US20040224932A1 - Novel anti-inflammatory androstane derivative compositions - Google Patents
Novel anti-inflammatory androstane derivative compositions Download PDFInfo
- Publication number
- US20040224932A1 US20040224932A1 US10/863,878 US86387804A US2004224932A1 US 20040224932 A1 US20040224932 A1 US 20040224932A1 US 86387804 A US86387804 A US 86387804A US 2004224932 A1 US2004224932 A1 US 2004224932A1
- Authority
- US
- United States
- Prior art keywords
- composition
- compound
- formula
- crystalline
- guest molecule
- Prior art date
- Legal status (The legal status is an assumption and is not a legal conclusion. Google has not performed a legal analysis and makes no representation as to the accuracy of the status listed.)
- Abandoned
Links
- XTULMSXFIHGYFS-KIFIMYBHSA-N C[C@@H]1CC2C3C[C@H](F)C4=CC(=O)C=C[C@]4(C)[C@@]3(F)[C@@H](O)C[C@]2(C)[C@@]1(OC(=O)C1=CC=CO1)C(=O)SCF Chemical compound C[C@@H]1CC2C3C[C@H](F)C4=CC(=O)C=C[C@]4(C)[C@@]3(F)[C@@H](O)C[C@]2(C)[C@@]1(OC(=O)C1=CC=CO1)C(=O)SCF XTULMSXFIHGYFS-KIFIMYBHSA-N 0.000 description 30
- 0 C[C@](CC(C(C[C@@](C([C@]1(C)C=C2)=CC2=O)F)[C@@]11F)[C@]2(C)C[C@@]1O)[C@@]2(C(S*)=O)OC(c1ccc[o]1)=O Chemical compound C[C@](CC(C(C[C@@](C([C@]1(C)C=C2)=CC2=O)F)[C@@]11F)[C@]2(C)C[C@@]1O)[C@@]2(C(S*)=O)OC(c1ccc[o]1)=O 0.000 description 2
- CVSQHVBHCJNUBD-XXRYJQDHSA-M C[C@@H]1CC2C3C[C@H](F)C4=CC(=O)C=C[C@]4(C)[C@@]3(F)[C@@H](O)C[C@]2(C)[C@@]1(O)C(=O)CO.C[C@@H]1CC2C3C[C@H](F)C4=CC(=O)C=C[C@]4(C)[C@@]3(F)[C@@H](O)C[C@]2(C)[C@@]1(O)C(=O)O.C[C@@H]1CC2C3C[C@H](F)C4=CC(=O)C=C[C@]4(C)[C@@]3(F)[C@@H](O)C[C@]2(C)[C@@]1(O)C(=O)S.I[IH]I.[V].[V]I Chemical compound C[C@@H]1CC2C3C[C@H](F)C4=CC(=O)C=C[C@]4(C)[C@@]3(F)[C@@H](O)C[C@]2(C)[C@@]1(O)C(=O)CO.C[C@@H]1CC2C3C[C@H](F)C4=CC(=O)C=C[C@]4(C)[C@@]3(F)[C@@H](O)C[C@]2(C)[C@@]1(O)C(=O)O.C[C@@H]1CC2C3C[C@H](F)C4=CC(=O)C=C[C@]4(C)[C@@]3(F)[C@@H](O)C[C@]2(C)[C@@]1(O)C(=O)S.I[IH]I.[V].[V]I CVSQHVBHCJNUBD-XXRYJQDHSA-M 0.000 description 1
- GLAJUXBOZSWZMM-FULJYSEXSA-N C[C@@H]1CC2C3C[C@H](F)C4=CC(=O)C=C[C@]4(C)[C@@]3(F)[C@@H](O)C[C@]2(C)[C@@]1(O)C(=O)S Chemical compound C[C@@H]1CC2C3C[C@H](F)C4=CC(=O)C=C[C@]4(C)[C@@]3(F)[C@@H](O)C[C@]2(C)[C@@]1(O)C(=O)S GLAJUXBOZSWZMM-FULJYSEXSA-N 0.000 description 1
- QOANMINPJDURAZ-OIEIFHJGSA-N C[C@@H]1CC2C3C[C@H](F)C4=CC(=O)C=C[C@]4(C)[C@@]3(F)[C@@H](O)C[C@]2(C)[C@@]1(OC(=O)C1=CC=CO1)C(=O)O Chemical compound C[C@@H]1CC2C3C[C@H](F)C4=CC(=O)C=C[C@]4(C)[C@@]3(F)[C@@H](O)C[C@]2(C)[C@@]1(OC(=O)C1=CC=CO1)C(=O)O QOANMINPJDURAZ-OIEIFHJGSA-N 0.000 description 1
- CDZNLVUCJXQAPI-OIEIFHJGSA-N C[C@@H]1CC2C3C[C@H](F)C4=CC(=O)C=C[C@]4(C)[C@@]3(F)[C@@H](O)C[C@]2(C)[C@@]1(OC(=O)C1=CC=CO1)C(=O)S Chemical compound C[C@@H]1CC2C3C[C@H](F)C4=CC(=O)C=C[C@]4(C)[C@@]3(F)[C@@H](O)C[C@]2(C)[C@@]1(OC(=O)C1=CC=CO1)C(=O)S CDZNLVUCJXQAPI-OIEIFHJGSA-N 0.000 description 1
- IDGOYTOOZUPXJS-ACHNKDDYSA-N C[C@@H]1CC2C3C[C@H](F)C4=CC(=O)C=C[C@]4(C)[C@@]3(F)[C@@H](O)C[C@]2(C)[C@@]1(OC(=O)C1=CC=CO1)C(=O)SC(=O)C1=CC=CO1 Chemical compound C[C@@H]1CC2C3C[C@H](F)C4=CC(=O)C=C[C@]4(C)[C@@]3(F)[C@@H](O)C[C@]2(C)[C@@]1(OC(=O)C1=CC=CO1)C(=O)SC(=O)C1=CC=CO1 IDGOYTOOZUPXJS-ACHNKDDYSA-N 0.000 description 1
Images
Classifications
-
- C—CHEMISTRY; METALLURGY
- C07—ORGANIC CHEMISTRY
- C07J—STEROIDS
- C07J31/00—Normal steroids containing one or more sulfur atoms not belonging to a hetero ring
-
- A—HUMAN NECESSITIES
- A61—MEDICAL OR VETERINARY SCIENCE; HYGIENE
- A61P—SPECIFIC THERAPEUTIC ACTIVITY OF CHEMICAL COMPOUNDS OR MEDICINAL PREPARATIONS
- A61P29/00—Non-central analgesic, antipyretic or antiinflammatory agents, e.g. antirheumatic agents; Non-steroidal antiinflammatory drugs [NSAID]
-
- A—HUMAN NECESSITIES
- A61—MEDICAL OR VETERINARY SCIENCE; HYGIENE
- A61P—SPECIFIC THERAPEUTIC ACTIVITY OF CHEMICAL COMPOUNDS OR MEDICINAL PREPARATIONS
- A61P37/00—Drugs for immunological or allergic disorders
- A61P37/08—Antiallergic agents
-
- A—HUMAN NECESSITIES
- A61—MEDICAL OR VETERINARY SCIENCE; HYGIENE
- A61P—SPECIFIC THERAPEUTIC ACTIVITY OF CHEMICAL COMPOUNDS OR MEDICINAL PREPARATIONS
- A61P5/00—Drugs for disorders of the endocrine system
- A61P5/38—Drugs for disorders of the endocrine system of the suprarenal hormones
- A61P5/44—Glucocorticosteroids; Drugs increasing or potentiating the activity of glucocorticosteroids
-
- C—CHEMISTRY; METALLURGY
- C07—ORGANIC CHEMISTRY
- C07J—STEROIDS
- C07J17/00—Normal steroids containing carbon, hydrogen, halogen or oxygen, having an oxygen-containing hetero ring not condensed with the cyclopenta(a)hydrophenanthrene skeleton
Definitions
- the present invention relates to a novel composition containing an anti-inflammatory and anti-allergic compound of the androstane series and to processes for its preparation.
- the present invention also relates to pharmaceutical formulations containing the composition and to therapeutic uses thereof, particularly for the treatment of inflammatory and allergic conditions.
- Glucocorticoids which have anti-inflammatory properties are known and are widely used for the treatment of inflammatory disorders or diseases such as asthma and rhinitis.
- U.S. Pat. No. 4,335,121 discloses 6 ⁇ , 9 ⁇ -Difluoro-17 ⁇ -(1-oxopropoxy)-11 ⁇ -hydroxy-16 ⁇ -methyl-3-oxo-androsta-1,4-diene-17 ⁇ -carbothioic acid S-fluoromethyl ester (known by the generic name of fluticasone propionate) and derivatives thereof.
- fluticasone propionate known by the generic name of fluticasone propionate
- glucocorticoids include suppression of the Hypothalamic-Pituitary-Adrenal (HPA) axis, effects on bone growth in children and on bone density in the elderly, ocular complications (cataract formation and glaucoma) and skin atrophy.
- HPA Hypothalamic-Pituitary-Adrenal
- Certain glucocorticoid compounds also have complex paths of metabolism wherein the production of active metabolites may make the pharmacodynamics and pharmacokinetics of such compounds difficult to understand. Whilst the modern steroids are very much safer than those originally introduced, it remains an object of research to produce new molecules which have excellent anti-inflammatory properties, with predictable pharmacokinetic and pharmacodynamic properties, with an attractive side effect profile, and with a convenient treatment regime.
- a crystalline chemical composition comprising a compound of formula (I)
- composition of the invention in which the crystal lattice is stabilised by the presence of a guest molecule, characterised in the crystalline composition is of space group P2 1 2 1 2 1 having unit cell dimensions of about 12.1 ⁇ 0.6 ⁇ , 14.9 ⁇ 0.7 ⁇ , and 16.2 ⁇ 0.8 ⁇ when determined at either 120K or 150K (hereinafter “a composition of the invention”)
- FIG. 1 shows the spacial arrangement of 4 molecules of steroid and 4 guests within a single unit cell for two example compositions
- FIG. 2A and FIG. 2B shows detail of the spacial arrangment between steroid and guest molecule for the same two example compositions.
- compositions of the invention when crystallographically pure also preferably exhibit one or more of the following 2 features when determined at ambient temperature (eg around 295K):
- both features are exhibited.
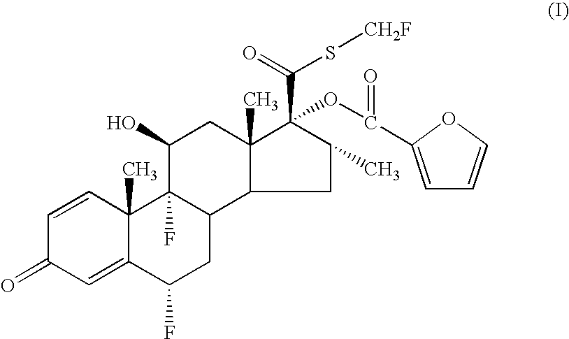
- the chemical name of the compound of formula (I) is 6 ⁇ , 9 ⁇ -Difluoro-17 ⁇ -[(2-furanylcarbonyl)oxy]-11 ⁇ -hydroxy-16 ⁇ -methyl-3-oxo-androsta-1,4-diene-17 ⁇ -carbothioic acid S-fluoromethyl ester.
- the compound of formula (I) and compositions thereof have potentially beneficial anti-inflammatory or anti-allergic effects, particularly upon topical administration, demonstrated by, for example, its ability to bind to the glucocorticoid receptor and to illicit a response via that receptor, with long acting effect.
- the compound of formula (I) and compositions thereof is useful in the treatment of inflammatory and/or allergic disorders, especially in once-per-day therapy.
- Space group P2 1 2 1 2 1 is characterised by angles of 90° being present in each of the 3 axes.
- the compound of formula (I) can form a crystalline composition of characteristic space group, unit cell dimensions and crystalline structure as evidenced by X-ray diffraction with a very wide range of guest molecules.
- the guest molecule preferably has a relative molecular weight in the range 16 to 150, more preferably 16 to 100, especially 40 to 100.
- the guest molecule is a liquid at ambient temperature and pressure (eg 295K, 1.013 ⁇ 10 5 Pa).
- guest molecules which are a liquid under pressure may also be capable of acting as a guest molecule (especially under pressurised conditions).
- Substances which are solids at ambient temperature and pressure are also included.
- the guest molecule preferably contains a moiety capable of acting as a hydrogen bond acceptor.
- moieties capable of acting as a hydrogen bond acceptor include carbonyl, sulphoxide, ether, —OH and amine groups (whether primary, secondary or tertiary amine groups) which moieties may form part of a carboxylic acid, ester or amide group.
- Moieties thioether and —SH may also be contemplated but are less preferred. Crystallographic studies have shown that a hydrogen bond acceptor on the guest is capable of interacting with the hydrogen atom of the C11 hydroxy on the compound of formula (I) thereby assisting the stabilisation of the crystal lattice (see in particular FIG. 2A and FIG. 2B).
- a hydrogen bond donor on the guest eg the hydrogen atom of an —OH moiety
- a hydrogen bond acceptor on the compound of formula (I) may be capable of interacting with the hydrogen bond acceptor on the compound of formula (I) thereby assisting the stabilisation of the crystal lattice.
- Suitable guest molecules include solvents e.g.:
- amide moiety containing substances such as: dimethyl acetamide, dimethyl formamide, N-methyl-2-pyrrolidinone;
- carbonyl moiety containing substances such as: acetone, methylethylketone, cyclopentanone;
- alcohols such as: ethanol, butan-1-ol, propan-1-ol, propan-2-ol;
- ethers such as: 1,4-dioxane, tetrahydrofuran;
- esters such as: ethylformate, methylacetate
- carboxylic acids such as: acetic acid;
- An example of a solid guest molecule is ⁇ -caprolactam.
- Preferred guest molecules are pharmaceutically acceptable substances and, as described below, compositions of the invention containing them may be used in therapy. However even if the guest molecule is not pharmaceutically acceptable then such compositions may be useful in the preparation of other compositions containing compound of formula (I), for example, other compositions of the invention containing guest molecules that are pharmaceutically acceptable or compound of formula (I) in unsolvated form.
- the composition is not an essentially stoichiometric composition containing as guest molecule one of the following:
- composition is not a composition containing as guest molecule one of the aforementioned substances having stoichiometry of compound of formula (I) to solvent of 0.95-1.05:1.
- the composition is not a composition containing as guest molecule ethanol, water or methyl acetate, more particularly the composition is not an essentially stoichiometric composition containing as guest molecule one of the aforementioned substances, especially a composition having stoichiometry of compound of formula (I) to solvent of 0.95-1.05:1.
- Preferred guest molecules include: cyclopentanone, dimethylsulfoxide, ethanol, propan-1-ol, butan-1-ol, 1,4-dioxane, ethyl formate, methyl acetate, water and acetic acid, particularly cyclopentanone, dimethylsulfoxide, propan-1-ol, 1,4-dioxane, ethyl formate, butan-1-ol and acetic acid.
- the stoichiometry of the composition will usually be such that the ratio of compound to formula (I) to guest molecule, in molar terms, is 1:2.0-0.3, more preferably 1:1.6-0.6, especially 1:1.2-0.8.
- composition of the invention has a crystal structure which is quite distinct from that of compound of formula (I) in the absence of a guest molecule, eg. the compound of formula (I) as unsolvated polymorph Form 1 which has a space group of P2 1 (i.e. two of the axis angles are 90°) and cell dimensions of 7.6, 14.1, 11.8 ⁇ when determined at 150K.
- a threshold level which will differ from guest to guest
- the crystal structure of the composition starts to break down and converts to that of the structure of an unsolvated compound of formula (I), typically unsolvated polymorph Form 1.
- FIG. 3 shows the evolution of the XRPD profile of the composition with acetone when subjected to heating, and its in conversion to unsolvated polymorph Form 1.
- compositions with acetone, dimethylformamide, tetrahydrofuran, N-methyl-2-pyrrolidinone and acetic acid are particularly stable when subjected to heating, requiring a temperature in excess of 95° C. to cause substantial loss of guest from the crystal lattice.
- the compositions with acetone, dimethylformamide and acetic acid required a temperature in excess of 125° C. to cause substantial loss of guest.
- the unit cell dimentions are about 12.1 ⁇ 0.6 ⁇ , 14.9 ⁇ 0.7 ⁇ , and 16.2 ⁇ 0.8 ⁇ when determined at 120K.
- the unit cell dimensions are about 12.1 ⁇ 0.4 ⁇ , 14.9 ⁇ 0.6 ⁇ , and 16.2 ⁇ 0.7 ⁇ when determined at either 120K or 150K, especially when determined at 120K.
- Table 1 shows the unit cell dimensions and peak positions for a number of example compositions: TABLE 1 Guest molecule Unit cell dimensions Peak positions Ethanol A 12.2 15.2 15.5 8.2 9.3 10.9 15.4 21.8 Propan-1-ol A 12.4 15.4 15.5 8.1 9.1 10.8 15.3 21.6 Propan-2-ol A 12.3 15.1 15.7 8.1 9.2 10.8 15.3 21.6 1,4-Dioxane A 12.5 14.6 16.1 8.2 9.3 10.8 15.1 21.6 Ethyl formate A 12.0 14.7 16.2 8.0 9.4 10.9 15.6 21.8 Acetic Acid A 11.9 14.5 16.1 8.2 9.5 11.0 15.7 21.7 Acetone A 11.9 14.7 16.2 8.1* 9.5 10.9 15.7 21.6 Dimethyl- 12.1 14.8 16.2 7.9 9.1 10.8 15.5 21.5 formamide A Dimethyl- 12.2 14.9 16.6 8.0 9.4 10.8 15.4 21.6 acetamide A Methylethyl- 12.0 14.9 16.3 8.0 9.3 10.
- Inhaled steroids are also absorbed through the lung and this route of absorption makes a significant contribution to systemic exposure. Reduced lung absorption could therefore provide an improved safety profile.
- Studies with compound (I) have shown significantly lower exposure to compound (I) than with fluticasone propionate after dry powder delivery to the lungs of anaesthetised pigs.
- Examples of disease states in which the compound of formula (I) and compositions thereof have utility include skin diseases such as eczema, psoriasis, allergic dermatitis, neurodermatitis, pruritis and hypersensitivity reactions; inflammatory conditions of the nose, throat or lungs such as asthma (including allergen-induced asthmatic reactions), rhinitis (including hayfever), nasal polyps, chronic obstructive pulmonary disease, interstitial lung disease, and fibrosis; inflammatory bowel conditions such as ulcerative colitis and Crohn's disease; and auto-immune diseases such as rheumatoid arthritis.
- skin diseases such as eczema, psoriasis, allergic dermatitis, neurodermatitis, pruritis and hypersensitivity reactions
- inflammatory conditions of the nose, throat or lungs such as asthma (including allergen-induced asthmatic reactions), rhinitis (including hayfever), nasal polyps, chronic obstructive pulmonary disease, intersti
- the compound of formula (I) may also have use in the treatment of conjunctiva and conjunctivitis.
- composition of the invention is expected to be most useful in the treatment of inflammatory disorders of the respiratory tract e.g. asthma, COPD and rhinitis particularly asthma and rhinitis.
- composition of the invention is useful in human or veterinary medicine, in particular as an anti-inflammatory and anti-allergic agent.
- composition of the invention for use in human or veterinary medicine, particularly in the treatment of patients with inflammatory and/or allergic conditions, especially for treatment once-per-day.
- composition of the invention for the manufacture of a medicament for the treatment of patients with inflammatory and/or allergic conditions, especially for treatment once-per-day.
- a method for the treatment of a human or animal subject with an inflammatory and/or allergic condition comprises administering to said human or animal subject an effective amount of the composition of the invention, especially for administration once-per-day.
- composition of the invention may be formulated for administration in any convenient way, and the invention therefore also includes within its scope pharmaceutical compositions comprising the composition of the invention together, if desirable, in admixture with one or more physiologically acceptable diluents or carriers.
- pharmaceutical compositions suitable for once-per-day administration are of particular interest.
- composition of the invention may, for example, be formulated for oral, buccal, sublingual, parenteral, local or rectal administration, especially local administration.
- Local administration includes administration by insufflation and inhalation.
- preparation for local administration include ointments, lotions, creams, gels, foams, preparations for delivery by transdermal patches, powders, sprays, aerosols, capsules or cartridges for use in an inhaler or insufflator or drops (e.g. eye or nose drops), solutions/suspensions for nebulisation, suppositories, pessaries, retention enemas and chewable or suckable tablets or pellets (e.g. for the treatment of aphthous ulcers) or liposome or microencapsulation preparations.
- compositions for topical administration to the lung include dry powder compositions and spray compositions.
- Dry powder compositions for topical delivery to the lung by inhalation may, for example, be presented in capsules and cartridges for use in an inhaler or insufflator of, for example, gelatine.
- Formulations generally contain a powder mix for inhalation of the compound of the invention and a suitable powder base (carrier substance) such as lactose or starch. Use of lactose is preferred.
- a suitable powder base such as lactose or starch.
- lactose is preferred.
- Each capsule or cartridge may generally contain between 20 ⁇ g-10 mg of the compound of formula (I) in a composition of the invention optionally in combination with another therapeutically active ingredient.
- the composition of the invention may be presented without excipients.
- Packaging of the formulation may be suitable for unit dose or multi-dose delivery.
- the formulation can be pre-metered (e.g. as in Diskus, see GB 2242134 or Diskhaler, see GB 2178965, 2129691 and 2169265) or metered in use (e.g. as in Turbuhaler, see EP 69715).
- An example of a unit-dose device is Rotahaler (see GB 2064336).
- the Diskus inhalation device comprises an elongate strip formed from a base sheet having a plurality of recesses spaced along its length and a lid sheet hermetically but peelably sealed thereto to define a plurality of containers, each container having therein an inhalable formulation containing a composition of the invention preferably combined with lactose.
- the strip is sufficiently flexible to be wound into a roll.
- the lid sheet and base sheet will preferably have leading end portions which are not sealed to one another and at least one of the said leading end portions is constructed to be attached to a winding means. Also, preferably the hermetic seal between the base and lid sheets extends over their whole width.
- the lid sheet may preferably be peeled from the base sheet in a longitudinal direction from a first end of the said base sheet.
- compositions which are non-pressurised and adapted to be administered as a dry powder topically to the lung via the buccal cavity (especially those which are free of excipient or are formulated with a diluent or carrier such as lactose or starch, most especially lactose) are of particular interest.
- Spray compositions for topical delivery to the lung by inhalation may for example be formulated as aqueous solutions or suspensions or as aerosols delivered from pressurised packs, such as a metered dose inhaler, with the use of a suitable liquefied propellant.
- Aerosol compositions suitable for inhalation can be either a suspension or a solution and generally contain the composition of the invention optionally in combination with another therapeutically active ingredient and a suitable propellant such as a fluorocarbon or hydrogen-containing chlorofluorocarbon or mixtures thereof, particularly hydrofluoroalkanes, especially 1,1,1,2-tetrafluoroethane, 1,1,1,2,3,3,3-heptafluoro-n-propane or a mixture thereof.
- the aerosol composition may optionally contain additional formulation excipients well known in the art such as surfactants e.g. oleic acid or lecithin and cosolvents e.g. ethanol.
- additional formulation excipients well known in the art such as surfactants e.g. oleic acid or lecithin and cosolvents e.g. ethanol.
- One example formulation is excipient free and consists essentially of (e.g. consists of) composition of the invention (optionally together with a further active ingredient) and a propellant selected from 1,1,1,2-tetrafluoroethane, 1,1,1,2,3,3,3-heptafluoro-n-propane and mixture thereof.
- Another example formulation comprises particulate composition of the invention, a propellant selected from 1,1,1,2-tetrafluoroethane, 1,1,1,2,3,3,3-heptafluoro-n-propane and mixture thereof and a suspending agent which is soluble in the propellant e.g. an oligolactic acid or derivative thereof as described in WO94/21229.
- the preferred propellant is 1,1,1,2-tetrafluoroethane.
- Pressurised formulations will generally be retained in a canister (e.g. an aluminium canister) closed with a valve (e.g. a metering valve) and fitted into an actuator provided with a mouthpiece.
- Medicaments for administration by inhalation desirably have a controlled particle size.
- the optimum particle size for inhalation into the bronchial system is usually 1-10 ⁇ m, preferably 2-5 ⁇ m. Particles having a size above 20 ⁇ m are generally too large when inhaled to reach the small airways.
- the particles of the composition of the invention as produced may be size reduced by conventional means e.g. by micronisation. The desired fraction may be separated out by air classification or sieving.
- the particles will be crystalline, prepared for example by a process which comprises mixing in a continuous flow cell in the presence of ultrasonic radiation a flowing solution of compound of formula (I) as medicament in a liquid solvent with a flowing liquid antisolvent for said medicament (e.g. as described in International Patent Application PCT/GB99/04368) or else by a process which comprises admitting a stream of solution of the substance in a liquid solvent and a stream of liquid antisolvent for said substance tangentially into a cylindrical mixing chamber having an axial outlet port such that said streams are thereby intimately mixed through formation of a vortex and precipitation of crystalline particles of the substance is thereby caused (e.g. as described in International Patent Application PCT/GB00/04327).
- the particle size of the excipient will be much greater than the inhaled medicament within the present invention.
- the excipient is lactose it will typically be present as milled lactose, wherein not more than 85% of lactose particles will have a MMD of 60-90 ⁇ m and not less than 15% will have a MMD of less than 15 ⁇ m.
- Formulations for administration topically to the nose include pressurised aerosol formulations and aqueous formulations administered to the nose by pressurised pump.
- Formulations which are non-pressurised and adapted to be administered topically to the nasal cavity are of particular interest.
- the formulation preferably contains water as the diluent or carrier for this purpose.
- Aqueous formulations for administration to the lung or nose may be provided with conventional excipients such as buffering agents, tonicity modifying agents and the like.
- Aqueous formulations may also be administered to the nose by nebulisation.
- Ointments, creams and gels may, for example, be formulated with an aqueous or oily base with the addition of suitable thickening and/or gelling agent and/or solvents.
- bases may thus, for example, include water and/or an oil such as liquid paraffin or a vegetable oil such as arachis oil or castor oil, or a solvent such as polyethylene glycol.
- Thickening agents and gelling agents which may be used according to the nature of the base include soft paraffin, aluminium stearate, cetostearyl alcohol, polyethylene glycols, woolfat, beeswax, carboxypolymethylene and cellulose derivatives, and/or glyceryl monostearate and/or non-ionic emulsifying agents.
- Lotions may be formulated with an aqueous or oily base and will in general also contain one or more emulsifying agents, stabilising agents, dispersing agents, suspending agents or thickening agents.
- Powders for external application may be formed with the aid of any suitable powder base, for example, talc, lactose or starch. Drops may be formulated with an aqueous or non-aqueous base also comprising one or more dispersing agents, solubilising agents, suspending agents or preservatives.
- formulations of the invention may be buffered by the addition of suitable buffering agents.
- the proportion of the active compound of formula (I) in the local compositions according to the invention depends on the precise type of formulation to be prepared but will generally be within the range of from 0.001 to 10% by weight. Generally, however for most types of preparations advantageously the proportion used will be within the range of from 0.005 to 1% and preferably 0.01 to 0.5%. However, in powders for inhalation or insufflation the proportion used will usually be within the range of from 0.1 to 5%.
- Aerosol formulations are preferably arranged so that each metered dose or “puff” of aerosol contains 1 ⁇ g-2000 ⁇ g e.g. 20 ⁇ g-2000 ⁇ g, preferably about 20 ⁇ g-500 ⁇ g of compound of formula (I) optionally in combination with another therapeutically active ingredient.
- Administration may be once daily or several times daily, for example 2, 3, 4 or 8 times, giving for example 1, 2 or 3 doses each time.
- the composition of the invention is delivered once or twice daily.
- the overall daily dose with an aerosol will typically be within the range 10 ⁇ g-10 mg e.g. 100 ⁇ g-10 mg preferably, 200 ⁇ g-2000 ⁇ g.
- Topical preparations may be administered by one or more applications per day to the affected area; over skin areas occlusive dressings may advantageously be used. Continuous or prolonged delivery may be achieved by an adhesive reservoir system.
- the compound according to the invention may, for example, be formulated in conventional manner for oral, parenteral or rectal administration.
- Formulations for oral administration include syrups, elixirs, powders, granules, tablets and capsules which typically contain conventional excipients such as binding agents, fillers, lubricants, disintegrants, wetting agents, suspending agents, emulsifying agents, preservatives, buffer salts, flavouring, colouring and/or sweetening agents as appropriate.
- Dosage unit forms are, however, preferred as described below.
- Preferred forms of preparation for internal administration are dosage unit forms i.e. tablets and capsules. Such dosage unit forms contain from 0.1 mg to 20 mg preferably from 2.5 to 10 mg of the compound of formula (I).
- the compound according to the invention may in general may be given by internal administration in cases where systemic adreno-cortical therapy is indicated.
- preparations for internal administration may contain from 0.05 to 10% of the active ingredient dependent upon the type of preparation involved.
- the daily dose may vary from 0.1 mg to 60 mg, e.g. 5-30 mg, dependent on the condition being treated, and the duration of treatment desired.
- Slow release or enteric coated formulations may be advantageous, particularly for the treatment of inflammatory bowel disorders.
- the composition of the invention will be delivered once-per-day and the dose will be selected so that the compound has a therapeutic effect in the treatment of respiratory disorders (e.g. asthma or COPD, particularly asthma) over 24 hours or more.
- respiratory disorders e.g. asthma or COPD, particularly asthma
- compositions according to the invention may also be used in combination with another therapeutically active agent, for example, a ⁇ 2 adrenoreceptor agonist, an anti-histamine or an anti-allergic.
- another therapeutically active agent for example, a ⁇ 2 adrenoreceptor agonist, an anti-histamine or an anti-allergic.
- ⁇ 2 -adrenoreceptor agonists include salmeterol (e.g. as racemate or a single enantiomer such as the R-enantiomer), salbutamol, formoterol, salmefamol, fenoterol or terbutaline and salts thereof, for example the xinafoate salt of salmeterol, the sulphate salt or free base of salbutamol or the fumarate salt of formoterol.
- compositions employing combinations with long-acting ⁇ 2 -adrenoreceptor agonists are particularly preferred, especially those which have a therapeutic effect (e.g. in the treatment of asthma or COPD, particularly asthma) over 24 hours or more.
- the composition comprising the compound of formula (I) and the long-acting ⁇ 2 -adrenoreceptor agonists will be delivered once-per-day and the dose of each will be selected so that the composition has a therapeutic effect in the treatment of respiratory disorders effect (e.g. in the treatment of asthma or COPD, particularly asthma) over 24 hours or more.
- respiratory disorders effect e.g. in the treatment of asthma or COPD, particularly asthma
- anti-histamines examples include methapyrilene or loratadine.
- NSAIDs e.g. sodium cromoglycate, nedocromil sodium, PDE4 inhibitors, leukotriene antagonists, iNOS inhibitors, tryptase and elastase inhibitors, beta-2 integrin antagonists and adenosine 2a agonists
- antiinfective agents e.g. antibiotics, antivirals
- composition of the invention in combination with a phosphodiesterase 4 (PDE4) inhibitor e.g. cilomilast or a salt thereof.
