US20020132763A1 - Deuterated cyclosporine analogs and their use as immunomodulating agents - Google Patents
Deuterated cyclosporine analogs and their use as immunomodulating agents Download PDFInfo
- Publication number
- US20020132763A1 US20020132763A1 US09/985,997 US98599701A US2002132763A1 US 20020132763 A1 US20020132763 A1 US 20020132763A1 US 98599701 A US98599701 A US 98599701A US 2002132763 A1 US2002132763 A1 US 2002132763A1
- Authority
- US
- United States
- Prior art keywords
- cyclosporine
- derivative
- complex
- deuterium
- cyclosporin
- Prior art date
- Legal status (The legal status is an assumption and is not a legal conclusion. Google has not performed a legal analysis and makes no representation as to the accuracy of the status listed.)
- Abandoned
Links
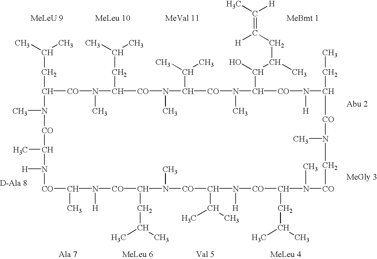
- PMATZTZNYRCHOR-CGLBZJNRSA-N Cyclosporin A Chemical class CC[C@@H]1NC(=O)[C@H]([C@H](O)[C@H](C)C\C=C\C)N(C)C(=O)[C@H](C(C)C)N(C)C(=O)[C@H](CC(C)C)N(C)C(=O)[C@H](CC(C)C)N(C)C(=O)[C@@H](C)NC(=O)[C@H](C)NC(=O)[C@H](CC(C)C)N(C)C(=O)[C@H](C(C)C)NC(=O)[C@H](CC(C)C)N(C)C(=O)CN(C)C1=O PMATZTZNYRCHOR-CGLBZJNRSA-N 0.000 title claims abstract description 105
- 239000002955 immunomodulating agent Substances 0.000 title 1
- 238000000034 method Methods 0.000 claims abstract description 35
- 229910052805 deuterium Inorganic materials 0.000 claims abstract description 26
- YZCKVEUIGOORGS-OUBTZVSYSA-N Deuterium Chemical group [2H] YZCKVEUIGOORGS-OUBTZVSYSA-N 0.000 claims abstract description 22
- 238000006467 substitution reaction Methods 0.000 claims abstract description 19
- 150000001413 amino acids Chemical class 0.000 claims abstract description 17
- 239000000126 substance Substances 0.000 claims abstract description 12
- 230000000155 isotopic effect Effects 0.000 claims abstract description 7
- 125000003275 alpha amino acid group Chemical class 0.000 claims abstract 3
- -1 nitro, amino Chemical group 0.000 claims description 17
- 150000002148 esters Chemical class 0.000 claims description 9
- 229910052739 hydrogen Inorganic materials 0.000 claims description 8
- 239000001257 hydrogen Substances 0.000 claims description 8
- 239000008194 pharmaceutical composition Substances 0.000 claims description 7
- OKTJSMMVPCPJKN-UHFFFAOYSA-N Carbon Chemical group [C] OKTJSMMVPCPJKN-UHFFFAOYSA-N 0.000 claims description 6
- 125000000623 heterocyclic group Chemical group 0.000 claims description 6
- UFHFLCQGNIYNRP-UHFFFAOYSA-N Hydrogen Chemical compound [H][H] UFHFLCQGNIYNRP-UHFFFAOYSA-N 0.000 claims description 5
- 125000003118 aryl group Chemical group 0.000 claims description 5
- 229910052799 carbon Inorganic materials 0.000 claims description 5
- 125000002496 methyl group Chemical group [H]C([H])([H])* 0.000 claims description 5
- 125000006238 prop-1-en-1-yl group Chemical group [H]\C(*)=C(/[H])C([H])([H])[H] 0.000 claims description 5
- 229920006395 saturated elastomer Polymers 0.000 claims description 5
- 150000001975 deuterium Chemical group 0.000 claims description 4
- 125000004431 deuterium atom Chemical group 0.000 claims description 4
- 239000003937 drug carrier Substances 0.000 claims description 4
- 125000002820 allylidene group Chemical group [H]C(=[*])C([H])=C([H])[H] 0.000 claims description 3
- 229910052736 halogen Inorganic materials 0.000 claims description 3
- 150000002367 halogens Chemical class 0.000 claims description 3
- 125000000391 vinyl group Chemical group [H]C([*])=C([H])[H] 0.000 claims description 3
- LFQSCWFLJHTTHZ-UHFFFAOYSA-N Ethanol Chemical compound CCO LFQSCWFLJHTTHZ-UHFFFAOYSA-N 0.000 claims description 2
- 241001465754 Metazoa Species 0.000 claims description 2
- 125000003368 amide group Chemical group 0.000 claims description 2
- 125000004432 carbon atom Chemical group C* 0.000 claims description 2
- 125000004435 hydrogen atom Chemical group [H]* 0.000 claims description 2
- 150000002576 ketones Chemical class 0.000 claims description 2
- 125000001424 substituent group Chemical group 0.000 claims description 2
- QTBSBXVTEAMEQO-UHFFFAOYSA-M Acetate Chemical compound CC([O-])=O QTBSBXVTEAMEQO-UHFFFAOYSA-M 0.000 claims 1
- 150000003839 salts Chemical class 0.000 claims 1
- 108010036949 Cyclosporine Proteins 0.000 abstract description 57
- 229930105110 Cyclosporin A Natural products 0.000 abstract description 47
- 229930182912 cyclosporin Natural products 0.000 abstract description 47
- 108010036941 Cyclosporins Proteins 0.000 abstract description 25
- 230000001506 immunosuppresive effect Effects 0.000 abstract description 9
- 230000004060 metabolic process Effects 0.000 abstract description 8
- 231100000419 toxicity Toxicity 0.000 abstract description 4
- 230000001988 toxicity Effects 0.000 abstract description 4
- 230000002829 reductive effect Effects 0.000 abstract description 3
- 206010062016 Immunosuppression Diseases 0.000 abstract description 2
- UHOVQNZJYSORNB-UHFFFAOYSA-N Benzene Chemical compound C1=CC=CC=C1 UHOVQNZJYSORNB-UHFFFAOYSA-N 0.000 description 39
- HEDRZPFGACZZDS-UHFFFAOYSA-N Chloroform Chemical compound ClC(Cl)Cl HEDRZPFGACZZDS-UHFFFAOYSA-N 0.000 description 30
- 229960001265 ciclosporin Drugs 0.000 description 28
- UHOVQNZJYSORNB-MZWXYZOWSA-N benzene-d6 Chemical compound [2H]C1=C([2H])C([2H])=C([2H])C([2H])=C1[2H] UHOVQNZJYSORNB-MZWXYZOWSA-N 0.000 description 22
- 150000001875 compounds Chemical class 0.000 description 22
- 229940079593 drug Drugs 0.000 description 22
- 239000003814 drug Substances 0.000 description 22
- 230000000694 effects Effects 0.000 description 22
- XEKOWRVHYACXOJ-UHFFFAOYSA-N Ethyl acetate Chemical compound CCOC(C)=O XEKOWRVHYACXOJ-UHFFFAOYSA-N 0.000 description 20
- XLYOFNOQVPJJNP-UHFFFAOYSA-N water Chemical compound O XLYOFNOQVPJJNP-UHFFFAOYSA-N 0.000 description 20
- ZORQXIQZAOLNGE-UHFFFAOYSA-N 1,1-difluorocyclohexane Chemical compound FC1(F)CCCCC1 ZORQXIQZAOLNGE-UHFFFAOYSA-N 0.000 description 17
- OKKJLVBELUTLKV-UHFFFAOYSA-N Methanol Chemical compound OC OKKJLVBELUTLKV-UHFFFAOYSA-N 0.000 description 15
- KRKNYBCHXYNGOX-UHFFFAOYSA-N citric acid Chemical compound OC(=O)CC(O)(C(O)=O)CC(O)=O KRKNYBCHXYNGOX-UHFFFAOYSA-N 0.000 description 15
- CSNNHWWHGAXBCP-UHFFFAOYSA-L Magnesium sulfate Chemical compound [Mg+2].[O-][S+2]([O-])([O-])[O-] CSNNHWWHGAXBCP-UHFFFAOYSA-L 0.000 description 14
- 239000000243 solution Substances 0.000 description 14
- 239000000203 mixture Substances 0.000 description 13
- 239000007787 solid Substances 0.000 description 13
- 239000002904 solvent Substances 0.000 description 13
- 108010002350 Interleukin-2 Proteins 0.000 description 11
- 210000004698 lymphocyte Anatomy 0.000 description 11
- 102000000588 Interleukin-2 Human genes 0.000 description 10
- 230000015572 biosynthetic process Effects 0.000 description 10
- 235000019439 ethyl acetate Nutrition 0.000 description 10
- 239000002207 metabolite Substances 0.000 description 10
- CSCPPACGZOOCGX-UHFFFAOYSA-N Acetone Chemical compound CC(C)=O CSCPPACGZOOCGX-UHFFFAOYSA-N 0.000 description 9
- 102000004631 Calcineurin Human genes 0.000 description 9
- 108010042955 Calcineurin Proteins 0.000 description 9
- 102000001493 Cyclophilins Human genes 0.000 description 9
- 108010068682 Cyclophilins Proteins 0.000 description 9
- 210000001744 T-lymphocyte Anatomy 0.000 description 9
- 238000004108 freeze drying Methods 0.000 description 9
- 239000010410 layer Substances 0.000 description 9
- 238000002360 preparation method Methods 0.000 description 9
- 230000008569 process Effects 0.000 description 9
- 238000000746 purification Methods 0.000 description 9
- 239000004480 active ingredient Substances 0.000 description 8
- 230000005764 inhibitory process Effects 0.000 description 8
- 238000004519 manufacturing process Methods 0.000 description 8
- 239000000725 suspension Substances 0.000 description 8
- 238000006243 chemical reaction Methods 0.000 description 7
- 239000012043 crude product Substances 0.000 description 7
- 208000037265 diseases, disorders, signs and symptoms Diseases 0.000 description 7
- 238000004128 high performance liquid chromatography Methods 0.000 description 7
- 229910052943 magnesium sulfate Inorganic materials 0.000 description 7
- 108090000623 proteins and genes Proteins 0.000 description 7
- 238000003756 stirring Methods 0.000 description 7
- WFDIJRYMOXRFFG-UHFFFAOYSA-N Acetic anhydride Chemical compound CC(=O)OC(C)=O WFDIJRYMOXRFFG-UHFFFAOYSA-N 0.000 description 6
- WEVYAHXRMPXWCK-UHFFFAOYSA-N Acetonitrile Chemical compound CC#N WEVYAHXRMPXWCK-UHFFFAOYSA-N 0.000 description 6
- HEMHJVSKTPXQMS-UHFFFAOYSA-M Sodium hydroxide Chemical compound [OH-].[Na+] HEMHJVSKTPXQMS-UHFFFAOYSA-M 0.000 description 6
- 230000009471 action Effects 0.000 description 6
- 210000004027 cell Anatomy 0.000 description 6
- 229940126214 compound 3 Drugs 0.000 description 6
- 239000000796 flavoring agent Substances 0.000 description 6
- 230000003647 oxidation Effects 0.000 description 6
- 238000007254 oxidation reaction Methods 0.000 description 6
- 239000000546 pharmaceutical excipient Substances 0.000 description 6
- BWHMMNNQKKPAPP-UHFFFAOYSA-L potassium carbonate Chemical compound [K+].[K+].[O-]C([O-])=O BWHMMNNQKKPAPP-UHFFFAOYSA-L 0.000 description 6
- 239000003765 sweetening agent Substances 0.000 description 6
- JTOKYIBTLUQVQV-QRVTZXGZSA-N (3s,6s,9s,12r,15s,18s,21s,24s,30s,33s)-30-[(1r)-1-hydroxyethyl]-33-[(e,1r,2r)-1-hydroxy-2-methylhex-4-enyl]-1,4,7,10,12,15,19,25,28-nonamethyl-6,9,18,24-tetrakis(2-methylpropyl)-3,21-di(propan-2-yl)-1,4,7,10,13,16,19,22,25,28,31-undecazacyclotritriacontan Chemical compound C\C=C\C[C@@H](C)[C@@H](O)[C@@H]1N(C)C(=O)[C@H](C(C)C)N(C)C(=O)[C@H](CC(C)C)N(C)C(=O)[C@H](CC(C)C)N(C)C(=O)[C@@H](C)NC(=O)[C@H](C)NC(=O)[C@H](CC(C)C)N(C)C(=O)[C@H](C(C)C)NC(=O)[C@H](CC(C)C)N(C)C(=O)CN(C)C(=O)[C@H]([C@@H](C)O)NC1=O JTOKYIBTLUQVQV-QRVTZXGZSA-N 0.000 description 5
- 0 */C([H])=C(\[H])CC(C)C(C)C1C(=O)N([H])C(CC)C(=O)N(C)C(C)([Y])C(=O)N(C)C(CC(C)C)C(=O)N([H])C(C(C)C)C(=O)N(C)C(CC(C)C)C(=O)N([H])C(C)C(=O)N([H])C(C)C(=O)N(C)C(CC(*)(C)C)C(=O)N(C)C(CC(C)C)C(=O)N(C)C(C(C)C)C(=O)N1C Chemical compound */C([H])=C(\[H])CC(C)C(C)C1C(=O)N([H])C(CC)C(=O)N(C)C(C)([Y])C(=O)N(C)C(CC(C)C)C(=O)N([H])C(C(C)C)C(=O)N(C)C(CC(C)C)C(=O)N([H])C(C)C(=O)N([H])C(C)C(=O)N(C)C(CC(*)(C)C)C(=O)N(C)C(CC(C)C)C(=O)N(C)C(C(C)C)C(=O)N1C 0.000 description 5
- QTBSBXVTEAMEQO-UHFFFAOYSA-N Acetic acid Chemical compound CC(O)=O QTBSBXVTEAMEQO-UHFFFAOYSA-N 0.000 description 5
- JTOKYIBTLUQVQV-UHFFFAOYSA-N Cyclosporin C Natural products CC=CCC(C)C(O)C1N(C)C(=O)C(C(C)C)N(C)C(=O)C(CC(C)C)N(C)C(=O)C(CC(C)C)N(C)C(=O)C(C)NC(=O)C(C)NC(=O)C(CC(C)C)N(C)C(=O)C(C(C)C)NC(=O)C(CC(C)C)N(C)C(=O)CN(C)C(=O)C(C(C)O)NC1=O JTOKYIBTLUQVQV-UHFFFAOYSA-N 0.000 description 5
- 102000004160 Phosphoric Monoester Hydrolases Human genes 0.000 description 5
- 108090000608 Phosphoric Monoester Hydrolases Proteins 0.000 description 5
- 108091008874 T cell receptors Proteins 0.000 description 5
- 102000016266 T-Cell Antigen Receptors Human genes 0.000 description 5
- 230000004913 activation Effects 0.000 description 5
- 239000007859 condensation product Substances 0.000 description 5
- 108010019248 cyclosporin C Proteins 0.000 description 5
- 235000014113 dietary fatty acids Nutrition 0.000 description 5
- 201000010099 disease Diseases 0.000 description 5
- 239000000194 fatty acid Substances 0.000 description 5
- 229930195729 fatty acid Natural products 0.000 description 5
- 150000004665 fatty acids Chemical class 0.000 description 5
- 235000003599 food sweetener Nutrition 0.000 description 5
- 238000009472 formulation Methods 0.000 description 5
- 125000002485 formyl group Chemical class [H]C(*)=O 0.000 description 5
- 230000005445 isotope effect Effects 0.000 description 5
- 229910000489 osmium tetroxide Inorganic materials 0.000 description 5
- 230000037361 pathway Effects 0.000 description 5
- 102000004169 proteins and genes Human genes 0.000 description 5
- 239000011541 reaction mixture Substances 0.000 description 5
- 238000003786 synthesis reaction Methods 0.000 description 5
- AHQFCPOIMVMDEZ-UNISNWAASA-N (e,2s,3r,4r)-3-hydroxy-4-methyl-2-(methylamino)oct-6-enoic acid Chemical group CN[C@H](C(O)=O)[C@H](O)[C@H](C)C\C=C\C AHQFCPOIMVMDEZ-UNISNWAASA-N 0.000 description 4
- VTYYLEPIZMXCLO-UHFFFAOYSA-L Calcium carbonate Chemical compound [Ca+2].[O-]C([O-])=O VTYYLEPIZMXCLO-UHFFFAOYSA-L 0.000 description 4
- RTZKZFJDLAIYFH-UHFFFAOYSA-N Diethyl ether Chemical compound CCOCC RTZKZFJDLAIYFH-UHFFFAOYSA-N 0.000 description 4
- IAYPIBMASNFSPL-UHFFFAOYSA-N Ethylene oxide Chemical compound C1CO1 IAYPIBMASNFSPL-UHFFFAOYSA-N 0.000 description 4
- 239000007900 aqueous suspension Substances 0.000 description 4
- 125000004429 atom Chemical group 0.000 description 4
- 210000004369 blood Anatomy 0.000 description 4
- 239000008280 blood Substances 0.000 description 4
- 239000012267 brine Substances 0.000 description 4
- 239000003153 chemical reaction reagent Substances 0.000 description 4
- 239000003795 chemical substances by application Substances 0.000 description 4
- 238000003776 cleavage reaction Methods 0.000 description 4
- 239000003086 colorant Substances 0.000 description 4
- 239000002270 dispersing agent Substances 0.000 description 4
- 238000003818 flash chromatography Methods 0.000 description 4
- 235000013355 food flavoring agent Nutrition 0.000 description 4
- 239000003018 immunosuppressive agent Substances 0.000 description 4
- 239000000543 intermediate Substances 0.000 description 4
- 239000003446 ligand Substances 0.000 description 4
- 239000000463 material Substances 0.000 description 4
- 230000036961 partial effect Effects 0.000 description 4
- 230000003285 pharmacodynamic effect Effects 0.000 description 4
- 239000003755 preservative agent Substances 0.000 description 4
- 239000000047 product Substances 0.000 description 4
- 238000009790 rate-determining step (RDS) Methods 0.000 description 4
- 230000007017 scission Effects 0.000 description 4
- 239000011734 sodium Substances 0.000 description 4
- JQWHASGSAFIOCM-UHFFFAOYSA-M sodium periodate Chemical compound [Na+].[O-]I(=O)(=O)=O JQWHASGSAFIOCM-UHFFFAOYSA-M 0.000 description 4
- HPALAKNZSZLMCH-UHFFFAOYSA-M sodium;chloride;hydrate Chemical compound O.[Na+].[Cl-] HPALAKNZSZLMCH-UHFFFAOYSA-M 0.000 description 4
- 239000000375 suspending agent Substances 0.000 description 4
- 239000003826 tablet Substances 0.000 description 4
- 239000000080 wetting agent Substances 0.000 description 4
- ZNVBEWJRWHNZMK-SYOLRUPNSA-N (3s,6s,9s,12r,15s,18s,21s,24s,30s,33s)-33-[(e,1r,2r)-1-hydroxy-2-methylhex-4-enyl]-1,4,7,10,12,15,19,25,28-nonamethyl-6,9,18,24-tetrakis(2-methylpropyl)-3,21,30-tri(propan-2-yl)-1,4,7,10,13,16,19,22,25,28,31-undecazacyclotritriacontane-2,5,8,11,14,17,20,2 Chemical compound C\C=C\C[C@@H](C)[C@@H](O)[C@@H]1N(C)C(=O)[C@H](C(C)C)N(C)C(=O)[C@H](CC(C)C)N(C)C(=O)[C@H](CC(C)C)N(C)C(=O)[C@@H](C)NC(=O)[C@H](C)NC(=O)[C@H](CC(C)C)N(C)C(=O)[C@H](C(C)C)NC(=O)[C@H](CC(C)C)N(C)C(=O)CN(C)C(=O)[C@H](C(C)C)NC1=O ZNVBEWJRWHNZMK-SYOLRUPNSA-N 0.000 description 3
- IIZPXYDJLKNOIY-JXPKJXOSSA-N 1-palmitoyl-2-arachidonoyl-sn-glycero-3-phosphocholine Chemical compound CCCCCCCCCCCCCCCC(=O)OC[C@H](COP([O-])(=O)OCC[N+](C)(C)C)OC(=O)CCC\C=C/C\C=C/C\C=C/C\C=C/CCCCC IIZPXYDJLKNOIY-JXPKJXOSSA-N 0.000 description 3
- 239000006144 Dulbecco’s modified Eagle's medium Substances 0.000 description 3
- PEDCQBHIVMGVHV-UHFFFAOYSA-N Glycerine Chemical compound OCC(O)CO PEDCQBHIVMGVHV-UHFFFAOYSA-N 0.000 description 3
- 102000002673 NFATC Transcription Factors Human genes 0.000 description 3
- 108010018525 NFATC Transcription Factors Proteins 0.000 description 3
- DNIAPMSPPWPWGF-UHFFFAOYSA-N Propylene glycol Chemical compound CC(O)CO DNIAPMSPPWPWGF-UHFFFAOYSA-N 0.000 description 3
- 230000006044 T cell activation Effects 0.000 description 3
- 238000010521 absorption reaction Methods 0.000 description 3
- 239000003242 anti bacterial agent Substances 0.000 description 3
- 229940088710 antibiotic agent Drugs 0.000 description 3
- 230000001363 autoimmune Effects 0.000 description 3
- 230000004071 biological effect Effects 0.000 description 3
- 108010019594 cyclosporin D Proteins 0.000 description 3
- 108010040786 dihydrocyclosporin C Proteins 0.000 description 3
- 239000000839 emulsion Substances 0.000 description 3
- 230000002209 hydrophobic effect Effects 0.000 description 3
- 230000004957 immunoregulator effect Effects 0.000 description 3
- 229940125721 immunosuppressive agent Drugs 0.000 description 3
- 238000000338 in vitro Methods 0.000 description 3
- 238000002955 isolation Methods 0.000 description 3
- 239000007788 liquid Substances 0.000 description 3
- 229940057995 liquid paraffin Drugs 0.000 description 3
- 230000002503 metabolic effect Effects 0.000 description 3
- 238000007799 mixed lymphocyte reaction assay Methods 0.000 description 3
- 230000004048 modification Effects 0.000 description 3
- 238000012986 modification Methods 0.000 description 3
- 231100000252 nontoxic Toxicity 0.000 description 3
- 230000003000 nontoxic effect Effects 0.000 description 3
- 239000003921 oil Substances 0.000 description 3
- 235000019198 oils Nutrition 0.000 description 3
- 239000004006 olive oil Substances 0.000 description 3
- 235000008390 olive oil Nutrition 0.000 description 3
- 150000002894 organic compounds Chemical class 0.000 description 3
- 229910000027 potassium carbonate Inorganic materials 0.000 description 3
- 108090000765 processed proteins & peptides Proteins 0.000 description 3
- 230000019491 signal transduction Effects 0.000 description 3
- 239000000758 substrate Substances 0.000 description 3
- 210000001519 tissue Anatomy 0.000 description 3
- 231100000331 toxic Toxicity 0.000 description 3
- 230000002588 toxic effect Effects 0.000 description 3
- 238000002054 transplantation Methods 0.000 description 3
- PUPZLCDOIYMWBV-UHFFFAOYSA-N (+/-)-1,3-Butanediol Chemical compound CC(O)CCO PUPZLCDOIYMWBV-UHFFFAOYSA-N 0.000 description 2
- GEUKOOCPPICVTB-SMOCYEBVSA-N (3s,6s,9s,12r,15s,18s,21s,24s,30s)-33-[(1r,2r)-1-hydroxy-2-methylhexyl]-1,4,7,10,12,15,19,25,28-nonamethyl-6,9,18,24-tetrakis(2-methylpropyl)-3,21,30-tri(propan-2-yl)-1,4,7,10,13,16,19,22,25,28,31-undecazacyclotritriacontane-2,5,8,11,14,17,20,23,26,29,32- Chemical compound CCCC[C@@H](C)[C@@H](O)C1N(C)C(=O)[C@H](C(C)C)N(C)C(=O)[C@H](CC(C)C)N(C)C(=O)[C@H](CC(C)C)N(C)C(=O)[C@@H](C)NC(=O)[C@H](C)NC(=O)[C@H](CC(C)C)N(C)C(=O)[C@H](C(C)C)NC(=O)[C@H](CC(C)C)N(C)C(=O)CN(C)C(=O)[C@H](C(C)C)NC1=O GEUKOOCPPICVTB-SMOCYEBVSA-N 0.000 description 2
- QOLHWXNSCZGWHK-BWBORTOCSA-N (6r,7r)-1-[(4s,5r)-4-acetyloxy-5-methyl-3-methylidene-6-phenylhexyl]-4,7-dihydroxy-6-(11-phenoxyundecylcarbamoyloxy)-2,8-dioxabicyclo[3.2.1]octane-3,4,5-tricarboxylic acid Chemical compound C([C@@H](C)[C@H](OC(C)=O)C(=C)CCC12[C@@H]([C@@H](OC(=O)NCCCCCCCCCCCOC=3C=CC=CC=3)C(O1)(C(O)=O)C(O)(C(O2)C(O)=O)C(O)=O)O)C1=CC=CC=C1 QOLHWXNSCZGWHK-BWBORTOCSA-N 0.000 description 2
- VBICKXHEKHSIBG-UHFFFAOYSA-N 1-monostearoylglycerol Chemical compound CCCCCCCCCCCCCCCCCC(=O)OCC(O)CO VBICKXHEKHSIBG-UHFFFAOYSA-N 0.000 description 2
- IZHVBANLECCAGF-UHFFFAOYSA-N 2-hydroxy-3-(octadecanoyloxy)propyl octadecanoate Chemical compound CCCCCCCCCCCCCCCCCC(=O)OCC(O)COC(=O)CCCCCCCCCCCCCCCCC IZHVBANLECCAGF-UHFFFAOYSA-N 0.000 description 2
- VHYFNPMBLIVWCW-UHFFFAOYSA-N 4-Dimethylaminopyridine Chemical compound CN(C)C1=CC=NC=C1 VHYFNPMBLIVWCW-UHFFFAOYSA-N 0.000 description 2
- 244000215068 Acacia senegal Species 0.000 description 2
- 235000006491 Acacia senegal Nutrition 0.000 description 2
- 235000003911 Arachis Nutrition 0.000 description 2
- 244000105624 Arachis hypogaea Species 0.000 description 2
- 108010011485 Aspartame Proteins 0.000 description 2
- 241000416162 Astragalus gummifer Species 0.000 description 2
- 208000023275 Autoimmune disease Diseases 0.000 description 2
- 206010009900 Colitis ulcerative Diseases 0.000 description 2
- 229940126559 Compound 4e Drugs 0.000 description 2
- 229920000084 Gum arabic Polymers 0.000 description 2
- 206010029350 Neurotoxicity Diseases 0.000 description 2
- 201000004681 Psoriasis Diseases 0.000 description 2
- VYPSYNLAJGMNEJ-UHFFFAOYSA-N Silicium dioxide Chemical compound O=[Si]=O VYPSYNLAJGMNEJ-UHFFFAOYSA-N 0.000 description 2
- CZMRCDWAGMRECN-UGDNZRGBSA-N Sucrose Chemical compound O[C@H]1[C@H](O)[C@@H](CO)O[C@@]1(CO)O[C@@H]1[C@H](O)[C@@H](O)[C@H](O)[C@@H](CO)O1 CZMRCDWAGMRECN-UGDNZRGBSA-N 0.000 description 2
- 229930006000 Sucrose Natural products 0.000 description 2
- 206010044221 Toxic encephalopathy Diseases 0.000 description 2
- 229920001615 Tragacanth Polymers 0.000 description 2
- 102000040945 Transcription factor Human genes 0.000 description 2
- 108091023040 Transcription factor Proteins 0.000 description 2
- 206010052779 Transplant rejections Diseases 0.000 description 2
- 206010067584 Type 1 diabetes mellitus Diseases 0.000 description 2
- 201000006704 Ulcerative Colitis Diseases 0.000 description 2
- 230000005856 abnormality Effects 0.000 description 2
- 235000010489 acacia gum Nutrition 0.000 description 2
- 238000005903 acid hydrolysis reaction Methods 0.000 description 2
- 239000012670 alkaline solution Substances 0.000 description 2
- 125000000217 alkyl group Chemical class 0.000 description 2
- 230000001093 anti-cancer Effects 0.000 description 2
- 239000000427 antigen Substances 0.000 description 2
- 102000036639 antigens Human genes 0.000 description 2
- 108091007433 antigens Proteins 0.000 description 2
- 238000013459 approach Methods 0.000 description 2
- 229960005070 ascorbic acid Drugs 0.000 description 2
- IAOZJIPTCAWIRG-QWRGUYRKSA-N aspartame Chemical compound OC(=O)C[C@H](N)C(=O)N[C@H](C(=O)OC)CC1=CC=CC=C1 IAOZJIPTCAWIRG-QWRGUYRKSA-N 0.000 description 2
- 239000000605 aspartame Substances 0.000 description 2
- 235000010357 aspartame Nutrition 0.000 description 2
- 229960003438 aspartame Drugs 0.000 description 2
- 238000003556 assay Methods 0.000 description 2
- 239000012298 atmosphere Substances 0.000 description 2
- 208000037979 autoimmune inflammatory disease Diseases 0.000 description 2
- 230000037396 body weight Effects 0.000 description 2
- 210000001185 bone marrow Anatomy 0.000 description 2
- 229910000019 calcium carbonate Inorganic materials 0.000 description 2
