conventional non-toxic pharmaceutically-acceptable carriers, adjuvants or vehicles.
- the pH of the formulation may be adjusted with pharmaceutically acceptable acids, bases or buffers to enhance the stability of the formulated compound or its delivery form.
- parenteral as used herein includes subcutaneous, intracutaneous, intravenous, intramuscular, intraarticular, intraarterial, intrasynovial, intrasternal, intrathecal, intralesional and intracranial injection or infusion techniques.
- Liquid dosage forms for oral administration include pharmaceutically acceptable emulsions, microemulsions, solutions, suspensions, syrups and elixirs.
- the liquid dosage forms may contain inert diluents commonly used in the art such as, for example, water or other solvents, solubilizing agents and emulsifiers such as ethyl alcohol, isopropyl alcohol, ethyl carbonate, ethyl acetate, benzyl alcohol, benzyl benzoate, propylene glycol, 1,3-butylene glycol, dimethylformamide, oils (in particular, cottonseed, groundnut, corn, germ, olive, castor, and sesame oils), glycerol, tetrahydrofurfuryl alcohol, polyethylene glycols and fatty acid esters of sorbitan, and mixtures thereof.
- the oral compositions can also include adjuvants such as wetting
- Injectable preparations for example, sterile injectable aqueous or oleaginous suspensions, may be formulated according to the known art using suitable dispersing or wetting agents and suspending agents.
- the sterile injectable preparation may also be a sterile injectable solution, suspension or emulsion in a nontoxic parenterally acceptable diluent or solvent, for example, as a solution in 1,3-butanediol.
- the acceptable vehicles and solvents that may be employed are water, Ringer's solution, U.S.P. and isotonic sodium chloride solution.
- sterile, fixed oils are conventionally employed as a solvent or suspending medium.
- any bland fixed oil can be employed including synthetic mono- or diglycerides.
- fatty acids such as oleic acid are used in the preparation of injectables.
- the injectable formulations can be sterilized, for example, by filtration through a bacterial-retaining filter, or by incorporating sterilizing agents in the form of sterile solid compositions which can be dissolved or dispersed in sterile water or other sterile injectable medium prior to use.
- the rate of drug release can be controlled.
- biodegradable polymers include poly(orthoesters) and poly(anhydrides).
- Depot injectable formulations are also prepared by entrapping the drug in liposomes or microemulsions that are compatible with body tissues.
- compositions for rectal or vaginal administration are preferably suppositories which can be prepared by mixing the compounds of this invention with suitable non-irritating excipients or carriers such as cocoa butter, polyethylene glycol or a suppository wax which are solid at ambient temperature but liquid at body temperature and therefore melt in the rectum or vaginal cavity and release the active compound.
- suitable non-irritating excipients or carriers such as cocoa butter, polyethylene glycol or a suppository wax which are solid at ambient temperature but liquid at body temperature and therefore melt in the rectum or vaginal cavity and release the active compound.
- Solid dosage forms for oral administration include capsules, tablets, pills, powders, and granules.
- the active compound is mixed with at least one inert, pharmaceutically acceptable excipient or carrier such as sodium citrate or dicalcium phosphate and/or: a) fillers or extenders such as starches, lactose, sucrose, glucose, mannitol, and silicic acid, b) binders such as, for example, carboxymethylcellulose, alginates, gelatin, polyvinylpyrrolidinone, sucrose, and acacia, c) humectants such as glycerol, d) disintegrating agents such as agar-agar, calcium carbonate, potato or tapioca starch, alginic acid, certain silicates, and sodium carbonate, e) solution retarding agents such as paraffin, f) absorption accelerators such as quaternary ammonium compounds, g) wetting agents such as, for example, cetyl
- compositions of a similar type may also be employed as fillers in soft and hard-filled gelatin capsules using such excipients as lactose or milk sugar as well as high molecular weight polyethylene glycols and the like.
- the solid dosage forms of tablets, dragees, capsules, pills, and granules can be prepared with coatings and shells such as enteric coatings and other coatings well known in the pharmaceutical formulating art. They may optionally contain opacifying agents and can also be of a composition that they release the active ingredient(s) only, or preferentially, in a certain part of the intestinal tract, optionally, in a delayed manner. Examples of embedding compositions that can be used include polymeric substances and waxes.
- Dosage forms for topical or transdermal administration of a compound of this invention include ointments, pastes, creams, lotions, gels, powders, solutions, sprays, inhalants or patches.
- the active component is admixed under sterile conditions with a pharmaceutically acceptable carrier and any needed preservatives or buffers as may be required.
- Ophthalmic formulation, ear drops, eye ointments, powders and solutions are also contemplated as being within the scope of this invention.
- the ointments, pastes, creams and gels may contain, in addition to an active compound of this invention, excipients such as animal and vegetable fats, oils, waxes, paraffins, starch, tragacanth, cellulose derivatives, polyethylene glycols, silicones, bentonites, silicic acid, talc and zinc oxide, or mixtures thereof.
- excipients such as animal and vegetable fats, oils, waxes, paraffins, starch, tragacanth, cellulose derivatives, polyethylene glycols, silicones, bentonites, silicic acid, talc and zinc oxide, or mixtures thereof.
- Powders and sprays can contain, in addition to the compounds of this invention, excipients such as lactose, talc, silicic acid, aluminum hydroxide, calcium silicates and polyamide powder, or mixtures of these substances.
- Sprays can additionally contain customary propellants such as chlorofluorohydrocarbons.
- Transdermal patches have the added advantage of providing controlled delivery of a compound to the body.
- dosage forms can be made by dissolving or dispensing the compound in the proper medium.
- Absorption enhancers can also be used to increase the flux of the compound across the skin. The rate can be controlled by either providing a rate controlling membrane or by dispersing the compound in a polymer matrix or gel.
- immune disorders are treated or prevented in a patient such as a human or other animals by administering to the patient a therapeutically effective amount of a compound of the invention, in such amounts and for such time as is necessary to achieve the desired result.
- a “therapeutically effective amount” of a compound of the invention is meant a sufficient amount of the compound to treat the immune disorders delineated herein, at a reasonable benefit/risk ratio applicable to any medical treatment. It will be understood, however, that the total daily usage of the compounds and compositions of the present invention will be decided by the attending physician within the scope of sound medical judgment.
- the specific therapeutically effective dose level for any particular patient will depend upon a variety of factors including the disorder being treated and the severity of the disorder; the activity of the specific compound employed; the specific composition employed; the age, body weight, general health, sex and diet of the patient; the time of administration, route of administration, and rate of excretion of the specific compound employed; the duration of the treatment; drugs used in combination or contemporaneously with the specific compound employed; and like factors well known in the medical arts.
- the compounds of the formulae described herein can, for example, be administered by injection, intravenously, intraarterially, subdermally, intraperitoneally, intramuscularly, or subcutaneously; or orally, buccally, nasally, transmucosally, topically, in an ophthalmic preparation, or by inhalation, with a dosage ranging from about 0.5 to about 100 mg/kg of body weight, alternatively dosages between 1 mg and 1000 mg/dose, every 4 to 120 hours, or according to the requirements of the particular drug.
- the methods herein contemplate administration of an effective amount of compound or compound composition to achieve the desired or stated effect.
- the pharmaceutical compositions of this invention will be administered from about 1 to about 6 times per day or alternatively, as a continuous infusion. Such administration can be used as a chronic or acute therapy.
- the amount of active ingredient that may be combined with the carrier materials to produce a single dosage form will vary depending upon the host treated and the particular mode of administration.
- a typical preparation will contain from about 5% to about 95% active compound (w/w). Alternatively, such preparations may contain from about 20% to about 80% active compound.
- a maintenance dose of a compound, composition or combination of this invention may be administered, if necessary. Subsequently, the dosage or frequency of administration, or both, may be reduced, as a function of the symptoms, to a level at which the improved condition is retained when the symptoms have been alleviated to the desired level. Patients may, however, require intermittent treatment on a long-term basis upon any recurrence of disease symptoms.
- the immunosuppressive activity of cyclosporin is mediated through inhibition of the phosphatase activity of the enzyme calcineurin by a cyclophilin-cyclosporin complex.
- calcineurin inhibition is widely used as an in vitro measure of the activity of cyclosporin analogs.
- IC 50 values were calculated from determinations of enzyme activity at inhibitor concentrations ranging from 20 to 0.006 ⁇ M.
- lymphocytes from the spleen of CF1 Female mice are co-cultured with ca. 3 ⁇ 10 7 sheep erythrocytes for 3 days. Test substance is added to the incubation medium in varying concentrations. Lymphocytes are harvested and plated onto agar with fresh sheep erythrocytes as antigen. Sensitized lymphocytes secrete antibody that coats the erythrocytes, which lyse to form a plaque in the presence of complement. Activity is assessed by reduction in the number of plaque forming, i.e., antibody product, cells.
- Test substance is administered by inhalation and/or orally.
- test substance is administered p.o. in olive oil 1 ⁇ daily for 3 days or in powder form in methylcellulose once prior to OA challenge. On day 3, test animals receive test substance 1.5 hours prior to and 6 hours after OA challenge.
- test substance is micronised for delivery to test animals restrained within a flow-past, nose-only inhalation chamber. Administration by inhalation is effected 15 minutes prior to OA challenge.
- Efficacy of administered test substance is determined by bronchoalveolar lavage (BAL) and cell counting.
- animals are sacrificed with Na pento-barbitone (100 mg/kg i.p.) and the trachea is exposed and cannulated.
- HBSS free Hank's balanced salt solution
- BSA bovine serum albumin
- HEPES 4-(2-hydroxyethyl)-1-piperazineethanesulfonic acid
- Total cell counts in pooled eluates are determined using an automatic cell counter.
- Lavage fluid is centrifuged at 200g for 10 minutes and the cell pellet resuspended in 1 ml of supplemented HBSS. 10 ⁇ l of this cell suspension is added to 190 ⁇ l of Turk's solution (1:20) dilution).
- Differential cell counts are made from smears stained by Diff-Quick. Cells are identified and counted under oil immersion ( ⁇ 1,000). A minimum of 500 cells per smear are counted and the total population of each cell type is calculated.
- Cyclosporin A can be converted to aldehyde (1-2) through first protecting the hydroxy of the MeBmt residue of CsA as an acetate ester to form a compound of formula (1-1).
- suitable hydroxy protecting groups include, but are not limited to, TMS, TES, TBS, or COCF 3 (for further details concerning these and other hydroxy protecting groups known in the art, as well as there incorporation and removal, please see T. W. Greene and P. G. M. Wuts, Protective Groups in Organic Synthesis, 2d.
- Aldehyde (1-2) can then be formed through creation of the corresponding diol by treatment with OSO 4 followed by the oxidative cleavage of the resulting diol with NaIO 4 (for further details of diol formation with OSO 4 , please see Akashi, K, Palermo, R. E., Sharpless, K. B., J. Org. Chem. 1978, 43, 2003-06; and for further details concerning the oxidative cleavage of diols with NaIO 4 , please see Zhong, Y. L., Shing, T. K. M., J. Org. Chem. 1997, 62, 2622-24).
- This reaction may also be performed through ozonolysis (see Park, S. B., Meier, G. P. Tetrahedron Lett. 1989, 30, 4215-4218).
- Compound of formula (1-2) may be treated with vinyl Grignard reagent of formula (2-1), where X, Y, and Z are as previously defined, to form the allyl alcohol (2-2), where W, X, Y, and Z are as previously defined.
- the requisite Grignard reagents are readily available via the reaction of a variety of vinyl halides with magnesium under standard conditions (for further details, please see B. S. Furniss, A. J. Hannaford, P. W. G. Smith, A. R. Tatchell “Vogel's Textbook of Practical Organic Chemistry” 5th ed., Longman, 1989 or G. S. Silverman, P. E. Rakita in Kirk-Othmer Encyclopedia of Chemical Technology vol.
- the addition is performed in an inert solvent, generally at low temperature.
- suitable solvents include, but are not limited to tetrahydrofuran, diethylether, 1,4-dioxane, 1,2-dimethoxyethane, and hexanes.
- the solvent is tetrahydrofuran or diethylether.
- the reaction is run at ⁇ 78° to 0° C.
- Allyl alcohol of formula (2-2) is then protected with a hydroxy protecting group to form a compound of formula (2-3).
- Suitable hydroxy protecting groups include, but are not limited to, acetate and methyl carbamate (for further details on suitable hydroxy protecting groups see T. W. Greene and P. G. M. Wuts, Protective Groups in Organic Synthesis, 2d. Ed., John Wiley and Sons (1991)).
- the protected allylic alcohol then undergoes a palladium-catalyzed elimination to form conjugated diene compound of formula (2-4) (for further details, please see Tsuji, J. et al, Tetrahedron Lett. 1978, 24, 2075-2078).
- Suitable solvents include, but are not limited to, dioxane, toluene, or t-butyl alcohol.
- a suitable palladium catalyst is palladium acetate in the presence of triphenylphosphine or (PPh 3 ) 4 Pd.
- Suitable reaction conditions are at a temperature up to reflux for a duration of at least one hour.
- compound (2-4) can undergo a cross metathesis reaction with vinyl derivatives using ruthenium catalysts to give compounds of formula (3-2), where R 1 is as previously defined (see (a) J. Org. Chem. 2000, 65, 2204-2207; (b) Reviews: Synlett. 1999, 2, 267; (c) Reviews: Ivin, K. J.; Mol, J. C. Olefin Metathesis and Metathesis Polymerization, 2 nd ed.; Academic Press: New York, 1997; (d) J. Org. Chem. 1999, 64, 4798-4816; (e) Angew. Chem., Int. Ed. Engl.
- compound of formula (2-4) may be subjected to cross metathesis reaction conditions in the presence of compounds of formula (3-3), where R 1 is as previously defined, to yield conjugated esters of formula (3-4).
- Compound of formula (1-2) may be treated with lithium acetylide of formula (4-1), where G is as previously defined, to form the propargyl alcohol (4-2).
- the requisite lithium reagents are readily available via the reaction of a variety of acetylenes with n-butyl lithium under standard conditions (for further details, please see B. S. Furniss, A. J. Hannaford, P. W. G. Smith, A. R. Tatchell “Vogel's Textbook of Practical Organic Chemistry” 5 th ed., Longman, 1989 or G. S. Silverman, P. E. Rakita in Kirk-Othmer Encyclopedia of Chemical Technology vol.
- the reaction can be performed in an inert solvent, generally at low temperature.
- suitable solvents include, but are not limited to tetrahydrofuran, diethylether, 1,4-dioxane, 1,2-dimethoxyethane, and hexanes.
- the solvent is tetrahydrofuran or diethylether.
- the reaction is run at ⁇ 78°.
- Propargyl alcohol of formula (4-2) is then activated with a an electron-withdrawing group (EWG) to form a compound of formula (4-3).
- EWG electron-withdrawing group
- Suitable hydroxy activating groups include, but are not limited to, mesylate and triflate.
- the activated propargyl alcohol then undergoes elimination to form conjugated ene-yne compound of formula (4-4) (for further details, please see Tsuji, J. et al, Tetrahedron Lett. 1978, 24, 2075-2078).
- Suitable solvents include, but are not limited to, toluene or THF.
- Suitable reaction conditions are at a temperature up to reflux.
- Step a A compound of formula 1, wherein A is of the formula (1-1) and W is Ac.
- Step b A compound of formula I, wherein A is of the formula (1-2) and W is Ac.
- the organic solution is washed with water (1 ⁇ 200 ml), aqueous sodium sulfite solution until the aqueous layer is colorless (yellow color indicated the presence of oxidizing agent such NaIO 4 ), sat. NaHCO 3 (to remove acid by-product), water again and finally washed with brine. After drying with Na 2 SO 4 , the solution is evaporated and lyophilized to give the title compound as a white solid.
- the crude product might be purified by silica gel chromatography (eluted with 50% ethyl acetate-hexane, then 100% ethyl acetate). m/e + for C 62 H 109 N 11 O 14 1231.82, found 1232.22 (m+H) + , 1249.26, (m+NH 4 ) + , 1254.19 (m+Na) + .
- a solution of vinylmagnesium bromide (40 ml, 0.5 M in THF, 20 mmol) is diluted with 50 ml THF and cooled to ⁇ 78° C. Then a solution of the title compound from Example 1 (4.3 g, 3.49 mmol) in THF (2 ml) is added dropwise. After addition, the mixture is stirred for 20-30 min and quenched with aq. NH 4 Cl at ⁇ 78° C. After warm up to room temperature, the mixture is extracted with ethyl acetate (2 ⁇ 100 ml). The combined organic solution is washed with brine, dried with Na 2 SO 4 , concentrated and dried by lyophilization to afford a light yellow solid (4.66 g). m/e + for C 64 H 113 N 11 O 14 1259.85, found 1282.90 (m+Na) + .
- Step c A compound of formula I, wherein Q is
- Step c A compound of formula I, wherein Q is
- Step c A compound of formula I, wherein Q is
- the acetyl protection group is removed by stirring with K 2 CO 3 (12.9 mg) in MeOH (2 ml) over night. After removal of methanol, the residue is dissolved in ethyl acetate and filtered through a short silica gel pad. The crude product is purified by preparative TLC (developed with ethyl acetate). m/e + for C 69 H 115 N 11 O 12 1289.87, found 1290.68 (m+H) + , 1312.66 (m+Na) + .
- the acetyl protection group is removed by stirring with K 2 CO 3 (12.9 mg) in MeOH (2 ml) over night. After removal of methanol, the residue is dissolved in ethyl acetate and filtered through a short silica gel pad. The crude product is purified by preparative TLC (developed with ethyl acetate). m/e + for C 64 H 111 N 11 O 124 1257.83, found 1296.58 (m+K) + , 1283.61 (m+Na) + .
- the acetyl protection group is removed by stirring with K 2 CO 3 (12.9 mg) in MeOH (2 ml) over night. After removal of methanol, the residue is dissolved in ethyl acetate and filtered through a short silica gel pad. The crude product is purified by preparative TLC (developed with ethyl acetate). m/e + for C 69 H 113 N 11 O 3 1303.85, found 1304.66 (m+H) + , 1326.65 (m+Na) + , 1342.62 (m+K) + .
- G is H
- W is H
- Step c A compound of formula I, wherein Q is
- G is H
- W is H
- step c The product from step c is heated with K 2 CO 3 (20 mg) in MeOH (2 ml) at 50° C. for 1 hr. After cooling to room temperature, the solvent is removed and subsequently the residue is dissolved in ethyl acetate, washed with brine and dried with Na 2 SO 4 .
- the crude product is purified by preparative TLC (developed with ethyl acetate). m/e + for C 62 H 107 N 11 O 12 1197.81, found 1199.04 (m+H) + , 1217.07 (m+NH 4 ) + , 1221.01 (m+Na) + .
Landscapes
- Health & Medical Sciences (AREA)
- Chemical & Material Sciences (AREA)
- Life Sciences & Earth Sciences (AREA)
- General Health & Medical Sciences (AREA)
- Organic Chemistry (AREA)
- Medicinal Chemistry (AREA)
- Proteomics, Peptides & Aminoacids (AREA)
- Veterinary Medicine (AREA)
- Public Health (AREA)
- Pharmacology & Pharmacy (AREA)
- Bioinformatics & Cheminformatics (AREA)
- Animal Behavior & Ethology (AREA)
- Engineering & Computer Science (AREA)
- Immunology (AREA)
- Gastroenterology & Hepatology (AREA)
- Epidemiology (AREA)
- Biochemistry (AREA)
- Biophysics (AREA)
- Genetics & Genomics (AREA)
- Molecular Biology (AREA)
- Chemical Kinetics & Catalysis (AREA)
- Nuclear Medicine, Radiotherapy & Molecular Imaging (AREA)
- General Chemical & Material Sciences (AREA)
- Medicines That Contain Protein Lipid Enzymes And Other Medicines (AREA)
- Pharmaceuticals Containing Other Organic And Inorganic Compounds (AREA)
Abstract
The present invention relates to a cyclosporin analog of the following formula (I) or a pro-drug or pharmaceutically acceptable salt thereof:
wherein
where Q, W, X, Y, and Z are defined herein. In a second embodiment, the present invention relates to pharmaceutical compositions comprising pro-drugs or pharmaceutically acceptable salts of the compounds of the present invention and the use thereof for treating autoimmune diseases or for the prevention of organ transplantation rejection in a subject. In a third embodiment, the present invention relates to processes for the production of novel cyclosporin analogs of the present invention.
Description
- The present invention relates to novel semisynthetic cyclosporin analogs for the prevention of organ transplantation rejection and the treatment of immune disorders and inflammation, their use as pharmaceuticals and pharmaceutical compositions comprising them, as well as the processes for their production.
- The cyclosporins comprise a class of structurally distinctive, cyclic, poly-N-methylated undecapeptides, commonly possessing pharmacological, in particular immunosuppressive, anti-inflammatory and antiparasitic activity. The first of the cyclosporins to be isolated was the naturally occurring fungal metabolite Ciclosporin or Cyclosporin, also known as cyclosporin A.
- Since the original discovery of Cyclosporin, a wide variety of naturally occurring cyclosporins have been isolated and identified, and many further non-natural cyclosporins have been prepared by total- or semi-synthetic means or by the application of modified culture techniques. The class comprised by the cyclosporins is thus now substantial and includes, for example, the naturally occurring cyclosporins A through Z [cf., Traber et al.;1, Helv. Chim. Acta, 60, 1247-1255 (1977); Traber et al.; 2, Helv. Chim. Acta, 65,1655-1667 (1982); Kobel et al.; Europ. J. Applied Microbiology and Biotechnology, 14, 273-240 (1982); and von Wartburg et al.; Progress in Allergy, 38, 28-45 (1986)], as well as various non-natural cyclosporin derivatives and artificial or synthetic cyclosporin derivatives and artificial or synthetic cyclosporins including dihydrocyclosporins [in which the the -MeBmt-residue is saturated by hydrogenation]; derivatized cyclosporins (e.g., in which the 3′-O-atom of the -MeBmt- residue is acylated or a further substituent is introduced at the α-carbon atom of the sarcosyl residue at the 3-position); and cyclosporins in which variant amino acids are incorporated at specific positions within the peptide sequence, e.g. employing the total synthetic method for the production of cyclosporins developed by R. Wenger—see e.g. Traber et al., 1; Traber et al., 2; and Kobel et al., loc cit. U.S. Pat. Nos. 4,108,985, 4,220,641, 4,288,431, 4,554,351, 4,396,542 and 4,798,823; European Patent Publication Nos. 34,567A, 56,782A, 300,784A and 300,785; International Patent Publication No. WO 86/02080 and UK Patent Publication Nos. 2,206,119 and 2,207,678; Wenger 1, Transpl. Proc., 15 Suppl. 1:2230 (1983); Wenger 2, Angew. Chem. Int. Ed. 24 77 (1985) and Wenger 3, Progress in the Chemistry of Organic Natural Products, 50, 123 (1986).