- PDE4 phosphodiesterase 4
- the compound according to the invention in combination with another therapeutically active ingredient as described above may be formulated for administration in any convenient way, and the invention therefore also includes within its scope pharmaceutical formulations comprising the composition of the invention in combination with another therapeutically active ingredient together, if desirable, in admixture with one or more physiologically acceptable diluents or carriers.
- the preferred route of administration for inflammatory disorders of the respiratory tract will generally be administration by inhalation.
- Therapeutic agent combinations may be in any form, for example combinations may comprise a single dose containing separate particles of individual therapeutics, and optionally excipient material(s), alternatively, multiple therapeutics may be formed into individual multicomponent particles, formed for example by coprecipitation, and optionally containing excipient material(s).
- composition of the invention may be prepared by the methodology described hereinafter, constituting a further aspect of this invention.
- a first process for preparing a composition of the invention comprises crystallising the composition from a solution containing a compound of formula (I) and the guest molecule.
- the solution containing the guest molecule could be the guest itself when this a liquid, or could be the guest dissolved in another liquid substance which substance does not act as a guest molecule.
- the crystallisation process may be assisted by seeding with crystals of the composition of the invention.
- the seed crystals of the composition of the invention need not contain the same guest molecule.
- a second process for preparing a composition of the invention comprises contacting the compound of formula (I) or a composition according to the invention thereof in solid form with a liquid containing the guest molecule (for example by slurrying) and obtaining the composition therefrom.
- the liquid containing the guest molecule could be the guest itself when this a liquid, or could be the guest dissolved in another liquid substance which substance does not act as a guest molecule.
- a third process for preparing a composition of the invention comprises contacting a compound of formula (I) or a composition according to the invention thereof in solid form with a vapour containing the guest molecule. This process is suitable when the guest has acceptable volatility e.g. when the guest is a solvent.
- the compound of formula (I) may be employed in the form of a composition with a guest molecule or in a form without a guest molecule (eg as unsolvated polymorph Form 1, 2 or 3).
- the compound of formula (I) or a composition according to the invention may be dissolved in the solution or prepared in situ.
- the input compound of formula (I) in the first, second and third processes is in the form of a substantially amorphous solid.
- the compound of formula (I) in the form of a substantially amorphous solid is preferably in the form of substantially amorphous particles.
- the compound of formula (I) in the form of substantially amorphous particles may be obtained by spray drying a solution containing the compound of formula (I). Any solvent that will dissolve the compound of formula (I) that can be evaporated safely in a spray drying process may be used.
- Suitable solvents for forming the solution include, but are not limited to, methyl acetate, ethyl acetate, isopropyl acetate, acetone, 2-butanone, 3-pentanone, 4-methyl-2-pentanone, ethanol, methanol, 1-propanol, propan-2-ol, acetonitrile, chloroform, dichloromethane especially methylethylketone (2-butanone).
- Solution concentration will typically be 0.5-50% specifically 10-40% eg 20-30%. Lower concentrations may be more suitable for preparing smaller particle sizes especially 2-4% e.g. 3.5-4%. The concentration that may be employed will be limited by the dissolution power of the solvent.
- Methylethylketone is preferred since it dissolves compound of formula (I) at a relatively high concentration which results in production advantages.
- the compound of formula (I) may be employed in non-solvated form or in the form of a composition of the invention (e.g. with acetone). Preferably it is employed as the non-solvated Form 1 polymorph.
- Spray drying maybe performed, for example, using apparatus supplied by Buchi or Niro.
- a pneumatic spray nozzle orifice of e.g. 0.04 inches is suitable, although alternate atomization methods such as rotary and pressure nozzles can be used.
- Solution flow rate may typically be in the range 1-100 ml/min, especially 15-30 ml/min.
- the inlet temperature and flow rate combination should be suitable to evaporate the solvent completely to minimize the risk of solvent trapped in the particle expediting an amorphous to crystalline transition.
- Inlet temperatures can range from 50-250° C., typically 100-200° C.
- Form 3 Peaks at around 18.6 and 19.2 degrees 2Theta.
- Forms 1 appears likely to be the thermodynamically most stable form since Forms 2 and 3 are converted into Form 1 on heating.
- a process for preparing a compound of formula (I) as crystalline unsolvated Form 1 polymorph comprises dissolving compound of formula (I) in methylisobutylketone or ethyl acetate and producing compound of formula (I) as unsolvated Form 1 by addition of an anti-solvent such as iso-octane or toluene.
- the compound of formula (I) may be dissolved in ethyl acetate and compound of formula (I) as unsolvated Form 1 polymorph may be obtained by addition of toluene as anti-solvent.
- the ethyl acetate solution is hot and once the toluene has been added the mixture is distilled to reduce the content of ethyl acetate.
- the compound of formula (I) may be dissolved in methylisobutylketone and compound of formula (I) as crystalline unsolvated Form 1 polymorph may be obtained by addition of isooctane as anti-solvent.
- a process for preparing a compound of formula (I) as unsolvated Form 2 polymorph comprises dissolving compound of formula (I) in unsolvated form in methanol or dry dichloromethane and recrystallising the compound of formula (I) as unsolvated Form 2 polymorph.
- the compound of formula (I) will be dissolved in hot in methanol or dry dichloromethane and allowed to cool.
- a process for preparing a preparing a compound of formula (I) as unsolvated Form 3 polymorph comprises dissolving compound of formula (I) in particular as the composition with acetone in dichloromethane in the presence of water (typically 1-3% water by volume) and recrystallising the compound of formula (I) as unsolvated Form 3 polymorph.
- compositions of the invention may also find use as manufacturing intermediates in the preparation of compound of formula (I) in unsolvated form, or in the preparation of other compositions of the invention, or in pharmaceutical compositions thereof.
- a process for preparation of compound of formula (I) in unsolvated form comprises removing the guest molecule from a composition of the invention.
- compositions of the invention may also be useful in preparing compositions of the invention of defined crystal habit and also for preparing compounds of formula (I) in unsolvated form (typically unsolvated polymorph Form 1) of defined crystal habit.
- unsolvated form typically unsolvated polymorph Form 1
- compositions of the invention with acetone are particularly advantageous since when prepared according to the method substantially as described in Example 1, second alternative method they are produced in the form of equant or substantially equant particles (typically elongated tetragonal bipyramidal crystals) which are readily micronised with high efficiency.
- compositions of the invention with propan-2-ol are also particularly advantageous since when prepared according to the method substantially as described in Example 3, second alternative method they are produced in the form of equant or substantially equant particles (typically tetragonal bipyramidal crystals) which are also readily micronised with high efficiency. If these compositions of the invention are converted to unsolvated form (typically unsolvated Form 1) by removal of the guest molecule (eg on heating, typically to around 100-110 eg 105° C.) then the unsolvated form is prepared in the corresponding advantageous crystal habit.
- unsolvated form typically unsolvated Form 1
- Unsolvated polymorph Form 1 when prepared by this method either from compositions of the invention with a acetone or compositions of the invention with propan-2-ol are much more readily micronised than the needle shaped crystals prepared by the method described above involving recrystallisation from ethylacetate and toluene.
- the different shaped particles are shown in FIGS. 6 to 8 .
- Equant and substantially equant particles may be single crystals or agglomerations of crystals.
- Equant particles have dimensions in each of the three axes of measurement which are approximately the same, for example they have dimensions in the three axes such that the difference between the largest and the smallest measurement is not more than approximately 50% of the smallest.
- Particles which are single crystals are typically equant.
- Particles which are agglomerations of crystals are typically substantially equant such that the particles have dimensions in the three axes such that the difference between the largest and the smallest measurement is not more than approximately 100% of the smallest, particularly not more than 50% of the smallest.
- step (a) preferably the composition is a composition with propan-2-ol or acetone as guest molecule.
- composition according to the invention in the form of equant or substantially equant particles, especially a composition with acetone or propan-2-ol.
- a process for preparing a compound of formula (I) comprises alkylation of a thioacid of formula (II)
- the compound of formula (II) may be reacted with a compound of formula FCH 2 L wherein L represents a leaving group (e.g. a halogen atom, a mesyl or tosyl group or the like) for example, an appropriate fluoromethyl halide under standard conditions.
- L represents a leaving group (e.g. a halogen atom, a mesyl or tosyl group or the like) for example, an appropriate fluoromethyl halide under standard conditions.
- the fluoromethyl halide reagent is bromofluoromethane.
- the compound of formula (II) is employed as a salt, particularly the salt with diisopropylethylamine.
- the compound of formula (II) or a salt thereof is treated with bromofluoromethane optionally in the presence of a phase transfer catalyst.
- a preferred solvent is methylacetate, or more preferably ethylacetate, optionally in the presence of water. The presence of water improves solubility of both starting material and product and the use of a phase transfer catalyst results in an increased rate of reaction.
- phase transfer catalysts examples include (but are not restricted to) tetrabutylammonium bromide, tetrabutylammonium chloride, benzyltributylammonium bromide, benzyltributylammonium chloride, benzyltriethylammonium bromide, methyltributylammonium chloride and methyltrioctylammonium chloride.
- THF has also successfully been employed as solvent for the reaction wherein the presence of a phase transfer catalyst again provides a significantly faster reaction rate.
- the product present in an organic phase is washed firstly with aqueous acid e.g.
- the step typically comprises the addition of a reagent suitable for performing the esterification e.g. an activated derivative of 2-furoic acid such as an activated ester or preferably a 2-furoyl halide e.g. 2-furoyl chloride (employed in at least 2 times molar quantity relative to the compound of formula (III)) in the presence of an organic base e.g. triethylamine.
- a reagent suitable for performing the esterification e.g. an activated derivative of 2-furoic acid such as an activated ester or preferably a 2-furoyl halide e.g. 2-furoyl chloride (employed in at least 2 times molar quantity relative to the compound of formula (III)) in the presence of an organic base e.g. triethylamine.
- the second mole of 2-furoyl chloride reacts with the thioacid moiety in the compound of formula (III) and needs to be removed e.g. by reaction with an
- step (b) removal of the sulphur-linked 2-furoyl moiety from compound of formula (IIA) by reaction of the product of step (a) with an organic primary or secondary amine base capable of forming a water soluble 2-furoyl amide.
- step (c1) when the product of step (b) is dissolved in a substantially water immiscible organic solvent, purifying the compound of formula (II) by washing out the amide by-product from step (b) with an aqueous wash, or
- step (c2) when the product of step (b) is dissolved in a water miscible solvent, purifying the compound of formula (II) by treating the product of step (b) with an aqueous medium so as to precipitate out pure compound of formula (II) or a salt thereof.
- the activated derivative of 2-furoic acid may be an activated ester of 2-furoic acid, but is more preferably a 2-furoyl halide, especially 2-furoyl chloride.
- a suitable solvent for this reaction is ethylacetate or methylacetate (preferably methylacetate) (when step (c1) may be followed) or acetone (when step (c2) may be followed).
- an organic base e.g. triethylamine will be present.
- the organic base is diethanolamine.
- the base may suitably be dissolved in a solvent e.g. methanol.
- steps (a) and (b) will be performed at reduced temperature e.g.
- the aqueous wash may be water, however the use of brine results in higher yields and is therefore preferred.
- the aqueous medium is for example a dilute aqueous acid such as dilute HCl.
- the activated derivative of 2-furoic acid may be an activated ester of 2-furoic acid, but is more preferably a 2-furoyl halide, especially 2-furoyl chloride.
- a suitable solvent for his step is acetone. Normally an organic base e.g. triethylamine will be present.
- a suitable solvent is DMF or dimethylacetamide. Normally an organic base e.g. triethylamine will be present.
- steps (a) and (b) will be performed at reduced temperature e.g. between 0 and 5° C.
- the product may be isolated by treatment with acid and washing with water.
- the compound of formula (II) may advantageously be isolated in the form of a solid crystalline salt.
- the preferred salt is a salt formed with a base such as triethylamine, 2,4,6-trimethylpyridine, diisopropylethylamine or N-ethylpiperidine.
- Such salt forms of compound of formula (II) are more stable, more readily filtered and dried and can be isolated in higher purity than the free thioacid.
- the most preferred salt is the salt formed with diisopropylethylamine.
- the triethylamine salt is also of interest.
- Step (a) comprises oxidation of a solution containing the compound of formula (V).
- step (a) will be performed in the presence of a solvent comprising methanol, water, tetrahydrofuran, dioxan or diethylene glygol dimethylether.
- a solvent comprising methanol, water, tetrahydrofuran, dioxan or diethylene glygol dimethylether.
- preferred solvents are methanol, water or tetrahydrofuran, and more preferably are water or tetrahydrofuran, especially water and tetrahydrofuran as solvent.
- Dioxan and diethylene glygol dimethylether are also preferred solvents which may optionally (and preferably) be employed together with water.
- the solvent will be present in an amount of between 3 and 10 vol relative to the amount of the starting material (1 wt.), more preferably between 4 and 6 vol., especially 5 vol.
- the oxidising agent is present in an amount of 1-9 molar equivalents relative to the amount of the starting material.
- the oxidising agent may be present in an amount of between 1.1 and 10 wt. relative to the amount of the starting material (1 wt.), more preferably between 1.1 and 3 wt., especially 1.3 wt.
- the oxidation step will comprise the use of a chemical oxidising agent.
- the oxidising agent will be periodic acid or iodic acid or a salt thereof. Most preferably, the oxidising agent will be periodic acid or sodium periodate, especially periodic acid.
- the oxidation step may comprise any suitable oxidation reaction, e.g. one which utilises air and/or oxygen. When the oxidation reaction utilises air and/or oxygen, the solvent used in said reaction will preferably be methanol.
- step (a) will involve incubating the reagents at room temperature or a little warmer, say around 25° C. e.g. for 2 hours.
- the compound of formula (IV) may be isolated by recrystallisation from the reaction mixture by addition of an anti-solvent.
- a suitable anti-solvent for compound of formula (IV) is water.
- anti-solvent e.g. water.
- the recrystallisation is performed using chilled water (e.g. water/ice mixture at a temperature of 0-5° C.) although better anti-solvent properties may be expected we have found that the crystalline product produced is very voluminous, resembles a soft gel and is very difficult to filter. Without being limited by theory we believe that this low density product contains a large amount of solvated solvent within the crystal lattice. By contrast when conditions of around 10° C. or higher are used (e.g.
- crystallisation typically commences after around 1 hour and is typically completed within a few hours (e.g. 2 hours). Without being limited by theory we believe that this granular product contains little or no solvated solvent within the crystal lattice.
- Step (b) will typically comprise the addition of a reagent suitable for converting a carboxylic acid to a carbothioic acid e.g. using hydrogen sulphide gas together with a suitable coupling agent e.g. carbonyldiimidazole (CDI) in the presence of a suitable solvent e.g. dimethylformamide.
- a suitable coupling agent e.g. carbonyldiimidazole (CDI)
- CDI carbonyldiimidazole
- compositions comprising a compound of formula (I) together with a guest compound according to the invention may include the fact that the substance appears to demonstrate excellent anti-inflammatory properties, with predictable pharmacokinetic and pharmacodynamic behaviour, with an attractive side-effect profile, long duration of action, and is compatible with a convenient regime of treatment in human patients, in particular being amenable to once-per day dosing. Further advantages may include the fact that the substance has desirable physical and chemical properties which allow for ready manufacture and storage. Alternatively it may serve as a useful intermediate in the preparation of other forms of the compound of formula (I) or compositions thereof.
- FIG. 1 Figure showing the spacial arrangement of 4 steroid and 4 guest molecules in the unit cell of compositions of the invention with THF (upper figure) and DMF (lower figure) (guest molecule darkened).
- FIG. 2A Figure showing detail of the spacial arrangement of steroid and guest molecules in compositions of the invention with THF.
- FIG. 2B Figure showing detail of the spacial arrangement of steroid and guest molecules in compositions of the invention with DMF.
- FIG. 3 Figure showing the evolution of the XRPD profile of the composition of the invention with acetone on heating, in particular showing its conversion to compound of formula (I) as unsolvated Form 1
- FIG. 4 XRPD profiles for a range of compositions according to the invention (refer to Table 1)
- FIG. 5 Comparison of XRPD profiles of Form 1, Form 2 and Form 3 polymorphs of unsolvated compound of formula (I).
- FIG. 6 Scanning Electron Microscopy (SEM) study of crystals of unsolvated polymorph Form 1.
- FIG. 7 Scanning Electron Microscopy (SEM) study of crystals of compositions of the invention with acetone
- FIG. 8 Scanning Electron Microscopy (SEM) study of crystals of compositions of the invention with propan-2-ol.
- FIG. 9 Raman spectrum of composition of the invention with butan-1-ol
- FIG. 10 Raman spectrum of composition of the invention with methyl acetate
- FIG. 11 Raman spectrum of composition of the invention with acetic acid
- FIG. 12 Raman spectrum of composition of the invention with propan-1-ol
- FIG. 13 Raman spectrum of composition of the invention with ethanol
- FIG. 14 Raman spectrum of composition of the invention with ethyl formate
- FIG. 15 Raman spectrum of composition of the invention with 1,4-dioxane
- FIG. 16 Raman spectrum of composition of the invention with dimethylsulphoxide
- FIG. 17 Enlarged XRPD profile of composition of the invention with acetone
- FIG. 18 Enlarged XRPD profile of composition of the invention with methylethylketone
- FIG. 19 Enlarged XRPD profile of composition of the invention with propan-2-ol
- FIG. 20 Enlarged XRPD profile of composition of the invention with tetrahydrofuran
- FIG. 21 Enlarged XRPD profile of composition of the invention with dimethylformamide
- FIG. 22 Enlarged XRPD profile of composition of the invention with butan-1-ol
- FIG. 23 Enlarged XRPD profile of composition of the invention with methyl acetate
- FIG. 24 Enlarged XRPD profile of composition of the invention with acetic acid
- FIG. 25 Enlarged XRPD profile of composition of the invention with propan-1-ol
- FIG. 26 Enlarged XRPD profile of composition of the invention with ethanol
- FIG. 27 Enlarged XRPD profile of composition of the invention with ethyl formate
- FIG. 28 Enlarged XRPD profile of composition of the invention with 1,4-dioxane
- FIG. 29 Enlarged XRPD profile of composition of the invention with dimethylsulphoxide
- FIG. 30 Enlarged XRPD profile of composition of the invention with N-methyl-2-pyrrolidinone
- FIG. 31 Enlarged XRPD profile of composition of the invention with dimethylacetamide
- FIG. 32 Enlarged XRPD profile of composition of the invention with water
- FIG. 33 Enlarged XRPD profile of composition of the invention with cyclopentanone
- FIG. 34 Enlarged XRPD profile of composition of the inventoin with ⁇ -caprolactam.
- LCMS was conducted on a Supelcosil LCABZ+PLUS column (3.3 cm ⁇ 4.6 mm ID) eluting with 0.1% HCO 2 H and 0.01 M ammonium acetate in water (solvent A), and 0.05% HCO 2 H 5% water in acetonitrile (solvent B), using the following elution gradient 0-0.7 min 0% B, 0.7-4.2 min 100% B, 4.2-5.3 min 0% B, 5.3-5.5 min 0% B at a flow rate of 3 ml/min.
- the mass spectra were recorded on a Fisons VG Platform spectrometer using electrospray positive and negative mode (ES+ve and ES ⁇ ve).
- the diffractometer used in each case can be determined by the end angle in the figure.
- D as B but with collection at temperature of 295K.
- the Scanning Electron Microscopy was carried out on a Philips XL30 Scanning Electron Microscope serial number D814. An acceleration voltage in the range 20 to 25 kV was used to give magnifications in the range of 30 to 600 ⁇ . Images were captured digitally using a CCD detector.
- Dilute hydrochloric acid (approx 1 M, 550 ml) is added maintaining a reaction temperature below 15° C. and the mixture stirred at 15° C.
- the organic phase is separated and the aqueous phase is back extracted with methyl acetate (2 ⁇ 250 ml). All of the organic phases are combined, washed sequentially with brine (5 ⁇ 250 ml) and treated with di-isopropylethylamine (30 ml).
- the reaction mixture is concentrated by distillation at atmospheric pressure to an approximate volume of 250 ml and cooled to 25-30° C. (crystallisation of the desired product normally occurs during distillation/subsequent cooling).
- TBME Tertiary butyl methyl ether
- a mobile suspension of Intermediate 1 (12.61 g, 19.8 mmol) in ethyl acetate (230 ml) and water (50 ml) is treated with a phase transfer catalyst (benzyltributylammonium chloride, 10 mol %), cooled to 3° C. and treated with bromofluoromethane (1.10 ml, 19.5 mmol, 0.98 equivalents), washing in with prechilled (0° C.) ethyl acetate (EtOAc) (20 ml). The suspension is stirred overnight, allowing to warm to 17° C.
- a phase transfer catalyst benzyltributylammonium chloride, 10 mol %
- the aqueous layer is separated and the organic phase is sequentially washed with 1 M HCl (50 ml), 1% w/v NaHCO 3 solution (3 ⁇ 50 ml) and water (2 ⁇ 50 ml).
- the ethylacetate solution is distilled at atmospheric pressure until the distillate reaches a temperature of approximately 73° C. at which point toluene (150 ml) is added. Distillation is continued at atmospheric pressure until all remaining EtOAc has been removed (approximate distillate temperature 103° C.).
- the resultant suspension is cooled and aged at ⁇ 10° C. and filtered off. The bed is washed with toluene (2 ⁇ 30 ml) and the product oven dried under vacuum at 60° C.
- the reaction mixture is stirred for at least 30 minutes and diluted with water (10 vol) maintaining a reaction temperature in the range 0-5° C.
- the resultant precipitate is collected by filtration and washed sequentially with acetone/water (50/50 2 vol) and water (2 ⁇ 2 vol).
- the product is dried under vacuum at approximately 55° C.
- a portion of the product (0.56 g) is mixed with 6 ⁇ ,9 ⁇ -difluoro-11 ⁇ ,17 ⁇ -dihydroxy-16 ⁇ -methyl-3-oxo-androsta-1,4-diene-17 ⁇ -carbothioic acid (0.41 g) in a 1:1 molar ratio in DMF (10 volumes wrt total steroid input).
- the reaction mixture is treated with triethylamine (approximately 2.1 equivalents) and the mixture is stirred at approximately 20° C. for approximately 6 hours.
- Water (50 vol) containing excess conc HCl (0.5 vol) is added to the reaction mixture and the resultant precipitate collected by filtration.
- the bed is washed with water (2 ⁇ 5 vol) and dried in vacuo at approximately 55° C. overnight to leave the title compound as a white solid (0.99 g, 102%).
- Example 1 (1.26g) was dissolved in methylethylketone (30 ml) to give a 3.8% solution. The solution was spray dried using a Buchi B-191 with spray nozzle orifice diameter of 1.0 mm. The other spray drying parameters were as follows:
- a white powder was recovered from the cyclone and collection vessel, yield 37%.
- the spray drying process was successful at producing smooth, spherical particles of amorphous 6 ⁇ ,9 ⁇ -Difluoro-17 ⁇ -[(2-furanylcarbonyl)oxy]-11 ⁇ -hydroxy-16 ⁇ -methyl-3-oxo-androsta-1,4-diene-17 ⁇ -carbothioic acid S-fluoromethyl ester.
- the majority of the particles were between 0.5 and 4 ⁇ m.
- the functional assay was based on that described by K. P. Ray et al., Biochem J. (1997), 328, 707-715.
- A549 cells stably transfected with a reporter gene containing the NF- ⁇ B responsive elements from the ELAM gene promoter coupled to sPAP (secreted alkaline phosphatase) were treated with test compounds at appropriate doses for 1 hour at 37° C.
- the cells were then stimulated with tumour necrosis factor (TNF, 10 ng/ml) for 16 hours, at which time the amount of alkaline phosphatase produced is measured by a standard colourimetric assay.
- TNF tumour necrosis factor
- Dose response curves were constructed from which EC 50 values were estimated.
- the glucocorticoid receptor can function in at least two distinct mechanisms, by upregulating gene expression through the direct binding of GR to specific sequences in gene promotors, and by downregulating gene expression that is being driven by other transcription factors (such as NF ⁇ B or AP-1) through their direct interaction with GR.
- the first cell line contains the firefly luciferase reporter gene under the control of a synthetic promoter that specifically responds to activation of the transcription factor NF ⁇ B when stimulated with TNF ⁇ .
- the second cell line contains the renilla luciferase reporter gene under the control of a synthetic promotor that comprises 3 copies of the consensus glucocorticoid response element, and which responds to direct stimulation by glucocorticoids.
- Anaesthetised pigs (2) were dosed intra-tracheally with a homogenous mixture of compound (I) (1 mg) and fluticasone propionate (1 mg) as a dry powder blend in lactose (10% w/w). Serial blood samples were taken for up to 8 h following dosing. Plasma levels of compound (I) and fluticasone propionate were determined following extraction and analysis using LC-MS/MS methodology, the lower limits of quantitation of the methods were 10 and 20 pg/mL for compound (I) and fluticasone propionate respectively. Using these methods compound (I) was quantifiable up to 2 hours after dosing and fluticasone propionate was quantifiable up to 8 hours after dosing.
- Plasma half-life data obtained from IV dosing (0.1 mg/kg) was used to calculate AUC (0-inf) values for compound (I). This compensates for the plasma profile of Compound (I) only being defined up to 2 hours after an IT dose and removes any bias due to limited data between compound (I) and fluticasone propionate.
- C max and AUC (0-inf) values show markedly reduced systemic exposure to compound (I) compared to fluticasone propionate:— AUC (0-inf) Cmax (pg/mL) (hr.pg/mL) Pig 1 Pig 2 Pig 1 Pig 2 Compound of Formula (I) 117 81 254 221 Fluticasone propionate 277 218 455 495
- the filter cake (the 6 ⁇ ,9 ⁇ -Difluoro-17 ⁇ -[(2-furanylcarbonyl)oxy]-11 ⁇ -hydroxy-16 ⁇ -methyl-3-oxo-androsta-1,4-diene-17 ⁇ -carbothioic acid S-fluoromethyl ester composition with DMF) is washed with water (4 ⁇ 4 vol) and the product is pulled dry on the filter.
- the damp cake is returned to the vessel, acetone (5.75 vol) added and heated at reflux for 2 h.
- the mixture is cooled to 52 ⁇ 3° C. and water (5.75 vol) added, keeping temperature at 52 ⁇ 3° C.
- the mixture is then cooled to 20 ⁇ 3° C., filtered and dried in vacuo at 60 ⁇ 5° C. overnight to give the title compound as a white solid (556.5 g, 89%).
- NMR ⁇ (CDCl 3 ) includes the peaks described in Intermediate 2 for the unsolvated compound and the following additional solvent peaks: 2.17 (6H, s).
- the propan-2-ol can be removed by the following process:
- Example 3 (second alternative method) (85.9 g) is heated under vacuum at 105 to 115° C. for at least 12 hours to give Intermediate 2 (77.2 g).
- a mobile suspension of Intermediate 5 (1.2 g) in THF (10 ml) is treated with a phase transfer catalyst (tetrabutylammonium bromide, typically between 8 and 14 mol %), cooled to approximately 3° C. and treated with bromofluoromethane (0.98 equivalents).
- the suspension is stirred for between 2 and 5 hours, allowing to warm to 17° C.
- the reaction mixture is poured into water (30 vol), stirred at approximately 10° C. for 30 minutes and filtered off.
- the collected solid is washed with water (4 ⁇ 3 vol) and the product oven dried under vacuum at 60° C. overnight to give the title compound as a white solid (0.85 g, 87%).
- Example 3 The product of Example 3 (500 mg) was slurried in ethanol (5 mL) under vacuum at 21° C. for a total of 16 hours, replacing the ethanol as necessary. The solid was collected by filtration and dried on the filter for 2 hours to give the title compound as a white solid (438 mg).
- ⁇ -Caprolactam 50 mg (Aldrich) was heated in a glass vial to 80° C. where the solid had melted.
- Intermediate 4A 200 mg was added and the mixture was agitated using a small magnetic stirrer bar. The mixture was stirred at 80° C. for 1 hour before the resulting mixture was allowed to cool to 21° C. and the solid was recovered to afford the title compound.
- compositions of the invention substantially by reference to their XRPD profiles and/or their Raman spectra as shown in the Figures and Tables.
- Dry powder composition containing 6 ⁇ ,9 ⁇ -Difluoro-17 ⁇ -[(2-furanylcarbonyl)oxy]-11 ⁇ -hydroxy-16 ⁇ -methyl-3-oxo-androsta-1,4-diene-17′-carbothioic acid S-fluoromethyl ester composition with acetone
- a dry powder formulation may be prepared as follows: 6 ⁇ , 9 ⁇ -Difluoro-17 ⁇ -[(2-furanylcarbonyl)oxy]-11 ⁇ -hydroxy-16 ⁇ -methyl-3-oxo- 0.20 mg androsta-1,4-diene-17 ⁇ -carbothioic acid S-fluoromethyl ester, composition with acetone prepared according to Example 1, MMD of 3 ⁇ m: milled lactose (wherein not greater than 85% of particles 12 mg have a MMD of 60-90 ⁇ m, and not less than 15% of particles have a MMD of less than 15 ⁇ m):
- a peelable blister strip containing 60 blisters each filled with a formulation as just described may be prepared.
- Dry Dowder composition containing 6 ⁇ ,9 ⁇ -Difluoro-17 ⁇ -[(2-furanylcarbonyl)oxy]-11 ⁇ -hydroxy-16 ⁇ -methyl-3-oxo-androsta-1,4-diene-17 ⁇ -carbothioic acid S-fluoromethyl ester composition with acetone and a long acting ⁇ 2 -adrenoreceptor agonist
- a dry powder formulation may be prepared as follows: 6 ⁇ , 9 ⁇ -Difluoro-17 ⁇ -[(2-furanylcarbonyl)oxy]-11 ⁇ -hydroxy-16 ⁇ -methyl-3-oxo- 0.20 mg androsta-1,4-diene-17 ⁇ -carbothioic acid S-fluoromethyl ester composition with acetone prepared according to Example 1, MMD of 3 ⁇ m: Long-acting ⁇ 2 -adrenoreceptor agonist (micronised to a MMD of 3 ⁇ m): 0.02 mg milled lactose (wherein not greater than 85% of particles 12 mg have a MMD of 60-90 ⁇ m, and not less than 15% of particles have a MMD of less than 15 ⁇ m):
- a peelable blister strip containing 60 blisters each filled with a formulation as just described may be prepared.
- An aluminium canister may be filled with a formulation as follows: 6 ⁇ , 9 ⁇ -Difluoro-17 ⁇ -[(2-furanylcarbonyl)oxy]-11 ⁇ -hydroxy-16 ⁇ -methyl-3-oxo- androsta-1,4-diene-17 ⁇ -carbothioic acid S-fluoromethyl ester composition with acetone prepared according to Example 1, MMD of 3 ⁇ m: 1,1,1,2-tetrafluoroethane: 250 ⁇ g (amounts per actuation) to 50 ⁇ l
- the canister may be fitted with a metering valve adapted to dispense 50 ⁇ l per actuation.
