US20040259279A1 - Light emitting device methods - Google Patents
Light emitting device methods Download PDFInfo
- Publication number
- US20040259279A1 US20040259279A1 US10/794,244 US79424404A US2004259279A1 US 20040259279 A1 US20040259279 A1 US 20040259279A1 US 79424404 A US79424404 A US 79424404A US 2004259279 A1 US2004259279 A1 US 2004259279A1
- Authority
- US
- United States
- Prior art keywords
- layer
- substrate
- semiconductor layer
- submount
- electromagnetic radiation
- Prior art date
- Legal status (The legal status is an assumption and is not a legal conclusion. Google has not performed a legal analysis and makes no representation as to the accuracy of the status listed.)
- Abandoned
Links
Images
Classifications
-
- H—ELECTRICITY
- H10—SEMICONDUCTOR DEVICES; ELECTRIC SOLID-STATE DEVICES NOT OTHERWISE PROVIDED FOR
- H10H—INORGANIC LIGHT-EMITTING SEMICONDUCTOR DEVICES HAVING POTENTIAL BARRIERS
- H10H20/00—Individual inorganic light-emitting semiconductor devices having potential barriers, e.g. light-emitting diodes [LED]
- H10H20/80—Constructional details
- H10H20/81—Bodies
- H10H20/819—Bodies characterised by their shape, e.g. curved or truncated substrates
-
- H—ELECTRICITY
- H10—SEMICONDUCTOR DEVICES; ELECTRIC SOLID-STATE DEVICES NOT OTHERWISE PROVIDED FOR
- H10H—INORGANIC LIGHT-EMITTING SEMICONDUCTOR DEVICES HAVING POTENTIAL BARRIERS
- H10H20/00—Individual inorganic light-emitting semiconductor devices having potential barriers, e.g. light-emitting diodes [LED]
- H10H20/01—Manufacture or treatment
- H10H20/011—Manufacture or treatment of bodies, e.g. forming semiconductor layers
- H10H20/018—Bonding of wafers
-
- H—ELECTRICITY
- H10—SEMICONDUCTOR DEVICES; ELECTRIC SOLID-STATE DEVICES NOT OTHERWISE PROVIDED FOR
- H10H—INORGANIC LIGHT-EMITTING SEMICONDUCTOR DEVICES HAVING POTENTIAL BARRIERS
- H10H20/00—Individual inorganic light-emitting semiconductor devices having potential barriers, e.g. light-emitting diodes [LED]
- H10H20/80—Constructional details
- H10H20/872—Periodic patterns for optical field-shaping, e.g. photonic bandgap structures
Definitions
- the invention relates to light-emitting device methods.
- a light emitting diode often can provide light in a more efficient manner than an incandescent light source and/or a fluorescent light source.
- the relatively high power efficiency associated with LEDs has created an interest in using LEDs to displace conventional light sources in a variety of lighting applications. For example, in some instances LEDs are being used as traffic lights and to illuminate cell phone keypads and displays.
- an LED is formed of multiple layers, with at least some of the layers being formed of different materials.
- the materials and thicknesses selected for the layers determine the wavelength(s) of light emitted by the LED.
- the chemical composition of the layers can be selected to try to isolate injected electrical charge carriers into regions (commonly referred to as quantum wells) for relatively efficient conversion to optical power.
- the layers on one side of the junction where a quantum well is grown are doped with donor atoms that result in high electron concentration (such layers are commonly referred to as n-type layers), and the layers on the opposite side are doped with acceptor atoms that result in a relatively high hole concentration (such layers are commonly referred to as p-type layers).
- a common approach to preparing an LED is as follows.
- the layers of material are prepared in the form of a wafer.
- the layers are formed using an epitaxial deposition technique, such as metal-organic chemical vapor deposition (MOCVD), with the initially deposited layer being formed on a growth substrate.
- MOCVD metal-organic chemical vapor deposition
- the layers are then exposed to various etching and metallization techniques to form contacts for electrical current injection, and the wafer is subsequently sectioned into individual LED chips.
- the LED chips are packaged.
- the invention relates to light-emitting device methods.
- the invention features a method of making a light emitting device.
- the method includes providing a first multi-layer stack in the form of a wafer that includes a substrate, a submount, and a semiconductor layer between the substrate and the submount, where the semiconductor layer is supported by the substrate.
- the method also includes exposing the semiconductor layer to electromagnetic radiation to partially decompose the semiconductor layer, and removing the substrate from the first multi-layer stack to form a second multi-layer stack.
- the invention features a method of making a light emitting device.
- the method includes providing a first multi-layer stack that includes a substrate, a submount, and a semiconductor layer between the substrate and the submount, where the semiconductor layer is supported by the submount.
- the semiconductor layer and submount are selected so that a coefficient of thermal expansion of the submount differs from a coefficient of thermal expansion of the semiconductor layer by less than about 15%.
- the method also includes exposing the semiconductor layer to electromagnetic radiation to partially decompose the semiconductor layer, and removing the substrate from the first multi-layer stack to form a second multi-layer stack.
- the invention features a method of making a light emitting device.
- the method includes providing a first multi-layer stack that includes a substrate, a submount that is thicker than the substrate, and a semiconductor layer between the substrate, where the semiconductor layer is supported by the submount.
- the method also includes exposing the semiconductor layer to electromagnetic radiation to partially decompose the semiconductor layer, and removing the substrate from the first multi-layer stack to form a second multi-layer stack.
- Embodiments can feature one or more of the following advantages.
- a light-emitting system can include an LED and/or a relatively large LED chip that can exhibit relatively high light extraction.
- a light-emitting system can include an LED and/or a relatively large LED chip that can exhibit relatively high surface brightness, relatively high average surface brightness, relatively low need for heat dissipation or relatively high rate of heat dissipation, relatively low etendue and/or relatively high power efficiency.
- a light-emitting system can include an LED and/or a relatively large LED chip that can be designed so that relatively little light emitted by the LED/LED chip is absorbed by packaging.
- a light-emitting system can include a packaged LED (e.g., a relatively large packaged LED) that can be prepared without using an encapsulant material.
- a packaged LED e.g., a relatively large packaged LED
- This can result in a packaged LED that avoids certain problems associated with the use of certain encapsulant materials, such as reduced performance and/or inconsistent performance as a function of time, thereby providing a packaged LED that can exhibit relatively good and/or reliable performance over a relatively long period of time.
- a light-emitting system can include an LED (e.g., a packaged LED, which can be a relatively large packaged LED) that can have a relatively uniform coating of a phosphor material.
- an LED e.g., a packaged LED, which can be a relatively large packaged LED
- a light-emitting system can include an LED (e.g., a packaged LED, which can be a relatively large packaged LED) that can be designed to provide a desired light output within a particular angular range (e.g., within a particular angular range relative to the LED surface normal).
- an LED e.g., a packaged LED, which can be a relatively large packaged LED
- a desired light output within a particular angular range (e.g., within a particular angular range relative to the LED surface normal).
- a light-emitting system can include an LED and/or a relatively large LED chip that can be prepared by a process that is relatively inexpensive.
- a light-emitting system can include an LED and/or a relatively large LED chip that can be prepared by a process that can be conducted on a commercial scale without incurring costs that render the process economically unfeasible.
- FIG. 1 is a schematic representation of a light emitting system.
- FIG. 2 is a side view of an LED with a patterned surface.
- FIG. 3 is a top view the patterned surface of the LED of FIG. 2.
- FIG. 4 is a graph of an extraction efficiency of an LED with a patterned surface as function of a detuning parameter.
- FIG. 5 is a schematic representation of the Fourier transformation of a patterned surface of an LED.
- FIG. 6 is a graph of an extraction efficiency of an LED with a patterned surface as function of nearest neighbor distance.
- FIG. 7 is a graph of an extraction efficiency of an LED with a patterned surface as function of a filling factor.
- FIG. 8 is a top view a patterned surface of an LED.
- FIG. 9 is a graph of an extraction efficiency of LEDs with different surface patterns.
- FIG. 10 is a graph of an extraction efficiency of LEDs with different surface patterns.
- FIG. 11 is a graph of an extraction efficiency of LEDs with different surface patterns.
- FIG. 12 is a graph of an extraction efficiency of LEDs with different surface patterns.
- FIG. 13 is a schematic representation of the Fourier transformation two LEDs having different patterned surfaces compared with the radiation emission spectrum of the LEDs.
- FIG. 14 is a graph of an extraction efficiency of LEDs having different surface patterns as a function of angle.
- FIG. 15 is a side view of an LED with a patterned surface and a phosphor layer on the patterned surface.
- FIG. 16 is a cross-sectional view of a multi-layer stack.
- FIG. 17 is a cross-sectional view of a multi-layer stack.
- FIG. 18 is a cross-sectional view of a multi-layer stack.
- FIG. 19 is a cross-sectional view of a multi-layer stack.
- FIG. 20 depicts a side view of a substrate removal process.
- FIG. 21 is a partial cross-sectional view of a multi-layer stack.
- FIG. 22 is a partial cross-sectional view of a multi-layer stack.
- FIG. 23 is a partial cross-sectional view of a multi-layer stack.
- FIG. 24 is a partial cross-sectional view of a multi-layer stack.
- FIG. 25 is a partial cross-sectional view of a multi-layer stack.
- FIG. 26 is a partial cross-sectional view of a multi-layer stack.
- FIG. 27 is a partial cross-sectional view of a multi-layer stack.
- FIG. 28 is a partial cross-sectional view of a multi-layer stack.
- FIG. 29 is a partial cross-sectional view of a multi-layer stack.
- FIG. 30 is a partial cross-sectional view of a multi-layer stack.
- FIG. 31 is a partial cross-sectional view of a multi-layer stack.
- FIG. 32 is a partial cross-sectional view of a multi-layer stack.
- FIG. 33 is a partial cross-sectional view of a multi-layer stack.
- FIG. 34 is a partial cross-sectional view of a multi-layer stack.
- FIG. 1 is a schematic representation of a light-emitting system 50 that has an array 60 of LEDs 100 incorporated therein.
- Array 60 is configured so that, during use, light that emerges from LEDs 100 (see discussion below) emerges from system 50 via surface 55 .
- Examples of light-emitting systems include projectors (e.g., rear projection projectors, front projection projectors), portable electronic devices (e.g., cell phones, personal digital assistants, laptop computers), computer monitors, large area signage (e.g., highway signage), vehicle interior lighting (e.g., dashboard lighting), vehicle exterior lighting (e.g., vehicle headlights, including color changeable headlights), general lighting (e.g., office overhead lighting), high brightness lighting (e.g., streetlights), camera flashes, medical devices (e.g., endoscopes), telecommunications (e.g. plastic fibers for short range data transfer), security sensing (e.g.
- projectors e.g., rear projection projectors, front projection projectors
- portable electronic devices e.g., cell phones, personal digital assistants, laptop computers
- computer monitors large area signage (e.g., highway signage), vehicle interior lighting (e.g., dashboard lighting), vehicle exterior lighting (e.g., vehicle headlights
- biometrics biometrics
- integrated optoelectronics e.g., intrachip and interchip optical interconnects and optical clocking
- military field communications e.g., point to point communications
- biosensing e.g. photo-detection of organic or inorganic substances
- photodynamic therapy e.g. skin treatment
- night-vision goggles solar powered transit lighting, emergency lighting, airport runway lighting, airline lighting, surgical goggles, wearable light sources (e.g. life-vests).
- An example of a rear projection projector is a rear projector television.
- An example of a front projection projector is a projector for displaying on a surface, such as a screen or a wall.
- a laptop computer can include a front projection projector.
- surface 55 is formed of a material that transmits at least about 20% (e.g., at least about 30%, at least about 40%, at least about 50%, at least about 60%, at least about 70%, at least about 80%, at least about 90%, at least about 95%) of the light that emerges from LEDs 100 and impinges on surface 55 .
- materials from which surface 55 can be formed include glass, silica, quartz, plastic and polymers.
- the light that emerges e.g., total light intensity, light intensity as a function of wavelength, and/or peak emission wavelength
- An example is time-sequencing of substantially monochromatic sources (e.g. LEDs) in display applications (e.g., to achieve vibrant full-color displays).
- Another example is in telecommunications where it can be advantageous for an optical system to have a particular wavelength of light travel from the source to the light guide, and from the light guide to the detector.
- a further example is vehicle lighting where color indicates signaling.
- An additional example is in medical applications (e.g., photosensitive drug activation or biosensing applications, where wavelength or color response can be advantageous).
- the light that emerges e.g., total light intensity, light intensity as a function of wavelength, and/or peak emission wavelength
- the light that emerges e.g., total light intensity, light intensity as a function of wavelength, and/or peak emission wavelength
- An example is in general lighting (e.g., where multiple wavelengths can improve the color rendering index (CRI)).
- CRI is a measurement of the amount of color shift that objects undergo when lighted by the light-emitting system as compared with the color of those same objects when seen under a reference lighting system (e.g., daylight) of comparable correlated temperature.
- Another example is in camera flashes (e.g., where substantially high CRI, such as substantially close to the CRI of noontime sunlight, is desirable for a realistic rendering of the object or subject being photographed).
- a further example is in medical devices (e.g., where substantially consistent CRI is advantageous for tissue, organ, fluid, etc. differentiation and/or identification).
- An additional example is in backlighting displays (e.g., where certain CRI white light is often more pleasing or natural to the human eye).
- LEDs 100 can be configured differently.
- system 50 includes a single LED 100 .
- the array is curved to help angularly direct the light from various sources onto the same point (e.g., an optic such as a lens).
- the array of devices is hexagonally distributed to allow for close-packing and high effective surface brightness.
- the devices are distributed around a mirror (e.g., a dichroic mirror) that combines or reflects light from the LEDs in the array.
- system 50 includes a single LED 100 .
- light from LEDs 100 is focused onto a microdisplay (e.g., onto a light valve such as a digital light processor (DLP) or a liquid crystal display (LCD)).
- a microdisplay e.g., onto a light valve such as a digital light processor (DLP) or a liquid crystal display (LCD)
- DLP digital light processor
- LCD liquid crystal display
- light is directed through various optics, mirrors or polarizers (e.g., for an LCD).
- light is projected through primary or secondary optics, such as, for example, a lens or a set of lenses.
- FIG. 2 shows a side view of an LED 100 in the form of a packaged die.
- LED 100 includes a multi-layer stack 122 disposed on a submount 120 .
- Multi-layer stack 122 includes a 320 nm thick silicon doped (n-doped) GaN layer 134 having a pattern of openings 150 in its upper surface 110 .
- Multi-layer stack 122 also includes a bonding layer 124 , a 100 nm thick silver layer 126 , a 40 nm thick magnesium doped (p-doped) GaN layer 128 , a 120 nm thick light-generating region 130 formed of multiple InGaN/GaN quantum wells, and a AlGaN layer 132 .
- An n-side contact pad 136 is disposed on layer 134
- a p-side contact pad 138 is disposed on layer 126 .
- An encapsulant material (epoxy having an index of refraction of 1.5) 144 is present between layer 134 and a cover slip 140 and supports 142 . Layer 144 does not extend into openings 150 .
- Light is generated by LED 100 as follows.
- P-side contact pad 138 is held at a positive potential relative to n-side contact pad 136 , which causes electrical current to be injected into LED 100 .
- As the electrical current passes through light-generating region 130 electrons from n-doped layer 134 combine in region 130 with holes from p-doped layer 128 , which causes region 130 to generate light.
- Light-generating region 130 contains a multitude of point dipole radiation sources that emit light (e.g., isotropically) within the region 130 with a spectrum of wavelengths characteristic of the material from which light-generating region 130 is formed.
- the spectrum of wavelengths of light generated by region 130 can have a peak wavelength of about 445 nanometers (nm) and a full width at half maximum (FWHM) of about 30 nm.
- the charge carriers in p-doped layer 126 have relatively low mobility compared to the charge carriers in the n-doped semiconductor layer 134 .
- placing silver layer 126 (which is conductive) along the surface of p-doped layer 128 can enhance the uniformity of charge injection from contact pad 138 into p-doped layer 128 and light-generating region 130 . This can also reduce the electrical resistance of device 100 and/or increase the injection efficiency of device 100 .
- silver layer 126 has relatively high thermal conductivity, allowing layer 126 to act as a heat sink for LED 100 (to transfer heat vertically from the multi-layer stack 122 to submount 120 ).
- At least some of the light that is generated by region 130 is directed toward silver layer 126 .
- This light can be reflected by layer 126 and emerge from LED 100 via surface 110 , or can be reflected by layer 126 and then absorbed within the semiconductor material in LED 100 to produce an electron-hole pair that can combine in region 130 , causing region 130 to generate light.
- at least some of the light that is generated by region 130 is directed toward pad 136 .
- the underside of pad 136 is formed of a material (e.g., a Ti/Al/Ni/Au alloy) that can reflect at least some of the light generated by light-generating region 130 .
- the light that is directed to pad 136 can be reflected by pad 136 and subsequently emerge from LED 100 via surface 110 (e.g., by being reflected from silver layer 126 ), or the light that is directed to pad 136 can be reflected by pad 136 and then absorbed within the semiconductor material in LED 100 to produce an electron-hole pair that can combine in region 130 , causing region 130 to generate light (e.g., with or without being reflected by silver layer 126 ).
- surface 110 of LED 100 is not flat but consists of a modified triangular pattern of openings 150 .
- various values can be selected for the depth of openings 150 , the diameter of openings 150 and the spacing between nearest neighbors in openings 150 can vary.
- openings 150 have a depth 146 equal to about 280 nm, a non-zero diameter of about 160 nm, a spacing between nearest neighbors or about 220 nm, and an index of refraction equal to 1.0.
- the triangular pattern is detuned so that the nearest neighbors in pattern 150 have a center-to-center distance with a value between (a ⁇ a) and (a+ ⁇ a), where “a” is the lattice constant for an ideal triangular pattern and “ ⁇ a” is a detuning parameter with dimensions of length and where the detuning can occur in random directions.
- detuning parameter, ⁇ a is generally at least about one percent (e.g., at least about two percent, at least about three percent, at least about four percent, at least about five percent) of ideal lattice constant, a, and/or at most about 25% (e.g., at most about 20%, at most about 15%, at most about 10%) of ideal lattice constant, a.
- the nearest neighbor spacings vary substantially randomly between (a ⁇ a) and (a+ ⁇ a), such that pattern 150 is substantially randomly detuned.
- the extraction efficiency data shown in FIG. 4 are calculated by using a three-dimensional finite-difference time-domain (FDTD) method to approximate solutions to Maxwell's equations for the light within and outside of LED 100 .
- FDTD finite-difference time-domain
- input parameters in a FDTD calculation include the center frequency and bandwidth of the light emitted by the point dipole radiation sources in light-generating region 130 , the dimensions and dielectric properties of the layers within multilayer stack 122 , and the diameters, depths, and nearest neighbor distances (NND) between openings in pattern 150 .
- extraction efficiency data for LED 100 are calculated using an FDTD method as follows.
- the individual ⁇ right arrow over (P) ⁇ m terms are empirically derived values of different contributions to the overall polarizability of a material (e.g., the polarization response for bound electron oscillations, the polarization response for free electron oscillations).
- ⁇ ⁇ ( ⁇ ) ⁇ + ⁇ m ⁇ s m ⁇ m 2 - ⁇ 2 - ⁇ ⁇ ⁇ ⁇ m ⁇ ⁇ .
- the only layers that are considered are encapsulant 144 , silver layer 126 and layers between encapsulant 144 and silver layer 126 .
- silver layer 126 (and any other metal layer in LED 100 ) has a frequency dependent term for both bound electrons and free electrons, whereas light-generating region 130 has a frequency dependent term for bound electrons but does not have a frequency dependent term for free electrons.
- other terms can be included when modeling the frequency dependence of the dielectric constant. Such terms may include, for example, electron-phonon interactions, atomic polarizations, ionic polarizations and/or molecular polarizations.
- the emission of light from the quantum well region of light-generating region 130 is modeled by incorporating a number of randomly-placed, constant-current dipole sources within the light-generating region 130 , each emitting short Gaussian pulses of spectral width equal to that of the actual quantum well, each with random initial phase and start-time.
- a large supercell in the lateral direction is used, along with periodic boundary conditions. This can assist in simulating relatively large (e.g., greater than 0.01 mm on edge) device sizes.
- the full evolution equations are solved in time, long after all dipole sources have emitted their energy, until no energy remains in the system.
- the total energy emitted, the energy flux extracted through top surface 110 , and the energy absorbed by the quantum wells and the n-doped layer is monitored. Through Fourier transforms both in time and space, frequency and angle resolved data of the extracted flux are obtained, and therefore an angle- and frequency-resolved extraction efficiency can be calculated.
- absolute angle-resolved extraction in lumens/per solid angle/per chip area for given electrical input is obtained.
- the detuned pattern 150 can enhance the efficiency with which light generated in region 130 emerges from LED 100 via surface 110 because openings 150 create a dielectric function that varies spatially in layer 134 according to pattern 150 . It is believed that this alters the density of radiation modes (i.e., light modes that emerge from surface 110 ) and guided modes (i.e., light modes that are confined within multi-layer stack 122 ) within LED 100 , and that this alteration to the density of radiation modes and guided modes within LED 100 results in some light that would otherwise be emitted into guided modes in the absence of pattern 150 being scattered (e.g., . . . Bragg scattered) into modes that can leak into radiation modes. In certain embodiments, it is believed that pattern 150 (e.g., the pattern discussed above, or one of the patterns discussed below) can eliminate all of the guided modes within LED 100 .
- pattern 150 e.g., the pattern discussed above, or one of the patterns discussed below
- modified triangular pattern 150 having a non-zero detuning parameter ⁇ a has been described that can enhance light extraction from LED 100
- other patterns can also be used to enhance light extraction from LED 100 .
- physical insight may first be used to approximate a basic pattern that can enhance light extraction before conducting such numerical calculations.
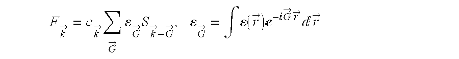
- the extraction efficiency of LED 100 can be further understood (e.g., in the weak scattering regime) by considering the Fourier transform of the dielectric function that varies spatially according to pattern 150 .
- the maximum G to be considered is fixed by the frequency ( ⁇ ) emitted by the light-generating region and the dielectric constant of the light-generating region. As shown in FIG. 5, this defines a ring in reciprocal space which is often called the light line.
- the light line will be an annulus due to the finite bandwidth of the light-generating region but for sake of clarity we illustrate the light line of a monochromatic source.
- light propagating within the encapsulant is bounded by a light line (the inner circle in FIG. 5).
- the extraction efficiency is improved by increasing F k for all directions k that lie within the encapsulant light-line which amounts to increasing the number of G points within the encapsulant light line and increasing the scattering strength ⁇ G for G points which lie within the material light line. This physical insight can be used when selecting patterns that can improve extraction efficiency.
- FIG. 6 shows the effect of increasing lattice constant for an ideal triangular pattern.
- the data shown in FIG. 6 are calculated using the parameters given for LED 100 shown in FIG. 2, except that the emitted light has a peak wavelength of 450 nm, and the depth of the holes, the diameter of the holes, and the thickness of the n-doped-layer 134 scale with the nearest neighbor distance, a, as 1.27a, 0.72a, and 1.27a+40 nm, respectively.
- Increasing the lattice constant increases the density of G points within the light-line of the encapsulant.
- a clear trend in extraction efficiency with NND is observed. It is believed that the maximum extraction efficiency occurs for NND approximately equal to the wavelength of light in vacuum. The reason a maximum is achieved, is that as the NND becomes much larger than the wavelength of light, the scattering effect is reduced because 5 the material becomes more uniform.
- FIG. 7 shows the effect of increasing hole size or filling factor.
- the filling factor for a triangular pattern is given by (2 ⁇ / ⁇ square root ⁇ 3)*(r/a) 2 , where r is the radius of a hole.
- the data shown in FIG. 7 are calculated using the parameters given for the LED 100 shown in FIG. 2, except that the diameter of the openings is changed according the filling 10 factor value given on the x-axis of the graph.
- the extraction efficiency increases with filling factor as the scattering strengths ( ⁇ G ) increase. A maximum is observed for this particular system at a filling factor of ⁇ 48%.
- LED 100 has a filling factor of at least about 10% (e.g., at least about 15%, at least about 20%) and/or at most about 90% (e.g., at most about 80%, at most about 70%, at most about 60%).
- a modified triangular pattern has been described in which a detuning parameter relates to positioning of openings in the pattern from the positions in an ideal triangular lattice
- a modified (detuned) triangular pattern may also be achieved by modifying the holes in an ideal triangular pattern while keeping the centers at the positions for an ideal triangular pattern.
- FIG. 8 shows an embodiment of such a pattern.
- the enhancement in light extraction, the methodology for conducting the corresponding numerical calculation, and the physical explanation of the enhanced light extraction for a light-emitting device having the pattern shown in FIG. 8 is generally the same as described above.
- a modified (detuned) pattern can have openings that are displaced from the ideal locations and openings at the ideal locations but with varying diameters.
- enhanced light extraction from a light-emitting device can be achieved by using different types of patterns, including, for example, complex periodic patterns and nonperiodic patterns.
- a complex periodic pattern is a pattern that has more than one feature in each unit cell that repeats in a periodic fashion.
- Examples of complex periodic patterns include honeycomb patterns, honeycomb base patterns, (2 ⁇ 2) base patterns, ring patterns, and Archimidean patterns.
- a complex periodic pattern can have certain openings with one diameter and other openings with a smaller diameter.
- a nonperiodic pattern is a pattern that has no translational symmetry over a unit cell that has a length that is at least 50 times the peak wavelength of light generated by region 130 .
- Examples of nonperiodic patterns include aperiodic patterns, quasicrystalline patterns, Robinson patterns, and Amman patterns.
- FIG. 9 shows numerical calculations for LED 100 for two different complex periodic patterns in which certain openings in the patterns have a particular diameter, and other openings in the patterns have smaller diameters.
- the numerical calculations represented in FIG. 9 show the behavior of the extraction efficiency (larger holes with a diameter of 80 nm) as the diameter of the smaller holes (dR) is varied from zero nm to 95 nm.
- the data shown in FIG. 7 are calculated using the parameters given for the LED 100 shown in FIG. 2 except that the diameter of the openings is changed according the filling factor value given on the x-axis of the graph.
- multiple hole sizes allow scattering from multiple periodicities within the pattern, therefore increasing the angular acceptance and spectral effectiveness of the pattern.
- the enhancement in light extraction, the methodology for conducting the corresponding numerical calculation, and the physical explanation of the enhanced light extraction for a light-emitting device having the pattern shown in FIG. 9 is generally the same as described above.
- FIG. 20 shows numerical calculations for LED 100 having different ring patterns (complex periodic patterns).
- the number of holes in the first ring surrounding the central hole is different (six, eight or 10 ) for the different ring patterns.
- the data shown in FIG. 10 are calculated using the parameters given for the LED 100 shown in FIG. 2, except that the emitted light has a peak wavelength of 450 nm.
- the numerical calculations represented in FIG. 10 show the extraction efficiency of LED 100 as the number of ring patterns per unit cell that is repeated across a unit cell is varied from two to four.
- the enhancement in light extraction, the methodology for conducting the corresponding numerical calculation, and the physical explanation of the enhanced light extraction for a light-emitting device having the pattern shown in FIG. 10 is generally the same as described above.
- FIG. 11 shows numerical calculations for LED 100 having an Archimidean pattern.
- the Archimidean tiling A 19 consists of 19 equally-spaced holes with a NND of a.
- the holes are arranged in the form of an inner hexagon of seven holes, and outer hexagon of 12 holes, and a central hole within the inner hexagon.
- the enhancement in light extraction, the methodology for conducting the corresponding numerical calculation, and the physical explanation of the enhanced light extraction for a light-emitting device having the pattern shown in FIG. 11 is generally the same as described above. As shown in FIG. 11 the extraction efficiency for A 7 and A 19 is about 77%.
- the data shown in FIG. 11 are calculated using the parameters given for the LED 100 shown in FIG. 2, except that the emitted light has a peak wavelength of 450 and except that the NND is defined as the distance between openings within an individual cell.
- FIG. 12 shows numerical calculation data for LED 100 having a quasicrystalline pattern.
