TW202036054A - 附黏著劑層之偏光薄膜及影像顯示裝置 - Google Patents
附黏著劑層之偏光薄膜及影像顯示裝置 Download PDFInfo
- Publication number
- TW202036054A TW202036054A TW108143757A TW108143757A TW202036054A TW 202036054 A TW202036054 A TW 202036054A TW 108143757 A TW108143757 A TW 108143757A TW 108143757 A TW108143757 A TW 108143757A TW 202036054 A TW202036054 A TW 202036054A
- Authority
- TW
- Taiwan
- Prior art keywords
- adhesive layer
- polarizing film
- group
- meth
- aforementioned
- Prior art date
Links
Images
Classifications
-
- G—PHYSICS
- G02—OPTICS
- G02B—OPTICAL ELEMENTS, SYSTEMS OR APPARATUS
- G02B5/00—Optical elements other than lenses
- G02B5/30—Polarising elements
- G02B5/3025—Polarisers, i.e. arrangements capable of producing a definite output polarisation state from an unpolarised input state
- G02B5/3033—Polarisers, i.e. arrangements capable of producing a definite output polarisation state from an unpolarised input state in the form of a thin sheet or foil, e.g. Polaroid
-
- B—PERFORMING OPERATIONS; TRANSPORTING
- B32—LAYERED PRODUCTS
- B32B—LAYERED PRODUCTS, i.e. PRODUCTS BUILT-UP OF STRATA OF FLAT OR NON-FLAT, e.g. CELLULAR OR HONEYCOMB, FORM
- B32B27/00—Layered products comprising a layer of synthetic resin
- B32B27/30—Layered products comprising a layer of synthetic resin comprising vinyl (co)polymers; comprising acrylic (co)polymers
- B32B27/308—Layered products comprising a layer of synthetic resin comprising vinyl (co)polymers; comprising acrylic (co)polymers comprising acrylic (co)polymers
-
- B—PERFORMING OPERATIONS; TRANSPORTING
- B32—LAYERED PRODUCTS
- B32B—LAYERED PRODUCTS, i.e. PRODUCTS BUILT-UP OF STRATA OF FLAT OR NON-FLAT, e.g. CELLULAR OR HONEYCOMB, FORM
- B32B27/00—Layered products comprising a layer of synthetic resin
- B32B27/38—Layered products comprising a layer of synthetic resin comprising epoxy resins
-
- B—PERFORMING OPERATIONS; TRANSPORTING
- B32—LAYERED PRODUCTS
- B32B—LAYERED PRODUCTS, i.e. PRODUCTS BUILT-UP OF STRATA OF FLAT OR NON-FLAT, e.g. CELLULAR OR HONEYCOMB, FORM
- B32B7/00—Layered products characterised by the relation between layers; Layered products characterised by the relative orientation of features between layers, or by the relative values of a measurable parameter between layers, i.e. products comprising layers having different physical, chemical or physicochemical properties; Layered products characterised by the interconnection of layers
- B32B7/02—Physical, chemical or physicochemical properties
- B32B7/023—Optical properties
-
- C—CHEMISTRY; METALLURGY
- C08—ORGANIC MACROMOLECULAR COMPOUNDS; THEIR PREPARATION OR CHEMICAL WORKING-UP; COMPOSITIONS BASED THEREON
- C08G—MACROMOLECULAR COMPOUNDS OBTAINED OTHERWISE THAN BY REACTIONS ONLY INVOLVING UNSATURATED CARBON-TO-CARBON BONDS
- C08G18/00—Polymeric products of isocyanates or isothiocyanates
- C08G18/06—Polymeric products of isocyanates or isothiocyanates with compounds having active hydrogen
- C08G18/08—Processes
- C08G18/10—Prepolymer processes involving reaction of isocyanates or isothiocyanates with compounds having active hydrogen in a first reaction step
-
- C—CHEMISTRY; METALLURGY
- C08—ORGANIC MACROMOLECULAR COMPOUNDS; THEIR PREPARATION OR CHEMICAL WORKING-UP; COMPOSITIONS BASED THEREON
- C08G—MACROMOLECULAR COMPOUNDS OBTAINED OTHERWISE THAN BY REACTIONS ONLY INVOLVING UNSATURATED CARBON-TO-CARBON BONDS
- C08G18/00—Polymeric products of isocyanates or isothiocyanates
- C08G18/06—Polymeric products of isocyanates or isothiocyanates with compounds having active hydrogen
- C08G18/70—Polymeric products of isocyanates or isothiocyanates with compounds having active hydrogen characterised by the isocyanates or isothiocyanates used
- C08G18/72—Polyisocyanates or polyisothiocyanates
- C08G18/74—Polyisocyanates or polyisothiocyanates cyclic
- C08G18/76—Polyisocyanates or polyisothiocyanates cyclic aromatic
- C08G18/7614—Polyisocyanates or polyisothiocyanates cyclic aromatic containing only one aromatic ring
- C08G18/7621—Polyisocyanates or polyisothiocyanates cyclic aromatic containing only one aromatic ring being toluene diisocyanate including isomer mixtures
-
- C—CHEMISTRY; METALLURGY
- C08—ORGANIC MACROMOLECULAR COMPOUNDS; THEIR PREPARATION OR CHEMICAL WORKING-UP; COMPOSITIONS BASED THEREON
- C08G—MACROMOLECULAR COMPOUNDS OBTAINED OTHERWISE THAN BY REACTIONS ONLY INVOLVING UNSATURATED CARBON-TO-CARBON BONDS
- C08G18/00—Polymeric products of isocyanates or isothiocyanates
- C08G18/06—Polymeric products of isocyanates or isothiocyanates with compounds having active hydrogen
- C08G18/70—Polymeric products of isocyanates or isothiocyanates with compounds having active hydrogen characterised by the isocyanates or isothiocyanates used
- C08G18/72—Polyisocyanates or polyisothiocyanates
- C08G18/74—Polyisocyanates or polyisothiocyanates cyclic
- C08G18/76—Polyisocyanates or polyisothiocyanates cyclic aromatic
- C08G18/7657—Polyisocyanates or polyisothiocyanates cyclic aromatic containing two or more aromatic rings
- C08G18/7664—Polyisocyanates or polyisothiocyanates cyclic aromatic containing two or more aromatic rings containing alkylene polyphenyl groups
- C08G18/7671—Polyisocyanates or polyisothiocyanates cyclic aromatic containing two or more aromatic rings containing alkylene polyphenyl groups containing only one alkylene bisphenyl group
-
- C—CHEMISTRY; METALLURGY
- C08—ORGANIC MACROMOLECULAR COMPOUNDS; THEIR PREPARATION OR CHEMICAL WORKING-UP; COMPOSITIONS BASED THEREON
- C08K—Use of inorganic or non-macromolecular organic substances as compounding ingredients
- C08K3/00—Use of inorganic substances as compounding ingredients
- C08K3/02—Elements
- C08K3/04—Carbon
- C08K3/041—Carbon nanotubes
-
- C—CHEMISTRY; METALLURGY
- C09—DYES; PAINTS; POLISHES; NATURAL RESINS; ADHESIVES; COMPOSITIONS NOT OTHERWISE PROVIDED FOR; APPLICATIONS OF MATERIALS NOT OTHERWISE PROVIDED FOR
- C09D—COATING COMPOSITIONS, e.g. PAINTS, VARNISHES OR LACQUERS; FILLING PASTES; CHEMICAL PAINT OR INK REMOVERS; INKS; CORRECTING FLUIDS; WOODSTAINS; PASTES OR SOLIDS FOR COLOURING OR PRINTING; USE OF MATERIALS THEREFOR
- C09D133/00—Coating compositions based on homopolymers or copolymers of compounds having one or more unsaturated aliphatic radicals, each having only one carbon-to-carbon double bond, and at least one being terminated by only one carboxyl radical, or of salts, anhydrides, esters, amides, imides, or nitriles thereof; Coating compositions based on derivatives of such polymers
- C09D133/04—Homopolymers or copolymers of esters
- C09D133/14—Homopolymers or copolymers of esters of esters containing halogen, nitrogen, sulfur or oxygen atoms in addition to the carboxy oxygen
-
- C—CHEMISTRY; METALLURGY
- C09—DYES; PAINTS; POLISHES; NATURAL RESINS; ADHESIVES; COMPOSITIONS NOT OTHERWISE PROVIDED FOR; APPLICATIONS OF MATERIALS NOT OTHERWISE PROVIDED FOR
- C09D—COATING COMPOSITIONS, e.g. PAINTS, VARNISHES OR LACQUERS; FILLING PASTES; CHEMICAL PAINT OR INK REMOVERS; INKS; CORRECTING FLUIDS; WOODSTAINS; PASTES OR SOLIDS FOR COLOURING OR PRINTING; USE OF MATERIALS THEREFOR
- C09D163/00—Coating compositions based on epoxy resins; Coating compositions based on derivatives of epoxy resins
-
- C—CHEMISTRY; METALLURGY
- C09—DYES; PAINTS; POLISHES; NATURAL RESINS; ADHESIVES; COMPOSITIONS NOT OTHERWISE PROVIDED FOR; APPLICATIONS OF MATERIALS NOT OTHERWISE PROVIDED FOR
- C09D—COATING COMPOSITIONS, e.g. PAINTS, VARNISHES OR LACQUERS; FILLING PASTES; CHEMICAL PAINT OR INK REMOVERS; INKS; CORRECTING FLUIDS; WOODSTAINS; PASTES OR SOLIDS FOR COLOURING OR PRINTING; USE OF MATERIALS THEREFOR