- 239000001506 calcium phosphate Substances 0.000 description 2
- 229910000389 calcium phosphate Inorganic materials 0.000 description 2
- 235000011010 calcium phosphates Nutrition 0.000 description 2
- 239000012876 carrier material Substances 0.000 description 2
- 230000001684 chronic effect Effects 0.000 description 2
- 208000037976 chronic inflammation Diseases 0.000 description 2
- 208000037893 chronic inflammatory disorder Diseases 0.000 description 2
- 108010040781 dihydrocyclosporin D Proteins 0.000 description 2
- 239000003085 diluting agent Substances 0.000 description 2
- 238000010790 dilution Methods 0.000 description 2
- 239000012895 dilution Substances 0.000 description 2
- 208000035475 disorder Diseases 0.000 description 2
- 238000009826 distribution Methods 0.000 description 2
- 230000029142 excretion Effects 0.000 description 2
- 238000000855 fermentation Methods 0.000 description 2
- 230000004151 fermentation Effects 0.000 description 2
- 239000007903 gelatin capsule Substances 0.000 description 2
- 208000024908 graft versus host disease Diseases 0.000 description 2
- 239000008187 granular material Substances 0.000 description 2
- BXWNKGSJHAJOGX-UHFFFAOYSA-N hexadecan-1-ol Chemical compound CCCCCCCCCCCCCCCCO BXWNKGSJHAJOGX-UHFFFAOYSA-N 0.000 description 2
- 150000002431 hydrogen Chemical class 0.000 description 2
- 238000005984 hydrogenation reaction Methods 0.000 description 2
- 230000033444 hydroxylation Effects 0.000 description 2
- 238000005805 hydroxylation reaction Methods 0.000 description 2
- 230000028993 immune response Effects 0.000 description 2
- 238000001727 in vivo Methods 0.000 description 2
- 238000010348 incorporation Methods 0.000 description 2
- 239000003112 inhibitor Substances 0.000 description 2
- 108040006849 interleukin-2 receptor activity proteins Proteins 0.000 description 2
- 235000010445 lecithin Nutrition 0.000 description 2
- 239000000787 lecithin Substances 0.000 description 2
- 229940067606 lecithin Drugs 0.000 description 2
- HQKMJHAJHXVSDF-UHFFFAOYSA-L magnesium stearate Chemical compound [Mg+2].CCCCCCCCCCCCCCCCCC([O-])=O.CCCCCCCCCCCCCCCCCC([O-])=O HQKMJHAJHXVSDF-UHFFFAOYSA-L 0.000 description 2
- 230000007246 mechanism Effects 0.000 description 2
- 230000001404 mediated effect Effects 0.000 description 2
- 239000002609 medium Substances 0.000 description 2
- 230000037353 metabolic pathway Effects 0.000 description 2
- 239000002480 mineral oil Substances 0.000 description 2
- 235000010446 mineral oil Nutrition 0.000 description 2
- 239000001788 mono and diglycerides of fatty acids Substances 0.000 description 2
- 201000006417 multiple sclerosis Diseases 0.000 description 2
- 230000007135 neurotoxicity Effects 0.000 description 2
- 229940021182 non-steroidal anti-inflammatory drug Drugs 0.000 description 2
- 239000000346 nonvolatile oil Substances 0.000 description 2
- VEFJHAYOIAAXEU-UHFFFAOYSA-N okadaic acid Natural products CC(CC(O)C1OC2CCC3(CCC(O3)C=CC(C)C4CC(=CC5(OC(CC(C)(O)C(=O)O)CCC5O)O4)C)OC2C(O)C1C)C6OC7(CCCCO7)CCC6C VEFJHAYOIAAXEU-UHFFFAOYSA-N 0.000 description 2
- QNDVLZJODHBUFM-WFXQOWMNSA-N okadaic acid Chemical compound C([C@H](O1)[C@H](C)/C=C/[C@H]2CC[C@@]3(CC[C@H]4O[C@@H](C([C@@H](O)[C@@H]4O3)=C)[C@@H](O)C[C@H](C)[C@@H]3[C@@H](CC[C@@]4(OCCCC4)O3)C)O2)C(C)=C[C@]21O[C@H](C[C@@](C)(O)C(O)=O)CC[C@H]2O QNDVLZJODHBUFM-WFXQOWMNSA-N 0.000 description 2
- 210000000056 organ Anatomy 0.000 description 2
- 239000012044 organic layer Substances 0.000 description 2
- 239000003208 petroleum Substances 0.000 description 2
- 230000000144 pharmacologic effect Effects 0.000 description 2
- 239000011574 phosphorus Substances 0.000 description 2
- 229910052698 phosphorus Inorganic materials 0.000 description 2
- 235000010482 polyoxyethylene sorbitan monooleate Nutrition 0.000 description 2
- 239000000244 polyoxyethylene sorbitan monooleate Substances 0.000 description 2
- 229920000053 polysorbate 80 Polymers 0.000 description 2
- 230000003389 potentiating effect Effects 0.000 description 2
- 239000000843 powder Substances 0.000 description 2
- 230000002265 prevention Effects 0.000 description 2
- 230000035755 proliferation Effects 0.000 description 2
- QELSKZZBTMNZEB-UHFFFAOYSA-N propylparaben Chemical compound CCCOC(=O)C1=CC=C(O)C=C1 QELSKZZBTMNZEB-UHFFFAOYSA-N 0.000 description 2
- 102000005962 receptors Human genes 0.000 description 2
- 108020003175 receptors Proteins 0.000 description 2
- 238000011160 research Methods 0.000 description 2
- 230000004044 response Effects 0.000 description 2
- 102000029752 retinol binding Human genes 0.000 description 2
- 108091000053 retinol binding Proteins 0.000 description 2
- 206010039073 rheumatoid arthritis Diseases 0.000 description 2
- 230000028327 secretion Effects 0.000 description 2
- 230000008054 signal transmission Effects 0.000 description 2
- 239000012258 stirred mixture Substances 0.000 description 2
- 239000005720 sucrose Substances 0.000 description 2
- 239000013589 supplement Substances 0.000 description 2
- 230000002459 sustained effect Effects 0.000 description 2
- 239000006188 syrup Substances 0.000 description 2
- 235000020357 syrup Nutrition 0.000 description 2
- 230000001225 therapeutic effect Effects 0.000 description 2
- 238000002560 therapeutic procedure Methods 0.000 description 2
- 230000002110 toxicologic effect Effects 0.000 description 2
- 231100000027 toxicology Toxicity 0.000 description 2
- 238000013518 transcription Methods 0.000 description 2
- 230000035897 transcription Effects 0.000 description 2
- QORWJWZARLRLPR-UHFFFAOYSA-H tricalcium bis(phosphate) Chemical compound [Ca+2].[Ca+2].[Ca+2].[O-]P([O-])([O-])=O.[O-]P([O-])([O-])=O QORWJWZARLRLPR-UHFFFAOYSA-H 0.000 description 2
- 235000015112 vegetable and seed oil Nutrition 0.000 description 2
- 239000008158 vegetable oil Substances 0.000 description 2
- 239000003981 vehicle Substances 0.000 description 2
- 238000010626 work up procedure Methods 0.000 description 2
- SWTGJCNCBUCXSS-ISUZDFFFSA-N (2r)-3,4-dihydroxy-2-[(4s)-2-phenyl-1,3-dioxolan-4-yl]-2h-furan-5-one Chemical compound OC1=C(O)C(=O)O[C@@H]1[C@H]1OC(C=2C=CC=CC=2)OC1 SWTGJCNCBUCXSS-ISUZDFFFSA-N 0.000 description 1
- LNAZSHAWQACDHT-XIYTZBAFSA-N (2r,3r,4s,5r,6s)-4,5-dimethoxy-2-(methoxymethyl)-3-[(2s,3r,4s,5r,6r)-3,4,5-trimethoxy-6-(methoxymethyl)oxan-2-yl]oxy-6-[(2r,3r,4s,5r,6r)-4,5,6-trimethoxy-2-(methoxymethyl)oxan-3-yl]oxyoxane Chemical compound CO[C@@H]1[C@@H](OC)[C@H](OC)[C@@H](COC)O[C@H]1O[C@H]1[C@H](OC)[C@@H](OC)[C@H](O[C@H]2[C@@H]([C@@H](OC)[C@H](OC)O[C@@H]2COC)OC)O[C@@H]1COC LNAZSHAWQACDHT-XIYTZBAFSA-N 0.000 description 1
- SYXYUKMELXLDBD-WKHWYDSQSA-N (3s,6r,9s,12s,15s,18s,24s,27s,30s,33s)-24-ethyl-27-[(e,1r,2r)-1-hydroxy-2-methylhex-4-enyl]-1,4,6,9,13,19,22,28-octamethyl-3,12,18,33-tetrakis(2-methylpropyl)-15,30-di(propan-2-yl)-1,4,7,10,13,16,19,22,25,28,31-undecazacyclotritriacontane-2,5,8,11,14,17,2 Chemical compound CC[C@@H]1NC(=O)[C@H]([C@H](O)[C@H](C)C\C=C\C)N(C)C(=O)[C@H](C(C)C)NC(=O)[C@H](CC(C)C)N(C)C(=O)[C@H](CC(C)C)N(C)C(=O)[C@@H](C)NC(=O)[C@H](C)NC(=O)[C@H](CC(C)C)N(C)C(=O)[C@H](C(C)C)NC(=O)[C@H](CC(C)C)N(C)C(=O)CN(C)C1=O SYXYUKMELXLDBD-WKHWYDSQSA-N 0.000 description 1
- GNGBSKIQPUCELM-YBAOVNABSA-N (3s,6s,9s,12r,15s,18s,21s,24s,30s,33s)-30-ethyl-1,4,7,10,12,15,19,25,28-nonamethyl-33-[(e,2r)-2-methylhex-4-enyl]-6,9,18,24-tetrakis(2-methylpropyl)-3,21-di(propan-2-yl)-1,4,7,10,13,16,19,22,25,28,31-undecazacyclotritriacontane-2,5,8,11,14,17,20,23,26,29, Chemical compound CC[C@@H]1NC(=O)[C@H](C[C@H](C)C\C=C\C)N(C)C(=O)[C@H](C(C)C)N(C)C(=O)[C@H](CC(C)C)N(C)C(=O)[C@H](CC(C)C)N(C)C(=O)[C@@H](C)NC(=O)[C@H](C)NC(=O)[C@H](CC(C)C)N(C)C(=O)[C@H](C(C)C)NC(=O)[C@H](CC(C)C)N(C)C(=O)CN(C)C1=O GNGBSKIQPUCELM-YBAOVNABSA-N 0.000 description 1
- UCOQITKXMNKTKF-MXGZYYNMSA-N (3s,6s,9s,12r,15s,18s,21s,24s,30s,33s)-33-[(e,1r,2r)-1-hydroxy-2-methylhex-4-enyl]-1,4,7,10,12,15,19,25,28,30-decamethyl-6,9,18,24-tetrakis(2-methylpropyl)-3,21-di(propan-2-yl)-1,4,7,10,13,16,19,22,25,28,31-undecazacyclotritriacontane-2,5,8,11,14,17,20,23 Chemical compound C\C=C\C[C@@H](C)[C@@H](O)[C@@H]1N(C)C(=O)[C@H](C(C)C)N(C)C(=O)[C@H](CC(C)C)N(C)C(=O)[C@H](CC(C)C)N(C)C(=O)[C@@H](C)NC(=O)[C@H](C)NC(=O)[C@H](CC(C)C)N(C)C(=O)[C@H](C(C)C)NC(=O)[C@H](CC(C)C)N(C)C(=O)CN(C)C(=O)[C@H](C)NC1=O UCOQITKXMNKTKF-MXGZYYNMSA-N 0.000 description 1
- ZMKGDQSIRSGUDJ-VSROPUKISA-N (3s,6s,9s,12r,15s,18s,21s,24s,30s,33s)-33-[(e,1r,2r)-1-hydroxy-2-methylhex-4-enyl]-1,4,7,10,12,15,19,25,28-nonamethyl-6,9,18,24-tetrakis(2-methylpropyl)-3,21-di(propan-2-yl)-30-propyl-1,4,7,10,13,16,19,22,25,28,31-undecazacyclotritriacontane-2,5,8,11,14,1 Chemical compound CCC[C@@H]1NC(=O)[C@H]([C@H](O)[C@H](C)C\C=C\C)N(C)C(=O)[C@H](C(C)C)N(C)C(=O)[C@H](CC(C)C)N(C)C(=O)[C@H](CC(C)C)N(C)C(=O)[C@@H](C)NC(=O)[C@H](C)NC(=O)[C@H](CC(C)C)N(C)C(=O)[C@H](C(C)C)NC(=O)[C@H](CC(C)C)N(C)C(=O)CN(C)C1=O ZMKGDQSIRSGUDJ-VSROPUKISA-N 0.000 description 1
- PNHBRYIAJCYNDA-VQCQRNETSA-N (4r)-6-[2-[2-ethyl-4-(4-fluorophenyl)-6-phenylpyridin-3-yl]ethyl]-4-hydroxyoxan-2-one Chemical compound C([C@H](O)C1)C(=O)OC1CCC=1C(CC)=NC(C=2C=CC=CC=2)=CC=1C1=CC=C(F)C=C1 PNHBRYIAJCYNDA-VQCQRNETSA-N 0.000 description 1
- WRIDQFICGBMAFQ-UHFFFAOYSA-N (E)-8-Octadecenoic acid Natural products CCCCCCCCCC=CCCCCCCC(O)=O WRIDQFICGBMAFQ-UHFFFAOYSA-N 0.000 description 1
- DNIAPMSPPWPWGF-GSVOUGTGSA-N (R)-(-)-Propylene glycol Chemical compound C[C@@H](O)CO DNIAPMSPPWPWGF-GSVOUGTGSA-N 0.000 description 1
- RYHBNJHYFVUHQT-UHFFFAOYSA-N 1,4-Dioxane Chemical compound C1COCCO1 RYHBNJHYFVUHQT-UHFFFAOYSA-N 0.000 description 1
- IPDRTIBDOPMMIQ-VAOFZXAKSA-N 1-[(2r,4s,5r)-4-hydroxy-5-(hydroxymethyl)-2-methyloxolan-2-yl]-5-methylpyrimidine-2,4-dione Chemical compound O=C1NC(=O)C(C)=CN1[C@]1(C)O[C@H](CO)[C@@H](O)C1 IPDRTIBDOPMMIQ-VAOFZXAKSA-N 0.000 description 1
- IXPNQXFRVYWDDI-UHFFFAOYSA-N 1-methyl-2,4-dioxo-1,3-diazinane-5-carboximidamide Chemical compound CN1CC(C(N)=N)C(=O)NC1=O IXPNQXFRVYWDDI-UHFFFAOYSA-N 0.000 description 1
- JGMXNNSYEFOBHQ-OWOJBTEDSA-N 2-[(e)-4-morpholin-4-ylbut-2-enyl]-1,1-dioxothieno[3,2-e]thiazine-6-sulfonamide Chemical compound O=S1(=O)C=2SC(S(=O)(=O)N)=CC=2C=CN1C\C=C\CN1CCOCC1 JGMXNNSYEFOBHQ-OWOJBTEDSA-N 0.000 description 1
- SDTMFDGELKWGFT-UHFFFAOYSA-N 2-methylpropan-2-olate Chemical compound CC(C)(C)[O-] SDTMFDGELKWGFT-UHFFFAOYSA-N 0.000 description 1
- LQJBNNIYVWPHFW-UHFFFAOYSA-N 20:1omega9c fatty acid Natural products CCCCCCCCCCC=CCCCCCCCC(O)=O LQJBNNIYVWPHFW-UHFFFAOYSA-N 0.000 description 1
- 229960000549 4-dimethylaminophenol Drugs 0.000 description 1
- QSBYPNXLFMSGKH-UHFFFAOYSA-N 9-Heptadecensaeure Natural products CCCCCCCC=CCCCCCCCC(O)=O QSBYPNXLFMSGKH-UHFFFAOYSA-N 0.000 description 1
- GUBGYTABKSRVRQ-XLOQQCSPSA-N Alpha-Lactose Chemical compound O[C@@H]1[C@@H](O)[C@@H](O)[C@@H](CO)O[C@H]1O[C@@H]1[C@@H](CO)O[C@H](O)[C@H](O)[C@H]1O GUBGYTABKSRVRQ-XLOQQCSPSA-N 0.000 description 1
- 239000005995 Aluminium silicate Substances 0.000 description 1
- 208000032467 Aplastic anaemia Diseases 0.000 description 1
- CIWBSHSKHKDKBQ-JLAZNSOCSA-N Ascorbic acid Natural products OC[C@H](O)[C@H]1OC(=O)C(O)=C1O CIWBSHSKHKDKBQ-JLAZNSOCSA-N 0.000 description 1
- 208000008439 Biliary Liver Cirrhosis Diseases 0.000 description 1
- 206010004659 Biliary cirrhosis Diseases 0.000 description 1
- CPELXLSAUQHCOX-UHFFFAOYSA-M Bromide Chemical compound [Br-] CPELXLSAUQHCOX-UHFFFAOYSA-M 0.000 description 1
- HDLNQDAUDZAJSZ-DOJYOAERSA-N C/C=C/C[C@@H](C)C(OC(C)=O)[C@H]1C(=O)CCCC(=O)[C@H](C(C)C)NCC(=O)[C@@H](C)NC2(=O)C([2H-]N[C@@H]2C)CCN1C Chemical compound C/C=C/C[C@@H](C)C(OC(C)=O)[C@H]1C(=O)CCCC(=O)[C@H](C(C)C)NCC(=O)[C@@H](C)NC2(=O)C([2H-]N[C@@H]2C)CCN1C HDLNQDAUDZAJSZ-DOJYOAERSA-N 0.000 description 1
- FMXOAPOMHPVPEW-RRJYMQJLSA-N C/C=C\C[C@@H](C)C(OC(C)=O)[C@H]1C(=O)CCCC(=O)[C@H](C(C)C)NC2C(=O)[C@@H](C)N2C(=O)[C@@H](C)N[2H]CCCN1C Chemical compound C/C=C\C[C@@H](C)C(OC(C)=O)[C@H]1C(=O)CCCC(=O)[C@H](C(C)C)NC2C(=O)[C@@H](C)N2C(=O)[C@@H](C)N[2H]CCCN1C FMXOAPOMHPVPEW-RRJYMQJLSA-N 0.000 description 1
- SKWFDFVRQZIKIV-QVPOKNCZSA-N C=CCO/N=C/C[C@@H](C)C(OC(C)=O)[C@H]1C(=O)CCCC(=O)[C@H](C(C)C)NC2C(=O)[C@@H](C)N2C(=O)[C@@H](C)N[2H]CCCN1C Chemical compound C=CCO/N=C/C[C@@H](C)C(OC(C)=O)[C@H]1C(=O)CCCC(=O)[C@H](C(C)C)NC2C(=O)[C@@H](C)N2C(=O)[C@@H](C)N[2H]CCCN1C SKWFDFVRQZIKIV-QVPOKNCZSA-N 0.000 description 1
- DBWMOKOYMVCSQY-YKPFAWMXSA-N C=CC[C@@H](C)C(OC(C)=O)[C@H]1C(=O)CCCC(=O)[C@H](C(C)C)NC2C(=O)[C@@H](C)N2C(=O)[C@@H](C)N[2H]CCCN1C Chemical compound C=CC[C@@H](C)C(OC(C)=O)[C@H]1C(=O)CCCC(=O)[C@H](C(C)C)NC2C(=O)[C@@H](C)N2C(=O)[C@@H](C)N[2H]CCCN1C DBWMOKOYMVCSQY-YKPFAWMXSA-N 0.000 description 1
- AURDDJRASIQXCZ-OHCYCBJMSA-N CC(=O)OC([C@H]1C(=O)CCCC(=O)[C@H](C(C)C)NC2C(=O)[C@@H](C)N2C(=O)[C@@H](C)N[2H]CCCN1C)[C@H](C)C/C=N/NC(N)=O Chemical compound CC(=O)OC([C@H]1C(=O)CCCC(=O)[C@H](C(C)C)NC2C(=O)[C@@H](C)N2C(=O)[C@@H](C)N[2H]CCCN1C)[C@H](C)C/C=N/NC(N)=O AURDDJRASIQXCZ-OHCYCBJMSA-N 0.000 description 1
- GEZKGDRDSOVXSK-MOOHQYHVSA-N CC(=O)OC([C@H]1C(=O)CCCC(=O)[C@H](C(C)C)NC2C(=O)[C@@H](C)N2C(=O)[C@@H](C)N[2H]CCCN1C)[C@H](C)C/C=N/OCC1=CC=CC=C1 Chemical compound CC(=O)OC([C@H]1C(=O)CCCC(=O)[C@H](C(C)C)NC2C(=O)[C@@H](C)N2C(=O)[C@@H](C)N[2H]CCCN1C)[C@H](C)C/C=N/OCC1=CC=CC=C1 GEZKGDRDSOVXSK-MOOHQYHVSA-N 0.000 description 1
- KVDVPWOUIHRVRK-GGZQYEJDSA-N CC(=O)OC([C@H]1C(=O)CCCC(=O)[C@H](C(C)C)NCC(=O)[C@@H](C)NC2(=O)C([2H-]N[C@@H]2C)CCN1C)[C@H](C)CC=O Chemical compound CC(=O)OC([C@H]1C(=O)CCCC(=O)[C@H](C(C)C)NCC(=O)[C@@H](C)NC2(=O)C([2H-]N[C@@H]2C)CCN1C)[C@H](C)CC=O KVDVPWOUIHRVRK-GGZQYEJDSA-N 0.000 description 1
- KOHVVDLYRQFXMT-QCEAEQQRSA-N CC(C)[C@@H]1NC2C(=O)[C@@H](C)N2C(=O)[C@@H](C)N[2H]CCCN(C)[C@@H](C(O)[C@H](C)CC(=O)NCC2=CC=CC=C2)C(=O)CCCC1=O Chemical compound CC(C)[C@@H]1NC2C(=O)[C@@H](C)N2C(=O)[C@@H](C)N[2H]CCCN(C)[C@@H](C(O)[C@H](C)CC(=O)NCC2=CC=CC=C2)C(=O)CCCC1=O KOHVVDLYRQFXMT-QCEAEQQRSA-N 0.000 description 1
- CUZTXQNRROBQDF-KSXDEUSJSA-N CC(C)[C@@H]1NC2C(=O)[C@@H](C)N2C(=O)[C@@H](C)N[2H]CCCN(C)[C@@H](C(O)[C@H](C)CCO)C(=O)CCCC1=O Chemical compound CC(C)[C@@H]1NC2C(=O)[C@@H](C)N2C(=O)[C@@H](C)N[2H]CCCN(C)[C@@H](C(O)[C@H](C)CCO)C(=O)CCCC1=O CUZTXQNRROBQDF-KSXDEUSJSA-N 0.000 description 1
- MUWKHZUKGFBJRC-YZNQJJJZSA-N CC(C)[C@@H]1NC2C(=O)[C@@H](C)N2C(=O)[C@@H](C)N[2H]CCCN(C)[C@@H]([C@@H]2OCC[C@H]2C)C(=O)CCCC1=O Chemical compound CC(C)[C@@H]1NC2C(=O)[C@@H](C)N2C(=O)[C@@H](C)N[2H]CCCN(C)[C@@H]([C@@H]2OCC[C@H]2C)C(=O)CCCC1=O MUWKHZUKGFBJRC-YZNQJJJZSA-N 0.000 description 1
- GTQWDOHNICOGLJ-KAGLTLGSSA-N CC(C)[C@@H]1NCC(=O)[C@@H](C)NC(=O)[C@@H](C)N[2H-]CCCN(C)[C@@H](C2OC(O)C[C@H]2C)C(=O)CCCC1=O Chemical compound CC(C)[C@@H]1NCC(=O)[C@@H](C)NC(=O)[C@@H](C)N[2H-]CCCN(C)[C@@H](C2OC(O)C[C@H]2C)C(=O)CCCC1=O GTQWDOHNICOGLJ-KAGLTLGSSA-N 0.000 description 1
- IYSYURAWQHMZGH-SQTCYIJVSA-N CC(C)[C@@H]1NCC(=O)[C@@H](C)NC(=O)[C@@H](C)N[2H]CCCN(C)[C@@H](C(O)[C@H](C)CC(=O)N(C)C)C(=O)CCCC1=O Chemical compound CC(C)[C@@H]1NCC(=O)[C@@H](C)NC(=O)[C@@H](C)N[2H]CCCN(C)[C@@H](C(O)[C@H](C)CC(=O)N(C)C)C(=O)CCCC1=O IYSYURAWQHMZGH-SQTCYIJVSA-N 0.000 description 1
- IXGRBBFMCVXDKK-DAQNZKPJSA-N CC(C)[C@@H]1NCC(=O)[C@@H](C)NC2(=O)C([2H-]N[C@@H]2C)CCN(C)[C@@H](C2OC(=O)C[C@H]2C)C(=O)CCCC1=O Chemical compound CC(C)[C@@H]1NCC(=O)[C@@H](C)NC2(=O)C([2H-]N[C@@H]2C)CCN(C)[C@@H](C2OC(=O)C[C@H]2C)C(=O)CCCC1=O IXGRBBFMCVXDKK-DAQNZKPJSA-N 0.000 description 1
- NJMMBWNORGBLTN-NYAJLGBKSA-N CCNC(=O)C[C@@H](C)C(O)[C@H]1C(=O)CCCC(=O)[C@H](C(C)C)NC2C(=O)[C@@H](C)N2C(=O)[C@@H](C)N[2H]CCCN1C Chemical compound CCNC(=O)C[C@@H](C)C(O)[C@H]1C(=O)CCCC(=O)[C@H](C(C)C)NC2C(=O)[C@@H](C)N2C(=O)[C@@H](C)N[2H]CCCN1C NJMMBWNORGBLTN-NYAJLGBKSA-N 0.000 description 1
- HQGQQSSDWRGJBQ-KENGPLNUSA-N CNC(=O)C[C@@H](C)C(O)[C@H]1C(=O)CCCC(=O)[C@H](C(C)C)NC2C(=O)[C@@H](C)N2C(=O)[C@@H](C)N[2H]CCCN1C Chemical compound CNC(=O)C[C@@H](C)C(O)[C@H]1C(=O)CCCC(=O)[C@H](C(C)C)NC2C(=O)[C@@H](C)N2C(=O)[C@@H](C)N[2H]CCCN1C HQGQQSSDWRGJBQ-KENGPLNUSA-N 0.000 description 1
- RUYVPLFEMZDGFL-WMVLYBHTSA-N CON=CC[C@@H](C)C(OC(C)=O)[C@H]1C(=O)CCCC(=O)[C@H](C(C)C)NC2C(=O)[C@@H](C)N2C(=O)[C@@H](C)N[2H]CCCN1C Chemical compound CON=CC[C@@H](C)C(OC(C)=O)[C@H]1C(=O)CCCC(=O)[C@H](C(C)C)NC2C(=O)[C@@H](C)N2C(=O)[C@@H](C)N[2H]CCCN1C RUYVPLFEMZDGFL-WMVLYBHTSA-N 0.000 description 1
- OYPRJOBELJOOCE-UHFFFAOYSA-N Calcium Chemical compound [Ca] OYPRJOBELJOOCE-UHFFFAOYSA-N 0.000 description 1
- 102000000584 Calmodulin Human genes 0.000 description 1
- 108010041952 Calmodulin Proteins 0.000 description 1
- 229920002261 Corn starch Polymers 0.000 description 1
- 208000011231 Crohn disease Diseases 0.000 description 1
- 108010069514 Cyclic Peptides Proteins 0.000 description 1
- 102000001189 Cyclic Peptides Human genes 0.000 description 1
- CMSMOCZEIVJLDB-UHFFFAOYSA-N Cyclophosphamide Chemical compound ClCCN(CCCl)P1(=O)NCCCO1 CMSMOCZEIVJLDB-UHFFFAOYSA-N 0.000 description 1
- SYXYUKMELXLDBD-UHFFFAOYSA-N Cyclosporin E Natural products CCC1NC(=O)C(C(O)C(C)CC=CC)N(C)C(=O)C(C(C)C)NC(=O)C(CC(C)C)N(C)C(=O)C(CC(C)C)N(C)C(=O)C(C)NC(=O)C(C)NC(=O)C(CC(C)C)N(C)C(=O)C(C(C)C)NC(=O)C(CC(C)C)N(C)C(=O)CN(C)C1=O SYXYUKMELXLDBD-UHFFFAOYSA-N 0.000 description 1
- GNGBSKIQPUCELM-UHFFFAOYSA-N Cyclosporin F Natural products CCC1NC(=O)C(CC(C)CC=CC)N(C)C(=O)C(C(C)C)N(C)C(=O)C(CC(C)C)N(C)C(=O)C(CC(C)C)N(C)C(=O)C(C)NC(=O)C(C)NC(=O)C(CC(C)C)N(C)C(=O)C(C(C)C)NC(=O)C(CC(C)C)N(C)C(=O)CN(C)C1=O GNGBSKIQPUCELM-UHFFFAOYSA-N 0.000 description 1
- FBPFZTCFMRRESA-FSIIMWSLSA-N D-Glucitol Natural products OC[C@H](O)[C@H](O)[C@@H](O)[C@H](O)CO FBPFZTCFMRRESA-FSIIMWSLSA-N 0.000 description 1
- MTCFGRXMJLQNBG-UWTATZPHSA-N D-Serine Chemical compound OC[C@@H](N)C(O)=O MTCFGRXMJLQNBG-UWTATZPHSA-N 0.000 description 1
- 229930195711 D-Serine Natural products 0.000 description 1
- QNAYBMKLOCPYGJ-UWTATZPHSA-N D-alanine Chemical compound C[C@@H](N)C(O)=O QNAYBMKLOCPYGJ-UWTATZPHSA-N 0.000 description 1
- QNAYBMKLOCPYGJ-UHFFFAOYSA-N D-alpha-Ala Natural products CC([NH3+])C([O-])=O QNAYBMKLOCPYGJ-UHFFFAOYSA-N 0.000 description 1
- FBPFZTCFMRRESA-JGWLITMVSA-N D-glucitol Chemical compound OC[C@H](O)[C@@H](O)[C@H](O)[C@H](O)CO FBPFZTCFMRRESA-JGWLITMVSA-N 0.000 description 1
- AYFVYJQAPQTCCC-STHAYSLISA-N D-threonine Chemical compound C[C@H](O)[C@@H](N)C(O)=O AYFVYJQAPQTCCC-STHAYSLISA-N 0.000 description 1
- 229930182822 D-threonine Natural products 0.000 description 1
- 102000004190 Enzymes Human genes 0.000 description 1
- 108090000790 Enzymes Proteins 0.000 description 1
- 241000233866 Fungi Species 0.000 description 1
- 108010010803 Gelatin Proteins 0.000 description 1
- 244000068988 Glycine max Species 0.000 description 1
- 235000010469 Glycine max Nutrition 0.000 description 1
- 208000009329 Graft vs Host Disease Diseases 0.000 description 1
- 208000003084 Graves Ophthalmopathy Diseases 0.000 description 1
- XLYOFNOQVPJJNP-ZSJDYOACSA-N Heavy water Chemical compound [2H]O[2H] XLYOFNOQVPJJNP-ZSJDYOACSA-N 0.000 description 1
- 206010020112 Hirsutism Diseases 0.000 description 1
- 241000282412 Homo Species 0.000 description 1
- 101000878213 Homo sapiens Inactive peptidyl-prolyl cis-trans isomerase FKBP6 Proteins 0.000 description 1
- 208000035154 Hyperesthesia Diseases 0.000 description 1
- DGAQECJNVWCQMB-PUAWFVPOSA-M Ilexoside XXIX Chemical compound C[C@@H]1CC[C@@]2(CC[C@@]3(C(=CC[C@H]4[C@]3(CC[C@@H]5[C@@]4(CC[C@@H](C5(C)C)OS(=O)(=O)[O-])C)C)[C@@H]2[C@]1(C)O)C)C(=O)O[C@H]6[C@@H]([C@H]([C@@H]([C@H](O6)CO)O)O)O.[Na+] DGAQECJNVWCQMB-PUAWFVPOSA-M 0.000 description 1
- 238000012404 In vitro experiment Methods 0.000 description 1
- 102100036984 Inactive peptidyl-prolyl cis-trans isomerase FKBP6 Human genes 0.000 description 1
- 208000022559 Inflammatory bowel disease Diseases 0.000 description 1
- 102000004195 Isomerases Human genes 0.000 description 1
- 108090000769 Isomerases Proteins 0.000 description 1
- 239000002211 L-ascorbic acid Substances 0.000 description 1
- GUBGYTABKSRVRQ-QKKXKWKRSA-N Lactose Natural products OC[C@H]1O[C@@H](O[C@H]2[C@H](O)[C@@H](O)C(O)O[C@@H]2CO)[C@H](O)[C@@H](O)[C@H]1O GUBGYTABKSRVRQ-QKKXKWKRSA-N 0.000 description 1
- 240000007472 Leucaena leucocephala Species 0.000 description 1
- 235000010643 Leucaena leucocephala Nutrition 0.000 description 1
- 102000008072 Lymphokines Human genes 0.000 description 1
- 108010074338 Lymphokines Proteins 0.000 description 1
- 229920001410 Microfiber Polymers 0.000 description 1
- 102000008109 Mixed Function Oxygenases Human genes 0.000 description 1
- 108010074633 Mixed Function Oxygenases Proteins 0.000 description 1
- 101100006982 Mus musculus Ppcdc gene Proteins 0.000 description 1
- 241000699670 Mus sp. Species 0.000 description 1
- 101001134300 Mycobacterium tuberculosis (strain ATCC 25618 / H37Rv) Multidomain regulatory protein Rv1364c Proteins 0.000 description 1
- 101000615835 Mycobacterium tuberculosis (strain ATCC 25618 / H37Rv) Phosphoserine phosphatase SerB2 Proteins 0.000 description 1
- 101001082202 Mycobacterium tuberculosis (strain ATCC 25618 / H37Rv) Triple specificity protein phosphatase PtpB Proteins 0.000 description 1
- 101001134301 Mycobacterium tuberculosis (strain CDC 1551 / Oshkosh) Multidomain regulatory protein MT1410 Proteins 0.000 description 1
- HSHXDCVZWHOWCS-UHFFFAOYSA-N N'-hexadecylthiophene-2-carbohydrazide Chemical compound CCCCCCCCCCCCCCCCNNC(=O)c1cccs1 HSHXDCVZWHOWCS-UHFFFAOYSA-N 0.000 description 1
- NSTPXGARCQOSAU-VIFPVBQESA-N N-formyl-L-phenylalanine Chemical compound O=CN[C@H](C(=O)O)CC1=CC=CC=C1 NSTPXGARCQOSAU-VIFPVBQESA-N 0.000 description 1
- LFTLOKWAGJYHHR-UHFFFAOYSA-N N-methylmorpholine N-oxide Chemical compound CN1(=O)CCOCC1 LFTLOKWAGJYHHR-UHFFFAOYSA-N 0.000 description 1
- TZCCKCLHNUSAMQ-DUGSHLAESA-N NC(=O)C[C@H](NC(=O)[C@H](CCCNC(=N)N)NC(=O)[C@@H]1CCCN1C(=O)[C@H](CCCNC(=N)N)NC(=O)[C@H](Cc2ccc(F)cc2)NC(=O)[C@H](Cc3c[nH]c4ccccc34)NC(=O)Cc5cccs5)C(=O)N Chemical compound NC(=O)C[C@H](NC(=O)[C@H](CCCNC(=N)N)NC(=O)[C@@H]1CCCN1C(=O)[C@H](CCCNC(=N)N)NC(=O)[C@H](Cc2ccc(F)cc2)NC(=O)[C@H](Cc3c[nH]c4ccccc34)NC(=O)Cc5cccs5)C(=O)N TZCCKCLHNUSAMQ-DUGSHLAESA-N 0.000 description 1
- ZMKGDQSIRSGUDJ-UHFFFAOYSA-N NVa2 cyclosporine Natural products CCCC1NC(=O)C(C(O)C(C)CC=CC)N(C)C(=O)C(C(C)C)N(C)C(=O)C(CC(C)C)N(C)C(=O)C(CC(C)C)N(C)C(=O)C(C)NC(=O)C(C)NC(=O)C(CC(C)C)N(C)C(=O)C(C(C)C)NC(=O)C(CC(C)C)N(C)C(=O)CN(C)C1=O ZMKGDQSIRSGUDJ-UHFFFAOYSA-N 0.000 description 1
- 206010029155 Nephropathy toxic Diseases 0.000 description 1