- Aerosol formulation containing 6 ⁇ ,9 ⁇ -Difluoro-17 ⁇ -[(2-furanylcarbonyl)oxy]-11 ⁇ -hydroxy-16 ⁇ -methyl-3-oxo-androsta-1,4-diene-17 ⁇ -carbothioic acid S-fluoromethyl ester composition with acetone and a long acting ⁇ 2 -adrenoreceptor agonist
- An aluminium canister may be filled with a formulation as follows: 6 ⁇ , 9 ⁇ -Difluoro-17 ⁇ -[(2-furanylcarbonyl)oxy]-11 ⁇ -hydroxy-16 ⁇ -methyl-3-oxo- 250 ⁇ g androsta-1,4-diene-17 ⁇ -carbothioic acid S-fluoromethyl ester composition with acetone prepared according to Example 1, MMD of 3 ⁇ m: Long-acting ⁇ 2 -adrenoreceptor agonist (micronised to a MMD of 3 ⁇ m): 1,1,1,2-tetrafluoroethane: 25 ⁇ g (amounts per actuation) to 50 ⁇ l
- the canister may be fitted with a metering valve adapted to dispense 50 ⁇ l per actuation.
- a formulation for intranasal delivery may be prepared as follows: 6 ⁇ , 9 ⁇ -Difluoro-17 ⁇ -[(2-furanylcarbonyl)oxy]-11 ⁇ -hydroxy-16 ⁇ -methyl-3-oxo- 10 mg androsta-1,4-diene-17 ⁇ -carbothioic acid S-fluoromethyl ester composition with acetone prepared according to Example 1, MMD of 3 ⁇ m: Polysorbate 20 0.8 mg Sorbitan monolaurate 0.09 mg Sodium dihydrogen phosphate dihydrate 94 mg Dibasic sodium phosphate anhydrous 17.5 mg Sodium chloride 48 mg Demineralised water to 10 ml
- the formulation may be fitted into a spraypump capable of delivering a plurality of metered doses (Valois).
Landscapes
- Health & Medical Sciences (AREA)
- Chemical & Material Sciences (AREA)
- Organic Chemistry (AREA)
- General Health & Medical Sciences (AREA)
- Life Sciences & Earth Sciences (AREA)
- Public Health (AREA)
- Chemical Kinetics & Catalysis (AREA)
- General Chemical & Material Sciences (AREA)
- Medicinal Chemistry (AREA)
- Nuclear Medicine, Radiotherapy & Molecular Imaging (AREA)
- Veterinary Medicine (AREA)
- Pharmacology & Pharmacy (AREA)
- Engineering & Computer Science (AREA)
- Animal Behavior & Ethology (AREA)
- Bioinformatics & Cheminformatics (AREA)
- Diabetes (AREA)
- Endocrinology (AREA)
- Pulmonology (AREA)
- Immunology (AREA)
- Pain & Pain Management (AREA)
- Rheumatology (AREA)
- Pharmaceuticals Containing Other Organic And Inorganic Compounds (AREA)
- Steroid Compounds (AREA)
- Medicinal Preparation (AREA)
- Medicines That Contain Protein Lipid Enzymes And Other Medicines (AREA)
- Organic Low-Molecular-Weight Compounds And Preparation Thereof (AREA)
- Preparation Of Compounds By Using Micro-Organisms (AREA)
Abstract
in which the crystal lattice is stabilised by the presence of a guest molecule, characterised in the crystalline composition is of space group P212121 having unit cell dimensions of about 12.1±0.6 Å, 14.9±0.7 Å, and 16.2±0.8 Å when determined at either 120K or 150K.
Description
- This application is a Continuation of U.S. patent application Ser. No. 09/067,010 filed on 4 Feb. 2002, now allowed, which was a Continuation-in-part of U.S. Ser. No. 09/958,050 filed on 2 Oct. 2001, which is based upon International Patent Application No. PCT.GB01.03495 filed 3 Aug. 2001, which claims priority to United Kingdom Patent Application No. GB 0019172.6 filed 5 Aug. 2000.
- The present invention relates to a novel composition containing an anti-inflammatory and anti-allergic compound of the androstane series and to processes for its preparation. The present invention also relates to pharmaceutical formulations containing the composition and to therapeutic uses thereof, particularly for the treatment of inflammatory and allergic conditions.
- Glucocorticoids which have anti-inflammatory properties are known and are widely used for the treatment of inflammatory disorders or diseases such as asthma and rhinitis. For example, U.S. Pat. No. 4,335,121 discloses 6α, 9α-Difluoro-17α-(1-oxopropoxy)-11β-hydroxy-16α-methyl-3-oxo-androsta-1,4-diene-17β-carbothioic acid S-fluoromethyl ester (known by the generic name of fluticasone propionate) and derivatives thereof. The use of glucocorticoids generally, and especially in children, has been limited in some quarters by concerns over potential side effects. The side effects that are feared with glucocorticoids include suppression of the Hypothalamic-Pituitary-Adrenal (HPA) axis, effects on bone growth in children and on bone density in the elderly, ocular complications (cataract formation and glaucoma) and skin atrophy. Certain glucocorticoid compounds also have complex paths of metabolism wherein the production of active metabolites may make the pharmacodynamics and pharmacokinetics of such compounds difficult to understand. Whilst the modern steroids are very much safer than those originally introduced, it remains an object of research to produce new molecules which have excellent anti-inflammatory properties, with predictable pharmacokinetic and pharmacodynamic properties, with an attractive side effect profile, and with a convenient treatment regime.
- We have now identified a novel glucocorticoid compound and a crystalline composition thereof which substantially meets these objectives.
-
- in which the crystal lattice is stabilised by the presence of a guest molecule, characterised in the crystalline composition is of
space group P2 12121 having unit cell dimensions of about 12.1±0.6 Å, 14.9±0.7 Å, and 16.2±0.8 Å when determined at either 120K or 150K (hereinafter “a composition of the invention”) - The nature of the crystal lattice can be seen by reference to FIG. 1 which shows the spacial arrangement of 4 molecules of steroid and 4 guests within a single unit cell for two example compositions and FIG. 2A and FIG. 2B which shows detail of the spacial arrangment between steroid and guest molecule for the same two example compositions.
- We have determined the XRPD profiles for a large number of compositions according to the invention. These XRPD profiles are also apparently characteristic of the crystalline composition according to the invention. In particular they exhibit one or more of the following 5 features when determined at ambient temperature (eg around 295K):
- (a) A peak in the range of around 7.8-8.2; and
- (b) A peak in the range of around 8.8-9.6; and
- (c) A peak in the range of around 10.5-11.1
- (d) A peak in the range of around 15.0-15.8
- (e) A peak, often (but not always) associated with a pair of peaks, in the range of around 21.2-21.8
- Typically they exhibit 2 or more typically 3 or more of the above 5 features, especially 4 and particularly all 5 of the above 5 features.
- The XRPD profiles of compositions of the invention when crystallographically pure also preferably exhibit one or more of the following 2 features when determined at ambient temperature (eg around 295K):
- (a) Absence of a peak at around 7 (eg around 6.8-7.4) which is associated with the profile of
1, 2 and 3 polymorphs and present at particularly high intensity inunsolvated Form 2 and 3;Forms - (b) Absence of a peak at around 11.5 (eg around 11.3-11.7) which is associated with the profile of unsolvated Form I polymorph
- (all figures are in degrees 2Theta).
- Preferably both features are exhibited.
- The chemical name of the compound of formula (I) is 6α, 9α-Difluoro-17α-[(2-furanylcarbonyl)oxy]-11β-hydroxy-16α-methyl-3-oxo-androsta-1,4-diene-17β-carbothioic acid S-fluoromethyl ester.
- The compound of formula (I) and compositions thereof have potentially beneficial anti-inflammatory or anti-allergic effects, particularly upon topical administration, demonstrated by, for example, its ability to bind to the glucocorticoid receptor and to illicit a response via that receptor, with long acting effect. Hence, the compound of formula (I) and compositions thereof is useful in the treatment of inflammatory and/or allergic disorders, especially in once-per-day therapy.
-
Space group P2 12121 is characterised by angles of 90° being present in each of the 3 axes. - We have discovered that the compound of formula (I) can form a crystalline composition of characteristic space group, unit cell dimensions and crystalline structure as evidenced by X-ray diffraction with a very wide range of guest molecules.
- The guest molecule preferably has a relative molecular weight in the
range 16 to 150, more preferably 16 to 100, especially 40 to 100. Preferably the guest molecule is a liquid at ambient temperature and pressure (eg 295K, 1.013×105 Pa). However guest molecules which are a liquid under pressure may also be capable of acting as a guest molecule (especially under pressurised conditions). Substances which are solids at ambient temperature and pressure are also included. - The guest molecule preferably contains a moiety capable of acting as a hydrogen bond acceptor. Examples of moieties capable of acting as a hydrogen bond acceptor include carbonyl, sulphoxide, ether, —OH and amine groups (whether primary, secondary or tertiary amine groups) which moieties may form part of a carboxylic acid, ester or amide group. Moieties thioether and —SH may also be contemplated but are less preferred. Crystallographic studies have shown that a hydrogen bond acceptor on the guest is capable of interacting with the hydrogen atom of the C11 hydroxy on the compound of formula (I) thereby assisting the stabilisation of the crystal lattice (see in particular FIG. 2A and FIG. 2B). It is not ruled out that in some cases a hydrogen bond donor on the guest (eg the hydrogen atom of an —OH moiety) may be capable of interacting with the hydrogen bond acceptor on the compound of formula (I) thereby assisting the stabilisation of the crystal lattice.
- Examples of suitable guest molecules include solvents e.g.:
- amide moiety containing substances such as: dimethyl acetamide, dimethyl formamide, N-methyl-2-pyrrolidinone;
- carbonyl moiety containing substances such as: acetone, methylethylketone, cyclopentanone;
- sulphoxides such as dimethylsulphoxide;
- alcohols such as: ethanol, butan-1-ol, propan-1-ol, propan-2-ol;
- ethers such as: 1,4-dioxane, tetrahydrofuran;
- esters such as: ethylformate, methylacetate;
- carboxylic acids such as: acetic acid;
- water.
- An example of a solid guest molecule is ε-caprolactam.
- Preferred guest molecules are pharmaceutically acceptable substances and, as described below, compositions of the invention containing them may be used in therapy. However even if the guest molecule is not pharmaceutically acceptable then such compositions may be useful in the preparation of other compositions containing compound of formula (I), for example, other compositions of the invention containing guest molecules that are pharmaceutically acceptable or compound of formula (I) in unsolvated form.
- In one sub-aspect of the invention, the composition is not an essentially stoichiometric composition containing as guest molecule one of the following:
- acetone, dimethylformamide, dimethylacetamide, tetrahydrofuran, N-methyl-2-pyrrolidinone, propan-2-ol (isopropanol) or methylethylketone,
- more particularly the composition is not a composition containing as guest molecule one of the aforementioned substances having stoichiometry of compound of formula (I) to solvent of 0.95-1.05:1.
- In another sub-aspect of the invention, the composition is not a composition containing as guest molecule ethanol, water or methyl acetate, more particularly the composition is not an essentially stoichiometric composition containing as guest molecule one of the aforementioned substances, especially a composition having stoichiometry of compound of formula (I) to solvent of 0.95-1.05:1.
- Preferred guest molecules include: cyclopentanone, dimethylsulfoxide, ethanol, propan-1-ol, butan-1-ol, 1,4-dioxane, ethyl formate, methyl acetate, water and acetic acid, particularly cyclopentanone, dimethylsulfoxide, propan-1-ol, 1,4-dioxane, ethyl formate, butan-1-ol and acetic acid.
- The stoichiometry of the composition will usually be such that the ratio of compound to formula (I) to guest molecule, in molar terms, is 1:2.0-0.3, more preferably 1:1.6-0.6, especially 1:1.2-0.8.
- Unusually the composition of the invention has a crystal structure which is quite distinct from that of compound of formula (I) in the absence of a guest molecule, eg. the compound of formula (I) as
unsolvated polymorph Form 1 which has a space group of P21 (i.e. two of the axis angles are 90°) and cell dimensions of 7.6, 14.1, 11.8 Å when determined at 150K. Thus if the guest molecule is removed below a threshold level (which will differ from guest to guest) for example by heating (optionally at reduced pressure eg under vacuum) then the crystal structure of the composition starts to break down and converts to that of the structure of an unsolvated compound of formula (I), typicallyunsolvated polymorph Form 1. - FIG. 3 shows the evolution of the XRPD profile of the composition with acetone when subjected to heating, and its in conversion to
unsolvated polymorph Form 1. - The compositions with acetone, dimethylformamide, tetrahydrofuran, N-methyl-2-pyrrolidinone and acetic acid, at least, are particularly stable when subjected to heating, requiring a temperature in excess of 95° C. to cause substantial loss of guest from the crystal lattice. Of these, the compositions with acetone, dimethylformamide and acetic acid required a temperature in excess of 125° C. to cause substantial loss of guest.
- Preferably the unit cell dimentions are about 12.1±0.6 Å, 14.9±0.7 Å, and 16.2±0.8 Å when determined at 120K. Usually the unit cell dimensions are about 12.1±0.4 Å, 14.9±0.6 Å, and 16.2±0.7 Å when determined at either 120K or 150K, especially when determined at 120K.
- Table 1 shows the unit cell dimensions and peak positions for a number of example compositions:
TABLE 1 Guest molecule Unit cell dimensions Peak positions EthanolA 12.2 15.2 15.5 8.2 9.3 10.9 15.4 21.8 Propan-1-olA 12.4 15.4 15.5 8.1 9.1 10.8 15.3 21.6 Propan-2-olA 12.3 15.1 15.7 8.1 9.2 10.8 15.3 21.6 1,4-DioxaneA 12.5 14.6 16.1 8.2 9.3 10.8 15.1 21.6 Ethyl formateA 12.0 14.7 16.2 8.0 9.4 10.9 15.6 21.8 Acetic AcidA 11.9 14.5 16.1 8.2 9.5 11.0 15.7 21.7 AcetoneA 11.9 14.7 16.2 8.1* 9.5 10.9 15.7 21.6 Dimethyl- 12.1 14.8 16.2 7.9 9.1 10.8 15.5 21.5 formamideA Dimethyl- 12.2 14.9 16.6 8.0 9.4 10.8 15.4 21.6 acetamideA Methylethyl- 12.0 14.9 16.3 8.0 9.3 10.8 15.5 21.5 ketoneA TetrahydrofuranA 12.0 14.6 16.4 8.1 9.5 10.9 15.5 21.5 N-Methyl-2- 12.0 14.9 16.8 7.9 9.4 10.8 15.5 21.6 pyrrolidinoneB N-Methyl-2- 12.1 14.9 16.9 pyrrolidinoneD Dimethyl- N/a N/a N/a 8.1* 9.4 10.9 15.4 21.5 sulphoxide Cyclopentanone N/a N/a N/a 8.1 9.4 10.9 15.5 21.5 Water N/a N/a N/a 8.1* 9.6 11.0 15.5 21.8 Butan-1-olA 12.5 15.7 15.4 8.0 8.9 10.6 15.1 21.6 Methyl AcetateC 12.1 14.6 16.3 8.1 9.4 10.8 15.5 21.8 ε-caprolactam N/a N/a N/a 8.1* 9.0 10.5 15.1 21.4 - Compound (I) undergoes highly efficient hepatic metabolism to yield the 17-β carboxylic acid (X) as the sole major metabolite in rat and human in vitro systems.
-
- This efficient hepatic metabolism is reflected by in vivo data in the rat, which have demonstrated plasma clearance at a rate approaching hepatic blood flow and an oral bioavailability of <1%, consistent with extensive first-pass metabolism.
- In vitro metabolism studies in human hepatocytes have demonstrated that compound (I) is metabolised in an identical manner to fluticasone propionate but that conversion of (I) to the inactive acid metabolite occurs approximately 5-fold more rapidly than with fluticasone propionate. This very efficient hepatic inactivation would be expected to minimise systemic exposure in man leading to an improved safety profile.
- Inhaled steroids are also absorbed through the lung and this route of absorption makes a significant contribution to systemic exposure. Reduced lung absorption could therefore provide an improved safety profile. Studies with compound (I) have shown significantly lower exposure to compound (I) than with fluticasone propionate after dry powder delivery to the lungs of anaesthetised pigs.
- An improved safety profile is believed to allow the compound of formula (I) to demonstrate the desired anti-inflammatory effects when administered once-per day. Once-per-day dosing is considered to be significantly more convenient to patients than the twice-per day dosing regime that is normally employed for fluticasone propionate.
- Examples of disease states in which the compound of formula (I) and compositions thereof have utility include skin diseases such as eczema, psoriasis, allergic dermatitis, neurodermatitis, pruritis and hypersensitivity reactions; inflammatory conditions of the nose, throat or lungs such as asthma (including allergen-induced asthmatic reactions), rhinitis (including hayfever), nasal polyps, chronic obstructive pulmonary disease, interstitial lung disease, and fibrosis; inflammatory bowel conditions such as ulcerative colitis and Crohn's disease; and auto-immune diseases such as rheumatoid arthritis.
- The compound of formula (I) may also have use in the treatment of conjunctiva and conjunctivitis.
- The composition of the invention is expected to be most useful in the treatment of inflammatory disorders of the respiratory tract e.g. asthma, COPD and rhinitis particularly asthma and rhinitis.
- It will be appreciated by those skilled in the art that reference herein to treatment extends to prophylaxis as well as the treatment of established conditions.
- As mentioned above, the composition of the invention is useful in human or veterinary medicine, in particular as an anti-inflammatory and anti-allergic agent.
- There is thus provided as a further aspect of the invention the composition of the invention for use in human or veterinary medicine, particularly in the treatment of patients with inflammatory and/or allergic conditions, especially for treatment once-per-day.
- According to another aspect of the invention, there is provided the use of the composition of the invention for the manufacture of a medicament for the treatment of patients with inflammatory and/or allergic conditions, especially for treatment once-per-day.
- In a further or alternative aspect, there is provided a method for the treatment of a human or animal subject with an inflammatory and/or allergic condition, which method comprises administering to said human or animal subject an effective amount of the composition of the invention, especially for administration once-per-day.
- The composition of the invention may be formulated for administration in any convenient way, and the invention therefore also includes within its scope pharmaceutical compositions comprising the composition of the invention together, if desirable, in admixture with one or more physiologically acceptable diluents or carriers. Pharmaceutical compositions suitable for once-per-day administration are of particular interest.
- Further, there is provided a process for the preparation of such pharmaceutical compositions which comprises mixing the ingredients.
- The composition of the invention may, for example, be formulated for oral, buccal, sublingual, parenteral, local or rectal administration, especially local administration.
- Local administration as used herein, includes administration by insufflation and inhalation. Examples of various types of preparation for local administration include ointments, lotions, creams, gels, foams, preparations for delivery by transdermal patches, powders, sprays, aerosols, capsules or cartridges for use in an inhaler or insufflator or drops (e.g. eye or nose drops), solutions/suspensions for nebulisation, suppositories, pessaries, retention enemas and chewable or suckable tablets or pellets (e.g. for the treatment of aphthous ulcers) or liposome or microencapsulation preparations.
- Advantageously compositions for topical administration to the lung include dry powder compositions and spray compositions.
- Dry powder compositions for topical delivery to the lung by inhalation may, for example, be presented in capsules and cartridges for use in an inhaler or insufflator of, for example, gelatine. Formulations generally contain a powder mix for inhalation of the compound of the invention and a suitable powder base (carrier substance) such as lactose or starch. Use of lactose is preferred. Each capsule or cartridge may generally contain between 20 μg-10 mg of the compound of formula (I) in a composition of the invention optionally in combination with another therapeutically active ingredient. Alternatively, the composition of the invention may be presented without excipients. Packaging of the formulation may be suitable for unit dose or multi-dose delivery. In the case of multi-dose delivery, the formulation can be pre-metered (e.g. as in Diskus, see GB 2242134 or Diskhaler, see GB 2178965, 2129691 and 2169265) or metered in use (e.g. as in Turbuhaler, see EP 69715). An example of a unit-dose device is Rotahaler (see GB 2064336). The Diskus inhalation device comprises an elongate strip formed from a base sheet having a plurality of recesses spaced along its length and a lid sheet hermetically but peelably sealed thereto to define a plurality of containers, each container having therein an inhalable formulation containing a composition of the invention preferably combined with lactose. Preferably, the strip is sufficiently flexible to be wound into a roll. The lid sheet and base sheet will preferably have leading end portions which are not sealed to one another and at least one of the said leading end portions is constructed to be attached to a winding means. Also, preferably the hermetic seal between the base and lid sheets extends over their whole width. The lid sheet may preferably be peeled from the base sheet in a longitudinal direction from a first end of the said base sheet.
- Pharmaceutical formulations which are non-pressurised and adapted to be administered as a dry powder topically to the lung via the buccal cavity (especially those which are free of excipient or are formulated with a diluent or carrier such as lactose or starch, most especially lactose) are of particular interest.
- Spray compositions for topical delivery to the lung by inhalation may for example be formulated as aqueous solutions or suspensions or as aerosols delivered from pressurised packs, such as a metered dose inhaler, with the use of a suitable liquefied propellant. Aerosol compositions suitable for inhalation can be either a suspension or a solution and generally contain the composition of the invention optionally in combination with another therapeutically active ingredient and a suitable propellant such as a fluorocarbon or hydrogen-containing chlorofluorocarbon or mixtures thereof, particularly hydrofluoroalkanes, especially 1,1,1,2-tetrafluoroethane, 1,1,1,2,3,3,3-heptafluoro-n-propane or a mixture thereof. The aerosol composition may optionally contain additional formulation excipients well known in the art such as surfactants e.g. oleic acid or lecithin and cosolvents e.g. ethanol. One example formulation is excipient free and consists essentially of (e.g. consists of) composition of the invention (optionally together with a further active ingredient) and a propellant selected from 1,1,1,2-tetrafluoroethane, 1,1,1,2,3,3,3-heptafluoro-n-propane and mixture thereof. Another example formulation comprises particulate composition of the invention, a propellant selected from 1,1,1,2-tetrafluoroethane, 1,1,1,2,3,3,3-heptafluoro-n-propane and mixture thereof and a suspending agent which is soluble in the propellant e.g. an oligolactic acid or derivative thereof as described in WO94/21229. The preferred propellant is 1,1,1,2-tetrafluoroethane. Pressurised formulations will generally be retained in a canister (e.g. an aluminium canister) closed with a valve (e.g. a metering valve) and fitted into an actuator provided with a mouthpiece.
- Medicaments for administration by inhalation desirably have a controlled particle size. The optimum particle size for inhalation into the bronchial system is usually 1-10 μm, preferably 2-5 μm. Particles having a size above 20 μm are generally too large when inhaled to reach the small airways. To achieve these particle sizes the particles of the composition of the invention as produced may be size reduced by conventional means e.g. by micronisation. The desired fraction may be separated out by air classification or sieving. Preferably, the particles will be crystalline, prepared for example by a process which comprises mixing in a continuous flow cell in the presence of ultrasonic radiation a flowing solution of compound of formula (I) as medicament in a liquid solvent with a flowing liquid antisolvent for said medicament (e.g. as described in International Patent Application PCT/GB99/04368) or else by a process which comprises admitting a stream of solution of the substance in a liquid solvent and a stream of liquid antisolvent for said substance tangentially into a cylindrical mixing chamber having an axial outlet port such that said streams are thereby intimately mixed through formation of a vortex and precipitation of crystalline particles of the substance is thereby caused (e.g. as described in International Patent Application PCT/GB00/04327).
- When an excipient such as lactose is employed, generally, the particle size of the excipient will be much greater than the inhaled medicament within the present invention. When the excipient is lactose it will typically be present as milled lactose, wherein not more than 85% of lactose particles will have a MMD of 60-90 μm and not less than 15% will have a MMD of less than 15 μm.
- Formulations for administration topically to the nose (e.g. for the treatment of rhinitis) include pressurised aerosol formulations and aqueous formulations administered to the nose by pressurised pump. Formulations which are non-pressurised and adapted to be administered topically to the nasal cavity are of particular interest. The formulation preferably contains water as the diluent or carrier for this purpose. Aqueous formulations for administration to the lung or nose may be provided with conventional excipients such as buffering agents, tonicity modifying agents and the like. Aqueous formulations may also be administered to the nose by nebulisation.
- Other possible presentations include the following:
- Ointments, creams and gels, may, for example, be formulated with an aqueous or oily base with the addition of suitable thickening and/or gelling agent and/or solvents. Such bases may thus, for example, include water and/or an oil such as liquid paraffin or a vegetable oil such as arachis oil or castor oil, or a solvent such as polyethylene glycol. Thickening agents and gelling agents which may be used according to the nature of the base include soft paraffin, aluminium stearate, cetostearyl alcohol, polyethylene glycols, woolfat, beeswax, carboxypolymethylene and cellulose derivatives, and/or glyceryl monostearate and/or non-ionic emulsifying agents.
- Lotions may be formulated with an aqueous or oily base and will in general also contain one or more emulsifying agents, stabilising agents, dispersing agents, suspending agents or thickening agents.
- Powders for external application may be formed with the aid of any suitable powder base, for example, talc, lactose or starch. Drops may be formulated with an aqueous or non-aqueous base also comprising one or more dispersing agents, solubilising agents, suspending agents or preservatives.
- If appropriate, the formulations of the invention may be buffered by the addition of suitable buffering agents.
- The proportion of the active compound of formula (I) in the local compositions according to the invention depends on the precise type of formulation to be prepared but will generally be within the range of from 0.001 to 10% by weight. Generally, however for most types of preparations advantageously the proportion used will be within the range of from 0.005 to 1% and preferably 0.01 to 0.5%. However, in powders for inhalation or insufflation the proportion used will usually be within the range of from 0.1 to 5%.
- Aerosol formulations are preferably arranged so that each metered dose or “puff” of aerosol contains 1 μg-2000 μg e.g. 20 μg-2000 μg, preferably about 20 μg-500 μg of compound of formula (I) optionally in combination with another therapeutically active ingredient. Administration may be once daily or several times daily, for example 2, 3, 4 or 8 times, giving for example 1, 2 or 3 doses each time. Preferably the composition of the invention is delivered once or twice daily. The overall daily dose with an aerosol will typically be within the
range 10 μg-10 mg e.g. 100 μg-10 mg preferably, 200 μg-2000 μg. - Topical preparations may be administered by one or more applications per day to the affected area; over skin areas occlusive dressings may advantageously be used. Continuous or prolonged delivery may be achieved by an adhesive reservoir system.
- For internal administration the compound according to the invention may, for example, be formulated in conventional manner for oral, parenteral or rectal administration. Formulations for oral administration include syrups, elixirs, powders, granules, tablets and capsules which typically contain conventional excipients such as binding agents, fillers, lubricants, disintegrants, wetting agents, suspending agents, emulsifying agents, preservatives, buffer salts, flavouring, colouring and/or sweetening agents as appropriate. Dosage unit forms are, however, preferred as described below.
- Preferred forms of preparation for internal administration are dosage unit forms i.e. tablets and capsules. Such dosage unit forms contain from 0.1 mg to 20 mg preferably from 2.5 to 10 mg of the compound of formula (I).
- The compound according to the invention may in general may be given by internal administration in cases where systemic adreno-cortical therapy is indicated.
- In general terms preparations, for internal administration may contain from 0.05 to 10% of the active ingredient dependent upon the type of preparation involved. The daily dose may vary from 0.1 mg to 60 mg, e.g. 5-30 mg, dependent on the condition being treated, and the duration of treatment desired.
- Slow release or enteric coated formulations may be advantageous, particularly for the treatment of inflammatory bowel disorders.
- Since the compound of formula (I) is long-acting, preferably the composition of the invention will be delivered once-per-day and the dose will be selected so that the compound has a therapeutic effect in the treatment of respiratory disorders (e.g. asthma or COPD, particularly asthma) over 24 hours or more.
- The pharmaceutical compositions according to the invention may also be used in combination with another therapeutically active agent, for example, a β 2 adrenoreceptor agonist, an anti-histamine or an anti-allergic. The invention thus provides, in a further aspect, a combination comprising the composition of the invention together with another therapeutically active agent, for example, a β2-adrenoreceptor agonist, an anti-histamine or an anti-allergic.
- Examples of β 2-adrenoreceptor agonists include salmeterol (e.g. as racemate or a single enantiomer such as the R-enantiomer), salbutamol, formoterol, salmefamol, fenoterol or terbutaline and salts thereof, for example the xinafoate salt of salmeterol, the sulphate salt or free base of salbutamol or the fumarate salt of formoterol.
- Pharmaceutical compositions employing combinations with long-acting β 2-adrenoreceptor agonists (e.g. salmeterol and salts thereof) are particularly preferred, especially those which have a therapeutic effect (e.g. in the treatment of asthma or COPD, particularly asthma) over 24 hours or more.
- Since the compound of formula (I) is long-acting, preferably the composition comprising the compound of formula (I) and the long-acting β 2-adrenoreceptor agonists will be delivered once-per-day and the dose of each will be selected so that the composition has a therapeutic effect in the treatment of respiratory disorders effect (e.g. in the treatment of asthma or COPD, particularly asthma) over 24 hours or more.
- Examples of anti-histamines include methapyrilene or loratadine.
- Other suitable combinations include, for example, other anti-inflammatory agents e.g. NSAIDs (e.g. sodium cromoglycate, nedocromil sodium, PDE4 inhibitors, leukotriene antagonists, iNOS inhibitors, tryptase and elastase inhibitors, beta-2 integrin antagonists and adenosine 2a agonists)) or antiinfective agents (e.g. antibiotics, antivirals).
- Also of particular interest is use of the composition of the invention in combination with a phosphodiesterase 4 (PDE4) inhibitor e.g. cilomilast or a salt thereof.
- The combination referred to above may conveniently be presented for use in the form of a pharmaceutical formulation and thus pharmaceutical formulations comprising a combination as defined above together with a physiologically acceptable diluent or carrier represent a further aspect of the invention.
- The compound according to the invention in combination with another therapeutically active ingredient as described above may be formulated for administration in any convenient way, and the invention therefore also includes within its scope pharmaceutical formulations comprising the composition of the invention in combination with another therapeutically active ingredient together, if desirable, in admixture with one or more physiologically acceptable diluents or carriers. The preferred route of administration for inflammatory disorders of the respiratory tract will generally be administration by inhalation.
- Further, there is provided a process for the preparation of such pharmaceutical compositions which comprises mixing the ingredients.
- Therapeutic agent combinations may be in any form, for example combinations may comprise a single dose containing separate particles of individual therapeutics, and optionally excipient material(s), alternatively, multiple therapeutics may be formed into individual multicomponent particles, formed for example by coprecipitation, and optionally containing excipient material(s).
- The individual compounds of such combinations may be administered either sequentially in separate pharmaceutical compositions as well as simultaneously in combined pharmaceutical formulations. Appropriate doses of known therapeutic agents will be readily appreciated by those skilled in the art.
- The composition of the invention may be prepared by the methodology described hereinafter, constituting a further aspect of this invention.
- A first process for preparing a composition of the invention comprises crystallising the composition from a solution containing a compound of formula (I) and the guest molecule. The solution containing the guest molecule could be the guest itself when this a liquid, or could be the guest dissolved in another liquid substance which substance does not act as a guest molecule.