- C09D165/00—Coating compositions based on macromolecular compounds obtained by reactions forming a carbon-to-carbon link in the main chain; Coating compositions based on derivatives of such polymers
-
- C—CHEMISTRY; METALLURGY
- C09—DYES; PAINTS; POLISHES; NATURAL RESINS; ADHESIVES; COMPOSITIONS NOT OTHERWISE PROVIDED FOR; APPLICATIONS OF MATERIALS NOT OTHERWISE PROVIDED FOR
- C09D—COATING COMPOSITIONS, e.g. PAINTS, VARNISHES OR LACQUERS; FILLING PASTES; CHEMICAL PAINT OR INK REMOVERS; INKS; CORRECTING FLUIDS; WOODSTAINS; PASTES OR SOLIDS FOR COLOURING OR PRINTING; USE OF MATERIALS THEREFOR
- C09D175/00—Coating compositions based on polyureas or polyurethanes; Coating compositions based on derivatives of such polymers
- C09D175/04—Polyurethanes
-
- C—CHEMISTRY; METALLURGY
- C09—DYES; PAINTS; POLISHES; NATURAL RESINS; ADHESIVES; COMPOSITIONS NOT OTHERWISE PROVIDED FOR; APPLICATIONS OF MATERIALS NOT OTHERWISE PROVIDED FOR
- C09J—ADHESIVES; NON-MECHANICAL ASPECTS OF ADHESIVE PROCESSES IN GENERAL; ADHESIVE PROCESSES NOT PROVIDED FOR ELSEWHERE; USE OF MATERIALS AS ADHESIVES
- C09J11/00—Features of adhesives not provided for in group C09J9/00, e.g. additives
- C09J11/02—Non-macromolecular additives
- C09J11/06—Non-macromolecular additives organic
-
- C—CHEMISTRY; METALLURGY
- C09—DYES; PAINTS; POLISHES; NATURAL RESINS; ADHESIVES; COMPOSITIONS NOT OTHERWISE PROVIDED FOR; APPLICATIONS OF MATERIALS NOT OTHERWISE PROVIDED FOR
- C09J—ADHESIVES; NON-MECHANICAL ASPECTS OF ADHESIVE PROCESSES IN GENERAL; ADHESIVE PROCESSES NOT PROVIDED FOR ELSEWHERE; USE OF MATERIALS AS ADHESIVES
- C09J133/00—Adhesives based on homopolymers or copolymers of compounds having one or more unsaturated aliphatic radicals, each having only one carbon-to-carbon double bond, and at least one being terminated by only one carboxyl radical, or of salts, anhydrides, esters, amides, imides, or nitriles thereof; Adhesives based on derivatives of such polymers
-
- C—CHEMISTRY; METALLURGY
- C09—DYES; PAINTS; POLISHES; NATURAL RESINS; ADHESIVES; COMPOSITIONS NOT OTHERWISE PROVIDED FOR; APPLICATIONS OF MATERIALS NOT OTHERWISE PROVIDED FOR
- C09J—ADHESIVES; NON-MECHANICAL ASPECTS OF ADHESIVE PROCESSES IN GENERAL; ADHESIVE PROCESSES NOT PROVIDED FOR ELSEWHERE; USE OF MATERIALS AS ADHESIVES
- C09J133/00—Adhesives based on homopolymers or copolymers of compounds having one or more unsaturated aliphatic radicals, each having only one carbon-to-carbon double bond, and at least one being terminated by only one carboxyl radical, or of salts, anhydrides, esters, amides, imides, or nitriles thereof; Adhesives based on derivatives of such polymers
- C09J133/04—Homopolymers or copolymers of esters
-
- C—CHEMISTRY; METALLURGY
- C09—DYES; PAINTS; POLISHES; NATURAL RESINS; ADHESIVES; COMPOSITIONS NOT OTHERWISE PROVIDED FOR; APPLICATIONS OF MATERIALS NOT OTHERWISE PROVIDED FOR
- C09J—ADHESIVES; NON-MECHANICAL ASPECTS OF ADHESIVE PROCESSES IN GENERAL; ADHESIVE PROCESSES NOT PROVIDED FOR ELSEWHERE; USE OF MATERIALS AS ADHESIVES
- C09J133/00—Adhesives based on homopolymers or copolymers of compounds having one or more unsaturated aliphatic radicals, each having only one carbon-to-carbon double bond, and at least one being terminated by only one carboxyl radical, or of salts, anhydrides, esters, amides, imides, or nitriles thereof; Adhesives based on derivatives of such polymers
- C09J133/24—Homopolymers or copolymers of amides or imides
-
- C—CHEMISTRY; METALLURGY
- C09—DYES; PAINTS; POLISHES; NATURAL RESINS; ADHESIVES; COMPOSITIONS NOT OTHERWISE PROVIDED FOR; APPLICATIONS OF MATERIALS NOT OTHERWISE PROVIDED FOR
- C09J—ADHESIVES; NON-MECHANICAL ASPECTS OF ADHESIVE PROCESSES IN GENERAL; ADHESIVE PROCESSES NOT PROVIDED FOR ELSEWHERE; USE OF MATERIALS AS ADHESIVES
- C09J7/00—Adhesives in the form of films or foils
- C09J7/20—Adhesives in the form of films or foils characterised by their carriers
- C09J7/29—Laminated material
-
- G—PHYSICS
- G02—OPTICS
- G02B—OPTICAL ELEMENTS, SYSTEMS OR APPARATUS
- G02B1/00—Optical elements characterised by the material of which they are made; Optical coatings for optical elements
- G02B1/04—Optical elements characterised by the material of which they are made; Optical coatings for optical elements made of organic materials, e.g. plastics
-
- G—PHYSICS
- G02—OPTICS
- G02B—OPTICAL ELEMENTS, SYSTEMS OR APPARATUS
- G02B1/00—Optical elements characterised by the material of which they are made; Optical coatings for optical elements
- G02B1/10—Optical coatings produced by application to, or surface treatment of, optical elements
- G02B1/16—Optical coatings produced by application to, or surface treatment of, optical elements having an anti-static effect, e.g. electrically conducting coatings
-
- G—PHYSICS
- G02—OPTICS
- G02F—OPTICAL DEVICES OR ARRANGEMENTS FOR THE CONTROL OF LIGHT BY MODIFICATION OF THE OPTICAL PROPERTIES OF THE MEDIA OF THE ELEMENTS INVOLVED THEREIN; NON-LINEAR OPTICS; FREQUENCY-CHANGING OF LIGHT; OPTICAL LOGIC ELEMENTS; OPTICAL ANALOGUE/DIGITAL CONVERTERS
- G02F1/00—Devices or arrangements for the control of the intensity, colour, phase, polarisation or direction of light arriving from an independent light source, e.g. switching, gating or modulating; Non-linear optics
- G02F1/01—Devices or arrangements for the control of the intensity, colour, phase, polarisation or direction of light arriving from an independent light source, e.g. switching, gating or modulating; Non-linear optics for the control of the intensity, phase, polarisation or colour
- G02F1/13—Devices or arrangements for the control of the intensity, colour, phase, polarisation or direction of light arriving from an independent light source, e.g. switching, gating or modulating; Non-linear optics for the control of the intensity, phase, polarisation or colour based on liquid crystals, e.g. single liquid crystal display cells
- G02F1/133—Constructional arrangements; Operation of liquid crystal cells; Circuit arrangements
- G02F1/1333—Constructional arrangements; Manufacturing methods
- G02F1/1335—Structural association of cells with optical devices, e.g. polarisers or reflectors
- G02F1/133528—Polarisers
-
- G—PHYSICS
- G06—COMPUTING OR CALCULATING; COUNTING
- G06F—ELECTRIC DIGITAL DATA PROCESSING
- G06F3/00—Input arrangements for transferring data to be processed into a form capable of being handled by the computer; Output arrangements for transferring data from processing unit to output unit, e.g. interface arrangements
- G06F3/01—Input arrangements or combined input and output arrangements for interaction between user and computer
- G06F3/03—Arrangements for converting the position or the displacement of a member into a coded form
- G06F3/041—Digitisers, e.g. for touch screens or touch pads, characterised by the transducing means
-
- C—CHEMISTRY; METALLURGY
- C09—DYES; PAINTS; POLISHES; NATURAL RESINS; ADHESIVES; COMPOSITIONS NOT OTHERWISE PROVIDED FOR; APPLICATIONS OF MATERIALS NOT OTHERWISE PROVIDED FOR
- C09J—ADHESIVES; NON-MECHANICAL ASPECTS OF ADHESIVE PROCESSES IN GENERAL; ADHESIVE PROCESSES NOT PROVIDED FOR ELSEWHERE; USE OF MATERIALS AS ADHESIVES
- C09J2203/00—Applications of adhesives in processes or use of adhesives in the form of films or foils
- C09J2203/318—Applications of adhesives in processes or use of adhesives in the form of films or foils for the production of liquid crystal displays
-
- C—CHEMISTRY; METALLURGY
- C09—DYES; PAINTS; POLISHES; NATURAL RESINS; ADHESIVES; COMPOSITIONS NOT OTHERWISE PROVIDED FOR; APPLICATIONS OF MATERIALS NOT OTHERWISE PROVIDED FOR