- Quasicrystalline patterns are described, for example, in M. Senechal, Quasicrystals and Geometry (Cambridge University Press, Cambridge, England 1996), which is hereby incorporated by reference.
- the numerical calculations show the behavior of the extraction efficiency as the class of 8-fold based quasi-periodic structure is varied. It is believed that quasicrystalline patterns exhibit high extraction efficiency due to high degree of in-plane rotational symmetries allowed by such structures.
- the enhancement in light extraction, the methodology for conducting the corresponding numerical calculation, and the physical explanation of the enhanced light extraction for a light-emitting device having the pattern shown in FIG. 12 is generally the same as described above.
- Results from FDTD calculations shown in FIG. 12 indicate that the extraction efficiency of quasicrystalline structures reaches about 82%.
- the data shown in FIG. 12 are calculated using the parameters given for the LED 100 shown in FIG. 2, except that the emitted light has a peak wavelength of 450 and except that the NND is defined as the distance between openings within an individual cell.
- At least about 45% e.g., at least about 50%, at least about 55%, at least about 60%, at least about 70%, at least about 80%, at least about 90%, at least about 95%) of the total amount of light generated by light-generating region 130 that emerges from LED 100 emerges via surface 110 .
- the cross-sectional area of LED 100 can be relatively large, while still exhibiting efficient light extraction from LED 100 .
- one or more edges of LED 100 can be at least about one millimeter (e.g., at least about 1.5 millimeters, at least about two millimeters, at least about 2.5 millimeters, at least about three millimeters), and at least about 45% (e.g., at least about 50%, at least about 55%, at least about 60%, at least about 70%, at least about 80%, at least about 90%, at least about 95%) of the total amount of light generated by light-generating region 130 that emerges from LED 100 emerges via surface 110 .
- This can allow for an LED to have a relatively large cross-section (e.g., at least about one millimeter by at least about one millimeter) while exhibiting good power conversion efficiency.
- the extraction efficiency of an LED having the design of LED 100 is substantially independent of the length of the edge of the LED.
- the difference between the extraction efficiency of an LED having the design of LED 100 and one or more edges having a length of about 0.25 millimeter and the extraction efficiency of LED having the design of LED 100 and one or more edges having a length of one millimeter can vary by less than about 10% (e.g., less than about 8%, less than about 5%, less than about 3%).
- the extraction efficiency of an LED is the ratio of the light emitted by the LED to the amount of light generated by the device (which can be measured in terms of energy or photons). This can allow for an LED to have a relatively large cross-section (e.g., at least about one millimeter by at least about one millimeter) while exhibiting good power conversion efficiency.
- the quantum efficiency of an LED having the design of LED 100 is substantially independent of the length of the edge of the LED.
- the difference between the quantum efficiency of an LED having the design of LED 100 and one or more edges having a length of about 0.25 millimeter and the quantum efficiency of LED having the design of LED 100 and one or more edges having a length of one millimeter can vary by less than about 10% (e.g., less than about 8%, less than about 5%, less than about 3%).
- the quantum efficiency of an LED is the ratio of the number of photons generated by the LED to the number of electron-hole recombinations that occur in the LED. This can allow for an LED to have a relatively large cross-section (e.g., at least about one millimeter by at least about one millimeter) while exhibiting good performance.
- the wall plug efficiency of an LED having the design of LED 100 is substantially independent of the length of the edge of the LED.
- the difference between the wall plug efficiency of an LED having the design of LED 100 and one or more edges having a length of about 0.25 millimeter and the wall plug efficiency of LED having the design of LED 100 and one or more edges having a length of one millimeter can vary by less than about 10% (e.g., less than about 8%, less than about 5%, less than about 3%).
- the wall plug efficiency of an LED is the product of the injection efficiency of the LED (the ratio of the numbers of carriers injected into the device to the number of carriers that recombine in the light-generating region of the device), the radiative efficiency of the LED (the ratio of electron-hole recombinations that result in a radiative event to the total number of electron-hole recombinations), and the extraction efficiency of the LED (the ratio of photons that are extracted from the LED to the total number of photons created).
- This can allow for an LED to have a relatively large cross-section (e.g., at least about one millimeter by at least about one millimeter) while exhibiting good performance.
- a given solid angle e.g., into a solid angle around the direction normal to surface 110
- FIG. 13 shows the Fourier transform construction for two ideal triangular lattices of different lattice constant.
- FIG. 14 which shows extraction efficiency into a solid angle (given by the collection half-angle in the diagram).
- the data shown in FIG. 14 are calculated using the parameters given for the LED 100 shown in FIG. 2, except that the emitted light has a peak wavelength of 530 nm and a bandwidth of 34 nm, the index of refraction of the encapsulant was 1.0, the thickness of the p-doped layer was 160 nm, the light generating layer was 30 nm thick, the NND (a) for the three curves is shown on FIG. 14, and the depth, hole diameter, and n-doped layer thickness scaled with a, as 1.27a, 0.72a, and 1.27a+40 nm, respectively.
- the approach is especially applicable for reducing the source etendue which is believed to often be proportional to n 2 , where n is the index of refraction of the surrounding material (e.g., the encapsulant). It is therefore believed that reducing the index of refraction of the encapsulating layer for LED 100 can lead to more collimated emission, a lower source etendue, and therefore to a higher surface brightness (here defined as the total lumens extracted into the etendue of the source). In some embodiments then, using an encapsulant of air will reduce the source etendue while increasing extraction efficiency into a given collection angle centered around the normal direction.
- the distribution of light is more collimated than a lambertian distribution.
- at least about 40% e.g., at least about 50%, at least about 70%, at least about 90%
- the light emerging via the surface of the dielectric layer emerges within at most about 300 (e.g., at most about 25°, at most about 200, at most about 15°) of an angle normal to surface 110 .
- a wafer has at least about five LEDs (e.g., at least about 25 LEDs, at least about 50 LEDs) per square centimeter.
- an LED 300 having a layer containing a phosphor material 180 can be disposed on surface 110 .
- the phosphor material can interact with light at the wavelength(s) generated by region 130 to provide light at desired wavelength(s).
- the phosphor material in layer 180 can be formed of, for example, a (Y,Gd)(Al,Ga)G:Ce 3+ or “YAG” (yttrium, aluminum, garnet) phosphor.
- the phosphor material in layer 180 can be activated and emit light (e.g., isotropically) with a broad spectrum centered around yellow wavelengths.
- a viewer of the total light spectrum emerging from packaged LED 100 sees the yellow phosphor broad emission spectrum and the blue InGaN narrow emission spectrum and typically mixes the two spectra to perceive white.
- layer 180 can be substantially uniformly disposed on surface 110 .
- the distance between the top 151 of pattern 150 and the top 181 of layer 180 can vary by less than about 20% (e.g., less than about 10%, less than about 5%, less than about 2%) across surface 110 .
- the thickness of layer 180 is small compared to the cross-sectional dimensions of surface 130 of LED 100 , which are typically about one millimeter (mm) by one mm. Because layer 180 is substantially uniformly deposited on surface 110 , the phosphor material in layer 180 can be substantially uniformly pumped by light emerging via surface 110 .
- the phosphor layer 180 is relatively thin compared to the dimensions of the surface 110 of the LED 100 , such that light emitted by the light-generating region 130 is converted into lower wavelength light within the phosphor layer 180 approximately uniformly over the entire surface 110 of LED 100 .
- the relatively thin, uniform phosphor layer 180 produces a uniform spectrum of white light emitted from the LED 100 as a function of position on surface 110 .
- LED 100 can be fabricated as desired. Typically, fabrication of LED 100 involves various deposition, laser processing, lithography, and etching steps.
- FIG. 16 shows a LED wafer 500 containing an LED layer stack of material deposited on a substrate (e.g., sapphire, compound semiconductor, zinc oxide, silicon carbide, silicon) 502 .
- a substrate e.g., sapphire, compound semiconductor, zinc oxide, silicon carbide, silicon
- Such wafers are commercially available. Exemplary commercial suppliers include Epistar Corporation, Arima Optoelectronics Corporation and South Epitaxy Corporation.
- a buffer layer 504 e.g., a nitride-containing layer, such as a GaN layer, an AlN layer, an AlGaN layer
- an n-doped semiconductor layer e.g., an n-doped Si:GaN
- a current spreading layer 508 e.g., an AlGaN/GaN heterojunction or superlattice
- a light-emitting region 510 e.g., an InGaN/GaN multi-quantum well region
- a semiconductor layer 512 e.g., a p-doped Mg:GaN layer
- Wafer 500 generally has a diameter of at least about two inches (e.g., from about two inches to about 12 inches, from about two inches to about six inches, from about two inches to about four inches, from about two inches to about three inches).
- FIG. 17 shows a multi-layer stack 550 including layers 502 , 504 , 506 , 508 , 510 and 512 , as well as layers 520 , 522 , 524 and 526 , which are generally formed of materials capable of being pressure and/or heat bonded as described below.
- layer 520 can be a nickel layer (e.g., electron-beam evaporated)
- layer 522 can be a silver layer (e.g., electron-beam evaporated)
- layer 524 can be a nickel layer (e.g., electron-beam evaporated)
- layer 526 can be a gold layer (e.g., electron-beam evaporated).
- layer 520 can be a relatively thin layer
- layer 524 can be a relatively thick layer.
- Layer 524 can act, for example, as diffusion barrier to reduce the diffusion of contaminants (e.g., gold) into layers 520 , 522 and/or 524 itself.
- multi-layer stack 550 can be treated to achieve an ohmic contact.
- stack 550 can be annealed (e.g., at a temperature of from about 400° C. to about 600° C.) for a period of time (e.g., from about 30 seconds to about 300 seconds) in an appropriate gas environment (e.g., nitrogen, oxygen, air, forming gas).
- an appropriate gas environment e.g., nitrogen, oxygen, air, forming gas
- FIG. 18 shows a multi-layer stack 600 that includes a submount (e.g., germanium (such as polycrystalline germanium), silicon (such as polycrystalline silicon), silicon-carbide, copper, copper-tungsten, diamond, nickel-cobalt) 602 having layers 604 , 606 , 608 and 610 deposited thereon.
- Submount 602 can be formed, for example, by sputtering or electroforming.
- Layer 604 is a contact layer and can be formed, for example, from aluminum (e.g., electron evaporated).
- Layer 606 is a diffusion barrier and can be formed, for example, from Ni (e.g. electron evaporated).
- Layer 608 can be a gold layer (e.g., electron-beam evaporated), and layer 610 can be a AuSn bonding layer (e.g., thermal evaporated, sputtered) onto layer 608 .
- multi-layer stack 600 can be treated to achieve an ohmic contact.
- stack 600 can be annealed (e.g., at a temperature of from about 350° C. to about 500° C.) for a period of time (e.g., from about 30 seconds to about 300 seconds) in an appropriate gas environment (e.g., nitrogen, oxygen, air, forming gas).
- an appropriate gas environment e.g., nitrogen, oxygen, air, forming gas.
- FIG. 19 shows a multi-layer stack 650 formed by bonding together layers 526 and 610 (e.g., using a solder bond, using a eutectic bond, using a peritectic bond). Layers 526 and 610 can be bonded, for example, using thermal-mechanical pressing. As an example, after contacting layers 526 and 610 , multi-layer stack 650 can be put in a press and pressurized (e.g., using a pressure of up to about 5 MPa, up to about 2 MPa) heated (e.g., to a temperature of from about 200° C. to about 400° C.). Stack 650 can then be cooled (e.g., to room temperature) and removed from the press.
- a press and pressurized e.g., using a pressure of up to about 5 MPa, up to about 2 MPa
- heated e.g., to a temperature of from about 200° C. to about 400° C.
- Stack 650 can then be cooled (
- Substrate 502 and buffer layer 504 are then at least partially removed from stack 650 .
- this can be achieved using any desired methods.
- substrate 502 is removed by exposing stack 650 (e.g., through surface 501 of substrate 502 ) to electromagnetic radiation at an appropriate wavelength to partially decompose layer 504 . It is believed that this results in local heating of layer 504 , resulting in the partial decomposition of the material of layer 504 adjacent the interface of layer 504 and substrate 502 , thereby allowing for the removal of substrate 502 from stack 650 (see discussion below).
- stack 650 can be heated during exposure of surface 501 to the electromagnetic radiation (e.g., to reduce strain within stack 650 ).
- Stack 650 can be heated, for example, by placing stack 650 on a hot plate and/or by exposing stack 650 to an additional laser source (e.g. a CO 2 laser).
- Heating stack 650 during exposure of surface 501 to electromagnetic radiation can, for example, reduce (e.g., prevent) liquid gallium from re-solidifying. This can reduce the build up of strain within stack 650 which can occur upon the re-solidification of the gallium
- stack 650 after exposure to the electromagnetic radiation, residual gallium is present and keeps substrate 502 bonded in stack 650 .
- stack 650 can be heated to above the melting temperature of gallium to allow substrate 502 to be removed from the stack.
- stack 650 may be exposed to an etchant (e.g., a chemical etchant, such as HCl) to etch the residual gallium and remove substrate 502 .
- etchant e.g., a chemical etchant, such as HCl
- Other methods of removing the residual gallium may also be used.
- surface 501 is exposed to laser radiation including the absorption wavelength of layer 504 (e.g., about 248 nanometers, about 355 nanometers).
- Laser radiation processes are disclosed, for example, in U.S. Pat. Nos. 6,420,242 and 6,071,795, which are hereby incorporated by reference.
- the multi-layer stack is then heated to above the melting point of gallium, at which point substrate 502 and buffer layer 504 are removed from the stack by applying a lateral force to substrate 502 (e.g., using a cotton swab).
- multiple portions of surface 501 are simultaneously exposed to the electromagnetic radiation.
- multiple portions of surface 501 are sequentially exposed to electromagnetic radiation. Combinations of simultaneous and sequential exposure can be used.
- the electromagnetic radiation can be exposed on surface 501 in the form of a pattern (e.g., a serpentine pattern, a circular pattern, a spiral pattern, a grid, a grating, a triangular pattern, an elementary pattern, a random pattern, a complex pattern, a periodic pattern, a nonperiodic pattern).
- the electromagnetic radiation can be rastered across one or more portions of surface 501 .
- surface 501 is exposed to overlapping fields of electromagnetic radiation.
- the electromagnetic radiation passes through a mask before reaching surface 501 .
- the electromagnetic radiation can pass through an optical system that includes a mask (e.g., a high thermal conductivity mask, such as a molybdenum mask, a copper-beryllium mask) before reaching surface 501 .
- the mask is an aperture (e.g., for truncating or shaping the beam).
- the optical system can include, for example, at least two lenses having the mask disposed therebetween.
- the mask can be formed as a pattern of material on surface 501 , with the mask leaving certain portions of surface 501 exposed and some portions of surface 501 unexposed. Such a mask can be formed, for example, via a lithography process.
- the electromagnetic radiation can be rastered across one or more portions of the mask.
- reducing at least one dimension of the region on surface 501 exposed to electromagnetic radiation within a given area of surface 501 can limit undesired crack propagation, such as crack propagation into layer 504 , layer 506 or other layers of stack 650 during removal of substrate 502 , while still allowing for crack propagation at the interface between substrate 502 and buffer layer 504 . It is believed that, if the size of the feature of the electromagnetic radiation on surface 501 is too large, then a gaseous bubble (e.g., a nitrogen bubble) may form that can create a localized pressure that can cause undesired cracking.
- a gaseous bubble e.g., a nitrogen bubble
- At least one dimension of the spot or line can be a maximum of at most about one millimeter (e.g., at most about 500 microns, at most about 100 microns, at most about 25 microns, at most about 10 microns).
- the spot size is from about five microns to about one millimeter (e.g., from about five microns to about 100 microns, from about five microns to about 25 microns, from about five microns to about 10 microns).
- stack 650 is vibrated while surface 501 is exposed to the electromagnetic radiation. Without wishing to be bound by theory, it is believed that vibrating stack 650 while exposing stack 650 to the electromagnetic radiation can enhance crack propagation along the interface between layer 504 and substrate 502 . Generally, the conditions are selected to limit the propagation of cracks into layer 504 (e.g., so that substantially no cracks propagate into layer 504 , 506 , and the rest of stack 650 ).
- a portion of buffer layer 504 typically remains on at least a portion of the surface of layer 506 .
- a residue of material from substrate 502 e.g., containing aluminum and/or oxygen
- One or more process steps are usually used to remove any residue and/or remaining portion of buffer layer 504 present, and to clean the surface of layer 506 (e.g., to remove impurities, such as organics and/or particles).
- the process(es) can be performed using a variety of techniques and/or combinations of techniques. Examples include chemical-mechanical polishing, mechanical polishing, reactive ion etching (e.g., with a substantially chemically etching component), physical etching, and wet etching. Such methods are disclosed, for example, in Ghandhi, S., VLSI Fabrication Principles: Silicon & Gallium Arsenide (1994), which is hereby incorporated by reference.
- buffer layer 504 is not completely removed. Instead, in such embodiments, these processes can be used to remove only on portions of buffer layer 504 that correspond to locations where electrical leads will subsequently be disposed (e.g., by using a self-aligned process).
- the amount of strain in stack 650 (e.g., due to the lattice mismatch and/or thermal mismatch between the layers in stack 650 ) can change. For example, if the amount of strain in stack 650 is decreased, the peak output wavelength of region 510 can change (e.g., increase). As another example, if the amount of strain in stack 650 is increased, the peak output wavelength of region 510 can change (e.g., decrease).
- substrate 502 and submount 602 are selected so that the coefficient of thermal expansion of submount 602 differs from a coefficient of thermal expansion of substrate 502 by less than about 15% (e.g., less than about 10%, less than about 5%).
- substrate 502 and submount 602 are selected so that the thickness of submount 602 is substantially greater than the thickness of substrate 502 .
- semiconductor layers 504 , 506 , 508 , 510 , 512 and submount 602 are selected so that the coefficient of thermal expansion of submount 602 differs from a coefficient of thermal expansion of one or more of layers 504 , 506 , 608 , 510 , and 512 by less than about 15% (e.g., less than about 10%, less than about 5%).
- substrate 502 and submount 602 can have any desired thickness.
- substrate 502 is at most about five millimeters (e.g., at most about three millimeters, at most about one millimeter, about 0.5 millimeter) thick.
- submount 602 is at most about 10 millimeters (e.g., at most about five millimeters, at most about one millimeter, about 0.5 millimeter) thick.
- submount 602 is thicker than substrate 502 , and, in certain embodiments, substrate 502 is thicker than submount 602 .
- the thickness of layer 506 can be reduced to a desired final thickness for use in the light-emitting device. This can be achieved, for example, using a mechanical etching process, alone or in combination with an etching process.
- the surface of layer 506 has a relatively high degree of flatness (e.g., a relatively high degree of flatness on the scale of the lithography reticle to be used).
- the surface of layer 506 after etching/cleaning the exposed surface of layer 506 , has a flatness of at most about 10 microns per 6.25 square centimeters (e.g., at most about five microns per 6.25 square centimeters, at most about one micron per 6.25 square centimeters). As another example, in certain embodiments, after etching/cleaning the exposed surface of layer 506 , the surface of layer 506 has a flatness of at most about 10 microns per square centimeter (e.g., at most about five microns per square centimeter, at most about one microns per square centimeter).
- the surface of layer 506 has an RMS roughness of at most about 50 nanometers (e.g., at most about 25 nanometers, at most about 10 nanometers, at most about five nanometers, at most about one nanometer).
- the exposed surface of layer 506 may be too rough and/or insufficiently flat to use nanolithography to form the pattern with sufficient accuracy and/or reproducibility.
- the nanolithography process may include depositing a planarization layer on the surface of layer 506 and a lithography layer on the surface of the planarization layer. For example, FIG.
- planarization layer 702 is disposed on the surface of layer 506 , and a lithography layer 704 is disposed on the surface of layer 702 , an exposed surface 505 of layer 506 may be relatively rough (e.g., RMS roughness of about 10 nanometers or more) after cleaning/etching layer 506 .
- planarization layer 702 is formed of multiple layers (e.g., of the same material) that are sequentially deposited.
- planarization layer 702 examples include polymers (e.g., DUV-30J from Brewer Sciences, anti-reflection coatings, high viscosity formable polymers), and examples of materials from which lithography layer 704 can be selected include UV-curable polymers (e.g., low viscosity MonoMatTM available from Molecular Imprints, Inc.). Layers 702 and 704 can be formed using any desired technique, such as, for example, spin coating, vapor deposition, and the like.
- Layer 702 can be, for example, at least about 100 nanometers thick (e.g., at least about 500 nanometers thick) and/or at most about five microns thick (e.g., at most about one micron thick).
- Layer 704 can be, for example, at least about one nanometer thick (e.g., at least about 10 nanometers thick) and/or at most about one micron thick (e.g., at most about 0.5 micron thick).
- a mold that defines a portion of the desired pattern is then pressed into lithography layer and (typically with heating or UV-curing of the mold and/or layer 704 ), and stepped across the surface of layer 704 in a portion-by-portion manner to form indentions in layer 704 (FIG. 22) that correspond to the desired pattern in the surface of layer 506 .
- a single step covers the entire wafer (e.g., full wafer nanolithography techniques)
- Layer 704 is then etched (e.g., using reactive ion etching, wet etching) to expose portions of the surface of layer 702 corresponding to what were the indented portions of layer 704 (FIG. 23).
- the pattern in layer 704 also leaves regions for depositing n-contacts later on in the process flow.
- other techniques e.g., x-ray lithography, deep ultraviolet lithography, extreme ultraviolet lithography, immersion lithography, interference lithography, electron beam lithography, photolithography, microcontact printing, self-assembly techniques
- x-ray lithography deep ultraviolet lithography
- extreme ultraviolet lithography extreme ultraviolet lithography
- immersion lithography immersion lithography
- interference lithography electron beam lithography
- photolithography photolithography
- microcontact printing self-assembly techniques
- patterned layer 704 is used as a mask to transfer the pattern into the planarization layer 702 (e.g., dry etching, wet etching).
- An example of a dry etching method is reactive ion etching.
- layers 702 and 704 are subsequently used as a mask to transfer the pattern into the surface of layer 506 (e.g., using dry etching, wet etching).
- the layers 702 and 704 are removed (e.g., using an oxygen-based reactive ion etch, a wet solvent etch).
- the process can include, disposing a material 708 (e.g., a metal, such as aluminum, nickel, titanium, tungsten) in the etched portions of layers 702 and 704 (e.g., by evaporation) and on the surface of layer 704 .
- a material 708 e.g., a metal, such as aluminum, nickel, titanium, tungsten
- layers 702 and 704 are then etched (e.g., using reactive ion etching, wet etching), leaving behind etch-resistant material 708 on the surface of layer 506 , which can serve as a mask for etching the pattern into the surface of layer 506 (FIG. 29).
- etch resistant material 708 can then be removed (e.g., using dry etching, wet etching).
- the process can include, after forming the indents in layer 704 , disposing (e.g., spin coating) an etch resistant material (e.g., a Si-doped polymer) 710 on the surface of layer 704 and in the indents in layer 704 , and material 710 is then etched back (e.g., using dry etching) so that to expose the surface of layer 704 while maintaining the etch-resistant material in the indents in layer 704 (FIG. 31). As shown in FIG.
- an etch resistant material e.g., a Si-doped polymer
- portions of layers 702 and 704 are then etched (e.g., using reactive ion etching, dry etching, wet etching), leaving behind etch-resistant material 708 and the portions of layers 702 and 704 under material 708 , which serve as a mask for etching the pattern into the surface of layer 506 (FIG. 33).
- etch-resistant material 708 e.g., a fluorine plasma process.
- a layer of phosphor material can optionally be disposed (e.g., spin-coated) onto the patterned surface of n-doped layer 506 .
- the phosphor can conformally coat the patterned surface (coat with substantially no voids present along the bottoms and sidewalls of the openings in the patterned surface).
- a layer of encapsulant material can be disposed on the surface of patterned n-doped layer 506 (e.g. by CVD, sputtering, suspension by liquid binder that is subsequently evaporated).
- the encapsulant can contain one or more phosphor materials.
- the phosphor can be compressed to achieve thickness uniformity less than about 20%, less than about 15%, less than about 10%, less than about 5%, or less than about 2% of the average thickness of the phosphor.
- the phosphor-containing encapsulant can conformally coat the patterned surface.
- individual LED dice can be cut from the wafer. Once wafer processing and wafer testing is complete, individual LED dice are separated and prepared for packaging and testing. A sidewall passivation step and/or a pre-separation deep mesa etching step may be used to reduce potential damage to the electrical and/or optical properties of the patterned LED incurred during wafer cutting.
- the individual LEDs can be any size up to the size of the wafer itself, but individual LEDs are typically square or rectangular, with sides having a length between about 0.5 mm to 5 mm.
- standard photolithography is used to define the location of contact pads on the wafer for energizing the device, and ohmic contacts are evaporated (e.g. using electron beam evaporation) onto the desired locations.
- an LED die is packaged, the package should generally be capable of facilitating light collection while also providing mechanical and environmental protection of the die.
- a transparent cover can be packaged on the LED die to protect the patterned surface of the 506 when an encapsulant is not used.
- the cover slip is attached to supports 142 using a glassy frit that is melted in a furnace.
- the opposite ends of the supports are connected using a cap weld or an epoxy for example.
- Supports are typically Ni-plated to facilitate welding to an Au plated surface of the package. It believed that the absence of an encapsulant layer allows higher tolerable power loads per unit area in the patterned surface LED 100 . Degradation of the encapsulant can be a common failure mechanism for standard LEDs and is avoided not using an encapsulant layer.
- the LEDs are cut from a large area flat wafer, their light output per area does not decrease with area. Also, because the cross section of an individual LEDs cut from a wafer is only slightly larger than the light-emitting surface area of the LED, many individual, and separately addressable LEDs can be packed closely together in an array. If one LED does not function (e.g., due to a large defect), then it does not significant diminish the performance of the array because the individual devices are closely packed.
- the light-emitting device can have any desired thickness, and the individual layers within the light-emitting device can have any desired thickness.
- the thicknesses of the layers within multi-layer stack 122 are chosen so as to increase the spatial overlap of the optical modes with light-generating region 130 , to increase the output from light generated in region 130 .
- Exemplary thicknesses for certain layers in a light-emitting device include the following.
- layer 134 can have a thickness of at least about 100 nm (e.g., at least about 200 nm, at least about 300 nm, at least about 400 nm, at least about 500 nm) and/or at most about 10 microns (e.g., at most about five microns, at most about three microns, at most about one micron).
- layer 128 has a thickness of at least about 10 nm (e.g., at least about 25 nm, at least about 40 nm) and/or at most about one micron (e.g., at most about 500 nm, at most about 100 nm).
- layer 126 has a thickness of at least about 10 nm (e.g., at least about 50 nm, at least about 100 nm) and/or at most about one micron (e.g., at most about 500 nm, at most about 250 nm).
- light-generating region 130 has a thickness of at least about 10 nm (e.g., at least about 25 nm, at least about 50 nm, at least about 100 nm) and/or at most about 500 nm (e.g., at most about 250 nm, at most about 150 nm).
- light-emitting diode As an example, while a light-emitting diode has been described, other light-emitting devices having the above-described features (e.g., patterns, processes) can be used. Such light-emitting devices include lasers and optical amplifiers.
- a current spreading layer can be integral with (e.g., a portion of) layer 134 .
- the current spreading layer can be a relatively highly n-doped portion of layer 134 or a heterojunction between (e.g. AlGaN/GaN) to form a 2 D electron gas.
- any semiconductor materials e.g., III-V semiconductor materials, organic semiconductor materials, silicon
- any semiconductor materials e.g., III-V semiconductor materials, organic semiconductor materials, silicon
- Examples of other light-generating materials include InGaAsP, AlInGaN, AlGaAs, InGaAlP.
- Organic light-emitting materials include small molecules such as aluminum tris-8-hydroxyquinoline (Alq 3 ) and conjugated polymers such as poly[2-methoxy-5-(2-ethylhexyloxy)-1,4-vinylenephenylene] or MEH-PPV.
- the LEDs can also be small area LEDs (e.g., LEDs smaller than the standard about 300 microns on edge).
- a dielectric function that varies spatially according to a pattern has been described in which the pattern is formed of holes, the pattern can also be formed in other ways.
