US20030168073A1 - Methods of reducing skin irritation associated with shaving - Google Patents
Methods of reducing skin irritation associated with shaving Download PDFInfo
- Publication number
- US20030168073A1 US20030168073A1 US10/074,262 US7426202A US2003168073A1 US 20030168073 A1 US20030168073 A1 US 20030168073A1 US 7426202 A US7426202 A US 7426202A US 2003168073 A1 US2003168073 A1 US 2003168073A1
- Authority
- US
- United States
- Prior art keywords
- group
- alcohol
- ester
- alkyl
- composition
- Prior art date
- Legal status (The legal status is an assumption and is not a legal conclusion. Google has not performed a legal analysis and makes no representation as to the accuracy of the status listed.)
- Abandoned
Links
- 238000000034 method Methods 0.000 title claims abstract description 87
- 206010040880 Skin irritation Diseases 0.000 title claims abstract description 22
- 230000036556 skin irritation Effects 0.000 title claims abstract description 22
- 231100000475 skin irritation Toxicity 0.000 title claims abstract description 22
- 239000000203 mixture Substances 0.000 claims abstract description 205
- 239000003995 emulsifying agent Substances 0.000 claims abstract description 136
- 239000002562 thickening agent Substances 0.000 claims abstract description 110
- LFQSCWFLJHTTHZ-UHFFFAOYSA-N Ethanol Chemical compound CCO LFQSCWFLJHTTHZ-UHFFFAOYSA-N 0.000 claims abstract description 86
- XLYOFNOQVPJJNP-UHFFFAOYSA-N water Substances O XLYOFNOQVPJJNP-UHFFFAOYSA-N 0.000 claims abstract description 42
- 125000004432 carbon atom Chemical group C* 0.000 claims description 108
- 125000000217 alkyl group Chemical group 0.000 claims description 86
- 150000002148 esters Chemical class 0.000 claims description 82
- 239000003974 emollient agent Substances 0.000 claims description 78
- -1 alkenyl ester Chemical class 0.000 claims description 70
- 125000003342 alkenyl group Chemical group 0.000 claims description 35
- 239000003205 fragrance Substances 0.000 claims description 35
- 239000000155 melt Substances 0.000 claims description 31
- 125000005233 alkylalcohol group Chemical group 0.000 claims description 29
- 150000001298 alcohols Polymers 0.000 claims description 28
- 125000001165 hydrophobic group Chemical group 0.000 claims description 24
- 229920000223 polyglycerol Polymers 0.000 claims description 23
- 150000001412 amines Chemical class 0.000 claims description 22
- 239000002253 acid Substances 0.000 claims description 21
- 125000005907 alkyl ester group Chemical group 0.000 claims description 21
- 239000007788 liquid Substances 0.000 claims description 21
- RTZKZFJDLAIYFH-UHFFFAOYSA-N Diethyl ether Chemical compound CCOCC RTZKZFJDLAIYFH-UHFFFAOYSA-N 0.000 claims description 20
- 125000003710 aryl alkyl group Chemical group 0.000 claims description 20
- 150000005846 sugar alcohols Polymers 0.000 claims description 20
- PEDCQBHIVMGVHV-UHFFFAOYSA-N glycerol group Chemical group OCC(O)CO PEDCQBHIVMGVHV-UHFFFAOYSA-N 0.000 claims description 19
- 239000002904 solvent Substances 0.000 claims description 18
- 239000001257 hydrogen Substances 0.000 claims description 17
- 229910052739 hydrogen Inorganic materials 0.000 claims description 17
- 230000002209 hydrophobic effect Effects 0.000 claims description 17
- 229910052760 oxygen Inorganic materials 0.000 claims description 16
- 125000001033 ether group Chemical group 0.000 claims description 13
- 239000006210 lotion Substances 0.000 claims description 13
- 229920001296 polysiloxane Polymers 0.000 claims description 13
- 125000004434 sulfur atom Chemical group 0.000 claims description 13
- 125000003277 amino group Chemical group 0.000 claims description 11
- IJGRMHOSHXDMSA-UHFFFAOYSA-N nitrogen Substances N#N IJGRMHOSHXDMSA-UHFFFAOYSA-N 0.000 claims description 11
- 150000003839 salts Chemical class 0.000 claims description 11
- JNYAEWCLZODPBN-JGWLITMVSA-N (2r,3r,4s)-2-[(1r)-1,2-dihydroxyethyl]oxolane-3,4-diol Chemical compound OC[C@@H](O)[C@H]1OC[C@H](O)[C@H]1O JNYAEWCLZODPBN-JGWLITMVSA-N 0.000 claims description 10
- GOOHAUXETOMSMM-UHFFFAOYSA-N Propylene oxide Chemical compound CC1CO1 GOOHAUXETOMSMM-UHFFFAOYSA-N 0.000 claims description 10
- 239000007787 solid Substances 0.000 claims description 10
- 239000003381 stabilizer Substances 0.000 claims description 10
- 150000003512 tertiary amines Chemical group 0.000 claims description 10
- 229910019142 PO4 Inorganic materials 0.000 claims description 9
- 229910052757 nitrogen Inorganic materials 0.000 claims description 9
- 125000004430 oxygen atom Chemical group O* 0.000 claims description 9
- 239000004721 Polyphenylene oxide Substances 0.000 claims description 8
- 235000013870 dimethyl polysiloxane Nutrition 0.000 claims description 8
- 125000004433 nitrogen atom Chemical group N* 0.000 claims description 8
- 229920000435 poly(dimethylsiloxane) Polymers 0.000 claims description 8
- 229920000570 polyether Polymers 0.000 claims description 8
- VGGSQFUCUMXWEO-UHFFFAOYSA-N Ethene Chemical compound C=C VGGSQFUCUMXWEO-UHFFFAOYSA-N 0.000 claims description 7
- 239000005977 Ethylene Substances 0.000 claims description 7
- 239000002202 Polyethylene glycol Substances 0.000 claims description 7
- 125000003158 alcohol group Chemical group 0.000 claims description 7
- 125000002947 alkylene group Chemical group 0.000 claims description 7
- 125000000129 anionic group Chemical group 0.000 claims description 7
- 125000004185 ester group Chemical group 0.000 claims description 7
- 229920001223 polyethylene glycol Polymers 0.000 claims description 7
- UFHFLCQGNIYNRP-UHFFFAOYSA-N Hydrogen Chemical compound [H][H] UFHFLCQGNIYNRP-UHFFFAOYSA-N 0.000 claims description 6
- 125000003368 amide group Chemical group 0.000 claims description 6
- QVGXLLKOCUKJST-UHFFFAOYSA-N atomic oxygen Chemical group [O] QVGXLLKOCUKJST-UHFFFAOYSA-N 0.000 claims description 6
- 239000006260 foam Substances 0.000 claims description 6
- 125000002791 glucosyl group Chemical group C1([C@H](O)[C@@H](O)[C@H](O)[C@H](O1)CO)* 0.000 claims description 6
- 125000004435 hydrogen atom Chemical group [H]* 0.000 claims description 6
- 239000001301 oxygen Chemical group 0.000 claims description 6
- 239000002304 perfume Substances 0.000 claims description 6
- 229940008099 dimethicone Drugs 0.000 claims description 5
- 239000004205 dimethyl polysiloxane Substances 0.000 claims description 5
- 125000002887 hydroxy group Chemical group [H]O* 0.000 claims description 5
- 229920001451 polypropylene glycol Polymers 0.000 claims description 5
- QGZKDVFQNNGYKY-UHFFFAOYSA-O Ammonium Chemical compound [NH4+] QGZKDVFQNNGYKY-UHFFFAOYSA-O 0.000 claims description 4
- OYPRJOBELJOOCE-UHFFFAOYSA-N Calcium Chemical compound [Ca] OYPRJOBELJOOCE-UHFFFAOYSA-N 0.000 claims description 4
- DGAQECJNVWCQMB-PUAWFVPOSA-M Ilexoside XXIX Chemical compound C[C@@H]1CC[C@@]2(CC[C@@]3(C(=CC[C@H]4[C@]3(CC[C@@H]5[C@@]4(CC[C@@H](C5(C)C)OS(=O)(=O)[O-])C)C)[C@@H]2[C@]1(C)O)C)C(=O)O[C@H]6[C@@H]([C@H]([C@@H]([C@H](O6)CO)O)O)O.[Na+] DGAQECJNVWCQMB-PUAWFVPOSA-M 0.000 claims description 4
- WHXSMMKQMYFTQS-UHFFFAOYSA-N Lithium Chemical compound [Li] WHXSMMKQMYFTQS-UHFFFAOYSA-N 0.000 claims description 4
- FYYHWMGAXLPEAU-UHFFFAOYSA-N Magnesium Chemical compound [Mg] FYYHWMGAXLPEAU-UHFFFAOYSA-N 0.000 claims description 4
- 239000011575 calcium Substances 0.000 claims description 4
- 229910052791 calcium Inorganic materials 0.000 claims description 4
- 235000014113 dietary fatty acids Nutrition 0.000 claims description 4
- 239000000194 fatty acid Substances 0.000 claims description 4
- 229930195729 fatty acid Natural products 0.000 claims description 4
- 150000002431 hydrogen Chemical class 0.000 claims description 4
- 229910052744 lithium Inorganic materials 0.000 claims description 4
- 239000011777 magnesium Substances 0.000 claims description 4
- 229910052749 magnesium Inorganic materials 0.000 claims description 4
- QJGQUHMNIGDVPM-UHFFFAOYSA-N nitrogen group Chemical group [N] QJGQUHMNIGDVPM-UHFFFAOYSA-N 0.000 claims description 4
- XSXHWVKGUXMUQE-UHFFFAOYSA-N osmium dioxide Inorganic materials O=[Os]=O XSXHWVKGUXMUQE-UHFFFAOYSA-N 0.000 claims description 4
- 239000011734 sodium Substances 0.000 claims description 4
- 229910052708 sodium Inorganic materials 0.000 claims description 4
- ZLMJMSJWJFRBEC-UHFFFAOYSA-N Potassium Chemical compound [K] ZLMJMSJWJFRBEC-UHFFFAOYSA-N 0.000 claims description 3
- 125000005599 alkyl carboxylate group Chemical group 0.000 claims description 3
- 125000003178 carboxy group Chemical group [H]OC(*)=O 0.000 claims description 3
- 229920001577 copolymer Polymers 0.000 claims description 3
- 230000007935 neutral effect Effects 0.000 claims description 3
- 239000010452 phosphate Substances 0.000 claims description 3
- 239000011591 potassium Substances 0.000 claims description 3
- 229910052700 potassium Inorganic materials 0.000 claims description 3
- KWIUHFFTVRNATP-UHFFFAOYSA-N Betaine Natural products C[N+](C)(C)CC([O-])=O KWIUHFFTVRNATP-UHFFFAOYSA-N 0.000 claims description 2
- 229960003237 betaine Drugs 0.000 claims description 2
- 150000003242 quaternary ammonium salts Chemical class 0.000 claims description 2
- 125000003827 glycol group Chemical group 0.000 claims 2
- 125000000467 secondary amino group Chemical group [H]N([*:1])[*:2] 0.000 claims 2
- 125000005157 alkyl carboxy group Chemical group 0.000 claims 1
- QQONPFPTGQHPMA-UHFFFAOYSA-N propylene Natural products CC=C QQONPFPTGQHPMA-UHFFFAOYSA-N 0.000 claims 1
- 125000004805 propylene group Chemical group [H]C([H])([H])C([H])([*:1])C([H])([H])[*:2] 0.000 claims 1
- 235000019441 ethanol Nutrition 0.000 description 68
- 238000009472 formulation Methods 0.000 description 29
- 210000003491 skin Anatomy 0.000 description 25
- 239000000839 emulsion Substances 0.000 description 21
- 239000001993 wax Substances 0.000 description 15
- 150000002430 hydrocarbons Chemical group 0.000 description 13
- 238000001816 cooling Methods 0.000 description 12
- 239000012071 phase Substances 0.000 description 12
- LYCAIKOWRPUZTN-UHFFFAOYSA-N Ethylene glycol Chemical compound OCCO LYCAIKOWRPUZTN-UHFFFAOYSA-N 0.000 description 11
- NOPFSRXAKWQILS-UHFFFAOYSA-N docosan-1-ol Chemical compound CCCCCCCCCCCCCCCCCCCCCCO NOPFSRXAKWQILS-UHFFFAOYSA-N 0.000 description 11
- 229930195733 hydrocarbon Natural products 0.000 description 11
- 239000004094 surface-active agent Substances 0.000 description 11
- 239000004615 ingredient Substances 0.000 description 10
- 239000000047 product Substances 0.000 description 10
- 239000003380 propellant Substances 0.000 description 10
- 239000000499 gel Substances 0.000 description 9
- 239000004215 Carbon black (E152) Substances 0.000 description 8
- 239000002537 cosmetic Substances 0.000 description 8
- 239000003921 oil Substances 0.000 description 8
- 239000000126 substance Substances 0.000 description 8
- 0 *OCC1(C)OC(C)(COCC2(C)OC(C)(CO)C(C)(O)C(C)(O)C2(C)O)C(C)(O)C(C)(O)C1(C)O Chemical compound *OCC1(C)OC(C)(COCC2(C)OC(C)(CO)C(C)(O)C(C)(O)C2(C)O)C(C)(O)C(C)(O)C1(C)O 0.000 description 7
- 150000007513 acids Chemical class 0.000 description 7
- 230000000694 effects Effects 0.000 description 7
- 239000003906 humectant Substances 0.000 description 7
- 238000002844 melting Methods 0.000 description 7
- 230000008018 melting Effects 0.000 description 7
- DNIAPMSPPWPWGF-UHFFFAOYSA-N Propylene glycol Chemical compound CC(O)CO DNIAPMSPPWPWGF-UHFFFAOYSA-N 0.000 description 6
- 239000006071 cream Substances 0.000 description 6
- 230000001965 increasing effect Effects 0.000 description 6
- 230000008719 thickening Effects 0.000 description 6
- 230000007423 decrease Effects 0.000 description 5
- PRAKJMSDJKAYCZ-UHFFFAOYSA-N dodecahydrosqualene Natural products CC(C)CCCC(C)CCCC(C)CCCCC(C)CCCC(C)CCCC(C)C PRAKJMSDJKAYCZ-UHFFFAOYSA-N 0.000 description 5
- 150000002170 ethers Chemical class 0.000 description 5
- 239000011521 glass Substances 0.000 description 5
- 238000002156 mixing Methods 0.000 description 5
- 238000000926 separation method Methods 0.000 description 5
- IAYPIBMASNFSPL-UHFFFAOYSA-N Ethylene oxide Chemical compound C1CO1 IAYPIBMASNFSPL-UHFFFAOYSA-N 0.000 description 4
- ATUOYWHBWRKTHZ-UHFFFAOYSA-N Propane Chemical compound CCC ATUOYWHBWRKTHZ-UHFFFAOYSA-N 0.000 description 4
- 150000001335 aliphatic alkanes Chemical class 0.000 description 4
- 150000001875 compounds Chemical class 0.000 description 4
- 229960000735 docosanol Drugs 0.000 description 4
- 230000006870 function Effects 0.000 description 4
- 229930182478 glucoside Natural products 0.000 description 4
- NNPPMTNAJDCUHE-UHFFFAOYSA-N isobutane Chemical compound CC(C)C NNPPMTNAJDCUHE-UHFFFAOYSA-N 0.000 description 4
- MNAZHGAWPCLLGX-UHFFFAOYSA-N n-[3-(dimethylamino)propyl]docosanamide Chemical compound CCCCCCCCCCCCCCCCCCCCCC(=O)NCCCN(C)C MNAZHGAWPCLLGX-UHFFFAOYSA-N 0.000 description 4
- 235000021317 phosphate Nutrition 0.000 description 4
- 229920000642 polymer Polymers 0.000 description 4
- 210000000434 stratum corneum Anatomy 0.000 description 4
- 229910052717 sulfur Inorganic materials 0.000 description 4
- 238000005406 washing Methods 0.000 description 4
- QLAJNZSPVITUCQ-UHFFFAOYSA-N 1,3,2-dioxathietane 2,2-dioxide Chemical compound O=S1(=O)OCO1 QLAJNZSPVITUCQ-UHFFFAOYSA-N 0.000 description 3
- 241000195940 Bryophyta Species 0.000 description 3
- KFZMGEQAYNKOFK-UHFFFAOYSA-N Isopropanol Chemical compound CC(C)O KFZMGEQAYNKOFK-UHFFFAOYSA-N 0.000 description 3
- HPEUJPJOZXNMSJ-UHFFFAOYSA-N Methyl stearate Chemical compound CCCCCCCCCCCCCCCCCC(=O)OC HPEUJPJOZXNMSJ-UHFFFAOYSA-N 0.000 description 3
- WPMWEFXCIYCJSA-UHFFFAOYSA-N Tetraethylene glycol monododecyl ether Chemical compound CCCCCCCCCCCCOCCOCCOCCOCCO WPMWEFXCIYCJSA-UHFFFAOYSA-N 0.000 description 3
- 241000364021 Tulsa Species 0.000 description 3
- 239000004599 antimicrobial Substances 0.000 description 3
- 150000007860 aryl ester derivatives Chemical class 0.000 description 3
- 230000003750 conditioning effect Effects 0.000 description 3
- 238000002425 crystallisation Methods 0.000 description 3
- 230000008025 crystallization Effects 0.000 description 3
- CXVSBABSEYWIJS-UHFFFAOYSA-N di(docosyl)-dimethylazanium Chemical compound CCCCCCCCCCCCCCCCCCCCCC[N+](C)(C)CCCCCCCCCCCCCCCCCCCCCC CXVSBABSEYWIJS-UHFFFAOYSA-N 0.000 description 3
- 238000001035 drying Methods 0.000 description 3
- 238000001704 evaporation Methods 0.000 description 3
- 230000008020 evaporation Effects 0.000 description 3
- 230000001815 facial effect Effects 0.000 description 3
- 229910052736 halogen Inorganic materials 0.000 description 3
- 150000002367 halogens Chemical group 0.000 description 3
- 238000010438 heat treatment Methods 0.000 description 3
- 235000019388 lanolin Nutrition 0.000 description 3
- 239000007791 liquid phase Substances 0.000 description 3
- QSQLTHHMFHEFIY-UHFFFAOYSA-N methyl behenate Chemical compound CCCCCCCCCCCCCCCCCCCCCC(=O)OC QSQLTHHMFHEFIY-UHFFFAOYSA-N 0.000 description 3
- 125000002496 methyl group Chemical group [H]C([H])([H])* 0.000 description 3
- 239000000693 micelle Substances 0.000 description 3
- 235000011929 mousse Nutrition 0.000 description 3
- GLDOVTGHNKAZLK-UHFFFAOYSA-N octadecan-1-ol Chemical compound CCCCCCCCCCCCCCCCCCO GLDOVTGHNKAZLK-UHFFFAOYSA-N 0.000 description 3
- 230000008569 process Effects 0.000 description 3
- 150000003335 secondary amines Chemical group 0.000 description 3
- 125000004079 stearyl group Chemical group [H]C([*])([H])C([H])([H])C([H])([H])C([H])([H])C([H])([H])C([H])([H])C([H])([H])C([H])([H])C([H])([H])C([H])([H])C([H])([H])C([H])([H])C([H])([H])C([H])([H])C([H])([H])C([H])([H])C([H])([H])C([H])([H])[H] 0.000 description 3
- 238000003756 stirring Methods 0.000 description 3
- 238000012360 testing method Methods 0.000 description 3
- ALSTYHKOOCGGFT-KTKRTIGZSA-N (9Z)-octadecen-1-ol Chemical compound CCCCCCCC\C=C/CCCCCCCCO ALSTYHKOOCGGFT-KTKRTIGZSA-N 0.000 description 2
- DMBUODUULYCPAK-UHFFFAOYSA-N 1,3-bis(docosanoyloxy)propan-2-yl docosanoate Chemical compound CCCCCCCCCCCCCCCCCCCCCC(=O)OCC(OC(=O)CCCCCCCCCCCCCCCCCCCCC)COC(=O)CCCCCCCCCCCCCCCCCCCCC DMBUODUULYCPAK-UHFFFAOYSA-N 0.000 description 2
- MCCACAIVAXEFAL-UHFFFAOYSA-N 1-[2-(2,4-dichlorophenyl)-2-[(2,4-dichlorophenyl)methoxy]ethyl]imidazole;nitric acid Chemical compound O[N+]([O-])=O.ClC1=CC(Cl)=CC=C1COC(C=1C(=CC(Cl)=CC=1)Cl)CN1C=NC=C1 MCCACAIVAXEFAL-UHFFFAOYSA-N 0.000 description 2
- ILCOCZBHMDEIAI-UHFFFAOYSA-N 2-(2-octadecoxyethoxy)ethanol Chemical compound CCCCCCCCCCCCCCCCCCOCCOCCO ILCOCZBHMDEIAI-UHFFFAOYSA-N 0.000 description 2
- FLPJVCMIKUWSDR-UHFFFAOYSA-N 2-(4-formylphenoxy)acetamide Chemical compound NC(=O)COC1=CC=C(C=O)C=C1 FLPJVCMIKUWSDR-UHFFFAOYSA-N 0.000 description 2
- HNUQMTZUNUBOLQ-UHFFFAOYSA-N 2-[2-[2-[2-[2-[2-[2-[2-[2-(2-octadecoxyethoxy)ethoxy]ethoxy]ethoxy]ethoxy]ethoxy]ethoxy]ethoxy]ethoxy]ethanol Chemical compound CCCCCCCCCCCCCCCCCCOCCOCCOCCOCCOCCOCCOCCOCCOCCOCCO HNUQMTZUNUBOLQ-UHFFFAOYSA-N 0.000 description 2
- JXIBWNFRFPNPHS-UHFFFAOYSA-N 2-[2-hydroxyethyl(octadecyl)amino]ethanol;hydrochloride Chemical compound Cl.CCCCCCCCCCCCCCCCCCN(CCO)CCO JXIBWNFRFPNPHS-UHFFFAOYSA-N 0.000 description 2
- WRMNZCZEMHIOCP-UHFFFAOYSA-N 2-phenylethanol Chemical compound OCCC1=CC=CC=C1 WRMNZCZEMHIOCP-UHFFFAOYSA-N 0.000 description 2
- ZCTQGTTXIYCGGC-UHFFFAOYSA-N Benzyl salicylate Chemical compound OC1=CC=CC=C1C(=O)OCC1=CC=CC=C1 ZCTQGTTXIYCGGC-UHFFFAOYSA-N 0.000 description 2
- 235000005979 Citrus limon Nutrition 0.000 description 2
- 244000131522 Citrus pyriformis Species 0.000 description 2
- RGSFGYAAUTVSQA-UHFFFAOYSA-N Cyclopentane Chemical compound C1CCCC1 RGSFGYAAUTVSQA-UHFFFAOYSA-N 0.000 description 2
- FBPFZTCFMRRESA-FSIIMWSLSA-N D-Glucitol Natural products OC[C@H](O)[C@H](O)[C@@H](O)[C@H](O)CO FBPFZTCFMRRESA-FSIIMWSLSA-N 0.000 description 2
- FBPFZTCFMRRESA-JGWLITMVSA-N D-glucitol Chemical compound OC[C@H](O)[C@@H](O)[C@H](O)[C@H](O)CO FBPFZTCFMRRESA-JGWLITMVSA-N 0.000 description 2
- SNPLKNRPJHDVJA-ZETCQYMHSA-N D-panthenol Chemical compound OCC(C)(C)[C@@H](O)C(=O)NCCCO SNPLKNRPJHDVJA-ZETCQYMHSA-N 0.000 description 2
- LCGLNKUTAGEVQW-UHFFFAOYSA-N Dimethyl ether Chemical compound COC LCGLNKUTAGEVQW-UHFFFAOYSA-N 0.000 description 2
- GLZPCOQZEFWAFX-UHFFFAOYSA-N Geraniol Chemical compound CC(C)=CCCC(C)=CCO GLZPCOQZEFWAFX-UHFFFAOYSA-N 0.000 description 2
- 239000004166 Lanolin Substances 0.000 description 2
- 229920002884 Laureth 4 Polymers 0.000 description 2
- BTJXBZZBBNNTOV-UHFFFAOYSA-N Linalyl benzoate Chemical compound CC(C)=CCCC(C)(C=C)OC(=O)C1=CC=CC=C1 BTJXBZZBBNNTOV-UHFFFAOYSA-N 0.000 description 2
- 244000062730 Melissa officinalis Species 0.000 description 2
- 235000010654 Melissa officinalis Nutrition 0.000 description 2
- BAVYZALUXZFZLV-UHFFFAOYSA-N Methylamine Chemical compound NC BAVYZALUXZFZLV-UHFFFAOYSA-N 0.000 description 2
- GQPLMRYTRLFLPF-UHFFFAOYSA-N Nitrous Oxide Chemical compound [O-][N+]#N GQPLMRYTRLFLPF-UHFFFAOYSA-N 0.000 description 2
- 208000002193 Pain Diseases 0.000 description 2
- 239000004698 Polyethylene Substances 0.000 description 2
- VYPSYNLAJGMNEJ-UHFFFAOYSA-N Silicium dioxide Chemical compound O=[Si]=O VYPSYNLAJGMNEJ-UHFFFAOYSA-N 0.000 description 2
- 206010070835 Skin sensitisation Diseases 0.000 description 2
- 229920002125 Sokalan® Polymers 0.000 description 2
- QAOWNCQODCNURD-UHFFFAOYSA-L Sulfate Chemical compound [O-]S([O-])(=O)=O QAOWNCQODCNURD-UHFFFAOYSA-L 0.000 description 2
- 230000002159 abnormal effect Effects 0.000 description 2
- 239000000443 aerosol Substances 0.000 description 2
- 150000001299 aldehydes Chemical class 0.000 description 2
- 150000001336 alkenes Chemical class 0.000 description 2
- 230000000845 anti-microbial effect Effects 0.000 description 2
- YSJGOMATDFSEED-UHFFFAOYSA-M behentrimonium chloride Chemical compound [Cl-].CCCCCCCCCCCCCCCCCCCCCC[N+](C)(C)C YSJGOMATDFSEED-UHFFFAOYSA-M 0.000 description 2
- 230000009286 beneficial effect Effects 0.000 description 2
- 229910052799 carbon Inorganic materials 0.000 description 2
- 150000007942 carboxylates Chemical group 0.000 description 2
- 229920002678 cellulose Polymers 0.000 description 2
- 235000010980 cellulose Nutrition 0.000 description 2
- 229940074979 cetyl palmitate Drugs 0.000 description 2
- 238000006243 chemical reaction Methods 0.000 description 2