- C09J—ADHESIVES; NON-MECHANICAL ASPECTS OF ADHESIVE PROCESSES IN GENERAL; ADHESIVE PROCESSES NOT PROVIDED FOR ELSEWHERE; USE OF MATERIALS AS ADHESIVES
- C09J2301/00—Additional features of adhesives in the form of films or foils
- C09J2301/40—Additional features of adhesives in the form of films or foils characterized by the presence of essential components
- C09J2301/416—Additional features of adhesives in the form of films or foils characterized by the presence of essential components use of irradiation
Landscapes
- Chemical & Material Sciences (AREA)
- Organic Chemistry (AREA)
- Physics & Mathematics (AREA)
- Engineering & Computer Science (AREA)
- General Physics & Mathematics (AREA)
- Chemical Kinetics & Catalysis (AREA)
- Materials Engineering (AREA)
- Optics & Photonics (AREA)
- Polymers & Plastics (AREA)
- Medicinal Chemistry (AREA)
- Health & Medical Sciences (AREA)
- Life Sciences & Earth Sciences (AREA)
- Wood Science & Technology (AREA)
- General Engineering & Computer Science (AREA)
- Nonlinear Science (AREA)
- Theoretical Computer Science (AREA)
- Mathematical Physics (AREA)
- Crystallography & Structural Chemistry (AREA)
- Human Computer Interaction (AREA)
- Nanotechnology (AREA)
- Polarising Elements (AREA)
- Liquid Crystal (AREA)
- Laminated Bodies (AREA)
- Adhesive Tapes (AREA)
- Adhesives Or Adhesive Processes (AREA)
Abstract
一種附黏著劑層之偏光薄膜,其具有碘系偏光件、僅於前述偏光件之單面具有透明保護薄膜及於前述偏光件之另一面具有透明層,且隔著前述透明層設有黏著劑層;前述黏著劑層係貼合於具有透明基材及透明導電層之透明導電性基材的前述透明導電層後來使用者,且前述附黏著劑層之偏光薄膜對透明導電層具有預定之電阻值的變化比。即便在將前述黏著劑層貼合於透明導電層並置於加濕環境下之情況下,仍可維持透明導電層穩定的表面電阻值。
Description
本發明涉及附黏著劑層之偏光薄膜。且,本發明涉及具備應用有前述附黏著劑層之偏光薄膜的透明導電性基材之積層體。並且,本發明涉及使用有前述積層體之影像顯示裝置。並且,本發明涉及使用有前述附黏著劑層之偏光薄膜的影像顯示面板、影像顯示裝置。
以影像顯示面板、例如使用於液晶顯示裝置等之液晶面板來說,通常係於液晶單元兩側透過黏著劑層積層有偏光薄膜,該液晶單元係由配置於一對透明基板間的液晶層所形成。對於這種黏著劑層係要求高耐久性,例如會要求其在通常作為環境促進試驗進行的利用加熱及加濕等所行之耐久試驗中,不會產生起因於黏著劑層之剝離及浮凸等不良情況。
所述光學用途之黏著劑組成物已有研討出多種,例如已有文獻提議一種黏著劑組成物,其在貼附光學薄膜後,即使在置於高濕熱條件下時仍不會使其產生剝落或發泡(例如參照專利文獻1)。
構成液晶面板之液晶單元之一透明基板上會有形成有氧化銦錫(ITO)薄膜或使用有導電性聚合物之有機導電膜等透明導電層之物。前述透明導電層具有防止靜電產生之靜電打亂液晶層之定向而發生漏光(帶電不均)之作用。且前述透明導電層在將液晶顯示裝置利用於觸控面板時,係作為可將液晶單元內之驅動電場與觸控面板分離的屏蔽電極發揮功能。鑒於上述情事,而提出有一種即便貼合於前述透明導電層時,仍可於加濕環境下維持穩定的表面電阻值之附黏著劑層之偏光薄膜(專利文獻2)。
先前技術文獻
專利文獻
專利文獻1:日本專利特開2009-242767號公報
專利文獻2:日本專利特開2015-145491號公報
發明欲解決之課題
又,附黏著劑層之偏光薄膜有時會使用一種於僅於偏光件單側設置透明保護薄膜且不於另一側設置透明保護薄膜之單面保護偏光薄膜設置有黏著劑層者。該附黏著劑層之單面保護偏光薄膜僅於單側具有透明保護薄膜,故相較於兩側具有透明保護薄膜之情況,其可將偏光薄膜薄型化,進而可削減透明保護薄膜那一層之成本。另一方面,可知將前述附黏著劑層之單面保護偏光薄膜應用於透明導電層時,因偏光件之單面未被透明保護薄膜被覆,故在將碘系偏光件作為偏光件使用之態樣下,有自該碘系偏光件產生之碘及/或碘離子會穿透黏著劑層而腐蝕透明導電層之虞。而當透明導電層腐蝕時,表面電阻值會上升而變得易發生靜電造成之顯示不均。又,可知將液晶顯示裝置利用於觸控面板時,屏蔽機能會降低,而恐有造成觸控面板誤動作之虞。
本發明之目的在於提供一種附黏著劑層之偏光薄膜,其係於僅於碘系偏光件之單面具有透明保護薄膜之單面保護偏光薄膜的前述偏光件上設有黏著劑層者,其即便在將前述黏著劑層貼合於透明導電層上並置於加濕環境下時,仍可維持透明導電層穩定的表面電阻值。
又本發明目的在於提供一種具備應用有前述附黏著劑層之偏光薄膜的透明導電性基材之積層體。並且,本發明目的在於提供使用有前述附黏著劑層之偏光薄膜或前述積層體的影像顯示面板、影像顯示裝置。
用以解決課題之方法
本發明人等為解決前述課題積極努力檢討後,發現了下述附黏著劑層之偏光薄膜,遂而完成本發明。
即,本發明係涉及一種附黏著劑層之偏光薄膜,其具有偏光件、僅於前述偏光件之單面具有透明保護薄膜及於前述偏光件之另一面具有透明層,且隔著前述透明層設有黏著劑層;
該附黏著劑層之偏光薄膜之特徵在於:
前述偏光件係含有碘及/或碘離子之碘系偏光件,且
前述附黏著劑層之偏光薄膜滿足下述通式(1)所示表面電阻值的變化比:
通式(1):R250
/Ri
≦1.5
(惟,前述Ri
表示將於具有透明基材與透明導電層之透明導電性基材上的前述金屬性透明導電層上貼合有前述附黏著劑層之偏光薄膜的黏著劑層之積層體,在50℃、5大氣壓之條件下進行15分鐘高壓釜處理後之前述透明導電層的表面電阻值(Ω/□);
前述R250
表示將前述經高壓釜處理之積層體再於65℃、95%RH之條件下進行250小時之高溫高濕處理後之前述透明導電層的表面電阻值(Ω/□))。
前述附黏著劑層之偏光薄膜宜滿足下述通式(2)所示表面電阻值的變化比:
通式(2):R500
/R250
≦1.8
(惟,前述R250
表示將於具有透明基材與透明導電層之透明導電性基材上的前述透明導電層上貼合有前述附黏著劑層之偏光薄膜的黏著劑層之積層體,在50℃、5大氣壓之條件下進行15分鐘高壓釜處理後,再於65℃、95%RH之條件下進行500小時之高溫高濕處理後之前述透明導電層的表面電阻值(Ω/□);
前述R500
表示將前述經高壓釜處理之積層體再於65℃、95%RH之條件下進行500小時之高溫高濕處理後之前述透明導電層的表面電阻值(Ω/□))。
前述附黏著劑層之偏光薄膜中,前述透明層宜直接形成於偏光件上。
前述附黏著劑層之偏光薄膜中,前述透明層之厚度宜為10μm以下。
前述附黏著劑層之偏光薄膜中,作為前述透明層,可使用含有胺甲酸乙酯預聚物的形成材之硬化物,該胺甲酸乙酯預聚物係異氰酸酯化合物與多元醇的反應物。前述異氰酸酯化合物宜使用選自二異氰酸甲苯酯及二苯甲烷二異氰酸酯中之至少任一種。
前述附黏著劑層之偏光薄膜中,前述透明層可含有環氧樹脂。
前述附黏著劑層之偏光薄膜中,前述透明層可使用下述樹脂組成物,該樹脂組成物包含:
(a)聚合物,其係藉由將大於50重量份之丙烯酸系單體與大於0重量份且小於50重量份之下述通式(1)所示單體聚合而得者:
[化學式1]
(式中,X表示含有選自於由乙烯基、(甲基)丙烯醯基、苯乙烯基、(甲基)丙烯醯胺基、乙烯基醚基、環氧基、氧雜環丁烷基、羥基、胺基、醛基及羧基所構成群組中之至少1種反應性基的官能基,R1
及R2
分別獨立表示氫原子、可具有取代基之脂肪族烴基、可具有取代基之芳基或可具有取代基之雜環基,R1
及R2
可相互連結形成環);及
(b)環氧樹脂;並且
前述聚合物(a)與環氧樹脂(b)之含有比例以重量比計為95:5~60:40或40:60~1:99。
前述通式(1)中X所示官能基宜為下述通式(2)所示官能基:
通式(2):Z-Y-(式中,Z表示含有選自於由乙烯基、(甲基)丙烯醯基、苯乙烯基、(甲基)丙烯醯胺基、乙烯基醚基、環氧基、氧雜環丁烷基、羥基、胺基、醛基及羧基所構成群組中之至少1種反應性基的官能基,Y表示有機基)。
前述附黏著劑層之偏光薄膜中,前述黏著劑層可使用由含有(甲基)丙烯酸系聚合物(A)之黏著劑組成物所形成者。
前述附黏著劑層之偏光薄膜中,前述黏著劑層可使用由含有(甲基)丙烯酸系聚合物(A)及離子性化合物(B)之黏著劑組成物所形成者。
前述附黏著劑層之偏光薄膜中,前述(甲基)丙烯酸系聚合物(A)宜含有(甲基)丙烯酸烷基酯(a1)及含醯胺基單體(a2)作為單體單元。
前述附黏著劑層之偏光薄膜中,前述含醯胺基單體(a2)宜為含N-乙烯基內醯胺系單體。
前述附黏著劑層之偏光薄膜中,前述含醯胺基單體(a2)宜作為單體單元於前述(甲基)丙烯酸系聚合物(A)中含有0.1重量%以上。
前述附黏著劑層之偏光薄膜中,前述離子性化合物(B)宜為鹼金屬鹽。前述離子性化合物(B)宜相對於前述(甲基)丙烯酸系聚合物(A)100重量份含有0.01重量份以上。
前述附黏著劑層之偏光薄膜中,前述透明導電層宜由氧化銦錫形成。
又,本發明涉及一種積層體,其特徵在於:具有前述附黏著劑層之偏光薄膜、以及具有透明基材及透明導電層之透明導電性基材,並且前述附黏著劑層之偏光薄膜的黏著劑層係貼合於前述透明導電性基材的透明導電層上。
又,本發明涉及一種影像顯示裝置,其特徵在於:其將前述附黏著劑層之偏光薄膜的黏著劑層與具有透明導電層之液晶面板貼合成前述附黏著劑層之偏光薄膜的黏著劑層與前述液晶面板的透明導電層相接觸。
又本發明涉及一種影像顯示裝置,其特徵在於:將前述積層體作為觸控面板來使用。
又本發明涉及一種影像顯示面板,其特徵在於:具有前述附黏著劑層之偏光薄膜。作為前述影像顯示面板宜為具備具有透明導電層之透明導電性基材,且前述附黏著劑層之偏光薄膜的黏著劑層貼合於前述影像顯示面板的前述透明導電層上者。
又本發明涉及一種影像顯示裝置,其特徵在於:具有前述影像顯示面板。
發明效果
本發明附黏著劑層之偏光薄膜所用偏光薄膜為僅於偏光件之單面具有透明保護薄膜之單面保護偏光薄膜,其由薄型化、低成本化之觀點來看有利。另一方面,將黏著劑層應用於單面保護偏光薄膜之附黏著劑層之偏光薄膜在使用碘系偏光件作為偏光件且將前述黏著劑層貼合於透明導電層時,有自該碘系偏光件產生之碘及/或碘離子會穿透黏著劑層而腐蝕透明導電層之虞。而本發明於附黏著劑層之偏光薄膜之前述偏光件與黏著劑層之間設有透明層,故可藉由該透明層抑制偏光件中之碘及/或碘離子移動至黏著劑層。因此,吾等認為其即便於加濕環境下,仍可抑制前述碘及/或碘離子腐蝕透明導電層,而可長時間將透明導電層的表面電阻值維持在所期望之範圍內,從而可滿足穩定的光學特性。且可抑制靜電造成之顯示不均,而可抑制發生誤動作。
依上所述,本發明附黏著劑層之偏光薄膜即便於加濕環境下對透明導電層之耐久性仍良好,而根據本發明可提供具備應用有前述附黏著劑層之偏光薄膜之透明導電性基材的積層體、以及使用有前述積層體之影像顯示面板、影像顯示裝置。
本發明附黏著劑層之偏光薄膜例如於圖1所示。如圖1所示,附黏著劑層之偏光薄膜1中使用有單面保護偏光薄膜11,該單面保護偏光薄膜11具有偏光件a、僅於前述偏光件a之單面具有透明保護薄膜b,並於前述偏光件a之另一面具有透明層c。前述單面保護偏光薄膜11上隔著前述透明層c設有黏著劑層21。由可抑制偏光件在高溫高濕環境下之水分率上升之觀點,前述透明層c宜直接設於偏光件a。透明層c容後說明。且,前述附黏著劑層之偏光薄膜1如圖2所示,可於前述透明層c與前述黏著劑層21之間具有導電層d。透明層d容後說明。導電層d可使抗靜電性能提升。前述導電層d係隔著前述透明層c設置,故可抑制前述導電層c直接設於偏光件a所造成之在加濕環境下偏光件端部褪色之問題。
又,本發明附黏著劑層之偏光薄膜可以應用於透明導電性基材之例如圖3所示之積層體L形態來使用。圖3所示之積層體L係例示圖1所示之附黏著劑層之偏光薄膜1的黏著劑層21貼合於透明基材F2上具有透明導電層F1之透明導電性基材F的前述透明導電層F1上之情形。
本發明附黏著劑層之偏光薄膜之特徵在於:針對前述積層體以下述條件測定之透明導電層的表面電阻值(Ω/□)Ri
、R250
滿足下述通式(1)所示表面電阻值的變化比:
通式(1):R250
/Ri
≦1.5。
前述變化比宜為1.3以下,更宜為1.2以下。
又,針對前述積層體以下述條件測定之透明導電層的表面電阻值(Ω/□)R250
、R500
宜滿足下述通式(2)所示表面電阻值的變化比:
通式(2):R500
/R250
≦1.8。
前述變化比宜為1.5以下,更宜為1.2以下。
Ri
為將於具有透明基材與透明導電層之透明導電性基材上的前述透明導電層上貼合有前述附黏著劑層之偏光薄膜的黏著劑層之積層體,在50℃、5大氣壓之條件下進行15分鐘高壓釜處理後之前述透明導電層的表面電阻值(Ω/□)。
R250
為將前述經高壓釜處理之積層體再於65℃、95%RH之條件下進行250小時之高溫高濕處理後之前述透明導電層的表面電阻值(Ω/□)。
R500
為將前述經高壓釜處理之積層體再於65℃、95%RH之條件下進行500小時之高溫高濕處理後之前述透明導電層的表面電阻值(Ω/□)。
>附黏著劑層之偏光薄膜>
首先,就構成本發明附黏著劑層之偏光薄膜的各構件進行說明。
偏光件並無特別限定,可使用各種偏光件。作為偏光件,可舉如使聚乙烯醇系薄膜、部分縮甲醛化聚乙烯醇系薄膜、乙烯-乙酸乙烯酯共聚物系部分皂化薄膜等親水性高分子薄膜吸附碘或二色性染料之二色性物質並進行單軸延伸者,以及聚乙烯醇之脫水處理物或聚氯乙烯之脫鹽酸處理物等多烯系定向薄膜等。該等之中又以由聚乙烯醇系薄膜與碘等的二色性物質構成之偏光件較適宜。該等偏光件之厚度無特別限制,一般在80μm左右以下。
又,偏光件可使用厚度10μm以下的薄型偏光件。從薄型化觀點來說,該厚度在1~7μm為宜。這種薄型偏光件因厚度參差少,視辨性佳,且尺寸變化少故耐久性優異,而且在作為偏光薄膜的厚度上亦能力求薄型化,就此等觀點來看較為理想。
作為構成透明保護薄膜的材料,可使用例如透明性、機械強度、熱穩定性、抗濕性、各向同性等優異之熱塑性樹脂。所述熱塑性樹脂的具體例可舉例如三醋酸纖維素等之纖維素樹脂、聚酯樹脂、聚醚碸樹脂、聚碸樹脂、聚碳酸酯樹脂、聚醯胺樹脂、聚醯亞胺樹脂、聚烯烴樹脂、(甲基)丙烯酸樹脂、環狀聚烯烴樹脂(降莰烯系樹脂)、聚芳酯樹脂、聚苯乙烯樹脂、聚乙烯醇樹脂及該等之混合物。此外,在偏光件的單側,透明保護薄膜是藉由接著劑層而貼合,而在另一側,透明保護薄膜可使用(甲基)丙烯酸系、胺甲酸乙酯系、丙烯酸胺甲酸乙酯系、環氧系、聚矽氧系等熱硬化性樹脂或紫外線硬化型樹脂。
前述透明保護薄膜之材料由可將用來貼合黏著劑層之透明導電層之表面電阻值的前述變化比控制得較小來看,以纖維素樹脂、(甲基)丙烯酸樹脂為佳。此外,(甲基)丙烯酸樹脂宜使用具有內酯環結構之(甲基)丙烯酸系樹脂。具有內酯環結構之(甲基)丙烯酸系樹脂可列舉日本特開2000-230016號公報、日本特開2001-151814號公報、日本特開2002-120326號公報、日本特開2002-254544號公報、日本特開2005-146084號公報等中記載之具有內酯環結構的(甲基)丙烯酸系樹脂。尤其是纖維素樹脂在會在單面保護偏光薄膜造成課題之抑制偏光件裂痕上較(甲基)丙烯酸樹脂更有效,就此觀點來看較佳。
前述透明保護薄膜之不接著偏光件的面上可設置硬塗層、抗反射層、抗黏著層、擴散層乃至防眩層等機能層。
用於前述偏光件與透明保護薄膜的貼合之接著劑只要在光學上是透明的,則可無特別限制地使用水系、溶劑系、熱熔膠系、自由基硬化型、陽離子硬化型之各種形態的接著劑,惟水系接著劑或自由基硬化型接著劑較適宜。
>透明層>
以下就透明層詳細說明。
由薄層化及光學可靠性之觀點,透明層之厚度宜為10μm以下,且5μm以下為佳,3μm以下更佳,更宜為1.5μm以下,又更宜為1μm以下。透明層過厚時,偏光薄膜之厚度會變厚,進而有使偏光件之光學可靠性降低之虞。另一方面,由將黏著劑層之表面電阻值的變動比抑制地較小之觀點來看,透明層之厚度宜為0.1μm以上,更宜為0.2μm以上,又更宜為0.3μm以上。
形成前述透明層之材料可使用具有透明性且用來貼合黏著劑層之透明導電層之表面電阻值的變化比成為預定值者。所述材料可舉例如含有屬異氰酸酯化合物與多元醇的反應物之胺甲酸乙酯預聚物(a)的形成材。
