US20020061006A1 - Monitoring of CDMA load and frequency reuse based on reverse link signal-to-noise ratio - Google Patents
Monitoring of CDMA load and frequency reuse based on reverse link signal-to-noise ratio Download PDFInfo
- Publication number
- US20020061006A1 US20020061006A1 US10/006,075 US607501A US2002061006A1 US 20020061006 A1 US20020061006 A1 US 20020061006A1 US 607501 A US607501 A US 607501A US 2002061006 A1 US2002061006 A1 US 2002061006A1
- Authority
- US
- United States
- Prior art keywords
- frequency reuse
- loading
- determining
- communication system
- base station
- Prior art date
- Legal status (The legal status is an assumption and is not a legal conclusion. Google has not performed a legal analysis and makes no representation as to the accuracy of the status listed.)
- Abandoned
Links
- 238000012544 monitoring process Methods 0.000 title claims abstract description 21
- 238000004891 communication Methods 0.000 claims abstract description 52
- 238000000034 method Methods 0.000 claims abstract description 28
- 230000000694 effects Effects 0.000 claims abstract description 20
- 238000011068 loading method Methods 0.000 claims description 43
- 230000008569 process Effects 0.000 claims description 7
- 230000003595 spectral effect Effects 0.000 claims description 7
- 238000012545 processing Methods 0.000 claims description 5
- 238000001228 spectrum Methods 0.000 claims description 4
- 238000012804 iterative process Methods 0.000 claims 1
- 230000005540 biological transmission Effects 0.000 description 9
- 238000004364 calculation method Methods 0.000 description 6
- 230000001413 cellular effect Effects 0.000 description 3
- 238000012937 correction Methods 0.000 description 3
- 238000010586 diagram Methods 0.000 description 3
- 238000005259 measurement Methods 0.000 description 3
- 230000009471 action Effects 0.000 description 2
- 238000005562 fading Methods 0.000 description 2
- 238000012805 post-processing Methods 0.000 description 2
- 230000003466 anti-cipated effect Effects 0.000 description 1
- 230000015556 catabolic process Effects 0.000 description 1
- 230000003247 decreasing effect Effects 0.000 description 1
- 230000007812 deficiency Effects 0.000 description 1
- 230000006735 deficit Effects 0.000 description 1
- 238000006731 degradation reaction Methods 0.000 description 1
- 238000012217 deletion Methods 0.000 description 1
- 230000037430 deletion Effects 0.000 description 1
- 238000012423 maintenance Methods 0.000 description 1
- 238000012986 modification Methods 0.000 description 1
- 230000004048 modification Effects 0.000 description 1
- 230000004044 response Effects 0.000 description 1
- 230000007480 spreading Effects 0.000 description 1
- 238000012360 testing method Methods 0.000 description 1
Images
Classifications
-
- H—ELECTRICITY
- H04—ELECTRIC COMMUNICATION TECHNIQUE
- H04W—WIRELESS COMMUNICATION NETWORKS
- H04W24/00—Supervisory, monitoring or testing arrangements
-
- H—ELECTRICITY
- H04—ELECTRIC COMMUNICATION TECHNIQUE
- H04W—WIRELESS COMMUNICATION NETWORKS
- H04W16/00—Network planning, e.g. coverage or traffic planning tools; Network deployment, e.g. resource partitioning or cells structures
- H04W16/02—Resource partitioning among network components, e.g. reuse partitioning
- H04W16/04—Traffic adaptive resource partitioning
-
- Y—GENERAL TAGGING OF NEW TECHNOLOGICAL DEVELOPMENTS; GENERAL TAGGING OF CROSS-SECTIONAL TECHNOLOGIES SPANNING OVER SEVERAL SECTIONS OF THE IPC; TECHNICAL SUBJECTS COVERED BY FORMER USPC CROSS-REFERENCE ART COLLECTIONS [XRACs] AND DIGESTS
- Y02—TECHNOLOGIES OR APPLICATIONS FOR MITIGATION OR ADAPTATION AGAINST CLIMATE CHANGE
- Y02D—CLIMATE CHANGE MITIGATION TECHNOLOGIES IN INFORMATION AND COMMUNICATION TECHNOLOGIES [ICT], I.E. INFORMATION AND COMMUNICATION TECHNOLOGIES AIMING AT THE REDUCTION OF THEIR OWN ENERGY USE
- Y02D30/00—Reducing energy consumption in communication networks
- Y02D30/70—Reducing energy consumption in communication networks in wireless communication networks
Definitions
- the present invention relates to digital communications. More particularly, the present invention relates to a novel and improved system and method for monitoring the load in a CDMA system.
- CDMA code division multiple access
- PN pseudorandom noise
- a first frequency band is used for forward channel communications (from the base station to the mobile station), while a second frequency band, different from the first frequency band, is used for reverse channel communications (from the mobile station to the base station).
- PN pseudorandom noise
- Power control of the mobile station transmitter consists of two elements: open loop estimation of transmit power by the mobile station, and closed loop correction of the errors in this estimate by the base station.
- open loop power control each mobile station estimates the total received power on the assigned CDMA frequency channel. Based on this measurement and a correction supplied by the base station, the mobile station transmitted power is adjusted to match the estimated path loss, to arrive at the base station at a predetermined level. All mobile stations use the same process and arrive with equal average power at the base station.
- uncontrolled differences in the forward and reverse channels such as opposite fading that may occur due to the frequency difference and mismatches in the receive and transmit chains of the mobile station, cannot be estimated by the mobile.
- each mobile station corrects its transmit power with closed loop power control information supplied by the base station via low rate data inserted into each forward traffic channel.
- the base station derives the correction information by monitoring the reverse CDMA Channel quality of each mobile station, compares this measurement to a threshold, and requests either an increase or decrease depending on the result. In this manner, the base station maintains each reverse channel, and thus all reverse channels, at the minimum received power needed to provide acceptable performance.
- An example of a communication system employing the open loop and closed loop power control methods described above is given in U.S. Pat. No. 5,056,109 entitled “Method And Apparatus For Controlling Transmission Power In A CDMA Cellular Mobile Telephone System,” assigned to the assignee of the present invention, and incorporated herein by reference.
- a predetermined number of radio frequency resources such as transceivers and channel modulator/demodulators (modems) are located at each base station.
- the amount of resources allocated to a base station depends upon the anticipated traffic loading conditions. For example, a system in a rural area may only have one omni-directional antenna at each base station, and enough channel modems to support eight simultaneous calls.
- a base station in a dense urban area may be co-located with other base stations, each having several highly directional antennas, and enough modems to handle forty or more simultaneous calls. It is in these more dense urban areas that cell site capacity is at a premium and must be monitored and managed closely in order to provide the most efficient allocation of limited resources while maintaining acceptable quality of communications.
- Sector/cell loading is the ratio of the actual number of users in the sector to the maximum theoretical number that the sector can support. This ratio is proportional to total interference measured at the receiver of the sector/cell.
- the maximum number of users that the sector/cell can support is a function of the aggregate signal-to-noise ratio (SNR), voice activity, and interference from other cells.
- SNR signal-to-noise ratio
- the individual subscriber unit SNR depends on subscriber unit speed, radio frequency propagation environment, and the number of users in the system. Interference from other cells depends on the number of users in these cells; radio frequency propagation losses and the way users are distributed. Typical calculations of the capacity assume equal SNR for all users and nominal values of voice activity and interference from other cells.
- SNR changes from user to user and frequency reuse efficiency varies from sector to sector. Hence, there is a need to continuously monitor the loading of a sector or cell.
- a conventional way to monitor cell site loading conditions is for a person, usually a network engineer or technician employed by a wireless communication service provider, to travel from cell to cell making loading condition readings using specially designed and expensive test equipment.