- AKQOBHZKBDHWQI-BZEFIUHZSA-N O[C@H]1C[C@@H](CCC1)N1C(C2(C3=C1N=C(N=C3)NC1=CC=C(C=C1)S(=O)(=O)NC([2H])([2H])[2H])CC2)=O Chemical compound O[C@H]1C[C@@H](CCC1)N1C(C2(C3=C1N=C(N=C3)NC1=CC=C(C=C1)S(=O)(=O)NC([2H])([2H])[2H])CC2)=O AKQOBHZKBDHWQI-BZEFIUHZSA-N 0.000 description 1
- 239000005642 Oleic acid Substances 0.000 description 1
- ZQPPMHVWECSIRJ-UHFFFAOYSA-N Oleic acid Natural products CCCCCCCCC=CCCCCCCCC(O)=O ZQPPMHVWECSIRJ-UHFFFAOYSA-N 0.000 description 1
- 108010038807 Oligopeptides Proteins 0.000 description 1
- 102000015636 Oligopeptides Human genes 0.000 description 1
- CBENFWSGALASAD-UHFFFAOYSA-N Ozone Chemical compound [O-][O+]=O CBENFWSGALASAD-UHFFFAOYSA-N 0.000 description 1
- 235000019483 Peanut oil Nutrition 0.000 description 1
- 206010034277 Pemphigoid Diseases 0.000 description 1
- OAICVXFJPJFONN-UHFFFAOYSA-N Phosphorus Chemical compound [P] OAICVXFJPJFONN-UHFFFAOYSA-N 0.000 description 1
- 229920003171 Poly (ethylene oxide) Polymers 0.000 description 1
- 206010065159 Polychondritis Diseases 0.000 description 1
- 239000004698 Polyethylene Substances 0.000 description 1
- YZCKVEUIGOORGS-IGMARMGPSA-N Protium Chemical class [1H] YZCKVEUIGOORGS-IGMARMGPSA-N 0.000 description 1
- 201000001263 Psoriatic Arthritis Diseases 0.000 description 1
- 208000036824 Psoriatic arthropathy Diseases 0.000 description 1
- FAPWRFPIFSIZLT-UHFFFAOYSA-M Sodium chloride Chemical compound [Na+].[Cl-] FAPWRFPIFSIZLT-UHFFFAOYSA-M 0.000 description 1
- 229920002472 Starch Polymers 0.000 description 1
- 235000021355 Stearic acid Nutrition 0.000 description 1
- NINIDFKCEFEMDL-UHFFFAOYSA-N Sulfur Chemical compound [S] NINIDFKCEFEMDL-UHFFFAOYSA-N 0.000 description 1
- AYFVYJQAPQTCCC-UHFFFAOYSA-N Threonine Natural products CC(O)C(N)C(O)=O AYFVYJQAPQTCCC-UHFFFAOYSA-N 0.000 description 1
- 239000004473 Threonine Substances 0.000 description 1
- 206010044565 Tremor Diseases 0.000 description 1
- 206010046851 Uveitis Diseases 0.000 description 1
- WERKSKAQRVDLDW-ANOHMWSOSA-N [(2s,3r,4r,5r)-2,3,4,5,6-pentahydroxyhexyl] (z)-octadec-9-enoate Chemical compound CCCCCCCC\C=C/CCCCCCCC(=O)OC[C@H](O)[C@@H](O)[C@H](O)[C@H](O)CO WERKSKAQRVDLDW-ANOHMWSOSA-N 0.000 description 1
- INMULNJYCKVVIC-OIFJOPILSA-N [2H]C(=CC[C@@H](C)C(O)[C@H]1C(=O)CCCC(=O)[C@H](C(C)C)NC2C(=O)[C@@H](C)N2C(=O)[C@@H](C)N[2H]CCCN1C)C([2H])([2H])[2H] Chemical compound [2H]C(=CC[C@@H](C)C(O)[C@H]1C(=O)CCCC(=O)[C@H](C(C)C)NC2C(=O)[C@@H](C)N2C(=O)[C@@H](C)N[2H]CCCN1C)C([2H])([2H])[2H] INMULNJYCKVVIC-OIFJOPILSA-N 0.000 description 1
- FMXOAPOMHPVPEW-NXOZSYSYSA-N [2H]C(=CC[C@@H](C)C(OC(C)=O)[C@H]1C(=O)CCCC(=O)[C@H](C(C)C)NC2C(=O)[C@@H](C)N2C(=O)[C@@H](C)N[2H]CCCN1C)C([2H])([2H])[2H] Chemical compound [2H]C(=CC[C@@H](C)C(OC(C)=O)[C@H]1C(=O)CCCC(=O)[C@H](C(C)C)NC2C(=O)[C@@H](C)N2C(=O)[C@@H](C)N[2H]CCCN1C)C([2H])([2H])[2H] FMXOAPOMHPVPEW-NXOZSYSYSA-N 0.000 description 1
- XWSFGBPKPGSYDP-ZYCTZZEQSA-N [2H]C([2H])([2H])C=CC=CC[C@@H](C)C(O)[C@H]1C(=O)CCCC(=O)[C@H](C(C)C)NC2C(=O)[C@@H](C)N2C(=O)[C@@H](C)N[2H]CCCN1C Chemical compound [2H]C([2H])([2H])C=CC=CC[C@@H](C)C(O)[C@H]1C(=O)CCCC(=O)[C@H](C(C)C)NC2C(=O)[C@@H](C)N2C(=O)[C@@H](C)N[2H]CCCN1C XWSFGBPKPGSYDP-ZYCTZZEQSA-N 0.000 description 1
- VUSLEJGPMOFDFM-PQHPAZNBSA-N [2H]C([2H])([2H])C=CC=CC[C@@H](C)C(O)[C@H]1C(=O)CCCC(=O)[C@H](C(C)C)NCC(=O)[C@@H](C)NC2(=O)[2H](CCCN1C)N[C@@H]2C Chemical compound [2H]C([2H])([2H])C=CC=CC[C@@H](C)C(O)[C@H]1C(=O)CCCC(=O)[C@H](C(C)C)NCC(=O)[C@@H](C)NC2(=O)[2H](CCCN1C)N[C@@H]2C VUSLEJGPMOFDFM-PQHPAZNBSA-N 0.000 description 1
- PDEPFDYXIIBBRB-ZYEOWJLISA-N [2H]C([2H])([2H])C=CC=CC[C@@H](C)C(O)[C@H]1C(=O)CCCC(=O)[C@H](C(C)C)NCN[C@@H](C)C(=O)[2H-]CCCN1C.[2H]C([2H])=CC=CC[C@@H](C)C(O)[C@H]1C(=O)CCCC(=O)[C@H](C(C)C)NCC(=O)[C@@H](C)N[2H-]CCCN1C Chemical compound [2H]C([2H])([2H])C=CC=CC[C@@H](C)C(O)[C@H]1C(=O)CCCC(=O)[C@H](C(C)C)NCN[C@@H](C)C(=O)[2H-]CCCN1C.[2H]C([2H])=CC=CC[C@@H](C)C(O)[C@H]1C(=O)CCCC(=O)[C@H](C(C)C)NCC(=O)[C@@H](C)N[2H-]CCCN1C PDEPFDYXIIBBRB-ZYEOWJLISA-N 0.000 description 1
- XWSPPFLZMJVAHV-AHHLFTQJSA-N [2H]C([2H])([2H])C=CC=CC[C@@H](C)C(OC(C)=O)[C@H]1C(=O)CCCC(=O)[C@H](C(C)C)NC2C(=O)[C@@H](C)N2C(=O)[C@@H](C)N[2H]CCCN1C Chemical compound [2H]C([2H])([2H])C=CC=CC[C@@H](C)C(OC(C)=O)[C@H]1C(=O)CCCC(=O)[C@H](C(C)C)NC2C(=O)[C@@H](C)N2C(=O)[C@@H](C)N[2H]CCCN1C XWSPPFLZMJVAHV-AHHLFTQJSA-N 0.000 description 1
- STFJIJNLRYVVAF-HHGKYKJOSA-N [2H]C([2H])=CC=CC[C@@H](C)C(O)[C@H]1C(=O)CCCC(=O)[C@H](C(C)C)NC2C(=O)[C@@H](C)N2C(=O)[C@@H](C)N[2H]CCCN1C Chemical compound [2H]C([2H])=CC=CC[C@@H](C)C(O)[C@H]1C(=O)CCCC(=O)[C@H](C(C)C)NC2C(=O)[C@@H](C)N2C(=O)[C@@H](C)N[2H]CCCN1C STFJIJNLRYVVAF-HHGKYKJOSA-N 0.000 description 1
- SEPUREHTSHKKOT-UDUWWXAPSA-N [2H]C([2H])=CC=CC[C@@H](C)C(O)[C@H]1C(=O)CCCC(=O)[C@H](C(C)C)NCC(=O)[C@@H](C)NC2(=O)[2H](CCCN1C)N[C@@H]2C Chemical compound [2H]C([2H])=CC=CC[C@@H](C)C(O)[C@H]1C(=O)CCCC(=O)[C@H](C(C)C)NCC(=O)[C@@H](C)NC2(=O)[2H](CCCN1C)N[C@@H]2C SEPUREHTSHKKOT-UDUWWXAPSA-N 0.000 description 1
- URIAIQQSMZXKRD-JJNBPVILSA-N [2H]C([2H])=CC=CC[C@@H](C)C(OC(C)=O)[C@H]1C(=O)CCCC(=O)[C@H](C(C)C)NC2C(=O)[C@@H](C)N2C(=O)[C@@H](C)N[2H]CCCN1C Chemical compound [2H]C([2H])=CC=CC[C@@H](C)C(OC(C)=O)[C@H]1C(=O)CCCC(=O)[C@H](C(C)C)NC2C(=O)[C@@H](C)N2C(=O)[C@@H](C)N[2H]CCCN1C URIAIQQSMZXKRD-JJNBPVILSA-N 0.000 description 1
- PMATZTZNYRCHOR-IMVLJIQESA-N [H]/C(C)=C(/[H])CC(C)C(O)C1C(=O)N([H])C(CC)C(=O)N(C)CC(=O)N(C)C(CC(C)C)C(=O)N([H])C(C(C)C)C(=O)N(C)C(CC(C)C)C(=O)N([H])C(C)C(=O)N([H])C(C)C(=O)N(C)C(CC(C)C)C(=O)N(C)C(CC(C)C)C(=O)N(C)C(C(C)C)C(=O)N1C Chemical compound [H]/C(C)=C(/[H])CC(C)C(O)C1C(=O)N([H])C(CC)C(=O)N(C)CC(=O)N(C)C(CC(C)C)C(=O)N([H])C(C(C)C)C(=O)N(C)C(CC(C)C)C(=O)N([H])C(C)C(=O)N([H])C(C)C(=O)N(C)C(CC(C)C)C(=O)N(C)C(CC(C)C)C(=O)N(C)C(C(C)C)C(=O)N1C PMATZTZNYRCHOR-IMVLJIQESA-N 0.000 description 1
- 206010000059 abdominal discomfort Diseases 0.000 description 1
- 230000002159 abnormal effect Effects 0.000 description 1
- QTBSBXVTEAMEQO-GUEYOVJQSA-N acetic acid-d4 Chemical compound [2H]OC(=O)C([2H])([2H])[2H] QTBSBXVTEAMEQO-GUEYOVJQSA-N 0.000 description 1
- DPXJVFZANSGRMM-UHFFFAOYSA-N acetic acid;2,3,4,5,6-pentahydroxyhexanal;sodium Chemical compound [Na].CC(O)=O.OCC(O)C(O)C(O)C(O)C=O DPXJVFZANSGRMM-UHFFFAOYSA-N 0.000 description 1
- 239000002253 acid Substances 0.000 description 1
- 239000011149 active material Substances 0.000 description 1
- 239000013543 active substance Substances 0.000 description 1
- 239000002671 adjuvant Substances 0.000 description 1
- 235000010443 alginic acid Nutrition 0.000 description 1
- 239000000783 alginic acid Substances 0.000 description 1
- 229920000615 alginic acid Polymers 0.000 description 1
- 229960001126 alginic acid Drugs 0.000 description 1
- 150000004781 alginic acids Chemical class 0.000 description 1
- 125000001931 aliphatic group Chemical group 0.000 description 1
- 125000002947 alkylene group Chemical group 0.000 description 1
- 230000000961 alloantigen Effects 0.000 description 1
- 230000004075 alteration Effects 0.000 description 1
- 235000012211 aluminium silicate Nutrition 0.000 description 1
- 125000000539 amino acid group Chemical group 0.000 description 1
- 230000000843 anti-fungal effect Effects 0.000 description 1
- 229940121363 anti-inflammatory agent Drugs 0.000 description 1
- 239000002260 anti-inflammatory agent Substances 0.000 description 1
- 230000003110 anti-inflammatory effect Effects 0.000 description 1
- 230000002141 anti-parasite Effects 0.000 description 1
- 239000003963 antioxidant agent Substances 0.000 description 1
- 230000003078 antioxidant effect Effects 0.000 description 1
- 235000006708 antioxidants Nutrition 0.000 description 1
- 239000003096 antiparasitic agent Substances 0.000 description 1
- 239000011668 ascorbic acid Substances 0.000 description 1
- 235000010323 ascorbic acid Nutrition 0.000 description 1
- QVGXLLKOCUKJST-UHFFFAOYSA-N atomic oxygen Chemical group [O] QVGXLLKOCUKJST-UHFFFAOYSA-N 0.000 description 1
- 230000006472 autoimmune response Effects 0.000 description 1
- 201000004982 autoimmune uveitis Diseases 0.000 description 1
- 235000013871 bee wax Nutrition 0.000 description 1
- 239000012166 beeswax Substances 0.000 description 1
- 239000011230 binding agent Substances 0.000 description 1
- 238000004166 bioassay Methods 0.000 description 1
- 230000005540 biological transmission Effects 0.000 description 1
- 230000000903 blocking effect Effects 0.000 description 1
- 208000000594 bullous pemphigoid Diseases 0.000 description 1
- 239000011575 calcium Substances 0.000 description 1
- 229910052791 calcium Inorganic materials 0.000 description 1
- 235000010216 calcium carbonate Nutrition 0.000 description 1
- 230000000711 cancerogenic effect Effects 0.000 description 1
- 150000001721 carbon Chemical group 0.000 description 1
- 239000001768 carboxy methyl cellulose Substances 0.000 description 1
- 231100000315 carcinogenic Toxicity 0.000 description 1
- 239000003054 catalyst Substances 0.000 description 1
- 230000003197 catalytic effect Effects 0.000 description 1
- 210000004970 cd4 cell Anatomy 0.000 description 1
- 230000006369 cell cycle progression Effects 0.000 description 1
- 238000001516 cell proliferation assay Methods 0.000 description 1
- 229960000541 cetyl alcohol Drugs 0.000 description 1
- 238000012512 characterization method Methods 0.000 description 1
- 229940110456 cocoa butter Drugs 0.000 description 1
- 235000019868 cocoa butter Nutrition 0.000 description 1
- 239000003240 coconut oil Substances 0.000 description 1
- 235000019864 coconut oil Nutrition 0.000 description 1
- 229940125782 compound 2 Drugs 0.000 description 1
- 229940125872 compound 4d Drugs 0.000 description 1
- 229940127108 compound 5g Drugs 0.000 description 1
- 239000000470 constituent Substances 0.000 description 1
- 238000013270 controlled release Methods 0.000 description 1
- 239000008120 corn starch Substances 0.000 description 1
- 239000003246 corticosteroid Substances 0.000 description 1
- 229960001334 corticosteroids Drugs 0.000 description 1
- 239000006071 cream Substances 0.000 description 1
- 239000013078 crystal Substances 0.000 description 1
- 125000004122 cyclic group Chemical group 0.000 description 1
- 229960004397 cyclophosphamide Drugs 0.000 description 1
- 108010019252 cyclosporin F Proteins 0.000 description 1
- 108010019249 cyclosporin G Proteins 0.000 description 1
- 108010019251 cyclosporin H Proteins 0.000 description 1
- 210000000805 cytoplasm Anatomy 0.000 description 1
- 231100000433 cytotoxic Toxicity 0.000 description 1
- 210000001151 cytotoxic T lymphocyte Anatomy 0.000 description 1
- 229940127089 cytotoxic agent Drugs 0.000 description 1
- 239000002254 cytotoxic agent Substances 0.000 description 1
- 231100000599 cytotoxic agent Toxicity 0.000 description 1
- 230000001472 cytotoxic effect Effects 0.000 description 1
- 230000006378 damage Effects 0.000 description 1
- 230000017858 demethylation Effects 0.000 description 1
- 238000010520 demethylation reaction Methods 0.000 description 1
- 230000001419 dependent effect Effects 0.000 description 1
- 230000030609 dephosphorylation Effects 0.000 description 1
- 238000006209 dephosphorylation reaction Methods 0.000 description 1
- 238000013461 design Methods 0.000 description 1
- 238000011161 development Methods 0.000 description 1
- 150000001993 dienes Chemical class 0.000 description 1
- 235000005911 diet Nutrition 0.000 description 1
- 230000037213 diet Effects 0.000 description 1
- 239000012153 distilled water Substances 0.000 description 1
- 239000002552 dosage form Substances 0.000 description 1
- 239000000890 drug combination Substances 0.000 description 1
- 230000036267 drug metabolism Effects 0.000 description 1
- 239000012636 effector Substances 0.000 description 1
- 239000003974 emollient agent Substances 0.000 description 1
- 239000003995 emulsifying agent Substances 0.000 description 1
- YWKVMGDEOUPQGN-UHFFFAOYSA-N ethyl 2-[4-[2-(3-hydroxy-1-azabicyclo[2.2.2]octan-3-yl)ethynyl]phenyl]acetate Chemical compound C1=CC(CC(=O)OCC)=CC=C1C#CC1(O)C(CC2)CCN2C1 YWKVMGDEOUPQGN-UHFFFAOYSA-N 0.000 description 1
- 125000001495 ethyl group Chemical group [H]C([H])([H])C([H])([H])* 0.000 description 1
- 238000011156 evaluation Methods 0.000 description 1
- 239000000284 extract Substances 0.000 description 1
- 239000012997 ficoll-paque Substances 0.000 description 1
- 239000012530 fluid Substances 0.000 description 1
- 108700025906 fos Genes Proteins 0.000 description 1
- 230000006870 function Effects 0.000 description 1
- 239000000054 fungal extract Substances 0.000 description 1
- 230000000855 fungicidal effect Effects 0.000 description 1
- 210000001035 gastrointestinal tract Anatomy 0.000 description 1
- 229920000159 gelatin Polymers 0.000 description 1
- 239000008273 gelatin Substances 0.000 description 1
- 235000019322 gelatine Nutrition 0.000 description 1
- 235000011852 gelatine desserts Nutrition 0.000 description 1
- 208000009197 gingival hypertrophy Diseases 0.000 description 1
- 239000011521 glass Substances 0.000 description 1
- 229940074045 glyceryl distearate Drugs 0.000 description 1
- 229940075507 glyceryl monostearate Drugs 0.000 description 1
- 210000003714 granulocyte Anatomy 0.000 description 1
- 239000007902 hard capsule Substances 0.000 description 1
- 230000036541 health Effects 0.000 description 1
- 238000010438 heat treatment Methods 0.000 description 1
- 210000002443 helper t lymphocyte Anatomy 0.000 description 1
- 125000005842 heteroatom Chemical group 0.000 description 1
- FBPFZTCFMRRESA-UHFFFAOYSA-N hexane-1,2,3,4,5,6-hexol Chemical compound OCC(O)C(O)C(O)C(O)CO FBPFZTCFMRRESA-UHFFFAOYSA-N 0.000 description 1
- 230000003284 homeostatic effect Effects 0.000 description 1
- 230000007062 hydrolysis Effects 0.000 description 1
- 238000006460 hydrolysis reaction Methods 0.000 description 1
- 125000002887 hydroxy group Chemical group [H]O* 0.000 description 1
- 235000010979 hydroxypropyl methyl cellulose Nutrition 0.000 description 1
- 239000001866 hydroxypropyl methyl cellulose Substances 0.000 description 1
- 229920003088 hydroxypropyl methyl cellulose Polymers 0.000 description 1
- 206010021198 ichthyosis Diseases 0.000 description 1
- 230000001900 immune effect Effects 0.000 description 1
- 210000000987 immune system Anatomy 0.000 description 1
- 230000016784 immunoglobulin production Effects 0.000 description 1
- 230000001861 immunosuppressant effect Effects 0.000 description 1
- 229940124589 immunosuppressive drug Drugs 0.000 description 1
- 230000000415 inactivating effect Effects 0.000 description 1
- 239000003701 inert diluent Substances 0.000 description 1
- 208000015181 infectious disease Diseases 0.000 description 1
- 210000004969 inflammatory cell Anatomy 0.000 description 1
- 238000001802 infusion Methods 0.000 description 1
- 229940102223 injectable solution Drugs 0.000 description 1
- 229940102213 injectable suspension Drugs 0.000 description 1
- 238000002347 injection Methods 0.000 description 1
- 239000007924 injection Substances 0.000 description 1
- 230000003993 interaction Effects 0.000 description 1
- 230000018276 interleukin-1 production Effects 0.000 description 1
- 238000007918 intramuscular administration Methods 0.000 description 1
- 238000001990 intravenous administration Methods 0.000 description 1
- 125000002346 iodo group Chemical group I* 0.000 description 1
- QXJSBBXBKPUZAA-UHFFFAOYSA-N isooleic acid Natural products CCCCCCCC=CCCCCCCCCC(O)=O QXJSBBXBKPUZAA-UHFFFAOYSA-N 0.000 description 1
- 238000001948 isotopic labelling Methods 0.000 description 1
- 235000015110 jellies Nutrition 0.000 description 1
- 108700025907 jun Genes Proteins 0.000 description 1
- NLYAJNPCOHFWQQ-UHFFFAOYSA-N kaolin Chemical compound O.O.O=[Al]O[Si](=O)O[Si](=O)O[Al]=O NLYAJNPCOHFWQQ-UHFFFAOYSA-N 0.000 description 1
- 210000003734 kidney Anatomy 0.000 description 1
- TYQCGQRIZGCHNB-JLAZNSOCSA-N l-ascorbic acid Chemical compound OC[C@H](O)[C@H]1OC(O)=C(O)C1=O TYQCGQRIZGCHNB-JLAZNSOCSA-N 0.000 description 1
- 239000008101 lactose Substances 0.000 description 1
- 150000002632 lipids Chemical class 0.000 description 1
- 210000004185 liver Anatomy 0.000 description 1
- 230000003908 liver function Effects 0.000 description 1
- 239000007937 lozenge Substances 0.000 description 1
- 239000000314 lubricant Substances 0.000 description 1
- 239000006166 lysate Substances 0.000 description 1
- 210000002540 macrophage Anatomy 0.000 description 1
- 235000019359 magnesium stearate Nutrition 0.000 description 1
- 238000004949 mass spectrometry Methods 0.000 description 1
- 230000035800 maturation Effects 0.000 description 1
- 230000010534 mechanism of action Effects 0.000 description 1
- 229920000609 methyl cellulose Polymers 0.000 description 1
- 125000000250 methylamino group Chemical group [H]N(*)C([H])([H])[H] 0.000 description 1
- 235000010981 methylcellulose Nutrition 0.000 description 1
- 239000001923 methylcellulose Substances 0.000 description 1
- 239000003658 microfiber Substances 0.000 description 1
- 230000005012 migration Effects 0.000 description 1
- 238000013508 migration Methods 0.000 description 1
- 239000003226 mitogen Substances 0.000 description 1
- 238000002156 mixing Methods 0.000 description 1
- 210000001616 monocyte Anatomy 0.000 description 1
- 206010028417 myasthenia gravis Diseases 0.000 description 1
- 210000000066 myeloid cell Anatomy 0.000 description 1
- 231100000052 myelotoxic Toxicity 0.000 description 1
- 230000002556 myelotoxic effect Effects 0.000 description 1
- PSHKMPUSSFXUIA-UHFFFAOYSA-N n,n-dimethylpyridin-2-amine Chemical compound CN(C)C1=CC=CC=N1 PSHKMPUSSFXUIA-UHFFFAOYSA-N 0.000 description 1
- 230000003589 nefrotoxic effect Effects 0.000 description 1
- 230000024717 negative regulation of secretion Effects 0.000 description 1
- 231100000381 nephrotoxic Toxicity 0.000 description 1
- 231100000417 nephrotoxicity Toxicity 0.000 description 1
- 230000007694 nephrotoxicity Effects 0.000 description 1
- 231100000228 neurotoxicity Toxicity 0.000 description 1
- 230000007935 neutral effect Effects 0.000 description 1
- 231100000344 non-irritating Toxicity 0.000 description 1
- 239000000041 non-steroidal anti-inflammatory agent Substances 0.000 description 1
- GYCKQBWUSACYIF-UHFFFAOYSA-N o-hydroxybenzoic acid ethyl ester Natural products CCOC(=O)C1=CC=CC=C1O GYCKQBWUSACYIF-UHFFFAOYSA-N 0.000 description 1
- QIQXTHQIDYTFRH-UHFFFAOYSA-N octadecanoic acid Chemical compound CCCCCCCCCCCCCCCCCC(O)=O QIQXTHQIDYTFRH-UHFFFAOYSA-N 0.000 description 1
- OQCDKBAXFALNLD-UHFFFAOYSA-N octadecanoic acid Natural products CCCCCCCC(C)CCCCCCCCC(O)=O OQCDKBAXFALNLD-UHFFFAOYSA-N 0.000 description 1
- 239000002674 ointment Substances 0.000 description 1
- ZQPPMHVWECSIRJ-KTKRTIGZSA-N oleic acid Chemical compound CCCCCCCC\C=C/CCCCCCCC(O)=O ZQPPMHVWECSIRJ-KTKRTIGZSA-N 0.000 description 1
- 230000003204 osmotic effect Effects 0.000 description 1
- 229910052760 oxygen Inorganic materials 0.000 description 1
- 239000001301 oxygen Substances 0.000 description 1
- 239000012188 paraffin wax Substances 0.000 description 1
- 230000008506 pathogenesis Effects 0.000 description 1
- 239000000312 peanut oil Substances 0.000 description 1
- ISWSIDIOOBJBQZ-UHFFFAOYSA-N phenol group Chemical group C1(=CC=CC=C1)O ISWSIDIOOBJBQZ-UHFFFAOYSA-N 0.000 description 1
- 230000000704 physical effect Effects 0.000 description 1
- 229920001223 polyethylene glycol Polymers 0.000 description 1
- 229920001184 polypeptide Polymers 0.000 description 1
- 239000001267 polyvinylpyrrolidone Substances 0.000 description 1
- 235000013855 polyvinylpyrrolidone Nutrition 0.000 description 1
- 229920000036 polyvinylpyrrolidone Polymers 0.000 description 1
- 230000029279 positive regulation of transcription, DNA-dependent Effects 0.000 description 1
- 239000012286 potassium permanganate Substances 0.000 description 1
- 230000002335 preservative effect Effects 0.000 description 1
- 102000004196 processed proteins & peptides Human genes 0.000 description 1
- 125000001436 propyl group Chemical group [H]C([*])([H])C([H])([H])C([H])([H])[H] 0.000 description 1
- ZAHRKKWIAAJSAO-UHFFFAOYSA-N rapamycin Natural products COCC(O)C(=C/C(C)C(=O)CC(OC(=O)C1CCCCN1C(=O)C(=O)C2(O)OC(CC(OC)C(=CC=CC=CC(C)CC(C)C(=O)C)C)CCC2C)C(C)CC3CCC(O)C(C3)OC)C ZAHRKKWIAAJSAO-UHFFFAOYSA-N 0.000 description 1
- 239000000376 reactant Substances 0.000 description 1
- 210000000664 rectum Anatomy 0.000 description 1
- 208000009169 relapsing polychondritis Diseases 0.000 description 1
- 230000000284 resting effect Effects 0.000 description 1
- 238000012552 review Methods 0.000 description 1
- CVHZOJJKTDOEJC-UHFFFAOYSA-N saccharin Chemical compound C1=CC=C2C(=O)NS(=O)(=O)C2=C1 CVHZOJJKTDOEJC-UHFFFAOYSA-N 0.000 description 1
- 235000019204 saccharin Nutrition 0.000 description 1
- 229940081974 saccharin Drugs 0.000 description 1
- 239000000901 saccharin and its Na,K and Ca salt Substances 0.000 description 1
- 201000000306 sarcoidosis Diseases 0.000 description 1
- 238000012216 screening Methods 0.000 description 1
- 239000008159 sesame oil Substances 0.000 description 1
- 235000011803 sesame oil Nutrition 0.000 description 1
- 239000000377 silicon dioxide Substances 0.000 description 1
- 229960002930 sirolimus Drugs 0.000 description 1
- QFJCIRLUMZQUOT-HPLJOQBZSA-N sirolimus Chemical compound C1C[C@@H](O)[C@H](OC)C[C@@H]1C[C@@H](C)[C@H]1OC(=O)[C@@H]2CCCCN2C(=O)C(=O)[C@](O)(O2)[C@H](C)CC[C@H]2C[C@H](OC)/C(C)=C/C=C/C=C/[C@@H](C)C[C@@H](C)C(=O)[C@H](OC)[C@H](O)/C(C)=C/[C@@H](C)C(=O)C1 QFJCIRLUMZQUOT-HPLJOQBZSA-N 0.000 description 1
- 210000000813 small intestine Anatomy 0.000 description 1
- 229910052708 sodium Inorganic materials 0.000 description 1
- 235000015424 sodium Nutrition 0.000 description 1
- 235000010413 sodium alginate Nutrition 0.000 description 1
- 239000000661 sodium alginate Substances 0.000 description 1
- 229940005550 sodium alginate Drugs 0.000 description 1
- 229910001467 sodium calcium phosphate Inorganic materials 0.000 description 1
- 235000019812 sodium carboxymethyl cellulose Nutrition 0.000 description 1
- 229920001027 sodium carboxymethylcellulose Polymers 0.000 description 1
- 239000001488 sodium phosphate Substances 0.000 description 1