異氰酸酯化合物例如宜為多官能異氰酸酯化合物,具體可舉多官能芳香族系異氰酸酯化合物、脂環族系異氰酸酯、脂肪族系異氰酸酯化合物或該等之二聚物等。
多官能芳香族系異氰酸酯化合物例如可舉二異氰酸伸苯酯、2,4-異氰酸甲苯酯、2,6-二異氰酸甲苯酯、2,2’-二苯甲烷二異氰酸酯、4,4’-二苯甲烷二異氰酸酯、4,4’-甲苯胺二異氰酸酯、4,4’-二苯基醚二異氰酸酯、4,4’-二苯基二異氰酸酯、1,5-萘二異氰酸酯、伸茬基二異氰酸酯、亞甲基雙4-苯基異氰酸酯、二異氰酸對伸苯酯等。
多官能脂環族系異氰酸酯化合物例如可舉1,3-環戊烯二異氰酸酯、1,3-環己烷二異氰酸酯、1,4-環己烷二異氰酸酯、1,3-雙異氰酸基甲基環己烷、異佛酮二異氰酸酯、加氫二苯甲烷二異氰酸酯、加氫伸茬基二異氰酸酯、加氫二異氰酸甲苯酯、加氫四甲基伸茬基二異氰酸酯等。
多官能脂肪族系異氰酸酯化合物例如可舉三亞甲基二異氰酸酯、四亞甲基二異氰酸酯、六亞甲基二異氰酸酯、五亞甲基二異氰酸酯、1,2-伸丙基二異氰酸酯、1,3-伸丁基二異氰酸酯、十二亞甲基二異氰酸酯、2,4,4-三甲基六亞甲基二異氰酸酯等。
又,多官能異氰酸酯化合物可舉如參(6-異氰酸酯基己基)三聚異氰酸酯等具有三個以上異氰酸酯基者。
多元醇例如可舉乙二醇、二乙二醇、1,3-丁二醇、1,4-丁二醇、新戊二醇、3-甲-1,5-戊二醇、2-丁-2-乙-1,3-丙二醇、2,4-二乙基-1,5-戊二醇、1,2-己二醇、1,6-己二醇、1,8-辛二醇、1,9-壬二醇、2-甲-1,8-辛二醇、1,8-癸二醇、十八烷二醇、丙三醇、三羥甲丙烷、新戊四醇、己三醇、聚丙二醇等。
作為前述胺甲酸乙酯預聚物(a),在本發明中宜使用在分子結構上,環狀結構(苯環、三聚氰酸酯環、三聚異氰酸酯環等)在結構中所占比率大之剛性結構者。舉例而言,前述多官能異氰酸酯化合物可單獨使用一種或併用兩種以上,但由抑制水分混入前述偏光件之觀點,以芳香族系異氰酸酯化合物為宜。其他多官能異氰酸酯化合物亦可併用芳香族系異氰酸酯化合物。而在芳香族系異氰酸酯化合物之中,前述異氰酸酯化合物尤宜使用選自二異氰酸甲苯酯及二苯甲烷二異氰酸酯中之至少任一種。
胺甲酸乙酯預聚物(a)宜使用三羥甲丙烷-三-異氰酸甲苯酯、三羥甲丙烷-三-二苯甲烷二異氰酸酯。此外,前述胺甲酸乙酯預聚物(a)為具有末端異氰酸酯基之化合物,例如可藉由混合異氰酸酯化合物與多元醇後進行攪拌使其反應而得。通常宜以使異氰酸酯基相對於多元醇之羥基呈過剩之方式將異氰酸酯化合物與多元醇混合。
另,前述胺甲酸乙酯預聚物(a)亦可使用已對末端異氰酸酯基賦予保護基者。保護基有肟及內醯胺等。保護異氰酸酯基者係透過加熱使保護基自異氰酸酯基解離,而使異氰酸酯基進行反應。
形成透明層之形成材除前述胺甲酸乙酯預聚物(a)外,還可含有化合物(b),該化合物(b)具有至少2個具有與異氰酸酯基具反應性之活性氫的官能基。具有與異氰酸酯基具反應性之活性氫的官能基可舉羥基、胺基等。前述化合物(b)具有的具活性氫之官能基的個數愈多,與胺甲酸乙酯預聚物(a)之異氰酸酯基的反應點便會變得愈多而更易於形成硬化物,因此前述官能基之個數宜為3以上。
又,化合物(b)將其分子量除以前述官能基之個數所得值宜為350以下。藉由如所述方式定義分子量與官能基之個數的關係,可確保化合物(b)與胺甲酸乙酯預聚物(a)之異氰酸酯基的反應性。
又,前述化合物(b)之分子量宜為1000以下。化合物(b)之分子量設為1000以下之範圍者由與胺甲酸乙酯預聚物(a)一同以溶液形態調製形成材時之相溶性的觀點來看較佳。
前述化合物(b)可例示如多元醇、多元胺、於分子內具有羥基與胺基之化合物等。
多元醇可舉例如乙二醇、二乙二醇、1,3-丁二醇、1,4-丁二醇、新戊二醇、3-甲基-1,5-戊二醇、2-丁基-2-乙基-1,3-丙二醇、2,4-二乙基-1,5-戊二醇、1,2-己二醇、1,6-己二醇、1,8-辛二醇、1,9-壬二醇、2-甲基-1,8-辛二醇、1,8-癸二醇、十八烷二醇、聚丙二醇等2官能醇;甘油、三羥甲丙烷等3官能醇;新戊四醇、己三醇、山梨醇等4官能醇等;其他還可舉聚氧伸丙基甘油醚、聚氧伸丙基三羥甲丙烷醚、聚氧伸丙基山梨醇醚等對前述多元醇加成環氧烷(例如環氧丙烷)加成物等。
多元胺可舉例如伸乙二胺、伸丙二胺、六亞甲基二胺、二伸乙三胺、三伸乙四胺、異佛酮二胺、二環己基甲烷-4,4'-二胺、二聚物二胺等。
又,於分子內具有羥基與胺基之化合物可舉例如2-羥乙基伸乙二胺、2-羥乙基伸丙二胺、二-2-羥乙基伸乙二胺、二-2-羥乙基伸丙二胺、2-羥丙基伸乙二胺、二-2-羥丙基伸乙二胺等於分子內具有羥基之二胺類;乙醇胺、二乙醇胺、三乙醇胺等烷醇胺類。
前述化合物(b)由防止偏光件之光學可靠性惡化的觀點來看使用多元醇較佳,尤其三羥甲丙烷由與胺甲酸乙酯預聚物(a)之反應性的觀點來看較佳。
前述形成材含有前述胺甲酸乙酯預聚物(a)作為主成分。胺甲酸乙酯預聚物(a)宜含有形成材之固體成分的50重量%以上。
相對於前述胺甲酸乙酯預聚物(a)與前述化合物(b)之合計100重量%(固體成分比率),前述化合物(b)相對於前述胺甲酸乙酯預聚物(a)之摻混比率宜為5重量%以上。由提升膜強度之觀點,前述化合物(b)之摻混比率宜為10重量%以上。另一方面,前述化合物(b)之摻混比率若變多,有時會造成偏光件之光學可靠性惡化,因此前述化合物(b)之摻混比率宜為80重量%以下,且50重量%以下更佳。
前述形成材更可為了提高異氰酸酯基之反應性而使用反應觸媒。反應觸媒並無特別限制,惟理想的是錫系觸媒或胺系觸媒。反應觸媒可使用1種或2種以上。反應觸媒的使用量,通常係以相對於100重量份之胺甲酸乙酯預聚物(a)為5重量份以下來使用。一旦反應觸媒量多,交聯反應速度即會變快而使形成材發泡。而使用發泡後的形成材則無法獲得充分的接著性。通常,使用反應觸媒時,宜為0.01~5重量份,更宜為0.05~4重量份。
更可為了提高異氰酸酯基之反應性而使用反應觸媒。反應觸媒並無特別限制,惟理想的是錫系觸媒或胺系觸媒。反應觸媒可使用1種或2種以上。反應觸媒的使用量,通常係以相對於100重量份之胺甲酸乙酯預聚物為5重量份以下來使用。一旦反應觸媒量多,交聯反應速度即會變快而使形成材發泡。而使用發泡後的形成材則無法獲得充分的接著性。通常,使用反應觸媒時,宜為0.01~5重量份,更宜為0.05~4重量份。
錫系觸媒可使用無機系、有機系之任一種,惟以有機系為宜。無機系錫系觸媒可舉例如氯化亞錫、氯化錫等。有機系錫系觸媒宜具有至少1個下述有機基:具甲基、乙基、醚基、酯基等骨架之脂肪族基、脂環族基等。可舉例如四-正丁錫、乙酸三-正丁錫、三氯化正丁錫、氫氧化三甲錫、二氯化二甲錫、二月桂酸二丁錫等。
前述形成材一般係以含有前述胺甲酸乙酯預聚物(a)及前述化合物(b)之溶液形態作使用。溶液可為溶劑系,亦可為乳液、膠體分散液、水溶液等水系。
有機溶劑只要不具有具有與異氰酸酯基具反應性之活性氫的官能基,且可均勻溶解構成形成材的前述胺甲酸乙酯預聚物(a)及前述化合物(b),即無特別限制。有機溶劑可使用1種或組合2種以上來使用。又,前述有機溶劑可分別對前述胺甲酸乙酯預聚物(a)及前述化合物(b)使用不同溶劑。此時,可在調製各溶液後混合各溶液藉此來調製形成材。並可於調製出的形成材中進而添加有機溶劑來調整形成材之黏度。並且於為已溶解於有機溶劑之溶劑系溶液時,亦可使其含有下述例示之醇類或水等作為溶劑。
有機溶劑可舉如甲苯、二甲苯等芳香族烴類);乙酸乙酯、乙酸丁酯等酯類;己烷、環己烷、甲基環己烷等脂肪族或脂環式烴類;1,2-二氯乙烷等鹵烷類;甲基三級丁基醚等醚類;甲基乙基酮、甲基異丁基酮、環己酮、環戊酮、乙醯丙酮等酮類等。
此外,在作成水系溶液時,亦可摻混例如正丁醇、異丙醇等醇類、丙酮等酮類。在作成水系溶液時,可藉由使用分散劑來進行,或者藉由對胺甲酸乙酯預聚物導入羧酸鹽、磺酸鹽、四級銨鹽等與異氰酸酯基之反應性低的官能基、或聚乙二醇等水分散性成分來進行。
>環氧樹脂>
又,用以形成前述透明層之材料可舉環氧樹脂。
環氧樹脂可使用任意適當之環氧樹脂。環氧樹脂較佳可使用具有芳香族環之環氧樹脂。藉由使用環氧樹脂,可抑制黏著劑層之表面電阻值的歷時性變化,與偏光件之密著性更優異,而可防止從偏光件端部褪色。並且,於透明層上形成有黏著劑層時,可提升黏著劑層之投錨力。具有芳香族環之環氧樹脂可舉例如雙酚A型環氧樹脂、雙酚F型環氧樹脂、雙酚S型環氧樹脂等雙酚型環氧樹脂;苯酚酚醛環氧樹脂、甲酚酚醛環氧樹脂、羥苯甲醛苯酚酚醛環氧樹脂等酚醛型環氧樹脂;四羥苯甲烷之環氧丙基醚、四羥基二苯基酮之環氧丙基醚、環氧化聚乙烯苯酚等多官能型環氧樹脂、萘酚型環氧樹脂、萘型環氧樹脂、聯苯型環氧樹脂等。較佳可使用雙酚A型環氧樹脂、聯苯型環氧樹脂、雙酚F型環氧樹脂。藉由使用該等環氧樹脂,可更防止從偏光件端部褪色。環氧樹脂可僅使用1種亦可組合2種以上來使用。
環氧樹脂宜為重量平均分子量(Mw)為20,000以上,且宜為30,000以上,更宜為37,000以上。藉由環氧樹脂之重量平均分子量為上述範圍,可更防止從偏光件端部褪色。重量平均分子量例如可藉由GPC來測定。
又,形成前述透明層之材料可使用例如包含聚合物(a)(以下亦稱聚合物(a))與環氧樹脂(b)之組成物,該聚合物(a)係藉由將大於50重量份之丙烯酸系單體與大於0重量份且小於50重量份之下述通式(1)所示單體聚合而得者。前述聚合物(a)與環氧樹脂(b)之含有比例以重量比計宜為95:5~60:40、或40:60~1:99。
[化學式2]
(式中,X表示含有選自於由乙烯基、(甲基)丙烯醯基、苯乙烯基、(甲基)丙烯醯胺基、乙烯基醚基、環氧基、氧雜環丁烷基、羥基、胺基、醛基及羧基所構成群組中之至少1種反應性基的官能基,R1
及R2
分別獨立表示氫原子、可具有取代基之脂肪族烴基、可具有取代基之芳基或可具有取代基之雜環基,R1
及R2
可相互連結形成環)。
前述組成物中聚合物(a)與環氧樹脂(b)之含有比例以重量比計為95:5~60:40、或40:60~1:99。藉由聚合物(a)與環氧樹脂(b)之含有比例為上述範圍,可獲得可抑制黏著劑層之表面電阻值的歷時性變化,與偏光件之密著性更優異,而可防止從偏光件端部褪色之透明層用樹脂組成物。並且,藉由聚合物(a)與環氧樹脂(b)之含有比例為上述範圍,於透明層上形成有黏著劑層時,可提升黏著劑層之投錨力。結果,可獲得兼顧偏光件與透明層之密著性、及與形成於透明層上之黏著劑層的投錨力之偏光板(附透明層之單面保護偏光薄膜)。聚合物(a)與環氧樹脂(b)之含有比例以重量比計宜為95:5~80:20或20:80~5:95,更宜為90:10~70:30或30:70~10:90。聚合物(a)與環氧樹脂(b)之含有比例愈接近等分(50:50),愈有保護層白化之虞。
>聚合物(a)>
前述聚合物(a)可藉由將大於50重量份之丙烯酸系單體與大於0重量份且小於50重量份之前述通式(1)所示單體進行聚合而得。
前述聚合物(a)代表上具有下述式所示結構。藉由將前述通式(1)所示單體與丙烯酸系單體成分進行聚合,聚合物(a)可具有於側鏈包含硼之取代基(例如下述式中k之重複單元)。藉此,可提升偏光件與使用前述樹脂組成物形成之層(透明層)之密著性。該包含硼之取代基可以與聚合物連接來含有,亦可以無規來含有。
前述聚合物(a)可僅使用1種亦可組合2種以上來使用。
[化學式3]
(式中、R6
表示任意官能基,j及k表示1以上之整數)。
前述聚合物(a)之重量平均分子量宜為10,000以上,且宜為20,000以上,更宜為35,000以上,尤宜為50,000以上。又,聚合物(a)之重量平均分子量宜為250,000以下,且宜為200,000以下,更宜為150,000以下。藉由聚合物(a)之重量平均分子量為上述範圍,可提升使用前述樹脂組成物形成之層(透明層)之耐裂痕性。重量平均分子量例如可藉由GPC(溶劑:二甲基甲醯胺(DMF))來測定。
前述聚合物(a)之玻璃轉移溫度宜為50℃以上,且宜為60℃以上,較佳為80℃以上。又,聚合物(a)之玻璃轉移溫度宜為300℃以下。藉由玻璃轉移溫度為上述範圍,可提升使用前述樹脂組成物形成之層(透明層)之耐裂痕性。
前述聚合物(a)可藉由將包含大於50重量份之丙烯酸系單體、大於0重量份且小於50重量份之通式(1)所示單體、聚合引發劑與任意他單體之單體組成物以任意適當之聚合方法進行聚合而得。聚合方法可適宜使用溶液聚合。藉由溶液聚合將聚合物(a)聚合,藉此可獲得更高分子量之聚合物。
≪丙烯酸系單體≫
前述丙烯酸系單體可使用任意適當之丙烯酸系單體。可舉例如具有直鏈或支鏈結構之(甲基)丙烯酸酯系單體、及具有環狀結構之(甲基)丙烯酸酯系單體。本說明書中,(甲基)丙烯酸意指丙烯酸及/或甲基丙烯酸。
具有直鏈或支鏈結構之(甲基)丙烯酸酯系單體可舉例如(甲基)丙烯酸甲酯、(甲基)丙烯酸乙酯、(甲基)丙烯酸正丙酯、(甲基)丙烯酸異丙酯、(甲基)丙烯酸正丁酯、(甲基)丙烯酸異丁酯、(甲基)丙烯酸三級丁酯、(甲基)丙烯酸甲基2-乙基己酯、(甲基)丙烯酸2-羥乙酯等。較佳可使用(甲基)丙烯酸甲酯。(甲基)丙烯酸酯系單體可僅使用1種亦可組合2種以上來使用。
具有環狀結構之(甲基)丙烯酸酯系單體可舉例如(甲基)丙烯酸環己酯、(甲基)丙烯酸苄酯、(甲基)丙烯酸異莰酯、(甲基)丙烯酸1-金剛烷基酯、(甲基)丙烯酸二環戊烯酯、(甲基)丙烯酸二環戊烯氧乙酯、(甲基)丙烯酸二環戊酯、聯苯(甲基)丙烯酸酯、鄰聯苯氧乙基(甲基)丙烯酸酯、鄰聯苯氧基乙氧乙基(甲基)丙烯酸酯、間聯苯氧乙基丙烯酸酯、對聯苯氧乙基(甲基)丙烯酸酯、鄰聯苯氧基-2-羥丙基(甲基)丙烯酸酯、對聯苯氧基-2-羥丙基(甲基)丙烯酸酯、間聯苯氧基-2-羥丙基(甲基)丙烯酸酯、N-(甲基)丙烯醯氧基乙基-鄰聯苯=胺甲酸酯、N-(甲基)丙烯醯氧基乙基-對聯苯=胺甲酸酯、N-(甲基)丙烯醯氧基乙基-間聯苯=胺甲酸酯、鄰苯基苯酚環氧丙基醚丙烯酸酯等含聯苯基單體、三苯(甲基)丙烯酸酯、鄰三苯氧乙基(甲基)丙烯酸酯等。較佳可使用(甲基)丙烯酸1-金剛烷基酯、(甲基)丙烯酸二環戊酯。藉由使用該等單體可獲得玻璃轉移溫度高之聚合物。該等單體可僅使用1種亦可組合2種以上來使用。此外,本說明書中,所謂(甲基)丙烯醯是指丙烯醯基及/或甲基丙烯醯基。
又,亦可使用具有(甲基)丙烯醯基之矽倍半氧烷化合物取代上述(甲基)丙烯酸酯系單體。藉由使用矽倍半氧烷化合物,可獲得玻璃轉移溫度高之丙烯酸系聚合物。矽倍半氧烷化合物已知有具有各種骨架結構例如籠型結構、梯型結構、無規結構等之骨架者。矽倍半氧烷化合物可為僅具有1種該等結構者,亦可為具有2種以上者。矽倍半氧烷化合物可僅使用1種亦可組合2種以上來使用。
具有(甲基)丙烯醯基之矽倍半氧烷化合物可使用例如東亞合成股份公司SQ系列之MAC grade及AC grade。MAC grade為具有甲基丙烯醯基之矽倍半氧烷化合物,具體可舉例如MAC-SQ TM-100、MAC-SQ SI-20、MAC-SQ HDM等。AC grade為具有丙烯醯基之矽倍半氧烷化合物,具體可舉例如AC-SQ TA-100、AC-SQ SI-20等。
丙烯酸系單體可使用大於50重量份。丙烯酸系單體係以與前述通式(1)所示單體之合計可成為100重量份之方式作使用。
≪通式(1)所示單體≫
藉由使用通式(1)所示單體,可於聚合物(a)之側鏈導入含硼之取代基。因此,代表上可提升以PVA系樹脂構成之偏光件與使用前述樹脂組成物形成之層(透明層)之密著性。且,使用前述樹脂組成物形成之層(透明層)本身之耐水性亦會提升,而可防止從偏光件端部褪色。單體可僅使用1種亦可組合2種以上來使用。
[化學式4]
(式中,X表示含有選自於由乙烯基、(甲基)丙烯醯基、苯乙烯基、(甲基)丙烯醯胺基、乙烯基醚基、環氧基、氧雜環丁烷基、羥基、胺基、醛基及羧基所構成群組中之至少1種反應性基的官能基,R1
及R2
分別獨立表示氫原子、可具有取代基之脂肪族烴基、可具有取代基之芳基或可具有取代基之雜環基,R1
及R2
可相互連結形成環)。
上述脂肪族烴基可舉可具有取代基之碳數1~20直鏈或支鏈烷基、可具有取代基之碳數3~20環狀烷基、碳數2~20烯基。上述芳基可舉可具有取代基之碳數6~20苯基、可具有取代基之碳數10~20萘基等。雜環基可舉可具有取代基之至少包含1個雜原子的5員環基或6員環基。此外,R1
及R2
可相互連結形成環。R1
及R2
宜為氫原子或碳數1~3直鏈或支鏈烷基,較宜為氫原子。
上述X所示官能基所含反應性基係選自於由乙烯基、(甲基)丙烯醯基、苯乙烯基、(甲基)丙烯醯胺基、乙烯基醚基、環氧基、氧雜環丁烷基、羥基、胺基、醛基及羧基所構成群組中之至少1種。較理想的是反應性基為(甲基)丙烯醯基及/或(甲基)丙烯醯胺基。藉由具有該等反應性基,可提升偏光件與使用前述樹脂組成物形成之層(透明層)之密著性。
於一實施形態中,上述X所示官能基宜為下述通式(2)所示官能基:
通式(2):Z-Y-(式中,Z表示含有選自於由乙烯基、(甲基)丙烯醯基、苯乙烯基、(甲基)丙烯醯胺基、乙烯基醚基、環氧基、氧雜環丁烷基、羥基、胺基、醛基及羧基所構成群組中之至少1種反應性基的官能基,Y表示有機基)。前述有機基具體而言意指可具有取代基之碳數1~20有機基,更具體可舉例如碳數1~20之可具有取代基之直鏈或支鏈伸烷基、碳數3~20之可具有取代基之環狀伸烷基、碳數6~20之可具有取代基的伸苯基、碳數10~20之可具有取代基的伸萘基等。
通式(1)所示單體除了前述舉例之化合物以外,也可舉例如羥乙基丙烯醯胺與硼酸之酯、羥甲基丙烯醯胺與硼酸之酯、丙烯酸羥乙酯與硼酸之酯、及丙烯酸羥丁酯與硼酸之酯等(甲基)丙烯酸酯與硼酸之酯。
前述通式(1)所示單體可以大於0重量份且小於50重量份之含量來使用。較佳為0.01重量份以上且小於50重量份,且宜為0.05重量份~20重量份,更宜為0.1重量份~10重量份。單體含量若大於50重量份,則易發生從端部褪色。