- the logged data is then returned to a central processing facility for post-processing and analysis.
- Some significant drawbacks to this method are that the data can not be evaluated in real-time, and that significant errors are introduced due to propagation effects between the base station and the measurement equipment.
- this monitoring method only is used in a time-delayed fashion to take corrective action, such as reassigning resources for the future. It does not enable the service provider to take any real-time action to improve loading conditions and their effect on system performance. Additionally, it requires a person to travel to each site serially, thus providing a discontinuous “hit or miss” estimate of the peak loading conditions and consequent system performance depending on whether the visit coincided with the actual (rather than assumed) peak usage times.
- Another possible way of monitoring cell site loading conditions is accessing the performance data logged by the base station, or the base station controller.
- this method requires that scarce base station processing resources be diverted to collect and retrieve the loading data. Additionally, it suffers from the non-real time post-processing problems previously mentioned. It also requires that a person visit each cell site serially to retrieve the data.
- load monitoring can be used to predict approaching system overloads. It can also be used to control the amount of loading in a system and to establish an admission policy for adding users to the system.
- the admission policy can apply to new users as well as to users already on the system and being handed off since admission of either kind of user can result in exceeding the system capacity.
- steps can be taken to allocate more resources in response to load monitoring.
- Load monitoring can also be used to determine peak hour activities in CDMA systems.
- the present invention is directed to a method and apparatus for monitoring the load on a CDMA communication system having a base station and a plurality of users.
- a measure of voice activity in the communication system is determined, and a current value of frequency reuse efficiency equal to an initial value of frequency reuse efficiency is provided.
- a power determination is made according to the determined voice activity and the current value of frequency reuse efficiency.
- the current value of frequency reuse efficiency is updated using the power determination to provide a new current value of frequency reuse efficiency.
- the power determination and the update of the frequency reuse efficiency are iteratively repeated until convergence to provide a converged value of frequency reuse efficiency.
- the load on the communication system is then determined in accordance with the converged frequency reuse efficiency value.
- the admission of new users to the communication system is controlled using the determined load value, e.g., admission of new users is denied when the load is above a threshold.
- load values calculated in accordance with the present invention can be stored in order to collect peak hour activities relating to the communication system.
- FIG. 1 shows a high level overview of the system of the present invention
- FIGS. 2A and 2B show graphical representations of possible loadings of a CDMA communication system
- FIG. 3 shows a flow diagram of the method of the present invention.
- FIG. 4 is a block diagram showing the components of an exemplary base station used for implementing the position tracking system of the present invention.
- Communication system 9 provides real time monitoring and management of system loading.
- Base station 4 of communication system 9 is in wireless communication with mobile stations 1 A- 1 D by way of antenna 2 .
- Mobile stations 1 A- 1 D can be power controlled CDMA cellular telephones as well known in the art.
- Base station 4 is also in communication with system management center 5 which can contain any personnel and network computers required to perform any monitoring or management functions required within base station 4 .
- Base station 4 and system management center 5 can communicate by any method known in the art.
- mobile stations 1 A- 1 D In normal operation of system 9 , mobile stations 1 A- 1 D periodically communicate with base station 4 , either to originate a call, receive a call, or to send or receive various overhead messages to or from base station 4 .
- peak usage hours such as during the middle of the day, all four mobile stations 1 A- 1 D may be in simultaneous communication with base station 4 , thereby increasing system loading and interference on the reverse link.
- non-peak usage hours such as during the middle of the night, fewer mobile stations 1 A- 1 D may be in communication with base station 4 at any time, thereby decreasing system loading. It will be understood that there may be fewer or many more than four mobile stations 1 A- 1 D simultaneously communicating with base station 4 depending on the capacity of base station 4 .
- the system loading and the frequency reuse efficiency in an active CDMA communication system can be monitored.
- Information about system loading can then be used by a base station controller, a base station, or any other control device to control loading, establish admission policy to the system and collect peak hour activities.
- traffic channel SNR information available to a cell site modem is used.
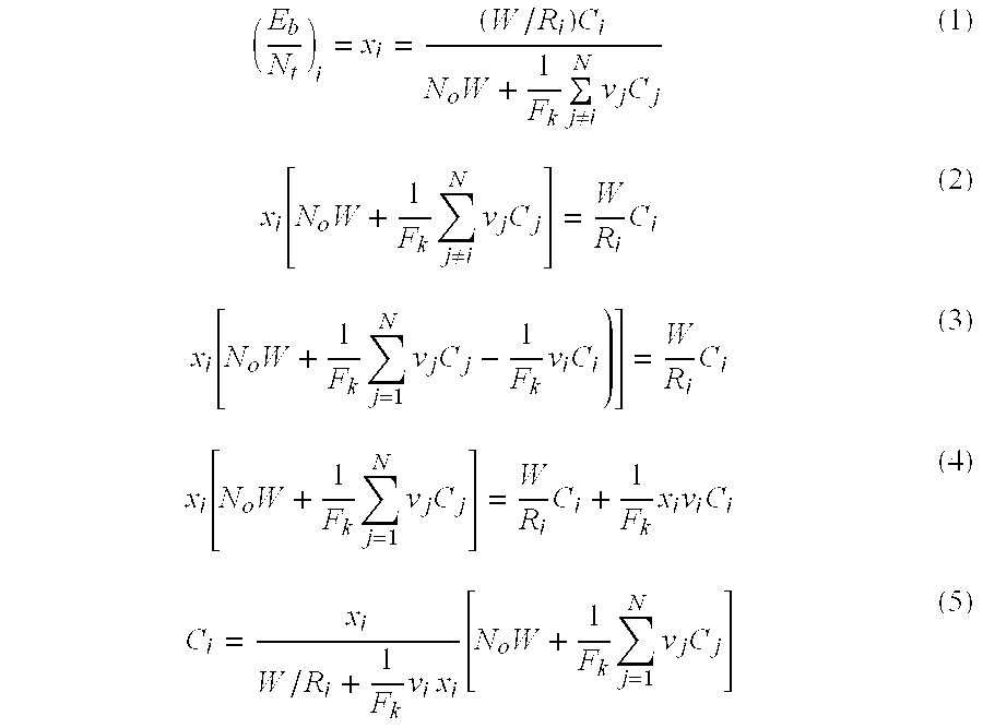
- the energy per bit (E b ) to noise power spectral density (N t ) of a reverse traffic channel i in a sector k of the CDMA system is used.
- N o W represents the thermal/background noise
- C i is the power received at the antenna connector of the base station from user i
- v i is the average voice activity of user i which the base already knows
- N is the number of simultaneous users in the sector
- W is the bandwidth of the CDMA waveform
- R i is the data rate of user i
- F k is the frequency reuse efficiency of sector k.
- the voice activity v i is calculated over N frames based on the data rate(s) used for transmission of traffic information from the mobile station during the frames. For example, in a typical CDMA system frames may be transmitted to the base station using one of four rates (i.e., full rate, 1 ⁇ 2 rate, 1 ⁇ 4 rate and 1 ⁇ 8 rate).
- the mobile station interleaver output stream is time gated to allow transmission of certain interleaver output symbols and deletion of others.
- the duty cycle of the transmission gate varies with the transmit data rate. When the transmit rate is 1 (full-rate), the transmission gate allows all interleave output symbols to be transmitted.
- the transmission gate allows one-half of the interleaver output symbols to be transmitted, and so forth.
- F k Interference ⁇ ⁇ from ⁇ ⁇ units ⁇ ⁇ within ⁇ ⁇ the ⁇ ⁇ cell Total ⁇ ⁇ Interference ⁇ ⁇ from ⁇ ⁇ all ⁇ ⁇ cells ( 7 )
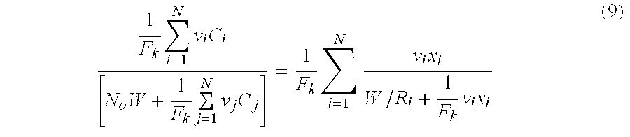
- Equation (9) represents the ratio of the CDMA power to the total received power. This ratio is defined as the percentage of loading of the CDMA communication system.