- 239000007901 soft capsule Substances 0.000 description 1
- 235000011069 sorbitan monooleate Nutrition 0.000 description 1
- 239000001593 sorbitan monooleate Substances 0.000 description 1
- 229940035049 sorbitan monooleate Drugs 0.000 description 1
- 239000000600 sorbitol Substances 0.000 description 1
- 241000894007 species Species 0.000 description 1
- 239000007921 spray Substances 0.000 description 1
- 238000010561 standard procedure Methods 0.000 description 1
- 239000008107 starch Substances 0.000 description 1
- 235000019698 starch Nutrition 0.000 description 1
- 239000008117 stearic acid Substances 0.000 description 1
- 230000000638 stimulation Effects 0.000 description 1
- 238000005556 structure-activity relationship Methods 0.000 description 1
- 239000007929 subcutaneous injection Substances 0.000 description 1
- 238000010254 subcutaneous injection Methods 0.000 description 1
- 229960004793 sucrose Drugs 0.000 description 1
- 229910052717 sulfur Inorganic materials 0.000 description 1
- 239000011593 sulfur Substances 0.000 description 1
- 239000000829 suppository Substances 0.000 description 1
- 201000000596 systemic lupus erythematosus Diseases 0.000 description 1
- 239000000454 talc Substances 0.000 description 1
- 235000012222 talc Nutrition 0.000 description 1
- 229910052623 talc Inorganic materials 0.000 description 1
- 238000012360 testing method Methods 0.000 description 1
- 229940126585 therapeutic drug Drugs 0.000 description 1
- 239000002562 thickening agent Substances 0.000 description 1
- 210000001541 thymus gland Anatomy 0.000 description 1
- 230000000699 topical effect Effects 0.000 description 1
- 238000006257 total synthesis reaction Methods 0.000 description 1
- 231100000155 toxicity by organ Toxicity 0.000 description 1
- 230000007675 toxicity by organ Effects 0.000 description 1
- 230000009466 transformation Effects 0.000 description 1
- 238000013519 translation Methods 0.000 description 1
- 230000032258 transport Effects 0.000 description 1
- RYFMWSXOAZQYPI-UHFFFAOYSA-K trisodium phosphate Chemical compound [Na+].[Na+].[Na+].[O-]P([O-])([O-])=O RYFMWSXOAZQYPI-UHFFFAOYSA-K 0.000 description 1
- 238000010792 warming Methods 0.000 description 1
Images
Classifications
-
- C—CHEMISTRY; METALLURGY
- C07—ORGANIC CHEMISTRY
- C07K—PEPTIDES
- C07K7/00—Peptides having 5 to 20 amino acids in a fully defined sequence; Derivatives thereof
- C07K7/64—Cyclic peptides containing only normal peptide links
-
- A—HUMAN NECESSITIES
- A61—MEDICAL OR VETERINARY SCIENCE; HYGIENE
- A61P—SPECIFIC THERAPEUTIC ACTIVITY OF CHEMICAL COMPOUNDS OR MEDICINAL PREPARATIONS
- A61P1/00—Drugs for disorders of the alimentary tract or the digestive system
- A61P1/04—Drugs for disorders of the alimentary tract or the digestive system for ulcers, gastritis or reflux esophagitis, e.g. antacids, inhibitors of acid secretion, mucosal protectants
-
- A—HUMAN NECESSITIES
- A61—MEDICAL OR VETERINARY SCIENCE; HYGIENE
- A61P—SPECIFIC THERAPEUTIC ACTIVITY OF CHEMICAL COMPOUNDS OR MEDICINAL PREPARATIONS
- A61P13/00—Drugs for disorders of the urinary system
- A61P13/12—Drugs for disorders of the urinary system of the kidneys
-
- A—HUMAN NECESSITIES
- A61—MEDICAL OR VETERINARY SCIENCE; HYGIENE
- A61P—SPECIFIC THERAPEUTIC ACTIVITY OF CHEMICAL COMPOUNDS OR MEDICINAL PREPARATIONS
- A61P17/00—Drugs for dermatological disorders
- A61P17/06—Antipsoriatics
-
- A—HUMAN NECESSITIES
- A61—MEDICAL OR VETERINARY SCIENCE; HYGIENE
- A61P—SPECIFIC THERAPEUTIC ACTIVITY OF CHEMICAL COMPOUNDS OR MEDICINAL PREPARATIONS
- A61P19/00—Drugs for skeletal disorders
-
- A—HUMAN NECESSITIES
- A61—MEDICAL OR VETERINARY SCIENCE; HYGIENE
- A61P—SPECIFIC THERAPEUTIC ACTIVITY OF CHEMICAL COMPOUNDS OR MEDICINAL PREPARATIONS
- A61P19/00—Drugs for skeletal disorders
- A61P19/02—Drugs for skeletal disorders for joint disorders, e.g. arthritis, arthrosis
-
- A—HUMAN NECESSITIES
- A61—MEDICAL OR VETERINARY SCIENCE; HYGIENE
- A61P—SPECIFIC THERAPEUTIC ACTIVITY OF CHEMICAL COMPOUNDS OR MEDICINAL PREPARATIONS
- A61P19/00—Drugs for skeletal disorders
- A61P19/08—Drugs for skeletal disorders for bone diseases, e.g. rachitism, Paget's disease
-
- A—HUMAN NECESSITIES
- A61—MEDICAL OR VETERINARY SCIENCE; HYGIENE
- A61P—SPECIFIC THERAPEUTIC ACTIVITY OF CHEMICAL COMPOUNDS OR MEDICINAL PREPARATIONS
- A61P21/00—Drugs for disorders of the muscular or neuromuscular system
- A61P21/04—Drugs for disorders of the muscular or neuromuscular system for myasthenia gravis
-
- A—HUMAN NECESSITIES
- A61—MEDICAL OR VETERINARY SCIENCE; HYGIENE
- A61P—SPECIFIC THERAPEUTIC ACTIVITY OF CHEMICAL COMPOUNDS OR MEDICINAL PREPARATIONS
- A61P25/00—Drugs for disorders of the nervous system
-
- A—HUMAN NECESSITIES
- A61—MEDICAL OR VETERINARY SCIENCE; HYGIENE
- A61P—SPECIFIC THERAPEUTIC ACTIVITY OF CHEMICAL COMPOUNDS OR MEDICINAL PREPARATIONS
- A61P29/00—Non-central analgesic, antipyretic or antiinflammatory agents, e.g. antirheumatic agents; Non-steroidal antiinflammatory drugs [NSAID]
-
- A—HUMAN NECESSITIES
- A61—MEDICAL OR VETERINARY SCIENCE; HYGIENE
- A61P—SPECIFIC THERAPEUTIC ACTIVITY OF CHEMICAL COMPOUNDS OR MEDICINAL PREPARATIONS
- A61P37/00—Drugs for immunological or allergic disorders
-
- A—HUMAN NECESSITIES
- A61—MEDICAL OR VETERINARY SCIENCE; HYGIENE
- A61P—SPECIFIC THERAPEUTIC ACTIVITY OF CHEMICAL COMPOUNDS OR MEDICINAL PREPARATIONS
- A61P37/00—Drugs for immunological or allergic disorders
- A61P37/02—Immunomodulators
-
- A—HUMAN NECESSITIES
- A61—MEDICAL OR VETERINARY SCIENCE; HYGIENE
- A61P—SPECIFIC THERAPEUTIC ACTIVITY OF CHEMICAL COMPOUNDS OR MEDICINAL PREPARATIONS
- A61P37/00—Drugs for immunological or allergic disorders
- A61P37/02—Immunomodulators
- A61P37/06—Immunosuppressants, e.g. drugs for graft rejection
-
- A—HUMAN NECESSITIES
- A61—MEDICAL OR VETERINARY SCIENCE; HYGIENE
- A61P—SPECIFIC THERAPEUTIC ACTIVITY OF CHEMICAL COMPOUNDS OR MEDICINAL PREPARATIONS
- A61P41/00—Drugs used in surgical methods, e.g. surgery adjuvants for preventing adhesion or for vitreum substitution
-
- A—HUMAN NECESSITIES
- A61—MEDICAL OR VETERINARY SCIENCE; HYGIENE
- A61P—SPECIFIC THERAPEUTIC ACTIVITY OF CHEMICAL COMPOUNDS OR MEDICINAL PREPARATIONS
- A61P7/00—Drugs for disorders of the blood or the extracellular fluid
- A61P7/06—Antianaemics
-
- C—CHEMISTRY; METALLURGY
- C07—ORGANIC CHEMISTRY
- C07B—GENERAL METHODS OF ORGANIC CHEMISTRY; APPARATUS THEREFOR
- C07B59/00—Introduction of isotopes of elements into organic compounds ; Labelled organic compounds per se
- C07B59/008—Peptides; Proteins
-
- C—CHEMISTRY; METALLURGY
- C07—ORGANIC CHEMISTRY
- C07K—PEPTIDES
- C07K1/00—General methods for the preparation of peptides, i.e. processes for the organic chemical preparation of peptides or proteins of any length
- C07K1/13—Labelling of peptides
-
- C—CHEMISTRY; METALLURGY
- C07—ORGANIC CHEMISTRY
- C07K—PEPTIDES
- C07K7/00—Peptides having 5 to 20 amino acids in a fully defined sequence; Derivatives thereof
- C07K7/64—Cyclic peptides containing only normal peptide links
- C07K7/645—Cyclosporins; Related peptides
-
- A—HUMAN NECESSITIES
- A61—MEDICAL OR VETERINARY SCIENCE; HYGIENE
- A61K—PREPARATIONS FOR MEDICAL, DENTAL OR TOILETRY PURPOSES
- A61K38/00—Medicinal preparations containing peptides
-
- Y—GENERAL TAGGING OF NEW TECHNOLOGICAL DEVELOPMENTS; GENERAL TAGGING OF CROSS-SECTIONAL TECHNOLOGIES SPANNING OVER SEVERAL SECTIONS OF THE IPC; TECHNICAL SUBJECTS COVERED BY FORMER USPC CROSS-REFERENCE ART COLLECTIONS [XRACs] AND DIGESTS
- Y10—TECHNICAL SUBJECTS COVERED BY FORMER USPC
- Y10S—TECHNICAL SUBJECTS COVERED BY FORMER USPC CROSS-REFERENCE ART COLLECTIONS [XRACs] AND DIGESTS
- Y10S530/00—Chemistry: natural resins or derivatives; peptides or proteins; lignins or reaction products thereof
- Y10S530/806—Antigenic peptides or proteins
-
- Y—GENERAL TAGGING OF NEW TECHNOLOGICAL DEVELOPMENTS; GENERAL TAGGING OF CROSS-SECTIONAL TECHNOLOGIES SPANNING OVER SEVERAL SECTIONS OF THE IPC; TECHNICAL SUBJECTS COVERED BY FORMER USPC CROSS-REFERENCE ART COLLECTIONS [XRACs] AND DIGESTS
- Y10—TECHNICAL SUBJECTS COVERED BY FORMER USPC
- Y10S—TECHNICAL SUBJECTS COVERED BY FORMER USPC CROSS-REFERENCE ART COLLECTIONS [XRACs] AND DIGESTS
- Y10S530/00—Chemistry: natural resins or derivatives; peptides or proteins; lignins or reaction products thereof
- Y10S530/807—Hapten conjugated with peptide or protein
Definitions
- Cyclosporin derivatives of the present invention are disclosed which possess enhanced efficacy and reduced toxicity over naturally occurring and other presently known cyclosporins and cyclosporine derivatives.
- the cyclosporin derivatives of the present invention are produced by chemical and isotopic substitution of the cyclosporine A (CsA) molecule by:
- the cyclosporins are a family of, neutral, hydrophobic cyclic undecapeptides, containing a novel nine-carbon amino acid (MeBmt) at position 1 of the ring that exhibit potent immunosuppressive, antiparasitic, fungicidal, and chronic anti-inflammatory properties.
- the naturally occurring members of this family of structurally related compounds are produced by various fungi imperfecti.
- Cyclosporines A and C are the major components. Cyclosporine A, which is discussed further below, is a particularly important member of the cyclosporin family of compounds. Twenty four minor metabolites, also oligopeptides, have been identified: Lawen et al, J. Antibiotics 42, 1283 (1989); Traber et al, Helv. Chim. Acta 70, 13 (1987); Von Wartburg and Traber Prog. Med. Chem., 25, 1 (1988).
- Cyclosporin was discovered to be immunosuppressive when it was observed to suppress antibody production in mice during the screening of fungal extracts. Specifically, its suppressive effects appear to be related to the inhibition of T-cell receptor-mediated activation events. It accomplishes this by interrupting calcium dependent signal transduction during T-cell activation by inactivating calmodulin and cyclophilin, a peptidly propyl isomerase. It also inhibits lymphokine production by T-helper cells in vitro and arrests the development of mature CD8 and CD4 cells in the thymus.
- T-lymphocytes include inhibition of IL-2 producing T-lymphocytes and cytotoxic T-lymphocytes, inhibition of IL-2 released by activated T-cells, inhibition of resting T-lymphocytes in response to alloantigen and exogenous lymphokine, inhibition of IL-1 production, and inhibition of mitogen activation of IL-2 producing T-lymphocytes. Further evidence indicates that the above effects involve the T-lymphocytes at the activation and maturation stages.
- TCR T cell receptor
- MHC major histocompatibility
- TCR signal transmission pathway exact method of transmission unknown
- NF-AT nuclear factors of activated T-cells
- IL-2 lymphokine interleukin-2
- T-cell activation also involves the appearance of the lymphokine receptor IL-2R on the cell srface. After IL-2 binds to IL-2R, a lymphokine receptor (LKR) signal transmission pathway is activated.
- the immunosuppressive drug, rapamycin inhibits this pathway.
- CsA is a potent inhibitor of TCR-mediated signal transduction pathway. It inhibits binding of NF-AT to the IL-2 enhance., and thus inhibits transcriptional activation. CsA binds to cyclophilin, which binds to calcineurin, which is a key enzyme in the T-cell signal transduction cascade.
- Cyclophilin is found in prokaryotic and eukarotic organisms and is ubiquitous and abundant. Cyclophilin is a single polypeptide chain with 165 amino acid residues. It has a molecular mass of 17.8 kD. A roughly spherical molecule with a radius of 17 angstroms, cyclophilin has a eight-stranded antiparallel beta barrel. Inside the barrel, the tightly packed core contains mostly hydrophobic side chains. CsA has numerous hydrophobic side chains which allow it to fit into the cyclophilin beta barrel. Cyclophillin catalyzes the interconversion of the cis and trans-rotamers of the peGIFdyl-prolyl amide bond of peptide and protein substrates.
- Cyclophilin is identical in structure with peptidyl prolyl cis-trans isomerase and bears structural resemblance to the superfamily of proteins that transports ligands such as retinol-binding protein (RBP). These proteins carry the ligand in the barrel core. But cyclophilin actually carries the ligand binding site on the outside of the barrel. The tetrapeptide ligand binds in a long deep groove on the protein surface between one face of the beta barrel and the Thr116-Gly130 loop.
- CsA binds to the cyclophilin beta barrel.
- CyP A residues define the CsA binding site. These residues are Arg 55, Phe 60, Met 61, Gln 63, Gly 72, Ala 101, Asn 102, Ala 103, Gln 111, Phe 113, Trp 121, Leu 122, His 126.
- the largest side-chain movements are 1.3 A for Arg 55 and up to 0.7 A for Phe 60, Gln 63, and Trp 121.
- Residues 4, 5, 6, 7, 8 of CsA protrude out into the solvent and are thought to be involved in binding the effector protein, calcineurin (Pflugl, G., Kallen, J., Schirmer, T., Jansonius, J. N., Zurini, M. G. M., & Walkinshaw, M. D. p1993) Nature 361, 91-94.)
- the CsA-CyP A complex inhibits the phosphatase activity of the heterodimeric protein serine/threonine phosphatase or calcineurin (Liu, J., Farmer, J. D., Lane, W. S., Friedman, I., Weissman, I., & Schreiber, S. L. (1991) Cell 66, 807-15.; Swanson, S. K., Born, T., Zydowsky, C. D., Cho, H., Chang, H. Y., & Walsh, C. T. (1992) Proc. Natl. Acad. Sci.USA 89, 3686-90). CyP A binds CsA with an affinity of ca.
- Calcineurin dephosphorylates the transcription factor NFAT found in the catoplasm of T-cells. Dephosphorylation allows NFAT to translocate to the nucleus, combine with jun/fos genes and activate the transcription of the IL-2 gene responsible for cell cycle progression, leading to immune response.
- CsA-CyP A complex inhibits the phosphatase activity of calcineurin and ultimately immunosuppression (Etzkorn, F. A., Chang, Z., Stolz, L. A., & Walsh, C. T. (1994) Biochemistry 33, 2380-2388.). Neither CsA or CyP A alone are important immunologically. Only their complex is important (Liu, J., Farmer, J. D., Lane, W. S., Friedman, J., Weissman, I., & Schreiber, S. L. (1991) Cell 66, 807-15).
- Cyclosporine is metabolized in liver, small intestine and kidney to more than 30 metabolites.
- the structure of 13 metabolites and 2 phase II metabolites have been identified and at least 23 further metabolites have been isolated by HPLC and their structures characterized by mass spectrometry.
- the reactions involved in phase 1 metabolism of cyclosporine are hydroxylation, demethylation as well as oxidation and cyclisation at amino acid 1.
- Several clinical studies and reports showed an association between blood concentrations of cyclosporine metabolites and neuro- or nephrotoxicity. In vitro experiments indicate that metabolites are considerably less immunosupressive and more toxic than CsA.
- the cyclosporin family of compounds find utility in the prevention of rejection or organ and bone marrow transplants; and in the treatment of psoriasis, and a number of autoimmune disorders such as type 1 diabetes mellitus, multiple sclerosis, auto immune uveitis, and rheumatoid arthritis. Additional indications are discussed infra.
- Cyclosporin A is a cyclic peptide which contains several N-methyl amino acids and, at position-8, contains a D-alanine.
- the structure of Cyclosporin A a is given below:
- cyclosporin C which differs from cyclosporin A by the threonine at position-2 may be identified as [Thr] 2 cyclosporin or [Thr] 2 -CsA.
- cyclosporin B is [Ala] 2 -CsA
- cyclosporin D is [Val] 2 -CsA
- cyclosporin E is [Val] 11 -CsA
- cyclosporin F is [3-DesoxyMeBmt] 1 -CsA
- cyclosporin G is [NVa] 2 -CsA
- cyclosporin H is [D-MeVa] 11 -CsA.
- D-Serine and D-Threonine have been introduced into the 8-position of cyclosporin A by biosynthesis resulting in active compounds. See R. Traber et al. J. Antibiotics 42, 591 (1989). D-Chloroalanine has also been introduced into position-8 of Cyclosporin A by biosynthesis. See A. Lawen e al J. Antibiotics 5-2, 1283 (1989).
- Immunoregulatory abnormalities have been shown to exist in a wide variety of autoimmune and chronic inflammatory diseases, including systemic lupus erythematosis, chronic rheumatoid arthritis, type 1 diabetes mellitus, inflammatory bowel disease, biliary cirrhosis, uveitis, multiple sclerosis and other disorders such as Crohn's disease, ulcerative colitis, bullous pemphigoid, sarcoidosis, psoriasis, ichthyosis, and Graves ophthalmopathy.
- systemic lupus erythematosis chronic rheumatoid arthritis
- type 1 diabetes mellitus inflammatory bowel disease
- biliary cirrhosis uveitis
- multiple sclerosis and other disorders such as Crohn's disease, ulcerative colitis, bullous pemphigoid, sarcoidosis, psoriasis, ichthyosis, and
- the host lymphocytes recognize the foreign tissue antigens and begin to produce antibodies which lead to graft rejection.
- autoimmune or a rejection process tissue destruction caused by inflammatory cells and the mediators they release.
- Anti-inflammatory agents such as NSAID's (Non-Steroidal Anti-inflammatory Drugs), and corticosteroids act principally by blocking the effect of, or secretion of, these mediators, but do nothing to modify the immunologic basis of the disease.
- cytotoxic agents such as cyclophosphamide, act in such a nonspecific fashion that both the normal and autoimmune responses are shut off. Indeed, patients treated with such nonspecific immunosuppressive agents are as likely to succumb to infection as they are to their autoimmune disease.
- a cyclosporin such as cyclosporine A
- cyclosporine A is not cytotoxic nor myelotoxic. It does not inhibit migration of monocytes nor does it inhibit granulocytes and macrophage action. Its action is specific and leaves most established immune responses intact. However, it is nephrotoxic and is known to cause the following undesirable side effects:
- U.S. Pat. No. 4,384,996, issued to Bollinger, et al. on May 24, 1983 entitled “Novel Cyclosporins”, discloses cyclosporins having a ⁇ -vinylene- ⁇ -amino acid residue at the 2-position and/or a ⁇ -hydroxy- ⁇ -amino acid residue at the 8-position.
- the cyclosporins disclosed included either MeBmt or dihydro-MeBmt at the 1-position.
- the present invention concerns chemically substituted and deuterated analogs of cyclosporine A and related cyclosporines.
- An object of the present invention is to provide new cyclosporine analogs which have enhanced efficacy and altered pharmacokinetic and pharmacodynamic parameters. Another object of the present invention is to provide a cyclosporine analog for the care of immunoregulatory disorders and diseases, including the prevention, control and treatment thereof.
- An additional object of the present invention is to provide pharmaceutical compositions for administering to a patient in need of the treatment one or more of the active immunosuppressive agents of the present invention.
- Still a further object of this invention is to provide a method of controlling graft rejection, autoimmune and chronic inflammatory diseases by administering a sufficient amount of one or more of the novel immunosuppressive agents in a mammalian species in need of suck treatment.
- Embodiments of the invention include CsA derivatives wherein one or more hydrogen atoms in the 1, 3 and 9 amino acid positions can be substituted with a deuterium atom and wherein the cyclosporine A derivatives are optionally chemically substituted at the amino acid 9 position.
- a further specific embodiment of the invention is the CsA derivative represented by formula I:
- R is (i) a deuterium or (ii) a saturated or unsaturated straight or branched aliphatic chain of from 2 to 16 carbon atoms and optionally containing one or more deuterium atoms or an ester, ketone or alcohol of the carbon chain and optionally containing one or more substituents selected from halogen, nitro, amino, amido, aromatic, and heterocyclic, or (iii) R is an aromatic or heterocyclic group optionally containing a deuterium atom, or (iv) R is a methyl group and X, Y, and Z are hydrogen or deuterium provided that at least one of X, Y or Z is deuterium and R′ is an OH or an ester or is an O and together with a carbon adjacent to a double bond on amino acid 1 form a heterocyclic ring such as 5-membered rings where the heteroatom is oxygen.
- Other specific embodiments of the present invention include the CsA derivative of formula I where R is a saturated or unsaturated
- FIG. 1 is the structure of cyclosporine A showing a site of deuteration at the amino acid 3 position.
- FIG. 2 is the structure of cyclosporine A showing a site of deuteration at the amino acid 9 position.
- FIG. 3 is scheme I of the synthesis of the cyclosporine derivatives.
- FIG. 4 is scheme II of the synthesis of the cyclosporine derivatives.
- Stable isotopes are nonradioactive isotopes which contain one additional neutron than the normally abundant isotope of the respective atom.
- Deuterated compounds have been used in pharmaceutical research to investigate the in vivo metabolic fate of the compounds by evaluation of the mechanism of action and metabolic pathway of the non deuterated parent compound. (Blake et al. J. Pharm. Sci. 64, 3, 367-391, 1975). Such metabolic studies are important in the design of safe, effective therapeutic drugs, either because the in vivo active compound administered to the patient or because the metabolites produced from the parent compound prove to be toxic or carcinogenic (Foster et al., Advances in Drug Research Vol. 14, pp. 2-36, Academic press, London, 1985).
- Stable isotope labeling of a drug can alter its physico-chemical properties such as pKa and lipid solubility. These changes may influence the fate of the drug at different steps along its passage through the body. Absorption, distribution, metabolism or excretion can be changed. Absorption and distribution are processes that depend primarily on the molecular size and the lipophilicity of the substance. These effects and alterations can affect the pharmacodynamic response of the drug molecule if the isotopic substitution affects a region involved in a ligand-receptor interaction.