≪聚合引發劑≫
聚合引發劑可使用任意適當之聚合引發劑。可舉例如苯甲醯基過氧化物、月桂醯基過氧化物、過氧化鈉等過氧化物;三級丁基過氧化氫、過氧化氫異丙苯等過氧化氫;偶氮雙異丁腈等偶氮化合物。聚合引發劑可僅使用1種亦可使用2種以上。
聚合引發劑之含量可使用任意適當之量。聚合引發劑之含量宜為0.1重量份~5重量份,較宜為0.3重量份~2重量份。
≪聚合方法≫
如上述,聚合物(a)較佳可藉由將丙烯酸系單體及通式(1)所示單體等單體成分進行溶液聚合來獲得。溶液聚合所使用之溶劑可使用任意適當之溶劑。可舉例如水;甲醇、乙醇、異丙醇等醇;苯、甲苯、二甲苯、環己烷、正己烷等芳香族或脂肪族烴;乙酸乙酯等酯化合物;丙酮、甲基乙基酮等酮化合物;四氫呋喃、二㗁烷等環狀醚化合物等。該等溶劑可僅使用1種亦可組合2種以上來使用。且,亦可併用有機溶劑與水。
聚合反應可以任意適當之溫度及時間進行。例如,可於50℃~100℃、較佳為於60℃~80℃之範圍下進行聚合反應。又,反應時間例如為1小時~8小時,且宜為3小時~5小時。
>環氧樹脂(b)>
環氧樹脂(b)可使用任意適當之環氧樹脂。環氧樹脂(b)較佳可使用具有芳香族環之環氧樹脂。藉由使用具有芳香族環之環氧樹脂作為環氧樹脂(b),可獲得與偏光件之密著性更優異而可防止從偏光件端部褪色之透明層用樹脂組成物。並且,於透明層上形成有黏著劑層時,可提升黏著劑層之投錨力。具有芳香族環之環氧樹脂可舉例如雙酚A型環氧樹脂、雙酚F型環氧樹脂、雙酚S型環氧樹脂等雙酚型環氧樹脂;苯酚酚醛環氧樹脂、甲酚酚醛環氧樹脂、羥苯甲醛苯酚酚醛環氧樹脂等酚醛型環氧樹脂;四羥苯甲烷之環氧丙基醚、四羥基二苯基酮之環氧丙基醚、環氧化聚乙烯苯酚等多官能型環氧樹脂、萘酚型環氧樹脂、萘型環氧樹脂、聯苯型環氧樹脂等。較佳可使用雙酚A型環氧樹脂、聯苯型環氧樹脂、雙酚F型環氧樹脂。藉由使用該等環氧樹脂,可更防止從偏光件端部褪色。環氧樹脂可僅使用1種亦可組合2種以上來使用。
環氧樹脂(b)宜為重量平均分子量(Mw)為20,000以上,且宜為30,000以上,更宜為37,000以上。藉由環氧樹脂(b)之重量平均分子量為上述範圍,可更防止從偏光件端部褪色。重量平均分子量例如可藉由GPC來測定。
>其他成分>
透明層用樹脂組成物除了前述環氧樹脂、上述聚合物(a)及環氧樹脂(b)外,還可包含有任意適當之其他成分。其他成分可舉例如溶劑及添加劑。溶劑可使用可用於將上述聚合物(a)進行溶液聚合時之溶劑,亦可使用其他溶劑。其他溶劑可適宜使用乙酸乙酯、甲苯、甲基乙基酮、環戊酮等。該等溶劑可僅使用1種亦可組合2種以上來使用。
添加劑可使用任意適當之添加劑。可舉例如界面活性劑、紫外線吸收劑、抗氧化劑、增黏劑等。添加劑可僅使用1種亦可組合2種以上來使用。該等添加劑可以任意適當之量來使用。
>透明層用樹脂組成物之調製方法>
透明層用樹脂組成物可以任意適當之方法來調製。例如,可藉由於任意適當之溶劑中混合聚合物(a)、環氧樹脂(b)及因應需要之任意適當之添加劑來調製。又,將聚合物(a)以溶液聚合方式進行聚合時,亦可藉由於聚合物(a)之聚合溶液中添加環氧樹脂(b)及任意適當之添加劑並混合來調製。
除含有前述胺甲酸乙酯預聚物(a)之形成材、含有前述環氧樹脂之形成材、包含前述聚合物(a)與環氧樹脂(b)之組成物的形成材外,形成透明層之材料可舉例如氰基丙烯酸酯系形成材、環氧系形成材、胺甲酸乙酯丙烯酸酯系形成材等。
前述透明層之形成可依前述形成材之種類作適當選擇,舉例而言可透過將該形成材塗佈於偏光件等後進行硬化來進行,而可以塗佈層之形態製得透明層。一般而言,係藉由於前述塗佈後,在30~100℃左右、更宜在50~80℃下乾燥0.5~15分鐘左右使硬化層形成來進行。另外,當前述形成材含有異氰酸酯成分時,為了促進反應,可在30~100℃左右、更宜在50~80℃下進行0.5~24小時左右之退火處理。
>黏著劑層>
前述黏著劑層係由黏著劑形成。黏著劑可使用各種黏著劑,可舉例如橡膠系黏著劑、丙烯酸系黏著劑、聚矽氧系黏著劑、胺甲酸乙酯系黏著劑、乙烯基烷基醚系黏著劑、聚乙烯基吡咯啶酮系黏著劑、聚丙烯醯胺系黏著劑、纖維素系黏著劑等。可因應前述黏著劑的種類來選擇黏著性的基底聚合物。前述黏著劑中,就光學透明性佳、展現適當濕潤性、凝集性與接著性之黏著特性且耐候性及耐熱性等優異之觀點來看,宜使用丙烯酸系黏著劑。
前述丙烯酸系黏著劑係由含有(甲基)丙烯酸系聚合物(A)之黏著劑組成物調製而成。以下,說明該黏著劑組成物。
(甲基)丙烯酸系聚合物(A)含有(甲基)丙烯酸烷基酯(a1)為主成分作為單體單元。另,(甲基)丙烯酸酯係指丙烯酸酯及/或甲基丙烯酸酯,本發明之(甲基)亦為同義。
構成(甲基)丙烯酸系聚合物(A)之主骨架的(甲基)丙烯酸烷基酯,可以例示直鏈狀或支鏈狀烷基碳數1~18者。例如前述烷基可例示如甲基、乙基、丙基、異丙基、丁基、異丁基、戊基、己基、環己基、庚基、2-乙基己基、異辛基、壬基、癸基、異癸基、十二基、異肉豆蔻基、月桂基、十三基、十五基、十六基、十七基、十八基等。該等可單獨使用或可組合來使用。該等烷基的平均碳數宜為3~9。
(甲基)丙烯酸烷基酯(a1)之重量比率,作為單體單元於構成(甲基)丙烯酸系聚合物(A)之總構成單體(100重量%)之重量比率中宜為70重量%以上。(甲基)丙烯酸烷基酯(a1)之重量比率可視為其他共聚單體之剩餘部分來考量。將(甲基)丙烯酸烷基酯(a1)之重量比率設在前述範圍內,於確保接著性上為佳。
為了改善接著性及耐熱性,除前述(甲基)丙烯酸烷基酯(a1)之單體單元外,還可於前述(甲基)丙烯酸系聚合物(A)中,藉由共聚來導入1種以上具有具(甲基)丙烯醯基或乙烯基等不飽和雙鍵之聚合性官能基的共聚單體。
前述共聚單體可舉例如含醯胺基單體、含羧基單體、含羥基單體等含官能基單體。該等中,含醯胺基單體(a2)適於後述摻混離子性化合物(B)之情形。
用於形成前述黏著劑層的黏著劑組成物中,在有被導入基底聚合物之(甲基)丙烯酸系聚合物(A)中之側鏈的醯胺基存在時,藉由該醯胺基之存在,即使在加濕環境下仍能抑制藉由摻混離子性化合物(B)而經調整的黏著劑層的表面電阻值變動而大增,從而可維持在所期望之值的範圍內,由此看來較佳。吾等認為藉由作為共聚單體之官能基被導入(甲基)丙烯酸系聚合物(A)中之側鏈的醯胺基之存在,能提高(甲基)丙烯酸系聚合物(A)與離子性化合物(B)的相溶性。
又,前述黏著劑層在有被導入基底聚合物之(甲基)丙烯酸系聚合物(A)中之側鏈的醯胺基存在時,對玻璃及透明導電層(ITO層等)的耐久性皆良好,而可抑制在貼附於液晶面板之狀態下發生剝落或浮凸等。且,在加濕環境下(加濕可靠性試驗後)依舊可滿足耐久性。
含醯胺基單體(a2)係一於其結構中含有醯胺基且含有(甲基)丙烯醯基、乙烯基等聚合性不飽和雙鍵之化合物。含醯胺基單體(a2)之具體例可舉(甲基)丙烯醯胺、N,N-二甲基(甲基)丙烯醯胺、N,N-二乙基(甲基)丙烯醯胺、N-異丙基丙烯醯胺、N-甲基(甲基)丙烯醯胺、N-丁基(甲基)丙烯醯胺、N-己基(甲基)丙烯醯胺、N-羥甲基(甲基)丙烯醯胺、N-羥甲基-N-丙烷(甲基)丙烯醯胺、胺甲基(甲基)丙烯醯胺、胺乙基(甲基)丙烯醯胺、巰甲基(甲基)丙烯醯胺、巰乙基(甲基)丙烯醯胺等丙烯醯胺系單體;N-(甲基)丙烯醯基嗎福林、N-(甲基)丙烯醯基哌啶、N-(甲基)丙烯醯基吡咯啶等N-丙烯醯基雜環單體;N-乙烯基吡咯啶酮、N-乙烯基-ε-己內醯胺等含N-乙烯基內醯胺系單體等。含醯胺基單體(a2)在可抑制)表面電阻值隨時間(尤其是在加濕環境下)上升、滿足耐久性來看為佳。尤其在含醯胺基單體(a2)之中,又以含N-乙烯基內醯胺系單體由可抑制表面電阻值隨時間(尤其是在加濕環境下)上升、滿足對透明導電層(觸控感測器層)之耐久性來看尤佳。另,前述雖未示例,不過具有羥基之含醯胺基單體在與離子性化合物(B)組合時,有導電性上升之傾向,而且使用比率一多,與偏光薄膜(光學薄膜)之投錨力及與透明導電層(觸控感測器層)之重工性會出問題,故不宜使用。
從可抑制表面電阻值隨時間(特別是在加濕環境下)上升之觀點來看,含醯胺基單體(a2)之前述重量比率宜為0.1重量%以上。前述重量比率宜為0.3重量%以上,更宜為0.5重量%以上。另一方面,前述重量比率太大有對偏光薄膜等基材薄膜之投錨性降低之傾向,所以前述重量比率宜為35重量%以下,較宜為30重量%以下,更宜為25重量%以下。
含羧基單體係一於其結構中含有羧基且含有(甲基)丙烯醯基、乙烯基等聚合性不飽和雙鍵之化合物。含羧基單體之具體例可舉例如(甲基)丙烯酸、(甲基)丙烯酸羧乙酯、(甲基)丙烯酸羧戊酯、伊康酸、馬來酸、延胡索酸、巴豆酸等。從共聚性、價格及黏著特性的觀點來看,前述含羧基單體中以丙烯酸為宜。
含羥基單體係一於其結構中含有羥基且含有(甲基)丙烯醯基、乙烯基等聚合性不飽和雙鍵之化合物。含羥基單體的具體例可舉例如(甲基)丙烯酸2-羥乙酯、(甲基)丙烯酸3-羥丙酯、(甲基)丙烯酸4-羥丁酯、(甲基)丙烯酸6-羥己酯、(甲基)丙烯酸8-羥辛酯、(甲基)丙烯酸10-羥癸酯、(甲基)丙烯酸12-羥月桂酯等(甲基)丙烯酸羥基烷基酯或(4-羥甲基環己基)-甲基丙烯酸酯等。由耐久性之觀點,前述含羥基單體中宜為(甲基)丙烯酸2-羥乙酯、(甲基)丙烯酸4-羥丁酯,尤以(甲基)丙烯酸4-羥丁酯為佳。
含羧基單體、含羥基單體在黏著劑組成物含有交聯劑時會成為其與交聯劑的反應點。含羧基單體、含羥基單體在分子間與交聯劑之反應性佳,故適宜用於提升所得黏著劑層之凝集性及耐熱性。又,就兼具耐久性與重工性之觀點而言,含羧基單體較為理想,而就重工性之觀點而言,以含羥基單體較為理想。
含羧基單體的前述重量比率宜為2重量%以下,且宜為0.01~2重量%,0.05~1.5重量%更佳,又以0.1~1重量%更佳,最佳為0.1~0.5重量%。將含羧基單體的重量比率設為0.01重量%以上由耐久性之觀點來看為佳。另一方面,超過2重量%時以重工性之觀點來看不宜。含羧基單體由抑制透明導電層腐蝕之觀點來看不特別使用亦可。
含羥基單體的前述重量比率宜為3重量%以下,且宜為0.01~3重量%,0.1~2重量%更佳,且更佳為0.2~2重量%。由交聯黏著劑層之觀點、耐久性或黏著特性之觀點來看,含羥基單體的重量比率設為0.01重量%以上為佳。另一方面,超過3重量%時,以耐久性觀點來看不宜。
又,共聚單體例如可使用含芳香環(甲基)丙烯酸酯。含芳香環(甲基)丙烯酸酯係一於其結構中含有芳香環結構且含有(甲基)丙烯醯基之化合物。作為芳香環,可舉如苯環、萘環或聯苯環。
含芳香環(甲基)丙烯酸酯的具體例可舉例如(甲基)丙烯酸苄酯、(甲基)丙烯酸苯酯、(甲基)丙烯酸鄰苯基苯酚酯、(甲基)丙烯酸苯氧酯、(甲基)丙烯酸苯氧乙酯、(甲基)丙烯酸苯氧丙酯、苯氧基二乙二醇(甲基)丙烯酸酯、環氧乙烷改質壬苯酚(甲基)丙烯酸酯、環氧乙烷改質甲酚(甲基)丙烯酸酯、苯酚環氧乙烷改質(甲基)丙烯酸酯、2-羥-3-苯氧丙基(甲基)丙烯酸酯、甲氧基苄基(甲基)丙烯酸酯、氯苄基(甲基)丙烯酸酯、(甲基)丙烯酸甲苯酚酯、(甲基)丙烯酸聚苯乙烯酯等具有苯環之物;羥乙基化β-萘酚丙烯酸酯、(甲基)丙烯酸2-萘酚乙酯、丙烯酸2-萘氧乙酯、2-(4-甲氧基-1-萘氧基)乙基(甲基)丙烯酸酯等具有萘環之物;(甲基)丙烯酸聯苯酯等具有聯苯環者。
由黏著特性及耐久性之觀點,前述含芳香環(甲基)丙烯酸酯宜為(甲基)丙烯酸苄酯、(甲基)丙烯酸苯氧乙酯,且尤為(甲基)丙烯酸苯氧乙酯。
含芳香環(甲基)丙烯酸酯的前述重量比率宜為25重量%以下,且宜為3~25重量%,以10~22重量%為佳,14~20重量%更佳。含芳香環(甲基)丙烯酸酯的重量比率為3重量%以上時,由抑制顯示不均來看為佳。另一方面,若超過25重量%,顯示不均的抑制反而不夠充分,有耐久性降低之傾向。
上述以外之其他共聚單體之具體例可舉馬來酸酐、伊康酸酐等含酸酐基單體;丙烯酸的己內酯加成物;烯丙基磺酸、2-(甲基)丙烯醯胺基-2-甲基丙磺酸、(甲基)丙烯醯胺基丙磺酸、磺丙基(甲基)丙烯酸酯等含磺酸基單體;2-羥乙基丙烯醯基磷酸酯等含磷酸基單體等。
又,以改質為目的的單體之例還可列舉(甲基)丙烯酸胺乙酯、N,N-二甲基胺乙基(甲基)丙烯酸酯、三級丁基胺乙基(甲基)丙烯酸酯等(甲基)丙烯酸烷基胺基烷基酯;(甲基)丙烯酸甲氧基乙酯、(甲基)丙烯酸乙氧基乙酯等(甲基)丙烯酸烷氧基烷基酯;N-(甲基)丙烯醯氧基亞甲基琥珀醯亞胺或N-(甲基)丙烯醯基-6-氧基六亞甲基琥珀醯亞胺、N-(甲基)丙烯醯基-8-氧基八亞甲基琥珀醯亞胺等琥珀醯亞胺系單體;N-環己基馬來醯亞胺或N-異丙基馬來醯亞胺、N-月桂基馬來醯亞胺或N-苯基馬來醯亞胺等馬來醯亞胺系單體;N-甲基伊康醯亞胺、N-乙基伊康醯亞胺、N-丁基伊康醯亞胺、N-辛基伊康醯亞胺、N-2-乙基己基伊康醯亞胺、N-環己基伊康醯亞胺、N-月桂基伊康醯亞胺等伊康醯亞胺系單體等。
並且,改質單體也可使用乙酸乙烯酯、丙酸乙烯酯等乙烯基系單體;丙烯腈、甲基丙烯腈等氰基丙烯酸酯系單體;(甲基)丙烯酸環氧丙酯等含環氧基(甲基)丙烯酸酯;(甲基)丙烯酸聚乙二醇酯、(甲基)丙烯酸聚丙二醇酯、(甲基)丙烯酸甲氧基乙二醇酯、(甲基)丙烯酸甲氧基聚丙二醇酯等二醇系(甲基)丙烯酸酯;(甲基)丙烯酸四氫糠酯、氟(甲基)丙烯酸酯、聚矽氧(甲基)丙烯酸酯或2-甲氧基乙基丙烯酸酯等(甲基)丙烯酸酯單體等。更可列舉異戊二烯、丁二烯、異丁烯、乙烯基醚等。
並且,上述以外之可共聚單體可舉如含有矽原子之矽烷系單體等。作為矽烷系單體,可列舉例如3-丙烯醯氧丙基三乙氧基矽烷、乙烯基三甲氧基矽烷、乙烯基三乙氧基矽烷、4-乙烯基丁基三甲氧基矽烷、4-乙烯基丁基三乙氧基矽烷、8-乙烯基辛基三甲氧基矽烷、8-乙烯基辛基三乙氧基矽烷、10-甲基丙烯醯氧癸基三甲氧基矽烷、10-丙烯醯氧癸基三甲氧基矽烷、10-甲基丙烯醯氧癸基三乙氧基矽烷、10-丙烯醯氧癸基三乙氧基矽烷等。
又,作為共聚單體,也可使用三丙二醇二(甲基)丙烯酸酯、四乙二醇二(甲基)丙烯酸酯、1,6-己二醇二(甲基)丙烯酸酯、雙酚A二環氧丙基醚二(甲基)丙烯酸酯、新戊二醇二(甲基)丙烯酸酯、三羥甲丙烷三(甲基)丙烯酸酯、新戊四醇三(甲基)丙烯酸酯、新戊四醇四(甲基)丙烯酸酯、二新戊四醇五(甲基)丙烯酸酯、二新戊四醇六(甲基)丙烯酸酯、己內酯改質二新戊四醇六(甲基)丙烯酸酯等(甲基)丙烯酸與多元醇之酯化物等的具有2個以上(甲基)丙烯醯基、乙烯基等不飽和雙鍵之多官能性單體,或在聚酯、環氧、胺甲酸乙酯等的骨架上附加2個以上(甲基)丙烯醯基、乙烯基等不飽和雙鍵作為與單體成分相同的官能基的聚酯(甲基)丙烯酸酯、環氧(甲基)丙烯酸酯、胺甲酸乙酯(甲基)丙烯酸酯等。
在前述(甲基)丙烯酸系聚合物(A)之總構成單體(100重量%)的重量比率中,(甲基)丙烯酸系聚合物(A)中前述其他共聚單體的比率宜為0~10%左右,且宜為0~7%左右,更宜為0~5%左右。
本發明之(甲基)丙烯酸系聚合物(A)通常重量平均分子量宜為100萬~250萬。若考慮耐久性、尤其是耐熱性,重量平均分子量宜為120萬~200萬。以耐熱性觀點來看,重量平均分子量如果在100萬以上為宜。又,重量平均分子量若大於250萬,有黏著劑容易變硬的傾向,而易發生剝落。另,顯示分子量分布之重量平均分子量(Mw)/數量平均分子量(Mn)宜為1.8以上且10以下,較宜為1.8~7,更宜為1.8~5。分子量分布(Mw/Mn)若大於10,由耐久性觀點來看不宜。此外,重量平均分子量、分子量分布(Mw/Mn)是依照GPC(凝膠滲透層析法)來測定且從以聚苯乙烯換算所算出之值而求得。
所述(甲基)丙烯酸系聚合物(A)的製造,可適當選擇溶液聚合、塊狀聚合、乳化聚合、各種自由基聚合等公知的製造方法。又,所得(甲基)丙烯酸系聚合物(A)可為無規共聚物、嵌段共聚物、接枝共聚物等任一者。
此外,溶液聚合中,聚合溶劑可使用例如乙酸乙酯、甲苯等。作為具體之溶液聚合例,反應可於氮等非活性氣體氣流下添加聚合引發劑,且一般係於50~70℃左右、5~30小時左右之反應條件下進行。
自由基聚合所使用之聚合引發劑、鏈轉移劑、乳化劑等無特別限定可適當選擇並使用。此外,(甲基)丙烯酸系聚合物(A)之重量平均分子量可藉由聚合引發劑、鏈轉移劑的使用量及反應條件來控制,並可因應其等之種類來適當調整其使用量。
本發明之黏著劑組成物可含有離子性化合物(B)。離子性化合物(B)可適宜使用鹼金屬鹽及/或有機陽離子-陰離子鹽。鹼金屬鹽可使用鹼金屬之有機鹽及無機鹽。又,本發明所謂「有機陽離子-陰離子鹽」係表示其為有機鹽且其陽離子部由有機物所構成者,而陰離子部可為有機物亦可為無機物。「有機陽離子-陰離子鹽」亦稱為離子性液體、離子性固體。藉由使前述黏著劑層含有離子性化合物(B),可使黏著劑層之表面電阻值降低而抑制靜電產生,從而可更有效率抑制靜電打亂液晶層之定向而發生之漏光(帶電不均)。
>鹼金屬鹽>
構成鹼金屬鹽之陽離子部的鹼金屬離子可舉如鋰、鈉、鉀之各離子。該等鹼金屬離子之中以鋰離子為佳。
鹼金屬鹽之陰離子部可以有機物構成,亦可以無機物構成。構成有機鹽之陰離子部例如可使用CH3
COO-
、CF3
COO-
、CH3
SO3 -
、CF3
SO3 -
、(CF3
SO2
)3
C-
、C4
F9
SO3 -
、C3
F7
COO-
、(CF3
SO2
)(CF3
CO)N-
、-
O3
S(CF2
)3
SO3 -
、PF6 -
、CO3 2-
或下述通式(A)至(D)所示者等:
(A):(Cn
F2n +1
SO2
)2
N-
(惟,n為0~10之整數)、
(B):CF2
(Cm
F2m
SO2
)2
N-
(惟,m為1~10之整數)、
(C):-
O3
S(CF2
)l
SO3 -
(惟,l為1~10之整數)、
(D):(Cp
F2p +1
SO2
)N-
(Cq
F2q +1
SO2
)(惟,p、q為1~10之整數)。