- Several synthetic modifications of the -MeBmt- residue residing at position 1 of the cyclosporin undecapeptide have been described including: Park et al., Tetrahedron Lett.1989, 30, 4215-4218; U.S. Pat. Nos. 5,239,037, 5,293,057; U.S. Publication Nos. US20020142946, US20030087813, and US20030104992 assigned to Enanta Pharmaceuticals, Inc.; PCT Publication Nos. WO99/18120 and WO03/033526 both assigned to Isotechnika; and U.S. Pat. Nos. 4,384,996, 4,771,122, 5,284,826, and 5,525,590 assigned to Sandoz.
- The compound cyclosporine (cyclosporine A or CsA) has found wide use since its introduction in the fields of organ transplantation and immunomodulation, and has brought about a significant increase in the success rate for transplantation procedures. Undesired side effects associated with cyclosporine, however, such as nephrotoxicity, have led to a continued search for immunosuppressant compounds having improved, efficacy and safety.
- Side effects with systemic CsA include increase in diastolic blood pressure and decrease in renal function. Other side effects include hepatic dysfunction, hypertrichosis, tremor, gingival hyperplasis and paraesthsia. The systemic toxicity of CsA limits its use for the treatment of certain diseases. Accordingly, a need exists for compounds which exhibit immunosuppressive activity while not producing systemic toxicity.
- The present invention relates to novel cyclosporin analogs and methods of treatment for the prevention of organ transplantation rejection and the treatment of immune disorders or inflammation in a subject. The present invention further relates to pharmaceutical compositions comprising the compounds of the present invention and processes for their production.
-
- wherein
-
- wherein:
-
- where
- i) X is selected from hydrogen, halogen, C 1-C6 alkyl, or aryl;
- ii) one of Y and Z is selected from: hydrogen, deuterium, halogen, or methyl and the other is independently selected from:
- a) halogen;
- b) R 1, where R1 is selected from:
- 1) hydrogen;
- 2) deuterium;
- 3) C 1-C6 alkyl, optionally substituted with halogen, TMS, aryl, heterocycloalkyl, or heteroaryl;
- 4) C 2-C6 alkenyl, optionally substituted with halogen, TMS, aryl, heterocycloalkyl, or heteroaryl;
- 5) C 2-C6 alkynyl, optionally substituted with halogen, TMS, aryl, heterocycloalkyl, or heteroaryl;
- 6) C 3-C12 cycloalkyl;
- 7) substituted C 3-C12 cycloalkyl;
- 8) aryl;
- 9) substituted aryl;
- 10)heterocycloalkyl;
- 11)substituted heterocycloalkyl;
- 12)heteroaryl; or
- 13)substituted heteroaryl;
- c) —C(O)OR 1, where R1 is as previously defined;
- d) —C(O)OCH 2—V—R1, where R1 is as previously defined and V is —O— or —S—;
- e) —C(O)N(R 3)(R4), where R3 and R4 are independently selected from R1 as previously defined;
- f) —C(O)SR 1, where R1 is as previously defined;
- g) —C(O)OCH 2OC(O)R1, where R1 is as previously defined;
- h) —C(S)OR 1, where R1 is as previously defined;
- i) —C(S)SR 1, where R1 is as previously defined;
- j) R 2, where R2 is selected from:
- 1) C 1-C6 alkyl-M-R1, where R1 is as previously defined and M is absent or selected from:
- i. —NH—;
- ii. —N(CH 3)—;
- iii. —S—;
- iv. —S(O) n—, where n=0, 1, or 2; or
- v. —O—;
- 2) C 2-C6 alkenyl-M-R1, where R1 and M are as previously defined; or
- 3) C 2-C6 alkynyl-M-R1, where R1 and M are as previously defined;
- k) Or in the alternative, Y and Z are taken together with the carbon atom to which they are attached to form a C 3-C12 cycloalkyl moiety; and
- ii) G is independently selected from halogen, TMS, R 1 or R2 as previously defined;
- B is selected from:
- i) -αAbu-;
- ii) -Val-;
- iii) -Thr-; or
- iv) -Nva-;
- U is selected from:
- i) -(D)Ala-;
- ii) -(D)Ser-;
- iii) —[O-(2-hydroxyethyl)(D)Ser]-;
- iv) —[O-(acyl)(D)Ser]-; or
- v) —[O-(2-acyloxyethyl)(D)Ser]-; and
- W is selected from hydrogen or a hydroxy protecting group.
- In Formula (I), amino acid residues referred to by abbreviation, eg. -Ala-, -MeLeu-, -αAbu-, etc., are, in accordance with conventional practice, to be understood as having the L-configuration unless otherwise indicated. (For example, -(D)Ala- represents a residue having the D-configuration). Residue abbreviation preceeded by “Me” as in the case of “MeLeu,” represents an α-N-methylated residue. Individual residues of the cyclosporin molecule are numbered, as in the art, clockwise and starting with the residue, -MeBmt- corresponding to residue 1. The same numerical sequence is employed throughout the present specifications and claims.
- Accordingly, the present invention provides the use of cyclosporin analogs for the treatment of, with or without the concurrent use of other drugs, organ transplantation rejections, immune disorders, and inflammation including, but not limited to, indications such as rheumatoid arthritis, psoriasis, inflammatory bowel diseases, chronic obstructive pulmonary disease, allergic rhinitis, and asthma.
- A first embodiment of the invention is a compound represented by Formula I as described above, or a pharmaceutically acceptable salt, ester or prodrug thereof.
- Representative subgenera of the present invention include, but are not limited to, the following:
-
- where W, X, Y, and Z are as previously defined;
-
- where X, Y, and Z are as previously defined;
-
- where Y and Z are as previously defined;
-
- where W and G are as previously defined; or
-
- G is as previously defined.
- Representative compounds of the invention include, but are not limited to, the compounds selected from:
- Example 1. A compound of formula I, wherin A is of the formula (1-2) and W is Ac;
-
- W is Ac and X═Y=Z =hydrogen;
-
- W is H and X═Y=Z =hydrogen;
-
- Y is CH 3, and W═X=Z=hydrogen;
-
- Y═Z=CH 3, and W=X=hydrogen;
-
- Y is —(CH 2)3CH3, and W═X=Z=hydrogen;
-
- Y is —(CH 2)2Br, and W═X=Z=hydrogen;
-
- Y is ortho-Me-phenyl, and W═X=Z=hydrogen;
-
- Y is ortho-Br-phenyl, and W═X=Z=hydrogen;
-
- Y is —CO 2Me, and W═X=Z=hydrogen;
-
- Y is meta-CHO-phenyl, and W═X=Z=hydrogen;
-
- Y is Et, and W═X=Z=hydrogen;
-
- Y is —CH═CHCH 2TMS, and W═X=Z=hydrogen;
-
- G is H, and W is H.
-
- Y is propyl, and W═X=Z=hydrogen.
-
- Y is cyclopropyl, and W═X=Z=hydrogen.
-
- Y is —CH═CHCH 3, and W═X=Z=hydrogen.
-
- X═Y═CH 3, and W=Z=hydrogen.
-
- W═X═Y=hydrogen, and Z=CH 3.
-
- Y is p-bromophenyl, and W═X=Z=hydrogen.
-
- W═X═Y=hydrogen, and Z=—CH 2CH═CH2.
-
- W═X═Y=hydrogen, and Z is ethyl.
-
- W═X═Y=hydrogen, and Z=—CH═CHCH 3.
-
- W═X═Y=hydrogen, and Z=—CH 2OCH3.
-
- G=—CH═CHCH 3 and W=hydrogen.
-
- G=propyl and W=hydrogen.
-
- G=—CH 3 and W=hydrogen.
- The potent immunomodulatory activity which compounds of the instant invention demonstrate in common in vitro biological assays (for example, calcineurin phosphatase and binding assays, nuclear factor of activated T cells (NFAT) reporter gene assay, murine and human mixed lymphocyte reaction) or animal models (for example delayed-type hypersensitivity response—DTH,-allergan induced pulmonary eosinophilia) indicate that these compounds possess immunosuppressive, antimicrobial, antifungal, antiviral, antiinflammatory, and antiproliferative activity, and possess the ability to reverse chemotherapeutic drug resistance. As agents block T-cell activation, a prerequisite for human immunodeficiency virus (HIV) proliferation, the compounds are useful as prophylactics for the prevention of HIV replication. The compounds of the invention would be useful when used alone, or in combination therapy with other immunosuppressants, for example, but not limited to, FK506, rapamycin, cyclosporin A, picibanil, mycophenolic acid, azathioprine, prednisolone, cyclophosphamide, brequinar and leflunomide.
- As immunosuppressants, the compounds of the present invention are useful when administered for the prevention of immune-mediated tissue or organ graft rejection. Examples of transplanted tissues and organs which suffer from these effects are heart, kidney, liver, medulla ossium, skin, cornea, lung, pancreas, intestinum tenue, limb, muscle, nervus, duodenum, small-bowel, pancreatic-islet-cell, and the like; as well as graft-versus-host diseases brought about by medulla ossium transplantation. The regulation of the immune response by the compounds of the invention would also find utility in the treatment of autoimmune diseases, such as rheumatoid arthritis, systemic lupus erythematosis, hyperimmunoglobulin E, Hashimoto's thyroiditis, multiple sclerosis, progressive systemic sclerosis, myasthenia gravis, type I diabetes, uveitis, allergic encephalomyelitis, glomerulonephritis, and the like; and further infectious diseases caused by pathogenic microorganisms, such as HIV. In the particular cases of HIV-1, HIV-2 and related retroviral strains, inhibition of T-cell mitosis would suppress the replication of the virus, since the virus relies upon the host T-cell's proliferative functions to replicate.
- Further uses include the treatment and prophylaxis of inflammatory and hyperproliferative skin diseases and cutaneous manifestations of immunologically-mediated illnesses, such as psoriasis, atopical dermatitis, contact dermatitis and further eczematous dermatitises, seborrhoeis dermatitis, Lichen planus, Pemphigus, bullous pemphigoid, Epidermolysis bullosa, urticaria, angioedemas, vasculitides, erythemas, cutaneous eosinophilias, Lupus erythematosus, acne and Alopecia areata; various eye diseases (autoimmune and otherwise) such as keratoconjunctivitis, vernal conjunctivitis, keratitis, herpetic keratitis, conical cornea, dystrophia epithelialis corneae, corneal leukoma, ocular pemphigus, Mooren's ulcer, Scleritis, Graves' opthalmopathy, Vogt-Koyanagi-Harada syndrome, sarcoidosis, multiple myeloma, etc.; obstructive airway diseases, which includes conditions such as chronic obstructive pulmonary disease (COPD), asthma (for example, bronchial asthma, allergic asthma, intrinsic asthma, extrinsic asthma and dust asthma), particularly chronic or inveterate asthma (for example, late asthma and airway hyper-responsiveness), bronchitis, allergic rhinitis and the like; inflammation of mucosa and blood vessels such as gastric ulcers, vascular damage caused by ischemic diseases and thrombosis. Moreover, hyperproliferative vascular diseases such as intimal smooth muscle cell hyperplasia, restenosis and vascular occlusion, particularly following biologically- or mechanically-mediated vascular injury can be treated or prevented by the compounds of the invention.
- Other treatable conditions would include, but are not limited to, ischemic bowel diseases, inflammatory bowel diseases, necrotizing enterocolitis, intestinal lesions associated with thermal burns and leukotriene B 4-mediated diseases; intestinal inflammations/allergies such as Coeliac diseases, proctitis, eosinophilic gastroenteritis, mastocytosis, Crohn's disease and ulcerative colitis; food-related allergic diseases which have symptomatic manifestation remote from the gastro-intestinal tract (e.g., migraine, rhinitis and eczema); renal diseases such as interstitial nephritis, Goodpasture's syndrome, hemolytic-uremic syndrome and diabetic nephropathy; nervous diseases such as multiple myositis, Guillain-Barre syndrome, Meniere's disease, polyneuritis, multiple neuritis, mononeuritis and radiculopathy; endocrine diseases such as hyperthyroidism and Basedow's disease; hematic diseases such as pure red cell aplasia, aplastic anemia, hypoplastic anemia, idiopathic thrombocytopenic purpura, autoimmune hemolytic anemia, agranulocytosis, pernicious anemia, megaloblastic anemia and anerythroplasia; bone diseases such as osteoporosis; respiratory diseases such as sarcoidosis, fibroid lung and idiopathic interstitial pneumonia; skin disease such as dermatomyositis, leukoderma vulgaris, ichthyosis vulgaris, photoallergic sensitivity and cutaneous T cell lymphoma; circulatory diseases such as arteriosclerosis, atherosclerosis, aortitis syndrome, polyarteritis nodosa and myocardosis; collagen diseases such as scleroderma, Wegener's granuloma and Sjogren's syndrome; adiposis; eosinophilic fasciitis; periodontal disease such as lesions of gingiva, periodontium, alveolar bone and substantia ossea dentis; nephrotic syndrome such as glomerulonephritis; male pattern aleopecia or alopecia senilis by preventing epilation or providing hair germination and/or promoting hair generation and hair growth; muscular dystrophy; Pyoderma and Sezary's syndrome; Addison's disease; active oxygen-mediated diseases, as for example organ injury such as ischemia-reperfusion injury of organs (such as heart, liver, kidney and digestive tract) which occurs upon preservation, transplantation or ischemic disease (for example, thrombosis and cardiac infraction): intestinal diseases such as endotoxin-shock, pseudomembranous colitis and colitis caused by drug or radiation; renal diseases such as ischemic acute renal insufficiency and chronic renal insufficiency; pulmonary diseases such as toxinosis caused by lung-oxygen or drug (for example, paracort and bleomycins), lung cancer and pulmonary emphysema; ocular diseases such as cataracta, siderosis, retinitis, pigmentosa, senile macular degeneration, vitreal scarring and corneal alkali burn; dermatitis such as erythema multiforme, linear IgA ballous dermatitis and cement dermatitis; and others such as gingivitis, periodontitis, sepsis, pancreatitis, diseases caused by environmental pollution (for example, air pollution), aging, carcinogenis, metastasis of carcinoma and hypobaropathy; disease caused by histamine or leukotriene-C4 release; Behcet's disease such as intestinal-, vasculo- or neuro-Behcet's disease, and also Behcet's which affects the oral cavity, skin, eye, vulva, articulation, epididymis, lung, kidney and so on.
- Furthermore, the compounds of the invention are useful for the treatment and prevention of hepatic disease such as immunogenic diseases (for example, chronic autoimmune liver diseases such as the group consisting of autoimmune hepatitis, primary biliary cirrhosis and sclerosing cholangitis), partial liver resection, acute liver necrosis (e.g., necrosis caused by toxin, viral hepatitis, shock or anoxia), B-virus hepatitis, non-A/non-B hepatitis, cirrhosis (such as alcoholic cirrhosis) and hepatic failure such as fulminant hepatic failure, late-onset hepatic failure and “acute-on-chronic” liver failure (acute liver failure on chronic liver diseases), and moreover are useful for various diseases because of their useful activity such as augmention of chemotherapeutic effect, preventing or treating activity of cytomegalovirus infection, particularly human cytomegalovirus (HCMV) infection, anti-inflammatory activity, and so on.
- The compounds of the present invention may be used as vaccines to treat immunosuppression in a subject. It is sometimes found that the antigen introduced into the body for the acquisition of immunity from disease also acts as an immunosuppressive agent, and therefore, antibodies are not produced by the body and immunity is not acquired. By introducing a compound of the present invention into the body as a vaccine, the undesired immunosuppression may be overcome and immunity acquired.
- The compounds of the present invention may also find utility in the chemosensitization of drug resistant target cells. Cyclosporin A and FK-506 are known to be effective modulators of P-glycoprotein, a substance which binds to and inhibits the action of anticancer drugs by inhibiting P-glycoprotein, as they are capable of increasing the sensitivity of multidrug resistant (MDR) cells to chemotherapeutic agents. It is believed that the compounds of the invention may likewise be effective at overcoming resistance expressed to clinically useful antitumour drugs such as 5-fluorouracil, cisplatin, methotrexate, vincristine, vinblastine and adriamycin, colchicine and vincristine.
- Further, it has recently been shown that the steroid receptor-associated heat shock proteins (hsp), hsp56 or hsp59, belong to the class of immunophilin proteins (see “HSP70 induction by cyclosporin A in cultured rat hepatocytes: effect of vitamin E succinate,” Andres, David et al., Instituto de Bioqimica, Facultad de Farmacia, Universidad Complutense, Madrid, Spain. J. Hepatol. (2000) 33(4), 570-579; “Cyclosporin A Induces an Atypical Heat Shock Response,” Paslaru, Liliana, et al., Unite de Genetique Moleculaire, Paris, Fr. Biochem. Biophys. Res. Commun. (2000), 269(2), 464-469; “The cyclosporine A-binding immunophilin CyP-40 and the FK506-binding immunophilin hsp56 bind to a common site on hsp90 and exist in independent cytosolic heterocomplexes with the untransformed glucocorticoid receptor,” Owens-Grillo, Janet K. et al., Med. Sch., Univ. Michigan, Ann Arbor, Mich. USA. J. Biol. Chem. (1995), 270(35), 20479-84). The ability of a steroid receptor-associated heat shock protein to bind the immunosuppressive CsA suggests that the steroid receptor and immunophilin signal transduction pathways are functionally interrelated. The combined treatment of compounds of the present invention and low concentrations of a steroid ligand (for e.g., progesterone, dexamethasone) result in a significant enhancement of target gene expression over that seen in response to ligand alone. Thus, the compounds of the present invention potentiate steroid-mediated transactivation.
- Aqueous liquid compositions of the present invention may be particularly useful for the treatment and prevention of various diseases of the eye such as autoimmune diseases (including, for example, conical cornea, keratitis, dysophia epithelialis corneae, leukoma, Mooren's ulcer, sclevitis and Graves' ophthalmopathy) and rejection of corneal transplantation.
- Accordingly, the pharmaceutical compositions of the present invention comprise a therapeutically effective amount of a cyclosporin analog of the invention (e.g. those of the formulae delineated herein) in combination with a pharmaceutically acceptable carrier or excipient. In particular, compositions pertaining to the present invention are useful for treating a subject for immune-mediated organ or tissue allograft rejection, a graft-versus-host disease, an autoimmune disease, an obstructive airway disease, a hyperproliferative disease, or an ischemic or inflammatory intestinal or bowel disease.
- The present invention also relates to method(s) of treatment of immune disorders and inflammation or prevention of organ transplant rejection in a subject by administering to the subject therapeutically effective amounts of the cyclosporin analogs of the present invention with or without the concurrent use of other drugs or pharmaceutically acceptable excipients, as described throughout the present specification.
- The methods of the present invention comprise treating a subject in need of immunosuppresive, anti-inflammatory, antimicrobial, antifungal, antiviral or antiproliferative therapy, or requiring the reversal of chemotherapeutic drug resistance, by administering a therapeutically effective amount of a compound of the invention for such time and in such amounts as is necessary to produce the desired result.
- The method includes administering to the subject (including a subject identified as in need of such treatment) an effective amount of a compound described herein, or a composition described herein to produce such effect. Identifying a subject in need of such treatment can be in the judgment of a subject or a health care professional and can be subjective (e.g. opinion) or objective (e.g. measurable by a test or diagnostic method).
- Also within the scope of this invention is a packaged product. The packaged product includes a container, one of the aforementioned compounds in the container, and a legend (e.g., a label or an insert) associated with the container and indicating administration of the compound for treating a disorder associated with bacterial infection, including the diseases delineated herein.
- The present invention also contemplates processes to make any cyclosporin derivative delineated herein via any synthetic method delineated herein.
- Definitions
- Listed below are definitions of various terms used to describe this invention. These definitions apply to the terms as they are used throughout this specification and claims, unless otherwise limited in specific instances, either individually or as part of a larger group.
- The terms “C 1-C3 alkyl,” “C1-C6 alkyl,” or “C1-C12 alkyl,” as used herein, refer to saturated, straight- or branched-chain hydrocarbon radicals containing between one and three, one and twelve, or one and six carbon atoms, respectively. Examples of C1-C3 alkyl radicals include methyl, ethyl, propyl and isopropyl radicals; examples of C1-C6 alkyl radicals include, but are not limited to, methyl, ethyl, propyl, isopropyl, n-butyl, tert-butyl, neopentyl and n-hexyl radicals; and examples of C1-C12 alkyl radicals include, but are not limited to, ethyl, propyl, isopropyl, n-hexyl, octyl, decyl, dodecyl radicals.