- QMVPMAAFGQKVCJ-UHFFFAOYSA-N citronellol Chemical compound OCCC(C)CCC=C(C)C QMVPMAAFGQKVCJ-UHFFFAOYSA-N 0.000 description 2
- JOZKFWLRHCDGJA-UHFFFAOYSA-N citronellol acetate Chemical compound CC(=O)OCCC(C)CCC=C(C)C JOZKFWLRHCDGJA-UHFFFAOYSA-N 0.000 description 2
- 125000004122 cyclic group Chemical group 0.000 description 2
- 230000003247 decreasing effect Effects 0.000 description 2
- FLKPEMZONWLCSK-UHFFFAOYSA-N diethyl phthalate Chemical compound CCOC(=O)C1=CC=CC=C1C(=O)OCC FLKPEMZONWLCSK-UHFFFAOYSA-N 0.000 description 2
- 150000002009 diols Chemical class 0.000 description 2
- 239000006185 dispersion Substances 0.000 description 2
- UKMSUNONTOPOIO-UHFFFAOYSA-N docosanoic acid Chemical compound CCCCCCCCCCCCCCCCCCCCCC(O)=O UKMSUNONTOPOIO-UHFFFAOYSA-N 0.000 description 2
- 125000001495 ethyl group Chemical group [H]C([H])([H])C([H])([H])* 0.000 description 2
- 239000000796 flavoring agent Substances 0.000 description 2
- 235000019634 flavors Nutrition 0.000 description 2
- 150000008131 glucosides Chemical class 0.000 description 2
- 230000003779 hair growth Effects 0.000 description 2
- 125000000623 heterocyclic group Chemical group 0.000 description 2
- DCAYPVUWAIABOU-UHFFFAOYSA-N hexadecane Chemical compound CCCCCCCCCCCCCCCC DCAYPVUWAIABOU-UHFFFAOYSA-N 0.000 description 2
- PXDJXZJSCPSGGI-UHFFFAOYSA-N hexadecanoic acid hexadecyl ester Natural products CCCCCCCCCCCCCCCCOC(=O)CCCCCCCCCCCCCCC PXDJXZJSCPSGGI-UHFFFAOYSA-N 0.000 description 2
- BTFJIXJJCSYFAL-UHFFFAOYSA-N icosan-1-ol Chemical compound CCCCCCCCCCCCCCCCCCCCO BTFJIXJJCSYFAL-UHFFFAOYSA-N 0.000 description 2
- 230000007794 irritation Effects 0.000 description 2
- 239000001282 iso-butane Substances 0.000 description 2
- 229940039717 lanolin Drugs 0.000 description 2
- 229940061515 laureth-4 Drugs 0.000 description 2
- XMGQYMWWDOXHJM-UHFFFAOYSA-N limonene Chemical compound CC(=C)C1CCC(C)=CC1 XMGQYMWWDOXHJM-UHFFFAOYSA-N 0.000 description 2
- CDOSHBSSFJOMGT-UHFFFAOYSA-N linalool Chemical compound CC(C)=CCCC(C)(O)C=C CDOSHBSSFJOMGT-UHFFFAOYSA-N 0.000 description 2
- UWKAYLJWKGQEPM-LBPRGKRZSA-N linalyl acetate Chemical compound CC(C)=CCC[C@](C)(C=C)OC(C)=O UWKAYLJWKGQEPM-LBPRGKRZSA-N 0.000 description 2
- 239000000865 liniment Substances 0.000 description 2
- 239000000463 material Substances 0.000 description 2
- VAMXMNNIEUEQDV-UHFFFAOYSA-N methyl anthranilate Chemical compound COC(=O)C1=CC=CC=C1N VAMXMNNIEUEQDV-UHFFFAOYSA-N 0.000 description 2
- QYDYPVFESGNLHU-KHPPLWFESA-N methyl oleate Chemical compound CCCCCCCC\C=C/CCCCCCCC(=O)OC QYDYPVFESGNLHU-KHPPLWFESA-N 0.000 description 2
- 229960005040 miconazole nitrate Drugs 0.000 description 2
- 239000004200 microcrystalline wax Substances 0.000 description 2
- 235000019808 microcrystalline wax Nutrition 0.000 description 2
- GORUZQZCUPHPAX-UHFFFAOYSA-N n,n-dimethyldocosan-1-amine oxide Chemical compound CCCCCCCCCCCCCCCCCCCCCC[N+](C)(C)[O-] GORUZQZCUPHPAX-UHFFFAOYSA-N 0.000 description 2
- UTTVXKGNTWZECK-UHFFFAOYSA-N n,n-dimethyloctadecan-1-amine oxide Chemical compound CCCCCCCCCCCCCCCCCC[N+](C)(C)[O-] UTTVXKGNTWZECK-UHFFFAOYSA-N 0.000 description 2
- JXTPJDDICSTXJX-UHFFFAOYSA-N n-Triacontane Natural products CCCCCCCCCCCCCCCCCCCCCCCCCCCCCC JXTPJDDICSTXJX-UHFFFAOYSA-N 0.000 description 2
- LYRFLYHAGKPMFH-UHFFFAOYSA-N octadecanamide Chemical compound CCCCCCCCCCCCCCCCCC(N)=O LYRFLYHAGKPMFH-UHFFFAOYSA-N 0.000 description 2
- 239000011619 pantothenol Substances 0.000 description 2
- 235000020957 pantothenol Nutrition 0.000 description 2
- 229940059574 pentaerithrityl Drugs 0.000 description 2
- WXZMFSXDPGVJKK-UHFFFAOYSA-N pentaerythritol Chemical compound OCC(CO)(CO)CO WXZMFSXDPGVJKK-UHFFFAOYSA-N 0.000 description 2
- 235000019271 petrolatum Nutrition 0.000 description 2
- MDHYEMXUFSJLGV-UHFFFAOYSA-N phenethyl acetate Chemical compound CC(=O)OCCC1=CC=CC=C1 MDHYEMXUFSJLGV-UHFFFAOYSA-N 0.000 description 2
- NBIIXXVUZAFLBC-UHFFFAOYSA-K phosphate Chemical compound [O-]P([O-])([O-])=O NBIIXXVUZAFLBC-UHFFFAOYSA-K 0.000 description 2
- 150000003904 phospholipids Chemical class 0.000 description 2
- 229920000573 polyethylene Polymers 0.000 description 2
- 238000002360 preparation method Methods 0.000 description 2
- 238000012545 processing Methods 0.000 description 2
- BDERNNFJNOPAEC-UHFFFAOYSA-N propan-1-ol Chemical compound CCCO BDERNNFJNOPAEC-UHFFFAOYSA-N 0.000 description 2
- 239000001294 propane Substances 0.000 description 2
- 229920006395 saturated elastomer Polymers 0.000 description 2
- 230000008313 sensitization Effects 0.000 description 2
- 231100000370 skin sensitisation Toxicity 0.000 description 2
- 239000000344 soap Substances 0.000 description 2
- 239000000600 sorbitol Substances 0.000 description 2
- 235000010356 sorbitol Nutrition 0.000 description 2
- 229940032094 squalane Drugs 0.000 description 2
- 125000001424 substituent group Chemical group 0.000 description 2
- BDHFUVZGWQCTTF-UHFFFAOYSA-M sulfonate Chemical compound [O-]S(=O)=O BDHFUVZGWQCTTF-UHFFFAOYSA-M 0.000 description 2
- 239000003760 tallow Substances 0.000 description 2
- MHXBHWLGRWOABW-UHFFFAOYSA-N tetradecyl octadecanoate Chemical compound CCCCCCCCCCCCCCCCCC(=O)OCCCCCCCCCCCCCC MHXBHWLGRWOABW-UHFFFAOYSA-N 0.000 description 2
- FINOAUDUYKVGDS-UHFFFAOYSA-N (2-tert-butylcyclohexyl) acetate Chemical compound CC(=O)OC1CCCCC1C(C)(C)C FINOAUDUYKVGDS-UHFFFAOYSA-N 0.000 description 1
- 239000001490 (3R)-3,7-dimethylocta-1,6-dien-3-ol Substances 0.000 description 1
- VCOCESNMLNDPLX-BTXGZQJSSA-N (3s,6s)-2,2,8,8-tetramethyl-octahydro-1h-2,4a-methanonapthalene-10-one Chemical compound O=C1CCC(C)(C)[C@@]2(C3)C1C(C)(C)[C@H]3CC2 VCOCESNMLNDPLX-BTXGZQJSSA-N 0.000 description 1
- YYGNTYWPHWGJRM-UHFFFAOYSA-N (6E,10E,14E,18E)-2,6,10,15,19,23-hexamethyltetracosa-2,6,10,14,18,22-hexaene Chemical compound CC(C)=CCCC(C)=CCCC(C)=CCCC=C(C)CCC=C(C)CCC=C(C)C YYGNTYWPHWGJRM-UHFFFAOYSA-N 0.000 description 1
- QMVPMAAFGQKVCJ-SNVBAGLBSA-N (R)-(+)-citronellol Natural products OCC[C@H](C)CCC=C(C)C QMVPMAAFGQKVCJ-SNVBAGLBSA-N 0.000 description 1
- CDOSHBSSFJOMGT-JTQLQIEISA-N (R)-linalool Natural products CC(C)=CCC[C@@](C)(O)C=C CDOSHBSSFJOMGT-JTQLQIEISA-N 0.000 description 1
- 150000000180 1,2-diols Chemical class 0.000 description 1
- FHRHCOQQPGLYFP-UHFFFAOYSA-N 1-(2,5,5,7,8,8-hexamethyl-3,6,7,8a-tetrahydro-1h-naphthalen-2-yl)ethanone Chemical compound C1C(C)(C(C)=O)CC2C(C)(C)C(C)CC(C)(C)C2=C1 FHRHCOQQPGLYFP-UHFFFAOYSA-N 0.000 description 1
- OKMWKBLSFKFYGZ-UHFFFAOYSA-N 1-behenoylglycerol Chemical compound CCCCCCCCCCCCCCCCCCCCCC(=O)OCC(O)CO OKMWKBLSFKFYGZ-UHFFFAOYSA-N 0.000 description 1
- YBUIAJZFOGJGLJ-SWRJLBSHSA-N 1-cedr-8-en-9-ylethanone Chemical compound C1[C@]23[C@H](C)CC[C@H]3C(C)(C)[C@@H]1C(C)=C(C(C)=O)C2 YBUIAJZFOGJGLJ-SWRJLBSHSA-N 0.000 description 1
- ZXNAIPHYBVMMPY-KTKRTIGZSA-N 1-erucoylglycerol Chemical compound CCCCCCCC\C=C/CCCCCCCCCCCC(=O)OCC(O)CO ZXNAIPHYBVMMPY-KTKRTIGZSA-N 0.000 description 1
- VBICKXHEKHSIBG-UHFFFAOYSA-N 1-monostearoylglycerol Polymers CCCCCCCCCCCCCCCCCC(=O)OCC(O)CO VBICKXHEKHSIBG-UHFFFAOYSA-N 0.000 description 1
- MNAKZOVRDUDCTC-UHFFFAOYSA-N 16-methylheptadecyl docosanoate Chemical compound CCCCCCCCCCCCCCCCCCCCCC(=O)OCCCCCCCCCCCCCCCC(C)C MNAKZOVRDUDCTC-UHFFFAOYSA-N 0.000 description 1
- FKOKUHFZNIUSLW-UHFFFAOYSA-N 2-Hydroxypropyl stearate Polymers CCCCCCCCCCCCCCCCCC(=O)OCC(C)O FKOKUHFZNIUSLW-UHFFFAOYSA-N 0.000 description 1
- SQXSZTQNKBBYPM-UHFFFAOYSA-N 2-[docosyl(dimethyl)azaniumyl]acetate Chemical compound CCCCCCCCCCCCCCCCCCCCCC[N+](C)(C)CC([O-])=O SQXSZTQNKBBYPM-UHFFFAOYSA-N 0.000 description 1
- XSAYZAUNJMRRIR-UHFFFAOYSA-N 2-acetylnaphthalene Chemical compound C1=CC=CC2=CC(C(=O)C)=CC=C21 XSAYZAUNJMRRIR-UHFFFAOYSA-N 0.000 description 1
- PJXHBTZLHITWFX-UHFFFAOYSA-N 2-heptylcyclopentan-1-one Chemical compound CCCCCCCC1CCCC1=O PJXHBTZLHITWFX-UHFFFAOYSA-N 0.000 description 1
- 125000000954 2-hydroxyethyl group Chemical group [H]C([*])([H])C([H])([H])O[H] 0.000 description 1
- 239000001657 2-methylpropyl (E)-3-phenylprop-2-enoate Substances 0.000 description 1
- YQEMORVAKMFKLG-UHFFFAOYSA-N 2-stearoylglycerol Polymers CCCCCCCCCCCCCCCCCC(=O)OC(CO)CO YQEMORVAKMFKLG-UHFFFAOYSA-N 0.000 description 1
- GOLORTLGFDVFDW-UHFFFAOYSA-N 3-(1h-benzimidazol-2-yl)-7-(diethylamino)chromen-2-one Chemical compound C1=CC=C2NC(C3=CC4=CC=C(C=C4OC3=O)N(CC)CC)=NC2=C1 GOLORTLGFDVFDW-UHFFFAOYSA-N 0.000 description 1
- SXGFVJFXFLKIKN-UHFFFAOYSA-N 3-(2-aminophenyl)-n-methylpropanamide Chemical compound CNC(=O)CCC1=CC=CC=C1N SXGFVJFXFLKIKN-UHFFFAOYSA-N 0.000 description 1
- WOKDXPHSIQRTJF-UHFFFAOYSA-N 3-[3-[3-[3-[3-[3-[3-[3-[3-(2,3-dihydroxypropoxy)-2-hydroxypropoxy]-2-hydroxypropoxy]-2-hydroxypropoxy]-2-hydroxypropoxy]-2-hydroxypropoxy]-2-hydroxypropoxy]-2-hydroxypropoxy]-2-hydroxypropoxy]propane-1,2-diol Chemical compound OCC(O)COCC(O)COCC(O)COCC(O)COCC(O)COCC(O)COCC(O)COCC(O)COCC(O)COCC(O)CO WOKDXPHSIQRTJF-UHFFFAOYSA-N 0.000 description 1
- DCSKAMGZSIRJAQ-UHFFFAOYSA-N 4-(2-methylbutan-2-yl)cyclohexan-1-one Chemical compound CCC(C)(C)C1CCC(=O)CC1 DCSKAMGZSIRJAQ-UHFFFAOYSA-N 0.000 description 1
- MBZRJSQZCBXRGK-UHFFFAOYSA-N 4-tert-Butylcyclohexyl acetate Chemical compound CC(=O)OC1CCC(C(C)(C)C)CC1 MBZRJSQZCBXRGK-UHFFFAOYSA-N 0.000 description 1
- YIDCITOHTLPMMZ-UHFFFAOYSA-N 5-tert-butyl-1h-pyrazole Chemical compound CC(C)(C)C1=CC=NN1 YIDCITOHTLPMMZ-UHFFFAOYSA-N 0.000 description 1
- AUBLFWWZTFFBNU-UHFFFAOYSA-N 6-butan-2-ylquinoline Chemical compound N1=CC=CC2=CC(C(C)CC)=CC=C21 AUBLFWWZTFFBNU-UHFFFAOYSA-N 0.000 description 1
- PBWGCNFJKNQDGV-UHFFFAOYSA-N 6-phenylimidazo[2,1-b][1,3]thiazol-5-amine Chemical compound N1=C2SC=CN2C(N)=C1C1=CC=CC=C1 PBWGCNFJKNQDGV-UHFFFAOYSA-N 0.000 description 1
- QZCLKYGREBVARF-UHFFFAOYSA-N Acetyl tributyl citrate Chemical compound CCCCOC(=O)CC(C(=O)OCCCC)(OC(C)=O)CC(=O)OCCCC QZCLKYGREBVARF-UHFFFAOYSA-N 0.000 description 1
- 244000144927 Aloe barbadensis Species 0.000 description 1
- 235000002961 Aloe barbadensis Nutrition 0.000 description 1
- 241000894006 Bacteria Species 0.000 description 1
- 235000021357 Behenic acid Nutrition 0.000 description 1
- BTBUEUYNUDRHOZ-UHFFFAOYSA-N Borate Chemical compound [O-]B([O-])[O-] BTBUEUYNUDRHOZ-UHFFFAOYSA-N 0.000 description 1
- UETFKDOJZSQZCW-UHFFFAOYSA-N C.CN(C)(C)C Chemical compound C.CN(C)(C)C UETFKDOJZSQZCW-UHFFFAOYSA-N 0.000 description 1
- RNGFHGOYAUAFKR-UHFFFAOYSA-N CC(=O)=[O-] Chemical compound CC(=O)=[O-] RNGFHGOYAUAFKR-UHFFFAOYSA-N 0.000 description 1
- QTBSBXVTEAMEQO-UHFFFAOYSA-M CC(=O)[O-] Chemical compound CC(=O)[O-] QTBSBXVTEAMEQO-UHFFFAOYSA-M 0.000 description 1
- OKTJSMMVPCPJKN-UHFFFAOYSA-N Carbon Chemical compound [C] OKTJSMMVPCPJKN-UHFFFAOYSA-N 0.000 description 1
- 235000007866 Chamaemelum nobile Nutrition 0.000 description 1
- VEXZGXHMUGYJMC-UHFFFAOYSA-M Chloride anion Chemical compound [Cl-] VEXZGXHMUGYJMC-UHFFFAOYSA-M 0.000 description 1
- JOZKFWLRHCDGJA-LLVKDONJSA-N Citronellyl acetate Natural products CC(=O)OCC[C@H](C)CCC=C(C)C JOZKFWLRHCDGJA-LLVKDONJSA-N 0.000 description 1
- BYMMIQCVDHHYGG-UHFFFAOYSA-N Cl.OP(O)(O)=O Chemical compound Cl.OP(O)(O)=O BYMMIQCVDHHYGG-UHFFFAOYSA-N 0.000 description 1
- 102000008186 Collagen Human genes 0.000 description 1
- 108010035532 Collagen Proteins 0.000 description 1
- RGHNJXZEOKUKBD-SQOUGZDYSA-M D-gluconate Chemical compound OC[C@@H](O)[C@@H](O)[C@H](O)[C@@H](O)C([O-])=O RGHNJXZEOKUKBD-SQOUGZDYSA-M 0.000 description 1
- RGHNJXZEOKUKBD-SQOUGZDYSA-N D-gluconic acid Chemical class OC[C@@H](O)[C@@H](O)[C@H](O)[C@@H](O)C(O)=O RGHNJXZEOKUKBD-SQOUGZDYSA-N 0.000 description 1
- ORAWFNKFUWGRJG-UHFFFAOYSA-N Docosanamide Chemical compound CCCCCCCCCCCCCCCCCCCCCC(N)=O ORAWFNKFUWGRJG-UHFFFAOYSA-N 0.000 description 1
- UAUDZVJPLUQNMU-UHFFFAOYSA-N Erucasaeureamid Natural products CCCCCCCCC=CCCCCCCCCCCCC(N)=O UAUDZVJPLUQNMU-UHFFFAOYSA-N 0.000 description 1
- GYCKQBWUSACYIF-UHFFFAOYSA-N Ethyl salicylate Chemical compound CCOC(=O)C1=CC=CC=C1O GYCKQBWUSACYIF-UHFFFAOYSA-N 0.000 description 1
- PIICEJLVQHRZGT-UHFFFAOYSA-N Ethylenediamine Chemical compound NCCN PIICEJLVQHRZGT-UHFFFAOYSA-N 0.000 description 1
- 239000005792 Geraniol Substances 0.000 description 1
- GLZPCOQZEFWAFX-YFHOEESVSA-N Geraniol Natural products CC(C)=CCC\C(C)=C/CO GLZPCOQZEFWAFX-YFHOEESVSA-N 0.000 description 1
- UXAIJXIHZDZMSK-FOWTUZBSSA-N Geranyl phenylacetate Chemical compound CC(C)=CCC\C(C)=C\COC(=O)CC1=CC=CC=C1 UXAIJXIHZDZMSK-FOWTUZBSSA-N 0.000 description 1
- DUKPKQFHJQGTGU-UHFFFAOYSA-N Hexyl salicylic acid Chemical compound CCCCCCOC(=O)C1=CC=CC=C1O DUKPKQFHJQGTGU-UHFFFAOYSA-N 0.000 description 1
- VEXZGXHMUGYJMC-UHFFFAOYSA-N Hydrochloric acid Chemical compound Cl VEXZGXHMUGYJMC-UHFFFAOYSA-N 0.000 description 1
- YZCKVEUIGOORGS-UHFFFAOYSA-N Hydrogen atom Chemical group [H] YZCKVEUIGOORGS-UHFFFAOYSA-N 0.000 description 1
- 229920002153 Hydroxypropyl cellulose Polymers 0.000 description 1
- 206010052899 Ingrown hair Diseases 0.000 description 1
- PMGCQNGBLMMXEW-UHFFFAOYSA-N Isoamyl salicylate Chemical compound CC(C)CCOC(=O)C1=CC=CC=C1O PMGCQNGBLMMXEW-UHFFFAOYSA-N 0.000 description 1
- BJIOGJUNALELMI-ONEGZZNKSA-N Isoeugenol Natural products COC1=CC(\C=C\C)=CC=C1O BJIOGJUNALELMI-ONEGZZNKSA-N 0.000 description 1
- 244000042664 Matricaria chamomilla Species 0.000 description 1
- 235000007232 Matricaria chamomilla Nutrition 0.000 description 1
- 244000024873 Mentha crispa Species 0.000 description 1
- 235000014749 Mentha crispa Nutrition 0.000 description 1
- DFPAKSUCGFBDDF-UHFFFAOYSA-N Nicotinamide Chemical compound NC(=O)C1=CC=CN=C1 DFPAKSUCGFBDDF-UHFFFAOYSA-N 0.000 description 1
- 229910003849 O-Si Inorganic materials 0.000 description 1
- OIZXRZCQJDXPFO-UHFFFAOYSA-N Octadecyl acetate Chemical compound CCCCCCCCCCCCCCCCCCOC(C)=O OIZXRZCQJDXPFO-UHFFFAOYSA-N 0.000 description 1
- 229910003872 O—Si Inorganic materials 0.000 description 1
- 229920003171 Poly (ethylene oxide) Polymers 0.000 description 1
- NPYPAHLBTDXSSS-UHFFFAOYSA-N Potassium ion Chemical group [K+] NPYPAHLBTDXSSS-UHFFFAOYSA-N 0.000 description 1
- CMCJFUXWBBHIIL-UHFFFAOYSA-N Propylene glycol stearate Polymers CC(O)CO.CCCCCCCCCCCCCCCCCC(O)=O CMCJFUXWBBHIIL-UHFFFAOYSA-N 0.000 description 1
- 208000001818 Pseudofolliculitis barbae Diseases 0.000 description 1
- 240000002289 Rosa odorata Species 0.000 description 1
- 235000004828 Rosa odorata Nutrition 0.000 description 1
- 229910007161 Si(CH3)3 Inorganic materials 0.000 description 1
- 108010073771 Soybean Proteins Proteins 0.000 description 1
- 229920002472 Starch Polymers 0.000 description 1
- NINIDFKCEFEMDL-UHFFFAOYSA-N Sulfur Chemical compound [S] NINIDFKCEFEMDL-UHFFFAOYSA-N 0.000 description 1
- BHEOSNUKNHRBNM-UHFFFAOYSA-N Tetramethylsqualene Natural products CC(=C)C(C)CCC(=C)C(C)CCC(C)=CCCC=C(C)CCC(C)C(=C)CCC(C)C(C)=C BHEOSNUKNHRBNM-UHFFFAOYSA-N 0.000 description 1
- 235000021307 Triticum Nutrition 0.000 description 1
- 244000098338 Triticum aestivum Species 0.000 description 1
- 235000009754 Vitis X bourquina Nutrition 0.000 description 1
- 235000012333 Vitis X labruscana Nutrition 0.000 description 1
- 240000006365 Vitis vinifera Species 0.000 description 1
- 235000014787 Vitis vinifera Nutrition 0.000 description 1
- 240000008042 Zea mays Species 0.000 description 1
- 235000005824 Zea mays ssp. parviglumis Nutrition 0.000 description 1
- 235000002017 Zea mays subsp mays Nutrition 0.000 description 1
- IJCWFDPJFXGQBN-RYNSOKOISA-N [(2R)-2-[(2R,3R,4S)-4-hydroxy-3-octadecanoyloxyoxolan-2-yl]-2-octadecanoyloxyethyl] octadecanoate Chemical compound CCCCCCCCCCCCCCCCCC(=O)OC[C@@H](OC(=O)CCCCCCCCCCCCCCCCC)[C@H]1OC[C@H](O)[C@H]1OC(=O)CCCCCCCCCCCCCCCCC IJCWFDPJFXGQBN-RYNSOKOISA-N 0.000 description 1
- FSEJJKIPRNUIFL-UHFFFAOYSA-N [2,2-bis(hydroxymethyl)-3-octadecanoyloxypropyl] octadecanoate Chemical compound CCCCCCCCCCCCCCCCCC(=O)OCC(CO)(CO)COC(=O)CCCCCCCCCCCCCCCCC FSEJJKIPRNUIFL-UHFFFAOYSA-N 0.000 description 1
- ZKIVRAADAKTRIO-UHFFFAOYSA-N [3-hydroxy-2,2-bis(hydroxymethyl)propyl] docosanoate Polymers CCCCCCCCCCCCCCCCCCCCCC(=O)OCC(CO)(CO)CO ZKIVRAADAKTRIO-UHFFFAOYSA-N 0.000 description 1
- 230000002333 acnegenic effect Effects 0.000 description 1
- 239000004480 active ingredient Substances 0.000 description 1
- 239000000654 additive Substances 0.000 description 1
- 238000013019 agitation Methods 0.000 description 1
- 150000003973 alkyl amines Chemical group 0.000 description 1
- 125000005376 alkyl siloxane group Chemical group 0.000 description 1
- 235000011399 aloe vera Nutrition 0.000 description 1
- QUMXDOLUJCHOAY-UHFFFAOYSA-N alpha-methylbenzyl acetate Natural products CC(=O)OC(C)C1=CC=CC=C1 QUMXDOLUJCHOAY-UHFFFAOYSA-N 0.000 description 1
- 230000004075 alteration Effects 0.000 description 1
- SNAAJJQQZSMGQD-UHFFFAOYSA-N aluminum magnesium Chemical compound [Mg].[Al] SNAAJJQQZSMGQD-UHFFFAOYSA-N 0.000 description 1
- 150000008064 anhydrides Chemical class 0.000 description 1
- 230000003466 anti-cipated effect Effects 0.000 description 1
- 230000002421 anti-septic effect Effects 0.000 description 1
- 125000001204 arachidyl group Chemical group [H]C([*])([H])C([H])([H])C([H])([H])C([H])([H])C([H])([H])C([H])([H])C([H])([H])C([H])([H])C([H])([H])C([H])([H])C([H])([H])C([H])([H])C([H])([H])C([H])([H])C([H])([H])C([H])([H])C([H])([H])C([H])([H])C([H])([H])C([H])([H])[H] 0.000 description 1
- 125000003118 aryl group Chemical group 0.000 description 1
- 125000004429 atom Chemical group 0.000 description 1
- 230000004888 barrier function Effects 0.000 description 1
- 229940084850 beheneth-10 Drugs 0.000 description 1
- 229940116226 behenic acid Drugs 0.000 description 1
- 229940090958 behenyl behenate Drugs 0.000 description 1
- 230000008901 benefit Effects 0.000 description 1
- JGQFVRIQXUFPAH-UHFFFAOYSA-N beta-citronellol Natural products OCCC(C)CCCC(C)=C JGQFVRIQXUFPAH-UHFFFAOYSA-N 0.000 description 1
- 229940063013 borate ion Drugs 0.000 description 1
- 239000001273 butane Substances 0.000 description 1
- RECUKUPTGUEGMW-UHFFFAOYSA-N carvacrol Chemical compound CC(C)C1=CC=C(C)C(O)=C1 RECUKUPTGUEGMW-UHFFFAOYSA-N 0.000 description 1
- HHTWOMMSBMNRKP-UHFFFAOYSA-N carvacrol Natural products CC(=C)C1=CC=C(C)C(O)=C1 HHTWOMMSBMNRKP-UHFFFAOYSA-N 0.000 description 1
- 235000007746 carvacrol Nutrition 0.000 description 1
- 239000010627 cedar oil Substances 0.000 description 1
- 239000001913 cellulose Substances 0.000 description 1
- 230000008859 change Effects 0.000 description 1
- 239000003795 chemical substances by application Substances 0.000 description 1
- BJIOGJUNALELMI-ARJAWSKDSA-N cis-isoeugenol Chemical compound COC1=CC(\C=C/C)=CC=C1O BJIOGJUNALELMI-ARJAWSKDSA-N 0.000 description 1
- 235000000484 citronellol Nutrition 0.000 description 1
- 239000001926 citrus aurantium l. subsp. bergamia wright et arn. oil Substances 0.000 description 1
- 238000004581 coalescence Methods 0.000 description 1
- 229920001436 collagen Polymers 0.000 description 1
- 238000011109 contamination Methods 0.000 description 1
- 235000005822 corn Nutrition 0.000 description 1
- 239000008278 cosmetic cream Substances 0.000 description 1
- 239000008406 cosmetic ingredient Substances 0.000 description 1
- 239000008341 cosmetic lotion Substances 0.000 description 1
- 239000013078 crystal Substances 0.000 description 1
- 125000000753 cycloalkyl group Chemical group 0.000 description 1
- 230000000249 desinfective effect Effects 0.000 description 1
- VKKVMDHHSINGTJ-UHFFFAOYSA-M di(docosyl)-dimethylazanium;chloride Chemical compound [Cl-].CCCCCCCCCCCCCCCCCCCCCC[N+](C)(C)CCCCCCCCCCCCCCCCCCCCCC VKKVMDHHSINGTJ-UHFFFAOYSA-M 0.000 description 1
- LVYZJEPLMYTTGH-UHFFFAOYSA-H dialuminum chloride pentahydroxide dihydrate Chemical compound [Cl-].[Al+3].[OH-].[OH-].[Al+3].[OH-].[OH-].[OH-].O.O LVYZJEPLMYTTGH-UHFFFAOYSA-H 0.000 description 1
- 150000004985 diamines Chemical class 0.000 description 1
- XSNQECSCDATQEL-UHFFFAOYSA-N dihydromyrcenol Chemical compound C=CC(C)CCCC(C)(C)O XSNQECSCDATQEL-UHFFFAOYSA-N 0.000 description 1
- 229930008394 dihydromyrcenol Natural products 0.000 description 1
- 238000010790 dilution Methods 0.000 description 1
- 239000012895 dilution Substances 0.000 description 1
- REZZEXDLIUJMMS-UHFFFAOYSA-M dimethyldioctadecylammonium chloride Chemical compound [Cl-].CCCCCCCCCCCCCCCCCC[N+](C)(C)CCCCCCCCCCCCCCCCCC REZZEXDLIUJMMS-UHFFFAOYSA-M 0.000 description 1