- Drug metabolism can give rise to large isotopic effect if the breaking of a chemical bond to a deuterium atom is the rate limiting step in the process. While some of the physical properties of a stable isotope-labeled molecule are different from those of the unlabeled one, the chemical and biological properties are the same, with one important exception: because of the increased mass of the heavy isotope, any bond involving the heavy isotope and another atom will be stronger than the same bond between the light isotope and that atom.
- the staring material for the preparation of the compounds of this invention is cyclosporine A.
- the process for preparing the compounds of the present invention are illustrated as shown in scheme I in FIG. 3. It will be readily apparent to one of ordinary skill in the art reviewing the synthetic route depicted below that other compounds with formula I can be synthesized by substitution of appropriate reactants and agents in the synthesis shown below.
- the first step in the process for making deuterated cyclosporin analogs is the preparation of the key intermediate 3 and 6. This can be achieved by the oxidation of the double bond in the amino acid 1. Treatment of cyclosporin with acetic anhydride and excess of dimethylaminopyridine provided the hydroxyl protected acetyl cyclosporin. 2 Although cleavage of the double bond could then be accomplished by treatment of 2 with ozone, or KMnO 4 /NaIO 4 , it was found out that OsO 4 /NaIO 4 was the reagent of choice for the transformation to the aldehyde product 3. The reaction was generally found to be cleaner, producing the required material and to proceed in higher yield.
- the aldehyde derivative 3 was treated with the Wittig reagent prepared by using standard procedure.
- the resultant product on mild acid hydrolysis provided the key intermediate aldehyde product 6
- This method provides control over the extension of the diene system. By using this approch, olefinic double bonds can be introduced step by step.
- a third approach to prepare the deuterated compounds 5a-h— is by heating non deuterated cyclosporin analogs described earlier, in a deuerated solvent such as deuterated water, deuterated acetic acid in the presence of acid or base catalyst.
- Preferred cyclosporins of the present invention include those which contain a deuterium and/or a chemical substitution on amino acid 1 such as those of formula II:
- R of above formula (I) equals 13 D, —CHO, —CDO, —CD 3 , —CH ⁇ CD—CD 3 , —CH ⁇ CD—CD 3 , —CH ⁇ CH—CH ⁇ CD—CD 3 , —CD ⁇ CH—CD ⁇ CD—CD 3 , —CH ⁇ CH—CH ⁇ CD 2 , —CD ⁇ CH—CD ⁇ CD 2 , —CH ⁇ CD 2 , —CD ⁇ CD 2 , —CH ⁇ CH 2 , —CH ⁇ CH—CD 3 , —CH ⁇ CH—CH 3 , —CH ⁇ CH—CH ⁇ CH—CH 3 , and —CH ⁇ CH—CH ⁇ CH 2 .
- Method A To a solution of compound 3(315 mg, 0.26 mmol) in THF (5 mL) at 0° C. was added a solution of the deutero-phosphorus ylid (2.67 mmol, ⁇ 10 eq), prepared from d 5 -ethyltriphenylphosphonium iodide. After work-up, purification by flash column chromatography (30% to 60% acetone in PE) and HPLC (60% to 65% MeCN in water), then lyophilisation from benzene yielded compound 4 (153 mg, 0.12 mmol, 47%) as a fluffy, colourless solid.
- Method B To a stirred solution of compound 3 (287 mg, 0.23 mmol) in THF (5 mL) under Ar at ⁇ 78° C. was carefully added a solution of phosphorus ylid (formed by the addition of sodium hexamethyldisilylamide (1.0M; 2.25 mL, 2.25 mmol, ⁇ 10 eq) to a suspension of d 5 -ethyltriphenylphosphonium iodide (480 mg, 1.13 mmol, ⁇ 5 eq) in THF (10 mL) under Ar at room temperature). After stirring for 2 hr with gradual warming to room temperature, the reaction mixture was cooled to 0° C.
- a solution of phosphorus ylid formed by the addition of sodium hexamethyldisilylamide (1.0M; 2.25 mL, 2.25 mmol, ⁇ 10 eq) to a suspension of d 5 -ethyltriphenylphosphonium iodide (480 mg
- the immunosupressive activity can be tested for cyclosporine and the disclosed cyclosporine analogs as described below.
- Calcineurin activity is assayed using a modification of the method previously described by Fruman et al. (A Proc Natl Acad Sci USA, 1992).
- Whole blood lysates are evaluated for their ability to dephosphorylate a 32 P-labelled 19 amino acid peptide substrate in the presence of okadaic acid, a phosphatase type 1 and 2 inhibitor.
- Background phosphatase 2C activity (CsA and okadaic acid resistant activity) is determined and subtracted from each sample, with the assay performed in the presence and absence of excess added CsA. The remaining phosphatase activity is taken as calcineurin activity.
- a mixed lymphocyte reaction (MLR) assay is performed with cyclosporine and the disclosed cyclosporine analogs.
- the MLR assay is useful for identifying CsA derivatives with biological (immunosuppressive) activity and to quantify this activity relative to the immunosuppressive activity of the parent CsA molecule.
- lymphocyte proliferation assay procedure useful for this purpose is as follows:
- cyclosporine derivatives of the invention which have been prepared include the following: STRUCTURE CODE # DB-b1-01 DB-b1-08 DB1-b1-11 DB1-b1-31 DB1-b1-45 DB-b186C DB-b1-92b DB-b1-93C DB-b1-145D DB-b1-147D DB-01-148 DB-b1-151 DB-b1-176 DB-b1-179 DB-b1-180 DB-b1-192 DB-b1-193 DB-b1-134 DB-b1-194 DB-b1-195 DB-b1-196 DB-b1-50B
- the compounds of this invention may be administered neat or with a pharmaceutical carrier to a warm blooded animal in need thereof.
- the pharmaceutical carrier may be solid or liquid.
- This invention also relates to a method of treatment for patients suffering from immunoregulatory abnormalities involving the administration of the disclosed cyclosporines as the active constituent.
- a deuterated cyclosporin may be administered orally, topically, parenterally, by inhalation spray or rectally in dosage unit formulations containing conventional non-toxic pharmaceutically acceptable carriers, adjuvants and vehicles.
- parenteral includes subcutaneous injections, intravenous, intramuscular, intrasternal injection or infusion techniques.
- compositions containing the active ingredient may be in a form suitable for oral use, for example, as tablets, troches, lozenges, aqueous or oily suspensions, dispersible powders or granules, emulsions, hard or soft capsules, or syrups or elixirs.
- Compositions intended for oral use may be prepared according to any method known to the art for the manufacture of pharmaceutical compositions and such compositions may contain one or more agents selected from the group consisting of sweetening agents, flavoring agents, coloring agents and preserving agents in order to provide pharmaceutically elegant and palatable preparation. Tablets containing the active ingredient in admixture with non-toxic pharmaceutically acceptable excipients may also be manufactured by known methods.
- the excipients used may be for example, (1) inert diluent such as calcium carbonate, lactose, calcium phosphate or sodium phosphate; (2) granulating and disintegrating agents such as corn starch, or alginic acid; (3) binding agents such as starch, gelatin or acacia, and (4) lubricating agents such as magnesium stearate, stearic acid or talc.
- the tablets may be uncoated or they may be coated by known techniques to delay disintegration and absorption in the gastrointestinal tract and thereby provide a sustained action over a longer period.
- a time delay material such as glyceryl monostearate or glyceryl distearate may be employed. They may also be coated by the techniques described in the U.S. Pat. Nos. 4,256,108; 4,160,452; and 4,265,874 to form osmotic therapeutic tablets for controlled release.
- formulations for oral use may be in the form of hard gelatin capsules wherein the active ingredient is mixed with an inert solid diluent, for example, calcium carbonate, calcium phosphate or kaolin. They may also be in the form of soft gelatin capsules wherein the active ingredient is mixed with water or an oil medium, for example peanut oil, liquid paraffin, or olive oil.
- an inert solid diluent for example, calcium carbonate, calcium phosphate or kaolin.
- water or an oil medium for example peanut oil, liquid paraffin, or olive oil.
- Aqueous suspensions normally contain the active materials in admixture with excipients suitable for the manufacture of aqueous suspensions. Such excipients may be
- the aqueous suspensions may also contain one or more preservatives, for example, ethyl or n-propyl p-hydroxybenzoate; one or more coloring agents; one or more flavoring agents; and one or more sweetening agents such as sucrose, aspartame or saccharin.
- preservatives for example, ethyl or n-propyl p-hydroxybenzoate
- coloring agents for example, ethyl or n-propyl p-hydroxybenzoate
- flavoring agents for example, ethyl or n-propyl p-hydroxybenzoate
- sweetening agents such as sucrose, aspartame or saccharin.
- Dispersible powders and granules are suitable for the preparation of an aqueous suspension. They provide the active ingredient in admixture with a dispersing or wetting agent, a suspending agent and one or more preservatives. Suitable dispersing or wetting agents and suspending agents are exemplified by those already mentioned above. Additional excipients, for example, those sweetening, flavoring and coloring agents described above may also be present.
- the pharmaceutical compositions of the invention may also be in the form of oil-in-water emulsions.
- the oily phase may be a vegetable oil such as olive oil or arachis oils, or a mineral oil such as liquid paraffin or a mixture thereof.
- Suitable emulsifying agents may be (1) naturally-occurring gums such as gum acacia and gum tragacanth, (2) naturally-occurring phosphatides such as soy bean and lecithin, (3) esters or partial esters derived from fatty acids and hexitol anhydrides, for example, sorbitan monooleate, (4) condensation products of said partial esters with ethylene oxide, for example, polyoxyethylene sorbitan monooleate.
- the emulsions may also contain sweetening and flavoring agents.
- Syrups and elixirs may be formulated with sweetening agents, for example, glycerol, propylene glycol, sorbitol, aspartame or sucrose. Such formulations may also contain a demulcent, a preservative and flavoring and coloring agents.
- sweetening agents for example, glycerol, propylene glycol, sorbitol, aspartame or sucrose.
- Such formulations may also contain a demulcent, a preservative and flavoring and coloring agents.
- the pharmaceutical compositions may be in the form of a sterile injectable aqueous or oleagenous suspension.
- This suspension may be formulated according to known methods using those suitable dispersing or wetting agents and suspending agents which have been mentioned above.
- the sterile injectable preparation may also be a sterile injectable solution or suspension in a non-toxic parenterally-acceptable diluent or solvent, for example as a solution in 1,3-butanediol.
- the acceptable vehicles and solvents that may be employed are water, Ringer's solution and isotonic sodium chloride solution.
- sterile, fixed oils are conventionally employed as a solvent or suspending medium.
- any bland fixed oil may be employed including synthetic mono- or diglycerides.
- fatty acids such as oleic acid find use in the preparation of injectables.
- the disclosed cyclosporines may also be administered in the form of suppositories for rectal administration of the drug.
- These compositions can be prepared by mixing the drug with a suitable non-irritating excipient which is solid at ordinary temperatures but liquid at the rectal temperature and will therefore melt in the rectum to release the drug.
- suitable non-irritating excipient which is solid at ordinary temperatures but liquid at the rectal temperature and will therefore melt in the rectum to release the drug.
- Such materials are cocoa butter and polyethylene glycols.
- creams, ointments, jellies, solutions or suspensions, etc., containing the disclosed cyclosporines are employed.
- the amount of active ingredient that may be combined with the carrier materials to produce a single dosage form will vary depending upon the host treated and the particular mode of administration.
- a formulation intended for the oral administration of humans may contain from 2.5 mg to 2.5 gm of active agent compounded with an appropriate and convenient amount of carrier material which may vary from about 5 to about 95 percent of the total composition.
- Dosage unit forms will generally contain between from about 5 mg to about 500 mg of active ingredient.
Landscapes
- Health & Medical Sciences (AREA)
- Chemical & Material Sciences (AREA)
- Organic Chemistry (AREA)
- Medicinal Chemistry (AREA)
- General Health & Medical Sciences (AREA)
- Life Sciences & Earth Sciences (AREA)
- Chemical Kinetics & Catalysis (AREA)
- General Chemical & Material Sciences (AREA)
- Public Health (AREA)
- Nuclear Medicine, Radiotherapy & Molecular Imaging (AREA)
- Veterinary Medicine (AREA)
- Pharmacology & Pharmacy (AREA)
- Bioinformatics & Cheminformatics (AREA)
- Animal Behavior & Ethology (AREA)
- Engineering & Computer Science (AREA)
- Genetics & Genomics (AREA)
- Biochemistry (AREA)
- Proteomics, Peptides & Aminoacids (AREA)
- Molecular Biology (AREA)
- Immunology (AREA)
- Biophysics (AREA)
- Physical Education & Sports Medicine (AREA)
- Orthopedic Medicine & Surgery (AREA)
- Rheumatology (AREA)
- Neurology (AREA)
- Analytical Chemistry (AREA)
- Hematology (AREA)
- Surgery (AREA)
- Biomedical Technology (AREA)
- Diabetes (AREA)
- Pain & Pain Management (AREA)
- Transplantation (AREA)
- Dermatology (AREA)
- Urology & Nephrology (AREA)
- Neurosurgery (AREA)
- Medicines That Contain Protein Lipid Enzymes And Other Medicines (AREA)
- Peptides Or Proteins (AREA)
Abstract
Cyclosporine derivatives are disclosed which possess enhanced efficacy and reduced toxicity over naturally occurring and other presently known cyclosporins and cyclosporine derivatives. The cyclosporine derivatives of the present invention are produced by chemical and isotopic substitution of the cyclosporine A (CsA) molecule by: (1) Chemical substitution and optionally deuterium substitution of amino acid 1; and (2) deuterium substitution at key sites of metabolism of the cyclosporine A molecule such as amino acids 1, 4, 9. Also disclosed are methods of producing the cyclosporine derivatives and method of producing immunosuppression with reduced toxicity with the disclosed cyclosporine derivatives.
Description
- Cyclosporin derivatives of the present invention are disclosed which possess enhanced efficacy and reduced toxicity over naturally occurring and other presently known cyclosporins and cyclosporine derivatives. The cyclosporin derivatives of the present invention are produced by chemical and isotopic substitution of the cyclosporine A (CsA) molecule by:
- 1. Chemical substitution and optionally deuterium substitution of
amino acid 1; and - 2. Deuterium substitution at key sites of metabolism of the cyclosporine A molecule such as
1, 4, 9.amino acids - The cyclosporins are a family of, neutral, hydrophobic cyclic undecapeptides, containing a novel nine-carbon amino acid (MeBmt) at
position 1 of the ring that exhibit potent immunosuppressive, antiparasitic, fungicidal, and chronic anti-inflammatory properties. The naturally occurring members of this family of structurally related compounds are produced by various fungi imperfecti. Cyclosporines A and C, are the major components. Cyclosporine A, which is discussed further below, is a particularly important member of the cyclosporin family of compounds. Twenty four minor metabolites, also oligopeptides, have been identified: Lawen et al, J. Antibiotics 42, 1283 (1989); Traber et al, Helv. Chim. Acta 70, 13 (1987); Von Wartburg and Traber Prog. Med. Chem., 25, 1 (1988). - Isolation of cyclosporines A and C, as well as the structure of A were reported by A. Ruegger et al., Helv. Chim. Acta 59, 1075(1976); M. Dreyfuss et al., J. Appl. Microbiol. 3, 125 ( 1976). Crystal and molecular structures of the iodo derivative of A have been reported by T. J. Petcher et al., Helv. Chim. Acta 59, 1480 (1976). The structure of C was reported by R. Traber et al., ibid. 60, 1247 (1977). Production of A and C has been reported by E. Harri et al., U.S. Pat. No. 4,117,118 (1978 to Sandoz). Isolation, characterization and antifungal activity of B, D, E, as well as the structures of A through D have been reported by R. Traber et al., Helv. Chim. Acta 60, 1568(1977). Isolation and structures of E, F, G, H, I: eidem, ibid. 65, 1655 (1982). Preparation of [2-Deutero-3-fluoro-D-Ala] 8-CsA is disclosed by Patchett et al in GB 2,206,199A which was published on Dec. 29, 1988.
- Cyclosporin was discovered to be immunosuppressive when it was observed to suppress antibody production in mice during the screening of fungal extracts. Specifically, its suppressive effects appear to be related to the inhibition of T-cell receptor-mediated activation events. It accomplishes this by interrupting calcium dependent signal transduction during T-cell activation by inactivating calmodulin and cyclophilin, a peptidly propyl isomerase. It also inhibits lymphokine production by T-helper cells in vitro and arrests the development of mature CD8 and CD4 cells in the thymus. Other in vitro properties include inhibition of IL-2 producing T-lymphocytes and cytotoxic T-lymphocytes, inhibition of IL-2 released by activated T-cells, inhibition of resting T-lymphocytes in response to alloantigen and exogenous lymphokine, inhibition of IL-1 production, and inhibition of mitogen activation of IL-2 producing T-lymphocytes. Further evidence indicates that the above effects involve the T-lymphocytes at the activation and maturation stages.
- Stimulation of TCR (T cell receptor) by foreign antigen on a major histocompatibility (MHC) molecule on the surface of the T cell results in the activation of a TCR signal transmission pathway (exact method of transmission unknown) through the cytoplasm causing the signal results in the activation of nuclear transcription factors, i.e. nuclear factors of activated T-cells (NF-AT) which regulate transcription of T-cell activation genes. These genes include that of lymphokine interleukin-2 (IL-2). Translation of the message is followed by secretion of IL-2. T-cell activation also involves the appearance of the lymphokine receptor IL-2R on the cell srface. After IL-2 binds to IL-2R, a lymphokine receptor (LKR) signal transmission pathway is activated. The immunosuppressive drug, rapamycin, inhibits this pathway.
- CsA is a potent inhibitor of TCR-mediated signal transduction pathway. It inhibits binding of NF-AT to the IL-2 enhance., and thus inhibits transcriptional activation. CsA binds to cyclophilin, which binds to calcineurin, which is a key enzyme in the T-cell signal transduction cascade.
- Cyclophilin is found in prokaryotic and eukarotic organisms and is ubiquitous and abundant. Cyclophilin is a single polypeptide chain with 165 amino acid residues. It has a molecular mass of 17.8 kD. A roughly spherical molecule with a radius of 17 angstroms, cyclophilin has a eight-stranded antiparallel beta barrel. Inside the barrel, the tightly packed core contains mostly hydrophobic side chains. CsA has numerous hydrophobic side chains which allow it to fit into the cyclophilin beta barrel. Cyclophillin catalyzes the interconversion of the cis and trans-rotamers of the peGIFdyl-prolyl amide bond of peptide and protein substrates. Cyclophilin is identical in structure with peptidyl prolyl cis-trans isomerase and bears structural resemblance to the superfamily of proteins that transports ligands such as retinol-binding protein (RBP). These proteins carry the ligand in the barrel core. But cyclophilin actually carries the ligand binding site on the outside of the barrel. The tetrapeptide ligand binds in a long deep groove on the protein surface between one face of the beta barrel and the Thr116-Gly130 loop.
- Further properties have also been reported in studies of the biological activity of CsA: J. F. Borel et al., Agents Actions 6, 468 (1976). Pharmacology: Eidem. Immunology 32, 1017 (1977); R. Y. Calne, Clin. Exp. Immunol. 35, 1 (1979). Human studies: R. Y. Calne et al.,
Lancet 2, 1323(1978); R. L. Powles et al., ibid. 1327; R. L. Powles et al.,ibid 1, 327 (1980). In vitro activity (porcine T-cells): D. J. White et al., Transplantation 27, 55 (1979). Effects on human lymphoid and myeloid cells: M. Y. Gordon, J. W. Singer, Nature 279, 433(1979). Clinical study of CsA in graft-versus-host disease: P. J. Tutschka et al., Blood 61, 318(1983). - Mechanism of Cyclosporine A Action
- Cyclosporine A-Cyclophilin A complex
- CsA, as discussed above, binds to the cyclophilin beta barrel. Thirteen CyP A residues define the CsA binding site. These residues are Arg 55, Phe 60, Met 61, Gln 63, Gly 72, Ala 101, Asn 102, Ala 103, Gln 111, Phe 113, Trp 121, Leu 122, His 126. The largest side-chain movements are 1.3 A for Arg 55 and up to 0.7 A for Phe 60, Gln 63, and Trp 121. There are four direct hydrogen bonds between the CyP A and CsA.
4, 5, 6, 7, 8 of CsA protrude out into the solvent and are thought to be involved in binding the effector protein, calcineurin (Pflugl, G., Kallen, J., Schirmer, T., Jansonius, J. N., Zurini, M. G. M., & Walkinshaw, M. D. p1993) Nature 361, 91-94.)Residues - Function of CsA-CyP A complex
- The CsA-CyP A complex inhibits the phosphatase activity of the heterodimeric protein serine/threonine phosphatase or calcineurin (Liu, J., Farmer, J. D., Lane, W. S., Friedman, I., Weissman, I., & Schreiber, S. L. (1991) Cell 66, 807-15.; Swanson, S. K., Born, T., Zydowsky, C. D., Cho, H., Chang, H. Y., & Walsh, C. T. (1992) Proc. Natl. Acad. Sci.USA 89, 3686-90). CyP A binds CsA with an affinity of ca. 10 nM. The complex is then presented to calcineurin (Liu, J., Farmer, J. D., Lane, W. S., Friedman, J., Weissman, I., & Schreiber, S. L. (1991) Cell 66, 807-15.).
- Calcineurin dephosphorylates the transcription factor NFAT found in the catoplasm of T-cells. Dephosphorylation allows NFAT to translocate to the nucleus, combine with jun/fos genes and activate the transcription of the IL-2 gene responsible for cell cycle progression, leading to immune response. CsA-CyP A complex inhibits the phosphatase activity of calcineurin and ultimately immunosuppression (Etzkorn, F. A., Chang, Z., Stolz, L. A., & Walsh, C. T. (1994) Biochemistry 33, 2380-2388.). Neither CsA or CyP A alone are important immunologically. Only their complex is important (Liu, J., Farmer, J. D., Lane, W. S., Friedman, J., Weissman, I., & Schreiber, S. L. (1991) Cell 66, 807-15).
- Metabolism of Cyclosporine:
- Cyclosporine is metabolized in liver, small intestine and kidney to more than 30 metabolites. The structure of 13 metabolites and 2 phase II metabolites have been identified and at least 23 further metabolites have been isolated by HPLC and their structures characterized by mass spectrometry. The reactions involved in
phase 1 metabolism of cyclosporine are hydroxylation, demethylation as well as oxidation and cyclisation atamino acid 1. Several clinical studies and reports showed an association between blood concentrations of cyclosporine metabolites and neuro- or nephrotoxicity. In vitro experiments indicate that metabolites are considerably less immunosupressive and more toxic than CsA. - As exemplified by the ever expanding list of indications for which CsA has been founc useful, the cyclosporin family of compounds find utility in the prevention of rejection or organ and bone marrow transplants; and in the treatment of psoriasis, and a number of autoimmune disorders such as
type 1 diabetes mellitus, multiple sclerosis, auto immune uveitis, and rheumatoid arthritis. Additional indications are discussed infra. - As is generally accepted by those of skill in the art, inhibition of secretion of interleukin-2 (IL-2) and other lymphokines from lymphocytes, is a useful indicator of intrinsic immunosuppressive activity of a cyclosporin analog. For a recent review of cyclosporin uses and mechanisms of action see Wenger et al Cyclosporine: Chemistry, Structure-Activity Relationships and Mode of Action, Progress in Clinical Biochemistry and Medicine, vol. 2, 176 (1986).
-
- As is the practice, in the field, a particular cyclosporin analog may be named using a shorthand notation identifying how the analog differs from cyclosporin A. Thus, cyclosporin C which differs from cyclosporin A by the threonine at position-2 may be identified as [Thr] 2cyclosporin or [Thr]2-CsA. Similarly, cyclosporin B is [Ala]2-CsA; cyclosporin D is [Val]2-CsA; cyclosporin E is [Val]11-CsA; cyclosporin F is [3-DesoxyMeBmt]1-CsA; cyclosporin G is [NVa]2-CsA; and cyclosporin H is [D-MeVa]11-CsA.
- D-Serine and D-Threonine have been introduced into the 8-position of cyclosporin A by biosynthesis resulting in active compounds. See R. Traber et al. J. Antibiotics 42, 591 (1989). D-Chloroalanine has also been introduced into position-8 of Cyclosporin A by biosynthesis. See A. Lawen e al J. Antibiotics 5-2, 1283 (1989).
- Indications for Cyclosporine Therapy
- Immunoregulatory abnormalities have been shown to exist in a wide variety of autoimmune and chronic inflammatory diseases, including systemic lupus erythematosis, chronic rheumatoid arthritis,
type 1 diabetes mellitus, inflammatory bowel disease, biliary cirrhosis, uveitis, multiple sclerosis and other disorders such as Crohn's disease, ulcerative colitis, bullous pemphigoid, sarcoidosis, psoriasis, ichthyosis, and Graves ophthalmopathy. Although the underlying pathogenesis of each of these conditions may be quite different, they have in common the appearance of a variety of autoantibodies and self-reactive lymphocytes. Such self-reactivity may be due, in part, to a loss of the homeostatic controls under which the normal immune system operates. - Similarly, following a bone marrow or an organ transplantation, the host lymphocytes recognize the foreign tissue antigens and begin to produce antibodies which lead to graft rejection.
- One end result of an autoimmune or a rejection process is tissue destruction caused by inflammatory cells and the mediators they release. Anti-inflammatory agents, such as NSAID's (Non-Steroidal Anti-inflammatory Drugs), and corticosteroids act principally by blocking the effect of, or secretion of, these mediators, but do nothing to modify the immunologic basis of the disease. On the other hand, cytotoxic agents, such as cyclophosphamide, act in such a nonspecific fashion that both the normal and autoimmune responses are shut off. Indeed, patients treated with such nonspecific immunosuppressive agents are as likely to succumb to infection as they are to their autoimmune disease.
- Generally, a cyclosporin, such as cyclosporine A, is not cytotoxic nor myelotoxic. It does not inhibit migration of monocytes nor does it inhibit granulocytes and macrophage action. Its action is specific and leaves most established immune responses intact. However, it is nephrotoxic and is known to cause the following undesirable side effects:
- (1) abnormal liver function;
- (2) hirsutism;
- (3) gum hypertrophy;
- (4) tremor;
- (5) neurotoxicity;
- (6) hyperaesthesia; and
- (7) gastrointestinal discomfort.
- A number of cyclosporines and analogs have been described in the patent literature:
- U.S. Pat. No. 4,108,985 issued to Ruegger, et al. on Aug. 22, 1978 entitled, “Dihydrocyclosporin C”, discloses dihydrocyclosporin C, which can be produced by hydrogenation of cyclosporin C.
- U.S. Pat. No. 4,117,118 issued to Harri, et al. on Sep. 26, 1978 entitled, “Organic Compounds”, discloses cyclosporins A and B, and the production thereof by fermentation.
- U.S. Pat. No. 4,210,581 issued to Ruegger, et al. on Jul. 1, 1980 entitled, “Organic Compounds”, discloses cyclosporin C and dihydrocyclosporin C which can be produced by hydrogenation of cyclosporin C.
- U.S. Pat. No. 4,220,641, issued to Traber, et al. on Sep. 2, 1980 entitled, “Organic Compounds”, discloses cyclosporin D, dihydrocyclosporin D, and isocyclosporin D.
- U.S. Pat. No. 4,288,431 issued to Traber. et al. on Sep. 8, 1981 entitled, “Cyclosporin Derivatives, Their Production and Pharmaceutical Compositions Containing Them”, discloses cyclosporin C, dihydrocylosporin G, and isocyclosporin G.
- U.S. Pat. No. 4,289,851, issued to Traber, et al. on Sep. 15, 1981 entitled, “Process for Producing Cyclosporin Derivatives”, discloses cyclosporin D, dihydrocyclosporin D, and isocyclosporin D, and a process for producing same.
- U.S. Pat. No. 4,384,996, issued to Bollinger, et al. on May 24, 1983 entitled “Novel Cyclosporins”, discloses cyclosporins having a β-vinylene-α-amino acid residue at the 2-position and/or a β-hydroxy-α-amino acid residue at the 8-position. The cyclosporins disclosed included either MeBmt or dihydro-MeBmt at the 1-position.
- U.S. Pat. No. 4,396,542, issued to Wenger on Aug. 2, 1983 entitled, “Method for the Total Synthesis of Cyclosporins, Novel Cyclosporins and Novel Intermediates and Methods for their Production”, discloses the synthesis of cyclosporins, wherein the residue at the 1-position is either MeBmt, dihydro-MeBmt, and protected intermediates.
- U.S. Pat. No. 4,639,434, issued to Wenger, et al on Jan. 27, 1987, entitled “Novel Cyclosporins”, discloses cyclosporins with substituted residues at
1, 2, 5 and 8.positions - U.S. Pat. No. 4,681,754, issued to Siegel on Jul. 21, 1987 entitled, “Counteracting Cyclosporin Organ Toxicity”, discloses methods of use of cyclosporin comprising co-dergocrine.
- U.S. Pat. No. 4,703,033 issued to Seebach on Oct. 27, 1987 entitled, “Novel Cyclosporins”, discloses cyclosporins with substituted residues at
1, 2 and 3. The substitutions at position-3 include halogen.positions - H. Kobel and R Traber, Directed Biosynthesis of Cyclosporins, European J. Appln. Microbiol Biotechnol., 14, 237B240 (1982), discloses the biosynthesis of cyclosporins A, B, C, D & G by fermentation.
- Additional cyclosporin analogs are disclosed in U.S. Pat. No. 4,798,823, issued to Witzel, entitled, New Cyclosporin Analogs with Modified “C-9 amino acids”, which discloses cyclosporin analogs with sulfur-containing amino acids at position-1.
- The present invention concerns chemically substituted and deuterated analogs of cyclosporine A and related cyclosporines.
- An object of the present invention is to provide new cyclosporine analogs which have enhanced efficacy and altered pharmacokinetic and pharmacodynamic parameters. Another object of the present invention is to provide a cyclosporine analog for the care of immunoregulatory disorders and diseases, including the prevention, control and treatment thereof. An additional object of the present invention is to provide pharmaceutical compositions for administering to a patient in need of the treatment one or more of the active immunosuppressive agents of the present invention. Still a further object of this invention is to provide a method of controlling graft rejection, autoimmune and chronic inflammatory diseases by administering a sufficient amount of one or more of the novel immunosuppressive agents in a mammalian species in need of suck treatment. Finally, it is the object of this invention to provide processes for the preparation of the active compounds of the present invention.