- Optionally, for better control and reproduceability, the crystallisation process may be assisted by seeding with crystals of the composition of the invention. The seed crystals of the composition of the invention need not contain the same guest molecule.
- A second process for preparing a composition of the invention comprises contacting the compound of formula (I) or a composition according to the invention thereof in solid form with a liquid containing the guest molecule (for example by slurrying) and obtaining the composition therefrom. The liquid containing the guest molecule could be the guest itself when this a liquid, or could be the guest dissolved in another liquid substance which substance does not act as a guest molecule.
- A third process for preparing a composition of the invention comprises contacting a compound of formula (I) or a composition according to the invention thereof in solid form with a vapour containing the guest molecule. This process is suitable when the guest has acceptable volatility e.g. when the guest is a solvent.
- In the second and third processes, the compound of formula (I) may be employed in the form of a composition with a guest molecule or in a form without a guest molecule (eg as
1, 2 or 3). In the first process the compound of formula (I) or a composition according to the invention may be dissolved in the solution or prepared in situ.unsolvated polymorph Form - In one particular embodiment of this aspect of the invention the input compound of formula (I) in the first, second and third processes is in the form of a substantially amorphous solid. Preferably the compound of formula (I) in the form of a substantially amorphous solid is preferably in the form of substantially amorphous particles. For example the the compound of formula (I) in the form of substantially amorphous particles may be obtained by spray drying a solution containing the compound of formula (I). Any solvent that will dissolve the compound of formula (I) that can be evaporated safely in a spray drying process may be used. Suitable solvents for forming the solution include, but are not limited to, methyl acetate, ethyl acetate, isopropyl acetate, acetone, 2-butanone, 3-pentanone, 4-methyl-2-pentanone, ethanol, methanol, 1-propanol, propan-2-ol, acetonitrile, chloroform, dichloromethane especially methylethylketone (2-butanone). Solution concentration will typically be 0.5-50% specifically 10-40% eg 20-30%. Lower concentrations may be more suitable for preparing smaller particle sizes especially 2-4% e.g. 3.5-4%. The concentration that may be employed will be limited by the dissolution power of the solvent. Methylethylketone is preferred since it dissolves compound of formula (I) at a relatively high concentration which results in production advantages. The compound of formula (I) may be employed in non-solvated form or in the form of a composition of the invention (e.g. with acetone). Preferably it is employed as the
non-solvated Form 1 polymorph. Spray drying maybe performed, for example, using apparatus supplied by Buchi or Niro. A pneumatic spray nozzle orifice of e.g. 0.04 inches is suitable, although alternate atomization methods such as rotary and pressure nozzles can be used. Solution flow rate may typically be in the range 1-100 ml/min, especially 15-30 ml/min. The inlet temperature and flow rate combination should be suitable to evaporate the solvent completely to minimize the risk of solvent trapped in the particle expediting an amorphous to crystalline transition. Inlet temperatures can range from 50-250° C., typically 100-200° C. - Compound of formula (I) in unsolvated form which is itself a useful substance has been found to exist in 3 crystalline polymorphic forms,
1, 2 and 3, althoughForms Form 3 may be an unstable variant ofForm 2. The Forms are characterised by their XRPD patterns shown in FIG. 5. Broadly speaking the Forms are characterised in their XRPD profiles as follows: - Form 1: Peak at around 18.9 degrees 2Theta
- Form 2: Peaks at around 18.4 amd 21.5 degrees 2Theta
- Form 3: Peaks at around 18.6 and 19.2 degrees 2Theta.
- Forms 1 appears likely to be the thermodynamically most stable form since
2 and 3 are converted intoForms Form 1 on heating. - A process for preparing a compound of formula (I) as crystalline
unsolvated Form 1 polymorph comprises dissolving compound of formula (I) in methylisobutylketone or ethyl acetate and producing compound of formula (I) asunsolvated Form 1 by addition of an anti-solvent such as iso-octane or toluene. - According to a first preferred embodiment of this process the compound of formula (I) may be dissolved in ethyl acetate and compound of formula (I) as
unsolvated Form 1 polymorph may be obtained by addition of toluene as anti-solvent. In order to improve the yield, preferably the ethyl acetate solution is hot and once the toluene has been added the mixture is distilled to reduce the content of ethyl acetate. - According to a second preferred embodiment of this process the compound of formula (I) may be dissolved in methylisobutylketone and compound of formula (I) as crystalline
unsolvated Form 1 polymorph may be obtained by addition of isooctane as anti-solvent. - A process for preparing a compound of formula (I) as
unsolvated Form 2 polymorph comprises dissolving compound of formula (I) in unsolvated form in methanol or dry dichloromethane and recrystallising the compound of formula (I) asunsolvated Form 2 polymorph. Typically the compound of formula (I) will be dissolved in hot in methanol or dry dichloromethane and allowed to cool. - A process for preparing a preparing a compound of formula (I) as
unsolvated Form 3 polymorph comprises dissolving compound of formula (I) in particular as the composition with acetone in dichloromethane in the presence of water (typically 1-3% water by volume) and recrystallising the compound of formula (I) asunsolvated Form 3 polymorph. - As mentioned above, compositions of the invention may also find use as manufacturing intermediates in the preparation of compound of formula (I) in unsolvated form, or in the preparation of other compositions of the invention, or in pharmaceutical compositions thereof.
- For example, a process for preparation of compound of formula (I) in unsolvated form (typically unsolvated polymorph Form 1) comprises removing the guest molecule from a composition of the invention.
- The methodology described herein for preparing compositions of the invention may also be useful in preparing compositions of the invention of defined crystal habit and also for preparing compounds of formula (I) in unsolvated form (typically unsolvated polymorph Form 1) of defined crystal habit. In particular the compositions of the invention with acetone are particularly advantageous since when prepared according to the method substantially as described in Example 1, second alternative method they are produced in the form of equant or substantially equant particles (typically elongated tetragonal bipyramidal crystals) which are readily micronised with high efficiency. The compositions of the invention with propan-2-ol are also particularly advantageous since when prepared according to the method substantially as described in Example 3, second alternative method they are produced in the form of equant or substantially equant particles (typically tetragonal bipyramidal crystals) which are also readily micronised with high efficiency. If these compositions of the invention are converted to unsolvated form (typically unsolvated Form 1) by removal of the guest molecule (eg on heating, typically to around 100-110 eg 105° C.) then the unsolvated form is prepared in the corresponding advantageous crystal habit.
Unsolvated polymorph Form 1 when prepared by this method either from compositions of the invention with a acetone or compositions of the invention with propan-2-ol are much more readily micronised than the needle shaped crystals prepared by the method described above involving recrystallisation from ethylacetate and toluene. The different shaped particles are shown in FIGS. 6 to 8. - Equant and substantially equant particles may be single crystals or agglomerations of crystals. Equant particles have dimensions in each of the three axes of measurement which are approximately the same, for example they have dimensions in the three axes such that the difference between the largest and the smallest measurement is not more than approximately 50% of the smallest. Particles which are single crystals are typically equant. Particles which are agglomerations of crystals are typically substantially equant such that the particles have dimensions in the three axes such that the difference between the largest and the smallest measurement is not more than approximately 100% of the smallest, particularly not more than 50% of the smallest.
- Thus according to another aspect of the invention we provide a process for preparing compound of formula (I) in unsolvated form (typically unsolvated Form 1) in the form of equant or substantially equant particles by a process comprising:
- (a) preparing a composition of the invention in the form of equant or substantially equant particles; and
- (b) removing the guest molecule eg by heating.
- In step (a) preferably the composition is a composition with propan-2-ol or acetone as guest molecule.
- We also claim compound of formula (I) in unsolvated form (typically unsolvated Form 1) in the form of equant or substantially equant particles eg obtainable by such a process.
- We also claim a composition according to the invention in the form of equant or substantially equant particles, especially a composition with acetone or propan-2-ol.
-
- or a salt thereof.
- In this process the compound of formula (II) may be reacted with a compound of formula FCH 2L wherein L represents a leaving group (e.g. a halogen atom, a mesyl or tosyl group or the like) for example, an appropriate fluoromethyl halide under standard conditions. Preferably, the fluoromethyl halide reagent is bromofluoromethane. Preferably the compound of formula (II) is employed as a salt, particularly the salt with diisopropylethylamine.
- In a preferred process for preparing the compound of formula (I), the compound of formula (II) or a salt thereof is treated with bromofluoromethane optionally in the presence of a phase transfer catalyst. A preferred solvent is methylacetate, or more preferably ethylacetate, optionally in the presence of water. The presence of water improves solubility of both starting material and product and the use of a phase transfer catalyst results in an increased rate of reaction. Examples of phase transfer catalysts that may be employed include (but are not restricted to) tetrabutylammonium bromide, tetrabutylammonium chloride, benzyltributylammonium bromide, benzyltributylammonium chloride, benzyltriethylammonium bromide, methyltributylammonium chloride and methyltrioctylammonium chloride. THF has also successfully been employed as solvent for the reaction wherein the presence of a phase transfer catalyst again provides a significantly faster reaction rate. Preferably the product present in an organic phase is washed firstly with aqueous acid e.g. dilute HCl in order to remove amine compounds such as triethylamine and diisopropylethylamine and then with aqueous base e.g. sodium bicarbonate in order to remove any unreacted precursor compound of formula (II).
-
- using for example, the methodology described by G. H. Phillipps et al., (1994) Journal of Medicinal Chemistry, 37, 3717-3729. For example the step typically comprises the addition of a reagent suitable for performing the esterification e.g. an activated derivative of 2-furoic acid such as an activated ester or preferably a 2-furoyl halide e.g. 2-furoyl chloride (employed in at least 2 times molar quantity relative to the compound of formula (III)) in the presence of an organic base e.g. triethylamine. The second mole of 2-furoyl chloride reacts with the thioacid moiety in the compound of formula (III) and needs to be removed e.g. by reaction with an amine such as diethylamine.
- This method suffers disadvantages, however, in that the resultant compound of formula (II) is not readily purified of contamination with the by-product 2-furoyldiethylamide. We have therefore invented several improved processes for performing this conversion.
- In a first such improved process we have discovered that by using a more polar amine such as diethanolamine, a more water soluble by-product is obtained (in this case 2-furoyldiethanolamide) which permits compound of formula (II) or a salt thereof to be produced in high purity since the by-product can efficiently be removed by water washing.
- Thus we provide a process for preparing a compound of formula (II) which comprises:
-
- ; and
- (b) removal of the sulphur-linked 2-furoyl moiety from compound of formula (IIA) by reaction of the product of step (a) with an organic primary or secondary amine base capable of forming a water soluble 2-furoyl amide.
- In two particularly convenient embodiments of this process we also provide methods for the efficient purification of the end product which comprise either
- (c1) when the product of step (b) is dissolved in a substantially water immiscible organic solvent, purifying the compound of formula (II) by washing out the amide by-product from step (b) with an aqueous wash, or
- (c2) when the product of step (b) is dissolved in a water miscible solvent, purifying the compound of formula (II) by treating the product of step (b) with an aqueous medium so as to precipitate out pure compound of formula (II) or a salt thereof.
- In step (a) preferably the activated derivative of 2-furoic acid may be an activated ester of 2-furoic acid, but is more preferably a 2-furoyl halide, especially 2-furoyl chloride. A suitable solvent for this reaction is ethylacetate or methylacetate (preferably methylacetate) (when step (c1) may be followed) or acetone (when step (c2) may be followed). Normally an organic base e.g. triethylamine will be present. In step (b) preferably the organic base is diethanolamine. The base may suitably be dissolved in a solvent e.g. methanol. Generally steps (a) and (b) will be performed at reduced temperature e.g. between 0 and 5° C. In step (c1) the aqueous wash may be water, however the use of brine results in higher yields and is therefore preferred. In step (c2) the aqueous medium is for example a dilute aqueous acid such as dilute HCl.
- We also provide an alternative process for preparing a compound of formula (II) which comprises:
- (a) reacting a compound of formula (III) with an activated derivative of 2-furoic acid in an amount of at least 2 moles of activated derivative per mole of compound of formula (III) to yield a compound of formula (IIA); and
- (b) removal of the sulphur-linked 2-furoyl moiety from compound of formula (IIA) by reaction of the product of step (a) with a further mole of compound of formula (III) to give two moles of compound of formula (II).
- In step (a) preferably the activated derivative of 2-furoic acid may be an activated ester of 2-furoic acid, but is more preferably a 2-furoyl halide, especially 2-furoyl chloride. A suitable solvent for his step is acetone. Normally an organic base e.g. triethylamine will be present. In step (b) a suitable solvent is DMF or dimethylacetamide. Normally an organic base e.g. triethylamine will be present. Generally steps (a) and (b) will be performed at reduced temperature e.g. between 0 and 5° C. The product may be isolated by treatment with acid and washing with water.
- This aforementioned process is very efficient in that it does not produce any furoylamide by-product (thus affording inter alia environmental advantages) since the excess mole of furoyl moiety is taken up by reaction with a further mole of compound of formula (II) to form an additional mole of compound of formula (II).
- Further general conditions for the conversion of compound of formula (III) to compound of formula (II) in the two processes just described will be well known to persons skilled in the art.
- According to a preferred set of conditions, however, we have found that the compound of formula (II) may advantageously be isolated in the form of a solid crystalline salt. The preferred salt is a salt formed with a base such as triethylamine, 2,4,6-trimethylpyridine, diisopropylethylamine or N-ethylpiperidine. Such salt forms of compound of formula (II) are more stable, more readily filtered and dried and can be isolated in higher purity than the free thioacid. The most preferred salt is the salt formed with diisopropylethylamine. The triethylamine salt is also of interest.
- Compounds of formula (III) may be prepared in accordance with procedures described in GB 2088877B.
-
- Step (a) comprises oxidation of a solution containing the compound of formula (V). Preferably, step (a) will be performed in the presence of a solvent comprising methanol, water, tetrahydrofuran, dioxan or diethylene glygol dimethylether. So as to enhance yield and throughput, preferred solvents are methanol, water or tetrahydrofuran, and more preferably are water or tetrahydrofuran, especially water and tetrahydrofuran as solvent. Dioxan and diethylene glygol dimethylether are also preferred solvents which may optionally (and preferably) be employed together with water. Preferably, the solvent will be present in an amount of between 3 and 10 vol relative to the amount of the starting material (1 wt.), more preferably between 4 and 6 vol., especially 5 vol. Preferably the oxidising agent is present in an amount of 1-9 molar equivalents relative to the amount of the starting material. For example, when a 50% w/w aqueous solution of periodic acid is employed, the oxidising agent may be present in an amount of between 1.1 and 10 wt. relative to the amount of the starting material (1 wt.), more preferably between 1.1 and 3 wt., especially 1.3 wt. Preferably, the oxidation step will comprise the use of a chemical oxidising agent. More preferably, the oxidising agent will be periodic acid or iodic acid or a salt thereof. Most preferably, the oxidising agent will be periodic acid or sodium periodate, especially periodic acid. Alternatively (or in addition), it will also be appreciated that the oxidation step may comprise any suitable oxidation reaction, e.g. one which utilises air and/or oxygen. When the oxidation reaction utilises air and/or oxygen, the solvent used in said reaction will preferably be methanol. Preferably, step (a) will involve incubating the reagents at room temperature or a little warmer, say around 25° C. e.g. for 2 hours. The compound of formula (IV) may be isolated by recrystallisation from the reaction mixture by addition of an anti-solvent. A suitable anti-solvent for compound of formula (IV) is water. Surprisingly we have discovered that it is highly desirable to control the conditions under which the compound of formula (IV) is precipitated by addition of anti-solvent e.g. water. When the recrystallisation is performed using chilled water (e.g. water/ice mixture at a temperature of 0-5° C.) although better anti-solvent properties may be expected we have found that the crystalline product produced is very voluminous, resembles a soft gel and is very difficult to filter. Without being limited by theory we believe that this low density product contains a large amount of solvated solvent within the crystal lattice. By contrast when conditions of around 10° C. or higher are used (e.g. around ambient temperature) a granular product of a sand like consistency which is very easily filtered is produced. Under these conditions, crystallisation typically commences after around 1 hour and is typically completed within a few hours (e.g. 2 hours). Without being limited by theory we believe that this granular product contains little or no solvated solvent within the crystal lattice.
- Step (b) will typically comprise the addition of a reagent suitable for converting a carboxylic acid to a carbothioic acid e.g. using hydrogen sulphide gas together with a suitable coupling agent e.g. carbonyldiimidazole (CDI) in the presence of a suitable solvent e.g. dimethylformamide.
- The advantages of the composition comprising a compound of formula (I) together with a guest compound according to the invention may include the fact that the substance appears to demonstrate excellent anti-inflammatory properties, with predictable pharmacokinetic and pharmacodynamic behaviour, with an attractive side-effect profile, long duration of action, and is compatible with a convenient regime of treatment in human patients, in particular being amenable to once-per day dosing. Further advantages may include the fact that the substance has desirable physical and chemical properties which allow for ready manufacture and storage. Alternatively it may serve as a useful intermediate in the preparation of other forms of the compound of formula (I) or compositions thereof.
- FIG. 1: Figure showing the spacial arrangement of 4 steroid and 4 guest molecules in the unit cell of compositions of the invention with THF (upper figure) and DMF (lower figure) (guest molecule darkened).
- FIG. 2A: Figure showing detail of the spacial arrangement of steroid and guest molecules in compositions of the invention with THF.
- FIG. 2B: Figure showing detail of the spacial arrangement of steroid and guest molecules in compositions of the invention with DMF.
- FIG. 3: Figure showing the evolution of the XRPD profile of the composition of the invention with acetone on heating, in particular showing its conversion to compound of formula (I) as
unsolvated Form 1 - FIG. 4: XRPD profiles for a range of compositions according to the invention (refer to Table 1)
- FIG. 5: Comparison of XRPD profiles of
Form 1,Form 2 andForm 3 polymorphs of unsolvated compound of formula (I). - FIG. 6: Scanning Electron Microscopy (SEM) study of crystals of
unsolvated polymorph Form 1. - FIG. 7: Scanning Electron Microscopy (SEM) study of crystals of compositions of the invention with acetone
- FIG. 8: Scanning Electron Microscopy (SEM) study of crystals of compositions of the invention with propan-2-ol.
- FIG. 9: Raman spectrum of composition of the invention with butan-1-ol
- FIG. 10: Raman spectrum of composition of the invention with methyl acetate
- FIG. 11: Raman spectrum of composition of the invention with acetic acid
- FIG. 12: Raman spectrum of composition of the invention with propan-1-ol
- FIG. 13: Raman spectrum of composition of the invention with ethanol
- FIG. 14: Raman spectrum of composition of the invention with ethyl formate
- FIG. 15: Raman spectrum of composition of the invention with 1,4-dioxane
- FIG. 16: Raman spectrum of composition of the invention with dimethylsulphoxide
- FIG. 17: Enlarged XRPD profile of composition of the invention with acetone
- FIG. 18: Enlarged XRPD profile of composition of the invention with methylethylketone
- FIG. 19: Enlarged XRPD profile of composition of the invention with propan-2-ol
- FIG. 20: Enlarged XRPD profile of composition of the invention with tetrahydrofuran
- FIG. 21: Enlarged XRPD profile of composition of the invention with dimethylformamide
- FIG. 22: Enlarged XRPD profile of composition of the invention with butan-1-ol
- FIG. 23: Enlarged XRPD profile of composition of the invention with methyl acetate
- FIG. 24: Enlarged XRPD profile of composition of the invention with acetic acid
- FIG. 25: Enlarged XRPD profile of composition of the invention with propan-1-ol
- FIG. 26: Enlarged XRPD profile of composition of the invention with ethanol
- FIG. 27: Enlarged XRPD profile of composition of the invention with ethyl formate
- FIG. 28: Enlarged XRPD profile of composition of the invention with 1,4-dioxane
- FIG. 29: Enlarged XRPD profile of composition of the invention with dimethylsulphoxide
- FIG. 30: Enlarged XRPD profile of composition of the invention with N-methyl-2-pyrrolidinone
- FIG. 31: Enlarged XRPD profile of composition of the invention with dimethylacetamide
- FIG. 32: Enlarged XRPD profile of composition of the invention with water
- FIG. 33: Enlarged XRPD profile of composition of the invention with cyclopentanone
- FIG. 34: Enlarged XRPD profile of composition of the inventoin with ε-caprolactam.
- The following non-limiting Examples illustrate the invention:
- General
- 1H-nmr spectra were recorded at 400 MHz and the chemical shifts are expressed in ppm relative to tetramethylsilane. The following abbreviations are used to describe the multiplicities of the signals: s (singlet), d (doublet), t (triplet), q (quartet), m (multiplet), dd (doublet of doublets), ddd (doublet of doublet of doublets), dt (doublet of triplets) and b (broad). Biotage refers to prepacked silica gel cartridges containing KP-Sil run on flash 12i chromatography module. LCMS was conducted on a Supelcosil LCABZ+PLUS column (3.3 cm×4.6 mm ID) eluting with 0.1% HCO2H and 0.01 M ammonium acetate in water (solvent A), and 0.05% HCO2H 5% water in acetonitrile (solvent B), using the following elution gradient 0-0.7
min 0% B, 0.7-4.2min 100% B, 4.2-5.3min 0% B, 5.3-5.5min 0% B at a flow rate of 3 ml/min. The mass spectra were recorded on a Fisons VG Platform spectrometer using electrospray positive and negative mode (ES+ve and ES−ve). - The XRPD analyses shown in the figures were performed on either
- a) a Phillips X'pert MPD powder diffractometer, serial number DY667. The pattern was recorded using the following acquisition conditions: Tube anode: Cu, Start angle: 2.0°2θ, End angle: 45.0°2θ, Step size: 0.02°2θ, Time per step: 1 second. XRPD profiles were collected at ambient temperature (295K) unless otherwise indicated, or
- b) a Philips PW1710 powder diffractometer. The pattern was recorded using the following acquisition conditions: Tube anode: Cu, Start angle: 3.5°2θ, End angle: 35.0°2θ, Step size: 0.02°2θ, Time per step: 2.3 seconds. XRPD profiles were collected at ambient temperature (295K).
- The diffractometer used in each case can be determined by the end angle in the figure.
- Raman spectra were recorded with the sample in an NMR tube using a Nicolet 960 E.S.P. FT-Raman spectrometer, at 4 cm−1 resolution with excitation from a Nd:V04 laser (1064 nm) with a power output of 400 mW.
- X-ray diffraction pattern collections referred to in Table 1 were performed in the following manners:
- A=The crystal and molecular structures and corresponding unit cell dimensions were determined from three-dimensional X-ray diffraction data collected at 120+/−2 K. All measurements were made using a Bruker SMART CCD diffractometer with graphite monochromated Mo-Kα radiation (λ=0.71073 Å) from a fine focus sealed tube source. The structure was solved by direct methods and refined using full-matrix least-squares procedures which minimized the function Sw(Fo 2-Fc2)2. The Bruker SHELX software was used throughout.
- B=The crystal and molecular structures and corresponding unit cell dimensions were determined from three-dimensional X-ray diffraction data collected at 150+/−2 K. All measurements were made using a KappaCCD diffractometer with graphite monochromated Mo-Kα radiation (λ=0.71073 Å) from a fine focus sealed tube source. The structure was solved by direct methods and refined using full-matrix least-squares procedures which minimized the function Sw(Fo 2-Fc2)2. The Bruker AXS SHELXTL software package (Ver. 5.10, UNIX) was used throughout.
- C=The crystal and molecular structures and corresponding unit cell dimensions were determined from three-dimensional X-ray diffraction data collected at 150+/−2 K. All measurements were made using a
Bruker AXS SMART 6000 diffractometer with graphite monochromated Cu-Kα radiation (λ=1.54178 Å) from a normal focus sealed tube source. The structure was solved by direct methods and refined using full-matrix least-squares procedures which minimized the function Sw(Fo2-Fc2)2. The Bruker AXS SHELXTL software package (Ver. 5.10, UNIX) was used throughout. - D=as B but with collection at temperature of 295K.
- The Scanning Electron Microscopy (SEM) was carried out on a Philips XL30 Scanning Electron Microscope serial number D814. An acceleration voltage in the
range 20 to 25 kV was used to give magnifications in the range of 30 to 600×. Images were captured digitally using a CCD detector. - Intermediates
- Intermediate 1: 6α, 9α-Difluoro-17α-[(2-furanylcarbonyl)oxy]-11β-hydroxy-16α-methyl-3-oxo-androsta-1,4-diene-17β-carbothioic acid diisoproDvlethylamine salt
- A stirred suspension of 6α,9α-difluoro-11β,17α-dihydroxy-16α-methyl-3-oxo-androsta-1,4-diene-17β-carbothioic acid (prepared in accordance with the procedure described in GB 2088877B) (49.5 g) in methylacetate (500 ml) is treated with triethylamine (35 ml) maintaining a reaction temperature in the range 0-5° C. 2-Furoyl chloride (25 ml) is added and the mixture stirred at 0-5° C. for 1 hour. A solution of diethanolamine (52.8 g) in methanol (50 ml) is added and the mixture stirred at 0-5° C. for at least 2 hours. Dilute hydrochloric acid (approx 1 M, 550 ml) is added maintaining a reaction temperature below 15° C. and the mixture stirred at 15° C. The organic phase is separated and the aqueous phase is back extracted with methyl acetate (2×250 ml). All of the organic phases are combined, washed sequentially with brine (5×250 ml) and treated with di-isopropylethylamine (30 ml). The reaction mixture is concentrated by distillation at atmospheric pressure to an approximate volume of 250 ml and cooled to 25-30° C. (crystallisation of the desired product normally occurs during distillation/subsequent cooling). Tertiary butyl methyl ether (TBME) (500 ml) is added, the slurry further cooled and aged at 0-5° C. for at least 10 minutes. The product is filtered off, washed with chilled TBME (2×200 ml) and dried under vacuum at approximately 40-50° C. (75.3 g, 98.7%). NMR (CDCl 3) δ: 7.54-7.46 (1H, m), 7.20-7.12 (1H, dd), 7.07-6.99 (1H, dd), 6.48-6.41 (2H, m), 6.41-6.32 (1H, dd), 5.51-5.28 (1H, dddd 2JH-F 50 Hz), 4.45-4.33(1H, bd), 3.92-3.73 (3H, bm), 3.27-3.14 (2H, q), 2.64-2.12 (5H, m), 1.88-1.71 (2H, m), 1.58-1.15 (3H, s), 1.50-1.38 (15H, m), 1.32-1.23 (1H, m), 1.23-1.15 (3H s), 1.09-0.99 (3H, d)
- Intermediate 2: 6α,9α-Difluoro-17α-[(2-furanylcarbonyl)oxy]-11β-hydroxy-16α-methyl-3-oxo-androsta-1,4-diene-17β-carbothioic acid S-fluoromethyl ester
-
Unsolvated Form 1 - A mobile suspension of Intermediate 1 (12.61 g, 19.8 mmol) in ethyl acetate (230 ml) and water (50 ml) is treated with a phase transfer catalyst (benzyltributylammonium chloride, 10 mol %), cooled to 3° C. and treated with bromofluoromethane (1.10 ml, 19.5 mmol, 0.98 equivalents), washing in with prechilled (0° C.) ethyl acetate (EtOAc) (20 ml). The suspension is stirred overnight, allowing to warm to 17° C. The aqueous layer is separated and the organic phase is sequentially washed with 1 M HCl (50 ml), 1% w/v NaHCO 3 solution (3×50 ml) and water (2×50 ml). The ethylacetate solution is distilled at atmospheric pressure until the distillate reaches a temperature of approximately 73° C. at which point toluene (150 ml) is added. Distillation is continued at atmospheric pressure until all remaining EtOAc has been removed (approximate distillate temperature 103° C.). The resultant suspension is cooled and aged at <10° C. and filtered off. The bed is washed with toluene (2×30 ml) and the product oven dried under vacuum at 60° C. to constant weight to yield the title compound (8.77 g, 82%) LCMS retention time 3.66 min, m/z 539 MH+, NMR δ (CDCl3) includes 7.60 (1H, m), 7.18-7.11 (2H, m), 6.52 (1H, dd, J=4.2 Hz), 6.46 (1H, s), 6.41 (1H, dd,
10, 2 Hz), 5.95 and 5.82 (2H dd,J J 51, 9 Hz), 5.48 and 5.35 (1H, 2m), 4.48 (1H, m), 3.48 (1H, m), 1.55 (3H, s), 1.16 (3H, s), 1.06 (3H, d, J=7 Hz). - Intermediate 3: 6α,9α-Difluoro-17α-[(2-furanylcarbonyl)oxy]-11β-hydroxy-16α-methyl-3-oxo-androsta-1,4-diene-17β-carbothioic acid
- A stirred suspension of 6α,9α-difluoro-11β,17α-dihydroxy-16α-methyl-3-oxo-androsta-1,4-diene-17β-carbothioic acid (prepared in accordance with the procedure described in GB 2088877B) (1 wt, 49.5 g) in acetone (10 vol) is cooled to 0-5° C. and treated with triethylamine (0.51 wt, 2.1 eq), keeping the temperature below 5° C., and stirred for 5 min at 0-5°. 2-Furoyl chloride (0.65 wt, 2.05 eq) is then added over a minimum of 20 min, maintaining a reaction temperature at 0-5° C. The reaction mixture is stirred for at least 30 minutes and diluted with water (10 vol) maintaining a reaction temperature in the range 0-5° C. The resultant precipitate is collected by filtration and washed sequentially with acetone/water (50/50 2 vol) and water (2×2 vol). The product is dried under vacuum at approximately 55° C. overnight to leave 6α,9α-difluoro-17α-[(2-furanylcarbonyl)oxy]-11β-hydroxy-16α-methyl-3-oxo-androsta-1,4-diene-17β-yl S-(2-furanylcarbonyl) thioanhydride as a white solid (70.8 g, 98.2%) (NMR δ (CD 3CN) 0.99 (3H, d) (J=7.3 Hz), 1.24 (3H, s), 1.38 (1H, m) (J=3.9 Hz), 1.54 (3H, s), 1.67 (1H, m), 1.89 (1H, broad d) (J=15.2 Hz), 1.9-2.0 (1H, m), 2.29-2.45 (3H, m), 3.39 (1H, m), 4.33 (1H, m), 4.93 (1H, broad s), 5.53 (1H, ddd) (J=6.9, 1.9 Hz; JHF=50.9 Hz), 6.24 (1H, m), 6.29 (1H, dd) (J=10.3, 2.0 Hz), 6.63 (2H, m), 7.24-7.31 (3H, m), 7.79 (1H, dd) (J=<1 Hz), 7.86 (1H, dd) (J=<1 Hz)). A portion of the product (0.56 g) is mixed with 6α,9α-difluoro-11β,17α-dihydroxy-16α-methyl-3-oxo-androsta-1,4-diene-17β-carbothioic acid (0.41 g) in a 1:1 molar ratio in DMF (10 volumes wrt total steroid input). The reaction mixture is treated with triethylamine (approximately 2.1 equivalents) and the mixture is stirred at approximately 20° C. for approximately 6 hours. Water (50 vol) containing excess conc HCl (0.5 vol) is added to the reaction mixture and the resultant precipitate collected by filtration. The bed is washed with water (2×5 vol) and dried in vacuo at approximately 55° C. overnight to leave the title compound as a white solid (0.99 g, 102%).