- the frequency reuse efficiency F k is an estimated value. All of the other values of the right side of Equation (9) are known. Thus it is possible to calculate the percentage of loading of the communication system if a value of the frequency reuse efficiency F k is obtained.
- FIGS. 2A, 2B there are shown graphical representations 10 , 12 .
- Graphical representations 10 , 12 indicate possible loadings of CDMA sectors.
- approximately fifty percent of the received power is CDMA power and approximately fifty percent of the total received power is noise (N o W).
- N o W approximately seventy-five percent of the total received power
- the percentages of loading of the sectors of FIGS. 2A, 2B are fifty and seventy-five, respectively.
- Method 50 is preferably implemented in software on a controller coupled to the cell site modem associated with the sector/cell under consideration.
- a CDMA communication system can estimate the voice activity v i for each reverse traffic channel i in a sector k as shown in block 52 .
- the reverse traffic channel includes power control groups for transmitting power control information from a mobile station to the base station.
- a decision can be made by a channel element processor in the base station whether the transmitter of mobile i is on or off during the period of the power control group. This information can be used to determine the voice activity on traffic channel i as shown in equation (6).
- the ratio of the energy per bit to the noise power spectral density of CDMA communication systems can be determined in different ways. One way is to use instantaneous values of E b /N t . Another involves using set point values of E b /N t .
- the instantaneous values of E b /N t are obtained from the base station controller and the set point values are obtained from a selector. If the instantaneous values are used, the base station processor can calculate the instantaneous loading using Equation (9) and pass the loading information to an admission control processor. If set point values from the selector are used, the base station controller can use Equation (9) to calculate the load corresponding to the determined set points. It will be understood that the value of the reverse link energy per bit to noise power spectral density required to sustain a specific frame error rate on the reverse traffic channel of user i can be represented as (E b /N t ) i .
- Equation (8) is used along with Equation 10(A) to calculate the CDMA power of sector k. This calculation is performed in accordance with equation 10(B) using a current value, which is an estimated initial value of frequency reuse efficiency F k (0). A good initial value of F k (0) can be 0.66.
- the frequency reuse efficiency is updated to produce a new current value as shown in block 60 .
- the current value of frequency reuse efficiency is updated to provide a new current value of frequency reuse efficiency.
- the final value of the frequency reuse efficiency is thus determined according to decision 62 .
- the sector loading is then calculated using the frequency reuse efficiency in the manner set forth in Equation (9).
- the operations of block 64 can be performed, for example, when two consecutive calculations of frequency reuse efficiency produce the same result within the precision of the processor performing the calculations or when two consecutive calculations of frequency reuse efficiency are within a predetermined threshold of each other.
- the CDMA communication system can then be controlled, for example, by a base station controller according to the system loading, the frequency reuse efficiency, or any other value obtained using communication system control method 50 as shown in block 66 .
- the admission of new users to the communication system can be controlled according to the system loading.
- the system loading can be monitored in order collect information reflecting peak hour activities at a base station.
- FIG. 4 there is shown a block diagram of the components of an exemplary CDMA base station 400 used for implementing the load monitoring system of the present invention.
- two receiver systems are utilized with each having a separate antenna and analog receiver for diversity reception.
- the signals are processed identically until the signals undergo a diversity combination process.
- the elements within the dashed lines correspond to elements corresponding to the communications between the base station and one mobile station.
- the first receiver system is comprised of antenna 460 , analog receiver 462 , searcher receiver 464 and digital data receivers 466 and 468 .
- the second receiver system includes antenna 470 , analog receiver 472 , searcher receiver 474 and digital data receiver 476 .
- Cell-site control processor 478 is used for signal processing and control. Among other things, cell site processor 478 monitors the signals sent to and received from a mobile station and uses this information to perform the load monitoring calculations described above. Thus, the system of FIG. 3 is preferably implemented in software on cell site processor 478 .
- Both receiver systems are coupled to diversity combiner and decoder circuitry 480 .
- a digital link 482 is used to communicate signals from and to a base station controller or data router under the control of control processor 478 .
- Signals received on antenna 460 are provided to analog receiver 462 , where the signals are amplified, frequency translated and digitized in a process identical to that described in connection with the mobile station analog receiver.
- the output from the analog receiver 462 is provided to digital data receivers 466 and 468 and searcher receiver 464 .
- the second receiver system i.e., analog receiver 472 , searcher receiver 474 and digital data receiver 476 ) processes the received signals in a manner similar to the first receiver system.
- the outputs of the digital data receivers 466 , 476 are provided to diversity combiner and decoder circuitry 480 , which processes the signals in accordance with a decoding algorithm. Details concerning the operation of the first and second receiver systems and the diversity combiner and decoder 980 are described in U.S. Pat. No. 5,101,501 entitled “Method and Apparatus for Providing A Soft Handoff In Communications In A CDMA Cellular Telephone System”, incorporated above. Signals for transmission to mobile units are provided to a transmit modulator 484 under the control of processor 478 . Transmit modulator 484 modulates the data for transmission to the intended recipient mobile station.
Landscapes
- Engineering & Computer Science (AREA)
- Computer Networks & Wireless Communication (AREA)
- Signal Processing (AREA)
- Mobile Radio Communication Systems (AREA)
- Monitoring And Testing Of Transmission In General (AREA)
- Noise Elimination (AREA)
- Selective Calling Equipment (AREA)
- Interface Circuits In Exchanges (AREA)
- Maintenance And Management Of Digital Transmission (AREA)
Abstract
A system and method for monitoring the load on a CDMA communication system having a base station and a plurality of users. A measure of voice activity in the communication system is determined, and a current value of frequency reuse efficiency equal to an initial value of frequency reuse efficiency is provided. A power determination is made according to the measured voice activity and the current value of frequency reuse efficiency. The current value of frequency reuse efficiency is updated using the power determination to provide a new current value of frequency reuse efficiency. The power determination and the update of the frequency reuse efficiency are iteratively repeated until convergence to provide a converged value of frequency reuse efficiency. The load on the communication system is then determined according to the converged frequency reuse efficiency value.
Description
- The present Application for Patent is related to the now allowed U.S. patent application Ser. No. 09/327,103, entitled “MONITORING OF CDMA LOAD AND FREQUENCY REUSE BASED ON REVERSE LINK SIGNAL-TO-NOISE RATIO,” assigned to the assignee hereof and hereby expressly incorporated by reference herein.
- I. Field of the Invention
- The present invention relates to digital communications. More particularly, the present invention relates to a novel and improved system and method for monitoring the load in a CDMA system.
- II. Description of the Related Art
- In the field of code division multiple access (CDMA) wireless communication, a wideband frequency channel is shared by multiple communication devices, with each communication device employing a different pseudorandom noise (PN) spreading code. In a typical CDMA wireless communication system, a first frequency band is used for forward channel communications (from the base station to the mobile station), while a second frequency band, different from the first frequency band, is used for reverse channel communications (from the mobile station to the base station). An example of such a system is given in U.S. Pat. No. 4,901,307 entitled “Spread Spectrum Multiple Access Communication System Using Satellite Or Terrestrial Repeaters,” issued Feb. 13, 1990, assigned to the assignee of the present invention, and incorporated herein by reference.