- a pattern can be formed continuous veins and/or discontinuous veins in the appropriate layer.
- the pattern in varying dielectric function can be achieved without using holes or veins.
- materials having different dielectric functions can be patterned in the appropriate layer. Combinations of such patterns can also be used.
- layer 126 has been described as being formed of silver, other materials can also be used.
- layer 126 is formed of a material that can reflect at least about 50% of light generated by the light-generating region that impinges on the layer of reflective material, the layer of reflective material being between the support and the multi-layer stack of materials. Examples of such materials include distributed Bragg reflector stacks and various metals and alloys, such as aluminum and aluminum-containing alloys.
- support 120 can be formed of a variety of materials. Examples of materials from which support 120 can be formed include copper, copper-tungsten, aluminum nitride, silicon carbide, beryllium-oxide, diamonds, TEC and aluminum.
- a light-emitting device can include a separate layer (e.g., disposed between layer 126 and submount 120 ) that serves as a heat sink.
- layer 126 may or may not be formed of a material that can serve as a heat sink.
- the varying pattern in dielectric function has been described as extending into n-doped layer 134 only (which can substantially reduce the likelihood of surface recombination carrier losses) in addition to making use of the entire light-generating region, in some embodiments, the varying pattern in dielectric function can extend beyond n-doped layer (e.g., into current spreading layer 132 , light-generating region 130 , and/or p-doped layer 128 ).
- air can be disposed between surface 110 can cover slip 140
- materials other than, or in an addition to, air can be disposed between surface 110 and cover slip 140 .
- such materials have an index of refraction of at least about one and less than about 1.5 (e.g., less than about 1.4, less than about 1.3, less than about 1.2, less than about 1.1).
- examples of such materials include nitrogen, air, or some higher thermal conductivity gas.
- surface 110 may or may not be patterned.
- surface 110 may be non-patterned but may be roughened (i.e., having randomly distributed features of various sizes and shapes less than ⁇ /5).
- a pre-patterned etch mask can be laid down on the surface of the n-doped semiconductor layer.
- an etch mask layer can be disposed between the n-doped semiconductor layer and the planarization layer.
- the method can include removing at least a portion of the etch mask layer (e.g., to form a pattern in the etch stop layer corresponding to the pattern in the n-doped semiconductor layer).
- surface 110 may be patterned and rough (i.e., having randomly distributed features of various sizes and shapes less than ⁇ /5, less than ⁇ /2, less than ⁇ ).
- the sidewalls of openings 150 can be rough (i.e., having randomly distributed features of various sizes and shapes less than ⁇ /5, less than ⁇ /2, less than ⁇ ), with or without surface 110 being rough.
- the bottom surface of openings 150 can be rough (i.e., having randomly distributed features of various sizes and shapes less than ⁇ /5, less than ⁇ /2, less than ⁇ ).
- Surface 110 , the sidewalls of openings 150 , and/or the bottom surfaces of openings 150 can be roughened, for example, by etching (e.g., wet etching, dry etching, reactive ion etching).
- etching e.g., wet etching, dry etching, reactive ion etching.
- roughening surface 110 and/or the sidewalls of openings 150 may increase the probability, with respect to a atomically smooth surface, that a light ray will eventually strike at an angle that less than the critical angle given by Snell's law and will be extracted.
- the submount can be machined to include spring-like structures. Without wishing to be bound by theory, it is believed that such spring-like structures may reduce cracking during removal of the substrate.
- the submount can be supported by an acoustically absorbing platform (e.g., a polymer, a metallic foam).
- an acoustically absorbing platform e.g., a polymer, a metallic foam.
- the substrate is treated (e.g., etched, ground, sandblasted) before being removed.
- the substrate may be patterned before it is removed.
- the thickness of the layers is selected so that, before removing the substrate and buffer layers, the neutral mechanical axis of the multi-layer stack is located substantially close (e.g., less than about 500 microns, less than about 100 microns, less than about 100 microns, less than about five microns) to the interface between the p-doped semiconductor layer and a bonding layer.
- portions of the substrate are separately removed (e.g., to reduce the likelihood of cracking).
- the single layer can be formed by first depositing a relatively low doped (e.g., undoped) semiconductor material on the substrate, followed by (in one process) depositing a relatively high doped (n-doped) semiconductor material.
- a substrate is removed by a process that includes exposing a surface of the substrate to electromagnetic radiation (e.g., laser light)
- electromagnetic radiation e.g., laser light
- other methods can be used to remove the substrate.
- removal of the substrate can involve etching and/or lapping the substrate.
- the substrate can be etched and/or lapped, and then subsequently exposed to electromagnetic radiation (e.g., laser light).
- the upper surface of the planarization layer can be flattened.
- a flat object such as an optical flat
- a pressure can be applied (e.g., using a physical weight or press) to assist with the flattening process.
- the substrate can be treated before being removed.
- the substrate can be exposed to one or more processes selected from etching, polishing, grinding and sandblasting.
- treating the substrate can include patterning the substrate.
- treating the substrate includes depositing an antireflective coating on the substrate.
- Such an antireflective coating can, for example, allow relatively large regions of the substrate to be removed when using a substrate removal process that involves exposing the substrate to electromagnetic radiation because the coating can reduce reflection of the electromagnetic radiation.
- a pattern on the surface of the substrate can also be used to achieve an anti-reflection effect.
- a light-emitting device can include a layer of a phosphor material coated on surface 110 , cover layer 140 and supports 142 .
- a light-emitting device can include a cover layer 140 that has a phosphor material disposed therein.
- surface 110 may or may not be patterned.
- the light emitted by the light-generating region 130 is UV (or violet, or blue) and the phosphor layer 180 includes a mixture of a red phosphor material (e.g., L 2 O 2 S:Eu 3+ ), a green phosphor material (e.g, ZnS:Cu,Al,Mn), and blue phosphor material (e.g, (Sr,Ca,Ba,Mg) 10 (PO 4 ) 6 C 1 :Eu 2+ ).
- a red phosphor material e.g., L 2 O 2 S:Eu 3+
- a green phosphor material e.g, ZnS:Cu,Al,Mn
- blue phosphor material e.g, (Sr,Ca,Ba,Mg) 10 (PO 4 ) 6 C 1 :Eu 2+
Landscapes
- Led Device Packages (AREA)
- Led Devices (AREA)
Abstract
Light-emitting device methods are disclosed.
Description
- This application claims priority under 35 U.S.C. §119 to the following U.S. Provisional Patent Applications: 60/462,889, filed Apr. 15, 2003; 60/474,199, filed May 29, 2003; 60/475,682, filed Jun. 4, 2003; 60/503,653, filed Sep. 17, 2003; 60/503,654 filed Sep. 17, 2003; 60/503,661, filed Sep. 17, 2003; 60/503,671, filed Sep. 17, 2003; 60/503,672, filed Sep. 17, 2003; 60/513,807, filed Oct. 23, 2003; and 60/514,764, filed Oct. 27, 2003. This application also claims priority under 35 U.S.C. §120 to, and is a continuation-in-part of, the following U.S. Patent Applications: U.S. Ser. No. 10/723,987 entitled “Light Emitting Devices,” and filed Nov. 26, 2003; U.S. Ser. No. 10/724,004, entitled “Light Emitting Devices,” and filed Nov. 26, 2003; U.S. Ser. No. 10/724,033, entitled “Light Emitting Devices,” and filed Nov. 26, 2003; U.S. Ser. No. 10/724,006, entitled “Light Emitting Devices,” and filed Nov. 26, 2003; U.S. Ser. No. 10/724,029, entitled “Light Emitting Devices,” and filed Nov. 26, 2003; U.S. Ser. No. 10/724,015, entitled “Light Emitting Devices,” and filed Nov. 26, 2003; U.S. Ser. No. 10/724,005, entitled “Light Emitting Devices,” and filed Nov. 26, 2003; U.S. Ser. No. 10/735,498, entitled “Light Emitting Devices,” and filed Dec. 12, 2003. Each of these patent applications is incorporated herein by reference.
- The invention relates to light-emitting device methods.
- A light emitting diode (LED) often can provide light in a more efficient manner than an incandescent light source and/or a fluorescent light source. The relatively high power efficiency associated with LEDs has created an interest in using LEDs to displace conventional light sources in a variety of lighting applications. For example, in some instances LEDs are being used as traffic lights and to illuminate cell phone keypads and displays.
- Typically, an LED is formed of multiple layers, with at least some of the layers being formed of different materials. In general, the materials and thicknesses selected for the layers determine the wavelength(s) of light emitted by the LED. In addition, the chemical composition of the layers can be selected to try to isolate injected electrical charge carriers into regions (commonly referred to as quantum wells) for relatively efficient conversion to optical power. Generally, the layers on one side of the junction where a quantum well is grown are doped with donor atoms that result in high electron concentration (such layers are commonly referred to as n-type layers), and the layers on the opposite side are doped with acceptor atoms that result in a relatively high hole concentration (such layers are commonly referred to as p-type layers).
- A common approach to preparing an LED is as follows. The layers of material are prepared in the form of a wafer. Typically, the layers are formed using an epitaxial deposition technique, such as metal-organic chemical vapor deposition (MOCVD), with the initially deposited layer being formed on a growth substrate. The layers are then exposed to various etching and metallization techniques to form contacts for electrical current injection, and the wafer is subsequently sectioned into individual LED chips. Usually, the LED chips are packaged.
- During use, electrical energy is usually injected into an LED and then converted into electromagnetic radiation (light), some of which is extracted from the LED.
- The invention relates to light-emitting device methods.
- In one aspect, the invention features a method of making a light emitting device. The method includes providing a first multi-layer stack in the form of a wafer that includes a substrate, a submount, and a semiconductor layer between the substrate and the submount, where the semiconductor layer is supported by the substrate. The method also includes exposing the semiconductor layer to electromagnetic radiation to partially decompose the semiconductor layer, and removing the substrate from the first multi-layer stack to form a second multi-layer stack.
- In another aspect, the invention features a method of making a light emitting device. The method includes providing a first multi-layer stack that includes a substrate, a submount, and a semiconductor layer between the substrate and the submount, where the semiconductor layer is supported by the submount. The semiconductor layer and submount are selected so that a coefficient of thermal expansion of the submount differs from a coefficient of thermal expansion of the semiconductor layer by less than about 15%. The method also includes exposing the semiconductor layer to electromagnetic radiation to partially decompose the semiconductor layer, and removing the substrate from the first multi-layer stack to form a second multi-layer stack.
- In a further aspect, the invention features a method of making a light emitting device. The method includes providing a first multi-layer stack that includes a substrate, a submount that is thicker than the substrate, and a semiconductor layer between the substrate, where the semiconductor layer is supported by the submount. The method also includes exposing the semiconductor layer to electromagnetic radiation to partially decompose the semiconductor layer, and removing the substrate from the first multi-layer stack to form a second multi-layer stack.
- Embodiments can feature one or more of the following advantages.
- In certain embodiments, a light-emitting system can include an LED and/or a relatively large LED chip that can exhibit relatively high light extraction.
- In some embodiments, a light-emitting system can include an LED and/or a relatively large LED chip that can exhibit relatively high surface brightness, relatively high average surface brightness, relatively low need for heat dissipation or relatively high rate of heat dissipation, relatively low etendue and/or relatively high power efficiency.
- In certain embodiments, a light-emitting system can include an LED and/or a relatively large LED chip that can be designed so that relatively little light emitted by the LED/LED chip is absorbed by packaging.
- In some embodiments, a light-emitting system can include a packaged LED (e.g., a relatively large packaged LED) that can be prepared without using an encapsulant material. This can result in a packaged LED that avoids certain problems associated with the use of certain encapsulant materials, such as reduced performance and/or inconsistent performance as a function of time, thereby providing a packaged LED that can exhibit relatively good and/or reliable performance over a relatively long period of time.
- In certain embodiments, a light-emitting system can include an LED (e.g., a packaged LED, which can be a relatively large packaged LED) that can have a relatively uniform coating of a phosphor material.
- In some embodiments, a light-emitting system can include an LED (e.g., a packaged LED, which can be a relatively large packaged LED) that can be designed to provide a desired light output within a particular angular range (e.g., within a particular angular range relative to the LED surface normal).
- In some embodiments, a light-emitting system can include an LED and/or a relatively large LED chip that can be prepared by a process that is relatively inexpensive.
- In certain embodiments, a light-emitting system can include an LED and/or a relatively large LED chip that can be prepared by a process that can be conducted on a commercial scale without incurring costs that render the process economically unfeasible.
- Features and advantages of the invention are in the description, drawings and claims.
- FIG. 1 is a schematic representation of a light emitting system.
- FIG. 2 is a side view of an LED with a patterned surface.
- FIG. 3 is a top view the patterned surface of the LED of FIG. 2.
- FIG. 4 is a graph of an extraction efficiency of an LED with a patterned surface as function of a detuning parameter.
- FIG. 5 is a schematic representation of the Fourier transformation of a patterned surface of an LED.
- FIG. 6 is a graph of an extraction efficiency of an LED with a patterned surface as function of nearest neighbor distance.
- FIG. 7 is a graph of an extraction efficiency of an LED with a patterned surface as function of a filling factor.
- FIG. 8 is a top view a patterned surface of an LED.
- FIG. 9 is a graph of an extraction efficiency of LEDs with different surface patterns.
- FIG. 10 is a graph of an extraction efficiency of LEDs with different surface patterns.
- FIG. 11 is a graph of an extraction efficiency of LEDs with different surface patterns.
- FIG. 12 is a graph of an extraction efficiency of LEDs with different surface patterns.
- FIG. 13 is a schematic representation of the Fourier transformation two LEDs having different patterned surfaces compared with the radiation emission spectrum of the LEDs.
- FIG. 14 is a graph of an extraction efficiency of LEDs having different surface patterns as a function of angle.
- FIG. 15 is a side view of an LED with a patterned surface and a phosphor layer on the patterned surface.
- FIG. 16 is a cross-sectional view of a multi-layer stack.
- FIG. 17 is a cross-sectional view of a multi-layer stack.
- FIG. 18 is a cross-sectional view of a multi-layer stack.
- FIG. 19 is a cross-sectional view of a multi-layer stack.
- FIG. 20 depicts a side view of a substrate removal process.
- FIG. 21 is a partial cross-sectional view of a multi-layer stack.
- FIG. 22 is a partial cross-sectional view of a multi-layer stack.
- FIG. 23 is a partial cross-sectional view of a multi-layer stack.
- FIG. 24 is a partial cross-sectional view of a multi-layer stack.
- FIG. 25 is a partial cross-sectional view of a multi-layer stack.
- FIG. 26 is a partial cross-sectional view of a multi-layer stack.
- FIG. 27 is a partial cross-sectional view of a multi-layer stack.
- FIG. 28 is a partial cross-sectional view of a multi-layer stack.
- FIG. 29 is a partial cross-sectional view of a multi-layer stack.
- FIG. 30 is a partial cross-sectional view of a multi-layer stack.
- FIG. 31 is a partial cross-sectional view of a multi-layer stack.
- FIG. 32 is a partial cross-sectional view of a multi-layer stack.
- FIG. 33 is a partial cross-sectional view of a multi-layer stack.
- FIG. 34 is a partial cross-sectional view of a multi-layer stack.
- Like reference symbols in the various drawings indicate like elements.
- FIG. 1 is a schematic representation of a light-emitting
system 50 that has anarray 60 ofLEDs 100 incorporated therein.Array 60 is configured so that, during use, light that emerges from LEDs 100 (see discussion below) emerges fromsystem 50 viasurface 55. - Examples of light-emitting systems include projectors (e.g., rear projection projectors, front projection projectors), portable electronic devices (e.g., cell phones, personal digital assistants, laptop computers), computer monitors, large area signage (e.g., highway signage), vehicle interior lighting (e.g., dashboard lighting), vehicle exterior lighting (e.g., vehicle headlights, including color changeable headlights), general lighting (e.g., office overhead lighting), high brightness lighting (e.g., streetlights), camera flashes, medical devices (e.g., endoscopes), telecommunications (e.g. plastic fibers for short range data transfer), security sensing (e.g. biometrics), integrated optoelectronics (e.g., intrachip and interchip optical interconnects and optical clocking), military field communications (e.g., point to point communications), biosensing (e.g. photo-detection of organic or inorganic substances), photodynamic therapy (e.g. skin treatment), night-vision goggles, solar powered transit lighting, emergency lighting, airport runway lighting, airline lighting, surgical goggles, wearable light sources (e.g. life-vests). An example of a rear projection projector is a rear projector television. An example of a front projection projector is a projector for displaying on a surface, such as a screen or a wall. In some embodiments, a laptop computer can include a front projection projector.
- Typically,
surface 55 is formed of a material that transmits at least about 20% (e.g., at least about 30%, at least about 40%, at least about 50%, at least about 60%, at least about 70%, at least about 80%, at least about 90%, at least about 95%) of the light that emerges fromLEDs 100 and impinges onsurface 55. Examples of materials from which surface 55 can be formed include glass, silica, quartz, plastic and polymers. - In some embodiments, it may be desirable for the light that emerges (e.g., total light intensity, light intensity as a function of wavelength, and/or peak emission wavelength) from each
LED 100 to be substantially the same. An example is time-sequencing of substantially monochromatic sources (e.g. LEDs) in display applications (e.g., to achieve vibrant full-color displays). Another example is in telecommunications where it can be advantageous for an optical system to have a particular wavelength of light travel from the source to the light guide, and from the light guide to the detector. A further example is vehicle lighting where color indicates signaling. An additional example is in medical applications (e.g., photosensitive drug activation or biosensing applications, where wavelength or color response can be advantageous). - In certain embodiments, it may be desirable for the light that emerges (e.g., total light intensity, light intensity as a function of wavelength, and/or peak emission wavelength) from at least some of
LEDs 100 to be different from the light that emerges (e.g., total light intensity, light intensity as a function of wavelength, and/or peak emission wavelength) fromdifferent LEDs 100. An example is in general lighting (e.g., where multiple wavelengths can improve the color rendering index (CRI)). CRI is a measurement of the amount of color shift that objects undergo when lighted by the light-emitting system as compared with the color of those same objects when seen under a reference lighting system (e.g., daylight) of comparable correlated temperature. Another example is in camera flashes (e.g., where substantially high CRI, such as substantially close to the CRI of noontime sunlight, is desirable for a realistic rendering of the object or subject being photographed). A further example is in medical devices (e.g., where substantially consistent CRI is advantageous for tissue, organ, fluid, etc. differentiation and/or identification). An additional example is in backlighting displays (e.g., where certain CRI white light is often more pleasing or natural to the human eye). - Although depicted in FIG. 1 as being in the form of an array,
LEDs 100 can be configured differently. As an example, in some embodiments,system 50 includes asingle LED 100. As another example, in certain embodiments, the array is curved to help angularly direct the light from various sources onto the same point (e.g., an optic such as a lens). As a further example, in some embodiments, the array of devices is hexagonally distributed to allow for close-packing and high effective surface brightness. As an additional example, in certain embodiments, the devices are distributed around a mirror (e.g., a dichroic mirror) that combines or reflects light from the LEDs in the array. - In FIG. 1 the light that emerges from
LEDs 100 is shown as traveling directly fromLEDs 100 to surface 55. However, in some embodiments, the light that emerges fromLEDs 100 can travel an indirect path fromLEDs 100 to surface 55. As an example, in some embodiments,system 50 includes asingle LED 100. As another example, in certain embodiments, light fromLEDs 100 is focused onto a microdisplay (e.g., onto a light valve such as a digital light processor (DLP) or a liquid crystal display (LCD)). As a further example, in some embodiments, light is directed through various optics, mirrors or polarizers (e.g., for an LCD). As an additional example, in certain embodiments, light is projected through primary or secondary optics, such as, for example, a lens or a set of lenses. - FIG. 2 shows a side view of an
LED 100 in the form of a packaged die.LED 100 includes amulti-layer stack 122 disposed on asubmount 120.Multi-layer stack 122 includes a 320 nm thick silicon doped (n-doped)GaN layer 134 having a pattern ofopenings 150 in itsupper surface 110.Multi-layer stack 122 also includes abonding layer 124, a 100 nmthick silver layer 126, a 40 nm thick magnesium doped (p-doped)GaN layer 128, a 120 nm thick light-generatingregion 130 formed of multiple InGaN/GaN quantum wells, and aAlGaN layer 132. An n-side contact pad 136 is disposed onlayer 134, and a p-side contact pad 138 is disposed onlayer 126. An encapsulant material (epoxy having an index of refraction of 1.5) 144 is present betweenlayer 134 and acover slip 140 and supports 142.Layer 144 does not extend intoopenings 150. - Light is generated by
LED 100 as follows. P-side contact pad 138 is held at a positive potential relative to n-side contact pad 136, which causes electrical current to be injected intoLED 100. As the electrical current passes through light-generatingregion 130, electrons from n-dopedlayer 134 combine inregion 130 with holes from p-dopedlayer 128, which causesregion 130 to generate light. Light-generatingregion 130 contains a multitude of point dipole radiation sources that emit light (e.g., isotropically) within theregion 130 with a spectrum of wavelengths characteristic of the material from which light-generatingregion 130 is formed. For InGaN/GaN quantum wells, the spectrum of wavelengths of light generated byregion 130 can have a peak wavelength of about 445 nanometers (nm) and a full width at half maximum (FWHM) of about 30 nm. - It is to be noted that the charge carriers in p-doped
layer 126 have relatively low mobility compared to the charge carriers in the n-dopedsemiconductor layer 134. As a result, placing silver layer 126 (which is conductive) along the surface of p-dopedlayer 128 can enhance the uniformity of charge injection fromcontact pad 138 into p-dopedlayer 128 and light-generatingregion 130. This can also reduce the electrical resistance ofdevice 100 and/or increase the injection efficiency ofdevice 100. Because of the relatively high charge carrier mobility of the n-dopedlayer 134, electrons can spread relatively quickly from n-side contact pad 136 throughout 132 and 134, so that the current density within the light-generatinglayers region 130 is substantially uniform across theregion 130. It is also to be noted thatsilver layer 126 has relatively high thermal conductivity, allowinglayer 126 to act as a heat sink for LED 100 (to transfer heat vertically from themulti-layer stack 122 to submount 120). - At least some of the light that is generated by
region 130 is directed towardsilver layer 126. This light can be reflected bylayer 126 and emerge fromLED 100 viasurface 110, or can be reflected bylayer 126 and then absorbed within the semiconductor material inLED 100 to produce an electron-hole pair that can combine inregion 130, causingregion 130 to generate light. Similarly, at least some of the light that is generated byregion 130 is directed towardpad 136. The underside ofpad 136 is formed of a material (e.g., a Ti/Al/Ni/Au alloy) that can reflect at least some of the light generated by light-generatingregion 130. Accordingly, the light that is directed to pad 136 can be reflected bypad 136 and subsequently emerge fromLED 100 via surface 110 (e.g., by being reflected from silver layer 126), or the light that is directed to pad 136 can be reflected bypad 136 and then absorbed within the semiconductor material inLED 100 to produce an electron-hole pair that can combine inregion 130, causingregion 130 to generate light (e.g., with or without being reflected by silver layer 126). - As shown in FIGS. 2 and 3,
surface 110 ofLED 100 is not flat but consists of a modified triangular pattern ofopenings 150. In general, various values can be selected for the depth ofopenings 150, the diameter ofopenings 150 and the spacing between nearest neighbors inopenings 150 can vary. Unless otherwise noted, for purposes of the figures below showing the results of numerical calculations,openings 150 have adepth 146 equal to about 280 nm, a non-zero diameter of about 160 nm, a spacing between nearest neighbors or about 220 nm, and an index of refraction equal to 1.0. The triangular pattern is detuned so that the nearest neighbors inpattern 150 have a center-to-center distance with a value between (a−Δa) and (a+Δa), where “a” is the lattice constant for an ideal triangular pattern and “Δa” is a detuning parameter with dimensions of length and where the detuning can occur in random directions. To enhance light extraction from LED 100 (see discussion below), detuning parameter, Δa, is generally at least about one percent (e.g., at least about two percent, at least about three percent, at least about four percent, at least about five percent) of ideal lattice constant, a, and/or at most about 25% (e.g., at most about 20%, at most about 15%, at most about 10%) of ideal lattice constant, a. In some embodiments, the nearest neighbor spacings vary substantially randomly between (a−Δa) and (a+Δa), such thatpattern 150 is substantially randomly detuned. - For the modified triangular pattern of
openings 150, it has been found that a non-zero detuning parameter enhances the extraction efficiency of anLED 100. ForLED 100 described above, as the detuning parameter Δa increases from zero to about 0.15a, numerical modeling (described below) of the electromagnetic fields in theLED 100 has shown that the extraction efficiency of the device increases from about 0.60 to about 0.70, as shown in FIG. 4. - The extraction efficiency data shown in FIG. 4 are calculated by using a three-dimensional finite-difference time-domain (FDTD) method to approximate solutions to Maxwell's equations for the light within and outside of
LED 100. See, for example, K. S. Kunz and R. J. Luebbers, The Finite-Difference Time-Domain Methods (CRC, Boca Raton, Fla., 1993); A. Taflove, Computational Electrodynamics: The Finite-Difference Time-Domain Method (Artech House, London, 1995), both of which are hereby incorporated by reference. To represent the optical behavior ofLED 100 with aparticular pattern 150, input parameters in a FDTD calculation include the center frequency and bandwidth of the light emitted by the point dipole radiation sources in light-generatingregion 130, the dimensions and dielectric properties of the layers withinmultilayer stack 122, and the diameters, depths, and nearest neighbor distances (NND) between openings inpattern 150. -
- where the polarizability {right arrow over (P)}={right arrow over (P)} 1+{right arrow over (P)}2+ . . . +{right arrow over (P)}m captures the frequency-dependent response of the quantum well light-generating
region 130, the p-contact layer 126 and other layers withinLED 100. The individual {right arrow over (P)}m terms are empirically derived values of different contributions to the overall polarizability of a material (e.g., the polarization response for bound electron oscillations, the polarization response for free electron oscillations). In particular, -
- For purposes of the numerical calculations, the only layers that are considered are encapsulant 144,
silver layer 126 and layers betweenencapsulant 144 andsilver layer 126. - This approximation is based on the assumption that
encapsulant 144 andlayer 126 are thick enough so that surrounding layers do not influence the optical performance ofLED 100. The relevant structures withinLED 100 that are assumed to have a frequency dependent dielectric constant aresilver layer 126 and light-generatingregion 130. The other relevant layers withinLED 100 are assumed to not have frequency dependent dielectric constants. It is to be noted that in embodiments in whichLED 100 includes additional metal layers betweenencapsulant 144 andsilver layer 126, each of the additional metal layers will have a corresponding frequency dependent dielectric constant. It is also to be noted that silver layer 126 (and any other metal layer in LED 100) has a frequency dependent term for both bound electrons and free electrons, whereas light-generatingregion 130 has a frequency dependent term for bound electrons but does not have a frequency dependent term for free electrons. In certain embodiments, other terms can be included when modeling the frequency dependence of the dielectric constant. Such terms may include, for example, electron-phonon interactions, atomic polarizations, ionic polarizations and/or molecular polarizations. - The emission of light from the quantum well region of light-generating
region 130 is modeled by incorporating a number of randomly-placed, constant-current dipole sources within the light-generatingregion 130, each emitting short Gaussian pulses of spectral width equal to that of the actual quantum well, each with random initial phase and start-time. - To cope with the pattern of
openings 150 insurface 110 of theLED 100, a large supercell in the lateral direction is used, along with periodic boundary conditions. This can assist in simulating relatively large (e.g., greater than 0.01 mm on edge) device sizes. The full evolution equations are solved in time, long after all dipole sources have emitted their energy, until no energy remains in the system. During the simulation, the total energy emitted, the energy flux extracted throughtop surface 110, and the energy absorbed by the quantum wells and the n-doped layer is monitored. Through Fourier transforms both in time and space, frequency and angle resolved data of the extracted flux are obtained, and therefore an angle- and frequency-resolved extraction efficiency can be calculated. By matching the total energy emitted with the experimentally known luminescence of light-generatingregion 130, absolute angle-resolved extraction in lumens/per solid angle/per chip area for given electrical input is obtained. - Without wishing to be bound by theory, it is believed that the
detuned pattern 150 can enhance the efficiency with which light generated inregion 130 emerges fromLED 100 viasurface 110 becauseopenings 150 create a dielectric function that varies spatially inlayer 134 according topattern 150. It is believed that this alters the density of radiation modes (i.e., light modes that emerge from surface 110) and guided modes (i.e., light modes that are confined within multi-layer stack 122) withinLED 100, and that this alteration to the density of radiation modes and guided modes withinLED 100 results in some light that would otherwise be emitted into guided modes in the absence ofpattern 150 being scattered (e.g., . . . Bragg scattered) into modes that can leak into radiation modes. In certain embodiments, it is believed that pattern 150 (e.g., the pattern discussed above, or one of the patterns discussed below) can eliminate all of the guided modes withinLED 100. - It is believed that the effect of detuning of the lattice can be understood by considering Bragg scattering off of a crystal having point scattering sites. For a perfect lattice arranged in lattice planes separated by a distance d, monochromatic light of wavelength λ is scattered through an angle θ according to the Bragg condition, nλ=2d sin θ, where n is an integer that gives the order of the scattering. However, it is believed that for a light source having a spectral bandwidth Δλ/λ and emitting into a solid angle ΔΘ, the Bragg condition can be relaxed by detuning the spacing of between lattice sites by a detuning parameter Δa. It is believed that detuning the lattice increases the scattering effectiveness and angular acceptance of the pattern over the spectral bandwidth and spatial emission profile of the source.