特別是含氟原子之陰離子部由於可獲得離子解離性佳的離子化合物故適於使用。構成無機鹽之陰離子部可使用Cl-
、Br-
、I-
、AlCl4 -
、Al2
Cl7 -
、BF4 -
、PF6 -
、ClO4 -
、NO3 -
、AsF6 -
、SbF6 -
、NbF6 -
、TaF6 -
、(CN)2
N-
等。陰離子部宜為(CF3
SO2
)2
N-
、(C2
F5
SO2
)2
N-
等前述通式(A)所示(全氟烷基磺醯基)醯亞胺,尤以(CF3
SO2
)2
N-
所示(三氟甲磺醯基)醯亞胺為宜。
鹼金屬之有機鹽具體上可舉如醋酸鈉、海藻酸鈉、木質磺酸鈉、甲苯磺酸鈉、LiCF3
SO3
、Li(CF3
SO2
)2
N、Li(CF3
SO2
)2
N、Li(C2
F5
SO2
)2
N、Li(C4
F9
SO2
)2
N、Li(CF3
SO2
)3
C、KO3
S(CF2
)3
SO3
K、LiO3
S(CF2
)3
SO3
K等,其等之中以LiCF3
SO3
、Li(CF3
SO2
)2
N、Li(C2
F5
SO2
)2
N、Li(C4
F9
SO2
)2
N、Li(CF3
SO2
)3
C等為佳,Li(CF3
SO2
)2
N、Li(C2
F5
SO2
)2
N、Li(C4
F9
SO2
)2
N等屬雙(氟磺醯基)醯亞胺鋰鹽之含氟鋰醯亞胺鹽較佳,(全氟烷基磺醯基)醯亞胺鋰鹽尤佳。其他還可舉4,4,5,5-四氟-1,3,2-二四氫噻唑-1,1,3,3-四氧化鋰鹽等。
而鹼金屬的無機鹽可列舉如過氯酸鋰、碘化鋰。
>有機陽離子-陰離子鹽>
本發明所用之有機陽離子-陰離子鹽係由陽離子成分與陰離子成分構成,且前述陽離子成分為有機物所構成之物。作為陽離子成分,具體而言可舉如吡啶陽離子、哌啶陽離子、吡咯啶陽離子、具二氫吡咯骨架的陽離子、具吡咯骨架的陽離子、咪唑陽離子、四氫嘧啶陽離子、二氫嘧啶陽離子、吡唑陽離子、吡唑啉陽離子、四烷基銨陽離子、三烷基鋶陽離子、四烷基鏻陽離子等。
陰離子成分例如可使用Cl-
、Br-
、I-
、AlCl4 -
、Al2
Cl7 -
、BF4 -
、PF6 -
、ClO4 -
、NO3 -
、CH3
COO-
、CF3
COO-
、CH3
SO3 -
、CF3
SO3 -
、(CF3
SO2
)3
C-
、AsF6 -
、SbF6 -
、NbF6 -
、TaF6 -
、(CN)2
N-
、C4
F9
SO3 -
、C3
F7
COO-
、((CF3
SO2
)(CF3
CO)N-
、-
O3
S(CF2
)3
SO3 -
及下述通式(A)至(D)所示者等:
(A):(Cn
F2n+1
SO2
)2
N-
(惟,n為0~10之整數)、
(B):CF2
(Cm
F2m
SO2
)2
N-
(惟,m為1~10之整數)、
(C):-
O3
S(CF2
)l
SO3 -
(惟,l為1~10之整數)、
(D):(Cp
F2p+1
SO2
)N-
(Cq
F2q+1
SO2
)(惟,p、q為1~10之整數)。
其中特別是含氟原子之陰離子成分因可獲得離子解離性良好的離子化合物故適於使用。
有機陽離子-陰離子鹽可適當選擇由上述陽離子成分與陰離子成分組合構成之化合物來使用。有機陽離子-陰離子鹽之較佳具體例可舉例如甲基三辛基銨雙(三氟甲磺醯基)醯亞胺、1-甲基-1-丙基吡咯啶鎓雙(三氟甲磺醯基)醯亞胺、乙基甲基咪唑鎓雙(氟磺醯基醯亞胺)。其中更宜為1-甲基-1-丙基吡咯啶鎓雙(三氟甲磺醯基)醯亞胺、乙基甲基咪唑鎓雙(氟磺醯基醯亞胺)。
又,離子性化合物(B)除了前述鹼金屬鹽、有機陽離子-陰離子鹽之外,尚可列舉如氯化銨、氯化鋁、氯化銅、氯化亞鐵、氯化鐵、硫酸銨等之無機鹽。
為了獲得所期望的電阻值,前述離子性化合物(B)可單獨使用或可將多種併用。特別當目的是將黏著劑層之表面電阻值控制在1×1010
~1×1012
Ω/□之範圍內時,就前述離子性化合物(B)來說,在可提高抗靜電性能之觀點上以鹼金屬鹽為佳,藉由使用鹼金屬鹽,即使只有少量的摻混份數也可獲得抗靜電性能高的黏著劑。另一方面,當目的是將黏著劑層之表面電阻值控制在1×108
~1×1010
Ω/□之範圍內時,就前述離子性化合物(B)來說,在可提高抗靜電性能之觀點上以有機陽離子-陰離子鹽為佳,藉由使用有機陽離子-陰離子鹽,就算是較少的摻混份數也可獲得抗靜電性能高的黏著劑。
本發明之黏著劑組成物的離子性化合物(B)比率宜適當調整成可滿足黏著劑層之抗靜電特性與觸控面板的感度。例如,為使黏著劑層的表面電阻值成為1.0×108
~1.0×1012
Ω/□之範圍,宜一邊考慮導入於(甲基)丙烯酸系聚合物(A)中之含醯胺基單體(a2)的重量比率、偏光薄膜之透明保護薄膜的種類等,一邊因應內嵌觸控感測機能之液晶面板的種類來調整離子性化合物(B)之比率。例如,圖4所示之內置型內嵌觸控感測機能之液晶面板中,黏著劑層之初始的表面電阻值宜控制在1×108
~1×1010
Ω/□之範圍。又,圖5所示之半內置型或圖6所示之上置型內嵌觸控感測機能之液晶面板中,黏著劑層之初始的表面電阻值宜控制在1×1010
~1×1012
Ω/□之範圍。
前述離子性化合物(B)若變多,離子性化合物(B)可能會析出,進而易發生加濕剝落。前述離子性化合物(B)之比率,例如相對於(甲基)丙烯酸系聚合物(A)100重量份,一般宜為40重量份以下,且30重量份以下更佳,並以20重量份以下為佳,10重量份以下最佳。另一方面,以使抗靜電性能提升來看,宜使用0.01重量份以上之前述離子性化合物(B)。基於此觀點,前述離子性化合物(B)宜為0.1重量份以上,更宜為0.5重量份以上。另一方面,前述離子性化合物(B)若變多,會有表面電阻值變得過低而發生基線變動(因表面電阻值過低造成觸控時之誤動作),使觸控面板的感度降低之虞。
本發明之黏著劑組成物可含有交聯劑(C)。作為交聯劑(C),可使用有機系交聯劑或多官能性金屬螯合物。有機系交聯劑可舉出如異氰酸酯系交聯劑、過氧化物系交聯劑、環氧系交聯劑、亞胺系交聯劑等。多官能性金屬螯合物是多價金屬與有機化合物共價鍵結或配位鍵結之物。多價金屬原子可列舉Al、Cr、Zr、Co、Cu、Fe、Ni、V、Zn、In、Ca、Mg、Mn、Y、Ce、Sr、Ba、Mo、La、Sn、Ti等。有機化合物中可共價鍵結或配位鍵結之原子可舉如氧原子等,有機化合物可舉如烷基酯、醇化合物、羧酸化合物、醚化合物、酮化合物等。
交聯劑(C)宜為異氰酸酯系交聯劑及/或過氧化系交聯劑。
異氰酸酯系交聯劑(C)可使用具有至少2個異氰酸酯基之化合物。例如,一般會使用胺甲酸乙酯化反應所用之公知的脂肪族聚異氰酸酯、脂環族聚異氰酸酯、芳香族聚異氰酸酯等。
過氧化物只要是經加熱或光照射會產生自由基活性種而使黏著劑組成物之基底聚合物進行交聯者即可適當使用,但考慮到作業性及穩定性,宜使用1分鐘半衰期溫度在80℃~160℃之過氧化物,且較宜使用在90℃~140℃之過氧化物。
可使用之過氧化物可舉如二(2-乙基己基)過氧二碳酸酯(1分鐘半衰期溫度:90.6℃)、二(4-三級丁基環己基)過氧二碳酸酯(1分鐘半衰期溫度:92.1℃)、過氧二碳酸二-二級丁酯(1分鐘半衰期溫度:92.4℃)、過氧新癸酸三級丁酯(1分鐘半衰期溫度:103.5℃)、過氧化三甲基乙酸三級己酯(1分鐘半衰期溫度:109.1℃)、過氧化三甲基乙酸三級丁酯(1分鐘半衰期溫度:110.3℃)、二月桂醯基過氧化物(1分鐘半衰期溫度:116.4℃)、二正辛醯基過氧化物(1分鐘半衰期溫度:117.4℃)、1,1,3,3-四甲基丁基過氧基-2-乙基己酸酯(1分鐘半衰期溫度:124.3℃)、二(4-甲基苯甲醯基)過氧化物(1分鐘半衰期溫度:128.2℃)、二苯甲醯基過氧化物(1分鐘半衰期溫度:130.0℃)、過異丁酸三級丁酯(1分鐘半衰期溫度:136.1℃)、1,1-二(三級己基過氧基)環己烷(1分鐘半衰期溫度:149.2℃)等。其中,尤從交聯反應效率佳之觀點來看,以二(4-三級丁基環己基)過氧二碳酸酯(1分鐘半衰期溫度:92.1℃)、二月桂醯基過氧化物(1分鐘半衰期溫度:116.4℃)、二苯甲醯基過氧化物(1分鐘半衰期溫度:130.0℃)等適於使用。
相對於(甲基)丙烯酸系聚合物(A)100重量份,交聯劑(C)之使用量宜為3重量份以下,且較宜為0.01~3重量份,更宜為0.02~2重量份,又更宜為0.03~1重量份。另,交聯劑(C)低於0.01重量份時,黏著劑層恐交聯不足而無法滿足耐久性或黏著特性;另一方面,若多過3重量份,黏著劑層會變得太硬而有耐久性降低之傾向。
本發明之黏著劑組成物中可含有矽烷耦合劑(D)。藉由使用矽烷耦合劑(D)可提高耐久性。作為矽烷耦合劑,具體上可舉例如3-環氧丙氧基丙基三甲氧基矽烷、3-環氧丙氧基丙基三乙氧基矽烷、3-環氧丙氧基丙基甲基二乙氧基矽烷、2-(3-4-環氧環己基)乙基三甲氧基矽烷等含環氧基之矽烷耦合劑;3-胺丙基三甲氧基矽烷、N-2-(胺乙基)-3-胺丙基甲基二甲氧基矽烷、3-三乙氧基矽基-N-(1,3-二甲基亞丁基)丙胺、N-苯基-γ-胺丙基三甲氧基矽烷等含胺基之矽烷耦合劑;3-丙烯醯氧基丙基三甲氧基矽烷、3-甲基丙烯醯氧丙基三乙氧基矽烷等含(甲基)丙烯醯基之矽烷耦合劑;3-異氰酸酯丙基三乙氧基矽烷等含異氰酸酯基之矽烷耦合劑等。前述例示之矽烷耦合劑宜為含環氧基之矽烷耦合劑。
又,矽烷耦合劑(D)亦可使用於分子內具有多個烷氧矽基者。具體上可列舉如信越化學公司製X-41-1053、X-41-1059A、X-41-1056、X-41-1805、X-41-1818、X-41-1810、X-40-2651等。該等於分子內具有多個烷氧矽基之矽烷耦合劑由於不易揮發且具有多個烷氧矽基,因此可有效提升耐久性而較為理想。尤其是在附黏著劑層之光學薄膜的被黏體為較玻璃更不易與烷氧矽基反應的透明導電層(例如ITO等)時,耐久性仍佳。又,於分子內具有多個烷氧矽基之矽烷耦合劑宜為於分子內具有環氧基者,且環氧基於分子內具有多個更佳。於分子內具有多個烷氧矽基且具有環氧基之矽烷耦合劑在被黏著體為透明導電層(例如ITO等)時耐久性仍有良好之傾向。於分子內具有多個烷氧矽基且具有環氧基之矽烷耦合劑的具體例可舉信越化學公司製X-41-1053、X-41-1059A、X-41-1056,尤以環氧基含量多的信越化學公司製X-41-1056為佳。
前述矽烷耦合劑(D)可單獨使用,亦可將2種以上混合來使用,但整體含量相對於前述(甲基)丙烯酸系聚合物(A)100重量份,宜為5重量份以下,且0.001~5重量份為佳,較宜為0.01~1重量份,更宜為0.02~1重量份,並且以0.05~0.6重量份為佳。是可提升耐久性之量。
本發明之黏著劑組成物中可摻合具有反應性矽基之聚醚化合物(E)。聚醚化合物(E)以可使重工性提升之觀點來看為宜。聚醚化合物(E)可使用例如日本特開第2010-275522號公報中所揭示者。
本發明黏著劑組成物中聚醚化合物(E)之比率,例如相對於(甲基)丙烯酸系聚合物(A)100重量份,宜為10重量份以下,且0.001~10重量份更佳。前述聚醚化合物(E)若低於0.001重量份,則有重工性提升之效果不充分的情形。前述聚醚化合物(E)在0.01重量份以上為宜,更宜為0.1重量份以上。另一方面,前述聚醚化合物(E)如果多過10重量份,在耐久性之觀點上不宜。前述聚醚化合物(E)在5重量份以下為宜,更宜為2重量份以下。前述聚醚化合物(E)之比率可採用前述上限值或下限值來設定適當範圍。
並且,本發明黏著劑組成物中亦可含有其他公知添加劑,例如可視使用用途適當添加聚丙二醇等聚伸烷基二醇的聚醚化合物、著色劑、顏料等粉體、染料、界面活性劑、塑化劑、增黏劑、表面潤滑劑、調平劑、軟化劑、抗氧化劑、抗老化劑、光穩定劑、紫外線吸收劑、聚合抑制劑、無機或有機的充填劑、金屬粉、粒子狀、箔狀物等。又,亦可在可控制的範圍內採用添加還原劑的氧化還原系。該等添加劑相對於(甲基)丙烯酸系聚合物(A)100重量份宜在5重量份以下、較宜在3重量份以下且更宜在1重量份以下的範圍使用。
形成黏著劑層的方法可藉由例如以下方法來製作:將前述黏著劑組成物塗佈於經剝離處理過的分離件等,並乾燥去除聚合溶劑等形成黏著劑層後轉印到光學薄膜(偏光薄膜)之方法;或者將前述黏著劑組成物塗佈於光學薄膜(偏光薄膜)後,乾燥去除聚合溶劑等以在光學薄膜形成黏著劑層的方法。另,於塗佈黏著劑時可適當另外添加聚合溶劑以外之一種以上溶劑。
黏著劑層的厚度無特別限制,例如為1~100μm左右。宜為2~50μm,較宜為2~40μm,更宜為5~35μm。
>導電層>
由表面電阻值之穩定性及與黏著劑層21之密著性之觀點來看,前述導電層d之厚度宜為1μm以下,且0.01~0.5μm為佳,0.01~0.2μm較佳,0.01~0.1μm更佳。又,由抗靜電機能之觀點來看,前述導電層d之表面電阻值宜為1×108
~1×1012
Ω/□,且以1×108
~1×1011
Ω/□為佳,1×108
~1×1010
Ω更佳。
導電層可由各種抗靜電劑組成物形成。形成導電層之抗靜電劑可使用離子性界面活性劑系、導電性聚合物、導電性微粒子、奈米碳管等。
從光學特性、外觀、抗靜電效果及抗靜電效果於加熱時、加濕時之穩定性的觀點來看,該等抗靜電劑中又宜使用導電性聚合物、奈米碳管。尤其宜使用聚苯胺、聚噻吩等導電性聚合物。導電性聚合物可適當使用有機溶劑可溶性、水溶性、水分散性者,惟宜使用水溶性導電性聚合物或水分散性導電性聚合物。因為水溶性導電性聚合物或水分散性導電性聚合物可將形成抗靜電層時的塗佈液調製成水溶液或水分散液,該塗佈液無須使用非水系有機溶劑,即可抑制光學薄膜基材因該有機溶劑變質的情況。又,水溶液或水分散液可含有水以外的水系溶劑。可舉如甲醇、乙醇、正丙醇、異丙醇、正丁醇、異丁醇、二級丁醇、三級丁醇、正戊醇、異戊醇、二級戊醇、三級戊醇、1-乙基-1-丙醇、2-甲基-1-丁醇、正己醇、環己醇等醇類。
又,前述聚苯胺、聚噻吩等水溶性導電性聚合物或水分散性導電性聚合物宜於分子中具有親水性官能基。親水性官能基可舉如磺酸基、胺基、醯胺基、亞胺基、四級銨鹽基、羥基、巰基、肼基、羧基、硫酸酯基、磷酸酯基或該等之鹽等。因為分子內具有親水性官能基,可輕易溶於水或可以微粒子狀輕易地分散於水中,而可易調製出前述水溶性導電性聚合物或水分散性導電性聚合物。
就水溶性導電聚合物之市售物例子來說,可列舉聚苯胺磺酸(Mitsubishi Rayon Co., Ltd.製,聚苯乙烯換算所得重量平均分子量150000)等。就水分散性導電聚合物之市售物例子來說,可列舉聚噻吩系導電性聚合物(Nagase ChemteX Co.製、商品名Denatron系列)等。
又,就導電層之形成材料而言,在提升抗靜電劑之皮膜形成性、對光學薄膜之密著性等目的下,亦可連同前述抗靜電劑還添加黏結劑成分。抗靜電劑為水溶性導電性聚合物或水分散性導電性聚合物之水系材料時,使用水溶性或水分散性之黏結劑成分。黏結劑之例子可舉如含唑啉基聚合物、聚胺甲酸乙酯系樹脂、聚酯系樹脂、丙烯酸系樹脂、聚醚系樹脂、纖維素系樹脂、聚乙烯醇系樹脂、環氧樹脂、聚乙烯基吡咯啶酮、聚苯乙烯系樹脂、聚乙二醇、新戊四醇等。尤其以聚胺甲酸乙酯系樹脂、聚酯系樹脂、丙烯酸系樹脂為宜。該等黏結劑可依其用途適當使用1種或2種以上。
抗靜電劑、黏結劑之使用量依該等之種類而定,惟宜控制成以使所得導電層之表面電阻值成為1×108
~1×1012
Ω/□。
>積層體>
以下說明前述圖3所示積層體,該積層體係附黏著劑層之偏光薄膜的黏著劑層貼合於透明基材上具有透明導電層之透明導電性基材的前述透明導電層上者。
透明導電性基材的透明導電層之構成材料並無特別限定,可使用選自於由銦、錫、鋅、鎵、銻、鈦、矽、鋯、鎂、鋁、金、銀、銅、鈀、鎢所構成群組中之至少1種金屬的金屬氧化物。該金屬氧化物中可視需求進一步含有上述群組所示金屬原子。宜使用譬如含有氧化錫之氧化銦(ITO)、含銻之氧化錫等,且尤宜使用ITO。ITO宜含有80~99重量%之氧化銦及1~20重量%之氧化錫。
又,前述ITO可舉結晶性ITO、非晶性(非晶質)ITO,且可適宜使用任一者。
透明導電性基材的透明導電層可舉金屬細線形成成格子狀圖案而成之金屬網目或塗覆金屬微粒子而形成者。構成之金屬材料只要為導電性高之金屬,便可使用任意適當之金屬(包含合金物質)。具體上例如宜為選自於由金、鉑、銀、鋁及銅所構成群組中之1種以上金屬,而由導電性之觀點來看,宜為鋁、銀、銅或金。
前述透明導電層之厚度並無特別限定,惟宜設為10nm~1000nm,50~400nm更佳。
前述透明導電層之形成方法並無特別限定,可採用以往公知之方法。具體而言,可例示如真空蒸鍍法、濺鍍法、離子鍍法。又,於塗佈塗敷液時,可舉例如微凹版法、輥塗法、浸塗法、流動施膜法、旋塗法、模塗法、澆鑄轉印法、噴塗法等。而為金屬網目時,例如可藉由將含銀鹽之感光性組成物(透明導電層形成用組成物)塗佈於脫模薄膜等被黏著體上,然後進行曝光處理及顯影處理,將金屬細線形成成預定圖案來獲得。又,該透明導電層亦可將含金屬微粒子之糊料(透明導電層形成用組成物)印刷成預定圖案而獲得。又,亦可因應所需膜厚採用適當之方法。
透明基材只要為透明的基板即可,並無特別限定其素材,例如可舉玻璃、透明樹脂薄膜基材。透明樹脂薄膜基材可舉前述物。
又,可在透明導電層與透明基板之間,因應需求設置底塗層、抗寡聚物層等。
例如本發明積層體可適用於製造構成具備輸入裝置(觸控面板等)之影像顯示裝置(液晶顯示裝置、有機EL(電致發光)顯示裝置、PDP(電漿顯示器面板)、電子紙等)、輸入裝置(觸控面板等)等機器之基材(構件)或用於該等機器之基材(構件),但特別可適用於製造觸控面板用光學基材。又,無關乎電阻膜方式及電容方式等觸控面板等之方式皆可使用。
>影像顯示面板、影像顯示裝置>
本發明附黏著劑層之偏光薄膜可應用於各種影像顯示部來形成影像顯示面板。本發明附黏著劑層之偏光薄膜的表面電阻值之變動比小,適宜應用於內嵌觸控感測機能之液晶面板。尤其適宜用於具備本發明附黏著劑層之偏光薄膜的黏著劑層與具有透明導電層之透明導電性基材,且前述附黏著劑層之偏光薄膜的黏著劑層貼合於前述影像顯示面板的前述透明導電層上之影像顯示面板。