- Fundamental to the concept of maximizing system capacity in a CDMA wireless communication system as described above is the process of power control. The output power of subscriber units must be controlled to guarantee that enough signal strength is received at the base station and to maintain good quality audio while minimizing the potential for interference. Since a CDMA wideband channel is reused in every cell, self interference caused by other users of the same cell and interference caused by users in other cells is the most limiting factor to the capacity of the system. Due to fading and other channel impairments, maximum capacity is achieved when the signal-to-noise ratio (SNR) for every user is, on the average, at the minimum point needed to support “acceptable” channel performance. Since noise spectral density is generated almost entirely by the interference from other users, all signals must arrive at the CDMA receiver with the same average power. In the mobile propagation environment, this is achieved by providing dynamic power control of the mobile station transceiver. Power control guards against changes in system loading, jamming, slow and fast variations in channel conditions, and sudden improvements or degradations in the channel (shadowing).
- Power control of the mobile station transmitter consists of two elements: open loop estimation of transmit power by the mobile station, and closed loop correction of the errors in this estimate by the base station. In open loop power control, each mobile station estimates the total received power on the assigned CDMA frequency channel. Based on this measurement and a correction supplied by the base station, the mobile station transmitted power is adjusted to match the estimated path loss, to arrive at the base station at a predetermined level. All mobile stations use the same process and arrive with equal average power at the base station. However, uncontrolled differences in the forward and reverse channels, such as opposite fading that may occur due to the frequency difference and mismatches in the receive and transmit chains of the mobile station, cannot be estimated by the mobile.
- To reduce these residual errors, each mobile station corrects its transmit power with closed loop power control information supplied by the base station via low rate data inserted into each forward traffic channel. The base station derives the correction information by monitoring the reverse CDMA Channel quality of each mobile station, compares this measurement to a threshold, and requests either an increase or decrease depending on the result. In this manner, the base station maintains each reverse channel, and thus all reverse channels, at the minimum received power needed to provide acceptable performance. An example of a communication system employing the open loop and closed loop power control methods described above is given in U.S. Pat. No. 5,056,109 entitled “Method And Apparatus For Controlling Transmission Power In A CDMA Cellular Mobile Telephone System,” assigned to the assignee of the present invention, and incorporated herein by reference.
- In a CDMA wireless communication system as described above, a predetermined number of radio frequency resources, such as transceivers and channel modulator/demodulators (modems) are located at each base station. The amount of resources allocated to a base station depends upon the anticipated traffic loading conditions. For example, a system in a rural area may only have one omni-directional antenna at each base station, and enough channel modems to support eight simultaneous calls. On the other hand, a base station in a dense urban area may be co-located with other base stations, each having several highly directional antennas, and enough modems to handle forty or more simultaneous calls. It is in these more dense urban areas that cell site capacity is at a premium and must be monitored and managed closely in order to provide the most efficient allocation of limited resources while maintaining acceptable quality of communications.
- Sector/cell loading is the ratio of the actual number of users in the sector to the maximum theoretical number that the sector can support. This ratio is proportional to total interference measured at the receiver of the sector/cell. The maximum number of users that the sector/cell can support is a function of the aggregate signal-to-noise ratio (SNR), voice activity, and interference from other cells. The individual subscriber unit SNR depends on subscriber unit speed, radio frequency propagation environment, and the number of users in the system. Interference from other cells depends on the number of users in these cells; radio frequency propagation losses and the way users are distributed. Typical calculations of the capacity assume equal SNR for all users and nominal values of voice activity and interference from other cells. However, in real systems, SNR changes from user to user and frequency reuse efficiency varies from sector to sector. Hence, there is a need to continuously monitor the loading of a sector or cell.
- A conventional way to monitor cell site loading conditions is for a person, usually a network engineer or technician employed by a wireless communication service provider, to travel from cell to cell making loading condition readings using specially designed and expensive test equipment. The logged data is then returned to a central processing facility for post-processing and analysis. Some significant drawbacks to this method are that the data can not be evaluated in real-time, and that significant errors are introduced due to propagation effects between the base station and the measurement equipment. Thus, this monitoring method only is used in a time-delayed fashion to take corrective action, such as reassigning resources for the future. It does not enable the service provider to take any real-time action to improve loading conditions and their effect on system performance. Additionally, it requires a person to travel to each site serially, thus providing a discontinuous “hit or miss” estimate of the peak loading conditions and consequent system performance depending on whether the visit coincided with the actual (rather than assumed) peak usage times.
- Another possible way of monitoring cell site loading conditions is accessing the performance data logged by the base station, or the base station controller. However, this method requires that scarce base station processing resources be diverted to collect and retrieve the loading data. Additionally, it suffers from the non-real time post-processing problems previously mentioned. It also requires that a person visit each cell site serially to retrieve the data.
- One alternate method for monitoring loading in CDMA systems that is known in the prior art is the use of a dedicated channel. However, this solution is very expensive since the capacity of the dedicated channel cannot be used for any other purposes. Consequently, a better way to monitor loading of CDMA communication systems is needed. These problems and deficiencies are clearly found in the art and are solved by the invention in the manner described below.
- Thus it is desirable to provide a better way to perform load monitoring in CDMA systems wherein a base station determines the total amount of interference in its frequency band that it receives from all the other transmitters in the system. The load monitoring performed this way can be an important aspect of the operation and maintenance of CDMA systems. For example, load monitoring can be used to predict approaching system overloads. It can also be used to control the amount of loading in a system and to establish an admission policy for adding users to the system. The admission policy can apply to new users as well as to users already on the system and being handed off since admission of either kind of user can result in exceeding the system capacity. In addition to limiting the admission of users, steps can be taken to allocate more resources in response to load monitoring. Load monitoring can also be used to determine peak hour activities in CDMA systems.
- The present invention is directed to a method and apparatus for monitoring the load on a CDMA communication system having a base station and a plurality of users. A measure of voice activity in the communication system is determined, and a current value of frequency reuse efficiency equal to an initial value of frequency reuse efficiency is provided. A power determination is made according to the determined voice activity and the current value of frequency reuse efficiency. The current value of frequency reuse efficiency is updated using the power determination to provide a new current value of frequency reuse efficiency. The power determination and the update of the frequency reuse efficiency are iteratively repeated until convergence to provide a converged value of frequency reuse efficiency. The load on the communication system is then determined in accordance with the converged frequency reuse efficiency value.
- In one embodiment, after the load on the communication system is determined, the admission of new users to the communication system is controlled using the determined load value, e.g., admission of new users is denied when the load is above a threshold. Additionally, load values calculated in accordance with the present invention can be stored in order to collect peak hour activities relating to the communication system.
- The features, objects, and advantages of the present invention will become more apparent from the detailed description set forth below when taken in conjunction with the drawings in which like reference characters identify correspondingly throughout and wherein:
- FIG. 1 shows a high level overview of the system of the present invention;
- FIGS. 2A and 2B show graphical representations of possible loadings of a CDMA communication system;
- FIG. 3 shows a flow diagram of the method of the present invention; and
- FIG. 4 is a block diagram showing the components of an exemplary base station used for implementing the position tracking system of the present invention.