- While a modified
triangular pattern 150 having a non-zero detuning parameter Δa has been described that can enhance light extraction fromLED 100, other patterns can also be used to enhance light extraction fromLED 100. When determining whether a given pattern enhances light extraction fromLED 100 and/or what pattern of openings may be used to enhance light extraction fromLED 100, physical insight may first be used to approximate a basic pattern that can enhance light extraction before conducting such numerical calculations. - The extraction efficiency of
LED 100 can be further understood (e.g., in the weak scattering regime) by considering the Fourier transform of the dielectric function that varies spatially according topattern 150. FIG. 5 depicts the Fourier transform for an ideal triangular lattice. Extraction of light into a particular direction with in-plane wavevector k is related to the source emission Sk, into all those modes with in-plane wavevector k′ (i.e. parallel to pattern 150) that are compatible to k by the addition or subtraction of a reciprocal lattice vector G, i.e k=k′±G. The extraction efficiency is proportional to the magnitude of the corresponding Fourier component (Fk) of the dielectric function εG given by - Since light propagating in the material generally satisfies the equation k 2(in-plane)+k2(normal)=ε(ω/c)2, the maximum G to be considered is fixed by the frequency (ω) emitted by the light-generating region and the dielectric constant of the light-generating region. As shown in FIG. 5, this defines a ring in reciprocal space which is often called the light line. The light line will be an annulus due to the finite bandwidth of the light-generating region but for sake of clarity we illustrate the light line of a monochromatic source. Similarly, light propagating within the encapsulant is bounded by a light line (the inner circle in FIG. 5). Therefore, the extraction efficiency is improved by increasing Fk for all directions k that lie within the encapsulant light-line which amounts to increasing the number of G points within the encapsulant light line and increasing the scattering strength εG for G points which lie within the material light line. This physical insight can be used when selecting patterns that can improve extraction efficiency.
- As an example, FIG. 6 shows the effect of increasing lattice constant for an ideal triangular pattern. The data shown in FIG. 6 are calculated using the parameters given for
LED 100 shown in FIG. 2, except that the emitted light has a peak wavelength of 450 nm, and the depth of the holes, the diameter of the holes, and the thickness of the n-doped-layer 134 scale with the nearest neighbor distance, a, as 1.27a, 0.72a, and 1.27a+40 nm, respectively. Increasing the lattice constant, increases the density of G points within the light-line of the encapsulant. A clear trend in extraction efficiency with NND is observed. It is believed that the maximum extraction efficiency occurs for NND approximately equal to the wavelength of light in vacuum. The reason a maximum is achieved, is that as the NND becomes much larger than the wavelength of light, the scattering effect is reduced because 5 the material becomes more uniform. - As another example, FIG. 7 shows the effect of increasing hole size or filling factor. The filling factor for a triangular pattern is given by (2π/{square root}3)*(r/a) 2, where r is the radius of a hole. The data shown in FIG. 7 are calculated using the parameters given for the
LED 100 shown in FIG. 2, except that the diameter of the openings is changed according the filling 10 factor value given on the x-axis of the graph. The extraction efficiency increases with filling factor as the scattering strengths (εG) increase. A maximum is observed for this particular system at a filling factor of ˜48%. In certain embodiments,LED 100 has a filling factor of at least about 10% (e.g., at least about 15%, at least about 20%) and/or at most about 90% (e.g., at most about 80%, at most about 70%, at most about 60%). - While a modified triangular pattern has been described in which a detuning parameter relates to positioning of openings in the pattern from the positions in an ideal triangular lattice, a modified (detuned) triangular pattern may also be achieved by modifying the holes in an ideal triangular pattern while keeping the centers at the positions for an ideal triangular pattern. FIG. 8 shows an embodiment of such a pattern. The enhancement in light extraction, the methodology for conducting the corresponding numerical calculation, and the physical explanation of the enhanced light extraction for a light-emitting device having the pattern shown in FIG. 8 is generally the same as described above. In some embodiments, a modified (detuned) pattern can have openings that are displaced from the ideal locations and openings at the ideal locations but with varying diameters.
- In other embodiments, enhanced light extraction from a light-emitting device can be achieved by using different types of patterns, including, for example, complex periodic patterns and nonperiodic patterns. As referred to herein, a complex periodic pattern is a pattern that has more than one feature in each unit cell that repeats in a periodic fashion. Examples of complex periodic patterns include honeycomb patterns, honeycomb base patterns, (2×2) base patterns, ring patterns, and Archimidean patterns. As discussed below, in some embodiments, a complex periodic pattern can have certain openings with one diameter and other openings with a smaller diameter. As referred to herein, a nonperiodic pattern is a pattern that has no translational symmetry over a unit cell that has a length that is at least 50 times the peak wavelength of light generated by
region 130. Examples of nonperiodic patterns include aperiodic patterns, quasicrystalline patterns, Robinson patterns, and Amman patterns. - FIG. 9 shows numerical calculations for
LED 100 for two different complex periodic patterns in which certain openings in the patterns have a particular diameter, and other openings in the patterns have smaller diameters. The numerical calculations represented in FIG. 9 show the behavior of the extraction efficiency (larger holes with a diameter of 80 nm) as the diameter of the smaller holes (dR) is varied from zero nm to 95 nm. The data shown in FIG. 7 are calculated using the parameters given for theLED 100 shown in FIG. 2 except that the diameter of the openings is changed according the filling factor value given on the x-axis of the graph. Without wishing to be bound by theory, multiple hole sizes allow scattering from multiple periodicities within the pattern, therefore increasing the angular acceptance and spectral effectiveness of the pattern. The enhancement in light extraction, the methodology for conducting the corresponding numerical calculation, and the physical explanation of the enhanced light extraction for a light-emitting device having the pattern shown in FIG. 9 is generally the same as described above. - FIG. 20 shows numerical calculations for
LED 100 having different ring patterns (complex periodic patterns). The number of holes in the first ring surrounding the central hole is different (six, eight or 10) for the different ring patterns. The data shown in FIG. 10 are calculated using the parameters given for theLED 100 shown in FIG. 2, except that the emitted light has a peak wavelength of 450 nm. The numerical calculations represented in FIG. 10 show the extraction efficiency ofLED 100 as the number of ring patterns per unit cell that is repeated across a unit cell is varied from two to four. The enhancement in light extraction, the methodology for conducting the corresponding numerical calculation, and the physical explanation of the enhanced light extraction for a light-emitting device having the pattern shown in FIG. 10 is generally the same as described above. - FIG. 11 shows numerical calculations for
LED 100 having an Archimidean pattern. The Archimedean pattern A7 consists ofhexagonal unit cells 230 of 7 equally-spaced holes with a nearest neighbor distance of a. Within aunit cell 230, six holes are arranged in the shape of a regular hexagon and the seventh hole is located at the center of the hexagon. Thehexagonal unit cells 230 then fit together along their edges with a center-to-center spacing between the unit cells of a′=a*(1+{square root}{square root over (3)}) to pattern the entire surface of the LED. This is known as an A7 tiling, because 7 holes make up the unit cell. Similarly, the Archimidean tiling A19 consists of 19 equally-spaced holes with a NND of a. The holes are arranged in the form of an inner hexagon of seven holes, and outer hexagon of 12 holes, and a central hole within the inner hexagon. Thehexagonal unit cells 230 then fit together along their edges with a center-to-center spacing between the unit cells of a′=a*(3+{square root}{square root over (3)}) to pattern the entire surface of the LED. The enhancement in light extraction, the methodology for conducting the corresponding numerical calculation, and the physical explanation of the enhanced light extraction for a light-emitting device having the pattern shown in FIG. 11 is generally the same as described above. As shown in FIG. 11 the extraction efficiency for A7 and A19 is about 77%. The data shown in FIG. 11 are calculated using the parameters given for theLED 100 shown in FIG. 2, except that the emitted light has a peak wavelength of 450 and except that the NND is defined as the distance between openings within an individual cell. - FIG. 12 shows numerical calculation data for
LED 100 having a quasicrystalline pattern. Quasicrystalline patterns are described, for example, in M. Senechal, Quasicrystals and Geometry (Cambridge University Press, Cambridge, England 1996), which is hereby incorporated by reference. The numerical calculations show the behavior of the extraction efficiency as the class of 8-fold based quasi-periodic structure is varied. It is believed that quasicrystalline patterns exhibit high extraction efficiency due to high degree of in-plane rotational symmetries allowed by such structures. The enhancement in light extraction, the methodology for conducting the corresponding numerical calculation, and the physical explanation of the enhanced light extraction for a light-emitting device having the pattern shown in FIG. 12 is generally the same as described above. Results from FDTD calculations shown in FIG. 12 indicate that the extraction efficiency of quasicrystalline structures reaches about 82%. The data shown in FIG. 12 are calculated using the parameters given for theLED 100 shown in FIG. 2, except that the emitted light has a peak wavelength of 450 and except that the NND is defined as the distance between openings within an individual cell. - While certain examples of patterns have been described herein, it is believed that other patterns can also enhance the light extraction from
LED 100 if the patterns satisfy the basic principles discussed above. For example, it is believed that adding detuning to quasicrystalline or complex periodic structures can increase extraction efficiency. - In some embodiments, at least about 45% (e.g., at least about 50%, at least about 55%, at least about 60%, at least about 70%, at least about 80%, at least about 90%, at least about 95%) of the total amount of light generated by light-generating
region 130 that emerges fromLED 100 emerges viasurface 110. - In certain embodiments, the cross-sectional area of
LED 100 can be relatively large, while still exhibiting efficient light extraction fromLED 100. For example, one or more edges ofLED 100 can be at least about one millimeter (e.g., at least about 1.5 millimeters, at least about two millimeters, at least about 2.5 millimeters, at least about three millimeters), and at least about 45% (e.g., at least about 50%, at least about 55%, at least about 60%, at least about 70%, at least about 80%, at least about 90%, at least about 95%) of the total amount of light generated by light-generatingregion 130 that emerges fromLED 100 emerges viasurface 110. This can allow for an LED to have a relatively large cross-section (e.g., at least about one millimeter by at least about one millimeter) while exhibiting good power conversion efficiency. - In some embodiments, the extraction efficiency of an LED having the design of
LED 100 is substantially independent of the length of the edge of the LED. For example, the difference between the extraction efficiency of an LED having the design ofLED 100 and one or more edges having a length of about 0.25 millimeter and the extraction efficiency of LED having the design ofLED 100 and one or more edges having a length of one millimeter can vary by less than about 10% (e.g., less than about 8%, less than about 5%, less than about 3%). As referred to herein, the extraction efficiency of an LED is the ratio of the light emitted by the LED to the amount of light generated by the device (which can be measured in terms of energy or photons). This can allow for an LED to have a relatively large cross-section (e.g., at least about one millimeter by at least about one millimeter) while exhibiting good power conversion efficiency. - In certain embodiments, the quantum efficiency of an LED having the design of
LED 100 is substantially independent of the length of the edge of the LED. For example, the difference between the quantum efficiency of an LED having the design ofLED 100 and one or more edges having a length of about 0.25 millimeter and the quantum efficiency of LED having the design ofLED 100 and one or more edges having a length of one millimeter can vary by less than about 10% (e.g., less than about 8%, less than about 5%, less than about 3%). As referred to herein, the quantum efficiency of an LED is the ratio of the number of photons generated by the LED to the number of electron-hole recombinations that occur in the LED. This can allow for an LED to have a relatively large cross-section (e.g., at least about one millimeter by at least about one millimeter) while exhibiting good performance. - In some embodiments, the wall plug efficiency of an LED having the design of
LED 100 is substantially independent of the length of the edge of the LED. For example, the difference between the wall plug efficiency of an LED having the design ofLED 100 and one or more edges having a length of about 0.25 millimeter and the wall plug efficiency of LED having the design ofLED 100 and one or more edges having a length of one millimeter can vary by less than about 10% (e.g., less than about 8%, less than about 5%, less than about 3%). As referred to herein, the wall plug efficiency of an LED is the product of the injection efficiency of the LED (the ratio of the numbers of carriers injected into the device to the number of carriers that recombine in the light-generating region of the device), the radiative efficiency of the LED (the ratio of electron-hole recombinations that result in a radiative event to the total number of electron-hole recombinations), and the extraction efficiency of the LED (the ratio of photons that are extracted from the LED to the total number of photons created). This can allow for an LED to have a relatively large cross-section (e.g., at least about one millimeter by at least about one millimeter) while exhibiting good performance. - In some embodiments, it may be desirable to manipulate the angular distribution of light that emerges from
LED 100 viasurface 110. To increase extraction efficiency into a given solid angle (e.g., into a solid angle around the direction normal to surface 110) we examine the Fourier transform of the dielectric function that varies spatially according to pattern 150 (as described earlier). FIG. 13 shows the Fourier transform construction for two ideal triangular lattices of different lattice constant. To increase the extraction efficiency, we seek to increase the number of G points within the encapsulant light line and scattering strengths of G points (εG) within the material light line. This would imply increasing the NND so as to achieve the effect depicted in FIG. 6. However, here we are concerned with increasing the extraction efficiency into a solid angle centered around the normal direction. Therefore, we would also like to limit the introduction of higher order G points by reducing the radius of the encapsulant light line, such that the magnitude of G>(ω(ne))/c. We can see that by decreasing the index of refraction of the encapsulant (the bare minimum of which is removing the encapsulant all together) we allow larger NND and therefore increase the number of G points within the material light line that are available to contribute to extraction in the normal direction (Fk=0) while simultaneously avoiding diffraction into higher order (oblique angles) in the encapsulant. The above described trends are depicted in FIG. 14 which shows extraction efficiency into a solid angle (given by the collection half-angle in the diagram). The data shown in FIG. 14 are calculated using the parameters given for theLED 100 shown in FIG. 2, except that the emitted light has a peak wavelength of 530 nm and a bandwidth of 34 nm, the index of refraction of the encapsulant was 1.0, the thickness of the p-doped layer was 160 nm, the light generating layer was 30 nm thick, the NND (a) for the three curves is shown on FIG. 14, and the depth, hole diameter, and n-doped layer thickness scaled with a, as 1.27a, 0.72a, and 1.27a+40 nm, respectively. As the lattice constant is increased, the extraction efficiency at narrow angles increases as well as the overall extraction efficiency into all angles. However, for even larger lattice constant, diffraction into higher order modes in the encapsulant limits the extraction efficiency at narrow angles even though the overall extraction efficiency increases into all angles. For a lattice constant of 460 nm, we calculate greater than 25% extraction efficiency into a collection half-angle of 30°. That is, about half of the extracted light is collected within only about 13.4% of the upper hemisphere of solid angle demonstrating the collimation effect of the pattern. It is believed that any pattern that increases the number of G points within the material light line while limiting the number of G points within the encapsulant light line to only the G points at k=0 can improve the extraction efficiency into a solid angle centered around the normal direction. - The approach is especially applicable for reducing the source etendue which is believed to often be proportional to n 2, where n is the index of refraction of the surrounding material (e.g., the encapsulant). It is therefore believed that reducing the index of refraction of the encapsulating layer for
LED 100 can lead to more collimated emission, a lower source etendue, and therefore to a higher surface brightness (here defined as the total lumens extracted into the etendue of the source). In some embodiments then, using an encapsulant of air will reduce the source etendue while increasing extraction efficiency into a given collection angle centered around the normal direction. - In certain embodiments, when light generated by
region 130 emerges fromLED 100 viasurface 110, the distribution of light is more collimated than a lambertian distribution. For example, in some embodiments, when light generated byregion 130 emerges fromLED 100 viasurface 110, at least about 40% (e.g., at least about 50%, at least about 70%, at least about 90%) of the light emerging via the surface of the dielectric layer emerges within at most about 300 (e.g., at most about 25°, at most about 200, at most about 15°) of an angle normal tosurface 110. - The ability to extract a relatively high percentage of light from a desired angle alone or coupled with a relatively high light extraction can allow for a relatively high density of LEDs to be prepared on a given wafer. For example, in some embodiments, a wafer has at least about five LEDs (e.g., at least about 25 LEDs, at least about 50 LEDs) per square centimeter.
- In some embodiments, it may be desirable to modify the wavelength(s) of light that emerge(s) from a packaged
LED 100 relative to the wavelength(s) of light generated by light-generatingregion 130. For example, as shown in FIG. 15, anLED 300 having a layer containing aphosphor material 180 can be disposed onsurface 110. The phosphor material can interact with light at the wavelength(s) generated byregion 130 to provide light at desired wavelength(s). In some embodiments, it may be desirable for the light that emerges from packagedLED 100 to be substantially white light. In such embodiments, the phosphor material inlayer 180 can be formed of, for example, a (Y,Gd)(Al,Ga)G:Ce3+ or “YAG” (yttrium, aluminum, garnet) phosphor. When pumped by blue light emitted from the light-generatingregion 130, the phosphor material inlayer 180 can be activated and emit light (e.g., isotropically) with a broad spectrum centered around yellow wavelengths. A viewer of the total light spectrum emerging from packagedLED 100 sees the yellow phosphor broad emission spectrum and the blue InGaN narrow emission spectrum and typically mixes the two spectra to perceive white. - In certain embodiments,
layer 180 can be substantially uniformly disposed onsurface 110. For example, the distance between the top 151 ofpattern 150 and the top 181 oflayer 180 can vary by less than about 20% (e.g., less than about 10%, less than about 5%, less than about 2%) acrosssurface 110. - In general, the thickness of
layer 180 is small compared to the cross-sectional dimensions ofsurface 130 ofLED 100, which are typically about one millimeter (mm) by one mm. Becauselayer 180 is substantially uniformly deposited onsurface 110, the phosphor material inlayer 180 can be substantially uniformly pumped by light emerging viasurface 110. Thephosphor layer 180 is relatively thin compared to the dimensions of thesurface 110 of theLED 100, such that light emitted by the light-generatingregion 130 is converted into lower wavelength light within thephosphor layer 180 approximately uniformly over theentire surface 110 ofLED 100. Thus, the relatively thin,uniform phosphor layer 180 produces a uniform spectrum of white light emitted from theLED 100 as a function of position onsurface 110. - In general,
LED 100 can be fabricated as desired. Typically, fabrication ofLED 100 involves various deposition, laser processing, lithography, and etching steps. - For example, FIG. 16 shows a
LED wafer 500 containing an LED layer stack of material deposited on a substrate (e.g., sapphire, compound semiconductor, zinc oxide, silicon carbide, silicon) 502. Such wafers are commercially available. Exemplary commercial suppliers include Epistar Corporation, Arima Optoelectronics Corporation and South Epitaxy Corporation. Onsubstrate 502 are disposed, consecutively, a buffer layer 504 (e.g., a nitride-containing layer, such as a GaN layer, an AlN layer, an AlGaN layer), an n-doped semiconductor layer (e.g., an n-doped Si:GaN)layer 506, a current spreading layer 508 (e.g., an AlGaN/GaN heterojunction or superlattice), a light-emitting region 510 (e.g., an InGaN/GaN multi-quantum well region), and a semiconductor layer 512 (e.g., a p-doped Mg:GaN layer).Wafer 500 generally has a diameter of at least about two inches (e.g., from about two inches to about 12 inches, from about two inches to about six inches, from about two inches to about four inches, from about two inches to about three inches). - FIG. 17 shows a
multi-layer stack 550 including 502, 504, 506, 508, 510 and 512, as well aslayers 520, 522, 524 and 526, which are generally formed of materials capable of being pressure and/or heat bonded as described below. For example,layers layer 520 can be a nickel layer (e.g., electron-beam evaporated),layer 522 can be a silver layer (e.g., electron-beam evaporated),layer 524 can be a nickel layer (e.g., electron-beam evaporated), andlayer 526 can be a gold layer (e.g., electron-beam evaporated). In some embodiments,layer 520 can be a relatively thin layer, andlayer 524 can be a relatively thick layer.Layer 524 can act, for example, as diffusion barrier to reduce the diffusion of contaminants (e.g., gold) into 520, 522 and/or 524 itself. After deposition oflayers 520, 522, 524 and 526,layers multi-layer stack 550 can be treated to achieve an ohmic contact. For example, stack 550 can be annealed (e.g., at a temperature of from about 400° C. to about 600° C.) for a period of time (e.g., from about 30 seconds to about 300 seconds) in an appropriate gas environment (e.g., nitrogen, oxygen, air, forming gas). - FIG. 18 shows a
multi-layer stack 600 that includes a submount (e.g., germanium (such as polycrystalline germanium), silicon (such as polycrystalline silicon), silicon-carbide, copper, copper-tungsten, diamond, nickel-cobalt) 602 having 604, 606, 608 and 610 deposited thereon.layers Submount 602 can be formed, for example, by sputtering or electroforming.Layer 604 is a contact layer and can be formed, for example, from aluminum (e.g., electron evaporated).Layer 606 is a diffusion barrier and can be formed, for example, from Ni (e.g. electron evaporated).Layer 608 can be a gold layer (e.g., electron-beam evaporated), andlayer 610 can be a AuSn bonding layer (e.g., thermal evaporated, sputtered) ontolayer 608. After deposition of 604, 606, 608 and 610,layers multi-layer stack 600 can be treated to achieve an ohmic contact. For example, stack 600 can be annealed (e.g., at a temperature of from about 350° C. to about 500° C.) for a period of time (e.g., from about 30 seconds to about 300 seconds) in an appropriate gas environment (e.g., nitrogen, oxygen, air, forming gas). - FIG. 19 shows a
multi-layer stack 650 formed by bonding together layers 526 and 610 (e.g., using a solder bond, using a eutectic bond, using a peritectic bond). 526 and 610 can be bonded, for example, using thermal-mechanical pressing. As an example, after contactingLayers 526 and 610,layers multi-layer stack 650 can be put in a press and pressurized (e.g., using a pressure of up to about 5 MPa, up to about 2 MPa) heated (e.g., to a temperature of from about 200° C. to about 400° C.).Stack 650 can then be cooled (e.g., to room temperature) and removed from the press. -
Substrate 502 andbuffer layer 504 are then at least partially removed fromstack 650. In general, this can be achieved using any desired methods. For example, as shown in FIG. 20, in some embodiments,substrate 502 is removed by exposing stack 650 (e.g., throughsurface 501 of substrate 502) to electromagnetic radiation at an appropriate wavelength to partially decomposelayer 504. It is believed that this results in local heating oflayer 504, resulting in the partial decomposition of the material oflayer 504 adjacent the interface oflayer 504 andsubstrate 502, thereby allowing for the removal ofsubstrate 502 from stack 650 (see discussion below). For example, in embodiments in whichlayer 504 is formed of gallium nitride, it is believed that constituents including gallium and gaseous nitrogen are formed. In some embodiments, stack 650 can be heated during exposure ofsurface 501 to the electromagnetic radiation (e.g., to reduce strain within stack 650).Stack 650 can be heated, for example, by placingstack 650 on a hot plate and/or by exposingstack 650 to an additional laser source (e.g. a CO2 laser).Heating stack 650 during exposure ofsurface 501 to electromagnetic radiation can, for example, reduce (e.g., prevent) liquid gallium from re-solidifying. This can reduce the build up of strain withinstack 650 which can occur upon the re-solidification of the gallium - In certain embodiments, after exposure to the electromagnetic radiation, residual gallium is present and keeps
substrate 502 bonded instack 650. In such embodiments, stack 650 can be heated to above the melting temperature of gallium to allowsubstrate 502 to be removed from the stack. In certain embodiments, stack 650 may be exposed to an etchant (e.g., a chemical etchant, such as HCl) to etch the residual gallium and removesubstrate 502. Other methods of removing the residual gallium (e.g., physical methods) may also be used. - As an example, in certain embodiments,
surface 501 is exposed to laser radiation including the absorption wavelength of layer 504 (e.g., about 248 nanometers, about 355 nanometers). Laser radiation processes are disclosed, for example, in U.S. Pat. Nos. 6,420,242 and 6,071,795, which are hereby incorporated by reference. The multi-layer stack is then heated to above the melting point of gallium, at whichpoint substrate 502 andbuffer layer 504 are removed from the stack by applying a lateral force to substrate 502 (e.g., using a cotton swab). - In some embodiments, multiple portions of
surface 501 are simultaneously exposed to the electromagnetic radiation. In certain embodiments, multiple portions ofsurface 501 are sequentially exposed to electromagnetic radiation. Combinations of simultaneous and sequential exposure can be used. Further, the electromagnetic radiation can be exposed onsurface 501 in the form of a pattern (e.g., a serpentine pattern, a circular pattern, a spiral pattern, a grid, a grating, a triangular pattern, an elementary pattern, a random pattern, a complex pattern, a periodic pattern, a nonperiodic pattern). In some embodiments, the electromagnetic radiation can be rastered across one or more portions ofsurface 501. In certain embodiments,surface 501 is exposed to overlapping fields of electromagnetic radiation. - In some embodiments, the electromagnetic radiation passes through a mask before reaching
surface 501. As an example, the electromagnetic radiation can pass through an optical system that includes a mask (e.g., a high thermal conductivity mask, such as a molybdenum mask, a copper-beryllium mask) before reachingsurface 501. In some embodiments, the mask is an aperture (e.g., for truncating or shaping the beam). The optical system can include, for example, at least two lenses having the mask disposed therebetween. As another example, the mask can be formed as a pattern of material onsurface 501, with the mask leaving certain portions ofsurface 501 exposed and some portions ofsurface 501 unexposed. Such a mask can be formed, for example, via a lithography process. In some embodiments, the electromagnetic radiation can be rastered across one or more portions of the mask. - Without wishing to be bound by theory, it is believed that reducing at least one dimension of the region on
surface 501 exposed to electromagnetic radiation within a given area ofsurface 501 can limit undesired crack propagation, such as crack propagation intolayer 504,layer 506 or other layers ofstack 650 during removal ofsubstrate 502, while still allowing for crack propagation at the interface betweensubstrate 502 andbuffer layer 504. It is believed that, if the size of the feature of the electromagnetic radiation onsurface 501 is too large, then a gaseous bubble (e.g., a nitrogen bubble) may form that can create a localized pressure that can cause undesired cracking. For example, in embodiments in which surface 501 is exposed to laser radiation that forms a spot or a line onsurface 501, at least one dimension of the spot or line can be a maximum of at most about one millimeter (e.g., at most about 500 microns, at most about 100 microns, at most about 25 microns, at most about 10 microns). In some embodiments, the spot size is from about five microns to about one millimeter (e.g., from about five microns to about 100 microns, from about five microns to about 25 microns, from about five microns to about 10 microns). - In certain embodiments,
stack 650 is vibrated whilesurface 501 is exposed to the electromagnetic radiation. Without wishing to be bound by theory, it is believed that vibratingstack 650 while exposingstack 650 to the electromagnetic radiation can enhance crack propagation along the interface betweenlayer 504 andsubstrate 502. Generally, the conditions are selected to limit the propagation of cracks into layer 504 (e.g., so that substantially no cracks propagate into 504, 506, and the rest of stack 650).layer - After removal of
substrate 502, a portion ofbuffer layer 504 typically remains on at least a portion of the surface oflayer 506. A residue of material from substrate 502 (e.g., containing aluminum and/or oxygen) can also be present on the remaining portion ofbuffer layer 504 and/or on the surface oflayer 506. It is generally desirable to remove the remaining portions ofbuffer layer 504 and any residue fromsubstrate 502, to expose the surface oflayer 506, and to clean the exposed surface oflayer 506 because layer 506 (which is typically formed of an n-doped semiconductor material) can exhibit good electrical properties (e.g.,. desirable contact resistance) for subsequent formation of an electrical contact. One or more process steps are usually used to remove any residue and/or remaining portion ofbuffer layer 504 present, and to clean the surface of layer 506 (e.g., to remove impurities, such as organics and/or particles). The process(es) can be performed using a variety of techniques and/or combinations of techniques. Examples include chemical-mechanical polishing, mechanical polishing, reactive ion etching (e.g., with a substantially chemically etching component), physical etching, and wet etching. Such methods are disclosed, for example, in Ghandhi, S., VLSI Fabrication Principles: Silicon & Gallium Arsenide (1994), which is hereby incorporated by reference. In certain embodiments,buffer layer 504 is not completely removed. Instead, in such embodiments, these processes can be used to remove only on portions ofbuffer layer 504 that correspond to locations where electrical leads will subsequently be disposed (e.g., by using a self-aligned process). - Often, when