- SZXQTJUDPRGNJN-UHFFFAOYSA-N dipropylene glycol Chemical compound OCCCOCCCO SZXQTJUDPRGNJN-UHFFFAOYSA-N 0.000 description 1
- 239000004664 distearyldimethylammonium chloride (DHTDMAC) Substances 0.000 description 1
- MQSDOCWFPKXZGN-ZZEZOPTASA-N docosyl (z)-docos-13-enoate Chemical compound CCCCCCCCCCCCCCCCCCCCCCOC(=O)CCCCCCCCCCC\C=C/CCCCCCCC MQSDOCWFPKXZGN-ZZEZOPTASA-N 0.000 description 1
- FTHXLHYCFOSQEJ-UHFFFAOYSA-N docosyl 16-methylheptadecanoate Chemical compound CCCCCCCCCCCCCCCCCCCCCCOC(=O)CCCCCCCCCCCCCCC(C)C FTHXLHYCFOSQEJ-UHFFFAOYSA-N 0.000 description 1
- NQFJMMDWKJBFOV-UHFFFAOYSA-N docosyl 2-hydroxypropanoate Chemical compound CCCCCCCCCCCCCCCCCCCCCCOC(=O)C(C)O NQFJMMDWKJBFOV-UHFFFAOYSA-N 0.000 description 1
- IFLDFHHUUCVKNJ-UHFFFAOYSA-N dodecyl docosanoate Chemical compound CCCCCCCCCCCCCCCCCCCCCC(=O)OCCCCCCCCCCCC IFLDFHHUUCVKNJ-UHFFFAOYSA-N 0.000 description 1
- 239000003814 drug Substances 0.000 description 1
- 239000000975 dye Substances 0.000 description 1
- QYDYPVFESGNLHU-UHFFFAOYSA-N elaidic acid methyl ester Natural products CCCCCCCCC=CCCCCCCCC(=O)OC QYDYPVFESGNLHU-UHFFFAOYSA-N 0.000 description 1
- 229910001651 emery Inorganic materials 0.000 description 1
- 230000002708 enhancing effect Effects 0.000 description 1
- CAMHHLOGFDZBBG-UHFFFAOYSA-N epoxidized methyl oleate Natural products CCCCCCCCC1OC1CCCCCCCC(=O)OC CAMHHLOGFDZBBG-UHFFFAOYSA-N 0.000 description 1
- UAUDZVJPLUQNMU-KTKRTIGZSA-N erucamide Chemical compound CCCCCCCC\C=C/CCCCCCCCCCCC(N)=O UAUDZVJPLUQNMU-KTKRTIGZSA-N 0.000 description 1
- 238000007046 ethoxylation reaction Methods 0.000 description 1
- 229940005667 ethyl salicylate Drugs 0.000 description 1
- 239000001734 eugenia caryophyllata l. bud oleoresin Substances 0.000 description 1
- 150000002194 fatty esters Chemical class 0.000 description 1
- 238000011049 filling Methods 0.000 description 1
- 239000012530 fluid Substances 0.000 description 1
- 229940113087 geraniol Drugs 0.000 description 1
- 229940050410 gluconate Drugs 0.000 description 1
- 230000003370 grooming effect Effects 0.000 description 1
- 239000001927 guaiacum sanctum l. gum oil Substances 0.000 description 1
- DMEGYFMYUHOHGS-UHFFFAOYSA-N heptamethylene Natural products C1CCCCCC1 DMEGYFMYUHOHGS-UHFFFAOYSA-N 0.000 description 1
- UQEAIHBTYFGYIE-UHFFFAOYSA-N hexamethyldisiloxane Chemical compound C[Si](C)(C)O[Si](C)(C)C UQEAIHBTYFGYIE-UHFFFAOYSA-N 0.000 description 1
- 125000004051 hexyl group Chemical group [H]C([H])([H])C([H])([H])C([H])([H])C([H])([H])C([H])([H])C([H])([H])* 0.000 description 1
- 238000000265 homogenisation Methods 0.000 description 1
- 229920001519 homopolymer Polymers 0.000 description 1
- WGCNASOHLSPBMP-UHFFFAOYSA-N hydroxyacetaldehyde Natural products OCC=O WGCNASOHLSPBMP-UHFFFAOYSA-N 0.000 description 1
- 239000001863 hydroxypropyl cellulose Substances 0.000 description 1
- 235000010977 hydroxypropyl cellulose Nutrition 0.000 description 1
- OPEHDFRKFVXKNP-UHFFFAOYSA-N icosyl propanoate Chemical compound CCCCCCCCCCCCCCCCCCCCOC(=O)CC OPEHDFRKFVXKNP-UHFFFAOYSA-N 0.000 description 1
- 238000010348 incorporation Methods 0.000 description 1
- 208000015181 infectious disease Diseases 0.000 description 1
- 208000014674 injury Diseases 0.000 description 1
- 230000003993 interaction Effects 0.000 description 1
- WYXXLXHHWYNKJF-UHFFFAOYSA-N isocarvacrol Natural products CC(C)C1=CC=C(O)C(C)=C1 WYXXLXHHWYNKJF-UHFFFAOYSA-N 0.000 description 1
- MOYKHGMNXAOIAT-JGWLITMVSA-N isosorbide dinitrate Chemical compound [O-][N+](=O)O[C@H]1CO[C@@H]2[C@H](O[N+](=O)[O-])CO[C@@H]21 MOYKHGMNXAOIAT-JGWLITMVSA-N 0.000 description 1
- 150000002576 ketones Chemical class 0.000 description 1
- 235000001510 limonene Nutrition 0.000 description 1
- 229940087305 limonene Drugs 0.000 description 1
- 229930007744 linalool Natural products 0.000 description 1
- UWKAYLJWKGQEPM-UHFFFAOYSA-N linalool acetate Natural products CC(C)=CCCC(C)(C=C)OC(C)=O UWKAYLJWKGQEPM-UHFFFAOYSA-N 0.000 description 1
- FCCDDURTIIUXBY-UHFFFAOYSA-N lipoamide Chemical compound NC(=O)CCCCC1CCSS1 FCCDDURTIIUXBY-UHFFFAOYSA-N 0.000 description 1
- 239000000314 lubricant Substances 0.000 description 1
- FPYJFEHAWHCUMM-UHFFFAOYSA-N maleic anhydride Chemical class O=C1OC(=O)C=C1 FPYJFEHAWHCUMM-UHFFFAOYSA-N 0.000 description 1
- 238000004519 manufacturing process Methods 0.000 description 1
- 238000005259 measurement Methods 0.000 description 1
- 229940102398 methyl anthranilate Drugs 0.000 description 1
- 229940073769 methyl oleate Drugs 0.000 description 1
- 244000005700 microbiome Species 0.000 description 1
- 230000009525 mild injury Effects 0.000 description 1
- 239000002480 mineral oil Substances 0.000 description 1
- 235000010446 mineral oil Nutrition 0.000 description 1
- 229940042472 mineral oil Drugs 0.000 description 1
- 238000012986 modification Methods 0.000 description 1
- 230000004048 modification Effects 0.000 description 1
- 102000035118 modified proteins Human genes 0.000 description 1
- 108091005573 modified proteins Proteins 0.000 description 1
- 230000003020 moisturizing effect Effects 0.000 description 1
- 239000000178 monomer Substances 0.000 description 1
- 229940078812 myristyl myristate Drugs 0.000 description 1
- IJDNQMDRQITEOD-UHFFFAOYSA-N n-butane Chemical compound CCCC IJDNQMDRQITEOD-UHFFFAOYSA-N 0.000 description 1
- GOQYKNQRPGWPLP-UHFFFAOYSA-N n-heptadecyl alcohol Natural products CCCCCCCCCCCCCCCCCO GOQYKNQRPGWPLP-UHFFFAOYSA-N 0.000 description 1
- SKSVCKGZZUFGGC-UHFFFAOYSA-N n-methylmethanamine;propanoic acid Chemical compound C[NH2+]C.CCC([O-])=O SKSVCKGZZUFGGC-UHFFFAOYSA-N 0.000 description 1
- OFBQJSOFQDEBGM-UHFFFAOYSA-N n-pentane Natural products CCCCC OFBQJSOFQDEBGM-UHFFFAOYSA-N 0.000 description 1
- 229920005615 natural polymer Polymers 0.000 description 1
- 229960003966 nicotinamide Drugs 0.000 description 1
- 235000005152 nicotinamide Nutrition 0.000 description 1
- 239000011570 nicotinamide Substances 0.000 description 1
- 239000001272 nitrous oxide Substances 0.000 description 1
- 239000000041 non-steroidal anti-inflammatory agent Substances 0.000 description 1
- 229940021182 non-steroidal anti-inflammatory drug Drugs 0.000 description 1
- 239000007764 o/w emulsion Substances 0.000 description 1
- UHGIMQLJWRAPLT-UHFFFAOYSA-N octadecyl dihydrogen phosphate Chemical compound CCCCCCCCCCCCCCCCCCOP(O)(O)=O UHGIMQLJWRAPLT-UHFFFAOYSA-N 0.000 description 1
- GAQPWOABOQGPKA-UHFFFAOYSA-N octadecyl docosanoate Chemical compound CCCCCCCCCCCCCCCCCCCCCC(=O)OCCCCCCCCCCCCCCCCCC GAQPWOABOQGPKA-UHFFFAOYSA-N 0.000 description 1
- CXQXSVUQTKDNFP-UHFFFAOYSA-N octamethyltrisiloxane Chemical class C[Si](C)(C)O[Si](C)(C)O[Si](C)(C)C CXQXSVUQTKDNFP-UHFFFAOYSA-N 0.000 description 1
- 229940055577 oleyl alcohol Drugs 0.000 description 1
- XMLQWXUVTXCDDL-UHFFFAOYSA-N oleyl alcohol Natural products CCCCCCC=CCCCCCCCCCCO XMLQWXUVTXCDDL-UHFFFAOYSA-N 0.000 description 1
- 230000003647 oxidation Effects 0.000 description 1
- 238000007254 oxidation reaction Methods 0.000 description 1
- 229940101267 panthenol Drugs 0.000 description 1
- 239000012169 petroleum derived wax Substances 0.000 description 1
- 235000019381 petroleum wax Nutrition 0.000 description 1
- 125000001997 phenyl group Chemical group [H]C1=C([H])C([H])=C(*)C([H])=C1[H] 0.000 description 1
- 229940067107 phenylethyl alcohol Drugs 0.000 description 1
- UEZVMMHDMIWARA-UHFFFAOYSA-M phosphonate Chemical compound [O-]P(=O)=O UEZVMMHDMIWARA-UHFFFAOYSA-M 0.000 description 1
- 150000003013 phosphoric acid derivatives Chemical class 0.000 description 1
- 239000000049 pigment Substances 0.000 description 1
- 239000001738 pogostemon cablin oil Substances 0.000 description 1
- 229920000233 poly(alkylene oxides) Polymers 0.000 description 1
- 229920001281 polyalkylene Polymers 0.000 description 1
- 229920006294 polydialkylsiloxane Polymers 0.000 description 1
- 229940057847 polyethylene glycol 600 Drugs 0.000 description 1
- 229940094543 polyethylene glycol 900 Drugs 0.000 description 1
- 229920000098 polyolefin Polymers 0.000 description 1
- 239000002244 precipitate Substances 0.000 description 1
- 230000001737 promoting effect Effects 0.000 description 1
- BFZNCPXNOGIELB-UHFFFAOYSA-N propan-2-yl 10-[5,6-dihexyl-2-(8-oxo-8-propan-2-yloxyoctyl)cyclohex-3-en-1-yl]dec-9-enoate Chemical compound CCCCCCC1C=CC(CCCCCCCC(=O)OC(C)C)C(C=CCCCCCCCC(=O)OC(C)C)C1CCCCCC BFZNCPXNOGIELB-UHFFFAOYSA-N 0.000 description 1
- 108090000623 proteins and genes Proteins 0.000 description 1
- 102000004169 proteins and genes Human genes 0.000 description 1
- 239000008213 purified water Substances 0.000 description 1
- 238000005057 refrigeration Methods 0.000 description 1
- 230000003252 repetitive effect Effects 0.000 description 1
- 238000005096 rolling process Methods 0.000 description 1
- 238000012216 screening Methods 0.000 description 1
- 239000008257 shaving cream Substances 0.000 description 1
- 238000010008 shearing Methods 0.000 description 1
- 239000000377 silicon dioxide Substances 0.000 description 1
- RYYKJJJTJZKILX-UHFFFAOYSA-M sodium octadecanoate Chemical compound [Na+].CCCCCCCCCCCCCCCCCC([O-])=O RYYKJJJTJZKILX-UHFFFAOYSA-M 0.000 description 1
- KWVISVAMQJWJSZ-VKROHFNGSA-N solasodine Chemical compound O([C@@H]1[C@@H]([C@]2(CC[C@@H]3[C@@]4(C)CC[C@H](O)CC4=CC[C@H]3[C@@H]2C1)C)[C@@H]1C)[C@]11CC[C@@H](C)CN1 KWVISVAMQJWJSZ-VKROHFNGSA-N 0.000 description 1
- 239000001589 sorbitan tristearate Substances 0.000 description 1
- 235000011078 sorbitan tristearate Nutrition 0.000 description 1
- 229960004129 sorbitan tristearate Drugs 0.000 description 1
- 229940001941 soy protein Drugs 0.000 description 1
- 241000894007 species Species 0.000 description 1
- 238000009987 spinning Methods 0.000 description 1
- 229940031439 squalene Drugs 0.000 description 1
- TUHBEKDERLKLEC-UHFFFAOYSA-N squalene Natural products CC(=CCCC(=CCCC(=CCCC=C(/C)CCC=C(/C)CC=C(C)C)C)C)C TUHBEKDERLKLEC-UHFFFAOYSA-N 0.000 description 1
- 238000013112 stability test Methods 0.000 description 1
- 230000000087 stabilizing effect Effects 0.000 description 1
- 238000010561 standard procedure Methods 0.000 description 1
- 239000008107 starch Substances 0.000 description 1
- 235000019698 starch Nutrition 0.000 description 1
- 229940037312 stearamide Drugs 0.000 description 1
- 229940098760 steareth-2 Drugs 0.000 description 1
- 238000003860 storage Methods 0.000 description 1
- 125000000547 substituted alkyl group Chemical group 0.000 description 1
- 239000011593 sulfur Substances 0.000 description 1
- 229920001059 synthetic polymer Polymers 0.000 description 1
- 230000003655 tactile properties Effects 0.000 description 1
- 150000003505 terpenes Chemical class 0.000 description 1
- 235000007586 terpenes Nutrition 0.000 description 1
- 238000010998 test method Methods 0.000 description 1
- DZKXJUASMGQEMA-UHFFFAOYSA-N tetradecyl tetradecanoate Chemical compound CCCCCCCCCCCCCCOC(=O)CCCCCCCCCCCCC DZKXJUASMGQEMA-UHFFFAOYSA-N 0.000 description 1
- JYKSTGLAIMQDRA-UHFFFAOYSA-N tetraglycerol Chemical compound OCC(O)CO.OCC(O)CO.OCC(O)CO.OCC(O)CO JYKSTGLAIMQDRA-UHFFFAOYSA-N 0.000 description 1
- 125000000383 tetramethylene group Chemical group [H]C([H])([*:1])C([H])([H])C([H])([H])C([H])([H])[*:2] 0.000 description 1
- 229940124597 therapeutic agent Drugs 0.000 description 1
- 230000001225 therapeutic effect Effects 0.000 description 1
- 239000010678 thyme oil Substances 0.000 description 1
- 230000036962 time dependent Effects 0.000 description 1
- BJIOGJUNALELMI-UHFFFAOYSA-N trans-isoeugenol Natural products COC1=CC(C=CC)=CC=C1O BJIOGJUNALELMI-UHFFFAOYSA-N 0.000 description 1
- 230000008733 trauma Effects 0.000 description 1
- 150000005691 triesters Chemical class 0.000 description 1
- 229940026256 trioctyldodecyl citrate Drugs 0.000 description 1
- BIEMOBPNIWQLMF-UHFFFAOYSA-N tris(2-octyldodecyl) 2-hydroxypropane-1,2,3-tricarboxylate Chemical compound CCCCCCCCCCC(CCCCCCCC)COC(=O)CC(O)(C(=O)OCC(CCCCCCCC)CCCCCCCCCC)CC(=O)OCC(CCCCCCCC)CCCCCCCCCC BIEMOBPNIWQLMF-UHFFFAOYSA-N 0.000 description 1
- 150000003673 urethanes Chemical class 0.000 description 1
- MWOOGOJBHIARFG-UHFFFAOYSA-N vanillin Chemical compound COC1=CC(C=O)=CC=C1O MWOOGOJBHIARFG-UHFFFAOYSA-N 0.000 description 1
- 235000012141 vanillin Nutrition 0.000 description 1
- FGQOOHJZONJGDT-UHFFFAOYSA-N vanillin Natural products COC1=CC(O)=CC(C=O)=C1 FGQOOHJZONJGDT-UHFFFAOYSA-N 0.000 description 1
- 238000010792 warming Methods 0.000 description 1
Classifications
-
- A—HUMAN NECESSITIES
- A61—MEDICAL OR VETERINARY SCIENCE; HYGIENE
- A61Q—SPECIFIC USE OF COSMETICS OR SIMILAR TOILETRY PREPARATIONS
- A61Q19/00—Preparations for care of the skin
- A61Q19/002—Aftershave preparations
-
- A—HUMAN NECESSITIES
- A61—MEDICAL OR VETERINARY SCIENCE; HYGIENE
- A61K—PREPARATIONS FOR MEDICAL, DENTAL OR TOILETRY PURPOSES
- A61K8/00—Cosmetics or similar toiletry preparations
- A61K8/18—Cosmetics or similar toiletry preparations characterised by the composition
- A61K8/30—Cosmetics or similar toiletry preparations characterised by the composition containing organic compounds
- A61K8/33—Cosmetics or similar toiletry preparations characterised by the composition containing organic compounds containing oxygen
- A61K8/34—Alcohols
- A61K8/342—Alcohols having more than seven atoms in an unbroken chain
-
- A—HUMAN NECESSITIES
- A61—MEDICAL OR VETERINARY SCIENCE; HYGIENE
- A61K—PREPARATIONS FOR MEDICAL, DENTAL OR TOILETRY PURPOSES
- A61K8/00—Cosmetics or similar toiletry preparations
- A61K8/18—Cosmetics or similar toiletry preparations characterised by the composition
- A61K8/30—Cosmetics or similar toiletry preparations characterised by the composition containing organic compounds
- A61K8/33—Cosmetics or similar toiletry preparations characterised by the composition containing organic compounds containing oxygen
- A61K8/39—Derivatives containing from 2 to 10 oxyalkylene groups
-
- A—HUMAN NECESSITIES
- A61—MEDICAL OR VETERINARY SCIENCE; HYGIENE
- A61K—PREPARATIONS FOR MEDICAL, DENTAL OR TOILETRY PURPOSES
- A61K8/00—Cosmetics or similar toiletry preparations
- A61K8/18—Cosmetics or similar toiletry preparations characterised by the composition
- A61K8/30—Cosmetics or similar toiletry preparations characterised by the composition containing organic compounds
- A61K8/40—Cosmetics or similar toiletry preparations characterised by the composition containing organic compounds containing nitrogen
- A61K8/41—Amines
- A61K8/416—Quaternary ammonium compounds
-
- A—HUMAN NECESSITIES
- A61—MEDICAL OR VETERINARY SCIENCE; HYGIENE
- A61K—PREPARATIONS FOR MEDICAL, DENTAL OR TOILETRY PURPOSES
- A61K8/00—Cosmetics or similar toiletry preparations
- A61K8/18—Cosmetics or similar toiletry preparations characterised by the composition
- A61K8/30—Cosmetics or similar toiletry preparations characterised by the composition containing organic compounds
- A61K8/49—Cosmetics or similar toiletry preparations characterised by the composition containing organic compounds containing heterocyclic compounds
- A61K8/494—Cosmetics or similar toiletry preparations characterised by the composition containing organic compounds containing heterocyclic compounds with more than one nitrogen as the only hetero atom
- A61K8/4946—Imidazoles or their condensed derivatives, e.g. benzimidazoles
-
- A—HUMAN NECESSITIES
- A61—MEDICAL OR VETERINARY SCIENCE; HYGIENE
- A61Q—SPECIFIC USE OF COSMETICS OR SIMILAR TOILETRY PREPARATIONS
- A61Q9/00—Preparations for removing hair or for aiding hair removal
- A61Q9/02—Shaving preparations
-
- A—HUMAN NECESSITIES
- A61—MEDICAL OR VETERINARY SCIENCE; HYGIENE
- A61K—PREPARATIONS FOR MEDICAL, DENTAL OR TOILETRY PURPOSES
- A61K2800/00—Properties of cosmetic compositions or active ingredients thereof or formulation aids used therein and process related aspects
- A61K2800/74—Biological properties of particular ingredients
- A61K2800/75—Anti-irritant
Definitions
- After-shave compositions are intended to not only to relieve skin irritation but also to provide a cooling and refreshing feeling and impart a mild astringent effect which tightens the skin. They also may act in antimicrobial fashion, reducing the presence of bacteria and thus protecting the skin from infection while it recovers from the mild injury.
- after-shave compositions can take the form of a lotion, gel, quick-breaking foam, or balm and typically contain significant levels of alcohol, which in addition to being antiseptic provides a cooling and astringent effect and enhances the drying rate of the composition when applied to skin.
- alcohol which in addition to being antiseptic provides a cooling and astringent effect and enhances the drying rate of the composition when applied to skin.
- the presence of alcohol also serves to prevent contamination of the composition by microorganisms, both during manufacture and storage and after the composition's container is opened and put into use.
- Prior art compositions have sought to eliminate the stinging associated with the use of volatile alcohols by reducing the amount of alcohol present, which also reduces or eliminates the beneficial effects of alcohol.
- anhydrous compositions which combine 20% to 50% alcohol with 40% to 70% low viscosity silicone fluids are claimed to have less stinging and burning although at significantly higher cost than alcohol/water compositions.
- Known methods of reducing irritation and improving skin condition include incorporation of active therapeutic ingredients into after-shave compositions.
- active ingredients include aloe vera, aluminum chlorohydrate, chamomile combined with niacinamide, non-steroidal anti-inflammatory agents, and panthenol.
- hydrolyzed soy protein in combination with cocamidopropyl dimethylamine propionate is also known.
- This invention provides methods of reducing skin irritation associated with shaving (i.e., before, during, and/or after shaving) facial hair or nonfacial hair.
- the methods include applying to skin various formulations, which typically are preservative-free, have good application aesthetics, provide immediate cooling and skin tightening, evaporate quickly, have a pleasant fragrance, and leave the skin looking and feeling smooth and soft after both single and multiple applications. Additionally, preferred formulations maintain or improve the skin condition after multiple applications and no slimy or abnormal feeling is noticed during post application washing.
- the method includes applying to skin a composition that includes:
- composition has a viscosity of at least about 4,000 centipoise at 23° C. when in the absence of an auxiliary thickener, as measured using a very low shear viscometer and T spindles with a heliopath adapter.
- the method includes applying to skin a composition that includes:
- composition has a melt temperature of greater than about 25° C. and a viscosity of at least about 4,000 centipoise at 23° C. when in the absence of an auxiliary thickener, as measured using a very low shear viscometer and T spindles with a heliopath adapter.
- the method includes applying to skin a composition that includes:
- composition has a melt temperature of greater than about 25° C. and a viscosity of at least about 45,000 centipoise after 19 days at 23° C. when in the absence of an auxiliary thickener, as measured using a very low shear viscometer and T spindles with a heliopath adapter.
- the method includes applying to skin a composition that includes:
- At least one emulsifier comprises:
- B a short chain ester of a long chain alcohol or acid
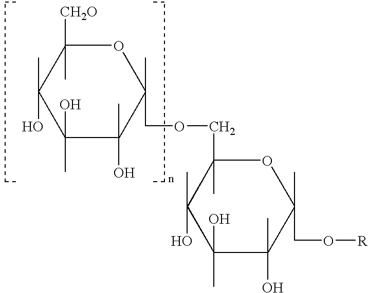
- C a polyglucoside group having 1-10 glucose units
- D a polyglycerol ester group having 1-15 glycerol units
- G a anionic group
- the method includes applying to skin a composition that includes:
- B a short chain ester of a long chain alcohol or acid
- C a polyglucoside group having 1-10 glucose units
- D a polyglycerol ester group having 1-15 glycerol units
- G a anionic group
- composition has a viscosity of at least about 4,000 centipoise at 23° C. when in the absence of an auxiliary thickener, as measured using a very low shear viscometer and T spindles with a heliopath adapter.