- The term “substituted alkyl,” as used herein, refers to a “C 2-C12 alkyl” or “C1-C6 alkyl” group as previously defined, substituted by independent replacement or one, two, or three of the hydrogen atoms thereon with substituents including, but not limited to, —F, —Cl, —Br, —I, —OH, protected hydroxy, —NO2, —CN, —C1-C12-alkyl optionally substituted with halogen, C2-C12-alkenyl optionally substituted with halogen, —C2-C12-alkynyl optionally substituted with halogen, —NH2, protected amino, —NH—C1-C12-alkyl, —NH—C2-C12-alkenyl, —NH—C2-C12-alkenyl, —NH—C3-C12-cycloalkyl, —NH-aryl, —NH-heteroaryl, —NH-heterocycloalkyl, -dialkylamino, -diarylamino, -diheteroarylamino, —O—C1-C12-alkyl, —O—C2-C12-alkenyl, —O—C2-C12-alkenyl, —O—C3-C12-cycloalkyl, —O-aryl, —O-heteroaryl, —O-heterocycloalkyl, —C(O)—C1-C12-alkyl, —C(O)—C2-C12-alkenyl, —C(O)—C2-C12-alkenyl, —C(O)—C3-C12-cycloalkyl, —C(O)-aryl, —C(O)-heteroaryl, —C(O)-heterocycloalkyl, —CONH2, —CONH—C1-C12-alkyl, —CONH—C2-C12-alkenyl, —CONH—C2-C12-alkenyl, —CONH—C3-C12-cycloalkyl, —CONH-aryl, —CONH-heteroaryl, —CONH-heterocycloalkyl, —OCO2- C1-C12-alkyl, —OCO2- C2-C12-alkenyl, —OCO2- C2-C12-alkenyl, —OCO2-C3-C12-cycloalkyl, —OCO2-aryl, —OCO2-heteroaryl, —OCO2-heterocycloalkyl, —OCONH2, —OCONH—C1-C12-alkyl, —OCONH—C2-C12-alkenyl, —OCONH—C2-C12-alkenyl, —OCONH—C3-C12-cycloalkyl, —OCONH-aryl, —OCONH-heteroaryl, —OCONH-heterocycloalkyl, —NHC(O)—C1-C12-alkyl, —NHC(O)—C2-C12-alkenyl, —NHC(O)—C2-C12-alkenyl, —NHC(O)—C3-C12-cycloalkyl, —NHC(O)-aryl, —NHC(O)-heteroaryl, —NHC(O)-heterocycloalkyl, —NHCO2- C1-C12-alkyl, —NHCO2- C2-C12-alkenyl, —NHCO2- C2-C12-alkenyl, —NHCO2- C3-C12-cycloalkyl, —NHCO2- aryl, —NHCO2-heteroaryl, —NHCO2-heterocycloalkyl, —NHC(O)NH2, NHC(O)NH—C1-C12-alkyl, —NHC(O)NH—C2-C12-alkenyl, —NHC(O)NH—C2-C12-alkenyl, —NHC(O)NH—C3-C12-cycloalkyl, —NHC(O)NH-aryl, —NHC(O)NH-heteroaryl, —NHC(O)NH-heterocycloalkyl, NHC(S)NH2, NHC(S)NH—C1-C12-alkyl, —NHC(S)NH—C2-C12-alkenyl, —NHC(S)NH—C2-C12-alkenyl, —NHC(S)NH—C3-C12-cycloalkyl, —NHC(S)NH-aryl, —NHC(S)NH-heteroaryl, —NHC(S)NH-heterocycloalkyl, —NHC(NH)NH2, NHC(NH)NH—C1-C12-alkyl, —NHC(NH)NH—C2-C12-alkenyl, —NHC(NH)NH—C2-C12-alkenyl, —NHC(NH)NH—C3-C12-cycloalkyl, —NHC(NH)NH-aryl, —NHC(NH)NH-heteroaryl, —NHC(NH)NH-heterocycloalkyl, NHC(NH)-C1-C12-alkyl, —NHC(NH)—C2-C12-alkenyl, —NHC(NH)—C2-C12-alkenyl, —NHC(NH)—C3-C12-cycloalkyl, —NHC(NH)-aryl, —NHC(NH)-heteroaryl, —NHC(NH)-heterocycloalkyl, —C(NH)NH-C1-C12-alkyl, —C(NH)NH—C2-C12-alkenyl, —C(NH)NH—C2-C12-alkenyl, —C(NH)NH—C3-C12-cycloalkyl, —C(NH)NH-aryl, —C(NH)NH-heteroaryl, —C(NH)NH-heterocycloalkyl, —S(O)—C1-C12-alkyl, —S(O)—C2-C12-alkenyl, —S(O)—C2-C12-alkenyl, —S(O)—C3-C12-cycloalkyl, —S(O)-aryl, —S(O)-heteroaryl, —S(O)-heterocycloalkyl—SO2NH2, —SO2NH—C1-C12-alkyl, —SO2NH—C2-C12-alkenyl, —SO2NH—C2-C12-alkenyl, —SO2NH—C3-C12-cycloalkyl, —SO2NH-aryl, —SO2NH-heteroaryl, —SO2NH-heterocycloalkyl, —NHSO2—C1-C12-alkyl, —NHSO2—C2-C12-alkenyl, —NHSO2-C2-C12-alkenyl, —NHSO2—C3-C12-cycloalkyl, —NHSO2-aryl, —NHSO2-heteroaryl, —NHSO2-heterocycloalkyl, —CH2NH2, —CH2SO2CH3, -aryl, -arylalkyl, -heteroaryl, -heteroarylalkyl, -heterocycloalkyl, —C3-C12-cycloalkyl, -methoxymethoxy, -methoxyethoxy, —SH, —S—C1-C12-alkyl, —S—C2-C12-alkenyl, —S—C2-C12-alkenyl, —S—C3-C12-cycloalkyl, —S-aryl, —S-heteroaryl, —S-heterocycloalkyl, or methylthiomethyl.
- The terms “C 2-C12 alkenyl” or “C2-C6 alkenyl,” as used herein, denote a monovalent group derived from a hydrocarbon moiety containing from two to twelve or two to six carbon atoms having at least one carbon-carbon double bond. Alkenyl groups include, but are not limited to, for example, ethenyl, propenyl, butenyl, 1-methyl-2-buten-1-yl, 3-hexenyl, and the like.
- The term “substituted alkenyl,” as used herein, refers to a “C 2-C12 alkenyl” or “C2-C6 alkenyl” group as previously defined, substituted by independent replacement or one, two, or three of the hydrogen atoms thereon with substituents including, but not limited to, —F, —Cl, —Br, —I, —OH, protected hydroxy, —NO2, —CN, —C1-C12-alkyl optionally substituted with halogen, C2-C12-alkenyl optionally substituted with halogen, —C2-C12-alkynyl optionally substituted with halogen, —NH2, protected amino, —NH—C1-C12-alkyl, —NH—C2-C12-alkenyl, —NH—C2-C12-alkenyl, —NH—C3-C12-cycloalkyl, —NH-aryl, —NH-heteroaryl, —NH-heterocycloalkyl, -dialkylamino, -diarylamino, -diheteroarylamino, —O—C1-C12-alkyl, —O—C2-C12-alkenyl, —O—C2-C12-alkenyl, —O—C3-C12-cycloalkyl, —O-aryl, —O-heteroaryl, —O-heterocycloalkyl, —C(O)—C1-C12-alkyl, —C(O)—C2-C12-alkenyl, —C(O)—C2-C12-alkenyl, —C(O)—C3-C12-cycloalkyl, —C(O)-aryl, —C(O)-heteroaryl, —C(O)-heterocycloalkyl, —CONH2, —CONH—C1-C12-alkyl, —CONH—C2-C12-alkenyl, —CONH—C2-C12-alkenyl, —CONH—C3-C12-cycloalkyl, —CONH-aryl, —CONH-heteroaryl, —CONH-heterocycloalkyl, —OCO2—C1-C12-alkyl, —OCO2—C2-C12-alkenyl, —OCO2-C2-C12-alkenyl, —OCO2—C3-C12-cycloalkyl, —OCO2-aryl, —OCO2-heteroaryl, —OCO2-heterocycloalkyl, —OCONH2, —OCONH—C1-C12-alkyl, —OCONH—C2-C12-alkenyl, —OCONH—C2-C12-alkenyl, —OCONH—C3-C12-cycloalkyl, —OCONH-aryl, —OCONH-heteroaryl, —OCONH-heterocycloalkyl, —NHC(O)—C1-C12-alkyl, —NHC(O)—C2-C12-alkenyl, —NHC(O)—C2-C12-alkenyl, —NHC(O)—C3-C12-cycloalkyl, —NHC(O)-aryl, —NHC(O)-heteroaryl, —NHC(O)-heterocycloalkyl, —NHCO2—C1-C12-alkyl, —NHCO2—C2-C12-alkenyl, —NHCO2—C2-C12-alkenyl, —NHCO2—C3-C12-cycloalkyl, —NHCO2-aryl, —NHCO2-heteroaryl, —NHCO2-heterocycloalkyl, —NHC(O)NH2, NHC(O)NH—C1-C12-alkyl, —NHC(O)NH—C2-C12-alkenyl, —NHC(O)NH—C2-C12-alkenyl, —NHC(O)NH—C3-C12-cycloalkyl, —NHC(O)NH-aryl, —NHC(O)NH-heteroaryl, —NHC(O)NH-heterocycloalkyl, NHC(S)NH2, NHC(S)NH—C1-C12-alkyl, —NHC(S)NH—C2-C12-alkenyl, —NHC(S)NH—C2-C12-alkenyl, —NHC(S)NH—C3-C12-cycloalkyl, —NHC(S)NH-aryl, —NHC(S)NH-heteroaryl, —NHC(S)NH-heterocycloalkyl, —NHC(NH)NH2, NHC(NH)NH—C1-C12-alkyl, —NHC(NH)NH—C2-C12-alkenyl, —NHC(NH)NH—C2-C12-alkenyl, —NHC(NH)NH—C3-C12-cycloalkyl, —NHC(NH)NH-aryl, —NHC(NH)NH-heteroaryl, —NHC(NH)NH-heterocycloalkyl, NHC(NH)—C1-C12-alkyl, —NHC(NH)—C2-C12-alkenyl, —NHC(NH)—C2-C12-alkenyl, —NHC(NH)—C3-C12-cycloalkyl, —NHC(NH)-aryl, —NHC(NH)-heteroaryl, —NHC(NH)-heterocycloalkyl, —C(NH)NH—C1-C12-alkyl, —C(NH)NH—C2-C12-alkenyl, —C(NH)NH-C2-C12-alkenyl, —C(NH)NH—C3-C12-cycloalkyl, —C(NH)NH-aryl, —C(NH)NH-heteroaryl, —C(NH)NH-heterocycloalkyl, —S(O)—C1-C12-alkyl, —S(O)—C2-C12-alkenyl, —S(O)—C2-C12-alkenyl, —S(O)—C3-C12-cycloalkyl, —S(O)-aryl, —S(O)-heteroaryl, —S(O)-heterocycloalkyl-SO2NH2, —SO2NH—C1-C12-alkyl, —SO2NH—C2-C12-alkenyl, —SO2NH—C2-C12-alkenyl, —SO2NH—C3-C12-cycloalkyl, —SO2NH-aryl, —SO2NH-heteroaryl, —SO2NH-heterocycloalkyl, —NHSO2—C1-C12-alkyl, —NHSO2—C2-C12-alkenyl, —NHSO2-C2-C12-alkenyl, —NHSO2—C3-C12-cycloalkyl, —NHSO2-aryl, —NHSO2-heteroaryl, —NHSO2-heterocycloalkyl, —CH2NH2, —CH2SO2CH3, -aryl, -arylalkyl, -heteroaryl, -heteroarylalkyl, -heterocycloalkyl, —C3-C12-cycloalkyl, -methoxymethoxy, -methoxyethoxy, —SH, —S—C1-C12-alkyl, —S—C2-C12-alkenyl, —S—C2-C12-alkenyl, —S—C3-C12-cycloalkyl, —S-aryl, —S-heteroaryl, —S-heterocycloalkyl, or methylthiomethyl.
- The terms “C 2-C12 alkynyl” or “C2-C6 alkynyl,” as used herein, denote a monovalent group derived from a hydrocarbon moiety containing from two to twelve or two to six carbon atoms having at least one carbon-carbon triple bond by the removal of a single hydrogen atom. Representative alkynyl groups include, but are not limited to, for example, ethynyl, 1-propynyl, 1-butynyl, and the like.
- The term “substituted alkynyl,” as used herein, refers to a “C 2-C12 alkynyl” or “C2-C6 alkynyl” group as previously defined, substituted by independent replacement or one, two, or three of the hydrogen atoms thereon with substituents including, but not limited to, —F, —Cl, —Br, —I, —OH, protected hydroxy, —NO2, —CN, —C1-C12-alkyl optionally substituted with halogen, C2-C12-alkenyl optionally substituted with halogen, —C2-C12-alkynyl optionally substituted with halogen, —NH2, protected amino, —NH—C1-C12-alkyl, —NH—C2-C12-alkenyl, —NH—C2-C12-alkenyl, —NH—C3-C12-cycloalkyl, —NH-aryl, —NH-heteroaryl, —NH-heterocycloalkyl, -dialkylamino, -diarylamino, -diheteroarylamino, —O—C1-C12-alkyl, —O—C2-C12-alkenyl, —O—C2-C12-alkenyl, —O—C3-C12-cycloalkyl, —O-aryl, —O-heteroaryl, —O-heterocycloalkyl, —C(O)—C1-C12-alkyl, —C(O)—C2-C12-alkenyl, —C(O)—C2-C12-alkenyl, —C(O)—C3-C12-cycloalkyl, —C(O)-aryl, —C(O)-heteroaryl, —C(O)-heterocycloalkyl, —CONH2, —CONH—C1-C12-alkyl, —CONH—C2-C12-alkenyl, —CONH—C2-C12-alkenyl, —CONH—C3-C12-cycloalkyl, —CONH-aryl, —CONH-heteroaryl, —CONH-heterocycloalkyl, —OCO2—C1-C12-alkyl, —OCO2—C2-C12-alkenyl, —OCO2—C2-C12-alkenyl, —OCO2—C3-C12-cycloalkyl, —OCO2-aryl, —OCO2-heteroaryl, —OCO2-heterocycloalkyl, —OCONH2, —OCONH—C1-C12-alkyl, —OCONH—C2-C12-alkenyl, —OCONH—C2-C12-alkenyl, —OCONH—C3-C12-cycloalkyl, —OCONH-aryl, —OCONH-heteroaryl, —OCONH-heterocycloalkyl, —NHC(O)—C1-C12-alkyl, —NHC(O)—C2-C12-alkenyl, —NHC(O)—C2-C12-alkenyl, —NHC(O)—C3-C12-cycloalkyl, —NHC(O)-aryl, —NHC(O)-heteroaryl, —NHC(O)-heterocycloalkyl, —NHCO2—C1-C12-alkyl, —NHCO2—C2-C12-alkenyl, —NHCO2—C2-C12-alkenyl, —NHCO2—C3-C12-cycloalkyl, —NHCO2-aryl, —NHCO2- heteroaryl, —NHCO2- heterocycloalkyl, —NHC(O)NH2, NHC(O)NH—C1-C12-alkyl, —NHC(O)NH—C2-C12-alkenyl, —NHC(O)NH—C2-C12-alkenyl, —NHC(O)NH—C3-C12-cycloalkyl, —NHC(O)NH-aryl, —NHC(O)NH-heteroaryl, —NHC(O)NH-heterocycloalkyl, NHC(S)NH2, NHC(S)NH—C1-C12-alkyl, —NHC(S)NH—C2-C12-alkenyl, —NHC(S)NH—C2-C12-alkenyl, —NHC(S)NH—C3-C12-cycloalkyl, —NHC(S)NH-aryl, —NHC(S)NH-heteroaryl, —NHC(S)NH-heterocycloalkyl, —NHC(NH)NH2, NHC(NH)NH—C1-C12-alkyl, —NHC(NH)NH—C2-C12-alkenyl, —NHC(NH)NH—C2-C12-alkenyl, —NHC(NH)NH—C3-C12-cycloalkyl, —NHC(NH)NH-aryl, —NHC(NH)NH-heteroaryl, —NHC(NH)NH-heterocycloalkyl, NHC(NH)—C1-C12-alkyl, —NHC(NH)—C2-C12-alkenyl, —NHC(NH)—C2-C12-alkenyl, —NHC(NH)—C3-C12-cycloalkyl, —NHC(NH)-aryl, —NHC(NH)-heteroaryl, —NHC(NH)-heterocycloalkyl, —C(NH)NH—C1-C12-alkyl, —C(NH)NH—C2-C12-alkenyl, —C(NH)NH—C2-C12-alkenyl, —C(NH)NH—C3-C12-cycloalkyl, —C(NH)NH-aryl, —C(NH)NH-heteroaryl, —C(NH)NH-heterocycloalkyl, —S(O)—C1-C12-alkyl, —S(O)—C2-C12-alkenyl, —S(O)—C2-C12-alkenyl, —S(O)—C3-C12-cycloalkyl, —S(O)-aryl, —S(O)-heteroaryl, —S(O)-heterocycloalkyl-SO2NH2, —SO2NH—C1-C12-alkyl, —SO2NH—C2-C12-alkenyl, —SO2NH-C2-C12-alkenyl, —SO2NH—C3-C12-cycloalkyl, —SO2NH-aryl, —SO2NH-heteroaryl, —SO2NH-heterocycloalkyl, —NHSO2—C1-C12-alkyl, —NHSO2—C2-C12-alkenyl, —NHSO2—C2-C12-alkenyl, —NHSO2—C3-C12-cycloalkyl, —NHSO2-aryl, —NHSO2-heteroaryl, —NHSO2-heterocycloalkyl, —CH2NH2, —CH2SO2CH3, -aryl, -arylalkyl, -heteroaryl, -heteroarylalkyl, -heterocycloalkyl, —C3-C12-cycloalkyl, -methoxymethoxy, -methoxyethoxy, —SH, —S—C1-C12-alkyl, —S—C2-C12-alkenyl, —S—C2-C12-alkenyl, —S—C3-C12-cycloalkyl, —S-aryl, —S-heteroaryl, —S-heterocycloalkyl, or methylthiomethyl.
- The term “C 1-C6 alkoxy,” as used herein, refers to a C1-C6 alkyl group, as previously defined, attached to the parent molecular moiety through an oxygen atom. Examples of C1-C6-alkoxy include, but are not limited to, methoxy, ethoxy, propoxy, isopropoxy, n-butoxy, tert-butoxy, neopentoxy and n-hexoxy.
- The terms “halo” and “halogen,” as used herein, refer to an atom selected from fluorine, chlorine, bromine and iodine.
- The term “aryl,” as used herein, refers to a mono- or bicyclic carbocyclic ring system having one or two aromatic rings including, but not limited to, phenyl, naphthyl, tetrahydronaphthyl, indanyl, idenyl and the like.
- The term “substituted aryl,” as used herein, refers to an aryl group, as previously defined, substituted by independent replacement or one, two, or three of the hydrogen atoms thereon with substituents including, but not limited to, —F, —Cl, —Br, —I, —OH, protected hydroxy, —NO 2, —CN, —C1-C12-alkyl optionally substituted with halogen, C2-C12-alkenyl optionally substituted with halogen, —C2-C12-alkynyl optionally substituted with halogen, —NH2, protected amino, —NH—C1-C12-alkyl, —NH—C2-C12-alkenyl, —NH—C2-C12-alkenyl, —NH—C3-C12-cycloalkyl, —NH-aryl, —NH-heteroaryl, —NH-heterocycloalkyl, -dialkylamino, -diarylamino, -diheteroarylamino, —O—C1-C12-alkyl, —O—C2-C12-alkenyl, —O—C2-C12-alkenyl, —O—C3-C12-cycloalkyl, —O-aryl, —O-heteroaryl, —O-heterocycloalkyl, —C(O)—C1-C12-alkyl, —C(O)—C2-C12-alkenyl, —C(O)-C2-C12-alkenyl, —C(O)—C3-C12-cycloalkyl, —C(O)-aryl, —C(O)-heteroaryl, —C(O)-heterocycloalkyl, —CONH2, —CONH—C1-C12-alkyl, —CONH—C2-C12-alkenyl, —CONH-C2-C12-alkenyl, —CONH—C3-C12-cycloalkyl, —CONH-aryl, —CONH-heteroaryl, —CONH-heterocycloalkyl, —OCO2—C1-C12-alkyl, —OCO2—C2-C12-alkenyl, —OCO2—C2-C12-alkenyl, —OCO2—C3-C12-cycloalkyl, —OCO2-aryl, —OCO2-heteroaryl, —OCO2-heterocycloalkyl, —OCONH2, —OCONH—C1-C12-alkyl, —OCONH—C2-C12-alkenyl, —OCONH—C2-C12-alkenyl, —OCONH—C3-C12-cycloalkyl, —OCONH-aryl, —OCONH-heteroaryl, —OCONH-heterocycloalkyl, —NHC(O)—C1-C12-alkyl, —NHC(O)—C2-C12-alkenyl, —NHC(O)—C2-C12-alkenyl, —NHC(O)—C3-C12-cycloalkyl, —NHC(O)-aryl, —NHC(O)-heteroaryl, —NHC(O)-heterocycloalkyl, —NHCO2—C1-C12-alkyl, —NHCO2—C2-C12-alkenyl, —NHCO2—C2-C12-alkenyl, —NHCO2—C3-C12-cycloalkyl, —NHCO2-aryl, —NHCO2-heteroaryl, —NHCO2-heterocycloalkyl, —NHC(O)NH2, NHC(O)NH—C1-C12-alkyl, —NHC(O)NH—C2-C12-alkenyl, —NHC(O)NH—C2-C12-alkenyl, —NHC(O)NH—C3-C12-cycloalkyl, —NHC(O)NH-aryl, —NHC(O)NH-heteroaryl, —NHC(O)NH-heterocycloalkyl, NHC(S)NH2, NHC(S)NH—C1-C12-alkyl, —NHC(S)NH—C2-C12-alkenyl, —NHC(S)NH—C2-C12-alkenyl, —NHC(S)NH—C3-C12-cycloalkyl, —NHC(S)NH-aryl, —NHC(S)NH-heteroaryl, —NHC(S)NH-heterocycloalkyl, —NHC(NH)NH2, NHC(NH)NH—C1-C12-alkyl, —NHC(NH)NH—C2-C12-alkenyl, —NHC(NH)NH—C2-C12-alkenyl, —NHC(NH)NH—C3-C12-cycloalkyl, —NHC(NH)NH-aryl, —NHC(NH)NH-heteroaryl, —NHC(NH)NH-heterocycloalkyl, NHC(NH)—C1-C12-alkyl, —NHC(NH)—C2-C12-alkenyl, —NHC(NH)—C2-C12-alkenyl, —NHC(NH)—C3-C12-cycloalkyl, —NHC(NH)-aryl, —NHC(NH)-heteroaryl, —NHC(NH)-heterocycloalkyl, —C(NH)NH—C1-C12-alkyl, —C(NH)NH—C2-C12-alkenyl, —C(NH)NH-C2-C12-alkenyl, —C(NH)NH—C3-C12-cycloalkyl, —C(NH)NH-aryl, —C(NH)NH-heteroaryl, —C(NH)NH-heterocycloalkyl, —S(O)—C1-C12-alkyl, —S(O)—C2-C12-alkenyl, —S(O)—C2-C12-alkenyl, —S(O)—C3-C12-cycloalkyl, —S(O)-aryl, —S(O)-heteroaryl, —S(O)-heterocycloalkyl-SO2NH2, —SO2NH—C1-C12-alkyl, —SO2NH—C2-C12-alkenyl, —SO2NH—C2-C12-alkenyl, —SO2NH—C3-C12-cycloalkyl, —SO2NH-aryl, —SO2NH-heteroaryl, —SO2NH-heterocycloalkyl, —NHSO2—C1-C12-alkyl, —NHSO2—C2-C12-alkenyl, —NHSO2-C2-C12-alkenyl, —NHSO2—C3-C12-cycloalkyl, —NHSO2-aryl, —NHSO2-heteroaryl, —NHSO2-heterocycloalkyl, —CH2NH2, —CH2SO2CH3, -aryl, -arylalkyl, -heteroaryl, -heteroarylalkyl, -heterocycloalkyl, —C3-C12-cycloalkyl, -methoxymethoxy, -methoxyethoxy, —SH, —S—C1-C12-alkyl, —S—C2-C12-alkenyl, —S—C2-C12-alkenyl, —S—C3-C12-cycloalkyl, —S-aryl, —S-heteroaryl, —S-heterocycloalkyl, or methylthiomethyl.
- The term “arylalkyl,” as used herein, refers to a C 1-C3 alkyl or C1-C6 alkyl residue attached to an aryl ring. Examples include, but are not limited to, benzyl, phenethyl and the like.