substrate 502 is removed, the amount of strain in stack 650 (e.g., due to the lattice mismatch and/or thermal mismatch between the layers in stack 650) can change. For example, if the amount of strain instack 650 is decreased, the peak output wavelength ofregion 510 can change (e.g., increase). As another example, if the amount of strain instack 650 is increased, the peak output wavelength ofregion 510 can change (e.g., decrease). - To limit undesired cracking during removal of
substrate 502, in some embodiments, consideration is given to the coefficient of thermal expansion of bothsubstrate 502, the coefficient of thermal expansion ofsubmount 602, the combined thickness of 504, 506, 508, 510, and 512, and/or the coefficient of thermal expansion of one or more oflayers 504, 506, 508, 510, and 512. As an example, in some embodiments,layers substrate 502 andsubmount 602 are selected so that the coefficient of thermal expansion ofsubmount 602 differs from a coefficient of thermal expansion ofsubstrate 502 by less than about 15% (e.g., less than about 10%, less than about 5%). As another example, in certain embodiments,substrate 502 andsubmount 602 are selected so that the thickness ofsubmount 602 is substantially greater than the thickness ofsubstrate 502. As an additional example, in some embodiments, semiconductor layers 504, 506, 508, 510, 512 andsubmount 602 are selected so that the coefficient of thermal expansion ofsubmount 602 differs from a coefficient of thermal expansion of one or more of 504, 506, 608, 510, and 512 by less than about 15% (e.g., less than about 10%, less than about 5%).layers - In general,
substrate 502 andsubmount 602 can have any desired thickness. In some embodiments,substrate 502 is at most about five millimeters (e.g., at most about three millimeters, at most about one millimeter, about 0.5 millimeter) thick. In certain embodiments,submount 602 is at most about 10 millimeters (e.g., at most about five millimeters, at most about one millimeter, about 0.5 millimeter) thick. In some embodiments,submount 602 is thicker thansubstrate 502, and, in certain embodiments,substrate 502 is thicker thansubmount 602. - After removal of
buffer layer 504 and exposing/cleaning the surface oflayer 506, the thickness oflayer 506 can be reduced to a desired final thickness for use in the light-emitting device. This can be achieved, for example, using a mechanical etching process, alone or in combination with an etching process. In some embodiments, after etching/cleaning the exposed surface oflayer 506, the surface oflayer 506 has a relatively high degree of flatness (e.g., a relatively high degree of flatness on the scale of the lithography reticle to be used). As an example, in some embodiments, after etching/cleaning the exposed surface oflayer 506, the surface oflayer 506 has a flatness of at most about 10 microns per 6.25 square centimeters (e.g., at most about five microns per 6.25 square centimeters, at most about one micron per 6.25 square centimeters). As another example, in certain embodiments, after etching/cleaning the exposed surface oflayer 506, the surface oflayer 506 has a flatness of at most about 10 microns per square centimeter (e.g., at most about five microns per square centimeter, at most about one microns per square centimeter). In certain embodiments, after etching/cleaning the exposed surface oflayer 506, the surface oflayer 506 has an RMS roughness of at most about 50 nanometers (e.g., at most about 25 nanometers, at most about 10 nanometers, at most about five nanometers, at most about one nanometer). - In some embodiments, prior to forming the dielectric function that varies spatially according to a pattern in the surface of
layer 506, the exposed surface oflayer 506 may be too rough and/or insufficiently flat to use nanolithography to form the pattern with sufficient accuracy and/or reproducibility. To enhance the ability to accurately and/or reproducibly form the pattern in the surface oflayer 506, the nanolithography process may include depositing a planarization layer on the surface oflayer 506 and a lithography layer on the surface of the planarization layer. For example, FIG. 21 shows an embodiment in which aplanarization layer 702 is disposed on the surface oflayer 506, and alithography layer 704 is disposed on the surface oflayer 702, an exposed surface 505 oflayer 506 may be relatively rough (e.g., RMS roughness of about 10 nanometers or more) after cleaning/etching layer 506. In some embodiments,planarization layer 702 is formed of multiple layers (e.g., of the same material) that are sequentially deposited. - Examples of materials from which
planarization layer 702 can be selected include polymers (e.g., DUV-30J from Brewer Sciences, anti-reflection coatings, high viscosity formable polymers), and examples of materials from whichlithography layer 704 can be selected include UV-curable polymers (e.g., low viscosity MonoMat™ available from Molecular Imprints, Inc.). 702 and 704 can be formed using any desired technique, such as, for example, spin coating, vapor deposition, and the like.Layers -
Layer 702 can be, for example, at least about 100 nanometers thick (e.g., at least about 500 nanometers thick) and/or at most about five microns thick (e.g., at most about one micron thick).Layer 704 can be, for example, at least about one nanometer thick (e.g., at least about 10 nanometers thick) and/or at most about one micron thick (e.g., at most about 0.5 micron thick). - A mold that defines a portion of the desired pattern is then pressed into lithography layer and (typically with heating or UV-curing of the mold and/or layer 704), and stepped across the surface of
layer 704 in a portion-by-portion manner to form indentions in layer 704 (FIG. 22) that correspond to the desired pattern in the surface oflayer 506. In some embodiments, a single step covers the entire wafer (e.g., full wafer nanolithography techniques)Layer 704 is then etched (e.g., using reactive ion etching, wet etching) to expose portions of the surface oflayer 702 corresponding to what were the indented portions of layer 704 (FIG. 23). Examples of such imprint/etch processes are disclosed, for example, in U.S. Pat. No. 5,722,905, and Zhang et al., Applied Physics Letters, Vol. 83, No. 8, pp. 1632-34, both of which are hereby incorporated by reference. Typically, the pattern inlayer 704 also leaves regions for depositing n-contacts later on in the process flow. In alternate embodiments, other techniques (e.g., x-ray lithography, deep ultraviolet lithography, extreme ultraviolet lithography, immersion lithography, interference lithography, electron beam lithography, photolithography, microcontact printing, self-assembly techniques) may be used to create the pattern inlayer 704. - As shown in FIG. 24, patterned
layer 704 is used as a mask to transfer the pattern into the planarization layer 702 (e.g., dry etching, wet etching). An example of a dry etching method is reactive ion etching. Referring to FIG. 25, 702 and 704 are subsequently used as a mask to transfer the pattern into the surface of layer 506 (e.g., using dry etching, wet etching). As shown in FIG. 26, following etching oflayers layer 506, the 702 and 704 are removed (e.g., using an oxygen-based reactive ion etch, a wet solvent etch).layers - Referring to FIG. 27, in some embodiments, the process can include, disposing a material 708 (e.g., a metal, such as aluminum, nickel, titanium, tungsten) in the etched portions of
layers 702 and 704 (e.g., by evaporation) and on the surface oflayer 704. As shown in FIG. 28, 702 and 704 are then etched (e.g., using reactive ion etching, wet etching), leaving behind etch-layers resistant material 708 on the surface oflayer 506, which can serve as a mask for etching the pattern into the surface of layer 506 (FIG. 29). Referring to FIG. 30, etchresistant material 708 can then be removed (e.g., using dry etching, wet etching). - In some embodiments, the process can include, after forming the indents in
layer 704, disposing (e.g., spin coating) an etch resistant material (e.g., a Si-doped polymer) 710 on the surface oflayer 704 and in the indents inlayer 704, andmaterial 710 is then etched back (e.g., using dry etching) so that to expose the surface oflayer 704 while maintaining the etch-resistant material in the indents in layer 704 (FIG. 31). As shown in FIG. 32, portions of 702 and 704 are then etched (e.g., using reactive ion etching, dry etching, wet etching), leaving behind etch-layers resistant material 708 and the portions of 702 and 704 underlayers material 708, which serve as a mask for etching the pattern into the surface of layer 506 (FIG. 33). Referring to FIG. 34, the remaining portions of 702 and 704, as well as etchlayers resistant material 708, can then be removed (e.g., using reactive ion etching, dry etching, wet etching). In some embodiments, removinglayer 708 can involve the use of a plasma process (e.g., a fluorine plasma process). - After the pattern has been transferred to n-doped
layer 506, a layer of phosphor material can optionally be disposed (e.g., spin-coated) onto the patterned surface of n-dopedlayer 506. In some embodiments, the phosphor can conformally coat the patterned surface (coat with substantially no voids present along the bottoms and sidewalls of the openings in the patterned surface). Alternatively, a layer of encapsulant material can be disposed on the surface of patterned n-doped layer 506 (e.g. by CVD, sputtering, suspension by liquid binder that is subsequently evaporated). In some embodiments, the encapsulant can contain one or more phosphor materials. In some embodiments, the phosphor can be compressed to achieve thickness uniformity less than about 20%, less than about 15%, less than about 10%, less than about 5%, or less than about 2% of the average thickness of the phosphor. In some embodiments, the phosphor-containing encapsulant can conformally coat the patterned surface. - After the dielectric function pattern has been created in the n-doped
layer 506, individual LED dice can be cut from the wafer. Once wafer processing and wafer testing is complete, individual LED dice are separated and prepared for packaging and testing. A sidewall passivation step and/or a pre-separation deep mesa etching step may be used to reduce potential damage to the electrical and/or optical properties of the patterned LED incurred during wafer cutting. The individual LEDs can be any size up to the size of the wafer itself, but individual LEDs are typically square or rectangular, with sides having a length between about 0.5 mm to 5 mm. To create the dice, standard photolithography is used to define the location of contact pads on the wafer for energizing the device, and ohmic contacts are evaporated (e.g. using electron beam evaporation) onto the desired locations. - If an LED die is packaged, the package should generally be capable of facilitating light collection while also providing mechanical and environmental protection of the die. For example, a transparent cover can be packaged on the LED die to protect the patterned surface of the 506 when an encapsulant is not used. The cover slip is attached to
supports 142 using a glassy frit that is melted in a furnace. The opposite ends of the supports are connected using a cap weld or an epoxy for example. Supports are typically Ni-plated to facilitate welding to an Au plated surface of the package. It believed that the absence of an encapsulant layer allows higher tolerable power loads per unit area in the patternedsurface LED 100. Degradation of the encapsulant can be a common failure mechanism for standard LEDs and is avoided not using an encapsulant layer. - Because the LEDs are cut from a large area flat wafer, their light output per area does not decrease with area. Also, because the cross section of an individual LEDs cut from a wafer is only slightly larger than the light-emitting surface area of the LED, many individual, and separately addressable LEDs can be packed closely together in an array. If one LED does not function (e.g., due to a large defect), then it does not significant diminish the performance of the array because the individual devices are closely packed.
- While certain embodiments have been described, other embodiments are possible.
- As an example, while certain thickness for a light-emitting device and associated layers are discussed above, other thicknesses are also possible. In general, the light-emitting device can have any desired thickness, and the individual layers within the light-emitting device can have any desired thickness. Typically, the thicknesses of the layers within
multi-layer stack 122 are chosen so as to increase the spatial overlap of the optical modes with light-generatingregion 130, to increase the output from light generated inregion 130. Exemplary thicknesses for certain layers in a light-emitting device include the following. In some embodiments,layer 134 can have a thickness of at least about 100 nm (e.g., at least about 200 nm, at least about 300 nm, at least about 400 nm, at least about 500 nm) and/or at most about 10 microns (e.g., at most about five microns, at most about three microns, at most about one micron). In certain embodiments,layer 128 has a thickness of at least about 10 nm (e.g., at least about 25 nm, at least about 40 nm) and/or at most about one micron (e.g., at most about 500 nm, at most about 100 nm). In some embodiments,layer 126 has a thickness of at least about 10 nm (e.g., at least about 50 nm, at least about 100 nm) and/or at most about one micron (e.g., at most about 500 nm, at most about 250 nm). In certain embodiments, light-generatingregion 130 has a thickness of at least about 10 nm (e.g., at least about 25 nm, at least about 50 nm, at least about 100 nm) and/or at most about 500 nm (e.g., at most about 250 nm, at most about 150 nm). - As an example, while a light-emitting diode has been described, other light-emitting devices having the above-described features (e.g., patterns, processes) can be used. Such light-emitting devices include lasers and optical amplifiers.
- As another example, while current spreading
layer 132 has been described as a separate layer from n-dopedlayer 134, in some embodiments, a current spreading layer can be integral with (e.g., a portion of)layer 134. In such embodiments, the current spreading layer can be a relatively highly n-doped portion oflayer 134 or a heterojunction between (e.g. AlGaN/GaN) to form a 2D electron gas. - As a further example, while certain semiconductor materials have been described, other semiconductor materials can also be used. In general, any semiconductor materials (e.g., III-V semiconductor materials, organic semiconductor materials, silicon) can be used that can be used in a light-emitting device. Examples of other light-generating materials include InGaAsP, AlInGaN, AlGaAs, InGaAlP. Organic light-emitting materials include small molecules such as aluminum tris-8-hydroxyquinoline (Alq 3) and conjugated polymers such as poly[2-methoxy-5-(2-ethylhexyloxy)-1,4-vinylenephenylene] or MEH-PPV.
- As an additional example, while large area LEDs have been described, the LEDs can also be small area LEDs (e.g., LEDs smaller than the standard about 300 microns on edge).
- As another example, while a dielectric function that varies spatially according to a pattern has been described in which the pattern is formed of holes, the pattern can also be formed in other ways. For example, a pattern can be formed continuous veins and/or discontinuous veins in the appropriate layer. Further, the pattern in varying dielectric function can be achieved without using holes or veins. For example, materials having different dielectric functions can be patterned in the appropriate layer. Combinations of such patterns can also be used.
- As a further example, while
layer 126 has been described as being formed of silver, other materials can also be used. In some embodiments,layer 126 is formed of a material that can reflect at least about 50% of light generated by the light-generating region that impinges on the layer of reflective material, the layer of reflective material being between the support and the multi-layer stack of materials. Examples of such materials include distributed Bragg reflector stacks and various metals and alloys, such as aluminum and aluminum-containing alloys. - As another example,
support 120 can be formed of a variety of materials. Examples of materials from which support 120 can be formed include copper, copper-tungsten, aluminum nitride, silicon carbide, beryllium-oxide, diamonds, TEC and aluminum. - As an additional example, while
layer 126 has been described as being formed of a heat sink material, in some embodiments, a light-emitting device can include a separate layer (e.g., disposed betweenlayer 126 and submount 120) that serves as a heat sink. In such embodiments,layer 126 may or may not be formed of a material that can serve as a heat sink. - As a further example, while the varying pattern in dielectric function has been described as extending into n-doped
layer 134 only (which can substantially reduce the likelihood of surface recombination carrier losses) in addition to making use of the entire light-generating region, in some embodiments, the varying pattern in dielectric function can extend beyond n-doped layer (e.g., into current spreadinglayer 132, light-generatingregion 130, and/or p-doped layer 128). - As another example, while embodiments have been described in which air can be disposed between
surface 110 can coverslip 140, in some embodiments materials other than, or in an addition to, air can be disposed betweensurface 110 and coverslip 140. Generally, such materials have an index of refraction of at least about one and less than about 1.5 (e.g., less than about 1.4, less than about 1.3, less than about 1.2, less than about 1.1). Examples of such materials include nitrogen, air, or some higher thermal conductivity gas. In such embodiments,surface 110 may or may not be patterned. For example,surface 110 may be non-patterned but may be roughened (i.e., having randomly distributed features of various sizes and shapes less than λ/5). - As another example, while embodiments involving the deposition and etching of planarization and lithography layers have been described, in some embodiments, a pre-patterned etch mask can be laid down on the surface of the n-doped semiconductor layer.
- As a further example, in some embodiments, an etch mask layer can be disposed between the n-doped semiconductor layer and the planarization layer. In such embodiments, the method can include removing at least a portion of the etch mask layer (e.g., to form a pattern in the etch stop layer corresponding to the pattern in the n-doped semiconductor layer).
- As an additional example, while embodiments, have been disclosed in which surface 110 is patterned and smooth, in some embodiments,
surface 110 may be patterned and rough (i.e., having randomly distributed features of various sizes and shapes less than λ/5, less than λ/2, less than λ). Further, in certain embodiments, the sidewalls ofopenings 150 can be rough (i.e., having randomly distributed features of various sizes and shapes less than λ/5, less than λ/2, less than λ), with or withoutsurface 110 being rough. Moreover, in some embodiments, the bottom surface ofopenings 150 can be rough (i.e., having randomly distributed features of various sizes and shapes less than λ/5, less than λ/2, less than λ).Surface 110, the sidewalls ofopenings 150, and/or the bottom surfaces ofopenings 150 can be roughened, for example, by etching (e.g., wet etching, dry etching, reactive ion etching). Without wishing to be bound by theory, it is believed that rougheningsurface 110 and/or the sidewalls ofopenings 150 may increase the probability, with respect to a atomically smooth surface, that a light ray will eventually strike at an angle that less than the critical angle given by Snell's law and will be extracted. - As another example, in some embodiments, the submount can be machined to include spring-like structures. Without wishing to be bound by theory, it is believed that such spring-like structures may reduce cracking during removal of the substrate.
- As a further example, in some embodiments, the submount can be supported by an acoustically absorbing platform (e.g., a polymer, a metallic foam). Without wishing to be bound by theory, it is believed that such acoustically absorbing structures may reduce cracking during removal of the substrate.
- As an additional example, in some embodiments, the substrate is treated (e.g., etched, ground, sandblasted) before being removed. In certain embodiments, the substrate may be patterned before it is removed. In some embodiments, the thickness of the layers is selected so that, before removing the substrate and buffer layers, the neutral mechanical axis of the multi-layer stack is located substantially close (e.g., less than about 500 microns, less than about 100 microns, less than about 100 microns, less than about five microns) to the interface between the p-doped semiconductor layer and a bonding layer. In certain embodiments, portions of the substrate are separately removed (e.g., to reduce the likelihood of cracking).
- As another example, while embodiments have been described in which a buffer layer is separate from an n-doped semiconductor layer (e.g., a buffer layer grown on the substrate, with an n-doped semiconductor layer separately grown on the buffer), in some embodiments, there can be a single layer instead. For example, the single layer can be formed by first depositing a relatively low doped (e.g., undoped) semiconductor material on the substrate, followed by (in one process) depositing a relatively high doped (n-doped) semiconductor material.
- As a further example, while embodiments have been described in which a substrate is removed by a process that includes exposing a surface of the substrate to electromagnetic radiation (e.g., laser light), in some embodiments other methods can be used to remove the substrate. For example, removal of the substrate can involve etching and/or lapping the substrate. In certain embodiments, the substrate can be etched and/or lapped, and then subsequently exposed to electromagnetic radiation (e.g., laser light).
- As an additional example, in some embodiments, after depositing the planarization layer but before depositing the lithography layer, the upper surface of the planarization layer can be flattened. For example, a flat object, such as an optical flat, can be placed on the upper surface of the planarization layer while heating the planarization layer (e.g., with a hot plate). In some embodiments, a pressure can be applied (e.g., using a physical weight or press) to assist with the flattening process.
- As another example, in some embodiments the substrate can be treated before being removed. For example, the substrate can be exposed to one or more processes selected from etching, polishing, grinding and sandblasting. In certain embodiments, treating the substrate can include patterning the substrate. In some embodiments, treating the substrate includes depositing an antireflective coating on the substrate. Such an antireflective coating can, for example, allow relatively large regions of the substrate to be removed when using a substrate removal process that involves exposing the substrate to electromagnetic radiation because the coating can reduce reflection of the electromagnetic radiation. In certain embodiments, a pattern on the surface of the substrate can also be used to achieve an anti-reflection effect.
- In some embodiments, a light-emitting device can include a layer of a phosphor material coated on
surface 110,cover layer 140 and supports 142. - In certain embodiments, a light-emitting device can include a
cover layer 140 that has a phosphor material disposed therein. In such embodiments,surface 110 may or may not be patterned. - In an alternative implementation, the light emitted by the light-generating
region 130 is UV (or violet, or blue) and thephosphor layer 180 includes a mixture of a red phosphor material (e.g., L2O2S:Eu3+), a green phosphor material (e.g, ZnS:Cu,Al,Mn), and blue phosphor material (e.g, (Sr,Ca,Ba,Mg)10(PO4)6C1:Eu2+). - Other embodiments are in the claims.
Claims (90)
1. A method of making a light emitting device, the method comprising:
providing a first multi-layer stack in the form of a wafer, comprising:
a substrate;
a submount; and
a semiconductor layer between the substrate and the submount, the semiconductor layer supported by the substrate; and
exposing the semiconductor layer to electromagnetic radiation to partially decompose the semiconductor layer; and
removing the substrate from the first multi-layer stack to form a second multi-layer stack.
2. The method of claim 1 , wherein the wafer has a cross-sectional area of at least about two inches.
3. The method of claim 1 , wherein the wafer has a cross-sectional area of at least about four inches.
4. The method of claim 1 , wherein the wafer has a cross-sectional area of at least about 12 inches.
5. The method of claim 1 , wherein the semiconductor layer comprises a III-V semiconductor layer.
6. The method of claim 5 , wherein the III-V semiconductor layer comprises a nitride.
7. The method of claim 6 , wherein the III-V semiconductor layer comprises a gallium nitride compound.
8. The method of claim 6 , wherein the III-V semiconductor layer is selected from the group consisting of gallium nitride, aluminum gallium nitride, aluminum indium gallium nitride, indium gallium nitride, and combinations thereof.
9. The method of claim 8 , wherein the submount comprises a material selected from the group consisting of germanium, silicon, silicon-carbide, copper, copper-tungsten, diamond, nickel-cobalt, and combinations thereof.
10. The method of claim 1 , wherein the submount comprises a material selected from the group consisting of germanium, silicon, silicon-carbide, copper, copper-tungsten, diamond, nickel-cobalt, and combinations thereof.
11. The method of claim 1 , wherein the submount is sputtered.
12. The method of claim 1 , wherein the submount is electroformed.
13. The method of claim 1 , wherein the substrate comprises a material selected from the group consisting of sapphire, a compound semiconductor, zinc oxide, silicon carbide, silicon, and combinations thereof.
14. The method of claim 1 , wherein the electromagnetic radiation includes an absorption wavelength of the semiconductor layer.
15. The method of claim 14 , wherein the electromagnetic radiation includes radiation at about 248 nanometers.
16. The method of claim 14 , wherein the electromagnetic radiation includes radiation at about 355 nanometers.
17. The method of claim 1 , wherein the multi-layer stack includes a quantum well-containing region, and a peak output wavelength of the quantum well-containing region changes as the substrate is exposed to the electromagnetic radiation.
18. The method of claim 17 , wherein the peak output wavelength increases as the substrate is exposed to the electromagnetic radiation.
19. The method of claim 1 , wherein the semiconductor layer is exposed to the electromagnetic radiation through the substrate.
20. The method of claim 19 , further comprising exposing multiple portions of the substrate to the electromagnetic radiation in the form of a pattern on the surface of the substrate.
21. The method of claim 20 , wherein the multiple portions of the substrate are simultaneously exposed to the electromagnetic radiation.
22. The method of claim 20 , wherein at least some of the multiple portions of the substrate are exposed to the electromagnetic radiation at different times.
23. The method of claim 20 , wherein the pattern is selected from the group consisting of serpentine patterns, circular patterns, spiral patterns, grids, gratings, triangular patterns, elementary patterns, random patterns, complex patterns, periodic patterns, nonperiodic patterns, and combinations thereof.
24. The method of claim 20 , further comprising, before exposing the substrate to the electromagnetic radiation, passing the electromagnetic radiation through a mask.
25. The method of claim 24 , wherein the mask is configured within an optical system.
26. The method of claim 24 , wherein the mask is supported by the surface of the substrate.
27. The method of claim 26 , wherein the mask is formed by a lithography process.
28. The method of claim 24 , wherein the multiple portions of the substrate are simultaneously exposed to the electromagnetic radiation.
29. The method of claim 24 , wherein the electromagnetic radiation is rastered across the mask.
30. The method of claim 20 , wherein the electromagnetic radiation is rastered across the surface of the substrate.
31. The method of claim 1 , wherein the method creates substantially no cracks in the semiconductor layer.
32. The method of claim 1 , wherein the semiconductor layer is a portion of a multi-layer stack, and the method creates substantially no cracks in the layers in the multi-layer stack.
33. The method of claim 1 , further comprising heating the multi-layer stack while exposing the substrate to the electromagnetic radiation.
34. The method of claim 33 , wherein said heating uses a source of electromagnetic radiation different than that used to expose the multilayer stack.
35. The method of claim 1 , further comprising vibrating the first multi-layer stack while exposing the substrate to the electromagnetic radiation.
36. The method of claim 1 , further comprising heating the multi-layer stack after exposing the substrate to the electromagnetic radiation.
37. The method of claim 1 , further comprising, after removing the substrate, treating the semiconductor layer.
38. The method of claim 37 , wherein treating the semiconductor layer removes the semiconductor layer.
39. The method of claim 37 , wherein treating the semiconductor layer includes a chemical-mechanical polishing process.
40. The method of claim 37 , wherein treating the semiconductor layer includes mechanical polishing.
41. The method of claim 37 , wherein treating the semiconductor layer includes dry etching.
42. The method of claim 37 , wherein treating the semiconductor layer includes dry etching with a substantially chemical etching component.
43. The method of claim 37 , wherein treating the semiconductor layer includes a substantially physical etching component.
44. The method of claim 37 , wherein treating the semiconductor layer includes wet etching.
45. The method of claim 37 , wherein the semiconductor layer is a buffer layer, and treating the semiconductor layer includes removing the semiconductor layer to expose a surface of an n-doped semiconductor layer, the buffer layer being supported by the n-doped semiconductor layer before removal of the buffer layer.
46. The method of claim 45 , wherein removing the substrate from the first multi-layer stack results in formation of a residue on a surface of the buffer layer.
47. The method of claim 46 , wherein the residue comprises one or more constituents of the substrate.
48. The method of claim 46 , wherein the residue comprises aluminum.
49. The method of claim 48 , wherein the residue further comprises oxygen.
50. The method of claim 46 , wherein treating the semiconductor layer includes removing the residue.
51. The method of claim 45 , further comprising forming a dielectric function that varies spatially according to a pattern in the exposed surface of the n-doped semiconductor layer.
52. The method of claim 45 , further comprising roughening the exposed surface of the n-doped semiconductor layer.
53. The method of claim 52 , wherein the pattern extends into the n-doped semiconductor layer, and the method further comprises roughening an exposed portion of the pattern that extends into the n-doped semiconductor layer.
54. The method of claim 1 , wherein the semiconductor layer is a buffer layer that is supported by an n-doped semiconductor layer, and the method includes removing the buffer layer to expose a surface of the n-doped semiconductor layer.
55. The method of claim 1 , wherein removing the substrate from the first multi-layer stack results in formation of a residue on a surface of the buffer layer.