- Intermediate 4A: 6α,9α-Difluoro-17α-[(2-furanylcarbonyl)oxy]-11β-hydroxy-16α-methyl-3-oxo-androsta-1.4-diene-17β-carbothioic acid S-fluoromethyl ester, amorphous particles
- Intermediate 2 (30.04 g) was dissolved in methylethylketone (850 ml) to give a 3.5% solution. The solution was spray dried using a Niro Mobile Minor spray drier (Niro Inc, Columbia, Md., USA). The spray orifice was a two fluid pneumatic nozzle with 0.04 inch orifice diameter (Spray Systems Co, Wheaton, Ill., USA). The other spray drying parameters were as follows:
- Temperature: 150° C., outlet temperature 98° C.
- Solution flow rate: 30 ml/min using Isco 260D syringe pump (Isco Inc, Lincoln, Nebr., USA)
- Atomisation Pressure: 2 Bar
- Particle collection was achieved in the conventional manner using a Fisher Klosterman XQ120-1.375 high efficiency cyclone (Fisher-Klosterman Inc, Louisville, Ky., USA). A white powder was recovered. The spray drying process was successful at producing smooth, spherical particles of amorphous 6α,9α-Difluoro-17α-[(2-furanylcarbonyl)oxy]-11β-hydroxy-16α-methyl-3-oxo-androsta-1,4-diene-17β-carbothioic acid S-fluoromethyl ester. System yield was 61%
- Intermediate 4B: 6α,9α-Difluoro-17α-[(2-furanylcarbonyl)oxy]-11β-hydroxy-16α-methyl-3-oxo-androsta-1,4-diene-17β-carbothioic acid S-fluoromethyl ester, amorphous particles
- Example 1 (1.26g) was dissolved in methylethylketone (30 ml) to give a 3.8% solution. The solution was spray dried using a Buchi B-191 with spray nozzle orifice diameter of 1.0 mm. The other spray drying parameters were as follows:
- Temperature: 150° C., outlet temperature 106° C.
- Solution flow rate: 15 ml/min
- Atomisation Pressure: 2 Bar
- Process gas flow rate 14 Cubic feet per minute (CFM)
- A white powder was recovered from the cyclone and collection vessel, yield 37%. The spray drying process was successful at producing smooth, spherical particles of amorphous 6α,9α-Difluoro-17α-[(2-furanylcarbonyl)oxy]-11β-hydroxy-16α-methyl-3-oxo-androsta-1,4-diene-17β-carbothioic acid S-fluoromethyl ester. The majority of the particles were between 0.5 and 4 μm.
- Intermediate 5: 6α,9α-Difluoro-17α-[(2-furanylcarbonyl)oxy]-11β-hydroxy-16α-methyl-3-oxo-androsta-1,4-diene-17β-carbothioic acid triethylamine salt
- A stirred suspension of Intermediate 3 (30 g) in ethylacetate (900 ml) is treated with triethylamine (1.05 molar equivalents, 8.6 ml) and the mixture is stirred at approximately 20° C. for 1.5 hours. The precipitate is filtered off, washed with ethylacetate (2×2 vol) and dried in vacuo at 45° C. for 18 hours to give title compound as a white solid (28.8 g, 80%). NMR (CDCl 3) δ: 7.59-7.47 (1H, m), 7.23-7.13 (1H, dd), 7.08-6.99 (1H, d), 6.54-6.42 (2H, m), 6.42-6.32 (1H, dd), 5.55-5.26 (1H, dddd 2JH-F 50 Hz), 4.47-4.33(1H, bd), 3.88-3.70 (1H, bm), 3.31-3.09 (6H, q), 2.66-2.14 (5H, m), 1.93-1.69 (2H, m), 1.61-1.48 (3H, s), 1.43-1.33 (9H, t), 1.33-1.26 (1H, m), 1.26-1.15 (3H s), 1.11-0.97 (3H, d).
- Pharmacological Activity
- In Vitro Pharmacological Activity
- Pharmacological activity was assessed in a functional in vitro assay of glucocorticoid agonist activity which is generally predictive of anti-inflammatory or anti-allergic activity in vivo.
- For the experiments in this section, compound of formula (I) was used as unsolvated Form 1 (Intermediate 2)
- The functional assay was based on that described by K. P. Ray et al., Biochem J. (1997), 328, 707-715. A549 cells stably transfected with a reporter gene containing the NF-κB responsive elements from the ELAM gene promoter coupled to sPAP (secreted alkaline phosphatase) were treated with test compounds at appropriate doses for 1 hour at 37° C. The cells were then stimulated with tumour necrosis factor (TNF, 10 ng/ml) for 16 hours, at which time the amount of alkaline phosphatase produced is measured by a standard colourimetric assay. Dose response curves were constructed from which EC 50 values were estimated.
- In this test the compound of formula (1) showed an EC 50 value of <1 nM.
- The glucocorticoid receptor (GR) can function in at least two distinct mechanisms, by upregulating gene expression through the direct binding of GR to specific sequences in gene promotors, and by downregulating gene expression that is being driven by other transcription factors (such as NFκB or AP-1) through their direct interaction with GR.
- In a variant of the above method, to monitor these functions, two reporter plasmids have been generated and introduced separately into A549 human lung epithelial cells by transfection. The first cell line contains the firefly luciferase reporter gene under the control of a synthetic promoter that specifically responds to activation of the transcription factor NFκB when stimulated with TNFα. The second cell line contains the renilla luciferase reporter gene under the control of a synthetic promotor that comprises 3 copies of the consensus glucocorticoid response element, and which responds to direct stimulation by glucocorticoids. Simultaneous measurement of transactivation and transrepression was conducted by mixing the two cell lines in a 1:1 ratio in 96 well plate (40,000 cells per well) and growing overnight at 37° C. Test compounds were dissolved in DMSO, and added to the cells at a final DMSO concentration of 0.7%. After incubation for 1 h 0.5 ng/ml TNFα (R&D Systems) was added and after a further 15 hours at 37° C., the levels of firefly and renilla luciferase were measured using the Packard Firelite kit following the manufacturers' directions. Dose response curves were constructed from which EC 50 values were determined.
Transactivation (GR) Transrepression (NFκB) ED50 (nM) ED50 (nM) Compound of 0.06 0.20 Formula (I) Metabolite (X) >250 >1000 Fluticasone propionate 0.07 0.16 - In Vivo Pharmacological Activity
- Pharmacological activity in vivo was assessed in an ovalbumin sensitised Brown Norway rat eosinophilia model. This model is designed to mimic allergen induced lung eosinophilia, a major component of lung inflammation in asthma.
- For the experiments in this section, compound of formula (I) was used as
unsolvated Form 1. - Compound of formula (I) produced dose dependant inhibition of lung eosinophilia in this model after dosing as an intra-tracheal (IT) suspension in
saline 30 min prior to ovalbumin challenge. Significant inhibition is achieved after a single dose of 30 μg of compound of formula (I) and the response was significantly (p=0.016) greater than that seen with an equivalent dose of fluticasone propionate in the same study (69% inhibition with compound of formula (I) vs 41% inhibition with fluticasone propionate). - In a rat model of
thymus involution 3 daily IT doses of 100 μg of compound (I) induced significantly smaller reductions in thymus weight (p=0.004) than an equivalent dose of fluticasone propionate in the same study (67% reduction of thymus weight with compound (I) vs 78% reduction with fluticasone propionate). - Taken together these results indicate a superior therapeutic index for compound (I) compared to fluticasone propionate.
- In Vitro Metabolism in Rat and Human Hepatocytes
- Incubation of compound (I) with rat or human hepatocytes shows the compound to be metabolised in an identical manner to fluticasone propionate with the 17-β carboxylic acid (X) being the only significant metabolite produced. Investigation of the rate of appearance of this metabolite on incubation of compound (I) with human hepatocytes (37° C., 10 μM drug concentration, hepatocytes from 3 subjects, 0.2 and 0.7 million cells/mL) shows compound (I) to be metabolised ca. 5-fold more rapidly than fluticasone propionate:—
17-β acid metabolite production Subject Cell density (pmol/h) number (million cells/mL) Compound (I) Fluticasone propionate 1 0.2 48.9 18.8 1 0.7 73.3 35.4 2 0.2 118 9.7 2 0.7 903 23.7 3 0.2 102 6.6 3 0.7 580 23.9 - Median metabolite production 102-118 pmol/h for compound (I) and 18.8-23.0 pmol/h for fluticasone propionate.
- Pharmacokinetics After Intravenous (IV) and Oral Dosing in Rats
- Compound (I) was dosed orally (0.1 mg/kg) and IV (0.1 mg/kg) to male Wistar Han rats and pharmacokinetic parameters determined. Compound (I) showed negligible oral bioavailability (0.9%) and plasma clearance of 47.3 mL/min/kg, approaching liver blood flow (plasma clearance of fluticasone propionate=45.2 mL/min/kg).
- Pharmacokinetics After Intra-Tracheal Dry Powder Dosing in the Pig.
- Anaesthetised pigs (2) were dosed intra-tracheally with a homogenous mixture of compound (I) (1 mg) and fluticasone propionate (1 mg) as a dry powder blend in lactose (10% w/w). Serial blood samples were taken for up to 8 h following dosing. Plasma levels of compound (I) and fluticasone propionate were determined following extraction and analysis using LC-MS/MS methodology, the lower limits of quantitation of the methods were 10 and 20 pg/mL for compound (I) and fluticasone propionate respectively. Using these methods compound (I) was quantifiable up to 2 hours after dosing and fluticasone propionate was quantifiable up to 8 hours after dosing. Maximum plasma concentrations were observed for both compounds within 15 min after dosing. Plasma half-life data obtained from IV dosing (0.1 mg/kg) was used to calculate AUC (0-inf) values for compound (I). This compensates for the plasma profile of Compound (I) only being defined up to 2 hours after an IT dose and removes any bias due to limited data between compound (I) and fluticasone propionate.
- C max and AUC (0-inf) values show markedly reduced systemic exposure to compound (I) compared to fluticasone propionate:—
AUC (0-inf) Cmax (pg/mL) (hr.pg/mL) Pig 1Pig 2Pig 1Pig 2Compound of Formula (I) 117 81 254 221 Fluticasone propionate 277 218 455 495 - The pharmacokinetic parameters for both compound (I) and fluticasone propionate were the same in the anaesthetised pig following intravenous administration of a mixture of the two compounds at 0.1 mg/kg. The clearance of these two glucocorticoids is similar is this experimental pig model.
- Composition with Acetone
- A solution of Intermediate 3 (530.1 g, 1 wt) in dimethylformamide (DMF) (8 vol) is treated with potassium hydrogen carbonate (0.202 wt, 1.02 eq) and the mixture cooled to −17±3° C. with stirring. Bromofluoromethane (BFM) (0.22 wt, 0.99 eq) is then added and the reaction stirred at −17±3° C. for at least 2 h. The reaction mixture is then added to water (17 vol) at 5±3° C. over
ca 10 min followed by a water (1 vol) line wash. The suspension is stirred at 5-10° C. for at least 30 min and then filtered. The filter cake (the 6α,9α-Difluoro-17α-[(2-furanylcarbonyl)oxy]-11β-hydroxy-16α-methyl-3-oxo-androsta-1,4-diene-17β-carbothioic acid S-fluoromethyl ester composition with DMF) is washed with water (4×4 vol) and the product is pulled dry on the filter. The damp cake is returned to the vessel, acetone (5.75 vol) added and heated at reflux for 2 h. The mixture is cooled to 52±3° C. and water (5.75 vol) added, keeping temperature at 52±3° C. The mixture is then cooled to 20±3° C., filtered and dried in vacuo at 60±5° C. overnight to give the title compound as a white solid (556.5 g, 89%). NMR δ (CDCl3) includes the peaks described inIntermediate 2 for the unsolvated compound and the following additional solvent peaks: 2.17 (6H, s). - Composition with Acetone (Alternative Method)
- Intermediate 2 (1.0 g) was dissolved in approximately 60 volumes of acetone (60 mL) at reflux. The solvent level was reduced at reflux until the solution became cloudy before the flask was cooled to 21° C. over approximately 30 minutes. The flask was cooled in an ice bath for 30 minutes before the white precipitate was recovered by filtration and dried on the filter under vacuum for 30 minutes to afford the title compound (0.80 g) as a white solid.
- Stoichiometry of compound of formula (I): guest=1:0.94 from 1H nmr (CDCl3)
- Composition with Acetone (Second Alternative Method)
- Intermediate 2 (75.0 g) was dissolved in approximately 34 volumes of acetone (2550 mL) and approximately 3.7 volumes of water by heating at reflux for 15 minutes. The solution was cooled to 50° C. over approximately 30 minutes and a mixture of acetone (2 volumes, 150 mL) and water (0.3 volumes, 22 mL) was added to simulate a line wash. The reaction mixture was cooled to approximately 40° C. over 30 minutes and seed crystals of Intermediate 2 (0.75 g, 0.01 weights) were added. The reaction mixture was further cooled to approximately 22° C. over 30 minutes and then stirred at approximately 22° C. for 15 minutes. Water (30 volumes, 2250 ml) was then added to the mixture over 30 minutes and the suspension stirred at approximately 22° C. for a further 30 minutes. The suspension was filtered and the bed washed with a mixture of acetone (2 vol, 150 mL) and water (1 volume, 75 mL). The product was dried at 60° C. for 18 hours to afford the title compound (80.7 g) as a white solid.
- Composition wth Methylethylketone
- A suspension of Intermediate 2 (400 mg) in methylethylketone (3.2 ml) is heated to reflux giving a clear solution. A portion of the solvent is distilled off at atmospheric pressure (approx 1 ml) and the mixture cooled to approximately 20° C. The crystallised product is filtered off, dried at approximately 20° C. under vacuum to leave the title compound as a white solid (310 mg, 68%). NMR δ (CDCl 3) includes the peaks described for
Intermediate 2 and the following additional solvent peaks: 2.45 (2H, q), 2.14 (3H, s), 1.06 (3H, t). - Composition with propanol-2-ol
- A solution of Intermediate 2 (150 mg) in propan-2-ol (15 ml) is left to slowly crystallise over a period of approximately 8 weeks. The resultant chunky crystals are isolated by filtration to leave the title compound as a white solid. NMR δ (CDCl 3) includes the peaks described for
Intermediate 2 and the following additional solvent peaks: 4.03 (1H, m), 1.20 (6H, d). - Composition with propan-2-ol (alternative method)
- A sample of Intermediate 2 (1.0 g) was dissolved in approximately 80 volumes of propan-2-ol (80 mL) at reflux. The solvent level was reduced at reflux until crystallisation began before the flask was cooled to 21° C. over approximately 30 minutes. The white precipitate was recovered by filtration and dried on the filter under vacuum for 30 minutes to afford the title compound as a white solid. Stoichiometry of compound of formula (I): guest=1:0.90 from 1H nmr (CDCl3)
- Composition with propan-2-ol (second alternative method)
- A sample of Intermediate 2 (82 g) was dissolved in a mixture of propan-2-ol (900 ml mL) and ethyl acetate (900 ml) at reflux. The solvent level was reduced by distillation at atmospheric distillation to approximately 12 volumes (985 ml) and the mixture seeded with authentic crystals of the desired product (ie composition with propan-2-ol, approximately 100 mg). The hot solution was cooled to 21° C. over approximately 3 hours during which time crystallisation occurred. The suspension was stirred at approximately 21° C. for 72 hours. The white precipitate was recovered by filtration and dried in vacuo to afford the title compound as a white solid (85.8 g). Stoichiometry of compound of formula (I): guest=1:1 from 1H nmr (CDCl3)
- The propan-2-ol can be removed by the following process:
- The product of Example 3 (second alternative method) (85.9 g) is heated under vacuum at 105 to 115° C. for at least 12 hours to give Intermediate 2 (77.2 g).
- Composition with Tetrahydrofuran
- A suspension of Intermediate 2 (150 mg) in THF (20 vol) is warmed to give a clear solution. The solvent is allowed to slowly evaporate over a period of 6 days to leave title compound as a white solid. Alternatively, the THF solution is added dropwise to solution of potassium bicarbonate (2% w/w) in water (50 vol) and the precipitated product collected by filtration to furnish the title compound as a white solid. NMR δ (CDCl 3) includes the peaks described for
Intermediate 2 and the following additional solvent peaks: 3.74 (4H, m), 1.85 (4H, m). - Composition with Tetrahydrofuran (First Alternative Method)
- A mobile suspension of Intermediate 5 (1.2 g) in THF (10 ml) is treated with a phase transfer catalyst (tetrabutylammonium bromide, typically between 8 and 14 mol %), cooled to approximately 3° C. and treated with bromofluoromethane (0.98 equivalents). The suspension is stirred for between 2 and 5 hours, allowing to warm to 17° C. The reaction mixture is poured into water (30 vol), stirred at approximately 10° C. for 30 minutes and filtered off. The collected solid is washed with water (4×3 vol) and the product oven dried under vacuum at 60° C. overnight to give the title compound as a white solid (0.85 g, 87%).
- Composition with Tetrahydrofuran (Second Alternative Method)
- Intermediate 2 (5.0 g) was dissolved in approximately 60 volumes of tetrahydrofuran (300 mL) at reflux. The solvent level was reduced at reflux until the solution became cloudy before the flask was cooled to 21° C. over approximately 30 minutes. The white precipitate was recovered by filtration and dried on the filter under vacuum for 60 minutes to afford the title compound (4.86 g) as a white solid.
- Stoichiometry of compound of formula (I): guest=1:0.95 from 1H nmr (CDCl3)
- Composition with Dimethylformamide
- A mixture of Intermediate 3 (4.5 g, 8.88 mmol) in dimethylformamide (DMF) (31 ml) is treated with potassium bicarbonate (0.89 g, 8.88 mmol) and the mixture is cooled to −20° C. A solution of bromofluoromethane (0.95 g, 8.50 mmol, 0.98 eqv.) in dimethylformamide (DMF) (4.8 ml) at 0° C. is added and the mixture is stirred at −20° C. for 4 hours. The mixture is then stirred at −20° C. for a further 30 minutes, added to 2M hydrochloric acid (100 ml) and stirred for a further 30 minutes at 0-5° C. The precipitate collected by vacuum filtration, washed with water and dried at 50° C. to give the title compound (4.47 g, 82%). NMR 6 (CD 3OD) includes the peaks described for
Intermediate 2 and the following additional solvent peaks: 7.98 (1H, bs), 2.99 (3H, s), 2.86 (3H, s). - Composition with butan-1-ol
- A mixture of Intermediate 4A (400 mg) and butan-1-ol (4 mL) was slurried at 21° C. for 61 hours. The solid was collected by filtration, dried on the filter for 2 hours and then dried under vacuum at 21° C. for 19 hours to afford the title compound as a white solid (401 mg).
- Stoichiometry of compound of formula (I): guest=1:1.2 from 1H nmr (CDCl3)
- Composition with Methyl Acetate
- A sample of Intermediate 2 (100 mg) was dissolved in methyl acetate (6 mL) at reflux. The solvent level was reduced to approximately 1-2 mL and the flask was removed from the heat, cooled and sealed. After sitting for 72 hours crystals of the title compound were observed in the flask.
- Stoichiometry of compound of formula (I): guest=1:0.9 from 1H nmr (CDCl3)
- Composition with Methyl Acetate (Alternative Method)
- Intermediate 4A (400 mg) was slurried in methyl acetate (2 mL) at 21° C. for 5 hours. The slurry was cooled in an ice/salt bath for 20 minutes before the white solid was recovered by filtration, dried on the filter for 30 minutes and then for 2 hours at 21° C. under vacuum. An nmr showed the solvent level was less than one equivalent. The sample was placed in a methyl acetate atmosphere for 48 hours to afford the title compound (350 mg).
- Stoichiometry of compound of formula (I): guest=1:1.0 from 1H nmr (CDCl3)
- Composition with Acetic Acid
- A mixture of acetic acid (2 mL) and Intermediate 4A (400 mg) was slurried at 21° C. for 16 hours. The solid was recovered by filtration, dried on the filter for 1 hour at 21° C. and then dried under vacuum for 16 hours at 40° C. and 16 hours at 60° C., to afford the title compound (420 mg).
- Stoichiometry of compound of formula (I): guest=1:1.3 from 1H nmr (CDCl3)
- Composition with propan-1-ol
- A mixture of Intermediate 4A (400 mg) and propan-1-ol (2 mL) was slurried at 21° C. for 61 hours. The solid was collected by filtration, dried on the filter for 30 minutes and then dried under vacuum at 21° C. for 19 hours to afford the title compound as a white solid (390 mg).
- Stoichiometry of compound of formula (I): guest=1:1.1 from 1H nmr (CDCl3)
- Composition with Ethanol
- The product of Example 3 (500 mg) was slurried in ethanol (5 mL) under vacuum at 21° C. for a total of 16 hours, replacing the ethanol as necessary. The solid was collected by filtration and dried on the filter for 2 hours to give the title compound as a white solid (438 mg).
- Stoichiometry of compound of formula (I): guest=1:1.0 from 1H nmr (CDCl3)
- Composition with Ethyl Formate
- Intermediate 4A (400 mg) was slurried in ethyl formate (2 mL) for 16 hours at 21° C. The solid was recovered by filtration and dried on the filter for 20 minutes to afford the title compound (396 mg).
- Stoichiometry of compound of formula (I): guest=1:1.0 from 1H nmr (CDCl3)
- Composition with 1,4-dioxane
- A mixture of 1,4-dioxane (2.7 mL) and Intermediate 4A (270 mg) was slurried at 21° C. for 2 hours. The solid was recovered by filtration, dried on the filter for 1.5 hour at 21° C. and then dried under vacuum for 18 hours at 21° C. and 24 hours at 40° C., to afford the title compound (240 mg).
- Stoichiometry of compound of formula (I): guest=1:1.25 from 1H nmr (CDCl3)
- Composition with 1,4-dioxane (alternative method)
- Intermediate 2 (1 g) was disolved in a mixture of 1,4-dioxane (40 mL) water (0.6 mL) at reflux and allowed to cool to approximately 27° C. The solution was added to stirred water (50 ml) over approximately 45 minutes. The suspension was stirred at approximately 20° C. for 1 hour. The solid was recovered by filtration and then dried under vacuum for 18 hours at 60° C. and 4 hours at 80° C., to afford the title compound (1.07 g).
- Stoichiometry of compound of formula (I): guest=1:0.99 from 1H nmr (CDCl3)
- Composition with Dimethylsulfoxide
- A mixture of Intermediate 4A (400 mg) and dimethylsulfoxide (2 mL) was slurried at 21° C. for 30 minutes. The white solid was collected by filtration and dried in a dessicator over phosphorus pentoxide under high vacuum at 21° C. for 3 hours to afford the title compound.
- Stoichiometry of compound of formula (I): guest=1:1.2 from 1H nmr (CDCl3)
- Composition with N-methyl-2-pyrrolidinone
- Intermediate 2 (100 mg) was disolved in N-methyl-2-pyrrolidinone (1 mL) at approximately 20° C. The solution was added to a solution of potassium hydrogen carbonate (100 mg) in water (5 ml) over approximately 10 seconds. The solid was recovered by filtration and then dried under vacuum at approximately 60° C. for 16 hours to afford the title compound.
- Stoichiometry of compound of formula (I): guest=1:0.9 from 1H nmr (CDCl3)
- Composition with Dimethylacetamide
- Intermediate 2 (100 mg) was disolved in dimethylacetamide (0.5 mL) at approximately 20° C. and left to slowly crystalise over a period of 6 days. The solid was recovered by filtration and then dried under vacuum at approximately 60° C. for 16 hours to afford the title compound.
- Stoichiometry of compound of formula (I): guest=1:1 from 1H nmr (CDCl3)
- Composition with Water
- Intermediate 4A (500 mg) was slurried in water (10 mL) for 16 hours. The solid was collected by filtration, dried for 16 hours under vacuum at 21° C., and then placed in a humid atmosphere for 48 hours to afford the title compound (444 mg) as a white solid.
- Stoichiometry of compound of formula (I): guest=1:1 from water analysis.
- Composition with ε-caprolactam
- ε-Caprolactam (50 mg) (Aldrich) was heated in a glass vial to 80° C. where the solid had melted. Intermediate 4A (200 mg) was added and the mixture was agitated using a small magnetic stirrer bar. The mixture was stirred at 80° C. for 1 hour before the resulting mixture was allowed to cool to 21° C. and the solid was recovered to afford the title compound.
- Further characterising data on compositions of the invention:
- Detailed XRPD profile peak information for various compositions of the invention is provided in Tables 2 to 19.
- Positions of bands in the Raman spectrum of various compositions of the invention are provided in Table 20.
- The XRPD profiles of various compositions of the invention are provided in FIG. 4 and in detail in FIGS. 17-34.
- The Raman spectra of various compositions of the invention are provided in FIGS. 9 to 16.
- We also claim compositions of the invention substantially by reference to their XRPD profiles and/or their Raman spectra as shown in the Figures and Tables.
-
A dry powder formulation may be prepared as follows: 6α, 9α-Difluoro-17α-[(2-furanylcarbonyl)oxy]-11β-hydroxy-16α-methyl-3-oxo- 0.20 mg androsta-1,4-diene-17β-carbothioic acid S-fluoromethyl ester, composition with acetone prepared according to Example 1, MMD of 3 μm: milled lactose (wherein not greater than 85% of particles 12 mg have a MMD of 60-90 μm, and not less than 15% of particles have a MMD of less than 15 μm): - A peelable blister strip containing 60 blisters each filled with a formulation as just described may be prepared.
-
A dry powder formulation may be prepared as follows: 6α, 9α-Difluoro-17α-[(2-furanylcarbonyl)oxy]-11β-hydroxy-16α-methyl-3-oxo- 0.20 mg androsta-1,4-diene-17β-carbothioic acid S-fluoromethyl ester composition with acetone prepared according to Example 1, MMD of 3 μm: Long-acting β2-adrenoreceptor agonist (micronised to a MMD of 3 μm): 0.02 mg milled lactose (wherein not greater than 85% of particles 12 mg have a MMD of 60-90 μm, and not less than 15% of particles have a MMD of less than 15 μm): - A peelable blister strip containing 60 blisters each filled with a formulation as just described may be prepared.
-
An aluminium canister may be filled with a formulation as follows: 6α, 9α-Difluoro-17α-[(2-furanylcarbonyl)oxy]-11β-hydroxy-16α-methyl-3-oxo- androsta-1,4-diene-17β-carbothioic acid S-fluoromethyl ester composition with acetone prepared according to Example 1, MMD of 3 μm: 1,1,1,2-tetrafluoroethane: 250 μg (amounts per actuation) to 50 μl - in a total amount suitable for 120 actuations and the canister may be fitted with a metering valve adapted to dispense 50 μl per actuation.
-
An aluminium canister may be filled with a formulation as follows: 6α, 9α-Difluoro-17α-[(2-furanylcarbonyl)oxy]-11β-hydroxy-16α-methyl-3-oxo- 250 μg androsta-1,4-diene-17β-carbothioic acid S-fluoromethyl ester composition with acetone prepared according to Example 1, MMD of 3 μm: Long-acting β2-adrenoreceptor agonist (micronised to a MMD of 3 μm): 1,1,1,2-tetrafluoroethane: 25 μg (amounts per actuation) to 50 μl - in a total amount suitable for 120 actuations and the canister may be fitted with a metering valve adapted to dispense 50 μl per actuation.
-
A formulation for intranasal delivery may be prepared as follows: 6α, 9α-Difluoro-17α-[(2-furanylcarbonyl)oxy]-11β-hydroxy-16α-methyl-3-oxo- 10 mg androsta-1,4-diene-17β-carbothioic acid S-fluoromethyl ester composition with acetone prepared according to Example 1, MMD of 3 μm: Polysorbate 200.8 mg Sorbitan monolaurate 0.09 mg Sodium dihydrogen phosphate dihydrate 94 mg Dibasic sodium phosphate anhydrous 17.5 mg Sodium chloride 48 mg Demineralised water to 10 ml - The formulation may be fitted into a spraypump capable of delivering a plurality of metered doses (Valois).
- Throughout the specification and the claims which follow, unless the context requires otherwise, the word ‘comprise’, and variations such as ‘comprises’ and ‘comprising’, will be understood to imply the inclusion of a stated integer or step or group of integers but not to the exclusion of any other integer or step or group of integers or steps.
- The patents and patent applications described in this application are herein incorporated by reference.