- Substitution and deuteration of the cyclosporine molecule results in altered physicochemical and pharmacokinetic properties which enhance its usefulness in the treatment of transplantation rejection, host vs. graft disease, graft vs. host disease, aplastic anemia, focal and segmental glomeruloscierosis, myasthenia gravis, psoriatic arthritis, relapsing polychondritis and ulcerative colitis.
- Embodiments of the invention include CsA derivatives wherein one or more hydrogen atoms in the 1, 3 and 9 amino acid positions can be substituted with a deuterium atom and wherein the cyclosporine A derivatives are optionally chemically substituted at the
amino acid 9 position. A further specific embodiment of the invention is the CsA derivative represented by formula I: - where R is (i) a deuterium or (ii) a saturated or unsaturated straight or branched aliphatic chain of from 2 to 16 carbon atoms and optionally containing one or more deuterium atoms or an ester, ketone or alcohol of the carbon chain and optionally containing one or more substituents selected from halogen, nitro, amino, amido, aromatic, and heterocyclic, or (iii) R is an aromatic or heterocyclic group optionally containing a deuterium atom, or (iv) R is a methyl group and X, Y, and Z are hydrogen or deuterium provided that at least one of X, Y or Z is deuterium and R′ is an OH or an ester or is an O and together with a carbon adjacent to a double bond on
amino acid 1 form a heterocyclic ring such as 5-membered rings where the heteroatom is oxygen. Other specific embodiments of the present invention include the CsA derivative of formula I where R is a saturated or unsaturated carbon chain of from 2 to 3 carbons containing one or more deuterium. Further specific embodiments include those of 5g and 5e below:formulas - FIG. 1 is the structure of cyclosporine A showing a site of deuteration at the
amino acid 3 position. - FIG. 2 is the structure of cyclosporine A showing a site of deuteration at the
amino acid 9 position. - FIG. 3 is scheme I of the synthesis of the cyclosporine derivatives.
- FIG. 4 is scheme II of the synthesis of the cyclosporine derivatives.
- Substitution of deuterium for ordinary hydrogen and deuterated substrates for protio metabolites can produce profound changes in biosystems. Isotopically altered drugs have shown widely divergent pharmacological effects. Pettersen et al., found increased anti-cancer effect with deuterated 5,6-benzylidene-dl-L-ascorbic acid (Zilascorb) [Anticancer Res. 12, 33 (1992)].
- Substitution of deuterium in methyl groups of cyclosporine will result in a slower rate of oxidation of the C 13 D bond relative to the rate of oxidation of a non-deuterium substituted C—H bond. The isotopic effect acts to reduce formation of demethylated metabolites and thereby alters the pharmacokinetic parameters of the drug. Lower rates of oxidation, metabolism and clearance result in greater and more sustained biological activity. Deuteration is targeted at various sites of the cyclosporin molecule to increase the potency of drug, reduce toxicity of the drug, reduce the clearance of the pharmacologically active moiety and improve the stability of the molecule.
- Isotopic Substitution:
- Stable isotopes (e.g., deuterium, 13C, 15N, 18O) are nonradioactive isotopes which contain one additional neutron than the normally abundant isotope of the respective atom. Deuterated compounds have been used in pharmaceutical research to investigate the in vivo metabolic fate of the compounds by evaluation of the mechanism of action and metabolic pathway of the non deuterated parent compound. (Blake et al. J. Pharm. Sci. 64, 3, 367-391, 1975). Such metabolic studies are important in the design of safe, effective therapeutic drugs, either because the in vivo active compound administered to the patient or because the metabolites produced from the parent compound prove to be toxic or carcinogenic (Foster et al., Advances in Drug Research Vol. 14, pp. 2-36, Academic press, London, 1985).
- Incorporation of a heavy atom particularly substitution of deuterium for hydrogen, can give rise to an isotope effect that could alter the pharmacokinetics of the drug. This effect is usually insignificant if the label is placed at a metabolically inert position of the molecule.
- Stable isotope labeling of a drug can alter its physico-chemical properties such as pKa and lipid solubility. These changes may influence the fate of the drug at different steps along its passage through the body. Absorption, distribution, metabolism or excretion can be changed. Absorption and distribution are processes that depend primarily on the molecular size and the lipophilicity of the substance. These effects and alterations can affect the pharmacodynamic response of the drug molecule if the isotopic substitution affects a region involved in a ligand-receptor interaction.
- Drug metabolism can give rise to large isotopic effect if the breaking of a chemical bond to a deuterium atom is the rate limiting step in the process. While some of the physical properties of a stable isotope-labeled molecule are different from those of the unlabeled one, the chemical and biological properties are the same, with one important exception: because of the increased mass of the heavy isotope, any bond involving the heavy isotope and another atom will be stronger than the same bond between the light isotope and that atom. In any reaction in which the breaking of this bond is the rate limiting step, the reaction will proceed slower for the molecule with the heavy isotope due to “kinetic isotope effect” A reaction involving breaking a C 13 D bond can be up to 700 per cent slower than a similar reaction involving breaking a C—H bond. If the C13 D bond is not involved in any of the steps leading to the metabolite, there may not be any effect to alter the behavior of the drug. If a deuterium is placed at a site involved in the metabolism of a drug, an isotope effect will be observed only if breaking of the C13 D bond is the rate limiting step There is evidence to suggest that whenever cleavage of an aliphatic C—H bond occurs, usually by oxidation catalyzed by a mixed-function oxidase, replacement of the hydrogen by deuterium will lead to observable isotope effect. It is also important to understand that the incorporation of deuterium at the site of metabolism slows its rate to the point where another metabolite produced by attack at a carbon atom not substituted by deuterium becomes the major pathway a process called “metabolic switching”. It is also observed that one of the most important metabolic pathways of compounds containing aromatic systems is hydroxylation leading to a phenolic group in the 3 or 4 position to carbon substituents. Although this pathway involves cleavage of the C—H bond, it is often not accompanied by an isotope effect, because the cleavage of this bond mostly not involved in the rate limiting step. The substitution of hydrogen by deuterium at the stereo center will induce a greater effect on the activity of the drug.
- Synthesis of Cyclosporine Derivatives:
- The staring material for the preparation of the compounds of this invention is cyclosporine A. The process for preparing the compounds of the present invention are illustrated as shown in scheme I in FIG. 3. It will be readily apparent to one of ordinary skill in the art reviewing the synthetic route depicted below that other compounds with formula I can be synthesized by substitution of appropriate reactants and agents in the synthesis shown below.
- The first step in the process for making deuterated cyclosporin analogs is the preparation of the key intermediate 3 and 6. This can be achieved by the oxidation of the double bond in the
amino acid 1. Treatment of cyclosporin with acetic anhydride and excess of dimethylaminopyridine provided the hydroxyl protected acetyl cyclosporin. 2 Although cleavage of the double bond could then be accomplished by treatment of 2 with ozone, or KMnO4/NaIO4, it was found out that OsO4/NaIO4 was the reagent of choice for the transformation to thealdehyde product 3. The reaction was generally found to be cleaner, producing the required material and to proceed in higher yield. The drawback to this reaction is that OsO4, is expensive and highly toxic, so that its use is limited. But the results can be accomplished more economically by the use of H2O, with OsO4 present in catalytic amounts. t-butyl hydroxide in alkaline solution and N-methylmorpholine-N-oxide can be substituted for H2O2 in this process. Thealdehyde compound 3 was further treated with various deuterated alkyl or aryl triphenyl phosphonium derivatives(wittig reagents) and hydrolysis by alkaline solution provided the final derivatives (5 a-h). We also developed a general procedure to obtain various compounds as shown in Scheme II in FIG. 4. - In this approach, the
aldehyde derivative 3 was treated with the Wittig reagent prepared by using standard procedure. The resultant product on mild acid hydrolysis provided the keyintermediate aldehyde product 6 This was further treated with second deuterated alkyl or aryl triphenylphosphonium halide reagents and on mild acid hydrolysis yielded the required products. This method provides control over the extension of the diene system. By using this approch, olefinic double bonds can be introduced step by step. - A third approach to prepare the
deuterated compounds 5a-h—is by heating non deuterated cyclosporin analogs described earlier, in a deuerated solvent such as deuterated water, deuterated acetic acid in the presence of acid or base catalyst. -
- And R═—CHC, —CDO, —CH═CD—CD 3, —CD═CD—CD3, —CH═CH—CH═CD—CD3, —CD═CH—CD═CD—CD3, —CH═C═CH═CD2, —CD═CH—CD═CD2, —CH═CD2, —CH═CH2 and —CD═CD2, —CH═CH—CD3, —CH═CH—CH═CH—CH3, and —CH═CH—CH═CH2. Other preferred embodiments of the invention include compounds where R of above formula (I) equals 13 D, —CHO, —CDO, —CD3, —CH═CD—CD3, —CH═CD—CD3, —CH═CH—CH═CD—CD3, —CD═CH—CD═CD—CD3, —CH═CH—CH═CD2, —CD═CH—CD═CD2, —CH═CD2, —CD═CD2, —CH═CH2, —CH═CH—CD3, —CH═CH—CH3, —CH═CH—CH═CH—CH3, and —CH═CH—CH═CH2.
- To a stirred solution of cyclosporine 1(1.01 g, 0.84 mmol) in acetic anhydride (20 mL) at room temperature was added DMAP (150 mg, 1.23 mmol 1.5 eq). After stirring overnight, the reaction mixture was partitioned between EtOAc (50 ml) and water (25 ml). The separated EtOAc layer was then washed with water (50 mL) and brine (50 mL), dried (MgSO 4) and the solvent removed in vacuo to give the crude product as a glassy solid. Purification by flash chromatography through a short column of silica (2% MeOH/DCM) and lyophilisation from benzene yielded 2 (1.044 g, 0.84 mmol, quant.) as a fluffy, colourless solid; [α]D 25−305.7 (c. 0.3, CHCl3); νmax (CHCl3 cast)/cm−1 3328m, 2963m, 1746m, 1627s, 1528m, 1472m, 1233m; δH (600 MHz, C6D6) 8 73 (1H, d, J=9.5 Hz, NH, 8.30 (1H, d, J=7.0 Hz, NH), 7.92 (1H, d, J=7.5 Hz, NH), 7.49 (1H, d, J=7.5 Hz, NH), 6.05 (1H, d, J=11.5 Hz), 5.88 (1H, dd, J=3.5, 11.5 Hz), 5.82 (1H, d, J=11.5 Hz), 5.65 (1H, dd, J=4.0, 12.0 Hz), 5.60 (1H, dd, J=3.5, 12.5 Hz), 5.63-5.57 (1H, m), 5.51-5.45 (1H, m), 5.37 (1H, dd, J=5.5, 8.5 Hz), 5.05-5.01 (2H, complex), 4.99 (1H, d, J=11.0 Hz), 4.76 (1H, p, J=7.0 Hz), 4.58 (1H, p, J=7.0 Hz), 4.02 (1H, d, J=13.5 Hz), 3.47 (3H, s), 3.30 (3H, s), 3.17 (3H, s), 3.11 (3H, s), 2.98 (3H, s), 2.68-2.62 (1H, m), 2.63 (3H, s), 2.51-2.39 (2H, complex), 2.34-2.25 (8H, complex), 2.03 (3H, s), 1.97-1.85 (2H, complex), 1.83 (3H, dd, J=1.0, 6.5 Hz), 1.82-1.77 (2H, complex), 1.68-1.61 (3H, complex), 1.55 (3H, d, J=7.0 Hz), 1.55-1.51 (1H, m), 1.44-1.38 (1H, m), 1.32-1.20 (5H, complex), 1.29 (3H, d, J=7.0 Hz), 1.21 (3H, d, J=6.5 Hz), 1.17 (3H, d, J=6.5 Hz), 1.14 (3H, d, J=6.5 Hz), 1.08 (3H, d, J=6.5 Hz), 1.04 (3H, d, J=6.0 Hz), 1.03 (3H, d, J=7.0 Hz), 1.00 (3H, d, J=7.0 Hz), 0.93 (3H, d, J=6.0 Hz), 0.92 (3H, d, J=6.5 Hz), 0.88-0.84 (9H, complex), 0.76 (3H, d, J=6.5 Hz), 0.57 (3H, d, J=6.5 Hz); δC (75 MHz, C6D6) 173.6, 173.2, 172.8, 172.6, 171.3, 171.1, 170.71, 170.67, 170.4, 170.2, 169.8, 167.9 (C═O), 129.0, 126.2 (C═C), 73.1 (COAc), 58.1, 57.1, 56.0, 55.0, 54.6, 54.2, 50.3, 49.9, 48.6, 48.1, 47.8, 44.5, 40.8, 39.1, 35.7, 33.6, 32.9, 32.1, 31.5, 31.2, 30.0, 29.7, 29.5, 29.3, 24.9, 24.6, 24.4, 24.0, 23.6, 23.4, 23.3, 21.7, 21.1, 21.0, 20.6, 20.3, 19.5, 18.5, 18.0, 17.7, 17.5, 17.4, 14.9, 9.7; m/z (Electrospray)
- To a solution of compound 2 (289 mg, 0.23 mmol) in a 1:1 mixture of dioxane and water (5 mL) was added firstly sodium metaperiodate (100 mg, 0.47 mmol, 2 eq) and secondly a solution of osmium tetraoxide (5 mL; 0.5 g OsO 4 in 250 mL of solvent). Two-phase work-up, purification by flash column chromatography (40% acetone in petroleum ether) and lyophilisation from benzene gave
compound 3. (226 mg, 0.18 mmol, 80%) as a fluffy, colourless solid; [α]D 25−260.0 (c. 0.1, CHCl3); νmax (CHCl3 cast)/cm−1 3325m, 2962m, 1748w, 1724w, 1677m, 1626s, 1228m, 755m; δH (300 MHz, C6D6) 8.63 (1H, d, J=9.5 Hz, NH), 8.16 (1H, d, J=7.0 Hz, NH), 7.95 (1H, d, J=7.5 Hz, NH) 7.48 (1H, d, J=9.0 Hz, NH), 5.93 (1H, d, J=7.5 Hz), 5.84 (1H, dd, J=4.0, 11.5 Hz), 5.70 (1H, d, J=11.5 Hz). 5.56-5.54 (1H, m), 5.32 (1H, dd, J=5.5, 8.0 Hz), 5.07-4.88(3H, complex), 4.72 (1H, p, J=7.0 Hz), 4.49 (1H, p, J=7.0 Hz), 3.98 (1H, d, J=14.0 Hz), 3.42 (3H, s, CH3N), 3.27 (3H, s, CH3N), 3.12 (3H, s, CH3N), 3.07 (3H, s, CH3N), 2.91 (3H, s, CH3N), 2.79 (3H, s, CH3N), 2.59 (3H, s, CH3N), 2.42-2.08 (10H, complex), 1.94 (3H, s, CH3CO2), 1.47 (3H, d, J=7.0 Hz), 1.24 (3H, 7.0 Hz), 1.14-1.09 (9H, complex), 1.04 (3H, d, J=6.5 Hz), 1.01 (3H, d, J=7.0 Hz), 0.96 (3H, d, J=6.5 Hz), 0.92 (3H, d, J=6.5 Hz), 0.91 (3H, d, J=6.5 Hz), 0.89 (3H, d, J=6.0 Hz), 0.83 (6H, d, J=6.5 Hz), 0.74 (3H, d, J=6.5 Hz), 0.59 (3H, d, J=6.5 Hz), δc (75 MHz, C6D6) 202.5 (CHO), 174.4, 174.0, 173.7, 172.8, 171.6, 171.5, 171.2, 171.1, 170.6, 170.2, 170.2, 168.1, 73.0, 58.7, 57.6, 56.7, 55.5, 55.0, 54.5, 49.4, 48.9, 48.5, 48.1, 45.0, 44.6, 41.3, 39.8, 38.8, 37.7, 36.2, 32.5, 32.0, 31.6, 30.9, 30.3, 30.0, 29.8, 29.6, 25.6, 25.3, 25.0, 24.8, 24.5, 24.0, 23.8, 23.4, 22.0, 21.7, 21.2, 20.5, 20.0, 19.8, 18.8, 18.5, 18.2, 17.4, 15.2, 10.0; m/z (Electrospray) 1232.8 (MH+, 100%). - Method A: To a solution of compound 3(315 mg, 0.26 mmol) in THF (5 mL) at 0° C. was added a solution of the deutero-phosphorus ylid (2.67 mmol, ˜10 eq), prepared from d 5-ethyltriphenylphosphonium iodide. After work-up, purification by flash column chromatography (30% to 60% acetone in PE) and HPLC (60% to 65% MeCN in water), then lyophilisation from benzene yielded compound 4 (153 mg, 0.12 mmol, 47%) as a fluffy, colourless solid.
- Method B: To a stirred solution of compound 3 (287 mg, 0.23 mmol) in THF (5 mL) under Ar at −78° C. was carefully added a solution of phosphorus ylid (formed by the addition of sodium hexamethyldisilylamide (1.0M; 2.25 mL, 2.25 mmol, ˜10 eq) to a suspension of d 5-ethyltriphenylphosphonium iodide (480 mg, 1.13 mmol, ˜5 eq) in THF (10 mL) under Ar at room temperature). After stirring for 2 hr with gradual warming to room temperature, the reaction mixture was cooled to 0° C. and was quenched by the addition of 10% AcOH/THF (10 mL). The reaction mixture was concentrated in vacuo and partitioned between water (20 mL) and EtOAc (20 mL). The aqueous layer was further extracted with EtOAc (20 mL) and the combined organic extracts were then washed with 1N HCl (20 mL) and water (20 mL), dried (MgSO4) and the solvent removed in vacuo to give the crude product. Purification by flash column chromatography (40% acetone in petroleum ether) and lyophilisation from benzene yielded compound 4d (84 mg, 67 μmol, 29%) as a fluffy, colourless solid; [α]D 25−283.0 (c. 0.1, CHCl3); νmax (CHCl3 cast)/cm−1 3320m, 3010m, 2959s, 2924s, 2871m, 2853m, 1743m, 1626s, 756s; δH (600 MHz, C6D6) 8.78 (1H, d, J=9.5 Hz), 8.33 (1H, d, J=7.0 Hz), 7.99 (1H, d, J=7.5 Hz), 7.59 (1H, d, J=9.0 Hz), 6.09 (1H, d, J=11.5 Hz), 5.92 (1H, dd, J=4.0, 11.0 Hz), 5.86 (1H, d, J=11.5 Hz), 5.72-5.64 (2H, complex), 5.62 (1H, dd, J=3.5, 12.5 Hz), 5.40 (1H, dd, J=5.5, 8.5 Hz), 5.10-5.02 (3H, complex), 4.80 (1H, q, J=7.0 Hz), 4.60 (1H, q, J=7.0 Hz), 4.05 (1H, d, J=14.0 Hz), 3.51 (3H, s), 3.31 (3H, s), 3.20 (3H, s), 3.13 (3H, s), 3.01 (3H, s), 2.87 (3H, s), 2.64 (3H, s). 2.45 (1H, dt, J=4.0, 12.5 Hz), 2.36-2.20 (10H, complex), 2.06 (3H, s), 1.93-1.79 (3H, complex); δD (84 MHz, C6H6) δc (125 MHz, C6D6) 174.5, 173.7, 173.6, 173.1, 171.7, 171.4, 170.9, 170.7, 170.6, 170.3, 170.0, 168.4, 130.2 (C═C), 123.8 (C═C), 73.8 (MeBmt C-3), 58.7, 58.1, 57.6, 57.1, 55.5, 55.0, 54.5, 40.4, 49.0, 48.6, 48.2, 45.0, 41.4, 39.9, 39.0, 37.8, 34.2, 33.9, 32.6, 32.3, 32.0, 31.4, 30.9, 30.8, 30.2, 30.1, 30.0, 29.9, 29.8, 29.6, 28.5, 25.6, 25.3, 25.0, 24.9, 24.8, 24.1, 23.9, 23.8, 23.6, 23.1, 22.1, 21.7, 21.4, 20.7, 20.0, 19.9, 19.8, 18.9, 18.7, 18.6, 18.3, 17.4, 15.3, 14.3, 10.2; m/z (Electrospray) 1270 ([M+Na]+, 100%), 1286 ([M+K]+, 20).
- To a stirred solution of 4d (84 mg, 67 μmol) in MeOH (5 mL) and water (2.5 mL) at room temperature was added potassium carbonate (99 mg, 0.72 mmol, ˜10 eq). After stirring overnight, the MeOH was removed in vacuo and the aqueous residue was partitioned between EtOAc (10 mL) and 5% citric acid solution (10 mL). The EtOAc layer was then washed with water (10 mL) and brine (10 mL), dried (MgSO 4) and the solvent removed in vacuo to give the crude product. HPLC purification (60% to 65% MeCN in water) and lyophilisation from benzene yielded compound 5d (59 mg, 49 μmol, 70%) as a fluffy, colourless solid; [α]D 25−262.0 (c. 0.05, CHCl3); νmax (CHCl3 cast)/cm−1 3318m, 3008m, 2960s, 2872m, 1627s, 1519m, 1470m, 1411m, 1295m, 1095m, 754m; δH (600 MHz, C6H6) 8.27 (1H, d, J=9.5 Hz), 7.96 (1H, d, J=7.5 Hz), 7.63 (1H, d, J=8.0 Hz), 7.45 (1H, d, J=9.0 Hz), 5.87 (1H, dd, J=3.5, 11.0 Hz), 5.74 (1H, d, J=7.5 Hz), 5.73-5.69 (1H, m), 5.66-5.64 (1H, br d, J=11.0 Hz), 5.79 (1H, dd, J=4.0, 11.5 Hz), 3.39 (1H, dd, J=5.5, 10.5 Hz), 5.33 (1H, dd, J=5.5, 8.5 Hz), 5.24 (1H, d, J=11.0 Hz), 5.12 (1H, dt, J=7.5, 10.0 Hz), 4.88-4.79 (3H, complex), 4.22 (1H, dd, J=5.5, 7.5 Hz), 4.00 (1H, d, 13.5 Hz), 3.72 (3H, s), 3.22 (3H, s), 3.06 (3H, s), 2.97 (3H, s), 2.92 (3H, s), 2.85 (3H, s), 2.67-2.60 (1H, m), 2.58 (3H, s), 2.56-2.50 (1H, br m), 2.33-2.23 (4H, complex), 2.20-2.07 (4H, complex), 1.80-1.74 (3H, complex), 1.67 (3H, d, J=7.0 Hz), 1.56-1.50 (2H, complex), 1.46-1.23 (9H, complex), 1.17-1.13 (16H, complex), 1.06 (3H, d, J=6.5 Hz), 1.02 (3H, d, J=7.0 Hz), 0.98 (3H, d, J=6.5 Hz), 0.96 (3H, d, J=7.0 Hz), 0.92-0.89 (9H complex), 0.86 (3H, t, J=7.5 Hz), 0.83 (3H, d, J=6.0 Hz), 0.64 (3H, d, J=6.5 Hz); δD (84 MHz, C6H6) 1.64 (CD3); δC (75 MHz, C6H6) 174.2, 174.1, 174.0, 173.7, 171.8, 171.4, 171.2, 170.5, 170.4, 170.3, 169.8, 130.2, 124.1, (99.2,) 74.3, (67.1,) 66.3, 66.1, 61.0, 59.5, 58.3, 57.8, 55.7, 55.5, 55.4, 49.4, 49.0, 48.4, 45.3, 41.4, 39.6, 39.0, 37.8, 36.5, 36.1, 35.8, 33.7, 31.6, 30.8, 30.4, 30.1, 29.9, 29.5, 29.4, 25.5, 25.2, 25.0, 24.9, 24.5, 24.2, 23.8, 23.7, 23.6, 22.0, 21.4, 20.0, 18.8, 18.5, 17.8, 16.0, 10.1; m/z (Electrospray) 1206 ([M+H]+, 30%), 1228 ([M+Na]+, 100), 1244 ([M+K]+, 25).
- To a vigorously stirred mixture of compound 3 (49 mg, 39.81 μmol) and deuterated d 3-allyltriphenylphosphonium bromide (311 mg, 812 μmol, ˜20 eq) in benzene (3 mL) at room temperature was added 1N NaOH (3 mL). Stirring was continued at room temperature for 5 days, after which time the 2 layers were separated, the benzene layer was washed with water (5 mL), dried (MgSO4) and the solvent removed in vacuo to give the crude product. Purification by HPLC (20% to 60% MeCN in water) and lyophilisation from benzene yielded compound 4 (23 mg, 18.3 μmol, 47%) as a fluffy, colourless solid; [α]D 25−264.2 (c. 0.24, CHCl3); νmax (CHCl3 cast)/cm−1 3322m, 2959m, 1744m, 1626s, 1231m, 754m; δH (300 MHz, C6D6) complex due to 1:1 ratio of geometrical isomers 8.73 (d, J=9.5 Hz, NH, 8.72 (d, J=9.5 Hz, NH), 8.29 (d, J=6.5 Hz, NH), 8.26 (d, J=6.5 Hz, NH), 7.92 (d, J=7.5 Hz, NH), 7.86 (d, J=7.5 Hz, NH), 7.53 (d, J=9.0 Hz, NH), 7.49 (d, J=9.0 Hz, NH), 7.10-6.70 (complex), 6.33 (br t, J=11.0 Hz), 6.18 (d, J=10.5 Hz), 6.12 (d, J=10.5 Hz), 6.05 (d, J=11.0 Hz), 6.03 (d, J=11.0 Hz), 5.90-5.53 (complex), 5.37 (dd, J=6.0, 8.0 Hz), 5.20 (d, J=12.0 Hz), 5.14 (d, J=12.0 Hz), 5.07-4.97 (complex), 4.80-4.70 (complex), 4.57 (p, J=7.0 Hz), 4.02 (d, J=14.0 Hz), 4.01 (d, J=14.0 Hz), 3.47 (s), 3.46 (s), 3.28 (s), 3.26 (s), 3.16 (s), 3.15 (s), 3.09 (s), 2.97 (s), 2.96 (s), 2.84 (s), 2.62 (s), 2.48-2.23 (complex), 2.05 (s), 2.03 (s), 1.95-1.59 (complex), 1.54 (d, J=7.0 Hz), 1.53-0.80 (complex), 0.77 (d, J=6.5 Hz), 0.58 (d, J=6.5 Hz), 0.57 (d, J=6.5 Hz); δC (75 MHz, C6D6) 174.5, 174.0, 173.9, 173.6, 173.5, 173.1, 171.7, 171.6, 171.4, 170.9, 170.8, 170.6, 170.6, 170.3, 169.8, 169.7, 168.4, 137.9, 133.9, 133.5, 132.8, 132.3, 131.6, 130.1, 116.9, 115.0, 73.6, 58.6, 57.6, 57.0, 56.8, 55.7, 55.5, 55.0, 54.9, 54.7, 54.5, 49.4, 48.9, 48.5, 48.2, 48.1, 44.9, 41.5, 39.9, 39.0, 38.9, 37.8, 37.6, 36.6,36.3, 34.1, 33.7, 32.7, 32.1, 32.0, 31.5, 30.9, 30.7, 30.0, 29.8, 29.6, 25.6, 25.5, 25.3, 25.2, 25.0, 24.9, 24.1, 23.9, 23.7, 23.6, 22.1, 21.7, 21.6, 21.4, 21.3, 20.7, 20.0, 19.9, 18.9, 18.6, 18.3, 17.6, 15.3, 10.2; m/z (Electrospray) 1258.8 (MH+, 100%).
- To a vigorously stirred mixture of compound 3 (56 mg, 45.5 μmol) and deuterated d 4-crotyltriphenylphosphonium bromide (360 mg, 907 μmol, 20 eq) in benzene (3 mL) at room temperature was added 1N NaOH (3 mL). Stirring was continued at room temperature for 5days, after which time the 2 layers were separated, the benzene layer was washed with water (5 mL dried (MgSO4) and the solvent removed in vacuo to give the crude product. Purification by HPLC (20% to 60% MeCN in water) and lyophilisation from benzene yielded compound 4e (23 mg, 18.1 μmol, 40%) as a fluffy, colourless solid; [α]D 25−236.0 (c. 0.25, CHCl3); νmax (CHCl3 cast)/cm−1 3324m, 2959m, 2871m, 1745w, 1626s, 1231m; δH (300 MHz, C6D6) complex due to presence of 4 isomers 8.76 (d, J=6.0 Hz), 8:73 (d, J=6.0 Hz), 8.29 (d, J=7.0 Hz), 7.93 (d, J=7.5 Hz), 7.88 (d, J=7.5 Hz), 7.53 (d, J=9.5 Hz), 7.62-7.31 (1H, complex), 7.16-6.88 (2H, complex), 6.59-6.39 (complex), 6.28 (t, J=11.0 Hz), 6.15 (d, J=10.5 Hz), 6.09 (d, J=10.5 Hz), 6.05 (d, J=11.5 Hz), 6.03 (d, J=11.5 Hz), 5.90-5.82 (complex), 5.68-5.35 (complex), 5.08-4.97 (complex), 4.81-4.72 (complex), 4.63-4.53 (complex), 4.03 (d, J=14.0 Hz), 3.47 (s), 3.46 (s), 3.28 (s), 3.26 (s), 3.17 (s), 3.15 (s), 3.09 (s), 2.98 (s), 2.97 (s), 2.83 (s), 2.63 (s), 2.62 (s), 2.71-2.56 (complex), 2.47-2.23 (complex), 2.05 (s), 2.04 (s), 2.03 (s), 2.02 (s), 1.98-0.82 (complex), 0.77 (d, J=6.5 Hz), 0.58 (d, J=6.5 Hz), 0.58 (d, J=6.5 Hz); m/z (Electrospray) 1273.8 (MH+, 100%).