56. The method of claim 55 , wherein the residue comprises one or more constituents of the substrate.
57. The method of claim 55 , wherein the residue comprises aluminum.
58. The method of claim 57 , wherein the residue further comprises oxygen.
59. The method of claim 1 , wherein the submount is formed by a process selected from the group consisting of plating processes, sputter deposition processes, electroforming, and combinations thereof.
60. The method of claim 1 , wherein the submount has acoustically absorbing platform.
61. The method of claim 1 , wherein the acoustically absorbing platform comprises a material selected from the group consisting of polymers, metallic foams and conformable metals.
62. The method of claim 1 , wherein the substrate is treated prior to being exposed to the electromagnetic radiation.
63. The method of claim 62 , wherein treating the substrate includes a process selected from the group consisting of etching the substrate, polishing the substrate, grinding the substrate, sandblasting the substrate, and combinations thereof.
64. The method of claim 62 , wherein treating the substrate includes patterning the substrate.
65. The method of claim 62 , wherein treating the substrate includes depositing an antireflection coating on the substrate.
66. The method of claim 1 , wherein the second multi-layer stack includes a p-doped semiconductor layer, and prior to the removal of the substrate a neutral mechanical axis of the multi-layer stack is located substantially close to an interface between the p-doped semiconductor layer and the surface of the submount.
67. The method of claim 1 , wherein the second multi-layer stack includes a bonding layer between the submount and the p-doped semiconductor layer, and the substrate is etched so that a neutral mechanical axis of the second multi-layer stack is located at an interface between the p-doped semiconductor layer and the bonding layer.
68. The method of claim 1 , wherein the second multi-layer stack includes a bonding layer between the submount and the p-doped semiconductor layer, and the submount is etched so that a neutral mechanical axis of the second multi-layer stack is located at an interface between the p-doped semiconductor layer and the bonding layer.
69. The method of claim 1 , wherein portions of the substrate are separately removed.
70. The method of claim 69 , wherein overlapping fields of the substrate are exposed to the electromagnetic radiation.
71. The method of claim 1 , wherein the first multi-layer stack further comprises a p-doped semiconductor layer between the submount and the semiconductor layer.
72. The method of claim 71 , wherein the p-doped semiconductor layer is bonded to the submount via at least one bonding layer.
73. The method of claim 71 , wherein the first multi-layer stack further comprises an active region between the p-doped semiconductor layer and the semiconductor layer.
74. The method of claim 1 , wherein the substrate and the submount are selected so that a coefficient of thermal expansion of the submount differs from a coefficient of thermal expansion of the substrate by less than about 15%.
75. The method of claim 1 , wherein the submount and the semiconductor layer are selected so that a coefficient of thermal expansion of the submount differs from a coefficient of thermal expansion of the semiconductor layer by less than about 15%.
76. The method of claim 1 , wherein a thickness of the submount is greater than a thickness of the substrate.
77. The method of claim 1 , wherein the semiconductor layer comprises a portion of a layer, the layer also having an n-doped semiconductor portion.
78. The method of claim 1 , wherein the electromagnetic radiation forms an image on the surface of the substrate that has at least one dimension that is at most about one millimeter.
79. The method of claim 78 , wherein the at least one dimension is at most about 100 microns.
80. The method of claim 1 , wherein the second multi-layer stack includes a bonding layer.
81. The method of claim 80 , wherein the bonding layer comprises a gold-tin alloy.
82. The method of claim 80 , wherein the bonding layer comprises a material selected from the group consisting of gold-tin alloys, indium, and palladium-indium alloys.
83. A method of making a light emitting device, the method comprising:
providing a first multi-layer stack, comprising:
a substrate;
a submount, and
a semiconductor layer between the substrate and the submount, the semiconductor layer being supported by the submount wherein the semiconductor layer and submount are selected so that a coefficient of thermal expansion of the submount differs from a coefficient of thermal expansion of the semiconductor layer by less than about 15%; and
exposing the semiconductor layer to electromagnetic radiation to partially decompose the semiconductor layer; and
removing the substrate from the first multi-layer stack to form a second multi-layer stack.
84. The method of claim 83 , wherein the thermal expansion of the submount differs from the coefficient of thermal expansion of the semiconductor layer by less than about 10%.
85. The method of claim 83 , wherein the coefficient of thermal expansion of the submount differs from the coefficient of thermal expansion of the semiconductor layer by less than about 5%.
86. The method of claim 83 , wherein a thickness of the submount is greater than a thickness of the substrate.
87. A method of making a light emitting device, the method comprising:
providing a first multi-layer stack, comprising:
a substrate;
a submount that is thicker than the substrate; and
a semiconductor layer between the substrate, the semiconductor layer being supported by the submount; and
exposing the semiconductor layer to electromagnetic radiation to partially decompose the semiconductor layer; and
removing the substrate from the first multi-layer stack to form a second multi-layer stack.
88. The method of claim 87 , wherein the submount is at least about 10 microns thick.
89. The method of claim 87 , wherein the submount is at most about five millimeters thick.
90. The method of claim 87 , wherein the substrate is at most about one millimeter thick.
Priority Applications (20)
| Application Number | Priority Date | Filing Date | Title |
|---|---|---|---|
| US10/794,244 US20040259279A1 (en) | 2003-04-15 | 2004-03-05 | Light emitting device methods |
| PCT/US2004/010881 WO2004093142A2 (en) | 2003-04-15 | 2004-04-08 | Light emitting device methods |
| TW093110205A TWI350008B (en) | 2003-04-15 | 2004-04-13 | Light emitting device mwethods (1) |
| US10/872,335 US7450311B2 (en) | 2003-12-12 | 2004-06-18 | Optical display systems and methods |
| US10/872,336 US7274043B2 (en) | 2003-04-15 | 2004-06-18 | Light emitting diode systems |
| TW093137378A TWI371866B (en) | 2003-12-12 | 2004-12-03 | Electronic device contact structures |
| TW093137376A TWI356505B (en) | 2003-12-12 | 2004-12-03 | Optical display systems and methods |
| PCT/US2004/041253 WO2005059959A2 (en) | 2003-12-12 | 2004-12-08 | Light emitting diode systems |
| PCT/US2004/040900 WO2005060586A2 (en) | 2003-12-12 | 2004-12-08 | Electronic device contact structures |
| PCT/US2004/041249 WO2005060619A2 (en) | 2003-12-12 | 2004-12-08 | Optical display systems and methods |
| US11/317,584 US7521273B2 (en) | 2003-04-15 | 2005-12-23 | Light emitting device methods |
| US11/350,393 US7737450B2 (en) | 2003-04-15 | 2006-02-08 | Light emitting diode systems |
| US11/351,325 US7482640B2 (en) | 2003-04-15 | 2006-02-09 | Electronic device contact structures |
| US11/542,660 US7535645B2 (en) | 2003-12-12 | 2006-10-03 | Optical display systems and methods |
| US12/264,563 US7934841B2 (en) | 2003-12-12 | 2008-11-04 | Optical display systems and methods |
| US12/272,120 US7799585B2 (en) | 2003-04-15 | 2008-11-17 | Light emitting device methods |
| US12/356,846 US8217415B2 (en) | 2003-04-15 | 2009-01-21 | Electronic device contact structures |
| US12/779,194 US20100314630A1 (en) | 2003-04-15 | 2010-05-13 | Light emitting diode systems |
| US13/082,787 US8251520B2 (en) | 2003-12-12 | 2011-04-08 | Optical display systems and methods |
| US13/536,631 US20130126933A1 (en) | 2003-04-15 | 2012-06-28 | Electronic device contact structures |
Applications Claiming Priority (19)
| Application Number | Priority Date | Filing Date | Title |
|---|---|---|---|
| US46288903P | 2003-04-15 | 2003-04-15 | |
| US47419903P | 2003-05-29 | 2003-05-29 | |
| US47568203P | 2003-06-04 | 2003-06-04 | |
| US50367103P | 2003-09-17 | 2003-09-17 | |
| US50366103P | 2003-09-17 | 2003-09-17 | |
| US50365303P | 2003-09-17 | 2003-09-17 | |
| US50367203P | 2003-09-17 | 2003-09-17 | |
| US50365403P | 2003-09-17 | 2003-09-17 | |
| US51380703P | 2003-10-23 | 2003-10-23 | |
| US51476403P | 2003-10-27 | 2003-10-27 | |
| US10/724,033 US7262550B2 (en) | 2003-04-15 | 2003-11-26 | Light emitting diode utilizing a physical pattern |
| US10/724,015 US7521854B2 (en) | 2003-04-15 | 2003-11-26 | Patterned light emitting devices and extraction efficiencies related to the same |
| US10/724,004 US6831302B2 (en) | 2003-04-15 | 2003-11-26 | Light emitting devices with improved extraction efficiency |
| US10/724,006 US7084434B2 (en) | 2003-04-15 | 2003-11-26 | Uniform color phosphor-coated light-emitting diode |
| US10/724,005 US7083993B2 (en) | 2003-04-15 | 2003-11-26 | Methods of making multi-layer light emitting devices |
| US10/723,987 US7211831B2 (en) | 2003-04-15 | 2003-11-26 | Light emitting device with patterned surfaces |
| US10/724,029 US7098589B2 (en) | 2003-04-15 | 2003-11-26 | Light emitting devices with high light collimation |
| US10/735,498 US7166871B2 (en) | 2003-04-15 | 2003-12-12 | Light emitting systems |
| US10/794,244 US20040259279A1 (en) | 2003-04-15 | 2004-03-05 | Light emitting device methods |
Related Parent Applications (9)
| Application Number | Title | Priority Date | Filing Date |
|---|---|---|---|
| US10/724,004 Continuation-In-Part US6831302B2 (en) | 2003-04-15 | 2003-11-26 | Light emitting devices with improved extraction efficiency |
| US10/724,033 Continuation-In-Part US7262550B2 (en) | 2003-04-15 | 2003-11-26 | Light emitting diode utilizing a physical pattern |
| US10/724,005 Continuation-In-Part US7083993B2 (en) | 2003-04-15 | 2003-11-26 | Methods of making multi-layer light emitting devices |
| US10/724,015 Continuation-In-Part US7521854B2 (en) | 2003-04-15 | 2003-11-26 | Patterned light emitting devices and extraction efficiencies related to the same |
| US10/724,029 Continuation-In-Part US7098589B2 (en) | 2003-04-15 | 2003-11-26 | Light emitting devices with high light collimation |
| US10/723,987 Continuation-In-Part US7211831B2 (en) | 2003-04-15 | 2003-11-26 | Light emitting device with patterned surfaces |
| US10/724,006 Continuation-In-Part US7084434B2 (en) | 2003-04-15 | 2003-11-26 | Uniform color phosphor-coated light-emitting diode |
| US10/735,498 Continuation-In-Part US7166871B2 (en) | 2003-04-15 | 2003-12-12 | Light emitting systems |
| US10/794,452 Continuation-In-Part US7074631B2 (en) | 2003-04-15 | 2004-03-05 | Light emitting device methods |
Related Child Applications (9)
| Application Number | Title | Priority Date | Filing Date |
|---|---|---|---|
| US10/735,498 Continuation-In-Part US7166871B2 (en) | 2003-04-15 | 2003-12-12 | Light emitting systems |
| US10/794,452 Continuation-In-Part US7074631B2 (en) | 2003-04-15 | 2004-03-05 | Light emitting device methods |
| US10/872,335 Continuation-In-Part US7450311B2 (en) | 2003-12-12 | 2004-06-18 | Optical display systems and methods |
| US10/872,336 Continuation-In-Part US7274043B2 (en) | 2003-04-15 | 2004-06-18 | Light emitting diode systems |
| US10/871,877 Continuation-In-Part US7105861B2 (en) | 2003-04-15 | 2004-06-18 | Electronic device contact structures |
| US11/317,584 Division US7521273B2 (en) | 2003-04-15 | 2005-12-23 | Light emitting device methods |
| US11/350,393 Continuation-In-Part US7737450B2 (en) | 2003-04-15 | 2006-02-08 | Light emitting diode systems |
| US11/351,325 Continuation-In-Part US7482640B2 (en) | 2003-04-15 | 2006-02-09 | Electronic device contact structures |
| US11/542,660 Continuation-In-Part US7535645B2 (en) | 2003-12-12 | 2006-10-03 | Optical display systems and methods |
Publications (1)
| Publication Number | Publication Date |
|---|---|
| US20040259279A1 true US20040259279A1 (en) | 2004-12-23 |
Family
ID=34427215
Family Applications (3)
| Application Number | Title | Priority Date | Filing Date |
|---|---|---|---|
| US10/794,244 Abandoned US20040259279A1 (en) | 2003-04-15 | 2004-03-05 | Light emitting device methods |
| US11/317,584 Expired - Lifetime US7521273B2 (en) | 2003-04-15 | 2005-12-23 | Light emitting device methods |
| US12/272,120 Expired - Fee Related US7799585B2 (en) | 2003-04-15 | 2008-11-17 | Light emitting device methods |
Family Applications After (2)
| Application Number | Title | Priority Date | Filing Date |
|---|---|---|---|
| US11/317,584 Expired - Lifetime US7521273B2 (en) | 2003-04-15 | 2005-12-23 | Light emitting device methods |
| US12/272,120 Expired - Fee Related US7799585B2 (en) | 2003-04-15 | 2008-11-17 | Light emitting device methods |
Country Status (3)
| Country | Link |
|---|---|
| US (3) | US20040259279A1 (en) |
| TW (1) | TWI350008B (en) |
| WO (1) | WO2004093142A2 (en) |
Cited By (48)
| Publication number | Priority date | Publication date | Assignee | Title |
|---|---|---|---|---|
| US20050087754A1 (en) * | 2003-04-15 | 2005-04-28 | Erchak Alexei A. | Light emitting systems |
| US20050098792A1 (en) * | 2002-04-09 | 2005-05-12 | Jong-Lam Lee | Method of fabricating vertical structure LEDs |
| US20050202350A1 (en) * | 2004-03-13 | 2005-09-15 | Colburn Matthew E. | Method for fabricating dual damascene structures using photo-imprint lithography, methods for fabricating imprint lithography molds for dual damascene structures, materials for imprintable dielectrics and equipment for photo-imprint lithography used in dual damascene patterning |
| US20050208689A1 (en) * | 2003-04-15 | 2005-09-22 | Luminus Devices, Inc., A Delaware Corporation | Light emitting devices |
| US20060043400A1 (en) * | 2004-08-31 | 2006-03-02 | Erchak Alexei A | Polarized light emitting device |
| US20060091409A1 (en) * | 2004-10-28 | 2006-05-04 | John Epler | Package-integrated thin film LED |
| US20060097277A1 (en) * | 2002-04-09 | 2006-05-11 | Yoo Myung C | Method of fabricating vertical devices using a metal support film |
| US7074631B2 (en) | 2003-04-15 | 2006-07-11 | Luminus Devices, Inc. | Light emitting device methods |
| US20060163590A1 (en) * | 2005-01-21 | 2006-07-27 | Erchak Alexei A | Packaging designs for LEDs |
| US7084434B2 (en) | 2003-04-15 | 2006-08-01 | Luminus Devices, Inc. | Uniform color phosphor-coated light-emitting diode |
| US7098589B2 (en) | 2003-04-15 | 2006-08-29 | Luminus Devices, Inc. | Light emitting devices with high light collimation |
| US7105861B2 (en) | 2003-04-15 | 2006-09-12 | Luminus Devices, Inc. | Electronic device contact structures |
| US7138666B2 (en) | 2003-04-15 | 2006-11-21 | Luminus Devices, Inc. | Light emitting devices |
| US7166870B2 (en) | 2003-04-15 | 2007-01-23 | Luminus Devices, Inc. | Light emitting devices with improved extraction efficiency |
| US7170100B2 (en) | 2005-01-21 | 2007-01-30 | Luminus Devices, Inc. | Packaging designs for LEDs |
| US7262550B2 (en) | 2003-04-15 | 2007-08-28 | Luminus Devices, Inc. | Light emitting diode utilizing a physical pattern |
| US7274043B2 (en) | 2003-04-15 | 2007-09-25 | Luminus Devices, Inc. | Light emitting diode systems |
| US7345416B2 (en) | 2003-04-15 | 2008-03-18 | Luminus Devices, Inc. | Patterned light emitting devices |
| US7344903B2 (en) | 2003-09-17 | 2008-03-18 | Luminus Devices, Inc. | Light emitting device processes |
| US7450311B2 (en) | 2003-12-12 | 2008-11-11 | Luminus Devices, Inc. | Optical display systems and methods |
| US20090035885A1 (en) * | 2007-05-30 | 2009-02-05 | Luminus Devices, Inc. | Methods of forming light-emitting structures |
| US7521273B2 (en) | 2003-04-15 | 2009-04-21 | Luminus Devices, Inc. | Light emitting device methods |
| US7667238B2 (en) | 2003-04-15 | 2010-02-23 | Luminus Devices, Inc. | Light emitting devices for liquid crystal displays |
| US20110085572A1 (en) * | 2009-10-13 | 2011-04-14 | Skorpios Technologies, Inc. | Method and system for hybrid integration of a tunable laser |
| US20110085577A1 (en) * | 2009-10-13 | 2011-04-14 | Skorpios Technologies, Inc. | Method and system of heterogeneous substrate bonding for photonic integration |
| US7956364B2 (en) | 2002-06-26 | 2011-06-07 | Lg Electronics Inc. | Thin film light emitting diode |
| US20110180808A1 (en) * | 2010-01-28 | 2011-07-28 | Abdo David F | Method of making a mounted gallium nitride device |
| US8110425B2 (en) | 2007-03-20 | 2012-02-07 | Luminus Devices, Inc. | Laser liftoff structure and related methods |
| US20120057816A1 (en) * | 2009-10-13 | 2012-03-08 | Skorpios Techologies, Inc. | Method and system for heterogeneous substrate bonding of waveguide receivers |
| US8162526B2 (en) | 2005-08-23 | 2012-04-24 | Rambus International Ltd. | Light-emitting devices for liquid crystal displays |
| US8426872B2 (en) | 2004-08-20 | 2013-04-23 | Luminus Devices, Inc. | Light emitting diode systems including optical display systems having a microdisplay |
| US20130161669A1 (en) * | 2011-12-23 | 2013-06-27 | Fu-Bang CHEN | Light-emitting diode with current diffusion structure and a method for fabricating the same |
| US8559470B2 (en) | 2009-10-13 | 2013-10-15 | Skorpios Technologies, Inc. | Method and system for hybrid integration of a tunable laser and a phase modulator |
| US8605766B2 (en) | 2009-10-13 | 2013-12-10 | Skorpios Technologies, Inc. | Method and system for hybrid integration of a tunable laser and a mach zehnder modulator |
| US8867578B2 (en) | 2009-10-13 | 2014-10-21 | Skorpios Technologies, Inc. | Method and system for hybrid integration of a tunable laser for a cable TV transmitter |
| US9316785B2 (en) | 2013-10-09 | 2016-04-19 | Skorpios Technologies, Inc. | Integration of an unprocessed, direct-bandgap chip into a silicon photonic device |
| US9496431B2 (en) | 2013-10-09 | 2016-11-15 | Skorpios Technologies, Inc. | Coplanar integration of a direct-bandgap chip into a silicon photonic device |
| US9558954B2 (en) | 2010-04-22 | 2017-01-31 | Luminus Devices, Inc. | Selective wet etching and textured surface planarization processes |
| US9829631B2 (en) | 2015-04-20 | 2017-11-28 | Skorpios Technologies, Inc. | Vertical output couplers for photonic devices |
| US9885832B2 (en) | 2014-05-27 | 2018-02-06 | Skorpios Technologies, Inc. | Waveguide mode expander using amorphous silicon |
| US9977188B2 (en) | 2011-08-30 | 2018-05-22 | Skorpios Technologies, Inc. | Integrated photonics mode expander |
| US10003173B2 (en) | 2014-04-23 | 2018-06-19 | Skorpios Technologies, Inc. | Widely tunable laser control |
| US10088629B2 (en) | 2014-03-07 | 2018-10-02 | Skorpios Technologies, Inc. | Wide shoulder, high order mode filter for thick-silicon waveguides |
| US10649148B2 (en) | 2017-10-25 | 2020-05-12 | Skorpios Technologies, Inc. | Multistage spot size converter in silicon photonics |
| US11042098B2 (en) * | 2019-02-15 | 2021-06-22 | Applied Materials, Inc. | Large area high resolution feature reduction lithography technique |
| US11183492B2 (en) | 2010-12-08 | 2021-11-23 | Skorpios Technologies, Inc. | Multilevel template assisted wafer bonding |
| US11181688B2 (en) | 2009-10-13 | 2021-11-23 | Skorpios Technologies, Inc. | Integration of an unprocessed, direct-bandgap chip into a silicon photonic device |
| US11360263B2 (en) | 2019-01-31 | 2022-06-14 | Skorpios Technologies. Inc. | Self-aligned spot size converter |
Families Citing this family (11)
| Publication number | Priority date | Publication date | Assignee | Title |
|---|---|---|---|---|
| US20070114562A1 (en) * | 2005-11-22 | 2007-05-24 | Gelcore, Llc | Red and yellow phosphor-converted LEDs for signal applications |
| KR101154744B1 (en) * | 2005-08-01 | 2012-06-08 | 엘지이노텍 주식회사 | Nitride light emitting device and fabrication method thereof |
| KR101198763B1 (en) * | 2006-03-23 | 2012-11-12 | 엘지이노텍 주식회사 | Post structure and LED using the structure and method of making the same |
| US20100149815A1 (en) * | 2008-10-17 | 2010-06-17 | Luminus Devices, Inc. | Remote lighting assemblies and methods |
| KR101705201B1 (en) * | 2009-08-27 | 2017-02-09 | 가부시키가이샤 가네카 | Integrated organic light emitting device, method for producing organic light emitting device, and organic light emitting device |
| KR101007078B1 (en) * | 2009-11-02 | 2011-01-10 | 엘지이노텍 주식회사 | Light emitting device and manufacturing method |
| US8685767B2 (en) * | 2009-12-08 | 2014-04-01 | Lehigh University | Surface plasmon dispersion engineering via double-metallic AU/AG layers for nitride light-emitting diodes |
| KR100969100B1 (en) * | 2010-02-12 | 2010-07-09 | 엘지이노텍 주식회사 | Light emitting device, manufacturing method and light emitting device package |
| US20140191194A1 (en) * | 2011-08-09 | 2014-07-10 | Samsung Electronics Co., Ltd. | Nitride semiconductor light-emitting element |
| CN104278543B (en) * | 2014-09-17 | 2016-08-24 | 李忠 | A kind of dyestuff including anionic particle |
| CN104305595B (en) * | 2014-09-17 | 2015-12-09 | 李忠 | A kind of health-care physiotherapeutic clothing |
Citations (95)
| Publication number | Priority date | Publication date | Assignee | Title |
|---|---|---|---|---|
| US3739217A (en) * | 1969-06-23 | 1973-06-12 | Bell Telephone Labor Inc | Surface roughening of electroluminescent diodes |
| US4864370A (en) * | 1987-11-16 | 1989-09-05 | Motorola, Inc. | Electrical contact for an LED |
| US5126231A (en) * | 1990-02-26 | 1992-06-30 | Applied Materials, Inc. | Process for multi-layer photoresist etching with minimal feature undercut and unchanging photoresist load during etch |
| US5132751A (en) * | 1990-06-08 | 1992-07-21 | Eastman Kodak Company | Light-emitting diode array with projections |
| US5359345A (en) * | 1992-08-05 | 1994-10-25 | Cree Research, Inc. | Shuttered and cycled light emitting diode display and method of producing the same |
| US5426657A (en) * | 1993-03-04 | 1995-06-20 | At&T Corp. | Article comprising a focusing semiconductor laser |
| US5491350A (en) * | 1993-06-30 | 1996-02-13 | Hitachi Cable Ltd. | Light emitting diode and process for fabricating the same |
| US5528057A (en) * | 1993-05-28 | 1996-06-18 | Omron Corporation | Semiconductor luminous element with light reflection and focusing configuration |
| US5600483A (en) * | 1994-05-10 | 1997-02-04 | Massachusetts Institute Of Technology | Three-dimensional periodic dielectric structures having photonic bandgaps |
| US5631190A (en) * | 1994-10-07 | 1997-05-20 | Cree Research, Inc. | Method for producing high efficiency light-emitting diodes and resulting diode structures |
| US5633527A (en) * | 1995-02-06 | 1997-05-27 | Sandia Corporation | Unitary lens semiconductor device |
| US5724062A (en) * | 1992-08-05 | 1998-03-03 | Cree Research, Inc. | High resolution, high brightness light emitting diode display and method and producing the same |
| US5793062A (en) * | 1995-08-10 | 1998-08-11 | Hewlett-Packard Company | Transparent substrate light emitting diodes with directed light output |
| US5799924A (en) * | 1992-09-09 | 1998-09-01 | Aesop, Inc. | Replicated-in-place internal viscous shear damper for machine structures and components |
| US5814839A (en) * | 1995-02-16 | 1998-09-29 | Sharp Kabushiki Kaisha | Semiconductor light-emitting device having a current adjusting layer and a uneven shape light emitting region, and method for producing same |
| US5955749A (en) * | 1996-12-02 | 1999-09-21 | Massachusetts Institute Of Technology | Light emitting device utilizing a periodic dielectric structure |
| US6072628A (en) * | 1997-01-29 | 2000-06-06 | Thomson Multimedia S.A. | Optical polarisation device |
| US6071795A (en) * | 1998-01-23 | 2000-06-06 | The Regents Of The University Of California | Separation of thin films from transparent substrates by selective optical processing |
| US6091085A (en) * | 1998-02-19 | 2000-07-18 | Agilent Technologies, Inc. | GaN LEDs with improved output coupling efficiency |
| US6122103A (en) * | 1999-06-22 | 2000-09-19 | Moxtech | Broadband wire grid polarizer for the visible spectrum |
| US6222207B1 (en) * | 1999-05-24 | 2001-04-24 | Lumileds Lighting, U.S. Llc | Diffusion barrier for increased mirror reflectivity in reflective solderable contacts on high power LED chip |
| US6265820B1 (en) * | 1998-01-29 | 2001-07-24 | Emagin Corporation | Heat removal system for use in organic light emitting diode displays having high brightness |
| US6288840B1 (en) * | 1999-06-22 | 2001-09-11 | Moxtek | Imbedded wire grid polarizer for the visible spectrum |
| US6287882B1 (en) * | 1999-10-04 | 2001-09-11 | Visual Photonics Epitaxy Co., Ltd. | Light emitting diode with a metal-coated reflective permanent substrate and the method for manufacturing the same |
| US6303405B1 (en) * | 1998-09-25 | 2001-10-16 | Kabushiki Kaisha Toshiba | Semiconductor light emitting element, and its manufacturing method |