- Referring now to FIG. 1, there is shown an overview of
communication system 9 of the present invention.Communication system 9 provides real time monitoring and management of system loading.Base station 4 ofcommunication system 9 is in wireless communication withmobile stations 1A-1D by way ofantenna 2.Mobile stations 1A-1D can be power controlled CDMA cellular telephones as well known in the art.Base station 4 is also in communication withsystem management center 5 which can contain any personnel and network computers required to perform any monitoring or management functions required withinbase station 4.Base station 4 andsystem management center 5 can communicate by any method known in the art. - In normal operation of
system 9,mobile stations 1A-1D periodically communicate withbase station 4, either to originate a call, receive a call, or to send or receive various overhead messages to or frombase station 4. During peak usage hours, such as during the middle of the day, all fourmobile stations 1A-1D may be in simultaneous communication withbase station 4, thereby increasing system loading and interference on the reverse link. Conversely, during non-peak usage hours, such as during the middle of the night, fewermobile stations 1A-1D may be in communication withbase station 4 at any time, thereby decreasing system loading. It will be understood that there may be fewer or many more than fourmobile stations 1A-1D simultaneously communicating withbase station 4 depending on the capacity ofbase station 4. - In practicing the system and method of the present invention, the system loading and the frequency reuse efficiency in an active CDMA communication system can be monitored. Information about system loading can then be used by a base station controller, a base station, or any other control device to control loading, establish admission policy to the system and collect peak hour activities. In order to obtain this information and perform these operations, traffic channel SNR information available to a cell site modem is used. In particular, the energy per bit (E b) to noise power spectral density (Nt) of a reverse traffic channel i in a sector k of the CDMA system is used. This quantity is given by
- where N oW represents the thermal/background noise, Ci is the power received at the antenna connector of the base station from user i, vi is the average voice activity of user i which the base already knows, N is the number of simultaneous users in the sector, W is the bandwidth of the CDMA waveform, Ri is the data rate of user i, and Fk is the frequency reuse efficiency of sector k.
- As explained below, the voice activity v i is calculated over N frames based on the data rate(s) used for transmission of traffic information from the mobile station during the frames. For example, in a typical CDMA system frames may be transmitted to the base station using one of four rates (i.e., full rate, ½ rate, ¼ rate and ⅛ rate). In such systems, prior to transmission, the mobile station interleaver output stream is time gated to allow transmission of certain interleaver output symbols and deletion of others. The duty cycle of the transmission gate varies with the transmit data rate. When the transmit rate is 1 (full-rate), the transmission gate allows all interleave output symbols to be transmitted. When the transmit rate is ½, the transmission gate allows one-half of the interleaver output symbols to be transmitted, and so forth. For a given time interval that includes N1 frames of rate 1, N2 frames of rate ½, N3 frames of rate ¼, and N4 frames of rate ⅛, where N=N1+N2+N3+N4, the voice activity factor (v) averaged over N frames is calculated as follows:
-
-
-
- The left side of Equation (9) represents the ratio of the CDMA power to the total received power. This ratio is defined as the percentage of loading of the CDMA communication system. On the right side of Equation (9), the frequency reuse efficiency F k is an estimated value. All of the other values of the right side of Equation (9) are known. Thus it is possible to calculate the percentage of loading of the communication system if a value of the frequency reuse efficiency Fk is obtained.
- Referring now to FIGS. 2A, 2B, there are shown
10, 12.graphical representations 10, 12 indicate possible loadings of CDMA sectors. In the CDMA sector represented byGraphical representations graphical representation 10, approximately fifty percent of the received power is CDMA power and approximately fifty percent of the total received power is noise (NoW). In the CDMA sector represented bygraphical representation 12, approximately seventy-five percent of the total received power is CDMA power and approximately twenty-five percent of the received power is noise (NoW). Thus the percentages of loading of the sectors of FIGS. 2A, 2B are fifty and seventy-five, respectively. - Referring now to FIG. 3, there is shown a flow chart representation of communication
system control method 50 of the present invention for load monitoring and determining frequency reuse efficiency withincommunication system 9.Method 50 is preferably implemented in software on a controller coupled to the cell site modem associated with the sector/cell under consideration. - When monitoring reverse RF link loading according to communication
system control method 50, a CDMA communication system can estimate the voice activity vi for each reverse traffic channel i in a sector k as shown inblock 52. It is known to those skilled in the art that the reverse traffic channel includes power control groups for transmitting power control information from a mobile station to the base station. At the end of each power control group a decision can be made by a channel element processor in the base station whether the transmitter of mobile i is on or off during the period of the power control group. This information can be used to determine the voice activity on traffic channel i as shown in equation (6). - For each reverse traffic channel in the sector,
communication system 9 estimates the energy per bit to noise power spectral density xi=(Eb/Nt)i as shown inblock 54. Depending on the implementation, either an average or instantaneous estimate of the energy per bit to noise power spectral density xi=(Eb/Nt)i may be used. The ratio of the energy per bit to the noise power spectral density of CDMA communication systems can be determined in different ways. One way is to use instantaneous values of Eb/Nt. Another involves using set point values of Eb/Nt. In general, the instantaneous values of Eb/Nt are obtained from the base station controller and the set point values are obtained from a selector. If the instantaneous values are used, the base station processor can calculate the instantaneous loading using Equation (9) and pass the loading information to an admission control processor. If set point values from the selector are used, the base station controller can use Equation (9) to calculate the load corresponding to the determined set points. It will be understood that the value of the reverse link energy per bit to noise power spectral density required to sustain a specific frame error rate on the reverse traffic channel of user i can be represented as (Eb/Nt)i. -
- is then measured as shown in
block 56. This quantity is readily available from the automatic gain control circuit of a conventional base station, or alternatively may be measured in other ways known in the art. As shown inblock 58, Equation (8) is used along with Equation 10(A) to calculate the CDMA power of sector k. This calculation is performed in accordance with equation 10(B) using a current value, which is an estimated initial value of frequency reuse efficiency Fk(0). A good initial value of Fk(0) can be 0.66. -
-
- The final value of the frequency reuse efficiency is thus determined according to
decision 62. As shown inblock 64 the sector loading is then calculated using the frequency reuse efficiency in the manner set forth in Equation (9). The operations ofblock 64 can be performed, for example, when two consecutive calculations of frequency reuse efficiency produce the same result within the precision of the processor performing the calculations or when two consecutive calculations of frequency reuse efficiency are within a predetermined threshold of each other. The CDMA communication system can then be controlled, for example, by a base station controller according to the system loading, the frequency reuse efficiency, or any other value obtained using communicationsystem control method 50 as shown inblock 66. For example, the admission of new users to the communication system can be controlled according to the system loading. Alternatively, the system loading can be monitored in order collect information reflecting peak hour activities at a base station. - Referring now to FIG. 4, there is shown a block diagram of the components of an exemplary
CDMA base station 400 used for implementing the load monitoring system of the present invention. At the base station, two receiver systems are utilized with each having a separate antenna and analog receiver for diversity reception. In each of the receiver systems, the signals are processed identically until the signals undergo a diversity combination process. The elements within the dashed lines correspond to elements corresponding to the communications between the base station and one mobile station. Referring still to FIG. 4, the first receiver system is comprised ofantenna 460,analog receiver 462,searcher receiver 464 and 466 and 468. The second receiver system includesdigital data receivers antenna 470,analog receiver 472, searcher receiver 474 anddigital data receiver 476. Cell-site control processor 478 is used for signal processing and control. Among other things,cell site processor 478 monitors the signals sent to and received from a mobile station and uses this information to perform the load monitoring calculations described above. Thus, the system of FIG. 3 is preferably implemented in software oncell site processor 478. - Both receiver systems are coupled to diversity combiner and
decoder circuitry 480. A digital link 482 is used to communicate signals from and to a base station controller or data router under the control ofcontrol processor 478. Signals received onantenna 460 are provided toanalog receiver 462, where the signals are amplified, frequency translated and digitized in a process identical to that described in connection with the mobile station analog receiver. The output from theanalog receiver 462 is provided to 466 and 468 anddigital data receivers searcher receiver 464. The second receiver system (i.e.,analog receiver 472, searcher receiver 474 and digital data receiver 476) processes the received signals in a manner similar to the first receiver system. The outputs of the 466, 476 are provided to diversity combiner anddigital data receivers decoder circuitry 480, which processes the signals in accordance with a decoding algorithm. Details concerning the operation of the first and second receiver systems and the diversity combiner and decoder 980 are described in U.S. Pat. No. 5,101,501 entitled “Method and Apparatus for Providing A Soft Handoff In Communications In A CDMA Cellular Telephone System”, incorporated above. Signals for transmission to mobile units are provided to a transmitmodulator 484 under the control ofprocessor 478. Transmitmodulator 484 modulates the data for transmission to the intended recipient mobile station. - The previous description of the preferred embodiments is provided to enable any person skilled in the art to make and use the present invention. The various modifications to these embodiments will be readily apparent to those skilled in the art, and the generic principles defined herein may be applied to other embodiments without the use of the inventive faculty. Thus, the present invention is not intended to be limited to the embodiments shown herein but is to be accorded the widest scope consistent with the principles and novel features disclosed herein.