- To a stirred solution of compound 4g (20 mg, 15.9 μmol) in methanol (5 mL) and water (1 mL) at room temperature was added potassium carbonate (30 mg, 217 μmol). After stirring overnight, the reaction mixture was partitioned between EtOAc (10 mL) and 5% aqueous citric acid (10 mL). The aqueous layer was further extracted with EtOAc (5 mL), the combined organic layers were then washed with 5% citric acid (10 mL) and brine (10 mL), dried (MgSO 4) and the solvent removed in vacuo to give the crude product. Purification by HPLC (65% MeCN) and lyophilisation from benzene yielded
compound 5g (10 mg, 8.2 μmol, 52%) as a fluffy, colourless solid; [α]D 25 −285.2 (c. 0.29, CHCl3); λmax (CHCl3 cast)/cm−1 3500-3200br, 3319m, 2958m, 2927m, 1626s, 1520m, 1468m, 754m; δH (300 MHz, C6D6) complex due to the presence of 2 isomers 8.25 (d, J=10.0 Hz, NH), 8.13 (d, J=10.0 Hz, NH), 7.93 (d, J=7.0 Hz, NH), 7.84 (d, J=7.0 Hz, NH), 7.67 (d, J=8.0 Hz, NH), 7.61 (d, J=8.0 Hz, NH), 7.55 (d, J=0.5 Hz, NH) 7.54 (d, J=8.5 Hz, NH), 6.84 (t, J=10.5 Hz), 6.79 (t, J=10.5 Hz), 6.58 (t, J=10.5 Hz), 6.52 (t, J=10.5 Hz), 6.30-6.14 (complex), 5.88-5.78 (complex), 5.75-5.66 (complex), 5.44-4.74 (complex), 4.22-4.15 (complex), 3.95 (d, J=14.0 Hz), 3.93 (d, J=14.0 Hz), 3.72 (s), 3.68 (s), 3.19 (s), 3.17 (s), 3.05 (s), 3.03 (s), 2.94 (s), 2.93 (s), 2.89 (s), 2.86 (s), 2.82 (s), 2.81 (s), 2.72-2.53 (complex), 2.55 (s), 2.54 (s), 2.49-2.36 (complex), 2.32-2.03 (complex), 1.81-0.81 (complex), 0.65 (d, J=6.5 Hz)), m/z (Electrospray) 1216.8 (MH+, 100%), 607.9 ([M+2H]2+, 15). - To a stirred solution of compound 4e (18 mg, 14.2 μmol) in methanol (5 mL) and water (1 mL) at room temperature was added potassium carbonate (35 mg, 254 μmol). After stirring overnight, the reaction mixture was partitioned between EtOAc (10 mL) and 5% aqueous citric acid (10 mL). The aqueous layer was further extracted with EtOAc (5 mL), the combined organic layers were then washed with 5% citric acid (10 mL) and brine (10 mL), dried (MgSO 4) and the solvent removed in vacuo to give the crude product. Purification by HPLC (65% MeCN) and lyophilisation from benzene yielded
compound 5e (10 mg, 8.1 μmol, 57%) as a fluffy, colourless solid; [α]D 25−285.5 (c. 0.11, CHCl3); δH (300 MHz, C6D6) complex due to presence of 4 isomers 8.31 (d, J=9.5 Hz), 8.28 (d, J=9.5 Hz), 8.16 (d, J=9.5 Hz), 8.14 (d, J=9.5 Hz), 7.96 (d, J=7.5 Hz), 7.95 (d, J=7.5 Hz), 7.86 (d, J=7.5 Hz), 7.85 (d, J=7.5 Hz), 7.63 (d, J=7.5 Hz), 7.59 (d, J=7.5 Hz), 7.50-7.44 (complex), 6.60-6.49 (complex), 6.32-6.11 (complex), 5.88-5.83 (complex), 5.76-5.71 (complex), 5.64-5.22 (complex), 5.17-5.08 (complex), 4.91-4.77 (complex), 4.26-4.18 (complex), 3.99 (d, J=14.0 Hz), 3.97 (d, J=14.0 Hz), 3.74 (s), 3.73 (s), 3.71 (s), 3.69 (s), 3.22 (s), 321 (s), 3.20 (s), 3.19 (s), 3.07 (s), 3.06 (s), 3.05 (s), 2.97 (s), 2.96 (s), 2.95 (s), 2.92 (s), 2.91 (s), 2.89 (s), 2.84 (s), 2.83 (s), 2.69-2.07 (complex), 2.58 (s), 2.57 (s), 1.84-0.81 (complex), 0.64 (d, J=6.5 Hz); m/z (Electrospray) 1269.8 ([M+K]+, 5%), 1253.8 ([M+Na]+, 30), 1231.8 (MH+) - The immunosupressive activity can be tested for cyclosporine and the disclosed cyclosporine analogs as described below. Calcineurin activity is assayed using a modification of the method previously described by Fruman et al. (A Proc Natl Acad Sci USA, 1992). Whole blood lysates are evaluated for their ability to dephosphorylate a 32P-labelled 19 amino acid peptide substrate in the presence of okadaic acid, a
1 and 2 inhibitor. Background phosphatase 2C activity (CsA and okadaic acid resistant activity) is determined and subtracted from each sample, with the assay performed in the presence and absence of excess added CsA. The remaining phosphatase activity is taken as calcineurin activity.phosphatase type - A mixed lymphocyte reaction (MLR) assay is performed with cyclosporine and the disclosed cyclosporine analogs. The MLR assay is useful for identifying CsA derivatives with biological (immunosuppressive) activity and to quantify this activity relative to the immunosuppressive activity of the parent CsA molecule.
- An example of a lymphocyte proliferation assay procedure useful for this purpose is as follows:
- 1. Collect blood from two individuals (20mls each) and isolate lymphocytes using Ficoll-Paque (Pharmacia Biotech).
- 2. Count lymphocytes at 1:10 dilution in 2% acetic acid (v/v).
- 3. Prepare 10 mls of each lymphocyte populations (A+B) at 1×10 6 cells/ml in DMEM/20% FCS (v/v).
- 4. Set up a 96 well sterile tissue culture plate, flat bottom (Sarstedt, cat # 83.1835). To each well add:
- 5. Aliquot 100 μl per well lymphocyte population A
- 6. Aliquot 100 μl per well lymphocyte population B
- 7. Aliquot 20 μl per well of drug (CSA and CSA derivatives) at 0, 2.5, 5, 10, 25, 50 and 100 μg/L in triplicate in DMEM with no supplements.
- 8. To measure the effect of drug on proliferation, incubate the plate for 5 days at 37° C. in 5% CO 2 atmosphere.
- 9. On
day 6, prepare 32 mls of 1:50 dilution of Methyl-3H-Thymidine (Amersham Life Science, cat # TRK 120) in DMEM with no supplements. Add 30 μl per well and incubate for 18 hours at 37° C. in 5% CO2 atmosphere. - 10. On
day 7 cells are harvested onto glass microfiber filters GF/A (Whatman, cat # 1820024) using a Cell-Harvestor (Skatron, cat # 11019). Washcells 3× with 1.0-ml sterile distilled water. Note: All procedures are done using sterile techniques in a biological flow hood. - 11. Place filters in Scintilation vials and add 1.5 mls of
SciniSafe Plus 50% scintilation fluid (Fisher, cat # SX-25-5). - 12. Measure the amount of radioactivity incorporated in the lymphocytes using a beta counter (Micromedic System Inc., TAURUS Automatic Liquid Scintilation Counter) for 1.0 minute.
-
- From the results of the calcineurin assay and the mixed lymphocyte reaction assay, it was found that cyclosporines that have been chemically substituted and/or deuterated at the
amino acid 1 position can possess significant immunosuppressant activity. - Other cyclosporine derivatives of the invention which have been prepared include the following:
STRUCTURE CODE # DB-b1-01 DB-b1-08 DB1-b1-11 DB1-b1-31 DB1-b1-45 DB-b186C DB-b1-92b DB-b1-93C DB-b1-145D DB-b1-147D DB-01-148 DB-b1-151 DB-b1-176 DB-b1-179 DB-b1-180 DB-b1-192 DB-b1-193 DB-b1-134 DB-b1-194 DB-b1-195 DB-b1-196 DB-b1-50B - Drug Composition Formulation and Elicitation of Immunosupression
- Determination of the physicochemical, pharmacodynamic, toxicological and pharmacokinetic properties of the cyclosporine derivatives disclosed can be made using standard chemical and biological assays and through the use of mathematical modeling techniques which are known in the chemical and pharmacological/toxicological arts. The therapeutic utility and dosing regimen can be extrapolated from the results of such techniques and through the use of appropriate pharmacokinetic and/or pharmacodynamic models.
- The compounds of this invention may be administered neat or with a pharmaceutical carrier to a warm blooded animal in need thereof. The pharmaceutical carrier may be solid or liquid.
- This invention also relates to a method of treatment for patients suffering from immunoregulatory abnormalities involving the administration of the disclosed cyclosporines as the active constituent.
- For the treatment of these conditions and diseases caused by immunoirregularity, a deuterated cyclosporin may be administered orally, topically, parenterally, by inhalation spray or rectally in dosage unit formulations containing conventional non-toxic pharmaceutically acceptable carriers, adjuvants and vehicles. The term parenteral, as used herein, includes subcutaneous injections, intravenous, intramuscular, intrasternal injection or infusion techniques.
- The pharmaceutical compositions containing the active ingredient may be in a form suitable for oral use, for example, as tablets, troches, lozenges, aqueous or oily suspensions, dispersible powders or granules, emulsions, hard or soft capsules, or syrups or elixirs. Compositions intended for oral use may be prepared according to any method known to the art for the manufacture of pharmaceutical compositions and such compositions may contain one or more agents selected from the group consisting of sweetening agents, flavoring agents, coloring agents and preserving agents in order to provide pharmaceutically elegant and palatable preparation. Tablets containing the active ingredient in admixture with non-toxic pharmaceutically acceptable excipients may also be manufactured by known methods. The excipients used may be for example, (1) inert diluent such as calcium carbonate, lactose, calcium phosphate or sodium phosphate; (2) granulating and disintegrating agents such as corn starch, or alginic acid; (3) binding agents such as starch, gelatin or acacia, and (4) lubricating agents such as magnesium stearate, stearic acid or talc. The tablets may be uncoated or they may be coated by known techniques to delay disintegration and absorption in the gastrointestinal tract and thereby provide a sustained action over a longer period. For example, a time delay material such as glyceryl monostearate or glyceryl distearate may be employed. They may also be coated by the techniques described in the U.S. Pat. Nos. 4,256,108; 4,160,452; and 4,265,874 to form osmotic therapeutic tablets for controlled release.
- In some cases, formulations for oral use may be in the form of hard gelatin capsules wherein the active ingredient is mixed with an inert solid diluent, for example, calcium carbonate, calcium phosphate or kaolin. They may also be in the form of soft gelatin capsules wherein the active ingredient is mixed with water or an oil medium, for example peanut oil, liquid paraffin, or olive oil.
- Aqueous suspensions normally contain the active materials in admixture with excipients suitable for the manufacture of aqueous suspensions. Such excipients may be
- (1) suspending agents such as sodium carboxymethylcellulose, methylcellulose, hydroxypropylmethylcellulose, sodium alginate, polyvinylpyrrolidone, gum tragacanth and gum acacia;
- (2) dispersing or wetting agents which may be
- (a) a naturally-occurring phosphatide such as lecithin,
- (b) a condensation product of an alkylene oxide with a fatty acid, for example, polyoxyethylene stearate,
- (c) a condensation product of ethylene oxide with a long chain aliphatic alcohol, for example, heptadecaethyleneoxycetanol,
- (d) a condensation product of ethylene oxide with a partial ester derived from a fatty acid and a hexitol such as polyoxyethylene sorbitol monooleate, or
- (e) a condensation product of ethylene oxide with a partial ester derived from a fatty acid and a hexitol anhydride, for example polyoxyethylene sorbitan monooleate.
- The aqueous suspensions may also contain one or more preservatives, for example, ethyl or n-propyl p-hydroxybenzoate; one or more coloring agents; one or more flavoring agents; and one or more sweetening agents such as sucrose, aspartame or saccharin.
- Oily suspension may be formulated by suspending the active ingredient in a vegetable oil, for example arachis oil, olive oil, sesame oil or coconut oil, or in a mineral oil such as liquid paraffin. The oily suspensions may contain a thickening agent, for example beeswax, hard paraffin or cetyl alcohol. Sweetening agents and flavoring agents may be added to provide a palatable oral preparation. These compositions may be preserved by the addition of an antioxidant such as ascorbic acid.
- Dispersible powders and granules are suitable for the preparation of an aqueous suspension. They provide the active ingredient in admixture with a dispersing or wetting agent, a suspending agent and one or more preservatives. Suitable dispersing or wetting agents and suspending agents are exemplified by those already mentioned above. Additional excipients, for example, those sweetening, flavoring and coloring agents described above may also be present.
- The pharmaceutical compositions of the invention may also be in the form of oil-in-water emulsions. The oily phase may be a vegetable oil such as olive oil or arachis oils, or a mineral oil such as liquid paraffin or a mixture thereof. Suitable emulsifying agents may be (1) naturally-occurring gums such as gum acacia and gum tragacanth, (2) naturally-occurring phosphatides such as soy bean and lecithin, (3) esters or partial esters derived from fatty acids and hexitol anhydrides, for example, sorbitan monooleate, (4) condensation products of said partial esters with ethylene oxide, for example, polyoxyethylene sorbitan monooleate. The emulsions may also contain sweetening and flavoring agents.
- Syrups and elixirs may be formulated with sweetening agents, for example, glycerol, propylene glycol, sorbitol, aspartame or sucrose. Such formulations may also contain a demulcent, a preservative and flavoring and coloring agents.
- The pharmaceutical compositions may be in the form of a sterile injectable aqueous or oleagenous suspension. This suspension may be formulated according to known methods using those suitable dispersing or wetting agents and suspending agents which have been mentioned above. The sterile injectable preparation may also be a sterile injectable solution or suspension in a non-toxic parenterally-acceptable diluent or solvent, for example as a solution in 1,3-butanediol. Among the acceptable vehicles and solvents that may be employed are water, Ringer's solution and isotonic sodium chloride solution. In addition, sterile, fixed oils are conventionally employed as a solvent or suspending medium. For this purpose any bland fixed oil may be employed including synthetic mono- or diglycerides. In addition, fatty acids such as oleic acid find use in the preparation of injectables.
- The disclosed cyclosporines may also be administered in the form of suppositories for rectal administration of the drug. These compositions can be prepared by mixing the drug with a suitable non-irritating excipient which is solid at ordinary temperatures but liquid at the rectal temperature and will therefore melt in the rectum to release the drug. Such materials are cocoa butter and polyethylene glycols.
- For topical use, creams, ointments, jellies, solutions or suspensions, etc., containing the disclosed cyclosporines are employed.
- Dosage levels of the order from about 0.05 mg to about 50 mg per kilogram of body weight per day are useful in the treatment of the above-indicated conditions (from about 2.5 mg to about 2.5 gms. per patient per day).
- The amount of active ingredient that may be combined with the carrier materials to produce a single dosage form will vary depending upon the host treated and the particular mode of administration. For example, a formulation intended for the oral administration of humans may contain from 2.5 mg to 2.5 gm of active agent compounded with an appropriate and convenient amount of carrier material which may vary from about 5 to about 95 percent of the total composition. Dosage unit forms will generally contain between from about 5 mg to about 500 mg of active ingredient.
- It will be understood, however, that the specific dose level for any particular patient will depend upon a variety of factors including the activity of the specific compound employed, the age, body weight, general health, sex, diet, time of administration, route of administration, rate of excretion, drug combination and the severity of the particular disease undergoing therapy.
- All references listed herein are incorporated by reference. In the case of conflict, the text of the application is controlling. Modifications and changes of the disclosed compounds and methods will be apparent to one skilled in the art. Such modifications and changes are intended to be encompassed by this disclosure and the claims appended hereto.
Claims (12)
1. A cyclosporine A derivative with isotopic or chemical substitution in the amino acid position selected from the group consisting of 1, 3 and 9 or combinations thereof.
2. A cyclosporine A derivative according to claim 1 wherein one or more hydrogen atoms in the amino acid position selected from the group consisting of 1, 3 and 9 or combinations thereof are substituted with a deuterium atom and wherein said cyclosporine A derivative is optionally chemically substituted at the amino acid 9 position.
3. The cyclosporin A derivative according to claim 1 represented by the formula I:
(i) a deuterium or
(ii) a saturated or unsaturated straight or branched aliphatic carbon chain of from 1 to 16 carbon atoms and optionally containing one or more deuterium atoms or an ester, ketone or alcohol of said carbon chain and optionally containing one or more substituents selected from halogen, nitro, amino, amido, aromatic, and heterocyclic, or
(iii) an aromatic or heterocyclic group containing one or more deuterium atoms, or
(iv) a methyl group and
X, Y, and Z are hydrogen or deuterium provided that if R is methyl then at least one of X, Y or Z is deuterium and wherein R′ is an OH or acetate or other ester or is an O and together with a carbon adjacent to a double bond on amino acid 1 forms a heterocyclic ring.
4. The cyclosporine A derivative of claim 3 wherein R is a saturated or unsaturated aliphatic carbon chain of from 2 to 3 carbons.
5. The cyclosporine A derivative of claim 3 wherein R is a saturated or unsaturated aliphatic carbon chain of from 2 to 3 carbons containing one or more deuterium atoms.
6. The cyclosporine A derivative of claim 3 wherein R is methyl.
7. The cyclosporine A derivative of claim 4 wherein X, Y and Z are hydrogen.
10. A pharmaceutical composition comprising the cyclosporine A derivative of claim 1 or a pharmaceutically acceptable salt thereof and a pharmaceutically acceptable carrier.
11. The cyclosporine A derivative of claim 3 wherein X, Y and Z are H and R is a member selected from the group consisting of —D, —CHO, —CDO, —CD3, —CH═CD—CD3, —CD═CD—CD3, —CH═CH—CH═CD—CD3, —CD═CH—CD═CD—CD3, —CH═CH—CH═CD2, —CD═CH—CD═CD2, —CH═CD2, —CD═CD2, —CH═CH2, —CH═CH—CD3, —CH═CH—CH3, —CH═CH—CH═CH—CH3, and CH═CH—CH═CH2.
12. A method of producing imnmunosuppression comprising:
administering to an animal in need thereof, an effective amount of a cyclosporine A derivative according to claim 1.
Priority Applications (1)
| Application Number | Priority Date | Filing Date | Title |
|---|---|---|---|
| US09/985,997 US20020132763A1 (en) | 1997-10-08 | 2001-11-07 | Deuterated cyclosporine analogs and their use as immunomodulating agents |
Applications Claiming Priority (3)
| Application Number | Priority Date | Filing Date | Title |
|---|---|---|---|
| US6136097P | 1997-10-08 | 1997-10-08 | |
| US09/639,708 US6605593B1 (en) | 1997-10-08 | 2000-08-14 | Deuterated cyclosporine analogs and their use as immunomodulating agents |
| US09/985,997 US20020132763A1 (en) | 1997-10-08 | 2001-11-07 | Deuterated cyclosporine analogs and their use as immunomodulating agents |
Related Parent Applications (1)
| Application Number | Title | Priority Date | Filing Date |
|---|---|---|---|
| US09/639,708 Continuation US6605593B1 (en) | 1997-10-08 | 2000-08-14 | Deuterated cyclosporine analogs and their use as immunomodulating agents |
Publications (1)
| Publication Number | Publication Date |
|---|---|
| US20020132763A1 true US20020132763A1 (en) | 2002-09-19 |
Family
ID=22035297
Family Applications (3)
| Application Number | Title | Priority Date | Filing Date |
|---|---|---|---|
| US09/634,945 Expired - Lifetime US6613739B1 (en) | 1997-10-08 | 2000-08-07 | Deuterated cyclosporine analogs and their use as immunomodulating agents |
| US09/639,708 Expired - Lifetime US6605593B1 (en) | 1997-10-08 | 2000-08-14 | Deuterated cyclosporine analogs and their use as immunomodulating agents |
| US09/985,997 Abandoned US20020132763A1 (en) | 1997-10-08 | 2001-11-07 | Deuterated cyclosporine analogs and their use as immunomodulating agents |
Family Applications Before (2)
| Application Number | Title | Priority Date | Filing Date |
|---|---|---|---|
| US09/634,945 Expired - Lifetime US6613739B1 (en) | 1997-10-08 | 2000-08-07 | Deuterated cyclosporine analogs and their use as immunomodulating agents |
| US09/639,708 Expired - Lifetime US6605593B1 (en) | 1997-10-08 | 2000-08-14 | Deuterated cyclosporine analogs and their use as immunomodulating agents |
Country Status (14)
| Country | Link |
|---|---|
| US (3) | US6613739B1 (en) |
| EP (1) | EP0991660B8 (en) |
| JP (6) | JP4261049B2 (en) |
| KR (1) | KR100585348B1 (en) |
| AT (2) | ATE423130T1 (en) |
| AU (1) | AU750245B2 (en) |
| BR (1) | BR9811716A (en) |
| CA (1) | CA2298572C (en) |
| DE (2) | DE69840586D1 (en) |
| DK (1) | DK0991660T3 (en) |
| ES (1) | ES2256959T3 (en) |
| NO (1) | NO324042B1 (en) |
| NZ (1) | NZ502362A (en) |
| WO (1) | WO1999018120A1 (en) |
Cited By (21)
| Publication number | Priority date | Publication date | Assignee | Title |
|---|---|---|---|---|
| US20020142946A1 (en) * | 2001-03-05 | 2002-10-03 | Or Yat Sun | Cyclosporins for the treatment of respiratory diseases |
| US20030166515A1 (en) * | 2001-10-12 | 2003-09-04 | Or Yat Sun | Cyclosporins for the treatment of immune disorders |
| US6809077B2 (en) | 2001-10-12 | 2004-10-26 | Enanta Pharmaceuticals, Inc. | Cyclosporin analogs for the treatment of autoimmune diseases |
| US20040235716A1 (en) * | 2003-03-17 | 2004-11-25 | Molino Bruce F. | Novel cyclosporins |
| US20040266669A1 (en) * | 2003-06-20 | 2004-12-30 | Wu Frank X. H. | Cyclosporin derivatives for the treatment of immune disorders |
| US7012065B2 (en) | 2003-02-07 | 2006-03-14 | Enanta Pharmaceuticals, Inc. | Cyclosporins for the treatment of immune disorders |
| US20060069016A1 (en) * | 2004-09-29 | 2006-03-30 | Amr Technology, Inc. | Cyclosporin alkyne analogues and their pharmaceutical uses |
| US20060069015A1 (en) * | 2004-09-29 | 2006-03-30 | Amr Technology, Inc. | Novel cyclosporin analogues and their pharmaceutical uses |
| US20060074015A1 (en) * | 2004-10-06 | 2006-04-06 | Amr Technology, Inc. | Novel cyclosporin alkynes and their utility as pharmaceutical agents |
| US20070232530A1 (en) * | 2006-03-28 | 2007-10-04 | Amr Technology, Inc. | Use of cyclosporin alkyne analogues for preventing or treating viral-induced disorders |
| US20070232531A1 (en) * | 2006-03-28 | 2007-10-04 | Amr Technology, Inc. | Use of cyclosporin alkyne/alkene analogues for preventing or treating viral-induced disorders |
| EP2070550A1 (en) | 2003-10-15 | 2009-06-17 | Combinatorx, Incorporated | Use of combinations comprising a corticosteroid and a pyrimidopyrimidine in the treatment of inflammatory diseases |
| US20090269397A1 (en) * | 2004-07-01 | 2009-10-29 | Yale University | Targeted and high density drug loaded polymeric materials |
| US20100151436A1 (en) * | 2007-03-02 | 2010-06-17 | Fong Peter M | Methods for Ex Vivo Administration of Drugs to Grafts Using Polymeric Nanoparticles |
| EP2218442A1 (en) | 2005-11-09 | 2010-08-18 | CombinatoRx, Inc. | Methods, compositions, and kits for the treatment of ophthalmic disorders |
| US20110130711A1 (en) * | 2009-11-19 | 2011-06-02 | Follica, Inc. | Hair growth treatment |
| WO2015108912A1 (en) | 2014-01-16 | 2015-07-23 | MUSC Foundation for Research and Development | Targeted nanocarriers for the administration of immunosuppressive agents |
| US9200038B2 (en) | 2010-12-15 | 2015-12-01 | Ciclofilin Pharmaceuticals Corp. | Cyclosporine analogue molecules modified at amino acid 1 and 3 |
| US9539217B2 (en) | 2013-04-03 | 2017-01-10 | Allertein Therapeutics, Llc | Nanoparticle compositions |
| US9597385B2 (en) | 2012-04-23 | 2017-03-21 | Allertein Therapeutics, Llc | Nanoparticles for treatment of allergy |
| US10265407B2 (en) | 2007-02-15 | 2019-04-23 | Yale University | Modular nanodevices for smart adaptable vaccines |
Families Citing this family (79)
| Publication number | Priority date | Publication date | Assignee | Title |
|---|---|---|---|---|
| US20030220234A1 (en) | 1998-11-02 | 2003-11-27 | Selvaraj Naicker | Deuterated cyclosporine analogs and their use as immunodulating agents |
| US20030119029A1 (en) * | 1999-04-30 | 2003-06-26 | Regents Of The University Of Michigan | Compositions and methods relating to novel benzodiazepine compounds and targets thereof |
| US20050113460A1 (en) * | 1999-04-30 | 2005-05-26 | The Regents Of The University Of Michigan | Compositions and methods relating to novel compounds and targets thereof |
| US20060025388A1 (en) | 1999-04-30 | 2006-02-02 | Glick Gary D | Compositions and methods relating to novel compounds and targets thereof |
| CA2372150C (en) * | 1999-04-30 | 2011-08-30 | The Regents Of The University Of Michigan | Therapeutic applications of pro-apoptotic benzodiazepines |
| US20040176358A1 (en) * | 1999-04-30 | 2004-09-09 | The Regents Of The University Of Michigan | Compositions and methods relating to novel compounds and targets thereof |
| US7572788B2 (en) | 1999-04-30 | 2009-08-11 | The Regents Of The University Of Michigan | Compositions and methods relating to novel compounds and targets thereof |
| ES2266564T3 (en) | 2001-10-19 | 2007-03-01 | Isotechnika Inc. | SYNTHESIS OF CYCLOPORINE ANALOGS. |
| MXPA04003623A (en) * | 2001-10-19 | 2004-12-02 | Isotechnika Inc | Novel cyclosporin analog microemulsion preconcentrates. |
| RU2337106C2 (en) * | 2001-10-19 | 2008-10-27 | Изотехника Инк. | Cyclosporine analogues mixture and its application as immunomodulatory agent |
| US20040110666A1 (en) * | 2002-12-04 | 2004-06-10 | Or Yat Sun | Cyclosporins for the treatment of immune disorders |
| DE10261807A1 (en) | 2002-12-19 | 2004-07-01 | Turicum Drug Development Ag | Deuterated catecholamine derivatives and medicinal products containing these compounds |
| TW200505946A (en) * | 2003-04-08 | 2005-02-16 | Hoffmann La Roche | Process for preparation of cyclosporin a analog |
| WO2005094897A2 (en) * | 2004-04-01 | 2005-10-13 | Cardiome Pharma Corp. | Pegylated ion channel modulating compounds |
| US7705036B2 (en) * | 2004-04-01 | 2010-04-27 | Cardiome Pharma Corp. | Deuterated aminocyclohexyl ether compounds and processes for preparing same |
| US20050272723A1 (en) * | 2004-04-27 | 2005-12-08 | The Regents Of The University Of Michigan | Methods and compositions for treating diseases and conditions associated with mitochondrial function |