- The term “substituted arylalkyl,” as used herein, refers to an arylalkyl group, as previously defined, substituted by independent replacement or one, two, or three of the hydrogen atoms thereon with substituents including, but not limited to, but not limited to, —F, —Cl, —Br, —I, —OH, protected hydroxy, —NO 2, —CN, —C1-C12-alkyl optionally substituted with halogen, C2-C12-alkenyl optionally substituted with halogen, —C2-C12-alkynyl optionally substituted with halogen, —NH2, protected amino, —NH—C1-C12-alkyl, —NH—C2-C12-alkenyl, —NH—C2-C12-alkenyl, —NH—C3-C12-cycloalkyl, —NH-aryl, —NH-heteroaryl, —NH-heterocycloalkyl, -dialkylamino, -diarylamino, -diheteroarylamino, —O-C1-C12-alkyl, —O—C2-C12-alkenyl, —O—C2-C12-alkenyl, —O—C3-C12-cycloalkyl, —O-aryl, —O-heteroaryl, —O-heterocycloalkyl, —C(O)—C1-C12-alkyl, —C(O)—C2-C12-alkenyl, —C(O)-C2-C12-alkenyl, —C(O)—C3-C12-cycloalkyl, —C(O)-aryl, —C(O)-heteroaryl, —C(O)-heterocycloalkyl, —CONH2, —CONH—C1-C12-alkyl, —CONH—C2-C12-alkenyl, —CONH-C2-C12-alkenyl, —CONH—C3-C12-cycloalkyl, —CONH-aryl, —CONH-heteroaryl, —CONH-heterocycloalkyl, —OCO2—C1-C12-alkyl, —OCO2—C2-C12-alkenyl, —OCO2—C2-C12-alkenyl, —OCO2—C3-C12-cycloalkyl, —OCO2-aryl, —OCO2-heteroaryl, —OCO2-heterocycloalkyl, —OCONH2, —OCONH—C1-C12-alkyl, —OCONH—C2-C12-alkenyl, —OCONH—C2-C12-alkenyl, —OCONH—C3-C12-cycloalkyl, —OCONH-aryl, —OCONH-heteroaryl, —OCONH-heterocycloalkyl, —NHC(O)—C1-C12-alkyl, —NHC(O)—C2-C12-alkenyl, —NHC(O)—C2-C12-alkenyl, —NHC(O)—C3-C12-cycloalkyl, —NHC(O)-aryl, —NHC(O)-heteroaryl, —NHC(O)-heterocycloalkyl, —NHCO2—C1-C12-alkyl, —NHCO2—C2-C12-alkenyl, —NHCO2—C2-C12-alkenyl, —NHCO2—C3-C12-cycloalkyl, —NHCO2-aryl, —NHCO2-heteroaryl, —NHCO2-heterocycloalkyl, —NHC(O)NH2, NHC(O)NH—C1-C12-alkyl, —NHC(O)NH—C2-C12-alkenyl, —NHC(O)NH—C2-C12-alkenyl, —NHC(O)NH—C3-C12-cycloalkyl, —NHC(O)NH-aryl, —NHC(O)NH-heteroaryl, —NHC(O)NH-heterocycloalkyl, NHC(S)NH2, NHC(S)NH—C1-C12-alkyl, —NHC(S)NH—C2-C12-alkenyl, —NHC(S)NH—C2-C12-alkenyl, —NHC(S)NH—C3-C12-cycloalkyl, —NHC(S)NH-aryl, —NHC(S)NH-heteroaryl, —NHC(S)NH-heterocycloalkyl, —NHC(NH)NH2, NHC(NH)NH—C1-C12-alkyl, —NHC(NH)NH—C2-C12-alkenyl, —NHC(NH)NH—C2-C12-alkenyl, —NHC(NH)NH—C3-C12-cycloalkyl, —NHC(NH)NH-aryl, —NHC(NH)NH-heteroaryl, —NHC(NH)NH-heterocycloalkyl, NHC(NH)—C1-C12-alkyl, —NHC(NH)—C2-C12-alkenyl, —NHC(NH)—C2-C12-alkenyl, —NHC(NH)—C3-C12-cycloalkyl, —NHC(NH)-aryl, —NHC(NH)-heteroaryl, —NHC(NH)-heterocycloalkyl, —C(NH)NH—C1-C12-alkyl, —C(NH)NH—C2-C12-alkenyl, —C(NH)NH—C2-C12-alkenyl, —C(NH)NH—C3-C12-cycloalkyl, —C(NH)NH-aryl, —C(NH)NH-heteroaryl, —C(NH)NH-heterocycloalkyl, —S(O)—C1-C12-alkyl, —S(O)—C2-C12-alkenyl, —S(O)—C2-C12-alkenyl, —S(O)—C3-C12-cycloalkyl, —S(O)-aryl, —S(O)-heteroaryl, —S(O)-heterocycloalkyl—SO2NH2, —SO2NH—C1-C12-alkyl, —SO2NH—C2-C12-alkenyl, —SO2NH—C2-C12-alkenyl, —SO2NH—C3-C12-cycloalkyl, —SO2NH-aryl, —SO2NH-heteroaryl, —SO2NH-heterocycloalkyl, —NHSO2—C1-C12-alkyl, —NHSO2—C2-C12-alkenyl, —NHSO2-C2-C12-alkenyl, —NHSO2—C3-C12-cycloalkyl, —NHSO2-aryl, —NHSO2-heteroaryl, —NHSO2-heterocycloalkyl, —CH2NH2, —CH2SO2CH3, -aryl, -arylalkyl, -heteroaryl, -heteroarylalkyl, -heterocycloalkyl, —C3-C12-cycloalkyl, -methoxymethoxy, -methoxyethoxy, —SH, —S—C1-C12-alkyl, —S—C2-C12-alkenyl, —S—C2-C12-alkenyl, —S—C3-C12-cycloalkyl, —S-aryl, —S-heteroaryl, —S-heterocycloalkyl, or methylthiomethyl.
- The term “heteroaryl,” as used herein, refers to a mono-, bi-, or tri-cyclic aromatic radical or ring having from five to ten ring atoms of which one ring atom is selected from S, O and N; zero, one or two ring atoms are additional heteroatoms independently selected from S, O and N; and the remaining ring atoms are carbon, wherein any N or S contained within the ring may be optionally oxidized. Heteroaryl includes, but is not limited to, pyridinyl, pyrazinyl, pyrimidinyl, pyrrolyl, pyrazolyl, imidazolyl, thiazolyl, oxazolyl, isooxazolyl, thiadiazolyl, oxadiazolyl, thiophenyl, furanyl, quinolinyl, isoquinolinyl, benzimidazolyl, benzooxazolyl, quinoxalinyl, and the like.
- The term “substituted heteroaryl,” as used herein, refers to a heteroaryl group as previously defined, substituted by independent replacement or one, two, or three of the hydrogen atoms thereon with substituents including, but not limited to, —F, —Cl, —Br, —I, —OH, protected hydroxy, —NO 2, —CN, —C1-C12-alkyl optionally substituted with halogen, C2-C12-alkenyl optionally substituted with halogen, —C2-C12-alkynyl optionally substituted with halogen, —NH2, protected amino, —NH—C1-C12-alkyl, —NH—C2-C12-alkenyl, —NH—C2-C12-alkenyl, —NH—C3-C12-cycloalkyl, —NH-aryl, —NH-heteroaryl, —NH-heterocycloalkyl, -dialkylamino, -diarylamino, -diheteroarylamino, —O—C1-C12-alkyl, —O—C2-C12-alkenyl, —O—C2-C12-alkenyl, —O—C3-C12-cycloalkyl, —O-aryl, —O-heteroaryl, —O-heterocycloalkyl, —C(O)—C1-C12-alkyl, —C(O)—C2-C12-alkenyl, —C(O)—C2-C12-alkenyl, —C(O)—C3-C12-cycloalkyl, —C(O)-aryl, —C(O)-heteroaryl, —C(O)-heterocycloalkyl, —CONH2, —CONH—C1-C12-alkyl, —CONH—C2-C12-alkenyl, —CONH—C2-C12-alkenyl, —CONH—C3-C12-cycloalkyl, —CONH-aryl, —CONH-heteroaryl, —CONH-heterocycloalkyl, —OCO2—C1-C12-alkyl, —OCO2—C2-C12-alkenyl, —OCO2—C2-C12-alkenyl, —OCO2—C3-C12-cycloalkyl, —OCO2-aryl, —OCO2-heteroaryl, —OCO2-heterocycloalkyl, —OCONH2, —OCONH—C1-C12-alkyl, —OCONH—C2-C12-alkenyl, —OCONH—C2-C12-alkenyl, —OCONH—C3-C12-cycloalkyl, —OCONH-aryl, —OCONH-heteroaryl, —OCONH-heterocycloalkyl, —NHC(O)—C1-C12-alkyl, —NHC(O)—C2-C12-alkenyl, —NHC(O)—C2-C12-alkenyl, —NHC(O)—C3-C12-cycloalkyl, —NHC(O)-aryl, —NHC(O)-heteroaryl, —NHC(O)-heterocycloalkyl, —NHCO2—C1-C12-alkyl, —NHCO2—C2-C12-alkenyl, —NHCO2—C2-C12-alkenyl, —NHCO2—C3-C12-cycloalkyl, —NHCO2-aryl, —NHCO2-heteroaryl, —NHCO2-heterocycloalkyl, —NHC(O)NH2, NHC(O)NH—C1-C12-alkyl, —NHC(O)NH—C2-C12-alkenyl, —NHC(O)NH—C2-C12-alkenyl, —NHC(O)NH—C3-C12-cycloalkyl, —NHC(O)NH-aryl, —NHC(O)NH-heteroaryl, —NHC(O)NH-heterocycloalkyl, NHC(S)NH2, NHC(S)NH—C1-C12-alkyl, —NHC(S)NH—C2-C12-alkenyl, —NHC(S)NH—C2-C12-alkenyl, —NHC(S)NH—C3-C12-cycloalkyl, —NHC(S)NH-aryl, —NHC(S)NH-heteroaryl, —NHC(S)NH-heterocycloalkyl, —NHC(NH)NH2, NHC(NH)NH—C1-C12-alkyl, —NHC(NH)NH—C2-C12-alkenyl, —NHC(NH)NH—C2-C12-alkenyl, —NHC(NH)NH—C3-C12-cycloalkyl, —NHC(NH)NH-aryl, —NHC(NH)NH-heteroaryl, —NHC(NH)NH-heterocycloalkyl, NHC(NH)—C1-C12-alkyl, —NHC(NH)—C2-C12-alkenyl, —NHC(NH)—C2-C12-alkenyl, —NHC(NH)—C3-C12-cycloalkyl, —NHC(NH)-aryl, —NHC(NH)-heteroaryl, —NHC(NH)-heterocycloalkyl, —C(NH)NH—C1-C12-alkyl, —C(NH)NH—C2-C12-alkenyl, —C(NH)NH—C2-C12-alkenyl, —C(NH)NH—C3-C12-cycloalkyl, —C(NH)NH-aryl, —C(NH)NH-heteroaryl, —C(NH)NH-heterocycloalkyl, —S(O)—C1-C12-alkyl, —S(O)—C2-C12-alkenyl, —S(O)—C2-C12-alkenyl, —S(O)—C3-C12-cycloalkyl, —S(O)-aryl, —S(O)-heteroaryl, —S(O)-heterocycloalkyl-SO2NH2, —SO2NH—C1-C12-alkyl, —SO2NH—C2-C12-alkenyl, —SO2NH—C2-C12-alkenyl, —SO2NH—C3-C12-cycloalkyl, —SO2NH-aryl, —SO2NH-heteroaryl, —SO2NH-heterocycloalkyl, —NHSO2—C1-C12-alkyl, —NHSO2—C2-C12-alkenyl, —NHSO2-C2-C12-alkenyl, —NHSO2—C3-C12-cycloalkyl, —NHSO2-aryl, —NHSO2-heteroaryl, —NHSO2-heterocycloalkyl, —CH2NH2, —CH2SO2CH3, -aryl, -arylalkyl, -heteroaryl, -heteroarylalkyl, -heterocycloalkyl, —C3-C12-cycloalkyl, -methoxymethoxy, -methoxyethoxy, —SH, —S—C1-C12-alkyl, —S—C2-C12-alkenyl, —S—C2-C12-alkenyl, —S—C3-C12-cycloalkyl, —S-aryl, —S-heteroaryl, —S-heterocycloalkyl, or methylthiomethyl.
- The term “C 3-C12-Cycloalkyl,” as used herein, denotes a monovalent group derived from a monocyclic or bicyclic saturated carbocyclic ring compound by the removal of a single hydrogen atom. Examples include, but not limited to, cyclopropyl, cyclobutyl, cyclopentyl, cyclohexyl, bicyclo [2.2.1] heptyl, and bicyclo [2.2.2] octyl.
- The term “substituted C 3-C12-cycloalkyl,” as used herein, refers to a C3-C12-cycloalkyl group as previously defined, substituted by independent replacement or one, two, or three of the hydrogen atoms thereon with substituents including, but not limited to, —F, —Cl, —Br, —I, —OH, protected hydroxy, —NO2, —CN, —C1-C12-alkyl optionally substituted with halogen, C2-C12-alkenyl optionally substituted with halogen, —C2-C12-alkynyl optionally substituted with halogen, —NH2, protected amino, —NH—C1-C12-alkyl, —NH—C2-C12-alkenyl, —NH—C2-C12-alkenyl, —NH—C3-C12-cycloalkyl, —NH-aryl, —NH-heteroaryl, —NH-heterocycloalkyl, -dialkylamino, -diarylamino, -diheteroarylamino, —O—C1-C12-alkyl, —O—C2-C12-alkenyl, —O—C2-C12-alkenyl, —O—C3-C12-cycloalkyl, —O-aryl, —O-heteroaryl, —O-heterocycloalkyl, —C(O)—C1-C12-alkyl, —C(O)—C2-C12-alkenyl, —C(O)—C2-C12-alkenyl, —C(O)—C3-C12-cycloalkyl, —C(O)-aryl, —C(O)-heteroaryl, —C(O)- heterocycloalkyl, —CONH2, —CONH—C1-C12-alkyl, —CONH—C2-C12-alkenyl, —CONH-C2-C12-alkenyl, —CONH—C3-C12-cycloalkyl, —CONH-aryl, —CONH-heteroaryl, —CONH-heterocycloalkyl, —OCO2—C1-C12-alkyl, —OCO2—C2-C12-alkenyl, —OCO2—C2-C12-alkenyl, —OCO2—C3-C12-cycloalkyl, —OCO2-aryl, —OCO2-heteroaryl, —OCO2-heterocycloalkyl, —OCONH2, —OCONH—C1-C12-alkyl, —OCONH—C2-C12-alkenyl, —OCONH—C2-C12-alkenyl, —OCONH—C3-C12-cycloalkyl, —OCONH-aryl, —OCONH-heteroaryl, —OCONH-heterocycloalkyl, —NHC(O)—C1-C12-alkyl, —NHC(O)—C2-C12-alkenyl, —NHC(O)—C2-C12-alkenyl, —NHC(O)—C3-C12-cycloalkyl, —NHC(O)-aryl, —NHC(O)-heteroaryl, —NHC(O)-heterocycloalkyl, —NHCO2—C1-C12-alkyl, —NHCO2—C2-C12-alkenyl, —NHCO2—C2-C12-alkenyl, —NHCO2—C3-C12-cycloalkyl, —NHCO2-aryl, —NHCO2-heteroaryl, —NHCO2-heterocycloalkyl, —NHC(O)NH2, NHC(O)NH—C1-C12-alkyl, —NHC(O)NH—C2-C12-alkenyl, —NHC(O)NH—C2-C12-alkenyl, —NHC(O)NH—C3-C12-cycloalkyl, —NHC(O)NH-aryl, —NHC(O)NH-heteroaryl, —NHC(O)NH-heterocycloalkyl, NHC(S)NH2, NHC(S)NH—C1-C12-alkyl, —NHC(S)NH—C2-C12-alkenyl, —NHC(S)NH—C2-C12-alkenyl, —NHC(S)NH—C3-C12-cycloalkyl, —NHC(S)NH-aryl, —NHC(S)NH-heteroaryl, —NHC(S)NH-heterocycloalkyl, —NHC(NH)NH2, NHC(NH)NH—C1-C12-alkyl, —NHC(NH)NH—C2-C12-alkenyl, —NHC(NH)NH—C2-C12-alkenyl, —NHC(NH)NH—C3-C12-cycloalkyl, —NHC(NH)NH-aryl, —NHC(NH)NH-heteroaryl, —NHC(NH)NH-heterocycloalkyl, NHC(NH)—C1-C12-alkyl, —NHC(NH)—C2-C12-alkenyl, —NHC(NH)—C2-C12-alkenyl, —NHC(NH)—C3-C12-cycloalkyl, —NHC(NH)-aryl, —NHC(NH)-heteroaryl, —NHC(NH)-heterocycloalkyl, —C(NH)NH—C1-C12-alkyl, —C(NH)NH—C2-C12-alkenyl, —C(NH)NH—C2-C12-alkenyl, —C(NH)NH—C3-C12-cycloalkyl, —C(NH)NH-aryl, —C(NH)NH-heteroaryl, —C(NH)NH-heterocycloalkyl, —S(O)—C1-C12-alkyl, —S(O)—C2-C12-alkenyl, —S(O)—C2-C12-alkenyl, —S(O)—C3-C12-cycloalkyl, —S(O)-aryl, —S(O)-heteroaryl, —S(O)-heterocycloalkyl—SO2NH2, —SO2NH—C1-C12-alkyl, —SO2NH—C2-C12-alkenyl, —SO2NH—C2-C12-alkenyl, —SO2NH—C3-C12-cycloalkyl, —SO2NH-aryl, —SO2NH-heteroaryl, —SO2NH-heterocycloalkyl, —NHSO2—C1-C12-alkyl, —NHSO2—C2-C12-alkenyl, —NHSO2-C2-C12-alkenyl, —NHSO2—C3-C12-cycloalkyl, —NHSO2-aryl, —NHSO2-heteroaryl, —NHSO2-heterocycloalkyl, —CH2NH2, —CH2SO2CH3, -aryl, -arylalkyl, -heteroaryl, -heteroarylalkyl, -heterocycloalkyl, —C3-C12-cycloalkyl, -methoxymethoxy, -methoxyethoxy, —SH, —S—C1-C12-alkyl, —S—C2-C12-alkenyl, —S—C2-C12-alkenyl, —S—C3-C12-cycloalkyl, —S-aryl, —S-heteroaryl, —S-heterocycloalkyl, or methylthiomethyl.
- The term “heterocycloalkyl,” as used herein, refers to a non-aromatic 5-, 6- or 7-membered hydrocarbon ring or a bi- or tri-cyclic group fused hydrocarbon system, where (i) each ring contains between one and three heteroatoms independently selected from oxygen, sulfur and nitrogen, (ii) each 5-membered ring has 0 to 1 double bonds and each 6-membered ring has 0 to 2 double bonds, (iii) the nitrogen and sulfur heteroatoms may optionally be oxidized, (iv) the nitrogen heteroatom may optionally be quaternized, and (iv) any of the above rings may be fused to a benzene ring. Representative heterocycloalkyl groups include, but are not limited to, [1,3]dioxolane, pyrrolidinyl, pyrazolinyl, pyrazolidinyl, imidazolinyl, imidazolidinyl, piperidinyl, piperazinyl, oxazolidinyl, isoxazolidinyl, morpholinyl, thiazolidinyl, isothiazolidinyl, and tetrahydrofuryl.
- The term “substituted heterocycloalkyl,” as used herein, refers to a heterocycloalkyl group, as previously defined, substituted by independent replacement or one, two, or three of the hydrogen atoms thereon with substituents including, but not limited to, —F, —Cl, —Br, —I, —OH, protected hydroxy, —NO 2, —CN, —C1-C12-alkyl optionally substituted with halogen, C2-C12-alkenyl optionally substituted with halogen, —C2-C12-alkynyl optionally substituted with halogen, —NH2, protected amino, —NH—C1-C12-alkyl, —NH—C2-C12-alkenyl, —NH—C2-C12-alkenyl, —NH—C3-C12-cycloalkyl, —NH-aryl, —NH-heteroaryl, —NH-heterocycloalkyl, -dialkylamino, -diarylamino, -diheteroarylamino, —O-C1-C12-alkyl, —O—C2-C12-alkenyl, —O—C2-C12-alkenyl, —O—C3-C12-cycloalkyl, —O-aryl, —O-heteroaryl, —O-heterocycloalkyl, —C(O)—C1-C12-alkyl, —C(O)—C2-C12-alkenyl, —C(O)—C2-C12-alkenyl, —C(O)—C3-C12-cycloalkyl, —C(O)-aryl, —C(O)-heteroaryl, —C(O)-heterocycloalkyl, —CONH2, —CONH—C1-C12-alkyl, —CONH—C2-C12-alkenyl, —CONH—C2-C12-alkenyl, —CONH—C3-C12-cycloalkyl, —CONH-aryl, —CONH-heteroaryl, —CONH-heterocycloalkyl, —OCO2—C1-C12-alkyl, —OCO2—C2-C12-alkenyl, —OCO2—C2-C12-alkenyl, —OCO2—C3-C12-cycloalkyl, —OCO2-aryl, —OCO2-heteroaryl, —OCO2-heterocycloalkyl, —OCONH2, —OCONH—C1-C12-alkyl, —OCONH—C2-C12-alkenyl, —OCONH—C2-C12-alkenyl, —OCONH—C3-C12-cycloalkyl, —OCONH-aryl, —OCONH-heteroaryl, —OCONH-heterocycloalkyl, —NHC(O)—C1-C12-alkyl, —NHC(O)—C2-C12-alkenyl, —NHC(O)—C2-C12-alkenyl, —NHC(O)—C3-C12-cycloalkyl, —NHC(O)-aryl, —NHC(O)-heteroaryl, —NHC(O)-heterocycloalkyl, —NHCO2—C1-C12-alkyl, —NHCO2—C2-C12-alkenyl, —NHCO2—C2-C12-alkenyl, —NHCO2—C3-C12-cycloalkyl, —NHCO2-aryl, —NHCO2-heteroaryl, —NHCO2-heterocycloalkyl, —NHC(O)NH2, NHC(O)NH—C1-C12-alkyl, —NHC(O)NH—C2-C12-alkenyl, —NHC(O)NH—C2-C12-alkenyl, —NHC(O)NH—C3-C12-cycloalkyl, —NHC(O)NH-aryl, —NHC(O)NH-heteroaryl, —NHC(O)NH-heterocycloalkyl, NHC(S)NH2, NHC(S)NH—C1-C12-alkyl, —NHC(S)NH—C2-C12-alkenyl, —NHC(S)NH—C2-C12-alkenyl, —NHC(S)NH—C3-C12-cycloalkyl, —NHC(S)NH-aryl, —NHC(S)NH-heteroaryl, —NHC(S)NH-heterocycloalkyl, —NHC(NH)NH2, NHC(NH)NH—C1-C12-alkyl, —NHC(NH)NH—C2-C12-alkenyl, —NHC(NH)NH—C2-C12-alkenyl, —NHC(NH)NH—C3-C12-cycloalkyl, —NHC(NH)NH-aryl, —NHC(NH)NH-heteroaryl, —NHC(NH)NH-heterocycloalkyl, NHC(NH)—C1-C12-alkyl, —NHC(NH)—C2-C12-alkenyl, —NHC(NH)—C2-C12-alkenyl, —NHC(NH)—C3-C12-cycloalkyl, —NHC(NH)-aryl, —NHC(NH)-heteroaryl, —NHC(NH)-heterocycloalkyl, —C(NH)NH—C1-C12-alkyl, —C(NH)NH—C2-C12-alkenyl, —C(NH)NH—C2-C12-alkenyl, —C(NH)NH—C3-C12-cycloalkyl, —C(NH)NH-aryl, —C(NH)NH-heteroaryl, —C(NH)NH-heterocycloalkyl, —S(O)—C1-C12-alkyl, —S(O)—C2-C12-alkenyl, —S(O)—C2-C12-alkenyl, —S(O)—C3-C12-cycloalkyl, —S(O)-aryl, —S(O)-heteroaryl, —S(O)-heterocycloalkyl-SO2NH2, —SO2NH—C1-C12-alkyl, —SO2NH—C2-C12-alkenyl, —SO2NH—C2-C12-alkenyl, —SO2NH—C3-C12-cycloalkyl, —SO2NH-aryl, —SO2NH-heteroaryl, —SO2NH-heterocycloalkyl, —NHSO2—C1-C12-alkyl, —NHSO2—C2-C12-alkenyl, —NHSO2-C2-C12-alkenyl, —NHSO2-C3-C12-cycloalkyl, —NHSO2-aryl, —NHSO2-heteroaryl, —NHSO2-heterocycloalkyl, —CH2NH2, —CH2SO2CH3, -aryl, -arylalkyl, -heteroaryl, -heteroarylalkyl, -heterocycloalkyl, —C3-C12-cycloalkyl, -methoxymethoxy, -methoxyethoxy, —SH, —S—C1-C12-alkyl, —S—C2-C12-alkenyl, —S—C2-C12-alkenyl, —S—C3-C12-cycloalkyl, —S-aryl, —S-heteroaryl, —S-heterocycloalkyl, or methylthiomethyl.