Claims (12)
1. A digital signal processing apparatus to estimate loading in a spread spectrum wireless communication system, comprising the steps of:
receive circuitry; and
processor communicatively coupled to the receive circuitry, the processor capable of executing commands and data to estimate loading of the system by:
determining frequency reuse of the system; and
determining loading of the system as a function of the frequency reuse.
2. The apparatus of claim 1 , wherein determining the frequency reuse of the system, comprises determining a power associated with voice activity to determine the frequency reuse.
3. The method of claim 2 , wherein determining the frequency reuse of the system is an iterative process.
5. The apparatus of claim 4 , wherein the loading is determined in accordance with the following equation:
6. The apparatus of claim 5 , wherein the voice activity factor is equal to one indicating a data communication.
7. A digital signal processing apparatus to process communications in a spread spectrum wireless communication system, comprising the steps of:
receive circuitry; and
processor communicatively coupled to the receive circuitry, the processor capable of executing commands and data to estimate loading of the system by:
determining frequency reuse of the system;
determining loading of the system as a function of the frequency reuse; and
determining admission of calls received at the receive circuitry based on the loading.
8. The apparatus of 8, wherein determining admission comprises accepting a new call when the loading is a first value and rejecting a new call when the loading is a second value.
9. The method of claim 8 , wherein when the loading the second value, rescheduling the new call.
10. The method of claim 7 , wherein the is used to schedule calls within the system.
11. A computer-readable medium, storing:
a first set of instructions for determining frequency reuse of the system;
a second set of instructions for determining loading of the system as a function of the frequency reuse; and
a third set of instructions determining admission of new calls.
12. A system for monitoring the load on a CDMA communication system, comprising:
means for determining frequency reuse of the system;
means for determining loading of the system as a function of the frequency reuse; and
means for determining admission of new calls.
Priority Applications (1)
| Application Number | Priority Date | Filing Date | Title |
|---|---|---|---|
| US10/006,075 US20020061006A1 (en) | 1999-06-07 | 2001-12-06 | Monitoring of CDMA load and frequency reuse based on reverse link signal-to-noise ratio |
Applications Claiming Priority (2)
| Application Number | Priority Date | Filing Date | Title |
|---|---|---|---|
| US09/327,103 US6356531B1 (en) | 1999-06-07 | 1999-06-07 | Monitoring of CDMA load and frequency reuse based on reverse link signal-to-noise ratio |
| US10/006,075 US20020061006A1 (en) | 1999-06-07 | 2001-12-06 | Monitoring of CDMA load and frequency reuse based on reverse link signal-to-noise ratio |
Related Parent Applications (1)
| Application Number | Title | Priority Date | Filing Date |
|---|---|---|---|
| US09/327,103 Continuation US6356531B1 (en) | 1999-06-07 | 1999-06-07 | Monitoring of CDMA load and frequency reuse based on reverse link signal-to-noise ratio |
Publications (1)
| Publication Number | Publication Date |
|---|---|
| US20020061006A1 true US20020061006A1 (en) | 2002-05-23 |
Family
ID=23275172
Family Applications (2)
| Application Number | Title | Priority Date | Filing Date |
|---|---|---|---|
| US09/327,103 Expired - Lifetime US6356531B1 (en) | 1999-06-07 | 1999-06-07 | Monitoring of CDMA load and frequency reuse based on reverse link signal-to-noise ratio |
| US10/006,075 Abandoned US20020061006A1 (en) | 1999-06-07 | 2001-12-06 | Monitoring of CDMA load and frequency reuse based on reverse link signal-to-noise ratio |
Family Applications Before (1)
| Application Number | Title | Priority Date | Filing Date |
|---|---|---|---|
| US09/327,103 Expired - Lifetime US6356531B1 (en) | 1999-06-07 | 1999-06-07 | Monitoring of CDMA load and frequency reuse based on reverse link signal-to-noise ratio |
Country Status (15)
| Country | Link |
|---|---|
| US (2) | US6356531B1 (en) |
| EP (1) | EP1190501B1 (en) |
| JP (1) | JP4405700B2 (en) |
| KR (1) | KR100635690B1 (en) |
| CN (1) | CN1148892C (en) |
| AT (1) | ATE406706T1 (en) |
| AU (1) | AU5469700A (en) |
| BR (1) | BR0011360A (en) |
| CY (1) | CY1109136T1 (en) |
| DE (1) | DE60040069D1 (en) |
| DK (1) | DK1190501T3 (en) |
| ES (1) | ES2311460T3 (en) |
| HK (1) | HK1044425B (en) |
| PT (1) | PT1190501E (en) |
| WO (1) | WO2000076086A1 (en) |
Cited By (8)
| Publication number | Priority date | Publication date | Assignee | Title |
|---|---|---|---|---|
| US20020119783A1 (en) * | 2000-12-27 | 2002-08-29 | Yair Bourlas | Adaptive call admission control for use in a wireless communication system |
| US20030202485A1 (en) * | 2002-04-30 | 2003-10-30 | Carl Mansfield | Terminal assisted scheduling for time coordinated CDMA |
| US20040132460A1 (en) * | 2002-12-20 | 2004-07-08 | Lg Electronics Inc. | Method for preventing overload in base station and base station system thereof |
| EP1587268A1 (en) * | 2004-04-14 | 2005-10-19 | Samsung Electronics Co., Ltd. | Apparatus and method for controlling transmission power in communication systems using orthogonal frequency division multiple access scheme |
| US20080195609A1 (en) * | 2004-04-22 | 2008-08-14 | Weborama | Method and System for Generating a Population Representative of a Set of Users of a Communication Network |
| US20080205369A1 (en) * | 2007-02-23 | 2008-08-28 | Samsung Electronics Co., Ltd. | Apparatus and method for power distribution by frequency allocation in multi-frequency allocation broadband wireless communication system |
| US20090040978A1 (en) * | 2007-08-09 | 2009-02-12 | Samsung Electronics Co., Ltd. | System and method for using frequency resource in communication system |
| US8358613B1 (en) * | 2009-02-27 | 2013-01-22 | L-3 Communications Corp. | Transmitter-directed security for wireless-communications |
Families Citing this family (30)
| Publication number | Priority date | Publication date | Assignee | Title |
|---|---|---|---|---|
| KR100294043B1 (en) * | 1998-04-14 | 2001-07-12 | 윤종용 | A method and an apparatus for optimizing forward link power control parameters using lab. test in pcs cdma system |
| US6356531B1 (en) * | 1999-06-07 | 2002-03-12 | Qualcomm Incorporated | Monitoring of CDMA load and frequency reuse based on reverse link signal-to-noise ratio |
| CA2308651C (en) * | 1999-07-12 | 2010-04-27 | Nortel Networks Corporation | A method of controlling base station transmitting power during soft handoff |
| KR100516690B1 (en) * | 2000-06-09 | 2005-09-22 | 가부시키가이샤 아드반테스트 | Apparatus, method, for displaying waveform quality of cdma signal, and recorded medium storing a program for displaying waveform quality of cdma signal |