| US20090275099A1 (en) * | 2004-04-27 | 2009-11-05 | Regents Of The University Of Michigan | Methods and compositions for treating diseases and conditions associated with mitochondrial function |
| US20060014677A1 (en) * | 2004-07-19 | 2006-01-19 | Isotechnika International Inc. | Method for maximizing efficacy and predicting and minimizing toxicity of calcineurin inhibitor compounds |
| CA2575280C (en) * | 2004-07-29 | 2012-08-14 | Amr Technology, Inc. | Novel processes for stereoselective synthesis of trans isatx 247 |
| US20060052369A1 (en) * | 2004-09-07 | 2006-03-09 | The Regents Of The University Of Michigan | Compositions and methods relating to novel compounds and targets thereof |
| EP1828099B1 (en) | 2004-11-18 | 2020-01-22 | Correvio International Sàrl | Synthetic process for aminocyclohexyl ether compounds |
| WO2006063470A1 (en) * | 2004-12-17 | 2006-06-22 | Isotechnika Inc. | Metabolites of cyclosporin analogs |
| JP2008528448A (en) * | 2005-01-03 | 2008-07-31 | ザ リージェンツ オブ ザ ユニバーシティ オブ ミシガン | Compositions and methods relating to novel compounds and targets thereof |
| ES2380207T3 (en) * | 2005-04-06 | 2012-05-09 | Abbott Laboratories | Methods for measuring immunosuppressive complexes of tacrolimus, sirolimus, and cyclosporin A in a blood sample |
| AU2006309291B2 (en) | 2005-06-01 | 2010-05-27 | The Regents Of The University Of Michigan | Unsolvated benzodiazepine compositions and methods |
| CA2612375C (en) * | 2005-06-15 | 2013-08-06 | Cardiome Pharma Corp. | Synthetic processes for the preparation of aminocyclohexyl ether compounds |
| EP1934201A1 (en) * | 2005-10-06 | 2008-06-25 | Auspex Pharmaceuticals Inc. | Deuterated inhibitors of gastric h+, k+-atpase with enhanced therapeutic properties |
| US20070105844A1 (en) * | 2005-10-26 | 2007-05-10 | Regents Of The University Of Michigan | Therapeutic compositions and methods |
| NZ568254A (en) | 2005-11-01 | 2011-06-30 | Univ Michigan | 1,4-Benzodiazepine-2,5-diones for regulating cell death and treating autoimmune diseases |
| EP2998288B1 (en) | 2005-12-01 | 2022-08-24 | ACADIA Pharmaceuticals Inc. | Substituted phenethylamines with serotoninergic and/or norepinephrinergic activity |
| GB0604647D0 (en) * | 2006-03-08 | 2006-04-19 | Shchepinov Mikhail | Stabilized food supplements and their derivatives |
| US7759338B2 (en) * | 2006-04-27 | 2010-07-20 | The Regents Of The University Of Michigan | Soluble 1,4 benzodiazepine compounds and stable salts thereof |
| US8155649B2 (en) * | 2006-05-12 | 2012-04-10 | Shared Spectrum Company | Method and system for classifying communication signals in a dynamic spectrum access system |
| JP5264716B2 (en) | 2006-06-09 | 2013-08-14 | ザ リージェンツ オブ ザ ユニバーシティ オブ ミシガン | Compositions and methods relating to compounds and their targets |
| KR101164718B1 (en) * | 2007-03-09 | 2012-07-11 | 더 리젠츠 오브 더 유니버시티 오브 미시간 | Compositions and methods relating to novel compounds and targets thereof |
| DK2125698T3 (en) | 2007-03-15 | 2016-11-07 | Auspex Pharmaceuticals Inc | Deuterated d9-VENLAFAXINE |
| WO2009018424A2 (en) * | 2007-08-01 | 2009-02-05 | Emory University | Methods for determination of protein phosphatase activity, and uses in predicting therapeutic outcomes |
| WO2009036175A2 (en) | 2007-09-14 | 2009-03-19 | The Regents Of The University Of Michigan | F1f0-atpase inhibitors and related methods |
| AU2008323945B2 (en) | 2007-11-06 | 2013-11-28 | The Regents Of The University Of Michigan | Benzodiazepinone compounds useful in the treatment of skin conditions |
| DK2268604T3 (en) | 2008-03-14 | 2017-03-27 | Retrotope Inc | CANCER THERAPIES BY USING ISOTO-SUBSTITUTED LYSIN |
| RU2509773C2 (en) * | 2008-07-15 | 2014-03-20 | Теракос, Инк. | Deuterated benzyl benzene derivates and methods for use |
| AU2009276241A1 (en) | 2008-07-30 | 2010-02-04 | Ciclofilin Pharmaceuticals Corp. | Nonimmunosuppressive cyclosporine analogue molecules |
| JP5586606B2 (en) * | 2008-09-02 | 2014-09-10 | アクチミス ファーマシューティカルズ インコーポレーテッド | Isotopically enriched pyrimidin-5-yl acetic acid derivatives as CRTH2 antagonists |
| KR20110048571A (en) * | 2008-09-03 | 2011-05-11 | 테바 파마슈티컬 인더스트리즈 리미티드 | 2-oxo-1,2-dihydro-quinoline modulator with immune function |
| EP2352724B1 (en) | 2008-09-11 | 2015-04-22 | The Regents of the University of Michigan | Aryl guanidine f1f0-atpase inhibitors and their medical use |
| JP5773877B2 (en) * | 2008-10-22 | 2015-09-02 | アキュセラ インコーポレイテッド | Compounds for treating eye diseases and disorders |
| AU2010208071C1 (en) | 2009-01-30 | 2013-06-20 | Enanta Pharmaceuticals, Inc. | Cyclosporin analogues for preventing or treating hepatitis C infection |
| US8481483B2 (en) | 2009-02-19 | 2013-07-09 | Enanta Pharmaceuticals, Inc. | Cyclosporin analogues |
| US8604023B2 (en) | 2009-04-17 | 2013-12-10 | The Regents Of The University Of Michigan | 1,4-benzodiazepinone compounds and their use in treating cancer |
| US8349312B2 (en) | 2009-07-09 | 2013-01-08 | Enanta Pharmaceuticals, Inc. | Proline substituted cyclosporin analogues |
| US8685917B2 (en) | 2009-07-09 | 2014-04-01 | Enanta Pharmaceuticals, Inc. | Cyclosporin analogues |
| US8367053B2 (en) | 2009-07-09 | 2013-02-05 | Enanta Pharmaceuticals, Inc. | Cyclosporin analogues |
| EP2470020A4 (en) | 2009-09-18 | 2013-03-13 | Univ Michigan | BENZODIAZEPINONE COMPOUNDS AND METHODS OF TREATMENT USING THEM |
| WO2011053870A1 (en) | 2009-10-30 | 2011-05-05 | Retrotope, Inc. | Alleviating oxidative stress disorders with pufa derivatives |
| CA2780287C (en) | 2009-11-17 | 2015-03-17 | The Regents Of The University Of Michigan | 1,4-benzodiazepine-2,5-diones and related compounds with therapeutic properties |
| AU2010322286B2 (en) | 2009-11-17 | 2014-06-05 | The Regents Of The University Of Michigan | 1,4-benzodiazepine-2,5-diones and related compounds with therapeutic properties |
| UY33226A (en) * | 2010-02-19 | 2011-09-30 | Novartis Ag | PIRROLOPIRIMIDINE COMPUTERS DEUTERATED AS INHIBITORS OF THE CDK4 / 6 |
| US8623814B2 (en) | 2010-02-23 | 2014-01-07 | Enanta Pharmaceuticals, Inc. | Antiviral agents |
| WO2012145426A1 (en) | 2011-04-18 | 2012-10-26 | The Trustees Of Columbia University In The City Of New York | Methods to treat cancer using cyclosporine and cyclosporine derivatives |
| JP6106157B2 (en) | 2011-04-26 | 2017-03-29 | レトロトップ、 インコーポレイテッドRetrotope, Inc. | PUFAs involved in neurodegenerative disorders and muscle diseases |
| US10154978B2 (en) | 2011-04-26 | 2018-12-18 | Retrotope, Inc. | Disorders implicating PUFA oxidation |
| KR102014524B1 (en) | 2011-04-26 | 2019-08-26 | 레트로토프 인코포레이티드 | Oxidative retinal diseases |
| KR102112087B1 (en) | 2011-04-26 | 2020-05-18 | 레트로토프 인코포레이티드 | Impaired energy processing disorders and mitochondrial deficiency |
| DE102011111991A1 (en) | 2011-08-30 | 2013-02-28 | Lead Discovery Center Gmbh | New cyclosporin derivatives |
| CN104053771B (en) | 2011-11-18 | 2016-11-09 | 科德克希思公司 | Biocatalysts for the preparation of hydroxy-substituted carbamates |
| WO2014085623A1 (en) | 2012-11-28 | 2014-06-05 | Enanta Pharmaceuticals, Inc. | Novel [n-me-4-hydroxyleucine]-9-cyclosporin analogues |
| KR20160045136A (en) | 2013-08-26 | 2016-04-26 | 이난타 파마슈티칼스, 인코포레이티드 | Cyclosporin analogues for preventing or treating hepatitis c |
| US9669095B2 (en) | 2014-11-03 | 2017-06-06 | Enanta Pharmaceuticals, Inc. | Cyclosporin analogues for preventing or treating hepatitis C infection |
| WO2017024032A2 (en) | 2015-08-03 | 2017-02-09 | Enb Therapeutics, Llc | Compositions and methods for treating cancers associated with etbr activation |
| CA3005983A1 (en) | 2015-11-23 | 2017-06-01 | Retrotope, Inc. | Site-specific isotopic labeling of 1,4-diene systems |
| WO2018106928A1 (en) | 2016-12-08 | 2018-06-14 | Contravir Pharmaceuticals, Inc. | Treatment and prevention of hbv diseases by cyclosporine analogue molecules modified at amino acides 1 and 3 |
| AU2019206652B2 (en) | 2018-01-12 | 2024-11-14 | Enb Therapeutics, Inc. | Deuterated compounds, compositions, and methods for treating cancers associated with ETBR activation |
| US11584779B2 (en) | 2018-10-19 | 2023-02-21 | Teva Pharmaceuticals International Gmbh | Solid state forms of voclosporin |
| IL321252A (en) | 2020-02-21 | 2025-08-01 | Retrotope Inc | Processes for isotopic modification of polyunsaturated fatty acids and derivatives thereof |
| KR20220158760A (en) * | 2020-03-26 | 2022-12-01 | 파사이트 메디컬 테크놀로지 (상하이) 컴퍼니 리미티드 | Cyclophylline Inhibitors and Their Uses |
| US12109194B2 (en) | 2021-02-05 | 2024-10-08 | Biojiva Llc | Synergistic combination therapy for treating ALS |
| EP4201952A1 (en) | 2021-12-21 | 2023-06-28 | Curia Spain, S.A.U. | Process for the controlled synthesis of voclosporin |
| IT202300001116A1 (en) * | 2023-01-25 | 2024-07-25 | Indena Spa | PROCESS FOR THE PREPARATION OF AN INTERMEDIATE USEFUL FOR THE SYNTHESIS OF VOCLOSPORIN |
| WO2025119925A1 (en) | 2023-12-05 | 2025-06-12 | Medichem, S.A. | Process for preparing voclosporin |
Family Cites Families (59)
| Publication number | Priority date | Publication date | Assignee | Title |
|---|---|---|---|---|
| CH614931A5 (en) | 1975-11-04 | 1979-12-28 | Sandoz Ag | |
| US4210581A (en) | 1975-11-04 | 1980-07-01 | Sandoz Ltd. | Organic compounds |
| US4117118A (en) | 1976-04-09 | 1978-09-26 | Sandoz Ltd. | Organic compounds |
| DE2819094A1 (en) | 1977-05-10 | 1978-11-23 | Sandoz Ag | CYCLOSPORIN DERIVATIVES, THEIR USE AND MANUFACTURING |
| SE448386B (en) | 1978-10-18 | 1987-02-16 | Sandoz Ag | NEW CYCLOSPORIN DERIVATIVES, PROCEDURE FOR PREPARING THEM AND PHARMACEUTICAL COMPOSITION CONTAINING THEM |
| US4201771A (en) | 1979-03-12 | 1980-05-06 | Merck & Co., Inc. | Antibiotic A43F |
| US4396542A (en) | 1980-02-14 | 1983-08-02 | Sandoz Ltd. | Method for the total synthesis of cyclosporins, novel cyclosporins and novel intermediates and methods for their production |
| EP0098457B1 (en) | 1980-02-14 | 1987-08-05 | Sandoz Ag | (1s,2r,3r)- and (1r,2s,3s)-nitrilo-1-carbonyl-3-methyl-2-oxy-heptanes and -hept-5-enes useful in the total synthesis of cyclosporins and processes for their production |
| FR2487198A1 (en) | 1980-07-28 | 1982-01-29 | Berri Balzac Sa | NOVEL IMMUNO-SUPPRESSIVE SUBSTANCE, ITS METHOD OF ISOLATION AND ITS THERAPEUTIC APPLICATION |
| EP0056782B1 (en) | 1981-01-09 | 1984-08-01 | Sandoz Ag | Novel cyclosporins |
| CH667274A5 (en) | 1984-03-23 | 1988-09-30 | Sandoz Ag | CYCLOSPORINE, THEIR PRODUCTION AND PHARMACEUTICAL COMPOSITIONS CONTAINING THEM. |
| NZ212051A (en) | 1984-05-18 | 1988-10-28 | Univ Australian | Immune response suppression; certain epipolythio- dioxopiperazine derivatives and their preparation |
| US5639724A (en) | 1984-07-24 | 1997-06-17 | Sandoz Ltd. | Cyclosporin galenic forms |
| GB8422253D0 (en) | 1984-09-04 | 1984-10-10 | Sandoz Ltd | Organic compounds |
| EP0194972B1 (en) | 1985-03-11 | 1992-07-29 | Sandoz Ag | Novel cyclosporins |
| US4765980A (en) | 1986-04-28 | 1988-08-23 | International Minerals & Chemical Corp. | Stabilized porcine growth hormone |
| US4764503A (en) | 1986-11-19 | 1988-08-16 | Sandoz Ltd. | Novel cyclosporins |
| NL194638C (en) | 1986-12-19 | 2002-10-04 | Novartis Ag | Hydrosol containing solid particles of a pharmaceutically active substance and pharmaceutical preparation containing this hydrosol. |
| EP0283801A3 (en) * | 1987-03-27 | 1990-05-30 | Abbott Laboratories | Fluorescence polarization assay for cyclosporin a and metabolites and related immunogens and antibodies |
| US5427960A (en) | 1987-03-27 | 1995-06-27 | Abbott Laboratories | Fluorescence polarization assay for cyclosporin A and metabolites and related immunogens and antibodies |
| US5239057A (en) | 1987-03-27 | 1993-08-24 | Abbott Laboratories | Fluorescence polarization assay for cyclosporin a and metabolites and related immunogens and antibodies |
| US4885276A (en) | 1987-06-03 | 1989-12-05 | Merck & Co., Inc. | Cyclosporin analogs with modified "C-9 amino acids" |
| US4798823A (en) | 1987-06-03 | 1989-01-17 | Merck & Co., Inc. | New cyclosporin analogs with modified "C-9 amino acids" |
| JP2577049B2 (en) | 1987-06-04 | 1997-01-29 | 三共株式会社 | Cyclosporine preparation |
| ATE95193T1 (en) * | 1987-06-17 | 1993-10-15 | Sandoz Ag | CYCLOSPORINS AND THEIR USE AS MEDICINAL PRODUCTS. |
| ES2056954T3 (en) | 1987-06-19 | 1994-10-16 | Sandoz Ag | CYCLIC PEPTOLIDS. |
| DE3888357T2 (en) | 1987-06-22 | 1994-09-15 | Merck & Co Inc | Cyclosporin derivatives that carry a modified amino acid at position 8. |
| GB8717299D0 (en) | 1987-07-22 | 1987-08-26 | Nat Res Dev | Peptides |
| GB8717300D0 (en) | 1987-07-22 | 1987-08-26 | Nat Res Dev | Cyclosporins |
| US5227467A (en) | 1987-08-03 | 1993-07-13 | Merck & Co., Inc. | Immunosuppressive fluorinated cyclosporin analogs |
| US4963362A (en) | 1987-08-07 | 1990-10-16 | Regents Of The University Of Minnesota | Freeze-dried liposome mixture containing cyclosporin |
| US4839342A (en) | 1987-09-03 | 1989-06-13 | University Of Georgia Research Foundation, Inc. | Method of increasing tear production by topical administration of cyclosporin |
| ATE109970T1 (en) | 1987-09-03 | 1994-09-15 | Univ Georgia Res Found | CYCLOSPORIN EYE REMEDY. |
| US5089390A (en) | 1987-09-04 | 1992-02-18 | Syntex (U.S.A.) Inc. | 2-methyl-4-hexene- and 2-methyl-4-heptene-1,2-diol derivatives |
| US5236899A (en) | 1987-11-16 | 1993-08-17 | Merck & Co., Inc. | 6-position cyclosporin a analogs as modifiers of cytotoxic drug resistance |
| US4914188A (en) | 1987-11-16 | 1990-04-03 | Merck & Co., Inc. | Novel 6-position cyclosporin analogs as non-immunosuppressive antagonists of cyclosporin binding to cyclophilin |
| US5013719A (en) | 1988-05-13 | 1991-05-07 | Merrell Dow Pharmaceuticals Inc. | Method of effecting immunosuppression |
| KR0148748B1 (en) | 1988-09-16 | 1998-08-17 | 장 크라메르, 한스 루돌프 하우스 | Pharmaceutical composition containing cyclosporin |
| US5342625A (en) | 1988-09-16 | 1994-08-30 | Sandoz Ltd. | Pharmaceutical compositions comprising cyclosporins |
| CA2004626A1 (en) | 1988-12-05 | 1990-06-05 | Bernard F. Erlanger | Derivatives of cyclosporine a, antibodies directed thereto and uses thereof |
| US4996193A (en) | 1989-03-03 | 1991-02-26 | The Regents Of The University Of California | Combined topical and systemic method of administration of cyclosporine |
| US5540931A (en) | 1989-03-03 | 1996-07-30 | Charles W. Hewitt | Methods for inducing site-specific immunosuppression and compositions of site specific immunosuppressants |
| US5284826A (en) | 1989-07-24 | 1994-02-08 | Sandoz Ltd. | 0-hydroxyethyl and acyloxyethyl derivatives of [ser]8 cyclosporins |
| US5122511A (en) | 1990-02-27 | 1992-06-16 | Merck & Co., Inc. | Immunosuppressive cyclosporin analogs with modified amino acids at position-8 |
| US5214130A (en) | 1990-02-27 | 1993-05-25 | Merck & Co., Inc. | Synthesis of novel immunosuppressive cyclosporin analogs with modified amino acids at position-8 |
| DE69116034T2 (en) | 1990-08-15 | 1996-06-20 | Abbott Lab | Immunotestreagents and methods for the determination of cyclosporin |
| DK0484281T4 (en) | 1990-11-02 | 2001-02-05 | Novartis Ag | cyclosporines |
| US5115859A (en) | 1990-12-21 | 1992-05-26 | United Technologies Corporation | Regenerable non-venting cooler for protective suit |
| EP0507968B1 (en) | 1991-04-06 | 1995-09-06 | Arzneimittelwerk Dresden Gmbh | Method for the fermentative production and isolation of cyclosporin A and new cyclosporin forming strains |
| GB9204466D0 (en) * | 1992-03-02 | 1992-04-15 | Sandoz Ltd | Improvements in or relating to organic compounds |
| HU213553B (en) | 1992-05-25 | 1997-07-28 | Biogal Gyogyszergyar | Process for isolating of cyclosporin-a |
| FI92334C (en) | 1992-12-30 | 1994-10-25 | Leiras Oy | Process for producing cyclosporins and new Tolypocladium strain useful in the process |
| JPH09500103A (en) | 1993-05-04 | 1997-01-07 | メルク エンド カンパニー インコーポレーテッド | Cyclohexapeptidyl aminoalkyl ether |
| ATE372966T1 (en) * | 1994-03-25 | 2007-09-15 | Isotechnika Inc | IMPROVED EFFECTIVENESS OF DRUGS THROUGH DEUTERATION |
| US5639852A (en) | 1994-09-01 | 1997-06-17 | Wisconsin Alumni Research Foundation | Immunostimulatory agents |
| US5616595A (en) | 1995-06-07 | 1997-04-01 | Abbott Laboratories | Process for recovering water insoluble compounds from a fermentation broth |
| US5624902A (en) | 1995-06-07 | 1997-04-29 | Torrey Pines Institute For Molecular Studies | Peptide inhibitors of calmodulin |
| US5747330A (en) | 1996-06-05 | 1998-05-05 | Poli Industria Chimica | Antibiotic producing microbe |
| US5709797A (en) | 1996-06-05 | 1998-01-20 | Poli Industria Chimica S.P.A. | Method of isolating cyclosporins |
-
1998
- 1998-10-08 JP JP2000514928A patent/JP4261049B2/en not_active Expired - Lifetime
- 1998-10-08 ES ES98947718T patent/ES2256959T3/en not_active Expired - Lifetime
- 1998-10-08 DE DE69840586T patent/DE69840586D1/en not_active Expired - Fee Related
- 1998-10-08 KR KR1020007003743A patent/KR100585348B1/en not_active Expired - Fee Related
- 1998-10-08 NZ NZ502362A patent/NZ502362A/en not_active IP Right Cessation
- 1998-10-08 BR BR9811716-5A patent/BR9811716A/en not_active Application Discontinuation
- 1998-10-08 CA CA002298572A patent/CA2298572C/en not_active Expired - Lifetime
- 1998-10-08 AT AT05024216T patent/ATE423130T1/en not_active IP Right Cessation
- 1998-10-08 EP EP98947718A patent/EP0991660B8/en not_active Expired - Lifetime
- 1998-10-08 AU AU94542/98A patent/AU750245B2/en not_active Expired
- 1998-10-08 DE DE69832984T patent/DE69832984T2/en not_active Expired - Lifetime
- 1998-10-08 DK DK98947718T patent/DK0991660T3/en active
- 1998-10-08 WO PCT/IB1998/001693 patent/WO1999018120A1/en not_active Ceased
- 1998-10-08 AT AT98947718T patent/ATE314388T1/en active
-
2000
- 2000-02-29 NO NO20001020A patent/NO324042B1/en not_active IP Right Cessation
- 2000-08-07 US US09/634,945 patent/US6613739B1/en not_active Expired - Lifetime
- 2000-08-14 US US09/639,708 patent/US6605593B1/en not_active Expired - Lifetime
-
2001
- 2001-11-07 US US09/985,997 patent/US20020132763A1/en not_active Abandoned
-
2003
- 2003-10-17 JP JP2003358524A patent/JP2004143168A/en not_active Withdrawn
-
2005
- 2005-08-11 JP JP2005233674A patent/JP2005343904A/en not_active Withdrawn
-
2007
- 2007-01-26 JP JP2007017196A patent/JP2007119489A/en not_active Withdrawn
-
2008
- 2008-05-27 JP JP2008138789A patent/JP2008222724A/en not_active Withdrawn
- 2008-05-27 JP JP2008138790A patent/JP2008222725A/en not_active Withdrawn
Cited By (37)
| Publication number | Priority date | Publication date | Assignee | Title |
|---|---|---|---|---|
| US20030186855A1 (en) * | 2001-03-05 | 2003-10-02 | Or Yat Sun | Cyclosporins for the treatment of immune disorders |
| US6784156B2 (en) | 2001-03-05 | 2004-08-31 | Enanta Pharmaceuticals, Inc. | Cyclosporins for the treatment of respiratory diseases |
| US7012064B2 (en) | 2001-03-05 | 2006-03-14 | Enanta Pharmaceuticals, Inc. | Cyclosporins for the treatment of immune disorders |
| US20020142946A1 (en) * | 2001-03-05 | 2002-10-03 | Or Yat Sun | Cyclosporins for the treatment of respiratory diseases |
| US20030166515A1 (en) * | 2001-10-12 | 2003-09-04 | Or Yat Sun | Cyclosporins for the treatment of immune disorders |
| US6809077B2 (en) | 2001-10-12 | 2004-10-26 | Enanta Pharmaceuticals, Inc. | Cyclosporin analogs for the treatment of autoimmune diseases |
| US6979671B2 (en) | 2001-10-12 | 2005-12-27 | Enanta Pharmaceuticals, Inc. | Cyclosporins for the treatment of immune disorders |
| US7012065B2 (en) | 2003-02-07 | 2006-03-14 | Enanta Pharmaceuticals, Inc. | Cyclosporins for the treatment of immune disorders |
| US7538084B2 (en) | 2003-03-17 | 2009-05-26 | Amr Technology, Inc. | Cyclosporins |
| US20040235716A1 (en) * | 2003-03-17 | 2004-11-25 | Molino Bruce F. | Novel cyclosporins |
| US20040266669A1 (en) * | 2003-06-20 | 2004-12-30 | Wu Frank X. H. | Cyclosporin derivatives for the treatment of immune disorders |
| EP2301628A1 (en) | 2003-10-15 | 2011-03-30 | Zalicus Inc. | Methods and reagents for the treatment of immunoinflammatory disorders |
| EP2070550A1 (en) | 2003-10-15 | 2009-06-17 | Combinatorx, Incorporated | Use of combinations comprising a corticosteroid and a pyrimidopyrimidine in the treatment of inflammatory diseases |
| US20090269397A1 (en) * | 2004-07-01 | 2009-10-29 | Yale University | Targeted and high density drug loaded polymeric materials |
| US20060069016A1 (en) * | 2004-09-29 | 2006-03-30 | Amr Technology, Inc. | Cyclosporin alkyne analogues and their pharmaceutical uses |
| US7378391B2 (en) | 2004-09-29 | 2008-05-27 | Amr Technology, Inc. | Cyclosporin alkyne analogues and their pharmaceutical uses |
| US7511013B2 (en) | 2004-09-29 | 2009-03-31 | Amr Technology, Inc. | Cyclosporin analogues and their pharmaceutical uses |
| US20060069015A1 (en) * | 2004-09-29 | 2006-03-30 | Amr Technology, Inc. | Novel cyclosporin analogues and their pharmaceutical uses |
| US20060074015A1 (en) * | 2004-10-06 | 2006-04-06 | Amr Technology, Inc. | Novel cyclosporin alkynes and their utility as pharmaceutical agents |
| US7361636B2 (en) | 2004-10-06 | 2008-04-22 | Amr Technology, Inc. | Cyclosporin alkynes and their utility as pharmaceutical agents |
| US20080153744A1 (en) * | 2004-10-06 | 2008-06-26 | Amr Technology, Inc. | Novel cyclosporin alkynes and their utility as pharmaceutical agents |
| US7632807B2 (en) | 2004-10-06 | 2009-12-15 | Albany Molecular Research, Inc. | Cyclosporin alkynes and their utility as pharmaceutical agents |
| EP2218442A1 (en) | 2005-11-09 | 2010-08-18 | CombinatoRx, Inc. | Methods, compositions, and kits for the treatment of ophthalmic disorders |
| US7696166B2 (en) | 2006-03-28 | 2010-04-13 | Albany Molecular Research, Inc. | Use of cyclosporin alkyne/alkene analogues for preventing or treating viral-induced disorders |
| US7696165B2 (en) | 2006-03-28 | 2010-04-13 | Albany Molecular Research, Inc. | Use of cyclosporin alkyne analogues for preventing or treating viral-induced disorders |
| US20070232531A1 (en) * | 2006-03-28 | 2007-10-04 | Amr Technology, Inc. | Use of cyclosporin alkyne/alkene analogues for preventing or treating viral-induced disorders |
| US20070232530A1 (en) * | 2006-03-28 | 2007-10-04 | Amr Technology, Inc. | Use of cyclosporin alkyne analogues for preventing or treating viral-induced disorders |
| US10265407B2 (en) | 2007-02-15 | 2019-04-23 | Yale University | Modular nanodevices for smart adaptable vaccines |
| US20100151436A1 (en) * | 2007-03-02 | 2010-06-17 | Fong Peter M | Methods for Ex Vivo Administration of Drugs to Grafts Using Polymeric Nanoparticles |
| US20110130711A1 (en) * | 2009-11-19 | 2011-06-02 | Follica, Inc. | Hair growth treatment |
| US9200038B2 (en) | 2010-12-15 | 2015-12-01 | Ciclofilin Pharmaceuticals Corp. | Cyclosporine analogue molecules modified at amino acid 1 and 3 |
| US9714271B2 (en) | 2010-12-15 | 2017-07-25 | Contravir Pharmaceuticals, Inc. | Cyclosporine analogue molecules modified at amino acid 1 and 3 |
| US9597385B2 (en) | 2012-04-23 | 2017-03-21 | Allertein Therapeutics, Llc | Nanoparticles for treatment of allergy |
| US11071776B2 (en) | 2012-04-23 | 2021-07-27 | N-Fold Llc | Nanoparticles for treatment of allergy |
| US9539217B2 (en) | 2013-04-03 | 2017-01-10 | Allertein Therapeutics, Llc | Nanoparticle compositions |
| US9999600B2 (en) | 2013-04-03 | 2018-06-19 | N-Fold Llc | Nanoparticle compositions |
| WO2015108912A1 (en) | 2014-01-16 | 2015-07-23 | MUSC Foundation for Research and Development | Targeted nanocarriers for the administration of immunosuppressive agents |
Also Published As
| Publication number | Publication date |
|---|---|
| DE69832984T2 (en) | 2006-09-21 |
| CA2298572A1 (en) | 1999-04-15 |
| AU750245B2 (en) | 2002-07-11 |
| CA2298572C (en) | 2002-04-09 |
| EP0991660B8 (en) | 2006-04-05 |
| NO20001020L (en) | 2000-02-29 |
| JP2004143168A (en) | 2004-05-20 |
| JP2005343904A (en) | 2005-12-15 |
| JP2008222725A (en) | 2008-09-25 |
| NO20001020D0 (en) | 2000-02-29 |
| KR100585348B1 (en) | 2006-06-01 |
| BR9811716A (en) | 2000-07-18 |
| US6613739B1 (en) | 2003-09-02 |
| NZ502362A (en) | 2001-05-25 |
| KR20010030978A (en) | 2001-04-16 |
| ES2256959T3 (en) | 2006-07-16 |
| EP0991660A1 (en) | 2000-04-12 |
| ATE423130T1 (en) | 2009-03-15 |
| HK1026432A1 (en) | 2000-12-15 |
| JP2001519355A (en) | 2001-10-23 |
| JP2007119489A (en) | 2007-05-17 |
| EP0991660B1 (en) | 2005-12-28 |
| DE69840586D1 (en) | 2009-04-02 |
| WO1999018120A1 (en) | 1999-04-15 |
| JP4261049B2 (en) | 2009-04-30 |
| DK0991660T3 (en) | 2006-02-13 |
| ATE314388T1 (en) | 2006-01-15 |
| JP2008222724A (en) | 2008-09-25 |
| AU9454298A (en) | 1999-04-27 |
| NO324042B1 (en) | 2007-07-30 |
| US6605593B1 (en) | 2003-08-12 |
| DE69832984D1 (en) | 2006-02-02 |
Similar Documents
| Publication | Publication Date | Title |
|---|---|---|
| US6605593B1 (en) | Deuterated cyclosporine analogs and their use as immunomodulating agents | |
| US7538189B2 (en) | Methods of making deuterated cyclosporin analogs | |
| US5227467A (en) | Immunosuppressive fluorinated cyclosporin analogs | |
| EP0444897A1 (en) | Novel immunosuppressive cyclosporin analogs with modified amino acids at position-8 | |
| JPH0848696A (en) | Cyclosporins and their pharmaceutical use | |
| Papageorgiou et al. | Improved binding affinity for cyclophilin A by a cyclosporin derivative singly modified at its effector domain | |
| EP1645565B1 (en) | Deuterated cyclosporine analogs and their use as immunomodulating agents | |
| AU2004218637B2 (en) | Deuterated cyclosporin analogs and their use as immunomodulating agents | |
| AU774744B2 (en) | Deuterated cyclosporine analogs and their use as immunomodulating agents | |
| CA2511888C (en) | Deuterated cyclosporin analogs and their use as immunomodulating agents | |
| HK1026432B (en) | Deuterated and undeuterated cyclosporine analogs and their use as immunomodulating agents | |
| MXPA00002068A (en) | Deuterated cyclosporine analogs and their use as immunomodulating agents | |
| CA2372639C (en) | Deuterated cyclosporine analogs and their use as immunomodulating agents | |
| GB2227244A (en) | Immunosuppressive fluorinated cyclosporin analogs |
Legal Events
| Date | Code | Title | Description |
|---|---|---|---|
| STCB | Information on status: application discontinuation |
Free format text: EXPRESSLY ABANDONED -- DURING PUBLICATION PROCESS |





