關於附黏著劑層之偏光薄膜、透明導電性基材如同前述。影像顯示面板以具有前述透明導電性基材之情形為佳,且其為與前述附黏著劑之偏光薄膜一同形成影像顯示裝置之一部分者。
針對應用有本發明附黏著劑層之偏光薄膜的影像顯示面板之代表性實施形態的液晶面板進行說明。液晶面板所使用之液晶單元係一種具備於透明基材上具有透明導電層的透明導電性基材者,該透明導電性基材通常設置於液晶單元之視辨側表面。又,具備本發明所用透明導電性基材的液晶單元係由透明導電層/透明基材/液晶層/透明基材所構成者。
並且,除了上述構成以外,液晶面板中還可適當設置相位差薄膜、視角補償薄膜、增亮薄膜等光學薄膜。
液晶層並無特別限定,可使用例如TN型或STN型、π型、VA型、IPS型等任意類型等之任意類型者。透明基板9(光源側)只要為透明的基板即可,並無特別限定其素材,例如可舉玻璃、透明樹脂薄膜基材。透明樹脂薄膜基材可舉前述物。
另外,在相對於液晶層的光源側,可使用本領域中以往使用的附黏著劑層之偏光薄膜,且,本說明書中記載者亦可適宜使用。
可應用影像顯示面板的影像顯示裝置之具體例可舉液晶顯示裝置、電致發光(EL)顯示器、電漿顯示器(PD)、場發射顯示器(FED:Field Emission Display)等。
本發明附黏著劑層之偏光薄膜可應用於各種影像顯示面板,且該影像顯示面板可應用於以往之影像顯示裝置。影像顯示裝置之其他構成與以往之影像顯示裝置相同。本發明附黏著劑層之偏光薄膜具有可抑制透明導電層腐蝕而於長時間使用後仍無損屏蔽機能之特徴,故特別適宜用於具有觸控面板之影像顯示裝置。
上述內嵌觸控感測機能之液晶面板之具體例例如示於圖4至圖6。圖4至圖6中係例示作為本發明之附黏著劑層之偏光薄膜,將圖1所示附黏著劑層之偏光薄膜1用於液晶單元之視辨側的情況。亦即,圖1之單面保護偏光薄膜11、黏著劑21在圖4至圖6中係以第1偏光薄膜11、第1黏著劑層21顯示。此外,圖2所示附黏著劑層之偏光薄膜1亦可同樣可應用於圖4至圖6之液晶單元的視辨側。
圖4係所謂內置型內嵌觸控感測機能之液晶面板,從視辨側起具有第1偏光薄膜11/第1黏著劑層21/第1透明基板41/觸控感測器部5/液晶層3/驅動電極兼感測器部6/第2透明基板42/第2黏著劑層22/第2偏光薄膜12之構成。圖4之內置型內嵌觸控感測機能之液晶面板中,例如液晶單元C於包夾液晶層3之第1、2玻璃基板41、42內(液晶單元內)具有觸控感測器部5及驅動電極兼感測器部6。
又,圖5係所謂內置型(半內置型)內嵌觸控感測機能之液晶面板之變形例,從視辨側起具有第1偏光薄膜11/第1黏著劑層21/觸控感測器部5/第1透明基板41/液晶層3/驅動電極兼感測器部6/第2透明基板42/第2黏著劑層22/第2偏光薄膜12之構成。圖5之內置型內嵌觸控感測機能之液晶面板中,例如液晶單元C於第1透明基板41之外側,觸控感測器部5係直接接觸第1黏著劑層21,且液晶單元C於包夾液晶層3之第1、2玻璃基板41、42內(液晶單元內)之第2透明基板42之側具有驅動電極兼感測器部6。
又,圖6係所謂上置型內嵌觸控感測機能之液晶面板,從視辨側起具有第1偏光薄膜11/第1黏著劑層21/觸控感測器部5/驅動電極兼感測器部6/第1透明基板41/液晶層3/驅動電極7/第2透明基板42/第2黏著劑層22/第2偏光薄膜12之構成。圖6之上置型內嵌觸控感測機能之液晶面板中,例如液晶單元C於第1透明基板41之外側具有觸控感測器部5及驅動電極兼感測器部6,觸控感測器部5係直接接觸第1黏著劑層21,且液晶單元C於包夾液晶層3之第1、2玻璃基板41、42內(液晶單元內)之第2透明基板42之側具有驅動電極7。
在內嵌觸控感測機能之液晶面板中,前述液晶單元C之觸控感測器部5與第1黏著劑層21直接接觸時,第1黏著劑層21(含有離子性化合物)之抗靜電機能容易降低,尤其在加濕環境下容易降低。因此,本發明內嵌觸控感測機能之液晶面板適宜應用於前述例示中圖5所示內置型(變形例)或圖6所示上置型內嵌觸控感測機能之液晶面板。
此外,配置在液晶單元C之視辨側的第1偏光薄膜11及配置在前述視辨側之相反側的第2偏光薄膜12,可分就各配置位置的適性與其他光學薄膜積層來使用。前述其他光學薄膜可舉例如可為反射板或反透射板、相位差薄膜(包含1/2或1/4等的波長板)、視角補償薄膜、增亮薄膜等可用於形成液晶顯示裝置等之光學層者。該等可使用1層或2層以上。使用該等其他光學薄膜時,也宜將最靠近液晶層3側之黏著劑層作為前述第1黏著劑層21。
液晶單元C具有之液晶層3可使用可應用於內嵌觸控感測機能之液晶面板之包含在電場不存在之狀態下平行定向之液晶分子的液晶層。就液晶層3來說,適宜使用譬如IPS方式之液晶層。除此之外,液晶層3譬如可使用TN型或STN型、π型、VA型等任意類型之液晶層。前述液晶層之厚度例如為1.5μm~4μm左右。
在液晶單元C中,第1透明基板41及第2透明基板42可包夾前述液晶層3而形成液晶單元。於液晶單元之內或外因應內嵌觸控感測機能之液晶面板的形態形成觸控感測器部5、驅動電極兼感測器部6、驅動電極7等。又,可於液晶單元上(第1透明基板41)設置彩色濾光片基板。
形成前述透明基板之材料可列舉如玻璃或聚合物薄膜。前述聚合物薄膜可舉如聚對苯二甲酸乙二酯、聚環烯烴、聚碳酸酯等。前述透明基板係由玻璃形成時,其厚度例如為0.3mm~1mm左右。前述透明基板係由聚合物薄膜形成時,其厚度例如為10μm~200μm左右。上述透明基板可於其表面具有易接著層或硬塗層。
觸控感測器部5(電容感測器)、驅動電極兼感測器部6、驅動電極7係形成為透明導電層。前述透明導電層之構成材料無特別限定,可列舉如金、銀、銅、鉑、鈀、鋁、鎳、鉻、鈦、鐵、鈷、錫、鎂、鎢等金屬及該等金屬之合金等。又,前述透明導電層之構成材料可列舉銦、錫、鋅、鎵、銻、鋯、鎘之金屬氧化物,具體上可列舉氧化銦、氧化錫、氧化鈦、氧化鎘及由該等之混合物等所構成的金屬氧化物。其他可使用由碘化銅等所構成之其他金屬化合物等。前述金屬氧化物中可視需求進一步含有上述群組所示金屬原子之氧化物。宜使用譬如含氧化錫之氧化銦(ITO)、含銻之氧化錫等,尤宜使用ITO。ITO宜含有80~99重量%之氧化銦及1~20重量%之氧化錫。
液晶單元C中形成觸控感測器層5之處無限制,可因應內嵌觸控感測機能之液晶面板的形態形成觸控感測器層5。例如,在圖4至圖6中係例示觸控感測器層5配置在第1偏光薄膜11與液晶層3之間的情況。觸控感測器層5譬如可以透明電極圖案形成於第1透明基板41上。關於驅動電極兼感測器部6、驅動電極7,亦可因應內嵌觸控感測機能之液晶面板的形態依循一般方法形成透明電極圖案。上述透明電極圖案通常係與形成於透明基板端部之繞線(未圖示)電連接,上述繞線則與控制器IC(未圖示)連接。透明電極圖案之形狀除了櫛形以外,可視用途採用任意形狀如條紋狀或菱形形狀等。透明電極圖案之高度例如為10nm~100nm,寬為0.1mm~5mm。
又,內嵌觸控感測機能之液晶顯示面板可適當使用如在照明系統使用背光或反射板等用以形成液晶顯示裝置的構件。
實施例
以下,以實施例來具體說明本發明,惟本發明不受該等實施例限定。此外,各例中之份及%皆為重量基準。以下,未特別規定之室溫放置條件皆為23℃且65%RH。
>測定(甲基)丙烯酸系聚合物(A)之重量平均分子量>
(甲基)丙烯酸系聚合物(A)之重量平均分子量(Mw)是利用GPC(凝膠滲透層析法)來測定。針對Mw/Mn亦同樣進行測定。且,聚合物(a)等之重量平均分子量的測定亦同樣應用(溶劑以外)。
・分析裝置:Tosoh(東曹)公司製,HLC-8120GPC
・管柱:Tosoh公司製,G7000HXL
+GMHXL
+GMHXL
・管柱尺寸:各7.8mmφ×30cm 計90cm
・管柱溫度:40℃
・流量:0.8mL/min
・注入量:100μL
・溶析液:四氫呋喃
・檢測器:示差折射計(RI)
・標準試料:聚苯乙烯
(製作薄型偏光件A)
對吸水率0.75%、Tg75℃之非晶質間苯二甲酸共聚聚對苯二甲酸乙二酯(IPA共聚PET)薄膜(厚度:100μm)基材的單面施行電暈處理,並在該電暈處理面上於25℃下塗佈以9:1之比含有聚乙烯醇(聚合度4200,皂化度99.2莫耳%)及乙醯乙醯基改質PVA(聚合度1200,乙醯乙醯基改質度4.6%,皂化度99.0莫耳%以上,日本合成化學工業公司製,商品名「Gohsefimer Z200」)的水溶液並乾燥,形成厚度11μm的PVA系樹脂層,而製作出積層體。
將所得積層體在120℃之烘箱內於周速相異的輥件間沿縱方向(長邊方向)進行自由端單軸延伸2.0倍(空中輔助延伸處理)。
接著,使積層體浸漬於液溫30℃的不溶解浴(相對於水100重量份摻混4重量份之硼酸而得的硼酸水溶液)中30秒(不溶解處理)。
接著,一邊使其浸漬於液溫30℃的染色浴中一邊調整碘濃度、浸漬時間以使偏光板成為預定之透射率。本實施例係使其浸漬於相對於100重量份的水摻混0.2重量份的碘、1.0重量份的碘化鉀所得之碘水溶液中60秒(染色處理)。
接著,使其浸漬於液溫30℃的交聯浴(相對於水100重量份摻混3重量份的碘化鉀並摻混3重量份的硼酸而得之硼酸水溶液)中30秒(交聯處理)。
其後,一邊使積層體浸漬於液溫70℃之硼酸水溶液(相對於100重量份的水摻混4重量份硼酸並摻混5重量份碘化鉀所得之水溶液),一邊於不同周速之輥件間沿縱方向(長邊方向)進行單軸延伸以使總延伸倍率達5.5倍(水中延伸)。
之後,使積層體浸漬於液溫30℃的洗淨浴(相對於水100重量份摻混4重量份的碘化鉀而得之水溶液)中(洗淨處理)。
以上述方式獲得了包含厚度5μm之偏光件的光學薄膜積層體。
(透明保護薄膜)
使用厚度25μm之三醋酸纖維素樹脂薄膜。
(製作應用於透明保護薄膜之接著劑)
將丙烯醯基嗎福林45重量份、1,9-壬二醇二丙烯酸酯45份、(甲基)丙烯酸單體聚合而成的丙烯酸系寡聚物(ARUFON UP1190,東亞合成公司製)10份、光聚合引發劑(IRGACURE 907,BASF公司製)3份、聚合引發劑(KAYACURE DETX-S,日本化藥公司製)1.5份混合,而調製出紫外線硬化型接著劑。
>透明層之形成材>
形成材A::胺甲酸乙酯預聚物(a)的溶液係使用由二異氰酸甲苯酯(TDI)與三羥甲丙烷(TMP)構成的胺甲酸乙酯預聚物之75%乙酸乙酯溶液(Tosoh(東曹)公司製,商品名「CORONATE L」)。
另一方面,將三羥甲丙烷溶解於環戊酮中並使固體成分濃度成為10%,而調製出三羥甲丙烷溶液。
於上述胺甲酸乙酯預聚物之75%乙酸乙酯溶液(Tosoh(東曹)公司製,商品名「Coronate L」)100份中添加上述三羥甲丙烷溶液,使胺甲酸乙酯預聚物:三羥甲丙烷之固體成分比率為90:10,再加入二月桂酸二辛錫系觸媒(Tokyo Fine Chemical CO.,LTD.製,商品名「EMBILIZER OL-1」)0.1份,並以甲基異丁基酮為溶劑,而調製出固體成分濃度調製為10%的形成材(塗敷液)。
形成材B:在由二異氰酸甲苯酯與三羥甲丙烷構成的胺甲酸乙酯預聚物之75%乙酸乙酯溶液(Tosoh(東曹)公司製,商品名「CORONATE L」)100份中,加入二月桂酸二辛錫系觸媒(東京FINE CHIMICAL公司製,商品名「Embilizer OL-1」0.1份,並以甲基異丁基酮為溶劑使固體成分濃度為10%而調製出胺甲酸乙酯預聚物塗敷液。
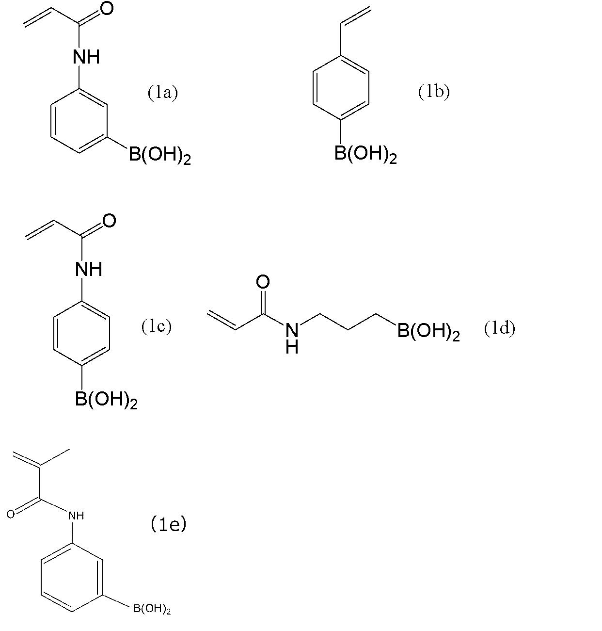
形成材C:將甲基丙烯酸甲酯97.0份、通式(1):所示單體(通式(1e)之單體)3.0份、聚合引發劑(2,2'-偶氮雙(異丁腈))0.2份溶解於甲苯200份中。接著,於氮氣環境下一邊加熱至70℃一邊進行聚合反應5小時,而獲得聚合物(a)(固體成分濃度:33重量%)。所得聚合物(a)之重量平均分子量為85,000。
混合前述聚合物(a)15份與環氧樹脂(Mitsubishi Chemical Co.製,商品名:jER(註冊商標) YX7200B35)85份,調製出丙烯酸-環氧樹脂之形成材(塗敷液)。
形成材D:將聚合度2500、皂化度99.0%之聚乙烯醇樹脂(JAPAN VAM & POVAL公司製,商品名:JC-25)純粹地溶解,而調製出固體成分濃度4重量%之水溶液。
實施例1
(調製丙烯酸系聚合物(A))
將含有丙烯酸丁酯99份及丙烯酸4-羥丁酯1份之單體混合物饋入具備攪拌葉片、溫度計、氮氣導入管、冷卻器的4口燒瓶中。並相對於前述單體混合物(固體成分)100份,將作為聚合引發劑之2,2’-偶氮雙異丁腈0.1份與乙酸乙酯100份一起饋入,一邊緩慢攪拌一邊導入氮氣進行氮取代後,將燒瓶內的液溫保持在55℃附近,進行8小時聚合反應,調製出重量平均分子量(Mw)160萬且Mw/Mn=3.7之丙烯酸系聚合物溶液。
(調製黏著劑組成物)
相對於上述所得丙烯酸系聚合物溶液之固體成分100份,摻混異氰酸酯交聯劑(三井化學公司製之Takenate D160N,三羥甲丙烷六亞甲基二異氰酸酯)0.1份、過氧化苯甲醯(日本油脂公司製之NYPER BMT)0.3份及含環氧基之矽烷耦合劑(信越化學工業公司製:X-41-1056)0.3份,而調製出丙烯酸系黏著劑組成物之溶液。
(製作黏著劑層)
接著,以使乾燥後的黏著劑層的厚度成為20μm,將上述丙烯酸系黏著劑組成物之溶液塗佈於經聚矽氧系剝離劑處理過之聚對苯二甲酸乙二酯薄膜(分離薄膜:三菱化學聚酯薄膜(股)製,MRF38)的單面上,並以155℃乾燥1分鐘,而於分離薄膜表面形成黏著劑層。
>製作單面保護偏光薄膜>
在上述光學薄膜積層體之偏光件A的表面一邊將上述紫外線硬化型接著劑a以使硬化後接著劑層厚度達1μm的方式進行塗佈,一邊貼合上述透明保護薄膜(三醋酸纖維素樹脂薄膜),然後照射作為活性能量線的紫外線使接著劑硬化。紫外線照射是使用充有鎵之金屬鹵素燈,照射裝置:Fusion UV Systems, Inc公司製的Light HAMMER10,燈泡:V燈泡,峰值照度:1600mW/cm2
,累積照射量1000/mJ/cm2
(波長380~440nm),紫外線照度則使用Solatell公司製的Sola-Check系統來測定。接著,將非晶性PET基材剝離,而製作出使用有薄型偏光件的單面保護偏光薄膜。所得單面保護偏光薄膜之光學特性為單體透射率42.8%、偏光度99.99%。
>製作附透明層之單面保護偏光薄膜>
以棒塗機將上述透明層之形成材A塗佈於上述單面保護偏光薄膜的偏光件之面(偏光件之未設置透明保護薄膜的面)後,在60℃下施行12小時熱處理來進行,而形成了厚度3μm之胺甲酸乙酯樹脂層。
>製作附黏著劑層之單面保護偏光薄膜>
接著,將形成於分離薄膜上的黏著劑層轉印至形成於單面保護偏光薄膜的透明層上,而製作出了附黏著劑層之偏光薄膜。
實施例2~17、比較例1~4
將實施例1中,如表1所示,將調製丙烯酸系聚合物(A)所用單體混合物之組成、調製黏著劑組成物所用離子性化合物(B)之種類(EMI-FSI或Li-TFSI)或其摻混比率、黏著劑層之厚度、透明層之形成材的種類或其厚度變更成如表1所示,除此之外依與實施例1相同方式而製出附透明層之單面保護偏光薄膜及附黏著劑層之單面保護偏光薄膜。
又,實施例14~17之透明層係以棒塗機將上述透明層之形成材C塗佈於上述單面保護偏光薄膜的偏光件之面(偏光件之未設置透明保護薄膜的面)後,在60℃下施行2分鐘熱處理來進行,而形成了厚度0.5μm之透明層。
比較例4之透明層之形成,係以棒塗機將上述形成劑C塗佈於上述單面保護偏光薄膜的偏光件之面(偏光件之未設置透明保護薄膜的面)後,在60℃下加熱3分鐘,而形成厚度1μm之聚乙烯醇樹脂層來進行。
在比較例1~3中並未形成透明層。
離子性化合物(B)之摻混量係相對於丙烯酸系聚合物溶液之固體成分100份之值。
針對上述實施例及比較例所得附黏著劑層之單面保護偏光薄膜進行以下評估。將評估結果列於表1。
>耐腐蝕性試驗>
具有透明基材與透明導電層之透明導電性基材係使用厚度0.7mm之無鹼玻璃(康寧公司製,商品名「EG-XG」)上濺鍍成膜有非晶性ITO之附ITO之玻璃。ITO係使用Sn比率3重量%者。另外,ITO之Sn比率係由Sn原子重量/(Sn原子重量+In原子重量)算出。將該附ITO之玻璃裁切成25mm×25mm後,將實施例及比較例所得附黏著劑層之單面保護偏光薄膜裁切成15mm×15mm並貼合於該附ITO之玻璃之成膜有ITO之面的中央部後,於50℃、5atm下施行15分鐘高壓釜處理,並將其作為ITO腐蝕性之評估試樣。
將測定貼合附黏著劑層之單面保護偏光薄膜前之非晶性ITO層的表面電阻值所得之值設為「Ri
」。
將測定用試樣投入溫度60℃、90%RH之環境中250小時或500小時後,剝離附黏著劑層之單面保護偏光薄膜並分別測定非晶性ITO層之表面電阻值,將測得之值設為「R250
」或「R500
」。
此外,上述表面電阻值係使用Accent Optical Technologies公司製HL5500PC來進行測定。
從上述表面電阻值之測定結果分別算出變化比:R250
/Ri
、變化比:R500
/R250
。將結果列於表1。
R250
/Ri
為1.5以下表示濕熱造成之電阻值的上升幅度小,耐腐蝕性良好,而為佳。
而R500
/R250
為1.8以下表示濕熱造成之電阻值的上升幅度小,耐腐蝕性良好,而為佳。
>評估端部褪色>
將實施例及比較例中所得附黏著劑層之偏光薄膜裁切成50mm×50mm,並剝離分離薄膜後,透過黏著劑層貼合於1.2~1.5mm厚之鹼玻璃(松波硝子公司製,載玻片),而製作出試樣。在將該試樣保持於60℃90%RH之高溫高濕環境下500小時之後,在下述條件下以微分干涉顯微鏡(Olympus製,製品名「MX-61L」)測定端部褪色量。端部褪色量係於試樣之四個角的對角線上,將連接顏色變得較中央部更淡的部分中最靠近中央部之處與角的直線距離定為端部褪色量(μm),並將四個角之平均值定為該試樣的端部褪色量。