| KR100387057B1 (en) * | 2000-07-04 | 2003-06-12 | 삼성전자주식회사 | Method and apparatus for determining reverse data rate in mobile communication system |
| US6584330B1 (en) * | 2000-07-18 | 2003-06-24 | Telefonaktiebolaget Lm Ericsson (Publ) | Adaptive power management for a node of a cellular telecommunications network |
| US7227850B2 (en) * | 2001-04-04 | 2007-06-05 | Telefonaktiebolaget Lm Ericsson (Publ) | Cellular radio communication system with frequency reuse |
| US6850500B2 (en) | 2001-05-15 | 2005-02-01 | Interdigital Technology Corporation | Transmission power level estimation |
| US6963755B2 (en) * | 2002-01-09 | 2005-11-08 | Qualcomm, Incorporated | Method and apparatus for coherently combining power control commands to initialize communication |
| US20030223396A1 (en) * | 2002-05-31 | 2003-12-04 | Tsai Shiau-He Shawn | Method of indicating the forward link serving sector in high data rate CDMA systems |
| US7136483B2 (en) * | 2002-07-24 | 2006-11-14 | Telefonaictiebolaget Lm Ericsson (Publ) | Mobile terminal mode control in high data rate CDMA system |
| US8504054B2 (en) * | 2002-09-10 | 2013-08-06 | Qualcomm Incorporated | System and method for multilevel scheduling |
| US7773985B2 (en) * | 2003-09-22 | 2010-08-10 | United Parcel Service Of America, Inc. | Symbiotic system for testing electromagnetic signal coverage in areas near transport routes |
| US7660577B2 (en) * | 2003-09-22 | 2010-02-09 | United Parcel Service Of America, Inc. | Network testing systems and methods |
| US9585023B2 (en) * | 2003-10-30 | 2017-02-28 | Qualcomm Incorporated | Layered reuse for a wireless communication system |
| US8526963B2 (en) * | 2003-10-30 | 2013-09-03 | Qualcomm Incorporated | Restrictive reuse for a wireless communication system |
| US8059589B2 (en) * | 2004-06-09 | 2011-11-15 | Qualcomm Incorporated | Dynamic restrictive reuse scheduler |
| US7257406B2 (en) * | 2004-07-23 | 2007-08-14 | Qualcomm, Incorporated | Restrictive reuse set management |
| US8032145B2 (en) | 2004-07-23 | 2011-10-04 | Qualcomm Incorporated | Restrictive reuse set management algorithm for equal grade of service on FL transmission |
| US7548752B2 (en) * | 2004-12-22 | 2009-06-16 | Qualcomm Incorporated | Feedback to support restrictive reuse |
| US7580712B2 (en) * | 2005-06-03 | 2009-08-25 | Telefonaktiebolaget Lm Ericsson (Publ) | Wireless high-speed data network planning tool |
| US7440730B2 (en) * | 2005-06-30 | 2008-10-21 | Intel Corporation | Device, system and method of multiple transceivers control |
| US7738422B2 (en) * | 2005-08-23 | 2010-06-15 | Alcatel-Lucent Usa Inc. | Interference-reducing method of forward link scheduling for wireless networks |
| CN100421524C (en) * | 2005-12-06 | 2008-09-24 | 华为技术有限公司 | A Method for Optimizing Network Performance |
| US7751823B2 (en) | 2006-04-13 | 2010-07-06 | Atc Technologies, Llc | Systems and methods for controlling a level of interference to a wireless receiver responsive to an activity factor associated with a wireless transmitter |
| KR101364567B1 (en) | 2007-03-23 | 2014-02-19 | 서강대학교산학협력단 | Apparatus and method for opportunistic packet scheduling in wideband wireless access communication system based multi-hop relay |
| KR101364569B1 (en) | 2007-03-23 | 2014-02-19 | 서강대학교산학협력단 | Apparatus and method for opportunistic packet scheduling with frequency reuse and quality of service guarantee in wideband wireless access communication system based multi-hop relay |
| AU2010319304A1 (en) * | 2009-11-13 | 2012-07-05 | Interdigital Patent Holdings, Inc | Method and apparatus for providing VHT frequency reuse for WLANs |
| US10020901B2 (en) * | 2014-09-29 | 2018-07-10 | Hughes Network Systems, Llc | Inter-gateway interference management and admission control for a CDMA satellite communications system |
| CN111225392B (en) * | 2018-11-27 | 2023-12-15 | 中国移动通信集团辽宁有限公司 | Community load balancing method, device, equipment and computer storage medium |
Citations (5)
| Publication number | Priority date | Publication date | Assignee | Title |
|---|---|---|---|---|
| US4901307A (en) * | 1986-10-17 | 1990-02-13 | Qualcomm, Inc. | Spread spectrum multiple access communication system using satellite or terrestrial repeaters |
| US5056109A (en) * | 1989-11-07 | 1991-10-08 | Qualcomm, Inc. | Method and apparatus for controlling transmission power in a cdma cellular mobile telephone system |
| US5859838A (en) * | 1996-07-30 | 1999-01-12 | Qualcomm Incorporated | Load monitoring and management in a CDMA wireless communication system |
| US6278701B1 (en) * | 1998-07-10 | 2001-08-21 | Verizon Laboratories Inc. | Capacity enhancement for multi-code CDMA with integrated services through quality of services and admission control |
| US6356531B1 (en) * | 1999-06-07 | 2002-03-12 | Qualcomm Incorporated | Monitoring of CDMA load and frequency reuse based on reverse link signal-to-noise ratio |
Family Cites Families (3)
| Publication number | Priority date | Publication date | Assignee | Title |
|---|---|---|---|---|
| US5710758A (en) * | 1995-09-29 | 1998-01-20 | Qualcomm Incorporated | Wireless network planning tool |
| US6067446A (en) | 1996-07-11 | 2000-05-23 | Telefonaktiebolaget Lm Ericsson | Power presetting in a radio communication system |
| FI964707A7 (en) | 1996-11-26 | 1998-05-27 | Nokia Telecommunications Oy | Method for controlling load and radio system |
-
1999
- 1999-06-07 US US09/327,103 patent/US6356531B1/en not_active Expired - Lifetime
-
2000
- 2000-06-06 JP JP2001502246A patent/JP4405700B2/en not_active Expired - Fee Related
- 2000-06-06 AU AU54697/00A patent/AU5469700A/en not_active Abandoned
- 2000-06-06 AT AT00939640T patent/ATE406706T1/en active
- 2000-06-06 PT PT00939640T patent/PT1190501E/en unknown
- 2000-06-06 DE DE60040069T patent/DE60040069D1/en not_active Expired - Lifetime
- 2000-06-06 KR KR1020017015716A patent/KR100635690B1/en not_active Expired - Fee Related
- 2000-06-06 WO PCT/US2000/015663 patent/WO2000076086A1/en not_active Ceased
- 2000-06-06 BR BR0011360-3A patent/BR0011360A/en not_active IP Right Cessation
- 2000-06-06 HK HK02105875.7A patent/HK1044425B/en not_active IP Right Cessation
- 2000-06-06 EP EP00939640A patent/EP1190501B1/en not_active Expired - Lifetime
- 2000-06-06 DK DK00939640T patent/DK1190501T3/en active
- 2000-06-06 ES ES00939640T patent/ES2311460T3/en not_active Expired - Lifetime
- 2000-06-06 CN CNB008085897A patent/CN1148892C/en not_active Expired - Fee Related
-
2001
- 2001-12-06 US US10/006,075 patent/US20020061006A1/en not_active Abandoned
-
2008
- 2008-11-21 CY CY20081101343T patent/CY1109136T1/en unknown
Patent Citations (5)
| Publication number | Priority date | Publication date | Assignee | Title |
|---|---|---|---|---|
| US4901307A (en) * | 1986-10-17 | 1990-02-13 | Qualcomm, Inc. | Spread spectrum multiple access communication system using satellite or terrestrial repeaters |