- The term “heteroarylalkyl,” as used herein, refers to a C 1-C3 alkyl or C1-C6 alkyl residue residue attached to a heteroaryl ring. Examples include, but are not limited to, pyridinylmethyl, pyrimidinylethyl and the like.
- The term “substituted heteroarylalkyl,” as used herein, refers to a heteroarylalkyl group, as previously defined, substituted by independent replacement or one, two, or three of the hydrogen atoms thereon with substituents including, but not limited to, —F, —Cl, —Br, —I, —OH, protected hydroxy, —NO 2, —CN, —C1-C12-alkyl optionally substituted with halogen, C2-C12-alkenyl optionally substituted with halogen, —C2-C12-alkynyl optionally substituted with halogen, —NH2, protected amino, —NH—C1-C12-alkyl, —NH—C2-C12-alkenyl, —NH—C2-C12-alkenyl, —NH—C3-C12-cycloalkyl, —NH-aryl, —NH-heteroaryl, —NH-heterocycloalkyl, -dialkylamino, -diarylamino, -diheteroarylamino, —O—C1-C12-alkyl, —O—C2-C12-alkenyl, —O—C2-C12-alkenyl, —O—C3-C12-cycloalkyl, —O-aryl, —O-heteroaryl, —O-heterocycloalkyl, —C(O)—C1-C12-alkyl, —C(O)—C2-C12-alkenyl, —C(O)—C2-C12-alkenyl, —C(O)—C3-C12-cycloalkyl, —C(O)-aryl, —C(O)-heteroaryl, —C(O)-heterocycloalkyl, —CONH2, —CONH—C1-C12-alkyl, —CONH—C2-C12-alkenyl, —CONH—C2-C12-alkenyl, —CONH—C3-C12-cycloalkyl, —CONH-aryl, —CONH-heteroaryl, —CONH-heterocycloalkyl, —OCO2—C1-C12-alkyl, —OCO2—C2-C12-alkenyl, —OCO2-C2-C12-alkenyl, —OCO2-C3-C12-cycloalkyl, —OCO2-aryl, —OCO2-heteroaryl, —OCO2-heterocycloalkyl, —OCONH2, —OCONH—C1-C12-alkyl, —OCONH—C2-C12-alkenyl, —OCONH—C2-C12-alkenyl, —OCONH—C3-C12-cycloalkyl, —OCONH-aryl, —OCONH-heteroaryl, —OCONH-heterocycloalkyl, —NHC(O)—C1-C12-alkyl, —NHC(O)—C2-C12-alkenyl, —NHC(O)—C2-C12-alkenyl, —NHC(O)—C3-C12-cycloalkyl, —NHC(O)-aryl, —NHC(O)-heteroaryl, —NHC(O)-heterocycloalkyl, —NHCO2- C1-C12-alkyl, —NHCO2—C2-C12-alkenyl, —NHCO2—C2-C12-alkenyl, —NHCO2—C3-C12-cycloalkyl, —NHCO2-aryl, —NHCO2-heteroaryl, —NHCO2-heterocycloalkyl, —NHC(O)NH2, NHC(O)NH—C1-C12-alkyl, —NHC(O)NH—C2-C12-alkenyl, —NHC(O)NH—C2-C12-alkenyl, —NHC(O)NH—C3-C12-cycloalkyl, —NHC(O)NH-aryl, —NHC(O)NH-heteroaryl, —NHC(O)NH-heterocycloalkyl, NHC(S)NH2, NHC(S)NH—C1-C12-alkyl, —NHC(S)NH—C2-C12-alkenyl, —NHC(S)NH—C2-C12-alkenyl, —NHC(S)NH—C3-C12-cycloalkyl, —NHC(S)NH-aryl, —NHC(S)NH-heteroaryl, —NHC(S)NH-heterocycloalkyl, —NHC(NH)NH2, NHC(NH)NH—C1-C12-alkyl, —NHC(NH)NH—C2-C12-alkenyl, —NHC(NH)NH—C2-C12-alkenyl, —NHC(NH)NH—C3-C12-cycloalkyl, —NHC(NH)NH-aryl, —NHC(NH)NH-heteroaryl, —NHC(NH)NH-heterocycloalkyl, NHC(NH)—C1-C12-alkyl, —NHC(NH)—C2-C12-alkenyl, —NHC(NH)—C2-C12-alkenyl, —NHC(NH)—C3-C12-cycloalkyl, —NHC(NH)-aryl, —NHC(NH)-heteroaryl, —NHC(NH)-heterocycloalkyl, —C(NH)NH—C1-C12-alkyl, —C(NH)NH—C2-C12-alkenyl, —C(NH)NH—C2-C12-alkenyl, —C(NH)NH—C3-C12-cycloalkyl, —C(NH)NH-aryl, —C(NH)NH-heteroaryl, —C(NH)NH-heterocycloalkyl, —S(O)—C1-C12-alkyl, —S(O)—C2-C12-alkenyl, —S(O)—C2-C12-alkenyl, —S(O)—C3-C12-cycloalkyl, —S(O)-aryl, —S(O)-heteroaryl, —S(O)-heterocycloalkyl-SO2NH2, —SO2NH—C1-C12-alkyl, —SO2NH—C2-C12-alkenyl, —SO2NH—C2-C12-alkenyl, —SO2NH—C3-C12-cycloalkyl, —SO2NH-aryl, —SO2NH-heteroaryl, —SO2NH-heterocycloalkyl, —NHSO2—C1-C12-alkyl, —NHSO2—C2-C12-alkenyl, —NHSO2-C2-C12-alkenyl, —NHSO2—C3-C12-cycloalkyl, —NHSO2-aryl, —NHSO2-heteroaryl, —NHSO2-heterocycloalkyl, —CH2NH2, —CH2SO2CH3, -aryl, -arylalkyl, -heteroaryl, -heteroarylalkyl, -heterocycloalkyl, —C3-C12-cycloalkyl, -methoxymethoxy, -methoxyethoxy, —SH, —S—C1-C12-alkyl, —S—C2-C12-alkenyl, —S—C2-C12-alkenyl, —S—C3-C12-cycloalkyl, —S-aryl, —S-heteroaryl, —S-heterocycloalkyl, or methylthiomethyl.
- The term “C 1-C3-alkyl-amino,” as used herein, refers to one or two C1-C3-alkyl groups, as previously defined, attached to the parent molecular moiety through a nitrogen atom. Examples of C1-C3-alkyl-amino include, but are not limited to, methylamino, dimethylamino, ethylamino, diethylamino, and propylamino.
- The term “alkylamino” refers to a group having the structure —NH(C 1-C12 alkyl) where C1-C12 alkyl is as previously defined.
- The term “dialkylamino” refers to a group having the structure —N(C 1-C12 alkyl) (C1-C12 alkyl), where C1-C12 alkyl is as previously defined. Examples of dialkylamino are, but not limited to, dimethylamino, diethylamino, methylethylamino, piperidino, and the like.
- The term “alkoxycarbonyl” represents an ester group, i.e., an alkoxy group, attached to the parent molecular moiety through a carbonyl group such as methoxycarbonyl, ethoxycarbonyl, and the like.
- The term “carboxaldehyde,” as used herein, refers to a group of formula —CHO.
- The term “carboxy,” as used herein, refers to a group of formula —COOH.
- The term “carboxamide,” as used herein, refers to a group of formula —C(O)NH(C 1-C12 alkyl) or —C(O)N(C1-C12 alkyl) (C1-C12 alkyl), —C(O)NH2, and the like.
- The term “hydroxy protecting group,” as used herein, refers to a labile chemical moiety which is known in the art to protect a hydroxyl group against undesired reactions during synthetic procedures. After said synthetic procedure(s) the hydroxy protecting group as described herein may be selectively removed. Hydroxy protecting groups as known in the are described generally in T. H. Greene and P. G. M. Wuts, Protective Groups in Organic Synthesis, 3rd edition, John Wiley & Sons, New York (1999). Examples of hydroxy protecting groups include, but are not limited to, methylthiomethyl, tert-butyl-dimethylsilyl, tert-butyldiphenylsilyl, acyl substituted with an aromatic group and the like.
- The term “protected hydroxy,” as used herein, refers to a hydroxy group protected with a hydroxy protecting group, as defined above, including benzoyl, acetyl, trimethylsilyl, triethylsilyl, methoxymethyl groups, for example.
- The term “amino protecting group,” as used herein, refers to a labile chemical moiety which is known in the art to protect an amino group against undesired reactions during synthetic procedures. After said synthetic procedure(s) the amino protecting group as described herein may be selectively removed. Amino protecting groups as known in the are described generally in T. H. Greene and P. G. M. Wuts, Protective Groups in Organic Synthesis, 3rd edition, John Wiley & Sons, New York (1999). Examples of amino protecting groups include, but are not limited to, t-butoxycarbonyl, 9-fluorenylmethoxycarbonyl, benzyloxycarbonyl, and the like.
- The term “protected amino,” as used herein, refers to an amino group protected with an amino protecting group as defined above.
- The term “aprotic solvent,” as used herein, refers to a solvent that is relatively inert to proton activity, i.e., not acting as a proton-donor. Examples include, but are not limited to, hydrocarbons, such as hexane and toluene, for example, halogenated hydrocarbons, such as, for example, methylene chloride, ethylene chloride, chloroform, and the like, heterocyclic compounds, such as, for example, tetrahydrofuran and N-methylpyrrolidinone, and ethers such as diethyl ether, bis-methoxymethyl ether. Such compounds are well known to those skilled in the art, and it will be obvious to those skilled in the art that individual solvents or mixtures thereof may be preferred for specific compounds and reaction conditions, depending upon such factors as the solubility of reagents, reactivity of reagents and preferred temperature ranges, for example. Further discussions of aprotic solvents may be found in organic chemistry textbooks or in specialized monographs, for example: Organic Solvents Physical Properties and Methods of Purification, 4th ed., edited by John A. Riddick et aL, Vol. II, in the Techniques of Chemistry Series, John Wiley & Sons, NY, 1986.
- The term “protogenic organic solvent,” as used herein, refers to a solvent that tends to provide protons, such as an alcohol, for example, methanol, ethanol, propanol, isopropanol, butanol, t-butanol, and the like. Such solvents are well known to those skilled in the art, and it will be obvious to those skilled in the art that individual solvents or mixtures thereof may be preferred for specific compounds and reaction conditions, depending upon such factors as the solubility of reagents, reactivity of reagents and preferred temperature ranges, for example. Further discussions of protogenic solvents may be found in organic chemistry textbooks or in specialized monographs, for example: Organic Solvents Physical Properties and Methods of Purification, 4th ed., edited by John A. Riddick et al., Vol. II, in the Techniques of Chemistry Series, John Wiley & Sons, NY, 1986.
- “An effective amount,” as used herein, refers to an amount of a compound which confers a therapeutic effect on the treated subject. The therapeutic effect may be objective (i.e., measurable by some test or marker) or subjective (i.e., subject gives an indication of or feels an effect). An effective amount of the compound described above may range from about 0.1 mg/Kg to about 500 mg/Kg, preferably from about 1 to about 50 mg/Kg. Effective doses will also vary depending on route of administration, as well as the possibility of co-usage with other agents.
- Combinations of substituents and variables envisioned by this invention are only those that result in the formation of stable compounds. The term “stable”, as used herein, refers to compounds which possess stability sufficient to allow manufacture and which maintains the integrity of the compound for a sufficient period of time to be useful for the purposes detailed herein (e.g., therapeutic or prophylactic administration to a subject).
- The synthesized compounds can be separated from a reaction mixture and further purified by a method such as column chromatography, high pressure liquid chromatography, or recrystallization. As can be appreciated by the skilled artisan, further methods of synthesizing the compounds of the formulae herein will be evident to those of ordinary skill in the art. Additionally, the various synthetic steps may be performed in an alternate sequence or order to give the desired compounds. Synthetic chemistry transformations and protecting group methodologies (protection and deprotection) useful in synthesizing the compounds described herein are known in the art and include, for example, those such as described in R. Larock, Comprehensive Organic Transformations, VCH Publishers (1989); T. W. Greene and P. G. M. Wuts, Protective Groups in Organic Synthesis, 2d. Ed., John Wiley and Sons (1991); L. Fieser and M. Fieser, Fieser and Fieser's Reagents for Organic Synthesis, John Wiley and Sons (1994); and L. Paquette, ed., Encyclopedia of Reagents for Organic Synthesis, John Wiley and Sons (1995), and subsequent editions thereof.
- The term “subject” as used herein refers to an animal. Preferably the animal is a mammal. More preferably the mammal is a human. A subject also refers to, for example, dogs, cats, horses, cows, pigs, guinea pigs, fish, birds and the like.
- The compounds of this invention may be modified by appending appropriate functionalities to enhance selective biological properties. Such modifications are known in the art and may include those which increase biological penetration into a given biological system (e.g., blood, lymphatic system, central nervous system), increase oral availability, increase solubility to allow administration by injection, alter metabolism and alter rate of excretion.
- The compounds described herein contain one or more asymmetric centers and thus give rise to enantiomers, diastereomers, and other stereoisomeric forms that may be defined, in terms of absolute stereochemistry, as (R)— or (S)—, or as (D)- or (L)- for amino acids. The present invention is meant to include all such possible isomers, as well as their racemic and optically pure forms. Optical isomers may be prepared from their respective optically active precursors by the procedures described above, or by resolving the racemic mixtures. The resolution can be carried out in the presence of a resolving agent, by chromatography or by repeated crystallization or by some combination of these techniques which are known to those skilled in the art. Further details regarding resolutions can be found in Jacques, et al., Enantiomers, Racemates, and Resolutions (John Wiley & Sons, 1981). When the compounds described herein contain olefinic double bonds, other unsaturation, or other centers of geometric asymmetry, and unless specified otherwise, it is intended that the compounds include both E and Z geometric isomers or cis- and trans-isomers. Likewise, all tautomeric forms are also intended to be included. The configuration of any carbon-carbon double bond appearing herein is selected for convenience only and is not intended to designate a particular configuration unless the text so states; thus a carbon-carbon double bond or carbon-heteroatom double bond depicted arbitrarily herein as trans may be cis, trans, or a mixture of the two in any proportion.
- As used herein, the term “pharmaceutically acceptable salt” refers to those salts which are, within the scope of sound medical judgment, suitable for use in contact with the tissues of humans and lower animals without undue toxicity, irritation, allergic response and the like, and are commensurate with a reasonable benefit/risk ratio. Pharmaceutically acceptable salts are well known in the art. For example, S. M. Berge, et aL. describes pharmaceutically acceptable salts in detail in J. Pharmaceutical Sciences, 66: 1-19 (1977). The salts can be prepared in situ during the final isolation and purification of the compounds of the invention, or separately by reacting the free base function with a suitable organic acid. Examples of pharmaceutically acceptable include, but are not limited to, nontoxic acid addition salts are salts of an amino group formed with inorganic acids such as hydrochloric acid, hydrobromic acid, phosphoric acid, sulfuric acid and perchloric acid or with organic acids such as acetic acid, maleic acid, tartaric acid, citric acid, succinic acid or malonic acid or by using other methods used in the art such as ion exchange. Other pharmaceutically acceptable salts include, but are not limited to, adipate, alginate, ascorbate, aspartate, benzenesulfonate, benzoate, bisulfate, borate, butyrate, camphorate, camphorsulfonate, citrate, cyclopentanepropionate, digluconate, dodecylsulfate, ethanesulfonate, formate, fumarate, glucoheptonate, glycerophosphate, gluconate, hemisulfate, heptanoate, hexanoate, hydroiodide, 2-hydroxy-ethanesulfonate, lactobionate, lactate, laurate, lauryl sulfate, malate, maleate, malonate, methanesulfonate, 2-naphthalenesulfonate, nicotinate, nitrate, oleate, oxalate, palmitate, pamoate, pectinate, persulfate, 3-phenylpropionate, phosphate, picrate, pivalate, propionate, stearate, succinate, sulfate, tartrate, thiocyanate, p-toluenesulfonate, undecanoate, valerate salts, and the like. Representative alkali or alkaline earth metal salts include sodium, lithium, potassium, calcium, magnesium, and the like. Further pharmaceutically acceptable salts include, when appropriate, nontoxic ammonium, quaternary ammonium, and amine cations formed using counterions such as halide, hydroxide, carboxylate, sulfate, phosphate, nitrate, alkyl having from 1 to 6 carbon atoms, sulfonate and aryl sulfonate.
- As used herein, the compounds of this invention, including the compounds of formulae described herein, are defined to include pharmaceutically acceptable derivatives or prodrugs thereof. A “pharmaceutically acceptable derivative or prodrug” means any pharmaceutically acceptable salt, ester, salt of an ester, or other derivative of a compound of this invention which, upon administration to a recipient, is capable of providing (directly or indirectly) a compound of this invention.
- When the compositions of this invention comprise a combination of a compound of the formulae described herein and one or more additional therapeutic or prophylactic agents, both the compound and the additional agent should be present at dosage levels of between about 1 to 100%, and more preferably between about 5 to 95% of the dosage normally administered in a monotherapy regimen. The additional agents may be administered separately, as part of a multiple dose regimen, from the compounds of this invention. Alternatively, those agents may be part of a single dosage form, mixed together with the compounds of this invention in a single composition.
- Pharmaceutical Compositions
- The pharmaceutical compositions of the present invention comprise a therapeutically effective amount of a compound or compounds of the present invention (e.g. those of the formulae delineated herein) formulated together with one or more pharmaceutically acceptable carriers or excipients.
- As used herein, the term “pharmaceutically acceptable carrier or excipient” means a non-toxic, inert solid, semi-solid or liquid filler, diluent, encapsulating material or formulation auxiliary of any type. Some examples of materials which can serve as pharmaceutically acceptable carriers are sugars such as lactose, glucose and sucrose; starches such as corn starch and potato starch; cellulose and its derivatives such as sodium carboxymethyl cellulose, ethyl cellulose and cellulose acetate; powdered tragacanth; malt; gelatin; talc; excipients such as cocoa butter and suppository waxes; oils such as peanut oil, cottonseed oil, safflower oil, sesame oil, olive oil, corn oil and soybean oil; glycols such as propylene glycol; esters such as ethyl oleate and ethyl laurate; agar; buffering agents such as magnesium hydroxide and aluminun hydroxide; alginic acid; pyrogen-free water; isotonic saline; Ringer's solution; ethyl alcohol, and phosphate buffer solutions, as well as other non-toxic compatible lubricants such as sodium lauryl sulfate and magnesium stearate, as well as coloring agents, releasing agents, coating agents, sweetening, flavoring and perfuming agents, preservatives and antioxidants can also be present in the composition, according to the judgment of the formulator.
- The pharmaceutical compositions of this invention may be administered orally, parenterally, by inhalation spray, topically, rectally, nasally, buccally, vaginally or via an implanted reservoir, preferably by oral administration or administration by injection. The pharmaceutical compositions of this invention may contain any conventional non-toxic pharmaceutically-acceptable carriers, adjuvants or vehicles. In some cases, the pH of the formulation may be adjusted with pharmaceutically acceptable acids, bases or buffers to enhance the stability of the formulated compound or its delivery form. The term parenteral as used herein includes subcutaneous, intracutaneous, intravenous, intramuscular, intraarticular, intraarterial, intrasynovial, intrasternal, intrathecal, intralesional and intracranial injection or infusion techniques.
- Liquid dosage forms for oral administration include pharmaceutically acceptable emulsions, microemulsions, solutions, suspensions, syrups and elixirs. In addition to the active compounds, the liquid dosage forms may contain inert diluents commonly used in the art such as, for example, water or other solvents, solubilizing agents and emulsifiers such as ethyl alcohol, isopropyl alcohol, ethyl carbonate, ethyl acetate, benzyl alcohol, benzyl benzoate, propylene glycol, 1,3-butylene glycol, dimethylformamide, oils (in particular, cottonseed, groundnut, corn, germ, olive, castor, and sesame oils), glycerol, tetrahydrofurfuryl alcohol, polyethylene glycols and fatty acid esters of sorbitan, and mixtures thereof. Besides inert diluents, the oral compositions can also include adjuvants such as wetting agents, emulsifying and suspending agents, sweetening, flavoring, and perfuming agents.
- Injectable preparations, for example, sterile injectable aqueous or oleaginous suspensions, may be formulated according to the known art using suitable dispersing or wetting agents and suspending agents. The sterile injectable preparation may also be a sterile injectable solution, suspension or emulsion in a nontoxic parenterally acceptable diluent or solvent, for example, as a solution in 1,3-butanediol. Among the acceptable vehicles and solvents that may be employed are water, Ringer's solution, U.S.P. and isotonic sodium chloride solution. In addition, sterile, fixed oils are conventionally employed as a solvent or suspending medium. For this purpose any bland fixed oil can be employed including synthetic mono- or diglycerides. In addition, fatty acids such as oleic acid are used in the preparation of injectables.