裝置:Olympus公司製,MX-61L
測定條件:
透鏡倍率:5倍
ISO:200
快門速度:1/100
反射光量:刻度0
白平衡:自動
透射光控制器:LG-PS2
透射光量:刻度5
透射光偏光方向:對偏光薄膜透射軸呈正交偏光之方向
>表面電阻值(Ω/□):導電性>
針對上述實施例及比較例所得附黏著劑層之單面保護偏光薄膜進行以下評估。將評估結果列於表1。另,各評估中,「初始」為製出附黏著劑層之單面保護偏光薄膜或液晶面板後立刻測定之值,「加濕後」則是將所得附黏著劑層之偏光薄膜或液晶面板投入60℃/95%RH之加濕環境下250小時並進一步在40℃下乾燥1小時後測定之值。
從附黏著劑層之偏光薄膜剝離分離薄膜後,測定黏著劑層表面之表面電阻值。測定是使用三菱化學ANALYTECH公司製MCP-HT450來進行。
而,表1之變動比(b/a)係從「初始」之表面電阻值(a)與「加濕後」之表面電阻值(b)算出之值(小數點第2位四捨五入之值)。
又,以下述基準評估變動比值小較佳作為發生「誤動作」之疑慮較少的指標。
A:變動比為2以下。
B:變動比超過2且低於10。
C:變動比為10以上。
表1中:
BA表示丙烯酸丁酯、
NVP表示N-乙烯基-2-吡咯啶酮、
HBA表示丙烯酸4-羥丁酯、
AA表示丙烯酸、
EMI-FSI表示乙基甲基咪唑鎓雙(氟磺醯基醯亞胺)、
Li‐TFSI表示雙(三氟甲磺醯基)醯亞胺鋰。
如表1所示可知,即便係在將於使用碘系偏光件之單面保護偏光薄膜上設有黏著劑層之附黏著劑層之偏光薄膜的該黏著劑層貼合於透明導電層時,根據前述黏著劑層隔著預定透明層設置之實施例,即便置於加濕環境下仍可維持透明導電層穩定的表面電阻值。
1:附黏著劑層之偏光薄膜
11:單面保護偏光薄膜、第1偏光薄膜
a:偏光件
b:透明保護薄膜
c:透明層
d:導電層
21:黏著劑層
F:透明導電性基材
F1:透明導電層
F2:透明基材
L:積層體
12:第2偏光薄膜
21,22:第1、第2黏著劑層
3:液晶層
41,42:第1、第2透明基板
5:觸控感測器部
6:驅動電極兼感測器部
7:驅動電極
C:液晶單元
圖1係顯示本發明附黏著劑層之偏光薄膜之一例的截面圖。
圖2係顯示本發明附黏著劑層之偏光薄膜之一例的截面圖。
圖3係顯示本發明積層體之一例的截面圖。
圖4係顯示使用有本發明附黏著劑層之偏光薄膜的附觸控感測機能之液晶面板之一例的截面圖。
圖5係顯示使用有本發明附黏著劑層之偏光薄膜的附觸控感測機能之液晶面板之一例的截面圖。
圖6係顯示使用有本發明附黏著劑層之偏光薄膜的附觸控感測機能之液晶面板之一例的截面圖。
1:附黏著劑層之偏光薄膜
11:單面保護偏光薄膜
a:偏光件
b:透明保護薄膜
c:透明層
21:黏著劑層
Claims (22)
- 一種附黏著劑層之偏光薄膜,具有偏光件、僅於前述偏光件之單面具有透明保護薄膜、及於前述偏光件之另一面具有透明層,且隔著前述透明層設有黏著劑層; 該附黏著劑層之偏光薄膜之特徵在於: 前述偏光件係含有碘及/或碘離子之碘系偏光件,且 前述附黏著劑層之偏光薄膜滿足下述通式(1)所示表面電阻值的變化比: 通式(1):R250 /Ri ≦1.5 (惟,前述Ri 表示將於具有透明基材與透明導電層之透明導電性基材上的前述透明導電層上貼合有前述附黏著劑層之偏光薄膜的黏著劑層之積層體,在50℃、5大氣壓之條件下進行15分鐘高壓釜處理後之前述透明導電層的表面電阻值(Ω/□); 前述R250 表示將前述經高壓釜處理之積層體再於65℃、95%RH之條件下進行250小時之高溫高濕處理後之前述透明導電層的表面電阻值(Ω/□))。
- 如請求項1之附黏著劑層之偏光薄膜,其中前述附黏著劑層之偏光薄膜滿足下述通式(2)所示表面電阻值的變化比: 通式(2):R500 /R250 ≦1.8 (惟,前述R250 表示將於具有透明基材與透明導電層之透明導電性基材上的前述透明導電層上貼合有前述附黏著劑層之偏光薄膜的黏著劑層之積層體,在50℃、5大氣壓之條件下進行15分鐘高壓釜處理後,再於65℃、95%RH之條件下進行500小時之高溫高濕處理後之前述透明導電層的表面電阻值(Ω/□); 前述R500 表示將前述經高壓釜處理之積層體再於65℃、95%RH之條件下進行500小時之高溫高濕處理後之前述透明導電層的表面電阻值(Ω/□))。
- 如請求項1或2之附黏著劑層之偏光薄膜,其中前述透明層係直接形成於偏光件上。
- 如請求項1至3中任一項之附黏著劑層之偏光薄膜,其中前述透明層之厚度為10μm以下。
- 如請求項1至4中任一項之附黏著劑層之偏光薄膜,其中前述透明層為含有胺甲酸乙酯預聚物之形成材的硬化物,該胺甲酸乙酯預聚物係異氰酸酯化合物與多元醇的反應物。
- 如請求項5之附黏著劑層之偏光薄膜,其中前述異氰酸酯化合物含有選自二異氰酸甲苯酯及二苯甲烷二異氰酸酯中之至少任一種。
- 如請求項1至4中任一項之附黏著劑層之偏光薄膜,其中前述透明層含有環氧樹脂。
- 如請求項1至4中任一項之附黏著劑層之偏光薄膜,其中前述透明層為下述樹脂組成物,該樹脂組成物包含: (a)聚合物,其係藉由將大於50重量份之丙烯酸系單體與大於0重量份且小於50重量份之下述通式(1)所示單體聚合而得者: [化學式1] (式中,X表示含有選自於由乙烯基、(甲基)丙烯醯基、苯乙烯基、(甲基)丙烯醯胺基、乙烯基醚基、環氧基、氧雜環丁烷基、羥基、胺基、醛基及羧基所構成群組中之至少1種反應性基的官能基,R1 及R2 分別獨立表示氫原子、可具有取代基之脂肪族烴基、可具有取代基之芳基或可具有取代基之雜環基,R1 及R2 可相互連結形成環);及 (b)環氧樹脂;並且 前述聚合物(a)與環氧樹脂(b)之含有比例以重量比計為95:5~60:40或40:60~1:99。
- 如請求項8之附黏著劑層之偏光薄膜,其中前述通式(1)中X所示官能基為下述通式(2)所示官能基: 通式(2):Z-Y-(式中,Z表示含有選自於由乙烯基、(甲基)丙烯醯基、苯乙烯基、(甲基)丙烯醯胺基、乙烯基醚基、環氧基、氧雜環丁烷基、羥基、胺基、醛基及羧基所構成群組中之至少1種反應性基的官能基,Y表示有機基)。
- 如請求項1至9中任一項之附黏著劑層之偏光薄膜,其中前述黏著劑層係由含有(甲基)丙烯酸系聚合物(A)之黏著劑組成物所形成。
- 如請求項1至10中任一項之附黏著劑層之偏光薄膜,其中前述黏著劑層係由含有(甲基)丙烯酸系聚合物(A)及離子性化合物(B)之黏著劑組成物所形成。
- 如請求項10或11之附黏著劑層之偏光薄膜,其中前述(甲基)丙烯酸系聚合物(A)含有(甲基)丙烯酸烷基酯(a1)及含醯胺基單體(a2)作為單體單元。
- 如請求項12之附黏著劑層之偏光薄膜,其中前述含醯胺基單體(a2)為含N-乙烯基內醯胺系單體。
- 如請求項12或13之附黏著劑層之偏光薄膜,其中前述含醯胺基單體(a2)作為單體單元於前述(甲基)丙烯酸系聚合物(A)中含有0.1重量%以上。
- 如請求項11至14中任一項之附黏著劑層之偏光薄膜,其中前述離子性化合物(B)為鹼金屬鹽。
- 如請求項11至15中任一項之附黏著劑層之偏光薄膜,其中前述離子性化合物(B)相對於前述(甲基)丙烯酸系聚合物(A)100重量份含有0.01重量份以上。
- 如請求項1至16中任一項之附黏著劑層之偏光薄膜,其中前述透明導電層由氧化銦錫形成。
- 一種積層體,其特徵在於:具有如請求項1至17中任一項之附黏著劑層之偏光薄膜、以及具有透明基材及透明導電層之透明導電性基材,並且前述附黏著劑層之偏光薄膜的黏著劑層係貼合於前述透明導電性基材的透明導電層上。
- 一種影像顯示裝置,其特徵在於:將如請求項18之積層體作為觸控面板來使用。
- 一種影像顯示面板,其特徵在於:具有如請求項1至17中任一項之附黏著劑層之偏光薄膜。
- 如請求項20之影像顯示面板,其中前述影像顯示面板為具備具有透明導電層之透明導電性基材者,且前述附黏著劑層之偏光薄膜的黏著劑層貼合於前述影像顯示面板的前述透明導電層上。
- 一種影像顯示裝置,其特徵在於:具有如請求項20或21之影像顯示面板。
Applications Claiming Priority (4)
| Application Number | Priority Date | Filing Date | Title |
|---|---|---|---|
| JP2018-223651 | 2018-11-29 | ||
| JP2018223651 | 2018-11-29 | ||
| JP2019214309A JP7540874B2 (ja) | 2018-11-29 | 2019-11-27 | 粘着剤層付き偏光フィルム及び画像表示装置 |
| JP2019-214309 | 2019-11-27 |
Publications (1)
| Publication Number | Publication Date |
|---|---|
| TW202036054A true TW202036054A (zh) | 2020-10-01 |
Family
ID=71085580
Family Applications (1)
| Application Number | Title | Priority Date | Filing Date |
|---|---|---|---|
| TW108143757A TW202036054A (zh) | 2018-11-29 | 2019-11-29 | 附黏著劑層之偏光薄膜及影像顯示裝置 |
Country Status (4)
| Country | Link |
|---|---|
| JP (1) | JP7540874B2 (zh) |
| KR (1) | KR20210096071A (zh) |
| CN (1) | CN112840242B (zh) |
| TW (1) | TW202036054A (zh) |
Cited By (2)
| Publication number | Priority date | Publication date | Assignee | Title |
|---|---|---|---|---|
| TWI850634B (zh) * | 2021-04-28 | 2024-08-01 | 日商日東電工股份有限公司 | 附黏著劑層之偏光板及使用其之影像顯示裝置 |
| TWI899365B (zh) * | 2020-11-05 | 2025-10-01 | 日商日東電工股份有限公司 | 偏光板及使用其之影像顯示裝置 |
Families Citing this family (2)
| Publication number | Priority date | Publication date | Assignee | Title |
|---|---|---|---|---|
| JP7258829B2 (ja) * | 2020-08-11 | 2023-04-17 | 日東電工株式会社 | 位相差層付偏光板およびそれを用いた画像表示装置 |
| WO2023199959A1 (ja) * | 2022-04-14 | 2023-10-19 | 日東電工株式会社 | 光学積層体、画像表示パネル及び画像表示装置 |
Family Cites Families (13)
| Publication number | Priority date | Publication date | Assignee | Title |
|---|---|---|---|---|
| JP3891527B2 (ja) * | 1998-04-10 | 2007-03-14 | 日本合成化学工業株式会社 | 偏光板 |
| DE102004048728A1 (de) * | 2004-10-05 | 2006-04-06 | Basf Ag | Verfahren zur Herstellung von Polyurethan-Hartschaumstoffen |
| JP5379410B2 (ja) | 2008-03-14 | 2013-12-25 | 日東電工株式会社 | 光学フィルム用粘着剤組成物、粘着型光学フィルムおよび画像表示装置 |
| JP6363410B2 (ja) | 2013-06-28 | 2018-07-25 | 日東電工株式会社 | 粘着剤組成物、透明導電層用粘着剤層、積層体、及び画像表示装置 |
| JP6186011B2 (ja) * | 2014-01-23 | 2017-08-23 | 富士フイルム株式会社 | 偏光板および画像表示装置 |
| JP6803131B2 (ja) * | 2014-02-18 | 2020-12-23 | 日東電工株式会社 | 積層体および画像表示装置 |
| KR101757058B1 (ko) * | 2014-09-29 | 2017-07-12 | 주식회사 엘지화학 | 편광판 및 이를 포함하는 화상표시장치 |
| JP2016122181A (ja) * | 2014-12-24 | 2016-07-07 | 住友化学株式会社 | 偏光板及び液晶表示装置 |
| JP6684043B2 (ja) * | 2014-12-24 | 2020-04-22 | 日東電工株式会社 | コーティング層付偏光フィルム、粘着剤層付偏光フィルム、及び画像表示装置 |
| JP6689103B2 (ja) * | 2015-03-12 | 2020-04-28 | 日東電工株式会社 | 偏光フィルムおよびその製造方法、光学フィルムならびに画像表示装置 |
| JP6577768B2 (ja) * | 2015-06-30 | 2019-09-18 | 株式会社トッパンTomoegawaオプティカルフィルム | ハードコートフィルム、これを用いた偏光板、ディスプレイ部材及び表示装置 |
| WO2017170527A1 (ja) * | 2016-03-29 | 2017-10-05 | 日東電工株式会社 | フレキシブル偏光膜、その製造方法および画像表示装置 |
| KR102484820B1 (ko) * | 2017-02-28 | 2023-01-05 | 스미또모 가가꾸 가부시키가이샤 | 광학 적층체 |
-
2019
- 2019-11-27 JP JP2019214309A patent/JP7540874B2/ja active Active
- 2019-11-29 KR KR1020217011181A patent/KR20210096071A/ko active Pending
- 2019-11-29 CN CN201980067253.1A patent/CN112840242B/zh active Active
- 2019-11-29 TW TW108143757A patent/TW202036054A/zh unknown
Cited By (2)
| Publication number | Priority date | Publication date | Assignee | Title |
|---|---|---|---|---|
| TWI899365B (zh) * | 2020-11-05 | 2025-10-01 | 日商日東電工股份有限公司 | 偏光板及使用其之影像顯示裝置 |
| TWI850634B (zh) * | 2021-04-28 | 2024-08-01 | 日商日東電工股份有限公司 | 附黏著劑層之偏光板及使用其之影像顯示裝置 |
Also Published As
| Publication number | Publication date |
|---|---|
| KR20210096071A (ko) | 2021-08-04 |
| CN112840242B (zh) | 2024-03-08 |
| JP2020095263A (ja) | 2020-06-18 |
| JP7540874B2 (ja) | 2024-08-27 |
| CN112840242A (zh) | 2021-05-25 |
Similar Documents
| Publication | Publication Date | Title |
|---|---|---|
| JP7372824B2 (ja) | 粘着剤層付き偏光フィルム及び画像表示装置 | |
| WO2020111232A1 (ja) | 粘着剤層付き偏光フィルム及び画像表示装置 | |
| CN105295783B (zh) | 粘合剂组合物及显示装置 | |
| JP7791235B2 (ja) | 粘着剤層付偏光フィルム、画像表示パネル及び画像表示装置 | |
| TW202036054A (zh) | 附黏著劑層之偏光薄膜及影像顯示裝置 | |
| TWI882972B (zh) | 附觸控感測機能之液晶面板、液晶顯示裝置及附黏著劑層之偏光薄膜 | |
| TWI889149B (zh) | 附黏著劑層之偏光薄膜、影像顯示面板及影像顯示裝置 | |
| TW202035607A (zh) | 附黏著劑層之偏光薄膜、影像顯示面板及影像顯示裝置 | |
| JP6618396B2 (ja) | 粘着剤組成物及び粘着剤層付偏光板 | |
| WO2020111236A1 (ja) | タッチセンシング機能付液晶パネル、液晶表示装置および粘着剤層付き偏光フィルム | |
| WO2020111235A1 (ja) | 粘着剤層付き偏光フィルム及び画像表示装置 |