- After-shave refers to a lotion, gel, cream, foam, stick, balm, or mousse that is applied to skin.
- the term is also understood to include compositions applied prior to, during, or after shaving which may facilitate the shaving process by improving the shave, reducing irritation, adding lubricity, disinfecting, reducing discomfort of any kind, and any combination thereof.
- Ambient temperature refers to the temperature range between about 21° C. and 25° C. (i.e., of about 21° C. to about 25° C.).
- auxiliary thickeners refers to additives (other than the emulsifiers which comprise the thickener system described below), which increase the viscosity of the solvent phase even in the absence of the thickener system. Certain auxiliary thickeners may act synergistically with the thickener system to increase the viscosity of the resultant formula.
- Auxiliary thickeners include but are not limited to soluble and swellable polymers (e.g. polyacrylic acid polymers such as CARBOPOL, BF Goodrich, Cleveland, Ohio) and associative colloidal thickeners such as silica, magnesium aluminum silicate, and the like.
- “Emollient” as used herein refers broadly to materials which are capable of maintaining or improving the moisture level, compliance, or appearance of the skin when used repeatedly.
- Embodifier as used herein is synonymous with “surfactant” and refers to molecules comprising hydrophilic (polar) and hydrophobic (non-polar) regions on the same molecule.
- Emmulsion refers to a stable dispersion of one liquid in a second immiscible liquid.
- “Lotion” means liquid or cream, free of any propellant.
- Melt temperature refers to the temperature at which compositions or emulsions of the present invention dramatically lose viscosity.
- Polymer as used herein refers to a natural or synthetic molecule having repetitive units and a number average molecular weight of at least 20,000.
- solvent solvent system
- hydroalcoholic solvent hydroalcoholic solvent
- “Stable” as used herein refers to a composition that displays less than or equal to 10% by volume separation after centrifuging at 2275 ⁇ g for 30 minutes at ambient temperature.
- Thickener system refers to a combination of at least one emulsifier, and preferably at least two emulsifiers, each present in a concentration of at least 0.05% by weight capable of providing a viscosity of at least 4,000 centipoise at 23° C. to the compositions used in the methods of the present invention without auxiliary thickeners.
- the invention provides methods of reducing skin irritation associated with shaving using a composition that includes a lower chain alcohol, water, and thickening system. Alcohols used in these compositions are first discussed followed by a discussion of thickening systems. Ingredients that are optionally added to the composition, such as emollients, are then discussed, followed by a discussion of how to prepare compositions used in the methods of the present invention.
- the alcohol used in the compositions is a lower hydrocarbon chain alcohol such as a C1-C4 alcohol.
- the alcohol is chosen from ethanol, 2-propanol, or n-propanol, and most preferably ethanol.
- Ethanol is a preferred alcohol for certain embodiments since it has an odor acceptable to consumers.
- the invention anticipates that a single alcohol may be used or that a blend of two or more alcohols may form the alcohol content of the composition.
- the alcohol to water ratio in the compositions used in the methods of the present invention is between about 20:80 and 100:0 by weight (i.e., within a range of about 20:80 to about 100:0).
- Compositions having alcohol to water ratios below about 20:80 fail to provide much benefit in terms of rapid evaporation or cooling.
- Preferred compositions have alcohol to water ratios within the range of about 35:65 (and more preferably 40:60) to about 95:5 by weight range.
- the alcohol:water ratio is between about 50:50 and 85:15, more preferably between about 60:40 and about 75:25, and most preferably the alcohol:water ratio is between about 64:36 and 72:28 by weight. Higher alcohol to water ratios are used in a preferred embodiment for optimum antimicrobial activity and to ensure the composition is fast drying.
- compositions of the invention affects the cosmetic attributes of the final composition.
- compositions of the invention should maintain an acceptable viscosity at 25° C. and preferably up to 35° C.
- the most preferred formulations are stable to heat and cool cycles (heating up to 50° C. or higher and cooling to ambient temperature) as well as freeze/thaw cycles (cooling to ⁇ 30° C. and warming to ambient temperature). These attributes are affected by the types and amounts of emulsifiers chosen which form the thickener system of the present invention and are discussed below.
- compositions of this invention have a viscosity of at least about 4,000 Centipoise (cps) at 23° C., preferably at least about 10,000 cps, more preferably at least about 20,000, even more preferably at least about 50,000 cps, even more preferably at least about 90,000 cps, and most preferably at least about 100,000 cps, and preferably up to about 500,000 cps, measured using a very low shear viscometer such as Brookfield LVDV-I + viscometer and T spindles with a heliopath adapter. Since the emollient system and other optional ingredients may affect the viscosity (either positively or negatively), the measured viscosity is that of the final composition without any added auxiliary thickeners.
- cps Centipoise
- the viscosity of the compositions used in the methods of the present invention is imparted by a thickener system that includes at least one emulsifier, preferably at least two emulsifiers, and more preferably at least two emulsifiers from different classes.
- at least one of the emulsifiers is a solid at room temperature.
- Such emulsifier preferably includes at least one long chain hydrocarbon of at least 16 carbon atoms, preferably at least 18 carbon atoms, and more preferably at least 22 carbon atoms. At lower alcohol:water ratios of greater than about 60:40, the long chain hydrocarbon preferably has greater than 22 carbon atoms.
- the thickener system can be described in terms of the number average chain length, and preferably has a hydrophobe number average chain length of greater than about 22 carbon atoms.
- Emulsifiers used in the compositions of this invention are comprised of molecules having hydrophilic (polar) and hydrophobic (non-polar) regions on the same molecule and conform to the general structure:
- R represents a hydrophobic group
- L represents a hydrophilic group
- a and b are independently 1 to 4.
- R comprises an alkyl group of at least about 16 carbon atoms, preferably at least about 18 carbon atoms, more preferably at least about 20 carbon atoms, and most preferably at least about 22 carbon atoms; alkenyl group of at least about 16 carbon atoms, preferably at least about 18 carbon atoms, and most preferably at least about 20 carbon atoms; or aralkyl or aralkenyl group of at least about 20 carbon atoms, preferably at least about 24 carbon atoms, and most preferably at least about 26 carbon atoms.
- the alkyl or alkenyl portion of “R” is unbranched.
- “L” represents a hydrophilic group.
- L can also include an anionic group such as a sulfate, sulfonate, phosphate, phosphonate, or carboxylate group, or a zwitterionic group having the formula:
- each R′′ is independently hydrogen or an alkyl group (having 1-5 carbon atoms) or alkenyl group (having 2-4 carbon atoms), which alkyl or alkenyl groups are optionally substituted with nitrogen, oxygen, or sulfur atoms, including alkyl or alkenyl carboxyl groups;
- Q is hydrogen or hydroxyl;
- x is 1 to 4; and
- L′ is —CO 2 ⁇ , —OP(O)(O ⁇ )(O ⁇ M + ), —(O)P(OR′′′)(O)(O ⁇ ) (where R′′′ is hydrogen or an alkyl group of 1-10 carbon atoms optionally substituted in available positions by N, O, or S atoms), —SO 2 O ⁇ , or —OSO 2 O ⁇ , where M + is a positively charged counterion present in a molar ratio necessary to achieve a net neutral charge on the emulsifier and is selected from the group of hydrogen, sodium,
- L can also include an alcohol group; a polyhydric alcohol group such as, but not limited to, ethylene glycol, butylenes glycol, pentaerythrytol, glycerol, and sorbitol; an ethylene oxide and/or propylene oxide group, preferably having 2-150 moles of ethylene oxide plus propylene oxide per mole of hydrophobe (“R”), which is bonded to the hydrophobe through an ether or ester linkage, and optionally terminated by C1-C36 alkyl, C2-C36 alkenyl ester, or C6-C36 alkaryl ester (i.e., aralkyl ester); an ester or ether group of a polyhydric alcohol and their polyalkoxylated derivatives; an ester or ether of sorbitan or polyalkoxylated (i.e., polyalkyleneoxide) sorbitan group, preferably having 2-150 moles of alkylene oxide units per mole of hydrophobe
- R hydropho
- the hydrophobic and hydrophilic groups on non-ionic emulsifiers are generally selected to have a hydrophile/lipophile balance (HLB) of 2 to 20 and more preferably 4 to 16.
- HLB hydrophile/lipophile balance
- the weight average HLB of the thickener system is preferably 4 to 16 and more preferably 8 to 12.
- a thickener system comprised of 40% by weight of an emulsifier with an HLB of 10 and 60% by weight of an emulsifier with an HLB of 15 has a weight average HLB of 13.
- the emulsifiers of the thickener systems may be chosen from a single class of surfactants (e.g., a mixture of chain length alkyl polyglucosides) but is preferably a mixture of emulsifier classes.
- Many commercially available emulsifiers are actually comprised of a mixture of chain lengths.
- some behenyl alcohol as commercially supplied is actually a mixture of alcohols consisting of primarily C22 and C20 fractions but contain detectable levels of C24, C18 and C16 fractions.
- the chain lengths specified herein refer to the number average chain length.
- each emulsifier must be present in a concentration of at least about 0.05% and more preferably at least about 0.1% by weight to be considered a component of a thickener system.
- Thickener systems of the present invention are capable of achieving high viscosities at relatively low total emulsifier concentrations.
- the total concentration of emulsifiers present as a thickener system for creams and lotions is generally less than about 8% by weight, preferably less than about 5% by weight, more preferably less than about 4% by weight, and most preferably less than about 3% by weight of the total composition.
- the thickener system is present in the composition in an amount of at least about 0.5% by weight, based on the total weight of the composition.
- the thickener system comprises between about 0.75% by weight to about 5% by weight, more preferably between about 1.0% by weight to about 3.5% by weight and most preferably between about 1.5% by weight to about 3% by weight of the composition.
- an emulsifier is considered part of the thickener system if its presence in the formula results in an increase in the viscosity of the composition. If a certain emulsifier does not result in increasing the viscosity of the composition, it is considered an emollient or stabilizer as defined below.
- Preferred methods of the present invention include compositions that are substantially free of polymeric thickening agents and have a “melt temperature” (Tm). If compositions are heated above this melt temperature, they dramatically lose viscosity.
- the compositions preferably have melt temperatures greater than 25° C. in order to maintain a high viscosity at room temperature. More preferably the melt temperature is greater than 35° C. in order to maintain viscosity once applied to the skin.
- the most preferred formulations have a melt temperature greater than 40° C. in order to allow shipping and handling without refrigeration.
- Thickener systems affect the melt temperature of a given composition.
- a preferred thickener system includes at least one emulsifier, which is solid at ambient temperature. Preferably, all emulsifiers of a thickener system are solid at ambient temperature to increase the melt temperature of the resultant composition.
- the structure of emulsifiers in a thickener system affects the melt temperature of the resultant composition.
- at least one emulsifier in a thickener system is capable of promoting a crystalline structure. Crystallinity is promoted by long straight chain alkyl groups, therefore, at least one emulsifier preferably comprises a saturated straight chain hydrocarbon of at least 16, preferably at least 18 and most preferably at least 20 carbon atoms. Certain hydrophilic head groups have been found to particularly promote association and crystallization.
- Suitable crystalline emulsifiers include alkyl alcohols, alkyl polyglucosides, polyglycerol alkyl esters, C1-C4 esters of alkyl alcohols, C1-C4 esters of alkyl carboxylates, optionally substituted alkyl amides, alkyl betaines and alkyl phosphates or phospholipids, alkyl quaternary amines, alkyl amine oxides polyethoxylated alkyl alcohols and alkyl esters of polyethylene glycol.
- the emulsifier chain length also helps to determine the maximum level of ethanol which can be used in the composition and the concentration of emulsifiers required in the thickener system.
- concentration of ethanol increases the chain length of the hydrocarbon chains in a thickening system must also increase in order to maintain a melt temperature over 35° C.
- the amount of lower alcohol in the hydroalcoholic system can affect the choice of surfactant (i.e., emulsifier), and vice versa.
- the thickener system should include at least one surfactant having a number average chain length of at least 16 carbon atoms.
- the thickener system should include at least one surfactant having a number average chain length of at least 18 carbon atoms.
- the thickener system should include at least one surfactant having a number average chain length of at least 20 carbon atoms.
- the MONTANOV 68 (C16/C18 alkyl polyglucoside)/BRIJ 76 (polyethoxylated C18 alcohol) thickener system requires approximately 5% total emulsifier to achieve a suitable viscosity.
- a similar system based on C22 hydrophobes achieves a suitable viscosity at only 2% total emulsifier.
- hydrophilic head groups of emulsifiers are important and help to determine which thickening systems produce viscous stable systems. Certain combinations of emulsifiers will produce viscous stable emulsions. Without being bound by theory, it is believed that the size, charge, and degree of hydrogen bonding are important parameters to determine how emulsifiers interact.
- Many preferred thickener systems are capable of producing viscoelastic compositions, which are very stable. By varying the ratio of emulsifiers, the degree of elasticity can be adjusted from almost a purely viscous composition to a highly elastic and even stringy composition. If emollients are added, increasing the elasticity of the system imparts added stability to prevent separation of immiscible emollients. Excessive elasticity, however, is not preferred since an elastic composition usually does not provide a cosmetically appealing product. Addition of certain emulsifiers with at least two hydrophobic components has been shown to limit the viscoelasticity while ensuring viscous stable compositions. A favored class of multiple hydrophobic component emulsifiers are quaternary ammonium salts conforming substantially to the following structure:
- R′ and R′′ are long chain alkyl or alkenyl hydrocarbon chains of at least 16 carbon atoms
- R′′′ is a short chain alkyl group of 1 to 4 carbon atoms, preferably methyl or ethyl;
- R′′′′ is equivalent to either R′ or R′′′ and is preferably equivalent to R′′′;
- X is a halogen, R′′′SO 3 —, R′′′SO 4 —, or R′′′CO 2 —
- Some preferred structures include distearyldimethylammonium chloride, dibehenyldimethylammonium chloride, and dibehenyldimethylammonium methosulfate, while dibehenyldimethylammonium methosulfate is a more preferred structure.
- Suitable multiple hydrophobic emulsifiers include dialkylglycerol esters, trialkylglycerol esters, polyglycerol alkyl esters, ethylene glycol dialkylesters, polyethylene glycol dialkylesters, dialkylamides of diamines such as ethylene diamine, polyalkylesters of pentaerythritol and dialkyl (optionally ethoxylated) phosphates, and alkyl esters of polyethoxylated alkyl alcohols.
- emulsifier classes are offered as nonlimiting examples of suitable emulsifiers for use in the present invention. Examples of some preferred emulsifiers are provided for each emulsifier class.
- Nonlimiting examples of preferred alkyl or alkenyl polyglucoside emulsifiers include cetearyl glucoside sold as MONTANOV 68 by Seppic, Inc. of Fairfield, N.J.; behenyl glucoside, produced experimentally as ESSAI 624 MP, an alkyl polyglucoside prepared with 92% C-22 alcohol and corn-derived glucoside by Seppic, Inc.; and oleyl glucoside.
- R is as defined immediately above for Emulsifier Class 1; and R′ is C1-C4 branched or straight chain alkyl group, optionally substituted in available positions by hydroxyl groups.
- Some preferred short chain esters of long chain alcohols or acids include but are not limited to methyl behenate sold as KEMESTER 9022 by Crompton Corp., Greenwich, Conn.; methyl stearate sold as KEMESTER 4516 by Crompton Corp.; methyl oleate sold as KEMESTER 205 by Crompton Corp.; arachidyl proprionate available as WAXENOL 801 from Alzo of Sayreville, N.J.; behenyl lactate, stearyl acetate; and glycerol monoerucate available from Croda, Inc. of Parsippany, N.J.
- R 6 is a straight or branched chain alkyl or alkenyl hydrocarbon chain of at least 16 carbon atoms, preferably at least 18, more preferably at least 20 carbon atoms, and most preferably at least 22 carbon atoms, optionally substituted in available positions by N, O, or S atoms; or an aralkyl or aralkenyl group of at least 16 carbon atoms, preferably at least 22 carbon atoms, more preferably at least 24 carbon atoms, and most preferably at least 26 carbon atoms, optionally substituted in available positions by N, O, and S atoms.
- Nonlimiting examples of preferred alkyl and alkenyl alcohol emulsifiers useful in a thickener system of the invention include stearyl alcohol available as LANETTE 18 from Henkel's Emery Division of Cincinnati, Ohio; behenyl alcohol available as LANETTE 22 from Henkel; oleyl alcohol available as NOVOL from Croda; C-24 alcohol available as UNILIN 350 from Petrolite of Tulsa, Okla.; C31 alcohol available as UNILIN 425 from Petrolite; and arachidyl alcohol available as AR-20 from M. Michel and Co. of New York, N.Y.
- Some examples of preferred polyglycerol ester emulsifiers useful in a thickener system of the present invention include but are not limited to decaglycerol monostearate available as POLYALDO 10-1-S from Lonza Inc. of Fairlawn, N.J.; tetraglycerol monostearate available as TETRAGLYN 1-S from Barnet Products Corporation of Englewood Cliffs, N.J.; and decaglyceroltetrabehenate.
- R is as defined above in Emulsifier Class 1;
- R 2 is the same as R 3 or a long chain alkyl or alkenyl hydrocarbon chain of at least 16 carbon atoms, preferably at least 18 and more preferably at least 20 carbon atoms optionally substituted in available positions by N, O, and S; or an aralkyl or aralkenyl group of at least 22 carbon atoms, preferably at least 24 carbon atoms, and most preferably at least 26 carbon atoms;
- R 3 is a short chain alkyl group of 1 to 4 carbon atoms, preferably methyl or ethyl;
- R 4 is equivalent to either R 2 or R 3 and is preferably equivalent to R 3 ;
- X is a halogen, R 5 SO 3 —, R 5 SO 4 ⁇ , R 5 CO 2 ⁇ , (R 5 ) 2 PO 4 ⁇ , or (R 5 )PO 4 ⁇ ; where R 5 is defined in Class 6 below.
- Nonlimiting examples of quaternary amine emulsifiers include dibehenyldimethylammonium methosulfate available as INCORQUAT DBM-90 from Croda; behenyltrimethylammonium chloride available as NIKKOL CA-2580 from Barnet; and tallowtrimethylammonium chloride available as ARQUAD T-27W from Akzo Chemicals, Inc. of Chicago, Ill.
- R, R 2 , and R 3 are as defined above in Class 5 and R 2 and R 3 may also be selected from polyethoxylated or polyproxylated alkyl or alkenyl alcohol chains having 1-50 moles of ethylene oxide or propylene oxide groups per mole of a emulsifier and Y is a halogen, R 5 SO 3 —, R 5 SO 4 —, R 5 CO 2 —, (R 5 )PO 4 ⁇ , or (R 5 )PO 4 ⁇ , where R 5 is an alkyl or alkenyl group of 1-22 carbon atoms optionally substituted in available positions by N, O, and S.
- emulsifiers from the class of tertiary amines and their protonated salts useful in a thickener system of the invention include but are not limited to behenamidopropyldimethylamine available as INCROMINE BB from Croda; behenamidopropyldimethylamine gluconate; tallowdimethylamine hydrochloride; dihydrogenated tallow methyl amine; stearyl diethanolamine hydrochloride; polyethoxylated stearyl diethanolamine hydrochloride.
- R 2 and R 3 are as defined above for Class 5 and R 6 is as defined above for Class 3.
- Nonlimiting examples of emulsifiers from the class of amine oxides suitable in a thickener system of the invention include behenamine oxide (behenyldimethylamine oxide) available as INCROMINE B-30P from Croda; stearamine oxide available as INCROMINE Oxide S from Croda; behenamidopropyldimethyl amine oxide; and bis(2-hydroxyethyl)tallow amine oxide available as AROMOX T/12 from Akzo.
- Class 8 Polyethoxylated and/or Polypropoxylated Alcohols and Esters and Derivatives Thereof
- R 8 H or —C(O)—R 12 ,
- R 12 is an alkyl or alkenyl group of 1-36 carbon atoms optionally substituted by N, O or S, or an aralkyl group of 6 to 36 carbon atoms;
- emulsifiers from the class of polyethoxylated alcohols and esters include but are not limited to steareth-2 available as BRIJ 72 from ICI Americas Inc. of Wilmington, Del.; steareth-10 available as BRIJ 76 from ICI; beheneth-5 available as NIKKOL BB-5 from Barnet Products Inc.; beheneth-10 available as NIKKOL BB-10 from Barnet; C31 alkyl-10EO available as UNITHOX 450 from Petrolite Corp. of Tulsa, Okla.; C31 alkyl-40 EO available as UNITHOX 480 from Petrolite, and the lauric ester of UNITHOX 480 available from Petrolite as X-5171.
- R is as defined above for Emulsifier Class 1; each R 7 is independently hydrogen or an alkyl group (having 1-5 carbon atoms) or alkenyl group (having 2-4 carbon atoms), which alkyl or alkenyl groups are optionally substituted with nitrogen, oxygen, or sulfur atoms, including alkyl or alkenyl carboxyl groups; Q is hydrogen or hydroxyl; x is 1 to 4; and L′ is —CO 2 ⁇ , —OP(O)(O ⁇ )(O ⁇ M + ), —(O)P(OR′′′)(O)(O ⁇ ) (where R′′′ is hydrogen or an alkyl group of 1-10 carbon atoms optionally substituted in available positions by N, O, or S atoms) —SO 2 O ⁇ , or —OSO 2 O ⁇ , where M + is a positively charged counterion present in a molar ratio necessary to achieve a net neutral charge on the emuls
- Nonlimiting examples of emulsifiers from the class of zwitterions useful in the emulsifier system of the invention include stearamidopropylPG-dimmonium chloride phosphate available as PHOSPHOLIPID SV from Uniqema of Paterson, N.J.; and behenyl betaine available as INCRONAM B-40 from Croda.
- R 6 , R 7 , and R 12 are as defined above in Classes 3, 9, and 8 respectively.
- Examples of some preferred emulsifiers from the class of alkyl and alkenyl amides useful in a thickener system of the invention include but are not limited to behenamide available as KEMAMIDE B from Crompton Corp.; stearamide available as UNIWAX 1750 from Petrolite; Behenamidopropyldimethyl amine available as INCROMINE BB from Croda; stearyldiethanolamide available as LIPAMIDE S from Lipo Chemicals Inc. of Paterson, N.J.; and Erucamide available as ARMID E from Akzo.
- esters and ethers examples include glycerol monobehenate, pentaerythritol distearate and glycerol tribehenate.
- Esters and ethers of polyethoxylated polyhydric alcohols are also useful.
- these include but are not limited to polyethoxylated glycerol monostearate, polyethoxylated penta erythritol behenate, polyethoxylated propylene glycol monostearate.
- R 14 is an alkyl, alkenyl, or aralky group of at least 16 carbon atoms, preferably at least 18 carbon atoms and most preferably at least 20 carbon atoms optionally comprising oxygen, nitrogen, or sulfur atoms within or substituted upon the alkyl or alkenyl chain; or a polyethoxylated and/or polypropoxylated alkyl, alkenyl or aralkyl group, which alkyl, alkenyl, or aralkyl group comprises at least 16 carbon atoms, preferably at least 18 carbon atoms and most preferably at least 20 carbon atoms optionally comprising oxygen, nitrogen, or sulfur atoms within or substituted upon the alkyl, alkenyl, or aralkyl chain.
- R 14 comprises a polyethoxylated or polypropoxylated substituent or a copolymeric substituent of ethylene oxide and propylene oxide
- these subunits are present in amounts of 1 to 100 moles, preferably 1 to 20 moles per mole of hydrophobe
- L is sulfate (—OSO 2 O ⁇ ), sulfonate (—SO 2 O ⁇ ), phosphate ((—O) 2 P(O)O ⁇ or —OP(O)(O ⁇ ) 2 ), or carboxylate (—CO 2 ⁇ )
- M is hydrogen (H + ), sodium (Na + ), potassium (K + ), lithium (Li + ), ammonium (NH 4 + ), calcium (Ca +2 ), magnesium (Mg +2 ), or R′′A + , wherein R′′ is hydrogen or an alkyl or cycloalkyl group of about 1 to 10 carbon atoms, and A + is selected from the group consisting of N + (R) 3
- Nonlimiting examples of preferred emulsifiers from the anionic class of emulsifiers suitable for use in a thickener system of the invention include behenic acid available as Croacid B from Croda, Inc.; stearyl phosphate available as Sippostat 0018 from Specialty Industrial Products, Inc. of Spartanburg, S.C.; and sodium stearate available from Crompton Corp..
- R 6 is as defined above in Emulsifier Class 3, R 13 is H or —C(O)R 6 and each v is independently 0-30.
- Fatty acid esters of sorbitan and its polyethoxylated derivatives, polyoxyethylene derivatives of mono and poly-fatty esters are also examples of additional emulsifiers useful in the present invention.
- compositions used in the methods of the present invention is believed to be that of an emulsion.
- a classic definition of an emulsion is a stable dispersion of one liquid in a second immiscible liquid.
- the present composition is preferably formed using at least one emulsifier that is a solid wax at room temperature.
- the compositions described herein are believed to be a viscous stable mixture of a solid, semisolid, or liquid phase in a second liquid phase.
- hydrophobic emulsifiers and immiscible emollients form an “oil” or hydrophobic phase which is dispersed in the hydroalcoholic liquid phase to form an “oil” in “water” emulsion.
- the hydroalcoholic phase is referred to herein as the “water” phase. Since many preferred emulsions are somewhat viscoelastic, these emulsions are believed to be liquid crystalline emulsions that have been cooled below the crystallization temperatures of the chosen emulsifiers to form a semi-crystalline gel-like network.
- compositions described herein may also exist as combinations of these structures.
- Liquid crystalline and coagel phases in aqueous systems are described in “Application of Emulsion Stability Grafs to Mobile and Semisolid O/W Emulsions,” Cosmetics and Toiletries, Vol. 101, pp 73-92 (1986), and “Influence of Long Chain Alcohols (or Acids) and Surfactants on the Stability and Consistencies of Cosmetic Lotions and Creams,” Cosmetics and Toiletries, Vol. 92, pp. 21-28 (1977) both of which are hereby incorporated by reference.
- the exact type of molecular association that occurs depends on many factors including the nature, size, and physical and chemical states of the polar and hydrocarbon portions of the emulsifiers that form the thickener system at a specified temperature.
- liquid crystalline or coag gel phases interact with light in such a way as to provide a pearlescent or opalescent appearance.
- the resulting rainbow effect aesthetically enhances the appearance of the formulation without added dyes or pigments.
- Emulsifiers other than those required in the composition to provide a thickener system may also be added as emollients or stabilizers. These emulsifiers are referred to herein as auxiliary emulsifiers.
- auxiliary emulsifiers For example, certain emollients are also comprised of hydrophobic and hydrophilic regions and are useful in the present invention since they are believed to become incorporated into the liquid crystalline network. These emollients tend to enhance the stability of the composition as is discussed more fully below.
- certain dimethicone copolyol surfactants can actually improve the stability of formulations incorporating emollients. This is also discussed in more detail below.
- compositions of the present invention may optionally include ingredients such as salts, emollients, stabilizers, antimicrobials, fragrances, therapeutic agents, propellants and additional emulsifiers.
- ingredients such as salts, emollients, stabilizers, antimicrobials, fragrances, therapeutic agents, propellants and additional emulsifiers.