- The injectable formulations can be sterilized, for example, by filtration through a bacterial-retaining filter, or by incorporating sterilizing agents in the form of sterile solid compositions which can be dissolved or dispersed in sterile water or other sterile injectable medium prior to use.
- In order to prolong the effect of a drug, it is often desirable to slow the absorption of the drug from subcutaneous or intramuscular injection. This may be accomplished by the use of a liquid suspension of crystalline or amorphous material with poor water solubility. The rate of absorption of the drug then depends upon its rate of dissolution, which, in turn, may depend upon crystal size and crystalline form. Alternatively, delayed absorption of a parenterally administered drug form is accomplished by dissolving or suspending the drug in an oil vehicle. Injectable depot forms are made by forming microencapsule matrices of the drug in biodegradable polymers such as polylactide-polyglycolide. Depending upon the ratio of drug to polymer and the nature of the particular polymer employed, the rate of drug release can be controlled. Examples of other biodegradable polymers include poly(orthoesters) and poly(anhydrides). Depot injectable formulations are also prepared by entrapping the drug in liposomes or microemulsions that are compatible with body tissues.
- Compositions for rectal or vaginal administration are preferably suppositories which can be prepared by mixing the compounds of this invention with suitable non-irritating excipients or carriers such as cocoa butter, polyethylene glycol or a suppository wax which are solid at ambient temperature but liquid at body temperature and therefore melt in the rectum or vaginal cavity and release the active compound.
- Solid dosage forms for oral administration include capsules, tablets, pills, powders, and granules. In such solid dosage forms, the active compound is mixed with at least one inert, pharmaceutically acceptable excipient or carrier such as sodium citrate or dicalcium phosphate and/or: a) fillers or extenders such as starches, lactose, sucrose, glucose, mannitol, and silicic acid, b) binders such as, for example, carboxymethylcellulose, alginates, gelatin, polyvinylpyrrolidinone, sucrose, and acacia, c) humectants such as glycerol, d) disintegrating agents such as agar-agar, calcium carbonate, potato or tapioca starch, alginic acid, certain silicates, and sodium carbonate, e) solution retarding agents such as paraffin, f) absorption accelerators such as quaternary ammonium compounds, g) wetting agents such as, for example, cetyl alcohol and glycerol monostearate, h) absorbents such as kaolin and bentonite clay, and i) lubricants such as talc, calcium stearate, magnesium stearate, solid polyethylene glycols, sodium lauryl sulfate, and mixtures thereof. In the case of capsules, tablets and pills, the dosage form may also comprise buffering agents.
- Solid compositions of a similar type may also be employed as fillers in soft and hard-filled gelatin capsules using such excipients as lactose or milk sugar as well as high molecular weight polyethylene glycols and the like.
- The solid dosage forms of tablets, dragees, capsules, pills, and granules can be prepared with coatings and shells such as enteric coatings and other coatings well known in the pharmaceutical formulating art. They may optionally contain opacifying agents and can also be of a composition that they release the active ingredient(s) only, or preferentially, in a certain part of the intestinal tract, optionally, in a delayed manner. Examples of embedding compositions that can be used include polymeric substances and waxes.
- Dosage forms for topical or transdermal administration of a compound of this invention include ointments, pastes, creams, lotions, gels, powders, solutions, sprays, inhalants or patches. The active component is admixed under sterile conditions with a pharmaceutically acceptable carrier and any needed preservatives or buffers as may be required. Ophthalmic formulation, ear drops, eye ointments, powders and solutions are also contemplated as being within the scope of this invention.
- The ointments, pastes, creams and gels may contain, in addition to an active compound of this invention, excipients such as animal and vegetable fats, oils, waxes, paraffins, starch, tragacanth, cellulose derivatives, polyethylene glycols, silicones, bentonites, silicic acid, talc and zinc oxide, or mixtures thereof.
- Powders and sprays can contain, in addition to the compounds of this invention, excipients such as lactose, talc, silicic acid, aluminum hydroxide, calcium silicates and polyamide powder, or mixtures of these substances. Sprays can additionally contain customary propellants such as chlorofluorohydrocarbons.
- Transdermal patches have the added advantage of providing controlled delivery of a compound to the body. Such dosage forms can be made by dissolving or dispensing the compound in the proper medium. Absorption enhancers can also be used to increase the flux of the compound across the skin. The rate can be controlled by either providing a rate controlling membrane or by dispersing the compound in a polymer matrix or gel.
- According to the methods of treatment of the present invention, immune disorders are treated or prevented in a patient such as a human or other animals by administering to the patient a therapeutically effective amount of a compound of the invention, in such amounts and for such time as is necessary to achieve the desired result.
- By a “therapeutically effective amount” of a compound of the invention is meant a sufficient amount of the compound to treat the immune disorders delineated herein, at a reasonable benefit/risk ratio applicable to any medical treatment. It will be understood, however, that the total daily usage of the compounds and compositions of the present invention will be decided by the attending physician within the scope of sound medical judgment. The specific therapeutically effective dose level for any particular patient will depend upon a variety of factors including the disorder being treated and the severity of the disorder; the activity of the specific compound employed; the specific composition employed; the age, body weight, general health, sex and diet of the patient; the time of administration, route of administration, and rate of excretion of the specific compound employed; the duration of the treatment; drugs used in combination or contemporaneously with the specific compound employed; and like factors well known in the medical arts.
- The compounds of the formulae described herein can, for example, be administered by injection, intravenously, intraarterially, subdermally, intraperitoneally, intramuscularly, or subcutaneously; or orally, buccally, nasally, transmucosally, topically, in an ophthalmic preparation, or by inhalation, with a dosage ranging from about 0.5 to about 100 mg/kg of body weight, alternatively dosages between 1 mg and 1000 mg/dose, every 4 to 120 hours, or according to the requirements of the particular drug. The methods herein contemplate administration of an effective amount of compound or compound composition to achieve the desired or stated effect. Typically, the pharmaceutical compositions of this invention will be administered from about 1 to about 6 times per day or alternatively, as a continuous infusion. Such administration can be used as a chronic or acute therapy. The amount of active ingredient that may be combined with the carrier materials to produce a single dosage form will vary depending upon the host treated and the particular mode of administration. A typical preparation will contain from about 5% to about 95% active compound (w/w). Alternatively, such preparations may contain from about 20% to about 80% active compound.
- Lower or higher doses than those recited above may be required. Specific dosage and treatment regimens for any particular patient will depend upon a variety of factors, including the activity of the specific compound employed, the age, body weight, general health status, sex, diet, time of administration, rate of excretion, drug combination, the severity and course of the disease, condition or symptoms, the patient's disposition to the disease, condition or symptoms, and the judgment of the treating physician.
- Upon improvement of a patient's condition, a maintenance dose of a compound, composition or combination of this invention may be administered, if necessary. Subsequently, the dosage or frequency of administration, or both, may be reduced, as a function of the symptoms, to a level at which the improved condition is retained when the symptoms have been alleviated to the desired level. Patients may, however, require intermittent treatment on a long-term basis upon any recurrence of disease symptoms.
- Immunosuppression Activity
- The immunosuppressive activity of cyclosporin is mediated through inhibition of the phosphatase activity of the enzyme calcineurin by a cyclophilin-cyclosporin complex. Thus, calcineurin inhibition is widely used as an in vitro measure of the activity of cyclosporin analogs.
- Compounds were tested in an assay based on the Biomol Green Calcineurin Assay Kit supplied by Biomol (Plymouth Meeting, Pa.), supplemented with cyclophilin A for enzyme inhibition. The activity of the recombinant human calcineurin was determined by release of phosphate from a phosphopeptide representing a fragment of camp-dependent protein kinase. Phosphate release was determined using the colorimetric detection reagent Biomol Green.
- Compounds in dimethyl sulfoxide (DMSO) (2.4 μl) were added to a 96-well microplate and mixed with 50 μl assay buffer (50 mM Tris, pH 7.5, 0.1 M sodium chloride, 6 mM magnesium chloride, 0.5 mM dithiothreitol, 0.025% NP-40, 0.5 mM calcium chloride, 0.25 μM calmodulin) containing 5 μM cyclophilin and 20 units of calcineurin. After warming to 37° C. for 15 min, the enzymatic reaction was initiated by addition of phosphopeptide (7.5 μl) to give a final concentration of 94 μM. Phosphate release after 60 min at 37° C. was determined by addition of Biomol Green (100 μl) and measurement of the absorbance at 620 nm after 15 min at room temperature.
- IC 50 values were calculated from determinations of enzyme activity at inhibitor concentrations ranging from 20 to 0.006 μM.
- Approximately 0.5×10 6 lymphocytes from the spleen of female (8-10 weeks) Balb/c mice are incubated for 5 days in 0.2 ml cell growth medium with ca. 0.5×106 lymphocytes from the spleen of female (8-10 weeks) albino brown agouti (CBA) mice. Test substance is added to the medium at various concentrations. Activity is assessed by ability to suppress proliferation-associated DNA synthesis as determined by incorporation of radiolabelled thymidine.
- Approximately 10 7 lymphocytes from the spleen of CF1, female mice are co-cultured with ca. 3×107 sheep erythrocytes for 3 days. Test substance is added to the incubation medium in varying concentrations. Lymphocytes are harvested and plated onto agar with fresh sheep erythrocytes as antigen. Sensitized lymphocytes secrete antibody that coats the erythrocytes, which lyse to form a plaque in the presence of complement. Activity is assessed by reduction in the number of plaque forming, i.e., antibody product, cells.
- Male Himalayan spotted guinea pigs (300 g, BRL) are sensitized to ovalbumin (OA) by i.p. injection of 1 ml of a suspension of OA (10 μg/ml) with Al(OH) 3 (100 mg) and B-pertussis vaccine (0.25 ml) in saline (0.9% w/v). For oral studies the procedure is repeated 1× after 2 weeks and the animals are used one week later. For inhalation studies the procedure is repeated 2× at 3-week intervals and the animals are used one week after the last injection.
- Challenge is affected employing a saline solution of OA, nebulized for discharge into an exposure chamber. Test animals are exposed to OA by nose-only inhalation for 60 minutes. For inhalation studies, OA solution is used at a concentration of 0.01%.
- Test substance is administered by inhalation and/or orally. For oral studies, test substance is administered p.o. in olive oil 1× daily for 3 days or in powder form in methylcellulose once prior to OA challenge. On day 3, test animals receive test substance 1.5 hours prior to and 6 hours after OA challenge. For inhalation studies, test substance is micronised for delivery to test animals restrained within a flow-past, nose-only inhalation chamber. Administration by inhalation is effected 15 minutes prior to OA challenge.
- Efficacy of administered test substance is determined by bronchoalveolar lavage (BAL) and cell counting. For this purpose animals are sacrificed with Na pento-barbitone (100 mg/kg i.p.) and the trachea is exposed and cannulated. 5 successive 10 ml aliqots of Ca 2+ and Mg2+ free Hank's balanced salt solution (HBSS), containing bovine serum albumin (BSA, 0.3%), EDTA (10 mM) and 4-(2-hydroxyethyl)-1-piperazineethanesulfonic acid (HEPES) (10 mM) is then introduced into the lung and immediately aspirated by gentle compression of the lung tissue. Total cell counts in pooled eluates are determined using an automatic cell counter. Lavage fluid is centrifuged at 200g for 10 minutes and the cell pellet resuspended in 1 ml of supplemented HBSS. 10 μl of this cell suspension is added to 190 μl of Turk's solution (1:20) dilution). Differential cell counts are made from smears stained by Diff-Quick. Cells are identified and counted under oil immersion (×1,000). A minimum of 500 cells per smear are counted and the total population of each cell type is calculated.
- Unless otherwise defined, all technical and scientific terms used herein are accorded the meaning commonly known to one with ordinary skill in the art. All publications, patents, published patent applications, and other references mentioned herein are hereby incorporated by reference in their entirety.
- Abbreviations
- Abbreviations which may be used in the descriptions of the scheme and the examples that follow are:
- Ac for acetyl;
- AIBN for azobisisobutyronitrile;
- Bu 3SnH for tributyltin hydride;
- CDI for carbonyldiimidazole;
- dba for dibenzylidene acetone;
- dppb for diphenylphosphino butane;
- DBU for 1,8-diazabicyclo[5.4.0]undec-7-ene;
- DEAD for diethylazodicarboxylate;
- DIBAL-H for diisopropyl aluminum hydride;
- DMAP for dimethylaminopyridine;
- DMF for dimethyl formamide;
- DPPA for diphenylphosphoryl azide;
- LAH for lithium aluminum hydride;
- EtOAc for ethyl acetate;
- MeOH for methanol;
- NaN(TMS) 2 for sodium bis(trimethylsilyl)amide;
- NMMO for N-methylmorpholine N-oxide;
- TEA for triethylamine;
- THF for tetrahydrofuran;
- TPP or PPh 3 for triphenylphosphine;
- MOM for methoxymethyl;
- Boc for t-butoxycarbonyl;
- Bz for benzyl;
- Ph for phenyl;
- POPd for dihydrogen dichlorobis(di-tert-butylphosphinito-κP)palladate(II);
- Py for pyridine;
- TBS for tert-butyl dimethylsilyl;
- TMS for trimethylsilyl;
- TES for trimethylsilyl;
- Sar for Sarcosine;
- MeLeu for N-Methyl-Leucine;
- Val for valine;
- Ala for Alanine;
- MeVal for N-Methyl Valine;
- Et for Ethyl;
- Ph for Phenyl; and
- MeBmt for N-Methyl-butenyl-threonine.
- Synthetic Methods
- The compounds and processes of the present invention will be better understood in connection with the following synthetic schemes that illustrate the methods by which the compounds of the invention may be prepared.
-
- Cyclosporin A (CsA) can be converted to aldehyde (1-2) through first protecting the hydroxy of the MeBmt residue of CsA as an acetate ester to form a compound of formula (1-1). Other suitable hydroxy protecting groups include, but are not limited to, TMS, TES, TBS, or COCF 3 (for further details concerning these and other hydroxy protecting groups known in the art, as well as there incorporation and removal, please see T. W. Greene and P. G. M. Wuts, Protective Groups in Organic Synthesis, 2d. Ed., John Wiley and Sons (1991).) Aldehyde (1-2) can then be formed through creation of the corresponding diol by treatment with OSO4 followed by the oxidative cleavage of the resulting diol with NaIO4 (for further details of diol formation with OSO4, please see Akashi, K, Palermo, R. E., Sharpless, K. B., J. Org. Chem. 1978, 43, 2003-06; and for further details concerning the oxidative cleavage of diols with NaIO4, please see Zhong, Y. L., Shing, T. K. M., J. Org. Chem. 1997, 62, 2622-24). This reaction may also be performed through ozonolysis (see Park, S. B., Meier, G. P. Tetrahedron Lett. 1989, 30, 4215-4218).
- Compound of formula (1-2) may be treated with vinyl Grignard reagent of formula (2-1), where X, Y, and Z are as previously defined, to form the allyl alcohol (2-2), where W, X, Y, and Z are as previously defined. The requisite Grignard reagents are readily available via the reaction of a variety of vinyl halides with magnesium under standard conditions (for further details, please see B. S. Furniss, A. J. Hannaford, P. W. G. Smith, A. R. Tatchell “Vogel's Textbook of Practical Organic Chemistry” 5th ed., Longman, 1989 or G. S. Silverman, P. E. Rakita in Kirk-Othmer Encyclopedia of Chemical Technology vol. 12 (Wiley-Interscience, New York, 4th ed., 1994) pp 768-786). The addition is performed in an inert solvent, generally at low temperature. Suitable solvents include, but are not limited to tetrahydrofuran, diethylether, 1,4-dioxane, 1,2-dimethoxyethane, and hexanes. Preferably the solvent is tetrahydrofuran or diethylether. Preferably the reaction is run at −78° to 0° C.
- Allyl alcohol of formula (2-2) is then protected with a hydroxy protecting group to form a compound of formula (2-3). Suitable hydroxy protecting groups include, but are not limited to, acetate and methyl carbamate (for further details on suitable hydroxy protecting groups see T. W. Greene and P. G. M. Wuts, Protective Groups in Organic Synthesis, 2d. Ed., John Wiley and Sons (1991)). The protected allylic alcohol then undergoes a palladium-catalyzed elimination to form conjugated diene compound of formula (2-4) (for further details, please see Tsuji, J. et al, Tetrahedron Lett. 1978, 24, 2075-2078). Suitable solvents include, but are not limited to, dioxane, toluene, or t-butyl alcohol. A suitable palladium catalyst is palladium acetate in the presence of triphenylphosphine or (PPh3)4Pd. Suitable reaction conditions are at a temperature up to reflux for a duration of at least one hour.
- Compounds of the invention according to formula (2-4) are also capable of further functionalization to generate compounds of the present invention. Alkene (2-4) can be treated with an aryl halide or aryl triflate in the presence of a palladium catalyst [Pd(0) or Pd(II)] to provide compound (3-1): (See (a) Heck, Palladium Reagents in Organic Synthesis, Academic Press: New York, 1985, Chapter 1; (b) Sonogashira, Comprehensive Organic Synthesis, Volume 3, Chapters 2,4; (c) Sonogashira, Synthesis 1977, 777.). Under the Heck coupling conditions, regioisomers and stereoisomers of the double bond are possible. Alternatively, compound (2-4) can undergo a cross metathesis reaction with vinyl derivatives using ruthenium catalysts to give compounds of formula (3-2), where R1 is as previously defined (see (a) J. Org. Chem. 2000, 65, 2204-2207; (b) Reviews: Synlett. 1999, 2, 267; (c) Reviews: Ivin, K. J.; Mol, J. C. Olefin Metathesis and Metathesis Polymerization, 2nd ed.; Academic Press: New York, 1997; (d) J. Org. Chem. 1999, 64, 4798-4816; (e) Angew. Chem., Int. Ed. Engl. 1997, 36, 2036-2056; (f) Tetrahedron 1998, 54, 4413-4450; (e) Connon, S. J. and Blechert, S. Angew. Chem. Int. Ed. 2003, 42,1900-23). In addition, compound of formula (2-4) may be subjected to cross metathesis reaction conditions in the presence of compounds of formula (3-3), where R1 is as previously defined, to yield conjugated esters of formula (3-4).
- Compound of formula (1-2) may be treated with lithium acetylide of formula (4-1), where G is as previously defined, to form the propargyl alcohol (4-2). The requisite lithium reagents are readily available via the reaction of a variety of acetylenes with n-butyl lithium under standard conditions (for further details, please see B. S. Furniss, A. J. Hannaford, P. W. G. Smith, A. R. Tatchell “Vogel's Textbook of Practical Organic Chemistry” 5 th ed., Longman, 1989 or G. S. Silverman, P. E. Rakita in Kirk-Othmer Encyclopedia of Chemical Technology vol. 12 (Wiley-lnterscience, New York, 4th ed., 1994)). The reaction can be performed in an inert solvent, generally at low temperature. Suitable solvents include, but are not limited to tetrahydrofuran, diethylether, 1,4-dioxane, 1,2-dimethoxyethane, and hexanes. Preferably the solvent is tetrahydrofuran or diethylether. Preferably the reaction is run at −78°.
- Propargyl alcohol of formula (4-2) is then activated with a an electron-withdrawing group (EWG) to form a compound of formula (4-3). Suitable hydroxy activating groups include, but are not limited to, mesylate and triflate. The activated propargyl alcohol then undergoes elimination to form conjugated ene-yne compound of formula (4-4) (for further details, please see Tsuji, J. et al, Tetrahedron Lett. 1978, 24, 2075-2078). Suitable solvents include, but are not limited to, toluene or THF. Suitable reaction conditions are at a temperature up to reflux.
- Compound of formula (4-4), where G is as previously defined, can undergo catalytic hydrogenation via Lindlar's catalyst to yield the cis conjugated diene of formula (5-1) (for further details, please see H. Lindlar and R. Dubois, Org Synth. V, 880 (1973)). In addition, compound of formula (4-4), when G=H, may be treated with aryl halides under Sonagashira conditions to afford compounds of formula (5-2) (for further details of the Sonogashira reaction see Sonogashira, Comprehensive Organic Synthesis, Volume 3, Chapters 2, 4 and Sonogashira, Synthesis 1977, 777).
- The procedures described above for preparing the compounds of the present invention will be better understood in connection with the following examples, which are intended to be illustrative only and not limiting of the scope of the invention. Various changes and modifications of the disclosed embodiments will be apparent to those skilled in the art. Such changes and modifications, including without limitation, those relating to the chemical structures, substituents, derivatives, intermediates, syntheses, formulations and/or methods for the invention may be made without departing from the spirit of the invention and the scope of the appended claims.
- A compound of formula I, wherin A is of the formula (1-2) and W is Ac.
- Step a. A compound of formula 1, wherein A is of the formula (1-1) and W is Ac.
- To a solution of cyclosporine A (105 g, 87.42 mmol), DMAP (1.0 g, 8.18 mmol, 9.4% eq), Py (16 ml, 197.8 mmol, 2.26 eq ) in CH 2Cl2 (100 ml) at 0° C. is added Ac2O (30 ml, 317.65 mmol, 3.63 eq). The mixture is stirred from 0° C. to room temperature over night. After the reaction is complete as judged by mass spectrometry analysis, solvent (CH2Cl2) is removed under vacuum. The white solid residue is dissolved in ethyl acetate, washed with water (300 ml), 1.0 HCl (2×200 ml), water (200 ml), sat. NaHCO3 (200 ml), brine (200 ml), dried with Na2SO4, filtered and evaporated. The residue is lyophilized to give a white solid. m/e+ for C64H113N11O13 1243.85, found 1244.51 (m+H)+, 1266.52 (m+Na)+
- Step b. A compound of formula I, wherein A is of the formula (1-2) and W is Ac.
- To a solution of cyclosporine A acetate from Step a (40.2 g, 32.32 mmol) in acetone (300 ml)-H 2O (100 ml) at room temperature is added OSO4 (58 mg, 0.228 mmol, 0.7% eq). The solution becomes black immediately. Then NaIO4 (34.7 g, 162.23 mmol, 5.0 eq) is added. The black color fads and white solid precipitates out upon stirring. The reaction is monitored by TLC and mass spectrometry analysis. Upon the completion of the reaction, the mixture is concentrated under vacuum in a hood to remove most of the acetone. The residue is extracted with ethyl acetate. The organic solution is washed with water (1×200 ml), aqueous sodium sulfite solution until the aqueous layer is colorless (yellow color indicated the presence of oxidizing agent such NaIO4), sat. NaHCO3 (to remove acid by-product), water again and finally washed with brine. After drying with Na2SO4, the solution is evaporated and lyophilized to give the title compound as a white solid. The crude product might be purified by silica gel chromatography (eluted with 50% ethyl acetate-hexane, then 100% ethyl acetate). m/e+for C62H109N11O14 1231.82, found 1232.22 (m+H)+, 1249.26, (m+NH4)+, 1254.19 (m+Na)+.