TABLE 2 XRPD characteristic angles and relative intensities for 6α, 9α-Difluoro-17α- [(2-furanylcarbonyl)oxy]-11β-hydroxy- 16α-methyl-3-oxo-androsta-1,4-diene-17β- carbothioic acid S-fluoromethyl ester, composition with acetone. Relative Angle Intensity °2 Theta % 9.5 5.4 10.9 38.1 12.4 16.5 13.1 28.3 14.1 24.1 14.5 23.3 15.1 19.5 15.7 100.0 16.8 70.5 17.4 32.0 17.9 43.8 18.3 4.7 18.9 23.6 19.3 28.9 19.8 42.7 20.3 14.0 21.6 30.3 22.0 44.4 22.4 22.1 22.7 9.5 23.3 10.8 23.6 9.5 24.0 4.7 24.7 14.8 25.1 40.4 25.4 44.4 25.8 24.4 26.4 8.4 27.1 10.3 27.5 23.9 28.0 9.0 28.6 15.2 29.1 10.4 30.1 14.8 30.5 10.4 31.2 12.9 31.7 5.5 32.5 6.2 32.9 8.8 33.6 7.4 33.9 7.4 34.3 6.7 34.8 6.3 35.3 9.9 35.7 6.7 36.1 18.2 37.0 6.7 37.6 17.3 38.7 8.5 39.0 6.3 39.6 8.1 40.0 9.1 40.8 4.5 41.2 6.2 41.5 5.3 42.0 4.8 42.8 5.1 43.6 3.5 44.0 5.8 44.7 4.8 -
TABLE 3 XRPD characteristic angles and relative intensities for 6α, 9α-Difluoro-17α- [(2-furanylcarbonyl)oxy]-11β-hydroxy- 16α-methyl-3-oxo-androsta-1,4-diene-17β- carbothioic acid S-fluoromethyl ester, composition with methylethylketone. Relative Angle Intensity °2 Theta % 7.3 8.7 8.0 38.0 8.5 10.4 9.3 27.7 9.8 22.0 10.8 100.0 11.2 11.2 11.8 15.3 12.4 50.1 13.1 62.0 13.5 8.8 13.9 43.3 14.4 38.3 15.0 36.7 15.5 98.3 16.1 16.1 16.6 62.0 17.3 49.3 17.8 60.0 18.6 16.3 18.8 26.7 19.1 24.9 19.6 37.1 20.0 13.9 20.3 5.1 20.8 5.0 21.5 32.4 21.7 43.0 22.2 16.9 22.5 15.5 23.1 13.6 23.3 9.8 23.7 9.6 24.5 16.8 25.0 31.8 25.2 32.6 25.5 26.2 25.9 7.1 26.2 9.0 26.9 14.1 27.2 16.2 27.9 15.5 28.4 12.3 28.9 15.2 29.8 12.8 30.1 9.8 30.4 10.4 31.0 15.7 31.6 6.1 32.2 8.6 32.5 8.9 33.3 9.5 33.6 10.7 33.9 6.6 34.2 6.5 34.5 6.2 34.9 8.3 35.2 8.3 35.7 16.6 36.6 7.3 37.3 20.2 38.3 8.5 39.0 6.2 39.5 8.6 39.8 10.0 40.4 5.6 41.0 6.2 41.7 5.9 42.3 6.6 42.7 4.7 43.0 4.1 43.6 7.1 44.2 4.8 -
TABLE 4 XRPD characteristic angles and relative intensities for 6α, 9α-Difluoro-17α- [(2-furanylcarbonyl)oxy]-11β-hydroxy- 16α-methyl-3-oxo-androsta-1,4-diene-17β- carbothioic acid S-fluoromethyl ester, composition with propan-2-ol. Relative Angle Intensity °2 Theta % 8.1 9.1 9.2 100 10.8 16.5 11.2 .5 12.7 3.7 13.0 5.2 13.3 4.1 13.7 6.2 14.5 5.2 14.8 4.7 15.3 12.6 16.4 10.6 17.9 2.9 18.3 5.5 18.5 9.8 19.0 3.6 19.3 7.6 19.8 3.7 21.6 4.2 22.1 6.2 22.7 6.7 22.9 0.6 23.5 0.5 24.2 1.8 24.5 1.1 24.9 3.2 25.1 4.3 25.5 1.6 26.4 0.5 26.9 1.7 27.3 1.5 27.8 2.5 28.4 1.5 28.8 0.8 29.2 1.6 29.8 3.7 31.0 0.6 31.5 0.8 31.8 0.7 32.5 1.5 32.8 0.9 33.4 1.8 34.0 0.9 34.3 1.4 34.9 1.4 35.4 0.4 35.9 0.9 36.3 0.7 37.2 0.7 37.8 1.6 38.4 0.9 38.9 0.5 39.5 0.8 40.2 0.7 40.6 0.6 41.5 1.1 42.2 0.8 42.4 0.9 43.1 0.8 43.4 1.0 44.0 0.5 44.6 0.5 -
TABLE 5 XRPD characteristic angles and relative intensities for 6α, 9α-Difluoro-17α- [(2-furanylcarbonyl)oxy]-11β-hydroxy- 16α-methyl-3-oxo-androsta-1,4-diene-17β- carbothioic acid S-fluoromethyl ester, composition with tetrahydrofuran. Relative Angle Intensity °2 Theta % 2.1 74.7 8.1 25.9 9.5 41.6 9.7 33.5 10.9 100.0 11.6 10.7 12.4 44.0 13.2 37.9 13.7 17.2 14.1 21.0 14.3 31.2 15.1 44.0 15.5 90.0 16.7 74.4 17.3 55.9 17.8 54.0 18.8 54.3 19.1 32.6 19.7 40.8 20.2 14.9 21.5 38.2 21.8 42.1 22.4 18.1 23.3 22.1 23.7 7.8 24.0 10.3 24.4 13.5 25.0 33.1 25.5 14.0 25.9 16.9 26.2 13.2 26.6 5.7 26.9 12.9 27.3 15.5 27.9 10.7 28.5 12.5 28.9 10.0 29.3 5.9 29.8 9.0 30.4 14.7 30.9 9.7 31.5 6.5 32.2 6.7 32.8 9.0 33.6 9.0 34.3 8.1 34.6 6.7 35.1 5.9 36.0 11.3 36.8 5.9 37.4 9.9 38.1 5.3 38.4 6.7 39.2 5.7 39.7 9.0 40.5 6.5 41.3 5.7 41.9 4.3 42.3 4.5 43.1 4.2 43.5 3.6 43.9 4.0 44.5 5.9 -
TABLE 6 XRPD characteristic angles and relative intensities for 6α, 9α-Difluoro-17α- [(2-furanylcarbonyl)oxy]-11β-hydroxy- 16α-methyl-3-oxo-androsta-1,4-diene-17β- carbothioic acid S-fluoromethyl ester, composition with dimethylformamide. Relative Angle Intensity °2 Theta % 7.9 3.4 9.1 2.4 10.8 12.6 12.4 14.6 13.1 21.7 14.0 20.3 14.4 29.0 15.5 100.0 16.6 57.7 17.4 66.1 17.9 75.1 18.8 36.4 19.1 50.4 19.6 45.6 20.1 17.0 21.5 62.4 21.8 71.2 22.3 34.1 22.6 11.3 23.1 24.6 23.8 10.8 24.4 30.6 25.0 94.7 25.6 35.5 26.0 15.2 26.3 21.7 27.0 32.3 27.2 31.9 28.0 30.6 28.4 25.0 29.0 22.8 29.7 26.9 30.2 17.6 31.1 29.0 31.6 14.6 32.1 17.6 32.7 15.8 33.4 27.7 33.7 17.6 34.5 12.9 34.9 17.0 35.3 18.6 35.8 40.6 36.7 22.0 37.4 36.8 38.2 16.4 38.4 17.6 39.1 15.8 39.6 17.6 39.9 19.6 40.4 10.5 41.1 21.7 41.8 14.0 42.3 15.2 42.7 10.3 43.6 13.4 44.4 13.7 -
TABLE 7 XRPD characteristic angles and relative intensities for 6α, 9α-Difluoro-17α- [(2-furanylcarbonyl)oxy]-11β-hydroxy- 16α-methyl-3-oxo-androsta-1,4-diene-17β- carbothioic acid S-fluoromethyl ester, composition with butan-1-ol. Relative Angle Intensity °2 Theta % 8.0 40.1 9.0 77.9 9.6 1.6 10.6 64.6 11.4 2.2 12.7 26.4 13.2 17.9 13.4 30.5 14.0 20.0 14.4 36.9 15.1 100.0 16.1 49.6 17.5 9.5 17.8 9.3 18.1 31.7 18.6 36.1 18.8 61.7 19.0 41.4 19.4 9.7 21.3 18.2 21.6 30.8 21.9 19.3 22.6 6.7 22.9 6.2 23.3 5.8 24.0 17.9 24.6 25.0 25.0 10.5 25.2 9.1 25.7 4.8 26.6 9.0 27.0 6.3 27.6 11.7 28.0 11.0 28.7 8.7 29.1 8.5 29.4 8.1 30.4 4.7 30.9 5.6 31.3 4.3 31.9 6.7 32.2 8.5 33.2 5.7 33.5 7.6 33.8 7.5 34.1 4.7 35.0 3.9 35.5 5.8 36.3 4.3 37.1 3.2 37.7 7.2 38.5 3.8 39.0 5.6 39.6 5.0 40.3 3.0 41.1 3.1 41.6 2.8 42.1 3.9 43.0 3.8 43.4 3.1 44.1 3.3 -
TABLE 8 XRPD characteristic angles and relative intensities for 6α, 9α-Difluoro-17α- [(2-furanylcarbonyl)oxy]-11β-hydroxy- 16α-methyl-3-oxo-androsta-1,4-diene-17β- carbothioic acid S-fluoromethyl ester, composition with methyl acetate. Relative Angle Intensity °2 Theta % 5.4 0.9 8.1 18.9 9.4 28.3 9.7 28.3 10.8 99.5 11.6 7.8 12.3 48.6 12.9 27.8 13.2 34.9 13.7 15.2 14.0 38.4 14.7 12.2 15.1 39.5 15.5 100.0 15.7 19.5 16.6 91.2 17.2 40.1 17.7 50.3 18.7 38.7 18.9 42.9 19.6 37.2 20.2 15.0 21.4 42.3 21.8 50.6 22.3 18.5 23.3 21.3 23.9 10.5 24.3 12.6 24.9 37.2 25.4 16.0 25.9 16.9 26.0 13.1 26.8 11.1 27.2 23.5 27.7 13.1 28.4 12.2 28.7 11.3 29.2 9.0 29.7 9.6 30.3 19.1 30.8 15.4 31.4 5.6 31.9 4.9 32.1 6.6 32.7 14.3 33.2 8.0 33.5 9.2 34.3 7.9 34.6 8.3 35.0 7.8 35.9 16.2 37.3 17.3 38.3 9.6 39.1 8.2 39.5 10.0 40.3 7.5 41.2 7.0 41.8 6.3 42.3 5.9 43.0 5.3 43.4 5.7 44.4 6.8 -
TABLE 9 XRPD characteristic angles and relative intensities for 6α, 9α-Difluoro-17α- [(2-furanylcarbonyl)oxy]-11β-hydroxy- 16α-methyl-3-oxo-androsta-1,4-diene-17β- carbothioic acid S-fluoromethyl ester, composition with acetic acid. Relative Angle Intensity °2 Theta % 8.2 18.7 9.5 17.7 11.0 100.0 12.5 37.9 13.2 17.2 14.2 22.8 14.5 16.6 15.2 16.8 15.7 87.2 16.8 46.3 17.5 32.8 18.0 35.6 18.3 4.4 19.1 18.4 19.3 22.8 19.9 25.5 20.5 9.2 21.7 24.9 22.1 30.0 22.6 12.3 23.6 8.2 24.7 14.9 25.3 33.3 25.5 24.7 25.8 10.7 26.2 12.2 26.5 9.4 27.2 9.2 27.6 12.9 28.2 6.4 28.8 7.3 29.1 8.3 29.6 5.4 30.2 8.8 30.7 6.3 31.3 8.7 31.9 4.1 32.6 4.1 33.2 6.2 34.0 7.6 34.6 4.4 35.0 3.8 35.4 6.3 35.9 4.7 36.3 12.7 37.2 5.3 37.8 11.1 38.2 6.3 38.8 4.3 39.4 4.9 40.1 6.5 40.7 4.4 41.0 4.2 41.7 5.7 42.3 3.5 42.8 4.2 43.5 3.4 44.1 4.1 -
TABLE 10 XRPD characteristic angles and relative intensities for 6α, 9α-Difluoro- 17α-[(2-furanylcarbonyl)oxy]-11β-hydroxy- 16α-methyl-3-oxo-androsta-1,4-diene-17β- carbothioic acid S-fluoromethyl ester, composition with propan-1-ol. Relative Angle Intensity °2 Theta % 3.7 0.3 8.1 49.7 9.1 71.9 9.7 8.1 10.8 88.6 11.4 2.0 12.7 32.1 13.4 41.2 13.8 4.5 14.2 8.2 14.6 60.0 15.3 100.0 16.3 54.4 17.0 2.0 17.7 8.2 18.0 26.9 18.5 38.2 19.1 62.3 19.6 11.6 20.2 2.7 21.6 22.8 21.9 37.2 22.4 23.6 22.8 5.2 23.0 5.4 23.8 6.0 24.2 16.5 24.9 43.8 25.4 10.3 26.9 8.8 27.2 5.7 27.6 12.7 28.0 7.4 28.3 8.4 29.1 11.7 29.6 10.9 29.9 7.0 30.4 4.4 30.8 4.0 31.4 9.6 32.1 6.3 32.3 6.3 32.6 7.8 32.9 6.7 33.5 6.6 34.1 8.2 34.4 11.3 35.4 4.6 35.8 8.1 36.2 5.3 36.8 9.0 37.3 3.9 37.8 10.7 38.2 7.4 38.7 4.2 39.3 4.8 39.6 7.0 39.9 4.8 40.9 4.6 41.1 5.6 41.7 5.8 42.8 4.7 43.3 5.2 43.9 4.1 44.6 4.4 -
TABLE 11 XRPD characteristic angles and relative intensities for 6α, 9α-Difluoro-17α-[(2-furanylcarbonyl)oxy]- 11β-hydroxy-16α-methyl-3-oxo-androsta-1,4-diene-17β- carbothioic acid S-fluoromethyl ester, composition with ethanol. Relative Angle Intensity °2Theta % 2.8 0.6 8.2 34.2 9.3 37.3 10.9 100.0 11.3 6.1 12.8 25.6 13.0 12.9 13.4 40.3 13.7 11.3 14.6 38.6 14.9 24.0 15.4 59.3 16.3 12.4 16.5 42.1 18.0 26.0 18.4 48.4 19.2 23.4 19.4 27.5 19.8 10.1 21.8 30.1 22.2 20.4 22.8 9.3 23.5 2.2 24.4 9.6 25.1 30.3 25.6 12.2 26.6 3.8 27.2 8.3 27.6 11.7 28.2 6.9 28.5 9.0 29.2 6.8 29.5 9.5 30.0 9.3 31.5 5.6 32.0 4.9 32.6 7.3 32.9 6.6 33.7 6.9 34.1 3.7 34.5 6.8 35.0 6.2 36.0 8.1 36.7 3.9 37.3 3.4 37.9 9.4 38.7 4.8 39.7 4.8 40.0 3.7 40.3 3.7 40.8 4.2 41.5 4.5 42.1 3.7 42.7 3.2 43.6 5.3 44.3 3.2 -
TABLE 12 XRPD characteristic angles and relative intensities for 6α, 9α-Difluoro-17α-[(2-furanylcarbonyl)oxy]- 11β-hydroxy-16α-methyl-3-oxo-androsta-1,4-diene-17β- carbothioic acid S-fluoromethyl ester, composition with ethyl formate. Relative Angle Intensity °2Theta % 3.5 0.2 5.0 0.3 8.0 23.0 9.4 33.2 10.9 93.7 11.9 3.2 12.4 44.3 13.1 39.4 13.9 39.9 14.4 21.2 14.9 24.9 15.6 100.0 16.7 51.2 17.4 54.6 17.9 70.5 18.2 7.4 18.8 20.0 19.2 36.7 19.6 27.3 20.0 9.6 21.5 30.3 21.8 49.6 22.1 13.1 22.6 6.0 23.1 8.1 23.4 8.5 23.8 8.5 24.5 23.2 25.0 26.6 25.2 25.1 25.6 23.4 26.0 5.3 26.3 14.0 27.0 12.2 27.3 6.8 28.0 12.8 28.3 11.7 28.9 11.4 29.9 10.9 30.1 6.6 30.4 6.9 30.8 8.6 31.1 12.2 31.6 4.9 32.6 9.5 33.3 7.7 33.6 7.4 34.3 5.2 34.9 7.9 35.7 14.0 36.6 4.8 37.3 14.9 37.7 4.9 38.4 7.2 39.0 5.8 39.5 7.4 39.9 5.2 40.6 4.2 40.9 5.8 41.7 4.3 42.4 5.6 42.9 3.4 43.7 5.2 44.3 3.8 -
TABLE 13 XRPD characteristic angles and relative intensities for 6α, 9α-Difluoro- 17α-[(2-furanylcarbonyl)oxy]-11β-hydroxy- 16α-methyl-3-oxo-androsta-1,4-diene-17β- carbothioic acid S-fluoromethyl ester, composition with 1,4-dioxane. Relative Angle Intensity °2 Theta % 8.7 39.8 10.5 7.4 12.9 38.6 13.2 57.9 14.4 100.0 15.7 33.1 17.6 29.9 18.4 79.9 18.6 69.0 19.5 8.9 20.5 10.1 21.0 16.3 21.3 12.6 21.8 57.4 22.8 5.5 23.3 9.5 23.6 13.9 23.9 14.0 24.7 5.5 25.0 5.8 25.5 5.0 26.1 5.6 26.8 10.1 27.0 11.6 27.3 9.7 27.9 5.1 28.3 4.3 28.8 7.5 29.5 12.7 29.9 7.1 30.4 6.5 31.1 7.3 31.4 7.6 31.9 6.2 32.6 11.0 33.2 4.1 33.8 7.6 34.0 8.3 34.2 7.5 -
TABLE 14 XRPD characteristic angles and relative intensities for 6α, 9α-Difluoro- 17α-[(2-furanylcarbonyl)oxy]-11β-hydroxy- 16α-methyl-3-oxo-androsta-1,4-diene-17β- carbothioic acid S-fluoromethyl ester, composition with dimethylsulfoxide. Relative Angle Intensity °2 Theta % 8.1 19.9 9.4 11.5 10.8 73.1 12.4 44.0 13.0 31.0 14.0 21.5 14.4 45.0 15.0 28.5 15.4 100.0 15.6 27.7 16.5 66.2 17.4 65.3 17.8 70.5 19.0 47.1 19.6 68.3 20.3 17.4 21.5 64.5 21.8 49.3 22.3 34.9 23.1 15.9 23.6 6.4 24.2 25.8 25.0 88.0 25.5 24.2 25.9 16.1 26.8 34.9 27.1 16.3 27.8 17.6 28.5 23.7 28.8 26.8 29.5 13.0 30.3 12.2 30.9 18.3 32.8 12.4 33.7 8.9 -
TABLE 15 XRPD characteristic angles and relative intensities for 6α, 9α-Difluoro- 17α-[(2-furanylcarbonyl)oxy]-11β-hydroxy- 16α-methyl-3-oxo-androsta-1,4-diene-17β- carbothioic acid S-fluoromethyl ester, composition with N-methyl-2-pyrrolidinone. Relative Angle Intensity °2 Theta % 7.9 27.4 9.4 25.0 10.8 55.4 12.1 78.5 12.8 35.3 13.0 42.3 14.1 53.3 14.6 6.9 14.9 18.7 15.5 100.0 15.8 16.4 16.6 91.0 17.3 62.5 18.4 20.4 18.6 11.4 18.9 30.6 19.6 42.1 20.0 8.4 21.1 33.7 21.6 50.3 22.0 13.7 22.6 5.6 23.1 12.5 23.4 18.0 23.7 7.5 24.6 42.1 25.0 24.1 25.6 21.5 26.4 9.8 27.2 25.2 28.0 12.8 28.4 15.3 28.9 5.5 29.9 14.9 30.6 9.4 31.4 5.4 31.8 5.5 32.3 11.1 32.8 10.9 33.5 8.7 33.9 5.3 34.8 6.7 35.3 17.3 35.7 9.0 36.6 16.8 37.3 8.8 38.2 6.7 38.4 6.6 38.9 8.1 39.6 7.3 40.5 7.2 41.0 5.5 41.5 3.4 42.3 5.5 43.0 4.4 43.3 5.1 44.0 7.1 -
TABLE 16 XRPD characteristic angles and relative intensities for 6α, 9α-Difluoro-17α-[(2-furanylcarbonyl)oxy]- 11β-hydroxy-16α-methyl-3-oxo-androsta-1,4-diene-17β- carbothioic acid S-fluoromethyl ester, composition with dimethyl acetamide. Relative Angle Intensity °2Theta % 5.2 0.2 8.0 42.6 9.4 28.8 10.8 75.2 12.1 100.0 12.8 33.0 13.0 37.2 13.9 36.0 14.1 52.0 14.9 20.6 15.4 87.2 15.6 11.4 16.5 76.9 17.0 81.1 17.4 66.3 18.4 18.9 18.7 16.6 18.9 26.2 19.5 33.2 20.0 8.3 21.2 42.4 21.6 33.4 22.0 14.0 22.3 5.4 23.0 10.8 23.1 10.9 23.7 5.7 24.2 10.5 24.6 40.5 24.9 22.7 25.4 11.7 25.7 14.3 26.4 9.4 27.0 24.0 27.2 14.3 27.6 3.7 28.1 8.4 28.8 6.3 29.2 2.9 29.5 8.0 30.0 9.8 30.5 7.7 31.0 3.2 31.9 5.5 32.3 9.0 33.0 8.5 33.3 4.6 33.8 3.7 34.2 3.3 34.8 4.5 35.1 5.6 35.4 23.2 36.3 3.5 36.8 9.9 37.3 3.9 37.6 4.5 38.0 4.2 38.5 4.1 38.9 9.3 39.4 3.9 39.7 4.5 40.2 3.5 40.5 4.2 41.2 2.6 41.9 3.8 42.4 3.5 43.1 4.0 43.9 3.9 44.2 2.8 44.3 2.4 -
TABLE 17 XRPD characteristic angles and relative intensities for 6α, 9α-Difluoro- 17α-[(2-furanylcarbonyl)oxy]-11β-hydroxy- 16α-methyl-3-oxo-androsta-1,4-diene-17β- carbothioic acid S-fluoromethyl ester, composition with water. Relative Angle Intensity °2 Theta % 6.4 11.4 6.9 16.0 8.8 55.2 9.6 34.7 11.0 6.9 11.4 11.4 12.2 100.0 12.6 61.2 13.3 82.4 13.8 26.1 14.2 27.6 14.8 25.8 15.3 51.1 15.5 64.7 16.0 40.6 17.2 28.5 17.7 11.2 18.1 51.1 18.4 76.9 19.2 34.7 19.5 54.8 20.2 37.4 20.5 42.4 21.3 46.5 21.8 22.5 22.2 12.4 22.9 15.5 23.8 26.1 24.7 13.6 25.3 23.4 26.2 20.5 27.7 12.8 28.6 14.4 29.9 10.1 30.4 18.3 32.1 21.2 32.6 21.0 33.6 13.6 34.5 17.3 -
TABLE 18 XRPD characteristic angles and relative intensities for 6α, 9α-Difluoro-17α-[(2-furanylcarbonyl)oxy]- 11β-hydroxy-16α-methyl-3-oxo-androsta-1,4-diene-17β- carbothioic acid S-fluoromethyl ester, composition with cyclopentanone. Relative Angle Intensity °2Theta % 2.3 0.4 3.3 0.4 6.3 0.2 8.1 22.0 9.4 24.1 10.9 50.8 12.4 47.7 13.1 33.5 14.0 22.6 14.3 29.7 15.0 20.3 15.5 100.0 16.6 46.8 17.4 59.5 17.8 47.1 18.8 26.6 19.1 29.7 19.6 37.2 20.1 7.0 21.5 27.5 21.7 33.2 22.3 12.7 23.1 13.2 23.7 5.6 24.3 16.7 24.9 45.2 25.4 19.3 26.2 9.7 26.9 17.8 27.2 14.7 27.9 14.9 28.3 11.6 28.8 10.7 29.6 11.5 30.2 6.8 30.9 12.6 31.5 8.0 32.0 8.2 32.6 6.2 33.4 10.0 33.6 7.5 34.0 5.8 34.4 4.7 34.8 6.3 35.1 6.6 35.7 17.2 36.6 7.9 37.3 13.7 38.0 6.6 38.3 6.2 39.0 6.3 39.6 9.6 40.3 4.4 41.0 6.4 41.7 5.9 42.1 5.3 42.7 3.9 43.3 4.7 43.7 3.9 44.2 5.8 44.7 4.3 -
TABLE 19 XRPD characteristic angles and relative intensities for 6α, 9α-Difluoro- 17α-[(2-furanylcarbonyl)oxy]-11β-hydroxy- 16α-methyl-3-oxo-androsta-1,4-diene-17β- carbothioic acid S-fluoromethyl ester, composition with ε-caprolactam. Relative Angle Intensity °2 Theta % 7.8 64.0 9.0 32.0 10.5 53.9 12.0 90.0 12.6 44.3 13.3 9.7 13.9 51.8 14.4 35.0 15.1 100.0 16.1 44.7 16.9 86.2 17.4 72.0 18.3 42.8 18.6 71.5 18.9 65.4 21.1 34.6 21.4 29.2 21.9 14.2 22.3 19.6 22.7 15.8 23.8 25.6 24.2 37.7 24.5 43.6 25.5 10.6 26.3 21.2 27.3 21.7 28.1 18.9 29.0 23.9 29.5 12.6 30.0 13.8 30.8 15.3 32.3 16.7 33.9 16.9 34.7 20.6 -
TABLE 20 Raman band positions for various compositons with 6α, 9α-Difluoro-17α- [(2-furanylcarbonyl)oxy]-11β-hydroxy- 16α-methyl-3-oxo-androsta-1,4-diene-17β- carbothioic acid S-fluoromethyl ester Guest molecule Band positions (cm−1) Butan-1-ol 3114, 3056, 2937, 2881, 1727, 1661, 1606, 1470, 1394, 1341, 1312, 1235, 1198, 1151, 1128, 1076, 997, 930, 883, 850, 817, 733, 702, 623, 597, 568, 548, 527, 414, 391, 373, 290, 245, 197, 176, 97 Methyl 3146, 3047, 2967, 2942, 2882, 1730, 1669, 1636, 1611, acetate 1569, 1471, 1393, 1340, 1309, 1235, 1200, 1151, 1112, 1075, 998, 934, 882, 858, 733, 700, 648, 596, 569, 547, 528, 413, 393, 375, 286, 237, 196, 175, 92 Acetic acid 3148, 3043, 2977, 2933, 2880, 1731, 1662, 1616, 1600, 1471, 1393, 1343, 1313, 1247, 1199, 1154, 1124, 1076, 998, 974, 931, 881, 734, 701, 598, 570, 554, 529, 415, 374, 286, 240, 184, 87 Propan-1-ol 3057, 2937, 2881, 1726, 1662, 1608, 1470, 1394, 1341, 1311, 1235, 1199, 1151, 1127, 1076, 997, 930, 883, 851, 733, 702, 622, 597, 567, 547, 528, 461, 414, 392, 374, 290, 244, 196, 176, 94 Ethanol 3058, 2944, 2881, 1726, 1662, 1620, 1608, 1470, 1393, 1341, 1310, 1235, 1199, 1151, 1125, 1076, 997, 930, 883, 732, 701, 597, 167, 547, 528, 415, 393, 375, 289, 245, 196, 176, 89 Ethyl 3113, 3046, 2975, 2946, 2881, 1729, 1696, 1667, 1394, formate 1342, 1311, 1236, 1199, 1153, 1124, 1075, 998, 937, 883, 730, 701, 597, 569, 550, 527, 413, 391, 287, 243, 195, 176, 88 1,4-dioxane 3149, 3046, 2974, 2936, 2883, 1726, 1669, 1635, 1611, 1568, 1471, 1392, 1342, 1308, 1236, 1200, 1152, 1127, 1075, 1015, 998, 932, 883, 835, 732, 700, 597, 568, 548, 528, 414, 392, 375, 286, 239, 195, 184, 172, 86 Dimethyl- 3146, 3045, 2983, 2943, 2916, 2878, 1723, 1666, 1633, sulphoxide 1608, 1569, 1470, 1416, 1394, 1342, 1310, 1236, 1199, 1152, 1125, 1075, 1040, 998, 972, 931, 882, 731, 701, 673, 597, 567, 549, 527, 414, 305, 286, 243, 196, 183, 87
Claims (53)
1. A crystalline chemical composition comprising a compound of formula (I)
in which the crystal lattice is stabilised by the presence of a guest molecule, characterised in the crystalline composition is of space group P212121 having unit cell dimensions of about 12.1±0.6 Å, 14.9±0.7 Å, and 16.2±0.8 Å
when determined at either 120K or 150K, wherein at about 295K, said composition exhibits one or more of the following XRPD profiles:
(i) a peak in the range of around 7.8-8.2;
(ii) a peak in the range of around 8.8-96.2;
(iii) a peak in the range of around 10.5-11.1;
(iv) a peak in the range of around 15.0-15.8; and
(v) a peak often associated with a pair of peaks in the range of around 21.2-21.8.
2. The composition of claim 1 , which exhibits XRPD profiles (i)-(v).
3. A crystalline chemical composition comprising a compound of formula
in which the crystal lattice is stabilised by the presence of a guest molecule, characterised in the crystalline composition is of space group P212121 having unit cell dimensions of about 12.1±0.6 Å, 14.9±0.7 Å, and 16.2±0.8 Å
when determined at either 120K or 150K, wherein at about 295K, said composition exhibits one or more of the following XRPD profiles:
(i) absence of a peak at around 7; and
(ii) absence of a peak at around 11.5.
4. The composition of claim 3 , which exhibits both of XRPD profiles (i) and (ii).
5. A crystalline chemical composition comprising a compound of formula (I)
in which the crystal lattice is stabilised by the presence of a guest molecule, characterised in the crystalline composition is of space group P212121 having unit cell dimensions of about 12.1±0.6 Å, 14.9±0.7 Å, and 16.2±0.8 Å
when determined at either 120K or 150K, wherein the guest molecule is selected from the group consisting of an amide moiety containing compound, a carbonyl moiety containing compound, a sulphoxide, an alcohol, an ether, an ester, a carboxylic acid and water.
6. A crystalline chemical composition comprising a compound of formula (I)
in which the crystal lattice is stabilised by the presence of a guest molecule, characterised in the crystalline composition is of space group P212121 having unit cell dimensions of about 12.1±0.6 Å, 14.9±0.7 Å, and 16.2±0.8 Å
when determined at either 120K or 150K, wherein the compound of formula (I) is an unsolvated Form 1 polymorph.
7. A crystalline chemical composition comprising a compound of formula (I)
in which the crystal lattice is stabilised by the presence of a guest molecule, characterised in the crystalline composition is of space group P212121 having unit cell dimensions of about 12.1±0.6 Å, 14.9±0.7 Å, and 16.2±0.8 Å
when determined at either 120K or 150K, which is non-pressurized and adapted to be administered as a dry powder topically to the lung via the buccal cavity.
8. A crystalline chemical composition comprising a compound of formula (I)
in which the crystal lattice is stabilised by the presence of a guest molecule, characterised in the crystalline composition is of space group P212121 having unit cell dimensions of about 12.1±0.6 Å, 14.9±0.7 Å, and 16.2±0.8 Å
when determined at either 120K or 150K, which is non-pressurized and adapted to be administered topically to the nasal cavity.
9. A crystalline chemical composition comprising a compound of formula (I)
in which the crystal lattice is stabilised by the presence of a guest molecule, characterised in the crystalline composition is of space group P212121 having unit cell dimensions of about 12.1±0.6 Å, 14.9±0.7 Å, and 16.2±0.8 Å
when determined at either 120K or 150K, which further comprises a PDE4 inhibitor.
10. A crystalline chemical composition comprising a compound of formula (I)
in which the crystal lattice is stabilised by the presence of a guest molecule, characterised in the crystalline composition is of space group P212121 having unit cell dimensions of about 12.1±0.6 Å, 14.9±0.7 Å, and 16.2±0.8 Å
when determined at either 120K or 150K, wherein the composition is selected from the group consisting of an ointment, lotion, cream, gel, foam, preparation for delivery by transdermal patch, powder, spray, aerosol, capsule or cartridge for use in an inhaler or insufflator or drop, solution or suspension for nebulisation, suppositories, pessaries, retention enemas, chewable or suckable tablets or pellets, liposome preparation and microencapsulation preparation.
11. A crystalline chemical composition comprising a compound of formula (I)
in which the crystal lattice is stabilised by the presence of a guest molecule, characterised in the crystalline composition is of space group P212121 having unit cell dimensions of about 12.1±0.6 Å, 14.9±0.7 Å, and 16.2±0.8 Å
when determined at either 120K or 150K, wherein the composition is a dry powder or spray.
12. The composition according to claim 11 , wherein the composition is a dry powder.
13. The composition according to claim 11 , wherein the composition is a spray.
14. A crystalline chemical composition comprising a compound of formula (I)
in which the crystal lattice is stabilised by the presence of a guest molecule, characterised in the crystalline composition is of space group P212121 having unit cell dimensions of about 12.1±0.6 Å, 14.9±0.7 Å, and 16.2±0.8 Å
when determined at either 120K or 150K,
in combination with a long acting β2-adrenoreceptor agonist, said long acting β2-adrenoreceptor agonist is at least one selected from the group consisting of salmeterol, salbutamol, formoterol, salmefamol, fenoterol and terbutaline and salts thereof.