| US6307218B1 (en) * | 1998-11-20 | 2001-10-23 | Lumileds Lighting, U.S., Llc | Electrode structures for light emitting devices |
| US6335548B1 (en) * | 1999-03-15 | 2002-01-01 | Gentex Corporation | Semiconductor radiation emitter package |
| US6340824B1 (en) * | 1997-09-01 | 2002-01-22 | Kabushiki Kaisha Toshiba | Semiconductor light emitting device including a fluorescent material |
| US6388264B1 (en) * | 1997-03-28 | 2002-05-14 | Benedict G Pace | Optocoupler package being hermetically sealed |
| US6403985B1 (en) * | 1991-01-18 | 2002-06-11 | Kopin Corporation | Method of making light emitting diode displays |
| US6410348B1 (en) * | 2000-07-20 | 2002-06-25 | United Epitaxxy Company, Ltd. | Interface texturing for light-emitting device |
| US6410942B1 (en) * | 1999-12-03 | 2002-06-25 | Cree Lighting Company | Enhanced light extraction through the use of micro-LED arrays |
| US6426515B2 (en) * | 2000-04-21 | 2002-07-30 | Fujitsu Limited | Semiconductor light-emitting device |
| US20020110172A1 (en) * | 2000-06-02 | 2002-08-15 | Ghulam Hasnain | Efficiency GaN-based light emitting devices |
| US20020115265A1 (en) * | 2000-12-14 | 2002-08-22 | Toshiaki Iwafuchi | Method of transferring a device, a method of producing a device holding substrate, and a device holding substrate |
| US6448102B1 (en) * | 1998-12-30 | 2002-09-10 | Xerox Corporation | Method for nitride based laser diode with growth substrate removed |
| US6465808B2 (en) * | 2000-11-24 | 2002-10-15 | Highlink Technology Corporation | Method and structure for forming an electrode on a light emitting device |
| US6468824B2 (en) * | 2001-03-22 | 2002-10-22 | Uni Light Technology Inc. | Method for forming a semiconductor device having a metallic substrate |
| US6504180B1 (en) * | 1998-07-28 | 2003-01-07 | Imec Vzw And Vrije Universiteit | Method of manufacturing surface textured high-efficiency radiating devices and devices obtained therefrom |
| US6522063B2 (en) * | 2001-03-28 | 2003-02-18 | Epitech Corporation | Light emitting diode |
| US6534798B1 (en) * | 1999-09-08 | 2003-03-18 | California Institute Of Technology | Surface plasmon enhanced light emitting diode and method of operation for the same |
| US6559075B1 (en) * | 1996-10-01 | 2003-05-06 | Siemens Aktiengesellschaft | Method of separating two layers of material from one another and electronic components produced using this process |
| US6573537B1 (en) * | 1999-12-22 | 2003-06-03 | Lumileds Lighting, U.S., Llc | Highly reflective ohmic contacts to III-nitride flip-chip LEDs |
| US6574383B1 (en) * | 2001-04-30 | 2003-06-03 | Massachusetts Institute Of Technology | Input light coupler using a pattern of dielectric contrast distributed in at least two dimensions |
| US20030141507A1 (en) * | 2002-01-28 | 2003-07-31 | Krames Michael R. | LED efficiency using photonic crystal structure |
| US20030143772A1 (en) * | 2002-01-30 | 2003-07-31 | United Epitaxy Co., Ltd. | High efficiency light emitting diode and method of making the same |
| US20030141563A1 (en) * | 2002-01-28 | 2003-07-31 | Bily Wang | Light emitting diode package with fluorescent cover |
| US6614056B1 (en) * | 1999-12-01 | 2003-09-02 | Cree Lighting Company | Scalable led with improved current spreading structures |
| US6613610B2 (en) * | 2000-07-18 | 2003-09-02 | Sony Corporation | Image display unit and method of producing image display unit |
| US20030164679A1 (en) * | 2002-02-27 | 2003-09-04 | Takafumi Hamano | Organic electroluminescence element and image forming apparatus or portable terminal unit using thereof |
| US6627521B2 (en) * | 1999-12-21 | 2003-09-30 | Kabushiki Kaisha Toshiba | Semiconductor light emitting element and manufacturing method thereof |
| US6677173B2 (en) * | 2000-03-28 | 2004-01-13 | Pioneer Corporation | Method of manufacturing a nitride semiconductor laser with a plated auxiliary metal substrate |
| US6690268B2 (en) * | 2000-03-02 | 2004-02-10 | Donnelly Corporation | Video mirror systems incorporating an accessory module |
| US20040027062A1 (en) * | 2001-01-16 | 2004-02-12 | General Electric Company | Organic electroluminescent device with a ceramic output coupler and method of making the same |
| US20040033638A1 (en) * | 2000-10-17 | 2004-02-19 | Stefan Bader | Method for fabricating a semiconductor component based on GaN |
| US20040043524A1 (en) * | 2002-08-28 | 2004-03-04 | Arima Optoelectronics Corp. | Method for fabricating light emitting diode with transparent substrate |
| US6711192B1 (en) * | 1999-05-10 | 2004-03-23 | Pioneer Corporation | Nitride semiconductor laser and method of fabricating the same |
| US6740906B2 (en) * | 2001-07-23 | 2004-05-25 | Cree, Inc. | Light emitting diodes including modifications for submount bonding |
| US6742907B2 (en) * | 1996-09-24 | 2004-06-01 | Seiko Epson Corporation | Illumination device and display device using it |
| US20040110856A1 (en) * | 2002-12-04 | 2004-06-10 | Young Jung Gun | Polymer solution for nanoimprint lithography to reduce imprint temperature and pressure |
| US20040130263A1 (en) * | 2003-01-02 | 2004-07-08 | Ray-Hua Horng | High brightness led and method for producing the same |
| US6762069B2 (en) * | 2002-11-19 | 2004-07-13 | United Epitaxy Company, Ltd. | Method for manufacturing light-emitting element on non-transparent substrate |
| US20040144985A1 (en) * | 2001-06-25 | 2004-07-29 | Zhibo Zhang | Optoelectronic devices having arrays of quantum-dot compound semiconductor superlattices therein |
| US6778746B2 (en) * | 1997-05-16 | 2004-08-17 | Btg International Limited | Optical devices and methods of fabrication thereof |
| US6784027B2 (en) * | 2001-11-30 | 2004-08-31 | Osram Opto Semiconductors Gmbh | Light-emitting semiconductor component |
| US6784463B2 (en) * | 1997-06-03 | 2004-08-31 | Lumileds Lighting U.S., Llc | III-Phospide and III-Arsenide flip chip light-emitting devices |
| US6791117B2 (en) * | 2002-01-15 | 2004-09-14 | Kabushiki Kaisha Toshiba | Semiconductor light emission device and manufacturing method thereof |
| US6791119B2 (en) * | 2001-02-01 | 2004-09-14 | Cree, Inc. | Light emitting diodes including modifications for light extraction |
| US6791259B1 (en) * | 1998-11-30 | 2004-09-14 | General Electric Company | Solid state illumination system containing a light emitting diode, a light scattering material and a luminescent material |
| US6794684B2 (en) * | 2001-02-01 | 2004-09-21 | Cree, Inc. | Reflective ohmic contacts for silicon carbide including a layer consisting essentially of nickel, methods of fabricating same, and light emitting devices including the same |
| US20040182914A1 (en) * | 2003-03-19 | 2004-09-23 | Emcore Corporation | Flip-chip light emitting diode with a thermally stable multiple layer reflective p-type contact |
| US6847057B1 (en) * | 2003-08-01 | 2005-01-25 | Lumileds Lighting U.S., Llc | Semiconductor light emitting devices |
| US6849558B2 (en) * | 2002-05-22 | 2005-02-01 | The Board Of Trustees Of The Leland Stanford Junior University | Replication and transfer of microstructures and nanostructures |
| US20050042845A1 (en) * | 2003-07-14 | 2005-02-24 | Wolfram Urbanek | Methods of processing of gallium nitride |
| US20050040424A1 (en) * | 2003-04-15 | 2005-02-24 | Erchak Alexei A. | Light emitting diode systems |
| US6861335B2 (en) * | 2001-11-13 | 2005-03-01 | Matsushita Electric Industrial Co., Ltd. | Method for fabricating a semiconductor device that includes light beam irradiation to separate a semiconductor layer from a single crystal substrate |
| US20050051787A1 (en) * | 2003-04-15 | 2005-03-10 | Luminus Devices, Inc., A Delaware Corporation | Light emitting devices |
| US20050051785A1 (en) * | 2003-04-15 | 2005-03-10 | Erchak Alexei A. | Electronic device contact structures |
| US20050059178A1 (en) * | 2003-09-17 | 2005-03-17 | Erchak Alexei A. | Light emitting device processes |
| US20050059179A1 (en) * | 2003-09-17 | 2005-03-17 | Erchak Alexei A. | Light emitting device processes |
| US6872635B2 (en) * | 2001-04-11 | 2005-03-29 | Sony Corporation | Device transferring method, and device arraying method and image display unit fabricating method using the same |
| US6878969B2 (en) * | 2002-07-29 | 2005-04-12 | Matsushita Electric Works, Ltd. | Light emitting device |
| US6881261B2 (en) * | 2001-11-13 | 2005-04-19 | Matsushita Electric Industrial Co., Ltd. | Method for fabricating semiconductor device |
| US20050082545A1 (en) * | 2003-10-21 | 2005-04-21 | Wierer Jonathan J.Jr. | Photonic crystal light emitting device |
| US20050087754A1 (en) * | 2003-04-15 | 2005-04-28 | Erchak Alexei A. | Light emitting systems |
| US20050087757A1 (en) * | 2003-04-15 | 2005-04-28 | Luminus Devices, Inc., A Delaware Corporation | Light emitting devices |
| US6891203B2 (en) * | 2001-01-10 | 2005-05-10 | Toyoda Gosei Co., Ltd. | Light emitting device |
| US20050112886A1 (en) * | 2001-12-28 | 2005-05-26 | Kabushiki Kaisha Toshiba | Light-emitting device and method for manufacturing the same |
| US6900587B2 (en) * | 2001-06-28 | 2005-05-31 | Toyoda Gosei Co., Ltd. | Light-emitting diode |
| US20050127375A1 (en) * | 2003-12-12 | 2005-06-16 | Erchak Alexei A. | Optical display systems and methods |
| US6924136B2 (en) * | 2000-05-23 | 2005-08-02 | Nihon Shokuhin Kako Co. Ltd. | Cyclodextrin glucanotransferase and its method of manufacture |
| US20050191419A1 (en) * | 2003-04-11 | 2005-09-01 | Helt James M. | Fabrication of nanostructures |
| US6943379B2 (en) * | 2002-04-04 | 2005-09-13 | Toyoda Gosei Co., Ltd. | Light emitting diode |
| US6946683B2 (en) * | 2002-01-28 | 2005-09-20 | Nichia Corporation | Opposed terminal structure having a nitride semiconductor element |
| US20050205883A1 (en) * | 2004-03-19 | 2005-09-22 | Wierer Jonathan J Jr | Photonic crystal light emitting device |
Family Cites Families (36)
| Publication number | Priority date | Publication date | Assignee | Title |
|---|---|---|---|---|
| US3293513A (en) | 1962-08-08 | 1966-12-20 | Texas Instruments Inc | Semiconductor radiant diode |
| US3922706A (en) | 1965-07-31 | 1975-11-25 | Telefunken Patent | Transistor having emitter with high circumference-surface area ratio |
| US5073041A (en) | 1990-11-13 | 1991-12-17 | Bell Communications Research, Inc. | Integrated assembly comprising vertical cavity surface-emitting laser array with Fresnel microlenses |
| JPH04264781A (en) | 1991-02-20 | 1992-09-21 | Eastman Kodak Japan Kk | light emitting diode array |
| US5363009A (en) | 1992-08-10 | 1994-11-08 | Mark Monto | Incandescent light with parallel grooves encompassing a bulbous portion |
| US5376580A (en) | 1993-03-19 | 1994-12-27 | Hewlett-Packard Company | Wafer bonding of light emitting diode layers |
| US5904499A (en) | 1994-12-22 | 1999-05-18 | Pace; Benedict G | Package for power semiconductor chips |
| US5779924A (en) * | 1996-03-22 | 1998-07-14 | Hewlett-Packard Company | Ordered interface texturing for a light emitting device |
| US5834331A (en) | 1996-10-17 | 1998-11-10 | Northwestern University | Method for making III-Nitride laser and detection device |
| JP3469484B2 (en) | 1998-12-24 | 2003-11-25 | 株式会社東芝 | Semiconductor light emitting device and method of manufacturing the same |
| US6320206B1 (en) | 1999-02-05 | 2001-11-20 | Lumileds Lighting, U.S., Llc | Light emitting devices having wafer bonded aluminum gallium indium nitride structures and mirror stacks |
| US20010042866A1 (en) | 1999-02-05 | 2001-11-22 | Carrie Carter Coman | Inxalygazn optical emitters fabricated via substrate removal |
| TW437104B (en) | 1999-05-25 | 2001-05-28 | Wang Tien Yang | Semiconductor light-emitting device and method for manufacturing the same |
| EP2270883A3 (en) | 1999-12-03 | 2015-09-30 | Cree, Inc. | Enhanced light extraction in LEDs through the use of internal and external optical elements |
| GB0011749D0 (en) | 2000-05-17 | 2000-07-05 | Cambridge Display Tech Ltd | Light-eminating devices |
| JP4024994B2 (en) | 2000-06-30 | 2007-12-19 | 株式会社東芝 | Semiconductor light emitting device |
| US6661028B2 (en) | 2000-08-01 | 2003-12-09 | United Epitaxy Company, Ltd. | Interface texturing for light-emitting device |
| US6998281B2 (en) | 2000-10-12 | 2006-02-14 | General Electric Company | Solid state lighting device with reduced form factor including LED with directional emission and package with microoptics |
| US7023022B2 (en) | 2000-11-16 | 2006-04-04 | Emcore Corporation | Microelectronic package having improved light extraction |
| JP5110744B2 (en) | 2000-12-21 | 2012-12-26 | フィリップス ルミレッズ ライティング カンパニー リミテッド ライアビリティ カンパニー | Light emitting device and manufacturing method thereof |
| WO2002071450A2 (en) | 2001-03-06 | 2002-09-12 | Emcore Corporation | Led lead for improved light extraction |
| US6723165B2 (en) * | 2001-04-13 | 2004-04-20 | Matsushita Electric Industrial Co., Ltd. | Method for fabricating Group III nitride semiconductor substrate |
| EP1398839B1 (en) | 2001-04-23 | 2012-03-28 | Panasonic Corporation | Light emitting device comprising light emitting diode chip |
| DE10147887C2 (en) | 2001-09-28 | 2003-10-23 | Osram Opto Semiconductors Gmbh | Radiation-emitting semiconductor component with a contact, which comprises a plurality of spaced-apart contact points |
| US6812503B2 (en) | 2001-11-29 | 2004-11-02 | Highlink Technology Corporation | Light-emitting device with improved reliability |
| US20030222263A1 (en) | 2002-06-04 | 2003-12-04 | Kopin Corporation | High-efficiency light-emitting diodes |
| US6649437B1 (en) | 2002-08-20 | 2003-11-18 | United Epitaxy Company, Ltd. | Method of manufacturing high-power light emitting diodes |
| US7074631B2 (en) | 2003-04-15 | 2006-07-11 | Luminus Devices, Inc. | Light emitting device methods |
| US20040259279A1 (en) * | 2003-04-15 | 2004-12-23 | Erchak Alexei A. | Light emitting device methods |
| US7521854B2 (en) | 2003-04-15 | 2009-04-21 | Luminus Devices, Inc. | Patterned light emitting devices and extraction efficiencies related to the same |
| US7084434B2 (en) | 2003-04-15 | 2006-08-01 | Luminus Devices, Inc. | Uniform color phosphor-coated light-emitting diode |
| US7098589B2 (en) | 2003-04-15 | 2006-08-29 | Luminus Devices, Inc. | Light emitting devices with high light collimation |
| US7083993B2 (en) * | 2003-04-15 | 2006-08-01 | Luminus Devices, Inc. | Methods of making multi-layer light emitting devices |
| US7262550B2 (en) | 2003-04-15 | 2007-08-28 | Luminus Devices, Inc. | Light emitting diode utilizing a physical pattern |
| KR100483049B1 (en) | 2003-06-03 | 2005-04-15 | 삼성전기주식회사 | A METHOD OF PRODUCING VERTICAL GaN LIGHT EMITTING DIODES |
| US6958494B2 (en) | 2003-08-14 | 2005-10-25 | Dicon Fiberoptics, Inc. | Light emitting diodes with current spreading layer |
-
2004
- 2004-03-05 US US10/794,244 patent/US20040259279A1/en not_active Abandoned
- 2004-04-08 WO PCT/US2004/010881 patent/WO2004093142A2/en not_active Ceased
- 2004-04-13 TW TW093110205A patent/TWI350008B/en not_active IP Right Cessation
-
2005
- 2005-12-23 US US11/317,584 patent/US7521273B2/en not_active Expired - Lifetime
-
2008
- 2008-11-17 US US12/272,120 patent/US7799585B2/en not_active Expired - Fee Related
Patent Citations (99)
| Publication number | Priority date | Publication date | Assignee | Title |
|---|---|---|---|---|
| US3739217A (en) * | 1969-06-23 | 1973-06-12 | Bell Telephone Labor Inc | Surface roughening of electroluminescent diodes |
| US4864370A (en) * | 1987-11-16 | 1989-09-05 | Motorola, Inc. | Electrical contact for an LED |
| US5126231A (en) * | 1990-02-26 | 1992-06-30 | Applied Materials, Inc. | Process for multi-layer photoresist etching with minimal feature undercut and unchanging photoresist load during etch |
| US5132751A (en) * | 1990-06-08 | 1992-07-21 | Eastman Kodak Company | Light-emitting diode array with projections |
| US6403985B1 (en) * | 1991-01-18 | 2002-06-11 | Kopin Corporation | Method of making light emitting diode displays |
| US5359345A (en) * | 1992-08-05 | 1994-10-25 | Cree Research, Inc. | Shuttered and cycled light emitting diode display and method of producing the same |
| US5724062A (en) * | 1992-08-05 | 1998-03-03 | Cree Research, Inc. | High resolution, high brightness light emitting diode display and method and producing the same |
| US5799924A (en) * | 1992-09-09 | 1998-09-01 | Aesop, Inc. | Replicated-in-place internal viscous shear damper for machine structures and components |
| US5426657A (en) * | 1993-03-04 | 1995-06-20 | At&T Corp. | Article comprising a focusing semiconductor laser |
| US5528057A (en) * | 1993-05-28 | 1996-06-18 | Omron Corporation | Semiconductor luminous element with light reflection and focusing configuration |
| US5491350A (en) * | 1993-06-30 | 1996-02-13 | Hitachi Cable Ltd. | Light emitting diode and process for fabricating the same |
| US5600483A (en) * | 1994-05-10 | 1997-02-04 | Massachusetts Institute Of Technology | Three-dimensional periodic dielectric structures having photonic bandgaps |
| US5631190A (en) * | 1994-10-07 | 1997-05-20 | Cree Research, Inc. | Method for producing high efficiency light-emitting diodes and resulting diode structures |
| US5633527A (en) * | 1995-02-06 | 1997-05-27 | Sandia Corporation | Unitary lens semiconductor device |
| US5814839A (en) * | 1995-02-16 | 1998-09-29 | Sharp Kabushiki Kaisha | Semiconductor light-emitting device having a current adjusting layer and a uneven shape light emitting region, and method for producing same |
| US5793062A (en) * | 1995-08-10 | 1998-08-11 | Hewlett-Packard Company | Transparent substrate light emitting diodes with directed light output |
| US6742907B2 (en) * | 1996-09-24 | 2004-06-01 | Seiko Epson Corporation | Illumination device and display device using it |
| US6559075B1 (en) * | 1996-10-01 | 2003-05-06 | Siemens Aktiengesellschaft | Method of separating two layers of material from one another and electronic components produced using this process |
| US5955749A (en) * | 1996-12-02 | 1999-09-21 | Massachusetts Institute Of Technology | Light emitting device utilizing a periodic dielectric structure |
| US6072628A (en) * | 1997-01-29 | 2000-06-06 | Thomson Multimedia S.A. | Optical polarisation device |
| US6388264B1 (en) * | 1997-03-28 | 2002-05-14 | Benedict G Pace | Optocoupler package being hermetically sealed |
| US6778746B2 (en) * | 1997-05-16 | 2004-08-17 | Btg International Limited | Optical devices and methods of fabrication thereof |
| US6784463B2 (en) * | 1997-06-03 | 2004-08-31 | Lumileds Lighting U.S., Llc | III-Phospide and III-Arsenide flip chip light-emitting devices |
| US6340824B1 (en) * | 1997-09-01 | 2002-01-22 | Kabushiki Kaisha Toshiba | Semiconductor light emitting device including a fluorescent material |
| US6420242B1 (en) * | 1998-01-23 | 2002-07-16 | The Regents Of The University Of California | Separation of thin films from transparent substrates by selective optical processing |
| US6071795A (en) * | 1998-01-23 | 2000-06-06 | The Regents Of The University Of California | Separation of thin films from transparent substrates by selective optical processing |
| US6265820B1 (en) * | 1998-01-29 | 2001-07-24 | Emagin Corporation | Heat removal system for use in organic light emitting diode displays having high brightness |
| US6091085A (en) * | 1998-02-19 | 2000-07-18 | Agilent Technologies, Inc. | GaN LEDs with improved output coupling efficiency |
| US6504180B1 (en) * | 1998-07-28 | 2003-01-07 | Imec Vzw And Vrije Universiteit | Method of manufacturing surface textured high-efficiency radiating devices and devices obtained therefrom |
| US6303405B1 (en) * | 1998-09-25 | 2001-10-16 | Kabushiki Kaisha Toshiba | Semiconductor light emitting element, and its manufacturing method |
| US6307218B1 (en) * | 1998-11-20 | 2001-10-23 | Lumileds Lighting, U.S., Llc | Electrode structures for light emitting devices |
| US6791259B1 (en) * | 1998-11-30 | 2004-09-14 | General Electric Company | Solid state illumination system containing a light emitting diode, a light scattering material and a luminescent material |
| US6448102B1 (en) * | 1998-12-30 | 2002-09-10 | Xerox Corporation | Method for nitride based laser diode with growth substrate removed |
| US6335548B1 (en) * | 1999-03-15 | 2002-01-01 | Gentex Corporation | Semiconductor radiation emitter package |
| US6711192B1 (en) * | 1999-05-10 | 2004-03-23 | Pioneer Corporation | Nitride semiconductor laser and method of fabricating the same |
| US6593160B2 (en) * | 1999-05-24 | 2003-07-15 | Lumileds Lighting, U.S., Llc | Diffusion barrier for increased mirror reflectivity in reflective solderable contacts on high power led chip |
| US6222207B1 (en) * | 1999-05-24 | 2001-04-24 | Lumileds Lighting, U.S. Llc | Diffusion barrier for increased mirror reflectivity in reflective solderable contacts on high power LED chip |
| US6288840B1 (en) * | 1999-06-22 | 2001-09-11 | Moxtek | Imbedded wire grid polarizer for the visible spectrum |
| US6122103A (en) * | 1999-06-22 | 2000-09-19 | Moxtech | Broadband wire grid polarizer for the visible spectrum |
| US6534798B1 (en) * | 1999-09-08 | 2003-03-18 | California Institute Of Technology | Surface plasmon enhanced light emitting diode and method of operation for the same |
| US6287882B1 (en) * | 1999-10-04 | 2001-09-11 | Visual Photonics Epitaxy Co., Ltd. | Light emitting diode with a metal-coated reflective permanent substrate and the method for manufacturing the same |
| US6614056B1 (en) * | 1999-12-01 | 2003-09-02 | Cree Lighting Company | Scalable led with improved current spreading structures |
| US6410942B1 (en) * | 1999-12-03 | 2002-06-25 | Cree Lighting Company | Enhanced light extraction through the use of micro-LED arrays |
| US6627521B2 (en) * | 1999-12-21 | 2003-09-30 | Kabushiki Kaisha Toshiba | Semiconductor light emitting element and manufacturing method thereof |
| US6573537B1 (en) * | 1999-12-22 | 2003-06-03 | Lumileds Lighting, U.S., Llc | Highly reflective ohmic contacts to III-nitride flip-chip LEDs |
| US6690268B2 (en) * | 2000-03-02 | 2004-02-10 | Donnelly Corporation | Video mirror systems incorporating an accessory module |
| US6677173B2 (en) * | 2000-03-28 | 2004-01-13 | Pioneer Corporation | Method of manufacturing a nitride semiconductor laser with a plated auxiliary metal substrate |
| US6426515B2 (en) * | 2000-04-21 | 2002-07-30 | Fujitsu Limited | Semiconductor light-emitting device |
| US6924136B2 (en) * | 2000-05-23 | 2005-08-02 | Nihon Shokuhin Kako Co. Ltd. | Cyclodextrin glucanotransferase and its method of manufacture |
| US20020110172A1 (en) * | 2000-06-02 | 2002-08-15 | Ghulam Hasnain | Efficiency GaN-based light emitting devices |
| US6613610B2 (en) * | 2000-07-18 | 2003-09-02 | Sony Corporation | Image display unit and method of producing image display unit |
| US6410348B1 (en) * | 2000-07-20 | 2002-06-25 | United Epitaxxy Company, Ltd. | Interface texturing for light-emitting device |
| US20040033638A1 (en) * | 2000-10-17 | 2004-02-19 | Stefan Bader | Method for fabricating a semiconductor component based on GaN |
| US6465808B2 (en) * | 2000-11-24 | 2002-10-15 | Highlink Technology Corporation | Method and structure for forming an electrode on a light emitting device |
| US20020115265A1 (en) * | 2000-12-14 | 2002-08-22 | Toshiaki Iwafuchi | Method of transferring a device, a method of producing a device holding substrate, and a device holding substrate |
| US6891203B2 (en) * | 2001-01-10 | 2005-05-10 | Toyoda Gosei Co., Ltd. | Light emitting device |
| US20040027062A1 (en) * | 2001-01-16 | 2004-02-12 | General Electric Company | Organic electroluminescent device with a ceramic output coupler and method of making the same |
| US6794684B2 (en) * | 2001-02-01 | 2004-09-21 | Cree, Inc. | Reflective ohmic contacts for silicon carbide including a layer consisting essentially of nickel, methods of fabricating same, and light emitting devices including the same |
| US6791119B2 (en) * | 2001-02-01 | 2004-09-14 | Cree, Inc. | Light emitting diodes including modifications for light extraction |
| US6468824B2 (en) * | 2001-03-22 | 2002-10-22 | Uni Light Technology Inc. | Method for forming a semiconductor device having a metallic substrate |
| US6522063B2 (en) * | 2001-03-28 | 2003-02-18 | Epitech Corporation | Light emitting diode |
| US6872635B2 (en) * | 2001-04-11 | 2005-03-29 | Sony Corporation | Device transferring method, and device arraying method and image display unit fabricating method using the same |
| US6574383B1 (en) * | 2001-04-30 | 2003-06-03 | Massachusetts Institute Of Technology | Input light coupler using a pattern of dielectric contrast distributed in at least two dimensions |
| US20040144985A1 (en) * | 2001-06-25 | 2004-07-29 | Zhibo Zhang | Optoelectronic devices having arrays of quantum-dot compound semiconductor superlattices therein |
| US6900587B2 (en) * | 2001-06-28 | 2005-05-31 | Toyoda Gosei Co., Ltd. | Light-emitting diode |
| US20050019971A1 (en) * | 2001-07-23 | 2005-01-27 | Slater David B. | Methods of fabricating light emitting devices using mesa regions and passivation layers |
| US6740906B2 (en) * | 2001-07-23 | 2004-05-25 | Cree, Inc. | Light emitting diodes including modifications for submount bonding |
| US6861335B2 (en) * | 2001-11-13 | 2005-03-01 | Matsushita Electric Industrial Co., Ltd. | Method for fabricating a semiconductor device that includes light beam irradiation to separate a semiconductor layer from a single crystal substrate |