-
- W is Ac and X═Y=Z=hydrogen.
- Step a. A compound of formula I: A is formula (2-2), wherein X═Y=Z=hydrogen.
- A solution of vinylmagnesium bromide (40 ml, 0.5 M in THF, 20 mmol) is diluted with 50 ml THF and cooled to −78° C. Then a solution of the title compound from Example 1 (4.3 g, 3.49 mmol) in THF (2 ml) is added dropwise. After addition, the mixture is stirred for 20-30 min and quenched with aq. NH 4Cl at −78° C. After warm up to room temperature, the mixture is extracted with ethyl acetate (2×100 ml). The combined organic solution is washed with brine, dried with Na2SO4, concentrated and dried by lyophilization to afford a light yellow solid (4.66 g). m/e+ for C64H113N11O14 1259.85, found 1282.90 (m+Na)+.
- Step b. A compound of formula I: A is formula (2-3), wherein X═Y=Z=hydrogen
- To a solution of cyclosporine A allyl alcohol of Step a (4.66 g, 3.77 mmol), DMAP (45 mg, 0.36 mmol, 9.5% eq), Py (0.72 ml, 8.90 mmol, 2.36eq) in CH 2Cl2 (5.0 ml) is added Ac2O (1.0 ml). The mixture is stirred at room until the reaction is complete as judged by mass spectrometry analysis (about 3 hrs).Then, the mixture is diluted with ethyl acetate (50 ml), washed with water (1×30 ml), 1.0 HCl (2×20 ml), water (1×20 ml), sat. NaHCO3 (1×20 ml) and brine (1×20 ml), dried with Na2SO4, filtered and evaporated. The crude product is purified by silica gel chromatography (eluted with 50% ethyl acetate-hexane, then 100% ethyl acetate) to give diacetate as a white solid. m/e+ for C66H115N11O15 1301.86, found 1302.78 (m+H)+, 1319.81 (m+NH4)+, 1324.77 (m+Na)+.
-
- W is Ac and X═Y=Z=hydrogen.
- A mixture of diacetate (2.0 g, 1.54 mmol), Ph 3P (183 mg, 0.70 mmol), Pd(OAc)2 (73.8 mg, 0.32 mmol) in dioxane (10 ml) is degassed twice and heated at 120° C. The solution becomes black in about 30 min and the reaction is complete in 1 hr as judged by mass spectrometry analysis. Solvent is evaporated and the crude product is purified by silica gel chromatography (eluted with 50% ethyl acetate-hexane, then 100% ethyl acetate) to give the title compound product as a light yellow solid. m/e+ for C64H111N11O13 1241.84, found 1242.97 (m+H)+, 1260.00 (m+NH4)+, 1264.96 (m+Na)+.
-
- W is H and X═Y=Z=hydrogen.
- A solution of diene acetate of Example 2 (100 mg, 0.080 mmol), K 2CO3 (55 mg, 0.40 mmol) in MeOH (2 ml) is heated to 50° C. for 2-3 hr. After cooled to room temperature, the mixture is diluted with ethyl acetate (20 ml), washed with aq. NH4Cl and brine, dried with Na2SO4 and concentrated. The crude product is purified by preparative TLC (eluted 100% ethyl acetate) to give the title compound as a white solid. m/e+ for C62H109N11O12 1199.82, found 1200.89 (m+H)+, 1222.87 (m+Na)+.
-
- Y is CH 3, and W═X=Z=hydrogen.
- Step a. A compound of formula 1, wherein A is of the formula (2-2), Y is CH 3, and X=Z=hydrogen.
- To a solution of cyclosporine adehyde of Example 1 (995 mg, 0.80 mmol) in THF (3 ml) at −78° C. is added a solution of 1-propenylmagnesium bromide (18 ml, 0.5 M in THF). After addition, the mixture is stirred for 20-30 min and quenched with aq. NH 4Cl at −78° C. After warm up to room temperature, the mixture is diluted with ethyl acetate (50 ml), washed with sat NH4Cl (30 ml), brine (30 ml), dried with Na2SO4, concentrated and dried by lyophilization to afford a light yellow solid. m/e+ for C65H115N11O14 1273.86, found 1274.95 (m+H)+, 1291.85 (m+NH4)+, 1296.85 (m+Na)+.
- Step b. A compound of formula I, wherein A is of the formula (2-3), Y is CH 3, and X=Z=hydrogen.
- To a solution of cyclosporine A allyl alcohol of Step a (90 mg, 0.071 mmol), DMAP (50 mg), and Py (0.50 ml) in CH 2Cl2 (0.5 ml) at room is added Ac2O (0.2 ml). The mixture is stirred at room until the reaction is complete as judged by mass spectrometry analysis (about 3 hrs). Then, the mixture is diluted with ethyl acetate (20 ml), washed with 1.0 HCl (10 ml), water (10 ml), sat. NaHCO3 (10 ml) and brine (10 ml), dried with Na2SO4, filtered and evaporated. The crude product is purified by preparative TLC (eluted 100% ethyl acetate) to give the diacetate compound of Step c as a white solid. m/e+ for C67H117N11O15 1315.87, found 1316.87 (m+H)+, 1333.90 (m+NH4)+, 1338.85 (m+Na)+.
-
- Y is CH 3, and W═X=Z=hydrogen.
- A mixture of diacetate (240 mg, 0.182 mmol), Ph 3P (31 mg, 0.118 mmol), Pd(OAc)2 (7.1 mg, 0.0316 mmol) in dioxane (2 ml) is degassed twice and heated at 120° C. The solution became black in about 30 min and the reaction is continued overnight. Mass spectrometry analysis indicated that the reaction is not complete. Solvent is evaporated and the product is separated from the starting material by preparative TLC (eluted with 100% ethyl acetate). The product (contained triphenylphosphene by-product) is dissolved in MeOH and stirred with K2CO3 (75 mg, 3 eq.) under 50° C. for 3 hrs. After removal of MeOH by evaporation, the residue is dissolved in ethyl acetate and filtered through a short silica gel pad. The filtrate is concentrated and the crude product is purified by preparative TLC (eluted with 100% ethyl acetate) to give the title compound. m/e+ for C63H111N11O12 1213.84, found 1214.84 (m+H)+, 1236.84 (m+Na).
-
- Y=Z=CH 3, and W═X=hydrogen.
- Step a. A compound of formula I, wherein A is of the formula (2-2), Y=Z=CH 3, and X=hydrogen.
- To a solution of cyclosporine adehyde of Example 1 (150 mg, 0.12 mmol) in THF (3 ml) at −78° C. is added a solution of 2-methyl-1-propenylmagnesium bromide (2.4 ml, 0.5 M in THF). After addition, the mixture is stirred for 20-30 min and quenched with aq. NH 4Cl at −78° C. After warm up to room temperature, the mixture is diluted with ethyl acetate (50 ml), washed with sat. NH4Cl (30 ml), brine (30 ml), dried with Na2SO4, concentrated and dried by lyophilization to afford a light yellow solid. m/e+ for C66H117N11O14 1287.88, found 1288.87 (m+H)+, 1310.87 (m+Na)+.
- Step b. A compound of formula I, wherein A is of the formula (2-3), Y=Z=CH 3, and X=hydrogen.
- To a solution of cyclosporine A allyl alcohol of Step a (90 mg, 0.071 mmol), DMAP (50 mg), and Py (0.50 ml) in CH 2Cl2 (0.5 ml) at room is added Ac2O (0.2 ml). The mixture is stirred at room until the reaction is complete as judged by mass spectrometry analysis (about 3 hrs).Then, the mixture is diluted with ethyl acetate (20 ml), washed with 1.0 HCl (10 ml), water (10 ml), sat. NaHCO3 (10 ml) and brine (10 ml), dried with Na2SO4, filtered and evaporated. The crude product is purified by preparative TLC (eluted 100% ethyl acetate) to give the diacetate compound of Step c as a white solid. m/e+ for C68H119N11O15 1329.89, found 1330.66 (m+H)+, 1347.68 (m+NH4)+, 1352.66 (m+Na)+.
-
- Y=Z=CH 3, and X═W=hydrogen.
- A mixture of diacetate formed in Step b and Ph 3P (31 mg), Pd(OAc)2 (12.71 mg, in dioxane (2 ml) is degassed twice and heated at 120° C. The solution became black in about 30 min and the reaction is continued overnight. Mass spectrometry analysis indicated that the reaction is not complete. Solvent is evaporated and the product is separated from the starting material by preparative TLC (eluted with 100% ethyl acetate). The product (contained triphenylphosphene by-product) is dissolved in MeOH and stirred with K2CO3 (75 mg, 3 eq.) under 50° C. for 3 hrs. After removal of MeOH by evaporation, the residue is dissolved in ethyl acetate and filtered through a short silica gel pad. The filtrate is concentrated and the crude product is purified by preparative TLC (eluted with 100% ethyl acetate) to give the title compound. m/e+ for C64H113N11O12 1227.86, found 1228.86(m+H)+, 1250.82 (m+Na)+.
-
- Y is —(CH 2)3CH3, and W═X=Z=hydrogen.
- A solution of diene acetate from Example 2 (56 mg, 0.045 mmol), 1-hexene (0.05 ml, 0.594 mmol) and Hoveyda-Grubbs' catalyst (21 mg, 0.033 mmol) in CH 2Cl2 (2.0 ml) is degassed twice and then heated under N2 at 45° C. overnight. After cooling to room temperature, solvent is removed and the product is purified by preparative TLC (developed with 100% ethyl acetate). m/e+ for C68H119N11O13 1297.90, found 1298.92 (m+H)+, 1315.96 (m+NH4)+, 1320.91 (m+Na)+, H-NMR, C-NMR and DEPT experiments indicated one diene isomer (>90%) is formed. The acetyl protection group is removed by stirring with K2CO3 (12.9 mg) in MeOH (2 ml) over night. After removal of methanol, the residue is dissolved in ethyl acetate and filtered through a short silica gel pad. Evaporation of solvent provided the title compound diene alcohol. m/e+ for C66H117N11O12 1255.89, found 1256.93 (m+H)+, 1278.91 (m+Na)+.
-
- Y is —(CH 2)Br, and W═X=Z=hydrogen.
- A solution of diene acetate from Example 2 (56 mg, 0.045 mmol), 4-bromo-but-1-ene (0.05 ml,) and Hoveyda-Grubbs' catalyst (17.7 mg) in CH 2Cl2 (2.0 ml) is heated under N2 at 49° C. overnight. Mass spectrometry analysis indicated that the reaction is complete. After cooling to room temperature, solvent is removed and the product is purified by preparative TLC (developed with 100% ethyl acetate. m/e+ for C66H114BrN11O13 1347.78, found 1348,66, 1349.66, 1350.66, 1351.65 (m+H)+, 1365.68, 1366.68, 1367.69, 1368.69 (m+NH4)+, 1370.66, 1371.66, 1372.65, 1373.65 (m+Na)+. H-NMR analysis indicated one diene isomer (>90%) is formed. The acetyl protection group is removed by stirring with K2CO3 (12.9 mg) in MeOH (2 ml) over night. After removal of methanol, the residue is dissolved in ethyl acetate and filtered through a short silica gel pad. Evaporation of solvent provided the title compound diene alcohol. m/e+ for C66H114BrN11O13 1347.78, found 1348,66, 1349.66, 1350.66, 1351.65 (m+H)+, 1365.68, 1366.68, 1367.69, 1368.69 (m+NH4)+, 1370.66, 1371.66, 1372.65, 1373.65 (m+Na)+.
-
- Y is ortho-Me-phenyl, and W═X=Z=hydrogen.
- A solution of diene acetate from Example 2 (47.8 mg), ortho-methylstyrene (0.05 ml,) and Hoveyda-Grubbs' catalyst (2.7 mg) in CH 2Cl2 (2.0 ml) is heated under N2 at 45° C. overnight. Mass spectrometry analysis indicats that the reaction is complete. After cooling to room temperature, solvent is removed and the product is purified by preparative TLC (developed with 100% ethyl acetate. m/e+ for C71H117N11O13 1331.88, found 1332.84 (m+H)+, 1349.86 (m+NH4)+, 1354.82 (m+Na)+. The acetyl protection group is removed by stirring with K2CO3 (12.9 mg) in MeOH (2 ml) over night. After removal of methanol, the residue is dissolved in ethyl acetate and filtered through a short silica gel pad. The crude product is purified by preparative TLC (developed with ethyl acetate). m/e+ for C69H115N11O12 1289.87, found 1290.68 (m+H)+, 1312.66 (m+Na)+.
-
- Y is ortho-Br-phenyl, and W═X=Z=hydrogen.
- A solution of diene acetate from Example 2 (28 mg), orthobromostyrene (20 ml) and Hoveyda-Grubbs' catalyst (1.4 mg) in CH 2Cl2 (2.0 ml) is heated under N2 at 45° C. overnight. Mass spectrometry analysis indicated that the reaction is complete. After cooling to room temperature, solvent is removed and the product is purified by preparative TLC (developed with 100% ethyl acetate. The acetyl protection group is removed by stirring with K2CO3 (12.9 mg) in MeOH (2 ml) over night. After removal of methanol, the residue is dissolved in ethyl acetate and filtered through a short silica gel pad. The crude product is purified by preparative TLC (developed with ethyl acetate). m/e+ for C68H112BrN11O12 1355.59, found 1378.54 (m+Na)+.
-
- Y is —CO 2Me, and W═X=Z=hydrogen.
- A solution of diene acetate from Example 2 (27.5 mg), dimethylmaleate (32.8 mg) and Nolan catalyst (2.7 mg) in CH 2Cl2 (2.0 ml) is cooled to −78° C. Then the mixture is heated under N2 at 50° C. overnight. Mass spectrometry analysis indicated that the reaction is complete. After cooling to room temperature, solvent is removed and the product is purified by preparative TLC (developed with 100% ethyl acetate. m/e+ for C66H113N11O15 1299.84, found 1300.80 (m+H)+, 1317.84 (m+NH4)+, 1322.81 (m+Na)+. The acetyl protection group is removed by stirring with K2CO3 (12.9 mg) in MeOH (2 ml) over night. After removal of methanol, the residue is dissolved in ethyl acetate and filtered through a short silica gel pad. The crude product is purified by preparative TLC (developed with ethyl acetate). m/e+ for C64H111N11O124 1257.83, found 1296.58 (m+K)+, 1283.61 (m+Na)+.
-
- Y is meta-CHO-phenyl, and W═X=Z=hydrogen.
- A solution of diene acetate from Example 2 (28 mg), 3-vinylbenzaldehyde (0.015 ml,) and Hoveyda-Grubbs' catalyst (1.4 mg) in CH 2Cl2 (2.0 ml) is heated under N2 at 45° C. overnight. Mass spectrometry analysis indicated that the reaction is complete. After cooling to room temperature, solvent is removed and the product is purified by preparative TLC (developed with 100% ethyl acetate. m/e+ for C71H115N11O14 1345.86, found 1346.70 (m+H)+, 1368.69 (m+Na)+. The acetyl protection group is removed by stirring with K2CO3 (12.9 mg) in MeOH (2 ml) over night. After removal of methanol, the residue is dissolved in ethyl acetate and filtered through a short silica gel pad. The crude product is purified by preparative TLC (developed with ethyl acetate). m/e+ for C69H113N11O3 1303.85, found 1304.66 (m+H)+, 1326.65 (m+Na)+, 1342.62 (m+K)+.
-
- Y is Et, and W═X=Z=hydrogen
- A solution of diene acetate from Example 2 (43 mg), 3-hexene(cis, trans-mixture) (0.10 ml,) and Hoveyda-Grubbs' catalyst (2.5 mg) in CH 2Cl2 (1.0 ml) is heated under N2 at 45° C. overnight. Mass spectrometry analysis indicates that the reaction is complete. After cooling to room temperature, solvent is removed and the product is purified by preparative TLC (Whatman, PK5F, Silica gel, 150 A, with fluorescent indicator, 500 μM thickness, developed with 100% ethyl acetate). m/e+ for C66H115N11O13 1269.87, found 1270.73 (m+H)+, 1287.76 (m+NH4)+, 1292.72 (m+Na)+. The acetyl protection group is removed by stirring with K2CO3 (12.9 mg) in MeOH (2 ml) at 50° C. for 1 hr. After removal of methanol, the residue is dissolved in ethyl acetate and filtered through a short silica gel pad. The crude product is purified by preparative TLC (developed with ethyl acetate). m/e+ for C64H113N11O12 1227.86, found 1228.84 (m+H)+, 1250.86 (m+Na)+, 1266.85 (m+K)+.
-
- Y is —CH═CHCH 2TMS, and W═X=Z=hydrogen
- A solution of diene acetate from Example 2 (68 mg), allyltrimethylsilane (0.10 ml,) and Hoveyda-Grubbs' catalyst (3.5 mg) in CH 2Cl2 (1.0 ml) is heated under N2 at 45° C. overnight. Mass spectrometry analysis indicated that the reaction is complete. After cooling to room temperature, solvent is removed and the product is purified by preparative TLC (Whatman, PK5F, Silica gel, 150 A, with fluorescent indicator, 500 μM thickness, developed with 100% ethyl acetate). m/e+ for C68H121N11O13Si 1327.89, found 1328.88 (m+H)+, 1345.88 (m+NH4)+, 1350.88 (m+Na)+. The acetyl protection group is removed by stirring with K2CO3 (12.9 mg) in MeOH (2 ml) at 50° C. for 1 hr. After removal of methanol, the residue is dissolved in ethyl acetate and filtered through a short silica gel pad. The crude product is purified by preparative TLC (developed with ethyl acetate). m/e+ for C66H119N11O12Si 1285.88, found 1286.76 (m+H)+, 1303.xx (m+NH4)+, 1308.80 (m+Na)+, 1324.84 (m+K)+.
-
- G is H, and W is H.
- Step a. A compound of formula I, wherein A is of the formula (4-2), G=TMS, and W═Ac
- To a solution n-BuLi (0.65 ml, 2.5 M/THF) in THF (2 ml) at −78° C. is added trimethylsilylacetylene (0.25 ml). The mixture is stirred for 10 min and a solution of cyclosporine adehyde of Example 1 (222mg, 0.18 mmol) in THF (1 ml) is added. After addition, the mixture is stirred for 20-30 min and quenched with aq. NH 4Cl at −78° C. After warming to room temperature, the mixture is diluted with ethyl acetate (50 ml), washed with sat. NH4Cl (30 ml), brine (30 ml), dried with Na2SO4, concentrated and dried by lyophilization. m/e+ for C67H119N11O14Si 1329.87, found 1330,87 (m+H)+, 1347.85 (m+NH4)+, 1352.87(m+Na)+.
- Steb b. A compound of formula I, wherein A is of the formula (4-4), G=TMS, and W═Ac
- To solution of the crude product from step a (100 mg) in CH 2Cl2 (2 ml) at 0° C. is added 2,6-lutidine (0.2 ml) and triflic anhydride (0.10 ml). The mixture is stirred at 0° C. for 10 min. The mixture is diluted with ethyl acetate (20 ml), washed with brine and dried with Na2SO4. The crude product is purified by preparative TLC (developed with ethyl acetate). m/e+ for C67H117N11O13Si 1311.86, found 1313.04 (m+H)+, 1330.06 (m+NH4)+, 1335.03 (m+Na)+.
-
- G is H, and W is H.
- The product from step c is heated with K 2CO3 (20 mg) in MeOH (2 ml) at 50° C. for 1 hr. After cooling to room temperature, the solvent is removed and subsequently the residue is dissolved in ethyl acetate, washed with brine and dried with Na2SO4. The crude product is purified by preparative TLC (developed with ethyl acetate). m/e+ for C62H107N11O12 1197.81, found 1199.04 (m+H)+, 1217.07 (m+NH4)+, 1221.01 (m+Na)+.
- Other representative compounds of the present invention which may be prepared via the synthetic routes delineated herein include, but are not limited to, Examples 15-27:
-
- Y is propyl, and W═X=Z=hydrogen.
-
- is cyclopropyl, and W═X=Z=hydrogen.
-
- Y is —CH═CHCH 3, and W═X=Z=hydrogen.
-
- X═Y═CH 3, and W=Z=hydrogen.
-
- W═X═Y=hydrogen, and Z=CH 3.
-
- Y is p-bromophenyl, and W═X=Z=hydrogen.
-
- W═X═Y=hydrogen, and Z=—CH 2CH═CH2.
-
- W═X═Y=hydrogen, and Z is ethyl.
-
- W═X═Y=hydrogen, and Z=—CH═CHCH 3.
-
- W═X═Y=hydrogen, and Z=—CH 2OCH3.
-
- G=—CH═CHCH 3 and W=hydrogen.
-
- G=propyl and W=hydrogen.
-
- G=—CH 3 and W=hydrogen.
- Although the invention has been described with respect to various preferred embodiments, it is not intended to be limited thereto, but rather those skilled in the art will recognize that variations and modifications may be made therein which are within the spirit of the invention and the scope of the appended claims.
Claims (19)
1. A cyclosporin analog of formula I or a pro-drug or a pharmaceutically acceptable salt thereof:
and
A is of the formula:
wherein:
Q is
where
i) X is selected from hydrogen, halogen, C1-C6 alkyl, or aryl;
ii) one of Y and Z is selected from: hydrogen, deuterium, halogen, or methyl and the other is independently selected from:
a) halogen;
b) R1, where R1 is selected from:
1) hydrogen;
2) deuterium;
3) C1-C6 alkyl, optionally substituted with halogen, TMS, aryl, heterocycloalkyl, or heteroaryl;
4) C2-C6 alkenyl, optionally substituted with halogen, TMS, aryl, heterocycloalkyl, or heteroaryl;
5) C2-C6 alkynyl, optionally substituted with halogen, TMS, aryl, heterocycloalkyl, or heteroaryl;
6) C3-C12 cycloalkyl;
7) substituted C3-C12 cycloalkyl;
8) aryl;
9) substituted aryl;
10)heterocycloalkyl;
11)substituted heterocycloalkyl;
12)heteroaryl; or
13)substituted heteroaryl;
c) —C(O)OR1, where R1 is as previously defined;
d) —C(O)OCH2—V—R1, where R1 is as previously defined and V is —O— or —S—;
e) —C(O)N(R3)(R4), where R3 and R4 are independently selected from R1 as previously defined;
f) —C(O)SR1, where R1 is as previously defined;
g) —C(O)OCH2OC(O)R1, where R1 is as previously defined;
h) —C(S)OR1, where R1 is as previously defined;
i) —C(S)SR1, where R1 is as previously defined;
j) R2, where R2 is selected from:
1) C1-C6 alkyl-M-R1, where R1 is as previously defined and M is absent or selected from:
i. —NH—;
ii. —N(CH3)—;
iii. —S—;
iv. —S(O)n—, where n=0, 1, or 2; or
v. —O—;
2) C2-C6 alkenyl-M-R1, where R1 and M are as previously defined; or
3) C2-C6 alkynyl-M-R1, where R1 and M are as previously defined;
k) Or in the alternative, Y and Z are taken together with the carbon atom to which they are attached to form a C3-C12 cycloalkyl moiety; and
iii) G is independently selected from halogen, TMS, R1 or R2 as previously defined;
B is selected from:
i) -αAbu-;
ii) -Val-;
iii) -Thr-; or
iv) -Nva-;
U is selected from:
i) -(D)Ala-;
ii) -(D)Ser-;
iii) —[O-(2-hydroxyethyl)(D)Ser]-;
iv) —[O-(acyl)(D)Ser]-; or
v) —[O-(2-acyloxyethyl)(D)Ser]-; and
W is selected from hydrogen or a hydroxy protecting group.