- the melt temperature of the compositions used in the methods of the present invention may be increased by adding salts. As the concentration of salt is increased, the ratio of emulsifiers will often need to change in order to maintain a stable composition. It is important to choose salts that do not create an unstable system.
- a stable composition is one that does not separate more than 10% by volume after centrifuging at 2275 ⁇ g for 20 minutes as measured at the longitudinal midpoint of the sample tube. It is also recognized that stability may be time dependent due to crystallization of emulsifiers and/or emollients present in the system, coalescence of emollients, emulsifiers and the like and, therefore, preferred compositions do not exhibit separation of more than 10% after standing for 6 months at ambient conditions.
- Two types of stabilizers are useful in the present invention. These include (1) those stabilizers that complex with emulsifier hydrophilic head groups, and (2) those that associate with the emulsifier hydrophobic tails. Certain stabilizers may perform both functions.
- emulsifiers comprising 1,2 diol-containing head groups such as alkylpolyglucosides, monoalkylglycerides, and polyglycerol alkyl esters
- emulsifiers may be “stabilized” by adding borate ion.
- borate ions complex with adjacent head groups which may increase the association of hydrophobic tails by holding them in close proximity.
- Natural or synthetic polymers comprised of pendent long chain alkyl groups (greater than 12 and preferably greater than 16 carbon atoms) such as stearyl modified cellulose derivatives, stearyl modified proteins such as wheat protein, stearyl modified collagen and the like are capable of stabilizing compositions of the present invention.
- Such added components may also increase the melt temperature of compositions of the present invention. It is believed that the pendent alkyl groups in these polymers associate by Van der Waals interactions with the hydrophobes of a thickening system, thereby enhancing the stability of the crystalline structure. Polymeric thickeners that do not have associative pendent alkyl chains may also increase the melt temperature presumably by increasing the viscosity of the continuous phase.
- a nonlimiting example of such thickeners are quaternary celluloses such as CELQUAT 230M as available from National Starch of Bridgewater, N.J.
- stearyldimonium hydroxypropyl cellulose commercially available as CRODACEL QS from Croda Inc., Parsippany, N.J. is added as a stabilizer.
- Emollients are typically added to hand and body lotions because they act to increase the moisture content of the stratum corneum. Emollients are generally separated into two broad classes based on their function. The first class of emollients function by forming an occlusive barrier to prevent water evaporation from the stratum corneum. The second class of emollients penetrate into the stratum corneum and physically bind water to prevent evaporation. The first class of emollients is subdivided into compounds that are waxes at room temperature and compounds that are liquid oils. The second class of emollients includes those that are water soluble and are often referred to as humectants.
- the thickener system is considered separate and distinct from any emollients which may be added even though it is recognized that the emulsifiers may function as occlusive emollients and aid in maintaining or improving the skin condition.
- Emollients are included in a preferred embodiment of the invention and preferably comprise between about 3 and 30%, more preferably between about 4 and 20% and most preferably between about 5 and 12% by weight of the formulation.
- the ratio of wax to liquid emollients (oils and humectants) in a preferred embodiment of the invention is between about 5:1 to 1:5 and preferably between about 1:3 to 3:1. Also, the ratio of wax emollients and wax emulsifiers to liquid emollients and liquid emulsifiers in a preferred embodiment of this invention is from about 1:5 to about 5:1, and more preferably, from about 1:3 to about 3:1.
- Emollients may be selected from any of the classes known in the art. A general list of useful emollients appears in U.S. Pat. No.
- emollients are chosen from the following nonlimiting list of general emollients, occlusive emollients and humectants.
- general emollients include short chain alkyl or aryl esters (C1-C6) of long chain straight or branched chain alkyl or alkenyl alcohols or acids (C8-C36) and their polyethoxylated derivatives; short chain alkyl or aryl esters (C1-C6) of C4-C12 diacids or diols optionally substituted in available positions by —OH; alkyl or aryl C1-C9 esters of glycerol, pentaerythritol, ethylene glycol, propylene glycol, as well as polyethoxylated derivatives of these and polyethylene glycol; C12-C22 alkyl esters or ethers of polypropylene glycol; C12-C22 alkyl esters or ethers of polypropylene glyco
- occlusive emollients include cyclic dimethicones, polydialkylsiloxanes, polyaryl/alkylsiloxanes, long chain (C8-C36) alkyl and alkenyl esters of long straight or branched chain alkyl or alkenyl alcohols or acids; long chain (C8-C36) alkyl and alkenyl amides of long straight or branched chain (C8-C36) alkyl or alkenyl amines or acids; hydrocarbons including straight and branched chain alkanes and alkenes such as squalene, squalane, and mineral oil; polysiloxane polyalkylene copolymers, dialkoxy dimethyl polysiloxanes, short chain alkyl or aryl esters (C1-C6) of C12-C22 diacids or diols optionally substituted in available
- Nonlimiting examples of preferred humectant type emollients include glycerol, propylene glycol, dipropylene glycol, polypropylene glycol, polyethylene glycol, sorbitol, pantothenol, gluconic acid salts and the like.
- emollients may also affect the viscosity, stability, and melt temperature of a composition. It is anticipated that a single emollient may be added to the present invention or two or more emollients may be added to the composition. A wide range of emollients may be added to the formulations of the present invention. Preferably wax and oil type emollients along with water soluble emollients are used.
- emollient systems are comprised of humectants in addition to occlusive wax and oil emollients in concentrations which achieve a moisturizing but not greasy composition which maintains and improves the condition of the skin upon repeated use.
- emollients are non-comedogenic, non-acnegenic, and are chosen to ensure no skin irritation or sensitization reaction occurs.
- emollients are added to the present compositions, they may be present in four distinct regions.
- the emollients could occur (1) as a soluble species in the solvent phase, (2) dispersed as emulsified droplets within the mixed emulsifier micelle or crystalline gel network, (3) incorporated into the mixed emulsifier micelle or crystalline gel network, or (4) as a separate and distinct emulsion.
- emollients can affect the melt temperature of a composition. Those emollients that are soluble or dispersible in the solvent phase tend to have little or no affect on the melt temperature and are therefore preferred.
- emollients include the humectant and general emollients.
- the most preferred general emollients are those which are essentially insoluble in water but soluble in the hydroalcoholic solvent. These emollients are also preferred since they remain soluble and uniformly dispersed even above the melt temperature so that upon cooling to room temperature a uniform composition results.
- Such general emollients typically do not have alkyl or alkenyl chains greater than about 14, preferably not greater than 12 and most preferably not greater than about 9 carbon atoms.
- emollients which are insoluble in the hydroalcoholic solvent may associate with the emulsifiers of the thickener system and/or become incorporated into the micelle or crystalline gel network.
- Preferred emollients within this class are those emollients that are very hydrophobic since they tend to maintain a high melt temperature. For example, hexadecane was found to increase the viscoelasticity of certain thickener systems.
- Those emollients which are capable of associating with and disrupting the emulsifiers of the thickener system tend to decrease the melt temperature and may influence the stability of the composition.
- Certain branch alkyl esters of greater than about 12 carbon atoms per hydrophobe have been found to be particularly effective at decreasing the melt temperature. For example, trioctyldodecyl citrate has been found to significantly decrease the melt temperature of some systems.
- Emollients which become incorporated into the thickener system tend to decrease the melt temperature.
- laureth-4 (BRIJ 30) appears to incorporate into the thickener system since it does not phase out when heated above the melt temperature at concentrations below about 1% by weight.
- Laureth-4 also tends to decrease the melt temperature of the composition.
- Certain emollients which are insoluble in the hydroalcoholic solvent can be emulsified in what is believed to be a separate and distinct emulsion. These emollients have little affect on the melt temperature of a composition.
- certain cyclic silicones, polysiloxanes, and dialkoxypolysiloxanes can be emulsified in hydroalcoholic solvents using polyether/polysiloxane copolymers surfactants. Cyclic silicones such as DC344 (available from Dow Corning of Midland, Mich.) in the presence of certain polyether/polysiloxane copolymers such as ABIL B88183 available from Goldschmidt Chemical Corp.
- R is a straight chain alkyl group of 14-50, preferably 16-24 carbon atoms
- R 8 is a polyether substituted alkyl group with the structure:
- R 9 is an alkyl group of 1 to 6 carbon atoms
- R 10 is hydrogen or an alky group of 1-22 carbon atoms
- R 11 is an alkyl group of 1 to 22 carbon atoms or phenyl
- wax emulsifiers/emollients have been found to be particularly useful and include solid waxy esters such as: Myristyl Myristate, Cetyl Palmitate, Myristyl Stearate, Stearyl Behenate, Behenyl Isostearate, Isostearyl Behenate, Behenyl Behenate, Lauryl Behenate, Behenyl Erucate. These have the following formula:
- R 1 is at least 14 carbon atoms
- R 2 is an alkyl or alkenyl of at least 4 carbon atoms.
- Long chain hydrocarbon di-esters, tri-esters, of polyhydric alcohols with melting point greater than 23° C. include solid esters such as glycerol tribehenate and sorbitan tristearate.
- lanolins and lanolin derivatives e.g. hydrogenated lanolin
- Petrolatums provide excellent emolliency and can also improve the stability of the emulsion when used in combination with oil emollients.
- Petrolatums are mixtures of oily and waxy long chain hydrocarbons.
- Microcrystalline waxes and branched hydrocarbon waxes with a melting point greater than 50° C. and a molecular weight greater than 400 includes but is not limited to VYBAR 103 which is a branched hydrocarbon with a number average molecular weight of 2800 and is available from Petrolite Corp. of Tulsa, Okla. and ULTRAFLEX which is a microcrystalline wax also available from Petrolite Corp.
- Oxidized waxes and modified hydrocarbon waxes may find application in the present invention. These are prepared from waxes modified by oxidation, salts of oxidized waxes, maleic anhydride adducts of polyolefins and urethane derivatives of oxidized synthetic or petroleum waxes. Applicable waxes could include Petrolite's Cardis or Petronauba microcrystalline and polyethylene-based oxidized products, Polymekon (salts) and Ceramer (anhydride adducts).
- Fully saturated homopolymers of polyethylene or copolymers of various alkene monomers may be used to form polymers with a molecular weight at or below 3,000 with a melting point below 130° C. and low melt viscosities.
- Applicable waxes could include POLYWAX available from Petrolite Corp.
- the formulations may also include a fragrance. If fragrances are included the fragrances must be chosen carefully since some fragrances are known to cause skin irritation and/or sensitization reactions.
- One or more fragrances can be used in compositions of this invention in amounts ranging from about 0.5 to about 8%, preferably from about 1 to about 4% by weight.
- a fragrance formulation may include such components as C10-C30 terpenes, C5-C50 aldehydes, C5-C50 ketones, C5-C50 esters and combinations thereof.
- Preferred fragrances are liquids at room temperature and are relatively volatile having a closed cup flashpoint of less than 120 C and preferably less than 95 C when tested according to ASTM D-56 “Standard Method for Flashpoint by Tag Closed Tester.”
- the following is a list of illustrative specific fragrance components: iso-amyl salicylate, carvacrol, clove leaf oil, ethyl salicylate, iso-eugenol, hexyl salicylate, thyme oil red, geraniol, limonene, 6-acetyl-1,1,3,4,4,6-hexamethyl-tetrahydronaphthalene, p-t-amyl cyclohexanone, 2-n-heptylcyclo-pentanone, a-iso-methyl ionone, beta-methyl naphthyl ketone, iso-butyl quinoline, methyl anthranilate, o-t-butylcyclohexy
- compositions used in the methods of the present invention may also be formulated into an aerosol foam or mousse by addition of an appropriate propellant.
- the propellant must be chosen to ensure proper delivery from the container to prevent clogging of the valve.
- the propellant can be chosen from chlorofluorocarbons (CFCs), hydrochlorofluorocarbons (HCFCs), hydrofluorocarbons (HFCs), perfluorinated alkanes, and lower alkanes (C1-C5) as well as nitrous oxide dimethyl ether and other solvent-soluble propellants.
- Preferred propellants are lower alkanes such as propane, butane, and isobutane since these result in a dramatic loss in viscosity making the formulation easy to dispense.
- a 70/30 mixture of propane/isobutane is a particularly preferred embodiment.
- the lotion is first formulated and charged into an appropriate pressure rated container. If convenient, the formulation may be heated above the melt temperature in order to facilitate filling. The propellant is then added under pressure at approximately 2-30% preferably 3-20% by volume. The propellant may form a separate layer or may remain emulsified in the composition.
- compositions used in the methods of the present invention may be prepared by a variety of techniques.
- the process can often be as simple as adding the thickener system to the hydroalcoholic solvent at a temperature above the melting point of the emulsifiers, mixing briefly and cooling.
- the components are preferably subjected to high shear (e.g. homogenized) for a limited time period while above the melting point of the thickener system followed by low shear mixing while cooling.
- high shear e.g. homogenized
- the system should be mixed under high shear long enough to ensure a very small “droplet” size, however, excessive high shear mixing may result in decreased viscosity and stability.
- the cooling rate may be important depending on the particular thickener system. Certain thickener systems can be homogenized and then allowed to cool slowly, however, rapid cooling appears beneficial for most systems.
- the order of adding the components may also affect the stability and viscosity of the system. In general it works well to melt the mixed emulsifiers with aqueous-insoluble emollients together in one vessel. The hydroalcoholic solvent and any aqueous miscible emollients are mixed in a second vessel. Both components are heated above the melting temperature of the thickener system. The hot liquid components are mixed together rapidly followed by approximately 1 to 5 minutes of homogenization for typical batches under 500 grams. While still low in viscosity the system is stirred using moderate agitation and cooled.
- molten thickener system along with any solvent insoluble emollients to hot water (i.e., water at a temperature above the melting temperature) followed by high shear mixing and subsequent dilution with alcohol.
- hot water i.e., water at a temperature above the melting temperature
- high shear mixing and subsequent dilution with alcohol are easily determined by one skilled in the art.
- viscosity was measured at 23° C. at ambient pressure using a Brookfield LVDV-I + viscometer equipped with a model D Brookfield heliopath and T spindles B-F.
- the spindle and speed was chosen for each particular sample such that the viscometer was operating in the middle of its range. All samples were allowed to equilibrate at 23° C. for 24 hours prior to measurement.
- the viscosity is taken at the lowest speed possible while staying within 20-80% of the viscometer range and more preferably between 30-70% of the range. In all cases the sample size and container geometry was chosen to ensure that there were no wall effects.
- the melt temperature was measured by placing approximately 15 grams sample in a 25 cubic centimeter (cc) sealed glass vial and placing the vial in a water bath. The temperature of the bath was increased periodically in discrete increments and the contents checked after approximately 1 hour at a given temperature. The melt temperature was taken as the temperature at which the mixture became very low in viscosity.
- compositions of this invention are preferably formulated with emollients to achieve a moisturized but relatively dry feel. Compositions with excessive emollients tend to be perceived as greasy.
- the formulations of this invention do not provide a tacky or sticky feel even in high humidity environments throughout the application process.
- the invention formulations preferably yield a smooth, soft, nontacky, and moisturized feeling. Testing of the cosmetic or tactile properties of the compositions was conducted with preferably greater than ten evaluators who applied a premeasured amount of product, approximately 2 ml.
- Each formulation was prepared by placing the ingredients of Part A into a 200 ml glass jar and heating to 90° C. for an hour to melt the emulsifiers with constant stirring. If the emulsifiers were not melted, a heat gun was applied with constant stirring. At the same time ingredients of Part B were placed into another 200 ml glass jar and heated to 85° C. for an hour. Next Part B was added to Part A and the mixture was sheared on a Silverson homogenizer at high (100%) speed for one minute. The glass jar was sealed with a screw cap and heated to 56° C. for approximately one hour. This was cooled while rolling slowly on its side for approximately one hour.
- Part C was placed in a 200 ml jar and slowly added to the cooled combined formulation and shaken vigorously by hand for 60 seconds or until homogenous. The entire formulation was sheared again on the homogenizer at high speed (100%) for one minute. The steps of shaking and shearing were repeated. This was allowed to cool and the formulation was centrifuged by placing it in a 250 ml centrifuge bottle and spinning at low speed, e.g., less than 500 rpm to remove air bubbles.
- compositions were prepared by separately heating the solvent and the thickener system to 65-70° C.
- the solvent was rapidly added to the thickener system followed by stirring with an overhead paddle stirrer with the glass container immersed in a 10° C. water bath.
- Each composition was mixed for 4.5 minutes after which the compositions cooled sufficiently for the emulsifiers to solidify.
Landscapes
- Health & Medical Sciences (AREA)
- Life Sciences & Earth Sciences (AREA)
- Animal Behavior & Ethology (AREA)
- General Health & Medical Sciences (AREA)
- Public Health (AREA)
- Veterinary Medicine (AREA)
- Birds (AREA)
- Epidemiology (AREA)
- Dermatology (AREA)
- Emergency Medicine (AREA)
- Cosmetics (AREA)
Abstract
Methods for reducing skin irritation associated with shaving (i.e., before, during, and/or after shaving) using compositions including a lower alcohol and water in a weight ratio of about 20:80 to 100:0, between at least 0.5% and 8.0% by weight thickener system comprised of at least one emulsifier, each emulsifier present in at least 0.05% by weight wherein the composition free of auxiliary thickeners has a viscosity of at least 4,000 centipoise at 23 degrees C.
Description
- Removal of unwanted body hair has been a regular part of daily grooming for centuries. Shaving is by far the most common method of hair removal for both men and women. It is quick and easy, painless, effective, and inexpensive. The results last only one to three days, however, hence shaving requires a dedicated effort to remain hair-free. Shaving is performed with a razor on wet skin using shaving cream or other lubricants, orienting the razor against the direction of hair growth. For sensitive areas, shaving in the direction of hair growth may reduce cuts. The most common problems associated with shaving are skin irritation, nicks and cuts in the skin, and ingrown hair (pseudofolliculitis barbae). Some skin irritation or trauma is unavoidable because some stratum corneum is removed along with the hair and because the skin is degreased and dried by the surfactants used in shaving products.
- Control of skin irritation related to shaving is of concern to men and women alike. One of the most effective methods for controlling skin irritation is through the use of an after-shave composition. After-shave compositions are intended to not only to relieve skin irritation but also to provide a cooling and refreshing feeling and impart a mild astringent effect which tightens the skin. They also may act in antimicrobial fashion, reducing the presence of bacteria and thus protecting the skin from infection while it recovers from the mild injury.
- Numerous types of after-shave compositions are known. They can take the form of a lotion, gel, quick-breaking foam, or balm and typically contain significant levels of alcohol, which in addition to being antiseptic provides a cooling and astringent effect and enhances the drying rate of the composition when applied to skin. The presence of alcohol also serves to prevent contamination of the composition by microorganisms, both during manufacture and storage and after the composition's container is opened and put into use.
- Prior art compositions have sought to eliminate the stinging associated with the use of volatile alcohols by reducing the amount of alcohol present, which also reduces or eliminates the beneficial effects of alcohol. Conversely, anhydrous compositions which combine 20% to 50% alcohol with 40% to 70% low viscosity silicone fluids are claimed to have less stinging and burning although at significantly higher cost than alcohol/water compositions.
- Known methods of reducing irritation and improving skin condition include incorporation of active therapeutic ingredients into after-shave compositions. Such active ingredients include aloe vera, aluminum chlorohydrate, chamomile combined with niacinamide, non-steroidal anti-inflammatory agents, and panthenol. The use of hydrolyzed soy protein in combination with cocamidopropyl dimethylamine propionate is also known.
- Other methods of reducing skin irritation associated with shaving are sought.
- This invention provides methods of reducing skin irritation associated with shaving (i.e., before, during, and/or after shaving) facial hair or nonfacial hair. The methods include applying to skin various formulations, which typically are preservative-free, have good application aesthetics, provide immediate cooling and skin tightening, evaporate quickly, have a pleasant fragrance, and leave the skin looking and feeling smooth and soft after both single and multiple applications. Additionally, preferred formulations maintain or improve the skin condition after multiple applications and no slimy or abnormal feeling is noticed during post application washing.
- In one method of reducing skin irritation associated with shaving, the method includes applying to skin a composition that includes:
- a) a lower alcohol and water in a weight ratio of about 20:80 to 100:0, and
- b) about 0.5% to about 8% by weight of a thickener system, based on the total weight of the composition, wherein the thickener system comprises at least about 0.05% by weight of at least one emulsifier, based on the total weight of the composition, wherein the emulsifier comprises:
- (i) at least one hydrophobic group selected from the group consisting of:
- A. an alkyl group of at least 16 carbon atoms;
- B. an alkenyl group of at least 16 carbon atoms; and
- C. an aralkyl or an aralkenyl group of at least 20 carbon atoms; and
- (ii) at least one hydrophilic group selected from the group consisting of:
- A. an ethylene oxide- and/or propylene oxide-containing group bonded to the hydrophobic group through an ether or ester bond and optionally terminated with a (C1-C36)alkyl ester, (C2-C36)alkenyl ester, or (C6-C36)alkaryl ester;
- B. an alcohol group;
- C. a polyhydric alcohol group;
- D. an ester or ether group of a polyhydric alcohol or polyalkoxylated derivative thereof having 2-150 moles of alkylene oxide per mole of hydrophobic group;
- E. an ester or ether group of sorbitan or polyalkoxylated derivative thereof; and
- F. combinations of these groups;
- wherein the composition has a viscosity of at least about 4,000 centipoise at 23° C. when in the absence of an auxiliary thickener, as measured using a very low shear viscometer and T spindles with a heliopath adapter.
- In one method of reducing skin irritation associated with shaving, the method includes applying to skin a composition that includes:
- a) a lower alcohol and water in a weight ratio of about 20:80 to 100:0, and
- b) about 0.5% to about 8% by weight of a thickener system, based on the total weight of the composition, wherein the thickener system comprises at least about 0.05% by weight of at least one emulsifier, based on the total weight of the composition, wherein the emulsifier comprises:
- (i) at least one hydrophobic group selected from the group consisting of:
- A. an alkyl group of at least 24 carbon atoms;
- B. an alkenyl group of at least 24 carbon atoms; and
- C. an aralkyl or an aralkenyl group of at least 24 carbon atoms; and
- (ii) at least one hydrophilic group selected from the group consisting of:
- A. an ethylene oxide- and/or propylene oxide-containing group bonded to the hydrophobic group through an ether or ester bond and optionally terminated with a (C1-C36)alkyl ester, (C2-C36)alkenyl ester, or (C6-C36)alkaryl ester;
- B. an alcohol group;
- C. a polyhydric alcohol group;
- D. an ester or ether group of a polyhydric alcohol or polyalkoxylated derivative thereof having 2-150 moles of alkylene oxide per mole of hydrophobic group;
- E. an ester or ether group of sorbitan or polyalkoxylated derivative thereof; and
- F. combinations of these groups;
- wherein the composition has a melt temperature of greater than about 25° C. and a viscosity of at least about 4,000 centipoise at 23° C. when in the absence of an auxiliary thickener, as measured using a very low shear viscometer and T spindles with a heliopath adapter.
- In one method of reducing skin irritation associated with shaving, the method includes applying to skin a composition that includes:
- a) a major amount of a solvent comprising a lower alcohol and water in a weight ratio of about 60:40 to 95:5, and
- b) about 0.5% to about 8% by weight of a thickener system, based on the total weight of the composition, wherein the thickener system comprises at least about 0.05% by weight of one or more emulsifiers, based on the total weight of the composition, wherein at least one of the emulsifiers is solid at room temperature;
- wherein the composition has a melt temperature of greater than about 25° C. and a viscosity of at least about 45,000 centipoise after 19 days at 23° C. when in the absence of an auxiliary thickener, as measured using a very low shear viscometer and T spindles with a heliopath adapter.
- In one method of reducing skin irritation associated with shaving, the method includes applying to skin a composition that includes:
- a) a lower alcohol and water in a weight ratio of about 20:80 to 100:0, and
- b) about 0.5% to about 8% by weight of a thickener system, based on the total weight of the composition, wherein the thickener system comprises at least about 0.05% by weight of at least two emulsifiers, based on the total weight of the composition, wherein at least one emulsifier comprises:
- (i) at least one hydrophobic group selected from the group consisting of:
- A. an alkyl group of at least 16 carbon atoms;
- B. an alkenyl group of at least 16 carbon atoms; and
- C. an aralkyl or an aralkenyl group of at least 20 carbon atoms; and
- (ii) at least one hydrophilic group selected from the group consisting of:
- A. an ethylene oxide- and/or propylene oxide-containing group bonded to the hydrophobic group through an ether or ester bond and optionally terminated with a (C1-C36)alkyl ester, (C2-C36)alkenyl ester, or (C6-C36)alkaryl ester;
- B. an alcohol group;
- C. a polyhydric alcohol group;
- D. an ester or ether group of a polyhydric alcohol or polyalkoxylated derivative thereof having 2-150 moles of alkylene oxide per mole of hydrophobic group;
- E. an ester or ether group of sorbitan or polyalkoxylated derivative thereof; and
- F. combinations of these groups;
- and wherein at least one emulsifier comprises:
- (i) at least one hydrophobic group selected from the group consisting of:
- A. an alkyl group of at least 16 carbon atoms;
- B. an alkenyl group of at least 16 carbon atoms; and
- C. an aralkyl or an aralkenyl group of at least 20 carbon atoms; and
- (ii) at least one hydrophilic group selected from the group consisting of:
- A. an amide group;
- B. a short chain ester of a long chain alcohol or acid;
- C. a polyglucoside group having 1-10 glucose units;
- D. a polyglycerol ester group having 1-15 glycerol units;
- E. a secondary amine group;
- F. a tertiary amine group;
- G. a anionic group;
- H. a zwitterionic group; and
- I. combinations of these groups.
- In one method of reducing skin irritation associated with shaving, the method includes applying to skin a composition that includes:
- a) a lower alcohol and water in a weight ratio of about 20:80 to 95:5; and
- b) about 0.5% to about 8% by weight of a thickener system, based on the total weight of the composition, wherein the thickener system comprises at least about 0.05% by weight of at least one emulsifier, based on the total weight of the composition, wherein the emulsifier comprises:
- (i) at least one hydrophobic group selected from the group consisting of:
- A. an alkyl group of at least 16 carbon atoms;
- B. an alkenyl group of at least 16 carbon atoms; and
- C. an aralkyl or an aralkenyl group of at least 20 carbon atoms; and
- (ii) at least one hydrophilic group selected from the group consisting of:
- A. an amide group;
- B. a short chain ester of a long chain alcohol or acid;
- C. a polyglucoside group having 1-10 glucose units;
- D. a polyglycerol ester group having 1-15 glycerol units;
- E. a secondary amine group;
- F. a tertiary amine group;
- G. a anionic group;
- H. a zwitterionic group; and
- I. combinations of these groups;
- wherein the composition has a viscosity of at least about 4,000 centipoise at 23° C. when in the absence of an auxiliary thickener, as measured using a very low shear viscometer and T spindles with a heliopath adapter.
- “After-shave” as used herein refers to a lotion, gel, cream, foam, stick, balm, or mousse that is applied to skin. The term is also understood to include compositions applied prior to, during, or after shaving which may facilitate the shaving process by improving the shave, reducing irritation, adding lubricity, disinfecting, reducing discomfort of any kind, and any combination thereof.
- “Ambient temperature” as used herein refers to the temperature range between about 21° C. and 25° C. (i.e., of about 21° C. to about 25° C.).