| US5056109A (en) * | 1989-11-07 | 1991-10-08 | Qualcomm, Inc. | Method and apparatus for controlling transmission power in a cdma cellular mobile telephone system |
| US5859838A (en) * | 1996-07-30 | 1999-01-12 | Qualcomm Incorporated | Load monitoring and management in a CDMA wireless communication system |
| US6278701B1 (en) * | 1998-07-10 | 2001-08-21 | Verizon Laboratories Inc. | Capacity enhancement for multi-code CDMA with integrated services through quality of services and admission control |
| US6356531B1 (en) * | 1999-06-07 | 2002-03-12 | Qualcomm Incorporated | Monitoring of CDMA load and frequency reuse based on reverse link signal-to-noise ratio |
Cited By (21)
| Publication number | Priority date | Publication date | Assignee | Title |
|---|---|---|---|---|
| US20090185532A1 (en) * | 2000-12-27 | 2009-07-23 | Wi-Lan, Inc. | Adaptive call admission control for use in a wireless communication system |
| US7289467B2 (en) * | 2000-12-27 | 2007-10-30 | Wi-Lan Inc. | Adaptive call control for use in a wireless communication system |
| US7529204B2 (en) | 2000-12-27 | 2009-05-05 | Wi-Lan, Inc. | Adaptive call admission control for use in a wireless communication system |
| US8213359B2 (en) | 2000-12-27 | 2012-07-03 | Wi-Lan, Inc. | Adaptive call admission control for use in a wireless communication system |
| US7023798B2 (en) * | 2000-12-27 | 2006-04-04 | Wi-Lan, Inc. | Adaptive call admission control for use in a wireless communication system |
| US20060126549A1 (en) * | 2000-12-27 | 2006-06-15 | Yair Bourlas | Adaptive call admission control for use in a wireless communication system |
| US8537757B2 (en) | 2000-12-27 | 2013-09-17 | Wi-Lan, Inc. | Adaptive call admission control for use in a wireless communication system |
| US20020119783A1 (en) * | 2000-12-27 | 2002-08-29 | Yair Bourlas | Adaptive call admission control for use in a wireless communication system |
| US20070165562A1 (en) * | 2000-12-27 | 2007-07-19 | Yair Bourlas | Adaptive call admission control for use in a wireless communication system |
| US7177293B2 (en) * | 2002-04-30 | 2007-02-13 | Intel Corporation | Terminal assisted scheduling for time coordinated CDMA |
| US20030202485A1 (en) * | 2002-04-30 | 2003-10-30 | Carl Mansfield | Terminal assisted scheduling for time coordinated CDMA |
| US20040132460A1 (en) * | 2002-12-20 | 2004-07-08 | Lg Electronics Inc. | Method for preventing overload in base station and base station system thereof |
| US20060234715A1 (en) * | 2004-04-14 | 2006-10-19 | Samsung Electronics Co., Ltd. | Apparatus and method for controlling transmission power in communication systems using orthogonal frequency division multiple access scheme |
| US7412242B2 (en) | 2004-04-14 | 2008-08-12 | Samsung Electronics Co., Ltd | Apparatus and method for controlling transmission power in communication systems using orthogonal frequency division multiple access scheme |
| EP1587268A1 (en) * | 2004-04-14 | 2005-10-19 | Samsung Electronics Co., Ltd. | Apparatus and method for controlling transmission power in communication systems using orthogonal frequency division multiple access scheme |
| US20080195609A1 (en) * | 2004-04-22 | 2008-08-14 | Weborama | Method and System for Generating a Population Representative of a Set of Users of a Communication Network |
| US8244292B2 (en) * | 2007-02-23 | 2012-08-14 | Samsung Electronics Co., Ltd | Apparatus and method for power distribution by frequency allocation in multi-frequency allocation broadband wireless communication system |
| US20080205369A1 (en) * | 2007-02-23 | 2008-08-28 | Samsung Electronics Co., Ltd. | Apparatus and method for power distribution by frequency allocation in multi-frequency allocation broadband wireless communication system |
| US8204012B2 (en) * | 2007-08-09 | 2012-06-19 | Samsung Electronics Co., Ltd | System and method for using frequency resource in communication system |
| US20090040978A1 (en) * | 2007-08-09 | 2009-02-12 | Samsung Electronics Co., Ltd. | System and method for using frequency resource in communication system |
| US8358613B1 (en) * | 2009-02-27 | 2013-01-22 | L-3 Communications Corp. | Transmitter-directed security for wireless-communications |
Also Published As
| Publication number | Publication date |
|---|---|
| HK1044425B (en) | 2005-03-04 |
| PT1190501E (en) | 2008-11-17 |
| CY1109136T1 (en) | 2014-07-02 |
| JP2003501940A (en) | 2003-01-14 |
| KR100635690B1 (en) | 2006-10-17 |
| KR20020008219A (en) | 2002-01-29 |
| CN1148892C (en) | 2004-05-05 |
| ES2311460T3 (en) | 2009-02-16 |
| EP1190501A1 (en) | 2002-03-27 |
| CN1354920A (en) | 2002-06-19 |
| US6356531B1 (en) | 2002-03-12 |
| WO2000076086A9 (en) | 2002-06-27 |
| DK1190501T3 (en) | 2008-12-15 |
| DE60040069D1 (en) | 2008-10-09 |
| ATE406706T1 (en) | 2008-09-15 |
| JP4405700B2 (en) | 2010-01-27 |
| WO2000076086A1 (en) | 2000-12-14 |
| AU5469700A (en) | 2000-12-28 |
| BR0011360A (en) | 2002-04-30 |
| EP1190501B1 (en) | 2008-08-27 |
| HK1044425A1 (en) | 2002-10-18 |
Similar Documents
| Publication | Publication Date | Title |
|---|---|---|
| US6356531B1 (en) | Monitoring of CDMA load and frequency reuse based on reverse link signal-to-noise ratio | |
| EP0948869B1 (en) | Load monitoring and management in a cdma wireless communication system | |
| EP1168689B1 (en) | Method of detecting and calculating external jammer signal power in communication systems | |
| KR100752085B1 (en) | Closed loop resource allocation in a high speed wireless communications network | |
| US5697053A (en) | Method of power control and cell site selection | |
| HU216926B (en) | Transceiver equipment and method for controlling the performance of incoming, spread spectrum signals at transceivers | |
| HU215857B (en) | System, equipment and procedure for controlling signal power in a CDMA communication system | |
| US6952568B2 (en) | Tracking power levels in a wireless telecommunications network | |
| CA2313554A1 (en) | Method for initiating call blocking | |
| US6618598B1 (en) | Forward rate determination of high data rate channels in CDMA air interface | |
| US7085580B1 (en) | Aggregate power measurement | |
| Kandala et al. | Integrated voice and video services in microcellular CDMA systems—downlink power-based call admission | |
| HK1023249B (en) | Load monitoring and management in a cdma wireless communication system | |
| Suwa et al. | Radio link design and reverse link capacity on microcellular DS‐CDMA wideband transmission systems | |
| MXPA99001093A (en) | Load monitoring and management in a cdma wireless communication system | |
| HK1078184B (en) | Method and apparatus for estimating power required for transmission of data at a rate in a communication system | |
| HK1078184A1 (en) | Method and apparatus for estimating power required for transmission of data at a rate in a communication system |
Legal Events
| Date | Code | Title | Description |
|---|---|---|---|
| STCB | Information on status: application discontinuation |
Free format text: ABANDONED -- FAILURE TO RESPOND TO AN OFFICE ACTION |