7. A compound of formula I, according to claim 1 , selected from:
Example 1. A compound of formula I, wherin A is of the formula (1-2) and W is Ac;
Example 2. A compound of formula I, wherein Q is
W is Ac and X═Y=Z=hydrogen;
Example 3. A compound of formula I, wherein Q is
W is H and X═Y=Z=hydrogen;
Example 4. A compound of formula I, wherein Q is
Y is CH3, and W═X=Z=hydrogen;
Example 5. A compound of formula I, wherein Q is
Y=Z=CH3, and W═X=hydrogen;
Example 6. A compound of formula I, wherein Q is
Y is —(CH2)3CH3, and W═X=Z=hydrogen;
Example 7. A compound of formula I, wherein Q is
Y is —(CH2)2Br, and W═X=Z=hydrogen;
Example 8. A compound of formula I, wherein Q is
Y is ortho-Me-phenyl, and W═X=Z=hydrogen;
Example 9. A compound of formula I, wherein Q is
Y is ortho-Br-phenyl, and W═X=Z=hydrogen;
Example 10. A compound of formula I, wherein Q is
Y is —CO2Me, and W═X=Z=hydrogen;
Example 11. A compound of formula I, wherein Q is
Y is meta-CHO-phenyl, and W═X=Z=hydrogen;
Example 12. A compound of formula I, wherein Q is
Y is Et, and W═X=Z=hydrogen;
Example 13. A compound of formula I, wherein Q is
Y is —CH═CHCH2TMS, and W═X=Z=hydrogen;
Example 14. A compound of formula I, wherein Q is
G is H, and W is H;
Example 15. A compound of formula I, wherein Q is
Y is propyl, and W═X=Z=hydrogen;
Example 16. A compound of formula I, wherein Q is
Y is cyclopropyl, and W═X=Z=hydrogen;
Example 17. A compound of formula I, wherein Q is
Y is —CH═CHCH3, and W═X=Z=hydrogen;
Example 18. A compound of formula I, wherein Q is
X═Y═CH3, and W=Z=hydrogen;
Example 19. A compound of formula I, wherein Q is
W═X═Y=hydrogen, and Z=CH3;
Example 20. A compound of formula I, wherein Q is
Y is p-bromophenyl, and W═X=Z=hydrogen;
Example 21. A compound of formula I, wherein Q is
W═X═Y=hydrogen, and Z=—CH2CH═CH2;
Example 22. A compound of formula I, wherein Q is
W═X═Y=hydrogen, and Z is ethyl;
Example 23. A compound of formula I, wherein Q is
W═X═Y=hydrogen, and Z=—CH═CHCH3;
Example 24. A compound of formula I, wherein Q is
W═X═Y=hydrogen, and Z=—CH2OCH3;
Example 25. A compound of formula I, wherein Q is
G=—CH═CHCH3 and W=hydrogen;
Example 26. A compound of formula I, wherein Q is
G=propyl and W=hydrogen; or
Example 27. A compound of formula I, wherein Q is
G=—CH3 and W=hydrogen.
8. A pharmaceutical composition comprising a therapeutically effective amount of at least one compound of Formula (I) in claim 1 , or a pharmaceutically acceptable salt, ester or prodrug thereof, in combination with a pharmaceutically acceptable carrier or excipient.
9. A method of treating organ transplantation rejection in a subject, which comprises administering to said subject a therapeutically effective amount of the pharmaceutical composition of claim 8 .
10. A method of treating an immune disorder in a subject, which comprises administering to said subject a therapeutically effective amount of the pharmaceutical composition of claim 1 .
11. The method of claim 10 , wherein said immune disorder is selected from the group consisting of: rheumatoid arthritis, inflammatory bowel disease, psoriasis, asthma, atopic dermatitis, allergic rhinitis, and chronic obstructive pulmonary disease.
12. A method of treating an immune disorder in a subject, which comprises topically administering to said subject a therapeutically effective amount of the pharmaceutical composition of claim 1 .
13. The method of claim 12 , wherein said inflammatory or immune disorder is selected from the group consisting of psoriasis and eczema.
14. The method of claim 12 , wherein said topically administering is achieved via inhalation.
15. The method of claim 14 , wherein said inflammatory or immune disorder is an obstructive airways disease.
16. The method of claim 15 , wherein said airways disease is selected from the group consisting of asthma, allergic rhinitis, bronchitis, cystic fibrosis, and chronic obstructive pulmonary disease.
17. The method of claim 16 , wherein said chronic obstructive pulmonary disease is emphysema or chronic bronchitis.
18. A process for the preparation of a compound of formula I, wherein Q is z
wherein X, Y, and Z are as defined in claim 1 , comprising
i) reacting cyclosporin A with a reagent capable of oxidative cleavage to form a compound of formula I, wherein A is represented by the formula:
where W is as defined in claim 1;
ii) reacting a compound formed in step i with a Grignard reagent of formula
where X, Y, and Z are as defined in claim 1 to form a compound of formula I, wherein A is represented by the formula:
wherein W, X, Y, and Z are as defined in claim 1;
iii) reacting a compound formed in step ii with an with an electrophile, such as, but not limited to, mesyl chloride, chloroformate, or triflate chloride to form a compound of formula I, wherein A is represented by the formula:
wherein EWG is an electron withdrawing group and W, X, Y, and Z are as defined in claim 1; and
iv) reacting a compound formed in step iii with a palladium catalyst.
19. A process for the preparation of a compound of formula I, wherein Q is
comprising
i) reacting a compound formed in step i of claim 18 with a lithium acetylide represented by the formula
wherein G is as defined in claim 1 to form a compound of formula, wherein A is represented by the formula
wherein G and W are as defined in claim 1;
ii) reacting a compound formed in step i with an electrophile, such as, but not limited to, mesyl chloride, chloroformate, or triflate chloride to form a compound of formula I, wherein A is represented by the formula
wherein EWG is an electron-withdrawing group, and G and W are as defined in claim 1 , which then undergoes elimination.
Priority Applications (3)
| Application Number | Priority Date | Filing Date | Title |
|---|---|---|---|
| US10/600,303 US20040266669A1 (en) | 2003-06-20 | 2003-06-20 | Cyclosporin derivatives for the treatment of immune disorders |
| PCT/US2004/015805 WO2005000879A1 (en) | 2003-06-20 | 2004-05-19 | Cyclosporin derivatives for the treatment of immune disorders |
| US11/765,261 US7468419B2 (en) | 2003-06-20 | 2007-06-19 | Cyclosporin derivatives for the treatment of immune disorders |
Applications Claiming Priority (1)
| Application Number | Priority Date | Filing Date | Title |
|---|---|---|---|
| US10/600,303 US20040266669A1 (en) | 2003-06-20 | 2003-06-20 | Cyclosporin derivatives for the treatment of immune disorders |
Related Child Applications (1)
| Application Number | Title | Priority Date | Filing Date |
|---|---|---|---|
| US11/765,261 Continuation US7468419B2 (en) | 2003-06-20 | 2007-06-19 | Cyclosporin derivatives for the treatment of immune disorders |
Publications (1)
| Publication Number | Publication Date |
|---|---|
| US20040266669A1 true US20040266669A1 (en) | 2004-12-30 |
Family
ID=33539414
Family Applications (2)
| Application Number | Title | Priority Date | Filing Date |
|---|---|---|---|
| US10/600,303 Abandoned US20040266669A1 (en) | 2003-06-20 | 2003-06-20 | Cyclosporin derivatives for the treatment of immune disorders |
| US11/765,261 Expired - Fee Related US7468419B2 (en) | 2003-06-20 | 2007-06-19 | Cyclosporin derivatives for the treatment of immune disorders |
Family Applications After (1)
| Application Number | Title | Priority Date | Filing Date |
|---|---|---|---|
| US11/765,261 Expired - Fee Related US7468419B2 (en) | 2003-06-20 | 2007-06-19 | Cyclosporin derivatives for the treatment of immune disorders |
Country Status (2)
| Country | Link |
|---|---|
| US (2) | US20040266669A1 (en) |
| WO (1) | WO2005000879A1 (en) |
Cited By (11)
| Publication number | Priority date | Publication date | Assignee | Title |
|---|---|---|---|---|
| US20040235716A1 (en) * | 2003-03-17 | 2004-11-25 | Molino Bruce F. | Novel cyclosporins |
| US20060069015A1 (en) * | 2004-09-29 | 2006-03-30 | Amr Technology, Inc. | Novel cyclosporin analogues and their pharmaceutical uses |
| US20060069016A1 (en) * | 2004-09-29 | 2006-03-30 | Amr Technology, Inc. | Cyclosporin alkyne analogues and their pharmaceutical uses |
| US20060074015A1 (en) * | 2004-10-06 | 2006-04-06 | Amr Technology, Inc. | Novel cyclosporin alkynes and their utility as pharmaceutical agents |
| US20070232530A1 (en) * | 2006-03-28 | 2007-10-04 | Amr Technology, Inc. | Use of cyclosporin alkyne analogues for preventing or treating viral-induced disorders |
| US20070232531A1 (en) * | 2006-03-28 | 2007-10-04 | Amr Technology, Inc. | Use of cyclosporin alkyne/alkene analogues for preventing or treating viral-induced disorders |
| US8435544B2 (en) | 2007-10-08 | 2013-05-07 | Lux Biosciences, Inc. | Ophthalmic compositions comprising calcineurin inhibitors or mTOR inhibitors |
| US9017725B2 (en) | 2009-06-09 | 2015-04-28 | Aurinia Pharmaceuticals Inc. | Topical drug delivery systems for ophthalmic use |
| US9200038B2 (en) | 2010-12-15 | 2015-12-01 | Ciclofilin Pharmaceuticals Corp. | Cyclosporine analogue molecules modified at amino acid 1 and 3 |
| CN115299430A (en) * | 2017-07-21 | 2022-11-08 | 西普拉里斯有限公司 | Cyclosporine analogs and their uses |
| US11622991B2 (en) | 2017-05-12 | 2023-04-11 | Aurinia Pharmaceuticals Inc. | Protocol for treatment of lupus nephritis |
Families Citing this family (10)
| Publication number | Priority date | Publication date | Assignee | Title |
|---|---|---|---|---|
| WO2006063470A1 (en) * | 2004-12-17 | 2006-06-22 | Isotechnika Inc. | Metabolites of cyclosporin analogs |
| AU2010208071C1 (en) | 2009-01-30 | 2013-06-20 | Enanta Pharmaceuticals, Inc. | Cyclosporin analogues for preventing or treating hepatitis C infection |
| US8481483B2 (en) | 2009-02-19 | 2013-07-09 | Enanta Pharmaceuticals, Inc. | Cyclosporin analogues |
| US8349312B2 (en) * | 2009-07-09 | 2013-01-08 | Enanta Pharmaceuticals, Inc. | Proline substituted cyclosporin analogues |
| US8367053B2 (en) * | 2009-07-09 | 2013-02-05 | Enanta Pharmaceuticals, Inc. | Cyclosporin analogues |
| US8685917B2 (en) * | 2009-07-09 | 2014-04-01 | Enanta Pharmaceuticals, Inc. | Cyclosporin analogues |
| WO2012145426A1 (en) | 2011-04-18 | 2012-10-26 | The Trustees Of Columbia University In The City Of New York | Methods to treat cancer using cyclosporine and cyclosporine derivatives |
| WO2014085623A1 (en) * | 2012-11-28 | 2014-06-05 | Enanta Pharmaceuticals, Inc. | Novel [n-me-4-hydroxyleucine]-9-cyclosporin analogues |
| KR20160045136A (en) | 2013-08-26 | 2016-04-26 | 이난타 파마슈티칼스, 인코포레이티드 | Cyclosporin analogues for preventing or treating hepatitis c |
| US9669095B2 (en) | 2014-11-03 | 2017-06-06 | Enanta Pharmaceuticals, Inc. | Cyclosporin analogues for preventing or treating hepatitis C infection |
Citations (7)
| Publication number | Priority date | Publication date | Assignee | Title |
|---|---|---|---|---|
| US4554351A (en) * | 1980-02-14 | 1985-11-19 | Sandoz Ltd. | Method for the total synthesis of cyclosporins, novel cyclosporins and novel intermediates and methods for their production |
| US4798823A (en) * | 1987-06-03 | 1989-01-17 | Merck & Co., Inc. | New cyclosporin analogs with modified "C-9 amino acids" |
| US5239057A (en) * | 1987-03-27 | 1993-08-24 | Abbott Laboratories | Fluorescence polarization assay for cyclosporin a and metabolites and related immunogens and antibodies |
| US5427960A (en) * | 1987-03-27 | 1995-06-27 | Abbott Laboratories | Fluorescence polarization assay for cyclosporin A and metabolites and related immunogens and antibodies |
| US5643870A (en) * | 1992-03-02 | 1997-07-01 | Sandoz Ltd. | O-acylated cyclosporins |
| US5827706A (en) * | 1992-07-09 | 1998-10-27 | Novartis Ag | Cyclosporin synthetase |
| US20020132763A1 (en) * | 1997-10-08 | 2002-09-19 | Salvaraj Naicker | Deuterated cyclosporine analogs and their use as immunomodulating agents |
Family Cites Families (1)
| Publication number | Priority date | Publication date | Assignee | Title |
|---|---|---|---|---|
| ES2266564T3 (en) * | 2001-10-19 | 2007-03-01 | Isotechnika Inc. | SYNTHESIS OF CYCLOPORINE ANALOGS. |
-
2003
- 2003-06-20 US US10/600,303 patent/US20040266669A1/en not_active Abandoned
-
2004
- 2004-05-19 WO PCT/US2004/015805 patent/WO2005000879A1/en not_active Ceased
-
2007
- 2007-06-19 US US11/765,261 patent/US7468419B2/en not_active Expired - Fee Related
Patent Citations (8)
| Publication number | Priority date | Publication date | Assignee | Title |
|---|---|---|---|---|
| US4554351A (en) * | 1980-02-14 | 1985-11-19 | Sandoz Ltd. | Method for the total synthesis of cyclosporins, novel cyclosporins and novel intermediates and methods for their production |
| US5239057A (en) * | 1987-03-27 | 1993-08-24 | Abbott Laboratories | Fluorescence polarization assay for cyclosporin a and metabolites and related immunogens and antibodies |
| US5427960A (en) * | 1987-03-27 | 1995-06-27 | Abbott Laboratories | Fluorescence polarization assay for cyclosporin A and metabolites and related immunogens and antibodies |
| US4798823A (en) * | 1987-06-03 | 1989-01-17 | Merck & Co., Inc. | New cyclosporin analogs with modified "C-9 amino acids" |
| US5643870A (en) * | 1992-03-02 | 1997-07-01 | Sandoz Ltd. | O-acylated cyclosporins |
| US5827706A (en) * | 1992-07-09 | 1998-10-27 | Novartis Ag | Cyclosporin synthetase |
| US20020132763A1 (en) * | 1997-10-08 | 2002-09-19 | Salvaraj Naicker | Deuterated cyclosporine analogs and their use as immunomodulating agents |
| US6605593B1 (en) * | 1997-10-08 | 2003-08-12 | Isotechnika, Inc. | Deuterated cyclosporine analogs and their use as immunomodulating agents |
Cited By (24)
| Publication number | Priority date | Publication date | Assignee | Title |
|---|---|---|---|---|
| US7538084B2 (en) | 2003-03-17 | 2009-05-26 | Amr Technology, Inc. | Cyclosporins |
| US20040235716A1 (en) * | 2003-03-17 | 2004-11-25 | Molino Bruce F. | Novel cyclosporins |
| US7511013B2 (en) | 2004-09-29 | 2009-03-31 | Amr Technology, Inc. | Cyclosporin analogues and their pharmaceutical uses |
| US20060069015A1 (en) * | 2004-09-29 | 2006-03-30 | Amr Technology, Inc. | Novel cyclosporin analogues and their pharmaceutical uses |
| US20060069016A1 (en) * | 2004-09-29 | 2006-03-30 | Amr Technology, Inc. | Cyclosporin alkyne analogues and their pharmaceutical uses |
| US7378391B2 (en) | 2004-09-29 | 2008-05-27 | Amr Technology, Inc. | Cyclosporin alkyne analogues and their pharmaceutical uses |
| US20060074015A1 (en) * | 2004-10-06 | 2006-04-06 | Amr Technology, Inc. | Novel cyclosporin alkynes and their utility as pharmaceutical agents |
| US7632807B2 (en) | 2004-10-06 | 2009-12-15 | Albany Molecular Research, Inc. | Cyclosporin alkynes and their utility as pharmaceutical agents |
| US7361636B2 (en) | 2004-10-06 | 2008-04-22 | Amr Technology, Inc. | Cyclosporin alkynes and their utility as pharmaceutical agents |
| US20080153744A1 (en) * | 2004-10-06 | 2008-06-26 | Amr Technology, Inc. | Novel cyclosporin alkynes and their utility as pharmaceutical agents |
| WO2007112357A3 (en) * | 2006-03-28 | 2007-12-27 | Amr Technology Inc | Use of cyclosporin alkyne analogues for preventing or treating viral-induced disorders |
| US20070232531A1 (en) * | 2006-03-28 | 2007-10-04 | Amr Technology, Inc. | Use of cyclosporin alkyne/alkene analogues for preventing or treating viral-induced disorders |
| US20070232530A1 (en) * | 2006-03-28 | 2007-10-04 | Amr Technology, Inc. | Use of cyclosporin alkyne analogues for preventing or treating viral-induced disorders |
| US7696166B2 (en) | 2006-03-28 | 2010-04-13 | Albany Molecular Research, Inc. | Use of cyclosporin alkyne/alkene analogues for preventing or treating viral-induced disorders |
| US7696165B2 (en) | 2006-03-28 | 2010-04-13 | Albany Molecular Research, Inc. | Use of cyclosporin alkyne analogues for preventing or treating viral-induced disorders |
| US10265375B2 (en) | 2007-10-08 | 2019-04-23 | Aurinia Pharmaceuticals Inc. | Ophthalmic compositions |
| US8535694B2 (en) | 2007-10-08 | 2013-09-17 | Lux Biosciences, Inc. | Ophthalmic compositions comprising calcineurin inhibitors or mTOR inhibitors |
| US8435544B2 (en) | 2007-10-08 | 2013-05-07 | Lux Biosciences, Inc. | Ophthalmic compositions comprising calcineurin inhibitors or mTOR inhibitors |
| US10973871B2 (en) | 2007-10-08 | 2021-04-13 | Aurinia Pharmaceuticals, Inc. | Ophthalmic compositions |
| US9017725B2 (en) | 2009-06-09 | 2015-04-28 | Aurinia Pharmaceuticals Inc. | Topical drug delivery systems for ophthalmic use |
| US9200038B2 (en) | 2010-12-15 | 2015-12-01 | Ciclofilin Pharmaceuticals Corp. | Cyclosporine analogue molecules modified at amino acid 1 and 3 |
| US9714271B2 (en) | 2010-12-15 | 2017-07-25 | Contravir Pharmaceuticals, Inc. | Cyclosporine analogue molecules modified at amino acid 1 and 3 |
| US11622991B2 (en) | 2017-05-12 | 2023-04-11 | Aurinia Pharmaceuticals Inc. | Protocol for treatment of lupus nephritis |
| CN115299430A (en) * | 2017-07-21 | 2022-11-08 | 西普拉里斯有限公司 | Cyclosporine analogs and their uses |
Also Published As
| Publication number | Publication date |
|---|---|
| US20070249527A1 (en) | 2007-10-25 |
| WO2005000879A1 (en) | 2005-01-06 |
| US7468419B2 (en) | 2008-12-23 |
Similar Documents
| Publication | Publication Date | Title |
|---|---|---|
| US7468419B2 (en) | Cyclosporin derivatives for the treatment of immune disorders | |
| US7012064B2 (en) | Cyclosporins for the treatment of immune disorders | |
| US6809077B2 (en) | Cyclosporin analogs for the treatment of autoimmune diseases | |
| US6979671B2 (en) | Cyclosporins for the treatment of immune disorders | |
| US7012065B2 (en) | Cyclosporins for the treatment of immune disorders | |
| US8481483B2 (en) | Cyclosporin analogues | |
| US8367053B2 (en) | Cyclosporin analogues | |
| JP4350898B2 (en) | Novel cyclosporine with improved activity characteristics | |
| US8349312B2 (en) | Proline substituted cyclosporin analogues | |
| US8685917B2 (en) | Cyclosporin analogues | |
| AU649277B2 (en) | Improvements in or relating to organic compounds | |
| CN103153330B (en) | Application of the new cyclosporin derivative in the treatment and prevention of virus infection | |
| US20040110666A1 (en) | Cyclosporins for the treatment of immune disorders | |
| WO2010088573A1 (en) | Cyclosporin analogues for preventing or treating hepatitis c infection | |
| NO851160L (en) | PROCEDURE FOR THE PREPARATION OF CYCLOSPORINES | |
| EP2855508B1 (en) | Cyclosporin a analogs | |
| AU7602096A (en) | Triterpene derivatives with immunosuppressant activity | |
| HK1005741B (en) | Cyclosporins |
Legal Events
| Date | Code | Title | Description |
|---|---|---|---|
| AS | Assignment |
Owner name: ENANTA PHARMACEUTICALS, INC., MASSACHUSETTS Free format text: ASSIGNMENT OF ASSIGNORS INTEREST;ASSIGNORS:WU, FRANK X. H.;OR, YAT SUN;REEL/FRAME:014224/0755 Effective date: 20030620 |
|
| STCB | Information on status: application discontinuation |
Free format text: ABANDONED -- FAILURE TO RESPOND TO AN OFFICE ACTION |


















































































