- “Auxiliary thickeners” as used herein refers to additives (other than the emulsifiers which comprise the thickener system described below), which increase the viscosity of the solvent phase even in the absence of the thickener system. Certain auxiliary thickeners may act synergistically with the thickener system to increase the viscosity of the resultant formula. Auxiliary thickeners include but are not limited to soluble and swellable polymers (e.g. polyacrylic acid polymers such as CARBOPOL, BF Goodrich, Cleveland, Ohio) and associative colloidal thickeners such as silica, magnesium aluminum silicate, and the like.
- “Emollient” as used herein refers broadly to materials which are capable of maintaining or improving the moisture level, compliance, or appearance of the skin when used repeatedly.
- “Emulsifier” as used herein is synonymous with “surfactant” and refers to molecules comprising hydrophilic (polar) and hydrophobic (non-polar) regions on the same molecule.
- “Emulsion” as used herein refers to a stable dispersion of one liquid in a second immiscible liquid.
- “Lotion” means liquid or cream, free of any propellant.
- “Melt temperature” (Tm) as used herein refers to the temperature at which compositions or emulsions of the present invention dramatically lose viscosity.
- “Polymer” as used herein refers to a natural or synthetic molecule having repetitive units and a number average molecular weight of at least 20,000.
- “Solvent,” “solvent system” or “hydroalcoholic solvent” as used herein refer to the alcohol and water combination in the present invention.
- “Stable” as used herein refers to a composition that displays less than or equal to 10% by volume separation after centrifuging at 2275×g for 30 minutes at ambient temperature.
- “Surfactant” as used herein is synonymous with “emulsifier,” the definition of which is given above.
- “Thickener system” as used herein refers to a combination of at least one emulsifier, and preferably at least two emulsifiers, each present in a concentration of at least 0.05% by weight capable of providing a viscosity of at least 4,000 centipoise at 23° C. to the compositions used in the methods of the present invention without auxiliary thickeners.
- The invention provides methods of reducing skin irritation associated with shaving using a composition that includes a lower chain alcohol, water, and thickening system. Alcohols used in these compositions are first discussed followed by a discussion of thickening systems. Ingredients that are optionally added to the composition, such as emollients, are then discussed, followed by a discussion of how to prepare compositions used in the methods of the present invention.
- Alcohol
- The alcohol used in the compositions is a lower hydrocarbon chain alcohol such as a C1-C4 alcohol. In preferred embodiments the alcohol is chosen from ethanol, 2-propanol, or n-propanol, and most preferably ethanol. Ethanol is a preferred alcohol for certain embodiments since it has an odor acceptable to consumers. The invention anticipates that a single alcohol may be used or that a blend of two or more alcohols may form the alcohol content of the composition.
- The alcohol to water ratio in the compositions used in the methods of the present invention is between about 20:80 and 100:0 by weight (i.e., within a range of about 20:80 to about 100:0). Compositions having alcohol to water ratios below about 20:80 fail to provide much benefit in terms of rapid evaporation or cooling. Preferred compositions have alcohol to water ratios within the range of about 35:65 (and more preferably 40:60) to about 95:5 by weight range. In an even more preferred embodiment the alcohol:water ratio is between about 50:50 and 85:15, more preferably between about 60:40 and about 75:25, and most preferably the alcohol:water ratio is between about 64:36 and 72:28 by weight. Higher alcohol to water ratios are used in a preferred embodiment for optimum antimicrobial activity and to ensure the composition is fast drying.
- Thickener System
- The thickener system useful in the compositions used in the methods of the invention affects the cosmetic attributes of the final composition. Preferably, compositions of the invention should maintain an acceptable viscosity at 25° C. and preferably up to 35° C. Also, the most preferred formulations are stable to heat and cool cycles (heating up to 50° C. or higher and cooling to ambient temperature) as well as freeze/thaw cycles (cooling to −30° C. and warming to ambient temperature). These attributes are affected by the types and amounts of emulsifiers chosen which form the thickener system of the present invention and are discussed below.
- The thickener system is compatible with the hydroalcoholic solvent system described above in order to provide acceptable cosmetic properties and appropriate viscosity. Compositions of this invention have a viscosity of at least about 4,000 Centipoise (cps) at 23° C., preferably at least about 10,000 cps, more preferably at least about 20,000, even more preferably at least about 50,000 cps, even more preferably at least about 90,000 cps, and most preferably at least about 100,000 cps, and preferably up to about 500,000 cps, measured using a very low shear viscometer such as Brookfield LVDV-I + viscometer and T spindles with a heliopath adapter. Since the emollient system and other optional ingredients may affect the viscosity (either positively or negatively), the measured viscosity is that of the final composition without any added auxiliary thickeners.
- The viscosity of the compositions used in the methods of the present invention is imparted by a thickener system that includes at least one emulsifier, preferably at least two emulsifiers, and more preferably at least two emulsifiers from different classes. In a preferred embodiment at least one of the emulsifiers is a solid at room temperature. Such emulsifier preferably includes at least one long chain hydrocarbon of at least 16 carbon atoms, preferably at least 18 carbon atoms, and more preferably at least 22 carbon atoms. At lower alcohol:water ratios of greater than about 60:40, the long chain hydrocarbon preferably has greater than 22 carbon atoms. The thickener system can be described in terms of the number average chain length, and preferably has a hydrophobe number average chain length of greater than about 22 carbon atoms.
- Emulsifiers used in the compositions of this invention are comprised of molecules having hydrophilic (polar) and hydrophobic (non-polar) regions on the same molecule and conform to the general structure:
- (R)a(L)b
- wherein “R” represents a hydrophobic group, “L” represents a hydrophilic group, and “a” and “b” are independently 1 to 4.
- In this invention “R” comprises an alkyl group of at least about 16 carbon atoms, preferably at least about 18 carbon atoms, more preferably at least about 20 carbon atoms, and most preferably at least about 22 carbon atoms; alkenyl group of at least about 16 carbon atoms, preferably at least about 18 carbon atoms, and most preferably at least about 20 carbon atoms; or aralkyl or aralkenyl group of at least about 20 carbon atoms, preferably at least about 24 carbon atoms, and most preferably at least about 26 carbon atoms. In a preferred embodiment the alkyl or alkenyl portion of “R” is unbranched.
- In the above formula, “L” represents a hydrophilic group. For example, “L” can include an amide group having the structure —NHC(O)R′″ or —C(O)NHR′″ where R′″ is hydrogen or an alkyl group of 1-10 carbon atoms optionally substituted in available positions by N, O, and S atoms; an ester group of short chain alcohols or acids (e.g., L=—C(O)OR′ or —OC(O)R′ where R′ is C1-C4 branched or straight chain alkyl optionally substituted in available positions by hydroxyl groups); a polyglucoside group having 1-10 glucose units and more preferably 1-3 glucose units; a polyglycerol ester group having 1-15 glycerol units, preferably 2-12 glycerol units, and more preferably 3-10 glycerol units; a secondary amine group; a tertiary amine group; and a quaternary amine group.
- “L” can also include an anionic group such as a sulfate, sulfonate, phosphate, phosphonate, or carboxylate group, or a zwitterionic group having the formula:
- —N+(R″)2(CHQ)xL′
-
- wherein each R″ is independently hydrogen or an alkyl group (having 1-5 carbon atoms) or alkenyl group (having 2-4 carbon atoms), which alkyl or alkenyl groups are optionally substituted with nitrogen, oxygen, or sulfur atoms, including alkyl or alkenyl carboxyl groups; Q is hydrogen or hydroxyl; x is 1 to 4; and L′ is —CO 2 −, —OP(O)(O−)(O−M+), —(O)P(OR′″)(O)(O−) (where R′″ is hydrogen or an alkyl group of 1-10 carbon atoms optionally substituted in available positions by N, O, or S atoms), —SO2O−, or —OSO2O−, where M+ is a positively charged counterion present in a molar ratio necessary to achieve a net neutral charge on the emulsifier and is selected from the group of hydrogen, sodium, potassium, lithium, ammonium, calcium, magnesium, or N+R″4.
- “L” can also include an alcohol group; a polyhydric alcohol group such as, but not limited to, ethylene glycol, butylenes glycol, pentaerythrytol, glycerol, and sorbitol; an ethylene oxide and/or propylene oxide group, preferably having 2-150 moles of ethylene oxide plus propylene oxide per mole of hydrophobe (“R”), which is bonded to the hydrophobe through an ether or ester linkage, and optionally terminated by C1-C36 alkyl, C2-C36 alkenyl ester, or C6-C36 alkaryl ester (i.e., aralkyl ester); an ester or ether group of a polyhydric alcohol and their polyalkoxylated derivatives; an ester or ether of sorbitan or polyalkoxylated (i.e., polyalkyleneoxide) sorbitan group, preferably having 2-150 moles of alkylene oxide units per mole of hydrophobe; as well as combinations of these groups, e.g., a polyethoxylated polyglucoside group. Thus, it will be understood by one of skill in the art that the emulsifiers can include combinations of all “L” hydrophilic groups described herein (e.g., ester groups and amide groups in one molecule).
- The hydrophobic and hydrophilic groups on non-ionic emulsifiers are generally selected to have a hydrophile/lipophile balance (HLB) of 2 to 20 and more preferably 4 to 16. Furthermore, the weight average HLB of the thickener system is preferably 4 to 16 and more preferably 8 to 12. For example, a thickener system comprised of 40% by weight of an emulsifier with an HLB of 10 and 60% by weight of an emulsifier with an HLB of 15 has a weight average HLB of 13.
- The emulsifiers of the thickener systems may be chosen from a single class of surfactants (e.g., a mixture of chain length alkyl polyglucosides) but is preferably a mixture of emulsifier classes. Many commercially available emulsifiers are actually comprised of a mixture of chain lengths. For example, some behenyl alcohol as commercially supplied is actually a mixture of alcohols consisting of primarily C22 and C20 fractions but contain detectable levels of C24, C18 and C16 fractions. For this reason, the chain lengths specified herein refer to the number average chain length. Furthermore, in multiple emulsifier thickener systems, each emulsifier must be present in a concentration of at least about 0.05% and more preferably at least about 0.1% by weight to be considered a component of a thickener system. Thickener systems of the present invention are capable of achieving high viscosities at relatively low total emulsifier concentrations. The total concentration of emulsifiers present as a thickener system for creams and lotions is generally less than about 8% by weight, preferably less than about 5% by weight, more preferably less than about 4% by weight, and most preferably less than about 3% by weight of the total composition. Typically, the thickener system is present in the composition in an amount of at least about 0.5% by weight, based on the total weight of the composition. In the most preferred lotion compositions of this invention, the thickener system comprises between about 0.75% by weight to about 5% by weight, more preferably between about 1.0% by weight to about 3.5% by weight and most preferably between about 1.5% by weight to about 3% by weight of the composition. As used herein an emulsifier is considered part of the thickener system if its presence in the formula results in an increase in the viscosity of the composition. If a certain emulsifier does not result in increasing the viscosity of the composition, it is considered an emollient or stabilizer as defined below.
- Preferred methods of the present invention include compositions that are substantially free of polymeric thickening agents and have a “melt temperature” (Tm). If compositions are heated above this melt temperature, they dramatically lose viscosity. The compositions preferably have melt temperatures greater than 25° C. in order to maintain a high viscosity at room temperature. More preferably the melt temperature is greater than 35° C. in order to maintain viscosity once applied to the skin. The most preferred formulations have a melt temperature greater than 40° C. in order to allow shipping and handling without refrigeration. Thickener systems affect the melt temperature of a given composition. In order to obtain a preferred melt temperature a preferred thickener system includes at least one emulsifier, which is solid at ambient temperature. Preferably, all emulsifiers of a thickener system are solid at ambient temperature to increase the melt temperature of the resultant composition.
- The structure of emulsifiers in a thickener system affects the melt temperature of the resultant composition. In a preferred embodiment at least one emulsifier in a thickener system is capable of promoting a crystalline structure. Crystallinity is promoted by long straight chain alkyl groups, therefore, at least one emulsifier preferably comprises a saturated straight chain hydrocarbon of at least 16, preferably at least 18 and most preferably at least 20 carbon atoms. Certain hydrophilic head groups have been found to particularly promote association and crystallization. Suitable crystalline emulsifiers include alkyl alcohols, alkyl polyglucosides, polyglycerol alkyl esters, C1-C4 esters of alkyl alcohols, C1-C4 esters of alkyl carboxylates, optionally substituted alkyl amides, alkyl betaines and alkyl phosphates or phospholipids, alkyl quaternary amines, alkyl amine oxides polyethoxylated alkyl alcohols and alkyl esters of polyethylene glycol.
- In addition to affecting the melt temperature of a composition, the emulsifier chain length also helps to determine the maximum level of ethanol which can be used in the composition and the concentration of emulsifiers required in the thickener system. At higher levels of alcohol, longer chain emulsifiers are required to produce viscous stable emulsions. It is believed that higher levels of alcohol tend to swell or solubilize the emulsifiers to a greater degree than lower levels of alcohol. Therefore, as the concentration of ethanol increases the chain length of the hydrocarbon chains in a thickening system must also increase in order to maintain a melt temperature over 35° C. That is, the amount of lower alcohol in the hydroalcoholic system can affect the choice of surfactant (i.e., emulsifier), and vice versa. For example, if the composition includes a lower alcohol to water ratio in excess of about 50:50, the thickener system should include at least one surfactant having a number average chain length of at least 16 carbon atoms. If the composition includes an alcohol to water ratio in excess of about 60:40, the thickener system should include at least one surfactant having a number average chain length of at least 18 carbon atoms. If the composition includes a lower alcohol to water ratio in excess of about 64:36, the thickener system should include at least one surfactant having a number average chain length of at least 20 carbon atoms.
- For example, systems based on a C16/C18 alkyl polyglucoside (MONTANOV 68 available from Seppic, Inc. of Fairfield, N.J.) in combination with a C18 polyethoxylate (BRIJ 76 available from ICI of Wilmington, Del.) in 68:32 ethanol:water have a melt temperature of approximately 35° C. Similar systems having C22 hydrocarbon chains have melt temperatures of 45° C. or higher. In addition, as the chain length of the hydrophobic component in the thickener system increases, the amount of emulsifier required to achieve a certain viscosity decreases. For example, the MONTANOV 68 (C16/C18 alkyl polyglucoside)/BRIJ 76 (polyethoxylated C18 alcohol) thickener system requires approximately 5% total emulsifier to achieve a suitable viscosity. A similar system based on C22 hydrophobes achieves a suitable viscosity at only 2% total emulsifier.
- The nature and size of hydrophilic head groups of emulsifiers are important and help to determine which thickening systems produce viscous stable systems. Certain combinations of emulsifiers will produce viscous stable emulsions. Without being bound by theory, it is believed that the size, charge, and degree of hydrogen bonding are important parameters to determine how emulsifiers interact.
- Many preferred thickener systems are capable of producing viscoelastic compositions, which are very stable. By varying the ratio of emulsifiers, the degree of elasticity can be adjusted from almost a purely viscous composition to a highly elastic and even stringy composition. If emollients are added, increasing the elasticity of the system imparts added stability to prevent separation of immiscible emollients. Excessive elasticity, however, is not preferred since an elastic composition usually does not provide a cosmetically appealing product. Addition of certain emulsifiers with at least two hydrophobic components has been shown to limit the viscoelasticity while ensuring viscous stable compositions. A favored class of multiple hydrophobic component emulsifiers are quaternary ammonium salts conforming substantially to the following structure:
- where: R′ and R″ are long chain alkyl or alkenyl hydrocarbon chains of at least 16 carbon atoms;
- R′″ is a short chain alkyl group of 1 to 4 carbon atoms, preferably methyl or ethyl;
- R″″ is equivalent to either R′ or R′″ and is preferably equivalent to R′″; and
- X is a halogen, R′″SO 3—, R′″SO4—, or R′″CO2—
- Some preferred structures include distearyldimethylammonium chloride, dibehenyldimethylammonium chloride, and dibehenyldimethylammonium methosulfate, while dibehenyldimethylammonium methosulfate is a more preferred structure. Other suitable multiple hydrophobic emulsifiers include dialkylglycerol esters, trialkylglycerol esters, polyglycerol alkyl esters, ethylene glycol dialkylesters, polyethylene glycol dialkylesters, dialkylamides of diamines such as ethylene diamine, polyalkylesters of pentaerythritol and dialkyl (optionally ethoxylated) phosphates, and alkyl esters of polyethoxylated alkyl alcohols.
- The following emulsifier classes are offered as nonlimiting examples of suitable emulsifiers for use in the present invention. Examples of some preferred emulsifiers are provided for each emulsifier class.
-
- where R is a straight chain alkyl or alkenyl group of at least 16 carbon atoms, preferably at least 18 carbon atoms, and most preferably at least 20 carbon atoms; or an aralkyl or aralkenyl group of at least 22 carbon atoms, preferably at least 24 carbon atoms and most preferably at least 26 carbon atoms; and n=0-10 (when n=0, the valence of the oxygen atom is completed by H), preferably 1-5 and more preferably 1-3.
- Nonlimiting examples of preferred alkyl or alkenyl polyglucoside emulsifiers include cetearyl glucoside sold as MONTANOV 68 by Seppic, Inc. of Fairfield, N.J.; behenyl glucoside, produced experimentally as ESSAI 624 MP, an alkyl polyglucoside prepared with 92% C-22 alcohol and corn-derived glucoside by Seppic, Inc.; and oleyl glucoside.
- Class 2. Short Chain Esters of Long Chain Alcohols or Acids:
- RC(O)OR′ or ROC(O)R′
- where R is as defined immediately above for Emulsifier Class 1; and R′ is C1-C4 branched or straight chain alkyl group, optionally substituted in available positions by hydroxyl groups.
- Some preferred short chain esters of long chain alcohols or acids include but are not limited to methyl behenate sold as KEMESTER 9022 by Crompton Corp., Greenwich, Conn.; methyl stearate sold as KEMESTER 4516 by Crompton Corp.; methyl oleate sold as KEMESTER 205 by Crompton Corp.; arachidyl proprionate available as WAXENOL 801 from Alzo of Sayreville, N.J.; behenyl lactate, stearyl acetate; and glycerol monoerucate available from Croda, Inc. of Parsippany, N.J.
- Class 3. Alkyl and Alkenyl Alcohols:
- R6—OH
- where R 6 is a straight or branched chain alkyl or alkenyl hydrocarbon chain of at least 16 carbon atoms, preferably at least 18, more preferably at least 20 carbon atoms, and most preferably at least 22 carbon atoms, optionally substituted in available positions by N, O, or S atoms; or an aralkyl or aralkenyl group of at least 16 carbon atoms, preferably at least 22 carbon atoms, more preferably at least 24 carbon atoms, and most preferably at least 26 carbon atoms, optionally substituted in available positions by N, O, and S atoms.
- Nonlimiting examples of preferred alkyl and alkenyl alcohol emulsifiers useful in a thickener system of the invention include stearyl alcohol available as LANETTE 18 from Henkel's Emery Division of Cincinnati, Ohio; behenyl alcohol available as LANETTE 22 from Henkel; oleyl alcohol available as NOVOL from Croda; C-24 alcohol available as UNILIN 350 from Petrolite of Tulsa, Okla.; C31 alcohol available as UNILIN 425 from Petrolite; and arachidyl alcohol available as AR-20 from M. Michel and Co. of New York, N.Y.
-
- where each R 1 is independently hydrogen or a straight chain alkyl group of at least 16 carbon atoms, preferably at least 18 and more preferably at least 20 carbon atoms; or an aralkyl or aralkenyl group of at least 22 carbon atoms, preferably at least 24 carbon atoms, and most preferably at least 26 carbon atoms; and n=0 to 15, preferably 1 to 12, and most preferably 2 to 10.
- Some examples of preferred polyglycerol ester emulsifiers useful in a thickener system of the present invention include but are not limited to decaglycerol monostearate available as POLYALDO 10-1-S from Lonza Inc. of Fairlawn, N.J.; tetraglycerol monostearate available as TETRAGLYN 1-S from Barnet Products Corporation of Englewood Cliffs, N.J.; and decaglyceroltetrabehenate.
-
- where R is as defined above in Emulsifier Class 1; R 2 is the same as R3 or a long chain alkyl or alkenyl hydrocarbon chain of at least 16 carbon atoms, preferably at least 18 and more preferably at least 20 carbon atoms optionally substituted in available positions by N, O, and S; or an aralkyl or aralkenyl group of at least 22 carbon atoms, preferably at least 24 carbon atoms, and most preferably at least 26 carbon atoms; R3 is a short chain alkyl group of 1 to 4 carbon atoms, preferably methyl or ethyl; R4 is equivalent to either R2 or R3 and is preferably equivalent to R3; and X is a halogen, R5SO3—, R5SO4 −, R5CO2 −, (R5)2PO4 −, or (R5)PO4═; where R5 is defined in Class 6 below.
- Nonlimiting examples of quaternary amine emulsifiers include dibehenyldimethylammonium methosulfate available as INCORQUAT DBM-90 from Croda; behenyltrimethylammonium chloride available as NIKKOL CA-2580 from Barnet; and tallowtrimethylammonium chloride available as ARQUAD T-27W from Akzo Chemicals, Inc. of Chicago, Ill.
-
- where R, R 2, and R3 are as defined above in Class 5 and R2 and R3 may also be selected from polyethoxylated or polyproxylated alkyl or alkenyl alcohol chains having 1-50 moles of ethylene oxide or propylene oxide groups per mole of a emulsifier and Y is a halogen, R5SO3—, R5SO4—, R5CO2—, (R5)PO4 −, or (R5)PO4═, where R5 is an alkyl or alkenyl group of 1-22 carbon atoms optionally substituted in available positions by N, O, and S.
- Some examples of emulsifiers from the class of tertiary amines and their protonated salts useful in a thickener system of the invention include but are not limited to behenamidopropyldimethylamine available as INCROMINE BB from Croda; behenamidopropyldimethylamine gluconate; tallowdimethylamine hydrochloride; dihydrogenated tallow methyl amine; stearyl diethanolamine hydrochloride; polyethoxylated stearyl diethanolamine hydrochloride.
-
- where R 2 and R3 are as defined above for Class 5 and R6 is as defined above for Class 3.
- Nonlimiting examples of emulsifiers from the class of amine oxides suitable in a thickener system of the invention include behenamine oxide (behenyldimethylamine oxide) available as INCROMINE B-30P from Croda; stearamine oxide available as INCROMINE Oxide S from Croda; behenamidopropyldimethyl amine oxide; and bis(2-hydroxyethyl)tallow amine oxide available as AROMOX T/12 from Akzo.
-
- where R 6 is as defined above for Emulsifier Class 3; m=0-200, preferably 2-50, most preferably 4-20;
- p=0 or 1;
- R 8=H or —C(O)—R12,
- where R 12 is an alkyl or alkenyl group of 1-36 carbon atoms optionally substituted by N, O or S, or an aralkyl group of 6 to 36 carbon atoms; and
- r=0-50.
- Some examples of preferred emulsifiers from the class of polyethoxylated alcohols and esters include but are not limited to steareth-2 available as BRIJ 72 from ICI Americas Inc. of Wilmington, Del.; steareth-10 available as BRIJ 76 from ICI; beheneth-5 available as NIKKOL BB-5 from Barnet Products Inc.; beheneth-10 available as NIKKOL BB-10 from Barnet; C31 alkyl-10EO available as UNITHOX 450 from Petrolite Corp. of Tulsa, Okla.; C31 alkyl-40 EO available as UNITHOX 480 from Petrolite, and the lauric ester of UNITHOX 480 available from Petrolite as X-5171.
- Class 9. Zwitterionics
- wherein R is as defined above for Emulsifier Class 1; each R 7 is independently hydrogen or an alkyl group (having 1-5 carbon atoms) or alkenyl group (having 2-4 carbon atoms), which alkyl or alkenyl groups are optionally substituted with nitrogen, oxygen, or sulfur atoms, including alkyl or alkenyl carboxyl groups; Q is hydrogen or hydroxyl; x is 1 to 4; and L′ is —CO2 −, —OP(O)(O−)(O−M+), —(O)P(OR′″)(O)(O−) (where R′″ is hydrogen or an alkyl group of 1-10 carbon atoms optionally substituted in available positions by N, O, or S atoms) —SO2O−, or —OSO2O−, where M+ is a positively charged counterion present in a molar ratio necessary to achieve a net neutral charge on the emulsifier and is selected from the group of hydrogen, sodium, potassium, lithium, ammonium, calcium, magnesium, or N+R′4 where each R′ is independently an alkyl group of 1 to 4 carbon atoms optionally substituted with N, O, or S atoms.
- Nonlimiting examples of emulsifiers from the class of zwitterions useful in the emulsifier system of the invention include stearamidopropylPG-dimmonium chloride phosphate available as PHOSPHOLIPID SV from Uniqema of Paterson, N.J.; and behenyl betaine available as INCRONAM B-40 from Croda.
-
- where R 6, R7, and R12 are as defined above in Classes 3, 9, and 8 respectively.
- Examples of some preferred emulsifiers from the class of alkyl and alkenyl amides useful in a thickener system of the invention include but are not limited to behenamide available as KEMAMIDE B from Crompton Corp.; stearamide available as UNIWAX 1750 from Petrolite; Behenamidopropyldimethyl amine available as INCROMINE BB from Croda; stearyldiethanolamide available as LIPAMIDE S from Lipo Chemicals Inc. of Paterson, N.J.; and Erucamide available as ARMID E from Akzo.
-
- wherein t=0-4; each R 9 is independently chosen from H, —CH2OR10, —OH, or a hydrocarbon chain of 1 to 4 carbon atoms, preferably containing 1 carbon atom; s=0 or 1; wherein R10=H, R8, or R12 wherein R8 and R12 are defined above for Emulsifier Class 8.
- Examples of esters and ethers include glycerol monobehenate, pentaerythritol distearate and glycerol tribehenate.
- Esters and ethers of polyethoxylated polyhydric alcohols are also useful. For example, these include but are not limited to polyethoxylated glycerol monostearate, polyethoxylated penta erythritol behenate, polyethoxylated propylene glycol monostearate.
-
- where R 14 is an alkyl, alkenyl, or aralky group of at least 16 carbon atoms, preferably at least 18 carbon atoms and most preferably at least 20 carbon atoms optionally comprising oxygen, nitrogen, or sulfur atoms within or substituted upon the alkyl or alkenyl chain; or a polyethoxylated and/or polypropoxylated alkyl, alkenyl or aralkyl group, which alkyl, alkenyl, or aralkyl group comprises at least 16 carbon atoms, preferably at least 18 carbon atoms and most preferably at least 20 carbon atoms optionally comprising oxygen, nitrogen, or sulfur atoms within or substituted upon the alkyl, alkenyl, or aralkyl chain. When R14 comprises a polyethoxylated or polypropoxylated substituent or a copolymeric substituent of ethylene oxide and propylene oxide, these subunits are present in amounts of 1 to 100 moles, preferably 1 to 20 moles per mole of hydrophobe; L is sulfate (—OSO2O−), sulfonate (—SO2O−), phosphate ((—O)2P(O)O− or —OP(O)(O−)2), or carboxylate (—CO2 −); M is hydrogen (H+), sodium (Na+), potassium (K+), lithium (Li+), ammonium (NH4 +), calcium (Ca+2), magnesium (Mg+2), or R″A+, wherein R″ is hydrogen or an alkyl or cycloalkyl group of about 1 to 10 carbon atoms, and A+ is selected from the group consisting of N+(R)3 (e.g., R″A+ can be N+(CH3R)4, HN+(CH2CH2OH)3, H2N(CH2CH2OH)2) or a heterocyclic —N+B wherein B comprises 3 to 7 atoms selected from the group consisting of carbon, nitrogen, sulfur and oxygen atoms which complete the nitrogen-containing heterocyclic ring and satisfy the valence on the nitrogen atom; and wherein R is the same as R″ and may also be substituted in available positions with oxygen, nitrogen or sulfur atoms; a and c are independently 1 or 2; b and d are independently 1, 2 or 3; and e is equal to (c times d)/b.