15. A crystalline chemical composition comprising a compound of formula (I)
in which the crystal lattice is stabilised by the presence of a guest molecule, characterised in the crystalline composition is of space group P212121 having unit cell dimensions of about 12.1±0.6 Å, 14.9±0.7 Å, and 16.2±0.8 Å
when determined at either 120K or 150K,
, wherein said compound of formula (I) is present in the amount of 0.001 to 10% by weight of said composition.
16. A crystalline chemical composition comprising a compound of formula (I)
in which the crystal lattice is stabilised by the presence of a guest molecule, characterised in the crystalline composition is of space group P212121 having unit cell dimensions of about 12.1±0.6 Å, 14.9±0.7 Å, and 16.2±0.8 Å
when determined at either 120K or 150K,
in combination with one or more therapeutically active agents selected from the group consisting an anti-histamine, anti-inflammatory agent or antiinfective agent.
17. The composition according to claim 16 , wherein said anti-histamine is methapyrilene or loratadine, said anti-inflammatory agent is an NSAID and said antiinfective agent is an antibiotic or antiviral.
18. A crystalline chemical composition comprising a compound of formula (I)
in which the crystal lattice is stabilised by the presence of a guest molecule, characterised in the crystalline composition is of space group P212121 having unit cell dimensions of about 12.1±0.6 Å, 14.9±0.7 Å, and 16.2±0.8 Å
when determined at either 120K or 150K,
, wherein said compound of formula (I) is in unsolvated form in the form of equant or substantially equant particles.
19. The composition according to claim 14 , which contains lactose or starch as the diluent or carrier.
20. A pharmaceutical composition comprising a crystalline chemical composition comprising a compound of formula (I)
in which the crystal lattice is stabilised by the presence of a guest molecule, characterised in the crystalline composition is of space group P212121 having unit cell dimensions of about 12.1±0.6 Å, 14.9±0.7 Å, and 16.2±0.8 Å
when determined at either 120K or 150K,
together with water as the diluent or carrier.
21. A pharmaceutical aerosol formulation comprising a crystalline chemical composition comprising a compound of formula (I)
in which the crystal lattice is stabilised by the presence of a guest molecule, characterised in the crystalline composition is of space group P212121 having unit cell dimensions of about 12.1±0.6 Å, 14.9±0.7 Å, and 16.2±0.8 Å
when determined at either 120K or 150K,
, and a fluorocarbon or hydrogen-containing chlorofluorocarbon as propellant, optionally in combination with a surfactant and/or a cosolvent.
22. A pharmaceutical aerosol formulation comprising a crystalline chemical composition comprising a compound of formula (I)
in which the crystal lattice is stabilised by the presence of a guest molecule, characterised in the crystalline composition is of space group P212121 having unit cell dimensions of about 12.1±0.6 Å, 14.9±0.7 Å, and 16.2±0.8 Å
when determined at either 120K or 150K,
a fluorocarbon or hydrogen-containing chlorofluorocarbon as propellant and a suspending agent which is soluble in the propellant.
23. A pharmaceutical aerosol formulation according to claim 22 , wherein the suspending agent is an oligolactic acid.
24. A pharmaceutical aerosol formulation according claim 21 , wherein the propellant is selected from the group consisting of 1,1,1,2-tetrafluoroethane, 1,1,1,2,3,3,3-heptafluoro-n-propane and mixtures thereof.
25. A pharmaceutical aerosol formulation according to claim 21 , which consists essentially of a compound of formula (I) optionally in combination with another therapeutically active agent and a propellant selected from 1,1,1,2-tetrafluoroethane, 1,1,1,2,3,3,3-heptafluoro-n-propane and mixtures thereof.
26. The method for the treatment of a human or animal subject with an anti-inflammatory and/or allergic condition according to, which method comprises administering to said human or animal subject an effective amount of a crystalline chemical composition comprising a compound of formula (I)
in which the crystal lattice is stabilised by the presence of a guest molecule, characterised in the crystalline composition is of space group P212121 having unit cell dimensions of about 12.1±0.6 Å, 14.9±0.7 Å, and 16.2±0.8 Å
when determined at either 120K or 150K,
, wherein said effective amount of the composition is administered topically to said human or animal subject.
27. The method for the treatment of a human or animal subject with an anti-inflammatory and/or allergic condition which method comprises administering to said human or animal subject an effective amount of a crystalline chemical composition comprising a compound of formula (I)
in which the crystal lattice is stabilised by the presence of a guest molecule, characterised in the crystalline composition is of space group P212121 having unit cell dimensions of about 12.1±0.6 Å, 14.9±0.7 Å, and 16.2±0.8 Å
when determined at either 120K or 150K,
, wherein said effective amount of the composition is administered topically as a dry powder to the lung via the buccal cavity.
28. The method for the treatment of a human or animal subject with an anti-inflammatory and/or allergic condition which method comprises administering to said human or animal subject an effective amount of a crystalline chemical composition comprising a compound of formula (I)
in which the crystal lattice is stabilised by the presence of a guest molecule, characterised in the crystalline composition is of space group P212121 having unit cell dimensions of about 12.1±0.6 Å, 14.9±0.7 Å, and 16.2±0.8 Å
when determined at either 120K or 150K,
, wherein said effective amount of the composition is administered once per day.
29. The method of treatment of a human or animal subject with an anti-inflammatory and/or allergic condition which method comprises administering to said human or animal subject an effective amount of a crystalline chemical composition comprising a compound of formula (I)
in which the crystal lattice is stabilised by the presence of a guest molecule, characterised in the crystalline composition is of space group P212121 having unit cell dimensions of about 12.1±0.6 Å, 14.9±0.7 Å, and 16.2±0.8 Å
when determined at either 120K or 150K,
, wherein said composition is administered by inhalation or by nebulisation.
30. The method of treatment of a human or animal subject with an anti-inflammatory and/or allergic condition which method comprises administering to said human or animal subject an effective amount of a crystalline chemical composition comprising a compound of formula (I)
in which the crystal lattice is stabilised by the presence of a guest molecule, characterised in the crystalline composition is of space group P212121 having unit cell dimensions of about 12.1±0.6 Å, 14.9±0.7 Å, and 16.2±0.8 Å
when determined at either 120K or 150K,
, wherein said composition is administered orally, buccally, sublingually, parenterally, locally or rectally.
31. A method for the treatment of at least one condition selected from the group consisting of skin disease, inflammatory condition of the nose, throat or lungs, inflammatory bowel condition, auto-immune disease, conjunctiva and conjunctivitis in a human or animal subject, which comprises administering an effective amount of a crystalline chemical composition comprising a compound of formula (I)
in which the crystal lattice is stabilised by the presence of a guest molecule, characterised in the crystalline composition is of space group P212121 having unit cell dimensions of about 12.1±0.6 Å, 14.9±0.7 Å, and 16.2±0.8 Å
when determined at either 120K or 150K,
to said human or animal subject in need thereof for the treatment of said at least one condition.
32. The method of treatment as recited in claim 31 , wherein the skin disease is at least one selected from the group consisting of eczema, psoriasis, allergic dermatitis neurodermatitis, pruritis and hypersensitivity reactions.
33. The method of treatment as recited in claim 31 , wherein the inflammatory condition of the nose, throat or lungs is at least one selected from the group consisting of asthma, rhinitis, nasal polyps, chronic obstructive pulmonary disease, interstitial lung disease and fibrosis.
34. The method of treatment as recited in claim 33 , wherein the inflammatory condition of the nose, throat or lungs is asthma.
35. The method of treatment as recited in claim 33 , wherein the inflammatory condition of the nose, throat or lungs is rhinitis.
36. The method of treatment as recited in claim 33 , wherein the inflammatory condition of the nose, throat or lungs is chronic obstructive pulmonary disease.
37. The method of treatment as recited in claim 33 , wherein the inflammatory bowel condition is at least one selected from the group consisting of ulcerative colitis and Crohn's disease.
38. The method of treatment as recited in claim 31 , wherein said composition is administered by inhalation or by nebulisation.
39. The method of treatment as recited in claim 31 , wherein said composition is administered orally, buccally, sublingually, parenterally, locally or rectally.
40. The method for the treatment as recited in claim 31 , wherein said effective amount of the composition is administered topically to said human or animal subject.
41. The method for the treatment as recited in claim 31 , wherein said effective amount of the compound of formula (I) is administered topically as a dry powder to the lung via the buccal cavity.
42. The method for the treatment as recited in claim 31 , wherein said effective amount of the compound of formula (I) is administered once per day.
43. An inhaler comprising a crystalline chemical composition comprising a compound of formula (I)
44. The inhaler of claim 43 , further comprising propellant.
45. The inhaler of claim 43 , further comprising at least one excipient selected from the group consisting of surfactant and cosolvent.
46. The inhaler of claim 43 , wherein the composition is free of excipient.
47. The inhaler of claim 43 , wherein the composition is retained in a pressurized canister closed with a valve.
48. The inhaler of claim 43 , wherein said composition has a particle size in the range of 1-10 μm.
49. A process for preparing a crystalline chemical composition comprising a compound of formula (I)
in which the crystal lattice is stabilised by the presence of a guest molecule, characterised in the crystalline composition is of space group P212121 having unit cell dimensions of about 12.1±0.6 Å, 14.9±0.7 Å, and 16.2±0.8 Å
when determined at either 120K or 150K,
which comprises:
(a) crystallising the composition from a solution containing a compound of formula (I) and the guest molecule; or
(b) contacting the compound of formula (I) or another crystalline chemical composition comprising a compound of formula (I)
in which the crystal lattice is stabilised by the presence of a guest molecule, characterised in the crystalline composition is of space group P212121 having unit cell dimensions of about 12.1±0.6 Å, 14.9±0.7 Å, and 16.2±0.8 Å
when determined at either 120K or 150K, in solid form, with a liquid containing the guest molecule and obtaining the composition therefrom; or
(c) contacting a compound of formula (I) or another crystalline chemical composition comprising a compound of formula (I)
in which the crystal lattice is stabilised by the presence of a guest molecule, characterised in the crystalline composition is of space group P212121 having unit cell dimensions of about 12.1±0.6 Å, 14.9±0.7 Å, and 16.2±0.8 Å
when determined at either 120K or 150K, in solid form, with a vapour containing the guest molecule,
, wherein the compound of formula (I), which is crystallized in (a), or contacted with a liquid containing the guest molecule in (b), or contacted with a vapor containing the guest molecule in (c), is in the form of a substantially amorphous solid.
50. The process of claim 49 , wherein the compound of formula (I) is in the form of substantially amorphous particles.
51. A process for preparing a crystalline chemical composition comprising a compound of formula (I)
in which the crystal lattice is stabilised by the presence of a guest molecule, characterised in the crystalline composition is of space group P212121 having unit cell dimensions of about 12.1±0.6 Å, 14.9±0.7 Å, and 16.2±0.8 Å
when determined at either 120K or 150K,
which comprises:
(a) crystallising the composition from a solution containing a compound of formula (I) and the guest molecule; or
(b) contacting the compound of formula (I) or another crystalline chemical composition comprising a compound of formula (I) in which the crystal lattice is stabilised by the presence of a guest molecule, characterised in the crystalline composition is of space group P212121 having unit cell dimensions of about 12.1±0.6 Å, 14.9±0.7 Å, and 16.2±0.8 Å when determined at either 120K or 150K, in solid form, with a liquid containing the guest molecule and obtaining the composition therefrom; or
(c) contacting a compound of formula (I) or another crystalline chemical composition comprising a compound of formula (I) in which the crystal lattice is stabilised by the presence of a guest molecule, characterised in the crystalline composition is of space group P212121 having unit cell dimensions of about 12.1±0.6 Å, 14.9±0.7 Å, and 16.2±0.8 Å when determined at either 120K or 150K, in solid form, with a vapour containing the guest molecule,
wherein the compound of formula (I) as crystalline unsolvated Form 1 polymorph is prepared by dissolving the compound of formula (I) in methylisobutylketone or ethyl acetate and producing the compound of formula (I) as unsolvated Form 1 by addition of an anti-solvent.
52. The process of claim 51 , wherein the compound of formula (I) as crystalline unsolvated Form 1 polymorph is prepared by dissolving the compound of formula (I) in ethyl acetate and producing the compound of formula (I) as unsolvated Form 1 by addition of toluene as the anti-solvent.
53. A process for preparing a crystalline chemical composition comprising a compound of formula (I)
in which the crystal lattice is stabilised by the presence of a guest molecule, characterised in the crystalline composition is of space group P212121 having unit cell dimensions of about 12.1±0.6 Å, 14.9±0.7 Å, and 16.2±0.8 Å when determined at either 120K or 150K,
which comprises:
(a) crystallising the composition from a solution containing a compound of formula (I) and the guest molecule; or
(b) contacting the compound of formula (I) or another crystalline chemical composition comprising a compound of formula (I) in which the crystal lattice is stabilised by the presence of a guest molecule, characterised in the crystalline composition is of space group P212121 having unit cell dimensions of about 12.1±0.6 Å, 14.9±0.7 Å, and 16.2±0.8 Å when determined at either 120K or 150K, in solid form, with a liquid containing the guest molecule and obtaining the composition therefrom; or
(c) contacting a compound of formula (I) or another crystalline chemical composition comprising a compound of formula (I) in which the crystal lattice is stabilised by the presence of a guest molecule, characterised in the crystalline composition is of space group P212121 having unit cell dimensions of about 12.1±0.6 Å, 14.9±0.7 Å, and 16.2±0.8 Å when determined at either 120K or 150K, in solid form, with a vapour containing the guest molecule,
wherein the compound of formula (I) as crystalline unsolvated Form 1 polymorph is prepared by dissolving the compound of formula (I) in methylisobutylketone and producing the compound of formula (I) as unsolvated Form 1 by addition of isooctane as the anti-solvent.
Priority Applications (1)
| Application Number | Priority Date | Filing Date | Title |
|---|---|---|---|
| US10/863,878 US20040224932A1 (en) | 2000-08-05 | 2004-06-08 | Novel anti-inflammatory androstane derivative compositions |
Applications Claiming Priority (7)
| Application Number | Priority Date | Filing Date | Title |
|---|---|---|---|
| GBGB0019172.6A GB0019172D0 (en) | 2000-08-05 | 2000-08-05 | Novel compounds |
| GB0019172.6 | 2000-08-05 | ||
| US09/958,050 US7101866B2 (en) | 2000-08-05 | 2001-08-03 | Anti-inflammatory androstane derivative |
| PCT/GB2001/003495 WO2002012265A1 (en) | 2000-08-05 | 2001-08-03 | 6.ALPHA., 9.ALPHA.-DIFLUORO-17.ALPHA.-`(2-FURANYLCARBOXYL) OXY!-11.BETA.-HYDROXY-16.ALPHA.-METHYL-3-OXO-ANDROST-1,4,-DIENE-17-CARBOTHIOIC ACID S-FLUOROMETHYL ESTER AS AN ANTI-INFLAMMATORY AGENT |
| WOPCT/GB01/03495 | 2001-08-03 | ||
| US10/067,010 US6777399B2 (en) | 2000-08-05 | 2002-02-04 | Anti-inflammatory androstane derivative compositions |
| US10/863,878 US20040224932A1 (en) | 2000-08-05 | 2004-06-08 | Novel anti-inflammatory androstane derivative compositions |
Related Parent Applications (1)
| Application Number | Title | Priority Date | Filing Date |
|---|---|---|---|
| US10/067,010 Continuation US6777399B2 (en) | 2000-08-05 | 2002-02-04 | Anti-inflammatory androstane derivative compositions |
Publications (1)
| Publication Number | Publication Date |
|---|---|
| US20040224932A1 true US20040224932A1 (en) | 2004-11-11 |
Family
ID=27732223
Family Applications (3)
| Application Number | Title | Priority Date | Filing Date |
|---|---|---|---|
| US10/067,010 Expired - Lifetime US6777399B2 (en) | 2000-08-05 | 2002-02-04 | Anti-inflammatory androstane derivative compositions |
| US10/503,114 Expired - Lifetime US7592329B2 (en) | 2002-02-04 | 2003-02-04 | Crystalline complexes of fluticasone-2-furoate |
| US10/863,878 Abandoned US20040224932A1 (en) | 2000-08-05 | 2004-06-08 | Novel anti-inflammatory androstane derivative compositions |
Family Applications Before (2)
| Application Number | Title | Priority Date | Filing Date |
|---|---|---|---|
| US10/067,010 Expired - Lifetime US6777399B2 (en) | 2000-08-05 | 2002-02-04 | Anti-inflammatory androstane derivative compositions |
| US10/503,114 Expired - Lifetime US7592329B2 (en) | 2002-02-04 | 2003-02-04 | Crystalline complexes of fluticasone-2-furoate |
Country Status (8)
| Country | Link |
|---|---|
| US (3) | US6777399B2 (en) |
| EP (1) | EP1472272B1 (en) |
| JP (1) | JP4508651B2 (en) |
| AT (1) | ATE462711T1 (en) |
| AU (1) | AU2003207019A1 (en) |
| DE (1) | DE60331891D1 (en) |
| ES (1) | ES2343315T3 (en) |
| WO (1) | WO2003066656A1 (en) |
Cited By (3)
| Publication number | Priority date | Publication date | Assignee | Title |
|---|---|---|---|---|
| US20050054622A1 (en) * | 2001-10-20 | 2005-03-10 | Keith Biggadike | Novel anti-inflammatory androstane derivatives |
| WO2009100258A1 (en) * | 2008-02-05 | 2009-08-13 | Hollis-Eden Pharmaceuticals, Inc. | Pharmaceutical solid state forms |
| US9290698B2 (en) | 2010-07-15 | 2016-03-22 | Battelle Memorial Institute | Biobased polyols for potential use as flame retardants in polyurethane and polyester applications |
Families Citing this family (16)
| Publication number | Priority date | Publication date | Assignee | Title |
|---|---|---|---|---|
| US6777399B2 (en) * | 2000-08-05 | 2004-08-17 | Smithkline Beecham Corporation | Anti-inflammatory androstane derivative compositions |
| US6777400B2 (en) * | 2000-08-05 | 2004-08-17 | Smithkline Beecham Corporation | Anti-inflammatory androstane derivative compositions |
| KR100889426B1 (en) | 2000-08-05 | 2009-03-23 | 글락소 그룹 리미티드 | 6.alpha., 9.alpha.-difluoro-17.alpha .- '(2-furanylcarboxyl) oxy-11.beta.-hydroxy-16.alpha.-methyl-3-oxo as anti-inflammatory -Androst-1,4-diene-17-carbothioic acid S-fluoromethyl ester |
| US6858596B2 (en) | 2000-08-05 | 2005-02-22 | Smithkline Beecham Corporation | Formulation containing anti-inflammatory androstane derivative |
| GB0019172D0 (en) | 2000-08-05 | 2000-09-27 | Glaxo Group Ltd | Novel compounds |
| US6759398B2 (en) * | 2000-08-05 | 2004-07-06 | Smithkline Beecham Corporation | Anti-inflammatory androstane derivative |
| AU2002253342B2 (en) * | 2001-04-30 | 2007-01-04 | Glaxo Group Limited | Novel anti-inflammatory androstane derivatives |
| GB2389530B (en) | 2002-06-14 | 2007-01-10 | Cipla Ltd | Pharmaceutical compositions |
| EP1970370A4 (en) * | 2005-12-21 | 2010-11-10 | Eisai R&D Man Co Ltd | Amorphous form of 1,2-dihydropyridine compound |
| GB0615108D0 (en) * | 2006-07-28 | 2006-09-06 | Glaxo Group Ltd | Novel formulations |
| PE20091089A1 (en) * | 2007-10-16 | 2009-08-24 | Glaxo Group Ltd | PHARMACEUTICAL COMPOSITIONS INCLUDING 4 - [(4-CHLOROPHENYL) METHYL] -2 - ({(2R) -1- [4- (4 {[3- (HEXAHYDRO-1H-AZEPIN-1-IL) PROPYL] OXY} PHENYL ) BUTYL] -2-PYRROLIDINYL} METHYL) -1 (2H) -PHTHALAZINONE AND FLUTICASONE FUROATE |
| US8148353B2 (en) * | 2008-08-07 | 2012-04-03 | Plus Chemicals Sa | Polymorphs of fluticasone furoate and process for preparation thereof |
| US20100240629A1 (en) * | 2009-03-19 | 2010-09-23 | Adrienne Kovacsne-Mezei | Polymorphs of fluticasone furoate and processes for preparation thereof |
| EP2847207B1 (en) | 2012-05-08 | 2019-03-27 | Nicox Ophthalmics, Inc. | Fluticasone propionate nanocrystals |
| US8765725B2 (en) | 2012-05-08 | 2014-07-01 | Aciex Therapeutics, Inc. | Preparations of hydrophobic therapeutic agents, methods of manufacture and use thereof |
| US9815865B2 (en) | 2013-01-07 | 2017-11-14 | Nicox Ophthalmics, Inc. | Preparations of hydrophobic therapeutic agents, methods of manufacture and use thereof |
Citations (57)
| Publication number | Priority date | Publication date | Assignee | Title |
|---|---|---|---|---|
| US2837464A (en) * | 1955-01-11 | 1958-06-03 | Schering Corp | Process for production of dienes by corynebacteria |
| US3067197A (en) * | 1961-04-26 | 1962-12-04 | Pfizer & Co C | 11-oxygenated 6alpha-fluoro-16-methylene-delta-pregnenes and derivatives |
| US3312590A (en) * | 1963-06-11 | 1967-04-04 | Glaxo Lab Ltd | Topically active anti-inflammatory 17-mono- and 17,21-diesters of betamethasone and its 9-chloro-analogs, compositions and use thereof |
| US3506694A (en) * | 1966-02-09 | 1970-04-14 | Boots Pure Drug Co Ltd | 17-acyloxysteroids and their manufacture |
| US3557162A (en) * | 1968-01-23 | 1971-01-19 | Koninklijke Gist Spiritus | Process for the preparation of 17alpha-monoesters of 11beta,17alpha,21-trihydroxysteroids |
| US3639434A (en) * | 1967-02-02 | 1972-02-01 | Boots Pure Drug Co Ltd | 17-acyloxysteroids and their manufacture |
| US3755302A (en) * | 1969-06-26 | 1973-08-28 | Warner Lambert Pharmaceutical | Process for the production of 17-monesters of 17{60 , 21-dihydroxy-steroids and products thereof |
| US3828080A (en) * | 1972-01-20 | 1974-08-06 | Glaxo Lab Ltd | Androstane-17beta-carboxylic acids and processes for the preparation thereof |
| US3856828A (en) * | 1972-07-19 | 1974-12-24 | Glaxo Lab Ltd | Anti-inflammatory steroids of the androstane series having a halo-substituted c{11 {14 c{11 {11 alkoxy carbonyl group at the 17{62 {0 position |
| US3891631A (en) * | 1972-08-11 | 1975-06-24 | Glaxo Lab Ltd | Process for preparing 17{60 -monoesters of 17{60 , 21-dihydroxy-20-oxo steroids |
| US3981894A (en) * | 1974-08-30 | 1976-09-21 | Glaxo Laboratories Limited | Chemical compounds |
| US3989686A (en) * | 1972-06-15 | 1976-11-02 | Glaxo Laboratories Limited | Anaesthetic steroids of the androstane series and process for preparing same |
| US4093721A (en) * | 1974-08-30 | 1978-06-06 | Glaxo Laboratories Limited | Pharmaceutical compositions of 6α,9α-difluoro-androst-4-ene-17β-carboxylates and derivatives thereof |
| US4113680A (en) * | 1975-03-31 | 1978-09-12 | Taisho Pharmaceutical Co., Ltd. | Method for preparing 17 α-ester-21-halo pregnanes |
| US4187301A (en) * | 1978-04-05 | 1980-02-05 | Syntex (U.S.A.) Inc. | 17 Beta-thiocarboxylic acid esters of 6 alpha, 6 beta-difluoro-3-oxoandrost-4-enes |
| US4188385A (en) * | 1978-04-05 | 1980-02-12 | Syntex (U.S.A.) Inc. | Thioetianic acid derivatives |
| US4198403A (en) * | 1978-04-05 | 1980-04-15 | Syntex (U.S.A.) Inc. | 17 Beta-thiocarboxylic acid esters of 4-halo-3-oxoandrost-4-enes |
| US4221787A (en) * | 1978-03-28 | 1980-09-09 | Interx Research Corporation | Esteramide prodrugs of anti-inflammatory corticosteroids |
| US4261984A (en) * | 1978-04-05 | 1981-04-14 | Syntex (U.S.A.) Inc. | 17β-thiocarboxylic acid esters of 3-oxo-4-halo-16β-methylandrost-4-enes |
| US4263289A (en) * | 1978-04-05 | 1981-04-21 | Syntex (U.S.A.) Inc. | Thio etianic acid derivatives |
| US4267173A (en) * | 1979-11-05 | 1981-05-12 | Schering Corporation | Use of 6β-fluoro-7α-halogenocorticoids as topical anti-inflammatories and pharmaceutical formulations useful therefor |
| US4285937A (en) * | 1976-02-24 | 1981-08-25 | Ciba-Geigy Corporation | Novel androstadiene-17-carboxylic acid esters |
| US4310466A (en) * | 1979-08-31 | 1982-01-12 | Syntex (U.S.A.) Inc. | Thio etianic acid derivatives |
| US4335121A (en) * | 1980-02-15 | 1982-06-15 | Glaxo Group Limited | Androstane carbothioates |
| US4377575A (en) * | 1978-04-25 | 1983-03-22 | Hoechst Aktiengesellschaft | Corticoid-17-(alkyl carbonates) and process for their manufacture |
| US4472393A (en) * | 1981-02-02 | 1984-09-18 | Schering Corporation | 3,20-Dioxo-1,4-pregnadiene-17α-ol 17-aromatic heterocycle carboxylates |
| US4607028A (en) * | 1983-08-18 | 1986-08-19 | Ciba-Geigy Corporation | Novel carboxylic acid esters |
| US4710495A (en) * | 1980-07-10 | 1987-12-01 | Otsuka Pharmaceutical Co., Ltd. | Soft steroids having anti-inflammatory activity |
| US4861765A (en) * | 1985-06-26 | 1989-08-29 | Jouveinal | 21-alkyl-, cycloalkyl- or aryl-substituted thio steroids and pharmaceutical compositions containing them |
| US4992474A (en) * | 1983-04-18 | 1991-02-12 | Glaxo Group Ltd. | Phenethanolamine derivatives |
| US4994439A (en) * | 1989-01-19 | 1991-02-19 | California Biotechnology Inc. | Transmembrane formulations for drug administration |
| US4996335A (en) * | 1980-07-10 | 1991-02-26 | Nicholas S. Bodor | Soft steroids having anti-inflammatory activity |
| US5063222A (en) * | 1989-04-19 | 1991-11-05 | Ss Pharmaceutical Co., Ltd. | Antiinflammatory dexamethasone 17α-cyclopropanecarboxylates with reduced systemic activity |
| US5081113A (en) * | 1989-03-22 | 1992-01-14 | Roussel Uclaf | Novel 3-keto-steroids |
| US5202316A (en) * | 1989-03-22 | 1993-04-13 | Roussel Uclaf | N,N,N',N'-6-(1-piperazinyl)-2,5-pyridinediamines |
| US5250293A (en) * | 1991-04-22 | 1993-10-05 | Gleich Gerald J | Method for the treatment of hypersensitivity diseases by administration of anionic polymers |
| US5362721A (en) * | 1990-08-10 | 1994-11-08 | Hoechst Aktiengesellschaft | Corticoid-17-alkyl-carbonates substituted in the 17-position, process for their preparation and pharmaceuticals containing them |
| US5420120A (en) * | 1993-12-17 | 1995-05-30 | Alcon Laboratories, Inc. | Anti-inflammatory glucocorticoid compounds for topical ophthalmic use |
| US5608093A (en) * | 1993-08-27 | 1997-03-04 | Hoechst Aktiengesellschaft | Corticosteroid 17-alkyl carbonate 21-[0]-carboxylic and carbonic esters, and pharmaceuticals containing these compounds |
| US5658549A (en) * | 1991-12-12 | 1997-08-19 | Glaxo Group Limited | Aerosol formulations containing propellant 134a and fluticasone propionate |
| US5707984A (en) * | 1995-12-08 | 1998-01-13 | G. D. Searle & Co. | Steroid nitrite/nitrate ester derivatives useful as anti-inflammatory drugs |