| US6881261B2 (en) * | 2001-11-13 | 2005-04-19 | Matsushita Electric Industrial Co., Ltd. | Method for fabricating semiconductor device |
| US6784027B2 (en) * | 2001-11-30 | 2004-08-31 | Osram Opto Semiconductors Gmbh | Light-emitting semiconductor component |
| US20050112886A1 (en) * | 2001-12-28 | 2005-05-26 | Kabushiki Kaisha Toshiba | Light-emitting device and method for manufacturing the same |
| US6791117B2 (en) * | 2002-01-15 | 2004-09-14 | Kabushiki Kaisha Toshiba | Semiconductor light emission device and manufacturing method thereof |
| US20030141563A1 (en) * | 2002-01-28 | 2003-07-31 | Bily Wang | Light emitting diode package with fluorescent cover |
| US6946683B2 (en) * | 2002-01-28 | 2005-09-20 | Nichia Corporation | Opposed terminal structure having a nitride semiconductor element |
| US20030141507A1 (en) * | 2002-01-28 | 2003-07-31 | Krames Michael R. | LED efficiency using photonic crystal structure |
| US20030143772A1 (en) * | 2002-01-30 | 2003-07-31 | United Epitaxy Co., Ltd. | High efficiency light emitting diode and method of making the same |
| US20030164679A1 (en) * | 2002-02-27 | 2003-09-04 | Takafumi Hamano | Organic electroluminescence element and image forming apparatus or portable terminal unit using thereof |
| US6943379B2 (en) * | 2002-04-04 | 2005-09-13 | Toyoda Gosei Co., Ltd. | Light emitting diode |
| US6849558B2 (en) * | 2002-05-22 | 2005-02-01 | The Board Of Trustees Of The Leland Stanford Junior University | Replication and transfer of microstructures and nanostructures |
| US6878969B2 (en) * | 2002-07-29 | 2005-04-12 | Matsushita Electric Works, Ltd. | Light emitting device |
| US20040043524A1 (en) * | 2002-08-28 | 2004-03-04 | Arima Optoelectronics Corp. | Method for fabricating light emitting diode with transparent substrate |
| US6762069B2 (en) * | 2002-11-19 | 2004-07-13 | United Epitaxy Company, Ltd. | Method for manufacturing light-emitting element on non-transparent substrate |
| US20040110856A1 (en) * | 2002-12-04 | 2004-06-10 | Young Jung Gun | Polymer solution for nanoimprint lithography to reduce imprint temperature and pressure |
| US20040130263A1 (en) * | 2003-01-02 | 2004-07-08 | Ray-Hua Horng | High brightness led and method for producing the same |
| US20040182914A1 (en) * | 2003-03-19 | 2004-09-23 | Emcore Corporation | Flip-chip light emitting diode with a thermally stable multiple layer reflective p-type contact |
| US20050191419A1 (en) * | 2003-04-11 | 2005-09-01 | Helt James M. | Fabrication of nanostructures |
| US20050051787A1 (en) * | 2003-04-15 | 2005-03-10 | Luminus Devices, Inc., A Delaware Corporation | Light emitting devices |
| US20050087754A1 (en) * | 2003-04-15 | 2005-04-28 | Erchak Alexei A. | Light emitting systems |
| US20050087757A1 (en) * | 2003-04-15 | 2005-04-28 | Luminus Devices, Inc., A Delaware Corporation | Light emitting devices |
| US20050051785A1 (en) * | 2003-04-15 | 2005-03-10 | Erchak Alexei A. | Electronic device contact structures |
| US20050040424A1 (en) * | 2003-04-15 | 2005-02-24 | Erchak Alexei A. | Light emitting diode systems |
| US20050042845A1 (en) * | 2003-07-14 | 2005-02-24 | Wolfram Urbanek | Methods of processing of gallium nitride |
| US7015117B2 (en) * | 2003-07-14 | 2006-03-21 | Allegis Technologies, Inc. | Methods of processing of gallium nitride |
| US6847057B1 (en) * | 2003-08-01 | 2005-01-25 | Lumileds Lighting U.S., Llc | Semiconductor light emitting devices |
| US20050059178A1 (en) * | 2003-09-17 | 2005-03-17 | Erchak Alexei A. | Light emitting device processes |
| US20050059179A1 (en) * | 2003-09-17 | 2005-03-17 | Erchak Alexei A. | Light emitting device processes |
| US20050082545A1 (en) * | 2003-10-21 | 2005-04-21 | Wierer Jonathan J.Jr. | Photonic crystal light emitting device |
| US20050127375A1 (en) * | 2003-12-12 | 2005-06-16 | Erchak Alexei A. | Optical display systems and methods |
| US20050205883A1 (en) * | 2004-03-19 | 2005-09-22 | Wierer Jonathan J Jr | Photonic crystal light emitting device |
Cited By (152)
| Publication number | Priority date | Publication date | Assignee | Title |
|---|---|---|---|---|
| US8294172B2 (en) | 2002-04-09 | 2012-10-23 | Lg Electronics Inc. | Method of fabricating vertical devices using a metal support film |
| US20100308368A1 (en) * | 2002-04-09 | 2010-12-09 | Jong-Lam Lee | Method of fabricating vertical structure leds |
| US9000477B2 (en) | 2002-04-09 | 2015-04-07 | Lg Innotek Co., Ltd. | Vertical topology light-emitting device |
| US8896017B2 (en) | 2002-04-09 | 2014-11-25 | Lg Innotek Co., Ltd. | Vertical structure LEDs |
| US9224907B2 (en) | 2002-04-09 | 2015-12-29 | Lg Innotek Co., Ltd. | Vertical structure LEDs |
| US8809898B2 (en) | 2002-04-09 | 2014-08-19 | Lg Innotek Co., Ltd. | Method of fabricating vertical structure LEDs |
| US20060097277A1 (en) * | 2002-04-09 | 2006-05-11 | Yoo Myung C | Method of fabricating vertical devices using a metal support film |
| US20060099730A1 (en) * | 2002-04-09 | 2006-05-11 | Lg Electronics Inc. | Method of fabricating vertical structure LEDs |
| US8669587B2 (en) | 2002-04-09 | 2014-03-11 | Lg Innotek Co., Ltd. | Vertical topology light emitting device |
| US20090278161A1 (en) * | 2002-04-09 | 2009-11-12 | Jong-Lam Lee | Method of fabricating vertical structure LEDs |
| US9472727B2 (en) | 2002-04-09 | 2016-10-18 | Lg Innotek Co., Ltd. | Vertical structure LEDs |
| US9478709B2 (en) | 2002-04-09 | 2016-10-25 | Lg Innotek Co., Ltd. | Vertical topology light emitting device |
| US7588952B2 (en) | 2002-04-09 | 2009-09-15 | Lg Electronics Inc. | Method of fabricating vertical structure LEDs |
| US8564016B2 (en) | 2002-04-09 | 2013-10-22 | Lg Electronics Inc. | Vertical topology light emitting device |
| US9847455B2 (en) | 2002-04-09 | 2017-12-19 | Lg Innotek Co., Ltd. | Vertical topology light emitting device |
| US20060244001A1 (en) * | 2002-04-09 | 2006-11-02 | Lg Electronic Inc. | Method of fabricating vertical structure LEDs |
| US9882084B2 (en) | 2002-04-09 | 2018-01-30 | Lg Innotek Co., Ltd. | Vertical structure LEDs |
| US10147847B2 (en) | 2002-04-09 | 2018-12-04 | Lg Innotek Co., Ltd. | Vertical topology light emitting device |
| US7576368B2 (en) | 2002-04-09 | 2009-08-18 | Lg Electronics Inc. | Method of fabricating vertical structure LEDs |
| US20070018173A1 (en) * | 2002-04-09 | 2007-01-25 | Yoo Myung C | Method of fabricating vertical devices using a metal support film |
| US7569865B2 (en) | 2002-04-09 | 2009-08-04 | Lg Electronics Inc. | Method of fabricating vertical structure LEDs |
| US8384120B2 (en) | 2002-04-09 | 2013-02-26 | Lg Electronics Inc. | Method of fabricating vertical structure LEDs |
| US8368115B2 (en) | 2002-04-09 | 2013-02-05 | Lg Electronics Inc. | Method of fabricating vertical devices using a metal support film |
| US10243101B2 (en) | 2002-04-09 | 2019-03-26 | Lg Innotek Co., Ltd. | Vertical structure LEDs |
| US20050098792A1 (en) * | 2002-04-09 | 2005-05-12 | Jong-Lam Lee | Method of fabricating vertical structure LEDs |
| US9209360B2 (en) | 2002-04-09 | 2015-12-08 | Lg Innotek Co., Ltd. | Vertical topology light-emitting device |
| US20070295986A1 (en) * | 2002-04-09 | 2007-12-27 | Jong-Lam Lee | Method of fabricating vertical structure LEDs |
| US20080001166A1 (en) * | 2002-04-09 | 2008-01-03 | Jong-Lam Lee | Method of fabricating vertical structure leds |
| US20080064132A1 (en) * | 2002-04-09 | 2008-03-13 | Yoo Myung C | Method of fabricating vertical devices using a metal support film |
| US7563629B2 (en) * | 2002-04-09 | 2009-07-21 | Lg Electronics Inc. | Method of fabricating vertical structure LEDs |
| US7772020B2 (en) | 2002-04-09 | 2010-08-10 | Lg Electronics Inc. | Method of fabricating vertical devices using a metal support film |
| US10453998B2 (en) | 2002-04-09 | 2019-10-22 | Lg Innotek Co. Ltd. | Vertical topology light emitting device |
| US10453993B1 (en) | 2002-04-09 | 2019-10-22 | Lg Innotek Co., Ltd. | Vertical structure LEDs |
| US8106417B2 (en) | 2002-04-09 | 2012-01-31 | Lg Electronics Inc. | Vertical topology light emitting device using a conductive support structure |
| US8022386B2 (en) | 2002-04-09 | 2011-09-20 | Lg Electronics Inc. | Vertical topology light emitting device |
| US7462881B2 (en) | 2002-04-09 | 2008-12-09 | Lg Electronics Inc. | Method of fabricating vertical structure LEDs |
| US10461217B2 (en) | 2002-04-09 | 2019-10-29 | Lg Innotek Co., Ltd. | Vertical structure LEDs |
| US7816705B2 (en) | 2002-04-09 | 2010-10-19 | Lg Electronics Inc. | Method of fabricating vertical structure LEDs |
| US10644200B2 (en) | 2002-04-09 | 2020-05-05 | Lg Innotek Co., Ltd. | Vertical topology light emitting device |
| US7928465B2 (en) | 2002-04-09 | 2011-04-19 | Lg Electronics Inc. | Method of fabricating vertical structure LEDs |
| US10600933B2 (en) | 2002-04-09 | 2020-03-24 | Lg Innotek Co., Ltd. | Vertical structure LEDs |
| US10825962B2 (en) | 2002-06-26 | 2020-11-03 | Lg Innotek Co., Ltd. | Thin film light emitting diode |
| US8288787B2 (en) | 2002-06-26 | 2012-10-16 | Lg Electronics, Inc. | Thin film light emitting diode |
| US7956364B2 (en) | 2002-06-26 | 2011-06-07 | Lg Electronics Inc. | Thin film light emitting diode |
| US8207552B2 (en) | 2002-06-26 | 2012-06-26 | Lg Electronics Inc. | Thin film light emitting diode |
| US10326059B2 (en) | 2002-06-26 | 2019-06-18 | Lg Innotek Co., Ltd. | Thin film light emitting diode |
| US8384091B2 (en) | 2002-06-26 | 2013-02-26 | Lg Electronics Inc. | Thin film light emitting diode |
| US8445921B2 (en) | 2002-06-26 | 2013-05-21 | Lg Electronics, Inc. | Thin film light emitting diode |
| US9716213B2 (en) | 2002-06-26 | 2017-07-25 | Lg Innotek Co., Ltd. | Thin film light emitting diode |
| US9281454B2 (en) | 2002-06-26 | 2016-03-08 | Lg Innotek Co., Ltd. | Thin film light emitting diode |
| US7719019B2 (en) | 2003-04-15 | 2010-05-18 | Luminus Devices, Inc. | Light emitting devices |
| US7166871B2 (en) | 2003-04-15 | 2007-01-23 | Luminus Devices, Inc. | Light emitting systems |
| US20050208689A1 (en) * | 2003-04-15 | 2005-09-22 | Luminus Devices, Inc., A Delaware Corporation | Light emitting devices |
| US9219200B2 (en) | 2003-04-15 | 2015-12-22 | Luminus Devices, Inc. | Large emission area light-emitting devices |
| US7733007B2 (en) | 2003-04-15 | 2010-06-08 | Luminus Devices, Inc. | Patterned light emitting devices |
| US7737450B2 (en) | 2003-04-15 | 2010-06-15 | Luminus Devices, Inc. | Light emitting diode systems |
| US7074631B2 (en) | 2003-04-15 | 2006-07-11 | Luminus Devices, Inc. | Light emitting device methods |
| US7799585B2 (en) | 2003-04-15 | 2010-09-21 | Luminus Devices, Inc. | Light emitting device methods |
| US7521854B2 (en) | 2003-04-15 | 2009-04-21 | Luminus Devices, Inc. | Patterned light emitting devices and extraction efficiencies related to the same |
| US7521273B2 (en) | 2003-04-15 | 2009-04-21 | Luminus Devices, Inc. | Light emitting device methods |
| US7083993B2 (en) * | 2003-04-15 | 2006-08-01 | Luminus Devices, Inc. | Methods of making multi-layer light emitting devices |
| US7915679B2 (en) | 2003-04-15 | 2011-03-29 | Luminus Devices, Inc. | Light-emitting devices including a nonperiodic pattern |
| US7504669B2 (en) | 2003-04-15 | 2009-03-17 | Luminus Devices, Inc. | Light emitting devices |
| US7084434B2 (en) | 2003-04-15 | 2006-08-01 | Luminus Devices, Inc. | Uniform color phosphor-coated light-emitting diode |
| US7495260B2 (en) | 2003-04-15 | 2009-02-24 | Luminus Devices, Inc. | Light emitting devices |
| US7098589B2 (en) | 2003-04-15 | 2006-08-29 | Luminus Devices, Inc. | Light emitting devices with high light collimation |
| US7105861B2 (en) | 2003-04-15 | 2006-09-12 | Luminus Devices, Inc. | Electronic device contact structures |
| US7482640B2 (en) | 2003-04-15 | 2009-01-27 | Luminus Devices, Inc. | Electronic device contact structures |
| US8513692B2 (en) | 2003-04-15 | 2013-08-20 | Luminus Devices, Inc. | Light emitting devices |
| US7138666B2 (en) | 2003-04-15 | 2006-11-21 | Luminus Devices, Inc. | Light emitting devices |
| US7994521B2 (en) | 2003-04-15 | 2011-08-09 | Luminus Devices, Inc. | Light emitting devices |
| US7459845B2 (en) | 2003-04-15 | 2008-12-02 | Luminus Devices, Inc. | Light emitting devices |
| US8072134B2 (en) | 2003-04-15 | 2011-12-06 | Luminus Devices, Inc. | Light-emitting devices |
| US7667238B2 (en) | 2003-04-15 | 2010-02-23 | Luminus Devices, Inc. | Light emitting devices for liquid crystal displays |
| US7166870B2 (en) | 2003-04-15 | 2007-01-23 | Luminus Devices, Inc. | Light emitting devices with improved extraction efficiency |
| US7417367B2 (en) | 2003-04-15 | 2008-08-26 | Luminus Devices, Inc. | Patterned light emitting devices |
| US20050087754A1 (en) * | 2003-04-15 | 2005-04-28 | Erchak Alexei A. | Light emitting systems |
| US8405298B2 (en) | 2003-04-15 | 2013-03-26 | Luminus Devices, Inc. | Large emission area light-emitting devices |
| US8217415B2 (en) | 2003-04-15 | 2012-07-10 | Luminus Devices, Inc. | Electronic device contact structures |
| US7211831B2 (en) | 2003-04-15 | 2007-05-01 | Luminus Devices, Inc. | Light emitting device with patterned surfaces |
| US7345416B2 (en) | 2003-04-15 | 2008-03-18 | Luminus Devices, Inc. | Patterned light emitting devices |
| US7301271B2 (en) | 2003-04-15 | 2007-11-27 | Luminus Devices, Inc. | Light-emitting devices with high light collimation |
| US7274043B2 (en) | 2003-04-15 | 2007-09-25 | Luminus Devices, Inc. | Light emitting diode systems |
| US7262550B2 (en) | 2003-04-15 | 2007-08-28 | Luminus Devices, Inc. | Light emitting diode utilizing a physical pattern |
| US7344903B2 (en) | 2003-09-17 | 2008-03-18 | Luminus Devices, Inc. | Light emitting device processes |
| US7934841B2 (en) | 2003-12-12 | 2011-05-03 | Luminus Devices, Inc. | Optical display systems and methods |
| US8251520B2 (en) | 2003-12-12 | 2012-08-28 | Luminus Devices, Inc. | Optical display systems and methods |
| US7450311B2 (en) | 2003-12-12 | 2008-11-11 | Luminus Devices, Inc. | Optical display systems and methods |
| US7535645B2 (en) | 2003-12-12 | 2009-05-19 | Luminus Devices, Inc. | Optical display systems and methods |
| US20050202350A1 (en) * | 2004-03-13 | 2005-09-15 | Colburn Matthew E. | Method for fabricating dual damascene structures using photo-imprint lithography, methods for fabricating imprint lithography molds for dual damascene structures, materials for imprintable dielectrics and equipment for photo-imprint lithography used in dual damascene patterning |
| US7435074B2 (en) * | 2004-03-13 | 2008-10-14 | International Business Machines Corporation | Method for fabricating dual damascence structures using photo-imprint lithography, methods for fabricating imprint lithography molds for dual damascene structures, materials for imprintable dielectrics and equipment for photo-imprint lithography used in dual damascence patterning |
| US20080303160A1 (en) * | 2004-03-13 | 2008-12-11 | Colburn Matthew E | Method for fabricating dual damascene structures using photo-imprint lithography, methods for fabricating imprint lithography molds for dual damascene structures, materials for imprintable dielectrics and equipment for photo-imprint lithography used in dual damascene patterning |
| US7982312B2 (en) * | 2004-03-13 | 2011-07-19 | International Business Machines Corporation | Method for fabricating dual damascene structures using photo-imprint lithography, methods for fabricating imprint lithography molds for dual damascene structures, materials for imprintable dielectrics and equipment for photo-imprint lithography used in dual damascene patterning |
| US8426872B2 (en) | 2004-08-20 | 2013-04-23 | Luminus Devices, Inc. | Light emitting diode systems including optical display systems having a microdisplay |
| US20060043400A1 (en) * | 2004-08-31 | 2006-03-02 | Erchak Alexei A | Polarized light emitting device |
| US20060240585A1 (en) * | 2004-10-28 | 2006-10-26 | Philips Lumileds Lighting Company, Llc | Package-Integrated Thin Film LED |
| US7488621B2 (en) | 2004-10-28 | 2009-02-10 | Philips Lumileds Lighting Company, Llc | Package-integrated thin film LED |
| US20110084301A1 (en) * | 2004-10-28 | 2011-04-14 | Koninklijke Philips Electronics N.V. | Package-integrated thin film led |
| US7875533B2 (en) | 2004-10-28 | 2011-01-25 | Koninklijke Philips Electronics N.V. | Package-integrated thin film LED |
| US7256483B2 (en) | 2004-10-28 | 2007-08-14 | Philips Lumileds Lighting Company, Llc | Package-integrated thin film LED |
| US20060091409A1 (en) * | 2004-10-28 | 2006-05-04 | John Epler | Package-integrated thin film LED |
| US8455913B2 (en) | 2004-10-28 | 2013-06-04 | Phiips Lumileds Lighting Company LLC | Package-integrated thin film LED |
| US20100041170A1 (en) * | 2004-10-28 | 2010-02-18 | Philips Lumileds Lighting Company, Llc | Package-Integrated Thin Film LED |
| US20060163590A1 (en) * | 2005-01-21 | 2006-07-27 | Erchak Alexei A | Packaging designs for LEDs |
| US7692207B2 (en) | 2005-01-21 | 2010-04-06 | Luminus Devices, Inc. | Packaging designs for LEDs |
| US7170100B2 (en) | 2005-01-21 | 2007-01-30 | Luminus Devices, Inc. | Packaging designs for LEDs |
| US8162526B2 (en) | 2005-08-23 | 2012-04-24 | Rambus International Ltd. | Light-emitting devices for liquid crystal displays |
| US8455285B2 (en) | 2007-03-20 | 2013-06-04 | Luminus Devices, Inc. | Laser liftoff structure and related methods |
| US8815622B2 (en) | 2007-03-20 | 2014-08-26 | Luminus Devices, Inc. | Laser liftoff structure and related methods |
| US8110425B2 (en) | 2007-03-20 | 2012-02-07 | Luminus Devices, Inc. | Laser liftoff structure and related methods |
| US20090035885A1 (en) * | 2007-05-30 | 2009-02-05 | Luminus Devices, Inc. | Methods of forming light-emitting structures |
| US8278190B2 (en) | 2007-05-30 | 2012-10-02 | Luminus Devices, Inc. | Methods of forming light-emitting structures |
| US10373939B2 (en) | 2009-10-13 | 2019-08-06 | Skorpios Technologies, Inc. | Hybrid integrated optical device |
| US12444723B2 (en) | 2009-10-13 | 2025-10-14 | Skorpios Technologies, Inc. | Heterogeneous bonding for photonic integration |
| US11482513B2 (en) | 2009-10-13 | 2022-10-25 | Skorpios Technologies, Inc. | Heterogeneous substrate bonding for photonic integration |
| US8867578B2 (en) | 2009-10-13 | 2014-10-21 | Skorpios Technologies, Inc. | Method and system for hybrid integration of a tunable laser for a cable TV transmitter |
| US9709735B2 (en) | 2009-10-13 | 2017-07-18 | Skorpios Technologies, Inc. | Method and system for heterogeneous substrate bonding for photonic integration |
| US8605766B2 (en) | 2009-10-13 | 2013-12-10 | Skorpios Technologies, Inc. | Method and system for hybrid integration of a tunable laser and a mach zehnder modulator |
| US9190400B2 (en) | 2009-10-13 | 2015-11-17 | Skorpios Technologies, Inc. | Method and system for heterogeneous substrate bonding for photonic integration |
| US8559470B2 (en) | 2009-10-13 | 2013-10-15 | Skorpios Technologies, Inc. | Method and system for hybrid integration of a tunable laser and a phase modulator |
| US12287510B2 (en) | 2009-10-13 | 2025-04-29 | Skorpios Technologies, Inc. | Integration of an unprocessed, direct-bandgap chip into a silicon photonic device |
| US20110085572A1 (en) * | 2009-10-13 | 2011-04-14 | Skorpios Technologies, Inc. | Method and system for hybrid integration of a tunable laser |
| US20110085577A1 (en) * | 2009-10-13 | 2011-04-14 | Skorpios Technologies, Inc. | Method and system of heterogeneous substrate bonding for photonic integration |
| US8611388B2 (en) * | 2009-10-13 | 2013-12-17 | Skorpios Technologies, Inc. | Method and system for heterogeneous substrate bonding of waveguide receivers |
| US8630326B2 (en) * | 2009-10-13 | 2014-01-14 | Skorpios Technologies, Inc. | Method and system of heterogeneous substrate bonding for photonic integration |
| US20120057816A1 (en) * | 2009-10-13 | 2012-03-08 | Skorpios Techologies, Inc. | Method and system for heterogeneous substrate bonding of waveguide receivers |
| US11181688B2 (en) | 2009-10-13 | 2021-11-23 | Skorpios Technologies, Inc. | Integration of an unprocessed, direct-bandgap chip into a silicon photonic device |
| US8615025B2 (en) | 2009-10-13 | 2013-12-24 | Skorpios Technologies, Inc. | Method and system for hybrid integration of a tunable laser |
| US20110180808A1 (en) * | 2010-01-28 | 2011-07-28 | Abdo David F | Method of making a mounted gallium nitride device |
| US8318545B2 (en) * | 2010-01-28 | 2012-11-27 | Freescale Semiconductor, Inc. | Method of making a mounted gallium nitride device |
| US9558954B2 (en) | 2010-04-22 | 2017-01-31 | Luminus Devices, Inc. | Selective wet etching and textured surface planarization processes |
| US11183492B2 (en) | 2010-12-08 | 2021-11-23 | Skorpios Technologies, Inc. | Multilevel template assisted wafer bonding |
| US9977188B2 (en) | 2011-08-30 | 2018-05-22 | Skorpios Technologies, Inc. | Integrated photonics mode expander |
| US10895686B2 (en) | 2011-08-30 | 2021-01-19 | Skorpios Technologies, Inc. | Integrated photonics mode expander |
| US20130161669A1 (en) * | 2011-12-23 | 2013-06-27 | Fu-Bang CHEN | Light-emitting diode with current diffusion structure and a method for fabricating the same |
| US9923105B2 (en) | 2013-10-09 | 2018-03-20 | Skorpios Technologies, Inc. | Processing of a direct-bandgap chip after bonding to a silicon photonic device |
| US9882073B2 (en) | 2013-10-09 | 2018-01-30 | Skorpios Technologies, Inc. | Structures for bonding a direct-bandgap chip to a silicon photonic device |
| US9316785B2 (en) | 2013-10-09 | 2016-04-19 | Skorpios Technologies, Inc. | Integration of an unprocessed, direct-bandgap chip into a silicon photonic device |
| US9496431B2 (en) | 2013-10-09 | 2016-11-15 | Skorpios Technologies, Inc. | Coplanar integration of a direct-bandgap chip into a silicon photonic device |
| US10088629B2 (en) | 2014-03-07 | 2018-10-02 | Skorpios Technologies, Inc. | Wide shoulder, high order mode filter for thick-silicon waveguides |
| US10295746B2 (en) | 2014-03-07 | 2019-05-21 | Skorpios Technologies, Inc. | Wide shoulder, high order mode filter for thick-silicon waveguides |
| US10003173B2 (en) | 2014-04-23 | 2018-06-19 | Skorpios Technologies, Inc. | Widely tunable laser control |
| US9885832B2 (en) | 2014-05-27 | 2018-02-06 | Skorpios Technologies, Inc. | Waveguide mode expander using amorphous silicon |
| US10001600B2 (en) | 2014-05-27 | 2018-06-19 | Skorpios Technologies, Inc. | Waveguide mode expander having an amorphous-silicon shoulder |
| US10345521B2 (en) | 2014-05-27 | 2019-07-09 | Skorpios Technologies, Inc. | Method of modifying mode size of an optical beam, using a waveguide mode expander having non-crystalline silicon features |
| US11409039B2 (en) | 2014-05-27 | 2022-08-09 | Skorpios Technologies, Inc. | Waveguide mode expander having non-crystalline silicon features |
| US9829631B2 (en) | 2015-04-20 | 2017-11-28 | Skorpios Technologies, Inc. | Vertical output couplers for photonic devices |
| US10132996B2 (en) | 2015-04-20 | 2018-11-20 | Skorpios Technologies, Inc. | Back side via vertical output couplers |
| US11079549B2 (en) | 2017-10-25 | 2021-08-03 | Skorpios Technologies, Inc. | Multistage spot size converter in silicon photonics |
| US10649148B2 (en) | 2017-10-25 | 2020-05-12 | Skorpios Technologies, Inc. | Multistage spot size converter in silicon photonics |
| US11360263B2 (en) | 2019-01-31 | 2022-06-14 | Skorpios Technologies. Inc. | Self-aligned spot size converter |
| US11042098B2 (en) * | 2019-02-15 | 2021-06-22 | Applied Materials, Inc. | Large area high resolution feature reduction lithography technique |
Also Published As
| Publication number | Publication date |
|---|---|
| TWI350008B (en) | 2011-10-01 |
| WO2004093142A2 (en) | 2004-10-28 |
| US20090137072A1 (en) | 2009-05-28 |
| US7799585B2 (en) | 2010-09-21 |
| WO2004093142A3 (en) | 2005-04-14 |
| US20060141648A1 (en) | 2006-06-29 |
| US7521273B2 (en) | 2009-04-21 |
| TW200501455A (en) | 2005-01-01 |
Similar Documents
| Publication | Publication Date | Title |
|---|---|---|
| US7521273B2 (en) | Light emitting device methods | |
| US7074631B2 (en) | Light emitting device methods | |
| US7166871B2 (en) | Light emitting systems | |
| US8217415B2 (en) | Electronic device contact structures | |
| US8251520B2 (en) | Optical display systems and methods | |
| US7737450B2 (en) | Light emitting diode systems | |
| US7341880B2 (en) | Light emitting device processes | |
| US7344903B2 (en) | Light emitting device processes | |
| US8426872B2 (en) | Light emitting diode systems including optical display systems having a microdisplay | |
| US20060043400A1 (en) | Polarized light emitting device | |
| US20090023239A1 (en) | Light emitting device processes | |
| WO2005060586A2 (en) | Electronic device contact structures |
Legal Events
| Date | Code | Title | Description |
|---|---|---|---|
| AS | Assignment |
Owner name: LUMINUS DEVICES, INC., MASSACHUSETTS Free format text: ASSIGNMENT OF ASSIGNORS INTEREST;ASSIGNORS:ERCHAK, ALEXEI A.;GRAFF, JOHN W.;BROWN, MICHAEL GREGORY;AND OTHERS;REEL/FRAME:015308/0976 Effective date: 20040430 |
|
| STCB | Information on status: application discontinuation |
Free format text: ABANDONED -- FAILURE TO RESPOND TO AN OFFICE ACTION |