- Nonlimiting examples of preferred emulsifiers from the anionic class of emulsifiers suitable for use in a thickener system of the invention include behenic acid available as Croacid B from Croda, Inc.; stearyl phosphate available as Sippostat 0018 from Specialty Industrial Products, Inc. of Spartanburg, S.C.; and sodium stearate available from Crompton Corp..
-
- where R 6 is as defined above in Emulsifier Class 3, R13 is H or —C(O)R6 and each v is independently 0-30.
- Fatty acid esters of sorbitan and its polyethoxylated derivatives, polyoxyethylene derivatives of mono and poly-fatty esters are also examples of additional emulsifiers useful in the present invention.
- Certain combinations of the above-listed emulsifiers are useful in some preferred embodiments to form viscous stable thickener systems of the present invention. These preferred systems are listed below.
Nonlimiting Examples of Suitable Thickener Systems: System # Emulsifier 1/(Class)* Emulsifier 2/(Class)* Emulsifier 3/(Class)* Emulsifier 4(Class)* 1 Alkyl polyglucoside (1) polyethoxylated alkyl alcohol (8) quaternary amine (5) 2 alkyl polyglucoside (1) polyethoxylated alkyl alcohol (8) amine Oxide (7) 3 alkyl polyglucoside (1) tertiary amine (6) 4 alkyl polyglucoside (1) quaternary amine (5) 5 polyglycerol ester (4) polyethoxylated alkyl alcohol (8) alkyl alcohol (3) 6 polyglycerol ester (4) polyethoxylated alkyl alcohol (8) alkyl alcohol (3) alkyl ester (2) 7 polyglycerol ester (4) polyethoxylated alkyl alcohol (8) quaternary amine (5) 8 polyglycerol ester (4) alkyl ester (2) quaternary amine (5) 9 polyglycerol ester (4) amine oxide (7) quaternary amine (5) 10 alkyl/alkenyl alcohol (3) alkyl ester (2) quaternary amine (5) 11 alkyl/alkenyl alcohol (3) alkyl ester (2) amine oxide (7) 12 alkyl ester (2) polyethoxylated alkyl alcohol (8) quaternary amine (5) 13 alkyl betaine (7) polyethoxylated alkyl alcohol (8) 14 alkyl phospholipid (9) polyethoxylated alkyl alcohol (8) 15 alkyl ester (2) alkyl alcohol (3) dialkoxydimethicone 16 hydroxyfunctional ester (2) polyethoxylated alcohol (8) 17 hydroxyfunctional ester (2) alkyl alcohol (3) quaternary amine (5) 18 hydroxyfunctional ester (2) quaternary amine (5) 19 polyglycerol ester (4) polyethoxylated alkyl alcohol (8) 20 alkyl carboxylate (12) polyethoxylated alkyl alcohol (8) - It is a simple matter to test certain combinations of emulsifiers to determine if they provide a suitable thickener system. Screening methodology is set forth in the Examples. The examples illustrate the importance of the head group size with respect to the ratio of the mixed emulsifiers required to produce a stable emulsion. For example, systems based on a C16/C18 alkyl polyglucoside combined with C18 polyethoxylates of varying level of ethoxylation (BRIJ) produce stable emulsions at widely varying ratios.
- Without intending to be bound by theory, the physical structure of the compositions used in the methods of the present invention is believed to be that of an emulsion. A classic definition of an emulsion is a stable dispersion of one liquid in a second immiscible liquid. However, as stated earlier, the present composition is preferably formed using at least one emulsifier that is a solid wax at room temperature. The compositions described herein are believed to be a viscous stable mixture of a solid, semisolid, or liquid phase in a second liquid phase. It is believed that if certain hydrophobic emollients are added to the compositions, hydrophobic emulsifiers and immiscible emollients form an “oil” or hydrophobic phase which is dispersed in the hydroalcoholic liquid phase to form an “oil” in “water” emulsion. The hydroalcoholic phase is referred to herein as the “water” phase. Since many preferred emulsions are somewhat viscoelastic, these emulsions are believed to be liquid crystalline emulsions that have been cooled below the crystallization temperatures of the chosen emulsifiers to form a semi-crystalline gel-like network. Certain formulations may be simply swollen crystalline precipitates forming a strongly interacting network in the hydroalcoholic phase (so called coagel phase). The compositions described herein may also exist as combinations of these structures. Liquid crystalline and coagel phases in aqueous systems are described in “Application of Emulsion Stability Theories to Mobile and Semisolid O/W Emulsions,” Cosmetics and Toiletries, Vol. 101, pp 73-92 (1986), and “Influence of Long Chain Alcohols (or Acids) and Surfactants on the Stability and Consistencies of Cosmetic Lotions and Creams,” Cosmetics and Toiletries, Vol. 92, pp. 21-28 (1977) both of which are hereby incorporated by reference. The exact type of molecular association that occurs depends on many factors including the nature, size, and physical and chemical states of the polar and hydrocarbon portions of the emulsifiers that form the thickener system at a specified temperature.
- Certain of these liquid crystalline or coag gel phases interact with light in such a way as to provide a pearlescent or opalescent appearance. The resulting rainbow effect aesthetically enhances the appearance of the formulation without added dyes or pigments.
- Emulsifiers other than those required in the composition to provide a thickener system may also be added as emollients or stabilizers. These emulsifiers are referred to herein as auxiliary emulsifiers. For example, certain emollients are also comprised of hydrophobic and hydrophilic regions and are useful in the present invention since they are believed to become incorporated into the liquid crystalline network. These emollients tend to enhance the stability of the composition as is discussed more fully below. Furthermore, certain dimethicone copolyol surfactants can actually improve the stability of formulations incorporating emollients. This is also discussed in more detail below.
- In addition to alcohol, water and thickener system, the compositions of the present invention may optionally include ingredients such as salts, emollients, stabilizers, antimicrobials, fragrances, therapeutic agents, propellants and additional emulsifiers. Each of these optional ingredients along with the effect each has upon the properties of the final composition is discussed below.
- Salts
- The melt temperature of the compositions used in the methods of the present invention may be increased by adding salts. As the concentration of salt is increased, the ratio of emulsifiers will often need to change in order to maintain a stable composition. It is important to choose salts that do not create an unstable system.
- Stabilizers
- A stable composition is one that does not separate more than 10% by volume after centrifuging at 2275×g for 20 minutes as measured at the longitudinal midpoint of the sample tube. It is also recognized that stability may be time dependent due to crystallization of emulsifiers and/or emollients present in the system, coalescence of emollients, emulsifiers and the like and, therefore, preferred compositions do not exhibit separation of more than 10% after standing for 6 months at ambient conditions. Two types of stabilizers are useful in the present invention. These include (1) those stabilizers that complex with emulsifier hydrophilic head groups, and (2) those that associate with the emulsifier hydrophobic tails. Certain stabilizers may perform both functions. For example, emulsifiers comprising 1,2 diol-containing head groups such as alkylpolyglucosides, monoalkylglycerides, and polyglycerol alkyl esters, may be “stabilized” by adding borate ion. Without intending to be bound by theory, it is believed that borate ions complex with adjacent head groups which may increase the association of hydrophobic tails by holding them in close proximity. Natural or synthetic polymers comprised of pendent long chain alkyl groups (greater than 12 and preferably greater than 16 carbon atoms) such as stearyl modified cellulose derivatives, stearyl modified proteins such as wheat protein, stearyl modified collagen and the like are capable of stabilizing compositions of the present invention. Such added components may also increase the melt temperature of compositions of the present invention. It is believed that the pendent alkyl groups in these polymers associate by Van der Waals interactions with the hydrophobes of a thickening system, thereby enhancing the stability of the crystalline structure. Polymeric thickeners that do not have associative pendent alkyl chains may also increase the melt temperature presumably by increasing the viscosity of the continuous phase. A nonlimiting example of such thickeners are quaternary celluloses such as CELQUAT 230M as available from National Starch of Bridgewater, N.J. In a preferred embodiment stearyldimonium hydroxypropyl cellulose commercially available as CRODACEL QS from Croda Inc., Parsippany, N.J. is added as a stabilizer.
- Emollients
- Emollients are typically added to hand and body lotions because they act to increase the moisture content of the stratum corneum. Emollients are generally separated into two broad classes based on their function. The first class of emollients function by forming an occlusive barrier to prevent water evaporation from the stratum corneum. The second class of emollients penetrate into the stratum corneum and physically bind water to prevent evaporation. The first class of emollients is subdivided into compounds that are waxes at room temperature and compounds that are liquid oils. The second class of emollients includes those that are water soluble and are often referred to as humectants.
- For the purposes of this invention the thickener system is considered separate and distinct from any emollients which may be added even though it is recognized that the emulsifiers may function as occlusive emollients and aid in maintaining or improving the skin condition. Emollients are included in a preferred embodiment of the invention and preferably comprise between about 3 and 30%, more preferably between about 4 and 20% and most preferably between about 5 and 12% by weight of the formulation.
- The ratio of wax to liquid emollients (oils and humectants) in a preferred embodiment of the invention is between about 5:1 to 1:5 and preferably between about 1:3 to 3:1. Also, the ratio of wax emollients and wax emulsifiers to liquid emollients and liquid emulsifiers in a preferred embodiment of this invention is from about 1:5 to about 5:1, and more preferably, from about 1:3 to about 3:1. Emollients may be selected from any of the classes known in the art. A general list of useful emollients appears in U.S. Pat. No. 4,478,853 and EPO patent application 0 522 624 A1 and in the CTFA Cosmetic Ingredient Handbook published by The Cosmetic, Toiletry, and Fragrance Association, Wash. D.C. (1992) under the listings “Skin Conditioning Agents,” “Emollients,” “Humectants,” “Miscellaneous” and “Occlusive.”
- In preferred embodiments, emollients are chosen from the following nonlimiting list of general emollients, occlusive emollients and humectants. Examples of general emollients include short chain alkyl or aryl esters (C1-C6) of long chain straight or branched chain alkyl or alkenyl alcohols or acids (C8-C36) and their polyethoxylated derivatives; short chain alkyl or aryl esters (C1-C6) of C4-C12 diacids or diols optionally substituted in available positions by —OH; alkyl or aryl C1-C9 esters of glycerol, pentaerythritol, ethylene glycol, propylene glycol, as well as polyethoxylated derivatives of these and polyethylene glycol; C12-C22 alkyl esters or ethers of polypropylene glycol; C12-C22 alkyl esters or ethers of polypropylene glycol/polyethylene glycol copolymer; and polyether polysiloxane copolymers. In addition to many of the emulsifiers of preferred thickener systems, additional examples of occlusive emollients include cyclic dimethicones, polydialkylsiloxanes, polyaryl/alkylsiloxanes, long chain (C8-C36) alkyl and alkenyl esters of long straight or branched chain alkyl or alkenyl alcohols or acids; long chain (C8-C36) alkyl and alkenyl amides of long straight or branched chain (C8-C36) alkyl or alkenyl amines or acids; hydrocarbons including straight and branched chain alkanes and alkenes such as squalene, squalane, and mineral oil; polysiloxane polyalkylene copolymers, dialkoxy dimethyl polysiloxanes, short chain alkyl or aryl esters (C1-C6) of C12-C22 diacids or diols optionally substituted in available positions by OH; and C12-C22 alkyl and alkenyl alcohols. Nonlimiting examples of preferred humectant type emollients include glycerol, propylene glycol, dipropylene glycol, polypropylene glycol, polyethylene glycol, sorbitol, pantothenol, gluconic acid salts and the like.
- Although a thickener system is responsible for the stability and overall consistency of compositions of the present invention, emollients may also affect the viscosity, stability, and melt temperature of a composition. It is anticipated that a single emollient may be added to the present invention or two or more emollients may be added to the composition. A wide range of emollients may be added to the formulations of the present invention. Preferably wax and oil type emollients along with water soluble emollients are used. In a preferred embodiment, emollient systems are comprised of humectants in addition to occlusive wax and oil emollients in concentrations which achieve a moisturizing but not greasy composition which maintains and improves the condition of the skin upon repeated use. Preferably, emollients are non-comedogenic, non-acnegenic, and are chosen to ensure no skin irritation or sensitization reaction occurs.
- Without being bound or limited by theory, it is believed that if emollients are added to the present compositions, they may be present in four distinct regions. The emollients could occur (1) as a soluble species in the solvent phase, (2) dispersed as emulsified droplets within the mixed emulsifier micelle or crystalline gel network, (3) incorporated into the mixed emulsifier micelle or crystalline gel network, or (4) as a separate and distinct emulsion. As earlier stated, emollients can affect the melt temperature of a composition. Those emollients that are soluble or dispersible in the solvent phase tend to have little or no affect on the melt temperature and are therefore preferred. These emollients include the humectant and general emollients. The most preferred general emollients are those which are essentially insoluble in water but soluble in the hydroalcoholic solvent. These emollients are also preferred since they remain soluble and uniformly dispersed even above the melt temperature so that upon cooling to room temperature a uniform composition results. Such general emollients typically do not have alkyl or alkenyl chains greater than about 14, preferably not greater than 12 and most preferably not greater than about 9 carbon atoms.
- Those emollients which are insoluble in the hydroalcoholic solvent may associate with the emulsifiers of the thickener system and/or become incorporated into the micelle or crystalline gel network. Preferred emollients within this class are those emollients that are very hydrophobic since they tend to maintain a high melt temperature. For example, hexadecane was found to increase the viscoelasticity of certain thickener systems. Those emollients which are capable of associating with and disrupting the emulsifiers of the thickener system tend to decrease the melt temperature and may influence the stability of the composition. Certain branch alkyl esters of greater than about 12 carbon atoms per hydrophobe have been found to be particularly effective at decreasing the melt temperature. For example, trioctyldodecyl citrate has been found to significantly decrease the melt temperature of some systems.
- Emollients which become incorporated into the thickener system tend to decrease the melt temperature. For example, laureth-4 (BRIJ 30) appears to incorporate into the thickener system since it does not phase out when heated above the melt temperature at concentrations below about 1% by weight. Laureth-4 also tends to decrease the melt temperature of the composition.
- Certain emollients which are insoluble in the hydroalcoholic solvent can be emulsified in what is believed to be a separate and distinct emulsion. These emollients have little affect on the melt temperature of a composition. For example, certain cyclic silicones, polysiloxanes, and dialkoxypolysiloxanes can be emulsified in hydroalcoholic solvents using polyether/polysiloxane copolymers surfactants. Cyclic silicones such as DC344 (available from Dow Corning of Midland, Mich.) in the presence of certain polyether/polysiloxane copolymers such as ABIL B88183 available from Goldschmidt Chemical Corp. of Hopewell, Va., can form a thermally stable emulsion such that the compositions remain uniform both above and below the melt temperature. In fact, the combination of a long chain dialkoxypolysiloxane and polyether/polysiloxane copolymer has been found to actually promote the stability of certain thickener systems. The dialkoxypolysiloxane is believed to interact with the thickener system as well as the polyether/polysiloxane copolymer. These compounds have the following structures:
- Dialkoxy Dimethicones
- R—O—Si(CH3)2—O[Si(CH3)2—O]z—Si(CH3)2—OR
- where R is a straight chain alkyl group of 14-50, preferably 16-24 carbon atoms, and
- z=5-300
- Polyether/Polysiloxane Copolymers (Dimethicone Copolyols)
- (CH3)3—Si—O—[Si(CH3)R11—O]x[Si(CH3)R8—O]y—Si(CH3)3
- where
- x+y=5-400, preferably 15-200, and
- R 8 is a polyether substituted alkyl group with the structure:
- —R9—O(C2H4O)p(C3H6O)qR10;
- where
- R 9 is an alkyl group of 1 to 6 carbon atoms;
- R 10 is hydrogen or an alky group of 1-22 carbon atoms;
- R 11 is an alkyl group of 1 to 22 carbon atoms or phenyl;
- p=2-300, preferably 8-100; and
- q=0-100.
- Note that branched chain polysiloxanes modified as shown in the two structures above are also possible.
- The following are nonlimiting examples of emulsifier/emollient components which improve thickening/stability of compositions of the present invention.
- a. Certain wax emulsifiers/emollients have been found to be particularly useful and include solid waxy esters such as: Myristyl Myristate, Cetyl Palmitate, Myristyl Stearate, Stearyl Behenate, Behenyl Isostearate, Isostearyl Behenate, Behenyl Behenate, Lauryl Behenate, Behenyl Erucate. These have the following formula:
- R1—CO2—R2
- where:
- R 1 is at least 14 carbon atoms; and
- R 2 is an alkyl or alkenyl of at least 4 carbon atoms.
- b. Long chain hydrocarbon di-esters, tri-esters, of polyhydric alcohols with melting point greater than 23° C. include solid esters such as glycerol tribehenate and sorbitan tristearate.
- c. Pure lanolins and lanolin derivatives (e.g. hydrogenated lanolin) provide excellent emolliency and can also improve the stability of the emulsion when used in combination with oil emollients.
- d. Petrolatums provide excellent emolliency and can also improve the stability of the emulsion when used in combination with oil emollients. Petrolatums are mixtures of oily and waxy long chain hydrocarbons.
- e. Microcrystalline waxes and branched hydrocarbon waxes with a melting point greater than 50° C. and a molecular weight greater than 400. An example of this includes but is not limited to VYBAR 103 which is a branched hydrocarbon with a number average molecular weight of 2800 and is available from Petrolite Corp. of Tulsa, Okla. and ULTRAFLEX which is a microcrystalline wax also available from Petrolite Corp.
- f. Oxidized waxes and modified hydrocarbon waxes may find application in the present invention. These are prepared from waxes modified by oxidation, salts of oxidized waxes, maleic anhydride adducts of polyolefins and urethane derivatives of oxidized synthetic or petroleum waxes. Applicable waxes could include Petrolite's Cardis or Petronauba microcrystalline and polyethylene-based oxidized products, Polymekon (salts) and Ceramer (anhydride adducts).
- g. Fully saturated homopolymers of polyethylene or copolymers of various alkene monomers may be used to form polymers with a molecular weight at or below 3,000 with a melting point below 130° C. and low melt viscosities. Applicable waxes could include POLYWAX available from Petrolite Corp.
- Fragrances
- The formulations may also include a fragrance. If fragrances are included the fragrances must be chosen carefully since some fragrances are known to cause skin irritation and/or sensitization reactions.
- One or more fragrances can be used in compositions of this invention in amounts ranging from about 0.5 to about 8%, preferably from about 1 to about 4% by weight. A fragrance formulation may include such components as C10-C30 terpenes, C5-C50 aldehydes, C5-C50 ketones, C5-C50 esters and combinations thereof. Preferred fragrances are liquids at room temperature and are relatively volatile having a closed cup flashpoint of less than 120 C and preferably less than 95 C when tested according to ASTM D-56 “Standard Method for Flashpoint by Tag Closed Tester.” The following is a list of illustrative specific fragrance components: iso-amyl salicylate, carvacrol, clove leaf oil, ethyl salicylate, iso-eugenol, hexyl salicylate, thyme oil red, geraniol, limonene, 6-acetyl-1,1,3,4,4,6-hexamethyl-tetrahydronaphthalene, p-t-amyl cyclohexanone, 2-n-heptylcyclo-pentanone, a-iso-methyl ionone, beta-methyl naphthyl ketone, iso-butyl quinoline, methyl anthranilate, o-t-butylcyclohexyl acetate, p-t-butylcyclohexyl acetate, diethyl phthalate, nonanediol-1,3-diacetate, nonanolide-1,4, i-nonyl acetate, i-nonyl formate, cyclopentane, tetrahydromuguol, cedar wood oil, geranyl phenylacetate, guaiacwood oil, linalyl benzoate, phenyl ethyl alcohol, dihydromyrcenol, linalool, isolongifolanone, hexyl cinnamic aidehyde, linalyl acetate, citronellyl acetate, phenyl ethyl acetate, acetyl tributyl citrate, benzyl salicylate, isobutyl cinnamate, linalyl cinnamate, coumarin, acetyl cedrene, allyl amyl glycolate, vanillin, patchouli oil, bergamot oil, citronellol, and combinations thereof. The nomenclature adopted for the components listed above, so far as possible, is that employed by Steffan Arctander in “Perfume and Flavor Chemicals (Aroma Chemicals)” Volume I and II (1969) and the “Perfume & Flavor Materials of Natural Origin” (1960) by the same author.
- Foams
- The compositions used in the methods of the present invention may also be formulated into an aerosol foam or mousse by addition of an appropriate propellant. The propellant must be chosen to ensure proper delivery from the container to prevent clogging of the valve. The propellant can be chosen from chlorofluorocarbons (CFCs), hydrochlorofluorocarbons (HCFCs), hydrofluorocarbons (HFCs), perfluorinated alkanes, and lower alkanes (C1-C5) as well as nitrous oxide dimethyl ether and other solvent-soluble propellants. Preferred propellants are lower alkanes such as propane, butane, and isobutane since these result in a dramatic loss in viscosity making the formulation easy to dispense. A 70/30 mixture of propane/isobutane is a particularly preferred embodiment. In order to produce an aerosol composition the lotion is first formulated and charged into an appropriate pressure rated container. If convenient, the formulation may be heated above the melt temperature in order to facilitate filling. The propellant is then added under pressure at approximately 2-30% preferably 3-20% by volume. The propellant may form a separate layer or may remain emulsified in the composition.
- The compositions used in the methods of the present invention may be prepared by a variety of techniques. For example, the process can often be as simple as adding the thickener system to the hydroalcoholic solvent at a temperature above the melting point of the emulsifiers, mixing briefly and cooling. Nevertheless, to ensure a composition of maximum stability the components are preferably subjected to high shear (e.g. homogenized) for a limited time period while above the melting point of the thickener system followed by low shear mixing while cooling. The system should be mixed under high shear long enough to ensure a very small “droplet” size, however, excessive high shear mixing may result in decreased viscosity and stability.
- The cooling rate may be important depending on the particular thickener system. Certain thickener systems can be homogenized and then allowed to cool slowly, however, rapid cooling appears beneficial for most systems.
- The order of adding the components may also affect the stability and viscosity of the system. In general it works well to melt the mixed emulsifiers with aqueous-insoluble emollients together in one vessel. The hydroalcoholic solvent and any aqueous miscible emollients are mixed in a second vessel. Both components are heated above the melting temperature of the thickener system. The hot liquid components are mixed together rapidly followed by approximately 1 to 5 minutes of homogenization for typical batches under 500 grams. While still low in viscosity the system is stirred using moderate agitation and cooled. It is also possible to add the molten thickener system along with any solvent insoluble emollients to hot water (i.e., water at a temperature above the melting temperature) followed by high shear mixing and subsequent dilution with alcohol. The processing variables including amount and intensity of high shear mixing, rate of cooling, and order of addition are easily determined by one skilled in the art.
- Viscosity
- In the following Examples (except where indicated) viscosity was measured at 23° C. at ambient pressure using a Brookfield LVDV-I + viscometer equipped with a model D Brookfield heliopath and T spindles B-F. The spindle and speed was chosen for each particular sample such that the viscometer was operating in the middle of its range. All samples were allowed to equilibrate at 23° C. for 24 hours prior to measurement. Preferably the viscosity is taken at the lowest speed possible while staying within 20-80% of the viscometer range and more preferably between 30-70% of the range. In all cases the sample size and container geometry was chosen to ensure that there were no wall effects. By “wall effects” it is meant the viscosity value is not affected by the container and is essentially equivalent to the viscosity taken in an infinitely large container. For this reason lower viscosity samples required a larger sample size to accommodate the larger spindles. The following table outlines preferred spindles for various sample viscosities.
Sample Viscosity T Spindle to Use 1,000-100,000 B 10,000-200,000 C 50,000-500,000 D 100,000-1,250,000 E 500,000-3,000,000 F - The viscosity of each sample was taken as the highest relatively stable reading achieved on the first path the spindle traversed using the heliopath adapter.
- Stability
- The stability of samples was measured 24 hours after conditioning at ambient conditions by placing 12 ml of a formulation that formed a lotion/cream in a 15 ml graduated centrifuge tube. The tube was then centrifuged in a Labofuge B (Heraeus Sepatech GmbH, Model 2650, rotor 2150 and buckets #2101) at 3000 rpm (2275×g when measured at the longitudinal midpoint of the sample tube) for 20 minutes at 23° C. Stability is recorded as a volume percent separation in the Examples below.
- Melt Temperature (Tm)
- The melt temperature was measured by placing approximately 15 grams sample in a 25 cubic centimeter (cc) sealed glass vial and placing the vial in a water bath. The temperature of the bath was increased periodically in discrete increments and the contents checked after approximately 1 hour at a given temperature. The melt temperature was taken as the temperature at which the mixture became very low in viscosity.
- Cosmetic Properties/Tactile Testing
- For use in aftershaves the compositions of this invention are preferably formulated with emollients to achieve a moisturized but relatively dry feel. Compositions with excessive emollients tend to be perceived as greasy. The formulations of this invention do not provide a tacky or sticky feel even in high humidity environments throughout the application process. The invention formulations preferably yield a smooth, soft, nontacky, and moisturized feeling. Testing of the cosmetic or tactile properties of the compositions was conducted with preferably greater than ten evaluators who applied a premeasured amount of product, approximately 2 ml. Since hand washing can affect the feel of the compositions, evaluators washed thoroughly with IVORY Skin Cleansing Liquid Gel hand soap available from Procter and Gamble, Cincinnati, Ohio before applying the sample. After drying, the composition was rubbed uniformly over the surfaces of both hands until the composition was dry. The feel of the composition on the skin during subsequent washing with soap and water was also important. Approximately 30-60 minutes after application of the composition the feel during subsequent washing was evaluated. Preferred formulations did not result in an abnormal feeling such as slimy, slippery, or sticky characteristics.
- The following Examples are provided to illustrate the invention and are not intended to limit the scope of the invention.
- The following after-shave lotion formulations were prepared using the compounds listed below in the percentages indicated in Table 1.
TABLE 1 Amount of ingredients in formulations No 0.25% 0.50% In- Fragrance Fragrance Fragrance gredient Wt. Wt. Wt. Number Ingredient Percent Percent Percent Part A 1 Beheneth Ether1 (BB-10) 1.50 1.50 1.50 2 UNITHOX 4702 0.25 0.25 0.25 3 Behenyl Alcohol3 (BE-22) 1.10 1.10 1.10 4 Cetyl Palmitate4 0.05 0.05 0.05 5 Diisopropyl Dimerate5 1.00 1.00 1.00 6 Squalane6 1.00 1.00 1.00 7 DIMETHICONE 0.50 0.50 0.50 LA5/3507 8 Miconazole nitrate8 2.00 2.00 2.00 Part B 9 Polyethylene Glycol 9009 0.95 0.95 0.95 10 Polyethylene Glycol 60010 0.30 0.30 0.30 11 Glycerol11 0.45 0.45 0.45 12 Purified Water 29.088 29.008 28.928 Part 13 Ethyl Alcohol12 61.812 61.642 61.472 Part 14 Fragrance13 0.000 0.250 0.500 - Each formulation was prepared by placing the ingredients of Part A into a 200 ml glass jar and heating to 90° C. for an hour to melt the emulsifiers with constant stirring. If the emulsifiers were not melted, a heat gun was applied with constant stirring. At the same time ingredients of Part B were placed into another 200 ml glass jar and heated to 85° C. for an hour. Next Part B was added to Part A and the mixture was sheared on a Silverson homogenizer at high (100%) speed for one minute. The glass jar was sealed with a screw cap and heated to 56° C. for approximately one hour. This was cooled while rolling slowly on its side for approximately one hour. Part C was placed in a 200 ml jar and slowly added to the cooled combined formulation and shaken vigorously by hand for 60 seconds or until homogenous. The entire formulation was sheared again on the homogenizer at high speed (100%) for one minute. The steps of shaking and shearing were repeated. This was allowed to cool and the formulation was centrifuged by placing it in a 250 ml centrifuge bottle and spinning at low speed, e.g., less than 500 rpm to remove air bubbles.