| US5837699A (en) * | 1994-01-27 | 1998-11-17 | Schering Corporation | Use of mometasone furoate for treating upper airway passage diseases |
| US5849265A (en) * | 1994-09-28 | 1998-12-15 | Glaxo Wellcome Inc. | Pharmaceutical aerosol formulation comprising a medicament, a propellant and a fluorinated surfactant |
| US5919776A (en) * | 1996-12-20 | 1999-07-06 | Merck & Co., Inc. | Substituted aminoquinolines as modulators of chemokine receptor activity |
| US5972920A (en) * | 1998-02-12 | 1999-10-26 | Dermalogix Partners, Inc. | Formulation containing a carrier, active ingredient, and surfactant for treating skin disorders |
| US5981517A (en) * | 1996-05-09 | 1999-11-09 | Soft Drugs, Inc. | Androstene derivatives |
| US6127353A (en) * | 1991-09-06 | 2000-10-03 | Schering Corporation | Mometasone furoate monohydrate, process for making same and pharmaceutical compositions |
| US6136294A (en) * | 1998-09-22 | 2000-10-24 | Aeropharm Technology Inc. | Amino acid stabilized medical aerosol formulation |
| US6197761B1 (en) * | 1995-12-29 | 2001-03-06 | Glaxo Wellcome Inc. | 17β-2-oxo-tetrahydrofuranyl)-carbothioic acid ester, -carboxylic acid ester and -carboxylic acid amide androstane derivatives |
| US6261539B1 (en) * | 1998-12-10 | 2001-07-17 | Akwete Adjei | Medicinal aerosol formulation |
| US6395300B1 (en) * | 1999-05-27 | 2002-05-28 | Acusphere, Inc. | Porous drug matrices and methods of manufacture thereof |
| US20030018019A1 (en) * | 2001-06-23 | 2003-01-23 | Boehringer Ingelheim Pharma Kg | Pharmaceutical compositions based on anticholinergics, corticosteroids and betamimetics |
| US6537983B1 (en) * | 2001-04-07 | 2003-03-25 | Smithkline Beecham Corporation | Anti-inflammatory androstane derivatives |
| US20040053904A1 (en) * | 2000-12-22 | 2004-03-18 | Teruo Komoto | Preventive/ermedies for inflammatory airway diseases |
| US6921757B2 (en) * | 2000-06-28 | 2005-07-26 | Novartis Ag | Organic compounds |
| US20050163724A1 (en) * | 2002-06-14 | 2005-07-28 | Ssp Co., Ltd. | Powdery respiratory tonic composition |
| US7244742B2 (en) * | 2002-08-17 | 2007-07-17 | Boehringer Ingelheim Pharma Gmbh & Co Kg | Pharmaceutical compositions for inhalation containing an anticholinergic, corticosteroid and betamimetic |
Family Cites Families (86)
| Publication number | Priority date | Publication date | Assignee | Title |
|---|---|---|---|---|
| FR580494A (en) | 1923-07-10 | 1924-11-07 | Const Metalliques Schiltigheim | Method of establishing ventilation nozzles or other pipes |
| DE1059906B (en) | 1954-10-05 | 1959-06-25 | Scherico Ltd | Process for the production of 1,4-pregnadienes |
| IT1061787B (en) | 1967-03-01 | 1983-04-30 | Vismara Francesco Spa | IMPROVEMENTS RELATING TO THE PREPARATION OF 17 BETAMETHEZONE BENZOATE |
| GB1384372A (en) | 1971-01-20 | 1975-02-19 | Glaxo Lab Ltd | Dereivatives of 17alpha-hydroxyandrost-4-ene-17beta-carboxylic acids |
| DE2336693A1 (en) | 1973-07-19 | 1975-02-06 | Nassheuer Ind Ofenbau Jean | Radiant heating pipe with igniter and flame monitor - has electrode eccentrically outside gas feed pipe |
| DE2538569A1 (en) | 1975-08-29 | 1977-03-03 | Siemens Ag | Metallising thermosetting plastics contg. reinforcing fibres - after preliminary etching with chromosulphuric acid |
| CY1291A (en) | 1980-02-15 | 1985-10-18 | Glaxo Group Ltd | Androstane 17 beta carbothioates |
| SE449106B (en) | 1980-07-10 | 1987-04-06 | Otsuka Pharma Co Ltd | STEROID WITH ANTI-INFLAMMATORY EFFECT AND COMPOSITION CONTAINING THIS |
| ZA814440B (en) | 1980-07-10 | 1982-10-27 | Otsuka Pharma Co Ltd | Soft steroids having anti-inflammatory activity |
| EP0179583A1 (en) | 1984-10-04 | 1986-04-30 | Merck & Co. Inc. | A system for enhancing the water dissolution rate and solubility of poorly soluble drugs |
| ZA872389B (en) | 1987-04-02 | 1987-11-25 | Advanced Polymer Systems Inc | Composition and method for delivering a steroid active ingredient |
| ATE90355T1 (en) | 1987-10-13 | 1993-06-15 | Nicholas S Bodor | SOFT STEROIDS WITH ANTI-INFLAMMATORY EFFECTS. |
| JPH04506066A (en) | 1989-06-16 | 1992-10-22 | ジ・アップジョン・カンパニー | Suramin-type compounds and anti-angiogenic steroids to inhibit angiogenesis |
| IL95590A (en) | 1989-09-08 | 1996-06-18 | Glaxo Group Ltd | Pharmaceutical compositions comprising salmeterol and fluticasone propionate |
| DE3931041C2 (en) | 1989-09-16 | 2000-04-06 | Boehringer Ingelheim Kg | Esters of thienyl carboxylic acids with amino alcohols, their quaternization products, processes for their preparation and medicaments containing them |
| JP3087763B2 (en) | 1990-11-30 | 2000-09-11 | 三井化学株式会社 | Novel heterocyclic compound and pharmaceutical composition containing the same |
| GB9103764D0 (en) | 1991-02-22 | 1991-04-10 | Glaxo Group Ltd | Compositions |
| TW247878B (en) | 1991-07-02 | 1995-05-21 | Takeda Pharm Industry Co Ltd | |
| AU679511B2 (en) | 1993-03-17 | 1997-07-03 | Minnesota Mining And Manufacturing Company | Aerosol formulation containing an ester-, amide-, or mercaptoester-derived dispersing aid |
| DE4333920A1 (en) * | 1993-10-05 | 1995-04-13 | Hoechst Ag | Corticoid-17,21-dicarboxylic acid esters and corticosteroid-17-carboxylic acid ester-21-carbonic acid esters, processes for their preparation and medicaments containing them |
| IL109656A (en) | 1994-05-15 | 1998-02-22 | Chemagis Ltd | Process for the manufacture of androstane - 17 - carbothioates and androstane - 17 - carbothioates prepared thereby |
| GB9410222D0 (en) | 1994-05-21 | 1994-07-06 | Glaxo Wellcome Australia Ltd | Medicaments |
| SA95160463B1 (en) | 1994-12-22 | 2005-10-04 | استرا أكتيبولاج | powders for inhalation |
| JPH08291073A (en) | 1995-04-22 | 1996-11-05 | Kissei Pharmaceut Co Ltd | Medicinal composition and its production |
| JPH08291072A (en) | 1995-04-22 | 1996-11-05 | Kissei Pharmaceut Co Ltd | Crystal for inhaling powder preparation and its production |
| DE19528145A1 (en) | 1995-08-01 | 1997-02-06 | Boehringer Ingelheim Kg | New drugs and their use |
| GB9521696D0 (en) | 1995-10-23 | 1996-01-03 | Bayer Ag | Combination of LTD4 receptor antagonists with glucocorticosteriods |
| US5792758A (en) | 1995-12-08 | 1998-08-11 | G. D. Searle & Co. | Steroid nitrite ester derivatives useful as anti-inflammatory drugs |
| US5985862A (en) | 1996-05-02 | 1999-11-16 | G.D. Searle & Co. | Pharmaceutical compositions having steroid nitrate ester derivatives useful as anti-inflammatory drugs |
| JPH11511758A (en) | 1996-06-04 | 1999-10-12 | ザ、プロクター、エンド、ギャンブル、カンパニー | Intranasal spray containing nasal steroids and antihistamines |
| GB9622173D0 (en) | 1996-10-24 | 1996-12-18 | Glaxo Group Ltd | Particulate Products |
| US6126919A (en) | 1997-02-07 | 2000-10-03 | 3M Innovative Properties Company | Biocompatible compounds for pharmaceutical drug delivery systems |
| WO1998043630A1 (en) | 1997-04-02 | 1998-10-08 | Brigham And Women's Hospital, Inc. | Means of ascertaining an individual's risk profile for atherosclerotic disease |
| ATE260931T1 (en) | 1997-06-30 | 2004-03-15 | Glaxo Group Ltd | METHOD FOR IDENTIFYING COMPOUNDS WITH REDUCED SYSTEMIC ACTIVITY |
| SE9704186D0 (en) | 1997-11-14 | 1997-11-14 | Astra Ab | New composition of matter |
| SE9704833D0 (en) | 1997-12-22 | 1997-12-22 | Astra Ab | New formulation |
| US6506766B1 (en) | 1998-02-13 | 2003-01-14 | Abbott Laboratories | Glucocortiocoid-selective antinflammatory agents |
| GB9828721D0 (en) | 1998-12-24 | 1999-02-17 | Glaxo Group Ltd | Novel apparatus and process |
| AU3703900A (en) | 1999-02-24 | 2000-09-14 | Nitromed, Inc. | Nitrosated and nitrosylated steroids for the treatment of cardiovascular diseases and disorders |
| WO2000057401A1 (en) | 1999-03-24 | 2000-09-28 | Glenayre Electronics, Inc. | Computation and quantization of voiced excitation pulse shapes in linear predictive coding of speech |
| EP1175383B1 (en) | 1999-04-30 | 2018-03-14 | Pfizer Products Inc. | Glucocorticoid receptor modulators |
| ES2165768B1 (en) | 1999-07-14 | 2003-04-01 | Almirall Prodesfarma Sa | NEW DERIVATIVES OF QUINUCLIDINE AND PHARMACEUTICAL COMPOSITIONS THAT CONTAIN THEM. |
| US20020081266A1 (en) * | 1999-08-20 | 2002-06-27 | Norton Healthcare Ltd. | Spray dried powders for pulmonary or nasal administration |
| EP1212101A1 (en) | 1999-08-31 | 2002-06-12 | The Brigham And Women's Hospital, Inc. | Systemic inflammatory markers as diagnostic tools in the prevention of atherosclerotic diseases |
| US7413536B1 (en) | 1999-09-14 | 2008-08-19 | Xenoport, Inc. | Substrates and screening methods for transport proteins |
| US6596261B1 (en) | 2000-01-25 | 2003-07-22 | Aeropharm Technology Incorporated | Method of administering a medicinal aerosol formulation |
| JP2004501067A (en) | 2000-01-28 | 2004-01-15 | ローム アンド ハース カンパニー | Pharmaceuticals with enhanced properties |
| US20020133032A1 (en) | 2000-02-25 | 2002-09-19 | Jufang Barkalow | Method for the preparation of fluticasone and related 17beta-carbothioic esters using a novel carbothioic acid synthesis and novel purification methods |
| GB0009583D0 (en) | 2000-04-18 | 2000-06-07 | Glaxo Group Ltd | Respiratory formulations |
| GB0009606D0 (en) | 2000-04-18 | 2000-06-07 | Glaxo Group Ltd | Therapeutic combinations |
| GB0009591D0 (en) | 2000-04-18 | 2000-06-07 | Glaxo Group Ltd | Medical combinations |
| GB0009592D0 (en) | 2000-04-18 | 2000-06-07 | Glaxo Group Ltd | Respiratory combinations |
| GB0016040D0 (en) | 2000-06-29 | 2000-08-23 | Glaxo Group Ltd | Novel process for preparing crystalline particles |
| GB0017988D0 (en) | 2000-07-21 | 2000-09-13 | Glaxo Group Ltd | Novel process |
| AU2001277891A1 (en) | 2000-07-26 | 2002-02-05 | Alcon Universal Ltd. | Pharmaceutical suspension compositions lacking a polymeric suspending agent |
| KR100331704B1 (en) | 2000-07-31 | 2002-04-09 | 윤길림 | Program rent system through internet |
| US6759398B2 (en) * | 2000-08-05 | 2004-07-06 | Smithkline Beecham Corporation | Anti-inflammatory androstane derivative |
| US6858593B2 (en) * | 2000-08-05 | 2005-02-22 | Smithkline Beecham Corporation | Anti-inflammatory androstane derivative compositions |
| US6777400B2 (en) * | 2000-08-05 | 2004-08-17 | Smithkline Beecham Corporation | Anti-inflammatory androstane derivative compositions |
| US6750210B2 (en) * | 2000-08-05 | 2004-06-15 | Smithkline Beecham Corporation | Formulation containing novel anti-inflammatory androstane derivative |
| US6777399B2 (en) | 2000-08-05 | 2004-08-17 | Smithkline Beecham Corporation | Anti-inflammatory androstane derivative compositions |
| KR100889426B1 (en) | 2000-08-05 | 2009-03-23 | 글락소 그룹 리미티드 | 6.alpha., 9.alpha.-difluoro-17.alpha .- '(2-furanylcarboxyl) oxy-11.beta.-hydroxy-16.alpha.-methyl-3-oxo as anti-inflammatory -Androst-1,4-diene-17-carbothioic acid S-fluoromethyl ester |
| US6858596B2 (en) * | 2000-08-05 | 2005-02-22 | Smithkline Beecham Corporation | Formulation containing anti-inflammatory androstane derivative |
| US6787532B2 (en) * | 2000-08-05 | 2004-09-07 | Smithkline Beecham Corporation | Formulation containing anti-inflammatory androstane derivatives |
| AR032362A1 (en) | 2000-08-14 | 2003-11-05 | Glaxo Group Ltd | STABLE TOPICAL FORMULATION OF A WATER OIL EMULSION AND PROCESS FOR PREPARATION |
| DE60124576T2 (en) | 2000-09-29 | 2007-06-21 | Glaxo Group Ltd., Greenford | COMPOUNDS USE FOR THE TREATMENT OF INFLAMMATORY DISEASES |
| AU2002210575A1 (en) | 2000-10-31 | 2002-05-15 | Boehringer Ingelheim Pharma Gmbh & Co. Kg | Novel medicament compositions based on anticholinergics and corticosteroids |
| US20020132803A1 (en) | 2001-01-05 | 2002-09-19 | Mahendra Dedhiya | Fluticasone suspension formulation, spray pattern method, and nasal spray apparatus |
| GB0103630D0 (en) | 2001-02-14 | 2001-03-28 | Glaxo Group Ltd | Chemical compounds |
| JP2004526720A (en) | 2001-03-08 | 2004-09-02 | グラクソ グループ リミテッド | β-adrenergic receptor agonist |
| ATE381537T1 (en) | 2001-03-22 | 2008-01-15 | Glaxo Group Ltd | FORMANILIDE DERIVATIVES AS BETA2 ADRENORECEPTOR AGONISTS |
| AU2002303425A1 (en) | 2001-04-24 | 2002-11-05 | Epigenesis Pharmaceuticals, Inc. | Composition, formulations and kit for treatment of respiratory and lung disease with non-glucocorticoid steroids and/or ubiquinone and a bronchodilating agent |
| AU2002253342B2 (en) | 2001-04-30 | 2007-01-04 | Glaxo Group Limited | Novel anti-inflammatory androstane derivatives |
| DE10130371A1 (en) | 2001-06-23 | 2003-01-02 | Boehringer Ingelheim Pharma | New drug compositions based on anticholinergics, corticosteroids and betamimetics |
| WO2003013427A2 (en) | 2001-08-03 | 2003-02-20 | Smithkline Beecham Corporation | A method for preparing fluticasone derivatives |
| GB0124523D0 (en) | 2001-10-12 | 2001-12-05 | Glaxo Group Ltd | Pharmaceutical combination |
| GB0125259D0 (en) | 2001-10-20 | 2001-12-12 | Glaxo Group Ltd | Novel compounds |
| WO2003040691A2 (en) | 2001-11-05 | 2003-05-15 | The Brigham And Women's Hospital, Inc. | Soluble cd40l(cd154) as a prognostic marker of atherosclerotic diseases |
| WO2003042229A1 (en) | 2001-11-12 | 2003-05-22 | Glaxo Group Limited | Non-aromatic heterocyclic esters of furan-2-one-esters of 17.beta.-carboxyl or 17.beta.-carbothio glucocorticoids |
| GB0127160D0 (en) | 2001-11-12 | 2002-01-02 | Glaxo Group Ltd | Novel compounds |
| AU2002356759A1 (en) | 2001-12-01 | 2003-06-17 | Glaxo Group Limited | 17.alpha. -cyclic esters of 16-methylpregnan-3,20-dione as anti-inflammatory agents |
| WO2003072592A1 (en) | 2002-01-15 | 2003-09-04 | Glaxo Group Limited | 17.alpha-cycloalkyl/cycloylkenyl esters of alkyl-or haloalkyl-androst-4-en-3-on-11.beta.,17.alpha.-diol 17.beta.-carboxylates as anti-inflammatory agents |
| WO2003062259A2 (en) | 2002-01-21 | 2003-07-31 | Glaxo Group Limited | Non-aromatic 17.alpha.-esters of androstane-17.beta.-carboxylate esters as anti-inflammatory agents |
| GB0202216D0 (en) | 2002-01-31 | 2002-03-20 | Glaxo Group Ltd | Novel compounds |
| DE10216429A1 (en) | 2002-04-12 | 2003-10-23 | Boehringer Ingelheim Pharma | Synergistic medicaments for treating inflammatory or obstructive respiratory tract diseases, containing quaternized scopine ester anticholinergic agent and steroid, e.g. budesonide |
| GB0217504D0 (en) | 2002-07-29 | 2002-09-04 | Novartis Ag | Organic compounds |
-
2002
- 2002-02-04 US US10/067,010 patent/US6777399B2/en not_active Expired - Lifetime
-
2003
- 2003-02-04 EP EP03704759A patent/EP1472272B1/en not_active Expired - Lifetime
- 2003-02-04 JP JP2003566027A patent/JP4508651B2/en not_active Expired - Lifetime
- 2003-02-04 AT AT03704759T patent/ATE462711T1/en not_active IP Right Cessation
- 2003-02-04 DE DE60331891T patent/DE60331891D1/en not_active Expired - Lifetime
- 2003-02-04 WO PCT/GB2003/000478 patent/WO2003066656A1/en not_active Ceased
- 2003-02-04 ES ES03704759T patent/ES2343315T3/en not_active Expired - Lifetime
- 2003-02-04 US US10/503,114 patent/US7592329B2/en not_active Expired - Lifetime
- 2003-02-04 AU AU2003207019A patent/AU2003207019A1/en not_active Abandoned
-
2004
- 2004-06-08 US US10/863,878 patent/US20040224932A1/en not_active Abandoned
Patent Citations (60)
| Publication number | Priority date | Publication date | Assignee | Title |
|---|---|---|---|---|
| US2837464A (en) * | 1955-01-11 | 1958-06-03 | Schering Corp | Process for production of dienes by corynebacteria |
| US3067197A (en) * | 1961-04-26 | 1962-12-04 | Pfizer & Co C | 11-oxygenated 6alpha-fluoro-16-methylene-delta-pregnenes and derivatives |
| US3312590A (en) * | 1963-06-11 | 1967-04-04 | Glaxo Lab Ltd | Topically active anti-inflammatory 17-mono- and 17,21-diesters of betamethasone and its 9-chloro-analogs, compositions and use thereof |
| US3506694A (en) * | 1966-02-09 | 1970-04-14 | Boots Pure Drug Co Ltd | 17-acyloxysteroids and their manufacture |
| US3639434A (en) * | 1967-02-02 | 1972-02-01 | Boots Pure Drug Co Ltd | 17-acyloxysteroids and their manufacture |
| US3557162A (en) * | 1968-01-23 | 1971-01-19 | Koninklijke Gist Spiritus | Process for the preparation of 17alpha-monoesters of 11beta,17alpha,21-trihydroxysteroids |
| US3755302A (en) * | 1969-06-26 | 1973-08-28 | Warner Lambert Pharmaceutical | Process for the production of 17-monesters of 17{60 , 21-dihydroxy-steroids and products thereof |
| US3828080A (en) * | 1972-01-20 | 1974-08-06 | Glaxo Lab Ltd | Androstane-17beta-carboxylic acids and processes for the preparation thereof |
| US3989686A (en) * | 1972-06-15 | 1976-11-02 | Glaxo Laboratories Limited | Anaesthetic steroids of the androstane series and process for preparing same |
| US3856828A (en) * | 1972-07-19 | 1974-12-24 | Glaxo Lab Ltd | Anti-inflammatory steroids of the androstane series having a halo-substituted c{11 {14 c{11 {11 alkoxy carbonyl group at the 17{62 {0 position |
| US3891631A (en) * | 1972-08-11 | 1975-06-24 | Glaxo Lab Ltd | Process for preparing 17{60 -monoesters of 17{60 , 21-dihydroxy-20-oxo steroids |
| US3981894A (en) * | 1974-08-30 | 1976-09-21 | Glaxo Laboratories Limited | Chemical compounds |
| US4093721A (en) * | 1974-08-30 | 1978-06-06 | Glaxo Laboratories Limited | Pharmaceutical compositions of 6α,9α-difluoro-androst-4-ene-17β-carboxylates and derivatives thereof |
| US4113680A (en) * | 1975-03-31 | 1978-09-12 | Taisho Pharmaceutical Co., Ltd. | Method for preparing 17 α-ester-21-halo pregnanes |
| US4285937A (en) * | 1976-02-24 | 1981-08-25 | Ciba-Geigy Corporation | Novel androstadiene-17-carboxylic acid esters |
| US4221787A (en) * | 1978-03-28 | 1980-09-09 | Interx Research Corporation | Esteramide prodrugs of anti-inflammatory corticosteroids |
| US4187301A (en) * | 1978-04-05 | 1980-02-05 | Syntex (U.S.A.) Inc. | 17 Beta-thiocarboxylic acid esters of 6 alpha, 6 beta-difluoro-3-oxoandrost-4-enes |
| US4198403A (en) * | 1978-04-05 | 1980-04-15 | Syntex (U.S.A.) Inc. | 17 Beta-thiocarboxylic acid esters of 4-halo-3-oxoandrost-4-enes |
| US4261984A (en) * | 1978-04-05 | 1981-04-14 | Syntex (U.S.A.) Inc. | 17β-thiocarboxylic acid esters of 3-oxo-4-halo-16β-methylandrost-4-enes |
| US4263289A (en) * | 1978-04-05 | 1981-04-21 | Syntex (U.S.A.) Inc. | Thio etianic acid derivatives |
| US4188385A (en) * | 1978-04-05 | 1980-02-12 | Syntex (U.S.A.) Inc. | Thioetianic acid derivatives |
| US4377575A (en) * | 1978-04-25 | 1983-03-22 | Hoechst Aktiengesellschaft | Corticoid-17-(alkyl carbonates) and process for their manufacture |
| US4310466A (en) * | 1979-08-31 | 1982-01-12 | Syntex (U.S.A.) Inc. | Thio etianic acid derivatives |
| US4267173A (en) * | 1979-11-05 | 1981-05-12 | Schering Corporation | Use of 6β-fluoro-7α-halogenocorticoids as topical anti-inflammatories and pharmaceutical formulations useful therefor |
| US4335121A (en) * | 1980-02-15 | 1982-06-15 | Glaxo Group Limited | Androstane carbothioates |
| US4996335A (en) * | 1980-07-10 | 1991-02-26 | Nicholas S. Bodor | Soft steroids having anti-inflammatory activity |
| US4710495A (en) * | 1980-07-10 | 1987-12-01 | Otsuka Pharmaceutical Co., Ltd. | Soft steroids having anti-inflammatory activity |
| US4472393A (en) * | 1981-02-02 | 1984-09-18 | Schering Corporation | 3,20-Dioxo-1,4-pregnadiene-17α-ol 17-aromatic heterocycle carboxylates |
| US4992474A (en) * | 1983-04-18 | 1991-02-12 | Glaxo Group Ltd. | Phenethanolamine derivatives |
| US4607028A (en) * | 1983-08-18 | 1986-08-19 | Ciba-Geigy Corporation | Novel carboxylic acid esters |
| US4861765A (en) * | 1985-06-26 | 1989-08-29 | Jouveinal | 21-alkyl-, cycloalkyl- or aryl-substituted thio steroids and pharmaceutical compositions containing them |
| US4994439A (en) * | 1989-01-19 | 1991-02-19 | California Biotechnology Inc. | Transmembrane formulations for drug administration |
| US5081113A (en) * | 1989-03-22 | 1992-01-14 | Roussel Uclaf | Novel 3-keto-steroids |
| US5202316A (en) * | 1989-03-22 | 1993-04-13 | Roussel Uclaf | N,N,N',N'-6-(1-piperazinyl)-2,5-pyridinediamines |
| US5063222A (en) * | 1989-04-19 | 1991-11-05 | Ss Pharmaceutical Co., Ltd. | Antiinflammatory dexamethasone 17α-cyclopropanecarboxylates with reduced systemic activity |
| US5362721A (en) * | 1990-08-10 | 1994-11-08 | Hoechst Aktiengesellschaft | Corticoid-17-alkyl-carbonates substituted in the 17-position, process for their preparation and pharmaceuticals containing them |
| US5250293A (en) * | 1991-04-22 | 1993-10-05 | Gleich Gerald J | Method for the treatment of hypersensitivity diseases by administration of anionic polymers |
| US6127353A (en) * | 1991-09-06 | 2000-10-03 | Schering Corporation | Mometasone furoate monohydrate, process for making same and pharmaceutical compositions |
| US5658549A (en) * | 1991-12-12 | 1997-08-19 | Glaxo Group Limited | Aerosol formulations containing propellant 134a and fluticasone propionate |
| US5608093A (en) * | 1993-08-27 | 1997-03-04 | Hoechst Aktiengesellschaft | Corticosteroid 17-alkyl carbonate 21-[0]-carboxylic and carbonic esters, and pharmaceuticals containing these compounds |
| US5420120A (en) * | 1993-12-17 | 1995-05-30 | Alcon Laboratories, Inc. | Anti-inflammatory glucocorticoid compounds for topical ophthalmic use |
| US5889015A (en) * | 1994-01-27 | 1999-03-30 | Schering Corporation | Use of mometasone furoate for treating lower airway passage and lung diseases |
| US6057307A (en) * | 1994-01-27 | 2000-05-02 | Schering Corporation | Use of mometasone furoate for treating airway passage and lung diseases |
| US5837699A (en) * | 1994-01-27 | 1998-11-17 | Schering Corporation | Use of mometasone furoate for treating upper airway passage diseases |
| US5849265A (en) * | 1994-09-28 | 1998-12-15 | Glaxo Wellcome Inc. | Pharmaceutical aerosol formulation comprising a medicament, a propellant and a fluorinated surfactant |
| US5707984A (en) * | 1995-12-08 | 1998-01-13 | G. D. Searle & Co. | Steroid nitrite/nitrate ester derivatives useful as anti-inflammatory drugs |
| US6197761B1 (en) * | 1995-12-29 | 2001-03-06 | Glaxo Wellcome Inc. | 17β-2-oxo-tetrahydrofuranyl)-carbothioic acid ester, -carboxylic acid ester and -carboxylic acid amide androstane derivatives |
| US5981517A (en) * | 1996-05-09 | 1999-11-09 | Soft Drugs, Inc. | Androstene derivatives |
| US5919776A (en) * | 1996-12-20 | 1999-07-06 | Merck & Co., Inc. | Substituted aminoquinolines as modulators of chemokine receptor activity |
| US5972920A (en) * | 1998-02-12 | 1999-10-26 | Dermalogix Partners, Inc. | Formulation containing a carrier, active ingredient, and surfactant for treating skin disorders |
| US6136294A (en) * | 1998-09-22 | 2000-10-24 | Aeropharm Technology Inc. | Amino acid stabilized medical aerosol formulation |
| US6136294C1 (en) * | 1998-09-22 | 2002-09-24 | Aeropharm Technology Inc | Amino acid stabilized medical aerosol formulation |
| US6261539B1 (en) * | 1998-12-10 | 2001-07-17 | Akwete Adjei | Medicinal aerosol formulation |
| US6395300B1 (en) * | 1999-05-27 | 2002-05-28 | Acusphere, Inc. | Porous drug matrices and methods of manufacture thereof |
| US6921757B2 (en) * | 2000-06-28 | 2005-07-26 | Novartis Ag | Organic compounds |
| US20040053904A1 (en) * | 2000-12-22 | 2004-03-18 | Teruo Komoto | Preventive/ermedies for inflammatory airway diseases |
| US6537983B1 (en) * | 2001-04-07 | 2003-03-25 | Smithkline Beecham Corporation | Anti-inflammatory androstane derivatives |
| US20030018019A1 (en) * | 2001-06-23 | 2003-01-23 | Boehringer Ingelheim Pharma Kg | Pharmaceutical compositions based on anticholinergics, corticosteroids and betamimetics |
| US20050163724A1 (en) * | 2002-06-14 | 2005-07-28 | Ssp Co., Ltd. | Powdery respiratory tonic composition |
| US7244742B2 (en) * | 2002-08-17 | 2007-07-17 | Boehringer Ingelheim Pharma Gmbh & Co Kg | Pharmaceutical compositions for inhalation containing an anticholinergic, corticosteroid and betamimetic |
Cited By (10)
| Publication number | Priority date | Publication date | Assignee | Title |
|---|---|---|---|---|
| US20050054622A1 (en) * | 2001-10-20 | 2005-03-10 | Keith Biggadike | Novel anti-inflammatory androstane derivatives |
| US7405206B2 (en) * | 2001-10-20 | 2008-07-29 | Glaxo Group Limited | Anti-inflammatory androstane derivatives |
| WO2009100258A1 (en) * | 2008-02-05 | 2009-08-13 | Hollis-Eden Pharmaceuticals, Inc. | Pharmaceutical solid state forms |
| US8518922B2 (en) | 2008-02-05 | 2013-08-27 | Harbor Therapeutics, Inc. | Pharmaceutical solid state forms |
| AU2009212314B2 (en) * | 2008-02-05 | 2013-11-21 | Harbor Biosciences, Inc. | Pharmaceutical solid state forms |
| EA018974B1 (en) * | 2008-02-05 | 2013-12-30 | Харбор Терапьютикс, Инк. | Pharmaceutical solid state forms |
| EA018974B9 (en) * | 2008-02-05 | 2014-04-30 | Харбор Терапьютикс, Инк. | Pharmaceutical solid state forms |
| AU2009212314C1 (en) * | 2008-02-05 | 2014-05-08 | Harbor Biosciences, Inc. | Pharmaceutical solid state forms |
| US9314471B2 (en) | 2008-02-05 | 2016-04-19 | Neurmedix, Inc. | Methods of preparing pharmaceutical solid state forms |
| US9290698B2 (en) | 2010-07-15 | 2016-03-22 | Battelle Memorial Institute | Biobased polyols for potential use as flame retardants in polyurethane and polyester applications |
Also Published As
| Publication number | Publication date |
|---|---|
| EP1472272A1 (en) | 2004-11-03 |
| ES2343315T3 (en) | 2010-07-28 |
| ATE462711T1 (en) | 2010-04-15 |
| JP4508651B2 (en) | 2010-07-21 |
| US20030153542A1 (en) | 2003-08-14 |
| EP1472272B1 (en) | 2010-03-31 |
| AU2003207019A1 (en) | 2003-09-02 |
| DE60331891D1 (en) | 2010-05-12 |
| US20050043284A1 (en) | 2005-02-24 |
| WO2003066656A1 (en) | 2003-08-14 |
| JP2005527497A (en) | 2005-09-15 |
| US6777399B2 (en) | 2004-08-17 |
| US7592329B2 (en) | 2009-09-22 |
Similar Documents
| Publication | Publication Date | Title |
|---|---|---|
| US6777400B2 (en) | Anti-inflammatory androstane derivative compositions | |
| US6777399B2 (en) | Anti-inflammatory androstane derivative compositions | |
| EP1775305B1 (en) | 6.Alpha.,9.alpha.-difluoro-17.alpha.-'(2-furanylcarboxyl) oxy]-11.beta.-hydroxy-16.alpha.-methyl-3-oxo-androst-1,4,-diene-17-carbothiotic acid s-fluoromethyl ester as an anti-inflammatory agent | |
| US6858593B2 (en) | Anti-inflammatory androstane derivative compositions | |
| US6878698B2 (en) | Anti-inflammatory androstane derivatives | |
| JP4838493B2 (en) | Pharmaceutical formulations containing aqueous suspensions of androstane derivatives for the treatment of inflammatory and allergic conditions | |
| US20020173496A1 (en) | Formulation containing novel anti-inflammatory androstane derivative | |
| US20050164997A1 (en) | Pharmaceutical formulation for administration by inhalation comprising an androstane derivative and a beta-2-adrenoreceptor for the treatment of inflammatory and allergic conditions | |
| AU2001276497A1 (en) | 17.beta.-carbothioate 17.alpha.-arylcarbonyloxyloxy androstane derivative as anti-inflammatory agents | |
| US7132532B2 (en) | Compounds useful in the manufacture of an anti-inflammatory androstane derivative | |
| US20050152845A1 (en) | Amorphous fluticasone 2-furoate, pharmaceutical compositions thereof and its conversion to the crystalline unsolvated form |
Legal Events
| Date | Code | Title | Description |
|---|---|---|---|
| STCB | Information on status: application discontinuation |
Free format text: ABANDONED -- FAILURE TO PAY ISSUE FEE |
|
| STCB | Information on status: application discontinuation |
Free format text: ABANDONED -- FAILURE TO PAY ISSUE FEE |


