- Twenty formulations were prepared using 5 different fragrances (Part D) at two levels of concentration (0.25% and 0.50%) and adding each at different times in the preparation of the emulsion either before addition of component of Part C (Pre) or after the emulsion was completely made (post). In the latter case the fragrance was added and mixed in by vigorous shaking by hand. Table 2 contains a list of the fragrances and their descriptions.
TABLE 2 Description of Fragrances Number Fragrance Chemical Nature EXP 29980 Grape aldehydes and esters FG 0540 Tea rose fragrance alcohols FG 0124 Synthetic spearmint Hydrophobic FG 0653 Lemon terpenic hydrocarbons FG 9494 Water soluble lemon Hydrophilic - The stability of samples was measured after conditioning 24 hours at ambient conditions following the procedure described under Stability and recorded in Table 3. As used in Table 3 “trace” means that there was a slight settling on the bottom of the tube but this was less than 0.1 ml.
TABLE 3 Results of the Stability Test Example Fragrance Before or After Fragrance Percent Number Number Component C (Wt. Percent) Separation 1 FG0653 Post 0.50 Trace 2 FG0124 Post 0.50 Trace 3 FG0540 Post 0.50 Trace 4 EXP29980 Post 0.50 Trace 5 FG9494 Post 0.50 Trace 6 FG0653 Post 0.25 Trace 7 FG0124 Post 0.25 Trace 8 FG0540 Post 0.25 Trace 9 EXP29980 Post 0.25 Trace 10 FG9494 Post 0.25 Trace 11 FG0653 Pre 0.25 Trace 12 EXP29980 Pre 0.25 Trace 13 FG0540 Pre 0.25 None 14 FG9494 Pre 0.25 None 15 FG0124 Pre 0.25 None 16 FG0540 Pre 0.50 Trace 17 EXP29980 Pre 0.50 Trace 18 FG9494 Pre 0.50 Trace 19 FG0653 Pre 0.50 None 20 FG0124 Pre 0.50 Trace - The results indicated that all of the fragrances produced stable emulsions. The wide variety of chemical functionality on the fragrances did not appear to effect the stability at the concentrations used. The formulations left a pleasant characteristic odor when dry. These samples demonstrate the use of both an antimicrobial agent and a fragrance. Similar results would be expected without the antimicrobial agent (miconazole nitrate). These formulations are useful in a broad range of cosmetic products applied to the skin including shaving creams, gels, and lotions as well as after shave creams, lotions, and gels for use before, during or after removal of both facial and non-facial hair. The formulations could also be supplied in the form of a mousse by introduction of a propellant as described previously.
- Alkyl Alcohol/Quaternary Amine Thickener System
- The following formulations were prepared using LANETTE 22 (Henkel Corp of Ambler, Pa.), behenyl alcohol available under the trade designation NIKKOL CA-2580 (Barnet Products Corp., Paterson, N.J.), behenyltrimethyl ammonium chloride
Composition Component A B C Amount (grams) NIKKOL CA-2580 0.59 0.59 0.44 LANETTE 22 1.5 2.00 1.63 68:32 Ethanol:water 47.91 47.41 47.93 - The compositions were prepared by separately heating the solvent and the thickener system to 65-70° C. The solvent was rapidly added to the thickener system followed by stirring with an overhead paddle stirrer with the glass container immersed in a 10° C. water bath. Each composition was mixed for 4.5 minutes after which the compositions cooled sufficiently for the emulsifiers to solidify.
- All three compositions were viscoelastic. The samples appeared pearlescent with macroscopically obvious crystalline regions. The crystals appeared macroscopically lamellar in nature. A small amount of syneresis was seen on standing at 23° C. overnight. The Tm of sample C was approximately 47° C. (The sample did not melt uniformly and even at 47° C. still had some solid regions.)
- While in accordance with the patent statutes, description of the preferred weight fractions, processing conditions, and product usages have been provided, the scope of the invention is not intended to be limited thereto or thereby.
- Various modifications and alterations of the present invention will be apparent to those skilled in the art without departing from the scope and spirit of the present invention. The Examples described in this application are illustrative of the possibilities of varying the type, quantity and ratio of composition as well as the methods for making formulations of the present invention. The complete disclosures of all patents, patent applications, and publications recited herein are incorporated by reference, as if individually incorporated by reference.
Claims (45)
1. A method of reducing skin irritation associated with shaving, the method comprising applying to skin a composition comprising:
a) a lower alcohol and water in a weight ratio of about 20:80 to 100:0, and
b) about 0.5% to about 8% by weight of a thickener system, based on the total weight of the composition, wherein the thickener system comprises at least about 0.05% by weight of at least one emulsifier, based on the total weight of the composition, wherein the emulsifier comprises:
(i) at least one hydrophobic group selected from the group consisting of:
A. an alkyl group of at least 16 carbon atoms;
B. an alkenyl group of at least 16 carbon atoms; and
C. an aralkyl or an aralkenyl group of at least 20 carbon atoms; and
(ii) at least one hydrophilic group selected from the group consisting of:
A. an ethylene oxide- and/or propylene oxide-containing group bonded to the hydrophobic group through an ether or ester bond and optionally terminated with a (C1-C36)alkyl ester, (C2-C36)alkenyl ester, or (C6-C36)alkaryl ester;
B. an alcohol group;
C. a polyhydric alcohol group;
D. an ester or ether group of a polyhydric alcohol or polyalkoxylated derivative thereof having 2-150 moles of alkylene oxide per mole of hydrophobic group;
E. an ester or ether group of sorbitan or polyalkoxylated derivative thereof; and
F. combinations of these groups;
wherein the composition has a viscosity of at least about 4,000 centipoise at 23° C. when in the absence of an auxiliary thickener, as measured using a very low shear viscometer and T spindles with a heliopath adapter.
2. The method of claim 1 wherein the hydrophobic group is selected from the group consisting of: an alkyl group of at least 24 carbon atoms; an alkenyl group of at least 24 carbon atoms; and an aralkyl or an aralkenyl group of at least 24 carbon atoms.
3. The method of claim 1 wherein the composition has a melt temperature of greater than about 25° C. when in the absence of an auxiliary thickener.
4. The method of claim 1 wherein the composition does not separate more than about 10% by volume when centrifuged for 20 minutes at 2275×g.
5. The method of claim 1 wherein the thickener system has a weight average hydrophile/lipophile balance of about 8 to about 12.
6. The method of claim 1 wherein the lower alcohol to water weight ratio is about 60:40 to about 75:25.
7. The method of claim 1 wherein the composition further comprises at least one emollient distinct from the thickener system.
8. The method of claim 1 wherein the composition further comprises a salt.
9. The method of claim 1 wherein the composition further comprises a stabilizer.
10. The method of claim 1 wherein the composition further comprises a polymeric thickening agent.
11. The method of claim 1 wherein the thickener system comprises at least one of the following:
a) a polyethoxylated alcohol and an alkyl alcohol;
b) a polyethoxylated alkyl alcohol;
c) a polyhydric alcohol ester and polyethoxylated alcohol;
d) an alkyl ester of sorbitan and a polyethoxylated alcohol;
e) an alkyl alcohol and an alkyl ester of a polyethoxylated alcohol;
f) a polyethoxylated alkyl alcohol and an alkyl ester of a polyethoxylated alcohol;
g) an alkyl alcohol, a polyethoxylated alkyl alcohol, and a dimethicone copolyol alkyl phosphate; or
h) a polyglycerol ester, a polyethoxylated alcohol, and an alkyl alcohol.
12. The method of claim 11 wherein the thickener system further comprises an emulsifier with at least two hydrophobic components.
13. The method of claim 12 wherein the emulsifier with at least two hydrophobic components is a quaternary ammonium salt.
14. The method of claim 1 wherein the ethylene oxide- and/or propylene oxide-group is a polyethylene glycol group, a polypropylene glycol group, or a polyethylene glycol/polypropylene glycol copolymeric group.
15. The method of claim 1 wherein the emulsifier is selected from the group consisting of a poly(ethoxylated and/or propoxylated) alcohol, a poly(ethoxylated and/or propoxylated)ester, a derivative of a poly(ethoxylated and/or propoxylated) alcohol, a derivative of a poly(ethoxylated and/or propoxylated)ester, an alkyl alcohol, an alkenyl alcohol, an ester of a polyalkoxylated derivative of a polyhydric alcohol, an ether of a polyalkoxylated derivative of a polyhydric alcohol, a sorbitan fatty acid ester, a polyalkoxylated derivative of a sorbitan fatty acid ester, and mixtures thereof.
16. The method of claim 1 wherein the composition further comprises a fragrance.
17. The method of claim 16 wherein the fragrance is a perfume.
18. The method of claim 1 wherein the composition is pearlescent.
19. The method of claim 1 wherein the composition is an aftershave.
20. A method of reducing skin irritation associated with shaving, the method comprising applying to skin a composition comprising:
a) a lower alcohol and water in a weight ratio of about 20:80 to 100:0, and
b) about 0.5% to about 8% by weight of a thickener system, based on the total weight of the composition, wherein the thickener system comprises at least about 0.05% by weight of at least one emulsifier, based on the total weight of the composition, wherein the emulsifier comprises:
(i) at least one hydrophobic group selected from the group consisting of:
A. an alkyl group of at least 24 carbon atoms;
B. an alkenyl group of at least 24 carbon atoms; and
C. an aralkyl or an aralkenyl group of at least 24 carbon atoms; and
(ii) at least one hydrophilic group selected from the group consisting of:
A. an ethylene oxide- and/or propylene oxide-containing group bonded to the hydrophobic group through an ether or ester bond and optionally terminated with a (C1-C36)alkyl ester, (C2-C36)alkenyl ester, or (C6-C36)alkaryl ester;
B. an alcohol group;
C. a polyhydric alcohol group;
D. an ester or ether group of a polyhydric alcohol or polyalkoxylated derivative thereof having 2-150 moles of alkylene oxide per mole of hydrophobic group;
E. an ester or ether group of sorbitan or polyalkoxylated derivative thereof; and
F. combinations of these groups;
wherein the composition has a melt temperature of greater than about 25° C. and a viscosity of at least about 4,000 centipoise at 23° C. when in the absence of an auxiliary thickener, as measured using a very low shear viscometer and T spindles with a heliopath adapter.
21. The method of claim 20 wherein the composition further comprises a fragrance.
22. The method of claim 21 wherein the fragrance is a perfume.
23. The method of claim 20 wherein the composition is pearlescent.
24. The method of claim 20 wherein the composition is an aftershave.
25. A method of reducing skin irritation associated with shaving, the method comprising applying to skin a composition comprising:
a) a major amount of a solvent comprising a lower alcohol and water in a weight ratio of about 60:40 to 95:5, and
b) about 0.5% to about 8% by weight of a thickener system, based on the total weight of the composition, wherein the thickener system comprises at least about 0.05% by weight of one or more emulsifiers, based on the total weight of the composition, wherein at least one of the emulsifiers is solid at room temperature;
wherein the composition has a melt temperature of greater than about 25° C. and a viscosity of at least about 45,000 centipoise after 19 days at 23° C. when in the absence of an auxiliary thickener, as measured using a very low shear viscometer and T spindles with a heliopath adapter.
26. The method of claim 25 wherein the composition further comprises a fragrance.
27. The method of claim 26 wherein the fragrance is a perfume.
28. The method of claim 25 wherein the composition is in the form of a lotion, a gel, or a foam.
29. The method of claim 25 wherein the composition comprises both wax and liquid emollients in a weight ratio of 5:1 to 1:5 wax to liquid emollients.
30. The method of claim 29 wherein the weight ratio of wax to liquid emollients is within the range 3:1 to 1:3.
31. The method of claim 25 wherein the composition is an aftershave.
32. A method of reducing skin irritation associated with shaving, the method comprising applying to skin a composition comprising:
a) a lower alcohol and water in a weight ratio of about 20:80 to 100:0, and
b) about 0.5% to about 8% by weight of a thickener system, based on the total weight of the composition, wherein the thickener system comprises at least about 0.05% by weight of at least two emulsifiers, based on the total weight of the composition, wherein at least one emulsifier comprises:
(i) at least one hydrophobic group selected from the group consisting of:
A. an alkyl group of at least 16 carbon atoms;
B. an alkenyl group of at least 16 carbon atoms; and
C. an aralkyl or an aralkenyl group of at least 20 carbon atoms; and
(ii) at least one hydrophilic group selected from the group consisting of:
A. an ethylene oxide- and/or propylene oxide-containing group bonded to the hydrophobic group through an ether or ester bond and optionally terminated with a (C1-C36)alkyl ester, (C2-C36)alkenyl ester, or (C6-C36)alkaryl ester;
B. an alcohol group;
C. a polyhydric alcohol group;
D. an ester or ether group of a polyhydric alcohol or polyalkoxylated derivative thereof having 2-150 moles of alkylene oxide per mole of hydrophobic group;
E. an ester or ether group of sorbitan or polyalkoxylated derivative thereof; and
F. combinations of these groups;
and wherein at least one emulsifier comprises:
(i) at least one hydrophobic group selected from the group consisting of:
A. an alkyl group of at least 16 carbon atoms;
B. an alkenyl group of at least 16 carbon atoms; and
C. an aralkyl or an aralkenyl group of at least 20 carbon atoms; and
(ii) at least one hydrophilic group selected from the group consisting of:
A. an amide group;
B. a short chain ester of a long chain alcohol or acid;
C. a polyglucoside group having 1-10 glucose units;
D. a polyglycerol ester group having 1-15 glycerol units;
E. a secondary amine group;
F. a tertiary amine group;
G. a anionic group;
H. a zwitterionic group; and
I. combinations of these groups.
33. A method of reducing skin irritation associated with shaving, the method comprising applying to skin a composition comprising:
a) a lower alcohol and water in a weight ratio of about 20:80 to 95:5; and
b) about 0.5% to about 8% by weight of a thickener system, based on the total weight of the composition, wherein the thickener system comprises at least about 0.05% by weight of at least one emulsifier, based on the total weight of the composition, wherein the emulsifier comprises:
(i) at least one hydrophobic group selected from the group consisting of:
A. an alkyl group of at least 16 carbon atoms;
B. an alkenyl group of at least 16 carbon atoms; and
C. an aralkyl or an aralkenyl group of at least 20 carbon atoms; and
(ii) at least one hydrophilic group selected from the group consisting of:
A. an amide group;
B. a short chain ester of a long chain alcohol or acid;
C. a polyglucoside group having 1-10 glucose units;
D. a polyglycerol ester group having 1-15 glycerol units;
E. a secondary amine group;
F. a tertiary amine group;
G. a anionic group;
H. a zwitterionic group; and
I. combinations of these groups;
wherein the composition has a viscosity of at least about 4,000 centipoise at 23° C. when in the absence of an auxiliary thickener, as measured using a very low shear viscometer and T spindles with a heliopath adapter.
34. The method of claim 33 wherein the zwitterionic group has the formula:
—N+(R″)2(CHQ)xL′
or
wherein:
each R″ is independently hydrogen, an alkyl group, an alkenyl group, an alkyl carboxyl group, or an alkenyl carboxyl group, which alkyl or alkenyl groups are optionally substituted with nitrogen, oxygen, or sulfur atoms;
Q is hydrogen or hydroxyl;
x is 1 to 4; and
L′ is —CO2 −, —OP(O)(O−)(O−M+), —(O)P(OR′″)(O)(O−M+), —SO2O−M+ or —OSO2O−M+ wherein:
R′″ is hydrogen or an alkyl group of 1-10 carbon atoms optionally substituted with N, O, or S atoms;
M+ is a positively charged counterion present in a molar ratio necessary to achieve a net neutral charge on the emulsifier and is selected from the group consisting of hydrogen, sodium, potassium, lithium, ammonium, calcium, magnesium, N+R″4, and combinations of these groups.
35. The method of claim 33 wherein the thickener system has a weight average hydrophile/lipophile balance of between about 8 and 12.
36. The method of claim 33 wherein the thickener system comprises at least one of the following:
a) a short chain ester of a long chain alcohol or acid, an alkyl or alkenyl alcohol, and a quaternary amine;
b) an alkylpolyglucoside, a polyethoxylated alcohol, and a quaternary amine;
c) an alkylpolyglucoside, a polyethoxylated alcohol, and an amine oxide;
d) an alkylpolyglucoside and a tertiary amine;
e) an alkylpolyglucoside and a quaternary amine;
f) a polyglycerol ester, a polyethoxylated alcohol, and an alkyl or alkenyl alcohol;
g) a polyglycerol ester, a polyethoxylated alcohol, an alkyl or alkenyl alcohol, and a short chain ester of long chain alcohol or acid;
h) a polyglycerol ester, a polyethoxylated alcohol, and a quaternary amine;
i) a polyglycerol ester, a short chain ester of long chain alcohol or acid, and a quaternary amine;
j) a polyglycerol ester, an amine oxide, and a quaternary amine;
k) an alkyl or alkenyl alcohol, a short chain ester of a long chain alcohol or acid, and a quaternary amine;
l) an alkyl or alkenyl alcohol, a short chain ester of long chain alcohol or acid, and an amine oxide;
m) a short chain ester of a long chain alcohol or acid, a polyethoxylated alkyl alcohol, and a quaternary amine;
n) a short chain ester of a long chain alcohol or acid, and a quaternary amine;
o) an alkyl betaine and a polyethoxylated alcohol;
p) an alkyl phospholipid and a polyethoxylated alcohol;
q) a short chain ester of long chain alcohol or acid, an alkyl alcohol, and a dialkoxydimethicone;
r) a short chain ester of long chain alcohol or acid and a polyethoxylated alcohol;
s) a short chain ester of long chain alcohol or acid and a quaternary amine;
t) a polyglycerol ester and a polyethoxylated alcohol; or
u) an alkyl carboxylate and a polyethoxylated alcohol.
37. The method of claim 33 wherein the composition further comprises dialkoxy dimethicone and polyether/polysiloxane copolymer.
38. The method of claim 33 wherein the composition further comprises at least one emollient.
39. The method of claim 38 wherein the composition further comprises both both wax and liquid emollients in a weight ratio of 3:1 to 1:3 wax to liquid emollients.
40. The method of claim 33 wherein the composition further comprises a salt.
41. The method of claim 33 wherein the composition further comprises a stabilizer.
42. The method of claim 33 wherein the composition further comprises a fragrance.
43. The method of claim 42 wherein the fragrance is a perfume.
44. The method of claim 33 wherein the composition is in the form of a lotion, a gel, or a foam.
45. The method of claim 33 wherein the composition is an aftershave.
Priority Applications (3)
| Application Number | Priority Date | Filing Date | Title |
|---|---|---|---|
| US10/074,262 US20030168073A1 (en) | 2002-02-12 | 2002-02-12 | Methods of reducing skin irritation associated with shaving |
| PCT/US2002/041804 WO2003068178A1 (en) | 2002-02-12 | 2002-12-30 | Methods of reducing skin irritation associated with shaving |
| AU2002358310A AU2002358310A1 (en) | 2002-02-12 | 2002-12-30 | Methods of reducing skin irritation associated with shaving |
Applications Claiming Priority (1)
| Application Number | Priority Date | Filing Date | Title |
|---|---|---|---|
| US10/074,262 US20030168073A1 (en) | 2002-02-12 | 2002-02-12 | Methods of reducing skin irritation associated with shaving |
Publications (1)
| Publication Number | Publication Date |
|---|---|
| US20030168073A1 true US20030168073A1 (en) | 2003-09-11 |
Family
ID=27732363
Family Applications (1)
| Application Number | Title | Priority Date | Filing Date |
|---|---|---|---|
| US10/074,262 Abandoned US20030168073A1 (en) | 2002-02-12 | 2002-02-12 | Methods of reducing skin irritation associated with shaving |
Country Status (3)
| Country | Link |
|---|---|
| US (1) | US20030168073A1 (en) |
| AU (1) | AU2002358310A1 (en) |
| WO (1) | WO2003068178A1 (en) |
Cited By (4)
| Publication number | Priority date | Publication date | Assignee | Title |
|---|---|---|---|---|
| US20060067962A1 (en) * | 2004-09-30 | 2006-03-30 | Kimberly-Clark Worldwide, Inc. | Skin cooling compositions |
| US20060067961A1 (en) * | 2004-09-30 | 2006-03-30 | Kimberly-Clark Worldwide,Inc. | Skin cooling compositions |
| US20070184138A1 (en) * | 2006-01-27 | 2007-08-09 | L'oreal | Method of preparing a cosmetic composition, and an apparatus for implementing such a method |
| US20070196402A1 (en) * | 2006-01-27 | 2007-08-23 | L'oreal | Method of preparing a cosmetic composition, and an assembly and a refill for implementing such a method |
Families Citing this family (1)
| Publication number | Priority date | Publication date | Assignee | Title |
|---|---|---|---|---|
| JP2008531740A (en) * | 2005-03-07 | 2008-08-14 | デブ ワールドワイド ヘルスケア インコーポレーテッド | High alcohol content foamable composition containing a silicone based surfactant |
Citations (3)
| Publication number | Priority date | Publication date | Assignee | Title |
|---|---|---|---|---|
| US6090395A (en) * | 1995-06-22 | 2000-07-18 | Minnesota Mining And Manufacturing Company | Stable hydroalcoholic compositions |
| US6503517B1 (en) * | 2000-01-28 | 2003-01-07 | Conopco, Inc. | Cosmetic compositions with menthol |
| US20030113357A1 (en) * | 2000-05-23 | 2003-06-19 | The Procter & Gamble Company | Skin Care Compositions |
Family Cites Families (2)
| Publication number | Priority date | Publication date | Assignee | Title |
|---|---|---|---|---|
| US5449512A (en) * | 1994-08-24 | 1995-09-12 | The Procter & Gamble Company | Anhydrous after shave lotions |
| US6231845B1 (en) * | 1999-05-24 | 2001-05-15 | The Gillette Company | After shave composition containing aluminum chlorohydrate |
-
2002
- 2002-02-12 US US10/074,262 patent/US20030168073A1/en not_active Abandoned
- 2002-12-30 WO PCT/US2002/041804 patent/WO2003068178A1/en not_active Ceased
- 2002-12-30 AU AU2002358310A patent/AU2002358310A1/en not_active Abandoned
Patent Citations (3)
| Publication number | Priority date | Publication date | Assignee | Title |
|---|---|---|---|---|
| US6090395A (en) * | 1995-06-22 | 2000-07-18 | Minnesota Mining And Manufacturing Company | Stable hydroalcoholic compositions |
| US6503517B1 (en) * | 2000-01-28 | 2003-01-07 | Conopco, Inc. | Cosmetic compositions with menthol |
| US20030113357A1 (en) * | 2000-05-23 | 2003-06-19 | The Procter & Gamble Company | Skin Care Compositions |
Cited By (8)
| Publication number | Priority date | Publication date | Assignee | Title |
|---|---|---|---|---|
| US20060067962A1 (en) * | 2004-09-30 | 2006-03-30 | Kimberly-Clark Worldwide, Inc. | Skin cooling compositions |
| US20060067961A1 (en) * | 2004-09-30 | 2006-03-30 | Kimberly-Clark Worldwide,Inc. | Skin cooling compositions |
| WO2006038933A1 (en) * | 2004-09-30 | 2006-04-13 | Kimberly-Clark Worldwide, Inc. | Skin cooling compositions |
| AU2005292608B2 (en) * | 2004-09-30 | 2010-09-16 | Kimberly-Clark Worldwide, Inc. | Skin cooling compositions |
| KR101219968B1 (en) | 2004-09-30 | 2013-01-09 | 킴벌리-클라크 월드와이드, 인크. | Skin cooling compositions |
| KR101234464B1 (en) * | 2004-09-30 | 2013-02-18 | 킴벌리-클라크 월드와이드, 인크. | Skin cooling compositions |
| US20070184138A1 (en) * | 2006-01-27 | 2007-08-09 | L'oreal | Method of preparing a cosmetic composition, and an apparatus for implementing such a method |
| US20070196402A1 (en) * | 2006-01-27 | 2007-08-23 | L'oreal | Method of preparing a cosmetic composition, and an assembly and a refill for implementing such a method |
Also Published As
| Publication number | Publication date |
|---|---|
| AU2002358310A1 (en) | 2003-09-04 |
| WO2003068178A1 (en) | 2003-08-21 |
Similar Documents
| Publication | Publication Date | Title |
|---|---|---|
| EP0833606B1 (en) | Stable hydroalcoholic compositions | |
| AU715827B2 (en) | Stable hydroalcoholic compositions | |
| US6623744B2 (en) | Stable hydroalcoholic compositions | |
| CA2274565C (en) | Hydroalcoholic compositions for transdermal penetration of pharmaceutical agents | |
| JPH11508252A5 (en) | ||
| PL130091B1 (en) | Skin care cosmetic | |
| NZ203953A (en) | Skin or hair conditioning compositions | |
| US7566460B2 (en) | Stable hydroalcoholic compositions | |
| US20030168073A1 (en) | Methods of reducing skin irritation associated with shaving | |
| CN100369600C (en) | Oil-in-water emulsified composition and preparation method thereof | |
| JP4129204B2 (en) | Water-in-oil emulsified cosmetic | |
| JP3765465B2 (en) | Oil-in-water emulsion composition | |
| JPH06211621A (en) | Cosmetic | |
| KR100777625B1 (en) | Emulsifying composition | |
| WO2002072054A1 (en) | Emulsion composition | |
| US20230338268A1 (en) | Ethylcellulose formulations and methods of making same | |
| BR112020001380B1 (en) | AQUEOUS DISPERSION COMPOSITION COMPRISING ETHYL CELLULOSE, METHOD FOR THE PRODUCTION OF THE SAME, AQUEOUS HOMOGENEOUS EMULSION AND PERSONAL HYGIENE PRODUCT |
Legal Events
| Date | Code | Title | Description |
|---|---|---|---|
| AS | Assignment |
Owner name: 3M INNOVATIVE PROPERTIES COMPANY, MINNESOTA Free format text: ASSIGNMENT OF ASSIGNORS INTEREST;ASSIGNOR:MOLINE, WEI C.;REEL/FRAME:012898/0189 Effective date: 20020508 |
|
| AS | Assignment |
Owner name: 3M INNOVATIVE PROPERTIES COMPANY, MINNESOTA Free format text: ASSIGNMENT OF ASSIGNORS INTEREST;ASSIGNOR:SCHOLZ, MATTHEW T.;REEL/FRAME:015297/0811 Effective date: 20040331 |
|
| STCB | Information on status: application discontinuation |
Free format text: ABANDONED -- FAILURE TO RESPOND TO AN OFFICE ACTION |












